Борисов Е. Ф. - Нынешняя совокупность мирохозяйственных связей

Административная школа


Более того. Управление современным крупным машинным производством приобретает не только плановый, но и научный характер. Не случайно в состав управленческого персонала вовлекается большой отряд научно подготовленных специалистов.
Описывая управленческий персонал корпорации, Дж. Гэлбрейт пришел к выводу: В итоге мыслительным центром, определяющим действия фирмы, становится не отдельная личность, а целая совокупность ученых, инженеров и техников, специалистов по реализации, рекламе и торговым операциям, экспертов в области отношений с общественностью, лоббистов, адвокатов и людей, хорошо знакомых с особенностями вашингтонского бюрократического аппарата и его деятельности, а также посредников, управляющих, администраторов63.
Столь значительное изменение роли и характера управленческой деятельности привело к возникновению особой отрасли научных зна-•ний и умений — менеджмента.
Менеджмент (англ. management — управление) — система теоретических и практических знаний о принципах, методах, средствах и формах управления производством в целях повышения его эффективности и увеличения прибыли.
Менеджмент возникал постепенно из разных направлений поиска лучших результатов управленческой деятельности. На первых порах появилась школа научного управления (1885—1920). Основатель этой школы американский инженер Фредерик Тейлор и его последователи стремились найти наиболее рациональные трудовые приемы, исключить лишние движения, проводили серии наблюдений за технологическими операциями и замеры времени на каждую из них, анализируя способы повышения производительности труда рабочих.
В результате усовершенствования ручных операций по переноске чугунных деталей, например, выработка рабочих возросла в четыре раза, заработок увеличился в 1,6 раза, люди стали меньше уставать. Из каждых восьми человек, занятых на этой операции, семь были переведены на другие работы. Описывая механизм научной системы управления, Ф. Тейлор включил в него: а) точный учет рабочего времени с применением инструментов и методов, необходимых для надлежащего учета; б) стандартизацию всех орудий труда и элементарных операций и движений в каждом виде работы; в) установление урока (производственного задания рабочим) и крупных премий за его успешное выполнение и т.д.64
Позже возникла административная школа (1920—1950). Она перешла от изучения низкого уровня производства (рабочих мест) к исследованию управления всей организацией в целом. Родоначальник этой школы француз Анри Файоль сформулировал 14 универсальных (примерных для всяких организаций) принципов управления, сохранивших определенную ценность и до наших дней: 1) разделение труда (специализация управленческих работников на выполнении отдельных видов деятельности, что повышает ее качество); 2) полномочия (право отдавать приказ) в единстве с ответственностью; 3) дисциплина; 4) единоначалие (работник получает приказы только от одного начальника); 5) единство направления (каждая управленческая группа действует по единому плану, с одним руководителем); 6) подчиненность личных интересов общим; 7) вознаграждение персонала; 8) централизация труда в необходимых границах; 9) скалярная цепь (иерархия, или ступенчатое построение, управления в порядке подчинения и перехода от низшего к высшему); 10) порядок (место для всего и всё на своем месте); 11) справедливость (сочетание доброты и правосудия); 12) стабильность рабочего места для персонала (предотвращение текучести кадров); 13) инициатива (разработка плана и обеспечение его успешного выполнения); 14) корпоративный дух (союз, гармония персонала — это сила)65.
Новое направление связано со школой человеческих отношений (1930—1950) и разработкой поведенческих наук (с 1950 г. по настоящее время). Самыми крупными авторитетами в развитии школы человеческих отношений были американские ученые Мэри Фоллет и Элтон Мэйо. Исследователи заинтересовались вопросами: какими мотивами руководствуется человек в труде, как протекает социальное взаимодействие людей, каков характер авторитета и кто является лидером в производственном коллективе?
Используя достижения психологии и социологии, они выработали ценные практические рекомендации по широкому вовлечению работников в управление предприятием, по улучшению содержания и качества трудовой жизни, более полному использованию каждого человека в соответствии с его потенциалом.
Менеджмент творчески обогатился за счет других научных направлений: а) количественного подхода (использования математики и статистики для исследования отдельных управленческих операций и разработки их моделей); б) процессного подхода (изучения управления как серии непрерывных взаимосвязанных действий: планирования, организации, мотивации и контроля); в) системного подхода (выяснения системных качеств управления) и г) ситуационного подхода (применения науки управления к ситуациям — конкретному набору обстоятельств, которые существенно влияют на организацию в данное конкретное время).
В последние годы усилился международный характер менеджмента, что обусловлено интернационализацией производства и ростом международной конкуренции. В связи с этим исследуются новые проблемы:
что общего и особенного в хозяйственном управлении различных стран;
каковы универсальные закономерности, формы и методы руководящей деятельности; как лучше управлять внешнеэкономической деятельностью?
В итоге менеджмент научно отразил основные принципы и способы организации производства на предприятии, определил функции управления, методы деятельности хозяйственного руководителя и пути обеспечения эффективной деятельности организации. Возникла такая междисциплинарная область знаний, которая включает сведения из экономики, организации и управления производством на предприятии, из права, психологии и т.п. Образовался сплав науки, опыта руководящей деятельности, управленческого искусства66.
Какими навыками и способностями должен обладать менеджер завершающегося столетия? Созданный исследователями своеобразный словесный портрет включает следующие индивидуальные качества: 1) способность управлять собой; 2) разумные личные ценности: 3) четкие личные цели; 4) упор на постоянный личный рост; 5) навык решать проблемы; 6) изобретательность и способность к инновациям (нововведениям); 7) высокая способность влиять на окружающих; 8) знание современных управленческих подходов; 9) способность руководить; 10) умение обучать и развивать подчиненных; 11) способность формировать и развивать рабочие группы.
Итак, менеджер представляет собой тип профессионального работника, способного управлять фирмой на строго научной основе. Он придает деятельности предприятия плановую упорядоченность, согласованность и урегулированность, которые соответствуют природе современного индустриального и постиндустриального производства. Это позволяет находить верные пути и средства для реализации целей предпринимательства.
Такие цели связаны с производством новой стоимости.
4. Процесс производства новой стоимости
Свойственная микроэкономике рыночная среда накладывает свой отпечаток на содержание и характер экономической деятельности предприятий: она основывается на коммерческом расчете.
Коммерческий (лат. commercium — торговля) расчет — это метод ведения хозяйства на предприятии в рыночных условиях. Он основывается на том, что торговая выручка от продажи произведенных товаров должна покрывать все затраты ресурсов и давать доход (прибыль). Принципы коммерческого расчета — предпринимательская самостоятельность, самоокупаемость и прибыльность, самофинансирование, материальная заинтересованность, экономическая ответственность (рис.
8.2).

Административная школа

Рис. 8.2. Принципы коммерческого расчета 216
Что представляет собой каждый из этих принципов? Чтобы эффективно вести хозяйственную деятельность, предприятия должны быть свободны от чьей-либо опеки, а его руководители должны обладать абсолютной или относительной предпринимательской самостоятельностью. Они сами выделяют собственные или заемные деньги на покупку средств производства и заработную плату работникам, определяют, как рационально использовать производственные факторы, какие выпускать товары, как учитывать конъюнктуру рынка, спрос покупателей.
В нашей стране законодательство на страже инициативной предпринимательской деятельности. Строго наказуемым преступлением является воспрепятствование законному предпринимательству. Речь идет о неправомерном отказе в регистрации индивидуального предпринимателя или коммерческой организации либо уклонении от их регистрации, неправомерном отказе в выдаче специального разрешения (лицензии) на осуществление определенной деятельности либо уклонении от его выдачи, ограничении прав и законных интересов индивидуального предпринимателя или коммерческой организации в зависимости от организационно-правовой формы или формы собственности, а равно ограничении самостоятельности либо ином незаконном вмешательстве в деятельность индивидуального предпринимателя или коммерческой организации, если эти деяния совершены должностным лицом с использованием своего служебного положения (УК РФ, пункт 1 статьи 169).



Амортизационный фонд


В отличие от этого оборотный капитал — другая часть производительного капитала, стоимость которой полностью переносится на созданный продукт. Она возвращается в денежной форме в течение одного кругооборота. Речь идет о предметах труда и быстроизнашивающемся (за год) инструменте. Как известно, после обработки сырье и вспомогательные материалы утрачивают свои прежние полезные качества и принимают новые.
Что касается топлива и электроэнергии, то они вещественно не входят в продукцию и по мере потребления исчезают, хотя без них невозможно создать нужное благо.
К оборотному капиталу на практике относят заработную плату. Ибо способ оборота денежных средств, затраченных на оплату труда, является одинаковым с оборотом стоимости предметов труда. Отсюда вытекает заинтересованность бизнесмена в ускорении движения оборотного капитала.
Чем быстрее возвращаются, в частности, деньги, затраченные на заработную плату, тем шире возможность за тот же год нанять больше работников, что в конечном счете увеличит размер прибыли.
Особую заботу, предприниматели проявляют о сохранении и возмещении стоимости основного капитала, который по своей экономической природе относится к постоянно возобновляемому капиталу. Такое непрерывное восстановление стоимости средств труда производится по определенным нормам в соответствии с их износом. Этот износ бывает двояким: 1) физическим и 2) стоимостным (рис.
9.2).

Амортизационный фонд

Рис. 9.2. Виды износа основного капитала
Физический износ основного капитала означает утрату средствами труда своей полезности, в результате чего они становятся материально непригодными для дальнейшего использования. Этот износ происходит в двух случаях: а) в процессе производительного применения (поломка машин, разрушения фабричного здания от вибраций и т.п.) и б) если оборудование бездействует и утрачивает свои качества (разрушается под воздействием жары, холода, воды и пр.).
Стоимостной (его часто называют моральным) износ — это утрата основным капиталом своей стоимости. Данный процесс подразделяется на два вида: а) когда машиностроение создает более дешевые технические средства, вследствие чего происходит обесценивание старого, действующего оборудования, и б) когда старые машины заменяются более производительными (за то же время они вырабатывают больше продукции). В результате оборудование быстрее переносит свою стоимость на готовые изделия.
В условиях современного научно-технического прогресса и неценовой конкуренции произошло ускорение старения основного капитала. Новые, более совершенные средства труда внедряются еще до физического износа старой техники. На Западе бизнесмены стремятся к тому, чтобы стоимость основного капитала окупалась задолго до его физического и стоимостного износа.
Этого они добиваются путем введения нескольких смен в течение дня, более полной загрузки машин и станков.
Средства на простое воспроизводство основного капитала накапливаются в амортизационном фонде. К моменту износа вещественных элементов этого капитала в фонде амортизации сосредоточивается такая сумма денег, за счет которой закупаются новые аналогичные машины и оборудование. Эти деньги идут и на капитальный ремонт средств труда (работы по восстановлению технических качеств оборудования и его производительности).
Амортизационный фонд образуется за счет амортизационных отчислений. Последние представляют собой денежную форму перенесенной на продукцию стоимости действующих основных фондов. Эти отчисления включаются в общую сумму затрат предприятия на производство продукции.
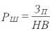
Величина годового амортизационного фонда зависит от двух факторов: среднегодовой стоимости основного капитала и нормы амортизации. Норма амортизации АН определяется как отношение годовой суммы амортизационных отчислений А0 к среднегодовой стоимости основного капитала К0, выраженное в процентах:

Амортизационный фонд

Норма амортизации показывает, за сколько лет стоимость основного капитала должна быть полностью возмещена. Норма амортизации определяется с учетом: а) экономически целесообразных (нормативных) сроков службы средств труда (которые зависят от их долговечности и физического износа); б) сравнительной эффективности затрат на капитальный ремонт, модернизацию (совершенствование) и замену машин и оборудования; в) фактического возраста основного капитала, находящегося в эксплуатации; г) стоимостного износа средств труда.
В нашей стране нормы амортизации устанавливаются на реновацию (полное восстановление) средств труда с учетом их балансовой стоимости (в балансе предприятия отражена фактическая стоимость как ранее закупленных, так и вновь поступивших машин и оборудования), срока службы и выручки от продажи выбывших технических средств.
В промышленно развитых странах ускорение технического прогресса в последние годы сказывается на повышении нормы амортизации. В нашей стране она является сравнительно низкой и не соответствует современным темпам обновления техники производства. Это положение подтверждают данные таблицы 9.1.
Таблица 9.1.
Коэффициент обновления и коэффициент выбытия основных фондов в российской экономике в 1992 и 1995 гг. (в сопоставимых ценах 1990 г.)

Показатель
1992
3,0
1,0
1995
1,5
2,3
Коэффициент обновления (ввод и действие основных фондов (без скота) в % от общей стоимости основных фондов на конец года)
Коэффициент выбытия (ликвидация основных фондов (без скота) в % от общей стоимости основных фондов на начало года)
Неблагополучие в отношении обеспечения производства основными фондами (табл. 9.1) проявляется, во-первых, в увеличении технического отставания — коэффициент обновления основных фондов (и без того низкий) сократился вдвое. Во-вторых, возрастающая доля основных фондов выбывает из строя, не находя вообще никакой замены.
Итак, проведенный здесь анализ простого воспроизводства на предприятии показал, как и почему в этом случае капитал движется по замкнутому кругу. Теперь мы рассмотрим его перемещение по спирали в процессе расширенного воспроизводства.
2. Расширенное воспроизводство
индивидуального капитала
Расширенное воспроизводство на фирме означает увеличение размеров капитала, которое приводит к росту масштабов производства новой стоимости. Прирост величины действующего капитала происходит за счет накопления.
Накопление капитала — это приращение денежных и материальных средств, идущих на расширенное воспроизводство. Такого рода дополнительный капитал можно назвать вложением в будущее, поскольку он идет на улучшение жизни нынешнего и последующих поколений. Вполне очевидно: накопление капитала нельзя отождествлять с накоплением сокровищ, со сбережением денежных средств, пребывающих в покое.
Теперь постараемся выяснить: из каких элементов состоит механизм накопления и как он приводится в движение? Механизм накопления в первую очередь включает источники финансирования расширенного воспроизводства. Финансирование — выделение денежных средств — осуществляется за счет внешних и внутренних источников дополнительного капитала. Внешние источники (банковский и иной кредит) мы обсудим в главе 12.
Сейчас рассмотрим классический пример: предприниматель увеличивает размеры капитала путем самофинансирования. На этот процесс воздействует несколько факторов (рис. 9.3).

Амортизационный фонд

Рис. 9.3. Факторы самофинансирования
При расширенном воспроизводстве на предприятии та величина прибыли, которая достается частному собственнику, делится на две части: а) доход, идущий на потребление и б) доход, идущий на накопление. В связи с этим величина накопления зависит от того, в каком соотношении прибыль распределяется на доход и самофинансирование капитала.
Между тем замечено, что с увеличением размера капиталов их собственники, как правило, тратят больше средств на приумножение личного достояния и на предметы роскоши. Но среди них попадаются и скаредные люди, экономящие на самом малом с тем, чтобы больше денег обратить на активно действующий капитал. Так, американка Генриетта Грин (1835—1916) стала рекордсменкой всех времен по скупости.
Хотя ее состояние достигло 95 млн. долл., Грин питалась холодной кашей и была слишком прижимиста, чтобы ее разогреть. Ее сыну ампутировали ногу из-за того, что она слишком долго пыталась найти клинику с бесплатным медицинским обслуживанием.
Члены акционерного общества хорошо знают, что чем больше прибыли выделяется на накопление, тем меньше дохода приходится на каждую акцию, и наоборот. Поэтому вопрос о распределении прибыли по итогам хозяйственного года становится предметом острых споров акционеров. Далеко не все довольны, когда в качестве дивидендов им вручают не деньги, а новые акции (что предусмотрено уставом многих корпораций).
Если устанавливается определенное соотношение между доходом и накоплением, то размер последнего прямо зависит от увеличения массы (общей величины) прибыли. При прочих равных условиях масса прибыли возрастает так же, как увеличивается новая стоимость (она зависит от размеров капитала, численности работников, интенсивности и производительности труда).



Банковская система США и других стран Запада


Банковская система США и других стран Запада регулирует масштабы предоставления кредитов. Коммерческие банки часть своих активов (до 15 %) обязаны сберегать в виде кассового резерва в Центральном банке. Резервная норма по решению банка в небольших пределах может колебаться. При этом расширение кредита, предоставляемого коммерческим банкам, происходит при условии прироста активов более чем в 5 раз.
С повышением Центральным банком резервной нормы банковские обороты уменьшаются, при ее понижении — возрастают.
Процент, по которому банки предоставляют кредит своим клиентам, зависит, прежде всего, от процента за кредиты ФРС, предоставленные им коммерческим и другим кредитным учреждениям. Величина процента за кредит ФРС является нижней границей эффективности его предоставления. Она получила название учетной ставки. Процент, по которому коммерческие банки дают кредит своим клиентам, получил название коммерческого, В развитых странах учетная ставка в середине 90-х гг. составляла от 2 до 15 %. От соотношения учетных и коммерческих ставок в значительной мере зависят общие масштабы как рынка кредитных капиталов, так и денежного обращения.
Установление высоких процентных ставок сдерживает темпы роста инфляции.
Операции на открытом рынке осуществляются путем купли-продажи Центральным банком у коммерческих банков государственных ценных бумаг и кредитных обязательств.
Риск и ликвидность регулируются путем предоставления определенных сумм кредитов одному клиенту, определения соотношения между объемом кредитных операций и собственных ресурсов и другими способами.
Под влиянием НТР происходят важные структурные изменения в экономике развитых стран. В США с I960 по 1990 гг. доля материального производства в ВВП уменьшилась, а нематериального возросла с 37,3 до 40,0 %. В условиях НТР происходит глубокое взаимопроникновение сфер материального и нематериального производства. Это проявляется в создании информационной технологии, возникновении и интенсивном развитии ги-



297

гантских индустриально-промышленных комплексов, обеспечивающих сбор, обработку, систематизацию информации и ее передачу конечному потребителю. В таких комплексах информация, связь и микроэлектроника — неотъемлемые составные элементы целостной органической системы. Одно из звеньев этой системы — широкая сеть информационных пунктов на дому. Создание подобных комплексов требует значительных расходов, в США, например, на эти цели израсходовано в 1980 г. более 80 млрд дол., а в 2000 г. эти расходы вероятно достигнут нескольких сотен миллиардов долларов.
Дальнейшее развертывание НТР обусловит еще более глубокие структурные сдвиги в экономике. Согласно прогнозам, в 2000 г. около 70 % всей рабочей силы в развитых странах будет занято в информационном и «коммуникационном» секторах экономики, поэтому большая часть капиталовложений, новейшего оборудования направляется в научные лаборатории, торговлю, финансово-кредитную сферу.
Происходят важные структурные изменения внутри промышленности, между промышленностью и сельским хозяйством. Это требует проведения государственной долговременной структурной политики, то есть регулирования государством темпов и пропорций развития основных сфер и отраслей экономики, отдельных регионов. В современных условиях государство является инициатором и организатором стратегического научно-технического прогнозирования и программирования разработки и внедрения средне- и долгосрочных программ развития отраслей, которые определяют НТР, внедрения новых технологий.
Основным инструментом воздействия государства на структурную перестройку является организация, финансирование и стимулирование научно-технических исследований, особенно фундаментальных, подготовка кадров, создание инженерно-исследовательских центров.
Государство также разрабатывает среднесрочные мероприятия по модернизации таких отраслей промышленности, как угольная, кораблестроительная, черная металлургия. Активизируется его участие в развитии отдельных отсталых регионов, повышении эффективности и конкурентоспособности национальных ТНК. С этой целью им предоставляются льготные кредиты, налоговые скидки, гарантии на случай непредвиденных ситуаций.
Государственное регулирование цен осуществляется государственными органами прямо и опосредовано. В первом случае государство устанавливает цены на акцизные товары, на продукцию базовых отраслей промышленности, образующих каркас системы цен (уголь, электроэнергию и др.), которые, как правило, находятся в государственной собственности, предоставляет государственные субсидии, в том числе ценовые, устанавливает договорные цены на товары и услуги военного назначения. В рамках ЕС надгосударственные органы устанавливают фиксированные цены на сельскохозяйственную продукцию, унифицируют транспортные тарифы, гармонизируют налоги, социальные выплаты и т. д., что свидетельствует о прямом и опосредованном наднациональном регулировании цен.
В рамках отдельных стран опосредованное регулирование цен осуществляется через механизм ускоренной амортизации, установление налога на



298

добавленную стоимость, стимулирование экспортной деятельности отечественных товаропроизводителей, предоставление им льготных кредитов и др. Государственное регулирование цен значительно усиливается во время кризиса.
Важной особенностью государствено-монополистического регулирования экономики в конце 70-х гг. и в последующий период в развитых странах, где к власти пришло консервативное руководство, является некоторое ослабление государственного вмешательства на национальном уровне при одновременном усилении государственно-монополистического регулирования на наднациональном уровне, которое осуществляется в рамках региональных экономических объединений, международных экономических организаций. Последняя тенденция еще больше усиливается на новом этапе НТР, с началом нового переворота в технологическом способе производства, который носит интернациональный характер. Эти изменения в государственном регулировании экономики на международном уровне будут влиять на национальные формы и методы регулирования.
§ 48. Национальный рынок и механизм установления равновесия между спросом и предложением
Сущность и структура национального рынка. Спрос и предложение, механизм их сбалансированности
Сущность и структура национального рынка. К основным элементам современного регулируемого рынка относятся рынки предметов потребления, средств производства; платных услуг; рабочей силы; капиталов; валюты, денег и ценных бумаг; научно-технических разработок и информации; рынок недвижимости, являющиеся отдельными частями совокупного внутреннего (или национального) рынка, его своеобразными сегментами.
Каждый из этих структурных элементов делится на определенные части. Так, в рамках рынка предметов потребления выделяют рынки швейных изделий, хлебопродуктов и т. д. К рынку ценных бумаг относятся разные виды акций, облигаций и др. В то же время некоторые из названных основных структурных элементов рынка могут быть объединены в большие подсистемы. Например, рынки предметов потребления и услуг формируют потребительский рынок. Последний, совместно с рынком средств производства, а также рынком научно-технических разработок и информации образует товарный рынок.
К финансовому можно отнести рынок капиталов, ценных бумаг, денег, валюты, кредитов.
Каждый из сегментных рынков тесно связан и взаимодействует как с другими подобными рынками, так и с национальным рынком в целом. Например, рынок предметов потребления органически связан с рынком капиталов, или, иначе говоря, зависит от инвестиций в производство товаров широкого потребления. Рынок средств производства тесно взаимодействует с рынком рабочей силы и т.п.
Поэтому национальный рынок можно определить как совокупность отдельных сегментных рынков в их взаимодействии и взаимозависимости.
Как уже отмечалось, современные экономические системы чрезвычайно сложны. В условиях существующего общественного разделения труда в



299

производстве отдельного сложного товара (например, автомобиля) принимают участие несколько десятков тысяч предприятий, расположенных как внутри страны, так и за ее пределами. Остановка технологического процесса в одном звене вызовет немедленную реакцию и сбой во всей цепочке. Поэтому сбалансированное развитие всей экономической системы невозможно без строгой ответственности каждого предприятия за результаты своей деятельности.
Изучая структуру национального рынка, следует иметь в виду, что большинство взрослого населения в развитых странах является одновременно и работниками, и потребителями, и собственниками. Эта триединая функция в еще большей мере свойственна трудовым коллективам. Поэтому следует придерживаться оптимального соотношения между функциями человека в роли работника и потребителя, работника и собственника, а также потребителя-собственника.
Растущая сложность экономических систем чрезвычайно актуализирует проблему равновесия, сбалансированности национального рынка. Отсутствие такой сбалансированности и усиление неравновесия приводят к экономическим кризисам, галопирующей инфляции, диспропорциям в экономике, разрыву хозяйственных связей и др.



Богатство нации не определяется величиной денежных богатств.


Профессор Пол Хейне (США) в своей книге Экономический образ мышления подметил важное отличие экономиста от менеджеров, инженеров и других деловых людей. Последние хорошо знают реальный мир. Но экономист превосходит их тем, что может систематизировать известные всем явления, знает, как разные вещи связаны между собой.
Экономическая наука, по убеждению П.Хейне, позволяет нам более логично размышлять о широком круге сложных общественных взаимосвязей19.
Логическая стройность и доказательность экономической теории усиливается благодаря тому, что во второй половине XX в. здесь стали широко применяться математика и статистика. Точнее говоря, применяются специальные разделы данных наук — экономико-математические методы и экономическая статистика. Это приобрело особую важность для исследования усложнившихся хозяйственных процессов и разработки практических проблем. В результате в последние десятилетия значительно повысился уровень мировой экономической науки.
Начиная с 1969 г. Шведская академия наук ежегодно стала присуждать Нобелевскую премию по экономике за лучшие научно-практические разработки. Эту премию, в частности, получили:
в 1970 г. Пол Самуэльсон (США) — за вклад в повышение уровня \ научного анализа в экономических науках;
в 1973 г. Василий Леонтьев (США) — за разработку метода затраты— выпуск;
в 1974 г. Фридрихфон Хайек (Великобритания) и Гуннар Мюрдаль (Швеция) — за работы в области теории денег, конъюнктурных колебаний и анализ взаимозависимости экономических, социальных и структурных явлений;
в 1975 г. Тьяллинг Купманс (США) и Леонид Канторович (Советский Союз) за разработку теории оптимального использования ресурсов;
в 1976 г. Милтон Фрпдмен (США) — за исследование в области потребления, истории и теории денег;
в 1988 г. Морис Аллэ (Франция) — за разработку теории взаимосвязей экономического роста, инвестиций, процентных ставок;
в 1991 г. Рональд Коуз — за пионерские работы в области исследования трансакционных издержек (затрат по совершению сделок) и прав собственности.
Всего насчитывается сорок лауреатов Нобелевской премии, внесших вклад в практическую разработку экономических проблем. С трудами этих и других лауреатов мы познакомимся в последующих главах.
Итак, мы завершили вступительный раздел учебного курса, выяснив, что представляют собой экономика и освещающая ее теория. Это позволяет нам приступить к изучению общих основ экономических систем. Речь пойдет о таких экономических отношениях, которые представляют собой своего рода несущую конструкцию современного хозяйства и пронизывают все его звенья.
Экономический тренинг
1. Ключевые термины и понятия
Меркантилизм; политическая экономия: физиократы; английские классики; экономическое учение К.Маркса; неоклассическое направление; типы экономических отношений; предмет экономической теории: экономические законы; функции экономической теории; методология экономических исследований; тины экономического мышления; метафизика и диалектика; исторический и логически и методы.
2. К терминам из левой колонки найдите соответствующие
определения в правой колонке

2.1. Классическая политическая экономия
2.2. Меркантилизм
2.3. Физиократизм
а) учение об увеличении богатства общества за счет выгодной внешней торговли
б) концепция о создании богатства природой в сельском хозяйстве
в) теория создания богатства общества природой и трудом
3. Верно — неверно
3.1. Описательная наука определяет поведение хозяйственных субъектов.
3.2. Позитивная экономическая теория на основе фактов дает обобщение хозяйственной деятельности.
33. Нормативная экономическая теория разрабатывает конкретные хозяйственные цели и решения.
3.4. Эндогенная подсистема в народном хозяйстве вызывает действия факторов, находящихся на поверхности экономической жизни.
4. Определите, к каким экономическим направлениям и школам относятся следующие высказывания экономистов
а) Обычным средством увеличения нашего богатства и денег является внешняя торговля. При этом мы должны постоянно соблюдать следующее правило: продавать иностранцам ежегодно на большую сумму, чем мы покупаем у них:
б) Не на золото и серебро, а только на труд первоначально были приобретены все богатства мира: стоимость их для тех, кто владеет им и кто хочет обменять их на какие-то новые продукты, и точности равна количеству труда, которое он может купить нa них или получить в свое распоряжение;
в) Величина ценности материального блага определяется важностью той конкретной потребности... которая занимает последнее место в ряду потребностей, удовлетворяемых всем наличным запасом материальных благ данного рода:
г) Торговец, продающий зерновые хлеба за границу и покупающий там другие товары или производящий обмен одних товаров на другие, вновь продает но возвращении привезенные им товары и на полученные от этого деньги снова покупает зерно. Иначе говоря, зерновые хлеба, рассматриваемые как товар, представляет собою денежное богатство для продавцов и реальное богатство для покупателей. Богатство нации не определяется величиной денежных богатств.
5. Дайте оценку приведенным ниже высказываниям экономистов: с чем вы согласны, а с чем — не согласны
5.1. Труд в промышленности не увеличивает богатств. Труд в сельском хозяйстве возмещает издержки, оплачивает рабочих, занятых возделыванием земли, доставляет доход земледельцу и, кроме того, производит доходы зеельной собственности.
Все затраты на производство изделии промышленности покрываются за счет доходов, получаемых от земельной собственности, так как работы, которые не производят никакого дохода, могут производиться только за счет богатств тех, кто их оплачивает.
5.2. Производительные и непроизводительные работники и те, кто совсем не работает, одинаково содержатся все за счет годового продукта земли и труда страны.
5.3. Обычным средством для увеличения паи [его богатства и денег является внешняя торговля. При этом мы должны постоянно соблюдать следующее правило: продавать иностранцам ежегодно на большую сумму, чем мы получаем у них.
6. Вопросы на сообразительность
6.1. Чем различаются между собой объективные экономические законы и субъективно-психологические законы?
6.2. В какой мере обыденное экономическое мышление может отражать истину о состоянии экономики?
7. Дискуссионные вопросы
7.1.Какиеобщис моменты и различия имеются между объективной логикой и логикой как методом мышления?
7.2. Выражает ли меркантилизм определенную долю истины для характеристики современной экономической действительности?
7.3. Можно ли сейчас успешно вести хозяйственную деятельность, руководствуясь только обыденным, повседневным экономическим мышлением?
8. Найдите наиболее подходящий вариант ответа
8.1. Примером объективного экономического закона является:
а) закон Эпгеля;
6) закон возвышения потребностей;
в) закон разделения труда;
г) закон преимущества крупного производства над мелким;
д) закон распределения доходов домашнего хозяйства на потребление и сбережение.
8.2. Логически обоснованным является следующее суждение:
а) формой распределения материальных благ является обмен товаров на деньги;
б) патриархальный уклад экономики относится к одному и.ч видов собственности;
в) рабовладельческий строй — это разновидность организационно-экономических отношении;
г) предметом экономической теории являются материально-вещественные факторы производства.
9. Сравнительный анализ
9.1. Найдите расхождения но взглядах на богатство и роль государства в экономике между меркантилистами, физиократами, представителями английской политической экономии и представителями неоклассического направления экономической теории.
9.2. Установите, в чем и почему возникло расхождение между политической экономией и Экономике в определении предмета экономической теории. В чем проявляется тенденция их сближения поэтому вопросу?
9.3. Сопоставьте положительные черты метафизики и диалектики применительно к изучению экономики. В чем эти методы познания дополняют друг друга и в чем не совпадают?
Раздел II ОБЩИЕ ОСНОВЫ ЭКОНОМИЧЕСКИХ СИСТЕМ




Большинство носят временный, преходящий характер.


Экономические законы, их объективный характер. В самом общем виде отношения собственности в экономическом понимании, как уже отмечалось, выражают природу производственных отношений, которая раскрывается в системе экономических законов как сущность более глубокого
порядка.
Закон и сущность понятия однопорядковые. Сущность, как и закон, раскрывает только глубинные, устойчивые, внутрейне необходимые связи. Поэтому явление богаче, чем сущность, поскольку в нем отражаются также случайные, неустойчивые связи, формы проявления закона.
Сущность, а следовательно, и закон, всесторонне могут быть исследованы только через другие категории диалектики — количество и качество, содержание и форма, целое и часть и, прежде всего, через категорию противоречия, взаимодействия противоположных сторон единства. Экономический закон — это внутренне необходимые, устойчивые, существенные связи между противоположными сторонами, свойствами явлений, процессов, элементов материальной системы. Каждый экономический закон пронизан внутренним противоречием. В свою очередь, противоречие является сущностным, закономерным отношением между противоположными сторонами
единства.
Экономические законы, как и законы природы, имеют объективный
характер. Однако они существенно отличаются от законов природы, поскольку возникают, развиваются и функционируют только в процессе экономической деятельности людей — в производстве, распределении, обмене и потреблении. Кроме того экономические законы в отличие от законов



24

природы имеют не жестко детерминированный характер, а определяются в виде тенденций, действуют не вечно. Большинство из них носят временный, преходящий характер.
Классификация экономических законов. На начальных этапах развития человеческого общества экономические законы реализуются через стихийную деятельность людей, подобно действию непознанных сил природы. В современных условиях, когда основной формой собственности постиндустриального общества является ассоциированная (акционерная, кооперативная, государственная и др.), стихийное действие экономических законов дополняется элементами сознательного учета их императивов через механизм корпоративного, государственного и наднационального регулирования экономики, расширения масштабов планомерности в пределах гигантских монополистических объединений.
В связи с этим разграничивают сущность экономического закона, механизм его действия и использования.
Государство не может отменить объективные экономические законы, но может создавать предпосылки для конструктивной реализации требований данных законов, учитывая их при изменении соответствующих условий. Это достигается совершенствованием права собственности, хозяйственного механизма; государственного управления.
Система экономических законов включает четыре их типа.
Первый тип — всеобщие экономические законы, свойственные всем общественным способам производства (законы соответствия производственных отношений уровню и характеру развития производительных сил; роста производительности труда; экономии рабочего времени и др.), отражающие внутренние, необходимые, устойчивые и существенные связи, присущие различным технологическим способам производства, процессу взаимодействия человека с природой, соединению личных и вещных факторов в процессе труда.
Второй — законы, действующие в нескольких общественно-экономических формациях и отражающие внутренние, необходимые, устойчивые и существенные связи, свойственные нескольким технологическим способам производства в их взаимодействии с некоторыми однородными элементами различных общественных форм. Это особые экономические законы. Например, законы товарного производства: стоимости, спроса и предложения и др.
Третий тип — специфические экономические законы, действующие только в пределах одного общественного способа производства. Важнейший из них — основной экономический закон, выражающий наиболее глубинные связи между производительными силами и производственными отношениями, отношениями собственности во взаимодействии с развитием производительных сил, а также основную цель общественного способа производства. К таким формационным законам можно, например, отнести закон капиталистического накопления.
Четвертый тип — законы, действующие лишь на одной из стадий (восходящей или нисходящей) общественного способа производства (например, закон зарождения монополии из концентрации производства). Так,


25

на государственно-корпоративной стадии постиндустриальной эволюции расширяется сфера действия закона планомерности экономического развития.
Экономические категории — это теоретическое выражение, мысленные формы реально существующих производственных отношений, экономических явлений и процессов. Они отражают в экономической теории не только определенную сторону системы производственных отношений, но и ее связь с соответствующей стороной системы производительных сил. Содержанием последних выступает отношение человека к природе, их взаимодействие.
Вещественным содержанием каждой экономической категории является отдельная сторона такого отношения к природе. Поэтому в любой экономической категории отражается диалектическое взаимодействие социально-экономических отношений между людьми (отношений собственности, общественной формы труда) с организационно-производственными и технико-трудовыми связями, с вещественной формой процесса труда, с отношением человека и природы. Игнорирование производительных сил, процесса труда как такового означало бы, что вне круга вопросов экономической теории остается рассмотрение категорий «содержание труда», «рабочая сила», «потребительная стоимость», «процесс труда» и т. п.
Экономические категории более подвижны, изменчивы, чем экономические законы. Для экономических законов характерна более высокая степень познания человеком связей явлений и процессов, получающих отражение в соответствующих категориях. Иначе говоря, внутренне необходимая, устойчивая, существенная связь между экономическими явлениями и процессами, выражаемая с помощью экономических законов, отражается во взаимосвязи определенных экономических категорий.
Каждый закон как бы группирует вокруг себя определенное количество (в зависимости от его сложности) «обслуживающих» его экономических категорий.
Поскольку экономические категории являются -Теоретическим выражением отдельных сторон производственных отношений в их взаимодействии с развитием производительных сил, а также некоторых экономических явлений и процессов, то изменение последних (например, модификация отношений собственности) приводит к эволюционному развитию содержания экономических категорий.
§ 4. Метод экономической теории и его структурные характеристики
Понятие и структура метода экономической теории, его исходный элемент. Принципы материализма и противоречия в экономической теории. Другие элементы диалектического метода. Рациональные средства и методы прикладного экономического анализа, используемые экономике
Понятие и структура метода экономической теории, его исходный элемент. Слово «метод» (от греч. «methodas») буквально означает: «путь к чему-то», «путь познания» (или исследования). В самом общем философском смысле оно означает способ познания как определенную совокупность или систему приемов и процедур с целью мысленного воспроизведения изучаемого предмета. Поэтому применительно к экономической теории



26

понятие «метод» — это путь познания системы экономических отношений в г их взаимодействии с развитием производительных сил, путь мысленного воспроизведения такого взаимодействия в теории диалектики.
Система приемов не может быть произвольной. Она должна согласовываться с объективными законами развития самой действительности. Эту задачу призвана решать методология как наука о системе приемов, способов познания и преобразования мира. Название «методология» (от греч. «methodas» и «logos») буквально переводится как учение о методах.
Поскольку объективными законами развития действительности выступают, прежде всего, законы диалектики, отражающие закономерности развития природы, общества и человеческого мышления, то диалектический метод является гносеологическим инструментарием и логическим отражением всей диалектики.
    В то же время в рамках данного метода должен быть учтен субъективный элемент, так как объектом экономического анализа становится поведение людей, а следовательно, человеческая деятельность. К важнейшим категориям такого подхода относятся потребности, интересы, цели, мотивы поведения человека, полезность, потребительная стоимость товаров и услуг'.
   Метод экономической теории, как и предмет данной науки, включает различные структурные элементы. Главными из них являются: 1) философские и общенаучные принципы познания; 2) законы диалектики; 3) категории философии; 4) законы и категории экономической теории; 5) рациональные средства и методы прикладного экономического анализа, которые широко используют западные ученые2.
К философским относятся принципы материализма, развития, самодвижения, отражения, противоречия, детерминизма, взаимодействия, объективности, единства исторического и логического подходов и т. п. К  общенаучным принципам и методам принадлежат: принцип системности, структурно-функциональный подход, методы анализа и синтеза, индукции и дедукции, абстрагирования и конкретизации и т. п. Основными законами материалистической диалектики являются закон единства и борьбы противоположностей, количественно-качественных изменений и закон отрицания отрицания. Инструментами экономического исследования служат такие категории философии, как количество и качество, сущность и явление, содержание и форма и др.



Цель должна быть не просто провозглашена.


Степень демократизации и гуманизации отношений собственности определяется возможностью работников относиться к средствам производства, объектам интеллектуальной и другой собственности, как к своим. Это связано с долей распространенных среди них акций, количеством этих акций у непосредственных производителей и возможностью присвоения на них части доходов, а также зависит от величины социальных расходов государства, их соотношения с объемом изъятых налогов и др.
Целостность и организованность экономической системы во многом обусловлены наличием общей цели, разделяемой ее субъектами. Эта цель должна быть не просто провозглашена. Она должна дать внутренний импульс деятельности подавляющему большинству населения, стать неотъемлемым элементом его экономического мышления.
Для многих ставших суверенными стран СНГ такой целью является, прежде всего, достижение экономической независимости, что требует длительного времени. Главным движущим мотивом многих существующих в мире экономических систем
является производство и присвоение прибыли.
Действенность экономической системы в значительной мере зависит от того, как она способна реализовать системообразующие функции, создать элементы, которых ей недостает. Например, для формирующихся на рыночных основах экономических систем новых суверенных государств такими элементами являются качественно новая финансово-кредитная система, хозяйственный механизм рыночного типа и др.
§ 2. Предмет экономической теории и его отличие от предмета экономике и политической экономии
Предмет экономической теории. Отличие экономической теории от экономике и политической экономии. Основные функции экономической теории. Обоснование системного определения предмета экономической теории
Предмет экономической теории. Предмет данной науки тесно связан с понятием «экономика» (от греч. «oikos» — дом, хозяйство, «nomos» — учение, закон), а потому экономическая наука ее первоначальном зна-



14

чении — это наука о домашнем хозяйстве или об управлении домашним хозяйством. Примерно такое определение впервые дал ей древнегреческий философ Ксенофонт (около 430-355 гг. до н.э.). Спустя несколько десятилетий другой величайший древнегреческий философ Аристотель (384-322 гг. до н.э.) разделил данную науку на собственно экономику (под которой понимал производство благ для удовлетворения потребностей людей) и хремастику (от слова «хрема» — имущество, владение: искусство достигать достатка, или деятельность, направленная на накопление богатства). Понятие «экономика» он использовал для описания организации хозяйства в имении рабовладельца.
В то время рабовладельческие хозяйства были замкнутыми экономическими единицами: произведенные продукты потреблялись преимущественно внутри хозяйства, а не продавались за его пределами.
На смену рабовладельческому обществу, существовавшему до V в. н.э., пришел феодальный способ производства. Феодальные хозяйства также были преимущественно замкнутыми. В XIV-XV вв. начался упадок феодализма.
Феодалы заменили оброк денежной рентой, что вынудило крестьян продавать часть произведенной продукции на рынке. Так постепенно преодолевалась замкнутость феодальных хозяйств и формировался единый национальный рынок.
В 1615 г. французский ученый А. Монкретьен ввел понятие «политическая экономия», (от греч. «politicos» — государственный, общественный и уже известного «oiconomia»), означавшее «искусство государственного управления хозяйством». В тот период понятие «хозяйство» охватывало экономику всей страны, национальное хозяйство. Аналогичное по широте содержание приобрело и понятие «экономика». Такая расширительная трактовка данного понятия обусловлена возрастающей ролью государства в процессе первичного накопления капитала и развития внешней торговли. Введение А. Монкретьеном понятия «политическая экономия» отражало его стремление сосредоточить внимание именно на государственной национальной экономической политике.
В этом заключается одно из отличий политической экономии от экономической теории.
Понятие «политическая экономия» для обозначения соответствующей отрасли науки широко использовалось до начала XX в. В 1890 г. после появления труда английского экономиста А. Маршалла его постепенно стал вытеснять термин «экономике», адекватный новому научному направлению. Предметом экономике А. Маршалл считал исследование нормальной жизнедеятельности человеческого общества. Понятие экономике, по его мнению, наиболее точно отражало экономические реалии современной ему эпохи: неэффективность государственного регулирования экономики в конце XIX в. и целесообразность его ограничения в рыночной экономике.
На русский язык название труда А. Маршалла переводится как «Принципы экономике» и «Принципы политической экономии», поэтому данные понятия в экономической науке нередко отождествляют, что не означает полного совпадения их предмета.
Определяя предмет экономике, автор одноименного учебника, лауреат Нобелевской премии П. Самуэльсон отмечал, что экономике — это на-



15

ука, изучающая: 1) как люди осуществляют организацию производства и потребления; 2) действия, включающие обменные операции между людьми; 3) как люди делают выбор, чтобы использовать редкостные ресурсы для производства различных товаров и их распределения; 4) людей в их деловой жизни; 5) богатство; 6) как можно усовершенствовать общество; 7) экономические системы. Он предложил следующее обобщающее определение предмета экономике: это наука о том, как люди и общество осуществляют конечный выбор редкостных ресурсов, чтобы изготавливать различные товары и распределять их для потребления. В качестве одного из важнейших компонентов предмета экономике П.Самуэльсон рассматривал действия людей в процессе выбора редкостных ресурсов для производства, обмена, распределения и потребления разных товаров.
Французский экономист Р. Барр наиболее дефицитным из всех ресурсов называет время.
Однако, акцентируя внимание на изучении редкостных ресурсов, П. Самуэльсон (как, впрочем, и другие авторы) допускает серьезный алогизм. Так, в условиях капиталистического способа производства рабочая сила, трудовые ресурсы не относятся к редкостным, хотя и являются ограниченным ресурсом. В данном случае экономике, если исходить из логики приведенного определения, принимая во внимание только наличие вакантных рабочих мест, не должна изучать такую проблему экономической теории и практики, как рынок рабочей силы, в том числе, проблему безработицы.
На самом же деле эта наука включает в круг своих исследований рынок рабочей силы, что свидетельствует о несогласованности определения ее предмета с содержанием и структурой охватываемых ею знаний. К сожалению, подобные алогизмы не замечают многие отечественные и зарубежные экономисты, механически заимствуя предложенные экономике
определения.
Другие экономисты не делают акцента на выборе редкостных ресурсов
как необходимом элементе хозяйствования, а поэтому предметом изучения в Экономикс называют лишь ту часть человеческой деятельности, которая касается производства, обмена и потребления товаров и услуг. В целом экономике является теорией становления, функционирования и развития социально ориентированной рыночной экономики, в которой, с одной стороны, анализируется ее саморегуляция на основе рыночных рычагов при экономической свободе ее участников, а с другой — рассматривается ограниченное воздействие государства (как организатора хозяйственной жизни общества).
Представляется, что современная функциональная экономическая теория, имея своими истоками классическую политическую экономию и современный экономике, должна, благодаря синергетическому эффекту соединения концептуально-методологической мощи первой и инструментарных возможностей прикладного анализа второго, поднять эвристический потенциал научно-экономического знания на принципиально новый
уровень.
Следует отметить, что в такой трактовке экономической теории одним
из подходов к исследованию процессов, принятых в экономике, является проблема выбора в условиях редкости, ограниченности ресурсов и воз-

16

можностей, альтернативных способов использования людьми имеющихся экономических благ. Однако редкость ресурсов здесь понимается не только как их ограниченное количество, но и как недостаточность таких ресурсов для удовлетворения безграничных потребностей людей. В данном аспекте заслуживает внимания определение предмета экономики как научной теории, предложенное английским экономистом Д. Робинсон: Экономика — это наука, которая изучает поведение людей с точки зрения отношений между его целями и ограниченными способами, которые допускают альтернативное
использование.
В политической экономии логика определения предмета науки следующая. Чтобы жить, люди должны иметь пищу, одежду, обувь, жилье и другие блага и услуги. Все необходимое для их производства они берут у природы.
Чтобы приспособить богатства природы для удовлетворения своих потребностей, люди должны трудиться, следовательно, основой жизни, развития человеческого общества является производство — процесс воздействия человека на предметы и силы природы и приспособления их для удовлетворения определенных потребностей.



Цель социал-реформистского варианта


Цель социал-реформистского варианта смешанной »экономики — достижение оптимального сочетания децентрализма и централизма, планирования. и рынка, индивидуальных и коллективных форм собственности для постепенной трансформации капитализма в более прогрессивное общество. Его представители — теоретики лейбористской партии Великобритании, авторы концепции демократического социализма.
У последних двух вариантов смешанной экономики много общего. В частности, их сторонники выступают за прямое вмешательство государства в экономику в общественных интересах, значительное развитие государственного сектора, приоритет коллективных и общественных интересов в сравнении с индивидуальными и др.
По своему социально-экономическому содержанию консервативный вариант смешанной экономики отделяет от либерального и социал-реформистского глубокая пропасть. Теоретики этого направления выступают против плановых начал в экономике (Хаек, например, называет планирование рабством).
Представители немецкой исторической школы (Г. Шмоллер, Б. Вернер, В. Зомбарт и др.) в последней четверти XIX в. выступали за государственное
вмешательство в экономику с целью ее модернизации, за проведение социальных реформ. Институционалисты Т. Веблен, А. Гобсон, Д. Коммонс, резко критикуя неоклассическую теорию рыночного равновесия с ее методологическим принципом предельной полезности, утверждали, что рынок является лишь одним из экономических институтов, наряду с такими институтами, как корпорация, государство. Важнейшим из них они считали государство, которое проводит активную социальную политику, применяет индикативное планирование и регулирование хозяйственной жизни.
Институционалисты выступали за установление социального контроля и построение государства социального благоденствия, за ограничение частной собственности. По их мнению, государство будучи нейтральной силой должно осуществлять социальный контроль за экономикой, проводить трансформацию социально-экономической системы. Двумя наиболее важными элементами этой системы они называли формы собственности и механизм распределения (или аллокации) ресурсов как основу для типологизации экономических систем.
Антиподами собственности они считали частную и государственную, а промежуточными формами — различные варианты их сочетания, антиподами механизма распределения ресурсов — стихийно-рыночное регулирование и государственное централизованное планирование и различные формы их сочетания. В зависимости от сочетания централизма и децентрализма, формы вмешательства государства в экономику можно существенно менять механизм распределения ресурсов
и доходов.
Проблемам функционирования модели смешанной экономики уделено
значительное место в кейнсианской теории. В противовес неоклассическому направлению, представители которого утверждали, что рыночные механизмы самоуправления экономики несовместимы с государственным централизованным управлением, Дж. Кейнс разработал механизм активного государственного регулирования экономики с использованием рыночных рычагов.
В его теорию органично включены такие методы непосредственного вмешательства государства в макроэкономические процессы, как государственная собственность, организация общественных работ, предоставление субсидий частным компаниям и др., которые являются признаками социализации экономики. Подобный характер, кстати, носили меры американского президента Ф. Рузвельта по выводу экономики из кризиса 1929-1933 гг., основанные на рекомендациях кейнсианской теории.
Модель смешанной экономики обогатилась элементами нового содержания благодаря неоклассическому синтезу — обобщающей экономической концепции, в которой соединились рациональные аспекты теории ценообразования и распределения доходов в пределах неоклассического направления с положениями теории макроэкономического равновесия и роста национального дохода в рамках кейнсианского направления. Наиболее известные представители неоклассического синтеза — П. Самуэльсон, Дж. Хикс, Э. Хансен и др. — отстаивали необходимость государственного вмешательства в экономику через использование различных методов антицикличного регулирования (прежде всего, совокупного спроса) с целью дос-



171

тижения общего равновесия экономической системы, ее сбалансированности на макро- и микроэкономическом уровнях. В качестве главных условий достижения такого равновесия они рассматривали равенство инвестиций и сбережений, а также спроса на ликвидность и денежной массы.
Важнейшими формами социализации собственности социал-реформистские теоретики называют прямое огосударствление отдельных отраслей или крупных компаний путем национализации, строительство государственных предприятий и развитие на этой основе государственного предпринимательства, создание совместных государственно-частных компаний. При этом необходимо обеспечить условия для развития государственной собственности в общественных интересах. К ним, в частности, относятся демократизация контроля и управления данной формой собственности, наличие демократических институтов, политического плюрализма и др.
При их отсутствии государственная собственность может способствовать усилению монополизации экономики. Необходимым условием социализации экономики является превращение коллективной собственности в основу разветвленной системы демократического планирования.
Значительное распространение в некоторых странах Запада приобрели реформаторские идеи социализации капиталистической экономики через осуществление общего (смешанного) государственно-частного предпринимательства, в частности, влияния государства на инвестиционную, ценовую, промышленную политику крупных частных предприятий, благодаря чему происходит расширение доли государственного капитала. Этот путь предпочтительнее национализации отдельных предприятий и отраслей. По мнению реформаторских теоретиков, целесообразно также создание специальных государственных финансовых институтов, скупающих контрольные пакеты акций отдельных крупных компаний в ключевых отраслях народного хозяйства с целью управления ими в общенациональных интересах,                                           .
Левые социал-демократы в качестве методов социализации капиталистической экономики не без оснований предлагают активно развивать такие децентрализованные формы общественной собственности, как региональная, муниципальная, коммунальная, а также профсоюзная, кооперативная и другие формы коллективной собственности, ассоциации мелких предприятий и др. Это, по их мнению, способствуют развитию самоуправления, привлечению трудящихся к управлению собственностью.
К важнейшим направлениям социализации экономики относится воздействие государства на инвестиционную деятельность и распределение доходов. Влияние на инвестиционную деятельность осуществляется через налоги, кредиты, предоставление займов, субсидий, государственные закупки товаров и услуг, контроль за качеством продукции, условиями труда, заработной платой и капиталовложениями и др. Влияние на распределение доходов осуществляется через механизм трансфертных затрат, контроль за ценами, заработной платой, дивидендами, распределением сырья, потребительским кредитом и др.
Некоторые из этих рычагов прямо или опосредованно касаются как инвестиционной деятельности, так и распределения доходов.



172

Средствами социализации экономики являются организация общенационального и регионального регулирования и планирования народного хозяйства (макроэкономическое регулирование), контроль за стандартами качества продукции, заключение контрактов между государством и отдельными компаниями, отраслевыми ассоциациями предпринимателей, селективное влияние на развитие отдельных· отраслей, экономическую конъюнктуру на отдельных· рынках и др. (микроэкономическое регулирование), а также осуществление институциональных реформ через механизм усиления общественного ревизорского надзора, введение в состав руководства крупными компаниями представителей государства, профсоюзов, потребителей, совершенствование антимонопольного законодательства, принятие новых уставов деятельности крупных корпораций и др.
Чрезвычайно важное значение в числе этих мер имеет процесс демократизации планирования, подчинение его общественным интересам, а также демократизации управления на макро- и микроуровнях. С помощью плана формируется модель социально-экономического развития страны, осуществляется макроэкономическое регулирование народного хозяйства, а с помощью рыночных рычагов саморегулирования экономики — регулирование и коррегирование пропорций между спросом и предложением только на отдельные товары и услуги. Демократизация процесса планирования позволяет осуществлять демократические преобразования в государственном секторе и реформировать частный сектор, направлять развитие гигантских монополий в русло общенациональных интересов, а в перспективе — постепенно, без тотального огосударствления трансформировать смешанную экономику в общество, которое основывается на плюрализме форм собственности и регулирующих механизмов.
С введением демократического планирования в инвестиционной деятельности должны произойти коренные изменения в структуре производства и распределении доходов. Решающую роль в инвестиционном процессе должны играть государственные капиталовложения, и, прежде всего, инвестиции в социальную сферу, научные исследования и разработки, связанные с новой техникой. Это, по мнению сторонников радикально-реформистской модели смешанной экономики, станет средством комплексного решения проблем инфляции и безработицы. Важное место в демократическом планировании отведено механизму заключения контрактов между государством и частными компаниями, с помощью которого осуществляется согласование макроэкономического регулирования с микроэкономическим, а также устанавливается необходимый общественный контроль за крупными компаниями (за формированием затрат производства и цен, системой отчетности и т. д.).
Кроме того, контрактная система считается эффективным средством совершенствования экономических отношений в пределах государственного сектора экономики, повышения эффективности функционирования государственных предприятий, усиления их финансово-оперативной самостоятельности, конкурентоспособности. Так, в случае выполнения заданий государственных органов, которые не приносят экономической выгоды, государственные предприятия должны получать соответствующую компенсацию. К этому методу, в .частности, намерена



Цена и закупки товаров при конкуренции и монопсонии


Предположим, что в какой-то отрасли до захвата ее рынка монополией (т.е. в условиях конкуренции) цена равновесия Цр образовалась на уровне точки равновесия Р, где пересеклись кривая спроса С1 — C2 и кривая предложения П1 — П2. При этом равновесный объем выпуска продукции составил величину Кр. Но затем монополия, учитывая эластичный спрос, сокращает уровень выпуска продукции до величины КМ.
Это в конце концов позволяет установить монопольно высокую цену Цм.
При каждом новом повышении цен монополия, разумеется, учитывает потери, которые она несет от уменьшения объема производства и продажи товаров. Чтобы перекрыть такую утрату дохода, она устанавливает цены на столь высоком уровне, чтобы выручка от реализации меньшего количества изделий покрывала упущенную выгоду и давала возросшую сумму дохода.
3. Иначе поступает фирма, захватившая рынок, на котором мелкие товаропроизводители сбывают свою продукцию. Монопсония устанавливает монопольно низкие цены на товары, закупаемые у аутсайдеров (предприятий, не вошедших в монополистические объединения). Понижение цены по сравнению с общественной стоимостью или возможной равновесной ценой достигается посредством искусственного создания зоны избытка продукции. В этом случае монопсония преднамеренно уменьшает закупки товаров, из-за чего их предложение превышает монополистический спрос.
Так обычно поступают монопсонии, которые занимаются переработкой сельскохозяйственной продукции, скупаемой у массы мелких ферм. Наглядно представить их оведение можно по рисунку 7.3.

Цена и закупки товаров при конкуренции и монопсонии

Рис. 7.3. Цепа и закупки товаров при конкуренции и монопсонии
Допустим, что в отрасли промышленности, перерабатывающей сельскохозяйственное сырье, в условиях конкуренции равновесная цена ЦР устанавливается на уровне точки равновесия Р при пересечении кривой спроса С1 — C2 и кривой предложения П1 — П2. Тогда равновесное количество продаваемого сырья составляет величину Кр. Но если монопсония уменьшает закупки продукции у фермеров до уровня Км, то устанавливается монопольно низкая цена Цм. Такая цена дает монопсонии желаемую выгоду.
Ее выигрыш возрастает с каждым новым снижением закупочных цен, что является результатом преднамеренного создания зоны избытка реализуемой продукции.
Характерен такой пример. Монопсонии западных стран издавна закупают дешевое сырье у предпринимателей и мелких товаропроизводителей стран Азии, Африки и Латинской Америки. Низкие цены устанавливаются на ряд товаров традиционного африканского экспорта (чай, кофе, какао-бобы). В целом индекс цен для 16 основных экспортных товаров африканских стран снизился к концу 1987 г. в 2 раза по сравнению с 1977 г.
4. Наибольшие особенности ценообразования наблюдаются в случае, если по отношению к мелким производителям одновременно действуют монополии и монопсонии. Тогда образуются так называемые ножницы цен. Речь идет о монопольно высоких и монопольно низких ценах, уровни которых удаляются друг от друга подобно расходящимся лезвиям ножниц. Такое движение цен основывается на расширении зон избытка и дефицита товаров.
Оно характерно для многих предприятий обрабатывающей промышленности, которые в условиях инфляции повышают цены на свои готовые изделия в несколько раз больше, чем увеличиваются цены в добывающих и сельскохозяйственных отраслях.
Во второй половине XX в. с ростом сферы агробизнеса в США, Франции, Великобритании и других западных странах ножницы цен стали одним из главных методов, с помощью которого крупные фирмы вытеснили мелких и средних фермеров из сельскохозяйственного производства.
В нашей стране ножницы цен использовались особенно широко в период индустриализации народного хозяйства. Государство, выполняя роль монополии и монопсонии, устанавливало относительно высокие цены на промышленные изделия и очень низкие закупочные цены на сельскохозяйственное сырье, чем нанесло большой ущерб экономике села. До сих пор такого рода ножницы цен не устранены (табл.
7.2).
Таблица 7.2.
Индексы цен реализации и приобретения продукции сельскохозяйственными предприятиями в Российской Федерации
(в среднем за год; в разах к предыдущему году)


1991
1992
1993
Индекс цен реализации сельскохозяйственной продукции
1,6
9,4*
8,1*
Индекс цен приобретения промышленной
продукции и услуг
1,9
16,2
10,7
* Без учета дотаций
В дополнение к данным, приведенным в таблице 7.2, можно отметить следующее. В 1994 г. цены на средства производства, выпущенные Для сельского хозяйства, росли в 3 раза быстрее, чем цены на сельскохозяйственную продукцию. Следует ли удивляться тому, что за последние годы сельское хозяйство находится в глубоком упадке?
Какие выводы вытекают из всего сказанного о монополистическом ценообразовании?
Прежде всего очевидно, что монополистические объединения ликвидируют равновесную цену и ее регулирующую роль. На смену ей приходит монополистический беспредел в установлении цен.
Далее, рассмотренное нами ценообразование — это средство перераспределения части доходов товаропроизводителей, аутсайдеров и потребителей в пользу монополии и монопсонии. Разница между уровнем монопольно высокой и монопольно низкой цен, с одной стороны, и стоимостью продукции (равновесной ценой, образующейся при конкуренции), с другой, — своего рода дань, которой облагаются субъекты рынка, не входящие в монополистические объединения.
Наконец, в тот период, когда устанавливаются повышенные цены, у монополий, естественно, пропадает всякий интерес к внедрению достижений научно-технического прогресса. Более того, монополисты преднамеренно сдерживают совершенствование техники и технологии с тем, чтобы не подорвать искусственно установленный дефицит, а стало быть, и не лишиться монополистических выгод. Они скупают новейшие патенты на изобретения и, как говорится, кладут под сукно — не допускают их применения в производстве.
Они поступают так до тех пор, пока обострившаяся конкуренция не вынудит их внедрять научно-технические достижения.
Таким образом, поведение фирм-монополистов наносит ущерб использованию производственных возможностей страны. Подсчитано, что в США чистые убытки от нерационального использования ресурсов в 80-е годы составили 0,5—2% валового национального продукта.
После конкретного анализа конкуренции и монополии мы рассмотрим более общий вопрос. В чьей власти сейчас на Западе находится рыночное пространство: на нем господствует конкуренция или монополия?
3. Синтез конкуренции и монополии
Если конкуренция и перестает доминировать (преобладать) на рынке, то она не устранима в обществе, где сохраняется частная (единоличная) и общая долевая собственность. Борьба за экономическую выгоду ведется, во-первых, внутри монополии (при распределении условий производства и дохода), во-вторых, между монополистическими союзами (за место в рыночном пространстве) и, в-третьих, между монополиями и аутсайдерами.
Однако монополистическое соперничество по своим методам существенно отличается от способов, какими велась свободная конкуренция. Монополии не брезгуют никакими средствами, чтобы отстоять и приумножить свои доходы. Часто они применяют неэкономические, насильственные методы:
лишают соперников возможности получить сырье, энергоносители, кредитные средства, новейшую технику и технологию;
применяют промышленный шпионаж (тайно выведывают производственные секреты, используя для этого электронные средства, услуги перебежчиков с предприятий-конкурентов и т.п.);
некоторые монополисты используют даже криминальные (уголовно наказуемые) средства поражения соперников — вплоть до поджогов их помещений, террористических актов и заказных убийств.
Одним из следствий конкуренции среди монополий является тенденция ко все большей централизации производства и рынка. Эта тенденция грозит появлению таких национальных но своим масштабам — абсолютных — монополий, которые могут стать угрозой существованию самой государственной власти.
В правовом и демократическом государстве общественно опасные действия монополистических объединений порождают противодействие. В странах Запада имеются силы, которые вступают в противоборство с монополиями. Это, во-первых, широкие массы мелких товаропроизводителей и потребителей, которые, как говорится, среди белого дня подвергаются ограблению. Во-вторых, решающая роль в преодолении этого острейшего конфликта в экономике принадлежит государству и праву.
Давайте подробнее рассмотрим роль правового регулирования монополистической деятельности.
Монополизация рынка особенно широко развернулась в конце XD^ в. в США. Тогда здесь началось массовое выступление потребителей!) мелких и средних предпринимателей против гнета монополий. В правовом государстве данный конфликт был разрешен в результате того, что государство ввело антимонопольное законодательство.
В 1890 г. американский Конгресс принял Акт Шермана против трестов.
Каков более чем 100-летний опыт антимонопольного регулирования в США?



Цена с юридической точки зрения.


С другой стороны, Гражданский кодекс, другие юридические законы упорядочивают отношения рынка, содержат нормативно-законодательное регулирование многообразных рыночных связей. Законодательное закрепление экономической свободы в комплексе правовых принципов превращает ее в стержень и источник развития цивилизованного рынка.
Это означает, что институт правового регулирования рыночных отношении ведет наступление на два фронта. Один фронт — борьба с диктатом коррумпированного чиновничества, которое подавляет нормальное развитие экономических свобод агентов рынка. Другой фронт направлен против нравов базарно-жульнической стихии, договорной анархии, неплатежей, невыполнения контрагентами своих обязательств.
Во-вторых, в систему рыночных институтов входят органы государственного контроля и регулирования:
а) учреждения по санитарному, экологическому и эпидемиологическому контролю;
б) налоговая система;
в) органы финансово-кредитной политики государства.
Выходит, что структура современного рынка усложнилась. Он включает не только горизонтальные отношения между физическими и юридическими лицами. В эту структуру входят качественно новые вертикальные связи.
Они идут сверху вниз — от государства к хозяйственным субъектам и в определенных пределах регулируют их поведение.
В-третьих, к рыночным институтам относятся ассоциации, союзы потребителей, предпринимателей и работников (профессиональные союзы). Они повышают степень организованности, цивилизованности и эффективности действий рыночных агентов.
Наконец, в систему рассматриваемых нами институтов включается особая рыночная инфраструктура — совокупность предприятий, учреждений и организаций, которые связывают производителей и потребителей, придают рыночной системе целостность и завершенность. В эту инфраструктуру входят торговые предприятия, товарные и фондовые биржи, банки, государственные бюджетные учреждения. Причем в каждом виде рынка имеется своя инфраструктура.
Так, на рынке товаров (потребительских и производственных) и услуг имеются специализированные организации: товарные биржи, предприятия оптовой и розничной торговли, многочисленные компании, занятые посреднической деятельностью, службы сервиса и т.д.
Итак, ознакомление с рынком как социальным институтом позволило нам выявить тот внутренний механизм, который ныне прочно объединяет все цивилизованные рыночные связи в единую целостность. Благодаря этой целостности рынок приобретает способность к саморегулированию. Оно осуществляется на основе объективных экономических законов, влияющих на поведение участников договоров купли-продажи.
3. Законы спроса и предложения
Всем, по-видимому, известно, что цена — это количество денег, которое дает покупатель продавцу за приобретенный товар. Наиболее наглядно и убедительно данное экономическое отношение складывалось в эпоху золотого стандарта. В то время цена как меновая стоимость товара выражалась в виде определенного количества благородного металла.
Согласно трудовой теории стоимости, пропорция товарно-денежного обращения означала одинаковую по величине стоимость обмениваемых вещей, т.е. на производство товаров и денег затрачивалось равное количество общественного труда. Значит, в экономическом определении цены упор делался на ее объективное содержание.
Иначе трактуется цена с юридической точки зрения. В этом случае в центре внимания оказываются правоотношения участников договора купли-продажи. Так, при заключении возмездного договора одна сторона обязуется предоставить другой стороне за исполнение ею своих обязанностей определенную плату (или иное встречное предоставление).
Исполнение договора оплачивается по цене, установленной соглашением сторон (ГК РФ, пункт 1 статьи 424). Следовательно, цена здесь предстает как важное средство и результат урегулирования договорных отношений.
В зависимости от степени урегулированности сделок купли-продажи цены можно подразделить на три вида.
1. Свободные договорные цены. Они формируются в зависимости от состояния рынка и устанавливаются без государственного вмешательства, на основе личной договоренности продавца и покупателя. Цены могут быть изменены после заключения договора в случаях и на условиях, предусмотренных договором, законом, или в установленном законом порядке (пункт 1 статьи 424).
К свободным договорным ценам могут быть отнесены цены, установленные на торгах — аукционе или конкурсе. Договор заключается лицом, выигравшим торги. Таковым на аукционе признается человек, предложивший наиболее высокую цену.
А на конкурсе победителем становится лицо, которое по заключению конкурсной комиссии предложило лучшие условия.
2. Цены публичного договора. Публичным договором признается договор, который заключен коммерческой организацией и устанавливает ее обязанности по продаже товаров, выполнению работ или оказанию услуг. В такие обязанности входит выполнение запросов каждого, кто к ней обратился.
Цена товаров, работ и услуг устанавливается одинаковой для всех потребителей. При этом не допускается отказ коммерческой организации от заключения публичного договора, если имеется возможность предоставить потребителю соответствующие блага (пункты 1, 2, 3 статьи 426).
3. Цены, санкционированные (установленные) государством (пункт 1 статьи 424). Уполномоченные на то государственные органы в предусмотренных законом случаях могут применять два вида цен (тарифов, расценок, ставок и т.п.):
а) регулируемые цены. Для отдельных групп товаров государство устанавливает верхний предел цен, превышать который запрещено. В условиях рыночной экономики такое управление ценами касается жизненно важных товаров и услуг (стратегического сырья, энергоносителей, общественного транспорта, потребительских продуктов первой необходимости);
б) фиксированные (твердо установленные) цены. Государственные органы фиксируют такие цены в плановых и иных документах. Ни производители, ни продавцы не имеют права их изменять.
Мы рассмотрели основные виды реально действующих цен. Кроме государственной твердо фиксированной цены, все другие их виды в той или иной мере имеют общее свойство. Они изменяются под воздействием конъюнктуры (стечения разных обстоятельств) рынка.
В связи с этим в экономической теории возник вопрос: какую роль играют покупатели (их субъективные вкусы и предпочтения к тем или иным полезностям) в установлении рыночной цены?
Развернутый ответ на этот вопрос дала противоположная концепции трудовой стоимости теория предельной полезности.
Австрийская школа предельной полезности (ее основатели К. Менгер, О. Бем-Баверк и Ф. Визер) дала объяснение стоимости (ценности) и цены благ и услуг с позиции экономической психологии потребителя полезных вещей. Основные положения данной теории таковы.
Первое положение. Австрийские ученые полагали, что полезность нельзя отождествлять с объективными свойствами товаров. Полезность, по их мнению, — это субъективная оценка, которую дает каждый покупатель роли определенного блага в удовлетворении его личных потребностей. Ценность (синоним стоимости) блага — это понимание человеком значения потребляемой вещи для его жизни и благосостояния. К.Менгер категорически утверждала-то ценность не есть нечто присущее благам...
Ценность — это суждение, которое хозяйствующие люди имеют о значении находящихся в их распоряжении благ для поддержания их жизни и их благосостояния, и потому вне их сознания не существует43.
В этом утверждении содержится определенная доля истины. Мы знаем из повседневной жизни, что люди даже в одной семье сильно расходятся во взглядах на значение одной и той же вещи для удовлетворения их потребностей. Они придают тому или другому благу разную ценность для их жизни и благосостояния.
Второе положение. Полезные блага подразделяются на два вида:
а) имеющиеся в безграничном количестве (вода, воздух и т.п.). Эти вещи люди не считают ценными для себя. Ибо они имеются в таком избытке, который не нужен для удовлетворения человеческих потребностей;
б) являющиеся относительно редкими и недостаточными для насыщения сложившихся потребностей в них. Именно этим благам хозяйствующие лица приписывают ценность.
К.Менгер со своих позиций попытался решить давно возникший парадокс. Самые полезные для человеческой жизни блага далеко не всегда оказываются самыми ценными. О том, насколько его взгляды по этому поводу отличаются от представлений А.Смита, можно видеть из данных, приведенных ниже.
Взгляды К. Менгера и А. Смита на полезность и меновую стоимость

К. Менгер:
Ответ на вопрос, почему, например, фунт воды дли питья не имеет для нас никакой ценности при обыкновенных условиях, тогда как весьма малая частица фунта золота или бриллиантов имеет всегда весьма высокую ценность, вытекает из следующих условий. Бриллианты и золото столь редки, что все доступные распоряжению людей количества первых могли бы поместиться и ящике, а псе доступное распоряжению людей количество второго — и одной большой комнате... Наоборот, вода для питья имеется на Земле в столь большом количестве, что едва ли можно ceбe представить резервуар, который вместил бы всю ее44.
А. Смит:
Предметы, обладающие весьма большой потребительной стоимостью, часто имеют совсем небольшую меновую стоимость или даже совсем ее не имеют; напротив, предметы, имеющие очень большую меновую стоимость, часто имеют совсем небольшую потребительную стоимость или совсем ее не имеют. Нет ничего полезнее воды, но на ее почти ничего нельзя купить... Напротив, алмаз почти не имеет никакой потребительной стоимости, но часто и обмен на него можно получить очень большое количество других товаров45.


Цены движутся в определенных пределах.


По своему вещественному содержанию инвестиции представляют собой расходы на расширение и обновление производительных сил или их отдельных элементов. Инвестиции зависят от величины процентной ставки и являются функцией последней. Кроме того, они зависят от состояния экономики, стабильности денежного обращения, перспектив спроса на новую продукцию, уровня процента за вклады и кредиты, размера налогов, стоимости основных факторов производства — сырья, оборудования, рабочей силы, срока окупаемости, величины прибыли и др.
Чем больше накопление, тем меньше доля сбережений и потребления, уже потребительский спрос, таким образом, между потреблением, сбережением и накоплением существует обратная зависимость. Но так бывает не всегда. Антагонизм их взаимоотношений характерен для периодов низких темпов роста, статического состояния экономики или при преобладании экстенсивных методов хозяйствования, С интенсификацией хозяйственных процессов, ростом производительности труда, увеличением ВНП, потребление и сбережение могут возрастать одновременно.
В западной экономической литературе широкое распространение получил термин «парадокс бережливости», который означает постоянное стремление сберечь больше, чем предприниматели хотят инвестировать, что вызывает хроническое уменьшение совокупного спроса и стремления инвестировать. По мнению П. Самуэльсона, данный парадокс характерен, прежде всего, для периода экономического кризиса.



303

Сбережения и накопления определяют уровни национального производства и занятости, но по-разному. Чем больше величины сбережений и накоплений, тем ниже потребительский спрос, а значит, происходит сокращение производства, уменьшение занятости. В то же время накопление содействует росту инвестиционного спроса и увеличению занятости в соответствующих отраслях производства, что, в свою очередь, стимулирует повышение потребительского спроса.
Но такое прямое влияние накопления на занятость возможно только в условиях экстенсивного типа хозяйствования. Глубокие изменения в технике и технологии вызывают рост потребностей в средствах производства при сокращении занятости части рабочей силы или замедлении темпов прироста кадров. В результате интенсификации производственных процессов и сокращения занятости потребительский спрос и накопление уменьшаются, поэтому государство должно стимулировать совокупный спрос, повышать уровень потребления определенных слоев населения.
Равновесие между совокупными спросом и предложением в контексте взаимодействия сбережений и инвестиций предусматривает установление равенства между объемом сбережений и инвестиций. Эта закономерность была впервые обоснована Дж. Хиксом.
С целью обеспечения устойчивого роста национального дохода необходимо постоянно увеличивать объем инвестиций.
Налоги, закупки государством товаров и услуг, экспорт и импорт — это факторы, которые влияют на совокупный спрос извне. Они связаны преимущественно с государственным регулированием экономики и могут как стимулировать увеличение совокупного спроса, так и существенно тормозить его.
С развитием спроса связано понятие «емкость» (объем) рынка, означающее наивысший объем реализации продукции при определенном уровне платежеспособного спроса, товарного предложения и цен. Чем шире платежеспособный спрос населения, тем больше объем рынка, тем легче решается проблема реализации. Одним из способов повышения платежеспособного спроса населения, который стимулирует увеличение объема рынка, в послевоенные годы стала социальная политика государства.
Совокупное предложение — другая сторона рыночной структуры. Оно определяется объемом выпущенной продукции, уровнями затрат производства и цен, состоянием производительности труда, развитием НТП, направленностью государственного внутриполитического курса. Его объем и содержание зависят и от степени монополизации экономики. Ведь монополия реализует, прежде всего, свои интересы как производителя. Поэтому с целью получения дополнительной прибыли она может идти на искусственное сокращение объема производства и создание, таким образом, искусственного дефицита, высоких цен на свою продукцию.
Если в условиях свободной конкуренции совокупный спрос растет под воздействием повышения цен, то в условиях монополизации последнее не обязательно стимулирует увеличение предложения, оно может сокращаться с ростом цен. Стремление монополий к сверхприбыли наносит вред рыночному механизму саморегулирования, что вынуждает государство прибегать к активной антитрестовской политике, контролировать процесс ценообразования.



304

Совокупное предложение растет со снижением затрат производства, появлением новых товаров, расширением сферы услуг, с развитием тенденции к повышению цен.
Спрос и предложение не всегда уравновешивают друг друга. Они могут отличаться количественно, качественно, структурно, а также темпами роста. Равновесие между ними возникает как момент их постоянного неравновесия.
Кроме того, объем спроса может быть меньше объема предложения в связи с увеличением сбережений, которые, сокращая текущий совокупный спрос, финансово «подкармливают» инвестиции и будущее предложение.
Взаимодействие и взаимосвязь между спросом и предложением осуществляется через систему цен. Цены на рынке движутся в определенных пределах. Их верхней, максимально высокой границей является цена спроса, которая определяется покупательной способностью потребителя. Снижение этой цены будет стимулировать расширение спроса.
На другом конце шкалы — цена предложения, максимально низкий для производителя уровень цены, при котором производство продукции при сложившихся технике и технологии, достигнутом уровне производительности труда обеспечивает покрытие расходов и приносит прибыль. Цена предложения может быть снижена в связи с сокращением затрат производства, совершенствованием его структуры и организации, а также под влиянием конкуренции.
Конкуренция между производителями и потребителями, а также среди самих производителей сопровождается постоянным движением цен спроса и предложения. На определенном этапе они пересекаются и возникает цена равновесия. Она означает определенную сбалансированность интересов производителя и потребителя, соответствие спроса и предложения, оптимизацию национального рынка по этим параметрам.
Цена равновесия подвижна, поскольку подвижно соотношение спроса и предложения. Если спрос сокращается, а предложение временно остается на том же уровне (темпы их динамики очень отличаются между собой), то цена равновесия снизится до того уровня, за которым части производителей станет невыгодно производить данный товар, и его предложение сократится. Если спрос, наоборот, резко растет, а рост предложения временно отстает от него, то цена равновесия повышается, стимулируя расширение производства.
Значит, через некоторое время в каком-либо из рассмотренных вариантов спрос уравновешивается предложением, устанавливается цена их равновесия.
В рыночной экономике одновременно действуют силы равновесия и неравновесия, равновесие осуществляется через неравновесие. Неравновесие возникает объективно вследствие непрерывного развития НТП, расхождения во времени, количественном и структурном аспектах спроса и предложения. Накопление сил неравновесия приводит экономику к стрессу, к тяжелым последствиям. Равновесие же означает, что экономика работает не на грани, не перегружена, сохраняются резервы для маневрирования и перестройки.
Неравновесие усиливается в период неопределенности в экономике, неясности ее перспектив. Поэтому важнейшей задачей



305

регулирования государством рынка является уменьшение подобной неопределенности, достижения сбалансированности спроса и предложения на макроуровне.
§ 49. Основные модели государственного регулирования экономики и их эволюция
Классическая школа политической экономии и марксизм. Кейнсианская модель государственного регулирования совокупного спроса
Классическая школа политической экономии и марксизм. Первой школой в экономике, стремившейся выяснить правила хозяйственной деятельности, был меркантилизм. А. Монкретьен еще в начале XVI в. обосновывал необходимость активного вмешательства государства в экономическую жизнь страны с целью увеличения ее богатства.
По его мнению, государство должно проводить активную протекционистскую политику, стимулировать экспорт и т.д. В условиях первоначального накопления капитала зарождающейся буржуазии нужна была поддержка государства.
В XVIII в. в Западной Европе возникает классическая школа политической экономии. В этот период капитализм твердо стал на ноги, и классики политической экономии считали, что равновесие экономической системы, в том числе спроса и предложения, достигается через механизм свободной конкуренции и свободного ценообразования, стремление каждого индивида удовлетворить свои эгоистические интересы и их взаимодействие через систему разделения труда и товарного обмена. Наиболее логично идея достижения экономической системой равновесия выражена в сформулированном Ж. Б. Сэем законе рынков, согласно которому любое предложение товаров порождает свой спрос на них.
Это происходит через механизм свободного ценообразования, а несовпадение спроса и предложения возможно только на отдельные товары, или в отдельных регионах страны.



Часть прибыли поступала собственникам фирм.


В ФРГ принят закон о формировании собственности трудящихся, конституционно закреплено их паритетное участие в наблюдательных советах на предприятиях, численностью более 1 000 чел.
В Швеции в 1983 г. принят закон, согласно которому часть акций частных компаний переходит в собственность трудящихся или в их фонды. Это осуществляется с помощью специального налога на прибыль, а также дополнительных отчислений из фонда заработной платы. В результате сотрудники получают определенные права участия в делах компании.
В 1990 г. в стране завершился процесс формирования пяти фондов трудящихся. Каждый из них имеет право на приобретение не более 6 % акций у любой компании, зарегистрированной на фондовой бирже. Решением парламента общая доля фондов в стоимости акций биржи не должна превышать 5 %. Особенностью функционирования таких фондов является то, что ведущая роль в их управлении принадлежит общественным организациям, и, прежде всего, профсоюзам.
Для Швеции характерна и такая специфическая практика приобретения акций, как «конвертибл». Она заключается в том, что рабочий или служащий предоставляет кредит предприятию, на котором работает, а через определенное время получает взамен акции на льготных условиях.
В Англии акции между персоналом распределяются в зависимости от размеров получаемой заработной платы или стажа работы в фирме. В первой половине 80-х гг. удельный вес работников, которые приобрели акции по фиксированной цене, вырос во всех сферах экономики с 13 до 23·%.



340

Это свойство развития акционерной собственности имеет негативный аспект: нередко корпорации под угрозой увольнения работников заставляют их выкупать отдельные убыточные заводы и филиалы.
В начале 1991 г. в США на 11 тыс. предприятиях, частично или полностью выкупленных работниками, работало около 10 млн рабочих и служащих, что составило около 10 % совокупной рабочей силы. Переход к новой форме собственности обусловил автоматический рост производительности труда на 10-15 %. Прибыль работников этих предприятий состоит из заработной платы и дивидендов, которые приходятся на часть собственности предприятия, принадлежащую отдельному работнику. Раньше эта часть прибыли поступала собственникам фирм. Характерно, что накопленные средства работник получает только при увольнении, он не имеет права претендовать на принадлежащую ему долю собственности и может получить лишь ее стоимостный эквивалент.
Собственность принадлежит коллективу и не дробится.
На уровне отдельных предприятий частично теряет свою силу отчуждение работников от процесса управления производством. В некоторых развитых странах существует немало кооперативов, функционирующих на принципах самоуправления. Их в США немного — около 100, и работает на них примерно 10 тыс. чел. Но в странах ЕС в производственных кооперативах трудится почти 1 млн чел. Кроме производственных кооперативов, здесь функционируют сбытовые, потребительские, жилищные и др.
Всего их насчитывается более 120 тыс. с числом занятых около 2,5 млн чел.
На предприятиях, полностью выкупленных трудящимися, в значительной мере перестает существовать присвоение собственниками средств производства большей части созданного наемными работниками продукта, в частности, всего прибавочного продукта. В зависимости от количества акций, суммы трудовых сбережений в сберегательных кассах, работники присваивают определенную часть прибыли. Отмеченная черта теряет свою силу не в полной мере, потому что другую часть прибыли присваивают различные финансовые институты, промышленные, торговые, транспортные корпорации, которые продают или покупают, предоставляют услуги таким предприятиям и извлекают часть прибыли через механизм цен.
В значительной степени указанная черта теряет силу на тех предприятиях корпоративного и государственного секторов экономики, где часть наемных рабочих и служащих может приобрести акции по льготным ценам.
В зависимости от масштабов распространения народных предприятий, кооперативов существенно модифицируется основная цель капиталистического способа производства. На этих предприятиях главная цель — максимизация прибыли на одного занятого.
Растущую роль в этом процессе играют социальные расходы государства, то есть расходы на развитие образования, здравоохранения, профессиональную подготовку, выплату пенсий и компенсаций в случае безработицы и др. В Швеции на социальные цели государство расходует треть всего ВНП (самый высокий показатель среди развитых стран). В США удельный вес государства в финансировании многих социальных программ составляет 18-20 %. За 1970-1995 гг. социальные расходы только из федерального бюджета США увеличились с 58,0 до 830,0 млрд дол. С 1951 по 1996 г. расходы



341

государства (в ценах 1982 г.) на душу населения в США, ФРГ и Швеции выросли более, чем в 6 раз.
Источник этих расходов — налоговые поступления от трудящихся, а также налоги с прибыли компаний и фирм. Такие расходы одновременно выступают в виде общенациональной формы заработной платы и свидетельствуют о растущем коллективном и общественном характере воспроизводства рабочей силы и усилении роли в этом процессе государства. Его социальные расходы в определенной мере дополняются социальными программами корпораций.
В США, например, средние расходы крупной американской компании на здравоохранение составляют 13,6 % фонда заработной платы, или почти 2,6 тыс. дол. на каждого работающего.
Доля государства в конечных доходах населения значительно колеблется в зависимости от уровня заработной платы. Например, в Японии у 10 % самых бедных людей около 28 % дохода формируется за счет заработной платы, около 4 — от индивидуальной трудовой деятельности и почти 60 % — за счет дотаций органов социального обеспечения. В этой стране один из самых низких показателей разницы доходов богатых и бедных. Так, в 1985 г. разница в уровне реальных доходов между 20 % самых богатых и 20 % самых бедных составляла всего 2,58 раза.
Это обстоятельство также в значительной мере раскрывает секрет «японского чуда».
§ 57. Основные закономерности развития экономической системы в конце XX — начале XXI в.
Разгосударствление и приватизация и их последствия. Основные тенденции развития экономической системы в новом тысячелетии
Разгосударствление и приватизация и их последствия. Разгосударствление — процесс перехода государственной собственности в негосударственные формы — частную, кооперативную, акционерную и др. Приватизация — переход государственной собственности в руки отдельной личности, максимум семьи. Это означает, что разгосударствление — более емкая категория, чем приватизация. Названные процессы являются важной закономерностью развития как экономических систем развитых стран мира, так и экономически неизбежной трансформации административно-командной экономики.
Во многих странах первого типа они были обусловлены кризисом традиционных моделей социально-экономического развития, преобладанием в 80-90-е гг. консервативной модели смешанной экономики, а в постсоциалистических странах — почти тотальным огосударствлением экономики, В конце 70-80-х гг. в некоторых развитых странах прокатилась волна разгосударствления и приватизации отдельных отраслей промышленности, предприятий банковской сферы. Первым к такой политике прибегло правительство США, проведя в 1987 г. приватизацию компании железнодорожного транспорта «Копрейл». Администрация страны получила от передачи в частные руки почти 8,5 млрд дол., или около 1 % всех ожидаемых от реализации программы приватизации поступлений. Данная программа предусматривала переход в негосударственную собственность электроэнергетических систем, аэропортов, нефтепромыслов, железных дорог, здра-



342

воохранения. Аналогичная программа в Японии включала продажу акций государственных компаний железнодорожного транспорта, авиалиний, табачной промышленности, телефонно-телеграфной связи. Правительство от ее реализации намеревалось получить около 820 млрд дол.
В Великобритании денационализация, начавшаяся в 1979 г., коснулась всех предприятий службы связи, автомобильной промышленности, транспорта, авиации, металлургических предприятий, компаний топливных отраслей промышленности, прежде всего, газовой. С 1979 до конца 1990 г. правительство получило от продажи государственной собственности 33 млрд фунтов стерлингов.
Одним из идеологических мифов, сопровождавших политику разгосударствления и приватизации в Великобритании и ставших с 1979 г. основной идеей английского правительства, был миф о создании «демократии акционеров», провозглашенный М. Тэтчер. Эту идею правительство пыталось реализовать через продажу акций частным лицам. Число акционеров с 1979 по 1990 г. увеличилось с 1,75 до 5,7 млн чел.
Всего здесь насчитывалось 11 млн акционеров, что составляло 24 % взрослого населения, а в 1979 г. их было 7 %. Однако у значительного числа «собственников» быстро прошла эйфория от приобретения акций. Так, количество акционеров больших компаний за полгода сократилось на 50 %, 63 % капитала приватизированной государственной компании «Бритиш Аэроспейс» — собственность 143 акционеров. Стоимость портфелей акций, принадлежащих большей части мелких акционеров, мизерна.
Основными покупателями акций стали финансовые институты, а индивидуальные вкладчики приобрели только 21,3 % акций.



Что такое приватизация


Экономический тренинг
1. Ключевые термины и понятия
Экономическое содержание собственности; присвоение; хозяйственное использование имущества: экономическая реализация собственности; собственность в юридическом смыслe: владение; пользование; распоряжение; теневая экономика; реальное обобществление производства; частная собственность; общая долевая собственность; общая совместная собственность; современная структура собственности на Западе; социалистическая собственность; государственный социализм; приватизация.
2. Дискуссионные вопросы
2.2. Французский социалист П. Прудон в работе Что такое собственность? (1840) дал такое определение: Собственность — это кража. Можно ли согласиться с этим утверждением (с экономической и правовой точек зрения)?
2.2. С какими формами собственности связано благополучие Ваше и Вашей семьи?
Довольны ли Вы этим обстоятельством?
2 3. На примерах известной Вам предпринимательской деятельности объясните: кто является собственником, кто хозяином производства и кто присваивает произведенный доход?
3. Логическая задача
Каково соотношение объемов понятий: а) частная собственность; б) общая долевая собственность; в) общая совместная собственность.
4. Задание для экономического анализа
Сопоставьте преимущества и недостатки частного хозяйства, товарищества и акционерного общества.
5. Вопросы о фермерах
5.1. Кого следует считать фермером?
5.2. Что необходимо для обеспечения фермеров нормальными условиями хозяйствования?
5.3. Как складываются отношения фермеров с крупными хозяйствами, с исполнительными органами государства?
5.4. Смогут ли фермеры надежно обеспечить нашу страну нужным количеством продовольствия и сельскохозяйственного сырья?
6. Верно — неверно
6.1. Частная собственность во всех случаях более эффективна в экономическом и социальном отношении но сравнению с государственной собственностью.
6.2. Государственная собственность обеспечивает больший экономический и социальный эффект по сравнению с частной собственностью.
7. Вопрос для выяснения, что такое приватизация
7.1. Правильно ли определение в словаре: Приватизация — передача (продажа) принадлежащих государству предприятий, средств транспорта, жилых зданий и т.п. в частную собственность?
7.2. Можно ли считать приватизацией:
а) покупку акций акционерного общества, контрольный пакет которого принадлежит государству;
б) продажу государственного имущества товариществу, кооперативу;
в) аренду государственного имущества частным лицам;
г) продажу государственного имущества акционерному обществу?
8. Вопрос будущим юристам
Определите, какие формы собственности предусматриваются в Гражданском кодексе Российской Федерации.
9. Прокомментируйте статистические данные, содержащиеся в таблице 3.4.
Таблица 3.4.
Распределение предприятий и организаций в Российской Федерации по формам собственности (на 1 января 1996г.)

Форма собственности
Число предприятий (организации)
В % к итогу
Государственная
322 240
14,3
Муниципальная
197 778
8,8
Общественных объединений (организаций)
95014
4,2
Частная
1425548
63,4
Прочие формы
208951
9,3
Всего
2 249 531
100,0




Действия закона проявляются в следующих изменениях.


Действия закона проявляются в следующих изменениях.

Рис. 1.2. Пирамида потребностей человека
Итак, экономический прогресс общества предполагает действие закона возвышения потребностей. Этот закон выражает объективную (не зависящую от воли и желания людей) необходимость роста и совершенствования человеческих потребностей с развитием производства и культуры. Действия этого закона проявляются в следующих изменениях. В ходе исторического развития потребности общества количественно растут и качественно изменяются.
Некоторые потребности исчезают, возникают новые, вследствие чего иным становится состав потребностей. Соответственно этому меняется структура общественного богатства, уровень благосостояния людей.
Рассмотрев взаимосвязь между производством и потребностями, мы можем теперь сделать более широкие обобщения. С одной стороны, очевидно: потребности общества способны в принципе расти бесконечно —и в отношении увеличения их разнообразия, и в отношении качественных изменений. С другой стороны, такой рост в действительности может происходить лишь по мере соответствующего усложнения разделения труда в производстве и его качественного совершенствования.
Одно зависит от другого. Это, пожалуй, ясно. Не ясно иное: в какой количественной мере потребности и производство воздействуют друг на друга?
Изучение этого вопроса на фактическом материале, позволяет точно установить: является ли закон возвышения потребностей абсолютным экономическим законом (безусловно действующим во всех случаях)? Или же он функционирует как относительно устойчивая тенденция, прокладывающая себе путь при особых благоприятных условиях?
В хозяйственной жизни разных стран складывается три основных варианта количественных пропорций (соотношений) между производством, с одной стороны, и потребностями и потреблениями наYеления, — с другой.
Первый вариант — регрессивный (лат. regressus — движение назад). Он возникает в тех странах и регионах, где длительный упадок хозяйства ведет к свертыванию потребления, а тем самым к количественному и качественному уменьшению потребностей. Происходит попятное движение к низшему уровню человеческих нужд.
Такие отрицательные изменения в экономике можно уподобить спиралевидному движению с уменьшающимися кругами, какие мы наблюдаем, скажем, в воронке водоворота. Это ведет к исключительно острому проявлению противоречия между элементарными нуждами людей и невозможностью их удовлетворить за счет внутреннего производства страны, попавшей в бедственное положение; Такую ситуацию сейчас можно йидеть, в частности, в ряде стран Азии, Африки и Латинской Америки. Так, примерно в 2/3 развивающихся стран за 80-е годы и первую половину 90-х годов произошло сокращение дохода общества в расчете на душу населения.
Второй вариант — застойный. При нем выпуск сравнительно ограниченного набора продуктов растет крайне медленно. Потребности являются устойчиво традиционными и лишь понемногу расширяются. Движение по колее производство — распределение — обмен — потребление — потребности напоминает замкнутый круг. Отсюда вытекает длительность общего застоя в экономике, который к тому же часто закрепляется сложившимися в народе зачастую примитивными обычаями, традициями.
В наши дни подобное положение можно наблюдать в отдельных странах и регионах Азии и Африки.
Третий вариант — прогрессивный. В данном случае производство количественно растет и качественно совершенствуется, повышается уровень потребления и потребностей. Все это можно уподобить движению вверх по спирали с расширяющимися оборотами.
Несмотря на некоторую неравномерность такого движения, в последние десятилетия оно происходит в ведущих промышленно развитых странах. Примечательно, что в Организации экономического сотрудничества и развития (ОЭСР), куда входят 24 страны — США, Япония, Великобритания, ФРГ, Франция и др., — среднегодовые темпы роста валового национального продукта (стоимости конечных результатов деятельности материального и нематериального производства) составили в 1971-1980 гг. 3,3%, в 1981-1990 гг. -2,9%.
Личное потребление населения в среднем повышалось за год в 1971—1975 гг. на 3,6%, в 1976—1980 гг. на 3,1%, в 1981-1985 гг. на 2,6% и в 1986-1990 гг. на 3,4%.
О чем свидетельствуют перечисленные варианты?
Первый и второй варианты показывают, что во многих странах повышению потребностей сильно противодействует ряд факторов, парализующих социально-экономический прогресс. К ним, в частности, относятся:
— низкий уровень материальной и духовной культуры общества, ограничивающий круг человеческих нужд; он изменяется медленнее других факторов;
— очень слабое развитие разделения труда, не позволяющее увеличить разнообразие материальных благ и повысить уровень потребления и потребностей;
— мизерные денежные доходы большой части общества при высоком уровне цен, препятствующие удовлетворению даже самых элементарных человеческих запросов;
— численность населения страны, увеличивающаяся во многих случаях более высокими темпами, чем расширение материальных условий существования людей.
Отсюда мы можем сделать следующее заключение. Закон возвышения потребностей не является абсолютным экономическим законом. Он действует как тенденция, которая определяет общую направленность социально-экономического развития.
Эта тенденция в наибольшей мере проявляется, когда неуклонно растет валовой национальный продукт в расчете на душу населения, а следовательно, увеличиваются личные доходы и потребление жителей страны.
Однако при изучении динамики потребностей мы сталкиваемся с немалыми трудностями. Строго говоря, экономические потребности не поддаются точному количественному измерению. Например, о потребности люден в получении высшего образования часто судят по количеству заявлений, подаваемых каждый год в приемные комиссии высши " учебных заведений. Численность горожан, остро нуждающихся в улучшении жилищных условий, нередко подсчитывается путем сложения численности очереди на получение от государства бесплатного жилья и количества заявлений о вступлении в жилищные кооперативы.
Однако можно ли признать полученные данные о потребности в получении высшего образования и жилья достаточно полными и правильными? Вряд ли.
Если брать все человеческие запросы в их естественном выражении (нужда в питании, одежде, медицинской помощи, занятии спортом, чтении художественной литературы и т.д.), то они являются качественно разнородными, а поэтому количественно несопоставимыми.
Только с появлением денег стало возможно сводить большую часть потребностей, особенно потребностей в материальных благах, к единому измерению. Общей их мерой стал покупательский спрос — выраженная в деньгах платежеспособная потребность.
С помощью денег как универсального измерителя потребностей стало возможным достаточно точно обнаруживать количественные взаимосвязи между платежеспособными потребностями и разными экономическими процессами. Мы устанавливаем, например, зависимость объема покупательского спроса на те или иные продукты и услуги от роста экономики и доходов населения. При этом имеется в виду, что потребности людей, повышающиеся по мере роста качества жизни, подразделяются на три основные группы:
продовольственные товары;
промышленные изделия, входящие в обычный набор потребителя (одежда, обувь и т.п.);
высококачественные товары и услуги длительного пользования (мебель, телевизоры и видеомагнитофоны, мотоциклы, автомобили и др.).
Немецкий статистик XIX в. Э. Энгель впервые установил закономерную связь между денежными доходами населения, предназначенными для покупки жизненных благ, и структурой потребления. Смысл закона Энгеля состоит в следующем. Чем выше качество жизни людей, тем меньше их платежеспособный спрос на продовольственные товары.
Как свидетельствуют статистические данные, в этом случае возрастает спрос на промышленные товары широкого потребления, а при дальнейшем повышении жизненного уровня населения существенно расширяются покупки высококачественных товаров и растет необходимость услуг длительного пользования.
Примечательно, что в высокоразвитых странах с большими доходами населения, как, например, США и Великобритания, из всей суммы расходов на покупку товаров и оплату услуг в конце 80-х годов на долю продовольственных товаров приходилось 15%, на непродовольственные товары 28—33%, на оплату услуг 42—53%, на остальные расходы 2-9%.
Однако при резком уменьшении величины доходов людей структура их расходов меняется в обратном направлении. Это подтверждают материалы обследования семейных бюджетов населения России за 1990-1993 гг. (табл. 1.1).
Таблица 1.1.
Структура расходов совокупного дохода семей в России
в 1990 и 1993 гг., %

Вид расходов
1990
1993
Питание
29,7
41,7
Непродовольственные товары
34,4
30,9
Культурно-бытовые услуги
9,0
5,4
Прочие расходы
26,9
22,0


Денежные затраты на торговый бизнес


3. Норма прибыли торгового бизнеса
Степень выгодности торгового бизнеса во многом определяется особенностями и экономической ролью коммерческой деятельности. Еще в эпоху классического капитализма возникли два вида предпринимательства в разных сферах: в производстве и в торговле. Так сложилось разделение хозяйственной деятельности между массовым производством товаров, с одной стороны, и продажей оптовых партий изделий в розницу населению — с другой.
Это разделение труда оказалось выгодным производителям. Фирмы-изготовители не содержат сети розничных магазинов по реализации своей продукции. Они быстро сбывают все изделия торговцам-оптовикам и сразу же получают деньги, позволяющие расширить производство. В свою очередь, торговый бизнес сосредоточивает свои усилия на продаже товаров, создавая сеть универсальных и специализированных магазинов.
Это, естественно, позволяет лучше изучать потребительский спрос, качественнее и быстрее удовлетворять потребности людей.
Рассмотрим подробнее, как действуют торговые посредники. Узловыми пунктами их хозяйственного движения являются оптовая и розничная формы торговли.
Оптовые закупки могут осуществляться в виде прямых поставок товаров в торговое предприятие из фирмы-изготовителя, которые предусмотрены договором этих хозяйственных субъектов, и в виде заключения сделок о поставке продукции на товарной бирже.
Товарная биржа — оптовый рынок, где продаются массовые заменяемые сырьевые и продовольственные товары. Эти блага называются заменяемыми, поскольку речь идет не о каких-то совершенно определенных, точно и конкретно установленных, а о любых товарах данного вида.
Товарная биржа — такое учреждение, где реализуются не сами товары, а лишь заключаются контракты (соглашения со взаимными обязательствами для договаривающихся сторон) на их поставку. При этом продукты продаются: а) по стандартам, в которых дан перечень необходимых признаков (качество, сортность и т.п.) и б) по образцам (зерно, сахар, шерсть, хлопок, кофе, каучук, металлы).
Согласно Закону Российской Федерации О товарных биржах и биржевой торговле (1992), участники биржевой торговли в ходе биржевых торгов могут совершать сделки, связанные:
— с взаимной передачей прав и обязанностей в отношении реального товара;
— с взаимной передачей прав и обязанностей в отношении реального товара с отсроченным сроком его поставки (форвардные сделки);
— с взаимной передачей прав и обязанностей в отношении стандартных контрактов на поставку биржевого товара (фьючерсные сделки);
— с уступкой прав на будущую передачу прав и обязанностей в отношении биржевого товара или контракта на поставку биржевого товара (опционные сделки);
— другие сделки в отношении биржевого товара, контрактов или прав, установленные в правилах биржевой торговли.
Товарные биржи позволяют выявить реальные (оптовые) рыночные цены с учетом складывающегося спроса и предложения. Поэтому фирмы, закупающие товары оптом (не только торговые предприятия, но и промышленные фирмы-изготовители), всегда следят за биржевыми ценами, которые складываются на национальных и мировых оптовых рынках. Известны, например, товарные биржи в Нью-Йорке (специализированные биржи хлопка, кофе, сахара, какао и т.п.), в Чикаго (зерновая биржа).
Торговый капитал доводит продукцию производителей до потребителей через розничную торговлю, в которой товары продаются населению в небольших количествах. На начальном этапе развития торгового капитала в розничной торговле преобладали сравнительно мелкие торговцы и торговые кооперативы, которые закупали товары у производителей и продавали их членам кооператива или же сбывали на рынке продукцию крестьян и ремесленников. В интересах потребителей получили распространение разнообразные формы торговых операций и предприятий: специализированные и универсальные магазины, посылочная торговля, продажа товаров в кредит.
Наряду с предприятиями, обслуживающими массовых покупателей, на Западе имеются магазины, где продаются сверхмодные и престижные товары для самых богатых людей. Например, в штате Техас США прославился магазин Маркуса, где можно купить носовой платок за 500 долл., здесь же можно заказать в подарок, скажем, слона, и его доставят в нужный срок...
В последние десятилетия в западных странах в сфере торговли наблюдаются новые процессы, связанные с укрупнением торгового капитала, централизацией торговых предприятий, интеграцией крупного торгового и промышленного предпринимательства.
Во-первых, между торговым и промышленным капиталами устанавливаются тесные связи в форме контрактных соглашений, которые охватывают огромное число участников и формируют целые системы. Контрактные системы объединяют не только крупный, но также средний и мелкий торговые капиталы. Для последних вхождение в такую систему служит единственным способом выживания в условиях острой конкуренции. Промышленные фирмы через контрактные системы выходят на местные и удаленные рынки.
Мелкие торговые предприятия служат для крупных производителей своеобразными датчиками информации, чутко реагирующими на изменения рыночной конъюнктуры.
Во-вторых, крупные торговые монополии, сосредоточившие в своих руках значительную часть товарооборота, диктуют правила поведения не только субъектам рынка, но и промышленным предприятиям. Например, торговые монополии Японии возглавляют монополистические кланы (группы родственников), куда входят промышленные и банковские монополии, а также мелкие и средние предприятия промышленности и сферы услуг.
В-третьих, в сфере реализации товаров образуются крупнейшие торговые монополии, которые занимаются сбытом продукции многих промышленных фирм. Скажем, американская торговая компания Сирд, Робак продает изделия нескольких тысяч поставщиков по самому широкому ассортименту промышленных потребительских товаров. Такое обслуживание производственных фирм позволяет сделать функции торгового капитала универсальными, создать товарное разнообразие на рынке и полнее удовлетворить потребительский спрос.
В итоге возросшая концентрация и централизация торгового капитала усиливает реальное обобществление сферы торговли. Экономическим последствием этого процесса является ускорение оборота промышленного капитала и возрастание промышленной прибыли. Одновременно повышается выгодность торгового бизнеса.
Как оценить степень выгодности торгового капитала? Торговый бизнес осуществляется в соответствии с известной общей формулой:
Степень выгодности торгового капитала
Д – Т - Д',
где Д — денежные затраты на торговый бизнес;
Т — товары (закупаемые оптом и продаваемые в розницу);
Д' — денежная выручка (сумма продаж) от реализации товаров по розничным ценам.
По данной формуле мы можем составить первоначальное представление о прибыли в торговом бизнесе. Торговая прибыль ПТ — разница между суммой продаж и первоначально авансированной на торговый бизнес суммой:
ПТ = Д’ – Д
Отсюда легко представить формулу нормы торговой прибыли Пт'

Денежные затраты на торговый бизнес

Норма прибыли торгового капитала — это отношение торговой прибыли к авансированному торговому капиталу, выраженное в процентах.
Теперь детально проанализируем торговую прибыль, чтобы затем лучше представить себе то, от каких факторов зависит ее величина. Начнем с выяснения первоначальных затрат Д на торговый бизнес. Эти затраты складываются из двух основных элементов:
— расходов на закупку товаров по оптовым ценам Цо;
— торговых издержек Ит (затрат по организации торгового предприятия).
Следовательно, авансированный торговый капитал будет представлять собой сумму, во-первых, затрат на покупку всех товаров Т по их оптовым ценам Цо и, во-вторых, торговых издержек:

Денежные затраты на торговый бизнес

В свою очередь сумма продаж продукции по ее розничным ценам — это произведение количества реализованных товаров Т на их розничную цену Цр.

Денежные затраты на торговый бизнес
.
Теперь мы можем расшифровать формулу торговой прибыли следующим образом:

Денежные затраты на торговый бизнес

Вполне очевидно, что масса (абсолютная величина) торговой прибыли зависит от: а) количества реализованных товаров; б) уровня оптовых и розничных цен, соотношения между ними; в) издержек торговой деятельности. Само собой разумеется, что и величина нормы торговой прибыли определяется этими же факторами.
Не все указанные факторы подконтрольны торговому бизнесу. От его деятельности в большой мере зависят торговые издержки.
Издержки по организации розничной торговли И-\ подразделяются на два вида.
Первый вид издержек — прямые (или переменные) расходы. Их величина изменяется в прямой пропорции с динамикой объема продаж товаров. Говоря конкретнее, в прямые издержки входят: а) затраты на покупку товаров по оптовым ценам и б) транспортные расходы.
Второй вид расходов — косвенные (или условно постоянные) издержки. Они почти не зависят от объема продаж продукции. Сюда включаются расходы по содержанию торгового предприятия: заработная плата сотрудников, плата за аренду помещения, страховой взнос, коммунальные услуги (телефон, электричество и т.п.).



Депрессию, застой сравнивают с послешоковым состоянием.





312

левого перелива капитала, вкладываемого в оборудование, и отклонение от него связано со средними циклами. Равновесие третьего порядка, касающееся основных капитальных благ (промышленных зданий, инфраструктурных сооружений, квалифицированной рабочей силы), также периодически нарушается и возникает необходимость создания нового запаса (обновления) основных капитальных благ, которые соответствовали бы складывающемуся новому техническому способу производства. Причем такое обновление, отражающее движение НТП, происходит не плавно, а толчками и является материальной основой больших циклов конъюнктуры.
Таким образом, объяснение феномена существования длинных волн Кондратьев искал в самом воспроизводственном процессе, включив в основу длинной волны всю сумму капитальных и трудовых ресурсов (отраслевую структуру производства, существующую сырьевую базу, источники энергии, цены, занятость, общественные институты, состояние кредитно-денежной системы и т. д.). Такой комплексный, системный подход является свидетельством скорее силы его позиции, чем слабости, так как в результате была создана широкая картина взаимосвязанных процессов в экономике и обществе.
Значительное место в экономической науке в области объяснения и смягчения циклических колебаний принадлежит Дж.Кейнсу. После великой депрессии — тяжелейшего экономического кризиса 1929-1933 гг. — обнаружилась неспособность господствующего неоклассического направления предложить глобальные антикризисные решения, и тогда с теорией регулируемого капитализма выступил Кейнс. Кейнсианская теория цикла не только соединила в себе ряд предшествующих концепций, но. и оказалась в центре новой макроэкономической теории, призванной объяснить механизм капиталистического хозяйствования в целом, причины его отклонений от состояния равновесия, а также дать рецепты для государственного вмешательства в процесс воспроизводства.
Эта теория рассматривает цикл как результат взаимодействия между движением национального дохода (НД), потребления и накопления капитала, формирующегося динамикой эффективного спроса, определяемой, в свою очередь, функциями потребления и инвестиций. Указанное взаимодействие рассматривается с точки зрения устойчивых связей, характеризующихся коэффициентами мультипликатора (зависимость прироста НД от прироста инвестиций) и акселератора (зависимость инвестиций от прироста НД). Таким образом, важнейшая причина циклического развития, по Кейнсу, — инвестиционный импульс.
Кейнсианская теория цикла послужила основой государственной антициклической политики, рассчитанной на расширение совокупного спроса в периоды кризисов и его ограничение в периоды подъемов. Главными инструментами антициклического регулирования в соответствии с этой теорией являются бюджетная и кредитно-денежная политика, хотя их эффективность объективно ограничена (ростом инфляции, денежного предложения) и не может устранить внутренние причины циклического развития экономики. И действительно, кризис 70-х гг., резко усилив темпы инфляции и поставив под сомнение кейнсианские методы антикризисного регулирования, положил начало серьезному кризису этой теории.



313

На смену теории цикла Кейнса пришла монетарная теория цикла М.Фридмена, согласно которой причина цикличности экономического развития и связанных с этим кризисов, инфляции, безработиц — неправильная денежная политика государства, проявляющаяся в несоответствии денежной массы в обращении темпам роста ВНП, отсюда — необходимость строгого регулирования государством денежной массы, предусматривающего ее рост на уровне 3-5 % в год.
Итак, сравнительный анализ позиций различных ученых в вопросе о причинах экономических кризисов и циклических колебаний в целом позволяет заключить, что назвать единственную причину циклического характера развития рыночной экономики весьма затруднительно, так как она заложена в сложном и противоречивом взаимодействии различных факторов и сил, воздействующих на ее движение.
Механизм цикличных колебаний. Каждый из экономических циклов является уникальным. В то же время им присущи некоторые общие черты, прежде всего одинаковая последовательность в смене фаз цикла.
На разных этапах экономического развития общества и при различных конкретных условиях воспроизводства цикл и его фазы определяются по-разному.
Кризис охватывает, прежде всего, самые чувствительные сферы — денежно-кредитных связей, оптовой и розничной торговли. Развитие кризиса проявляется в накоплении товарных масс в оптовой торговле, в замедлении их продвижения к потребителю, что приводит к снижению общих показателей динамики промышленного производства, а в наиболее тяжелых случаях к разрушению производительных сил. Отсутствие возможности реализовать свой товар отрывает куплю от продажи. Первыми это чувствуют продавцы.
Создается впечатление, что приобретенные ими у промышленников партии товаров перешли в сферу потребления, на самом деле они еще не достигли конечного пункта своего движения и остаются в сфере обращения. Но промышленник считает свои рыночные проблемы разрешенными и продолжает производить товары в предыдущем объеме. Один поток товаров настигает другие до тех пор, пока не выяснится, что весь предыдущий поток не поглощен сферой потребления. Масштабы товарообмена резко сокращаются, что вызывает спад производства, рост безработицы, снижение реальной заработной платы, прибылей, увеличение массовых банкротств.
Увеличиваются потребности в платежных средствах, спрос на деньги, в связи с этим повышаются ставки кредитного процента.
Сокращение производства во время кризиса продолжается до тех пор, пока не будет установлено рыночное равновесие, то есть соответствие спроса и предложения, а следовательно, ослаблена острота основного противоречия капитализма. После этого кризисный спад прекращается и экономика вступает в фазу депрессии.
Депрессию, застой справедливо сравнивают с послешоковым состоянием. Движение капитала вялое. В этой фазе происходит постепенное возобновление прерванных кризисом связей, перелив капитала в более перспективные отрасли, а главное — массовое обновление основного капитала.
Дело в том, что накануне кризиса масса основного капитала достигает таких размеров, что возникает его излишек, или такое его количество,


314

для которого снижение нормы прибыли не уравновешивается увеличением ее массы. В подобном случае дополнительные инвестиции не приносят дополнительной прибыли. В период кризиса основной капитал разрушается физически или обесценивается.
Связь депрессии с кризисом заключается, прежде всего, в обновлении основного капитала, но уже на новом, более высоком технологическом уровне, поэтому в следующем цикле экономика достигает более высокого подъема.
Следующая фаза цикла — оживление — отличается тем, что здесь впервые после начала кризисного спада растет спрос на средства производства и рабочую силу, возобновляется экономический рост, увеличивается прибыль и заработная плата. В общественном сознании возрождается надежда на лучшие времена, возобновляется докризисный уровень экономического развития и готовится будущий подъем.
В условиях подъема экономика выходит на уровень развития, превосходящий все предыдущие уровни. Ускоряется экономический рост, улучшаются все показатели рыночной конъюнктуры, прежде всего, платежеспособный спрос. Это способствует росту товарных цен, увеличивает прибыль и стимулирует предложение.
Особо больших размеров достигают кредитнофинансовые, а также спекулятивные операции на биржах. Но именно в этот, наиболее благоприятный для экономики период, в ее недрах созревают предпосылки будущего спада. До определенного момента развитие этих предпосылок скрывают многозвенная и разветвленная торговая сеть, развитая кредитная система, искусственные дефицита, возникающие вследствие спекуляций на росте цен. И только в период кризисного спада становится очевидным реальное положение вещей, действительные масштабы неравновесия рыночной экономики.
Таким образом, рыночное равновесие, если понимать его как совпадение совокупного спроса и совокупного предложения, является кратковременным, случайным состоянием экономической системы.
§ 51. Финансовые и структурные кризисы в экономике
Финансовые кризисы и особенности финансового кризиса конца 90-х гг. Структурные кризисы и структурная перестройка в экономике. Теория длинных волн Н. Кондратьева
Финансовые кризисы и особенности финансового кризиса конца 90-х гг. Финансовый кризис — глубочайшее расстройство финансовой системы страны, которое сопровождается ростом темпов инфляции, кризисом неплатежей, резким, как правило, снижающимся колебанием валютных курсов, оттоком иностранных инвестиций. Финансовые кризисы порождаются и связаны с экономическими кризисами перепроизводства и недопроизводства. Финансовые кризисы в прошлом порождались продолжительными войнами, расходы на которые покрывались путем чрезмерной эмиссии бумажных денег.
На стадии становления финансовой системы кризисы были вызваны перепроизводством товаров, имели непродолжительный и неглубокий характер, впоследствии они стали более глубокими, острыми и продолжи-



Диктат монополий на рынке.





209

При капиталистическом товарном производстве в основе товарных цен лежат не только общественно необходимые затраты производства, но и соотношение между спросом и предложением                 '
U„=c+v+p,                  \ где Ц„ — цена производства, — прибыль                     ; Прибыль образуется в результате межотраслевой конкуренции с учетом процесса колебания спроса и предложения, переливания капитала в отрасли, в которых производство товаров не удовлетворяет потребности потребителей с соответствующим колебанием цен (их росте при неудовлетворении платежеспособного спроса и снижении при превышении предложения над спросом). В условиях равновесия спроса и предложения формируется цена равновесия.
Если в условиях простого товарного производства цены определялись только законом стоимости, то в условиях капиталистического товарного производства они определяются и действием закона спроса и предложения. Поэтому в новых исторических условиях цена — это денежное выражение цены производства, взаимодействия закона стоимости и закона спроса и предложения.
К. Маркс рассматривал цену как денежное выражение стоимости. И хотя в этой работе анализируется процесс превращения стоимости в цену производства, само определение цены остается неизменным. В бывшем СССР в экономической литературе использовалось только это внеисторическое определение, отражавшее реалии докапиталистических формаций, которое свидетельствовало о догматическом, антинаучном восприятии действительности и противоречило диалектическому методу исследования»
Определение цены как денежного выражения цены производства отражает преимущественно реалии низшей стадии развития капитализма XVI — XIX в. С возникновением монополий и олигополии процесс ценообразования значительно усложняется, в частности, возникают монопольно высокие и монопольно низкие цены. Вследствие этого цена производства превращается в монопольную цену производства, которая выражается формулой
Мцп = с + + + ,, где Мцп — монопольная цена производства, — средняя прибыль; , — монопольно высокая прибыль. Последнюю присваивают наиболее могущественные компании, поскольку они занимают монопольное положение в сфере производства и сфере обращения. С учетом этого обстоятельства в современных условиях цена является денежным выражением монопольной цены производства, в которой отражается действие законов стоимости, спроса и предложения, господства групповых монополий (олигополии).
Монопольные цены — это прежде всего монопольные цены производства. Сосредотачивая у себя самую современную технику, наиболее квалифицированную рабочую силу, внедряя наиболее прогрессивные формы производства и труда, предприятия и филиалы гигантских компаний формируют наиболее низкие затраты производства (а следовательно, и себес-



210

тоимость), которые являются основным фактором присвоения монопольно высокой прибыли. Поскольку на таких предприятиях производится основная масса продукции, одну из составляющих цены на тот или иной товар представляют соответствующие затраты производства. Но если бы цены на те же автомобили устанавливались только на основе затрат и средней прибыли, они не были бы монопольно высокими.
Такими их делает диктат монополий на рынке.
Поэтому монопольные цены — это цены обращения, отражающие господство олигополистов на рынке, вследствие чего перераспределяется часть прибавочной стоимости, созданной на мелких и средних предприятиях, и часть доходов населения при покупке соответствующих товаров в пользу гигантских компаний. В отличие от этого на низшей стадии капитализма основой цен были средние затраты (как исключение — индивидуальные затраты) производства и обращения.
Более полно раскрыть механизм ценообразования в современных развитых странах мира поможет краткое изложение истории развития теории
цены.
Наиболее весомый вклад в теорию ценообразования сделали такие выдающиеся экономисты, как Д. Рикардо, К. Маркс, М. Туган-Барановский и А. Маршалл.
Д. Рикардо впервые в мировой экономической мысли выделил три основных фактора стоимости: труд, полезность (потребительную стоимость) и редкость. Первые два фактора играют стоимостно-образующую роль для большинства воспроизводимых товаров (то есть товаров, которые постоянно изготавливаются), третий — для незначительной группы невоспроизводимых товаров (шедевры искусства, редкие книги и т.п.).
И действительно, чем иным можно объяснить продажу картин известных художников прошлого на всемирно известном аукционе Сотби в Англии за несколько миллионов долларов каждую, если не их редкостью, невоспроизводимостью.
Д. Рикардо справедливо критиковал положение Ж. Б. Сэя о полезности товаров как регуляторе стоимости. Позднее этот тезис был развернут в теорию предельной полезности. Степень полезности, по мнению Д. Рикардо, не может быть мерой стоимости потому, что товар, который изготавливается с большими усилиями, будет всегда дороже того, который производится с меньшими усилиями.
К тому же даже двое людей, которые пользуются одной и той же вещью, получают от нее разное удовлетворение.
Однако утверждение Д. Рикардо о том, что определение стоимости невоспроизводимых товаров (редких статуй, картин и др.) зависит от их редкости, было несколько односторонним. Ведь стоимость зависит и от работы художников, скульпторов. Труд талантливых деятелей искусства чрезвычайно сложен, а иногда и очень продолжителен.
И. Репин, например, работал над картиной «Запорожцы пишут письмо турецкому султану» 14 лет.
Заслуга К. Маркса в развитии теории цены состоит в том, что он четко размежевал стоимость и цену. Стоимость, по его мнению, определяется общественно необходимыми затратами. Такая стоимость лежит в основе цены, а соотношение между спросом и предложением влияет на отклоне-



211

ние цены от стоимости. Кроме того, по мнению К. Маркса, стоимость зависит не только от затрат общественно необходимого труда, но и от соответствия товарной массы величине общественных потребностей, общественной потребительной стоимости.
Эти положения не приобрели вид целостной логичной теории, поэтому в трудах К. Маркса недостаточно учтено влияние качества продукции, ее полезного эффекта на стоимость товаров, игнорируется фактор редкости, в теории ценообразования не сделана попытка соединить влияние на цены затрат и результатов, то есть общественно необходимых затрат производства и полезности товаров, их субъективной, психологической оценки потребителем.
Впервые попытку синтеза этих двух наиболее важных факторов ценообразования предпринял М. Туган-Барановский. Он ввел в научный оборот понятия «стоимость» (как затраты средств производства и труда) и «трудовая стоимость» (затраты живого труда). Кроме того, он размежевал категории «стоимость» и «ценность». Ценность имеет субъективную сторону (психологическая оценка полезности товара отдельным потребителем) и объективную (оценка такой полезности обществом).
Последняя и является ценой товара. При правильном понимании теории предельной полезности она, по мнению ученого, не отрицает теории трудовой стоимости.
А. Маршалл первым из западных ученых предпринял попытку синтеза этих теорий. Он считал себя учеником Д. Рикардо и рассматривал рыночную цену как результат взаимодействия издержек производства и предельной полезности, столкновения спроса и предложения. Такой подход воплощен в учебнике «Экономикс» П. Самуэльсона.
Цена выполняет учетную, распределительную, стимулирующую функции. Первая состоит в том, что цена является средством учета общественно необходимого, а следовательно, и полезного труда. Труд, который превышает эту величину при производстве воспроизводимых товаров, не признается потребителями, а потому излишний.
Такой учет дает возможность осуществлять эквивалентный обмен товаров, определять оптимальное соотношение между накоплением и потреблением и другие пропорции.
Распределительная функция цены реализуется в процессе внутриотраслевой и межотраслевой конкуренции. В первом случае такое перераспределение стоимости и, прежде всего, прибавочной стоимости осуществляется в пользу тех предприятий, на которых издержки производства ниже общественно необходимых, а качество товаров выше. Во втором случае перераспределение прибавочной стоимости происходит через механизм переливания капиталов в пользу отраслей, где осуществляется производство товаров и услуг в соответствии с индивидуальными, коллективными и общественными потребностями.
Стимулирующая функция цены состоит в том, что рыночные цены через механизм конкуренции побуждают предпринимателей внедрять новую технику, более совершенные формы и методы организации производства и т. п.
Существуют разные критерии классификации цен. Так, в соответствии с критерием собственности различают государственные, коллективные, индивидуальные и другие виды цен. Государственные цены преобладали в быв-



212

шем СССР, так как 92 % собственности принадлежало государству. Их устанавливали специальные государственные органы — Государственный комитет цен и его филиалы в республиках и на местах. Механизм установления таких цен был очень громоздким. В периодической печати времен «перестройки» приводились примеры, когда для установления цен на товары широкого потребления (например, новый тип совка для мусора и др.) следовало собрать более 100 подписей в разных инстанциях.
В СССР 98 % цен были государственными и только 2 % — ценами колхозного рынка. Цены на продукцию кооперативных предприятий также были огосударствлены.



Движение продукта труда


Распределение выявляет долю каждого человека в созданном богатстве. Такая доля зависит в первую очередь от количества создаваемых благ, подлежащих распределению. Так, когда создается очень мало продуктов (во время войн, хозяйственной разрухи, сильного падения производства), обычно вводится уравнительное распределение продуктов питания по низким нормам (по карточкам, продовольственным талонам).
Таким способом хотя бы минимальным количеством пищи обеспечивают каждого жителя страны.
Доставшиеся при распределении продукты зачастую нельзя израсходовать для личного потребления, когда люди нуждаются в совершенно иных благах. Тогда происходит обмен — процесс, во время которого одни продукты обмениваются на другие.
Потребление означает использование людьми материальных благ для удовлетворения своих потребностей. Полезные вещи исчезают-И-процессе потребления, в силу чего их требуется воспроизводить.
Описанное здесь последовательное движение продуктов мы можем проследить (с некоторыми упрощениями) на примере крестьянского хозяйства. Производитель сначала выращивает, положим, помидоры. Затем он -распределяет их: часть оставляет для себя и своей семьи, а остальное предназначает для продажи другим людям.
На рынке излишние для семьи помидоры обмениваются на иные нужные в хозяйстве продукты (скажем, мясо, обувь). Наконец, материальные блага доходят до конечного пункта — личного потребления. Вся цепочка хозяйственных связей отображена на рисунке 1.1.

Движение продукта труда

Рис. 1.1. Движение продукта труда
На рисунке 1.1 отображена прямая связь между производством и потреблением. Однако в масштабе всего общества процессы производства, распределения, обмена и потребления находятся в гораздо более-сложной взаимосвязи. Они взаимопроникают и часто не отделяются друг от друга по времени.
Так, неразрывно связаны между собой производство и потребление. На предприятиях расходуются прежде всего способности человека, его жизненные силы. Используются также сырье, топливо, машины и другие вещественные условия выпуска продукции, т.е. совершается производителъное потребление.
Столь же близко непосредственное производство связано с распределением. Прежде чем создавать что-то, требуется разделить работников и орудия труда по различным родам и видам- хозяйственной деятельности. Речь идет о разделении общественного производства на все многообразие его отраслей. Если в начале XX в. в промышленности насчитывалось только около двух десятков отраслей, то ныне в развитых странах имеется более 500 отраслей, подотраслей и видов индустрии.
Соответственно этому усложнилось распределение средств производства и работников по всем подразделениям народного хозяйства.
Производство неразрывно связано и с обменом. Ведь производство представляет собой по существу процесс обмена деятельностью и способностями людей. Разделение труда вынуждает работников совершенствовать свои способности в неодинаковых направлениях. Из-за этого возникает необходимость обмениваться их различными способностями и столь же разнообразными продуктами труда. Такие процессы особенно наглядны на любом крупном предприятии.
Скажем, чтобы создать трактор, на заводе должны обмениваться своей деятельностью и ее результатами конструкторы, инженеры-технологи, рабочие разных профессий и многие другие работники, а также предприниматели и управляющий персонал.
Нам осталось теперь выяснить, как в экономическом круговороте связаны между собой начальный и конечный пункты. Рисунок 1.1 может создать впечатление, что движение изготавливаемого и потребляемого блага идет по замкнутому кругу и не возрастает. Между тем статистика говорит об обратном: в большинстве стран мира наблюдается тенденция к росту производства продукции.
Как можно объяснить такую динамику?
2. Экономическая динамика
В рассмотренном нами круговороте движения богатства недостает важного звена, соединяющего потребление с производством. Речь идет о потребностях люд ей. Потребности — это нужда или недостаток в чем-либо необходимом для поддержания жизнедеятельности человека, социальной группы и общества в целом.
Они служат внутренними побудителями активности.
Человеческие потребности весьма многообразны. В частности, по субъектам (носителям потребностей) они различаются на индивидуальные, групповые, коллективные и общественные. По объекту (предмету, на который они направлены) запросы людей подразделяются на материальные, духовные, этические (относящиеся к нравственности) и эстетические (касающиеся искусства).
По сферам деятельности выделяются потребности труда, общения, рекреации (отдыха, восстановления работоспособности) и экономические.
Рассмотрим детальнее последний вид потребностей. Экономические потребности — та часть человеческих нужд, для удовлетворения которых необходимо производство, распределение, обмен и потребление благ. Именно они участвуют в активном взаимодействии между производством и неудовлетворенными запросами людей.
Каково же это взаимодействие?
Производство прямо влияет на потребности по нескольким направлениям.
Во-первых, оно создает конкретные блага и тем самым способствует реализации определенных человеческих запросов. Их удовлетвореннее помощью уже потребленной вещи ведет к возникновению новых запросов. Вот простой пример. Предположим, человек пожелал приобрести автомобиль. После его покупки владелец машины испытывает массу новых нужд.
Автомашину надо застраховать, найти для нее подходящую стоянку или гараж, приобрести горючее, запасные части и многое другое.
Во-вторых, под воздействием технического обновления производства сильно изменяется предметный мир и уклад жизни, возникают качественно новые потребности. Скажем, с появлением в продаже персональных компьютеров, видеомагнитофонов, телевизоров новых поколений у людей возникает желание их приобрести.
В-третьих, производство не только доставляет материал для удовлетворения потребности, но и влияет на способы потребления, а тем самым формирует определенную культуру потребителя. Например, первобытный дикарь питался, разрывая руками и зубами сырое мясо на куски. А современный человек испытывает, как правило, качественно иную потребность.
Мясо должно быть определенным образом приготовлено и потреблено с помощью столовых приборов.
Значит, производство создает потребление и определенный способ потребления. Благодаря этому оно развивает у людей потребности — влечение и способности к потреблению.
В свою очередь, экономические потребности оказывают сильное обратное воздействие на производство, которое идет по двум линиям.
Во-первых, потребности являются внутренней побудительной причиной и конкретным ориентиром созидательной деятельности.
Во-вторых, запросам людей присуще свойство быстро изменяться в количественном и качественном отношении. Потребности всегда включают в себя появление новых созидательных целей еще до того, как изготавливаются блага, соответствующие таким целям. В силу этого человеческие запросы часто обгоняют производство и толкают его вперед.
Обобщая весь практический опыт человечества, выдающийся немецкий философ Георг Гегель (1770— 1831) пришел к заключению: Ближайшее рассмотрение истории убеждает нас в том, что действия людей вытекают из их потребностей, их страстей, их интересов... и лишь они играют главную роль2.
Глубокая внутренняя взаимосвязь производства и потребностей выражается в законе возвышения потребностей.
Всю историю экономики мы можем в определенном смысле рассматривать как историю формирования потребностей все более всесторонне развитого человека.
Современная цивилизация (нынешняя ступень развития материальной и духовной культуры общества) знает множество различных потребностей. Они подразделяются на следующие виды:
физиологические потребности (в пище, воде, одежде, жилье, воспроизводстве рода);
потребность в безопасности (защита от внешних врагов и преступников, помощи при болезни, защите от нищеты);
потребность в социальных контактах (общении с людьми, имеющими те же интересы; в дружбе и любви);
потребность в уважении (уважении со стороны других людей, самоуважении, в приобретении определенного общественного положения);
потребность в саморазвитии (в совершенствовании всех возможностей и способностей человека).
Эи виды потребностей можно представить в виде пирамиды (рис. 1.2).
На рисунке 1.2 видно, что в основании пирамиды находятся физиологические потребности. Как у всех живых существ, так и у человека, они обусловлены обменом веществ — необходимой предпосылкой существования каждого организма. Однако в этом отношении человек решительно отличается от любого животного.
У последнего верхний предел его желаний — полностью удовлетворить потребности биологического порядка. У людей такого ограничителя нет.
В отличие от животных, которые просто приспосабливаются к природной среде, человеческое общество преобразует природную и социальную среду. Оно в первую очередь налаживает производство средств, необходимых для поддержания жизни (пищи, жилища, одежды и т.п.). Затем появляются качественно новые потребности более высокого порядка, которые могут резко увеличиваться.



Движущие силы и факторы экономического прогресса


Факторы развития производительных сил группируются в зависимости от уровня технической оснащенности труда, развития НТП, глубины специализации и кооперации труда, его интенсивности, степени развития сущностных сил человека, его способностей и т. д. Поэтому рост производительности труда является лишь иным проявлением экономии времени, которую Маркс назвал первым экономическим законом, отражающим наиболее общую основу и внутреннюю логику экономического прогресса, источником и способом повышения эффективности производства.
Суть общего экономического закона экономии времени заключается в экономии живого и овеществленного труда. Степень развития технологического способа производства, и, прежде всего, системы производительных сил, экономию времени обусловливают прогрессивные изменения в каждом из элементов этой системы (средствах труда и предметах труда, рабочей силе, науке, формах и методах организации труда, информации, используемых людьми силах природы), а также изменения в непосредственной форме организации производства; ее специализации, кооперации, комбинировании, концентрации и др. В свою очередь, в пределах каждого элемента системы производительных сил, организационно-производственных и технико-экономических отношений можно выделить факторы экономии рабочего времени.
Что касается основной производительной силы, то к таким факторам относятся уровни образования, квалификации, развития творческих способностей человека, его психологического, эмоционального состояния и др.
Непосредственное влияние на экономию живого и овеществленного труда в сфере производственных отношений оказывает переход от отсталых, отживающих форм собственности к новым прогрессивным формам. При этом прогрессивной формой собственности является та, которая способствует сокращению затрат живого и овеществленного труда на единицу создаваемого блага (товара или услуги). Так, переход в США многих предприятий в собственность трудовых коллективов обусловил рост производительности труда на 15-20 %.
В результате действия закона экономии времени, повышения производительности труда создаются условия для расширенного воспроизводства вещественных и личных факторов производства, всей системы производительных сил, для увеличения свободного времени, развития культуры, искусства, осуществления экономического и социального прогресса, со-



66

вершенствования всей системы общественных отношений. Вследствие этого рост прибавочного продукта является важным критерием экономического прогресса, увеличения богатства-общества. Еще более точный критерий экономического прогресса — отношение прибавочного продукта к необходимому.
Наряду с критериями технико-экономического прогресса существуют критерии общественного прогресса. К критериям социально-экономического прогресса, отражающим развитие производственных отношений, относятся расширенное (с позиции накопления элементов зрелости) воспроизводство отношений собственности, степень экономической свободы непосредственных производителей, хозяйственная самостоятельность предприятий, участие работников в управлении, доля непосредственных производителей в национальном доходе, национальном богатстве страны, развитие умственных, творческих способностей человека, его потребностей, интересов и др. Критериями социального прогресса, отражающими развитие всей системы общественных отношений, являются степень социальной, политической, юридической свободы непосредственных производителей, уровень удовлетворения социально-экономических потребностей человека, развития его личности.
На протяжении развития человеческого общества противоречие между критериями технико-экономического и социально-экономического прогресса неоднократно приобретало антагонистические формы. Так, отсутствие у рабов личной свободы, жестокая эксплуатация рабского труда не помешали, тем не менее, Древней Греции и Риму достичь высочайшего уровня развития культуры и искусства. Однако именно принудительное соединение непосредственных производителей со средствами производства, отсутствие у них материальной заинтересованности в результатах своего труда в конечном итоге привели к гибели рабовладельческого строя в Римской империи, к упадку ее культуры и искусства.
На современном этапе НТР особенно актуальны проблемы гуманизации и экологизации технико-экономического прогресса, органичного сочетания экономической и социальной эффективности, возрождения, сохранения и приумножения общечеловеческих ценностей. Для достижения органичного единства технико-технологического и социально-экономического прогресса необходимо, чтобы их главной целью стал человек, раскрытие всех его сущностных сил, его потребности, интересы, благополучие1. Поэтому не случайно ООН для оценки уровня развития различных стран ввела такой обобщающий показатель социального прогресса, как индекс человеческого развития, включающий долю ВВП на душу населения в стране, грамотность и продолжительность жизни населения.
' Одним из критериев эффективности экономических систем, а следовательно, и экономического прогресса, американский ученый Р. Круз называет уровень трансакционных издержек, то есть издержек на поиск и обработку информации о ценах и технологиях, на заключение контрактов, контроль за их исполнением и др. Данный критерий представляется второстепенным и косвенным, поскольку не затрагивает непосредственно проблем развития человека.



67

§ 8. Движущие силы и факторы экономического прогресса
Развитие противоречии— источник прогресса. Факторы экономического прогресса
Развитие противоречий — источник прогресса. Противоречие является источником самодвижения, его движущей силой. Возникновение противоречий вызвано наличием общих связей и зависимостей между элементами любой системы, взаимодействием различных его сторон, свойств, тенденций, качеств. Взаимодействие противоположных сторон характеризуется их взаимообусловленностью, взаимопроникновением и взаимоотрицанием.
От сущности каждой из сторон противоречивого единства, его структуры, характера взаимосвязи отдельных элементов зависят отношения между противоположными сторонами, их диалектическое взаимодействие.
Каждое противоречие проходит в своем развитии такие последовательные этапы как тождество, различие, противоположность, конфликт и разрешение противоречия, переход его в высшую форму. Наиболее быстро экономический прогресс развивается на первых трех этапах эволюции противоречия. Движение противоречия обеспечивается, прежде всего, большей активностью отрицающей, революционной стороны. Такой стороной в пределах общественного способа производства являются производительные силы и, прежде всего, главная производительная сила — человек.
Поэтому прогресс общества, в том числе экономический, в первую очередь, обусловлен целенаправленной деятельностью людей по удовлетворению своих потребностей, реализации своих интересов.
В древности отдельный человек не мог выжить в борьбе с природой, поэтому люди объединялись в ранние первобытные общины (первичные коммуны) для сбора плодов, ягод, корней, мелких животных и т. п. Со временем основной формой их совместной деятельности стала охота. Это требовало объединения усилий для изготовления простейших орудий труда — ручного рубила, каменного топора, копья. Стимулом к труду было простое удовлетворение элементарных потребностей в самом существовании, выживании.
Так, на ранних этапах человеческого общества возникает противоречие между производством и потреблением, являющееся движущей силой развития производства независимо от его общественной формы. В процессе производства формируются новые потребности, порождая идеальный образ еще не существующих продуктов и тем самым стимулируя их производство в будущем.
С развитием производительных сил, особенно с появлением прибавочного продукта, образованием классов, между производством и потреблением возникают такие промежуточные формы движения продукта, как обмен и распределение. Поэтому вслед за противоречием между производством и потреблением возникают противоречия между производством и распределением, распределением и потреблением, обменом и потреблением, распределением и обменом и т.д. Их развитие безотносительно к конкретной общественной форме становится источником экономического прогресса.
В пределах каждого общественного способа производства они приобретают специфические формы развития.



68

Поскольку человек является одновременно и субъектом производительных сил, и субъектом производственных отношений и в этих сторонах способа производства реализуются различные стороны деятельности общественного индивида, то отношения между людьми в ряде общественно-экономических формаций развиваются в форме взаимодействия между классами. Это означает, что источник и движущая сила экономического прогресса — взаимодействие и борьба классов и социальных групп, их интересов, потребностей, целей.
Понятие «взаимодействия сторон системы» указывает на активность каждой из них. Таким образом, взаимодействие двух сторон общественного способа производства предполагает активность производительных сил и производственных отношений. Иначе говоря, развитие производительных сил, а также их отдельных элементов через группы организационно-производственных и технико-экономических отношений влияет на эволюцию системы производственных отношений.
В свою очередь, изменения в производственных отношениях стимулируют (или тормозят) развитие производительных сил — определяющей, наиболее активной, революционной стороны общественного способа производства.



Единство доходов и расходов не случайно.


Зная номинальный и реальный ВНП, мы можем подсчитать дефлятор ВНП (или дефлятор цен ВНП). Дефлятор ВНП — это отношение номинального объема ВНП к реальному:

Единство доходов и расходов не случайно.

Таким образом, дефлятор ВНП показывает изменение средней цены единицы продукции в отчетном году по отношению к базовом году. Если для примера выберем самый типичный товар (например, буханку хлеба), характерный для ВНП, то дефлятор ВНП покажет, как изменилась цена буханки хлеба в текущем году по сравнению с базисным годом.
Представление о реальной динамике индексов цен дают данные таблицы. 13.7.
Итак, мы подробно рассмотрели макроэкономические показатели, с помощью которые удалось организовать национальное счетоводство.
Таблица 13.7.
Дефлятор валового внутреннего продукта и России в 1990—1993 г.

Индексы цен
1990
1991
1992
1993
ВВП в текущих ценах Цт, млрд. руб.
622
1130
14046
162300
ВВП в ценах 1990 г. Цн, млрд. pv6.
622
528,7
428,2
376,9
Дефлятор Цт: Цн
1
2,14
32,8
430,6
Валовой национальный продукт — такой показатель, который одновременно учитывает совокупный доход всех хозяйственных единиц и общий объем расходов г на производство всех товаров и услуг.
Такое единство доходов и расходов не случайно. Величины доходов и расходов равны. Это вытекает из правил бухгалтерского учета: все расходы на приобретение продуктов обязательно являются доходом производителей этих продуктов.
Отсюда вытекает возможность введения всеохватывающего учета в масштабе всей страны. Такой учет ведется в виде национальных счетов. Национальные счета — система взаимоувязанных макроэкономических показателей, которые характеризуют производство, распределение и использование ВНП и национального дохода.
Необходимость в этой системе учета возникла в результате перехода от микро- к макроэкономике (это произошло во второй половине 40-х годов).
При составлении национальных счетов используется принцип двойной записи, применяемой в бухгалтерском балансе (фр. balance — весы). Такие счета стали использоваться в международной статистике с 1953 г. в виде стандартной системы счетов Организации Объединенных Наций. Сейчас система национальных счетов применяется более чем в 150 странах мира. Она введена в нашей стране с 1995 г.
В национальных счетах используются агрегированные показатели, т.е. объединенные, сведенUые в группы по какому-то признаку. В агрегированных показателях обобщена информация об экономических операциях хозяйственных единиц по следующим секторам:
а) предприятия — предприятия, организации или учреждения, которые основаны на коммерческих началах;
б) домашние хозяйства — население как потребитель, а также некоммерческие организации (профсоюзы, благотворительные общества, любительские спортивные ассоциации, частные некоммерческие школы, больницы, вузы);
в) государственные учреждения— государственный аппарат (администрация, армия, полиция, работники судопроизводства); учреждения науки, культуры, просвещения и здравоохранения (финансируемые государством);
г) зарубежные страны — то, что находится за пределами национального хозяйства.
Основу национальных счетов составляют сводные счета. Примером может служить баланс доходов и расходов в масштабе нации (ВНП). Такие доходы образует общая сумма доходов хозяйственных единиц и населения (оплата труда, прибыль, другие виды доходов, амортизация).
Расходы состоят из четырех групп: потребление, инвестиции, государственные закупки, чистый экспорт.
Ключевым показателем всей системы национальных счетов, разрабатываемых в нашей стране, является валовой внутренний продует. О динамике этого показателя в последние годы можно судить по следующим данным российской статистики. Для этого рассмотрим ВВП на стадиях производства, образования дохода и использования ВВП.
А. Производство валового внутреннего продукта.
ВВП на стадии производства получают путем суммирования валовой добавленной стоимости по отраслям. Этот продукт рассчитывается по рыночным ценам, т.е. включает в себя чистые налоги (все налоги за вычетом субсидий — текущие некомпенсируемые выплаты из Государственного бюджета при условии производства ими определенного вида продукции или услуг).
Для иллюстрации возьмем данные о производстве ВВП в 1994 г. (та6л:13.8).
Таблица .13.8.
Производство валового внутреннего продукта в 1994 г. (в фактически действовавших ценах, млрд. руб.)

Структура производства ВВП
Выпуск
Промежуточное потребление
Валовая добавленная стоимость
Произведено (в основных ценах — без налогов) —
всего
и том числе:
производство товаров
производство услуг
чистые налоги на продукты
и импорт
1057019,7
551'037,1
505982,6
498 179,1
268105,1 185075,7
558 840,6
282932,0
320 906,9
52 152,5
Валовой общественный продукт в рыночных ценах


610993,1
В 1993—1995 гг. стоимость ВВП увеличивалась за счет повышения цен при сокращении физического объема производства продукции, работ и многих видов услуг.
Б. Валовой внутренний продукт по источникам доходов.
При подсчете ВВП по источникам образования доходов применяются следующие агрегированные показатели:
а) оплата труда наемных работников, т.е. сумма всех вознаграждений в денежной или натуральной форме, выплачиваемых работодателями наемному работнику в обмен на работу, выполненную в течение отчетного периода;
б) чистые налоги на продукты и импорт;
в) валовая (чистая) прибыль и валовые (чистые) смешанные доходы. Прибыль и доходы представляют собой ту часть добавленной стоимости, которая остается у производителей после вычета расходов, связанных с оплатой труда наемных работников, и чистых налогов на производство и импорт. В данном случае измеряется прибыль (или убыток), полученная от производства, до учета доходов от собственности.
Для некорпоративных предприятий, принадлежащих домашним хозяйствам, этот вид дохода содержит элемент вознаграждения за работу, который не может быть отделен от дохода владельца или предпринимателя. В этом случае она называется смешанным доходом.
О динамике ВВП по источникам доходов можно судить по изменениям его структуры (табл. 13.9).
Таблиц а 13.9.
Структура валового внутреннего продукта по источникам дохода, %

Структура ВВП по источникам доходов
1992
1995
Валовой внутренний продукт — всего (и рыночных ценах)
В том числе:
оплата труда наемных работников
чистые налоги на производство и импорт
валовая прибыль и валовой смешанный доход
100
36,7
3,4
59,9
100
30
10,3
59,7
В. Использование валового внутреннего продукта.
На стадии использования ВВП рассчитывается как сумма конечного потребления продуктов и услуг и валового накопления, а также чистого (за вычетом импорта) экспорта. При этом определяются следующие обобщающие показатели:
а) конечное потребление продуктов и услуг. Оно складывается из расходов на конечное потребление домашних хозяйств, расходов на конечное потребление государственных учреждений, удовлетворяющих индивидуальные и коллективные потребности домашних хозяйств и общества в целом, а также расходов на конечное потребление некоммерческих организаций, обслуживающих домашние хозяйства;
б) расходы на конечное потребление домашних хозяйств: все виды расходов этих хозяйств на приобретение потребительских товаров и услуг;
в) расходы на конечное потребление государственных учреждений: расходы на потребительские товары и услуги, предназначенные дл индивидуального потребления населения, а также удовлетворяющие коллективные потребности (расходы на оборону, общее государственное управление, шоссейное хозяйство; на нерыночную науку, коммунальное хозяйство и др.);
г) расходы на конечное потребление некоммерческих организаций: расходы общественных организаций (политических партий, религиозных организаций, профсоюзов, общественных объединений). Сюда же включаются бесплатные услуги социального характера, оказываемые коммерческими предприятиями и организациями своим работникам;
д) валовое накопление. Оно включает валовое накопление основного капитала, изменение запасов оборотных средств и чистое приобретение ценностей;
е) чистый экспорт товаров и услуг рассчитывается во внутренних ценах как разница между экспортом и импортом и включает оборот российской торговли с зарубежными странами, включая страны СНГ.
О том, как в последнее время изменилась указанная здесь структура использования ВВП, можно судить по данным таблицы 13.10.
Таблица 13.10.
Структура использования валового внутреннего продукта
в 1992 и 1995 гг., % к итогу

Структура использования ВВП
1992
1995
Валовой внутренний продукт
в том числе:
расходы на конечное потребление
в том числе:
домашних хозяйств
государственных учреждений
расходы некоммерческих организаций, обслуживающих домашние хозяйства
валовое накопление
чистый экспорт товаров и услуг
100
49,9
33,7
14,3
1,9
35,7
14,4
100
65,8
42,1
18,5
5,2
28,6
5,6


Факторы, которые обусловили подъем Японии


Первая состоит в том, что экономические отношения воспроизводятся независимо от воли и сознания людей, то есть являются объективными. В учении А. Смита это регулирующее свойство объективности производственных отношений получило название «невидимой руки». Неопровержимым доказательством «от противного» является пример стран СНГ, стремившихся в течение 90-х гг. построить развитую социально ориентированную экономику, а следовательно, — и соответствующие экономические отношения, и пришедших в результате к рыночной экономике периода первоначального накопления.
Вторая особенность экономических отношений, и, прежде всего, отношений собственности, заключается в том, что они проявляются как интересы, поэтому воспринимаются как субъективно-мотивированные. Более того, они могут быть познаны лишь с помощью целенаправленной сознательной поисковой деятельности, и исследователь не может не переносить своей социально-детерминированной позиции на научные выводы и обобщения, на факты реальной действительности. Наибольший субъективизм в силу этих обстоятельств присущ характеристике такого элемента экономической системы, как отношения собственности.
Основные функции экономической теории. Современная экономическая теория выполняет следующие основные функции: во-первых, практическую, заключающуюся во всестороннем обосновании путей совершенствования форм собственности как основы общественного строя производства, которые наиболее отвечают интересам личности, коллектива, об-
' Дзюбик С., Ривак О. Основи економiчной теорй'. — Киев, 1994. — С. 7.




К оглавлению
20







21



щества; разработке научных основ управления хозяйственной деятельностью; выявлении ее организационно-институциональных форм, определении наиболее адекватных способов разрешения экономических противоречий. Это дает возможность вырабатывать научно обоснованные рекомендации по повышению эффективности производства с целью обеспечения роста жизненного уровня населения. В условиях глубокого кризиса, охватившего отечественную экономику, практическая функция экономической теории заключается и в том, чтобы найти наиболее рациональные пути выхода из кризиса, обосновать оптимальные направления перехода от командно-административной к социально-рыночной экономике.
Экономическая теория должна больше внимания, чем политическая экономия, уделять проблемам повышения эффективности производства, действенности хозяйственного механизма, разработки инструментов сбалансированности различных форм собственности, вести поиск новых организационно-хозяйственных форм, что отличает ее и от экономике. Важной задачей экономической теории является изучение опыта мирового развития, заимствование из него наиболее прогрессивных экономических форм.
Таким образом, экономическая теория составляет концептуальную основу экономической политики, обоснования мотивации действий различных субъектов хозяйствования в сфере практической деятельности. Эта функция экономической теории наиболее ярко проявляется при разграничении в ее содержании позитивного и прагматического аспектов.
Во-вторых, экономическая теория выполняет тесно связанную с позитивным аспектом знания познавательно-прогностическую функцию, состоящую в том, чтобы раскрыть суть экономических законов и категорий и форм их проявления, свойственные им внутренние противоречия, механизм их действия. Только на основе всесторонней реализации этой функции может быть эффективно выполнена практическая функция экономической теории. Познавательная функция последней; формирует методологическую основу для почти 50 экономических дисциплин.
Среди комплекса экономических наук выделяют отраслевые (экономика промышленности, сельского хозяйства и др.), специальные (экономическая география, экономика природопользования и др.), историко-экономические (история народного хозяйства, история экономической мысли и др.), структурно уровневые (интро-, микро-, макро-, мегаэкономика), инструментарно-аналитические (экономико-математические методы, статистика, анализ хозяйственной деятельности и др.).
В-третьих, экономическая теория выполняет мировоззренческо-воспитательную функцию. Она призвана формировать новый тип экономического мышления, и на этой основе — современное мировоззрение человека.
Обоснование системного определения предмета экономической теории. С середины 50-х гг. XX д. началось развертывание научно-технической революции, суть которой состоит в коренном преобразовании всего технологического способа производства, в том числе каждого элемента системы производительных сил, организационно-производственных и технико-трудовых отношений. Революционные изменения в главной производительной силе состоят в том, что на передний план выходят не только умственные, организаторские способности человека, его творческие дарования, реали-



22

зуемые в процессе труда, но и вся совокупность социальных его качеств. Поэтому экономическая теория должна изучать не одну из сторон человека — способность к труду, но и все другие стороны его сущности. Более того, мировая тенденция свидетельствует о том, что почти 70 % совокупной рабочей силы занято в сфере нематериального производства (то есть в сфере образования, здравоохранения, науки и т. п.).
В этой ситуации человек (уровень его образования, квалификации, культуры) постепенно становится основной формой национального богатства, а отношения между субъектами производства по поводу воспроизводства такого всесторонне развитого человека выходят на передний план в сравнении с отношениями по поводу производства средств труда или других материальных благ. Поэтому растущее значение приобретают такие нетрадиционные общественные товары (блага), как профилактическая медицина, качественное образование и др.
Сущностью человека, как известно, выступает вся совокупность его социальных ролей, функций, общественных отношений, то есть не только базисные (экономические), но и надстроечные отношения — социальные, политические, юридические, идеологические и др. Это, однако, не означает, что экономическая теория должна изучать надстроечные отношения в той же степени, что и производственные. Человек — предмет исследования целого комплекса естественных и общественных наук. Экономическая теория изучает его только в той мере, в какой каждая из подсистем общественных отношений способствует реализации сущностных сил и интересов человека (его потребностей, ценностей).
В характеристике социальной сущности человека определяющим является его место в системе производственных отношений, точнее — отношений собственности, и, в первую очередь, — собственности на средства производства.
В экономическом прогрессе общества в современных условиях возрастает роль духовных, национальных, культурных и иных факторов, имеющих огромное значение для исследования движущих сил развития человечества. Так, известный американский экономист Б. Гаврилишин пришел к выводу, что политический вес США в мире определяется, бесспорно, их экономическим и военным арсеналом, но главной причиной все-таки является «высокий дух народа». Среди факторов, которые обусловили подъем Японии, Б. Гаврилишин называет необыкновенную дисциплинированность японцев, групповую корпоративную ориентацию, которая сочетается с высокой нравственностью.
В своей внутренней политике Япония, по его словам, стремится любой ценой избегать конфликтов, достигать согласия и поддерживать гармонию на всех уровнях общества'.
Нет сомнения, что для выхода отечественной экономики из глубокого кризиса и для дальнейшего ее прогресса, подъема науки, культуры, построения демократического государства важное значение имеют возрождение и развитие самосознания народа, его духа, умения достигать согласия между различными политическими силами, социальными слоями, стремление к самодисциплине, порядку, уважению к законам и другие факторы
См.: Гаврилишин Б. Дорого вкази в майбутне. — Кюв: Основи, 1990.



23

человеческой деятельности, непосредственно не связанные с производственными отношениями людей.
Если синтезировать оба определения, то экономическая теория изучает законы развития экономических систем, которые возникают по поводу производства и присвоения товаров и услуг во всех сферах и фазах общественного воспроизводства, а также те аспекты национального самосознания, духа народа, его культуры, права, психологии, морали и поведения, которые влияют на прогресс экономики.
Чтобы выполнить такую роль, экономическая теория должна использовать результаты многих других наук. Вот почему настоящий экономист в определенной мере должен быть математиком, историком, государственным деятелем, философом. Он должен размышлять о частностях в понятиях общего и в равной мере обращаться к абстрактному и конкретному.
Он должен изучать современность в свете минувшего — ради будущего. Ни одна черта человеческой натуры или созданных человеком институтов не
должны оставаться вне его внимания.
Чтобы полнее раскрыть предмет экономической теории, необходимо выяснить взаимодействие двух сторон общественного способа производства.
§ 3. Экономические законы и категории, их классификация Экономические законы, их объективный характер. Классификация экономических законов. Экономические категории



Физический объем предельного продукта начнет сокращаться.


Стремясь увеличить свой доход, отдельный индивид или производитель в своем рациональном расчете неизбежно вынужден сопоставлять полезность и затраты. Он постоянно имеет дело с растущими затратами, уменьшающимися предельными доходами, полезностью, продуктом. При этом предельная полезность — это польза, которую получает индивид от потребления еще одного товара или услуги. Предельные доходы — это доходы предприятия от продажи дополнительной единицы товара. Предельный продукт — это дополнительная продукция, изготовленная еще одним дополнительным работником.
Все эти показатели сопоставляются С предельными (или маргинальными) затратами, обусловленными дополнительными затратами или отказом от определенных благ. В результате фирма расширяет выпуск товаров до тех пор, пока предельные издержки не сравняются с ценой продукции, или производство дополнительной единицы продукции не будет обходиться ей дешевле, чем цена продажи. Взаимосвязь между дополнительными затратами ресурсов (капитала, земли, трудовых ресурсов) и увеличением объема производства выражается законом убывающей доходности.
Сущность закона убывающей доходности, по мнению западных ученых, состоит в том, что начиная с определенного момента, последовательное добавление единицы переменного ресурса (например, труда) к неизменному фиксированному ресурсу (например, капиталу или земле) дает дополнительный, или предельный продукт, который уменьшается в расчете на каждую последующую добавленную единицу переменного ресурса. Так, если количество работников, обслуживающих определенное машинное устройство, будет увеличиваться, то рост объемов производства будет замедляться по мере того, как все большее количество работников будет вовлекаться в производство. Этот закон действует, если каждый дополнительный работник на предприятии имеет одинаковый уровень образования, квалификации, трудовых навыков, умственных способностей и т. д. Таким образом, при наличии оптимального количества занятых на предприятии каждый дополнительный работник вносит меньший вклад в общий объем производства по сравнению со своим предшественником.
В целом, закон убывающей доходности действует при условии неизменности всех других факторов производства, однако такая ситуация нетипична, поэтому данный закон является односторонним, неполным. С точки зрения производительности труда действие закона убывающей доходности выражается в том, что средняя производительность труда будет расти до тех пор, пока величина продукта, произведенного дополнительным работником, превышает величину «среднего продукта», или среднюю производительность ранее занятых работников. Таким образом, темпы производительности труда могут расти, снижаться (падать) и достигать отрицательного значения предельной производительности.
Более совершенным вариантом закона убывающей доходности является закон снижающейся производительности факторов производства. Он



143

выражает внутренне необходимые, устойчивые и существенные связи между расширенным использованием одного из факторов производства и меньшим увеличением прироста продукции, которое на определенном этапе начнет уменьшаться. В основе этого закона лежит теория снижающегося плодородия почвы, которая в 80-е гг. XIX в. американским экономистом Дж. Б. Кларком была распространена на труд и капитал.
В интерпретации другого американского экономиста Т. Карвера, давшего научное обоснование закону снижающейся производительности факторов производства, сущность данного закона состоит в том, что в процессе использования труда, земли и капитала количество благ быстрее всего возрастает при условии оптимального и пропорционального использования всех факторов. Если один или два фактора возрастут при неизменности третьего, то количество продукции увеличится, но не в такой пропорции, в какой возросли факторы. В данной ситуации, по мнению П. Самуэльсона, физический объем предельного продукта начнет сокращаться.
В условиях роста дополнительных затрат на труд с определенного времени, как он считает, вообще прекратится их влияние на прирост продукции.
Несмотря на наличие более совершенных вариантов закона убывающей доходности, при определенных условиях он также может использоваться. Так, согласно требованиям этого закона, для правильного принятия решения о рациональном выборе (сопоставлении полезности и затрат) необходимо, чтобы предельные издержки в каждом отдельном случае равнялись предельному доходу. Таким образом, инвестиции выгодны только до тех пор, пока предельная полезность, или предельный доход, превышает предельные расходы.
Следовательно, если рассмотреть с данных позиций 7, в частности, точку пересечения прямых спроса и предложения, в которой потребители и производители достигают поставленной цели, то окажется, что в данной точке предельная полезность равна предельным затратам.
Таким образом, если цена товара будет установлена выше точки равновесия, спрос на него уменьшится, предложение превысит спрос, запасы непроданных товаров будут расти, что вынудит производителей снизить цены и уменьшить его производство. Это приведет к росту спроса и постепенному выравниванию спроса и предложения в цене равновесия. Обратное движение в соотношении спроса и предложения будет происходить, когда цена товара будет установлена ниже цены равновесия.
Такая простая модель взаимодействия спроса и предложения правдиво отражает ситуацию в условиях свободного рынка, совершенной конкуренции, когда ни продавцы, ни покупатели не влияют, или мало влияют на изменения рыночных цен. Кроме того, предполагается, что все другие факторы (техника,Мода, доходы семей, налоги и др.) остаются неизменными. В действительности выполнить все условия свободной конкуренции так же невозможно, как в физике немыслим маятник, который колебался бы без всякого трения.
С изменением других факторов (техники, доходов и т. д.) модель взаимодействия спроса и предложения будет сложнее. Так, с внедрением новой, более совершенной технологии возрастет производительность труда и сни-



144







8. Влияние новой техники на динамику цен
9. Влияние увеличение доходов на динамику цен


зятся затраты производства на изготовление единицы товара. Линия спроса сместится вниз ( 8). Это обусловит снижение цен и рост спроса и приведет к снижению цены равновесия.
Если, например, растут доходы потребителя, то он получает возможность купить больше товара. Линия спроса при этом смещается вверх, растет цена равновесия, увеличивается объем продажи ( 9).
При этом следует различать устойчивое равновесие, когда после отклонения от точки равновесия происходит возвращение к предыдущему положению, и неустойчивое — когда это не происходит.
При стабильном превышении предложения возникает рынок потребителя, а при стабильном превышании спроса — рынок производителя.
С помощью таких моделей можно анализировать самые различные изменения, которые происходят на рынке: когда, скажем, одновременно внедряется новая техника и растут доходы, когда изменения на одном рынке обусловливают определенные сдвиги на другом, и т. д. Во всех этих случаях взаимодействие разных рын-



145

ков, или тех или иных факторов в пределах одного рынка происходит через ценовой механизм.
Если же предложение контролируется одним производителем-монополистом, такого соответствия между спросом и предложением уже не будет. Монополист может, не изменяя объема производства, изменить цену, или при фиксированной цене изменить объем производства.
На спрос влияют не только отмеченные факторы, но и цены на взаимосвязанные товары, скажем, цены на бензин и автомобили. Так, при снижении цен на бензин, спрос на автомобили растет. Рост цен на нефть увеличивает спрос на газ и т. д.
В целом взаимодействие спроса и предложения определяется законом спроса и предложения, выражающим взаимосвязь между количеством товаров и услуг, которые хочет купить или получить потребитель, и объемом товаров и услуг, которые в данное время предлагает производитель.
§ 21. Эластичность спроса и предложения и их основные виды
Взаимодействие спроса и предложения в условиях совершенной конкуренции. Рыночное равновесие в условиях несовершенной конкуренции. Закон Сэя и закон Вальраса
Взаимодействие спроса и предложения в условиях совершенной конкуренции. При выяснении особенностей взаимодействия спроса и предложения важно знать конкретную величину роста или снижения спроса и предложения (скажем, рост цены составил 20 %, или доход уменьшился на 5 % и т. д.). Для этого пользуются понятием эластичности. Эластичность — это мера чувствительности спроса и предложения к изменению факторов, которые их определяют, и, прежде всего, стоимости товаров.
В количественном выражении эластичность означает степень или меру реагирования одной переменной величины вследствие однопроцентного изменения другой. Важнейшую роль в эластичности спроса и предложения играют изменения величины спроса в зависимости от цены.
Основными факторами, которые влияют на ценовую эластичность спроса, являются: 1) наличие качественных взаимозаменяемых товаров и уровень цен на них; 2) удельный вес продукта в доходах потребителя; 3) продолжительность времени для осуществления выбора; 4) тип товаров, в частности, их деление на предметы роскоши и товары широкого потребления.



Формы действия закона неравномерности развития


При единичном разделении труда все хозяйственные единицы, находящиеся в разных странах, должны работать по единому технологическому плану, соблюдать единый ритм производства, количественно-качественные характеристики продукции. Если в условиях частичного разделения труда взаимосвязь обособленных друг от друга сфер производства при их слиянии в совокупный общественный производственный организм и при наличии социально-экономической обособленности сопровождалась куплей-продажей товаров, то есть имела место только опосредованная форма связи, то при единичном разделении труда все большее значение приобретает прямое непосредственное взаимодействие между его звеньями.
В процессе международного обобществления производства между кооперирующимися предприятиями развиваются постоянные и тесные связи, которые мало зависят от стихии товарного обмена на мировом рынке. Об устойчивости и растущем динамизме этих процессов свидетельствуют такие данные: доля частей, узлов и компонентов в общем объеме импорта машин и оборудования возросла в 1984 г. в сравнении с 1970 г. в США с 16,6 до 37,4%, в Японии — с 15 до 53,7 % в Нидерландах — с 29 до 52,3, в Италии — с 32 до 40,1, в Швеции — с 30 до 53,7. В целом, доля оборудования и транспортных средств в мировом экспорте за период 1937-1996 гг. увеличилась приблизительно с 11 до-39 %, а доля продовольствия уменьшилась с 23 до 7 %. Такой динамизм и устойчивость интернационализации единичного разделения труда обусловлен начавшимся с середины 70-х гг. новым этапом НТР, связанным с автоматизацией материального производства и обращения, научно-технического творчества, внедрением биотехнологий, освоением космического пространства и др. Именно с этого времени



352

международное разделение труда и международное обобществление производства растут и углубляются особенно интенсивно.
Интернационализация производства способствует повышению его эффективности в отдельных странах, ускоренному развитию науки и техники, повышению жизненного уровня населения. Она стала экономически необходимой для каждой страны, что свидетельствует о такой черте закона интернационализации производства, как внутренне необходимый характер его связей и отношений. Таким образом, закон интернационализации производства выражает внутренне необходимые, устойчивые и существенные связи между процессом перерастания производством национальных границ, с одной стороны, и постепенным формированием на интернациональном уровне механизма сочетания личных и вещественных факторов производства, взаимодействия человека с природой, воспроизводства самого человека — с другой. '
Бывшие социалистические страны еще мало втянуты в международное разделение труда и обобществление производства. Об этом свидетельствуют, в частности, такие данные: если в развитых странах мира отношение объема экспорта к валовому продукту составляло в 1990 г. 17,8 %, то в странах СЭВ — только 6,3 %.
Действие закона интернационализации производства органически связано с процессами, которые происходят на мировом рынке, в частности, с интернационализацией рынка. Закон интернационализации обращения выражает внутренне необходимые, устойчивые и существенные связи между процессом интернационализации непосредственного производства, формированием интернациональной стоимости в этой сфере и ее превращением в интернациональную цену производства в процессе конкуренции между предприятиями разных стран на основе опережающего роста мировой торговли на региональном и глобальном уровнях. Формой конкретизации данного закона является закон опережающего роста внешней торговли в сравнении с ростом производства.
Так, с 1981 по 1996 г. мировая торговля увеличивалась ежегодно приблизительно на 5,2 %, то есть в полтора раза быстрее, чем производство. В различных регионах мирового хозяйства эти процессы происходили с разной интенсивностью. В 1971—1985 гг. среднегодовые темпы прироста внешней торговли в развитых странах в сопоставимых ценах превышали темпы прироста их ВНП в 1,9 раза, в 1985— 1995 гг. — в l ,6 раза.
Опережающие темпы роста мировой, торговли — важный фактор роста промышленного и сельскохозяйственного производства, развития НТР, повышения эффективности и качества производства, усиления конкурентной борьбы на международной арене. Конкурентная борьба, в свою очередь, способствует ослаблению монополизма, снижению цен на товары на национальном рынке. В США около 75 % промышленного производства постоянно сталкивается с внешней конкуренцией. В тех отраслях, где протекционистские мероприятия защищают предпринимателей от внешних конкурентов, потребители вынуждены тратить значительно больше денег на покупку местных товаров.
Так, протекционизм для обувной промышленности США приводит к повышению цен более чем на 60 млрд дол. в год, или свыше 1 тыс. дол. на семью из четырех человек.



353

§ 59. Интернациональные формы закона стоимости и неравномерности экономического развития
Закономерности формирования интернациональной стоимости. Интернациональные формы действия закона неравномерности экономического развития
Закономерности формирования интернациональной стоимости. Интернационализация производства и обмена обусловливает действие закона стоимости в его интернациональной форме, в частности, в форме закона формирования интернациональной стоимости, зависящего: 1) от средней интенсивности труда в масштабе мирового хозяйства и интенсивности национального труда в разных странах мира; 2) от средней производительности труда в рамках мирового хозяйства и производительности национального труда. Между этими двумя факторами существует органическая связь; 3) от степени сложности-труда.
Как известно, стоимость выражает общественные производственные отношения между товаропроизводителями, поэтому является, в первую очередь, категорией непосредственного производства. Именно в этой сфере формируются затраты общественно-необходимого труда на производство товаров и возникает «сгусток труда», создающий стоимость. Кроме того, поскольку стоимостный характер товара проявляется только в его собственном отношении к другому товару, а это происходит с помощью меновой стоимости в сфере обмена, то стоимость становится и категорией обмена.
В процессе интернационализации производства и обмена категория стоимости модифицируется, дополняется элементами качественно нового содержания. В рамках многонациональных монополий элементы производства утрачивают свое национальное происхождение, а товары, которые производятся, становятся носителями интернациональной стоимости. Так как в рамках ВГО регулируется более 4/5 мирового товарооборота, понятие «интернациональная стоимость» частично отражает отношения между этой международной организацией и национальными государствами, входящими в нее.
Интернациональная стоимость зависит от интернациональных затрат общественно-необходимого труда на производство товаров. Последние определяются национальными затратами общественно необходимого труда в странах, экспортирующих на мировой рынок подавляющую часть продукции, поэтому их национальная стоимость влияет на интернациональную. Таким образом, в формировании интернациональной стоимости принимают участие только те товары, которые поступают на мировой рынок.
Одной из основных черт закона стоимости является обмен эквивалентов, то есть обмен одного товара на другой в соответствии с общественно необходимым рабочим временем, затраченным на их производство, в связи с этим страна, в которой для производства товаров используется более производительный, интенсивный и сложный труд, на мировом рынке находится в более выгодном положении. Ее товары получают большую стоимостную оценку.



354

Экономические выгоды стран с разным уровнем производительности, интенсивности, сложности труда побуждают их к участию в международном разделении труда в процессе интернационализации производства.
Теоретическое обоснование выгод, получаемых всеми участниками мировой торговли, впервые сделал Д.Рикардо в теории сравнительных затрат. В ней необходимыми условиями существования внешней торговли называются отличия условий производства, а также отличия в затратах труда и капитала. Благодаря торговле развитые и слаборазвитые страны не только имеют выгоду, но и способствуют росту эффективности производительных сил мира.
Затем данная теория была усовершенствована вначале шведскими экономистами Е. Хекшером и Б. Олиным, позднее — П. Самуэльсоном, П. Портером, вследствие чего ее называют моделью Хекшера — Олина — Самуэльсона, а также концепцией конкурентного преимущества страны П. Портера. Так, в теории Хекшера — Олина утверждается, что одна страна (или группа стран) экспортирует те товары, в производстве которых наиболее эффективно используются относительно избыточные факторы производства. Далее было доказано, что в процессе международной торговли происходит постепенное выравнивание цен факторов производства (заработной платы, процента и др.), обе группы стран вследствие мобильности этих факторов, их международного движения утрачивают свои первоначальные преимущества, в результате чего создаются условия для роста численности экспортных отраслей, углубления международного разделения труда на качественно новой основе.



Фунт стерлингов означал стоимость фунта серебра.


§ 15. Сущность денег и денежных систем и их эволюция
Денежная форма стоимости и сущность денег. Функции денег. Эволюция денег в XX в. Денежные системы ч их развитие
Денежная форма стоимости и сущность денег. Средством выражения стоимости всех товаров в условиях рыночного производства являются деньги, символизирующие денежную форму стоимости. Предыдущими, менее развитыми, были простая, развернутая и всеобщая форма стоимости.



106

Простая форма стоимости. Обмен продуктами, как уже отмечалось, возник еще в первобытном обществе и носил эпизодический характер. Например, одна община могла обменивать излишек дичи на излишек рыбы, который оказался у другой общины.
Такой обмен можно выразить формулой: туша одного животного — 200 единиц рыбы. Эта форма стоимости была не только наиболее простой, поскольку выражала отношения между двумя (индивидуальными или ассоциированными) субъектами, но и случайной, так как обмен был не регулярным. Случайным было и то, какие продукты и в какой пропорции обменивались.
Развернутая форма собственности. С развитием производства происходило углубление общественного разделения труда, что сопровождалось ростом его производительности. Первым крупным разделением труда было выделение животноводческих и земледельческих племен, поэтому продукты животноводства (мясо, шерсть и др.) уже не случайно, а регулярно обменивались на излишки продукции земледелия.
Продукты специализации при обмене их производителями на другие имели относительную стоимость, т. е. выражали свою стоимость через определенное количество других товаров, а другие товары были по отношению к ним эквивалентами и использовались как эталоны сравнения стоимостей.
В результате регулярности обмена меновые пропорции приобрели устойчивый характер. Но поскольку товар непосредственно обменивался на товар, и обмен между общинами (то есть коллективный обмен) с распадом первобытного строя уступил место индивидуальному, возникли определенные трудности. Так, владелец шкуры животного мог приобрести зерно только в том случае, если эта шкура была нужна владельцу зерна, поэтому прямой обмен одного товара на другой нередко становился невозможным, стоимость каждого товара не получала конечного, общепринятого выражения.
Для этого необходим был товар, обладающий потребительной стоимостью для всех членов общества.
Всеобщая форма стоимости. Развитие производства, углубление общественного разделения труда, расширение круга обмениваемых продуктов обусловили спонтанное выделение такого товара, на который могли бы обмениваться другие. Этот товар, выступая эквивалентом стоимости других товаров, превращается в товар-посредник как средство обмена.
На различных этапах исторического развития в разных странах и местностях роли общего эквивалента выполняли разные товары. Это были преимущественно продукты массового производства, которые играли решающую роль в экономике того или иного народа. Так, у древних греков роль общего эквивалента выполнял скот, у скандинавских народов — мех и кожа, в Монголии — чай, в Судане и Абиссинии — соль. В Киевской Руси длительное время общим эквивалентом были меха (шкурки куницы или белки называли куной), а денежная система существовала в форме «кунных денег».
Таким образом, деньги — это особенный товар, который служит всеобщим эквивалентом, формой выражения стоимости (ценности) других товаров. Деньги возникают с появлением и развитием товарно-денежных отношений.
Со временем роль всеобщего эквивалента закрепилась за золотом, монопольно выполняющим эту функцию на рынках разных стран и в между-



107

народной торговле, и всеобщая форма стоимости превратилась в денежную. Золото выполняло функцию денег еще до нашей эры. До этого золото было обычным товаром наряду с другими. Превращение его во всеобщий эквивалент произошло благодаря ковкости, мягкости, делимости, неокисляемости, высокой стоимости в небольшом весе.
Параллельно с золотом общим эквивалентом было и серебро. Известна серебряная гривна времен Киевской Руси, которая весила от 160 до 198 г. Так продолжалось до второй половины XIX в., когда роль денег монопольно закрепилась за золотом. Это означало установление золотого стандарта.
Более полно, комплексно сущность денег раскрывается в выполняемых ими функциях.
Функции денег. Деньги выполняют различные функции. Во-первых, деньги— мера стоимости. Иначе говоря, стоимость всех товаров выражается в деньгах, с их помощью сравниваются стоимости различных товаров, потому что и на производство золота, представителем которого выступают бумажные деньги, и на создание товаров затрачивается общественно необходимый труд. Так как на производство различных товаров затрачивается неодинаковое количество труда, их стоимость в условиях господства золотого стандарта выражается в разных количествах золота.
Весовое количество металла, принятого в стране за денежную единицу, определяет масштаб цен. Государство юридическим актом устанавливает денежную единицу. Но выполнение деньгами функции меры стоимости не зависит от государства, поскольку это объективная функция.
Установление же масштаба цен — техническая функция, зависящая от воли государства и закрепляемая законодательно.
Сначала денежные единицы и их названия, как правило, были связаны с определенным весом благородных металлов. Например, фунт стерлингов означал стоимость фунта серебра. Со временем золото вытеснило серебро, но название осталось, хотя оно означало уже значительно меньшее количество золота, которое по стоимости равнялось фунту серебра.
Во-вторых, деньги выполняют функцию средства обращения, то есть они являются средством реализации товаров, посредником при их обмене. В процессе использования золотые монеты постепенно изнашивались, в них уменьшалось содержание золота, и в обращении начали функционировать неполноценные деньги. Так золотые деньги были заменены бумажными знаками, символами стоимости.
Впервые бумажные деньги появились в Китае в XII в. В России они были введены в обращение в 1769 г. Бумажные деньги наделены принудительным курсом.
В процессе эволюции товарно-денежных отношений постепенно создаются предпосылки для сужения функции денег как средства обращения, и одновременно для расширения их функции как средства платежа (в частности, кредитных денег): Сегодня в развитых странах выполнение деньгами функций средства обращения ограничивается преимущественно сферой розничной торговли, оплаты услуг и международной торговли.
Третья функция денег тесно связана с предыдущей и состоит в том, что они изымаются из обмена, прерывают свое обращение и превращаются в богатство, средство накопления, потому что за них всегда можно купить любой



108

товар. Поскольку для приобретения дорогостоящих предметов потребления (жилье, мебель, автомобиль и т. п.) необходимо накопить определенную сумму денег, то при стабильной денежной единице люди нередко держат деньги дома. Когда курс денежной единицы падает, от них стараются побыстрее избавиться, приобрести какой-нибудь товар или уберечь от обесценивания, положив в сберегательный банк, приобретя стабильную валюту.
Такая ситуация порождает спрос на более стабильные валюты, финансовые спекуляции и махинации.
С развитием товарно-денежных отношений деньги начинают выполнять и функцию платежа, то есть становятся средством оплаты долгового обязательства, когда продавец является кредитором, а покупатель — должником. Средством обращения в таких отношениях становится вексель, и, переходя из рук в руки, он осуществляет вексельный оборот. Вексель — это письменное долговое обязательство, дающее его владельцу (векселедержателю) право требовать от должника (векселедателя) указанную сумму платежа после окончания установленного срока.
Банки, возникшие еще в средневековье, скупают обычные векселя и расплачиваются банковскими векселями, или банкнотами (кредитными деньгами). Последние представляют собой более развитую форму символа стоимости и выполняют в той или иной степени основные функции денег как общего эквивалента. Такими деньгами может быть и чек — письменное распоряжение владельца текущего счета в банке о выплате определенному лицу указанной в нем суммы денег.
Исторически кредитные деньги являются сначала знаками золота и кредита. Они служат дополнительным элементом в платежно-расчетном механизме, основу которого составляют полноценные деньги. Однако уже в конце XVII в. начинается эмиссия неразменных на золото банкнот. Поэтому банкнота постепенно теряет свойство знака золота и во второй половине XX в. становится исключительно знаком кредита. Развитие кредитных отношений создает возможность выплачивать кредиты через взаимные зачеты долговых обязательств без привлечения наличных денег.
. В обращении между различными странами деньги выполняют функцию мировых денег. Сначала данную функцию могло выполнять только золото. Оно являлось, прежде всего, общим международным платежным средством. В мировой торговле расчеты между странами происходят через зачет долговых обязательств банками.
Если платежи страны превышали поступления, то она вывозила на сумму превышения золото как средство платежа. Кроме того, золото в функции мировых денег было всеобщим покупательным средством, если страна немедленно оплачивала товары золотом.



Капитал, затраты производства, цена и прибыль


Предприятия и их основные виды. Акционерная собственность в экономической системе
Народное хозяйство любой страны — это сложная экономическая система, в которой выделяют различные сферы, отрасли, предприятия и их филиалы со множеством работников десятков тысяч профессий. Первичное звено этого сложного организма — предприятие, на котором занято от 1-2 чел. до нескольких сотен тысяч работников.
Цель темы — раскрыть сущность предприятий, определить их основные виды, рассмотреть содержание предпринимательства, а также социально-экономическую природу акционерной собственности.
§27. Предприятия и их основные виды
. Сущность предприятий и их виды. Предпринимательство и принципы деятельности предприятия
Сущность предприятий и их виды. Народное хозяйство каждой страны делится на отдельные сферы (например, сферу материального и нематериального производства), отрасли, количество которых зависит от глубины общественного разделения труда. В бывшем СССР насчитывалось около 400 отраслей народного хозяйства, в США — почти 700 только в сфере промышленности.
Предприятие — это самостоятельный хозяйственный субъект, обеспечивающий планомерное производство основной массы товаров и услуг, осуществляющий научно-исследовательскую и коммерческую деятельность с целью присвоения дохода (прибыли). Оно может ставить и решать такие конкретные технико-экономические задачи, как обеспечение более высоких и стабильных темпов экономического роста, увеличение объема продажи и т. д. На предприятии сосредоточена определенная совокупность производительных сил (средств труда, работников, земли, сырья и т. д.) и отношений собственности. Последние функционируют по поводу присвоения имеющихся на предприятии объектов собственности и распределения создан-



189

ного работниками необходимого и прибавочного продукта. Субъектами отношений собственности является само предприятие как юридическое лицо, его работники. Как юридическое лицо оно должно иметь устав, баланс доходов и расходов, счет в банке и право заключать договора с другими юридическими лицами.
Однако даже при наличии большинства из этих признаков, но существовании за счет государства или главной компании, предприятие имеет только оперативно-хозяйственную, а не экономическую самостоятельность. Последнюю оно приобретает, лишь когда действует на принципах коммерческого расчета, эффективно хозяйничает, присваивает доходы, в том числе прибыль, и осуществляет собственные расходы. Как юридическое лицо предприятие имеет название, под которым оно выполняет свои обязанности, отчуждает имущество.
Каждое предприятие, участвуя в общественном разделении труда, вступает в отношения с другими предприятиями, покупая комплектующие изделия, сырье, предоставляя и получая услуги; государством, уплачивая налоги в бюджет и др.; банками, получая кредиты и уплачивая проценты по ним.
Кроме того, на предприятии происходит единичное разделение труда. В зависимости от технологического процесса производства, размера предприятия на нем функционируют основные, вспомогательные цеха, участки, разные службы, отделы. Такое разделение труда осуществляется по профессиям, специальностям.
Предприятие вступает в отношения кооперации, специализации, комбинирования с другими предприятиями, то есть является важным звеном технико-экономических отношений.
Предприятия следует отличать от фирм, компаний. Фирма больше по масштабам и, как правило, включает несколько предприятий, каждое из которых имеет одно производство и изготавливает один вид продукции. Будучи многопрофильной, она вкладывает инвестиции в разные отрасли.
Это обеспечивает ей большую устойчивость в период неблагоприятной экономической конъюнктуры. Если фирма включает лишь одно предприятие, данные понятия совпадают.
На предприятиях происходит соединение работников со средствами производства, причем от характера такого соединения и значительной мере зависит тип предприятия. Если средства производства принадлежат отдельному владельцу, или группе владельцев, и работники нанимаются на условиях продажи рабочей силы за определенную заработную плату, то предприятие является частным, а если средства производства выкупили работники, то становится коллективным трудовым. Таким образом, основной критерий деления предприятий — тип собственности.
Существуют следующие виды предприятий: — государственные, основанные на государственной форме собственности, так как последняя делится на общегосударственную и коммунальную, выделяют общегосударственные и коммунальные; — коллективные, являющиеся собственностью трудового коллектива. Они делятся на коллективные трудовые предприятия (народные предприятия), кооперативные, предприятия общественных организаций и др.;


190

— частные, которыми владеет отдельное лицо, нанимающее рабочую силу; — акционерные, являющиеся собственностью нескольких владельцев капитала, нанимающих рабочую силу; — индивидуальные, основанные на частной собственности физического лица, не использующего наемных рабочих; — семейные, на которых трудятся члены одной семьи; — совместные (или смешанные), базирующиеся на объединении различных форм собственности, в том числе с привлечением иностранного капитала, как правило, это предприятия с ограниченной ответственностью.
Соотношение между основными видами предприятий, прежде всего, между государственными и негосударственными, изменяется в процессе эволюции экономической системы, конкретной социально-экономической ситуации в обществе.
Особенной формой предприятия являются кооперативы, цель которых в большинстве стран — не получение прибыли, а предоставление помощи членам кооператива.
Наиболее эффективный вид предприятий в развитых странах мира — народные предприятия, поскольку в них ликвидируется антагонизм между трудом и собственностью, экономической властью, управлением собственностью, открываются наибольшие возможности для развития творческих, организаторских, интеллектуальных и физических сил человека. Такие предприятия являются основным звеном народной экономики.
С правовой точки зрения выделяют договорные общества, общества с ограниченной ответственностью, открытые и закрытые акционерные компании и др. В странах Запада в юридической практике понятие «предприятие» отсутствует.
Так, договорное (полное или смешанное) общество основывают юридические и физические лица, которые не объединяют свои капиталы и не создают нового юридического лица, сохраняют хозяйственную и юридическую самостоятельность, имеют самостоятельные балансы и т. п. Они на основе договора о совместной деятельности передают общее имущество в управление одному из них. Участники такого общества делятся на действительных членов (равноправных) и членов-вкладчиков (имеющих лишь совещательный голос). Кроме того, в полном обществе полную ответственность по обязательствам несут всем имуществом все участники, а в смешанном — один или несколько действительных членов. Вкладчики такую ответственность несут только в Пределах своих вкладов.
Прибыль распределяется в соответствии с договоренностью, зафиксированной в договоре. Договорное общество не имеет права выпускать ценные бумаги.
Общество с ограниченной ответственностью (акционерное общество закрытого типа) создается путем объединения паевых вкладов, в соответствии с величиной которых распределяется прибыль. Его члены отвечают по обязательствам предприятия только размером вложенного в пай капитала и не имеют права продавать свои паи на открытом рынке. Такие общества могут создавать предприятия, организации, граждане и др. Учреди-



191

тельные документы общества с ограниченной ответственностью — устав и учредительный договор. Для создания подобного общества в различных странах мира устанавливается неодинаковая минимальная сумма уставного капитала, например: в ФРГ — 50 тыс. марок, в Австрии — 500 тыс. шиллингов, на Западе их обозначают буквами Ltd, или полным названием limited.
В западной экономической литературе по критерию собственности выделяют только частные и государственные (или публичные) предприятия.
Наиболее распространенными в развитых странах мира являются частные предприятия. Их владельцы несут полную ответственность перед кредиторами и самостоятельно управляют всеми стадиями производственной и коммерческой деятельности. В название частного предприятия должна содержаться фамилия и имя основателя.
Если собственных средств для ведения дел недостаточно, владелец может воспользоваться кредитом, выплачивая проценты за него. Расширяя предприятие, владелец может часть функций управления передать другому лицу, например, из числа наемных работников. Преимущества частных предприятий состоят в том, что решения предпринимателем принимаются лично и безотлагательно, ему не нужно согласовывать действия с другими лицами, он присваивает всю прибыль от деятельности предприятия (за исключением выплаты части доходов в бюджет).
Недостатком частных предприятий является то, что риск деятельности ложится на самого владельца, ответственность перед кредиторами он несет всем своим имуществом, размеры предприятия небольшие, величина присваиваемой прибыли незначительна. Частные предприятия наиболее целесообразно создавать для производства небольших партий изделий, предоставления индивидуальных услуг, интеллектуальной деятельности, других работ, где наиболее эффективен индивидуальный труд.



Простое воспроизводство капитала фирмы


ВОСПРОИЗВОДСТВО
ИНДИВИДУАЛЬНОГО
КАПИТАЛА
1. Простое воспроизводство капитала фирмы
Индивидуальный капитал — капитал фирмы — может постоянно приносить прибыль, если он непрерывно воссоздает материальные условия производства новой стоимости. Это воспроизводство бывает двух видов: простое и расширенное. Сначала рассмотрим первый вид.
Простое воспроизводство индивидуального капитала — это непрерывное повторение созидательной деятельности. При этом масштабы производства, величина создаваемого продукта и размер действующего
капитала (производственных фондов) остаются неизменными. Таким образом капитал совершает своеобразное круговое движение. Кругооборот капитала, если говорить конкретнее, — это один цикл его движения, который охватывает процесс производства и обращения создаваемых товаров и завершается возвращением капитала в его исходную денежную форму. Весь путь можно схематично изобразить известной нам формулой

Простое воспроизводство капитала фирмы

Здесь мы видим последовательное продвижение капитальной стоимости через три стадии и смену трех функциональных форм капитала. Кратко опишем их.
Первая стадия

Простое воспроизводство капитала фирмы

совершается в сфере обращения. Здесь денежный капитал превращается в производительный. Бизнесмен на авансированные денежные средства приобретает средства производства СП и покупает рабочую силу Р. Такие затраты необходимы для налаживания производства товаров.
Вторая стадия

Простое воспроизводство капитала фирмы

протекает в сфере производства. В этом движении производительная форма капитала превращается в товарную форму. Купленные на рынке факторы производства — средства производства и рабочие — соединяются в производственном процессе П. В нем создаются товары с нужной полезностью и содержащие вновь возникающую стоимость Т , в том числе прибыль.
Третья стадия Т'—Д'. Как и первая стадия, она относится к сфере обращения. Товарный капитал с возросшей стоимостью Т' вновь превращается в денежный капитал Д ', содержащий прибыль.
Такое последовательное превращение капитала из одной функциональной формы в другую, его движение через три стадии и представляет собой кругооборот капитала (фондов). Причем эти стадии существенно различаются между собой. Только на второй стадии — в процессе производства — первоначально авансированная в денежной форме стоимость Д возрастает на сумму прибыли.
Акты Д—Т и Д'—Т' проходят в сфере обращения и представляют собой лишь смену форм стоимости, что тем не менее необходимо для обеспечения прироста капитала.
Именно стремление получить прибыль толкает бизнесмена к тому чтобы непрерывно пускать свой капитал в кругооборот. Для непрерывающегося движения необходимо, во-первых, чтобы капитал безостановочно переходил из одной его 4юрмы в другие. Во-вторых, в каждый данный момент функционирующий капитал должен одновременно находиться в денежной, производительной и товарной формах и на всех стадиях кругооборота. Пока, допустим, денежный капитал превращается в производительный, производительный преобразуется в товарный, а последний — в денежный.
Такое единство кругооборота всех форм капитальной стоимости — обязательное условие ее постоянного функционирования.
Если круговое движение капитала приостановится, то прекратится производство новой стоимости и получение прибыли. Но капитал не знает покоя. Его кругооборот постоянно возобновляется.
Непрерывно происходящее круговое движение капитала образует его оборот. Чтобы капитал смог полностью совершить оборот, требуется определенное время — время оборота. Оно отсчитывается от начала движения авансированной капитальной стоимости до момента ее возвращения в той же денежной форме, но возросшей на величину прибыли.
Капиталы различных предприятий имеют неодинаковое время оборота, что зависит от конкретных условий производства и обращения. Например, в судостроении капитал в производительной форме находится довольно длительное время, а на текстильных фабриках — гораздо меньший период.
Бизнесмену небезразлична продолжительность времени оборота. Чем быстрее все пущенные им в дело деньги возвратятся с прибылью, тем с большей скоростью будет возрастать его собственность. Отсюда вытекает заинтересованность предпринимателя в конкретном расчете времени оборота, выяснении путей его ускорения.
Чтобы сравнить скорость оборота капитала разных предприятий, применяется общая единица измерения. Такой естественной мерой является год. Вот как подсчитывается число оборотов капитала за год.
Если число оборотов обозначим через Чо, единицу измерения (год) — через О и время оборота данного капитала — через о, то Чо = О/о, т.е. время оборота равно году, деленному па время оборота индивидуального капитала. Допустим, капитал предприятия совершает оборот за 3 месяца, тогда за год он обернется 4 раза (Чо =12 мес.: 3 мес.).
Чтобы быстрее получить прибыль, бизнесмен использует основные пути ускорения оборота капитальной стоимости: а) сокращает время оборота и 6) улучшает состав производительного капитала. Рассмотрим их.
Время оборота авансированной стоимости состоит из времени производства и времени обращения (рис. 9.1).

Простое воспроизводство капитала фирмы

Рис. 9.1. Структура времени о6орота
Время производства —период пребывания капитала в производственной сфере — включает: а) рабочий период; б) время самостоятельного воздействия сил природы на предмет труда; в) время пребывания товаров в форме производственных запасов.
Рабочий период представляет собой количество дней, необходимых для создания готовых изделий. Его продолжительность зависит от технологических особенностей каждой отрасли производства и от характера продукта обработки. Одно дело выпекать хлеб за минуты и часы, другое — сооружать высотное здание.
Для сокращения рабочего периода используются многочисленные способы: изменяются условия труда (удлиняется рабочий день, растет напряженность труда, увеличивается количество смен за день); повышаются численность совместно работающих людей, выработка работников (посредством углубления специализации и разделения труда, научно-технического прогресса).
На многих предприятиях предмет труда находится в определенном естественном процессе (так, требуется какое-то время, чтобы из молока образовались простокваша, кефир). На этот период движение капитальной стоимости, естественно, приостанавливается. Ускорить продвижение продуктов в этот мертвый сезон удается благодаря совершенствованию технологии их изготовления.
Если, например, на естественную сушку древесины уходит 1,5—2 года, то на камерную требуется 15 суток, а на сушку токами высокой частоты — всего 35 минут.
Наконец, время производства сокращается, если уменьшаются производственные запасы (хранящиеся на складах сырье, топливо, инструменты и т.п.), которые обеспечивают непрерывность технологического процесса. Напротив, если накапливаются запасы сверх необходимых норм, то капитальная стоимость омертвляется. Лучше всего иметь на предприятии минимум запасов сырья и топлива и одновременно совершенствовать систему их бесперебойных поставок.
Продолжительность всего оборота капитала сокращается также за счет уменьшения времени обращения, в течение которого капитал пребывает в сфере обращения. Оно складывается из: а) времени покупки товаров (Д-Т) и б) периода реализации готовой продукции (Т'-Д').
Длительность пребывания капитала в сфере обращения определяется многими факторами: отдаленностью рынка от места производства, развитием транспортных сообщений, организацией торговли, а также емкостью рынка и покупательной способностью населения. Бизнесмены ускоряют движение товаров и денег различными методами: совершенствуют транспортные средства, организацию связи и информации; широко рекламируют свои товары, продают в кредит и т.п.
Общее время оборота капитала уменьшается благодаря улучшению состава производительного капитала. Об этом стоит сказать особо.
Производительный капитал (фонды) состоит из двух частей, стоимость которых проходит весь цикл кругооборота и возвращается к предпринимателю в денежной форме за совершенно разные сроки. Этими частями являются: а) основной и б) оборотный капитал:

Основной капитал
Долго сохраняет свою натуральную форму (полезность)
Участвует во многих кругооборотах
Переносит спою стоимость на готовые продукты постепенно, по частям
Оборотный капитал
Натуральная форма преобразуется на производстве в иную полезность
Участвует в одном кругообороте
Переносит спою стоимость на готовые продукты сразу и полностью
Основной капитал — та доля производительного капитала, которая полностью в течение длительного срока участвует в производстве. Но она переносит свою стоимость на готовые изделия постепенно и возвращается к бизнесмену в денежной форме по частям. К нему относятся средства труда — заводские здания, машины, оборудование и т.п. Они покупаются сразу, а свою стоимость переносят на созданный продукт по мере износа.
Так, каменные производственные здания могут служить 50 лет, машины — 10-12 лет, инструменты — 2-4 года. Допустим, предприниматель израсходовал на приобретение станков 100 тыс. руб. и они будут действовать 10 лет. Стало быть, станки будут передавать готовым изделиям ежегодно 1/10 часть своей стоимости — 10 тыс.руб.



Рынок рабочей силы и заработная плата


Социально-экономическое содержание капитала. Производственные фонды предприятий и издержки производства. Цена и прибыль
Понятия «капитал», «цена», «прибыль» так же распространены в экономической теории, как и понятия «деньги», «собственность», «заработная плата».
Цель темы — выяснить сущность данных категорий, раскрыть их структуру и формы проявления.
§ 29. Социально-экономическое содержание капитала
Классики политической экономии и современные западные экономисты о капитале. Сущность капитала
Классики политической экономии и современные западные экономисты о капитале. Первоначальное значение слова «капитал» (от лат. capitalis) — главный. Позднее в немецком и французском языках этим термином стали обозначать главное имущество, главную сумму.
Первую попытку научного анализа капитала предпринял Аристотель. Он ввел понятие «хремастика» (хрема — имущество, владение), под которой понимал искусство обеспечения достатка, или деятельность, направленную на накопление богатства, получение прибыли, вложение и накопление капитала. Поскольку в античном мире важную роль играл торговый и ростовщический капитал, то'целью торговой деятельности было неограниченное накопление богатства, постоянное увеличение капитала.
Классики политической экономии А. Смит и Д. Рикардо отождествляли капитал с накопленным трудом, запасом (машин, инструментов, сырья, одежды, еды, денег и т. п.). Правда, А. Смит к капиталу относил только ту часть запасов, которая предназначена для дальнейшего производства и



200

приносит доход, и утверждал, что труд — единственный источник стоимости только в условиях простого товарного производства, а при капитализме к таким источникам относятся и другие факторы, в частности, капитал. Эта мысль получила свое логическое завершение в теории трех факторов производства Ж. Б. Сэя. А. Смит и Д. Рикардо в выяснении сущности капитала по сравнению с Аристотелем сделали шаг назад.
Подавляющее большинство современных западных ученых аналогично толкуют сущность данного понятия. Разница между классиками политэкономии и современными западными экономистами состоит, во-первых, в том, что, раскрывая сущность капитала, последние значительно расширили границы запасов, виды накопленного труда, включая сюда дороги, мосты, компьютеры, сооружения и т.п., то есть производственные фонды, которые в трудах западных ученых в данном контексте анализа еще называют капитальным благом. Во-вторых, современные западные экономисты получение дохода связывают не только с названными вещественными факторами производства, но и с личным, человеческим фактором.
Вещественные факторы получили название физического капитала, а человеческий — человеческого капитала. Последний включает приобретенные знания, привычки, энергию людей, а расходы на получение образования, информации, квалификации, поддержку здоровья, воспитание детей и т. п. называют инвестициями в человеческий капитал. Сторонники теории «человеческого капитала» считают, что к нему принадлежат даже личная честность в деловых контактах. В-третьих, некоторые западные ученые даже отождествляют капитал с деньгами, с финансовыми ресурсами.
Так, Дж. Робинсон считает, что капитал, воплощенный в неинвестированных финансах, — деньги. В-четвертых, они отождествляют капитал со временем, который при этом рассматривается как отдельный фактор производства, создающий доход, а П. Самуэльсон таким фактором называл риск предпринимателя, владельца капитала.
В целом западные экономисты в толковании капитала едины в том, что рассматривают его как определенную ценность, благо, приносящее доход.
Положительным в приведенных взглядах на сущность капитала является то, что в них всесторонне раскрывается материально-вещественное содержание категории, капитал связывается с различными факторами производства, с процессом получения дохода. В этом западные экономисты вплотную приближаются к пониманию сущности капитала К. Марксом и Ф. Энгельсом. Маркс, в частности, рассматривая материально-вещественную структуру капитала, отмечал, что он складывается из орудий труда, сырья, средств к существованию, материальных продуктов, определенной суммы товаров, меновых стоимостей. Он также рассматривал капитал как накопленный труд, как отношение овеществленного труда к живому.
Современные западные ученые полнее, чем Маркс и Энгельс, раскрыли материально-вещественную структуру капитала, связали его с личным фактором производства и фактором времени. В последнем случае речь идет о том, что настоящим благам людьми отдается предпочтение перед будущими, и собственники определенных ценностей (ресурсов и т.п.) отказываются от них только за определенную плату, которую должны платить те



201

субъекты (предприниматели и др.), которые пользуются ими в современных условиях. Такой подход обосновывает сущность процента, о чем будет сказано ниже.
При этом западные ученые ограничивают категорию «капитал» рассмотрением лишь материально-вещественной стороны, не учитывая ее социально-экономическую форму, не рассматривая действие того или иного фактора в органической взаимосвязи с отношениями между людьми. Другими словами, западным ученым присущ односторонний, метафизический, а не всесторонний, диалектический подход к анализу сущности данной категории. В определенной мере это и внеисторический подход, поскольку утверждается, что капитал существовал во всех общественно-экономических формациях. Давая такое толкование сущности капитала, они абстрагируются от понятия «наемный труд», от противоречий между владельцами значительных средств производства и непосредственными производителями, которые, будучи лишенными таких средств и для того, чтобы прокормить себя и членов своей семьи, вынуждены продавать собственникам средств производства свою рабочую силу.
При подобном подходе происходит отождествление частной собственности, основанной на собственном труде, с частной капиталистической, которая основывается на присвоении чужого труда.
Сущность капитала. Капитал, как любая другая экономическая категория, имеет свое вещественное содержание и общественную форму. В их диалектическом единстве раскрывается глубинная сущность данной категории.
При таком подходе капитал — это не просто средство производства, деньги, а производственное отношение, при котором орудия труда, определенные материальные блага, меновые стоимости и т.п. служат орудием эксплуатации, присвоения части чужого неоплаченного труда.
Не на всех этапах человеческой цивилизации средства производства, определенные материальные блага были орудием эксплуатации, прежде всего, в условиях первобытнообщинного строя, поскольку были общей собственностью. Не могли они быть средством эксплуатации во времена рабовладельческого строя, так как раб сам принадлежал к орудиям труда, не был свободным и не мог продавать свою рабочую силу. В основном это характерно и для феодализма. Правда, земля в руках феодала частично служила средством эксплуатации, поскольку определенную, как правило, незначительную часть ее он отдавал крепостному крестьянину, за что тот вынужден был половину или большую часть рабочих дней недели трудиться на поле феодала-владельца. Земля, орудия труда были частичным орудием эксплуатации еще и потому, что крепостной крестьянин не был юридически свободным.
Таким образом, капитал, как производственное отношение, в условиях феодализма не являлся господствующей общественной формой. Но в этот период развивается ростовщический капитал, когда деньги в руках ростовщика становятся орудием присвоения части труда мелкого товаропроизводителя (ремесленников, крестьян). Определенное развитие получает и торговый капитал: Господствующим производственным отношением, присущим всему общественному способу производства, капитал становится в условиях, когда подавляющая часть непосредственных производителей лишена средств



202

производства, юридически свободна и продает свою рабочую силу владельцам этих средств, которые оплачивают в форме заработной платы только часть израсходованных наемными работниками в процессе труда физических и умственных сил.
Средства производства (в том числе земля) были орудиями эксплуатации и в условиях так называемого социализма. Хотя формально в республиках бывшего СССР и была провозглашена общественная собственность на средства производства, но фактически они были монопольно узурпированы бюрократической верхушкой партийного, советского и государственного аппарата. Вследствие этого строился не гуманный, или демократический социализм, который бы основывался на экономической свободе индивидов и трудовых коллективов, а государственно-бюрократический социализм, где присутствовали лишь отдельные элементы социализма.
Степень эксплуатации в этих республиках была выше, чем в развитых странах Запада.
Общее понятие «капитал» находит свое проявление и конкретизацию в своих различных формах: производительном, торговом, денежном, индивидуальном, акционерном, основном, оборотном, международном и др. Поэтому капитал развертывается в систему производственных отношений.
К этой системе не принадлежат мелкотоварный сектор экономики, в котором не эксплуатируется наемный труд (мелкие фермеры, ремесленники, торговцы), и выкупленные трудовыми коллективами народные предприятия.



Теории распределения доходов


ЗАРАБОТНАЯ ПЛАТА
1. Теории распределения доходов
В предыдущем разделе учебника были установлены следующие основные положения. В процессе производства новой стоимости участвуют все собственники его факторов и условий. К ним относятся: а) рабочий — владелец рабочей силы; б) бизнесмен, который на свои и заемные деньги приобрел факторы производства; в) денежный капиталист, предоставивший кредит; г) землевладелец, сдавший свою землю в аренду.
После продажи на рынке изготовленных товаров бизнесмен получает общий доход. Из него каждому агенту производства достается своя доля, связанная с соответствующим фактором: рабочему — заработная плата, предпринимателю — прибыль на капитал, ссудному капиталисту — процент и собственнику земли — рента.
Все эти виды доходов образуют систему, поскольку прежде всего имеют единое происхождение. Они суть дети одной матери — новой стоимости. Тем самым предопределяются их неразрывное единство и границы сосуществования в общей системе.
Если, предположим, при данной величине новой стоимости наращивать один вид дохода, то это можно сделать лишь за счет каких-то других дходов.
Такое первичное распределение доходов, непосредственно образующихся в сфере производства, получило неоднозначную теоретическую трактовку. Одна из концепций образования и распределения доходов в обществе — теория прибавочной стоимости — была уже проанализирована в главе 8. В противовес данной концепции французский экономист Ж.Б. Сей74 выдвинул теорию трех факторов производства.
Согласно взглядам Ж.Б. Сея, в создании стоимости товаров равноправно задействованы труд, земля и капитал. Они соответственно служат источниками доходов общества — заработной платы, прибыли и ренты. Доходы же рассматривались как плата за производственные услуги, оказываемые факторами производства75.
Величину вклада каждого из них в создание стоимости Ж.Б. Сей определял соотношением спроса и предложения. Что касается заработной платы, то она представлялась как доход от производительной услуги труда рабочих, а ее величина измерялась уровнем их выработки.
Вместе с тем Ж.Б. Сей считал, что заработная плата полностью возмещает труд рабочего. Он утверждал, что мерилом заработной платы за труд, самый простой и грубый, служит то, что требуется рабочим для того, чтобы жить.
Ж.Б. Сей признавал необходимость учитывать в оплате труда расходы по содержанию семьи рабочего и на образование76.
Ж.Б. Сей приписывал капиталу определенную производственную услугу. Эта услуга связана с созданием той части стоимости товара, которой соответствует прибыль.
По его словам, промышленность доставляет потребителям продукты, которые стоят больше промышленных работ и процентов за капитал, употребленный на эти продукты. Этот излишек составляет прибыль владельца77
Критики концепции Ж.Б. Сея отметили крайне поверхностную, самоочевидную констатацию в ней связи факторов производства с соответствующими видами доходов. Они обратили внимание на то, что вещественные ресурсы — средства и предметы труда, взятые в их натуральном виде, принимают участие в производстве товаров.
Однако эти материальные средства изготавливаются на других предприятиях и поступают на данную фирму до процесса создания на ней новой стоимости. Поэтому капитал (средства труда) и землю неправомерно считать источниками соответствующих частей новой стоимости.
Взгляды Ж.Б. Сея послужили отправным пунктом для новой теории, разработанной Дж.Б. Кларком78.
Теорию предельной производительности факторов производства можно сжато изложить в виде ряда основных положений.
Первое положение. Дж.Б. Кларк разделял взгляды Ж.Б. Сея.
В труде Распределение богатства он писHл: Цель этой работы — показать, что распределение общественного дохода регулируется общественным законом и что этот закон, действуй он без сопротивления, дал бы каждому фактору производства ту сумму .богатства, которую этот фактор создает79.
Второе положение. Согласно концепции предельной производительности, каждый из трех факторов в процессе создания стоимости (соответствующего фактору дохода) имеет определенные границы своего производительного эффекта.
Дж.Б. Кларк разъяснял, что участие труда, капитала и земли в образовании стоимости товара определяется их предельной производительностью — величиной создаваемого каждым фактором предельного продукта. Под таким продуктом понимается конечный прирост изделий, полученный в результате увеличения данного производственного фактора на единицу (например, при наборе дополнительного числа рабочих на 1000 человек) и при неизменной величине других (стоимость применяемого капитала — 100 млн. долл. — остается прежней). Если одну и ту же величину капитала будет применять возрастающее число рабочих — вплоть до последней их единицы (при исчерпании трудовых ресурсов), то, само собой разумеется, происходит снижение прироста продукции в расчете на одного работника. В итоге все занятые в таком производстве будут иметь выработку, равную производительности последней единицы труда.
Цена этого фактора, которую субъективно определяет предприниматель, снизится для всех работников.
В другом рассмотренном Дж.Б. Кларком случае предполагается: при неизменной величине численности рабочих увеличивается следующий фактор (размер применяемого капитала). Дж.Б. Кларк допускал, что каждое возрастание величины капитала проявляется прежде всего в превращении малопродуктивных средств производства в более эффективные, а все орудия производства становятся дороже и производительнее.
Отсюда он сделал вывод: Капитал есть элемент, обгоняющий труд в своем росте...80. На этом основании капиталу вменялось (приписывалось) образование соответствующего дохода.
Третье положение. Образование новой стоимости (и соответствующего дохода, приходящегося на фактор) происходит в соответствии с законом убывающей производительности последовательных затрат. Закон гласит: если объемы одних производственных факторов являются неизменными, то предельный продукт любого из переменных факторов (например, труда) сверх некоторого уровня его использования будет уменьшаться по мере роста масштабов вовлечения этого фактора в производство.
Проще говоря, если будет последовательно увеличиваться, например, число рабочих, обслуживающих данное, неизменное количество машин, то рост объема производства будет происходить все медленнее, по мере того как больше рабочих будет привлекаться к производству. Тогда при достижении предельной величины выработки рабочие не будут приносить дополнительного дохода. Их доля в общей стоимости общественного продукта равна численности рабочих, умноженной на величину их предельной производительности.
Что не вызывает сомнений в теории трех факторов производства и предельной их производительности? И что не соответствует современной действительности?
1. Представляется очевидным, что все три производственных фактора в своем естественном виде непосредственно участвуют в создании натуральных продуктов, в образовании их полезных свойств.
2. Теория предельной производительности достаточно правильно описывает функциональные (количественные) зависимости между общей величиной выпуска изделий в их натуральном выражении и силой действия отдельных факторов. Эта зависимость представлена в известной нам производственной функции. Последняя показывает, что объем выпускаемой продукции функционально зависит от величины примененных средств производства, численности работников и количества использованной земли (что особенно важно для земледелия).
3. Представляется вполне очевидным, что такой процесс образования продуктов и дохода присущ лишь натуральному производству. В нем для создания полезных вещей используются все факторы производства: труд, капитал (средства производства) и земля — в их натуральном, естественном виде. Однако общественные продукты и доход совершенно иначе создаются в товарно-рыночном хозяйстве.
Как мы выяснили ранее, вещественные факторы производства не участвуют в создании новой (добавленной) стоимости, которая служит источником доходов всех собственников производственных факторов. Следовательно, теория трех факторов не может претендовать на объяснение процесса образования дохода в рыночной экономике.
4. Теория убывающей производительности не является универсалъной. Она разработана для случая приостановки технического прогресса, когда действительно эффективность всех факторов снижается по мере расширения производства. Но такая ситуация совсем не характерна для развитого товарного хозяйства и бизнеса, особенно в XX столетии.
5. Закон убывающей производительности, согласно неоклассической теории, осуществляется лишь в условиях совершенной конкуренции — в своеобразном мире без трений. Чтобы закон действовал, не должно быть препятствий для свободного перемещения факторов производства. Кроме того, необходимы условия для предоставления полной информации о возможностях их прибыльного приложения.
Однако мы знаем, совершенной конкуренции нигде нет. Этим подрывается действие закона убывающей производительности факторов Wроизводства.



Реализация и распределение прибыли


ПРИБЫЛЬ
1. Реализация и распределение прибыли
В самой общей форме прибыль можно определить как доход фирмы, который выступает в виде прироста примененного капитала.
В разных сферах экономики —в производстве, торговле и банковском деле — прибыль образуется не одинаково. Сейчас мы выясним, как образуется доход на предприятиях — изготовителях продукции. Об остальных видах прибыли, возникающих в сфере обращения, — речь впереди.
В производственной, фирме процесс образования прибыли проходит два этапа:
а) первый этап: прибыль образуется при создании новой стоимости. Б главе 8 было подробно проанализировано, как возникает новая (добавленная) стоимость и почему она распадается на заработную плату и прибыль. Однако нельзя не заметить, что производственная форма прибыли (доход, заключенный во вновь созданных товарах) предстает в ее потенциальном виде. Прибыль может быть получена предпринимателем на деле только после реализации товаров на рынке;
б) второй этап: созданная в производстве прибыль окончательно выявляется после купли-продажи произведенной продукции, в ходе которой реализуется вся товарная стоимость. Прибыль как форма реализованной стоимости полностью завершает весь процесс формирования дохода производственной фирмы.
Здесь мы подробно проследим именно второй этап образования прибыли. Как известно, в большинстве случаев крупные фирмы, действующие в сфере производства, создают товары в массовом масштабе. Затем, как правило, они продают свою продукцию торговым посредникам оптом (крупными партиями) по определенной оптовой цене.
Фирма-изготовитель получает прибыль, если оптовая цена изделия Цо выше себестоимости товара Сс — затрат на его производство.
Следовательно, прибыль производителя (Пп) — это разница между оптовой ценой и себестоимостью продукции:
ПП = Цо - Сс.
Отсюда следует вывод: прибыль, получаемая с каждой единицы продукции, зависит от двух основных факторов: а) уровня себестоимости продукции и б) уровня оптовых цен. Рассмотрим детальнее эти факторы.
Первый фактор, определяющий размер прибыли, — себестоимость изделий: расходы бизнесмена на производство товаров. Прежде всего важно заметить отличие себестоимости от стоимости товара. Как нам известно, стоимость товара СТ включает стоимость затраченных средств производства СП и добавленную (новую) стоимость Сд. В свою очередь, добавленная стоимость распадается на заработную плату ЗП и валовую прибыль ПВ. Соотношение основных составных частей стоимости (соответственно цены) изготовленных товаров изображено на рис.
11.1.

Реализация и распределение прибыли

Рис. 11.1. Структура стоимости товаров
Теперь мы можем перейти к анализу величины себестоимости единицы продукции. Она может изменяться в зависимости от вида производственных затрат. В связи с этим различают два вида расходов:
а) прямые и 6) косвенные затраты в расчете на единицу продукции.
А. Прямые расходы на производство (или переменные затраты) зависят от объема выпуска изделий. К ним относятся:
расходы на заработную плату работников, непосредственно занятых изготовлением товаров;
затраты на сырье, материалы, другие предметы труда.
Общая величина таких затрат изменяется, как правило, в прямой пропорции с масштабами выпуска товаров. В этом случае себестоимость единицы продукции не изменяется по своей величине.
Б. Косвенные (или условно постоянные) расходы мало или совсем не зависят от масштабов выпуска продукции. К ним мы причисляем:
аренду здания;
заработную плату служащим;
страховку имущества;
обслуживание машин (их амортизация и ремонт);
коммунальные услуги (телефон, электроэнергия, отопление и т.п.);
затраты на реализацию продукции (ее транспортировка, сбыт, реклама и т.п.), выплаты по процентам на заем.
Общая сумма этих расходов практически не меняется при увеличении или уменьшении объема выпуска изделий. Поэтому при увеличении размеров производства себестоимость единицы продукции снижается. Здесь видна экономическая выгода от расширения масштабов изготовления товаров.
Второй фактор, влияющий на величину прибыли, — уровень цен, по которым фирма сбывает свою продукцию. Здесь возможны пять основных вариантов в соотношении цен, стоимости и себестоимости изделий (рис. 11.2).

Реализация и распределение прибыли

Рис. 11.2. Соотношения цен и стоимости товара
Во-первых, цена Ц1 может устанавливаться ниже себестоимости изделий, в результате чего они реализуются в убыток. Во-вторых, денежная выручка за товар Ц2 совпадает с издержками предприятия, что обеспечивает лишь самоокупаемость производства. В-третьих, если цена Ц3 выше себестоимости и ниже стоимости, то предприятие получает прибыль в меньшем размере, чем величина заключенной в товаре прибыли.
В-четвертых, когда цена Ц4 совпадает по своей величине со стоимостью, то бизнесмен получает всю прибыль, заключенную в товаре. Наконец, если рынок позволяет получать за товар больше денег Ц5, чем величина стоимости, то бизнесмен получает сверхприбыль, а общая величина его дохода оказывается больше созданной прибыли.
Так обстоит дело с прибылью, полученной в расчете на одно изделие. Между тем предпринимателя в большей мере интересует вся масса — абсолютная величина — валовой прибыли, полученной от продажи всех товаров.
При расчете валовой (общей, суммарной) прибыли прежде всего определяется сумма продаж (денежный доход от реализации всех товаров, произведенных за определенный период, скажем, за год). Эта сумма может быть определена путем умножения средней цены за изделие на общее количество проданных благ.
Масса валовой прибыли ПВ - это разница между суммой продаж Цо и совокупными издержками производства (или себестоимостью всех товаров Cc):

Реализация и распределение прибыли

Рассмотрим в качестве иллюстрации простой пример (цифры условные). Небольшая фабрика заниTается изготовлением карманных фонариков. Цена за штуку — 5 тыс. руб. За год было произведено и продано 4 тыс. шт. Сумма продаж составила 20 млн. руб.
Совокупная же себестоимость всех изделий — 15 млн. руб. Следовательно, валовая прибыль фабрики — 5 млн. руб.
Процесс образования валовой прибыли на деле не так прост, как в данном примере. Фирма, производящая любой товар, получает валовую прибыль не сразу, не с момента начала продажи изготовленных благ. Напротив, предприятие первоначально несет значительные косвенные, или условно постоянные, расходы (затраты на аренду здания, заработную плату служащим, страховку имущества, обслуживание машин и др.). К этим постоянным расходам по мере увеличения выпуска продукции добавляются прямые, или переменные, затраты.
В итоге все время нарастают совокупные издержки — сумма постоянных и переменных расходов.
Затем наступает такой момент, когда скажется эффект увеличения масштабов производства. При росте размеров выпуска изделий себестоимость каждого из них будет снижаться (из-за относительной экономии постоянных затрат в расчете на единицу продукции). Сначала сумма продаж сравняется с совокупными издержками ( Сс), т.е. будет достигнута точка самоокупаемости производства. В дальнейшем после прохождения этой точки — наращивание выпуска товаров приведет к образованию валовой прибыли, масса которой будет все время возрастать.
Наглядной иллюстрацией такого процесса служит рисунок 11.3 (цифры условные).

Реализация и распределение прибыли

Рис. 11.3. Образование совокупной прибыли 292
На рисунке 11.3 видно, что первоначально сумма продаж определенных изделий Цо была меньше совокупных издержек Сс, которые в момент начала производства составили 150 млн. руб. Однако при выпуске 30 тыс. изделий была достигнута точка самоокупаемости Цо = Cc. В последующем происходило увеличение массы валовой (совокупной) прибыли Пв.
Напрашиваются вполне очевидные выводы. Образование массы валовой прибыли зависит от:
а) производственных факторов — совокупных издержек и масштабов производства;
б) рыночного фактора — уровня оптовых (сбытовых) цен. После того как за намеченный период получена вся масса валовой прибыли, в полной мере развертывается процесс ее распределения.
Кому же достается вся валовая прибыль? Многие люди придерживаются обыденных представлений о том, что вся прибыль идет в частную собственность бизнесмена и расходуется на его личные нужды. Верно ли это?
Верно лишь в небольшой мере. Правильно то, что первоначально прибыль присваивает бизнесмен, если он единоличный собственник фирмы. Верно также, что он может израсхоLовать всю прибыль на свои личные нужды, даже прихоти (такие случаи иногда имеют место в жизни).
Но все это, скорее, не правило, а исключение. Ведь предприниматель, истративший всю прибыль на личные потребности, теряет возможность осуществлять накопление капитала за счет собственных средств, тем самым расширять и совершенствовать производство. Если же фирма принадлежит нескольким собственникам, то ни один из них не вправе присвоить и по своему усмотрению израсходовать всю прибыль.



Система управления современным предприятием


Сущность товара рабочая сила и ее стоимость. Заработная плата, ее формы и функции. Реальная заработная плата, доходы населения и их использование
В процессе функционирования предприятий между собственниками и непосредственными производителями формируются определенные экономические отношения, устанавливается уровень оплаты рабочей силы, соответствующие формы заработной платы. Важнейшими субъектами таких отношений являются профсоюзы и государство.
Цель темы — раскрыть сущность товара рабочая сила и ее стоимость, рассмотреть такую форму проявления данного товара, как заработная плата, выяснить ее величину и динамику.
§ 32. Сущность товара рабочая сила и ее стоимость
Соединение работников со средствами производства. Рабочая сила, ее стоимость и цена. Стоимость рабочего места
Соединение работников со средствами производства. Основными факторами производства, как уже отмечалось, являются непосредственный работник и средства производства, то есть личный и вещественный факторы. Способ их соединения и характер функционирования определяются, прежде всего, существующей формой собственности на средства и результаты производства.
Такое соединение на микроуровне — в пределах отдельных предприятий — осуществляется путем включения индивидуальной рабочей силы в состав трудового коллектива. В данном процессе следует различать технико-экономическую и социально-экономическую стороны.
Технико-экономическая сторона сводится к непосредственному использованию работником определенных средств и предметов труда независимо от того, является ли он их собственником. Главное в этом процессе — рационально организовать рабочее место, труд и достичь наибольших результатов при наименьших затратах энергии человека и средств производства.
Социально-экономическая сторона соединения работников со средствами производства на народных, кооперативных, частично — акционерных, а также на частных предприятиях, где не применяется наемный труд, и некоторых других, находящихся в коллективной трудовой собственности, осуществляется непосредственно. В этом случае работники и служащие являются одновременно и собственниками средств производства и созданного ими продукта, и работниками.
Ситуация в корне меняется, когда орудия труда принадлежат капиталистам. В таких условиях непосредственные работники отчуждаются от собственности на средства производства и произведенный продукт, управления собственностью, самого процесса труда, а их рабочая сила превраща-



215

ется в товар. Соединение работников со средствами производства происходит через найм на рынке труда, а их использование осуществляется под контролем капиталиста.
Если названные формы соединения факторов производства рассматривать сквозь призму человека экономического, то технико-экономическое соединение свойственно человеку-работнику, а социально-экономическое — человеку-собственнику.
Благодаря общественному характеру производства процесс труда осуществляется через формирование на предприятиях соответствующих трудовых коллективов. В наиболее общем плане трудовой коллектив — это социально-экономическая форма организации трудящихся. Его обособление в обществе происходит на основе технологической и относительной экономической самостоятельности предприятия.
В политико-экономическом понимании трудовой коллектив — это субъект экономических отношений, прежде всего, отношений собственности, а также совокупный работник, который обеспечивает рациональное использование имеющихся в наличии материально-вещественных ресурсов с целью создания и присвоения дохода. Если средства производства выступают в форме капитала, то трудовой коллектив является субъектом лишь технико-экономических отношений и самого процесса труда.
На большинстве предприятий стран СНГ и крупных предприятиях развитых стран Запада трудовые коллективы создают первичные звенья профессиональных союзов. Эти союзы возникли в XVIII в. в Англии, Франции, США. Вначале их запрещали правительства; против них активно боролись предприниматели. Сегодня продажа товара рабочая сила носит, как правило, коллективный характер, и профсоюзы являются активным субъектом рынка рабочей силы не только на уровне предприятия, но и отдельной отрасли, сферы народного хозяйства, страны в целом.
С их участием формируются и изменяются основы трудового права, разрабатываются условия заключения коллективных договоров, в которых регламентируются вопросы охраны труда, социального развития, участия в управлении предприятием и распределении прибыли.
Рабочая сила, ее стоимость и цена. В мировой экономической мысли сложились три основных точки зрения по поводу определения объекта купли продажи на рынке рабочей силы, или, как более принято в западной экономической науке, — рынке труда. Согласно первой, таким объектом купли-продажи является труд, согласно второй — рабочая сила, третьей — услуги труда или рабочей силы.
Впервые труд назвал объектом купли-продажи У. Петти. Соответственно этому заработную плату он рассматривал как цену труда, величина которой определяется стоимостью минимума необходимых для существования работника средств. Аналогично сущность данных понятий рассматривал и А. Смит. Основой заработной платы он считал стоимость средств существования, необходимых для обеспечения жизни работника и воспитания детей, а ее нижней границей — физический минимум.
Кроме того, величину зарплаты он ставил в зависимость от сложившихся в обществе норм потребления, традиций, культурного уровня, борьбы трудящихся за свои права, соотношения сил между ними и владельцами предприятий.



216

Придерживаясь таких же взглядов, Д. Рикардо выделял естественную и рыночную цену труда. Под естественной он понимал стоимость определенной суммы жизненных средств, необходимых как для содержания работников, продолжения их рода, так, в известной мере, — и для их развития. Рыночная цена, по его мнению, колеблется вокруг естественной под влиянием естественного движения трудоспособного населения, соотношения спроса и предложения на труд.
В качестве объекта купли-продажи рассматривают труд и некоторые современные западные экономисты, в частности, М.Гертнер, Дж. Хикс и др.
Данную точку зрения наиболее последовательно отрицал К. Маркс. Он считал, что труд нельзя продавать, поскольку его не существует до момента купли-продажи. Ведь труд — это процесс сознательной, целенаправленной деятельности людей, в ходе которой они изменяют внешнюю природу. На рынке работник может продать только способность к труду — определенную совокупность своих физических, умственных, и организаторских способностей, или рабочую силу.
Труд является функцией товара рабочая сила, и эти категории не следует отождествлять. Владелец предприятия покупает у работника — владельца рабочей силы — лишь временное распоряжение ею. При этом купля-продажа труда вступает в противоречие с законом стоимости, не дает возможности раскрыть источник стоимости и прибавочной стоимости.
Научные догадки о таком источнике находим уже в работе У. Петти. Определяя зарплату минимумом средств к существованию, он пришел к выводу, что в виде зарплаты работник получает только часть стоимости, которую он создал. Такого же взгляда придерживался и А. Смит, когда утверждал, что из созданной трудом работника стоимости ему достается в виде зарплаты только определенная часть.
Но наряду с таким пониманием проблемы в его работе присутствует и другая точка зрения, в соответствии с которой источником дохода предпринимателя признается его деятельность и риск.
Подобная двойственность взглядов на данную проблему присуща и Д. Рикардо. Он не видел разницы между рабочей силой и трудом как ее функцией. Правильно определяя стоимость товара трудом, Д. Рикардо в то же время считал, что работник продает хозяину фирмы труд. Но в таком случае в соответствии с законом стоимости он должен получать полный эквивалент своего труда, который равен всей созданной работником стоимости.
Зная, что такой эквивалент работник не получает, Д. Рикардо называет источником прибыли неэквивалентный обмен, что противоречит требованиям закона стоимости.
Определенная теоретико-методологическая нечеткость предыдущих точек зрения обусловила появление еще одной концепции. Она состоит в том, что товаром признается не рабочая сила, а услуги, которые предоставляются этой рабочей силой, ил и услуги труда. П. Самуэльсон считал, что люди за определенную цену «сдают свои услуги в аренду», а заработная плата — форма дохода, цена одного из факторов производства. Другими формами дохода он называл прибыль, ренту, кредитный процент.
Однако услуги полезны не как вещь, а как деятельность, ведь они также не могут отделяться от работников.



217

Конкретизируя свое понимание сущности продажи рабочей силы капиталисту, К. Маркс отмечал, что последний покупает не что иное, как временное распоряжение рабочей силой. Категория «распоряжение», одна из узловых категорий права, юридической собственности (наряду с понятием «владение», «пользование»). Поэтому не случайно К. Маркс подчеркивал в «Капитале», что процесс купли-продажи рабочей силы в сфере обмена осуществляется только юридически. При этом наемный работник не отказывается от права владения на свою рабочую силу, но вступает с работодателем в договор как юридически свободный человек.
Логическое продолжение данной точки зрения — утверждение отдельных современных западных экономистов о наличии рынка трудовых контрактов.



Аграрные отношения и особенности их развития


Основные формы и методы управления предприятием. Сущность и основные виды маркетинга
Сегодня чрезвычайно важную роль в успешном развитии предприятия играет научная система управления, в частности, маркетинговая деятельность, причем более значительную, чем внедрение новой техники и технологии. Огромный опыт научно обоснованного управления предприятиями накопили США и Япония.
Цель темы — раскрыть сущность, основные формы и методы современного управления предприятиями, рассмотреть наиболее важные виды маркетинга.
§ 35. Основные формы и методы управления предприятием
Сущность и функции управления. Формы и методы научного управления предприятиями. Менеджеры
Сущность и функции управления. С ростом масштабов общественного производства, углублением общественного разделения труда во всех трех его формах — общей, особенной и единичной — усиливается значение системы управления экономикой. Данная система представляет собой сознательно организованное, целенаправленное и активное воздействие различных субъектов управления на процесс развития и функционирования общественного способа производства, экономической системы, их отдельных звеньев и элементов.
Основные объекты управления — это общественное производство в целом (общая форма), отдельные отрасли народного хозяйства, сферы общественного воспроизводства, те или иные элементы, или подсистемы экономической системы (отношения собственности, производительные силы, технико-экономические отношения — особенная форма), а также отдельные предприятия, организации, учреждения (единичная форма).
Основными видами управления (менеджмента) являются организационный, производственный, кадровый, инвестиционный, инновационный, финансовый и др.
Управление как целенаправленный и активный процесс включает сбор, систематизацию и передачу информации; выработку (обоснование) и принятие решения; его преобразование в различные формы команд (устную, письменную, приказ и др.) и обеспечение выполнения; анализ эффективности принятого решения и возможную последующую его корректировку. В результате этих действий происходят взаимные перемещения элементов производства, разрешение противоречий общественного способа производства в целом или отдельных его подсистем, согласование экономических интересов, повышение эффективности общественного производства или его отдельных звеньев.
Управление на практике реализуется через комплекс его функций. Функция управления — это определенный вид деятельности, в процессе которой осуществляется эффективное воздействие на объект управления и решается



232

поставленная задача, достигается цель. Основные функции управления с точки зрения технологического способа производства — планирование, организация, координация, контроль, а с точки зрения отношений собственности — реализация собственниками средств производства и других элементов системы производительных сил своих прав на различные объекты собственности, своих целей управления.
Из пяти основных функций управления наиболее сложными являются организация и координация. Сущность данных функций состоит в формировании структуры объекта управления, упорядочении всех элементов в систему и определении формы их взаимосвязи, а также предоставлении активным элементам управления необходимых прав и ресурсов. К активным элементам принадлежат хозяйственные руководители, трудовые коллективы, отдельные работники, а также организации, подчиненные данной системе управления.
Координация — это установление и поддержание связей между элементами системы. Организация и координация объединяют ее отдельные элементы в единое целое. Таким образом, создается организационная структура управления.
В процессе управления всеми объектами необходимо четко сформулировать его главную цель. Определение такой цели — начальный принцип функционирования и развития системы управления. Конкретизацией этого принципа является выбор оптимальных средств достижения цели.
Важный принцип управления — гарантирование различными субъектами управления выполнения взятых на себя обязательств, или принцип ответственности. За невыполнение таких обязательств к тем или иным субъектам управления применяются различные санкции с целью полного возмещения нанесенных убытков тем субъектам, которые понесли потери вследствие нарушения обязательств. Поэтому необходимо четко определить; кто перед кем и за что отвечает, то есть персонифицировать субъекты управления.
В частности, в бывшем СССР высшие органы не несли никакой ответственности перед предприятиями за ошибочные или недостаточно обоснованные решения, что значительно снижало эффективность управления.
В процессе управления органически сочетаются следующие общественные законы и закономерности: 1) технико-экономические законы, раскрывающие сущность технологического способа производства, отражающие отношения человека и природы, человека и техники, а также отношения между различными элементами техники и средствами производства. Этот тип законов, в свою очередь, делится на законы, свойственные развитию производительных сил и технико-экономических отношений; 2) социально-экономические; 3) социальные, раскрывающие сущность отношений между основными классами; 4) правовые законы; 5) социальнопсихологические, отражающие биологическую и социальную стороны сущности человека, его поведение в коллективе, обществе, а также межличностные, межгрупповые и другие отношения в процессе производства, обмена, распределения и потребления материальных и духовных благ. Таким образом, управленческие знания являются комплексными, универсальными, имеют теоретический и прикладной, рациональный и интуитивный характер.



233

В трудах американских ученых Т. Питерса и Р. Уотермена комплексный подход к управлению организацией как определенной социальной системой раскрывается на основе так называемой «концепции семи «с» (7-с)», или семи характеристик организации: стратегии, структуры, системы («жестких характеристик»), состава кадров, стиля руководства, суммы привычек («мягких характеристик»), совместных ценностей (интегрирующей характеристики). По их мнению, объектом управления должны стать человеческие аспекты организации, которые выявляются в кадровом составе, стиле и привычках, ценностях организации, болея того, именно эти аспекты и общественные ценности, человеческий потенциал организации выдвигаются сейчас на передний план и группируют вокруг себя все другие характеристики организации.
Комплексность управления значительно возрастает, если принимаются во внимание не только внутренние характеристики организации, но и воздействующие на нее внешние факторы (конкуренты, действия правительства, законы и т. п.).
Формы и методы научного управления предприятиями. К элементам организационной структуры управления относятся различные управленческие звенья, деятельность которых регламентируется отдельными положениями. В современных условиях выделяют шесть основных организационных структур управления: линейную; функциональную; линейно-функциональную; программно-целевую; дивизиональную; матричную.
При линейной структуре процесс управления осуществляется через взаимоотношения между начальником и подчиненными, то есть по иерархии сверху донизу. Так, в американской компании «Эксон» и многих других крупных корпорациях насчитывается от 11 до 14 уровней иерархии. При этом все распоряжения идут от одного начальника.
Для руководителя каждого иерархического уровня важной проблемой является подбор оптимального количества подчиненных, которыми можно эффективно управлять. Руководитель подразделения должен принимать решения по многим проблемам производственно-финансовой деятельности. К основным недостатком линейной организационной структуры относится слишком сложная процедура принятия управленческих решений: распоряжения поступают сверху донизу, а разрешение на каждый шаг деятельности необходимо получить снизу вверх через всю иерархию руководителей.
Такие решения принимаются на продолжительных заседаниях, после многочисленных согласований, в условиях коллективной ответственности за любые действия. Эта структура управления очень сложна, она медленно реагирует на внутренние и внешние изменения (в частности, на изменения конъюнктуры), исключает новаторский риск предпринимателя, поскольку в ней отсутствует автономия руководителей подразделений при принятии многих решений. С линейной формой управления связаны такие негативные черты менеджеров, как подхалимаж, бюрократизм, коррупция, подсиживание, доносы и др.
При функциональной структуре управления общие для нескольких подразделений функции управления передаются одному органу (подразделению) или исполнителю, выполняющему однородные по содержанию или



234

технологии работ функции и получающему приказы от нескольких руководителей. Таким образом, субординация в управлении осуществляется по функциям. Положительная сторона функциональной структуры управления — исключение дублирования деятельности исполнителей; каждый из таких исполнителей может наиболее эффективно исполнять отдельные функции.
Недостатки — отсутствие единства при получении распоряжений, поскольку они поступают от нескольких руководителей, ухудшение координации деятельности по мере возрастания сложности производственного процесса и углубления специализации.



Кредит и его формы


ДОХОДЫ ОТ СОБСТВЕННОСТИ
1. Кредит и его формы
Кредит (лат. creditum — ссуда) — предоставление товаров и денег в долг на условиях возвратности. Эти условия предполагают, что дебитор (должник) возвращает кредитору (заимодавцу) эквивалент суммы долга плюс процент, составляющий доход кредитора.
Исторически первоначальной формой кредитных отношений было ростовщичество. Ростовщичество — это предоставление денег в долг с условием уплаты заемщиком высоких процентов при погашении долга. В Древней Греции в IV в. до н.э. были известны случаи ростовщических ссуд с уплатой 42% в месяц (свыше 570% годовых).
Позже по обычным займам взимались от 62 до 900% годовых.
Кредитные связи между людьми первоначально играли не столь заметную роль в развитии экономики. Ростовщики предоставляли ссуды простым людям для того, чтобы те возвращали старые долги и покупали товары. А знать брала кредит для строительства замков и дворцов, приобретения предметов роскоши, ведения войн и т.п.
Ростовщический капитал существует до сих пор во многих странах Азии, Африки и Латинской Америки. Его предпосылками служат слаборазвитые товарно-денежные отношения, а также преобладание отсталых мелкотоварных форм хозяйства. Местные торговцы и богачи при помощи денежных ссуд закабаляют беднейшие слои населения.
С возникновением индустриального производства и классического капитализма без развитого кредита стала невозможна нормальная производственная деятельность. Ведь предпринимателям не хватало собственного капитала для перевода экономики на индустриальные рельсы и высоких темпов расширенного воспроизводства. Еще в XVI в. это обстоятельство подметил Франсуа Рабле. В его романе Гаргантюа и Пантагрюэль весельчак Панург высказал поразительное суждение: Природе легче было бы питать рыб в воздухе и пасти оленей на дне океана, чем терпеть скаредный мир, где никто не давал бы в долг.
Какими бы странными ни показались эти слова, их справедливость убедительно подтверждает история, и особенно современная экономическая жизнь.
Однако ростовщичество с его чрезвычайно высокими процентами превратилось в преграду для развития капиталистической экономики. Поэтому нарождающаяся буржуазия повела упорную борьбу против него, за снижение ссудного процента до общественно нормального уровня. В результате были созданы новые источники денежного — ссудного — капитала, который предоставляется под приемлемый процент.
В отличие от ростовщичества этот капитал расходуется не для потребительских целей, а для ведения хозяйства в интересах получения прибыли.
Ссудные капиталисты сколачивают денежный капитал за счет многих источников (рис. 12.1).

Кредит и его формы

Рис. 12.1. Виды источников ссудного капитала
Владельцы ссудного капитала сосредоточивают у себя временно свободные денежные средства из фонда амортизации (восстановления) основного капитала, из постепенно формирующегося (по мере продажи готовой продукции) фонда заработной платы. Они обращают в кредитные средства незанятые в деле деньги предпринимателей и других слоев населения, используют пенсионные, страховые и иные фонды. Находясь на сохранении у предпринимателя, такие денежные средства не приносят собственникам никакого дохода, а поэтому их выгодно отдать в ссуду, хотя бы под сравнительно небольшой процент.
Собрав большие суммы денежных средств, ссудные капиталисты создают рынок ссудных капиталов. Этот рынок обладает рядом характерных черт.
Первая черта состоит в следующем. На рынке обычно участвуют два лица:
а) собственник бездействующего капитала и б) предприниматель, стремящийся привести денежный капитал в движение ради извлечения прибыли. Бизнесмен временно нуждается в деньгах для текущей хозяйственной деятельности (закупки сезонного сырья, выплаты заработUой платы в наступившие сроки и т.д.) и решения перспективных задач.
Вторая черта: предметом купли-продажи в данном случае является особый товар — капитал. Его особенность заключается в том, что деньги приобретают дополнительную полезность — способность в хозяйственном процессе возрастать по стоимости и приносить прибыль.
Третья черта рынка ссудных капиталов: он обслуживает потребности бизнесменов в краткосрочных ссудах (на пополнение оборотного капитала, на срочные закупки и т.п.) и в инвестициях (долгосрочных затратах на капитальное строительство и др.). В связи с увеличением таких потребностей развивается тенденция к значительному увеличению доли заемных средств в финансировании хозяйства. Особенно велика их роль в затратах на капиталовложения в Японии, Италии, Франции.
Например, японские фирмы за счет привлеченных ресурсов финансируют 4/5 всех средств на расширение производства.
В рынке ссудных капиталов особо выделяется рынок инвестиций. При этом финансовые инвестиции идут на закупку акций, облигаций и ценных бумаг, выпущенных корпорациями или государством. Реальные инвестиции — это вложения денег в производственный основной капитал (здания, сооружения, оборудование), жилищное строительство, товарно-материальные запасы.
Соотношение между краткосрочными (до одного года) и долгосрочными (свыше одного года) видами кредита свидетельствует о том, как бизнес заботится о настоящем (текущих хозяйственных нуждах) и будущем (перспективных производственных потребностях). О подобной заботе российского бизнеса красноречиво говорят цифры, приведенные в таблице 12.1.
Таблица 12.1.
Кредитные вложения в экономику России в 1992—1995гг.
(на конец года; млрд. руб.)

Виды кредита
1992
1993
1994
1995
Кредитные вложения в экономику — всего
в том числе:
краткосрочные
в процентах к итогу
долгосрочные
в процентах к итогу
5101
4835
95
266
5
30019
28982
97
1037
3
83561
79285
95
4276
5
134508
116751
87
17757
13
Как видно из данных таблицы 12.1, российские предприниматели живут, как говорится, одним днем. На долгосрочные вложения тратится мизерная доля всех кредитов. По абсолютной величине эти вложения составляют всего около 1% стоимости основных фондов (производственного и непроизводственного назначения).
Теперь рассмотрим главные организационно-экономические формы кредита: коммерческий и банковский.
Коммерческим называют такой кредит, который предоставляется товарами с отсрочкой платежа. Он возникает часто, когда покупатель продукции не может немедленно вслед за получением ее расплатиться наличными деньгами. В этом случае средством обращения выступает, как правило, вексель — специальное долговое обязательство заемщика уплатить определенную сумму денег в указанный срок. Зачастую предприниматель, получивший вексель, делает на нем передаточную надпись (индоссамент) и использует вместо денег для покупки нужных благ у другого продавца, а этот — у третьего и т.д.
Тем самым, попадая в торговый оборот, вексель становится простейшим видом кредитных денег.
Коммерческий заем является основой кредитной системы, поскольку он непосредственно обслуживает движение капитала в сфере производства. Этот кредит имеет определенные границы применения. Он возможен только между фирмами, непосредственно связанными хозяйственными отношениями (лишь теми предприятиями, которые создают средства производства, и теми фирмами, которые их потребляют).
Его невозможно использовать, например, для оплаты труда работников.
Универсальный характер имеет банковский кредит. Денежные капиталисты, банки и другие кредитные учреждения выдают его предпринимателям в виде денежных ссуд. В отличие от коммерческого данный кредит может предоставляться в значительно большем объеме, на более длительные сроки каждому бизнесмену и на любые цели.
В сфере кредитных отношений распространены и другие их формы:
а) потребительский кредит (продажа отдельным лицам товаров через розничные магазины с отсрочкой платежа, представление банками ссуды на потребительские цели); б) ипотечный кредит (долгосрочный заем под залог недвижимости — земли, зданий); в) межхозяйственный кредит (выпуск предприятиями и организациями для предоставления друг другу акций, облигаций и других ценных бумаг); г) государственный кредит (выпуск облигаций государственных займов, покупаемых бизнесменами и населением).
В законодательном порядке регулируются все основные виды кредитных отношений. Так, в Гражданском кодексе РФ установлены конкретные правовые нормы, регулирующие кредитные отношения. Эти нормы касаются займа и кредита (глава 42), финансирования под уступку денежных требований (глава 43), банковского вклада (глава 44), банковского счета (глава 45), денежных расчетов с физическими и юридическими лицами (глава 46).
Среди всех институтов кредитной системы главную роль выполняют банки.
Банки — особые экономические институты, являющиеся центрами кредитных отношений. Их основная функция — сосредоточивать у себя денежные средства и предоставлять их в ссуду. Исторически первоначальной функцией банков является посредничество в платежах.
Они хранят у себя денежные средства предпринимателей, по поручению которых ведут их расчеты с поставщиками и покупателями, вносят платежи в государственную казну, ведут кассовое обслуживание фирм (выдают им наличные деньги для заработной платы и на другие цели).



Производительные силы и отношения в сельском хозяйстве


Производительные силы и производственные отношения в сельском хозяйстве. Институциональные изменения в системе отношений собственности в сельском хозяйстве. Земельная рента и ее формы в современных условиях
Сельское хозяйство — одна из приоритетных отраслей народного хозяйства, в которой процессы производства, распределения,·, обмена и потребления имеют свои особенности, а действие экономических законов приобретает специфические формы. Данная специфика в значительной мере определяется включенностью в воспроизводственный процесс.
Цель темы — выяснить особенности воспроизводства в аграрной сфере, сущность рентных отношений и основные пути радикального преобразования собственности в сельском хозяйстве.
§ 37. Производительные силы и производственные отношения в сельском хозяйстве
Сельское хозяйство и особенности его развития. Эволюция собственности на землю
Сельское хозяйство и особенности его развития. Для большинства населения планеты сельское хозяйство остается наиболее важной отраслью производящей продовольственные товары. Из 6 млрд населения земного шара, проживающего в странах с низким уровнем экономического развития, сегодня голодает около 1 млрд чел.
Проблема обеспечения продуктами питания достаточно остро стоит для сотен миллионов людей в различных странах. Сельское хозяйство является основной сырьевой базой для



248

пищевой и легкой промышленности. Кроме того, в этой отрасли происходит непосредственное взаимодействие человека с природой, от которого в значительной мере зависит здоровье человека, его психологическое, нервное, эмоциональное состояние.
Сельское хозяйство, возникшее на заре человеческой цивилизации, наиболее быстрыми темпами развивалось в последние два столетия. Если в середине XVIII в. в сельском хозяйстве было занято около 80 % совокупной рабочей силы, то в конце XIX — начале XX в. в развитых странах мира в этой отрасли трудилось уже около 40 %, а примерно 35 % — в промышленности. В середине 90-х гг. XX в. в передовых странах мира в сельском хозяйстве было занято около 5 % трудоспособного населения, а в США — только 2,5 %.
Резкое сокращение численности занятых в сельском хозяйстве в развитых странах обусловлено значительным ростом производительности труда в этой отрасли, что позволяет меньшему количеству работников прокормить основную часть населения. Например, в США один работник, занятый в сельском хозяйстве, обеспечивает продуктами питания 139 жителей страны. Поэтому условная доля продукции в расчете на одного занятого в сельском хозяйстве в начале 90-х гг. составляла в США около 30 тыс. дол., во Франции — 21 тыс. дол., в Германии — примерно 19 тыс. дол.
Ни одна отрасль народного хозяйства не зависит от природно-климатических условий в такой мере, как сельское хозяйство. Это обусловлено, прежде всего, использованием в производстве земли как специфического, искусственно невоспроизводимого средства производства, различающегося плодородием, месторасположением. Земля при условии рационального использования не только не теряет своих полезных свойств, но может и улучшаться, а ее ценность — расти.
В сельском хозяйстве производство продукции растениеводства и животноводства связано с действием природных (в том числе биологических) законов. Так, сроки выращивания растений и животных, предопределенные генетически, мало поддаются регулированию. Сезонный характер выращивания сельскохозяйственной продукции обусловливает и ритм работы предприятий перерабатывающей промышленности.
Специфический характер земли как средства труда состоит также в том, что она одновременно является и предметом труда. К специфическим биологическим формам основных производственных фондов сельского хозяйства принадлежат: производительный скот, древесные, плодово-ягодные и другие культуры; своеобразными оборотными фондами являются семена, молодняк на откорме, корма и др. Для сельского хозяйства характерны низкие темпы оборачиваемости производственных фондов (вследствие непродолжительного сезонного использования) и высокая фондоемкость производства.  «
Специфика сельскохозяйственного производства требует значительной сезонной мобилизации сил тружеников села, поскольку посеять и собрать урожай без потерь нужно в очень сжатые агротехнические сроки. В этой сфере существует значительный разрыв между рабочим периодом и временем производства (получения конечного результата): Чтобы сельскохозяйственная техника не простаивала в межсезонный период, необходимо со-



249

здавать универсальные машины (например, тракторы с набором нескольких десятков рабочих орудий, агрегатов, органов). Большая зависимость сельского хозяйства от природных условий предопределяет необходимость создания страховых фондов от засухи, половодий, града и других природных катаклизмов.
Большой разрыв между рабочим периодом и временем получения конечного результата, проявляющийся в сезонности производства, существенно влияет на формирование доходов тружеников села, поскольку итоговый размер их доходов становится известным только после реализации сельскохозяйственной продукции.
Таким образом, основными особенностями развития сельского хозяйства являются: I) тесное переплетение и взаимодействие экономических законов с природными (в том числе биологическими); 2) непосредственное взаимодействие человека с природными факторами в процессе производственной деятельности; 3) специфический характер действия экономических законов в данной сфере, что обусловлено особенной ролью земли и других природных факторов в процессе сельскохозяйственного производства; 4) огромное разнообразие природно-климатических условий, качества и месторасположения участков земли относительно рынков сбыта сельхозпродукции; 5) наличие, наряду с общественными факторами повышения производительности труда, природных компонентов производительных сил (например, химический, механический состав грунта и биологические организмы) факторов; 6) значительный разрыв между рабочим периодом и временем получения конечного результата. Рассмотрим также специфику отношений собственности на землю — основное средство сельскохозяйственного производства.
Эволюция аграрного строя. Аграрные отношения во многих странах Европы в XIX — начале XX в. характеризовались господством крупного землевладения. Так, в Англии в 70-х гг.
XIX в. 250 землевладельцам принадлежало больше половины всей земли.
Значительное распространение в этот период получило фермерское хозяйство. Например, в Англии во второй половине XIX в. в найме у фермеров, арендовавших землю у лендлордов, было около 1 млн чел. Накануне первой мировой войны в стране насчитывалось свыше 500 тыс. ферм, причем наиболее крупным из них принадлежала треть всех обрабатываемых земель. В Германии в конце XIX в. 3 млн хозяйств имели менее 2 га земли. Основная часть владельцев этих участков превратилась в наемных работников с наделом и арендаторов.
Во Франции в конце XIX в. была распространена дольщина, когда земля бралась в залог под кредиты. Крестьяне платили ростовщикам огромные проценты, а значительная часть их превратилась в номинальных владельцев земли.             
Господствующей формой аграрных отношений в США было фермерское хозяйство. В начале XX в. здесь насчитывалось 5,8 млн ферм, которые образовались преимущественно в результате выкупа земли у государства и крупных землевладельцев, а также ее аренды. Так, 35 % фермерских земель были арендованы, 25 отданы в залог страховым компаниям, а 40 % были собственностью фермеров. 1 млн фермерских хозяйств, или 17 % их обще-



250

го количества, развивались как капиталистические хозяйства, в них работало около 60 % сельскохозяйственных рабочих, производивших свыше 50 % всей продукции. Средняя площадь крупной фермы в 1910 г. составляла 2 тыс. га земли, малой — 1,5 га.
В XX в. развитие аграрных отношений в капиталистических странах происходило преимущественно через создание крупных ферм, коллективных хозяйств, сокращение численности фермерских хозяйств, расширение арендных отношений. Так, в Англии традиционно сдается в аренду унаследованная еще со времен феодализма земельная собственность титулованной аристократии.
В США количество фермерских хозяйств с начала века до середины 90-х гг. сократилось с 5,8 до 2 млн хозяйств. При этом на одно хозяйство приходится в среднем 180 га земли. Около 60 % таких хозяйств при производстве сельскохозяйственной продукции обходятся собственными силами, без привлечения наемных работников.
В целом 1,3 млн мелких фермерских хозяйств производили в середине 90-х гг. менее 9 % сельскохозяйственной продукции. На долю 300 тыс. наиболее крупных из них (13,8 %) приходилось более 70 % сельскохозяйственной продукции, около 80 % наемной рабочей силы. Каждое из этих хозяйств владело в среднем 1 400 га земли.
Их роль в третьем тысячелетии еще больше усилится.
В США насчитывается около 5 тыс. кооперативов, которые перерабатывают почти треть фермерской продукции, в Швеции имеется более 100 тыс. фермерских хозяйств, подавляющее большинство которых является членами сельскохозяйственных кооперативов.
В странах Западной Европы размеры фермерских хозяйств значительно меньше. Так, в Дании средняя ферма имеет 32 га земли, в Германии — 18, в Бельгии — 15, во Франции — 14, в Италии — 6, в Греции -- 4 га. Тем не менее, основная масса сельскохозяйственной продукции в этих странах производится крупными фермами.
Существование же большинства небольших ферм возможно лишь потому, что доля различных субсидий на производство ими сельскохозяйственной продукции, достигает в странах ЕЭС 50 % (в США — 35, в Японии — 75). Без такой помощи фермерские хозяйства не смогли бы выжить. По подсчетам немецких экономистов, оптимальный размер фермы должен составлять 100 га, а для создания таких фермерских хозяйств необходимо иметь капитал от 750 тыс. до 1 млн марок.
Значительное распространение в развитых странах мира получила аренда — временное предоставление земли за плату арендатору. Например, во Франции арендуется более половины земель, в Англии — около 40 %. В США более трети сельскохозяйственных угодий являются собственностью государства. Они передаются в аренду сроком на 1—2 года, при выполнении условий договора его сроки продлеваются.
К арендатору предъявляются следующие требования: он должен иметь соответствующие знания и опыт работы на земле, хорошее здоровье, определенный возраст (в Англии — до 40 лет, во Франции до истечения 25-летнего срока аренды арендатор не должен достичь пенсионного возраста), некоторый капитал, полученный от работы на ферме и др.
Разновидность аренды — семейная аренда, при которой



Уровни хозяйства. Мезоэкономика


НАЦИОНАЛЬНОЕ ХОЗЯЙСТВО:
ЕГО ОСОБЕННОСТИ И ПОКАЗАТЕЛИ
1. Уровни хозяйства. Мезоэкономика
Современное национальное хозяйство имеет три основных уровня организации: низший (микроэкономика), средний (мезоэкономика) и высший (макроэкономика). Эти уровни различаются по главным экономическим признакам: а) степени разделения и кооперации труда;
б) типам собственности; в) формам организации хозяйства; г) видам управления. Их поступательное развитие шло от самых простых ко все более сложным экономическим системам.
В разделах III и IV учебника предметом нашего изучения было исторически исходное низовое звено экономики — преимущественно малое по своим размерам предприятие и домашнее хозяйство. Мы выяснили, как протекают первичные процессы производства, распределения, обмена и потребления материальных благ и услуг. Их небольшие масштабы обусловлены единичным разделением труда (предметная специализация) и простейшими формами трудовой кооперации.
Характерными для микроэкономики являются тип частнособственнического присвоения и свободный рынок, регулирующий поведение экономических субъектов.
Хозяйство страны, в котором преобладают частные фабрики и домохозяйства, можно уподобить городу, застроенному одноэтажными домами. Совершенно новый облик этому поселению придает появление многоэтажных домов и небоскребов. Нечто подобное произошло на рубеже XIX—XX вв. при переходе к более высокому уровню хозяйственной организации.
Мезоэкономика (греч. mesos — промежуточный, средний) зародилась в конце XIX в. Тогда большие технические преобразования машинной индустрии резко ускорили концентрацию производства (укрупнение размеров предприятий). На базе мощных заводов широко развернулась производственная централизация. Ее можно подразделить на следующие основные виды: объединение предприятий по стадиям производственного процесса, по общности рыночных интересов, по долевому участию в совместном капитале.
Централизация предприятий по стадиям производства приняла следующие формы:
а) горизонтальную, когда объединяются предприятия с однородной технологией (например, создается объединение автомобильных заводов);
б) вертикальную — при комбинировании предприятий предшествующей и последующей технологических ступеней. Скажем, на металлургических, химических, текстильных комбинатах продукты одного специализированного производства служат сырьем и полуфабрикатами для других технологических стадий;
в) диагональную централизацию, при которой объединяются предприятия разных отраслей, не связанные между собой технологически. Так возникают конгломераты (лат. conglomeratus — собранный), которые позволяют уменьшить риск банкротств, а убытки одних подразделений компенсировать прибылями других. Примером может служить производственное объединение Энкера (Германия), где соединены заводы по производству пищевых продуктов, банки, пароходство и гостиницы.
Централизация предприятий по общности рыночных интересов приводит к образованию монополий: картелей, синдикатов, концернов и трестов, о которых шла речь в главе 7.
Централизация производства по долевому участию в совместном капитале получила практически неограниченные возможности, благодаря развитию акционерных обществ. Крупные корпорации аккумулируют огромные денежные средства и устанавливают финансовый контроль за деятельностью все большего количества фирм. Такой процесс идет по нескольким направлениям.
А. Акционерные компании могут осуществлять реальную власть над значительным числом других, менее крупных фирм через систему участия. В этом случае крупный собственник капитала приобретает контрольный пакет акций головной корпорации (образно именуемого общество-мать), которая в свою очередь владеет контрольными пакетами акций других — дочерних, внучатых и т.п. — компаний, в силу чего они подчиняются головной корпорации. Примечательно, что вначале 80-х годов 200 крупнейших корпораций мира имели более 60% совокупных активов промышленных компаний, общее число которых превысило 350 тыс.
Согласно Федеральному закону Об акционерных обществах (от 25 декабря 1995 г.), такие общества могут иметь дочерние и зависимые общества с правами юридического лица. Общество признается дочерним, если другое (основное) хозяйственное общество (товарищество) в силу преобладающего участия в его уставном капитале, либо в соответствии с заключенным между ними договором, либо иным образом имеет возможность определять решения, принимаемые таким обществом. Осковкое общество, имеющее право давать дочернему обществу обязательные для него указания, отвечает солидарно с дочерним обществом по сделкам, заключенным последним во исполнение таких указаний.
Общество признается зависимым, если другое (преобладающее) общество имеет более 20% голосующих акций первого общества.
Б. Крупный акционерный капитал расширяет свое влияние через холдинговый контроль. Холдинг-компания (или держательская компания) — организация, применяющая свой капитал для приобретения контрольных пакетов нескольких акционерных обществ в целях управления ими. Холдинговый контроль напоминает пирамиду системы участия, но он сложнее по структуре организации. Холдинг-компании создаются зачастую для проведения централизованной политики и осуществления единого контроля за соблюдением общих интересов больших компаний в масштабе одной или нескольких отраслей.
Так, головная компания многоотраслевого концерна представляет собой суперхолдинг, который владеет контрольными пакетами дочерних отраслевых холдингов (последние контролируют деятельность фирм в соответствующих отраслях национального хозяйства).
В. Централизация хозяйственной деятельности проводится посредством так называемых трастовых операций, которыми занимаются коммерческие банки. Создаваемая банком траст-компания осуществляет по доверенности (трасту) вкладчиков банка операции с ценными бумагами и имуществом физических и юридических лиц. В одних случаях клиенты банка поручают использовать их денежные средства, помещенные на депозитный счет, для покупки ценных бумаг.
В других случаях они доверяют траст-компании свои ценные бумаги с тем, чтобы осуществлять с ними необходимые операции, включая участие в собраниях акционеров и оставляя за собой только право получать дивиденды.
Г. Централизация капитала и хозяйственной деятельности достигает еще больших масштабов, когда к созданию новых акционерных обществ подключается банковский капитал, вносящий весомый вклад в уставной капитал корпораций. Причем сам банковский капитал принимает акционерную форму, чем облегчается взаимодействие и сращивание промышленного и банковского бизнеса. В наибольшей мере их органическое единство достигается тогда, когда эти виды капитала взаимно и совместно приобретают контрольные пакеты акций.
В результате такого переплетения экономических связей возникает финансовый капитал.
С образованием финансового капитала все конкретные формы хозяйственной деятельности (промышленной, торговой, банковской) соединяются в единую целостность. Р. Гильфердинг в книге Финансовый капитал показал, как действует эта система: Финансовый капитал является денежным капиталом и действительно обладает формой движения последнего — Д — Д', представляет деньги, которые приносят деньги... В качестве денежного капитала он в двоякого рода формах — как ссудный капитал и как фиктивный капитал — предоставляется в распоряжение производительных капиталистов. Посредниками при этом служат банки, которые в то же время стремятся постоянно растущую часть денежного капитала превратить в собственный капитал и таким образом финансовому капиталу придают форму банкового капитала.
Этот банковый капитал все более превращается в простую форму, в денежную форму, действительно функционирующего капитала, т.е. промышленного капитала. Одновременно все более устраняется самостоятельность торгового капитала, между тем как разделение банкового капитала и производительного капитала уничтожается в финансовом капитале86.
Новый вид капитала, способный поглотить и соподчинить все виды капитала и хозяйственной деятельности, иногда напоминает спрута, наделенного длинными щупальцами с присосками, которые пускаются в ход для активных хищнических действий. Финансовый капитал не удовлетворяется установлением господства в сфере материального производства. Он подчиняет своему контролю и многие небанковские финансово-кредитные учреждения: инвестиционные компании, сберегательные кассы, пенсионные и благотворительные фонды, страховые компании.
С помощью этих учреждений финансовый капитал получает доступ к огромным суммам сбережений широких слоев населения и части прибылей предприятий, перечисленных в соответствующие фонды. Так, например, крупные владельцы финансового капитала участвуют в создании благотворительных фондов, которые не облагаются налогом. Они отчисляют часть своих прибылей в виде акций и облигаций.
Получаемые благотворительными фондами акции и облигации находятся в ведении траст-компаний, организованных крупными финансистами. Последние предоставляют благотворительным фондам возможность получать доходы с ценных бумаг, но продолжают распоряжаться ими по своему усмотрению.



Финансы в системе экономических отношений


Результаты общественного производства и его эффективность. Источники национального дохода, его распределение и перераспределение. Потребление и накопление национального дохода
Результатом труда миллионов рабочих, крестьян и интеллигенции является совокупность созданных ими материальных и духовных благ. От типа общества зависят распределение работающих в сферах и отраслях народного хозяйства, создание определенного количества материальных и нематериальных благ, а также распределение, перераспределение, обмен и потребление созданных благ.
Цель темы — выяснить сущность, источники созданного в обществе чистого продукта, или национального дохода, принципы его распределения и перераспределения среди населения, а также использования на потребление и накопление.
§ 40. Результаты общественного производства и его эффективность
Результативность общественного производства. Эффективность общественного производства и ее определение
Результативность общественного производства. Наиболее обобщающий показатель производственной деятельности всего трудоспособного населения страны — совокупный общественный продукт. Он представляет собой массу различных товаров и услуг, созданных трудом совокупного работника в разных сферах и отраслях производства за определенный промежуток времени (как правило, за год).
Совокупный общественный продукт (СОП) складывается из продуктов, полученных на отдельных предприятиях. Вместе с тем, вследствие общественного разделения труда и кооперации, между предприятиями возникает промежуточная продукция — товары и услуги, которые проходят переработку неоднократно или перепродаются несколько раз, прежде чем дойдут до конечного потребителя. Так, железная руда сначала обогащается, потом из нее выплавляют чугун, позднее сталь, прокат, а в конечном счете — готовые изделия.
В результате возникает повторный счет. Избежать
повторного счета можно с помощью показателя добавленной стоимости, который представляет собой рыночную цену товаров и услуг предприятия за вычетом стоимости потребленных предметов труда, приобретенных у поставщиков. Если из совокупного общественного продукта исключить повторный счет, получим конечный продукт. Последний меньше СОП также на величину комплектующих изделий, изготовленных в текущем году для производства другой продукции.
По своей натурально-вещественной структуре общественный продукт делится на средства производства и предметы потребления. Если подойти к оценке совокупного продукта с точки зрения функциональной роли отдельных составных элементов, их фактического использования, то в нем различают фонды замещения, потребления и накопления.
Фонд замещения — это часть общественного продукта, идущая на обновление изношенных средств производства и по своему натуральному содержанию представляет собой средства и предметы труда. Фонд потребления — это часть общественного продукта, предназначенная для удовлетворения материальных и духовных потребностей людей. По своему содержанию в условиях простого воспроизводства он выступает в виде предметов потребления.
В условиях расширенного воспроизводства одна его часть идет на личное потребление, а другая — на накопление.
Если обозначить фонд замещения буквой с, необходимый продукт — v, a прибавочный — т, то по своему стоимостному содержанию совокупный общественный продукт (W) определяется следующим образом: W = с + v + т.
Если из совокупного общественного продукта вычесть фонд замещения, то получим созданный в обществе чистый продукт, или национальный доход. Его можно рассчитать: НД = v + т.
Чистый продукт, или национальный доход, — это реальный доход, используемый в обществе для личного потребления и расширенного воспроизводства. Он является частью валового продукта за исключением тех средств труда, которые расходуются на возмещение их изношенной части. По отношению к обществу чистый продукт — это национальный доход. Его можно разделить на фонды потребления и накопления.
С точки зрения затрат труда национальный доход делится на необходимый и прибавочный продукт.
Необходимый продукт — эта часть национального дохода, идущая на воспроизводство человека, то есть затраты на жилье, одежду, продукты питания, социальные и духовные потребности.
Прибавочный продукт — это часть национального дохода, используемая для расширенного производства, создания резервного фонда, выплаты дивидендов, обогащения господствующего класса.
Национальный доход как экономическая категория выражает производственные отношения между людьми, классами по поводу производства, распределения, потребления- и использования необходимого и прибавочного продукта.
Если суммировать добавленные стоимости, созданные на всех предприятиях, получим валовой национальный продукт (ВНП), который является. совокупностью стоимостей всех товаров и услуг, произведенных на протяжении определенного периода, как правило, одного года (без учета по-



262

вторного счета). Важным недостатком показателя ВНП является то что он скрывает доходы отдельных категорий трудоспособного населения не создающих национального богатства страны, а получающих их в результате перераспределения созданных в обществе благ, что искусственно завышает экономическое могущество страны.
Модификация ВНП — валовой внутренний продукт (ВВП), определяемый совокупностью стоимостей всех товаров и услуг (или добавленных стоимостей), созданных всеми производителями и резидентами. Другими словами, при подсчете ВВП учитывается только продукт, произведенный внутри страны, без учета продукта, созданного заграничными филиалами и отделениями национальных фирм. В данном контексте можно утверждать, что ВНП отличается от ВВП на сальдо платежного баланса. ВВП может быть большим, если сальдо положительное, и меньшим, если сальдо платежного баланса отрицательное.
Разница между ВНП и ВВП незначительна (не более + 1%) и обусловлена расхождением между величиной факторных доходов, поступивших от заграничного производства данной страны, и факторными доходами, полученными зарубежными инвесторами в данной стране, то есть с помощью использования иностранного капитала.
ВНП определяется по затратам, доходам, производству (в последнем случае путем суммирования добавленных стоимостей). При правильных расчетах все три метода должны давать одинаковую конечную сумму. Совпадения между показателями первых двух методов используются с целью составления баланса (они соответственно получили название активов и пассивов).
П. Самуэльсон считает, что такая двойная бухгалтерия является одним из великих открытий человеческого ума.
ВНП рассчитывают по рыночным ценам, получая его номинальное значение. Для выявления его действительной величины рыночные цены очищают от инфляции (с помощью индекса цен) и определяют реальный показатель ВНП. Так, в США в 1994 г. ВНП в текущих ценах составлял 6,9 трлн дол., а в постоянных ценах 1992 г. — 6,6 трлн дол.
Отношение номинального ВНП к реальному называется дефлятором ВНП и отражает рост данного показателя за счет роста цен.
Так, в экономике, при расчете ВНП по затратам, дается денежная оценка конечных продуктов и услуг, произведенных за год и используемых для различных форм потребления, куда входят потребительские затраты населения; валовые частные, инвестиции в экономику, а также затраты частных лиц на приобретение жилья; государственные закупки товаров и услуг; чистый экспорт, то есть разница между экспортом и импортом страны.
Если же учитывать труд многих поколений, а также привлеченные в производство природные ресурсы, уровень образования, одаренность населения и некоторые другие элементы, то наиболее обобщающим показателем результативности общественного производства выступает национальное богатство, которое предназначено для расширенного воспроизводства и достижения основной цели общества. Для этого не могут использоваться сверхнормативные запасы, которые лежат без движения, некачественные товары, устаревшее оборудование, хотя они и включены в статистику национального богатства.



263

Важнейшими составляющими национального богатства во всей совокупности созданных материальных благ, или потребительных стоимостей, являются: 1) созданные и накопленные в стране производственные фонды, которые, в свою очередь, делятся на основные и оборотные. К основным относятся средства труда, к оборотным — его предметы; 2) основные непроизводственные фонды: школы, больницы, жилье и дома, культурно-образовательные и спортивные учреждения и др.; 3) домашнее имущество населения: жилые дома, товары длительного пользования, одежда и т. д.; 4) товарные запасы народного хозяйства.
Чрезвычайно важным компонентом национального богатства считаются вовлеченные в процесс производства природные ресурсы: земля, лес, вода, разведанные полезные ископаемые, воздух.
К нематериальной форме национального богатства, как уже отмечалось, относятся накопленный производственный опыт людей, их способности, потребности, творческие дарования, культурные ценности. Роль этого компонента в условиях НТР чрезвычайно возрастает. В США в структуре собственности доля государства составляет приблизительно 27 % национального богатства, частнокапиталистической собственности — 33, а личной собственности — 40 %.



Особенности макроэконимического роста


ЭКОНОМИЧЕСКИЙ РОСТ НАЦИОНАЛЬНОГО ХОЗЯЙСТВА
1. Особенности макроэконVмического роста
Если в разделе III книги рассматривалось воспроизводство индивидуального капитала, то сейчас речь пойдет об общественном (национальном) капитале. Под общественным капиталом подразумевается вся совокупность индивидуальных капиталов в их взаимосвязи и единстве в национальном масштабе. В национальных счетах, характеризующих производство валевого общественного продукта, видно, что такой национальный капитал занят производством товаров и услуг (см. табл.
13.8).
Выявить особенности воспроизводства общественного капитала нам поможет сравнение этого процесса с возобновлением деятельности индивидуального капитала.
Как известно, для индивидуального капитала характерно расширенное воспроизводство, позволяющее бизнесмену постоянно увеличивать массу новой (добавленной) стоимости, в том числе прибыли. В ходе расширенного воспроизводства обновляется техническая база предприятия и выпускается больше продукции лучшего качества. Отсюда вытекает, что в масштабе национального хозяйства вполне естественным является его расширенное воспроизводство. '
В масштабе страны существует дополнительная необходимость увеличения размеров национального капитала и валового внутреннего продукта. Во-первых, приходится учитывать рост численности населения. Во-вторых, национальный капитал наращивает производство, стремясь укрепить свои позиции в международной конкуренции, завоевать новые рынки сбыта товаров и услуг.
Теперь важно выяснить: чем различаются между собой цели экономического роста в микро- и макроэкономике.
Неоклассики считали, что на уровне микроэкономики частные предприниматели ставят цель — получить максимальную прибыль. Однако что произойдет, если обеспечение максимальной прибыли для всех фирм станет главной целью общества?
В этом случае, по-видимому, максимально обогатится сравнительно небольшая часть общества (примерно 10—15% взрослого населения страны) за счет, разумеется, остального населения. Произойдет углубление социального расслоение общества, что чревато возникновением опасных конфликтов между разными по уровню доходов слоями. Очевидно, что оптимальной (наилучшей) целью экономического роста является повышение жизненного уровня всего населения.
Иначе говоря, должна преследоваться задача: повысить уровень доходов всех социальных групп.
Какой макроэкономический показатель полнее всего отражает эту главную цель?
Таким показателем является национальный доход в расчете на душу населения. Это объясняется тем, что показатель национального дохода суммирует все виды доходов членов общества, а не только прибыль фирм. Напомним, что в состав национального дохода включают: оплату труда (заработную плату и премии работников), доходы мелких собственников (доходы частных фирм, небольших магазинов, товариществ и других некорпорированных предприятий), рентный доход (доход от недвижимости), прибыль корпораций (прибыль, которая остается в распоряжении корпораций после платежей работникам и кредиторам) чистый процент (разница между полученными и выплаченными про-' центами, а также сумма процентов, поступившая из-за границы).
Нормальным является, по-видимому, такой макроэкономический рост, при котором увеличиваются все виды доходов — доходы всех социальных групп — на протяжении длительного периода. В США в течение 1950—1980 гг. примерно одинаковыми темпами — 2% в год — возрастали и реальная заработная плата, и реальный валовой национальный продукт. Статистика свидетельствует о возможности достичь одновременного роста совокупного производства нации и увеличения душевого дохода.
Например, в Англии за последнее столетие (1870—1985) темпы возрастания национального дохода на душу населения увеличивались на 1,26% в год.
Рассматриваемой цели соответствует также другой, близкий к национальному доходу макроэкономический показатель — валовой внутренний продукт. О динамике ВВП на душу населения в некоторых странах мира можно судить по приведенным ниже данным за 1994 г. (в процентах к 1990 г.).

Великобритания
Германия
Греция
Италия
Канада
Китай
Польша
Республика Корея США
Япония
Валовой внутренний продукт на душу населения
112
119
124
117
107
131
137
144
116
118
Чтобы понять, как достичь оптимального варианта экономического —роста, нам придется выявить факторы, которые определяют размер национального дохода в расчете на одного жителя страны.
А. Цель подъема всеобщего благосостояния достигается при повышении темпов роста национального дохода.
Можно предположить, что наилучшими следует признать максимально высокие темпы увеличения дохода нации. Однако опыт, например СССР, Японии, Германии и некоторых других стран, показал, что рекордные показатели в этом деле невозможно поддерживать в течение длительного периода времени. Для этого требуются колоссальные затраты всех ресурсов, что непосильно для любой страны.
К тому же чрезмерное ускорение производства подрывает внутреннее экономическое равновесие. Из-за того, что не все отрасли хозяйства могут выдержать непомерные темпы развития, нарушаются нормальные связи между звеньями народнохозяйственного комплекса.
Следовательно, важнейшей долговременной целью общества являются стабильные (устойчивые) и достаточные темпы экономического роста.
Б. В свою очередь, для повышения темпов производства национального дохода в необходимых размерах следует увеличивать инвестиции.
Нам уже известно, что экономический рост осуществляется за счет производственных инвестиции. Если при данной численности населения страна станет расходовать большую, величину накопления, то возрастет сумма национального дохода в расчете на человека.
В. Между тем размер производственных инвестиций зависит от нормы накопления в национальном доходе.
В связи с этим важно учесть, что национальный доход делится на два фонда: фонд текущего потребления (идет на удовлетворение личных и общественных потребностей людей) и фонд накопления. Норма накопления Н к показывает удельный вес накопления капитала в обществе Нк в составе национального дохода НД и выражается в процентах:

Особенности макроэконимического роста

Между нормой накопления и производством национального дохода на душу населения имеется функциональная зависимость. Чем больше норма накопления, тем выше темпы роста национального дохода на душу населения. Такая количественная зависимость особенно заметна, если сопоставить уровень нормы накопления, скажем, в африканских странах — Эфиопии, Заире, Чаде (5—7%) и уровень США, Канады (20-25%) и Японии (около 35%).
Однако в рассмотренной нами функциональной зависимости заложено противоречие. Ведь чем большая доля национального дохода идет на накопление (т.е. чем выше рост национального дохода, улучшающий благосостояние будущих поколений), тем меньше будет фонд текущего потребления (предназначенный для нынешнего поколения людей). И наоборот: чем значительнее растет фонд потребления, тем меньше средств остается на накопление (т.е. на увеличение объема национального дохода для последующего поколения).
Как же разрешить это противоречие?
Очевидно, что норма накопления должна быть оптимальной с точки зрения достижения наибольшего прироста дохода на душу населения и для данного поколения людей и для последующих.
Г. Несомненно, что производство национального дохода зависит от темпов роста населения. Правда, такие темпы должны соизмеряться с динамикой дохода нации.
Мы знаем, что оптимальный показатель макроэкономического роста представляет собой величину национального дохода в расчете на дущу населения. Следовательно, чем больше население, тем — при данной величине национального дохода — меньше душевой доход. И столь же очевидно: жители страны тем богаче, чем ниже темпы увеличения численности населения по сравнению со скоростью роста экономики. Факты подтверждают это положение.
Выпуск продукции на душу населения в США и Японии (где прирост населения в среднем за год в 60—80-е годы составлял около 1%) существенно выше, чем в Кении и Береге Слоновой Кости (здесь ежегодный прирост населения в 4 раза выше).
Д. К основным факторам экономического роста относится технический прогресс (все нововведения, повышающие эффективность производства). Этот фактор увеличения национального дохода в расчете на душу населения не имеет, границ своего применения. В зависимости от того, как используется технический прогресс для расширения масштабов производства национального дохода, различают типы экономического роста (которые нам предстоит изучать в данной главе).
В ряде стран имеются существенные особенности национального хозяйства, которые обусловлены дополнительными экономическими трудностями и противоречиями. В связи с этим вместо однозначной перспективы увеличения национального дохода на душу населения в экономической теории возникли два совершенно разных и противоположных друг другу воззрения. Их можно представить в виде дилеммы: экономический рост без развития либо экономическое развитие без роста.



Кредитно-банковская система


Бюджетная и налоговая системы: государственные расходы и дефицит бюджета.                                        '
Цель темы — раскрыть сущность и структуру финансов, бюджетной и налоговой системы, структуру расходов государства в развитых странах мира, России, а также причины возникновения и средства погашения государственного долга                                     
§ 43. Бюджетная и налоговая системы
Финансовая и бюджетная система. Государственные доходы. Сущность и структура налогов
Финансовая и бюджетная система. Финансы — это определенная совокупность отношений собственности по поводу формирования и использования фондов денежных ресурсов. С одной стороны, они выражают отношения присвоения части необходимого и прибавочного дохода, возникающие между государством, субъектами предпринимательской деятельности и гражданами. С другой — это денежные фонды и финансовые ресурсы, опосредующие движение материальных и человеческих ресурсов.
Сущность финансов более полно раскрывается в выполняемых ими функциях, таких, как накопление необходимого количества денежных фондов для осуществления процесса расширенного воспроизводства производительных сил и, прежде всего, главной производительной силы — человека-работника; регулирование государством с помощью финансов процесса развития экономической системы, в частности, технологического спосо-



274

ба производства и отношений собственности. В рамках этой функции выделяют контрольную, предусматривающую контроль государства за порядком аккумулирования и распределения денежных средств предприятиями, финансово-кредитными институтами и организациями; распределение, заключающееся в распределении и перераспределении ВВП, в том числе национального дохода, между отдельными сферами, отраслями, социальными слоями и группами.
Основными субъектами финансовой системы являются финансы: государственные, предприятий и организаций, населения. Государственные финансы — это совокупность денежных фондов, аккумулируемых государством и используемых для выполнения им социально-экономических функций. Составными элементами государственных финансов являются государственный .бюджет, внебюджетные фонды и государственный кредит.
Финансы предприятий и организаций — это совокупность денежных ресурсов для осуществления процесса воспроизводства в рамках того или иного предприятия или организации. К последним относятся финансы тех учреждений, которые не занимаются коммерческой деятельностью.
Финансы населения — это денежные ресурсы, складывающиеся из доходов, полученных им от трудовой и хозяйственной деятельности или по наследству и направляемые на приумножение их собственности. Важная составляющая финансов населения — финансы домашних хозяйств.
Кроме названных субъектов финансовой системы, выделяют страховые финансы. В процессе взаимодействия всех сфер и звеньев финансовых отношений, связанных с комплексом соответствующих форм и методов их аккумуляции, перераспределения и использования, формируется целостная финансовая система.
' В государственных финансах важнейшую роль играет государственный бюджет. С точки зрения общественной формы, государственный бюджет представляет собой отношения собственности между государством, с одной стороны, и физическими и юридическими лицами — с другой, по поводу изъятия у последних части необходимого и прибавочного дохода и распределения его в соответствии с функциями государства. С точки зрения вещественного содержания, государственный бюджет является годовым планом аккумуляции государственных доходов и их расходов в соответствии с требованиями закона о бюджете.
Будучи частью финансов, бюджет выполняет распределительную и контролирующую функции. Первая заключается в аккумуляции денежных средств в руках государства и их использовании для решения общегосударственных, региональных и местных задач. Контролирующая функция бюджета заключается в контроле за финансовым обеспечением программы социально-экономического развития страны на каждый финансовый год, за эффективностью государственного регулирования экономики с помощью финансов (в частности, регулирования темпов экономического роста, осуществления структурной перестройки народного хозяйства, проведения рациональной региональной политики и др.).
Бюджетная система — это совокупность· всех бюджетов страны в их взаимодействии. Ее целостность бюджетной системы обеспечивается тщатель-



275

ным согласованием доходов и расходов правительства, закрепленным в юридических нормах. Бюджетная система зависит от государственного устройства страны, экономической, политической и других подсистем и состоит из двух иди трех частей, например, бюджетная система унитарных государств (Великобритании, Франции) — из двух: государственного и местного бюджетов. В бюджетную систему федеральных государств входит еще третья, средняя часть — бюджеты членов федерации: в США — это бюджеты штатов, в Германии — земель, в Швейцарии — кантонов, в бывшем СССР — республик. Таким образом, государственный бюджет состоит из центрального бюджета и бюджета иных уровней государственной власти.
На государственный бюджет (бюджет центрального правительства) возлагаются функции обороны, управления народным хозяйством, внешние связи государства, охрана границ, почта, связь, железные дороги, денежное обращение и др. Растет роль центрального бюджета в развитии образования, охраны окружающей среды, социального обеспечения, в перераспределении национального дохода и т. д.
Из местных бюджетов финансируется развитие коммунального хозяйства, строительство определенных объектов экономической и социальной инфраструктуры, здравоохранение, образование (частично), содержание полиции и др.
На начальных этапах возникновения бюджетной системы ее характерной особенностью была подчиненность государственного (центрального) бюджета местным бюджетам. Так, в США до принятия Конституции 1787 г. федеральное правительство покрывало свои расходы за счет отчислений отдельных штатов. Расходы федерального бюджета были незначительными. В 1848 г. этот бюджет составлял 48 млн дол.
До первой мировой войны в местных бюджетах было до 73 % средств. После второй мировой войны на федеральный бюджет приходилось уже около 86 % расходов бюджетной системы США.                                    
Огромные средства, аккумулированные государством к бюджетах всех уровней, — важнейший обобщающий показатель развития социально-экономических функций государства, огосударствления собственности, регулирования макроэкономических процессов и др. В эпоху развертывания НТР государство осуществляет также развитие науки (прежде всего фундаментальных научных исследований), наукоемких отраслей и производств, проводит активную структурную политику.
Источником государственных (центральных) бюджетов являются такие виды налогов, как подоходный, налог на прибыль компаний, акцизы, таможенные сборы, доходы от государственных займов, которые выпускает центральное правительство, а также доходы от объектов государственной собственности и торговли. Отдельный вид доходов государственного бюджета — взносы в государственные фонды социального страхования, пенсионный фонд и др.
Доходы местных бюджетов формируются за счет отдельных налогов (в основном на имущество), от муниципальной собственности, введения акцизов, выпуска займов, которые размещаются через различные финансовые институты (банки, страховые компании и др.) и т. д.



276

Доходы бюджетов членов федерации (в США — штатов, в Германии — земель) также формируются за счет налогов (в США косвенных, в Германии прямых), выпуска займов.
Расходы центральных бюджетов направляются в основном на социальные цели, а также на решение экономических задач. На эти две статьи расходов в развитых странах мира идет более 50 % всех доходов, в том числе около 80 — на социальные и 20 % — на экономические цели. Третья статья расходов государственного бюджета — военные расходы, четвертая — выплата процентов по государственному долгу, пятая — административно-управленческие расходы (содержание органов власти, милиции, судов и т.д.).
В последние десятилетия в развитых странах наблюдается тенденция к некоторому сокращению военных расходов и увеличению социальных и экономических.
В унитарных государствах удельный вес центральных бюджетов составляет около 75 % всех расходов, в федеративных — значительно меньше: в США приблизительно 60, в Германии — более 40 %. В унитарных государствах бюджетная система является централизованной, утверждается центральными правительствами, которые предоставляют соответствующие средства на расходы местных органов власти, в Великобритании — это дотации, целевые субсидии и кредиты, в Японии — субсидии. Государство, кроме того, выделяет целевые средства местным органам власти на строительство портов, гидроэлектростанций, ликвидацию последствий стихийных бедствий и др. Проект бюджета готовит центральное правительство, утверждает законодательная власть.
В США процесс формирования центрального бюджета начинается за 18 месяцев до начала финансового года, а его проект подается президентом в Конгресс за 9 месяцев до начала финансового года.



Условия стабильности экономического роста


СТРУКТУРА МАКРОЭКОНОМИКИ:
ЕЕ СТАТИКАИ ДИНАМИКА
1. Условия стабильности экономического
роста
В предыдущей главе говорилось, что общество, как правило, заинтересовано в стабильном (лат. stabilis —устойчивый) экономическом росте. Нам сейчас предстоит разобраться: как можно обеспечить такую устойчивость?
Чтобы ответить на этот довольно-таки непростой вопрос, потребуется выяснить решающие условия, постоянно обеспечивающие достаточное воспроизводство материальной жизни каждой нации. Эти условия таковы (они рассматриваются в самых общих чертах, без учета сферы услуг и неработающей части общества).
Первое условие. Макроэкономика должна постоянно создавать совокуп-ный общественный продукт (СОИ) в объеме, который соответствует реально сложившимся потребностям (точнее: платежеспособному спросу) всех граждан страны.
Второе условие. СОП должен состоять из двух видов благ:
а) средств производства, необходимых для продолжения производства материальных благ;
6) предметов потребления.
Третье условие. Все материальное производство делится на два подразделения:
а) I подразделение — производство средств производства. Сюда входят отрасли национального хозяйства и предприятия, добывающие нефть, уголь, железную руду и создающие станки, грузовые машины, строительные механизмы, трактора и т.п.;
б) II подразделение — производство предметов потребления (хлебозаводы, мясокомбинаты, трикотажные фабрики и т.п.).
В итоге в масштабе макроэкономики возникает два потока (непрерывного движения) материальных благ: 1) поток средств производства и 2) поток предметов потребления.
Четвертое условие. Каждое подразделение использует создаваемые им потоки благ для удовлетворения собственных потребностей и для нужд другого подразделения.
Так, I и II подразделения имеют совокупный капитал (капитал всех своих предприятий), состоящий из средств производства. Последние ежегодно расходуются (основной капитал частично, оборотный капитал полностью). Поэтому па следующий очередной период оба подразделения нуждаются в восстановлении утраченных вещественных условий производства.
В связи с этим поток средств производства разделяется на две части: а) одна часть остается внутри I подразделения (для восстановления израсходованных в предыдущем году вещественных условий производства); б) другая часть потока направляется во II подразделение (для возобновления потраченных средств производства).
В результате такого разделения потока средств производства в I подразделении действуют два подотдела: 1) подотдел производства средств производства для I подразделения (сюда относятся базовые отрасли промышленности, создающие материальные факторы для всей с4)еры производства: уголь, нефть, металл и т.д.) и 2) подотдел производства средств производства для II подразделения.
В свою очередь, работники I и П подразделений потребляют продукцию II подразделения — жизненные блага. Поэтому поток продукции II подразделения делится на два направления: а) одна часть используется для работников самого II подразделения и б) остальная часть идет работникам I подразделения.
В итоге II подразделение имеет два подотдела: 1) подотдел производства предметов потребления для II подразделения и 2) подотдел производства предметов потребления для I подразделения. Правда, в качественном отношении продукция этих подотделов ничем не различается. Между тем деление потока предметов потребления на две части важно для учета его общего объема и предназначения.
Теперь можно завершить анализ структуры материального производства в его статике, схематически отобразив его разбивку на отдельные части (рис. 15.1.).

Условия стабильности экономического роста

Рис. 15.1. Структура материального производства
Структурный анализ подвел нас к вопросу: при каких количественных пропорциях может обеспечиваться нормальное — устойчивое — развитие I и II подразделений.
Сначала рассмотрим простое общественное воспроизводство, при котором объем совокупного общественного продукта — по его натуральной форме и по стоимости — не возрастает.
Схема структуры материального производства (рис. 15.1) показывает, во-первых, что часть всей продукции будет реализована внутри тех подразделений, которые ее создали. Это касается средств производства, изготовленных для самого I подразделения (I1), а также предметов потребления, которые достанутся работникам II подразделения (II2). Во-вторых, из I подразделения во II идет часть средств производства, изготовленная для II подразделения (I2).
А из II подразделения направляются предметы потребления для работников I подразделения (II1).
Совершенно ясно, что в условиях рыночной экономики обмен продукции I подразделения (I2) на продукцию II подразделения (II1) должен быть эквивалентным. Значит, главным условием реализации СОП при простом общественном воспроизводстве является сбалансированность (фр. balanse — весы) при обмене продукцией между двумя подразделениями; I2 = II1.
Иначе говоря, I подразделение поставляет II средства производства на такую сумму стоимости, на которую II подразделение дает ему предметы потребления.
Это равенство можно использовать для соответствующей подстановки в формуле структуры I подразделения (I = I1 + I2). После взаимного обмена продукцией между подразделениями (I2 = II1) I подразделение будет иметь такой вид:
I = I1 + II1,
т.е. I подразделение после реализации части своей продукции во II подразделении обеспечивает себя необходимым количеством средств производства (I1) и приобретает для своих работников соответствующий объем предметов потребления (II2).
Используя указанную подстановку в формуле состава II подразделения (II = II1 + II2), можно преобразовать ее в иной вид:
II = I2 + II2.
Тогда оказывается, что в результате взаимного обмена продукцией между двумя подразделениями II подразделение приобретает потребное для простого воспроизводства количество средств производства (I2), а также самообеспечивает своих работников предметами потребления (II2).
Таковы условия сбалансированного простого воспроизводства макроэкономики.
Наконец, нам предстоит выяснить: каково главное условие обмена продукцией между I и II подразделениями при расширенном воспроизводстве?
Очевидно, что расширение производства (особенно при его экстенсивном типе) требует увеличения применяемого количества средств производства. Поэтому I подразделение к уже имевшемуся у него в прошлом году объему средств производства добавляет (за счет накапливаемой части прибыли) дополнительную сумму новых средств производства (I + I). Тогда в этом подразделении будет больше вещественных факторов: (I1 + I1) + (I2 + I2), т.е. станет возможным увеличить два подотдела I подразделения: производство средств производства для I подразделения (I1 + I1) и производство средств производства для II подразделения (I2 + I2).
В таком случае I подразделение сможет дать средств производства II подразделению больше, чем было при простом воспроизводстве. Главное условие реализации СОП при расширенном воспроизводстве примет другой вид:
(I1 + I1) II.
Выходит, что I подразделение создает возможность для того, чтобы II подразделение тоже вступило на путь расширенного воспроизводства. Однако для этого нужно увеличить объем предметов потребления, поступающих в обмен на продукцию I подразделения (за счет фонда накопления): (II1 + II1) . Чтобы обеспечить эквивалентность и сбалансированность взаимного обмена продукцией между I и II подразделениями при расширенном воспроизводстве необходимо соблюдать равенство
(I2 + I2) = (II1 + II1)
Не трудно понять, что при соблюдении этого равенства произойдет полностью сбалансированное расширение I и II подразделений. I подразделение будет иметь возросшую величину средств производства (I1 + I1) и большее количество предметов потребления для работников (II1 + II1) . Аналогичным образом увеличится производство предметов потребления.
Напрашивается такое обобщение. Чтобы обеспечить стабильность экономического роста, требуется соблюдать следующее условие. Поток благ, идущих из I подразделения во II и в обратном направлении должен быть сбалансирован.
Этот вывод имеет полную силу и при более детальном рассмотрении взаимосвязи всех отраслей национальной экономики.
Чтобы предвидеть развитие макроэкономики, нужен системный подход к рассмотрению хозяйственных связей между отраслями народного хозяйства. В каждой стране экономика — это большая система из многих отраслей, каждая из которых производит продукцию и передает другим отраслям. Все они существуют потому, что снабжают друг друга результатами своей деятельности. Чтобы надежно прогнозировать развитие экономики в целом, в расчет принимаются до 600—800 отдельных отраслей страны, а в Японии — до 2000.
Сопоставление различных соотношений производственных затрат в отдельных звеньях общей системы и предполагаемых результатов позволяет выбрать наилучший вариант.



Циклический характер экономического роста


МАКРОЭКОНОМИЧЕСКОЕ НЕРАВНОВЕСИЕ
1. Циклический характер экономического роста
Макроэкономике свойственны два состояния: 1) состояние равновесия, когда общественное производство и обществеUное потребление (на рынке соответственно — предложение и спрос) в достаточной мере сбалансированы. Тогда экономический рост идет словно по прямой траектории, (выпуск продукции увеличивается пропорционально росту производственных факторов);
2) состояние неравновесия производства и потребления в общественном масштабе). Тогда нарушаются нормальные связи и пропорции в национальной экономике и наступает ее кризисное состояние.
Неравновесие проявляется в том, что от стабильного состояния отклоняются важнейшие параметры экономики — объем производства, уровень цен, занятость трудоспособного населения, норма прибыли, норма процента и др. Когда такие отклонения от положения равновесия достигают наибольших количественных значений, то экономический рост временно резко прерывается противоположным процессом — кризисом (греч. krisis — исход, поворотный пункт).
Можно дать самое общее определение кризиса. Экономический кризис — это значительное нарушение равновесия в хозяйственной системе, часто сопровождающееся потерями и разрывом нормальных связей в производстве и рыночных отношениях. Это в конечном счете ведет к дисбалансу функционирования экономической системы в целом.
Все многообразие кризисов можно классифицировать по трем разным основаниям.
А. Первое основание — no-масштабам нарушения равновесия в хозяйственных системах.
Общие кризисы охватывают все национальное хозяйство.
Частичные распространяются на какую-либо одну сферу или отрасль экономики.
Так, финансовый кризис — глубокое расстройство государственных финансов. Оно проявляется в постоянных бюджетных дефицитах (когда расходы государства значительно превышают его доходы). Крайним проявлением финансового кризиса является неплатежеспособность государства по иностранным займам (во время мирового экономического кризиса 19^9—1933 гг. прекратили платежи по внешним займам Великобритания, Франция, Германия, Италия; в 1931 г. США на год отсрочили все платежи по внешним долгам).
Денежно-кредитный кризис — потрясение денежно-кредитной системы. Происходит резкое сокращение коммерческого и банковского кредита, массовое изъятие вкладов и крах банков, погоня населения и Предпринимателей за наличными деньгами, падение курсов акций и облигаций, а также нормы банковского процента.
Валютный кризис выражается в ликвидации золотого стандарта в обращении на мировом рынке и обесценении валюты отдельных стран (нехватка иностранных твердых валют, истощение валютных резервов в банках, падение валютных курсов).
Биржевой кризис — резкое снижение курсов ценных бумаг, значительное сокращение их эмиссий, глубокие спады в деятельности фондовой биржи.
Б. Второе основание классификации кризисов — по регулярности нарушения равновесия в экономике.
Периодические кризисы повторяются регулярно через какие-то промежутки времени (другое название — циклические кризисы).
Промежуточные кризисы не дают начала полного делового цикла и прерываются на какой-то фазе; являются менее глубокими и менее продолжительными.
Нерегулярные кризисы имеют свои особые причины возникновения.
Отраслевой кризис охватывает одну из отраслей народного хозяйства и вызывается изменением структуры производства, нарушением нормальных хозяйственных связей и т.п. Примерами могут служить кризис морского судоходства в 1958—1962 гг., кризис в текстильной промышленности в 1977 г.
Аграрный кризис — это резкая приостановка сбыта сельскохозяйственной продукции (падение цен на сельскохозяйственную продукцию).
Структурный кризис обусловлен нарушением нормальных соотношений между отраслями производства (однобоким и уродливым развитием одних отраслей в ущерб другим, ухудшением положения в отдельных видах производства). Например, в середине 70-х годов возник сырьевой и энергетический кризисы.
В. Третье основание классификации кризисов — их различие по характеру нарушения пропорций воспроизводства. Здесь выделяются два вида кризисов.
Кризис перепроизводства товаров — выпуск излишнего количества полезных вещей, не находящих сбыта.
Кризис недопроизводства товаров — острая их нехватка для удовлетворения платежеспособного спроса населения.
Из всего многообразия кризисов мы сейчас рассмотрим кризис, который входит в экономический цикл.
С тех пор как в рамках капиталистического общества совершился переход к индустриальному производству, экономический рост принял циклический характер. Цикл включает в себя ряд последовательно сменяющих друг друга фаз, в том числе кризис.
Экономические циклы начального периода (в эпоху классического капитализма) и современные существенно различаются между собой. Различия проявляются в степени нарушения экономического равновесия, членении циклов на различные фазы, длительности фаз, участии государства в регулировании циклов.
Сначала рассмотрим экономический цикл (его также часто называют деловой цикл) в его классическом варианте. Он четко распадался на четыре фяяы. В каждой из них наблюдалась разная динамика объема производства, уровня цен, занятости работников, нормы процента.
Исходной фазой цикла является кризис (иные названия: спад, рецессия; лат. recessus — отступление). В этом случае согласно классификации речь идет об общем периодическом кризисе перепроизводства.
При рецессии наблюдается падение уровня и темпов экономического роста, а затем, как правило, и прямое сокращение масштабов выпуска продукции. Такие явления связаны с перепроизводством товаров. В это время резко увеличиваются запасы нереализованной продукции.
Происходят массовые банкротства (разорение) промышленных и торговых предприятий, которые не могут распродать накопившиеся товары. Из-за приостановки производства быстро растет безработица, сокращается заработная плата. В обществе нарушаются кредитные связи, расстраивается рынок ценных бумаг, падают курсы акций.
Все предприниматели испытывают острую потребность в деньгах для погашения быстро образовавшихся долгов и потому норма банковского процента значительно возрастает.
Вслед за кризисом наступает другая фаза — депрессия (лат. depressio — понижение, подавление). В этом случае приостанавливается спад производства, а вместе с ним и снижение цен. Постепенно уменьшаются запасы товаров.
Вследствие незначительного спроса увеличивается масса свободного денежного капитала, а ставка банковского процента снижается до минимума.
В период депрессии предложение товаров перестает обгонять спрос, а поэтому между ними устанавливается равновесие (прекращение выпуска товаров уменьшает их предложение до уровня спроса). В то же время создаются естественные условия для выхода из кризиса. Снижение цен на средства производства и удешевление кредита способствуют новому накоплению капитала, возобновлению расширенного воспроизводства на новой технической основе.
Следующая фаза - оживление — означает расширение производства до его предкризисного уровня. Размеры товарных запасов устанавливаются на уровне, необходимом для бесперебойного снабжения рынка. Начинается небольшое повышение цен, вызванное оживлением покупательского спроса. Сокращаются масштабы безработицы.
Возрастает спрос на денежный капитал, и ставка процента увеличивается.
Наконец, наступает фаза подъема (по-английски — бум). В этот период выпуск продукции превышает предкризисный уровень. В связи с этим, естественно, сокращается или рассасывается безработица. С расширением покупательского спроса возрастают цены на товары. Повышается прибыльность производства.
Увеличиваются спрос па кредитные средства, и соответственно возрастает норма банковского процента.
Впервые экономический кризис перепроизводства разразился в 1825 г. в Англии. Затем циклическое — волнообразное — развитие хозяйства стало характерно для всех капиталистических стран. В XIX в. и в первой половине нынешнего столетия кризисы периодически повторялись примерно через 10—12 лет.
В чем же причины циклического развития производства?
Все экономисты-теоретики сходятся, пожалуй, в одном: кризисы перепроизводства обусловлены непосредственно серьезным нарушением необходимого соотношени между покупательским спросом и предложением товаров, или между потребностями и потреблением общества, с одной стороны, и производством, — с другой. Профессора П. Самуэльсон и В. Нордхаус в своем учебнике дают такие пояснения: Причина самих промышленных циклов кроется в подвижках предложения или совокупного спроса. Предположим: в результате сокращения инвестиций (или государственных расходов) экономика вышла из точки равновесия. Совокупный спрос резко сокращается. При таком его падении совокупное предложение остается практически неизменным.
Экономика находит другую точку равновесия: выпуск падает и цены тоже. В случае бума складывается противоположная тенденция...96.



Государственное регулирование экономики


Банки и банковская система. Кредит и кредитная система
Кредитная система наряду с финансовой представляет своеобразную кровеносную систему народнохозяйственного организма, ее составной ча-



283

стью является банковская система. Благодаря эффективному выполнению банками своих функций осуществляется процесс расширенного воспроизводства, растет эффективность общественного производства, реализуется кредитно-денежная политика и т. д.
Цель темы — раскрыть сущность банков и кредита, выяснить структуру банковской и кредитной систем в процессе их исторического развития.
§ 45. Банки и банковская система
Структура банковской системы и ее эволюция. Банковские операции
Структура банковской системы и ее эволюция. Банковская система — это совокупность различных видов банков и банковских объединений в их взаимосвязи и взаимодействии. К основным видам банков относятся коммерческие, эмиссионные, сельскохозяйственные, кооперативные и др.
Важнейшими банковскими объединениями считаются банковские ассоциации, банковские картели (консорциумы), тресты, концерны и др.
Главный элемент банковской системы — центральные эмиссионные банки, осуществляющие руководство и контроль за функционированием и развитием всей банковской системы страны.
Взаимодействие и взаимосвязь разных видов банков и банковских объединений, в результате которых формируется банковская система, возможны только в условиях выполнения Центральным банком своих основных функций. Во многих странах мира такими функциями являются проведение единой денежной и кредитной политики, достижение стабильности денежной единицы и цен, регулирование экономики и др. Центральный банк той или иной страны ставит перед собой определенные специфические цели.
Для одних основная задача — поддержка приоритетных направлений экрномической политики правительства, обеспечение высокого уровня занятости, постоянных темпов экономического роста, для других — содействие благосостоянию населения. Кроме того, Центральные банки развитых стран мира сохраняют официальные золотовалютные резервы, осуществляют кредитование коммерческих банков, правительства, выполняют для последнего расчетные операции, проводят безналичный расчет.
Банки аккумулируют денежные средства и другие накопления, предоставляют кредиты, проводят операции с золотом и т. д. Они возникают на основе развитых товарно-денежных отношений и существуют в нескольких общественно-экономических формациях (феодализм, капитализм, социализм). Понятие «банк» происходит от итальянского слова «Ьапса» (лавка менялы, на которой средневековые менялы раскладывали монеты для обмена).
Впервые банки появились в условиях феодализма. В XIV в. банковские операции начинают развиваться в Италии, Германии, Нидерландах. В этот период банкиры кредитовали прежде всего, королей и феодалов.
В XVII-XVIII вв. банки начинают широко распространяться в Англии — самой могущественной в то время стране мира.
Накопление денежных средств в банках и их предоставление в кредит осуществлялось в основном за счет взносов капиталистов, причем кредиты выдавались, как правило, торговыми расписками, которые со време-



284

нем превращались в банкноты. Такие расписки выдавались и при покупке частных коммерческих векселей. Кредитование производилось и путем записи кредитов на счета клиентов. Выступая гарантом векселей комерсантов и оплачивая их досрочно наличными, банки содействовали росту вексельного обращения.
Таким образом, банкнота превращалась в банковский вексель, а обращение векселей постепенно заменялось обращением банкнот (кредитных денег) и чеков.
В XVII—XIX вв. важнейшей функцией банков становится посредничество в кредитных платежах. Путем аккумулирования денежных средств промышленных предприятий, землевладельцев, торговых учреждений, сбережений различных слоев населения банки значительно расширяют базу накопления денежного капитала. Эта функция получила наибольшее развитие в XIX в., с распространением акционерных банков.
В конце XIX — начале XX вв. с усилением концентрации банковского капитала возникают банковские монополии в форме банковских картелей, синдикатов (консорциумов), банковских трестов и концернов. Это приводит к уменьшению количества банков. При этом растет число отделений банков, разновидности услуг, которые ими предоставляются, что обусловливает увеличение аккумулированных капиталов.
Наряду с концентрацией банков происходит их централизация. Особенно интенсивно процесс слияния банков шел в 80-е гг. Только в первой половине 80-х гг. крупными банками было поглощено более 2 000 средних и мелких банков.
Концентрация и централизация банковского капитала, его монополизация вызвали появление новых функций. Так, от функции посредничества в платежах и кредитах банки переходят к постоянному кредитованию отраслей и предприятий. Происходит их переориентация с краткосрочных кредитов на все виды и формы предоставления кредитных средств, прежде всего, на долгосрочные инвестиции в основной капитал.
Благодаря этому они устанавливают контроль над отдельными предприятиями, а иногда и над некоторыми отраслями. Банки прямо и опосредовано распоряжаются все большей частью собственности промышленных, торговых, транспортных и других компаний, чему в значительной степени содействуют эмиссионно-учредительные операции банков.
Свидетельством растущего контроля банков над промышленностью является концентрация в их руках крупных пакетов акций и облигаций. Кроме того, растет доля кредитных средств в авуарах нефинансовых корпораций. Увеличивается и общая задолженность частных корпораций.
Это свидетельствует как об усилении сращивания банковского капитала с промышленным, так и растущей, доминирующей роли банков в этом процессе.
Значительно выросли масштабы кредитования банками государства через обслуживание государственного долга, вследствие чего усиливается значение кредита в обеспечении государства денежными ресурсами. Поэтому министерство финансов выпускает различные государственные ценные бумаги (облигации, казначейские векселя, сертификаты задолженности и т. д.), которые, будучи долговыми обязательствами государства, покрывают его бюджетный дефицит.



285

В США к собственникам выпущенных ценных бумаг относятся коммерческие банки, страховые компании, промышленные корпорации, федеральные резервные банки и др. Для лучшего обеспечения банками финансирования государства увеличивается государственная собственность в банковской сфере. Центральный банк, как правило, — собственность государства. Кроме того, в некоторых странах (Франция, Италия) государственной собственностью являются крупные коммерческие банки.
Создаются также специальные государственные банки для финансирования внешней торговли, сельского хозяйства, жилищного строительства и др.
Важная функция банков в современных условиях — посредничество в международном обращении заемных капиталов, предоставление все большей массы международных кредитов. С этой целью создаются филиалы иностранных банков в развитых странах мира. В США на долю таких филиалов приходится около 20 % всех коммерческих кредитов страны.
Усиливается универсализация банков. Кроме перечисленных функций, они выполняют операции страхования, консультативного бизнеса. Быстро распространяются такие формы деятельности банков, как финансовый лизинг, проектное финансирование.
Банки различаются по форме собственности: государственные, частные, акционерные, кооперативные, муниципальные и коммунальные, смешанные, межгосударственные; по функциям и характеру выполняемых операций: эмиссионные, коммерческие, инвестиционные, сберегательные, ипотечные, внешнеторговые и др.; по виду хозяйственной деятельности: промышленные, сельскохозяйственные, торговые, внешнеторговые банки.
Банковские операции. Существуют такие виды банковских операций, как пассивные, активные, банковские услуги и собственные операции банков. Основными из них являются пассивные и активные.
Пассивные операции, содержание которых — получение кредита, осуществляются с целью аккумуляции средств для последующего финансирования активных операций. Основой пассивных операций являются привлеченные средства. Соотношение между собственным и привлеченным капиталом должно быть не менее 1:10 (для 24 стран ОЭСР, согласно Базельскому соглашению, — 9,2 %), хотя в отдельных развитых странах оно достигает 1:100.
Важнейший вид пассивных операций — депозитные. Депозиты делятся на вклады до востребования, которые клиент может забрать в любое время, в связи с чем по ним выплачивается низкий процент, а целью их привлечения является осуществление текущих расчетов; и срочные, которые могут быть сняты клиентом лишь в заранее установленное время. На срочные вклады выплачиваются более высокие проценты, размер которых растет с увеличением срока вклада.
К другим видам пассивных операций относятся сберегательные вклады, привлечение средств от других банков и эмиссия банковских и ипотечных облигаций.
Активные операции банков — это операции, с помощью которых размещаются собственный и привлеченный капиталы. К активным — относятся кредитные; операции с ценными бумагами; кассовые; акцептные; с ино-



Циклические колебания и кризисы в экономике


Сущность и методы государственного регулирования экономики. Национальный рынок и механизм установления равновесия между спросом и предложением. Основные модели государственного регулирования экономики и их эволюция
Цель темы — раскрыть сущность национального рынка и его структуру, определить важнейшие рычаги и механизм установления его равновесия, а также проследить эволюцию экономической мысли в отношении государственного регулирования хозяйства.
§ 47. Сущность и методы государственного регулирования экономики
Структура механизма регулирования. Основные методы государственного экономического регулирования экономики
В XX в. в установлении равновесия национального рынка активное участие принимает государство, выполняющее важные социально-экономические функции, используя комплекс экономических и административных рычагов.
Структура механизма регулирования. Основными элементами механизма регулирования национального рынка в условиях современного капитализма, являются: — во-первых, рыночное регулирование, осуществляемое с помощью механизмов конкуренции, динамики рыночных цен, стихийного выравнивания спроса и предложения и т. д. Такое регулирование ограничено преимущественно рамками немонополизированного сектора экономики. Именно на таких предприятиях занята большая часть наемных работников; — во-вторых, корпоративная планомерность. Гигантские многоотраслевые концерны с помощью ЭВМ, маркетинга постоянно изучают структуру, динамику массового спроса проводят целенаправленную работу по его формированию, поэтому их производство ориентировано на определенный рынок.
В наше время по предварительным договоренностям между производителями и потребителями на мировой рынок поступает около 70 % всех товаров, причем основную массу из них производят гигантские монополистические объединения.
— в-третьих, государственное регулирование путем целенаправленного воздействия государственных учреждений и организаций на развитие общественного способа производства с целью его стабилизации и приспособления к меняющимся условиям. Такое регулирование наиболее полно осуществляется через государственные заказы, закупку государством значительной части продукции, что означает гарантированный спрос на нее.
Государственное регулирование осуществляется также посредством проведения антицикличной, региональной, инвестиционной, амортизационной, структурной, денежно-кредитной, финансово-бюджетной, антиинфляционной, валютной, таможенной, ценовой, социальной, экологической форм политики.



291

Между составными элементами механизма регулирования современного капитализма существует постоянное взаимодействие, взаимопроникновение. Это значит, например, что механизм рыночного регулирования в определенной мере дополняет корпоративную планомерность, которая частично распространяется и на немонополизированный сектор экономики. Так, детали для производства автомобилей могущественной автомобильной корпорации «Дженерал моторз» поставляют около 40 тыс. мелких и средних предприятий-поставщиков, а доля закупок в общей сумме оборота этой компании достигает 48 %. Это означает, что предприятия-поставщики немонополизированного сектора втянуты в орбиту корпоративной планомерности.
Важнейшим звеном такой планомерности является частно-капиталистическое планирование, осуществляемое в рамках гигантских транснациональных корпораций (ТНК). Ядро их деятельности — внутрифирменные операции. В середине 80-х гг.
37,3 % импорта и 39,2 % экспорта США проходило по внутрифирменным каналам ТНК (американским и зарубежным).
К основным направлениям государственного экономического регулирования народного хозяйства и установления равновесия национального рынка относится регулирование системы производительных сил в целом и каждого из ее элементов (средств труда, науки и др.) в отдельности; отношений экономической собственности, в том числе ее отдельных форм (акционерной, государственной и др.); технико-экономических отношений, процесса концентрации производства, его специализации и т. д.
Формами государственного регулирования выступают планирование (долго-, средне- и краткосрочное), программирование (прежде всего в виде составления целевых комплексных программ) и прогнозирование как на национальном, так и на наднациональном уровнях. Высшей формой государственного регулирования является национальное демократическое экономическое планирование, о котором уже шла речь в одной из предыдущих тем.                                          ^
К методам (средствам) регулирования относятся экономическое, правовое, административное. Важнейшее из них — экономическое регулирование подразделяется на прямое (осуществляемое посредством государственных закупок товаров и услуг, государственного целевого финансирования и др.) и косвенное (реализуемое через проведение антицикличной, инвестиционной и других форм политики). Правовое регулирование производится путем принятия и совершенствования правовой базы (соответствующего комплекса юридических законов и поправок к ним и т. д.).
Административное регулирование предусматривает использование мер запрета, разрешения и принуждения. С помощью административных мер проводятся денежные реформы и другие мероприятия.
Антицикличное регулирование осуществляется с помощью бюджетной и кредитно-денежной политики. В первом случае с целью воздействия на платежеспособный спрос населения маневрируют государственными расходами и налогами (когда спрос недостаточный, увеличиваются государственные капиталовложения, снижаются налоги и т. п.; когда он чрезмерный, напротив, — государственные расходы сокращаются, а налоги по-



292

вышаются). Стимулирование спроса, как правило, усиливает инфляцию, а антиинфляционное регулирование усиливает застой.
При кредитно-денежном регулировании центральные банки увеличивают или уменьшают количество денег в обращении и ставки кредитного процента. Основным методом такого регулирования в период с 50-х до середины 70-х гг. стало проведение государством политики доходов, которая предусматривала контроль за ростом заработной платы и цен. Государство при этом являлось посредником между трудом и капиталом, между монополиями и профсоюзами при заключении договоров, проведении забастовок и т. п. С приходом к власти в США администрации Р. Рейгана правительственный орган, который осуществлял контроль за заработной платой и ценами, был ликвидирован.
Почти такие же меры были предприняты в ФРГ, Великобритании и других странах.
С середины 70-х гг. в развитых странах участились экономические кризисы, нарастала хроническая безработица. Это подорвало позиции трудящихся. В таких условиях проведение политики доходов стало отягчающим для монополий.
Административные рычаги регулирования были ослаблены, а непрямые, опосредованные методы усилены, в частности, кредитно-финансовая политика. Свою роль сыграла налоговая реформа 1981-1983 гг. Вследствие этого была несколько ослаблена роль программирования экономики, являющегося формой ее регулирования. Наибольшее развитие программирование экономики получило в 50—80-е гг. во Франции и Голландии. Так, во Франции разрабатывались пятилетние планы, включавшие систему показателей объемов производства, динамики национального дохода, модернизации промышленности и торговли, развития инфраструктуры, научных исследований, подготовки рабочей силы, жилищного строительства и др.
Выполнение планов государство стремилось поддержать конкретными финансовыми программами, путем структурной перестройки экономики.
По своей социально-экономической сущности государственная планомерность Означает планомерное извлечение прибыли, централизованное регулирование пропорций экономики, темпов ее развития с помощью общенационального планирования, программ, предложений, промышленной политики.
Причем государство не устанавливает обязательных норм, оно ориентирует на показатели .и рекомендации, не обязательные для выполнения, поэтому такую планомерность называют индикативным планированием. С приходом к власти в некоторых развитых странах консервативных правительств, выражающих интересы прежде всего определенных кругов буржуазии, общенациональные планы все больше сводятся лишь к прогнозированию, без прямого обеспечения финансовыми и другими программами.
Для 80-х гг. с точки зрения эволюции государственно-корпоративного регулирования характерным стал поиск компромиссов между рыночным регулированием и программированием. В качестве такого компромисса была использована определенная либерализация механизма регулирования. Это проявилось в частичной приватизации государственной собственности на средства производства, предоставлении финансовой автономии государственным компаниям, отказе от разных форм ценового контроля, ослаб-



293

лении антитрестовского законодательства, усилении налоговых, кредитных рычагов регулирования экономики и т. д.
Основные методы государственного экономического регулирования экономики. Методами государственно-корпоративного регулирования рыночной экономики являются проведение реформ в налогообложении корпораций, государственных предприятий и предприятий немонополизированного сектора экономики, или налоговое регулирование; государственное стимулирование научно-исследовательских и опытно-конструкторских разработок, или научно-техническая политика; активная амортизационная, кредитно-денежная и структурная политика; ценовое регулирование.



Рыночный механизм макроэкономического регулирования


РЕГУЛЯТОР МАКРОЭКОНОМИКИ: РЫНОК
ИЛИ ГОСУДАРСТВО?
1. Рыночный механизм макроэкономического
регулирования
Рассмотрим вопрос по существу: почему необходимо управлять национальным хозяйством в целом? В чем состоит главная цель такого экономического управления? Ответ на эти вопросы связан с пониманием характера объектов управления.
Объектами управления являются три макроэкономические структуры, образно говоря, три кита, на которых держится вся макроэкономика.
Во-первых, это совокупное производство: общая совокупность предприятий, создающих все многообразие благ.
Во-вторых, объектом регулирования является совокупный общественный продукт: вся сумма благ (продуктов и услуг), изготовленных в стране за определенный период.
В-третьих, сюда относятся совокупные потребности: общая сумма потребностей всех членов общества.
Эти киты представлены в виде трех круговых диаграмм (рис. 17.1).

Рыночный механизм макроэкономического регулирования

Рис. 17.1. Макроэкономические структуры общества
Теперь нам предстоит выяснить: как связаны между собой все макроструктуры?
Между всеми объектами управления прежде всего существует пря-мая связь. Она состоит в том, что общественное производство действует для того, чтобы создавался совокупный общественный продукт. Последний позволяет удовлетворить все потребности общества.
Впрочем, имеется обратная связь. Она проявляется в том, что возросшие совокупные потребности влияют на изменение структуры совокупного общественного продукта, что позволяет осуществлять структурные изменения в общественном производстве.
Выяснение этих прямых и обратных связей позволяет обнаружить главную цель макроэкономического регулирования. Его целью является постоянное поддержание народнохозяйственной пропорциональности- ^ечь идет о двух взаимосвязанных соотношениях.
1. Для нормального снабжения общества материальными условиями его жизнедеятельности необходимо обеспечивать равенство объемов:
производства всех благ;
совокупного общественного продукта;
совокупных потребностей общества.
2. Одновременно необходимо обеспечить соответствие друг другу структур:
общественного производства (его отраслевого состава);
совокупного общественного продукта (его разбивки на виды благ);
общественных потребностей (их расчленения на разнообразные виды).
Если данные соотношения не соблюдаются, возникают различные дисбалансы. Допустим, что производство в своем развитии оторвалось от учета объема всех потребностей и создало продуктов больше, чем это нужно для общественного потребления. Тогда возникает общий кризис перепроизводства материальных благ.
Если же производство доставило существенно меньше продуктов, чем нужно для общественного потребления, то налицо общий кризис недопроизводства.
Следовательно, речь идет об объективном экономическом законе пропорционального развития макроэкономики. Этот закон отражает не зависимое от воли и желания людей условие существования нормальной народнохозяйственной системы, а именно, необходимость постоянного поддержания соответствия друг другу объемов и структуры совокупных величин производства, общественного продукта и потребностей.
Нарушения закона пропорционального развития макроэкономики проявляются в известных нам видах макроэкономического неравновесия: а) структурных кризисах (несоответствии элементного состава производства и совокупных потребностей); б) экономических кризисах перепроизводства (превышении объема всего производства над совокупным объемом платежеспособных потребностей); в) массовой безработице (уменьшении спроса на рабочую силу по сравнению с ее предложением на рынке труда); г) инфляции (превышении предложения денег над их спросом).
Пришло время выяснить, кто или что может предотвратить или по крайней мере уменьшить нарушения народнохозяйственных пропорций.
Логично предположить, что для постоянного поддержания общей сбалансированности народного хозяйства нужен какой-то регулятор всей макроэкономики (его часто называют хозяйственный механизм).
Макроэкономический регулятор — это общественный способ организации и регулирования национального хозяйства. Он выполняет следующие функции: объединяет все хозяйство нации в единую систему; направляет производственную деятельность всех низовых звеньев экономики; распределяет труд и средства производства по отраслям и видам производства в соответствии с общественными потребностями; стимулирует высокоэффективное хозяйствование.
Регулятор макроэкономики начинает действовать при наличии определенных объективных предпосылок, в частности — в условиях единого национального хозяйства. Впервые такие условия создало развитое товарное производство и всеохватывающий рынок. На этом плацдарме стал функционировать исходный тип хозяйственного механизма — рыночный.
В условиях товарно-рыночного хозяйства специфической формой взаимоувязки хозяйственных пропорций служит меновая стоимость продуктов. Поэтому в рыночной экономике закон пропорционального развития народного хозяйства выступает в специфической форме — как закон равновесия макроэкономического спроса и макроэкономического предложения.
Макроэкономический спрос — это сумма денег, которую члены общества готовы истратить на покупку товаров и услуг, чтобы удовлетворить все потребности. Объем совокупного спроса зависит от следующих факторов:
— уровня цен;
— доходов населения;
— распределения доходов на потребление (текущий спрос) и накопление (спрос, отложенный на будущее);
— налогов (части доходов, отданных государству);
— государственных закупок (спроса государства);
— предложения денег со стороны кредитных учреждений. Макроэкономическое предложение представляет собой сумму цен товаров и услуг, которые их производители и торговые посредники реализуют всем покупателям. Объем совокупного предложения определяется такими факторами:
— уровнем рыночных цен;
— потенциально возможным объемом производства в стране;
— уровнем издержек производства продукции;
— коммерческой выгодой ее выпуска.
Между макроэкономическим спросом и макроэкономическим предложением существуют определенные взаимосвязи. Они выступают в виде сквозных взаимозависимостей. Так, структура совокупного спроса (набор всех оплачиваемых потребностей) воздействует на состав совокупного предложения (набор всех продаваемых товаров и услуг), а тем самым влияет на структуру национального производства (сумму всех отраслей и видов хозяйственной деятельности, нужных в конечном счете для удовлетворения платежеспособного спроса общества).
Действует и обратная связь: структура всего производства во многом обусловливает структуру совокупного предложения и через рынок предопределяет все разнообразие покупательского спроса.
Объекты регулирования в масштабе всего рыночного хозяйства можно графически отобразить в виде двух круговых диаграмм (рис. 17.2).

Рыночный механизм макроэкономического регулирования

Рис. 17.2. Макроэкономические пропорции рыночного хозяйства
Закон равновесия макроэкономического спроса и макроэкономического предложения стал действовать в полной мере в условиях классического капитализма, когда доминировала свободная конкуренция. Такие условия, как известно, были в XVIII—XIX вв. в Англии. Не случайно механизм рыночного регулирования национального хозяйства впервые теоретически изучил А. Смит.
В широко известной кнге Исследование о природе и причинах богатства народов он выдвинул и обосновал три фундаментальных положения о механизме рыночного регулирования.
Первое положение — о невмешательстве государства в регулирование рыночной экономики. Этот принцип получил формулировку laissez faire (фр. — Пусть все идет своим чередом). В книге о богатстве народов А. Смит четко определил все виды государственных расходов: на оборону страны, на отправление правосудия, на некоторые общественные работы и общественные учреждения (для содействия торговле и ее стимулирования, для образования). Как видим, в государственных расходах не указаны затраты на развитие производства и управление экономикой.
Если государство не является макрорегулятором, то, спрашивается, кто (или что) является им?
Второе положение — о невидимой руке, которая как бы подталкивает всех частных производителей товаров и услуг к действиям на благо общества. По словам А. Смита, заботящийся о собственной выгоде предприниматель невидимой рукой направляется к цели, которая вовсе не входила в его намерения. Невидимой рукой является, разумеется, рынок.
Каждый товаропроизводитель, стремясь удовлетворить какой-либо конкретный платежеспособный спрос, материально заинтересовывается в общем деле удовлетворения совокупных потребностей общества.
Третье положение — о механизме рыночного саморегулирования. Этот механизм включает в себя прямые и обратные экономические связи между товарным производством (предложением товаров) и рыночным спрхгсом.
Прямая связь заключается в том, что производство (предложение) товаров предопределяет спрос. Все частные, независимые друг от друга предприниматели самостоятельно решают проблемы, касающиеся потребностей (спроса) покупателей: что, как и для кого производить. Однако в условиях классического капитализма единоличные производители, не способные повлиять на рыночные цены, действуют как бы вслепую, не зная реальны-х покупателей и их запросов.
Поэтому связь, стихийно складывающаяся между производством (предложением) и спросом, может часто давать сбои, не достигая поставленной цели.



Народонаселение, занятость и социальная защита населения


§ 50. Причины и механизм циклических колебаний
Причины цикличности в развитии экономики. Для общества характерно в целом поступательное экономическое развитие. Экономический рост обеспечивается за счет прироста рабочей силы, основного капитала и освоения достижений НТП.
Однако детальный статистический анализ, проводимый многими исследователями, показывает, что на фоне общего тренда наблюдаются довольно существенные, периодически повторяющиеся отклонения в ту и другую сторону, свидетельствующие о существовании определенных волновых процессов, придающих развитию общественного производства циклический характер, и которые нельзя объяснить только действием случайных факторов. Диапазон единичного цикла охватывает движение экономики от одного кризиса к другому. По критерию продолжительности в экономической литературе различают три типа экономических циклов: большие (длинные волны) — 45-60 лет; средние — 7-13 лет; малые (короткие) — 3-4 года.
Малые циклы связаны с восстановлением экономического равновесия на потребительском рынке. При формировании устойчивого дефицита изменяются отраслевые пропорции, создается новая структура народного хозяйства путем перегруппировки внутри сложившихся производительных сил. Материальной основой малых циклов является массовое обновление товаров длительного пользования.
Средние (промышленные) циклы связаны с изменением спроса на оборудование и сооружения, а сам спрос, его величина и направление зависят, в свою очередь, от внедрения новых технических и технологических достижений, которое осуществляется обычно за 7-13 лет (за это время новый уровень экономического равновесия системы образуется через механизм перелива капитала с последующим инвестированием). Материальной основой средних циклов является массовое обновление основного капитала, в результате чего производство совершенствуется. Однако на каком-то этапе дальнейшее совершенствование производства становится невозможным, на смену старой технической системе приходит иная, совершенствование которой происходит за несколько средних циклов.
Эта техническая система также исчерпывает себя, и наступает новый технологический способ производства, протяженность которого соответствует большому экономическому циклу (длинной волне). Общепризнано, что между всеми типами экономических циклов существует взаимосвязь. Длинные волны вбирают в себя более короткие циклы, изменяя их.
Если короткие циклы попадают на фазу подъема длинной волны, то их собственная фаза подъема удлиняется, если же короткие циклы оказались на фазе спада длинной волны, их фазы кризиса и депрессии будут более растянуты.
История анализа циклических колебаний в экономике открывается, по общему признанию, с середины XIX в., когда английский ученый X. Кларк в 1847 г. предположил, что интервал между двумя мировыми экономическими катастрофами, разразившимися в 1793 и 1847 гг. неслучаен и должны существовать какие-то «физические» причины, вызывающие такие катаст-



310

рофы. С тех пор представители различных школ и направлений по-разному объясняют причины и механизм циклических колебаний в ходе экономического развития.
Необходимо отметить, что первоначально теории экономических циклов возникли и развивались как экзогенные концепции, объясняющие циклические колебания на основе воздействия внешних по отношению к экономической системе факторов. Причина этого — в господствующем положении неоклассического направления с его постулатами общего экономического равновесия и автоматического приспособления капиталистической экономики к любым нарушениям спроса и предложения.
Основатели классической экономической науки — А.Смит, Д.Рикардо, Ж.Б.Сэй — вообще отрицали возможность всеобщих экономических кризисов. А.Смит и Д.Рикардо полагали, что нет никаких границ накопления капитала и возрастания производства (помимо недостатка производительных сил), поскольку этот процесс не сокращает общественного потребления: просто потребление богатых частично замещается потреблением рабочих. Склонность к бережливости способствует созданию капитала, который увеличивает спрос (его создают рабочие, занятые в производстве).
Возможность же частичных кризисов перепроизводства объяснялась классиками неправильным распределением ресурсов и нарушением баланса между различными отраслями производства, который восстанавливается самим ходом движения рыночной экономики.
В основе знаменитого закона Сэя также лежит утверждение, что в масштабе общества предложение и спрос всегда уравновешиваются, и перепроизводство становится невозможным.
В отличие от упомянутых классиков Г.Мальтус и С.Сисмонди признавали неизбежность кризисов и связывали их с недостаточным совокупным спросом на произведенные товары. При этом Мальтус считал источником недостаточного спроса перенакопление капиталов, а Сисмонди — недопотребление рабочих и капиталистов: первых — в результате более медленного роста доходов по сравнению с ростом товарных масс, а вторых — в следствии сокращения потребления ради накопления капиталов. Оба, впрочем, недооценивали инвестиционную составляющую совокупного спроса.
Создать экономически обоснованную теорию кризисов пытались представители марксистского направления. Возникновение кризисов, по мнению К.Маркса, связано с процессом перенакопления основного капитала, что отражается на всей экономике, порождая ее циклическое (волнообразное) движение, так как закон роста органического строения капитала действует не однолинейно, а через колебания, отклонения, паузы. Определяющую роль в объяснении механизма и закономерностей циклического воспроизводства у Маркса играет средняя норма прибыли, через которую осуществляются производственные отношения при капитализме и реализуется целевая функция этого способа производства.
Маркс считал цикличность пороком капиталистической системы, свидетельствующим о ее обреченности, а глубинную причину кризисов видел в основном противоречии капитализма между общественным характером производства и частнокапиталистической формой присвоения.



311

Если Маркс анализировал в своих работах среднесрочные циклы (10-13 лет), то другой марксист русского происхождения А.И. Гельфанд впервые сформулировал положение о том, что капиталистическому способу имманентны длительные периоды экономической экспансии, спада и застоя, дав тем самым толчок развитию нескольких направлений в исследовании так называемых длинных волн: это было началом инновационных, монетаристских теорий, споров об эндогенном или экзогенном характере механизмов возникновения циклических колебаний.
Все немарксистские теории длинных волн можно условно разделить на три большие группы.
Первая — рассматривает в качестве причины колебаний те или иные особенности развития производительных сил в широком смысле этого понятия, то есть средств производства и рабочей силы. При этом одни экономисты первостепенное значение придают закономерностям движения основного капитала, техники, инновационных процессов (Й.Шумпетер, Г.Менш, А.Клайнкнехт и др.), другие — абсолютизируют динамику переменного капитала и рабочей силы. К ним можно отнести исследователей, видящих причину длительных колебаний в демографических и миграционных явлениях (К.Фримен, П.Боккар, Дж.
Кларк и др). Сюда же представляется возможным отнести сторонников аграрных или сырьевых циклов, которые связывают длительные колебания с особенностями воспроизводства в сельском хозяйстве и добывающей промышленности.
Вторая группа первопричину больших циклов видит в сфере обращения, а кризисы, по мнению У.Ростоу, Л.Леви, И.Фишер, это — результат нарушений в области кредитно-денежных отношений.
Третья группа представлена социологическими и институциональными концепциями (К.Перес-Перес, Й.Миллендорфер, С.Вибе и др.)
Многие из перечисленных теорий монокаузальны, то есть стремятся свести причины цикличности к тому или иному главному механизму, служащему источником колебаний, распространяющихся на все сферы отношений в обществе: экономические, социальные, политические.
Первая систематическая концепция долговременных колебаний в экономике, выявившая их эндогенный характер, принадлежит Н. Д. Кондратьеву. Строя свою теорию, Кондратьев в отличие от вышеназванных авторов не останавливался на каком-либо одном объяснении цикличности, делая своей отправной точкой способ производства как комплекс всех научнотехнических, экономических, политических, социальных условий.
В работе «Длинные волны конъюнктуры» Кондратьев пишет, что волнообразные движения — это процесс отклонений от состояния равновесия, к которому стремится капиталистическая экономика и ставит вопрос о существовании нескольких равновесных состояний, а значит, и о возможности нескольких типов колебательных движений. Это равновесия «первого, второго и третьего порядков», отклонения от которых порождают соответственно малые, средние и большие циклы. Отклонения от равновесия первого порядка — между обычным рыночным спросом и предложением порождают краткосрочные колебания. Равновесие второго порядка достигается в процессе формирования цен производства путем межотрас-



Неоклассический синтез


СМЕШАННАЯ СИСТЕМА УПРАВЛЕНИЯ
МАКРОЭКОНОМИКОЙ
1. Неоклассический синтез
Кейнсианская революция дала западной экономике - второе дыхание. Примечательно, что в 50-е, 60-е и в первой половине 70-х годов были достигнуты наивысшие темпы экономического роста, наибольший уровень занятости (в западные страны привлекалась дополнительная рабочая сила из слаборазвитых стран) и значительный подъем благосостояния населения (уровень жизни возрос в два — четыре раза).
Однако нового дыхания хватило только до середины 70-х годов. В 1973—1974 гг. произошло совершенно необычное явление. Прирост промышленного производства на Западе приостановился, хотя в социалистических странах продолжался существенный рост хозяйства.
К такому феномену привели одновременно разразившиеся кризисы:
а) очередной кризис перепроизводства; б) наступление (через примерно 50 лет после 1929—1933 г.) понижательной волны большого цикла;
в) резкое обострение экологического кризиса. Последняя причина состояла в том, что развивающиеся страны решительно выступили против поставок Западу крайне дешевого сырья и энергоносителей, национализировали свои природные ресурсы и подняли цены на мировом рынке в 1973—1974 гг. в 10—20 раз. Это привело предпринимателей Запада в шоковое состояние и вызвало скачок в инфляции издержек.
Из такого шока западная экономика выходила примерно 10 лет посредством внедрения экономичных высоких технологий.
Одновременно с кризисным потрясением мощный удар был нанесен и по кейнсианской теории. Стало очевидно, что активное вмешательство государства в экономику не в состоянии предотвращать кризисные спады производства. Безраздельное господство кейнсианства в экономической теории закончилось.
В едином неоклассическом направлении произошел раскол на два течения:
последователей кейнсианского учения, которые отстаивали активную роль государства в регулировании экономики наций, и
неоконсерваторов (новых приверженцев старых принципов), которые вновь выступили за невмешательство государства в хозяйственную деятельность частных фирм.
Неоконсерваторы подняли своего рода восстание против кейнсианства. Они выявили два основных уязвимых места в концепции Дж. Кейнса и подвергли их критическому разбору.
Одно уязвимое положение в учении Дж. Кейнса состояло в следующем. Для увеличения государственного спроса считалось возможным допустить дефицит государственного бюджета (превышение расходов государства над его доходами). Для покрытия дефицита можно прибегать к займам и печатанию денег.
Но это, несомненно, порождало инфляцию. По мнению Кейнса, умеренная инфляция может служить средством стимулирования спроса, в том числе увеличения заработной платы для обеспечения полной занятости.
Другое уязвимое положение: для увеличения государственных доходов считалось приемлемым введение очень больших налогов. Однако такие налоги снижали материальную заинтересованность работников в увеличении заработков и предпринимателей в повышении размеров прибыли. Тем самым подрывалась сама налоговая база (рост заработной платы и прибыли).
Эти положения кейнсианского учения на практике привели к отрицательным результатам. На родине учения возникла так называемая английская болезнь — стагфляция (сочетание кризисного застоя с инфляцией).
Неоконсерваторы предложили свои рецепты излечения английской болезни. Возникли три школы неоконсерваторов, имевшие анти-кейнсианскую направленность: монетаризма, теории экономики предложения и теории рациональных ожиданий.
А. Школа монетаризма выступила с известной нам количественной теорией денег. С точки зрения монетаристов, инфляция 70-х годов обусловлена тем, что сфера обращения была переполнена излишним количеством денег.
Лидер монетаризма лауреат Нобелевской премии Милтон Фридмен (США) является крупным исследователем проблем денег и рыночных цен. Он обстоятельно исследовал экономический механизм, который в условиях рыночной экономики позволяет достичь общей сбалансированности народного хозяйства. Система цен представляет собой механизм, который выполняет эту задачу без управления из центра, без того, чтобы приказывать людям...106.
М. Фридмен указал на три функции системы цен, влияющие на сбалансированность народного хозяйства. Информационная функция сигнализирует производителям, как изменяется соотношение спроса и предложения на тот или иной товар или определенные виды производственных ресурсов. Стимулирующая функция говорит о том, что цены побуждают применять такие хозяйственные факторы, которые помогают достичь максимальной прибыли, а это позволяет более рационально приспособить структуру производства к составу общественных потребностей. Распределительная функция связана с тем, что цены отражают уровень доходов продавцов и покупателей.
При рыночном равновесии цены обеспечивают сбалансированность спроса и предложения отдельных товаров, а также всех доходов и суммы цен произведенных продуктов.
Все эти функции цен тесно взаимосвязаны между собой, и попытки подавить одну из них отрицательно сказываются на других. Нельзя сохранить стимулирующую функцию, отделив ее от распределительной. М.Фридмен разъяснил: Цены стимулируют людей только потому, что влияют на распределение. Если то, что человек получает за свою деятельность, не зависит оттого, что он делает, если цены не выполняют третью функцию — распределения дохода, то ему нет смысла беспокоиться относительно информации, которую несет в себе цена, и нет смысла реагировать на эту информацию107.
М.Фридмен и другие неоконсерваторы не видят удовлетворительной альтернативы нормальному рыночному механизму. Именно он, на их взгляд, обеспечивает эффективное регулирование макроэкономики. Школа монетаризма выработала свои рецепты по излечению от инфляции. Правительствам западных стран было рекомендовано:
— жестко ограничить предложение денег и выдачу кредитов;
— сократить печатание денег (увеличивать их количество соразмерно росту производства);
— урезать социальные программы (уменьшить государственные выплаты населению).
Соответственно противопоказанием были объявлены: слишком активная денежная политика государства (излишнее предложение денег), а также крайние действия Федеральной резервной системы (выпуск в обращение слишком большого или слишком малого количества денег).
Б. Теория экономики предложения выступила за возрождение свободы частного предпринимательства и воссоздание рыночного механизма регулирования. Основная цель — создать благоприятные условия для роста предложения как труда, так и капитала (его накопления). Против стагфляции был прописан такой рецепт: снизить налоги на заработную плату и прибыль.
Новый уровень налогов должен одновременно поднять заинтересованность работников и бизнесменов в достижении больших конечных результатов деятельности и вместе с тем усилить налоговую базу для государственного бюджета (с ростом заработной платы и прибыли будет увеличиваться доходная часть бюджета).
В. Теория рациональных ожиданий выразила решительное несогласие с жесткой государственной опекой предпринимателей. Были признаны неприемлемыми прямое государственное планирование национального хозяйства и текущее государственное регулирование экономики. И эту отрицательную позицию можно понять.
Например, в США в период господства кейнсианства допускался большой произвол государственных чиновников по отношению к предпринимателям. До середины 70-х годов ежегодно издавалось до 7 000 тысяч правил и указаний, регламентирующих деятельность частного бизнеса.
Сторонники теории рациональных ожиданий утверждают, что хозяйствующие субъекты в состоянии сами прогнозировать ход хозяйственных процессов и принимать оптимальные (наилучшие для них) решения. Но для принятия таких решений нужно верно оценивать экономическое положение страны. Однако это трудно делать, поскольку правительство, пытаясь регулировать текущую хозяйственную деятельность, часто принимает неожиданные, непредсказуемые постановления.
Школа рациональных ожиданий выдвинула свои предложения по улучшению управления экономикой. Нужны стабильные правила для всех хозяйствующих субъектов, которые делали бы предсказуемыми действия правительства, производителей и потребителей. Было бы разумно принять закон, по которому решения правительства в области денежной политики и налогов вступают в силу только через два года после их принятия.
К тому же правительство должно сосредоточивать свои усилия на долгосрочной экономической политике.
Все три школы неоконсерваторов разработали модель макроэкономического регулирования. В ее основе было возрождение рыночного саморегулирования и стимулирование частного предпринимательства. Эта модель — прямая противоположность кейнсианству.
О том, насколько велико расхождение между кейнсианцами и нео-конерваторами, можно судить по приведенным ниже данным.
Основные положения кейнсианцев и неоконсерваторов

Кейнсиансво
Принцип эффективного спроса
Рост огосударствления экономики
Организация государственного регулирования и планирования
Рост налогового обложения в интересах увеличения государственного спроса
Дефицитное финансирование и усиление инфляции
Расширение негосударственных социальных программ
Неокоисерватизм
Принцип эффективного предложения
Частичная приватизация государственной собственности
Свертывание планирования и ограничение государственного регулирования
Снижение налогов с населения и предпринимателей
Уменьшение бюджетного дефицита и укрепление денежного обращения
Сокращение социальных программ государства


Главная функция экономики


ЭКОНОМИКА И ЕЕ РОЛЬ
В ОБЩЕСТВЕ
1. Главная функция экономики
Экономика: Экономика (греч. oikos — дом, хозяйство; nomos — уче-термин ние, закон) — термин, который ввел в научный оборот и понятие, величайший мыслитель Древнего мира Аристотель1.
В книге Политика данным словом он обозначил свое учение о ведении домашнего хозяйства. В то время таким хозяйством было поместье рабовладельца. В нем рабы производили для рабовладельческой семьи натуральные продукты.
Эти полезные вещи Аристотель считал естественным богатством, которое предназначено для 'удовлетворения потребностей людей.
С тех пор прошло два с лишним тысячелетия. Но термин экономика до сих пор сохранился. Между тем, как это нередко бывает, в наше время он обозначает не одно, а два разных понятия:
хозяйство какой-либо страны (а также его части: предприятия, отрасли производства, регионы) или всего мира;
научную дисциплину, которая изучает национальное и Мировое хозяйство, его составные элементы (труд, народонаселение, промышленность, сельское хозяйство и т.д.). В состав такой дисциплины входит и экономическая теория.
Сейчас мы рассмотрим первое из этих понятий. Его всестороннее изучение позволит легче понять, чем занимается эRономическая теория.
Весь смысл хозяйственной деятельности связан прежде всего с основным предназначением. Главная функция экономики состоит в том, чтобы постоянно создавать такие блага, которые необходимы для жизнедеятельности людей.
Под благом принято понимать то, что удовлетворяет потребности людей, отвечает их целям и устремлениям. Все разнообразие благ можно подразделить на два класса:
естественные продукты природы, (земля, лес, плоды растений и деревьев, реки и т.д.). Природа — это, образно говоря, мать богатства, которым с самого начала воспользовались предки человека;
экономические блага — результаты созидательной производственной деятельности людей.
Потребовалось несколько тысяч лет для того, чтобы все основные виды хозяйственной деятельности смогли достичь зрелого состояния и обособиться в самостоятельные отрасли экономики. Такими отраслями стали, например, промышленность, сельское хозяйство, строительство, транспорт,связь.
В XX столетии экономика существенно расширила свои границы. Она охватила и социальную сферу, на которую во всех государствах затрачиваются значительные материальные и денежные средства. В связи с этим возникли новые отрасли народного хозяйства.
Так, сформировалась экономика науки, образования, здравоохранения, культуры и других видов нематериального производства.
Экономика современного общества представляет собой сложный и всеохватывающий организм, который обеспечивает жизнедеятельность каждого человека.
Имеется важное жизненное мерило: сколько всякий человек получает для себя различных благ от семьи, общества и сколько он им возвращает. В разном возрасте неодинаково соотношение между тем, что человек производит в виде национального дохода (вновь создаваемого ежегодно общественного продукта) и что из него потребляет.
Как установили социологи, начальный период жизни ребенка — до 16 лет — целиком обеспечивают семья и общество. Использовать детский труд на предприятиях в нашей стране запрещено. Поэтому дети, естественно, только потребляют.
Во второй период жизни (примерно с 20 лет) человек обычно начинает обеспечивать себя своим трудом, правда, частично. Создаваемый им национальный доход постепенно начинает несколько превышать сумму потребляемого. В данный период жизни резко расширяются человеческие потребности и возрастает желание скорее их удовлетворить.
Это стимулирует рост профессионального мастерства, качества работы и величины выработки.
В третий период (30—45 лет) достигаются наивысшие уровни производительности и потребления. Благодаря максимальной выработке сумма создаваемого работником дохода в 3—4 раза превышает лично присваемую им величин[.
Для пенсионеров, не прекративших работу на производстве, наступает четвертый период их жизнедеятельности. Объемы потребления материальных благ резко сокращаются, и они лишь частично компенсируются вновь создаваемыми продуктами. Наступает, наконец, время полного отдыха, когда заботу о пенсионерах проявляют родственники и общество.
Нетрудно заметить: за второй и третий периоды жизни человек как бы возвращает семье и обществу своего рода долги, которые естественным путем образовались в пору его детства и частично — юношества. Кроме того, он авансирует свое материальное благополучие в старости.
Значит, за трудоспособный период (с 16 лет до пенсионного возраста) работник создает доход такой величины, которая значительно (в рассмотренном нами случае — вдвое) превышает объем использованных им благ. Таково решающее экономическое условие существования семьи и непрерывной смены поколений. Если бы каждый взрослый человек не мог произвести больше, чем сам потребляет, то человечество не смогло бы даже существовать.
Да и чем жило бы подрастающее поколение?..
И вот мы подошли к обобщениям. Прежде всего решающим условием улучшения жизни отдельного работника, его семьи и общества в целом является все более высокая выработка высококачественной продукции, которую человек достигает в трудоспособном возрасте. Благодаря такому результату каждый работник может получить от общества, в свою очередь, все большее количество материальных благ и услуг для удовлетворения своих потребностей.
Как видно, благополучие человека и его семьи прямо и в решающей мере зависит от результатов его хозяйственной деятельности. Отсюда возникает глубокий и неподдельный интерес всех людей к экономике, которая обеспечивает их необходимыми условиями жизнедеятельности.
Не являются исключением и студенты юридического института. Они изучают массу правовых актов, непосредственно связанных с соответствующим упорядочением и регулированием экономической деятельности. Не зная существа и современных тенденций такой деятельности, вряд ли можно по-настоящему разобраться в проблемах гражданского, трудового, финансового, административного, экологического права и иных юридических дисциплин.
В условиях перехода нашей страны к рыночной экономике у людей возникает масса злободневных вопросов. Они касаются условий жизни людей: кто и как гарантирует сохранение достигнутого ранее уровня благосостояния учащихся, пенсионеров и малообеспеченных семей? Когда и как будут изменяться цены на потребительские товары и в какой мере будут компенсироваться потери населения от инфляции?
Если человек окажется безработным, то кто и как ему поможет?
Деловых и предприимчивых людей волнуют такие, скажем, вопросы: в каких пределах и формах будет дальше проводиться разгосударствление экономики России? Когда будут обеспечиваться нормальные, подкрепленные правовыми нормами условия для развития бизнеса?
Наших людей волнуют и проблемы, вставшие перед обществом в целом: что нужно сделать для обеспечения экологической безопасности населения страны? Как решать острую в нашей стране проблему роста народонаселения? Немало вопросов, касающихся международных хозяйственных связей, интересует множество людей: каков уровень и каково качество жизни в различных странах, чем такое различие объясняется?
Какая хозяйственная система предпочтительнее — дает больше эффекта и лучше служит человеку?
Чтобы найти ответ на подобные вопросы, потребуется выяснить, из чего состоит и как действует экономический организм общества. То есть надо проследить весь путь от момента создания всех благ до их конечного потребления.
Как известно, вещество на Земле циклически совершает круговорот: постоянно повторяются процессы превращения и перемещения вещества в природе. Подобно этому происходит циклическое движение общественного богатства, что и обеспечивает непрерывную жизнедеятельность людей. Движение богатства идет по такому кругу: производство — распределение — обмен — потребление.
Исходным является непосредственное производство — процесс создания полезного продукта. В это время работники приспосабливают вещество и силы природы к удовлетворению общественных потребнос-• тей (скажем, выплавляют из железной руды чугун, изготавливают из древесины мебель и т.д.).
Производство имеет решающее значение для экономики. Если не создан продукт, то тогда нечего распределять, обменивать и потреблять. Поэтому, естественно, жизненный уровень людей в любой стране зависит от того, сколько благ создается в ней для каждого жителя.
По этому показателю государства сильно различаются.
Например, в 1992 г. валовой внутренний продукт (сумма стоимости товаров и услуг, созданных внутри страны) составил в расчете на душу населения США 23,3 тыс. долл. Если эту величину дохода принять за 100%, то такой показатель составил в Германии 89%, Японии — 87%, Канаде — 85%, Франции — 83%, Швеции — 76%, Великобритании — 72%, Уругвае - 32%, России - 28%, Танзании - 3%, Эфиопии - 1,5%.



Основные этапы становления и развития экономической теории


Сущность и структура производительных сил и производственных отношении. Предмет экономической теории и его отличие от предмета политической экономии. Экономические законы и категории, их классификация. Метод экономической теории и его структурная характеристика
Каждая наука имеет свой предмет. Политическая экономия и получившая широкое распространение за рубежом экономика в ее западной версии (экономике) — два относительно самостоятельных звена в системе экономических знаний. Но сам термин «политическая экономия» появился почти на три столетия раньше понятия «экономике», введенного в научный оборот в конце XIX в.
Современная экономическая теория призвана соединить потенциал фундаментальных основ и методологическую вооруженность политической экономики с инструмснтарно-методическим аппаратом и прагматичной ориентированностью Экономикса.
Цель темы — выяснить предмет экономической теории, раскрыть материальную природу и историческую логику развития системы производственных отношений в их взаимодействии с динамикой производительных сил и с эволюцией человека как субъекта созидания, определить сущность экономической системы общества и экономических законов, регулирующих ее генезис, а также показать инструментарные возможности системно-функционального (диалектического) метода исследования, с помощью которого они могут быть раскрыты.
§ 1. Сущность и структура производительных сил и производственных отношений
Материальное производство — основа жизни человеческого общества. Производительные силы и производственные отношения. Собственность в системе производственных отношений. Экономическая система
Материальное производство — основа жизни человеческого общества.
Развитие человеческого общества невозможно без материального произ-

5

водства, создания материальных благ. Производство материальных благ в каждой общественно-экономической формации имеет свои специфические особенности, происходит при помощи различных орудий труда. Но ему свойственны и некоторые общие черты.
В условиях любого способа производства осуществляется взаимодействие общества с природой, где субъектом является человек, видоизменяющий вещество природы и приспосабливающий его для удовлетворения своих потребностей, а объектом — природа. Например, из недр планеты в расчете на одного ее жителя ежегодно добывают около 25 т руды, полезных ископаемых и строительных материалов. Взаимодействие происходит в процессе труда, включающего три основных момента: 1) труд человека; 2) предметы труда; 3) средства труда.
Труд — это сознательная, целесообразная деятельность людей, в результате которой они видоизменяют внешнюю природу, опосредуют, регулируют и контролируют обмен веществ между собою и природой, одновременно изменяют собственную социальную природу. При этом человек достигает сознательной цели, которая определяет способ и характер его действий и
которой он подчиняет свою волю.
Предмет труда — это вещество природы, на которое человек воздействует в процессе труда, подвергая его обработке. Предметы труда бывают двух видов: 1) данные самой природой (например, рыба, вылавливаемая из реки; дерево, которое рубят); 2) подлежащие последующей обработке (например, добытая руда). Последние называются сырым материалом, сырьем.
Средства труда — это вещь или комплекс вещей, которыми человек воздействует на предметы труда. Решающая роль среди них принадлежит механическим средствам — орудиям труда, являющимся «мышечной системой» производства. Уровень развития последних относится к отличительным признакам каждой эпохи общественного производства. С момента изготовления орудий труда начинается история собственно человеческого труда. К его средствам принадлежат также все материальные условия процесса труда — рабочие постройки, здания, сооружения и т. п. Общим средством труда является земля как пространственно-территориальная база размещения производства.
Наряду с «мышечной системой» производства, необходимо выделять его «сосудистую» систему, включающую дороги, каналы, трубопроводы, системы коммуникаций, энергоснабжения, складского хозяйства и т. д. В зависимости от функций, выполняемых в процессе труда, определенная вещь может выступать и предметом, и средством труда. Так, функционирующий токарный станок относится к средствам труда, а пребывающий на ремонте, — к предметам труда.
В процессе эволюции экономической системы, в частности при переходе к комплексному автоматизированному производству и созданию информационной экономики, традиционный объем понятий «предметы труда», «средства труда» наполняется принципиально новым содержанием. Поскольку в такой экономике специфический инструмент и продукт деятельности — информационные ресурсы (достижения науки и техники, знания и др.), то предметом труда становится первичная информация, а средствами — способы и инструменты, методы ее преобразования, сохранения и передачи.

6

Если процесс труда рассматривать с точки зрения его результата — продукта, то он выступает как процесс производства, а средства и предметы труда — как средства производства. При этом труд в сфере материального производства, взятый вне определенной общественной формы, является производительным трудом. Отечественные и многие западные ученые (У.
Ростоу, Т. Стоунвер и др.) признают ведущую роль материального производства в жизни общества, его обусловленность развитием продуктивных сил.
Производительные силы и производственные отношения. К элементам производительных сил, общим для всех общественно-экономических формаций, относятся средства производства и люди, владеющие производственным опытом и приводящие их в действие. Главная производительная сила любого общества — человек.
Это объясняется тем, что, во-первых, человек — создатель всех других элементов производительных сил; во-вторых, без «живого» труда человека они не могут быть использованы как факторы производства (например, самая современная техника без действий человека становится омертвленным капиталом); в-третьих, потребности и интересы человека — основная движущая сила социально-экономического прогресса общества.
Предметы труда входят в состав производительных сил в той степени, в какой они идут на производительное потребление или используются как источник энергии. Например, сила ветра, энергия солнца, воды и т, п.
В современных условиях в состав производительных сил включают также науку (как специфическую производительную силу), формы и методы организации производства. Самостоятельным элементом производительных сил становится информация. Следовательно, современные, производительные силы — это сложная система, включающая материальные и духовные, объективные и субъективные, общественные и природные элементы. В процессе исторического развития как производительные силы в целом, так и отдельные их элементы постоянно обогащаются, наполняются качественно новым содержанием.
На ранних стадиях развития производства его потребности в рабочей силе удовлетворяли работники с низким уровнем образования и квалификации. Современный этап развития производства требует не только полной реализации физических и умственных способностей человека, но и творческих дарований личности, ее организаторских способностей, духовных компонентов.
В результате постоянно обновляемого процесса взаимодействия всех элементов производительных сил, они пребывают между собою в диалектическом единстве, определенном количественном и качественном соотношении и функциональной зависимости. При этом возникают такие общественные компоненты организации производительных сил, как кооперация, разделение труда и др. Между элементами производительных сил существуют противоречия, которые разрешаются относительно независимо от производственных отношений.
Системе производительных сил свойственны внутренние законы развития. Таким, в частности, является закон передачи энергетических и исполнительских функций отличных к вещным факторам производства, или законы опережающего роста объема овеществленного труда в структуре затрат совокупного труда, соответствия лично-

7

го и вещного (овеществленного) факторов производства, перемены труда, роста производительности труда и др. Действие этих законов пронизано внутренними противоречиями, обусловливает изменения в развитии производительных сил, качественные сдвиги в их содержании. Производительные силы опосредуют отношение человека к природе, проявляющееся в процессе труда, как базовом элементе всех общественных способов производства.
Следовательно, производительные силы — это факторы преобразования вещества природы в соответствии с потребностями людей, создания материальных и духовных благ, определяющие уровень производительности общественного труда.
Поскольку производительные силы выражают отношение человека к природе, то одной стороной они повернуты к силам природы, географической среде, а другой — к системе, прежде всего, отношений по поводу производства: технико-экономических, организационно-производственных, производственно-экономических и социально-экономических. Именно две последние группы составляют в политико-экономическом понимании производственные отношения. Из этого следует еще одно важное отличие предмета экономической теории от политической экономии.



Финансовое регулирование экономики


ГОСУДАРСТВЕННЫЕ ФИНАНСЫ И БЮДЖЕТ
1. Финансовое регулирование экономики
Очень важным и эффективным рычагом воздействия на макроэкономику являются финансы, которыми обладает государство. Финансы (лат. financia — наличность, доход) — совокупность всех денежных средств, которыми обладают домашние хозяйства, предприятия и государство.
Давайте рассмотрим структуру финансовой системы и взаимосвязи между ее основными частями.
На уровне микроэкономики — на предприятиях и в домашних хозяйствах — образуются первичные финансы. Здесь собственники факторов производства применяют труд и его вещественные условия для получения первичных доходов, в том числе денежных средств. Эта исходная финансовая деятельность включает два момента: образование денежных средств (что происходит посредством начального распределения доходов) и расходование таких средств.
О том, за счет каких источников формируются денежные доходы домашних хозяйств, можно судить по данным таблицы 19.1.
Таблица 19.1.
Структура денежных доходов домашних хозяйств в городской местности в 1992 и 1995 гг. (по материалам выборочного обследования
бюджетов домашних хозяйств населения; %)

Вид денежных доходов
1992
1995
Оплата труда, доход от предпринимательской деятельности и др.
84,4
80,9
Социальные трансферы
9,7
11,4
Поступления от продажи сельскохозяйственных продуктов, кормов, скота
1,5
0,3
Прочие денежные поступления
4,4
7,4
Данные таблицы 19.1 свидетельствуют о том, что за годы реформ несколько изменились источники финансов домашних хозяйств. Это в основном связано с перестройкой отношений собственности и переменой характера и форм трудовой и предпринимательской деятельности.
На уровне микроэкономики доходы и расходы балансируются (уравновешиваются) следующим образом. На предприятиях состояние финансов отражается в счете прибылей и убытков (затрат). В домашнем хозяйстве полученные доходы (от использования факторов производства) сопоставляются с расходами (затратами на текущее потребление и сбережения).
Первичные финансы на уровне макроэкономики служат базой вторичных финансов государства. Они образуются в результате последующего распределения (или перераспределения) доходов главным образом с помощью налогов. Налоги — обязательные платежи предприятий и населения, которые государство взимает с учетом величины первичных доходов.
Возрастание регулирующей роли государства привело к абсолютному увеличению объема финансовых ресурсов, которыми оно стало располагать, и относительному увеличению доли государства в совокупной сумме денежных средств общества. Если в начале столетия в ведущих западных странах через государственные финансы перераспределялось 9—18% национального дохода, то начиная с 60—70-х годов — 50% и более. Новые явления в развитии финансов обусловлены научно-технической революцией, расширением нерыночного сектора экономики, усилением интернационализации производства и возрастанием воздействия государства на экономику. В связи с этим можно отметить несколько современных направлений финансового регулирования (рис.
19.1).


ФИНАНСОВОЕ РЕГУЛИРОВАНИЕ ЭКОНОМИКИ






затраты на научные исследования
воспроизводство квалифицированной рабочей силы
военные расходы
затраты на социальные цели
улучшение воспроизводства капитала
расширение потребительского рынка
Рис. 19.1. Современные направления государственного
финансирования экономики
Для финансирования научно-исследовательских и опытно-конструкторских работ государство начало активно проводить программы инвестиций в своем секторе и стимулировать накопление капитала в общественном масштабе. Средства государственного казначейства широко расходуются на кредиты, субсидии (денежные пособия) и дотации предпринимательскому капиталу в соответствии с различными программами экономического развития. Важное направление государственного финансирования связано с увеличением расходов на образование, постоянным изменением профессиональной структуры и повышением квалификации рабочей силы.
Такие затраты бизнесмены перекладывают на государство.
Обобществленные финансы играют важную роль в росте государственного потребления, которое создает дополнительный спрос, расширяет внутренний рынок и обеспечивает крупному капиталу высокую норму прибыли. Этим же целям соответствуют государственные закупки товаров и услуг на военные цели. Расходы государства на оплату военных заказов, крупные налоговые льготы делают очень выгодным производство вооружений.
Регулированию экономики способствуют расходы на социальные цели. Они позволяют расширить потребление товаров и услуг, поскольку ассигнование на социальную инфраструктуру (строительство школ, больниц, жилых домов) расширяет рынок сбыта для многих отраслей хозяйства.
Структура и объемы государственных финансов, их роль в воспроизводстве и распределении совокупного общественного продукта в странах Запада существенно изменяются в зависимости от характера хозяйственной роли государства. Заметное влияние на последнюю оказывают экономические теории финансового регулирования. С 60-х годов наибольшее распространение получили монетаристская и неокейнсианская концепции, которые обосновывают различные способы эффективного воздействия денежного обращения, кредита и государственных финансов на хозяйственное развитие.
В основе взглядов монетаристов лежит количественная теория денег. Как мы уже выяснили, эта теория объясняет уровень товарных цен изменениями количества денег: чем больше денег (металлических и их бумажных заменителей) в обращении, тем цены выше, и наоборот. Во второй половине XX в. западные экономисты выдвинули новый вариант количественной теории денег - теорию избыточною спроса. Причину инфляции они усмотрели не в росте денежной массы, а в увеличении потребительского спроса. Исходя из этого были разработаны практические методы изъятия избыточного спроса населения: повышение налогов, выпуск займов, замораживание заработной пласты, осуществление принудительных сбережений.
С этих позиций после второй мировой войны в странах Запада проводились денежные реформы, в том числе применялось так называемое блокирование счетов вкладчиков в банках. Подобную же политику западные государства и Международный валютный фонд применяли к развивающимся странам, имевшим большую внешнюю задолженность.
В противовес монетаризму современные последователи концепции Дж. Кейнса — неокейнсиацы— считают необходимой денежную экспансию (путем выпуска облигаций, государственных займов и других операций на открытом рынке). Они отдают предпочтение таким финансовым рычагам, как предоставление 4я1рмам льготных государственных кредитов (особенно при экспорте товаров), субсидирование крупного капитала в прямой или скрытой форме, дефицитное финансирование гоYударственных закупок товаров и услуг (в первую очередь - вооружений).
Главное внимание неокейнсианцы уделяют разработке фискальной политики.
Фискальная (лат. fiscalis - казенный) политика - совокупность финансовых мероприятий государства по регулированию правительственных доходов и расходов. Она значительно видоизменяется в зависимости от поставленных стратегических задач, как, например, антикризисное регулирование, обеспечение высокой занятости, борьба с инфляцией.
Современная фискальная политика определяет основные направления использования финансовых ресурсов государства, методы финансирования и главные источники пополнения казны. В зависимости от конкретно-исторических условий в отдельных странах такая политика имеет свои особенности. Вместе с тем в странах Запада используется общий набор мер.
Он включает прямые и косвенные финансовые методы регулирования экономики.
К прямым относятся способы бюджетного регулирования. Средствами государственного бюджета финансируются: а) затраты на расширенное воспроизводство; б) непроизводительные расходы государства; в) развитие инфраструктуры, научных исследований и т.п.; г) проведение структурной политики; е) содержание военно-промышленного комплекса и т.п.
С помощью косвенных методов государство воздействует на финансовые возможности производителей товаров и услуг и на размеры потребительского спроса. Важную роль здесь играет система налогообложения. Изменяя ставки налогов на различные виды доходов, предоставляя налоговые льготы, снижая необлагаемый минимум доходов и т.п., государство стремится добиться возможно более устойчивых темпов экономического роста и избежать резких взлетов и падений производства.
К числу важных косвенных методов, содействующих накоплению капитала, относится политика ускоренной амортизации. По существу, государство освобождает предпринимателей от уплаты налогов с части прибыли, искусственно перераспределяемой в амортизационный фонд. Так, в ФРГ в начале 70-х годов по ряду отраслей промышленности на амортизацию разрешалось списывать до 20—30% стоимости основного капитала в год.
В Великобритании в первый год введения в эксплуатацию нового оборудования можно было отчислять в фонд амортизации 50% стоимости новых орудий производства.



Современная экономическая система и тенденции ее развития


Народонаселение и общественное развитие. Занятость и безработица. Социальная защита населения
Главная цель темы — раскрыть структуру народонаселения и закономерности его развития, важнейшие причины и структуру безработицы, а также выяснить проблему социальной защиты населения.



322

§ 52. Народонаселение и общественное развитие
Народонаселение и особенности его роста. Демографическая политика государства
Народонаселение и особенности его роста. Народонаселение — это совокупность индивидов, которые в соответствии с биосоциальной сущностью человека осуществляют собственную жизнедеятельность в рамках определенного общественного строя, вступают между собой в общественные отношения. В зависимости от возрастной структуры, люди являются потребителями, производителями материальных и духовных благ, они также выполняют функцию воспроизводства человеческого рода.
Наибольшее значение для социально-экономического прогресса общества имеет население трудоспособного возраста. Его границы устанавливает государство, а на определение влияют национальные, культурные, исторические традиции, поэтому в разных странах он неодинаков. Например, в Великобритании, Германии совершеннолетними считаются лица, достигшие 18 лет, во Франции — 19, Бельгии — 21, а в Нидерландах — 23 лет. Трудоспособный возраст начинается, как правило, в более раннем возрасте, но при этом устанавливается меньшая продолжительность рабочего дня и меньший уровень оплаты рабочей силы.
Так, во Франции, Испании и других странах для работающих в возрасте до 18 лет установлен более низкий минимум заработной платы (от 10 до 30 % ниже минимума для взрослых).
Социально-экономический прогресс страны зависит не только от выполнения активным трудовым населением функций производителя и потребителя материальных и духовных благ, а в значительной мере, — и от реализации каждым человеком всех своих сущностных сил, то есть от выполнения им функций работника, собственника, предпринимателя, от активной роли в социальной, политической, правовой, культурной, духовной жизни нации.
В течение всего периода развития человеческой цивилизации наблюдаются определенные особенности динамики роста населения, соотношения рождаемости и смертности. Так, согласно данным американского ученого Г. Несса, к концу первого тысячелетия новой эры численность населения на нашей планете составляла около 250 млн чел. В последующие 700 лет темпы его прироста были очень низкими из-за высокой смертности, достигавшей 30—40 %. Примерно 300 лет назад смертность населения снизилась, а прирост увеличился.
Если за период 1000—1800 гг. средние ежегодные темпы прироста населения земного шара составляли менее 0,2 %, то в 1800-1900 гг. они выросли до 0,6 %. В 1950 г. этот показатель поднялся до 1,4 %, в начале 60-х гг. — до 2 %, а в последующие 30 лет сократился. Абсолютный ежегодный прирост населения Земли — около 90 млн чел.
Характерной чертой мировых демографических процессов в последние столетия явился тот факт, что между ростом производства, улучшением жизненного уровня и ростом населения установилась тесная взаимосвязь. В свое время английский экономист Т. Мальтус утверждал, что прирост населения будет происходить через каждые 25 лет в геометрической прогрессии, а производства — в арифметической. Но он ошибался, в действительности рост производства на душу населения опережал прирост населения.



323

Эта особенность характерна для взаимодействия двух указанных агрегатных показателей в масштабах всей планеты. Однако они не коррелируют в такой зависимости в различных регионах земного шара. Так, в XX в. темпы прироста населения на планете составляли в среднем 1,7 % в год, при этом в развивающихся (или слаборазвитых) странах они достигали 2,5 %, а в развитых — не превышали 1 %. Учитывая это, западные ученые прогнозировали, что доля промышленно-развитых стран в населении планеты уменьшится с 1/3 в 1950 г. до 13 % в 2100 г. Численность населения развивающихся стран, согласно данному прогнозу, к 2020 г. увеличится на 4,8 млрд и составит более 6,5 млрд чел.
Характерной особенностью роста народонаселения планеты в последние три столетия является процесс интенсивного усиления миграционных потоков, стремительная урбанизация.
Демографическая политика государства. Показатель роста населения взаимодействует с другими агрегатными показателями человеческой цивилизации, в частности, с показателями состояния окружающей среды, объемов природных ресурсов, количества сельскохозяйственных угодий и др. Быстрый рост населения планеты при существующем уровне загрязнения окружающей среды, большой плотности населения в ряде стран угрожают существованию человеческой цивилизации. Это обстоятельство вынуждает в последние десятилетия правительства некоторых стран проводить активную демографическую политику.
Так, в начале 50-х гг. Индия и Япония впервые прибегли к политике ограничения роста населения, которая основывалась на мерах по снижению рождаемости (фертильности). В 1974 г. всемирная конференция по проблемам народонаселения впервые признала планирование семьи необходимой составляющей официальной политики государства. По оценкам специалистов, с начала 60-х до начала 90-х гг. последовательное проведение политики ограничения роста населения дало возможность избежать нежелательного деторождения в слаборазвитых странах мира в пределах 400 млн чел.
Такая политика чрезвычайно актуальна для данного региона, поскольку от голода и недоедания здесь ежегодно умирают более 40 млн детей, около 250 млн — хронически недоедают.
В бывшем СССР не существовало научно обоснованной демографической политики. Вместо нее проводилась сталинская политика «переселения народов», вследствие которой некоторые коренные нации и народности выселялись со своих земель. Свою трагическую лепту в развитие демографических процессов внес искусственный голод 1932-1933 гг., который забрал жизни 7—10 млн чел. В целом, демографическая политика сводилась практически лишь к отдельным мероприятиям по поддержанию семьи'.
Причиной обострения демографической ситуации в последние годы стала, в первую очередь, непродуманная экономическая политика правительства.
§ 53. Занятость и безработица
Занятость и ее основные формы. Сущность и причины безработицы
Занятость и ее основные формы. Занятость с точки зрения вещественного содержания — это деятельность людей, направленная на удовлетворение личных, коллективных и общественных потребностей и приносящая доход.



324

С точки зрения общественной формы занятость — это определенная совокупность социально-экономических отношений между людьми по поводу обеспечения трудоспособного населения рабочими местами, формирования, распределения и перераспределения трудовых ресурсов с целью их участия в общественно полезном труде и обеспечения расширенного воспроизводства рабочей силы. Эта совокупность социально-экономических отношений находит свое выражение в таких экономических категориях, как индивидуальная (семейная) и коллективная трудовая деятельность, процесс труда, интенсивность и производительность, мобильность рабочей силы, общеобразовательная и профессиональная подготовка кадров, заработная плата и др.
Различают три основных вида занятости: полную, рациональную и эффективную. Полная занятость — это предоставление обществом всему трудоспособному населению возможности заниматься общественно полезным трудом, на основании которой осуществляется индивидуальное (в рамках семьи) и коллективное (при участии фирм, компаний и государства) воспроизводство рабочей силы и удовлетворение всей совокупности потребностей. Рациональная занятость — занятость, которая имеет место в обществе с учетом целесообразности перераспределения и использования трудовых ресурсов, их половозрастной и образовательной структуры.
Этот вид занятости не всегда бывает эффективным, поскольку осуществляется с целью улучшения половозрастной структуры занятости, привлечения к трудовой деятельности трудоспособного населения отдельных отсталых регионов и др. Эффективная занятость — это занятость, которая осуществляется в соответствии с требованиями интенсивного типа воспроизводства, критериями экономической целесообразности и социальной результативности, ориентирована на сокращение ручного, непрестижного и тяжелого физического труда.
Трудовая деятельность в зависимости от формы собственности осуществляется на государственных, коллективных и частных предприятиях. Частные, в свою очередь, делятся на индивидуальные (семейные), трудовые и частнокапиталистические. Преобладающее большинство трудоспособного населения в развитых странах мира работает в частном секторе.
С точки зрения структуры народного хозяйства большая часть трудоспособного населения занята в сфере нематериального производства (около 2/3 общей численности, а в США — более 70%). В сельском хозяйстве занято от 2,5 до 5 % общего количества рабочей силы.
Различают основную и специальную формы занятости. Основная форма регулируется трудовым законодательством и типовыми правилами внутреннего распорядка в отношении разных категорий работников. Специальные, или нетрадиционные формы занятости (работа на дому, по совместительству, индивидуальная и коллективная трудовая деятельность и др.) используются в соответствии со специальными правовыми нормами.
В США и Англии нетрадиционными формами занятости охвачено более 30 % рабочей силы.



Законы развития мирового хозяйства


Радикальные изменения в технологическом способе производства. Новые тенденции в эволюции собственности. Основные закономерности развития экономической системы в конце XX— начале XXI в.
Цель темы — раскрыть важнейшие изменения в экономической системе капитализма к началу третьего тысячелетия и основные тенденции ее последующей эволюции.
§ 55. Радикальные изменения в технологическом способе производства
Основные черты технологического способа производства в конце второго— начале третьего тысячелетия. Содержание труда современного работника
Основные черты технологического способа производства в конце XX — начале XXI в. Как уже отмечалось, основными элементами экономической системы являются производительные силы, технико-экономические, организационно-экономические отношения, отношения экономической собственности и хозяйственный механизм.
В соответствии с тремя этапами развития техники различают технологические способы производства, основывающиеся на ручном, машинном и автоматизированном труде. Первоначально (начало XVI — конец XVIII в.) капиталистический способ производства развивался с использованием преимущественно ручного труда; с начала XIX в., когда произошла промышленная революция, господствующим стал технологический способ производства, основывающийся на машинном труде. Он просуществовал до се-



334

редины 50-х гг. XX в. С развертыванием НТР преобладающим становится технологический способ производства, основанный на автоматизированном труде. В середине 70-х гг. НТР вступила в новый этап своего развития, связанный с электронной автоматизацией материального производства и обращения, научно-технического творчества. С этого времени в наиболее развитых странах Запада все большую роль играет информация, что ведет к появлению нового типа общества — информационного, составной частью которого является информационная экономика.
Основной формой экономического развития в условиях информационной экономики стала непосредственно общественная форма, диалектически отрицающая товарную форму организации.
Информационное общество — наиболее развитая фаза современной цивилизации, наступившая в результате информационно-компьютерной революции, когда стали использоваться информационные технологии, «интеллектуальные» компьютеры, автоматизация и роботизация всех сфер и отраслей экономики и управления; была создана единая новейшая интегрированная система связи, предоставляющая каждому человеку любую информацию и знания, — обусловливает радикальные изменения во всей системе общественных отношений, благодаря чему обеспечивается наибольший прогресс и свобода личности, возможность ее самореализации.
Впервые неизбежность возникновения такой цивилизации в 40-х гг. XX в. предсказал австралийский экономист К. Кларк. В конце 50-х гг. американский ученый Ф. Махлуп выдвинул идею о появлении информационной экономики, в которой важнейшим товаром станет информация.
В наиболее развитых странах мира информационное общество возникло в середине 80-х и до конца 90-х гг. прошло первую стадию своего развития.
Информационная технология, лежащая в основе этого общества, формируется, прежде всего, на интеллектуальных компьютерах пятого поколения, к которым относятся супер- и персональные компьютеры. В современных суперкомпьютерах содержится 16 и 61 тыс. параллельно действующих микропроцессоров, что позволяет осуществлять около 7 млрд операций в секунду. В начале третьего тысячелетия компьютеры будут превосходить человека в сотни раз по объему памяти, в миллионы раз — по скорости выполняемых операций.
Элементом информационной технологии является также современная технология связи. Единая интегрированная система связи объединяет все технические виды коммуникаций — радио, телефон, телевидение, спутниковую связь, телекс, телефакс, а также все существующие базы данных. С сентября 1988 г. начала действовать система единой планетарной связи «Иридий». Интеллектуальные компьютеры и интегрированная система связи должны обеспечить каждому индивидууму, предприятию и организации в любой стране возможность в любое время получить любую информацию и знания, необходимые для их жизнедеятельности. Создание сверхмощных ЭВМ позволяет сосредоточить всю имеющуюся информацию в их блоках памяти и предоставлять ее в распоряжение каждого человека всего за несколько минут.
Только в США сегодня ежедневно создается более 400 млн страниц документов. Всю информацию, которая содержится в библиотеке



335

Конгресса США, библиотеке Британского музея, Государственной научной библиотеке в Москве и других можно записать на сверхъемких носителях, помещающихся в обыкновенном портфеле, а всю опубликованную информацию, накопленную человечеством, можно разместить в небольшой комнате. При наличии современных носителей памяти в 2,5-4 гигабайта поиск необходимой информации в системах, эквивалентных миллионам томов, осуществляется на протяжении одной минуты.
В результате этих революционных преобразований наступает принципиально новый этап автоматизации физического и умственного труда, происходит формирование работника качественно нового типа, что в свою очередь, обусловливает важные изменения в системе производственных, социальных, правовых, политических, культурных и других отношений. По прогнозам специалистов, в XXI в. в большинстве стран мира подавляющее большинство работников будет выполнять свои производственные и служебные функции дома. В сфере производственных отношений, или отношений экономической собственности, значительная часть высококвалифицированных работников в определенной мере становится собственником информации (как нового объекта собственности), средств производства (путем приобретения акций и присвоения дивидендов), субъектом управления и др. Таким образом, возрастает социализация собственности.
Как основной продукт труда информация дает возможность с помощью ЭВМ точно определить затраты труда каждого работника, вследствие чего происходит значительное ограничение товарно-денежных отношений, исчезает необходимость в деньгах в их современной форме.
В сфере социальных отношений радикально изменяется структура общества: подавляющая часть работников будет занята в сфере информации и услуг. Появляются города и села нового типа — информационные города и электронные села. В сфере правовых отношений растет дезинтеграция прав собственности (владения, распоряжения и пользования), усиливается влияние работников и трудовых коллективов на формирование законодательной базы.
В своей совокупности такие изменения приведут к усилению общественной демократии, степени свободы личности.
Содержание труда современного работника. В условиях автоматизированного производства сводятся к минимуму физические усилия работника, он выполняет в основном умственную работу, что приближает его труд к труду инженера, формирует работника нового типа — контролера и регулировщика производства. Производственная деятельность работника все больше основывается не на практическом опыте, а на научных знаниях по таким предметам, как математика, физика, химия, различные технические дисциплины. Современный работник должен за короткое время адаптироваться к быстро меняющимся условиям производства, уметь вести диалоге компьютером, знать главные особенности технологического цикла и др.
Специфика современного производства заключается в том, что работник должен не только приспосабливаться к развитию техники, но и качественно превосходить ее. Комплексная автоматизация обусловливает действие тенденции преодоления процесса разделения труда на элементарные операции и замену непосредственных связей между человеком и веществен-



336

ным фактором производства, с одной стороны, и между самими людьми, их опосредованными связями через компьютеры или диспетчерские пункты, с другой. Вследствие этих изменений технологическое господство капитала над наемным трудом постепенно теряет свое значение.
С началом информационной революции и становлением информационной экономики качественные изменения происходят в процессе труда, в сфере трудовых отношений. Растет информатизация труда, усиливается процесс децентрализации информационных средств, то есть их распределения по рабочим местам.
Наиболее адекватной формой организации труда в развитых странах Запада стали автономные бригады, в которых используется гибкий график рабочего времени, установлена ответственность за качество выпускаемой продукции, осуществляется широкая ротация рабочих мест и т. д. Автономные бригады принимают участие в управлении производством, в работе проектных служб, выборе форм и методов организации труда, в установлении норм выработки. Они являются субъектами обмена информацией. Благодаря этому ослабляется электронный тейлоризм, или «неотейлоризм».
Качественно новые черты приобретает в этих условиях главная производительная сила. Если в начале XX в. знаний, полученных после окончания учебного заведения, хватало на всю жизнь, то сегодня, в конце столетия — только на 5-10 лет.
Значительное воздействие на качество рабочей силы оказывает развитие медицины, поэтому, например, в США на охрану здоровья выделяется около 14 % ВНП.



Международные экономические отношения и их структура


Сущность экономических законов мирового хозяйства. Интернациональные формы закона стоимости и неравномерности экономического развития
Цель темы — выяснить сущность мирового хозяйства, рассмотреть основные законы и закономерности его развития, их социально-экономические последствия.
§ 58. Сущность экономических законов мирового хозяйства
Всемирное хозяйство как экономическая категория. Особенности действия экономических законов в сфере производства и обращения
Всемирное хозяйство как экономическая категория. Существующие в настоящее время государства пребывают на разных ступенях общественного развития. Большинство из них (около 140) слаборазвиты, находятся на уровне докапиталистических формаций, сочетая элементы первобытнообщинного, рабовладельческого и феодального способов производства. Капиталистический способ производства здесь также частично распространен, но он еще не стал определяющим. По экономическому потенциалу лидерами являются США, Япония, Германия, Великобритания, Франция, Италия, Канада.
Они создают около 50 % ВНП.
В недалеком прошлом в советской экономической литературе при рассмотрении мирового хозяйства обосновывалось растущее могущество мировой социалистической системы. Ее доля в мировом промышленном производстве оценивалась в конце 80-х гг. в 40 %. В 1991 г. большинство стран бывшего социалистического содружества перестали называть себя социалистическими. Это прежде всего Венгрия, Польша, Чехия, Словакия, Румыния, а также страны бывшего СССР.
Коренные изменения происходят в Китае, Вьетнаме, частично на Кубе, которые официально продолжают идти социалистическим путем.
В мировом хозяйстве страны различаются по уровню экономического развития, принадлежности к определенным социальным, политическим системам, различным региональным организациям. В связи с этим возникает вопрос, могут ли в таком конгломерате действовать единые экономи-



349

ческие законы и закономерности? И если да, то какова их специфика в сравнении с законами, действующими в рамках одной страны, группы развитых стран, или мирового хозяйства? Чтобы ответить на этот вопрос, необходимо выяснить сущность мирового хозяйства.
Мировое хозяйство — это совокупность национальных хозяйств и экономических взаимосвязей между ними, или совокупность производственных отношений, которые функционируют на национальном и международном уровнях. Основой развития мирового хозяйства стало формирование в XVI в. в период больших географических открытий мирового рынка, являющегося совокупностью взаимодействующих между собой национальных рынков отдельных стран, связанных международными экономическими отношениями. На его основе в XVII в. начало формироваться международное разделение труда, формой реализации которого были торговые соглашения между отдельными странами. Эти процессы обусловили возникновение и развитие мирового хозяйства.
В современных условиях оно все больше приобретает черты целостности. Связано это с действием ряда объективных факторов: — во-первых, со стремлением народов мира выжить в условиях наращивания ядерных потенциалов и угрозы ядерной войны, проводимой в связи с этим политикой мирного сосуществования; — во-вторых, с развертыванием НТР. Сегодня ни одна страна мира не может самостоятельно использовать все достижения современной науки и техники, поэтому необходимо объединение усилий в этой сфере. Это будет содействовать установлению тесных экономических и .научно-технических связей между странами, формированию устойчивых структур в мировом хозяйстве; — в-третьих, с интернационализацией хозяйственной жизни, международным разделением труда.
Сегодня страны мирового сообщества могут эффективно развивать производственные процессы на уровне мировых стандартов, выпускать высококачественную продукцию лишь .при условии использования различных форм специализации и кооперирования производства на международном уровне. Благодаря этому можно значительно снизить себестоимость продукции, повысить ее качество и надежность, сэкономить топливно-энергетические и сырьевые ресурсы, повысить производительность труда, более рационально использовать рабочую силу. Все это также способствует налаживанию постоянных экономических связей между странами-партнерами в международной сфере; — в-четвертых, с необходимостью объединения усилий стран для решения глобальных проблем, потребностью во взаимной помощи в экстремальных ситуациях, целесообразностью объединения хозяйственных усилий стран-партнеров для освоения богатств мирового океана и космоса, сохранения приобретенных знаний и идей и их переработки, использования все более сложных информационных систем, создания международного информационного банка данных, каким могла бы пользоваться в соответствии со своими потребностями каждая страна мирового сообщества.
Формированию целостности мирового хозяйства содействует развитие соответствующей инфраструктуры: строительство трансконтинентальных железных дорог, мировых систем связи и др.



350

Характерным признаком формирования целостного организма мирового хозяйства является сближение между предприятиями различных стран, самими странами. Это находит свое проявление в развитии специализации и кооперирования производства, создании международных хозяйственных организаций, обществ, совместных предприятий и т. д.
При этом в каждой из сфер общественного производства возникают международные экономические отношения, производные от национальных, и получают от них главный импульс своего развития, активно влияя на развитие национального хозяйства.
Совокупность экономических отношений мирового хозяйства проявляется в системе свойственных ему экономических интересов: интересов отдельных государств, национальных предприятий и объединений, международных экономических организаций, а также интересов интеграционных группировок, таких, например, как «Общий рынок».
Разрешение противоречий, возникающих между странами-партнерами в рамках мирового хозяйства, происходит через согласование, поиск оптимальных форм, принципов, методов сотрудничества, взаимные уступки и нахождение компромиссов.
Таким образом, мировое хозяйство следует рассматривать как целостную и взаимозависимую систему национальных хозяйств, взаимодействующих на Основе совместных экономических интересов, потребностей и целей.
Процесс образования мирового хозяйства не завершился, он будет продолжаться еще определенное время. Это обстоятельство предопределяет характер действия экономических законов мирового хозяйства — все они развиваются и функционируют как законы-тенденции.
Провозглашая приоритет общечеловеческих потребностей, интересов и ценностей, необходимо при помощи международных механизмов регулирования стремиться к тому, чтобы национальные хозяйства приспосабливались к требованиям общих законов. Но при этом национальные интересы не должны приноситься в жертву интернациональным. Более того, в процессе продвижения к высокой ступени целостности мирового хозяйства следует стремиться к оптимальному сочетанию не только национальных и интернациональных интересов, но и к их рациональному согласованию с интересами личности, отдельного коллектива.
Основными субъектами мирового хозяйства являются национальные государства, ТНК, а также международные организации и институты. ТНК являются международными по масштабам своей деятельности и национальными по капиталу и характеру контроля. Они расширяют свое могущество путем прямых инвестиций в свои заграничные филиалы и предприятия.
Кроме ТНК, существуют межнациональные компании, международные по составу капитала, масштабам своей деятельности и контролю за ней, но их немного.
Особенности действия экономических законов в сфере производства и обращения. Какие законы определяют развитие современного мирового хозяйства? В научной литературе, посвященной данной проблематике, называют законы стоимости, конкуренции, возрастания производительности труда, спроса и предложения, интернационализации производства.



351

Интернационализация производства — это экономическая форма развития международного разделения труда и международного обобществления производства. В данном случае понятие «производство» (и, соответственно, «интернациональное производство») употребляется в узком значении слова. Международное разделение труда и международное обобществление производства проявляются в международной специализации, кооперации, комбинировании, концентрации производства и др.
Эти процессы формируют важный элемент хозяйственного механизма на интернациональном уровне.
Интернационализация производства неразрывно связана с переходом международного разделения труда от частичного к единичному. Общее разделение труда, как уже отмечалось, основывается на специализации сфер общественного производства, частичное — на предметной специализации отдельных отраслей, а единичное — на подеталыюй, пооперационной специализации отдельных производственных единиц.
С 30-х гг. XX в. доминирующей формой общественного разделения труда становится подетальная и пооперационная специализация единичного разделения труда. Развитие этой формы происходит как в рамках национальных стран, так и в международном масштабе через рыночные и внерыночные связи между предприятиями, которые производят взаимообусловленную продукцию.
За национальные границы единичное разделение труда вышло с развитием ТНК, которые стали одним из важнейших субъектов международных экономических отношений.



Международные валютные отношения


Международная торговля особенности ее развития в современных условиях. Международное движение капитала. 'Международная миграция рабочей силы и миграционная политика. Международная экономическая интеграция
Цель темы — раскрыть сущность и механизм действия основных форм международных экономических отношений и особенности их регулирования на национальном и интернациональном уровне.
§ 60. Международная торговля и особенности ее развития в современных условиях
Закономерности развития международной торговли. Торговля услугами на мировом рынке. Государственное и надгосударственное регулирование международной торговли
Закономерности развития международной торговли. Основными формами международных экономических отношений (МЭО) являются международная торговля, международное движение капиталов, международная трудовая миграция и международная экономическая интеграция. Кроме них, выделяют международную специализацию производства и научно-технических работ, валютно-финансовые связи и отношения между странами и др.
На современном этапе решающая роль в развитии МЭО принадлежит международной торговле. В одной из предыдущих тем отмечалось, что действие закона интернационализации производства обусловливает процесс интернационализации рынка, действие закона опережающего роста внешней торговли в сравнении с. ростом производства.
В рамках закона опережающего роста внешней торговли по сравнению с ростом производства действуют, на наш взгляд, следующие закономерности: — опережающий рост торговли услугами по сравнению с темпами роста международной торговли. Так, если для двукратного увеличения объемов



358

торговли услугами необходимо меньше восьми лет, то для соответствующего роста международной торговли необходимо приблизительно 15 лет; — опережающий рост торговли готовыми изделиями по сравнению с товарами топливно-сырьевой группы, а в рамках первой группы — торговли машинами и оборудованием; — постепенный рост торговли полуфабрикатами, отдельными деталями, изделиями, из которых собирается сложный конечный продукт. Это связано с доминированием на современном этапе единичной формы международного разделения труда, то есть процессом интернационализации единичного разделения труда, о чем уже говорилось ранее. В середине 90-х гг. около 60 % мировой торговли машинами и оборудованием приходилось на комплектующие детали и изделия; — увеличение в мировой торговле доли внутрифирменного обмена; — опережающие темпы роста международной торговли между развитыми странами мира.
В общем объеме мировой торговли доля взаимной торговли развитых стран составляет около 70 %; — действие закона неравномерности в сфере международной торговли; — увеличение в экспорте развитых стран мира доли продукции, произведенной с помощью интеллектуально и информационно насыщенного труда (в первую очередь, продукции микроэлектроники и других изделий). В экспорте отдельных стран мира она занимает от 15 до 20 %; — усиление в сфере международной торговли роли государственного и надгосударственного регулирования; — постепенная либерализация международной торговли.
Отмеченные закономерности действуют длительное время. Иногда они ослабляются, притормаживаются и даже парализуются под воздействием контртенденций. Так, в 70—80-е годы в сфере международной торговли усилилась тенденция к новым формам протекционизма.
Влияние названных закономерностей обусловливает постепенный рост роли международной торговли в национальном воспроизводстве (материального продукта, рабочей силы и экономических отношений), что проявляется в увеличении объемов внешней торговли по отношению к ВВП (объемам внутреннего производства).
Увеличение объемов внешнеторгового оборота, расширение его номенклатуры за счет готовых изделий и услуг будет способствовать экономии материальных, финансовых и других ресурсов, положительно повлияет на улучшение качества товаров и услуг, расширение номенклатуры потребляемых благ, сформирует новый фактор экономического роста (для слаборазвитых стран) и усилит его действие в развитых странах.
Торговля услугами на мировом рынке. Быстрый рост сферы услуг, в том числе международной торговли услугами, обусловлен четвертым крупным общественным разделением труда, высоким уровнем жизни в развитых странах мира, действием закона возрастания потребностей, значительным ускорением НТР, усилением миграции капитала и рабочей силы и другими факторами. Международная торговля услугами по сравнению с торговлей традиционными товарами имеет ряд специфических особенностей. К ним относятся наличие прямых контактов между производителями услуг и их потребителями, увеличение объемов международной торговли услугами



359

по мере роста внешней торговли товарами, большая защищенность сферы услуг от иностранной конкуренции со стороны государства и наднациональных органов и др. Основными видами услуг в мировой торговле являются услуги, связанные с внешней торговлей, с обменом технологиями, инжиниринговые, управленческие; с миграцией рабочей силы (выплата и перерасчет заработной платы, социальные выплаты и т. д.); социальные и культурные (туристические и т. п.); банковские, в частности, осуществление международных расчетов, лизинговых операций и др. Наибольший удельный вес услуг, связанных с мировой торговлей товарами, имеет морской транспорт. На его долю приходится около 80 % перевозок.
Самый крупный торговый флот принадлежит Японии, Великобритании, ФРГ и Норвегии. На рынке грузовых и пассажирских транспортных услуг доминирующую роль играют США, Великобритания и Франция. В настоящее время серьезным конкурентом морскому транспорту становится воздушный транспорт, особенно, когда речь идет о перевозке ценных грузов.
Упорядочением базисных условий поставок товаров (франко-завод, франко-вагон и др.) занимается международная торговая палата.
К основным формам соглашений при обмене технологией относятся лицензионная торговля, объектом которой являются патентные и беспатентные лицензии на передачу изобретений, технологического опыта, разнообразных промышленных секретов, коммерческих знаний и других видов промышленной собственности (кроме товарных и фирменных знаков). Сегодня преобладает продажа беспатентных лицензий, поскольку покупка чистого патента предусматривает проведение дополнительных НИОКР, а значит, совершенной материально-технической базы, дополнительных финансовых расходов и т. д. Вследствие этого в лицензионные соглашения включается не только право на использование изобретений, но и передача необходимого технологического опыта, знаний, промышленных секретов, то есть ноу-хау и инжиниринговых услуг. Доля развитых стран мира в лицензионной торговле составляет более 80 % экспорта лицензий, в том числе США-более 55%.
В соглашениях по ноу-хау обязательно есть отдельные статьи о нераспространении секретов и компенсации убытков в случае их нарушения. Такие соглашения, как правило, предусматривают участие специалистов со стороны собственника изобретения или технологии в пуско-наладочных работах, обучении персонала работе с новой техникой и т.п.
Еще одной формой соглашений при обмене технологией является предоставление технико-технологических знаний, необходимых для приобретения, монтажа и использования машин, оборудования, приборов, а также материалов и полуфабрикатов, полученных путем закупок, аренды, лизинга и другими способами. Такие соглашения заключаются при сотрудничестве в процессе технико-технологического обслуживания машин, оборудования, приборов, материалов и полуфабрикатов; при оказании инжиниринговых услуг специальными инженерно-консультационными фирмами. При этом используется метод строительства объектов «под ключ», выполнение фирмой большей части или всех услуг, проведение значительной доли работ работниками самого заказчика или местными предприятиями; при передаче технологии в рамках производственной или научно-тех-



360

нической кооперации в процессе объединения экономических и прежде всего научно-технических потенциалов двух или более субъектов. Подобная передача может производиться на контрактной основе, в процессе создания совместных предприятий и при осуществлении совместных капиталовложений, проведении научных, научно-практических конференций, международных выставок и т. д.
Важная роль в международной торговле социальными услугами принадлежит образованию в форме обмена опытом и информацией, преподавателями, научными сотрудниками, аспирантами и студентами. Так, в 90-х гг. за границей обучалось около 1 млн студентов. Большинство из них — выходцы из слаборазвитых стран.
При этом развитые страны мира проводят активную политику «утечки мозгов».
Государственное и надгосударственное регулирование международной торговли. Общей целью государственного регулирования внешнеэкономической деятельности является создание благоприятных условий для расширенного воспроизводства внутри страны, в частности, для присвоения национальными компаниями и ТНК максимальной прибыли. В процессе реализации данной цели наблюдается противоречивое сочетание протекционизма и либерализации.
Протекционизм — это государственная политика защиты внутреннего рынка от иностранной конкуренции и содействия национальным компаниям в их Проникновении на внешние рынки. Либерализм — это государственная политика, направленная на снижение таможенных тарифов и других ограничений во внешней торговле.



Экономические аспекты глобальных проблем


Эволюция международной валютной системы. Валютный рынок и валютное регулирование. Основные формы конвертируемости валют и условия их формирования
Цель темы — раскрыть сущность международной валютной системы в процессе ее эволюции, выяснить содержание валютного рынка и валютного регулирования, а также основных форм конвертируемости валют, валютных курсов.
§ 64. Эволюция международной валютной системы
Национальная и мировая валютная система. Основные этапы развития мировой валютной системы. Международная (региональная) валютная система
Для нормального функционирования мирового хозяйства, в частности, развития внешней торговли товарами и услугами, экспорта и импорта капитала, научно-технического обмена, развития туризма необходимо по-



374

стоянно развивать международные валютные отношения, совершенствовать международную валютную систему. К ее важнейшим элементам относятся международные ликвидные ресурсы, международные валютные рынки, валютные курсы и др.
Национальная и мировая валютная система. Условиями развития международной валютной системы являются интернационализация производительных сил, международное разделение труда, формирование интернационального хозяйственного механизма и интегрированных форм собственности. На этой основе происходит превращение мировых денег в материальный носитель интернациональной стоимости, осуществляется процесс интеграции денег в целостную интернациональную систему денежных отношений.
При этом происходит взаимодействие национальных денег одной страны с национальными денежными единицами других стран, региональных экономических объединений, в результате которого формируются международные валютные отношения.
Будучи материальным носителем интернациональной стоимости, мировые деньги выполняют функцию интернациональной меры стоимости, по которой сравнивается покупательная способность национальных денежных единиц. Реализация данной функции определяется действием объективных экономических законов, действующих в рамках мирового хозяйства, о чем шла речь в предыдущих темах. Международные валютные отношения оказывают при этом активное обратное воздействие на развитие других элементов мировой экономической системы, в частности, на внешнюю торговлю, формирование и эволюцию международных рынков капитала, рабочей силы, интеллектуальной собственности и др.
Международные валютные отношения — это совокупность экономических отношений между странами, юридическими и частными лицами, международными экономическими, финансово-кредитными организациями по поводу функционирования и развития валюты.
Основные формы валютной системы — национальная и мировая, выделяют также международную (или региональную) валютную систему, которая занимает промежуточное положение.
Национальная валютная система. Исторически первыми возникли национальные валютные системы. Они являются неотъемлемой частью валютных отношений той или иной страны, закрепленных в национальном валютном законодательстве.
В нем предусматривается порядок переводов и пересылки за границу и получения из-за границы национальной и иностранной валюты и других платежных ценностей. Валютное законодательство регулирует валютные операции, связанные с движением капиталов, кредитованием, международным туризмом, внешней торговли операции, и др.
К составным элементам национальной валютной системы относятся национальная валюта, валютные резервы, валютный паритет, курс национальной валюты и порядок его действия, условия функционирования национальной валюты и золота, условия конвертируемости валют, валютные ограничения и их формы и методы, механизм использования международных кредитных расчетов, система валютного регулирования и др. Национальная валютная система органично связана с внутренней кредитно-финансовой системой.



375

Мировая валютная система возникла в конце XIX в. на основе интернационализации производительных сил, международного разделения труда, формирования мирового рынка, повсеместного распространения золотого стандарта. Ее важнейшими элементами были стабильные золотые валюты и другие международные ликвидные ресурсы в большинстве развитых стран, четкий механизм определения взаимных валютных паритетов и курсов, международный валютный рынок, согласованный порядок взаимных международных платежей на основе вексельного обращения и золота. Последнее выполняло все функции денег, что обеспечивало стабильность валютной системы, свободный перелив капитала между странами, неограниченный обмен национальных валют и др.
Эта система была закреплена в межгосударственных соглашениях.
Основные этапы развития международной валютной системы. Первым этапом развития международной валютной системы была система золотого стандарта, которая сформировалась в начале XIX в. Ей были свойственны такие важнейшие элементы, как функционирование золота в роли мировых денег, фиксация золотого содержания национальных валют и их способность свободно обмениваться на золото, наличие на этой основе фиксированных валютных курсов. В подобных условиях разница между международной и национальной валютными системами заключалась в основном в том, что золото как средство платежа на мировом рынке принималось на вес, а валютный курс национальных бумажных денег определялся соотношением их золотого содержания, которое устанавливалось государством. Так, фунт стерлингов приравнивался к 7,3224 г чистого золота, а доллар — к 1,5046 г. Поэтому при расчетах между странами необходимо было сопоставить их денежные единицы, что означало установление монетного паритета (7,3224 : 1,5046).
При этом страны должны были обеспечить твердое соотношение между имеющимися запасами золота и количеством денег в обращении, свободный экспорт и импорт золота (так ликвидировалось пассивное сальдо платежных балансов). Благодаря этому обеспечивалась полная конвертируемость мировых денег, устойчивость их покупательной способности и валютных курсов, стабильность мировых цен. Ведь при функционировании золотого стандарта реализация товаров осуществлялась по ценам, которые в среднем отвечали их стоимости, а золото, имея собственную стоимость, выступало важным фактором ценообразования.
Но системе золотого стандарта были присущи и недостатки, о которых уже говорилось при рассмотрении эволюции денег в 4-й гл. Во время второй мировой войны традиционные системы мировой торговли и валютных отношений претерпели существенные изменения, что ускорило переход к новому этапу эволюции мировой валютной системы.
Новые положения формирования и функционирования валютной системы были юридически закреплены на Бреттон-Вудской конференции в 1944 г. Основными элементами данной системы являются: 1) золотодолларовый стандарт, при котором Министерство финансов США гарантировало иностранным центральным банкам или правительствам обмен долларов на золото (то есть внешняя конвертируемость валют осуществлялась только в долларах). Это означало, что связь других валют с



376

золотом становилась опосредованной — через американский доллар, а следовательно, доллар превращался в знак золота, форму мировых денег; 2) фиксация рыночных курсов в пределах не более 1 % в обе стороны (±1 %) от золотых или долларовых паритетов. В этих условиях валютные курсы устанавливались в зависимости от золотого содержания, то есть масштаба цен; 3) доллар приравнивался к золоту на основе фиксированной рыночной цены на золото (официально цена одной унции (31,1 г) золота составляла 35 дол., а содержание доллара равнялось 0,88 г золота), но свободная (частная) купля-продажа золота была запрещена. Купля-продажа золота могла осуществляться только центральными банками по фиксированной цене; 4) взаимная оборачиваемость всех валют, стремление к ней.
Органом валютного регулирования стал МВФ. Около трех десятилетий новая валютная система работала эффективно, а доллар США надежно выполнял функцию международного средства платежа и резервной валюты. Его конвертируемость, искусственно заниженная цена золота обеспечивали и стимулировали США к накоплению золотых запасов. В 1949 г. США имели около 22 тыс. т золота (почти 70 % всех официальных запасов капиталистических стран).
В 1950 г. Золотой запас США в 7 раз превышал долларовые активы. Большинство же других стран в 50-х гг. не желали и не могли предъявить значительные суммы долларовых активов для обмена на золото. Кроме того, США занимали ведущее место в мировой торговле и экспорте капитала, длительное время имели позитивное сальдо платежного баланса.
Эта ситуация начала меняться в конце 50 — начале 60-х гг. в связи с усилением экономического могущества Японии, Западной Германии и других стран Западной Европы, нереальностью официальной цены золота (в 1973 г. она составляла 42,22 дол. за унцию, а рыночная — 122), нарастанием дефицита государственного бюджета США и др. В 1971 г. золотые запасы сократились до 10,5 млрд дол. и составляли всего 22 % долларовых активов. Другие страны стали отказываться от доллара, требуя обмена его на золото как более устойчивую валюту.
В этих условиях США отменили обмен долларов на золото для иностранных правительств и центральных банков, что вызвало крах золотодолларового стандарта.



Причины возникновения и сущность глобальных проблем


Причины возникновения и сущность глобальных проблем. Разоружение - ключ к решению глобальных проблем. Основные пути решения других глобальных проблем. Концепция ноосферы В. И. Вернадского и формирование глобальной экономики
В последние десятилетия в мире возникло немало проблем, носящих общепланетарный характер. От их своевременного решения зависит существование земной цивилизации.
Цель темы — выяснить причины возникновения и сущность основных глобальных проблем современности, обозначить пути их решения.
§ 67. Причины возникновения и сущность глобальных проблем
Основные причины возникновения глобальных проблем человечества. Социально-экономическая сущность глобальных проблем человечества. Место и роль развивающихся стран в мировом хозяйстве
Основные причины возникновения глобальных проблем человечества. Понятие «глобальные проблемы» (от фр. global) означает «всеобщий», «охватывающий весь земной шар». К таким проблемам относятся предотвращение мировой ядерной войны и обеспечение стабильного мира, необходимость эффективной и комплексной охраны окружающей среды, ликвидация отсталости развивающихся стран, преодоление болезней, рациональное использование глубин мирового океана и мирное освоение космического пространства, проблема развития самого человека, перспектив обеспечения его достойного будущего.
Каждая из названных проблем порождена специфическими причинами, обусловленными, с одной стороны, особенностями развития производительных сил, географического положения, уровнем прогресса техники, природно-климатическим условиями, то есть вещественным содержанием общественного способа производства, а с другой — специфической общественной формой, особенностью развития отношений собственности. При всем разнообразии причин возникновения глобальных проблем есть



390

определенный круг общих для них причинно-следственных связей, присущих развитию технологического способа производства.
Наиболее общей причиной обострения глобальных проблем, связанной с развитием технологического способа производства, является интенсивный рост в последние десятилетия народонаселения планеты, или так называемый демографический взрыв, который к тому же сопровождается неравномерностью роста населения в различных странах и регионах. Если за 1 млн лет существования человеческой цивилизации население планеты достигло 1 млрд чел., то увеличение его численности до 2 млрд произошло через 120 лет, 3 млрд — через 32 года (1960). В марте 1976 г. население Земли достигало уже 4 млрд чел., а в начале 1989 г. был преодолен 5-миллиардный рубеж.
Согласно прогнозам экспертов ООН, в начале 2000 г. население нашей планеты достигло 6 млрд, а к 2100 г. будет 12-13 млрд чел.
Чтобы прокормить, одеть, обеспечить жильем постоянно растущее число людей, необходимо все время наращивать производство промышленной и сельскохозяйственной продукции, увеличивать объем добычи полезных ископаемых и т.д. Вследствие этого постепенно исчерпываются природные ресурсы, повышается средняя температура на Земле, загрязняется окружающая среда и др.
Демографический взрыв сопровождается неравномерностью роста населения в различных странах и регионах, причем наивысший прирост населения наблюдается в странах, где производительные силы развиты слабо, вследствие чего господствует массовый голод, нищета. Так, если темпы прироста населения в развивающихся странах в XX в. составляли в среднем 2,5 % в год, то в промышленно развитых странах они не превышали 1 %. Это стало причиной того, что в Азии, Африке и Латинской Америке около 1 млрд чел. живут в условиях абсолютной нищеты, около 250 млн детей хронически недоедают, от голода и постоянного недоедания ежегодно умирает около 40 млн чел. По оценке известного французского ученого Жака Ива Кусто, в 1991 г. из 5,6 млрд жителей планеты только 500 млн человек жили хорошо, 1,7 млрд не имели нормальной питьевой воды, 900 млн жили в беспросветной нищете.
Демографический взрыв вызывает обострение таких глобальных проблем, как продовольственная, экологическая, сырьевая, энергетическая. Причиной обострения глобальных проблем, рассматриваемых с точки зрения вещественного содержания, является низкий уровень внедрения ресурсо- и энергосберегающих, экологически чистых технологий. Вследствие этого из природного вещества, которое вовлекается в процесс производства, форму конечного продукта приобретает только 1,5 % его общего объема.
Достаточно сказать, что ежегодно из недр планеты на каждого ее жителя добывается по 25 т руды, полезных ископаемых и строительных материалов (всего почти 160 млрд т).
Применение несовершенных технологий, в частности, сжигание нефти, угля и природного газа, привело к тому, что в 1990 г. в атмосферу было выброшено 6 млрд т углекислого газа промышленного происхождения. Содержание углекислого газа в воздухе ежегодно растет на 0,5 %, а за последние 150 лет оно выросло на 25 %, причем на 12 % — в последние 30



391

лет. Наибольший вред причиняют тепловые электростанции, которые работают на угле. Они составляют 75 % всех имеющихся ТЭЦ и на их долю приходится треть всех выбросов углекислого газа.
В пыле-газовых выбросах содержится более 1400 вредных для человека веществ.
Увеличение в атмосфере содержания двуокиси углерода, в свою очередь, привело к повышению температуры земной поверхности. За последние 100 лет она возросла на 0,6 %. Вследствие этого на 10 % повысился уровень мирового океана, а скорость наступления океана на сушу постоянно растет и составляет 1,1 см за 10 лет.
Причиной обострения глобальных проблем является также быстрая урбанизация населения, увеличение гигантских мегаполисов, что сопровождается бурной автомобилезацией и сокращением сельскохозяйственных угодий. В целом на 0,3 % территории планеты сконцентрировано 40 % населения.
В городах сосредоточено огромное количество легковых автомобилей, которых сегодня насчитывается более 700 млн. За последние 30—40 лет загрязнение среды выхлопными газами выросло втрое. В странах бывшего СССР в крупных промышленных центрах 60 % выбросов приходится на автомобильный транспорт.
Вследствие более низкого качества автомобилей в странах СНГ каждый из них выбрасывает в воздух в 6 раз больше загрязняющих веществ, чем в странах Европы.
Важной причиной обострения глобальных проблем является также варварское отношение человека к природе, которое больше всего проявляется в хищнической вырубке лесов, уничтожении естественных рек, создании искусственных водоемов, загрязнении вредными веществами пресной воды. Ежегодно в мире уничтожается 15 млн га лесов, на одно посаженное дерево приходится 10 вырубленных, каждую секунду вырубаются леса площадью в футбольное поле.
В сравнении с началом века, потребление пресной воды возросло более чем в 7 раз, достигнув к 90-м гг. почти 300 м3 в год на человека. В ближайшие 30 лет потребление воды возрастет еще в 1,5—2 раза. Учитывая, что четверть человечества испытывает недостаток в воде, проблема обеспечения населения качественной питьевой водой выдвигается в ряд первоочередных.
При этом, по данным Всемирной организации здравоохранения, возникновение около 80 % всех заболеваний связано с потреблением некачественной воды.
Преступно расточительное отношение людей к природе проявляется также в потере огромных массивов земли. За последние 100 лет человечество утратило 200 млн км2 земли, а ныне ежегодно теряет около 6-7 млн га плодороднейших земель. Кроме того, за период 1975—1995 гг. содержание гумуса в почве уменьшилось от 3,5 до 3,1 %, а площади кислых почв увеличились на 1,8 млн га (на 25 %), засоленных — на 0,6 млн га (на 24 %). В развивающихся странах ежегодно отравляются пестицидами около 400 тыс. чел. Чрезмерная загазованность, отравление химикатами привели к тому, что в костях современного человека содержание свинца в 50 раз больше, чем у наших давних предков.
Растет отравление ртутью, кадмием, что является причиной катастрофически быстрого увеличения количества сердечно-сосудистых и онкологических заболеваний.



392

С точки зрения общественной формы, наиболее общими причинами обострения большинства глобальных проблем явились, во-первых, отношения собственности, и, прежде всего, хищническое отношение монополий к природным ресурсам, мировому океану и т. д. Не случайно в послевоенный период на США, к примеру, приходится 40 % мирового объема загрязнения экологической среды, а на каждого жителя 1 кг токсических веществ в воздухе. Во-вторых, такой причиной стала деформация социально-экономических отношений в бывшем СССР и некоторых других странах Восточной Европы, монопольная политика министерств и ведомств этих стран, господство в них тоталитарной системы.
Эти две социально-экономические причины привели к тому, что на долю США, согласно данным американского журнала «Саенс», ежегодно приходилось 1,2 млрд т двуокиси углерода (около четверти мирового объема), на бывший СССР и Китай — около 33 %, а на долю Западной Европы и Японии — 23 %. В целом США, страна с 5 % мирового населения, дает 40 % мирового загрязнения. Каждый житель Америки наносит природной среде ущерб, в 50 раз больший, чем житель Индии.



Экономический прогресс: основные критерии и движущие силы


Возникновение и эволюция политической экономии до конца XIX века. Основные направления современной экономической теории
Цель темы — раскрыть процесс становления экономической теории в контексте исторического развития человечества, представить основные направления и школы экономического учения, их сильные и слабые стороны, показать их влияние на экономическую политику государства.
§ 5. Возникновение и эволюция политической экономии до конца XIX в. Марксизм и современность. Историческая школа и маржинализм
Зарождение политической экономии. Еще в последней трети XV в. возник «меркантилизм» (от фр. «mercantilisme» — «торговец», «купец») как Первая школа политической экономии. Это учение отражало интересы торговой буржуазии в период первичного накопления капитала. Основной формой богатства представители меркантилизма считали золото и серебро, которое, по их мнению, накапливается в результате внешней торговли.



35

На первом этапе своего развития (XV — начало XVI в.) меркантилизм приобрел форму монетаризма, который идеализировал благородные металлы и считал их единственной формой богатства. Поэтому представители монетаризма выступали против вывоза денег из страны, за ограничение импорта и т. п. Позднее сторонники меркантилизма, напротив, выступали за расширение внешней торговли, разрешение вывоза денег из страны. Некоторые из них требовали обложения иностранных товаров высокими налогами, ратовали за достижение активного торгового баланса путем развития национального производства и вывоза части товаров за границу, за усиление роли государства. Представитель французского меркантилизма Монкретьен рассматривал деньги как товар, однако не мог объяснить, почему товар в своем движении изменяет вещную форму на денежную и наоборот. Западноевропейские меркантилисты единственным источником прибыли называли неэквивалентный обмен.
В целом меркантилизм для своей эпохи был прогрессивной экономической теорией, впервые вскрывшей основную цель развития капиталистического способа производства.
Недостатками меркантилизма были, во-первых, неправильная трактовка источника богатства, прибыли и их основных форм; во-вторых, ошибочное определение собственной стоимости денег (меркантилисты считали, что эта стоимость обусловлена природными свойствами золота и серебра); в-третьих, рекомендации ранних меркантилистов запретить вывоз денег из страны, ограничить импорт сдерживали развитие торговли; в-четвертых, предметом политической экономии они считали отношения в сфере обращения.
Поскольку эта школа отражала в основном интересы торговой буржуазии, то уже в конце XVI — в начале XVII в. ее идеи вошли в противоречие с интересами промышленной буржуазии. В мануфактурный период развития капитализма во второй половине XVII в. ей на смену приходит классическая политическая экономия.                 ; Классическая политическая экономия. До первой половины XIX в. мировая экономическая мысль развивалась в рамках классической политэкономии. Ее родоначальниками считаются английский экономист У. Петти и французский ученый П. Буагильбер, заложившие основы трудовой теории стоимости. Дальнейшее развитие классическая политическая экономия получила в работах физиократов Ф. Кене и А.Р.Ж.
Тюрго (Франция). Ее наивысшее достижение — труды английских экономистов А. Смита (1723-1790)
и Д. Рикардо (1772-1823).
Классической политической экономии принадлежит ряд важных научных открытий. Она сосредоточила внимание на анализе отношений материального производства и изучении объективных закономерностей его функционирования и развития. Классики, создавшие основы трудовой теории стоимости, исследовали доходы основных классов буржуазного общества, механизм конкуренции, кредита, денежного обращения.
Классическая политическая экономия впервые поставила задачу изучения экономических законов, признавая их объективный характер, исследовала механизм действия, обосновала необходимость учета и использования этих законов в хозяйственной практике и экономической политике. Источник стоимости



36

классики усматривали в различных формах производительного труда. А. Смит четко разграничивал валовой продукт и чистый национальный доход, основной  и оборотный капиталы.
Рыночную экономику представители классической политэкономии рассматривали как саморегулирующуюся систему, наиболее эффективно распределяющую ресурсы. Согласно выводу А. Смита, рыночной экономике необходима наибольшая экономическая свобода. Заинтересованность в прибыли в условиях конкуренции обеспечивает наилучший результат для всех. По мнению А. Смита, государство не должно вмешиваться (или может вмешиваться лишь минимально) в процесс развития рыночной экономики, но оно должно защитить конкуренцию от самих предпринимателей, не допуская ее ограничения, а также создать общие условия производства, развивать образование, строить дороги, мосты, обеспечивать связь. Он утверждал, что принятие государством законов только мешает экономической системе. Принцип свободной конкуренции, по мнению А. Смита, наиболее полно реализуется в процессе свободного перемещения рабочей силы, свободной купли-продажи земли, свободной торговли и отмены государственных регламентации функционирования промышленности и внутренней торговли.
Заслугой Д. Рикардо было четкое разграничение потребительной и меновой стоимости, сведение источника стоимости товара к труду. Он обращал внимание на двойственный характер труда, неравенство между заработной платой работника и стоимостью продукта его труда, что в дальнейшем стало предпосылкой для выяснения сущности капиталистической эксплуатации. В учении Д. Рикардо нашла свое отражение теория прибавочной стоимости.
Им сформулирован закон обратно пропорциональной зависимости между величиной заработной платы и прибылью, выяснен механизм дифференциальной ренты и др.
К сожалению, последующие представители классической школы политической экономии, такие какДж. С. Милль, Мак-Куллох и другие не смогли развить научные элементы учения А. Смита и Д. Рикардо.
Основные недостатки классической школы политической экономии заключаются в следующем: 1) А. Смит, анализируя процесс воспроизводства
общественного капитала, стоимость совокупного общественного продукта свел только к величине заработной платы и прибыли; 2) Д. Рикардо  определял стоимость товара через механизм спроса и предложения; 3) классики не смогли научно обосновать стоимость товара рабочая сила; 4) А. Смит и Д. Рикардо понятие «капитал» свели лишь к его вещному содержанию — средствам производства, отождествив его с последними; 5) классикам не удалось выделить наиболее абстрактную и наиболее общую форму стоимости продуктов труда; 6) Д. Рикардо отождествлял формы проявления закона стоимости с самим законом, собственное содержание стоимости с ее компонентными формами (например, средней прибылью, ценой производства), а прибавочную стоимость — с такими формами ее проявления, как прибыль, рента; 7) предметом политической экономии представители этой школы считали изучение природы богатства, хотя в трудах Д. Рикардо заметны попытки отойти от такого понимания предмета поли-



37

тической экономии; 8) капиталистический способ производства они считали вечным строем, то есть не учитывали при его рассмотрении принцип историзма; 9) игнорировали или существенно недооценивали роль государства в хозяйственной жизни, что было естественным в тот период.
Во Франции национальным вариантом классической школы политической экономии были физиократы (от греч. phisis — природа и kratos — власть), которые в отличие от меркантилистов, источником общественного богатства считали не сферу обращения, а сферу производства благ природного происхождения. Земля, по их мнению, является наибольшей ценностью. С точки зрения физиократов — экономистов Ф. Кене, Ж. Тюрго и других, капитал — один из факторов производства, а прибыль — форма дохода с капитала. Они ввели в научный оборот категорию «чистый продукт», в качестве которого рассматривали стоимость произведенной сельскохозяйственной продукции за вычетом всех затрат. В этой связи источником богатства было названо превышение производства сельскохозяйственного продукта над его потреблением.
Промышленность, транспорт и торговля, по мнению физиократов, — бесплодные сферы, а труд людей и предпринимателей лишь средство покрытия расходов на их существование. Они полагали, что экономическая политика должна осуществляться в соответствии с принципом «разрешайте делать, что хочется, и идти, куда хочется». Ф. Кене разработал экономическую таблицу, в которой впервые предпринял попытку количественного макроэкономического анализа натуральных и денежных потоков материальных ценностей в народном хозяйстве.
Эта таблица стала прообразом методов анализа системы «затраты — выпуск», использующихся и в XX в., в которых раскрываются связи межотраслевого баланса.
Наряду с классической школой политической экономии, возникает вульгарная буржуазная политэкономия, представители которой, в частности, английские экономисты Т. Мальтус, С. Сениор и др. пытались сознательно фальсифицировать реальную действительность. Так, Т. Мальтус, например, трактовал сущность закона народонаселения как увеличение численности населения вследствие его роста в геометрической прогрессии, в отличие от расширяющегося в арифметической прогрессии производства продуктов питания, что должно сопровождаться снижением заработной платы работников до уровня удовлетворения физических потребностей, регулирующего воспроизводство населения. Научная несостоятельность такой трактовки закона народонаселения будет показана далее.



Предмет и функции экономической теории


1. Предмет и функции экономической теории
Начиная свои блестящие лекции по политической экономии (таково традиционное название экономической теории), Роза Люксембург3 поделилась со слушателями своими поразительными выводами: Политическая экономия — удивительная наука. Трудности и разногласия начинаются уже с первых шагов в этой области, уже с элементарного вопроса: каков, собственно, предмет этой науки? И она подкрепила свои слова следующим парадоксальным утверждением: Как бы неправдоподобно это ни звучало, несомненно, однако, что большинство специалистов по политической экономии имеет весьма туманное представлениe о действительном предмете своих ученых изысканий4.
В справедливости этих слов нас убеждает не только предшествующая история всемирной экономическом мысли. Подтверждением служат также учебники по экономической теории, изданные в разных странах за последние десятилетия.
Разноголосицу в определении предмета экономической теории нельзя признать случайной. Дело в том, что находящаяся в поле зрения ученых экономика — это сложное явление, где можно выделить качественно различные стороны. Это, как известно, во-первых, производственные факторы — личные и материально-технические. Во-вторых, сюда входит технология. В-третьих, экономика предстает в виде производства, распределения, обмена и потребления благ.
В-четвертых, здесь можно обнаружить социальные связи между людьми и действия такой политической организации, какой является государство. Наконец, как мы установили, данную сферу общественной жизни пронизывают экономические отношения.
Изучаемая наука, разумеется, не в состоянии объять необъятное — углубленно исследовать все стороны хозяйства общества. Поэтому мы поступим правильно, если исключим те стороны, которые явно не входят в ведение экономической теории. Тогда за ее пределами окажутся:
— материально-вещественные факторы производства. Если бы экономисты-теоретики взялись за совершенствование средств производства, то это означало бы, как считали в старину, охотиться на чужих полях. Такие поля давно освоили специалисты по техническим дисциплинам;
— технология производства разнообразных благ. Разрабатывать лучшие способы изготовления полезных вещей — тоже не дело теоретиков-экономистов. С этой задачей лучше всего справляются технологи, товароведы и другие специалисты;
— социальные и политические отношения в области экономики. Такие отношения — объект изучения социологии, политологии, юриспруденции.
Стало быть, исключив все то, что прямо не относится к экономической теории, мы в конечном счете обнаруживаем особый объект ее исследования. Предмет этой науки — экономические отношения, т.е. отношения между людьми и социальными группами, которые складываются в производстве, распределении, обмене и потреблении благ.
Однако такое размежевание между экономическими отношениями и неэкономическими сторонами народного хозяйства вовсе не означает, что они существуют и развиваются независимо друг от друга. Напротив, все они органически связаны между собой. Их взаимовлияние будет рассмотрено в дальнейшем.
А теперь мы более подробно проанализируем предмет экономической теории.
Экономические связи между людьми многообразны. Поэтому они классифицируются на определенные типы и виды. Прежде всего выделяется два типа этих связей: отношения собственности (соответствующие им социально-экономические отношения между людьми) и организационно-экономические отношения.,
Отношения собственности (социально-экономические отношения) — это связи между большими социальными группами, отдельными коллективами и членами общества по присвоению 4эакторов и результатов производства. Решающее положение в экономике принадлежало в прошлом и принадлежит сейчас тем, кому достаются предприятия и все, что на них изготавливается. Поэтому социально-экономические отношения во многом зависят от типа (формы) собственности на условия и плоды производственной деятельности. Такое присвоение предопределяет главное содержание и направленность развития социально-экономических отношений.
Ибо всегда и везде подобное развитие идет в интересах собственников.
Организационно-экономические отношения возникают потому, что общественное производство, распределение, обмен и потребление невозможны без определенной организации. Данная организация требуется для всякой совместной деятельности людей.
Наблюдая за жизнью пчел и муравьев, мы замечаем: они умеют создавать довольно-таки сложные сооружения для жилья и четко взаимодействуют между собой в поисках пищи, ее накоплении и использовании. Так срабатывает биологический инстинкт. В отличие от этого люди заранее продумывают свои хозяйственные действия.
У них созревает план предстоящей работы, объединяющий всех тружеников. При этом решаются организационные задачи:
— как разделить людей для выполнения отдельных видов работ и объединить всех занятых на предприятии под единым началом для выполнения общей цели; .
— каким способом вести хозяйственную деятельность;
— кто и как будет управлять производственной работой людей. В связи с этим организационно-экономические отношения подразделяются на три крупных вида (которые включают, в свою очередь, соответствующие конкретные формы):
разделение труда и производства (их дробление между отраслями хозяйства, между предприятиями и внутренними их подразделениями) и их кооперация (совместное изготовление продуктов, укрупнение размеров предприятий, их постоянное сотрудничество и объединение);
организация хозяйственной деятельности в определенных формах (натуральное и товарно-рыночное хозяйство);
управление экономикой (стихийно-рыночное и государственно-плановое регулирование).
Типы и виды экономических отношений схематически представлены на рисунке 2.1.

Предмет и функции экономической теории

Рис. 2.1. Структура экономических отношений
Основные типы экономических отношений сильно отличаются друг от друга.
Так, социально-экономические отношения являются специфическими: от свойственны только одной исторической эпохе или одному общественному строю (например, первобытно-общинному, рабовладельческому, феодальному). Поэтому они имеют исторически преходящий характер. Социально-экономические отношения меняются в результате перехода от одной конкретной формы собственности к другой.
В отличие от этого организационно-экономические связи существуют, как правило, независимо от социально-экономического строя. Они являются по существу общими элементами экономики всех стран. „Например, в разных общественных устройствах могут успешно применяться одинаковые формы хозяйственной организации (фабрики, комбинаты, специализированные магазины и универсамы, предприятия сферы услуг), а также общие достижения научной организации труда и управления и др. Вместе с факторами производства организационно-экономические отношения образуют элементы общечеловеческой экономической культуры, которая передается по наследству от одного поколения к другому (это относится, скажем, к кооперации и разделению труда, товарному производству).
Итак, мы пришли к выводу: экономическая теория изучает два типа отношении — отношения собственности (соответствующие им социально-экономические отношения) и организационно-экономические отношения. Углубленное научное познание этого предмета приводит к открытию экономических законов.
Хозяйственная жизнь развивается потому, что между определенными процессами существуют причинно-следственные связи. Одно явление служит причиной, а другое — его следствием.
Причинно-слMдственные связи сильно различаются по своему характеру. Их подразделяют на следующие виды:
субъективно-психологические; объективные;
случайные: необходимые;
несущественные; выражающие существо явлений;
единичные: массовые;
неповторяющиеся; постоянно воспроизводящиеся;
неустойчивые: абсолютно (безусловно) действующие.
Указанное деление зависимостей между хозяйственными явлениями позволяет определить, когда мы обнаруживаем в экономике закономерные причинно-следственные связи, а когда какие-то процессы вызваны случайным стечением обстоятельств.
Допустим, некий гражданин поверил в свою удачу и решил обогатиться при помощи игровых автоматов. Ему повезло, он выиграл, к своей радости, большую сумму денег. Но затем счастье ему изменило.
Разве все это закономерно?
Между тем ученые-экономисты обнаружили вполне закономерные связи. Например, всегда в результате значительного роста массовой безработицы на определенный период уменьшается как степень инфляционного обесценения денег, так и выпуск продукции в общественном масштабе. Или если существенно повышается величина банковского процента, то заметно возрастает сумма сбережений, помещаемых населением и предприятиями в кредитно-банковские учреждения.
Эти и другие закономерные зависимости мы будем изучать на протяжении всего курса экономической теории.



Основные формы экономического развития


Сущность критерии экономического прогресса. Движущие силы и факторы экономического прогресса. НТР и ее роль в экономическом прогрессе. Развитие сущностных сил человека— решающий фактор социально-экономического прогресса
С возникновения политической экономии представители ее различных направлений, школ и течений пытались выяснить движущие силы экономического развития. Так, причины развития общества, в том числе экономики, они видели в росте населения, географической среде, психологических, социально-правовых факторах и др. Выяснение этих причин имеет большое теоретико-познавательное и практическое значение.
Цель темы — выяснить сущность экономического прогресса и его важнейшие движущие силы; раскрыть роль человека и НТР!в этом процессе.
§ 7. Сущность и критерии экономического прогресса
Сущность экономического прогресса. Основные критерии экономического прогресса
Сущность экономического прогресса. Понятие «прогресс» (лат. — progressive) означает движение вперед, поступательное развитие общества от менее совершенных к более совершенным формам, а экономический прогресс — поступательное развитие всей экономической системы, каждого ее элемента: производительных сил, технологического способа производства; производственных отношений, в том числе отношений собственности; хозяйственного механизма. Прогресс в техническом строе производства выражается в переходе от способа производства, основанного на ручном труде, к способу, основывающемуся на машинном базисе труда, а от него — к способу производства, в основе которого лежит автоматизированный труд. Поступательное развитие производственных отношений проявляется в эволюции форм собственности: от индивидуальной к коллективной (в разных ее видах и степенях зрелости), от коллективной к



62

государственной и надгосударственной (или интегрированной). Прогресс хозяйственной системы выражается в эволюции рыночных механизмов управления экономикой, постепенном переходе к рациональному сочетанию государственных и рыночных регуляторов, а затем — к наднациональным формам и методам управления экономикой в рамках международных регионально-континентальных объединений типа ЕС.
Экономический прогресс — основа общественного прогресса, составляющими элементами которого, наряду с экономической, являются социальная, правовая, политическая, национальная, культурная, духовная и другие стороны. В широком историческом контексте такое движение вперед выражается в последовательном переходе роли ведущих движущих сил от преимущественно естественных факторов развития общественных систем (географическая среда, количество населения) к новым, более сложным факторам и источникам развития. Так, в современных условиях к качественно новым факторам общественного, в том числе экономического прогресса, относятся национальный менталитет, энергия и активность нации, психология и сознание людей ( 2).
Различают два основных типа экономического развития — экстенсивный и интенсивный. При экстенсивном типе экономический рост достигается путем количественного прироста всех элементов производительных сил, прежде всего, факторов производства, при неизменном уровне его технического строя. Основными факторами экономического развития экстенсивного типа являются рост объема инвестиций, увеличение численности работников и объемов оборотных фондов (сырья, материалов и др.) при сохранении существующего уровня технологии, В этом случае производительность труда и эффективность остаются неизменными.
При интенсивном типе экономического роста увеличение масштабов выпуска продукции достигается путем качественного совершенствования всей системы производительных сил, прежде всего, личных и вещных факторов производства. К основным факторам экономического развития интенсивного типа относятся инвестиции, внедрение новой техники и технологии на базе передовых достижений НТП и повышение общеобразовательного и профессионального уровня работников и их предпринимательских способностей; улучшение использования основных и оборотных фондов; внедрение новых прогрессивных форм организации производства и труда; опережающее развитие информационной сферы, информатизация хозяйственной деятельности, Интенсификация производства выражается в росте общественной производительности труда, то есть в увеличении выхода конечной продукции с каждой единицы привлеченных в производство ресурсов при экономии живого и овеществленного труда; повышении качества продукции; росте эффективности производства; в прогрессивных структурных преобразованиях экономики.
В процессе расширенного воспроизводства интенсивные факторы экономического роста сочетаются с экстенсивными. Поэтому различают преимущественно интенсивный или преимущественно экстенсивный тип. Поскольку большая часть источников экстенсивного роста (земля, полезные ископаемые и др.) чрезвычайно ограничена, переход к преимущественно



63


2. Факторы экономического прогресса
интенсивному типа экономического роста в современных условиях становится объективной необходимостью. Это требует решительного поворота производства в сторону использования трудосберегающих, фондосберегающих и ресурсосберегающих технологий.
Основной формой интенсивного развития является рационально сочетающая все вышеуказанные технологии и обеспечивающая быстрый рост эффективности общественного производства.



64

Внедрение такой формы в условиях современного этапа НТР связано с автоматизацией производства, использованием технологического оборудования с программным управлением, ЭВМ и микропроцессоров, гибких производственных систем и т. п.
Основными индикаторами динамики экономического роста на макроэкономическом уровне являются рост объемов валового внутреннего продукта (ВВП) и национального дохода; темпы роста этих показателей в расчете на душу населения и др. К ним также относятся коэффициенты роста (определяются как отношение показателя изучаемого года к базовому), темпы роста (коэффициент роста, умноженный на 100 %) и темпы прироста (темп роста минус 100). Однако темпы экономического роста в условиях интенсивного развития могут временно снижаться, что бывает обусловлено прогрессивными структурными преобразованиями в экономике.
Одна из основных движущих сил интенсивного экономического роста — эффективность инвестиционного процесса — в свою очередь, зависит от нормы сбережений, развитости финансового рынка, способного трансформировать сбережения населения в инвестиции уровня их доходности.
Основные критерии экономического прогресса. Результат экономического прогресса — реальные достижения в процессе экономического развития. Такие достижения в наиболее абстрактной форме и выступают критериями социально-экономического прогресса.
Развитие производительных сил является наиболее общим его критерием. Это обусловлено тем, что в состав производительных сил входит человек, природные ресурсы, средства производства, наука, информация и т. д. и от уровня их развития зависит объем создаваемых материальных и духовных благ, а значит, и жизненный уровень населения.
К важным параметрам развития производительных сил относятся соотношение между массой применяемых средств производства и численностью занятых работников, или техническое строение производства (речь идет о количестве средств производства, приводимых в движение одним работником). Рост данного показателя проявляется в увеличении фондовооруженности, энерговооруженности труда; в условиях НТР — в его автоматизации и компьютеризации, а в конечном счете свидетельствует о переходе от одного технического строя производства к другому. С развитием производительных сил растут производительность труда, национальное богатство, возникают новые производства, источники энергии, продукты и т. п.
В зависимости от структуры всей системы производительных сил происходит конкретизация наивысшего, обобщающего критерия. Критериями экономического прогресса служат уровни развития человека-работника, средств труда, науки, форм и методов организации производства, используемых людьми сил природы, информации. Например, первый определяется общеобразовательной и профессиональной подготовкой человека, степенью развития его умственных способностей и т. п., второй — производительностью, способностью заменять труд человека.
Поскольку главная производительная сила — работник, трудящийся, одновременно выступающий носителем производственных отношений, субъектом отношений присвоения, главным критерием прогресса в разви-



65

тии общественного способа производства является развитие сущностной природы человека. С этой точки зрения отличие между способами производства состоит в том, что в одних из них экономический прогресс подчинен преимущественно развитию лишь определенного класса, а в других — развитию большинства населения, трудящихся.
В связи с тем, что сферу реализации сущности человека представляет вся совокупность общественных отношений: экономических, социальных, политических, национальных, культурных и др., раскрытие всех его сущностных сил, его всестороннее развитие выступают главными критериями всего общественного прогресса.



СОБСТВЕННОСТЬ И СОЦИАЛЬНО-ЭКОНОМИЧЕСКИЙ СТРОЙ ОБЩЕСТВА


СОБСТВЕННОСТЬ И СОЦИАЛЬНО-ЭКОНОМИЧЕСКИЙ СТРОЙ ОБЩЕСТВА
1. Собственность в экономическом и
юридическом смысле
Термин собственность обозначает два несхожих понятия:
а) собственность в экономическом смысле, или собственность de facto (лат. — на деле, фактически);
б) собственность в юридическом смысле, или собственность de jure (лат. — юридически, по праву).
Чем данные понятия различаются между собой? Выяснять этот вопрос начнем с раскрытия экономического содержания собственности.
Если мы попытаемся анатомировать (расчленить) экономическое отношение собственности, то обнаружим два его элемента: субъект (собственник) и какое-то имущество. Может показаться, что собственность выражает отношение субъекта к определенной вещи. Ведь говорит же собственник, например, так: Эта автомашина — моя.
Однако в этом случае звучит не только прямое утверждение (о том, кому принадлежит машина). Косвенно содержится также отрицание собственности других лиц (никто иной не может присвоить данную вещь). Поэтому экономическое отношение собственности правильнее представить в виде развернутой формулы: субъект (собственник) — имущество — иные субъекты (несобственники или временные владельцы имущества).
Отношения присвоения распространяются в первую очередь на такое имущество, от которого непосредственно зависит хозяйственная деятельность. В его состав входят факторы производства (и материальные блага, и плоды интеллектуального труда). В отдельных случаях к объектам собственности относили человеческий фактор (так было при рабовладельческом строе в отношении рабов).
Всестороннее изучение собственности позволяет выяснить три главных социально-экономических вопроса:
1. Кто (какие субъекты хозяйствования) обладает экономической властью — присваивает факторы и результаты производства?
2. Какие экономические связи способствуют лучшему использованию производственных условий?
3. Кому достаются доходы от хозяйственной деятельности? В соответствии с этим единая система экономических отношений собственности включает следующие элементы: а) присвоение факторов и результатов производства; б) хозяйственное использование материальных и иных средств и в) экономическую реализацию собственности (рис. 3.1).

СОБСТВЕННОСТЬ И СОЦИАЛЬНО-ЭКОНОМИЧЕСКИЙ СТРОЙ ОБЩЕСТВА

Рис. 3.1. Структура отношений собственности
Рассмотрим данную систему подробнее.
Присвоение — экономическая связь между людьми, которая устанавливает их отношение к вещам как к своим. Такая связь уходит своими глубинными корнями в производственный процесс. Ведь любое Wроизводство материальных благ есть по существу не что иное, как присвоение людьми природного вещества и энергии в целях удовлетворения своих потребностей.
Отсюда можно сделать вывод: если присвоение невозможно без производства, то и последнее всегда протекает в рамках определенной формы собственности.
Присвоение может сочетаться с прямо противоположным отношением — отчуждением. Оно возникает, например, если какая-то часть общества захватывает все средства производства, а другая часть остается без всяких источников существования. Или когда продукты, созданные одними людьми, без всякого возмещения присваивают другие.
Такими были. скажем, взаимоотношения между феодалами и крепостными крестьянами, занятыми подневольным трудом на барщине.
Собственники средств производства не всегда сами занимаются созидательной деятельностью: они дают другим предприимчивым людям возможность употреблять их имущество в хозяйственных целях на определенных условиях. Тогда между собственником и предпринимателем возникают отношения хозяйственного использования имущества. Последний получает реальную возможность временно владеть и пользоваться объектом чужой собственности.
Примером отношений хозяйственного использования чужой собственности служит аренда — договор о предоставлении имущества какого-то человека во временное пользование другому лицу за определенную плату. Аналогичная картина и при концессии — договоре, по которому государство сдает частным лицам, иностранным фирмам промышленные предприятия или участки земли для определенной производственной деятельности.
Собственность экономически реализуется, если приносит доход ее владельцу. Такой доход представляет собой весь вновь созданный продукт или его часть, которые получены благодаря применению труда и средств производства. Это может быть, скажем, прибыль, налог, различного рода платежи. В случае аренды назначается арендная плата, которая включает в себя процент на капитал, вложенный в имущество его собственником, и часть прибыли (дохода), которая получена от использования взятого в аренду имущества.
При заключении концессии заранее устанавливаются платежи или определяется доля прибыли, которую временные хозяева уплачивают собственнику.
Это означает, что система экономических отношений собственности охватывает — от начала и до конца — весь хозяйственный процесс. Она пронизывает и составляет сердцевину всех отношений между людьми по производству, распределению, обмену и потреблению благ и услуг.
Вполне очевидно, что вся система отношений собственности порождает у людей экономические — материальные, имущественные — интересы. Главный среди них, наверное, состоит в том, чтобы всемерно умножать находящиеся в собственности блага в целях лучшего удовлетворения потребностей. Так через интересы собственность объективно предопределяет направленность и характер хозяйственного поведения всех субъектов.
Отсюда вытекает поучительное правило: чтобы постичь истинную причину того или иного события, надо выяснить породившие его интересы людей. Еще в Древнем Риме в таком случае задавали вопрос по существу: qui prodest (кому выгодно)? Этот вопрос правомерно выяснять при изучении хозяйственного поведения собственников.
Однако, движимый собственническими интересами, человек может вступать в конфликт с интересами всего общества. Кто и как в таком случае способен предотвращать противоречия, порождаемые собственностью, и регулировать поведение агентов (лат. agens — действующий) производства? Эту общественную задачу выполняют государство и право.
Как известно, право — это совокупность общеобязательных правил поведения людей (норм). Они устанавливаются в обществе или санкционируются" (утверждаются) государством и поддерживаются им. При государственно-правовом регулировании хозяйственной деятельности все реально существующие отношения собственности и другие экономические связи между людьми становятся общепризнанными правовыми нормами, подлежащими обязательному исполнению.
Благодаря праву значительный круг хозяйственных связей между людьми принимает характер правоотношений, т.е. отношений, участники которых выступают как носители юридических прав и обязанностей. Такие правовые нормы закрепляют существующие отношения собственности и регулируют меру и формы распределения труда и его продуктов между членами общества.
При определении собственности в юридическом смысле выделяются различные категории собственников принадлежащего им имущества. Так, согласно Гражданскому кодексу Российской Федерации (ГК РФ), субъектами права собственности являются (статья 212):
а) гражданин (физическое лицо) — человек как субъект гражданских (имущественных и неимущественных) прав и обязанностей;
б) юридическое лицо — организация (объединение лиц, предприятие, учреждение), являющаяся субъектом гражданских прав и обязанностей. Это социальное (коллективное) образование вступает в хозяйственные связи от своего имени как самостоятельная целостная единица. Примером может служить фирма — хозяйственное, промышленное -или торговое предприятие (объединение), пользующееся правами юридического лица;
в) государство и муниципальные образования (органы местного управления и самоуправления).
В законодательстве особо выделяются объекты гражданских прав. Среди них различаются следующие виды объектов собственности:
недвижимое имущество (земельные участки, участки недр, обособленные водные объекты, леса, многолетние насаждения, здания, сооружения и т.п.);
движимые вещи. (деньги, ценные бумаги и другие вещи, не относящиеся к недвижимости);
интеллектуальная собственность (результаты интеллектуальной деятельности и приравненные к ним средства индивидуализации юридического лица, индивидуализации продукции, выполняемых работ или услуг: фирменное наименование, товарный знак, знак обслуживания и т.п.).
После того как государство урегулирует в законодательных актах имущественные отношения между соответствующими субъектами, последние наделяются правом собственности. Это право включает полномочия собственника владеть, пользоваться и распоряжаться имуществом (рис. 3.2).

СОБСТВЕННОСТЬ И СОЦИАЛЬНО-ЭКОНОМИЧЕСКИЙ СТРОЙ ОБЩЕСТВА

Рис. 3.2. Совокупность правомочий собственника
Владение — физическое обладание вещью. Это правомочие собственника всегда охраняется законом. Законное владение имуществом имеет правовое основание (закон, договор, административный акт).



Сущность, структура, механизм рынка и проблемы его развития


Формы общественного производства. Товар и его свойства. Двойственный характер труда, воплощенного в товаре. Развитие товара и товарного производства в современных условиях.
Сущность денег, денежных систем и их эволюция. Закон обращения денег. Инфляция. Закон стоимости и его функции

Цель темы — раскрыть закономерность возникновения и сущность товарной формы производства; выяснить социально-экономическую природу ее простейшей структурной единицы — товара; вскрыть его противоречия, которые приводят к появлению денег; проанализировать содержание и функции закона обращения денег, закона стоимости.
§ 11. Формы общественного производства
Натуральное производство. Причины возникновения и сущность товарного производства
История развития общества свидетельствует, что на протяжении длительных периодов, охватывающих различные общественные способы производства, сохраняются некоторые общие формы экономической жизни. Социальная практика знает три формы общественного производства — натуральную, товарную и непосредственно общественную. В докапиталистических формациях господствовала натуральная форма производства, но уже в период распада первобытного строя зарождается товарная. В современном мире во всех развитых странах товарная форма производства является доминирующей.
По мере усиления социальной ориентации рыночного хозяйства получают развитие элементы непосредственно общественной формы. Растет роль товарного производства и в экономической жизни развивающихся стран Азии, Африки и Латинской Америки, где еще высок уровень натуральной экономики. Все это доказывает, что товарное производство имеет высокую адаптивную способность к разным формам собственности и способам производства.



91

Натуральное производство. Исторически первым возникло натуральное производство, при котором продукты труда предназначались для внутрихозяйственного потребления. В течение почти 3 млн лет единственной формой общественного производства было натуральное. В процессе распада первобытнообщинного строя возникло товарное производство, но натуральная форма еще долго оставалась господствующей, сочетаясь при этом с товарной.
В целом во всех докапиталистических формациях хозяйство в основном было натуральным. Каждая хозяйственная единица была полностью обособлена от остальных как в производстве, так и в потреблении. Уровень потребления субъектов хозяйствования зависел исключительно от уровня производства.
Общественное разделение труда в натуральном хозяйстве было развито слабо. Несмотря на это, внутри такого хозяйства труд уже мог быть разделен между отдельными людьми и группами людей. К примеру, внутри латифундий имело место разделение труда между рабами, которые исполняли различные виды работ.
Но разделения труда между хозяйственными единицами не существовало, был лишь идентичный набор видов работ. Рабовладельческие латифундии или феодальные имения отличались не столько разнообразием видов работ, сколько количеством занятой рабочей силы (рабов и крепостных). Что касается свободных крестьян, то структура их хозяйств была практически одинакова. Крестьяне не только выращивали хлеб, но и изготавливали орудия труда, одежду, обувь и т.д. Конечно, и при натуральном хозяйстве некоторые продукты труда (сено, железо, пряности и т. п.) обменивались на рынке как товары.
Но такой обмен играл второстепенную роль.
Натуральная форма производства существовала в условиях неразвитого общественного разделения труда и отвечала тому уровню развития производительных сил и типу производственных отношений, которые обусловливают ограниченную цель производства и подчиняют его удовлетворению незначительных по объему и однотипных, примитивных по характеру потребностей.
Причины возникновения и сущность товарного производства. Организационно-хозяйственной основой возникновения товарных отношений является общественное разделение труда, которое означает специализацию производителей на изготовлении отдельных видов продуктов или определенной производственной деятельности. Общественное разделение труда и обмен продуктами — два взаимообусловленных и взаимосвязанных процесса.
В докапиталистических формациях общественное разделение труда было слабо развито. Выделение пастушьих племен из массы первобытных положило начало первому крупному общественному разделению труда, сделало возможным регулярный обмен между общинами. В рабовладельческом обществе произошло второе крупное общественное разделение труда — ремесло отделилось от земледелия, что означало возникновение товарного производства, то есть производства, специально ориентированного на обмен.
Развитие обмена обусловило возникновение металлических денег, формирование класса купечества, появление торгового капитала. Это было



92

третье крупное разделение труда, которое предопределило последующее развитие товарного производства.
В XX в. в развитых странах мира произошло четвертое крупное разделение труда — отделение нематериального производства (науки, образования, здравоохранения и т. п.) от материального. С середины 70-х гг., то есть с развертыванием информационной революции, началось пятое крупное общественное разделение труда — выделение информационной деятельности и сферы информационных услуг. Но само по себе общественное разделение труда, предполагая наличие обмена продуктами, спонтанно не приводит к появлению товарных отношений.
Возникновение товарных отношений наряду с организационно-производственным обособлением специализированных звеньев общественного разделения труда обусловлено социально-экономической обособленностью производителей, которая позволяет им присваивать произведенный продукт, распоряжаться им, быть собственниками, результатом материальных условий производства. Такая обособленность со времени распада первобытного строя становится экономической основой возникновения частной собственности на средства производства как исторически первой формы экономического обособления. Вследствие этого происходит превращение обмена деятельностью и продуктами труда в товарный обмен.
Эта обособленность может иметь различный характер, зависящий от господствующего типа собственности. Правомерен вопрос: почему возникает обособленность производителей?
Со стороны непосредственного содержания труда она обусловливается, прежде всего, его неоднородностью, различной сложностью, неодинаковым функциональным содержанием работы — соотношением творческого и исполнительского компонентов, элементов умственного и физического труда. Различаются и условия труда, в зависимости от которых выделяют труд простой и сложный, во вредных условиях и т. д. Не одинаковы физические и духовные способности людей, их навыки к каждодневной и напряженной работе, поэтому результативность, эффективность труда разных людей различна. Со стороны общественной формы обособленность субъектов производства обусловлена их интересами к присвоению результатов своего (в условиях простого товарного производства) или чужого труда.
В современных условиях признаками проявления экономической обособленности товаропроизводителей являются: 1) формы и границы присвоения средств и результатов производства; 2) самостоятельное определение объемов производства, установление цен, распределение полученных прибылей и т.д.; 3) независимость в управлении производством и сбытом продукции; 4) самостоятельность в выборе поставщиков сырья, электроэнергии, комплектующих изделий, ответственность за выполнение контрактов, договоров; 5) самофинансирование, экономический риск, самоокупаемость и др.
Общественное разделение труда, по Марксу, проявляется в трех основных формах: разделение на его большие роды: земледелие, промышленность — общее, разделение этих родов на. виды и подвиды — частное, а разделение труда внутри предприятия — единичное. Такая классификация,


93

с одной стороны, отражает историческую последовательность возникновения форм разделения труда, с другой — степень его развития в пределах отдельных национальных экономик.
Непосредственной основой возникновения и развития товарного производства и обособления товаропроизводителей является общее и частичное разделение труда. Эти формы создали большие отделенные друг от друга сферы производства, слияние которых в совокупный общественный воспроизводственный организм в условиях социально-экономической обособленности производителей происходит путем обмена продуктами труда как товарами. Таким образом, обмен произведенными товарами через рынок формирует экономические связи между обособленными товаропроизводителями.
Единство процессов экономического обособления и общественного разделения труда состоит в том, что они имеют общую ориентацию на формирование и развитие экономических связей в сфере обмена.
Товарное производство — это такая организация общественного хозяйства, при которой отдельные продукты изготавливаются обособленными производителями и для удовлетворения общественных потребностей необходимы купля-продажа на рынке этих продуктов, превращающихся в товар. Отсюда следует, что основными чертами товарного производства являются: а) общественное разделение труда; б) обособление присвоения средств производства; в) производственно-хозяйственная и социально-экономическая обособленность собственников произведенного продукта; г) экономические связи между обособленными товаропроизводителями, реализуемые через обмен; д) стихийный характер экономического развития.



ТИПЫ ОРГАНИЗАЦИИ ХОЗЯЙСТВА


ТИПЫ ОРГАНИЗАЦИИ ХОЗЯЙСТВА
1. Натуральное и товарное производство
История экономики знает два основных рода организации производства: натуральное и товарное. Они прямо противоположны Друг другу и различаются по следующим признакам:
а) развитости или неразвитости общественного разделения труда;
б) замкнутости или открытости хозяйства;
в) экономической форме изготавливаемого продукта;
г) видам хозяйственных связей между производством и потреблением благ.
Организационно-экономические отношения между производителями и потребителями наиболее просто налажены в натуральном хозяйстве.
Натуральное производство — такая система организа- ционно-экономических отношений, при которой люди создают продукты для удовлетворения собственных потребностей. Эта система имеет следующие специфические черты (рис. 4.1).

ТИПЫ ОРГАНИЗАЦИИ ХОЗЯЙСТВА

Рис. 4.1. Основные черты натурального хозяйства
Для натурального производства, во-первых, характера ручной универсальный труд, исключающий его разделение на обособленные виды, Каждый человек выполняет все основные работы. Материальным их основанием служит простейшая техника (мотыга, лопата, грабли и т.п.) и кустарный инструмент. Естественно, что при таких условиях трудовая деятельность является малопроизводительной, выпуск продукции не может сколько-нибудь значительно возрастать.
Еще в старину в народе сложились такие пословицы о людях универсального труда: На все руки мастер, И швец, и жнец, и на дуде игрец.
Во-вторых, натуральное хозяйство — замкнутая система организационно-экономических отношений. Общество, в котором оно господствует, состоит из массы разобщенных и экономически изолированных друг от друга хозяйственных единиц (семей, общин, поместий). Каждая единица опирается на собственные производственные ресурсы и самообеспечивает себя всем необходимым для жизни.
Выполняет все виды хозяйственных работ, начиная от добывания разных видов сырья и завершая окончательной подготовкой их к потреблению.
Данная черта организации хозяйства проявляется как тенденция в тех случаях, когда происходит натурализация производства в границах современных промышленных и сельскохозяйственных предприятий, хозяйственных объединений и регионов (хотя внутри государства может существовать развитое товарное хозяйство). Все такие производственные единицы свертывают свои экономические связи с другими звеньями народного хозяйства и стремятся самостоятельно обеспечить себя всем необходимым.
Иногда подобная тенденция охватывает все общество: отдельные государства проводят хозяйственную политику, известную под названием автаркия. Автаркия (грвч. autarkeia — самоудовлетворение) — создание замкнутого самодовлеющего хозяйства в рамках одной страны. Это сопровождается разрывом традиционных экономических связей с другими странами.
Стремление к автаркии проявляется и тогда, когда создаются высокие заградительные таможенные пошлины (денежные сборы с ввозимых и вывозимых товаров), что резко ограничивает ввоз в страну иностранных товаров. Нечто подобное иногда происходит в замкнутых международных организациях, преследующих задачу самообеспечения и отказа от закупки за рубежом наиболее важных промышленных, сырьевых и продовольственных товаров.
В-третьих, системе натурального хозяйства свойственны прямые экономические связи между производством и потреблением. Они развиваются по формуле: производство — распределение — потребление. То есть созданная продукция распределяется между всеми участниками производства и, минуя ее обмен, идет в личное и производительное потребление.
Такая прямая связь обеспечивает натуральному хозяйству устойчивость.
Натуральное хозяйство является исторически первым типом хозяйственной организации общества. Оно возникло в период становления первобытно-общинного строя, когда появились отрасли производства: земледелие и скотоводство. В наиболее чистом виде натуральное хозяйство существовало только у первобытных народов, когда они не знали общественного разделения труда и обмена продуктами между разными хозяйствами.
Натуральное хозяйство преобладало в экономике, которая основывалась на системе личной (внеэкономической) зависимости. Оно господствовало в рабовладельческих государствах, а также составляло одну из главных черт феодальной экономики. Богатство помещика образовывалось за счет разнообразных натуральных повинностей и плHтежей.
Натуральным является и хозяйство феодально-зависимого крестьянина.
В силу господства натурального хозяйства и его низкой технической вооруженности законом его функционирования является повторение процесса производства в прежних размерах, на неизменных основаниях. Отраслевые пропорции (соотношения между существующими видами продукции) воспроизводились без существенных перемен в течение веков и выступали для производителей как обязательная, освященная обычаем хозяйственная норма. А факторы производства находились в состоянии застоя.
В западной литературе систему натурального хозяйства именуют традиционная экономика. Это частично характеризует черты данной системы: а) господство обычая создавать для потребления одно и то же;
б) резкое ограничение технического прогресса; в) застой в социально-экономических отношениях; г) отстаивание обществом неизменности существующего образа жизни.
В современных условиях натуральное хозяйство в значительной мере сохранилось в развивающихся странах, где преобладает доиндустриальное производство. Причем такое хозяйство сосуществует с товарным производством, поставляющим продукцию на мировой рынок. Хотя во многих развивающихся государствах началась ломка отсталой структуры народного хозяйства, еще в середине XX в. в натуральном и в полунатуральном производстве было занято 50—60% населения.
В нашей стране натуральное производство чрезвычайно развито в личном подсобном сельском хозяйстве крестьян и на садово-огородных участках городских жителей. Согласно данным бюджетных обследовании семей, в конце 80-х годов в СССР 12 млн. семей имели такие участки. Один участок давал в среднем в год 4,5 ц продукции.
Из этого количества 91 % продукции семьи оставляли себе, 4% отдавали родственникам и знакомым и только 5% выделялось на продажу.
В первой половине 90-х годов количество садово-огородных участ' ков с натуральным производством в нашей стране существенно увеличилось. Общая площадь земель, находящихся в личном пользовании населения, включая коллективные сады и огороды, возросла с 4,2 млн. га в 1990 г. до 7,7 млн. га в 1995 г. За этот период доля личных подсобных хозяйств в общем производстве сельскохозяйственной продукции повысилась с 24 до 43%. Таким способом население стало больше обеспечивать себя необходимыми видами продовольствия.
Итак, натуральное хозяйство преобладало в течение самой длительной доиндустриальной стадии производства. На индустриальной стадии господствующим стал второй род организации хозяйства.
Товарное производство — такая система организационно-экономических отношений, при которой полезные продукты создаются для их продажи на рынке. Такая система обладает следующими специфическими признаками, которые предопределяют: что создавать, как использовать для этого факторы производства и для кого предназначаются продукты (рис. 4.2).

ТИПЫ ОРГАНИЗАЦИИ ХОЗЯЙСТВА

Рис. 4.2. Основные черты товарного хозяйства
Во-первых, производство товаров, основано на общественном разделении труда, которое складывается между отдельными хозяйственными единицами. Его развитие предполагает прогресс производства:
рост квалификации и умения работников, а также изобретение машин, которые облегчают и сокращают труд, позволяют одному человеку выполнять работу нескольких. Увеличение выпуска благ на специализированном предприятии создает возможность и необходимость обменивать излишнее их количество на большую массу других полезных вещей.
А.Смит на простом примере так объяснил значение разделения труда для подъема благосостояния всех единоличных собственников. Каждый работник может располагать значительным количеством продуктов своего труда сверх того количества, которое необходимо для удовлетворения его собственных потребностей; и поскольку все остальные работники находятся точно в таком же положении, он оказывается в состоянии обменивать большое количество своих продуктов на большее количество изготавливаемых ими продуктов...35.
Все сказанное позволяет сделать вывод о том, что товарное хозяйство дает широкий простор всеобщему экономическому закону разделения труда. В соответствии с этим законом экономика прогрессирует вследствие все большей качественной дифференциации (расчленения) трудовой деятельности. В итоге возникает несколько форм разделения труда: а) международное (между странами); б) общее (между крупными отраслями народного хозяйства: земледелием, промышленностью и т.д.); в) особенное (деление внутри крупных отраслей на подотрасли, виды производства на отдельных предприятиях) и г) единичное (внутри предприятий — на разные их подразделения).



ДЕНЬГИ: ИСТОРИЯ И СОВРЕМЕННОСТЬ


ДЕНЬГИ: ИСТОРИЯ И СОВРЕМЕННОСТЬ
1. Сущность и функции денег
Еще перед первобытными племенами встала довольно непростая задача. Как — в каких меновых соотношениях — одно племя, занятое, скажем, животноводством, сможет правильно обменять образовавшиеся у него излишки мяса на зерно, выращенное земледельцами. Найти удовлетворительный отпет тогда было невозможно.
Первоначально не было какого-то общепризнанного всеми эквивалента (равного по стоимости товара), с помощью которого можно измерять стоимость всех других товаров. Поэтому простой обмен одной полезной вещи на другую был случайным и одноразовым.
Позже товары стали изготовляться в большом разнообразии. Владелец какого-то товара мог выменять его на несколько иных полезных продуктов, каждый из которых служил ему эквивалентом. Однако и в этом случае одну вещь пытались непосредственно обменить на иную вещь, что не всегда устраивало продавцов и покупателей. Если, предположим, владелец ткани хотел купить мех, а торговец мехом нуждался в мясе, то обмен становился или невозможным, или слишком затруднительным.
Подобные заторы в обмене возникают подчас и до сих пор при бартерной торговле (прямом обмене товара на товар).
Когда же производство и обмен товаров стали регулярными, то в каждой стране и в крупных экономических регионах появились на местных рынках общие эквиваленты — наиболее ходовые продукты, на которые можно было обменять другие полезности. Например, у греков и арабов это был скот, у славян — меха.
Однако международная торговля не могла принимать в расчет различные местные эквиваленты. В результате выделился один — признанный всеми народами — всеобщий эквивалент: деньги. Для выполнения роли денег более всего подходило золото — благородный металл, обладающий большой сохранностью.
Золото имеет также другие необходимые для всеобщего эквивалента качества: делимость, портативность (благодаря большому удельному весу золота требовалось меньше по сравнению, например, с медью), наличие в достаточном количестве для обмена (более благородный металл — платина — встречается в природе реже), большую стоимость (добыча 1 г золота требует большого количества труда).
Итак, деньги — особый товар, который является единственным всеобщим эквивалентом. Поскольку золото стало общепризнанным воплощением стоимости, оно стало выступать своего рода эталоном—измерителем стоимости всех товаров.
С появлением денег простой товарообмен, совершавшийся по формуле T1 — Т2 (T1 и Т2 — разные обмениваемые товары), был замещен обращением. Последнее имеет формулу T1 —Д — Т2 (Д —деньги). Деньги превратились в незаменимого и влиятельного посредника в обмене одного блага на другое.
С возрастанием своей покупательной силы деньги могли предрешать судьбу не только товарных тел, но и участников торговой сделки.
Эту необъяснимую силу воздействия денег на благополучие и жизненное положение людей иногда приписывалось каким-то якобы сверхъестественным свойствам самого золота. Между тем незамеченным оставалось то, что деньги действуют не сами по себе, а используются людьми, вступающими в определенные экономические отношения. Это становится очевиднее из следующей формулы купли-продажи вещей: продавец — товар — деньги — товар — покупатель.
В зависимости от характера и направленности общественных связей между людьми деньги превращаются в удивительную силу. Эта сила может творить и добро, если обращена на пользу общества, и зло, когда денежные средства способствуют угнетению и унижению человека. Уильям Шекспир метко сказал о волшебной силе золотых сокровищ:
Тут золота довольно для того,
Чтоб сделать все чернейшее белейшим,
Все гнусное — прекрасным, всякий грех —
Правдивостью, все низкое — высоким,
Трусливого — отважным храбрецом,
Все старое — и молодым, и свежим.
Экономическая роль денег проявляется в их функциях.
Сейчас мы рассматриваем назначение денег при золотом. Под золотым стандартом понимается стандарте денежная система, при которой роль всеобщего эквивалента играет золото. В обращении используются золотые монеты, а также денежные знаки, разменные на золото.
Денежная система, основанная на золоте, была установлена в Великобритании еще в конце XVIII в. и широко распространилась в последней четверти XIX в. в Германии, во Франции, Японии и России. Золотой стандарт существовал в форме золотых монет (классическая форма), в виде слитков благородного металла и в золото девизной форме (неограниченный размен на золото неполноценных денег по их нарицательной стоимости).
U В условиях золотого стандарта деньги выполняют следующие функции (рис. 5.1).

ДЕНЬГИ: ИСТОРИЯ И СОВРЕМЕННОСТЬ

Рис. 5.1. Функции денег
Деньги прежде всего осуществляют функцию меры стоимости — измеряют стоимость всех товаров. Стоимость вещи, выраженная в деньгах, — его цена. Для определения цены продуктов сами деньги не требуются, поскольку продавец товара устанавливает его цену мысленно (идеально выражает стоимость в деньгах).
Цены товаров выражаются в известном количестве денежного товара, золота. Количество золота (его масса) измеряется его весом. Определенное весовое количество золота принимается за единицу измерения его массы. Эта единица, устанавливаемая государством в качестве денежной единицы, называется масштабом цен.
Масштаб цен и его кратные части служат для измерения массы золота. Все цены товаров выражаются в определенном количестве денежных единиц или, что одно и то же, в определенном количестве весовых единиц золота. Так, в США масштабом цен до 1971 г. являлся доллар, равный 0,818513 г чистого золота. В России денежной единицей стал рубль, для которого эквивалентное количество золота в 1897 г. было определено в 0,774254 г.
Масштаб цен первоначально совпаал с весовым масштабом. В дальнейшем масштаб цен обособился, что было обусловлено в первую очередь порчей монет, введением в оборот иностранных денег. Денежные единицы (фунт стерлингов, ливр, гривна и т.д.) сохраняли прежнее наименование весовых единиц.
Однако они фактически постепенно стали содержать значительно меньшее количество драгоценного металла.
В функции средства обращения денежные средства выступают в качестве посредника в обращении, которое совершается по формуле:
Т (товар) —Д (деньги) — Т (товар). В данном случае деньги не задерживаются надолго в руках покупателей и продавцов и переходят из рук в руки, выполняя рассматриваемую функцию мимолетно. Это обстоятельство привело в конечном счете к замене полноценных денег неполноценными.
Первоначально золото выполняло функцию средства обращения в слитках. Чтобы не взвешивать золото в каждом акте обмена, сначала отдельные купцы, а затем и государство стали придавать небольшим слиткам золота определенную стандартную форму и ставить на них соответствующий штамп. Золото как деньги получило форму монеты.
При обращении монеты постепенно стираются, теряют в своем весе. Однако на рынке они принимались как полноценные деньги, хотя имеющееся в них количество золота уменьшалось. В итоге реальное содержание золота в монете отделилось от номинального (указанного на ней). Государство стало заменять полноценную золотую монету на отчеканенные неполноценные серебряные и медные знаки. Эта практика в дальнейшем привела к выпуску чисто номинальных знаков стоимости — бумажных денег а качестве заменителей металлических монет.
Этим было доказано, что полноценные денежные средства — при выполнении ими функции средства обращения — можно заменять символами стоимости.
Если продавец получил за свой товар деньги, но не стал сразу же расходовать их на покупку нужных ему вещей, то процесс обращения прерывается. Тогда деньги начинают выполнять функцию средства образования сокровищ: они накапливаются в качестве представителя богатства вообще. Функцию сокровища выполняют не только золотые монеты, но и слитки, изделия из золота - сам денежный материал во всех его видах.
При продаже товаров в кредит (в долг с отсрочкой платежа) деньги выполняют функцию платежного средства. Ими расплачиваются за ранее приобретенный товар, когда наступает срок погашения задолженности. В такой роли денежные средства используются и вне сферы товарного обращения в случаях, если выплачивается заработная плата, выполняются всякого рода финансовые обязательства (по займам, пV налогам, за аренду земли или помещения и т.п.).
Долговые обязательства порождают новую форму денег — кредитную. Производитель, продавший товар в долг, получает от покупателя вексель (долговое обязательство), который можно использовать вместо денег, чтобы расплатиться за вещь, купленную у третьего лица. Однако векселя используются ограниченно, поскольку они гарантируются лишь имуществом одного собственника.
Прочные гарантии стали обеспечивать банки, которые взамен частных векселей — с определенной выгодой для себя — стали выпускать банкноты (или банковские билеты). В отличие от векселей коммерсантов (торговцев) банкноты выпускались на круглые суммы, имели золотое обеспечение, обладали широкой способностью к обращению. Наряду с банкнотами в обороте участвуют и другие виды кредитных средств обращения.



Рыночное равновесие и механизм его достижения


Цель темы — раскрыть экономическую сущность рынка, его наиболее важные составные элементы, выяснить функции тех институтов, учреждений, с помощью которых осуществляются операции по поводу купли-продажи различных товаров.
§ 18. Сущность и структура рынка
Экономичное содержание понятия «рынок». Структура рынка
В процессе становления и развития товарно-денежных отношений формируется такой важнейший их институционально организованный и систеообразующий элемент, как рынок. Поэтому причины возникновения товарно-денежных отношений, в известной мере, объясняют становление и формирование товарного обращения и рынка. В то же время, рынок как самостоятельное явление представляет собой сложное образование, имеющее свою собственную структуру, специфические условия функционирования и развития.
Со времени возникновения рынка различные направления и школы экономической мысли неоднозначно трактовали его сущность.
Экономическое содержание понятия «рынок». В трудах А. Смита и Д. Рикардо понятие «рынок» не получило четкого определения, поскольку они относили его к внешним, поверхностным явлениям экономики, а потому использовали преимущественно при характеристике рыночного спроса.



121

Первую попытку дать научную трактовку рынка через определение места его дислокации сделал французский экономист О. Курно. По его мнению, это — любой район, где взаимоотношения покупателей и продавцов настолько .свободны, что цены на одни и те же товары имеют тенденцию легко и быстро выравниваться. Английский экономист А. Маршалл утверждал, что чем совершеннее рынок, тем сильнее тенденция к тому, чтобы во всех его пунктах в одно и то же время за одну и ту же вещь платить одинаковую цену. В учебнике «Экономикс» рынок рассматривается как «институт или механизм, который сводит покупателей (представителей спроса) и продавцов (поставщиков) отдельных товаров и услуг.
Американский экономист П. Хейне говорил, что рынок — это набор взаимосвязей, или процесс конкурентных торгов. Приведенные определения свидетельствуют о том, что их авторы исходят из западной традиции в понимании предмета экономической науки, т. е. не обращаются к изучению производственных, или экономических отношений. Кроме того, в первых двух определениях акцентируется внимание на тенденции рынка к выравниванию цен и, таким образом, выявляется его важная функция.
При этом не следует ограничивать рынок лишь сферой товарного обмена, поскольку рынок предусматривает и денежное обращение, в том числе обращение ценных бумаг.
В современной политической экономии, в соответствии с предметом данной науки, при определении сущности рынка на первый план выдвигается характеристика соответствующей ему системы экономических отношений. Делается также попытка связать сущность рынка с его определенными функциями, например, формированием спроса и предложения, цен на товары.
Для раскрытия сущности рынка необходимо выяснить, кто основные субъекты и как возникают и развиваются отношения между ними?
Суммируя сказанное, сущность современного рынка можно определить как совокупность экономических отношений между домашними хозяйствами, различными типами фирм и организаций и государством (включая наднациональные органы), выступающими в качестве продавцов или покупателей по поводу купли-продажи товаров и услуг в сфере обращения, а также механизм реализации данных отношений в соответствии с законами товарного производства и денежного обращения.
Сущность рынка раскрывается в его основных функциях. К ним относятся: — ценообразующая — определение рыночной стоимости товаров и услуг и цен их реализации; — репродуктивная — обеспечение непрерывности воспроизводственного процесса (в частности, связи между производством и потреблением), формирование целостности национальной экономической системы и ее связей с другими национальными экономиками в масштабе мирового хозяйства; — стимулирующая — побуждение производителей товаров и услуг к снижению индивидуальных расходов по сравнению с общественно необходимыми, повышение общественной полезности товаров и услуг, их качества и потребительных свойств; — регулирующая — оказывающая влияние на соотношение между различными сферами и отраслями экономики, приведение в соответствие



122

'платежеспособного спроса и предложения, накопления и потребления, других пропорций; i  — контролирующая рациональность производства уровнем цен; — конкурентная — формирующая отношения конкурсности между производителями товаров и услуг в пределах отдельных стран и мирового хозяйства; — санирующая — обеспечивающая очищение экономической системы от неэффективных и нежизнеспособных предприятий через механизм конкуренции. Это исключает или значительно уменьшает вероятность осуществления производства как самоцели, а значит, и затратного характера экономики; — информационно-корректирующая, с помощью которой можно оперативно вносить изменения в планы хозяйственной деятельности.
Исходя из этого, рынок следует рассматривать как определенную совокупность экономических отношений между домашними хозяйствами, различными типами фирм и государством по поводу купли-продажи товаров и услуг, где происходит окончательное признание их стоимости и реализация, вследствие чего усиливается конкуренция между товаропроизводителями за снижение затрат производства и повышение общественной полезности товаров, улучшается пропорциональность развития народного хозяйства, обеспечивается непрерывность общественного воспроизводства и формирование целостной экономической системы, а также осуществляется опосредованный контроль потребителей за производством и санация экономической системы от неэффективных предприятий. Это совокупность положительных функций рынка, которые сочетаются с его негативными сторонами, «провалами» рынка.
Эффективное функционирование рынка возможно при соблюдении ряда условий: во-первых, необходим реальный плюрализм форм собственности и форм хозяйствования. Если исходить из опыта развитых стран Запада, такой плюрализм обеспечивается сосуществованием частной (основанной как на собственном, так и на чужом труде), коллективной (акционерные общества, кооперативы, трудовые коллективы), государственной, муниципальной, а также смешанных форм собственности, как результата различной комбинации названных выше форм; во-вторых, эффективность функционирования рынка обусловлена способностью разных субъектов предпринимательской деятельности влиять на уровень цен. Подобное влияние со стороны монополий (в том числе олигополии), снижает эффективность саморегулирующих механизмов функционирования рынка; в-третьих, наличие развитого антимонопольного законодательства и достаточных механизмов его реализации, ослабляющих монополистические тенденции в экономике; в-четвертых, существование хорошо развитой системы экономического, правового и административного регулирования экономики государством (при преобладании экономических методов); в-пятых, наличие и доступность всесторонней информации о рынке, развитая маркетинговая деятельность;


123

в-шестых, важен факт наличия конкурентной борьба между различными субъектами предпринимательской деятельности, численность которых в производстве однотипной продукции должна превышать 7-8 субъектов, поскольку наличие 1—2 субъектов означает монополию, а 3—5 — олигополию; в-седьмых, необходим развитый и разветвленный комплекс объектов собственности, которые могут стать предметом купли-продажи: средств производства (в том числе земли), рабочей силы, интеллектуальной собственности (в форме патентов, лицензий и т. п.), услуг, различных видов ценных бумаг (акций, облигаций, сертификатов и др.), денег, недвижимости, предметов потребления и т. д.; в-восьмых, необходимо наличие рыночной инфраструктуры, то есть определенного комплекса институтов, предприятий, служб и учреждений, которые обеспечивают обслуживание рынка, куплю-продажу различных объектов собственности.
В совокупности экономических отношений, которые отражает категория «рынок», ключевую роль играют отношения собственности. Так, в процессе купли-продажи товаров и услуг осуществляется их присвоение и отчуждение, создаются предпосылки присвоения чужого неоплаченного труда (если, скажем, речь идет о купле-продаже рабочей силы на бирже труда). На фондовой бирже такие отношения реализуются через деятельность посредников — диллеров — путем присвоения учредительной прибыли, выпуска ценных бумаг инвестиционными компаниями и другими методами.
Структура рынка. Структура рынка — это совокупность отдельных локальных рынков в границах национальной экономики страны (внутреннего рынка), а также — национальных рынков в пределах мирового хозяйства и его отдельных регионов, их взаимосвязь и взаимодействие между ними.
Различают рынки орудий труда, природных ресурсов, предметов труда, земли, рабочей силы, труда, технологии, информации, товаров, недвижимости, услуг, интеллектуальной собственности, финансовых ресурсов и др. Большинство из них может функционировать в виде локальных рынков. В свою очередь рынок товаров подразделяется на оптовый и потребительный; рынок интеллектуальной собственности — на рынок патентов, лицензий, ноу-хау, программ математического обеспечения и др.; финансовый — на рынки инвестиций (долгосрочных кредитов), денег (краткосрочных кредитов), валюты, ценных бумаг, золота.



Экономическая роль и системная структура рынка


РЫНОК И ЗАКОНЫ ЕГО
ФУНКЦИОНИРОВАНИЯ
1. Экономическая роль и системная структура
рынка
Мы начинаем знакомиться с рынком с его простейшего определения.
Рынок — это совокупность сделок купли и продажи товаров. В такие сделки повседневно вступает каждый, когда, например, покупает продукты в магазине.
Из этого определения видно, что элементарной составляющей — своего рода клеточкой — рынка является сделка купли-продажи товара.
Однако такая клеточка отнюдь не простое явление, как первоначально может показаться. В этом нас убедит ее более детальный анализ.
Рыночную сделку можно представить в виде формулы: продавец — товар — деньги — покупатель. Здесь представлены два рода связей между агентами рынка: экономическая и юридическая.
Если рыночную сделку рассматривать с экономической стороны, то она предстает в виде акта товарно-денежного обращения. Экономический интерес продавца состоит в том, чтобы обменять принадлежащий ему товар на соответствующую сумму денег. А покупатель экономически заинтересован в приобретении за деньги нужной ему полезной вещи.
Оба контрагента (лат. contrahentis — договаривающийся) следят за тем, чтобы товарно-денежный обмен был эквивалентным по стоимости.
Если взглянуть на рыночную сделку с юридической стороны, то она означает действие граждан и юридических лиц, принимающее форму договора купли-продажи. Согласно Гражданскому кодексу нашей страны, по договору купли-продажи одна сторона (продавец) обязуется передать вещь (товар) в собственность другой стороне (покупателю), а покупатель обязуется принять этот товар и уплатить за него определенную денежную сумму — цену (ГК РФ, пункт 1 статьи 454). Значит, данная сделка означает процесс смены собственников товаров и денег, который опосредован товарно-денежным обращением.
Говоря на юридическом языке, во время рассматриваемого процесса происходит продажа имущественных прав (пункт 1 статьи 454).
Итак, сделка купли-продажи — экономико-правовая связь между продавцом и покупателем. Их взаимоотношения складываются не трафаретно, в одном и том же виде. Напротив, они принимают множество конкретных форм в зависимости от разных хозяйственных обстоятельств: а) неодинаковых субъектов собственности (граждан, юридических лиц, государства); б) характера рыночной сделки (непосредственная купля-продажа, поставка товаров через какой-то срок); в) предназначения товара (для личного потребления, производственных целей или увеличения собственности) и других условий. В связи с этим различаются следующие виды договора купли-продажи:
1) договор розничной купли-продажи. По этому договору розничный торговец обязуется передать товары, предназначенные для личного, семейного, домашнего и иного потребительского назначения (пункт 1 статьи 492). Законодательство предусматривает ряд моментов: форму и условия договора розничной купли-продажи, способы обслуживания и права покупателя, цену и оплату товара, ответственность продавца (статьи 493-505);
2) договор поставки товаров. Согласно данному договору поставщик-продавец обязуется передать в обусловленный срок (или сроки) производимые или закупаемые им товары покупателю для использования в предпринимательской деятельности (статья 506). Гражданский кодекс предусматривает все конкретные условия заключения и исполнения договора поставки (статьи 507—524);
3) государственный контракт на поставку товаров для государственных нужд. Такой контракт (договор со взаимными обязательствами для договаривающихся сторон) позволяет реализовать потребности РФ или субъектов РФ, обеспечиваемые за счет средств бюджетов и внебюджетных источников финансирования. При этом поставщик (исполнитель заказа) обязуется передать товары государственному заказчику, а последний обязуется обеспечить оплату (статьи 525, 526). Законодательство устанавливает основания, порядок заключения контракта и условия его исполнения (статьи 527—534);
4) договор контрактации. По этому договору производитель сельскохозяйственной продукции обязуется передать выращенную (произведенную) продукцию заготовителю — лицу, осуществляющему закупки сельскохозяйственной продукции для переработки или продажи. При этом определяются обязанности заготовителя, обязанности и ответственность производителя продукции сельского хозяйства (статьи 535—538);
5) договор энергоснабжения. Согласно данному договору энергоснабжения организация обязуется подавать абоненту (потребителю) через подсоединенную сеть энергию. Абонент обязуется оплачивать полученную энергию, а также соблюдать предусмотренный договором режим ее потребления, обеспечивать безопасность эксплуатации энергетических сетей и исправность используемых им электроприборов и оборудования. Гражданский кодекс РФ предусматривает урегулированность условий заключения, продления и расторжения договора энергоснабжения; количества и качества подаваемой энергии; ее оплаты и взаимных обязательств сторон по заключенному договору (статьи 539—548);
6) договор продажи недвижимости. Данный договор прежде всего устанавливает, что продавец обязуется передать в собственность покупателя земельный участок, здание, сооружение, квартиру или другое недвижимое имущество. Кроме того, законодательно устанавливаются форма договора продажи недвижимости, государственная регистрация перехода права собственности на недвижимость, права на разные объекты договора, цена продаваемого имущества, его передача от продавца к покупателю, особенности продажи жилых помещений (статьи 549-558);
7) договор продажи предприятия. По этому договору продавец обязуется передать в собственность покупателя предприятие в целом как имущественный комплекс. Состав и стоимость продаваемого предприятия определяются в договоре его продажи на основе полной инвентаризации имущества. До подписания договора продажи предприятия должны быть составлены и рассмотрены: акт инвентаризации, бухгалтерский баланс (учет материальных ценностей и источников их поступления), заключение независимого аудитора (экономиста, проверяющего состояние финансов) о составе и стоимости предприятия. Анализируется перечень всех долгов (обязательств), включаемых в состав предприятия, с указанием кредиторов, характера, размера и сроков их требований.
Гражданский кодекс РФ указывает на необходимость определения формы договора и его регистрации, учета прав кредиторов, соблюдения определенных условий передачи объекта сделки и перехода прав собственности на предприятие (статьи 559—566).
Краткий обзор разных видов договоров купли-продажи позволил нам обнаружить две примечательные особенности рыночной сделки. Последняя способна, во-первых, сильно изменяться во времени. Одно дело одномоментный акт продажи-покупки вещи, другое — приобретение товаров через длительный срок после заключения договора. Во-вторых, акты купли-продажи могут значительно различаться по пространственной протяженности. Договор о продаже собственности может быть заключен, положим, в каком-то городе, а закупленная продукция будет поставляться в разные регионы.
Такая необычайная изменчивость временного и пространственного параметров сделок купли-продажи — важная предпосылка становления и развития рынка.
На протяжении всей истории существования рынка ему присуща тенденция к экспансии — территориальному расширению и увеличению сфер влияния. Эта тенденция является закономерным следствием роста производства товаров, углубления разделения труда, подъема благосостояния населения, а также совершенствования средств транспорта и связи.
Данная тенденция привела к образованию трех зон рыночного экономического пространства. Различают местный, национальный и мировой рынок.
Местный рынок — стартовая форма рыночной территории, обычно развивающаяся в пределах села, города. На доиндустриальной стадии производства местные рынки существовали в окружении преобладавшего натурального хозяйства. Из-за недостаточно развитого отраслевого и территориального разделения труда, слабого функционирования товарного производства локальные рынки реализовывали сравнительно небольшой традиционный набор продуктов.
Примечательно, что в Древней Греции и Древнем Риме, а затем в средневековых городах Европы рынком называли торговую площадь. Она обычно располагалась в центре города и была окружена со всех сторон зданиями (там помещались ремесленные мастерские, торговые лавки, государственные учреждения и др.). Продавцы разных видов товаров располагались на рыночной площади в определенных, традиционно закрепленных за ними местах. Этим и ограничивалась дифференциация (расчленение) рынка на его отдельные виды.
Определенная замкнутость местных рынков объясняется тем, что примитивные транспортные средства затрудняли и делали невыгодным производство и продажу товаров в большом регионе.



Монополии и конкуренция


Закон спроса убывающей доходности. Эластичность спроса и предложения и их основные виды
Выяснение сущности товарно-денежных отношений, рынка, его структуры и инфраструктуры дает возможность раскрыть механизм рыночного равновесия, в частности, взаимодействие спроса и предложения. В истории мировой экономической мысли уже более двух столетий разные направления, течения и школы пытаются определить главные условия и механизм достижения рыночного равновесия. Поскольку практика постоянно вносит что-то новое в· развитие экономической системы, усложняется механизм ее функционирования, появляются новые модели и теории рыночного равновесия.
Цель темы — раскрыть наиболее важные законы функционирования и развития рыночной системы, их отражение в экономических взглядах представителей разных направлений политической экономии.
§ 20. Закон спроса и убывающей доходности
Экономическое содержание закона спроса. Сущность закона убывающей доходности
Экономическое содержание закона спроса. Простая модель спроса и предложения, по мнению шведского экономиста К. Эклунда, существует почти 200 лет, а ее более развитая форма на протяжении последних 100 лет является ядром политической экономии. Простая модель отражает поведение покупателя и продавца, соотношение спроса и предложения и динамику цен во время купли-продажи единицы какого-либо товара. Прежде



139

чем рассматривать этот механизм, выясним сущность спроса и предложения.
Изучению спроса, предложения и механизма их взаимодействия в марксистской политической экономии уделялось недостаточно внимания, что не могло не отразиться на процессе познания этих категорий: они определялись на таком предельно абстрактном уровне, который не давал возможности использовать их при решении конкретных проблем. Согласно определению К. Маркса, спрос — это представленная на рынке потребность в товарах, а предложение — продукт, который находится на рынке или может быть доставлен на него. Американские экономисты К. Маккокнелл и С. Брю определяют спрос как количество продукта, которое потребители готовы и способны купить за определенную цену.
Предложение, по их мнению, — это шкала, показывающая разные количества продукта, которые производитель хочет и может изготовить и предложить для продажи на рынке.

Спрос на тот или иной товар зависит от многих факторов. Так, К. Эклунд, рассматривая спрос покупателей на рубашки, называет такие основные факторы: 1) величина дохода покупателей; 2) их мнение о том, сколько рубашек они должны иметь; 3) наличие у них одежды (джемперы, жилеты и др.), которую можно использовать вместо рубашек; 4) цены на подобные товары (они дешевле или дороже рубашек); 5) вкус и мода; 6) цены похожих рубашек. К этим факторам можно добавить ценовые и дефицитные ожидания, изменения в структуре населения, экономическую политику правительства (в частности помощь, которая предоставляется бедным слоям населения и др.).
Рассматривая эластичность спроса в зависимости от уровня цен, западные экономисты сформулировали закон спроса, согласно которому при неизменности всех других параметров снижение цены обусловливает соответствующий рост спроса, и наоборот ( 5). Таким образом, между ценой и спросом существует обратная зависимость. Подтверждением действия данного закона являются эффекты дохода и замещения.
Первый указывает на то, что при более низкой цене товара потребитель может купить его, не отказывая себе в приобретении других альтернативных товаров, второй выражается в том, что при более низкой цене потребитель хочет приобрести дешевый товар вместо аналогичных, которые стали относительно дорогими.


Оба эффекта действуют в одном направлении (то есть вызывают рост объема спроса при снижении цен) в процессе покупки товаров среднего и высокого качества, и в противоположном направлении — при покупке низкокачественных товаров. При незначительном количестве товаров низкого качества (например, маргарина в соотно-



140

шении с маслом) эффект замещения будет преобладать над эффектом дохода и потребители будут покупать больше маргарина. Но бывает, что при снижении цены на товар спрос на него сокращается, а при повышении растет, что означает преобладание эффекта дохода над эффектом замещения.
Исследуя отмеченную выше обратную зависимость между количеством реализованной продукции и ценой, П. Самуэльсон сформулировал закон постепенного снижения спроса. Он объясняет его так: при снижении цены на определенный товар расширяется круг его покупателей, поскольку снижение цены может побудить их осуществить дополнительные покупки, снижение же спроса при росте цены происходит, когда потребитель пытается заменить один товар другим (например, кофе — чаем), а также когда человек становится беднее и начинает потреблять товары в меньших количествах.
Сравнение двух вариантов обоснования одной и той же причинно-следственной зависимости дает основание утверждать, что более логично и доказательно этот закон сформулирован в виде закона спроса. Предложенный П. Самуэльсоном закон снижения спроса отражает лишь одну из сторон взаимосвязи спроса и цен, а закон спроса выражает также зависимость между спросом и снижением цен. В целом оба экономических закона отражают не глубинные, сущностные, внутренне необходимые связи между отдельными явлениями и процессами, а внешние, поверхностные отношения, рассматриваемые на уровне здравого смысла.
Не случайно американские экономисты при обосновании закона спроса, заметили, что здравый смысл и элементарное наблюдение согласуются с кривой спроса, а швейцарский экономист К. Эклунд подчеркнул, что данная модель в простой форме описывает лишь некоторые из действующих в хозяйстве сил.
Закон спроса не действует в условиях ажиотажного спроса, а также при «переключении» спроса потребителей на более качественные и дорогие товары. В последнем случае частично имеет место описанный американским ученым Т. Вебленом эффект престижного спроса, когда осуществляется покупка изделий высокого качества, причем при росте цен на дорогие товары, изготовляемые престижными фирмами, спрос на них до определенного предела может расти. Не подчиняется закону спроса и спрос на отдельные редкие, дорогие и невоспроизводимые товары, такие, как картины, антиквариат и др.


Предложение ( 6), как и спрос, обусловлено действием ряда факторов: 1) издержками производства, определяемыми стоимостью ресурсов; 2) целью фирмы, от которой в значительной мере зависит уровень цен (если фирма стремится завоевать новые рынки сбыта, она может предлагать товар по бо-



141

лее низким ценам); 3) наличием или отсутствием конкурентов на рынке, увеличение численности которых обусловливает рост предложения независимо от цен на товары и политики ценообразования; 4) уровнем технологии (более совершенная технология удешевляет производство); 5) уровнем налогов, повышение которых сокращает возможности предприятий наращивать производство; 6) ценами на другие товары (при снижении цен, скажем, на свинину может увеличиваться производство говядины) и др.
Переход к более сложной модели взаимосвязи предусматривает сопоставление интересов производителей и потребителей в соответствии со спросом и предложением и определение условий их оптимального сочетания (7).
Линии спроса и предложения на рисунке пересекаются в точке, которая отвечает значению количества товара k1 и цены Р1. При таком количестве этого товара и цене на него производители и потребители могут одновременно достичь поставленной цели. Потребитель оценивает для себя полезность нового товара равновеликой затратам на ее покупку, то есть ценой Р1 Для производителя максимальный доход, то есть сумма, которую фирма может получить от продажи дополнительного товара по цене р1, будет равен максимальным (предельным) издержкам на их производство. Такая оптимальная цена называется ценой равновесия. В марксистской политической экономии синонимичным понятием является цена производства, о чем более подробно речь пойдет далее.


7. Равновесие
Однако описанная ситуация с одним товаром означает достижение лишь частичного равновесия. Изменение затрат производства, или соотношение спроса и предложения на данный товар, обусловливает определенные изменения в ценах на другие товары. Если же в состоянии равновесия находится вся система цен, то на рынке устанавливается общее равновесие.
Средством его достижения является равновесный метод (поиск экономической системой состояния равновесия, статики). Несмотря на то что цена равновесия устраивает и покупателя, и продавца, такое равновесие оказывает преимущественно негативное воздействие на динамизм экономической системы, поскольку товаропроизводители в значительной степени утрачивают стимулы к конкурентной борьбе, а значит, — стимулы к производству.
К особенностям ценообразования под влиянием неценовых факторов относится рост цены в условиях повышения спроса при неизменном предложении или сокращения предложения при неизменном спросе, и наобо-



142

рот. Излишек предложения при установлении цены равновесия приводит к ее снижению, а его недостача (дефицит) — к повышению. В условиях дефицита возникает «черный рынок».



Конкуренция и ее экономическая роль


ВИДЫ ВЗАИМОДЕЙСТВИЯ СУБЪЕКТОВ
РЫНКА: КОНКУРЕНЦИЯ И МОНОПОЛИЯ
1. Конкуренция и ее экономическая роль
Рыночное пространство — это арена активного взаимодействия всех субъектов рынка. Такое взаимодействие принимает разные формы в зависимости от определенных параметров (показателей) состояния рыка. Основными параметрами являются:
— количество продавцов товаров определенного вида;
— свобода вхождения товаровладельцев на рынок и выхода из него;
— независимость (или зависимость) субъектов рынка друг от друга;
— возможность (или невозможность) установления рыночной цены со стороны отдельных товаровладельцев.
В зависимости от состояния указанных параметров взаимодействие участников рыночных сделок принимает два прямо противоположных вида: свободной конкуренции или монополии. Кроме них в современных условиях существуют формы взаимодействия субъектов рынка, в которых сочетаются конкуренция и монополия.
Принципиальные различия между свободной конкуренцией и монополией указаны в таблице 7.1.
Таблица 7.1.
Свободная конкуренция и монополия

Параметр состояния рынка
Свободная конкуренция
Монополия
Число продавцом
Много
Один
Барьеры входа и выхода из рынка
Нет
Есть (нет вхождения)
Независимость субъектов рынка друг от друга
Есть
Нет (имеются разные виды зависимости)
Товаровладелец может устанавливать рыночную цену
Не может
Может
Конкретный анализ отмеченных в таблице 7.1 особенностей двух видов взаимоотношений участников рынка мы начнем с первого из них (монополия и ее синтез с конкуренцией будут рассмотрены ниже).
Конкуренция (лат. concurro — сталкиваюсь) — это соперничество между участниками рыночного хозяйства за лучшие условия производства, купли и продажи товаров и услуг. Для рыночного хозяйства с самого начала характерна следующая объективная причинно-следственная связь. Побудительной причиной конкуренции служит комплекс непременных условий свободного развития рынка: а) основные параметры состояния рынка (табл.
7.1); б) полная хозяйственная обособленность каждого владельца товаров определенного вида; в) зависимость положения продавцов и покупателей от рыночной цены, которая складывается под воздействием массового спроса и предложения (при невозможности для каждого рыночного агента диктовать другим свою цену). Неизбежным следствием данных условий является опора на собственные силы и рыночное соперничество за место на рыночном пространстве, за экономическое выживание и процветание. Стало быть, конкуренция — экономический закон рынка.
Теперь постараемся выяснить: почему здесь мы называем конкуренцию свободной?
Этот эпитет отражает момент возникновения самой конкуренции. Она образовалась в результате борьбы с порядками, которые еще в средние века установили цехи ремесленников. Так, в XI—XIV вв. в большинстве городов Западной Европы мелкие ремесленники разных специальностей объединились в цехи — организации по их профессии (возникли цехи пекарей, мясников, ткачей и др.).
Такие объединения укрепляли экономическое и правовое положение профессиональных работников. Предписания цехов о соблюдении определенных правил технологии производства, о требованиях, предъявляемых к квалификации мастеров, способствовали прогрессу ремесленной техники и повышению мастерства работников.
Однако в XVI—XVIII вв. цехи ремесленников стали тормозом для экономического развития. Они по-прежнему поддерживали и охраняли мелкое ремесленное производство. Цехи добивались признания за их членами исключительного права на изготовление и сбыт данного вида продукции в пределах города и его округа. Они строго ограничивали выпуск и продажу ремесленных изделий, чтобы устранить конкуренцию в собственной среде.
В цеховых уставах определялись место и условия закупки сырья и реализации готовых товаров, время работы ремесленников, требования к качеству продуктов и другие хозяйственные условия.
В конце XVIII—XIX вв. цеховое ремесло было разрушено под мощным напором крупного индустриального производства и в результате установления развитых капиталистических отношений. Во Франции цехи были уничтожены во время Великой революции 1791 г. В Германии все ограничения свободы ремесленной деятельности со стороны цехов были отменены рядом законов в течение XIX в. На смену принципам застоя и замкнутости цеховых объединений пришли принципы свободного капиталистического предпринимательства и неограниченной конкуренции. Свободная конкуренция имеет ряд характерных признаков.
Во-первых, она означает, что на рынке имеется множество независимых товаровладельцев, самостоятельно решающих, что создавать и в каких количествах. Во-вторых, никем и ничем не ограниченный доступ на рынок и такой же выход из него всем желающим. Это предполагает возможность каждому гражданину стать свободным предпринимателем и применить свой труд и материальные средства в интересующей его отрасли хозяйства.
Покупатели же должны быть свободны от всякой дискриминации (умаления прав) и иметь возможность купить товары и услуги на любом рынке. В-третьих, участники рыночных сделок никак не участвуют в контроле за рыночными ценами.
Свободная конкуренция имеет дополнительные определения, которые более полно характеризуют ее свойства. В западной экономической литературе ее называют чистой. Ибо она свободна от всякого вмешательства государства и рынок также чист от монополий. Классический вид состязательности имеет и такой признак. Участники рыночных сделок имеют совершенное знание о качестве товаров, ценах и выгоде торговли.
Все сказанное дало основание называть данный вид совершенной конкуренцией.
Свободная конкуренция, естественно, соответствует периоду классического капитализма. В более полной мере она проявилась, пожалуй, только в Англии и лишь в XIX в. Такому соперничеству в достаточной мере соответствовали чистая (из-за отсутствия монополизации экономики) и совершенная конкуренция (в то время не требовались какие-то специальные знания о сравнительно ограниченном круге традиционных товаров).
Свободная конкуренция означает ничем не ограниченную войну всех против всех. На рынке это всеобщее сражение ведется на трех фронтах: среди продавцов, среди покупателей и между теми и другими участниками рыночных сделок.
Свободное соперничество характеризуется сравнительно мирными методами. Оно сводится к экономическому подавлению соперника (к его разорению) главным образом методом открытой ценовой конкуренции (сбивания цен). Экономически более сильный товаровладелец временно снижает свою индивидуальную цену, чем привлекает к себе покупателей. Если кто-то начинает соревноваться с ним в уменьшении цены, то, не рассчитав своих возможностей, может проиграть сражение.
Иногда для поражения конкурента применяется демпинг — продажа продуктов по чрезвычайно низким (как их называют, бросовым) ценам. О подобном соперничестве рассказал А. Куприн в романе Яма: Возникли два новых пароходства, и они, вместе со старинными, неистово конкурировали друг с другом. В конкуренции они дошли Lо того, что понизили цены за рейсы с семидесяти копеек для пассажиров третьего класса до пяти, трех и даже одной копейки. Наконец, изнемогая в непосильной борьбе, одно из пароходных обществ предложило всем пассажирам третьего класса даровой проезд.
Тогда его конкурент тотчас же к даровому проезду присовокупил еще полбулки белого хлеба.
Свободная конкуренция может оказывать как положительное, так и отрицательное воздействие на состояние рыночной экономики, на хозяйственное положение продавцов и покупателей.
Рыночное противоборство — мощная сила с много- функциональным назначением. Эта сила способна из- менять соотношение спроса и предложения, уровень рыночной цены, структуру и последствия развития рынка. Рассмотрим важнейшие направления действия закона конкуренции.
Первое направление: конкуренция способствует установлению равновесной цены.
Как нам известно, рыночная цена может устанавливаться на уровне, значительно превышающем точку равновесия. В этом случае предложение товаров превышает их спрос. Поэтому на рынке образуется зона из6ь1тка произведенных благ (на рис.
6.6 зона С2 — Р — П2).
В' сложившихся условиях обостряется ситуация на фронте противоборства продавцов. Все они стремятся продать свои продукты подороже. Однако, когда соперничество между ними обостряется, то побеждает (удастся больше реализовать) тот, кто сбывает товары подешевле, чтобы стимулировать спрос. Возникает своеобразная цепная реакция: сначала какая-то часть продавцов, а затем и все вынуждены снизить цену.
Последняя начинает движение к точке равновесия.
Результат конкуренции среди товаровладельцев таков. После массового уменьшения цены продукты раскупаются, а зона их перепроизводства исчезает. На уровне равновесной цены спрос и предложения достигают сбалансированности.



Рыночная экономика и ее эволюция


Причины возникновения и сущность монополий. Монополии и антимонопольная деятельность государства
Цель темы — выяснить причины возникновения и сущность монополий, их влияние на конкуренцию, а также методы борьбы против негативных сторон монополизма с помощью антимонопольного законодательства.
§ 22. Причины возникновения и сущность монополий
Причины возникновения и существования монополий. Формы монополии и последствия монополизации экономики
Причины возникновения и существования·монополий. Рынок и рыночная экономика имеют как позитивные, так и негативные стороны. К числу



153

негативных относится порождение рынком монополий и монополистических тенденций в экономической системе.
Отдельные формы и признаки проявления монополизма отмечаются даже в тех экономических системах, где монополии не занимают господствующего положения.
Несмотря на то что рынок и отдельные признаки монополизма в ряде стран существовали в течение нескольких тысячелетий (с IV тысячелетия до н. э. до последней трети XIX в.), монополистические тенденции в экономике становятся господствующими только в конце XIX в. Возникает вопрос: какие же причины обусловили возникновение монополий?
Эти причины связаны, прежде всего, с изменениями в технологическом способе производства. Предпосылкой таких изменений была промышленная революция конца XVIII — начала XIX в., возникновение новых отраслей промышленности и быстрое развитие производства во многих из них, прежде всего, в легкой промышленности вследствие появления важных технических изобретений.
Изменения в технологическом способе производства привели к концентрации производства, наряду с которой интенсивно развивался процесс концентрации капитала.
Каждый из этих процессов развивается по своим законам. Так, концентрация производства выражает внутренне необходимые, устойчивые· и существенные связи между развитием производительных сил и процессом концентрации, вследствие действия которых происходит растущее сосредоточение факторов производства (вещественных и личных) на крупных предприятиях. Действие этого закона с различной степенью интенсивности проявляется на всех этапах развития капитализма, движущая сила которого — конкурентная борьба. Чтобы выжить в этой борьбе, получить большую прибыль, предприниматели вынуждены внедрять новую технику, расширять масштабы производства.
При этом из массы мелких и средних предприятий постепенно выделяется несколько наиболее крупных.
Рано или поздно конкуренты оказываются перед альтернативой: или дальше продолжать между собой изнурительную борьбу, или достичь согласия относительно масштабов производства, цен на продукцию, рынков сбыта и т.д. Как правило, они выбирают второй путь, заключая между собой гласные и негласные соглашения, что является одной из наиболее характерных черт монополизированной экономики. Таким образом, возникновение предприятий-монополистов — закономерный результат развития производительных сил, эволюции рынка, действия законов конкуренции.
Данная причинно-следственная связь отражена в сформулированном В. И. Лениным законе монополизации производства.
Монополии возникают не только вследствие концентрации производства и капитала, но и на основе их централизации. Централизация производства — это увеличение масштабов производства продукции в результате объединения нескольких отдельных предприятий в одно с установлением единого управления. Централизация капитала — это увеличение размеров капитала вследствие объединения или слияния ранее самостоятельных капиталов. Типичный пример такого объединения — акционерные компании.



154

Сегодня в развитых странах мира практически все крупные, подавляющее большинство средних и даже часть мелких предприятий существуют в форме акционерных. Правда, акции мелких и средних компаний, как правило, продаются не на рынке ценных бумаг, а на внебиржевом рынке. Такие компании являются акционерными компаниями закрытого типа.
В начале 90-х гг. на Нью-йоркской фондовой бирже из почти 3,7 млн всех корпораций Америки котировались акции только около 1 800 наиболее могущественных американских корпораций. Чтобы котироваться на этой бирже, корпорация обязана иметь не менее 22 млн дол. активов, общее количество выпущенных акций должно составлять не менее 1 млн. шт., не менее 2 тыс. акционеров должны иметь 100 и больше акций каждый, рыночная цена которых должна быть не менее 16 млн дол. В некоторых наиболее могущественных корпорациях число акционеров превышает 3 млн чел.
Такие корпорации аккумулируют значительные денежные суммы, что способствует ускорению инвестиционных процессов. В США в 500 крупнейших компаниях доля акционерного капитала составляет около 20 %.
Формы монополий и последствия монополизации экономики. Монополии — это наиболее могущественные предприятия или объединения нескольких предприятий, которые изготавливают большую часть определенной продукции, благодаря чему влияют на процесс ценообразования и присваивают высокие (монопольные) прибыли. Однако не следует отождествлять с монополиями все крупные предприятия, поскольку не всякое крупное предприятие производит подавляющее количество продукции определенного вида; монополизирует передовые вещественные и личные факторы производства; диктует свои цены на рынке; присваивает монопольно высокие прибыли, вступая в сговор с другими крупными предприятиями.
Монополии проникают во все сферы общественного воспроизводства — непосредственное производство, обмен, распределение и потребление. Первой монополизируется сфера обращения. На этой основе возникают простейшие формы монополистических объединений — картели и синдикаты.
Картель — это объединение нескольких предприятий одной отрасли производства, участники которого сохраняют собственность на средства производства и изготовленный продукт, производственную и коммерческую самостоятельность, но договариваются о доле каждого в общем объеме производства, цене, рынках сбыта. В современных условиях картели существуют в форме патентных пулов, лицензионных договоров, консорциумов по осуществлению научно-исследовательских разработок и т. д.
Синдикат — это объединение ряда предприятий одной отрасли промышленности, участники которого сохраняют собственность на средства производства, но утрачивают коммерческую самостоятельность. В синдикатах сбыт товаров производит общая сбытовая контора. В современных условиях синдикаты существуют преимущественно в сфере торговли, а отдельные — и в сфере производства.
Так, алмазный синдикат контролирует мировой рынок необработанных алмазов.
Более сложные формы монополистических объединений появляются, когда процесс монополизации распространяется и на сферу непосредствен-



155

ного производства. Возникает необходимость объединения в пределах одной корпорации последовательных, взаимосвязанных производств нескольких отраслей промышленности, то есть вертикальной интеграции, или комбинирования. Так образуются тресты.
Трест — это объединения ряда предприятий одной или нескольких отраслей промышленности, участники которого объединяют производство, сбыт, финансы, управление. На сумму вложенного капитала владельцы отдельных предприятий получают акции треста, которые дают им право принимать участие в управлении и присваивать соответствующую часть прибыли.
С помощью механизма межотраслевой конкуренции и перелива капиталов вертикальная интеграция перерастает в диверсификацию — проникновение капитала той или иной монополии в отрасли, которые непосредственно не связаны с основной сферой ее деятельности.
На основе диверсификации возникает такая наиболее распространенная в современных условиях форма монополистических объединений, как многоотраслевой концерн — объединение десятков и даже сотен предприятий различных отраслей промышленности, транспорта, торговли, участники которого теряют собственность на средства производства и изготовленный продукт, а главная фирма осуществляет контроль за другими участниками объединения. Свыше 90 % наиболее могущественных монополий США существуют в форме многоотраслевых концернов. Только 5 % этих гигантских корпораций выпускают однопрофильную продукцию, в состав подавляющего большинства из них входят предприятия 11 отраслей, а в наиболее могущественных монополиях — предприятия 30-50 отраслей.
Экономическая мощь концернов, как и других форм монополистических объединений, растет вследствие мультипликативного эффекта.
В 60-е гг. в США и некоторых других странах начали образовываться конгломераты (монополистические объединения) вследствие поглощения прибыльных разноотраслевых предприятий, не имевшие производственной и технической общности. Так, самая крупная американская телефонная монополия «АТТ» скупила гостиницы, автопрокатные станции и др. Японская компания «Тойота», кроме выпуска автомобилей, освоила производство ткацких станков, текстиля, стала предоставлять строительные услуги. Создание конгломератов, вызванное желанием присвоить прибыли рентабельных компаний, было обусловлено также стремлением избежать резких колебаний конъюнктуры рынка во время кризисов.
Кроме того, в случае поглощения новых фирм конгломерат получает соответствующие рынки сбыта, торговую марку и др.



Предпринимательство и акционерная собственность


Сущность рыночной, социально-рыночной и смешанной экономики. Причины возникновения регулируемой рыночной системы и основные функции государства. Сущность и структура хозяйственного механизма
Возникнув несколько столетий назад, рыночная экономика в своем развитии прошла несколько этапов. Цель темы — на основе исторического анализа выяснить сущность современной рыночной системы
§ 24. Сущность рыночной, социально-рыночной и смешанной экономики
Эволюция рыночной экономики. Основные черты и критерии классификации современных экономических систем
Эволюция рыночной экономики и основные черты современных экономических систем. Рыночная экономика (или рыночное хозяйство) — это система хозяйствования, базирующаяся на экономическом обособлении ее субъектов, пользующихся свободой выбора способов реализации своих экономических интересов. Понимая, что в условиях свободы хозяйственной деятельности и торговли некоторые индивиды могут договариваться о повышении цен, а отдельные субъекты хозяйствования будут стремиться к неограниченному присвоению прибыли, А. Смит утверждал, что интересы и первых, и вторых способна в определенной мере гармонизировать конкуренция, являющаяся регулятором личного эгоизма. Именно благодаря конкуренции достигается экономическое равновесие.
Выравнивается спрос и предложение, то есть происходит саморегулирование экономики.
В рыночной экономике государству принадлежит второстепенная роль, оно выполняет лишь те функции, которые не в состоянии выполнить от-



167

дельный индивид. Такими функциями являются организация общественного порядка, государственной почтовой службы, осуществление обязательного школьного обучения, обеспечение национальной обороны, эмиссия крупных банкнот, строительство некоторых общественных сооружений (дорог, мостов и др.) и поддержание их в надлежащем состоянии.
Со времени своего возникновения теория рыночной экономики претерпела существенные изменения. Так, концепция социального рыночного хозяйства, основоположниками которой являются Л. Эрхард и В. Ойкен, значительно отличается от теории классического либерального хозяйства — концепции рыночной экономики, где государству отводилась роль «ночного сторожа». Л. Эрхард и В. Ойкен считают, что перед современным государством стоят сегодня огромные задачи, что в середине XX в. возможность освободить государство от обязанностей маловероятна.
Одной из наиболее важных задач государства, по мнению Л. Эрхарда, является обеспечение свободной конкуренции. Свободная собственная инициатива и конкуренция должны сочетаться с активной ролью государства в хозяйственной жизни. Ведущая форма проявления свободы, по Л. Эрхарду, — свобода потребления, которая логически дополняется свободой предпринимателя производить и продавать продукты, отвечающие спросу.
Важнейший критерий социального рыночного хозяйства, сочетающего рыночные и социальные принципы, — установление эффективного хозяйственного порядка, при котором на основе роста производительности труда снижаются цены, повышается реальная заработная плата. Благодаря конкуренции как наиболее эффективному способу достижения и обеспечения благосостояния, Можно достичь социализации прогресса и прибыли. Другим критерием выступает оптимальное сочетание рыночной экономики и планового хозяйства (централизованно регулируемая система экономики).
Некоторые немецкие авторы социальное рыночное хозяйство определяют как современную форму экономической организации рыночного типа с налаженным механизмом государственного регулирования, соответствующей институциональной структурой и системой социальной защиты населения.
Наряду с теорией социального рыночного хозяйства, в середине XX в. возникают и иные концепции и теории, в которых признается необходимость активного вмешательства государства в экономические процессы. В частности, в теории смешанной экономики обосновывается необходимость оптимального сочетания частной и государственной собственности (особенно, когда речь идет о социал-реформистском варианте такой экономики). В этом заключается одно из ее отличий от теории социального рыночного хозяйства, основывающейся на признании приоритета частной собственности.
Второе существенное отличие данных теорий состоит в том, что если, по мнению Л. Эрхарда, для достижения социальной направленности экономики нужно поднимать производство, а не совершенствовать распределение, то, по утверждению одного из представителей теории смешанной экономики Э. Хансена, главной функцией «государства благосостояния» выступает именно перераспределение произведенного дохода. Другой важной функцией такого государства является осуществление тех или иных форм национального планирования.



168

Отрицать необходимость всемерного совершенствования процессов распределения и перераспределения значительной части национального дохода через центральный (федеральный) бюджет, как это делал Л. Эрхард, значит, выступать против объективного хода экономического развития человечества, занимать антигуманные, регрессивные позиции как в теории, так и на практике.
Критерии классификации экономических систем. Как видим, при классификации основных типов современных экономических систем используются различные критерии. Определяющим является собственность, прежде всего, на средства производства. Приоритет данного критерия обусловлен, во-первых, тем, что собственность — это многоплановая социологическая категория, отражающая практически весь спектр отношений, в которые вступают между собой индивиды, коллективы, классы, государство и другие субъекты. Во-вторых, от типа экономической собственности (на средства производства, результаты труда, управление собственностью· и др.) зависит социально-экономический прогресс в обществе, формирование действенных стимулов к труду.
В-третьих, всестороннее развитие человека предполагает прогресс не только человека-работника, но и человека-собственника.
Но такой подход правомерен преимущественно для стран Западной Европы, он не распространяется на Китай, Индию и ряд других стран. Критерий собственности не отрицают отдельные западные ученые. Однако американский социолог Д. Белл, отмечая, что размежевание стран и обществ проходит по оси собственности, считает данный критерий несовершенным и предлагает вместо него критерий производства и использования различных видов знаний.
Дополнением к критерию собственности являются наличие и степень развития товарно-денежных отношений. В этом случае различают натуральное и товарное производства, рыночную, командную, или административно-командную экономики и др. В данной классификации одновременно используется критерий регулирования экономики (централизованного или рыночного).
Некоторые западные ученые критериями классификации обществ называют развитие промышленности, применение науки, при этом выделяют доиндустриальное (аграрное), индустриальное и постиндустриальное общества. Существует также классификация обществ с точки зрения новых элементов производительных сил, согласно которой западными учеными разграничиваются информационное, кибернетическое, технотронное общества и др. Подобный подход, однако, является односторонним, поскольку не отвечает требованиям системного метода.
Аналогичный недостаток свойствен классификациям, в которых делаются попытки объединить критерии отдельных элементов производительных сил и отдельных сторон собственности. Так, в частности, выделяется «организованный капитализм», или «народный капитализм», где в качестве критерия классификации используется владение частью наемных работников акциями предприятий.



169

Проведенный анализ позволяет сделать вывод о целесообразности использования интегрального показателя, сочетающего в себе сущностные характеристики как отношений собственности, так и системы производительных сил. В конечном счете более развитая экономическая система должна превзойти предыдущую по уровню производительности труда.
Критериям научности отвечает выделение в пределах определенных экономических систем отдельных стадий, ступеней и т. п.
Соединением частной и государственной форм собственности, плана и рынка, является смешанная экономика, возникшая в первые десятилетия XX в. Различают три основных варианта данной модели экономики: 1) консервативный; 2) либеральный; 3) социал-реформистский. Каждый из них, в зависимости от особенностей экономического, социального, политического, национального, исторического развития той или иной страны, приобретает свои особенные, специфические признаки. При этом в процессе эволюции социально-экономической системы происходит их взаимообогащение, наполнение элементами качественно нового содержания.
В пределах отдельных вариантных моделей смешанной экономики выделяют различные течения, школы.
При консервативном варианте смешанной экономики (его теоретики — Л. Мизес, Ф. Хаек, М. Фридмен и др.) происходит ограниченное вмешательство государства в макроэкономические процессы с целью создания благоприятных условий для развития частного сектора, рыночных рычагов саморегулирования экономики.
В соответствии с либеральным вариантом смешанной экономики необходимы: институциональные и социальные реформы, рациональное взаимодействие частного и государственного секторов, внедрение системы национального планирования, подчинение частного сектора интересам развития общества, осуществление постепенной социализации экономики. Наиболее известными исследователями этой вариантной модели являются американские экономисты Дж. Гэлбрейт, Р. Хейлброннер и др.



Предпринимательство


Коллективное предпринимательство — инициативным делом занят какой-то коллектив. В фирмах, основанных на общей долевой собственности, ответственные решения, связанные с риском, принимают много людей (члены товарищества, акционеры). Различные задачи предпринимателя выполняют разные группы людей.
В частности, управленческие решения принимают директора, менеджеры.
2. По своему характеру предпринимательская деятельность включает несколько форм. Некоммерческое предпринимательство — не связанное с продажей продукции ради обогащения. Такая филантропическая деятельность ведется разными благотворительными и культурно-просветительными организациями. Например, в США 3/4 семей делают взносы на подобные цели (в 80-е годы они составляли в среднем 790 долл. в год на семью).
На их долю приходится 90% всех средств благотворительных фондов, а 5% поступает от корпораций.
Коммерческая деятельность, или бизнес, — дело, приносящее доход. В нее входят:
— непроизводственный бизнес — профессиональный спорт, концертная деятельность и т.п.;
— торговый бизнес — на предприятиях торговли;
— бизнес в сфере услуг, например туристический сервис, юридическая контора;
— производственный бизнес — доходная деятельность на предприятиях в промышленности, сельском хозяйстве, строительстве и т.д.
Предпринимательство может проявляться в любой хозяйственной системе. Оно может быть и на государственном предприятии. Однако здесь инициатива руководителя хозяйства подавлена рамками жестких приказов и инструкций вышестоящих органов. В условиях рынка успех приносит совершенно иной тип предпринимательства. Как для жизни каждого человека нужен кислород, так для предпринимателя-бизнесмена важна свобода его хозяйственной деятельности.
Это свобода использовать принадлежащее ему, арендуемое или переданное в пользование имущество. Это свобода определять, что и как производить, выбирать поставщиков и потребителей, назначать цены, распоряжаться прибылью, остающейся после уплаты налогов, и решать иные производственные вопросы.
Согласно Закону РСФСР О предприятиях и предпринимательской деятельности (принят 25 декабря 1990 г.), в нашей стране предпринимательская деятельность (предпринимательство) рассматривается как инициативная самостоятельная деятельность граждан и их объединений, направленная на получение прибыли. Такая деятельность осуществляется гражданами на свой риск и под имущественную ответственность в пределах, определяемых организационно-правовой формой предприятия (статья 1). Предпринимательство, осуществляемое без привлечения наемного труда, регистрируется как индивидуальная трудовая деятельность.
Предпринимательская деятельность, осуществляемая с привлечением наемного труда, регистрируется как предприятие (пункт 3 статьи 2).
Бытует мнение, что самым свободным является мелкий предприниматель, не зависящий ни от кого. Однако в условиях современной экономики, где ведущие позиции принадлежат крупным предприятиям, это, скорее всего, широко распространенная иллюзия. Вот что пишет об этом известный американский экономист профессор Дж. Гэлбрейт: ...мелкий предприниматель прославляется как человек строгой независимости.
То, что эта независимость часто ограничена как в принципе, так и на практике упорной борьбой за выживание, остается незамеченным... Часто его свобода — это свобода человека, которого до смерти заклевали утки60.
В современных условиях на Западе заметно увеличивается предпринимательская деятельность всех видов, произошел предпринимательский бум. Этому в значительной степени способствовала приватизация государственных предприятий. За последние 20 лет общее число предпринимателей в Японии увеличилось почти в 2 раза, в США — более чем в 2,5 раза.
В связи с этим расширилась сеть организаций, которые формируют современных бизнесменов (разного рода центры и школы подготовки предпринимателей, инновационные парки, где предметно обучают новейшим достижениям техники, технологии и организации производства). Аналогичные процессы проходят в нашей стране.
Расширение и совершенствование предпринимательской деятельности прямо связано с возрастанием значения функций, выполняемых организаторами бизнеса.
В мировой экономической литературе отмечаются три функции предпринимателя. Первая функция — ресурсная. Для любой хозяйственной деятельности необходимы объективные факторы (средства производства) и субъективные, личные (работники с достаточными знаниями и умениями).
Вторая функция — организаторская. Ее существо — обеспечить такое соединение и комбинирование факторов производства, которое лучше всего способствует достижению поставленной цели.
Третья функция предпринимателей — творческая, связанная с организационно-хозяйственным новаторством. Значение этой функции для бизнеса резко возросло в условиях современного научно-технического прогресса и развития неценовой конкуренции. В связи с усилением функции, связанной с инновациями (внедрением новинок в производство), создается новый экономический климат для предпринимательства.
Быстро растет рынок научно-технических разработок, или венчурного бизнеса, занятого внедрением новинок техники и технологии. Совершенствуется информационная инфраструктура предпринимательства — расширяется доступ к полезной информации в государственных органах, укрепляются патентно-лицензионные службы, развивается сеть банковых информационных данных, накапливаемых с помощью электронно-вычислительных машин, и т.д.
Уже сейчас в западных странах определены перспективные направления предпринимательства на XXI столетие. Так, в Японии делается ставка на информационный бизнес. Используя мировой информационный рынок, японские предприниматели быстрее и лучше других внедряют все технологические новинки.
В Германии, Великобритании и Франции упор делается на промышленные технологии (считается, тот, кто силен в промышленном производстве, будет иметь успех во всех областях науки и техники). В США в центре внимания — повышение интеллектуального уровня работников, их образования и квалификации, ибо от этого зависит технологический потенциал бизнеса.
Поскольку центр тяжести в функциях предпринимателя переместился на новаторство, предъявляются новые требования к личности предпринимателя, к его психологической характеристике.
Фирма Мак-Бер энд компани (США) в своих исследованиях выделила наиболее важные личностные качества удачливого бизнесмена:
— поиск возможностей и инициативность (готов к неоднократным усилиям, чтобы встретить вызов или преодолеть препятствия, меняет намеченную линию поведения, чтобы достичь цели);
— готовность к риску (предпочитает ситуацию умеренного риска, осуществляет действия, чтобы уменьшить риск или контролировать результаты);
— ориентация на эффективность и Rачество (находит пути делать вещи лучше, быстрее и дешевле);
— вовлеченность в рабочие контакты (принимает на себя всю ответственность и идет на личные жертвы для выполнения работы, берется за дело вместе с работниками или вместо них);
— целеустремленность (ясно выражает цели, обладает долгосрочным видением);
— стремление быть информированным (лично собирает сведения о клиентах, поставщиках, конкурентах);
— систематическое планирование и наблюдение (планирует, следит за хозяйственными показателями и использует их для принятия решений);
— способность убеждать и устанавливать деловые и личные контакты;
— независимость и уверенность в себе (стремится к независимости от правил и контроля других людей, верит в свою способность выполнять трудные задачи).
Выводы Мак-Бер энд компани могут служить своего рода тестом. При этом важно иметь в виду, что одни из необходимых качеств бизнесмена — врожденные, другие — результат развития природной предрасположенности, а третьи — следствие обучения и практического опыта. Вряд ли можно усомниться, что далеко не все люди способны быть предпринимателями.
Тестовая проверка позволила также образно сформулировать отрицательные психологические характеристики предпринимателя:
— флюгер (верно определяет направление, но не доводит до конца создание новой фирмы);
— простак (с упрощенным взглядом на сложные процессы; по его мнению, любое предприятие можно создать в два счета);
— недотрога (мнителен и боится, что кто-то украдет его идеи);
— знайка (хорошо теоретизирует, но полностью оторван от практики);
— аккуратист (чрезмерно привержен заведенному порядку);
— философ (излишне мечтателен, топит дело в словах);
— изобретатель (настолько увлечен новациями, что это идет во вред предпринимательской деятельности);
— инопланетянин (не имеет соответствующих реальности мотивов и целей для организации собственного бизнеса).
В дальнейшем мы будем рассматривать бизнес в сферах производства и торговли. В них особое внимание уделяется процессу управления предприятием. Кто и как этим занимается?



Государственной функцией стало регулирование социальных отношений.


Другая государственная функция — регулирование внешних эффектов, которые представляют собой побочные последствия хозяйственной деятельности отдельных агентов рынка. Государство призвано:
а) измерять внешние эффекты и проводить перераспределение доходов граждан с помощью специального налога; б) предотвращать социальные выбросы (проводить предварительную государственную экспертизу проектов строительства новых предприятий на их экологическую безопасность); в) административно запрещать производственную деятельность, наносящую вред здоровью людей; г) обязывать предпринимателей затрачивать капитал на восстановление разрушенной природной среды.
Особая функция государства — управление нерыночным сектором национального хозяйства, который предоставляет населению товары и услуги коллективного пользования. Речь идет о национальной обороне и охране общественного порядка, государственном управлении, единой энергетической системе и национальной сети коммуникаций, всеобщем образовании, здравоохранении, фундаментальных науках и т.п.
На практике даже минимальное участие государства в экономическом макрорегулировании (в США и иных странах Запада) предполагает выполнение ряда других задач. К ним относятся: а) обеспечение правовой базы, способствующей эффективному функционированию рыночной системы; б) защита конкуренции; в) перераспределение доходов и богатства; г) влияние на распределение ресурсов в целях улучшения структуры национального продукта; е) контроль за уровнем занятости и инфляции, а также стимулирование экономического роста. При регулировании макроэкономики государство применяет преимущественно экономические, а не административные методы.
Б. Другой вариант типа смешанного управления, который мы рассмотрим, предполагает наличие максимально допустимого государственного регулирования.
Данный вариант базируется на существенном развитии государственного сектора экономики (до 40% ВНП находится под государственным контролем). Такое положение можно наблюдать в Швеции, Австрии, Германии, Японии и других странах.
В таком варианте государство осуществляет ряд основных функций (рис. 18.3).

Государственной функцией стало регулирование социальных отношений.

Рис.18.3. Максимально допустимые функции государства
В первую очередь государство содействует эффективной хозяйственной деятельности всех предпринимателей. В этих целях оно повышает эффективность рыночного механизма:
— разрабатывая и осуществляя хозяйственное законодательство, устанавливающее правила игры для всех бизнесменов на рынке (создается правовая основа предпринимательства, деятельности бирж, банковской системы, налогообложения и т.д.);
— обеспечивая сохранность рыночного механизма (регулярная демонополизация экономики, антиинфляционная политика, меры по сокращению государственных расходов и уменьшению бюджетного дефицита и т.д.);
— укрепляя положение дел на отдельных видах рынков (повышается конкурентоспособность национального капитала на внутреннем и международном рынках путем осуществления общенациональных программ научно-технического прогресса, поощрения экспорта капитала и товаров и т.п.).
Кроме того, государство старается стабилизировать экономическое развитие, сглаживая взлеты и падения деловой активности, сдерживать инфляцию и безработицу, поддерживая устойчивый экономический рост. В период кризисного спада оно увеличивает выплаты пособий по безработице, расширяет возможности получения кредита, уменьшает норму процента. Напротив, в период хозяйственного подъема сокращаются выплаты по безработице, уменьшается объем государственного кредита, повышается норма процента.
Важной государственной функцией стало регулирование социальных отношений. Особое внимание при этом уделяется, как известно, отношениям между работодателями и трудящимися. Государство предопределяет размер минимальной заработной платы, следит за обязательным заключением коллективных договоров между предпринимателями и профсоюзами, страхованием рабочих от несчастных случаев, а также регулирует условия труда на предприятиях.
Через систему прогрессивного налогообложения доходы высокооплачиваемых работников и предпринимателей частично перераспределяются в пользу малоимущих. Разрабатываются и проводятся в жизнь программы экологической безопасности населения (очистки воздуха и воды, обеспечения безопасности ядерной энергетики), принимаются меры к развитию образования.
Наконец, для практического осуществления перечисленных функций государство применяет арсенал мер административного (лат. ad-ministrare — управлять преимущественно путем отдачи приказов, распоряжений), и экономического регулирования.
Мировой опыт позволяет установить своего рода правила применения экономических и административных методов регулирования хозяйственной деятельности со стороны государства.
Первое правило. Определять те области деятельности физических и юридических лиц, в которых наиболее эффективен прямой контроль государства. Сюда можно отнести, например, разработку и реализацию целевых программ социально-экономического развития в государственном секторе; составление национальных стандартов (единых норм и требований, применяемых к качеству изделий, некоторым видам услуг), а также осуществление контроля за их соблюдением всеми, кто их должен придерживаться.
Второе правило. Учитывать, что администрирование наносит ущерб экономике лишь тогда, когда оно экономически не обосновано.
Третье правило. Заранее определять действенность и эффективность административных и экономических мер. Скажем, экономические санкции (например, штрафы), примененные к предприятию, которое погубило лес, озеро, не являются действенными. Как бы велики ни были эти санкции, природу они не воскресят.
Напротив, действенными, как показывает практика, оказываются следующие административные меры: жесткие стандарты хозяйственной деятельности, гарантирующие населению экологическую безопасность; административные меры превентивного (предупреждающего) характера, например предварительная обязательная экологическая экспертиза проектов инвестиций.
Четвертое правило. Научиться правильно прогнозировать последствия предпринимаемых хозяйственных действий. Допустим для ускорения научно-технического прогресса можно широко внедрять высокие технологии.
Но важно предвидеть, что трудосберегающие способы производства вызовут увеличение технологической безработицы. В связи с этим государство и фирмы должны заранее позаботится об увеличении занятости.
Пятое правило. Важно всегда учитывать пределы применения административных и экономических методов государственного регулирования национальной экономики. Скажем, эти методы не должны подавлять возможности саморегулирования конкурентного рынка.
При всей многовариантности смешанного типа хозяйственного механизма вполне очевидно, что повышение эффективности макроэкономики предполагает обеспечение оптимального сочетания рыночных и государственных регуляторов народнохозяйственной пропорциональности. П.Самуэльсон и В.Нордхаус пришли к важному обобщению:
Рыночный механизм определяет цены и производство во многих сферах, в то время как государство регулирует рынок посредством налогообложения... Обе стороны — рынок и государство — существенны. Управлять экономикой в отсутствие того или другого все равно, что пытаться аплодировать одной рукой110.
Как обстоит дело в управлении реформируемой экономикой в России?
2. Россия: преобразование системы управления
Помимо рассмотренных типов макрорегуляторов экономики имеется еще один тип—командно-административная система управления (в западной экономической литературе эту систему называют командная экономика). Что же представляет собой данный тип управления?
Командно-административная система управления — это централизованное государственное управление, которое заставляет все предприятия выполнять плановые директивы (обязательные задания) с помощью приказов и других внеэкономических методов. Характерные черты этой системы отражены в приводимой ниже схеме (рис. 18.4).

Государственной функцией стало регулирование социальных отношений.

Рис. 18.4. Основные черты командно-административного управления
Эта система руководства макроэкономикой означает, во-первых, непосредственное управление всеми предприятиями из единого центра — высших эшелонов административной власти, что сводит на нет самостоятельность и демократическое самоуправление предприятий. Во-вторых, государство полностью контролирует производство и распределение продукции, в результате чего исключаются свободные рыночные связи между отдельными хозяйствами. В-третьих, государственный аппарат руководит их деятельностью с помощью административно-распорядительных методов, что подрывает свободную предприимчивость работников и их материальную заинтересованность в результатах труда.
В западной литературе командную экономику часто отождествляют с социализмом или даже коммунизмом, который нигде не был построен. Однако социализм — это не тип хозяйственного управления, а социально-экономический строй, базирующийся на государственной (общей совместной) собственности. К. Макконнелл и С. Брю в Экономикс признают тот факт, что Общественная собственность и централизованное планирование не всегда существуют параллельно, одновременно друг с другом.
Например, фашизм гитлеровской нацистской Германии был назван авторитарным капитализмом, поскольку экономика там была поставлена под жесткий контроль и ею так же жестко управляли, хотя собственность оставалась частной111.



Государственные доходы


Государственные доходы. Государственные доходы — это выраженные в денежной форме отношения собственности между государством и юридическими и физическими лицами в процессе изъятия (присвоения) государством части необходимого и прибавочного продукта. Необходимость государственных доходов обусловлена самим существованием государства, выполняемыми им функциями, неспособностью негосударственных организаций и институтов обеспечить стабильное развитие общества. Основным источником государственных доходов в большинстве социально-экономических формаций были налоги. Они обеспечивали 95-97 % общего объема доходов государства. Государственные доходы делятся на внутренние и внешние. Внутренние оно получает внутри страны, внешние — преимущественно во время войн за ее пределами (кредиты, помощь из других стран).
Так, во время второй мировой войны около 1/3 всех государственных доходов Германии и Японии приходилось на внешние источники.
В настоящее время к внешним источникам государственных доходов в виде кредитов из других стран, международных экономических организаций стремятся страны СНГ, страны бывшего социалистического содружества и «третьего мира».



277

К внутренним государственным доходам, как уже отмечалось, принадлежат различные виды налогов и неналоговые доходы. К неналоговым доходам относятся доходы от государственных предприятий и имущества и государственный кредит.
В начале XX в. в развитых странах мира с помощью налогов в доходах государства аккумулировалось примерно 10 % национального дохода, а в конце столетия — уже около 50 %. При этом количественные изменения в величине налогов сопровождались серьезными качественными сдвигами. Налоги из чисто фискального явления постепенно превратились в важный инструмент регулирования экономики, функционирования и развития современной экономической системы. Без их изъятия и последующего распределения невозможно было бы обеспечить нормальный процесс воспроизводства того или иного элемента экономической системы, в частности, современного работника как главной производительной силы, науки и т. д., плюрализм форм собственности, сформировать эффективный хозяйственный механизм.
Сущность и структура налогов. Налоги как экономическая категория означают принудительное изъятие (присвоение) государством у физических и юридических лиц части необходимого и прибавочного продукта в соответствии с принятыми законами. Более полно сущность налогов раскрывается в выполняемых ими функциях.
Такими функциями являются фискальная, регулирующая и распределительная.
Важными принципами налогообложения средневековый арабский мыслитель Ибн Хальдун назвал справедливость, равенство и платежеспособность, А. Смит — всеобщность налогов и их установление пропорционально доходу; четкое определение величины налогов, времени и способа изъятия, простоту и удобство сбора налогов с налогоплательщиков, а также минимум затрат при сборе налогов, то есть затрат на содержание налоговых служб и налоговых инспекторов. В современных условиях такими принципами являются стабильность, уменьшение количества 'налогов, полезность.
Совокупность принципов налогообложения, основных видов налогов и механизмов их изъятия формирует налоговую систему. В ней, прежде всего, следует выделять прямые и косвенные налоги. Так, в Германии в 1994 г. их соотношение составляло 55:45 %. Прямые налоги преобладают в большинстве развитых стран мира, несмотря на то, что их изъятие более сложно.
Но они более справедливы, поскольку устанавливаются пропорционально величине доходов и имущества.
Объекты налогообложения в налоговой системе — доходы, стоимость отдельных товаров, имущество физических и юридических лиц, отдельные виды деятельности, добавленная стоимость произведенных товаров и услуг и др.
Размер налога на единицу налогообложения определяет налоговую ставку. В случае роста ставок при увеличении доходов устанавливаются прогрессивные ставки налогообложения; если же ставки налогообложения при увеличении доходов не изменяются — формируются прямо пропорциональные ставки налогообложения.



278

Основные виды налогов в развитых странах мира — личный подоходный налог, налог на добавленную стоимость, на прибыль компаний и на социальное страхование. Удельный вес личного подоходного налога в государственных доходах в государствах-членах Организации экономического сотрудничества и развития, куда входят 24 самые могущественные страны, составлял в середине 90-х гг. около 30, а в отдельных странах (Австралия, Финляндия, Дания, Германия) — достигал 48 %. На противоположном полюсе по объемам изъятия данного налога — Франция и Греция, где удельный вес личного подоходного налога в государственных доходах составляет около 12,5 %.
В России используются представленная на 14 структурно-уровневая модель налоговой системы*.
Изъятие этого налога начинается с установления необлагаемого налогом минимума. В большинстве развитых стран мира подоходный налог с физических лиц является прогрессивным. Так, в США годовой доход до 21 450 дол. включительно облагается налогом по ставке 15 % (минимальная ставка); до 51 900 дол. — по ставке 3 217 дол. + 28 % с суммы, которая превышает 21 450 дол.; с суммы свыше 51 900 дол. — по ставке 11 743,5 дол. + 31 % (максимальная ставка). Например, годовой доход среднего американца в сумме 35 тыс. дол. облагается налогом по схеме
21 450 0,15 + (35 000 - 21 450) 0,28.
В некоторых развитых странах мира из заработной платы типичного работника изымается от 28 до 35 % подоходного налога. В то же время в этих странах наблюдается снижение максимальной ставки личного подоходного налога, что приносит наибольшую выгоду крупным капиталистам.
Налог на добавленную стоимость (как универсальный акциз) в развитых странах мира колеблется от 14 до 25 % общей суммы налоговых поступлений в государственный бюджет. В большинстве стран мира используется основная ставка этого налога с последующим повышением или понижением на определенные виды товаров и услуг. Так, в странах ЕС основная ставка налога на добавленную стоимость (НДС) — 15 %. Его рост в последние десятилетия сопровождался уменьшением в большинстве стран доли налога на прибыль компаний. Так, в США с 1955 по 1994 г. удельный вес последнего сократился с 20 до 7 %, в Канаде — с 17 до 8 %, а в Италии, Бельгии он несколько возрос.
В целом, в 1996 г. компании в развитых странах мира выплатили в виде данного налога около 30% своей прибыли.
Третье место в структуре налогов в развитых странах мира занимает налог на социальное страхование: его удельный вес в середине 90-х гг. составил около 24 %.
Наряду с налогами в центральный бюджет существуют, как отмечалось, местные налоги. К ним относятся акцизные сборы, налоги на недвижимость, налог на прибыль корпораций и др. Например, в ФРГ поступления на 75 % распределяются по числу жителей.
Клюкович 3. А. Рыночные тенденции трансформации налоговой системы России. Ростов н/Д: Изд-во РГУ. — 1999. С. 57.



279


14. Структурно-уровневая модель региональных и местных налогов, обязательных для всех субъектов Российской Федерации



280


§ 44. Государственные расходы и дефицит бюджета
Государственные расходы. Государственные расходы — это отношения собственности (присвоения) между государством и юридическими и физическими лицами в процессе распределения и потребления части национального дохода. Их возникновение обусловлено появлением государства, выполнением им разнообразных функций.
Если в середине прошлого столетия основная часть государственных расходов направлялась на содержание аппарата и военные цели и социальных расходов практически не было, то к концу XX в. на первое место вышли расходы на социальные цели (развитие образования, здравоохранения, выплаты безработным, пенсионерам и др.). Это обусловлено качественно новой ролью личного фактора в современном производстве, доминированием общечеловеческих ценностей в ценностных ориентирах общества, неспособностью рыночных рычагов обеспечить общенациональное развитие образования, системы подготовки и переподготовки кадров, социальной защиты населения, предотвратить рост армии безработных и т. п. Поэтому на социальные цели в развитых странах Запада расходуется около 35 % государственных средств. Причем, эти расходы постоянно растут.
Если в 1960 г. в США на социальные мероприятия направлялось 20 % федерального бюджета, то в 1995 г. — уже около 47 %. Второе место в структуре государственных расходов занимают расходы на экономические цели — жилищное строительство и его реконструкцию, разработку природных ресурсов и охрану окружающей среды, сельское хозяйство, транспорт, науку, связь, государственное регулирование и прогнозирование экономики и др. На эти расходы в развитых странах мира в середине 90-х гг. приходилось около 25-27 % всех государственных расходов. Их высокий удельный вес обусловлен превращением государства в ведущий институт, обеспечивающий нормальное воспроизводство экономической системы, а государственного регулирования — в ядро хозяйственного механизма. Кроме того, негосударственные формы собственности и рыночный механизм оказались неспособными развивать фундаментальные научные исследования, преодолеть экологический кризис, разрешить другие проблемы. На третьем месте в структуре государственных расходов находятся расходы на военные цели.
Они делятся на прямые и косвенные. К первым относятся расходы на оборону, ко вторым — часть расходов на космические исследования, военная помощь другим странам, выплата пенсий ветеранам войны. Следующая по размеру статья государственных расходов — расходы на обслуживание государственного долга. В США в середине 90-х гг. государственный долг составлял около 60 % ВНП и занимал четвертое место в структуре государственных расходов страны.
Ежегодно на обслуживание государственного долга США расходуют более 250 млрд дол. Рост этого долга и суммы выплат по нему обусловлен огромными военными расходами, которые вызывают хронические дефицита государственного бюджета и платежного баланса. Выплата государственного долга и процентов по нему осуществляется путем выкупа государственных ценных бумаг за счет средств из государственного бюджета.



Государственные расходы вызывают мультипликационный эффект.


Совокупность сегментных рынков в процессе их постоянного взаимодействия формирует в рамках национального рынка ряд народнохозяйственных пропорций. Важнейшими из них являются соотношение между платежеспособным спросом и предложением на создаваемый ВНП и национальный доход, соотношение между доходами и расходами на федеральном уровне, в бюджете отдельных областей, регионов, штатов, земель, а также на муниципальном уровне, наличие кредитно-денежной сбалансированности, относительное равенство спроса и предложения на рынке рабочей силы, соотношение между импортом и экспортом продукции.
В основе этих пропорций лежат более глубинные соотношения и взаимозависимости агрегатных показателей экономического' развития. К ним относятся: соотношения между сферой материального и нематериального производства (сферой услуг), между промышленностью и сельским хозяйством, группами «А» и «Б», гражданской и военной сферами экономики, производством и потреблением, потреблением и накоплением, промежуточным и конечным продуктами и др. К таким ключевым пропорциям принадлежат также соотношения между отдельными элементами производительных сил и основными формами собственности и др.
Спрос и предложение, механизм их сбалансированности. Какие меры должно осуществлять государство, чтобы достичь равновесия этих глобальных величин национального рынка и, прежде всего, — спроса и предложения? Их диалектическая зависимость заключается, прежде всего, в том, что предложение формирует спрос через ассортимент и цены произведенных товаров и предложенных услуг, а спрос определяет объем и структуру предложения, влияя при этом на производство.
Равновесие и соотношение между спросом и предложением — это своеобразный индикатор сбалансированности и пропорциональности разви-



300

тия общественного производства, обмена и распределения труда в сфере материального и нематериального производства, непрерывности процесса общественного воспроизводства материальных и духовных благ. При этом следует различать частичное равновесие, которое является количественно-качественным соответствием между отдельными сферами экономики, отдельными агрегатными показателями, и общим равновесием, которое означает сбалансированное, планомерно-пропорциональное развитие всей экономической системы и, прежде всего, количественно-качественное совпадение между совокупными доходами, потреблением, сбережениями и инвестициями как важнейшими элементами совокупных спроса и предложения. Соотношение между последними влияет на отклонение рыночных цен от стоимости товаров и услуг: при превышении спроса над предложением цены отклоняются вверх от стоимости, а при превышении предложения над спросом — устанавливаются ниже стоимости.
Структуру платежеспособного спроса можно рассматривать как платежеспособную потребность таких субъектов рынка, как отдельные индивиды, предприятия, организации, государство и др. Платежеспособный спрос является лишь частью потребностей общества, хотя и важнейшей. Связано это с тем, что отдельные субъекты рынка могут иметь потребности в каких-либо товарах и услугах, но не иметь денег для их приобретения, поэтому их потребности в совокупный спрос не включаются.
Совокупный спрос рассматривается как спрос всех членов общества на все или отдельные блага; спрос на все блага, который удовлетворяется на отдельных видах рынка; спрос большинства населения на отдельных типах рынка.
При несовпадении спроса и предложения, если платежеспособный спрос превышает предложение в условиях производства ВНП ниже оптимальной величины, государство снижает налог на прибыль, чтобы стимулировать инвестиции компаний и фирм; увеличивает расходы государственного бюджета и, прежде всего, государственные закупки товаров и услуг; уменьшает процентную ставку за кредит. Кроме данных мер, проводится активная амортизационная политика, увеличивается объем капиталовложений в государственном секторе и т. д.
В условиях, когда предложение меньше платежеспособного спроса, а производство ВНП превышает оптимальную величину, государство должно стремиться к снижению совокупного спроса. Для этого ему необходимо увеличить налоги на прибыль, сократить государственные расходы, увеличить плату за предоставление кредитов, а следовательно, уменьшить денежную массу.
Важнейшим методом регулирования совокупного спроса является увеличение или уменьшение расходов государственного бюджета. Это обусловлено тем, что их увеличение непосредственно влияет на увеличение как потребления, так и капиталовложений отдельных субъектов хозяйствования. Более того, государственные расходы вызывают мультипликационный эффект. По подсчетам французских экономистов, каждый франк государственных инвестиций мобилизует почти 3 франка из других источников.
Что касается снижения налога на прибыль; то этот метод влияет на совокупный спрос опосредовано.



301

Следует иметь в виду, что использование названных рычагов экономического регулирования не дает мгновенного эффекта. Пройдет не менее полгода, прежде чем появятся первые позитивные результаты от использования таких рычагов государственного регулирования, как увеличение или уменьшение налогов на прибыль, подорожание или удешевление кредита. Поэтому важно заранее предвидеть нарушение равновесия между такими агрегатными показателями народнохозяйственной сбалансированности, как спрос и предложение, доходы и расходы государства и др.
Но совокупные спрос и предложение зависят и от других, более конкретных факторов: уровней доходов населения и цен, темпов их роста, объемов сбережений и накоплений, налоговой деятельности государства, закупки им определенной части товаров, объема экспорта и импорта.
С точки зрения материально-вещественного содержания совокупный спрос состоит из потребительского (товары широкого потребления и предметы роскоши) и инвестиционного (средства производства). С точки зрения стоимостного содержания совокупный спрос может не совпадать с размерами доходов населения: он может быть и большим, и меньшим в зависимости от того, какая часть дохода изымается из обращения и превращается в сбережения или, наоборот, изымается из сбережений и становится частью совокупного дохода.
Потребительские расходы — это сумма денег, которые люди расходуют на приобретение материальных благ и услуг с целью удовлетворения собственных нужд. Объем и структура потребления формируются, прежде всего, в домашнем хозяйстве, семье. После уплаты налогов в семье остается доход, который в основном расходуется на потребление, а использованная часть идет на сбережения. В соответствии с обоснованным Дж. Кейнсом законом, при увеличении доходов людей увеличивается и их потребление, однако не в такой мере, в какой растет доход.
Конкретизацией данного закона являются широко применяемые в западной экономической литературе понятия «предельная склонность к потреблению», которая означает долю потребления в каждой дополнительной денежной единице дохода, находящейся в распоряжении семьи, и «средняя склонность к потреблению», которая означает уменьшение соотношения между потреблением и доходом по мере роста последнего.
В целом потребление зависит от размеров дохода и налогов, уровня цен, процентной ставки, процентов на сбережения, стабильности денежной единицы, размера накопления. Рост потребления в совокупном спросе означает снижение в нем доли накопления и уменьшение (абсолютное или относительное) доли сбережений. Значительное влияние на потребление имеет динамика цен.
Устойчивый рост цен обесценивает накопления и сбережения. Это вначале приводит к номинальному росту потребления, а фактически — к недопотреблению товаров и услуг. Их устойчивое повышение ведет к тому, что деньги теряют свою покупательную способность. Фактически потребление населения сокращается. При низкой инфляции сбережения и накопления обесцениваются, но одновременно растет совокупный спрос.
Дефляционная политика, наоборот, сдерживает рост потребления и создает благоприятные условия для сбережения и накопления.



302

Для нейтрализации негативного воздействия инфляции следует применять такие меры, как повышение учетной ставки процента, увеличение налогов, сокращение государственных расходов, замедление темпов роста иди даже «замораживание» заработной платы, а также вкладов в сберегательных кассах и банках, контроль за движением цен, заработков и прибыли, то есть проводить политику доходов. Это содействует стабильности цен, но вызывает другие экономические потрясения — спад производства, банкротства, рост безработицы и, в конечном счете, — ограничение потребления.
Если потребляет все население, то инвестиции осуществляют предприниматели, а сбережения — предприниматели и потребители.
Сбережения зависят от состояния экономики (в периоды спадов и кризисов они сокращаются), доходов населения (чем выше доход, тем больше вероятность, что определенная его часть будет отложена), инфляционной, денежной политики государства, наличия пенсионных гарантий для трудящихся. Сбережения — это отложенный спрос, или часть дохода, которая остается в распоряжении населения, за исключением расходов на личное потребление. Сбережения осуществляют домашние хозяйства, а также предприятия (фирмы, компании) и организации. Их размер зависит, прежде всего, от величины дохода, следовательно, они являются функцией дохода.
Поэтому увеличение сбережений уменьшает и потребление, и накопление, и наоборот. В то же время сбережения населения — источник накопления для предпринимателей, которые обращаются в банки за кредитными средствами. Таким образом, чем больше сбережения населения, тем шире финансовая основа для будущих инвестиций.



Государственный бюджет


Сотрудники налоговой полиции выявили более ста способов уклонения от налогов. Вот несколько, пожалуй, самых простых:
— занижается объем произведенной продукции;
— завышается себестоимость товара (чтобы скрыть часть прибыли);
— торговая выручка, полученная наличными, не приходуется, не указывается;
— используются чужие расчетные счета в банке по взаимной договоренности предпринимателей;
— при сдаче товаров в коммерческий магазин накладная (документ о поставке товаров) оформляется, но не регистрируется и т.д.
Таким образом, теневая экономика наносит серьезный ущерб формированию доходной части государственного бюджета.
2. Государственный бюджет
Государственный бюджет — это роспись (смета, баланс) денежных доходов и расходов государства. Роль бюджета в развитии национальной экономики неоднозначна в различные периоды истории. При этом достаточно четко выделяются два этапа.
В эпоху классического капитализма государство, как известно, не вмешивалось активно в хозяйственную деятельность. Примечательно, что в ведущих западных странах через государственный бюджет перераспределялось от 9 до 19% национального дохода.
Во второй половине XX в. бюджет превратился в мощный регулятор макроэкономики. Об этом свидетельствует тот факт, что через бюджет ныне перераспределяется в западных государствах от 1/3 до 1/2 ВНП.
Уровень налогов и государственных расходов позволяет бюджету играть ведущую роль в обеспечении экономического роста и занятости работников.
Бюджет является важным рычагом воздействия на ход общественного воспроизводства и стимулирования экономического роста. Путем изменения уровня государственных расходов и налогообложения правительства могут регулировать объем совокупного спроса (величину потребительских и инвестиционных расходов), а тем самым влиять на краткосрочные колебания экономической конъюнктуры. В связи с этим различают экспансивную (расширительную) рестриктивную (ограничительную) бюджетную политику: Первая из них выражается в увеличении государственных расходов и снижении уровня налогообложения, что позволяет легче преодолевать экономические кризисы и ускорять экономический рост.
Вторая означает уменьшение, расходов и повышение. налогов, что помогает ослабить инфляцию и нормализовать хозяйственную конъюнктуру. Эти два вида государственных мер не могут дать надлежащего эффекта, если не увязываются с соответствующими переменами в кредитно-денежной сфере. Если экспансивная бюджетная политика не сопровождается ограничениями объема денежной эмиссии и кредита, то это углубляет инфляционные тенденции.
В свою очередь, когда рестриктивная бюджетная политика сочетается с жесткими кредитно-денежными мерами, то это может вызвать экономический кризис.
Бюджетный механизм представляет собой важный инструмент долгосрочной структурной политики. Он используется для проведения крупных структурных сдвигов: в интересах более быстрого развития наукоемких производств, прогрессивных научно-технических перемен в национальном хозяйстве, подъема отстающих в экономическом отношении регионов.
Возросшая регулирующая роль бюджета дала основание западным ученым рассматривать его в качестве плана финансового хозяйства, который служит средством достижения экономической стабильности и выполняет функции встроенного бюджетного стабилизатора. Такое предназначение бюджетного механизма во многом зависит от источников, характера формирования его доходной части и направленности государственных расходов.
Подавляющая часть всех доходов бюджета западных государств образуется за счет налогов (90% поступлений на центральном и 70% — на местном уровне). Через налоговый механизм в бюджет направляется от 30% валового национального продукта в США и Японии, до 40— 50% — в Германии, Франции, Швеции. О типичных источниках поступлений в бюджет свидетельствуют статистические данные таблицы 19.2.
Таблица 19.2.
Структура налогообложения некоторых западных стран, % от ВНП

Виды налогов
США
ФРГ
Англия
Япония
Франция
Все налоги,
в том числе:
подоходный налог
налог на корпорации
взносы на социальное страхование:
рабочих и служащих
предпринимателей
акцнзы
налоги на предметы потребления
29
10
2
3
5
2
2
38
11
2
6
7
3
6
39
10
4
3
4
5
6
27
7
6
4
4
4
-
45
6
2
6
13
4
9
В структуре всех налогов ведущее место занимает индивидуальный подоходный налог (от 1/4 до 1/2 всех поступлений в бюджет). При это облагаются личные доходы граждан независимо от источников получения (заработная плата, жалованье, предпринимательская прибыль, процент, дивиденд, рента, гонорары и т.п.), которые уменьшаются на сумму законодательно разрешенных скидок и вычетов. Индивидуальный подоходный налог рассчитывается по прогрессивной шкале ставок. Начиная с установленной суммы, освобожденной от налогообложения, прирост дохода делится на части, из которых каждая последующая облагается по более высокой ставке.
Количество таких ступеней колеблется от 2 (США и Великобритания) и до 14 (Франция). При этом размер минимальной налоговой ставки колеблется от 10 до 25%, максимальной — от 28 до 70%.
Налоги на прибыли компаний составляют важную часть поступлений в бюджет (до 20%). В большинстве западных стран в последние годы эта доля государственных доходов имеет тенденцию к уменьшению. Налог на прибыль взимается с облагаемой прибыли предприятий, которая равняется валовой выручке от реализации за вычетом производственных и коммерческих издержек (включая заработную плату, проценты по банковскому кредиту, затраты на рекламу). Вычитаются также расходы, в соответствии с действующим законодательством полностью или частично освобождаемые от налогообложения: затраты на НИОКР, взносы в благотворительные фонды, налоги местным органам власти и т.д.
Максимальная ставка налога на прибыль колеблется от 30 до 50%. В большинстве стран установлены пониженные ставки для мелких предприятий с тем, чтобы стимулировать их деятельность.
Прямые налоги на личные доходы граждан и на прибыль компаний, вносящие существенный фискальный вклад, обладают высоким коэффициентом эластичности, т.е. зависимости между поступлениями от них в бюджет и колебаниями величины валового национального продукта. Этим обусловлена их роль как рычага централизованного государственного воздействия на экономику.
В последние годы возрастает значение взносов на социальное страхование. По своей природе они близки к налогам и выплачиваются лицами, нанятыми па работу (в процентах к валовому заработку) и предприятиями (в процентах к общему фонду заработной платы). Поступления от компаний обычно превышают взносы трудящихся.
Вместе с тем затраты фирм на эти цели включаются в производственные издержки, вследствие чего через механизм цен они перекладываются на потребителей.
Существенную роль в западных странах играют косвенные налоги, которые включаются в цену товара и целиком оплачиваются покупателями. В США и Канаде главным из них является налог с оборота (облагается вся валовая выручка от реализации, товаров и услуг); уровень налога колеблется от 2 до 10%. В западноевропейских странах и Японии от 14 до 19% косвенных налогов составляет налог на добавленную стоимость (разница между валовой выручкой и суммой затрат на сырье, полуфабрикаты и услуги, полученные от поставщиков).
К косвенным налогам относятся также выборочные акцизы. Ими облагаются преимущественно алкогольные напитки, табачные изделия и бензин. Еще одной разновидностью косвенных налогов являются таможенные пошлины, доля поступлений от которых в большинстве стран незначительна (в Великобритании — 1,2%; в Японии — 1,3%; США - 1,6%; Германии - 2,5% и во Франции - 7,6%).
Отличительная особенность косвенных налогов — их регрессивность, повышение их уровня в общей сумме дохода по мере уменьшения самого дохода. У малоимущих слоев населения эти налоги составляют более существенную долю дохода, чем у состоятельных граждан.
В современных условиях продолжает действовать ряд традиционных налогов: а) с наследства и дарений и 6) поимущественный, который взимается с оценочной стоимости земли, зданий, сооружений, индивидуальных домовладений. Такие специфические налоги не дают существенного фискального вклада.
Второй составной частью бюджета являются расходы. Эта часть призвана обеспечить финансовыми ресурсами потребности государства, связанные с выполнением им своих функций. Возрастание роли государства в регулировании макроэкономики выразилось в появлении во второй половине XX в. новых тенденций в развитии функций государственного бюджета.
Одна из них — участие государственных финансов в обеспечении устойчивого экономического роста.
На Западе через бюджет финансируется от 1/3 до 1/2 всех инвестиций в основной капитал. Обновлению технической базы производства способствуют возросшие государственные затраты на фундаментальные научные работы, прикладные исследования и разработки. Значительные суммы государство расходует на кредиты, субсидии (денежные пособия) и дотации предпринимателям, которые участвуют в выполнении государственных программ экономического развития.
Существенно увеличились объемы инвестиций в ^человеческий капитала (образование, повышение квалификации и переквалификацию рабочей силы).



Государство может осуществлять крупномасштабные изменения.


В соответствии с рекомендациями неоконсерваторов в основу экономической политики США, Великобритании, ФРГ и ряда других государств был положен принцип эффективного предложения — поощрения частного бизнеса (в США такую политику назвали рейгономика, в Англии — тэтчеризм). Чтобы сделать более выгодным свободное предпринимательство, существенно снизили налоги на прибыль и на трудовые доходы. Государство заметно уменьшило свое вмешательство в хозяйственные дела, началась частичная приватизация государственных предприятий — продажа их частным лицам, преобразование в акционерные общества. Во многих странах было заметно свернуто планирование хозяйства, уменьшено финансирование социальных программ. Проведенные меры дали осязаемые результаты.
В США и других странах несколько уменьшился дефицит государственного бюджета, сократилось количество денег в обращении, а темпы инфляции снизились в 3—4 раза, возросли темпы хозяйственного развития.
Но и модель макрорегулятора национальной экономики, предложенная неоконсерваторами, не спасла экономику Запада от спадов производства и инфляции. В 1979—1981 гг. разразился новый мировой экономический кризис. При этом, как и в 1973 г., уровень роста мирового промышленного производства оказался на нулевой отметке.
Сама жизнь вновь властно поставила вопрос: какой же хозяйственный механизм лучше — государственный (кейнсианский) или рыночный (неоконсервативный)?
Предыдущий анализ макроэкономических регуляторов позволяет нам сделать определенные выводы. Прежде всего очевидно, что нет такого идеального регулятора, который способен избавить общество от трех зол: кризисов, безработицы и инфляции. Кстати, во всех экономике эти негативные явления признаются как вечные проблемы.
Далее, нельзя не заметить, что кейнсианская и неоконсервативная модели регулирования национального хозяйства являются односторонними (это отчетливо видно из приведенного выше сопоставления). Если кейнсианцы высказываются за эффективный спрос, то неоконсерваторы — за эффективное предложение.
Критическое сопоставление двух регуляторов привело к неожиданному результату. Была убедительно доказана неполноценность как исключительно рыночного, так и только государственного хозяйственного механизма. Вместе с тем то, что отсутствует в одном механизме, в достаточной мере имеется в другом.
Сопоставим между собой два типа макрорегулятора: стихийно-рыночный и планово-государственный.
А. Сначала сравним сам характер регулирования, свойственный двум макросистемам управления. , ,,
Свободный рынок (с его регулирующими ценами) воздействует на производство апостериори (лат. a posteriori — из последующего), т.е. после того, как товары созданы и ничего исправить уже нельзя. Учет необходимых и полезных результатов в этом случае ведется методом проб и ошибок, посредством действий вслепую.
В противовес этому государственный регулятор действует априори (лат. a priori — из предшествующего). Еще до начала производства товаров и услуг государство заранее прогнозирует и планирует конечные результаты. Таким способом можно предотвратить какие-то нежелательные последствия стихийных хозяйственных действий.
Б. Рассмотрим отношение разных хозяйственных механизмов к так называемым внешним эффектам. Под такими эффектами в западной экономической литературе подразумеваются побочные последствия рыночного поведения производителей и потребителей. Частные субъекты рынка загрязняют окружающую среду, создают проблемы больших городов и т.п.
Поэтому возникла и все более обостряется потребность регулировать, компенсировать отрицательные внешние эффекты.
Что касается рынка, то он не в состоянии не допускать или ликвидировать тот ущерб, который наносит обществу неконтролируемое поведение субъектов рынка. По словам профессора П.Хейне (Экономический образ мышления), возникает проблема безбилетника. Под безбилетником подразумевается человек, который непрочь пользоваться какими-то выгодами, не оплачивая их. Однако если никто не платит за блага, то кто же станет их производить?
Только государство способно справиться с регулированием внешних эффектов. Это становится одной из его функций.
В. Теперь посмотрим, как разные регуляторы относятся к структурным переменам народнохозяйственного масштаба.
Частные субъекты рынка не берутся за крупные изменения отраслевой структуры народного хозяйства, ибо это не дает им быстрой выгоды.
Именно государство может осуществлять крупномасштабные структурные изменения. Оно располагает необходимыми для этих целей ресурсами и способно применить их за более короткий срок.
Г. Сопоставим отношение разных хозяйственных механизмов к некоммерческим видам деятельности.
Субъекты рынка даже не берутся вкладывать свои частные капиталы в такие области, которые не дают им прибыли. Это касается, скажем, школьного образования, фундаментальных наук. Только государство создает и поддерживает за счет своего бюджета нерыночный, некоммерческий сектор экономики.
Д. Рассмотрим связь известных нам регуляторов с удовлетворением спроса населения на предметы потребления и услуги.
Государственный регулятор (не имеющий обратной связи) слабо и с большим запозданием улавливает изменения потребительского спроса, очень медленно уравновешивает спрос и предложение по их объему и структуре.
Напротив, рынок очень быстро откликается на изменения потребностей покупателей, а также естественным путем (через ценовый механизм) уравновешивает спрос и предложение товаров и услуг.
Е. Наконец, оценим реакцию двух регуляторов на неэффективное производство.
Как известно, рынок поощряет эффективное хозяйствование и избавляется от убыточных предприятий. Только государство может взять на себя затраты на содержание убыточного, но необходимого для общества производства (на изготовление общественных благ, на военно-промышленный комплекс и т.п.).
Проведенный здесь сравнительный анализ рыночного и государственного макрорегуляторов позволяет сделать важный вывод. В целях улучшения управления национальным хозяйством разумнее всего не менять попеременно один регулятор на другой, а перейти к смешанному (комбинированному) типу управления, в котором органически соединяются достоинства двух ранее действовавших хозяйственных механизмов.
П. Самуэльсон является основателем школы, которую он назвал великим неоклассическим синтезом. Эта школа преодолела разрыв и противопоставление двух родственных течений неоклассического направления — кейнсианства и неоконсерватизма — по коренному вопросу макроэкономических регуляторов. О значении неоклассического синтеза говорит, в частности, тот факт, что все учебники экономике написаны с позиций этой школы.
Что же представляет собой более конкретно третий тип макрорегулятора?
Тип смешанного управления национальным хозяйством имеет следующие специфические черты. Во-первых, новый регулятор органически объединяет устойчивость государственного управления, необходимую для удовлетворения общественных потребностей (нужд нерыночного сектора и социальной сферы) и гибкость рыночного саморегулирования, что требуется прежде всего для удовлетворения многообразных и быстро меняющихся личных запросов.
Во-вторых, только тип смешанного управления позволяет оптимально сочетать между собой высшие макроэкономические цели:
— эффективность хозяйствования,
— социальную справедливость,
— стабильность экономического роста.
В-третьих, новый регулятор способен сбалансировать совокупный спрос и совокупное предложение.
Как можно достичь макроэкономического равновесия, наглядно показано на рисунке 18.1, где графически отображен совокупный спрос С1—С2, совокупное предложение П1—П2 и потенциальный выпуск продукции ВП.

Государство может осуществлять крупномасштабные изменения.

Рис.18.1. Совокупный спрос, совокупное предложение и
потенциальный выпуск продукции
На рисунке 18.1 можно видеть, какие макроэкономические факторы влияют на уровень цен и объем выпуска продукции в масштабе страны.
Рассмотрим сначала кривую спроса. Если, допустим, снижаются государственные налоги, то благодаря этому возрастают величины располагаемого дохода и спроса. Кривая спроса C1—C2 сдвигается вправо, что означает: для каждого уровня цен спрос возрастает.
Когда же налоги увеличиваются или сокращаются государственные расходы на социальные цели, то совокупный покупательский спрос уменьшается. Кривая спроса сдвигается влево. Значит, спрос на товары падает для каждого уровня цен.
Теперь посмотрим на динамику предложения. В том случае, если будет расти заработная плата и цены на сырье, энергию, кривая предложения смещается вверх и влево. Следовательно, данный уровень производства может быть обеспечен при более высокой цене (это результат увеличения издержек производства).
Что касается кривой потенциального выпуска продукции ВП, то она характеризует такую отметку высоты уровня производства, к которой экономика должна все время двигаться. Таким условием служит макроэкономическая сбалансированность спроса и предложения.



Государство ограничивает монополистическую деятельность


Например, в Японии ежегодно проводится серия переговоров между предпринимателями и профсоюзами о размере заработной платы. Сначала достигается общенациональное соглашение между правительством, союзами предпринимателей и национальными профсоюзами. Затем на предприятиях договариваются о гибкой системе заработной платы: 25—30% ее величины выплачивается в виде премий, зависящих от размера прибыли фирмы. Если спрос на выпускаемую продукцию понижается, то уменьшается объем получаемой прибыли, что ведет к автоматическому снижению уровня оплаты труда.
В итоге существенно падает уровень инфляции (например, в 1986 г. в Японии был почти нулевой уровень инфляции — 0,5% по отношению к 1985 г.).
Б. Государство ограничивает монополистическую деятельность в области ценообразования. В этом случае правительство берет под контроль монополистическое вздувание цен.
Например, в Англии управление по телекоммуникациям обязало корпорацию Бритиш телеком, имеющую 50% продаж на монополизированном рынке, выполнять следующие условия. Темп роста тарифа на услуги корпорации должен быть на 3 процентных пункта ниже среднегодового индекса цен в английской экономике. Если, скажем, индекс цен равен 5%, то Бритиш телеком может установить свой тариф на уровне 2%.
В. Твердо проводимая правительством антиинфляционная политика способствует существенному уменьшению инсоляции спроса. Успех в этом деле может прийти только к сильному правительству, которое пользуется доверием большинства населения, правильно прогнозирует ход инфляции, четко ставит антиинфляционные задачи и заблаговременно информирует граждан. Причем основой программы сильного правительства являются не компенсации роста цен, что усиливает инфляцию, а меры, на практике противодействующие стихийному движению цен.
Г. Регулирование ценовой динамики становится эффективным благодаря умелой денежной политике Центрального банка. Интересен в этом отношении опыт Федеральной резервной системы (ФРС) Центрального банка США.
ФРС применяет такие способы регулирования предложения денег, как:
а) операции на открытом рынке. Чтобы увеличить предложение денег (выброс денег на рынок), ФРС покупает у банков государственные ценные бумаги (государственные облигации и векселя казначейства). Для уменьшения предложения денег ФРС продает такие бумаги, изымая тем самым деньги из экономики;
б) изменение ставки банковского процента. Если такая ставка уменьшается (кредит дешевеет), то предложение денег возрастает. Когда ставка процента возрастает (кредит дорожает), то предложение денег сокращается;
в) изменение нормы обязательных резервов. По решению ФРС все банки обязаны держать определенную долю их депозитов (от 3 до 18%) в качестве резерва. При увеличении нормы резервов банки уменьшают объем кредитования клиентов.
При снижении этой нормы банки расширяют предложение денег. Такое регулирование нормы обязательных резервов является самым мощным инструментом воздействия на денежное обращение.
Опыт деятельности центральных банков западных стран по регулированию денежного обращения сейчас отражается в законодательстве И других нормативных актах о Банке России.
В тех случаях когда текущее государственное регулирование не помогает добиться значительного улучшения денежного обращения, нередко проводятся денежные реформы. Денежные реформы — это такие преобразования в сфере денежного обращения, которые проводятся в целях упорядочения и укрепления денежной системы. Такие реформы могут означать переход от одной денежной единицы к другой или же сводиться к частичному изменению денежной системы.
История денежного обращения знает следующие виды денежных реформ:
1) переход от одного денежного товара к другому (например, замена медных денег серебряными, а последних — золотыми);
2) образование новой денежной системы в связи с государственным переустройством (так поступали многие страны, добившиеся политической самостоятельности);
3) замена ставшей неполноценной и обесцененной монеты полноценной или неразменных (на золото) денежных знаков разменными;
4) изменения в системе эмиссии денег (например, в 1913 г. в США право выпуска банкнот получили 12 федеральных резервных банков);
5) стабилизация или упорядочение денежного обращения. Этот вид реформы может осуществляться разными методами. Наиболее типичными из них являются:
а) дефляция — уменьшение денежной массы посредством изъятия из обращения излишних бумажных денег;
6) нуллификация — ликвидация старых денежных знаков и выпуск бумажных денег в меньшем количестве;
в) деноминация — изменение нарицательной стоимости денежных знаков и их обмен по определенному соотношению на новые, более крупные денежные единицы (одновременно в таком же отношении пересчитываются цены, заработная плата и т.д.);
г) девальвация — уменьшение металлического содержания денежной единицы или снижение курса бумажных знаков по отношению к металлу или к иностранной валюте;
д) ревалоризация (реставрация) — повышение металлического содержания денежной единицы или повышение курса бумажных знаков. по отношению к металлу или к иностранной валюте.
Итак, изучение острых макроэкономических проблем вплотную подвело нас к тому, чтобы рассмотреть, как организовано управление национальным хозяйством.
Экономический тренинг

  1. Ключевые термины и понятия
Экономический цикл; кризис; депрессия; ожи илснис; подъем; большие циклы и конъюнктуры; занятость; экономически активное население; безработица; виды безработицы; естественная безработица; закон Оуксна; государственное регулирование занятости; стабильность денежного обращения; факторы инфляции; инфляция спроса; инфляция издержек; кривая Филипса; цена инфляции; макроэкономические регуляторы инфляции; денежные реформы.
2. Вопросы на сообразительность
В какой мере влияют на экономический цикл следующие факторы:
а) войны;
б) технические изобретения;
в) рост потребительских расходов;
г) инвестирование;
д) рост народонаселения.
3. Тесты
3.1. К какой из двух фаз экономического цикла — депрессии или буму — относятся перечисленные процессы:
а) рост инвестиций ч частном секторе;
б) сокращение прибылей;
в) рост налоговых поступлений;
г) увеличение спроса на труд;
д)падение курса акций;
е) увеличение выплат но безработице;
ж) снижение нормы процентной станки.
3.2. Численные значения какого из следующих показателей падают после наступления фазы подъема и растут после фазы спада:
а) объем промышленности;
б) средняя продолжительность рабочей недели;
в) курсы цепных бумаг;
г) объем товарных запасов в обрабатывающей промышленности.
4. Верно — неверно
4.1. Валовые инвестиции растут, если темпы прироста продаж товаров надают.
4.2. Фаза подъема экономического цикла всегда совпадает с периодом оживления.
4.3. Объем инвестиций в машины и оборудование обычно не увеличивается перед наступающим спадом и после его завершения.
4.4. Государственные расходы оказывают дестабилизирующее влияние па экономику только после войны.
5. Тест по экономике России
Преодолению кризиса в России способствуют:
а) проводимая правительством налоговая политика;
б) существующие ставки ссудного процента;
в) восстановление нарушенных хозяйственных связей между регионами;
г) замораживание и невыплата заработной платы;
д) селективное (выборочное) предоставление кредитов отраслям и предприятиям;
е) повышение таможенного тарифа па импортные товары.
6. Экономические задачи
6.1. Используйте следующие данные, чтобы рассчитать: а) уровень совокупной рабочей силы и б) официальный уровень безработицы. Все население (цифры условные) составляет 10 000 человек, из них 3 000 — дети и подростки до 16 лет, пациенты психиатрических больниц и исправительных учреждений; 2 000 человек выбыли из состава рабочей силы; 500 безработных; 700 рабочих заняты неполный рабочий день или ищут работу.
6.2. Предположим, что уровень безработицы составляет 8%. Насколько быстрым должен быть экономический рост, чтобы снизить уровень безработицы до 6%: а) за 1 год; 6) за 2 года?
7. Дискуссионные вопросы
7.1. Безработица улучшает или ухудшает экономическое положение страны? Нужна ли она?
7.2. Почему бы пособиям но безработице не быть в среднем равными последней перед увольнением заработной плате тех, кто стал безработным?
7.3. Какова разница между инфляцией издержек и инфляцией спроса?
7.4. Объясните, как может одновременно повыситься номинальный доход и понизиться Ваш реальный доход?
7.5. В СССР десятилетиями цены были стабильными. Хорошо это или плохо?
7.6. Если инфляция несомненно ожидается п будущем, то что Вы сможете сделать, чтобы уберечь себя от ее негативных последствии?
8. Вопросы на сообразительность
8.1. Как можно объяснить существование незаполненных вакансий при высоком уровне безработицы?
8.2. КакPе две из следующих мер увеличивают численность занятых в стране (остальные величины остаются без изменений):
а) расширение экспорта;
б) увеличение импорта;
в) повышение уровня налогообложения;
г) увеличение государственных расходов.
9. Задание
По представленным значениям кривой Филипса постройте кривую Филипса.

Уровень безработицы, %
2
4
6
8
Темпы роста цен, %
6
5
4
3
10. Задача
Предположим, что предоставлен кредит в 100 долл. При этом кредитор считает, что инфляция отсутствует, и планирует получить 105 долл. Но инфляция оказывается равной 10%.
Какая реальная величина подлежащей возврату суммы, включая процент, будет возвращена кредитору? Кто при этом извлечет выгоду, а кто понесет убытки и в какой степени это будет соотноситься с ожиданием сторон?




Хеджирование — основная сфера деятельности товарных бирж.


Товарная биржа — это организованный постоянно действующий оптовый рынок, где купля-продажа товаров осуществляется на основе установленных стандартов и образцов, соответствующих форм документов, которыми регламентируется номенклатура, объем, цены, сроки и виды доставки и другие условия. Если финансовые биржи и коммерческие банки вместе с движением ценных бумаг и денег образуют «сосудистую» систему экономики, то клеточками последней следует считать гигантскую массу товаров, значительная часть которых продается и покупается на товарной бирже.



136

. Товарные биржи делятся на международные и национальные, универсальные и специализированные. Наиболее важные центры международной торговли находятся в США, Англии и Японии: на их долю приходится более 90 % международного биржевого оборота. На универсальных биржах продаются промышленные и сельскохозяйственные товары.
Так, на товарной бирже в Чикаго продаются пшеница, кукуруза, соя-бобы, бройлеры, золото, серебро, нефть, фанера и др. На специализированных товарных биржах продаются отдельные товары и родственные группы товаров. Например, на Нью-Йоркской бирже продаются кофе, какао и сахар. Всего в середине 90-х гг. в развитых странах мира насчитывалось более 50 товарных бирж с объемом оборота около 11 трлн дол, На бирже осуществляются два вида товарообращения: реальный и фьючерсный. Первый предусматривает переход товара от продавца к покупателю.
На такие поставки приходится около 10 % мировой торговли соответствующими товарами. При фьючерсных видах товарообращения продается право на товар (например, на будущий урожай), фьючерсные контракты, поэтому встречно-синхронное денежному потоку движение товара здесь не обязательно. Разницу между ценой контракта в день его заключения и ценой в день его выполнения выплачивает или продавец (если цена поднялась), или покупатель (если цена снизилась).
Нередко реальная и фьючерсная продажи взаимосвязаны. Так, фирма, которая продает реальный товар на бирже с поставкой в будущем, может одновременно купить право на другой товар (фьючерсные контракты).
В случае возможных убытков, обусловленных изменением цены на рынке в будущем, фьючерсные контракты страхуются (так называемое хеджирование). Операции хеджирования — основная сфера деятельности товарных бирж. Так, на Лондонских биржах металлов и сахара эти операции составляют около 60 % их деятельности. На фьючерсных биржах только около 2 % операций приходится на реальные товары.
Второе место в деятельности товарных бирж занимают спекулятивные операции. Так, на Лондонской бирже металлов они составляют в среднем 30-35 % оборота, на Ньюйоркской бирже кофе, какао, сахара — около 40 % совокупной деятельности. Участники этих операций получают прибыль вследствие разницы цен на товары на различных биржах и в разное время.
Такое несовпадение цен имеет место несмотря на наличие коммуникационно-информационных систем между товарными биржами внутри страны и между биржами разных стран.
Определенную, относительно самостоятельную роль в процессе оптовой торговли товарами играют брокерские соглашения. В США на долю таких соглашений приходится не меньше 5 % оптового товарообращения. Брокеры заключают товарные соглашения от имени конкретных покупателей или продавцов. Без них не обойтись особенно в случае перебоев в поставке товаров, оперативном заполнении ниш на рынке.
За свою деятельность брокеры получают определенный процент от стоимости соглашения или фиксированную ставку за каждое соглашение.
Важная роль в деятельности биржи принадлежит процессу котировки цен. Для этого создаются котировочные комиссии. Котировочные цены, как пра-



137

вило, устанавливаются на уровне средних. Котировочная комиссия фиксирует их на момент открытия биржи, в середине и в конце дня, и публикует. Кроме этого, на бирже устанавливаются стандарты на биржевые товары, разрабатываются биржевые контракты, исполняются арбитражные функции, обобщается и распространяется информация о финансовом .положении членов биржи, осуществляются расчеты между ними и др.
В условиях регулируемого рынка деятельность товарных бирж, как и финансовых, контролирует государство. Такой контроль осуществляется через принятие соответствующего законодательства, в котором определяются правила их деятельности (в том числе клиентов и посредников), права и обязанности, а также меры надзора за соблюдением норм и правил. Кроме того, государство регламентирует деятельность бирж через финансово-кредитный механизм, налоговую политику, опосредованно влияет и на ценовой механизм биржи, повышая цены по государственным контрактам, предоставляя субсидии и льготные кредиты производителям.
В определенное время государство может даже ограничивать количество спекулянтов.
Биржа труда, служба занятости, — это учреждения, осуществляющие посреднические функции между работниками и работодателями (предпринимателями), собирающие и предоставляющие информацию о наличии вакансий, содействующие подготовке и переподготовке кадров, созданию рабочих мест, быстрому перемещению рабочей силы, обеспечению эффективной занятости трудоспособного населения, частично регулирующие процесс занятости. У бирж труда есть свои отделения в городах, районах; их задача состоит в том, чтобы анализировать ситуацию, разрабатывать программы занятости, предоставлять профконсультации, осуществлять подготовку, переподготовку кадров и трудоустраивать их.
Биржи рабочей силы возникли в первой половине XIX в., в России — в начале XX в. В современных условиях посреднические функции между работниками и предпринимателями исполняют государственные биржи. В США в середине 90-х гг. их насчитывалось около 2 тыс. В некоторых странах (Великобритания, Франция и др.) биржи не только ведут учет безработных, но и выплачивают им помощь. Если безработные отказываются от работы, предложенной биржей, их лишают выплат из фондов поддержки по безработице.
Кроме государственных бирж труда, в странах Запада существуют частные агентства для трудового посредничества и посреднические бюро. Частные агентства содействуют трудоустройству отдельных категорий трудящихся (сельскохозяйственных работников, учителей и др.). Так, в США насчитывается около 15 тыс. таких агентств (фирм). Посреднические бюро выполняют свою функцию при профсоюзах, молодежных организациях и т. д.
Направления на работу, которые выдают биржи труда, не являются обязательными для предпринимателей. Квалифицированные работники, как правило, не пользуются услугами таких бирж. Поэтому в США через эти учреждения трудоустраиваются менее 20 % повторно принятых на работу.
Наиболее могущественная посредническая компания «Менпауер» имеет более 1 300 отделений в разных странах, обслуживает около 300 тыс. фирм и содействует ежегодному трудоустройству приблизительно 700 тыс. наемных работников. Крупные компании, как правило, имеют специализиро-



138

ванные центры по отбору работников, их аттестации и возможному продвижению на более высокую должность и т. д.
Основные категории и термины
Рынок. Структура рынка. Функции рынка. Условия функционирования рынка. Финансовый рынок.
Рынок рабочей силы. Рынок средств производства. Рынок предметов потребления.
Рынок услуг. Рынок интеллектуальной собственности. Валютный рынок. Рынок информации. Рынок золота.
Основные субъекты рынка. Инфраструктура рынка. Фондовая биржа.
Товарная биржа. Биржа труда.
ВОПРОСЫ И ЗАДАНИЯ ДЛЯ САМОКОНТРОЛЯ
1. В чем состоит сущность и структура рынка?
2. Каковы наиболее важные условия существования и функции рынка?
3. Каковы основные виды современных рынков?
4. Каков механизм функционирования фондовой биржи?
5. Охарактеризуйте основные виды товарооборота на товарной бирже и механизм ее функционирования.
6. Назовите основные функции биржи труда?
00.htm - glava09



Идеи экономического либерализма


Положительной стораной либерализма была его направленность против феодальных порядков, чрезмерной цеховой регламентации. Ярче всего идеи экономического либерализма сформулированы Ж. Б. Сэем в законе, гласящем, что предложение порождает собственный спрос, а капитализм способен без вмешательства государства стихийно и автоматически восстанавливать экономическое равновесие.



44

Методологической основой либерализма является принцип индивидуализма, согласно которому в обществе должна существовать естественная свобода человека, его независимость от социума, а отстаивание своих интересов отдельными индивидуумами ведет к удовлетворению общественных интересов, к общественному благополучию. Такие взгляды в значительной мере отражали специфику капитализма эпохи свободной конкуренции. Идеи экономического либерализма господствовали до кризиса 19291933 гг. На смену им пришло учение Дж.
Кейнса.
Современные последователи экономического либерализма — американские ученые-неолибералы Л. Мизес и Ф. Хайек выступают за минимальное вмешательство государства в экономику, за предоставление максимальной свободы предпринимателям и торговцам. Л. Мизес абсолютными основами цивилизации называл частную собственность, свободный обмен и разделение труда, на котором основывается такой обмен. Но регулируемую при социализме экономику он считал запланированным хаосом, поскольку цены в ней не отражали соотношения спроса и предложения. Ф. Хайек активно отстаивал идею максимальной свободы человека, преимущества рыночной системы над смешанной, считал капитал вечной категорией.
По его мнению, регулирование хозяйственной деятельности разрушает механизм передачи информации.
Идеи неолиберализма были положены в основу теории социально ориентированного рыночного хозяйства, одним из авторов которой был известный немецкий экономист и государственный деятель Л. Эрхард. Данная теория провозглашает необходимость свободной конкуренции, свободных цен и т. п., гарантирование государством данных условий наряду с социальной направленностью их развития. В то же время допускается использование государственных рычагов регулирования экономики (государственного распределения ресурсов и контроля над ними), которые значительно ослабляются после достижения поставленной цели.
Некоторые отечественные экономисты-«реформаторы» активно поддерживают идею воплощения модели социально ориентированной рыночной экономики. Однако нечеткое понимание сути теории социальной рыночной экономики и некомпетентная реализация их рекомендаций привели к развалу государственного управления экономикой и нанесли народному хозяйству огромный ущерб.
Институционализм (от лат. «institutum» — учреждение) — одно из направлений западной экономической мысли, которое возникло в конце XIX — в начале XX в. К институтам представители данного направления относят конкуренцию, профсоюзы, налоги, государство, монополии (корпорации), устойчивый образ мышления, юридические нормы и др. Экономику они рассматривают как систему отношений между хозяйствующими субъектами, которые формируются под влиянием экономических и неэкономических факторов. Широкий социологический подход к предмету экономической теории сближает их с исторической школой.
Институционализм отрицает обусловленность развития человеческого общества Производственными отношениями (отношениями собственности), движущей силой общественного развития считает психологические, политические, социально-правовые факторы.



45

Основоположниками институционализма являлись американские ученые Т. Веблен, Д. Коммонс, У. Гамильтон, английский экономист А. Гобсон и др. Т. Веблен, например, рассматривал жизнь человека как борьбу за существование, как процесс отбора и приспособления. По мнению институционалистов, в ходе развития общества идет процесс естественного отбора институтов, система которых создает своеобразную культуру и определяет тип цивилизации.
Сами институты являются особыми формами жизни (в том числе хозяйственной), человеческих связей и отношений, которые носят устойчивый характер, формируют в обществе духовные качества и свойства. В свою очередь, институты также выступают важным фактором отбора.
Различают социально-технологический, социально-психологический и социально-правовой институционализм. Представители социально-технологического направления Дж. Гэлбрейт, Р. Арон, Ян Тинберген и другие основой экономического развития называют внедрение науки и техники в производство и, исходя из этого, обосновывают индустриальное, постиндустриальное, информационное и другие, лишенные конфликтов, формы общества. Автор социально-психологического институционализма Т. Веблен считает, что основа общественного развития — мастерство, родственные чувства и т. д., а основатель социально-правового институционализма Дж.
Р. Коммонс, что — это право, юридические отношения.
Представители институционализма выступили с резкой критикой маржинализма, неоклассической теории рыночного равновесия с ее базовыми категориями предельной полезности и производительности, в которых видели лишь формализованные абстракции с идеей ограничения рынка и рыночного равновесия как универсального механизма распределения ограниченных ресурсов. Они утверждали, что концепция классического общества свободной конкуренции XIX в. перестала отвечать реалиям современности, а рынок стал одним из многочисленных экономических институтов, таких, как корпорация, государство и др. Рынок способствует обогащению только крупных монополизированных предприятий, навязывающих свои товары и услуги потребителю.
Корпорация, в которой происходит отделение собственности от управления и осуществляется планомерное развитие в единстве со стихией мелкого и среднего предпринимательства, представляет собой качественно новый элемент экономических институтов. При этом ключевым экономическим институтом, основой современного им общества и будущей общественной системы представители институционализма считали государство, которое проводит активную социальную политику, применяет индикативное планирование и регулирование хозяйственной жизни. Идеалом общественного устройства они провозгласили государство социального благоденствия, а условием его построения — действенный социальный контроль.
При анализе корпорации сторонники институционализма значительное внимание уделили исследованию процесса отделения собственности от контроля за производством, который, по их мнению, привел к принципиальным изменениям в системе управления корпорацией. Это управление



46

осуществляет не предприниматель, а управляющие, заботящиеся о своих узко групповых интересах, и контролирующие корпорации. Такую систему американский экономист Г. Минз назвал коллективным капитализмом. Согласно теории техноструктуры Дж. Гэлбрейта, в систему управления корпорацией должны входить профессиональные руководители (как высшие менеджеры, так и бригадиры, мастера, лица, занимающихся рекламой, и т. д.).
Для научного обоснования своей концепции институционалисты ввели понятие «абсентеистской» собственности — собственности, которой нет, которая рассеивается среди акционеров, теряющих контроль над средствами производства.
За последние десятилетия возникла разновидность институционализма — неоинституционализм, который основой экономического развития в постиндустриальном обществе называет человека, а целью экономической системы — его всестороннее развитие. XXI в. провозглашен столетием человека неоинституционалистами, разрабатывающими экономическую теорию прав собственности; теорию общественного выбора, в которой исследуется взаимосвязь экономических и политических явлений, в частности бюрократического управления; различные социальные программы.
С точки зрения методологии заслуживает внимания ориентация институционализма на изучение не столько процессов функционирования общества, сколько его развития, исследование происходящих при этом трансформационных изменений.
Несомненно прогрессивны идеи сторонников современного институционализма об участии трудящихся в собственности и управлении производством, предоставления им социальных гарантии, а гуманитарной интеллигенции — власти. Заслуживают также внимания их взгляды на проблему эколого-экономического выживания человечества, о целесообразности государственного контроля над экологическими процессами, образованием, медициной. В методологическом аспекте рациональной является их идея об ограниченности анализа экономической системы лишь с позиции рационально мыслящего индивидуума (экономического человека) и необходимости учета действии определенных организаций людей (профсоюзов, обществ потребителей и др.), их совместных действий с участием государства против диктата предпринимателей.
Отмеченные черты сближают институционализм с марксизмом.
Кейнсианство и его эволюция. Кейнсианство — одно из ведущих направлений современной экономической теории, получившее название от имени всемирно известного экономиста Дж. Кейнса (1883—1946), наиболее полно осознававшего, что без активного вмешательства государства в развитие социально-экономических процессов, без существенного расширения функций государства капитализм не в состоянии далее существовать.
Кейнс одним из первых в западной экономической науке обосновал макроэкономический подход к анализу социально-экономических процессов, оперируя такими глобальными категориями, как национальный доход, совокупные инвестиции, потребление, занятость, накопление и др., которые рассматривал в их взаимодействии и взаимосвязи. Он также исследовал количественными методами функциональные аспекты и закономерности



Игнорирование аспекта Экономиксом означает абстрагирование


Собственность — это исторически сложившийся способ экономического присвоения материальных благ, продуктов интеллектуального труда, рабочей силы, услуг, реализуемый в форме дохода его субъекта в процессе разделения и персонификации отношений хозяйственного пользования, владения и распоряжения ее объектом или непосредственного потребления (личного или производительного) его полезного эффекта.
Производительные силы и производственные отношения в их диалектическом единстве и взаимодействии составляют общественный способ производства. Производительные силы представляют его вещественное содержание, производственные отношения — общественную форму. Развиваясь более динамично, производительные силы постепенно вступают во все большее противоречие с производственными отношениями. Последние изменяются дискретно будучи сначала формой развития производительных сил, способствующей их прогрессу, постепенно превращаются в сдерживающий элемент их дальнейшего роста, перестают отвечать их уровню, структуре и характеру развития.
Вследствие этого между двумя сторонами общественного способа производства возникает конфликт, что экономически обусловливает наступление эпохи социальных революций. Основными признаками такого конфликта являются: 1) отсутствие стимулов к труду у большинства работников; 2) медленное внедрение новой техники; 3) низкая эффективность научной деятельности, недостаточное внедрение результатов новационных разработок в производство; 4) снижение, стагнация или очень медленный рост жизненного уровня населения; 5) утрата страной своих позиций на мировом рынке.
Поскольку в сравнении с производительными силами производственные отношения более консервативны, они в пределах того или иного общественного способа производства стремятся приспосабливаться к уровню, структуре и характеру развития производительных сил, что проявляется в эволюции форм собственности. Так, на смену индивидуальной ка-
' Экономическая теория / Под ред. В.Д. Камаева. - М.: Владос, 1998. - С. 610.
2 См.: Современный экономический словарь. — М., 1977. - С. 122.

11

питалистической собственности приходит акционерная; ее диалектически отрицает государственная форма капиталистической собственности, а государственную — интегрированная транснациональная (процесс ее становления идет в странах Европейского союза (ЕС)). Каждая из этих форм собственности временно и частично разрешает противоречие между двумя сторонами общественного способа производства, развивая и углубляя его впоследствии уже на более широкой основе. Следовательно, противоречие между производительными силами и производственными отношениями является движущей силой развития общественного способа производства.
Экономическая система. Система — это совокупность ряда элементов
или подсистем и связей между ними, которой свойственны такие признаки целостности, как организованность, наличие интегративных свойств и функций, самодвижение и общая цель. Следовательно, экономическая система — это совокупность всех видов экономической деятельности людей в процессе их взаимодействия, направленных на производство, обмен, распределение и потребление товаров и услуг, а также на регулирование такой деятельности в соответствии с целью общества.
Основными элементами экономической системы, ее подсистемами являются: 1) производительные силы; 2) технико-трудовые и организационно-производственные отношения; 3) производственно-экономические отношения; 4) социально-экономические отношения, или отношения собственности (экономический аспект); 5) хозяйственный механизм. Каждый из данных элементов, в свою очередь, представляет собой довольно сложную подсистему, состоящую из определенных частей, компонентов со свойственной им совокупностью взаимосвязей, и развивается в соответствии с законами, общими для всей экономической системы, и внутренними, специфическими законами и противоречиями, присущими только данной подсистеме.                           
Предмет изучения экономической теории — все элементы экономической системы. Политическая же экономия призвана изучать, прежде всего, производственные отношения, отношения присвоения-отчуждения в их взаимодействии с производительными силами, и соответствующие экономические законы. Следует отметить, что в советской экономической литературе предметом политической экономии были только производственные отношения.
Такой подход представляется односторонним, поскольку производственные отношения как социально-экономическая форма общественного способа производства рассматривались в отрыве от содержания — производительных сил, — определяющей стороны способа производства. При подобном подходе невозможно исследовать противоречия двух сторон последнего, вне предмета науки в значительной мере оказывается человек как главная производительная сила, неразрешенными остаются
другие теоретико-методологические проблемы.
Изучение только производственных отношений в значительной мере отвечает классовому подходу, так как в основе этих отношений лежит собственность на средства производства как основа формирования классов. Игнорирование же этого аспекта Экономиксом означает абстрагирование

12

от распределения богатства в современном обществе, от противоречий
между классами и социальными группами, а следовательно, от реалий действительности.
Генетическое ядро производственных отношений, или отношения собственности в экономическом понимании данного понятия — наиболее сложная подсистема экономической системы общества. Они определяют отношения между людьми в сферах непосредственного производства, обмена, распределения и потребления. Доминируют среди последних отношения в сфере непосредственного производства. Если рассматривать отношения собственности с точки зрения объектов присвоения, то их элементами выступают отношения между людьми по поводу присвоения: а) рабочей силы; б) средств производства; в) достижений науки (прежде всего, в форме патентов, лицензий, других продуктов интеллектуальной собственности); г) информации; д) передовых форм и методов организации производства; е) услуг, и т. п.
В экономической теории и в политической экономии «производственные отношения» и «собственность» должны исследоваться в соотношении: система и ее ядро. При этом категория «собственность» содержит большие эвристические (познавательные) возможности для изучения всей системы производственных отношений. Ведь категория «производственные отношения» имеет в определенной степени двойственное значение (может рассматриваться как отношения между людьми в сфере непосредственного производства или как охватывающие другие сферы — обмен, распределение, потребление).
Для раскрытия эволюции производственных отношений под воздействием развития производительных сил необходимо использовать понятие «генезис форм собственности», которое в динамике означает эволюцию форм экономического присвоения, а значит, служит инструментом познания процесса присвоения различными социальными субъектами тех или иных объектов — позволяет полнее исследовать диалектику общественного способа производства, классовых отношений, политической власти и др.
. Стабильность и организованность современной экономической системы зависит от рационального сочетания в ней различных форм собственности, каждая из которых отвечает требованиям развития того или иного элемента производительных сил. Специфика коллективных и общественных форм собственности детерминирована особенностями современного этапа развития производительных сил, самого процесса производства. Эти формы собственности являются наиболее адекватными социальной сущности человека.
Соотношение общественной, коллективной и частной форм собственности неодинаково в различных отраслях и сферах экономики. Так, в сельском хозяйстве и сфере услуг могут преобладать частная форма собственности (индивидуальная, семейная), в базовых капиталоемких отраслях промышленности — общественная, в других отраслях — коллективная.
Рациональное соотношение между отдельными подсистемами и элементами экономической системы в наибольшей степени зависит от хозяйственного механизма, который является механизмом, во-первых, использования экономических законов; во-вторых, разрешения противоречий экономической системы; в-третьих, реализации отношений собственности,


13

и, в-четвертых, согласования экономических интересов. Исходя из этого предметом экономической теории следует считать изучение законов формирования экономической системы, ее функционирования и развития. Такое определение еще более объединяет западную экономическую мысль и традиционную политическую экономию.
Поэтому не удивительно, что П. Самуэльсон называл одним из предметов изучения политической экономии экономические системы.
Эффективность, организованность, а в значительной мере, — и саморегулирование экономической системы в современных условиях зависят от того, насколько сильна ее гуманистическая, демократическая направленность, зависящая от двух основных факторов: степени демократизации производственных отношений, и прежде всего, отношений собственности; меры участия непосредственных производителей в управлении экономической системой, их влияния на ее хозяйственный механизм.



Индекс цен может иметь три численных значения.


Большими особенностями отличается структура денежной массы в России (табл. 5.3).
Таблица 5.3.
Количество денег в России (на 1 января 1994 г.)

№ пп
Денежные агрегаты и их структура
Сумма, млрд. руб.
1
2
3
4
Наличные деньги в обращении
Вклады населения к сбербанках до востребования
Вклады населения и предприятий в коммерческих банках до востребования
Средства населения и предприятие на расчетных и текущих счетах
14100
1516
4500
16584
5
6
Ml =1+2+3+4
Срочные депозиты в сбербанках
36700
1500
7
8
9
М2 = 5 + 6
Депозитные сертификаты банков
Облигации государственных займов
38200
3
18
10
МЗ =7+8+9
38221
Табл. 5.3 показывает, что в денежной массе нашей страны преобладает агрегат Ml (93% от МЗ). Это объясняется быстрым обесценением денег и нежеланием населения и предприятий в этих условиях сохранять ценности (особенно на длительный срок) в виде срочных депозитов, депозитных сертификатов и облигаций государственных займов.
Немаловажной причиной является и то, что дельцы теневой экономики предпочитают иметь деньги в наличной форме, обеспечивающей анонимность их владельца.
Бросаются в глаза другие различия денежных агрегатов США и России:
в США в М1 преобладают безналичные чековые вклады, которые у нас отсутствуют;
американские банки гораздо большую долю финансовых средств дают на сохранение;
в США много ликвидных средств участвует в операциях на денежном рынке (в России такой рынок еще не сложился).
Измерение денежной массы с помощью агрегатов ликвидных средств имеет исключительно важное значение для государственного регулирования денежного обращения и предотвращения инфляционного обесценения денег.
3. Инфляция
Инфляция (лат. inflatio — вздутие) — заполнение сферы обращения денежными знаками сверх действительной потребности национального хозяйства. Во время инфляции бумажные деньги обесцениваются по отношению:
а) к золоту (при золотом стандарте);
б) к товарам; в) к иностранным валютам. Вследствие этого в первом случае происходит повышение рыночной цены золота в бумажных деньгах.
Во втором случае растут цены товаров. В третьем случае падает курс национальной валюты по отношению к иностранным денежным единицам, сохранившим прежнюю реальную стоимость или обесценившимся в меньшей степени.
При золотом стандарте в рыночных сделках постоянно находится лишь такое количество золотых монет, которое действиельно требуется для реализации товаров. Если же полноценные деньги не участвуют в обращении, то они оседают как сокровище.
Но положение становится иным, когда золото заменяется бумажными деньгами, не имеющими самостоятельной стоимости. Бумажные знаки вводятся в обращение государством, которое устанавливает их принудительный курс (соответствие определенному количеству золота), имеющий силу только 'в пределах страны. Когда бумажных денег выпущено соответственно количеству необходимых для оборота золотых монет, они обращаются в соответствии со стоимостью замещаемого ими золота.
После отмены золотого стандарта исчезло объективное мерило определения необходимого количества бумажных денег в обращении. Увеличение денежной массы государством часто происходит более высокими темпами, чем темпы роста объема товарной массы и услуг. Поэтому инфляция становится постоянным явлением во всех странах.
При использовании разных оснований для классификации данного явления можно выделить следующие виды.
1. По характеру инфляционного процесса:
открытая инфляция — ничем не сдерживаемый, свободный и продолжительный рост цен;
скрытая, или подавленная инфляция — государство устанавливает жесткий контроль над ценами в условиях товарного дефицита. При этом допускается снижение качества продукции без уменьшения цен на нее, искусственно завышаются цены на якобы новые изделия. Одновременно растут цены на черном рынке;
инфляционный шок — одномоментное резкое повышение цен. Оно может дать толчок для открытого ускоренного подъема уровня цен.
2. По месту распространения:
локальная инфляция — рост цен происходит в границах одной страны;
мировая инфляция — охватывает группу стран или всю глобальную экономику.
3. По темпам повышения цен: .
ползучая инфляция — цены поднимаются постепенно, но неуклонно, при умеренном темпе — примерно на 10% в год;
галопирующая инфляция — быстрый рост цен — от 20 до 200% в год; такой темп может вызвать тяжелые экономические и социальные последствия (падение производства, закрытие многих предприятий, снижение уровня жизни населения и т.п.);
гиперинфляция — катастрофический рост цен — 500—1000% и более
Мировым рекордом стала гиперинфляция в Венгрии (август 1945 — июль 1946 г.), когда цены ежемесячно росли в среднем почти в 20 раз.
Гиперинфляция вызывает крах денежной системы. Деньги начинают утрачивать свои функции. Это происходит, когда заработная плата выдается не деньгами, а талонами и купонами, на которые приобретаются продукты по установленным ценам. Подобное же наблюдается, если среди населения начинается так называемо бегство от денег.
Люди не желают держать свои сбережения в денежной форме и стремятся вложить их в материальные ценности.
Из сказанного видно, насколько важно для регулирования инфляционных процессов уметь измерять динамику цен.
Инфляция выявляется и темп ее измеряется с помощью статистического показателя — индекса цен. На практике применяются индексы цен, которые отражают изменение общего (среднего) уровня цен, либо цен на отдельные товары, группы товаров (например, индексы цен промышленной и сельскохозяйственной продукции).
В мировой практике широко используется индекс стоимости жизни — индекс розничных цен специального набора товаров и услуг, входящих в бюджет среднего потребителя и составляющих стоимости жизни, его прожиточный минимум. Для его расчета применяется следующая процедура.
А. Сначала определяется потребительская корзина: набор чаще всего употребляемых, типичных товаров и услуг.
Потребительская корзина тем достовернее отражает динамику инфляции, чем больше в ней представлено благ. В связи с этим можно отметить, что, например, в США рыночная корзина охватывает 300 потребительских товаров и услуг, приобретаемых типичным горожанином. Такая же по названию корзина в нашей стране в 1992—1995 гг. содержала несравненно меньшее количество благ: 70 основных продовольственных продуктов, только 20 непродовольственных товаров и набор некоторых платных услуг.
Б. Устанавливается базовый период — стартовый год, от уровня цен которого подсчитываются их изменения в последующий период.
В. Определяется совокупная цена рыночной корзины (суммарная цена всего набора товаров и услуг) для базового периода.
Г. Подсчитывается совокупная цена такой же корзины для данного (текущего) периода.
Д. Подсчитывается индекс цен — показатель, отражающий относительное изменение общего (среднего) уровня цен (выражается в процентах) по формуле:

Индекс цен может иметь три численных значения.

Индекс цен может иметь три численных значения.
Первый вариант: индекс цен равен 100%. Значит, цены являются неизменными.
Второй вариант: индекс цен выше 100%, например 140%. Следовательно, цены повысились в текущем году по сравнению с базовым в 1,4 раза, то есть произошло инфляционное обесценение денег.
Третий вариант: индекс цен ниже 100%, скажем 80% (цены упали на 20% по сравнению с базовым периодом). Это означает, что произошла дефляция (лат. deflatio — выдувание, сдувание) — падение уровня цен.
Теперь посмотрим, какова динамика цен на потребительские товары и услуги в разных регионах мира. В целом в мировой экономике наблюдается второй — инфяционный — вариант. Но темпы обесценения денег совршенно различны в двух группах стран.
Самые низкие они в западных государствах. Об этом можно судить по данным о приросте потребительских цен в странах Организации экономического сотрудничества и развития (табл. 5.4).
Принятые там за последние годы антиинфляционные меры позволили существенно снизить темпы инфляции. Не случайно здесь самая твердая валюта.
Таблица 5.4.
Прирост потребительских цен и ведущих западных странах и 1961 — 1995 гг. (в %, и среднем за год)


1961-1970
1971-1980
1981-1990
1991
1992
1993
1994
1995
ОЭСР
3,3
9,0
5,6
5.2
4,0
3,6
2,6
3,6
США
2,7
7,8
4,7
4.2
3,0
3,0
2,6
2,9
Япония
5,8
9,0
2,0
3.3
1.7
1,3
0.7
0,2
Германия
2,1
5,1
2,6
3.5
4.0
4,3
3.0
2,2
Франция
4,1
9.7
6,3
3.2
2,4
2,4
1,7
2,1
Великобритания
4,1
13,7
6,5
5.9
3,7
1,6
2,5
2,9
Наиболее высокие темпы инфляции в развивающихся странах. Здесь в целом прирост цен составил, например, в 1989 г. — 114% и в 1990 г. — 71%. Но особенно велик он был в Латинской Америке соответственно 531 и 312%. Основной причиной роста цен в ряде стран Латинской



Индексы цен и отдельных секторах экономики


9. Прокомментируйте статистические данные, приведенные
в таблицах 5.6 и 3.7
Таблица 5.6.
Индексы цен и отдельных секторах экономики
в 1992—1995 гг. (и разах к предыдущему году)

Индекс цен,
1992
1993
1994
1995
Потребительских (декабрь к декабрю предыдущего года)
26,1
9,4
3,2
2,3
На промышленную продукцию
20,5
9,9
5,1
3,4
Реализации продукции сельскохозяйственными предприятиями
9,4
8,1
3,0
3,3
В капитальном строите.'! ьстне
16,1
11,6
5,3
2,7
Индекс тарифов на грузовые перевозки
20,5
18,5
7,6
3,2
Таблица 5.7.
Средние цены (в рублях за килограмм) на отдельные виды продовольственных товаров и 1992 и 1995 гг. (на конец года)

Вид товара
1992
1995
Говядина (кроме бескостного мяса)
222
12547
Свинина
260
15053
Колбаса вареная
271
20016
Рыба мороженая (без деликатесной)
130
8325
Масло животное
413
20075
Масло растительное
190
10460
Молоко цельное, за 1 л
22
2812
Сыр
415
22514
Яйца, за десяток
87
5345
Сахар-песок
136
4486
Мука пшеничная
46
3115
Хлеб и хлебобулочные изделия из муки высшего сорта
43
4811
Картофель
35
1882
Яблоки
106
6038




Информация о конкурентах.


Важный элемент рынка информации — информация о конкурентах. Сбор, обработку и передачу такой информации в отдельных странах Запада называют информационно-статистической базой повышения конкурентоспособности. Предметом купли-продажи на рынке информации является также теле- и радиопродукция, книги, газеты, реклама и др. .
Рынок золота — это совокупность экономических отношений по поводу организации купли-продажи золота. Осуществляют ее региональные консорциумы местных банков (банкирские дома) и специализированные фирмы, которые занимаются очисткой металла (афинаж), изготавливают слитки, ставят клеймо и хранят их. Продавцы золота — золотодобывающие



130

t страны, владельцы частных и государственных запасов золота. Покупатели этого товара — промышленные компании, которые используют золото в  промышленных целях, ювелиры, .инвесторы, тезавраторы, спекулянты. Наибольшее количество золота продается для использования его в промышленных целях.
   В период золотого стандарта золото непосредственно исполняло роль денег и потому практически не покупалось и не продавалось. Удовлетворение потребности в золоте промышленных компаний и частных владельцев и его реализацию странами-экспортерами, а также продажу части золотых запасов государств и частных лиц обеспечивали монетные дворы и центральные банки, которые разменивали кредитно-бумажные деньги на золото по твердому паритету (в соответствии с золотым содержанием денежных единиц), то есть производили монетарный размен. Вследствие этого понятия «купля-продажа золота», «цена золота» имели тогда условный характер, были иррациональными, лишенными экономического содержания. Так, в США в соответствии с законом 1900 г. золотое содержание доллара составляло около 0,048 унции, или 1,505 г. Цена (условная) этого золота составляла 20,67 дол. за тройскую унцию. Процесс купли-продажи при этом сводился к тому, что продавец обменивал унцию золота (31,1 г) на 20 дол.
67 центов в золотых монетах. Если этот слиток обменивался на банкноту, то ее свободно можно было обменять на золото. Банкирские дома и специализированные фирмы в тот период играли второстепенную роль.
В период золотого стандарта страны, которые придерживались данного стандарта, должны были обеспечивать жесткое соотношение между количеством денег в обращении и наличными запасами золота.
После краха золотого стандарта была определена официальная цена на золото — 35 дол. за унцию, а золотое содержание доллара составляло 0,888 г. В некоторых странах даже было запрещено владеть золотом, вследствие чего частные тезавраторы были лишены возможности покупать золото по фиксированной цене. После второй мировой войны в условиях стремительного роста цен правительству США стало невыгодно продавать золото по 35 дол. за унцию. Поэтому постепенно стали формироваться два рынка золота — государственный и свободный с разными ценами на каждом из них. На официальном межгосударственном рынке объектом покупки-продажи был государственный драгоценный металл. США (страна с наибольшими золотыми запасами) обязаны были продавать золото государственным органам других стран по твердой долларовой цене.
Так, за период 1934-1972 гг. США продали другим странам 18 тыс. т монетарного золота, а купили 24 тыс. т.
Поскольку некоторые страны хранят свои золотые запасы в США (в 1980 г. эти запасы составляли около 10 тыс. т), то их торговля монетарным товаром с американским государственным хранилищем велась преимущественно без его физического перемещения. За 1953-1966 гг. Федеральный резервный банк США продал и купил более 38 тыс. т золота, но за пределы страны было вывезено менее 5 тыс. т.
Свободный рынок золота во многих странах в определенной мере контролировало государство, причем в подавляющем большинстве стран этот драгоценный металл продавался и покупался свободно. В 1973 г. ведущие



131

страны Запада договорились о возможности продажи центральными банками части своих запасов на свободном рынке, а с 1978 г. — и о его покупке. Так стал формироваться единый рынок золота.
Основными источниками пополнения данного рынка являются добыча золота некоторыми странами, а также их централизованные запасы. При этом лишь незначительная часть золота продается золотодобывающими странами промышленным фирмам без посредников, основное же его количество покупается и продается с участием специализированных фирм. На лондонском рынке золота эти операции осуществляют 5 фирм, которые возглавляет фирма (банковский дом) Ротшильда. На другом крупном рынке золота в Цюрихе торговые операции с золотом осуществляют три могущественных швейцарских банка.
В Цюрих регулярно поступают сообщения о ценах на лондонском рынке (с учетом спроса и предложения на определенный момент), вследствие чего цены согласовываются и выравниваются. Это означает установление мировой цены на золото. На других рынках (в Милане, Франкфурте-на-Майне, Токио и др.) учитывается стоимость доставки золота из Лондона и Цюриха, плата за страхование и другие расходы, поэтому цена на золото там, как правило, выше.
На международных рынках золота товар продается преимущественно в стандартных слитках по 12,5 кг с пробой 995 или 999. На внутренних рынках — в слитках от 1 до 5 кг, а также в листах, пластинах, монетах и других
формах.
Политико-экономическое определение структуры рынка предусматривает выявление не только основных его объектов, но и главных субъектов.
Основными субъектами внутреннего рынка являются население (в частности, домашние хозяйства); фирмы (предприятия); государство. Среди населения, в свою очередь, выделяются социальные классы, слои и прослойки. Американские ученые делят население на четыре главные категории потребителей, каждая из которых состоит из определенных групп с соответствующим образом жизни.
К первой категории принадлежат люди, которые пытаются удовлетворить элементарные потребности. Это преимущественно обездоленные, живущие в нищете люди с низким уровнем образования, как правило, пожилого возраста, и более молодые, которые пытаются вырваться из нищеты. Так, в середине 80-х гг. их в США насчитывалось около 11 % (в 1996 г. почти 14 %).
Ко второй категории американские экономисты относят людей, которые побуждаются извне. Среди них они выделяют группу, у которой выражено чувство принадлежности к среднему классу; а также группу со стремлением к успеху, готовую к соревновательности, — верхний слой среднего класса. В эту группу входят и те, кто стремится достичь в жизни как можно больше, — лидеры бизнеса, высшие менеджеры, высокопоставленные правительственные чиновники, их около 68 %. Третья категория — люди, которые побуждаются изнутри.
По социальному происхождению они не могут принадлежать к первым двум категориям. Это люди, увлеченные экзотическими и благородными занятиями, активные защитники окружающей среды, участники общественных движений и др. Эта категория охватывает около 19 % населения США. К четвертой, наиболее малочисленной категории (около 2 % населения)



132

ученые относят людей, в которых сочетаются некоторые черты второй и третьей категории и которые являются своеобразной вершиной описанной классификации. Отмеченные, категории населения являются участниками разных типов рынков, рассмотренных выше с точки зрения дифференциации их объектов. Если следовать данной классификации, то в странах бывшего СССР, в условиях дефицитной экономики значительное количество граждан принадлежало к первой категории, что в основном отвечает действительности.
Второй важный субъект внутреннего рынка — фирмы (предприятия). Существуют разные подходы к классификации фирм. Так, выделяют частнопредпринимательские фирмы, партнерства, корпорации и государственные фирмы, потребительскую кооперацию, некоммерческие организации, фирмы с самоуправлениеми и др.
С точки зрения правовых форм в экономической литературе различают индивидуальные предприятия, открытые и командитные общества, расширенные командитные общества, акционерные общества, командитные общества на акциях, общества с ограниченной ответственностью, товарищества, картели, консорциумы, смешанные предприятия (концерн, трест).
Наиболее простой классификацией субъектов рынка этого типа, в которой заложена возможность количественно оценить их роль на внутреннем рынке, является деление фирм на мелкие, средние и крупные. В большинстве развитых стран мира количественно преобладают мелкие фирмы (малый бизнес). В Великобритании около 36 % фирм мелкие, на их долю приходится 25 % всей рабочей силы и около 20 % ВВП.
В США около 66 % фирм (почти 12 млн) принадлежат к мелким, а их доля в общем объеме реализованной продукции в начале 90-х гг. составляла 6 %. Вместе со средними фирмами они производили почти 40 % валового национального дохода. При этом на наиболее могущественные фирмы, численность которых не превышала 0,003 % от общего количества предприятий, в этот период приходилось больше половины всего объема национального производства. Доля государственных фирм в производстве валового национального продукта составляла около 8 %. В целом государственный гарантированный рынок в этой стране охватывает его долю. Определенная доля в общем объеме внутреннего рынка принадлежит иностранным фирмам.
На мелкие и средние предприятия Японии приходится 55 % реализованной промышленной продукции, около 60 % оптовой торговли и более 80 % розничной.



Инфраструктура рынка


Что касается структуры мирового рынка, то господствующее положение в нем занимают гигантские ТНК. Так, в начале 90-х гг. 600 наиболее могущественных промышленных ТНК производили около 25 % условно чистой продукции капиталистического мира.
§ 19. Инфраструктура рынка.
Фондовая и товарная биржа. Биржа рабочей силы
Понятие «рыночная инфраструктура» отражает совокупность различных учреждений и институтов, а также определенных видов деятельности, которые обеспечивают рыночное движение объектов собственности: бан-



133

ки, фондовые и товарные биржи, биржи рабочей силы, валютная биржа, информационные центры и др.
Фондовая биржа — это учреждение, организованный рынок, на котором его участники осуществляют процесс купли-продажи ценных бумаг. Членами биржи являются, как правило, ее основатели — физические лица и кредитно-финансовые институты. В случае необходимости основатели биржи могут расширить круг ее членов путем продажи биржевых мест.
При благоприятной конъюнктуре цена места на Нью-йоркской бирже достигает 15 млн дол. Члены биржи, или государственные органы, которые контролируют ее деятельность, ставят условия, при которых та или иная компания может быть допущена к биржевой торговле. Так, чтобы котировать акции на Нью-йоркской бирже, корпорация должна иметь не менее 22 млн дол. активов, общую численность выпущенных акций — не менее 1 млн шт., и численность акционеров, которые владеют не менее, чем 100 акциями, — 200 чел. Поэтому в середине 90-х гг. на этой бирже из почти 3 млн всех корпораций Америки котировались акции только около 1 900 наиболее могущественных корпораций. На Токийской бирже котировались около 1 600, на Лондонской — около 2 800 компаний.
Чтобы зарегистрироваться на Токийской бирже, прибыль компании за последние три года должна составлять не менее 300 млн иен, уставной капитал — не менее 1 млрд иен и дивиденды на одну акцию — не менее 5 иен. Таким образом членами фондовой биржи могут стать только высокорентабельные фирмы. На таких биржах продаются также облигации государственных займов.
В середине 90-х гг. в мире насчитывалось около 200 фондовых бирж. В США и Японии сложилась моноцентричная биржевая система. Это значит, что, несмотря на существование в США 11 фондовых бирж, а в Японии — 9, доминирует в каждой стране одна биржа, размещенная в финансовом центре страны.
В Германии, Канаде и других странах функционирует полицентричная система бирж, где наряду с главной биржей существует одна или несколько ведущих бирж.
Регистрация на бирже поднимает престиж компании, облегчает доступ к рынку капитала, благоприятствует повышению курса ее акций и расширяет круг акционеров. В некоторых наиболее могущественных американских корпорациях число акционеров достигает 3 и более млн чел. Поэтому они централизуют значительные денежные суммы, что благоприятствует ускорению инвестиционных процессов, росту могущественности крупных корпораций. Членство на бирже не является раз и навсегда данным.
Его необходимо постоянно подтверждать высоким и стабильным курсом акций. Показатели курса акций служат свидетельством деловой активности, стабильности экономики. В США, например, используется такой агрегатный статистический показатель деловой активности, оценки экономической конъюнктуры, как индекс Доу-Джонса.
Он определяется с учетом динамики средних курсов акций 65 наиболее могущественных корпораций, в том числе 30 промышленных, 20 транспортных и 15 из сферы коммунально-бытового обслуживания, а также данных о цене акций на Нью-Йоркской фондовой бирже.



134

Купля-продажа акций на фондовой бирже осуществляется с помощью посредников. Если посредник покупает ценные бумаги за собственные деньги или за счет полученных кредитов, а затем продает их по более высокой цене, то его называют диллером, главного посредника на центральной фондовой бирже Нью-Йорка — специалистом, а других посредников, которые связывают специалиста с покупателями или продавцами, — брокерами. За свои посреднические операции брокеры получают вознаграждение по соглашению между заинтересованными сторонами-клиентами или соответственно таксе, установленной биржевым комитетом.
При успешном ведении посреднических операций брокер может накопить средства и стать диллером. У брокеров есть свой устав, в котором определены порядок управления, приема в состав членов биржевых органов, их функции и т. п.
Руководящим органом на фондовой бирже является биржевой комитет (в США — Совет руководителей), при котором функционирует биржевая комиссия, дающая разрешение или устанавливающая запрет на допуск новых ценных бумаг на котировку. При биржевых комитетах также функционируют котировочные комиссии, ведающие вопросами ежедневной публикации данных о количестве поданных ценных бумаг, их курсе в курсовых бюллетенях. Такие бюллетени выпускают в США все виды бирж.
На НьюЙоркской бирже насчитывается около 50 тыс. сотрудников, более 30 тыс. зарегистрированных представителей членов бирж, около 1 500 членов биржи и почти 6 000 партнеров этих членов.
Современный рынок ценных бумаг характеризируется значительным объемом внебиржевого обращения, которое осуществляется с помощью телефона и телефакса. Его масштабы обусловлены высоким уровнем комиссионных сборов и стоимостью услуг центральной биржи. Так, в США автоматическая система котировки национальной ассоциации диллеров в конце 80-х гг. имела оборот около 250 млрд дол. и более 5 тыс. видов котировочных акций.
В середине 90-х гг. по стоимостному объему операций ее оборот почти сравнялся с оборотом на ведущей Нью-йоркской фондовой бирже. На внебиржевом рынке ценные бумаги продаются с надбавкой в цене (или покупаются со скидкой), которая взимается с клиента взамен комиссионной платы и составляет прибыль посреднической фирмы. Объектом продажи на внебиржевом рынке выступают ценные бумаги средних и части мелких корпораций, которые не включены в биржевые списки, а также государственные облигации.
Современными видами ценных бумаг, которые находятся в обращении на фондовых биржах, являются конвертируемые акции, фьючерсы (срочные соглашения по поводу купли-продажи ценных бумаг, сырья, валюты и т. п.) и опционы (соглашения, предоставляющие одному из контрагентов процесса купли-продажи право выбора альтернативных условий договора, в частности, покупать или продавать ценные бумаги в заранее установленное время по твердой цене).
Курсы акций и облигаций промышленных компаний, а также государственных займов, постоянно колеблются. Наиболее резко они падают во время экономического кризиса, а повышаются в период благоприятной экономической конъюнктуры. Например, во время кризиса 1929—1933 гг.



135

курсовая стоимость акций, которые котировались на Нью-Йоркской бирже, упала приблизительно в 4,5 раза. Нередко курсы акций снижаются в условиях роста промышленного производства. Так было в США в 1962, 1966, 1998 гг.
Это обусловлено прежде всего валютно-финансовым кризисом.
Определенное влияние на курс акций имеет срочный тип операций на бирже, который составляет основную массу биржевых операций в большинстве развитых стран и при котором оплата проданных акций осуществляется на протяжении одного месяца. Кроме срочных операций существуют также кассовые, когда оплата ценных бумаг проводится сразу или в ближайшие два дня.                      
На фондовой бирже происходит распределение и перераспределение финансового капитала (как на «первичном» рынке — когда акции выпускаются и продаются населению, различным компаниям и финансово-кредитным институтам, так и на «вторичном» рынке — когда эмитированные акции пребывают в обращении и переходят из одних рук в другие), что вместе с движением денег, других ценных бумаг и соответствующими финансовыми институтами формирует «сосудистую» систему экономики. Другими функциями биржи являются регистрация курсов ценных бумаг, выполнение роли барометра страны (в том числе в отдельных отраслях) и др.
Выполнение фондовой биржей своих функций невозможно без регулирующей роли государства. В условиях активного формирования всемирного рынка ценных бумаг государство, во-первых, в законодательном порядке регулирует процесс создания акционерных обществ, организацию выпуска ценных бумаг, регистрирует их перед выходом на рынок и осуществляет контроль за этим процессом, а также за финансовым положением инвестиционных институтов; во-вторых, устанавливает ставки налога на прибыль при операциях с ценными бумагами; в-третьих, создает систему информационного обеспечения рынка ценных бумаг; в-четвертых, выступает субъектом экономических отношений на этом рынке (выпускает в оборот государственные ценные бумаги и др.); в-пятых,.1 влияет на функционирование данного рынка через денежно-кредитную политику центрального банка; в-шестых, создает систему защиты инвесторов от потерь путем страхования инвестиций и др.
Положительными чертами фондовой биржи являются аккумулирование свободных средств за счет выпуска и продажи ценных бумаг и их направление на развитие отдельных предприятий, отраслей; межотраслевой перелив капитала, благодаря которому ослабляются диспропорции в экономике; создание соответствующих предпосылок для предпринимательской деятельности; стабилизация сбережений отдельных слоев населения и их соответствующий рост и др.



Интеграция сопровождается экономическими потерями.


Важным средством регулирования трудовой миграции является введение обязательного государственного лицензирования деятельности организаций по найму работников для работы за границей. При этом лицензии предоставляются только тем организациям, которые имеют необходимые знания, опыт работы, международные связи и могут нести юридическую и материальную ответственность за свои действия. В России такие лицензии выданы свыше 150 организациям.
Регулирование международной миграции рабочей силы в современных условиях в отдельных странах опирается на правовые нормы и правила,


370

зафиксированные в документах международных организаций и, прежде всего, МОТ (Международной организации труда). При этом государства, которые ратифицируют международные конвенции, признают приоритет международного права над национальным.
МОТ была создана в 1919 г., в 1962 г. на 46-й сессии МОТ было принято соглашение об основных целях и нормах государственной политики, в котором закреплялись такие же права мигрантов, как и коренных жителей, в том числе в сфере социального обеспечения, признавалось их равенство независимо от национальности, пола, религии и т. п. Страны, ратифицировавшие это соглашение, взяли на себя обязательства обеспечивать мигрантов по месту их проживания необходимой социальной помощью в решении проблем, возникших по месту найма.
Защита прав мигрантов обеспечивается деятельностью бесплатных служб для оказания помощи мигрантам, предоставлением им необходимой информации, принятием мер против недостоверной информации и пропаганды в отношении эмиграции и иммиграции граждан, содействием выезду мигрантов и их перемещению, разрешением переводить заработную плату и сбережения на родину, обязательностью письменного оформления трудовых контрактов и установлением права мигрантов на их получение, закреплением равенства в получении минимальной заработной платы, права на образование, приобретение квалификации и ее повышение, участие в профсоюзах и др.
§ 63. Международная экономическая интеграция
Некоторые стороны интернационализации технологического способа производства освещались ранее, когда речь шла об интернационализации единичного разделения труда, формировании интернациональной стоимости. Эти процессы сопровождаются усилением международной концентрации производства, международной кооперацией и специализацией и т. д. В совокупности они являются материальной основой интернационализации производственных отношений и хозяйственного механизма, что детерминирует процесс интернационализации социальных, правовых и других надстроечных отношений.
Наиболее зрелые формы отмеченные процессы обрели в интеграции стран Западной Европы, в частности, в создании и функционировании Европейского экономического сообщества, или «Общего рынка». Сначала это было объединение шести стран — ФРГ, Франции, Италии, Бельгии, Голландии и Люксембурга, которые в 1957 г. подписали «Римский договор», вступивший в силу с 1 января 1958 г. В 1973 г. к ним присоединились Великобритания, Дания, Ирландия, в 1981 г . — Греция, в 1986 г. — Португалия и Испания. В 1991 г. на сессии ЕЭС подписано соглашение между ЕЭС. и Европейской ассоциацией свободной торговли (ЕАСТ) о создании Европейского экономического пространства (ЕЭП). В ЕАСТ, которая была образована в 1960 г., вошли Великобритания, Норвегия, Дания, Швеция, Австрия, Швейцария, Португалия.
Таким образом, в ЕЭП в настоящее время состоит 17 европейских стран, в ЕЭС — 15. В соответствии с Единым Европейским актом 1987 г. и Маастрихтским договором 1991 г. был образован Европейский Союз (ЕС) с общей численностью населения более




371

млн чел. Заявки о вхождении в ЕС подали Австрия, Турция, Польша, Венгрия, Украина, Прибалтийские республики. В недалеком будущем ЕС может насчитывать более 20 государств Европы.
Главными органами ЕС является Совет Министров, в который входят представители стран-членов на уровне министров, он наделен законодательной властью, его решения носят обязательный характер и включаются в национальное законодательство; Европейская комиссия в составе 20 чел., назначаемых национальными правительствами сроком на 5 лет, выступающая с законодательными инициативами и содействующая их воплощению в жизнь; Европейский парламент, куда прямым голосованием избираются 626 депутатов, осуществляющих законотворческую деятельность и контролирующих деятельность Еврокомиссии, Суд и другие органы.
Бывший председатель Еврокомиссии Жак Делор подсчитал, что за 33 года существования ЕС пережил 10 лет динамичного развития, 5 лет кризисов, 19 лет застоя. За это время были заложены основы таможенного союза; жители стран-участниц получили возможность передвигаться внутри сообщества без паспортов и виз; началось взаимное признание свидетельств и дипломов об образовании, граждане интегрированных стран получили право на постоянное проживание в другой стране при наличии работы; в рамках ЕС проводится общая сельскохозяйственная политика; компаниям этих стран предоставлено право почти беспрепятственно делать взаимные инвестиции; достигнут значительный прогресс в свободном перемещении товаров и услуг, рабочей силы и капиталов. С 1993 г. любой банк-резидент имеет право на осуществление всех банковских операций в любой стране ЕС; введена единая валюта евро, создан Центральный Европейский банк, который вместе с центральными банками других стран сформирует единую европейскую систему центральных банков. В дальнейшем планируется согласовать единую налоговую, ценовую политику и т. д.
Эксперты Европейской комиссии подсчитали, что окончательная ликвидация торговых барьеров даст 15 странам ЕС ежегодную экономию в сумме около 330 млрд дол.; введение единой денежной валюты сэкономит около 10 млрд дол.; цены на потребительские товары в результате усиления конкуренции будут снижаться на 4,5-7 % ежегодно, темпы роста экономики повысятся на 4,5—7 %; на 1,85 — 7 млн увеличится количество рабочих мест. Для решения этих проблем уже сейчас формируется единый наднациональный бюджет в сумме около 100 млрд экю.
Наряду с экономической в ЕС проводится единая социальная политика, направленная, как подчеркивается в официальных документах, на обеспечение более высокого уровня социального единства, исключение эксплуатации.
Экономическая интеграция сопровождается и немалыми экономическими потерями. В странах ЕС безработица выросла до 22 млн чел., из сельскохозяйственного оборота ввиду перепроизводства продукции до 2000 г. намечается изъять около 15 млн га земли. При том, что в странах ЕС насчитывается почти 30 млн бедняков, немало готовой сельскохозяйственной продукции по причине ее перепроизводства уничтожается.
Однако в целом жизненный уровень большинства населения повышается. В конце 80-х гг. расходы на продовольствие в среднем составляли около 20 % всех потреби-



372

тельских затрат населения, а в 1987 г. расходы на отдых и развлечения впервые превысили расходы на питание. Предвидится сокращение рабочей недели до 35-36 ч и др.
Экономическая интеграция не может не сопровождаться политической, юридической и другими видами интеграции в сфере надстроечных отношений. Сегодня ЕС — это преимущественно конфедеративное устройство со значительными элементами федерации. В соответствии с решениями Маастрихтского договора в ЕС введено единое гражданство.
Такие руководящие органы, как Совет Министров и Европейская комиссия, наделены правом принятия юридически обязательных для государств-членов этой организации решений по широкому кругу вопросов. Кроме проблем свободного перемещения товаров, услуг, рабочей силы и капиталов, руководящим органам сообщества предоставлено право решающего голоса (наднациональное право) в сфере сельскохозяйственной, антитрестовской, транспортной политики, в сфере внешней и внутренней торговли. С введением единой валюты органы ЕС получили право регулировать валютные отношения. В то же время страны ЕС не проводят единой промышленной политики.
Если интеграция расширится на сферу безопасности, то это сообщество может стать федеративным государством.
Учитывая, что наднациональные органы принимают законы только в рамках тех функций, которые добровольно передают им национальные государства, законы отдельных стран не могут противоречить законам всего сообщества и не должна возникать сама проблема их приоритета. В соответствии с принятым в 1986 г. Единым Европейским актом, в случае конфликта национального права и права сообщества приоритет отдается последнему.
Право сообщества распространяется на всех физических и юридических лиц в странах-участниках. Для того чтобы оно вступило в силу, требуется согласие всех участников сообщества. К 2000 г. сферами такого права, кроме уже названных, будут охрана окружающей среды, фундаментальные исследования, региональная и социальная политика. Кроме того, большинство стран ЕС пришли к выводу о-необходимости углубления интеграции в сфере внешней политики и безопасности. В перспективе планируется создание Кабинета Министров ЕС.
До 2010 г., когда количество государств этого сообщества возрастет почти вдвое, встанет вопрос об избрании президента, основной функцией которого будет координация деятельности государств сообщества в политической, военной, социальной, экономической и других сферах.
В то же время, как считают специалисты, в текущем столетии может усилиться борьба двух противоречивых тенденций. Первая из них заключается в стремлении к созданию моноэтнических государств. Согласно научным прогнозам, к 100-летию ООН на планете возникнет около 100 новых государств.
Действие второй тенденции обусловит появление новых экономических объединений и союзов стран конфедеративного и федеративного типа.
Основные категории и термины
Международные экономические отношения. Международная -торговля товарами. Международная торговля услугами.
Внутрифирменная торговля.



373

Либерализация международной торговли. Международная лицензионная торговля. Международная торговля инжиниринговыми услугами.
Международный рынок социальных услуг. Государственное регулирование международной торговли. Протекционизм. Система протекционизма. Нетарифные ограничения.
Валютные ограничения. Государственное стимулирование экспорта. Надгосударственное регулирование международной торговли.
ВТД. Вывоз капитала. Формы вывоза капитала. Прямые инвестиции. Портфельные инвестиции.
Международная миграция рабочей силы. Интернациональная стоимость рабочей силы. Государственное регулирование международной миграции рабочей силы. Надгосударственное регулирование международной миграции рабочей силы. Международная организация труда.
Международная экономическая интеграция.
ВОПРОСЫ И ЗАДАНИЯ ДЛЯ САМОКОНТРОЛЯ
1. Каковы основные закономерности международной торговли в современных условиях?
2. Назовите основные виды международной торговли услугами и их особенности.
3. Охарактеризуйте основные рычаги государственного и ^государственного регулирования международной торговли.
4. В чем заключается сущность вывоза капитала и каковы его основные формы?
5. Назовите основные закономерности и особенности вывоза капитала в современных условиях.
6. В чем заключается сущность международной миграции рабочей силы и каковы ее основные черты?
7. Каковы основные рычаги государственного и надгосударственного регулирования миграции рабочей силы?
8. Дайте характеристику наиболее развитой формы международной экономической миграции.
9. Каковы важнейшие последствия развития основных форм международных экономических отношений?
00.htm - glava29



Интеграционные объединения развивающихся стран.


В рамках интеграции установлены льготы для взаимной торговли с перспективой образования общего рынка без каких-либо ограничении и пошлин при пересечении товарами государственных границ по всей территории Сообщества. Здесь разрабатывают единую торговую политику по отношению к третьим странам. Общая аграрная политика поддерживает самообеспеченность интегрированных стран продовольствием сохраняет определенный уровень доходов крестьянских (фермерских) хозяйств, содействует структурной перестройке сельскохозяйственного производства.
Чтобы сформировать региональный комплекс, проводится финансирование разнообразных видов хозяйственной деятельности, чем занимаются специальные межгосударственные организации и учреждения.
В Общем рынке создана европейская валютная система со своим механизмом регулирования расчетов, установления валютных курсов и выработки общей позиции по валютным вопросам во всемирном хозяйстве. В 1978 г. учреждена коллективная валютная единица, названная ЭКЮ (сокращение от английского названия европейская валютная единица). В 1989 г. 1 ЭКЮ равнялся 1,13 долл.
Эта единица стала одной из мировых валют и вступила в обращение в качестве мировых денег.
В настоящее время Европейское сообщество вступает в новый этап интеграционного развития. С организацией Европейского внутреннего рынка преодолеваются многочисленные пограничные и таможенные барьеры, разделявшие государства. Это позволяет достичь ряда положительных эффектов.
К ним можно отнести прямую экономию за счет снижения издержек при устранении торговых и производственных барьеров, выигрыша от интеграции рынков и усиления конкуренции, что может принести — согласно усредненной оценке — экономический эффект в сумме 244 млрд.долл.
Интеграция помогла западноевропейскому капиталу на равных противостоять своим основным конкурентам — США и Японии. Государства, не входящие в Европейское сообщество, стремятся нейтрализовать преимущества стран — членов интеграционного объединения повышением роли других, более широких по составу экономических организаций. К ним относятся прежде всего Организация экономического сотрудничества и развития (ОЭСР) и Всемирная торговая организация (ВТО). В ОЭСР, созданную в 1961 г., входят 24 развитых государства мира. Она координирует экономическую политику своих членов, влияет на международную миграцию капитала, а также оказывает помощь развивающимся странам.
ВТО, договор о создании которой первоначально подписали 23 страны в 1947 г., ныне включает болеM 90 государств. Эта организация добивается снижения таможенных пошлин и других барьеров, препятствующих товарообмену между странами.
Иной характер имеют интеграционные объединения развивающихся стран. Последние заинтересованы в экономической интеграции потому, что сотрудничество помогает им воспользоваться выгодами производственной специализации и открывает доступ к необходимым для развития природным богатствам и другим экономическим ресурсам.
Интеграция укрепляет позиции освободившихся стран во всемирном хозяйстве, защищает их интересы в отношениях с более сильными партнерами, противостоять которым в отдельности не может ни одно из государств. Исходя из этого, страны Азии, Африки и Латинской Америки расширяют сотрудничество, опираясь на собственные силы. Формы и типы таких группировок многообразны: это торговые блоки, организации по созданию совместных проектов, валютные союзы, инвестиционные организации и товарные ассоциации.
Интеграционные объединения развивающихся стран действуют ради общих целей с различной степенью эффективности. Их трудности отражают общее тяжелое положение этих государств в современном мире, жесткость позиции по отношению к ним со стороны обладающих реальной экономической мощью западных государств, крупных частных корпораций, международных финансовых учреждений.
4. Нестабильность глобальной экономики
Наше знакомство со всемирным хозяйством будет далеко не полным, а оценка тенденций его развития недостаточно достоверной, если мы не взглянем на глобальную экономику с ее теневой стороны. Дело в том, что на пути к процветающему планетарному хозяйству имеются трудно преодолимые барьеры, вызывающие его нестабильность. К середине XX в. человечество впервые столкнулось с рядом глобальных проблем, затрагивающих не отдельные страны, а все мировое сообщество.
Под глобальными проблемами ныне понимается ряд общемировых явлений, которые затрагивают жизненно важные интересы всего человеческого сообщества и своими отрицательными последствиями представляют угрозу развитию всей цивилизации.
Демографическая проблема порождена тем, что во второй половине XX столетия начался демографический взрыв — стремительный рост населения Земли. При этом возникла необычайная асимметрия в его динамике: 80% прироста мирового населения приходится на Азию, Африку и Латинскую Америку. В этом эпицентре демографического взрыва с помощью современных средств медицины удалось значительно снизить детскую смертность, ликвидировать некоторые массовые эпидемии. При помощи новой техники увеличилось производство продуктов питания. Эти и другие изменения в хозяйстве и общественной жизни привели к удлинению средней продолжительности жизни.
С другой стороны, здесь сохранилась чрезмерно высокая рождаемость. По всей видимости, такой тип воспроизводства сохранится по крайней мере до середины XXI в. и лишь к 2100 г. мировое население стабилизируется на уровне, несколько превышающем 10 млрд. человек. К этому времени 85% населения будет проживать в Азии, Африке и Латинской Америке.
Быстрый рост населения в развивающихся странах вызывает ряд серьезных социально-экономических осложнений. Здесь в национальных границах некоторых государств численность населения увеличивается столь быстро, что обнаруживаются признаки абсолютного перенаселения, препятствующего рациональному хозяйствованию. Несмотря на увеличение производства размеры потребления в расчете на душу населения остаются невысокими и по сравнению с реальными потребностями людей и в особенности в сопоставлении с уровнем потребления в развитых странах.
Ученые-демографы стремятся сформировать в странах с высокими темпами прироста населения понимание ответственности государства и каждого человека за последствия бесконтрольного роста народонаселения, разрабатывают программы, направленные на ограничение рождаемости.
Продовольственная проблема затрагивает условия существования значительной части населения всех континентов. Глобальный характер продовольственной проблемы состоит в том, что от недоедания и неполноценного питания страдают люди на всех континентах: в Западной Европе и Северной Америке — около 4% населения, в Азии, Африке и Латинской Америке до 25%. По данным продовольственной и сельскохозяйственной организации ООН (ФАО), число голодающих в современном мире составляет около 500 млн.человек. Р1з них примерно половина обречена на гибель и вымирание от голода и недоедания и вызываемых ими болезней. От менее трагических форм недоедания страдает более 1 млрд. человек.
Широко распространено скрытое голодание — неполноценное питание.
Голод и недоедание представляются противоестественным явлением потому, что в мире в целом производится достаточно продуктов питания для полного обеспечения всего населения Земли. Современный уровень развития науки и техники позволяет увеличить производство продуктов питания по крайней мере в четыре раза. Этого достаточно для удовлетворения потребностей в продовольствии большего числа людей, чем то, которое, по современным представлениям демографов, когда-либо будет одновременно обитать на нашей планете.
Достижение этих целей прямо связано с решением проблемы преодоления экономической отсталости развивающихся стран. Однако во всемирном хозяйстве явственно проявляется тенденция: увеличивается разрыв в уровне богатства между развитыми и развивающимися странами, усиливается концентрация мирового богатства в немногих государствах.
Образующие окраину мирового хозяйства освободившиеся страны все более удаляются от его центра и по степени развития производительных сил, и по социально-экономической структуре, и по уровню и качеству жизни населения. Такой увеличивающийся разрыв по линии Север — Юг противоречит жизненным интересам все большего числа жителей нашей планеты. Он угрожает безопасности всех, в том числе и тех, кто принадлежит к привилегированным группам мирового населения. Дальнейшее накопление нищеты и социальной несправедливости в экономически отсталых регионах грозит достичь той черты, переходить которую опасно.
Выживание человечества во многом зависит от его способности ослабить напряженность, которая приводит к углублению раскола на богатые и бедные страны.
О степени разрыва по уровню экономического развития между Севером и Югом можно судить по данным таблицы 20.6, где приводятся сравнительные показатели по ряду самых богатых и самых бедных стран.
Таблица 20.6.
Оценка валового внутреннего продукта на думу населения некоторых стран в 1993 г.

Страна
ВВП на душу населения

долл. США
США-100%
США
24302
100
Люксембург :
27 446
112,9
Швейцария
23 093
95,0
Япония
20289
83,5
Канада
19418
79,9
Франция
18822
77,5
Германия
18515
76,2
Великобритания
16939
69,7
Индия
1208
5,0
Бангладеш
1143
4,7
Непал
996
4,1
Чад
705
2,9
Эфиопия
580
2,4
Мали
486
2,0


Интенсивное расширенное воспроизводство


Y = AF(К,L.N).
В данной формуле А - это совокупная производительность факторов. Из формулы видно: если величина затрат производственных факторов не меняется, а их совокупная производительность А увеличивается на 1 %, то объем производства возрастает также на 1%.
Правда, в промышленно развитых странах нельзя найти в чистом виде первый или второй типы экономического роста: они сочетаются в какой-то пропорции. Например, расчеты по США показали следующее. В 1950—1985 гг. ежегодный прирост объема ВНП составил 3,2%.
Из них 1,2% прироста (или 40%) обеспечено за счет совокупной эффективности производственных факторов.
Естественно, что интенсивный тип роста экономики основывается на широком использовании более эффективных средств производства. Увеличение его масштабов обеспечивается за счет применения более прогрессивной техники, передовых технологий, достижений науки, более экономичных предметов труда, повышения квалификации кадров. Благодаря этим факторам достигается также повышение качества Продукции, рост производительности труда, ресурсосбережение, улучшение использования имеющейся материальной базы производства.
Интенсивное расширенное воспроизводство обладает рядом особенностей. Это более прогрессивный тип экономического роста. Ведь решающую роль в подъеме эффективности вещественных условии производства начинает играть новый мотор — достижения науки и техники. В связи с этим в масштабе общества развивается производство научно-технической информации, которая в конечном счете воплощается в более эффективные средства производства.
Одновременно система образования, подготовки и переподготовки кадров обеспечивает повышение культурно-технического уровня работников.
Несомненным достоинством интенсивного увеличения производства является то, что оно преодолевает преграды экономического роста, порождённые известной ограниченностью естественных ресурсов. Хозяйственное развитие переводится на новые рельсы — на путь непрерывного научно-технического и экономического прогресса. Наиболее выгодным фактором его расширения становится ресурсосбережение.
Например, чтобы сберечь 1 т условного топлива (7000 ккал) путем применения новой технологии, требуется в 3—4 раза меньше затрат по сравнению с расходами на добычу такого же объема топлива.
Между тем интенсификация связана с глубокой прогрессивной перестройкой структуры народного хозяйства, широкой подготовкой кадров инициативных и высокопрофесснональных работников. Особенности интенсивного типа расширенного воспроизводства состоят в том, что при нем невозможны очень высокие темпы экономического роста, а вместе с тем научно-технический прогресс может вызывать безработицу, которая усиливается в трудоизбыточных регионах страны.
В зависимости от тех или иных направлений экономии производственных ресурсов различают несколько видов интенсификации (рис. 14.2).

Интенсивное расширенное воспроизводство

Рис. 14.2. Виды интенсификации производства
Трудосберегающий вид интенсификации предполагает, что новая техника вытесняет из производства рабочую силу. В этом случае темпы роста выпуска продукции опережают темпы изменения численности работников. Иначе говоря, весь прирост производства достигается частично или полностью за счет повышения производительности труда.
Такой вид интенсификации наиболее характерен для начальных периодов развития машинного производства — индустриализации народного хозяйства. Технический прогресс, а следовательно, вытеснение рабочей силы из производства происходит быстрее всего в отраслях промышленности, изготавливающих средства производства. Не случайно данному виду экономического роста органически свойственно острое противоречие: между ускоренным ростом производства ради производства и все большим отставанием от него производства предметов потребления.
Такое противоречие, естественно, неблагоприятно сказывается на жизненном уровне населения.
Капиталосберегающий вид интенсификации ведет к тому, что благодаря применению более эффективных машин и оборудования, сырья и материалов достигается экономное расходование средств производства. В таком случае техническое строение капитала уменьшается или, по крайней мере, замедляется его увеличение. Эти процессы в наибольшей мере стали проявляться на начальном этапе НТР, когда широко осваивались высокопроизводительное автоматическое оборудование, удешевлявшее продукцию, а также достижения химии полимеров и другие высокоэффективные вещественные факторы производства.
Наконец, всесторонняя интенсификация — это такой вид экономического роста, при котором используются все указанные формы ресурсосбережения. Тогда экономятся и трудовые и вещественные условия ' производства. Данный вид экономического роста практически внедряется в условиях современного этапа НТР и новейшей технологической революции.
Всесторонняя интенсификация ведет к качественному обновлению всего процесса расширенного воспроизводства.
В противовес затратному экстенсивному наращиванию производства всесторонняя интенсификация обеспечивает антизатратную траекторию экономического роста. Она наглядно изображена на графике (рис. 14.3), где приведены условные данные.

Интенсивное расширенное воспроизводство

1 год 2 года 3 года 4 года
Рис. 14.3. Динамика экономических показателей при
всесторонней интенсификации
Мы видим, что быстрее всего растет объем национального дохода
НЛ, несколько медленнее увеличивается объем затрат основного капитала Ко и численность рабочей силы Р. В итоге снижается себестоимость единицы продукции Сс„ расширенное же воспроизводство приобретает качественно новые черты (рис. 14.4).

Интенсивное расширенное воспроизводство

Рис. 14.4. Качественные черты всесторонней интенсификации
Новое качество экономического развития выражается прежде всего в возрастающей экономичности производства национального дохода: уменьшаются затраты труда и средств производства в расчете на единицу национального дохода. Существенно улучшается все хозяйственное развитие, неуклонно повышается научно-технический уровень и качество выпускаемой продукции. Это является прямым следствием перехода к более высокому технологическому способу производства.
Новое проявляется в создании современной структуры народного хозяйства. В общем объеме производства возрастает удельный вес наукоемких отраслей. Сюда относятся приборостроение, выпуск ЭВ1\Т, электротехническая промышленность, атомная энергетика, производство синтетических смол, пластических масс, прогрессивных конструкционных материалов, другие отрасли, использующие достижения НТР.
Прогресс мы видим и в том, что уменьшается доля промежуточного продукта и соответственно увеличивается удельный вес конечного продукта, идущего в потребление. Такое структурное изменение — результат экономного расходования сырья, материалов и энергоносителей при создании каждого изделия.
Улучшение расширенного воспроизводства достигается, когда в составе национального дохода возрастает доля продуктов потребления по сравнению со средствами производства. В результате повышаются уровень и качество жизни населения, растет социальная эффективность хозяйства.
При новом качестве экономического развития существенно меняются пропорции воспроизводственного процесса. Относительно медленнее растет производство средств производства, и, наоборот, возникает тенденция к ускорению выпуска предметов потребления.
Рассматривая приведенные графики, можно подумать, что экономический рост всегда идет по прямой. Но это не совсем так. По какой траектории реально движется экономика в разных странах — об этом мы узнаем в двух последующих главах.
Экономический тренинг
1. Ключевые термины и понятия
Общественный капитал; факторы макроэкономического роста; факторы роста национального дохода на душу населения; норма накопления ц nai тональном доходе; экономически!"! рост без развития; экономическое развитие без роста; экстенсивный экономический рост; и iitci (спины и тин воспроизводства; виды интенсификации производства; новое качество экономического развития.
2. Вопрос на сообразительность
Каком тип и вид экономического роста дает наибольший народнохозяйственный результат?
3. Таблица о различиях типов и видов экономического роста
Найдите (устно) ответы, характеризующие экстенсивный и интенсивный рост макроэкономики.

Показатель
Экстенсия
Интенсия
трудосберегающая
фондосбе-регающая
всесторонняя
Научно-технический прогресс

-


Вид экономии производственных
факторов




Динамика:
производительности труда, материалоемкости и фондоотдачи




4. Изобразите графически антизатратную траекторию экономическоо роста (соотношения динамики национального дохода, основных фондов, материальных затрат и рабочей силы).
5. Тесты
5.1. Наиболее существенная причина экономического роста и развитых странах:
а) увеличение объема рабочего времени;
6) увеличение объема применяемого капитала;
в) новейшая технология в производстве;
г) рост квалификации рабочей силы;
д) осуществление денежно-кредитной политики государства, способствующей экономическому росту.
5.2. Данные о росте суммарного объема ВНП и объема ВНП в расчете на душу населения:
а) показывают, что объем ВНП на душу населения всегда растет быстрее, чем суммарный объем ВНП;
6) преуменьшают экономический рост, потому что не принимается во внимание фактор загрязнения окружающей среды;
в) преуменьшают экономический рост, потому что не учитывается сокращение рабочего времени.
6. Верно — неверно
6.1. Если объем ВНП растет быстрее, чем численность населения, то объем ВНП в расчете на душу населения снижается.
6.2. Экономический рост—это увеличение номинального объема ВНП за определенный период времени.
6.3. Технический прогресс является основным фактором роста производительности труда и увеличения фондоотдачи.
6.4. Статистика показывает, что имеется тесная связь между долей ВНП, направленной на инвестиции, и ростом производительности труда в национальной экономике.
6.5. Из определения экономического роста увеличение реального объема ВНП в расчете на душу населения наиболее точно отражает это понятие.
6.6. Чем больше ВНП направляется на инвестиции, тем выше темп роста ВНП.
6.7. Экономический рост не зависит от инвестиций, вкладываемых в человеческий фактор.
7. Дискуссионные вопросы
7.1. По какому тину осуществлялось в России (СССР) расширенное воспроизводство в 30—80-е годы.
7.2. Что означает новое качество экономического развития в обществе и как оно достигается?
7.3. Раскройте смысл формул экономический рост без развития и хозяйственное развитие без роста.




Исходное звено общей системы — товарное производство


Национальный (внутренний для страны) рынок образовался на индустриальной стадии производства. На этой стадии наряду с развитым товарным производством появились такие транспортные средства, которые соответствовали новым масштабам рыночного пространства. Усовершенствованные транспорт, связь и реклама помогли обеспечить выгодность реализации товаров во всех регионах страны. В итоге местные рынки стали органическими составными частями внутреннего рынка государства.
Товары, выпускаемые в массовом масштабе в одном городе, стали продаваться зачастую во всех регионах страны.
В результате мощного развития крупного машинного производства, появления крупного акционерного капитала, углубления международного разделения труда и появления современных средств транспорта и связи получил развитие мировой рынок. Сейчас жители, скажем, Европы хорошо знают товары, создаваемые в США, Японии и многих других странах. Мировой рынок уже давно снабжает все государства таким сырьем, как нефть, олово, каучук, пшеница, сахар, кофе, чай. Новейшие средства связи позволяют точно знать, что происходит с ценами на товары в разных частях земного шара. Стало возможно заключать торговые сделки, покупать иностранную валюту без того, чтобы контрагенты лично встречались друг с другом.
Интернационализация рыночных связей привела к тому, что уровень мировых цен на товары и услуги стал важным ориентиром для хозяйственной деятельности подавляющего числа предпринимателей экономически развитых стран.
Чем объясняется возрастающая роль рынка в экономике отдельных стран и всего мира?
Роль и функции рынка можно правильно понять, если рассмотреть его в рамках более широкой системы. Такой системой является товарно-рыночное хозяйство. Оно состоит из двух относительно самостоятельных подсистем: а) товарного производства и 6) рынка.
Эти подсистемы внутренне неразрывно воссоединяются с помощью прямых и обратных связей.
Исходное звено общей системы — товарное производство оказывает прямое воздействие на рынок по нескольким направлениям:
а) в сфере производства постоянно создаются полезные продукты, которые столь же регулярно становятся объектами рыночных сделок;
о) одновременно с изготовлением товаров создаются потенциальные доходы всех агентов товарного хозяйства, которые подлежат реализации в рыночном обмене;
в) в силу общественного разделения труда, на котором основывается товарное производство, создается необходимость самого рыночного обмена продуктами.
В свою очередь, рынок оказывает во многом определяющее обратное влияние на процесс создания товаров. Обратные экономические связи и составляют особые функции рынка.
Одна функция состоит в том, что рынок интегрирует (соединяет) сферу производства (следовательно, производителей) и сферу потребления (потребителей) в общий процесс активного обмена продуктами и услугами. Без рынка товарное производство не может служить потреблению, а сфера потребления окажется без благ, удовлетворяющих потребности людей.
Другая функция рынка заключается в том, что он выполняет роль главного контролера конечных результатов производства. При этом в рыночном обмене непосредственно выявляется, в какой мере нуждам покупателей соответствуют не только количество, но и качество товаров.
Законодательство поддерживает точные и строгие требования продавцов и покупателей в отношении количества и качества реализуемого товара. Так, в Гражданском кодексе РФ сформулированы общие условия о количестве и ассортименте (определенном соотношении по видам, моделям, цветам или иным признакам изделий) и определены последствия нарушения этих условий (статьи 465—468). Особо указаны требования к соблюдению качества товара, гарантиям и проверке этого качества (статьи 469—475).
Рыночная сфера непрерывно проводит своего рода экзамен по экономике. Перед продавцами фактически ставится вопрос: доходно или убыточно реализовывать товары? Покупатели вынуждены решать: выгодно или разорительно покупать вещи? В итоге рынок решает судьбу буквально каждого товара: будет или не будет он продан?
Если же будет реализован, то по какой цене?
Наконец, важная функция рынка проявляется в том, что рыночный обмен служит способом осуществления экономических интересов продавцов (производителей товаров) и покупателей (потребителей). Взаимосвязь этих интересов строится на принципе, который четко сформулировал А.Смит: Дай мне то, что мне нужно, и ты получишь то, что тебе нужно...42. Разумеется, этот принцип личной материальной заинтересованности предполагает: а) обмен нужными друг другу полезностями и б) эквивалентность рыночной сделки.
Описанные здесь функции рынка свойственны ему, скорее всего, в начальный период его существования, в доиндустриальную эпоху. Тогда сам рынок был в неразвитом — в слитном, нерасчлененном состоянии. Это вполне соответствовало слабому развитию товарного производства, поставлявшему для продажи сравнительно небольшое количество продуктов, не отличавшихся значительным разнообразием ассортимента.
Сейчас в высокоразвитых странах реально существует система рынков — единая совокупность множества рынков функционального назначения. Такая совокупность образовалась окончательно во второй половине нынешнего столетия под воздействием ряда факторов.
Во-первых, в условиях индустриального и постиндустриального производства многократно расширилось рыночное пространство в результате:
— масштабного преобразования натурального производства в товарное;
— распространения отношений купли-продажи на рабочую силу основной части трудящихся;
— быстрого развития сферы платных услуг, а также оплачиваемых духовных благ;
— превращения конечных результатов научных исследований (научных и опытно-конструкторских разработок) в товарный продукт.
Во-вторых, современное производство создает в массовых количествах огромный спектр полезных благ, удовлетворяющих потребности всесторонне развитого человека. Реализация таких вещей не может происходить на каком-то одном рынке.
В-третьих, углубившееся в XX в. общественное разделение труда вышло за пределы производства и распространилось нарыночную сферу. В ней возникли специализированные рынки, занявшиеся продвижением до потребителей самых разнообразных товаров и услуг.
В-четвертых, в XX в. активно развивались акционерные общества и кредитные отношения. Поэтому объектом массовой купли-продажи стали акции, облигации, другие долговые обязательства на специализированном рынке ценных бумаг.
Наконец, интенсивный рост международных экономических связей потребовал создания развитого рынка иностранных валют.
Следовательно, мы не можем представить себе современное товарное производство без многозвенного разделения труда. Столь же немыслима нынешняя сфера обращения без свойственной ей системы разделения труда. В данной сфере проявляются крупные виды дифференциации хозяйственной деятельности: общее (между крупными отраслями или сферами) и особенное (между подотраслями и видами торговых предприятий) разделение труда.
Общее расчленение рынка наглядно представлено на рисунке 6.1.

Исходное звено общей системы — товарное производство

Рис. 6.1. Рыночная система
В современной системе рынков достаточно определенно выделяются следующие крупные отрасли рыночной деятельности:
— рынок потребительских продуктов (он подразделяется на множество подотраслей, реализующих продовольственные и непродовольственные блага, рынок жилья и т.п.);
— рынок средств производства (здесь приобретаются вещественные факторы производства: оборудование, транспортные Средства, здания, сооружения, сырье, топливо, электроэнергия и др.);
— рынок услуг (сюда входят многообразные виды сервиса: коммунальное н бытовое обслуживание, финансовые и страховые операции, коммерческие, социальные, культурные, духовные и иные услуги);
— рынок труда (для работодателей и наемных работников);
— рынок научных и опытно-конструкторских разработок (продуктов научных исследований, готовых для технологического освоения в производстве);
— рынок ссудных капиталов (сфера купли и продажи временно свободных денежных средств, используемых в производственных целях);
— рынок ценных бумаг (акций, облигаций и других ценных документов, приносящих доход);
— рынок валют (национальные и международные учреждения, через которые осуществляется покупка, продажа, обмен иностранных денежных единиц и денежные расчеты с другими государствами);
— рынок духовных благ (область платной реализации продуктов интеллектуальной деятельности ученых, писателей, художников и др.).
С образованием такого широко и глубоко развитого рыночного пространства резко возросла его активная экономическая роль. Рынок стал обеспечивать производство всем комплексом необходимых субъективных, материальных и финансовых условий развития. Теперь уже все крупные отрасли хозяйства испытывают на себе зависимость от специализированного рыночного воздействия. Не случайно национальное хозяйство получило название рыночной экономики.
Этим не отрицается вообще существование и значение товарного производства. Так подчеркивается то новое состояние экономического организма, когда все его клеточки испытывают воздействие рыночных отношений.



Использование топливно-энергетических и сырьевых ресурсов


Использование топливно-энергетических и сырьевых ресурсов на нашей планете растет значительными темпами. Сегодня промышленный работник в процессе труда вооружен энергией примерно в 100 лошадиных сил. На каждого жителя планеты производится около 2 кВт энергии, а для обеспечения общепризнанных норм качества жизни необходимо 10 кВт.
Такой показатель достигнут только в некоторых наиболее развитых странах мира. В связи с этим, а также ввиду дальнейшего роста населения планеты, нерациональное использование энергии, сырья, неравномерное распределение топливно-энергетических ресурсов среди различных регионов стран мира, их производство и потребление и дальше будут увеличиваться. Однако энергетические ресурсы планеты не безграничны. При запланированных темпах развития ядерной энергетики суммарные запасы урана будут исчерпаны в первом десятилетии XXI в., но если расход энергии будет происходить на уровне энергетики теплового барьера, то все запасы невосстанавливаемых источников энергии сгорят за 80 лет. Поэтому с точки зрения вещественного содержания основной причиной обострения топливно-энергетической проблемы является увеличение масштабов вовлечения природных ресурсов в хозяйственное обращение и их ограниченное количество на нашей планете.
С точки зрения общественной формы такой причиной являются отношения монополистической собственности, которые обусловливают хищническую эксплуатацию природных ресурсов.
Нерациональное использование энергоресурсов в значительной мере вызвано неоколониальной политикой империалистических государств, в



399

частности, «политикой дешевого сырья», которая обескровливает экономику развивающихся стран. Так, цены на сырье, экспортируемое из этих стран, отвечают ценам 1929-1933 гг. Только за 1980-1986 гг. цены на сырье, исключая нефть и газ, снизились на 28 % по сравнению с ценами на непродовольственные товары, а цены на сахар с 1974 по 1987 г. снизились более чем в 9 раз.
Так, если 15-20 лет назад для приобретения одного трактора развивающейся стране необходимо было продать около 11 т сахара, то сегодня — более 150 т. Из 200 млрд дол., которые потребители развитых стран мира платят за сырьевые товары, импортируемые из развивающихся стран, последние получают только около 30 млрд дол.
Огромные потери энергетических ресурсов имели место в затратной экономике бывшего СССР и странах Восточной Европы. И сейчас еще в странах СНГ на производство единицы национального дохода расходуется в среднем вдвое больше сырья, чем в развитых странах Запада.
Пути решения других глобальных проблем. Основными путями решения экологической, топливно-энергетической и сырьевой проблем с точки зрения вещественного содержания общественного способа производства являются: — быстрое развитие и использование таких основных видов восстанавливаемой энергии, как солнечная и ветровая, океаническая и гидроэнергия рек; — структурные изменения в использовании существующих невосстанавливаемых видов энергии, а именно: увеличение доли угля в энергобалансе и уменьшение доли нефти и газа, поскольку запасы последних на планете значительно меньшие, а их ценность для химической промышленности намного большая; — создание экологически чистой угольной энергетики, которая работала бы без выбросов вредных газов. Все это требует больших затрат государства на природоохранные цели. Страны бывшего СССР еще не имеют экологически чистой угольной энергетики, а в США она уже создана. Поэтому доля угля в энергобалансе США возросла с 12,5 до 23 %, доля нефти снизилась с 45 до 41 %, а газа — с 56 до 21 %; — разработка конкретных мер по соблюдению экологических стандартов: стандартов чистоты воздуха, водных бассейнов, рационального потребления энергии, повышения эффективности своих энергетических систем; — изучение запасов всех ресурсов с использованием новейших достижений НТР.
Как известно, сегодня разведан относительно неглубокий слой земной коры — до 5 км. Поэтому важно открыть новые ресурсы на большей глубине Земли, а также на дне Мирового океана; — интенсивное развитие развивающимися странами собственного сырьевого хозяйства, включая перерабатывающие отрасли сырья. Для решения проблемы голода в этих странах необходимо расширять объемы посевных площадей, внедрять передовую агротехнику, высокопродуктивное животноводство, высокоурожайные культуры, эффективные удобрения и средства защиты растений и т. д.; — поиск эффективных рычагов управления процессом роста народонаселения с целью его стабилизации на уровне 10 млрд чел. к началу XXII в.;


400

— прекращение вырубки лесов, особенно тропических, обеспечение их рационального использования; — формирование у людей экологического мировоззрения, что дало бы возможность рассматривать все экономические, политические, юридические, социальные, идеологические, национальные, кадровые вопросы как в рамках отдельных стран, так и на межнациональном уровне, прежде всего, с точки зрения решения экологических проблем, внедрять на всех уровнях принципы их приоритета; — комплексная разработка законодательства об охране окружающей среды, в том числе об отходах. Так, в США, Франции и других странах правительство обязано оказывать предприятиям и организациям техническую и финансовую помощь в переработке отходов, извлечении из них ценных компонентов, проведении научно-исследовательских работ в этой сфере, распространять передовой опыт и др. С этой целью используются налоговые льготы, предоставляются субсидии, снижаются тарифы на перевозку вторичного сырья и т. д.; — наращивание экологических инвестиций.
Например, в Австрии такие инвестиции составляют более 15 % всех капиталовложений.
Основные пути решения экологической, топливно-энергетической и сырьевой проблемы с точки зрения общественной формы (или отношений собственности) таковы: — установление национальной народной собственности на все природные ресурсы. Это защитит их от хищнического использования в странах бывшего СССР и в определенной мере ослабит процесс грабежа империалистическими государствами, прежде всего, ТНК, топливно-энергетических и сырьевых ресурсов развивающихся стран; — существенное изменение механизма ценообразования на природные ресурсы; — противопоставление развитым странам стратегии объединения действий стран-экспортеров топливно-энергетических и сырьевых ресурсов. Эта стратегия должна касаться как объема добычи всех видов ресурсов, так и квот их продажи на внешних рынках; — списание всех долгов слаборазвитых стран, сумма которых превысила 2,5 трлн дол. Для выплаты только процентов по этим долгам не хватает средств, полученных от империалистических государств за экспорт сырьевых ресурсов; — необходимость избавления от диктата международных капиталистических организаций, прежде всего, МВФ, заключающегося в том, что предоставление «помощи» развивающимся странам осуществляется при условии выполнения ими практических рекомендаций МВФ в области внутренней социально-экономической политики.
Так, в Латинской Америке, крупнейшем после США экспортере продовольствия, 25 млн детей голодают. После того, как МВФ на своих условиях предоставил Аргентине кредит в размере 290 млн дол. и ее экономика стала быстро переходить в частные руки, голод охватил почти половину населения страны; — прекращение гонки вооружений;


401

— наращивание выпуска готовой продукции. Это дало бы возможность
даже при нынешней конъюнктуре цен на мировом рынке значительно увеличить доходы от экспорта; — выделение развитыми капиталистическими странами значительных финансовых, человеческих и технических ресурсов странам третьего мира для разведки, разработки природных ресурсов, их переработки, транспортировки, распределения по справедливым (трансформированным) ценам с целью значительного увеличения валютных доходов, установления экономического суверенитета. За счет этих средств следует интенсивно развивать сельское хозяйство; — прогрессивные аграрные преобразования на селе, ликвидация неоколониальных форм аграрных отношений; — объединение усилий всех стран для решения глобальных проблем, значительное увеличение расходов на преодоление экологического кризиса за счет ослабления гонки вооружений, уменьшения военных расходов. Сегодня на охрану окружающей среды в мире расходуется в два раза меньше средств, чем необходимо для стабилизации экологической обстановки на планете. Целесообразно создать за счет стран, которые причинили наибольший ущерб планете, своеобразный фонд экологической безопасности
для ликвидации наиболее угрожающих окружающей среде источников опасности; — проведение природоохранной политики с помощью административно-экономических рычагов стимулирования производства таких автомобилей, техники, электростанций, которые бы не загрязняли окружающую среду, обеспечивали экономию всех топливно-энергетических, сырьевых ресурсов, расширение лесных насаждений, уменьшение отходов и т. д.; — активизация деятельности различных общественных организаций, политических партий, направленной на решение глобальных проблем, создание новых организаций, которые бы считали своей основной задачей сохранение жизни на Земле, создание адекватных, с точки зрения сущности человека, условий для существования на планете; — использование комплекса экономических рычагов управления качеством окружающей среды, в том числе субсидий и дотаций за изготовление экологически чистой продукции, за выполнение государственных экологических проектов; экологические платежи за все виды загрязнения окружающей среды; выплаты за сохранение и улучшение экологических результатов; льготное или дискриминационное кредитование, налогообложение и ценообразование; экологическое страхование и др. В странах ОЭСР используется, в частности, около 150 разных экономических рычагов в этой сфере, из них более 80 видов разнообразных штрафов, свыше 40 видов различных субсидий.



Источники национального дохода


§ 41. Источники национального дохода, его распределение и перераспределение
Источники и распределение национального дохода. Перераспределение национального дохода
Источники и распределение национального дохода. Национальный доход, как уже отмечалось, это чистый продукт общества, или вновь созданная стоимость.
Что является источником национального дохода? Казалось бы, ответ очень прост: труд человека, однако он требует уточнений, поскольку неясно, что же в таком случае создает полицейский, чиновник, служитель культа и другие категории населения, которые также занимаются определенным видом труда. Не случайно на протяжении нескольких столетий ведется дискуссия по поводу источников национального дохода.



267

Так, меркантилисты считали, что национальный доход создается лишь в сфере торговли. Физиократы к таким источникам относили сельское хозяйство. А. Смит и Д. Рикардо значительно углубили понимание источников национального дохода, утверждая, что он создается в сфере материального производства (сельском хозяйстве, промышленности и др.).
Еще полнее сферу создания национального дохода определил К. Маркс, включив в нее и сферу услуг. Но сфера услуг в середине XIX в. была развита чрезвычайно слабо, поэтому в его трудах положение о том, что национальный доход создается и в сфере услуг, не было развито.
Иначе обстоит дело сегодня. В развитых странах мира в сфере услуг (или нематериального производства) занято около 70 % всего трудоспособного населения.
По мнению современных западных ученых, любой труд является производительным, а значит, — создает национальный доход. Производителями национального дохода они считают всех занятых в сфере материального и нематериального производства, в том числе военнослужащих, полицейских, чиновников государственного аппарата, служителей культа и др. Критерием отнесения той или иной группы работающих к создателям национального дохода для западных ученых служит получение ими доходов.
В марксистской политической экономии отстаивается значительно более узкий подход к источникам создания национального дохода. Догматики-экономисты, как и во времена А. Смита и Д. Рикардо, утверждают, что национальный доход создается только в сфере материального производства. Прогрессивные экономисты доказывают, что и в таких сферах нематериального производства, как наука, образование, здравоохранение, управление народным хозяйством и в некоторых других также создается национальный доход.
Представители марксистской политэкономии справедливо критиковали взгляды западных ученых в отношении отнесения всех категорий работающих (прежде всего, военнослужащих, служителей культа, работников сферы развлечений в казино, других подобных учреждениях) к производителям национального дохода.
Следует отметить, что западная экономическая мысль научилась измерять производительность труда учителей, педагогов, ученых, работников здравоохранения и определять их вклад в создание национального дохода. Считается, что каждый доллар, вложенный в развитие науки, приносит 4-5 дол. прибыли.
Вопрос об источниках национального дохода представляет не только чисто теоретический интерес. От его правильного решения зависит, в частности, обоснование методики расчета величины национального дохода, производимого в стране. Исходя из марксистского решения проблемы производительности труда и источников национального дохода, Министерство статистики бывшего СССР, сравнивая экономический потенциал СССР и США, уменьшало величину этого показателя в США на 25 %.
Общепризнано, что национальный доход создается в промышленности, сельском хозяйстве, строительстве, на транспорте, в торговле и общественном питании (частично), в сфере связи (частично). Его образно называют «национальным пирогом», который нужно разделить между раз-



268

личными слоями общества, социальными группами и отдельными индивидами. Распределение национального дохода в широком понимании охватывает все сферы общественного .производства: непосредственное производство, распределение, обмен и потребление. В процессе непосредственного производства результатом распределения национального дохода является получение необходимого () и прибавочного (т) продукта.
Это деление ярче всего выражает показатель нормы прибавочной стоимости, или степени эксплуатации. Он определяется как отношение прибавочного продукта к необходимому, выраженное в процентах, о чем уже шла речь ранее.
На стадии распределения необходимый и прибавочный продукт распадаются на первичные доходы в виде заработной платы, прибыли, процентов, ренты, дивидендов, арендной платы и др. Их разделяют на трудовые и нетрудовые. К трудовым относятся доходы, создаваемые работниками на предприятиях и в отраслях и поступающие в их индивидуальное распоряжение в форме заработной платы, а также доходы работников города и села от индивидуальной трудовой деятельности и подсобного хозяйства.
К нетрудовым, источник которых — прибавочный продукт, относится часть прибыли предпринимателей, процент, рента, прибыль собственников торгового капитала и др.
При этом часть прибыли, создаваемая производительным трудом предпринимателя, считается трудовым доходом, а нетрудовым — лишь часть присваиваемой им прибыли, превышающая количество и качество его управленческого труда, затрат, связанных с организаторской деятельностью. Что касается ренты, то к нетрудовым доходам можно отнести только абсолютную ренту. Другие формы ренты в значительной мере связаны с трудом арендаторов, фермеров.
При этом источником части дифференциальной ренты является труд наемных сельскохозяйственных работников.
В условиях широкого распространения в развитых странах акций, часть наемных работников получает определенную долю прибыли в форме дивиденда, а также в виде процента на вложенные в банки деньги. Но основную массу дивидендов и процентов присваивают собственники средств производства и денежного капитала.
Перераспределение национального дохода. После распределения национального дохода происходит его перераспределение. Оно осуществляется через механизм ценообразования в сфере обращения, уплату различных видов налогов в государственный бюджет, социальные расходы государства, взносы граждан в общественные, религиозные, благотворительные фонды и организации.
Например, через государственные бюджеты в развитых странах мира перераспределяется от 40 до 55 % национального дохода.
На основе перераспределения национального дохода формируются вторичные или производные доходы, такие, как пенсии, стипендии, зарплата военнослужащим, работникам правоохранительных органов, помощь многодетным семьям и т. д.
Основным источником вторичных доходов являются налоги. Так, из заработной платы среднего американского работника около 33 % высчитывается в форме налогов. Существовавшая в бывшем СССР эксплуатация, связанная с делением национального дохода на необходимый и прибавоч-



269

ный, в определенной мере ослаблялась в процессе его перераспределения, поскольку за счет государственного бюджета гражданам предоставлялись бесплатно квартиры, медицинские услуги, образование и т. д.
Перераспределение национального дохода осуществляется по официальным (видимым) и неофициальным (невидимым) каналам. В первом случае это происходит через механизм налогообложения, добровольные взносы в различные фонды, а также через механизм ценообразования, когда государство или компании (как правило, крупные) официально сообщают о том, что цены на определенную группу товаров и услуг будут повышены на столько-то процентов. Такая практика распространена в развитых странах мира.
Во втором случае правительство и компании об этом официально не сообщают, а осуществляют незначительное, но неоднократное повышение цен. Это приводит к постепенному снижению жизненного уровня населения. Так поступала в застойные времена административно-командная система.
Однако наиболее масштабное перераспределение национального дохода осуществляется в условиях существования теневой экономики.
Официальное перераспределение национального дохода фиксируется в официальной статистике. Так, в США с 1929 по 1987 гг. среди пяти групп, выделяемых в структуре имущественного расслоения населения, доля первой, состоящей из наименее обеспеченных семей, возросла с 12,5 до 15,4 %, а доля пятой, к которой относятся наиболее обеспеченные семьи, снизилась с 54,4 до 43,7 %. С 1979 г. по 1993 г. доход 5 % самых бедных семей уменьшился на 1,5, а 5 % самых богатых семей — возрос на 18 %.
Согласно официальным данным, значительно большая несправедливость существует в распределении доходов от собственности. Так, в 1983 г. в США 10 % семей, которые получали наивысшие доходы, владели 72 % всех акций, 8,6 % всех облигаций, которые не облагались налогом, 50 % всего недвижимого имущества.                      
Между полюсами бедности и богатства в США — огромный разрыв. Мультимиллионеры получают ежедневно такие суммы доходов, которые средний американский работник не может заработать за всю свою трудовую жизнь. Сооружение только одного гранитного дома для семьи Рокфеллеров еще в 30-е гг. обошлось в 2 млн дол. (по нынешним ценам в десятки раз больше). В нем было 50 комнат, 350 человек обслуживающего персонала.
Один прием гостей для самых богатых семей обходится сегодня примерно в 1 млн дол. Некоторые из них содержат симфонические оркестры, являются собственниками картинных галерей. Самым богатым человеком в США, а в 1996 г. — и в мире, признан основатель компьютерной компании «Майкрософт» Б. Гейтс, собственность которого составляла 37 млрд дол.



Изменение цен при контроле со стороны государства


Если рыночные цены устанавливаются на уровне цен спроса, крупные компании пытаются снизить объемы загрузок производственных мощностей, влиять на.формирование спроса, регулировать соотношение спроса и предложения (через маркетинговую деятельность, использование контрактной формы и др.), стараются не допустить значительного превышения цен над спросом.
Учитывая негативное влияние монополий на механизм рыночного равновесия, даже представители неоклассического направления в политической экономии считают целесообразным вмешательство государства в монополизированные отрасли экономики. В таких отраслях государство, по их мнению, должно контролировать процесс ценообразования, а иногда проводить даже их национализацию и устанавливать тарифы в соответствии с предельными затратами.
Среди западных экономистов значительное распространение получила идея о несоответствии рыночного механизма так называемым «общественным благам», которыми являются дороги, мосты, каналы, поскольку пользование этими благами очень трудно ограничить введением непосредственной платы.


В »развитых странах мира правительства различными способами регулируют рынки: через механизм налогообложения, предоставление субсидий, установление контроля за ценами и др. Рассмотрим изменения в рыночном механизме при установлении государством максимальной цены, более низкой, чем цена равновесия. Например, правительство США в 1974-1975 гг., когда выросли мировые цены на нефть, на внутреннем рынке установило более низкую цену ( 10).

10. Изменение цен при контроле со стороны государства



150

Установление государством цен, более низких, чем цена равновесия, дает возможность людям с низкими доходами приобрести определенные виды жизненно необходимых товаров и услуг. Типичный пример подобного регулирования — установление государственного контроля над ценами на рынке жилья, в частности, регулирование квартирной платы. Это не исключает, однако, возможности возникновения таких негативных последствий регулирования, как появление новых государственных учреждений, регламентирующих очередь на получение жилья, возникновение черного рынка жилья и др.
Оптимальным средством решения данной проблемы являются дотации государства в форме предоставления льготных кредитов с целью расширения строительства жилья.
Государственное регулирование цен целесообразно и в том случае, когда цена равновесия слишком низка. Подобная ситуация складывается в сельском хозяйстве, и связана она с особенностями ценообразования в данной сфере. Формирование общественно необходимых затрат здесь происходит в соответствии не со средними затратами (как в промышленности), а с наибольшими, предельными затратами, которые имеют место на худших по качеству участках земли, иначе цена равновесия не будет обеспечивать доход товаропроизводителям.
Государственное регулирование цен в Сельском хозяйстве также обусловлено потребностью стимулирования такого объема производства, при котором страна могла бы полностью обеспечить себя продовольствием, что является показателем экономической безопасности. В результате государственного регулирования образовываются излишки сельскохозяйственной продукции, которые страна может попробовать продать на мировых рынках по демпинговым (заниженным) ценам. При этом государство защищает отечественного сельскохозяйственного товаропроизводителя с помощью высокой пошлины на ввозимую импортную продукцию.
Практика передовых стран мира показала, что свободная рыночная экономика без государственного регулирования неспособна достичь общего равновесия, то есть одновременного равновесия на всех рынках и во всем хозяйственном комплексе. Иной подход к проблеме свойствен популярной на Западе теории общего равновесия Л. Вальраса, которую И. Шумпетер назвал «священным писанием» политической экономии. Теорию общего равновесия в модернизированном виде и сейчас считают ядром политической экономии.
Закон Сэя и закон Вальраса. Согласно теории общего равновесия, при определенном уровне развития техники стоимость определяется в точке между предельной общественной полезностью определенного количества товаров и предельными общественными издержками производства этого количества. При этом следует учитывать опосредованное влияние на предельную общественную полезность определенного количества всех других товаров и возможности использования ресурсов, альтернативных применяемым в данном производстве.
Отсутствие цены равновесия на одном рынке, даже при сбалансированности спроса и предложения, обусловливает неравновесие на других рынках. Так, установление равновесия на рынке автомобилей при цене, более низкой, чем цена равновесия, приведет к росту спроса на автомобили, а



151

следовательно, и к росту производства. Но это нарушит равновесие на рынке холоднопрокатното листа и сделает равновесие на рынке автомобилей временным.
Главный регулирующий механизм в теории общего равновесия Л. Вальраса — изменение структуры цен равновесия. Согласно этой теории, построенной в форме системы уравнений и получившей название «Закон Вальраса», совокупная сумма спроса в народном хозяйстве по стоимости всегда равна совокупной сумме предложения (понятия равновесия и стоимости при этом совпадают).
Теория общего рыночного равновесия Л. Вальраса в значительной мере совпадает с концепцией спроса и предложения Ж.Б. Сэя. Согласно данной концепции, продавец товара или услуги, получая за их реализацию деньги, покупает на них другие товары и услуги. Предложение, таким образом, порождает собственный спрос и они автоматически уравновешиваются.
Поэтому невозможны как перепроизводство, так и дефицит товаров. Ж. Б. Сэй допускал лишь частичное перепроизводство в связи с излишком одних товаров и недостатком других. В экономической литературе эти положения известны как закон Сэя.
Основными недостатками данного закона являются отождествления простого товарного обмена, где продажа одного товара осуществляется с целью приобретения другого, с товарным обменом, который осуществляется с помощью денег, и производственного потребления с личным. Следует отметить, что концепцию Сэя поддерживал Д. Рикардо.
Между законом Ж.Б. Сэя и Л. Вальраса существует принципиальное отличие. В модели Вальраса товарами и услугами считаются деньги и ценные бумаги. Основным недостатком его концепции является чрезмерно абстрактный и гипотетический характер модели «идеального рынка».
Он и сам не считал свою систему уравнений полностью отвечающей действительности, рассматривая ее лишь как эффективное вспомогательное средство математического анализа, выводы которого следует осторожно переносить на реальные проблемы. Прообразом модели Л.1 Вальраса, как правильно отмечают западные и отечественные ученые, послужила биржа, в частности, действия аукциониста, который называет предварительные цены, что дает возможность заключать предварительные контракты. Кроме того, аукционист быстро реагирует на наименьшие расхождения между спросом и предложением.
Позднее, в теориях неоклассиков, вальрасовский аукционист был заменен условием о полной информированности экономических субъектов о всех параметрах спроса и предложения (ценах, качестве товаров и др.). Более конкретно чрезмерная абстрактность и гипотетичность модели Вальраса проявляются в том, что в ней не учитывается фактор времени (все акты купли-продажи осуществляются на протяжении определенного момента одного дня, а торговля ведется уже изготовленными товарами без учета тех, которые будут изготовлены в будущем), отсутствует неопределенность (все участники достаточно информированы о ценах, качестве товаров и др.), не рассматриваются трансакционные издержки, связанные с ведением переговоров, заключением контрактов, разработкой стандартов, измерением качества товаров, вся информация предоставляется бесплатно.



152

Критическая оценка таких упрощений привела к созданию в западной экономической литературе множества новых моделей достижения рыночного равновесия. Но подавляющее большинство из них, начиная с теории Дж. Кейнса, решают проблему достижения равновесия экономической системы с участием не только рыночного механизма, но и государственного регулирования.
Об этих моделях речь пойдет далее.
Основные категории и термины
Спрос. Закон спроса. Предложение. Закон предложения. Закон спроса и предложения.
Эффект дохода. Эффект замещения. Эффект престижного спроса. Закон убывающей доходности.
Закон снижающейся производительности факторов производства. Цена спроса. Цена предложения.
Цена равновесия. Устойчивое равновесие. Неустойчивое равновесие. Эластичность.
Ценовая эластичность спроса. Эластичность предложения. Коэффициент эластичности. Предельный продукт. Предельные доходы.
Закон Вальраса. Закон Сэя.
ВОПРОСЫ И ЗАДАНИЯ ДЛЯ САМОКОНТРОЛЯ
1. Какие стороны причинно-следственных связей характеризируют закон спроса и свидетельствуют о его действии?
2. В чем состоит содержание закона предложения?
3. Дайте определение закона спроса и предложения и проанализируйте его взаимосвязь с законами спроса и предложения.
4. Каков механизм действия закона убывающей доходности и как он влияет на содержание данного закона?
5. Назовите основные факторы, влияющие на спрос и ценовую эластичность спроса.
6. Каковы основные недостатки закона, сформулированного Ж.Б. Сэем?
7. Как достигается равновесие на рынке товаров и услуг в условиях свободного рынка (совершенной конкуренции)?
8. Как достигается равновесие товаров и услуг в условиях господства монополий (несовершенной конкуренции)?
9. Что такое эластичность и коэффициент эластичности?
00.htm - glava10



Изменения других экономических процессов.


Разрыв между спросом и предложением может быть выявлен сравнительно легко. Однако сам разрыв нуждается в объяснении. Многие экономисты обнаруживают более глубокие причины кризисов перепроизводства.
Отрыв производства товаров от потребления происходит не случайно. Технический прогресс в условиях классического капитализма по-"рождал тенденцию нормы прибыли к понижению (как следствие широкомасштабного вытеснения работников из производства). Снижение эффективности бизнеса предприниматели стремятся возместить увеличением размеров капитала, расширением производства, а тем самым увеличением массы получаемой прибыли.
В результате производство выходит далеко за пределы возможностей общественного потребления, рыночного спроса. Когда такой разрыв достигает недопустимых масштабов. неизбежно наступает кризис перепроизводства.
Теперь возникает следующий вопрос: чем объяснить повторяемость кризисов?
Экономические кризисы перепроизводства имеют две стороны. Одна из них — разрушительная. Она связана с ломкой, решительным устранением сложившихся ненормальных пропорций в народном хозяйстве. Нередко большие излишки товаров варварски уничтожались. Вот как описывает такие случаи американский писатель Д. Ж. Стейнбек в романе Гроздья гнева (1939): Апельсины целыми вагонами ссыпают на землю.
Люди едут за несколько миль, чтобы подобрать выброшенные фрукты, но это совершенно недопустимо! Кто же будет платить за апельсины по двадцать центов за дюжину, если можно съездить за город и получить их даром? И апельсиновые горы заливают керосином из шланга, а те, кто это делает, ненавидят самих себя за такое, преступление, ненавидят людей, которые приезжают подбирать фрукты.
Миллионы голодных нуждаются во фруктах, а золотые горы поливают керосином.
Другая сторона — оздоровительная. Она неизбежна, поскольку во время депрессии падение цен делает производство невыгодным: оно не дает обычной, средней прибыли. Выходом из возникшего тупика становитя обновление основного капитала (его активной части — машин, оборудования).
Это позволяет удешевить изготовление продукции, сделать ее в достаточной степени прибыльной и выйти на новые, более высокие рубежи производства.
Следовательно, при классическом капитализме действовал самопроизвольный механизм циклического развития макроэкономики. Она могла не только входить в фазу спада производства, но и без вмешательства государства возвращаться к хозяйственному подъему.
Однако такое стихийное саморегулирование экономического цикла закончилось в 20-х годах XX в. Механизм стихийного протекания деловой активности не сработал во время мирового экономического кризиса 1929—1933 гг. С тех пор возникли качественно новые особенности Циклического развития национальной экономики. Они связаны с действием двух факторов макроэкономического масштаба.
Первым фактором, повлиявшим на весь ход расширенного воспроизводства общественного продукта, во второй половине XX в. стала научно-техническая революция. Под ее воздействием серьезно изменилось течение кризисов и развились его новые виды. С одной стороны, НТР породила наукоемкие отрасли производства, которые наиболее устойчивы к кризисным спадам (микроэлектроника, роботостроение и др.).
С другой же стороны, НТР стала причиной структурных кризисов в традиционных отраслях промышленности, в которых преобладает простая (механическая) технология по переработке природных веществ (угольная, черная металлургия, текстильная и т.п.).
Структурные кризисы являются гораздо более продолжительными. Застой и упадок старых отраслей усугубляется не только их отставанием в техническом и технологическом отношении, но и их низкой эффективностью, зачастую — убыточностью. Такой кризис преодолевается, если отставшие отрасли радикально обновляются на основе новейшей высокоэффективной техники и технологии.
Кроме того, НТР способствовала значительному ускорению оборота основною капитала, его быстрой смене более совершенной техникой. В силу этого кризисы стали происходить чаще — не через 10—12, а через 5—6 лет.
Вторым фактором стало активное вмешательство государства в ход макроэкономического роста с тем, чтобы уменьшить разрушительное воздействие кризисов и добиться большей стабилизации хозяйственного развития.
Запад накопил большой опыт проведения антициклической и антикризисной политики (об этом будет сказано ниже). В результате кризисы стали менее разрушительными. Циклы деловой активности нередко протекают без некоторых традиционных фаз, развиваются более равномерно, с меньшей глубиной спада и с меньшей высотой подъема.
Итак, расширенное воспроизводство в странах с развитой экономикой можно образно представить как движение национальной экономики по.волнам. Теперь у нас и за рубежом все больше признается: такие короткие волны перемещаются по гребню длинных волн.
Еще в конце XIX — начале XX в. многие экономисты обратили внимание на выявленные с помощью статистики длительные периоды повышения и понижения цен и процентных ставок. Позднее обнаружились аналогичные изменения других экономических процессов. Чем объясняется их динамика?
Наиболее глубокое толкование таких чередований экономических явлений дал русский экономист Николай Дмитриевич Кондратьев97, который возглавлял в нашей стране Институт по изучению народнохозяйственных конъюнктур. Он обнаружил причины циклических движений не в сфере обращения, а в сфере производства.
Статистические данные, взятые по Англии, Франции, Германии и США за 140 лет (с конца XVIII — начала XIX в.), позволили обнаружить наличие циклических волн продолжительностью в' 48— 55лет. Изучение данных, по словам Н.Д. Кондратьева, позволило установить четыре важные экономические правильности в развитии больших экономических циклов:
а) перед началом и в начале повышательной волны каждого большого цикла наблюдаются глубокие изменения в условиях экономической жизни общества. Они выражаются в значительных изменениях в технике (чему предшествуют в свою очередь значительные технические открытия и изобретения), в вовлечении в мировые экономические связи новых стран, в изменении добычи золота и денежного обращения;
6) на периоды повышательной волны каждого большого цикла приходится наибольшее количество социальных потрясений (войн и революций);
в) периоды понижательной волны каждого большого цикла сопровождаются длительной и особенно резко выявленной депрессией сельского хозяйства;
г) в период повышательной волны больших циклов средние капиталистические циклы характеризуются краткостью депрессий и интенсивностью подъемов; в период понижательной волны больших циклов наблюдается обратная картина98.
Н.Д. Кондратьев считал, что, хотя изученный период недостаточен для окончательных выводов, существование больших циклов представляется, по меньшей мере, весьма вероятным. В качестве первой гипотезы для объяснения больших волн конъюнктуры была выдвинута концепция, существо которой состоит в следующем. Большие циклы можно рассматривать как нарушение и восстановление экономического равновесия длительного периода. Основная причина лежит в механизме накопления, аккумуляции и рассеяния капитала, достаточного для создания новых основных производительных сил2.
Согласно прогнозу Н.Д: Кондратьева, после экономического кризиса 1920—1921 гг. мировое хозяйство вступает в нисходящую полосу большого цикла, что предвещает необычайно большие хозяйственные потрясения. Это предвидение полностью оправдалось: в 1929—1933 гг. гигантская разрушительная волна захлестнула мировую экономику.
Примерно через полвека — в 1974—1975 гг. — произошло самое глубокое за послевоенный период падение производства. Это обстоятельство вновь напомнило о больших циклах, обнаруженных Н.Д. Кондратьевым.
Современные отечественные и зарубежные исследователи внесли немало нового в концепцию больших циклов. Прежде всего подтвердилась неравномерность и цикличность научно-технического прогресса.
Но не выявлена связь длинных волн с оборотом основного капитала. Было замечено, что характер этих волн обусловлен долговременными колебаниями нормы прибыли: периодами ее снижения и роста на протяжении примерно 50 лет. При длительном падении нормы прибыли (отражающем снижение эффективности экономики) накапливаются столь существенные противоречия, что обычные волны средней продолжительности не могут их разрешить.
Только во время великих депрессий происходят глубокие структурные изменения в производительных силах и социально-экономических отношениях.
Наконец, была проведена периодизация больших .циклов,. Каждый из них имеет пять фаз: 1) депрессия; 2) оживление; 3) подъем; 4) процветание и 5) стабильность. Продолжительность каждой фазы колеблется от 8 до 12 лет.
В связи с этим были уточнены временные отрезки протекания длинных волн: первая волна: от депрессии 1772—1783 гг. до нестабильности 1812— 1825 гг.; вторая волна: от депрессии 1825—1838 гг. до нестабильности 1866— 1873гг.; третья волна от депрессии 1873—1885 гг. до нестабильности 1913— 1929гг.; четвертая волна: от депрессии 1929—1938 гг. до нестабильности 1966-1974 гг. пятая волна: от депрессии 1974—1982 г....



Экономическая теория


ЭКОНОМИКА
1. Тенденции глобализации экономики
В последней главе нам предстоит взглянуть — словно из околоземного космического пространства — на всю обитель человечества. На пороге XXI столетия это представляет особый интерес. Мировое сообщество вышло на знаменательный исторический рубеж: стало реальным создание на новых основах всемирного хозяйства, на которое опирается планетарная общность людей.
Как и почему развилось такое экономическое взаимодействие между странами, все более сближающее их и делающее устойчиво зависимыми друг от друга?
Мы начнем рассматривать этот вопрос с выяснения исходного отличия глобальной (фр. global — всеобщий) экономики от макроэкономики.
Это различие отражено в подразделении национальной экономики на закрытую и открытую. Закрытая макроэкономика отличается тем, что все товары и услуги производятся и продаются внутри страны. Все внутренние доходы и расходы образуют валовой внутренний продукт. Этот продукт делится на основные части при его распределении и использовании — на потребление С, инвестиции /и государственные расходы G:
ВВП = C+I+G.
Открытым национальным хозяйством является такая макроэкономика, в которой часть продукции создается для внутреннего потребления, а оставшаяся доля идет на экспорт EX — продается за рубеж. Вместе с тем часть доходов идет на импорт IM — закупки товаров и услуг, изготовленных в иных странах. Все доходы и расходы образуют валовой национальный продукт:
ВНП = ВВП +ЕХ- IM.
Вполне очевидно, что возникновение и развитие глобальной экономики является следствием перехода большинства стран от закрытых национальных экономик к открытым. Когда и как это произошло?
Истории известны четыре этапа процесса формирования всемирного хозяйства.
Первый этап приходится на доиндустриальную стадию производства. Если искать истоки человеческой общности, то они обнаруживаются в той исторической дали, которая отстоит от нас на 10 000 лет. Тогда зарождался торговый обмен, и люди, жившие в обособленных друг от друга родовых общинах и племенах, закладывали основы взаимовыгодного экономического сотрудничества. Его первыми объектами стали излишки зерна, мяса и других благ, образовавшиеся у соседних племен, отдельных семей и лиц.
С течением времени товарное производство создавало постоянно увеличивавшуюся массу продукции, которая поступала в регулярный обмен между различными государствами. С образованием сословия купцов начала развиваться международная торговля.
Второй этап экономического общения возник на индустриальной стадии производства. В результате распада замкнутых натуральных хозяйств и всестороннего развития рыночных отношений, появления крупного машинного производства и неуемного стремления бизнесменов к обогащению внешняя торговля превратилась в неотъемлемую составную часть практически любой национальной экономики. Возникновение мирового рынка — вот высшее экономическое достижение классического капитализма.
Третий этап образования глобальной экономики наступил на рубеже XIX—XX вв. Тогда впервые возникла всемирная система хозяйства, для которой характерен ряд особых признаков (рис. 20.1).

Экономическая теория

Рис. 20.1. Особенности всемирной системы хозяйства начала XX в.
Окрепшему акционерному капиталу Запада стало тесно в рамках внутреннего рынка. В погоне за новыми прибылями он устремился в другие страны. Усилившийся вывоз капитала и широкий международный обмен породили международные монополии. Они поделили между собой мировые рынки сбыта, источники сырья и области приложения капитала экономически. Это было сделано посредством договоров, аренды, концессий и т.п.
Раздел мирового экономического пространства создал для крупного капитала возможность извлекать монопольную сверхприбыль на территориях многих зависимых стран. По приблизительным подсчетам исследователей, в конце XIX в. насчитывалось около 40 международных монополий, в 1910 г. — около 100.
Например, в начале XX столетия американский концерн Дженерал электрик (Всеобщая электрическая компания) подчинил своему контролю германское Всеобщее общество электричества и английский концерн Метро-Викерс. Он проник также в электропромышленность Франции, Японии и других стран.
Но экономический раздел мира сверхмонополиями устанавливается по силе капитала, а эта сила со временем по разным обстоятельствам изменяется. Поэтому v финансового капитала ведущих держав возникло стремление прочно закрепить за собой территории других стран путем установления над ними политико-административного господства. Благодаря этому в конце XIX — начале XX в. резко усилилась колонизация ранее свободных народов.
Как известно, это привело к завершению территориального раздела мира великими державами и образованию огромных колониальных империй.
К 70-м годам XIX в. на нашей планете имелись обширные земли, еще не захваченные великими державами. Таких территорий было в Африке 9/10, в Азии — 1/2, в Полинезии — около 1/2. С 1876 по 1914 г. велась усиленная борьба за колонии.
Западные государства захватили свыше 25 млн. кв.км территории, а численность населения колоний возросла еще на четверть миллиарда человек и составила 570 млн. Так был сделан окончательный шаг к образованию всемирного хозяйства.
Всемирное хозяйство — это глобальный экономический организм, в котором сложились взаимосвязи и взаимозависимости всех стран и народов планеты. Для него характерны интернационализация производительных сил и создание многообразной системы международных экономических отношений. По мере своего развития всемирное хозяйство начинает отражать растущую и крепнущую целостность мира.
Однако в первой половине нынешнего столетия такая целостность обеспечивалась преимущественно с помощью внеэкономического принуждения по отношению к подавляющей части человечества.
С завершением территориального раздела мира роль колоний в международной экономике существенно меняется. Раньше (а западные страны стали приобретать колонии еще в XVI в.) подчиненные территории были в основном областью выгодного сбыта товаров, поступавших туда из метрополий. В условиях XX в. колонии превратились в дополнительные источники сырья, дешевой рабочей силы, область выгодного приложения капитала, важные военно-стратегические районы. Огромные доходы выкачивались из колоний с помощью налогов, путем использования различных внеэкономических методов.
Коренное население колониальных и зависимых стран обрекалось на нищету, голод, болезни, вымирание.
Чтобы прочнее привязать к себе колонии и выгоднее их использовать, великие державы сформировали специфическое колониальное международное разделение труда. Угнетенным народам навязывалась производственная специализация, определяемая потребностями иностранного капитала. В колониях не развивались отрасли промышленности, которые могли бы соперничать с индустрией метрополий.
Зато в местностях, богатых полезными ископаемыми, всячески расширялась, намного превышая собственные нужды зависимых стран, горнодобывающая промышленность.
Потребностям монополий подчинялась и специализация сельского хозяйства колоний, причем часто в ущерб нуждам собственного населения. Например, в течение второй половины XIX в. вывоз зерна из Индии в Англию увеличился в 11 раз. В то же время смертность от голода в этой колонии возросла в 20 раз.
Лучшие земли использовались для разведения технических культур, нужных промышленности метрополий. В результате многие страны были вынуждены подчинить хозяйство экспортному производству одного-двух (в редких случаях — трех-четырех) видов сырьевых товаров. Такая специфика международного разделения труда сохраняется и поныне как одно из наследий колониального прошлого.
В настоящее время подавляющую долю в экспорте составляют в Замбии — медь, Боливии — олово, Ливии — нефть, Республике Чад — хлопок, в Гане — какао-бобы.
Однако всемирная система господства финансового капитала несла в себе острые социально-экономические противоречия; они делали ее неустойчивой и вели в конечном счете к разрушению. Так, противоречия между главными капиталистическими странами привели к мировым войнам — ожесточенной борьбе за территориальный передел мира. Противоречия между колониями и метрополиями породили мощное национально-освободительное движение, которое, как известно, стерло с карты Земли колониальную систему.
С 60-х годов, когда большинство колониальных стран освободилось от политической зависимости, наступил современный этап развития всемирного хозяйства. На этом этапе появились новые тенденции прогрессивных изменений современной глобальной экономики (рис. 20.2).

Экономическая теория

Рис. 20.2. Современные тенденции развития всемирного хозяйства
Современная глобальная экономика исключает внеэкономическое принуждение стран. Ушли в прошлое экономические объединения государств, существовавшие на базе военно-политических блоков. Все более характерной становится возрастающая материальная заинтересованность в постоянном экономическом сотрудничестве между странами.



Экономический тренинг


Судя по данным таблицы 13.10, за 1992—1995 гг. заметно уменьшился удельный вес валового накопления и чистого экспорта товаров и услуг, что связано с ухудшением положения отечественного производства товаров и услуг. В итоге увеличилась доля всех видов расходов на конечное потребление. Все это является серьезной статистической информацией для разработки и принятия решений, направленных на улучшение состояния и перспектив развития российской экономики.
Таким образом, национальное счетоводство позволяет определять степень достижения нормального — равновесного — состояния макроэкономики. Его результаты широко используются для разработки экономических прогнозов: объема и структуры производства, расходов страны, инвестиций, потребления, налогообложения и других параметров национального хозяйства. Национальные счета — это инструмент для изучения и совершенствования народнохозяйственных структур.
Экономический тренинг
1. Ключевые термины и понятия
Мезоэкономнка; холдинг-компания: трастовые операции; финансово-промышленные группы: франчайзинг; макроэкономика; народнохозяйственная интеграция; валовой общественный продукт: конечный продукт; валовой национальный продукт; валовой внутренний продукт; чистый национальный продукт; национальный доход; дефлятор валового национального продукта; национальные счета.
2. К терминам из левой колонки найдите соответствующее определение в правой колонке

2.1. Номинальный ВНП
2.2. Косвенные налоги
2.3. Национальный доход
2.4. Валовая продукция общества
2.5. Реальный ВНП
2.6. Национальное богатство
2.7. Конечный продукт
а) совокупность доходов всех членов общества;
б) сумма продаж всех товаров и услуг;
в) стоимость товаров и услуг, измеренная в постоянных ценах;
т) готовая продукция, идущая в потребление
л) совокупность материальных благ, созданных трудом и накопленных и стране;
е) сумма конечных товаров и услуг в текущих рыночных ценах;
ж) вид налогов, которые добавляются к ценам,
установленным фирмами
3. Логическая задача
Каково соотношение объемов понятий: а) фонд амортизации; б) национальный доход; в) валовой национальный продукт; г) валовой внутренний продукт?
4. Экономическая задача
Определите стоимость промежуточного продукта и добавленной стоимости.

Стадия производства конечном)продукта
Выручка от продажи
Стоимость промежуточного продукта
Добавленная стоимость
Пшеница
4
?
?
Мука
6
?
?
Испеченный хлеб
12
?
?
Хлеб, доставленный к месту покупки
20
?
?
Итого
42
?
?
5. Тесты, касающиеся ВНП и ВВП
5.1. Повторный счет при определении ВНП возникает при сложении:
а) добавленной стоимости, созданной в добывающей и сталелитейной промышленности;
б) прироста запасов в мукомольной и пекарной промышленности;
в) производства железной руды и чугуна;
г) добавленной стоимости, созданной ц торговой сети;
д) общего объема купленных потребительских товаров и средств производства.
5.2. Для определения вклада государственного сектора в производство ВНП необходимо:
а) учесть государственные расходы, связанные с покупкой только конечного продукта, исключив таким образом затраты государства на промежуточные товары;
б) учесть расходы государства только на потребительские товары;
в) рассчитать объем государственных расходов на покупку товаров и услуг.
6. Верно — неверно
6.1. Реальный ВНП — это стоимость товаров и услуг, произведенных за год и измеренных в текущих ценах.
6.2. Объемыы и номинального и реального ВНП могут быть измерены только в денежном выражении.
6.3. Величины добавленной стоимости и стоимости конечного продукта равны между собой.
7. Вопросы на сообразительность
7.1. Предположим, что хозяйка поместья вы ходит замуж за своего дворецкого. После свадьбы муж продолжает экономически зависеть от нее, а она продолжает материально поддерживать его, как и ранее (но уже как мужа, а не наемного рабочего).
Как вы считаете: отразится этот брак па размерах ВНП?
7.2. Гражданин России временно работает в одной из фирм США. Его доходы включаются
а) в ВНП России и ВНП США;
б) в ВВП России и ВВП США;
в) в ВНП США и ВВП США.
8. Тесты, касающиеся дефлятора ВИП
8.1. Дефлятор ВНП:
а) равен отношению реального ВНП к номинальному ВНП;
6) уменьшается при ускорении инфляции;
в) измеряет темп изменения цены потребительской корзины оазисного периода;
г) равен отношению номинального ВНП к реальному ВНП.
8.2. Предположим, что ВНП увеличился с 500 млрд. до 600 млрд. долл., а дефлятор ВНП со 125 млрд. до 150 млрд. долл. При таких условиях реальный ВНП:
а) уменьшится;
6) увеличится;
в) не изменится.
9. Экономическая задача
Рассмотрим экономику, в которой производятся и потребляются только автомобили и хлеб (условный пример).

Год
2000
2010
Цена автомобиля, долл.
50000
60000
Цена бухан ки хлеба, долл.
10
20
Количество выпущенных автомобилей
100
120
Количество выпеченных буханок хлеба
500000
400000
Приняв 2000 г. зa базисный, рассчитайте номинальный и реальный объемы ВНП и дефлятор ВНП в 2010 г.
10. Дискуссионные вопросы
10.1. Когда возникла макроэкономика как общенациональная система экономических отношений?
10.2. Какая экономическая политика государства способствует:
а) укреплению макроэкономики;
б) разрушению ее.
10.3. Каковы тенденции развития экономики отдельных регионов внутри больших государств, ведущие:
а) к экономической самостоятельности и независимости;
б) к утрате экономической независимости и самостоятельности.




Экономический тренинг


Согласно данным таблицы 15.3, физический объем продукции (относительный показатель, характеризующий изменение массы произведенных материальных благ в сравниваемых периодах) в легкой промышленности сократился в период с 1990 по 1995 г. почти в 5 раз, а в пищевой промышленности — наполовину.
Показательно, что удельный вес товаров российского производства на потребительском рынке в общем их объеме снизился с 77% в 1992 г. до 46% в 1995 г. Эти товары вытесняются продукцией зарубежных фирм.
Таким образом, за последние годы состояние структуры макроэкономики не только не нормализовалось, но еще более ухудшилось. Этот обострившийся структурный кризис — часть общего экономического кризиса, который освещается в следующей главе.
Экономический тренинг
1. Ключевые термины и понятия
Подразделения общественного воспроизводства; условия сбалансированности подразделений при простом воспроизводстве; условия сбалансированности подразделении при расширенном воспроизводстве; метод затраты — выпуск; тенденции структурных изменении макроэкономики; межотраслевые комплексы; экологическое равновесие; зоны экологической опасности; военно-промышленный комплекс; воспроизводство военного сектора экономики; рынок вооружения; реформа структуры российской экономики.
2. Экономическая задача для эрудитов
С какими видами материальных производственных затрат связано производство мебели?
3. Задача для расчетов
В прошедшем году было использовано в I подразделении:
а) средств производства на сумму 500 денежных единиц;
б) предметов потребления на сумму 250 денежных единиц. Во II подразделении было израсходовано:
а) средств производства на сумму 300 денежных единиц;
б) предметов потребления на сумму 150 денежных единиц.
Сколько в условиях простого общественного воспроизводства должно быть произведено продукции и I и II подразделениях, каково может быть условие стабилизации макроэкономики при этих условиях?
4. Вопросы для находчивых и сообразительных
4.1. Где бы Вы поставили зеленые знаки с предупреждением об экологической угрозе?
4.2. Какие из окружающих Вас пещей вы считаете экологически вредными? Как Вы обеспечиваете свою экологическую безопасность?
5. Логическая задача,
Каково соотношение объемов понятий: I, II и III подразделения материального производства?
6. Дискуссионные вопросы
6.1. Что надо делать и России, чтобы обеспечить оптимальное развитие гражданских отраслей экономики, создающих блага и услуги для населения?
6.2. Какова должна быть судьба военно-промышленного комплекса в России в ходе экономических реформ?
7. Прокомментируйте данные статистики, приведенные
в таблицах 15.4 и 15.5
Таблица 15.4. Индекс физического объема продукции по отраслям промышленности в 1992 и 1995 г. (1990 г. - 100%)

Отрасль индустрии
1992
1995
Вся промышленность
в том числе:
добывающая промышленность
обрабатывающая промышленность
75
85
74
50
69
46
Таблица 15.5.
Некоторые показатели работы машиностроения и 1992 и 1995 г.

Вид продукции
1992
1995
Металлорежущие станки, тыс. тт.
в том числе станки с числовым программным управлением Кузнечно-прессовые машины, тыс. шт.
Автоматические и полуавтоматические линии для машиностроения и металлообработки, компл.
Персональные ЭВМ, тыс.шт.
Автомобили грузовые, тыс. шт.
Троллейбусы, шт.
Тракторы, тыс. тт.
Радиоприемные устройства, тыс. шт.
Телевизоры, тыс. шт.
Легковые автомобили, тыс. шт.
Мотоциклы и мотороллеры, тыс. шт.
53,4
5,0
16,5
180
137
583
1685
137
4015 3672
963
604
17,6
0,3
2,1
54
57,6
150
340
21,2
986
1000
835
70.5




Экономический тренинг


Очень острым является противоречие между экономическими и социальными целями бюджета. Ужесточение кредитно-денежной политики в соответствии с требованиями Международного валютного фонда (снижение темпов инфляции — условие предоставления кредитов этого Фонда для сбалансирования бюджета) сопровождается уменьшением социальной ориентации бюджета. В нем не предусматриваются необходимые меры по улучшению материального положения основной части населения (не проводится должная индексация заработной платы, пенсий, замораживается доля расходов на выплату заработной платы и пособия населению и т.п.).
По официальным данным, реальные располагаемые денежные доходы (дохоы за вычетом обязательных платежей, скорректированные на индекс потребительских цен) в 1995 г. составили к предыдущему году 87%, а к уровню 1990 г. — 72%. Из общей численности населения около 29 млн.человек, или 20%, располагали среднедушевыми доходами ниже величины прожиточного минимума.
Сегодня общепризнано, что необходимо последовательно проводить бюджетно-налоговую реформу. Это позволит существенно повысить качество планирования и финансирования государственных расходов, укрепить доходную базу бюджета, создать механизмы действенного контроля за использованием финансовых ресурсов государства. Предстоит принять Налоговый кодекс Российской Федерации, который регламентирует взаимоотношения государства и налогоплательщиков.
Одновременно важно осуществить комплекс мер, улучшающих финансовые отношения нашей страны с другими государствами, о чем будет сказано в следующей главе.
Экономический тренинг
1. Ключевые термины и понятия
Финансы; фискальная политика; дискреционная политика; автоматические стабилизаторы; налог; налоговая ставка; прямой налог; подоходный налог; косвенный налог; таможенные пошлины; акцизы; кривая Лаффера; государственный бюджет; бюджетный дефицит; антициклическая бюджетная политика; внутренний государственный долг.
2. Тесты
2.1. К каким экономическим последствиям может привести внутренний государственный долг:
а) сокращение производственных возможностей страны;
б) снижение уровня жизни;
в) перераспределение национального богатства между гражданами;
г) увеличение совокупных государственных расходов.
2.2. Эффект вытеснения, связанный с государственным долгом:
а) сокращает частные инвестиции;
б) приводит к увеличению ставки процента;
в) ведет к сокращению производственного потенциала в будущем;
г) все предыдущие ответы верны;
д) все предыдущие ответы не верны.
2.3. Если правительство ежегодно будет стремиться к сбалансированному бюджету, то такой бюджет:
а) будет сглаживать колебания в рамках экономического цикла;
б) будет усиливать колебания в рамках экономического цикла;
в) будет способствовать ослаблению инфляции;
г) будет стимулировать совокупный спрос.
3. Верно—неверно
3.1. В результате реализации фискальной политики государственные расходы снижаются.
3.2. При прочих равных условиях повышение налогов и государственных расходов на одинаковую величину может принести к росту ВНП.
3.3. Государственные расходы учитываются отдельно от инвестиций, так как они по-разному влияют на экономику.
3.4. Бюджетный дефицит возникает всякий раз, когда государственные расходы превышают налоговые поступления.
3.5. Политика в области государственных расходов и налогообложения проводится только с целью снижения уровня безработицы и инфляции.
3.6. Все автоматические, или встроенные, стабилизаторы могут снизить уровень безработицы или инфляции, по не в состоянии избавить экономику от первого и от второго.
3.7. Циклический дефицит — это результат антициклической политики государства, направленной на стимулирование экономического роста.
3.8. Размеры государственного долга можно определить путем суммирования всех государственных облигаций, имеющихся на руках у населения.
3.9. Продавая государственные облигации иностранцам для финансирования растущих расходов, правительство накладывает определенное бремя на будущее поколение.
4. Проблемные вопросы
4.1. Каким образом каждое домашнее хозяйство и каждая фирма связаны с государственным бюджетом?
4.2. Объясните и оцените каждое из следующих утверждении:
а) государе таенный долг представляет собой как бы долг левой руки правой руке;
б) наименее вероятным следствием большого государственного долга может быть банкротство правительства.
4.3. Может ли существенное уменьшение бюджетного дефицита сократить:
а) общую величину долга правительства данной страны иностранцам;
б) покупки иностранцами активов (ценностей) данной страны, в том числе предприятий и ферм?
4.4. Может ли приватизация быть средством уменьшения бюджетного дефицита?
Раздел VI ВСЕМИРНАЯ ЭКОНОМИКА




Экономический тренинг


Экономический тренинг
1. Ключевые слова и понятия
Предпринимательство: функции предпринимателя; управление предприятием: менеджмент; коммерческий расчет; предпринимательская самостоятельность; самоокупаемость; самофинансирование; материальная заинтересованность; материальная ответственность; коммерческая тайна; страхование; формула бизнеса; капитал; добавленная стоимость; трудовые отношения; прибавочная стоимость; предельная производительность; интенсивность труда; производительность труда; гуманизация производства.
2.Тест
Какое из следующих утверждений будет верным в случае, сели бизнесмен купит акции корпорации:
а) он дает свои деньги взаймы корпорации;
б) он берет на себя ответственность за долги корпорации;
в) ему гарантирован возврат денег, уплаченных за акции;
г) он получит право на частичное владение собственностью корпорации.
3.Тест
Годитесь ли Вы в предприниматели?
При заполнении теста в каждой из горизонтальных строк найдите то определение качества предпринимателя в баллах, которое, па Ваш взгляд, более всего подходит лично Вам. Пометьте его в 1-й графе цифрой, соответствующей вертикальной колонке (4, 3, 2, 1). Сами студенты подсчитывают баллы (от 7 до 28).

Качество
Баллы
4 -
3
2
1
Независимость
Не боитесь отстаивать свое мнение, даже если рискуете нажить врагов
Принимая ответствен нос решение, советуетесь с другими
Избегаете обострения отношений, не .любите выделяться из общей массы
Предпочитаете быть ведомым
Инициативность
Ищете дополнительные задания
Находчивы, смекалисты при выполнении задания
Выполняете работу без указаний руководства
Ждете указаний, безынициативны
Общительность, контактность
Дружелюбное отношение к людям
Приятны в обхождении, вежливы, доступны
Иногда с Вами тру дно работать
Некоммуникабельны, несдержанны
Склонность к риску
Способны вложить деньги в дело, не будучи умеренными, что он и окупятся
Осмотрительны, готовы к умеренному риску
Стараетесь избегать решений с непредсказуемыми результатами
Действие на удачу, риск не и Вашем характере
Организаторские способности
Очень способны
в убеждении людей и логике доказательств
Способный организатор, умело руководите коллективом
Средние организаторские способности
Слабый, неопытный организатор
Умение выдвигать коммерческие идеи
Умеете вырабатывать новые коммерческие идеи
Умеете оценивать перспективность новых идей
Предпочитаете идти выверенным, однажды избранным путем
Новые коммерческие идеи — не Ваш удел
Воля и упорство
Цслеустремлены, Вас нелегко обескуражить трудностями
Предпринимаем постоянные усилия
Средний уровень упорства и воли завершить дело
Нередко проявляете слабоволие
4. Тесты по организации бизнеса
4.1. Укажите в предлагаемом ниже списке то, что относится к бизнесу, а не принадлежит владельцу капитала и его семье:
токарный станок;
содержимое кассового аппарата;
сырье (например, древесина и гвозди);
счет за обучение в школе, подлежащий оплате;
грузовик грузоподъемностыо в две тонны;
куры в вольере.
4.2. Установите, являются нижеприведенные затраты прямыми (непосредственно связанными е изготовлением товаров) или косвенными (затратами но управлению и т.н.):
а) заработная плата работникам цехов;
б) плата за телефон;
и) зарплата секретарю директора;
г) плата за электричество;
д) аренда фабричного здания;
с) стоимость бензина для личной ма`ины предпринимателя;
ж) стоимость замены устаревшего станка;
з) канцелярские расходы;
и) стоимость сырья.
5. Вопрос будущим юристам
Какие пути и средства обогащения бизнесмена являются легальными и какие нелегальными (но новому Уголовному кодексу РФ)?
6. Тест
Бизнесмену выгоднее:
а) обманывать людей;
б)воровать;
в) быть честным и порядочным;
г) твердо держать слово (обещание), выполнять устную договоренность;
д) быть спонсором;
с) быть авантюристом.




Экономика обладает свойствами системы.


Экономика в разных странах мира развита крайне не равномерно. Одни страны задержались на первой ста- дин производства, другие находятся в основном на второй стадии и лишь небольшая группа западных государств имеет постиндустриальное хозяйство. Вместе с тем многие отставшие от лидеров страны с меньшей или большей скоростью продвигаются за ними.
Поэтому, естественно, современным производством мы будем называть хозяйственную деятельность на ее самой высокой ступени.
Для конца XX столетия характерна новейшая структура общественного производства с рядом отличительных черт.
Во-первых, структура постиндустриального производства способна обеспечить массовое удовлетворение всего круга утвердившихся и перспективных потребностей.
Во-вторых, во всех развитых странах современная экономика состоит из двух взаимосвязанных и дополняющих друг друга типов производства: материального (изготавливает вещественные продукты) и нематериального (создает духовные, нравственные и иные ценности — произведения духовной культуры, искусства, науки и т.п.).
В-третьих, в современное производство органически входит его особая сфера, созидающая специфические блага — услуги. Услуга — такой вид целесообразной деятельности, полезный результат которой проявляется во время труда и связан с удовлетворением какой-либо потребности. Например, транспортная услуга состоит в доставке людей и грузов в заданное место, услуга врача заключается в излечении больного.
Услуги подразделяются на два вида, которые соответствуют типам производственной деятельности. Различают материальные услуги (их осуществляют грузовой транспорт, связь по обслуживанию производства, торговля, жилищно-бытовое обслуживание и др.) и нематериальные услуги (их предоставляют просвещение, здравоохранение, научное обслуживание, искусство, социальное обслуживание, кредитование, страхование и т.п.).
Новейшие представления о структуре высокоразвитого производства схематически обобщены на рисунке 1.5.

Экономика обладает свойствами системы.

Рис. 1.5. Структура современного производства
Итак, увеличение богатства общества и степень удовлетворения его потребностей прямо и в решающей степени зависят от роста и качественного совершенствования производственной деятельности в двух ее видах. В их развитии прослеживаются определенные тенденции.
Во-первых, материальное производство, особенно после крупного общественного разделения труда на физический и умственный, создало необходимые предпосылки для нарастающего прогресса духовной культуры. По мере высвобождения людей из сферы материального производства стало расширяться нематериальное производство.
Во-вторых, в современных условиях резко усилилась взаимосвязь и взаимодействие двух видов общественного производства. Нематериальные блага и услуги (особенно новые научные открытия и технические изобретения, народное образование и культура) оказывают постоянно возрастающее обратное воздействие на развитие материального производства.
Теперь мы можем подытожить наши представления об экономике в ее современном виде. Экономика — совокупность хозяйственных отраслей, обеспечивающая общество необходимыми материальными и нематериальными благами и услугами. В силу разделения труда она распадается на отдельные хозяйственные звенья (отрасли, регионы, предприятия и др.).
Вместе с тем все элементы экономики внутренне взаимосвязаны между собой и составляют единое целое, или систему. Поэтому нам предстоит выявить системные связи в экономике.
4. Системный характер экономики
Знакомиться с системой мы начинаем с ее простейшего звена. Им является отдельно взятое экономическое отношение. Несмотря на всю его элементарность, не так-то просто теоретически описать данное хозяйственное явление.
Давно возникли два разных подхода к определению экономического отношения.
Согласно первому подходу экономическое отношение — это связь между двумя благами. Эту связь можно представить в виде формулы вещь — вещь. То, что экономические отношения носят вещный характер, это, пожалуй, не вызывает сомнения.
Скажем, торговлю можно представить в виде обмена одной вещи (товара) на другую вещь (деньги) или же в форме отношения между деньгами и товаром. А деятельность такси выглядит как связь: материальная услуга (транспортное обслуживание) — вещь (деньги).
Второй подход основан на рассмотрении экономического отношения как взаимосвязи хозяйственных субъектов (отдельных лиц, предприятий, государств). Такую взаимосвязь можно выразить в виде формулы человек — человек. И действительно, экономические отношения имеют определенный субъективный характер, ибо не могут осуществляться без людей.
Ту же торговлю можно представить как отношение между двумя субъектами — продавцом и покупателем, а работу такси— в виде взаимодоговоренности водителя машины и пассажира.
Итак, перед нами возникла дилемма (необходимость выбора из двух возможностей). Чем является экономическое отношение — связью между вещами или же между хозяйственными субъектами?
Ни одно из этих противоположных суждений, вероятно, не является истинным. Ведь процессы производства, распределения, обмена и потребления благ и услуг невозможно представить без человеческого общения. В равной мере отношения между субъектами хозяйствования лишены всякого содержания, если они оторваны от вещественной стороны экономической деятельности. Поэтому в действительности хозяйственные отношения строятся по типу связи субъект — вещь — вещь — субъект.
Иллюстрацией может служить опять-таки торговля, где устанавливается отношение: субъект (продавец) — товар — деньги — субъект (покупатель).
Описанное здесь хозяйственное отношение обладает некоторыми любопытными особенностями.
Одна из них состоит в том, что экономическое отношение имеет хорошо и постоянно видимую сторону и нередко — невидимую сторону. Видимым выступает материальный аспект хозяйственной деятельности. Мы его прослеживаем по движению продуктов в сферах их производства, распределения, обмена и потребления. Между тем как бы в тени остаются непосредственные связи между людьми, без которых нет самого экономического отношения.
Более того, эти связи подчас скрыты под покровом коммерчской, производственной тайны.
Другая особенность отдельно взятого экономического отношения заключается в следующем. Оно не может осуществляться в отрыве от других сопряженных с ним отношений, которые предшествуют или следуют за ним. Но такая взаимосвязь, как правило, не видна на поверхности хозяйственной жизни.
Занимаясь той или иной хозяйственной деятельностью, человек не всегда замечает, что его работа представляет собой определенное звено в большой цепи экономических связей. Такая цепь сейчас охватывает не только отдельную страну, но гораздо шире — весь мир. По мере развития человеческой цивилизации прочность скрепляющих ее связей возрастает. Это сближает и делает все более взаимозависимой хозяйственную жизнь народов. .
Возьмем, например, простого фермера, озабоченного выращиванием на своем земельном участке пшеницы для продажи на рынке. Он надеется получить выручку от реализации товара, руководствуясь простыми арифметическими расчетами. Умножает предполагаемое количество собранного зерна на его рыночную цену, установившуюся в момент посева. Но цена, по которой приходится сбывать пшеницу, не всегда оправдывает подобные надежды. Рыночная цена зависит от общего урожая зерновых культур в стране.
Она упадет в урожайный год и повысится в неурожайный. На уровень цены повлияют также размеры ввоза в страну или вывоза зерна за границу, спрос на него на мировом рынке. Чтобы не ошибиться в своих расчетах, нужно достоверно знать, в какой неразрывной внутренней связи находится положение отдельного хозяйства со всей совокупностью экономических отношений.
Тот раздо сильнее ощущают свою зависимость от национальных и международных хозяйственных связей частные или государственные фирмы, производящие товары для мирового рынка.
Значит, независимо от того, осознает человек этот факт или нет, он объективно находится в определенной системе отношений, которая развивается согласно свойственным ей законам.
Подобно живому организму экономика обладает свойствами системы. Поэтому найти представления о ней будут неполными или даже неверными, если мы не будем выявлять системные признаки хозяйственных организмов.
Всякая система (греч. systema — целое, составленное из частей) — такое множество элементов, которые образуют определенное единство и целостность благодаря их устойчивым отношениям и связям между собой. Что касается экономических систем, то они имеют следующие основные свойства.
Хозяйственная система обладает целостным единством всех ее составных частей. В этом мы могли убедиться при рассмотрении, например, экономики как нразрывного круговорота: производство — распределение — обмен — потребление.



Это позволяет значительно поднять эффективность труда.


Господствовавший в экономике единоличный капитал имел мощный стимул (побуждение к действию) — получение все большего количества прибыли, служащей источником личного обогащения буржуазии. Этот ускоритель экономики в наибольшей степени раскрыл и до сих пор раскрывает созидательные возможности частнокапиталистической собственности. За период своего развития капитализм во всех развитых странах обеспечил огромный рост производства.
Хозяйственные успехи при капитализме во многом связаны с научно-техническим прогрессом и с соответствующей эволюцией организационно-экономических отношений, которая состоит во все более полном использовании потенциальных возможностей общественной организации производства. Такая эволюция начинается с развития и качественного совершенствования элементарных производственных систем в рамках предприятий, основанных на ручном труде.
Капиталистический бизнес в промышленности начинается путем организации простой капиталистической кооперации труда — объединения под командованием частного собственника многих людей, выполняющих однородную работу. Такая системная организация труда дает несомненный экономический эффект. Совместная деятельность пробуждает своеобразное соревнование между работниками, что повышает их индивидуальную выработку. Кооперация создает, как известно, дополнительную коллективную производительность труда. Кроме того, совместная работа обеспечивает экономию средств производства (расходов на помещение, отопление, освещение и др.) благодаря коллективному применению их в технологическом процессе.
Естественно, \ что все выгоды от применения объединенного труда доставались собственникам предприятий.
На смену простой кооперации пришла более совершенная форма организационно-экономических отношений — мануфактура. В странах •западной Европы она господствовала примерно с середины XVI в. до последней трети XVIII в. Мануфактурная система представляет собой г такую кооперацию труда, которая основана на разделении работы на части при создании одного итого же товара. Наемные работники выполняют определенные операции (порожденные разделением труда внутри мануфактуры) или изготавливают какую-то деталь конечного продукта (скажем, какую-то часть часов — корпус, циферблат, стрелки и т.д.).
Вот как А. Смит описывал труд десяти рабочих в булавочной мануфактуре: ...Эти десять человек вырабатывали свыше 48 000 булавок в день... один рабочий вырабатывал 4800 булавок в день. Но если бы они работали в одиночку и независимо друг от друга и если бы они не были приучены к этой специальной работе, то, несомненно, ни один из них не мог бы сработать двадцати, а может быть, и одной булавки в день21.
Специализация труда рабочих развивает у них мастерство, уменьшает непроизводительное расходование жизненных сил, способствует достижению полезного результата с наименьшими затратами. Усовершенствуются также инструменты. Они становятся разнообразными, приспособленными для выполнения частичных операций.
Все это позволяет значительно поднять эффективность труда.
В мануфактурных мастерских упрощались трудовые операции, специализировался инструмент, готовились кадры искусных рабочих (которые, правда, страдали от однобокого развития их способностей). Все это способствовало последующей замене ручных операций машинной технологией.
Как известно, в конце XVIII — середине XIX в. в странах Западной Европы и США происходит промышленная революция. На смену ремесленной технике и ручному труду она внедряет все более усложняющиеся системы машин. Машина — это орудие труда, оперирующее многими инструментами под контролем рабочего. Предприятия стали представлять собой простую или сложную кооперацию машин, получившую название фабрики. В одном случае на фабрике объединяется множество однородных и совместно действующих машин.
Любая из них выполняет операции по изготовлению продуктов от начала и до конца (например, швейная фабрика). В другом случае на предприятии действует единая совокупность разнородных и дополняющих друг друга технических средств. Каждое машинное орудие производит лишь одну из взаимосвязанных частичных операций (так, на ткацкой фабрике существует система прядильных, ткацких, красильных и иных машин).
Промышленная революция породила новые тенденции экономического развития, повлиявшие на эволюцию (постепенное изменение) форм собственности в странах Запада.
Во-первых, промышленная революция дала мощный толчок для дальнейшего ускорения производства. Переход к машинной технологии подвел под экономику революционную техническую основу. Все шире применяя новейшие научные открытия и изобретения, люди стали чаще осуществлять перевороты с технике и технологии производства, а вместе с тем в трудовых функциях и в организаций труда.
Уже в конце XIX — начале XX в. произошел электротехнический переворот (переход от века пара к веку электричества). На базе двигателей внутреннего сгорания были созданы скоростные средства транспорта (автомобили, самолеты). Началось быстрое развитие химической промышленности и множества высокоэффективных технологий в различных отраслях.
Во-вторых, применение более мощной и производительной машинной техники породило новый этап развития организационно-экономических отношений. А именно: бурно возросли масштабы кооперации труда и производства, вызвав тем самым тенденцию к усилению реального обобществления производства. Стало множиться количество гигантских заводов и хозяйственных объединений, на которых сосредоточивались все возрастающие массы рабочих.
Примечательно, например, что в Германии крупные предприятия с числом рабочих более 50 человек в 1907 г. составляли 1% к общему числу фирм. Но они сосредоточивали 39% всех рабочих и 3/4 мощности паровых и электрических двигателей, применявшихся в промышленности. В США в 1909 г. крупные фабрики с производством продукции на миллион долларов и больше составляли 1% к общему числу предприятий.
Однако на них было занято 30% рабочих и они производили 44% всей промышленной продукции.
В итоге национальное хозяйство приняло совершенно новый вид. Еще существовало множество мелких предприятий. На этом фоне все заметнее выделялись хозяйственные гиганты, которые быстро набирали силу и стремились занять господствующее положение во сех отраслях производства.
Но рамки единоличной собственности уже никак не соответствовали гораздо более высокому уровню реального обобществления производства.
Естественно, возникает вопрос: какова же историческая судьба классического капитализма?
По сравнению со всеми предшествующими экономическими организмами капиталистическая система является наиболее гибкой. Она способна сама перестраиваться, приспосабливаться к изменяющимся внутренним и внешним условиям. На новой, более высокой ступени развития этой системы в XX в. формы собственности неоднократно эволюционно изменялись под воздействием и в соответствии с повышением общественного характера производства.
На рубеже XIX—XX столетий обобществление экономики выразилось в быстром возрастании мощи корпоративного (лат. corporatio — объединение), или акционерного, капитала. Об экономической силе этого обобществленного капитала свидетельствуют такие статистические данные. В 80-е годы в США 500 крупных корпораций добывающей и обрабатывающей промышленности составляли всего 0,16% общего числа компаний (компания — промышленное, торговое, транспортное и т.д. объединение предпринимателей) в этих отраслях.
На их долю приходилось 76% численности занятых и 79% прибыли всех промышленных компаний.
Акционерная собственность стала средством приобщения широких слоев населения к тому, чтобы финансировать и получать определенные результаты (в виде доходов на акции) производственно-хозяйственной деятельности. Так, в 80-е годы в США насчитывалось 49 млн. акционеров. Эта форма долевой собственности стала стирать резкие грани между социальными группами, свойственные классическому капитализму.
Важно отметить необычайную способность к перевоплощению акционерной формы присвоения. Эта форма может иметь различное социально-экономическое содержание и использоваться в интересах преимущественно частных лиц, каких-то социальных групп или государств. Все зависит от того, кому достается контрольный пакет акций — количество акций, позволяющее господствовать в акционерном обществе. Теоретически это количество должно составлять 50% всех выпущенных акций плюс одна акция.
Однако если гигантская корпорация имеет капитал в несколько миллиардов долларов, а ее акции распылены среди массы мелких держателей, то нередко ее деятельность контролирует одно лицо или компания, владеющие 10—20% общего количества акций.
В связи с этим различаются акционерные общества, находящиеся под контролем отдельных лиц, компаний, других корпораций и государства. В последнее время в западных странах появляется все больше сравнительно небольших акционерных объединений, целиком принадлежащих трудовым коллективам. Например, в США насчитывается 10 тыс. таких предприятий, на которых занято 10 млн. человек.



Этот вид обогащения издавна называется сеньораж


Этот вид обогащения издавна называется сеньораж

Рис. 16.5. Кривая Филипса
Между тем кривая Филипса отражает взаимосвязь инфляции и безработицы только в краткосрочном периоде. Если взять длительные периоды (5—10 лет), то при высоком уровне безработицы цены продолжают повышаться. Так обстояло дело в США в 70-е и 80-е годы.
То, что кривая Филипса не срабатывает в долгосрочном периоде, объясняется следующими причинами. Во второй половине XX в. заработная плата (а тем самым и пособия по безработице) систематически повышалась даже во время спада производства, что обусловлено ростом квалификации и стоимости рабочей силы. Как правило, предприниматели и работники заключают долгосрочные договоры о величине заработной платы.
Более того, из-за инфляционных ожиданий предприниматели увеличивают оплату труда в порядке компенсации будущего роста цен.
В итоге возникает такое явление, как инфляция издержек. Инфляция издержек — рост цен, который вызван повышением производственных расходов (увеличением оплаты труда и удорожанием сырья, энергоносителей и т.д.). Поэтому при инфляции издержек цены повышаются вместе с увеличением безработицы.
В таком случае цена борьбы с инфляцией путем увеличения уровня безработицы становится очень высокой. По расчетам зарубежных экономистов, чтобы инфляция могла снизиться на 1%, безработица должна превысить свой естественный уровень на 2%. Но от этого реальный валовой национальный продукт уменьшится на 4% по сравнению с потенциальной его величиной (в 1985 г. в США такие потери дохода нации составили бы 160 млрд. долл.).
Однако общество вынуждено платить за инфляцию и другую цену.
Под ценой инфляции мы будем понимать конечные результаты ее воздействия на доходы общества в целом и его структурных звеньев, т.е. речь идет о том, кому и насколько повышение цен выгодно, а для кого оно разорительно.
На практике встречаются три основных варианта цены инфляции: позитивный (что означает прирост дохода), нулевой и негативный (убыточный). Рассмотрим каждый из них.
Позитивный вариант существует не случайно: если бы подорожание товаров никому не было выгодно, то инфляция могла возникнуть только по ошибке.
Прежде всего инфляция приносит доход государству. Этот вид обогащения издавна называеZся сеньораж (фр. seigneurage — пошлина за право печатать деньги). Еще в средние века феодал (сеньор) обладал исключительным правом чеканить монету на своей территории и таким образом получал доход. Сейчас сеньораж — привилегия государства.
Когда правительство не решается увеличить прямые налоги для финансирования своих расходов, то оно через центральный банк организует печатание новых денег. Таким способом покрывается бюджетный дефицит.
Однако сеньораж уменьшает стоимость старых денег, имеющихся на руках у населения. Такой своего рода налог на наличные деньги называется инфляционным налогом. Размер инфляционного налога (Ни) равен произведению уровня инфляции (показывающему, насколько обесцениваются деньги — И) на сумму денег, имеющихся в наличии у населения Д:
НИ =И Д.
Совершенно очевидно, что реальные доходы населения уменьшаются на величину инфляционного налога. Одновременно налог на наличные деньги составляет существенную долю доходов государства. В западных странах он обычно не более 10% валового национального продукта (в США - 3%, в Италии и Греции - 10% ВНП).
В Российской Федерации в начале экономических реформ инфляционный налог составлял очень большую величину: например, во втором квартале 1992 г. — 28% валового внутреннего продукта и 46% дохода домашних хозяйств, а во втором квартале 1993 г. — 20% ВВП и 25% дохода домашних хозяйств.
Кроме государства в нашей стране на инфляции наживаются коммерческие банки. При инфляции обычно значительно возрастает скорость обращения денег (люди стремятся быстрее тратить возросшую массу наличных). Но в России система платежей не соответствует уровню инфляции.
Несмотря на высокие темпы инфляции в 1992—1993 гг., скорость обращения денег была очень низкой: 4—8 оборотов в год при 24-разовой оплате труда. Это во многом объясняется замедлением расчетов между предприятиями и задержкой в оплате труда. Коммерческие банки часто срывали сроки выплат заработной платы и иных платежей с тем, чтобы полученные ими для этих целей деньги отдавать в кредит под большие проценты.
Большую выгоду от роста цен получают у нас многочисленные промышленные и торговые монополии. Они регулярно создают искусственный дефицит, уменьшая продажу ходовых товаров и накапливая их на складах. Порождая тем самым дополнительный спрос, они повышают цены товаров.
Нулевой вариант цены инфляции — редкое явление. В этом случае потери от роста цен полностью покрываются увеличением доходов. Такой случай имеет место, когда на отдельных предприятиях или в национальном масштабе проводится автоматическая индексация денежных доходов.
И по мере удорожания товаров и услуг в том же масштабе возрастают заработки.
Негативный вариант цены инфляции, вызывающий потери доходов фирм и домашних хозяйств, возникает чаще всего.
А. Потери от хранения наличных денег дома. В данном случае цена инфляции равна тому количеству дополнительных денег, которые можно было бы получить при хранении денег в банке (под определенный процент).
Довольно часто номинальная процентная ставка по банковскому Депозиту ниже уровня инфляции. Поэтому даже помещение наличных Денег на депозит не гарантирует полностью от инфляционных потерь. "еличина их равна разнице между уровнем инфляции и процентной ставкой.
Чтобы свести к минимуму утрату части дохода при росте цен, люди пытаются найти наличным деньгам наиболее надежное и выгодное применение. Из-за непрерывного хождения по финансовым учреждениям расходы на эти цели образно назвали издержки на обувные подметки (или издержки стоптанных башмаков).
Б. Издержки меню — расходы при инфляции, связанные с ростом цен в магазинах, кафе, транспортных тарифов и пр.
В. Издержки, порождаемые несовершенством юридической практики. Дело в том, что при составлении контрактов юристы нередко указывают номинальные величины стоимости вещей, не предусматривая их индексацию по определенному уровню цен. Поэтому целесообразно указывать в договорах реальные стоимостные величины (с учетом их индексации или в пересчете на стабильную иностранную валюту).
Правда, в некоторых последних правовых актах в нашей стране стала учитываться индексация денежных сумм. Например, в Уголовном кодексе РФ во многих статьях устанавливается мера наказания в виде штра4)а, исчисляемого в количестве минимальных размеров заработной платы, которая ежегодно индексируется.
Г. Потери из-за несовершенства налогового законодательства. Нередко многие положения налогового законодательства составлены без учета воздействия инфляции. Так, не учитывается, что облагаемые налогом прибыли растут медленнее, чем повышаются цены.
Однако налог на прибыль взимается по таким ставкам, словно эти доходы связаны с ростом цен.
Д. Издержки из-за неверных инфляционных ожиданий. Эти издержки возникают у людей, которые не предвидели роста цен или неправильно определили ход инфляции. При внезапном скачке цен темпы роста процента за кредит оказываются ниже темпов инфляции.
В этом случае происходит спекулятивное перераспределение доходов. Проигрывают кредиторы: они получают деньги, которые за время кредита обесценились. Напротив, выигрывают должники, ибо возвращают долг с процентами в обесцененных деньгах.
Отсюда — особая проблема отцов и детей в масштабе макроэкономики. Ведь основными кредиторами в обществе являются пожилые люди (они выплатили все свои долги и имеют накопления на старость). Основными же должниками выступают молодые люди и среднее поколение, взявшие ссуды.
Значит, частично перераспределение ценностей, связанное с неожиданной инфляцией, имеет определенную макроэкономическую направленность от старшего поколения к молодому.
Многие люди не без основания испытывают страх перед непредсказуемой стихией инфляции. Как можно ее побороть?
Нам уже известны причины инфляции. Поэтому мы без особых затруднений ответим на вопрос: можно ли вообще избавиться от инфляции? В современной рыночной экономике инфляционный рост цен неистребим, поскольку невозможно искоренить такие глубокие причины этого явления, как:
значительная монополизация экономики;
структурные кризисы, вызываемые НТР и другими причинами;
военно-промышленный комплекс;
долгосрочные инвестиции;
локальные войны;
государственный бюджетный дефицит и т.д.
Следовательно, остается одно — вести борьбу не столько с причинами обесценения денег, сколько с их последствиями. Иначе говоря, более реально сделать инфляцию управляемой, а ее уровень — умеренным.
В условиях нынешней рыночной экономики государство применяет следующие важнейшие макрорегуляторы инфляции.
А. Государство проводит в жизнь политику доходов. Имеется в виду сдерживание величины инфляции издержек. В развитой рыночной экономике правительство избегает прямого регулирования уровня заработной платы.
Оно использует косвенные методы в виде социального партнерства — поиска компромиссных соглашений работодателей с профессиональными союзами наемных работников.



Консолидированный бюджет РФ в 1995 г


Совершенно иные тенденции в последние десятилетия были свойственны бюджетной политике нашей страны.
В условиях командно-административной системы в Советском Союзе государственный бюджет представлял собой основной финансовый план образования и использования общегосударственного фонда денежных средств. Эти средства расходовались для выполнения директивного плана социально-экономического развития народного хозяйства. Бюджет и народнохозяйственный план составлялись и утверждались одновременно и в тесной взаимоувязке.
Основными источниками общегосударственных финансов были платежи предприятий в форме налога с оборота (правительство устанавливало твердые ставки налога в ценах товаров, что обеспечивало надежное поступление денег в бюджет) и отчислений от прибылей (они доходили иногда до 70%). Подоходный налог с населения составлял менее 10% доходной части бюджета.
Финансирование народного хозяйства осуществлялось почти целиком за счет бюджета. Именно из него направлялись денежные средства на новое капитальное строительство, научно-технический прогресс и совершенствование пропорций общественного воспроизводства. Общегосударственные финансы расходовались на здравоохранение, образование, подготовку кадров, жилищно-коммунальное строительство, социальное обеспечение и иные социально-культурные нужды.
Но такая предельно централизованная мобилизация основной части денежных средств общества и их использование для выполнения директивных заданий народнохозяйственного плана имели те же непреодолимые недостатки, которые присущи командно-административной системе в целом. Следовательно, реформирование этого макрорегулятора одновременно предполагает преобразование абсолютно централизованного государственного бюджета.
За годы экономических реформ произошли некоторые изменения в бюджетной политике Российской Федерации. Об этом можно судить по обобщенным данным о консолидированном бюджете (федеральном и местных бюджетах), приведенным в таблице 19.3.
Таблица 19.3.
Консолидированный бюджет Российской Федерации в 1995 г

Показатель
Трлн. pv6.
В % к ВВП
Доходы
в том числе:
налоговые доходы
неналоговые доходы
безвозмездные перечисления
от целевых бюджетных фондов
Расходы
Дефицит
432,7
359,5
54,3
18,0
2,7
487,4
54,7
26,1
21,7
3,3
1,0
0,1
29,4
3,3
Статистические данные таблицы 19.3 свидетельствуют о том, что налоги составили 83% всей доходной части бюджета. Расходы же превысили доходы на 54,7 трлн.руб. Дефицит бюджета, составлявший в 1992 г. 6% ВВП и 7% в 1993 г, в 1995 г. снизился до 3,3%.
Особый интерес представляет более подробное рассмотрение структуры всех налоговых поступлений (табл. 19.4).
Таблица 19.4.
Налоговые доходы консолидированного бюджета
Российской Федерации в 1995 г.

Показатель
Трлн.руб.
В % к ВВП
Налоговые доходы
из них:
налог на прибыль
подоходный налог с физических лиц
налог на добавленную стоимость
акцизы
платежи за использование природных ресурсов
359,5
116,8
36,4
95,2
24.2
12.3
21,7
7,0
2,2
5,7
1,5
0,7
Как видно из приведенных в таблице 19.4 данных, около 1/3 всех налоговых доходов составил налог на прибыль. С учетом того, что в 1995 г. вся полученная в экономике страны прибыль составила 211,7 трлн. руб., это означает, что из данной суммы в налоговые доходы государственного бюджета ушло 55% всей прибыли. В свою очередь, налог на добавленную стоимость и акцизы, приведшие к повышению цен, вместе составили 33% бюджетных налоговых доходов, которые, по существу, дополнили налогообложение физических лиц.
Что касается неналоговых доходов, то они сформировались от внешнеэкономической деятельности, продажи принадлежащего государству имущества и реализации государственных запасов.
Конкретные представления о бюджетных расходах мы получаем из данных таблицы 19.5.
Таблицa 19.5.
Расходы консолидированного бюджета Российской
Федерации в 1995 г.


Трлн.руб.
в % к ВВП
Расходы
в том числе на:
государственное управление
международную деятельность
национальную оборону
правоохранительную деятельность и обеспечение безопасности
промышленность, энергетику, строительство
сельское хозяйство и рыболовство
социально-культурные мероприятия
прочие расходы
487,4
11,9
21,5
47,6
25,6
36,3
20,4
126,9
197,2
29,4
0,7
1,3
2,9
1,5
2,2
1,2
7,6
12,0
Приведенные в таблице 19.5 сведения дают основание сделать определенные выводы. В расходной части бюджета затраты на народное хозяйство резко сократились: с 34% всех расходов в 1992 г. до 12% в 1995 г. Существенно уменьшилась доля расхоLов на оборону: с 14% в 1992 г. до примерно 10% в 1995 г.
Несмотря на чрезмерное обесценение денег удельный вес затрат бюджета на социально-культурные мероприятия за 1992—1995 гг. остался примерно на том же уровне. Эти затраты включают расходы на образование, культуру и искусство, средства массовой информации, здравоохранение и физическую культуру, социальную политику.
С начала реформирования государственных финансов возникли серьезные проблемы и противоречия в бюджетном регулировании макроэкономики.
Прежде всего они коснулись организации бюджетной работы. В 1992 и 1993 гг. федеральные бюджеты были приняты не до наступления бюджетного года, а в момент его окончания — в декабре соответствующего года. Это произошло из-за запоздалой подготовки бюджетов, отсутствия научно поставленного прогнозирования (в особенности предвидения динамики инфляции) и т.п. О недоработанное™ бюджета свидетельствовало, в частности, то, что расходы в нем делелись на защищенные (полностью обеспеченные ресурсами) и незащищенные, осуществление которых зависело от возможного поступления дополнительных доходов.
Только бюджет на 1995 г. был принят в начале года на основе Прогноза социально-экономического развития Российской Федерации.
И все же в 1995 г. на ненадлежащем уровне находилось исполнение федерального бюджета страны по многим статьям (табл. 19.6).
Таблица 19.6.
Исполнение федерального бюджета Российской Федерации в 1995 г. (трлн.руб.)

Показатель
Утвержденный бюджет
Фактическое исполнение
Фактически исполнено в % к утвержденному бюджету
Доходы
в том числе:
налоговые
неналоговые
Расходы
224,4
175,2
29,5
284,8
226,9
170,5
42,2
275,6
101,1
97,3
143,1
96,8
Обращает на себя внимание то обстоятельство, что из числа налоговых доходов налог на прибыль был собран на 91 %, подоходный налог на физических лиц — на 92%, налог на добавленную стоимость — на 95% к утвержденным в бюджете суммам. Еще большие отклонения от утвержденного бюджета допущены в расходной части бюджета. Так, фактическое исполнение в процентах к утвержденному бюджету составило, например, по расходам на государственное управление 86,5%, национальную оборону 80,1%, промышленность, энергетику и строительство — 79,3%, сельское хозяйство и рыболовство — 60,8% и социально-культурные мероприятия — 59,2%. В то же время бюджетный дефицит вместо утвержденной суммы 60,4 трлн.руб. составил 48,7 трлн.руб. (80,6% к утвержденному бюджету).
Естественно, что такие расхождения в практическом исполнении бюджетных установок создали большие трудности и противоречия в развитии многих отраслей национальной экономики.
Серьезным противоречием бюджетной политики является также расхождение между процессами стабилизации денежного обращения и всей макроэкономики.
Так, в Прогнозе социально-экономического развития страны на 1995 г. поставлена цель — сделать этот год годом стабилизации экономики. Но кризисный спад все же прогнозировался и имел место в действительности. Главной целью была избрана стабилизация денежного обращения — снижение инфляции к концу года до 1—3%, а за год — до 15—20%.
Однако, согласно кривой Филипса и по закону Оукена, одностороннее уменьшение темпов инфляции вызывает усиление других видов дестабилизации макроэкономики — рост безработицы и падение производства, что и было на самом деле. Продолжавшийся кризис сделал нереальной цель снизить инфляцию до 1—3% в месяц.
К тому же важно отметить, что на практике принимаются антиинфляционные меры, которые пригодны для борьбы с инфляцией спроса (при неудовлетворении покупательской потребности населения), в то время как в действительности главную угрозу представляет инфляция издержек.
В основу бюджетной политики на 1995—1997 гг. заложено глубокое и неразрешимое противоречие. С одной стороны, в соответствии с моне-таристской концепцией ставится цель снизить предложение денег и проводить по существу рестриктивную бюджетную политику. Эта политика сопровождается жесткими кредитно-денежными мерами: прекращаются централизованное распределение кредитов, практика списания задолженности, предоставление ссуды отраслям хозяйства на льготных условиях и т.п. В этом случае, как известно, усиливается спад производства.
С другой стороны, ставится задача — теперь уже в 1997 г. — добиться приостановки экономического кризиса. Однако, как мы знаем, в его основе лежит глубокий структурный кризис, который невозможно преодолеть за короткий срок и для выхода из которого требуются огромные затраты государственных денежных средств.



Кредитные учреждения установили ростовщические ставки


Другим фактором, определяющим уровень выгодности банковского капитала, является норма процента, характеризующая своего рода цену кредитных средств. В зависимости от состояния рынка ссудных капиталов и степени развития конкуренции ставка процента может колебаться в значительных пределах. Что касается минимальной нормы процента, то она не поддается определению.
Иногда (во время экономического спада) она может снижаться до уровня, близкого к нулю.
Различают рыночную и среднюю нормы процента. Рыночная норма процента складывается в каждый данный момент на рынке ссудных капиталов. Она непосредственно отражает конъюнктурные изменения экономики и подвержена резким колебаниям в периоды подъема или спада производства. Средняя норма процента отражает долговременные тенденции в движении величины процента,
Понять динамику процентной ставки можно, если учитывать влияние на нее часто меняющегося соотношения спроса и предложения заемных средств. Если спрос на ссудный капитал превышает его предложение, то масштабы его использования расширяются. Когда же свободных денежных средств много, а спрос на них сравнительно невелик, то ставка процента будет снижаться.
В условиях классического капитализма средняя норма процента понижалась. Это было обусловлено тенденцией нормы прибыли к уменьшению, а также быстрым накоплением ссудного капитала (увеличением слоя рантье — людей, живущих за счет получения процента, и развитием кредитной системы), что умножало предложение денежных средств. Например, в Великобритании средине ставки по долгосрочным облигациям снизились с 4,8% в 1800-1809 гг. до 2,5% в 1890-1899 гг.
Во второй половине XX в. в большинстве промышленно развитых стран наблюдается систематическая нехватка ссудного капитала, особенно в форме среднесрочных и долгосрочных инвестиций. Это обусловлено тем, что в условиях научно-технической революции крупные компании затрачивают большие средства на новую технику и программы переквалификации работников. Большой спрос на ссудный капитал предъявляет также государство.
С расширением такого спроса заметна тенденция к устойчивому повышению нормы процента. Если в 1950-х гг. в США процентная ставка по краткосрочным обязательствам составляла 1,5—4%, то в 70—80-х годах она возросла в 2,5 раза.
Наконец, величина нVрмы процента зависит от социального положения клиента. Крупным корпорациям ссуда предоставляется на очень выгодных условиях. Напротив, для мелких фирм, ремесленников и широких слоев населения устанавливаются высокие процентные ставки, особенно по долгосрочным ссудам, при этом требуется солидное обеспечение для их получения.
В условиях инфляции важно различать номинальную и реальную процентные ставки. Реальная ставка — это номинальная (фактически достигнутая в данный период) норма процента, исчисленная с учетом уровня инфляции. Допустим, уровень инфляции достиг 8%, а номинальная ставка — 14%. Тогда при подсчете дохода на инвестиции важно определить реальную норму процента. Она составит: 14 - 8 = 6%.
Значит, если взаймы взяты 100 денежных единиц, то на следующий год необходимо возвратить не 114, а только 106.
На Западе, где велик спрос на кредитные деньги, реальный депозитный процент ныне составляет примерно 10% годовых, а кредит по краткосрочным ссудам выдается под 15—20%. Совершенно иную картину мы наблюдаем в сегодняшней России.
В СССР государство полностью подчинило себе всю кредитную сферу. Монопольное положение занимал Государственный банк СССР. Он установил мизерный процент для вкладов населения (2% по вкладам до востребования и 3% по срочным вкладам) и ничего не платил предприятиям за хранение денег в банке.
Очень низкий процент за пользование заемными средствами не мог стимулировать эффективное их применение.
При проведении с 1992 г. экономических реформ былая монополия Центрального банка во многом была подорвана и большую свободу действий получили коммерческие банки. Если до 1992 г. Центральный банк мог строго контролировать движение кредитных средств в коммерческих банках, то затем этот контроль был утрачен. При отсутствии должной законодательной базы банковского дела и необходимого регулирования движения кредитно-денежных средств в стране возникли благоприятные условия для небывалого роста прибыльности банковского бизнеса. Кредитные учреждения установили поистине ростовщические ставки процента. Например, в декабре 1993 г. на биржевом рынке средние процентные ставки по кредитам достигли 240%.
Это позволило банкам в ряде случаев довести норму прибыли до астрономических размеров (до 1000 и более процентов на собственный капитал).
При непрерывном падении производства и ухудшении общего положения экономики самым выгодным делом стало заниматься банковским бизнесом. Его основой стала нажива на инфляционном росте номинальных ставок кредитных средств, на крупномасштабных биржевых спекуляциях отечественной и иностранной валютой, а зачастую на разного рода незаконных сделках, вплоть до применения криминальных способов обогащения.
Установление чрезвычайно высоких ставок ссудного процента вызвало ряд отрицательных последствий для развития российской экономики:
— денежный капитал все больше и больше изымался из сферы производства в интересах получения огромных ростовщических процентов;
— стремление банков нажиться на высокой норме процента во многих случаях искусственно порождает разного рода неплатежи (в спекулятивном денежном обороте оказываются не выплачиваемые вовремя суммы заработной платы, пенсий и других видов доходов);
— громадные процентные ставки оказались тормозом для развития производственного бизнеса и накопления капитала; примечательно, что удельный вес долгосрочных капитальных вложений в российскую экономику снизился с 26% от всей суммы инвестиций в 1990 г. до 3% в 1993г.; - .
— спекулятивная накрутка денежно-кредитных средств стала одним из источников углубления инфляции в стране.
Нельзя признать случайным тот факт, что в банковской сфере совершается самая значительная часть всех экономических преступлений. Например, денежные средства зачислялись на счет в коммерческий банк по подложным документам и поступали вымышленным лицам. Под вывеской лжепредприятий из банков похищались и затем отмывались значительные суммы денег.
Применялись подложные авизо (письма банка о пересылке денег получателю), чтобы выкрасть из банка большие кредитные средства. Ущерб от преступлений в банковской сфере многократно превысил потери от всех остальных видов корыстных преступлений.
Положение в банковской сфере может быть нормализовано только путем осуществления комплекса мер. К ним относятся прежде всего резко ограничение наживы банковского бизнеса за счет инфляционного удорожания кредита; нормализация соотношений норм предпринимательской и банковской прибыли; организация прочных экономических связей между банковским и промышленным бизнесом.
Особо важное значение имеет решительная правовая защита банков и банковской деятельности. Этой цели способствуют правовые нормы, введенные в Уголовном кодексе РФ. В разряд уголовно наказуемых преступлений попали:
а) незаконная банковская деятельность: осуществление банковской деятельности без регистрации или без специального разрешения (лицензии) в случаях, когда такое разрешение обязательно, или с нарушением условий лицензирования, если это деяние причинило крупный ущерб гражданам, организациям или государству либо сопряжено с извлечением дохода в крупном размере (пункт 1 статьи 172);
б) незаконное получение кредита: получение индивидуальным предпринимателем или руководителем организации кредита либо льготных условий кредитования путем представления банку или иному кредитору ложных сведений о хозяйственном положении либо финансовом состоянии индивидуального предпринимателя или организации, если это деяние причинило крупный ущерб (пункт 1 статьи 176);
в) злостное уклонение от погашения кредиторской задолженности: злостное уклонение руководителя организации или гражданина от погашения кредиторской задолженности в крупном размере или от оплаты ценных бумаг после вступления в силу соответствующего судебного акта (статья 177);
г) изготовление или сбыт поддельных кредитных либо расчетных карт и иных платежных документов: изготовление в целях сбыта или сбыт поддельных кредитных либо расчетных карт, а также иных платежных документов, не являющихся ценными бумагами (пункт 1 статьи 187).
К преступлениям в сфере экономической деятельности, относящимся так или иначе к кредитным связям, причислены: неправомерные действия при банкротстве (статья 195), преднамеренное банкротство (статья 196), фиктивное банкротство (статья 197).
3. Акционерное общество и рынок ценных бумаг
Мы уже знаем, что акционерное общество — это хозяйственное объединение, денежные средства которого образуются путем продажи акций. Созданием акционерных обществ занимаются крупные предприниматели-учредители при активном участии банка. Они вкладывают в предприятие собственный капитал.
А для привлечения дополнительных средств выпускают акции, которые продаются всем желающим. Созданный таким способом объединенный капитал называется акционерным (или корпоративным) капиталом.



Кредиты, предоставленные банками предприятиям


Банки накапливают у себя также денежные доходы и сбережения населения, средства государственных, общественных и других организаций. Сами по себе эти суммы предназначены для расходования в качестве покупательного или платежного средства. Между тем, когда они попадают в руки бизнесменов, то используются для извлечения прибыли.
Банки выпускают также кредитные средства обращения — знаки стоимости, которые выполняют роль денег в товарообороте и платежах (наличные деньги, банкноты).
Банки выполняют свои функции в двух взаимосвязанных видах операций: пассивных — операциях по формированию банковских ресурсов и активных — операциях по их размещению и использованию (рис. 12.2).

Кредиты, предоставленные банками предприятиям

Рис. 12.2. Функции банков
Денежные средства банков складываются из их собственных капиталов они образуют, как правило, незначительную часть всех средств: в США, например, 8%) и депозитов — вкладов клиентов. Депозиты делятся на срочные (вложения на заранее установленный срок и не подлежащие изъятию до его наступления) и до востребования (вклады на текущие счета, которые банк обязан выдать по первому требованию вкладчика).
В активные операции входят разнообразные ссуды: вексельные, фондовые, подтоварные, бланковые. Наиболее распространенным является учет векселей. Банк покупает вексель у предпринимателя, если тот стремится превратить его в деньги еще до наступления срока платежа.
При выдаче наличных денег из обозначенной на векселе суммы удерживается учетный процент — плата за предоставление денежной суммы. При наступлении срока платежа по векселю банк предъявляет его к оплате тому, кто выдал долговое обязательство. Величина учетной ставки может сильно изменяться.
Так, самая высокая учетная ставка английского банка с 15 ноября 1979 г. по 3 июля 1980 г. составила 17%. Самая низкая была на уровне 2% с 26 октября 1939 г. по 7 ноября 1951 г.
Банки ведут фондовые операции — дают ссуды под залог ценных бумаг: акций, облигаций, закладных и т.п., а также покупают такие бумаги. Подтоварные ссуды предоставляются под залог продукции, находящейся на складах, в пути, в торговом обороте. Если ссуды не погашаются в срок, то заложенные ценные бумаги и товарно-материальные ценности переходят в собственность банков.
Наиболее крупным предпринимателям, платежеспособность которых не вызывает сомнений, предоставляется бланковый кредит: ссуду выдают без всякого обеспечения.
Кроме пассивно-активных операций и расчетов банки занимаются торгово-комиссионной деятельностью: покупают и продают золото, обменивают национальную валюту на иностранную, размещают займы, распродают акции и облигации и т.п.
В зависимости от характера выполняемых функций и операций банки делятся на три основных вида: центральные, коммерческие и специализированные (рис. 12.3).

Кредиты, предоставленные банками предприятиям

Рис. 12.3. Виды банков
Основную роль в банковской системе играют центральные банки. Центральный банк страны наделен государством исключительным правом эмиссии (выпуска) банкнот (банковских билетов) — денежных знаков, основных видов бумажных денег. Кроме эмиссии банкнот Центральный банк выполняет другие важные функции:
— хранит государственные золотовалютные резервы, сохраняет резервные фонды других кредитных учреждений;
— предоставляет ссуды коммерческим банкам;
— обслуживает государственные учреждения;
— проводит расчеты и переводные операции, контролирует деятельность кредитных учреждений;
— осуществляет денежно-кредитное регулирование национальной экономики.
Коммерческие банки предоставляют ссуды производственным предприятиям главным образом за счет денежных средств, привлекаемых ими в виде вкладов. Они же осуществляют расчеты между предпринимателями. В современных условиях эти банки являются кредитно-финансовыми учреждениями универсального характера.
Они ведут операции на фондовом рынке (рынке ценных бумаг), выполняют финансовое обслуживание клиентов и занимаются валютными операциями.
О месте и роли кредитных банков в банковской системе России дают представление данные таблицы 12.2.
Сравнение данных о кредитных вложениях в экономику России (табл. 12.1) и о кредитах, предоставленных коммерческими банками, свидетельствует о ведущей роли коммерческих банков в финансировании российской экономики.
Таблица 12.2.
Основные показатели деятельности коммерческих банков России
(по данным Банка России на 1 января)

Показател ь
1993
1994
1995
1996
Число коммерческих банков, тыс.
1,7
2,0
2,5
2,6
Число филиале банков, тыс.
3,1
4,5
5,5
5,8
Кредиты, предоставленные коммерческими банками предприятиям, организациям и
населению, млрд. руб.
5 081,4
24 542,3
63 964,5
97770
Кредиты, предоставленные другим банкам, млрд. руб.
345,5
2 165,5
9 059,3
14375
Специализированные банки заняты преимущественно определенными видами финансово-кредитных операций. Например, инвестиционные банки осуществляют финансирование и долгосрочное кредитование капитальных вложений; благодаря их деятельности образуется рынок инвестиций. Ипотечные банки предоставляют ссуды под залог недвижимости (земельных участков, домов).
Экспортно-импортные банки кредитуют внешнюю торговлю и ведут расчеты с иностранными контрагентами.
В кредитную систему страны входят сберегательные кассы, мобилизующие временно свободные денежные средства населения, а также кредитные кооперативы, куда объединяются в основном мелкие товаропроизводители, получающие ссуды на началах взаимопомощи.
По мере развития общества масштабы кредитных операций и размеры общей задолженности по займам увеличиваются. Так, в США в 1989 г. задолженность семей составила 3,5 трлн. долл., корпорации — 3,4 трлн. долл. и федеральных властей — 2,3 трлн. долл., что в сумме превысило 9 трлн. долл. Если к тому же учесть внешнюю задолженность другим государствам, то без преувеличения можно сказать, что вся страна живет в долг.
Между тем большинству заемщиков удается успешно погасить задолженность. Эффективно использовав кредиты, они получают выгоду, укрепляют свои экономические позиции, расширяют производство, увеличивают доходы. Когда же кредиты используются неэффективно, это ухудшает финансовое состояние должников, ставит их в зависимое положение, нередко ведет к разорению.
Во второй половине XX в. в банковском деле появились новые тенденции, которые раскрыли невиданные ранее организационные, экономические и технические возможности банковского кредита.
С момента своего возникновения банки выступали в скромной роли посредников при передаче денег в долг и возвращении ссуд. Но, как известно, после того как западная экономика перешла от эпохи частнособственнического классического капитализма к фазе господства финансово-корпоративных объединений, значение банков в денежном регулировании экономики колоссально возросло.
Во-первых, резко углубился процесс концентрации и централизации банковского капитала, возникли банки-гиганты, ставшие монополистами на рынке ссудных капиталов. Например, в США в 80-х годах 4% общего количества коммерческих банков, имевших активы более 500 млн. долл., владели 74% всех банковских активов (материальных ценностей). Среди них находились такие гиганты, как Ситикорп (с активами 230 млрд. долл.), Чейз Манхеттен корпорейшн (106 млрд. долл.), Бэнк оф Америка (97 млрд. долл.) и т.д.
Крупнейшие банки включают в сферу своего влияния мелкие и средние банки в замаскированной форме, с помощью различных экономических связей, фактически подчиняющих маломощные кредитные учреждения наиболее влиятельным.
Во-вторых, крупнейшие банки превратились в многоцелевые кредитно-финансовые учреждения, которые предоставляют клиентам 100—300 видов услуг. Они выдают кредиты, учитывают коммерческие векселя, выпускают и реализуют ценные бумаги, начисляют и удерживают налоги, ведут счета амортизационных отчислений и другие бухгалтерские и расчетные операции для клиентов. Все более расширяются консультативные и информационные услуги.
Банковские специалисты, включая технических экспертов, непосредственно участвуют в выборе важнейших инвестиционных проектов промышленных и торговых фирм, помогают в ведении финансового хозяйства.
Некоторое расширение банковских услуг предусматривает российское законодательство. Федеральный закон О банках и банковской деятельности (с изменениями и дополнениями, принятыми Государственной Думой 7 июля 1995 г.) относит к банковским операциям в частности:
а) привлечение во вклады денежных средств физических и юридических лиц, размещение указанных средств от своего имени и за свой счет на условиях возвратности, платности, срочности, открытие и ведение банковских счетов физических и юридических лиц;
б) осуществление расчетов по поручению физических и юридических лиц, в том числе банков-корреспондентов, по их банковским счетам;
в) инкассация (получение в банке денег наличными по чеку, векселю и т.п.) денежных средств, векселей, платежных и расчетных документов и кассовое обслуживание физических и юридических лиц;



Криминальный вариант бизнеса неприемлем


Значит, необоснованно считать, что все предприниматели могут одновременно получать прирост стоимости на рынке за счет неэквивалентного обмена. Сфера товарно-денежного обращения не дает возможности постоянно, каждодневно, а не от случая к случаю, увеличивать стоимость. На этом основании первый вариант может быть признан непригодным для всех предпринимателей.
Второй вариант: криминальный бизнес.
Такого рода способ обогащения основан на мошенничестве и других преступных действиях. Вот характерный пример. В 1994 г. один японский бизнесмен собрал для строительства трех дополнительных телефонных линий 30 тыс. долл.
Он вовлек в это дело 70 организаций, которым пообещал льготные условия. Но в итоге оказалось, что таких телефонных линий не существует. Подобных фактов сейчас, как известно, немало в нашей стране.
Криминальный вариант бизнеса неприемлем для всех предпринимателей. Отдельным уголовным элементам он может дать, как правило, кратковременную выгоду. Эта выгода оборачивается большими потерями для преступника после того, как его разоблачат и осудят.
Криминальный бизнес неустойчив в том, что касается уголовного законодательства и правоохранительных органов.
Новый Уголовный кодекс РФ установил ряд преступлений в сфере экономической деятельности. В их числе, в частности, такие конкретные виды криминального бизнеса:
а) незаконное предпринимательство; осуществление предпринимательской деятельности без регистрации либо без специального разрешения (лицензии) в случаях, когда такое разрешение обязательно, или с нарушением условий лицензирования, если это деяние причинило крупный ущерб гражданам, организациям или государству либо сопряжено с извлечением дохода в крупном размере (пункт 1 статьи 171);
б) лжепредпринимательство — создание коммерческой организации без намерения осуществлять предпринимательскую или банковскую деятельность, имеющее целью получение кредитов, освобождение от налогов, извлечение иной имущественной выгоды или прикрытие запрещенной деятельности, причинившее крупный ущерб гражданам, организациям или государству (статья 173);
в) легализация (отмывание) денежных средств или иного имущества, приобретенных незаконным путем: совершение финансовых операций и других сделок с денежными средствами или иным имуществом, приобретенным заведомо незаконным путем, а равно использование указанных средств или иного имущества для осуществления предпринимательской или иной экономической деятельности (пункт 1 статьи 174).
К криминальному бизнесу можно отнести некоторые преступления против здоровья населения, в частности:
а) посев или выращивание запрещаемых к возделыванию растений, а также культивирование сортов конопли, мака или других растений, содержащих наркотические вещества (пункт 1 статьи 231);
б) незаконное изготовление, переработка, приобретение, хранение, перевозка или пересылка в целях сбыта, а равно незаконный сбыт сильнодействующих или ядовитых веществ, не являющихся наркотическими средствами или психотропными веществами, либо оборудования для их изготовления или переработки (пункт 1 статьи 234);
в) нарушение правил производства, приобретения, хранения, учета, отпуска, перевозки или пересылки сильнодействующих или ядовитых веществ, если это повлекло за собой их хищение либо причинение иного существенного вреда (пункт 2 статьи 234);
г) занятие частной медицинской практикой или частной фармацевтической деятельностью лицом, не имеющим лицензии на избранный вид деятельности, если это повлекло по неосторожности причинение вреда здоровью человека (пункт 1 статьи 235).
Среди предпринимателей, отвергающих преступные способы обогащения, утверждается совершенно иная деловая этика (нормы нравственного поведения): совокупность писаных и устных договоренностей о правилах честного бизнеса. Эти правила предлагают всем предпринимателям: а) отказаться от нечестных методов бизнеса (прежде всего от взяток государственным чиновникам); б) строить экономические связи на доверии к партнеру; в) коллективно прекращать все дела с предпринимателями-мошенниками; г) обеспечивать надежное выполнение хозяйственных договоров.
Итак, ни спекулятивный, ни криминальный варианты не позволяют всем, без исключения, предпринимателям заняться нормальной хозяйственной деятельностью, с которой связан постоянный прирост прибыли.
Теперь рассмотрим третий вариант бизнеса, основанный на создании новой стоимости.
Формула производственного бизнеса существенно отличается от его общей формулы:

Криминальный вариант бизнеса неприемлем

П — процесс создания новых товаров;
Т' — произведенные фирмой товары с возросшей стоимостью.
Из формулы видно, что для начала производственного бизнеса надо иметь деньги Д, которые пускают в дело. На них приобретаются факторы производства — средства производства СП и рабочая сила Р. На этом процесс обращения товаров и денег прерывается и начинается процесс производства П, в ходе которого создается новая стоимость. Вновь созданные полезные вещи обладают возросшей стоимостью Т'.
После продажи на рынке произведенных товаров по их стоимости предприниматель получает сумму денег Д', которая превышает первоначальную величину денежных средств. Если из этой возросшей суммы денег, полученной за все реализованные изделия, вычесть первоначально авансированную величину Д, то бизнесмен получает валовую (общую) прибыль.
Зная, как внешне выглядит последовательное движение денег, затраченных на производство, мы приступаем к более углубленному его анализу. В первую очередь важно понять существо организации производственного бизнеса: какие экономические и правовые условия необходимы для его реализации?
Для всякой фирмы, создающей товары, нужны факторы производства — разнообразные ресурсы. К ним относятся природные блага, рабочая сила, капитал и предпринимательство. Бизнес основывается на непременном юридическом условии: собственники всех производственных факторов должны гарантированно (согласно правовым договорам) получать свою долю от общего дохода предприятия.
Так, для создания товаров необходимы природные ресурсы (минералы, лес, другие естественные богатства, которые ради краткости можно именовать землей). За пользование чужой землей устанавливается цена, называемая рентой. Рента образует доход собственника земли.
Для производства благ необходим труд — физические и умственные усилия людей. Нанятые предпринимателем для этого работники получают в соответствии с трудовым контрактом (соглашением) вознаграждение за свой труд — заработную плату.
Для бизнеса часто требуется дополнительный капитал — деньги, расходуемые для производства (на покупку машин, сырья и т.п.). При отсутствии собственных денежных средств предприниматель вынужден брать в долг чужие деньги. Плата за их использование называется процентом.
И ее получает тот, кто предоставил капитал в ссуду.
Наконец, если новые идеи, осуществляемые с известным риском, и усилия предпринимателя по организации и управлению фирмой увенчаются успехом, то наградой ему служит соответствующая доля прибыли (в противном случае его удел — убытки).
По всей видимости, предварительные экономические и правовые условия производственного бизнеса предопределяют конечный результат всего процесса. При нормальных условиях общий доход фирмы должен включать ренту, заработную плату, процент и прибыль.
Теперь нам предстоит выяснить, как на практике возникает новая стоимость, являющаяся источником доходов всех агентов производства.
Для наглядной иллюстрации возьмем телевизионный завод. Предположим (цифры условные), за год предприятие закупило и израсходовало средств производства на сумму 750 млн. руб. Сюда вошли затраты на здания (их стоимость за год израсходована частично), технические средства: машины, оборудование (их стоимость тоже частично сношена за год), сырье, материалы, топливо, энергию. Все эти виды средств производства созданы на других предприятиях (строительных, машиностроительных, добывающих сырье и энергоносители).
Все эти вещественные условия производства, поступившие со стороны — от других фирм — воплощают так называемую старую стоимость, которая образовалась раньше — до начала производства на телевизионном заводе. Затем на самом заводе из полученных со стороны комплектующих изделий работники собирают телевизоры. За время работы они создают новую стоимость.
В нашей стране и на Западе ее называют добавленная стоимость. Так, в российском законодательстве добавленной стоимостью названа разница между стоимостью реализованных товаров и стоимостью материальных затрат, отнесенных на издержки производства и обращения.
Продолжая наш пример, допустим, что добавленная (новая) стоимость составила 250 млн. руб. В итоге валовой (общий) доход предприятия (денежная выручка от продажи всех телевизоров) равен:
750 млн. руб + 250 млн. руб. = 1 млрд. руб.
Значит, результаты производственного бизнеса в их общем виде можно представить так: стоимость готовых изделий (СТ) включает стоимость средств производства (старую стоимость СП) и добавленную (новую) стоимость СД:



Кто возглавляет теперь крупные корпорации


Акционерная форма капитала качественно отличается от его классического вида.
Частный капитал Акционерный капитал
1. Единоличное присвоение средств 1. Анонимное долевое присвоение
производства капитала.
2. Предприятием управляет сам собственник. 2. Предприятием управляют
менеджеры
3. Размеры капитала увеличиваются. 3. Капитал возрастает главным
преимущественно за счет собственных средств, образом за счет заемных средств.
Если раньше средствами производства безраздельно владел один собственник, то в корпорации собственность является анонимной. Более того, владельцы акций могут в любое время продать их иным лицам. поэтому при неизменной величине капитала состав его собственников может непрерывно изменяться. Во-вторых, в прошлом веке, как правило, сам собственник капитала управлял своим предприятием.
Теперь же деятельность акционерного общества организуют менеджеры — профессионально подготовленные управляющие, работающие по контракту (соглашению, устанавливающему права и обязанности обеих сторон на определенный срок). В-третьих, если прежде капитал возрастал, когда его собственник дополнительно вкладывал в производство свои деньги, то через акционерную форму капитал все более пополняется за счет заемных денежных средств. Промышленники все чаще обращаются в банки, чтобы получить чужие деньги.
В результате усиливается отделение собственности на денежный капитал от его предпринимательского применения.
Укрупнение капитала в промышленности, происходящее путем концентрации и централизации производства, вызвало в свою очередь аналогичный рост размеров банковского капитала. Взаимное сближение собственников промышленности и банков, вызванное стремлением получать как можно большую прибыль, привело к повышению степени обобществления экономики — к образованию финансового капитала.
Вот как в книге Финансовый капитал описывает процесс возникновения нового вида капитала один из первых его исследователей Рудольф Гильфердинг22. По словам Р. Гильфердинга, с развитием капитализма постоянно возрастает та сумма денег, которую отдают в распоряжение банков все слои населения. Эти средства за определенный процент банковские учреждения передают промышленным капиталистам. Усиливающаяся зависимость промышленности от банков является следствием развития отношений собственности. Все возрастающая часть промышленного капитала не принадлежит тем промышленникам, которые его применяют.
Распоряжение над капиталом они получают лишь посредством банка, который представляет по отношению к ним собственников Rапитала. С другой стороны, и банку все возрастающую часть своих капиталов приходится закреплять в промышленности. Тем самым он все в большей степени становится промышленным капиталистом.
Банковский капитал, следовательно, капитал в денежной форме, который таким способом в действительности превращен в промышленный капитал, я называю финансовым капиталом23.
В XX столетии стала характерной все большая централизация решающих условий производства у относительно уменьшающегося числа крупнейших их владельцев — магнатов финансового капитала. Они сосредоточивают у себя не только принадлежащие им собственные, но и заимствованные средства. Чтобы овладеть контрольным пакетом акций, например, в гигантской корпорации США, требуется иметь 5—10 млрд. долл., что но карману лишь небольшой горстке людей.
А эффективный контроль за деятельностью компаний-монстров со стороны рядовых акционеров стал нереальным. В результате ускорившегося роста корпоративного и финансового капитала экономическая власть ушла из рук массы мелких собственников капитала. Она сосредоточилась главным образом у тех, кто занимается широкомасштабной организацией общественного хозяйства.
Не случайно, что .в конце XIX — начале XX в. в США и других странах возникло новое течение общественной мысли — институционализм (лат. institutio — наставление, указание, образ действия). Сторонники этого течения под институциями понимали разнообразные социально-экономические процессы, связанные, в частности, с обновлением технической базы производства и его укрупнением, с переходом от индивидуалистической к коллективистской психологии, с введением социального контроля над производством и организацией регулируемой экономики.
Одним из видных представителен институционализма стал крупный американский экономист Дж. Гэлбрейт24. В своих научных трудах он исследовал тенденции укрупнения промышленного производства, которые привели к образованию гигантских корпораций.
Дж. Гэлбрейт показал, что корпорации достигают наивысших производственных успехов благодаря использованию новейшей техники и приходу к руководству предприятиями технических специалистов-администраторов. Учитывая качественно изменившиеся условия хозяйствования, он решительно опровергает устаревшие исходные положения неоклассицизма.
Это положения о преимуществах единоличной собственности, о соединении в лице предпринимателя частного собственника, организатора производства и получателя всего дохода.
В 1967 г. Дж. Гэлбрейт отметил такие факты: Семьдесят лет назад деятельность корпораций ограничивалась такими отраслями, в которых производство должно вестись в крупном масштабе (железнодорожный и водный транспорт, производство стали, добыча и переработка нефти, некоторые отрасли горнодобывающей промышленности). Теперь корпорации охватывают также бакалейную торговлю, мукомольное дело, издание газет и увеселительные предприятия — словом, все виды деятельности, которые некогда были уделом индивидуального собственника или небольшой фирмы...
Семьдесят лет назад корпорация была инструментом ее владельцев и отражением их индивидуальности. Имена этих магнатов — Карнеги, Рокфеллер, Гарриман, Меллон, Гугенгейм, Форд — были известны всей стране... Те, кто возглавляет теперь крупные корпорации, безвестны...
Люди, которые управляют крупными корпорациями, не являются собственниками сколько-нибудь существенной доли данного предприятия. Их выбирают не акционеры, а, как правило, совет директоров, который в порядке взаимности избирают они сами25.
Следовательно, в первой половине XX в. господствовать стала не частная капиталистическая собственность, а ее общая долевая форма — корпоративный и финансовый капитал. На второй фазе буржуазного строя крупные размеры присвоения позволили широко применять новейшую технику в производстве и наладить массовый выпуск всех жизненно необходимых для общества благ. Эта фаза стала промежуточной для дальнейшего обобществления экономики.
В начальный период классического капитализма государство не вмешивалось в экономику. В этом не было никакой необходимости. Единоличные собственники хозяйства самостоятельно успешно справлялись почти со всеми хозяйственными делами. В XIX в. в Англии был популярен лозунг об идеальном устройстве жизни: Анархия плюс констебль (полицейский чин). В экономике признавалось нормальным безвластие (стихийная игра рыночных сил).
А государство было призвано лишь поддерживать общий порядок — быть, как тогда говорили, ночным сторожем. Французская и английская классическая политическая экономия теоретически обосновала принцип laissez faire (пусть все идет своим чередом — фр.) — принцип невмешательства государства в производственную деятельность предпринимателей.
А. Смит считал, что всякая система государственных мер, которая стремится или поощрять применение капитала к какой-то отрасли труда, или препятствовать этому, мешает естественному ходу развития производства. Отсюда следовал вывод: очевидно, остается и утверждается простая и незамысловатая система естественной свободы. Каждому человеку... предоставляется совершенно свободно преследовать по собственному разумению свои интересы...
Государь совершенно освобождается от обязанности... руководить трудом частных лиц и направлять его к занятиям, наиболее соответствующим интересам общества26.
Но в конце XIX в. и в особенности в XX столетии в западных странах государство изменило свое отношение к экономике. Своего рода пионером в этом деле выступила Германия. В 80-х годах XIX в. канцлер Германской империи князь Отто Бисмарк провел, в частности, огосударствление прусских железных дорог для спасения железнодорожных компаний от краха во время кризиса 1873 г., установил табачную монополию и налог на спиртные напитки, чтобы увеличить государственные доходы.
Этим были положены первые кирпичи в основание государственного сектора хозяйства.
В XX столетии в мирных условиях частные предприниматели и корпоративный капитал уже на справлялись с крупными нарушениями общего хода развития национальной экономики. И тогда в экономической теории был пересмотрен принцип невмешательства государства в хозяйственную деятельность. Известный английский экономист Джон Кейнс в своем главном труде Общая теория занятости, процента и денег обосновал необходимость широкого и активного вмешательства государства в экономику.
В этих целях предполагалось значительно увеличить государственную собственность за счет налогов с предприятий и населения. Собранные государством средства предполагалось направить на увеличение производства и потребления благ, на другие "общенациональные нужды. Возникла, считал Дж. Кейнс, жизненная необходимость создания централизованного контроля в вопросах, которые ныне в основном предоставлены частной инициативе. Государство должно будет осуществить свое руководящее влияние на склонность к потреблению частью путем соответствующей системы налогов, частью фиксацией нормы процента и частью, может быть, еще и другими способами27.
Что касается государственной собственности на средства производства, то Дж. Кейнс придерживался умеренных воззрений. Он считал, что нет очевидных оснований для системы государственного социализма, которая охватила бы большую часть экономической жизни общества. Не собственность на орудия производства существенна для государства. Если бы государство могло определять общий объем ресурсов, предназначенных для увеличения орудий производства и основных ставок вознаграждения владельцев этих ресурсов, этим было бы достигнуто все, что необходимо.
Кроме того, необходимые меры социализации можно вводить постепенно, не ломая установившихся традиций общества28. (Более полно теория Дж. Кейнса изложена в главе 18.)



Курс акции зависит от двух факторов


Акция — это ценная бумага, которая свидетельствует о внесении ее владельцем пая в капитал (фонды) акционерного предприятия и дает ему право на получение дивиденда — дохода, приходящегося на акцию. В виде дивиденда распределяется лишь часть прибыли корпорации. Большая ее часть обычно идет в накопление (для пополнения резервного капитала и на расширение производства). Она также расходуется на выплату высоких должностных окладов и особых премий (тантьем) руководящему персоналу корпорации, уплату налогов государству, на рекламу и иные цели.
Например, в 1983 г. прибыль американских корпораций (после выплаты налогов) составляла 225 млрд. долл. Из нее 76 млрд. долл. было выплачено в виде налогов и 73 млрд. долл. — в качестве дивидендов. При этом средняя норма прибыли (отношение прибыли к издержкам) за 70—80-е годы составила около 8%.
Сумма, обозначенная на акции, составляет ее номинальную стоимость. Она определяется так. Сумма реального капитала, вложенного в действующее акционерное предприятие, делится на число акций.
Но купля-продажа акции происходит не по такому номиналу, а Wо ценам, стихийно складывающимся на рынке ценных бумаг. Цена, по которой акция продается и покупается, называется курсом акции.
Курс акции зависит от двух факторов: от величины дивиденда и от уровня процента.
Естественно, что курс акции тем выше, чем больше дивиденд. Между тем перед человеком, который думает купить акцию, возникает альтернатива: а) отдать деньги в ссуду или положить в банк и получать более устойчивый депозитный процент; б) купить акцию, которая дает в виде дивиденда значительно большую сумму, чем депозитный процент. Например, рыночная цена акций Дженерал моторе в 80-е годы в 25 раз превысила их номинальную стоимость.
Эту альтернативу в значительной мере решает следующий курс. Акция продается за такую сумму, которая, будучи превращена в банковский депозит, принесет доход (в виде процента по депозиту), равный дивиденду. Поэтому цена акции исчисляется по формуле

Курс акции зависит от двух факторов

Предположим, акция номинальной стоимостью 300 долл. ежегодно приносит дивиденд в размере 25 долл., а ставка депозитного процента равна 5%. Тогда эта акция будет котироваться (получит цену на бирже) по курсу 500 долл. Эта сумма, положенная в банк из расчета 5% годовых, принесет доход, равный дивиденду (25 долл.).
Сумма денег, вырученная от продажи акции, превышает величину реального капитала, вложенного в производство. Распродажа акций при создании акционерного общества позволяет организаторам этого дела получить учредительскую прибыль. Учредительская прибыль — это разница между суммой цен акций, продаваемых основателями корпорации по рыночному курсу, и действительным капиталом, вложенным в производство.
Механизм образования учредительской прибыли можно представить на следующем условном примере. Допустим, реальный капитал предприятия составляет 100 тыс. иен. При образовании корпорации была выпущена одна тысяча акций по 100 иен. Дивиденд на акцию в данном году составил 8% при ставке банковского процента 4%.
Тогда' курс акции будет равен 200 иен. Общая выручка от продажи акций будет равна 200 тыс. иен. Учредительская прибыль достанется организаторам корпорации в сумме 100 тыс. иен.
Стало быть, в корпорации бизнес имеет двойственную направленность. С одной стороны, в ней действует реальный капитал: предприятия, которые создают новую стоимость, и в том числе прибыль. С другой стороны, акционерные общества привлекают огромные суммы чужих денежных средств и занимаются эмиссией ценных бумаг.
Последние образуют так называемый фиктивный (лат. fictio — выдумка, вымысел) капитал (рис. 12.4).

Курс акции зависит от двух факторов

Рис. t2.4. Формы фиктивного капитала
Ценные бумаги, входящие в фиктивный капитал, служат, по сути дела, лишь знаком, титулом (основанием права на имущество) собственности на денежный капитал. Титул собственности предоставляет его владельцу право присваивать часть прибыли в форме процента или дивиденда. К этому важно добавить, что величина фиктивного капитала значительно изменяется под воздействием рыночной конъюнктуры.
Цена акции постоянно колеблется вокруг своей нормальной величины в зависимости от изменения соотношения между спросом на те или иные акции и их предложением. Во время подъема производства, когда прибыли, а вместе с тем и дивиденды, растут, курс акций повышается. Когда же из-за спада экономики дивиденды сокращаются, курс резко снижается.
Таким барометрическим колебанием рынок ценных бумаг сигнализирует об общем здоровье экономики. При этом на цене акций всегда сказывается, естественно, инфляция.
Однако не все акционеры расположены ставить свой дивиденд в зависимость от рыночного риска, а также затрачивать время на обсуждение и решение вопросов деятельности акционерного общества. В связи с этим акции подразделяются на обыкновенные и привилегированные.
В соответствии с Федеральным законом Об акционерных обществах (принят Государственной Думой 24 ноября 1995 г.), акционеры — владельцы обыкновенных акции общества могут участвовать в общем собрании акционеров с правом голоса по всем вопросам компетенции акционерного общества, а также имеют право на получение дивидендов, а в случае ликвидации общества — право на получение части его имущества (пункт 2 статьи 31).
Что касается акционеров — владельцев привилегированных акций, то они не имеют права голоса на общем собрании акционеров, если иное не установлено данным Федеральным законом или уставом общества для определенного типа привилегированных акций. Общество должно определить размер дивиденда и (или) стоимость, выплачиваемую при его ликвидации (ликвидационная стоимость) по привилегированным акциям каждого типа. Если его уставом предусмотрены привилегированные акции двух и более типов, то должна быть также определена очередность выплаты дивидендов и ликвидационной стоимости по каждому типу акций. Владельцы привилегированных акций участвуют в общем собрании акционеров с правом голоса при решении вопросов о реорганизации и ликвидации общества.
Собственники привилегированных акций определенного типа приобретают право голоса при решении на общем собрании акционеров вопросов о внесении изменений и дополнений в устав общества, ограничивающих права владельцев этого типа акций, включая случаи определения или увеличения размера дивиденда и(или) определения или увеличения ликвидационной стоимости, выплачиваемых по привилегированным акциям предыдущей очереди, а также предоставления собственникам иного типа привилегированных акций преимуществ в очередности выплаты дивиденда и (или) ликвидационной стоимости акций (пункты 1—3 статьи 32).
Сами акционерные общества также различаются по их связи с рынком ценных бумаг на закрытые (не продают акции) и открытые (участвуют в купле-продаже акций).
Закон Об акционерных обществах устанавливает, что члены открытого общества могут отчуждать принадлежащие им акции без согласия других акционеров этого общества. Такое общество вправе проводить открытую подписку на выпускаемые им акции и осуществлять их свободную продажу с учетом требований данного Федерального закона и иных правовых актов Российской Федерации. Число акционеров открытого общества не ограничено (пункт 2 статьи 7).
Открытое общество обязано ежегодно опубликовывать определенные данные о своей деятельности в средствах массовой информации, доступных для всех акционеров данного общества. В частности, опубликованию подлежат годовой отчет общества, бухгалтерский баланс, счет прибылей и убытков и др. (пункт 1 статьи 92).
В закрытым обществе акции распределяются только среди его учредителей или иного, заранее определенного круга лиц. Такое общество не вправе проводить открытую подписку на выпускаемые им акции либо иным образом предлагать их для приобретения неограниченному кругу лиц. Число акционеров закрытого общества не должно превышать пятидесяти (пункт 3 статьи 7).
О численности российских акционерных обществ и товариществ с ограниченной ответственностью (с такой же ответственностью, какой обладают и члены акционерных обществ) можно судить на основании данных таблицы 12.3.
Таблица 12.3.
Число акционерных обществ и товариществ с ограниченной
ответственностью в России (на 1 января 1995 и 1996 гг.)

Виды акционерных обществ и товариществ
1995
1996
Акционерные общества и товарищества с ограниченной ответственностью
из них:
акционерные общества открытого типа
акционерные общества закрытого типа и товарищества с ограниченной ответственностью
737637
43130
503 543
881043
51148
663 343
Помимо акций купле-продаже подлежит и такая ценная бумага, как облигация. Облигация — долговое обязательство, по которому его владельцу выплачивается ежегодный доход в форме процента к нарицательной стоимости облигации. Доход по облигации может выплачиваться также в форме выигрышей, разыгрываемых в специальных тиражах, или путем оплаты купонов (частей ценной бумаги, которые отрезаются от нее и передаются вместо расписки при получении дохода).



Легальные монополии, образующиеся на законном основании.


1. По месту в торговых сделках монополии подразделяются на два вида:
А. Объединение предприятий, продающее определенные товары множеству покупателей, — монополия.
Б. Хозяйственное объединение, скупающее какие-то продукты у всех продавцов, — монопсония. Например, гигантские по своим размерам корпорации пищевой промышленности превращаются в монопсонии по отношению к фермерам, сбывающим им сельскохозяйственную продукцию.
2. С учетом степени охвата рынка выделяются следующие виды монополистических организаций:
А. В масштабе одной отрасли рыночной деятельности — чистая монополия. В этом случае действует один продавец, доступ на рынок для возможных конкурентов закрыт, продавец имеет полный контроль над количеством товара, предназначенного для продажи, и его ценой.
В отраслевом масштабе обычно развертывается деятельность чистой монопсонии. В отсутствие каких-либо конкурентов она полностью контролирует скупку продукции множества товаропроизводителей по установленной ею цене.
Б. В масштабе национального хозяйства может сформироваться абсолютная монополия. Она находится в руках государства или его каких-то хозяйственных органов (например, государственная монополия внешней торговли и т.п.).
Аналогично — в общенациональном масштабе — действует абсолютная монопсония.
3. В зависимости от характера и причин возникновения различают следующие виды монополистических объединений:
А. Естественная монополия. Ею обладают собственники и хозяйственные организации, имеющие в своем распоряжении редкие и свободно не воспроизводимые элементы производства (например, редкие металлы, особые земельные участки под виноградники). Сюда также относятся некоторые отрасли и виды производства, в которых из-за особой технологии недопустимо развивать конкуренцию.
Так, в Федеральном законе О естественных монополиях (принятом Государственной Думой 19 июля 1995 г.) естественной монополией признано состояние товарного рынка, при котором удовлетворение спроса на этом рынке эффективнее в отсутствие конкуренции в силу технологических особенностей производства. Такая эффективность выражается в существенном понижении издержек производства на единицу товара по мере увеличения объема производства. Причем товары, производимые субъектами естественной монополии, не могут быть заменены в потреблении другими товарами.
Данный Федеральный закон регулирует деятельность субъектов естественных монополий в следующих сферах:
транспортировка нефти и нефтепродуктов по магистральным трубопроводам;
транспортировка газа по трубопроводам;
услуги по передаче электрической и тепловой энергии;
железнодорожные перевозки;
услуги транспортных терминалов, портов, аэропортов;
услуги общедоступной электрической и почтовой связи.
Б. Легальные монополии, образующиеся на законном основании. К ним можно причислить формы монополизации, как бы защищенные от конкуренции:
а) патентная система. Такая система действует в нашей стране в соответствии с Патентным законом Российской Федерации (принятым 23 сентября 1992 г.). Закон устанавливает, что выданный физическим и юридическим лицам патент удостоверяет приоритет, авторство изобретения, полезной модели, промышленного образца и исключительное право на их использование. Данный закон регулирует имущественные и личные неимущественные отношения, возникающие в связи с созданием, правовой охраной и использованием изобретений, полезных моделей и промышленных образцов;
6) авторские права. Так, Закон Российской Федерации Об авторском праве и смежных правах (принятый 9 июля 1993 г.) установил, что автору (физическому лицу, творческим трудом которого создано произведение науки, литературы и искусства) принадлежит исключительное право на использование его произведения в любой форме и любым способом. Закон регулирует отношения, связанные с созданием и использованием произведений науки, литературы и искусства (авторское право), фонограмм, исполнений, постановок, передач организаций эфирного или кабельного вещаний (смежные права);
в) товарные знаки. Согласно Закону Российской Федерации О товарных знаках, знаках обслуживания и наименованиях мест происхождения товаров (принятому 23 сентября 1992 г.), владелец товарного знака имеет исключительное право пользоваться и распоряжаться товарным знаком, а также запрещать его использование другими лицами. Этот Закон регулирует отношения, возникающие в связи с регистрацией, правовой охраной и использованием товарных знаков, знаков обслуживания и наименований мест происхождения товаров.
3. Искусственные монополии. Под этим условным названием (которое отделяет данные организации от естественных монополий) имеются в виду объединения, создаваемые ради получения монополистических выгод.
Искусственная монополия преднамеренно меняет структуру рыночного пространства в своих интересах:
создает барьеры для вхождения на рынок новых соперников (захватывает источники сырья и энергоносителей, через зависимые банки не выдает кредиты для хозяйственных нужд новым предприятиям и т.п.);
создаст очень высокий (по сравнению с конкурентами) уровень технологии производства;
применяет более крупный капитал, позволяющий добиться большего эффекта от масштабов производства;
теснит конкуентов хорошо поставленной рекламой.
Искусственные монополии выступают в виде ряда конкретных форм: картеля, синдиката, треста и концерна.
Картель ~ союз нескольких предприятий одной отрасли промышленности, в котором его участники сохраняют свою собственность на средства и продукты производства, а созданные изделия сами реализуют на рынке, договариваясь о квоте — доли каждого в общем выпуске продукции, о продажных ценах, распределении рынков и др. Синдикат— объединение ряда предприятий, изготавливающих однородную продукцию; здесь собственность на материальные условия хозяйствования сохраняются за участниками объединения, а готовая продукция реализуется как их общее достояние через созданную для этого контору. Трест — монополия, в которой создается совместная собственность данной группы предпринимателей па средства производства и готовую продукцию. Концерн — союз формально независимых предприятий (обычно из разных отраслей промышленности, торговли, транспорта и банков), в рамках которого головная фирма организует финансовый (денежный) контроль за всеми участниками.
Концерн получил сейчас широкое распространение.
Монополизация рынка не случайна. Она расчищает рыночное пространство от конкурентов. Это дает те экономические выгоды, которые образуются в результате установления монопольных цен.
Не будет преувеличением сказать, что монополии производят полный переворот в рыночном ценообразовании. Можно отметить кардинальные отличительные особенности монополистического ценообразования.
1. Главная особенность такова. При свободной конкуренции спрос покупателей и предложение продавцов целиком зависят от рыночной цены, на которую никто из участников торговых сделок не может повлиять. Но фирмы-монополисты сами и по своему усмотрению устанавливают рыночную цену на производимую ими продукцию.
Как известно, равновесная цена на конкурентном рынке отражает взаимодействие спроса и предложения (соответственно кривой спроса и кривой предложения). В противовес этому монополистические объединения совершенно не принимают во внимание объективно необходимый объем производства благ. Поэтому при определении динамики цен на продукцию монополий на графике, показывающем процесс образования равновесной цены, вообще отсутствует кривая предложения.
Эти организации манипулируют (управляют) законом спроса: по своему произволу воздействуют на цену и объем спроса в своих интересах. Господствующие на рынке фирмы используют в качестве своего основного инструмента манипулирования монопольную цену.
Монопольная цена — особый вид рыночной цены, которая устанавливается на уровне выше или ниже общественной стоимости или равновесной цены в целях получения монопольного дохода.
Профессора С. Фишер, Р. Дорнбуш и Р. Шмалензи (США) в учебнике Экономика так раскрывают механизм монополистического ценообразования: Монополисты не принимают цену как данную. Их можно охарактеризовать как ценопроизводителей, ибо они принимают рыночную кривую спроса как данную и сами выбирают как цену, так и объем выпуска. Поскольку между ценой монополиста и уровнем выпуска не существует никаких взаимосвязей, то для монополиста не существует кривой предложения53.
2. Особенность монополистического ценообразования состоит также в том, что компании — продавцы изделий устанавливают монопольно высокие цены на свою продукцию, которая превышает общественную стоимость или возможную равновесную цену. Это достигается тем, что монополисты преднамеренно создают зону дефицита, сокращая объемы производства и искусственно создавая повышенный покупательский спрос. Такое поведение можно проследить на графике (рис.
7.2).

Легальные монополии, образующиеся на законном основании.

Рис. 7.2. Цена и выпуск продукции в условиях
конкуренции и монополии



Логика — научный инструмент


В любой науке используется определенная сумма методов исследования. Эти методы подразделяются на следующие: а) всеобщие (философские), вооружающие все области познания (например, метафизический и диалектический), б) общенаучные (исторический, логический, математический и др.) и в) специфические (для каждой отрасли науки.).
В экономической теории применяются два противоположных философских метода — метафизика и диалектика.
Метафизика рассматривает все явления разрозненно, в состоянии покоя и неизменяемости. Такой подход к изучению экономики допускается в тех случаях, когда приходится тщательно рассматривать какой-то элемент системы в отдельности или выяснять внутреннюю структуру хозяйственных отношений, не принимая в расчет какие-либо их изменения. Подобный прием мы будем применять при классификации экономических явлений (типов собственности, видов рынков, функций денег, причин безработицы и др.) и при поиске условий стабилизации национального хозяйства и экономического равновесия (денежного обращения, рыночного спроса и предложения и т.п.).
В экономической теории сложные явления нередко рассматриваются не только в условно неизменном состоянии, но и в движении. Так, основоположник американской школы политической экономии Дж.Б. Кларк в книге Распределение богатства впервые рассмотрел состояние техники, технологии, организации производства и распределения доходов общества в статике (неизменном виде) и в динамике (под воздействием прогрессивных перемен)17.
Подобным же образом мы поступили с главе 1 учебника, когда разбирали факторы производства (статика) и производственные возможности, стадии развития производства (динамика).
Экономическая теория полнее отражает действительность, если берет на вооружение диалектику — учение о наиболее общих закономерностях становления и развития всех явлений природы, общества и мышления. Выдающийся немецкий философ Георг Гегель — создатель систематической теории диалектики — центральное место в этой теории отводил противоречию. Последнее он рассматривал как единство взаимоисключающих и одновременно взаимно предполагающих противоположностей.
Противоречие Г. Гегель оценивал как мотор, как внутренний импульс всякого развития. Это, разумеется, в полной мере относится и к экономике.
При изучении хозяйственных процессов авторы, например, Экономикс констатируют наличие противоречий в современной рыночной системе, в управлении всей экономикой и в других областях хозяйственной деятельности. Так, К. Макконнелл и С. Брю пишут в споем учебнике: Не существует экономических систем без слабостей и недостатков18. В частности, они доказывают и необходимость, и одновременно несостоятельность государственного сектора экономики; приводят аргументы в пользу равенства в распределении доходов и против равенства, а также выставляют аргументы за рынок и против рынка.
Диалектический метод отражает не только противоречия, но также неотрывность и единство противоположностей. Это позволяет на практике объединять в целое, казалось бы, несоединимые стороны явления.
Поэтому в хозяйственной деятельности возникают различные формы, позволяющие находить компромисс (соглашение между различными сторонами, достигаемое путем уступок). Так, создаются арбитражные суды, разбирающие имущественные споры между предприятиями; согласительные комиссии из представителей администрации заводов и профессиональных союзов работников разбирают спорные вопросы, касающиеся условий и оплаты труда.
Важную роль в изучении экономики играют общенаучные методы, в их числе — исторический метод. Он позволяет рассматривать хозяйственные системы в присущей им последовательности -исторического развития. Такой подход помогает конкретно и наглядно представить все особенности каждой системы на разных этапах ее исторического развития.
Исторический метод в наибольшей мере применяла классическая политическая экономия, особенно марксистская теория. Неокласснкн первоначально по существу полностью отказались от исторического рассмотрения экономики. Причем фактически достигнутое в XIX в. состояние хозяйства освещалось как изначальное для человечества, что, конечно, не соответствует данным исторической науки.
Однако после кейнсианской революции во второй половине XX в. стало общепризнанным фактом, что экономические принципы и законы по-разному осуществляются в зависимости от фактора времени (в краткосрочном и долгосрочном периодах). Многие хозяйственные отношения стали рассматриваться с учетом развития форм регулирования национального хозяйства, перемен в состоянии рынка, в соотношении конкуренции и монополии, в антимонопольном законодательстве и т.д.
Однако исторический подход к анализу хозяйственной деятельности таит в себе существенные недостатки. Обилие описательного материала и частных исторических подробностей может затруднять серьезное теоретическое изучение экономики. Подобным путем не удается четко выявить типические черты экономических систем.
Преодолеть эти недостатки помогает логический метод.
Логический метод позволяет правильно применить общезначимые формы мысли (понятия, суждения, умозаключения) и средства мышления (определения, законы мыслительной деятельности, обосновывающие правила перехода от одних суждений или умозаключений к другим, и др.). Это помогает достичь истинности высказанных положений и выводов.
Так, изучение экономической теории предполагает овладение определенной системой понятии. Каждое из них обобщает и отражает существенные признаки каких-то хозяйственных явлений. Например, понятие труд в материальном производстве учитывает следующие его f признаки: а) целесообразную деятельность человека; 6) применение работником средств труда для изменения предмета обработки и в) приспособление вещества и энергии природы к удовлетворению общественных потребностей.
В экономической теории применяется много не известных студенту терминов — слов или сочетание слов, обозначающих соответствующие понятия. Естественно, при ознакомлении с каким-то термином надо выяснить точное содержание понятия. Но подчас это правило нарушается, когда выясняется нечто иное — смысл слов в термине. Так, для обозначения одного из свойств товара применен термин потребительная стоимость. Не уяснив, о каком понятии в данном случае идет речь, можно подумать, что так обозначена какая-то стоимость.
На самом деле этим термином названа не стоимость, а нечто другое — полезность всякого блага.
Нередко допускается и такая ошибка, как подмена одного понятия другим. Скажем, средства производства отождествляются с капиталом. Однако средства производства — понятие, обозначающее один из факторов производства. Капитал же относится к понятиям, характеризующим, как известно, исторически определенные социально-экономические отношения.
Поэтому, например, средства производства были у первобытных людей, но они не использовались как капитал для извлечения прибыли. Допускаются и иные аналогичные несоответствия: стоимость смешивают с ее денежным выражением — ценой, полезные природные свойства товара — с его стоимостью, накопление капитала (увеличение его размеров) — с простым сбережением денег и др.
Одно из нарушений правил логики допускается при классификации экономических явлений. Классификация предполагает создание системы соподчиненных понятий, которая составлена на основе учета общих признаков рассматриваемых объектов и закономерных связей между ними. Это требование не выполняется, когда для классификации, допустим, форм организации производства берется не одно, а несколько совершенно разных оснований. Тогда в число таких форм иногда попадает не только рыночная система, но и командная экономика (а это форма хозяйственного управления), которая к тому же часто отождествляется с социализмом (социально-экономическими отношениями). Аналогично в нашей стране было принято классифицировать уклады — виды общественного хозяйства, существовавшие в 20-х годах.
Их сводили воедино по трем разным основаниям; а) по формам собственности (частнокапиталистический, социалистический уклады); б) по степени развитости товарно-рыночных отношений (мелкотоварный, патриархальный) и в) по формам государственного обобществления производства (государственный капитализм).
Логика — научный инструмент, позволяющий глубже и правильнее понимать причинно-следственные связи, складывающиеся между процессами реальной хозяйственной жизни. Люди, задействованные в ней, не всегда замечают такого рода связи. Последние изменяются во времени и в пространстве с естественной последовательностью, которую можно назвать объективной логикой (внутренней закономерностью развития хозяйственных явлений). Если, скажем, по какой-то причине приостанавливается добыча нефти, то это с неизбежностью ведет к приостановке всей сложившейся цепи последовательных процессов.
Прекращают работать нефтеперерабатывающие заводы, предприятия нефтехимии, не производится моторное топливо, отключаются тепловые электростанции и т.д.
Чтобы освободиться от стихийных сил хозяйственного развития, или по крайней мере уменьшить их разрушительные последствия, экономическая наука стремится как можно полнее и глубже познать объективную логику экономического развития в масштабе каждого предприятия, страны и всего мира. Полученные теоретические и практические выводы используются для прогнозирования и улучшения управления хозяйством.



Малая часть контролируется государством.


Это регулирование проводится по четырем направлениям. Первое направление: ограничивается монополизация рынка. При этом под монополизацией подразумевается не укрупнение производства, а только серьезное ограничение торговли.
По сути дела, главным в 1-й статье Акта Шермана является следующее положение. Незаконным признается трест, или в другой форме сговор, направленный на ограничение торговли между несколькими штатами или иностранными государствами. Монополизацией рынка признано обладание рыночной долей, равной (или превышающей) 60%.
Иначе говоря, монопольное положение фирмы в определенной отрасли само по себе не преследуется. Предприятия монополизированных отраслей не могут автоматически числиться в нарушителях закона. Это противоречит демократической основе права — презумпции невиновности (признанию факта юридически достоверным, пока не будет доказано обратное).
Законом запрещены лишь формы монополистического поведения на рынке, наносящие вред другим участникам торговых сделок. К тому же хозяйственные объединения, монополизировавшие производство определенной продукции, имеют возможность сбывать свой изделия за пределами национального рынка — во внешней торговле.
Второе направление: запрещается слияние конкурирующих компаний. В Акте Клейтона, принятом в 1914 г., такое слияние расценивалось как усиливающее монополизацию и ослабляющее конкуренцию. На этом основании ряд монополистических объединений был распущен.
Правда, Актом Клейтона не приостановлен процесс централизации экономики. Ежегодно в США проходит до двух тысяч слияний фирм. И лишь их малая часть контролируется государством.
Третье направление: запрещается установление монопольных цен (в том числе лидерство фирм в повышении цен и другие виды сговора в отношении цен). За выполнением запрета следит Федеральная торговая комиссия, созданная в 1914 г. С 1914 по 1977 г. Комиссия издала более 1400 приказов, запрещающих монопольный сговор в отношении цен.
Четвертое направление: сохранение и поддержание конкуренции в ее цивилизованных формах.
Необходимость такого рода правовых мер связана с распространением недобросовестных методов соперничества. В арсенал этих методов вошли подделка продукции конкурентов, нарушение патентов, копирование товарных и фирменных знаков, обман потребителей.
Американское антимонопольное законодательство признало незаконными нечестные, или обманные, методы конкуренции. В их числе снижение цен (демпинг) для подрыва позиций конкурентов, применение фальшивой рекламы продовольственных товаров, лекарств и косметических средств, медицинских инструментов.
К началу 90-х годов XX в. антимонопольное законодательство было принято более чем в 40 странах с развитой и развивающейся экономикой. Национальные законодательства отражают специфические условия своих стран. Вместе с тем антимонопольное законодательство имеет единые основы. Оно, во-первых, ставит под государственный контроль слияние компаний.
Во-вторых, запрещает соглашения и сговоры фирм в отношении цен и условий торговли. В-третьих, оно пресекает недобросовестную конкуренцию.
В 90-х годах в России сделаны первые шаги по разработке и применению антимонопольного законодательства. В новом Уголовном кодексе к преступлениям отнесены монополистические действия и ограничения конкуренции. Речь идет о монополистических действиях, которые совершены путем установления монопольно высоких или монопольно низких цен.
Уголовно наказуемым признано также ограничение конкуренции путем раздела рынка, ограничения доступа на рынок, устранения с него других субъектов экономической деятельности, установления или поддержания единых цен (УК РФ, пункт 1 статьи 178).
К числу экономических преступлений относится принуждение к совершению сделки или к отказу от ее совершения (статья 179); незаконное использование чужого товарного знака (статья 180); использование в рекламе заведомо ложной информации относительно товаров, работ или услуг, а также их изготовителей (исполнителей, продавцов), совершенное из корыстной заинтересованности и причинившее значительный ущерб (статья 182).
В 1991 г. впервые был принят Закон РСФСР О конкуренции и ограничении монополистической деятельности на товарных рынках. Отдельные положения этого Закона в дальнейшем уточнялись и получали более конкретную форму в других нормативных актах.
Итак, антимонопольное законодательство поставило определенные преграды монополизации рыночной экономики. Одновременно государство выступило гарантом сохранения конкуренции в ее цивилизованных формах. Естественно, все это сказалось на развитии новых видов конкуренции, в которых участвуют монополии.
Процессы монополизации рынка и подрыва свободной (совершенной) конкуренции долгое время не получали адекватного (вполне соответствующего) отражения в экономической теории. Здесь с 70-х годов XIX в. господствующие позиции заняло неоклассическое направление. Его сторонники вплоть до 30-х годов нынешнего столетия отстаивали устаревшую догму (бездоказательное положение, принимаемое за истину) о несовершенной конкуренции, которую ведут между собой мелкие независимые товаропроизводители.
И вот в начале 30-х годов в экономической теории произошла своеобразная, по оценке некоторых ученых, революция, которая покончила с догмой о совершенной конкуренции. С решительной критикой неконсервативной концепции конкуренции выступила профессор Кембриджского университета (Великобритания) Джоан Робинсон54. В работе Экономическая теория несовершенной конкуренции (1933) она заявила: Исследование различных закономерностей экономической теории принято начинать рассмотрением условий совершенной конкуренции, трактуя затем монополию как соответствующий особый случай... правильнее начинать исследование рассмотрением монополии, трактуя условия совершенной конкуренции как особый случай55.
Существенный вклад в понимание несовершенной конкуренции внес американский экономист Эдуард Чемберлин56. В книге Теория монополистической конкуренции (1933) он разъяснил, что реальные цены на рынке не тяготеют ни к чистой конкуренции, ни к чистой монополии, а стремятся к промежуточному положению, определяемому в каждом отдельном случае в соответствии с относительной силой обоих факторов. Сочетание конкуренции и монополии достигается в так называемой монополистической конкуренции.
Монополистическая конкуренция базируется на так называемой дифференциации продукта. Эта дифференциация означает, что какие-то виды продуктов и услуг разделяются на их подвиды, производством и реализацией которых занимаются разные компании.
В монополистической конкуренции органически представлены две разные стороны. Одна из них состоит в том, что фирма создает легальную монополию, которая с помощью патентов, торговых и фирменных знаков защищается от конкурентов. Этому же способствует дифференциация товаров — придание им таких индивидуальных свойств (по качеству, форме, окраске, упаковке, условиям продажи), которые делают рынок сбыта монополистическим.
Другая сторона заключается в том, что на рынке, где продаются однородные товары (например, аптеки, рестораны) имеется много разных конкурентов, которые в целях привлечения покупателей вынуждены прибегать к дифференциации товаров и услуг.
Э.Чемберлин так описывает приемы, применяемые в монополистической конкуренции. Дифференциация может базироваться на определенных особенностях самого продукта, вроде таких, как особые запатентованные свойства — фабричные марки, фирменные названия, своеобразие упаковки или тары (если таковые имеются), или же таких, как индивидуальные особенности, относящиеся к качеству, форме, цвету или стилю. Дифференциация может существовать в отношении условий, сопутствующих продаже товара.
В розничной торговле... эти условия включают в себя такие факторы, как удобство местонахождения продавца, общая атмосфера или общий стиль, свойственные его заведению, его манера ведения дел, его репутация как честного дельца, любезность, деловая сноровка и все личные узы, которые связывают его клиентов либо с ним самим, либо с теми, кто у него работает57.
Таковы характерные черты одной формы синтеза монополии и конкуренции. В западных странах существует и другая подобная форма — олигополия.
Олигополия (греч. oligos — немногий; poleo — продаю) — господство небольшого числа крупнейших фирм в производстве и на рынке. В США олигополию обычно образуют четыре ведущих фирмы отрасли, продающих на рынке до 60% всей продукции. При этом монополизация производства может достигать еще больших масштабов.
Примером может служить автомобильная промышленность США, где три гиганта — Дженерал моторе, Форд и Крайслер — производят свыше 90% всей продукции.
Олигополии возникли неслучайно. На Западе государство активно вмешивается в хозяйственную деятельность монополий. Так, оно устанавливает контроль за ценами, чтобы сдерживать инфляцию и регулировать уровень цен в высококонцентрированных отраслях, где сильнее всего развита монополизация. Специальные государственные органы наблюдают за ценами, объемами производства, входом и выходом фирм из отраслей.
Они содействуют выполнению антимонопольного законодательства.



Международное разделение труда


В связи с этим для всех стран, независимо от их социально-политического устройства, определяющую роль начинают играть общие тенденции технологического и организационно-экономического прогресса. Возникли единые критерии технико-экономической эффективности, предполагающие, что хозяйственная деятельность в каждом регионе должна отвечать общим для всемирного хозяйства требованиям и стандартам, закрепленным в постановлениях и установках международных экономических и других организаций. Новая организационно-техническая общность производства сделала возможными такие прочные организационно-экономические формы, как вертикальная кооперация предприятий разных стран.
Эта кооперация связывает производителей, занятых на разных стадиях изготовления готового продукта.
Итак, современная интернационализация производства во многом изменяет содержание и формы других международных экономических отношений.
2. Современные международные торговые
и валютные отношения
Международное разделение труда, как мы убедились, делает необходимым регулярный обмен товарами между странами, который осуществляется через специфическую форму экономических отношений — всемирную торговлю. При этом в качестве покупателей и продавцов могут выступать отдельные лица, частные, акционерные и кооперативные предприятия, государственные учреждения.
Меру участия национального хозяйства в международном разделении труда характеризует индекс товарности ТИ, который показывает долю экспортируемых ЕХ и импортируемых IM товаров и услуг в годовом валовом внутреннем продукте:

Международное разделение труда

Для успешного участия во всемирном рынке каждой стране нужно иметь свою внешнеторговую инфраструктуру, через которую товары продвигаются от одного национального хозяйства к другому. Она включает прежде всего материально-техническую базу внешней торговли: склады, оснащенные специальным оборудованием, которое обеспечивает сохранность товаров и манипулирование ими (погрузка, разгрузка, сортировка, маркировка и т.д.). Перемещением товаров из одной страны в другую занимаются, как правило, специализированные транспортные организации. Большая часть внешнеторгового товарооборота осуществляется морем, значительная доля грузов пересекает государственные границы по железным дорогам, при помощи автомобильного и воздушного транспорта.
При этом продукты экспортируются с использованием средств, принадлежащих любому другому национальному хозяйству.
Денежные расчеты по внешнеторговым операциям и их кредитование осуществляются банковскими учреждениями, в том числе и специализированными. Важной финансовой операцией является страхование грузов. Ею занимаются особые учреждения страхового бизнеса.
Если страна не обладает внешнеторговой инфраструктурой, — а это относится к большинству развивающихся государств, — она испытывает дополнительные трудности. Ей приходится нести большие расходы, чтобы обеспечить доступ к внешнеторговой инфраструктуре других стран — по оплате услуг иностранных транспортных, страховых, банковских учреждений, торговых домов (компаний), обслуживающих их товарооборот.
Объем внешней торговли каждого государства определяется в натуральных и стоимостных показателях. При натуральном измерении подсчитывается количество экспортируемых и импортируемых продуктов (тонны зерна, мяса, метры ткани и т.п.). Соответственно динамика внешнеторгового товарооборота выражается в индексах физического объема импорта и экспорта. Эти индексы показывают тенденции в изменении объемов реальных масс изделий. В отличие от них стоимостные показатели отражают не только изменения в количествах благ, экспортируемых и импортируемых какой-либо страной, но и колебания цен.
Поэтому стоимость ввоза может, допустим, уменьшиться даже при увеличении количества экспортируемых продуктов, если цены на них упадут. И наоборот, возрастание стоимостных показателей внешнеторгового оборота может отражать не увеличение физического объема торговли, а рост товарных цен.
Своеобразной визитной карточкой, по которой можно судить о степени вхождения каждой страны во всемирное хозяйство, являются показатели ее участия в мировом экспорте и импорте товаров. Частичное представление об этом дает приводимая здесь табл. 20.1, содержащая типичные для последних десятилетий данные.
Таблица 20.1.
Распределение мирового экспорта по странам и группам стран,
% в 1980 и 1988 гг.

Страна
1980
1988
Советский Союз
Развитые капиталистические страны
Страны ЕЭС
США
Япония
Развивающиеся страны
3,8
62,3
33,2
10,8
6,5
27,7
3,9
69,9
37,2
10,9
9,3
20,5
За 80-е годы на всемирном рынке укрепили свои позиции главным образом страны Европейского экономического сообщества (ЕЭС) и Япония. Эти государства существенно увеличили продажу современных машин, оборудования, транспортных средств, продукции химической промышленности и т.п. Ухудшилось же положение развивающихся государств, которые стали меньше экспортировать сырье и топливо.
Мы, естественно, замечаем неразвитость внешних экономических связей нашей страны. Характерно, что в 1988 г. внешнеторговый оборот на душу населения составил в США 3200 долл., Японии — 3700 долл., ЕЭС — 6600 долл., а в Советском Союзе — всего 800 долл. Этот факт объясняется тем, что за длительный период холодной войны торговые связи нашей страны со странами Запада были заморожены.
К тому же у нас выпускается мало конкурентоспособной продукции. Предстоит многое сделать, чтобы Россия органически вошла во всемирное хозяйство.
Всемирный рынок — это арена острой конкурентной борьбы между экспортерами идентичных или взаимозаменяемых товаров, а также столкновения интересов экспортеров и импортеров. Острота противоречий временами достигает такой степени, что некоторые торговые конфликты уподобляются войнам: на всемирном рынке вспыхивает то текстильная, то автомобильная, то компьютерная война.
Под влиянием конкуренции положение различных стран на всемирном рынке существенно меняется. Сдвиги происходят как в материальной структуре мирового товарооборота, так и в географии внешнеторговых потоков.
Основное направление долговременных структурных сдвигов в международном товарообороте — существенное сокращение удельного веса сырьевых продуктов и соответствующее увеличение доли готовых изделий обрабатывающей промышленности (особенно высокотехнологичных). Возрастающее значение приобретают экспорт и импорт различного рода услуг, продукции индустрии развлечении, духовной культуры, информации.
Страны Запада выступают как основные экспортеры наукоемких товаров, в то время как развивающиеся государства — преимущественно как их импортеры. При этом из года в год увеличивается удельный вес торговли индустриальных стран друг с другом. На нее сейчас приходится более 70% всемирной торговли.
Доля развивающихся государств в мировом товарообороте не достигает 20%, На 4/5 он состоит из торгового обмена со странами Запада.
Структура внешнеторгового оборота Российской Федерации за последние годы существенно ухудшилась. В первую очередь это связано с тем, что кризисный спад подорвл экспортный потенциал нашей страны и отбросил ее на гораздо более низкую ступень экономического развития. В течение 90-х годов значительно опустилось место экономики России в системе международных координат.
По величине создаваемого ВВП наша страна замыкает десятку крупнейших стран мира, а по размеру ВВП на душу населения мы опережаем Индию и Китай, но отстаем от таких латиноамериканских стран, как Мексика и Бразилия. По объему промышленного производства Россия находится на 5-м месте в мире (после США, Японии, Китая, Германии), однако в расчете на каждого жителя она входит во вторую десятку.
По производству отдельных видов промышленной и сельскохозяйственной продукции Россия занимала в 1994 г. следующие места в мире:
1-е место — естественный газ, картофель;
2-е место — бурый уголь, трактора;
3-е место — нефть, вывозка деловой древесины, пиломатериалы,
молоко, животное масло;
4-е место — электроэнергия, чугун, сталь, железная руда, серная кислота в моногидрате, хлопчатобумажные ткани, зерновые и зернобобовые культуры, мясо (в убойном весе), сахарная свекла;
5-е место — каменный уголь, минеральные удобрения;
6-е место — цемент;
7-е место — шерстяные ткани;
8-е место — чулочно-носочные изделия, обувь, улов рыбы и добыча других морепродуктов;
11 место — синтетические смолы и пластические массы;
12 место — легковые автомобили;
16 место — химические волокна и нити, бумага, сахарный песок (из отечественного сырья).
Характерно, что, как и в 70—80-е годы, Россия особо выделяется в мировом экономическом пространстве высоким уровнем развития исходных видов средств производства, идущих на изготовление конечной продукции, некоторых продуктов питания и простейших видов одежды. Все это, безусловно, сказывается на структуре внешней торговли (табл. 20.2).



Мезокомплексы стремятся избегать рискованной рыночной конъюнктуры.


Как видим, с помощью регулирующих сил рынка и государства можно уравновесить совокупный спрос и совокупное предложение. Таким способом преодолевается однобокость концепции эффективного спроса кейнсианства и концепции эффективного предложения неоконсерваторов.
Итак, во всех странах с высокоразвитой экономикой имеются общие основы третьего типа макрорегулятора. Такая общность проявляется прежде всего в том, что во всех странах Запада нет двух крайних типов хозяйственных механизмов. Нет ни стихийного саморегулирующегося рынка, нет ни полностью централизованного планово-государственного управления.
А что же имеется?
Ясно, пожалуй, одно. В макроуправлении одновременно сочетаются два типа регулирующих сил — рынок и государство. Между тем эти силы по-разному действуют в разных секторах национального хозяйства.
Как мы уже знаем, экономическая конструкция этого хозяйства включает три сосуществующих и взаимодействующих сектора: 1) микроэкономику; 2) мезоэкономику и 3) государственный сектор.
Нам предстоит выяснить: в какой мере в каждом из этих секторов действует стихийно-рыночное и государственное управление?
I. Рыночное регулирование по-разному — по степени охвата экономического пространства и по интенсивности воздействия — проявляется в разных секторах народного хозяйства.
А. В микроэкономике рыночное саморегулирование (свободная конкуренция и свободное ценообразование) развито больше всего. Оно касается преимущественно товаров индивидуального присвоения и потребления, создаваемых единоличными собственниками (например, фермерами) и мелким бизнесом.
Б. В мезоэкономике все более уходят в прошлое обычные рыночные сделки по купле-продаже товаров, совершаемые для текущего потребления. Крупные мезокомплексы стремятся избегать рискованной рыночной конъюнктуры. Они заключают между собой и другими контрагентами долгосрочные контракты.
Такие контракты — формы договоров, с помощью которых, по существу, на длительный период планируются спрос и предложение (будущие рынки) определенной продукции. Контракты подкрепляются долговыми обязательствами — векселями, выдаваемыми под залог имущества (обычно ипотечный залог — залог в виде объектов недвижимости). Поэтому в долгосрочных контрактах объектом сделки являются не столько физические блага (их конкретное количество и качество трудно полностью предусмотреть).
Объектом становятся права собственности на данные блага. Причем такие права могут быть перепроданы третьим лицам вместе с векселями.
В результате в западной мезоэкономике главным институтом регулирования товарно-денежных отношений является долгосрочный контракт. С этой точки зрения данный сектор национального хозяйства в XX в. перерос из традиционного рыночного в контрактный.
В. В государственном секторе устанавливаются в основном нерыночные отношения, регулируемые самим государством. Именно такими являются экономические связи, основанные на получении налоговых поступлений и многими формами их расходования. .Например, на рисунке 17.8 видно, что нерыночный характер имеют такие связи между домашними хозяйствами и государством, как трансфертные платежи, безвозмездные средства, идущие на образование и функционирование социальных фондов, на производство общественных товаров. Аналогичные связи соединяют предприятия и государственный сектор (они выражаются, в частности, в предоставлении фирмам дотаций, субсидий и т.п.).
Таким образом, во второй половине XX в. национальная экономика в западных странах не является полностью рыночной. А поэтому здесь значительно уменьшилась аренда рыночного регулирования хозяйства. Теперь рассмотрим, что происходит во внерыночном пространстве.
II. Государственное воздействие на экономику также различается — по интенсивности и масштабам охвата хозяйственного пространства — в известных нам секторах.
А. В микроэкономике — этом относительно самостоятельном царстве частной (единоличной) собственности — государство не имеет оснований и не в состоянии как-то непосредственно влиять на деятельность сотен тысяч и миллионов мелких и мельчайших хозяйств. Однако в этом царстве государство осуществляет общее правовое регулирование, а также зачастую оказывает определенную материальную и финансовую поддержку мелкому предпринимательству.
Б. В мезоэкономике государство предпринимает меры особого регулирования, которые не лишены противоречий.
С одной стороны, мезосистемы наделены правами юридического лица, имеющего одинаковые с мелким бизнесом и физическими лицами имущественные полномочия. В соответствии с этим они осуществляют в широких пределах коммерческую самостоятельность, а государство не препятствует осуществлению таких полномочий.
С другой стороны, субъекты мезоэкономики обладают огромной экономической властью. Преследуя свои узкогрупповые интересы, крупные корпорации и финансово-промышленные группы могут стремиться монополизировать производство и сбыт своей продукции и нанести ущерб всей национальной экономике. Поэтому не случайно государство применяет специальное, дополнительное правовое регулирование деятельности мезосубъектов (банков, акционерных обществ, промышленно-финансовых групп и т.д.).
Кроме того, государство устанавливает прямые экономические связи с крупными хозяйственными объединениями, привлекая их к реализации своих хозяйственных программ и планов. Тем самым государственные органы посредством заказов и контрактов направляют деятельность многих промышленно-финансовых объединений в нужном ему направлении на решение общенациональных задач.
В свою очередь, к выполнению государственных заказов и собственных хозяйственных программ корпоративный и финансовый капитал привлекает огромную массу мелких фирм (в США некоторые гигантские корпорации привлекают сотни тысяч мелких поставщиков комплектующих деталей и фирм-дилеров, сбывающих готовую продукцию). Поскольку крупные мезокомплексы действуют на плановой основе, то в целом хозяйственная связь государственный заказ — мезокомплекс — мелкий бизнес, по существу, приобретает планомерный характер. В этой связи мезоэкономика служит важным звеном, соединяющим хозяйственную деятельность государства с привлеченными на контрактной основе субъектами микроэкономики.
В. В особом макроэкономическом секторе государство непосредственно управляет входящими в него предприятиями, учреждениями, организациями. При этом применяются прямые — административные и косвенные — экономические методы регулирования.
Из изложенного здесь многосекторного анализа регулирующей роли рынка и государства вытекают следующие очевидные выводы. Во-первых, нет и не должно быть лишь одного универсального регулятора национальной экономики — будь то рынок или государство. Во-вторых, в разных секторах народного хозяйства объективно необходимо приоритетное действие рыночного или государственного регулятора, а также их особое сочетание.
В-третьих, в странах мира, которые различаются по степени развития рыночных отношений и другим параметрам макроэкономики, возможно большое многообразие вариантов смешанного типа регулирования.
Во всех странах с высокоразвитой экономикой имеются общие основы третьего типа макроэкономического регулятора. Вместе с тем это означает, что существуют две границы распространения смешанной системы управления. Они определяются крайними хозяйственными механизмами:
1) стихийным саморегулирующимся рынком и 2) полностью централизованным планово-государственным управлением. Но во второй половине 80-х годов таких предельных случаев уже не было. Профессора С. Фишер, Р. Дорнбуш и Р. Шмалензи в своем учебнике констатируют:
И командная экономика, и экономика свободного рынка... представляют собой нереалистичные, крайние случаи... Экономические системы всех стран являются смешанными...108.
Между тем в разных странах имеются свои варианты макрорегулирования хозяйственного организма. Они различаются:
— по сферам действия рынка и государства;
— по функциям регуляторов;
— по формам и методам государственного управления хозяйством. Практически невозможно рассмотреть огромное количество вариантов смешанного типа макрорегулятора. Мы ограничимся анализом двух вариантов:
— с минимальным участием государства в регулировании национального хозяйства и
— с максимально допустимым участием государства в хозяйственном механизме (при сохранении рынка).
А. Минимальное участие государства в регулировании экономики. В этом варианте преобладает сфера рынка, а не государственный сектор. , Такое положение наблюдается, например, в США. Здесь в 80-е годы примерно 4/5 валового национального продукта обеспечивалось рыночной системой, а остальная его часть производилась под контролем государства.
В данном варианте смешанной экономики государство выполняет минимально необходимые функции (рис. 18.2).

Мезокомплексы стремятся избегать рискованной рыночной конъюнктуры.

Рис. 18.2. Mинимальнo допустимые функции государства в
регулировании экономики
Функцией государства является прежде всего обеспечение экономики нужным количеством денег, которое должно предотвращать инфляцию. Чтобы избежать инфляционного обесценения денег, М. Фридмен предложил следовать денежному правилу. Согласно этому правилу, при среднегодовом увеличении реального валового национального продукта примрно на 3% и незначительном снижении скорости денежного обращения к стабилизации цен ведет среднегодовой прирост денежной массы на 4—5% 109.
Позже М. Фридмен пришел к выводу о необходимости контролировать рост так называемых сильных денег — обязательств американского правительства, которые не приносят процентов, но являются главной составляющей банковских резервов и основой пирамиды средств обращения и платежа.



Мультипликационный эффект объясняется своеобразной цепной реакцией.


Дж. Кейнс придал экономической теории новое качество. Это особенно заметно на фоне классической политической экономии, которая сосредоточила внимание на чисто теоретическом анализе стихийной регулирующей роли системы цен, не принимая в расчет количественной стороны этого процесса. Кейнсианство открыло первую страницу в эконометрическом анализе национального хозяйства.
В его арсенал вошли важнейшие математические инструменты и приемы.
Впервые стали применяться агрегированные экономические величины, суммарно охватывающие все национальное хозяйство.
Были выделены независимые переменные величины, которые не поддаются непосредственному воздействию государства (склонность населения к потреблению и накоплению, ставка процента и др.).
Обнаружены зависимые переменные, на которые влияют независимые переменные величины (масштабы занятости работников, объем национального дохода и т.п.).
Установлены количественные связи указанных двух групп изменчивых величин в математических моделях.
Дж. Кейнс не признавал неизбежности массовой безработицы и полагал, что возможно и необходимо регулируемое государством национальное хозяйство. В связи с этим он исследовал закономерные количественные связи макроэкономических величин — совокупных капиталовложений и национального дохода; инвестиций и занятости населения; национального дохода, потребления и сбережений; совокупного количества денег в обращении, уровня цен, заработной платы, прибыли и процента. Дж. Кейнс стремился найти такие переменные величины, которые поддаются осознанному контролю или управлению со стороны центральных властей в рамках существующей хозяйственной системы.
Он широко использовал категории ожиданий (ожидаемая прибыль, перспективные издержки производства, ожидаемые изменения цен, стоимости денег, процента и т.д.), которые носят вероятностный характер и необходимы для экономического прогнозирования.
Кейнсианская теория выделила в качестве центральных три модели (функциональные зависимости).
Одна из них отражает зависимость ставки процента г от дохода У:
г = F(У).
Чем выше доход населения, тем больше спрос на деньги у банков и тем выше ставка процента.

Мультипликационный эффект объясняется своеобразной цепной реакцией.

Рис. 17.6. Кривая ставки процента
На рисунке 17.6 показана прямая зависимость ставки процента от дохода. Рост доходов населения с У1 до У2 увеличивает банковский спрос на деньги, а стало быть, повышает ставку процента с г1 до r2.
Другая модель характеризует зависимость объема инвестиций от ставки процента: i = F(r). Чем больше норма процента (чем дороже кредит), тем меньше объем инвестиций. Эта обратная зависимость представлена на рисунке 17.7.
На рисунке 17.7 мы видим, что увеличение нормы процента с г1 до г2 уменьшает соответственно объем инвестиций с i(г2) до i(r1).

Мультипликационный эффект объясняется своеобразной цепной реакцией.

Рис. 17.7. Кривая инвестиций
Наконец, имеется модель, которая отражает зависимость величины дохода от объема инвестиций: У = F(i). Дж. Кейнс придавал большое значение инвестициям, как такой независимой переменной величине, которая влияет на зависимые от нее переменные величины: занятость, доход нации, потребительский спрос населения.
В связи с этим он разработал теорию мультипликатора, которая определяет эффективность государственных расходов с точки зрения воздействия их на объем общественного производства, занятость, доход и рынок, а тем самым — на эффективный спрос.
Объем национального дохода и совокупного спроса находится в определенной количественной зависимости от общей суммы инвестиций (всех производственных и непроизводственных расходов). Эту количественную связь выражает особый коэффициент — мультипликатор (лат. multiplicator — умножающий). Этот коэффициент представлен в следующей формуле: У= k i, где У— прирост дохода, i — прирост инвестиций и k — мультипликатор. Дж.
Кейнс так охарактеризовал мультипликатор инвестиций: Когда происходит прирост общей суммы инвестиций, то доход увеличивается на сумму, которая в k раз превосходит прирост инвестиций105. Он утверждал, что расширение инвестиций ведет к увеличению занятости, а потому и дохода общества и тем самым — к повышению потребительского спроса.
Этот мультипликационный эффект объясняется своеобразной цепной реакцией. Первичные капитальные вложения в одну отрасль вызывают потребность в росте производства (соответственно доходов) во многих смежных отраслях (поставляющих строительные материалы, сырье, энергию, машины и т.д.).
Подытоживая сказанное, важно отметить практические итоги кейн-сианской революции. Принципы кейнсианской модели государственного регулирования легли в основу социально-экономической политики правительств США, Англии и других западных стран, которая проводилась с 50-х гг. и до середины 70-х гг. и получила название планируемого и регулируемого капитализма. Она дала обнадеживающие результаты: это был наибольший период бескризисного развития мировой капиталистической экономики за весь послевоенный период.
Совершенно новыми были и ее социальные результаты.
Как мы выяснили, в модели либеральной рыночной доходов экономики на первом месте стоит задача: каждая в фирма стремится добиться максимальной экономической эффективности — максимума прибыли. Но выполнение ее идет в ущерб социальной справедливости.
Совершенно иначе ставились макроэкономические задачи в странах Запада после второй мировой войны, когда было внедрено государственное регулирование экономики в соответствии с кейнсианскими принципами. Здесь существенно изменился характер государства: оно стало правовым и демократическим. Правительства впервые объявили своей важнейшей целью борьбу против бедности и достижение всеобщего благосостояния.
В итоге в западных странах, вступивших в историческую полосу постиндустриального и посткапиталистического общества, сложился новый вариант рыночной экономики — социально ориентированной.
Каковы же основные черты модели социально ориентированной рыночной экономики? Как распределяется в ней совокупный доход общества?
Во-первых, в отличие от модели либеральной рыночной экономики, которая признает господство частной (единоличной) формы собственности, в социально ориентированной экономике нормальным считается плюрализм форм собственности. Этим выражается больший демократизм отношений собственности. Считается необходимым государственный сектор экономики, что отвергается сторонниками чистого рынка.
Во-вторых, в социально ориентированной экономике все граждане по закону наделены основными социальными правами и свободами. Они могут отстаивать по суду эти права.
В правовом и демократическом обществе само государство содержится за счет средств налогоплательщиков. Поэтому все граждане через демократические институты имеют возможность влиять на политику правительства, добиваясь лучшего соблюдения их законных социально-экономических интересов.
В-третьих, в социально ориентированной экономике государство создает условия для достаточного удовлетворения комплекса наиболее значимых потребностей всего населения. Для этого государство берет на себя содержание широко развитой социальной инфраструктуры, которая включает среднее и высшее бразование, здравоохранение, культуру и иные отрасли нематериального производства и услуг. К этому добавляются большие расходы на социальные программы.
На примере США можно видеть, как государство смогло улучшить положение самой бедной части населения. Государственные органы в 1964 г. определили уровень дохода на черте бедности следующим образом. Была подсчитана минимальная стоимость питания, необходимого для поддержания физического существования семьи из четырех человек. Эта сумма затем умножалась на три исходя из того, что стоимость питания составляет 1/3 необходимых расходов бедной семьи; остальные 2/3 — это затраты на жилье, медицинское обслуживание, одежду, транспорт и т.д.
Учитывая высокую стоимость жизни в США, в 1986 г. черта бедности составляла 11 200 долл. для семьи из четырех человек. Вместе с тем прожиточный минимум для такой семьи составляет сумму, превышающую официальную черту бедности на 20—40%.
Во время войны с бедностью в США были увеличены все расходы на социальные программы, в том числе введены программы выдачи пособий в натуральной форме: талонов на бесплатное получение продовольствия, субсидий на жилье и бесплатную медицинскую помощь. Если в 1960 г. таких пособий в натуральной форме практически не было, то уже в 1984 г. на них было израсходовано 66 млрд. долл., или 1,7% ВНП. В целом выплаты по системе социального обеспечения в США уменьшает бедность по сравнению с ее нормативной величиной примерно вдвое.
Что касается западноевропейских стран, то во многих из них государственные социальные программы имеют больший размах, чем в Соединенных Штатах Америки.
Западные страны достигли наивысшего в мире уровня по количеству и качеству социальных затрат и соответствующих результатов.
В Организации Объединенных Наций рассчитывается обобщающий показатель — индекс человеческого развития. Этот показатель — средняя из трех величин: валового внутреннего продукта на душу населения, ожидаемой продолжительности жизни и уровня образования (культуры) людей 25 лет и старше. Этот показатель рассчитывается по каждой стране в отношении к уровню соответствующих трех показателей, достигнутых как наивысших в мире.



На оплату труда существенно влияют рыночные факторы.


Таблица 10.1.
Затраты рабочего времени на получение заработной платы, необходимой дли приобретения отдельных товаров, в автомобилестроении
(в часах)

Вид товара
СССР
США
Италия
Малайзия
Хлеб, 1 кг .
0,22
0,1
0,32 .
0,78
Мясо говядины, 1 кг
1,5
0,22
2
2,78
Мужской шерстяной костюм
137
11
42 .
129
Туфли мужские
27
2,5
8,5
23
Телевизор цветной
534
31
134
51
Приведенные в таблице 10.1 данные позволяют понять самую глубокую основу различий между странами по величине вознаграждения за труд.
Между тем прямо сравнивать между собой размеры заработков в разных странах очень затруднительно по многим обстоятельствам. Прежде всего важно учитывать, что при одинаковой величине оплаты труда в каких-то странах их жители отдают существенные доли заработанных денег государству в виде налогов и собственникам жилья — в форме квартирной платы. В итоге у них остается так называемая чистая заработная плата, которая идет на личные, семейные нужды.
Как образуется чистая зарплата, видно из результатов специального статистического анализа (табл. 10.2).
Таблица 10.2.
Средняя месячная заработная плата рабочих и промышленности ряда зарубежных стран, 1989 г. (в долл. США)

Страна
Денежная
зарплата
Налоги
Квартплата и коммунальные
услуги
Чистая зарплата
США
1900
380
270
1250
Япония
2550
435
315
1800
ФРГ
1800
545
225
1030
Англия
1500
300
200
1000
Финляндия
1800
555
190
1055
По уровню заработной платы США долгое время лидировали в западном мире. Теперь новая технологическая революция приводит ко все большему выравниванию технико-экономических условий в развитых странах. Во многих государствах повышается стоимость рабочей силы, а также обостряется конкуренция между различными странами по степени использования квалифицированной рабочей силы.
Примечательно, что в 50—80-е годы на Западе произошло существенное повышение реальной заработной платы. Особенно значительно — в два-три раза — она увеличилась в Великобритании, Франции, ФРГ, Италии, в четыре раза — в Японии. В итоге сократился разрыв в национальных уровнях заработной платы и эти страны приблизились к уровню США.
Заработная плата в нашей стране многократно отстает от оплаты труда в развитых странах. Если почасовая выработка в нашей стране составляет 20% от уровня США, то часовые заработки в России в 1992 г. (с учетом покупательной способности рубля и доллара) составили только 13% от соответствующего американского показателя (в то время как это соотношение в Мексике равнялось 22%, Греции — 43% и в Испании — 57%).
На оплату труда существенно влияют рыночные факторы.
Первый рыночный фактор — спрос и предложение на рынке труда. Вознаграждение за труд может изменяться на конкурентном рынке в соответствии с законами спроса и предложения — так, как это изображено на графике (пример условный) на рисунке 10.1.

На оплату труда существенно влияют рыночные факторы.

Рис. 10.1. Кривые спроса и предложения труда
Когда на рынке труда спрос превышает предложение, то цена определенного вида труда повышается выше точки равновесия Р. Сейчас под воздействием научно-технической революции спрос на высококвалифицированную рабочую силу не удовлетворяется в полной мере, а это ведет к повышению ставок оплаты труда специалистов со средним и высшим образованием. С другой стороны, на Западе спрос на неквалифицированную рабочую силу в большинстве случаев падает, что отрицательно сказывается на заработках людей, не обладающих средним уровнем образования. Примечательны такие данные по США.
В 1994 г. недельная зарплата у юриста составляла 990 долл., инженера-химика — 807, инженера-механика — 766, фармацевта — 748, преподавателя колледжа — 711, экономиста — 704, архитектора — 667, программиста ЭВМ — 606, слесаря-инструментальщика — 593, дипломированной медсестры — 569, преподавателя средней школы — 545, бухгалтера — 522, терапевта — 511, техника-механика — 504, водопроводчика — 495 долл. Люди интеллектуального труда с учеными званиями получают в пять раз больше тех, кто не окончил среднюю школу.
На рынке труда Москвы сейчас наблюдается повышенный спрос коммерческих организаций на специалистов наиболее дефицитных профессий. Например, специалисты со стажем работы по избранной профессии (по состоянию на 1 октября 1994 г.) могли устроиться на работу с высоким окладом (в зависимости от должности и профессиональных навыков): бухгалтер — от 650 тыс. до 2,6 млн. руб., главный бухгалтер — от 1,6 до 3,5 млн. руб., финансовый директор — от 1,5 до 5 млн. руб., юрист — от 1 до 5 млн. руб.
Вторым рыночным фактором, воздействующим на величину вознаграждения за труд, является конкуренция, или монополия на рынке труда. Конкуренция на этом рынке ведет, естественно, к приближению уровня заработной платы к равновесной цене труда (в точке Р на графике). Это означает, что конкуренция выступает уравнительницей заработной платы.
В национальном масштабе устанавливается примерно одинаковая оплата труда работникам определенной профессии с равным уровнем образования и квалификации. Проще говоря, рынок труда со свойственной ему конкуренцией утверждает принцип: равная оплата за равный труд.
Свою силу на рынке труда проявляют и монополии. Речь идет, по существу, об образовании в отраслях и в национальном масштабе, с одной стороны, объединений работодателей, а с другой стороны, — профессиональных союзов или иных объединений работников. В Кодексе законов о труде РФ признается представительство интересов контрагентов трудового договора через данные объединения.
Порядок и условия осуществления полномочий общественными объединениями, представляющими интересы работников и работодателей, а также их выборными органами, определяются законами. Естественно, что общественные объединения разных сторон в своих действиях проявляют противоположные устремления.
Так, монополисты средств производства — работодатели пытаются диктовать работникам свои условия труда и его оплаты. Они заинтересованы в безработице, ослабляющей противоборствующую силу и позволяющей снижать заработки. В свою очередь, организация работников в свободные, независимые профессиональные союзы позволяет им через коллективные договоры с предпринимателями вести контрнаступление, отстаивать общие экономические интересы.
Чтобы добиться повышения заработной платы, в западных странах профсоюзы используют, в частности, следующие меры: а) добиваются прямого повышения ставок заработной платы при заключении коллективных договоров с бизнесменами; б) проявляют заботу об обучении работников новым профессиям и специальностям, которые пользуются спросом на рынке труда; в) борются против попыток работодателей использовать политику монополий на рынке труда, нацеленную на понижение уровня оплаты рабочей силы.
Экономическая борьба на рынке труда — это, по сути дела, конку-рентое столкновение между работодателями и работниками, касающееся условий купли и продажи рабочей силы. Такое противоборство совершается в определенных границах, характеризующих амплитуду колебаний величины заработной платы в зависимости от ряда обстоятельств. Максимальная граница определяется верхним пределом стоимости рабочей силы, повышенным спросом на работников определенной профессии и монополизацией рынка со стороны профессионального союза работников. Минимальная граница образуется с учетом низшего предела стоимости рабочей силы, в результате возросшего предложения труда и образования монопсонии со стороны работодателей. Значит, в условиях рыночной экономики размер вознаграждения за . труд не может быть, как считали некоторые экономисты в прошлом веке, железным, неизменным.
Напротив, эта величина является эластичной. Последнее обстоятельство дает шанс каждой стороне добиться определенного выигрыша во время пробы сил.
Столкновения между предпринимателями и профсоюзами временами, особенно в условиях плохой хозяйственной конъюнктуры, носят ожесточенный характер. Когда в переговорах двух противоборствующих сторон не хватает убедительных аргументов, прибегают к крайним мерам. Предприниматели идут на локаут (англ. lock-out — запирать дверь перед кем-либо) — закрывают предприятие и проводят массовое увольнение работников с целью заставить их отказаться от выставляемых ими требований и согласиться на худшие условия труда.
В свою очередь, профсоюзы проводят забастовку (итал. basta — довольно, хватит) — прекращают работу, чтобы добиться выполнения своих требований.
В Российской Федерации работники и их профсоюзы идут на крайние средства борьбы с работодателями, особенно когда их законные требования не выполняются (табл. 10.3).
Таблица 10.3.
Забастовки в Российской Федерации

Год
Число предприятий, на которых проходили забастовки
Численность участников забастовки (тыс. чел.)
Число человеко-дней потерь рабочего времени (тыс.)
1990
260
99,5 :
207,7
1991
1755
237,7
2314,2
1992
6273
357.6
1893,2
1993
264
120.2
236,8 i;
1994
514
155,3
755,1
1995
8856
489,4
1367,0


На рынке ценных бумаг участвуют следующие субъекты


Расширение акционерной деятельности, увеличение числа корпораций приводит к формированию рынка ценных бумаг.
Рынок ценных бумаг представляет особую часть сферы обращения, в которую вовлечены очень специфические объекты рыночных сделок. В качестве таких предметов купли-продажи выступают акции, облигации, казначейские обязательства государства, сберегательные сертификаты, векселя. На рынке ценных бумаг участвуют следующие субъекты:
а) эмитенты — юридические лица, которые занимаются эмиссией (выпуском) ценных бумаг и несут ответственность по ним;
б) инвесторы — юридические и физические лица, приобретающие ценные бумаги от своего имени и за свой счет;
в) инвестиционные институты — юридические лица, действующие в качестве инвестиционных консультантов, финансовых посредников и инвестиционных компаний.
Рынок ценных бумаг подразделяется на два вида: первичный и вторичный.
На первичном рынке эмитент (предприятие, государственное учреждение) продает новые выпуски ценных бумаг и получает за них нужные денежные средства. Такие бумаги сразу же приобретают первоначальные инвесторы (за рубежом — финансово-кредитные учреждения или индивидуальные инвесторы).
Вторичный рынок состоит из последующих инвесторов, между которыми совершается перепродажа (первая и последующие) ценных бумаг. Вторичная торговля поддерживается банками и специализированными фирмами (инвестиционными институтами).
В свою очередь, вторичный рынок подразделяется на биржевой оборот ценных бумаг и внебиржевой оборот. Биржевой оборот имеет следующие признаки: а) для купли-продажи ценных бумаг имеется единый центр — фондовая биржа; б) на бирже оборот ценных бумаг совершается на основе аукциона; в) все операции по купле-продаже регистрируются по правилам биржи; г) биржевые сделки узко специализированы на отдельные виды; д) реализация ценных бумаг осуществляется через торговых посредников (маклеров, брокеров). Внебиржевой оборот обладает иными чертами: а) в нем нет единого торгового центра;
б) купля-продажа ценных бумаг совершается не на основе аукциона продавцов и покупателей, а через брокерские конторы, расположенные по всей территории страны; в) цены сделок устанавливаются в ходе переговоров между контрагентами; г) брокерские конторы не специализированы по видами сделок; д) сами сделки совершаются посредством телефонных переговоров и особых компьютерных систем (систем автоматического установления цен), охватывающих всю страну.
Теперь более подробно рассмотрим деятельность фондовой биржи. Ее основными функциями являются:
— сводить друг с другом продавцов и покупателей ценных бумаг;
— определять курсы (цены купли-продажи) ценных бумаг;
— содействовать переливу капитала из одной отрасли хозяйства (или предприятия), менее прибыльной, в другие, более прибыльные;
— служить барометром деловой активности в разных отраслях хозяйства и в стране в целом. Этой цели служат индексы деловой активности. Наиболее знаменит индекс Доу-Джонса (введен с 1884 г.).
Он рассчитывается на базе курсов акций 30 крупнейших компаний.
Фондовая биржа первоначально сложилась как свободный рынок ценных бумаг (фондов). Долгое время государство и общество не вмешивались в содержание деятельности этого учреждения. Дикая биржа, получившая широкое распространение в XIX в., действовала совершенно свободно, без каких-либо внешних ограничений. Эта почти абсолютная свобода деятельности в 20-х годах XX столетия сопровождалась небывалой биржевой спекуляцией. Курсы ценных бумаг непрерывно повышались.
Растущий поток покупателей акций в широких масштабах использовал не собственные накопления, а ссуды коммерческих банков и специализированных учреждений. В результате курсы акций резко оторвались от их номинала и стали падать, а кредиторы потребовали возврата предоставленных ссуд. Чтобы получить необходимые средства, спекулянты начали продавать акции, ускорив тем самым падение их курсов.
Особенно быстро паника охватила участников биржевых сделок в США.
24 октября 1929 г. на Нью-йоркской фондовой бирже разразилась настоящая катастрофа. Гигантский поток продаж ценных бумаг буквально захлестнул ее. Толпы людей атаковали биржу, и с ними не могла справиться полиция.
Очевидцы сравнивали обстановку на бирже с апокалипсическим кошмаром, с концом света. За период с 1929 г. по
1932 г. курсы акций ведущих компаний упали от 11 раз (Дженерал электрик) до 80 раз (Дженерал моторе). Цены акций промышленных компаний в целом снизились в США на 87%, Великобритании на 48%, Германии на 64%, Франции на 60%. Разорились миллионы инвесторов.
После грандиозного мирового экономического кризиса 1929—1933 гг., в который немалую лепту внесли дикие биржи, была проведена радикальная реформа рынка ценных бумаг. В 30-е годы в США, а затем в других странах была создана современная культурная биржа.
В отличие от дикой она открывала возможности государственного влияния:
— введен или усилен государственный контроль за участниками биржевых сделок (строгая проверка предприятий, желающих продавать свои ценные бумаги призвана предотвратить проникновение на рынок возможных банкротов);
— государство нHзначает маклеров — главных биржевых посредников и контролирует их работу;
— биржевой кредит поставлен под государственный контроль (ограничиваются сумма заемных средств, используемых для покупки акций, размеры колебаний котировок), с тем чтобы избегать опасности резких колебаний курсов акций и предохранять биржу от массовых спекуляций;
— введено государственное страхование банковских вкладов и ссуд, гарантирующих безопасность мелких и средних сберегателей;
— государство воздействует на биржевые дела: активно изменяет учетные ставки, проводит операции с ценными бумагами, регулирует минимальные резервы денежных средств, которые все банковские организации обязаны хранить на специальных счетах в центральном банке. Для проведения этих операций в ряде стран созданы государственные учреждения, призванные обеспечить нормальные условия для работы бирж.
В каждой крупной стране Запада действует, как правило, несколько фондовых бирж (в США — 11, Японии — 9, Германии — 9, Франции — 7, Канаде — 6). На них проводится посредническая деятельность по купле-продаже ценных бумаг. Ею занимаются только посредники:
а) маклер, который сводит партнеров по сделкам (указывает на возможность их заключения), но сам сделок не заключает и получает вознаграждение от продавцов и покупателей ценных бумаг;
б) брокер (лицо или фирма) — узкий специалист по отдельным видам ценных бумаг, который прямо содействует торговой сделке. За это он получает определенную плату или комиссионные (по соглашению сторон);
в) дилер — покупает ценные бумаги на свое имя и за свой счет, а затем перепродает их. Выручка от такой перепродажи — его прибыль.
Маклеры (с помощью брокеров) определяют, при каком курсе ценных бумаг достигается их наибольший кругооборот. Это так называемый курс кассовых сделок, или единый курс. Когда сводятся воедино цены продавцов и цены покупателей, то устанавливается единая цена, которая устраивает наибольшее число участников сделок.
Вот простой (условный) пример. Девять продавцов и девять покупателей интересуются одинаковыми акциями, но готовы продать или приобрести их за разную цену (табл. 12.4).
Таблица 12.4.
Цены продавцов и покупателей за акцию

Продавец А
Хотел бы получить акцию (франков)
208
Покупатель К
Готов заплатить максимально за акцию (франков)
200
Б
207
Л
201
В
206
М
202
Г
205
Н
203
Д
204
0
204
Е
203
П
205
Ж
202
Р
206
3
201
С
207
И
200
Т
208
При сравнении цен продавцов и покупателей становится очевидно следующее. Единым курсом будет 204 франка за акцию. Сделка по этому курсу выгодна продавцам — от Д до И и покупателям — от О до Т. Значит, единый курс дает максимальное количество сделок.
Разумеется, на бирже участвуют не девять продавцов и девять покупателей, а гораздо больше, но от этого суть курса кассовых сделок не меняется.
Широкая публика участвует в биржевых операциях через посредничество маклеров. Крупнейшие банки имеют своих маклеров. Для публикации данных о количестве проданных ценных бумаг и их курсов при биржевых комитетах (руководящих органах бирж) существуют котировочные комиссии, публикующие ежедневно курсовые бюллетени.
Тот, кто вложил свои деньги в акционерный капитал, помимо дивиденда может получать так называемую курсовую прибыль — доход от изменений рыночной цены акций. В связи с этим различают два вида биржевых операций с ценными бумагами. Во-первых, это кассовые операции, при которых сразу или в ближайшие 2—3 дня уплачиваются деньги за ценные бумаги.
Во-вторых, проводятся фьючерсные (срочные) операции, когда акция должна быть передана, а деньги уплачены через определенный срок, обычно в пределах месяца.



Нарушено земель в результате хозяйственной деятельности


Показатель
1992
1995
Забор поды из водных источников, млрд. М3
100,7
96,8
Сброс загрязненных сточныx вод, млрд. м'3
27,1
24,5
Выбросы вредных веществ в атмосферу, осуществляемые стационарными источниками, млн. т
28,2
21,3
Нарушено земель в результате хозяйственной деятельности (на
конец года), тыс. га
1090,3
1138,4
из и их отработано
359.2
363,4
Наблюдающееся в 1992—1995 гг. уменьшение отрицательного воздействия предприятий на различные компоненты природной среды многих регионов страны обусловлено значительным снижением выпуска промышленной продукции.
За последние годы принимаются некоторые меры по охране окружающей среды и рационального использования природных ресурсов. Но они не дают коренных улучшений в этой области хозяйственной Деятельности (табл. 15.2).
Таблица 15.2.
Ввод в действие мощностей но охране водных ресурсов и атмосферного воздуха от загрязнения (в 1992 и. 1995 гг.)

Ввод и действие
1992
1995
Сооружения для очистки сточных вод, млн. м3 поды и сутки
0,8
1,5
Системы оборотного водоснабжения, млн. м3 воды в сутки
1,4
2,2
Установки для улавливания и обезвреживания вредных веществ из отходящих газон, млн. м3 газа в час
5,6
7.5
Такой результат не является случайным. Капитальные вложения на охрану окружающей среды it рациональное использование природных ресурсов, исчисленные в действующих ценах, возросли с 52,9 млрд. руб. в 1992 г. до 6403,6 млрд. руб. в 1995 г., т.е. в 121 раз. Однако надо учитывать, что за этот период индекс цен производителей на промышленную продукцию (куда входят сооружения и установки, используемые для охраны окружающей среды) повысился в 3518 раз.
За последние годы не произошло существенного улучшения экологической ситуации в нашей стране. А на некоторых территориях уровень загрязнения природной среды приближался к критическому. Экстремально (крайне) высокое загрязнение (превышение предельно допустимого коэффициента в 100 раз и более) отмечалось, например, на некоторых реках в Мурманской и Свердловской областях, высокое загрязнение — на реках Обь с притоком Тобол, Волга с притоками Ока и Кама, Дон и ряде других.
Высокое загрязнение атмосферного воздуха (наличие загрязняющих веществ в концентрациях, превышающих предельно допустимые нормы в 10 раз и более) регистрировалось в ряде городов, в том числе в Москве, Новосибирске, Липецке, Барнауле, Норильске, Магадане, Самаре, Омске.
Совершенно очевидно, что возникновение критических и экстремальных ситуаций в области загрязнения природной среды создает угрозу национальной безопасности. В связи с этим свою лепту в борьбу за охрану окружающей среды стало вносить уголовное законодательство. Новый Уголовный кодекс РФ включил в разряд экологических преступлений следующие виды правонарушений (глава 26):
а) нарушение правил охраны окружающей среды при производстве работ;
б) нарушение правил обращения экологически опасных веществ и отходов;
в) нарушение правил безопасности при обращении с микробиологическими либо другими биологическими агентами или токсинами (ядовитыми биологическими веществами);
г) нарушение ветеринарных правил и правил, установленных для борьбы с болезнями и вредителями растений;
д) загрязнение вод;
е) загрязнение атмосферы;
ж) загрязнение морской среды;
з) нарушение законодательства РФ о континентальном шельфе и об исключительной экономической зоне РФ;
и)порча земли;
к) нарушение правил охраны и использования недр;
л) незаконная добыча водных животных и растений;
м) нарушение правил охраны рыбных запасов;
н) незаконная охота;
о) уничтожение критических мест обитании для организмов, занесенных в Красную книгу РФ;
п) незаконная порубка деревьев и кустарников;
р) уничтожение или повреждениM лесов;
с) нарушение режима особо охраняемых природных территорий и природных объектов.
Таким образом, научно-техническая революция весьма противоречиво сказывается на изменении структуры национального хозяйства. Причем своеобразным проявлением НТР является такое структурное звено макроэкономики, как военно-промышленный комплекс (ВПК), вносящий дополнительные противоречия в экономический рост.
Во второй половине XX в. макроэкономику промышленно высокоразвитых стран нельзя представить без военно-промышленного комплекса. Что означает этот комплекс, какое место он занимает в структуре национального хозяйства и как воздействует на такую структуру?
Первоначально — при возникновении индустриального производства — I и II подразделения (особенно в странах, где не было регулярной армии, как, например, в Англии) работали для мирных, гражданских нужд. Но во время второй мировой войны достижения научно-технической революции были использованы для создания мощного современного военно-промышленного комплекса. В известный период холодной войны такой комплекс стал быстро наращиваться на основе применения результатов военно-технической революции — последовательных переворотов в производстве все более разрушительных средств вооружения.
Военно-промышленный комплекс (ВПК) — это единая совокупность отраслей хозяйства и видов деятельности, занятых производством вооружений и поддержанием постоянного сектора военной экономики. Такой сектор существенно повлиял на общую структуру и соотношения подразделений общественного производства. В его составе сформировалось несколько обособленное III подразделение.
Одна из характерных черт III подразделения в том, что его продукцию нельзя отнести ни к средствам производства (они не используются как вещественный фактор созидания), ни к предметам личного потребления (речь идет, по существу, о прямых или косвенных средствах уничтожения людей и продуктов их труда). Мы усматриваем специфику полезности военной продукции в том, что она удовлетворяет потребности людей в вооруженной защите от врага или в нападении на него.
Говоря еще более конкретно, III подразделение выпускает два вида продукции, удовлетворяющей нужды военно-промышленного комплекса: а) изготовленные на военных заводах различные виды оружия, средства его доставки и обеспечения (вооружение, боевая техника, инженерное имущество, аппаратура связи и т.п.) и б) материальные блага, используемые для удовлетворения личных потребностей военнослужащих (предметы вещевого и продовольственного снабжения). Вследствие этого III подразделение приобретает специфическую структуру (рис. 15.2). .

Нарушено земель в результате хозяйственной деятельности

Рис. 15.2. Структура III подразделения
Другая характерная черта III подразделения состоит в том, что оно односторонне связано с производством средств производства и производством предметов потребления. На основе прямых связей I подразделение поставляет ему вещественные факторы изготовления военной продукции. Такие же прямые связи идут от II подразделения к военному сектору экономики, получающему предметы потребления для военнослужащих. Но засекреченность военного производства, как правило, препятствует развитию обратных связей от этого производства к гражданским отраслям. В итоге I и II подразделения приобретают новую структуру (рис.
15.3).

I подразделение
II подразделение
I1
средства производства для I подразделения
I2
средства производства для II подразделения
I3
средства производства для III подразделения
II1
предметы потребления для I подразделения
II2
предметы потребления для II подразделения
II3
предметы потребления для III подразделения
Рис. 15.3. Структура I и II подразделений при существовании
военной экономики
Совершенно очевидно, что для поддержания военной экономики в неизменных размерах необходимы следующие количественные связи внутри общественного хозяйства. Первое подразделение должно обеспечить средствами производства все три подразделения в прежних объемах (в том числе I3 — средства производства для III подразделения — должно равняться затраченному количеству этих факторов для создания III1 — средств вооружения). Соответственно II подразделение призвано снабжать предметами потребления все подразделения (при этом II3 — средства потребления для III подразделения, произведенные в гражданских отраслях, в необходимых количествах поступают в состав Ш2 — жизненных средств для военнослужащих).
Изготовленная на предприятиях ВПК продукция поступает в реализацию на особом рынке вооружений. Этот рынок имеет следующие характерные черты:
— единственным заказчиком и покупателем в масштабе страны является государство;
— военная продукция закупается за счет средств бюджета; она имеет свойства, присущие государственным (общественным) благам (при продаже вооружений другим странам эти блага являются обычными товарами);
— данный рынок полностью монополизирован государством, оборонными предприятиями и поставщиками вооружений.
В тех случаях, когда III подразделение расширяется и качественно обновляется (при гонке вооружений смена поколений новой военной техники происходила через 3—5 лет), то это противоречиво влияет на I и II подразделения.



Не была своевременно разработана и программа конверсии.


С одной стороны, увеличение масштабов производства в III подразделении предполагает соответствующее наращивание производства средств производства (I) и предметов потребления (II), поставляемых ВПК. Так происходит общий рост материального производства.
С другой стороны, важно учитывать, что вся производственная сфера делится на два сектора: сектор гражданского производства и сектор оборонного производства. Естественно, что при данном ограниченном объеме ресурсов производственные возможности будут использоваться так, что один сектор будет расти за счет относительного (и даже абсолютного) уменьшения другого.
В связи с этим рост III подразделения дестабилизирует макроэкономику. Какие дисбалансы (нарушения равновесия) возникают?
А. Экономисты Запада установили, что занятость работников в расчете на единицу военных расходов меньше, чем на единицу затрат на гражданские цели. Более того, если дополнительные военные затраты сопровождаются внедрением новых видов более эффективных вооружений, то занятость уменьшается, а стало быть, сокращается численность работников гражданских отраслей.
Б. Увеличение затрат на ВПК обычно ведёт к увеличению дефицита государственного бюджета (рост таких затрат не покрывается доходами).
В. Все большее переключение научных исследований на военные цели неизбежно идет за счет сокращения расходов на подобные исследования в гражданских отраслях. В последних, разумеется, снижается качество и конкурентоспособность товаров.
Г. Увеличение военных расходов всегда является причиной углубления инфляции. В этом случае расходы на содержание военнослужащих возрастают (тем самым расширяется платежеспособный спрос), однако из-за относительного свертывания гражданских отраслей уменьшается производство потребительских товаров.
Прямой альтернативой такому обострению противоречий между оборонным и гражданским секторами макроэкономики является сокращение затрат на ВПК (до разумно допустимых пределов) и проведение конверсии — осуществления перевода военного производства на выпуск гражданской продукции. Все это является одним из важнейших способов стабилизации макроэкономической структуры.
Итак, мы рассмотрели основные направления структурных изменении макроэкономики. Это служит теоретической основой для анализа одной из реформ экономики сегодняшней России.
3. Россия: реформа структуры народного
хозяйства
Как известно, наша страна имела в 20-е годы технически отсталую базу производства. Поэтому с 30-х годов в СССР началась ускоренная индустриализация народного хозяйства. Новая машинная техника вводилась в первую очередь на предприятиях тяжелой промышленности, выпускающей средства производства. Подобная структурная политика государства обосновывалась теоретически следующими соображениями.
В отличие от капиталистических стран, где индустриализация начиналась с легкой промышленности (выпускающей предметы потребления), социалистическая индустрия должна базироваться на тяжелой промышленности. Утверждалось, что при социализме действует экономический закон преимущественного роста средств производства по сравнению с производством предметов потребления. Отсюда вытекал нелепый вывод: социалистическое производство должно развиваться ради самого производства.
Между тем на практике дело обстояло несколько иначе. До 1989 г. все данные о военно-промышленном комплексе в нашей стране были засекречены. В статистическую информацию о развитии первого подразделения в скрытом виде попадали данные о производстве средств вооружения.
Под таким прикрытием получил необычайно мощное развитие ВПК и обслуживающие его отрасли I подразделения.
Ускоренный рост сверхгигантского комплекса, включавшего ВПК и связанного с ним I подразделения, во многом был обусловлен тем, что в период холодной воины шла ускоренная гонка вооружений. СССР стремился создать оборонный комплекс, не уступающий ВПК США. Однако наша страна отставала от Соединенных Штатов по объему производства национального дохода вдвое, на единицу продукции тратила труда и средств производства в 2—3 раза больше, чем США. Ценой неимоверных усилий в 80-е годы Советский Союз обогнал США по производству важнейших стратегических средств производства: но нефти в 1,3 раза; цементу — в 1,7 раза; стали — 1,9 раза и т.д. Правда, такое опережение было достигнуто не по конечной, а по промежуточной продукции.
Все это позволило насытить ВПК нашей страны средствами изготовления военной техники на уровне, который превратил СССР в великую мировую державу. Она была способна противостоять всем, кто хотел бы развязать третью мировую войну.
В итоге структура экономики СССР приняла однобокий характер. Ее нестабильность и ненормальность особенно сильно проявились в следующем.
Крайне слабо было развито гражданское машиностроение (все машиностроение на 2/3 было занято производством вооружений), вследствие чего гражданские отрасли народного хозяйства не имели современной технической базы и слабо использовали достижения НТР.
Явно недостаточными оказались масштабы роста II подразделения, и сильно страдало качество товаров народного потребления.
Значительно отставала в своем развитии сфера услуг (ее удельный вес в экономике СССР был вдвое ниже, чем в западных странах).
Неизбежным следствием таких нарушений нормальных структурных связей в макроэкономике явился глубокий и затяжной экономический кризис, который начался в нашей стране в 1990 г. (подробнее о нем будет сказано в следующей главе).
Совершенно очевидна настоятельная необходимость радикально изменить структуру российской экономики. Эти перемены следовало провести по следующим направлениям: а) серьезно изменить соотношение между оборонным и гражданским секторами экономики посредством проведения конверсии; б) ускорить рост наиболее наукоемких производств; в) повысить удельный вес обрабатывающей промышленности по сравнению с добывающей (выпускать больше не промежуточной, а готовой продукции); г) быстрее развивать и качественно обновить производство предметов потребления и сферу услуг.
Что же в действительности было сделано по структурной перестройке российской экономики?
А. В результате распада СССР были разорваны экономические связи, которые объединяли союзные республики в единый народнохозяйственнй комплекс. Это сразу же привело к нарушению хода воспроизводства во многих регионах страны и к приостановке производства на большом количестве предприятий. После образования СНГ начался процесс экономической реинтеграции (восстановления и развития хозяйственных связей между независимыми государствами).
Б. Начало экономических реформ было ознаменовано обвальным разрушением военно-промышленного комплекса. В 1992 г. расходы на государственную закупку вооружений были сокращены в 8 раз. Объем производства военной продукции уменьшился в 1992 г. на 42% и в 1993 г. - на 29%.
Вице-президент США А. Гор в декабре 1993 г. сопоставил эти данные: Россия за год потеряла столько, сколько США за 5 лет.
Разрушение военного потенциала России началось задолго до разработки и принятия новой военной доктрины, которая была призвана определить достаточную обороноспособность страны (в частности, виды и размеры производства боевой техники и т.п.). Не была своевременно разработана и программа конверсии.
В. С самого начала экономических реформ российские реформаторы не разработали и не провели в жизнь созидательную государственную политику, направленную на перестройку структуры национального хозяйства.
Делалась ставка на то, что создаваемый рынок сам произведет необходимые структурные перемены в народном хозяйстве. Однако полагаться только на рыночные силы было совершенно недопустимо: требовалось мощное государственное вмешательство в столь сложное дело.
Когда же в стране появился слабый, неразвитый рынок, мелкие предприятия стали предъявлять спрос на давно устаревшее оборудование образца 60-х годов (универсальные станки с ручным управлением, бытовые настольные станки и т.п.). Из-за отсутствия рыночного спроса в 1994 г. наша страна вообще перестала производить вычислительные и управляющие комплексы, другую продукцию наукоемких производств. Это уже было похоже не на кризис, а на структурную катастрофу.
Россия стала утрачивать научно-технический суверенитет и по структурным параметрам приближаться к развивающимся странам.
Г. Сейчас в России продолжается ставший традиционным процесс утяжеления производства за счет более быстрого развития добывающих отраслей промышленности. Характерно, что доля продукции топливной промышленности и цветной металлургии во всем объеме индустриального производства возросла, например, с 25% в 1990 г. до 34% в 1994 г. Россия все больше стновится сырьевым поставщиком Запада.
Д. С 1993 г. в нашей стране усилился упадок II подразделения, выпускающего отечественные товары широкого потребления. Это положение подтверждают данные таблицы 15.3.
Таблица 15.3.
Индексы физического объема продукции по отраслям
промышленности в 1992 и 1995 гг. (1990 г. - 100%)

Отрасль промышленности
1992
1995
Легкая промышленность
64
19
текстильная
63
19
швейная
70
19
кожевенная, меховая и обувная
70
19
Пищевая промышленность
76
52


Неоклассики предприняли попытку спасти закон Сея.


Всех товаропроизводителей выручает обратная связь, идущая от рынка к производству. Такой связью служит система рыночных цен, постоянно посылающая сигналы - информацию о соотношении спроса и предложения. Эта информация позволяет вносить поправки в производственные действия предпринимателей: они переключаются на выпуск таких товаров, которые пользуются повышенным спросом и являются более выгодными.
Между тем А. Смит не ответил на важный вопрос: как обеспечивается равенство объемов спроса и предложения в масштабах страны. Эту проблему попытался решить французский экономист Ж.Б. Сей, считавший себя последователем английской классической политической экономии. Он сформулировал закон рынка, согласно которому рыночный обмен товара на товар устанавливает равновесие предложения и спроса. Ж.Б.
Сею приписывают изречение: предложение порождает свой собственный спрос.
Однако закон Сея безусловно верен только для бартерной торговли (обмена товара на товар без денег). Когда же имеет место обращение товар — деньги — товар, автоматическое равенство объема предложения и объема спроса чаще всего не устанавливается. Например, продавец, получивший за реализованный продукт деньги, может обратить свободные деньги в сбережения.
Последнее означает, что сбережения подрывают равенство между предложениями и спросом.
Неоклассики предприняли попытку спасти закон рынка Сея. Они рассуждали так. Население с выгодой для себя обращает сбережения в инвестиции.
Люди знают, что на денежном рынке сбережения за определенный банковский процент преобразуются в производственные капиталовложения. Причем ставка процента как бы следит за тем, чтобы сделать выгодным обращение сбереженных денег в инвестиции. Иначе говоря, уровень процента, который устанавливается в зависимости от соотношения предложения денег и спроса на них, регулирует и уравнивает объемы сбережений и объемы инвестиций.
Модель классической саморегулирующейся рыночной экономики наглядно отображена на рисунке 17.3.

Неоклассики предприняли попытку спасти закон Сея.

Рис. 17.3. Модель саморегулирующейся экономики
Представим себе гигантскую ванну. В ней объем воды (ее запас) соответствует объему выпускаемой продукции и занятости рабочей силы. Сливная труба изображает поток сбережений населения Ск.
Кран обозначает ставку процента Пц, которая соединяет поток сбережений и поток инвестиций И, пополняющий ванну.
Согласно этой схеме, закон рынка обеспечивает равенство объемов предложения и спроса (значит, невозможны экономические кризисы); сбалансированность величин сбережений и инвестиций и полную занятость рабочей силы (безработица исключается). Вот так — чисто теоретически, умозрительно — неоклассики решили проблему достижения стабильного (пропорционального) развития рыночной экономики.
Наряду с этой проблемой неоклассики задались и другим важным вопросом: способен ли рынок обеспечить социальную стабильность общества, связанную с распределением доходов?
Исходный теоретический вопрос можно поставить. следующим образом: по каким принципам должен распределяться совокупный доход общества (валовой национальный продукт, национальный доход) среди всех граждан?
По этому вопросу высказываются две прямо противоположные точки зрения.
Согласно одной из них (ее проповедуют сторонники многих религиозных, этических, социалистических и иных концепций), распределение всего дохода общества должно основываться на принципах равенства и справедливости. Идею такого уравнительного распределения можно наглядно представить в виде графика (рис. 17.4).

Неоклассики предприняли попытку спасти закон Сея.

Рис. 17.4. Равномерное распределение дохода среди всех семей
График на рисунке 17.4 показывает абсолютное равенство в распределении дохода в обществе. Как видно, любой данный процент семей получает соответствующую долю дохода (20% семей имеют 20% дохода, 40% семей — 40% дохода и т.д.). По-видимому, такое распределение теоретически предопределяет социальную стабильность общества.
Сторонники либеральной рыночной экономики исповедуют диаметрально противоположные взгляды. Распределение дохода в обществе не может и не должно строиться на принципах равенства и справедливости. Рыночная система — это такой хозяйственный механизм, который не может обладать какой-либо совестью, он не является носителем моральных норм.
На каких же принципах основано распределение дохода в обществе в классической и неоклассической модели либеральной рыночной экономики?
А. Распределение богатства должно учитывать неравенство способностей людей. Каждый человек находит соответствующее применение своим природным способностям. Так, люди с интеллектуальными способностями находят удовлетворение в занятиях наукой, медициной, юриспруденцией и т.п. Кто обладает исключительными физическими данными, идет, скажем, в профессиональный спорт.
Человек, одаренный эстетическим талантом, становится музыкантом, художником.
Б. Каждый человек, владеющий каким-то фактором производства, должен получить доход, равный вкладу своего фактора. Как мы помним, этот принцип обосновал американский экономист Дж. Б. Кларк в книге Распределение богатства.
В. Либеральная рыночная экономика базируется на безраздельном господстве частной (единоличной) собственности, которая допускает высокую степень неравенства доходов.
В свободной рыночной экономике от частной собственности зависят также экономическая и социальная свобода. По словам известного французского экономиста М. Аллэ, существует весьма сильная корреляция (взаимозависимость) между масштабами частной собственности и масштабами свобод. В стране, в которой я живу, я вижу, что частная собственность дает богатым большую степень свободы.
Тот, у кого нет денег, кто нуждается в работе, не является свободным. Или же у него есть работа, но он может ее потерять, что сокращает его свободу выражения мнений. В конечном счете в наших западных, так называемых либеральных обществах, очень мало свободных людей101.
В либеральном рыночном хозяйстве действует правило: Богатство порождает богатство. Примечательно, что в США собственность больше всего влияет на неравенство в распределении доходов. По данным правительства США, в 1983 г. 10% семей, получавших самые высокие доходы (ежегодный доход 50 тыс. долл. и более), владели 72% всех акций, 86% не облагаемых налогом облигаций, 70% облагаемых налогом облигаций, 50% всего недвижимого имущества.
Г. Распределение доходов должно стимулировать увеличение производства и рост его эффективности. Если же одинаково вознаграждать тех, кто дает высокую выработку, и тех, кто ленится и дает мало продукции, это уменьшит стремление людей больше зарабатывать за счет
улучшения производственных показателей.
Д. В условиях свободной конкуренции естественным является неравенство полученных доходов. Высокими будут доходы у того, кто преуспел в рыночном соперничестве, и, напротив, тех, кто потерпел
неудачу, может ждать разорение.
Итак, сторонники концепции либеральной рыночной экономики считают, что равенство (справедливость) в распределении доходов несовместимо с рыночной системой и может подорвать ее.
Неравенство в распределении графически изображается с помощью кривой Лоренца (рис. 17.5.)

Неоклассики предприняли попытку спасти закон Сея.

Рис. 17.5. Кривая Лоренца
Кривая Лоренца характеризует степень реально достигнутого неравенства в распределении дохода среди семей (40% семей получает 20% дохода, 60% семей — 40% всего дохода и т.д.).
На основе данных кривой Лоренца определяется так называемый децильный (лат. decem — десять) коэффициент. Этот коэффициент показывает, во сколько раз 10% самых богатых семей превосходят по уровню дохода 10% самых бедных.
Для либеральной рыночной экономики как таковой характерна тенденция к углублению неравенства в распределении общественного дохода между гражданами. По мере увеличения богатства общества углубляется социальная дифференциация населения. Это приводит в конечном счете к тому, что значительная часть населения опускается ниже официально признанной черты бедности.
Такой результат не случаен.
Как считают сторонники свободной рыночной экономики, при идеальном распределении общественного богатства оно должно доставаться только собственникам факторов производства: труда, капитала и земли. Однако остается без ответа очень важный вопрос: какие средства к жизни должны получить многочисленные члены общества, которые лишены производственных факторов (пожилые люди, переставшие работать по найму; инвалиды, дети), а также лица, имеющие рабочую силу, но не могущие в данный период найти ей применение (безработные, временно потерявшие работоспособность по болезни и т.д.)? Все они не участвуют в создании общественного продукта, а поэтому, выходит, не могут претендовать на свою долю в общем пироге.
В чистой рыночной экономике, не признающей вмешательства государства в хозяйственную жизнь, им остается уповать лишь на частную благотворительность...
Ориентация с самого начала экономических реформ в России на создание либеральной рыночной экономики дала явно отрицательные результаты. По официальным данным за 1992—1994 гг., существенно усилилась дифференциация населения по доходам и материальной обеспеченности. Доходы 10% наиболее обеспеченного населения к концу 1994 г. превышали доходы 10% наименее обеспеченного населения в 14—15 раз, в то время как в 1991 г. этот показатель не превышал 4 5 раз.
Вместе с тем общепризнанно, что соотношение децильных коэффициентов 10:1 является показателем социального неблагополучия.



Несоблюдение такого условия приводит к ошибкам.


— предоставление максимума удобств для потребителей (шведский стол в ресторанах, гостиницах);
— профессионально поставленная реклама.
Четвертое требование маркетинга: определить позицию на рынке (установить, где и когда выгоднее всего продавать товар). Несоблюдение такого условия приводит к серьезным ошибкам.
Так, в одном из штатов США обанкротились два маленьких ресторана. В них был подготовлен широкий выбор блюд итальянской кухни по довольно высоким ценам. Но среди местных жителей было много людей шведского происхождения со средним уровнем дохода.
Как свидетельствует многолетний опыт, применение маркетинга позволяет производителям в корне улучшить удовлетворение рыночного спроса. Однако нельзя не видеть оборотной стороны маркетинга:
— повышение цен из-за дорогой, хотя и красивой, упаковки;
— большие расходы.на кредит покупателям, послеторговый сервис
и т.д.;
— широкое распространение назойливой и зачастую недостоверной рекламы;
— применение ядовитых красителей, вредных пищевых добавок, придающих товарам более привлекательный вид;
— рекламирование вредных для здоровья товаров: сигарет, спиртных напитков и т.п.
Против таких отрицательных действий фирм применяются соответствующие противодействия. Во многих странах законодательство предусматривает защиту прав потребителей; усиливается контроль за качеством продукции; регламентируется рекламная деятельность, с тем чтобы она не наносила ущерб людям. В этом же направлении развертывается активная деятельность обществ, защищающих права потребителей.
Российское законодательство предусматривает ряд мер, способствующих зашлите прав потребителя. Так, в Гражданском кодексе РФ предусматривается возмещение вреда, причиненного вследствие недостатков товаров, работ или услуг. Речь идет о том, что вред, причиненный жизни, здоровью или имуществу гражданина либо имуществу юридического лица вследствие конструктивных, рецептурных или иных недостатков товара, работы или услуги, а также вследствие недостоверной или недостаточной информации о товаре (работе, услуге), подлежат возмещению продавцом или изготовителем товара, лицом, выполнившим работу или оказавшим услугу (исполнителем), независимо от их вины и от того, состоял потерпевший с ними в договорных отношениях или нет (статья 1095).
Существенным дополнением к законодательным мерам по улучшению правоотношений в сфере рынка стал появившийся 7 февраля 1992 г. Закон РФ О защите прав потребителя. Этот Закон регулирует отношения между производителями, продавцами и потребителями, а также предусматривает механизм защиты прав последних. Одним из органов, который призван стоять на страже законных интересов потребителей, является Государственный комитет РФ по антимонопольной политике и поддержке новых экономических структур.
На страже законных интересов потребителей стоят правовые нормы Уголовного кодекса РФ. Так, в уголовном порядке преследуется заведомо ложная реклама: использование в рекламе заведомо ложной информации относительно товаров, работ или услуг, а также их изготовителей (исполнителей, продавцов), совершенное из корыстной заинтересованности и причинившее значительный ущерб (статья 182).
Преступлением расценивается обман потребителей: обмеривание, обвешивание, обсчет, введение в заблуждение относительно потребительских свойств или качества товара (услуги) или обман потребитMлей в организациях, осуществляющих реализацию товаров или оказывающих услуги населению, а равно гражданами, зарегистрированными в качестве индивидуальных предпринимателей в сфере торговли (услуг), если эти деяния совершены в значительном размере (пункт 1 статьи 200).
Итак, исходящий из требовании правовых законов маркетинг фирмы-производителя объединяет в единое целое совершенствование производственной деятельности и улучшение рыночных связей с потребителями их продукции. Одновременно прогрессируют экономические показатели как изготовления, так и реализации товаров, что в конечном счете ведет к увеличению массы и нормы прибыли.
Когда производственные и торговые предприятия обеспечивают нормальное получение прибыли, то они закладывают прочную основу для экономических отношений с собственниками кредитных средств.
Экономический тренинг
1. Ключевые термины и понятия
Прибыль: оптовая цена; себестоимость; прямые расходы; косвенные расходы; масса прибыли; экономия на масштабах производства; распределение прибыли; чистая прибыль; участие в прибылях; норма прибыли; рентабельность; факторы нормы прибыли; внутриотраслевая конкуренция; межотраслевая конкуренция; монопольная сверхприбыль; торговый капитал; товарная биржа; норма прибыли торгового капитала; масса торговой прибыли; маркетинг.
2. Проблемные вопросы
2.1. Где образуется прибыль: и производстве или на рынке?
2.2. Образуется ли прибыль на полностью автоматизированных предприятиях?
2.3. Равны ли издержки предприятия на производство продукции и ее стоимость?
2.4. Является ли прибыль предпринимателя его заработной платой?
3. Логическая задача
Каково соотношение объемов понятий:
а) добавленная стоимость; б) себестоимость; в) чистая прибыль; г) прибавочная стоимость.
4. Тест
Найдите наиболее подходящий вариант ответа. Прибыль:
а) является для предпринимателя побудительным мотивом, который позволяет ему примириться с риском;
б) представляет для бизнесмена вознаграждение за эффективное ведение хозяйства;
в) стимулирует производство определенных товаров и услуг.
5. Прокомментируйте статистические данные, содержащиеся
в таблицах 11.2 и 11.3
Таблица 11.2.
Распределение розничного товарооборота по формам собственности в 1993 и 1995 гг. (в фактически действовавших ценах)

Вид розничного товарооборота
1993
1995
Млрд. руб.
В % к итогу
Млрд. руб.
В % к итогу
Розничный товарооборот — всего
в том числе по формам собственности:
негосударственная
государственная
5862
45138 13626
100
77
23
553466
481304 72162
100
87
13
Таблица 11.3.
Основные показатели деятельности товарных бирж в 1992 и 1995 гг.

Показатель
1992
1995
Число бирж и товарных отделов товарно-фондовых бирж
224
91
Среднесписочная численность работавших на биржах (включая совместителей), тыс. чел.
9,8
2,0
Число брокерских контор, фирм (на конец года), тыс.
42,3
21,0
Число проведенных торгов, тыс.
19,7
6,6
Число заключенных сделок, тыс.
147,7
125,2
Оборот бирж (в фактически действовавших ценах)1, млрд.руб.
335,1
1675
1 Без оборота по фьючерсным сделкам.
6. Вопросы о торговой прибыли
6.1. Каковы источники обогащения торгового капиталиста?
6.2. Можно ли получать торговую прибыль, продавая товары по их стоимости?
6.3. Кто в нормальных условиях получает большую норму прибыли: промышленный или торговый капиталист?
6.4. На какие цели идет торговая накидка?
6.5. Что представляют собой издержки обращения (чистые и дополнительные)?
7. Дискуссионные вопросы
Может ли современная крупная фирма обойтись без маркетинга?
На использовании каких экономических законов основывается маркетинг?




Ниже приводятся данные об этих видах инвестиций.


Повышенный спрос на капитал в странах, куда он экспортируется, объясняется неравномерностью развития экономики разных государств. Обычно страны, испытывающие потребность в иностранных капиталовложениях, создают для них наиболее благоприятные условия. Они повышают банковский процент и дивиденды, принимают законы и проводят хозяйственную политику, которая создает особые льготы и гарантии выгодного применения инвестиций.
Зарубежных собственников капитала из развитых стран особенно привлекает возможность использовать в экономически более слабых государствах сравнительно дешевые факторы производства (низкая заработная плата, невысокие цены на сырье, воду, энергию). Многих устраивает также возможность уменьшить расходы, необходимые для обеспечения экологической безопасности. В результате сбережений на всех видах издержек производства иностранные инвесторы получают более высокую норму прибыли.
Важной причиной, расширяющей масштабы экспорта капитала, является интернационализация производства. Будучи первоначально результатом зарубежных капиталовложений, интернационализация постепенно становится постоянно действующим фактором расширения экспорта капитала. Когда предприятия отдельных стран превращаются в звенья международного производственного организма, они получают возможность использовать выгоды разделения труда и сложившихся в мировой экономике хозяйственных и денежных связей.
Одной из особенностей современного всемирного хозяйства является то, что в каждой развитой стране одновременно образуется как относительный излишек капитала для его вывоза за границу (в одних отраслях хозяйства), так и потребность в привлечении дополнительных денежных средств извне (в других отраслях). Поэтому большинство государств в одно и то же время экспортирует и импортирует капитал.
Капитал вывозят корпорации, отдельные предприниматели, владельцы значительных денежных сумм и государство, нередко преследующее наряду с экономическими и политические (в том числе и военно-стратегические) цели. При этом используются две основные формы экспорта капитала — предпринимательская и ссудная (рис. 20.4).

Ниже приводятся данные об этих видах инвестиций.

Рис. 20.4. Виды вывоза капитала
Вывоз предпринимательского капитала означает создание на территории других стран предприятий, затраты на которые несут иностранные собственники. В зависимости от степени реального контроля за деятельностью таких предприятий различаются прямые и портфельные инвестиции иностранного капитала.
Прямые инвестиции обеспечивают фактически полный контроль над объектами зарубежных капиталовложений. Вновь возникающие или приобретаемые готовые предприятия становятся филиалами (дочерними предприятиями) расположенной в другой стране материнской фирмы, которая образует центр международного производственного объединения.
Прямые иностранные инвестиции распределяются во всемирном хозяйстве неравномерно. Примерно 3/4 их приходится на развитые страны Запада и лишь около 1/4 поступает в развивающиеся государства.
Когда прямыми инвестициями обмениваются западноевропейские государства, Япония и США, экономические отношения между ними строятся на равноправной основе — на базе мировых цен. Поскольку все они находятся примерно на одинаковом индустриальном уровне, не возникает экономической или технологической зависимости одной страны от другой. В отличие от этого экспорт западного капитала в страны Азии, Африки и Латинской Америки чаще всего ведет к возникновению неравноправных экономических отношений и обогащению зарубежных партнеров.
Прямые инвестиции в развивающиеся государства приносят норму прибыли в среднем в два раза более высокую, чем в западных странах. Поэтому, вложив в слаборазвитые страны четверть своих иностранных капиталовложений, собственники в 80-х годах получали от них половину прибыли от всех инвестиций.
Портфельными инвестициями называется приобретение акций иностранных предприятий в размерах, не обеспечивающих права собственности или контроля над ними. На такие капиталовложения идут, когда стремятся разместить свои средства в разных отраслях хозяйства или когда законодательство принимающей страны препятствует прямым инвестициям.
Особой формой портфельных инвестиций является участие иностранного капитала в совместных предприятиях, в которых контрольный пакет акций остается за национальным государством или местными частными фирмами. Здесь иностранный капитал участвует своими финансовыми ресурсами, технологией, управленческим опытом, торговыми марками, рекламой и предоставлением услуг при реализации продукции. Взамен он получает причитающуюся ему долю прибыли, которую вывозит из страны или использует для инвестиций на месте. Иностранные собственники получают наиболее прочные гарантии сохранности и прибыльности своих капиталовложений.
В свою очередь, государственная власть принимающей страны может более эффективно и рационально использовать внешние источники средств и технологии в общенациональных интересах.
В России под прямыми инвестициями подразумевают вложения капитала, осуществленные юридическими и физическими лицами, полностью владеющими предприятием или контролирующими не менее 10% акций и акционерного капитала предприятия. Портфельными инвестициями считается покупка акций, векселей и других долговых ценных бумаг. Они составляют менее 10% общего акционерного капитала пXедприятия.
Инвестиции, не подпадающие под определение прямых и портфельных, статистика указывает как прочие инвестиции. Ниже приводятся данные об этих видах инвестиций.
Объем иностранных инвестиций по видам в России в 1995 г.

Виды инвестиций
Объем, млн.дол;!. США
Прямые
из них:
взносы в уставный фонд
кредиты, полученные от зарубежных совладельцев
предприятий
прочее
Портфельные
из них:
акции
долговые ценные бумаги
в том числе:
краткосрочные
долгосрочные
Прочие инвестиции
Всего инвестиций
1876,9
1346,9
329,1
200,9
30,0
2,4
27,6
20,8
6,8
889,8
2796,7
Здесь бросается в глаза крайне малый объем иностранных инвестиций в российскую экономику, который, конечно, не угрожает экономической самостоятельности и национальной безопасности Российской Федерации. Слабый приток зарубежного капитала объясняется неблагоприятным хозяйственным положением страны и другими причинами. О том, что зарубежные инвесторы сильно опасаются за надежность и эффективность своих капитальных вложений, свидетельствуют, в частности, очень незначительные суммы денежных средств, затраченных на покупку акций и долгосрочных долговых ценных бумаг. Примечательно также то, что иностранные инвесторы предпочли вложить доллары в отрасли, дающие более быструю отдачу и приносящие более значительную выгоду: топливную промышленность (-9,3% всего объема инвестиций), пищевую индустрию (10,1%), торговлю и общественное питание (16,9%), финансы и кредит, страхование, пенсионное обеспечение (14,3%).
К странам с наиболее значительными инвестициями в экономику России в 1995 г. относились США (29,1 % всех инвестиций), Швейцария (15,0%), Германия (10,5%), Великобритания (5,8%), Бельгия (3,8%), Франция (3,4%), Нидерланды (3,0%), Япония (2,7%), Швеция (2,2%).
На базе иностранных инвестиций в мировом хозяйстве сложились транснациональные (лат. trans — сквозь, через) корпорации (ТНК). ТНК — крупнейшие компании, которые являются национальными по месту их базирования и международными по распространению их филиалов в других странах. В число ТНК (по данным за 1988 г.) в первую очередь входят 600 корпораций-миллиардеров (с оборотом свыше 1 млрд. долл.). Под их контролем в середине 80-х годов находилось более 1/3 промышленного производства, более 1/2 внешней торговли, около 80% патентов на новую технику и технологию западных стран.
От 1/3 до 1/2 всех активов ТНК расположены за пределами стран базирования головных предприятий. Примерно такова же доля зарубежных продаж и прибылей в общей сумме продаж и прибылей. Транснациональные корпорации продолжают свою экспансию в мировом экономическом пространстве через вывоз капитала.
Экспорт ссудного капитала — основа современной системы международного кредита. Он содействует росту товарного обмена между странами, облегчает денежные расчеты между ними, дает возможность привлекать внешние финансовые источники для экономического развития, решения текущих социальных проблем. Кредитные связи между государствами растут наиболее высокими темпами, значительно превышающими темпы и мировой торговли, и увеличения прямых иностранных капиталовложений.
Причем международный рынок денежных капиталов функционирует практически круглосуточно. Перевод значительных сумм из одной страны в другую в любой из конвертируемых валют производится моментально через искусственные спутники Земли и всемирную сеть телетайпной связи.
В зависимости от сроков, на которые предоставляется кредит, он подразделяется на долгосрочный (около 10 лет), среднесрочный (2—3 года) и краткосрочный (3—6 месяцев и максимально — до года). По источникам предоставления средств международные ссуды выступают в формах банковских займов и коммерческого кредита. В качестве кредиторов выступают частные фирмы или банки, государственные органы и международные финансовые учреждения (Международный банк реконструкции и развития, Международный валютный фонд и т.д.).



Норма прибыли и ее экономическая роль


В условиях посткапиталистического и постиндустриального общества распределение прибыли для всех собственников сильно усложнилось по сравнению с начальной стадией капитализма. Такое распределение схематически изображено на рисунке 11.4.

Норма прибыли и ее экономическая роль

Рис. 11.4. Распределение валовой прибыли
Из валовой прибыли вычитаются прежде всего суммы, уходящие на сторону. Сюда относятся арендная плата за пользование чужой землей или зданиями (находящимися в другой собственности), а также процент за заемные денежные средства. Кроме того, предприятие вносит налоги в бюджет государства и местных органов власти, вкладывает средства в благотворительные и иные фонды.
Оставшаяся часть средств образует чистую прибыль. Она используется на производственные и социальные потребности предприятия, в том числе на накопление (расширение производства), на охрану окружающей среды, подготовку и переподготовку кадров, социальные потребности работников предприятия и другие цели.
Наконец, из чистой прибыли бизнесмен получает причитающийся ему лично предпринимательский доход. В условиях акционерного общества предназначенная в качестве личного дохода часть прибыли распределяется между всеми пайщиками, внесшими свой вклад в совместный капитал.
При сложившемся в современных условиях распределении валовой прибыли с увеличением ее размера приумножается собственность предпринимателей и государства. Также появляется возможность увеличить доход, идущий в личное потребление не только работников каждой фирмы, но и других членов общества, получающих общественные блага и разного рода пособия от государства и предприятий.
В нашей стране и за рубежом имеется еще одна форма распределения прибыли, которая объединяет последнюю с оплатой труда.
В современных условиях на предприятиях многих стран применяются экономические формы доходов, в которых синтезируется заработная плата и прибыль.
Прежде всего это касается бизнесменов. На начальной стадии капитализма собственники небольших в то время предприятий, как правило, сами непосредственно участвовали в организации и управлении хозяйственными процессами. За такую работу им полагался трудовой доход в виде заработной платы.
Сейчас многие менеджеры активно занимаются в акционерных обществах управленческой деятельностью. Их подлинное экономическое положение определяется тем, какой величины доход — сверх нормальной оплаты труда — они получают в виде прибыли. Если взять для примера акционерные компании на Западе, то здесь оплата труда по управлению отделена от дохода за счет прибыли.
После второй мировой войны отношение заработной платы всех служащих корпораций к прибыли последних составило 1:4.
Если сопоставить общие доходы менеджеров и тех, кто получает самое низкое вознаграждение, оказывается, что доходы высшего слоя управляющих крупных компаний США более чем в 30 раз превышают заработную плату низкооплачиваемых рабочих.
В акционерных обществах высший слой управленческих работников часто получает, по-видимому, незаслуженные вознаграждения. На этом поприще достигнуты столь внушительные успехи, что они отмечены в Книге рекордов Гиннесса. В 1982 г. председатель правления акционерного общества Федерал экспресс Фредерик У. Смит (США) получил самое большое в мире вознаграждение в сумме 51 544 000 долл.
Совокупный доход за счет прибыли и заработной платы формируется не только у части предпринимателей, менеджеров. Такая интеграция доходов получает все большее распространение и среди рабочих. Достигается это главным образом за счет использования на предприятиях систем участия в прибылях, в капитале. При этом денежное вознаграждение делится на две части. Первая, и главная, его доля выплачивается по обычным нормам заработной платы, а вторая — в конце года в виде премии из прибыли предприятия.
Премия выдается нерегулярно и ставится в зависимость от уровня дохода предприятия или от размеров той части прибыли, которая создается за счет либо экономии производственных расходов, либо сбережения только затрат на рабочую силу. Такие выплаты освобождаются от налогов. Все это делается с целью увязать экономические интересы каждого работника с улучшением конечных результатов коммерческой деятельности предприятия.
В США свыше трети всех компаний использовали те или иные формы участия в прибылях. Вместе с тем практика показала недостаточную эффективность их применения для стимулирования отдачи рядовых работников. Ведь в этих системах гибкая часть заработка исходит из финансовых итогов работы компаний, которые зависят не только от работы персонала, но и от положения на рынке сбыта, уровня налогообложения и других внешних факторов.
Поэтому сейчас все более широко пXименяется система распределения доходов, при которой уровень оплаты труда непосредственно зависит от выработки и качества продукции, достигнутых каждым отдельным работником.
В 70—80-е годы на предприятиях СССР системы оплаты труда рабочих и служащих стали предусматривать регулярное получение премий и других выплат за счет прибыли. В связи с этим из прибыли выделялся специальный фонд материального поощрения. Он расходовался на выплату премий (по итогам работы за месяц, квартал, год), вознаграждений, материальную помощь и другие нужды работников. Из прибыли стал формироваться также фонд социального развития.
Он использовался трудовым коллективом на жилищное строительство, содержание объектов социально-культурной сферы (детских дошкольных и медицинских учреждений, профилакториев, клубов и т.п.), проведение спортивно-оздоровительных и культурно-массовых мероприятий.
В период проведения экономических реформ в России (1992—1996) на многих фирмах, ставших акционерными обществами, значительно расширилась практика использования прибыли (в первую очередь через выплаты дивидендов) для увеличения общего заработка работников. Правда, это касается главным образом отраслей, занимающих монопольное положение на рынке товаров и услуг. Напротив, там, где происходит сильное падение производства, предприятия зачастую не получают вообще прибыли.
Об ухудшении положения в экономике нашей страны свидетельствует абсолютное и относительное увеличение количества убыточных предприятий (табл. 11.1).
Таблица 11.1.
Удельный вес убыточных предприятий в экономике России в 1992—1995 г. (% от общего числа предприятии)

Отрасль экономики
1992
1993
1994
1995
Промышленность
7,2
7,8
22,6
26,8
Сельское хозяйство
14,7
10,0
58.7
57.2
Строительство
7,6
5.9
14,5
19,7
Транспорт
20,7
16.6
28.8
36.4
Всего
15.3
14,0
32,5
36.0
При нормальном состоянии экономики использование части прибыли для увеличения доходов работников позволяет преодолевать их былое отчуждение от собственности и заинтересовывать в экономической реализации совместного имущества, в увеличении массы и нормы прибыли.
2. Норма прибыли и ее экономическая роль
Норма прибыли Норма прибыли характеризует степень возрастания
капитала (производственных фондов), который авансирован на производство товаров и услуг. При этом авансированные средства ДА складываются из стоимости средств производства К и расходов на заработную плату 3П. В таком случае норма прибыли НП предстает как отношение прибыли ПВ к первоначально затраченным средствам, выраженное в процентах:

Норма прибыли и ее экономическая роль

Обычно под нормой прибыли понимается годовая норма прибыли: отношение полученной за год прибыли ко всему авансированному капиталу. В хозяйственной практике нашей страны применяется аналогичный показатель-— рентабельность предприятия, который характеризует эффективность его деятельности.
О массе (абсолютной величине) прибыли и рентабельности российской промышленности можно судить по данным таблицы 11.2.
Таблица 11.2.
Прибыль и уровень рентабельности промышленности России

Показатель
1985
1992
1995
Прибыль, млрд. руб. (в фактических ценах)
65
4015
140079
Уровень рентабельности, %
12.5
38.3
24,1
Рассчитывается также рентабельность продукции — соотношение между прибылью от реализации продукции (работ, услуг) и затратами на производство и реализацию продукции (работ, услуг). Приведем данные о рентабельности продукции в России: в 1992 г. он составлял 38,3%, в 1993 г. - 32,0%, в 1994 г. - 19,5%, в 1995 г. - 24,1%.
Собственники капитала, естественно, кровно заинтересованы увеличивать свое богатство, повышая норму прибыли. Английский публицист XIX в. Т.Дж. Даннинг подметил: Капитал боится отсутствия прибыли или слишком маленькой прибыли, как природа боится пустоты. Но раз в наличии имеется достаточная прибыль, капитал становится смелым.
Обеспечьте 10%, и капитал согласен на всякое применение, при 20% он становится оживленным, при 50% положительно готов сломать себе голову, при 100% он попирает все человеческие законы, при 300% нет такого преступления, на которое он не рискнул бы, хотя бы под страхом виселицы.



Новую стоимость создают наемные работники.


Существо теории прибавочной стоимости можно выразить в следующих положениях.
Первое положение. Новую стоимость своим трудом создают наемные работники. Эта стоимость частично достается ее создателям в виде заработной платы. А остальную часть в 4юрме прибыли получает собственник капитала. А. Смит в труде Исследование о природе и причинах богатства народов утверждал: Стоимость, которую рабочие прибавляют к стоимости материалов, распадается сама... на две части, из которых одна идет на оплату заработной платы, а другая — на оплату прибыли их предпринимателя на весь капитал, который он авансировал в виде материалов и заработной платы68.
При этом важно, что прибыль не является заработной платой за особый вид труда по надзору и управлению предприятием, тем более что на крупных предприятиях такой деятельностью занимается управляющий. Прибыль определяется на совершенно иных началах. Она зависит от величины стоимости использованного капитала, который предприниматель рискнул пустить в дело.
Второе положение. Капитал, который затрачивает предприниматель, распадается на две части, выполняющие разное предназначение. Одна часть идет на покупку средств производства, другая — на оплату труда наемных работников. Первый элемент капитальных затрат воплощает тот прошлый труд, который израсходован на других предприятиях, поставивших данной фирме вещественные факторы производства.
Поэтому стоимость средств производства не может быть источником создания новой (добавленной) стоимости. Она не изменяется в процессе создания новых товаров и входит в их стоимость (как, например, стоимость пряжи включается в стоимость готовой ткани). Только второй элемент капитальных затрат является созидателем новой стоимости. К.Маркс в первом томе Капитала описал этот процесс так:
Та часть капитала, которая превращается в средства производства, т.е. в сырой материал, вспомогательные материалы и средства труда, в процессе производства не изменяет величины своей стоимости... Напротив, та часть капитала, которая превращена в рабочую силу, в процессе производства изменяет свою стоимость. Она воспроизводит свой собственный эквивалент и сверх топу избыток, прибавочную стоимость...69.
Третье положение. Рабочий день наемного труженика делится на две части. Сначала он затрачивает необходимый труд, идущий на содержание его самого и семьи: создает эквивалент его заработной платы.
Потом он расходует прибавочный труд, во время которого производит прибавочную стоимость.
Деление всего рабочего времени на необходимую и прибавочную части было вполне очевидным 4'актором при феодализме. Во время барщины крепостной крестьянин затрачивал прибавочное время, непосредственно работая на помещика в его владениях. Необходимое рабочее время он расходовал на своем земельном наделе, в домашнем хозяйстве.
Массовые выступления крестьян против помещичьего гнета заставили царское правительство в указе о трехдневной барщине 1797 г. формально запретить помещикам заставлять крестьян работать на барском поле более трех дней. Но этот указ часто нарушался.
Типичный феодальный произвол отразил А.Н. Радищев в своем Путешествии из Петербурга в Москву. В местечке Любань состоялся разговор с крестьянином, который пахал на своем наделе в воскресенье:
— Ты, конечно, раскольник, что пашешь по воскресеньям?..
— В неделе-то, барин, шесть дней, а мы шесть раз ходим на барщину...70.
Между тем на капиталистическом предприятии невозможно наблюдать столь открытое деление труда на необходимую и прибавочную части. Здесь заработная плата работника организована таким образом, что ему оплачивается каждый час работы или всякое изготовленное им изделие. Какую же выгоду в таком случае получает бизнесмен?
Сторонники теории прибавочной стоимости считают, что форма заработной платы ловко маскирует неоплаченный труд работника.
Четвертое положение. Деление новой стоимости на две известные доли порождает противоположность экономических интересов наемных работников и бизнесменов. Дело в том, что увеличение доходов одних происходит за счет уменьшения заработков других.
Отсюда возникают разные формы противоборства при разделе общего пирога.
Д. Рикардо сформулировал закон, согласно которому величины заработной платы и прибыли находятся в обратной пропорциональной зависимости. Он пришел к заключению: Какая доля продукта уплачивается в форме заработной платы — вопрос в высшей степени важный при изучении прибыли. Ибо нужно сейчас же заметить, что последняя будет высока или низка в той же самой пропорции, в какой будет низка или высока заработная плата71.
Пятое положение. Создаваемая наемным трудом прибавочная стоимость является источником доходов всех собственников вещественных условии бизнеса: а) капиталистов, закупающих средства производства; б) земельных собственников, получающих ренту; в) банкиров, дающих капитал за определенный процент. Отсюда вытекал вывод о том, что за счет труда наемных работников получают доходы не только капиталистические предприниматели, но также землевладельцы и банкиры.
Все эти положения теории прибавочной стоимости должны пройти проверку на истинность. Однако здесь нас подстерегают большие трудности. В первую очередь, важно учитывать, что мы имеем дело с абстрактной теоретическоQ конструкцией, отражающей эндогенные экономические отношения, которые нельзя наблюдать непосредственно на поверхности хозяйственных явлений.
Далее, эта теория должна быть оценена через призму истории. Многие ее предпосылки (единоличная форма капитала, участие в производстве работников физического труда и др.) относятся к эпохе классического капитализма, когда и была создана теория прибавочной стоимости. Она, по всей видимости, в большей мере могла бы соответствовать начальному периоду капиталистического развития.
Но в условиях посткапиталистического общества появилось много кардинальных изменений в экономике, которые служат аргументами против признания безусловной истинности данной теории. Что это за аргументы?
1. В XX в. единоличная собственность перестала быть господствующей формой капитала, вызывающей отчуждение работников от средств производства и продуктов их труда. На смену ей пришел тип общего долевого присвоения (акционерные общества, товарищества и т.п.). В этих новых условиях весь труд работников, в том числе прибавочный труд, не может принадлежать какому-либо одному собственнику средств производства.
2. С возникновением государственного сектора экономики значительная доля прибыли предприятии стала изыматься в виде государственных налогов. Последние идут на удовлетворение разнообразных совместных общественных потребностей (бесплатное среднее образование, развитие науки, социальные нужды и т.п.).
3. На западных предприятиях в последние десятилетия часто используются различные формы участия работников в распределении прибыли, что порождает заинтересованность трудящихся в увеличении общего дохода фирмы.
4. В теории прибавочной стоимости имеется внутреннее противоречие. С одной стороны, деление труда рабочих на необходимое и прибавочное время рассматривается в качестве показателя эксплуатации наемного труда капиталом. С другой стороны, разделение труда в производстве на необходимый и прибавочный на протяжении всей цивилизации признается как непременное условие ее существования.
Со всей определенностью К. Маркс отмечал, что в любом общественном производстве... всегда может быть проведено различие между той частью труда, продукт которой входит в непосредственное индивидуальное потребление производителей и членов их семьи, и... другой частью труда, которая всегда есть прибавочный труд, продукт которой всегда служит удовлетворению общих общественных потребностей, как бы ни распределялся этот прибавочный продукт и кто бы ни функционировал в качестве представителя этих общественных потребностей72.
5. В условиях научно-технической революции и перехода к постиндустриальной стадии производства возникла устойчивая тенденция к повышению жизненного уровня основной массы населения. Это устранило былое острое противоречие между богатством немногих и бедностью большинства людей.
Профессора П. Самуэльсон и В. Нордхаус отметили в учебнике Экономикс, что в период промышленной революции наблюдалась ужасающая бедность масс. 84-часовая рабочая неделя была тогда установившимся правилом, как и мрачные условия, в которых работали даже шестилетние дети. В ходе промышленной революции общество разделилось на капиталистов и рабочих, на два класса, характеризующихся существенным экономическим неравенством в доходах. Эта тенденция была обоснована еще К. Марксом и Ф. Энгельсом в Манифесте Коммунистической партии.
Но не все их прогнозы, сделанные в ходе анализа тенденции, подтвердились. В частности, положение о том, что богатые становятся богаче, а бедные беднее. Тщательные исторические и статистические исследования не подтверждают этого: и в Европе, и в Америке происходит постоянное повышение минимального жизненного уровня73.
Таким образом, теория прибавочной стоимости является гипотезой (научным предположением), которая, по-видимому, имеет частичное историческое подтверждение. Современная сложная и противоречивая экономика во многом не укладывается в ее ограниченные рамки.



Нынешняя совокупность мирохозяйственных связей


В последние десятилетия формируется новое глобальное экономическое пространство. Многие отсталые в экономическом отношении страны, имевшие натуральное или полунатуральное производство, переходят к рыночной экономике. Постсоциалистические государства, входившие в замкнутые военно-политические блоки, становятся странами с открытой экономикой.
Это способствует тому, что в международном масштабе более интенсивно развивается вся система рыночных отношений.
Глобальные связи между странами не сводятся только к внешнеторговым отношениям, как это было на первых этапах мировой экономической истории. Экономическая взаимозависимость становится все более разносторонней. Нынешняя совокупность мирохозяйственных связей включает в себя:
— внешнюю торговлю;
— кооперацию производства;
— обмен научно-технической информацией и технологическими разработками;
— перемещение рабочей силы из одной страны в другую;
— международный кредит и иностранные инвестиции;
— валютные взаимоотношения государств.
Такие мирохозяйственные связи опираются на глобальную инфраструктуру. В нее в первую очередь входят международная транспортная система (морской, железнодорожный, воздушный транспорт), мировая сеть информационных коммуникаций (в том числе межконтинентальная сеть телекоммуникаций).
Нынешнее всемирное хозяйство непрерывно изменяется под влиянием факторов, придающих ему высокий динамизм. К ним относятся научно-техническая революция, растущая взаимозависимость национальных хозяйств, радикальная перестройка социально-экономических отношений во многих странах. Основой этих перемен служит нарастающая интернационализация производства.
Экономической основой современного всемирного хозяйства служит интернационализация производства — развитие такого организационно-экономического сотрудничества, которое выпуск изделий в одних странах объединяет с их потреблением в других. Международные связи национальных экономик становятся постоянными, когда возникает международное разделение труда — специализация отдельных стран на производстве тех или иных товаров и услуг в целях их продажи на мировом рынке. На нем каждая страна выступает, образно говоря, со своей экономической витриной.
Первоначально специализация стран на изготовлении каких-либо изделий, особенно сельскохозяйственной продукции и сырьевых товаров, была обусловлена их различиями в природно-климатических условиях. Как известно, минеральные ресурсы крайне неравномерно распределены по территории планеты. В разных регионах имеется неодинаковый земельный фонд, который в одних местах более пригоден для растениеводства, а в других — для животноводства.
Такая естественная специализация производства существовала издавна и сохранилась до сих пор.
Сейчас заметное место на мировом рынке занимают страны с высокоразвитым сельским хозяйством, специализированным на производстве трудоемкой экспортной продукции. Они добились наивысшего уровня выпуска отдельных видов сельскохозяйственных продуктов. Например, в 1988 г. в Греции было выращено овощей и бахчевых в расчете на одного жителя 361 кг, в то время как в Советском Союзе — 121 кг, США — 106 кг, Швеции — 29 кг и Монголии — 27 кг.
В том же году произвели мяса соответственно в Новой Зеландии 483 кг (что в четыре раза превышает рациональную норму его потребления), а в США — 122 кг, Советском Союзе — 69 кг, Швеции — 67 кг и Вьетнаме — 13 кг. Естественно, что одни государства особенно заботятся об экспорте излишней продукции, а другие — об импорте недостающих товаров, поэтому те и другие нуждаются во внешней торговле.
Прогресс специализации стран ускорил индустриальное развитие национальных экономик. Промышленная революция в XIX в. произвела переворот в отраслевом разделении труда, двинула вперед дифференциацию производства на основе технического прогресса. Начала широко развиваться предметная (или межотраслевая) специализация, ориентирующаяся на изготовление отдельных видов промышленных изделий.
Типичными представителями такого вида разделения труда стали, например, Швейцария, известная выпуском знаменитых на весь мир марок часов, и Швеция — мировой поставщик высококачественной стали и подшипников.
Сначала Англия, еще в XIX в. считавшаяся фабрикой мира, а затем и другие крупные государства Европы и Северной Америки превратились во всемирные индустриальные центры, работающие в расчете не на национальные, а на международные экономические потребности. Изготовленные в них фабричные продукты потреблялись во всех частях света. Усилилась ориентация на переработку привозного сырья. С этой целью взамен традиционных местных производств возникли новые отрасли промышленности.
Наступил конец местной и национальной замкнутости в хозяйственной жизни, и получила мощные импульсы к развитию экономическая связь и зависимость наций друг от друга.
На индустриальной стадии производства в экономических взаимоотношениях стран возобладал принцип сравнительною преимущества, впервые сформулированный Д. Рикардо. Согласно этому принципу, страны специализируются на производстве тех товаров, которые могут делать с относительно более низкими по сравнению с другими странами издержками. В условиях свободной конкуренции между какими-либо двумя странами их граждане будут покупать, скажем, обувь только той страны, где она обходится дешевле. Будет ли выгодно каждой стране экспортировать товар, в производстве которого она имеет сравнительное преимущество, и импортировать продукт, изготовление которого в этой стране является относительно менее эффективным? Ответ на этот вопрос очевиден.
Государство, обладающее сравнительным преимуществом, будет богаче. Но и стране, у которой нет такого преимущества, тоже не станет хуже, ибо она приобретает за границей более дешевую продукцию. В итоге человеческое сообщество выигрывает от международного размещения труда и торговли.
Современный этап интернационализации производства порожден развертыванием научно-технической революции. Происходящие в этой сфере глубокие изменения имеют по ряду признаков глобальный, всемирный характер, требуют международных усилии. Обновление науки, техники и технологии столь масштабно, всесторонне и глубоко, что осуществить его невозможно силами одной, даже крупной, державы.
НТР позволяет в короткий срок настолько увеличить выпуск новой продукции, что внутренние рамки отдельных стран оказываются слишком узкими для ее полного использования. Становится необходимым и экономически оправданным развертывать производство в расчете не на одну страну, а и гораздо более широких масштабах. В этом отношении особо выделяются высокоразвитые в техническом отношении машины, оборудование, транспортные средства и другие готовые изделия, а также новейшие технологии и научно-технические разработки.
Так, например, в 1992 г. в расчете на 1000 человек населения произведено легковых автомобилей в ФРГ 66 шт., в Японии — 75 шт., Франции — 63 шт., США — 22 шт., России — 6 шт. и в Китае — 0,2 шт.
Для определения степени интернационализации хозяйственной деятельности применяется специальный показатель — экспортная квота производства. В нем фиксируется доля продукции, производимой на экспорт:

Нынешняя совокупность мирохозяйственных связей

где ЕХк — экспортная квота,
EX — экспорт в течение года,
ВВП — годовой валовой внутренний продукт.
Достигнутая степень интернационализации производства страны зависит от ряда факторов: уровня ее технико-экономического развития, характера производственной специализации и размера национального хозяйства. При этом степень технико-экономического развития государства обычно во многом определяется уровнем разделения труда, в том числе международного.
Научно-техническая революция формирует новый этап в международном разделении труда — переход от -предметной (межотраслевой) специализации к подеталыюй (внутриотраслевой). Например, значительную часть операций по изготовлению американских телевизоров и другой электронной аппаратуры выполняют рабочие заводов, расположенных в Южной Корее, на Тайване, в других развивающихся странах.
В каждом национальном хозяйстве повышается роль элементов, порожденных организационно-техническим взаимодействием. В результате независимо от форм собственности и общественного строя разных стран происходит их все более полная экономическая взаимозависимость.
Однако для такой взаимозависимости стран и народов характерна асимметричность (несоразмерность). Источники научно-технического переворота и новых организационных связей находятся в нескольких "центрах всемирного хозяйства. В то же время большинство стран выступают лишь потребителями результатов НТР и зависят от развитых стран в технологическом и организационно-экономическом отношении.
Нельзя забывать о том, что действует и противоположная тенденция к выравниванию технологического развития разных стран. Во второй половине нынешнего столетня технический переворот в средствах информации, связи и транспорта позволяет быстро применять достижения НТР во всех регионах земного шара. В результате созданная в одном государстве новейшая техника и технология, преодолевая искусственные преграды, быстро распространяется по всему миру.



О нарастании тенденции к углублению социализации


Вместе с тем субъекты микро- и в значительной мере мезоэкономики строят свою хозяйственную деятельность под регулирующим влиянием рыночной системы. Сама же эта система приобрела характер социального института.
Итак, макросистема знаменует собой переход национальной экономики к наиболее высокой ступени ее реального обобществления. О нарастании тенденции к углублению социализации (лат. societas — общество) экономических отношений наглядно свидетельствует таблица 13.2.

Критерии различий
Уровни хозяйства
Мсзоэкономическая система
Макроэкономическая система
Вид разделения и кооперации труда
Особенное разделение труда и мезоинтеграция (ФПГ)
Общее разделение труда и народнохозяйственный комплекс
Тип собственности
Общее долевое присвоение
Общая совместная (государстве! i пая) собственность
Вид организации хозяйства
Нерыночные и квазирыночные связи внутри мезосистсем
Нерыночный сектор национального хозяйства
Формы управления хозяйством
Плановое управление внутри мезосистем
Государственное управление макроэкономическими связями
Как видно, макроэкономика имеет ярко выраженный характер национальной экономической интеграции. В силу этого для количественного измерения параметров этой интеграции используется своя система показателей.
3. Система показателей макроэкономики
Исторически первым был тип показателей, которыми измеряли масштабы развития только сферы материального производства. Это было вполне естественно для доиндустриального и индустриального производства, в котором признавался и ценился только труд по изготовлению полезных вещей.
С таких позиций английские классики делили весь труд в национальном хозяйстве на два вида: а) производительный, создающий материальное богатство, и б) непроизводительный, который не создает богатство, а только потребляет его. Так, А. Смит к трудовой деятельности второго рода отнес услуги таких профессий, как священники, юристы, врачи, писатели... актеры, паяцы, музыканты, оперные певцы, танцовщики и пр.92.
На этой теоретической базе была разработана и длительное время применялась следующая система макроэкономических показателей, которая до сих пор пригодна для экономического анализа сферы материального производства.
Исходным показателем, характеризующим накопленное богатство в статике, является национальное богатство. Под национальным богатством понимается совокупность созданных трудом и накопленных материальных благ, имеющихся в стране. Эта совокупность включает: а) производственные основные фонды (здания, машины, оборудование и т.д.); б) непроизводственные основные-фонды (жилища, а также здания и оборудование учреждений образования, здравоохранения и т.п.); в) материальные оборотные средства; г) личное имущество населения.
О том, как изменилась структура национального богатства нашей страны за последние годы, дает представление таблица 13.3.
Таблицa 13.3.
Структура национального богатства России (без учета стоимости земли, недр и лесов; на конец года; %)

Год
Всего
в том числе
Производственные основные фонды (включая скот)
Непроизводственные основные фонды
Материальные оборотные средства и запасы
Домашнее имущество
1980
100
43
22
18
17
1990
100
44
22
17
17
1993
100
57
13
25
5
Из данных таблицы 13.3 вытекает, что структура национального богатства существенно изменилась: повысился удельный вес производственных основных фондов (средств труда, функционирующих в сфере материального производства) и материальных оборотных средств и запасов. Соответственно уменьшились доля непроизводственных основных фондов (фонды жилищного и коммунального хозяйства организаций и учреждений здравоохранения, просвещения, науки, культуры и т.п.), а также удельный вес домашнего имущества. Эти изменения объясняются главным образом тем, что стоимость производственных" основных фондов переоценивалась с учетом инфляции, а стоимость домашнего имущества не индексировалась.
Состояние материального производства определяется с помощью показателей, отражающих его динамику. О самых общих итогах развития производственной сферы нас достоверно информирует показатель — совокупный (или валовой) общественный продукт. Совокупный. общественный продукт— вся продукция материального производства, •созданная за определенный период (обычно за год).
В развитых странах мира основной вклад в его создание вносят промышленность, сельское хозяйство и строительство.
Выраженный в стоимостной форме продукт общества выступает как, валовой общественный продукт - сумма стоимости продукции всех хозяйственных единиц. При ее расчете суммируется стоимость израсходованных средств производства СП, воплощающая прошлый труд, и новая (добавленная) стоимость Сд. Отсюда стоимостную структуру всего валового продукта Пв, мы узнаем по формуле

О нарастании тенденции к углублению социализации

Данный показатель имеет один серьезный недостаток. При подсчете валового общественного продукта неоднократно складываются величины материальных затрат на всех технологических стадиях производства. Скажем, для издания этой книги потребовалась бумага, исходным сырьем для которой послужила древесина.
Стоимость последней первоначально учитывалась на лесозаготовительных предприятиях, затем — на целлюлозно-бумажном комбинате и еще раз — в типографии. Выходит, что работники и целлюлозно-бумажного комбината и типографии наращивали общую стоимость производимой ими продукции в немалой мере за счет труда, затраченного на лесозаготовках.
Чтобы правильно оценить деятельность каждого предприятия и любой отрасли, надо из их результатов исключить все созданное чужим трудом. Из валовой продукции следует вычесть то, что повторно учитывается на каждой стадии изготовления конечной продукции, т.е. стоимость предметов труда, воплощающих — для обрабатывающих предприятий — прошлый труд. Чтобы это сделать, валовую продукцию подразделяют на промежуточный и конечный продукты (рис.
13.1).

О нарастании тенденции к углублению социализации

Рис. 13.1. Структура валовой продукции
Промежуточный продукт — часть валового общественного продукта, которая в течение года направляется на текущие материальные затраты. К ним относятся сырье, материалы, топливо, энергия, покупные комплектующие детали, узлы и полуфабрикаты, а также незавершенные стройки. Все эти предметы труда не выходят из производственного процесса.
Остальная часть валовой продукции, созданной за год, — конечный продукт -_это готовые материальные блага, которые идут для потребления населения, восстановления изношенных в течение года средств труда и для накопления. К конечному продукту относятся предметы потребления, машины и оборудование (в части, соответствующей годовому износу, или годовому фонду амортизации), готовые строительные объекты.
Конечный продукт свободен от повторного счета стоимости предметов труда, Вместе с тем он содержит старую стоимость, воплощенную в готовых средствах труда и равную сумме начисленной за год амортизации. Если даже данная величина стоимости не попадает в повторный счет, она тем не менее создана прошлым трудом (в предыдущий период). Поэтому необходим другой обобщающий показатель, который смог бы подытожить трудовую деятельность работников материального производства за текущий год (очистив ее от прошлого труда).
Таким показателем является национальный доход. Национальный доход — это часть совокупного общественного продукта, которая содержит вновь созданную в течение года стоимость. Этот доход — чистая стоимость конечного продукта. Он не включает старую стоимость предметов обработки и средств труда, созданных в предыдущие годы.
Национальный доход определяется как сумма доходов, которые первоначально получают занятые в материальном производстве.
Итак, мы последовательно рассмотрели всю систему макроэкономических показателей, которые свидетельствуют о том, как поэтапно образуется весь продукт и доход общества в сфере материального производства. Между тем вне поля нашего зрения остались результаты экономической деятельности в сфере нематериальных услуг.
Второй тип показателей отражает то состояние национального хозяйства, которое формируется в новейшую эпоху постиндустриального общества. Примечательно, что в 1992 г. в сфере услуг в странах Запада было создано примерно 2/3 всей новой добавленной стоимости (в то же время в России — 1/3, т.е. на уровне Индии).
Новый тип показателей национальной экономики опирается на следующие теоретические положения неоклассиков:
— все полезности и ценности создаются трудом как в материальном производстве, так и в сфере услуг;
— весь общественный продукт рассматривается (и рассчитывается) как результат применения трех факторов производства: труда, капитала и земли.
Таким образом, сейчас макроэкономические показатели обобщают результаты деятельности двух сфер: всю массу товаров и услуг. Как же рассчитываются эти результаты?



Обратимся к языку официальной американской статистики


Рекомендации Дж.Кейнса стали претворяться на практике во второй половине XX в., когда стала развертываться научно-техническая революция (НТР). Эта революция породила, во-первых, определяющую тенденцию — все более полное превращение науки (воплощающей общечеловеческие знания) в непосредственную производительную силу. Создание современной экономики потребовал систематического увеличения вклада государства в рост научно-технического потенциала общества, в широкомасштабную подготовку квалифицированных работников и специалистов. Во-вторых, НТР привела к углублению общественного разделения труда, а тем самым усложнила организационно-экономические связи, скрепляющие субъектов хозяйствования в рамках укрупняющихся производственных объединений.
В-третьих, в условиях НТР на государство легла забота о более разностороннем развитии и благополучии всех граждан.
Таким образом, в период перехода к постиндустриальной экономике был объективно запрограммирован процесс дальнейшего усиления общественного характера производства. Независимо от воли и желания каких-либо лиц и социальных групп в западных странах возник и получил постоянную прописку государственный сектор национальной экономики. Характерно, что в 1990 г. конечные расходы государственных учреждений в валовом национальном продукте составили: в Японии 9%, Италии — 17%, Франции и ФРГ — 19%, Великобритании и США — 20%. В орбиту государственного присвоения вошли, как правило, многие базовые отрасли промышленности (добыча энергоносителей, металлургия и т.д.), военно-промышленный комплекс, важнейшие финансовые учреждения (например, центральные банки), многие общие условия производства (железнодорожный, воздушный, трубопроводный транспорт, сеть электроснабжения и т.д.), учреждения социального назначения (здравоохранение, образование, социальное обеспечение и др.).
Значит, без государственной собственности ныне нельзя обеспечить развитие национальной экономики и создать нормальные условия жизнедеятельности всех людей.
Таким образом, после эпохи классического капитализма и периода господства финансового капитала в странах Запада наступила новая фаза социально-экономического развития. Ее отличительные черты таковы:
— образовался значительный государственный сектор хозяйства, основанный на типе общего совместного присвоения;
— новый сектор частично вытеснил из национального экономического пространства частную и корпоративную собственность;
— государственный сектор осуществляет специфические экономические и социальные функции, которые не в состоянии выполнять частный и корпоративный капитал;
— государство активно регулирует всю экономику в целом и в общенациональных интересах, используя для этого правовые, экономические и административные рычаги и методы.
Более подробно эти и другие особенности экономической роли государства будут рассмотрены в разделе V учебника.
Теперь настало время рассмотреть, чем полтора столетия спустя завершилась эволюция капиталистической собственности на Западе.
Итак, как сейчас выглядит общая картина структуры отношений присвоения в западных странах? Довольно часто многие люди представляют себе западную экономику в виде общественного устройства, которое базируется на частной собственности. Общество с безраздельным господством частного капитала в зарубежной литературе получило название чистый капитализм; т.е. такой буржуазный строй, при котором государство никак не вмешивается в хозяйственную жизнь и не нарушает устои свободного предпринимательства.
Спрашивается: существует ли в настоящее время на Западе чистый капитализм? Для ответа на этот вопрос обратимся к фактам.
Первый факт состоит в том, что в структуре экономики всех западных стран прочное место занимает государственный сектор, который опирается на общую совместную (государственную и муниципальную) собственность. Примечательно, что американские профессора К. Макконнелл и С.Брю в своем учебнике Экономикс главу 8 назвали Реальности американского капитализма: государственный сектор. Согласно приводимым здесь статистическим данным, государственные закупки товаров и услуг составляют около 20% национального дохода за весь период после второй мировой войны29.
Вот почему не может быть и речи о чистом капитализме.
Несомненно, что определенную часть общего экономического пространства США занял государственный сектор. Однако может быть за пределами этого сектора все оставшееся место принадлежит частным собственникам?
Обратимся к языку официальной американской статистики (табл. 3.1).
Таблица 3.1.
Негосударственные формы хозяйства в США. 1985 г.

Форма хозяйства
Количество, тыс. .
В процентах от общего числа
Единоличное владение
Товарищества
Корпорации
11 929
1714
3277
70,5
10,1
19,4
Второй факт заключается в том, что единоличные владения — это лишь часть, хотя и значительная (70,5%), общего количества хозяйств негосударственного сектора национальной экономики. Кроме этих владений имеются совершенно иные формы собственности (29,5% всех хозяйств).
Все же численность единоличных владений является доминирующей в американской экономике. Можно ли на этом основании назвать ее экономикой частных предпринимателей?
Теперь посмотрим, какой удельный вес занимают частные и иные хозяйства в общем объеме товарооборота США (табл. 3.2).
Таблица 3.2.
Оборот разных форм хозяйства и США, 1985

Форма хозяйства
Общин оборот, млрд.долл.
В процентах от общего оборота
5,8
Единоличные владении
540
Товарищества
368
4,0
Корпорации
8398
90,2
Третий факт убедительно свидетельствует о том, что огромная масса единоличных владений дает мизерную долю всего оборота (только 6%). Львиная же доля приходится на корпорации (90% всего оборота). Так не вернее ли сказать, что американская экономика — экономика корпораций?
Иначе говоря, реальное доминирующее положение в экономике США занимают формы общей долевой собственности (товарищества и корпорации). В связи с этим можно понять вывод, к которому пришли профессора П.Самуэльсон и В.Нордхаус (США): Природа капитализма становится все менее частной, свободные предприятия становятся все менее свободными30.
Итак, в конце XX в. в западной экономике одновременно сосуществуют все три известных нам класса присвоения с их различными формами:
а) частная собственность на средства производства трудящихся (фермерская и иная собственность);
б) частнокапиталистическая собственность;
в) товарищества и корпорации (общее долевое присвоение);
г) государственная (общая совместная собственность). Иначе говоря, здесь сложилась необычная экономика, состоящая из нескольких укладов (форм хозяйства). Это сильно отличает западное общество от тех социальных образований, которые были в прошлом.
Как известно, в предшествующие исторические эпохи социально-экономический строй (первобытно-общинный, рабовладельческий, феодальный) базировался, как правило, на одной господствующей форме собственности. Сейчас же западные государства имеют новый облик, который не похож на чистый и классический капитализм.
Прежнее название — капитализм — некоторые авторы категорически отвергают. Так, профессор Дэвид Хайман в учебнике Современная микроэкономика: анализ и применение считает фактом то, что ни в США, ни в любой другой стране Запада экономику нельзя рассматривать как чисто капиталистическую31.
Сейчас ясно по крайней мере одно. В западных странах общая структура отношений присвоения не является однородной. Здесь не господствует ни единоличная, ни государственная собственность.
Совершенно иначе развивались отношения собственности в нашей стране.
4. Россия: от государственного социализма
к новому общественному строю
В 1917 г. в России, как известно, социалистическая революция провозгласила цель — заменить капитализм социализмом. Социально-экономический строй изменился коренным образом в соответствии с теоретическими установками государственного социализма. Существо концепции государственного социализма выражается следующими положениями:
1) государство обобществляет все средства производства;
2) все трудоспособные граждане работают по найму у государства;
3) со стороны общества и государства устанавливается строжайший контроль за мерой труда и мерой потребления каждого гражданина32.
В соответствии с этими установками в России была проведена национализация (огосударствление) крупной промышленности, банков, железных дорог, учреждений науки, образования, здравоохранения, культуры и др. В наибольшей мере огосударствление народного хозяйства было проведено во время гражданской войны (1918—1921) — в период военного коммунизма. Государство взяло под свой контроль все народное хозяйство. Оно ликвидировало частнокапиталистическую собственность: были национализированы даже такие капиталистические предприятия, где был всего один наемный работник.
В условиях хозяйственной разрухи и массового голода в городах продовольствие распределялось по карточкам или даже бесплатно (из-за расстройства денежной системы) по очень низким нормам.



Общая величина военных расходов


Приведенные в таблице 20.6 цифры весьма красноречивы. Разрыв по величине ВВП на душу населения (по паритету покупательной способности валют) между беднейшими государствами и США составляет 20-50 раз.
Мировое сообщество должно гарантировать развивающимся странам равноправное участие в международной торговле, справедливое возмещение затрат труда и природных ресурсов, поступающих из них в распоряжение развитых участников всемирного хозяйства. Если будет уменьшаться отставание освободившихся стран и повышаться уровень жизни их населения, это может способствовать оживлению экономической активности в западных государствах, позволит полнее использовать их производственные возможности.
Важнейшим условием дальнейшего социально-экономического прогресса является преодоление угрозы экологической катастрофы.
На протяжении почти всей истории развития человечества ущерб от хозяйственной деятельности был сравнительно невелик, и природа восстанавливала экологическое равновесие, по крайней мере в планетарных масштабах. Но положение коренным образом изменилось в наше время. Ущерб, наносимый окружающей среде, возрос настолько, что природа утратила способность к самовосстановлению.
В результате на нашей планете исчезают условия, обеспечивающие жизнь человека.
Близятся к истощению некоторые невозобновляемые запасы полезных ископаемых и не успевают возобновляться потребляемые ресурсы лесоматериалов и других видов сырья. Огромная опасность для цивилизации таится в глобальном потеплении климата на планете, росте озоновых дыр, других катастрофических процессах, порождаемых негативными сторонами человеческой деятельности и ведущих к сокращению потенциальных возможностей Земли как уникальной среды обитания человека. Нынешнему поколению людей приходится расплачиваться за расточительство предыдущих поколений, а будущие — могут получить в наследство безжизненную планету.
Чтобы предотвратить неблагоприятное воздействие производства на природную среду, требуются крупные капиталовложения на очистные сооружения и всевозможные средства защиты. Еще больше финансовых ресурсов необходимо выделять для возмещения уже нанесенного ущерба природе, для восстановления экологического равновесия и воссоздания нормальных условий жизни в районах, особенно сильно пострадавших от нерациональной хозяйственной деятельности человека.
Слаборазвитым государствам не под силу реализовать весь комплекс эффективных мер по защите окружающей среды. Поэтому для решения глобальной экологической проблемы нужно объединить усилия всех стран и народов мира. В частности, международное сотрудничество требуется для защиты природы в местах, расположенных вне национальных границ (Мировой океан, Антарктида и т.п.).
Назрела необходимость подчинить хозяйственную деятельность общим стандартам и нормам экологической безопасности, с помощью международных средств принимать быстрые меры для ограничения и ликвидации ущерба в случае чрезвычайных происшествий глобального масштаба.
Имеются ли у человечества материальные возможности для решения острейших глобальных проблем? Мощные ресурсы для этих целей заложены в сокращении военных расходов и конверсии военной промышленнсти. Ведь в 80-е годы суммарные мировые затраты труда, связанные со всеми видами военной деятельности, составляли 100 млн. человеко-лет в год.
В военной области было занято почти 40% всех ученых планеты. Общая величина военных расходов составила 1 трлн. долл., что равно примерно 6% мирового валового национального продукта. Кроме людских и финансовых ресурсов военная машина до сих пор вовлекает в свою орбиту крупные земельные массивы, огромное количество техники, сырья, топлива, энергии.
Выпуск вооружений задерживает рост производства гражданской продукции, крайне отрицательно сказывается на благосостоянии народов.
Не менее очевидно и другое. Мировое сообщество не должно пускать весь ход неблагоприятных глобальных событий на самотек. Решение жизненно важных глобальных проблем должно быть поставлено под действенный контроль международных организаций.
Важную роль в согласованном глобальном регулировании всемирной экономики могут сыграть прежде всего разработка во всех государствах мира прогнозов экономического развития. Такие прогнозы еще в 70-е годы стали составлять Международный банк реконструкции и развития и Организация Объединенных Наций (по ее заданию прогноз мирового экономического развития был разработан под руководством Нобелевского лауреата В. Леонтьева)115.
Эрнест Хемингуэй в романе По ком звонит колокол высказал выстраданную им мысль: смерть каждого человека — потеря для всего человечества. Столь острое восприятие причастности любого из нас к судьбе рода человеческого не своеобразный взгляд известнейшего американского писателя, а веление времени. В наше время оно ощущается больше и острее, чем когда-либо прежде.
По ком будут звонить колокола и кто вообще будет звонить, если не решить все острейшие глобальные проблемы, с которыми столкнулось человечество на пороге XXI столетия?..
Перед населением планеты нет, очевидно, иного выбора, кроме того, чтобы совместными усилиями создать новый тип всемирного хозяйства, в котором не будет войн, гибели миллионов людей от голода и уничтожения животворной природной среды.
Экономический тренинг
1. Ключевые термины и понятия
Открытая экономика; мировой рынок; всемирная система хозяйства; современные тенденции глобальной экономики; мирохозяйственные связи; современный этан интернационализации производства; принцип сравнительного преимущества; современные тенденции внешней торговли; мировая цена: протекционизм; свобода торговли; мультипликатор экспорта; внешнеторговый баланс; платежный баланс; современные валютные отношения; валютный курс; международная миграция капитала; международная миграция рабочей силы; транснациональная корпорация; экономическая интеграция; глобальные экономические проблемы.
2. Упражнение
Платежный баланс.
Ниже приводится список внешнеэкономических операций между страной А и другими странами:

Внешнеэкономическая операция
Покупка резидентами страны А ценных бумаг иностранных фирм Импорт товаров и услуг в страну А
Экспорт товаров и услуг из страны А
Денежные переводы из других стран в страну А
Продажа ценных бумаг фирм страны А иностранцам
Импорт золота в страну А
Млн .долл.
50
100
120
30
60
60
Составьте платежный баланс страны А.
3. Дискуссионные вопросы
3.1. В чем состоит сходство и различие внутренней и внешней торговли?
3.2. Предстаньте себе позицию экономиста по вопросу свободной торговли. Исходя из этой позиции, объясните, почему существуют искусственные торговые барьеры в международной торговле.
3.3. Почему но время инфляции становится выгодным превращать свои сбережения в иностранную валюту?
3.4. Может ли развитие международного разделения труда угрожать обороноспособности страны (каковы аргументы за и против)?
3.5. Способствует ли экономическая интеграция свободе торговли или она ставит серьезные препятствия для торговли?
4. Тесты
4.1. Страна А может производить 1 т пшеницы или 4 т угля, используя одну единицу ресурсов. Страна Б может производить 2 т пшеницы или 5 т угля, используя тоже одну единицу ресурсов:
а) страна А будет экспортировать пшеницу и импортировать уголь;
б) страна Б будет экспортировать пшеницу и импортировать уголь;
в) страна А не будет экспортировать и импортировать пшеницу;
г) страна Б не будет экспортировать и импортировать уголь.
4.2. Сторонники протекционизма утверждают, что пошлины, квоты и другие торговые барьеры необходимы для следующих целей:
а) защиты новых отраслей от иностранной конкуренции;
б) увеличения внутренней занятости;
в) предотвращения демпинга;
г) обеспечения обороны страны;
д) все предыдущие ответы верны.
5. Верно—неверно
5.1. Экономическое благосостояние страны в условиях свободной международной торговли всегда ниже, чем при введении импортных пошлин.
5.2. Импорт товаров и услуг приводит к росту внутренних цен и является причиной инфляции.
5.3. Уровень жизни в России в большей степени, чем в Дании, зависит от внешней торговли.
5.4. Импорт увеличивает совокупный спрос и стране.
5.5. Ограничения импорта ведут к сохранению в стране неэффективных отраслей и сдерживают рост эффективных производств.
5.6. Составная часть платежного баланса сZраны — счет текущих платежей — не включает:
а) товарный экспорт;
б) изменения в активах страны за рубежом.
5.7. С 1971 г. в мировой экономике действует система фиксированных валютных курсов.
5.8. Свободно плавающие валютные курсы определяются беспрепятственной игрой спроса и предложения.
6. Прокомментируйте статистические данные, содержащиеся в таблицах 20.7 и 20.8
Таблица 20.7.
Основные экономические показатели государств — участников



Общий положительный эффект расширения экспорта


В современных условиях для успешного развития народного хозяйства нашей страны важное значение имеет правильная ориентация внешнеторговой политики российского государства. Эта политика призвана защитить экономический суверенитет и экономическую безопасность Российской Федерации, активизировать эффективные связи российской экономики с мировым хозяйством. Эти цели достигаются с помощью таможенного дела, правовые, экономические и организационные основы которого определены в Таможенном кодексе Российской Федерации, принятом в июне 1993 г. Согласно этому Кодексу, целями таможенной политики государства являются обеспечение наиболее эффективного использования инструментов таможенного контроля и регулирования товарообмена на таможенной территории Российской Федерации, участие в реализации торгово-политических задач по защите российского рынка, стимулированию развития национальной экономики, содействию проведения структурной перестройки и решению других задач экономической политики государства.
В Таможенном кодексе устанавливаются правовой порядок и условия перемещения через таможенную границу Российской Федерации товаров и транспортных средств, взимания таможенных платежей, таможенного оформления, определяются таможенный контроль и другие средства проведения таможенной политики в жизнь.
Законодательство о таможенном деле включает, в частности, Закон Российской Федерации О таможенном тарифе (принят в мае 1993 г.). Данный Закон устанавливает порядок формирования и применения талюженного тарифа Российской Федерации — инструмента торговой политики и государственного регулирования внутреннего рынка товаров страны в рамках взаимосвязей с мировым рынком, а также при их перемещении через границу Российской Федерации. Основными целями таможенного тарифа являются:
— рационализация товарной структуры ввоза товаров в Российской Федерации;
— поддержание рационального соотношения вывоза и ввоза товаров, валютных доходов и расходов на территории Российской Федерации;
— создание условий для прогрессивных изменений в структуре производства и потребления товаров в нашей стране;
— защита экономики страны от неблагоприятного воздействия иностранной конкуренции;
— обеспечение условий для эффективной интеграции Российской Федерации в мировую эконVмику.
Подытоживая сказанное, отметим самые характерные изменения в сфере всемирной торговли.
Прежде всего мы видим, что усложнилась вся структура открытой экономики. Ныне международная торговля глубоко вторглась в национальные экономики. Поэтому возросла степень открытости всех элементов валового национального продукта.
Так, весь объем потребления С состоит из потребления национальных товаров и услуг Сn и потребления импортных благ и услуг Сim:

Общий положительный эффект расширения экспорта

Аналогично общая сумма инвестиций I теперь включает капиталовложения для производства отечественных благ In и инвестиций, израсходованных на зарубежные полезные вещи Iim:

Общий положительный эффект расширения экспорта

Государственные расходы G также подразделяются на закупки отечественных продуктов Gn и затраты на приобретение зарубежных вещей Gim

Общий положительный эффект расширения экспорта

В результате современная структура импорта в открытой экономике выглядит так:

Общий положительный эффект расширения экспорта

В свою очередь, состав экспорта представляет собой сумму вывоза продуктов потребления CEX, инвестиций IEX и государственных расходов в других странах GEX:

Общий положительный эффект расширения экспорта

Другое важное изменение связано с тем, что по мере роста импорта углубляется интернационализация всех элементов спроса и расходов внутри страны. О больших переменах в этом отношении свидетельствуют следующие данные. Если в 50-е годы в США импорт составлял менее 5% ВНП, то в конце 80-х годов он достиг 15%. Еще выше доля импорта в западно-европейских государствах: во Франции — 22%, Великобритании — 25%, Германии — 28%.
Возросшая открытость российской экономики просматривается, скажем, в увеличении импорта потребительских товаров. Если в 1992 г. импорт не превышал 23%, то в 1994 г. зарубежные продукты составили 35% всех товарных ресурсов потребительского рынка.
Новым моментом в мировой торговле стали серьезные перемены в характере и значении экспорта стран с открытой экономикой. Прежде всего существенно изменилась направленность экспорта. В середине XX в. из промышленно развитых стран промышленные товары вывозились в колонии и зависимые страны.
В обратном направлении шел поток сырья и энергоносителей. В настоящее время по старому маршруту направляется примерно половина всего экспорта. Другая часть идет из одних западных государств в другие.
Это обусловлено новым этапом международного разделения труда и интернационализацией производства в эпоху НТР.
В современный период значительно возросла роль экспорта в обеспечении экономического роста национального хозяйства. Это, в частности, подтверждается тем, что экспорт всех стран дает около 1/5 совокупного мирового ВНП (в западноевропейских странах этот показатель выше).
Механизм воздействия экспорта на экономический рост содержит мультипликатор экспорта (MEX), который увеличивает воздействие прироста экспорта ( EX) на рост объема ВНП:
ВНП = MEX EX
Мультипликационный эффект проявляется в том, что экспортный заказ первоначально прямо увеличивает выпуск продукции и вместе с тем повышает расход заработной платы работников экспортной отрасли производства. Доходы этой отрасли (заработная плата и прибыль) поступают в смежные отрасли хозяйства, в которых возрастает выпуск средств производства для экспортных отраслей и расширяется изготовление предметов потребления для работников экспортных предприятий. В свою очередь, средства, полученные в отраслях второго эшелона, уходят в сопряженные с ними предприятия третьего эшелона и т.д.
Общий положительный эффект расширения экспорта состоит в:
— увеличении занятости работников, выпуска и доходов;
— уменьшении возможности возникновения кризисов перепроизводства (излишняя для данной страны продукция экспортируется);
— увеличении суммы полученной государством иностранной валюты;
— укреплении государственных финансов.
Определенный мультипликационный эффект дает и импорт. Но все показатели по отношению к экспорту имеют знак минус. В результате положительный эффект внешней торговли определяется через один обобщающий показатель нетто-экспорт (ит. netto — чистый).
NEX = EX - IM.
Нетто-экспорт NEX может иметь три числовых значения:
1) NEX=0 (экспорт равен импорту). В конце 80-х годов так обстояло дело в Канаде, во Франции;
2) NEX0. Это активное сальдо торгового баланса. Такое состояние торговли было в Германии в конце 80-х годов (экспорт составил 35% ВНП, а импорт - 29%);
3) NEX0. Это пассивное сальдо баланса внешней торговли. Например, в конце 80-х годов в США экспорт составил 10% ВНП, а импорт — 15%.
Аналогичное положение наблюдалось в Великобритании.
Данные о внешнеторговом обороте (сумме экспорта и импорта) и соотношении вывоза и ввоза товаров и услуг по России приведены в таблице 20.3.
Таблица 20.3.
Внешняя торговля России в 1992—1995 г.1 (млрд. долл. США)

Внешнеторговый оборот
1992
1993
1994
1995
Оборот
96.6
103,9
118,6
142,6
Экспорт
53.6
59,6
68.1
81,6
Импорт
43,0
44,3
50,5
61,0
1 Включая неорганизованную торговлю.
Государство получает больше экономических выгод при активном сальдо торгового баланса. Это становится очевидным, когда импорт начинает превышать экспорт. Для покрытия пассивного сальдо государство должно выплатить другим странам соответствующие денежные средства наличными (золотом или конвертируемой валютой) либо получить кредит от стран-поставщиков или от банковских учреждений.
Проясняется и другое. Торговый баланс неразрывно связан с платежным балансом страны. Платежный баланс — это соотношение между суммой денег, полученной данным государством из-за границы, и суммой денег, уплаченной другим странам. Оно названо так потому, что составляется в форме бухгалтерских счетов.
В них содержатся статистические отчетные данные о торговых и финансовых сделках между хозяйственными субъектами страны и заграницы.
Платежный баланс состоит из четырех основных разделов:
1) торговый баланс — выручка от экспорта товаров и расходы на импорт продукции;
2) баланс услуг — выручка от предоставления услуг загранице и оплата услуг, полученных из-за пределов страны. Сюда относятся: оплата услуг капитала (процентов и дивидендов), покупка населением иностранной валюты перед выездом за границу (эти суммы идут на оплату услуг за рубежом);
3) баланс переводов — все виды безвозмездных поставок товаров, помощи и безвозмездных денежных переводов;
4) операции с капиталом — импорт и экспорт капитала. При проведении торговых и финансовых операций между странами возникают определенные валютные отношения.



Они экономически зависят от работодателей.


В. Производственный кооператив (артель) — добровольное объединение граждан на основе членства для совместной производственной пли иной хозяйственной деятельности (производство, переработка, сбыт промышленной, сельскохозяйственной и иной продукции, выполнение работ, торговля, бытовое обслуживание, оказание других услуг). Такая деятельность основана на личном трудовом и ином участии членов кооператива и на объединении его участниками имущественных паевых взносов (ГК РФ, статья 107).
Имущество кооператива делится на паи его членов в соответствии с уставом кооператива. Этим уставом может быть определено, что часть кооперативного имущества составляет неделимые фонды, используемые на определенные цели.
Прибыль кооператива распределяется между его членами в соответствии с их трудовым участием, если иной порядок не предусмотрен законом и уставом кооператива (статья 109).
Г. Хозяйственные объединения — добровольные объединения юридических лиц: хозяйственных товариществ и обществ, производственных кооперативов, государственных и иных предприятий. Такие объединения могут создаваться, например, в форме ассоциаций (лат. associatio — соединение) — объединений юридических лиц для достижения общей хозяйственной, научно-технической, коммерческой и иных целей. Участники ассоциации сохраняют свою самостоятельность.
Имущество ассоциаций состоит из вступительных взносов ее членов, доходов от собственной деятельности, кредитов и т.д. Во главе ассоциации стоит, как правило, совет учредителей, который избирает президента (председателя) и формирует правление (дирекцию), призванное решать основные вопросы в период между собраниями учредителей.
Д. Совместное предприятие — предприятие, как правило, созданное на основе вложения капитала отечественных и иностранных партнеров. uho совместно осуществляет хозяйственную деятельность, управление и распределение прибылей.
Вполне очевидно, что общая долевая собственность существенно отличается от частного (единоличного) присвоения более значительными масштабами. В этих масштабах можно видеть сильно расширившееся поле взаимодействия физических и юридических лиц по владению, пользованию и распоряжению коллективным имуществом, в котором имеется доля каждого. Таким путем органически соединяются личные и общие экономические интересы.
В отличие от долевой собственности класс общего совместного присвоения имеет ряд специфических особенностей, а именно:
а) все объединенные в коллектив люди относятся к решающим средствам производства или другим жизненным средствам как к совместно и нераздельно им принадлежащим. В этом случае устанавливается неразрывное единство и равенство совместных собственников в отношении к главным хозяйственным условиям их жизнеобеспечения;
б) изначально не определяется доля имущества, принадлежащая каждому собственнику;
в) любой участник совместной собственности не может по своему личному усмотрению присвоить и использовать в хозяйственных целях какую-то часть общего имущества;
г) общий доход от хозяйственного использования совместной собственности распределяется между ее участниками или в равных долях или в зависимости от трудового вклада каждого в коллективные результаты.
В Гражданском кодексе нашей страны устанавливается существенное качественное различие между долевой и совместной собственностью. Так, признается, что участники совместной собственности (если иное не предусмотрено соглашением между ними) сообща владеют и пользуются общим имуществом. Распоряжение имуществом, находящимся в совместной собственности, осуществляется по согласию всех участников, которое предполагается независимо от того, кем из участников совершается сделка по распоряжению имуществом (статья 253).
Совместное присвоение имущества выступает в следующих конкретных формах (рис. 3.5).

Они экономически зависят от работодателей.

Рис. 3.5. Формы общего совместного присвоения
А. Первобытно-общинная собственность — первоначальная форма общего совместного присвоения, зародившаяся на заре человечества. Как известно, в тот самый отдаленный исторический период люди испытывали полную зависимость от окружающей природной среды и бы'111 ее простым компонентом. Они могли выжить и улучшить условия своего существования только благодаря коллективистским связям, характерным и для естественных системных образований.
На первых ступенях общественной жизни первобытные люди стихийно объединялись в общины.
Мы сейчас повели разговор об общинной собственности потому, что она — феномен (необычное явление) сегодняшней экономики. Во многих странах Азии, Африки и Латинской Америки ч поныне община — составная часть их социально-экономического устройства.
Необычная судьба выпала на долю земледельческой общины в России. Такая община существовала еще накануне образования Киевской Руси (VIII—IX вв.). Хотя в конце XIX — начале XX столетия страна вступила на путь капиталистического развития, община оставалась крестьянским союзом по владению надельной землей на основах самоуправления.
После Октября 1917г. община превратилась в свободный союз равноправных землепользователей. Земля была передана крестьянам по Декрету о земле (9 ноября 1917 г.), что узаконивало уравнительное распределение земельных участкVв. В 1927 г. на территории РСФСР в общинном пользовании был 91% крестьянских земель.
Однако общинное землепользование было разрушено во время насильственной коллективизации крестьянства в 1927—1929 гг.
То, что в России общинный хозяйственный уклад просуществовал не одну тысячу лет, наложило свой отпечаток даже на сегодняшнюю психологию миллионов жителей страны. По их настоянию в 90-х годах общинное землепользование было возрождено на землях российских казаков и в монастырях.
Б. Имущество крестьянского (фермерского) хозяйства принадлежит его членам па праве совместной собственности (если законом или договором между ними не установлено иное). В этой собственности находятся предоставленный в собственность данному хозяйству или приобретенный земельный участок, насаждения, хозяйственные и иные постройки, мелиоративные и другие сооружения, продуктивный и рабочий скот, птица, сельскохозяйственная и иная техника и оборудование, транспортные средства, инвентарь и другое имущество, приобретенное для хозяйства на общие средства его членов. Плоды, продукция и доходы совместного хозяйствования являются общим имуществом членов крестьянского хозяйства и используются по соглашению между ними (статья 257).
В. Общая семейная собственность — имущество, нажитое супругами во время брака, является совместной собственностью, если договором между ними не установлен иной режим этого имущества (статья 256).
Вместе с тем имущество, принадлежавшее каждому из супругов до вступления в брак, а также полученное одним из супругов во время брака в дар или в порядке наследования, является его собственностью. Это положение распространяется и на вещи индивидуального пользования.
Г. Государственной собственностью в Российской Федерации является имущество, принадлежащее на праве собственности Российской Федерации (федеральная собственность), а также имущество, принадлежащее на праве собственности субъектам Российской Федерации — республикам, краям, областям, городам федерального значения, автономной области, автономным округам. Земля и другие природные ресурсы, не находящиеся в собственности граждан, юридических лиц либо муниципальных образовании, являются государственной собственностью (статья 214).
Имущество, находящееся в государственной собственности, закрепляется за государственными предприятиями и учреждениями во владение, пользование и распоряжение (статья 214).
Д. Муниципальная собственность — имущество, принадлежащее на праве собственности городским и сельским поселениям, а также другим муниципальным образованиям. Такое имущество закрепляется за муниципальными предприятиями во владение, пользование и распоряжение (статья 215).
Завершив классификацию типов присвоения, мы можем приступить к рассмотрению важного вопроса: как складывалась историческая "динамика типов собственности в новое и новейшее время на Западе — в условиях капитализма?
3. Эволюция отношений собственности
на Западе
В XV—XIX вв. в Западной Европе возник и утвердился новый по сравнению с феодализмом социально-экономический строй — капитализм на его начальной фазе развития. Эту фазу назвали классический капитализм; поскольку в ней наиболее полно воплотились принципы частнособственнического предпринимательства. Здесь главной экономической фигурой стал единоличный собственник сравнительно небольшого предприятия, на котором он был хозяином и зачастую лично управлял производством.
Эта социально-экономическая система является гораздо более прогрессивной по сравнению со всеми историческими предшествующими системами. В ней основные средства производства, как и при рабстве и феодализме, находятся в частной собственности — у буржуазии. Занятые на капиталистических предприятиях работники не имеют средств производства.
Однако главное социально-экономическое отношение капиталист — наемный работника качественно отличается от отношении в производстве, утвердившихся при рабстве и феодализме. На капиталистические предприятия привлекаются юридически свободные лица — наемные работники, получающие за работу заработную плату, а следовательно, в какой-то мере заинтересованные в труде. Поэтому к ним, как правило, не применяются методы внеэкономического принуждения.
Вместе с тем, не имея средств производства и других источников существования, они вынуждены продавать единственное, чем располагают, — свои рабочие руки, свою способность к труду. А поэтому они экономически зависят от работодателей.



Они обладают такой прибылью не всегда.


Подтверждение этих слов мы видим на примере наркобизнеса, приносящего громадные барыши одним и гибель — другим. Норма прибыли наркодельцов на Западе доходит до 300%, в России — до 1000%.
Предприниматель стремится использовать все факторы, способствующие увеличению нормы прибыли. В первую очередь к ним относятся производственные факторы, подвластные бизнесмену (рис. 11.5).

Они обладают такой прибылью не всегда.

Рис. 11.5. Производственные факторы, определяющие
норму прибыли
Норма определяется главным экономическим фактором —мессой прибыли. Все, что умножает эту массу, прямо сказывается на степени выгодности бизнеса.
Рентабельность зависит также от структуры авансированных на производство средств, а именно, от удельного веса расходов на оплату труда работников. Предположим, на двух предприятиях применен одинаковый по величине авансированный капитал. Но на первом из них израсходовано относительно больше средств на наем рабочей силы.
Тогда именно здесь — при прочих равных условиях — будет создано больше прибыли, а стало быть, будет выше норма прибыли.
На годовую норму прибыли воздействует скорость оборота средств, затраченных на производство. Когда эта скорость возрастает, то к предпринимателю быстрее возвращаются израсходованные им деньги, в том числе использованные на заработную плату. В таком случае при прежней общей величине капитала увеличиваются размеры производства, возрастает прибыль, а в итоге — увеличивается рентабельность.
Повышению нормы прибыли способствует экономия затрат на средства производства. Сбережение достигается благодаря внедрению прогрессивной техники, технологии и организации труда, путем увеличения количества рабочих смен в течение суток и др. В итоге снижается себестоимость продукции и соответственно увеличивается прибыль.
Наконец, на норму прибыли влияет экономия на масштабах производства. На практике действует тенденция, выражающая преимущества крупного производства перед мелким. На предприятиях самолетостроения в США в 20-е годы обнаружили следующую зависимость: при удвоении объема производства затраты на любую производственную операцию могут быть снижены на 20%. Такой эффект достигается на крупных заводах вследствие углубления разделения труда, применения более производительного оборудования и других факторов.
Все это, естественно, положительно сказывается на росте нормы прибыли.
Нам уже известно, что прибыль во многом испытывает влияние колебаний цен на рынке, где находит сбыт продукция производственных фирм. На рисунке 11.2 мы видели, что цены могут по-разному способствовать реализации прибыли, заключенной в товаре. Однако ни этот рисунок, ни комментарий к нему не дали ответа на вопрос: что же влияет на уровень цен, а тем самым на получение большей или меньшей нормы прибыли.
Между тем из главы 6 о рыночной системе и главы 7 о конкуренции и монополии нам известна такая цепочка зависимостей. Уровень рыночной цены изменяется под воздействием соотношения спроса и предложения товаров, а эта пропорция в свою очередь испытывает воздействие таких рыночных сил, как конкуренция и монополия. Следовательно, именно данные рыночные силы, и в первую очередь, по-видимому, конкуренция, влияют на колебания рыочных цен, по которым производственные фирмы сбывают свою продукцию и тем самым реализуют заключенную в ней прибыль.
Но здесь нам следует ответить и, пожалуй, на самые существенные вопросы: почему возникает конкурентная борьба между фирмами-изготовителями, ради чего она ведется и какие формы такое соперничество принимает.
В каждой отрасли хозяйства объективные условия побуждают фирмы-изготовители к рыночному соперничеству. Эти фирмы существенно различаются между собой по качеству средств производства и рабочей силы, по организации хозяйственной деятельности и иным условиям. Поэтому, применяя даже одинаковый по величине капитал, они получают различные нормы прибыли.
Неравенство степени выгодности бизнеса разжигает у предпринимателей жажду получить как можно больше прибыли.
Но насколько реально в условиях свободного предпринимательства и совершенной конкуренции добиться того, чтобы все бизнесмены постоянно получали максимальную величину дохода?
Экономисты классического направления убедительно показали, что именно в эпоху свободной конкуренции все бизнесмены одной и той же отрасли не в состоянии добиться максимальной нормы прибыли. Дело в том, что внутриотраслевая конкуренция предпринимателей развертывается за овладение каждым из них наибольшей долей прибыли, источником которой служит разница между рыночной ценой и себестоимостью продукции. Но если все начинают бороться за этот лакомый кусок, то результат получается совсем иной, чем ожидают соперники.
Свободная конкуренция, как мы выяснили ранее (в главе 7), всегда -выступает уравнительницей цен. Если рассматривать длительный период, когда отклонения рыночных цен в ту или иную сторону взаимо-погашаются, то внутриотраслевая конкуренция неизбежно устанавливает единые цены на данный вид продукции. Такие цены имеют тенденцию тяготеть к равновесной цене.
Итак, внутриотраслевое соперничество вынуждает всех бизнесменов продавать однородные изделия по одной и той же рыночной цене. В худшем положении оказываются владельцы технически отсталых предприятий, выпускающих дорогостоящие товары с высоким уровнем себестоимости единицы продукции. При общей равновесной цене они не могут полностью реализовать заключенную в товаре стоимость и теряют часть прибыли.
Многие из них начинают испытывать большие финансовые затруднения или разоряются. Напротив, предприятия, работающие в лучших условиях и имеющие самую низкую себестоимость, получат сверхприбыль, которая равна разнице между общей рыночной ценой и наименьшей себестоимостью изделия. Именно здесь предприниматели получают максимальную норму прибыли, превышающую среднюю для отрасли.
Но они обладают такой прибылью не всегда.
Занимающие передовые технические позиции бизнесмены могут за счет сверхприбыли экономическими методами побеждать своих соперников. Они начинают продавать свои товары по более низким ценам, даже не лишаясь средней для данной отрасли прибыли. Таким способом они разоряют остальных собственников или заставляют их внедрять технические новинки, способствующие снижению затрат. Когда же производственные усовершенствования распространяются повсеместно, то рыночная цена продуктов данного вида понижается.
Чтобы вновь получить сверхприбыль, инициативные предприниматели технически переоснащают производство и на какое-то время обеспечивают себе добавочную прибыль. Эта история повторяется вновь и вновь. Тем самым внутриотраслевая конкуренция стимулирует научно-технический и экономический прогресс.
Такой механизм с наибольшей силой действовал в эпоху свободной конкуренции. Однако и в современных условиях все бизнесмены не могут добиться получения максимальной нормы прибыли в масштабе отрасли. Но, может быть, предприниматели могут получить максимальную прибыль в результате межотраслевой конкуренции?
Межотраслевая конкуренция — соперничество между бизнесменами всех отраслей за более прибыльное приложение капитала. Состязательность возникает потому, что в разных видах производства изначально образуется неравная по величине прибыль на одинаковый по величине капитал. Из-за различий в структуре капитала (удельного веса затрат на оплату рабочей силы) и несовпадающей скорости его оборота выделяются три группы отраслей производства — с низкой, средней и высокой нормой прибыли.
При свободной конкуренции предприниматели тех видов производства, в которых рентабельность самая низкая, изымают свои капиталовложения и помещают их туда, где более высокая норма прибыли. Массовый перелив капиталов (а вместе с ними и труда) из менее доходных отраслей в более прибыльные вызывает существенные изменения в соотношении между предложением товаров и спросом на них, что ведет к отклонению цен от их равновесного уровня.
Так, отлив капитала из малодоходных отраслей приводит к сокращению в них объемов производства, вследствие чего уменьшается предложение товаров на рынке. При стабильном спросе это означает, что цены продуктов возрастают выше равновесной цены и норма прибыли повышается. В результате этого отрасли, которые могли бы погибнуть, приобретают, как говорится, второе дыхание.
Напротив, в высокодоходных отраслях в результате большого притока туда новых капиталов выпуск изделий увеличивается и их предложение начинает превышать спрос. Здесь цены падают и норма прибыли уменьшается.
Если, допустим, не было бы межотраслевой конкуренции и перелива капитала из одной отрасли в другую, то жизненно важные виды производства (с низким уровнем рентабельности) могли бы погибнуть, а иные (высокоприбыльные) — чрезмерно расшириться. Все это имело бы пагубные последствия для развития национального хозяйства в целом и удовлетворения общественных потребностей.
Между тем спасительный перелив капиталов из отрасли в отрасль продолжается непрерывно. В условиях свободной конкуренции, если взять более или менее длительный период, наблюдается следующая устойчивая тенденция, реальное существование которой обнаружили еще английские классики. Норма прибыли во всех отраслях хозяйства уравнивалась в среднюю или общую норму прибыли.
В этих условиях отдельный предприниматель полу чает уже не индивидуальную, а среднюю прибыль, т.е. такой доход, который образуется по одинаковой норме на авансированный капитал.



Определяются трудовые затраты в нормо-часах.


Анализ тех взаимосвязей между отраслями материального производства, которые складываются в процессе общественного воспроизводства, был осуществлен в модели межотраслевого баланса. В 30-е годы текущего столетия эту модель разработал американский экономист Василий Леонтьев93, удостоенный за этот труд звания лауреата Нобелевской премии по экономике. В модели межотраслевого баланса описываются количественные соотношения между затратами ресурсов и выпуском продукции каждой отрасли.
В связи с этим данная модель получила название затраты — выпуск. Она составлена в виде таблицы (напоминает шахматную доску), где отображены потоки товаров и услуг, которые перемещаются из одной отрасли национального хозяйства во все другие.
В. Леонтьев так описывает таблицу затраты — выпуск. Каждая горизонтальная строка в ней показывает распределение продукции, выпущенной отдельной отраслью, между всеми другими отраслями. Каждый вертикальный столбец содержит данные о затратах продукции всех других отраслей в данной отрасли.
Так, например, в столбце, показывающем потоки товаров и услуг, поглощенных автомобильной промышленностью, один показатель представляет собой количество стали, полученной от сталелитейной промышленности, другой столбец — количество электроэнергии, полученной из отрасли, производящей электричество, третий — объем труда работника из специфической отрасли домашние хозяйства.
Разделив каждый из этих показателей на объем годового выпуска автомобилей, мы получим набор коэффициентов затрат, представляющих собой все то, что необходимо для выпуска единицы продукции автомобильной промышленности. Аналогичные наборы технологических коэффициентов можно получить из других столбцов таблицы затраты — выпуск для каждой отрасли народного хозяйства. Вместе взятые, эти коэффициенты образуют жесткий каркас системы уравнений общего равновесия. Такая система уравнений используется для того, чтобы конкретно прогнозировать общую величину конечного общественного продукта. При этом становится ясно в деталях, какое количество товаров и услуг должна произвести и потребить каждая отрасль.
В этом случае исполняется требование сбалансированности между суммарным спросом на каждый продукт и суммарным объемом его выпуска94.
В. Леонтьев следующим образом разъяснил существо своего метода затраты — выпуск. Допустим, надо рассчитать эффективность производства хлеба. Тогда делается расчет: сколько на одну тонну хлеба расходовать муки, дрожжей, молока и т.д. по всем компонентам согласно рецепту. Затем определяются трудовые затраты в нормо-часах.
После этих расчетов расхода материальных ресурсов и трудовых затрат на конкретное изделие в натуральных показателях анализируются и сравниваются предполагаемые результаты в денежном выражении. С учетом цен и уровня заработной платы выбирается наиболее эффективный вариант выпуска конечной продукции95.
Подобные расчеты В. Леонтьев проводил для Японии, Италии, Норвегии и других стран. Этим была подтверждена высокая эффективность модели затраты — выпуск.
Разобранные в данном параграфе методы балансирования подразделении и отраслей народного хозяйства особенно пригодны при эволюционном (непрерывном и постепенном) развитии экономики, когда ее структура мало изменяется. Но во второй половине XX в. здесь стали происходить непредсказуемые революционные сдвиги.
2. Динамика макроэкономической структуры
Во второй половине XX в. во всех промышленно развитых странах под воздействием научно-технической революции начались широкомасштабные качественные и количественные преобразования структуры всего общественного производства. Эти преобразования вылились в подлинную революцию в сфере общего и особенного (отраслевого) разделения и кооперации труда и производства. В связи с этим новые организационно-экономические отношения вызвали к жизни созидательные тенденции в развитии материального производства.
Первая тенденция: НТР породила множество принципиально новых отраслей производства. Последние отличаются большой наукоемкостью. Если на протяжении веков люди создавали продукты в порядке подражания природе, то теперь они открыли такие классы веществ и процессов, которым нет аналогов в естественном мире.
На начальном этапе НТР возникли такие необычные виды производств, как атомная энергетика, полимерная химия, производство средств автоматизации и вычислительной техники. На втором ее этапе стали создаваться качественно новые поколения ЭВМ, роботокомплексы и полностью автоматизированные производства, композиционные материалы и т.д.
Эти авангардные виды производства серьезно преобразовали структуру I и II подразделений и резко опередили по темпам роста все традиционные отрасли хозяйства.
Вторая тенденция: НТР наиболее быстро развивается на стыках (границах) разных областей науки и техники, что привело к созданию межотраслевых комплексов.
Современный научно-технический переворот породил в первую очередь целые объединения новейших отраслей, выпускающих самые наукоемкие продукты и технологии. Примером тому служит ракетно-космический комплекс, в котором согласованно взаимодействует огромное количество предприятий самых различных отраслей промышленности.
Современный научно-технический прогресс способствовал появлению множества взаимозаменяемых и взаимодополняемых продуктов, отличающихся более высоким качеством. Благодаря этому расширилась и существенно изменилась структура многих традиционных отраслей. Они преобразовались в мощные и сильно обновленные промышленные комплексы, в которых сочетаются, взаимодополняются и взаимопроникают друг в друга старые и новейшие виды производства.
К ним, в частности, относятся топливно-энергетический, металлургический, машиностроительный, химико-лесной комплексы.
Наряду со структурообразующей ролью НТР оказывает также и прямо противоположное разрушающее воздействие на отраслевую структуру производства и всю макроэкономику. Об этом свидетельствуют две другие тенденции.
Третья тенденция: НТР привела к свертыванию и упадку традиционных отраслей хозяйства, создающих изделия из натурального сырья. Такие виды производства зачастую не могут конкурировать с новейшими видами наукоемких отраслей. К ним относятся, скажем, торфяная, угольная промышленность, черная металлургия и ряд других.
Своего рода вымирание явно устаревших отраслей ведет к определенной дисбалансированности производства и обостряет социально-экономическую обстановку (растет безработица, затрудняется трудоустройство людей в застойных видах хозяйства и т.п.).
Четвертая тенденция: НТР настолько расширяет масштабы производства и его технологических отходов, что это быстрыми темпами разрушает экологическое равновесие, подрывает нормальное взаимодействие человека и биосферы (среды его обитания). Здесь особенно большой ущерб наносят предприятия экологически неблагополучных отраслей промышленности.
Как известно, люди с давних пор негативно воздействовали на природный круговорот веществ на Земле (вырубали леса, разрушали плодородный слой почвы и т.п.). Длительное время природа была способна своими силами восстанавливать нормальное равновесие в единой системе биосфера — общество.
Но во второй половине XX в. многие отрасли производства стали наносить огромный экологический ущерб, который не восполняется должным образом. Такой ущерб связан с добычей угля, нефти, металлических руд, с развитием черной и цветной металлургии, нефтехимии, производством пестицидов, ядохимикатов и др.
Сейчас многие зоны биосферы стали зонами повышенной экологической опасности:
— ухудшается состав и свойства атмосферы (ее загрязнение углекислым и другими газами вызывает опасные смоги, кислотные дожди, усиливает парниковый эффект — потепление климата);
— загрязняются отбросами хозяйствования Мировой океан, водоемы суши и сокращаются запасы чистой пресной воды;
— быстро уменьшаются запасы невозобновляемых видов сырья и энергоносителей;
— в биосферу выделяются неперерабатываемые биохимические токсичные отходы производства и быта;
— во многих местах повышается фон радиоактивности.
Степень нарушения экологического равновесия измеряется с помощью показателя — предельно допустимою коэффициента загрязнения (воздуха, воды, почвы, продуктов). Во многих местах расселения людей экологическая опасность выражается в том, что загрязнение природной среды многократно превышает предельно допустимый коэффициент.
Со всей очевидностью можно утверждать: современное научно-техническое развитие несет с собой не только прогресс, но и регресс — изменения к худшему. Научно-технический регресс в области макроэкономической структуры может повлечь за собой нестабильность народного хозяйства.
Данные таблицы 15.1 свидетельствуют о том, что экологическая опасность в России порождает серьезные проблемы.
Таблица 15.1.
Основные показатели, характеризующие воздействие хозяйственной деятельности на окружающую среду и использование природных ресурсов,
и 1992 и 1995 гг.



Основная масса операций на бирже — это фьючерсные сделки


Основная масса операций на бирже — это фьючерсные сделки, как говорится, на разницу. По истечении оговоренного срока один из контрагентов должен уплатить другому сумму разницы между курсами, установленными при заключении сделки и курсами, фактически сложившимися в момент истечения срока договора. Например, если 1 августа продавец сбывает акцию на период до 31 августа за 100 марок, а курс ее за это время повысится до 120 марок, то выиграет покупатель: он получит акцию за 100 марок, а может продать ее за 120.
При падении • цены акции до 80 марок выиграет продавец: акцию, приобретенную за 80 марок, он продаст за 100 марок.
Лица, спекулирующие на продаже акций (по английской биржевой терминологии — медведи, или понижатели), через печать, радио, телевидение добиваются снижения их цен к ликвидационному сроку, для чего часто создают искусственное превышение предложения акции над спросом на них. Напротив, покупателей акций на срок, играющих на повышение курсов, называют быками (повышателями). Они также рассчитывают получить своими методами курсовую прибыль.
Важно также учитывать, что собственники крупного 4^инансового капитала, контролирующие производство и обращение товаров, раньше других узнают о приближающемся экономическом кризисе, а тем самым — о снижении курса акций. Они же с опережением событий предвидят рост выпуска продукции, а в результате этого — повышение цен акций и дивидендов. Не случайно собственники крупнейших капиталов (волки) постоянно выигрывают на бирже, а мелкие и средние капиталисты (овцы) нередко проигрывают.
Тот, кто вкладывает свои деньги в акции, подвергается, конечно, определенному риску. Как его уменьшить?
Специалисты дают следующие рекомендации, как правильно обращаться с акциями и включиться в биржевую игру.
1. Целесообразно вкладывать в акции только часть своих сбережений, которая не потребуется в течение длительного времени. Это позволит выбирать наиболее благоприятные моменты для соблюдения старого правила биржи — купить по очень низкому курсу, продать по очень высокому курсу. Если же затрачивать на покупку акций такие суммы, которые вскоре понадобятся, то последующие вынужденные действия, скорее всего, принесут убытки.
2. Инвестору рекомендуется изучить предприятие, акции которого он собирается приобрести. Шансы рынка можно с большей уверенностью испытывать, если достоверно знать о надежном финансовом положении выбранной фирмы и росте ее доходов.
3. Для уменьшения риска полезно умеренно рассеивать вложения личных средств в разнообразные акции нескольких отраслей хозяйства, учитывая их неодинаковое конъюнктурное положение.
4. Важно выбрать благоприятный момент для покупки и продажи акций. Чтобы его не упустить, целесообразно при покупке не ждать предельно низкого курса, а при продаже — абсолютно высокого уровня. Важно с одной акции реально получить хорошую курсовую стоимость.
5. Поскольку слишком многие непредвиденные события могут оказать влияние на биржу, важно получать информацию о ходе дел от специалистов. Но отнюдь не тех экспертов, которые в интересах своих фирм сулят надежные прибыли. Более компетентно советуют консультанты кредитных учреждений, имеющие достоверные сведения о состоянии рынков и предприятий. Консультант в банке учитывает имущественное состояние вкладчика и его готовность к риску.
Однако, не полагаясь на мнение специалистов, важно самому инвестору активно выяснять интересующие его вопросы и вырабатывать собственные решения. Ые надо ждать чуда: надежно функционирующей системы для прогноза биржевого курса до сих пор не существует.
Такая неопределенность особенно велика на биржевом фондовом рынке нашей страны. По итогам 1995 г. на рынке ценных бумаг действовали 56 бирж, имеющих лицензии Минфина России на право биржевой деятельности. О результатах такой деятельности можно судить по данным таблицы 12.5. Здесь приведены сведения о динамике фондовых ценностей: денежных ресурсов, валюты, ценных бумаг, которые размещаются и обращаются на фондовом рынке.
В их числе, в частности, депозитные сертификаты (письменные свидетельства кредитных учреждений о вкладах денежных средств), финансовые опционы (ценные бумаги, приобретенные по сравнительно более низкой твердой цене).
Таблица 12.5.
Основные показатели операции с фондовыми ценностями на биржевом фондовом рынке в 1993—1995 г. (млрд. руб.)

Показатель
1993
1994
1995
Число сделок, заключенных по всем видам фондовых ценностей, тыс.
из них по операциям с ценными бумагами
Оборот по продаже (всего)
в том числе:
ценные бумаги
из них:
акции
облигации органов государственной власти и управления
облигации акционерных обществ, предприятий и организаций
депозитные сертификаты
векселя
финансовые опционы
финансовые фьючерсы
приватизационные чеки
денежные ресурсы
92,3
83,0
2 040,3
595,1
37,3
283,1
0,0
0,4
0,6
2,4
0,2
270,4
1 445,2
262,1
237,8
29329,0
29091,5
218,7
27 483,3
2,6
2,7
18,9
1,3
17,8
1333,8
105,4
635,3
609,4
291 868,9
291 501,4
264,5 288938,3
1,3
2,4
16,8
301,2
2,6
-
0,7
Из данных таблицы 12.5 видно, что, во-первых, из всего числа сделок, заключенных по всем видам фондовых ценностей, 9/10 приходятся на операции с ценными бумагами. Во-вторых, акции за 1993—1995 гг. составляли мизерную долю всего объема сделок с фондовыми ценностями. В-третьих, удельный вес облигаций органов государственной власти и управления во всем объеме оборота по продаже ценных бумаг резко возрос: с 14% в 1993 г. до 99% в 1995 г. Следовательно, биржевой фондовый рынок по существу превратился в рынок по продаже государственных облигаций.
В первые годы проведения экономических реформ развитие акционерных обществ проходило стихийно и без должного контроля государственных органов и Банка России. Общества создавались без должного учета состояния реального капитала, на который должен опираться акционерный капитал. Однако акционерные общества нередко создавали предприятия, экономика которых находилась в упадке. Не случайно стали действовать такие акционерные общества, в которых дивиденды выплачивались отнюдь не из прибыли (ее предприятия не получали для нужд обществ), а из доходов от спекуляции ценными бумагами на (рондовоп бирже.
Более того, дивиденды имели источником поступление денег от вновь прибывающих покупателей ценных бумаг (так называемой пирамиды доходов, примененной в печально известной компании МММ и иных акционерных обществах и банках). На фондовом рынке еще предстоит преобразовать многие дикие биржи в культурные, опирающиеся на соответствующее законодательство. Необходимо решительно упорядочить сеть коммерческих банков, повысить их экономическую роль.
Эти и другие меры предполагают общее улучшение финансово-кредитной системы.
Таким образом, всесторонне развитый на правовой основе кредит является мощным средством, обеспечивающим. прогресс рыночной системы. Хотя процент за кредитные средства нельзя, строго говоря, признать доходом непосредственно от труда в материальном производстве, от его стимулирующей роли сильно зависит экономический рост национальной экономики.
Нам осталось, наконец, выяснить хозяйственное назначение еще одного вида дохода от собственности — ренты.
4. Рента
Теперь мы подошли к тому, чтобы рассмотреть особый вид отношений собственности, с которым связано получение дохода в виде ренты. Рента (фр. rente от лат. reddita — отданная назад) — особый вид относительно устойчивого дохода, непосредственно не связанного с предпринимательской деятельностью.
Сразу обратим внимание на то, что термин рента обозначает два разных понятия — правовое и экономическое. Чем они различаются?
В юриспруденции рента означает самостоятельное правоотношение, касающееся прямого взаимоотношения между получателем ренты и ее плательщиком. Такое отношение между субъектами договора ренты никак не связано с арендой имущества и арендной платой. В отличие от этого экономическое отношение между получателем ренты и ее плательщиком непосредственно связано с использованием кредитных средств или с арендой имущества. В последнем случае собственник арендованного имущества получает ренту посредством арендной платы.
Давайте более конкретно выясним различие между правовым и экономическим смыслом термина рента.
Согласно Гражданскому кодексу РФ, по договору ренты одна сторона (получатель ренты) передает другой стороне (плательщику ренты) в собственность имущество. А плательщик ренты обязуется в обмен на полученное имущество периодически выплачивать получателю ренты определенную денежную сумму либо предоставлять средства на его содержание в иной форме. По договору ренты допускается установление обязанности выплачивать ренту бессрочно (постоянная рента) или на срок жизни получателя ренты (пожизненная рента) (статья 583).



Основное различие между акцией и облигацией


г) финансирования научных исследований и опытно-конструкторских разработок.
5.2. Основное различие между акцией и облигацией состоит в том, что облигация:
а) может быть продана только однажды;
б) не связана с риском;
в) является более ценной бумагой;
г) представляет собой долговую расписку корпорации (или государства).
6. Дискуссионный вопрос
Куда Вы предпочтете вложить свободные (в домашнем хозяйстве) деньги:
а) на депозит в сберегательный банк;
б)на покупку акций;
в) па приобретение иностранной валюты;
г) на покупку лотерейных билетов.
7. Прокомментируйте статистические данные о крестьянских (фермерских) хозяйствах в России, приведенные в таблицах 12.7 и 12.8
Таблица 12.7.
Крестьянские (фермерские) хозяйства в России
(на 1 января 1993 и 1996гг.)

Показатель
1993
1996
Число зарегестрированных крестьянских (фермерских) хозяйств, тыс.
182,8
280,1
Площадь предоставленных им земельных участков, тыс. га
7804
12011
Средний размер земельного участка, га
43
43
Таблица 12.8.
Производство основных видов сельскохозяйственной продукции в крестьянских (фермерских) хозяйствах (тыс. тонн)

Вид продукции
1993
1995
Всего
В % от общего объема производства
Зерно (в весе после доработки)
5154
3001
4,7
Сахарная свекла (фабричная)
1000
669
3,5
Семена подсолнечника
273
519
12,3
Картофель
376
363
0,9
Овощи
102
148
1,3
Мясо (в убойном весе)
84
96
1,6
Молоко
495
596
1,5
Яйца, млн. шт.
83
106
0,3
Шерсть (в физическом весе)
2,9
3.6
3,8
Раздел V МАКРОЭКОНОМИКА




Основные черты макроэкономики


В нашей стране ФПГ стали возникать в 1994 г. На 1 сентября 1995 г. официальный статус (правовое положение) получила 21 группа. В их состав на добровольной основе вошло 281 предприятие, в том числе 62 финансово-кредитных учреждения. Общая численность занятых в них — около 2 млн. человек при годовом объеме продукции свыше 30 трлн. рублей.
По экспертным оценкам, можно рассчитывать на создание в перспективе 10—20 особо мощных универсальных ФПГ, 100— 150 крупных групп, сопоставимых по размерам с зарубежными корпоративными объединениями и обеспечивающих более 50% промышленного производства.
Итак, мы ознакомились с тем экономическим институтом, который составляет промежуточное звено, соединяющее микроэкономику с макроэкономикой. Роль и значение этого звена в развитии национального хозяйства подлежит дальнейшему выявлению в последующих главах.
2. Основные черты макроэкономики
Французские и английские классики рассматривали национальную экономику в ее слитном, нерасчлененном состоянии. Они не проводили какой-то границы между малыми экономическими формами (индивидуальный капитал, семейные хозяйства) и большими формами (совокупный капитал всей нации и т.п.). Однако те и другие хозяйственные образования изучались во взаимосвязи.
Между тем отрицалась объединяющая и организующая роль общественный институтов, в первую очередь государства, в национальном масштабе.
Правда, были отдельные исключения. Так, лидер французских классиков Ф. Кенэ в своей главной работе Экономическая таблица (1758) впервые сделал попытку исследовать общественное воспроизводство. Он стремился установить определенные сбалансированные (уравновешенные) соотношения между натуральными (вещественными) и стоимостными элементами общественного продукта. Ф. Кенэ конкретно проследил, как протекает обращение годового продукта страны между тремя классами общества: а) фермерами и сельскими наемными рабочими;
б) собственниками земли — феодалами и в) промышленниками, наемными рабочими, ремесленниками и купцами. Это позволило выявить источники существования всех социальных групп, показать, как возмещаются использованные фонды сельского хозяйства и промышленности, что служит предпосылкой возобновления производства в последующем году87.
Новое крупное исследование процесса воспроизводства общественного капитала провел К. Маркс во втором томе Капитала. За основу был взят классический капитализм эпохи первой промышленной революции, состоящий из двух классов — буржуазии и наемных рабочих. К. Маркс всесторонне выявил условия и закономерности простого и расширенного воспроизводства и обращения всего общественного капитала88.
По признанию многих экономистов, труды Ф. Кенэ и К. Маркса положили начало последующих разработок макроэкономических моделей воспроизводства общественного продукта. В содержащей немало критики статье Современное значение экономической теории К. Маркса (1938) В. Леонтьев отметил, что К. Маркс создал основополагающую схему, которая описывала взаимосвязь между отраслями, выпускающими средства производства и предметы потребления; схема Маркса все еще составляет одно из немногих положений, относительно которого между представителями большинства теорий делового цикла существует, по-видимому, молчаливое согласие89.
Неоклассическое направление экономической теории, возникшее в последней трети XIX в., сводило национальную экономику к малым экономическим формам. Такой взгляд все больше противоречил объективной действительности. На рубеже XIX и XX столетий бурно росли мезокомплексы и государство принимало первые меры по регулированию народного хозяйства.
В противовес такому однобокому взгляду в 30—50-е годы XX в. началась разработка макроэкономической теории. Эта теория стала изучать общенациональные экономические проблемы, включая хозяйственную деятельность государства. Основоположником макроэкономики на Западе принято считать Джона Кейнса.
Он убедительно показал, что добиться устойчивого роста производства в масштабе страны и достичь полной занятости трудоспособного населения стало невозможно без непосредственного участия государства в с4зере экономики. В связи с этим, естественно, возникают какие-то новые отношения между государством как субъектом национальной экономики, с одной стороны, и с фирмами и домашними хозяйствами, — с другой.
Кейнсианский вариант макроэкономики поставил в центр теоретического исследования прежде всего народнохозяйственные отношения. Микроэлементы национального хозяйства рассматривались как неразличимые составные части общих экономических комплексов.
До сих пор существуют две относительно самостоятельные части экономической теорPи: микро- и макроэкономика. Их изучению посвящены специальные курсы90.
В итоге возник вопрос: что должна включать современная экономическая теория — микро- или макроэкономику?
В конце 40-х — начале 60-х годов авторы учебников по экономике (профессора П. Самуэльсон, К. Макконнелл и С. Брю и др.) пошли путем синтеза микро- и макроэкономики, ставших двумя основными разделами учебников. Но в этих учебниках во многом не было выяснено, чем различаются между собой две разные части теории.
В качестве ответа на этот вопрос приводится следующее сравнение. Микроэкономика, образно говоря, изучает отдельное дерево, а макроэкономика — лес в целом. Отсюда следует очевидный вывод: между микроэкономикой (дерево) и макроэкономикой (лес) существуют главным образом количественные различия.
Нечто подобное высказывают профессора С. Фишер, Р. Дорнбуш и Р. Шмалензи в учебнике Экономика: Несмотря на различия в акцентах, микроэкономика и макроэкономика по существу не являются различными дисциплинами. Одни и те же концепции и основные идеи используются в обеих областях...91.
То, что в микро- и макроэкономике имеются отдельные общие принципы, мы могли убедиться при изучении раздела II учебника, где общие основы производства, присвоения и рынка охватывали и отдельные хозяйства и национальную экономику в целом. Но сомнения касаются другого: неужели экономические связи в двух областях хозяйства строятся только по горизонтали (как, скажем, взаимосвязаны между собой деревья в лесу)? Разве эти отношения не различаются между собой качественно?
Специфика Макроэкономика (греч. makros — большой) — система макроэкономики отношений, которая объединяет национальное хозяйство в единое целое. Это означает, что макроэкономика не простая механическая сумма низовых и средних звеньев народного хозяйства. Она представляет такую совокупность прочных экономических связей, которые интегрируют все хозяйственные элементы страны.
Если субъектов микроэкономики представить себя в виде лилипутов, то субъекты макроэкономики по сравнению с ними будут выглядеть, как Гулливеры, многократно превосходящие их не только по своим размерам, но и по выполняемым функциям. Однако когда же появились такие Гулливеры?
Макроэкономика зародилась в конце средних веков и начале Нового времени, когда возникали нации. Нация — это историческая общность людей, которая складывается в процессе формирования общности их территории, экономических связей, литературного языка, некоторых особенностей культуры и характера. Важными компонентами и экономическими условиями становления наций, особенно в Европе, явилось формирование внутреннего рынка, капиталистического производства и национального государства.
Во второй половине XX в. в странах Запада сложилась всесторонне развитая макроэкономика. В ней все микро- и мезоэкономические элементы прочно объединяются в новую народнохозяйственную единицу. Данное единое целое обладает следующими отличительными признаками.
Во-первых, народнохозяйственная целостность базируется на общем (национальном) разделении труда, которое делает взаимозависимыми все крупные сферы, отрасли производства и экономические регионы (относительно самостоятельные территориальные подразделения) страны. Прочные взаимосвязи между звеньями общего разделения труда создают макросистему, которую принято именовать народнохозяйственный комплекс. Он органически соединяет все материальное и нематериальное производство в целостный организм.
Во-вторых, принципиально новым по сравнению с микро- и мезоэ-кономикой является то, что цементирующей макросвязью стал иной тип присвоения, а именно общая совместная собственность в формах государственного имущества и общенационального достояния.
В-третьих, с начального этапа формирования макроэкономики ее важнейшей составляющей стал национальный рынок. Он слил все местные рынки в единое экономическое пространство, на котором применяется национальная денежная система.
Общая нераздельная собственность, которая распространяется на ряд общественных благ, порождает нерыночные отношения. Нерыночный сектор народного хозяйства предоставляет всем гражданам бесплатные материальные блага и услуги по различным каналам, регулируемым государством (пособия, услуги образования, медицинского обслуживания и др.).
В-четвертых, национальной экономике потребовался качественно новый тип государственного управления. Государство, будучи субъектом общенациональной собственности, использует экономические и внеэкономические (насильственные) формы и методы регулирования народнохозяйственных связей. Его взаимоотношения с субъектами микро- и мезоэкономики строятся преимущественно по вертикали.
Через них оно проводит активную экономическую политику, используя финансы, кредит, бюджет и другие имеющиеся в его распоряжении средства и рычаги воздействия на ход хозяйственного развития страны.



Основные признаки микро- и мезоэкономики


Во второй половине XX в. в силу дальнейшего углубления научно-технической революции централизация производства и капитала привела к образованию сложных мезоэкономических систем — финансово-промышленных групп (ФПГ). Эти системы представляют собой специфическую форму экономической интеграции (лат. integer — целый) на уровне мезоэкономики. Такая интеграция отличается от низших форм хозяйств по ряду существенных признаков.
Во-первых, ФПГ объединяют в целостную совокупность предприятия, образующие звенья особенного (отраслевого) разделения труда. В группах обычно тесно взаимодействуют промышленные предприятия, финансово-кредитные учреждения, торговые оргHнизации, научно-исследовательские институты и конструкторские бюро. В итоге возникает широкомасштабная межотраслевая кооперация труда со своими специфическими связями.
Во второй половине XX в. в крупных производственных объединениях стала быстро развиваться диверсификация (лат. cliversus — разный и facere — делать) производства. Под диверсификацией подразумевается расширение номенклатуры (наименований) продукции, выпускаемой компанией. Она осуществляется путем организации новых производств в рамках действующей фирмы, ее объединения с предприятиями разных отраслей хозяйства. В результате диверсификации производственное объединение превращается в сложный многоотраслевой комплекс. В нем из одного и того же сырья изготавливаются разнообразные товары, что обеспечивает более экономное использование ресурсов и снижает расходы на научные исследования.
Например, диверсификация, проводимая в крупной химической компании, позволяет ей производить тысячи наименований продукции. Электронные концерны выпускают изделия общего машиностроения (японские Хитачи, Тошиба), металлы и химические товары (американская Дженерал электрик, голландская Филипс), военную технику.
Во-вторых, серьезное отличие ФПГ от единоличного микрохозяйства заключается в том, что мезоинтеграция базируется на ином типе собственности, а именно на общем долевом присвоении средств и результатов производства. Здесь достигается высокий уровень обобществления имущества в формах многопрофильных концернов, хозяйственных ассоциаций, групп предприятий, объединившихся на основе рыночных форм консолидации (сращивания) пакетов акций, и т.п.
В-третьих, в мезоэкономических системах сужается сфера рыночных отношений, типичная для взаимодействия мелких фирм и домохо-зяйств. Предприятия и организации, входящие в ФПГ, устанавливают между собой нерыночные, или квазирыночные (лишь по форме торговые), связи. Поэтому в отличие от микроэкономики, где увеличение количества частных фирм ведет к расширению рыночного пространства, возрастание количества ФПГ ведет, наоборот, к сокращению такого пространства.
Характерным примером является создание крупных унитарных (объединенных) хозяйств в виде комбинатов и трестов. В них потерявшие экономическую самостоятельность заводы перестают быть участниками прежних рыночных сделок.
Крупные компании подрывают свободные рыночные отношения, когда в той или иной форме в своих целях соподчиняют деятельность мелких и средних предпринимателей. Они превращают таких предпринимателей, по сути, в своих производственных и торговых агентов. Так происходит, скажем, при организации франчайзинга.
Франчайзинг — это соглашение, по которому головная корпорация продает предприятиям мелкого бизнеса лицензию (специальное разрешение) на производство и сбыт товаров и услуг, реализация которых зачастую осуществляется под определенным товарным или фирменным знаком (как это делает, например, известная фирма Макдональдс). Крупная компания соглашается снабжать своими товарами, технологиями и рекламными услугами небольшие предприятия и отдельных предпринимателей. Последние обязуются иметь деловые связи исключительно с родительской корпорацией в соответствии с ее предписаниями. За последние 20—30 лет такая форма экономических связей нашла широкое распространение во многих странах.
Уже в 1985 г. 1800 американских корпораций сбывали свои товары через 0,5 млн. мелких предприятий, входивших в систему франчайзинга.
Мезоэкономические системы (включающие картели, синдикаты, концерны и тресты) порождают тенденцию к монополизации рынка. Вытесняя свободную конкуренцию, они подрывают свойственное микроэкономике рыночное ценообразование. В результате мелкие частные производители и домашние хозяйства вынуждены подчиняться ценовому диктату монополий и олигополии.
Наконец, мезоэкономические образования создают новые формы управления производством. Как известно, мелкий бизнес и домашние хозяйства вынуждены приспосабливаться к регулирующему воздействию стихийного рынка. Но крупные хозяйственные объединения не могут плыть по воле волн, подвергаясь риску погибнуть в пучине неспокойной рыночной конъюнктуры.
Такие объединения развиваются на основе планового самоуправления, обеспечивающего им устойчивый выпуск и сбыт продукции.
Объективная необходимость планового управления сложными многопрофильными комплексами, составляющими основу ФПГ, обусловлена тем, что в них требуется постоянно поддерживать пропорциональное (соразмерное) развитие всех отраслевых подразделений. Поэтому в планах заранее предусматривается сбалансированное (уравновешанное) отношение между разнородными технологическими процессами и всеми видами потребностей, подлежащих удовлетворению. Например, чтобы каждый год выплавлять определенное количество стали, в планах металлургического комбината намечаются конкретные меры, которые обеспечивают получение нужного количества чугуна, кокса и других компонентов производства.
Одновременно предусматривается планово организованный сбыт готовой товарной продукции ее постоянным потребителям.
Итак, естественно-историческое развитие рынка на основе внутренне присущих ему тенденций привело к качественно новому уровню реального обобществления хозяйства. Наглядное представление об этом дает таблица 13.1.
Таблица 13.1.
Основные признаки микро- и мезоэкономики

Критерии различии
Уровни хозяйства
Предприятие микроэкономики
Мезоэкономическая система
Вид разделения
единичное разделение труда и простая кооперация, фабрика
Oco6енное разделениe труда, межотраслевой комплекс, экономическая интеграция (ФПГ)
Тип собственности
Частное присвоение
Общее долевое присвоение
Вид организации хозяйства
Свободные рыночные связи между мелкими предприятиями
Нерыночные и квазирыночныс связи внутри мезосистем
Формы регулирования хозяйственной деятельности
Регулирующее воздействие рынка (системы цен)
Плановое самоуправление мезоснстем
Международный опыт свидетельствует о том, что финансово-промышленные группы являются той, пожалуй, самой мощной экономической силой, которая определяет состояние и перспективы развития каждой страны. Это убедительно подтверждает пример послевоенной Японии, где государство энергично содействовало развитию ФПГ, что во многом способствовало выходу страны на передовые позиции в мировой экономике.
Сейчас ряд внутренних и международных обстоятельств делает настоятельно необходимым создание финансово-промышленных групп в России.
Дело в том, что в самом начале экономических реформ было ликвидировано отраслевое управление промышленностью, осуществлявшееся министерствами. Эти государственные органы постоянно обеспечивали подчиненные им предприятия необходимыми материально-техническими и финансовыми ресурсами, помогали разрабатывать и осуществлять инвестиционные проекты, реализовывать готовые изделия. Но когда предприятия полностью освободились от опеки вышестоящих органов, то они оказались в беспомощном положении, словно брошенные на произвол судьбы беспризорные младенцы.
В условиях инфляции, кризиса неплатежей, отсутствия оптового рынка средств производства даже крупные заводы часто были не в состоянии своими силами поддержать стабильную работу, преодолеть трудности финансирования, снабжения и сбыта продукции. К тому же такие заводы и даже производственные объединения по своей экономической мощи сильно уступают ФПГ западных стран. Так, объединение Уральские заводы включает 19 предприятий с 80 тыс. работающих, в то время как в мировой практике число занятых в подобных комплексах достигает 300—400 тыс.
Экономическая интеграция на мезоуровне позволяет гарантированно сбывать продукцию по технологической цепочке обеспечить своевременное поступление платежей, изыскивать финансовые ресурсы и использовать их для долгосрочных инвестиций. Этому способствуют новые правовые возможности, содержащиеся в Федеральном законе О финансово-промышленных группах (принят 30 ноября 1995 г.). В нем устанавливается, что финансово-промышленная группа — это совокупность юридических лиц, действующих как основное и дочерние общества либо полностью или частично объединивших свои материальные и нематериальные активы (система участия) на основе договора о создании ФПГ.
Этот договор имеет своей целью обеспечение технологической или экономической интеграции в интересах реализации инвестиционных и иных проектов и программ, направленных на повышение конкурентоспособности и расширения рынков сбыта товаров и услуг, повышение эффективности производства, создание новых рабочих мест. В состав участников ФПГ могут входить инвестиционные институты, негосударственные пенсионные и иные фонды, страховые организации, участие которых обусловлено их ролью в обеспечении инвестиционного процесса в финансово-промышленной группе.



Отмена золотого стандарта произошла в два этапа.


В международной торговле осуществляется функция мировых денег: последние стали выступать в роли всеобщего эквивалента в хозяйственных взаимоотношениях всех стран. На мировом рынке денежные средства сбрасывали все свои национальные мундиры (монетных, бумажных и кредитных денег отдельных государств) и выступали в натуральной форме, в виде слитков золота. Золото являлось мерой стоимости и использовалось на мировом рынке как всеобщее средство платежа. В торговых сделках между странами товары реализовывались крупными оптовыми партиями и расчеты производились преимущественно путем зачета долговых обязательств через банки.
Наличное золото перевозилось из одной страны в другую лишь в том случае, если долг не погашался взаимными расчетами. Тогда деньги выступали на мировом рынке в виде всеобщего платежного средства. Бывали случаи, когда международная товарная сделка оплачивалась золотом.
В таком случае мировые деньги являлись всеобщим покупательным средством.
Перемещение денег из одной страны в другую происходит и тогда, когда предприниматели переводят свои денежные средства для их хранения за границу. В данном случае деньги выступают как общественная материализация богатства.
Но в XX в. золотой стандарт перестал существовать. Это привело к коренному изменению сущности, назначения и вида денег.
2. Современные денежные средства
Отмена золотого стандарта произошла в два этапа. Сначала смертельный удар по золотомонетному и золотодевизному обращению нанес разрушительный мировой экономический кризис 1929—1933 гг. Достаточно сказать, что стоимость ценных бумаг в западных странах упала в 3—4 раза.
При колоссальном обесценении бумажных денег их было невозможно разменивать на золото. В итоге в 1931— 1936 гг. обмен бумажных днег на золото был прекращен во всех странах.
Между тем золото в какой-то мере выполняло функцию мировых денег еще примерно четыре десятилетия. Пользуясь возросшей во время второй мировой войны экономической мощью, США внедрили доллар в качестве основной валюты в расчетах по платежам между всеми странами. При этом центральные банки государств могли получать золото вместо долларов за невыполненные международные долговые обязательства.
Однако США оказались не в силах поддерживать обмен долларов на золото. В стране в 1971 г. цены на товары превысили довоенный Уровень более чем в три раза. Между тем золотое содержание доллара искусственно сохранялось на уровне 1934 г. К тому же много золота вместе с долларами утекло в Западную Европу (евродоллары) и на Ближний Восток (нефтедоллары).
В итоге в США оказалось крайне мало благородного металла для поддержания золотого содержания доллара. И вот в декабре 1971 г. был полностью отменен золотой стандарт.
На смену золотых монет пришла искусственная денежная система. Это связано с тем, что деньги утратили свое прежнее экономическое содержание. Бумажные деньги перестали размениваться на золото и другие драгоценные металлы. В отличие от золота бумажные деньги, по сути дела, не имеют внутренней стоимости. Этот номинальный (существующий только по названию, на бумаге) знак стоимости никак не соответствует затратам на его изготовление.
Вот типичный пример. В 1995 г. наше государство затрачивало всего 25 руб. на создание денежной купюры в 10 000 руб.
Отмена золотого стандарта привела к тому, что отпали две функции, которые не могут осуществляться без золота в качестве денег: а) средство образования сокровищ и б) мировые деньги.
В современных условиях в определенной мере выполняются три функции денег: а) мера стоимости; б) средство обращения; в) средство платежа.
Совершенно по-иному определяется ныне стоимость денег. Под стоимостью денег подразумевается то количество товаров и услуг, которое можно обменять на денежную единицу (рубль, доллар и др.).
Но такое определение, скорее всего, не раскрывает сути дела. Не ясно, пожалуй, главное. Почему же на бумажные деньги (не обеспеченные золотом и чем-либо вообще) сейчас можно приобрести любой товар и, если хотите, купить даже золотые вещи?
Западные экономисты дают следующее объяснение. Самое широкое распространение кредитных отношений в промышленно развитых странах привело в конечном счете к тому, что сейчас в виде денег выступают, по сути дела, долговые обязательства государства, банков и сберегательных учреждений. Это происходит во многом потому, что государство подтверждает: наличные деньги — это законное платежное средство (бумажные деньги должны приниматься при уплате долга).
Иначе говоря, деньги можно условно назвать свидетельством о праве на получение товара.
Разумеется, долговые обязательства могут успешно выполнять функции денег постольку, поскольку их стоимость или покупательная способность неизменна, стабильна. Каждый готов обменять товар на деньги, когда есть уверенность, что деньги не обесценятся и что их ценность не растает, как под солнечными лучами лед.
В настоящее время к деньгам относят разнообразные долговые обязательства, имеющие разную степень ликвидности. Под ликвидностью понимаются:
а) способность денег обмениваться на товары и услуги;
б) способность долгового обязательства быть обращенным в наличные деньги;
в) денежные затраты на капитальные вложения (увеличение производства).
Наличные деньги ликвидны на 100%, ибо на них можно незамедлительно приобрести различные виды богатства. Гораздо менее ликвидными являются срочные вклады в сберегательном банке, ценные бумаги. Такое различие положено в основу деления всей денежной массы на связанные между собой агрегаты (лат. aggregatus — присоединенный).
Денежные агрегаты — части современных денежных средств, которые применяются для обращения и объединяют разные долговые обязательства в зависимости от степени и характера их ликвидности. Эти части последовательно включают все менее ликвидные компоненты, которые могут служить средством сохранения ценности.
В разных странах вся денежная масса делится на различные виды агрегатов, что во многом зависит от уровня развития кредитных отношений и денежного рынка. Наиболее распространены три денежных агрегата, которые именуются Ml, M2 и МЗ. В Ml входят деньги в узком смысле, обладающие наибольшей ликвидностью.
В M2 и МЗ включаются, как говорится, почти деньги — финансовые (денежные) средства, предназначенные для сохранения ценности.
Наглядное представление о структуре денежной массы в США дает таблица 5.2.
В структуре денежной массы в США агрегат М 1 составил около 20/ всего количества денег. В него вошла, во-первых, наличность (металлические и бумажные деньги), которая является обязательствами государства. Во-вторых, сюда включены чековые вклады, в которых выражены обязательства банков и сберегательных учреждений.
Таблица 5.2.
Структура массы денег США, 1988г.

№ пп
Денежные агрегаты и их структура
Сумма, млрд.долл.
1
2
Наличные деньги
Чековые вклады
210
574
3
4
5
Ml =1+2
Вклады на бесчековых сберегательных счетах
Мелкие срочные вклады
784
434
1836
6
7
M2 - 3 + 4 + 5
Крупные срочные оклады
3054
835
8
МЗ+6+7
3889
Чек представляет собой ценную бумагу, специальный документ, который используется для безналичных расчетов за покупки и долги. Чек содержит письменное распоряжение чекодателя банку уплатить держателю чека указанную в ней сумму. Широкое распространение чеков (3/4 от Mi) объясняется тем, что хранить деньги на чековых текущих счетах в банках и сберегательных учреждениях удобно и безопасно. Когда вкладчику требуется расплатиться за товары, услуги или долги - он выписывает чек на определенную сумму и передает его соответствующему лицу, фирме или пересылает по почте.
При этом чек должен быть индоссирован (подписан с обратной стороны) лицом, получившим по нему наличные деньги. Чекодатель получает от банка заверенную квитанцию, подтверждающую выполнение обязательства. Таким образом, чековые вклады могут быть незамедлительно обращены в наличные деньги.
В США в М2 входит более 3/4 всех денег. Сюда включаются денежные средства Ml и, кроме того: а) бесчековые сберегательные счета и б) мелкие срочные вклады (до 100 тыс. долл.), которые можно быстро и без потерь обратить в наличность и чековые вклады. Так, вкладчик может снять наличные деньги с бесчекового сберегательного счета (находящегося в банке или в сберегательном учреждении) или же перевести свои денежные средства с бесчекового сберегательного счета на текущий счет. Что касается мелких срочных вкладов, то вкладчик может получить их без потерь после истечения определенного срока хранения денег. Эти вклады обладают меньшей ликвидностью по сравнению с бесчековыми сберегательными счетами.
Но и они могут быть использованы как наличные деньги или по истечении оговоренного срока переведены на текущий счет.
В состав МЗ включаются агрегаты Ml, М2 и крупные срочные вклады. Последними обычно владеют предприятия в форме депозитных сертификатов (письменных свидетельств банка о вкладе денежных средств, удостоверяющих право вкладчика получить по истечении установленного срока сумму вклада и проценты по ней в данном учреждении). Такие ценные бумаги продаются и покупаются на действующем рынке сертификатов.
А поэтому их можно в любое время продать, хотя и с возможным риском потерь.



Первая проблема: обуздать неуправляемую инфляцию


Опыт всех стран с развитой рыночной экономикой выявил следующую закономерность. Чем больше предпринимателей, занятых производством полезных благ, тем больше будет насыщаться товарами рынок, тем быстрее будет расти потребление. Однако с увеличением числа предпринимателей усиливается конкуренция между ними, в результате возрастает заинтересованность предпринимателей в том, чтобы повышать качество и удешевлять производство товаров и услуг.
Другим рубежом на пути к рынку является преобразование централизованной системы планово-распределительных органов, которые поддерживали строго регламентированные сверху вертикальные хозяйственные связи. Чтобы наладить нормальные горизонтальные экономические связи между предпринимателями и привести в движение всю систему рынков (по продаже всех видов производственных факторов и финансовых средств), адо создать рыночную инфраструктуру. Для этого организуется, в частности, сеть банков и страховых компаний, в определенной степени ограждающих предпринимателей от риска. Вместо государственной системы материально-технического снабжения возникают товарные биржи.
Создаются фондовые биржи — свободные рынки ценных бумаг (акций и облигаций). Наконец, государственные органы учреждают биржи труда, которые помогают незанятым людям устроиться на работу.
Как свидетельствует зарубежный и отечественный опыт, государственный монополизм сопровождается постоянным товарным дефицитом и подавленной инфляцией. Поэтому требуется преодолеть необычайно тяжелый рубеж — установить рыночное равновесие между платежеспособным спросом и предложением товаров в общегосударственном масштабе. Такая задача решается путем проведения реформы цен — их временного умеренного повышения, что в той или иной мере устраняет избыточный спрос.
Главный и решающий путь к достижению прочной сбалансированности спроса и предложения — быстро увеличить выпуск продовольственных и промышленных товаров, разнообразных услуг, удовлетворяющих потребности населения. Это особенно важно в условиях углубляющегося экономического кризиса, падения производства.
При движении к рынку важно преодолеть еще одно препятствие: раскрепостить цены от жесткого государственного регулирования. Такое регулирование на практике, как известно, порождает скрытую, подавленную инфляцию. При некоторой либерализации цен на первых порах целесообразно достичь наилучшего соотношения свободных, регулируемых и фиксированных (твердо установленных) цен.
Если создается конкурентный рынок, то освобожденные от жесткого государственного контроля цены будут стремиться к уровню равновесия, который в равной мере выгоден и продавцам, и покупателям. Подлинным же бичом населения и препятствием для равновесных цен Служит монополизация экономики, которая ведет к произвольному установлению монопольно высоких цен. Если экономика не демонополизирована, то либерализация цен, по существу, не может произойти.
Монопольные цены получают лишь новое название (договорные, освобожденные цены).
Чтобы покончить с монополизацией, намечены и осуществляются организационно-экономические и правовые меры. Так, разукрупняются монополистические структуры хозяйства. С помощью налогов изымаются доходы, полученные от искусственного вздувания цен. Поддерживается малый и средний бизнес, организуются объединения потребителей, отстаивающих свои интересы.
Этими и другими способами создаются условия для становления конкуренции — мощного двигателя технического и экономического прогресса.
Чтобы создать нормальный рынок, требуется решить нелегкую задачу — научиться регулировать инфляционные процессы. Основная ответственность в этом деле возлагается на государство. Оно часто допускает бюджетный дефицит (превышение расходов государства над доходами) и покрывает его выпуском денег, не обеспеченных соответствующим количеством товаров.
Поэтому важно проводить систему антиинфляционных мер, приводящих массу денег в соответствие с потребностями в них экономики. Полностью избавиться от чрезмерной инфляции помогает денежная реформа (более подробно об антиинфляционной политике государства будет сказано ниже).
В условиях дефицитной экономики и сильной инфляции часто развивается тенденция к натурализации хозяйственных связей, к созданию искусственных барьеров на пути свободного движения товаров. Однако к чему ведут такие ограничения? Происходит закупорка своего рода кровеносных сосудов всего производственного организма. В условиях сильно развитого межотраслевого и территориального разделения труда хозяйственная замкнутость регионов подрывает нормальные и давно установившиеся экономические связи между предприятиями и другими хозяйственными единицами.
Чтобы устранить возникшие трудности, требуется обеспечить единое экономическое пространство для свободного развития рыночных отношений. На этом пространстве достигается единство денежного обращения, валюты, таможенных тарифов и правил, беспрепятственно перемещается рабочая сила, товары и денежные средства, а предприниматели самостоятельно устанавливают горизонтальные связи с любыми партнерами.
Рыночные отношения вообще не признают никаких государственных границ, и для них хозяйственным пространством является, по существу, вся планета. Наибольшее развитие они получают, когда национальное хозяйство превращается в открытую рыночную экономику. В этом случае страна не только активно участвует в международном разделении труда и выходит на мировой рынок, но и широко допускает иностранный капитал для делового сотрудничества с отечественными предпринимателями и конкуренции на внутреннем рынке.
Мировой опыт показывает, что на этом пути приходится предпринимать ряд важных шагов. Прежде всего необходимо: а) сделать отечественную валюту конвертируемой (чтобы все желающие могли свободно обменивать ее на иностранную валюту), без чего невозможны нормальные мирохозяйственные связи; б) всячески поощрять производство и экспорт конкурентоспособной продукции на мировой рынок; в) в широких масштабах привлекать иностранный капитал, технологии и опыт в приоритетные области экономики (особенно в топливно-энергетичес-кие отрасли) для конверсии и быстрого увеличения производства товаров народного потребления; г) продуктивно использовать крупномасштабную финансовую и техническую помощь международных организаций и развитых государств. Одновременно важно проявлять заботу об обеспечении надежной экономической безопасности страны: защищать национальную экономику от разрушительного воздействия международной конкуренции, не допускать опасной зависимости жизненно важных отраслей хозяйства от иностранного капитала.
Естественно, что для преодоления указанных рубежей требуется достаточно длительный срок и активная, многогранная деятельность государства и владельцев всех форм собственности. В зависимости от конкретных социально-экономических и политических особенностей той или иной страны переход к конкурентному рынку может продлиться от двух до пяти—семи лет. Он особенно продолжителен в том государстве, где идет непрерывное падение производства, не развиты потребительский сектор экономики и сфера услуг, слабы традиции политической и экономической демократии.
Последнее обстоятельство относится к нашей стране.
В Российской Федерации с января 1992 г. было провозглашено ускоренное движение к рынку. Оно началось, по существу, без всякой предварительной подготовки и без должного учета зарубежного и отечественного опыта рыночных реформ.
Между тем в нашей стране рыночные отношения довольно успешно развивались дважды. Сначала это был естественно-исторический процесс возникновения внутреннего рынка, который пошел полным ходом после реформы 1861 г., отменившей крепостное право. Однако этот рынок был серьезно подорван во время первой мировой войны и при проведении политики военного коммунизма в период гражданской войны.
Второй раз рынок стал беспрепятственно развиваться при переходе с марта 1921 г. к новой экономической политике. Тогда мелкие товаропроизводители и капиталистические предприниматели обрели свободу хозяйственной деятельности. Сложился свободный рынок с устойчивым денежным обращением, где использовались деньги с золотым обеспечением.
Все это позволило быстро достичь больших хозяйственных результатов.
За период 1992—1995 гг. наша страна продвинулась в конкурентному рынку очень незначительно. Выявились и отрицательные тенденции — тоже результат поучительный. Сейчас более четко, чем вначале, обозначились вопросы, требующие разрешения в теории и на практике.
Что это за экономические проблемы?
Первая проблема: обуздать неуправляемую инфляцию.
В январе 1992 г. существо перехода к рынку было сведено к либерализации цен, т.е. к переходу от подавленной инфляции к открытой. Началась галопирующая инфляция, которая временами была на грани гиперинфляции. В итоге в феврале 1995 г. цены превысили уровень 1990 г. в 3700 раз. Реформаторы утверждали, что либерализация цен создаст рынок, котоый начнет регулировать всю экономику, упорядочивая ее развитие.
Но инфляция уподобилась сказочному джину, которого выпустили из бутылки, и он доставил массу неприятностей и бед. Однако сделать инфляционный процесс управляемым — для государства пока остается весьма сложной задачей. И не случайно: нужно решать и другие проблемы, связанные с массовыми неплатежами, в том числе с задержками заработной платы.



Первый тип макроэкономического роста


Прежде всего уясним существо дилеммы. Под экономическим ростом здесь подразумевается простое увеличение объема производства национального дохода, что позволяет повысить размер душевого дохода. Экономическое же развитие означает такое совершенствование производства, инвестиции в которое ведут к повышению качественных социально-экономических показателей.
Речь идет, например, о восстановлении экологического равновесия, оздоровлении условий труда, возвышении уровня потребностей и потребления.
Концепция экономический рост без развития, по-видимому, применима к развивающимся странам. Большинство из них не вступило в индустриальную стадию производства и, конечно, не в состоянии технологически освоить достижения НТР. Вместе с тем в этих странах наблюдается очень высокий ежегодный прирост населения, который по своим темпам значительно превосходит скорость хозяйственного развития.
Например, естественный прирост населения (увеличение численности на 1000 человек) в странах Латинской Америки составлял в 80-е годы от 13 до 29 человек, и ускорение хозяйственного развития любыми средствами было естественной необходимостью. Поэтому многим экономистам и государственным деятелям представляется реальным выбор в пользу экономического роста без нового качества расширенного воспроизводства.
Концепция экономическое развитие без роста получила распространение в западных Странах. С одной стороны, здесь широко освоены новейшие достижения НТР, а на этой основе обеспечен высокий уровень производства национального дохода в расчете на каждого человека. С другой стороны, в ряде государств крайне низкие темпы прироста населения, здесь идет процесс депопуляции (уменьшения численности населения): число ежегодно умирающих людей превышает число родившихся.
Такие процессы имели место в 80-е годы, например в ФРГ и Австрии.
В пользу экономического развития без роста говорят и требования экологической безопасности. Сторонники движения зеленых, выступая против разрушения нормальной окружающей природной среды, отравления ее вредными отходами производства, предлагают особый путь воспроизводственного процесса: нулевой экономический рост (прекращение разрушающего воздействия производства на природу) при повышении качества жизни. К тому же призывают ученые, обеспокоенные тенденциями исчерпания разведанных сырьевых и топливных ресурсов планеты.
Хотя эти призывы становятся все более настойчивыми, тем не менее в большинстве развитых стран продолжается расширенное воспроизводство национального дохода. При этом, правда, увеличиваются объемы средств для охраны окружающей среды и принимаются более строгие законы по борьбе с экологическими загрязнениями.
Реальные процессы экономического роста и развития мы сможем выяснить при изучении типов расширенного воспроизводства в масштабе нации. ,
2. Типы экономического роста
Первый тип макроэкономического роста — экстенсивный (лат. extensivus — расширяющийся). В этом случае увеличение объемов производства происходит за счет трех факторов: а) основного капитала (фондов); б) рабочей силы; в) материальных затрат (природного сырья, материалов, энергоносителей).
Для выяснения роли каждого из указанных факторов в увеличении выпуска продукции используется эконометрика (научная дисциплина, изучающая количественные процессы в экономике). С ее помощью создаются эко неметрические модели роста национального хозяйства. Так, при рассмотрении макроэкономического роста лауреат Нобелевской премии Роберт Солоу (США) использовал формулу производственной функции.
Как известно, производственная функция показывает количественную зависимость F выпуска продукции Y от основного капитала К, труда L и земли (природных, материальных ресурсов — N):
Y = F(K,L,N).
Р. Солоу установил, что модель экономического роста при отсутствии технического прогресса (т.е. при экстенсивном расширении производства) обладает свойством постоянной отдачи от масштаба увеличения факторов:
ZY = F(ZK, ZL, ZN).
Данная формула выражает следующую функциональную зависимость: если капитал, труд и материальные затраты возрастают на величину Z, то и объем производства увеличится в 7раз. Именно это свойство характерно для экстенсивного увеличения производства: оно прямо пропорционально величине затраченных производственных факторов. Данную зависимость можно наглядно представить на графике (рис.
14.1).

Первый тип макроэкономического роста

Рис. 14.1. Темпы изменения экономических показателей
при экстенсивном росте
Экстенсивный рост производства — самый простой и исторически первый путь расширенного воспроизводства. Ему присущи свои достоинства. Это наиболее легкий путь повышения темпов хозяйственного развития.
С его помощью происходит быстрое освоение природных ресурсов, а также удается сравнительно быстро сократить или ликвидировать безработицу, обеспечить большую занятость рабочей силы.
Такой путь увеличения производства имеет и серьезные недостатки. Ему свойственен технический застой, при котором количественное увеличение выпуска продукции не сопровождается технико-экономическим прогрессом..
Поскольку выпуск продукции повышается в той же степени, в какой возрастают величины используемых производственных основных фондов материальных ресурсов и численность работников, то на неизменном уровне остаются количественные значения таких экономических показателей, как фондоотдача, материалоемкость и производительность труда. Иначе говоря, общая эффективность производства остается в лучшем случае неизменной.
Экстенсивное расширение производства предполагает наличие в стране достаточного количества трудовых и природных ресурсов, за , счет которых могут увеличиваться масштабы экономики. Однако при этом неизбежно, ухудшаются условия воспроизводства. Так, все более стареет оборудование на действующих предприятиях.
Из-за нарастающего истощения невоспроизводимых природных ресурсов приходится расходовать все больше труда и средств производства для добычи каждой тонны сырья и топлива. В результате экономический рост в возрастающей степени начинает носить затратный характер.
Долговременная ориентация на преимущественно экстенсивный путь роста выпуска продукции приводит к тому, что в национальном хозяйстве возникают тупиковые ситуации.
В нашей стране преодолеть затратный характер развития мешает отставание от среднего в Мировой практике уровня использования сырьевых ресурсов. К этому надо приплюсовать большую отсталость технологий, изношенность производственного оборудования, недостаточную квалификацию многих работников. За 1986—1990 гг. в СССР износ производственных основных фондов возрос с 38 до 41%.
Фактические сроки службы промышленного оборудования вдвое превышали нормативные.
На хозяйственном развитии страны отрицательно сказывались диспропорции в размещении сырьевой и топливно-энергетической базы. Подавляющая часть промышленного производства — более 2/3 — была сосредоточена в Европейской части, где имелось менее 1/3 всех при'-' родных ресурсов. Добыча же топливно-сырьевых продуктов в районах Крайнего Севера и к востоку от Урала вела к их удорожанию в 1,5—2 аза.
Стала падать добыча угля, нефти, железной руды и других природных средств производства.
Если в США показатель фондоотдачи в целом за послевоенный период практически не изменился, то у нас за последние 25 лет он упал почти в 2 раза. По оценке западных экономистов. Советский Союз тратил на производство каждой единицы продукции в 2—3 раза большее количество энергии и сырья, чем страны Западной Европы и США.
Экономически нецелесообразным оказалось и строительство новых предприятий. Производственные основные фонды в 1990 г. уже достигли свыше 1,9 трлн. руб. Загрузка же имеющихся машин и оборудования оставалось низкой: в машиностроении, например, они действовали лишь в 1,2—1,3 смены. Более .того, все новое оборудование уходило на новостройки, а на действующих предприятиях продолжали работать давно устаревшие машины.
Возникает серьезная проблема: каким образом расширять производство без ставшего традиционным широкомасштабного нового строительства?
В 80-е годы в СССР осложнилась и демографическая ситуация: низкая рождаемость при сравнительно высокой смертности, почти наполовину снизился прирост трудовых ресурсов. Страна впервые встала перед проблемой: как увеличивать выпуск продукции без всякою прироста трудовых ресурсов?
Перечисленные проблемы наглядно показывают, что экстенсивный путь экономического роста давно исчерпал себя. Он неизбежно вел к общему упадку производства, что и произошло (как мы увидим в данной главе). Выходом из такой ситуации является интенсификация воспроизводства.
Более сложный тип экономического роста интенсивный (фр. intensif — напряжение). Его главный отличи- тельный признак — повышение эффективности производственных факторов на базе технического прогресса. При данном типе расширенного воспроизводства появляется новый фактор экономического роста — повышение эффективности всех традиционных факторов.
В силу этого производственная функция преобразуется. Ее самое простое выражение таково:



Первым элементом системы является регулирование занятости.


Неполная занятость человеческого фактора производства наносит ущерб производственному потенциалу страны. Впрочем, теперь он рассчитывается несколько не так, как об этом говорилось в главе 1. Производственный потенциал — это реальный объем валового национального продукта, который экономика в состоянии произвести при относительно полном использовании ресурсов (с учетом естественного уровня безработицы). Если безработица растет сверх ее естественного уровня, то это вызывает большие экономические и социальные потери.
Известный исследователь макроэкономики Артур Оукен (США) математически выразил отношение между уровнем безработицы и так называемым отставанием — невыпущенной или безвозвратно потерянной продукцией. Такое отношение, получившее название закона Оукена, показывает: если фактический уровень безработицы превышает ее естественный уровень на 1 %, то отставание объема валового национального продукта составляет 2,5%. Это позволяет вычислить потери продукции, связанные с безработицей.
По признанию западных экономистов, безработица сегодня — центральная проблема стран с развитой рыночной экономикой. Экономические потери периода массовой безработицы значительно больше, нежели потери, связанные, например, с монополизацией. В 70—80-е годы в США они составили 1 трлн. долл.
К тому же потеря работы — это психологический стресс, уступающий по уровню только стрессу, вызванному смертью ближайшего родственника или заключению в тюрьму. Американские исследователи установили, что 1 год безработицы отнимает у человека 5 лет жизни. Не трудно также понять, какую потенциальную опасность для общества представляет лишившийся работы человек, брошенный на произвол судьбы.
Известны и тяжелые социальные последствия безработицы: рост наркомании, преступности и увеличение количества самоубийств.
Признание естественной нормы безработицы сняло с правительств западных стран часть ответственности за кризис занятости. Но это не освободило государство от необходимости проводить политику занятости.
В странах Запада за последние 30 с лишним лет действует система социальных амортизаторов (защитных устройств), которые государство применяет для обеспечения экономической безопасности трудящихся. В эту систему входят специальные меры по защите наемных работников от безработицы и обеспечению их права на труд.
Первым элементом такой системы является регулирование занятости. Государство предпринимает следующие действия:
— сокращает законодательно установленную продолжительность рабочего дня и рабочей недели в период массовой безработицы;
— рекомендует проводить на предприятиях разделение рабочих мест между работниками (для увеличения занятости);
— досрочно увольняет на пенсию работников государственного сектора экономики, которые не дослужили до пенсии 2—3 года;
— создает новые рабочие места и организует общественные работы (в области инфраструктуры — для строительства высококачественных дорог и т.п.), особенно для хронически безработных и молодежи;
— сокращает предложение рабочей силы на рынке труда: ограничивает иммиграцию (въезд в страну) желающих работать и стимулирует репатриацию (возвращение на родину) иностранных рабочих и т.д.
Другим элементом системы социальных амортизаторов служат биржи труда, созданные еще в первой половине XIX в. Биржи труда — учреждения, которые посредничают между предпринимателями и рабочими при трудовом найме. В современных условиях эти учреждения являются, как правило, государственными. Они занимаются учетом и. трудоустройством безработных, содействуют желающим сменить работу, изучают состояние рынка рабочей силы и предоставляют информацию о нем, помогают профессиональной ориентации молодежи. Однако направление на работу, выданное биржами труда, не является обязательным для предпринимателей, которые часто предпочитают принимать на работу через собственные отделы кадров.
Отказ от работы, предложенной биржей труда, обычно влечет за собой лишение пособия по безработице.
Следующим элементом системы экономической безопасности трудящихся являются фонды страхования по безработице, оказывающие потерявшим работу материальную помощь. Эти фонды образуются в значительной мере за счет вычетов из заработной платы работающих. В связи со многими ограничениями фондами страхования по безработице может пользоваться меньше половины безработных.
В 80-е годы размер пособий по безработице и продолжительность их выплаты составляли:
в США — 36% заработка в течение 14 недель;
в Японии — 60—80% заработка в течение 3—12 месяцев в зависимости от возраста безработного и других условий;
во Франции — 40 фр. в день в дополнение к 42% заработка в течение 1—2,5 лет, особые пособия в течение 3 лет;
в Великобритании — 28,5 ф. ст. в течение 52 недель.
В нашей стране законодательство о занятости населения установило систему мер по регулированию и организации занятости населения. В эту систему мер, в частности, входят:
а) регулирование занятости населения. Государство разрабатывает меры финансово-кредитной, инвестиционной и налоговой политики, направленные на рациональное размещение производительных сил, повышение мобильности трудовых ресурсов, развитие временной и самостоятельной занятости, поощрение гибких режимов труда, и другие меры, способствующие сохранению и развитию системы рабочих мест;
6) федеральная государственная служба занятости населения. Эта государственная служба дает оценку состояния и прогноз развития занятости населения, информирует о положении на рынке труда; разрабатывает и реализует целевые программы содействия занятости граждан помогает гражданам в поиске подходящей работы, а работодателям в подборе необходимых работников; организует при необходимости профессиональную ориентацию, профессиональную подготовку, переподготовку и повышение квалификации безработных граждан;
в) финансирование мероприятий по содействию занятости населения. Средства на финансирование мероприятий по содействию занятости населения (фонд занятости) формируются за счет обязательных страховых взносов работодателей, обязательных страховых взносов с заработка работающих и других источников;
г) организация общественных работ. Органы исполнительной власти субъектов РФ, органы местного самоуправления по предложению и при участии органов службы занятости организуют в целях обеспечения временной занятости населения проведение оплачиваемых общественных работ в организациях, находящихся в их собственности, и по договорам — в других организациях.
Государство гарантирует ряд видов социальной поддержки безработным:
выплату пособия по безработице;
выплату стипендии в период профессиональной подготовки, повышения квалификации, переподготовки по направлению службы занятости;
возможность участия в оплачиваемых общественных работах;
возмещение затрат в связи с добровольным переездом в другую местность для трудоустройства по предложению органов службы занятости.
Установлен период выплаты пособия по безработице — 12 месяцев. Гражданам, работавшим сравнительно продолжительный срок, устанавливается пособие по безработице в следующих размерах (по отношению к средней зарплате за последние 3 месяца по последнему месту работы): первые 3 месяца — 75%, следующие 4 месяца — 60%, в дальнейшем — 45%. Лицам, ищущим работу впервые, выплачивается пособие в размере минимальной месячной оплаты труда.
После истечения срока выплаты пособия по безработице оказываются разные виды материальной помощи безработным и членам их семей, находящимся на иждивении (единовременные денежные выплаты, дотации за пользование жильем, коммунальными услугами, общественным транспортом, услугами здравоохранения и общественного питания).
На Западе для оценки состояния экономики используют так называемый индекс нищеты — сумму уровней безработицы и инфляции. С первым из этих уровней мы ознакомились. Сейчас приступим к изучению второй составляющей индекса нищеты.
3. Нестабильность денежного обращения
Нестабильность современной экономики выражается в хроническом заболевании сферы денежного обращения — непрекращающейся инфляции. Экономическая теория уверенно поставила диагноз этой болезни. Ее причина состоит в нарушении того макроэкономического равновесия, которое обеспечивает стабильность денежного обращения и придает всему народнохозяйственному организму большую жизненную силу.
Стабильность денежного обращения означает равенство двух макроэкономических потоков, которые образуют, так сказать, кровообращение национального хозяйства: потока товаров и услуг и потока денег.
Такое равенство четко обозначил американский экономист Ирвинг Фишер в формуле:
Д О = Ц Т
Где Д— предложение денег (или масса денег в обращении);
О — скорость обращения (сколько раз за данное время денежная единица обслуживает торговые сделки — переходит из рук в руки);



Подход вытекает из методологии экономических исследований.


В 30-е годы профессор Лондонского университета Л. Роббинс дал определение предмета экономике, которое стало широко распространенным. По его мнению, центральной проблемой экономической науки является распределение редко встречающихся ресурсов (которых не хватает для удовлетворения потребностей) между альтернативными целями. Л. Роббинс рассматривал экономике вне всякого конкретного социального содержания.
Эта теория, на его взгляд, является одним из разделов некой всеобщей науки о рациональной деятельности.
В XX столетии ход всемирной истории резко ускорился и произошли глубокие качественные изменения в экономике всех стран. Это, естественно, существенно отразилось на развитии неоклассического направления. Среди ученых вновь возникли большие разногласия по таким, скажем, ранее обсуждавшимся вопросам, как участие или невмешательство государства в хозяйственную жизнь общества, судьба частной собственности и капиталистического строя на Западе. При изучении соответствующих тем мы конкретно рассмотрим новые экономические воззрения, в которых пересмотрены некоторые исходные принципы неоклассицизма.
Речь пойдет, в частности, о кейнсианской революции (глава 21), революции в управлении (глава 8), а также о ряде концепций: несовершенной конкуренции Дж.Робинсон и монополистической конкуренции Э.Чемберлина (глава 7), смешанной экономики П. Самуэльсона (глава 22).Все такого рода новшества привели к значительному изменению первоначального содержания экономике и сближению этого направления науки с политической экономией.
Политическая экономия исторически (начиная с меркантилистов и классиков) сложилась как наука, которая в центре внимания поставила изучение общественно-экономических отношений между классами и социальными группами. В противоположность этому экономике с 30-х годов не рассматривал в теории конкретные социальные проблемы. Было признано, что данная дисциплина исследует человеческие поступки как отношение между целями (удовлетворение потребностей) и ограниченными ресурсами, которые могут иметь альтернативное использование. Но с середины 60-х годов были внесены серьезные поправки в первоначальные представления о предмете исследования. В Экономикс сейчас фактически расширяются рамки социологизации предмета науки.
Теоретически освещается политика доходов, проводимая государством и предпринимателями. Определяются пути борьбы с безработицей и бедностью значительной части населения. Рассматриваются злободневные проблемы расовой дискриминации и ограничения прав женщин при найме на работу и увольнении. Модными стали темы о качестве жизни и экологической безопасности. Экономикс все больше обращается к политико-экономическим проблемам, в частности к сравнительному анализу современных экономических систем, трудовым отношениям, к проблемам развивающейся экономики, антикризисного регулирования, экономического роста.
Во всех современных экономике убедительно доказывается необходимость существования значительного государственного уклада национального хозяйства, а также раскрываются экономические и социальные функции правительства, методы его управления всей хозяйственной деятельностью16.
Значит, уходит в прошлое былая конфронтация политической экономии и экономике по вопросу о предмете науки. Заметна тенденция к сближению этих дисциплин. Поэтому уже нет прежних оснований для обозначения экономической теории разными терминами — политическая экономия и экономике.
Настоящий учебник дает представление об основных научных течениях, оставивших заметный след в истории экономической мысли. Здесь сделана попытка, избегая односторонних оценок, объективно рассмотреть разные, подчас противоположные, взгляды, выявить их достоинства и нерешенные проблемы. Особое внимание обращается на то, в какой мере теоретические положения соответствуют реальной действительности.
Такой подход вытекает из методологии экономических исследований.
3. Методология экономической науки
Методология — учение о способах, приемах научного познания действительности. Знакомиться с этим учением мы начнем путем сравнения двух типов экономического мышления: обыденного и научного.
Эти типы мыслительной деятельности возникают не случайно. В каждой хозяйственной системе имеются две взаимосвязанные подсистемы: экзогенная и эндогенная. С познанием экзогенной совокупности отношений непосредственно связано обыденное мышление, а с углубленным исследованием эндогенной подсистемы — только научное познание.
Экзогенная (греч. ехо — снаружи, вне; genos — происхождение) подсистема — совокупность экономических связей, изменения которых порождены причинами, находящимися на поверхности хозяйственной жизни. Такими причинами являются, например, конкуренция и изменение соотношения между спросом и предложением на рынках товаров, рабочей силы и ценных бумаг. Под их воздействием происходят видимые конъюнктурные изменения, показывающие состояние хозяйства в текущий период.
Эндогенная (греч. endon — внутри) подсистема — совокупность внутренних хозяйственных связей, которые развиваются под влиянием факторов, недоступных для простого наблюдения. Изменение этих связей выражает своего рода физиологию — действительное внутреннее движение всей системы. В главе 4, например, будет показано: с точки зрения трудовой теории стоимости колебания цен на рынке часто скрывают внутренние процессы — закономерную зависимость уровня цен от величины стоимости товаров.
Теперь сопоставим обыденное и научное мышление с точки зрения той глубины познания хозяйственной жизни, на которую способно каждое из них (рис, 2.4).

Подход вытекает из методологии экономических исследований.

Рис. 2.4. Различия между типами экономического мышления
Экономика — такая область жизни общества, с которой сталкиваются все люди. Здесь каждый с детства что-то узнает из повседневной практики и постоянно расширяет свой кругозор. Таким путем формируется обыденное экономическое мышление.
Поскольку оно отражает непосредственные жизненные наблюдения человека, то у него складывается твердое убеждение: то, что он увидел, и есть единственно верное представление об экономике.
Действительно, обыденное мышление способно подметить и обобщить многие типичные черты хозяйствования. Именно так возникают ориентиры, правила хозяйственной деятельности. Исходя из здравого смысла с древнейших времени строилось всеобщее экономическое обучение в его простейшем и своеобразном виде — в форме образцов народной мудрости (пословиц, поговорок, сказаний). Вот, например, какие наставления начинающему торговцу содержатся в китайских пословицах:
— не бойся, что не знаешь товара: надо только сравнить его с другим;
— в лесу не торгуют дровами, на берегу озера — рыбой;
— продавец тыквы не говорит, что тыква горькая, продавец вина Не говорит, что вино разбавленное.
Особенностью обыденного мышления является его субъективный характер, ибо в нем проявляется индивидуальная психология. Столь узкое осознание хозяйственной действительности не способно предотвратить ошибки и заблуждения, порождаемые слабой осведомленностью человека в экономике, незнанием способов научно обоснованного хозяйствования.
В отличие от повседневного научное экономическое мышление стремится выяснить объективную истину, т.е. отразить внешний мир таким, каким он существует в действительности. Углубленное понимание реальных событий дает большую силу ориентировки хозяйственной практике.
Обыденное мышление основывается на отрывочных я, как правило, односторонних сведениях об экономике, что естественно для ограниченного кругозора одного человека. Не зная всех сторон и подлинных масштабов хозяйственных процессов, можно легко придать имеющимся сведениям всеобщий характер. Таким образом допускается ошибка, когда часть какого-то явления, вещи воспринимается как целое или случайное явление — как постоянное событие.
Например, тот, кто купил акции обанкротившейся фирмы, может убеждать других в том, что не следует доверять акционерным обществам.
Научное же мышление отражает экономику всесторонне и в ее целостности, стремится увидеть всю панораму событий. И тогда появляется возможность понять: то, что хорошо и выгодно при определенных условиях отдельному хозяйству, может быть плохо и убыточно для общества, и наоборот.
В обыденном мышлении события хозяйственной жизни отражаются поверхностно, так, как их можно непосредственно созерцать. Допустим, покупатель заметил на рынке, что цена товара во многом зависит от изменения спроса покупателей и предложения продавцов. Однако на каком уровне установится цена, если спрос и предложение уравновесятся?
Чтобы ответить на этот вопрос, надо знать законьг рынка.
Экономическая теория, проникая под внешний покров хозяйственных явлений, выявляет сущность — их внутреннее содержание.
Разумеется, научное исследование не игнорирует изучения экзогенных явлений, ибо их познание позволяет, во-первых, выявить большую совокупность причин внешнего порядка, вызывающих изменения в хозяйственной жизни. Во-вторых, такое изучение — путь к открытию сущности экономических процессов. В-третьих, оно ведет к пониманию того, как данная сущность проявляется в конкретных формах хозяйственной практики.
Чтобы так всесторонне исследовать действительность, требуется в совершенстве владеть всей совокупностью способов и приемов, применяемых для научного познания экономических отношений.



Подобное может случиться и с коммерческой организацией.


Бизнесмен по собственному усмотрению реализует изготовленную им продукцию на рынке, получая при этом определенную сумму денег (ее называют сумма продаж или валовая выручка). При сопоставлении полученного валового дохода с расходами прежде всего проявляется забота о том, как обеспечить самоокупаемость. Выделенные на хозяйственную деятельность деньги должны полностью возмещаться за счет выручки от продажи товаров, чем обеспечивается безубыточность их изготовления. Все предприниматели стремятся получить также доход — прирост первоначально затраченной на производство суммы денег.
Иначе хозяйственная деятельность не имеет экономического смысла, а предприятие потерпит крах. Доход служит источником самофинансирования. Он используется для дальнейшего расширения и совершенствования производства, решения социальных проблем трудового коллектива и на иные цели. Если фирме не хватает собственных денежных средств для производственны] нужд, то она получает от банков заемные средства.
Коммерческий доход призван материально заинтересовать хозяев предприятия и работников в улучшении результатов производства. Его объем зависит не только от производственной, но и от коммерческой деятельности. Наконец, бизнесмен несет всю полноту экономической ответственности за конечные итоги работы.
В условиях рыночной экономики собственники, хозяева предприятий сами расплачиваются за допущенные ими убытки, невыполнение принятых обязательств и договоров с контрагентами.
Гражданский кодекс РФ устанавливает, что гражданин отвечает по своим обязательствам всем принадлежащим ему имуществом, за исключением имущества, на которое в соответствии с законом не может быть обращено взыскание (статья 24). Индивидуальный предприниматель, который не в состоянии удовлетворить требования кредиторов, связанные с осуществлением им предпринимательской деятельности, может быть признан несостоятельным (банкротом) по решению суда. С момента вынесения такого решения утрачивает силу его регистрация в качестве индивидуального предпринимателя (пункт 1 статьи 25).
Подобное может случиться и с коммерческой организацией. Юридическое лицо, являющееся коммерческой организацией, по решению суда может быть признано несостоятельным (банкротом), если оно не может удовлетворить требования кредиторов. Признание судом юридического лица банкротом влечет его ликвидацию (пункт 1 статьи 65).
Все свойственные коммерческому расчету организационные отношения нацелены на то, чтобы лучше реализовать собственность на вещественные факторы производства — получить от нее доход. Такие отношения развивают инициативу и предприимчивость, благоприятствуют рациональному ведению дела, что и способствует увеличению прибыли.
В условиях рыночной экономики само предпринимательство с его новаторством и коммерческий расчет основаны на определенном риске, который связан с непредсказуемыми изменениями рыночной конъюнктуры. Против такого риска применяются два специальных средства.
Первое из них — соблюдение коммерческой тайны. Государство предусматривает в законодательном порядке правовую защиту всех видов предпринимательской тайны: производственной, коммерческой (с кем и на каких условиях заключены торговые сделки), финансовой, научно-технической и др. На Западе фирмы расходуют большие средства (примерно равные затратам на рекламу) на охрану своих секретов.
Информационная безопасность предотвращает разорение фирм.
Гражданский кодекс РФ определяет характер служебной и коммерческой тайны. Информация составляет служебную или коммерческую тайну в случае, когда информация имеет действительную или потенциальную коммерческую ценность в силу неизвестности ее третьим лицам, к ней нет свободного доступа на законном основании и обладатель информации принимает меры к охране ее конфиденциальности. Лица, незаконными методами получившие информацию, которая составляет служебную или коммерческую тайну, обязаны возместить причиненные убытки.
Такая же обязанность возлагается на работников, разгласивших служебную или коммерческую тайну, в том числе по контракту, и на контрагентов, сделавших это вопреки гражданско-правовому договору (ГК РФ, пункты 1, 3 статьи 139).
Уголовный кодекс РФ рассматривает как преступление, требующее соответствующего наказания, собирание сведений, составляющих коммерческую или банковскую тайну, путем похищения документов, подкупа или угроз, а равно иным незаконным способом в целях разглашения или незаконного использования этих сведении (пункт 1 статьи 183).
Другим средством против коммерческого риска является страхование. Па Западе применяются многочисленные виды страхования. Так, страхованию подлежат: а) собственность (покрываются убытки от пожара, взрыва, урагана, повреждений транспорта и др.); б) несчастные случаи (порча имущества, телесные повреждения и т.п.); в) жизнь людей (защищаются права наследников собственности умерших); г) вознаграждение за труд (возмещаются потери при производственных травмах); д) обязательства перед фирмой (ответственность работника за кражу имущества, защита определенных обязанностей по хозяйственным договорам).
Страхованием занимаются специальные организации (государственные, акционерные и т.д.). Они создают и используют денежные фонды, в которые юридические и физические лица вносят установленные платежи. Затраты фирм на такие цели входят в общие издержки хозяйствования, а тем самым включаются в цену товаров.
В главе 48 Гражданского кодекса РФ установлен комплекс правовых норм, обеспечивающих добровольное и обязательное страхование. Например, по договору имущественного страхования могут быть, в частности, застрахованы следующие имущественные интересы:
1) риск утраты (гибели), недостачи или повреждения определенного имущества (статья 930);
2) риск ответственности по обязательствам, возникающим вследствие причинения вреда жизни, здоровью или имуществу других лиц, а в случаях, предусмотренных законом, также ответственности по договорам — риск гражданской ответственности (статьи 931 и 932);
3) риск убытков от предпринимательской деятельности из-за нарушения своих обязательств контрагентами предпринимателя или изменения условий этой деятельности по независящим от предпринимателя обстоятельствам, в том числе риск неполучения ожидаемых доходов — Предпринимательский риск (статья 933).
Итак, мы рассмотрели основные принципы коммерческого расчета и условия их осуществлния. Теперь перейдем к более глубокому анализу экономической сущности коммерческого предпринимательства.
Сущность бизнеса можно в наиболее кратком и наглядном виде представить в его формуле
Д—Т —Д',
где Д — первоначально авансированные (выданные в счет предстоящих платежей) денежные средства;
Т — приобретенные товары;
Д' — возросшая сумма авансированных денег;
Д' = Д + д,
где д — прирост денег (прибыль).
Формула бизнеса показывает, как действует предприниматель. С самого начала он должен иметь денежные средства, пускаемые в обращение с целью получения выгоды. На них он закупает определенные товары. В конечном счете бизнесмен реализует на рынке имеющиеся у него товарные ценности и получает возросшую сумму денег.
Прирост денег по сравнению с авансированной суммой составляет его доход (прибыль).
Главный теоретический вопрос состоит в том, чтобы выяснить: откуда появляются д — новые деньги?
Хозяйственная практика свидетельствует, что формула бизнеса является общей для разных вариантов предпринимательской деятельности. Что это за варианты?
Первый вариант: спекулятивный бизнес.
Такой бизнес означает скупку товаров по пониженным ценам и их перепродажу по повышенным ценам с целью наживы. В условиях рыночной экономики спекуляция в большинстве случаев представляется естественным явлением и не преследуется по закону. Ее экономической основой является товарный дефицит, который образуется на рынке на какое-то время.
Сам спекулятивный рост рыночной цены приводит в действие закон предложения, а с увеличением производства товаров исчезают экономические условия для спекуляции.
Однако можно ли наживаться на неэквивалентном обмене на рынке? Безусловно, можно. Какой-то удачливый торговый посредник умело выбирает место и время для закупки и перепродажи больших партий товаров, ориентируясь на низший и высший уровни спроса, а также на неосведомленность и нерасторопность покупателей.
Еще больше выгадывают деловые люди, добившиеся монопольного положения на рынке: цены на сбываемые ими продукты могут многократно превышать их стоимость.
Однако данному варианту ответа на поставленный вопрос трудовая теория стоимости противопоставила довольно-таки веские контраргументы. Во-первых, на рынке происходит только смена форм стоимости (ее денежная форма меняется на товарную, и наоборот). А сама стоимость здесь не возникает вообще и не может возрастать (она, как мы знаем, создается трудом в производстве).
Во-вторых, неравноценный обмен только перераспределяет имеющуюся стоимоть между лицами: то, что один теряет, другой приобретает. Между тем общая сумма стоимостей всех продуктов остается прежней. В-третьих, если все предприниматели начнут в равной степени и постоянно пытаться наживаться за счет неэквивалентного обмена, то они не смогут обогатиться на спекулятивной перепродаже товаров друг другу.
Например, все бизнесмены повысят цены на продаваемые товары на 10%, тогда, выступая в роли продавцов, они будут выигрывать на эти 10%. Однако затем, попеременно становясь покупателями продуктов с возросшей ценой, они будут, разумеется, терять те же 10%.



Полностью совпадают спрос и предложение.


Нормальным же можно признать такое положение, когда цена продавца и цена покупателя совпадают. При стечении каких обстоятельств возникает это столь желанное для всех контрагентов положение?
Ответ на этот вопрос мы найдем, если одновременно совместим кривую спроса (рис. 6.4) и кривую предложения (рис. 6.5), что и сделано на рисунке 6.6.

Полностью совпадают спрос и предложение.

Рис. 6.6. График спроса и предложения
На рис. 6.6 видно, что при пересечении кривых спроса и предложения обнаруживается равновесная точка Р. В ней полностью совпадают спрос и предложение. Если спроецировать равновесную точку на ось ординат, то мы определим равновесную цену Цр. В ней полностью совпадают цены продавцов и покупателей.
Когда равновесная точка Р проецируется на ось абсцисс, то выявляется равновесное количество Kр, которое характеризует баланс — количественное совпадение спроса и предложения.
Теперь особый интерес представляет экономическая природа равновесной цены: сущности какого хозяйственного процесса она соответствует? На этот вопрос были даны два варианта ответа.
Согласно распространенному мнению, равновесная цена — это и есть та рыночная цена, которая выражает сущность равенства спроса и предложения. Однако не ясно следующее. В точке равновесия спрос и предложение перестают быть связанными с динамикой цены. Здесь перестают сталкиваться интересы продавцов и покупателей. Момент равновесной цены, может быть, чем-то напоминает астрономическую черную дыру (космический объект, внутри которого исчезает всякая информация о происходящих в нем процессах).
Значит, саму равновесную цену никак нельзя объяснить ни действием закона спроса, ни действием закона предложения.
Попытку глубоко раскрыть природу равновесной цены с позиции -рудовой теории стоимости предпринял К. Маркс. Он заметил, что предложение и спрос регулируют только временные колебания рыночных цен. По его словам, в тот самый момент, когда эти противоположные силы становятся равными, они взаимно парализуют друг друга и перестают действовать в том или другом направлении.
В тот момент, когда между предложением и спросом устанавливается равновесие и потому они перестают действовать, рыночная цена товара совпадает с его действительной стоимостью, с нормальной ценой, вокруг которой колеблются его рыночные цены49.
Между тем несомненно, пожалуй, то, что равновесная цена и равновесное количество обладают следующими необыкновенными свойствами.
А. Здесь товаров представлено на рынке не больше и не меньше, чем нужно для потребления людей. Все затраты на производство благ окупаются их продажей по равновесной цене.
Таким образом, достигнутое равновесие свидетельствует о наибольшей экономической эффективности сложившейся рыночной ситуацию. Нобелевский лауреат французский экономист М. Аллэ вывел теоремы с такими фундаментальными положениями: ...всякая равновесная ситуация рыночной экономики является ситуацией максимальной эффективности, и наоборот, всякая ситуация максимальной эффективности является равновесной ситуацией рыночной экономики50.
Б. В точке равновесия выражен и наибольший социальный эффект.
За равновесную цену потребитель приобретает предельное (для его дохода) количество полезностей.
В. На рынке не обнаруживается ни избытка товаров (количества, которое излишне для продажи при данном объеме доходов населения), ни дефицита (нехватки) благ.
Итак, мы завершили рассмотрение законов спроса и предложения. Эти законы выражают причинно-следственные зависимости между ценой (причина) и спросом (следствие), между ценой (причина) и предложением (следствие). Вместе с тем существуют рыночные законы другого рода.
Они определяют причинно-следственные зависимости между спросом (причина) и ценой (следствие), между предложением (причина) и ценой (следствие). Настало время проанализировать действие и этих законов.
4. Воздействие спроса и предложения на цену
На графике кривой спроса (рис. 6.4) мы проследили, как изменяется спрос покупателей под влиянием одного фактора — динамики цен. При этом не принимались в расчет другие факторы, которые могут менять масштабы спроса. В качестве последних можно отметить:
а) изменение дохода. Вполне очевидно, что если увеличиваются размеры реальных доходов населения, выделяемых на приобретение товаров и услуг, то соответственно повышается покупательский спрос. Когда же такие доходы уменьшаются, то соответственно снижается спрос;
б) изменение вкусов и моды. Естественно, что систематическое обновление вкусов и моды, скажем на одежду, обувь, развлечения, оказывает прямое влияние на покупательский спрос. С ростом благосостояния народа такое влияние усиливается;
в) реклама. Цель всякой рекламы — расширить сбыт определенных товаров;
г) покупка в кредит. Многие вещи длительного пользования (автомобили, мотоциклы, мебель, бытовые приборы и др.) приобретаются в рассрочку. Если кредит становится благоприятным (взносы уменьшаются, а сроки возврата ссуды увеличиваются), то размеры спроса, разумеется, возрастают.
Они, наоборот, сокращаются в результате ухудшения условий покупки в рассрочку.
Под влиянием указанных факторов величина покупательского спроса изменяется, что сказывается на динамике рыночной цены. Эту динамику можно проследить на графике изменения спроса (рис. 6.7).

Полностью совпадают спрос и предложение.

Рис. 6.7. Изменение величины спроса
На рисунке 6.7 исходная позиция такова. Кривая предложения П1 — П2 остается в неизменном состоянии. Начальная величина спроса — К1.
Ей соответствуют равновесная точка P1 и равновесная цена Ц1.
Увеличение спроса обозначено другими параметрами: новая величина спроса K2, кривая спроса С3 — С1, равновесная точка Р2 и равновесная цена Ц2.
Можно видеть, что расширение спроса (К1 — K2) ведет к тому, что кривая спроса сдвигается вправо от C1 — С2 к С3 — С1. Равновесная точка смещается вправо и вверх (Р1 — Р2). В итore рыночная цена возрастает с Ц1 до Ц2.
Чтобы выяснить, как уменьшение величины спроса повлияет на цену, воспользуемся тем же рисунком 6.7. За исходную позицию примем кривую спроса С3 — C1. Тогда сокращение потребительского спроса (К2 — K1) отразится на сдвиге кривой спроса влево: от С3 — С1 к C1 — С2. Равновесная точка сместится влево и вниз (от Р2 к P1).
В результате рыночная цена снизится с Ц2 до Ц1.
Значит, при прочих неизменных условиях расширение спроса покупателей влечет за собой рост рыночной цены, а его уменьшение — падение цены.
На графике кривой предложения (рис. 6.5) отражено изменение величины предложения под воздействием только лишь динамики цен. Но не учтено, что на величину предложения товаров на рынке влияют и другие обстоятельства:
а) изменение цен на факторы производства. Товары предлагаются на рынке по определенным ценам, которые отражают цены затраченных в производстве факторов (труда и средств производства). Если по каким-то причинам увеличиваются цены на эти факторы, то издержки производства продукции возрастают, расходы фирмы повышаются.
А это влечет за собой создание меньшего количества изделий. И наоборот, когда уменьшаются цены на факторы производства, то уменьшаются издержки производства, возрастает выпуск продукции;
б) технический прогресс и производительность труда. Совершенствование техники, технологии производства и организации работы ведет к сокращению издержек на изготовление единицы продукции. Это позволяет увеличить выпуск товаров;
в) погодные условия. Этот фактор оказывает большое влияние на сельскохозяйственное производство. Колебание погодных условий может оказывать благоприятное или неблагоприятное воздействие на издержки сельскохозяйственного труда и на сбор урожая в растениеводстве.
Данные факторы сказываются на величине предложения товаров на рынке, а тем самым и на уровне рыночной цены. Динамика цены наглядно представлена на графике изменения предложения (рис. 6.8).

Полностью совпадают спрос и предложение.

Рис. 6.8. Изменение величины' предложения
Начальная позиция на рисунке 6.8 отражается в следующих параметрах. Кривая спроса С1 — С2 не изменяется. Исходная величина предложения К1.
В этом случае образуются равновесная точка P1 и равновесная цена Ц1.
Когда величина предложения возрастает (К1 — К2.), тогда кривая предложения смещается вправо: от П1 — П2 до П3 — П4. Точка равновесия сдвигается вправо и вниз (P1 — Р2). Тогда рыночная цена снижается с Ц1 до Ц2.
Если же величина предложения уменьшается, то для этого случая в качестве исходного момента можно принять кривую предложения П3 — П4 на рисунке 6.8. Свертывание предложения (К2— K1) скажется на перемещении кривой предложения влево, от П3 — П4 к П1 — П2. Равновесная точка сдвинется влево и вверх (от P2 к P1).
В итоге рыночная цена возрастет с Ц2 до Ц1.
Выходит, что пpи прочих равных условиях увеличение предложения со стороны производителей, продавцов вызывает снижение рыночной цены, а его свертывание — подъем цены.



Предложение товаров превышает спрос покупателей.


Нам наконец стало ясно, как изменяется рыночная цена под воздействием спроса и предложения. Осталось только проанализировать основные варианты соотношения спроса и предложения, от которых зависит уровень цены.
На рынке типичными могут быть три соотношения спроса и предложения. Первый вариант: спрос равен предложению. Этот вариант, как известно, рассмотрен в предыдущем параграфе.
Он отражен на рисунке 6.6, где сопоставлены графики спроса и предложения.
Второй вариант: предложение товаров превышает спрос покупателей.
Вернемся к рисунку 6.6. Здесь представлена зона избытка товаров 1'на графиках на рис. 6.6 зона занимает пространство: С2 — Р — П2).
Такое относительное товарное обилие может быть результатом не только излишнего производства изделий. Оно является также следствием непомерного вздувания цен, невысокого качества продуктов, дефицита (нехватки) денег у населения при неудовлетворенных потребностях или каких-либо других обстоятельствах. Когда возникает затоваривание рынка излишними продуктами, не находящими сбыта, то при определенных условиях может возникнуть кризис перепроизводства.
Определенным выходом из неблагоприятной ситуации может быть, в частности, снижение цен (уценка товаров, их сезонная распродажа).
Третий вариант: спрос превышает предложение.
На рисунке 6.6 можно обнаружить зону дефицита товаров (на графиках: П1 — Р — С1). Такая нехватка благ возникает по разным причинам: а) когда выпускается мало изделий, пользующихся повышенным спросом; б) если цены искусственно занижаются (ниже стоимости или равновесной цены), что вызывает растущий спрос; в) когда денежные доходы населения повышаются быстрее, чем расширяется производство. Постоянный дефицит товаров может при определенных условиях перерасти в кризис недопроизводства. Рынок реагирует на товарный дефицит прямым или скрытым ростом цен.
Одновременно расширяются масштабы спекуляции — скупка недостающих вещей по более низким ценам и их перепродажа по более высоким ценам в целях наживы. Выходом из критической ситуации может служить некоторое уменьшение роста денежных доходов населения, увеличение производства пользующихся спросом товаров или повышение рыночных цен на них.
Таким образом, за верхним и нижним пределами равновесной точки на рынке несомненно существуют две неблагоприятные зоны. Они свидетельство неблагополучия экономического положения либо продавцов, либо покупателей.
Естественно, напрашиваются вопросы: способен ли рынок своими силами преодолевать неравновесное состояние — избавляться и от избытка, и от дефицита товаров? Действует ли на рынке тенденция к продаже благ по равновесной цене?
Ответы на эти вопросы мы рассмотрим в следующей главе.
Экономический тренинг
1. Ключевые термины и понятия
Рынок; рыночная сделка; функции рынка; местный рынок; национальный рынок; система рынков; свободный рынок; нелегальный рынок; регулируемый рынок; рыночные институты; рыночная цена; теория предельной полезности; предельная полезность; закон убывающей полезности; закон спроса; эластичность спроса; закон предложения; эластичность предложения; цена продавца; цена покупателя; равновесная цена; спрос и цена; предложения и цена; соотношения спроса и предложения.
2. Тест: знаете ли Вы, что такое рыночная экономика?
2.1.Кто определяет при свободных рыночных отношениях, в каком количестве и куда должны поступать произведенные товары:
а) федеральное правительство;
о) продавцы;
в) покупатели;
г) производители.
2.2. Дефицит товаров на рынке обусловлен:
а) неэффективным производством;
б) несоответствием потребностей общества имеющимся ресурсам;
в) нестабильными ценами;
г) неспособностью государства сбалансировать бюджет.
2.3. Какое из следующих утверждении более полно объясняет смысл сравнения рынка с выборами:
а) государственные чиновники, находящиеся на выборных должностях, выбирают товары и услуги, нужные обществу;
б) граждане голосуют кошельками за поправившиеся товары и услуги;
в) граждане имеют возможность забаллотировать кажущиеся им несправедливыми правила и законы, но которым осуществляются торговые операции.
2.4. Что произойдет со спросом на товар, если цена на него поднимется:
а) спрос останется прежним;
б) спрос повысится;
и) спрос превысит предложение;
г) спрос уменьшится.
3. Графическая задача
Изобразите кривую спроса (при цене 10 тыс. руб. за изделие реализуется 15 тыс. штук, при 25 тыс. руб. — 10 тыс. штук, при 50 тыс. руб. — 5 тыс. штук) и кривую предложения (при цене 10 тыс. руб. реализуется 5 тыс. штук изделий, при цене 25 тыс. руб. реализуется 10 тыс. штук, при цене 50 тыс. руб. — 15 тыс. штук).
Необходимо определить равновесную иену и равновесное количество товаров.
4. Интервью. Какие качества людей воспитывает рынок?
5. Дискуссионный вопрос Кому выгоден дефицит?
6. Вопросы для будущих юристов
6.1. Каким образом теневая экономика воздействует на у ровен рыночных цен?
6.2. Чем объяснить существование во многих странах (и том числе с развитыми рыночными отношениями) черного рынка и можно ли его устранить?
7. Сравнительный анализ рыночной экономики
7.1. Охарактеризуйте системные (прямые и обратные) связи между товарным производством " рынком, которые объединяют их в одно целое.
7.2. Объясните, почему современный рынок развился в сложную систему. Как взаимосвязаны все элементы этой системы?
7.3. Сравните основные параметры свободного, нелегального и регулируемого рынка. Укажите причины формирования в современном цивилизованном обществе рынка, основанного на социальных институтах.
Обоснуйте необходимость правового регулирования рыночных отношений.
7.4. Сопоставьте основные положения трудовой теории стоимости и теории предельной полезности, выясните их положительные черты и недостатки.
7.5. Проанализируйте различия между двумя видами рыночных зависимостей: а) воздействия цены на спрос и предложение и б) влияние спроса и предложения на рыночную цену.
8. Прокомментируйте статистические данные, приведенные
в таблицах 6.1 и 6.2
Таблица 6.1.
Распределение розничной) товарооборота но формам собственности в Российской Федерации в 1993 и 1995 гг. (в фактически действовавших ценах)


1993
1995
млрд.руб.
в % к итогу
млрд.руб.
в % к итогу
Розничный товарооборот, всего
в том числе но формам собственности:
негосударственная
государственная
58762
45136
13626
100
77
23
553466
481304
72162
100
87
13
Таблица 6.2.
Соотношение на потребительском рынке России отечественных и импортных товаров и 1992 и 1995 гг. (в %)


1992
1995
Товарные ресурсы, направленные на потребительский рынок
в том числе:
собственные
поступившие по импорту (включая неорганизованный ввоз)
100
77
23
100
46
54




При кризисе проводится политика экономического роста.


Однако в этих случаях амортизация списывается в размерах, значительно превышающих действительный износ основного капитала, вследствие чего повышаются цены на производимую с помощью этого оборудования продукцию. Если ускоренная амортизация расширяет финансовые возможности бизнесменов, то одновременно она ухудшает условия реализации продукции и сокращает покупательную способность населения.
В зависимости от характера использования прямых и освенных финансовых методов различают два вида фискальной политики государства: а) дискреционную и б) недискреционную. Проанализируем их подробнее.
Дискреционная (лат. discrecio — действующий по своему усмотрению) политика означает следующее. Государство сознательно регулирует свои расходы и налогообложение в целях улучшения экономического положения страны. При этом правительство учитывает следующие проверенные на практике функциональные зависимости между финансовыми переменными величинами.
Первая зависимость: рост государственных расходов увеличивает совокупный спрос (потребление и инвестиции). Вследствие этого возрастает выпуск продукции и занятость трудоспособного населения. Важно учесть, что государственные расходы влияют на совокупный спрос так же, как и инвестиции (действуют как мультипликатор инвестиций, который разработал Дж. Кейнс): мультипликатор государственных расходов МG показывает, насколько возрастает валовой национальный продукт ВНП в результате увеличения этих расходов G:
ВНП = G MG.
Естественно, что при уменьшении государственных затрат G сокращается объем ВНП.
Другая функциональная зависимость показывает, что увеличение суммы налогов уменьшает личный располагаемый доход домашних хозяйств. В этом случае сокращаются спрос и объем выпуска продукции и занятость рабочей силы. И наоборот: снижение налогов ведет к возрастанию покупательских расходов, выпуска продукции и занятости.
Изменение налогообложения дает мультипликационный эффект. Между тем мультипликатор налогов меньше мультипликаторов инвестиции и государственных расходов. Дело в том, что каждая единица прироста инвестиций (и государственных расходов) прямо воздействует на увеличение объема ВНП.
При уменьшении же налогов растет располагаемый доход У — Т, однако часть его идет на потребление, а оставшаяся доля расходуется на сбережения.
Указанные функциональные зависимости используются в дискреционной политике государства для воздействия на экономический цикл. Разумеется, эта политика различается на разных фазах цикла.
Например, при кризисе проводится политика экономического роста. В интересах роста ВНП увеличиваются государственные расходы, снижаются налоги, причем рост расходов сочетается с уменьшением налогов так, чтобы мультипликационный эффект государственных затрат был больше мультипликатора налогов. Итогом является уменьшение спада производства.
Когда происходит инфляционный рост производства (подъем, вызванный избыточным спросом), правительство проводит политику сдерживания деловой активности — сокращает государственные расходы, увеличивает налоги. Эти меры сочетаются таким образом, чтобы мультипликационный эффект уменьшения расходов был больше, чем мультипликатор роста налогов. В результате снижается совокупный спрос и соответственно уменьшается объем ВНП.
Второй вид фискальной политики — недискреционная, или политика автоматических (встроенных) стабилизаторов. Автоматический стабилизатор — экономический механизм, который без содействия государства устраняет неблагоприятное положение на разных фазах делового цикла. Основными встроенными стабилизаторами являются налоговые поступления и социальные выплаты, осуществляемые государством.
На фазе подъема, естественно, растут доходы фирм и населения. Но при прогрессивном налогообложении еще быстрее увеличиваются суммы налогов. В этот период сокращается безработица, улучшается благосостояние малообеспеченных семей. Следовательно, уменьшаются выплаты пособий по безработице и иные социальные расходы государства.
В итоге снижается совокупный спрос, а это сдерживает экономический рост.
На фазе кризиса налоговые поступления автоматически уменьшаются и тем самым сокращается сумма изъятий из доходов фирм и домашних хозяйств. Одновременно возрастают выплаты социального характера, в том числе пособия по безработице. Значит, увеличивается покупательная способность населения, что помогает преодолению спада экономики.
Из сказанного видно, сколь большое место занимает налогообложение в финансовом регулировании макроэкономики. В связи с этим одним из главных направлений фискальной политики государства является совершенствование налогового законодательства и практики сбора налогов.
Возьмем для примера наиболее важную разновидность налогов — подоходный налог, который устанавливается на доходы физических лиц и на прибыль фирм. Как определяется величина этого налога?
Сначала подсчитывается валовой доход — сумма всех доходов, полученных физическими и юридическими лицами из разных источников. Из валового дохода по законодательству обычно разрешается вычитать: а) производственные, транспортные, командировочные и рекламные расходы; б) различные налоговые льготы (необлагаемый минимум доходов; например, в США в 1990 г. этот минимум составил 2050 долл.; суммы пожертвований, льготы для пенсионеров, инвалидов и др.). Таким образом, облагаемый налогом доход — это разница между валовым доходом и указанными вычетами.
Важно установить оптимальную налоговую ставку (размер налога на единицу обложения). Различаются следующие ставки налога:
— твердые, которые устанавливаются на единицу объекта независимо от его стоимосги (например, автомашину);
— пропорциональные, т.е. единый процент уплаты налогов независимо от размеров доходов;
— прогрессивные, возрастающие с увеличением доходов. Практика показывает, что при чрезвычайно высоких ставках налогов подрываются материальные стимулы к труду и новаторству. Непомерное возрастание в 60—70-е годы в западных странах налогового бремени привело к отрицательным последствиям.
Оно вызвало налоговые бунты, широкое уклонение от налогов, способствовало утечке капиталов и бегству получателей высоких личных доходов в страны с более низким уровнем налогообложения.
Как известно, в 70-е годы неоконсерваторы выдвинули теорию предложения. Ее авторы установили, что рост налогообложения оказывает неблагоприятное воздействие на динамику производства и доходов. Увеличение налогов за счет повышения их ставок на определенном этапе не компенсирует сокращения поступлений в государственный бюджет из-за быстрого сужения налогооблагаемых доходов, а затем это может сопровождаться также сокращением общей суммы бюджетных доходов.
В итоге высокие налоги оказывают сдерживающее воздействие на предложение капитала, труда и сбережения.
Основной задачей хозяйственной политики представители теории предложения считают определение оптимальных ставок налогообложения и налоговых льгот и выплат. Снижение налогов рассматривается в качестве средства, способного обеспечить долгосрочный экономический рост и борьбу с инфляцией. Оно усилит стремление получать большие доходы, окажет стимулирующее влияние на рост производства и увеличит покрытие денежной массы товарами.
Группа американских специалистов во главе с А. Лаффером изучила зависимость суммы налоговых поступлений в бюджет от ставок подоходного налога. Эта зависимость отражена кривой Лаффера (рис. 19.2).

При кризисе проводится политика экономического роста.

Рис. 19.2. Кривая Лаффера
Группа А. Лаффера теоретически доказала: ставка налога 50% R0 является оптимальной. При такой ставке достигается максимальная сумма налогов Тм. При ставке налога выше R0 резко снижается деловая активность фирм и работников, и тогда доходы уходят в теневую экономику.
При R, близкой к 100% и равной 100%, полностью исчезают стимулы к трудовой деятельности и предпринимательству.
Признано, что высшая ставка налогообложения (для самых высоких доходов) должна быть 50—70%. Американцы говорят, что при столь высокой ставке налога, как в Швеции (75%), в США никто не стал бы работать в легальной экономике.
Эмпирические исследования теоретиков предложения в какой-то мере подготовили налоговые реформы в США и других странах. В течение 80-х — начале 90-х годов в ведущих странах Запада проводились радикальные налоговые реформы. Цели этих реформ — ввести более равномерное налогообложение равных по величине доходов, уменьшить налог на прибыли компаний, снизить прогрессивность налогообложения, ликвидировать ряд налоговых льгот.
В е стороны налогообложения регулируются едиными исчерпывающими законами, которые принимают национальные парламенты.
Кстати, с начала экономических реформ в России Правительство взяло ориентир на введение чрезвычайно высокого налогообложения на доходы фирм (все виды федеральных и местных налогов и взносов в различные 4онды доходят до 85—90%), что отрицательно сказалось на состоянии национальной экономики и перспективах ее подъема. Не случайно ответной реакцией является активное развитие теневой экономики. В итоге Правительство Российской Федерации не в состоянии собрать в доходную часть бюджета и половины предусмотренных налоговых поступлений.



Приходится сталкиваться со значительными трудностями.


Международный кредит в мировом капиталистическом хозяйстве имеет важные экономические последствия. Он выравнивает степень выгодности применения капитала в разных странах и способствует усреднению нормы прибыли в рамках всего мирового хозяйства. Более того, этот кредит служит фактором увеличения выгодности капиталовложений.
Ведь он позволяет производительно использовать временно высвобождающийся денежный капитал там, где ощущаются наибольшие потребности в нем и, следовательно, выше прибыльность капиталовложений.
Используя международный кредит, государство может ускорить свое хозяйственное развитие. На средства иностранного займа строятся новые предприятия, продукция которых пользуется спросом не только внутри страны, но и на мировом рынке. Деньги в иностранной валюте, получаемые от экспорта таких товаров, позволяют в обусловленные сроки рассчитаться по займу и часть прибыли предприятий использовать для других внутренних целей.
В результате обеспечивается взаимная выгода кредитора и должника.
В то же время международный кредит может повлечь за собой серьезные экономические потрясения и острые противоречия. Так, в 70-е и 80-е годы основной жертвой обострившихся конфликтов на международном рынке ссудного капитала стали многие развивающиеся страны. Они брали займы из-за постоянно ухудшающегося хозяйственного положения, участия в гонке вооружений и по другим причинам.
Однако кXедиты выдавались без необходимого экономического обоснования, расходовались неэффективно и нередко расхищались правящими кругами государств.
В итоге многие государства не могут выполнить обязательств по своему внешнему долгу. Проценты и амортизация в ряде случаев поглощают до половины и более всех поступлений от экспорта товаров. В 80-е годы отдельные развивающиеся страны были вынуждены приостановить или ограничить погашение долгов. Вместе с тем значительно сократилось и предоставление им новых кредитов. Внешний долг стал большим препятствием на пути дальнейшего экономического развития, привел к серьезному ухудшению условий жизни большей части населения.
Он используется западными государствами, международными финансовыми учреждениями, выражающими интересы кредиторов, для вмешательства во внутренние дела стран-должников.
Важную роль в развитии всемирных экономических отношений играет международная миграция рабочей силы — перемещение масс трудящихся из своих стран в другие в поисках работы.
Несмотря на наличие безработицы, предприниматели западноевропейских государств широко используют рабочих, прибывающих из регионов с менее высоким уровнем хозяйственного развития и с более дешевой рабочей силой. Такие люди с готовностью берутся за тяжелую, опасную и грязную работу, трудятся дольше, чем обычно полагается в данной стране, на них идет меньше социальных расходов. В случае необходимости их легко уволить с предприятиям.
И несмотря на все это, иностранные рабочие получают в развитых странах более высокую заработную плату, чем на родине.
Использовать иностранную рабочую силу выгодно предпринимателям. В этом случае повышается норма прибыли за счет более низкой оплаты труда самих иммигрантов, а также в результате соответствующего давления на общий уровень заработной платы в стране в сторону его понижения. Наплыв работников из-за границы осложняет проблему занятости, отрицательно воздействует на экономическое положение трудящихся.
В результате возникают конфликты между националистически настроенными слоями местного населения и иностранцами, приводящие в ряде случаев к трагическим последствиям.
Экономические связи во всемирном хозяйстве становятся более прочными, когда происходит миграция рабочей силы из промышленно развитых стран в освободившиеся государства. Центрами притяжения иностранных рабочих и специалистов стали страны Ближнего Востока, Персидского залива, собственные трудовые ресурсы которых не позволяли освоить богатейшие нефтяные месторождения. В некоторых из них иммигранты составляют большую часть всего населения.
Главные выгоды от миграции получают государства, потребляющие добываемую в районе Персидского залива нефть, корпорации, для которых таким способом решаются топливно-энергетические проблемы.
По мере развертывания научно-технической революции все более усиливается переезд высококвалифицированных работников из одних стран в другие, получивший название утечки мозгов. По самым различным причинам большое число ученых, инженеров, врачей и других специалистов с высшим образованием эмигрируют из европейских государств за океан. Корпорациям и государственным службам западных стран выгоднее приобретать уже готовых специалистов из иных регионов, чем обучать их у себя.
Для развивающихся стран утечка мозгов оборачивается крупным экономическим, социальным, политическим и нравственным ущербом.
Как известно, в Советском Союзе миграция рабочей силы была практически запрещена. В начале 90-х годов она стала осуществляться на законном основании. О масштабах этого нового явления свидетельствуют данные Федеральной миграционной службы России (табл.
20.4).
Таблица 20.4.
Численность российских граждан,
трудоустроенных за границей, 1995 г.

Регион
Тыс. чел.
% к итогу
В странах Европы
в том числе:
в Германии
в Греции
на Кипре
на Мальте
в Польше
В странах бывшего СССР
В странах Азии
В странах Африки
В странах Америки
в том числе
в США
В Австралии
Всего
7756
770
1952
3737
237
153
5
1777
427
1048
93
167
11176
69,4
6,9
17,5
33,4
2,1
1,4
0,0
15,9
3,8
9,4
0,8
1,5
100
Подавляющее большинство российских граждан, стремящихся в другие страны, пытаются устроиться там на работу. Однако им приходится сталкиваться со значительными трудностями. Прежде всего важно иметь в виду, что каждое государство пытается защитить свой рынок труда от наплыва иностранной рабочей силы. Перед каждым прибывшим в другую страну стоит главный вопрос — как найти себе подходящее занятие в совершенно незнакомой стране.
Реальную помощь им могут оказывать посреднические фирмы, занимающиеся трудоустройством наших граждан за границей. Эти фирмы должны получить лицензии на занятие такой деятельностью от Федеральной миграционной службы России. Если же посредническая фирма работает на рынке труда без лицензии, то вся прибыль, полученная ею при трудоустройстве российских граждан за рубежом, изымается органами миграционной службы в государственный бюджет.
В 1993 г. введены правовые нормы, регламентирующие порядок привлечения и использования в нашей стране иностранной рабочей силы. О масштабах использования труда иностранных работников свидетельствуют данные таблицы 20.5.
Таблица 20.5.
Численность иностранных граждан, привлеченных на работу
в России в 1995 г.

Регион
Тыс. чел.
% к итогу
Из стран Европы
Из стран бывшего СССР
из них:
Украина
Белоруссия
Молдавия
Из стран Азии:
из них:
Китай
КНДР
Из стран Америки
Всего
50,7
141,2
94,2
11,1
6,7
85,8
26,5
15,0
3,0
281,1
18,0
50,2
33,5
4,0
2,4
30,5
9,4
5,3
1,1
100
Правовое регулирование процесса привлечения и использования в нашей стране иностранной рабочей силы призвано, во-первых, осуществлять принцип приоритетного права российских граждан на занятие вакантных рабочих мест. Во-вторых, такое регулирование должно обеспечивать равные с гражданами Российской Федерации условия и оплату труда иностранных работников. В-третьих, оно должно предотвращать отрицательное воздействие найма иностранных работников на условия занятости российских граждан.
Набирающая силу интернационализация производства порождает новые организационные формы, которые позволяют преодолеть препятствия, создаваемые государственными границами. Важнейшей из таких форм стала интеграция национальных хозяйств. Экономическая интеграция действует в соответствии со специальными соглашениями и обладает своей организационной структурой, включающей общие руководящие и иные учреждения.
На территории стран-участниц развертываются определенные виды хозяйственной деятельности на особых, льготных по сравнению с остальными государствами, условиях.
Экономическая интеграция — это высшая на современном этапе ступень интернационализации хозяйственной жизни. В результате интеграции углубляется международное разделение труда, что интенсифицирует обмен товарами, услугами, капиталами и рабочей силой. Повышается уровень обобществления производства, а это требует целенаправленного, планомерного регулирования экономических процессов в масштабе межгосударственных объединений.
В различных регионах земного шара сложилось несколько интеграционных объединений. Они существенно отличаются друг от друга и по характеру складывающихся между странами-участницами отношений, и по организационным формам, и по последствиям для национальных хозяйств и населения.
Ряд западноевропейских государств (Франция, ФРГ, Италия, Бельгия, Нидерланды и Люксембург) в 1958 г. создали Европейское экономическое сообщество (ЕЭС). Это сообщество превратилось в мощную экономическую группировку, превосходящую по численности население США в 1,4 раза и обладающую сравнимым с ними хозяйственным потенциалом. Одновременно с расширением состава ЕЭС происходил переход от преимущественно торгового сотрудничества к интегрированию других сфер хозяйства, включая научно-техническую деятельность (организация совместных исследований и разработок, создание общих программ).



Приказные методы не отвечают задачам хозяйственного строительства.


Следовательно, командно-административная система может существовать при разных общественных устройствах, ибо социально-экономический строй выражает отношения собственности, а командная система — отношения хозяйственного управления, т.е. совершенно другие экономические отношения. Почему же в таком случае одинаковая структура управления могла возникать в странах с различным социальным устройством?
Приказное управление полностью укореняется, когда происходит огосударствление экономики. Такая мера оправданно применяется при чрезвычайных обстоятельствах, вызванных войной, хозяйственной разрухой, голодом. В этих условиях командное руководство способно быстро сосредоточить материальные и людские ресурсы на решающих участках хозяйства, успешно выполнять сравнительно простые производственные задачи.
В экстремальных условиях данный тип управления может оказаться единственно возможным и по-своему эффективным.
Впервые командное руководство экономикой возникло в разгар первой мировой войны — в 1916 г. — в Германии. Тяжелое военное и хозяйственное положение вынудило государство взять на себя контроль за производством, распределением дефицитных сырьевых и энергетических ресурсов, а также непосредственно распределять продовольствие. Центральная власть стала также регулировать трудовые отношения на предприятиях.
Был введен закон о трудовой повинности граждан с 16 до 60 лет, установлен военный режим на производстве и введен 12-часовой рабочий день.
В нашей стране административное управление хозяйством было установлено в конце 1918 г., когда началась гражданская война и иностранная интервенция. 30 ноября 1918 г. был создан Совет рабочей и крестьянской обороны, который стал главным военно-хозяйственным и планирующим центром. Нужды обороны потребовали централизации управления страной. Была введена продразверстка (у крестьян отбирали все излишки продовольствия). Промышленность не выпускала товаров для населения, произошла натурализация экономических отношений.
Была установлена всеобщая трудовая повинность. Руководство промышленностью сосредоточили в своих руках главные управления Всероссийского Совета народного хозяйства. Они лишили предприятия всякой самостоятельности, в директивном порядке снабжали их материальными ресурсами и реализовывали готовую продукцию.
Итак, командно-административную систему управления можно признать, как это ни покажется парадоксальным, нормальной формой регулирования хозяйства, пригодной, правда, для необычных, чрезвычайных исторических условий, когда общественный строй какой-то страны и жизнь ее граждан находятся под серьезной угрозой.
Напротив, когда война заканчивается, командное руководство экономикой становится ненужным, изживает себя и, как правило, демонтируется. Приказные методы не отвечают задачам хозяйственного строительства. Поэтому в нашей стране в начале 1921 г. чисто административная система управления была упразднена. Однако в конце 20-х — начале 30-х годов вновь произошло огосударствление экономики.
Вся власть фактически перешла к центральному государственному аппарату и вновь установилась тоталитарная система командования народным хозяйством.
В начале хозяйственного строительства сверхцентрализованное управление давало определенный результат. Ибо объем выпуска всей продукции был еще невелик, а структура промышленности — сравнительно простой. Когда же производство достигло современных масштабов, эффективно руководить им из центра стало невозможно. Если в 20-е годы у нас насчитывалось всего два десятка индустриальных отраслей, то в начале 90-х годов имелось свыше 500 отраслей, подотраслей и видов производств, более 45 тыс. крупных предприятий.
Промышленность выпускала свыше 24 млн. наименований видов продукции.
Можно ли компетентно, со знанием дела решать из центра все многообразие конкретных проблем, связанных с развитием такого хозяйства? Вот как на этот вопрос ответил известный английский экономист Ф. Хайек. В книге Дорога к рабству (1944) он заметил: Когда правительство должно определить, сколько выращивать свиней или сколько автобусов должно ездить по дорогам страны, какие угольные шахты целесообразно оставить действующими или почем продавать в магазинах ботинки — все такие решения нельзя вывести из формальных правил или принять раз навсегда или на длительный период112.
Практика централизованного управления показывает, что при нем местная администрация передает на самый верх (скажем, в министерство) решение даже мелких вопросов. Между тем тот, кому предстоит их решать, знает существо дела, безусловно, хуже, чем те, кто работают на местах. В итоге высшие государственные органы из-за своей перегруженности делами и удаленности от низов оказываются не в состоянии принимать рациональные решения по конкретным вопросам, за которые они берутся. Такое положение наблюдается во всех странах, где допускается сверхцентрализация управления.
М. Аллэ сделал следующее обобщение: ...Фактически центральная администрация стоит перед невозможностыо принятия рациональных решений в том случае, когда речь идет о местных вопросах. Поэтому нет нужды искать за тридевять земель объяснение тому, что может происходить в СССР и что описывается как результат злоупотребления бюрократии. То же самое мы часто наблюдаем еще и сегодня во многих французских службах113.
При чрезмерной централизации исполнительной власти развивается своего рода раковое заболевание — происходит бюрократизация государственного аппарата. В этом случае чиновники работают формально, они используют занимаемые должности в личных и корыстных интересах. Для всякого бюрократического аппарата характерен неудержимый рост управленческих штатов.
Это явление описано в так называемом законе Паркинсона, отражающем количественное размножение административных органов. Когда демократия неразвита и скована, бюрократизм разрастается до опасных размеров и становится тормозом общественного развития. Так, если в 1936 г. в нашей стране в правительстве было 18 народных комиссариатов, руководивших отдельными отраслями и сферами управления, то в 1940 г. их количество возросло до 40.
Центральный аппарат имел в начале 70-х годов более 60 министерств и ведомств, а в середине 80-х годов около 100.
Бюрократизация государственного управления упрочила абсолютный монополизм, порождающий экономический застой. Поскольку командная экономика отторгает высокоэффективные достижения научно-технического прогресса, то она способна увеличивать выпуск лишь сравнительно простой в техническом отношении продукции. При этом государственные органы завышают масштабы экономического роста, не могут заинтересовать предприятия рационально расходовать материальные ресурсы.
В немалой степени этому способствует то, что успехи приказного управления оцениваются показателем валовой продукции, за которым скрывается и повторный счет и незавершенные производством или даже непригодные для потребления изделия. Получается, что чем больше завод использует средств производства, воплощающих прошлый труд иных предприятий, тем больше у него прирост производства и тем выше заработная плата и прибыль. Таким способом, по сути дела, поощрялся затратный характер хозяйствования на всех уровнях управления.
Официально было провозглашено, что при составлении народнохозяйственного плана в качестве главного применяется балансовый метод. В его основу положен баланс — таблица, состоящая из двух частей: ресурсной и распределительной. В первой указываются объем и источники поступления различных видов ресурсов, во второй — направления и масштабы их использования.
Как правило, составлялись материальные (натуральные и стоимостные), денежные и трудовые балансы в масштабе народного хозяйства.
Центральные плановые органы были не в состоянии охватить все народнохозяйственные пропорции. Приблизительно и кустарно лишь главные задания плана увязывались с имеющимся количеством наиболее важных и ограниченных ресурсов (например, в 80-е годы Госплан охватывал не более 5% всех пропорций в экономике). Более детально общегосударственный план дорабатывался механически — путем применения стандартных нормативов, основанных на прошлом опыте.
Как правило, ставилась задача — наращивать производство от достигнутого: отталкиваясь не от реального совокупного спроса, а от того уровня экономических показателей, которыми завершался предыдущий плановый период.
Госплан ограничивался разработкой одного варианта общегосударственного плана, не пытаясь путем многовариантных расчетов найти наиболее эффективные экономические решения. После того как план был официально утвержден, он по указаниям государственных руководящих органов многократно переделывался по объективным и субъективным причинам. Поскольку в плановом порядке поддерживалась дефицитная экономика, а необходимые для воспроизводства резервы (свободные производственные мощности, сырье, финансовые средства) всегда отсутствовали, то народнохозяйственный план представлял собой некое подобие не раз перекраивавшегося тришкина кафтана.
Его окончательная доводка и исправление проводились в ходе реализации плановых заданий, которые предписывалось выполнять любой ценой. И тогда неизбежно обнаруживались явные ошибки в расчетах и диспропорции, заложенные в самом плане. То добывалось слишком большое количество железной руды, а для выплавки металла не хватало кокса.
Или было мало выпущено запасных частей для поддержания в рабочем состоянии станков, установленных на новом заводе. Не случайно народнохозяйственные планы — вопреки победным официальным сообщениям — на деле не выполнялись.



Проблема выбора макроэкономического регулятора.


В. Леонтьев дал реалистичную оценку основного способа планирования, примененного командной системой управления: Что касается метода экономического планирования в России, то его вполне можно охарактеризовать, вспомнив высказывание о говорящей лошади: удивительно не то, о чем она говорит, а то, что она вообще может разговаривать. Западные экономисты часто пытались раскрыть принципы советского метода планирования. Они так и не добились успеха, так как до сих пор такого метода вообще не существует114.
За более чем 50-летнее существование командно-административная система управления подорвала основы нормального функционирования общественного производства и в результате ввергла нашу страну в глубокий застой и экономический кризис. Она показала свою несостоятельность в положительном решении современных созидательных задач хозяйственного развития.
Сформировать высокоэффективный механизм управления можно, если освоить и использовать все то положительное, что выработала отечественная и мировая практика в этой области.
Мы находимся сейчас в самом начале пути к новой системе национального хозяйства России. В связи с этим приходится говорить о стартовом отрезке еще не пройденной дороги и о нерешенных проблемах.
1. Исходной является проблема выбора макроэкономического регулятора.
В самом начале экономических реформ — уже в 1992 г. — было ясно, пожалуй, только одно: надо уходить от командно-административной системы управления национальным хозяйством. Но какой иной тип макрорегулятора выбрать? По этому поводу у экономистов и государственных деятелей России не было единства и согласия.
Выбор был сделан российским Правительством в пользу самого быстрого перехода от одной крайности (командной системы) к противоположной (либеральной рыночной экономике). Реформаторы обосновывали свой выбор, исходя из классической либеральной и неоклассической модели рыночного саморегулирования. Весь расчет строился на том, что так называемая невидимая рука — свободный рынок — возьмет на себя все бремя хозяйственного механизма.
Однако нам хорошо известно, что в 1992 г. в нашей стране появились лишь первые зачатки рыночных отношений, не принявших цивилизованную форму. Что касается конкурентного рынка, способного регулировать хозяйственные связи, то Vн появится, по-видимому, не скоро.
Когда в 1993 г. к руководству Правительством пришел В. Черномырдин, то он дал резкую оценку принципа laissez faire применительно к нашей стране. По его словам, мы принципиально не приемлем опасной теории пусть идет, как идет. Российское Правительство признало ошибочным применение классической и неоклассической концепций регулирования экономики. Совершенно неопределенной была признана ситуация с управлением государственными предприятиями. Правительство Российской Федерации в июле 1993 г. констатировало, что в итоге реформ государственные предприятия оказались неподконтрольны ни рынку, которого еще не было, ни плану, которого уже не стало, ни государству как собственнику.
Надо было находить выход из этой тупиковой ситуации.
2. Другой проблемой преобразования системы управления в России является определение отношения к институтам плановой организации народного хозяйства.
В 1992 г. российское Правительство одним махом уничтожило до основания институты административного регулирования производства. Так, был упразднен Государственный плановый комитет (Госплан), который разрабатывал централизованные планы и прогнозы социально-экономического развития. Перестал существовать Государственный комитет по материально-техническому снабжению, который в соответствии с народнохозяйственным планом обеспечивал все отрасли средствами производства.
Таким образом, в ожидании невидимой руки отрубили видимую руку государственного макрорегулирования.
Однако народное хозяйство развивается прежде всего по объективным экономическим законам. Первую роль здесь играет закон пропорционального развития макроэкономики. Как известно, этот закон требует увязки и сбалансированности всех народнохозяйственных пропорций. Это означает, как минимум, что без научно поставленного прогнозирования нельзя обеспечить управление всем хозяйственным механизмом.
Невозможно составить государственный бюджет — финансовый план государства на предстоящий год.
Сама жизнь заставила наконец наладить работу по прогнозированию социально-экономического развития. Накануне очередного хозяйственного года Правительство разрабатывает годовой прогноз социально-экономического развития страны, на который опирается годовой государственный бюджет. Стали разрабатываться также среднесрочные (2—3 года) и более долгосрочные прогнозы развития российской экономики.
3. Важнейшей проблемой преобразования системы управления стала задача создать российскую модель экономики, которая, по замыслу Правительства, соответствует национальным традициям, что предполагает выполнение государством важной роли в хозяйственной жизни и наличие социальной ориентации экономики.
По мнению Правительства, в первую очередь надо наладить управляемость макроэкономики. Для этого требуется направить государственную деятельность по следующим каналам:
а) придать преобразованиям макрорегулятора институциональное направление, т.е. создать государственные и иные институты (органы), которые усиливают управляемость национальной экономикой (развить хозяйственное законодательством, провести демонополизацию, создать институты рыночного хозяйства и т.п.);
б) восстановить управление государственными предприятиями, в частности создать казенные предприятия (прямо подчиненные Правительству), перевести часть предприятий на полный коммерческий расчет (здесь государство назначает руководителей фирм), расширить управление предприятиями через акционерную форму (в них государство владеет контрольным пакетом акций);
в) сделать экономику социально ориентированной. Согласно статье 7 Конституции Российской Федерации (1993), государство в нашей стране обязано обеспечить достойную жизнь и свободное развитие человека. В Конституции конкретно указаны обязанности такого социального государства.
Однако реформы, сопровождающиеся кризисным спадом экономики, не дали желаемых социальных результатов. В 1992—1995 гг. произошло невиданное в мирное время падение уровня жизни народа. Об этом достаточно красноречиво говорят две цифры.
По уровню потребления населением продуктов питания страна откатилась назад на 33 года. Реальная заработная плата в 1994 г. составляла только 36% к уровню декабря 1990 г.
4. Наконец, серьезной проблемой является установление эффективных методов экономического регулирования.
Между тем с самого начала экономических реформ стали применяться такие методы государственного регулирования, которые усиливали нестабильность национальной экономики:
а) для покрытия большого бюджетного дефицита государство ввело огромный инфляционный налог. Однако чрезмерно высокие темпы инфляции нанесли сильный удар по национальной экономике;
б) необычайно высокие налоги подорвали нормальную заинтересованность предпринимателей и работников в увеличении производства.
Эти методы непосредственно связаны с разработкой и осуществлением государственного бюджета, рассмотрению которого посвящается следующая глава.
Экономический тренинг
1. Ключевые термины и понятия
Неоконсерватизм; современный монетаризм; теория экономики предложения; теория рациональных ожиданий; неоклассический синтез; основы смешанного типа управления; рыночное регулирование в секторах экономики; государственное регулирование в секторах экономики; варианты смешанного типа управления; функции государственного управления; методы регулирования экономики; командно-административное управление; реформа управления российской экономикой.
2. Дискуссионные вопросы
2.1. Что такое общественные и квазиобщественные товары? Кто и на каком основании их получает?
2.2. Почему современную рыночную экономику на Западе называют смешанной? Что здесь смешано?
3. Тесты
3.1. Какие из перечисленных благ граждане получают на рынке, а какие обеспечивает государство:
а) жилье;
б) продукты питания и одежда;
в)образование;
г) медицинское обслуживание;
е) доставка почты.
3.2. Общественные блага отличаются от частных тем, что они:
а) дел и мы;
б) находятся в индивидуальном пользовании; ;
в) неделимы и не находятся в индивидуальном владении;
г) делимы и находятся в общественном пользовании.
4. Проблемный вопрос
Цели экономической политики в Федеративной Республике Германии (согласно Закону но содействию стабилизации и росту экономики от 8 июня 1967 г.), связанные с достижением общеэкономического равновесия, состоят в том чтобы в рамках рыночной экономики одновременно обеспечивать: а) стабилизацию у ровня цен; б) высокую степень занятости; в) сбалансированность внешнеторговых операций (равенство вывоза товаров и услуг за рубеж и ввоза зарубежных благ в страну) и г) постоянный и соразмерный экономический рост.
В связи с этим важное значение для достижения общеэкономического равновесия имеет выяснение проблемы: какие из укатанных целей экономической политики совместимы (согласуются между собой) и какие несовместимы; каким образом можно согласовать эти цели.
5. Верно—неверно
5.1. Общественные блага обычно продаются на частных рынках.
5.2. Спрос на общественное благо можно измерить таким же непосредственным
образом, как и на частное благо.
5.3. Фирма, стремясь максимизировать прибыль, учитывает внешние затраты производства продукции.
5.4. Государство влияет на внешние затраты только при помощи системы налогообложения.
6. Вопросы на сообразительность
6.1. Почему западное общество, как правило, получает меньше продукции на доллар, израсходованный государством, чем на доллар, использованный частной фирмой?
6.2. Часто утверждается, что надо руководствоваться тем, как рынок распределяет доходы субъектов хозяйствования, и не следует вмешиваться в этот процесс. Какие аргументы можно выдвинуть за и против такого взгляда?
6.3. Что является предпочтительным для государства: а) предлагать людям делать сбережения на старость (через систему личных пенсионных счетов) или б) осуществлять такую программу сбережении через государственную систему социального обеспечения?
7. Какой ответ Вы дадите на вопросы, заданные П. Хейне в книге Экономический образ мышления?
Государственное производство благ часто оправдывают тем, что эти блага имеют первостепенное значение для общественного благосостояния и обеспечение ими нельзя возложить на капризный рынок. Объясняет ли это, почему парки и библиотеки, как правило, принадлежат муниципалитетам, а еда и медицинское обслуживание обычно обеспечиваются посредством рынка? Можете ли Вы предложить для этих примеров лучшее объяснение?
8. Вопросы по управлению российской экономикой
8.1. В какой мере и где рынок выступает регулятором экономики? Что даст рыночное регулирование?
8.2. В какой мере и где осуществляется государственное регулирование в России? Что осталось и чего не хватает для такого управления?
8.3. Как вы представляете себе возможность и формы смешанного типа управления в Российской Федерации?




Процесс проектирования и жизненный цикл новой продукции.


2-я особенность: ориентация на смену циклов обновления продукции. Каждый цикл включает два этапа: а) начальный — исследовательский (в том числе, выработка новой идеи, создание концепции — определенного замысла, опытно-конструкторские разработки и пробный выход на рынок с улучшенным образцом изделия) и б) жизненный цикл нового продукта или этап коммерциализации товара (период его реализации на рынке). Второй этап распадается на отдельные периоды: выход изделия на рынок, рост спроса на него, насыщение потребности рынка, спад спроса (рис.
9.4).

Процесс проектирования и жизненный цикл новой продукции.

Рис. 9.4. Процесс проектирования и жизненный цикл новой продукции.
Смена жизненных циклов товаров ныне зависит от внедрения в производство новинок научно-технического прогресса.
3-я особенность: современное накопление тесно связано с новым видом рынка — рынком научно-технических разработок. Что это за рынок, как он появился?
Во второй половине XX в. наука сблизилась с производством, вследствие чего сроки исследовательских работ сократились в 10 раз. Сейчас научная работа проходит следующие фазы:
а) фундаментальные исследования. Их результатом становятся открытия новых явлений и законов;
б) прикладные исследования, следствием которых являются изобретения; вместе с фундаментальными исследованиями относятся к нерыночной науке (не создают рыночного продукта);
в) научно-исследовательские и опытно-конструкторские разработки; завершаются созданием готового результата (новая конструкция машины, более совершенная технология и т.п.), полностью пригодного для использования в производстве. Этот по существу коммерческий продукт продается вместо ноу-хау (по-английски знаю как — совокупность знаний, умений и приемов работы, связанных с технологией).
На рынке научных разработок ведущие позиции занимают венчурные (рисковые) фирмы. Они представляют собой небольшие предприятия, которые занимаются коммерциализацией научных исследований в наукоемких и высокотехнологичных областях, где перспектива не гарантирована и имеется значительная доля риска. Инновационные банки и другие инвесторы — создатели рисковых фирм подбирают команду из числа известных менеджеров, ученых, специалистов-практиков, юристов и выделяют средства, необходимые для работы предприятия в течение двух-трех лет. Работники предприятия получают высокую заработную плату.
А после создания новой продукции они выходят с ней на рынок и, увеличив капитал, организуют акционерную компанию, где становятся, как правило, ее совладельцами; Инвесторы приобретают акции предприятия и, с выгодой продав их на рынке ценных бумаг, получают запланированную прибыль, на которую они рассчитывали.
О значении деятельности венчурных фирм свидетельствуют данные по США. Здесь такие предприятия создают более 90% новых технологий. На 1 долл. капитальных затрат они внедряют в 17 раз больше нововведений по сравнению с крупными корпорациями.
Поэтому и корпорации, и государство часто делают заказы на разработки рискового бизнеса.
Рынок научных разработок не получил сколько-нибудь серьезного развития в сегодняшней России. Это в первую очередь связано с инвестиционным кризисом. Из-за высокой инфляции денежный кредит на длительный срок, необходимый для технологического обновления производства, стал невыгодным для банков. Государство же почти не тратит бюджетных средств на капитальные вложения и внедрение новых разработок.
Что касается новинок военно-промышленного комплекса, то они по-прежнему не получают широкого доступа в гражданские отрасли хозяйства. В результате возрастает угроза для будущего экономики России.
На всех предприятиях, где накопление капитала в полной мере отвечает современным требованиям, предприниматели и менеджеры пристальное внимание уделяют анализу непрерывно сменяющихся форм научно-технического прогресса.
Основными формами поступательного развития науки и техники являются эволюционный, революционный и комбинированный способы их изменений (рис. 9.5).

Процесс проектирования и жизненный цикл новой продукции.

Рис. 9.5. Основные формы развития науки и техники
Эволюционным является медленное совершенствование научных знаний человека об окружающем мире и такое изменение средств производства, при котором их качество существенно не меняется. Примерами могут служить модернизация оборудования, улучшение конструкции налаженного производства тракторов, холодильников, других видов продукции.
Когда наука и техника обновляются революционно, то они быстро переходят в качественно иное состояние и наступает новый период в их истории. Происходит крупный прорыв в познание свойств и законов природы, изобретение принципиально новых поколений машин и других производственных средств. Революционные перевороты в науке начались в XVI—XVII вв. благодаря выдающимся открытиям в естествознании, которые были подкреплены экспериментами и придали накопленным до этого знаниям о природе системный характер (открытия Г. Галилея, И. Кеплера, У. Гарвея, Р. Декарта, X. Гюйгенса, И. Ньютона и др.).
После этого наука стала ускоренно развиваться.
С переходом к индустриальной стадии экономики производство получило революционно изменяющиеся технику и технологию. Технические перевороты в производстве стали происходить все чаще.
В середине XX в. глубокие качественные перемены в науке и технике сблизились настолько, что возникла особого рода научно-техническая революция (НТР). Она представляет собой коренное качественное преобразование всех объективных и субъективных условий хозяйственного развития на основе превращения науки в ведущий фактор производства. Основными являются следующие черты НТР:
наука стала открывать неизвестные классы веществ и процессов, что позволяет создавать принципиально новые отрасли производства. Речь идет о современной радиоэлектронной и вычислительной технике, квантовой электронике, открытии кода передачи наследственных свойств живого организма и т.п.;
воедино слились перевороты в науке, технике и производстве, резко сократились сроки практичесого воплощения научных открытий;
качественно изменяется весь технологический способ производства, начиная с системы машин и кончая формами организации и управления, положением человека в производстве;
достигается более высокая ступень управления всеми процессами производства на основе их автоматизации и изготовления искусственных материалов с заранее заданными свойствами;
создаются более эффективные орудия труда и технологические способы обработки изделий, открываются потенциально безграничные источники энергии, что позволяет ускорять экономический и социальный прогресс человечества.
Начало НТР относится к 40—50-м годам. Тогда зародились и получили развитие ее главные направления: автоматизация производства, контроль и управление им на базе электроники; создание и использование новых конструкционных материалов и др. С появлением ракетно-космической техники люди стали осваивать околоземное космическое пространство.
Для современной науки и техники типично комплексное сочетание их революционных и эволюционных изменений. За два-три десятилетия многие начальные направления НТР из радикальных постепенно превратились в обычные эволюционные формы совершенствования факторов производства и выпускаемых изделий. Новые крупные научные открытия и изобретения 70—80-х годов породили второй этап НТР.
Нынешнему этапу НТР свойственны несколько лидирующих направлений (рис. 9.6). Их развитие, по-видимому, во многом предопределяет весь облик производства в странах с постиндустриальной экономикой в начале XXI столетия.

Процесс проектирования и жизненный цикл новой продукции.

Рис. 9.6. Ведущие направления современного этапа НТР
Электронизация означает широкое применение в материальном производстве достижений современной электроники. Семидесятые годы ознаменовались революцией в электронно-вычислительной технике, развитием микроэлектроники и созданием новых поколений электронно-вычислительных машин (ЭВМ). Технико-экономический эффект электронизации виден в настоящее время.
Хотя габариты вычислительных и управляющих электронных систем и потребляемая ими энергия уменьшились, в то же время резко возрос объем обрабатываемой информации.
Персональные компьютеры становятся высокоэффективными помощниками и в производстве, и в быту. Они позволяют планировать и контролировать семейный бюджет, помогают, например, изучать технологические и экономические дисциплины, иностранные языки. С помощью специальных устройств домашний компьютер подключается к телефонной сети и банкам (накопителям) полезной информации.
На экране можно увидеть, скажем, курсы различных акций, расписание поездов и самолетов, другую полезную информацию.
Новейшие средства вычислительной техники позволили развиться комплексной автоматизации производства, при которой весь цикл работ осуществляется без непосредственного участия человека. Речь идет о быстром развитии робототехники, роторных и роторно-конвейерных линий, гибких производственных систем. Конкуренция все время подталкивает к ускорению процесса обновления продукции.
Поэтому комплексная автоматизация является условием выживания машиностроительных предприятий. Покупатель зачастую заинтересован не в стандартизированной (выпущенной по общим меркам продукции), а в изделиях, приспособленных к его личным нуждам и особым условиям потребления. По предположению американского изобретателя Энгель-берга, отца робототехники, к концу XX в. робот дома будет выполнять все работы по уборке помещений. Он даже сможет мыть окна... Утром, уходя на работу, вы назовете роботу номер рецепта, по которому вы хотите приготовить ужин, и к вашему приходу он приготовит все ингредиенты и приборы, требуемые для изготовления соответствующего блюда...
За ночь он может выполнить за вас целый ряд домашних работ.



Прогнозирование и планирование национальной экономики.


Каковы новые принципы кейнсианства, отличающие его от классиков и неоклассиков в вопросе о макроэкономическом регуляторе?
Первый принцип: регулятором национальной экономики в целом является не рыно, а государство.
Основные отличия государственного регулятора от рыночного отображены ниже.
Признаки рыночного и государственного регулирования экономики

Рыночный регулятор
Хозяйственные решения (что, как и для кого производить) принимаются на уровне микроэкономики и в интересах фирм и домашних хозяйств
Управляющее воздействие оказывается на горизонтальные (партнерские) экономические связи между фирмами и домашними хозяйствами
Регулирование хозяйственных связей базируется только на договорных началах и материальных интересах
Государственный регулятор
Управленческие решения принимаются на макроуровне и учитывают общенациональные цели и интересы
Управление национальным хозяйством строится но вертикали (но направлению сверху вниз: от государства к фирмам и домашним хозяйствам)
Иерархические связи (в порядке .подчинения низшего звена экономики высшему) часто строятся на внешнеэкономическом принуждении (налоги, таможенные сборы и т.п.)
Помимо политических функций государство осуществляет также экономические функции.
Оно становится ведущим субъектом национальной экономики, наделенном своей собственностью. На этой основе образуется, как известно, особый государственный сектор макроэкономики. Он создается двумя путями:
а) через национализацию (огосударствление) хозяйства благодаря выкупу имущества у иных собственников;
б) через создание предприятий новейших отраслей промышленности, порожденных НТР за счет инвестиций.
Второй принцип: прогнозирование и планирование национальной экономики.
Основой государственного регулирования являются научные прогнозы социально-экономического развития страны на один год, среднесрочную (3—5 лет) и долгосрочную перспективу (10, 20 лет),. Такие прогнозы способствуют достижению народнохозяйственной пропорциональности, определяемой с помощью национальных счетов и межотраслевых балансов.
Как правило, имеется три варианта прогноза:
— пессимистический (с наименьшими по величине показателями);
— оптимистический (с наибольшими значениями показателей);
— базовый (с более реалистическими показателями); он принимается за основу плана.
Государственный план отражает стратегические направления и задачи экономического и социального развития страны. По степени жесткости плановых заданий различают два вида планов:
— директивный (строго обязательный для исполнения); применяется прежде всего на государственных предприятиях;
— индикативный (рекомендательный, ориентирующий). Такой план состоит из ряда программ, предусматривающих решение отдельных социально-экономических задач. К их выполнению привлекаются фирмы путем предоставления государственных заказов. Заказы обеспечиваются ресурсами и являются весьма прибыльными. Государство отбирает фирмы, проведя соответствующие конкурсы.
Такая форма регулирования деятельности предприятий особенно распространена в США.
Разъясняя студентам, как функционирует национальная экономика, В. Леонтьев сравнивает ее с яхтой в море. Чтобы дела шли хорошо, нужен ветер — это заинтересованность. Руль — государственное регулирование.
У американской экономики слабый руль. Нельзя делать так, как говорил Рейган: поднимите паруса, пусть их наполнит ветер, и идите в кабину коктейль пить. Так нас и на скалы вынесет, разобьет яхту вдребезги... Я думаю, что более правильно делают японцы.
У них, конечно, есть частная инициатива, но и государство играет большую роль, влияя на развитие экономики в лучшем направлении. Из всех капиталистических стран, у которых в настоящее время можно чему-то поучиться, я бы выбрал не США, а Японию102.
Кстати, Япония имеет более чем 30-летний опыт общегосударственного планирования в условиях рыночного хозяйства. Здесь регулярно составляются средне- и долгосрочные программы социально-экономического развития, которые являются индикативными (рекомендательными) и безадресными. На практике большинство компаний в значительной степени строят свою производственно-коммерческую деятельность, исходя из прогнозов и рекомендаций общего плана. С 1956 г. в Японии было составлено 10 планов, большинство из них было успешно выполнено (например, среднегодовые темпы прироста валового национального продукта в реальном выражении в 1956— 1960 гг. намечались на уровне 5,0%, а фактически достигнуто 8,7%; в 1961-1970 гг. соответственно - 7,2% и 10,7% и т.д.).
В 19,62,1969, 1977 и 1987 гг. правительство утвердило имеющие законную силу комплексные планы национального развития, имеющие целью обеспечить основу сбалансированного развития страны. Итак, опыт Японии убедительно показывает: в условиях рынка общегосударственное планирование является эффективным и важнейшим фактором экономического роста.
Третий принцип: осуществление государством политики эффективного спроса.
Дж. Кейнс в труде Общая теория занятости, процента и денег (1936) поставил перед собой задачу исследовать причины спадов производства и увеличения безработицы. Эти причины он увидел в недостаточности покупательского спроса на предметы личного потребления и на средства производства. Такая недостаточность, по его мнению, обусловлена тем, что по мере роста доходов снижаются темпы увеличения спроса на полезные блага: у людей уменьшается склонность к потреблению и усиливается стремление к сбережениям. Дж.
Кейнс утверждал: Основной психологический закон... состоит в том, что люди склонны, как правило, увеличивать свое потребление с ростом дохода, но не в той же мере, в какой растет доход103. Одновременно предприниматели предъявляют недостаточный спрос на средства производства, поскольку, как полагал Дж. Кейнс, снижается прибыльность производства, и бизнесмены проявляют склонность к потере веры в будущие доходы.
В этих условиях они предпочитают, не вкладывая деньги в производство, давать их в ссуду и получать высокую и устойчивую норму процента.
Центральная задача государства, по Кейнсу, состоит в том, чтобы обеспечить высокий объем эффективного спроса, ведущего к росту доходов. Предполагается развивать два вида спроса: а) спроса населения на предметы потребления и 6) спроса предпринимателей на инвестиционные товары (средства производства). В результате эффективность спроса выражается как в увеличении занятости и росте благосостояния населения, так и в росте прибылей фирм.
Новым в экономической теории стало то, что кейнсианство впервые раскрыло структуру макроэкономического спроса, в том числе расходов на экономику, осуществляемых государством. В западной экономической литературе макроспрос рассматривается как планируемые расходы. Они представляют собой сумму, которую государство, домашние хозяйства и фирмы планируют израсходовать на товары и услуги.
Внутри страны такие расходы Е составляют сумму потребления С, инвестиций i и государственных закупок G104:
E = C + i + G
Вот как выглядит структура всех расходов (используемый валовой внутренний продукт) в некоторых странах (табл. 17.2.).
Таблица 17.2.
Планируемые расходы в некоторых странах, %

Страны и год
ВВП
Потребление хозяйств С
Валовые инвестиции i
Государственные закупки G
США (1993)
100
69
13
18
Япония (1992)
100
57
34
9
Россия (1993)
100
48
31
21
Чтобы выделить отдельно все государственные расходы (спрос государства), требуется расшифровать потребление домашних хозяйств С. Надо вычесть из суммы доходов У налоги государства Г. При этом определяется так называемая функция потребления:
С = У - Т.
Из этой формулы вытекает, что потребление зависит от располагаемого дохода. Располагаемый доход У - Т — это совокупный доход У за вычетом налогов Т, т.е. располагаемый доход — то, чем население может самостоятельно распорядиться.
Отсюда вытекает, что в госудаXственный бюджет поступает следующая сумма переменных величин (из состава Е — всех планируемых расходов): Т + G.
После проведенного анализа можно подвести его итоги. Стало очевидно, что совокупный спрос (планируемые расходы) распадается на три части:
E = (У – T) + I + (T + G)
Это позволяет определить три направления государственной политики эффективного спроса:
— увеличение спроса населения на предметы потребления (следствием этого является рост занятости);
— расширение спроса предпринимателей на инвестиционные товары (это ведет к увеличению производства и занятости);
— рост государственных расходов на экономические и социальные цели.
Кейнсианское учение не ограничилось определением направлений политики эффективного спроса.
Четвертый принцип: политика эффективного спроса опирается на научные макроэкономические модели, которые необходимы для управления национальным хозяйством.



Производительность общественного труда в 1920 и 1987гг


Указанные показатели могут возрастать, уменьшаться или оставаться неизменными. Сочетания этих количественных значений дают различные варианты динамики эффективности производства.
Наиболее характерным для большинства стран мира является прежде всего рост производительности общественного труда (величины национального дохода на одного занятого в материальном производстве), как это видно из данных специального статистического исследования (табл. 9.4).
Таблица 9.4.
Производительность общественного труда в 1920и 1987гг.
(в ценах 1980 г., долл. США)

Регион
1920
1987
Весь мир
Развитые капиталистические страны
В том числе:
США
Япония
Развивающиеся страны
Советский Союз
1415
4650
8525
2100
525
400
5725
31425
44 825
27175
1690
13100
Наблюдается большой разрыв между группами стран и отдельными государствами по уровню производительности труда. Если за 100% принять средине показатели по всей совокупности западных стран, то тогда уровень рассматриваемого показателя в 1987 г. во всем мире в целом составил 13%, в США — 145%, Японии — 85%, развивающихся странах — 5% и в нашей стране — 42%.
Рост производительности труда находится в сложной и противоречивой связи с изменением фондоотдачи и материалоемкости продукции. Так, в условиях индустриализации производства плодотворность трудовых затрат увеличивалась за счет замены ручных операций все более сложными и дорогими машинами. При этом значительно увеличивается расходование основного капитала (основных фондов), что нередко ведет к снижению фондоотдачи.
Выработка рабочих может возрастать, если применяется больше вещественных ресурсов в расчете на изделие, что, естественно, увеличивает материалоемкость продукции.
Наибольшее повышение эффективности имеет место, когда достигаются — при наибольших показателях — одновременно подъем производительности труда, увеличение фондоотдачи и снижение материало-емкостн продукции. Такой результат, редко получаемый на предыдущих стадиях развития машинной индустрии, возможен только при использовании всех основных направлений нынешнего этапа НТР.
В современных условиях углубляется взаимозависимость всех частных показателей эффективности производства. В известном смысле все направления повышения производственной эффективности могут замещать друг друга. Изучение с помощью математики этих количественных связей позволило по-новому взглянуть на рост эффективности производства.
Общий результат трудовой деятельности — объем созданной продукции — является зависимым от функционирования основных факторов производства, их количественного и качественного уровня. Эта связь выражается математической формулой, получившей название производственной функции.
Первый вариант производственной функции разработал в США экономист П. Дуглас совместно с математиком Ч. Коббом в 1928 г. формула производсвенной функции Кобба— Дугласа показала количественную зависимость объема выпуска продукции на предприятии от двух факторов — капитала (средств производства) и труда. В дальнейшем в этой функции было учтено влияние технического прогресса на объем изготавливаемых деталей. В итоге функция Кобба—Дугласа приняла следующий обобщенный вид:

Производительность общественного труда в 1920 и 1987гг

где У — объем выпуска изделий;
К — капитал;
L - труд;
А, , — параметры (коэффициенты) функции:
А — коэффициент пропорциональности или масштабности (коэффициент сопряжения размерности);
и — коэффициенты эластичности объема производства соответственно по капиталу и по труду (или коэффициенты, характеризующие прирост объема выпуска продукции, приходящийся на 1% прироста соответствующего фактора);
е — фактор, отражающий влияние технического прогресса r и времени t.
Если рассматриваемую функцию выразить в показателях среднегодовых темпов прироста факторов, то она преобразуется и примет следующий вид:

Производительность общественного труда в 1920 и 1987гг

где Y, К — соответственно теми прироста продукции, капитала;
г — комплексный показатель роста совокупной экономической эффективности всех факторов (помимо изменений в технике он отражает улучшение качества и повышение эффективности использования живого или овеществленного труда и др.).
Производственная функция Кобба—Дугласа имеет постоянную эластичность замещения производственных факторов, равную единице. Это означает, что, скажем, расширение численности рабочих (соответственно рост фонда заработной платы) эквивалентно увеличению размера капитала, которое вызовет точно такой же рост объема производства. Поэтому предпринимателю безразлично, за счет роста каких факторов наращивать выпуск продукции.
Одна и та же денежная единица дает одинаковый производственный эффект независимо от того, на увеличение какого фактора она была израсходована.
Исследования, проведенные в США, выявили следующие сдвиги в соотношении хозяйственных факторов. В первые два десятилетия XX в. в обрабатывающей промышленности США на долю труда приходилось 3/4 всего объема выпуска продукции, а 1% увеличения затрат труда расширял этот объем в три раза больше, чем 1% прироста капитала. В 60-е годы в промышленности США наблюдалось уменьшение (в пределах 1/10) коэффициента, характеризующего роль труда, и увеличение коэффициента, отражающего значение технического прогресса.
В дальнейшем этот процесс ускорился в связи с ростом общей эффективности производства на основе научно-технического прогресса.
Таким образом, производственная функция выявляет тенденцию уменьшения зависимости хозяйственных результатов от количества применяемого Nивого труда и возрастающее значение техники. Однако эта тенденция отнюдь не означает, что в условиях НТР снижается роль человеческого фактора в развитии экономики.
Новейшая технологическая революция, связанная с использованием сложнейших и дорогостоящих электронных технических систем (ро-ботокомплексов, обрабатывающих центров и др.), кардинально меняет положение человека в производстве. Он перестает быть простым дополнением машинных систем и уже непосредственно не воздействует на обработку сырья и материалов. Иначе говоря, он все больше вытесняется из прямого участия в технологическом процессе, становится его регулировщиком, контролером и направителем. От этого его роль и ответственность за конечные результаты работы не только не уменьшаются, но, напротив, неизмеримо возрастают.
Подсчеты специалистов показали, что дальнейший рост производительности труда зависит от совершенствования техники примерно на 40%, а на 60% — от активизации человеческого фактора.
В связи с возрастанием значения человеческого фактора бизнесмены Существенно изменили свое отношение к оплате труда наемных работников. Такие перемены мы проследим в следующей главе.
Экономический тренинг
1. Ключевые термины и понятия
Кругооборот капитала; оборот капитала; время о6орота;основ||ой капитал; оборотный капитал; износ основного капитала; амортизация; накопление; инвестиции; первоначальное накопление капитала; рынок научно-технических разработок; научно-технический прогресс; научно-техническая революция; высокие технологии; эффективность производства; производственная функция.
2. Тест
В какой последовательности проходит действующий в производстве капитал от одной функциональной формы к другой, когда ом совершает кругооборот:
1) товарная форма;
2) денежная форма:
3) производительная форма.
3. Расчетные задачи
3.1. Амортизация основного капитала равна 120 тыс. марок год, оборотный капитал составляет 480 тыс. марок, и том числе заработная плата — 100 тыс. Прибыль составляет 100 тыс. марок.
Каковы будут величины себестоимости и стоимости годовой продукции?
3.2. Основной капитал фирмы составляет 80 тыс. иен., время его воспроизводства 10 лет. Оборотный капитал равен 20 тыс. иен, в год он оборачивается 5 раз.
Определите: сколько капитала обернулось за год?
3.3. Определите формулу годовых амортизационных отчислений Ао.
При этом Оф — первоначальная стоимость основных фондов;
Кр - расходы па капитальный ремонт на весь период действия основных фондов;
ЛС— ликвидационная стоимость основных фондов;
В— срок службы основных фондов.
4. Тест о накоплении капитала.
Накопление капитала — это:
а) сбережение денег;
6) увеличение количества средств производства На предприятии;
в) превращение прибыли в дополнительный капитал;
г) увеличение размеров активов предприятия (наличных денег, запасов сырья, магнии и оборудования и т.н.).
5. Вопросы на сообразительность
5.1. Чем различаются между собой накопление в домашнем хозяйстве и на фирме?
5.2. Выгодна ли нынешняя ситуация в российской экономике для накопления капитала? Обоснуйте свою позицию
5.3. Каким образом изменяется структура накопления в условиях современного этапа научно-технической революции?
5.4. В чем состоят особенности первоначального накопления в России?
6. Сравнительный анализ воспроизводства капитала фирмы
6.1. Укажите, почему для обеспечения кругооборота капитала необходим непрерывный кругооборот всех функциональных форм капитали. . . ,
6.2. Установите, как связаны между собой оборот капитала фирмы и.его расширенное воспроизводство. Какую роль играет фонд амортизации в простом и расширенном воспроизводстве па предприятии?
6.3. Определите, как совершенствовались все факторы производства под воздействием научно-технической революции на двух этапах се развития.
6.4. Как высокие технологии воздействуют на основные направления роста эффективности производства?
6.5. Какую роль играет производственная функция в учете взаимодействия и взаимозаменяемости всех факторов производства?
Раздел IV
МИКРОЭКОНОМИКА. СИСТЕМА ПЕРВИЧНОГО РАСПРЕДЕЛЕНИЯ ДОХОДОВ




Производственное накопление


Наконец, возможности накопления возрастают, когда удешевляются средства производства: уменьшается стоимость машин и оборудования, бережнее используются сырье, материалы, энергоносители. Тогда при той же сумме денег, вложенной в бизнес, можно приобрести большее количество новых факторов производства.
Чтобы полнее уяснить механизм накопления, важно установить, какие стимулы (побудительные причины) заставляют предпринимателя непрерывно наращивать объемы капитала.
У бизнесмена имеются серьезные мотивы к тому, чтобы его фирма двигалась вверх по спирали. Это прежде всего — личная выгода собственников (будь то единоличный владелец предприятия, акционеры или члены товарищества, кооператива). Все они заинтересованы в расширении производства.
Ибо .благодаря этому они получают возможность не только из года в год повышать свой жизненный уровень, но и приумножать принадлежащее им имущество производственного назначения.
Оказывает свое влияние также конкуренция: в ней побеждает тот, кто постоянно укрепляет свой экономический потенциал. Размер конкурентоспособного капитала словно планка для прыжков в высоту — все время поднимается. Например, в США для устойчивого положения на рынке сейчас надо иметь капиталы в несколько десятков миллионов долларов.
Рассмотрев механизм самофинансирования, мы можем сделать такой вывод: накопление — экономический закон расширенного воспроизводства капитала. Очевидно, что накопление — исходная причина, позволяющая добиться желаемого результата — увеличить производство новой стоимости, включая прибыль.
Итак, бизнесмен делает первый шаг в распределении прибыли, выделяя из нее средства на накопление. Его второй шаг связан с последующим использованием денег, выделенных для самого накопления. В связи с этим рассмотрим структуру и функции накопления. Накопление на предприятии Нк, как правило, имеет следующую основную структуру:
а) производственное накопление Нп; б) непроизводственное накопление Нн; в) накопление, идущее на привлечение дополнительных работников и повышение квалификации всех занятых Нр:

Производственное накопление

Производственное накопление (в западной экономической литературе его именуют инвестициями) расходуется на: а) увеличение количества средств производства (расширение производственных площадей и строительство новых зданий и сооружений, приобретение станков, оборудования и т.д.); 6) прирост материальных запасов (резервов и страховых фондов).
Непроизводственное накопление идет на: а) прирост фондов непроизводственной сферы (жилого фонда предприятия, медицинских учреждении, учреждений культурно-бытового обслуживания); б) дополнительные затраты на обучение и повышение квалификации работников (увеличение расходов на обучение рабочим профессиям, рост квалификации и переквалификацию занятых, что ведет к повышению производительности их труда).
На Западе все виды затрат фпрм на непроизводственное накопление, на расширение профессиональной подготовки кадров и укрепление здоровья работников получили название инвестиции в человеческий капитал. Некоторые крупные корпорации даже платят надбавку к заработной плате работникам, регулярно занимающимся физической культурой и спортом, создают для этого необходимые условия (стадионы, спортивные залы с тренажерами и т.н.). Такая мера экономически оправдывает себя хотя бы потому, что уменьшаются расходы фирмы на страховую медицину.
Итак, мы ознакомились с сущностью, структурой и функциями накопления на действующих предприятиях. Однако мы прошли мимо вопроса о том, как первоначально возникло накопление капитала. Этот вопрос, оказывается, представляет собой любопытную загадку.
Образно говоря, капитал можно уподобить сказочной курице, несущей золотые яйца: затраченные вначале деньги порождают новые деньги (прибыль, идущую на новый капитал).
Спрашивается: что же появилось исторически раньше — курица (капитал) или яйцо (накопление как часть прибыли)?
Переводя существо этой задачи на язык экономической теории, дело можно представить так. С одной стороны, капитал порождает прибыль, а за счет ее накапливаемой части увеличивается капитал. С другой стороны, накопление капитала предполагает прибыль, а она может появиться в результате функционирования капитала в производстве.
В итоге становится очевидно: все это движется, как говорится, по замкнутому кругу. Как же выбраться из него?
Выход нашёл А. Смит. Он предположил, что обычному накоплению капитала когда-то предшествовало первоначальное накопление, явившееся исходным пунктом капиталистической экономики. Такое накопление произошло, разумеется, не из прибыли.
Чтобы капиталистическое производство могло возникнуть, необходимы были две исторические предпосылки: во-первых, отмена феодального закрепощения кестьян и формирование большого числа свободных работников по найму и, во-вторых, образование значительных сумм капитала v предпринимателей. В Западной Европе эти процессы проходили в XV-XV1II вв.-
Люди накапливали предварительную сумму капитала разными путями и методами. Так, на Западе широко распространена версия о двух типах собственников. Одни из них — праздные люди, тратившие свой доход на личные нужды.
Другие же — бережливые хозяева — постоянно наращивали за счет дохода свое имущество. Правда, это был медленный процесс обогащения.
Мощными факторами, которые ускорили первоначальное накопление капитала, послужили известные насильственные способы обогащения: а) колониальные войны и хищническая эксплуатация населения колоний; б) работорговля; в) применение рабского труда на плантациях и многих рудниках по добыче драгоценных металлов; г) торговые войны, и т.д. В ряде стран большую роль в формировании буржуазии сыграло государство, финансировавшее строительство крупных заводов, шахт, рудников, железных дорог.
Специфический характер приобрело первоначальное накопление капитала в сегодняшней России. В нашей стране, разумеется, не требовалось впервые создавать промышленные предприятия. Задача сводилась главным образом к тому, чтобы сменился собственник государственных предприятий, да и то не на всех.
Ведь подавляющая часть крупных предприятий и объединений в ходе приватизации осталась в руках государства или была преобразована в акционерные общества. Это сузило сферу образования частных капиталов.
Важной составной частью первоначального накопления капитала явилось образование больших денежных сумм у потенциальных бизнесменов. Первые шаги в этом направлении были сделаны еще в годы перестройки. С 1987 г. в стране сложились благоприятные условия для появления первых миллионеров: в то время брокер на бирже зарабатывал 1 млн. руб. за 2 недели, а предприниматель в торговле и кооперации — за 4 месяца.
Наибольший размах сколачивание капиталов приняло с началом экономических реформ. Огромные суммы были получены за короткий срок с помощью наживы на инфляционных процессах в торговом деле, широкомасштабной спекуляции денежными средствами и валютой на фондовых биржах, выдачи кредитных средств под чрезвычайно высокие проценты, создания фиктивных акционерных обществ, инвестиционных фондов и т.п.
Особое место в данном процессе занимает криминальный вариант приватизации. Речь идет о нескольких направлениях личного обогащения с помощью незаконных способов:
многие руководители предприятий втайне от трудовых коллективов перевели государственные средства (за мизерн[ю цену) в свою частную или подконтрольную форму собственности;
работники некоторых местных комитетов Госкомимущества незаконно продавали объекты федеральной собственности;
нередко государственные служащие брали взятки за то, что приватизировали имущество на аукционах по заведомо заниженной цене;
преступные дельцы создавали фиктивные чековые инвестиционные фонды (для ваучерной приватизации) с целью личной наживы и ограбления вкладчиков (после сбора и продажи ваучеров организаторы фондов скрывались) и т.п.
Можно предположить, что по мере дальнейшего развития экономических реформ будут сужаться возможности личной наживы за счет инсоляции и спекуляции. Усиление правоохранительной деятельности позволит укрепить экономическую безопасность государства. В связи с этим все большее развитие получат формы цивилизованного бизнеса.
Путь .к процветанию и усилению его конкурентоспособности лежит через повышение научно-технического уровня производства и эффективности накопления.
3. Научно-технический прогресс и
эффективность накопления
Во второй половине XX в. в высокоразвитых странах начался качественно новый этап в процессе накопления и в целом в расширенном воспроизводстве. Побудительными причинами перемен послужили резкое ускорение научно-технического прогресса и усиление неценовой конкуренции. Последняя диктует свои правила.
Чтобы удержаться на плаву, надо все время обеспечивать высший научно-технический уровень продукции. Это определило особенности современного накопления:
1-я особенность: появление в структуре накопления нового элемента — значительных затрат на научные исследования и опытно-конструкторские разработки (ПИОКР). В связи с этим важнейшим критерием прогрессивности и конкурентоспособности фирм стал показатель наукоемкости производства. Он свидетельствует о доле затрат на НИОКР в общем объеме производственных расходов. Наиболее наукоемкими стали приборостроение, ракетно-космический комплекс и т.д.;



Производство первоначально возникло 10 тыс. лет назад


Важно заметить, что выбор подходящих производственных возможностей осуществляется неоднозначно в разные периоды хозяйственного развития. Это в первую очередь зависит от реального состояния производства, материальной и духовной культуры общества. В изменении такого состояния можно выделить несколько стадий.
При периодизации экономической истории требуется определить: каков должен быть критерий, отделяющий одну эпоху хозяйственного прогресса от другой. Таким критерием являются грандиозные технические революции, поднимающие человечество на более высокие ступени покорения сил природы. Каждая революция коренным образом меняет тип средств труда, вызывает перемены в общественном разделении труда и создает новую сферу экономики.
Затем наступают большие социально-экономические последствия, включая переход к совершенно новым видам потребностей и способам их удовлетворения.
За всю историю произошли три гигантские революции в производстве, породившие соответственно три эпохи в экономике. Своеобразной точкой отсчета принято считать высокоразвитое индустриальное (промышленное) производство, которое заняло центральное место в истории и дало производные названия другим эпохам. Выделяют доиндустриальную, индустриальную и постиндустриальную (лат. post — после) стадии.
Как известно, производство первоначально возникло 10 тыс. лет назад в результате аграрной революции. Последняя базировалась на двух великих открытиях — земледелии (вначале в виде примитивной обработки почвы и посевов зерна) и скотоводстве (приручение диких животных и разведение их как домашнего скота). В свою очередь, земледелие опиралось на достижения неолитической революции.
В последнюю эпоху каменного века появились нужные для. хозяйствования кремниевые, костяные и каменные орудия труда. Позже продукты питания создавались с помощью более производительных металлических технических средств (были изобретены плуги колесо). Благодаря труду (особенно в результате со дания орудий производства) человек окон-чательно выделился из мира животных.
Кардинальные перемены в материальной культуре вызвали более быстрое развитие домашнего ремесла. Изготовление различных изделий из камня, дерева, металла, глиняной посуды можно считать зачатками промышленной деятельности. С переходом к оседлому образу жизни люди стали заниматься строительством, сооружая жилища и хозяйственные постройки.
Все это благоприятствовало резкому увеличению численности населения — произошел так называемый первый демогра4)ически]"1 взрыв. В эпоху неолита темпы роста населения Земли возросли почти втрое.
Древнейшие земледельческо-скотоводческие культуры, по новейшим данным, датируются VIII—VII тысячелетиями до н.э. (на территории нынешних стран — Иордании, Ирака, Ирана, Турции). На территории американского континента неолитическая культура земледельцев возникла в V—II тысячелетиях до н.э. (Перу). Этим было положено начало самой длительной эпохи экономической истории.
Для доиндустриальной стадии производства характерны следующие черты:
преобладает первичная сфера экономики (сельское хозяйство);
подавляющая часть трудоспособного населения занята земледелием и животноводством;
в хозяйственной деятельности господствует ручной труд (прогресс наблюдался только в переходе от простых инструментов к сложным);
в производстве очень слабо развито разделение труда и веками сохраняются примитивные формы его организации (натуральное хозяйство);
в массе населения преобладают самые элементарные потребности, находящиеся вместе с производством в застойном состоянии,
Исходная стадия производства еще до сих пор типична, например, для некоторых стран Африки (Гвиана, Мали, Гвинея, Сенегал и др.), где в сельском хозяйстве занято две трети населения. Примитивные орудия ручного труда позволяют работнику прокормить не более двух человек.
В новое время ускорился рост населения Земли и повысился уровень его потребностей. Это пришло в резкое противоречие с теми ограниченными возможностями, которые свойственны производству с применением ручного труда. Такое противоречие было преодолено в результате промышленного переворота.
Он начался в Англии в 60-е годы XVIII в. и завершился в Западной Европе и США в 50—60-е годы XIX в. Существо промышленной революции состоит в широкомасштабной замене ручного труда машинами.
Индустриальная стадия производства имеет следующие особенности:
главной является вторичная сфера экономики — машинизированное промышленное производство;
промышленность по своему образу и подобию — на основе машинной техники — преобразует другие важнейшие отрасли производства (сельское хозяйство, строительство, транспорт);
основная масса трудящихся является работниками индустриальных отраслей хозяйства (например, в Великобритании уже в середине 40-х годов XIX в. 3/4 населения составили фабрично-заводские рабочие);
резко усиливается разделение труда в обществе (в промышленности. насчитывается несколько сотен отраслей, подотраслей и крупных видов производства), вследствие этого развиваются более сложные формы организации экономики (товарно-рыночное хозяйство);
происходит быстрая урбанизация (лат. urbaniis — городской) населения: в городах проживает до 2/3 всех жителей;
мощный рост производственных возможностей и многоотраслевая структура хозяйства позволяют удовлетворять достаточно широкий спектр материальных и культурных потребностей.
С индустриальной стадией экономики связан второй демографический взрыв. Численность населения мира (составлявшая в 1650 г.
650 млн. человек) возросла в 7 раз.
В такой демографической обстановке особенно важно обеспечить реальное удовлетворение потребностей по горизонтали. Действительно, достигнутые потребности должны распространяться среди все большего числа жителей каждой индустриально развитой страны. Вместе с тем прогресс техники и разделения труда вызывает массовое движение потребностей по вертикали (от низшего уровня к более высоким).
Однако достижения индустриальной экономики явно не достаточны для современного этапа динамики потребностей и потребления. Ведь при механизированном труде работник зачастую управляет одной машиной. И он не в состоянии стабильно обеспечивать высокое качество изделий, без чего нельзя создавать новейшую технику.
Промышленно развитые страны все более остро стали испытывать нужду в природном сырье и энергоносителях. В итоге сложилось глубокое противоречие между сравнительно ограниченными производственными возможностями и совершенно новым — в количественном и качественном отношениях — уровнем потребностей. Это противоречие разрешается в ходе начавшейся в 40—50-х годах XX в. грандиозной научно-технической революции, которая открыла необычайно перспективную эпоху хозяйственного развития.
Взамен традиционных природных веществ и топлива она создала множество новых (не имеющих аналогов в биосфере) видов материалов и энергоносителей.
Постиндустриальная стадия производства, ведущая к нформационному обществу, отличается следующими признаками:
наибольшее развитие получает третичная сфера экономики — сфера услуг, где занято 60—70% всех работников;
. наука становится непосредственной производительной силой. На основе ее достижений производство впервые создает продукты, которые не существуют в природе;
во всех отраслях хозяйства и в быту широко внедряются достижения информатики и соременной вычислительной техники. Это позволяет резко повысить значение информации в жизни общества, а также автоматизировать физический и умственный труд;
на предприятиях быстро повышается роль научных работников и высококвалифицированных специалистов;
совершается переход к высоким технологиям, которые сберегают все виды ресурсов и надежно поддерживают высокое качество изделий;
экономика способна обеспечить для всех граждан достаточно полное удовлетворение элементарных потребностей и расширить реализацию запросов более высокого порядка.
На высшую ступень развития производства и потребностей перешли США, Канада, Япония, государства Западной Европы и некоторые другие страны. Об этом свидетельствуют, в частности, статистические данные о структуре занятости трудоспособного населения. В наиболее развитых странах значительно возросла выработка тружеников в традиционных сферах экономики (сельское хозяйство, промышленность), что позволило сократить в них занятость.
А подавляющая часть трудовых ресурсов перешла в сферу услуг.
Таблица 1.3.
Распределение работников по сферам занятости,
% от общего числа занятых

Группы стран
1-я сфера (сельское хозяйство)
2-я сфера (промышленность)
3-я сфера (услуги)
Промышленно отсталые (в середнем, 1984 г.)
40
27
33
Западные страны (в среднем, 1984 г.)
5
32
63
СССР (1989 г.)
19
39
42
Наше краткое знакомство с основными стадиями экономического прогресса позволяет теперь лучше понять новейшую структуру производства, характерную для конца XX и начала XXI столетия.



Противодействующие факторы


Итак, экономические законы выражают необходимые, существенные, массовые и устойчиво повторяющиеся причинно-следственные зависимости между хозяйственными процессами.
По своему характеру экономические законы подразделяются на два типа: объективные и субъективно-психологические.
Значительная часть законов хозяйственного развития имеет объективный (не зависящий от воли и желания людей) характер. Дело заключается в том, что общество вынуждено зачастую прямо следовать непреклонным законам природы. Так происходит в ряде производственных отраслей: при проведении работ в сельском, лесном, рыбном и ряде других хозяйств.
Объективный характер свойственен законам общественного воспроизводства, которые мы будем в дальнейшем изучать. Во избежание хозяйственных потрясений люди не могут нарушать условия непрерывного воспроизводства жизнедеятельности общества.
Между тем объективные, законы экономики не действуют автоматически, подобно законам природы (как, скажем, осуществляется закон всемирного тяготения). Объективная необходимость прокладывает себе путь через сознательную деятельность людей. При этом одни субъекты понимают, куда ведет естественная последовательность хозяйственных процессов, и действуют в том же направлении.
Другие люди не только не осознают хода развития производства, но и не содействуют ему, руководствуясь личными побуждениями и интересами. Противодействующие факторы возникают и по иным причинам.
В итоге в отличие от непреодолимых законов природы объективные экономические законы, как правило, проявляются в ослабленном виде. Они действуют как более или менее устойчивые тенденции, выражающие общую направленность движения производства, распределения, обмена и потребления благ. Наряду с законами-тенденциями действуют некоторые абсолютные законы, всегда преодолевающие противодействующие факторы.
Важно учитывать, что объективные законы в свою очередь подразделяются на два вида, которые соответствуют разным видам экономических отношении. Самые существенные различия между ними состоят в следующем.
Законы развития отношений собственности и социально-экономических связей между людьми являются специфическими. Они выражают особенности только какого-то исторического вида собственности и соответствующего общественного строя. Достаточно сослаться на качественные различия, которые были свойственны, например, закономерному присвоению и распределению продуктов труда при первобытнообщинном и рабовладельческом строе, или в феодальном и капиталистическом обществах.
Вполне понятно, что специфические законы имеют временно ограниченные рамки действия. Они возникают и сходят с исторической сцены вместе с соответствующими отношениями собственности, адекватным им общественным устройством.
Законы, свойственные организационно-экономическим отношениям, являются общими для разных эпох. они проявляются при любом социальном строе. Однако часть из них (например, законы разделения труда, преимущества крупных производств перед мелкими) действует на протяжении всей человеческой истории. Другие же (скажем, законы товарного производства, денежного обращения и рынка) и охватывают несколько меньший период истории.
Наконец, помимо объективных законов в экономической сфере действуют субъективно-психологические законы. Чем объясняется наличие такого рода законов хозяйственного поведения людей?
Как известно, психология выражает душевное состояние человека, в котором проявляются прежде всего его сознание, воля, потребности и другие черты активного поведения. Большинство людей свыше половины жизненного времени отдает хозяйственной деятельности (на предприятиях, организациях, в семье). Поэтому в массе людей вырабатывается особая экономическая психология.
В нее входят экономическое сознание и мышление, мотивы хозяйственной деятельности и экономические интересы, которые служат реальными причинами участия людей в производстве, распределении, обмене и потреблении материальных благ и услуг.
Разумеется, хозяйственная деятельность — особенно в условиях рынка — не может обходиться без вмешательства экономической психологии. При свободном выборе производственных решений и их осуществлении люди поступают во многом в соответствии со своим экономическим сознанием и интересами. В итоге в их хозяйственном поведении проявляются определенные психологические законы.
К ним, как мы увидим в дальнейшем, относятся закон убывающей предельной полезности, закон, влияющий на распределение доходов населения па потребление и сбережение, и т.д.
Таким образом, чтобы всесторонне изучать долгосрочные тенденции хозяйственной деятельности, экономическая теория должна изучать два типа законов — объективные экономические и субъективно-психологические законы (рис. 2.2).

Противодействующие факторы

Рис. 2.2. Тины экономических законов
Обобщая сказанное о предмете экономической теории, мы подходим к следующему заключению. Экономическая теория изучает экономические отношения и свойственные им законы. Из существа этой теории вытекают ее функции.
При изучении функций экономической теории возни- кают определенные трудности. Дело в том, что в отечественной экономической литературе издавна применяются устоявшиеся и оправдывающие себя термины и понятия. В западных учебниках по экономике при описании одних и тех же явлений используются иные термины и понятия.
Поэтому для облегчения международного общения важно овладевать двумя видами терминов и понятий — отечественными и зарубежными.
С этих позиций кратко ознакомимся с основными функциями экономической теории: познавательной, прогностической и практической.
Познавательная функция состоит в том, чтобы всесторонне изучить формы экономических явлений и их внутреннюю сущность, что позволяет открыть законы, по которым развивается национальное хозяйство.
Такое изучение начинается с рассмотрения фактов, массовых экономических данных, поведения хозяйствующих субъектов. В западной экономической литературе все это обозначают как описательная наука, занимающаяся сбором и накоплением соответствующих фактических материалов.
Нельзя переоценить значение фактов для подлинных научных исследований. Экономическая теория сохраняет научный характер при условии, если опирается на факты. Факты должны быть достоверными и типичными, характерными для изучаемой социально-экономической жизни.
В таком случае факты, как говорится, — упрямая вещь. К добротному 41актическому материалу относится неопровержимая информация о событиях, цифры, статистические материалы, документы, свидетельские показания, ссылки на авторитетные высказывания ученых, практиков и др. Только такие источники информации позволяют избежать ошибочных теоретических построений, оторванных от реальности.
Чтобы глубже познать изучаемые процессы, ученые прибегают к теоретическим обобщениям реальных фактов, открывают тенденции и законы хозяйственного развития. В западной литературе в этом случае пишут о позитивной экономической теории, которая путем анализа фактов и данных выводит научные обобщения о хозяйственном поведении людей. При этом применяются: экономический анализ (из соответствующих фактов выводятся экономические закономерности), экономические модели (абстрактное — отвлеченное от второстепенных моментов — обобщение действительности) и экономические принципы, законы (обобщение мотивов и практики хозяйственного поведения людей).
Основополагающим критерием правильности всякой экономической теории служит ее соответствие практическому опыту, наблюдаемым фактам. Известный экономист Морис Аллэ (Франция) заявил:
Подчинение данным наблюдения — золотое правило, от которого зависит любая научная дисциплина. Какой бы ни была теория, но если она не подтверждена данными опыта, то не имеет научной ценности и должна отвергаться5. Польза достоверной теории возрастает, если она позволяет лучше предвидеть ход экономического развития.
Прогностическая (греч. prognosis — предвидение, предсказание) фун-кция экономической теории заключается в разработке научных основ предвидения перспектив научно-технического и социально-экономического развития на обозримое будущее. Эта функция во многих случаях связана с разработкой перспективных критериев и показателей. Она приобретает важное значение в связи с разработкой планов и прогнозов развития национального хозяйства.
Хозяйственное предвидение, основанное на данных экономической науки, играет важную роль для крупных предприятий и хозяйственных объединений. Оно позволяет принимать рациональные долгосрочные решения, основанные на правильном учете будущих производственных затрат и выгод.
Практическая функция экономической теории состоит в научном обосновании экономической политики государств, выявлении принципов и методов рационального хозяйствования. В западной литературе в таком случае пишут о нормативной экономической теории — научном направлении, которое определяет, какой должна быть экономика и хозяйственная политика государства. При этом речь идет не о разработке конкретных хозяйственных целей и решений, а об определении научных основ социально-экономической политики.



Распоряжение -право изменять присвоенность имущества.


Пользование заключается в праве производительно или лично потреблять вещь для удовлетворения собственных потребностей и интересов в зависимости от ее назначения (допустим, использовать автомашину для перевозки людей и грузов). Собственник может передавать свое имущество в пользование другим лицам на какое-то время и на определенных условиях. Границы права пользования определяются законом, договором или иным правовым основанием (например, завещанием).
Распоряжение — право изменять присвоенность (принадлежность) имущества. Оно осуществляется чаще всего путем совершения различных сделок (купли-продажи, мены одной вещи на другую, дарения и т.д.).
Указанные здесь правомочия собственника могут быть временно ограничены по его инициативе. Так, человек, сдавший внаем вещь другому лицу, лишает себя права владения и пользования вещью на срок действия договора имущественного найма.
Хозяйственная практика свидетельствует о расширяющемся многообразии применения прав собственности. В связи с этим видный ученый Роберт Коуз (США) и другие сторонники экономической теории прав собственности указали на то, что субъекты экономики используют пучок прав, которые касаются использования хозяйственных ресурсов и распределения возникающих при этом затрат и выгод. Сюда входят не только права владеть, пользоваться и распоряжаться своим имуществом. Речь идет и о том, чтобы управлять хозяйством, получать f доход от используемых благ, претендовать на безопасность (на защиту от насильственного отчуждения имущества и от вреда со стороны окружающей среды), передавать блага в наследство и др.
Эти права являются по существу нормами хозяйственного поведения или определенными правилами игры, принятыми в обществе.
В современных условиях во всех, пожалуй, развитых странах государство стремится зафиксировать в нормативных документах соответствующие юридическим законам экономические отношения. Однако для этого регулирования во многом недосягаемой остается так называемая теневая экономика.
Под теневой экономикой подразумевается совокупность неучтенных, нерегламентированных и противоправных видов хозяйственной деятельности. Уголовный кодекс Российской Федерации основные виды такой экономики относит к преступлениям в сфере экономической деятельности (УК РФ, раздел VIII, главы 22, 23, 25).
Общими признаками теневой экономики являются:
— скрытый, тайный характер (такая деятельность не регистрируется государством и не отражается в официальной статистике);
— охват всех фаз круговорота общественного богатства (производства, распределения, обмена и потребления);
— незаконное обогащение посредством утаивания доходов от государственного налогообложения, безвозмездного присвоения чужого имущества и перераспределения общественного богатства.
По разным оценкам, в странах Запада в теневом секторе экономики •производится от 5 до 20% валового национального продукта. По средней оценке исследователей, в СССР в 80-х годах в аналогичном секторе присваивалось около 10% валового национального продукта.
Теневую экономику можно подразделить на следующие основные укрупненные блоки: неофициальная, фиктивная и подпольная.
Неофициальная (образно называемая серая) экономика охватывает легальные (разрешенные) виды хозяйственной деятельности, распространенные особенно в сфере услуг (ремонт квартир, медицинская помощь, предоставление жилья в курортной местности и т.п.). Однако получатели доходов скрывают их от налогообложения.
Российское законодательство признает криминальным деянием и предусматривает соответствующие санкции при нарушении Уголовного кодекса в случаях:
— уклонения гражданина от уплаты налога путем непредставления декларации о доходах (когда подача декларации является обязательной), либо путем включения в декларацию заведомо искаженных данных о доходах и расходах, совершенного в крупном размере (УК РФ, статья 198);
— уклонения от уплаты налогов с организаций путем включения в бухгалтерские документы заведомо искаженных данных о доходах или расходах либо путем сокрытия других объектов налогообложения, совершенных в крупном размере (УК РФ, статья 199).
Фиктивной (беловоротничковой) хозяйственной деятельностью занимаются, как правило, руководящий состав предприятий и государственные чиновники в тех странах, где значительно развит государственный сектор экономики. Лица, имеющие доступ к общественной собственности, лично обогащаются, изобретая незаконные средства (приписки к выполнению государственных заданий и планов; мошеннические способы получения денег; хищение материальных ресурсов и т.п.).
Сейчас УК РФ отмечает следующие преступления против интересов службы в коммерческих и иных организациях:
— злоупотребление полномочиями. Имеется в виду использование лицом, выполняющим управленческие функции в коммерческой или иной организации, своих полномочий вопреки законным интересам этой организации и в целях извлечения выгод и преимуществ для себя или других лиц либо нанесения вреда другим лицам, если это деяние повлекло за собой причинение существенного вреда правам и законным интересам граждан или организаций либо охраняемым законом интересам общества или государства (статья 201);
— злоупотребление полномочиями частными нотариусами и аудиторами. Речь идет об использовании нотариусом или аудитором (ревизором, контролирующим финансовую деятельность предприятия) своих полномочий вопреки задачам своей деятельности и в целях извлечения выгод и преимуществ для себя и других лиц либо нанесения вреда другим лицам, если это деяние причинило существенный вред правам и законным интересам граждан или организаций либо охраняемым законом интересам общества или государства (статья 202).
Уголовное законодательство рассматривает в качестве преступлений против государственной власти, интересов государственной службы и службы в органах местного самоуправления ряд деяний криминального характера, в частности:
— злоупотребление должностными полномочиями (статья 285);
— незаконное участие в предпринимательской деятельности (статья 289);
— получение взятки (статья 290);
— служебный подлог (статья 292).
Подпольная (черная) экономика — это запрещенная законом деятельность. Сюда относятся: наркобизнес, контрабанда, фальшивомонетничество и иные преступные дела.
Теневая экономика пустила глубокие корни и значительно расширилась в нашей стране особенно за последние годы. Первая причина этого явления — коррупция (подкуп) государственных чиновников и должностных лиц, призванных поддерживать законность в экономике (на их подкуп преступный мир тратит до 30—50% своих доходов). Другая причина состоит в том, что дельцы черной экономики образуют строго организованные группы, хорошо оснащенные оружием и современными техническими средствами.
Эта организованная преступность вместе с подкупленной частью государственного аппарата создает мафиозные объединения, препятствующие разоблачению подпольных дел. Третья причина заключена в получении очень высоких доходов, приходящихся в основном на долю главарей мафии. Между тем, как подсчитали экономисты, большинство воров, мошенников и грабителей получает средний доход (с учетом срока тюремного заключения), который меньше заработка рядовых рабочих и служащих.
Уголовное законодательство нашей страны выделяет ряд криминальных деяний с черной окраской. К ним, в частности, относятся:
— контрабанда, т.е. перемещение в крупном размере через таможенную границу Российской Федерации товаров или иных предметов, совершенное помимо или с сокрытием от таможенного контроля либо с обманным использованием документов или средств таможенной идентификации либо сопряженное с недекларированием или недостоверным декларированием. Признано также уголовно наказуемым перемещение через таможенную границу сильнодействующих, ядовитых, отравляющих, радиоактивных или взрывчатых веществ, вооружения и т.п., если это деяние совершено с нарушением правил таможенного контроля (статья 188);
— преступления против здоровья людей, связанные с незаконным изготовлением, приобретением, хранением, перевозкой, пересылкой или сбытом наркотических средств или психотропных веществ (статья 228);
— вовлечение в занятие проституцией (статья 240) и организация или содержание притонов для занятия проституцией (статья 241).
В дальнейшем мы не раз коснемся теневой экономики, ее конкретных форм и путей борьбы с нею с помощью организационных и социально-экономических мер.
Теперь, после выяснения существа собственности, мы перейдем к ее классификации.
2. Классификация собственности
Классификация (лат. classis — разряд, класс; facio — классификации делаю, раскладываю) — это система соподчиненных понятий (классов, объектов) определенной области знания или деятельности. Классификация строится по определенным основаниям, которые выражают, как правило, существенные признаки и отношения между классами объектов.
Нам предстоит рассмотреть непростой вопрос: что является основанием классификации экономических отношений собственности?



Распределение общего объема денежных доходов населения


В статистике применяется еще один показатель дифференциации доходов среди населения: выделяется пять 20%-ных групп с разными размерами доходов. Динамика этого показателя в последние годы в России отображена в данных таблицы 17.1.
Таблица 17.1.
Распределен не общего объема денежных доходен населения
в 1992-1995 г. (в %)

Денежные доходы по 20%-ным rpyппам населения
19921
1993
1994
1995
Первая (с наименьшими доходами)
6,0
5,8
5,3
5,5
Вторая
11,6
11,1
10,2
10,2
Третья
17,6
16,7
15,2
15,0
Четвертая
26,5 38,3
24,8 41,6
23,0 46,3
22,4
46,9
Пятая (с наивысшими доходами)
1 Совокупный доход (в денежной и неденежной формах)
Данные таблицы 17.1 свидетельствуют, во-первых, о том, что в 1992—1995 гг. в той или иной мере уменьшился удельный вес первых четырех групп в общей сумме денежных доходов населения.
Это уменьшение составило от 1 до 4 процентных пунктов. Во-вторых, значительно возросла доля пятой группы: с 38,3 до 46,9%. Это означает, что в ней произошла существенная концентрация доходов. В-третьих, резко усилилась неравномерность распределения денежных доходов в нашей стране.
Если у 40% населения с наименьшими доходами душевой доход здесь в 1995 г. был в 2,5 раза ниже среднего уровня (для всех групп), то у 20% населения из пятой группы душевой доход в 2,3 раза превысил средний уровень.
Таким образом, либеральная рыночная экономика принципиально не может гарантировать реализацию права человека на достойную жизнь. Она имеет тенденцию углублять неравенство в распределении доходов между гражданами. В результате возникает и усиливается социальная нестабильность в обществе.
В заключение возникает вопрос: какова же историческая судьба либеральной рыночной системы как макрорегулятора на Западе?
2. Государственный регулятор макроэкономики
Механизм рыночного саморегулирования имеет исторические границы своего действия. Он в состоянии исправно выполнять свои функции, во-первых, при наличии на рынке массы мелких и независимых товаровладельцев. Во-вторых, при условии развития свободной конкуренции.
В-третьих, в полной мере должна проявляться регулирующая роль рыночных цен.
Но в начале XX в. на рынке произошел полный переворот в результате появления и развития мезоэкономнки. Для всего XX в. стало характерно господство в производстве и обращении крупного корпоративного и финансового капитала. На смену свободной конкуренции пришло доминирующее положение монополий и олигополии.
Субъекты мезоэкономики разрушили весь механизм рыночного регулирования поведения продавцов и покупателей. На рынке свободной конкуренции негативно сказались следующие действия мезоэкономики.
А. В границах сферы своего влияния мезоэкономика парализовала стихийное действие законов спроса и предложения в ценообразовании. Мезокомплексы сами стали устанавливать монопольные цены на подавляющую часть продукции. Тем самым было подорвано обратное регулирующее воздействие рыночных цен на производство (как известно, монополии исключают действие закона предложения).
Б. Мезохозяйства использовали стихийный, неконтролируемый рынок для установления ценового беспредела — развязывания в своих интересах инфляционного роста цен. Однако при инфляции нарушается действие механизма развития спроса и предложения, который свойствен свободному конкурентному рынку.
В. Мезосистемы воспользовались, как говорится, свободой рук на стихийном рынке для крупномасштабных спекуляций. Эти спекуляции подорвали рыночное равновесие — равенство совокупного спроса и совокупного предложения.
Как известно, крах биржевых спекуляций на Нью-йоркской фондовой бирже, происшедший 24 октября 1929 г., послужил катализатором грандиозного мирового экономического кризиса, который обрушился на страны Запада в 1929— 1933 гг. По-видимому, короткая волна обычного экономического цикла слилась с длинной волной (повторяющейся примерно один раз в 50 лет) и в результате произошло как бы удвоенное по глубине падение производства. Выпуск продукции в промышленности уменьшился на 46%. Безработица охватила 26 млн. человек.
Реальные доходы населения снизились на 60%.
Своего рода губительный девятый вал обрушился на классическое учение о макрорегуляторе. На фоне развалин мирового хозяйства для всех стала очевидной полная несостоятельность многих догм (устаревших положений) классической и неоклассической экономической теории.
Что было отвергнуто в экономической теории и что нового появилось вместо того, что признано ошибочным?
Стало очевидно, что стихийная рыночная экономика уже не может обеспечить прочное равновесие совокупного предложения и совокупного спроса. Вместе с тем пришло своего рода озарение для тех, кто верил неоклассическим догмам: рыночная система не в состоянии избавить общество от кризисов и безработицы.
Одновременно было опровергнуто положение о том, что в рыночной экономике действует чистая и совершенная конкуренция. К месту будет упомянуто, что в 1933 г. появились книги Дж. Робинсон Экономическая теория несовершенной конкуренции и Э. Чемберлина Теория монополистической конкуренции. Таким образом все уяснили реальное положение дел: в XX в. имеет место несовершенная конкуренция.
Это, как мы знаем, означает широкое распространение естественных, легальных и иных монополий, господство в отраслях промышленности олигополии, развитие монополистической конкуренции.
Оказалось несостоятельным утверждение, что норма процента якобы автоматически поддерживает общую сбалансированность потока денежных сбережений и потока инвестиций (подобно действию крана в ванне). На самом деле ставка процента не способна объединить в единый поток сбережения населения и капитальные вложения в производство:
— обладатели сбережений и инвесторы имеют разные планы и мотивы действий;
— в домашних хозяйствах свободные денежные средства не идут на инвестиции, а расходуются на разнообразные нужды семьи (деньги накапливаются для крупных покупок, создается запас ликвидных средств на непредвиденные случаи, осуществляются платежи по страхованию жизни и имущества, деньги идут на образование детей и т.д.);
— инвесторами выступают как домашние хозяйства, так и банки. Величина их инвестиций зависит не только от нормы процента, но и от норм прибыли, а также от фазы делового цикла (спада или подъема).
Опровергнутым оказался также тезис о том, что система рыночных цен способна как бы автоматически обеспечивать обратное воздействие на производство товаров и тем самым выравнивать объемы макроспроса и макропредложения. Была выявлена необходимость создавать новый механизм выравнивания совокупных величин спроса и предложения.
Наконец, стало очевидно, что национальная экономикH не в состоянии успешно развиваться без всякого вмешательства государства. Настало время подыскивать новый макроэкономический регулятор.
И вот государство в США взяло на себя все бремя ответственности за выход из глубокой экономической пропасти. Избранный в 1932 г президентом США Франклин Рузвельт получил чрезвычайные полномочия для проведения нового курса экономической политики. Этот курс (1933—1938) включал в себя, в частности, следующие меры государственного регулирования макроэкономики.
1. Государство спасло кредитную систему от полного развала благодаря тому, что гарантировало сохранность вкладов населения.
2. Было снижено бремя долгов граждан на 40% с помощью обесценения денег (за долги расплачивались потерявшими прежнюю стоимость долларами).
3. Закон о восстановлении промышленности (1933) предусмотрел введение в практику кодексов честной конкуренции (по ним устанавливались на определенном уровне цены на продукцию, распределялись рынки сбыта и т.д.).
4. Закон о регулировании сельского хозяйства (1933) предусмотрел повышение цен на сельскохозяйственную продукцию, чтобы спасти фермеров от разорения. Государство стало платить фермерам компенсацию за сокращение посевной площади и поголовья скота (для предотвращения перепроизводства и связанного с ним разорительного падения цен).
5. В интересах сокращения безработицы правительство организовало общественные работы.
6. Для преодоления обнищания трудящихся было введено регулирование заработной платы. Впервые введен прожиточный минимум и установлена минимальная заработная плата. Государство стало оказывать материальную помощь обедневшим слоям населения.
На практике была доказана высокая эффективность антикризисной политики государства. Итак, в 30-е годы на Западе назрел и был осуществлен подлинно революционный переход к совершенно новому хозяйственному механизму регулирования национальной экономики, призванному спасти господствующую социально-экономическую систему от гибельных потрясений. Непременным компонентом перехода к качественно иному макрорегулятору стал переворот в неоклассическом направлении экономической теории.
Выдающийся английский экономист Джон Кейнс создал новую парадигму (греч. paradeigma — пример, образец), т.е. теорию и модель постановки проблем, ставших образцом решения макроэкономических задач. Эта парадигма положила начало новому разделу экономической теории — макроэкономике и переходу к такому ее регулятору, который способен обуздать стихийные разрушительные силы рынка.



Различия земель по естественному плодородию


В отличие от обычных индустриальных средств производства, которые могут изготавливаться в нужном количестве, земля количественно ограничена. К тому же она различается по качеству (по плодородию и по месторасположению — удаленности от рынка сбыта сельскохозяйственной продукции): лучшие, средние и худшие участки земли.
Сельскохозяйственных продуктов с одних только лучших и средних по качеству земель недостаточно для удовлетворения общественных потребностей в этих продуктах. Поэтому при условии получения обычной прибыли предприниматели берут в аренду и худшие земельные участки. В результате возникают особые условия образования цен на зерно и другую продукцию. Рыночная цена за каждую ее единицу складывается по условиям сельскохозяйственного производства на худших землях.
Все фермеры продают продукцию по рыночным ценам, которые не только окупают ее повышенную себестоимость (непреднамеренно большие затраты труда и средств производства) на худших землях, но и обеспечивают обычную прибыль.
В силу более благоприятных производственных условий на лучших и средних по качеству участках земли себестоимость единицы продукции ниже, чем на худших участках. Если сложить такую относительно низкую себестоимость единицы продукции (скажем, 1 ц пшеницы) с обычной прибылью, то на наилучших участках ее индивидуальная цена производства будет ниже рыночной, общественной цены. Поэтому фермеры, хозяйствующие здесь, получают при продаже продукции по рыночной цене дополнительную сверхприбыль.
Такая дифференциальная (разностная) сверхприбыль — это разница между общественной ценой, отражающей повышенные производственные затраты на худших участках, и индивидуальной ценой единицы продукции, складывающейся на наилучших по качеству землях.
Монополист земельной собственности прекрасно осведомлен о качестве принадлежащей ему земли. Поэтому разностная прибыль достается ему в виде дифференциальной ренты. Такая рента бывает двух видов (табл.
12.6).
Собственник земли получает дифференциальную ренту I (первого вида) с наилучших участков, отличающихся большим естественным — не зависящим от человека — плодородием и более благоприятным месторасположением. В арендном договоре он сразу же предусматривает такую арендную плату, которая изымает в его пользу соответствующую разностную сверхприбыль.
Таблица 12.6.
Виды дифференциальной ренты

Критерии различий
Первый вид
Второй вид
Условия образования
Различия земель по естественному плодородию и месторасположению
Различия земель по экономическому плодородию
Вид добавочной прибыли
общественной ценой производства и индивидуальной ценой производства на лучшей земле

Разница между общественной ценой производства и индивидуальной ценой производства на экономически более плодородной земле
Кому достается добавочная прибыль
Собственнику земли
В пределах срока аренды — предпринимателю
Дифференциальная рента II (второго вида) образуется в результате того, что арендатор повышает экономическое плодородие земли. Он вносит удобрения, осуществляет мелиорацию и иные агротехнические мероприятия. В таком случае проводится интенсификация сельскохозяйственного производства. Она означает увеличение выпуска продукции без расширения земельных участков, путем улучшения использования средств производства и рабочей силы. Такие меры повышают эффективность дополнительных капитальных затрат, в результате чего себестоимость единицы продукции снижается.
Продавая продукцию по установившейся рыночной цене (соответствующей условиям производства на худших землях), фермер получает новую разностную сверхприбыль. Она представляет собой разницу между рыночной ценой единицы продукции и индивидуальной ценой, которая понизилась вследствие интенсификации хозяйства на арендованном участке.
Вторая дифференциальная сверхприбыль с самого начала достается предпринимателю, который применил более эффективные капитальные затраты. Это побуждает арендатора улучшать землепользование и увеличивать проLуктивность сельского хозяйства. Убедительным примером служит так называемая зеленая революция 60-х годов, в результате которой в Индии, Мексике и других странах урожайность возросла в четыре раза.
Достижения современного этапа научно-технического прогресса в западных странах наиболее эффективно использует крупный агробизнес. Он объединяет в едином агропромышленном, комплексе изготовление необходимых средств производства для сельского хозяйства, само это хозяйство и отрасли промышленной переработки полученной продукций. Новейшие научно-технические достижения позволяют поднять эффективность труда и в семейных фермах.
О реальном положении в сельском хозяйстве западных стран можно судить на примере США. Здесь около 500 тыс. фермерских хозяйств (14% всех ферм), имеющих годовой объем реализации свыше 100 тыс. долл. на одну ферму, в 80-е годы давали более 70% всей товарной сельскохозяйственной продукции. На них занято около 80% всех наемных сельскохозяйственных рабочих. На другом полюсе — около 1400 тыс. хозяйств (63% всех ферм), каждое из которых ежегодно продает сельскохозяйственную продукцию в среднем на сумму менее 20 тыс. долл.
Доля этих ферм в производстве сельскохозяйственной продукции не превышает 9%. Большая их часть является убыточной.
Заметим, что в 90-е годы положение в агропромышленном комплексе России сильно ухудшилось. Так, покупка важнейших видов сельскохозяйственной техники предприятиями сократилась (в тыс. шт.): тракторов с 65,4 в 1992 г. до 9,7 в 1995 г.; грузовых автомобилей соответственно — с 47,9 до 4,7; зерноуборочных комбайнов — с 17,3 до 4,4; доильных установок — с 5,4 до 0,4. Продажа минеральных удобрений сельскохозяйственным предприятиям (в пересчете на 100% питательных веществ) за тот же период уменьшилась с 5510 до 1601 тыс. т. Слабая обеспеченность сельского хозяйства промышленными средствами производства привела к значительному снижению урожайности в растениеводстве и уменьшению продуктивности скота и птицы во всех категориях хозяйств.
Теперь вернемся к образованию и распределению дифференциальной сверхприбыли второго рода, возникающей при интенсификации сельского хозяйства. Эту сверхприбыль арендатор может получать до истечения срока арендного договора. Когда же собственник земли заключает с предпринимателем арендный договор на новый срок, то он учитывает результаты капиталовложений в улучшение земли, произведенные без всякого его участия, и назначает более высокую арендную плату. В результате новая сверхприбыль превращается в дифференциальную ренту II.
Интересы фермера, стремящегося получить выгоду от своих нововведений, и собственника земли, желающего воспользоваться плодами чужого труда, естественно, сталкиваются. ПредприUиматель старается получить землю на возможно более длительный срок аренды. А собственник земельного участка стремится сократить этот срок, чтобы быстрее получить дифференциальную ренту.
До сих пор мы рассматривали сверхприбыль, которая образуется на лучших участках земли. Между тем даже на худших землях образуется дополнительная прибыль, но иного рода. Она исторически возникла следующим образом.
Технический прогресс первоначально развивается, как известно, в промышленности, а затем захватывает сельское хозяйство. Из-за отставания последнего в техническом отношении здесь на одну и ту же величину производственных затрат приходилось больше расходов на наем рабочей силы по сравнению с промышленностью. Поэтому сравнительно большее число сельских работников создает соответственно большую по величине прибыль, которая превышает размер обычной (средней) прибыли, получаемой предпринимателем на худшем земельном участке.
Сверхприбыль, которая образуется даже на худших участках, достается собственнику земли. Обладая монопольным правом присваивать землю, он получает абсолютную ренту — своеобразную дань, собираемую с худших и всех остальных участков. Поскольку рыночная цена на сельскохозяйственные продукты включает абсолютную ренту, это ведет к их удорожанию.
По сути дела, покупая такую продукцию, все общество выплачивает дань земельным собственникам.
В добывающей промышленности (где получают энергоносители, полезные ископаемые и другие сырьевые продукты) рента образуется точно так же, как и в земледелии. Здесь дифференциальная рента порождена различиями в уровне производительности труда и величине себестоимости, которые обусловлены неодинаковым богатством залежей и неравенством других природных условий на рудниках, шахтах, нефтяных и газовых скважинах. Цены на продукцию добывающей промышленности устанавливаются, естественно, по худшим условиям ее производства.
На лучших же участках, где получают полезные ископаемые с меньшими хозяйственными издержками, образуется разностный доход. Он достается собственнику земли в виде дифференциальной ренты.
Монополисты земли получают ренту и с предприятий, ведущих разработку самых бедных месторождений полезных ископаемых. Этот факт объясняется рядом обстоятельств. Поскольку уровень технической оснащенности добывающих сырье предприятий, как правило, ниже, чем в обрабатывающей промышленности, то на них применяется сравнительно большая численность работников, а стало быть, — при прочих равных условиях — создается больше прибыли.
Часть ее, превышающая обычную прибыль, и достается земельному собственнику в виде абсолютной ренты.



Рентные займы реализуются фондовыми биржами и банками.


В отличие от договора ренты договор аренды (имущественного найма) означает, что арендодатель (наймодатель) обязуется предоставить арендатору (нанимателю) имущество за плату во временное владение и пользование или во временное пользование. Плоды, продукция и доходы, полученные арендатором в результате использования арендованного имущества в соответствии с договором, являются его собственностью (ГК РФ, статья 606).
В аренду могут быть переданы земельные участки и другие обособленные природные объекты, предприятия и другие имущественные комплексы, здания, сооружения, оборудование, транспортные средства и другие вещи, которые не теряют своих натуральных свойств в процессе их использования. Законом могут быть установлены особенности сдачи в аренду земельных участков и других обособленных природных объектов (пункты 1, 2 статьи 607).
Арендатор обязан своевременно вносить плату за пользование имуществом (арендную плату). Порядок, условия и сроки внесения арендной платы определяются договором аренды. Арендная плата устанавливается на все арендуемое имущество в целом или отдельно по каждой из его составных частей в виде:
1) определенных в твердой сумме платежей, вносимых периодически или единовременно;
2) установленной доли полученных в результате использования арендованного имущества продукции, плодов или доходов;
3) предоставления арендатором определенных услуг;
4) передачи арендатором арендодателю обусловленной договором вещи в собственность или в аренду;
5) возложения на арендатора обусловленных договором затрат на улучшение арендованного имущества.
Стороны могут предусматривать в договоре аренды сочетание указанных форм арендной платы и иные формы оплаты аренды (пункты 1, 2 статьи 614).
Как уже было сказано, рента в экономическом смысле связана с получением кредитных средств. Один из видов такой ренты — государственная рента (рентный заем) — форма государственного займа, который выпускается на неопределенное время; его возврат к какому-то сроку государством не гарантируется. Держателям пенных бумаг, связанных с займом, выплачивается рента в установленном проценте от номинальной суммы заимствованного капитала в обозначенные сроки (раз в квартал, полгода или год).
Рентные займы реализуются фондовыми биржами и банками.
Другой вид ренты представляет собой процент на капитал, который вложен на хранение в банки или назначен по облигациям государственных займов.
Основное внимание мы уделим земельной ренте, связанной с аграрными отношениями. Такая рента обладает характерными чертами, которые обусловлены земельными отношениями.
Не требуется доказывать, что в сельском хозяйстве земля как средство производства играет решающую роль. Присвоение и хозяйственное использование этого средства производства представляет существо земельных отношений, которые при определенных обстоятельствах порождают ренту.
В сельском хозяйстве собственники земли подразделяются на два основных вида:
а) собственники сами ведут хозяйства, используя труд членов семьи или наемных работников;
б) землевладельцы не занимаются хозяйственной деятельностью, а сдают землю в аренду.
Нередко бывает и так, что собственник земли занимается сельским хозяйством, а часть своей земли сдает в аренду.
Аренда земли — вид землепользования, при котором собственник передает свой земельный участок на определенный срок другому лицу (арендатору) для ведения хозяйства. В арендном договоре предусматривается вознаграждение собственнику земли — арендная плата.
Аренда земли возникла вместе с появлением рабовладельческого общества. Так, в Древней Вавилонии кодекс Хаммурапи (XVIII в. до н.э.) строго определял условия аренды земли: она была краткосрочной (на 1—2 года), натуральной (с уплатой 1/3 или 1/2 урожая с поля и 2/3 с сада) или денежной.
Арендная плата и в настоящее время является основной формой крестьянского землепользования в развивающихся странах. Например, в Иране арендуют землю 60% всех крестьянских семей. Удельный вес хозяйств, арендующих землю, составляет около 40% в Гватемале и Аргентине, свыше 75% — в Панаме.
Арендная плата принимает различные формы. Она выплачивается деньгами, продуктами земледелия или же арендатор земли вынужден своим трудом на чужом участке земли расплачиваться с его собственником.
В XVI—XVII вв. возникла капиталистическая (предпринимательская) аренда земли. Ее исторической предпосылкой в ряде стран было то обстоятельство, что в сельском хозяйстве земля осталась в основном у бывших феодалов — крупных землевладельцев. Они перестали вести хозяйство на основе применения труда крепостных крестьян и сдавали землю во временное землепользование.
С другой стороны, развитие капиталистического предпринимательства в сельском хозяйстве стало проходить на основе аренды. И в современных условиях необходимость расширить сельскохозяйственное производство вынуждает капиталистических фермеров становиться нанимателями земли. В этом случае арендатор вкладывает в землю собственный капитал, ведет хозяйство с помощью наемного труда с целью извлечения прибыли.
Такая аренда особенно распространена в Великобритании, Бельгии, Нидерландах, Франции и США.
Возьмем для примера такую фермерскую страну, как США. В 1987 г. здесь было 2 088 тыс. фермеров, в том числе полные арендаторы (13% всех земель); фермеры, занимавшие дополнительно чужую землю (54% всей земли) и полные собственники земли (32% всей земли).
Сейчас в странах Запада заметна тенденция к уменьшению удельного веса арендованной земли в общем земельном фонде. Это происходит под воздействием ряда факторов. На химических предприятиях создаются многие заменители сельскохозяйственного сырья, повышается концентрация сельскохозяйственного производства, происходит разорение трудящихся крестьян и фермеров из-за возросшей конкуренции на рынках сбыта сельскохозяйственной продукции т.д.
Наблюдается и другая тенденция — в одном лице объединяются земельный собственник и предприниматель.
Арендная плата за землю во всех странах учитывает доход на капитал (основные фонды), вложенный в имущество землевладельцем. В силу этого плата за землепользование может включать амортизацию за постройки, находящиеся на земле, процент на вложенный в землю капитал. Но основную часть арендной платы составляет рента. Именно благодаря этой части при аренде земли возникают рентные отношения между землевладельцем и предпринимателем — арендатором.
В чем существо этих отношений?
Рентные отношения представляют собой по существу отношения между собственником земли и арендатором по распределению прибыли. Одна ее часть — в виде обычной прибыли — достается предпринимателю, а другую долю — в форме сверхприбыли — получает земельный собственник (рис. 12.5).

Рентные займы реализуются фондовыми биржами и банками.

Рис. 12.5. Источники дохода предпринимателя и собственника земли
В свое время А. Смит раскрыл существо рентных отношений: Устанавливая условия договора, землевладелец стремится оставить арендатору лишь такую долю продукта, которая достаточна для возмещения капитала, затрачиваемого им на семена, на оплату труда и покупку и содержание скота, а также остального сельскохозяйственного инвентаря, и для получения обычной в данной местности прибыли на вложенный в сельское хозяйство капитал... Всю ту часть продукта или, что то же самое, всю ту часть его цены, которая остается сверх этой доли, землевладелец, естественно, стремится удержать для себя в качестве земельной ренты...85.
Сказанное означает, что земельная рента — это форма экономической реализации собственности на землю.
Кстати, в Российской Федерации в 1992—1995 гг. не был решен в законодательном порядке вопрос об установлении частной собственности на землю в сельском хозяйстве. Поэтому в нашей стране не сложились рентные отношения, о которых здесь говорится.
Иногда возникает вопрос: получает ли собственник земли ренту, если он сам использует свой участок для производства сельскохозяйственной продукции? Ответ, наверное, напрашивается легко. Ведь в этом случае отсутствует экономическое отношение между собственником и арендатором, а поэтому нет и ренты.
Между тем землевладелец присваивает с самого начала ту сверхприбыль, которая образуется на его участке.
Теперь предстоит выяснить, каким образом в сельском хозяйстве образуется сверхприбыль, какие конкретные формы она принимает.
Земельная рента возникает в силу тех особых экономических отношений, которые складываются по присвоению и использованию земли. Землевладелец (частный собственник, кооператив или государство) обладает монополией собственности на землю, поскольку только он на законном основании присваивает землю — невоспроизводимый фактор производства. Собственник передает свое право использования земли предпринимателю, который по условиям арендного договора временно становится обладателем монополии хозяйствования на земле. Именно с этими монополиями связан механизм превращения части прибыли в ренту.
Вот как это происходит.



Ресурсосбережение.


В последние годы во многих странах быстро развивается производство электроэнергии на атомных электростанциях (АЭС). На них применяются новые ядерные реакторы, позволяющие существенно удешевить выработку электроэнергии. Как известно, мировые энергетические запасы ядерного горючего существенно превышают энергоресурсы природных запасов органического топлива. К тому же наблюдается тенденция к относительному увеличению стоимости топлива органического происхождения.
В силу этого атомная энергетика стала занимать заметное место в энергетическом балансе ряда промышленных стран. В 1992 г. удельный вес производства электроэнергии АЭС во всей выработке электроэнергии колебался от 12% в нашей стране, 20% - в США, 24% - Великобритании, 28% - Японии, 30% - Германии и до 73% во Франции.
Между тем аварии на атомных электростанциях в ряде стран потребовали принятия серьезных мер, чтобы обеспечить безопасность населения, сохранить окружающую среду, создать систему международного сотрудничества в области использования атомной энергии в мирных целях. Активизировались научные поиски безопасных и непрерывно возобновляемых источников энергии (энергия солнца, ветра, морских приливов, подземного тепла и пр.).
Важным направлением дальнейшего развития НТП является совершенствование технологии производства и обработки новых материалов. В современных условиях резко возросли и усложнились требования к конструкционным материалам, из которых изготавливаются машины, приборы, каркасы зданий, мосты и другие конструкции, несущие основную силовую нагрузку при эксплуатации. Потребовались материалы легкие и в то же время сохраняющие прочность при высоких и при низких температурах, пластичные и хорошо выдерживающие ударные нагрузки. Столь необычными свойствами обладают сплавы на основе алюминия, титана и магния, новый класс композиционных материалов (синтезированных из элементов, имеющих предельное значение свойств — тугоплавкие, термостабильные и т.д.).
Повышенные прочностные качества получаются путем, например, специальной обработки металлов, газотермического напыления, применения металлических порошков. Для электронной, атомной, космической и других новейших видов техники создаются сверхчистые материалы, обладающие особо ценными свойствами.
Об уровне производства некоторых новых материалов можно судить по данным таблицы 9.2.
Таблица 9.2.
Показатели технического уровня производства в отдельных
странах в 1985 и 1992 г.

Показатель
1985
1992
Удельный вес производства термопластов в общем объеме производства синтетических смол и пластических масс (без смол и полупродуктов для синтетического волокна), %
Россия
Германия
Италия
США
Франция
Япония


48
67
85
74
86
82


53
70
83
74
88
85
Перспективным направлением НТР является биотехнология.
Биотехнология — совокупность промышленных методов, использующих живые организмы и биологические процессы, достижения генной инженерии (отрасли молекулярной генетики, связанной с созданием искусственных молекул вещества, передающего наследственные признаки живого организма) и клеточной технологии. Такие методы применяются в растениеводстве, животноводстве, при изготовлении ряда ценных технических продуктов. Разрабатываются биотехнологические программы обогащения бедных руд и концентрации редких и рассеянных в земной коре элементов, а также преобразования энергии.
НТР на ее современном этапе вызвала коренной переворот в технологии производства. Этот переворот открыл до сих пор невиданные возможности для достижения максимальных результатов при наименьших затратах.
Вместо традиционной для машинной индустрии технологии с 70—80-х годов создается принципиально иная совокупность методов изготовления полезных вещей (рис. 9.7).

Ресурсосбережение.

Рис. 9.7. Основные черты новейшей технологии
Новые средства труда (например, станки с числовым программным управлением, роботы) дают сравнительно невысокий экономический эффект, когда используются в отдельных технологических операциях. Их эффективность многократно возрастает в масштабах комплекса таких технических средств, которые требуют радикального преобразования технологии. Иначе говоря, НТР порождает высокие технологии, обеспечивающие резкий подъем эффективности производства
Впервые создается безмашинная технология — принципиально новые способы обработки изделий и получения готовых продуктов: электронно-лучевые, плазменные, импульсные, радиационные, мембранные, химические и т.п. Скажем, биотехнология позволяет, минуя фабричные способы производства азотных удобрений, с помощью особых бактерий непосредственно получать азот из воздуха и передавать культурным растениям.
Электронизация и комплексная автоматизация ведут в конечном счете к созданию малолюдного и безлюдного производства. Появляются комплексно-автоматизированные цехи и предприятия, где все основные и вспомогательные операции, контроль за технологическими процессами выполняют роботокомплексы, ЭВМ и другие технические средства. В итоге выработка возрастает в два-три и более раз.
Другим важным направлением совершенствования технологии является ресурсосбережение. Используются экономичные виды металле-продукции, синтетические и другие прогрессивные материалы. Улучшаются технико-экономические и повышаются прочностные характеристики конструкционных материалов.
Более полное использование сырьевых ресурсов позволяет создавать малоотходное и безотходное производство. Вот какова эффективность ресурсосберегающих технологий: 1 кг конструкционных пластмасс заменяет не менее 4—5 кг металлопроката; на производство 1 кг пластмасс требуется в два-три раза меньше энергетических затрат. Изготовление деталей из металлических порошков экономит на каждую их тонну 2 т проката, к тому же высвобождается 60 металлообрабатывающих станков.
Если для традиционной технологии характерно загрязнение окружающей среды, то высокие технологии, как правило, являются экологически чистыми. В них применяются закрытые системы водопотребления, замкнутые циклы производства, широко используются вторичное сырье и производственные отходы. Это обеспечивает рост экономической и социальной эффективности хозяйственной деятельности.
Поскольку техническое обновление сопровождается повышением хозяйственной результативности производства, то нам предстоит выяснить: что такое экономическая эффективность?
На начальных этапах индустриализации производства результативность обобщенно выражалась в показателях роста производительности труда. Это соответствовало основной тенденции — живой труд вытеснялся машинной техникой. Техника внедрялась при том экономическом условии, что ее стоимость должна быть меньше, чем стоимость замещаемой рабочей силы (меньше заработной платы работников).
Поэтому рост производства закономерно приводил к тому, что в расчете на единицу продукции доля живого труда сокращалась и относительно возрастал удельный вес овеществленного труда, но при этом общая величина стоимости единицы продукции уменьшалась.
Естественно, что ныне исключительно важное значение приобрел новый экономический показатель — эффективность производства. Эффективность производства — отношение его результатов (эффекта) к затратам. Эффект на предприятии измеряется, по существу, тем, что приобретает его собственник, т.е. величиной прибыли П. Затратами являются текущие производственные расходы, которые в нашей стране называются полной себестоимостью товарной продукции Сс. В таком случае эффективность производства на предприятии Эп будет измеряться по формуле

Ресурсосбережение.

Эффективность производства в общественном масштабе Эо — более широкое понятие. Оно учитывает в качестве результата прирост всего вновь созданного продукта (добавленной стоимости в национальном масштабе — Сд). Этот показатель предстает в виде дроби:

Ресурсосбережение.

Себестоимость товарной продукции суммирует общие расходы на выпуск продукции. Она включает: а) оплату труда всех работников;
6) амортизацию производственных основных фондов; в) израсходованные материальные ресурсы (сырье, материалы, топливо, энергию). Отсюда вытекают три частных показателя эффективности производства по видам затрат (табл. 9.3).
Таблица 9.3.
Виды эффективности производственных затрат

Виды производственных затрат
Частные показатели эффективности производства
Трудовые затраты
Производительность труда Пт — производство чистой продукции Пч на одного среднесписочного работника Р. Пт = Пч/Р
Производственные основные фонды
Фондоотдача Фо — отношение чистой продукции на рубль среднегодовой стоимости производственных основных фондов Ф: Фо = Пч/Ф
Материальные ресурсы
Материалоемкость (MЕ.) — отношение материальных затрат М и стоимости чистой продукции: mЕ = М/Пч
Производительность труда показывает степень результативности использования трудовых ресурсов. Фондоотдача (капиталоотдача) характеризует уровень плодотворности применения основного капитала (основных фондов). В нашей стране у гот показатель подсчитывают путем деления годового объема чистой продукции на среднегодовую полную балансовую стоимость основных фондов.
Материалоемкостъ продукции свидетельствует о размере материальных затрат (сырья, основных и вспомогательных материалов, топлива, тепловой и электрической энергии, покупных и комплектующих изделий и полуфабрикатов) на единицу продукции в денежном выражении.



Россия располагает огромными запасами природных богатств.


Примечание. Совокупный доход равен 100%.
Из закона Энгеля вытекают важные практические выводы для всех предпринимателей. Так, производителям всех групп товаров важно следить за степенью удовлетворения покупательского спроса на их изделия. Когда достигается предел насыщения платежеспособных потребностей населения в отношении определенных материальных благ, то это служит тревожным сигналом.
Надо своевременно переключаться на выпуск товаров более высокого качества и новых изделий, искать пути их продвижения на международный рынок.
Тенденции изменения состава потребностей населения приходится учитывать при разработке государственной экономической политики, при сопоставлении уровня и качества жизни разных народов и определении перспективных перемен в структуре народного хозяйства.
Чтобы претворить в жизнь прогрессивный вариант экономического развития, важно установить максимальные возможности созидательной деятельности общества и обеспечить современную структуру производства.
3. Возможности производства и его
современная структура
Уровень развития экономики в первую очередь зависит от количества и качества примененных в производстве факторов (лат. factor"- делающий, производящий). Рассмотрим их в натурально-вещественном виде, который свойственен всякому обществу.
Первый фактор (субъективный) — человеческий. Для производства всегда нужны люди, имеющие необходимые знания и трудовые навыки. Отсюда первой созидающей силой является труд.
Труд в материальном производстве — это целесообразная деятельность, в которой люди с помощью созданных ими средств приспосабливают предметы природы для удовлетворения своих потребностей. В этой деятельности на предприятиях участвуют работники разных профессий, а также управленческий персонал, организующий их совместный труд.
.Второй фактор (вещественный) — средства труда. К ним относятся те материальные вещи, с помощью которых люди создают блага.
В состав средств труда входят естественные условия труда (например, водопады, используемые для хозяйственных целей). Главное же место здесь занимает техника — искусственные, созданные человеком "средства труда. В свою очередь, они включают орудия труда (инструменты, машины, оборудование, аппараты химического производства и т.п.), благодаря которым исходное природное вещество преобразуется в полезные блага, а также общие материальные условия труда (производственные здания, каналы, дороги и т.д.).
Третий фактор (вещественный) — предметы труда. Это вещь или совокупность вещей, которые человек видоизменяет с помощью средств труда. Предметы труда подразделяются: на природное вещество, к которому не применялся труд (например, угольный пласт в шахте, руда в руднике), и на сырье (сырые материалы), которое претерпело воздействие тру да. человека (отбитые из пласта уголь и руда, направляемые для дальнейшей переработки).
Чтобы все факторы привести в движение, требуется найти правильные количественные соотношения между всеми вещественными элементами производства и численностью работников. Эту задачу решает технология, определяющая способы переработки природных и иных веществ и получения готовых продуктов.
Внутренняя структура факторов производства наглядно представлена на рисунке 1.3.

Россия располагает огромными запасами природных богатств.

Рис. 1.3. Факторы производства
Все указанные факторы (или ресурсы) производства в каждый данный момент времени ограничены по отношению к потребностям. Эта ограниченность может быть: абсоSютной (ресурсы вообще невозможно увеличить) и относительной (факторы можно умножить, но в меньшей степени по сравнению с ростом потребностей).
Первый фактор нельзя или почти нельзя быстро увеличить. Ограничителями здесь являются общая численность населения каждой страны и особенно доля в его составе трудоспособных лиц.
Второй фактор можно в принципе увеличивать до необходимых размеров на предприятиях. Однако за короткий срок их нельзя получить в желательных размерах, ибо несколько лет уходит на создание новых машин, оборудования, зданий и сооружений.
Третий фактор, прежде всего земля и полезные ископаемые, во всем мире абсолютно ограничен. При этом различают разведанные запасы природных богатств и потенциальные запасы (которые еще недостаточно учтены). Обследования,, проведенные в 70-е годы во многих странах, показали, что разведанных запасов (например, нефти, газа и угля) может хватить только на несколько десятков лет.
Крупномасштабное использование полезных природных минералов привело к их сильному истощению во многих регионах планеты. Сейчас осталось ничтожно мало неосвоенных земель, пригодных для сельскохозяйственного производства. Сравнительно быстро сокращается лесной покров земного шара: с 1950 по 2000 г. площадь лесов уменьшится почти на 10%.
Правда, разные страны обеспечены природными ресурсами весьма неодинаково. Например, Россия располагает огромными запасами природных богатств. В расчете на душу населения ресурсный потенциал нашел страны превышает такой же потенциал США в 2—2,5 раза, Германии — в 6 раз, Японии — в 18—20 раз.
Итак, в XX в. во всем мире особенно остро осознается ограниченность производственных факторов по сравнению со сложившимся и возрастающим уровнем потребностей. В силу таких объективных обстоятельств перед хозяйственной деятельностью людей возникает задача первостепенной важности: как можно эффективнее использовать производственный потенциал общества, т.е. добиваться наибольшего удовлетворения потребностей при наименьшем и рациональном расходовании ресурсов.
Количественный подход к экономике позволяет в первую очередь определить, насколько производство способно удовлетворить сложившиеся и перспективные потребности. Для этого подсчитываются производственные возможности (применительно как к стране, так и к отдельному предприятию). Под производственными возможностями подразумевается наибольший объем выпуска продукции, который достигается при полном использовании ресурсов.
Однако обычно производственных возможностей не хватает для полного удовлетворения всех видов потребностей. Отсюда вытекает следующая экономическая задача. Приходится прибегать к альтернативному выбору (альтернатива — каждая из исключающих друг друга возможностей) самих потребностей, подлежащих удовлетворению.
Из всех допустимых вариантов применения производственных факторов изыскивается более предпочтительный, самый насущный.
Выясним эту процедуру на весьма простом условном примере. Допустим, правительство страны должно решить вопрос о том, для каких целей использовать имеющиеся ресурсы. По первому варианту их можно целиком направить на повышение жизненного уровня населения и произвести 700 млн. штук предметов потребления. Второй вариант предусматривает только технический прогресс на предприятиях — создать 200 млн. обновленных средств труда. Альтернативный выбор наглядно иллюстрирует шкала производственных возможностей.
Она показывает разнообразные варианты изготовления разных благ при полном использовании ресурсов.
Таблица 1.2.
Шкала производственных возможностей

Вариант
Предметы потребления, млн. шт.
Средства труда, млн изд.
1
700
0
2
550
70
3
250
120
4
0
200
В таблице 1.2 указаны не только крайние, но и промежуточные случаи альтернативного применения производственных факторов. Это позволяет построить график производственных возможностей — отобразить кривую, которая очерчивает границу полного применения хозяйственных ресурсов (рис. 1.4).

Россия располагает огромными запасами природных богатств.

Рис. 1.4. График производственных возможностей
График позволяет представить себе множество вариантов альтернативного выбора между выпуском жизненных средств и технических изделий. Допустим, что правительство решило ускорить технический прогресс и увеличить изготовление новых средств труда с 70 до 120 млн. изделий. Однако при отсутствии резервов сделать это можно лишь путем сокращения выпуска предметов потребления с 550 до 250 млн. штук, т.е. на 300 млн.
Последняя цифра точно определяет экономические последствия (своего рода цену) принятого решения. Западные экономисты назвали ее альтернативной стоимостью. Под альтернативной стоимостью подразумевается количество благ, которое нужно отдать (или, как говорится, принести в жертву) в обмен на предметы, пользующиеся значительно большим предпочтением.
В рассмотренном случае ускорение технического прогресса (увеличение технических средств с 70 до 120 млн. изделий) имеет альтернативную стоимость, равную 300 млн. штук жизненных средств.
При определении производственных возможностей, как правило, отвергаются крайние варианты, предполагающие удовлетворение лишь одной потребности. Ибо нельзя полностью исключить выпуск каких-то очень нужных благ. Поэтому приходится решать довольно-таки сложную экономическую задачу.
Надо распределять наличные ресурсы таким образом, чтобы в должной мере удовлетворять многообразные потребности. Сейчас во многих экономически развитых странах для нахождения лучших производственных возможностей принимаются в расчет сотни отраслей хозяйства. При этом используются современные экономико-математические методы, позволяющие добиться наибольшей эффективности производства.
Хорошо зарекомендовал себя в этом отношении метод затраты — выпуск, разработанный лауреатом Нобелевской премии американским экономистом Василием Леонтьевым (об этом методе будет сказано в разделе IV учебника).



Рыночная цена опускается ниже равновесной точки


На рынке возможен и прямо противоположный случай: рыночная цена опускается ниже равновесной точки. Тогда спрос превышает предложение и, естественно, возникает зона нехватки товаров (на рис.6.6 зона П1 - Р – C1).
В данной ситуации очень напряженной становится обстановка на фронте противоборства покупателей. Последние всегда стремятся приобрести вещи по меньшей цене. Когда же между ними разгорается острая борьба, то побеждает (покупает больше) тот, кто предложил более высокую цену.
Возникает другая цепная реакция: отдельные лица, а затем и все покупатели вынуждены приобретать товар по более высокой цене. Последняя продвигается, к точке равновесия с иной стороны.
Итог соперничества покупателей вполне предсказуем. Вздорожание цен способствует появлению товаров на прилавках магазинов. А производители становятся более заинтересованы в расширении выпуска продукции повышенного спроса.
Зона товарного дефицита перестает существовать. При достижении равновесной цены опять сбалансированы спрос и предложение.
Стало быть, конкуренция — сильное средство уравнения спроса и предложения и достижения равновесной цены.
Второе направление: конкуренция поддерживает общественно нормальные условия производства и реализации товаров.
Благодаря конкуренции в любой отрасли производства в каждый данный момент на рынке устанавливается общая (равная) цена на однородные продукты, обладающие одинаковым качеством. Это заставляет всех товаропроизводителей следовать единой линии хозяйственного поведения, или, как говорится, руководствоваться общими правилами игры. В них отражаются те требования общественно нормального хозяйствования, которые предписывают объективные экономические законы.
Уровень равновесной цены выступает для товаропроизводителей как норматив рационального хозяйствования. При нарушении такого норматива предприятие, установившее, допустим, очень высокую цену на свою продукцию ради получения большего дохода, может оказаться в тупиковой ситуации. Спрос на дорогостоящие товары упадет, они не будут раскупаться.
Тогда придется снижать цены или даже прибегать к распродаже изделий по низким ценам и терпеть из-за этого убытки.
Так конкуренция дает наглядный урок всем, кто не учитывает общественно нормальные условия производства и реализации товаров.
Третье направление: рыночное соперничество стимулирует научно-технический прогресс и повышение эффективности производства.
Как было установлено, конкуренция ведет к уравнению рыночных цен. В таких условиях больший доход может получить лишь тот товаропроизводитель, который затрачивает меньше ресурсов на единицу продукции. Он создает товары с низкой индивидуальной ценой, а реализует их по более высокой рыночной цене.
Если повнимательнее присмотреться к конкурентам, то среди них можно заметить смелых предпринимателей, которые, рискуя своим имуществом, делают своего рода открытия большого хозяйственного значения. Они изобретают и внедряют новинки техники и технологии, находят более эффективные формы организации труда и производства, способы экономного использования ресурсов. Тем самым для всех прокладывается дорога к научно-техническому и экономическому прогрессу. Лауреат Нобелевской премии Ф. Хайек сделал важное обобщение: Общества, полагающиеся на конкуренцию... успешнее других достигают своих целей. Вот вывод ... замечательно подтвержденный всей историей цивилизации.
Конкуренция... показывает, как можно эффективнее производить вещи...51.
Четвертое направление: противоборство агентов рынка усиливает их социально-экономическое расслоение.
В конкуренции участвуют товаропроизводители, имеющие неодинаковую экономическую силу. Естественно, что не выдерживают суровое испытание на прочность, как правило, многие мелкие предприятия. Они не имеют достаточного количества денег, современных средств производства и других хозяйственных ресурсов.
Конкуренции свойственна тенденция к углублению сначала неравенства, а затем и пропасти между мелкими и крупными собственниками.
В современных условиях в развитых странах имеется множество мелких предпринимателей, создающих свои крошечные предприятия (семейные магазины и фермы, бензоколонки и т.п.). Однако подавляющая часть из них не в состоянии продолжительное время нормально существовать и выдержать конкуренцию с более крупными предприятиями. К тому же постоянно растет тот минимум денежных средств, который позволяет быть конкурентоспособным.
Такую тенденцию можно обнаружить, например, в США. Здесь в 80-е годы насчитывалось около 10 млн. крошечных предприятий с доходом менее 50 тыс. долл. в год. Большинству из них обычно не хватает начального капитала для длительной и доходной работы. Например, существование от 1/3 до 1/2 всех розничных магазинов прекращается в течение трех лет. Сложной является и судьба фермеров, живущих своим трудом.
В США насчитывается 1,4 млн. небольших фермерских хозяйств, которые составляют 2/3 всех ферм. Они дают не более 9% всей сельскохозяйственной продукции. В первой половине 80-х годов большая часть этих хозяйств была убыточной.
С начала 80-х годов прекратили существование свыше 1,5 млн. ферм.
Рыночное соперничество порождает не только неудачников, но и счастливых соперников, преумножающих свое богатство. Они расширяют хозяйство, нанимая на работу тех, кто отчужден от средств производства.
Пятое направление: конкуренция способствует продвижению рыночного хозяйства к монополии.
Не по чьему-то умыслу, а стихийно и объективно соперничество продавцов и покупателей существенно меняет всю структуру рыночного пространства. Эти структурные перемены обусловлены следующими обстоятельствами.
А. Конкуренция устраняет с рыночной арены все отсталые и неэффективные хозяйства. Эта санация (оздоровление) экономики сопровождается обычно некоторым сокращением численности хозяйственных субъектов, особенно заметным в ряде отраслей.
Б. Рыночное соперничество, как известно, укрепляет позиции крупного производства. Один промышленный гигант по объему выпуска продукции можно сопоставить с суммарной производственной мощностью нескольких сотен и даже тысяч мелких предприятий. Поэтому рыночное хозяйство быстрее всего величивается за счет абсолютного и относительного усиления роли крупных собственников.
В. Главный фронт сражения на рыночном поприще проходит между армиями продавцов и армией покупателей, стоящих на противоположных позициях в отношении уровня цены. Какая же армия может уверенно выиграть сражение? Разумеется, та, которая больше сплочена и в итоге может навязать противнику свою цену.
Выходит — как это ни покажется парадоксальным — победу в крупном конкурентном сражении может дать монополистическое объединение противоборствующих сил.
Значит, объективная логика развития рынка такова, что свободная конкуренция сама порождает монополию, т.е. движение идет от одного противоположного состояния рынка, указанного в таблице 7.1, к совершенно другому. Сейчас настал черед подробно рассмотреть особенности второго вида взаимодействия участников рыночных сделок.
2. Монополистические объединения
В первую очередь важно учесть, что в экономической теории термин монополия используется для обозначения двух разных понятий. Так, в теме 3 говорилось о монополии применительно к отношениям собственности. Имелось в виду единовластие в присвоении имущества (монополия собственности) и в его хозяйственном использовании (монополия хозяйствования). Здесь пойдет речь о рыночной монополии.
Монополия (греч. monos — один; poleo — продаю) в этом смысле — захват физическим или юридическим лицом части или всего рыночного пространства и установление на нем своего господства.
Как известно, на рубеже XIX—XX вв. произошла широкомасштабная монополизация рынка. Свободная конкуренция стала исторически соответствовать периоду классического капитализма. В более полной мере она проявилась, пожалуй, только в Англии и лишь в XIX в. В современных условиях свободное рыночное соперничество стало редким явлением.
Так, в западных странах это явление можно наблюдать, например, на рынке ценных бумаг и на рынке, где фермеры продают сельскохозяйственную продукцию.
Но в период становления корпоративного и финансового капитала свободная конкуренция уступила многие свои позиции монополистическим объединениям. Монополизация экономически явилась закономерным следствием большого скачка в концентрации и централизации промышленного производства под воздействием научно-технического прогресса. Профессор П. Самуэльсон особо подчеркивает это обстоятельство: Экономике крупного производства, возможно, присущи определенные факторы, ведущие к монополистическому содержанию организации бизнеса. Это особенно наглядно проявляется в быстро меняющейся области технологического развития.
Ясно, что конкуренция не смогла бы долго просуществовать и быть эффективной в среде бесчисленного множества производителей52.
Монополии можно классифицировать на следующие виды, различающиеся по разным основаниям (рис. 7.1).

Рыночная цена опускается ниже равновесной точки

Рис. 7.1. Виды монополий



Рынок является свободным для его субъектов.


Как осуществляется такое воздействие, зависит от типов взаимодействия агентов рынка.
2. Типы рыночных связей
В одном важном отношении рынок прямо противоположен натуральному хозяйству. Как мы знаем, в таком хозяйстве создаваемые продукты поступают в распределение. Последнее зачастую не предоставляет потребителю возможности выбирать по его желанию те или иные блага.
В отличие от этого жесткого порядка распределения рынок в принципе способен обеспечить его агентам максимальную степень экономических свобод.
Покупатель приобретает свободу:
— выбирать товары из множества взаимозаменяемых и независимых благ;
— отыскивать продавца из числа тех, кто лучше обслужит и продаст продукт по сходным условиям.
Продавец обладает свободой:
— выбирать наиболее подходящего покупателя;
— иметь возможность распоряжаться деньгами, вырученными от продажи товаров, по своему усмотрению. Для покупателя и продавца свобода состоит в неограниченном выборе условий торговой сделки.
По степени развитости этих и иных хозяйственных свобод рынки можно подразделить на три типа: 1) свободный; 2) нелегальный и 3) регулируемый.
Тип свободного рынка обладает максимумом экономических свобод в их классическом понимании. Иначе говоря, стихийность, непредсказуемость развития и неуправляемость, свойственные первому типу рынка, выражают основные черты классического капитализма в сфере обращения: ,
— на рынке свободно действуют единоличные собственники небольших фабрик;
— производители обычно создают продукты без предварительной
договоренности с покупателями; .
— сами производители, как правило, заботятся о розничной продаже продуктов населению.
Вместе с тем определение свободный рынок требует уточнения в двух отношениях: для кого он свободен и от кого?
Такой рынок является свободным для его субъектов. Им принадлежит так называемый экономический суверенитет. Так, продавцы сами решают основные вопросы: что продавать? Кому сбывать продукцию и по каким ценам? Подобным суверенитетом обладают и покупатели.
Поэтому экономические связи между всеми субъектами свободного рынка строятся только по горизонтали. Между контрагентами складываются партнерские отношения на основе свободного хозяйственного договора.
Рынок первого типа свободен также от вмешательства государства и от строгого правового регулирования.
Однако такая свобода оборачивается своей неприглядной стороной. Из-за своеволия рыночных агентов не соблюдаются элементарные правила игры на рынке. Не случайно первый тип рынка уже давно получил нелестные эпитеты — дикий, блошиный, нецивилизованный.
Тип нелегального рынка близок по характеру поведения его субъектов к свободному рынку. Но имеются существенные различия между ними.
Нелегальный рынок включает два вида:
а) теневая торговля. Она связана с нарушением законов и правил купли-продажи обычных товаров (при отсутствии необходимых патентов, лицензий; при неуплате налогов, рыночных сборов и т.п.). Нередко такая торговля связана со спекуляцией — перепродажей дефицитных товаров по повышенным ценам;
б) черный рынок. На нем подпольно торгуют товарами, которыми запрещено торговать. Так, согласно УК РФ, уголовно наказуемыми признаны, в частности, сбыт оружия, боеприпасов, взрывчатых веществ и взрывных устройств (статья 222); сбыт наркотических средств и пси-хотропных веществ (статья 228); незаконная торговля печатными изданиями, кино- или видеоматериалами, изображениями или иными предметами порнографического характера (статья 242).
Общей чертой свободного и нелегального рынков является то, что они развиваются вне государственного контроля. Однако, как мудро заметил древнегреческий философ Гераклит из Эфеса (ок. 520 — ок. 60 г. до н.э.), все течет, в одну и ту же реку ты не вступишь дважды. Сейчас в странах Запада лишь частично сохранился стихийный рынок, в котором по-прежнему участвуют простые товаропроизводители и собственники небольших предприятий.
Элементы стихийности, неуправляемости и непредсказуемости, конечно, сохраняются в развитии хозяйства в целом. Однако основные позиции занимает рынок качественно иного типа.
Тип регулируемого рынка подчинен определенному порядку, который закреплен в правовых нормах и поддерживается государством. Переход в XX в. к этому типу рынка обусловлен объективными причинами, которые вызвали тенденцию к усилению организованности и управляемости рыночных связей.
Прежде всего важную роль сыграл резко возросший уровень концентрации и централизации производства и расширение масштабов обобществления экономики. Крупные предприятия уже не могут, как было прежде, вслепую работать на неизвестный им рынок, подверженный стихийным переменам. Чтобы не рисковать огромными затратами капитала, крупные фирмы стремятся заблаговременно обеспечить себе рынки сбыта, охотно идут на выполнение выгодных им государственных заказов.
Примечательно, что по заказам фирм и государства реализуется, например, автомобилей до 60%, станков — 100%. В результате рынок приобрел совершенно новые черты (см. ниже).
Основные черты стихийного и регулируемого рынка

Стихийный рынок
Регулируемый рынок
1. На рынке свободно действуют единоличные собственники небольших предприятий
2. Производители обычно создают продукты без предварительной договоренности с покупателями, действуют вслепую
3. Сами хозяева производственных предприятий, как правило, заботятся о розничной продаже товаров населению
4. Производители товаров не ведут учет конкретных рынков сбыта
5. Рынок развивается стихийно, вне контроля государства
1. Основную массу товаров реализуют крупные хозяйственные объединения
2. Возрастающая часть продукции создается по предварительным контрактам и заказам крупных фирм и государства
3. Большой отряд торговцев-посредников занимается продвижением товаров от производства до потребителей
4. Крупные производители изучают рынки и формируют спрос покупателей
5. Государство и право устанавливают на рынке правила игры
Ко второй половине XX столетия рыночные связи существенно усложнились. Во-первых, если в прошлых веках производитель товара часто сам непосредственно продавал его потребителю, то теперь на его пути — большая армия посредников. Они занимаются разными видами торгового сервиса (обслуживания) населения, который для многих изделий охватывает длительный период после приобретения товара (наладка и ремонт бытовой техники, автомобилей и т.п.).
Например, в США насчитывается 383 тыс. фирм оптовой торговли и 1567 тыс. фирм розничной торговли, которые приобретают товары для перепродажи или сдачи их в аренду другим потребителям с выгодой для себя. Все это привело к новым организационно-экономическим отношениям в сфере рыночного обмена.
В настоящее время регулируемый рынок достигает вершины, превращаясь в социальный институт.
Под социальным институтом понимается определенная организация общественной деятельности, которая регулирует правила поведения людей и их взаимоотношения.
Во второй половине XX столетия нормальный рынок — тот, который базируется на совокупности определенных институтов. Крупный специалист по рыночной экономике Р. Коуз (США) в речи при вручении ему Нобелевской премии (1992) подчеркнул: без соответствующих рыночных институтов невозможно развитие рыночной экономики любого уровня.
Что же входит в систему рыночных институтов? Во-первых, сюда включена правовая система, которая в рыночной экономике выполняет две задачи:
— организует правовое регулирование рынка: устанавливает для субъектов рынка единые правила поведения;
— защищает субъектов рынка и наказывает виновных за нарушение правовых норм, а тем самым охраняет экономические интересы рыночных агентов.
Роль права состоит в том, что оно передает хозяйственной деятельности следующие свойства:
— общеобязательность;
— точность и формальная определенность правовых норм;
— системность в процессе воздействия на человеческую деятельность;
— упорядоченность и стабильность.
Именно такие свойства позволяют обеспечить правовое регулирование всей системы рыночных отношений. Основу этого регулирования составляет Гражданский кодекс, который выполняет роль кодекса цивилизованного рынка.
С одной стороны, Гражданский кодекс отражает и законодательно закрепляет коренную особенность рынка — экономическую свободу его субъектов. Так, в ГК РФ с самого начала выражены основные требования такой свободы:
— равенство субъектов;
— неприкосновенность собственности;
— свобода договоров;
— недопустимость произвольного вмешательства кого-либо в частные дела,
— необходимость беспрепятственного осуществления гражданских прав;
— обеспечение восстановления прав;
— судебная защита прав (ГК РФ, пункт 1 статьи 1).
В Кодексе особо подчеркивается, что физические и юридические лица приобретают и осуществляют свои гражданские права своей волей и в своем интересе. Они свободны в установлении своих прав и обязанностей на основе договора и в определении любых не противоречащих законодательству условий договора (статья 2).



Самые различные социально-экономические системы.


Разумеется, единичная дифференциация труда на предприятии, связанная с незавершенным изготовлением какой-то части готового продукта, не может порождать товарного обмена. Такой обмен — следствие других видов разделения труда: международного (внешняя торговля), а также общего и особенного (внутренняя торговля).
Во-вторых, товарное хозяйство является открытой системой организационно-экономических отношений. Здесь работники создают полезные продукты не для собственного потребления, а для продажи их другим людям. Весь поток новых вещей выходит, как правило, за пределы каждой производственной единицы и устремляется на рынок для удовлетворения спроса покупателей.
В-третьих, товарному хозяйству присущи косвенные, опосредованные связи между производством и потреблением. Они развиваются по формуле: производство — обмен — потребление. Изготовленная продукция сначала поступает на рынок для обмена на другие изделия (или на деньги) и лишь затем попадает в сферу потребления.
Рынок подтверждает или не подтверждает необходимость изготавливать данную продукцию для продажи. Именно через рыночный обмен устанавливаются экономические отношения между производителями и потребителями товаров.
Следовательно, развитие разделения труда, открытость и рыночный характер хозяйственных связей сняли те преграды для прогресса экономики, на которые обрекало ее натуральное хозяйство. Потенциальные возможности противоположного ему товарного производства таковы, что ему свойствен закон расширенного воспроизводства.
Регулярное производство товаров существует 5—7 тысячелетий — с периода первобытно-общинного строя до настоящего времени. Оно обслуживает самые различные социально-экономические системы. В связи с этим можно выделить общие для всех исторических эпох причины его возникновения.
Товарное производство появилось прежде всего в результате общественного разделения труда. Эта общая форма организационно-экономических отношений продолжает изменяться при совершенствовании орудий труда. Поскольку технический прогресс не знает временных границ, то не имеет пределов и развитие разделения труда в обществе, а стало быть, совершенствование товарного хозяйства.
Как мы увидим в дальнейшем, научно-техническая революция породила новое, углубленное разделение труда — подетальное изготовление сложных изделий на разных заводах, которые вступили во взаимные торговые отношения. Во второй половине XX в. для многих предприятий стала характерна не специализация на выпуске одного продукта, а диверсификация — производство нескольких товаров.
Другой причиной возникновения производства товаров является хо-зяйственное обособление людей на изготовлении какого-то продукта. Данное организационно-экономическое отношение органически дополняет общественное разделение труда. Человек выбирает какой-то вид работы и превращает его в самостоятельную деятельность. Это, конечно, усиливает его зависимость от других товаровладельцев, порождает необходимость обмениваться разнородной продукцией и устанавливать хозяйственные связи через рынок.
В таком случае отпадает всякое внеэкономическое принуждение к труду. Сам работник испытывает потребность и материальную заинтересованность в том, чтобы увеличивать и качественно улучшать изготовление полезных вещей.
Хозяйственное обособление людей тесно связано с формами собственности на средства производства. Так, оно является наиболее полным и даже абсолютным, когда товропроизводитель — частный собственник. В меньшей мере оно достигается, если какое-то имущество отдается в аренду — временное владение и пользование.
Тогда на какой-то период арендатор может владеть и пользоваться чужим имуществом. Но одна частная собственность сама по себе не порождает товарно-рыночное хозяйство. Это видно на примере натурального производства при рабовладельческом и феодальном строе.
Производство товаров не может нормально развиваться в рамках общей совместной собственности, которая затрудняет хозяйственное обособление производителей полезных вещей, их свободную предпринимательскую деятельность. Оно полностью парализуется, когда государство становится единственным собственником средств и результатов производства.
В зависимости от степени развития отношений собственности и организационно-экономических отношений образуются два вида товарного производства. Во-первых, исторически первым было простое товарное хозяйство крестьян и ремесленников, использующих при изготовлении продуктов свой труд и сравнительно простые орудия. В этом случае из-за сравнительно низкой выработки работников сфера товарного производства и обращения развита недостаточно и зачастую соседствует с натуральным хозяйством, занимающим главные позиции в экономике. Во-вторых, при капитализме появляется развитое товарное хозяйство, при котором наступает конец господству натурального производства, все продукты превращаются в товары. Предметом купли и продажи становится и рабочая сила людей.
Развитое товарное производство быстро прогрессировало в условиях классического капитализма в рамках частнокапиталистического присвоения. В XX в. этому способствовала также собственность акционерных обществ, кооперативов и товариществ.
Первоначально развитое товарное производство приняло всеобщий характер, поскольку все создаваемые полезные блага принимали форму товара. Но во второй половине нынешнего столетия под воздействием научно-технической революции и государственного вмешательства в хозяйственную жизнь в ней выделился нетоварный сектор. В него вошло производство продуктов и услуг, реализация которых не проводится через рынок (фундаментальные научные исследования, бесплатные виды образования и других услуг, основная продукция военно-промышленного комплекса и т.п.). Причем нерыночные формы богатства играют возрастающую роль в общественном развитии. В итоге, современная экономика является смешанной в том отношении, что соединяет товарные — как ведущие и определяющие — и нетоварные связи.
Для детального изучения тех и других связей мы перейдем к рассмотрению экономических форм продуктов.
2. Экономические формы продуктов
Всякий продукт натурального производства имеет непременное свойство — полезность, т.е. способность удовлетворять какие-то потребности людей (в английской классической политической экономии это свойство вещей назвали потребительная стоимость).
Полезность продукта может показаться очень простым и ясным признаком. Ведь речь идет о натурально-вещественных свойствах предметов потребления (скажем, яблок, обуви и т.п.) и средств производства (например, трактора, компьютера и т.д.). Однако при внимательном ознакомлении с этим признаком возникают непростые вопросы.
Первый вопрос: всякий ли произведенный людьми натуральный продукт приносит им пользу?
В экономической теории под полезностью подразумевается без исключения все то, что удовлетворяет действительные, реально сложившиеся нужды (даже то, что наносит ущерб здоровью: сигареты, наркотики и пр.). Сами же потребности могут порождаться как биологическими, так и Духовными, социальными обстоятельствами, даже фантазией.
Второй вопрос: сколько полезностей имеет каждое натуральное благо?
Люди постоянно открывают полезные качества вещей на практике и с помощью науки на протяжении многих веков. Сейчас установлено, что любое материальное благо имеет, как правило, множество нужных людям свойств, или, образно говоря, пучок полезностей. Так, опытная домашняя хозяйка хорошо знает, сколько разных блюд она может приготовить, скажем, из куска мяса.
Технологи, допустим, нефтехимического завода профессионально осведомлены о большом пучке разнообразных полезных продуктов, которые они способны произвести из исходного сырья.
Наконец, третий вопрос: кто и как оценивает полезность благ, с помощью каких критериев — объективных или субъективных?
Полезные свойства вещей несколько по-разному выявляют и оценивают производители и потребители.
Изготовители продуктов в первую очередь применяют объективную оценку их качества. И это понятно. Ведь полезность продуктов неотделима от их вещественных свойств. Эти свойства и подлежат измерению. Так, в железной руде определяется количество содержащегося в ней железа и других компонентов, в молоке — наличие в нем определенного количества жира, белка, молочного сахара, витаминов и т.д.
Если количество полезных веществ в продуктах возрастает, то это повышает их качество, а тем самым увеличивает их ценность.
Потребители довольно часто придерживаются своих субъективных оценок пользы материальных благ, подчас пренебрегая их объективными качествами. Они смотрят на натуральные продукты с точки зрения личных запросов, вкусов и предпочтений. Разве каждый из нас не проявляет свою привязанность к выбору какого-то, скажем, вида и сорта чая, кофе?
Здесь встречаются и уникальные случаи. В Китае у малочисленной народности мяо любимым блюдом является приготовленные с изыском бамбуковые крысы с гарниром из молодого бамбука... Вот уж воистину, как говорится, на вкус, на цвет товарища нет, о вкусах не спорят.



Шкала Менгера


т приводят по существу близкие иллюстрации, их положения принципиально различаются. В первом случае неодинаковые величины ценности воды и бриллиантов, золота объясняются разной степенью их редкости.
А во втором случае подобное же неравенство меновой стоимости воды и алмазов мотивируется несовпадением величины затрат труда на их получение.
Вместе с тем количественная ограниченность благ должна приниматься в расчет на практике при установлении цен. Именно так это происходит, например, при ценообразовании на продукцию земледелия, где имеется мало хороших по качеству земельных участков. Еще в большей мере уникальность некоторых благ оказывает воздействие на цепы, когда на аукционах продаются раритеты.
Третье положение. Человек располагает свои потребности в порядке понижения степени их важности и пытается удовлетворить их имеющимся в его распоряжении количеством благ. При этом ценность каждого блага будет зависеть, во-первых, от важности удовлетворения потребности, а во-вторых, от степени ее насыщения.
В таком случае можно распределить потребности по определенным родам, характеризующим их значение для обеспечения жизни. В составе каждого рода потребностей выделяются ступени насыщения человеческих запросов.
Так, допустим, удовлетворение потребности в пище на высшем уровне имеет полное значение для сохранения жизни человека. Дальнейшее потребление имеет значение для сохранения здоровья. Наконец, последующее принятие пищи совершается ради удовольствия, которое обычно постепенно понижается.
Оно достигает известной границы, когда потребности в пище удовлетворены настолько полно, что пропадает удовольствие. А непрекращающееся питание превращается уже в мучение и может угрожать опасностью здоровью и даже жизни. Подобная картина наблюдается и в отношении значения повышения степени насыщения потребности в жилище и нужд другого рода.
Потребности разного рода и степени их насыщения имеют разное значение для обеспечения жизни и благосостояния человека. Их расположение по мере убывания такого значения показано в шкале Менгера. В ней представлен механизм образования родовой и конкретной полезности благ (римские цифры соответствуют родовым, а арабские цифры — конкретным потребностям).
Шкала Менгера

I
10
9
8
7
6
5
4
3
2
1
0
II
9
8
7
6
5
4
3
2
1
0
III
8
7
6
5
4
3
2
1
0
IV
7
6
5
4
3
2
1
0
V
6
5
4
3
2
1
0
VI
5
4
3
2
1
0
VII
4
3
2
1
0
VIII
3
2
1
0
IX X
2 1
1 0
0
Шкала Менгера построена по принципу убывающей полезности. Она помогает понять, почему блага меньшей родовой полезности могут обладать большей ценностью. Это определяется местом каждого блага в шкале потребностей и степенью насыщения потребности в нем.
Четвертое положение. В процессе личного потребления действует закон убывающей полезности. Немецкий экономист Герман Госсен (1810—1858) сформулировал этот закон так.
Степень удовлетворения одним и тем же продуктом, если мы непрерывно продолжаем им пользоваться, постепенно уменьшается, так что наконец наступает насыщение.
Каждый человек наверняка испытывал на себе действие закона убывающей полезности. Известно, что проголодавшийся человек с большим аппетитом съедает первый ломоть хлеба. Затем с каждым новым куском утрачивается полезность хлеба, до тех пор, пока пропадает желание есть этот продукт.
Все съеденное количество хлеба образует величину насыщения.
Основатели австрийской школы политической экономии стремились придать закону убывающей полезности всеобщее значение. Ф. Визер заявлял, что этот закон распространяется на все процессы — от голода до любви.
Пятое положение. Ценность благ определяет предельная полезность, т.е. субъективная полезность предельного экземпляра, удовлетворяющего наименее настоятельную потребность в продукте данного рода.
Предельная полезность может возникать на разных уровнях потребления благ. В таких случаях она означает величину ощущаемой человеком добавочной полезности, которая получена от прироста потребления новой единицы какого-то продукта (например, одной порции мороженого).
Если предельная полезность достигает точки насыщения, то человек перестает ощущать пользу от потребляемой вещи. Когда же этот рубеж в потреблении преодолевается, то обычный продукт воспринимается как антиблаго, а полезность превращается во вредность. Такое состояние пресыщения известно многим людям, подрывавшим свое нормальное самочувствие и здоровье.
Предельная полезность, а следовательно, и ценность блага, зависит от запаса (наличного количества) данного продукта и потребности в нем. Если при неизменной величине потребности увеличивается запас, то предельная полезность вещи снижается. Когда запас уменьшается, то предельная полезность и ценность возрастают. Все это сказывается на величине рыночной цены продукта, которая прямо зависит от его предельной полезности.
Похоже, что рыночная практика подтверждает данную зависимость. Так, в условиях относительной недостаточности какого-то продукта (уменьшения его запаса) цена устанавливается на более высоком уровне, что, по существу, оправдывает покупку предельного продукта.
Однако теория предельной полезности не вполне соответствует хозяйственной практике и содержит внутренние противоречия. Вот несколько подтверждений этого.
Во-первых, массовые рыночные сделки нуждаются в каком-то объективном соизмерении всех товаров. Между тем субъективная полезность не имеет и не может иметь какого-либо количественного выражения, так как отсутствуют объективные единицы для ее измерения.
В XIX в. некоторые экономисты считали, что существует некий количественный измеритель счастья, или полезности, для каждого человека. Единица измерения полезности была названа ютиль (от англ. utility — полезность). Чем больше ютилей приобретал на рынке потребитель, тем большую порцию счастья он, якобы, получал.
По поводу такого поведения покупателя профессора С. Фишер, Р. Дорнбуш и Р. Шмалензи (США) в своем учебнике Экономика заметили следующее. ...Трудно поверить, что на самом деле существует некая мера счастья, которую можно использовать для доказательства такого рода утверждений: Дик стал бы в два раза счастливее, если бы он съел еще одну шоколадку46.
Во-вторых, субъективно-психологическая теория предельной полезности не смогла решить проблему отыскания единого соизмерителя ценности для всего многообразия благ и для всех людей. Резонно заметить, что у каждого человека должен был бы существовать свой счет ютилей. А общего измерителя сугубо индивидуального восприятия пользы благ для всего человечества в принципе не может быть вообще.
Далее спрашивается: разве можно при помощи ютиля соизмерить предельную полезность разного рода благ и услуг, допустим концерта джазовой музыки, устриц и арбуза... Ответ очевиден.
В-третьих, закон убывающей полезности не является универсальным. Он проявляет свое действие в отношении ограниченного круга предметов первой необходимости (например, хлеб, вода, жилище). Такие вещи имеют для отдельного человека и для каждого момента границу насыщения.
Однако данный закон неприменим к подавляющей массе товаров — многочисленным непродовольственным продуктам и тем более к средствам производства.
Итак, основные положения теории предельной полезности в определенной мере отражают реальные рыночные связи. Эти связи можно представить в формуле: потребитель — потребность — полезность блага — его ценность — рыночная цена. Так, по-видимому, можно оценивать товар н экономические отношения со стороны потребителя.
Сторонники концепции предельной полезности считают, что именно потребители, устанавливающие ценность товаров, определяют рыночную цену. Они изображают рынок как арену экономической демократии. Здесь в свободной оценке товаров участвуют все покупатели. Они проводят своего рода голосование: отдают за выбранные ими товары свои рубли, долSары и иные деньги.
Таким способом открывается или закрывается путь всякому продукту в сфере потребления, Итоги этого народного референдума отражаются в рыночных ценах.
После ознакомления с трудовой теорией стоимости и с концепцией предельной полезности нельзя не заметить, что в теории рыночного ценообразования в целом возникло серьезное противоречие. Английские классики политической экономии решающую роль в установлении цены приписывали предложению производителей, которые исходят из учета труда, затраченного на создание товара. В противовес этому ранние австрийские теоретики предельной полезности определяющее значение придавали спросу потребителей.
Разрешить это противоречие взялся Альфред Маршалл47.
А. Маршалл считал одинаково неправильным отдавать предпочтение в процессе формирования рыночной цены либо предложению, либо спросу. По его мнению, с равным основанием бесполезно спорить: какое лезвие ножниц разрезает кусок бумаги — верхнее или нижнее?
А. Маршалл пытался рассмотреть предложение как сумму цен факторов, затраченных на производство товара. Однако получалось, что назначенная продавцом цена объясняется тоже ценой... А. Маршалл счел нецелесообразным углубляться в рассмотрение сути спроса и предложения.
Он ограничился описанием воздействия рыночной цены на экономическое положение покупателей и продавцов.



СНГ в 1995 г


СНГ в 1995 г.

Страна
Территория, тыс. км2
Численность населения, млн. чел.
Численность занятого населения, млн.чел.
В % к предыдущему году
валовой внутренний продукт1
общий объем продукции промышленности1
продукция сельского хозяйства1
индекс потребительских цеп
Россия
17075
148,0
67,1
96
97
92
231,3
Азербайджан
86,6
7,5
2,6
82,8
78,6
95
511,8
Армения
29,8
3,8
1,5
106,9
102,4
104,7
276,0
Белоруссия
207,6
10,3
4,6
90
88,5
95
809,3
Грузия
69,7
5,4

102,4
90,2
110
155,4
Казахстан
2717,3
16.5
6,4
91,1
92,1
72,9
276,2
Киргизия
199,9
4,6
1,6
93,8
87,5
98
151,6
Молдавия
33,7
4,3
1,72
97
94,02
104
130,02
Таджикистан
143,1
5,9
1,8
87,6
94,9
72
543,1
Туркмения
488,1
4.6
1,7

93,1
90

Узбекистан
447,4
23,0
8,2
98,8
100,2
97
415,5
Украина
603.7
51,3
22,5
88,2
88,5
96
281,7
1 В сопоставимых ценах.
2 Без левого берега Днестра и г.Бендеры.
Таблица 20.8.
Основные показатели деятельности совместных и иностранных
предприятий в 1992 и 1995 гг.

Показатель
1992
19951
Число действующих предприятий (па конец года)
2533
14550
Среднегодовая численность работников, тыс. чел.
195
426
Расходы на оплату труда, млрд.руб.
21
3431
Объем производства продукции, работ, услуг (в фактически действовавших ценах), млрд.руб.
449
46023
Экспорт (в фактически действовавших ценах)2, млн.долл.США
1863
5758
Импорт (п фактически действовавших ценах), млн. долл. США
2037
3332
Объем реализации продукции па внутреннем рынке2, млрд.руб.
170
44317


Собственность подразделяется на разные классы


Собственность в экономическом смысле подразделяется на разные классы (или роды, типы) в зависимости от существующих уровней разделения и кооперации труда и производства. Эти виды организационно-экономических отношений непосредственно характеризуют ступень реального обобществления производства. Здесь самая низкая ступень — это единоличное хозяйствование.
Более высокие ступени обобществления образуются по мере роста масштабов объединения людей в какой-то организации.
В свою очередь, переход от одной ступени производственной организации к другой обусловлен техническим прогрессом и определенными экономическими выгодами. Так, увеличение размеров и совершенствование орудий труда, улучшение технологии порождает тенденцию к концентрации (укрупнению) предприятий и их централизации (объединению). Такое усиление реального обобществления производства приводит в действие заон превосходства крупного производства над мелким.
Профессор П. Самуэльсон (США) подтверждает преимущества укрупнения предприятий. Возрастание доходности, вызванное увеличением масштаба производства, или так называемая экономия на массовом производстве, часто связана со следующими усовершенствованиями: 1) с использованием других источников энергии, помимо мускульной энергии людей и животных... 2) с применением автоматических саморегулирующихся механизмов...
3) с использованием стандартных взаимозаменяемых частей; 4) с расчленением сложных процессов на простые повторяющиеся операции; 5) со специализацией функций и разделением труда и со многими другими технологическими факторами20.
Итак, в основу классификации собственности в экономическом смысле можно положить принцип ее членения на классы в зависимости от степени реального обобществления производства. Такая классификация существенно отличается от юридического толкования разных видов собственности. В последнем случае основанием для выделения типов собственности служат разные виды правомочий собственников и характер имущества, влияющий на возможность его разделения между физическими и юридическими лицами.
Несмотря на такие расхождения между экономической теорией и юриспруденцией, имеется несколько общих моментов в принципах классификации собственности. Это позволяет ввести единое разделение собственности на классы по ряду оснований. К ним относятся следующие решающие критерии различий: а) по степени реального обобществления собственниками принадлежащего им имущества; б) по характеру присвоения и взаимоотношений между собственниками имущества и несобственниками; в) по возможности или невозможности свободно делить имущество между отдельными субъектами по их усмотрению.
Рассмотрим все классы присвоения в их логической последовательности, которая отражает восхождение от единичного к особенному и, наконец, ко всеобщему.
Частное присвоение означает, что отдельные люди относятся к имуществу как к личному источнику богатства.
Согласно действующему законодательству, физическое лицо (как, впрочем, и все собственники) вправе по своему усмотрению совершать в отношении принадлежащего ему имущества любые действия, не противоречащие закону и иным правовым актам. Однако оно не должно нарушать права и охраняемые законом интересы других лиц. Гражданин вправе отчуждать свое имущество в собственность другим лицам, передавать им, оставаясь собственником, права владения, пользования и распоряжения имуществом, отдавать имущество в залог и обременять его другими способами, распоряжаться им иным путем.
Частное присвоение имеет два вида, которые существенно различаются между собой: а) собственность на средства производства человека, который сам трудится, п б) собственность на вещественные условия производства лица, применяющего чужой труд (рис. 3.3).

Собственность подразделяется на разные классы

Рис. 3.3. Виды частного присвоения
Первый вид частной собственности имеют крестьяне, ремесленники и другие люди, которые живут своим трудом. В соответствии с экономическим законом частнособственнического трудового присвоения при единоличной собственности на средства производства работнику достаются все плоды его хозяйствования. Этим обеспечивается полная свобода труженика от каких-либо форм угнетения и порабощения со стороны других людей.
Когда в одном лице соединены собственник и труженик, возникает большая материальная заинтересованность в том, чтобы лучше работать для личного блага. Не стоит удивляться тому, что единоличные крестьяне стремятся добиться устойчивости своего хозяйства, не жалея на то сил и средств.
Второй вид частной собственности имеют лица, которые владеют сравнительно большими хозяйствами с применением труда многих работников. Если в первом виде частного присвоения вещественные и личный факторы производства естественно соединяются, поскольку они принадлежат одному лицу, то дело обстоит совершенно иначе во втором виде хозяйства. В нем средства производства попадают в руки немногих лиц, а значительная часть общества отчуждена от этих благ.
Неимущая часть общества попадает в полную зависимость от собственников и подвергается прямой эксплуатации — работает на их пользу. В силу закона нетрудового частнособственнического присвоения все плоды трудовой деятельности неимущих и зависимых работников, применяющих чужие средства производства, достаются их частным собственникам.
Во втором виде частных хозяйств трудящиеся относятся к средствам производства как к чужой собственности и не заинтересованы продуктивно использовать их. Поэтому здесь производственные факторы соединяются посредством внеэкономического (насильственного) принуждения работников к труду. Типичными в этом отношении являются рабовладельческие и феодальные хозяйства.
Личной зависимости работников от частных собственников средств производства и открытой эксплуатации трудящихся был положен конец при переходе к капиталистической системе хозяйства (о которой речь впереди).
Качественно иным по сравнению с частной собственностью является коллективное присвоение в виде общей долевой и общей совместной собственности. Рассмотрим сначала первый тип присвоения.
Класс общей долевой собственности имеет следующие отличительные черты:
а) этот тип присвоения образуется путем объединения частных вкладов (долей), которые вносят все участники в общее имущество;
б) общая долевая собственность используется в общих интересах владельцев и под единым контролем и управлением. При этом, как правило, предусматривается определенное участие каждого участника объединения в хозяйственном использовании совместного имущества и в управлении собственностью;
в) конечные результаты экономической реализации общей собственности распределяются между участниками коллективного хозяйства с учетом доли собственности каждого из них.
В российском законодательстве достаточно четко определяются правоотношения, касающиеся общей долевой собственности. Так, в ГК РФ признается, что имущество, находящееся в собственности двух или нескольких лиц, принадлежит им на праве общей собственности (пункт 1 статьи 244). Эта общая собственность становится долевой, если определяется доля каждого из собственников в праве долевой собственности (пункт 2 статьи 244). Соглашением всех участников долевой собственности может быть установлен порядок определения и изменения их долей в зависимости от вклада каждого из них в образование и приращение общего имущества (пункт 2 статьи 245). Распоряжение имуществом, находящимся в долевой собственности, определяется по соглашению всех ее участников (пункт 1 статьи 246).
Плоды, продукция и доходы от использования имущества, находящегося в долевой собственности, поступают в состав общего имущества и распределяются между участниками такой собственности соразмерно их долям, если иное не предусмотрено соглашением между ними (статья 248).
Важно учитывать разную меру имущественной ответственности участников долевой собственности. Наряду с полной их ответственностью (в полных товариществах) установлена ограниченная ответственность. Учредители общества с ограниченной ответственностью не отвечают по его обязательствам.
Они несут риск убытков, связанных с деятельностью общества, в пределах стоимости внесенных ими вкладов (например, так происходит в акционерных обществах).
Общая долевая собственность выступает в нескольких основных формах (рис. 3.4).

Собственность подразделяется на разные классы

Рис. 3.4. Формы общей долевой собственности
Конкретные формы общей долевой собственности имеют присущие им экономические и правовые особенности.
А. Хозяйственным товариществом признается коммерческая организация (юридическое лицо, преследующее извлечение прибыли в качестве основной цели своей деятельности) с разделенным на доли (склады) участников уставным (складочным) капиталом. Имущество, созданное за счет вкладов учредителей, а также произведенное и приобретенное хозяйственным товариществом в процессе его деятельности принадлежит ему на праве собственности.
Б. Акционерное общество имеет уставной капитал, который разделен на определенное число акций. Акции — ценные бумаги, удостоверяющие вложение капитала в акционерное общество и гарантирующие получение части его прибыли в виде дивиденда (дохода).



Социально-экономическая природа заработной платы


Концепция Дж.Б. Кларка является научной гипотезой, которая позволила описать экономические связи, касающиеся создания новых благ. Вместе с тем открытые в ней тенденции и закономерности адекватно не соответствуют качественно новым экономическим условиям, характерным для постиндустриального общества.
Таким образом после теоретического анализа распределения доходов мы перейдем к выяснению реальной картины деления новой стоимости на ее конкретные формы, получаемые разными субъектами хозяйствования. Для этого выясним, участвует или не участвует данный субъект хозяйственных отношений в трудовой предпринимательской деятельности, связанной с получением дохода.
Все первичные доходы принято делить на два вида:
а) доходы от трудовой деятельности в производстве (заработная плата работников и предпринимательская прибыль); б) доходы от собственности. К последним мы можем отнести: а) процент за предоставленную денежную ссуду и 6) земельную ренту и доходы от недвижимости.
О пропорциях в распределении доходов говорят такие данные по США за 1988 г. Если принять общую сумму доходов (3964 млрд. долл.) за 100%, то на заработную плату и жалованье пришлось 73%, прибыль корпораций — 8%, банковские проценты — 10%, земельную ренту и другие доходы от собственности — 9%.
Рассмотрим первую форму доходов от трудовой деятельности — заработную плату.
2. Социально-экономическая природа
заработной платы
Заработная плата кажется простым и ясным явлением. В рыночной сделке участвуют работодатель и работник. По заключенному между ними трудовому договору рабочий человек обязуется в течение установленного времени трудиться на предприятии (учреждении), а работодатель обязуется за это выплатить определенную сумму денег — заработную плату. Все вроде бы понятно, кроме одного.
Какой товар продается и покупается?
Иногда образно говорят, что продаются рабочие руки. Но на самом деле ни человек, ни его рабочие органы не являются в данном случае объектом торговой сделки. Давно ушла в прошлое эпоха рабства, когда на рынках торговали людьми.
Сейчас наиболее распространено представление о том, что объектом купли-продажи в сделке между работодателем и работником является труд. А заработная плата рассматривается как форма оплаты по труду, или цена товара-труда.
Однако трудовая теория стоимости породила сомнение в истинности данного положения. Эта теория поставила вопрос по существу: может ли человек продавать свой труд как товар?
Если предположить, что человек делает это, то он должен иметь такой товар до рыночной сделки. Поскольку во время работы всегда целесообразно используются средства производства, то продавец труда должен обладать также ими. Между тем он не имеет материальных факторов.
А если бы обладал ими, то стал бы продавать обычные изделия, а не труд.
Давайте с позиции трудовой теории стоимости попытаемся выяснить, может ли труд вообще быть товаром и иметь стоимость. Если считать, что он обладает стоимостью, то придется признать, что стоимость товара-труда (как и всякого товара) создана, естественно, трудом. Однако здесь мы попадаем в порочный логический круг, пытаясь существо определенного понятия выяснить с помощью его же самого.
Поскольку труд представляет собой сущность стоимости, он сам не имеет и не может иметь стоимости, равно как не является товаром. Чему же в таком случае соответствует сумма денег, именуемая заработной платой, — стоимости какого товара она равняется?
Сомнения в том, что труд является товаром, возникают и по иным причинам. Если предприниматель оплачивает человеку весь его труд по полной стоимости, то какую же выгоду он сможет тогда извлечь для себя?
В наших рассуждениях очевидно возникают трудности. Если на самом деле работник не продает своего труда, то, спрашивается, на каком основании бизнесмен дает ему денежное вознаграждение? И тогда мы должны перейти от очевидного к тому, что покажется невероятным: рабочий продает не труд, а, по-видимому, какой-то другой товар.
Выход из тупиковой ситуации может быть найден, если разграничить два понятия: труд и рабочую силу. Рабочая сила — способность человека к труду. Это такая совокупность физических и духовных сил, которыми располагает работник и которые использует в производстве материальных благ и услуг.
Что касается труда, то это целесообразная деятельность людей, процесс использования их рабочей силы.
Разграничение рабочей силы и труда позволяет понять сущность сделки найма на работу. Формально в этом правовом акте речь идет о том, что человек как бы продает свой труд на определенное время и получает вознаграждение в виде заработной платы. Но фактически он отдает предпринимателю право использовать его рабочую силу.
В свою очередь, бизнесмен оплачивает отнюдь не весь его труд, а только рабочую силу.
Стало быть, в экономическое отношение по трудовому найму вступают собственник рабочей силы в качестве ее продавца и работодатель как покупатель этого товара. Характер и содержание отношений между контрагентами во многом обусловлены особенностями самого товара рабочая сила. Позиции сторон сделки зачастую диаметрально противоположны.
Трудящиеся заинтересованы, во-первых, в том, чтобы их способность к труду не стала постоянной собственностью бизнесмена. Данный товар может попасть в хозяйственное использование под контролем предпринимателя лишь на такое время, которое не подрывает жизненных сил человека. Во-вторых, собственник рабочей силы заботится о ее производительном применении при нормальных условиях труда, обеспечивающих ее сохранность. В-третьих, он стремится к использованию своих природных и приобретенных созидательных способностей в соответствии со своими профессией (специальностью) и квалификацией.
В-четвертых, первостепенной целью труженика является получение такой цены за свой товар, которая обеспечивает полное воспроизводство его рабочей силы, содержание нетрудоспособных членов семьи, получение образования и квалификации, возможностей для отдыха и культурного досуга.
В свою очередь, бизнесмен — если он ничем не ограничен в своих действиях — готов прибегать к хищническому, варварскому использованию рабочей силы наемных тружеников. В стремлении обеспечить себе максимум прибыли он сводит заработную плату к самому жалкому минимуму.
Такая картина наблюдалась особенно на начальной фазе развития капитализма. Иллюстрацией может служить Англия. В 1863 г. Тайный совет (специальный орган при короле Англии в составе министров и других должностных лиц, а также высших представителей духовенства) провел обследование бедственного положения наиболее плохо питающейся части английских рабочих. Было установлено, что огромные массы рабочих и их семей питаются так плохо, что во многих случаях неминуемы жестокие и разрушающие здоровье лишения....
Муки голода дополняются отвратительными жилищными условиями. Самые дешевые жилища отыскиваются там, где самые отвратительные стоки, самое плохое сообщение, больше всего нечистот, самое жалкое или плохое водоснабжение и, поскольку это касается городов, самый большой недостаток света и воздуха. Английский политический деятель и публицист член парламента Самюэль Ленг в своей книге Национальное бедствие, его причины и средства его устранения (Лондон, 1844) констатировал: Нигде еще права личности не приносились так открыто и так бесстыдно в жертву праву собственности, как в жилищных условиях рабочего класса.
Каждый большой город — это место человеческих жертвоприношений, алтарь, на котором ежегодно убиваются тысячи для Молоха жадности.
Как известно, история двух последних столетий ознаменовалась многочисленными, в том числе крайне ожесточенными, схватками между работодателями и наемными тружениками за нормальные условия продажи и использования рабочей силы. В конечном счете во всех индустриально развитых странах государство взяло на себя бремя ответственности за нормализацию отношений на рынке труда и условий занятости рабочей силы. Оно в законодательном порядке стало активно проводить политику в сфере трудовых отношений, устанавливать государственные гарантии трудовых прав граждан и обеспечивать соблюдение интересов работников, работодателей и государства.
В Кодексе законов о труде РФ (с законодательно принятыми изменениями и дополнениями) установлено, что каждый работник имеет, в частности, право:
— на условия труда, отвечающие требованиям безопасности и гигиены;
— на возмещение ущерба, причиненного повреждением здоровья в связи с работой;
— на равное вознаграждение за равный труд без какой бы то ни было дискриминации и не ниже установленного законом минимального размера; .
— на отдых, обеспечиваемый установлением предельной продолжительности рабочего времени, сокращенным рабочим днем для ряда профессий и работ, предоставлением еженедельных выходных дней, праздничных дней, а также оплачиваемых ежегодных отпусков;
— на социальное обеспечение по возрасту, при утрате трудоспособности и в иных установленных законом случаях.



Соотношение ВВП России и США


Исходным является показатель: валовая (общая) стоимость всей продукции. Точнее говоря, данный показатель обобщает не стоимость (в строгом смысле этого понятия), а рыночные цены, по которым реализуются товары и услуги. Поэтому валовая стоимость, взятая в национальном масштабе, равна сумме продаж всех товаров и услуг. Эту стоимость подразделяют на два вида:
— промежуточную (она поступает на каждую фирму со стороны тех предприятий, которые производят сырье, материалы, комплектующие изделия);
— конечную, которая идет в конечное потребление.
Поскольку промежуточная продукция неоднократно повторно суммируется на каждой технологической стадии изготовления готовой Продукции, то ее вычитают из валовой стоимости. В результате образуется главный макроэкономический показатель — валовой национальный продукт.
Валовой национальный продукт (ВНП) представляет собой совокупную стоимость конечных продуктов, которые созданы, распределяются и используются в национальном хозяйстве в течение года. Это наиболее общий показатель, охватывающий конечные результаты экономической деятельности всех хозяйственных единиц в производственной сфере и в сфере нематериальных услуг.
Созданный ВНП определяется как сумма валовой добавленной стоимости (добавленная стоимость — разница между стоимостью продаж фирм и стоимостью их покупок материалов и услуг других фирм) для всех отраслей народного хозяйства. Следовательно, он не включает стоимость промежуточного продукта, а также оказанных хозяйственными единицами услуг.
Многие страны сильно отличаются по общему объему и структуре ВНП, поскольку у них неодинаково развита сфера услуг и разный уровень производительности труда в отдельных отраслях и в ародном хозяйстве в целом. Об этом можно судить, например, по данным таблицы 13.4. Попутно заметим, что в конце 80-х годов США создавали ВНП, примерно в 2 раза больший ВНП Советского Союза.
Таблица 13.4.
Структура валового национального продукта СССР и США в 1988 г. (и фактически действовавших ценах, %)

Страна
Промышленность
Сельское хозяйство
Строительство
Транспорт и связь
Торговля
Сфера
услуг
СССР
34
18
10
6
12
20
США
24
2
5
6
16
47
Когда валовой национальный продукт распределяется, то он становится основой образования доходов хозяйственных единиц и населения от любой экономической деятельности. Распределенный ДЯ77 выглядит как сумма заработной платы всех работников, прибыли, доходов от индивидуальной трудовой деятельности и иных доходов, а также годовой суммы амортизационных отчислений. Иначе говоря, распределенный ВНП предстает в основном как сумма первичных доходов (образующих национальный доход), доходов занятых в сфере услуг и суммы амортизационного возмещения годового износа основных фондов (рис.
13.2).

Соотношение ВВП России и США

Рис. 13.2. Структура валового национального продукта
Наконец, превращенный в доходы ВНП идет на цели конечного потребления (личного и производительного). Поэтому использованный ВНП предстает как: а) конечное потребление населением материальных благ и услуг (потребительские расходы домашних хозяйств, потребление услуг, предоставленных бесплатно государственными организациями и учреждениями); б) валовое накопление (капитальные вложения и прирост материальных оборотных средств); в) конечные расходы органов государственного управления, обороны, науки и т.д.; г) сальдо внешней торговли.
В зависимости от многих обстоятельств (в том числе от экономической роли государства, масштабов и эффективности накопления, развитости сферы услуг и др.) в разных странах формируется неодинаковое конечное использование ВНП, что подтверждают данные таблицы 13.5.
Таблица 13.5.
Структура валового национального продукта но конечному использованию в 1989 г., %

Страна
Валовой национальный продукт
В том числе
Конечные расходы населения
Конечные расходы государственных
учреждений
Валовые
капитальные вложения
Советский Союз
100
48
20
32
США,
100
66
20
14
Великобритания
100
.64
19
17
Япония
100
57
9
34
Использование ВНП в нашей стране нельзя признать оптимальным. Из-за полного огосударствления экономики, раздутого государственного аппарата, неэффективного использования капиталовложений сравнительно мало средств выделялось на конечные расходы населения.
В показатель ВНП входит чистый экспорт (разница между стоимостью вывезенных из страны товаров и стоимостью ввезенных товаров). Однако в различных странах удельный вес внешнеторговой деятельности далеко не одинаков. Поэтому для международных сопоставлений степени развитости экономики применяется показатель валового внутреннего продукта (ВВП), который представляет собой валовой национальный продукт за вычетом сальдо платежного баланса (разница между стоимостью экспорта и импорта).
В этом показателе учитываются конечные результаты экономической деятельности только внутри каждой отдельно взятой страны.
О том, как показатель ВВП используется для сопоставления уровней производства в разных странах, можно узнать из оценки валового внутреннего продукта России по результатам программы международных сопоставлений Организации Объединенных Наций (пересчет ВВП России на доллары США произведен в сопоставимой валюте — по паритету покупательной способности рубля к доллару США), приведенной в таблице 13.6.
Таблица 13.6.
Оценка валового внутреннего продукта России в 1990 и 1993гг. по результатам программы международных сопоставлений

Сравнительная оценка ВВП
1990
1993
ВВП России:
всего, млрд. долл. США
на душу населения, долл. США
Соотношение ВВП России и США (США - 100%):
всего
на душу населения
Паритет покупательной способности (руб./долл. США)
1268,4
8555,7
23
38,7
0,52
868,3
5839,2
13,6
23,6
204,85
Валовой национальный продукт и валовой внутренний продукт образуют базу для исчисления других макроэкономических показателей. Что это за показатели?
В состав ВНП и ВВП входит не только новая стоимость, возникшая в материальном производстве и сфере услуг, но и амортизация (часть конечной продукции, которая возмещает израсходованный основной капитал, идет на восстановление машин, инструмента и т.п.). Если из ВВП вычесть сумму годовой амортизации, то мы получаем чистый национальный продукт (ЧИП).
В свою очередь, в чистый национальный продукт входят косвенные налоги, устанавливаемые государством. Косвенные налоги — особый вид налогов, которые добавляются к ценам, установленным фирмами. Так, в США их именуют налоги с продаж, они составляют 10% ЧНП. Такие налоги оплачивают покупатели, теряющие на этом часть своих доходов.
Если из ЧНП вычесть косвенные налоги, то в конечном счете образуется показатель национального дохода. Национальный доход — это совокупность доходов всех экономических агентов (всех участников сфер материального производства и Нематериальных услуг).
В итоге мы можем наглядно представить себе соотношение всей системы современных макроэкономических показателей (рис. 13.3). Эта система показателей введена в нашей стране с 1988 г. (с отставанием от международной статистики на 35 лет).

Соотношение ВВП России и США

Рис. 13.3. Соотношение макроэкономических показателей
Рассмотренный нами валовой национальный продукт (как и сопряженные с ним статистические величины) не является идеальным показателем результатов хозяйственной деятельности. Самым слабым звеном в этом отношении является расчет стоимости услуг. Дело в том, что некоторые вещи (государственные или общественные блага) и услуги не продаются и не имеют рыночной цены.
Поэтому эти блага и услуги включаются в ВНП по особой методологии расчета — по условно начисленной стоимости.
Например, если человек снимает жилье, то платит за это арендную плату. Но для учета жилищных услуг, которыми пользуются владельцы собственных домов, в состав ВНП условно включается арендная плата, которую якобы они платят сами себе. Точно так же министерство торговли США рассчитывает арендную плату, которую якобы платит себе (такая условно начисленная стоимость входит в ВНП).
Что касается юристов, полицейских, пожарных, сенаторов и других подобных работников, то стоимость услуг условно включается в ВНП по показателю их заработной платы.
Стоимость ряда товаров и услуг вообще не учитывается в ВНП. Это наркотики и другие продукты черной экономики. Сюда также не попадают блага, которые производятся и потребляются в домашнем хозяйстве.
Имеется еще один недостаток показателя ВНП. Его стоимость рассчитывается как сумма продаж конечной продукции в рыночных ценах. Между тем в условиях инфляции рыночные цены искажают действительную стоимость ВНП. Поэтому различают:
а) номинальный ВНП — сумма конечных товаров и услуг в текущих рыночных ценах и
б) реальный ВНП — стоимость товаров и услуг, измеренная в постоянных ценах (цепах базового года).



Спрос - это платежеспособная потребность


Спрос — это платежеспособная потребность, т.е. сумма денег, которую покупатели могут и намерены заплатить за какие-то нужные им изделия. Естественно, что спрос нельзя отождествлять с потребностью как таковой. Если человек испытывает нужду в каком-то благе, но у него нет денег, то он не обладает покупательским спросом.
На спрос воздействует ряд рыночных факторов, и, пожалуй в первую очередь — цены на запрашиваемые товары. Причем перед потребителем обычно предстает рынок, где имеется возможность выбора альтернативного количества одноименных товаров, пользующихся спросом, по разным ценам.
Сейчас мы рассмотрим вопрос: как рыночная цена воздействует на спрос покупателей?
Предположим, на каком-то местном рынке люди приобретут разное количество картофеля, если его цена будет снижаться так, как показано в шкале спроса.
Шкала спроса

Цена картофеля (руб. за кг)
.1500
1300
1100
900
700
500
Продано (т)
3
4
6
8
12
20
Шкала спроса показывает, сколько товаров можно купить по различным ценам за данный период. Анализ этой шкалы позволяет легче выявить количественную зависимость спроса от рыночной цены.
Закон спроса выражает следующую функциональную (математическую) зависимость спроса (С) от цены (Ц) : С = F(Ц). Чем выше цена товара, тем меньше спрос на него со стороны покупателей48. Например, в нашей стране повышение цен на подписные издания в 1992—1996 гг. привело к сокращению объема подписки.
Действует и обратная зависимость: чем ниже цена, тем больше спрос.
Такая количественная зависимость представлена в виде графика (рис. 6.4). Здесь взят тот же условный пример о продаже картофеля на местном рынке. На оси ординат отложены цены на картофель.
На оси абсцисс указано количество картофеля, на который предъявлен спрос. Кривая C1 — C2 на графике показывает, что при повышении цены платежеспособная потребность людей сокращается. И наоборот, когда цена снижается, спрос на продукты увеличивается.

Спрос - это платежеспособная потребность

Рис. 6.4. График кривой спроса
Важно учитывать и тенденцию, касающуюся цен на субституты (заменители). Речь идет о двух товарах, имеющих одинаковое значение для потребителя. Если повышается цена на первый продукт, то это ведет к увеличению спроса на другой.
Когда покупатель предпочел приобрести второе нужное ему благо в большем количестве, то становится очевиден эффект замены (закуплено больше полезностей по относительно меньшей цене).
Степень количественного изменения спроса в ответ на изменение цен характеризует эластичность спроса. Под эластичностью спроса подразумевается степень изменения спроса (чувствительность его объема) в зависимости от динамики цены. Мерой такого изменения служит коэффициент эластичности спроса (Кс):

Спрос - это платежеспособная потребность

Для разных товаров данный коэффициент не одинаков. Если, предположим, цены на хлеб и мясо снизятся вдвое, то спрос на мясо может возрасти даже в большей мере, а на хлеб, скорее всего, снизится (потребление людей переместится с хлеба на мясо).
Эластичным спрос бывает тогда, когда величина спроса изменяется на больший процент, чем цена. Приведем условный пример. При повышении цены мотоцикла на 1% объем продаж снижается на 2%. В этом случае:

Спрос - это платежеспособная потребность

Величина эластичности спроса по цене — всегда отрицательное число, ибо числитель и знаменатель дроби всегда имеют разные знаки. В США опытным путем были получены такие оценки эластичности спроса по цене (за долгосрочный период, со знаком минус): канцелярские принадлежности — 0,6; бензин — 1,5; жилье — 1,9; вино — 3,9.
Неэластичный спрос проявляется, если платежеспособная потребность покупателей не чувствительна к изменениям цен. Скажем, как бы ни возрастали или ни понижались цены на соль, спрос на нее неизменен.
ТMперь изучим вопрос: как цена влияет на предложение товаров со стороны продавцов?
Предложение — это сумма товаров, которые продавцы готовы продать по альтернативным ценам.
На предложение влияют различные рыночные факторы, среди которых важнейшую роль играют цены на продаваемые продукты. На рынке обычно возникает возможность реализации альтернативного количества предлагаемого блага по разным ценам.
Допустим, на каком-то местном рынке продается картофель. По мере увеличения цены количество предлагаемого для продажи картофеля будет возрастать. Это иллюстрируется на условном примере в шкале предложения.
Шкала предложения

Цена картофеля (руб. за кг)
1500
1300
1100
900
700
500
Продавцы готовы продать (т)
20
12
8
6
4
3
Шкала предложения показывает, сколько товаров продавцы готовы продать по разным ценам. Приводимые цифры раскрывают взаимозависимость цены и предложения.
Закон предложения характеризует следующую функциональную зависимость предложения (П) от цены: П = F (Ц). Чем выше цена, тем в большей мере растет предложение продуктов со стороны продавцов. И наоборот: чем ниже цена, тем меньше предложение
Данная взаимосвязь наглядно представлена на графике (рис. 6.5). Ее иллюстрирует опять же пример с продажей картофеля. На оси ординат отложены цены на картофель, а на оси абсцисс — количество картофеля, которое продавцы готовы произвести и продать.
Кривая П1 — П2 на графике показывает, как с ростом цены производители увеличивают объем продажи, и наоборот, предложение с их стороны уменьшается при снижении цены.

Спрос - это платежеспособная потребность

Рис. 63. График кривой предложения
Степень изменения объема предложения в ответ на увеличение цены характеризует эластичность предложения. Под эластичностью предложения понимается степень его изменения в зависимости от динамики цены. Мерой этого изменения является коэффициент эластичности предложения (КП):

Спрос - это платежеспособная потребность

Коэффициент эластичности предложения особенно важно заранее прогнозировать производителям. От результатов прогноза зависит решение — увеличивать или сокращать выпуск определенной продукции.
Эластичным предложение становится, когда его величина изменяется на больший процент, чем цена. Допустим (условно), что цена на плейеры повысилась на 5%, вследствие чего в продаже появилось таких вещей больше на 10%. В этом случае коэффициент эластичности

Спрос - это платежеспособная потребность

Что же касается коэффициента эластичности предложения, то, как показывает опыт ряда западных стран, этот показатель — при условии равновесия цен и за предельный период — имеет тенденцию к возрастанию (т.е. рост цен на определенную величину в несколько большей степени вызывает увеличение производства).
Неэластичным предложение бывает, если оно не изменяется при повышении или снижении цен. Это характерно для многих товаров в краткосрочном периоде. Например, низка эластичность для скоропортящихся продуктов, которые невозможно хранить в больших количествах (скажем, свежую клубнику).
К тому же предложение более инертно (по сравнению со спросом). Ведь довольно трудно переключать производство на выпуск новых изделий, перераспределять в связи с этим ресурсы для изменения количества выпускаемой продукции.
Итак, что же показало ознакомление с законами спроса и предложения?
Во-первых, стало ясно, какую регулирующую роль выполняет цена на рынке. Она может как благоприятствовать, так и сдерживать динамику спроса и предложения. Тем самым цена прямо влияет на экономическое положение и деловую активность покупателей и продавцов.
Во-вторых, изменение цены в каком-то направлении (ее рост или снижение) вызывает прямо противоположное воздействие на спрос и предложение. Такая динамика напоминает качели: когда один конец качелей взлетает вверх, другой опускается вниз, и наоборот. Если, как видно на рисунках 6.4 и 6.5, цена возрастает, то увеличивается объем предложения и падает спрос (следовательно, повышаются доходы производителей, покупателей и уменьшаются покупки потребителей).
Когда же цена уменьшается, то это ведет к свертыванию предложения и расширению спроса (значит, ухудшается экономическое положение производителей, продавцов и возрастает благосостояние покупателем).
Однако покупатели и продавцы не могут полностью находиться под властью законов спроса и предложения. У них имеются свои внутренние пределы участия в рыночных сделках. Дело в том, что в рыночной практике существует два вида цен. Первый из них — цена продавца — тот ее уровень, ниже которого владелец товара не хочет сбывать его на рынке (цена не покроет его расходов и не даст нормального дохода).
Другой вид — цена покупателя — ее величина, выше которой он не станет платить за благо (из-за отсутствия денег, невыгодности сделки и по многим другим причинам). В старину люди говорили: У купца своя цена, у покупателя — своя.
Конечно, владелец товара по какой-то причине бывает вынужден отдать его за деньги, сумма которых ниже цены продавца. Тогда в поговорке звучит оправдание: Нужда цены не ждет. Аналогично потребитель может переплачивать за покупку деньги, превышая уровень цены покупателя.
Однако эти случаи не правило, а исключение.



Сравненим с уровнем 1913 г.


После окончания военных действий стало еще более очевидно, что для перехода к социализму — как обществу высокого благосостояния ц культуры всех граждан — в России не было необходимых предпосылок. Более того, страна не имела даже тех достижений цивилизации, которые в то время были в странах Запада:
а) отставание от них в техническом отношении выражалось в том, что Россия в основном пребывала на доиндустриальной стадии производства и ей еще предстояло совершить переход в индустриальную стадию;
б) задержка в организационно-экономическом и социально-экономическом развитии проявилась в том, что в первичной и основной сфере экономики (сельском хозяйстве) преобладали мелкие и раздробленные крестьянские хозяйства, базировавшиеся на общинном землепользовании;
в) велика была дистанция от передовых государств и в культурном отношении: почти поголовная неграмотность (по данным переписи населения 1897 г., 73% граждан России в возрасте от 9 лет и. старше не умели читать и писать).
Нормально преодолеть такой отрыв от цивилизации было невозможно насильственными методами военного коммунизма. Этими методами государство по продовольственной разверстке отбирало у крестьян излишки сельскохозяйственных продуктов, не давая им взамен ничего. Это вызвало массовое недовольство крестьянства политикой военного коммунизма.
С марта 1921 г. государство начало проводить новую экономическую политику. При этом были отброшены многие положения концепции государственного социализма, противоречащие реальной действительности. В.И.
Ленин пришел к серьезному выводу: Теоретически не обязательно принимать, что государственная монополия есть наилучшее с точки зрения социализма33. Подытоживало весь пересмотр прежней концепции его заключение: Мы вынуждены признать коренную перемену всей точки зрения нашей на социализм34.
В условиях новой экономической политики проявились следующие тенденции, характерные для развития многоукладной экономики:
— мелкие товаропроизводители и капиталистические предприниматели получили определенную свободу хозяйственной деятельности (сами распоряжались значительной частью своей продукции, оставшейся после выплаты государству налога);
— государство привлекало иностранный капитал для ускорения развития производства;
— сложился свободный рынок с устойчивым денежным обращением, который стал ареной для конкурентной проверки жизнеспособности всех хозяйственных укладов;
— государственные предприятия, переведенные на хозяйственный расчет, стали активными товаропроизводителями, добивающимися прибыльности, самоокупаемости и самофинансирования;
— в государственном секторе на предприятиях была введена система материального поощрения более производительного труда (оплата по количеству и качеству труда, премирование, использование части прибыли для экономического стимулирования работников);
— мелкие товаропроизводители на добровольных началах вовлекались в кооперацию, прочно соединяющую частный интерес с общественным;
— государство приступило к проведению в плановом порядке реконструкции всего народного хозяйства на основе новейшей техники (план ГОЭЛРО).
За короткий срок новая экономическая политика позволила добиться больших хозяйственных результатов. Например, по сравнению с уровнем 1913 г. (принятым за 100%) продукция промышленности, составлявшая в 1921 г. 14%, в 1926 г. достигла 96%, продукция сельского хозяйства — 188%; выработка промышленных рабочих — 350%.
Но с начала 30-х годов новая экономическая политика была прекращена. В СССР утвердился социально-экономический строй, который гораздо позже (в 1991 г. на Пленуме ЦК КПСС) был назван казарменный социализм.
И в 1917 г., и в 30-е годы в нашей стране объективно отсутствовала та степень реального обобществления производства, которая позволила бы расширить общественное присвоение до масштабов всей страны. Так, в 1927 г. наиболее обобществленная промышленность давала несколько более 1/3 всей продукции народного хозяйства. А около 2/3 производил аграрный сектор, который был раздроблен на свыше 25 млн. мелких крестьянских хозяйств.
Тем не менее с конца 20-х годов в нашей стране началась последняя, как в те времена говорилось, красногвардейская атака на все виды частного присвоения и массированное огосударствление производства.
Что делалось по существу ради достижения главной стратегической „ели. Предполагалось ускоренно — за две пятилетки — провести индустриализацию народного хозяйства. Это позволило бы догнать и перегнать западноевропейские государства в военно-промышленном отношении и подготовиться к предстоящей мировой войне.
Этой задаче были соподчинены формы, методы и темпы преобразования собственности и всех социально-экономических отношений.
Государственный монополизм (полный захват) собственности получил такое теоретическое оправдание. Собственность на решающие средства производства оказалась в руках государства потому, что она якобы соответствует коллективной организации труда, общественному характеру производства и общенародному присвоению. Все народное хозяйство часто изображалось в виде одной громадной фабрики, где каждый труженик — всего лишь винтик, занимающий подобающее место в государственном хозяйственном механизме.
По экономическое всевластие государства находилось в конфликте с действительностью, объективными потребностями производства. На самом деле, разве труд всех работников организационно объединен в масштабе хозяйства страны? Возьмем, скажем, работу крестьянина в подсобном сельском хозяйстве, горожанина на своем садово-огородном участке или же деятельность огромной сети находящихся в государственном ведении ларьков, киосков, мелких и средних магазинов.
Где здесь реальное народнохозяйственное обобществление труда?
Вопреки степени реального развития организационно-экономических отношений в руках государства оказалась вся система отношений присвоения, хозяйственного использования основных средств производства и экономической реализации собственности. Этой системе были присущи следующие черты. Во-первых, собственность народа на основные средства производства была превращена в безраздельную собственность государства. Во-вторых, государственный аппарат сосредоточил в своих руках управление народным хозяйством.
В-третьих, государство централизовало у себя основную массу выпускаемой всеми предприятиями продукции и финансовые средства. Трудящиеся же оказались у государства наемными работниками, отчужденными от материальных условий труда и его плодов, от управления производством, Omi, естественно, стали относиться к государственной собственности как к ничейной и не были материально заинтересованы в улучшении ее экономической реализации. Не случайно государство широко и часто применяло административные, внеэкономические способы привлечения миллионов людей к труду.
Господствующее положение государственной собственности сохранялось по существу более 50 лет, что подтверждается данными, содержащимися в таблице 3.3.
Таблица 3.3.
Численность занятых в народном хозяйстве, 1985 г.

Сектор экономики
Численность работников
млн. чел.
%
Государственный
116.9
85,3
Кооперативный
15.7
11,5
Индивидуальный
Общественные организации и фонды
3.3
1.1
2,4 0,8
Всего но народному хозяйству
137,0
100.0
Входившие в кооперативный сектор колхозы и потребительская кооперация фактически были подчинены государственным органам. Они были лишены самоуправления и выполняли прямые указания сверху о том, что и как производить и сколько продукции поставлять государству.
Сейчас мы можем дать следующее достаточно обоснованное определение социально-экономического строя, утвердившегося в нашей стране с 30-х годов. Государственный социализм — это искусственная социально-политическая система, для которой характерна абсолютная монополизация собственности государством. Данной системе органически свойственно все более обостряющееся противоречие между действительным уровнем обобществления производства и господством государственной собственности.
Такое противоречие выливалось в конфликт между коренными интересами всех трудящихся, приумножающих общую собственность, и интересами присваивающей результаты их труда государственной власти.
Это противоречие может быть разрешено путем коренной реформы системы отношений собственности.
Реформирование системы социалистической собственности — двусторонний процесс. С одной стороны, он состоит в ликвидациии монополии государства на присвоение основных средств производства. С другой — предполагается превращение значительной части государственной собственности в иные формы хозяйства.
Реформа собственности, начавшаяся в конце 1992 г., до сих пор во многом не завершена. Она выдвинула ряд серьезных проблем перед теорией и хозяйственной практикой. При их решении получены и положительные и отрицательные результаты.
Однако в экономической теории и негативные следствия тоже поучительны.



Средняя цена типичной торговой сделки


Ц — средняя цена типичной торговой сделки;
Т — количество реализуемых товаров и услуг.
Как же обеспечивается указанное в формуле равенство обмена товаров и денег?
Стабильность денежного обращения достигается совершенно по-разному в условиях двух эпох: золотого стандарта и современных денежных средств. Рассмотрим подробнее существующие здесь различия.
В эпоху золотого стандарта указанное равенство обеспечивалось как бы автоматически. В то время исправно действовал стихийный рыночный механизм, который регулировал действия продавцов и покупателей.
Как правило, в обращении постоянно находилось нужное для торговых сделок количество золотых монет. Когда у покупателей и продавцов появлялось излишнее количество денег, оно переходило в разряд сокровищ. Если же деньги вновь требовались для купли-продажи товаров, то их забирали из мест накопления и направляли в обращение.
При золотом стандарте инфляция была редкостью — при каких-то экстремальных условиях (например, во время войн), а цены стабильны в течение длительного периода. Например, в США цены на потребительские товары в 1905 г. были на уровне 1860 г.
При отсутствии инфляции у людей складывалась адекватная (соответствующая) экономическая психология. Вот та модель поведения покупателей, которая способствовала поддержанию равновесия обмениваемых величин товаров и денег:
когда начинался инфляционный рост цен, люди были уверены, что это временное явление, поэтому переставали покупать вздорожавшие товары;
излишнюю часть денежных доходов население обращало в сокровища;
в результате уменьшались размеры текущего спроса, а это приводило к превышению предложения товаров над спросом. При таком соотношении товаров и денег цены снижались до прежнего уровня.
Совершенно иные процессы в области денежного обращения стали протекать после упразднения золотого стандарта. В эпоху современных денежных средств уже нет прежнего автоматического поддержания равновесия потоков товаров и денег. Наоборот, характерной стала нестабильность денежного обращения.
Особенно велики были темпы инфляции во время и после мировых войн. Так, в Австрии (1921—1922) максимальный месячный подъем цен достигал 134%. Из-за этого в пивных барах посетители заказывали сразу две порции пива, ибо цены росли быстрее, чем пиво выдыхалось. Наибольших же масштабов гиперинфляция достигла в Германии (1922—1923), когда в отдельные месяцы индекс цен составлял 32 400%.
В связи с этим рабочие добились, чтобы заработную плату им выдавали каждый день.
После второй мировой войны впервые в мирное время установилась устойчивая долговременная инфляция. В странах Организации экономического сотрудничества и развития темпы инфляции составили (в процентах за год): в 1960-1972 гг. - 4%; 1972-1980 гг. - 11%; в 1981-1990 гг. - 5,6%; 1991 г. - 5,2%; 1991 г. - 4%; 1993 г. - 3,6% и 1994 - 2,6%.
Не приходится удивляться, что в условиях постоянной инфляции резко изменилась экономическая психология людей. У них появился особый сдвиг в психике и поведении, который получил название адаптивные (лат. adaptatio — прилаживание, приноравливание) инфляционные ожидания. С этим связана новая модель поведения покупателей:
потребители твердо верят в тенденцию роста цен;
люди уменьшают свои сбережения, которые обесцениваются, и увеличивают текущий спрос, чтобы сократить потери от инфляции;
покупательский спрос все больше превышает предложение, тем самым покупатели провоцируют рост цен. В итоге потребители не уменьшают, а в конечном счете увеличивают потери от инфляции.
Инфляционный подъем цен, вызванный увеличением массового спроса, называют инфляцией спроса.
Стало быть, адаптивные инфляционные ожидания, или инфляция спроса, — это дополнительный маховик, который еще сильнее раскручивает рост цен. Однако современные сдвиги в экономической психологии людей являются, конечно, не первопричиной, а лишь следствием действия тех факторов, которые порождают инфляцию.
Что же это за факторы нестабильности денежного обращения?
Их можно четко представить, если мы вновь обратимся к формуле товарно-денежного обращения И. Фишера. В левой стороне формулы указано предложение, денег (Д О), а в правой — спрос на них (Ц Т). Где же искать причины (и виновников) инфляции: на стороне предложения или на стороне спроса денег?
Экономисты-теоретики заняли противоположные позиции, пытаясь решить данную дилемму.
Одну позицию занимают сторонники широко распространенной на Западе и в России монетаристской концепции. Они выдвигают следующие аргументы:
а) цены товаров зависят только от количества (предложения) денег (монет в эпоху золотого стандарта) в обращении — в этом существо так называемой количественной теории денег;
б) инфляция порождается избытком количества денег (их предложения);
в) вся ответственность за инфляцию возлагается на государство, допускающее чрезмерную эмиссию денег.
Между тем нельзя не заметить односторонность приверженцев монетаристской концепции. Они усматривают все изменения в обращении только в левой части формулы И. Фишера. Однако левая часть должна быть сбалансирована и уравнена с правой частью формулы.
Чему же должно быть равно общее количество денег в обращении?
Другую позицию занимают последователи трудовой теории стоимости (и теории издержек производства). Они выдвигают свои контраргументы:
а) цены товаров зависят только от их стоимости (или издержек производства), а не от количества денег;
б) цена является денежным выражением стоимости товара;
в) само количество денег в обращении зависит только от суммы стоимости всех товаров.
Эти взгляды тоже являются односторонними, поскольку учитывают только правую часть формулы И. Фишера. При этом не усматривается определенная зависимость суммы цен произведенных товаров (правой части) от количества денег (левой части).
Сравнение противоположных взглядов позволяет прийти к выводам:
по-видимому, нельзя полностью отрицать известную правомерность Двух рассмотренных позиций;
каждая теоретическая позиция не отражает всей истины;
для полного рассмотрения причин инфляции важно учесть все факторы увеличения цен, находящиеся и на стороне предложения денег и на стороне спроса их.
Итак, отметим факторы инфляции на стороне предложения денег. Их можно разделить на два вида.
А. Внутренние факторы:
а) государство, как правило, предусматривает превышение расходов над доходами (образуется бюджетный дефицит); для покрытия дефицита правительство обычно увеличивает внутренний государственный долг (выпускает государственные ценные бумаги, получает кредиты, за которые затем приходится расплачиваться);
б) центральный банк допускает чрезмерную эмиссию денег, чтобы покрывать возрастающие нужды государства;
в) банки осуществляют кредитную экспансию (дают кредиты сверх нормальной возможности должников возвратить долги).
Б. Международные факторы:
а) государство увеличивает свой внешний долг (берет взаймы иностранные валюты);
б) банки ведут обмен иностранных валют на национальную валюту (это предполагает дополнительный выпуск национальной валюты).
Таким образом, главными виновниками инфляции являются государство и подчиненные ему финансовые учреждения.
Теперь выясним факторы инфляции на стороне спроса. Мы их также подразделяем на два вида.
А. Внутренние факторы:
а) монополии, дающие основную массу товаров, заинтересованы в повышении цен на свои товары и услуги и добиваются этого;
б) военные расходы государства обычно грубо нарушают нормальное соотношение между спросом денег и их предложением;
в) увеличение масштабов долгосрочных капитальных вложений ведет к тому, что на длительное время страна не получает никакой отдачи от затраченных денег.
Б. Международные факторы:
а) рост цен на средства производства на мировом рынке вызывает увеличение цен внутри страны, импортирующей вещественные условия экономического роста;
б) структурные кризисы в мировой экономике, связанные с уменьшением природных ресурсов, ведут к удорожанию факторов производства во всех странах;
в) войны между государствами сопровождаются огромной потребностью в деньгах.
Одним из факторов, который может влиять на инфляцию, является безработица.
Безработица и инфляция находятся в определенной количественной зависимости. Профессор Лондонской экономической школы А. Филипс в конце 50-х годов установил следующую закономерность: чем ниже уровень инфляции, тем выше уровень безработицы, и наоборот. И это объяснимо. С повышением уровня безработицы уменьшается покупательная способность населения. Безработица отрицательно сказывается на уровне оплаты труда.
В итоге уровень инфляции снижается. Этот процесс наглядно представлен в виде кривой Филипса (рис. 16.5).
Кривая Филипса дает два варианта практического сочетания взаимозависимых величин: низкая безработица и высокая инфляция (точка А на графике) либо низкая инфляция и высокая безработица (точка Б на графике). Так, при президенте США Р. Рейгане удалось обуздать инфляцию путем повышения уровня безработицы до рекордной величины.



Степень выравнивания доходен в США и Швеции и 1986 г.


Например, в 1990 г. наивысшая продолжительность жизни была достигнута в Японии (78 лет). Меньше продолжительность жизни была во Франции - 76 лет, США и ФРГ - 75 лет, СССР - 69 лет (в России в 1995 г. 65 лет). Среднее число лет обучения в Северной Америке и Западной Европе составило более 11—12 лет, в СССР — 9 лет.
В 1990 г. по обобщающему индексу человеческого развития Канада заняла первое место (индекс — 0,982), Япония — второе (0,981), США — шестое (0,976), Франция — восьмое (0,969), Великобритания — десятое (0,962), СССР - 33-е место (0,875).
В-четвертых, в социально ориентированной экономике государство с помощью налогов перераспределяет личные доходы граждан — от самых богатых к необеспеченным и малообеспеченным жителям страны.
Как мы знаем, первичное распределение доходов осуществляется на уровне микроэкономики и связано с факторами производства (заработная плата, процент, рента, прибыль). Через систему налогов государство проводит вторичное распределение, или перераспределение, доходов в целях некоторого выравнивания уровня жизни людей. Благодаря такому перераспределению государство дает средства к существованию тем, кого либеральная рыночная экономика бросает на произвол судьбы (инвалиды, многодетные семьи, бездомные и т.д.).
Особенно большое перераспределение личных доходов проводится во многих западноевропейских странах (скандинавские страны, Австрия, Испания и др.). По степени выравнивания доходов все страны мира опередила Швеция, что особенно заметно по сравнению с США (табл. 17.3.).
Таблица 17.3.
Степень выравнивания доходен s США и Швеции и 1986 г.

Распределение семей

Процент всех доходов
США
Швеция
Приходится доходом:
а) па 20% самых богатых семей
б) на 20% самых бедных семей
44
5
37
12
Наконец, в-пятых, в социально ориентированной рыночной экономике возникает социальная опора гражданского общества на так называемый средний класс (по уровню получаемых доходов). Во многих высокоразвитых странах граждане (семьи) делятся на три основных класса:
а) богатый класс — 10—15%; б) средний класс — 70—80% и в) бедный класс — 15—20%. В этом случае обеспечивается наибольшая социальная стабильность общества. Такая стабильность подкрепляется наличием и развитием социальных фондов.
В период классического капитализма рабочие и другие слои трудящихся фактически не были социально защищены от безработицы. Не принималось сколько-нибудь существенных мер для предоставления им материальной помощи в условиях болезни, старости, потери трудоспособности. Все связанные с такими обстоятельствами экономические тяготы ложились на плечи наемных работников.
До сих пор мы исходили из того, что при нормальных условиях производства величина заработной платы соответствует расходам на воспроизводство рабочей силы. При этом не принималась во внимание роль государства в жизнеобеспечении людей, и такая роль долгое время не осуществлялась.
Впервые государство создало систему социального страхования в Германии в конце XIX в. Здесь были приняты законы о страховании от несчастных случаев и по болезни (1883—1884), о введении пенсий по старости и инвалидности (1899). Затем система государственного социального страхования была организована в Австрии, Дании, Франции, Великобритании и других странах.
В условиях посткапиталистического общества во второй половине XX в. государство в странах Запада перешло к обобществлению некоторых условий воспроизводства рабочей силы. Особенно быстро здесь развивалась социальная инфраструктура, в значительной мере финансируемая за счет государства. В нее входят учреждения здравоохранения, образования, переподготовка работников и т.п. Так, в 1990 г. в бюджете США расходы на образование, производственное обучение, занятость, социальное обеспечение, здравоохранение и программу медицинского обслуживания Медикэр, социальное страхование, а также на доходы, выплаты и услуги ветеранам составили в общей сумме свыше 460 млрд. долл., или 40% всех расходов бюджета.
Между тем сумма индивидуального подоходного налога составила 393 млрд. долл., сумма налогов и взносов в фонды социального страхования — 303 млрд. долл., а налоги на прибыль предпринимателей — 84 млрд. долл.
В нынешних условиях государственные органы в странах Запада стали эффективно вмешиваться в перераспределение национального дохода через свои бюджеты. Они сосредоточивают в своих руках не только налоги с доходов граждан, но и взносы на социальные нужды (медицинское и социальное страхование). Например, в 1987 г. в доходах промышленного рабочего со средней заработной платой в ФРГ доля прямых налогов составляла 19% и доля социальных взносов — 17%, во Франции соответственно — 7 и 17%, в Великобритании — 20 и 9%.
Значительная часть этих средств возвращается населению в виде так называемых трансфертных платежей. На данные средства функционирует социальная инфраструктура: обеспечивается бесплатное школьное образование, бесплатное или частично оплачиваемое здравоохранение, дешевое, государственное жилье, выплата пенсий, пособий по болезни и безработице и прочие выплаты и государственные услуги.
В западных странах в составе такой инфраструктуры сложились и функционируют, как правило, три системы государственного обеспечения: социальное страхование, государственное вспомоществование и система универсального обеспечения. Они создаются главным образом за счет различного рода налогов и выплат и заработной платы (сами рабочие через налоги уплачивают, например, до 50% сумм страховых фондов). Бизнесмены вносят относительно небольшую часть взносов, причем эти взносы они включают в производственные затраты, а тем самым и в цены, по которым покупает товары все население.
Наиболее распространена система социального страхования, по которой страховые взносы обязательно удерживаются из заработной платы работников, а право на пенсию или пособие (при наличии необходимого страхового стажа, возраста и некоторых других условий) предоставляется независимо от материального положения семьи застрахованного. Размер удержаний страховых взносов из зарплаты рабочих и служащих весьма значителен и непрерывно увеличивается (он составляет в разных странах от 6 до 14%). Главным видом социального страхования являются пенсии по старости, которые выплачиваются по достижении пенсионного возраста, необходимого трудового или страхового стажа и, как правило, составляют 25—40% заработка.
Государственное вспомоществование выплачивается целиком из средств государственного бюджета. Оно достается не всем трудящимся, лишившимся заработка из-за безработицы или нетрудоспособности, а лишь тем, кто после проверки доходов всех членов семьи официально признается не имеющим средств к существованию. Около 1/3 пенсионеров в США, Великобритании, Японии и других странах обращаются к государственному вспомоществованию по старости.
Сумма дополнительно назначаемого в этом случае пособия и минимальная пенсия не превышают размера дохода, соответствующего официально установленному уровню бедности.
Наконец, преимущественно в пенсионном обеспечении в Швеции, Финляндии, Норвегии, Канаде и Исландии укоренилась универсальная система социального обеспечения. Здесь право на пенсию имеют все граждане, достигшие пенсионного возраста, ставшие инвалидами или потерявшие кормильца. Пенсии выплачиваются в одинаковых для всех, твердо фиксированных размерах.
Средства на выплаты создаются путем взимания особого налога со всех граждан с 16—18 лет до пенсионного возраста (в Швеции и Норвегии, например, пенсионный возраст для мужчин 67 лет).
В условиях государственного социализма в нашей стране социальная инфраструктура приняла форму общественных фондов потребления — материальных, культурных благ и услуг, которые поступают в совместное или индивидуальное потребление сверх оплаты по труду. Так, в 1990 г. выплаты и льготы, полученные из общественных фондов потребления в среднем на одного рабочего и служащего, составили 40% к уровню заработной платы.
Общественные фонды потребления — это прежде всего затраты государства на социальную инфраструктуру, позволявшие всему населению бесплатно пользоваться услугами учреждений просвещения и культуры (бесплатны в основном среднее и высшее образование и повышение квалификации), здравоохранения и физической культуры. Фонды обеспечивали выплаты неработающему населению (пенсии по старости и инвалидности) и пособия (стипендии студентам и аспирантам, пособия малообеспеченным и многодетным семьям и т.п.), а также оплату всем работникам очередных отпусков и дотацию на жилье.
При переходе к рынку в нашей стране преодолеваются серьезные противоречия, связанные с бесплатностью распределения некоторых благ и услуг из общественных фондов потребления. Наряду с бесспорными достижениями такое распределение дает отрицательные побочные последствия. Унифицированный набор бесплатных благ в определенной степени лишает человека свободного выбора, а все общество — многообразия.
Налицо также обезличка и уравнительность в получении благ. Уровень их потребления не зависит от индивидуальных и коллективных результатов труда. Человек лишен возможности влиять на качество обслуживания в медицинских и других учреждениях.



Структура денежных доходов населения


Вместе с тем государство, используя только свои ресурсы, не в состоянии обеспечить высокий уровень качества социальной инфраструктуры, который соответствует современным требованиям. Чтобы достичь этого уровня, важно расширить источники финансирования здравоохранения, образования и других отраслей инфраструктуры. О сравнительной недостаточности общественных затрат на эти цели в нашей стране свидетельствуют такие данные.
В конце 80-х годов расходы на образование и здравоохранение в составе валового национального продукта в СССР были в 1,5—3 раза ниже, чем в США и Японии.
В годы экономических реформ в России удельный вес социальных трансфертов в общей структуре денежных доходов населения несколько повысился (табл. 17.4).
Таблица 17.4.
Структура денежных доходов населения, %, в 1992 и 1995 it.

Виды дохода
1992
1995
Оплата труда
69,9
39.3
Социальные трансферты
14.0
16.7
Доходы от собственности, предпринимательской деятельности и т.д.
16,1
44,0
Как видно из данных таблицы 17.4, при резком увеличении доли доходов от собственности, предпринимательской деятельности социальные трансферты по своему удельному весу в общей сумме денежных доходов увеличились с 14,0 до 16,7% (в абсолютном выражении за тот же период с 994 млрд. до 157 373 млрд. руб.).
В последние годы наряду с бесплатными услугами в России развивается сеть платных услуг — отдельные виды медицинской помощи, пользование спортивным инвентарем и сооружениями и т.п. Помимо получения средств от государственной системы пенсионного обеспечения граждане имеют возможность накопить в сберегательном банке дополнительную пенсию за счет личных денежных доходов. Получает развитие страховая медицина, которая позволит решительно повысить качество медицинского обслуживания.
Однако развитие рыночных и коммерческих отношений в сфере социальных услуг должно иметь свои пределы. Опыт всех стран мира однозначно свидетельствует о том, что социальные фонды государства играют чрезвычайно важную роль в жизни общества — создается научный, социальный и культурный потенциал для его будущего развития. Здесь реально обеспечиваются гуманистическая и демократическая направленность народного хозяйства, социальная защита нетрудоспособных членов общества.
Эффективное использование социальных фондов позволяет решать социально-демографические задачи (укреплять семьи, оказывать материальную помощь многодетным, повышать качество народного образования и медицинского обслуживания).
Социальные фонды и трансфертные платежи прочно вошли в общую систему экономических отношений. _
Активное участие государства в народнохозяйствен ной деятельности привело к образованию и функционированию двух макроэкономических циклических потоков.
Общий кругооборот материальных и денежных средств страны расширился за счет циклических потоков между домашними хозяйствами и государством. Определенная зависимость этих субъектов хозяйствования друг от друга выражается в налаживании между ними прямых и обратных связей по распределению и перераспределению доходов (рис. 17.8).

Структура денежных доходов населения

Рис. 17.8. Циклические потоки между домашними хозяйствами
и государством
Так, домашние хозяйства платят государству налоги со своих доходов (заработной платы, прибыли, собственности и т.д.). Этот поток денег поступает в соответствующие государственные учреждения. Здесь денежные средства используются для создания социальных фондов, производства общественных благ и услуг (государственных учебных заведений, публичных библиотек и т.п.).
Поэтому от государства в обратном направлении к домашним хозяйствам идет поток общественных благ, услуг, трансфертных платежей. Если из общей суммы поступивших государству налогов вычесть ту сумму стоимости товаров и услуг, которые в обратном порядке получают домашние хозяйства, то выявляется величина чистых налогов, уплачиваемых домашними хозяйствами.
Народнохозяйственный кругооборот материальных и денежных средств расширился также за счет циклических потоков между предприятиями и государством. В данных потоках отражается довольно сложная взаимосвязь, существующая между предприятиями и государством. Эта взаимосвязь затрагивает прежде всего распределение и перераспределение доходов, связанных с налогообложением. А затем возникают потоки денег и товаров (услуг), которые опосредуются рыночными связями (рис.
17.9).

Структура денежных доходов населения

Рис. 17.9. Циклические потоки между предприятиями и государством
Как видно на рисунке 17.9, поток денег в виде налогов прямо поступает от предприятий государству. Эти средства частично могут возвращаться 4'ирмам в виде субсидий, а также в форме различных общественных товаров и услуг (научных разработок государственных исследовательских институтов, подготовки и переподготовки кадров и т.д.). Кроме того, государство тратит полученные за счет налогов доходы на покупку у предприятий па рынке ресурсов соответствующих товаров (организационная техника, канцелярские принадлежности, предметы для материально-технического снабжения полиции, вооруженных сил и т.п.).
В свою очередь, предприятия приобретают производственные ресурсы для создания товаров и услуг, поступающих на рынки этих благ. Ими пользуются служащие государственных учреждений и учебных заведений, личный состав вооруженных сил и другие лица, получающие за свою работу в государственном секторе заработную плату и иные доходы.
В современных условиях государство непосредственно владеет и распоряжается значительной долей всего валового внутреннего продукта в интересах предоставления домашним хозяйствам и предприятиям общественных благ и услуг. По данным международных сопоставлений, в 1992 г. в структуре валового внутреннего продукта(по его конечному использованию, принятому за 100%) расходы на конечное потребление государственных учреждений, обслуживающих домашние хозяйства и удовлетворяющих коллективные потребности и др., приходилось в Японии - 9%, Италии - 17%, США (1993) - 18%, Германии (1990) - 18%, Польше и Франции - по 19%, России (1993) -21% и Великобритании - 22%. Эти цифры подтверждают то положение, согласно которому государство добивается того, что недоступно рынку, — максимальной социальной ориентации хозяйственного развития.
Ноне менее ясно и другое. Государственное регулирование упускает преимущество рыночного воздействия на производство — подъем его экономической эффективности. Государство пытается решать социальные проблемы наиболее доступным для него способом — увеличивать налоги и перераспределять доходы субъектов рынка.
Однако это отрицательно сказывается на материальном стимулировании товаропроизводителей и подрывает экономические источники социального прогресса.
Как же избежать противопоставления двух стратегических целей рыночной экономики — достичь максимальной экономической эффективности производства и добиться наибольшей социальной эффективности хозяйственной деятельности? Этот вопрос мы рассмотрим в следующей главе.
Экономический тренинг
1. Ключевые термины и понятия
Народнохозяйственная пропорциональность; закон пропорционального развития макроэкономики; совокупное предложение; совокупный спрос; макроэкономическое равновесие рынков; макроэкономический регулятор; рыночный механизм саморегулирования; закон рынка; распределение доходов в либеральной рыночной экономике; социальная справедливость; кривая Лоренса; децильный коэффициент; кейнсиаиство; государственное регулирование экономики; эффективный спрос; перераспределение доходов; государственный заказ: дотации; прогнозирование; народнохозяйственное планирование; мультипликатор инвестиций; личный располагаемый доход; склонность к потреблению; склонность к накоплению; трансфертные платежи; социально ориентироваипая экономика; социальные фонды.
2. Тесты
2.1. Саморегулирующаяся рыночная система гарантирует:
а) отсутствие дефицита товаров;
б) невозможность избытка товаров;
в) возможность избытка товаров;
г) дефициты и излишки товарной массы, которые быстро исчезают в результате действия цен него механизма.
2.2. Принцип рыночного саморегулирования:
а) основан на механизме рыночных цен;
б) заменяет общенациональное регулирование экономики со стороны государства;
в) обеспечивает общеэкономическое равновесие;
г) делает излишним государственное планирование.
3. Проблемные вопросы
3.1. Какое состояние рыночной системы можно назвать нормальным?
3.2. Какое влияние на совокупный спрос оказывает динамика денежной массы, скорость обращения денег и инфляционные процессы?
3.3. Какое влияние окажут на совокупный спрос и совокупное предложение следующие факторы:
а) 10%-ное повышение акцизного налога на бензин;
6) уменьшение процентных ставок;
в) сокращение федеральных расходов на образование.
4. Верно — неверно
4.1. Увеличение товарных запасов заставляет фирмы увеличивать занятость.
4.2. Снижение уровня цен сокращает спрос на деньги и повышает процентную ставку.
4.3. Высокий уровень потребительской задолженности стимулирует рост потребительских расходов и совокупного потребления.
5. П. Хейне в книге Экономический образ мышления задал студентам вопросы (попробуйте ответить на них)
Критики государственного регулирования часто стремятся доказать предпочтительность свободного рынка. Могут ли быть рынки абсолютно свободными? Свободными от чего? Является ли рынок несвободным, если на нем действуют: законы, запрещающие использование фальшивых мер и весов; законы, запрещающие повышение цен, если оно не одобрено государственным учреждением; законы, запрещающие обманывающую рекламу?
Глебы Вы провели границу между свободными или несвободными, или регулируемыми, рынками?
6. Вопросы о рынке в России
6.1. Может ли — если не в масштабе России, то в отделы i iiix [ici ионах — существовать свободный рынок? 2акими чертами он наделен?
Как осуществляется его саморегулирование?
6.2. Заметили ли вы элементы свободного рынка и конкуренции и деятельности мелкого бизнеса, в торговле (ТОО, лавочки, уличная торговля и т.н.) в Москве или других регионах России?
Имеются ли здесь конкуренция и свободные цены?
6.3. Осуществлена ли в России модель рыночного саморегулирования? Если нет, то что требуется для того, чтобы в России цены играли регулирующую роль?
7. Найдите наиболее подходящий вариант
7.1. Изучение роли правительств западных стран показывает, что:
а) значение государственного сектора надает;
б) государственные расходы на всех уровнях управления растут;
в) государственные расходы никак не влияют на негосударственный сектор экономики;
г) правительственная политика в области налогообложения и экономии средств не
оказывает существенного влияния на экономику в целом.
7.2. Когда государство предоставляет услуги или осуществляет расходы, то оно:
а) лишает частные компании возможности самостоятельно получать доходы;
б) ухудшает конъюнктуру на рынке труда;
в) решает, каким образом лучше распределить производственные ресурсы.
8. Проблемные вопросы
8.1. Укажите те современные функции государства, которые прежде не были присущи ему.
8.2. В какой мере увеличение экономических издержек государства отражает процесс снижения эффективности его деятельности?
8.3. Согласны ли Вы со следующим утверждением: Неравенство в доходах не только продукт рыночной системы, но и условие ее эффективного функционирования, так как создает действенные мотивы к труду и инвестированию. Поэтому государство не должно добиваться полной ликвидации неравенства.




Структура экспорта и импорта России


Таблица 20.2.
Структура экспорта и импорта России в 1995 г. (в фактически действовавших ценах)1

Структура
Экспорт
Импорт2
млрд.долл. США
%
млрд.долл. США
%
Экспорт и импорт — всего
и том числе:
машины, оборудование и транспортные средства
минеральные продукты
металлы, драгоценные камни и изделия из них
продукция химической промышленности, каучук
древесина и целлюлозно-бумажные изделия
текстиль и текстильные изделия
кожевенное сырье, пушнина и изделия из них
продовольственные товары и сельскохозяйственное сырье (кроме текстильного)
прочие товары
66,0
5,2
26,4
19,0
6,2
3,8
0,8
0,3
2,3
2,0
100
7,8 39,9 28,8 9,4 5,8 1,2 0,4
3,4
3,3
33,1
12,5
0,9
1,6
3,7
1,0
1,5
0,1
9,6
2,2
100
37,7 2,7 4,9 11,2 2,9 4,6 0,4
28,9
6,7
1 Без государств - участников СНГ.
2 Без неорганизованной торговли.
Из данных таблицы 20.2 видно, что экспорт России в зарубежные страны состоит преимущественно из минеральных продуктов, металлов, драгоценных камней и изделий из них, древесины и целлюлозно-бумажных изделий (74,5% стоимости всех экспортных товаров). В импорте же преобладают машины, оборудование и транспортные средства, продовольственные товары и сельскохозяйственное сырье (несмотря на достаточно высокий потенциал отечественного производства сельскохозяйственных продуктов), продукция химической промышленности и каучук (77,8% стоимости всех ввозимых товаров).
Вместе с тем наша страна обладает исключительными возможностями для развития международного экономического сотрудничества. Только стоимость разведанных и предварительно оцененных запасов минерального сырья в России на 1994 г. составляла 28 трлн. долл., что равняется стоимости валового внутреннего продукта (стоимости всех товаров и услуг, произведенных в стране) за 20 лет. Сейчас доля России в мировой добыче составляет по углю, нефти и газу от 10 до 30%, по металлам — 10—15%.
Известно, что вывоз за рубеж готовой продукции дает по крайней мере в 10 раз больше экспортного дохода, чем продажа на мировом рынке сырья и энергоносителей. Поэтому становится очевидной очень неблагоприятная нынешняя структура внешней торговли России.
Развитие внешней торговли во многом определяется уровнем цен на мировом рынке. Мировая цена товара, поступающего во внешнеторговый оборот, отражает его интернациональную стоимость, изменения соотношений спроса и предложения благ и услуг, а также степень влияния конкуренции и монополии на всемирном рынке. Вот как это происходит. Торговые партнеры существенно отличаются по среднему уровню производительности живого и овеществленного труда.
Однако в условиях свободной конкуренции интернациональная стоимость устанавливается по затратам стран, в которых производится преобладающая масса поступающих на рынок товаров.
Экономически менее развитые страны, изготавливающие продукты с большими издержками производства, при продаже своих изделий по мировым ценам теряют часть национальных затрат труда. Но они получают выигрыш от внешней торговли, покупая нужные им блага на мировом рынке по ценам, более низким, чем национальные издержки. В то же время подрывается выпуск традиционных продуктов в менее развитом государстве, поскольку такие изделия оказываются неконкурентоспособными по сравнению с импортными вещами.
Для современного всемирного рынка типичен неэквивалентный обмен, так как здесь монополизация развита в большей степени, чем во внутренней торговле. Через каналы частных монополий, контролирующих мировой рынок, реализуется от 70 до 90% всех продуктов, экспортируемых развивающимися государствами. Монополии добиваются отклонения цен от естественных уровней, определяемых состоянием всемирного рынка. Они искусственно создают нехватку одних вещей или ограничивают спрос на другие, затоваривают рынок, чтобы сбить цены, или придерживают продукты, чтобы повысить цену.
В итоге международные фирмы устанавливают выгодные им высокие цены на реализуемые ими продукты и относительно низкие — на закупаемые.
Деятельность монополий порождает множественность цен на мировом рынке. На один и тот же товар может существовать разная цена в зависимости от того, кто его покупает, от места продажи, валюты, в которой производятся платежи, и ряда других обстоятельств. В этих условиях наиболее представительными ценами, которые могут рассматриваться как мировые, являются цены, характерные для крупных регулярных операций, совершаемых в важнейших центрах мировой торговли.
Международные монополии проводят неэквивалентный обмен с помощью ножниц цен. Так, в 50—60-е годы более высокими темпами росли цены на готовые изделия, выпускаемые западными странами. В то же время падали цены на сырьевые товары.
В середине 70-х годов развивающиеся страны резко повысили цены на нефть и нефтепродукты: в 1981 г. они были в 16 раз выше, чем в 1972 г. Однако постепенно цены на готовые изделия также увеличивались и подтягивались к новому уровню цен на топливно-сырьевые ресурсы. В странах Запада под влиянием более экономного использования сырья и энергоносителей, внедрения ресурсосберегающих технологий во второй половине 80-х годов цены на топливо и сырье резко упали. В 1988 г. цены на нефть снизились более чем вдвое по сравнению с уровнем 1981 г.
Поскольку национальное хозяйство всех стран в той или иной мере зависит от экспорта и импорта, которые затрагивают экономические интересы разных слоев населения, государство в законодательном порядке устанавливает определенные правила и условия внешней торговли. Исторически сложились два противоположных вида внешнеторговой политики: протекционизм и свобода торговли.
Протекционизм — система ограничений импорта, когда вводятся высокие таможенные пошлины, запрещается ввоз определенных продуктов, количественно регламентируется импорт, используются дискриминационные качественные стандарты и другие меры, препятствующие конкуренции иностранных изделий с местным производством. Политика протекционизма защищает национальную промышленность и сельское хозяйство, поощряет развитие отечественного производства, способного заменить импортные товары.
Однако протекционизм имеет оборотную сторону. Благодаря ему поддерживается завышенный уровень цен на продукты, защищенные высокими пошлинами. Ослабляются побудительные стимулы к техническому прогрессу в отраслях, огражденных от иностранной конкуренции. Усиливается нелегальный ввоз товаров без таможенного контроля.
К тому же ответные меры стран — торговых партнеров отрицательно сказываются на возможностях экспорта и могут нанести национальному хозяйству ущерб, превышающий его выигрыш от мер таможенной защиты.
Свобода торговли — внешнеторговая политика, при которой таможенные органы выполняют только регистрационные функции. Они не взимают импортных и экспортных пошлин, не устанавливают каких-либо количественных или иных ограничений на внешнеторговый оборот. Такую политику проводят страны с высокой эффективностью национального хозяйства, которая позволяет местным предпринимателям не только выдерживать иностранную конкуренцию, но и прорывать протекционистские таможенные барьеры, расширяя доступ своих товаров на всемирный рынок.
В большинстве случаев правительства проводят гибкую внешнеторговую политику. Они избирательно используют методы протекционизма и вводят элементы свободной торговли. При этом обеспечиваются благоприятные условия в экономических связях с другими странами: с ними заключаются торговые сделки, содержащие пункты о взаимных обязательствах в области внешнеторговой политики.
Часто государства идут на торговые соглашения о принципе наибольшего благоприятствования. Каждая из договаривающихся сторон обязуется предоставлять своему партнеру такие же права и льготы, которые оно уже дало другим партнерам. Поэтому отказ предоставить принцип наибольшего благоприятствования какой-либо стране фактически означает, что против нее применяются экономические ограничения.
Сильные в экономическом отношении государства нередко проводят наступательную торговую политику. Они применяют протекционизм как средство наводнить рынки других стран своими изделиями, взламывают их таможенные барьеры. Завышенные таможенные пошлины позволяют им поддерживать у себя такой высокий уровень цен, который компенсирует бизнесменам потери от уплаты пошлин в странах, подвергающихся торговой агрессии. Кроме того, проводится товарный демпинг, ослабляющий позиции конкурентов на всемирном рынке.
Товарный демпинг — вывоз продукции за границу по ценам, значительно более низким, чем цены внутри данной страны или на мировом рынке, в интересах устранения конкурентов и захвата внешних рынков.
Иногда агрессивная торговая политика используется для вмешательства во внутренние дела других государств и как орудие давления, преследующее политические и военно-стратегические цели. При этом используются различные меры торговой дискриминации, односторонних запретов, ограничительных условий в области как импорта, так и экспорта, транспортных перевозок, внешнеторгового кредита.



Субъективная оценка полезности


Субъективная оценка полезности во многом зависит от редкости самих благ и от объема их потребления. Известно, что по мере насыщения потребностей (в отношении ограниченного круга предметов первой необходимости, таких, например, как хлеб, вода) человек может чувствовать убывающую полезность каждой дополнительной порции товара. Одно дело, скажем, первый глоток газированной воды в жаркий день и иное — пятый и десятый.
Правда, такой тенденции не наблюдается, когда человек приобретает предметы длительного пользования с улучшенными характеристиками, к примеру, телевизоры от первого до пятого поколений.
В натуральном хозяйстве круг полезных продуктов, создаваемых для внутреннего потребления, очень ограничен. Иное дело — во втором роде производства, основанном на общественном разделении труда, — товарном. Здесь не только резко возрастает количество и разнообразие продуктов, но также изменяются их свойства.
Первейшим свойством товара является то его качество, каким обладает и натуральный продукт — полезность. Однако полностью отождествлять это свойство в натуральном и товарном производстве было бы неправомерно. Одно дело — создавать продукт для внутреннего потребления в замкнутом хозяйстве. И совсем другое дело — предназначать его для продажи на рынке.
Естественно, что в товарном хозяйстве по мере роста благосостояния населения закономерно повышаются требования покупателей к качеству товаров. Более того, в Нынешних условиях все большая масса изделий обновляется и качественно совершенствуется в соответствии с требованиями маркетинга (о маркетинге речь впереди).
Вряд ли нужно доказывать, что если товар не обладает полезностью, то он никому не нужен. Однако если всякий товар — полезная вещь, то можно ли считать наоборот, что в развитом товарном хозяйстве любое благо — это товар?
Ответ мы получим, если рассмотрим проблему: в каких случаях полезная вещь — товар? Для этого последовательно разберем три дилеммы.
1-я дилемма. Все блага, используемые для потребления, можно подразделить на два вида: а) созданные природой (вода, дикорастущие плоды и т.п.) или б) произведенные трудом. В каком случае мы имем дело с товаром?
Очевидно, что товаром мы признаем не даровой продукт природы, а то, на что затрачен человеческий труд, требующий соответствующего возмещения.
2-я дилемма. Все изготовленные трудом полезные вещи можно разделить на две группы: а) созданные для себя и б) произведенные для других людей. Что здесь можно признать товаром?
Разумеется, товарами не могут быть изделия, приготовленные для собственных нужд (как в натуральном хозяйстве). Ими будут вещи, созданные для иных людей, т.е. общественные полезности.
3-я дилемма. Общественные полезности также бывают двух видов;
а) отчуждаемые другим людям безвозмездно и б) передаваемые на рынке потребителям путем эквивалентного (равноценного) обмена на иную вещь.
Естественно, не будут товарами изделия, достающиеся иным лицам бесплатно (например, подарок или продукт, который раб отдает господину безвозмездно). Продаваемая на рынке полезная вещь предполагает эквивалентное возмещение.
Значит, товар — созданная трудом общественная полезность, предназначаемая для эквивалентного обмена на рынке на другой товар.
Из данного определения видно: товар при обмене на равноценный продукт получает на рынке меновую стоимость. Меновая стоимость — способность товара обмениваться на другие полезные вещи в определенных пропорциях (соотношениях) обмена. Например, на рынке можно приравнять друг к другу (цифры условные): 10м хлопчатобумажной ткани, 1 стол, 40 кг мяса и пр. Такие обменные операции можно представить в алгебраическом виде:
хА = уВ = zC = ...,
где А, В, С — полезные вещи;
х, у, r - количественные пропорции обмена.
Подобное равенство меновых соотношений повседневно и миллиарды раз повторяется в практике рынка. Оно кажется обычным и понятным всем людям.
Если задуматься о меновом равенстве серьезно, то окажется, что здесь не ясно главное: что в товарах, чему и почему равно?
В самом деле, равны ли обмениваемые, а следовательно, приравненные друг к другу товары как полезности? Совершенно очевидно: в обмене представлены разнородные блага (ткань, стол, мясо—как в приведенном здесь примере). Ведь никто не продает какое-то благо определенного вида за одинаковую полезность. Полезные вещи не сопоставимы и в количественном отношении: ткани измеряются в квадратных метрах, столы — в штуках, мясо — в килограммах и т.д.
Что же в таком случае является равным в меновой пропорции?
Еще выдающийся мыслитель Древней Греции Аристотель подметил; обмен невозможен без равенства, а равенство без соизмеримости. Однако что леит в основе соизмеримости, никто не мог сказать в течение более двух тысячелетий. Только в XVIII—XIX вв. экономическая теория дала долгожданный ответ: общим содержанием менового равенства является одинаковая по величине стоимость, воплощенная во всех товарах.
Таким образом, товар имеет два свойства: полезность и стоимость. Данная характеристика свойств товара была вполне достаточна для простого и развитого товарного хозяйства вплоть до второй половины XX в. Но в последнее время в условиях многоукладной западной экономики потребовалась новая классификация продуктов.
Все множество полезных продуктов можно подразделить на два больших класса, имеющих разные основания. Они, в свою очередь, распадаются на отдельные виды (рис. 4.3).

Субъективная оценка полезности

Рис. 4.3. Классификация блaг
Первый класс образуется в зависимости от форм собственности. Он включает три вида благ.
1. Один вид — товары индивидуального потребления (предметы потребления и средства производства). Они имеют следующие социально-экономические признаки:
данные товары делимы, т.е. существуют в виде сравнительно малых единиц, которые доступны отдельным покупателям;
эти вещи подвержены так называемому принципу исключения', выбывает из их потребителей тот человек, который не в состоянии платить за благо по рыночной цене. Обладателем вещи становится лишь тот, кто желает и в состоянии уплатить за нее;
такие товары производит негосударственный сектор.
2. Другой вид благ —государственные, или общественные полезные продукты.
Еще английский неоклассик А.Маршалл в своей книге Принципы экономической науки (1890) обратил внимание на то, что наряду с благами, находящимися в частной собственности, имеются коллективные блага или общественное богатство. Самыми очевидными формами такого богатства являются все виды государственной материальной собственности, такие, как дороги и каналы, здания и парки, предприятия газоснабжения и водопроводные сооружения...36 К общественным благам были также отнесены гражданская или военная безопасность, право и возможность пользоваться государственной собственностью, правами на судебную защиту или бесплатное образование.
Государственные продукты но существу не являются товарами: они создаются не для продажи потребителям и не поступают на рынок. Эти блага имеют такие черты:
— данные полезные вещи неделимы, поскольку состоят из столь крупных единиц, которые невозможно продать отдельным лицам;
— на эти блага не распространяется принцип исключения (т.е. невозможно отстранить людей от использования выгод данных благ);
— средства на создание рассматриваемых благ государство собирает в виде налогов.
3. Третий вид благ — квазиобщественные, или квазигосударственные (лат. quasi — якобы, будто бы) продукты. К ним может быть применен принцип исключения.
К этому виду относятся: а) библиотеки, музеи; б) профилактическое медицинское обслуживание; в) пожарная охрана, полицейская служба и т.д. На данные блага (услуги) могут быть установлены цены, а частные собственники могут за плату обеспечивать ими потребителей. Однако индивидуальные собственники не берут на себя весь объем производства таких благ.
Эту задачу выполняет государство, чтобы не допустить недостатка общественно полезных продуктов.
Второй класс благ включает в себя товары, которые различаются в зависимости от характера удовлетворения потребностей. Они делятся на следующие виды.
1. Первый вид — взаимозаменяемые продукты. Если растет потребление одного из них, то снижается использование другого. Примерами могут служить, положим, пары вещей: сливочное масло и маргарин, кефир и простокваша, автомашины Тоёта и Хонда.
2. Второй вид — взаимодополняемые продукты. Они сопутствуют друг другу, и потребность в них одновременно увеличивается или снижается. Это, скажем, фотоаппарат и фотопленка, видеомагнитофон и кассеты к нему.
3. Третий вид — независимые товары, или, иначе говоря, не сопряженные, самостоятельные товары. Потребности в этих вещах никак не связаны между собой (например, бананы и рыба, трикотажные изделия и наручные часы).
Как мы видим, современная классификация производимых благ отражает новые реалии последней трети XX столетия:



Сущность реформирования государственной собственности


Рассмотрим основные проблемы реформирования социалистической собственности.
Первая проблема: какова сущность реформирования государственной собственности?
Такое реформирование означает денационализацию государственного имущества и выбор альтернативных вариантов его присвоения. От этого выбора зависит содержание и характер реформы отношений собственности.
Зарубежный опыт показывает, что реформа собственности государства и поиск иных видов присвоения зачастую проводятся в виде приватизации (лат. privatus — частный). Обычно под приватизацией понимается передача (продажа) принадлежащих государству предприятий, средств транспорта, жилых здании и т.п. в частную собственность. Однако на практике это не всегда означает преобразование государственной собственности в единоличное владение.
Например, в Англии консервативное правительство в 1979 г. решило сократить размеры государственного сектора экономики. Проводимая им приватизация состояла в следующих мерах: а) продаже государственных предприятий; б) реализации на рынке ценных бумаг принадлежавших государству акций корпораций и в) продаже муниципальных домов их жильцам. К 1987 г. в негосударственный сектор перешла 1/3 государственных предприятий, в которых имелось 60 тыс. рабочих мест.
Число акционеров возросло с 2,5 млн. человек в 1979 г. почти до 9 млн. человек в 1987 г. Государство получило от продажи своего имущества более 10 млн. фунтов стерлингов.
Во Франции один из видов приватизации превратился в постоянный процесс. Здесь государство либо покупает акции предприятий, либо продает их в зависимости от положения на рынке ценных бумаг.
Приведенные факты показывают следующее. Приватизация проводится по крайней мере по трем вариантам. В одном случае государственное имущество достается в конечном счете частным собственникам. В другом варианте отдельные лица, приобретающие государственные акции, становятся членами какого-то акционерного общества, .т.е. совладельцами общей долевой собственности.
В третьем случае государственные акции скупают какие-то корпорации. Значит, приватизация на деле означает превращение государственной (общей совместной) собственности в типы частною и общего долевого присвоения. Иначе говоря, приватизацию можно отождествить с разгосударствлением — пре-"образованием государственной собственности в различные формы негосударственного хозяйства.
Отсюда видна ошибочность официальной трактовки приватизации, которая была дана в начале российских реформ. Эта трактовка сводилась только к одному варианту приватизации — превращению государственной собственности в частную.
Исходя из такой установки, на практике зачастую крупное хозяйственное объединение дробили на небольшие части с тем, чтобы они могли достаться единоличному собственнику. Так, например, конструкторское бюро приватизировалось отдельно от завода, хотя подобное бюро не способно жить без завода.
Вторая проблема: каковы границы разгосударствления? Приватизацию можно считать, по-видимому, достаточно обоснованной, если ее масштабы соответствуют степени реального обобществления хозяйства, не разрушают технического, технологического и организационно-экономического единства и целостности какого-то звена производства. Но это условие в нашей стране нередко не учитывалось.
Характерен такой пример. В 1988 г. в Книге рекордов Гиннеса была зарегистрирована самая крупная в мире авиатранспортная компания — Аэрофлот СССР (в ней насчитывалось 1650 самолетов и вертолетов, которые обслуживали 3600 городов). Эта компания была разбита на 400 с лишним авиалиний. Но мелкие организации не смогли обеспечить комфортные и безопасные полеты пассажиров на новейших авиалайнерах.
У них не оказалось достаточных денежных средств, нужной технической базы и других условий.
Границы разгосударствления собственности определяются также общегосударственными интересами и условиями национальной безопасности. Приватизации не должны подвергаться стратегически важные объекты народного хозяйства. Однако в первые годы реформ такие требования часто нарушались.
Это нанесло большой ущерб военно-промышленному комплексу, призванному обеспечивать надежную обороноспособность страны.
Третья проблема: каковы должны быть сроки, разгосударствления собственности?
В Англии, как мы знаем, приватизация проводилась в течение восьми лет. Это объясняется тем, что здесь прежде, чем продать предприятие (или его акции), с каждым из них тщательно разбирались.
В нашей стране приватизация проводилась бешеными темпами. Ей не предшествовала какая-либо предварительная подготовка. Не проводилась инвентаризация предприятий (опись их имущества).
В условиях очень быстрого обесценения денег стоимость предприятий не была правильно оценена (они часто продавались по остаточной стоимости — по стоимости полностью износившегося оборудования). Поэтому многие заводы становились добычей ловких покупателей по цене, сопоставимой со стоимостью новой престижной квартиры.
Приватизация в нашей стране началась с октября 1992 г. На первом ее этапе, так называемой ваучерной приватизации, ставилась задача — покончить с государственным монополизмом собственности. Чтобы организовать обвальную приватизацию .за 22 месяца, каждому гражданину страны был предоставлен приватизационный чек (так называемый ваучер). С помощью чеков происходила бесплатная передача гражданам в процессе приватизации предприятий, их подразделений, имущества, акций и долей в акционерных обществах и товариществах.
О кавалерийских темпах приватизации в 1993 г., когда из государственного сектора выбыли 43 тыс. предприятий, говорят следующие цифры:

Приватизировано предприятий, тыс.:
путем продажи акционированием
Поступление средств от приватизации предприятий:
приватизационных чеков, млн.
денежных средств, млрд. руб.
в том числе:
личные средства граждан
фонды экономического стимулирования предприятий
средства предприятий-покупателей
средства иностранных инвесторов
42,9 29,4 13,5
46,8 450,3
50,1 19,1 208,0 1,0
По официальным данным, за период ваучерной приватизации (до 1 июля 1994 г.) было разгосударствлено 70% промышленных предприятий. Доля государственной собственности в общем объеме стоимости имущества составила 35%.
На первом этапе приватизации государство не получило высоких доходов от продажи государственного имущества. И это не случайно. Например, ускоренные темпы продажи акций повлияли на их низкую рыночную цену.
Если балансовая стоимость имущества (установленная по материалам бухгалтерского учета) возросла в 1000 раз, то цена акции увеличилась против номинала (нарицательной стоимости) не более чем в 30 раз.
С 1 июля 1994г. был объявлен второй этап приватизации, во время которого имущество государственных и муниципальных предприятий продается за деньги. Для этого предполагается продажа предприятий или их акций на аукционах (публичных торгах), разного рода конкурсах; выкуп арендованного имущества и другие способы приватизации.
Главная проблема второго этапа приватизации — способствовать появлению новых эффективных собственников. Речь идет о таких пред' приимчивых владельцах капитала, которые будут заинтересованы развивать производство и вложат в него средства, повышающие эффективность (результативность) хозяйственной деятельности.
Однако появлению эффективных собственников во многом мешает ряд отрицательных последствий первого этапа приватизации:
3/4 акционированных промышленных предприятий находятся в собственности трудовых коллективов. Они имеют контрольный пакет акций и не собираются продавать его какому-то постороннему лицу;
большое количество акций приобрели бесплатно за ваучеры мелкие собственники, которые заинтересованы лишь в получении наибольших дивидендов (доходов на акции) и не дают акционированным предприятиям никаких денежных средств;
имеющие большие денежные накопления отечественные торговые предприниматели, банки и иностранные капиталисты не стремятся приобретать акции приватизированных предприятий, ибо большинство последних не дает высоких прибылей или даже убыточны.
По-видимому, только с улучшением общего экономического положения в стране могут быть успешно решены сложные проблемы повышения эффективности работы приватизированных предприятий.
Начало реформирования государственной собственности открыло переходный период от государственного социализма к новой социально-экономической системе. Сейчас преждевременно описывать эту еще не сложившуюся систему. Однако на основании осуществленных реформ можно отметить некоторые ее наметившиеся черты.
Во-первых, речь идет о постсоциалистической экономике, поскольку разрушен государственный монополизм собственности как основы социализма.
Во-вторых, стада формироваться многоукладная экономика. Она включает все типы присвоения: а) общее совместное (государственное); б) частное; в) общее долевое.
В-третьих, государство и право в возрастающей степени регулируют струRтуру и характер развития отношений собственности в стране.
Таким образом, мы завершили анализ первого элемента системы экономических отношений общества — собственности и соответствующих социально-экономических отношений. Со следующей главы нам предстоит рассматривать комплекс организационно-экономических отношений.



Типичен бюджет с отрицательным сальдо.


Важнейшая функция бюджета — увеличение объема совокупного спроса посредством государственных закупок товаров и услуг, в том числе и на военные цели.
Бюджет выступает также как основной инструмент социальной политики государства. С его помощью проводится широкомасштабное перераспределение доходов в целях достижения большей социальной справедливости. Как известно, население западных стран уплачивает сравнительно большие налоги. Однако значительная их часть возвращается в виде трансферных (лат. transferre — переносить) платежей, идущих на социальные нужды. Например, в 1986 г. в США налоги составили 32% BHII.
При этом 12% было возвращено в виде социальных выплат. Общая сумма налогов за вычетом социальных выплат населению представляет собой чистые налоги.
В среднем половина всех расходов центральных бюджетов на Западе идет на социально-экономические цели. В конце 80-х годов в США и ФРГ на эти цели пошло 53% всех расходов, Японии — 47%, Великобритании — 50%. Бюджетные затраты на социально-экономические потребности подразделяются на две большие группы.
Первая группа статей касается собственно социальных нужд (затраты на выплату пенсий, пособий, на здравоохранение, образование и подготовку кадров). Вторая группа затрагивает непосредственно экономические расходы (на энергетику, жилищное строительство, коммунальное хозяйство, региональное развитие, природные ресурсы и охрану окружающей среды, добывающую и обрабатывающую промышленность, сельское хозяйство, связь, транспорт и т.п.).
Существенная доля бюджетных средств идет на прямые и косвенные военные расходы, в том числе экономическую и военную помощь зарубежным странам, затраты на космические и иные исследования в военной области, пенсии и пособия бывшим военнослужащим. Удельный вес этих средств довольно велик и вместе с тем неодинаков для разных стран (в США составил 34%; ФРГ — 26%; Франции — 21%; Великобритании — 14%; Японии — 9%).
За последние три десятилетия наблюдаются существенные структурные сдвиги в расходной части центральных бюджетов ведущих стран Запада. Во-первых, увеличился удельный вес затрат, касающихся благосостояния людей (на здравоохранение, образование, подготовку и переподготовку кадров, пенсионное обеспечение). Во-вторых, замедлились темпы роста и соответственно уменьшилась доля расходов, связанных с обороной, управлением и предоставлением услуг.
В-третьих, с середины 60-х и до середины 80-х годов в большинстве стран быстро возрос удельный вес затрат центрального бюджета в валовом внутреннем продукте. В 1965—1985 it. этот показатель для стран ОЭСР увеличился с 29,5 до 41%, что неблагоприятно сказалось на общей структуре бюджетов.
Важной характеристикой государственного бюджета является соотношение доходов и расходов. Периоду классического капитализма была присуща тенденция к их сбалансированности (установлению равновесия между поступлениями и затратами). Например, бюджеты таких стран, как Великобритания и США, отличались высокой устойчивостью, что объясняется относительно высокими темпами экономического роста и небольшим удельным весом непроизводительных военных расходов.
Но резкое возрастание экономической роли государства и огромное увеличение его расходов привели к хроническому бюджетному дефициту (превышению затрат над поступлениями). Этот дефицит стал злободневной национальной проблемой.
Представляется несомненным, что нормальным состоянием всех видов бюджетов является равенство доходов и расходов. Об этом мы можем судить, скажем, по бюджету отдельного человека или семьи. Недаром по такому случаю говорят: По одежке протягивай ножки.
Спрашивается, должен ли государственный бюджет быть ежегодно сбалансированным?
Как это ни покажется парадоксальным, ответ будет отрицательным.
Объясняется это главным образом тем, что государственный бюджет должен отражать циклическое движение экономики. Проводимая государством антициклическая фискальная политика имеет два неодинаковых результата при формировании результата соотношения дохода и расхода бюджета.
Во время производственного спада бюджет, естественно, имеет отрицательное сальдо (urn. saldo — расчет). Это означает, что при бухгалтерском приравнивании доходов и расходов бюджет сводится с дефицитом — расходы значительно возрастают, что важно для преодоления кризиса, и превышают доходы.
В период спекулятивного бума бюджет имеет положительное сальдо. Существенное превышение доходов над расходами является следствием большого поступления налоговых платежей во время подъема производства. Изъятие значительной части доходов на фазе бума способствует уменьшению перегрева экономики.
Отсюда видно, что если бюджет будет жестко сбалансирован, то государство не сможет проводить стабилизирующую антикризисную политику, которая призвана гасить экономические колебания. Более того, постоянно уравновешенное соотношение государственных доходов и расходов усилит циклические колебания экономики. Так, во время кризиса совокупный спрос будет меньше требуемого.
В период спекулятивного бума инфляция углубится.
Поэтому очевидно, что;
ежегодно сбалансированный бюджет не является -нейтральными по отношению к экономическим колебаниям;
государственный бюджет целесообразно балансировать на циклической основе, то есть с положительным сальдо при буме и отрицательным — при спаде производства.
Между тем типичен бюджет с отрицательным сальдо. Объясняется это прежде всего возрастанием роли государства в разных сферах жизни общества, увеличением численности государственных служащих, возрастанием расходов на военно-промышленный комплекс и т.д. В результате темпы роста затрат государства зачастую значительно превышают скорость увеличения ВНП.
Показательно, что в XX в. в США государственные расходы выросли в 350 раз.
Однако увеличение государственных доходов, происходящее в основном за счет налогов, имеет свои пределы. Отсюда — хронический дефицит, котрый растет не только в абсолютных размерах, но и относительно. В конце 80-х годов бюджетный дефицит составил во Франции 10% ВНП, в США - 12%, в ФРГ - 14%, в Японии - 16%, в Бельгии — 25% и Италии — 25%.
По сравнению с 1970 г. этот показатель в отдельных странах увеличился в 4 — 16 раз.
Не означает ли это, что государство с бюджетным дефицитом попадает в положение банкрота, не способного оплатить свои расходы? Нет, потому что оно имеет несколько источников средств для покрытия своего дефицита. К их числу относятся:
а) печатание новых денег, что, разумеется, порождает инфляцию;
б) неналоговые поступления, например доходы от иностранного туризма (в мире в целом они составляют 6% ВНП, в России менее 1%);
в) внешний долг — международный кредит, получивший в современных условиях широкое развитие. Крупными должниками являются не только слаборазвитые, но и развитые страны. Так, в 80-е годы США повысили процентные ставки в банках, чтобы привлечь иностранные инвестиции и за этот счет финансировать бюджетный дефицит. В конце 80-х годов чистая задолженность (разница между предоставленными и полученными иностранными займами) США превысила 500 млрд. долл. (около 11% ВНП), а в конце .0-х годов может составить 1 трлн. долл.;
г) внутренний долг — государственные ценные бумаги, продаваемые фирмам и населению. К их числу относятся государственные облигации (обязательство выплатить владельцу заимствованную у него сумму денег в будущем) и казначейские обязательства (краткосрочные — до одного года — казначейские векселя). Они обычно продаются со скидкой номинальной (обозначенной на бумаге) цены, что образует доход владельца векселя, когда государство выкупает его обратно.
С быстрым ростом бюджетных расходов столь же быстро увеличивается внутренний государственный долг. Например, в США к началу 90-х годов федеральный долг составил более 3 трлн. долл., или свыше 50 тыс. долл. на каждую семью.
Увеличение государственного долга имеет ряд отрицательных последствий. Этот долг составляет возрастающую часть ВНП (в 1988 г. в США он составил 53% ВНП), что уменьшает долю дохода, идущую на потребление и накопление. В бюджете выделяется постоянно увеличивающаяся часть расходов для погашения процентов по внутреннему долгу. В конце 80-х годов выплаты процентов по этой задолженности поглощали в США 15% всех бюджетных затрат, ФРГ — 11%;
Великобритании — 10% и Японии — 19%. Широкая продажа государственных ценных бумаг предприятиям и населению неизбежно ведет к повышению процентных ставок и к увеличению удельного веса государства на рынке ссуных капиталов. В итоге возникает так называемый эффект вытеснения.
С рынка ценных бумаг вытесняются те продавцы, которые не могут дать покупателям ценных бумаг более надежные инвестиции.
Во многих странах Запада в 80-е годы был взят курс на ограничение темпов роста государственных расходов и стабилизацию их уровня в валовом национальном продукте. С этой целью свертывались низкоэффективные, малопопулярные социально-экономические программы, сокращались военные расходы, проводилась частичная конверсия оборонной промышленности, что благоприятно сказалось на снижении бюджетного дефицита.



Только они и правят миром.


Па каждом этапе общественного развития само государство в каждой стране определяет цели своей политики, делая выбор из множества возможных направлений социально-экономического развития. В этом случае экономическая наука может установить, насколько достижимы и совместимы поставленные цели. Она способна также оценить, насколько используемые средства действительно наиболее пригодны и эффективны для осуществления намеченных задач.
В связи с этим могут быть разработаны различные варианты хозяйственной политики, предполагающие неодинаковое использование производственных возможностей и получение соответствующих социально-экономических результатов.
С момента возникновения экономическая теория выражала потребности развития хозяйства и в соответствии с ними разрабатывала рекомендации для предпринимателей и государства. В современных условиях теория хозяйственного развития играет все возрастающую роль в обосновании прогрессивных преобразований во всех странах мира. Видный английский экономист Джон Кейнс имел веские причины заявить: ...Идеи экономистов и политических мыслителей — и когда они правы, и когда ошибаются — имеют гораздо большее значение, чем принято думать. В действительности только они и правят миром.
Люди практики, которые считают себя совершенно неподверженными интеллектуальным влияниям, обычно являются рабами какого-нибудь экономиста. Безумцы, стоящие у власти, которые слышат голоса с неба, извлекают свои сумасбродные идеи из творений какого-нибудь академического писаки, сочинявшего несколько лет назад6.
В справедливости этих слов мы не раз убедимся при изучении современной хозяйственной жизни, в частности, при анализе социально-экономических преобразований, которые проводятся в нашей стране в последние годы. При этом поучительный урок состоит в следующем:
необходимую экономическую грамотность нельзя приобрести без знания основных моментов истории экономической мысли.
2. Основные направления экономической
мысли
Экономическая теория как наука (т.е. систематизированное знание о сущности экономики) возникла в XVII— XVIII вв. в период становления капитализма. Ее основной задачей было выяснить, каков источник богатства государства. Вначале возникла теоретическая школа — меркантилизм.
Меркантилизм (итал. merkante — торговец, купец) — школа экономической теории, которая возникла в Англии, Франции, Италии и других странах в начальный период становления капитализма, когда быстро развивалась международная торговля.
Меркантилисты внесли в экономическую теорию ряд важных положений. Прочную основу богатства каждой нации они усматривали не в приумножении натуральных продуктов, а в накоплении денег (золотых и серебряных монет). Источником такого накопления, по их мнению, служит прибыль (доход), возникающая при торговом обмене.
Однако если обмен товаров на деньги совершается внутри страны, то одни лица могут обогащаться за счет других. Но при этом общая сумма национального богатства не увеличивается. Такое богатство, на взгляд меркантилистов, возрастает только благодаря внешней торговле. Здесь прирост богатства был самоочевиден. Товары в одной стране покупались по более низким ценам, а в другой продавались по более высоким.
Так, организованная в Англии Московская компания для торговли с Россией скупала 1 штуку мачтового дерева за 25—30 коп., а продавала за 4—5 руб.
Ранний меркантилизм (последняя треть XV — середина XVI в.) был назван монетарной системой. Для него характерна забота об активном денежном балансе (превышении количества ввозимых в страну денег над количеством вывозимых из нее денег). В этих целях ставились задачи — привлекать как можно больше денег из-за границы и сохранять золото в стране.
В законодательном порядке запрещался вывоз золотых монет за границу. Все денежные суммы, вырученные от продажи, иностранцы были обязаны истратить на покупку местных изделий.
Поздний меркантилизм, (вторая половина XVI — XVII в.) выступил против запрета вывоза денег, который стал препятствовать развитию внешней торговли. Он отстаивал активный торговый баланс (превышение стоимости вывезенных из стран товаров над стоимостью благ, ввезенных в данную страну).
Видный представитель позднего меркантилизма в Англии Томас Мен (1571—1641) был купцом — секретарем Ост-Индской компании. В своем основном произведении Богатство Англии во внешней торговле он в систематическом виде изложил концепцию меркантилизма. ...Обычным средством для увеличения нашего богатства и денег, — считал он, — является внешняя торговля. При этом мы должны постоянно соблюдать следующее правило: продавать иностранцам ежегодно на большую сумму, чем мы покупаем у них7.
Т. Мен разработал обширную программу увеличения вывоза товаров за границу и уменьшения потребления иностранных товаров. В нее, в частности, входили такие меры: расширить производство таких сельскохозяйственных продуктов (лен, конопля, табак и др.), которые привозили из-за границы; законодательно ограничить чрезмерное потребление населением иностранных изделий; для повышения стоимости вывозимых изделий использовать отечественный флот; поощрять выгодную торговлю с более отдаленными странами; поддерживать рост ремесленного производства для увеличения количества отечественных товаров.
Задача экономической теории, по мнению меркантилистов, — разрабатывать практические рекомендации для государственной политики. Они считали, что для создания благоприятного торгового баланса государство должно вмешиваться в экономику — проводить политику протекционизма (покровительствовать отечественной промышленности и торговле). Это означает: устанавливать высокие таможенные пошлины (налоги) на товары, ввозимые из-за границы; вводить поощрительные премии на отечественные товары, вывозимые в другие страны; содействовать развитию отраслей промышленности, продукты которых предназначены для внешней торговли.
Французский меркантилист Антуан де Монкретьен дал название экономической теории, обосновывающей политику государства — политическая экономия (греч. politike — искусство управлять государством). В своем Трактате по политической экономии (1615) он высказался за принятие государством системы мер, направленных на защиту интересов Франции во внешней торговле. Тогда сложилось представление о политической экономии как науке, которая раскрывает роль государства в увеличении национального богатства.
Меркантилизм исторически изжил себя в новую эпоху, когда в экономике стал господствовать не торговый, а промышленный капитал. Переход к индустриальной стадии производства сопровождался возникновением и расцветом, классической (лат. classicus — образцовый, первоклассный) политической экономии.
Классическая политнческая экономия придала экономической теории подлинно научный характер. Во-первых, она открыла реальный источник богатства общества — процесс производства. Во-вторых, политическая экономия стала исследовать хозяйственную деятельность как систему, охватывающую производство, распределение, обмен и потребление благ и услуг.
В-третьих, эта наука не ограничилась описанием явлений (например, обмена товаров на деньги) и перешла к выявлению их сущности и законов развития.
Классики показали научную бесплодность меркантилизма, пытавшегося найти источник общественного богатства в торговле. Однако и во внутренней и во внешней торговле выигрыш одного является проигрышем другого. Что касается иностранных купцов, то их можно уподобить насосу, выкачивающему кровь из организма стран, с которыми торгуют. Богатство нации создается, считали классики, не в торговле (здесь денежная форма стоимости меняется на ее товарную форму), а в производстве.
Производство же основывается на естественных законах, а поэтому не нуждается во вмешательстве государства.
Несостоятельной оказалась и практическая цель меркантилистов — поднять благосостояние нации с помощью внешней торговли. Постоянный приток в страну драгоценного металла приводит к обратному результату. Обилие денег в государстве вызывает рост внутренних цен, удорожание товаров, что уменьшает потребление продуктов населением.
В классической политической экономии образовались две школы: французская (физиократы) и английская.
Физиократы (греч. phisis — природа; kratos — сила, власть) — школа политической экономии, которая возникла во Франции в середине XVIII в. и получила распространение в Италии, Великобритании, Германии и других странах. Основателем и главой физиократов во Франции был Франсуа Кенэ8. Он постарался обосновать основную идею своего учения: сельское хозяйство является единственной отраслью производства, где естественным путем возникает тот дополнительный чистый продукт, за счет которого увеличивается богатство страны.
Кенэ так разъяснил основополагающую роль земледелия в увеличении общественного богатства: Сельское хозяйство доставляет сырье для промышленности и товары для торговли и оплачивает как то, так и другое. Торговля и промышленность возвращают полученные ими прибыли сельскому хозяйству, которое возобновляет богатства, ежегодно расходует их и потребляет. Действительно, без продукции наших земель, без доходов и затрат землевладельцев и земледельцев откуда могли бы возникнуть прибыль в торговле и заработная плата рабочих?
Представление о том, что торговля имеет свое самостоятельное, отдельное от сельского хозяйства существование, является абстракцией, представляющей собой совершенно бесплодную идею9.



Товары будут реализованы по равновесной цене;


Анализ торговых издержек показывает: когда увеличивается объем товарооборота, прямые (переменные) расходы в расчете на 1 товар не меняются, а косвенные (постоянные) издержки сокращаются. Отсюда вытекает заинтересованность торговых бизнесменов в увеличении объемов проданных товаров. Поскольку косвенные расходы в расчете на один товар сокращаются, то торговая прибыль увеличивается.
Торговая прибыль, как известно, зависит от уровня розничной (или продажной) цены по отношению к торговым издержкам в расчете на один товар. Такая цена устанавливается следующим образом. К оптовой цене товара приплюсовывается торговая надбавка (в нашей стране эта прибавляемая величина была названа торговая накидка). Торговая надбавка Гц покрывает торговые издержки и включает торговую прибыль:
ТН =ИТ + ПТ.
Розничная цена, включающая торговую надбавку, не может устанавливаться чисто произвольно, если иметь в виду нормальные условия торговых сделок. Когда определяются такие условия, важно учитывать два ограничителя при установлении розничных цен:
— цену продавца, ниже которой он не может продавать товары (цена не покроет издержек и не даст нормальной прибыли);
— цену покупателя, выше которой он не будет платить за товар. Видимо, возможны четыре варианта соотношений данных видов цен:
1-й вариант: цены всех продавцов и покупателей равны. Тогда товары будут реализованы по равновесной цене;
2-й вариант: цены продавца и покупателя совсем не совпадают. Товары не будут реализованы;
3-й вариант: высокие цены продавцов лишь частично совпадают с ценами некоторых покупателей, имеющих большие доходы. В этом случае продукты будет покупать привилегированная часть населения;
4-й вариант: цены продавцов соответствуют ценам основной части покупателей. Тогда откроется массовая продажа товаров.
В конечном счMте рассмотренное нами соотношение цен зависит от состояния рынка: степени развитости конкуренции или же господства монополистических объединений. Конкурентная борьба, как мы знаем, порождает тенденцию к выравниванию цен продавцов и покупателей. Напротив, монополистический диктат цен на рынке усиливает несовпадение таких видов цен.
Конкуренция возникает между торговым и промышленным капиталом за получение максимальной нормы прибыли. Однако еще в период классического капитализма свободная конкуренция породила тенденцию к выравниванию нормы прибыли и промышленных и торговых предпринимателей. Когда, допустим, более высокой прибыльности достигал промышленный бизнес, то в индустриальную сферу устремлялся торговый капитал. Это, разумеется, приводило к снижению промышленной нормы прибыли.
Если же более выгодным становился торговый бизнес, то в сферу торговли вливался новый промышленный капитал, что в конечном счете вызывало уменьшение нормы прибыли торгового капитала.
Выравнивание норм прибылей в промышленности и торговле усилилось при монополизации в современной экономике. Эта тенденция существенно усилилась в результате интеграции крупного промышленного и торгового капитала.
По-иному сложилось соотношение между нормой прибыли в промышленности и нормой прибыли в торговле в современной России в 1992—1996 г. Из-за длительного спада производства многие предприятия промышленности перестали получать прибыль. Только на предприятиях-монополистах удается поднять норму прибыли до 50%. Примерно втрое выше степень выгодности торгового бизнеса, для которого в начале экономических реформ наступили необычайно благоприятные времена. Процветанию многих торговых предприятий способствовали прежде всего:
— либерализация цен (по существу ценовый беспредел) и сильная инфляция;
— монополизация рынка;
— ликвидация государственной монополии внешней торговли и введение свободной внешней торговли. Это привело к широкой продаже дешевых отечественных природных ресурсов (нефти, металла, леса и т.д.) на мировом рынке по более высоким ценам;
— закупка за границей многих видов дешевых товаров недостаточно высокого качества и перепродажа их в России по высоким ценам.
О структурных переменах на потребительском рынке России красноречиво говорят следующие цифры (табл. 11.2).
Неестественно прибыльное развитие бизнеса во внутренней и внешней торговле на фоне общего хозяйственного упадка породило ряд социально-экономических противоречий. Одно из острейших среди них состоит в том, что необычайно широкий импорт зарубежных товаров, благоприятствующий иностранному капиталу, наносит серьезный ущерб отечественным товаропроизводителям. Другое не менее острое противоречие заключается в том, что огромная нажива торговых посредников на продаже дорогих товаров наносит удар по благосостоянию широких масс, снижает жизненный уровень значительной части населения страны, порождая тем самым социальную нестабильность.
Таблица 11.2.
Соотношение, сложившееся на потребительском рынке между отечественными и импортными товарами в 1992 и 1995 гг., %

Виды товарных ресурсов
1992
1995
Собственные, направленные на потребительский рынок
Поступившие но импорту (включая неорганизованный ввоз)
77
23
46
54
Между тем нынешнее положение торгового бизнеса в нашей стране может в корне измениться в условиях прекращения инфляционного роста цен, при стабилизации экономики и последующем подъеме производства, а также по мере усиления государственного регулирования рыночных отношений.
Как свидетельствует мировой опыт, нормализации экономических отношений между индустриальным производством и сферой торгового обслуживания, повышению нормы прибыли в немалой степени способствует маркетинг. •
Маркетинг (англ. market — рынок; маркетинг — рынковедение) — такая система управления фирмой, которая лучше приспосабливает производство к требованиям рынка для более выгодной продажи товаров. Эта система возникла в 20-е годы в США и в 50—60-е годы широко распространилась в западных странах, когда усугубились трудности со сбытом товаров.
Рассмотрим, как практически организован маркетинг. Здесь мы остановимся на четырех требованиях.
Первое требование: выбирать для производства продукт, нужный покупателю, обладающий высоким качеством и конкурентоспособностью. Маркетинг нацелен на то, чтобы создать рынок покупателя, т.е. выпускать товары, которые будет согласен приобрести потенциальный покупатель. Фирма Бергер кинг (закусочные) сформулировала главный маркетинговый принцип: Производите то, что можете продать, вместо того чтобы пытаться продать то, что можете произвести.
В унисон с этой фирмой специалисты по маркетингу популярно поясняют смысл своей теоретической концепции: червяк должен быть по вкусу рыбе, а не удильщику.
Чтобы выполнить эти установки, фирма должна провести в жизнь ряд мер:
А. Изучить рыночный спрос, потребности покупателей.
Б. Повысить качество товара: улучшить дизайн (художественное конструирование), в том числе цвет, размеры и другие признаки, учесть психологию покупателей, а также эмоциональные и рациональные мотивы покупок.
В. Выбрать сегмент (участок) рынка, где слабо удовлетворяется покупательский спрос и где меньше конкуренции. При этом имеется в виду выбрать определенный вид продукции, который целесообразно производить.
Например, фирма Америкэн тайм корпорейшн при изучении рынка наручных часов в США выявила три сегмента по типу требований, предъявляемых покупателями. Первый сегмент (23% рынка) составили люди, желающие приобрести дешевые часы и не придающие значения их качеству и внешнему оформлению. Потребители второго сегмента (46%) выбирают часы высокого качества, более элегантные и дорогие. Третий сегмент (31%) составляют люди, покупающие часы в качестве подарка и особенно интересующиеся их внешним оформлением.
Данные такого исследования показали: часовая промышленность в основном выпускала продукцию для третьего сегмента. Фирма Аме-рикэн тайм корпорейшн резко увеличила производство улучшенных изделий для первых двух сегментов. Она использовала новые каналы сбыта (часы стали продаваться в универмагах, аптеках и других звеньях рыночной торговли).
В итоге фирма вышла на первое место в мире по производству наручных часов.
Второе требование маркетинга: цена товара должна покрывать производственные затраты и приносить прибыль предприятию, а также быть приемлемой для потребителя. На практике используется гибкое ценообразование. Внимание покупателя привлекают призывы купить два предмета по цене одного, если купить пять предметов (кусков мыла и др.), то шестой достанется бесплатно.
В случае, если покупатель неудовлетворен товарами длительного пользования, то ему гарантируется возврат денег.
Третье требование маркетинга: применять все способы продвижения товара до покупателя — так воздействовать на людей, чтобы они купили его.
В этих целях применяются:
— предпродажное обслуживание (предоставление кредита на покупку) и послеторговый сервис (гарантийный ремонт и т.п.);
— стимулирование сбыта товаров и премирование постоянных клиентов предприятий сферы услуг (гостиниц, авиалиний, банков и т.п.);



Трудовая теория стоимости


значительно развилась общая совместная (государственная) собственность. Вследствие этого в государственном секторе национальной экономики создаются нетоварные продукты (общественные блага) и полутовары (квазиобщественные блага);
достигнуто огромное многообразие производимых товаров, что позволяет удовлетворять сложные и разные по своему характеру потребности людей. Одновременно для производителей и потребителей возрастают масштабы выбора полезных вещей. Для них становится необходимым правильно определить степень экономической выгодности тех или иных сделок купли-продажи продуктов.
В связи с этим важно иметь представление о стоимости товара.
3. Трудовая теория стоимости
То, что товары имеют стоимость, пожалуй, вполне ясно как для производителей, так и для потребителей рыночных продуктов. Но эти субъекты торговой сделки могут сильно расходиться во мнениях на существо товарной стоимости. Не случайно в экономической теории возникли две противоположные концепции стоимости: трудовая и нетрудовая.
Сейчас мы рассмотрим первоначально возникшую трудовую теорию стоимости, а другую — теорию предельной полезности — разберем в главе 6.
Как мы уже выяснили, рыночные сделки представляют собой определенное равенство меновых пропорций разных товарных тел. Это равенство никак не связано с видимыми свойствами товаров: полезностью продуктов и их количественными параметрами (весом, объемом и т.п.). Отсюда вытекает вывод: найти существо менового равенства можно лишь в каком-то свойстве товара, непосредственно не видимом на рынке.
Что же представляет собой это загадочное свойство?
Первым попытался найти объективное содержание менового равенства зачинатель трудовой теории стоимости У. Петти. Он установил, что в основе пропорции обмена лежит равенство труда, рабочего времени, которое затрачено на сопоставляемые товары. У. Петти так подытожил свое открытие: Если кто-нибудь может добыть из перуанских рудников и доставить в Лондон одну унцию серебра в то же самое время, в течение которого он в состоянии произвести один бушель хлеба, то первая представляет собою естественную цену другого...37.
Здесь под естественной ценой подразумевалась не постоянно меняющаяся рыночная цена, а то, что позже было названо стоимостью товара.
А. Смит, углубляя идеи У. Петти, пришел к самому широкому обобщению: Труд является единственным всеобщим, равно как и единственным точным мерилом стоимости, или единственной мерой, посредством которой мы можем сравнивать между собою стоимость различных товаров во все времена и во всех местах38.
Основное содержание трудовой теории стоимости можно кратко выразить в следующих положениях.
Первое положение. Разнородные продукты рыночного обмена имеют одинаковое внутреннее содержание — стоимость. Поэтому они могут приравниваться друг к другу в определенной меновой пропорции.
Это значит, что меновая стоимость — форма, в которой проявляется стоимость. Благодаря стоимости все товары становятся качественно однородными (в них заключен одинаковый общественный труд), вполне сопоставимыми на рынке и количественно равными в меновой пропорции.
Второе положение. Стоимость всех товаров создается общественным трудом товаропроизводителей. Этот труд является общественным потому, что изготовитель рыночного продукта работает не на себя, а создает полезную вещь для других членов общества.
Стало быть, стоимость — воплощенный в товаре общественный труд. А равенство продуктов по их стоимости означает, что в них заключено одинаковое количество труда.
Если вернуться к общей формуле меновой пропорции, то теперь мы сможем продолжить ее таким образом:

Трудовая теория стоимости

где Cm — стоимость товаров,
ТрА, ТрВ, ТрС — общественный труд, заключенный в товарах А, В, С.
Третье положение. Сам труд, образующий стоимость, различается по его сложности или качеству. Можно выделить простой (требующий наименьшей подготовки) и сложный (квалифицированный) труд.
На последний предварительно затрачиваются время, усилия человека, чтобы приобрести нужные трудовые навыки и знания. Поэтому 1 ч сложного труда непосредственно не равен 1 ч простого труда.
Однако при рыночном обмене вещей происходит так называемая редукция труда: 1 ч сложного труда сводится к нескольким часам простого труда. Ведь на рынке изделия квалифицированной деятельности (например, часы) благодаря стоимости приравниваются (в соответствующем меновом соотношении) к продуктам простого труда (предположим, яблокам).
К. Маркс дал такое толкование редукции труда: Простой средний труд, хотя и носит различный характер в различных странах и в различные культурные эпохи, тем не менее для каждого определенного общества есть нечто данное. Сравнительно сложный труд означает только возведенный в степень, или, скорее, помноженный, простой труд... Товар может быть продуктом самого сложного труда, но его стоимость делает его равным продукту простого труда39.
Четвертое положение. Труд имеет внутреннее мерило — рабочее время. Если труд является одинаковым по качеству (допустим, простой труд), то он количественно измеряется протяженностью во времени (в рабочих часах).
Стоимость товаров иногда измеряют в часах рабочего времени, чтобы сравнить экономичность производства в разных странах. Недавно это сделано для сопоставления величины стоимости ряда основных продуктов в России и других странах (табл. 4.1).
Та6лица 4.1.
Стоимость некоторых товаров (в часах рабочего времени
за единицу товара)

Наименование товара
Россия
Польша
Германия
Говядина, кг
3,4
1,7
0,3
Масло животное, кг
5,3
2,0
0.25
Молоко, л
0,7
0,2
0,03
Яйцо, дес.
1,3
0,8
0,05
Сахар, кг
1,3
0,4
0.08
Картофель, кг ,
0.5
0,1
0,04
Сорочка мужская, шт.
11,2
8,3
0,57
Ботинки мужские, пара
48
16
3.0
Холодильник, шт.
596
143
21
Бензин автомобильный, л.
0.5
0,3
0,06
Очевидно, что рабочее время, приходящееся на единицу продукции, неодинаково по величине у разных производителей, выпускающих одни и те же конкретные блага. Как же в таком случае — по какому экономическому закону — развивается товарное хозяйство?
Таким законом является закон стоимости.
Согласно трудовой теории стоимости, в каждой отрасли товарного хозяйства на один и тот же вид продукта работники обычно затрачивают различное по величине индивидуальное рабочее время. Это происходит не случайно. Ведь независимые друг от друга частные производители имеют различные условия производства (неодинаковые средства и предметы труда), отличаются по уровню квалификации, по степени интенсивности (напряженности) трудовых усилий.
Поэтому товаропроизводители могут поставлять на рынок свои продукты одного и того же вида и качества (например, картофель). Между тем в товарах разных производителей будет заключена не одинаковая по величине индивидуальная стоимость.
Однако на рынке товары не могут продаваться по индивидуальной стоимости каждого их владельца. Ведь в таком случае больше других выгадал бы тот человек, который затратил на одинаковый продукт наибольшее по величине рабочее время (это мог быть самый неискусный и ленивый). Поэтому на изделия одного вида и качества устанавливается общественная (рыночная) стоимость.
Основной закон товарного хозяйства — закон стоимости — выражает такую объективную потребность, чтобы стоимость товара определялась общественно необходимым рабочим временем. Это то рабочее время, которое затрачивается на изготовление продуктов при: а) общественно нормальном (господствующем) состоянии производства; б) средней квалификации работников и в) средней интенсивности труда. Такое время обычно затрачивает при создании товара большинство производителей, т.е. среднее время.
Но при ограниченных природных факторах (например, в сельском хозяйстве или в добывающих отраслях промышленности) общественно нормальными могут быть и худшие условия хозяйствования.
Значит, согласно закону стоимости рыночная стоимость полезных вещей определяется общественно необходимым рабочим временем. Если какой-то продукт требует больше такого времени для своего изготовления, то его стоимость будет выше, и наоборVт. Не случайно 1 кг мяса стоит больше 1 кг пшеницы.
Для производства этого количества мяса требуется затратить примерно в 5—10 раз больше рабочего времени, чем на производство 1 кг пшеницы.
При простом товарном производстве рабочее время на практике было реальным мерилом стоимости товаров, производимых у всех на глазах. Вот как описывает Ф. Энгельс условия производства и обмена продуктов у крестьян и ремесленников: ...Средневековому крестьянину было довольно точно известно количество рабочего времени, необходимое для изготовления предметов, получаемых им в обмен. Сельский кузнец и тележник работали на его глазах, так же как и портной или сапожник, которые у нас на Рейне еще в дни моей юности ходили из одного крестьянского дома в другой и шили из самодельных тканей и кож одежду и обувь.
Можно ли предположить, что крестьяне и ремесленники были так глупы, чтобы обменивать продукт 10-часового труда одного на продукт часового труда другого?40.



У. Петти- Колумб политической экономии.


Английская классическая политическая экономия возникла и развивалась в XVII—XVIII вв. Родоначальниками этой теоретической школы были Уильям Петти10, Адам Смит11 и Давид Рикардо12. Они внесли выдающийся вклад в углубленное исследование капиталистической экономики, создали свое учение о росте национального богатства.
богатства, высказал У. Петти, которого назвали Колумб политической экономии. Ему принадлежит знаменитая формула природа — мать, труд — отец богатства.
Наибольший вклад в классическое направление теории внес А. Смит. В главном труде — Исследование о природе и причинах богатства народов (1776) — он обосновал естественный порядок в экономической жизни. Устоями этого порядка были признаны господство частной собственности, свободная конкуренция и свободная торговля, невмешательство государства в хозяйственную деятельность.
В отличие от физиократов английские классики считали, что богатство создается не только в сельском хозяйстве, но и во всех других отраслях материального производства. Они показали, что всеобщей формой богатства является стоимость, воплощенная и товарах и деньгах. Саму стоимость создает труд работников, производящий товары (теория стоимости подробно изучается в главе 4).
А. Смит и Д. Рикардо стремились применить трудовую теорию стоимости к исследованию внутреннего содержания и законов развития капиталистической экономики. Они считали, что фабричные рабочие своим трудом создают новую стоимость. Эта стоимость лишь частично достается им (заработная плата), а остальную часть (прибавочную стоимость) присваивают капиталисты.
За счет прибавочной стоимости они расплачиваются за банковский процент, за аренду земли у землевладельцев и получают личный доход (теория прибавочной стоимости детально рассматривается в главе 8).
К теоретическому наследию английских классиков примыкает отличающееся существенными особенностями учение К.Маркса.
Карл Маркс (1818—1883)13 в своем главном экономическом труде — Капитал — во многом по-новому разработал классическую теорию стоимости и теорию
прибавочной стоимости (см. главы 4 и 8). Экономическое учение К.Маркса о капитале получило неоднозначную оценку. По словам американского экономиста В.Леонтьева, если некто захочет узнать, что в действительности представляют собой прибыль, заработная плата, капиталистическое предприятие, он может получить в томах Капитала более реалистичную и качественную информацию, чем та, которую он мог бы найти, скажем, в дюжине учебников по современной экономике14.
Широко известный специалист по истории экономической науки профессор Лондонского университета Марк Блауг пришел к следующему обобщению. Маркс подвергался переоценке, пересматривался, опровергался, его хоронили тысячекратно, но он сопротивляется всякий раз. когда его пытаются отослать в интеллектуальное прошлое. Хорошо это или плохо, но его идеи стали составной частью того мира представлений, в рамках которого мы все мыслим15.
Такая оценка теоретических трудов К. Маркса, по-видимому, не случайна. Сам К. Маркс считал, что политическая экономия выражает интересы разных социальных групп и классов. Господствующее положение в капиталистических странах, считал он, занимает буржуазная политическая экономия. К. Маркс стремился поставить свои вариант классического направления на службу интересам рабочего класса.
Такой классовым подход отрицательно сказался на научной объективности ряда высказанных им положений и выводов.
Учение К. Маркса — наверняка вопреки его стремлениям — позволило обнаружить неразрешимые противоречия п определенную ограниченность классического направления политической экономии. Это направление, во-первых, во многом отражает особую историческую специфику экономики Англии в XVII—XIX вв. (период господства единоличной формы капитала, свободной конкуренции и невмешательства государства в экономику). Во-вторых, оно обладает чертами теории, односторонне отразившей противоречивую действительность.
Поэтому не случайно появилось совершенно новое альтернативное воззрение.
В последней трети XIX в. во многом в противовес шкое английских классиков возникло неоклассическое (греч. neos — новый) направление экономической теории. Оно обладает рядом отличительных черт.
Прежде всего неоклассическое течение возникло в результате мар-жиналистской (фр. marginal — предельный) революции. Эта революция породила: а) теорию предельной полезности и б) теорию предельной производительности труда и капитала.
Классическое направление политической экономии не изучало поведение па рынке потребителей товарных благ и поэтому не создало целостного учения о рыночной системе ведения хозяйства. Этот пробел по-своему восполнила австрийская школа политической экономии. Ее основали профессора Венского университета Карл Менгер (1840-1921), Ойген Бем-Баверк (1851-1914) и Фридрих фон Визер (1851—1926).
Они выдвинули субъективно-психологическую концепцию стоимости и цены товара, которую противопоставили трудовой теории стоимости.
Австрийские экономисты считали, что каждый человек субъективно — сам — определяет ценность благ, исходя из степени желательности для него полезных вещей. Причем субъективная ценность всех потребительских благ, а стало быть, и их рыночная цена, зависит только от важности удовлетворения потребностей и степени их насыщения. В процессе потребления происходит закономерное убывание полезности.
С каждой дополнительной единицей данного вида полезных вещей степень удовлетворения от их потребления уменьшается и достигает предельной величины (точки насыщения).
Как известно, английские классики считали решающей сферой экономики производство. И соответственно этому полагали, что рыночные цены определяются предложением благ со стороны товаропроизводителей. Австрийские экономисты, наоборот, главную роль в хозяйственном развитии приписывали рынку, а равенство в установлении цен отводили спросу покупателей.
Изучая спрос, они впервые сформулировали психологические законы массового поведения потребителей рыночных благ (учение неоклассиков о рынке подробно излагается в главе 6).
Маржиналистскую революцию продолжил основоположник американской политической экономии Джон Бейтс Кларк (1847—1938). Концепцию предельной полезности потребительских благ он дополнил теорией предельной производительности труда и капитала. Свою теорию он прямо противопоставил классическому учению о прибавочной стоимости и эксплуатации рабочего класса при капитализме.
По мнению Дж.Б. Кларка, центральное место в экономической теории занимает проблема распределения общественного продукта. Это распределение осуществляется в соответствии с вкладом каждого из равноценных факторов производства (труда, капитала и земли).
Доходы рабочих и бизнесменов, по его мнению, соответствуют реальному вкладу труда и капитала в конечный продукт производства. Это ведет к гармонии классовых интересов капиталистов и рабочих (теория предельной производительности факторов полнее освещается в главе 8).
Введение в теорию предельных величин (потребления и производства) привело к возникновению математической школы в экономике (английский ученый У. Джевонс, швейцарский экономист М.Э.Л. Вальрас, итальянский исследователь В. Парето). Именно предельные количества позволили применять высшую математику, оперирующую с такими величинами. С помощью математических методов удалось открыть многие функциональные (количественные) зависимости в производстве, на рынке и в потреблении.
Такие методы позволили изыскивать оптимальные варианты продуктивного использования производственных возможностей при ограниченных реурсах.
Неоклассический переворот в экономической теории был произведен учеными из разных стран. Поэтому потребовалось обобщить и систематизировать его результаты. Эту задачу выполнил руководитель кафедры политической экономии Кембриджского университета профессор Альфред Маршалл.
Вклад А. Маршалла в разработку неоклассического направления некоторые историки экономических учений назвали маршаллианской революцией.
А. Маршалл считал себя преемником одного из английских классиков — Д.Рикардо и пытался соединить его учение о стоимости с теорией предельной полезности. Он пришел к заключению, что одинаково неправильно в процессе формирования рыночной цены отдавать предпочтение либо предложению, либо спросу. В связи с этим А. Маршалл выявил функциональные зависимости между ценой и спросом, ценой и предложением (об этом говорится в главе 6).
Проведенное А. Маршаллом обновление экономической теории коснулось и ее названия. Он исходил из представлений неоклассиков о том, что предметом данной теории является чистая экономика — хозяйственная деятельность частных собственников, независимая от общественной формы ее организации. Соответственно была провозглашена социальная нейтральность экономической науки. А. Маршалл считал, что надо отказаться от традиционного названия теории политическая экономия, которое указывало на государственное управление национальным хозяйством.
Свой главный труд он озаглавил The principles ot economics (англ. economics — экономические науки). Так в 1890 г. появилось целостное изложение нового — неоклассического — направления экономической теории. С 20-х годов это направление в англо-американской экономической литературе получило на-. звание экономике, которое вытеснило термин политическая экономия.



Удельный вес продуктов питания, полученных населением России


8. Оцените значение следующих теоретических положений для современной экономики
8.1. А. Смит и своей книге Исследование о природе и причинах богатства народов писал: Величайший прогресс в развитии производительной силы труда и значительная доля искусств, умения и сознательности, с какими он направляется и прилагается, явились, но-видимому. следствием разделения труда... Получающееся и результате разделения труда значительное увеличение производства всякого рода предметов приводит в обществе... к тому всеобщему благосостоянию, которое распространяется и на самые низшие слои народа.
Каждый работник может располагать значительным количеством продуктов своего труда сверх того количества, которое необходимо для удовлетворения его собственных потребностей; и поскольку все остальные работники находятся точно в таком же положении, он оказывается в состоянии обменивать большее количество своих продуктов на большее количество изготавливаемых ими продуктов...
8.2. Известный русский экономист А.В. Чаянов, занимавшийся исследованием трудового крестьянского хозяйства нашей страны в своей книге Организация крестьянского хозяйства (1924) пришел к выводу о том, что крестьянская семья, измеряемая числом едоков, и размеры личного бюджета сильно взаимосвязаны между собой. На его взгляд, первое ознакомление с материалами бюджетной статистики потребления привело исследователей к идее о неподвижном бытовом у ровне потребления и только в последующих работах удалось установить, что некоторое подобие неподвижного уровня потребления имеет место только в тех районах и в те периоды, когда благодаря малой производительности крестьянского труда получаемые доходы едва обеспечивают физиологический минимум существования.
Далее в книге отмечается псе большее развитие в деревне товарных капиталистических связей: Именно эти-то торговые связи, превращающие натуральное изолированное семейное хозяйство в хозяйство мелкого товаропроизводителя, всегда являются первым орудием, организующим распыленные крестьянские хозяйства, и пролагают первые пути проникновения в деревню капиталистических отношений.
9. Прокомментируйте статистические данные, приводимые
в таблице 4.2
Таблица 4.2.
Удельный вес продуктов питания, полученных населением России из личного подсобного хозяйства, в общем объеме потребления (в %)

Продукт
1980
1990
1993
Опоит и бахчевые
Фрукты и ягоды
Молоко и молочные продукты
Мясо и мясопродукты
Яйца .
36
22
21
19
27
36
18
21
16
23
61
36
33
24
27




Управление фирмой


3. Управление фирмой
Нам известно, что управление хозяйством — один из видов организационно-экономических отношений. Этот вид отношений используется для организации бизнеса.
Особенности и содержание экономического управления легче выяснить на примере. Возьмем крупный рыболовецкий траулер. Рыбаки вообще не смогут работать, если кто-либо не станет выполнять общие функции, обеспечивающие целенаправленные и согласованные действия всех членов экипажа.
Устанавливать порядок в труде, координировать и контролировать определенный режим деятельности всех работников объективно необходимо везде, где производство имеет общественный характер.
Таким образом, управление хозяйством представляет собой целенаправленное, упорядочивающее воздействие на процесс общественного труда. Оно призвано организовывать, согласовывать, регулировать и контролировать хозяйственную деятельность отдельных работников и производственных единиц в целях достижения заранее намеченных результатов.
Начальные формы организации совместного труда возникли в незапамятные времена — при зарождении регулярного производства в первобытном обществе. Руководили хозяйственной деятельностью сообща все взрослые члены рода, племени, общины. Занимались организацией коллективного труда и распределением продуктов старейшины и вожди родов и племен.
В цивилизованном обществе хозяйственное управление приобрело двойственный характер. С одной стороны, оно по-прежнему выполняет задачи организации и упорядочения совместного труда. С другой стороны, на него была возложена важная функция — экономически реализовывать собственность на средства производства и обеспечивать создание хозяину дохода.
При рабстве и феодализме такая функция в основном сводилась к надзору за трудом зависимых работников, к физическому или административному (внеэкономическому) их принуждению.
На стадии мануфактурной мастерской — в условиях разделения и кооперации труда — начала возникать особая трудовая деятельность — управленческий труд. С развитием производства такая деятельность на предприятиях стала профессиональной и включала многие разновидности труда.
Особенности управленческого труда состоят в том, что его предметом является информация, необходимая для руководства производством, продуктом труда — управленческие решения, а объектом воздействия — коллектив работников, непосредственно занятый производством благ и услуг. Эффективность этой руководящей деятельности определяется косвенно, через общие показатели работы хозяйства. Сопоставляется, какие производственные затраты и результаты — при прочих равных условиях — были достигнуты ранее и какие получены после осуществления нового важного управленческого решения.
Управленческий труд охватывает два основных вида деятельности: непосредственно управление и подготовку к нему.
Непосредственным управлением заняты хозяйственные руководители — директора предприятий (объединений) и их заместители, главные специалисты, начальники отделов и цехов, мастера производственных участков, диспетчеры и т.д. Их работа сводится к принятию оптимальных (наилучших) с точки зрения поставленной цели решений и обеспечения их выполнения. Для этого ведутся подбор и расстановка кадров, координируется работа отдельных исполнителей, различных звеньев аппарата управления или производственных подразделений, контролируется и регулируется ход производства, выполняются административно-распорядительные функции и т.п.
Подготовкой к управлению ведают плановики, бухгалтеры, экономисты, учетчики, секретари, машинистки и работники, которые обслуживают вычислительные, счетно-перфорационные и иные машины, используемые для переработки информации. Все они обеспечивают руководителей плановыми и расчетными данными, сведениями о состоянии производства и другой информацией, необходимой для принятия решений и организации их выполнения. В этих целях они занимаются первичной обработкой, передачей и переработкой информации, которая требуется для выполнения различных функций управления (технико-экономического и оперативного планирования, учета и отчетности, материально-технического снабжения, сбыта, ведения делопроизводства и др.).
В XVIII — XIX вв. единоличный собственник капитала обычно возглавлял управленческий персонал, контролировал и направлял всю производственную деятельность. Но положение в корне изменилось в XX столетии, когда основной стала акционерная форма предприятий.
Как известно, в корпорации происходит отделение функционирующего капиталиста, направляющего производство (собственника только части капитала), от остальных собственников, которые лишь ссужают денежные средства. Одновременно от функционирующих капиталистов отделяются наемные служащие, управляющие производственной деятельностью.
Изучая акционерный капитал, К. Маркс подметил следующую тенденцию: Акционерные предприятия, развивающиеся вместе с кредитом, вообще обнаруживают тенденцию все более отделять этот труд по управлению как особую функцию от владения капиталом, собственным ли, или заемным... когда... лицо, являющееся управляющим, не владеющее капиталом ни под каким титулом, ни заимообразно, ни как-либо иначе, исполняет все реальные функции, выпадающие на долю функционирующего капиталиста как такового, — тогда остается лишь служащий, а капиталист как лицо излишнее исчезает из процесса производства61.
Такой результат стал возможен потому, что собственность и управление выражают принципиально разные экономические отношения. Если деятельность по надзору, организации и руководству существует всегда и обусловлена природой комбинированного труда, то единоличное владение капиталом — это исторически преходящая форма собственности.
В 30-х годах нашего столетия западные социологи и экономисты создали теорию у правленческой революции. Согласно этой теории с широким переходом к акционерной форме предприятий власть капиталистов-собственников над банками и корпорациями першла в руки специалистов — управляющих, технократов (высококвалифицированных специалистов — ученых, инженерно-технической интеллигенции, менеджеров, принимающих участие в управлении производством) и бюрократов (слою высшей чиновничьей администрации, часто преследующей собственные, корыстные интересы). Так, профессор Дж.
Гэлбрейт констатировал: Семьдесят лет назад корпорация была инструментом ее владельцев и отражением их индивидуальности. Имена этих магнатов — Карнеги, Рокфеллер, Гарриман, Меллон, Гугенгейм, Форд — были известны всей стране... Те, кто возглавляет теперь крупные корпорации, безвестны...
Люди, которые управляют крупными корпорациями, не являются собственниками сколько-нибудь существенной доли данного предприятия. Их выбирают не акционеры, а, как правило, совет директоров62.
Стало быть, в XX столетии на уровне микроэкономики — на акционерных и кооперативных предприятиях — управление производством обособляется от собственности, а единоличные владельцы капитала в своем подавляющем большинстве перестают непосредственно влиять на процесс принятия хозяйственных решений. Означает ли это, однако, что вся экономическая власть в западных странах перешла к управленческому персоналу?
Однозначно ответить на этот непростой вопрос нельзя. С одной стороны, усилилось воздействие многочисленного и влиятельного слоя высшего управленческого персонала на деятельность акционерных обществ и на экономическую реализацию корпоративной собственности. Многие прежние собственники предприятий и банков превратились в акционеров, отстраненных от управления. С другой стороны, экономическая власть оказалась у объединенных крупнейших собственников — у финансового капитала. Они нуждаются в том, чтобы верхушка управляющих корпорациями и банками помогала им контролировать хозяйственную деятельность сотен тысяч предприятий и учреждений.
В итоге финансовая власть стала разделять бразды экономического правления с элитой управляющих, получающих невиданно высокие доходы.
Однако управленческая революция не устранила противоречия между экономической и административной властями. Это противоречие не дает о себе знать, если управленческий аппарат корпораций добивается высокого и устойчивого прироста курса акций, а тем самым успешного накопления капитала — собственности (как это было в 50— 60-е годы). Но когда цены акций падают (так было в 70-е годы), крупные вкладчики (банки, фирмы, фонды) через своих менеджеров выражают недовольство деятельностью управляющих, меняют персональный состав высшего руководства корпорациями и диктуют многие управленческие решения.
Иногда разногласия между фактическими хозяевами и административным руководством компаний выливаются в открытые конфликты. Правда, острые конфликты бывают редко, поскольку их стараются и умеют избегать те, у кого в руках экономическая и административная власть.
Одним из важных следствий управленческой революции является решительное изменение взаимосвязи крупного бизнеса с внешней рыночной средой микроэкономики. Нам известно, что мелкое хозяйство не в состоянии влиять на рыночную цену. Поэтому оно подчиняется ее регулирующей роли. Иначе поступают крупные корпорации. Они стремятся монополизировать рынок и определять цены на свою продукцию.
Массовое производство на крупных предприятиях, оснащенных системой высокопроизводительных машин, требует заранее предвидеть выпуск и реализацию продукции на длительный срок, исключая случайности рыночной конъюнктуры. Поэтому хозяйственная деятельность крупного бизнеса — в отличие от стихийного рынка — носит плановый характер.



Уровень экономически активного населения


Сейчас мы перейдем к выяснению проблемы: возможно и нужно ли добиваться полной занятости рабочей силы в условиях рыночной экономики?
2. Занятость и безработица
С экономической точки зрения существо проблемы полной занятости в общественном масштабе заключается в достижении равенства, сбалансированности, с одной стороны, численности трудоспособного населения, а с другой — количества необходимых для него рабочих мест. Нарушение этой пропорции ведет к образованию излишка рабочих мест или к безработице. Избежать таких диспропорции государство может с помощью прогнозирования занятости населения.
В этих целях применяется статистический учет потребности в трудовых ресурсах и численности рабочей силы, метод затраты — выпуск и другие инструменты макроэкономического регулирования.
Однако самый скрупулезный расчет общественной потребности в трудовых ресурсах не в состоянии точно количественно определить использование в производстве такого необычайно сложного социального фактора, каким является человеческий фактор. Работника нельзя уподоблять какому-то винтику в хозяйственном механизме.
В современных условиях трудовая занятость базируется на следующих принципах.
1. Свободно избранная занятость.
В нашей стране впервые признана свобода труда в Конституции Российской Федерации (1993). В статье 37 Конституции говорится:
I. Труд свободен. Каждый имеет право свободно распоряжаться своими способностями к труду, выбирать род деятельности и профессию.
2. Принудительный труд запрещен.
Осуществление этого конституционного положения означает, что гражданам принадлежит исключительное право распоряжаться своими способностями к производительному, творческому труду. Незанятость граждан не может служить основанием для привлечения их к административной и иной ответственности.
2. Продуктивная занятость.
Под занятостью подразумевается прежде всего деятельность граждан, связанная с удовлетворением личных и общественных потребностей и приносящая, как правило, им заработок, трудовой доход. Одним из важных условий родуктивности этой деятельности является то, чтобы работа была для человека подходящей.
Подходящей считается такая работа, которая соответствует профессиональной пригодности работника (с учетом уровня его профессиональной подготовки), состоянию здоровья, транспортной доступности рабочего места.
3. Полная занятость.
Согласно Конституции РФ, в нашей стране законодательно признается право на труд и право на защиту от безработицы.
4. Законодательное регулирование занятости.
До сих пор мы выявили (в 1 настоящей главы) только один вид безработицы. Он связан с экономическим циклом и возникает во время кризиса. Но во второй половине XX в. проблема занятости резко обострилась и стала хронической (длительной, постоянной).
В связи с этим во всех развитых странах государство стало систематически в законодательном порядке проводить в жизнь меры, которые содействуют занятости и обеспечивают социальную защиту от безработицы.
В нашей стране правовые нормы в области занятости установлены в Конституции РФ, в Федеральном законе О внесении изменений и дополнений в Закон Российской Федерации О занятости населения в Российской Федерации (принят Государственной Думой 22 марта 1996 г.) и других нормативных правовых актах. В данном Законе определены правовые, экономические и организационные основы государственной политики в сфере занятости населения.
Пришло время выяснить: кого официально можно отнести кразряду занятых и к числу безработных? Для этого воспользуемся новой классификацией рабочей силы, введенной с 1993 г. в российскую статистику (в ней учтены рекомендации Международной организации труда).
Сначала все население страны подразделяется на две части:
1. Экономически неактивное население — жители страны, которые не входят в состав рабочей силы. Сюда включены:
а) учащиеся и студенты дневных учебных заведений;
б) пенсионеры (по старости и другим основаниям);
в) лица, ведущие домашнее хозяйство (в том числе осуществляющие уход за детьми, больными и т.п.);
г) отчаявшиеся найти работу;
д) лица, которым нет необходимости работать (независимо от источника их доходов).
2. Экономически активное население (в западной экономической литературе — совокупная рабочая сила общества) — часть трудоспособных граждан, которая предлагает рабочую силу для производства товаров и услуг.
Уровень экономической активности населения — это доля численности экономически активных людей в общей численности населения. Такой уровень рассчитывается по формуле

Уровень экономически активного населения

Где УА — уровень экономически активного населения;
Н — численность насления;
Эн — экономически неактивное население.
В нашей стране в 1995 г. уровень экономически активного населения составил 49% (экономически активными были 73 млн. человек).
В свою очередь, экономически активное население подразделяется на две группы:
А. Занятые — лица в возрасте 16 лет и старше (а также лица младших возрастов), которые:
а) работали по найму за вознаграждение (на условиях полного или неполного рабочего времени);
б) трудились без оплаты на семейных предприятиях;
в) работали не по найму, самостоятельно обеспечивали себя работой (работодатели, управляющие собственным предприятием или собственным делом, лица, работающие на индивидуальной основе);
г) лица, которые временно отсутствовали на работе (из-за болезни, ухода за больными, обучения, учебного отпуска, отпуска без сохранения или с частичным сохранением заработной платы по инициативе администрации и т.п.).
Б. Безработные — лица 16 лет и старше, которые:
а) не имели работы (доходного занятия);
б) занимались поиском работы (обращались в службы занятости и т.п.);
в) были готовы приступить к работе;
г) обучались по направлению службы занятости. Точные сведения о численности и структуре экономически активного населения России приводятся в таблице 16.2.
Таблица 16.2.
Численность экономически активного населения
России 1992-1995 гг.

Состав экономически активного населения
Тыс. человек
В % от экономически активного населения
1992
1993
1994
1995
1992
1993
1994
1995
Экономически активное население — всего
75665
75012
73962
73140
100
100
100
100
Занятые — всего
72071
70852
68484
67100
95,3
94,5
9?fi
91,7
Безработные — всего
3594
4160
5478
6040
4,7
5,5
7,4
8,3
На основании данных о занятости 3 и безработицы определяется уровень безработицы. Уровень безработицы УВ — удельный вес численности безработных в численности экономически активного населения ЭА. Этот уровень определяется по формуле

Уровень экономически активного населения

Уровень безработицы в западных государствах имеет тенденцию к повышению, о чем свидетельствуют статистические данные по ряду стран в послвоенный период (табл. 16.3).
Таблица 16.3.
Уровень безработицы в некоторых странах Запада, %

Период времени
Япония
США
Италия
60-е годы
1,2
5
5
70-е годы
2
6
6
80-с годы
2,5
7
10
1991 г.
2,1
5,8
7.6
1992г.
2,2
7,4
11,0
Продолжение тал. 16.3

1993г.
2,5
6,8
10,4
1994 г.
2,9
6,0
11,3
1995г.
3,2
5.6
11,1
Официально считалось, что в СССР безработицы не было с конца 30-х годов. В действительности, однако, имели место различные формы принудительного трудоустройства (не только в военное, но и в мирное время), что мотивировалось необходимостью борьбы против тунеядства. С другой стороны, типичным был особый вид скрытой безработицы (содержание на предприятиях излишней численности рабочей силы), уровень которой доходил до 15% от общей численности работников. Предприятия были вынуждены содержать дополнительную численность персонала, поскольку их регулярно обязывали посылать работников на уборку урожая, создавать сельскохозяйственные предприятия при заводах и т.п. Скрытая безработица была и во многих малых городах.
В них молодежи и квалифицированным специалистам часто негде было устроиться на работу.
Официально безработица в нашей стране была признана только в конце 80-х годов. В результате обострения экономического кризиса численность безработных в России в последние годы увеличивается. В 1993 г. полностью и частично безработных (т.е. не полностью занятых) насчитывалось около 8 млн. человек, или 10% к экономически активному населению.
В 1994 г. этот показатель возрос до 10 млн. человек, или до 13,5% к экономически активному населению.
Теперь мы вплотную подошли к причинам безработицы и ее различным видам.
Причины (и соответствующие виды) безработицы существенно различаются на разных этапах развития производства. Промышленная революция на начальной стадии развития капитализма породила такие форм безработицы, как текучая, скрытая и застойная.



Увеличиваются размеры капитала


Увеличиваются размеры капитала

В свою очередь, добавленная (новая) стоимость распадается на две части: заработную плату работников 3\\ и валовую прибыль ПВ:

Увеличиваются размеры капитала

Наконец, валовая прибыль распадается на доходы разных собственников (прежде всего собственников вещественных факторов производства): а) ренту РЗ; б) процент ПЦ и чистую прибыль ПЧ, которая достается фирме:

Увеличиваются размеры капитала

Таким образом, мы приходим к общему заключению, что новая стоимость является источником доходов собственников всех факторов производства. Это наглядно представлено в формуле

Увеличиваются размеры капитала

Согласно К. Макконнеллу и С. Брю, добавленная стоимость — стоимость проданного фирмой продукта минус стоимость изделий (материалов), купленных и использованных фирмой для его производства, равна выручке, которая включает в себя эквивалент заработной платы, арендной платы, процента и прибыли67.
В том, что агенты производства получают регулярный доход по итогам деятельности производственного бизнеса, заключена их материальная заинтересованность в постоянном возобновлении и расширении производства новой стоимости.
Из сущности и характера процесса создания новой стоимости вытекают способы умножения ее величины. В этих целях в практической деятельности фирм применяются следующие методы.
1. Увеличиваются размеры капитала. Общим материальным условием расширения производства новой стоимости является применение большей величины капитала. На капитальные средства приобретаются дополнительные орудия производства и предметы обработки, нанимаются новые работники, что в конечном счете приводит к увеличению выпуска продукции, включая добавленную стоимость.
2. Расширяется численность работников. Вполне очевидно, что каждый работник участвует в создании новой стоимости. Поэтому наращивание численности персонала предприятия ведет к возрастанию величины добавленной стоимости.
3. Удлинняется время труда работников. Как известно, на начальной стадии капитализма рабочий день на фабриках составлял 12—16 ч. Однако с 20-х годов XX в. в западных странах длительность пятидневной рабочей недели была законодательно сокращена до 40—45 ч. Между тем сейчас на многих предприятиях предприниматели часто привлекают работников к сверхурочным работам (это выгоднее, чем нанимать новых рабочих, на которых из прибыли идут дополнительные страховые взносы и расходы на обучение профессии).
4. Повышается интенсивность труда. Под интенсивностью подразумевается степень напряженности трудовых усилий. Если такая напряженность увеличивается, то за единицу времени работник затрачивает большее количество труда. Следовательно, за одинаковый промежуток времени он создает возрастающую величину новой стоимости.
Поскольку время работы на предприятиях законодательно ограничено, то часто применяют повышенные нормы выработки (путем, например, ускорения работы конвейера), что ведет к росту напряженности труда.
5. Возрастает производительность труда. Величина производительности труда подсчитывается путем деления объема созданной продукции на численность работников. Этот показатель возрастает (а стало быть, добавленная стоимость увеличивается), если то же самое число работников выпускает больше продукции благодаря внедрению новой техники и технологии, повышения квалификации людей.
В условиях научно-технической революции производительность труда повышается посредством активизации человеческого фактора. С этой целью применяются новые формы материального и морального стимулирования инициативного и творческого отношения работников к труду, совершенствуется его организация. Так, широко используются коллективные формы организации труда: бригады рабочих несут экономическую ответственность за со]ранность и бесперебойное функционирование оборудования, высокое качество изделий. При этом сама бригада определяет трудовой распорядок, количество и состав смен.
Рабочие и инженерно-технические работники группируются в различные творческие объединения (кружки качества, общества рационализаторов и т.п.). В итоге значительно повышается индивидуальная и коллективная производительность труда, улучшается качество выпускаемых изделий.
Подчинение производства интересам людей требует повсеместного роста производительности труда. В свою очередь такой рост в индустриально развитых странах сам является следствием усиливающейся тенденции к гуманизации производства: к созданию условий труда, наиболее благоприятных для человека. Научно-техническая революция создает материально-вещественные и организационно-экономические предпосылки, соответствующие возросшему уровню развития работников. Без создания подлинно человеческих условий на предприятиях практически невозможно внедрять электронную технологию, обеспечивать возросший уровень выработки новейшего оборудования, требующего высокой культуры обслуживания.
Нельзя также добиваться стабильно высокого качества продукции. Теперь нельзя успешно развивать производство, не обеспечивая приоритета интересов человека труда.
Гуманизация производства означает следующее постоянно улучшать условия и безопасность работников, укреплять их здоровье, создавать благоприятный социально-психологический климат в трудовом коллективе. Важно делать все, что возвышает человека и раскрывает его способности. Для этого широко внедряются достижения эргономики (греч. ergon —работа, nomos — закон) — научной дисциплины, которая находит пути и методы для того, чтобы приспособить производственную среду к особенностям и возможностям человеческого организма. Она облегчает его адаптацию к усложняющимся условиям современной технологии, оптимизирует все компоненты системы человек — техника — производственная среда. При этом учитывается, как воздействуют на физиологию и психику людей физические условия труда (температура, освещение, шум, вибрация, вентиляция и др.).
Изучается влияние режима рабочего времени на биологические ритмы организма. Эргономика анализирует темп, тяжесть, нормирование и содержание индивидуальной и групповой деятельности, организацию рабочего места и системы контроля за трудом. В итоге растет производительность труда при улучшении здоровья людей.
Внедрение достижений эргономики облегчает монотонную деятельность (особенно на сборочно-конвейерных работах с упрощенными и примитивными операциями), которые, например, в США, Германии и Франции составляют 50—60% всех технологических операций. Для того чтобы предотвращать преждевременную усталость и износ организма, вводится ротация (периодическая смена) рабочих постов, укрупняются и усложняются отдельные операции. И наоборот, длительные, усложненные и утомляющие операции разбиваются на ряд коротких и простых.
Как показывает опыт, в результате внедрения достижений эргономики выработка рабочих возрастает не менее чем на 8—10%, улучшается качество продукции, повышается культура труда, растет удовлетворенность людей его условиями.
Все рассмотренные способы увеличения производства новой стоимости характеризуют особенности белого бизнеса. Такой бизнес, избегая превратности спекулятивной и преступной наживы, способен обеспечить постоянно возрастающий доход всем экономическим агентам. Он вызвал грандиозный прогресс техники и рабочей силы, привел общество к индустриальной и постиндустриальной экономике.
Во второй половине XX в. производственное предпринимательство создало прочные основы для роста благосостояния и культуры большинства населения высокоразвитых стран. В этих странах национальная экономика приобрела многие черты нормальной экономической системы служащей лучшему удовлетворению человеческих потребностей.
Все изложенное, по-видимому, понятно. Однако за пределами нашего внимания остался самый трудный для понимания вопрос: какова экономическая природа новой стоимости и в особенности прибыли достающейся владельцам вещественных факторов производства?
5. Теория прибавочной стоимости
По вопросу об экономической природе новой стоимости выработаны две прямо противоположные теории. Одна из них — классическая концепция прибавочной стоимости, являющаяся прямым продолжением трудовой теории стоимости. Ее разработали А. Смит и Д. Рикардо, а наиболее полно и глубоко развил К. Маркс в Капитале.
Другую теорию первоначально создал французский экономист Жан Батист Сей (1767—1832). В своей концепции факторов производства он утверждал, что труд, капитал и природа равноправно участвуют в процессе создания стоимости. Идею о равноправии факторов, создающих новую стоимость, по-своему развил американский экономист Дж.Б. Кларк.
На базе теории предельной полезности он создал учение о предельной производительности труда и капитала.
Указанные теории анализируют разные сферы экономики. Теория прибавочной стоимости характеризует глубинные процессы производства новой стоимости. Концепция же факторов касается преимущественно распределения новой стоимости на ее составляющие части. В связи с этим здесь будет рассмотрена теория прибавочной стоимости.
А концепция факторов изложена в разделе IV, посвященном распределению доходов.



В борьбу ввязываются сильные иностранные соперники.


Получение всеми бизнесменами средней нормы прибыли Делает выгодным вложение капитала в любую отрасль производства. Выдерживает конкуренцию тот, кто не отстает от среднего уровня технической оснащенности предприятия, других общественно нормальных условий ведения хозяйства. Если же рентабельность опустится ниже среднего уровня, то нельзя будет расширять и обновлять производство в требуемых масштабах, финансовое положение станет неустойчивым, что грозит банкротством.
В то же время в эпоху классического капитализма была отмечена и другая тенденция — общенациональная средняя норма прибыли постепенно понижалась. Это явление объясняется, по всей видимости, тем, что в результате перехода к индустриальной стадии производства на предприятиях стала непрерывно меняться структура капитальных затрат. С одной стороны, абсолютно и относительно возрастали размеры основного капитала (за счет которого приобреталась машинная техника).
С другой стороны, машинные средства труда вытесняли рабочую силу при изготовлении определенного объема продукции. Относительное и даже абсолютное сокращение рабочей силы вело к сравнительному уменьшению производства новой (добавленной) стоимости, в составе которой находится прибыль.
Правда, процесс выравнивания норм прибыли в разных отраслях в общую или среднюю прибыль отнюдь не такой простой, как его здесь представили в экономической модели. На практике приходится считаться с тем, что капитал, находящийся в производительной форме, в большинстве случаев не способен непосредственно переходить из одной отрасли в другие. Ведь для этого надо перепрофилировать предприятие на выпуск совершенно иной продукции, что происходит в редких случаях.
Следовательно, межотраслевая конкуренция воздействует фактически на изменение направления новых вложений капитала.
В современных условиях межотраслевая конкуренция сохраняет определенное значение для наиболее мобильного небольшого капитала. Для вновь образующихся фирм мелкого бизнеса различия в отраслевых нормах прибыли продолжают играть достаточно существенную роль: предприниматели со сравнительно небольшим капиталом стремятся попасть в наиболее прибыльные отрасли. Однако сейчас в таких отраслях имеются значительные ограничения для мелкого и среднего бизнеса.
Нижняя планка того барьера вхождения в отрасль, которая характеризует минимальный размер капитала, способного обеспечить высокую прибыльность, все время поднимается.
Значит, внутриотраслевая и межотраслевая формы конкуренции имеют достаточно мощный стимул — желание всех бизнесменов получить максимальную норму прибыли. Но в условиях свободной конкуренции, в которой участвует мелкий бизнес, такую цель не в состоянии достичь на постоянное время все предприниматели. Совершенно иную картину мы можем наблюдать, когда в борьбу за получение максимальной прибыли вступают крупные монополистические объединения.
Как мы выяснили, монополии имеют возможность самостоятельно устанавливать на рынке выгодные им цены. Крупный капитал использует это в собственных интересах, чтобы получать монопольную сверхприбыль — избыток прибыли сверх обычного, нормального для всех бизнесменов прироста капитала. Этот избыток вместе с обычным приращением авансированной суммы образует монопольно высокую прибыль.
Во второй половине XX в. монополистические объединения проникли во все отрасли хозяйства. В силу этого монопольная сверхприбыль перестала быть результатом только временной благоприятной рыночной конъюнктуры. Она является устойчивой формой прироста капитала гигантских торгово-промышленных объединений. Другие предприниматели при покупке товаров по завышенным ценам вынуждены платить им своего рода дань и терять часть прибыли.
Включая эти потери в себестоимость и цены товаров, они перекладывают убытки на подобных же бизнесменов других отраслей. В результате общая величина прироста капитала немонополизированного сектора экономики снижается на всю сумму монопольной сверхприбыли. Эта сверхприбыль пополняется также за счет стоимости товаров, которые создают простые товаропроизводители, вынужденные подвергаться воздействию ножниц цен.
Итак, монопольная сверхприбыль — результат присвоения монополиями части прибыли других предпринимателей и части стоимости товаров простых товаропроизводителей.
Погоня за сверхприбылью ведет к. усилению внутриотраслевой конкуренции между монополиями, производящими однородные продукты. В такую борьбу ввязываются сильные иностранные соперники. Конкуренция ведется и внутри каждой монополии, прежде всего при распределении прибыли. Особым фронтом столкновений становится соперничество монополий с немонополизированными предприятиями (которые получили название аутсайдеры).
Последние, естественно, не могут на равных бороться с крупными объединениями за более выгодные условия изготовления и реализации товаров.
Между крупными хозяйственными объединениями ведется также межотраслевая конкуренция, в результате которой капитал переходит из менее доходных видов производства в более прибыльные. С одной стороны, монополии-старожилы по возможности препятствуют нашествию других фирм в их отрасль, поскольку это грозит подорвать выгодные для них цены. С другой стороны, научно-техническая революция вызывает технологический переворот в каждом виде производства и порождает новые его виды, что ускоряет межотраслевой перелив капитала.
Вместе с тем крупный бизнес стремится укрепить свое положение в экономике путем захвата позиций в других подразделениях хозяйства, а это облегчается благодаря акционерной форме капитала, которая позволяет быстро перемещать производственные факторы из одной отрасли в другую. В результате усиливающаяся межотраслевая конкуренция зачастую подрывает позиции монополий старожилов, а установленные ими чрезмерно высокие цены несколько снижаются.
Описанные здесь отраслевая и межотраслевая формы конкуренции между монополиями типичны в основном для индустриальной стадии производства и начальной монополизации рыночной экономики. Научно-техническая революция и дальнейшая концентрация и централизация монополистического капитала привели к возникновению неизвестных прежде форм вертикальной и горизонтальной интеграции (объединения) предприятий под началом крупнейшей монополии. Это влияет на изменение выгодности вложений капитала.
Так, в условиях научно-технической революции создаются вертикальные производственные комплексы, в которых предприятия объединяются подетальней специализацией и осуществляют как бы последовательные капитальные вложения. Находящиеся на вершине производственной пирамиды монополии получают сверхприбыль, превышающую уровень средней монопольной прибыли. Зато в такой пирамиде находятся немонополистические предприятия, которые жертвуют частью собственного дохода. В свою очередь, более мелкие фирмы подключают в общее дело сотни отдельных предпринимателей.
Последние после выплаты налогов, процентов банкам и т.д. получают доход, приближающийся по уровню к заработной плате наемного рабоZника. Так производственная пирамида становится пирамидой доходов.
Наряду с этим монополии стремятся упрочить свое экономическое положение посредством горизонтальной интеграции в масштабах нескольких отраслей национального хозяйства. Они стараются скупать высокодоходные предприятия в разных видах производств. Затем, после закупки действующей фирмы, они быстро вкладывают туда средства для расширения выпуска продукции.
С образованием разветвленной многоотраслевой структуры современных монополий подавляющая часть межотраслевого перемещения капиталов ныне принимает форму внутрифирменного движения средств в рамках крупных компаний. При этом монополистическое объединение добивается максимизации нормы прибыли на весь имеющийся у него капитал. Поэтому при направлении новых капитальных вложений в те или иные отрасли учет сложившихся там норм прибыли не имеет подчас существенного значения.
Итак, давайте отметим новейшие процессы, связанные с изменением нормы прибыли в стимулировании бизнеса.
Во-первых, сохраняющаяся в определенной мере острая конкурентная борьба между монополиями, производящими разнородные товары, существенно уменьшает возможности обогащения одних отраслей за счет других. Так, разница в норме прибыли между самой доходной отраслью обрабатывающей промышленности США и наименее доходной составляет лишь 1—2%.
Во-вторых, с образованием многоотраслевых структур монополистических объединений внутриотраслевая и межотраслевая формы конкуренции перестали играть прежнюю роль в образовании отраслевой и общенациональной норм прибыли.
В-третьих, сейчас достаточно устойчиво максимально возможную прибыль получают крупные монополии. Если в среднем обычная норма прибыли в странах Запада (например, в США в обрабатывающей промышленности) составляет 12— 15%, то у монополистических объединений она вдвое выше.
Как было сказано в начале главы, фирмы — изготовители массовой продукции сбывают ее по оптовым ценам торговым посредникам. Последние продают товары в розничной торговле по более высоким ценам. Интересно, по-видимому, узнать, какую же норму прибыли получает торговый бизнес?



В новейшем производстве применяется более сложный труд.


Отношения между работодателями и трудящимися по оплате их труда являются чисто экономическими: они исходят из законов товарного производства и рынка.
Все работники предприятия, как правило, каждый день трудятся в течение одного и того же периода времени, что обусловлено технологией производства. Почему же в таком случае они получают неодинаковое вознаграждение?
Дело в том, что люди обладают разными физическими и умственными способностями и затрачивают труд неодинаковой степени сложности. Более квалифицированный работник за одно и то же время создает большую стоимость по сравнению с менее квалифицированным. Кроме того, люди трудятся в производственных условиях, подчас наносящих ущерб их здоровью (работа в ночную смену, в тяжелых и вредных для здоровья условиях), что требует компенсации (возмещения) повышенных затрат рабочей силы.
Важно учитывать, что сложилось в самом производстве и со временем — под влиянием научно-технического прогресса — существенно меняется разделение труда. Одновременно, хотя и неравномерно, происходят большие сдвиги в качестве, сложности трудовой деятельности разных категорий работников.
В начале индустриальной стадии производства основной фигурой на рынке труда был работник физического труда, почти не имеющий образования и квалификации и пригодный лишь для простого обслуживания машин. Современный же рынок включает в основном три категории лиц, которых условно называют:
а) синие воротнички (фабрично-заводские рабочие, занятые преимущественно физическим трудом);
б) серые воротнички (рядовые работники подсобного обслуживания);
в) белые воротнички (работники умственного труда: служащие инженерно-технический персонал и т.д.).
Во второй половине XX столетия научно-техническая революция и переход к информационному обществу вызвал следующие качественные и количественные сдвиги в структуре рынка труда.
1. Резко снизился удельный вес синих воротничков, особенно неквалифицированных и малоквалифицированных фабрично-заводских рабочих. :ак, в США удельный вес синих воротничков среди всех занятых снизился с 39% в 1955 г. до 27% в 1991 г., в том числе квалифицированных рабочих соответственно — с 13 до 12%, полуквалифицированных с 20 до 11% и неквалифицированных — с 6 до 4%.
2. Столь же значительно возросла доля инженеров и техников, работников сферы услуг и интеллигенции. В США доля работников преимущественно нефизического труда (белые воротнички) возросла с 39% в 1955 г. до 58% в 1991г.
3. В основном преодолена былая пропасть между работниками преимущественно физического и преимущественно умственного труда. Противоположность между ними возникла еще в эпоху .рабства и продержалась в западных странах до XX в. Она сохранилась до сих пор во многих развивающихся странах, где значительная часть взрослого населения (до 40%) остается неграмотной.
Помимо структурных изменений происходят необычные качественные преобразования уровня и профиля всех категорий работников. Дело в том, что НТР потребовала формирования работников нового типа. Сейчас приходится отказываться прежде всего от одностороннего развития, узкой специализации людей и расширять профиль их квалификации.
В связи с этим в соответствующих учебных заведениях рабочие получают общетехнические знания, инженеры — общенаучную подготовку, а на этой базе они легче осваивают более узкие профессии и специальности.
Широкий профиль подготовки необходим рабочим, чтобы обеспечивать бесперебойное функционирование сложного автоматического оборудования, определять и устранять причины сбоев в его работе, проводить ремонт. Например, на заводах фирмы ФИАТ (Италия) роботизация повышает долю труда широкого профиля в деятельности всех рабочих до 70% процентов.
Углубление и расширение общенаучной подготовки инженерных кадров обусловлено тем, что НТР быстрее всего развивается на стыке разного рода наук (физики и химии, химии и биологии и т.д.). Кроме того, ускоряется процесс обновления научно-технических знаний, в связи с чем возросла потребность в специалистах, умеющих на основе достижений информатики творчески использовать научные и технические новации для совершенствования технологий.
В новейшем производстве применяется более сложный труд. Для освоения достижений НТР требуется, как минимум, общее среднее образование и дополнительная профессиональная подготовка. Примечательны такие данные: в США в 1900 г. только 6% трудящихся имели образование выше начального, а сейчас у большинства работников обучение составляет 13,5 лет.
В Японии в старших классах 12-летней школы обучается свыше 90% молодежи. В России в 1897 г. среди населения в возрасте 9—49 лет грамотных было 28%. По даннcм переписи населения в 1959 г., неграмотность была практически ликвидирована. В 80-х годах введено обязательное полное среднее образование. Каждый 4-й занятый в народном хозяйстве имел высшее или среднее специальное образование.
В 1992—1995 гг. обязательным стало неполное среднее образование (9 лет), значительно сократилась численность студентов техникумов и вузов.
Центр тяжести в трудовом процессе сейчас перемещается с физических затрат жизненных сил человека на умственные. Интеллектуализация труда выражается в общем высоком уровне технической культуры персонала, в понимании каждым работником своего места в процессе изготовления продукции, в умении точно соблюдать правила технологии и обеспечивать высокие конечные хозяйственные результаты.
Современный этап НТР и переход к информационному обществу придает новые профессиональные качества работникам интеллектуального труда. Непременным условием, особенно для инженерно-технических, исследовательских и управленческих работников, становится совершенное знание информатики и овладение навыками использования компьютерной техники. С этим связано также совершенное владение устной и письменной речью. Примечательно, что, по оценкам Бюро труда США, от работников ряда профессий (биохимик, программист, математик, психолог, юрист, адвокат, редактор) сейчас требуется высший уровень владения устной и письменной речью. Это означает умение читать книги и литературные обзоры, научные и технические журналы, финансовые отчеты и юридические документы, писать статьи, речи, редактировать.
Одновременно надо иметь хорошую подготовку в области математики и статистики.
Таким образом, в последние десятилетия произошли необычайно глубокие количественные и качественные перемены на рынке труда. Это, естественно, сильно повлияло на цену продаваемого на нем товара.
Различные уровни оплаты труда определяются с помощью тарифной системы — совокупности нормативов, которые регулируют уровень заработной платы рабочих и служащих (рис. 10.2).

В новейшем производстве применяется более сложный труд.

Рис. 10.2. Структура тарифной системы
Тарифная система включает в себя прежде всего тарифные ставки — размеры оплаты труда работников за час или день. Эти величины заработка распределяются в тарифной сетке. Данная сетка представляет собой шкалу, которая определяет отношение тарифных ставок рабочих второго, третьего и последующего разрядов (в зависимости от уровня квалификации) к ставке первого разряда.
Тарифная сетка указывает число разрядов (диапазон сетки), т.е. соотношение тарифных коэффициентов крайних разрядов сетки, и межразрядные соотношения (абсолютные и относительные — в процентах — нарастания таких коэффициентов от разряда к разряду). Если известны величина ставки первого разряда и соответствующие тарифные коэффициенты, то можно определить ставку работника любого разряда.
В тарифную систему входит также тарифно-квалификационный справочник — нормативный документ для тарификации работ и присвоения людям квали41икационных разрядов. В нем все профессии характеризуются с учетом содержания и сложности работы, которую должен уметь выполнять рабочий соответствующей квалификации.
Согласно современному трудовому законодательству, для работников государственных предприятий ставки (оклады) и иные условия оплаты труда устанавливаются в порядке, определяемом Правительством Российской Федерации.
В период проведения экономических реформ в России государство ввело единую тарифную сетку по оплате труда работников бюджетной сферы. Новая единая тарифная сетка предусматривает 18 разрядов в зависимости от уровня квалификации и занимаемой должности работников. Первый разряд оплаты труда предусматривает получение минимальной заработной платы, а 18-й разряд.— 10 минимальных окладов.
Дифференциация вознаграждения за труд вступила в новый этап в условиях научно-технической революции и постиндустриальной стадии производства. В отраслях с высокими технологиями предприятия все больше отходят от повременной и сдельной форм заработной платы, играющих наибольшую стимулирующую роль применительно к массовому индустриальному производству. Такие формы не способны учесть индивидуальный вклад каждого работника, выполняющего определенные творческие функции.
Чтобы повысить отдачу человеческого фактора, предприниматели применяют новые системы стимулирования. Они основаны на индивидуальном подходе к каждому работающему и непосредственно увязывают величину дохода с личным вкладом работника, его компетентностью и добросовестностью. В результате резко снижается доля традиционной постоянной части заработной платы и соответственно возрастает ее переменная часть, которая зависит от индивидуальных результатов работы и общего финансового состояния фирмы.
Например, в Японии переменная часть составляет 1/4 всего заработка, в Великобритании — 1/8, в США — от 1/7 до 1/3.



В результате валютная система приобрела устойчивый характер.


Развитие товарооборота между странами во многом зависит от состояния мировой валютной системы — формы организации международных денежных расчетов. Еще в начале XX в. эта система достигла высшей ступени своего развития. Как известно, ее основа — золото — выполняло все функции денег. В основных странах Запада утвердился золотой стандарт: золото играло роль всеобщего эквивалента, а в обращении использовались золотые монеты или денежные знаки, разменные на драгоценный металл.
В результате валютная система приобрела устойчивый характер.
Однако после мирового экономического кризиса 1929—1933 гг. все страны перешли к бумажно-денежному обращению. С 1971 г. прекратился обмен главных валют на золото и в международных расчетах. Это произошло потому, что нарушилось равновесие внешнеэкономического обмена, расстроился платежный баланс отдельных государств, и прежде всего стран ключевых валют — США и Англии.
Поскольку изменилось соотношение сил между ведущими странами Запада в мировом хозяйстве и усилилась неравномерность распределения золотовалютных резервов, международная валютная система стала действовать без единой основы — золота. Стали использоваться два вида валютного курса: твердо фиксированный и плавающий.
Фиксированный валютный курс может быть результатом соглашения заинтересованных стран по поддержанию пропорции обмена своих валют на определенном уровне. В случае отклонения курса национальной валюты от установленной величины центральный банк страны — участницы соглашения проводит интервенцию на валютном рынке. Он покупает или продает национальную валюту с целью восстановить фиксированный уровень своей денежной единицы.
Плавающий курс — это обменный курс на валютном рынке, который зависит от спроса и предложения валют.
Валюту подразделяют на неконвертируемую (используемую в пределах одной страны) и конвертируемую. Конвертируемая (обратимая) валюта свободно обменивается на любую иностранную (например, валюта большинства западных стран). Валюта с ограниченной обратимостью (или частично обратимая) обменивается не по всем валютным операциям и не для всех владельцев.
При установлении экономических отношений между странами определяется валютный курс, по которому взаимно обмениваются национальные валюты. Валютный курс подразделяется на девизный и обменный курсы.
Девизный курс показывает, сколько единиц иностранной валюты можно получить за единицу отечественной. Иначе говоря, девизный курс — это цена отечественной валюты, выраженная в единицах иностранной (например, какое количество марок обменивается на 1 руб.). Обменный курс показывает, какое количество единиц отечественной валюты можно получить в обмен на единицу иностранной — это цена иностранной валюты (сколько рублей обменивается, скажем, на 1 долл.).
Следовательно, название пропорции обмена двух валют зависит от того, с позиции какой страны она рассматривается. Допустим, 5000 руб. обменивается на 1 долл. Это обменный курс для россиянина и девизный курс — для владельца доллара.
Приведенные ниже данные наглядно иллюстрируют сказанное.
Динамика официального курса доллара США к рублю
Российской Федерации (на конец декабря)

Год
1992
1993
1994
1995
1996
Курс
415
1247
3550
4640
5550
Обменный курс во многом зависит от соотношения спроса и предложения на валютном рынке. То, от чего, в свою очередь зависят спрос и предложение, можно рассмотреть на примере валютного курса, определяющего пропорции обмена рублей на доллары. Так, спрос на рубли на валютном рынке в основном зависит от объема российского экспорта в США и от притока американского капитала в нашу страну.
Предложение же рублей определяется объемом импорта России и вывозом из нее капитала в США.
Колебания валютного курса приводят к двум основным последствиям: к ухудшению или улучшению положения с экспортом или импортом.
Допустим, что обменный курс национальной валюты понижается (иностранная валюта дорожает — обменивается на большее количество отечественных денег). С одной стороны, это вызывает удорожание импортных товаров (они становятся менее доступными). С другой — улучшается положение с экспортом (он становится более выгодным).
Предположим, что обменный курс национальной валюты повышается (иностранная валюта дешевеет: обменивается на меньшее количество отечественных денег). В таком случае импортируемые товары дешевеют. Напротив, экспорт дорожает (это ведет к его уменьшению).
Примером могут служить валютные отношения между Японией и США. С 1993 г. происходил рост обменного курса иены по отношению к доллару, что во многом определялось экспортными преимуществами Японии. В результате сложилось тяжелое положение с экспортом. Например, для автомобильной корпорации Тоёта снижение курса доллара на 1 иену вызывает потери в объеме 6 млрд. иен.
При курсе 110 иен за 1 долл. убытки могут понести 70% японских фирм.
Чтобы предотвратить отрицательные последствия колебаний обменного курса валют, государство принимает меры по его регулированию. К их числу относятся:
— валютные интервенции на внутреннем и внешних валютных рынках;
— изменение ссудного процента;
— воздействие на темпы инфляции и т.п.
Подобные меры проводились, скажем, в США. В 70-е годы курс доллара стал понижаться. Поэтому в 80-е годы правительство повысило ставку процента, чтобы привлечь иностранный капитал, и провело широкомасштабную валютную интервенцию.
Она была дополнена жесткой денежно-кредитной политикой. В итоге курс доллара стал расти и достиг пика в 1985 г. Однако во второй половине 80-х годов этот показатель вновь стал снижаться.
Завершая рассмотрение торговых и валютных отношений, мы можем сказать о наличии определенных взаимозависимостей между ними. Эти взаимозависимости проявляются в двух качественно разных тенденциях.
Одна тенденция состоит в следующем. Активное сальдо торгового и платежного баланса позволяет обеспечить повышение курса национальной валюты. К этому надо добавить положительное сальдо государственного бюджета (превышение доходов над расходами).
Такая тенденция наблюдается в Японии и Германии.
Вторая тенденция отражает противоположные последствия. Пассивное сальдо торгового баланса ведет к понижению курса национальной валюты и дополняется бюджетным дефи^итом. В США, например, большой дефицит торгового баланса покрывается очень большим притоком иностранного капитала.
Эта тенденция, касающаяся основной международной валюты — доллара, вызывает обеспокоенность во всем мире. Она представляет собой особо острую проблему для России, в которой произошла огромная долларизация экономики. По данным за 1993 г., в российских банках соотношение рублевых и долларовых депозитов населения и предприятий составило в среднем 1:1 (в январе отношение долларового депозита к рублевому составило 1,22; в октябре — 0,75).
Преодолению столь ненормальной долларизации российской экономики могут способствовать стратегические меры, направленные на повышение эффективности внешнеэкономической политики. К ним в первую очередь относятся:
— переориентация с традиционного топливно-сырьевого экспортного потенциала на новый потенциал, который включает в себя наукоемкие отрасли, выпускающие готовые продукты обрабатывающей промышленности;
— модернизция на современной технологической основе всего комплекса экспортных отраслей; .
— подъем качества экспортной продукции до международного уровня конкурентоспособности;
— восстановление утраченного рыночного пространства и эффективное освоение новых рынков;
— органичное включение национального хозяйства во всемирную
экономическую систему.
3. Интернациональные экономические
отношения
Процесс глобализации экономики не ограничивается новыми формами международного разделения труда, всемирной торговли и валютных отношений. Он охватывает также основные производственные факторы — капитал и рабочую силу.
В XX в. стала широко развиваться одна из форм интернационализации экономики — международная миграция капитала — помещение за границей средств, приносящих доход их собственнику. Миграция (лат. migratio — переселение) — вывоз капитала — происходит, когда он может быть помещен в другом государстве с большей нормой прибыли, чем в своей стране. Причинами вывоза капитала ради большей прибыли являются: а) перенакопление капитала в регионе, откуда он вывозится;
б) несовпадение спроса на капитал и его предложения в различных звеньях всемирного хозяйства; в) наличие в государствах, куда экспортируется капитал, более дешевого сырья и рабочей силы; г) интернационализация производства (рис. 20.3).

В результате валютная система приобрела устойчивый характер.

Рис. 20.3. Основные причины вывоза капитала
Перенакопление капитала — образование его относительного избытка в стране, где он не может найти высокоприбыльного применения. Это состояние характерно для крупных корпораций, которые получают монопольную сверхприбыль в определенных отраслях и не заинтересованы в менее выгодном использовании своих средств внутри государства. В результате образуются капиталы, предназначенные для более прибыльного помещения за границей.



В СССР долгое время инфляция отрицалась


Америки и в других регионах является крупный дефицит государственных бюджетов и весьма обременительная внешняя задолженность (пла* тезкигю кредитам западных стран).
В СССР долгое время инфляция отрицалась полностью. Однако в действительности она носила скрытый, подавленный характер. В конце 80-х годов обесценение денег становилось все более явным. По официальным данным, в СССР цены на потребительские товары (с учетом скрытой инфляции) в 1989 г. возросли на 7,5%, в 1990 г. на 19% (в том числе подавленная инфляция — 11%).
В 1991 г. в странах СНГ цены выросли в 2,4 раза. С 1992 г. в России инфляция стала открытой, а инфляционный шок сделал ее галопирующей (табл. 5.5).
Таблица 5.5.
Индекс цен к России в 1991-1995 it. (и среднем за год, и разах
к декабрю предыдущего года)


199i
1992
1993
1994
1995
Сводный индекс потребительских цен на товары и yслуги населению
2,6
26,1
9,4
3,2
2,3
Как видно из данных табл. 5.5, после огромного скачка цен в 1992 г. российское правительство предприняло попытки регулировать объем денежной массы. Это позволило снизить темпы галопирующей инфляции.
Инфляция, свидетельствующая о заболевании денежном системы, а вместе с ней и всей экономики, порождает множество неблагоприятных последствий. Она разрушает хозяйственные связи, усиливает спекуляцию и нездоровые социальные явления (подкуп должностных лиц, нарушения правопорядка и др.), ведет к снижению уровня жизни подавляющей части населения.
Кто виноват в том, что во всех странах в обращении оказывается излишнее количество денег? В данном вопросе нам предстоит разбираться в главе 17. А сейчас мы обратим внимание на причастность к этому делу криминальных элементов.
Фальшивомонетничество — это изготовление поддельной металлической монеты, денежных знаков, ценных бумаг. Такой промысел ведется с целью сбыта или выпуска в обращение фальшивых денег и обогащения за этот счет. По законодательству всех стран это преступление.
По Уголовному кодексу Российской Федерации изготовление или сбыт поддельных денег или ценных бумаг отнесено к числу преступлений в сфере экономической деятельности. Говоря конкретнее, имеется в виду изготовление в целях сбыта или сбыт поддельных банковских билетов Центрального банка Российской Федерации, металлической монеты, государственных ценных бумаг или других ценных бумаг в валюте Российской Федерации либо иностранной валюты или ценных бумаг в иностранной валюте. В зависимости от характера и степени опасности данного деяния УК РФ предусматривает наказание лишением свободы на срок от пяти до пятнадцати лет с конфискацией имущества или без таковой (УК РФ, статья 186).
Фальшивомонетничество началось с тех пор, как стали изготавливать деньги из благородных и иных металлов. На Руси к фальшивомонетчикам применяли суровые меры. Особенно жестоко расправлялись с ними при Петре I: преступнику заливали в горло олово, отрубали руки и ноги.
В современных условиях масштабы подделки денег и ценных бумаг во всех развитых странах растут. Это характерно и для России. В 1990 г. было выявлено 92 случая изготовления и сбыта фальшивых денег и ценных бумаг, в 1991 г. - 129, в 1992 г. - 317, в 1993 г. - 7061, в 1994 г. — 14 884 случая. В 1994 г. правоохранительные органы предотвратили выброс в обращение поддельных отечественных денег, иностранной валюты и государственных ценных бумаг на сумму около..
10 млрд. рублей.
Быстрый рост такого рода преступлений в России и других странах объясняется тем, что для подделки денег стали широко применяться современные цветокопировалъные устройства (капельно-струйные ксероксы, принтеры для ЭВМ). Каждые девять из десяти фальшивых денежных купюр изготовлены с помощью такой техники, позволяющей, словно блины, печь средства платежа.
По прогнозам специалистов, дальнейший рост фальшивомонетничества может привести к дестабилизации денежного обращения и к бегству от денег. Достаточно сказать, что во всем мире ходит около 40 млн. фальшивых долларовых купюр.
Для борьбы с фальшивомонетничеством все шире применяется система экономических, технологических и других мер. К ним, в частности, относятся такие действия:
резко уменьшается количество наличных денег в обращении, и они заменяются безналичными расчетами (с помощью чеков, кредитных карточек);
повышается степень защиты денег от подделок (применяется свыше 25 средств защиты: металлография, водяной знак, вкрапление волокон, выпуклость отдельных мест и др.);
банкноты старого образца периодически заменяются новыми с большей степенью защиты (такая замена ведется в нашей стране с 1995 г., в США новые долларовые банкноты заменяют старые с 1996 г.);
банки, торговые и иные учреждения оснащаются специальной техникой для выявления фальшивок;
населению разъясняется, чем фальшивые деньги отличаются от настоящих (на поддельных денежных средствах нанесены одинаковые серии и номера купюр, отсутствуют водяные знаки, применены размывающими красители, нечетко виден мелкий текст и т.п.).
Таким образом, мы с разных сторон рассмотрели величайшее изобретение человечества — деньги. Они приводят в движение всю рыночную экономику.
Экономический тренинг
1. Ключевые термины и понятия
Деньги; обращение; мера стоимости; цена; масштаб цен: средство обращения; бумажные деньги; средство платежа; вексель; банкнота; мировые деньги; золотой стандарт; ликвидность: современные денежные средства; денежный агрегат; чек; безналичные расчеты; депозитный сертификат; инфляция; дефляция; индекс цен; потребительская корзина; фальшивомонетничество.
2. К терминам из левой колонки найдите соответствующие определения

2.1. Обращение
2.2. Чек
2.3. Масштаб цен
2.4. Сродство платежа
25. Вексель
2.6. Дефляция
а) функция денег, связанная с погашением долга
кредитору;
б) долговое обязательство, используемое вместо денег;
в) ценная бумага, предназначенная для безналичных расчетов зa покупки и долги;
г) снижение уровня цен;
д) обмен товара на товаре помощью денег;
е) весовое количество золота, принимаемое за денежную
единицу
3. Вопросы о функциях денег.
Каковы функции денег в случаях:
3.1. Предприятие оплачивает поставленную ему продукцию.
3.2. Фирма выдает работникам заработную плату.
3.3. Предприятие подсчитывает эффективность новой техники.
3.4. Предприятие погашает ссуду.
3.5. Фирма хранит деньги на расчетном счете в банке.
4. Вопрос на сообразительность.
Товар приобретается в магазине. Какие функции денег при этом используются
5. Вопросы для будущих юристов
5.1. Какие функции денег нарушаются при спекуляции?
5.2. Положительную или отрицательную роль играет спекуляция?
5.3. Каким образом криминальные элементы общества наживаются на инфляции и способствуют ее усилению?
6. Задача по современным денежным средствам
Определите величинy денежного агрегата МЗ в России, используя следующие данные (цифры условные, млрд. руб.):
— наличные — 180;
— чековые вклады — 570;
— вклады на бесчеконых счетах — 420;
— денежный агрегат М2 — 3100;
— крупные срочные вклады — 810.
7. Сравнительный анализ функций и видов денег
7.1. Сопоставьте функции денег в эпоху золотого стандарта и в современный период времени. Выясните причины изменения су ни kx'th и функций денег к настоящему времени.
7.2. Сравните между собой все виды денежных агрегатов. Выясните, почему каждый из них отличается от других агрегатом.
8. Определите степень ликвидности первоначальных средств
товарного обмена
Для этого используйте отрывок из книги А. Смита Исследование о природе и причинах богатства народов. В книге автор констатирует следующие факты: Как только повсеместно устанавливается разделение труда, лишь весьма малая доля потребностей каждого человека может быть удовлетворена продуктом его собственного труда. Значительно большую часть он удовлетворяет обменом этого излишка продуктов своего труда на излишки продуктов труда других людей, в которых он нуждается...
Надо думать, что самые различные товары выбирались и употреблялись последовательно для этой цели. В варварском состоянии общества таким общим орудием обмена... был скот, и хотя он был весьма неудобен для этой цели, однако мы находим, что в древнейшие времена предметы часто оценивались по тому количеству кота, которое давалось и обмен на них.
Однако во всех странах люди по-видимому, в силу бесспорных доводов сочли, в конце концов, необходимым дать предпочтение металлам но сравнению со всеми другими предметами... Неудобства и затруднения, связанные с точным взвешиванием этих металлов, привели к установлению чеканки монет, причем клейма, целиком покрывающие oбe стороны монеты, а иногда также ее ребpa, должны были удостоверять не только чистоту, но и вес металла. Поэтому такие монеты принимались... по счету, без взвешивания их.



Величина оплаты труда приобретает двойное измерение


В тарифных ставках на многих предприятиях, помимо чисто деловых умений рабочего учитываются его личные качества на основе так называемой оценки по заслугам. При этом определяются заслуги по ряду показателей: фактическому уровню выработки, надлежащему качеству труда, экономии материалов, бережному уходу за оборудованием, максимальному использованию рабочего времени. В число показателей входит также общая надежность, стремление к сотрудничеству, общее поведение, что характеризует преданность человека компании.
Как мы видим, на предприятиях многое делается по улучшению мотивации труда работников — усилению их заинтересованности в улучшении конечных результатов коммерческой деятельности фирм.. Между тем мотивы (побудительные причины) трудовой деятельности этим не ограничиваются. Они в значительной степени связаны с тем, какой конкретный вид принимает заработная плата в условиях инфляции.
4. Реальная заработная плата
В условиях непрерывной инфляции получаемая в денежном виде заработная плата не выражает действительного объема доходов работника по понятной причине — из-за обесценения денежных средств. Поэтому величина оплаты труда приобретает двойное измерение:
а) номинальная заработная плата — определенная сумма денег, которая выплачивается работнику в качестве вознаграждения за его труд;
б) реальная заработная плата — сумма реальных жизненных благ, которую можно приобрести за номинальную зарплату при данном уровне цен на товары и услуги.
Показатель реальной заработной платы наиболее точно (по сравнению fc номинальной зарплатой) свидетельствует, насколько лучше или хуже стал жить человек после изменения уровня потребительских цен. Данный показатель наиболее наглядно демонстрирует, насколько на деле различается вознаграждение за труд в разных странах. Иллюстрацией могут служить данные таблицы 10.4, где сопоставляется средний реальный заработок в сегодняшней России и США (по состоянию на январь 1994 г.).
Таблица 10.4.
Количество некоторых продуктов, которые можно приобрести на среднюю заработную плату в России и США

Продукты, кг
Москва
Вашингтон
Говядина 1-й категории
47
500
Молоко (л)
301
1833
Масло животное
35
764
Яйца куриные (лес.)
121
3284
Сахар
177
2500
Картофель
390
1667
Значительное влияние на величину реального заработка оказывает характерное для всех стран с рыночной экономикой непрерывное повышение потребительских цен. При этом на практике могут быть разные варианты изменения уровня реальной зарплаты. Это зависит от достигнутого соотношения темпов инфляции и темпов изменения номинальной зарплаты.
Основными являются четыре варианта динамики уровня реальной оплаты труда.
Первый вариант: номинальный заработок повышается такими же темпами, какими растут потребительские цены. В таком случае уровень реальной зарплаты стабилен. Этот вариант возможен, если происходит автоматическая индексация номинальной зарплаты, т.е. ее повышение в соответствии с подъемом официального индекса цен.
В Западной Европе подобное положение было в 70-е годы, в период достаточно сильной инфляции: в коллективных договорах профсоюзов с предпринимателями предусматривалась автоматическая индексация оплаты труда.
Первый вариант — редкое явление. Он, разумеется, экономически защищает от инфляции, однако выработка не сопровождается увеличением реальных заработков.
Второй вариант: номинальная зарплата растет быстрее, чем инфляция. Тогда реальная заработная плата увеличивается в абсолютных размерах. Этот случай еще более редкий и обычно он затрагивает привилегированные группы работников (использующих монопольное положение фирмы на рынке, высших должностных лиц некоторых предприятий и учреждении).
Интересен опыт Японии. Здесь в 90-е годы стараются снизить темпы инфляции с таким расчетом, чтобы номинальные заработки возрастали быстрее увеличения потребительских цен. В этом случае стимулируется более эффективный труд.
Третий вариант; при низких темпах инфляции индексация номинальной зарплаты обычно не проводится. В данном случае величина реальной оплаты труда понемногу уменьшается в абсолютных размераx. Так произошло во второй половине 80-х годов: в Западной Европе были демонтированы национальные системы индексации зарплаты.
А в США на предприятиях перестали заключать договоры предпринимателей с профсоюзами об автоматической индексации заработков. В результате этого уровень заработной платы в ее реальном выражении в 1990 г. был ниже, чем в 1985 г., на 4-6 процентных пункта (94-96% к уровню 1985 г.). С одной стороны, предприниматели получили дополнительное средство экономического принуждения к повышению производительности труда работников (они наращивают выработку, чтобы возместить потери реальных доходов).
С другой стороны, работники стали стремиться в целях предотвращения снижения благосостояния увеличивать продолжительность времени труда (прибегать к сверхурочным работам), искать вторую занятость (устраиваться на дополнительную работу в иных местах).
Четвертый вариант: инфляционная спираль. Речь идет о том, что. если при высоких темпах инфляции не проводится автоматическая индексация заработной платы, то работники все же добиваются соответствующего увеличения номинальных доходов. Когда правительство и предприниматели устанавливают более высокий уровень денежных заработков, то в итоге происходит удорожание продукции. А это, естественно, ведет к новому росту потребительских цен.
Итак, все повторяется на новом витке спирали.
Данный вариант опасен тем, что он способен раскручивать маховик инфляции извести дело к гиперинфляции. При этом потери работников в реальной величине доходов обычно не возмещаются запоздалой надбавкой к зарплате, вследствие чего происходит систематическое понижение жизненного уровня трудящихся.
Подобная картина наблюдается в России в 90-х годах. Здесь заработная плата очень серьезно отставала в темпах роста от повышения индекса потребительских цен. И лишь временами она соответствовала быстрому подъему цен (табл.
10.5).
Таблица 10.5.
Динамика заработной платы и потребительских цен
в России в 90-х годах

Рост цен и заработной платы
в разах к предыдущему году
1991
1992
1993
1994
1995
Индекс потребительских цен
2,8
26,1
9,4
3,2
2,3
Среднемесячная денежная заработная плата работников, занятых в экономике
1,7
10,9
0,9
3,7
2,1
По отношению к уровню 1990 г. индекс потребительских цен в 1995 г. увеличился в 4652 раза. Средняя денежная зарплата работников, занятых в экономике, возросла лишь в 1596 раз, т.е. примерно втрое медленнее повышения цен. Естественно, что реальная оплата труда сильно снизилась.
Это, в частности, отрицательно сказалось на потреблении основных продуктов питания населением России (табл. 10.6).
Таблица 10.6.
Потребление продуктов питания населением России (по материалам обследования семейных бюджетов домашних хозяйств; в расчете на одного члена домашнего хозяйства в год)

Год
Мясо и мясопродукты, , кг
Молоко и молочные продукты, кг
Рыба и рыбопродукты, .кг
Сахар, кг
Хлебные продукты, кг
1990
74
379
17
21
87
1995
52
219
10
27
96
В случае, когда происходит значительное понижение реального уровня жизни, работники выступают за справедливую заработную тату. Речь идет о восстановлении действительной стоимости и нормального набора продуктов в потребительской корзине. Однако решать такую задачу невозможно в масштабах микроэкономики.
Как можно обуздать разрушительные силы инфляции — эту проблему мы специально рассмотрим в разделе курса, посвященном макроэкономике.
Таким образом, после того как мы разобрались с вознаграждением за труд, которое получает собственник рабочей силы, нам предстоит в следующей главе всесторонне рассмотреть доход, которым распоряжается собственник капитала.
Экономический тренинг
1. Ключевые термины и понятия
Первичное распределение доходен; теория трех факторов производства: теория предельной производительности; рабочая сила как товар; конкуренция и монополия на рынке труда; локаут; забастовка; повременная заработная плата; сдельная заработная плата; дифференциация вознаграждения за труд; закон заработной платы; факторы, влияющие на уровень зарплаты; прожиточный минимум; спрос и предложение на рынке труда; тарифная система; номинальная заработная плата; реальная заработная плата; инфляционная спираль.
2. Дискуссионные вопросы
Чем и как определяются заработки:
а) выдающихся певцов, актеров кино и т.д.;
6) видных артистов эстрады;
в) изобретателей.
3. Вопросы для коллективного обсуждения
3.1. Как технический прогресс может отразиться на уровне заработной платы?
3.2. Чем может быть привлекателен труд помимо его оплаты?



Вопросы из зарубежных учебников по экономике


3.3. Всегда ли рост заработной, платы ведет к увеличению издержек производства?
4. Вопросы из зарубежных учебников по экономике
4.1. Электрики, работающие на текстильной фабрике, понимают, что-их заработная плата составляет незначительную часть общих издержек предприятия. Это побуждает их профсоюз требовать увеличения заработной платы. Но они знают, что вслед за ними и все остальные профсоюзы, объединяющие рабочих этой фабрики, также станут настаивать па рапном повышении заработной платы.
Итак, что же произойдет?
4.2. Сколько денег требуется, но Вашему мнению, бездетной чете, чтобы жить прилично в Вашей местности? На что расходовались бы деньги?
4.3. Сформулируйте некоторые из Ваших собственных этических убеждений относительно того, какой должна быть степень неравенства доходов у людей с различными способностями и потребностями.
5. Прокомментируйте статистические данные, касающиеся заработной платы (табл. 10.6).
Таблица 10.6.
Среднемесячная начисленная заработная плата работников предприятии и организации но отраслям экономики и 1992 и 1995 гг. (в рублях)

Отрасль экономики
1992
199581
Всего в экономике
5995
483 629
Промышленность
7064
558 142
Сельское хозяйство
3984
225 743
Строительство
8051
660 129
Транспорт
8764
760 662
Связь
5453
580 094
Торговля, общественное питание; материально-техническое снабжение и сбыт; заготовки
4866
416038
Информационно-вычислительное обслуживание
4929
504 758
Геология и разведка недр, геодезия и гидрометслужба
9996
694 727
Жилищно-коммунальное хозяйство, непроизводственные виды бытового обслуживания населения
4919
519504
Здравоохранение, физическая культура и социальное обеспечение
3937
343 745
Образование
3680
306810
Культура и искусство
3 115
282 308
Наука и научное обслуживание
3859
364 881
Кредитование, финансы, страхование
12222
791860
Аппарат органов управления
5661
532 679
6. Проблемы для будущих юристов
6.1. Почему студенты юридических вузов рассчитывают на более высокие доходы, чем их не менее способные коллеги, изучающие историю?
6.2. Как изменится оплата юриста, если в его работе будет использоваться компьютер?
7. Статистический анализ
В таблице показаны изменения потребительских цен и среднего уровня заработной платы (цифры условные).

Год
Изменение розничных цен, %
Изменение заработной платы, %
1981
+10
+20
1982
+5
+6
1983
-3
0
В каком году повышалась реальная заработная плата?
8. Вопрос на сообразительность
Что более удобно и надежно (и для кого): выплата заработной платы наличными или путем се перечисления на банковский счет работника?




Все формы безработицы имеют общие черты.


Текучую безработицу мы обнаруживаем, когда временно становятся незанятыми работники умственного и физического труда, обладающие рHбочей силой нормального качества. Из-за неравномерного развития отдельных отраслей и регионов, особенно из-за периодически повторяющихся спадов в экономике, спрос на рабочую силу порой оказывается недостаточным и, наоборот, потребность в ней возрастает в период хозяйственного подъема. Из-за связи с экономическими циклами такую безработицу называют также циклической.
При циклической безработице во время спада производства численность безработных резко возрастает. Так, в 60—80-е годы в США во время рецессии уровень безработицы повышался в 1,5—2 раза.
Скрытой безработицей охвачена главным образом часть сельских жителей (которая не выдерживает конкуренции с крупными предприятиями), а также разоряющиеся мелкие производители и торговцы.. Такие резервы труда обнаруживаются, когда возросшая потребность в работниках быстро восполняется за счет указанной части общества. Этих слоев населения особенно много в развивающихся странах.
По имеющимся оценкам, более 500 млн. чел., или 1/3 экономически активного населения, в этих странах не имеют работы или заняты не полный рабочий день.
Застойная безработица охватывает людей, деятельность которых в высшей степени нерегулярна. Это преимущественно люди, живущие на. случайные заработки, например работающие на дому лишь в определенные сезоны. В низший слой безработных входят работоспособные, . не сумевшие в течение длительного периода времени найти какое-либо занятие, нетрудоспособные и люмпены.
Все указанные формы безработицы имеют общие черты. Они порождены причинами, находящимися на уровне микроэкономики (предприятий), и изменениями технической структуры производства, которая при его индустриализации привела к широкомасштабному вытеснению ручного труда.
Современный этап развития производства породил причины безработицы, имеющие макроэкономические масштабы. Эти причины напрямую связаны с научно-технической революцией.
К новейшим формам сокращения занятости рабочей силы относится технологическая безработица, связанная с внедрением малолюдной и безлюдной технологий, основанных на электронной технике. Например, если в настоящее время 40 типографских рабочих высшей квалификации могут набирать примерно 170 тыс. знаков в час, то с помощью компьютеров 10 рабочих способны за то же время набрать около 1 млн. знаков, в результате чего технологическая безработица возрастает в 20 раз.
Широкое распространение находит и структурная безработица, которая обусловлена перемещением производства из одного региона в другой, упадком старых отраслей промышленности и появлением новых. Работники сходящих с исторической сцены видов производства попадают в тяжелое положение, поскольку теряют не только занятость, но и профессию. В современных условиях существуют также другие формы безработицы, которые мы рассмотрим чуть позже.
Непрекращающаяся безработица побудила экономистов-теоретиков серьезно заняться поисками способов обеспечить наибольшую занятость трудоспособного населения.
На Западе исторически сложились два совершенно разных подхода к определению полной занятости и безработицы.
Первый связан с мировым экономическим кризисом 1929—1933 гг., грозившим социальным взрывом, когда в США, например, каждый четвертый рабочий оказался за воротами предприятия. С тех пор в экономической теории почти сорок лет безработицу рассматривали как социальное зло, которого следует избегать любой ценой, а в полной занятости трудоспособного населения видели важнейшую государственную задачу. Поиск рецептов избавления от безработицы был перенесен в сферу рыночных отношений.
Существо исходной теоретической позиции, которую заняли известный английский экономист Дж. Кейнс и его последователи, состояло в следующем. На их взгляд, безработица обусловлена преимущественно недостаточным совокупным спросом (платежеспособность населения) по сравнению с той общей суммой заработков, которая образуется при полной занятости людей, желающих работать.
Поэтому государственная политика полной занятости должна состоять в обеспечении достаточного для этих целей совокупного спроса, что предполагает даже инфляционное стимулирование роста производства99. На какое-то небольшое время этот рецепт против безработицы дает, по-видимому, положительный результат.
Но нашлись решительные противники предложения изживать безработицу с помощью инфляции. Лауреат Нобелевской премии английский экономист Ф. Хайек выдвинул следующие контраргументы: Во-первых, чтобы достичь поставленной цели, такая инфляция должна была бы постоянно набирать темп, достигший бы рано или поздно такой степени, при которой эффективное функционирование рыночной экономики становится невозможным. Во-вторых, и это более важно, в конце концов такая инфляция порождает гораздо большую безработицу, нежели та, которой с самого начала предполагалось воспрепятствовать100.
Кейнсианский подход к регулированию занятости трудоспособного населения с помощью инфляционного стимулирования экономического роста был опровергнут не только теоретически, но и на практике. В 80-е годы в большинстве стран Запада была отвергнута кейнсианская политика полной занятости. В противовес ей были уменьшены затраты капитала на покупку рабочей силы. Была частично демонтирована сложившаяся к середине 70-х годов система социальной защиты трудящихся, в ряде стран бcли снижены их реальные доходы.
Однако и эти меры не уменьшили масштабы безработицы.
Несмотря на то что в 80-е годы на Западе наблюдался самый продолжительный в послевоенной истории период устойчивого экономического роста, масштабы безработицы существенно возросли (табл. 16.4).
Наблюдающийся сейчас кризис занятости в западных странах вызван глубокой структурной перестройкой экономики, порожденной НТР, интернационализацией производства и обострением международной конкуренции. Неуклонно сокращается численность работников в большинстве отраслей материального производства. Причем особенно быстро уменьшается спрос на малоквалифицированную рабочую силу. Занятость растет только в сфере услуг.
Вклад последней в общее увеличение занятости в США и Японии в 80-е годы составил 80—90%, в странах Западной Европы — 100%.
Таблица 16.4.
Безработица в развитых капиталистических странах в 1961—1993гг. (млн. чел., в среднем за год)


1961-1970
1971-1980
1981-1989
1990
1991
1992
1993
Всего ОЭСР
в том числе
США
Япония
Западная Европа
9,0
3,5
0,6
4,4
16,1
5,9
0,9
8,0
28,0
8.4
1,5
1,3
24,3
6,9
1,3
14.2
18,8
6,1
1,2 10,3
29,6
9,4
1,4
16,1
32,0
8,7
1,7 18,8
В итоге в 70-х годах сложился второй подход к определению полной занятости и безработицы. Сейчас стала очевидной недостижимость цели - обеспечить абсолютно полную занятость. Напротив, признаются неизбежными два вида безработицы: структурная и фрикционная. Под фрикционной (лат. frictio — трение) понимается безработица, связанная с временными затруднениями в трудоустройстве — ожиданием работы людьми, которые стремятся сменить место работы или профессию.
К ним относятся, по-видимому, те, кто добровольно оставляет прежнее место труда и ищет другое, кто временно теряет сезонную работу, или молодежь, выбирающая место, где можно больше заработать. В значительной мере фрикционная безработица совпадает со структурной. Попавшим в такое состояние нужно время, чтобы найти соответствующие вакантные места, приобрести квалификацию или поменять место жительства.
В западной экономической литературе мы встречаем новое толкование полной занятости. Под полной занятостью подразумевается соответствие численности желающего трудиться населения количеству рабочих мест, но за вычетом так называемой естественной безработицы. Естественная безработица — это сумма структурной и фрикционной безработицы. С позиции неоклассической теории, признающей действенными только рыночные силы, возможность ликвидировать безработицу фактически отрицается. Более того, неполная занятость многими экономистами признается необходимой для обеспечения гибкости экономики (для быстрого ее роста за счет резервов рабочей силы).
Высказывается также мнение о пользе безработицы для поддержания строгой трудовой дисциплины.
Сейчас в западной экономической литературе подсчитывается естественный уровень безработицы — сумма уровней структурной и фрикционной безработицы. Этот уровень показывает долю естественной безработицы в составе всей рабочей силы. Показатель время от времени уточняется с учетом изменения состава рабочей силы.
Так, при увеличении удельного веса молодежи норма естественной безработицы увеличивается (молодым людям труднее найти работу и удержаться на ней). Например, в США за исходный уровень была принята ее норма середины 60-х годов (4,5%). В начале 70-х годов уровень естественной безработицы возрос до 5,5%, а в 80-е годы — до 6%.



Вторая проблема: провести демонополизацию рынка


Вторая проблема: провести демонополизацию рынка. Движение от полностью монополизированного рынка началось и до сих пор продолжается без каких-либо существенных изменений состояния российского рынка. Слабо выполняются законодательно провозглашенные меры по ограничению монополистической деятельности и развитию конкуренции.
Поэтому либерализация цен проводилась руками монополий в их интересах.
Согласно официальным оценкам, удельный вес предприятий-монополистов в российской промышленности сравнительно невелик. Между тем в отдельных отраслях (особенно в добывающих и сырьевых) на их долю приходится значительный объем производства (табл. 7.4).
Действительное развитие конкуренции предполагает кардинальное изменение состояния национального рынка.
Третья проблема: создать так называемую критическую массу субъектов рыночных отношении. Она характеризует ту минимальную численность хозяйственных субъектов, которая необходима, чтобы рынок мог самостоятельно развиваться по свойственным ему. законам. Между тем после провозглашения перехода к рынку на нем не оказалось его новых агентов. Ведь только примерно через год начался процесс приватизации государственной собственности.
До сих пор еще нет тех 10-— 15 миллионов мелких и средних предприятий, которые, по-видимому, должны придать рыночным связям нужную массовость.
Четвертая проблема: полностью развить всю систему рынков. Рыночные преобразования в нашей стране начались с полного разрушения системы государственного материально-технического снабжения. Однако вместо нее не был создан аналогичный рынок производственного оборудования, а также рынок оптовой торговли.
Нормальной экономики не может быть без рынка недвижимости (земли, жилья) и без рынка ценных бумаг. Еще предстоит в полной мере воссоздать все звенья развитой рыночной системы.
Таблица 7.4.
Удельный вес продукции, произведенной предприятиями-монополистами, по отраслям промышленности а общем объеме
производства и 1995 г.1


Число
предприятий-монополистов
Удельный нес предприятий-монополистов, %
в общем числе предприятий
в общем объеме производства
Вся промышленность,
в том числе:
топливная
черная металлургия
цветная металлургия
химическая и нефтехимическая (без химико-фармацевтической промышленности)
машиностроение и металлообработка (без промышленности медицинской техники)
лесная, деревообрабатывающая и целлюлозно-бумажная
Промышленность строительных материалов
стекольная и фарфорово-фаянсовая (без производства медицинских изделий)
легкая
пищевая
медицинская
487
12
30
31
61
309
13
8
2
3
10
3
2,1
2,6
11,0
8,0
9,5
5,2
0,4
0,3
1,2
0,1
0,2
2,0
21,0
15,3
64,9
31,0
36,5
33,3
9,9
1,4
9,6
0,7
0,8
4,3
59 По предприятиям, включенным в федеральный раздел реестра Российской Федерации объединений и предприятий-монополистов.
Пятая проблема: правильно выбрать тип рынка, к которому нужно перейти.
Еще до рыночной реформы у ее инициаторов возобладала идея создания свободного рынка. Их не смущали предостережения противников такой ориентации. Так, профессор Дж.
Гэлбрейт (США) в интервью газете Известия 31 января 1990 г. откровенно и резко заявил: Те, кто говорят... о возвращении к свободному рынку времен Смита, не правы настолько, что их точка зрения может быть сочтена психическим отклонением клинического характера. Это то явление, которого у нас на Западе нет, которое мы не стали бы терпеть и которое не смогло бы выжить.
Как это ни парадоксально, наша страна все-таки совершила переход к свободному рынку уже в январе 1992 г. Правда, речь идет о возникновении множества примитивных продовольственных и вещевых рынков, на которых ведется индивидуальная перепродажа отечественных и иностранных товаров. При этом далеко не всегда соблюдается надлежащий санитарно-эпидемиологический, экологический и иной контроль.
Жизнь доказала: необходимо создавать рынок как социальный институт. Само движение к цивилизованному рынку надо начинать с разработки множества правовых норм и законов, регулирующих рыночную экономику.
Таким образом, мы закончили второй раздел курса, посвященный общим основам экономических систем. Полученное знание этих основ позволяет нам приступить к конкретному рассмотрению микроэкономики.
Экономический тренинг
1. Ключевые термины и понятия
Конкуренция; свободная конкуренция; ценовая конкуренция; демпинг; монополия; монопсония; чистая монополия; абсолютная монополия; естественная монополия; легальная монополия; искусственная монополия; картель; синдикат; трест; концерн; монопольная цена; антимонопольное законодательство; монополистическая конкуренция; олигополия; неценовая конкуренция; рыночная реформа.
2. Какое из следующих утверждений больше других относится к рыночной экономике?
а) много покупателей и мало продавцов;
б) много продавцов и мало покупателей;
в) уровень цеп на рынке диктуется совокупностью отношений между продавцами и покупателями, а не может назначаться отдельным лицом или какой-то группой граждан.
3. К терминам из левой колонки найдите соответствующее определение в правой колонке

3.1. Совершенная конкуренция
3.2. Монополия
3.3. Антитрестовское законодательство
3.4. Олигополия
3.5. Легальная монополия
3.6. Трест
3.7. Moнополистическая конкуренция
3.8. Ценовая дискриминация
3.9. Патент
а) общественные коммуникации
6) право на использование или продажу изобретения или технологии
в) законы разрабатываются с целью предотвратить возникновение монополий и стимулировать конкуренцию
г) рынок, на котором есть только один продавец
д) множество покупателей и продавцов одинаковых товаров
е) продажа одного и того же товара одной фирме по более низкой цене, чем другой
ж) рынок, на котором господствует несколько крупных продавцов
з) рынок с большим числом продавцов, предлагающих схожие товары
и) большая корпорация или объединение корпораций, контролирующих рынок
4. Найдите наиболее подходящий ответ Рыночная конкуренция очень важна, потому что она...
а) ограничивает влияние спроса и предложения
б) стимулирует производителей работать эффективнее
в) создает рынок, на котором производители могут контролировать цены.
5. Вопросы для эрудитов
Какие виды конкуренции являются несовершенными и почему?
6. Вопросы для будущих юристов
6.1. Как ведется конкуренция и каким образом устанавливается монополия в области черной экономики?
6.2. Почему после либерализации цеп существует черный рынок? Чем он отличается от того черного рынка, который был в дореформенный период?
7. Вопросы о переходе к рынку в России
7.1. К чему привела либерализация цен (начатая 2 января 1992 г.):
а) как изменились спрос и предложение?
б) в каком соотношении находятся цены продавцов и цены покупателей, установилась ли цена равновесия?
8. Сравнительный анализ рыночной экономики
8.1. Сопоставьте параметры состояния рынка при свободной конкуренции, олигополии и монополии. Сделайте выводы о том, насколько несхожи между собой эти виды взаимодействия субъектов рынка.
8.2. Сравните между собой картель, синдикат, трест и концерн. Установите, как и этих формах организации предприятий развиваются черты рыночного монополизма.
8.3. Проанализируйте механизм взаимодействия закона спроса, закона предложения и зHкона конкуренции. Выявите, каким образом посредством этого взаимодействия законен на свободном рынке устанавливается равновесная цена.
8.4. Сопоставьте направления действия закона конкуренции с отличительными особенностями монопольною ценообразования. Определите, как в обоих случаях изменяется соотношение спроса и предложения, уровень рыночной цены, структура и характер взаимодействия субъектов рынка.
Раздел III МИКРОЭКОНОМИКА.
ПРОИЗВОДСТВО И ОБРАЩЕНИЕ НОВОЙ СТОИМОСТИ




Выдача банковских гарантий


г) купля-продажа иностранной валюты в наличной и безналичной формах;
д) привлечение во вклады и размещение драгоценных металлов;
е) выдача банковских гарантий.
Кредитная организация вправе осуществлять также следующие сделки:
а) выдачу поручительств за третьих лиц, предусматривающих исполнение обязательств в денежной форме;
б) приобретение права требования от третьих лиц исполнения обязательств в денежной форме;
в) доверительное управление денежными средствами и иным имуществом по договору с физическими и юридическими лицами;
г) осуществление операций с драгоценными металлами и драгоценными камнями в соответствии с законодательством Российской Федерации;
д) предоставление в аренду физическим и юридическим лицам специальных помещений или находящихся в них сейфов для хранения документов и ценностей;
е) лизинговые операции (долгосрочная аренда машин, оборудования и т.п.);
ж) оказание консультационных и информационных услуг (статьи 1, 5).
В-третьих, новой тенденцией в банковском деле является широкая электронизация банковских услуг, для чего кредитные учреждения используют свои вычислительные центры, оснащенные мощными электронно-вычислительными машинами. Быстро увеличивается число автоматических расчетных палат как центров безналичных денежных перечислений. Электронизация розничных банковских операций (по обслуживанию отдельных вкладчиков) означает применение автоматических кассовых устройств, которые устанавливаются в помещениях кредитных учреждений, крупных магазинах, аэропортах, на автобусных стоянках и т.д.
Наконец, сейчас для банковской системы характерно быстрое расширение безналичных расчетов. Можно предположить, что в будущем подавляющая часть всех платежей будет проводиться с помощью банковских чеков, кредитных и дебетовых карточек и электронных денег (посредством переводов в рамках системы ЭВМ и перечислений, автоматически проводимых кредитными учреждениями по поручению клиентов).
Широкое распространение во всем мире получили, например, кредитные карточки — платежный документ для безналичной оплаты товаров и услуг. Внешне он выглядит как пластиковая карточка с именем владельца, его личным номером или шифром, а также образцом подписи и указанием срока действия. Кредитная карточка предъявляется компьютерному устройству магазина или банка, которое дает команду соответствующему банку о немедленной оплате покупки или услуги. Кредитные карточки бывают:
возобновляющимися (например, Виза, Мастеркард) — для расчетов в магазинах, отелях, ресторанах. Они дают право использовать кредиты в определенных пределах. После погашения долга карточка возобновляется;
месячными (Америкен экспресс, Динерз клаб) — как правило, для расчетов с туристическими фирмами. Эти карточки путешествий и увеселений не имеют лимита задолженности, но весь долг должен погашаться в конце месяца;
фирменными (Трасткард, Америкен экспресс и т.д.) — выпускаемыми отдельными компаниями для оплаты служебных расходов. Они применяются на условиях месячных карточек;
премиальными, или золотыми (Америке голдкард, Голд Мастеркард) — предназначенными для очень солидных клиентов; кредит дается по льготной процентной ставке и не ограничен по сумме займа.
С 1975 г. впервые получили хождение дебит-карточки (в системе Виза и Мастеркард). В этом случае применяются электронные деньги (безналичные расчеты с помощью банковских компьютеров). Расчеты проводятся немедленно. При совершении покупки товара или услуги владелец дебит-карточки вставляет в специальное передающее устройство (машины-кассиры имеются во всех торговых точках, обслуживаемых данной системой), и на его пульте набирается определенная цифровая комбинация, которая тут же передается в банк. Банковский компьютер переводит сумму покупок с ссуднVго счета покупателя на счет продавца (если счета находятся в одном и том же банке).
Когда счета покупателя и продавца находятся в разных банках, то расчеты за покупку осуществляются через автоматический расчетный центр. Pie-пользование электронных денег позволяет отказаться от льготного периода оплаты кредита и, как показывает практика, приносит больше прибыли за каждую сделку.
2. Норма банковской прибыли
Процент и норма Об особенностях дохода банка можно судить прежде прибыли банка всего по формуле ссудного капитала, которую можно записать в следующем виде:

Выдача банковских гарантий

где Д — сумма денег, предоставленная в кредит;
Д' — сумма Д плюс процент (Д + Пц).
Выгодность применения ссудного капитала определяется нормой (или ставкой) процента. Норма процента П'ц — отношение суммы процента Пц к размеру ссужаемого денежного капитала Кс, выраженное в процентах:

Выдача банковских гарантий

Допустим, что на отданный в ссуду капитал в 5 млн. руб. его собственник получает годовой доход в размере 500 тыс. руб. Тогда годовая ставка процента составит:

Выдача банковских гарантий

Совершенно иначе смотрят на процент и на норму процента те, кто вынужден расплачиваться за кредит. Так, фирма, получившая от банка ссуду, по истечении установленного срока обязана возвратить ссуду и заплатить за пользование ею определенный процент. Естественно, в этом случае предприятие интересуется, в какую сумму обошелся ему кредит. Стоимость кредита можно подсчитать по формуле

Выдача банковских гарантий
,
где Пц — общие выплаты процента за ссуду;
Кс — объем кредита;
П'ц — годовая ставка процента;
В — время, на которое выдан процент.
Рассмотрим конкретный пример (на условных данных). Допустим, коммерческий банк Гамма-капитал предоставил фирме Джонсон заем в 100 тыс. долл. на полгода на условиях 12% годовых. Сколько заплатит данное предприятие за кредит?

Выдача банковских гарантий

Как видно, 41рма Джонсон должна за ссуду, выданную на полгода (6/12 месяцев), уплатить по годовой ставке 12% общую сумму процентов, равную 6 тыс. долл.
Однако в таком случае возникает важный вопрос: за счет каких источников фирмы-заемщики выплачивают проценты за ссужаемый им денежный капитал? Еще А. Смит в немногих словах раскрыл суть дела. Если действующий капиталист — заемщик чужих денег — использует их как капитал, он употребляет их на содержание производительных рабочих, которые воспроизводят их стоимость с некоторой прибылью. В этом случае он может вернуть капитал и уплатить проценты, не отчуждая и не затрагивая других источников дохода82.
Такой способ использования ссудного капитала служит твердой гарантией возврата ссуды и уплаты процента. А. Смит задавал чисто риторический вопрос: Спросите любого богатого человека, отличающегося обычным благоразумием, кому он ссудил бы большую часть своего капитала, — тем ли, кто, по его мнению, даст ему прибыльное применение, или же тем, кто затратит его без всякого дела, — и он рассмеется в ответ на такой вопрос83.
Реальные действия каждого предпринимателя подтверждают эти слова. Чужие деньги бизнесмен использует в производстве или торговле, чтобы получить прибыль. В силу этого часть валовой прибыли он дает ссудному капиталисту в виде процента — как плату за использование его капитала.
Таким образом, часть прибыли предпринимательского капитала становится доходом банка. Однако этот доход уменьшается из-за того, что сам банк платит его клиентам определенный процент по их вкладам. Разумеется, банк устанавливает процент по депозитам ниже того процента, который сам получает за предоставляемые ссуды. Разница между суммой полученных и уплаченных процентов составляет валовую прибыль банков.
В нее входят доходы банков от всех операций.
Часть валовой прибыли банка покрывает его издержки (выплату заработной платы банковским служащим, содержание помещений, канцелярские расходы и т.п.). Оставшаяся часть — чистая прибыль банков. Отношение чистой прибыли к собственному капиталу банков называют нормой банковской прибыли.
Сейчас мы должны разобраться, на каком уровне устанавливается норма банковского процента и от каких факторов она зависит.
Норма банковской прибыли зависит от двух основных факторов: от нормы прибыли предпринимательского капитала и нормы, ссудного процента.
Норма дохода ссудного капитала, как правило, не превышает норму прибыли промышленного и торгового капитала. Только в каких-то экстремальных случаях (например, для спасения предприятия от банкротства) бизнесмен приобретает ссудный капитал по чрезмерно высокой процентной ставке, которая превышает степень увеличения капитала. В обычных условиях норма прибыли предпринимательского капитала является верхней границей для нормы банковской прибыли.
В эпоху классического капитализма с его свободной конкуренцией норма банковского капитала равнялась примерно средней норме прибыли. В современных условиях норма банковской прибыли сравнялась с нормой прибыли крупных фирм.
Профессора П. Самуэльсон и В. Нордхаус в учебнике Экономикс выясняют вопрос: Как ведут себя фирмы? Они должны платить рыночную ставку процента на заемный капитал. Поэтому, если фирма стремится максимизировать прибыль, она должна выбирать только такой проект, который даст норму прибыли большую, нежели процентная ставка.
Это воздействие спроса фирм на инвестиции и прибыльность проектов ведет к уравновешению прибыли на капитал и цены капитала84.



Выработка занятых на нем людей возросла втрое.


В дальнейшем мы обнаружим, что едиными хозяйственными орга-низмами являются домашнее хозяйство, предприятие и национальное хозяйство.
Давно замечено парадоксальное свойство систем: всякое целое больше простой механической суммы его составных частей. Ибо целостность предполагает улучшение внутренней организации и управления всеми звеньями множества.
Иллюстрацией может служить, скажем, новаторский опыт автомобильного короля Америки Генри Форда. На его заводе первоначально всей сборкой каждого двигателя автомобиля от начала и до конца занимался один рабочий. Но в 1913г. была введена система разделения труда на отдельные операции и заработал сборочный конвейер. Выработка занятых на нем людей возросла втрое.
Следовательно, объединение разрозненных рабочих сил в единый технологический процесс порождает дополнительную производительную силу, что является важным качеством многих экономических систем.
Экономическая система обычно имеет сложную структуру, в которой ее элементы соподчиняются целому. Поэтому каждая часть такой структуры выступает как подсистема — соподчиненная часть более широкой целостности. Так, известно, что современное производство имеет две подсистемы: сферу материального и сферу нематериального производства.
В последующих главах учебника мы увидим, что хозяйственные образования имеют множество подсистем. Например, рыночная система включает несколько относительно обособленных видов рынка. На предприятиях складываются подсистемы из разных производственных подразделений (цехов), заводского управления, отдела снабжения и сбыта продукции и др.
В национальной экономике объединяются, в частности, народнохозяйственные комплексы; денежная, кредитная и финансовая системы; общенациональная система хозяйственного управления и др.
Системы в экономике отличаются многообразием типов и форм. В поле нашего внимания окажутся как простейшие социальные объединения (какими являются домашние хозяйства), так и социально-экономические структуры общества.
Экономическая теория обнаруживает своеобразные системы в разных слоях хозяйственной структуры. Речь идет, скажем, о технике производства (различные технические системы — роботокомплексы, автоматизированные системы управления технологическими процессами и др.), об организации экономики (система разделения труда, система участия в. акционерных обществах- и т.п.), об оплате труда (система заработной платы, тарифная система и пр.).
Экономические системы различаются по характеру их взаимоотношений с окружающей средой. В связи с этим выделяют два типа систем;
закрытые системы, которые замыкают свою хозяйственную деятельность в определенных рамках (таким, как мы увидим, является натуральное производство);
открытые (примером служит товарно-рыночное хозяйство), постоянно расширяющие свои связи с другими производственными объединениями.
Итак, мы можем сделать обобщение. Экономическая система — это целостная совокупность прочно связанных между собой хозяйственных отношений, которые устанавливаются в производстве, распределении, обмене и потреблении материальных и нематериальных благ и услуг.
Разумеется, что успешная хозяйственная деятельность людей во многом зависит от того, насколько они правильно познали характер и тенденции развития тех систем, в которых они действуют. В этом непростом деле им помогает экономическая теория.
Экономический тренинг
1. Ключевые термины и понятия
Экономика; главная функция экономики; производство; распределение: обмен; потребление; закон возвышения потребностей; закон Энгеля: факторы производства; ограниченность ресурсов; производственные возможности; альтернативная стоимость; стадии развития производства; структура современного производства; услуги; экономическая система.
2. К терминам из левой колонки найдите соответствующие
определения в правой колонке

2.1. Постиндустриальное производство
2.2. Техника
2.3. Услуги
2.4. Нематериальные блага 2.5. Альтернативная стоимость
2.6. Предметы труда.
а) вещи, которые подвергаются обработке в процессе труда
б) количество благ, которое нужно отдать взамен продуктов, пользующихся предпочтением
в) в экономике широко развиты информатика и сфера услуг
г) созданные людьми вещи, с помощью которых создаются блага
д) полезный труд, в ходе которого удовлетворяются какие-либо потребности
е) произведения науки, духовной культуры, искусства.
3. Тесты
3.1. Экономика эффективна, если в ней достигнуты:
а) полная занятость трудоспособного населения;
б) полная занятость пли полное применение остальных ресурсов;
и) улучшение удовлетворения потребностей за счет экономного использования всех ресурсов;
г) полное применение производственных ресурсов.
3.2. Кривим npoизводственных возможностей показывает::
а) точное количество двух продуктов, которые хозяйство намерено производить;
б) лучшую из возможных комбинаций двух благ:
в) альтернативную комбинацию продуктов при наличии данного количества ресурсов.
4. Верно — неверно
4.1. Недостаточность ресурсов объясняется безграничностью потребностей люден.
4.2. Все материальные потребности растут безгранично.
4.3. Во всех странах возвышение потребностей обгоняет рост производства.
4.4. На графике определенная точка па кривой производственных возможностей показывает для кого развивается производство, на чьи нотребности оно ориентируется.
4.5. Кривая производственных возможностей иллюстрирует редкость ресурсов, альтернативиый выбор.
5. Экономическая задача
Составьте график кривой производственных возможностей для следующей ситуации.
Фермер И. имеет в своем распоряжении четыре поля — одинаковые по площади и плодородию. На них можно выращивать картофель и пшеницу. Возможные комбинации представлены в таблице.

Вариант
Участок земли
Урожай (всего), ц
1-й
2-й
3-й
4-й
картофеля
зерна
1
100ц кар'г(н|сля
100 и картофеля
100 ц картофеля
100 и картофеля
400
-
2
To же
То же
То же
20ц зерна
300
20
3
-"-
-"-
20ц зерна
То же
200
40
4
-"-
20ц зерна
Тоже
-"-
100
60
5
20ц зерна
То же
-"-
.
-
80
6. Вопросы на сообразительность
6.1. Какие три экономических ресурса невосполнимы:
а) лес;
б) высококвалифицированная рабочая сила;
в) природный газ;
г) медь;
д) уголь.
6.2. Перечислите экономические связи вашей семьи с разными субъектами хозяйственной жизни.
7. Дискуссионные вопросы
7.1. Как на разных этапах жизни меняется положен не большинства людей в экономических отношениях, складывающихся в производстве, распределении, обмене и потреблении материальных благ и услуг?
7.2. Какие материальные и социально-культурные условия необходимы молодому человеку для развития потребностей, соответствующих современной цивилизации?
7.3. Какие перемены в социально-экономической жизни необходимы в сегодняшней России для того, чтобы произошло значительное повышение уровня потребностей населения?
8. Найдите подходящий вариант ответа
8.1. Основная мысль 3 настоящей главы состоит в том, что:
а) производственные возможности любого общества не позволяют достичь достаточного удовлетворения человеческих потребностей;
б) технически ни регресс позволяет решить задачу достижения максимального уровня производственных возможностей;
в) наиболее полное удовлетворение потребностей людей возможно только при современной структуре производства.
8.2. Экономическим благом является:
а) услуга ремонтной мастерской;
б) залежи угля, планируемого для разработки в строящейся шахте;
в) песня, написанная поэтом и композитором;
г) кондитерские изделия.
8.3. Ограничение ресурсов — это проблема, которая:
а) имеется у всех людей и стран;
6) не касается богатых людей;
в) существует только в бедных странах.
9. Прокомментируйте статистические данные таблиц 1.4, 1.5 и 1.6
Таблица 1.4.
Потребление основных продуктов питания (в килограммах) населением России в 1940—1993 it. .(на члена семьи и год) .

Продукты питания
1940
1960
1980
1990
1993
Мясо и мясопродукты
23,2
57,2
80,0
74,1
57,8
Молоко и молочные продукты
124,4
302,0
411,2
378,9
285,1
Рыба и рыбопродукты
, 7,6
13,2
18,8
17,2
13,0
Сахар
10,8
24,8
23,6
20,8
23,2
Хлебопродукты
190,0
134,4
101,2
85,7
102,1
Таблица 1.5.
Обеспеченности населения (и штуках па 100 семей) некоторыми предметами культурно-бытового и хозяйственного назначения длительного пользования в 1970—1994 гг.

Товары
1970
1980
1990
1994
Телевизоры
52
91
111
116
Радиоприемные устройства
74
92
102
103
Холодильники и морозильники
30
89
95
95
Стиральные машины
52
76
77
81
Час 1.1
433
534
585
616
Легковые автомобили
2
10
18
26
Велосипеды и мопеды
50
46
54
54
Таблицa 1.6.
Структура потребительских расходов (в процентах) населения России
в 1993 и 1995 гг. (но материалам выборочного исследования бюджетов
домашних хозяйств)


1992
1995
Потребительские расходы — всего
в том числе на:
продукты питания
непродовольственные товары
алкогольные напитки
оплата услуг
100
47,6
40,6
4,0
7.8
100
52,0
31,8
2,5
13.7




Задолженность предприятий и организаций по заработной плате


Основной причиной забастовок является несвоевременная выплата заработной платы. Однако такая причина не только не ликвидируется, но еще более углубляется (табл. 10.4).
Таблица 10.4.
Задолженность предприятий и организаций но заработной плате
(на 1 января)

Год
Всего задолженность по заработной плате, млрд.руб.
В % от месячного фонда заработной платы предприятий и организаций, имеющих задолженность
1994
766
81
1995
4200
143 :
1996
13 380
141
Противоборство между сторонами трудовых договоров достигает столь большого накала, что может даже парализовать всю экономическую жизнь. Не случайно поэтому во многих странах государство вмешивается в отношения между предпринимателями и трудящимися, их профсоюзами. Во-первых, оно в законодательном порядке регулирует забастовки, не допуская те из них, которые могут создавать угрозу национальной безопасности. Во-вторых, государство выступает организатором социального партнерства.
Что означает такое партнерство?
По мнению специалистов, занимающихся российским законодательством, социальное партнерство — система мероприятий, направленных на расширение участия работников и работодателей в разработке и осуществлении экономической и социальной политики. Основными целями социального партнерства являются содействие решению актуальных экономических и социально-трудовых проблем, укрепление демократии, достижение согласия между сторонами в отношении важнейших характеристик экономического и социального развития. Социальное партнерство обеспечивается на основе:
проведения регулярных консультаций, принятия совместных обязательств, а также заключения договоров о согласовании позиций и о сотрудничестве;
соблюдения принципов свободы объединения и участия заинтересованных лиц в процессе принятия решений, затрагивающих их интересы;
надлежащего выполнения каждой стороной своих функций;
взаимного уважения и взаимопонимания.
Важным шагом в организации социального партнерства явилось принятие Закона Российской Федерации О коллективных договорах и соглашениях (1992). Коллективный договор — правовой акт, регулирующий трудовые, социально-экономические и профессиональные отношения между работодателем и работниками на предприятии, в учреждении, организации.
Осуществление в законодательном порядке социального партнерства позволяет открыть путь цивилизованного решения актуальных и острых проблем организации труда и его оплаты. Это способствует повышению стимулирующей роли заработной платы.
3. Стимулирующая роль форм заработной платы
В отличие от экономических систем, основанных на внеэкономическом принуждении, заработная плата в рыночной системе создает новые стимулы труда работников. Это достигается с помощью различных форм и систем заработной платы. На предприятиях применяются прежде всего две основные формы заработной платы: повременная и сдельная.
В действующем в настоящее время в нашей стране трудовом законодательстве предусмотрено, что при оплате труда рабочих могут применяться тарифные ставки, оRлады, а также бестарифная система, если предприятие, учреждение, организация сочтут такую систему наиболее целесообразной. Вид, системы оплаты труда, размеры тарифных ставок, окладов, премий, иных поощрительных выплат, а также соотношение в их размерах между отдельными категориями персонала предприятия (учреждения, организации) определяют самостоятельно и отражают их в коллективных договорах, иных локальных нормативных актах. Оплата труда руководителей, специалистов и служащих производится, как правило, па основе должностных окладов.
Теперь подробнее рассмотрим, какие возможности материального поощрения имеет каждая форма оплаты труда.
Повременная форма заработной платы устанавливает размер возна-граждения в зависимости от проработанного времени. В этом случае подсчитывается величина оплаты за 1 час, день, неделю, месяц и умножается на проработанное время.
Во многих странах при установлении размеров повременной заработной платы определяется единица измерения цены труда — цена часа труда. Почасовая ставка оплаты труда Зч по существу рассчитывается путем деления установленной заработной платы В (за день, неделю, месяц) на нормированное число часов труда ЗП (соответственно за день, неделю, месяц): Зч = ЗП/В.
Повременная заработная плата обычно применяется на предприятиях, где преобладает строго регламентированный технологический Бежим, Так, в массово-поточном производстве выработка рабочих и темп их труда определяются скоростью движения конвейера. В еще большей степени это относится к частично автоматизированным операциям и производству с преобладанием закрытых технологических процессов (химические технологии, термическая обработка и т.д.). Выгода от использования повременной заработной платы для бизнесменов связана с тем, что она позволяет легче повышать интенсивность труда без увеличения его оплаты.
В последние два-три десятилетия повременная зарплата во многих странах превратилась в преобладающую форму оплаты труда. Она охватывает примерно 70% рабочих обрабатывающей промышленности США и Франции и до 60% промышленных рабочих Великобритании и Германии.
Особенно выгодно применять почасовые ставки зарплаты, поскольку в этом случае работнику оплачивается не дневная (или недельная, месячная) стоимость его рабочей силы, а только фактически отработанное число часов. При ухудшении хозяйственной конъюнктуры предприниматель может сократить общее время труда работников по сравнению с первоначально намеченной его продолжительностью, и тогда человек превращается в полубезработного.
Руководящим, инженерно-техническим работникам и служащим, научным работникам, некоторым категориям рабочих повременная олата труда устанавливается в виде должностных окладов — размера месячной заработной платы, который соответствует схеме должностных окладов и предусматривает минимальный и максимальный его пределы (вилку). В настоящее время изыскиваются такие формы дополнительного стимулирования труда, которые лучше увязывают вознаграждение за труд всех работников с конечными результатами производства, с улучшением его качественных показателей.
Производной от повременной является форма сдельной, или поштучной, заработной платы. Она рассчитывается в зависимости от объема выпущенной продукции. При поштучной оплате заработок возрастает в прямой пропорциональной зависимости от количества изготовленных изделий. Эта зависимость устанавливается с помощью поштучной расценки. -
Расценки рассчитываются следующим образом. Исходными данными служат часовая (или дневная) цена труда и нормируемое количество продукции, которое человек, работающий со средней интенсивностью и средней искусностью, изготавливает за час (или день). Поштучная расценка Р\\\ исчисляется путем деления часовой (дневной) цены труда Зц на норму выработки НВ (число единиц продукции, которое необходимо при нормальных условиях выработать за час или день):

Задолженность предприятий и организаций по заработной плате

При сдельной зарплате устанавливается мера интенсивности труда рабочего. Это делается с помощью нормы выработки — установленного объема продукции, подлежащей изготовлению рабочим в течение определенного времени (или обратной величины — нормы времени, расходуемого на создание единицы или партии изделий). Такие нормы выработки подлежат оплате в установленном размере.
Личный интерес побуждает человека трудиться более напряженно, с тем чтобы выпустить больше изделий и увеличить свой дневной доход.
Сдельная заработная плата наиболее широко применяется на предприятиях, где высока доля ручного труда и необходимо поощрять увеличение количества выпускаемых изделий. В современных условиях в сдельной оплате труда все больше учитываются и такие факторы, как качество продукции, коэффициент использования оборудования, экономия сырья и материалов, что сближает сдельную заработную плату с повременной.
Методы нормирования труда, с помощью которых определяется мера напряженности труда, стали использоваться и для рабочих, получающих повременную зарплату. Сочетание этой формы вознаграждения с принудительным темпом труда, его нормированием, а также с рядом дополнительных видов премирования придают повременной оплате многие черты сдельного дохода. Такая тенденция сближения двух форм заработной платы прослеживается в ее новейших системах.
В развитой рыночной экономике материальное вознаграждение за работу соответствует законам и условиям рынка. Оно ставится в зависимость от степени достижения коммерческих результатов деятельности предприятия. Так, современные системы заработной платы учитывают большое количество факторов, которые вытекают из неценовой конкуренции.
Широко распространены премиальные системы, предусматривающие особое вознаграждение за высокое качество продукции, экономию материалов и улучшение других конечных результатов производства. В различных вариантах используется повременно-премиальная, сдельно-премиальная, сдельно-прогрессивная, многофакторная, аккордная и другие разновидности заработной платы.



Закон стоимости выступает стимулятором роста производительности труда.


Закон стоимости управляет развитием товарного хозяйства, обеспечивая прогресс производства и организационно-экономических отношений. Он придает товарному производству такую динамику, которая недоступна натуральному хозяйству. При этом закон выполняет следующие функции, осуществление которых способствует улучшению экономики (рис.
4.4).

Закон стоимости выступает стимулятором роста производительности труда.

Рис. 4.4. Функции закона стоимости
Закон стоимости является регулятором пропорций производства. Он способствует распределению труда по различным отраслям народного хозяйства ради лучшего удовлетворения разнообразных общественных потребностей.
О том, как изменяются состав потребностей (точнее, платежеспособный спрос населения) и их размеры, свидетельствует уровень цен на рынке. Если спрос на какой-то товар возрастает, то будут увеличиваться цены, которые превысят общественную стоимость данной вещи. Ее станет выгодно изготавливать. Однако если выпуск изделий превысит платежеспособный спрос, то цена упадет ниже рыночной стоимости.
Хозяева свернут производство и перейдут в иную отрасль хозяйства, где потребность в товарах, не удовлетворяется. В итоге из всей массы затрачиваемого общественно необходимого рабочего времени, идущего на удовлетворение всех платежеспособных потребностей, на каждый товар приходится определенная доля этого времени с учетом его полезности и спроса покупателей.
Простым товаропроизводителям заранее не известна, разумеется, рыночная цена на изготовленные ими товары. Они сначала ориентируются на собственную цену, отражающую их индивидуальное рабочее время, израсходованное в среднем на единицу товара. Но жизнь заставляет считаться тольо с рыночной ценой.
Урок жизни отражен в таких пословицах и поговорках, которые собрал составитель Толкового словаря живого великорусского языка Владимир Даль: На торг (рынок) поехал — свою цену дома оставил, Со своей ценой на базар не ездят, Базар цену скажет.
Закон стоимости выступает стимулятором роста производительности труда. Дело в том, что величина стоимости товара обратно пропорциональна уровню производительности труда, т.е. количеству труда в расчете на единицу продукции. Отдельные работники снижают затраты труда и индивидуальную стоимость изделий ниже общественной стоимости благодаря внедрению новой техники, повышению квалификации и улучшению организации труда.
Вместе с тем они стремятся перехитрить закон стоимости: продают на рынке более дешевые вещи по обычной цене и таким образом получают дополнительный доход. Именно такой выигрыш и побуждает людей увеличивать выработку.
Наконец, закон стоимости порождает социально-экономическое расслоение товаропроизводителей. Это происходит следующим образом. Данный закон выражает экономическое равенство всех производителей. Они реализуют товары по одинаковой рыночной стоимости, соответствующей общественно необходимому рабочему времени на изготовление изделий определенного вида. Между тем единая мерка прикладывается к совершенно разным работникам, поскольку у них индивидуальная стоимость товара не одинакова.
В связи с этим можно выделить три группы товаровладельцев.
В первой группе индивидуальная стоимость продуктов данного вида по своему уровню ниже общественной. В этом случае, естественно, при реализации товаров по рыночной цене люди обогащаются.
Во второй — основной — группе работников индивидуальная стоимость полезных вещей совпадает с общественной. Тем самым подтверждаются общественные нормальные условия производства.
В третьей группе тружеников уровень индивидуальной стоимости изделий выше общественной. При реализации своих товаров на рынке они не окупают всех своих затрат. Многие из них разоряются и терпят банкротство.
Образно говоря, закон стоимости является таким жестким уравнителем, который заставляет всех людей укладываться в своеобразное прокрустово ложе. Напомним, что, согласно древнегреческому мифу, разбойник Полипемон, прозванный Прокрустом, всех, кто попадался к нему, укладывал в свое ложе. Тем, для кого ложе было коротко, он обрубал ноги, а у тех, для кого оно было слишком длинно, ноги вытягивал.
Подобным прокрустовым ложем выступают общественно необходимые затраты рабочего времени. В результате закон стоимости вызывает оздоровление товарного хозяйства. Оно избвляется чисто экономическими методами от неэффективных хозяйств, которые не смогли расходовать труд и материальные ресурсы достаточно экономично, на общественно необходимом уровне.
В заключение важно отметить историческую ограниченность закона стоимости. Этот закон в полной мере действовал в период простого товарного хозяйства — со времени начала производства товаров и вплоть до XV в. В данный период средние цены за продолжительные периоды совпадали со стоимостями с точностью до величины, которой можно пренебречь. После XV в. произошел переход к капиталистическому товарному производству. В новых условиях закон стоимости претерпел большие изменения.
Они привели к тому, что рыночная цена, как правило, перестала непосредственно совпадать со стоимостью. Наоборот стала устойчиво отклоняться от средних, общественно необходимых затрат труда (это явление будет рассмотрено в главе 7).
Более важно другое обстоятельство. Дело в том, что невозможно вообще измерить величину стоимости. В этих целях практически нельзя применить труд (рабочее время) непосредственно в качестве мерила величины стоимости. А. Смит верно подметил: Товары чаще обмениваются, а потому и сравниваются с другими товарами, а не с трудом... К тому же большинство людей лучше понимают, что означает определенное количество какого-нибудь товара, чем определенное количество труда.
Первое представляет собою осязательный предмет, тогда как второе — абстрактное понятие, которое хотя и может быть объяснено, но не отличается такой простотою и очевидностью41.
В следующей главе будет показано, как был найден самый простой и очевидный эквивалент стоимости всех товаров.
Экономический тренинг
1. Ключевые термины и понятия
Натуральное производство; автаркия; товарное производство; закон разделения труда; диверсификация; натуральный продукт; полезность; товар; меновая стоимость; стоимость; эквивалент; товары индивидуального потребления; государственные блага; квазиобщественные блага; взаимозаменяемые товары; взаимодополняющие продукты; независимые блага; трудовая теория стоимости; закон стоимости.
2. Верно — неверно
2.1. На товары индивидуального потребления не распространяется принцип исключения.
2.2. Государственные блага неделимы и созидаются не для продажи потребителям.
2.3. Квазиобщественные блага — те, на которые распространяется принцип исключения.
2.4. Взаимозаменяемые товары — пары полезных вен(сй, потребность в которых увеличивается одновременно.
2.5. Взаимодополняющие продукты—олага, потребность в которых может изменяться независимо друг от друга.
3. Тест о натуральном хозяйстве в нашей стране
Натуральное хозяйство:
1) после папа значительно усилилось в городе и деревне;
2) г 1992 г. при переходе к рынку сильно сократилось;
3) в 1992—1995 it. в сельской местности сильно расширилось;
4) тогда же в отдельных регионах заменено товарным хозяйством.
4. Дискуссионный вопрос:
Сколько стоимостей имеет товар?
5. Задача по закону стоимости
5.1. В одной из отраслей хозяйств первая группа товаропроизводителей затрачивает на изготовление единицы продукции 20 ч рабочего времени, другая — 30 ч, третья — 40 Ч.
Определите общественно необходимое рабочее время на единицу продукции, если известно, что первая группа создаст 600 единиц данного вида изделий, вторая — 200 и третья — 100.
Ответы: 30 ч; 20 ч; 25 ч.
5.2. В данной стране за год произведено 200 тыс. штук изделий определенного вида на сумму 360 млн. долл.
Как изменится совокупная стоимость всей годовой продукции, если производительность труда возрастет на 50%, а общая продолжительность отработанного времени — 60 млн. ч труда — останется неизменной?
Ответы: повысится на 50%; останется неизменной; снизится на 50%.
6. Вопросы на сообразительность
6.1. Каковы правила поведения товаропроизводителей, вытекающие из закона стоимости?
6.2. В каком случае полезная вещь становится взяткой?
7. Сравнительный анализ экономических систем
7.1. Сопоставьте основные признаки систем натурального и товарного производства и отметьте, и чем они являются противоположными, а в чем — едиными. Оцените степень статичности и динамичности каждой из этих систем.
7.2. Установите причины, которые обусловили определенное сосуществование систем натурального и товарного хозяйств на протяжении нескольких тысячелетий.
7.3. Найдите объяснение тому, что но второй половине XX в. в странах Запада получил новый импульс развития нетоварный сектор национальной экономики.



Заработная плата не может равняться стоимости полного продукта труда


Итак, все сказанное о товаре, являющемся объектом сделки между работником и работодателем, позволяет сделать такое заключение:
сущность дохода работника выражается экономическим законом заработной платы. Этот закон выражает следующую объективную экономическую зависимость: заработная плата определяется стоимостью или ценой рабочей силы как товара. Если стоимость рабочей силы повышается, то, естественно, должен возрастать заработок, и наоборот.
Отсюда вытекает ряд выводов:
1. Заработная плата не может равняться стоимости полного продукта труда, а работник не может претендовать на получение такой стоимости.
2. Справедливым можно признать такое вознаграждение за труд, которое соответствует стоимости рабочей силы и обеспечивает нормальные условия ее воспроизводства.
3. Законодательство призвано защитить права работника на получение социально справедливой величины заработной платы.
Заработная плата имеет двойственную природу. С одной стороны, она представляет собой часть вновь созданной стоимости, в которой воплощены затраты рабочей силы. Для того чтобы иметь возможность постоянно продавать рабочую силу, человек должен столь же регулярно воспроизводить и развивать свою работоспособность и удовлетворять другие социальные потребности. Следовательно, речь идет в первую очередь о социально-воспроизводственных факторах, определяющих величину заработной платы.
Во вторую очередь важно иметь в виду рыночные условия купли-продажи рабочей силы, влияющие на ее цену.
Первый социально-воспроизводственный фактор — стоимость жизненных средств, необходимых для нормального воспроизводства рабочей силы. Таких средств должно быть достаточно не только для восстановления работоспособности труженика, но и для содержания нетрудоспособных членов его семьи. Это представляет собой низшую границу стоимости воспроизводства рабочей силы.
В зависимости от утвердившегося в каждой стране уровня материальной и духовной культуры верхняя граница стоимости рабочей силы включает затраты на определенные социальные потребности (на образование, удовлетворение культурных запросов и т.д.).
В эпоху классического капитализма сделки по купле-продаже рабочей силы совершались на уровне микроэкономики — при заключении индивидуальных или коллективных (при посредничестве профессиональных союзов) договоров между наемными работниками и работодателями без какого-либо вмешательства государства. Однако с 30—,50-х годов XX в. на Западе государство взяло на себя обязанность обеспечивать одну из важных гарантий экономической безопасности работников. Оно стало в законодательном порядке устанавливать минимальный уровень заработной платы, который обязаны соблюдать все, в том числе частные фирмы.
Так, в США впервые в 1938 г. минимальная ставка заработной платы была законодательно установлена в размере 25 центов (1/4 долл.) в час. В 1993 г. размер почасовой оплаты труда составил 7,5 долл. (при 40-часовой рабочей неделе это составляет 1200 долл. в месяц). Для определения минимальной заработной платы государственные органы (в США и других странах Запада) рассчитывают так называемый прожиточный минимум (или черту бедности). Он устанавливается для семьи из четырех человек (работника, его жены и двух детей) исходя из нормативов удовлетворения минимальных жизненных потребностей во многих товарах и услугах с учетом уровня цен.
При этом предусматривается обеспечить нормальные условия воспроизводства работнику, выполняющему наименее сложную работу.
В сложившейся мировой практике прожиточный минимум в его денежном выражении делится на две равные части. Это, во-первых, средства для приобретения продовольственных товаров (не менее 50 наименований) и, во-вторых, средства на приобретение непродовольственных товаров ( до 200 вещей), естественно, с разной периодичностью потребления. При определении расходов на продукты питания научно обоснованные нормы их рационального потребления умножают на цену каждого вида товара.
Полученная сумма удваивается, чтобы получить полную величину прожиточного минимума.
В Советском Союзе прожиточный минимум никогда законодательно не устанавливался. Во время экономических реформ был применен совершенно другой подход к определению прожиточного минимума в расчете на душу населения. На основе методики Министерства труда Российской Федерации в ноябре 1992 г. введен так называемый биологический прожиточный минимум. В него включены расходы на продукты питания из расчета минимальных размеров их потребления, определенных Институтом питания Российской академии медицинских наук, Институтом социально-экономических проблем народонаселения Российской академии наук, Министерством труда. В потребительскую корзину включены 19 основных продуктов питания, необходимых для мужчины трудоспособного возраста.
В годовой набор продуктов входят: хлеб ржаной (92 кг) и пшеничный (86,7 кг), пшено (18,1 кг), вермишель (7,3 кг), сахар (24,8 кг) масло растительное (10 кг) и животное (3,6 кг), говядина (42 кг), колбаса вареная (2,2 кг) и полукопченая (1,1 кг), молоко (184,3 л), сметана (4,2 кг), сыр твердый (2 кг), яйца (183 шт.), картофель (146 кг), капуста свежая (29,8 кг), лук репчатый (10,2 кг), яблоки (11 кг) и сигареты (96 пачек). Расходы на непродовольственные товары и услуги, а также налоги и обязательные платежи рассчитаны исходя из структуры расходов на них у 10% наименее обеспеченных семей.
Нельзя признать нормальным, во-первых, то, что минимальная заработная плата гораздо ниже прожиточного минимума. Во-вторых, неправомерно и то, что значительная часть населения имеет денежные доходы на уровне ниже прожиточного уровня в расчете на душу населения. Такой минимум в среднем по России составил в июле 1995 г. 293 тыс. рублей, что превысило уровень минимальной заработной платы в шесть с лишним раз.
Численность населения с денежными доходами ниже прожиточного минимума в первом полугодии 1995 г. составила около 43 млн. человек, или 29%. Все это свидетельствует о необходимости законодательно определить прожиточный минимум, установить нормальное соотношение между ним и минимальной заработной платой.
Второй социально-воспроизводственный фактор, определяющий. величину заработной платы, - уровень квалификации работников. В период индустриализации, когда преобладал простой, неквалифицированный труд, предприниматели стремились свести уровень заработной платы рабочих к низшей границе стоимости рабочей силы. В условиях же научно-технической революции, вызвавшей активизацию человеческого фактора, стоимость рабочей силы и соответственно величина заработков квалифицированных работников значительно возрастает.
Чтобы заработная плата стимулировала сложный труд, на предприятиях устанавливают прямую связь между ее уровнем и квалификацией работника, сложностью выполняемой работы, степенью ответственности. По уровню трудовых доходов среди рабочих выделяются те, кто обслуживает современное оборудование — механики-ремонтники, наладчики, слесари-механики; их заработная плата в два-три раза выше вознаграждения работающих на конвейере. Самыми низкооплачиваемыми являются работники профессий, не требующих длительной специальной подготовки (уборщики, расфасовщики продуктов в магазинах самообслуживания, операторы стиральных машин, кассиры, грузчики и т.п.).
В СССР характерной чертой организации заработной платы была во многом уравнительная система вознаграждения за труд. Достаточно сказать, что, например, инженер, врач, юрист получали за свою работу меньше, чем квалифицированный рабочий.
В 1992—1995 гг. было отменено государственное регулирование уровня заработной платы на предприятиях. Однако не вступили в силу конкуренция и другие рыночные регуляторы. Этим воспользовались отрасли и предприятия, которые монополизировали производство и реализацию своей продукции. Они резко повысили уровень вознаграждения вне всякой связи с повышением производительности труда и эффективности производства.
О большом и необоснованном разрыве в уровне оплаты труда свидетельствуют следующие данные о среднемесячной заработной плате (без материальной помощи и социальных льгот) в августе 1994 г.: при среднем ее уровне по народному хозяйству России в 233 тыс. руб. значительно выше была зарплата в кредитовании — 419 тыс. руб., электроэнергетике — 441 тыс. руб., цветной металлургии — 434 тыс. руб., в газовой промышленности — 839 тыс. руб. В то же время в машиностроении и металлообработке заработная плата составляла 183 тыс. руб., науке и научном обслуживании — 177 тыс. руб., образовании — 144 тыс. руб., культуре и искусстве— 130 тыс. руб., сельском хозяйстве — 121 тыс. руб. и в легкой промышленности — 119 тыс. руб. Столь ненормальное соотношение в уровнях вознаграждения грубо искажает подлинное значение многих видов труда.
Третий социально-воспроизводственный фактор, связанный с величиной заработной платы, — национальные различия в степени развитости экономических и социальных условий жизни в разных странах. Эти различия в оплате труда зависят в конечном счете от научно-технического уровня производительных сил и эффективности общественного труда, степени развитости рабочей силы, достигнутого общественно нормального качества жизни и иных факторов. Это наглядно видно из данных таблицы 10.1 (данные за 80-е годы).



Земельные собственники получают арендную плату


Земельные собственники Wолучают арендную плату за участки земли, где строятся разного рода здания и сооружения. Особенность ренты за строительные участки состоит в том, что ее величина во многом зависит от месторасположения сооружаемого объекта. Дифференциальная рента данного вида быстро увеличивается в районах больших и стремительно растущих городов.
Значительное повышение уровня ренты г земель под жилыми зданиями вызывает рост квартирной платы, тормозит строительство дешевых жилищ в городах, следствием чего является обостряющаяся нужда в жилищах, увеличение числа бездомных.
Особое место занимает монопольная рента, которая образуется при продаже товаров по монопольной цене, превышающей их стоимость. Данный доход образуется в сельском хозяйстве на землях с исключительными свойствами, позволяющими производить редкие культуры (например, особые сорта винограда для получения высококачественных вин). Он образуется также в добывающей промышленности — на участке с ископаемыми, спрос на которые превышает возможности их получения, а также в крупных городах — на территориях, которые наиболее выгодны для постройки крупных коммерческих зданий, торговых центров, доходных жилых домов.
В развитом рыночном хозяйстве земля становится предметом купли-продажи. Однако невозделанная земля, в которую еще не вложены никакие капиталовложения, не имеет стоимости. Что же в этом случае лежит в основе цены на землю, чем определяется ее величина?
При продаже земельного участка его собственник, по существу, заботится о том, чтобы не потерять получаемый им рентный доход. Он идет на сделку, обеспечивающую получение за участок по крайней мере такой суммы денег, которая, будучи помещена в банк или отдана в ссуду, принесла бы ему доход (годовую величину процента), равный ренте. В свою очередь, покупатель земли, прежде чем стать ее собственником, сравнивает приносимую земельным участком сумму ренты с процентом, который он может получить, если положит свои деньги в банк.
Стало быть, цена земли есть капитализированная (превращенная в денежный капитал) рента. Цена земли ЦЗ прямо пропорциональна величине ренты РЗ и обратно пропорциональна норме банковского процента П'ц:

Земельные собственники получают арендную плату

При неизменном рентном доходе цены на землю могут возрастать, когда снижается ставка ссудного процента. Если, допустим, банк выплачивает вкладчикам 5% годовых, то участок, приносящий ренту в размере 14 тыс. долл. в год, будет продаваться за 280 тыс. долл. (
Земельные собственники получают арендную плату
). Когда же норма банковского процента понизится до 2%, то цена того же участка возрастет до 700 тыс. долл.
Земельные собственники получают арендную плату
.
На рыночную цену земли определенное влияние оказывает соотношение предложения и спроса на данный товар. При этом важно отметить, что количество предлагаемой земли не может вообще измениться под воздействием повышения или снижения цены: общее количество освоенной земли невозможно увеличить. Только при очень высоких ценах на землю становится выгодным вовлекать в оборот заболоченные, пустынные и им подобные территории, но и их количество имеет непреодолимые пределы.
Для современных условий характерна тенденция уменьшения предложения земли по ряду причин. Так, непрерывно ускоряется процесс урбанизации (роста городов) и использования земли для других несельскохозяйственных целей (добычи полезных ископаемых, строительства аэродромов и т.п.). В связи с этим государство в западных странах идет на национализацию части земель.
Оно создает национальные парки и заповедники, в которых в экологических целях сохраняется в неприкосновенности природная среда. Осуществляются планы по улучшению использования земель для городского строительства и рационального развития отдельных регионов страны. Все это, естественно, ограничивает предложение на рынке земли.
Одновременно растет спрос на землю. Его предъявляют крупные сельскохозяйственные предприятия, стремящиеся расширить сферу своей деятельности. Активными покупателями выступают те, кто строит дома за пределами городов и использует землю для иных несельскохозяйственных нужд.
В итоге для соотношения предложения и спроса на землю сейчас типична ситуация, изображенная на рис. 12.6.

Земельные собственники получают арендную плату

Рис. 12.6. Изменение цены земли при разных соотношениях
предложения и спроса на нее
На рисунке 12.6 показано, что происходит с ценой при сокращении земельных угодий, являющихся объектом купли-продажи на рынке земли, и при увеличении спроса на нее. В каждом случае кривая предложения является строго фиксированной и принимает вертикальное положение, поскольку не изменяется под воздействием спроса. Первоначально эта кривая (П1 — П2) пересекается с кривой спроса (C1 — С2) в равновесной точке Р1, что приводит к образованию цены земли Ц1.
Однако при уменьшении количества земли с 31 до З2 кривая предложения (П3 — П4) пересекается с кривой спроса в равновесной точке P2, вследствие чего цена земли повышается с уровня Ц1 до уровня Ц2.
Не случайно во второй половине XX в. в странах Запада сформировалась устойчивая тенденция к росту цены земли. Показательно, например, что в ряде регионов США цена земли выросла по сравнению с 1940 г. более чем в три — пять раз. Сопутствующим этому следствием является еще более быстрое повышение цены на жилые дома.
Так, в тех же США в начале 50-х годов цена традиционного односемейного дома равнялась 8 тыс. долл., а в середине 80-х годов она возросла более чем в 10 раз. Для приобретения дома американская семья может получить ссуду в размере 70% его товарной цены с рассрочкой на 25—40 лет. Однако выплачиваемая по процентам сумма оказывается больше первоначального займа, в два и более раза.
Вкладывать деньги в недвижимость — землю, дома и другие капитальные объекты, цены на которые обычно повышаются быстрее, чем на иные товары — стало особенно выгодным делом в условиях инфляции. Это подогрело спекулятивный ажиотаж, направленный на покупку всякой недвижимости (и в первую очередь — земли) с расчетом получить в будущем очень высокую цену за эти блага. Но таким способом, с одной стороны, создаются экономические предпосылки для получения в будущем совершенно неоправданных доходов одними, а с другой, — ухудшаются жизненные условия многих людей, стремящихся приобрести жилые и земельные участки для производства сельскохозяйственных продуктов.
В связи с этим в Великобритании, Швеции, Италии и других государствах установлены ограничения на получение доходов от продажи земель тем, кто спекулирует недвижимостью, и собственникам земель, отводимых под новое городское строительство.
В заключение мы приходим к важному выводу. Эффективно использовать собственность на землю (получить доход) можно при разных формах землепользования: и когда действует арендатор чужой земли, и при сдаче земли ее владельцем в ипотеку, и если собственник земли полностью сам распоряжается ею. Это означает, что сельское хозяйство может успешно развиваться при плюрализме форм собственности на землю.
Решающее значение для получения нормального дохода имеют технические и организационно-экономические условия производства. Такие условия имеются у процветающих крупных хозяйств. Что касается мелких фермерских хозяйств, то они нуждаются в поддержке государства: им требуется финансовая помощь, серьезные экономические стимулы и современная инфраструктура сельскохозяйственного производства, которую обеспечивает агропромышленный комплекс.
Итак, в разделах III и IV учебника, посвященных микроэкономике, мы уже ознакомились с национальной экономикой на ее, образно говоря, первом этаже. Теперь нам предстоит подняться на ее более высокие этажи.
Экономический тренинг
1. Ключевые термины и понятия
Кредит; источники ссудного капитала; рынок ссудных капиталов; рынок инвестиций; коммерческий кредит; банки, их виды, функции; депозиты; кредитные карточки; норма банковский прибыли; норма ссудного процента; виды акций; курс акций; облигация; рынок ценных бумаг; эмитенты; инвесторы; фондовая биржа; маклер; брокер; дилер; курс кассовых сделок; фьючерсные сделки; рента; арендная плата; земельная рента; дифференциальная рента; агропромышленный комплекс; цена земли.
2. Вопрос для обсуждения
В одной брошюре говорится: Цена денег — процентная ставка — определяется на рынке, где деньги занимают и отдают в долг. Правильно ли говорить о проценте как о цене денег?
3. Логическая задача
Каково соотношение объемов понятий:
а)процент;
б) чистая прибыль;
в) заработная плата:
г) себестоимость;
д) добавленная стоимость.
4. Вопрос на выявление эрудиции
Вы идете в сберегательный банк. Сколько услуг он может вам оказать?
5. Найдите наиболее подходящий вариант ответа
5.1. Краткосрочные займы чаще всего используются для:
а) покупки оборудования;
б) строительства новых заводов и зданий;
в) покрытия затрат по выплате зарплаты;



Жизнь вносит многочисленные поправки.


Н.Д. Кондратьев предупреждал, что большие циклы могут повторяться при прочих равных условиях. Однако жизнь, как известно, вносит многочисленные поправки.
К тому же концепция длинных волн не является универсальной теорией, призванной объяснить все экономические факты. Вместе с тем она представляет собой важный научный инструмент изучения долговременных закономерностей социально-экономического развития.
В основе экономических кризисов лежит резкое нарушение нормального соотношения между производством и потреблением (на рынке — между предложением и спросом). Такое нарушение может предстать в двух вариантах. В первом варианте, который мы уже рассмотрели, производство товаров и услуг и их предложение на рынке значительно обгоняет спрос населения. Теперь нам предстоит проанализировать другой вариант, при котором платежеспособный спрос обгоняет предложение.
Во втором случае наступает необычный для мирного развития стран Запада кризис недопроизводства. Именно такой кризис имел место в нашей стране в конце 80-х — начале 90-х годов. Что представляет собой этот феномен? Кризисы перепроизводства и недопроизводства имеют некоторые общие черты. В обоих случаях общий кризис охватывает все национальное хозяйство.
При этом ухудшаются параметры развития экономики: происходят банкротства предприятий, растет безработица, возросший спрос на кредитные средства вызывает повышение банковского ссудного процента. Однако гораздо существеннее различия. На Западе преобладают циклические кризисы.
У нас же протекает, по всей видимости, нерегулярный кризис (нет признаков цикличности, за многие последние десятилетия не было аналогичных явлений).
Главная же специфика кризиса в России и его необычность состоят в том, что в индустриально развитой стране имеет место не перепроизводство товаров и услуг, а их огромная нехватка. Чем это объясняется?
Первая причина заключается в том, что в СССР государство полностью монополизировало экономику и положило в ее основу постоянный дефицит средств производства для гражданских отраслей хозяйства - предметов потребления. Что же удивительного в том, что логическим продолжением и завершением такого дефицита явился кризис недопроизводства?
Другой причиной кризиса стала глубокая деформация структуры народного хозяйства. Мы знаем, что такая деформация — следствие преобладающего роста I и III подразделений, слабого развития II подразделения и сферы услуг.
Отрицательную роль сыграла ориентация на преимущественно экстенсивное развитие народного хозяйства. Предпосылки кризиса недопроизводства возникли еще в 70-е годы, когда экстенсивный путь расширенного воспроизводства стал исчерпывать свои возможности, что сказалось на снижении темпов увеличения национального дохода. Если среднегодовые темпы прироста национального дохода в нашей стране в 1966-1970 гг. составили 7,8%, то в 1971-1975 гг. - 5,7%, в 1976-1980 гг. - 4,3%, в 1981-1985 гг. - 3,2% и в 1986-1990 гг. - 1,3%.
Особенно значительный спад производства наблюдался в топливных и сырьевых отраслях промышленности. Здесь и в ряде других-отраслей добывающей и перерабатывающей промышленности сказалась ограниченность природных ресурсов, возрастающие трудности их добычи, а также тяжелые экологические последствия нерационального использования естественных ресурсов. В результате снижение уровня добычи и переработки исходных средств производства в I подразделении отразилось на экономическом росте в целом.
Кризис недопроизводства во многом обусловлен застойным состоянием сельского хозяйства, продукция которого служит исходной основой более 2/3 фонда текущего потребления в составе национального дохода. В течение 70—80-х годов производство зерна, хлопка-сырца, сахарной свеклы, картофеля и овощей находилось примерно на уровне простого воспроизводства. По оценкам специалистов, неудовлетворенный спрос населения на продукты питания достиг 1/3 объема их производства.
Замедленный рост производства предметов потребления на протяжении шести десятилетий привел к тому, что они стали составлять только 25% всей продукции промышленности, а остальная доля приходилась на средства производства и военную продукцию (в странах Запада предметы потребления составляют 35—45% объема промышленного производства).
Третьей причиной кризиса недопроизводства явилась ошибочная экономическая политика, которая проводилась во второй половине 80-х годов и начале 90-х годов. Эта политика была направлена на усиление материального стимулирования работников и расширение социальных" выплат населению. Она полностью противоречила реальному состоянию экономики, поскольку производство товаров для населения быстро падало. В 1986—1990 гг. рост денежной массы в обществе в Д1есть раз обгонял увеличение валового национального .продукта.
Это привело к серьезному нарушению закона денежного обращения. Пришли в движение своеобразные ножницы, лезвия которых — производство и покупательский спрос — все более удалялись друг от друга. Только в 1990^ когда объем национального дохода уменьшился на 4%, денежные доходы граждан, напротив, возросли на 17%.
Такой процесс усилился в 1991 году. В результате налицо было обострение кризиса недопроизводства, который сочетался с глубоким структурным кризисом.
Каково же течение экономического кризиса в России периода реформ?
Во-первых, спад производства продолжается более пяти лет (с 1990 г.). О непрерывном углублении кризиса говорят данные, приводимые в таблице 16.1.
Таблица 16.1.
Индексы некоторых Социально-экономических показателей и 1992—1995 гг. (в % к предыдущему году)

Показатель макроэкономики
1992
1993
1994
1995
Валовой внутренний продукт
85,5
91,3
87,4
96
Продукция промышленности
82
86
79
97
Продукция сельского хозяйства
91
96
88
92
Ввод в действие основных фондов
47
79
71
90
Капитальные вложения (инвестиции в основной капитал)
60
88
76
87
Среднемесячная заработная плата (с учетом индекса потребительских цен)
67
100,4
92
74
О глубине падения производства за весь период экономического кризиса свидетельствуют следующие цифры. В 1995 г. по отношению к уровню 1990 г. (1990 г. = 100%) ВВП на душу населения составил 62, индекс промышленного производства — 50, индекс объема продукции сельского хозяйства — 67.
Во-вторых, внешнее течение кризиса недопроизводства в ходе реформ несколько изменилось. С одной стороны, в результате быстрого инфляционного роста цен покупательная способность населения резко и сильно упала и стала отставать от предложения товаров и услуг. С другой стороны, непрерывно сокращается отечественное производство предметов потребления.
Покупательский спрос в значительной мере покрывается за счет импорта товаров. В итоге недопроизводство отечественных товаров и услуг не устранено. Даже при больших поступлениях из-за рубежа за три года реформ товарный дефицит полностью не устранен. По данным обследования 130 городов России, насыщенность потребительского рынка, например, продовольственными товарами, повысилась с 50% в 1992 г. только до 88% в 1994 г.
В-третьих, если на Западе во время экономических кризисов государство резко усиливает свое регулирующее воздействие на спрос и предложение, то в России (особенно в. 1992—1994 гг.) государство самоустранилось от активного противодействия спаду отечественного производства. Ставка делалась на стихийный рынок. Но этот расчет себя не оправдал.
Как же можно выбраться из тяжелого кризисного положения?
Прийти к нормальным пропорциям расширенного воспроизводства можно прежде всего путем восстановления равновесия между отечественным производством и потреблением населения, а тем самым равновесия между предложением и спросом на конкурентном рынке.
Успешно преодолеть кризис недопроизводства позволяет также ко-ренное изменение всей воспроизводственной структуры макроэкономики. Это предполагает создание высокоразвитого индустриального потребительского сектора, конверсию оборонной промышленности, всемерное развитие сферы услуг и перевод всего производства на рельсы всесторонней интенсификации, основанной на новейших достижениях НТР и ресурсосбережении.
При переходе от кризиса к подъему производства возникает серьезная проблема. Суть ее сводится к следующему. Для увеличения объема изготавливаемых товаров потребуется повысить загрузку производственных возможностей. И может оказаться, что макроэкономика не сможет быстро наращивать выпуск продукции из-за нехватки оборудования и других вещественных факторов.
В чем же должен состоять выход из этой ситуации?
Очевидно, что быстро реагировать на любой неожиданный подъем рыночного спроса можно только в том случае, если обеспечен определенный резерв вещественных условий труда в общественном производстве. Следовательно, в нормальной макроэкономике обязательно должна иметь место недогрузка производственных мощностей.
Однако как быть с рабочей силой? Ведь незагруженное оборудование можно законсервировать, отправить на склад и т.п. Но разве можно временно консервировать лишних работников?
К тому же с человеческим фактором связана масса социальных задач.



Значительное многообразие форм рыночного соперничества.


Олигополии вынуждены считаться с антимонопольным законодательством. Однако они нередко различными путями (посредством лидерства в ценах, тайного джентльменского соглашения) обходят антимонопольные законы и добиваются повышения рыночных цен или поддерживают по крайней мере выгодные им цены.
Уже то обстоятельство, что олигополия стремится сохранить или еще более увеличить и без того достаточно высокие цены, исключает метод ценовой конкуренции. Поэтому в ход пускается новый способ борьбы за спрос покупателей — неценовая конкуренция. Соперничество в этом случае ведется на основе технического превосходства, высокого качества и надежности изделий, более эффективных методов сбыта, расширения видов предоставляемых услуг и гарантий покупателям, условий оплаты и других приемов.
При этом учитывается, что сейчас усилилось воздействие научных достижений на характер и качество выпускаемых изделий, а также возросли общественная роль и значимость торговой рекламы.
Неценовая конкуренция существенно меняет рыночный механизм регулирования взаимосвязи цен и стоимости. Поскольку на рынке господствует установленная олигополией высокая цена, то она уже не может совершать прежнее движение вокруг стоимости товара. Наоборот, величина стоимости — общественно необходимых затрат труда и материальных средств — изменяется в соответствии с уровнем зафиксированной цены продуктов.
Так, в зависимости от остроты противоборства на рынке увеличиваются или снижаются расходы фирм на повышение качества изделий, на содержание сети обслуживания потребителя, на рекламу и т.п. В результате более быстро меняются затраты труда и материальных средств на изготовление и сбыт продукции, т.е. производственный и сбытовой аппараты монополий оказываются более гибкими, чем рыночная цена.
Когда конкуренция достигает крайнего обострения, то затраты производственных ресурсов нарастают и могут вплотную пиблизиться к установленной высокой цене. И это не случайно: методы неценовой конкуренции предполагают наличие огромных капиталов и всевозможных резервов, чтобы обеспечить совершенствование продуктов, массовую рекламу их особых качеств, предоставление кредитов покупателям и пр. Относительно слабые компании, не имеющие таких средств, теряют позиции на рынке и вынуждены сотрудничать с более мощными групповыми монополиями.
Современное состояние рынка на Западе авторы учебников экономике называют несовершенной конкуренцией. Все они в один голос заявляют, что сейчас почти не осталось и следа от совершенной конкуренции. На смену ей на рынке основными формами своеобразного сочетания монополии и конкуренции выступают: а) монополистическая конкуренция и б) олигополия. Профессор П. Самуэльсон пришел к выводу: Смешение элементов конкуренции и монополии характерно для экономической жизни в целом. Поэтому не совершенная, а несовершенная и монополистическая по характеру конкуренция и является преобладающей формой58.
О таком новом состоянии рынка дает представление таблица 7.3.
Таблица 7.3.
Формы синтеза монополии и конкуренции

Параметр состояния рынка
Монополистическая конкуренция
Олигополия
Число продавцов
Много
Мало
Барьеры входа в рынок и выхода
из него
Нет
Обычно есть
Дифференциация продукта
Есть
Возможна
Участие фирм в контроле над
ценами
Цена индивидуализированного продукта контролируется
Нелегальный контроль
Подытоживая все сказанное о конкуренции, мы сможем представить общее состояние рыночного пространства в западных странах. Здесь наблюдается значительное многообразие форм рыночного соперничества.
1. В небольшой мере осталась свободная (совершенная) конкуренция, в которой участвуют единоличные собственники.
2. Монополии ведут жесткую борьбу с аутсайдерами, мелким и средним бизнесом, сохранившим свою экономическую самостоятельность.
3 Соперничество ведется внутри монополистических объединений при определении сфер влияния и разделе дохода.
4. Своеобразный синтез монополии и конкуренции проявляется в формах монополистической конкуренции и олигополии.
5. Государство решительно выступает против нечестных и насильственных способов борьбы с соперниками и в поддержку цивилизованных методов конкуренции.
Наконец, важно подчеркнуть: в западных странах нет крайних состояний рынка - ни господства свободной конкуренции, ни абсолютной монополии, охватывающей все национальное хозяйство. Иная картина наблюдалась в СССР и других социалистических странах.
4. Россия: от абсолютной монополии к
конкурентному рынку
Здесь уместно будет вспомнить, что после окончания гражданской войны в России в 20-е годы получили широкое развитие рыночные отношения. Но на рубеже 20-х и 30-х годов рынок, как говорится, вырубили до основания: было запрещено свободное предпринимательство и полностью исключена конкуренция. А затем на десятилетия установилось полное господство государственною монополизма, который опирался на прямое принуждение и приказные методы. Абсолютная рыночная монополия выражалась в двух направлениях:
а) государство монополизировало производство и продажу основной массы товаров;
б) оно выполняло также роль всеохватывающей монопсонии, поскольку закупало основную массу сырьевой продукции (например, продукцию колхозов).
Государство не только не препятствовало, но, напротив, всемерно способствовало развитию монополизации на всех уровнях народного хозяйства. Преобладающей в экономике стала тенденция к укрупнению и централизации предприятий. В то же время экономическая наука установила, что преимущества крупного производства над мелким могут возрастать до определенных пределов, после чего они утрачиваются. Начиная с этапа индустриализации развитие народного хозяйства шло путем создания предприятий-гигантов, которым государство предоставляло лучшие условия хозяйствования.
Небольшим же заводам и фабрикам была отведена второстепенная роль. Если в Западной Германии в 1989 г. 90% машиностроительной продукции изготавливалось предприятиями численностью менее тысячи человек, то в нашей стране такими производствами, не входящими в объединения, создавалось всего 0,05% техники и оборудования.
Не случайно все указанные выше естественные и искусственные формы монополий получили приоритетное развитие в нашей стране. Государство, министерства и ведомства, управляющие отдельными отраслями народного хозяйства, гигантские промышленные предприятия превратились в монополистов, не знающих конкурентов на внутреннем рынке.
В итоге абсолютная монополия в сфере товарно-денежных отношений стала полной противоположностью конкурентному рынку (см.: Основные признаки абсолютной монополии и конкурентного рынка).
Основные признаки абсолютной монополии и конкурентного рынка

Абсолютная монополия
Плановое распределение центром средств производства, рабочей силы и финансовых средств
Строго регламентированные сверху вертикальные хозяйственные связи
Централизованное установление жестко фиксированных цен
Нормированное распределение продуктов
Монополия государства во внешней торговле
Абсолютная монополия государства
Конкурентный рынок
Продажа всем желающим производственных факторов и финансовых средств в негосударственном секторе
Свободное предпринимательство с установлением горизонтальных экономических связей
Цены, основанные на договоре покупателей и продавцов
Свободный выбор покупателями товаров всех видов
Свобода внешнеэкономической деятельности предпринимателей
Конкуренция всех товаровладельцев
В 90-е годы экономические преобразования в России в качестве важного компонента включали в себя реформирование абсолютного монополизма государства в сфере товарно-денежного обращения. Однако для перехода к рыночной экономике приходится преодолевать большие трудности. Они связаны прежде всего с тем, что между стартом — абсолютной рыночной монополией и финишем — развитым рынком дистанция огромного размера.
Кстати, подобного рода трудности испытали на себе такие страны, как Испания, Япония, Чили, и некоторые другие, в которых после второй мировой войны также преодолевался государственный монополизм.
Обобщение практики рыночных реформ позволяет определить основные рубежи на пути от полной монополизации к конкурентному рынку (рис. 7.5).
Один из первых рубежей на пути к конкурентной рыночной экономике состоит в том, чтобы сформировать многомиллионный отряд свободных предпринимателей, умеющих эффективно хозяйствовать. Здесь предварительным условием является разрушение монополизма государственной собственности путем ее разгосударствления, приватизации и земельной реформы. В итоге возникает важный сектор рыночной экономики, состоящий из мелких и средних по своим размерам фирм.
Они способствуют быстрому развитию рынка многих видов продовольственных и промышленных товаров, особенно сферы услуг.

Значительное многообразие форм рыночного соперничества.

Рис. 7.5. Направления движения к конкурентному рынку





    Экономика: Знания - Циклы - Макроэкономика