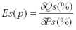
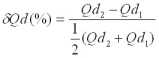
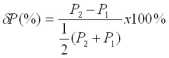
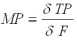
Тема 2. Собственность и предпринимательство
Зарождение экономических идей относится ко времени возникновения человека. Истоки же экономической науки следует искать в учениях мыслителей древнего мира. Древнеиндийские «Законы Ману» (IV-III вв. до н. э.), «Артхашастра» (II в. до н. э.), вавилонские «Законы царя Хаммурапи» (XVIII до н. э.), древнекитайская «Книга перемен» и другие источники отмечали существование общественного разделения труда, частной собственности, отношений господства и подчинения между людьми.
Вершина доклассического этапа развития экономической мысли связана с деятельностью античных мыслителей. Взгляды древнегреческих философов Ксенофонта (430-354 гг. до н. э.), Платона (427-347 гг. до н. э.), Аристотеля (384-322 гг. до н. э.) можно характеризовать как теоретические исходные пункты современной экономической науки. Например, здесь рассматривались такие вопросы как стоимость и цена товара, полезность, меновые отношения, функции денег и др.
Считается, что сам термин «экономика», обозначающий учение о ведении хозяйства, был введен в научный оборот Аристотелем. В Древнем Риме особое значение получили проблемы прикладного, прежде всего аграрного характера.
Христианство изменило оценку хозяйственной деятельности. Оно объявило труд необходимым и святым делом. Этические нормы поведения были перенесены схоластами в описание экономики.
Поэтому экономическая доктрина средневековья оказалась скорее сводом норм и правил общественной жизни, чем обобщением реальной хозяйственной практики.
Как наука экономическая теория возникает в XVI-XVII вв. Истоками ее классического периода стало развитие меркантилизма (от итальянского «мерканте» торговец), который, по утверждению Т. Негиши, представляет собой не теоретическую школу, а систематизированную политику, направленную на создание сильных централизованных национальных государств в условиях, сложившихся после развала средневековой системы организации промышленности и торговли. Главной заботой меркантилистов явилось нахождение способов, с помощью которых государство могло бы добыть себе золото и серебро, считавшиеся главными из богатств.
Наиболее известными из них стали запрещение вывоза драгоценных металлов из страны и импорта товаров.
Особую популярность среди меркантилистов имели английский экономист Томас Ман, признававший единственным источником богатства торговлю, и французский исследователь Антуан де Монкретьен, который в 1615 г. ввел в употребление термин «политэкономия», что означало «управление государственным имуществом города».
В середине XVIII начинают формироваться собственно экономические школы. Физиократы (от греческого «власть природы») отвергали учение меркантилистов, считая, что источником богатства является превышение продукта произведенного над потребленным в сельском хозяйстве. Виднейшим представителем этой школы был Франсуа Кенэ (1694-1774), который в своих «Экономических таблицах» сделал гениальную попытку анализа общественного воспроизводства.
Переходным мостиком от меркантилистов и физиократов к классической политэкономии стали работы Вильяма Петти (1623-1686). Широкую известность получило его изречение «Труд есть отец и активнейший принцип богатства, а земля его мать».
Адам Смит и Давид Рикардо вошли в историю как основоположники классической политической экономии. Ее основная идея либерализм, минимальное государственное вмешательство в экономику, рыночное саморегулирование на основе свободной конкуренции, которое А. Смит назвал «невидимой рукой». Классики политэкономии заложили основы трудовой теории стоимости и учения о доходах, постарались раскрыть экономические законы развития современного им общества.
Классическая политическая экономия стала основой для всего последующего развития экономической науки, поставив главные проблемы и предложив основные методы исследования. Опираясь на традиции классической школы политической экономии, К. Маркс и Ф. Энгельс в середине XIX в. создали теоретическую концепцию, получившую обобщенное название марксизм. Их идеи, рассматривающие законы развития капитализма и концепцию социализма, оказывали значительное влияние на развитие отечественной экономической теории вплоть до 1980-х гг.
Параллельно с марксизмом была сформулирована теория маржинализма (от английского «предельный»), положившая начало новому неоклассическому этапу развития экономической мысли. Классиками этой теории стали экономисты австрийской школы Карл Менгер (1840-1921), Фридрих фон Визер (1851-1926), Эйген фон Бем-Баверк (1851-1914). Маржинализм в отличии от предшествующих школ экономического анализа исходил из использования предельных, дополнительных величин, характеризующих изменение состояния объекта анализа.
В рамках неоклассического этапа выделяются и современные экономические теории, сформировавшиеся в конце XIX- начале XX вв. Их главными направлениями являются неоклассическое, кейнсианское и институционально-социологическое.
Неоклассическое направление стало связываться с оформлением «нового классического экономикса», представляющего собой попытку синтезировать маржинализм и классическую политэкономию. Оно представлено современными теориями монетаризма (М. Фридмен (род. 1912)) и неолиберализма (Ф.
Хайек (1899-1992)).
Основателем кейнсианского направления является Джон Мейнард Кейнс (1883-1946). В его работах было дано важнейшее теоретическое обоснование государственного регулирования экономики путем проведения финансовой и денежно-кредитной политики.
Родоначальником институционально-социологического направления является Торстейн Веблен (1857-1929). Название концепции происходит от латинского «институтиум»- учреждение, организация, установление. Все ее сторонники рассматривают экономику как систему, включающую совокупность экономических и внеэкономических факторов и отношений.
Современная экономическая теория, являясь наследницей богатейшего знания, не отбрасывает ничего из того, что внесли в нее экономисты прошлых веков. Она продолжает их идеи, дополняя или уточняя научный анализ, поэтому этот этап развития экономической науки принято связывать с формированием новой парадигмы. Под ней понимается система основополагающих предпосылок, методов исследования, принятых в науке, а также представления ученых о способах решения поставленных проблем.
Современная парадигма предусматривает возможность синтеза, а не противопоставления различных экономических школ и направлений анализа.
Многие современные экономисты сделали выдающиеся открытия в теории, которые нашли свое применение на практике и способствовали совершенствованию воздействия на экономическое развитие. Свидетельством тому является ежегодное присуждение Нобелевской премии высшей научной награды. Нобелевские премии по экономике присуждаются с 1969 г., и в настоящее время их насчитывается свыше 30. Среди лауреатов премии П. Самуэльсон, В. Леонтьев, М. Фридмен, Л. Канторович, К. Эрроу, Дж.
Хикс, Г. Саймон, Р. Соллоу, Дж. Бьюкенен, Я. Тинберген, С. Кузнец и другие видные экономисты современности.
1. 2. Предмет экономической теории и ее функции Общепризнанного определения экономической теории до сих пор нет. Она охватывает такой широкий спектр значений, что при любом кратком определении остаются без внимания какие-либо важные аспекты предмета. Однако основная проблема экономической теории и практики состоит в разрешении противоречия между безграничными потребностями людей и ограниченными ресурсами.
В широком смысле слова экономическая теория это наука о закономерностях и факторах экономического роста в пофазной динамике воспроизводства; об использовании ограниченных ресурсов для производства товаров и услуг и обмена их в целях удовлетворения потребностей; о видах деятельности по производству и обмену, о повседневной деловой жизни людей, связанной с извлечением средств существования; об общественном богатстве.
Структурно экономическая теория включает в себя два раздела: микроэкономику и макроэкономику. Микроэкономика изучает поведение отдельных экономических агентов. Ее основоположниками считаются представители маржинализма. В центре ее анализа цены отдельных товаров, затраты-издержки, формы и механизмы формирования капитала и функционирования фирмы, механизм ценообразования, мотивация труда.
Макроэкономика изучает экономические процессы и явления на уровне государства. Объект ее исследования национальный продукт, экономический рост, занятость, инфляция. Макро- и микроэкономика взаимообусловлены и органически взаимодействуют.
Экономическая теория выполняет несколько функций. Познавательная функция позволяет раскрывать сущность экономических явлений и способствует формированию экономического мышления. Благодаря методологической функции экономическая теория исследует общее (объект в целом), опираясь на общие законы как исходные методологические посылки анализа.
Практическая функция обеспечивает экономическую политику.
Взаимная связь этих функций проявляется во взаимодействии экономической политики, хозяйственной практики и науки, которую отражает схема 1.
Схема 1.
В основе экономической теории лежит исследование общественного производства, которое служит исходным пунктом возникновения новых потребностей и интересов. Потребности способствуют качественным и количественным изменениям в производстве, воздействуя на него не непосредственно, а через рынок и экономическую политику. Последняя, в свою очередь, подвержена воздействию не только производства, но и экономической науки. Осуществление задач экономической политики может привести к изменению общественного производства, его совершенствованию, что находит отражение в последующем развитии экономической теории.
Выделение функций экономической теории позволяет определить ее место среди других экономических наук (схема 2).
Государство как хозяйствующий субъект
Схема 37
К мерам прямого экономического регулирования, непосредственно воздействующих на производство товаров и услуг, относят целевое финансирование и государственные закупки.
Целевое финансирование выделение денежных средств государством из бюджета целевым назначением для использования в качестве средства решения определенной социально-экономической проблемы или создания определенного объекта. Важнейшим объектом целевого финансирования являются государственные программы и заказы. Программы разрабатываются в различных областях, например, в сфере освоения космоса или мирового океана, строительства крупных сооружений, в проведении крупных научных исследований. При этом правительство делает соответствующий госзаказ фирмам на производство определенных видов продукции.
Эти заказы надежны и выгодны, поэтому предприятия охотно участвуют в конкурсах на их получение.
Государственные закупки часть произведенных в стране или за рубежом товаров и услуг, закупаемых правительством, государственными органами за счет средств государственного бюджета. Такие покупки осуществляются государством для нужд собственного потребления (закупка оборудования) и в целях обеспечения потребления населением и резервирования (например, закупки зерна и продовольствия для создания госрезервов).
Косвенное экономическое регулирование влияет на общественное производство в основном посредством мер бюджетно-налоговой и кредитно-денежной политики и осуществляется, например, с помощью предоставления налоговых льгот или льготных кредитов. (Подробнее механизм косвенного государственного регулирования будет рассмотрен в теме «Особенности экономической политики государства»).
Возможности и границы эффективности госрегулирования не могут получить точной количественной оценки уже потому что имеют много аспектов. Особое значение имеет тот факт, что ресурсы, с помощью которых государство участвует в общественной жизни, это, с одной стороны, все то, владельцем чего оно является, а с другой стороны доходы и расходы бюджета. В первом случае речь идет о запасе ресурсов, во втором об их потоке.
При этом особенность государства состоит в том, что пользуясь законным правом принуждения, оно систематически осуществляет перераспределение, поэтому доля государственного сектора в национальном доходе, как правило, существенно отличается от его доли в совокупном капитале и в производстве реализуемых на рынке товаров и услуг.
7. 3. Государство как хозяйствующий субъект Помимо участия государства в экономике в качестве регулирующей силы, оно действует и в качестве самостоятельного хозяйствующего субъекта это так называемый государственный сектор.
Государственный сектор комплекс хозяйственных субъектов, целиком или частично принадлежащих центральным или местным государственным органам.
Основой государственного сектора является совокупность государственных предприятий, которые независимо от сферы деятельности и национальных особенностей можно сгруппировать в три большие группы:
- несамостоятельные публично-правовые предприятия (монетные дворы, тюрьмы, государственные и муниципальные колы, детские сады);
- самостоятельные предприятия, действующие в рамках публичного права (почта, железные дороги, государственные холдинги и корпорации);
- юридически самостоятельные предприятия, действующие в рамках частного права (в форме акционерных обществ).
Важную роль в современной экономике играет государственное предпринимательство.
Государственное предпринимательство инициативная деятельность предприятий и других государственных структур, направленная на получение прибыли и осуществляемая непосредственно собственником имущества или управляющим на условиях договора (контракта).
Низкая эффективность функционирования государственных предприятий и большие расходы государства на их содержание часто ведут к осуществлению приватизации.
Приватизация преобразование отношений собственности путем передачи или продажи на различных условиях государственной или муниципальной собственности частным или коллективным хозяйствующим субъектам. Цели приватизации в разных странах можно представить в виде следующей таблицы:
Цели приватизации
|
Страны рыночной экономики
- сокращение задолженности государственного сектора,
- развитие рынка,
- стимулирование предпринимательства,
- расширение индивидуальных свобод,
- развитие народного капитализма, ослабление профсоюзов.
|
Россия
- формирование слоя частных предпринимателей,
- повышение эффективности деятельности предприятий,
- создание конкурентной среды, содействие демонополизации экономики,
- привлечение иностранных инвестиций,
- социальная защита населения и развитие объектов социальной инфраструктуры за счет средств от приватизации.
|
В развитых странах среди множества способов приватизации можно отметить распродажу и безвозмездное распределение акций, подряды на оказание услуг, продажу государственного жилья квартиросъемщикам, отказ от государственной монополии в целях развития конкуренции. В России главными способами стали купля-продажа по конкурсу (при выполнении определенных условий) или на аукционе по максимальной цене, продажа акций (долей) в капитале предприятия после их преобразования в акционерные общества, а также выкуп имущества предприятия сданного в аренду полностью или частично. При этом в основу выбора способов приватизации положен размер предприятий.
В современной экономике в зависимости от изменения формы и субъекта собственности выделяют несколько видов приватизации:
- большая приватизация преобразование предприятий в акционерное общество и распределение акций среди частных лиц путем их продажи или бесплатной раздачи;
- малая приватизация продажа мелких объектов сферы услуг и торговли частным лицам или группам инвесторам;
- спонтанная приватизация приватизация по « закону джунглей», при которой государство отказывается от регулирующей роли;
- частичная имущественная приватизация продажа имущества каждого отдельного предприятия по частям.
Каждый из названных видов приватизации имеет собственные достоинства и недостатки. Так большая приватизация сопряжена с большими издержками, но она имеет большую скорость осуществления. Малая и частичная имущественная приватизация не требуют огромных затрат и с этой точки зрения являются более эффективными, однако в условиях российского монополизма их выбор не всегда целесообразен.
Спонтанная приватизация к тому же ведет к наделению правами собственности представителей номенклатуры.
Приватизация является одной из сторон разгосударствления.
Разгосударствление уменьшение функций государства в экономике, передача части полномочий государственных органов предприятиям, развитие конкуренции и предпринимательства. Однако разгосударствление создает собственные проблемы, что убедительно показала история рыночных преобразований 80-90-х гг. в России. Поэтому поиск оптимальных пределов государственного и частного секторов в экономике остается достаточно актуальной задачей для многих государств, хотя основной принцип такого соотношения известен: « Конкуренция везде, где возможно, регулирование лишь там, где необходимо».
Роль и значение государственного сектора в экономике индустриально развитых стран различается как по объему, так и по структуре. Как показывает исторический опыт, происходящее некоторое время сокращение общественного сектора доходит до определенного рубежа, а затем начинается расширение. Такие изменения зависят от ряда факторов: исторических, географических, экономических, политических и т. д. условий.
Действие этих факторов к тому же привело к формированию особых систем макроэкономического регулирования, получивших название моделей (см. схему 38).
Схема 38.
Модели государственного сектора
Характеристики модели
|
Степень огосударствления производства и внешнеторговых ограничений
|
Высокая
|
Низкая
|
Объем производства общественных благ и трансфертов
|
Высокий
|
Социалистическая
|
Скандинавская
|
Низкий
|
Латиноамериканская
|
Либеральная
|
По горизонтальной «оси» расположена «степень обобществления экономики»: доля государственных предприятий в национальном производстве и степень протекционизма во внешней торговле. По вертикальной «оси» откладывается степень развития государства всеобщего благосостояния величина социальных трансфертов и объем производства общественных благ. На схеме отображены четыре крайние модели государственного хозяйства: 1) социалистическая, характеризующаяся высокой долей государственной собственности и существенными объемами перераспределения, 2) скандинавская, 3) латиноамериканская, основанная на внешнеторговом протекционизме и импортозамещающем росте и 4) либеральная, которая встречается крайне редко и в чистом виде существовала лишь в Гонконге и Сингапуре. Каждая модель государственного сектора представляет собой целостную систему, определенное сочетание элементов и реализуется в виде комплекса мер экономической политики и соответствующих государственных институтов, разрабатывающих и реализующих эти меры.
Но в рамках каждой модели может произойти перемещение центра тяжести с одного направления на другое, смена приоритетов именно это обеспечивает их гибкость и выживание. Важной особенностью современного периода является тенденция к сближению моделей различных типов. В этом плане переход постсоциалистических стран к рынку может рассматриваться как движение от социалистической модели к либеральной.
График спроса с позиций теории катастроф
Схема 46.
График спроса с позиций теории катастроф
Ранней весной цены на помидоры на рынке весьма высоки и предложение незначительно, т. к. продаются или хорошо сохраненные помидоры прошлого урожая, или парниковые. Затем, с вызреванием помидоров, их предложение на рынке увеличивается, а цена адекватно падает. Наступает момент, когда падение цены ускоряется и происходит быстрее, чем возрастание предложения. Продавцы помидоров перестают получать необходимую объективную информацию о предложении. Происходит катастрофа в ценообразовании, что на графике отражается иным по характеру участником и совершенно новой кривой.
Это обозначает, что на рынке складываются условия для равновесия, но при ином уровне цен. Таким образом, равновесные цены на рынке не носят однозначный характер. Переставшая соответствовать меняющимся рыночным условиям одна система стоимостей резко, с потрясениями заменяется другой.
9. 3. Совокупный спрос и совокупное предложение В современной экономической теории макроэкономический анализ равновесия осуществляется при помощи агрегирования, или формирования совокупных показателей. Важнейшими агрегатами являются реальный объем национального производства, объединяющий равновесные количества товаров и услуг и уровень цен (агрегатные цены) всей совокупности товаров и услуг. Реальный объем производства обычно характеризуют при помощи показателей ВНП или НД. Однако для оценки состояния и перспектив развития экономики часто используются не абсолютные показатели ВНП, а относительные темпы прироста. Уровень цен также характеризуется дефлятором ВНП или годовым темпом прироста цен.
Таким образом полученная система координат дает представление как о количестве материальных благ в обществе, так и о средней цене (уровне цен) этих благ.
Совокупный спрос (AD) представляет собой модель, показывающую различные объемы товаров и услуг, т. е. реальный объем национального производства, который потребители, предприятия и правительство готовы купить при любом возможном уровне цен.
Совокупный спрос представляет собой сумму всех спросов на конечные товары и услуги, предлагаемые на товарном рынке и может определяться как ВНП, рассчитанный по потоку расходов. Любое изменение расходов, составляющих совокупный спрос, приводит в действие так называемый мультипликационный процесс, выражающийся в превышении прироста национального дохода над увеличением спроса. Коэффициент, показывающий насколько возрастет равновесный доход при увеличении совокупного спроса, называется мультипликатором K (лат. multiplico умножаю).
Изменение составных элементов структуры ВНП сопоставимо с изменением неценовых факторов совокупного спроса. Зависимость между уровнем цен и реальным объемом национального производства, на который предъявлен спрос, является обратной, или отрицательной (схема 47).
Схема 47.
График совокупного спроса
Это объясняется действием ценовых факторов совокупного спроса при неизменной денежной массе, показанных в таблице 22.
Таблица 22.
Ценовые факторы совокупного спроса
Ценовые факторы
|
Характеристика
|
Эффект процентной ставки
|
Рост уровня цен заставляет потребителей и производителей брать деньги в долг. Это приводит к повышению процентной ставки, поэтому потребители откладывают свои покупки, а предприниматели сокращают инвестиции. В результате совокупный спрос уменьшается.
|
Эффект кассовых остатков (эффект богатства)
|
При повышении цен стоимость финансовых активов (кассовых остатков) падает и население, владеющее ими беднеет. В результате совокупный спрос сокращается.
|
Эффект импортных товаров
|
При росте цен внутри страны спрос на отечественные товары сокращается, а на более дешевые импортные растет.
|
Неценовые факторы смещают кривую AD либо вправо и вверх, когда совокупный спрос увеличивается, либо влево и вниз, когда он уменьшается. Изменение ценовых факторов графически изображается движением по кривой совокупного спроса.
Совокупное предложение (AS) есть модель, показывающая уровень реального объема производства при каждом возможном уровне цен.
Совокупное предложение может быть приравнено к величине ВНП, рассчитанного по потоку доходов. Среди факторов, влияющих на AS, выделяют те, которые вызывают изменение предложения на рынке отдельного товара: технология производства, издержки и т. д. , а также количество и качество применяемых факторов производства. В этой связи кривая совокупного предложения имеет восходящий вид. Ценовые факторы, связанные с предложением на отдельных рынках, показывают движение по кривой совокупного предложения. Неценовые факторы, изменяющие издержки (цены на ресурсы, рост производительности, государственное регулирование), смещают кривую вправо и вниз при уменьшении издержек, и влево и вверх при их увеличении.
Однако очертание кривой совокупного спроса являлось предметом острых дискуссий в экономической науке. В настоящее время принято считать, что кривая совокупного предложения условно состоит из трех частей (отрезков). Такая кривая совокупного спроса показана на схеме 48.
Схема 48.
График кривой совокупного спроса
Характеристика выделенных участков кривой совокупного предложения отражена в таблице 23.
Таблица 23.
Особенности очертания кривой совокупного предложения
Отрезки кривой AS
|
Характеристика
|
Кейнсианский
|
Кейнсианство доказывает, что кривая AS горизонтальна. Это соответствует экономике в период спада и недоиспользования факторов производства. В такой ситуации повышение реального объема производства желательно, т. к. оно не сопровождается повышением уровня цен.
|
Восходящий
|
Предполагается, что промежуточный отрезок кривой AS описывает экономику, когда в результате неравномерного развития отдельных отраслей происходит увеличение реального объема национального производства на фоне повышения общего уровня цен.
|
Классический
|
Классическая школа утверждает, что кривая AS является вертикальной, т. к. экономика работает на полную мощность и при полной занятости населения. В этих условиях за короткий период времени увеличение реального объема производства невозможно.
|
При конкретизации формы кривой совокупного предложения, новое значение получает проблема общего экономического равновесия. Условия, при которых это равновесие наступает, будут различны, поскольку последствия увеличения совокупного спроса зависят от того, на каком отрезке кривой совокупного предложения произойдет пересечение с новой кривой совокупного спроса.
Иная картина складывается при уменьшении совокупного спроса. Модель взаимодействия AD и AS (схема 49) показывает, что на кейнсианском отрезке реальный объем национального производства уменьшится, а уровень цен останется неизменным. На классическом отрезке цены упадут, а реальный объем национального производства останется на уровне полной занятости. На промежуточном отрезке предполагается, что реальный объем национального производства и уровень цен уменьшатся. В действительности обратное движение от AD4 до AD3 может не восстановить первоначальное равновесие, по крайней мере за короткий период времени.
Сложность состоит в том, что цены как на товары, так и на ресурсы становятся «нерешительными», или негибкими, и не проявляют тенденции к снижению. Это объясняется прежде всего тем, что в структуре цен в среднем до 75% занимает заработная плата, которая не может быть снижена из-за коллективных договоров профсоюзов с предпринимателями, существованием законодательно закрепленного минимального уровня заработной платы и т. д. Поэтому экономические показатели, раз возросшие, не обязательно снижаются до начального уровня. Некоторые экономисты усматривают в такой тенденции эффект храповика, сравнивая низкую эластичность цен при уменьшении совокупного спроса с механизмом, который позволяет крутить колесо вперед, а не назад. Это означает, что уменьшение совокупного спроса от AD4 до AD3 будет наблюдаться при сохранении высокого уровня цен p2 и снижении объема национального производства до уровня Q2.
В результате кейнсианский отрезок кривой AS сдвинется от уровня цен р1 до уровня р2.
Схема 49.
Модель взаимодействия AD и AS
Проблема, связанная с формой кривой совокупного предложения имеет не только теоретическое, но и практическое значение. Например, ряд российских экономистов (Е. Гайдар, Б. Федоров) утверждали, что выходом из кризиса для отечественной экономики должно было стать замораживание спроса. Такой подход основывался на классической концепции, связывающей спрос не с изменением объемов производства, а с уровнем цен.
Сторонники кейнсианского подхода, напротив, выступали за стимулирование спроса и поощрение объемов производства. Однако обе эти концепции не учитывали всех особенностей российской экономики, которые были проанализированы академиком Л. Абалкиным и получили название «парадокса макроанализа». Его суть в том, что вместо привычной картины, когда под воздействием роста цен спрос сокращается, а предложение растет, складывается совсем иная: кривые совокупного спроса и совокупного предложения ведут себя однозначно, двигаются в одном направлении.
На графике это выглядит таким образом, что кривые AD и AS не пересекаются (схема 50).
Издержки производства
Издержки производства затраты на приобретение факторов производства. Структура издержек производства отражена на схеме 31.
Схема 31.
Различие между явными и неявными издержками позволяет определить понятие прибыли в экономической теории (см. схему 32)
Схема 32.
Издержки производства можно классифицировать не только в зависимости от того, какие ресурсы используются, будь то ресурсы фирмы или внешних владельцев. Возможна классификация в зависимости от влияния на них увеличения масштабов производства (таблица 14).
Таблица 14.
Определение постоянных, переменных, общих, средних и предельных издержек производства
Издержки
|
Определение
|
Выпуск продукции
|
0
|
1
|
2
|
3
|
4
|
Постоянные
(FC)
|
Издержки, которые не зависят от объема производства
|
1000
|
1000
|
1000
|
1000
|
1000
|
Переменные (VC)
|
Издержки, меняющиеся в зависимости от объема производства
|
0
|
250
|
450
|
600
|
700
|
Общие (ТС)
|
Сумма постоянных и переменных издержек
|
1000
|
1250
|
1450
|
1600
|
1700
|
Средние
|
Издержки производства на единицу продукции
|
Средние общие издержки (АТС)
|
|
1250
|
725
|
533
|
425
|
Средние постоянные издержки (AFC)
|
|
1000
|
500
|
333
|
250
|
Средние переменные издержки (AVC)
|
|
250
|
225
|
200
|
175
|
Предельные (МС)
|
Прирост общих издержек при производстве каждой новой единицы продукции
|
|
250
|
200
|
150
|
100
|
Совокупный доход (total revenue) это общая выручка, получаемая фирмой от продаж своей продукции:
TR= P х Q
Предельный доход (marginal revenue) приращение к общей выручке фирмы, вызванное увеличением ее продаж на дополнительную единицу товара:
В каких бы условиях ни действовала фирма, она должна стремиться к максимизации прибыли или минимизации убытков. При решении этих проблем фирме следует руководствоваться следующими правилами:
1. Фирма должна прекратить производство, если TR от продажи любого объема ее продукции не превосходит VC производства данного количества товаров и услуг. Иными словами, чтобы P (AVC.
2. Чтобы добиться максимальной прибыли, фирма должна производить такой объем продукции, при котором MR=MC.
На рынке совершенной конкуренции ни одна из фирм не влияет на цену своей продукции, а P=MR, поэтому максимизация общей прибыли (Pr = MR-MC) достигается тогда, когда P = MC. При этом, если P (MC, то производство можно расширить. Если P (MC, то производство нужно сокращать (схема 33).
Схема 33.
На рынке несовершенной конкуренции, чтобы получить максимальную прибыль объемы производства и реализации следует увеличивать до тех пор, пока MR (MC, если MR (MC, производство следует сокращать, если MR=MC, фирма получает максимальную прибыль.
Важную часть издержек производства фирмы составляет плата за факторы производства или ресурсы. Цена на ресурсы в рыночной экономике формируется через взаимодействие спроса и предложения аналогично ценам готовой продукции. Однако рынки ресурсов имеют свои особенности. Так, спрос на ресурсы является вторичным или порожденным, т. к. интересует предпринимателя ни сам по себе, а лишь как средство получения прибыли. Предложение же ресурсов является неэластичным по цене, т. к. не может быть увеличено в краткосрочный период.
Важное значение имеет и тот факт, что на рынке ресурсов предприятие выступает как покупатель. Производителями являются собственники ресурсов, поэтому цена ресурса будет являться доходом его владельца: цена природных ресурсов рента, цена труда заработная плата, цена производственного капитала, или инвестиционных ресурсов, процент. Фирма стремится выбрать такое сочетание используемых ресурсов, которое обеспечит ей минимальные издержки. Это возможно, если предельная доходность каждого ресурса (marginal revenue product) пропорциональна его цене:
Ценообразование на рынке ресурсов зависит от множества факторов, основные из которых отражены на схеме 34.
Схема 34.
Факторы ценообразования на рынке ресурсов
Взаимозамещение ресурсов
|
|
Принципы
ресурсоиспользования
|
|
Обеспечение предельной доходности ресурсов
|
Минимизация
издержек производства
|
|
|
Предельные
издержки ресурса
|
Мобильность ресурсов
|
|
|
MC=MR
|
Объем спроса зависит от уровня цен на каждый ресурс
|
|
Производственный
спрос
|
|
Спрос более эластичен на ресурсы с низкими ценами
|
Отраслевой и рыночный спрос
|
|
|
Рыночное предложение
|
Объем спроса на продукцию
|
|
Эластичность спроса
|
|
Наличие рынков субститутов и комплементов
|
Возможность взаимозамещения
|
|
|
Тенденции к инновациям
|
Объем предложений
|
|
Предложение факторов производства
|
|
Ограниченность экономических благ
|
Специфика производства
|
|
|
Возобновляемость ресурсов
|
Редкость ресурсов
|
|
|
Эластичность
|
Кардинальное решение проблемы снижения издержек возможно только в условиях стабильного экономического роста, активной инвестиционной и инновационной деятельности, структурных преобразованиях. В этих процессах не все зависит от предприятия. Огромная роль здесь отводится государству.
Тренировочные задания к теме 6 1. Предельная полезность масла для потребителя зависит от его количества: MU m = 40 5 Qm, где Qm количество масла, кг. Предельная полезность хлеба: MU x = 20-3 Q x, где Qxколичество буханок хлеба. Цена 1 кг масла равна 5 у. е., цена 1 булки хлеба 1 у. е. Общий доход потребителя составляет 20 у. е. Какое количество хлеба и масла купит рациональный потребитель?
2. Предприниматель осуществляет промышленное производство на конкурентном рынке в районе, где достигнута полная занятость. При этом имеются следующие данные:
Число работающих станков
|
1
|
2
|
3
|
4
|
5
|
6
|
7
|
8
|
Выпуск продукции в тыс. шт.
|
6
|
15
|
23
|
30
|
36
|
42
|
46
|
48
|
При какой степени загрузки станочного парка будет достигнут оптимальный с точки зрения предпринимателя объем производства? Будет ли он таким же с точки зрения общества?
3. У вас имеются следующие данные о деятельности фирмы, чьи средние переменные издержки достигли минимального уровня:
P
|
Q
|
TR
|
TC
|
FC
|
VC
|
AC
|
AVC
|
MC
|
3, 0
|
|
|
|
6000
|
8000
|
3, 50
|
|
|
Заполните таблицу, внося недостающие цифры, и определите какую цель должна преследовать данная фирма на рынке.
4. Бухгалтер вашей фирмы потерял отчетность издержек фирмы. Он смог вспомнить только несколько цифр. Сумеете ли Вы восстановить остальные?
Q
|
AFC
|
VC
|
AC
|
MC
|
TC
|
0
|
|
|
|
|
|
10
|
|
|
20
|
|
|
20
|
|
|
|
|
|
30
|
|
|
|
11
|
390
|
40
|
|
420
|
|
|
|
50
|
2
|
|
14
|
|
|
5. В условиях монополии с ростом выпуска продукции цена на нее падает. Найдите объем выпуска, максимизирующий прибыль.
Объем выпуска, шт.
|
1
|
2
|
3
|
4
|
5
|
Цена, тыс. д. е.
|
4
|
3
|
2, 5
|
2
|
1, 5
|
Общие затраты, тыс. д. е.
|
1, 5
|
2, 5
|
3
|
5
|
8, 5
|
6. Желая открыть новое дело, бизнесмен вложил в него собственный капитал 500 тыс. д. е. Если бы он взял эту сумму в банке, он должен был бы заплатить из расчета 12% годовых. Когда после года деятельности бизнесмен будет подсчитывать свой доход, он вычтет из общей выручки неявные затраты. Каковы они?
Тест к теме 6 Найдите единственно верный ответ.
1. Известны следующие данные о потреблении двух товаров:
Показатели
|
Р1
|
Р2
|
Q1
|
Q2
|
1-ый месяц
|
10000
|
10000
|
10
|
10
|
2-ой месяц
|
5000
|
20000
|
20
|
5
|
Исходя из этого, можно однозначно заключить:
а) стоимость жизни возросла, б) стоимость жизни понизилась,
в) рост дохода потребителя отстал от роста цен,
г) по поводу динамики стоимости жизни ничего определенного сказать нельзя.
2. Если для товара А величина спроса растет вместе с ростом цены, то товар А является:
а) товаром Гиффена, б) товаром низшего качества,
в) обычным товаром, г) верно а) и б).
3. Равновесие производителя определяется законом:
а) равенства спроса и предложения, б) максимизации выпуска,
в) равенства средневзвешенных предельных производительностей факторов производства,
г) минимизации расходов производственных ресурсов.
4. Изокванта имеет
а) отрицательный наклон,
б) выпуклость, обращенную к началу координат,
в) верны ответы а) и б), г) все ответы неверны.
5. Постоянными факторами производства для фирмы являются факторы:
а) не влияющие на спрос на данный товар,
б) фиксированные при различном выпуске продукции,
в) с постоянной ценой, г) определяемые размерами фирмы.
6. Вознаграждение предпринимателя за новаторство является элементом:
а) только экономической прибыли,
б) только бухгалтерской прибыли,
в) экономической и нормальной прибыли,
г) экономической и бухгалтерской прибыли.
7. Фирма может минимизировать издержки, если производственные факторы:
а) имеют наиболее низкую цену;
б) минимально используются в производстве;
в) взаимозаменяемые в определенных границах;
г) все ответы неверны
Классификация регионов
В экономической науке существуют и другие подходы к классификации регионов. Так, например, в индустриально развитых странах Запада принято выделять:
- депрессивные регионы, демонстрировавшие в прошлом относительно высокие темпы развития;
- стагнирующие регионы, отличающиеся крайне низкими или «нулевыми» темпами развития;
- пионерные регионы или регионы нового освоения;
- микрорегионы или первичные экономические регионы;
- экономические регионы первого порядка (или генеральные), образующие схемы регионального макроделения страны;
- программные (плановые) регионы регионы, на которых распространяются целевые программы развития и контуры которого не совпадают по территории с регионами данной сетки;
- уникальные регионы, связанные с реализацией крупных строек (проектные регионы) или характеризующиеся крайне низким уровнем развития (проблемные регионы).
В современной России в связи с продолжающимся кризисом особое значение получают проблемные регионы. Среди них обычно выделяют:
- Слаборазвитые: Северный Кавказ, Марий Эл, Алтай, Тува, Псковская и Астраханская области.
- Депрессивные: Северо-запад, Центральный, Поволжский, Западно-Сибирский, Восточно-Сибирский
- Приграничные: Калининградская область, Приморский край, Северный Кавказ.
- Экологически опасные: Мурманская область, Поволжье, Урал, Кузбас, побережье Каспийского моря.
Вследствие огромных различий природно-географических, экономических и других условий в регионах России региональные воспроизводственные процессы уникальны, их эффективность является необходимым условием комплексного пропорционального развития региональной экономики. Успешное функционирование региональной экономики во многом зависит от возможностей и умения администрации регионов принимать оптимальные решения, учитывающие интересы центра и регионов. Уровень развития регионов обусловливается не формами собственности, а способами управления экономикой, социально-экономическими отношениями, рациональным использованием региональных преимуществ, поиском методов сочетания федеральных и региональных социально-экономических интересов, которые определяют разумную и действенную региональную экономическую политику.
12. 3. Основные понятия, цели и задачи региональной политики Регион сегодня становится главным субъектом экономических и политических отношений. Очень важно в этой ситуации определить специфику и приоритеты осуществления региональной политики с учетом сравнительных преимуществах того или иного региона, особенностях его исторического и культурного развития.
Региональная (социально-экономическая) политика сфера деятельности государства по управлению политическим, экономическим, социальным и экологическим развитием страны в пространственном, региональном аспекте и отражающая как взаимоотношения между государством и регионами, так и регионов между собой.
К основным объектам региональной политики относят: производственные (прежде всего предприятие), социальные (прежде всего человек как представитель социума, семьи, этноса), денежно-финансовые и т. д. В качестве субъектов регионального управления могут выступать как конкретные представители государственной и региональной власти, так и отдельные учреждения, организации и предприятия. Региональная политика тесно связана с региональным развитием изменением внутренней социально-экономической структуры региона.
Пространственные различия в обеспечении ресурсами, уровне экономического развития и качестве жизни населения, инфраструктурной оснащенности, в экологическом состоянии среды, остроте национальных и социальных конфликтов присущи практически всем странам независимо от их положения в мире. Цели и задачи региональной политики различных государств могут не совпадать и варьировать в различных пределах. Однако существуют общие цели, присущие региональной политике всех стран.
К ним следует отнести: создание и упрочение единого экономического пространства и обеспечение экономических, социальных, правовых и организационных основ государственности; относительное выравнивание условий социально-экономического развития регионов; приоритетное развитие регионов, имеющих особо важное стратегическое значение для государства; максимальное использование природных, в т. ч. ресурсных особенностей регионов; предотвращение загрязнения окружающей среды, экологизация регионального природопользования, комплексная экологическая защита регионов и др. Иными словами, современная региональная политика пытается объединить интересы федерализма и регионализма.
Федерализм принцип разделения политических и экономических полномочий между федеральной, субфедеральной и местной властями.
Регионализм подход к рассмотрению и решению экономических, социальных, политических и других проблем под углом зрения интересов региона.
Как показывает мировая практика, в условиях кризисной экономики между сторонниками федерализма и регионализма в региональной политике могут возникать противоречия, выражающиеся через взаимоотношения «центр-периферия» (развитие «сверху») и посредством «внутри-периферийных диффузий» (развития «снизу»). Тенденции этих взаимодействий в современной России показаны на схеме 71.
Схема 71.
В основе региональной политики России лежит учет специфики регионов в общероссийской структуре, перенос основных направлений экономических реформ на региональный уровень, всемерная поддержка местного самоуправления и предпринимательства, решение региональных социально-экономических проблем, рациональное использование природных ресурсов. Главная цель региональной политики в соответствии с указом президента от 3 июня 1996 г. «Об основных положениях региональной политики в Российской Федерации» заключается в укреплении государственности РФ, совершенствовании федерализма, формировании условий для более эффективного и гармоничного развития регионов, а также обеспечении благосостояния населения страны.
Для достижения этой цели региональная политика призвана выполнять следующие основные задачи:
сохранение единого внутреннего рынка России, единства инфраструктуры систем энергетики, транспорта, связей, общей денежно-кредитной системы, общего контроля за экспортом и импортом продукции при наличии свободы экономических, научно-технических и других договорных отношений между предприятиями по всей территории России, свободной конкуренции производителей разных форм собственности, свободного движения товаров и капиталов;
повышение благосостояния населения в каждом регионе, постепенное выравнивание уровня жизни, исключение чрезмерных контрастов в социальных условиях;
расширение горизонтальных связей между регионами, формирование рынка труда и межрегионального регулирования занятости, создание рынков капиталов путем развития системы акционерных компаний, фондовых бирж, коммерческих банков и др.;
преодоление общего кризиса и реформирование экономики;
преодоление нестабильности в политическом отношении, межэтнической напряженности и противоречивости национально-государственного устройства России и др.
Осуществление региональной политики тесно связано и с решением проблем экономической безопасности.
Экономическая безопасность региона это совокупность условий и факторов, характеризующих текущее состояние экономики, стабильность, устойчивость и поступательность ее развития. В общих чертах структура региональной экономической безопасности представляется как комплекс факторов, призванных обеспечивать предпосылки для ее выживания и сохранения ее региональных структур в условиях кризиса и будущего развития; защиту жизненно важных интересов страны и ее территорий в отношении ресурсного потенциала; создание внутреннего иммунитета и внешней защищенности от дестабилизирующих воздействий; конкурентоспособность регионов на внутренних и мировых рынках и устойчивость финансового положения страны; условия и образ жизни, достойные цивилизованного человека и возможности устойчивого и нормального воспроизводства общественных процессов.
Для анализа региональной безопасности в литературе предлагается использовать систему индикаторов, определяющих в виде количественных показателей параметры социальной действительности, несоблюдение которых обусловливает превращение потенциальных угроз нарушения социального равновесия в реальные. Отличительная особенность индикаторов безопасности их пороговое значение. Приближение к их предельно допустимой величине свидетельствует о нарастании угроз социально-экономической стабильности общества, а превышение предельных, или пороговых значений о вступлении общества в зону нестабильности и социальных конфликтов, то есть о реальном подрыве экономической безопасности.
Рассмотрим значения некоторых социальных индикаторов по России и Приморскому краю (таблица 31).
Таблица 31.
Пороговые значения и фактическое состояние социальных индикаторов экономической безопасности в Российской Федерации и Приморскому краю
Показатели
|
Пороговые
значения
|
Фактическое состояние
|
Вероятные последствия для страны
|
РФ
|
Приморье
|
Отношение числа умерших к числу родившихся
|
1
|
1, 63
|
1, 6
|
Интенсивная депопуляция
|
Доля людей, имеющих доходы ниже прожиточного минимума
|
10%
|
20-25%
|
42%
|
Люмпенизация населения
|
Децильный коэффициент
|
8 раз
|
15 раз
|
17-18 раз
|
Рост социальной напряженности
|
Соотношение минимальной и средней заработной платы
|
1: 3
|
1: 10
|
1: 13
|
Деквалификация и пауперизация рабочей силы
|
Уровень безработных
|
8-10%
|
13%
|
15, 9%
|
Рост обездоленных слоев населения
|
Кривая Лаффера
Схема 63.
Кривая Лаффера
Сферой применения бюджетной политики является государственный бюджет.
Государственный бюджет план доходов и расходов государства. В общем виде структура государственного бюджета выглядит следующим образом (см. таблицу 27) :
Таблица 27.
Структура государственного бюджета
Доходы
|
Расходы
|
- Налоги, акцизные сборы, таможенные пошлины, гербовый сбор и др.
- Доходы от государственной собственности, госпредприятий, госторговли и др.
- Поступления фондов социального страхования, пенсионного и страхового фондов
- Прочие доходы
|
- Финансирование экономики
- Социально-культурные и целевые программы
- Оборона
- Управление
- Трансферты
- Кредиты и помощь другим государствам
- Платежи по государственному долгу
|
Важнейшей задачей бюджетной политики считаются необходимость сбалансирования государственного бюджета и управление бюджетным дефицитом.
Бюджетный дефицит это превышение расходной части бюджета над доходной. Основными причинами дефицита госбюджета являются уменьшение доходной части бюджета, увеличение государственных расходов, а также непоследовательная финансово-экономическая политика государства.
В экономической теории выделяют несколько типов бюджетного дефицита.
- Структурный дефицит представляет разность между текущими государственными расходами и доходами, которые могли бы поступить в бюджет в условиях полной занятости при существующей системе налогообложения.
- Циклический дефицит определяется как разность между фактическим и структурным дефицитом.
- Фактический дефицит общий дефицит госбюджета.
- Первичный дефицит равен разнице фактического дефицита и выплат по государственному долгу.
Мировая практика выработала три способа покрытия дефицита госбюджета: выпуск госзаймов, ужесточение налогообложения, производство денег или «сеньораж». При этом последний из названных способ не является простым печатаньем денег, т. к. это вызывает инфляцию. Современный «сеньораж» выражается в создании резервов коммерческих банков, которые концентрируются в центральном банке страны и могут быть использованы для покрытия дефицита госбюджета.
Нарастание бюджетного дефицита приводит к появлению и росту государственного долга. Государственный долг это сумма накопленных за определенный период времени бюджетных дефицитов за вычетом имевшихся в это же время положительных сальдо бюджета. Структура государственного долга показана на схеме 64.
Схема 64.
Экономические последствия государственного долга можно свести к нескольким моментам:
- существенное сокращение возможностей потребления для населения данной страны;
- вытеснение частного капитала, что может ограничить дальнейший рост экономики;
- увеличение налогов для оплаты растущего государственного долга выступает в качестве антистимула экономической активности;
- перераспределение дохода в пользу держателей государственных облигаций.
Непосредственным результатом роста государственного долга является организация системы управления этим долгом. Под управлением государственным долгом понимается совокупность действий государства, связанных с изучением конъюнктуры на рынке ссудных капиталов, выпуском новых займов и выработкой условий выпуска, с выплатой процентов по ранее выпущенным займам, проведением конверсий (изменение условий доходности займов) и консолидацией (изменение условий сроков займов), проведением мероприятий по определению ставок процента по государственному кредиту, а также погашением ранее выпущенных займов, срок действия которых истек.
11. 3. Кредитно-денежная система и кредитно-денежная политика Кредитно-денежная политика в самом общем виде может быть определена как действие, проводимое в сфере денежного обращения и кредита специальными органами. Структура кредитно-денежной системы представлена на схеме 65.
Схема 65.
Современная кредитно-денежная система характеризуется распределением функций между разными институтами. В частности, эмиссионные функции выполняют центральные банки, тогда как кредитные функции в основном выполняются коммерческими банками. СКФИ в последнее время занимают ведущее место в сфере инвестиционной деятельности и накоплении денежного капитала, конкурируя с банковским сектором.
Кредитно-денежная политика проводится в жизнь совместными усилиями правительства и центрального банка. При этом основным субъектом кредитно-денежной политики является именно центральный банк, который строит свою деятельность по двум важнейшим направлениям. Первое обеспечивает нормальную работу валютной системы страны в целом, т. к. устойчивая национальная валюта важнейший элемент инфраструктуры рынка.
Второе направление влияние на кредитную деятельность частных (коммерческих) банков, причем строящееся так, чтобы должным образом обеспечивались интересы государства. Центральный банк, таким образом, призван, с одной стороны, управлять, корректировать, регулировать все денежные потоки внутри страны и на мировой арене, с другой стороны, на основе денежных инструментов и потоков регулировать макропропорции в экономике и отчасти во всем обществе исходя из его потребностей и места в мировом хозяйстве. Для реализации кредитно-денежной политики государства центральный банк использует соответствующий набор инструментов (см. таблицу 28).
Таблица 28.
Институты кредитно-денежной политики
Инструменты
политики
|
Общая характеристика
|
Денежная эмиссия
|
Рост наличных денег в обращении
|
Резервная
политика
|
Установление ЦБ нормативов обязательного отчисления в резервы части средств, поступающих на депозитные счета коммерческих банков (и других финансовых институтов).
|
Валютная
политика
|
Оказание непосредственного влияния на величину денежного предложения в стране. Продавая валюту, ЦБ сокращает количество денег, покупая увеличивает
|
Политика
открытого рынка
|
Продажа и покупка ЦБ ценных бумаг
|
Учетная политика
|
Установление ЦБ учетной ставки или ставки рефинансирования за предоставление ссуды коммерческому банку
|
При осуществлении кредитно-денежной политики возможно использование инструментов как прямого (лимиты кредитования, регулирование ставки процента), так и косвенного регулирования (изменение нормы обязательных резервов, изменение ставки рефинансирования, операции на открытом рынке). Эффективность использования косвенных инструментов регулирования тесно связана со степенью развития денежного рынка. Как показывает мировая практика и российский опыт реформирования, в переходных экономиках особенно на первых этапах преобразований, используются и прямые, и косвенные инструменты с постепенным вытеснением первых вторыми.
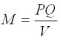
При реализации кредитно-денежной политики центральный банк воздействует прежде всего на денежную массу полный объем выпущенных в обращение наличных и безналичных денег. В соответствии с уравнением обмена И. Фишера (уравнением количественной теории денег) обращающаяся в стране денежная масса (M) должна соответствовать сумме цен выпущенных товаров и услуг (PQ), с учетом того, что одни и те же денежные знаки могут обслуживать товарообмен несколько раз (V) в году. Таким образом:
, или
Структура денежной массы представляет совокупность денежных агрегатов. Денежные агрегаты виды денег и денежных средств, отличающихся друг от друга разной степенью ликвидности. Совокупность денежных агрегатов представлена на схеме 66.
Схема 66.
Структура основных денежных агрегатов
Наиболее ликвидные активы (деньги)
|
Высоколиквидные активы («почти деньги»)
|
Наличные деньги
|
Чековые вклады
|
Бесчековые сберегательные счета
|
Мелкие срочные вклады
|
Облигации госзаймов
|
Крупные срочные вклады
|
М0
|
|
|
|
|
|
М1
|
|
|
|
|
|
М2
|
|
|
|
|
|
М3
|
|
|
|
|
|
Иногда в экономической теории выделяют денежный агрегат L, который состоит из суммы M3 и всех существующих ценных бумаг.
Регулирование размеров эмиссии денег, величины и структуры денежной массы необходимо для предотвращения роста инфляции и поддержания устойчивого роста экономики.
Инфляция обесценивание денег, сопровождаемое повышением цен и падением уровня жизни населения. Различают несколько типов инфляции (таблица 29).
Таблица 29.
Типы инфляции
Критерии
|
Типы
|
Характеристика
|
Темп роста цен
|
умеренная
|
до 10% в год
|
галопирующая
|
до 200% в год
|
гиперинфляция
|
свыше 1000% в год
|
Степень соответствия прогнозам
|
прогнозируемая
|
ожидаемая
|
непрогнозируемая
|
неожидаемая
|
Внешнее проявление
|
открытая
|
рост цен
|
скрытая
|
ухудшение качества товара при сохранении цен
|
подавленная
|
фиксированные цены при дефиците товаров
|
Соответствие темпов роста разных цен
|
сбалансированная
|
динамика роста цен
не меняется
|
несбалансированная
|
цены меняются в разных пропорциях
|
Причины инфляции обуславливаются ее механизмами. Первый механизм инфляция спроса есть результат увеличения совокупного спроса над предложением, когда дефицит товаров вызывает обесценивание денег и провоцирует развитие инфляционной спирали «избыточный спрос цены». Второй механизм инфляция предложения вызывается ростом издержек производства (особенно повышением зарплаты), который приобретает характер цепной реакции и порождает новый виток роста цен.
Место и роль конкуренции в рыночной системе.
Теория эластичности спроса и предложения имеет важное практическое значение. Эластичность спроса является важным фактором, влияющим на ценовую политику фирмы. Другим примером фактического использования теории эластичности является государственная налоговая политика, а также политика в области занятости.
5. 3. Место и роль конкуренции в рыночной системе. Одним из важнейших признаков рынка является конкуренция как форма взаимного соперничества субъектов рынка и механизм регулирования общественного производства.
Конкуренция общественная форма столкновения субъектов рыночного хозяйства в процессе реализации их индивидуальных экономических интересов.
Конкуренция в экономике выполняет ряд функций:
- выявляет и устанавливает рыночную стоимость товара;
- сводит конкретный труд к общественно необходимому;
- содействует выравниванию индивидуальных стоимостей и прибыли в зависимости от производительности труда и эффективности управления производством.
Посредством конкуренции происходит распределение не только факторов производства, но и доходов в соответствии с вкладом и эффективностью деятельности хозяйствующих субъектов. Эффективное использование ресурсов позволяет производителям получать высокие доходы, при неэффективном использовании ресурсов они несут убытки и могут быть вытеснены с рынка.
Существуют разные типы конкурентного поведения рыночных субъектов:
- креативное (созидательное) поведение, направленное на создание предпосылок, обеспечивающих превосходство над соперниками;
- приспособленческое учитывающее инновационные изменения в производстве (копирование) и упреждающее действия соперников;
- обеспечивающее (гарантирующее) поведение, направленное на сохранение достигнутых позиций.
С точки зрения активности участия в конкурентной борьбе на конкурентном рынке различают лидеров, претендентов на лидерство, ведомых и новичков.
Для современного рынка характерна регламентированная конкуренция, которую принято называть добросовестной и эффективной. Это обозначает то, что на рынке никто из производителей не может монополизировать производство или продажу, не ущемляются права потребителей и действия хозяйственных субъектов не противоречат законам.
В промышленно развитых странах, где рыночные отношения имеют давнюю историю, конкуренция приобретает самые разные формы. Прежде всего выделяют внутриотраслевую и межотраслевую конкуренцию.
Таблица 10.
Внутриотраслевая и межотраслевая конкуренция
Признаки
|
Внутриотраслевая
конкуренция
|
Межотраслевая
конкуренция
|
Субъекты
|
предприятия одной
отрасли
|
предприятия разных
отраслей
|
Объекты
|
лучшие условия производства и сбыта
|
сферы наиболее прибыльного вложения капитала
|
Предпосылки
|
различие индивидуальной стоимости однородных товаров
|
различие нормы прибыли в отраслях экономики
|
Результат
|
рыночная цена и рыночная стоимость на однородные товары
|
средняя прибыль и цена производства
|
В современной экономике особое значение имеет конкуренция, начинающаяся задолго до появления товара на рынке. Предприниматели могут бороться за приобретение сырья, материалов или оборудования по более низкой цене, за наиболее удачное расположение своих предприятий, за лучшие кадры и т. д. Так появилась внутрифирменная (бухгалтерская) конкуренция в части улучшения качества продукта, снижения производственных издержек в рамках одной фирмы.
В зависимости от способа поведения фирмы на рынке выделяют ценовую и неценовую конкуренцию.
Ценовая конкуренция борьба между производителями за получение дополнительной прибыли посредством уменьшения издержек производства и снижения цен на продукцию без изменения ее ассортимента и качества. Ценовая конкуренция проявляется в использовании демпинга (продажа товара по ценам ниже его себестоимости), ценовой дискриминации (предоставлении одного и того же товара по разным ценам для разных групп населения), лизинга (долгосрочного договора аренды), дифференциации качества товара при одной и той же цене и другого. Неценовая конкуренция уменьшает значение цены как фактора потребительского спроса.
Неценовая конкуренция это борьба между субъектами рынка на основе технического превосходства, высокого качества и надежности изделий, более эффективных методов сбыта, использования маркетинга, расширения видов предоставляемых услуг и гарантий покупателям, улучшения условий оплаты и других приемов.
Конкуренция очень сильно зависит от количества производителей-продавцов и покупателей. В экономической теории различают совершенную и несовершенную конкуренцию.
Совершенная конкуренция означает такое состояние экономической системы, когда влияние каждого участника экономического процесса на общую ситуацию настолько мало (менее 1 %), что им можно пренебречь.
Несовершенная конкуренция существует тогда, когда возможен контроль над определенной долей рынка. Несовершенная конкуренция включает следующие виды:
- монополия власть одного продавца (монопсония власть одного покупателя);
- олигополия власть нескольких крупных фирм (олигопсония власть нескольких крупных покупателей);
- монополистическая конкуренция соревнования между разными по силе и влиянию продавцами.
Формы конкуренции и соответствующие им типы рыночных структур показаны в таблице 11.
Таблица 11.
Формы конкуренции и типы рыночных ситуаций
основные
черты
|
Совершенная
конкуренция
|
Чистая
монополия
|
Олигополия
|
Монополистическая конкуренция
|
количество фирм на рынке
|
множество независимых
|
одна крупная
|
несколько крупных
|
достаточно много
|
тип
продукта
|
стандартизиро-
ванный
|
уникальный
|
стандартизиро-ванный
|
дифференциро-ванный
|
контроль над ценой
|
отсутствует
|
полный контроль
|
влияние ценового лидера
|
влияние ограничено
|
вход в отрасль
|
относительно
легкий
|
очень трудный
|
трудный
|
вход и выход возможны
|
Конкуренция выступает мощным фактором концентрации производства, характер ее зависит от развитости и степени монополизации производства.
В России началом создания антимонопольного законодательства стал «Закон о конкуренции и ограничении монополистической деятельности на товарных рынках». Этот закон определил недобросовестные методы конкуренции, а именно:
- распространении ложных, неточных или искаженных сведений, способных причинить убытки либо нанести ущерб деловой репутации другому хозяйствующему субъекту;
- введение потребителей в заблуждение относительно характера, способа и места изготовления товара, его потребительских качеств и свойств;
- некорректное сравнение хозяйствующим субъектом в процессе его рекламной деятельности производимых или реализуемых им товаров с товарами других хозяйствующих субъектов;
- самовольное использование товарного знака, фирменного наименования.
Для реализации антимонопольного законодательства в стране в 1991 г. был создан Антимонопольный комитет РФ. Его задачи не только контроль за монополиями, но и борьба с монополизмом в отечественной экономике.
Монополии крупные хозяйственные объединения, контролирующие отрасли и рынки за счет высокой степени концентрации производства и капитала и установления монопольных цен и извлечения монопольных прибылей. Монополизм это исключительное положение одного из хозяйствующих субъектов, дающее возможность диктовать свою волю прочим субъектам, регулировать производство данного вида продукции и устанавливать господство на рынке.
Основные направления демонополизации и содействия развитию конкуренции в России предполагают:
- контроль за соблюдением антимонопольных требований при создании, реорганизации и ликвидации хозяйствующих субъектов;
- контроль за крупными продажами и покупками акций, которые могут привести к доминирующему положению хозяйствующих субъектов (свыше 35 %);
- предоставление льготных кредитов, а также уменьшение налогов или освобождение от них хозяйствующих субъектов, впервые вступающих на данный товарный рынок;
- финансирование мероприятий по расширению выпуска дефицитных товаров в целях устранения доминирующего положения отдельных хозяйствующих субъектов;
- привлечение иностранных инвестиций, учреждение совместных предприятий, создание и развитие свободных экономических зон.
В антимонопольном законе предусматривается и ответственность за его нарушение возможность применения штрафных санкций, а в крайних случаях и уголовной ответственности.
Особое значение в антимонопольной практике имеет регулирование деятельности естественных монополий. Естественная монополия имеет место тогда, когда все рыночное предложение товаров и услуг сосредоточено в руках одного продавца и создание конкурентной среды экономически неэффективно. На общенациональном уровне к области естественных монополий можно отнести, например, железные дороги и нефтепроводы, на региональном уровне систему водо- и газоснабжения, телефонную связь, общественный транспорт и т. п.
Отсутствие конкурентной среды делает неэффективным использование рыночных механизмов в регулировании деятельности естественных монополий. В силу специфического положения таких монополий в экономике России единственной силой, способной им противостоять является государство. Поэтому, государственная политика, ставящая пределы и определяющая правила их поведения на рынке, должна быть нацелена на усиление регулирующей роли государства, в частности в области тарифной политики (например, на организацию ценовой конкуренции между различными видами энергоносителей), ограничение неконтролируемой частной монополии государственной монополией, изменение направления рентных доходов в пользу государства, а также на согласование действий федеральных и региональных решений. Недостаточно четкое разграничение прав и ответственности федеральных органов власти и местных администраций по регулированию естественных монополий приводит к ценовым диспропорциям на услуги их отраслей между регионами, к разрыву межрегиональных связей.
При отсутствии скоординированной политики федеральных властей и регионов и высокой дифференциации цен и тарифов между отдельными потребителями деятельность ряда регионов страны в едином экономическом пространстве осложняется. Примером этому могут служить постоянные проблемы, связанные с обеспечением жителей Приморья электроэнергией и теплом, порожденные деятельностью структурной единицы РАО «ЕЭС России» «Дальэнерго».
Место экономической теории в системе экономических наук
Схема 2.
Место экономической теории в системе экономических наук
1. 3. Основные методы и принципы экономического анализа Метод это те приемы и инструменты исследования, которыми располагает методология как самостоятельная наука о методе.
При изучении экономических процессов и явлений следует говорить о двух аспектах анализа. Во-первых, это исследование внутренних процессов на уровне микроэкономики. Оно предполагает использование метода установления минимума или максимума при определении предельных величин.
Во-вторых, аспект рассмотрения внешних связей, характеризующих взаимоотношения агентов производства. Преобладающим здесь выступает метод установления равновесия как на уровне макроэкономики, так и на уровне микроэкономики.
Связь экономической теории и методологии не исчерпывает роли метода исследования, он имеет свои особенные приемы и специфику. Прежде всего это принцип ему, необходимо рассматривать явления в развитии. Исследовательский потенциал принципа историзма весьма велик, он включает сравнительный исторический метод, единство исторического и логического и т. д.
К числу способов и приемов анализа экономической действительности относятся индукция и дедукция, анализ и синтез. Индукция это процесс создания теории из набора наблюдений. Она обеспечивает переход от частных наблюдений к обобщению.
Дедукция процесс прогнозирования будущих событий с помощью теории. Она обеспечивает переход от общего к частному. Анализ означает изучение предмета по частям, т. е. его отдельных сторон и свойств, с тем чтобы полученные результаты свести затем в целое, произвести синтез.
Важнейшим методом экономической теории является системный подход, исследующий функциональные связи прямые и обратные зависимости между переменными величинами. Его использование показало, что экономические законы и категории носят не абсолютный, а относительный характер, что позволяет отойти от односторонности и категоричности суждений.
Экономическая теория широко использует математические и статистические методы, которые позволяют выявить количественную сторону процессов и явлений хозяйственной жизни, их переход в новое качество. Особое значение для экономической теории имеет моделирование, т. е. формализованное описание экономического процесса или явления, чья структура определяется объективными свойствами и субъективным целевым характером исследования. При построении модели применяется метод абстракции: сохраняя главные функциональные зависимости переменных экономических величин и не учитывая второстепенные, модель воспроизводит упрощенные экономические связи, что позволяет создавать сложные теоретические системы.
После построения модели необходимо проверить, насколько она соответствует реальным экономическим процессам. Модели бывают статические, в которых анализируется экономическая система в определенный момент времени, и динамические, являющиеся основой для прогнозирования развития в будущем. Различают также линейные и нелинейные модели. Отличительной чертой нелинейных моделей является сложный характер связей, которые невозможно выразить системой линейных уравнений.
Кроме математических (знаковых) моделей в экономической теории используются графические модели.
Экономические принципы это обобщения, содержащие в себе несколько неточные количественные определения в виде средних данных или статистических вероятностей.
Среди экономических принципов наиболее распространенными являются:
- допущение «при прочих равных условиях», позволяющее считать все экономические переменные, за исключением тех, которые в данный момент рассматриваются, неизменными;
- принцип «издержки-выгоды», требующий экономически рационального выбора из целого ряда альтернатив;
- принцип «после этого, не означает по причине этого», требующий не смешивать в анализе корреляцию (зависимость) с причинностью.
При изучении экономических проблем часто используют позитивный и нормативный анализ. На основе этого различают позитивную и нормативную экономическую теории. Позитивный анализ дает возможность увидеть связи между реальными экономическими явлениями и процессами, нормативный анализ основан на исследовании того, что и как должно быть.
Нормативное утверждение обычно выводится из позитивного, но объективные факты не могут доказать его истинность или ложность. При нормативном анализе выносятся оценки справедливо или нет, плохо или хорошо, допустимо или недопустимо.
Экономические теории формулируются в виде позитивных утверждений, хотя большинство расхождений между экономистами возникает при рассмотрении вопросов нормативного анализа.
Таким образом, изучение экономических проблем ведет к выявлению и сбору фактов, установлению принципов, характеризующих реальное поведение индивидов и институтов. Выведение принципов из фактов и составляет содержание экономической теории, которая необходима для разработки успешной экономической политики (см. схему 3).
Схема 3.
Связь между факторами, принципами и политикой в экономике
Экономическая политика целенаправленная система мероприятий государства в области общественного производства, распределения, обмена и потребления благ. Она призвана отражать интересы общества, всех его социальных групп, и направлена на укрепление национальной экономики
Крупные преобразования, изменения в системе ведения хозяйства, управления экономикой, путях и способах осуществления экономической политики составляют содержание экономических реформ.
Реформа специально организованные и на законных началах проводимые высшими органами власти преобразования общественных отношений (экономических, социальных, политических и др.) или отдельных сфер жизнедеятельности государства и общества (финансы, образование, оборона и т. д.), причем речь идет о достаточно существенных слоях этих отношений, о важных областях общественной и государственной жизни.
Предпосылками современной экономической реформы в России можно считать попытки трансформации централизованной плановой экономики, получившие название «перестройки» (весна 1985 г. август 1991 г.), когда были сделаны первые шаги в сторону реальной рыночной экономики. При этом главной задачей считалась коренная реконструкция народного хозяйства на основе научно-технического прогресса, с глубокими структурными сдвигами в общественном производстве, с радикально реформой хозяйственного механизма, способной придать социализму новое качество. В развитии современной экономической реформы в России, связанной с попыткой построения рыночной системы, можно выделить несколько этапов (см. таблицу 1)
Таблица 1.
Этапы экономической реформы в современной России
Хронологические рамки
|
Содержание этапа
|
1989-1991
|
Развитие рыночных отношений в рамках трансформации централизованной плановой экономики
|
1992-1997
|
«Шоковая терапия» одномоментная либерализация цен, жесткая кредитно-денежная политика и массовая приватизация государственной собственности
|
1998 …
|
Выработка концепции долгосрочной стратегии и экономического реформирования. Ориентация на постепенное, поэтапное движение к российскому варианту общества постиндустриального типа
|
Глубочайший кризис, в котором оказалась страна, безуспешность попыток прервать его течение свидетельствуют о неадекватности принятого варианта реформ требованиям времени и условиям страны и настоятельно ставят вопрос о необходимости создания новой концепции реформирования с современными характеристиками качества жизни народа на основе формирования нового технологического способа производства и многоукладной, социально ориентированной, динамичной рыночной экономики при значительной роли государства в регулировании. Особое значение в процессе выработки новой стратегии реформы придается региональной политике. Это обусловлено существованием тенденций экономической и политической дезинтеграции. Пример Чечни показывает, каких опасных пределов может достичь процесс суверенизации, к каким жертвам среди населения и в экономике это может привести, если он не блокируется вовремя или не решается в рамках закона.
Развитие рыночных реформ в Приморском крае, приведших к его значительному отрыву от центра, не носит такой взрывоопасный характер. Однако цифры даже за последние пять лет свидетельствуют о постоянном ухудшении социально-экономической ситуации (таблица2)
Таблица2.
Показатели развития Приморского края
Социальные
индикаторы
|
1995
|
1996
|
1997
|
1998
|
1999
|
Население (тыс. чел.)
|
2261
|
2246
|
2221
|
2201, 6
|
2179
|
Естественная убыль населения (тыс. чел.)
|
-8, 2
|
-7, 4
|
-9, 1
|
-7, 9
|
-10, 2
|
Общая численность безработных (тыс. чел.)
|
97, 8
|
168
|
127
|
137, 8
|
174
|
Среднемесячный доход, (тыс. руб.)
|
550
|
747
|
844
|
1, 323
|
1, 850
|
Величина прожиточного минимума в месяц, (тыс. руб.)
|
362
|
471, 0
|
502, 4
|
0, 5769
|
0, 976
|
Численность населения с денежными доходами ниже прожиточного минимума,
(тыс. чел.)
|
693. 3
|
746
|
727
|
751
|
939
|
Важно отметить, что эти данные превышают среднероссийские показатели. Это доказывает необходимость применения более эффективных инструментов реформирования, принятия взвешенных политических и экономических решений, способствующих сохранению целостности государства. Такие требования обусловлены общим ходом экономической реформы во всех регионах страны.
Поэтому во многих документах, касающихся региональной политики, говорится, что современная экономическая реформа должна быть направлена на: выравнивание экономического и социального развития регионов по всем показателям, определяющим уровень жизни населения; формирование эффективных территориальных пропорций, крупных производственных комплексов, создание условий для территориальной системы расселения; преодоление диспропорций в развитии народнохозяйственного комплекса и отдельных отраслей на основе сокращения сырьевой сферы экономики в пользу перерабатывающей сферы и сферы услуг; изменение административно-территориального устройства России и ее районирования.
Мировая валютная система
На основе национальных валютных систем образуется мировая валютная система.
Мировая валютная система это исторически сложившийся на базе развития товарного производства, денежного обращения и международных экономических отношений порядок расчетов между участниками платежного оборота с присущей ему системой валютно-финансовых учреждений, регламентируемый межправительственными соглашениями и уставами международных организаций.
Мировая валютная система прошла в своем развитии несколько этапов, общая характеристика которых отражена в таблице 37.
Особое значение в мировой экономике на современном этапе имеет Европейская валютная система. Это специфическая валютная система, которая эволюционировала от координации валютной политики стран ЕС через создание общей расчетной единицы экю и совместное установление валютных курсов к единой денежной политике и единой европейской валюте евро.
Таблица 37.
Мировая валютная система
Этапы развития
|
Содержание
|
Система
«золотого стандарта»
|
Золотомонетный (с1867 до начала XX в.)
Золотослитковый (с начала XX в. до 1914 г.)
Золотодевизный (золотовалютный) (1922 1939 гг.)
Достоинства: стабильность курсов валют способствует торговле, снижает риск; саморегулируется на основе жесткого механизма
Недостатки: отказ от самостоятельной денежной политики странами, зависимость от добычи золота
|
Бреттон-
Вудская
система
|
Создана в 1944 г.
Основные принципы:
- Установлены твердые обменные курсы валют 44 стран-участниц к курсу доллара;
- Курс доллара фиксирован к золоту, цена золота 35 долларов за тройскую унцию;
- Центральные банки поддерживают стабильный курс своей валюты по отношению к золоту;
- Организующим звеном является МВФ и МБРР
|
Ямайская
валютная
система
|
Создана в 1976 г.
Основные принципы:
- Система основана на нескольких валютах;
- Отменен монетный паритет золота;
- Основным средством является свободно конвертируемая валюта, а также международные кредитные деньги СДР и резервные позиции МВФ;
- Валюты могут находиться в «свободном плавании» курс определяется спросом и предложением;
- ЦБ не обязаны вмешиваться в работу валютных рынков для поддержания фиксированного паритета своей валюты:
- Страна сама выбирает режим валютного курса (фиксированный, плавающий или смешанный)
|
Россия, являясь неотъемлемой частью мировой валютно-финансовой системы, тем не менее испытывает серьезные проблемы, связанные с попытками укрепления своего положения как равноправного партнера во внешнеэкономических связях. Основные факторы, влияющие на нестабильность финансовой ситуации в России можно представить в виде схемы 78.:
Схема 78.
Факторы, влияющие на нестабильность
финансового положения России
- Высокие темпы инфляции и подрыв покупательной способности рубля
- Сокращение экспорта и снижение валютных резервов
- Огромный государственный долг
- Долларизация экономики и «бегство капитала»
- Неэффективная структура экономики, экспорта и импорта
- Признание значительной части валютного долга бывшего СССР
- Нестабильность экономического и политического положения
- Последствия финансового кризиса 1998 г.
Долларизация экономики широкое использование долларов во внутреннем денежном обращении.
«Бегство капитала» устойчивый отток в больших масштабах экономических и финансовых активов в легальной и нелегальной формах, сокращающий финансово-инвестиционные ресурсы страны.
С учетом современной ситуации основными задачами валютной политики России являются:
- поддержание стабильности национальной валюты, использование обменного курса в качестве инструмента сдерживания инфляционных ожиданий;
- сглаживание резких краткосрочных колебаний соотношения спроса и предложения на валютном рынке, повышение предсказуемости динамики валютного курса;
- стимулирование процесса «дедолларизации» экономики путем снижения доходности операций «рубль-доллар» с целью повышения привлекательности вложений в рублевые финансовые активы;
- развитие внутреннего валютного рынка РФ, расширение спектра осуществляемых операций;
- создание условий перехода к полной конвертируемости рубля по текущим операциям;
- управление золотовалютными резервами РФ с целью обеспечения высокого уровня надежности их размещения и ликвидности.
Тренировочные задания к теме 13 1. Экономика описана следующими данными: экспорт товаров составляет 19650 д. е.; импорт товаров 21758 д. е.; граждане страны получают доход от иностранных инвестиций в виде процентных выплат из-за рубежа в размере 3621 д. е.; страна выплачивает зарубежным инвесторам доход в виде процентов в размере 1394 д. е.; расходы граждан данной страны на туризм составляют 1919 д. е.; доходы данной страны от туризма составляют 1750 д. е.; односторонние трансферты страны 2388 д. е.; отток капитала из страны составляет 4174 д. е.; приток капитала в страну 6612 д. е. Используя эти данные, рассчитайте сальдо текущего счета, счета движения капитала и платежного баланса страны.
2. В таблице приведены значения паритета покупательной способности и валютного курса рубля к доллару США.
Показатель
|
1990
|
1992
|
1994
|
1995
|
Паритет покупательной способности, руб. за долл.
|
0, 52
|
19, 38
|
858, 79
|
2672, 6
|
Валютный курс, руб. за долл.
|
0, 58
|
192, 5
|
2204, 0
|
4800, 0
|
Каковы отклонения по годам валютного курса от паритета покупательной способности? Какой теоретически должна быть зависимость между этими величинами? Какими причинами может обусловливаться ситуация, отраженная в таблице?
3. Предположим. Что обменный курс валют США и Англии составляет 2 доллара США за 1 фунт стерлингов, темп инфляции В США 3% в год, а в Англии 10% в год. В какой из двух валют целесообразнее хранить сбережения?
Как интерес вкладчиков может повлиять на изменение спроса и предложения этих валют? Какие тенденции в изменении валютного курса наиболее вероятны в этих условиях? Какими мерами страна с менее выгодной валютой может поддержать интерес вкладчиков и повлиять на изменение в спросе и предложении валют?
4. Допустим, что Россия производит 360 электровозов и 2400 вагонов, а Украина 160 электровозов и 800 вагонов. Если бы Россия производила только электровозы, то их ежегодный выпуск составил бы 600 штук, а если бы только вагоны, то выпустила бы их 6000 штук. Соответственно, Украина могла бы производить либо 200 электровозов, либо 4000 вагонов.
Определите, какая страна обладает абсолютным и сравнительным преимуществом в производстве этих видов продукции; к каким выгодам приводит специализация?
5. Допустим, курс доллара к немецкой марке составляет 1: 3, следовательно, один и тот же товар в США стоит, например, 400 долларов, а в Германии 1200 марок. Какой экспортер получит дополнительный доход (США или Германия), если курс доллара искусственно понизится до 1: 2? Определите величину дополнительного дохода?
Тест к теме 13 Определите все верные ответы.
1. Девальвация национальной денежной единицы
а) делает выгодным экспорт;
б) делает выгодным импорт;
в) ведет к потере прибыли, полученной от экспорта в пересчете на отечественные товары на рынках других стран;
г) предшествует денежной реформе.
2. Продолжающееся падение курса российского рубля выгодно
а) населению; б) правительству;
в) производителям, использующим импортное сырье;
г) экспортерам отечественной продукции.
3. Допустим, что Россия продает Кипру ракетные установки. Эта сделка должна быть отражена в платежном балансе России
а) как приток капитала в балансе движения капитала;
б) как отток капитала в балансе движения капитала;
в) как увеличение в балансе по текущим операциям;
г) как уменьшение баланса по текущим операциям.
4. Какие из мероприятий внешнеэкономической политики может быть использовано для оживления конъюнктуры?
а) ценовая скидка на импорт; б) ценовая скидка на экспорт;
в) отмена импортных ограничений и ставки депонирования иностранной валюты;
г) повышение ставки процента при депонировании иностранной валюты;
5. Если производительность труда по производству экспортируемого товара на предприятиях одной страны выше, чем в стране-импортере, то первая страна имеет
а) абсолютное преимущество; б) положительное преимущество;
в) сравнительное преимущество;
г) отрицательный торговый баланс.
6. Политику протекционизма впервые использовали
а) физиократы; б) меркантилисты;
в) классики политэкономии; г) маржиналисты.
7. Соотношение между валютными поступлениями в страну и платежами, которые страна осуществляет за границей за определенный промежуток времени, это
а) торговый баланс; б) платежный баланс;
в) государственный бюджет; г) все ответы неверны.
8. Бреттон-Вудская система это система
а) золотого стандарта; б) золотодевизного стандарта;
в) фиксированных связанных валютных курсов;
г) «плавающих» валютных курсов.
Общие характеристики макроэкономической стабилизации
Схема 50.
Парадокс макроанализа
Уровень цен
Реальный объем производства
Такое положение объясняется возникновением инфляционной модели потребительского спроса при которой ограничивается потребление многих ценных продуктов питания и многих предметов личного обихода, но приобретаются вещи, чтобы спасти обесценивающиеся деньги. В условиях финансовой нестабильности и продолжающейся инфляции равновесие нарушено, связь между совокупным спросом и предложением разорвана. Поэтому требуется определенное время и кардинальные перемены в хозяйственной ситуации, чтобы свободные цены побуждали производство к расширению и совершенствованию.
Модель взаимодействия совокупного спроса и совокупного предложения также может быть использована и для объяснения экономической сущности шоков отклонения объема выпуска и занятости от потенциального уровня. Шоки со стороны спроса могут возникать, например, вследствие резкого изменения предложения денег или скорости их обращения, резких колебаний инвестиционного спроса и т. д. Шоки предложения могут быть связаны с резкими скачками цен на ресурсы (ценовые шоки, например, нефтяной шок), со стихийными бедствиями, приводящими к утрате части ресурсов экономики и возможному уменьшению потенциала, усилением активности профсоюзов, изменением в законодательстве. Появление шоков в экономике способствует активизации стабилизационной политики государства, направленной на восстановление равновесного объема производства и занятости на прежнем уровне.
Общие характеристики макроэкономической стабилизации носят универсальный характер. Однако в условиях стран с переходной экономикой они приобретают специфические черты. Это определяется связью макроэкономической стабилизации с преодолением системного кризиса, имеющего особую глубину и остроту. Поэтому макроэкономическая стабилизация в условиях переходной экономики представляет собой не просто набор определенных экономических мер и через их посредство- балансирование ряда макроэкономических показателей, а одновременно и формирование новой системы экономических отношений.
В этом смысле она носит не только функциональный, но и трансформационный характер, а значит, является важным элементом системных преобразований в экономике.
В этой связи естественно вспомнить широкоизвестный в термодинамике закон Ле Шателье, который в наше время П. Самуэльсон перенес на экономические системы (закон Самуэльсона Ле Шателье). В соответствии с ним всякая система, испытывающая внешнее воздействие, противодействует ему, стремясь сохранить свое прежнее состояние. Как показывает анализ, проведенный А. Варшавским,, можно выделить несколько основных внешних факторов, вызывающих дестабилизацию в российской экономике:
- либерализация цен и непродуманная приватизация, сопровождавшиеся перетоком денежных средств из первичного и вторичного секторов экономики в третичный (кредитно-финансовая сфера, услуги, торговля);
- высокая стоимость кредита для предприятий реального сектора экономики;
- низкая эффективность банковской сферы, действующей на основе финансовых пирамид;
- отток капитала за рубеж;
- чрезмерно высокий для предприятий реального сектора уровень налогообложения;
- значительная роль государства в формировании задолженности.
Действие этих факторов привело, в частности, к нарушению обычных зависимостей в финансовой системе. В нормальной рыночной экономике неплатежи, внутренняя и иностранная валюта являются чистыми субститутами. Однако в российской экономике между ними действуют иные связи.
Переход к бартеру и денежным суррогатам сопровождался ростом неплатежей. Это позволяло компенсировать снижение ВВП под действием внешних факторов, а также замедлить темпы инфляции. Иными словами, бартер, неплатежи и денежные суррогаты в условиях хронического кризиса способствуют выживанию российских предприятий и сохранению социальной инфраструктуры.
Такое положение требует особой стабилизационной политики со стороны государства.
Тренировочные задания к теме 9 1. Если кривая AS представлена вертикальной линией при уровне реального ВНП, равном 140 д. е., чему равен равновесный уровень цен? Если кривая совокупного предложения представлена горизонтальной линией при уровне цен, равном 120 д. е., чему равен равновесный ВНП?
2. В таблицу включены неценовые факторы, которые оказывают влияние на динамику основных компонентов совокупного спроса. Заполните таблицу. Во второй колонке укажите соответствующий компонент совокупного спроса, в третьей характер его изменения: «+» рост или «-» падение.
Факторы
|
Компонент AD
|
Изменение
|
а) Рост населения
б) Сокращение предложения денег
в) Повышение индивидуальных налогов
г) Повышение цен на жилые дома
д) Сезонное снижение цен на сельскохозпродукцию
|
Потребление
|
«+»
|
3. Предположим, что под действием определенных факторов кривая совокупного спроса сместится за первый год от AD1 и дойдет до AD2 за второй год, а за третий снова вернется к AD1. Найдите новое равновесное в третьем году при условии, что цены и заработная плата а) абсолютно гибкие и б) не имеют тенденции к понижению. Какое из этих положений более предпочтительно? Какое более реально?
Объясните, как может подскочить уровень цен при увеличении совокупного спроса.
4. Объясните, почему соотношение между совокупным спросом и совокупным предложением является исходным при анализе макроэкономического равновесия и одновременно оно представляет собой наиболее простую его модель.
Тест к теме 9 Определите все верные ответы.
1. В кейнсианской модели общего экономического равновесия
а) всегда существует неполная занятость;
б) увеличение предложения денег всегда сопровождается увеличением реального НД;
в) в состоянии общего равновесия сумма инвестиций, государственных расходов и экспорта всегда равна сумме сбережений, налогов и импорта;
г) кривая совокупного спроса всегда имеет отрицательный наклон.
2. Если совокупный спрос превышает совокупное предложение, то для достижения равновесия необходимо:
а) изменить объем производства; б) повысить цены;
в) расширить выпуск продукции; г) все ответы неверны.
3. Модель общего макроэкономического равновесия раскрывает
а) причины колебаний экономической активности;
б) условия достижения равновесие на отдельных рынках;
в) условия достижения равновесие на всех национальных рынках;
г) условия устойчивого равновесного роста экономики.
4. Что следует отнести к макроэкономическим причинам «левостороннего» смещения кривой совокупного спроса в России в годы современных экономических реформ?
а) падение объема производства; б) конверсия производства;
в) падение жизненного уровня населения;
г) кардинальное сокращение инвестиций в производство.
5. Промежуточный отрезок на кривой совокупного предложения
а) имеет положительный наклон; б) имеет отрицательный наклон;
в) является вертикальной линией;
г) является горизонтальной линией.
6. Если домохозяйства из каждого получаемого дополнительно рубля сберегают 10 копеек, то мультипликатор составляет
а) 4; б) 5; в) 9; г) 10.
7. Если совокупное предложение превышает совокупный спрос и предприниматели снижают цены, то национальный доход
а) будет расти; б) будет падать; в) не изменится;
г) будет расти или падать в зависимости от эластичности спроса.
8. Кейнсианская модель предполагает
а) вертикальную AS на уровне потенциального ВНП;
б) горизонтальную кривую AS на некотором уровне цен, соответствующем уровню ВНП ниже потенциального;
в) кривую AS с небольшим положительным наклоном, отражающую воздействие процентных ставок;
г) ничего из перечисленного.
Основные антиинфляционные меры
Уровень инфляции определяется на основе сопоставления среднего уровня цен, в свою очередь измеряемого индексом цен.
,
где Р2 средний уровень цен в текущем году, а Р1- средний уровень цен в прошлом году.
Инфляция чревата рядом крайне неприятных для общества последствий. Так, происходит перераспределение доходов в пользу предприятий-монополистов, финансовых структур, теневой экономики и т. д. При этом больше всего выигрывают должники, в том числе государство, которое всегда имеет возможность покрыть свои инфляционные расходы выпуском необеспеченных денег. К последствиям инфляции относится и разрушение нормальных социально-экономических связей, включая отказ от товарно-денежных отношений и переход к бартеру.
Опасным для страны явлением становится и возникающая в это время инфляционная психология ситуация, когда люди, уверенные, что инфляция будет продолжаться, предпринимают соответствующие меры: запасают товары впрок, требуют опережающего роста заработной платы или закладывают ожидаемый уровень инфляции в цену товара. Инфляция отрицательно влияет на экономический рост страны и рациональность использования ею своих ресурсов, т. к. сокращаются инвестиции (вложения капитала) в производство, а население вкладывает деньги в недвижимость или иностранную валюту. Борьба с инфляцией является одним из важнейших составляющих элементов не только кредитно-денежной, но и антициклической политики.
Антиинфляционная политика может проводится как методами «шоковой терапии» (когда жесткая денежная политика помогает сбить инфляцию, но сопровождается значительным спадом производства), так и постепенно, путем многократного, но каждый раз небольшого снижения темпов роста денежной массы, что позволяет избежать глубокого спада, однако не дает снизить инфляцию. В целом в современной экономической теории выделяют два основных виды антиинфляционной политики.
Активная антиинфляционная политика направлена на ликвидацию причин, вызвавших инфляцию.
Адаптивная антиинфляционная политика представляет собой комплекс мер, направленных на создание условий для приспособления экономики к инфляции, смягчение ее отрицательных последствий. Основные антиинфляционные меры показаны на схеме 67.
Схема 67.
Антиинфляционная политика государства
Адаптивная политика
|
|
Активная политика
|
|
Индексация; соглашения с предпринимателями профсоюзами о темпах роста цен и зарплаты
|
Монетарные рычаги
Контроль за денежной эмиссией; осуществление текущего контроля за состоянием денежной массы путем операций на открытом рынке и резервной политики; недопущение эмиссионного финансирования госбюджета; пресечение обращения денежных суррогатов; проведение денежной реформы конфискационного типа
|
Немонетарные рычаги
против инфляции спроса: уменьшение госрасходов; увеличение налогов; сокращение дефицита госбюджета; переход к жесткой кредитно-денежной политике; стабилизация валютного курса путем его фиксирования
против инфляции предложения: сдерживание роста факторных доходов и цен; борьба с монополизмом в экономике
|
Кредитно-денежная политика, также как и фискальная, имеет свои плюсы и минусы. К ее сильным сторонам можно отнести быстроту и гибкость, меньшую по сравнению с фискальной политикой зависимость от политического давления, ее большую консервативность в политическом отношении. В то же время повышение значимости кредитно-денежных и финансовых методов воздействия государства на современную экономику отнюдь не исчерпывает проблемы регулирования рынка. Население оценивает деятельность государства, его органов прежде всего по динамике параметров экономического роста, динамике качества жизни.
Это требует дальнейшего развития социальной сферы.
11. 4. Социальная политика Статья 7 Конституции РФ гласит, что Российская Федерация социальное государство, политика которого направлена на создание условий, обеспечивающих достойную жизнь и свободное развитие человека.
Экономическая теория социального государства возникла после второй мировой войны и предполагает проведение разумной политики в области налогообложения, кредитов, инвестиций, антимонопольного и таможенного законодательства, финансирования социальных отраслей и программ. Социальное государство создает правовое поле, устанавливает правила поведения на нем, механизмы функционирования и контроля для достижения следующих целей:
- развития и устойчивой работы отечественного рыночного хозяйства, обеспечивающего экономическую безопасность для страны;
- реального участия граждан в управлении производством, общественной и государственной жизни;
- осуществления тарифной политики в интересах работодателя и работника;
- социальной защиты и поддержки нуждающихся;
- проведения политики справедливого распределения доходов, социальной солидарности граждан;
- активной социальной политики и социального партнерства.
Социальная политика всегда связана с отношениями между людьми по поводу использования ими материальных и духовных благ и должна рассматриваться как часть общей экономической политики, конечной целью которой является повышение благосостояния населения.
Социальная политика совокупность мер государственного воздействия, направленных на регулирование всего комплекса социальных процессов и отношений между людьми. Основные направления социальной политики государства показаны на схеме 68.
Схема 68.
Обеспечение
определенного стандарта благосостояния для всех членов общества
|
Обеспечение всем трудоспособным благоприятных возможностей для предпринимательства и труда
|
- Перераспределение доходов в обществе
- Выплаты пенсий и пособий нетрудоспособным, малообеспеченным и безработным
- Общее образование и необходимая медицинская помощь для всех
|
- Либерализация бизнеса
- Поощрение малого бизнеса
- Поддержка высокой занятости
- Регулирование трудовых отношений
|
Важнейшим направлением социальной политики является государственная политика доходов. Она направлена на решение двух главных задач: оказание прямой помощи наиболее уязвимым слоям населения через систему социального обеспечения и нейтрализацию инфляционного обесценивания доходов и сбережений населения. Государственная политика доходов заключается в перераспределении их через госбюджет путем дифференцированного налогообложения различных групп получателей дохода и социальных выплат.
При этом значительная доля национального дохода переходит от слоев населения с высокими доходами к слоям с низкими доходами. Государство перераспределяет доходы путем выплат социальных трансфертов, введением минимальных ставок заработной платы, а также изменения цен, устанавливаемых рынком. Однако перераспределение доходов внутри общества ведет к снижению экономической эффективности, которое американский экономист А. Оукен сравнил с «дырявым ведром».
Масштабы утечки из этого ведра определяются тем, в какой мере повышение налогов и рост социальных трансфертов уменьшают объемы предложения труда. В случае, если эластичность предложения труда по заработной плате высока, повышение налогов с целью увеличения социальных трансфертов приводит к значительному сокращению предложения труда в легальном секторе экономики и перетеканию его в теневой сектор.
Особое значение в политике доходов имеет проблема защиты денежных доходов населения от инфляции. С этой целью применяется индексация доходов увеличение денежных доходов и сбережений граждан в соответствии с ростом цен на потребительские товары и услуги. Индексация осуществляется как на уровне общегосударственном, так и отдельных предприятий через коллективный договор.
Она предусматривает дифференцированный подход в зависимости от величины доходов: от полной компенсации самых низких до близкой к нулю компенсации самых высоких.
В рыночной экономике особым направлением социальной политики государства является защита населения от безработицы.
Безработица такая ситуация, при которой часть трудоспособного населения не может найти работы. Уровень безработицы (УБ) характеризуется нормой, которая рассчитывается как отношение общего числа безработных (Б) к численности рабочей силы (РС) в процентах.
Экономисты выделяют три основных типа безработицы.
- Фрикционная (от английского friction трения, разногласие) добровольная кратковременная безработица, связанная с поиском лучших условий труда. Это явление, как и умеренная инфляция, считается неизбежным.
- Структурная безработица порождается технической перестройкой производства, когда спрос на рабочую силу определенной квалификации уменьшается. В Приморье это особенно ощутимо в угольном комплексе. Такая безработица является вынужденной и требует соответствующих мер государства по переподготовке кадров. Фрикционная и структурная безработицы составляет ее естественный уровень (5-6% от трудоспособного населения) и характерны для современного общества, даже в условиях полной занятости.
- Циклическая безработица обусловлена общим падением производства в ходе экономического цикла. Насколько она опасна для общества помогает судить закон Оукена, в соответствии с которым каждый процент превышения безработицы сверх естественного уровня влечет за собой сокращение ВНП на 2, 5%.
Плюсы и минусы протекционизма
Взвешенная оценка политики протекционизма обязывает экономистов определить как положительные, так и отрицательные его стороны (таблица 35).
Таблица 35.
Плюсы и минусы протекционизма
протекционизм
|
+
- уравновешивает торговый баланс
- защищает национальное производство от демпинга
- поддерживает молодые отрасли
- стимулирует рост национального производства
|
-
- падает эффективность производства
- растут цены при уменьшении выбора товаров
- не используются преимущества МРТ
- подрываются возможности экспорта
- подрываются условия для формирования автаркии
|
Автаркия политика экономического обособления, проводимая страной, регионом. Автаркия направлена на создание замкнутой, независимой экономики, способной обеспечить себя всем необходимым самостоятельно. Автаркия сродни натуральному хозяйству.
Большинство современных государств проводят гибкую внешнеторговую политику, которая сочетает в себе элементы как протекционизма, так и фритредерства. В разные периоды их соотношение менялось. Так, в послевоенной экономике в 1950-1960-х гг. преобладали тенденции к либерализации, в 70-х первой половине 80-х гг. более отчетливо проявилась волна нового протекционизма. При этом выявился ряд тенденций в торговой политике развитых государств:
- уменьшение значимости традиционных мер протекционистской защиты национального рынка;
- преимущественная направленность сохраняющихся мер традиционного протекционизма против экспорта готовых изделий из развивающихся стран;
- использование механизма гибкой защиты национального рынка с помощью мер косвенного регулирования;
- аграрный протекционизм;
- избирательное использование принципа наибольшего благоприятствования.
Однако общим курсом развития мировой экономики является либерализация мировой торговли.
Важнейшим понятием, отражающим текущее внешнеэкономическое положение страны, является платежный баланс.
Платежный баланс это систематизированная запись итогов всех экономических сделок между резидентами данной страны (домашними хозяйствами, фирмами и правительства) и остальным миром в течение определенного периода времени (обычно года).
Экономическое назначение платежного баланса состоит в том, чтобы в лаконичной форме отражать состояние международных экономических отношений страны с ее зарубежными партнерами, являясь индикатором для выбора необходимых инструментов экономической политики.
Структура платежного баланса представлена на схеме 76.
Схема 76.
Структура платежного баланса
I. Счет текущих операций.
|
1. Товарный экспорт.
|
2. Товарный импорт
|
Сальдо баланса внешней торговли. (торговый баланс)
|
3. Экспорт услуг.
|
4. Импорт услуг.
|
5. Чистые доходы от инвестиций (чистые доходы от кредитных услуг).
|
6. Чистые трансферты.
|
Сальдо баланса по текущим операциям.
|
II. Счет движения капитала
|
7. Приток капитала.
|
8. Отток капитала.
|
Сальдо баланса движения капитала
|
Сальдо баланса по текущим операциям и баланса движения капитала.
|
III. Официальные резервы.
|
Все три составные части платежного баланса должны в сумме составлять ноль. Когда говорят о дефицитах и активов платежных балансов, то имеют в виду баланс счетов текущих операций и движений капитала. Преодолеть несбалансированность платежного баланса можно путем использования официальных резервов иностранной валюты, которые находятся в распоряжении центральных банков государств.
Кроме того существует несколько основных методов государственного воздействия на состояние платежного баланса (см. таблицу 36).
Таблица 36.
Методы государственного регулирования платежного баланса
Методы
|
Содержание
|
Прямой контроль
|
Регламентация импорта через количественные ограничения, таможенные и другие сборы; запрет или ограничения на перевод за рубеж доходов по иностранным инвестициям и денежных трансфертов частных лиц; субсидирование экспорта
|
Дефляция
|
Снижение объема производства, рост резервных мощностей для наращивания экспорта; повышение реальной процентной ставки.
|
Изменение обменного курса
|
Удержание колебаний валютного курса в определенных пределах на основе ориентации на курсовые цели
|
Анализ платежного баланса России 1992-1998 гг. позволяет выявить ряд устойчивых тенденций в его динамике и структуре, предопределенных процессом либерализации внешних экономических связей и макроэкономической политикой правительства в период рыночных реформ. Прежде всего необходимо отметить: рост положительного сальдо торгового баланса и соответственно сальдо текущих операций; устойчивое отрицательное сальдо баланса услуг; постоянно увеличивающееся отрицательное сальдо доходов от инвестиций в результате нарастающих платежей по обслуживанию внешнего долга; огромные объемы просроченных платежей по обязательствам развивающихся стан перед Россией и перенесенных платежей по обслуживанию внешнего долга бывшего СССР и др. Такое положение требует адекватных мер правительства, связанных не только с попытками сбалансирования платежного баланса страны, сколько со стабилизацией ее внутреннего и внешнеэкономического положения
13. 3. Международная валютная система и валютный курс. Обмен результатами хозяйственной деятельности во внешнеэкономических связях в абсолютном большинстве происходит в денежной форме, которая по-прежнему превалирует в международных расчетах.
Поэтому международные торговые и финансовые отношения базируются на использовании национальных валют.
Национальная валютная система представляет собой форму организации валютных отношений страны, определенную национальным законодательством. В основе национальной валютной системы лежит денежная единица страны. В более широком смысле, к категории валюты относятся: различные средства обращения монеты, банкноты, казначейские билеты; платежные документы чеки, векселя, аккредитивы; ценные бумаги акции, облигации и другие; драгоценные металлы и некоторые другие ценности.
В зависимости от степени интегрированности страны в мировое хозяйство и других условий, могут быть установлены различные режимы обратимости валют. При этом важно понимать, что обмен национальных валют не техническая проблема, а необходимое условие международной торговли. Правда, международные торговые сделки возможны и на основе бартера, т. е. Обмена товара на товар, но эта форма применяется обычно при отсутствии валютных запасов, от безысходности, ибо крайне неэффективна.
Валютная обратимость называется конвертируемостью. Степень конвертируемости валюты определяется наличием или отсутствием валютных ограничений, которые выступают как экономические, правовые и организационные меры, регламентирующие операции с национальной и иностранными валютами.
Режимы, условия и способы достижения конвертируемости показаны на схеме 77.
Схема 77.
Конвертируемость валюты
Важной характеристикой финансовой системы страны является валютный курс ее национальной денежной единицы.
Валютный курс стоимость денежной единицы одной страны, выраженная в денежных единицах другой страны. В современной экономике выделяют две основные системы валютных курсов:
- Система жестко фиксированных валютных курсов, которая предполагает вмешательство государства в их изменения;
- Система гибких (плавающих) валютных курсов, при которой курс обмена национальной валюты определяется спросом и предложением.
Валютный (или обменный) курс связывает экономику страны с внешним миром, позволяет определять эффективность внешнеэкономических операций и осуществлять международные операции и расчеты. В мировой торговле нашел подтверждение традиционный постулат экономической теории для экспортера низкий курс национальной валюты лучше, чем высокий, а для импортера наоборот.
Колебания валютных курсов не только оказывают влияние на состояние внешней торговли, но отражаются на эффективности деятельности предприятий и фирм, совокупном спросе и совокупном предложении, объеме национального производства, занятости и ценах. Поэтому валютные отношения являются зоной высокой активности государства. В зависимости от стоящей цели и от того, установлен в той или иной стране режим фиксированных или плавающих курсов, для их регулирования будет применяться различный набор экономических рычагов.
Среди них особое значение имеет девальвация и ревальвация национальных валют.
Девальвация целенаправленные действия правительства по снижению обменного курса валюты своей страны.
Ревальвация действия правительства, направленные на повышение обменного курса национальной валюты.
Девальвация и ревальвация в принципе являются атрибутами системы фиксированных курсов, поскольку предполагают одномоментный, резкий скачок с одного валютного соотношения на другое и фиксацию его на новом уровне. Однако в современных условиях часто говорят о девальвации или ревальвации и в отсутствии фиксированных курсов, имея в виду любое понижение или повышение курсов.
Корректировку национального курса можно осуществлять также с помощью валютной интервенции, т. е. воздействия на курс национальной валюты путем купли-продажи иностранной валюты.
Девальвация, ревальвация, валютная интервенция, а также дисконтная политика и введение валютных ограничений являются мерами прямого валютного регулирования. К косвенным методам регулирования валютного курса относят практически все мероприятия фискальной и монетарной политики.
Продавец становится кредитором, а покупатель заемщиком.
Ликвидность это способность какого-либо финансового актива обращаться в наличные деньги.
Лучше всего сущность денег проявляется в их функциях. Классическими функциями денег являются мера стоимости; средство обращения; средство платежа; средство образования сокровищ; мировые деньги.
В качестве меры стоимости деньги соизмеряют стоимости всех товаров. Стоимость товара, выраженная в деньгах, есть его цена. Техническая сторона измерения деньгами стоимости товаров связана с масштабом цен, который представляет весовое количество денежного материала в денежной единице, принятой в стране.
Масштаб цен устанавливается государством.
Как средство обращения деньги постоянно переходят из рук в руки, являясь мимолетным посредником при обмене товаров, что делает возможным замену полноценных денег договорными. Однако оплата товара наличными деньгами в момент покупки не всегда возможна. Часто продавец становится кредитором, а покупатель заемщиком. При этом деньги выступают в функции средства платежа.
Из этой функции выросли кредитные деньги: вексель, банкнота, чек.
Вексель долговая расписка частного лица, содержащая обязательство уплаты определенной суммы в указанный срок.
Банкноты банковские векселя, обеспечивающиеся всеми активами банка и обладающие способностью к свободному обращению.
Чек письменное распоряжение владельца вклада своему банку о выдаче с его счета указанной суммы предъявителю чека.
Первоначально банкноты выпускались всеми банками вместо обычных денег, впоследствии их эмиссию (выпуск) стал осуществлять только центральный банк. Они приобрели силу законного и единственного платежного средства. Эволюция кредитных денег привела к появлению кредитных карточек, электронных чековых книжек.
В современных условиях происходит сращивание функции средства обращения и функции средства платежа. Эту новую функцию денег стали называть средством обмена.
Функцию денег как средства образования сокровищ (средства накопления) в западной экономической литературе называют функцией средства сбережения. Рыночная система создает возможности и стимулы для превращения сокровищ в капитал, приносящий прибыль. При этом богатство может содержаться в различных формах: деньгах или реальных активах, включая недвижимость, ценные бумаги и т. д.
Функцию мировых денег выделяют лишь экономисты марксистского направления. Она связана с обслуживанием мировой торговли. Долгое время эту функцию отводили золоту, но теперь оно практически вытеснено из международных платежей и расчетов национальными валютами развитых стран.
Таковы основные причины возникновения рыночной системы. Однако, как показывает историческая практика, формирование рынка продолжается и для его нормального функционирования необходимо обеспечение целого ряда условий:
1. свобода экономической деятельности хозяйствующих субъектов;
2. их ответственность за итоги своей экономической деятельности, вплоть до ликвидации предприятия;
3. свободное ценообразование;
4. конкуренция товаропроизводителей, исключающая монополизм;
5. ограниченное прямое участие государства в хозяйственной деятельности;
6. активная ориентация национальной экономики на систему мирохозяйственных связей.
4. 3. Структура и инфраструктура рынка. Рынок как развитая система отношений товарного обмена представляет собой систему отдельных взаимосвязанных рынков, а значит, имеет собственную структуру и инфраструктуру.
Структура рынка это внутреннее строение, расположение, порядок отдельных элементов рынка, их удельный вес в общем объеме рынка. Классификация структуры рынка показана в таблице 9.
Таблица 9.
Классификация структуры рынка
по экономическому назначению объектов рыночных
отношений
|
рынок товаров и услуг; рынок средств производства; рынок труда; рынок инвестиций; финансовый рынок.
|
по географическому положению
|
местный рынок; региональный рынок; национальный рынок; мировой рынок.
|
по степени
ограничения
конкуренции
|
монополистический рынок; олигополистический рынок; рынок монополистической конкуренции; рынок совершенной
конкуренции.
|
по отраслям
|
автомобильный рынок; компьютерный рынок; текстильный рынок; рынок
сельхозпродукции и т. д.
|
по характеру продаж
|
оптовый рынок; розничный рынок.
|
Некоторые из выделенных рынков также неоднородны и имеют собственную структуру. Так, товарный рынок включает в себя потребительский рынок (рынок предметов первой необходимости, рынок товаров длительного пользования и т. д.), рынок инвестиционных товаров (товаров производственного назначения) и рынок информации.
Не менее многолик и разнообразен финансовый рынок, где предметом купли-продажи выступают деньги, предоставляемые в пользование в различных формах. Финансовый рынок состоит из рынка инвестиций (долгосрочных вложений капиталов), рынка кредитов и ссуд, рынка ценных бумаг (первичного, связанного с эмиссией ценных бумаг, и вторичного, предназначенного для их перераспределения), денежного (национальной денежной единицы) и валютного рынков. Развитый рынок требует и развитой инфраструктуры.
Инфраструктура рыночной экономики это совокупность связанных между собой специализированных институтов, действующих в пределах особых рынков и выполняющих определенные функции по обеспечению нормального режима их функционирования. Под институтами инфраструктуры рынка понимается совокупность предприятий, обеспечивающих функционирование рыночных отношений, успешную деятельность всех видов рынка. При этом инфраструктурная деятельность включает:
- деятельность по сбору, обобщению и распространению экономической информации;
- деятельность по специальному изучению рынка с целью увеличения продаж; деятельность по публичному представлению информации о хозяйствующих субъектах, товарах и услугах;
- деятельность по оценке отдельных хозяйствующих субъектов и инструментов их деятельности.
Инфраструктура рынка выполняет определенные функции (см. схему 13).
Схема 13.
В общем виде инфраструктуру современного рынка можно представить в виде схемы 14.
Схема 14.
Развитие структуры и инфраструктуры рынка отражается на его конъюнктуре.
Конъюнктура рынка совокупность условий, сложившихся на рынке в определенный момент. Факторы, влияющие на конъюнктуру рынка, можно классифицировать по продолжительности действия (временные и постоянные), по характеру воздействия (циклические и нециклические), источникам возникновения (внешние и внутренние) и другие.
Рассмотренные в теме основные закономерности развития рынка проявляются как тенденции, имеющие в разных странах свою специфику. Поэтому формирование рыночной системы в России в переходный от командно-административной экономики период должно учитывать существующие проблемы: относительно низкий уровень развития производительных сил по сравнению с развитыми странами; глубоко монополизированная структура экономики и основных рынков; противоречия между федеральной, региональной и местными властями; оторванность производства от нужд потребителей; неразвитая инфраструктура рынка, которая вместе с тем в своем развитии опережает формирование структуры рынка; дестабилизация кредитно-денежной и финансовой системы и т. д. Это определяет направления реформирования экономики, включающей:
- Разгосударствление экономики и развитие предпринимательства;
- Формирование рынка и его инфраструктуры, установление хозяйственных связей рыночного типа и становление новых мотивационных механизмов развития предпринимательства;
- Демонополизация экономики и устранение организационных структур, сложившихся в рамках командно-административной системы и препятствующих развитию рынка;
- Переход к свободному ценообразованию при сохранении форм и методов государственного регулирования;
- Осуществление жесткой кредитно-денежной и финансовой политики, направленной на ограничение денежной массы в обращении;
- Создание сильной системы социальных гарантий и поддержки населения, облегчающей людям адаптацию к условиям рыночной экономики;
- Осуществление активной структурно-инвестиционной политики, обеспечивающей необходимые структурные сдвиги в народном хозяйстве в направлении социальной переориентации.
Главным итогом начавшихся реформ явился качественный сдвиг, окончательный разрыв с прежней хозяйственной системой и создание условий для формирования основ рыночной экономики. Но структурные изменения менее глубоки, чем это минимально необходимо для функционирования социально ориентированной рыночной экономики. Они происходят гораздо медленнее, чем в других странах, что проявляется в том числе в ограниченных размерах частного сектора.
Очевидно, что эти процессы станут важнейшим содержанием довольно длительного периода, в ходе которого в нашей стране и возникнет современная рыночная экономика.
Тренировочные задания к теме 4
- Рассмотрите упрощенную схему рыночных потоков производства. Определите какова структура произведенной продукции и структура продукта внутреннего потребления домохозяйств и производственных фирм?

- Известный американо-австрийский экономист Фридрих фон Хайке предложил отменить монополию центрального банка на эмиссию банкнот, заменив ее механизмом «Спонтанного порядка» (то есть рынка): пусть все желающие выпускают деньги, а рынок сам определит, используя конкуренцию, что станет действительно деньгами. Как вы считаете, что в данном случае стало бы деньгами?
- Цена это а) денежное выражение стоимости товара б) денежная оценка полезности товара в) информационный сигнал, указывающий хозяйственному субъекту Что? Как? Для кого производить? Проанализируйте приведенные определения цены. Какие из сторон этой важной экономической категории выходят на первый план в каждом из них?
- Как изменится стремление к ликвидности по мере роста дохода? Почему?
- Могли ли ледяные кубики служить хорошей денежной единицей? А радий? Как изменились бы расходы населения, если бы каждая долларовая банкнота теряла 10 % своей стоимости в течение каждого месяца с момента ее выпуска?
- Объясните смысл и значение слов Й. Шумпетера, утверждавшего, что по существу банк « феномен развития, впрочем, лишь там, где социально-экономическим процессом не управляет командная сила. Банкир делает возможным осуществление новых комбинаций и, выступая от имени народного хозяйства, выдает полномочия на их осуществление».
Тест к теме 4. Определите все верные ответы.
1. Рыночная инфраструктура включает в себя три основные элемента:
а) рынок товаров и услуг, рынок золота, рынок ценных бумаг;
б) рынок товаров и услуг, финансовый рынок, рынок капиталов;
в) рынок товаров и услуг, рынок нефти, рынок труда;
г) рынок товаров и услуг, рынок факторов производства, финансовый рынок.
2. Основными экономическими субъектами являются:
а) предприниматели, наемные работники, менеджеры;
б) домохозяйство, фирмы, государство;
в) фирмы, наемные работники, государство;
г) государство, менеджеры, наемные работники.
3. По утверждению экономистов-классиков, рынок никто не создавал и не проектировал. Поэтому рыночной экономикой управляют:
а) стихийные и хаотичные импульсы экономических процессов;
б) отдельные наиболее удачные предприниматели;
в) потребители и производители товаров;
г) экономические законы, проявляющиеся в деятельности хозяйствующих субъектов.
4. Кругооборот товаров и денег в экономике убедительно показывает, что решающую роль здесь выполняют
а) рынки потребительских товаров;
б) рынки факторов производства; в) рынки денег и ценных бумаг;
г) взаимосвязанные сегменты рынка.
5. Функционирование денег в качестве абстрактной единицы счета:
а) разъединяет во времени акты обмена;
б) привязано к обороту наличных денег;
в) обеспечивает возможность экономического учета;
г) служит для образования капитала.
6. Почему в России при наличии развитого денежного обмена сохраняется бартер:
а) существует дефицит оборотных средств у предприятий и нет доверия к наличным деньгам;
б) бартер используется как средство, исключающее неплатежи;
в) бартер способствует уклонению уплаты от налогов;
г) еще не достигнута необходимая степень развития рыночных отношений.
7. Когда деньги спрятаны « в чулок», они выполняют функцию
а) средства обмена; б) сохранения стоимости;
в) единицы счета; г) меры отложенных платежей.
Прогнозирование регионального развития
Представленные в таблице пороговые значения макроэкономических показателей свидетельствуют о том, что ситуация в стране носит чрезвычайный характер, а потому необходима система целенаправленных мер государства для предотвращения социальных катаклизмов. Еще более острой является ситуация в Приморье, что доказывает необходимость осуществление эффективной региональной политики. Состояние региональной безопасности ярко показывает, что реализация задач, направленных на укрепление экономического федерализма, не может носить унифицированный подход к проведению экономических реформ, ориентированных на средние условия. При этом центр тяжести должен смещаться от общих экономических проблем на региональный уровень, к оценке рациональности развития отдельных районов в рамках единого экономического пространства государства. Поэтому в региональной политике развитых государств обычно используется следующая совокупность соподчиненных мер: определение границ региона, требующего поддержки; выработка концепции специализации данного региона; координация деятельности субъектов экономики, которые реализуют региональную политику.
Повышение эффективности государственного регулирования регионального развития требует активизации всех функций управления, особенно прогнозирования и планирования.
12. 4 Прогнозирование регионального развития Прогнозирование региональных процессов важнейшая и неотъемлемая часть сложного процесса управления. От него в значительной мере зависят экономические, социальные и экологические последствия регионального развития, полнота использования трудовых, природных и материально-вещественных ресурсов.
Прогнозирование одна из форм плановой деятельности, состоящая в научном предвидении состояния объекта прогнозирования в определенный момент будущего, основанная либо на анализе тенденций социально-экономического развития объекта за соответствующий период, либо на использовании нормативных расчетов.
В основе методологии регионального прогнозирования лежит познание и использование тех законов, которые действуют не только на уровне всей государственной социально-экономической системы, но и на уровне ее составляющих. Структура регионального прогноза включает как аспекты воспроизводства, так и различные уровни агрегирования производства и расселения в регионе. Взаимоувязка всего спектра прогнозов с учетом действия прямых и обратных связей обеспечивает в совокупности обобщенный региональный прогноз, на основе которого формируются концепция и стратегический план региона. Разработка региональных прогнозов базируется на двух универсальных подходах. Генетический подход обосновывает направления развития исходя из достигнутого уровня развития производительных сил региона, наметившихся региональных проблем.
При нормативно-целевом подходе пути развития региона ставятся в зависимость от предварительно сформулированных целей.
Прогнозирование регионального развития строится в соответствии с общими принципами прогностики и территориального прогнозирования. Среди этих принципов особое значение имеют системность и согласованность, вариантность и непрерывность, а также верифицирумость (достоверность и точность) прогнозов. Территориальные прогнозы используются при разработке схем экономического и социального развития и финансового состояния регионов и их частей, развития и размещения отраслей, комплексных (генеральных) схем развития и размещения производительных сил.
Их необходимость, особенно для средне- и долгосрочных периодов, обусловливается долговременностью и комплексным характером территориальных проблем, большим влиянием макроэкономической политики на формирование региональных комплексов и рынков. Общая структура регионального прогноза показана на схеме 72.
Схема 72.
Структура комплексного прогноза развития региона
Стратегия экономического развития страны
|
|
|
|
|
|
Комплексный прогноз развития региона
|
|
|
|
|
|
Социально-демографический прогноз
|
|
Экологический прогноз
|
|
Территориальная организация межотраслевых комплексов
|
Прогноз природно-ресурсного потенциала
|
|
Территориальный прогноз
|
|
рационализация транспортно-экономических связей
|
Экономический прогноз
|
|
Информационный прогноз
|
|
Формирование региональных систем расселения
|
|
|
|
|
|
Формирование региональных систем расселения
|
|
|
|
|
|
Выбор стратегии регионального развития
|
Прогнозирование применяется в областях, где планирование нецелесообразно или невозможно, но оно ни в коем случае не может заменить планирование.
Планирование метод осуществления хозяйственно-организаторской функции государства и экономической политики. Важной частью планирования является программирование. Оно базируется на прогнозных разработках и имеет своей целью составление проектов целевых комплексных программ. Постановлением Правительства РФ от 7 декабря 1996 г. №1450 предусмотрено образование Центра федеральных программ по развитию регионов при Правительстве РФ. На него возлагаются функции единого заказчика федеральных программ развития регионов.
Кроме того образована Правительственная комиссия по государственной поддержке развития регионов РФ. Комиссия призвана координировать деятельность федеральных и региональных органов власти по стимулированию инвестиционной активности в регионах, эффективности использования выделяемых им бюджетных средств, мобилизации собственных ресурсов организаций всех форм собственности для решения первоочередных задач проблем экономического и социального развития. Комиссия готовит предложения по определению приоритетных направлений развития регионов, совершенствованию мониторинга социально-экономического развития, оказанию помощи в реализации целевых программ развития территорий.
С учетом предложений государство может выделять региональные квоты по кредитам на инвестиционные программы. Эта квота определяется суммой доли участия региона в производстве продукции и в кредитных ресурсах страны:
,
где Q1 объем производства в регионе; Q0 объем производства в стране; Кри квота по кредитам на инвестиционные программы; КВр кредитные вложения банков данного региона; КВ0 общие кредитные вложения всех кредитных банков; КВм кредитные вложения местных банков.
Региональное целевое программирование позволяет федеральному центру активно влиять на проблемные регионы, успешно решать как текущие, так и стратегические задачи, направленные на уменьшение различий в уровне социально-экономического развития регионов. Однако существующие в России программы все еще имеют существенные недостатки. Главные из них слабое обоснование проблемных приоритетов, отбора и эффективности программ, отсутствие надлежащей межпрограммной увязки и координации, недостаточная проработка вопросов территориально-хозяйственной комплексности и интеграции, плохой контроль за реализацией, неустойчивость финансирования.
Названные недостатки приводят к невозможности реализации федеральных программ, как это случилось с «Федеральной целевой программой экономического и социального развития Дальнего Востока и Забайкалья на 1996-2005».
Тренировочные задания к теме 12 1. В последние годы в нашей стране стали разрабатываться Программы по комплексному развитию регионов. Некоторые авторы предлагают в прогноз включать разработки: во-первых, волны Кондратьева (50-60 лет), во-вторых, долгосрочный прогноз (20-25 лет), в-третьих, среднесрочный прогноз (8-12 лет), в четвертых, краткосрочные прогнозы (3-4 года). Проанализируйте, какие задачи ставятся и какие цели преследуются на каждом из этих этапов?
2. Основные направления государственной экономической политики обычно однозначно относят к формам либо прямого регулирования, либо косвенного. Однако региональную политику принято считать сферой смешанного регулирования. Объясните это положение.
3. Проанализируйте особенности отношений между дальневосточным регионом и центром. На примерах из периодической печати раскройте содержание центробежных и центростремительных тенденций. Какие из названных тенденций в современный период получают доминирующее значение?
Какие последствия может иметь развитие этих тенденций для Приморского края, страны в целом?
4. Каким образом различаются основные функциональные формы региональной политики: прогнозирование, программирование, планирование?
5. Проанализируйте содержание следующих отрывков. Определите, какие из существующих подходов к региональной экономике они характеризуют:
а) «Имея непосредственную связь с проблемным подходом и являясь по существу его разновидностью, он вместе с тем имеет самостоятельное значение. Центральное место в нем занимает изучение явлений взаимодействия субъектов общественных отношений в географическом пространстве»;
б)» Он имеет важное методологическое значение в изучении действия экономических законов на региональном уровне. Относительное обособление воспроизводственного цикла означает не только обособление воспроизводства части совокупного внутреннего валового продукта в границах региона, но и обособление присущих ему, региону противоречий и их концентрированных выражений сложных региональных социально-экономических проблем».
6. Определите размер региональной квоты по кредитам на инвестиционные программы, если в некотором регионе объем производства составил 42 млрд. руб. Общий объем продукции в стране равен 84 млрд. руб. Общие кредитные вложения коммерческих банков равны 2010 млрд. руб., а кредитные вложения банков данного региона в экономику страны составляют 0, 2 от этой суммы.
В экономику региона местные банки вложили сумму, равную 180 млрд. руб.
Тест к теме 12
Определите все верные ответы.
1. Региональная экономика это
а) наука, изучающая рациональное размещение производительных сил;
б) часть экономической географии;
в) аналог отраслевых экономик; г) часть мезоэкономики.
2. Основная причина низкой дееспособности слаборазвитых регионов это
а) удаленность от центра деловой активности страны;
б) недостаточный производственный и финансовый потенциал;
в) изменение геополитического положения страны;
г) формирование структуры и инфраструктуры рынка
3. Индустриально развитые в советское время области Северо-Западного, Центрального и др. регионов стали депрессивными, т. к.
а) имели дальние производственные связи;
б) имели высокую концентрацию ВПК;
в) имели полифункциональную структуру экономики, которая не соответствует потребностям рынка;
г) оказались заложниками развивающейся системы неплатежей.
4. Причинами усиления противостояния центра и регионов в России являются
а) отсутствие четкой регламентации прав и обязанностей центра и регионов в официальных документах;
б) разделение собственности за каждым уровнем управления;
в) нарушение принципов экономической самостоятельности регионов и их отношений с федеральным бюджетом;
г) перекладывание центром выполнения социальных функций на региональные власти без должного финансового обеспечения.
5. Региональная политика это
а) приоритетное направлением деятельности местных властей;
б) система взаимоотношений между государством и регионами, а также между самими регионами;
в) политика выравнивание различий в уровне социально-экономического развития регионов;
г) сочетание принципов федерализма и регионализма.
6. Региональное прогнозирование
а) является составной частью индикативного планирования;
б) существовало только в централизованной экономике;
в) предшествует регионального целевому программированию;
г) осуществляется только по заказу региональных властей
Располагаемый доход используется на потребление и сбережения.
Национальный доход (НД) это сумма доходов всех владельцев, участвующих в производстве факторов, т. е. как сумма заработной платы, прибыли, процента и ренты. НД определяется как ЧНП за вычетом косвенных налогов на бизнес.
Личный доход получается путем вычитания из НД взносов на социальное страхование, нераспределенной прибыли корпораций, налогов на прибыль корпораций и добавления суммы трансфертных платежей. Необходимо также вычесть чистый процент и прибавить личные доходы, полученные в виде процента, в том числе и процент по государственному долгу.
Располагаемый доход исчисляется уменьшением личного дохода на сумму подоходного налога с граждан и некоторых неналоговых платежей государству. Располагаемый доход используется на потребление и сбережения.
Несмотря на то, что СНС является наиболее эффективным способом измерения национального богатства, существуют многие операции и услуги, которые данной системой не учитываются. Недостатки системы национальных счетов показаны на схеме 43.
Схема 43.
Недостатки СНС
Показатели СНС являются важнейшим индикатором уровня социально-экономического развития страны. Однако в объеме произведенной продукции и услуг не могут отражаться такие показатели, как здоровье нации, продолжительность жизни, в том числе ее активной части, решение экологических проблем и т. д. Это вызывает достаточно критическое отношение к данному методу измерения национального богатства у ряда отечественных экономистов. В качестве примера приведем слова А. Г. Грязновой и Т. В Чечелевой, утверждающих, что «Западная методология исчисления макроэкономических показателей имеет больше недостатков, чем достоинств. Единственное ее достоинство отсутствие повторного счета доходов.
Один и тот же доход юридического или физического лица входит в национальный доход столько раз, сколько переходит от одного к другому». Такой подход вызывает повышенный интерес к оценке альтернативных методов исчисления национального богатства.
8. 3. Баланс народного хозяйства С 20-х гг. в СССР в качестве альтернативной системы измерения национального богатства использовался баланс народного хозяйства (БНХ). Он был разработан для описания и анализа экономики, основанной на принципах централизованного планирования и распределения материальных ресурсов.
Баланс народного хозяйства система таблиц с макроэкономическими показателями, характеризующими в планируемом (отчетном) периоде уровень развития экономики, масштабы и темпы общественного воспроизводства, а также важнейшие общегосударственные пропорции.
Важными частями БНХ являлись: баланс производства, распределения и использования национального дохода, баланс национального богатства, баланс трудовых ресурсов, межотраслевой баланс производства и распределения продукции. БНХ отражал развитие всех отраслей и секторов экономики, как охватываемых государственным планом, так и не планируемых непосредственно (например, личные подсобные хозяйства населения).
Новаторские разработки в области БНХ, осуществленные в СССР в 20-е годы, оказали существенное влияние на развитие макроэкономических исследований, в том числе и на СНС. Известно, в частности, что таблица первого баланса народного хозяйства СССР за 1923/24 гг. содержала черты межотраслевого баланса. Традиционный МОБ в системе БНХ может быть представлен таблицей 19.
Таблица 19.
|
Фонд возмещения
|
Используемый НД
|
Всего
ВП
|
|
I подразделение
|
II подразделение
|
Всего
|
в том числе
|
Фонд потребления
|
Фонд накопления
|
I подразделение
|
х
|
х
|
х
|
-
|
х
|
х
|
II подразделение
|
-
|
-
|
-
|
-
|
х
|
-
|
Произведенный НД, в том числе оплата труда, прибавочный продукт
|
х
х
х
|
х
х
х
|
-
-
-
|
-
-
-
|
-
-
-
|
х
х
х
|
Итого ВП
|
х
|
х
|
х
|
х
|
х
|
х
|
Одна из важнейших предпосылок МОБ в БНХ линейность связей состояла в том, что выпуск продукции предполагался пропорциональным прямым затратам предметов труда и живого труда, т. е. Если прямые затраты увеличить вдвое, то и выпуск (валовая продукция) вырастет то же вдвое, а если в выпуске данного продукта участвует несколько отраслей, то этот выпуск оказывается линейной (пропорционально) функцией всех прямых затрат.
Важно отметить, что в МОБе использовались два метода оценки продукции:
- по ценам производителей, учитывающим затарты на производство;
- по ценам конечного потребления, учмитывающим также затраты, связанные с реализацией продукции.
Основным показателем в БНХ был совокупный (валовой) общественный продукт (СОП или ВОП). Он определялся как сумма производимых в обществе за год материальных благ. В этом показателе содержался повторный счет предметов труда, т. е. сырья, материалов, инструментов, топлива и энергии. Для избежания повторного счета использовался показатель конечного продукта (КП).
Он включал предметы личного и общественного непроизводственного потребления и инвестиционные средства и вычислялся как разница между ВОП и оборотом предметов труда.
Чистый продукт (ЧП) общества представлял собой валовой продукт за вычетом амортизационных отчислений. По вещественному содержанию ЧП это предметы личного потребления и средства производства, предназначенные для расширенного производства. Вместе с тем, чистый продукт является результатом затраченного в данном году труда, поэтому в политэкономии он рассматривался как национальный доход, т. е. созданная за год стоимость.
По вещественному содержанию НД распадался на две части: фонд потребления и фонд накопления.
Потребность перехода нашей страны к СНС стала проявляться в 70-е гг., когда СССР начал активно взаимодействовать с торговым рынком. Это выявило существенные недостатки системы баланса народного хозяйства (см. схему 44).
Схема 44.
Недостатки БХН
В 80-е годы потребность в более глубоком и комплексном анализе макроэкономики стало ощущаться все более ясно. Органами государственной статистики в дополнении к БНХ в его традиционном виде стал разрабатываться ряд новых таблиц, была начата разработка баланса нематериальных услуг, затрат на их оказание. Также в практику были введены макроэкономические расчеты показателя общего объема потребления населением, охватывающего в дополнении к стоимости потребления материальных благ, также стоимость нематериальных услуг, поступивших населению из всех источников (за счет личных доходов, за счет общественных фондов потребления и т. п.). Переход к рыночной экономике явился еще одним важным фактором, способствующим распространению СНС как наиболее универсального метода в восточно-европейских странах и СССР.
В 1988 году был сделан следующий важный шаг в совершенствовании макроэкономической статистики нашей страны, им стало введение в регулярную статистическую практику показателя валового внутреннего продукта (ВВП), основывающегося на принципах СНС. В 1992 г. была утверждена специальная государственная программа, в которой предусматривалось приведение в соответствие с требованиями рыночной экономики действующей системы статистических показателей. В современный период состояние СНС в России может рассматриваться только как начальная стадия перехода к международному стандарту оценки основных экономических показателей страны.
Это подтверждается существованием ряда проблем, связанных с несоответствием системы бухучета международному стандарту; несостыковкой учетных данных между разными уровнями экономики; ограниченным характером использования показателей СНС на практике.
Вместе с тем переход от БНХ к СНС является необходимым, т. к. предусматривает решение важных задач. Он обеспечит более широкую и ориентированную на рыночную экономику систему макроэкономической информации, необходимой прежде всего для разработки экономической политики органами государственного управления. Кроме того внедрение показателей СНС будет содействовать налаживанию международного сотрудничества на основе универсального статистического языка.
Это позволит решить проблему предоставления данных в международные экономические организации.
Решение проблем, связанных с переходом к СНС, требует значительных ресурсов. Однако для такого перехода есть и благоприятные условия. Между СНС и БНХ существует много общего в методах упорядочения данных с целью выявления наиболее значимых результатов и закономерностей экономического процесса.
Например, в обеих системах проводится различие между потоками товаров и потоками доходов; потоками и запасами ресурсов; промежуточным и конечным потреблением; доходами, созданными в производстве, и доходами, полученными от перераспределения; текущими и единовременными расходами; произведенными и непроизведенными активами.
Тренировочные задания к теме 8 1. Предположим, что в 1-ом (базисном) году номинальный ВНП составил 500 д. е. Через 6 лет дефлятор ВНП увеличился в 2 раза, а реальный ВНП возрос на 40%. Чему будет равен номинальный ВНП через 6 лет?
2. Определите ВНП по следующим данным (в трл. руб.): экспорт 22, 7; личные расходы граждан 3110, 3; импорт 14, 4; зарплата 275, 6; государственные закупки 90, 2; налоги с граждан 20, 4; налоги с предприятий 76, 5; валовые внутренние инвестиции 10, 1.
Риск неудачи лежит на предпринимателе.
Сущность предпринимательской деятельности раскрывается через выполняемые им функции:
-предприниматель берет на себя инициативу соединения факторов производства в единый процесс производства товаров и услуг с целью получения прибыли;
предприниматель есть организатор производства, настраивающий и задающий тон деятельности фирмы, определяющий стратегию и тактику поведения фирмы и принимающий на себя бремя ответственности за успех их проведения;
предприниматель это новатор, внедряющий на коммерческой основе новые продукты, новые технологии, новые формы организации дела;
предприниматель это человек, не боящийся риска и сознательно идущий на него ради достижения цели бизнеса.
Предпринимательство процесс создания нового, обладающего ценностью, экономического блага. Он предполагает принятие на себя финансовой, моральной и социальной ответственности и получение в своем результате денежного дохода и личного удовлетворения достигнутым.
Предприниматель реализует присущие рыночной экономике экономические отношения собственности в их правовом оформлении через организационные механизмы деятельности. Предпринимательство может осуществляться как в индивидуальной, так и коллективной форме. Но если первая означает осуществление ее гражданами, т. е. физическими лицами, «своей волей и в своем интересе «, гражданами, которые «свободны в установлении своих прав и обязанностей на основании договора и в определении любых, не противоречащих законодательству, условий договора (ст. 1, п. 2 ГК РФ), то вторая форма предпринимательства коллективная предполагает границы и процедуры, очерченные более строго. В этом случае предпринимательская деятельность осуществляется на основе и в пределах тех задач и полномочий, которые отражены в учредительских документах и уставе соответствующих форм предприятий.
Зафиксированное нормами права единство организационных и экономических оснований деятельности хозяйствующих субъектов выступает как его «организационно-правовая форма». Наиболее значимыми признаками, отличающими одну организационно-правовую форму хозяйствования от другой являются следующие:
количество участников данного хозяйственного объединения;
собственник применяемого капитала;
способ распределения прибыли и убытков;
-источники имущества, составляющего материальную основу хозяйственной деятельности данного субъекта;
пределы имущественной ответственности.
Согласно российскому законодательству предпринимательской деятельностью могут заниматься как «физические», так и «юридические лица».
Физическое лицо это гражданин, который занимается предпринимательской деятельностью единолично, не принимая статус «юридического лица». Право предпринимательской деятельности наступает с момента государственной регистрации гражданина в качестве индивидуального предпринимателя. Такой предприниматель самостоятельно решает все вопросы. Источником имущества, необходимого для начала работы, могут быть собственные накопления, помощь друзей или полученные в банке кредиты.
Риск неудачи целиком лежит на индивидуальном предпринимателе. Он несет полную неограниченную ответственность по своим обязательствам, т. е. отвечает по всем обязательствам всем своим имуществом. К индивидуальным предпринимателям относится и глава крестьянского хозяйства фермер.
Другая группа организационно-правовых форм хозяйствования охватывается общим понятием «юридических лиц». Признаки юридического лица состоят в том, что это прежде всего организация, т. е. определенным образом организованное объединение лиц, которое:
имеет обособленное имущество;
отвечает лишь только этим имуществом по своим обязательствам;
-может от своего имени приобретать и осуществлять имущественные и неимущественные права;
быть истцом и ответчиком на суде;
-иметь самостоятельный баланс и смету.
Указанные организации как юридические лица могут быть двух типов. Во-первых, это коммерческие организации, преследующие в качестве основной цели своей деятельности извлечение прибыли. Во-вторых, это некоммерческие организации, не стремящиеся к получению прибыли и не распределяющие прибыль между участниками.
Ведущее место в рыночной экономике принадлежит предпринимательским структурам. В частном секторе экономике коммерческие организации могут выступать в следующих организационно-правовых формах:
Хозяйственные товарищества («полное товарищество» и «товарищество на вере»).
Хозяйственные общества (общества с ограниченной ответственностью, общества с дополнительной ответственностью, акционерные общества закрытого и открытого типа).
Производственные кооперативы. ГК РФ определяет производственный кооператив (артель) как «добровольное объединение граждан на основе членства для совместной производственной или иной хозяйственной деятельности…, основанной на их личном труде и ином участии и объединении его членами имущественных паевых взносов» (ст. 107). Имущество кооператива делится на паи его членов, часть имущества по решению членов кооператива может составить неделимые фонды.
Отличительная особенность кооперативов от других видов совместного предпринимательства состоит в обязательном трудовом участии.
Особенности индивидуального предприятия, товарищества (партнерства) и акционерного общества (корпорации) как основных организационно-правовых форм предпринимательской деятельности можно рассматривать как достоинства и недостатки по отношению друг к другу. В таблице 7 представлены достоинства и недостатки этих форм с точки зрения сложности образования, способности привлекать новые капиталы, ответственности, контроля, продолжительности существования и налогообложения.
Таблица 7.
Достоинства и недостатки организационно-правовых форм бизнеса
Особенности
|
Единоличное владение
|
Товарищество
|
Акционерное общество
|
Уровень
сложности
|
Простота образования и ликвидации.
|
Требуется подписание договора при создании.
|
Требуется специальное разрешение правительства при создании.
|
Возможности привлечения
капитала
|
Источники капитала ограничены собственными средствами и займами.
|
Увеличение капитала через объединение сбережений партнеров.
|
Возможность привлекать большие суммы через инвесторов, количество которых может быть
неограничено.
|
Ответственность
|
Полная
|
Полная или ограниченная в зависимости от вида
товарищества.
|
Ограниченная суммой уставного капитала.
|
Контроль
|
Полный контроль
собственника.
|
Разногласия по поводу контроля между собственниками создают организационные сложности.
|
Контроль у
владельца контрольного пакета акций.
|
Продолжительность существования
|
Прекращение со смертью собственника.
|
Перерегистрация при изменении условий,
внесенных в договор.
|
Зависит
от желания
акционеров.
|
Налогообложение
|
Не является субъектом налогообложения на доходы предприятий.
|
Доходы облагаются налогом в пропорции к доходу каждого
из партнеров.
|
Является
субъектом
двойного
налогообложения
|
Выделяются также организационно-экономические формы предпринимательства, характеризующие соглашения между предпринимателями в области организации их деятельности, которые представляют собой монополистические объединения, создаваемые для контроля рынка. Можно выделить следующие формы:
1. Картель соглашение между предпринимателями одной отрасли о ценах, разделе рынков сбыта продукции, долях в общем объеме производства, параметрах продукции и т. п.
2. Синдикат объединение сбыта продукции предпринимателями одной отрасли с целью устранения излишней конкуренции между ними.
3. Консорциум объединение предпринимателей с целью совместного проведения крупной финансовой операции для уменьшения риска и привлечения дополнительного капитала.
4. Концерн многоотраслевое акционерное общество, контролирующее предприятия через систему участий.
Это означает приобретение контрольного пакета акций различных компаний, которые по отношению к контролирующей их фирме выступают в роли дочерних. В свою очередь, дочерние компании могут владеть контрольными пакетами акций других обществ, нередко расположенных в различных странах. Так возникают транснациональные корпорации ТНК.
Таким образом, основные различия форм объединений предприятий связаны со степенью сохранения самостоятельности, входящих в объединения. В основе объединения предприятий может лежать:
- горизонтальная интеграция объединение предприятий одной отрасли, одной сферы производства;
- вертикальная интеграция объединение предприятий разных отраслей, технологически связанных между собой;
- диверсификация объединение предприятий разных отраслей, технологически не связанных между собой.
Возрождение предпринимательской деятельности в России и в бывших социалистических странах это уникальное социальное, политическое и экономическое явление в истории человечества. Эта уникальность состоит в том, что предпринимательство возникло и развивается не эволюционным путем, как в странах с традиционно рыночной экономикой, а в условиях экономической революции, ломки централизованной плановой системы. Поэтому предпринимательская деятельность в нашей стране в современный период сталкивается с целым рядом трудностей. Медленно формируется законодательная база предпринимательства. Бизнес в стране развивается в условиях незавершенности процесса дележа собственности.
Принцип частной автономии ограничен, т. к. свободе хозяйственной деятельности противостоит традиционная для командной экономики монопольная организация хозяйства. Товарно-денежный обмен в России сильно затруднен несовершенством финансово-кредитных отношений (проблема обналичивания денег, кризис неплатежей и т. д.), а также высокими темпами инфляции. Положение усугубляется еще и тем, что значительная часть предпринимательской активности служит исключительно как временное средство накопления первоначального капитала на основе различного рода злоупотреблений и создания криминальных структур, что усиливает нестабильность, неопределенность и недоверие в сфере бизнес-деятельности.
Эти и другие проблемы настоятельно требуют государственного вмешательства в форме экономической и юридической поддержки предпринимательства. Как показывает зарубежный опыт, такая поддержка включает льготное кредитование, льготное налогообложение, создание различных программ и фондов поддержки, организацией действенных систем борьбы с вымогательством и бюрократизацией и т. д.
Способы минимизации риска
Эффект замещения реакция потребителя на повышение цены нормального блага, входящего в потребительскую корзину, приводящая к сокращению покупки подорожавшего блага и к увеличению покупки благ, которые могут заменить подорожавшие.
Наряду с общими принципами выбора рационального потребительского выбора существуют особенности, которые определяются влиянием на него рыночного спроса, а также вкусов и предпочтений. Эти факторы обуславливают функциональный или нефункциональный характер спроса (схема 26).
Схема 26.
Функциональный спрос спрос на товар, обусловленный качествами товара.
Нефукциональный спрос спрос, обусловленный факторами, не связанный с самим товаром. Особое значение при нефункциональном спросе имеют случаи взаимного влияния рыночного и индивидуального спроса, которые американский экономист Х. Лейбенстайн назвал эффектом присоединения к большинству (потребитель покупает то же, что и другие потребители), эффект сноба (стремление выделиться из толпы) и эффект Веблена (престижное или демонстративное потребление).
Функциональный и нефункциональный спрос в экономической теории часто соотносят с нормальным и аномальным поведением потребителя.
Нормальное поведение потребителя описывается законом спроса. Иными словами, при растущей цене на определенный продукт его потребление, как правило, будет уменьшаться. При падении цены потребитель будет покупать товары в большем количестве.
Аномальное поведение потребителя означает то, что поведение потребителя не предсказуемом, он реагирует на процессы рынка совершенно иначе, чем большинство его агентов. Этим в частности можно объяснить стремление покупать недвижимость даже при растущих ценах в условиях инфляции.
Важно отметить, что при любом поведении потребителя его главным принципом деятельности является максимизация общей полезности в условиях ограниченных ресурсов.
Теория предельной полезности показывает, что любой индивидуум, предъявляя спрос на тот или иной товар, сугубо объективно оценивает свой бюджет и предельную полезность единицы товара. Дополнительная полезность, которую потребитель получает за счет разницы между тем, что он готов отдать за приобретаемое благо и тем, что он отдает в действительности будет составлять прибыль (выигрыш) потребителя. Если же приобретаемый товар оценивается ниже, чем его стоимость потребитель имеет проигрыш. Графически такое состояние потребителя можно показать следующим образом (схема 27):
Схема 27.
Выигрыш и проигрыш потребителя
На поведение потребителя в рыночной экономике влияет также асимметричная информация ситуация, в которой часть участников сделки обладает важной информацией, которой не располагают другие заинтересованные лица. Это означает наличие неопределенности и риска.
Неопределенность ситуация, для которой характерен. недостаток информации о вероятных будущих событиях.
Риск положение, варианты исхода которого известны, но неизвестно какой из них наступит точно. Хотя по отношению к риску все люди делятся на три основные группы: антипатичные к риску, нейтральные к риску и предпочитающие риск, большинство потребителей предпочитают уменьшать его последствия. Способы минимизации риска показаны на схеме 28.
Схема 28.
Страхование механизм распределния рисков между теми, кто хотел бы обезопасить себя от возможных последствий возникновения пагубных ситуаций. Страховка от риска предоставляется в обмен на внесение страховой премии. В случае наступления страхового события страховая компания выплачивает пострадавшему компенсацию за понесенный ущерб.
Сумма внесенных премий формирует общий фонд для выплаты компенсаций, а также является источником покрытия административных затрат страховой компании.
Стоимость полной информации определяется разницей между ожидаемой стоимостью какого-нибудь приобретения, когда имеется полная информация, и ожидаемой стоимостью, когда информация неполная.
Диверсификация распределение капитала и /или видов деятельности по нескольким сферам для уменьшения риска путем перераспределения прибыли из одной сферы для покрытия убытков в другой.
6. 3. Предприятие в рыночной экономике В хозяйственной практике понятия «предприятие» и «фирма» имеют некоторое отличие. Предприятие выражает технологические и организационные аспекты хозяйственной деятельности субъекта. Фирма более общее понятие, включающее помимо указанных аспектов и правовой. Она выступает, как юридическое лицо, обладающее собственностью и производящее на рынок товары и услуги. В состав фирмы могут входить одно или несколько предприятий.
Системообразующими факторами определения предприятия как основного звена национальной экономики и как самостоятельного хозяйствующего субъекта является кооперация, основанная на внутреннем разделении труда, а также реализация функций индивидуального воспроизводства и обособлении кругооборота капитала (ресурсов).
В развитой рыночной экономике предприятия разнообразны. Они занимаются производством товаров, их реализацией, оказанием самых разнообразных услуг финансовых, посреднических, информационных, консультативных, научно-исследовательских. По сферам предпринимательской деятельности они могут быть промышленными, агропромышленными, сельскохозяйственными, строительными, транспортными, телекоммуникационными, торгово-посредническими, венчурными, рекламными, инжиниринговыми, юридическими и т. д. В зависимости от размера выделяют мельчайшие, основанные на личном труде товаропроизводителя; мелкие (численность работников 10-15 человек); средние (численность 50-500 человек); крупные (численность 500 человек, как правило, акционерные общества).
Многообразие возможных положений отдельных фирм в конкретной экономической ситуации на рынке определяется различной нацеленностью их функционирования. Это может быть желание выжить при неблагоприятной экономической конъюнктуре, минимизация убытков, завоевание нового сегмента рынка или максимизация прибыли и т. д. В самом общем виде модели деятельности фирмы можно представить в виде следующей таблицы:
Таблица 15.
Цели деятельности фирмы
Общественная группа
|
Ожидаемые результаты деятельности фирмы
|
Общество в целом
|
- Экономический рост.
- Поступления от налогов.
- Уравнивание власти.
- Уравнивание дохода.
- Сохранение окружающей среды.
- Сохранение природных ресурсов.
|
Местная община
|
|
Держатели акций
|
- Рост доходов.
- Рост стоимости акций.
|
Кредиторы
|
|
Потребители
|
- Стабильность доходов..
- Справедливые цены.
- Обеспечение выбора.
- Удовлетворение потребностей.
|
Управляющие
|
- Рост доходов.
- Профессиональный интерес.
|
Работники
наемного труда
|
- Занятость.
- Уровень оплаты.
- Досуг.
- Условия труда.
- Удовлетворение от работы.
|
Принятие широких долгосрочных мер по реализации цели составляет содержание стратегии (деловой политики) фирмы. Формирование стратегии обуславливается анализом внешних и внутренних факторов деятельности фирмы (схема 29).
Схема 29.
Планирование коммерческой деятельности фирмы входит в системы организации управления и определяется его целью. Располагая факторами производства и соединяя их в различных технологиях, фирма выпускает готовые товары и предлагает их на рынке.
Зависимость между любым набором факторов производства и максимально возможным объемом продукции, производимой из этого набора называется производственной функцией.
Q = F (L, K), где Q- выход продукции, L, K различное сочетание факторов производства
Модификацией производственной функции является изокванта.
Изокванта кривая, геометрическое место точек, соответствующих всем вариантам производственных факторов, использование которых обеспечивает одинаковый объем выпуска продукции (схема 30).
График, на котором представлен набор изоквант, называется картой изоквант.
Схема 30.
Изокванта
Специфика анализа деятельности фирмы зависит от периода времени, в течение которого реализуется производственная функция. Краткосрочный период в течение которого производственные функции остаются фиксированными. Долгосрочный период отрезок времени, достаточный для внесения изменений во все факторы производства.
Для анализа деятельности фирмы в краткосрочный период используются следующие показатели:
- общий, средний и предельный продукт;
- общие, средние, предельные, постоянные и переменные издержки;
- совокупный, средний и предельный доход.
Общий продукт (total product) это количество экономического блага, произведенное с использованием некоторого количества фактора производства. Разделив общий продукт на израсходованное количество переменного фактора, можно получить средний продукт (average product):
AP = Q: F Предельный продукт (marginal product) определяется как прирост совокупного продукта, полученный в результате бесконечно малых приращений количества использованного переменного фактора:
С ростом использования какого-либо производственного фактора при прочих равных условиях рано или поздно достигается такая точка, в которой дополнительное применение переменного фактора ведет к снижению сначала относительного, а затем и абсолютного объемов выпуска продукции. В этом заключается закон убывающей предельной производительности. Поэтому при определении размеров предприятия следует учитывать тот факт, что расширение производства целесообразно до тех пор пока предельный продукт больше или равен среднему продукту..
Тема 10. Экономический рост и циклические колебания
Экономическая система не может существовать, не воспроизводя постоянно все элементы производства в определенных пропорциях, а также все экономические отношения. Субъектами этих отношений в макроэкономике выступают совокупные экономические агенты. Переплетение их хозяйственных связей, их взаимозависимость предполагает взаимное согласование, сбалансированность или экономическое равновесие. В самом общем виде экономическое равновесие выступает как соответствие между ресурсами и потребностями, как способ использования ограниченных ресурсов для создания рыночных товаров и услуг и их перераспределения между членами общества. Равновесие отражает тот выбор, который устраивает всех в обществе.
Условия такого равновесия показаны в таблице 21.
Таблица 21.
Условия экономического равновесия
Элемент экономической системы
|
Условия экономического равновесия
|
Экономический
индивид
|
Свободный (частный) собственник ресурсов
|
Потребитель
|
Поведение направлено на максимизацию полезности товара
|
Фирма
|
Деятельность направлена на максимизацию прибыли
|
Работник
|
Поведение направлено на максимизацию дохода от продажи фактора производства труда
|
Рынок
|
Оптимальность стратегий
участников обмена
|
Благосостояние
|
Равенство в обмене для двух любых его участников в соотношении полезностей любой пары приобретаемых ими товаров
|
Макроэкономическое воспроизводство
|
Оптимальный устойчивый
экономический рост
|
Проблема макроэкономического равновесия возникает из того, что в рыночном кругообороте равенство расходов и доходов является обязательным условием, но если расходы (одного) действительно всегда превращаются в доходы (другого), то вот доходы вовсе не обязательно превращаются в расходы, и уж во всяком случае не обязательно равняются им. Замечено, что для домохозяйств типично превышение доходов над расходами, тогда как для фирм превышение расходов над доходами.
В экономической теории выделяют несколько типов экономического равновесия (схема 45).
Схема 45.
Типы экономического равновесия
Происхождение и постоянное развитие проблемы макроэкономического равновесия неразрывно связано с прогрессом в общественном разделении труда, в специализации и кооперировании производства. Если существуют обособленные отрасли национальной экономики, то существует возможность рассогласования их функционирования. Кроме того, связи между отраслями постоянно изменяются под воздействием самых разнообразных факторов: технологического прогресса, ассортимента производимой продукции, изменений спроса, наличия внешних эффектов и т. п. Отсюда следует необходимость поддержания этих связей. Тем более что явления экономической статики и динамики в реальной жизни тесно переплетены: если предположить, что в какой-то момент имеет место равновесие, то оно достаточно быстро и постоянно нарушается и также быстро восстанавливается.
Этот процесс можно представить как колебания вокруг точки равновесия. Такое состояние в экономической науке получило название «равновесие-неравновесие». В одних случаях нарушенное равновесие восстанавливается самой рыночной системой в силу ее способности к саморегулированию, в других восстановление нарушенного равновесия требует государственного вмешательства.
Обеспечение общего равновесия можно рассматривать как итог влияния изменений на одном из рынков национального хозяйства на другие его составляющие и на мировой рынок в целом. Здесь учитываются изменения экономических процессов во всех сферах или части сфер национального хозяйства, а также их взаимодополнение и взаимозаменяемость. Примером, подтверждающим актуальность такого подхода, можно считать изменения цен и других показателей экономического развития во многих промышленно развитых странах, вызванных трехкратным повышением цен на нефть, которое было предпринято в 70-ых гг. странами Персидского залива.
Значение проблемы макроэкономического равновесия реально ощутила и Россия летом 1998 г. Тогда стало очевидным, что страна превратилась в часть мировой финансовой системы, и любые проблемы, возникающие в этой системе, при несбалансированности основных макроэкономических индикаторов могут обернуться новым тяжелым кризисом. К тому же расчеты показывают, что финансовая взаимозависимость современных экономик настолько велика, что перемещение всего 1-2% массы денег, находящихся в частном секторе, из одной страны в другую может изменить паритет национальных валют.
9. 2. Модели макроэкономического развития Исследование факторов и условий повышения эффективности производства как основы максимизации прибыли отдельной фирмы и национального хозяйства в целом представляет главную проблему всех современных экономических школ, теорий и направлений. Важнейшим условием успешного решением этой задачи является обеспечение макроэкономического (общего равновесия).
Несовпадение реального равновесия с идеальным, или теоретически желаемым не умаляет важности теоретического анализа закономерностей общественного воспроизводства и выработки абстрактных схем и моделей макроэкономического равновесия. Эти модели помогают понять экономический механизм, выявить факторы отклонения реальных процессов от идеальных, сформировать оптимальную экономическую политику. В настоящее время в экономической науке имеется большой набор моделей экономического равновесия, характеризующих особенности подхода к данной проблеме в различные исторические периоды (см. таблицу 21). Непреходящая заслуга всех экономистов, развивающих теорию общего равновесия, состоит в четком разграничении абстрактно-равновесного и историко-эволюционного уровней анализа.
Это позволяет правильно определить место данной теории в экономической науке. Система уравнений общего равновесия, устанавливая функциональную зависимость между спросом и предложением на всех рынках и выводя из нее равновесные цены, конечно же не претендует на объяснение экономического развития в его эволюции. Дело скорее в том, что, за исключением технических деталей, совершенствование которых с учетом развития математики будет продолжаться, абстрактно-идеальный анализ условий рыночной конкуренции практически завершен.
Это позволяет науке двигаться дальше по пути открытия важнейших закономерностей реальной экономической жизни.
Таблица 21
Описание модели макроэкономического равновесия
Авторы
|
Условия обеспечения
равновесия
|
Общая характеристика модели
|
Ф. Кенэ
(1694-1774)
|
Основной класс землевладельцы. Цены постоянные. Роль государства и заграницы не учитывается.
|
Равновесие достигается путем установления обменных процессов между классами, в результате которых происходит распределение чистого продукта
|
Ж. Б. Сэй
(1767-1832)
|
Экономическая система «направляется предложением» и весь доход расходуется на потребление
|
Макроэкономическое предложение создает и балансирует собственный спрос, который основывается на положении, что каждый продавец в то же время является и покупателем товара
|
К. Маркс
(1818-1883)
|
Обеспечение равновесия между элементами стоимости общественного продукта и между двумя подразделениями общественного производства
|
При простом воспроизводстве:
I (m+v) =IIc, тогда
I (c+v+m) =Ic+IIc; I (c+v+m) =IIc+Ic;
При расширенном воспроизводстве
I (m+v) (IIc, тогда
I (c+v+m) (Ic+Ic; II (c+v+m) (IIc+Ic
|
Л. Вальрас (1834-1910)
|
Модель основывается на системе линейных уравнений. Основную роль играют равновесные цены, обеспечивающие равенство спроса и предложения по каждому товару.
|
Общее предложение конечных продуктов должно быть равно общему спросу на них как сумма доходов, приносимых всеми факторами производства их собственникам.
предложение спрос
|
Дж. Кейнс
(1883-1946)
|
Модель краткосрочного экономического равновесия денежного рынка необходимое условие: равенство инвестиций сбережениям (S=I)
|
, где Ms предложение денег; Md- спрос на деньги; M0 располагаемая денежная масса; P уровень цен; L- облигации; r норма процента; Y реальный доход
|
В. Леонтьев
(1905-1999)
|
Модель межотраслевого баланса (МОБ) «Затраты выпуск»
|
Шахматное построение Моба, обеспечивающее отраслевое, межотраслевое и общее равновесие
|
Из положения о макроэкономическом равновесии-неравновесии можно сделать два важнейших вывода. Во-первых, когда говорят о равновесии, имеют в виду равновесие в денежной, стоимостной форме. Во-вторых, макроэкономическое равновесие не является устойчивым. Это положение можно проиллюстрировать с помощью теории катастроф. Она иллюстрирует важнейшие выводы анализа общего равновесия следующим образом.
Для подавляющего большинства случаев изменение равновесной системы относительных цен осуществляется плавно, эта система устойчива, и близко от нее нет другой равновесной системы. Однако нельзя исключить возможности существования некоторого «пренебрежимого» (множество меры нуль) количества «критических» случаев, когда небольшое изменение количества вызывает резкий скачок в стоимости. Равновесие в этом случае неустойчиво. Возможность разделения множества равновесий на несколько ветвей означает, что одним и тем же исходным условиям экономической системы может соответствовать несколько систем равновесных цен. Переход от одной ветви к другой как раз составляет содержание «катастрофических» скачков.
Рассмотрим схему 46.
Тема 11. Особенности экономической политики государства
Экономическое развитие общества представляет многофакторный динамический процесс, который рассматривается только за средне- и долгосрочные периоды времени. Поэтому экономический рост одна из центральных экономических проблем, стоящих перед всеми странами. По его динамике судят о развитии национальных экономик, о жизненном уровне населения, о том, как решаются проблемы ограниченности ресурсов.
Экономический рост это увеличение объемов национального производства, которое происходит на основе расширения объемов используемых ресурсов и/или совершенствования техники и технологий.
Не смотря на огромную значимость экономического роста, этот процесс имеет свои плюсы и минусы (схема 51).
Схема 51.
Последствия экономического роста
В современной литературе принято выделять два типа экономического роста: преимущественно экстенсивный и преимущественно интенсивный. Их особенности отражены в таблице 24.
Таблица 24.
Особенности преимущественно экстенсивного и преимущественно интенсивного типов экономического роста
Преимущественно экстенсивный тип
|
Преимущественно интенсивный тип
|
Количественное наращивание объемов производственных ресурсов, определяющее более 50% прирост производимого продукта
|
Качественное совершенствование факторов производства, повышение их эффективности, определяющее более 50% прирост
|
Спорадическое введение ресурсов повышенной эффективности
|
Непрерывное введение ресурсов повышенной эффективности
|
Развитие традиционных технологий и производственных ресурсов
|
Применение прогрессивных технологий и производственных ресурсов
|
В западной экономической литературе, проводя аналогию с ростом и развитием в природе, выделяют недифференцированный и дифференцированный (органический) рост. Недифференцированный экономический рост связан с количественным ростом экономики. Органический рост представляет собой многоаспектное развитие, включающее координацию целей и задач, мобильность и гибкость факторов экономического роста, приоритет качественных показателей роста.
В силу множества природно-климатических, исторических, политических и социально-экономических причин в России сохраняется преимущественно экстенсивный недифференцированный тип экономического роста.
Экономический рост есть составляющая экономического развития. Он выражается непосредственно в количественном увеличении ВНП и его составляющих. На макроэкономическом уровне ведущими показателями количественной динамики экономического роста являются годовой темп прироста ВНП, годовые темпы роста ВНП на душу населения, годовой рост ВНП.
В литературе часто дискутируются вопрос о том, какие темпы выгоднее. Сравнительная характеристика возможных вариантов темпов экономического роста показана в таблице 25.
Таблица 25.
Темпы экономического роста
Темпы
|
Общая характеристика
|
Высокие темпы
|
- Имеют положительное значение при сбалансированном развитии всех секторов экономики и обеспечении высокого жизненного уровня населения
|
Нулевые темпы
|
- Имеют положительный характер при снижении материалоемкости и капиталоемкости производства, а также в результате структурной перестройки экономики
|
Отрицательные темпы
|
- Свидетельствуют о кризисе национальной экономики
|
Оптимальные темпы
|
- Не бывают ни слишком высокими, ни слишком низкими. Они должны быть такими, чтобы обеспечить макроэкономическое равновесие
|
Страна, обеспечивающая экономический рост, развивается тем успешнее, чем выше его темпы и качество. Вместе с тем количественные параметры экономического роста нельзя рассматривать как самоцель. Это средство достижения разнообразных целей, которые государство ставит между собой.
При этом в качестве конечной цели экономического роста всегда провозглашается повышение благосостояния населения.
Экономический рост определяется множеством факторов. Важнейшие из них отражены на схеме 52.
Схема 52.
10. 2. Модели экономического роста В зависимости от факторов экономического роста строятся модели экономического роста. В целом можно выделить два основных типа моделей: многофакторные и двухфакторные.
Многофакторная модель предполагает воздействие на рост всех факторов экономического роста. Общее представление о взаимодействии всех этих факторов может дать кривая производственных возможностей (см. тему 3). Она показывает, как разное сочетание факторов воздействует на количество вариантов производимой продукции.
Усиление любого из факторов предложения (увеличение количества и улучшение качества ресурсов и технический прогресс) смещает кривую производственных возможностей вправо (схема 53).
Схема 53.
Кривая производственных возможностей
многофакторная модель экономического роста
В современной экономической мысли многофакторная модель активно исследуется представителями неоклассического направления. При этом утверждается, что каждый фактор производства «обеспечивает» соответствующую долю производимого продукта; стоимость продукции создается производственными факторами; экономика обладает необходимыми предпосылками для автоматического восстановления равновесия в процессе свободной конкуренции.
Двухфакторная модель включает в себя только труд и капитал. По данным американского экономиста Денисона 2/3 прироста продукта осуществляется за счет увеличения трудозатрат (труда). Двухфакторная модель исследуется сторонниками неокейнсианского направления.
Ее исходными условиями объявляются связь экономического роста с процессами накопления и наличие равенства между сбережениями и инвестициями.
Возможны два варианта построения двухфакторной модели: с учетом и без учета НТП. Если НТП отсутствует, то постепенно накопление капитала приведет к снижению конечной продуктивности и к замедлению экономического роста. В условиях использования НТП капитал и труд становятся более продуктивными НТП вызывает рост инвестиций. Последние могут по-разному воздействовать на экономический рост.
Одни из них ведут к экономии затрат труда и к росту затрат в капитал. Их называют трудосберегающие. Другие инвестиции сокращают приложение капитала в большей степени, чем труда.
Их называют капиталосберегающими. При равной экономии труда и капитала инвестиции называют нейтральными.
В настоящее время в западных странах получила распространение концепция «экономического развития без роста». Это определяется тем что, с одной стороны, на основе НТП уже достигнут высокий уровень подушевого производства, а с другой, значительно уменьшились темпы роста населения и усилились издержки экономического роста. Выход из создавшегося положения был предложен немецким экономистом фон Нелль-Бройнингом. Он считает, что вместо товаров следует производить значительно больше услуг, объем которых может быть увеличен без существенных дополнительных затрат основных средств.
Развитые страны должны ускорить поиск новых, экологически безвредных исходных материалов, для того чтобы больше традиционных ограниченных видов сырья и источников энергии оставалось в распоряжении развивающихся стран. Кроме того следует ограничиться умеренными темпами экономического роста, учитывающими экологические проблемы и одновременно предоставляющие шансы для роста стран третьего мира.
Особое значение имеет поиск модели экономического роста для стран с переходной экономикой. Часть экономистов утверждает, что основой экономического роста может стать финансовая стабилизация. Имеется и альтернативный подход, получивший в литературе название структурно-производственной стабилизации и предусматривающий обеспечение прогрессивных структурных сдвигов в производстве и экспорте продукции.
10. 3. Циклические колебания экономического роста. Теории экономических циклов.
Экономический рост представляет собой усредненную тенденцию общественного развития. В действительности общество постоянно переживает подъемы и спады, развивается циклически. Цикличность можно определить как движение национальной экономики от одного макроэкономического равновесия к другому (схема 54).
Схема 54.
Экономический рост и экономические циклы
Экономический цикл периодические колебания экономической активности общества, промежуток времени от начала одного кризиса до начала другого. Экономический цикл состоит из двух фаз: подъема и спада деловой активности и двух поворотных точек: пика и низшей точки спада. В целом в развитии цикла можно выделить четыре основные стадии.
Их общая характеристика дана в таблице 26.
Таблица 26.
Стадии экономического цикла
|
Стадии цикла
|
Общая характеристика
|
Подъем
|
1
|
Оживление
|
Рост объемов производства до предкризисного уровня; увеличение спроса на потребительские товары и услуги и факторы производства; обновление основного капитала, повышение цен, уменьшение безработицы
|
2
|
Подъем
|
Продолжающийся рост объемов производства и обновление основного капитала; увеличение инвестиционного и потребительского спроса; повышение цен и доходов, уменьшение безработицы
|
спад
|
3
|
Кризис
|
Увеличивается масса нереализованной продукции; уменьшаются прибыли; растет ссудный процент; сокращаются кредиты, кризисы неплатежей; массовые банкротства, рост безработицы; падают котировки акций; обесценение основного капитала
|
4
|
Депрессия
|
Уменьшаются темпы спада производства (застой); подходят к концу нереализованные товарные запасы; затухает падение инвестиционного и потребительского спроса; сохраняются массовая безработица и низкие цены; в экономике начинается накопление капитала и появление точек роста
|
Тема 12. Теоретические основы региональной экономики
Государственное регулирование, обеспечивающее реализацию экономических функций государства, осуществляется посредством проведения экономической политики.
Экономическая политика система целенаправленных мер государства в области управления экономикой. В обществе существует несколько субъектов экономической политики (схема 57).
Схема 57.
Субъекты исполнения экономической политики
государство
|
|
Институты государства
федеральные
региональные
местные
|
|
Сфера противоречия интересов
|
|
|
|
|
Негосударственные субъекты
|
|
Имеющие прямое влияние
профсоюзы
союзы предпринимателей
кооперативы
|
|
|
Имеющие косвенное влияние
партии
СМИ
Влиятельные личности
Экспертные советы
Общественное мнение
|
|
|
|
|
|
Надгосударственные субъекты
|
|
Интеграционные институты (Европейское сообщество и т. д.)
|
|
|
Межгосударственные советы (встречи «стран семерки» и т. д.)
|
|
Значимое место в формировании экономической политики отводится субъектам исполнения и влияния: общественным и политическим объединениям, средствам массовой информации, видным политическим деятелям. Влияние на экономическую политику оказывает также каждая личность (в роли потребителя и избирателя). Очевидно, что роли субъектов экономической политики тесно переплетены и взаимосвязаны. Сложная система субъектов экономической политики определяет три принципиальных положения ее формирования:
- Экономическая политика всегда испытывает на себе определяющее воздействие двух факторов: постоянно меняющейся хозяйственной ситуации и уровня экономического мышления.
- Эффект экономической политики выше в том случае, когда она увязана с реалиями данной страны: учтены политический расклад сил, производственно-технический потенциал, состояние социальной структуры, институциональный порядок общегосударственного и местного управления и т. д.
- Экономическая политика является решающим средством поддержания политического курса страны.
Для выработки экономической политики особое значение имеет выбор цели и соответствующей ей инструментов. К целям экономической политики предъявляются определенные требования. Во-первых, должны ставиться только те цели, реализацию которых не может обеспечить рынок. Во-вторых, цель должна быть количественно измерима, что даст возможность контролировать ее выполнение.
В процессе реализации основных целей общество вынуждено решать множество разных задач, которые образуют иерархическую соподчиненность «пирамиду целей» (схема 58).
Схема 58.
Пирамида целей
Общественное благосостояние
|
Общественно-политические цели
|
Свобода
|
Правовой порядок
|
Безопасность
|
Цели экономической политики
|
Стабильность
|
Экономический рост
|
Стабильность национально экономий экономики
|
Внешнеэкономическая стабильность
|
Структура цели
|
Отраслевая структура
|
Региональная структура
|
Инфраструктура
|
Рыночная структура
|
Структура внешней торговли
|
Структура распределения
|
Полная занятость
|
Стабильность
|
Стабильность платежного баланса
|
Цели экономической политики, выходящие за пределы данной классификации
|
- Цели, не поддающиеся операционному решению, обуславливающие направленность общегосударственной политики.
- Цели, поддающиеся операционному решению, определяющие направленность экономической политики.
Реализация экономической политики предполагает использование совокупности мер, формирующих механизм государственного регулирования. Для умения рационально применять средства воздействия на экономику требуется знать их структуру. В самом общем виде совокупность всех инструментов можно представить в виде схемы 59.
Схема 59.
Совокупность административных рычагов охватывает те регулирующие действия, которые связаны с обеспечением правовой инфраструктуры. Задача принимаемых мер при этом в создании наиболее разумных для частного сектора правовых рамочных условий. Институциональные инструменты экономической политики воздействуют на экономику путем создания организационно-институциональных структур, включая формирование исполнительных структур государственной власти, создание и поддержание государственного сектора, подготовку экономических программ и прогнозов, поддержку исследовательских центров и др.
К важнейшим экономическим инструментам относят финансовый и кредитно-денежный механизмы. В соотношении их использования многое зависит от господствующей в данный момент теоретической конценпции макроэкономического регулирования. До 1970-ых годов. главенствующую роль играло неокейнсианское направление, для которого финансовые меры были особенно важны.
В последующий период в связи с распространением монетаризма более важную роль стали играть кредитно-денежные методы. В условиях российской экономики старт реформе 1992 года был дан за счет активного использования кредитно-денежного механизма. В настоящее время в стране существует необходимость в активном использовании обоих инструментов посредством осуществления бюджетно-налоговой и кредитно-денежной политики.
11. 2. Финансовая система и бюджетно-налоговая политика. Финансы представляют собой экономический инструмент распределения и перераспределения валового внутреннего продукта, орудие контроля за образованием и использованием фондов денежных средств. Совокупность финансовых отношений в рамках национальной экономики образует финансовую систему государства.
Ее структура показана на схеме 60.
Схема 60.
Важная роль, которую выполняет государство в области социально-экономического развития, приводит к необходимости централизации в его распоряжении значительной части финансовых ресурсов. Формами их использования являются бюджетные и внебюджетные фонды, государственный кредит, фонды страхования и фондовый рынок. Важнейшим принципом построения государственных финансов является принцип фискального федерализма, при котором четко разграничены функции между федеральным, субфедеральным и местным уровнями финансовой системы.
Общегосударственные финансы тесно связаны с финансами предприятий. Политика государства по организации и использованию финансов получила название финансовой или бюджетно-налоговой политики.
Бюджетно-налоговая политика совокупность мер государственного воздействия в области налогообложения и регулирования структуры государственных расходов (фискальная политика) и в области регулирования бюджета (бюджетная политика).
Фискальная политика государства может осуществляться на основе использования различных методов и соответственно принимать разные формы. Основные виды фискальной политики современных государств отражены на схеме 61.
Схема 61.
Виды фискальной политики
Экспансионистская
(стимулирующая)
оказывает стимулирующее воздействие на совокупный спрос в период экономического спада
|
|
|
Контрактивная
(сдерживающая)
оказывает сдерживающее воздействие на совокупный спрос в период экономического подъема
|
|
|
|
Дискреционная
основана на сознательном манипулировании государством налогами и расходами
|
Автоматическая
основана на действии встроенных стабилизаторов, приспосабливающих экономику к фазам цикла
|
Смешанная
допускает использование рычагов дискреционной и автоматической фискальной политики
|
|
|
Основным рычагом фискальной политики является изменение налогов в соответствии с целями правительства. Налоги это обязательные срочные платежи государству физических и юридических лиц. Основные виды налогов можно сгруппировать по пяти признакам в схему 62.
Схема 62.
Основные виды налогов
Объекты налогообложения
|
Способы взимания налогов
|
Способы определения размера налога
|
Уровни налогообложения
|
Порядок использования
|
прямые
|
Косвенные
|
Акцизы
|
|
Налоги на доходы
|
Налоги на имущество
|
Налоги на расходы
|
Подоходный
|
Поимущественный
|
Индивидуальные
|
Универсальные
|
Таможенные пошлины
|
Пропорциональные
|
Прогрессивные
|
Регрессивные
|
Общенациональные
|
Региональные
|
Местные
|
Общие
|
Целевые
|
Совокупность применяемых в стране налогов называется налоговой системой. Она базируется на законодательных актах государства, которыми устанавливаются элементы налога (субъект, объект, источник и ставка налога). Различают предельную, среднюю, нулевую и льготную налоговые ставки.
Предельная налоговая ставка есть прирост выплачиваемых налогов, поделенный на прирост дохода.
Средняя налоговая ставка это общий налог, поделенный на величину налогооблагаемого дохода.
По признаку соотношения между средней ставкой налога и доходом налоги делятся на прогрессивные (ставка повышается по мере возрастания дохода), регрессивные (ставка уменьшается по мере возрастания дохода) и пропорциональные (ставка остается неизменной, независимо от размеров дохода).
Вопрос о том, высоким или низким должен быть налог является предметом постоянных дискуссий экономистов и политиков. Последователи Кейнса считают, что высокий уровень налога снижает совокупный спрос. Значит, цены снижаются и инфляция затухает. Сторонники «экономики предложения» доказывают противоположное: высокие налоги увеличивают издержки предпринимателей, которые перекладываются на потребителей в форме более высоких цен и вызывают инфляцию. К тому же А. Лаффером была открыта связь между ставками налогов и налоговыми поступлениями, графическое изображение которой получило название кривой Лаффера.
Ее экономический смысл заключается в следующем: при ставке подоходного налога выше определенного уровня резко снижается деловая активность, ибо предпринимательская деятельность становится невыгодной. А более низкие ставки налогов создают стимулы к работе, сбережениям, инвестициям, принятию деловых рисков, расширению национального производства и дохода. В результате расширяется налоговая база, которая может поддержать налоговые поступления на высоком уровне даже при том, что ставки налога будут ниже (схема 63).
Тема 13. Мировая экономика и мировая торговля
Региональная экономика структурно относится к мезоэкономике и представляет собой особое хозяйственное образование, сложность которого проявляется множественностью форм.
Региональная экономика это отрасль экономической науки, изучающая территориальную организацию производства. Она описывает экономические явления и процессы, связанные с рыночным развитием хозяйства отдельных регионов и их включением в единое экономическое пространство. Поэтому целью исследователей является, с одной стороны, определение общих черт, присущих регионам, с другой выявление специфики каждого из них и на базе полученных результатов выработка конкретной программы по их дальнейшему комплексному развитию.
Существует два основных подхода к анализу региональной экономики, представленных на схеме 69.
Схема 69
Основные подходы к региональной экономике
Если мирохозяйственный и геополитический подходы активно используются в таких науках, как мировая экономика и политология, то в национальной экономике важное место занимает территориально-воспроизводственный подход. В условиях административно-распределительной системы, основанной на принципах приоритета отраслевого управления, региональная экономика была наиболее слабым звеном. Свидетельством тому служит отсутствие комплексности в развитии многих регионов России, серьезные диспропорции между различными элементами хозяйственной, социальной и природной систем. В связи с формированием многоукладной экономики, новых экономических отношений, радикальной сменой всей системы управления встала задача разработки нового механизма управления социально-экономическим развитием региона.
Создание такого механизма должно базироваться на теории регионального воспроизводства на изучении законов общественного воспроизводства и их проявления на региональном уровне. Воспроизводственный подход к управлению социально-экономическим развитием региона означает необходимость управления взаимосвязями и зависимостями между всеми элементами региональной системы, обеспечивающими эффективное развитие региональной экономики и рост благосостояния населения.
Исходным понятием теории регионального воспроизводства является понятие «регион». В научной литературе и в повседневней практике часто в качестве синонимов данного термина используются такие понятия, как территориальная система, региональная экономика, район и др. Однако их содержание имеет определенные различия.
В экономике, где территориальная единица является объектом управленческих решений, а сами эти решения могут приниматься на различных уровнях управленческой системы федеральном, региональном (республика, область, край), муниципальном, необходимы большее единство и строгость при районировании страны и законодательно- правовое закрепление статуса каждого уровня. Не случайно в рамках Европейского экономического сообщества разработано общее для всех стран понятие региона. При этом признаком, по которому ту или иную территорию можно представить как относительно самостоятельную единицу, служит ее социально-экономическое единство со всей национальной экономикой, т. е. протекающие на ней экономические процессы должны отражать определенные закономерности общественного воспроизводства, формирующиеся под влиянием взаимосвязанных экономических, социальных и природных факторов.
В этом смысле регион предстает как территориально-специализированная часть народного хозяйства страны, характеризующаяся единством и целостностью воспроизводственного процесса. Таким образом, слова «регион» и «территория» должны соотноситься как часть и целое. Понятия же «район» и «регион», обозначая часть общей территории, являются в широком смысле синонимами и употребляются применительно к некоторой ограниченной части пространства.
В территориальной системе России можно выделить несколько региональных структур.
- Структура, образуемая в соответствии с экономическим районированием на основе территориального разделения труда. Территории в составе этой структуры имеют определенную специализацию в едином процессе общественного воспроизводства и свои специфические особенности. Территориальное разделение труда это объективный процесс производственной специализации, обособления экономических районов, развития межрайонной кооперации, обмена продукцией и услугами. Оно определяет основные закономерности и формы территориальной организации производства.
- Структура, отвечающая критерию национально-государственного устройства и определяющая в соответствии с Конституцией страны совокупность равноправных субъектов Российской Федерации.
- Региональная структура, отражающая территориально-административное устройство каждого субъекта федерации. Она определяется спецификой расселения населения и сложностью централизованного управления социально-экономическими процессами на обширной территории государства.
4. Районы реализации региональных комплексных программ. Их реализация вызывает серьезные сдвиги в территориальных пропорциях размещения производительных сил и формирование особых регионов.
Названные региональные структуры показаны на схеме 70.
Региональная структура территориальной системы России
Критерии выделения регионов
|
Экономическое районирование на основе территориального разделения труда
|
Национально-государственное устройство
|
Административно-территориальное деление
|
Реализация крупных национальных программ
|
Крупные экономические зоны (например, запад, восток)
|
Республика, край, область
|
Республика, край, область
|
Сырьевых программ
|
Крупные экономические районы
|
Город федерального значения, автономная область, автономный округ
|
Административный район края, области, автономной области, автономного округа
|
Программ развития депрессивных районов
|
Территориально-производственные комплексы
|
Программ освоения новых территорий
|
Промышленные узлы
|
Город
|
Экологических программ
|
Район города
|
Свободные экономические зоны
|
Поселок
|
Целью функционирования региональной экономики является обеспечение высокого уровня и качества жизни населения соответствующего региона. Региональная экономика должна базироваться на использовании трех основных принципов: во-первых, тщательного учета потребностей населения региона, состояния и динамики формируемых рынков, интересов государства и отдельных предприятий; во-вторых, создания условий для максимального приспособления структуры экономики региона к внутренним и внешним факторам; в-третьих, активной реализации региональных интересов.
Целесообразно выделить несколько функций региональной экономики, показанных в таблице 30.
Таблица 30.
Функции региональной экономики
Область применения
|
Содержание
|
Производство
|
- производство продукции и услуг по региональным программам для внутреннего и внешнего рынков; производство общественных товаров (авиалинии, железные и автомобильные дороги, очистительные установки, зеленые насаждения и т. д.); оказание общественных услуг (туризм, образование, медицина, жилье, культурные мероприятия и др.);
|
Ценообразование
|
- регулирование цен и тарифов, разработка всевозможных льгот и штрафных санкций, определение налоговой политики;
|
Распределение
|
- формирование региональных каналов распределения товаров и услуг;
|
Обмен
|
- стимулирование реализации товаров и услуг, послепродажное сервисное обслуживание, организация рекламы, формирование системы общественной информации, региональных систем телекоммуникаций, статистических баз данных и другое;
|
Потребление
|
- обеспечение рационального уровня потребления
|
12. 2. Проблемы классификации регионов Множество подходов к анализу региональных проблем, самого понятия региона и его функций определило наличие огромного числа классификаций регионов. Одинаковых регионов нет, есть давно освоенные и недавно освоенные, есть центральные и периферийные, есть, где численность населения растет, и есть где падает, в одних преобладает численность населения старших возрастных групп, в других высок удельный вес молодежи. Регионы отличаются по уровню насыщенности производительными силами, социальной структуре, наличию сырьевой базы и полезных ископаемых, расстоянию от высокоразвитых промышленных, культурных и столичных центров.
Классифицировать регионы можно по источникам основной специализации производства: агропромышленные, транспортно-промышленные, морепромышленные, рыбопромышленные, газопромышленные и другие.
Чаще всего в основу классификации регионов кладутся следующие критерии: уровень и темпы экономического развития, тип территориальной структуры, коэффициент плотности населения, темпы прироста населения, характер и коэффициент производственной специализации и др. В настоящее время, в связи с быстрым вхождением регионов в рынок, высказывается новый критерий классификации, а именно, емкость рынка какой-либо территории. Известно, что объем рынка неразрывно связан со степенью специализации общественного труда, т. е. разделением труда.
Чем глубже общественное разделение труда, тем сильнее кооперационные связи между предприятиями какой-либо территории, тем глубже интеграция.
Тема 14. Экономические отношения между странами
Экономические отношения между странами возникли очень давно, однако долгое время они носили нерегулярный и ограниченный характер. Лишь в XVI-XIX вв. с развитием машинной индустрии, новых производств, транспорта эти отношения значительно расширились и возросли, создав предпосылки для развития мирового хозяйства.
Мировое хозяйство это глобальная экономика, связывающая национальные хозяйства в единую систему международным разделением труда.
Международное разделение труда специализация отдельных стран на производстве определенных видов продукции. Основные факторы МРТ отражены в таблице 32.
Таблица 32.
Факторы международного разделения труда
Факторы МРТ
|
Характеристика
|
Социально-географические
|
Географическое положение, территория, численность и структура населения, хозяйственный опыт и традиции
|
Природно-климатические
|
Климатические условия, наличие природных ресурсов
|
Технико-экономические
|
Уровень экономического и научно-технического развития, степень включения в НТР
|
За последние 25-30 лет МРТ полностью преобразилось. Его важными характеристиками становятся такие процессы, как интеграция, транснационализация, интернационализация и глобализация.
Интеграция объединение экономических субъектов, углубление их взаимодействия, развитие связей между ними. Экономическая интеграция проявляется как в расширении и углублении производственно-технологических связей, совместном использовании ресурсов, объединении капиталов, так и в создании друг другу благоприятных условий осуществления экономической деятельности, снятии взаимных барьеров.
Транснационализация процесс взаимопереплетения экономик разных стран, благодаря деятельности корпораций по приобретению предприятий в других странах, учреждения иностранных филиалов, работающих на ТНК в рамках специализации и кооперации.
Интернационализация развитие устойчивых экономических связей между странами, выход воспроизводственного процесса за рамки национальных границ. Интернационализация лежит в основе усиления взаимозависимости экономик стран, которая выражается в международном обобществлении самого процесса производства и расширении рынка.
Глобализация процесс коренных изменений в национальных экономиках, в результате которых система международных отношений становится все более однородной, т. е. Приобретает «глобальный» характер.
Особенности и причины современного международного разделения труда показаны на схеме 73.
Схема 73.
Современный этап МРТ
Рост интернализации производства
|
Создание системы «единого национального конвейера»
|
Формирование межнациональных механизмов связи
|
Факторы углубления МРТ
- неравномерность НТП
- разная насыщенность национальных рынков и разная структура потребления
- потребность в выравнивании уровней жизни разных стран
- потребность в обмене опытом хозяйствования
|
- страны-монополисты новейших технологий
- страны-поставщики сырья
- страны-производители материало- и трудоемкой продукции
|
- специальные международные предприятия, совместные предприятия, учреждения
- международные коммуникационные сети
- транснациональные структуры: ТНК, зарубежные филиалы предприятий и т. д.
|
интеграция
|
|
транснационализация
|
В результате интернационализации всех экономических процессов сформировалась структура современного мирового хозяйства, включающая совокупность форм международных экономических отношений, показанных на схеме 74.
Схема 74.
Структура мирового хозяйства
Международная торговля
|
Международное движение капиталов
|
Миграция рабочей силы
|
Международные научно-технические связи
|
Международные валютно-финансовые отношения
|
Международная торговля это форма международных экономических отношений, осуществляемая посредством экспорта товаров и услуг. В современный период темпы роста торговли услугами выше, чем товарами.
Международное движение капитала вывоз капитала через национальные границы. Капитал существует в ссудной и предпринимательской форме. Он может быть частным, государственным и капиталом международных организаций.
Важную роль в данной сфере играют ТНК и ТНБ.
Международная миграция рабочей силы перемещение, переселение трудоспособного населения по причинам экономического характера. Основные потоки миграции включают движение, во-первых, малоквалифицированных рабочих из развивающихся стран и, во-вторых, высококвалифицированных специалистов («утечка мозгов») из государств с переходной экономикой и некоторых развивающихся стран.
Международные научно-технические связи представляет взамовыгодный обмен научно-технической продукцией в разных формах: куплю-продажу лицензий, патентов, ноу-хау; обмен учеными и специалистами; подготовку национальных кадров за рубежом; научно-производственную кооперацию между странами; международный инжиниринг предоставление одним государством другому проектно-конструкторских, консультационных, инженерно-строительных услуг в процессе проектирования или строительства.
В современной экономической теории важнейшими показателями международного разделения труда являются коэффициент относительной экспортной специализации (КОЭС) и экспортная квота.
,
где Э0 удельный вес товара в экспорте страны; Эм удельный вес товара-аналога в мировом экспорте.
С помощью КОЭС можно приближенно определить круг отраслей и, соответственно, круг товаров и услуг, являющихся для данной страны международно специализированными. Экспортная квота является ориентиром, характеризующим уровень открытости национальной промышленности для внешнего рынка.
Преимущества специализированного производства и обмена его продукцией можно оценивать с точки зрения абсолютных и сравнительных преимуществ. Двоякая оценка международного разделения труда при таком подходе показана на схеме 75.
Схема 75.
Абсолютные и сравнительные преимущества МРТ и торговли
Быстрый рост и устойчивость экономических связей между странами ведет к активному развитию мирового рынка как развитой сферы товарного обмена. Хотя мировой рынок отличается от рынков отдельных стран и не может рассматриваться как их совокупность, но между мировым и внутренними рынками, как и между ценами на этих рынках, существует тесная взаимосвязь, осуществляемая прежде всего через каналы международной торговли. Последняя, позволяет преодолевать ограниченность национальной ресурсной базы, увеличивать емкость внутреннего рынка, обеспечивать получение дополнительного дохода за счет разницы издержек производства, а также расширять масштабы производства за счет привлечения иностранных ресурсов.
Выгодность международной торговли в разных странах оценивали по-разному, что нашло отражение в различных теориях (таблица 33).
Таблица 33.
Теории международной торговли
Экономические школы
|
Теории торговли
|
Меркантилизм
|
Теория активного денежного и активного торгового баланса
|
Классическая политэкономия
|
Теория абсолютных преимуществ А. Смита
|
Теория сравнительных преимуществ Д. Рикардо
|
Шведская школа
|
Теория соотношения факторов производства Хекшера-Олина
|
Неоклассический
синтез
|
Теорема выравнивания цен на факторы производства (П. Самуэльсон)
|
Парадокс В. Леонтьева
|
Стандартная и альтернативные модели международной торговли
|
Теории мировой торговли позволяют выработать на научной основе торговую стратегию, соответствующую индивидуальным (порой уникальным) условиям и целям конкретной страны и оказывающую значительное воздействие на международный бизнес; развивают интуитивную способность выявления альтернативных рынков, а также конкурентоспособность продукции; помогают разобраться в типах государственной торговой политики, которые используются на практике и влияют на конкурентоспособность.
13. 2. Внешнеэкономическая политика государства Под внешнеэкономической политикой государства обычно понимают совокупность мер государства, направленных на развитие и регулирование экономических отношений с другими странами. В самом общем виде можно сказать, что главной задачей внешнеэкономической политики является создание благоприятных внешних условий для расширенного воспроизводства внутри страны, поэтому внешнеэкономическая политика всегда тесно связана с внутренней политикой.
Исторически сложилось два типа внешнеэкономической политики: протекционизм и фритредерство.
Протекционизм это политика защиты отечественных производителей от иностранных конкурентов.
Фритредерство политика свободной торговли, основанная на принципе сравнительных преимуществ и направленная на обеспечение возможности мировой экономике достигнуть более эффективного размещения ресурсов и более высокого уровня материального благосостояния.
Исторически первой внешнеэкономической политикой был протекционизм. С его проведением связано использование различных мер ограничения мировой торговли (см. таблицу 34).
Таблица 34.
Протекционистские меры
Таможенные тарифы
|
Нетарифные барьеры
|
- -налоги на импортируемые товары:
- адвалорная пошлина (с цены товара);
- особая пошлина (с единицы товара);
- сложная пошлина и др.
|
- ограничительные или запретительные меры на товарный импорт:
- квотирование;
- лицензирование;
- контингентирование;
- государственная монополия
|
Тема 3. Общие проблемы экономического развития.
Осмысление сущности собственности началось в глубокой древ ности. В античной философии, например, ставилась проблема взаимосвязи собственности с хозяйственными и правовыми отношениями, предпринималась попытка раскрыть ее социальную роль. Ксенофонт рассматривал всякое хозяйство как имущество, состоящее из полезных вещей, которыми пользуются люди в своей жизни. Платон, исходя из разделения труда между сословиями, полагал, что в идеальном государстве должна существовать общая собственность, т. к. частная собственность является основой имущественных раздоров и взаимных разбирательств.
В отличие от него Аристотель выступал как сторонник частной собственности и доказывал, что она является неотъемлемой частью, необходимым условием и предпосылкой существования хозяйства. Свое логическое завершение эти взгляды получили в классической римской юриспруденции (II в. н. э.), где были окончательно определены и зафиксированы такие основные элементы собственности, как «владение», «пользование» и « распоряжение».
Такие представления получили дальнейшее развитие в новое время в русле идей естественного права. Его главные принципы личная свобода и частная собственность как священные и неприкосновенные права людей, оказали большое влияние на эволюцию классической политэкономии. А. Смит отправлялся от той посылки, что «самое священное и неприкосновенное право собственности есть право на собственный труд, ибо труд есть первоначальный источник всякой собственности вообще».
При этом каждый индивидуум может свободно распоряжаться принадлежащей ему собственностью: предприниматель капиталом, землевладелец землей, наемный рабочий трудом. Никто не имеет права вмешиваться в их пользование собственностью (при условии, что последнее не наносит вреда обществу). Если же подобное вмешательство имеет место, оно представляет собой посягательство на законную свободу ее субъекта.
Поэтому наилучшей экономической системой является та, где наиболее полно реализуется право частной собственности, т. е. рыночная экономика.
Принцип «священности и неприкосновенности» частной собственности был подвергнут критике уже в период возникновения капитализма. Представители раннего утопического коммунизма XV-XVII вв. Т. Мор и Т. Кампанелла выступили не только против частной собственности, но и против собственности вообще.
Позднее подобного рода идеи развивались представителями утопического социализма А. Сен-Симоном, Ш. Фурье, Р. Оуэном, которые критикуя капитализм и частную собственность, разрабатывали социалистических началах.
Особую теоретическую конструкцию построил французский экономист П. Прудон. Пытаясь выделять в любой экономической категории плохую и хорошую сторону, он объявил крупную частную собственность просто «кражей», величайшим заблуждением и злом, т. к. она способствует присвоению нетрудового дохода. Собственность же мелкого производителя, определяемая как владение, базируется на трудовом доходе, а потому адекватна человеческой природе и вечной справедливости.
Характерной чертой марксистской трактовки собственности было подчеркивание примата экономического содержания (экономической природы) собственности над ее юридической формой как отношения между людьми, в отличие от отношения человека к вещи. Значительное место в марксизме занимали вопросы упразднения капиталистической частной собственности и замены ее социалистической общенародной собственностью. Экономическое содержание собственности стало одним из фундаментальных оснований в развитии советской политэкономии.
В современной западной экономической теории, напротив, важнейшее значение получило юридическое толкование собственности как объективно сложившихся отношения присвоения, проявления общественной потребности закрепить то, что уже сложилось на практике. Право оперирует с существующим имуществом, поэтому его возможности отражения динамики благ, превращаемых в имущество ограничены. Право не отвечает на вопрос о том, как происходит увеличение собственности, как происходит ее распределение, в результате чего одни становятся суперсобственниками, а другие псевдособственниками. Законами реального процесса присвоения в производстве и распределения благ занимается экономическая теория.
Хотя экономические и правовые аспекты собственности тесно переплетены. Содержание понятия «собственность» показано на схеме 4.
Схема 4.
Содержание понятия «Собственность»
Главным, определяющим в содержании собственности является присвоение отчуждения объекта собственности субъектом от других субъектов. От собственности как полной формы присвоения следует отличать владение, пользование и распоряжение. Владение это частичное присвоение, т. к. владелец (арендатор, должник) действует при условиях, определяемых собственником. Пользование фактическое применение вещи в зависимости от ее назначения.
Пользование представляет собой форму реализации владения и собственности. Распоряжение это принятие решений владельцем или другим лицом по поводу функционирования объекта собственности (продажа, дарение, передача под залог), основанное на праве предпринимателя передавать в пользование имущество в пределах, дозволенных собственником.
Отношения собственности носят конкретно-исторический характер, но независимо от содержания собственности речь всегда идет о трех моментах:
- об объекте собственности вещественном содержании собственности;
- о системе взаимоотношений между субъектами;
- об экономической реализации отношений на микро- и макроуровне.
Субъекты и объекты собственности представлены на схеме 5.
Схема 5.
Субъекты и объекты собственности
К недвижимому имуществу относятся производственные и непроизводственные помещения, дороги, транспортные сооружения, различные объекты инфраструктуры.
Движимость включает имущество, допускающее его свободное перемещение. Например, машины, оборудование, инструменты, автомобили, мебель, ценные бумаги и т. д.
Особое место в современной экономике занимает интеллектуальная собственность. Она представляет собой присвоение знаний, открытий, обмен информацией, изобретениями и т. д.
Таким образом, собственность это система субъект-объектных и субъект-субъектных отношений по поводу присвоения, а также владения, пользования и распоряжения имуществом.
Развитие и усложнение отношений собственности в условиях современной рыночной экономики способствовало тому, что юридический и экономический аспекты проблемы собственности «сомкнулись» в появившейся теории прав собственности. Ее возникновение связано с именами двух американских ученых Р. Коуза, ставшего в 1991 г. Нобелевским лауреатом, и А. Алчиана.
Согласно экономической теории прав собственности, не ресурс (средства производства или рабочая сила) сам по себе является собственностью, а пучок или доля прав по использованию ресурса.
Права собственности понимаются как санкционированные обществом (законами государства, традициями, обычаями, распоряжениями администрации) поведенческие отношения между людьми, которые появляются в связи с существованием благ и касаются их использования.
Полный «пучок прав» состоит из одиннадцати элементов:
- право владения, т. е. исключительного физического контроля над благами;
- право использования, т. е. применения полезных свойств имущества для себя;
- право управления, т. е. решения кто и как будет обеспечивать использование благ;
- право на доход, т. е. обладание результатами от использования благ;
- право суверена, т. е. отчуждения, потребления, изменения или уничтожения блага;
- право на безопасность, т. е. на защиту от экспроприации благ от вреда со стороны внешней среды;
- право на передачу благ в наследство;
- право на бессрочность обладания благом;
- запрет на использование блага способом, наносящим вред внешней среде;
- право на ответственность в виде взыскания, т. е. возможность взыскания блага в уплату долга;
- право на остаточный характер, т. е. на существование процедур и институтов, обеспечивающих восстановление нарушенных полномочий.
Некоторые из перечисленных правомочий (5, 7) являются дополнением друг к другу, другие прямо повторяют основные элементы конструкции римского права (1, 2), третьи (5, 7, 10, 11) в совокупности образуют эквивалент «распоряжения». При этом некоторые правомочия не связаны прямо с экономикой, как например, право на безопасность, право наследования, бессрочность. Но некоторые права переводят имущество в экономически функциональное состояние: право пользования, право владения, право управления. А право на доход является важнейшей формой экономической реализации экономического функционирования имущества.
Расщепление прав собственности вытесняет абсолютную собственность и создает базу для набора необходимых и достаточных комбинаций прав для наиболее эффективного решения экономических проблем в каждом конкретном случае. Количественное изменение прав собственности приводит к качественным изменениям в экономическом положении (статусе) субъектов отношений собственности. Например, право пользования предполагает практическое употребление вещи в соответствии с ее качественными характеристиками и предназначением.
Практическая реализация права собственности создает доход или способствует его созданию. Но само по себе право пользования не дает право на распределение дохода.
Тема 4. Основы организации рыночного хозяйства
Для любого этапа развития экономики объективными условиями выступают ресурсы и потребности общества.
Потребность это нужда человека в чем-либо, требующая удовлетворения.
Разнообразные потребности человека изменяются в зависимости от времени и обстоятельств. Знаменитый американский социолог Абрахам Маслоу предложил специальную «пирамиду потребностей», которая описывает все возможные виды потребностей и желаний (схема 6).
Схема 6.
Классификация человеческих потребностей по А. Маслоу
Эту классификацию можно дополнить выделением потребностей рациональных и иррациональных, абсолютных и действительных, осознанных и не осознанных, ложно понятых и т. д.
Только при осознании потребностей возникает мотивация к труду. В этом случае потребности приобретают конкретную форму экономического интереса.
Экономический интерес это форма проявления экономических потребностей.
Средства, с помощью которых удовлетворяются потребности, называются благами. Одни из них имеются в неограниченном количестве, например воздух, другие в ограниченном. Ограниченные в своем физическом объеме блага называются экономическими.
Для получения экономических благ необходимы соответствующие ресурсы. С их использованием для удовлетворения потребностей человека связаны все проблемы экономического развития. Решение этих проблем базируются на двух экономических аксиомах:
человеческие потребности безграничны и неутолимы. Хорошей иллюстрацией этого является известная сказка о золотой рыбке;
ресурсы общества, необходимые для производства товаров и услуг, ограничены или редки.
Отмеченное противоречие разрешается путем выбора. Не случайно одно из определений экономики гласит: экономика описывает и анализирует выбор из ограниченных ресурсов для удовлетворения неограниченных потребностей.
Факторы производства это ресурсы, используемые для производства экономических благ. Под экономическими ресурсами понимаются все природные, людские и произведенные человеком ресурсы.
Природные ресурсы земля, вода, воздух, сырье, используемые для переработки.
Труд это умственные и физические способности человека, необходимые для производства. Среди них особое значение имеет предпринимательская способность, которую иногда называют особым фактором производства, т. к. она объединяет все факторы производства в одном предприятии.
Капитал здания, сооружения, станки, машины, полуфабрикаты и т. п., что создано человеческим трудом.
Взаимодействие факторов производства можно представить в виде схемы 7.
Схема 7.
Взаимодействие факторов производства
Под предпринимательской способностью, таким образом, понимается особый вид человеческих ресурсов, заключающийся в способности наиболее эффективно использовать все факторы производства.
Противоречия экономического развития, связанные с ограниченностью ресурсов, разрешаются путем выбора альтернативных путей их использования с учетом экономической эффективности.
В упрощенном виде эффективность использования ограниченных ресурсов моделируется с помощью кривой производственных возможностей. Она определяет границу производственных возможностей, которая показывает максимально возможный объем производства конкретного товара или вида услуг при заданных ресурсах и знаниях, которыми располагает экономика, и заданных объемах производства других товаров и услуг.
Кривая производственных возможностей графическое изображение различных комбинаций производства благ при максимальном использовании имеющихся ресурсов и существующем уровне технологии.
Рассмотрим пример:
Возможности
|
Потребительские товары (Х)
|
Инвестиционные товары (Y)
|
A
|
0
|
7
|
B
|
1
|
5
|
C
|
2
|
7
|
D
|
3
|
6
|
E
|
4
|
3
|
F
|
5
|
0
|
Изобразив данные на графике, получим кривую производственных возможностей (схема 8).
Схема 8.
Кривая производственных возможностей
На графике изображена кривая производственных возможностей, каждая точка которой показывает количество товара X, производимого при полном использовании всех имеющихся ресурсов, взамен товара Y. Точки А, Е, F представляют производственные возможности общества в производстве товаров X и Y. Если производится два товара X, то семь товаров Y. Точка B показывает, что производство организованно неэффективно и есть неиспользованные ресурсы, например, рабочая сила. Точки C и D показывают уровень производства, недостижимый при данной технологии. Такая «сверхэффективность» в условиях ограниченных ресурсов возможна лишь при усовершенствовании технологии.
Экономическая эффективность характеризуется отношением результата к затратам производства.
Если предложение имеющихся в распоряжении общества ресурсов увеличивается, то появляется возможность произвести больше как первого, так и второго альтернативных товаров. Это отражается сдвигом кривой производственных возможностей. Происходящий при этом экономический рост имеет одну важную особенность: общество может реализовать их в будущем, только ограничив текущее потребление.
Компромиссы между сегодняшними издержками и завтрашними выгодами касаются всех, кто принимает решения, отдельных потребителей, предприятий и государственных органов.
3. 2. Ключевые вопросы экономики Главной экономической задачей является выбор наиболее эффективного варианта распределения факторов производства в целях решения проблемы ограниченности ресурсов и безграничности человеческих желаний. Отражением этой проблемы является постановка трех основных вопросов экономики.
1. Что должно производиться т. е. какие товары и в каком количестве;
2. Как будут производиться товары, т. е. кем, с помощью каких ресурсов и какой технологии они должны быть воспроизведены;
3. Для кого предназначаются товары, т. е. кто должен потреблять товары и извлекать из них пользу.
Рассмотрим содержание каждого вопроса. Первый важнейший выбор какие товары производить, легко проиллюстрировать на примере общества, выпускающего только два товара А и Б. Факторы производства, используемые в одном месте, не могут в то же время применяться в другом производстве. Это означает, что производство товара А влечет за собой потерю возможности производить товар Б и имеет альтернативную стоимость.
Альтернативная стоимость товара или услуги это стоимость, измеренная с точки зрения потерянной возможности заниматься наилучшей из доступных альтернативных деятельностей, требующей того же времени или тех же ресурсов.
Денежные затраты и альтернативная стоимость это пересекающиеся понятия. Некоторые альтернативные стоимости, такие как плата за обучение, принимают форму денежных расходов, в то время как другие, такие как затраты свободного времени, не проявляются в денежном виде. Некоторые денежные расходы, как та же плата за обучение, представляют собой альтернативные стоимости, т. к. могли быть израсходованы на другие потребности.
Другие денежные затраты, например на одежду, питание и т. д., существуют всегда и поэтому не включаются в альтернативную стоимость.
Второй основной экономический выбор как производить. Он связан с существованием нескольких способов производства товара или услуги Автомобили можно делать, например, на высоко автоматизированных фабриках с огромным количеством капитального оборудования и относительно малой долей труда, но их можно делать и на малых предприятиях, использующих большее количество труда. Ключевым соображением при принятии решения о том, как производить, является эффективность распределения ресурсов или эффективность Парето.
Эффективность Парето- это такой уровень организации экономики, при котором общество извлекает максимум полезности из имеющихся ресурсов и технологий, и уже невозможно увеличить чью-либо долю в полученном результате, не сократив другую.
Когда эффективность достигнута, то большее количество товара может быть произведено ценой потери возможности производить что-то еще, если факторы производства и знания неизменны. Однако эффективность производства можно увеличить при улучшении общественного разделения труда. Его важными характеристиками являются специализации и кооперация, позволяющие учитывать сравнительные преимущества в производстве товара.
Сравнительное преимущество это способность производить товар или услугу по относительно меньшей альтернативной стоимости.
Проиллюстрируем принцип сравнительного преимущества примером. Предположим, что два студента подрабатывают в конторе. Сергей может напечатать письмо за 5 минут, надписать и заклеить конверт за 1 минуту.
Андрею нужно потратить 10 минут на письмо и 5 минут на конверт. Работая независимо друг от друга они могут сделать 14 писем в час. Используя принцип сравнительного преимущества, эффективнее организовать работу так, чтобы Андрей, имеющий меньшую альтернативную стоимость в печатании писем, занимался только этим.
Тогда Сергей заклеивал и надписывал подготовленные Андреем письма, затратив на это 6 минут, а в оставшееся время самостоятельно подготовить еще 9. В этом случае общий итог работы будет максимальным и составит 15 писем.
Принцип сравнительного преимущества имеет достаточно широкое применение. Он может использоваться не только для организации производства внутри предприятия, но и в связи с разделением труда между фирмами или государственными агентствами, а также между странами.
Тема 5. Механизм рыночной системы
Эволюция общественных форм производства и хозяйства привела к возникновению современной рыночной системы.
Рынок это любое взаимодействие, в которое люди вступают для торговли с друг другом, это сфера обмена внутри страны и между странами, связывающая между собой производителей и потребителей продукции.
Некоторые рынки имеют формальные правила и функционируют в определенном месте (фондовые биржи), другие децентрализованы и неформальны (устные информационные системы, связанные с поиском работы).
Углубленное понимание категории «рынок» требует учета его места во всей системе общественного воспроизводства, которая включает четыре стадии: производство, распределение, обмен и потребление. Конечной целью экономической жизни является потребление, однако без производства невозможно создание товарной массы. Распределение играет важную роль в складывании социальных отношений, в определении материального положения различных слоев общества.
Обмен также оказывает сильное обратное воздействие на производство, обеспечивая его непрерывность и согласованность. Распределение и обмен опосредуют связь между производством и потреблением, образуя своеобразный механизм их взаимодействия
Утвердившиеся в обществе рыночные отношения оказывают огромное воздействие на все стороны хозяйственной жизни, выполняя ряд существенных функций, отраженных на схеме 9. .
Схема 9.
- Информационная функция проявляется в том, что через постоянно меняющиеся цены, процентные ставки на кредит рынок дает участникам производства объективную информацию об общественно необходимом количестве, ассортименте и качестве тех товаров и услуг, которые поставляются на рынок.
- Посредническая функция рынка позволяет продавцу выбрать наиболее оптимального покупателя, а потребитель имеет возможность выбрать оптимального поставщика.
- Ценообразующая функция способствует установлению подвижной связи между стоимостью и ценой, чутко реагирующей на изменения в производстве, в потребностях, в конъюнктуре.
- Регулирующая функция связана с воздействием рынка на все сферы экономики и прежде всего производство. Конкуренция стимулирует снижение затрат на единицу продукции, поощряет рост производительности труда, технический прогресс, повышение качества продукции. Она создает наиболее оптимальную структуру экономики. В современных условиях экономика управляется не только «невидимой рукой», о силе которой писал А. Смит, но и государственными рычагами.
- Санирующая функция. С помощью конкуренции рынок очищает общественное производство от экономически неустойчивых, нежизнеспособных хозяйственных единиц и, напротив, дает зеленый свет более предприимчивым и эффективным. В результате этого непрерывно повышается средний уровень устойчивости всего хозяйства в целом.
Одно из самых широко используемых в экономической теории описаний рыночной экономики базируется на рассмотрении так называемого экономического цикла. Эта модель представляет собой совокупность взаимоотношений между участниками рынка, получившей название кругооборота товарных и денежных потоков в экономике. Ее простейшая форма (схема 10) не учитывает влияние государства на экономику, роль финансового рынка, а также действие внешнеэкономических факторов
Схема 10.
Домохозяйство представляет коллектив людей, имеющих общую собственность и доходы и принимающих общие решения. Оно, являясь собственником основных факторов производства, выступает как их продавец и одновременно как потребитель товаров и услуг.
Предприятия, покупая ресурсы у населения, действует как покупатель, а реализуя готовый товар, как продавец. Таким образом, домохозяйства и предприятия связаны двумя рынками: ресурсов и товаров. Навстречу потоку факторов производства, товаров и услуг, движущемуся на схеме против часовой стрелки, движутся деньги (доходы от факторов производства, потребительские расходы, предпринимательские доходы и затраты на ресурсы).
В действительности отношения между людьми в рыночной системе носят более сложный характер, т. к. кроме домохозяйств и предприятий активными экономическими субъектами выступают государство и банки.
Субъектно-объектная структура рыночного хозяйства это система взаимоотношений между субъектами, отражающая их цели, разнонаправленные, но встречно-согласующиеся экономические интересы, характер, формы организации и взаимодействия по поводу движения разнообразных объектов рыночных связей.
Объектами рыночных связей служат товары и услуги, факторы производства, деньги, ценные бумаги, государственные льготы и субсидии, социальные выплаты и т. д. Субъекты вступают в рыночные отношения в силу того, что обладают различными потребностями и объектами обмена. Однако объекты рынка должны быть одновременно равными (по затратам труда) и неравными (по потребительским качествам) друг другу. Снятие этого противоречия происходит в результате обмена. В развитии данного процесса исторически выделяется два этапа:
- непосредственный (натуральный) обмен продуктами, элементы которого сохранились и в современной экономике в виде бартера;
- товарный обмен.
Товар это продукт труда, предназначенный для обмена или продажи. К проблеме товара и его свойств каждая научная школа подходила со своей методологией. Представители классической политэкономии явились создателями трудовой теории стоимости (объективной парадигмы стоимости), которая получила законченное выражение в марксизме.
Согласно ей товар имеет два свойства: потребительную стоимость и стоимость. Потребительная стоимость это способность товара удовлетворять ту или иную потребность людей. Стоимость же товара определяет затраченный на его изготовление труд. Стоимость является общественным свойством, поэтому ее величина определяется не индивидуальными, а общественно необходимыми затратами труда, совершенными при существующих нормальных условиях производства и при среднем уровне умелости и интенсивности труда.
При этом роль измерителя стоимости выполняет особый товар деньги. Иной подход к проблеме продемонстрировали маржиналисты, создавшие теорию предельной полезности. Ценность, т. е. стоимость, в терминологии этой школы, зависит от полезности и редкости блага. Оценки полезности производятся субъектом, поэтому данная теория называется субъективной парадигмой стоимости. Сторонники же современного неоклассического направления в экономической теории утверждая, что противоречия между этими двумя подходами нет, рассматривают цену равновесия как синтез полезности и издержек производства.
Именно эта категория является одной из основных в анализе рыночного механизма.
4. 2. Причины возникновения и условия развития рынка Для более глубокого осмысления рынка важно обратить внимание на причины его возникновения. Среди них выделяют:
- развитие общественного разделения труда; наличие различных собственников
- обособленных товаропроизводителей;
- появление товарно-денежных отношений.
Развитие общественного разделения труда еще в древности прошло ряд крупных этапов, связанных с отделением скотоводства от земледелия, выделением как самостоятельной отрасли ремесла и возникновением торговли. Затем стали дробиться отрасли, углублялась специализация отдельных производств. Этот процесс бесконечен и взаимообусловлен ростом производительности труда. Вызванное общественным разделением труда развитие обмена сопровождалось стремлением производителей к эквивалентности на основе экономической ограниченности и обособленности интересов.
Эта обособленность возникла на основе частной собственности. В дальнейшем она начала опираться и на коллективную собственность, но обязательно ограниченную каким-либо локальным интересом (кооперативы, товарищества, акционерные общества, хозяйственные ассоциации, совместные и смешанные предприятия и другие).
Вначале обмен продуктами был редким, случайным явлением. По мере развития общественного разделения труда, появления новых товаров обмен становился более регулярным. Однако рост числа обмениваемых товаров затруднял процесс купли-продажи, ибо не всегда продавец и покупатель находили друг друга.
Затруднения в обмене разрешились постепенным выделением на рынке местных товаров одного, который пользовался всеобщей обмениваемостью.
При формировании национальных рынков из среды товаров-эквивалентов выделился один, так называемый всеобщий эквивалент, ставший деньгами. Повсеместно эта роль закрепилась за золотом и серебром, учитывая их потребительские свойства: сохраняемость, делимость, портативность, однородность и узнаваемость. Этот процесс возникновения денег в рамках эволюционного подхода был наиболее полно исследован К. Марксом.
Анализируя развитие форм стоимости, как выражение исторического процесса развития обмена, он исследовал четыре формы стоимости: простую или случайную; полную или развернутую; «всеобщую» и денежную.
Эволюция денег отражена на схеме 11.
Схема 11.
Денежная система, в которой всеобщим эквивалентом было золото и серебро, называлась биметаллической. Затем в XIX начале XX вв. она сменилась монометаллической (золотоденежной). Однако хождение золота во внутреннем обращении продолжалось сравнительно недолго. Начиная с периода первой мировой войны в условиях финансовой нестабильности возник процесс демонетизации золота, в результате которого полноценные золотые деньги стали заменяться знаками стоимости (договорными деньгами).
Выпускаемые государством наличные деньги обладают абсолютной ликвидностью.
Тема 6. Частный сектор в экономике
Спрос в условиях рынка имеет важное значение. Интуитивное представление о спросе имеют все: это потребность в определенных благах. В экономической теории обычно рассматривают платежеспособный спрос.
Спрос желание и способность людей приобретать товары на рынке при некоторых ценах. Нетрудно заметить, что между ценой и количеством покупок существует обратная или отрицательная зависимость, т. е. чем ниже цена товара, тем большее его количество может быть куплено при прочих равных условиях. Эта зависимость, впервые математически сформулированная А. Курно, получила название закона спроса.
Графическое изображение кривой спроса есть кривая спроса D (от английского demand спрос).
Схема 15.
Кривая спроса
Спрос на товар определяется всей кривой спроса. Перемещение по этой кривой, например из A в B, показывает изменение величины спроса.
Величина спроса это то количество товара, которые потребители готовы купить на рынке при данных ценах при прочих равных условиях. Изменение величины спроса происходит под действием ценовых факторов при этом сам спрос не меняется.
Сдвиг кривой спроса вправо означает увеличение спроса, сдвиг кривой влево уменьшение спроса. Изменение спроса происходит под действием неценовых факторов (cхема 16)
Cхема 16.
Таким образом, изменение спроса связано с изменением любой из переменных, подпадающих под допущение о «прочих равных условиях». Примером является реакция потребителей на определенные группы товаров.
Субституты (взаимозаменяемые) это такие пары товаров, для которых рост цены одного из них вызывает рост спроса на другой товар (свинина и говядина, молоко и сливки и т. п.)
Комплементы (взаимодополняемые) это такие пары товаров, для которых рост цены на один из них вызывает падение спроса на другой (автомобили и покрышки, магнитофоны и кассеты и т. п.).
Нормальные товары (высшей категории) это товары, спрос на которые увеличивается по мере роста дохода.
Товары низшего качества (низшей категории) это товары, спрос на которые уменьшается по мере роста дохода. Среди товаров низшего качества выделяют особую группу товаров Гиффена, спрос на которые резко увеличивается при сокращении дохода. Примером названных групп товаров могут служить торты (нормальный товар), обычная булка хлеба (товар низшего качества) и картофель (товар Гиффена).
Предложение это желание и способность продавцов реализовать товар на рынке.
Между ценой и количеством предлагаемого продукта существует прямая зависимость, то есть чем выше цена товара, тем большее его количество (при прочих равных условиях) будет произведено и предложено к реализации, и наоборот. В этом заключается закон предложения. Его графическое изображение есть кривая предложения S (от английского supply- предложение).
Схема 17.
Кривая предложения
P S3 S1 S2
4 B
2 A
4 6 Q
Предложение характеризует вся кривая предложения. Движение по кривой предложения из A в B связано с изменением величины предложения.
Величина предложения это такое количество товара, которое продавцы могут и хотят реализовать на рынке при данных ценах. Сдвиг кривой S1 вправо или влево означает, что изменилось предложение (соответственно увеличилось или уменьшилось) под действием неценовых факторов.
Схема 18.
В результате взаимодействия спроса и предложения устанавливается рыночная цена. Она фиксируется в точке, в которой пересекаются кривые D и S. Эта точка называется точкой равновесия, а цена и объем равновесными. Только в этой точке цена устраивает продавца и покупателя. При этом действуют следующие законы рыночного ценообразования:
- цена стремится к такому уровню, при котором спрос равен предложению;
- если под влиянием неценовых факторов произойдет повышение спроса при неизменном предложении или сокращение предложения при неизменном спросе, то цена возрастет, если, наоборот, при неизменном предложении спрос сократится или при неизменном спросе увеличится предложение и цена повысится.
Схема 19.
Цены и рыночные зоны
II
IV III
I
Совместим кривые спроса и предложения. Полученная точка пересечения E точка равновесия, где P1 равновесная цена, а Q1- равновесный объем. Всю координатную плоскость кривые D и S делят на четыре различные зоны, которые можно описать следующим образом:
I зона возможных покупок, но невозможных продаж (дефицит);
II зона возможных продаж, но невозможных покупок (излишек);
III зона невозможных покупок и продаж (мертвая зона);
IV зона наиболее благоприятных сделок.
При вмешательстве государства в установление цен говорят о политическом ценообразовании.
Цена потолка максимальная цена дает ожидаемый результат только в случае, если она ниже равновесной. Она служит для защиты потребителей и создает, как правило, превышение спроса над предложением и образование « черного рынка».
Цена пола минимальная цена, которая служит для защиты производителей и создает превышение предложения над спросом. Она имеет смысл только тогда, когда выше равновесной. Однако стремление производителей в условиях перепроизводства (например, сельхозпродукции) избавиться от товара ведет к образованию «серого рынка».
5. 2. Понятие эластичности и ее виды Спрос и предложение зависят от многих факторов. Их изменение влечет соответствующее изменение спроса и предложения. С этим и связано понятие эластичности.
Эластичность мера реакции одной экономической переменной на изменение другой.
В экономической теории рассматривают эластичность спроса и предложения.
Эластичность спроса на товар- это процентное соотношение между изменением в цене или доходе и изменением спроса.
1. Эластичность спроса по цене. Она показывает, в какой мере потребитель реагирует на изменение цен.
, где:
E (p) эластичность спроса по цене;
(Qd (%) процентное изменение спроса;
(P (%) процентное изменение цены.
При измерении процентного изменения экономических величин обычный способ вычисления не применим, т. к. одинаковое количественное изменение в другом направлении дает иное процентное соотношение. Например, если величина спроса на товар составляла 10000 единиц, а затем уменьшилась на 2 500, то произошло изменение спроса на 25%. Однако увеличение спроса на данный товар с 7500 единиц до 10000 даст 33% увеличение спроса.
Поэтому в экономической теории используют более универсальный метод, названный формулой средней точки Аллена. Тогда:
х 100%, где Q2 и Q1- конечный и начальный спрос;
, где
P2 и P1 конечная и начальная цена.
Выделяют несколько видов эластичности спроса по цене в зависимости от величины коэффициента эластичности.
E 1 эластичный спрос (на товары роскоши);
E 1 неэластичный спрос (на предметы первой необходимости);
E = 1- спрос с единичной эластичностью (зависит от индивидуального выбора);
E = 0 совершенно неэластичный спрос (соль, медикаменты);
E
совершенно эластичный спрос (в условиях совершенного рынка).
На графике спрос разной степени эластичности можно представить следующим образом:
Схема 20.
Эластичность спроса
Нельзя говорить об эластичных или неэластичных кривых спроса, т. к. эластичности действительны для отдельных точек на кривой спроса. На каждой такой кривой спроса, как правило, имеются точки с эластичным и неэластичным спросом. В качестве исключения рассматриваются лишь совершенно эластичные и совершено неэластичные кривые спроса, на которых каждая точка представляет одну и ту же эластичность.
2. Эластичность спроса по доходу. Это числовой параметр, который показывает, какова реакция потребителя на изменения в его доходах при неизменности цен.
, где (Y (%) процентное изменение дохода
Значение эластичности по доходам тесно связано с понятием нормальных товаров и товаров низшего качества. Для нормальных товаров повышение дохода вызывает повышение спроса. Поскольку в этом случае доход и спрос меняются в одном направлении, то эластичность спроса по доходу является положительной. Наоборот, для товаров низшего качества увеличение дохода вызывает уменьшение спроса.
Доход и спрос меняются в противоположных направлениях, поэтому в этом случае эластичность спроса по доходу является отрицательной. На отдельные группы товаров (соль, спички) спрос не увеличивается при увеличении дохода, эластичность является нулевой.
3. Перекрестная эластичность. Она характеризует чувствительность спроса на один товар при изменении цен на другой.
, где E (k) перекрестная эластичность;
(Q1 (%) процентное изменение спроса на один товар;
(P2 (%) процентное изменение цены на другой товар.
С помощью коэффициента эластичности можно определить следующие виды перекрестной эластичности:
а) E (k) 0 для товаров-субститутов;
б) E (k) 0 для товаров- комплементов;
в) E (k) = 0 для индифферентных (независимых) товаров.
Эластичность предложения товара (по цене) это процентное соотношение между изменением в цене и изменением предложения.
Одним из определяющих элементов эластичности предложения какого-либо товара или услуги является мобильность факторов его производства и выпуска, т. е. легкость с которой необходимые факторы производства могут быть привлечены из других отраслей. Второй важный фактор это время. Как и в случае спроса, эластичность предложения по цене имеет тенденцию увеличиваться на долгосрочных временных интервалах.
Частично это связано с мобильностью ресурсов, но также зависит и от применяемых технологий, состояния производственной базы и т. д. С течением времени адаптация производителей к рыночным условиям улучшает конъюнктурные возможности соответствия выпуска их продукции возросшему спросу, что приводит к повышению эластичности предложения.
Тема 7. Роль государства в современной экономике
Домохозяйство (семья) в современной экономике представляет собой главную силу в производстве и распределении товаров и услуг. В разные исторические эпохи в зависимости от характера общественных отношений изменялись место и роль, структура и функции, величина и устойчивость, права и ответственность, положение в обществе или социально-экономический статус семьи. Однако именно в семье осуществляется формирование основных потребностей индивида и его интересов.
Схема 21.
Функции домохозяйства в рыночной экономике
|
|
| Основной поставщик факторов производства |
Основной потребитель произведенных товаров и услуг |
Основное звено формирования и накопления человеческого капитала |
Человеческий капитал это имеющийся у каждого человека запас знаний, способностей и мотиваций.
Человеческий капитал по своему назначению сопоставим с физическим капиталом, так как его формирование требует отвлечения средств в ущерб текущему потреблению, но служит источником повышения производительности труда и заработков в будущем. Это благо длительного, но ограниченного срока службы, оно может менять свою ценность в зависимости от других факторов, для его функционирования необходимы «амортизационные расходы». Кроме того инвестиционный период у человеческого капитала значительно длиннее, чем у физического.
У последнего он составляет от 1 до 5 лет, а у такой формы вложений в человека, как образование, инвестиционный период может достигать 12-20 лет.
Система функций семьи по формированию и накоплению человеческого капитала включает:
- создание материальной базы семьи;
- производство физической основы человеческого капитала (реализация детородной, воспитательной и рекреационной функций);
- реализация человеческого капитала посредством различных способов предпринимательства и трудоустройства.
Наиболее важной функцией семьи является формирование и использование семейного бюджета.
Семейный (потребительский) бюджет таблица доходов и расходов семьи за определенный период времени, чаще всего за год. Примерная структура бюджета представлена в таблице 12.
Таблица 12.
Потребительский бюджет
Доходы
|
Расходы
|
- Заработная плата.
- Предпринимательский доход.
- Доходы от собственности (рента, процент, дивиденд, арендные платежи).
- Государственные трансфертные платежи (пенсии, стипендии, пособия, бесплатные услуги в области здравоохранения и образования).
- Доходы из прочих источников.
|
- Соцстрахование.
- Налоги.
- Потребление (товары первой необходимости, престижные товары и предметы роскоши).
- Инвестиции в человеческий капитал.
- Добровольные пожертвования и взносы в общественные организации.
- Прочие расходы.
- Сбережения.
|
Изучение доходной части семейного бюджета включает два подхода: функциональное распределение в соответствии с функцией, выполняемой домохозяйствовом, и личное распределение среди домохозяйств и их членов. Анализ функционального распределения доходов показывает, что крупнейшим источником дохода домохозяйств является заработная плата (около 70%). Практически равные доли в доходе составляют доходы мелких собственников, а также арендная плата, проценты на капитал и прибыль от предпринимательской деятельности.
В странах с недостаточно развитыми рыночными отношениями особое место занимают нелегальные доходы от теневой экономики.
Теневая экономика совокупность неучтенных и противоправных видов экономической деятельности (схеме 22).
Схема 22.
Личное распределение доходов связано с дифференциацией дохода в зависимости от персонального различия участников рынка (талант, способности, квалификация, образование и т. д.) и из-за асимметричности рыночного механизма (несовпадения спроса и предложения, потребностей и возможностей). Для количественной оценки дифференциации доходов применяются различные показатели. Степень неравенства демонстрирует кривая Лоренца (лук Лоренца), которая показывает распределение личных доходов среди различных групп населения (схема 23).
Схема 23.
Кривая Лоренца
Доля доходов, в %
100
100 Доля населения, в %
Для характеристики распределения совокупного дохода между группами населения применяется индекс концентрации доходов населения (коэффициент Джини). Чем ближе значение этого коэффициента к единице, тем выше неравенство. В России его значение было равно в 1993 г. 0, 37; в 1994 г. 0, 41; в 1996 г. 0, 5. Для характеристики дифференциации доходов используется также децильный коэффициент, выражающий соотношение между средними доходами 10% наиболее высокооплачиваемых граждан и средними доходами 10% наименее обеспеченных. В России децильный коэффициент увеличился с 5, 4 в конце 1991 г. до 16-17 в 1997 г.
Дифференциация дохода и уровня жизни населения обостряет проблему бедности в рыночной экономике. Бедность не поддается точному определению и обычно трактуется как такое состояние семейного бюджета, при котором основные потребности семьи превышают имеющиеся у нее средства для их удовлетворения.
В социальной практике бедность измеряется с помощью прожиточного минимума. Последний существует в двух видах: социального и физиологического. Социальный минимум включает минимальные нормы удовлетворения физиологических, духовных и социальных потребностей.
Физиологический минимум рассчитан на удовлетворение только главных физиологических потребностей и оплату основных услуг, причем в течение относительно короткого времени и без приобретения непродовольственных товаров. Для определения прожиточного минимума используется метод потребительской корзины.
Потребительная корзина набор товаров и услуг, обеспечивающий жизнедеятельность человека и характеризующий типичный уровень и структуру месячного (годового) потребления человека или семьи. Потребительная корзина позволяет определить «индекс цен».
Индекс цен представляет соотношение цены «потребительной корзины» в данном периоде с аналогичной корзиной в базовом периоде. Индекс цен характеризует реальный доход, т. е. количество товаров и услуг, которые можно приобрести на сумму денежного дохода. Доход в денежном выражении называется номинальным доходом.
6. 2. Поведение потребителя в рыночной экономике Размеры, структура и динамика спроса потребителя в условиях ограниченного бюджета в микроэкономике исследуется теорией потребительского поведения, основанной на маржинализме. Ее исходными принципами является признание, во-первых, экономического суверенитета потребителя (т. е. возможности влиять на предложение товаров через спрос) и, во-вторых, рациональности поведения потребителя, если он получает максимум полезности при ограниченном доходе.
Полезность степень удовольствия (удовлетворения) от потребления товара. Полезность товара понятие сугубо индивидуальное, которое зависит от многих факторов. Основные факторы, влияющие на потребительское поведение, показаны на схеме 24.
Схема 24.
Если вкусы потребителя постоянны, а функция потребления непрерывна, то любому бесконечно малому увеличению количества товара Q соответствует прирост общей полезности TU. Однако она возрастает все более медленными темпами из-за того, что предельная полезность данного товара MU (или добавочная стоимость приносимая последней единицей) имеет тенденцию к сокращению. Закон убывающей предельной полезности может быть представлен с помощью следующей таблицы.
Q
|
1
|
2
|
3
|
4
|
5
|
TU
|
4
|
7
|
9
|
10
|
10
|
MU
|
4
|
3
|
2
|
1
|
0
|
Убывающая предельная полезность помогает объяснить закон спроса. Кривая спроса совпадает с кривой предельной полезности, т. к. с увеличением количества товара цены на каждую единицу падают. Это происходит из-за снижения полезности от потребления каждой дополнительной единицы товара.
Существуют два способа оценки полезности. Кардиналистский подход связан с попыткой вычислить значение полезности на основе использования условной единицы ютили. Сторонники ординалистского подхода утверждают, что полезность невозможно измерить количественно, но на основе предпочтений можно выявить порядковую полезность, т. е. описать поведение потребителя путем ранжирования.
Графическое изображение различных комбинаций двух экономических благ, имеющих одинаковую полезность для потребителя, называется кривой безразличия (U). Множество кривых безразличия одного потребителя образуют карту безразличия. При этом чем правее и выше расположена кривая безразличия, тем большее удовлетворение приносят представленные ею комбинации двух благ. Информацию же о наиболее выгодном наборе продуктов для потребителя дает линия бюджетного ограничения, уравнение которой можно записать следующим образом:
I = P1 Q1 + P2 Q2, где
I доход потребителя;
P1; P2 цена товаров А и Б;
Q1; Q2 количество товаров А и Б.
Точка касания кривой безразличия с линией бюджетного ограничения показывает положение равновесия потребителя (оптимум потребителя).
Схема 25.
Потребительское равновесие
Оно достигается, когда отношения предельных полезностей отдельных товаров к их ценам равны: MU1: P1 = MU2: P2
Влияние на потребительский выбор цен и дохода описывается с помощью эффектов дохода и замещения.
Эффект дохода увеличение потребления нормального блага в результате падения его цены за счет увеличения реального дохода, вызванного снижением цены, и наоборот, сокращение потребления нормального блага в результате роста его цены за счет сокращения реального дохода, вызванного ростом цен.
Тема 8. Национальная экономика: результаты и измерения
Рыночный механизм имеет немало достоинств, его возможности велики, но не безграничны. Существуют области, где механизм свободной конкуренции не срабатывает, рынок терпит фиаско и требуется вмешательство государства. Таким образом провалы рынка обуславливают содержание экономических функций государства (см. схему 35).
Схема 35.
Рассмотрим сущность экономических функций государства. Саморегулирующаяся рыночная система способствует рождению монополии, а значит уменьшению конкуренции.
Монополия рынок одного продавца, возникает тогда, когда отдельный производитель занимает доминирующее положение и контролирует рынок данного товара. Это имеет негативные последствия, т. к. для получения прибыли в отсутствие конкурентов не обязательно осваивать эффективные технологии, снижать затраты и расширять сбыт, достаточно установить монопольно высокие цены и навязать их потребителям. Последним придется мириться с тем, что товары будут продаваться в ограниченных количествах, а качество их снизится.
Таким образом, вмешательство монополии в рыночную среду ведет к перераспределению богатства в ее пользу. В таких условиях государство вынуждено взять на себя ответственность за обеспечение эффективного функционирования хозяйственной системы. С этой целью применяется антимонопольное законодательство, препятствующее объединениям крупных предприятий. Его классическим примером является антитрестовское законодательство США.
Первым актом стал знаменитый закон Шермана 1890 г., который был направлен в основном против монополизации торговли и коммерческой деятельности. Впоследствии американское правительство приняло еще несколько нормативных актов, совершенствующих антимонопольное законодательство и распространяющих его на различные сферы рынка. Антитрестовское законодательство США оказало большое влияние на развитие антимонопольных законов в других странах, включая и современную Россию.
Не менее сложным вопросом для государства является регулирование так называемых «внешних» или побочных эффектов.
Внешние эффекты факторы, которые не учитываются при определении общественного продукта, но которые влияют на благосостояние людей. На микроуровне внешние эффекты» могут быть определены как издержки или выгоды от производственных операций, не учтенные в ценах. Внешние эффекты могут быть как отрицательными, так и положительными. Классическим примером отрицательного эффекта является строительство плотины в верховьях реки. В этом случае для живущих в нижнем течении реки ухудшаются условия ловли рыбы.
Пример положительного внешнего эффекта: фермер проводит оросительный канал на свой земельный участок, вследствие чего качество соседних земельных участков улучшается без вложения капитала их владельцев. Наиболее важным примером внешних затрат, которые несет общество, является загрязнение окружающей среды. Ориентированная на спрос рыночная экономика в течение столетий стимулировала вовлечение все больших природных ресурсов в хозяйственный оборот, что в конце концов поставило на грань выживания человечество.
Ухудшение экологической ситуации привело к необходимости осуществления жестких регламентирующих мер со стороны государства, т. к. только оно способно оценивать возникающие проблемы с точки зрения общественных перспектив.
К числу недостатков рынка относится проблема, связанная с контролем денежной массы в обращении. Механизм свободной конкуренции не обеспечивает экономику нужным количеством денег для развития производства, поэтому имеет место нехватка или, наоборот, изобилие денег. Решение этих вопросов государство осуществляет в лице Центрального банка. В отличие от других финансовых институтов, руководствующихся соображениями коммерческой выгоды, центробанк страны призван защищать интересы общественные.
Его основными задачами являются эмиссия национальной валюты, финансирование правительства, осуществление расчетных операций с коммерческими банками, контроль над деятельностью коммерческих банков, а также регулирование обменного курса национальной денежной единицы и другое.
Особое внимание современное государство вынуждено обращать на существование социальных проблем. Ничем не ограниченное рыночное распределение, справедливое с точки зрения законов рынка, приводит к дифференциации в уровне жизни населения, социальной незащищенности наиболее бедных слоев. Если рыночное распределение не устраивает большинства населения страны, то это чревато серьезными социальными конфликтами. Корректировать распределение, которое обеспечивает рынок, должно государство.
Перемещение части доходов от обеспеченных слоев к нуждающимся возможно двумя путями: через так называемые трансферты и установление фиксированных цен на социально значимые товары и услуги, а также минимального размера оплаты труда.
Трансферты выплата денег, передача товаров и услуг населению или фирме в одностороннем порядке, а не в обмен на товар или деньги. Примером трансфертных платежей служат различные пособия инвалидам, безработным, стипендии и т. д.
Борьба с бедностью в современном обществе часто связана с решением проблем безработицы. Роль государства в этой сфере отношений совсем не сводится к тому, чтобы любой ценой обеспечить полную занятость. Задача состоит в другом в эффективном регулировании рынка рабочей силы, поддержании с помощью социальных выплат людей, не по своей воле утративших рабочие места, осуществление программ по созданию новых рабочих мест и т. д.
Важнейшей функцией государства остается удовлетворение тех общественных потребностей, которые невозможно измерить в деньгах и превратить в платежеспособный спрос. В современном обществе круг таких потребностей весьма широк, а их игнорирование абсолютно немыслимо. Никакое общество не может обходится без национальной обороны, народного образования, единой энергетической системы, сил охраны общественного порядка, аппарата управления государством и т. п. Поскольку речь идет о товарах и услугах, которыми пользуются поровну все граждане страны, они получили название «общественных товаров».
Общественные товары товары, предоставляемые государством на благо всех граждан или большинства населения страны. Они оплачиваются за счет общего налогообложения, а не покупаются отдельными потребителями на рынке. Их главными признаками являются:
- нераздельность в производстве;
- неисключаемость из потребления;
- неконкурентоспособность на рынке.
Общественные товары имеют очень сложную структуру. Часть из них (например, национальная оборона) потребляется всем населением страны поровну, другая (услуги милиции данного региона) лишь частью населения, третья (коммунальные услуги, предоставляемые муниципалитетом данного населенного пункта) лишь малым коллективом. При этом общественные блага могут иметь отдельные свойства частных экономических благ. Так, высшее образование имеет черты общественного товара студенты потребляют его услуги коллективно и поровну, но оно же имеет и черты частного товара, поскольку студентом становится не каждый желающий, а значит, высшее образование не отвечает принципу неисключаемости из потребления.
Поэтому система высшего образования может развиваться на сочетании рыночной и государственной основы.
Все рассмотренные функции государства в экономике должны соответствовать трем важнейшим принципам экономической деятельности: эффективности, справедливости и стабильности. Эффективность обозначает, что государство призвано создавать условия, обеспечивающие эффективное функционирование производства. Справедливость предполагает перераспределение доходов граждан и хозяйственных организаций для сглаживания имущественного неравенства, рождаемого рынком.
Стабильность требует проведения специальных мер, направленных на стабилизацию социально-экономической ситуации в стране.
Анализ экономических функций позволяет полнее представить модель функционирования рыночной экономики. Кругооборот денежных и товарных потоков в макроэкономике показан на схеме 36.
Схема 36.
Пояснения к схеме
- расходы на импорт
- потребительские расходы
- чистые налоги
- сбережения
- национальный доход
- правительственные займы
- правительственные закупки
|
8. поступления от экспорта
9. чистый приток капиталов
10. расходы на национальный продукт
11. инвестиционные расходы
12. инвестиционные средства
13. чистый приток капиталов
14. платежи владельцам ресурсов
|
7. 2. Сущность государственного регулирования экономики Государство выполняет свои функции, применяя различные методы государственного регулирования.
Государственное регулирование экономики система типовых мер законодательного, исполнительного и контролирующего характера, осуществляемых правомочными государственными учреждениями и общественными организациями в целях стабилизации и приспособления существующей социально-экономической системы к изменяющимся условиям.
В современной экономике государственное регулирование осуществляется через систему особых методов административно-правовых и экономических регуляторов. Административно-правовое регулирование проявляется прежде всего в создании государством правовых основ экономики. Они применяются на уровне не только центральных (федеральных) правительств, сколько штатов и земель (в федеративных государствах), провинций и регионов (в унитарных государствах), а также местных (муниципальных) органов.
Экономическое регулирование используется как для активизации нужных обществу форм деятельности, так и для ограничения и подавления нежелательных форм. Именно экономические регуляторы несут на себе основную нагрузку в процессе создания наиболее эффективных условий хозяйствования (схема 37).
Тема 9. Макроэкономическое равновесие и его обеспечение
Благосостояние общества во многом определяется его возможностями или потенциалом, называемым национальным богатством. Национальное богатство- это общий итог развития общественного процесса производства за всю историю. К национальному богатству в практике экономического анализа относится всё то, что так или иначе опосредовано человеческим трудом и может быть воспроизведено (схема 39).
Схема 39.
Национальное богатство совокупность материальных и культурных благ, которые созданы трудом людей за определенный период и которыми располагает общество в данный момент.
Национальное богатство непосредственно связано с национальным объемом производства, а потому является индикатором малейших изменений в экономическом положении нации. Его анализ позволяет определить какие цели необходимо поставить обществу и какие методы или рычаги использовать в своей экономической политике (схема 40).
Схема 40.
Проблема измерения национального богатства стояла еще перед экономистами XVII-XVIII вв. Создание начал национального счетоводства стимулировалось практическими целями государства, прежде всего введением наиболее эффективного налогообложения доходов, собственности, сбережений. Впервые национальное богатство было исчислено У. Петти в 1664 г. в Англии.
Ф. Кенэ и А. Смит выдвигали свои теоретические схемы, опираясь на расчеты Грегори Кинга, выполненные в 1696 г. и опубликованные в его работе «Природа и политика. Наблюдения и выводы о состоянии и условиях в Англии». Попытки измерения уровня экономического развития и совокупных доходов предпринимались П. Буагильбером.
Подсчет государственных доходов в России был впервые осуществлен в конце XVIII века И. Ф. Германом. Однако систематическим и рациональным национальное счетоводство стало лишь с формированием методологических предпосылок макроэкономики, т. е. в XX в.
Национальное счетоводство один из важнейших инструментов государственного регулирования макроэкономических процессов. Эта роль определяется функциями национального счетоводства как инструмента экономической политики, экономического прогнозирования, оценки уровня жизни различных групп населения и сравнения его с уровнем жизни других стран, связи экономической теории с практикой. Например, одним из критериев отнесения к странам «нарождающихся рынков» Всемирный банк считает важнейший показатель национального богатства годовой душевой доход в размере не менее 9, 6 тыс. долл. В России этот показатель сейчас достигает примерно 2, 5 тыс. долл.
По уровню ВВП Россия находится в середине второй десятки стран мира (точнее на 14-м месте), впереди нее такие страны, как Корея, Канада, Мексика, Индонезия, Бразилия.
До 80-ых гг. для измерения национального богатства использовался материально-вещественный подход. При этом существовали две альтернативные системы: система национальных счетов (СНС) и баланс народного хозяйства (БНХ). С вступлением развитых государств в постиндустриальную стадию возникла необходимость создания новой концепции национального богатства и смены ее парадигмы. Только здоровый человек и сохраненная для будущих поколений природа являются настоящей ценностью и итогом национального богатства, поэтому при его измерении особое значение стали получать социальные и экологические факторы.
Для этого П. Самуэльсон предложил использовать показатель чистого экономического благосостояния ЧЭБ.
Чистое экономическое благосостояние это показатель, измеряющий экономическое благосостояние общества с учетом не только имеющихся доходов, но и качества жизни.
Однако вычисление ЧЭБ имеет значительные сложности, т. к. пока не существует способов и показателей абсолютного измерения объемов теневой экономики, досуга, загрязнения.
7. 2. Система национальных счетов Система национальных счетов применяемая в развитых странах система национального учета, статистики в масштабе страны, основанная на обобщении и систематизации макроэкономических показателей и балансовых таблиц. В основу СНС положены следующие принципы: балансирования доходов и расходов по методу двойной запаси, стоимостной оценки всех товаров и услуг, раздельного учета на специальных счетах финансовых и перераспределительных потоков.
Таблица 16.
Этапы развития СНС
Этапы
|
Основное содержание
|
1930-50 е гг.
|
- Зарождение системы национального счетоводства, обусловленное необходимостью государственного регулирования экономики после Великой депрессии и второй мировой войны.
|
1950-80-е гг.
|
- Разработка международных стандартов СНС.
|
1980-90 е гг.
|
- Переход к СНС большинства стран с переходной экономикой.
|
Современная СНС ООН представляет собой согласованную схему для сбора, описания и увязки основных потоков статистической информации, которые выражены в макроэкономических показателях, характеризующих наиболее важные результаты и пропорции экономического развития. Фактически, СНС ООН стала международным руководством для национальных статистических служб. Она содержит более 500 различных стандартных счетов, которые дополняются 25 вспомогательными таблицами.
В основе СНС лежит использование статистического межотраслевого баланса. (МОБ) производства и распределения продукции, имеющий ряд модификаций. МОБ представляет собой шахматную таблицу и может быть «большим» и «малым», в зависимости от числа включенных отраслей. В настоящее время одним из наиболее известных является межотраслевой баланс В. Л. Леонтьева, получившего название «Затраты выпуск». Это связано с тем, что отрасли национальной экономики выступают как производители и формируют предложение благ и услуг, продавая их другим отраслям.
Эти же отрасли выступают как потребители, и в этом качестве они формируют спрос, являются покупателями материальных благ и услуг других отраслей.
Модель «Затраты выпуск» предназначена для анализа вещественного аспекта процесса производства и распределения продукта. В общем виде модель баланса В. Л. Леонтьева отражена в таблице 17, где в строках под названием «выпуск» записаны отрасли как продавцы, а в столбцах под названием «затраты» эти же отрасли как покупатели.
Таблица 17.
Модель «Затраты Выпуск»
|
Счета затрат
|
Сельское хозяйство
|
Добывающая промышленность
|
обрабатывающая промышленность
|
услуги
|
итого
|
Выпуск
|
1
|
2
|
3
|
4
|
5
|
Сельское хозяйство
|
|
|
|
|
|
Добывающая
промышленность
|
|
|
|
|
|
Обрабатывающая промышленность
|
|
|
|
|
|
Услуги
|
|
|
|
|
|
Итого
|
|
|
|
|
|
В СНС анализ проводится на основе использования ряда показателей. Основным показателем СНС является валовой национальный продукт (ВНП).
ВНП (GNP) суммарная рыночная стоимость всех готовых товаров и услуг, произведенных в стране за год. Готовый (конечный) продукт это товары и услуги, которые в отличие от промежуточных продуктов не требуют дополнительной переработки для использования. Существует три метода расчета ВНП (таблица 18)
Таблица 18.
Методы подсчета ВНП
1. Расчет по расходам.
|
2. Расчет по доходам.
|
3. По добавленной стоимости
|
GNP = C + I + Y + X, где:
C потребление (расход);
I инвестиции (расход);
Y расход правительства;
X чистый экспорт.
|
GNP = W + R + i + P + Тс+А, где:
W заработная плата;
R рента;
i процент;
P прибыль;
Тс косвенные налоги на бизнес;
А амортизация
|
Валовой национальный продукт определяется как сумма добавленных стоимостей всех сфер экономики.
|
ВНП не абстрактная величина. Поэтому его оценка осуществляется в потенциальном и реальном разрезе, с учетом безработицы, инфляции и изменения цен.
Потенциальный выпуск ВНП это уровень выпуска продукции, предполагающий вовлечение в экономический оборот всех экономических ресурсов, т. е. при полной занятости и полном объеме производства. Фактический выпуск может быть больше или меньше потенциального. Оценку производят с помощью определения «разрыва» между ними:
Разрыв обычно определяется за экономический цикл. Для кратковременного периода (год) определяют номинальный и реальный ВНП.
Номинальный ВНП это стоимость готовых товаров и услуг, произведенных в экономике страны в течение года по текущим ценам.
Реальный ВНП стоимость всех произведенных готовых товаров и услуг в данном году с учетом цен базового года.
Отношение номинального ВНП к реальному ВНП называют индексом цен или дефлятором ВНП.
В отличие от ВНП валовой внутренний продукт (ВВП) охватывает готовую стоимость всей конечной продукции, созданной внутри страны (как отечественными, так и иностранными производителями). Соотношение между ВНП и ВВП показано на следующей схеме.
Схема 41
ВВП
Производство внутри страны
|
Продукция отечественных производителей за рубежом
|
Продукция иностранных предприятий
|
Продукция отечественных предприятий
|
ВНП
Кроме ВНП и ВВП в систему национального счетоводства включают другие макроэкономические показатели (схеме 42).
Схема 42
Валовой национальный доход
|
амортизация
|
|
|
Чистый национальный продукт
|
Косвенные налоги
|
|
Национальный доход
|
Без налогов плюс трансферты
|
Располагаемый доход
|
Сбережение
|
Потребление
|
Чистый национальный продукт (ЧНП) это созданный ВНП за вычетом той части продукта, которая необходима для замещения средств производства, изношенных в процессе выпуска продукции (амортизационные отчисления).
Теории, основанные на действии объективных факторов
Очень часто в качестве синонима экономического цикла используется понятие «длинные волны конъюнктуры», хотя это более узкая категория, определяемая долгосрочными колебаниями экономической активности, связанными с устареванием и заменой технических и технологических систем или пучков. Экономические циклы представляют более сложное многостороннее явление, не имеющее четко выдержанные форму и содержания. Механизм циклов тесно связан с колебаниями элементами временного ряда, отражающими происходящие в экономике периодические изменения. Наличие цикличности требует особых доказательств того, в каких случаях колебания приобретают циклическую форму или отвечают свойствам цикла.
Среди этих свойств обычно отмечают рекуррентность (повторяемость фаз), способность к самовоспроизведению и регулярность, т. е. наличие постоянной динамики с определенной траекторией, иначе любые отклонения, и систематические тоже, могут трактоваться как случайные события.
Современные экономические методы позволяют выделить около 1380 видов циклов, имеющих отношение к экономике. Наиболее известные виды циклов представлены на схеме 55.
Схема 55.
При этом даже циклы одного порядка, характеризующиеся приблизительно равной длительностью и движущими силами, не похожи один на другой, но имеют много общего. Как написал в своем учебнике известный американский экономист, лауреат Нобелевской премии (1970) П. Самуэльсон: « Они не являются близнецами, но в них можно проследить черты принадлежности к одной семье. Точные формулы, подобные тем, которые применяются при определенном движении луны или колебаний простого маятника, не могут быть использованы для предсказаний смены фаз экономического цикла.
По своему бурному и неуравновешенному проявлению экономические циклы скорее напоминают волны эпидемических заболеваний, капризы погоды или колебание температуры у больного».
Связь экономических циклов можно проиллюстрировать на примере анализа циклов разной протяженности. Самыми длительными являются циклы Н. Д. Кондратьева сроком в 40-60 лет, движущей силой которых являются изменения в технологии производства и инновации. Кроме циклов Кондратьева в экономическом развитии обычно выделяются циклы С. Кузнеца (их продолжительность ограничивается 20 годами, а движущими силами являются радикальные изменения в воспроизводственной структуре производства); циклы К. Джаглера с периодичностью 7-11 лет как итог взаимодействия многообразных денежно-кредитных факторов; циклы Дж. Китчина продолжительностью в 3-5 лет, генерируемые динамикой относительной величины запасов товарно-материальных ценностей на предприятиях; частные хозяйственные циклы, охватывающие период от 1 до 12 лет и существующие в связи с колебаниями инвестиционной активности.
В развитии этих циклов венгерским экономистом Б. Шипошем обнаружена следующая зависимость: более продолжительные циклы «вбирая» в себя, поглощают более короткие. При этом продолжительность каждого последующего цикла примерно вдвое короче предыдущего. Это означает, что цикличность в экономике суть система циклов с жесткими причинно-следственными связями, основной контур которой образуют долгосрочные циклы.
Их механизмы определяются взаимодействием циклов меньшей продолжительности. Все они взаимодополняемы, а их обобщение говорит о множественности причин возникновения такого сложного явления, как длинноволновой цикл. В целом рассматривая причины экономических циклов, можно объединить их в две основные группы:
I. Теории, основанные на действии объективных факторов:
- денежная теория, объясняющая цикл экспансией и сжатием банковского кредита;
- теория нововведений.;
- теория солнечных пятен погоды урожая.
II. Теории, основанные на действии субъективных факторов:
- психологическая теория, трактующая цикл как следствие охватывающих население волн пессимистического и оптимистического настроения;
- теория недопотребления, усматривающая причину цикла в слишком большой доле дохода, идущей богатым и бережливым людям, по сравнению с тем, что может быть инвестировано;
- теория чрезмерного инвестирования, сторонники которой полагают, что причиной рецессии является скорее чрезмерное, чем недостаточное инвестирование.
К сожалению, все приведенные теории имеют слабые места, которые заключаются в необходимости привлечения каких-либо внешних воздействий, или невозможности объяснения всех наблюдаемых эффектов. Поэтому в последнее же время наибольшей популярностью пользуется теория, основанная на синтезе объективных и субъективных факторов. Ее авторы считают, что внешние факторы дают первоначальный толчок циклу, а внутренние приводят к пофазным колебаниям.
При всем разнообразии трактовок причин и последствий колебаний конъюнктуры существует общее понимание того факта, что государство может и должно проводить антициклическую политику, сглаживать циклические колебания для поддержания экономической стабильности.
Антициклическая политика использование инструментов экономической политики для противодействия колебаниям экономической конъюнктуры, сглаживания верхней и нижней поворотных точек экономического цикла. Особенности антициклической политики современных государств показаны на схеме 56.
Схема 56.
Антициклическая политика государства
Фазы цикла
|
Спад
|
Подъем
|
Характер антициклической политики
|
Экспансия
|
Сдерживание
|
Инструменты
|
Фискальная политика
|
Снижение налоговых
ставок
Рост государственных расходов
Налоговые льготы на
новые инвестиции
|
Повышение налогов
Снижение государственных расходов
|
Кредитно-денежная политика
|
Понижение ставки рефинансирования и уровня резервных требований
Покупка ценных бумаг
|
Повышение ставок рефинансирования и уровня резервных требований
Продажа ценных бумаг
|
Приоритеты в антициклической политике
|
Неоконсерватизм
Ориентация на
предложение
Предпочтение кредитно-денежным регуляторам перед фискальными
|
Неокейнсианство
Ориентация на спрос
Предпочтение фискальных регуляторов кредитно-денежным
|
Осуществление антициклической политики должно учитывать и тот факт, что спад неодинаково влияет на разные отрасли экономики: максимально страдают инвестиционные отрасли и отрасли, производящие потребительские товары длительного пользования (особенно строительство), а вот отрасли, производящие потребительские товары кратковременного пользования, реагируют на спад меньше. Это связано с низкой эластичностью спроса на эти товары. Зато в фазе подъема инвестиционные отрасли получают максимальное развитие. Таким образом, в рыночной экономике существуют одновременно циклический и нециклический сектора. Из-за запаздывания в реакции производителей и слабой мобильности производственных мощностей фаза роста потребительских расходов и стимулируемая ею фаза уровня деловой активности бизнесменов совпадать по времени не могут.
Поэтому в реальности потребители и производители находятся в разных фазах одного и того же цикла. В этом смысле следует говорить о двух одновременно происходящих в экономике циклах, сближение которых важнейшая цель экономической политики.
Как подчеркивается в исследованиях А. Селезнева, несовпадение циклов благо для общества, которое может в таких случаях обновлять одно, пока еще эксплуатируется другое, но готовить себя к третьему, поскольку не за горами четвертое и так далее. Во времена войн и других катастроф отдельным странам приходилось напрягать усилия, чтобы возвратиться к нормальному развитию. Причина одна одновременное нарушение всех циклов, прерывание их естественного хода в одной «точке». Такой прерыв цикличности произошел в российской экономике после 1991 г. Даже официальная статистика подтверждает невозможность функционирования народного хозяйства при его нынешней структуре в режиме расширенного производства.
Для иллюстрации можно воспользоваться только одной цифрой: капитальные вложения по отношению к стоимости основных производственных фондов составляют около 27, т. е. для замены основных производственных фондов потребуется 50 лет, что не представляет нормального хода цикла их воспроизводства.
В трактовке понятия «прерывания» есть определенная условность: речь идет о прерывании нормального хода процесса, об одновременной существенной деформации каждого цикла. Поэтому необходимо и одновременное вмешательство государства в процесс нормализации. Решение этой проблемы возможно только на основе разработки и реализации национальной доктрины, ядром которой могла бы стать стратегия рационального использования имеющихся ресурсов, основанная на активизации интеллектуальной деятельности и резкого повышения роли образования. Осуществление такого вмешательства в условиях крайней ограниченности государственных финансов требует выбора «слабого звена» в экономике, инвестиции в которое должны обладать положительным мультипликационным эффектом. В этом плане современная антициклическая политика в России должна стимулировать новый этап модернизации.
Модернизация ввод усовершенствований, отвечающим современным требованиям.
При этом следует учитывать, что современная модернизация совсем не предполагает имитацию технико-производственной структуры ведущих западных стран, а определяет необходимость создания особой социально-экономической системы, предполагающей индивидуализацию трудовых усилий, повышение роли творческого начала в производственной деятельности и формирование институтов роста.
Тест к теме
3. В данном году в стране произведено 22 кг муки и 60 кг яблок. Цена 1 кг муки 4 д. е., яблок 6 д. е. В прошлом году цена яблок составляла 5 д. е., а цена муки была такой же. Найдите дефлятор ВНП.
4. На основе приведенных в таблице данных определите величину добавленной стоимости и заполните соответствующий столбец.
Стадии производства
|
Выручка от продажи продукции
|
Добавленная стоимость
|
- Овцеводческое предприятие
- Шерстеперерабатывающее предприятие
- Ателье по пошиву одежды
- Оптовый склад одежды
- Магазин розничной торговли
|
50
100
200
250
300
|
|
Общая стоимость продаж
|
910
|
|
5. Экономика, состоящая из шести отраслей, имела следующие результаты (в д. е.). Руды было добыто 100. Из нее металлурги выплавили 500 металла, который был использован в машиностроении 300 и при производстве товаров народного потребления (ТНП) 200.
Угля добыто 150; он был поровну поделен между производством электроэнергии, металлургией и домохозяйствами. Произведенная электроэнергия в объеме 250 была использована следующим образом: по 30 на добычу руды и угля, 4- в металлургии и по 50 в машиностроении, при производстве ТНП и в быту. Вся продукция машиностроения 1000 составила объем валовых инвестиций, а все ТНП в объеме 2000 потребили домохозяйства. За прошедший год амортизация составила: при добыче руды 10, угля 25, производстве электроэнергии 15, выплавке металла 40, в машиностроении 110 и при производстве ТНП 50.
Определите ВНП и ЧНП.
6. В прошедшем году страна имела следующие показатели (в д. е.): ВНП 500, чистые инвестиции 75, госзакупки 80, потребление домашних хозяйств 250, поступление в госбюджет прямых налогов 30, косвенных налогов 20, субвенции 25, чистый экспорт 40. Определите располагаемый доход домашних хозяйств, амортизационный фонд и состояние госбюджета.
Тест к теме 8 Определите все верные ответы.
1. НД не может превысить:
а) ВВП, выраженный в рыночных ценах;
б) ВНП, выраженный в текущих ценах;
в) ЧНП, выраженный в рыночных ценах;
г) ВВП, выраженный в ценах базового года.
2. Расчет ВНП по «доходам» дает возможность установить:
а) долю заработной платы в общих доходах населения;
б) соотношение доходов «за труд» и доходов «за собственность»;
в) ключевые отрасли экономики и степень дифференциации отраслей;
г) долю косвенных налогов в ВНП.
3. Национальное богатство это
а) факторы производства и культурные ценности;
б) совокупность материальных ценностей;
в) накопленное имущество граждан;
г) вновь созданные культурные ценности.
4. Если фирмы начнут все свои прибыли выплачивать акционерам в форме дивидендов, то в национальных счетах возрастет показатель:
а) ВНП; б) чистых инвестиций;
в) амортизации; г) личного дохода.
5. Потенциальный ВНП измеряется как
а) стоимость всех товаров и услуг, произведенных в обществе, начиная с базового года до настоящего времени;
б) стоимость товаров и услуг, которые могут быть произведены в условиях полного использования всех ресурсов;
в) разница между номинальным и реальным ВНП;
г) степень, в которой ВНП может возрасти, если уровень инвестиций будет максимальным.
6. К чистым инвестициям относится:
а) строительство нового дома; б) покупка нового автомобиля;
в) замена изношенного оборудования новым; г) ремонт офиса.
7. НД отличается от располагаемого дохода домашних хозяйств на величину:
а) трансфертных выплат государства населению; б) амортизации;
в) доходов населения, полученных из-за границы;
г) доходов от индивидуальной трудовой деятельности.
8. Какие из указанных ниже доходов или расходов не учитываются при подсчете ВНП:
а) арендная плата за сдачу квартиры; б) покупка акций на бирже;
в) чаевые официанта в ресторане;
г) выплата процентов по срочному банковскому вкладу.
Типы и формы собственности
Содержание и распределение прав собственности влияет на распределение ресурсов, на объем и условия обмена, на распределение и уровень дохода, на процессы ценообразования. При этом важно учитывать трансакционные издержки.
Трансакционные издержки это операционные издержки в сфере обмена, связанные с передачей прав собственности.
Виды трансакционных издержек:
- издержки поиска информации
- издержки измерения качества
- издержки ведения переговоров и заключения контрактов
- издержки альтернативного поведения
- издержки спецификации и защиты прав собственности
Исследуя их влияние на права собственности, Р. Коуз сделал важный вывод, получивший название в экономической теории теоремы Коуза. . Ее суть состоит в следующем: если права собственности четко определены и трансакционные издержки равны нулю, то распределение ресурсов и структура производства будут неизменны независимо от изменений в распределении прав собственности, если отвлечься от эффекта дохода.
Отделение «прав собственности» от «собственности» получило развитие не только в экономической теории, но и в хозяйственной практике. Свидетельством этому является развитие трастовых компаний.
Траст (от английского trust доверять, поручать попечению) представляет систему доверительного управления имуществом, ценными бумагами, предприятиями, фирмами и т. п.
Трастовое соглашение означает, что собственник передает право управлять своей собственностью другому субъекту, после чего в рамках заключенного договора не имеет формального права вмешиваться в действия своего доверительного лица.
2. 2. Типы, формы и виды собственности. По мере развития общества совершенствовались отношения собственности, принимая самые разнообразные типы и формы.
Под типом собственности понимается качественно особый этап в развитии собственности, а под ее формой специфический характер принадлежности материальных факторов и результатов общественного производства его основным субъектам. Взаимосвязь между типами и формами собственности показана на таблице 3.
Таблица 3.
Типы и формы собственности
Типы собственности
|
Формы собственности
|
Первобытнообщинная
Рабовладельческая
(азиатская, античная)
Феодальная
Капиталистическая
Социалистическая
|
Частная индивидуальная
Коллективная
Государственная
|
Тип и форма собственности находятся в непосредственной зависимости, предопределяются конкретно-историческими условиями общественной жизни. При этом тип собственности обусловлен существованием определенной социально-экономической системы Традиционно такая классификация типов собственности называется формационной, хотя и не совпадает с ней полностью. Типам собственности соответствуют различные формы собственности. Частная собственность имеет место там, где средства и результаты производства принадлежат отдельным лицам. Коллективная (групповая) собственность выражает коллективное единство труда и собственности, т. е. такое их состояние, при котором каждый член коллектива является собственником средств производства и производимой продукции.
Общественная собственность представляет совместное достояние, принадлежность тех или иных объектов всему обществу. Эта форма собственности выступает, как правило, в форме государственной собственности. В условиях рыночной экономики, где господствующей является частная собственность, государственная собственность может возникать в результате:
- национализации (переход имущества из частной собственности в государственную), осуществляемой, как правило, методом выкупа);
- строительства новых объектов за счет средств государственного бюджета;
- покупки государством контрольного пакета акций частных компаний.
Каждая форма собственности существует в нескольких видах в зависимости от характера субъектов собственности (см. таблицу 4).
Таблица 4.
Классификация форм собственности
а) по форме присвоения
|
Индивидуальная
Личное подсобное хозяйство, трудовое хозяйство, индивидуальная трудовая деятельность, личная собственность.
|
Коллективная
Кооперативы, коллективные предприятия, арендные предприятия, товарищества, акционерные предприятия, ассоциации и т. д.
|
Государственная
Общегосударственная, муниципальная,
образования на территории государства.
|
б) по форме права собственности
|
Частная
Граждан, юридических лиц (предприятий, объединений, организаций).
|
Государственная
Федеральная,
республик
и других образований в составе государства, муниципальная.
|
Совместная
Совместных предприятий и организаций
|
Каждая форма собственности имеет свои сферы наиболее эффективного применения. Государственная собственность функционирует успешно в сферах с ограниченными возможностями рыночного стимулирования. Акционерная и коллективная собственности целесообразны в случаях, когда требуется концентрация средств. Акционерная собственность это групповая собственность, которая создается путем выпуска и реализации ценных бумаг. Коллективная и кооперативная собственность это долевая собственность, которая предполагает коллективно-групповой характер присвоения, совместное владение, пользование и распоряжение факторами и результатами производства.
Особенностью такой собственности является то, что, хотя она делится на доли, единым и единственным собственником является коллектив (группа) собственников в целом. Отдельные члены утрачивают право собственности на передаваемое в виде вкладов имущество. Частная собственность используется там, где необходимые средства для хозяйственной деятельности могут быть заработаны и накоплены индивидуально.
В России государственными органами статистики ведется сбор и обработка информации о видах и формах собственности основных экономических агентов. Для этих целей используется Классификатор форм собственности, утвержденный Постановлением Госкомстата РФ от 20 апреля 1993 г. (см. таблицу 5).
Таблица 5.
Основная схема классификатора форм собственности в России
Классификационный код
|
Наименование
|
1.
1. 1.
1. 1. 1.
1. 1. 2.
1. 2.
1. 3.
1. 4.
1. 5.
1. 6.
2.
2. 1.
2. 2.
2. 3.
2. 4.
2. 5.
3.
|
Российская собственность
Государственная собственность
Федеральная собственность
Собственность субъектов Федерации
Муниципальная собственность
Собственность общественных объединений (организаций)
Частная собственность
Смешанная российская собственность (без иностранного участия)
Российская собственность в составе смешанной собственности с иностранным участием
Иностранная собственность
Собственность международных организаций
Собственность иностранных государств
Собственность иностранных юридических лиц, граждан и лиц без гражданства
Смешанная иностранная собственность (без российского участия)
Иностранная собственность в составе смешанной собственности с российским участием
Смешанная собственность с совместным российским и иностранным участием
|
Классификатор форм собственности предусматривает наличие в нашей стране различных форм собственности, включая иностранную и смешанную собственность с совместным российским и иностранным участием. О соотношении форм собственности в современной российской экономике можно судить по данным таблицы 6.
Таблица 6.
Государственная и негосударственная собственность в России, %
Форма собственности
|
1991
|
1993
|
1995
|
1997
|
1999
|
Государственная собственность
|
91
|
53
|
42
|
9, 5
|
7, 3
|
Негосударственная
собственность
|
9
|
47
|
58
|
90, 5
|
92, 7
|
Подобные изменения произошли и в экономике Приморского края, которая в целом за период 1992-96 гг. стала негосударственной на 86%. Однако, как и в целом по стране, смена форм собственности не привела к увеличению эффективности народного хозяйства. Наблюдается сокращение важнейшего показателя социально-экономического развития края валового регионального продукта в том же 1996 г. он составил лишь 14, 3% от уровня 1990 г. При значительном общем сокращении промышленного производства (более чем в 2 раза) буквально в катастрофическом положении оказался его обрабатывающий сектор, где темпы спада производства почти в 5 раз превышали среднероссийский показатель. В прошлом 1999 г. впервые за десять лет в промышленности края был получен прирост объемов производства к уровню предыдущего года по полному кругу предприятий на 10, 7%, что составляет почти 99, 5% от уровня 1996 г. Исследования ДальНИИ рынка Минэкономики РФ показывают, что сама по себе форма собственности не является единственным критерием устойчивости предприятия. В условиях Дальнего Востока процессы формирования эффективного собственника идут и будут идти более трудно, чем в целом по стране.
Это во многом объясняется негативными последствиями региональной экономики: ее дотационностью, большой долей ВПК, низкой конкурентоспособностью продукции, ограниченностью местного рынка, неблагоприятными демографическими факторами.
2. 3. Cущность и формы предпринимательства Теоретический анализ собственности как экономической и правовой категории позволяет с научных позиций рассмотреть феномен предпринимательства, выступающего в качестве неотъемлемого атрибута рыночной экономики.
В Гражданском кодексе РФ предпринимательство характеризуется следующим образом: «Предпринимательской является самостоятельная, осуществляемая на свой риск деятельность, направленная на систематическое получение прибыли от пользования имуществом, продажи товаров, выполнения работ или оказания услуг лицами, зарегистрированными в этом качестве в установленном законе порядке. «
Тренировочные задания к теме
Подводя итог, отметим, что экономические системы многомерны. Они могут быть формализованы: ES = f (A1, A2, A3... An).
Иначе говоря, экономическая система (ES) определяется своими свойствами (А), где существует n таких свойств. Это и означает, что экономическая система не может быть определена в терминах единственной характеристики.
Тренировочные задания к теме 3 1. Пусть две страны Травия и Муравия выпускают товары А и В, кривые производственных возможностей которых показаны на рисунке. Можно ли на основании этих данных сделать вывод о том, что альтернативная стоимость производства товара А выше в Травии, чем в Муравии?
2. «Утверждение об ограниченности ресурсов и безграничности потребностей на самом деле неверно. Ресурсы в действительности безграничны, так как бесконечен процесс открытия новых источников ресурсов. Потребности же, напротив, ограничены, поскольку существуют физические пределы их удовлетворения. «. Объясните, можно ли согласиться с этим утверждением.
3. Чтобы купить масло дешевле, Вам необходимо отстоять длинную очередь. Если Вы ее все-таки отстоите, действительно ли Вы купите дешевое масло? Определите его альтернативную стоимость.
4. Отказавшись от работы столяром с зарплатой 1, 2 млн. у. е. в год или работы референтом с зарплатой 1 млн. у. е. в год, Иван поступил в колледж с годовой платой за обучение в размере 600 тыс. у. е. в год. Какова альтернативная стоимость его решения на первом году обучения, если половину платы за обучение Ивану компенсирует государство?
5. Вам предложено оценить обеспеченность хозяйства трудовыми ресурсами. Будет ли отличаться процент (т. е. доля населения), показывающий наличные трудовые ресурсы в общей численности населения, в азиатской и европейском регионах России? Чем это объясняется?
6. Забастовка донецких шахтеров вынудила правительство пойти на встречу социальным требованиям бастующих. Объясните, какова причина таких действий правительства. Почему в Великобритании забастовки были относительно эффективны лишь в 1984-1985 гг., а в 1992 году правительство этой страны само запланировало закрытие около 31 шахты, в результате чего около 31 млн. шахтеров потеряло работу?
7. Как решаются основные экономические проблемы (определение объема и состава производимой продукции, распределение ресурсов между отраслями и распределение созданного продукта) в рамках различных экономических систем?
8. Возможно ли в условиях ограниченных ресурсов так организовать производство товара А, чтобы это производство не потребовало бы отвлечения ресурсов, которые можно было бы использовать для выпуска других товаров? Для своего ответа используйте кривую производственных возможностей.
Тест к теме 3. Выберите единственно верный вариант ответа.
1. Фундаментальные вопросы экономики решаются на макро- и микроуровне. Какой из этих вопросов может решаться только на макроуровне?
а) что производится? б) какой уровень инфляции будет?
в) сколько товаров будет произведено? г) кто будет производить?
2. Основная проблема всех экономических систем, это
а) инвестиции; б) производство; в) потребление; г) редкость.
3. Кривая производственных потребностей показывает
а) точные количества двух товаров, которые хозяйства намерено производить;
б) лучшую из возможных комбинаций двух товаров;
в) альтернативные комбинации двух товаров при наличии ограниченных ресурсов;
г) время, когда вступает в действие закон убывающей производительности факторов производства.
4. У человека, который имеет возможность получить работу с оплатой от 4000 до 6000 у. е. в час, альтернативные издержки одного часа досуга равны:
а) 4000; б) 6000; в) 7000; г) 5000.
5. Какие мероприятия государства согласуются с рыночной экономикой
а) фиксированные цены; б) централизованное планирование;
в) субсидии за уплату процентов; г) премии за капиталовложения.
6. Централизованно управляемая экономика характеризуется
а) отсутствием системы санкций;
в) индивидуальным планированием;
г) принципом экономической субординации;
д) отсутствием системы информации.
7. В модели рыночного хозяйства
а) гарантируется максимум благосостояния для каждого гражданина;
б) государство определяет содержание хозяйственной деятельности;
в) особым образом поощряется стремление человека к приобретению;
г) происходит равномерное распределение доходов.
8. Какой из нижеперечисленных элементов является наиболее важным для рыночной экономики:
а) эффективные профсоюзы; б) активная конкуренция;
в) всеобщее государственное регулирование;
г) взвешенные действия предпринимателей.
Тренировочные задания к теме
Для стимулирования конкуренции на монопольном рынке мировая практика предлагает использовать следующие меры: расширить практику конкурсного отбора в отраслях естественных монополий на региональном уровне на стадии организации торгов за право быть поставщиком определенного вида услуг, поскольку в настоящее время это право достаточно часто определяется в результате сговора хозяйствующих субъектов без участия региональных властей; ускорить становление системы сбора и распространения коммерческой информации, создание специализированных региональных информационных систем, которые облегчат доступ новых участников на региональные рынки.
Тренировочные задания к теме 5
- В начале 80-ых годов произошло затоваривание рынка алмазов. Компания «De Beers», мировой лидер производства и продажи алмазов, стала покупать в большом количестве необработанные камни. Почему они сделали такие покупки? Как эти действия могли повлиять на цену алмазов?
- Кривая спроса на велосипеды может быть представлена в следующем виде: D=6000-P, где D- объем спроса в месяц, P-цена велосипеда, тыс. руб. Кривая предложения велосипедов описывается уравнением: S=3000+40 Р, где S ежемесячное предложение велосипедов. Каковы равновесная цена и объем продаж велосипедов. Как изменится ситуация, если правительство установит цены «потолка»на велосипеды?
- По итогам первого полугодия 1992 г. После либерализации цен Госкомстат России сообщил: «Молочных продуктов люди стали потреблять на четверть меньше, чем в прошлом году, мясных продуктов- на 15 %, рыбных на 17 %, фруктов на 30 %, сахара и кондитерских изделий на 20 %. В 2-2, 5 раза сократились объемы покупок одежды и обуви». Прокомментируйте эти результаты. Определите эластичность спроса на эти товары, если предположить, что цены на них увеличились 20 %.
- На рисунке обозначьте равновесную рыночную цену винограда за ряд лет. Вычислите изменения цен, ответы впишите в таблицу. Определите тип эластичности спроса и предложения винограда в указанные годы.
P
Q
Год
|
1992
|
1993
|
1994
|
1995
|
Цена
|
|
|
|
|
E (p)
|
|
|
|
|
E (s)
|
|
|
|
|
- Объясните, почему даже в период глубокого кризиса в России лучшие вузы страны продолжают сохранять высокие конкурсы?
- Может ли резкое падение реальных доходов населения в стране разорить сельское хозяйство? А заводы, производящие цветные телевизоры?
Тест к теме 5 Найдите единственно верный ответ.
1. Если спрос сократится, а предложение возрастет, то:
а) равновесное количество снизится;
б) равновесная цена уменьшится;
в) верно а) и б);
г) все ответы неверны.
2. При прочих равных условиях рост предложения приведет:
а) к росту равновесной цены и количества;
б) к снижению цены равновесия и равновесного объема;
в) к росту цены и снижению количества;
г) к снижению цены и росту физического объема продаж.
3. Спрос на молочные продукты менее эластичен, чем спрос на кефир
а) если нет конкуренции иностранных производителей;
б) никогда; в) очень редко; г) чаще всего.
4. Зависимость объема покупаемого товара Q от дохода покупателя Y такова: Q=3Y/ (8Y+5). Какому виду товаров это соответствует:
а) первой необходимости; б) предметам роскоши;
в) товарам Гиффена; г) товарам низшего качества.
5. Если в отрасли много фирм, производящих стандартный продукт, можно ожидать, что спрос на продукцию любой фирмы является:
а) высокоэластичным; б) высоконеэластичным;
в) единичной эластичности; г) незначительной эластичности.
6. Новый владелец булочной, расположенной в микрорайоне, решил поднять цену черного хлеба, в то время как во всех остальных булочных этого района она осталась прежней. В результате этого:
а) выручка булочной от продажи черного хлеба возросла;
б) поступления от продажи черного хлеба понизились;
в) выручка от продажи черного хлеба не изменилась;
г) имеющейся информации недостаточно.
7. Назначаемая государством максимальная цена
а) выше, чем равновесная цена;
б) служит для защиты потребителей;
в) приводит к избыточному производству;
г) служит для защиты производителей.
8. При взаимозаменяемости двух товаров рост цены на первый товар вызовет
а) рост спроса на второй товар;
б) падение спроса на второй товар;
в) падение предложения второго товара;
г) рост предложения второго товара.
Тренировочные задания к теме
Проблемы и противоречия в обществе, возникающие при таком переходе можно проиллюстрировать двумя особенностями переходной экономики. Первая из них состоит в том, что при переходе от плановой экономики к рыночной на первых этапах реформирования роль государства в экономике уменьшается. Приватизация государственной собственности существенно расширяет границы частного сектора и рыночных механизмов. Однако данный переход осуществляется в условиях системного кризиса, сопровождаемого уменьшением ВВП, падением инвестиционной активности, инфляцией, финансовым кризисом, увеличением безработицы. Возникают такие негативные явления, как нестабильность настоящего, неопределенность будущего, отсутствие гарантий прав собственности и др.
Разработка и реализация антикризисных стратегий и программ во многом ложатся на плечи государства, что требует усиления его роли в экономике. К тому же экономика все больше испытывает дефицит ресурсов, способных обеспечить решение назревших проблем. Поэтому на первый план выдвигаются либо расходы государства, либо внешние заимствования.
Вторая особенность переходной экономики связана с усилением государственного регулирования, которое сталкивается с тремя трудностями: опасениями со стороны общества рецидивов элементов старой распределительной системы и всеобщего дефицита товаров; отсутствия механизмов, способных эффективно использовать ресурсы в общественном секторе экономики; неопределенность в направлении использования дополнительных доходов государства.
В России в соответствии с постановлением правительства от 4 января 1999 г. «О прогнозе развития государственного сектора экономики Российской Федерации» в состав государственного сектора экономики входят: государственные унитарные предприятия, государственные учреждения, акционерные общества, в уставном капитале которых контролирующий пакет голосующих акций (более 50%) находится в государственной собственности (федеральной или субфедеральной). Основой такой классификации является функционально-управленческий принцип, т. е. в состав государственного сектора включаются только те хозяйственные объекты, функционирование и развитие которых полностью определяется и контролируется государством. Исключение из состава государственного сектора муниципальных предприятий неявно вводит в оборот понятие трехсекторной экономики, состоящей из государственного, муниципального и негосударственного (частного) секторов, что противоречит международной практике. Важной проблемой остается отнесение к государственному сектору экономики вертикально интегрированных хозяйственных структур, строящихся по типу финансово-промышленных групп.
Один из возможных подходов к этой проблеме предполагает использование своеобразной «государственной цепочки». Если более 50% акций материнской компании находится в руках государства, то она относится к государственному сектору. Если, в свою, очередь эта компания держит более 50% акций дочерней фирмы, то последняя тоже относится к государственному сектору.
Иными словами, если материнская компания контролируется государством, а дочерняя материнской, то, следовательно, дочерняя фирма также косвенно регулируется государством.
Таким образом, государственный сектор двойственное и противоречивое образование. Он включает в себя как бы два начала: рыночное основанное на возмездности, эквивалентности, купле-продаже, отчуждении права-собственности, и нерыночное основанное на неэквивалентности обмена, внерыночных механизмах распределения ресурсов, безвозмездном выделении основных фондов государственным и муниципальным предприятиям, неопределенности права собственности. Такая двойственность очень часто порождает неэффективность использования экономических ресурсов в нем и искажение в распределении доходов. Данная двойственность в производстве общественных благ вызывает необходимость действенного законодательного регулирования данного сектора с целью создания условий для эффективного использования экономических ресурсов в производстве общественных благ и рационального распределения возникающих здесь доходов в соответствии с реальными правами, функциями и ответственностью всех субъектов отношений в данном секторе экономики.
Тем не менее в развитых странах в государственный сектор вовлекается от 30% до 60% ресурсов экономики в зависимости от национальных традиций, структурных и других факторов. Фактические данные показывают, что государственный сектор вполне сопоставим по своим масштабам с частным, тогда как при более низком уровне развития один из секторов занимает явно доминирующие позиции.
С этой точки зрения современное положение в России можно считать достаточно специфичны. Дело в том, что при всех пороках существующей социально-экономической системы нельзя упускать из виду, что за десятилетие реформ в стране возникли все основные рыночные экономические институты. Теперь Россию можно причислить к странам, определяемым как «нарождающиеся рынки». Это, по мнению д. э. н. , зав. сектором ИЭ РАН А. Нестеренко, имеет несколько важных последствий для экономической политики.
Во-первых, такая ситуация означает, что российская экономика реагирует на государственное регулирование так же, как и рыночная экономика любой другой страны. Во-вторых, государство должно максимально быстро избавить экономику от тех пут, которые мешают частным производителям. Высокие налоги и чрезмерное административное регулирование «стимулируют» уход предпринимателей в теневую экономику.
В результате страдает не только частный капитал, но и само государство, которое никак не может собрать столько налогов, чтобы хватило на выполнение нормальных государственных функций, не говоря о «бюджете развития», промышленной политике и т. п. В-третьих, государство должно помогать развитию рыночных институтов, создавать благоприятную среду для отечественного и зарубежного бизнеса. И наконец, в-четвертых, в стране назрела необходимость формирования нового характера отношений между федеральным центром, субъектами Федерации и внешним миром.
Тренировочные задания к теме 7
1. Определите, какие из следующих мер относятся к административным, а какие к экономическим средствам государственного регулирования экономики: а) получение лицензии на ведение экономической деятельности; б) регулирование учетной ставки;. в) уплата штрафа за нарушение экологических норм; г) уменьшение ставки налога на добавленную стоимость; д) ускоренная амортизация; е) запрет на торговлю.
2. Возможно ли точное количественное установление возможностей и границ государственного регулирования экономики, в чем они выражаются?
3. Выберите из списка организационные структуры, которые способны восполнять «провалы рынка», то есть выполнять те же экономические функции, что и государство: а) предприниматель; б) акционерное общество; в) структуры мафиозного типа; г) клан (структура, построенная на основе семейно-родственных связей); д) университет. Объясните свой выбор. В чем отличие этих организационных структур от государства?
4. Лауреата Нобелевской премии по экономике М. Фридман считает, что самыми лучшими способами воздействия государства на экономику являются действия: «Не трогать бизнес!» и «Пусть рынок делает свое дело!». Продумайте экономический смысл предложенного тезиса и постарайтесь ответить на следующие вопрос: В чем состоит экономическая эффективность функционирования рынка и государства?
5. В таблице приведены характеристики, которыми можно оценивать объем регулирующих воздействий государства на экономику страны (данные на начало 90-х гг.) В какой из стран, если судить по данным таблицы, наиболее значительное вмешательство государства в экономику? Совпадает ли Ваш вывод с реальным положением вещей? Если нет, объясните почему?
Показатель
|
США
|
Англия
|
Франция
|
Германия
|
Япония
|
Доля государственных расходов в ВНП
|
23, 4
|
30, 9
|
23, 3
|
15. 7
|
15. 4
|
Удельный вес налогов в национальном доходе
|
26, 1
|
40, 6
|
33, 9
|
30. 6
|
27. 9
|
6. Используя основные свойства общественных товаров и услуг и товаров индивидуального потребления, определите, должны ли следующие блага производиться посредством рыночной системы или обеспечиваться государством: а) хлеб; б) мосты; в) образование; г) национальная оборона; д) медицинское обслуживание; е) контроль за окружающей средой; ж) ремонт автомобилей.
Тест к теме 7 Определите все верные ответы.
1. Все нижеследующее может быть отнесено к общественным благам, кроме:
а) национальной армии; б) системы здравоохранения;
в) жилищно-коммунального хозяйства городов;
г) транспортной системы.
2. Сторонники классических представлений о рынке, вероятнее всего, выступили бы в поддержку:
а) роста государственного сектора в экономике,
б) введения закона о минимальной заработной плате,
в) роста государственных расходов для стимулирования предложения,
г) политики невмешательства государства в экономику.
3. Допустим, что побочные явления, возникающие при производстве или потреблении товара, не учитываются в его рыночной цене. Тогда можно сделать вывод о том, что
а) ресурсы правильно распределены на рынке;
б) имеет место внешний эффект;
в) общество потребляет и производит нужное количество товара;
г) рынок совершенно конкурентный.
4. Какими проблемами в рыночной экономике должно заниматься государство?
а) распределением денежных доходов в обществе;
б) оказывать помощь конкретному потребителю с ограниченными доходами, определяя способы их рационального использования;
в) определять, что и сколько нужно произвести из наличных ресурсов;
г) определять круг товаров и услуг, в которых нуждается общество независимо от вкусов и предпочтений какой-либо группы или всего населения.
5. Неконкурентоспособность и неисключаемость являются характеристиками
а) нормальных товаров; б) товаров низшего качества;
в) дефицитных товаров; г) общественных товаров.
6. Внешние эффекты это неявные следствия производства
а) данной фирмы для другой фирмы;
б) данной фирмы для общества;
в) государственного сектора для данной фирмы;
г) все ответы неверны.
7. В экономике страны А производство общественных товаров составляет 80%, это значит, что государство участвует в экономике
а) максимально; б) активно; в) минимально; г) не участвует.
Тренировочные задания к теме
Безработица также сопровождается снижением жизненного уровня людей, потерей квалификации работников, ростом социальной и политической напряженности. Озабоченность экономистов вызывает и связь безработицы с инфляцией. Поэтому антиинфляционная политика всегда сопряжена с мероприятиями социальной политики и проявляется в двух подходах: адаптационном (индексация доходов и контроль за уровнем цен) и ликвидационном снижение инфляции посредством экономического спада и роста безработицы. Однако статистика свидетельствует, что для снижения инфляции на 1% безработица в течение года должна быть на 2% выше своего естественного уровня.
Вместе с тем борьба с безработицей (трудоустройство незанятого населения и оказание помощи в профессиональной подготовке через биржи труда, правовое обеспечение трудовых отношений, социальная защита безработных, создание дополнительных рабочих мест) неминуемо влечет за собой повышение социальных расходов государства, вызывая дефицит государственного бюджета, и может способствовать инфляции.
В условиях переходной экономики России социальная политика отличается не столько набором своих направлений, функций и целей, сколько их соотношением, устанавливаемыми приоритетами. С одной стороны, обострение социальных проблем требует увеличения расходов госбюджета на расширение социальных программ, с другой решение этой задачи наталкивается на крайне скудный и все более сокращающиеся материальные возможности государства и общества. Это определяет ориентацию социальной политики на выполнение принципа экономической рациональности, в соответствии с которым задача государства создание условий для повышения доходов.
Тренировочные задания к теме 11 1. Предположим, что в национальной экономике наблюдаются: а) высокий уровень инфляции; б) падение уровня производства; в) падение курса национальной валюты по отношению к доллару; г) рост безработицы. Определите основные направления кредитно-денежной политики в каждом из данных случаев. Определите основные направления кредитно-денежной политики, если все названные экономические явления наблюдаются одновременно.
Какие из выбранных Вами направлений экономической политики являются приоритетными?
2. Если индекс цен в прошлом году был 120%, а в этом 147%, то каким будет уровень инфляции в этом году?
3. Рассчитайте скорость оборота денег, если денежная масса наличных и безналичных денег 400 млрд. руб., а ВНП 4080 млрд. руб.
4. Представим, что степень эластичности налоговых поступлений в России составляет 1, 2. Как изменится сумма налоговых поступлений, если экономический рост в течение года составит 2%?
5. Какая ситуация предпочтительней полная занятость с 5% годовым уровнем инфляции или стабильные цены с 8% уровнем безработицы? Объясните, почему?
6. В таблице приведены условные данные о размере налогооблагаемого дохода и уровне предельных ставок налога.
Размер налогооблагаемого дохода, д. е.
|
Предельные ставки налога, %
|
Размер налога, д. е.
|
Средние ставки налога, %
|
12, 5
|
-
|
2, 5
|
20
|
22, 5
|
24, 5
|
4, 95
|
22
|
32, 5
|
26
|
|
|
42, 5
|
28, 5
|
|
|
52, 5
|
32
|
|
|
62, 5
|
36
|
|
|
На основании имеющихся данных заполните таблицу. Сделайте выводы о характере данного налога.
7. Допустим, что население одного из регионов страны составляет 15 млн. человек, из них: детей до 16 лет 4, 5 млн.; лиц, находящихся в психиатрических больницах и исправительных учреждения, 0, 3 млн.; пенсионеров 3, 2 млн.; безработных 0, 7 млн. Определите уровень безработицы и ее влияние на национальное богатство.
8. Определите, дефицитен ли бюджет, если государственные закупки составляют 50 д. е., трансфертные платежи равны 10 д. е., процентные выплаты 10% годовых по государственному долгу, равному 20 д. е., налоговые поступления составляют 40 д. е.
Тест к теме 11 Определите все верные ответы.
1. В каких случаях существует совместимость между двумя политико-экономическими целями экономической политики
а) достижение одной цели связано с риском отказа от другой;
б) преследование одной цели тормозит достижение других;
в) достижение одной цели способствует реализации других;
г) достижение одной цели отрицательно влияет на другие.
2. Какой вид денежного агрегата включает в себя наличные и безналичные деньги?
а) М0; б) М1; в) М2; г) М3.
3. Индекс цен может быть рассчитан путем:
а) умножения показателя номинального ВНП на индекс потребительских цен;
б) деления показателя реального ВНП на индекс потребительских цен;
в) деления показателя номинального ВНП на показатель реального ВНП;
г) умножения показателя реального ВНП на агрегатный индекс цен.
4. Какие меры позволят избежать сокращения занятости при смещении кривой совокупного предложения в результате роста издержек производства?
а) эмиссия денег; б) повышение налогов;
в) уменьшение денежной массы ЦБ;
г) стимулирование сбережений в коммерческих банках с помощью премиальной системы.
5. Внутренний долг растет более высокими темпами, чем объем ВНП. Данное обстоятельство
а) приведет к кризису финансовой политики государства;
б) не является негативной экономической ситуацией;
в) влияет на темпы экономического роста;
г) не оказывает прямого влияния на состояние экономики.
6. ЦБ, продавая большое количество государственных ценных бумаг на открытом рынке, преследует цель
а) сделать кредит более доступным; б) увеличить инвестиции;
в) снизить учетную ставку; г) все отмеченное неверно
7. Государственная политика доходов направлена на
а) регламентирование уровня зарплаты всем работникам;
б) поддержание равного уровня оплаты труда всех работников;
в) ограничение роста личных доходов;
г) перераспределение доходов через систему налогов и социальных трансфертов.
Тренировочные задания к теме
Тренировочные задания к теме 10
- На графике представлены кривые совокупного спроса и совокупного предложения. Определите фазу цикла и характер динамики ВНП, если кривая совокупного спроса сместилась из положения AD в положение AD1, а затем AD2
Уровень цен
AS
Реальный объем производства
2. На основании данных, приведенных в таблице, определите следующие величины: а) реальный объем ВНП в расчете на душу населения; б) оптимальную численность населения в этой стране; в) абсолютную величину прироста ВНП во втором году по сравнению с первым; в) прирост ВНП в (процентах) в четвертом году по сравнению с третьим; г) темпы роста ВНП за указанный период времени.
Год
|
Население
(млн. чел.)
|
Реальный
объем ВНП
(млрд. долл.)
|
Реальный объем ВНП
на душу населения
(долл.)
|
1
|
30
|
9
|
|
2
|
60
|
24
|
|
3
|
90
|
45
|
|
4
|
120
|
66
|
|
5
|
150
|
90
|
|
3. Допустим, что реальный ВНП страны составляет 30 тыс. у. е. в году 1 и 31, 2 тыс. у. е. в году 2. Каковы темпы роста и прироста ВНП? Предположим, что население возросло со 100 человек в году 1 до 102 человек в году 2. Каковы темпы роста ВНП на душу населения? В 1948-1988 гг. уровень цен в стране вырос более чем на 400%, в то время как реальный ВНП увеличился почти на 250%.
Покажите эти процессы графически с помощью оценки AD AS.
4. За период 60-80-ых гг. XX в. новые индустриальные страны Азии достигли среднегодовых темпов роста реального ВНП на уровне 8-9%, в результате чего уровень реального ВНП на душу населения увеличился в 5 раз. Почему экономический рост является одной из целей макроэкономической политики?
Какие показатели экономического роста наиболее адекватно отражают этот процесс?
5. Реальный ВНП составил 800 млрд. д. е. в прошлом году и 840 млрд. д. е. в текущем году. Рассчитайте темпы роста и темпы прироста ВНП в текущем году по сравнению с прошлым годом в процентах.
Тест к теме 10 Определите все верные ответы.
1. Количественный экономический рост находит свое выражение в повышении
а) располагаемого дохода; б) массы денег в обращении;
в) покупательной способности денег;
г) валового национального продукта.
2. ВНП увеличился на 9% по сравнению с предыдущим годом. За это время уровень цен вырос на 4%. Отсюда реальный экономический рост составил
а) 4%; б) 5%; в) 9%; г) 13%.
3. Экономический рост в рыночной экономике всегда представляет собой результат принятых решений
а) всех хозяйственных субъектов; б) домашних хозяйств;
в) предпринимателей; г) государства.
4. К экстенсивным факторам экономического роста относится:
а) увеличение производительности труда;
б) улучшение организации производства;
в) увеличение численности занятых в производстве работников;
г) использование достижений НТП в производстве
5. Имеется рисунок цикла
Время
Время цикла определяется интервалом
а) t1- t3; б) t3 t4; в) t1 t7; г) t2 t6
6. Экономический цикл связан с
а) действием только внешних факторов;
б) действием только внутренних факторов;
в) исключительно политическими факторами;
г) все ответы неверны.
7. Определите, всегда ли верны утверждения, что
а) высшая точка активности соответствует периоду оживления;
б) спад это период депрессии;
в) максимальная точка цикла называется пиком;
г) кризис это начальная стадия спада
Тренировочные задания к теме
Тренировочные задания к теме 1 1. Дайте свой комментарий и определите, какие заключения являются позитивными и какие нормативными.: а)» За последнее время в экономике России наблюдается спад производства и высокие темпы инфляции»; б) «Необходимо разработать комплекс мер по замедлению или прекращению спада производства и снижению темпов инфляции»; в) «Приморский край уже на начальном этапе реформ получил необходимые конституционные полномочия для обоснования и реализации социально-экономической политики, адекватной имеющимся здесь условиям. Это обеспечивало большую свободу действий по выбору приоритетных направлений и эффективных механизмов вхождения в рынок»; г)» Если спад национального производства в 1991-92 гг. был объясним самим фактом перехода от плановой экономики к рыночной, то в последующие годы уже невозможно и политически безнравственно списывать «болезни» экономики только за счет тяжкого наследия коммунистического режима».
2. Каково значение того, что экономическая теория не является лабораторной наукой? Какие проблемы могут возникнуть в результате формулирования и применения экономических принципов?
- Укажите, какое из следующих утверждений относится к макроэкономике, а какое к микроэкономике: а) уровень безработицы в отдельных районах России достигает 10%; б) закрытие шахт в результате форсированной структурной перестройки отечественной экономики привело к массовому увольнению рабочих; в) ВНП России за пять лет сократился почти на 40 %.
4. Укажите какие логические ошибки, нарушающие принципы экономического анализа, содержатся в следующих утверждениях: а) рабочие в угледобывающей промышленности повысили свой доход в результате роста зарплаты, следовательно, рабочие всех остальных отраслей выиграют, если их зарплата увеличится; б) рост цен на бензин в России сопровождался расширением объема его продаж, следовательно, увеличение спроса на бензин вызвано повышением его продажной цены; в) после распада СССР структурный кризис в странах СНГ стал углубляться, значит, его развитие вызвано политическими причинами; г) рост цен в Приморье сопровождается ростом заработной платы, следовательно, население края выигрывает от роста цен.
5. Исходя из здравого смысла и Вашего повседневного опыта определите, какие функциональные связи существуют между: а) ценой товара и спросом на него; б) Вашим денежным доходом и Вашими сбережениями; в) Вашим денежным доходом и расходами на текущее потребление; г) процентом за предоставлением ссуд и спросом на кредит.
Какие из этих зависимостей прямо- и какие обратно пропорциональны?
Тест по теме 1
Выберите единственный верный ответ 1. Экономическую теорию можно определить как науку
а) о биржевом рынке; б) о государственном управлении;
в) о общественном выборе в условиях ограниченных ресурсов;
г) о том, как государство влияет на деятельность рынка.
2. Какое из этих положений не имеет отношения к определению предмета экономической теории?
а) эффективное использование ресурсов;
б) неограниченность ресурсов; в) система потребностей;
г) максимальное удовлетворение потребностей;
3. Экономическую модель
а) отражает основные экономические принципы;
б) может объяснить, как функционирует реальная экономика;
в) часто основывается на упрощениях;
г) является идеальным отображением действительности.
4. Процесс фокусирования только на наиболее важных факторах для объяснения феномена или явления называется
а) абстракция; б) предельный анализ;
в) рациональный выбор; г) контролируемый эксперимент.
- Кто из названных экономистов является основателем трудовой теории стоимости в экономической теории?
а) Аристотель; б) А. Смит; в) Д. Рикардо; г) К. Маркс.
6. Использование допущений в экономическом анализе:
а) изменяет внутреннюю логику теории или модели;
б) облегчает решение проблемы;
в) делает модель более реалистичной;
г) увеличивает число вопросов исследования.
7. Экономическая теория
а) занимается исключительно прогностическими характеристиками развития экономических систем;
б) содержит положения, которые принимаются всеми экономистами;
в) является точной прикладной наукой;
г) не может предсказывать будущего, но может объяснить последствия определенных явлений в развитии экономики.
8. Экономическая реформа это
а) специально организованные и проводимые высшими органами власти преобразования;
б) альтернатива социальной революции;
в) система общественных экспериментов;
г) переход общества к рыночной экономике.
Три модели смешанной экономики.
Третий ключевой вопрос экономики это распределение произведенного продукта между членами общества. Он может рассматриваться как в терминах эффективности, так и с точки зрения справедливости.
Эффективность в распределении ситуация, в которой невозможно путем перераспределения существующего количества благ удовлетворить желание одного человека более полно, не нанося этим ущерба удовлетворению желаний другого человека.
Справедливость в распределении трактуется по-разному. Выделим две крайние концепции. Согласно первой, весь доход и богатство должны распределяться поровну.
Альтернативная позиция состоит в том, что справедливость зависит не от «уравниловки», а от действия механизма распределения, основанного на праве частной собственности и отсутствия дискриминации. При этом равенство возможностей важнее, чем равенство доходов. В рыночной экономике любой продукт распределяется между потребителями на основе их желания и способности заплатить за него существующую цену.
Дискуссии об эффективности распределения рассматриваются как часть позитивной экономики, а о справедливости как часть нормативной.
Вопросы что, как и для кого производить являются основными и общими для всех типов хозяйств, но разные экономические системы решают их по-своему.
3. 3. Экономические системы Экономическая система представляет особый механизм, созданный для решения двухсторонних проблем редкости и выпуска. Поскольку экономические ресурсы ограничены по сравнению с потребностями общества в товарах и услугах, необходимы определенные способы их размещения между альтернативными направлениями использования.
Экономическая система упорядоченная совокупность социально-экономических и организационных отношений между производителями и потребителями благ и услуг.
В основе выделения экономических систем могут лежать различные критерии:
экономическое состояние общества на определенном этапе развития (Россия эпохи Петра I, фашистская Германия);
стадии социально-экономического развития (общественно-экономические формации в марксизме);
хозяйственные системы, характеризуемые тремя группами элементов: духом (основными мотивами экономической деятельности), структурой и субстанцией в немецкой исторической школе;
типы организации, связанные со способами согласования действий хозяйствующих субъектов в ордолиберализме;
общественно-экономическая система, основанная на двух признаках: форме собственности на экономические ресурсы и способе координации экономической деятельности.
В современной научной и учебной литературе наибольшее распространение получила классификация по последнему из выделенных критериев. Исходя из этого различают традиционную, командную, рыночную и смешанную экономику.
Традиционная экономика основана на господстве традиций и обычаев в хозяйственной деятельности. Техническое, научное и социальное развитие в таких странах весьма ограничено, т. к. оно вступает в противоречие с хозяйственным укладом, религиозными и культурными ценностями. Эта модель экономики была характерна для древнего и средневекового общества, но сохраняется и в современных слаборазвитых государствах.
Командная экономика обусловлена тем, что большинство предприятий находится в государственной собственности. Они осуществляют свою деятельность на основе государственных директив, все решения о производстве, распределении, обмене и потреблении материальных благ и услуг в обществе принимаются государством. Сюда относят СССР, Албанию и т. д.
Рыночная экономика определяется частной собственностью на ресурсы, использованием системы рынков и цен для координации экономической деятельности и управления ею. В экономике свободного рынка государство не играет никакой роли в распределении ресурсов, все решения принимаются рыночными субъектами самостоятельно, на свой страх и риск. Сюда обычно относили Гонконг.
Представив основные черты командной и рыночной экономической систем, можно дать их сравнительную характеристику в виде следующей таблицы 8.
Таблица 8.
Сравнительная характеристика командной и
рыночной экономических систем
Командная
экономика
|
Признаки для
сравнения
|
Рыночная
экономика
|
Государственная
|
Преобладающая форма собственности
|
Частная
|
Жесткая регламентация деятельности со стороны государства
|
Характер экономической деятельности
|
Свобода предпринимательства
и выбора
|
Централизованное планирование
|
Способ согласования деятельности
|
Рыночное
саморегулирование
|
Необходимость выполнять государственные планы
|
Главный мотив
экономической
деятельности
|
Личный экономический интерес
|
В сегодняшней реальной жизни нет примеров чисто командной или чисто рыночной, полностью свободной от государства экономики. Большинство стран стремятся органически и гибко сочетать рыночную эффективность с государственным регулированием экономики. Такое объединение образует смешанную экономику.
Смешанная экономика представляет такую экономическую систему, где и государство, и частный сектор играют важную роль в производстве, распределении, обмене и потреблении всех ресурсов и материальных благ в стране. При этом регулирующая роль рынка дополняется механизмом государственного регулирования, а частная собственность сосуществует с общественно-государственной. Смешанная экономика возникла в межвоенный период и по сей день представляет наиболее эффективную форму хозяйствования. Можно выделить пять основных задач, решаемых смешанной экономикой:
- обеспечение занятости;
- полное использование производственных мощностей;
- стабилизация цен;
- параллельный рост заработной платы и производительности труда;
- равновесие платежного баланса.
Их достижение осуществлялось государствами в разные периоды по-разному, с учетом взаимного опыта. Условно можно выделить три модели смешанной экономики.
Неоэтатистская (Франция, Англия, Италия, Япония) характеризуется развитым национализированным сектором, активной антициклической и структурной политикой, проводимой в соответствии с индикативными планами, развитой системой трансфертных платежей.
Неолиберальная модель (Германия, США) также предполагает меры антициклического характера, но основной упор делается на обеспечение государством условий для нормального функционирования рынка. Она рассматривается как наиболее эффективная система регулирования. Государство, по существу, вмешивается лишь для защиты конкуренции.
В основе модели согласованного действия (Швеция. Голландия, Австрия, Бельгия) лежит принцип согласия представителей социальных сторон (правительства, профсоюзов, работодателей). Через специальные налоги на инвестиции правительство препятствует «перегреву» экономики, регулирует рынок труда. Специальные законы воздействуют на соотношение роста заработной платы и производительности труда, прогрессивное налогообложение способствует выравниванию доходов.
В странах этой модели создана мощная система социального обеспечения, проводится активная структурная политика.
В настоящее время в России существует эклектическая экономическая система, состоящая из элементов административно-командной системы, рыночной экономики свободной конкуренции и современной рыночной системы. В бывших советских азиатских республиках к этому конгломерату добавляются еще и элементы традиционной системы. Поэтому назвать существующие в нашей стране имущественные отношения и организационные формы экономической системой (пусть даже эклектичной) можно достаточно условно. Отсутствует важная особенность системы ее относительная стабильность. Ведь в отечественной хозяйственной жизни все находится в движении, имеет переходный характер.
Этот переход, судя по всему, растягивается на десятилетия, и с этой точки зрения переходная экономика тоже может быть названа системой.
Переходная экономика экономика, которая находится в состоянии изменений, перехода от одного состояния в другое, как в пределах одного типа хозяйства, так и от одного к другому типу хозяйства занимает особое место в развитии общества.
От переходной экономики следует отличать переходный период в развитии общества, в ходе которого совершается смена одного типа экономических отношений на другой.
Для переходных экономик стран бывшего «социалистического лагеря» сегодня существует широкий спектр перспектив: от деградации к зависимой все более отстающей системе хозяйствования развивающихся стран до превращения в новые индустриальные государства; от сохраняющих «социалистические» атрибуты и базирующихся на общественной собственности экономик типа китайской до праволиберальных, основанных на частной собственности систем, начавших с реализации принципов «шоковой терапии». При этом в переходной экономике каждой страны пересекаются три фундаментальные тенденции. Первая из них заключается в постепенном умирании (как естественном, так и искусственном) «мутантного социализма», получившего свое название по сравнению не с теоретическим идеалом, а с реальной существующей в мировой практике тенденции социализации.
Вторая тенденция связана с генезисом отношений постклассического мирового капиталистического хозяйства (современной рыночной экономики, основанной на частно-корпоративной собственности). Третья тенденция заключается в усилении процесса социализации возрастания роли общественных (групповых, национальных и интернациональных) ценностей в экономическом развитии и гуманизации общественной жизни как предпосылки любых современных трансформаций. Очевидно, что в таких условиях окончательный выбор экономической системы в России будет зависеть в конечном счете от соотношения политических сил в стране, характера проводимых преобразований, масштабности и эффективности осуществляемого реформирования всех сфер общественной жизни, а также от адаптации общества к переменам.
Экономика: Знания - Циклы - Макроэкономика