Управление инвестиционными процессами в регионе


В программах Правительства РФ региональная политика рассматривается как органическая часть общей социально-экономической политики государства, синтезирующая ее региональные аспекты. Вместе с тем, это часть общей национальной политики, создающая экономические основы целостности Российского государства, всех жизненно важных направлений развития общества. Очевидно, что явление регионализма требует комплексного подхода к анализу общеэкономических взаимосвязей и территориально обособленных экономических систем.
На наш взгляд, углубление реализации принципов регионализма до отдельного поселения не отвечает реальным экономическим отношениям. Города, районы, сельские и другие населенные пункты не обладают той самостоятельностью, которой располагает субъект федерации.
Они также не являются подсистемой единого народнохозяйственного комплекса, а выступают лишь как составная часть региональной экономики.
По нашему мнению, распространение принципа регионализма до низших территориальных образований может привести к многоступенчатости управления, в частности, системы налогообложения и финансирования.
В связи с этим, в данной монографии объектом исследования является территориальное образование субъект Российской Федерации (регион, республика в составе России, край, область).
Представляется, что хозяйство региона необходимо рассматривать в качестве подсистемы народнохозяйственного комплекса, функционирующей в соответствии с общими требованиями развития российской экономики и учитывающей характерные региональные черты. Такой подход позволяет разграничить полномочия между центром и регионами, определять принципы хозяйствования.
При этом, пропорции данных разграничений не являются постоянной величиной, а могут меняться в зависимости от уровня развития региона, а также полноты и зрелости экономических и политических взаимоотношений как внутри субъекта Федерации, так и между субъектом Федерации с одной стороны и федеральным центром с другой.
Управление регионом как единым хозяйством, обеспечение комплексности развития региона относительно новая задача. До сих пор территориальное управление не обладало достаточной самостоятельностью, чаще ограничивалось лишь местным хозяйством (не считая периода существования совнархозов, которые скорее выполняли роль промежуточного звена между центром и предприятиями, чем были территориальными органами управления).
В современных условиях, когда субъекты Федерации обладают большей самостоятельностью, требуется разработка концепции системы регионального управления для той или иной модели рыночных отношений с учетом опыта других стран.
Одной из важнейших проблем регионального управления является формирование и управление региональными инвестиционно-заемными системами, предназначенными для привлечения и аккумулирования средств мелких и средних инвесторов для финансирования развития социально-экономический инфраструктуры регионов.
В данной монографии на основе анализа отечественного и зарубежного опыта инвестиционной деятельности предложены пути развития инвестиционных взаимоотношений в регионе, механизм регулирования региональных инвестиционных процессов и структуры инвестиционно-заемной системы региона.
Монография содержит три главы.
В первой главе рассмотрены проблемы формирования региональной инвестиционной системы.
Вторая глава содержит материалы анализа корпоративного управления в отечественной экономике и роли корпораций в региональном инвестиционном процессе.
В третьей главе изложены предложения по созданию механизма регулирования инвестиционных процессов в регионе.
ГЛАВА 1. ПРОБЛЕМЫ ФОРМИРОВАНИЯ ИНВЕСТИЦИОННОЙ СИСТЕМЫ В РЕГИОНЕ 1.1. Основы региональной бюджетной политики Характерные особенности региональной экономики Регион как хозяйственная система представляет собой часть территории, с комплексом связей и зависимостей между предприятиями и организациями. Основным объектом хозяйственного регулирования в условиях перехода к рыночной экономике и многообразия форм собственности выступает субъект Федерации.
Именно это звено обладает всеми признаками системы, в первую очередь свойством целостности. Каждый регион в качестве звена региональной экономики является субъектом Федерации, то есть обладает такими полномочиями в экономической, финансовой, правовой сферах, которыми не располагают звенья более низкого уровня системы территориального деления город, район, сельский населенный пункт.
Эти права предоставлены отнюдь не формально, они лишь закрепляют те особые свойства, которые приобретает область в качестве хозяйственной системы.
Региональная экономика как мезоуровень среднее звено между макро- (государство в целом) и микроуровнем (территориальные образования в рамках субъекта Федерации) обладает характерными особенностями.
Будучи подсистемой народного хозяйства региональная экономика не может рассматриваться как изолированная ее часть, соответственно неправомерно возводить в абсолют экономическую самостоятельность регионов она имеет вполне определенные границы.
Региональная экономика в большей степени связана с природно-климатическими факторами наличием полезных ископаемых, других природных ресурсов, благоприятных условий географической среды. Это обусловливает более сильную зависимость уровня развития региона от природных факторов и состояния окружающей среды.
Региональное хозяйство, являясь комплексным по сути, т.е. имея в наличии многие отрасли и производства, определенным образом связанные между собой, не обладает, как правило, гармоничной структурой. Многие регионы узко специализированы на тех или иных сферах деятельности.
Регионы как промежуточный элемент сферы жизнедеятельности непосредственно реализуют социально-экономическую политику государства, через регионы осуществляется управление всей страной, в регионах находит воплощение государственная стратегия.
Соответственно региональное управление выступает проводником общероссийских интересов с учетом, разумеется, специфики региона. Это не исключает особых аспектов управления.
Наоборот, учет особенностей позволяет избежать жесткой централизации и бюрократизации хозяйственной жизни.
Эффективность управления тем выше, чем свободнее в рамках единого экономического механизма субъект хозяйствования может распоряжаться своими ресурсами.
Иначе говоря, жесткая система управления менее эффективна, ибо ограничивает свободу низовых органов управления, нарушает закон обратной связи и в конечном счете ведет к нарушению саморегуляции. Региональное управление как раз и призвано устранить недостатки жесткой централизации.
Основные аспекты регионального управления Следует выделить три аспекта регионального управления: взаимоотношения региона и федерального центра; взаимоотношения региона и местного самоуправления (городов, районов и т.д.); обеспечение комплексности развития региона как единого хозяйственного механизма (собственно региональное управление).
Во взаимоотношениях между федеральным центром и регионами используется принцип разделения предметов ведения и делегирования полномочий, закрепленный рядом нормативных актов. Центр тяжести здесь все более смещается в сторону косвенных методов регулирования таких, как денежно-кредитная и амортизационная политика, налоговая система, использование внебюджетных целевых фондов.
Особое внимание уделяется методам регулирования внешнеэкономических взаимоотношений (таможенные пошлины, экспортные премии, государственное страхование экспортных кредитов от рисков и т.п.).
Вместе с тем сохраняются и традиционные формы централизованного управления, что зачастую нарушает декларированные права регионов.
Проблема управления экономикой региона должна рассматриваться в рамках концепции местного самоуправления в целом. Последняя не сводится только к поиску оптимальных форм и методов взаимодействия региональных и муниципальных органов власти.
Важным моментом организации самоуправления является определение функций самих территориальных органов различных уровней исходя из целей и задач развития всего региона.
В соответствии с федеральным законодательством им принадлежат основные функции регулирования рыночных отношений в пределах территории, бюджетно-финансовой политики и оперативного управления хозяйством.
С экономической точки зрения управление народнохозяйственным комплексом региона не следует ограничивать лишь организацией взаимодействия видов собственности разного уровня. Главным направлением работы и критерием эффективности должно стать повышение степени удовлетворения социально-экономических потребностей проживающего на данной территории населения на основе комплексного развития региона.
Так, структура муниципального хозяйства должна быть достаточно разнообразной и включать различные хозяйственные и социальные комплексы, необходимые для всестороннего развития города, района (промышленный, строительный, аграрный, торгово-сервисный, жилищно-коммунальный, культурно-бытовой).
Основой этого хозяйства, является муниципальная собственность. Но, как показывает зарубежная практика, в полной собственности муниципальных органов, а следовательно, в прямом управлении должны находиться лишь те объекты, деятельность которых не носит коммерческого характера и полностью финансируется за счет средств местных бюджетов.

Цели и структура


  • кодекс поведения;
  • рекомендации по оплате и вознаграждениям служащим, обеспечению равных прав для служащих, невмешательство в их частную жизнь, свободу самовыражения;
  • нормы и правила, касающиеся охраны окружающей среды, обеспечения здоровья и безопасности на рабочем месте;
  • нормы и правила, предписывающие постоянную заботу о повышении качества производимых товаров и услуг, проведение приемлемой политики ценообразования, а также соблюдение этических аспектов рекламной деятельности;
  • нормы и правила, определяющие приоритеты благотворительной деятельности корпорации;
  • программы информирования, подготовки и обучения менеджеров проблемам корпоративных отношений.
Все это составляет весьма важную часть корпоративного права, представляющую интерес для формирующейся системы корпоративных взаимоотношений, складывающихся в России. Естественно, что западный опыт не панацея от всех наших проблем.
Применительно к российским условиям необходимо учитывать особенности как экономического, так и социального развития общества, мировоззрение большинства обывателей, уровень готовности наших граждан к восприятию норм корпоративной культуры.
Без таких поправок западные рекомендации по корпоративному управлению могут показаться изысками пресыщенных бизнесменов, неприменимыми к нашей реальности. С другой стороны, в этих рекомендациях просматривается очень сильный коллективистский дух социализма, что также мало способствует восприятию лучших и эффективных методов и систем.
Цели и структура Прежде чем рассматривать тенденции развития российского корпоративного управления на ближайшую перспективу начало ХХI века  рассмотрим пути возможного безболезненного вхождения корпораций в систему нормального корпоративного управления. Для этого высшему менеджменту корпораций предстоит выполнить большой объем разносторонней, многоплановой работы, основанной на требованиях современного менеджмента, маркетинга, бизнеса. Эта работа состоит из следующих основных этапов:

  • строгое определение целей деятельности корпорации и способов мотивации ее собственников;
  • реструктуризация корпорации до уровня самоуправляемых структур под контролем собственников;
  • выбор организационной структуры, адекватной поставленным целям: сбыт продукции, производство, инновации, маркетинг;
  • разработка единых принципов работы корпорации в виде миссии, философии или иного основополагающего документа;
  • изменение философии оплаты труда персонала, особенно высших менеджеров.
Переходя от марксистского принципа "справедливой оплаты по труду" к оплате труда, учитывающей реальный вклад каждого работника как в получение текущей прибыли, так и в формирование капитализированной прибыли корпорации, мы сталкиваемся с проблемой личной заинтересованности акционеров. Если пакет акций значителен, то и влияние акционера весомо в принятии решений и доля прибыли, распределяемая по итогам финансового года, значительна.
Если же пакет акций незначителен, то мотивация сдвигается в область получения высокой оплаты за итоги работы. Поэтому реальная система оплаты труда в корпорациях должна учитывать три компонента:

  • прямая оплата труда за выполняемую работу на основе контракта;
  • доход от доли акций по итогам финансового года;
  • дополнительные выплаты и льготы (бонусы), определяемые в каждой корпорации внутренними документами.
При такой схеме оплаты труда высшие менеджеры должны получать суммарно высокий доход, стимулирующий к интенсивному труду, к увеличению доли принадлежащей им капитализированной прибыли, к расширению социальных выплат и гарантий в корпорации. Этот путь естественным образом снимет имеющиеся в России противоречия между высокой оплатой труда высших менеджеров корпораций и результатами работы самих корпораций.
Организация единой финансовой, инвестиционной и кредитной деятельности Развитие корпораций сегодня напрямую зависит от правильно организованной финансовой деятельности и в ее рамках кредитной и инвестиционной деятельности. Поскольку реструктуризация корпораций и создание самоуправляемых структур приводит к взаимодействию большого количества юридических лиц, высший менеджмент корпорации должен "спроектировать" принципы финансовой и инвестиционной и кредитной стратегии на основе следующих целей:

  • консолидации структурных подразделений корпорации в отношении налогов;
  • создании дополнительных производственных мощностей в результате слияния предприятий;
  • проникновении через посредничество корпорации в производство и сбыт различных товаров;
  • проведении единой политики и осуществление единого контроля за соблюдением общих интересов корпорации;
  • ускорении процесса диверсификации;
  • организации внутренних инвестиционных потоков;
  • централизации участия в капитале других предприятий и др.
В частности, кредитная стратегия корпорации должна быть ориентирована прежде всего на оптимизацию мобилизуемых ресурсов за счет привлечения капиталов путем выпуска и работы с ценными бумагами, активного взаимодействия с зарубежными фондами и организациями, использования оффшорных и свободных экономических зон, аккумулирования средств работников корпораций в негосударственных (может быть учрежденных в рамках корпорации) пенсионных фондах, страховых компаниях, в депозитах банков и финансовых компаний, а также в капитале предприятий - участников корпорации.
Таким образом, успешная финансовая деятельность корпорации обусловлена как своевременными и правильными решениями высшего менеджмента в текущей работе, так и в вопросах стратегии, которая должна разрабатываться не только на основе внутренних условий корпорации, но и с учетом влияния существующей финансовой системы, сложившейся в России на данном этапе.
Проблемы формирования исходных данных для оперативного управления в российских корпорациях Любое управление, в том числе и корпоративное, предполагает наличие достоверной и полной информации. При этом, исходной информацией для принятия решения при корпоративном управлении являются данные отчетности участников корпоративных объединений о своей хозяйственной деятельности.
Необходимость наличия системы учета и отчетности корпоративных объединений естественным образом вытекает из экономической сущности объединения хозяйственных обществ.
Практическое отсутствие отечественного опыта по составлению и ведению единой финансово-экономической отчетности в интегрированных структурах указывает на то, что перед этими структурами стоит принципиально новая задача. В мировой практике такого рода отчетность называется консолидированной.
В российских условиях, при использовании понятий консолидированного учета и отчетности можно исходить из того, что речь идет об интеграции показателей деятельности хозяйствующих субъектов, содержащихся в:

  • балансе;
  • отчете о прибылях и убытках;
  • отчете о движении фондов;
  • других элементах отчетности.
Необходимость в консолидированной отчетности появляется тогда, когда в реальной экономической жизни начинают создаваться структуры, например, корпорации, которые связанны взаимным участием в капитале друг друга либо иным образом. Объекты для консолидированной отчетности возникают по самым разным причинам.
Акционерные общества или товарищества приобретают другие хозяйственные общества с целью расширения сферы своей деятельности или получения доходов от инвестиций, устранения конкурентов или же приобретения крупного пакета акций другого общества, чтобы установить контроль над ним или наладить более тесные официальные отношения взаимного сотрудничества.
Наличие консолидированной отчетности корпорации позволяет повысить ее финансовую и социально-экономическую управляемость, иметь объективную картину деятельности объединения в целом и каждого его участника в частности, осуществлять инвестирование средств в действительно перспективные направления развития экономики.
Сущность консолидированной отчетности корпорации:
1. Она не является отчетностью юридически самостоятельного хозяйствующего субъекта и имеет явно выраженную аналитическую направленность. Цель такой отчетности заключается не в выявлении налогооблагаемой прибыли, а в получении общего представления о деятельности хозяйствующих субъектов в рамках объединения, группы;
2. Процесс консолидации это не простое суммирование одноименных статей финансовой отчетности хозяйствующих субъектов корпорации. В процессе консолидации исключаются любые внутригрупповые финансово хозяйственные операции, и в консолидированной отчетности показываются лишь активы и пассивы, доходы и расходы от операций с третьими лицами.
Как показывают исследования, информация финансово-экономического характера о результатах работы корпорации в целом необходима для:

  • внешних органов управления в целях определения роли и места корпорации в экономическом развитии государства и региона в частности; выявления степени совпадения интересов федеральных, местных органов управления и корпорации в реализации экономических программ развития, декларированных корпорацией в момент ее регистрации, т. е. является ли данная корпорация инструментом развития промышленного производства в условиях структурной перестройки экономики государства или направленность ее деятельности подлежит изменению либо коррекции;
  • внутреннего потребления корпорацией в целях выработки общей эффективной корпоративной стратегии развития и деятельности, повышения управляемости ее участниками, проведения участниками корпорации единой, скоординированной финансово-экономической и социальной политики;
  • информирования широкой общественности, существующих и потенциальных инвесторов о деятельности данной корпорации, позволяющей им судить о суммах, времени и рисках, связанных с ожидаемыми доходами, а также о хозяйственных ресурсах корпорации, ее обязательствах, составе средств и источников, причинах их изменений.
Таким образом, консолидированная финансовая отчетность содержит информацию, характеризующую группу хозяйствующих субъектов, действующих в рамках единой экономической стратегии и участвующих (в той или иной мере) в капитале друг друга.



Деньги чужие экономика наша


И дело совсем не в том, что нечего продавать. У некоторых регионов появились видимые межрегиональные амбиции в процессе финансовой экспансии. Правительство Москвы, например, решило принять участие в покупке 11% акций ульяновского автозавода (УАЗ).
Это намерение не только логично продолжает линию на работу с автогигантами, начатую с АЗЛК и ЗИЛа, но и знаменует выход на финансовый рынок административного лидера.
Лишь немногие регионы поняли роль не только торжественных банкетов и презентаций, связанных с инвестициями, но и сложность технологии привлечения и управления капиталами. Еще глубже предстоит вникнуть регионам в то, что они принимают на себя риски, связанные с возможной неудачей или во всяком случае с тем, что они должны платить за те решения, которые предоставляют им большие гарантии.
Так что противостояние регионов и федерального центра имеет под собой вполне зримый базис из наивных представлений о технологии работы с финансами и по мере взросления региональных элит эти недоразумения будут сниматься.
Как это не покажется странным, но российские коммерческие банки были последними игроками на финансовом рынке, которые отказались от игры в финансовую пирамиду с федеральным долгом и обратили свое внимание на альтернативные инструменты.
Даже крупнейшие финансовые группы не могут игнорировать факт политического и институционального обособления регионов. Так что их желание обзавестись политической оболочкой для своего регионально сконцентрированного бизнеса будет поддерживать стремление администраций к известного рода альянсу с избранными банковскими структурами.
Это обстоятельство рождает новый тип политической стратегии в регионе.
Финансовый капитал, со своей стороны, должен реагировать на такую структурно-институциональную эволюцию экономической системы и перераспределяться в соответствие с новым характером распределения центров принятия экономических решений. Такие центры (чем бы еще не объяснялось их формирование) стали фактом сегодняшней жизни, реальностью корпоративной политики крупнейших компаний, но пока слабо осознанным элементом государственной стратегии.

Деньги чужие экономика наша

Было бы не вполне точно формулировать проблему взаимоотношения столичного капитала и регионов как набор трудностей, с каким сталкивается соединение финансового капитала из Москвы с реальными активами, разбросанными по территории России. По словам президента одного из крупнейших мировых рейтинговых агентств Thomson Bank Watch Грегори Рут, российские банки не играют той роли, которая им полагается, учитывая размеры экономики страны.
Если мы попробуем заглянуть на десять лет вперед, то банкам надо расти очень быстро, чтобы поддержать экономику такого масштаба.
Устойчивая ориентация страны на массированные заимствования, а также явный диспаритет потребностей экономики в инвестициях и инвестиционного потенциала отечественных банковских структур и небанковских институтов инвестиционного профиля ставит под вопрос будущее российского капитала в какой бы конкретной форме он не существовал.
Кредитные средства российских финансовых институтов крайне малы и имеют плохую структуру. На конец первого полугодия 1999 г. в России действовало 1473 банка, не считая СБ РФ, из которых 70% (1 032 банка) являются финансово стабильными, остальным (441) необходима поддержка со стороны государства. Суммарный размер собственных средств (капитала) финансово стабильных банков составляет 57,3 млрд. руб., а суммарная величина активов 321,9 млрд. руб.
Более 50% активов российских банков составляют корсчета и обязательные резервы в ЦБ РФ, рублевые средства в пути, средства в расчетах, нематериальные активы и т. п., то есть не являются кредитными вложениями и финансовыми инвестициями.
Столь неэффективное использование активов вызвано несколькими причинами. Во-первых, менее 20% банковских ресурсов сформировано за счет депозитов, межбанковских кредитов, размещения собственных облигаций, то есть обязательств, которые необходимо оплачивать (а сверх того и получать прибыль) за счет наиболее выгодного помещения средств.
Во-вторых, в период активного учредительства новых банков (в начале девяностых годов) часть уставного фонда образовывалась за счет средств вычислительной и оргтехники, основных фондов и т. п., что не может использоваться в качестве банковских ссуд.
В-третьих, до сих пор действуют высокие нормативы обязательных резервов коммерческих банков, установленные ЦБ РФ в период высокой инфляции.
В свете этого стратегического диагноза понятно, что тот, кто наладит контакт с западным партнером, станет центром консолидации структур, представляющих не только московский банковский капитал, но и региональные институты, через которые деньги связываются с собственностью. Дело в том, что обсуждается не столько судьба собственных финансовых активов московских структур в регионах, сколько решается вопрос кто возьмет на себя подготовку инфраструктуры финансовой системы и собственно предприятий к приходу в страну крупных иностранных инвесторов, коль скоро в самой стране этих капиталов не существует.
Это также заставляет российские банки идти в регионы, чтобы не отстать от иностранных компаний.
Фактически уже сложилась открытая модель финансового рынка России. В ожидании новых игроков из-за рубежа быстро меняются правила игры среди внутренних компаний.
Приспосабливаются новые технологии, столбятся доходные участки, определяются провожатые иностранного капитала, укрупняются капиталы, идет набор нового менеджерского состава.
Сегодня уже нельзя утверждать, что банки идут в регионы за бюджетными деньгами субфедерального уровня. Скорее уж они выступают здесь как посредники внутреннего или внешнего стратегического инвестора, не являясь таковыми сами. (Федеральный бюджет практически исключен на уровне региональной инвестиционной политики.)
В то время как основной проблемой экономики стал острый дефицит доходов главные конфликты происходят в связи с перспективой привлечения стратегического инвестора из-за рубежа. И банки и регионы, используя разные формы своего участия в экономическом процессе, стремятся закрепить за собой роль основного проводника таких инвесторов на конкретные предприятия.
Однако стратегический инвестор, который заинтересован в производстве, а не в арбитражных сделках на рынке ценных бумаг, приходить не торопится.
И надо сказать, он еще не сделал окончательного выбора между своими возможными российскими партнерами. Оставаясь в рамках наметившегося сюжета, в котором ставка делается на иностранные деньги, следует видеть главное необходимо сотрудничество банков и региональных администраций, которое бы позволило им подготовить инфраструктуру к приему прямых инвесторов и эффективной устойчивой работе с ними.
Например, возможности, которые открывают для регионов московские финансовые институты, очень значительны, если не сказать принципиальны.
Российские банки будут тесно координировать свою стратегию с международным финансовым сообществом, принимать их правила игры и подчиняться инерции мирового финансового рынка.
Территория страны по мере развития инфраструктуры будет все в большей степени подвергаться мезорегиональной консолидации с финансовыми площадками на мировом финансовом рынке. И те российские банки, которые выбирают себе регионы должны иметь в виду эти перспективы.
Для тех из московских финансовых компаний, которые сегодня пытаются протоптать дорожку в регионы, следует иметь в виду, что неверно избранный приоритет ставка на младших партнеров в будущих межрегиональных объединениях может в значительной степени обесценить их усилия по закреплению во властных структурах субъектов Федерации.
Следует иметь в виду, что такой сдвиг в организации власти качественно поменяет риторику, при помощи которой сегодня пытаются интегрироваться банки, инвестиционные компании и корпоративные объединения с представителями региональных властей, где доминирует идея создания собственной системы как у других. Такая тактика оправдает себя только в крупных регионах, способных стать центрами собирания территорий.
Спецификой формирования финансового капитала в России еще несколько лет будет оставаться тесная инфраструктурная привязанность компаний к региональной власти. Надо ожидать, что через какое-то (достаточно продолжительное) время произойдет дистанцирование корпоративного сектора от властных структур субфедерального уровня.
Предпосылкой для этого станет универсализация правил игры на российских рынках и ослабление роли местной власти в их формировании.
Сейчас же эти правила только складываются и непосредственную среду принятия решений определяют именно власти субъектов федерации. Можно сказать, что такой этап хотя и промежуточен, но неизбежен, как бы этому не противились любители чистоты жанра от экономики.
В связи с этим возникает целый ряд новых требований к организации альянсов как на уровне управления самими компаниями, так и их взаимодействия с органами региональной власти.
Конфликт между банковским сектором и профессиональными участниками фондового рынка, между московским капиталом и регионами в настоящих условиях представляет собой фактор ослабления позиций российского капитала в любых его проявлениях.



Доля заемных средств в стоимости


Примечание. Запись выражения для определения стоимости в виде уравнения позволяет решать задачи по расчету стоимости в случаях, когда имеется более одной неизвестной.
Случай 1. Сумму реверсии трудно спрогнозировать, но можно определить тенденции ее изменения по отношению к начальной стоимости. Например, если за период проекта прогнозируется увеличение стоимости недвижимости на 20%, то в основном уравнении вместо значения TG можно использовать значение 1.2V.
Случай 2. В условии задачи определена не величина кредита, а доля кредита в общей стоимости недвижимости. В этом случае величину кредита можно выразить в долях от V, рассчитать ипотечную постоянную и определить сумму по обслуживанию долга, применив ипотечную постоянную к доле заемного капитала в общей стоимости недвижимости.
Аналогично можно выразить величину невыплаченного остатка кредита в конце срока проекта.
Общая формула традиционной техники ипотечно-инвестиционного анализа может быть применена и для оценки стоимости недвижимости, обремененной существующей закладной. В этом случае в качестве начальной суммы кредита выступает текущий остаток кредита.
Для определения общего коэффициента капитализации (Ro) с использованием техники Эллвуда применяется общая формула:
Доля заемных средств в стоимости
,
где
Ye норма отдачи собственного капитала;
M доля заемных средств в стоимости;
P процент выплаченного кредита;
Доля заемных средств в стоимости
  коэффициент фонда возмещения;
Rm коэффициент капитализации заемного капитала;
Do изменение общей стоимости объекта;
Di общая норма изменения дохода;
J коэффициент стабилизации дохода.
Основная часть данной формулы, представленная в числителе, называется базовым коэффициентом капитализации и учитывает условия амортизации кредита:
Доля заемных средств в стоимости
.
Базовый коэффициент капитализации r берет за основу требования инвестора по норме отдачи собственного капитала до корректировок на изменения дохода и стоимости недвижимости. Другими словами, базовый коэффициент капитализации представляет из себя норму отдачи собственного капитала, скорректированную на условия финансирования.
Если доход и стоимость недвижимости не изменяются, базовый коэффициент капитализации будет соответствовать общему коэффициенту капитализации.
Корректировка на ожидаемое изменение стоимости недвижимости производится с помощью другой части числителя общей формулы:
Do *
Доля заемных средств в стоимости
.
Если стоимость объекта увеличивается, то общий коэффициент капитализации для учета ожидаемой денежной выгоды должен быть скорректирован в меньшую сторону. И наоборот, если ожидается уменьшение стоимости объекта, то общий коэффициент капитализации должен быть скорректирован в большую сторону.
Корректировка на изменение дохода производится с помощью знаменателя общей формулы
1 + Di * J .
Коэффициент J всегда положителен, поэтому при положительном изменении дохода общий коэффициент капитализации будет скорректирован вниз. При постоянном доходе знаменатель общей формулы будет равен 1.
Для оценки стоимости недвижимости с постоянным доходом применяются два подхода:

  • применение общего коэффициента капитализации;
  • применение техники остатка.
Для дохода, изменение которого соответствует кривой накопления фонда возмещения с периода t = 0, коэффициент J определяется либо по предварительно рассчитанным таблицам, либо прямо по формуле:
Доля заемных средств в стоимости
.
В случае прямолинейно изменяющегося дохода общий коэффициент капитализации определяется также по общей формуле Эллвуда с применением корректировочного коэффициента J. Отличие от предыдущего случая состоит в том, что коэффициент J определяется по специальным таблицам для прямолинейного изменения дохода.
Для корректировки общего коэффициента капитализации на экспоненциальное изменение дохода применяют функциональный коэффициент К, который определяется из следующего выражения:
Доля заемных средств в стоимости
,
где
С  норма изменения дохода;
Sn  коэффициент будущей стоимости;
An  коэффициент настоящей стоимости простого аннуитета.
Корректировка общего коэффициента капитализации производится путем замены знаменателя формулы Эллвуда (1 + Di * J) функциональным коэффициентом К.
ГЛАВА 3. МЕХАНИЗМЫ РЕГУЛИРОВАНИЯ ИНВЕСТИЦИОННЫХ ПРОЦЕССОВ В РЕГИОНЕ 3.1. Региональный финансовый рынок Финансы один из важнейших инструментов, с помощью которого осуществляется воздействие на экономику хозяйствующего субъекта (страна, регион, предприятие и др.).
Финансовый механизм представляет собой систему организации, планирования и использования финансовых ресурсов. В состав финансового механизма входят:

  • финансовые инструменты;
  • финансовые приемы и методы;
  • обеспечивающие подсистемы (кадровое, правовое, нормативное, информационное, техническое и программное обеспечение).
Финансовые инструменты различные формы краткосрочного и долгосрочного инвестирования, торговля которыми осуществляется на финансовых рынках. К ним относятся денежные средства, ценные бумаги, форвардные контракты, фьючерсы и свопы.
Таким образом, финансовый рынок представляет собой организованную или неформальную систему торговли финансовыми инструментами. На этом рынке происходит обмен деньгами, предоставление кредита и мобилизация капитала.
Основную роль здесь играют финансовые инструменты, направляющие потоки денежных средств от собственников к заемщикам. товаром выступают деньги и ценные бумаги.
Финансовый рынок это сфера проявления экономических отношений между продавцами и покупателями финансовых (денежных) ресурсов и инвестиционных ценностей (то есть инструментов образования финансовых ресурсов), между их стоимостью и потребительной стоимостью.
Финансовый рынок включает рынки валюты, ценных бумаг, капиталов (денег), золота и предназначен для установления непосредственных контактов между покупателями и продавцами финансовых ресурсов.
На валютном рынке совершаются валютные сделки через банки и другие кpедитно-финансовые учреждения.
На рынке золота совершаются наличные, оптовые и другие сделки с золотом.
На рынке капиталов аккумулируются и образуются долгосрочные капиталы и долговые обязательства. Он является основным видом финансового рынка в условиях рыночной экономики с помощью которого компании изыскивают источники финансирования своей деятельности.
Рынок капиталов иногда подразделяется на рынок ценных бумаг и рынок ссудных капиталов.
Рынок как экономический процесс На рынке устанавливается равновесие между предложением и спросом результатом чего является цена. При этом на рынке преследуются определенные группы интересов.

Интересы продавца

Продавцы хотят продать свои товары, реализовать свои планы сбыта и стремятся при этом получить по возможности высокую прибыль (принцип максимизации прибыли). Так как каждый продавец выступает с одним и тем же намерением, между продавцами начинается конкурентная борьба.

Интересы покупателей

Покупатели намерены закупить необходимые товары и реализовать свои планы потребления с возможно высокой полезностью (принцип максимизации полезности).

Выравнивание интересов

Выравнивание интересов происходит через цену, которая формируется путем взаимодействия спроса и предложения. Цена уравнивает соотношение спроса и предложения и представляет компромисс между представлениями продавцов и покупателей о ценах.
Таким образом, рынок  это экономический процесс, который через предложение и спрос приводит к образованию цены.
В зависимости от предмета обмена различают рынки факторов и товарные рынки ( 25).












25. Структура рынка

Рынки факторов

Рынки факторов называются так потому, что речь идет о факторах производства  земле, труде и финансах.
На рынке земельных участков и недвижимости происходит торговля застроенными и незастроенными земельными участками, служебными и жилыми зданиями. Предложение и спрос на недвижимость публикуются в газетах.
Брокеры, специализирующиеся на недвижимости, выступают в качестве посредников при заключении договоров купли-продажи или аренды помещений.
Человеческая рабочая сила предлагается и покупается на рынке труда. Сюда, например, относятся биржа труда и объявления о найме в газетах.
Предложение рабочей силы зависит от численности населения, его возрастной структуры и от уровня заработной платы.
Спрос на рабочую силу зависит не только от заработной платы, но и от цен на взаимозаменяемые факторы производства. В настоящее время заработная плата в меньшей степени есть результат взаимодействия спроса и предложения на рынке труда; она скорее представляет собой результат переговоров между сторонами в коллективном трудовом договоре (профсоюзы и объединения предпринимателей).
В рамках финансового рынка выравнивается спрос и предложение на долгосрочные кредиты и капиталовложения. Сюда относятся ссуды, ипотеки, кредитные ценные бумаги (например, облигации) и ценные бумаги паевого участия (например, акции), объекты тезаврации.
На финансовый рынок средства поступают в первую очередь за счет вкладов в сберегательных кассах и банках.
Финансовый рынок служит не только для привлечения капиталов на длительное время, но и для образования собственности у частных лиц.
К финансовому рынку причисляются краткосрочные ссуды, которыми обмениваются банки между собой.



Две техники ипотечно-инвестиционного анализа


Метод сравнения альтернативных инвестиций заключается в поиске на финансовом рынке инвестиционных проектов с аналогичной степенью риска для последующей корректировки их нормы прибыли применительно к инвестициям в недвижимость. В качестве первого приближения следует выбирать норму процента по коммерческим кредитам с залоговым обеспечением и норму прибыли по акциям аналогичных предприятий.
При этом следует принимать во внимание, что позиция кредитора является менее рискованной, чем позиция инвестора собственного капитала.
Метод сравнения продаж заключается в анализе данных по совершенным сделкам купли-продажи с целью воссоздания предположений инвестора относительно будущих выгод от владения недвижимостью. На основе схемы денежных потоков проекта определяется внутренняя норма прибыли проекта.
В случае недостатка рыночной информации следует применять вероятностные методы прогнозирования.
Метод мониторинга рыночных данных заключается в анализе ретроспективных рыночных данных с целью определения текущих и перспективных значений норм прибыли. При этом следует использовать корреляционные связи тенденций изменения прибыльности инвестиций в недвижимость с тенденциями изменения других инструментов финансового рынка.
В некоторых случаях регулярно изменяющихся денежных потоков определение стоимости недвижимости выполняется:

  • применением прямых формул для расчета настоящей стоимости;
  • применением общего коэффициента капитализации, учитывающего характер изменения дохода и стоимость недвижимости, а также условия финансирования объекта недвижимости.
В зависимости от конкретных условий и характеристик денежных потоков для определения стоимости регулярно изменяющихся денежных потоков применяются три типа расчетных моделей:

  • модели дохода;
  • модели "собственности";
  • ипотечно-инвестиционные модели.
Модели дохода применяются для расчета настоящей стоимости только потока доходов. Для получения стоимости недвижимости стоимость реверсии и других выгод, не вошедших в основной поток, должны быть добавлены к стоимости потока дохода.
В случае, если договор аренды предусматривает поступление постоянного потока доходов, в зависимости от предположений относительно способа возврата капитала, возможно применение следующих методов капитализации:

  • капитализация по модели бесконечного потока;
  • капитализация методом Инвуда;
  • капитализация методом Хоскольда.
Капитализация по модели бесконечного потока применяется в двух случаях: либо имеется бесконечный поток дохода, либо поток дохода конечен, но цена продажи объекта равна начальной цене покупки, т.е. первоначальной инвестиции. Стоимость такой недвижимости определяется путем деления дохода на подходящую норму дисконтирования. В этом случае норма дисконта (Yo) и общий коэффициент капитализации численно равны, так как начальные инвестиции полностью возвращаются при окончании проекта:
Ro = Yo .
Для случаев, когда стоимость недвижимости в конце проекта полностью или частично обесценивается, полный или частичный возврат начального капитала может быть осуществлен за счет потока доходов.
Метод Инвуда предполагает, что доход поступает в виде простого постоянного аннуитета и дисконтируется одной нормой дисконта. Основной предпосылкой является допущение о том, что величина аннуитета соответствует полному возврату начальных инвестиций и получению дохода на капитал в течение времени поступления аннуитета.
В соответствии с этими предпосылками коэффициент капитализации должен включать:

  • норму процента для получения дохода на капитал;
  • коэффициент фонда возмещения, который обеспечит полный возврат начальных инвестиций за счет формирования фонда возмещения.
Указанные предпосылки формализуются в виде следующего выражения для коэффициента капитализации:
Две техники ипотечно-инвестиционного анализа
,
где
Две техники ипотечно-инвестиционного анализа
  коэффициент фонда возмещения.
Особенностью метода Инвуда является то, что формирование фонда возмещения производится по норме, равной норме прибыли для инвестиций.
Практическое определение стоимости потока доходов с учетом допущений Инвуда выполняется двумя способами:

  • применением коэффициента взноса на амортизацию единицы;
  • применением общего коэффициента капитализации.
Метод Хоскольда отличается от метода Инвуда тем, что формирование фонда возмещения происходит не по норме процента на инвестиции, а по безрисковой ставке. Основной предпосылкой здесь является то, что реинвестирование может быть не таким прибыльным, как начальные инвестиции, и, следовательно, повторному вложению денег присущ большой риск.
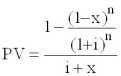
Для получения настоящей стоимости прямолинейно изменяющегося аннуитета используют следующую формулу:
Две техники ипотечно-инвестиционного анализа
,
где
d  начальный доход в конце первого периода;
b  изменение дохода за период (b больше 0, если доход увеличивается);
n  число периодов;
An  коэффициент настоящей стоимости аннуитета при норме i процентов.
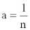
Для дохода, изменяющегося по экспоненте(с постоянной нормой), настоящая стоимость экспоненциально изменяющегося аннуитета, который начинается с 1 в конце первого периода, определяется по следующей формуле:
Две техники ипотечно-инвестиционного анализа
,
где
x  норма увеличения дохода;
n  число периодов;
i  норма дисконта.
Для дохода, который по прогнозам будет уменьшаться по экспоненте, формула преобразовывается к следующему виду:
Две техники ипотечно-инвестиционного анализа
.
Модели "собственности" применяют для определения настоящей стоимости в случаях, когда и доход, и стоимость недвижимости изменяются известным регулярным образом. Для учета изменения стоимости актива применяется базовая формула Эллвуда:
Ro = Yo + А ,
где
А  величина корректировки.
При этом, если стоимость объекта уменьшается, то корректировка А имеет знак "+", а если стоимость будет увеличиваться, то корректировка будет иметь знак "". Численное значение корректировки определяется умножением относительного изменения стоимости на коэффициент фонда возмещения или на норму рекапитализации, а общая формула для коэффициента капитализации принимает следующий вид:
Ro = Yo [+ / ] D * а ,
где
D  относительное изменение стоимости объекта;
а коэффициент, отражающий годовую норму возврата капитала.
В случае постоянного дохода без изменения стоимости недвижимости необходимо применить капитализацию бесконечного потока доходов. При этом коэффициент капитализации численно равен норме отдачи.
В случае постоянного дохода с изменением стоимости недвижимости применяется общая формула коэффициента капитализации, корректирующая норму отдачи необходимостью учета изменения стоимости капитала. При этом компенсация изменения стоимости капитала обеспечивается по модели формирования фонда возмещения, т.е. путем применения коэффициента фонда возмещения:
Две техники ипотечно-инвестиционного анализа
.
В случае прямолинейного изменения и дохода, и стоимости рыночная стоимость такой недвижимости может быть определена методом прямой капитализации с линейным возвратом капитала. Сущность линейного возврата капитала (рекапитализации) заключается в том, что возврат капитала происходит равномерно в течение срока экономической жизни актива.
Общий коэффициент капитализации в случае прямолинейного изменения дохода и стоимости недвижимости определяется по формуле:
Ro = Yo +  D * а ,
где
D  относительное изменение стоимости за п периодов;
Две техники ипотечно-инвестиционного анализа
  норма возврата капитала.
В случае экспоненциального изменения и дохода и стоимости объекта формула для общего коэффициента капитализации принимает следующий вид:
Ro = Yo +  CR ,
где
CR  периодическая норма изменения (по закону сложного процента).
При одинаковом изменении и дохода, и стоимости коэффициент капитализации будет оставаться постоянным.
Ипотечно-инвестиционные модели применяются для определения стоимости недвижимости с учетом изменения ее стоимости и дохода, а также с учетом условий финансирования. Существуют две техники ипотечно-инвестиционного анализа:

  • традиционная техника;
  • техника Эллвуда.
Традиционная техника ипотечно-инвестиционного анализа определяет стоимость недвижимости как сумму интересов собственного и заемного капиталов.
Стоимость интереса собственного капитала рассчитывается путем дисконтирования денежных потоков, поступающих к инвестору собственного капитала от регулярного дохода и от реверсии. Стоимость интереса заемного капитала рассчитывается путем дисконтирования платежей по обслуживанию долга.
В зависимости от количественных характеристик и временной структуры денежных потоков, а также соответствующих им норм дисконтирования, настоящая стоимость будет принимать различные значения. Другими словами, настоящая стоимость будущих денежных потоков, поступающих от недвижимости, будет зависеть от срока проекта, структуры заемного капитала, экономических характеристик объекта и соответствующих норм дисконтирования.
В формализованном виде алгоритм расчета стоимости с помощью традиционной техники ипотечно-инвестиционного анализа можно записать в следующем виде:
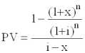
V = PV[(NOI  DS), i%, n лет] + PV[(TG  UM), i%, n лет] + M ,
где
NOI  чистый операционный доход i-ro года проекта;
DS  сумма обслуживания долга в i-том году проекта;
TG  сумма реверсии без учета расходов на продажу;
UM  невыплаченный остаток кредита на момент продажи;
М  первоначальная сумма кредита.



Функции корпорации по управлению инвестиционным портфелем


Как правило, наиболее низкой ликвидностью обладает недвижимость. Ни одна из инвестиционных ценностей не обладает всеми перечисленными выше свойствами. Поэтому неизбежен компромисс. Если ценная бумага надежна, то доходность будет низкой, так как те, кто предпочитает надежность, будут предлагать высокую цену.
Главная цель при формировании портфеля состоит в достижении наиболее оптимального сочетания между риском и доходом для инвестора.
Иными словами, соответствующий набор инвестиционных инструментов призван снизить риск потерь вкладчика до минимума и одновременно увеличить его доход до максимума.
Методом снижения риска серьезных потерь служит диверсификация портфеля, т. е. вложение средств в проекты и ценные бумаги с различными уровнями надежности и доходности. Риск снижается, когда вкладываемые средства распределяются между множеством разных видов вложений.
Диверсификация уменьшает риск за счет того, что возможные невысокие доходы по одному элементу портфеля будут компенсироваться высокими доходами по другому.
Минимизация риска достигается за счет включения в портфель множества различных элементов, не связанных тесно между собой, чтобы избежать синхронности циклических колебаний их деловой активности.
Оптимальное количество элементов портфеля зависит от возможностей инвестора, но наиболее распространенная величина составляет от 8 до 20 различных элементов.

Функции корпорации по управлению инвестиционным портфелем

С точки зрения управления инвестиционный портфель это совокупность связанных и не связанных между собой элементов. К несвязанным элементам относятся инвестиционные ценности, происхождение которых не представляет собой связанных событий (например, золото и переподготовка кадров).
Связанные элементы это инвестиционные ценности, о которых можно сказать, что они происходят из одного источника (акции и облигации одного эмитента, государственные ценные бумаги различных видов).
Управление портфелем представляет собой процесс реализации определенных связей между всеми его элементами. С этих позиций понятие управления портфелем можно описать следующим образом: управление портфелем определение, установление, регулирование и развитие соотношений между элементами портфеля, обеспечивающих достижение поставленных перед портфелем целей.
На практике успешность управления портфелем зависит от того, насколько велики ресурсы, позволяющие достичь поставленной перед портфелем цели, и как они используются. Как следствие, возникает проблема оптимального размещения ограниченного объема ресурсов, являющаяся частью инвестиционной стратегии корпорации.
Управление является чрезвычайно сложным видом деятельности в любой области народного хозяйства. Управление инвестиционным портфелем в этом смысле  не исключение. Поскольку процесс формирования и последующей реструктуризации портфеля представляет не одномоментную, а растянутую во времени деятельность, то, по нашему мнению, управление портфелем представляет собой инвестиционный процесс.
В этой связи принцип системности по отношению к управлению инвестиционным процессом, т. е. взгляд на него как на систему, вполне естественен.
Отсюда вытекает возможность декомпозиции и структуризации процесса управления инвестиционным портфелем.
При рассмотрении или изучении любых процессов можно выделить ряд аспектов (подходов) к изучаемому явлению. Наиболее распространенные из них: функциональный, динамический, предметный.
Функциональный аспект отражает общий подход к проблеме управления и предполагает рассмотрение основных функций управления (видов управленческой деятельности):
АНАЛИЗ ВОЗМОЖНОСТЕЙ, ПЛАНИРОВАНИЕ, ОРГАНИЗАЦИЯ, МОТИВАЦИЯ, ДИСПЕТЧИРОВАНИЕ, КОНТРОЛЬ, РЕГУЛИРОВАНИЕ.
Функции управления считаются центральным понятием: они выполняются на всех уровнях управленческой деятельности, в каждой фазе реализации проекта, для всех его процессов и управляемых объектов (элементов).
Последовательность функций управления образует своеобразный цикл ( 20).

















20. Цикл управления инвестиционным портфелем корпорации
(функциональный подход)
Анализ состояния портфеля осуществляется в случае необходимости вмешательства в инвестиционный цикл. С анализа начинается вся работа над портфелем, в дальнейшем анализируются все характеристики портфеля: степень материализации, отдаленность возврата вложенных средств, степень риска, объем требуемых инвестиционных ресурсов, целевое использование.
Динамический подход к управлению портфелем предполагает рассмотрение основной деятельности по реализации инвестиционной стратегии как продолжительного процесса. Этот подход связан с логикой осуществления мероприятий в рамках управления инвестиционным портфелем. Укрупнено эти процессы таковы:
АНАЛИЗ ПРОБЛЕМЫ, РАЗРАБОТКА КОНЦЕПЦИИ ПОРТФЕЛЯ, БАЗОВОЕ и ДЕТАЛЬНОЕ ПЛАНИРОВАНИЕ, ФОРМИРОВАНИЕ ПОРТФЕЛЯ, РЕСТРУКТУРИЗАЦИЯ, ЛИКВИДАЦИЯ ПОРТФЕЛЯ.
Следует отметить, что деятельность по осуществлению мероприятий в рамках инвестиционной стратегии реализуется на разных организационных уровнях и в различных подразделениях корпорации, поэтому она сама нуждается в управлении. В этом также проявляются свойства управления инвестиционным портфелем как системы.
Сфера управления портфелем представлена на 21.










21. Сфера управления портфелем
Система управления реализацией стратегии это процесс, который, как и сама реструктуризация портфеля, нуждается в руководстве. Следует подчеркнуть, что одним из факторов, определяющих успех управления портфелем, является использование системного подхода и специально разработанной методологии.
Обобщая сказанное о функциях управления, можно кратко резюмировать особенности их выполнения, которые должны обеспечить высокую эффективность при управлении портфелем:

  • всеобъемлемость, то есть максимальный охват всех уровней и всех элементов процесса управления портфелем;
  • непрерывность выполнения мероприятий на всех этапах управления инвестиционным портфелем.
Выполнение этих требований сопряжено со значительными усилиями и финансовыми затратами. Поэтому на практике приходится ограничивать управленческую деятельность, чтобы она не превратилась в самоцель и не разорила инвестора.
Обеспечение рационального выполнения функций управления портфелем задача как методологии управления инвестиционным процессом, так и управляющих корпорации.
Рассматривая вопрос о формировании портфеля, инвестор должен определить для себя значения основных параметров, которыми он будет руководствоваться. К ним относятся:

  • тип портфеля;
  • сочетание риска и доходности портфеля;
  • состав портфеля;
  • схема управления портфелем.
1. Существует два типа портфелей:
а) портфель, ориентированный на преимущественное получение дохода за счет высокого уровня прибыли от инвестиционных проектов, а также процентов и дивидендов по ценным бумагам;
б) портфель, направленный на увеличение объемов производства по видам продукции, а также на преимущественный прирост курсовой стоимости входящих в него ценных бумаг.
2. В портфель обязательно должны входить различные по риску и доходности элементы. Причем, в зависимости от намерений инвестора, доли разнодоходных элементов могут варьироваться.
Эта задача вытекает из общего принципа, который действует на инвестиционном рынке: чем более высокий потенциальный риск несет инструмент, тем более высокий потенциальный доход он должен иметь, и, наоборот, чем ниже риск, тем ниже ставка дохода.
3. Первоначальный состав портфеля определяется в зависимости от инвестиционных целей вкладчика возможно формирование портфеля, обуславливающего больший или меньший риск. Исходя из этого инвестор может быть агрессивным или консервативным. Агрессивный инвестор склонен к высокой степени риска. В своей инвестиционной деятельности он делает акцент на вложения в рискованные бумаги и проекты.
Консервативный инвестор склонен к меньшей степени риска.
Он вкладывает средства в стабильно работающие предприятия, а также в облигации и краткосрочные ценные бумаги.
4. На практике существует несколько схем управления портфелем, каждая из которых определяет поведение инвестора в той или иной ситуации.
Первая схема. Инвестор заранее определяет границы, в рамках которых происходит разделение инструментов по риску, сроку и доходности, таким образом формируются корзины с определенными характеристиками.
Каждой корзине отводится определенный фиксированный вес (доля) в инвестиционном портфеле.
Эта доля остается постоянной с течением времени. Состав корзин может меняться под воздействием различных факторов:

  • макроэкономической ситуации;
  • изменения критериев инвестора;
  • изменений, произошедших с проектом или ценной бумагой.

























22. Функции управления инвестиционным портфелем
в иерархической системе управления
Вторая схема. Инвестор придерживается гибкой шкалы весов корзин в инвестиционном портфеле.
Первоначально портфель формируется исходя из определенных весовых соотношений между корзинами и их элементами.
В дальнейшем они пересматриваются в зависимости от результатов анализа финансовой ситуации на рынке и ожидаемых изменений конъюнктуры товарного и финансового спроса.



Главный субъект региона


И если для небольших стран с унитарной формой правления это вполне приемлемо, то в крупных странах с федеративным государственным устройством проблемы взаимоотношения между регионами, между центром и регионами, а иногда и внутри регионов всегда присутствовали и будут присутствовать в силу разнонаправленных экономических интересов. Другой вопрос каков механизм разрешения подобных противоречий. Одно дело, когда речь идет о странах с развитой экономикой, старыми демократическими традициями, таких как США, Германия и совсем другое, когда мы рассматриваем экономику переходного периода России.
В последнее время все чаще обсуждается идея пересмотра экономических границ субъектов РФ. На наш взгляд, это кажется преждевременным в связи с тем, что:

  • во-первых, существенную роль здесь играет политический фактор, так как именно республики, края и области подписали Федеративный договор, а затем и индивидуальные договора о разграничении полномочий;
  • во-вторых, в каждом из них сформированы органы государственной власти и управления, приняты законодательные акты, которые порой существенно отличаются от соседнего региона, а иногда входят в противоречие с федеральным законодательством;
  • в-третьих, им присуща определенная экономическая самостоятельность и завершенность воспроизводственного процесса, сформировавшаяся в течение последних 80-ти лет.
Правомерно ли ставить вопрос о конкурентоспособности регионов в рамках единого государства. На наш взгляд, конкурентоспособность в самом общем виде это обладание некоторыми свойствами, создающими преимущества для субъекта экономического соревнования перед другими аналогичными субъектами.
При этом область или сферу, в которой ведется соревнование, можно назвать конкурентным полем.
На наш взгляд, можно утверждать, что существует прямая зависимость между уровнем конкуренции и конкурентоспособностью экономики, хозяйствующих субъектов: чем острее конкуренция и разнообразные формы ее проявления на национальном или международном рынке, тем, как правило, выше уровень конкурентоспособности.
По нашему мнению, конкурентная борьба между российскими регионами все-таки имеет место, хотя протекает в иных формах и влечет за собой несколько иные последствия, чем на микро- и макроуровне. Это можно проследить на примере основных субъектов экономики региона.
Так, предприятия региона конкурируют:

  • внутри региона между собой;
  • внутри региона с предприятиями других регионов и стран;
  • на национальном рынке;
  • на рынке таможенных или экономических союзов (СНГ, Евросоюз) и на мировом рынке.
Представители региональной власти ведут борьбу на федеральном уровне за предоставление региону более благоприятных экономических условий по сравнению с другими, отстаивают интересы крупных структурообразующих предприятий региона, ищут возможность для самостоятельного налаживания международных связей, пытаются административными мерами защитить местного производителя и т.д.
Однако главным субъектом региона, на наш взгляд, является население, поскольку именно здесь люди реализуют свои экономические интересы и удовлетворяют потребности. Как успехи предприятия в конкурентной борьбе, так и положение региональной власти во многом определяются той социально-политической обстановкой, которая складывается в регионе.
В этой связи представляется целесообразным при определении конкурентоспособности региона взять за основу критерии, характеризующие уровень и качество жизни населения. Тем более, что подобный подход широко распространен в мировой практике. Например, страны ОЭСР определяют конкурентоспособность как “способность компаний, отраслей, регионов и наций обеспечивать сравнительно высокий уровень доходов и заработной платы, оставаясь открытыми для международной конкуренции.”
В докладе президентской комиссии США по проблемам конкурентоспособности последняя определяется как степень, с которой страна при свободных и справедливых условиях рынка производит товары и услуги, удовлетворяющие требованиям мирового рынка, формируя и увеличивая при этом доходы своих граждан. Безусловно, что уровень жизни населения неразрывно связан с функционированием экономики региона, активной и профессиональной деятельностью региональной власти, других институциональных структур, выражающих интересы граждан.
По нашему мнению, наиболее полным будет такое определение конкурентоспособности региона, которое включает два основополагающих аспекта: необходимость достижения высокого уровня жизни населения и эффективность функционирования хозяйственного механизма региона. В настоящее время, в основе хозяйственного механизма региона региональный рынок при определенной законодательством регулирующей роли федеральных и местных органов власти.
Поэтому на наш взгляд, под конкурентоспособностью региона следует понимать его роль и место в экономическом пространстве России, способность обеспечить высокий уровень жизни населения и возможность реализовать имеющийся в регионе экономический потенциал (финансовый, производственный, трудовой, инновационный, ресурсно-сырьевой и др.). Потенциал региона реализуется в результате функционирования регионального рынка, вовлекающего в воспроизводственный процесс все имеющиеся в регионе ресурсы и эффективно их использующего.
В дальнейшем, через механизм ценообразования в каждом сегменте рынка (труда, товаров и услуг, финансовом и др.) устанавливаются цены, отражающие как стоимость основных факторов производства, так и стоимость готовых товаров и услуг. Формируемая на одном региональном рынке система цен через прямые и обратные связи воздействует на системы цен, действующие на других региональных рынках, и таким образом последовательно формируется единый рынок и система цен, соответствующая этому рынку.
Процесс этот довольно-таки сложный и длительный, так как существуют попытки отдельных регионов решить свои экономические проблемы с помощью выгодных им цен за счет других регионов (например, в добыче топлива и сырья, в сельском хозяйстве). Следовательно, под механизмом ценообразования подразумевается процесс формирования цен на отдельных типах регионального рынка с учетом воздействия органов государственной власти (федеральных и региональных) и внешних по отношению к региону субъектов хозяйственной деятельности.
Таким образом, можно построить следующую логическую цепочку: региональный рынок механизм ценообразования конкурентоспособность региона.
Например, выделенный нами в качестве основного критерия конкурентоспособности региона уровень жизни населения во многом зависит от уровня его доходов (заработной платы, социальных выплат, прибыли и т.д.), которые формируются на региональном рынке труда. Однако судить о реальном уровне жизни можно лишь после соизмерения величины доходов с ценами на рынке товаров и услуг.
Заработная плата, являясь в свою очередь элементом издержек производства для предприятия, во многом зависит от эффективности его функционирования ( 5).
Из схемы видно, что исходной категорией для анализа конкурентоспособности региона является региональный рынок. В этой связи представляется необходимым более подробно рассмотреть его сущность, функции, структуру с последующим выходом на особенности механизма регионального ценообразования
Обобщая подходы к проблемам взаимосвязи ценообразования и конкурентоспособности в системе экономических отношений, в исследовании предлагается сформулировать следующую функциональную зависимость факторов регионального рынка:
RC = f (P, FP, Y, SP),
где
RC конкурентоспособность региона;
P факторы регионального ценообразования (уровень цен по товарным группам, механизм их установления, зависимость от внешних рынков, удаление региона от источников сырья и основных рынков сбыта);
FP наличие, распределение и функциональная направленность основных факторов производства в регионе (трудовые ресурсы, полезные ископаемые, отраслевая структура капитала);
Y уровень жизни населения региона (доходы, их структура и дифференциация, покупательная способность, степень занятости и др.);
SP социально-политические факторы, характеризующие взаимодействие основных субъектов регионального рынка (администрации, населения, предпринимательства) между собой и их взаимоотношения с федеральным центром.




















5. Взаимосвязь конкурентоспособности региона, механизма
ценообразования и регионального рынка
Данная функциональная зависимость является исходной, базовой, которая в дальнейшем может уточняться и дополняться другими факторами.
Чтобы в конечном итоге выйти на критерии конкурентоспособности, необходимо более детально остановиться на анализе регионального рынка, в рамках которого взаимодействуют все перечисленные факторы.
Экономические отношения между этими субъектами осуществляются либо непосредственно:
федеральный центр
Главный субъект региона
региональная власть
Главный субъект региона
предприятие,
либо через соответствующие рынки: ресурсов, товаров и услуг, финансовый, внешние (других регионов, федеральный, мировой).
Каждый из перечисленных выше субъектов имеет свои конкретные интересы, которые ими движут при принятии того или иного решения в ходе своей экономической деятельности.



Годовой платеж по обслуживанию долга


Если в период предполагаемого срока владения не предусматривается замена быстроизнашивающихся компонентов, расходы на их замещение не учитываются, а их износ будет учтен при продаже объекта недвижимости.
Под расходами на обслуживание долга понимаются платежи по погашению ипотечных кредитов.
При составлении реконструированного отчета о доходах не учитываются:

  • расходы, связанные с бизнесом;
  • бухгалтерская амортизация;
  • подоходные налоги владельца;
  • капиталовложения в создание или реконструкцию недвижимости.
Капитализация будущих доходов
Для капитализации будущих доходов применяются два метода:

  • метод прямой капитализации;
  • метод капитализации по норме отдачи.
Метод прямой капитализации переводит величину годового дохода в показатель стоимости недвижимости, при этом стоимость (V) определяется путем деления дохода (I) на коэффициент капитализации (R):
Годовой платеж по обслуживанию долга
.
Метод прямой капитализации не производит раздельного учета возврата капитала и дохода на капитал, потому что он не учитывает предположений инвестора относительно отдачи, предполагаемого срока владения недвижимостью, планируемой модели поступления доходов и величины начальных инвестиций. Кроме того, практически всегда прямая капитализация оценивает полное право собственности.
Для прямой капитализации можно использовать потенциальный валовый доход, действительный валовый доход, чистый операционный доход, доход на собственный капитал, доход по заемным средствам, доход от земли или доход от зданий. Соответственно при этом используют общий коэффициент капитализации, коэффициент капитализации собственного капитала, коэффициент капитализации для заемных средств, коэффициент капитализации для земли и для задний .
Определение стоимости объекта на базе общего коэффициента капитализации (R0) выполняется по формуле:
Годовой платеж по обслуживанию долга
,
где
NOI чистый операционный доход.
Определение общего коэффициента капитализации может осуществляться на основе:

  • анализа сравнительных продаж;
  • анализа коэффициентов расходов и доходов;
  • техники инвестиционной группы;
  • анализа коэффициента покрытия долга.
Анализ сравнительных продаж является наиболее предпочтительным, однако требует достоверной и полной информации об объектах сравнимых продаж. При этом важно, чтобы способы оценки дохода для объектов сравнения совпадали со способом, примененным к объекту оценки, т.е. выполнялись следующие условия:

  • доход и затраты должны определяться на одном базисе;
  • прогнозируемые налоги и цены повторных продаж должны совпадать;
  • должны совпадать условия финансирования и условия рынка;
  • должно совпадать наилучшее и наиболее эффективное использование.
Окончательное значение общего коэффициента капитализации определяется методами статистической обработки полученных значений.
Анализ коэффициентов расходов и доходов применяется в случаях, когда полная информация об объектах сравнения недоступна, но есть данные о действительном валовом доходе и операционных расходах. В этом случае общий коэффициент капитализации определяется на основе коэффициента действительного валового дохода (EGIM отношение цены продажи к действительному валовому доходу) и коэффициента операционных расходов (OER отношение операционных расходов к действительному валовому доходу):
Годовой платеж по обслуживанию долга
.
Техника инвестиционной группы основана на предположении, что при наличии в объекте недвижимости нескольких интересов общий коэффициент капитализации должен удовлетворять требованиям дохода владельцев всех интересов.
Для случая, когда рассматриваются финансовые составляющие интереса в объекте недвижимости (собственный и заемный капитал), коэффициент капитализации заемного капитала, или ипотечная постоянная (Rm) определяется по формуле:
Годовой платеж по обслуживанию долга
,
где
DS годовой платеж по обслуживанию долга;
ML сумма ипотечного кредита.
Коэффициент капитализации заемного капитала есть функция нормы процента, частоты выплат и срока кредита (имеется в виду самоамортизирующийся кредит) и является суммой нормы процента и коэффициента фонда возмещения.
Коэффициент капитализации собственного капитала (Re) определяется по формуле:
Годовой платеж по обслуживанию долга
,
где
RTCF денежный поток до уплаты налогов;
ЕI сумма собственного капитала.
Общий коэффициент капитализации, удовлетворяющий и владельцев собственного капитала, и кредиторов, является средневзвешенной величиной, учитывающей процентное соотношение собственного и заемного капитала в стоимости собственности:
Годовой платеж по обслуживанию долга
,
где
М доля заемных средств в стоимости (доля заемного капитала).
Для случая, когда рассматриваются физические составляющие интереса в объекте недвижимости (земля и здания), если известны коэффициенты капитализации для земли (RL) и для зданий (Rb), а также если можно определить доли стоимости -земли (L) и зданий (В) в общей стоимости объекта, общий коэффициент j капитализации рассчитывается следующим образом:
Годовой платеж по обслуживанию долга
.
Общий коэффициент капитализации, определяемый с учетом требуемого покрытия долга, рассчитывается по формуле:
Годовой платеж по обслуживанию долга
,
где
DCR коэффициент покрытия долга, определяемый по формуле:
Годовой платеж по обслуживанию долга
.
При использовании метода прямой капитализации применяется так называемая техника остатка. Сущность техники остатка заключается в капитализации дохода, относящегося к одной из инвестиционных составляющих, в то время как стоимость других составляющих известна.
Для применения техники остатка необходимо выполнить следующую последовательность действий:
1. Определить часть годового дохода, приходящуюся на компонент с известной стоимостью путем умножения этой стоимости на соответствующий компоненту коэффициент капитализации.
2 Определить сумму годового дохода, приходящуюся на компонент с неизвестной стоимостью путем вычитания из общей величины годового дохода суммы, приходящейся на известный компонент.
3. Определить стоимость неизвестного компонента объекта путем деления приходящегося на него дохода на соответствующий коэффициент капитализации.
4. Определить стоимость объекта путем сложения стоимости известной и полученной стоимости неизвестного компонента.
В методе прямой капитализации в первую очередь применяется техника остатка для физических компонентов (земли и зданий), и техника остатка для финансовых компонентов.
Применение техники остатка для зданий предполагает, что стоимость участка земли можно оценить достаточно точно. Кроме этого должны быть известны чистый операционный доход и коэффициенты капитализации для земли и для зданий.
При наличии необходимой информации этот метод можно применять для оценки недвижимости, имеющей значительный износ. Кроме того техника остатка для зданий прямо измеряет вклад здания в стоимость, что может определить экономическую целесообразность модернизации или ликвидации здания.
Применение техники остатка для земли предполагает, что стоимость здания можно определить достаточно точно. Технику в основном применяют в анализе наилучшего и наиболее эффективного использования земли, определяя стоимость здания как стоимость строительства нового здания.
Техника может быть полезна в случаях, если нет достоверных данных о продажах земли.
В случае, если стоимость постройки нового здания не соответствует вкладу в общую стоимость объекта, данный метод применять нельзя.
Применение техники остатка для собственного капитала предполагает возможность определения срока ипотечного кредита и размер годового платежа на обслуживание долга. Техника применяется главным образом для оценки полного права собственности заново сооружаемого объекта.
Техника остатка для заемного капитала подразумевает, что стоимость собственного капитала известна, а стоимость заемного капитала  нет.
Капитализация по норме отдачи переводит будущие выгоды в настоящую стоимость двумя способами:

  • методом дисконтирования каждого денежного потока соответствующей нормой отдачи;
  • методом капитализации дохода общим коэффициентом капитализации, учитывающим характер поступающих доходов, изменение стоимости объекта недвижимости и ожидаемую норму отдачи.
Метод дисконтирования денежных потоков применим к денежным потокам любого вида и является универсальным. Настоящая стоимость будущих выгод от владения недвижимостью (PV) определяется из выражения:
Годовой платеж по обслуживанию долга
,
где
Ct денежный поток периода t;
it норма дисконтирования периода t.
Для определения нормы дисконтирования применяются следующие методы:

  • метод кумулятивного построения;
  • метод сравнения альтернативных инвестиций;
  • метод сравнения продаж;
  • метод мониторинга рыночных данных.
Метод кумулятивного построения заключается в суммировании величин, отражающих степень риска данного проекта. Общая структура построения имеет следующий вид:
Норма прибыли = безрисковая ставка + норма инфляции + премия за риск
Безрисковая ставка соответствует стоимости денег во времени при полном отсутствии рисков. Норма инфляции компенсирует снижение покупательной способности денег в течение срока проекта. Премия за риск включает премии за все типы рисков, связанных с инвестициями в недвижимость, к которым относят:

  • риск, связанный с характеристиками конкретного объекта недвижимости;
  • риск, связанный с низкой ликвидностью недвижимости;
  • риск, связанный с уровнем управления недвижимостью;
  • риск неожиданного изменения уровня инфляции.
Данный метод применяется в случае наличия возможности выделения каждой составляющей в числовом выражении.



Иерархия разработки инвестиционной стратегии


Такой подход позволяет, с одной стороны, "директировать" деятельность подразделений, то есть направить различные аспекты деятельности корпорации в единое русло (директриссу или вектор) в соответствии с миссией корпорации, а с другой стороны, гибкая и продуманная финансовая стратегия позволяет высшему менеджменту корпорации планировать развитие прочих направлений деятельности. Инвестиционный процесс корпорации строится на основе инвестиционной стратегии, разрабатываемой с использованием различных финансово-экономических методов, которые в совокупности составляют научно-финансовую методологию формирования инвестиционной стратегии корпорации.
Научно-финансовая методология представляет собой систему общих правил (принципов), а также специальных приемов и методов экономического исследования. Они составляют теоретическую базу теории финансов, то есть комплексные исследования и разработку инвестиционной стратегии корпорации целесообразно проводить только в связи с главными целями функционирования корпорации.
Таким образом, инвестиционная стратегия корпорации разрабатывается в соответствии с целями ее функционирования, в этой связи все корпоративные инвестиции должны рассматриваться как один из основных способов достижения главной цели корпорации ( 14).















14. Иерархия разработки инвестиционной стратегии
Описание инвестиционной стратегии как и любого многогранного понятия не исчерпывается лишь простым определением. Инвестиционная стратегия, по нашему мнению, является структурированной совокупностью нескольких взаимосвязанных аспектов, таких как: институциональный, экономический, нормативно-правовой, информационно-аналитический и другие ( 15).
Эти аспекты являются взаимосвязанными, их структурирование и распределение приоритетов между ними, на наш взгляд, позволяет иметь четкое представление о разработке и реализации стратегии корпорации, поэтому управляющей компании и топ менеджерам необходимо уделять этим аспектам довольно серьезное внимание.












15. Инвестиционная стратегия корпорации как система
Институциональный аспект инвестиционной стратегии представляет собой совокупность таких основных составных частей как: виды инвестиций, инвестиционный портфель, риски. В рамках институционального аспекта выделяются основные управляемые подсистемы, существующие в корпоративных инвестициях ( 16).
Направления информационного обмена указывают типовые приоритеты при разработке и реализации инвестиционной стратегии, связывая аспекты в единое целое. Информационный обмен позволяет согласовывать продолжительность, этапы и условия инвестиций в рамках принятой стратегии корпорации.
Нормативно-правовой аспект инвестиционной стратегии состоит из таких основных частей как:

  • законодательные и иные нормативные правовые акты государства, образующие юридическую основу и формирующие фискальную среду, в рамках которых корпорация формирует инвестиционную стратегию и осуществляет инвестиционный процесс;
  • учетная политика корпорации, внутренние регулирующие документы, которые позволяют обеспечивать единый инвестиционный процесс в рамках подразделений корпорации.



















16. Структура институционального аспекта
инвестиционной стратегии
Экономический аспект совокупность экономических частей инвестиционной стратегии, к которым относятся: система экономических показателей для оценки инвестиционной стратегии, управление, финансирование инвестиционного процесса. В рамках экономического аспекта выделяются основные методы, критерии и цели инвестиционной стратегии ( 17).
Информационно-аналитический аспект инвестиционной стратегии представляет собой систему обработки информации (СОИ), состоящую из следующих частей: подсистема сбора и сортировки информации, подсистема хранения информации, подсистема поиска, подсистема анализа информации. СОИ является базисом оперативного информационного обмена в рамках корпоративной инвестиционной стратегии, позволяет оперативно реагировать на изменения в юридических основах и фискальной среде, прогнозировать экономические перспективы рынков и планировать изменения в пределах институционального аспекта и корректировать основные части экономического аспекта инвестиционной стратегии.

















17. Структура экономического аспекта
инвестиционной стратегии
Таким образом, инвестиционная стратегия единая высокоинтегрированная система, состоящая из различных аспектов, неразрывно связанных между собой для достижения главной цели корпорации ( 14).
Рассмотрим более подробно основные этапы реализации инвестиционной стратегии корпорации в регионе. Инвестиционная стратегия корпорации в регионе принимает вид последовательности мероприятий ( 18), осуществляемых для повышения экономической роли корпорации в выбранном регионе.
Процедура выбора региона, а также направления инвестирования являются сущностью региональной инвестиционной стратегии корпорации.
Прежде всего, в соответствии с миссией корпорации рассматриваются и анализируются основные стратегические приоритеты развития корпорации. К стратегическим приоритетам развития, по нашему мнению, относятся:

  • развитие новых направлений деятельности;
  • освоение новых типов продуктов;
  • завоевание новых рынков сбыта.
Любой из выбранных приоритетов развития включает анализ инвестиционных условий регионов, поскольку и новое направление деятельности, и производство нового типа продуктов, и организация дилерской сети в новом рынке сбыта связаны с изучением условий в регионах для составления полного набора альтернатив.
В результате анализа регионы могут ранжироваться по степени удовлетворения стратегических интересов корпорации. Например, регион, в котором есть условия для создания производства или есть предприятия для включения в уже существующие технологические циклы, представляющий также интерес и как рынок сбыта, будет намного привлекательнее региона, имеющего только одно из указанных достоинств.




















18. Региональные аспекты инвестиционной стратегии
После выбора региона как объекта инвестиций, составляется инвестиционная программа, после утверждения которой высшим менеджментом корпорации начинается реализация инвестиционной программы в регионе. Реализация инвестиционной программы в рамках такого обширного объекта как регион требует от корпорации обладания определенными навыками и приемами управления инвестициями в крупных масштабах.
Поэтому нам представляется целесообразным проанализировать зарубежный опыт управления крупными инвестиционными программами за рубежом.
Варианты региональных инвестиционных программ Спектр инвестиционных программ, которые могут быть использованы корпорациями для проведения региональных инвестиций, достаточно широк, чтобы удовлетворить требования самых разных корпоративных интересов от наиболее осторожных до таких, которые допускают определенный элемент инвестиционного риска в стремлении достичь максимальных прибылей. Используемый спектр включает в себя как стабильные инвестиционные программы, имеющие наименьший риск, поэтому растущие сравнительно медленными темпами (однако, все равно быстрее, чем региональный рынок в целом) консервативная программа и умеренно-консервативная программа, так и быстрорастущие программа ускоренного роста и агрессивная программа.
При реализации этих программ компенсацией за больший диапазон колебаний риска и теоретическую возможность в тот или иной период временно оказаться в минусе является повышенная прибыльность инвестиций в средне- и долгосрочной перспективе.
В соответствии с региональной стратегией могут одновременно создаваться и различные варианты программ, реализуемые как параллельно, так и последовательно, принятие решения по которым основывается на степени подготовленности региона к реализации той или иной программы, а также в зависимости от целей, интересов и возможностей корпорации в конкретном регионе.
В частности, консервативная программа используется при наиболее осторожном проникновении корпорации в определенный регион, когда наиболее предпочтителен медленный, но стабильный рост инвестиций. Общая структура программы при этом предусматривает не более 30% высокорискованных инвестиций, все остальное в муниципальные или региональные облигации, акции наиболее успешных предприятий региона.
При реализации умеренно-консервативной программы уровень рискованных вложений может быть повышен до 45%. Программа среднего риска предусматривает 60% вложений в рискованные объекты инвестиций.
Таким образом, страховой запас может снижаться в зависимости от степени влияния корпорации в регионе.
При всей важности правильного выбора инвестиционной программы ожидаемые результаты не будут достигнуты без умелого и динамичного управления ее структурой. Инвестировав средства в регион корпорация должна внимательно следить за различными показателями, и на их основе точно выбирать момент реструктуризации и взаимного перетока ресурсов в рамках программы.
Получаемые от реализации программы средства тут же реинвестируются в новые инвестиционные ценности для поддержания баланса риска и доходности в соответствии с типом программы.



Как может регион ускорить экономический рост?


Главной формой реализации региональной финансовой политики является разработка и осуществление федеральных целевых программ социально-экономического развития регионов, финансируемых за счет средств федерального бюджета, а также на долевой основе.
Основными формами реализации региональной финансовой политики являются:

  • участие финансовых ресурсов государства в наиболее эффективных инвестиционных проектах с использованием конкурсной и контрактной систем их реализации;
  • размещение федеральных заказов на поставку продукции для общегосударственных нужд;
  • финансовая поддержка наукоемких производств и развитие высоких технологий;
  • создание финансовых условий для формирования свободных экономических зон и технополисов в регионах, имеющих высокий научный и кадровый потенциал, а также развитую инфраструктуру;
  • финансовое содействие малому и среднему бизнесу.
Совершенствование финансовых и налоговых отношений между федеральным центром и регионами, а также между органами государственной власти и местного самоуправления направлено на повышение уровня бюджетной достаточности регионов и муниципальных образований. Для этого, на наш взгляд, необходимо закрепление за субъектами Федерации постоянных финансовых, и прежде всего налоговых, источников доходов для самостоятельного формирования бюджетов.
Это позволит уменьшить неоправданные встречные финансовые потоки между бюджетами различных уровней, снизить объемы федеральной финансовой поддержки регионов, способных к самофинансированию.
Для реализации задач региональной экономической политики в бюджетно-налоговой сфере, по нашему мнению, необходимо обеспечить:

  • бездефицитность бюджетов большинства субъектов Федерации;
  • законодательное разграничение полномочий между федеральными и региональными органами государственной власти, а также органами местного самоуправления по осуществлению социально-экономической политики, формированию доходных и расходных статей соответствующих бюджетов, сбору и использованию налогов и других обязательных платежей;
  • возможность определять и учитывать финансовый и налоговый потенциалы при формировании бюджета каждого конкретного региона;
  • сбалансированность бюджетов всех уровней;
  • право в пределах собственных финансовых ресурсов самостоятельного принятия каждым органом власти на соответствующем уровне решений о направлениях и масштабах использования бюджетных средств;
  • контроль за целевым расходованием средств, выделяемых из федерального бюджета на социально-экономическое развитие регионов.
Особо следует отметить роль региональной финансовой политики в решении острых социальных проблем, требующих участия федеральных бюджетных средств. Основным элементом социальной политики является финансовое обеспечение минимальных государственных гарантий минимальной заработной платы, минимальных пенсий и пособий, их регулярная индексация в соответствии с ростом потребительских цен.
Главные цели региональной политики в области доходов предусматривают: обеспечение условий для роста заработной платы, пенсий, пособий и других денежных доходов граждан России и стабилизацию уровня жизни населения, создание основы для его повышения во всех регионах страны.
Субъектам Федерации, которые не имеют достаточных средств для обеспечения гарантированного минимума доходов своего населения, требуется дополнительное выделение государственных финансовых ресурсов с учетом региональных различий в минимальных социальных стандартах.
Для минимизации отрицательных последствий расслоения общества региональная финансовая политика должна быть ориентирована на:

  • совершенствование налоговой системы путем постепенной отмены налогов на средства, направляемые организациями на потребление, при одновременном усилении налоговой нагрузки на индивидуальные, особенно сверхвысокие, доходы и имущество физических лиц;
  • введение на региональном уровне системы страхования заработной платы на случай неспособности работодателей выполнять обязательства по оплате труда.
В регионах с высоким уровнем социальной напряженности необходимо контролировать процесс банкротств убыточных организаций, используя в случае необходимости механизм их целевой поддержки путем выдачи льготных кредитов на развитие производства, дотации на выплату минимальной заработной платы.
1.2. Инвестиционные взаимоотношения в регионе Инвестиционная политика как элемент экономической политики региона Любой регион желает увеличить свое богатство посредством экономического роста. Как может регион ускорить экономический рост?
Один из возможных путей  проведение экономической политики, в соответствии с которой региональные органы государственной власти могут направить ресурсы в перспективные для экономического роста отрасли.
Развитие народного хозяйства промышленно развитых стран, интегрированных в мировую экономику, показало, что рыночных сил саморегулирования недостаточно для того, чтобы самостоятельно преодолевать возникающие кризисы.
Прежде всего, из опыта мировых кризисов возникло осознание того, что государство должно активно вмешиваться в экономический процесс. Благодаря этому складывающаяся к определенному времени экономическая ситуация (например, неполная занятость или инфляция) должна быть изменена таким образом, чтобы, используя соответствующие средства (например, увеличение или сокращение денежной массы), можно было достичь поставленных социально-экономических целей (полная занятость или стабилизация уровня оптовых и розничных цен).
Таким образом, под экономической политикой понимают совокупность предпринимаемых органами государственной власти мероприятий, посредством которых, применяя соответствующие средства, воздействуют на экономический процесс для достижения поставленных целей.

Общие соображения в пользу экономической политики

Экономическая политика региона  это его стремление направить ресурсы в ту или иную отрасль, которую оно считает перспективной в отношении экономического роста. Поскольку это означает перемещение ресурсов из других отраслей, экономическая политика всегда предполагает развитие одних отраслей хозяйства за счет других.
Главная проблема для этой политики  определение критерия отбора приоритетной отрасли, т.е. как выбрать те отрасли, которые получат поддержку за счет остальных.
Важно различать, какие отрасли должны стимулироваться и в каких должен происходить экономический рост. В рыночной экономике некоторые отрасли будут развиваться, другие  сжиматься под влиянием законов рынка.
Для выработки действенной экономической политики региональные органы государственной власти должны быть в состоянии не просто определить отрасли, имеющие перспективы в будущем, они должны быть готовы к ответу на более важный вопрос: какие сферы хозяйства должны развиваться или сокращаться быстрее, чем их подталкивают к этому рыночные силы.
Для того чтобы обосновать активную региональную программу, которая будет стимулировать переток ресурсов, необходимо показать, что этот процесс происходит слишком медленно, т. е. необходимо обосновать вмешательство региональных органов государственной власти наличием дефекта рыночного регулирования.
Обычно аргументы в пользу той или иной экономической политики не обязательно упираются в дефект рыночного регулирования. Вместо этого они содержат надежные с виду критерии для выделения тех или иных сфер экономики в качестве приоритетных для правительственной поддержки. По нашему мнению, региональные органы государственной власти должны способствовать развитию следующих отраслей:

  • с высокой добавленной стоимостью на одного работающего;
  • играющих роль "связующего звена";
  • имеющих потенциал роста в будущем;
  • позволяющих повысить вертикальную интеграцию предприятий региона.

Цели экономической политики

Экономико-политические мероприятия направлены на достижение определенных целей. Для контроля выполнения нужны соответствующие показатели (измерительные величины, масштабы).
Подобные проектные задания выставляются на фоне определенной, сложившейся к данному времени экономической ситуации.
Поэтому они являются отражением тех возможностей, которые в данное время кажутся вполне реализуемыми.
Повышение благосостояния региона обеспечивается реализацией целей экономической политики, имеющих своей главной задачей общеэкономическое равновесие в регионе. При достижении таких целей ( 1), регион получает экономические возможности регулировать цены, обеспечивать занятость населения, поддерживать торговый баланс, и создавать предпосылки для экономического роста.















1. Цели экономической политики
К целям экономической политики относятся:
1. Высокий уровень занятости
В широком смысле слова под этим понимают полное использование всех факторов производства. В качестве масштаба служит степень загрузки совокупного производственного потенциала в народном хозяйстве.
В узком смысле слова речь идет о полной занятости производственного фактора "труд".
Ввиду высокой и продолжающейся безработицы достижение полной занятости становится главной задачей экономической политики. Эта задача основывается в первую очередь на представлении о человеческой личности, по которому самоутверждению человека в процессе трудовой деятельности придается первостепенное значение.



Коэффициент концентрации доходов


RC = f (Y, I),
то есть факторы ценообразования в России являются основополагающими как для составляющей доходов:
Y = f (PL, P),
так и косвенно через величину процентной ставки (R), сберегаемой части доходов (S) для инвестиционной составляющей:
I = f (S, R),
где
S = Y C,
R = f (P).
Кроме того данная группа факторов оказывает существенное влияние на социально-политическую (SP) и производственную составляющие (FP) конкурентоспособности региона. Последние две могут быть включены в обобщенный показатель инвестиционной привлекательности региона.
Этот показатель несколько шире, рассмотренного нами ранее инвестиционного потенциала, поскольку учитывает еще инвестиционные риски, реальные объемы внутренних и иностранных инвестиций, результаты хозяйственной деятельности предприятий региона, финансовую зависимость региона.
Комплексный показатель конкурентоспособности региона складывается, по нашему мнению, из двух групп:
Коэффициент концентрации доходов

Соответственно каждый из них включает в себя:
Y = PC + G + L,
где
PC покупательная способность населения;
G коэффициент концентрации доходов (коэффициент Джини);
L уровень безработицы.
I = Ip + Ir + Iq + Q,
где
Ip инвестиционный потенциал региона;
Ir инвестиционный риск;
Iq реальные объемы инвестиций;
Q число убыточных предприятий в регионе.
Как было отмечено выше, составить достоверный сравнимый измеритель конкурентоспособности в обобщенной форме весьма сложно по причине несводимости к общему знаменателю различных процессов, отраженных в функциональных параметрах.
Таким образом, речь может идти о выделении из них таких, которые могли бы в наибольшей степени учитывать влияние остальных, опираясь на которые можно было бы после анализа модели "региональный спрос региональное предложение" делать выводы о положении дел в регионе и его конкурентоспособности по отношению к другим.
В этой связи нами предлагается вариант расчета конкурентоспособности региона, основанный на ранжировании регионов по численным значениям каждого из частных показателей с определением соответствующего места региона. Затем место, занятое регионом умножается на весовое значение каждого показателя и все они суммируются.
Вес показателя определяется его "влиянием" на всю группу показателей (Y или I) и исходя из выбранной темы исследования, ставящей целью проследить взаимосвязь механизма ценообразования и конкурентоспособности региона.
Регион, набравший меньшее количество баллов, считается более конкурентоспособным.
Веса показателей могут иметь, например, следующие значения (исходя из приводимых соображений):
PC = 0,5 в большей степени учитывает взаимосвязь двух рынков: товаров (работ, услуг), и труда;
G = 0,3 концентрация доходов является следствием функционирования рынка труда и сильно зависит от социальной политики региональной власти;
L = 0,2 показатель безработицы имеет существенные погрешности, так как в условиях кризиса не всегда учитывает большую долю скрытой безработицы;
Iq = 0,7 объем реальных (как внутренних, так и внешних) инвестиций свидетельствует о действительной инвестиционной привлекательности региона, а следовательно, и об эффективности регионального хозяйствования;
Ip = 0,5 инвестиционный потенциал учитывает основные макроэкономические характеристики, насыщенность территории факторами производства и др. показатели;
Ir = 0,4 интегральный показатель рассчитываемый консалтинговым агентством "Эксперт-РА" и учитывающий законодательный, политический, экономический, финансовый, криминальный и экологический риски;
Q = 0,3 количество убыточных предприятий говорит об их слабой адаптированности в силу различных причин к функционированию в условиях рыночной экономики.
Осуществленная в ходе экономических реформ политика либерализации цен в нашей стране по своей сути означала не что иное, как децентрализацию ценообразования при сохранении монополизма. Государство в основном уступило монополию на установление и применение цен монопольным структурам в промышленности, торговле и в сфере внешнеэкономической деятельности.
Таким образом, одна форма монополизма была заменена другой, худшей, так как последняя связана в большей степени с корпоративными интересами отдельных групп товаропроизводителей и не в состоянии ориентироваться на систему общенациональных интересов.
В результате свободного ценообразования на основе действия механизма рыночной конкуренции не получилось.
В этих условиях политика формирования цен была направлена не на расширение производства товаров и услуг и удовлетворение спроса, а в первую очередь на создание за счет роста цен безубыточного производства на сохраняющейся отсталой технологической основе. Поэтому одна из главных негативных сторон либерализации состояла в том, что при отсутствии должного контроля за изменением уровней и соотношения цен не было создано экономических стимулов для технологического совершенствования производства с целью структурной перестройки и переориентации экономики на социально направленную.
Структурные перекосы в экономике, наличие в ней мощных неформальных объединений, недостатки приватизации, а также продолжающаяся сохраняться убежденность многих хозяйственных руководителей в том, что власти не выдержат социальной напряженности и введут в очередной раз льготы и компенсации, приводят к тому, что многие процессы не укладываются в рамки классических схем и моделей, разработанных для условий нормально развивающихся экономических процессов на основе рыночного ведения хозяйства.
Таким образом, система цен, сложившаяся в регионах находится в стадии формирования, сильно зависима от положения дел в экономике РФ, стран СНГ и не всегда адекватно отражает реальную рыночную ситуацию.
Цена является важным инструментом регулирования экономики со стороны как Центра, так и региональной власти. Степень регулирования цен существенно варьируется по отдельным регионам, что однако, не всегда является характеристикой либо "консерватизма", либо "реформаторства" региона.
Важно какими методами и на какие товары и услуги направленно данное регулирование.
Для преодоления затратного характера ценообразования необходимо способствовать максимальному насыщению регионального рынка товарами и капиталами, стимулировать накопления и инвестиции в промышленном секторе, что приведет к росту инвестиционного потенциала, а следовательно, и конкурентоспособности региона. Но для этого в качестве главного направления экономической политики как в Центре, так и регионах должна быть борьба с прекращением спада производства и смягчение его негативных последствий.
Это также является главным условием и средством преодоления монополизма и развития конкуренции.
Конкуренция не может сложиться при глубоком спаде и депрессии производства, при порождаемом этим дефиците товаров и ресурсов, сужении емкости рынка, понижении платежеспособности населения.
Формирование цен в каждом структурном элементе регионального рынка выводит нас в конечном итоге на показатели конкурентоспособности региона. Так, цена на рынке труда в виде заработной платы и цены рынка товаров и услуг свидетельствуют о покупательной способности населения.
Конкурентоспособность продукции предприятий региона, ее реализация на региональном и внешних рынках увеличивает число прибыльных предприятий.
Отсюда возникает необходимость более подробно остановиться на механизме взаимосвязи регионального ценообразования и конкурентоспособности региона, поскольку именно проблемы ценообразования на различных типах рынков обуславливают целостность воспроизводственного процесса в регионе, ситуацию на региональном рынке, его конкурентоспособность по отношению к другим регионам.
Отметим, что многие подходы не в полной мере учитывают возрастающее влияние факторов ценообразования на конкурентоспособность региона. По мнению автора, эти факторы необходимо анализировать как со стороны регионального спроса, так и со стороны регионального предложения.
Конечной целью данного анализа должен стать вывод о конкурентоспособности региона на основе показателей, отражающих взаимосвязь ценообразования в различных секторах регионального рынка.
Эффективность механизма регионального ценообразования заключается в достижении равновесия регионального спроса и регионального предложения при условии сохранения высокого жизненного уровня населения, обеспечении стабильного функционирования реального сектора экономики, при активной поддержке со стороны региональной власти структурообразующих и конкурентоспособных предприятий региона.
Таким образом, на наш взгляд, в основе конкурентоспособности региона лежат факторы ценообразования, имеющие как определенную специфику для каждого типа регионального рынка, так и тесно связанные между собой ( 7).
В свою очередь, практически все факторы ценообразования обусловлены состоянием реального сектора экономики, его отраслевым составом, местом в системе общественного разделения труда.
В отраслях конкурируют как предприятия, так и в какой то степени регионы. Предприятия должны сами создавать и завоевывать конкурентное преимущество на том или ином рынке.
Региональная власть, хотя и не может формировать или оказывать влияние на институциональные структуры, в окружении которых работают фирмы, тем не менее должна создать условия, позволяющие предприятиям достигать конкурентного преимущества.



Корпоративная среда


Период с 1991 г. по 1994 г. Активная чековая приватизация, в ходе которой произошло первичное перераспределение собственности среди директорского корпуса и сформированных финансово-банковских структур; участие в приватизации было возможно, прежде всего, через открытое и скрытое сотрудничество с администрацией регионов и Госкомимущества России; создаваемые в ходе приватизации на базе крупных государственных предприятий акционерные общества уже можно было относить к корпорациям, но неразработанность акционерного права, недооцененность имущества, а также неподготовленность персонала предприятий сводили корпоративное управление к традиционным методам управления, которые в исполнении непрофессиональных менеджеров приводили к дальнейшему развалу и банкротству предприятий.
В то же время начал складываться определенный корпоративный стиль взаимоотношений отдельных структур, таких как банковский капитал, нефтегазовые предприятия и другие, когда на смену государственным органам управления приходят самоуправляемые компании. Отчужденность же большинства населения от активных процессов участия в управлении собственностью, потеря рабочих мест и экономическая безграмотность сформировали негативное отношение ко всем процессам реформирования экономики.
Но именно в этот период были заложены основы настоящей корпоративности среди новых предпринимательских структур, созданных молодыми (образованными, честолюбивыми) предпринимателями, у которых было только два пути: или войти в кооперацию с бывшими государственными структурами, или противопоставить им цивилизованный бизнес, основанный на опыте зарубежных корпораций. К тому же на принимаемые в корпорациях решения начало влиять уже полученное качественное зарубежное образование в новых для российской экономики сферах: на финансовом и фондовом рынках, на рынке обязательств, в маркетинге, менеджменте.
Активное взаимопроникновение западных и российских корпораций, совместная работа на российском фондовом рынке неизбежно подталкивали российские корпорации к пониманию особенностей корпоративного управления.
Период с 1994 г. по август 1998 г. Денежная приватизация в условиях принятия законов об акционерных обществах, о рынке ценных бумаг, Гражданского кодекса РФ, уточнения законодательства о приватизации. Активно формируется инфраструктура рынка: инвестиционные компании и фонды, депозитарии и регистраторы, паевые инвестиционные фонды, страховые компании, аудиторские и консалтинговые компании, пенсионные фонды и др.
Крупные зарубежные компании открывают в России свои филиалы, представительства или создают совместные фирмы.
Основная тяжесть проблемы привлечения инвестиций перемещается с федерального центра на регионы. Региональные власти принимают местные законы об образовании страховых фондов для привлечения инвестиций, а объектом купли-продажи в соответствии с принятыми региональными законами становится земля и другие объекты недвижимости.
Период с августа 1998 г. по настоящее время. Ситуация внешнего и внутреннего дефолта, общий недостаток финансовых ресурсов.
Бегство капиталов из России заставляют искать новые финансовые инструменты или новые механизмы использования старых активов.
Напряженность на валютном рынке наряду с практически полным отсутствием рынка корпоративных ценных бумаг делают региональные финансовые инструменты практически единственным способом защиты от инфляции и получения дохода в России.
На этом фоне проявляется слабая подготовленность российских менеджеров (особенно высшего эшелона управления) к выбору стратегии развития, привлечению капиталов и инвестиций, удержанию и завоеванию рынков сбыта, учету истинной мотивации партнеров по бизнесу. Все это приводит к дальнейшему перераспределению собственности, но уже на фоне понимающих свои права акционеров.
Коррупция и беспредел теневого капитала заставляют высший менеджмент выбирать одно из двух направлений: либо входить в контакт с мафиозными структурами и постепенно терять управление, либо строить такую систему корпоративных отношений, которая позволяла бы сохранить и себя, и собственность.
Корпоративное управление строится на базисе отработанных и действенных норм в сфере финансов, ценных бумаг, управления, трудовых взаимоотношений, контрактных обязательств, договорной деятельности, организационных структур, маркетинга. При наличии базовых государственных документов и накопленного опыта можно строить систему корпоративных отношений на уровне конкретной корпорации, задавая таким образом ориентиры для всей российской экономики.
В каждом конкретном случае корпорация в лице ее высшего менеджмента (а в условиях России это пока сами собственники) делает выбор в пользу постепенного включения работников в систему деловых взаимоотношений в сфере собственности вместо жесткого управления наемным персоналом. Это представляет важнейшую тенденцию в становлении и формировании нормальных корпоративных отношений.
Баланс интересов Многолетняя противоречивая практика работы корпораций дала аналитическим и консалтинговым фирмам очень большой материал для обобщения и выработки единых норм и рекомендаций по корпоративному управлению. Так, в США в 1992 г. подготовлены Американским институтом права "Принципы управления корпорациями".
Регулярно готовит предложения Круглый стол по вопросам бизнеса. Все это создает определенную упорядоченность в понимании сути корпоративных отношений и интересов самых разнообразных структурных категорий общества.
В процессе функционирования корпораций в ее корпоративную среду ( 9) вовлекаются тем или иным способом различные субъекты общества и категории людей.













9. Корпоративная среда
Основными субъектами корпоративных отношений кроме самой корпорации являются:
1. Потребители, которые требуют к себе самого пристального внимания со стороны корпорации. Без потребителей она просто не сможет существовать.
Потребители хотят получить от нее качественные товары и услуги, приемлемые цены, хорошее обслуживание и правдивую рекламу. Если корпорация не стремится направить силы на удовлетворение потребностей потребителей, то это можно назвать ее главным стратегическим просчетом, из-за которого корпорацию может постичь неудача как в долгосрочном, так и в краткосрочном периоде.
Это обусловлено тем, что отношение общества к корпорации в значительной степени формируется в точках продажи товаров и услуг.
2. Служащие, суть отношений которых с корпорацией переходит от обычных требований справедливой оплаты труда и к другим аспектам взаимоотношений работодателя с работником: равенству возможностей, защите здоровья на рабочем месте, финансовой безопасности, невмешательству в личную жизнь, свободе самовыражения и обеспечению соответствующего уровня жизни.
3. Местное население, на которое корпорации оказывают наибольшее воздействие в процессе производства. Именно здесь от корпораций ждут непосредственного участия в решении местных проблем: образования, организации транспорта, условий для отдыха, системы здравоохранения, охраны окружающей среды.
В России, где много градообразующих предприятий, эта проблема особенно актуальна, поэтому именно здесь корпорации прежде всего должны объяснять суть и характер своей деятельности.
4. Общество в целом, на которое корпорации оказывают воздействие на национальном и международном уровне. Их деятельность оказывается объектом пристального внимания различных организаций и групп заинтересованных лиц, включая академические круги, властные структуры и средства массовой информации.
От корпораций ждут участия в решении проблем национального и международного масштаба.
В то же время их первой и главной обязанностью перед обществом является забота о поддержании собственной экономической жизнеспособности в качестве производителя товаров и услуг, нанимателя и создателя рабочих мест. Одной из главных мировых проблем, особенно в настоящее время, является проблема экологической безопасности производства.
5. Поставщики, большую часть которых составляют, как правило, малые предприятия, ожидающие от сотрудничества с крупными компаниями справедливых торговых отношений и своевременных платежей. Взаимоотношения крупных корпораций и их поставщиков являют собой важное звено любой экономической системы, так как само существование малого бизнеса зависит от честного отношения к нему со стороны корпораций.
6. Акционеры вступают с корпорацией в особые отношения: они делают возможным само существование корпорации как поставщики "рискового" капитала, необходимого для ее возникновения, развития и роста. Интересы акционеров должны учитываться во всех важнейших действиях общества.
То есть, корпоративная среда представляет собой область взаимодействия корпорации как объекта с теми, на кого она может в силу своих возможностей оказывать влияние.
Во всех принципиальных решениях корпорации должен быть достигнут баланс интересов участников корпоративных отношений, что повышает их важность и значимость. В этих целях крупные корпорации, как правило, разрабатывают и утверждают следующий примерный перечень документов, регламентирующих правила взаимоотношений и устанавливающих структуру в рамках корпоративной среды:



Мероприятия, способствующие развитию инвестиционно-заемной системы






Баллы
1
Прожиточный минимум (т. р. / чел)
3
2
Заработная плата (т. р. / чел)
2
3
Уровень преступности (кол-во прест. / 100 тыс. жит.)
3
4
Задолженность поставщикам (т. р. / чел)
2
5
Задолженность покупателям (т. р. / чел)
2
6
Просроченная задолженность по зарплате (т. р. / чел)
3
7
Уровень безработицы (бирж. контингент / чис-ть нас.)
3
8
Отношение кол-ва безработных к числу вакансий
3
9
Уровень образования (численность лиц со средним и высшим образованием / 100 жителей)
1
10
Дифференциация доходов
3

По данному множеству показателей производится анализ состояния регионов (ранжирование), оценка "узких" мест и факторов. Далее производится разработка сценариев выхода из кризиса в зависимости от избранного подхода с оценкой рисков.
Данная методика является универсальной и в принципе может быть подобран такой набор показателей, который полностью отвечал бы концепции ИЗС конкретного региона.
Экономическая безопасность предприятия Под экономической безопасностью предприятия как правило понимается состояние наиболее эффективного использования корпоративных ресурсов для предотвращения угроз и обеспечения стабильного функционирования предприятия в настоящее время и в будущем. Оценка уровня экономической безопасности производится с помощью обобщающего критерия, определяемого с помощью системы частных функциональных критериев, рассчитываемых по наиболее важным функциональным направлениям (составляющим): финансовой, интеллектуально-кадровой, технико-технологической, политико-правовой, экономической, информационной, силовой.
Частные критерии сформированы по принципу оценки предотвращенного ущерба, модель которого имеет вид:
Мероприятия, способствующие развитию инвестиционно-заемной системы
,
где
ЧФКi частный функциональный критерий уровня обеспечения i-ой функциональной составляющей экономической безопасности (ЭБ) предприятия;
Упрi предотвращенный ущерб по i-тому функциональному направлению;
Зi суммарные затраты на реализацию мер по обеспечению ЭБ по i-му направлению;
Упоi нанесенный ущерб по i-му функциональному направлению.
Свертка частных критериев в обобщающий осуществляется методом приоритетов (удельных весов i) с соблюдением правила
Мероприятия, способствующие развитию инвестиционно-заемной системы
.
Обобщающий критерий экономической безопасности определяется по формуле:
Мероприятия, способствующие развитию инвестиционно-заемной системы
.
Использование критериальных расчетов в управлении предприятием осуществляется методом аналогичным методу для регионов: оценка узких мест, разработка и реализация сценариев, выбор сценария, разработка плана мероприятий по обеспечению экономической безопасности.

Экономическая безопасность инвестиционно-заемной системы

Используя приведенные подходы к определению понятия экономической безопасности, попытаемся сформулировать таковое для инвестиционно-заемной системы. По нашему мнению оно может выглядеть так.
Под экономической безопасностью инвестиционно-заемной системы понимается экономическая защищенность системы и интересов ее участников от внешних и внутренних угроз, позволяющая надежно сохранить и эффективно использовать для исполнения своей миссии ее экономический потенциал.
При этом под миссией ИЗС будем понимать задачу привлечения заемных средств в целях удовлетворения инвестиционных потребностей региона, определяемых в рамках ИЗС по совокупной цене, удовлетворяющей требованию безубыточности функционирования инвестиционно-заемной системы.
Заметим, кстати, что потребность в постановке проблемы экономической безопасности определяется наличием внешних (экзогенных) и внутренних (эндогенных) деструктивных факторов (угроз) по отношению к ИЗС. К внешним деструктивным факторам, например, можно отнести экономическую и политическую нестабильность несовершенство законодательства, известную неготовность потенциальных инвесторов к взаимодействию с ИЗС, диверсионная деятельность непорядочных фирм, динамическая подвижность рынка ценных бумаг, отсутствие достоверной информации для инвесторов о состоянии рынка и эмитентов ценных бумаг и др.
К числу внутренних факторов, порождающих угрозы, чреватые рисками появления сбойных ситуаций можно отнести ограниченные возможности по страхованию рисков, отсутствие четких технологий взаимодействия профессиональных участников рынка облигаций, пока еще имеющая место институциональная незавершенность ИЗС как полноправного субъекта рыночной экономики Республики, сложная система взаимосвязей в системе, каждая из которых может стать очагом сбойных ситуаций и т.п.
Следует сказать, что с понятием "экономическая безопасность" тесно связаны такие понятия как:

  • мониторинг в ИЗС, как средство, позволяющее предвидеть и диагностировать возможные риски, связанные с появлением сбойных ситуаций;
  • рациональные мотивационные схемы экономических стимулов участников ИЗС, позволяющие учесть и удовлетворить их экономические интересы;
  • законодательная защищенность ИЗС, которая дает ей возможность существовать и развиваться в относительно стабильных условиях на обозримых временных горизонтах.
Рассмотрим теперь известные нам направления обеспечения безопасности, в том числе экономической безопасности больших систем, считая это своеобразным анализом состояния дел в данной области. Забегая вперед, отметим, что ни один из возможных подходов к решению этой проблемы целиком не применим, но при этом представляется возможность частичного использования этих подходов для формирования облика будущей системы управления экономической безопасностью ИЗС.

Мероприятия, способствующие развитию инвестиционно-заемной системы

Обеспечение политической безопасности страны
Это направление связано с милитаризацией экономики, созданием "социалистического щита" в виде Варшавского договора, созданием системы социалистической экономической интеграцией в рамках СЭВ, экономической поддержкой стран с некапиталистической ориентацией экономической экспансией, основанной на поставках оборудования и ресурсов по демпинговым ценам, поддержанием убыточных производств для базирования советского контингента (например, добыча угля на Шпицбергене), или удержании рынка услуг (например, эксплуатация малоприбыльных воздушных судов).
Примеры подобной "благотворительности" можно было бы продолжить, но и сказанного достаточно, чтобы дать обобщающую ее характеристику государственный патронаж, государственный протекционизм во имя достижения политических целей. Естественно, полностью отрицать подобное положение дел нельзя, поскольку во главу угла ставились политические цели.
Однако принцип государственной протекции и поддержки вполне применим и к нашей проблеме. И реализуется этот принцип посредством Правительственной поддержки рынка региональных облигаций, выражающейся довольно широким спектром мер, начиная от финансирования исследований по созданию ИЗС и кончая установлением государственной монополии на аукционное размещение облигаций внутренних и внешнего (валютного) займов.

Антикризисное управление экономикой переходного периода
Данное направление очень тесно корреспондируется с самой сутью инвестиционно-заемной системы, которая ориентирована на пополнение средств региона для реализации инвестиционной программы, развитие сферы финансовых услуг. При этом изначально постулируется правительственная (т.е. государственная) гарантия надежности и ликвидности республиканских ценных бумаг, а также государственная поддержка этого сегмента рынка заемных капиталов.
Кроме того устанавливается монополия на такого рода заемную деятельность, которая выражается в том, что никто не имеет права выпуска долговых обязательств от лица правительства Республики, кроме него самого.

Страхование
Страхование, как система экономических отношений, основанных на создание специализированных фондов средств для возмещения вероятных ущербов или предотвращение форс-мажорных обстоятельств. В контексте данной работы и концепции ИЗС страхование выступает в двух относительно самостоятельных аспектах.
Первый аспект внешний, состоит в том, чтобы пользоваться услугами некоей страховой компании, выступающей в качестве Участника ИЗС, либо действующей по договору с Уполномоченным представителем системы. Однако, на наш взгляд, применение страхования существенно ограничено по ряду причин.
Дело в том, что страховые выплаты при наступлении страхового случая производятся по истечении довольно длительного времени, связанного с установлением причинности и виновности, тогда как потребность в средствах проявляется в течение короткого срока.
В этом случае страхование не исключает необходимости наличия резервных средств. Применение страхования как метода обеспечения экономической безопасности в случае падения рынка ценных бумаг также проблематично, поскольку страховка должна иметь активы, соразмерные с объемами обслуживания регионального долга.
Таких компаний в настоящее время в России нет, да и подобный контракт в связи с подобными страховыми случаями также весьма и весьма проблематичен.
Таким образом, использование страховых компаний как партнера возможно только для тривиальных случаев таких как транспортировка ценных бумаг, страхование имущества и т.п.
Второй аспект внутрисистемный состоит в том, что при наличии временно свободных средств в системе может быть сформирован инвестиционный портфель, основными направлениями вложений, в котором являются вложения в ликвидные активы с заданными параметрами ликвидности, в этом случае в целях страхования валютного риска в системе предусматриваются операции хеджирования и валютного арбитража с использованием форвардных, фьючерских, опционных сделок, сделок СВОП и т.п.



Направления экономической безопасности


Подводя итог анализу направлений, можно попытаться кратко изложить сказанное (табл. 4). Таблица 4
Направления экономической безопасности и их использование

Существующие направления обеспечения безопасности
Направления использования
1. Политическая безопасность страны.
Правительственный уровень принятия стратегических решений.
2. Антикризисное управление
Государственная поддержка рынка ценных бумаг.
3. Антимонопольное управление

4. Риск менеджмент в различных сферах.
Операции хеджирования и арбитража с использованием форвардных фьючерсных и опционных сделок.
5. Методы технического и фундаментального анализа.
Организация информационно-статистической базы.
6. Страхование рисков
Частичное использование методов страхования по отдельным технологическим операциям.
7. Информационные системы (REUTERS)
Курсовой анализ
9. Управление инвестиционным портфелем.
Оптимизация.
10. Опыт риск-менеджмента за рубежом.
Резервирование части заемных средств; бюджетные гарантии.
11. Управление надежностью в сложных технических системах.
Организация информационно-статистических массивов. Машинные эксперименты.

Концепция экономической безопасности инвестиционно-заемной системы Термин "концепция" (от лат. сonceptio понимание, система) означает определенный способ понимания, трактовки какого-либо явления, основная точка зрения, руководящая идея для их освещения; ведущий замысел, конструктивный принцип различных видов деятельности. Как показывает опыт, разработать концепцию чего-либо в управлении означает сформулировать определение, цели, задачи, принципиальную структуру концептуального объекта.
Как уже упоминалось ранее, под экономической безопасностью инвестиционно-заемной системы нами понимается экономическая защищенность системы и интересов ее участников от внешних и внутренних угроз, влияние деструктивных факторов, позволяющая сохранить и эффективно использовать для исполнения своей миссии ее экономический потенциал.
Из данного определения следует, что проблема обеспечения экономической безопасности системы вытекает из структуры самой этой системы. Именно поэтому мы должны рассмотреть наиболее общие структурные построения инвестиционно-заемной системы.
Следует отметить, что сложная система может быть представлена различными структурами. Собственно, поэтому она и является сложной.
Все зависит от того, кто и с какой целью осуществляет системный анализ.
В данной работе мы рассматриваем несколько различных структур. Это, прежде всего функционально-целевая структура, в которой целевые и общесистемные функции увязываются в единую системную матрицу и в которой формируются специализированные комплексы задач, каждая из которых обладает своим набором обеспечивающих блоков (техническое, технологическое, методическое, программное, информационное, кадровое и т.д. обеспечения).
Затем это взаимосвязанная структура финансовых фондов займов и финансовые потоки в системе.
Следующая используемая структура это технологическая структура ИЗС, которая представляет ее в виде комплекса взаимосвязанных технологических подсистем. Это базовая кибернетическая структура сложной системы, представляющая ИЗС.
И, наконец, сугубо теоретическая структура сложной системы, представляющая ее в виде множества элементов системы, множества свойств элементов и множества связей между элементами.
С точки зрения системного подхода следует показать их общую взаимосвязь. Для этого целесообразнее всего рассмотреть ИЗС с позиций кибернетического подхода, который нам представляется наиболее универсальным.
Этот подход предполагает описание параметров "входа", "состояния", "выхода" системы, а также ее взаимосвязь с субъектом управления и внешней средой.
Параметрами "входа" для инвестиционно-заемной системы являются спрос на выпускаемые ценные бумаги, емкость рынка ЦБ, инвестиционные потребности города, информация о соблюдении режима возвратности средств из инвестиций, "цена денег", т.е. стоимость заемных средств.
К параметрам "выхода" отнесем состояние проектов, величина минимальных кредитных ставок, гарантии надежности возвратов инвестиционных кредитов и процентов по ним, интервал времени между получением займа и его инвестированием и др.
Параметры "управления" представляются следующим перечнем: сумма инвестируемых средств и их стоимость. Структурные соотношения займов и инвесторов, эффективность и надежность инвестиционных портфелей, прозрачность рынка государственных обязательств, условия займов и возвратов средств.
Взаимоотношения с внешней средой характеризуются наличием правительственных гарантий для инвесторов и рациональностью законодательных актов.
Особо детально следует рассмотреть параметры состояния ИЗС, и для этого нам необходимо сделать некоторые отступления.
В различных источниках по теории и практике управления, авторы, применяющие системный подход именуют исследуемую систему в зависимости от стоящих целей и задач по разному. Экономисты рассматривают сложную систему как техническую, т.е. как комплекс технических средств, технолог именует ее как технологическую, понимая под ней комплекс взаимосвязанных технологических процессов, социолог социальной, исследуя социальные процессы, финансист финансовой, рассматривая совокупность финансовых потоков и отношений между людьми и т.п.
Соответственно и при проведении смежных исследований система может рассматриваться как любая комбинация наименований (социально-экономическая, финансово-экономическая, организационно-технологическая и т.п.
Такое толкование не противоречит одному из правил системного подхода, а именно: выразить параметры рассматриваемой системы через параметры других систем, с целью получения комплексной логичной модели. Мы, по вполне понятным соображениям, будем диагностировать ИЗС как финансово-экономическую.
Согласно требованиям системного подхода, характеризуя состояние системы, мы обязаны, в соответствии с одной из упомянутых выше структур описать элементы системы их свойства и связи. Исходя из сути финансово-экономической системы, основными факторами экономического роста, а следовательно, элементами системы, являются живой труд (квалифицированная рабочая сила), прошлый труд (средства производства) и деньги.
Очевидно, что свойства и элементов системы характеризуются соответственно уровнем развития: кадрового корпуса, технических средств (и новых знаний) и механизмом сохранения стоимости. В свою очередь, связи элементов характеризуются соответственно уровнем развития: организационного взаимодействия фирм-участников, коллективов и людей, технологических процессов и НОУ-ХАУ и финансовых отношений.
Перечисленные свойства и связи могут быть избраны нами в качестве комплексных факторов обеспечения экономической безопасности.
Рассмотренные нами различные структуры, дающие представление об ИЗС, как о сложной финансово-экономической системе весьма тесно между собой связаны.
В заключение кратко рассмотрим опыт обеспечения экономической безопасности инвестиционно-заемной деятельности в странах с развитым финансовым сектором экономики.
Зарубежный опыт обеспечения экономической безопасности В развитых странах основной упор в сфере обеспечения ЭБ делается на государственное регулирование фондовых рынков. Прежде всего, это так называемая "опора на рыночную дисциплину", предусматривающая выполнение следующих условий:

  • рынки должны быть свободными и открытыми; в частности, не должно существовать никаких требований (таких, как резервные требования или иные требования к составу портфеля) к посредникам на финансовом рынке, которые поставят государство в положение привилегированного заемщика;
  • адекватная информация о просроченном долге заемщика и об имеющихся у него возможностях погашения этого долга должна быть доступна потенциальным кредиторам;
  • не должно существовать возможности предоставления государственных средств для помощи кредиторам в случае, если им грозит непогашение кредитов заемщиками;
  • в распоряжении заемщика должны находиться институциональные структуры, обеспечивающие адекватное реагирование проводимой им политики на поступающие от рынка сигналы, до того, как ему будет запрещено осуществлять новые заимствования.
Наиболее близким к подходу, основанному на исключительной опоре на рыночную дисциплину в ряду механизмов контроля, является подход, при котором ограничения на задолженность местных органов не устанавливаются в законодательном порядке и не диктуются центром, а вырабатываются в результате переговорного процесса между федеральным и местным органами. Различные варианты такого подхода можно обнаружить в некоторых европейских странах, например, скандинавских, а в последние годы в Австралии.
Основанный на взаимодействии государственных органов разных уровней подход имеет очевидные преимущества в развитии диалога и обмена информацией между государственными органами различных уровней. Он также воспитывает в местных политиках сознание последствий их решений в бюджетной сфере для макроэкономики.
Однако представляется, что такой подход лучше всего работает в странах со сложившейся культурой относительной налогово-бюджетной дисциплины и консерватизма.



Непрерывный и соразмерный экономический рост


Кроме того, экономическая, а также политическая независимость работающего по найму человека обеспечивается в длительной перспективе только тогда, когда он уверен, что в любое время найдет для себя соответствующую своей квалификации работу. 2. Равновесие внешних экономических операций
В экономических связях с другими регионами и зарубежными странами преследуется цель сбалансировать поступающие и расходные платежи так, чтобы все торговые партнеры могли оставаться платежеспособными. Только в этом случае можно на длительный срок обеспечить себе преимущества, которые вытекают из международного и межрегионального разделения труда.
К тому же экспорт гарантирует рабочие места и представляет собой важную движущую силу экономического роста.
3. Непрерывный и соразмерный экономический рост
Общий экономический рост означает увеличение предложения товаров и услуг, приходящихся на душу населения.
Экономический рост должен, помимо материального потребления скорее способствовать повышению качества жизни путем создания лучших условий окружающей среды, гуманизации рабочего места, лучшей системы здравоохранения и обеспечения старости.
4. Стабильный уровень цен
Если цены на потребительскую корзину в регионе составляют какую-то часть средней зарплаты в регионе, то изменение стоимости корзины должно происходить в таких же пропорциях как и изменение заработной платы или меньшими темпами. В этом случае цены не будут фактором, влияющим на инвестиционные желания и инфляционные ожидания населения.

Взаимосвязь отдельных целей

Отдельные цели экономической политики могут согласовываться между собой или оказаться несовместимыми.
Согласованное (совместимость)
Достижение поставленной цели благоприятствует одновременно реализации другой цели. Например, снижение уровня существующей безработицы при экономическом спаде способствует экономическому росту, ибо более полная загруженность факторов производства приводит к увеличению производства товаров.
Конфликт целей (несовместимость)
Цели конкурируют между собой, т. е. приближение к одной цели связано с отдалением от одной или нескольких поставленных целей. Например, в народном хозяйстве в период спада конъюнктуры затрудняется достижение целей: полная занятость, экономический рост и стабильный уровень цен.
В результате сокращения денежной массы, сдерживается совокупный спрос, а следовательно, и рост цен. В то же время усиливаются тенденции спада, вследствие чего растет безработица и замедляется экономический рост.
Односторонняя направленность экономической политики на полную занятость с помощью политики дешевых денег и высокой государственной задолженности с целью стимулировать совокупный спрос вызывает, как правило, "доморощенную" инфляцию. Одновременно нарушается также сбалансированность внешнеторговых операций, если на внешнем рынке проводится политика стабилизации, так как тогда сокращается экспорт из страны и увеличивается импорт.
Для того чтобы разрешить всю проблематику конфликта целей, экономическая политика стремится на практике к компромиссам: приоритет цели, наиболее подверженной нежелательному воздействию, с учетом прочих целей. Одним из основных направлений реализации экономической политики региона является инвестиционная политика.
Цели и задачи инвестиционной политики региона Цель инвестиционной политики  создание условий для эффективных вложений в экономику региона. Под эффективными вложениями обычно понимаются такие инвестиционные вложения, которые помимо платы за риск инвестиций позволяют получить приемлемую для инвестора и для региона, принимающего инвестиции, экономическую выгоду в виде, например, прибыли от инвестиций.
В этой связи, основным критерием для инвестора будет являться ожидаемая доходность на вложенный капитал в сопоставлении со степенью риска, а для региона повышение бюджетной эффективности экономики региона.
Повышение бюджетной эффективности региона положительное изменение регионального бюджетного сальдо, то есть либо инвестиции должны привести к росту доходов, либо к снижению расходов регионального бюджета.
На наш взгляд, основными условиями проведения разумной и привлекательной для инвесторов политики являются следующие условия:

  • доступная и полная информация об объектах;
  • установленная и прописанная процедура получения прав;
  • критерии определения победителей в случае тендеров за право;
  • понятный механизм оценки стоимости прав;
  • государственный институт регистрации прав;
  • государственные меры стимулирования и поддержки инвесторов.
В соответствии с заданными условиями могут быть сформулированы следующие задачи инвестиционной политики региона:

  • повышение общей инвестиционной привлекательности региона;
  • формирование новых источников налоговых и рентных платежей;
  • образование новых рабочих мест;
  • развитие инфраструктуры региона;
  • восстановление исторических объектов на территории региона;
  • формирование здоровой конкурентной среды;
  • поддержание благоприятного экологического климата в регионе;
  • создание условий для развития малого бизнеса на базе объектов недвижимости (прачечные, химчистки, парикмахерские, аптеки и т. п.).
Основные принципы инвестиционной политики в регионе (на примере Республики Татарстан) Для достижения изложенных выше задач, при заранее сформулированных условиях, Республика Татарстан, используя предоставленные законодательством полномочия, основывает свою инвестиционную политику на принципах:

  • доброжелательности во взаимоотношениях с инвестором;
  • презумпции добросовестности инвесторов;
  • сбалансированности публичных и частных интересов;
  • открытости и доступности информации для всех инвесторов;
  • ясности и простоты инвестиционного процесса в Республике Татарстан;
  • равноправия инвесторов и унифицированности публичных процедур;
  • объективности и здравого экономического смысла в принимаемых решениях;
  • неизменности принятых решений;
  • взаимной ответственности властей Республики и инвесторов;
  • поддержки и стимулирования инвесторов (предоставление поручительств, дотаций, компенсаций, налоговых льгот, льгот по аренде, отсрочек и рассрочек).
Рассмотрим подробнее принципы поддержки и стимулирования инвесторов.
Предоставление поручительств, дотаций, компенсаций
Все решения о предоставлении поручительств, дотаций и компенсаций из средств республиканского бюджета принимаются на основании анализа и сопоставления критериев социальной значимости и экономической эффективности инвестиционных проектов, предлагаемых к реализации.
Экономическая эффективность должна иметь денежное выражение через рассчитываемую текущую стоимость ожидаемого прироста налоговых поступлений и прочих обязательных сборов и платежей в бюджет Республики от реализации инвестиционных проектов. Расчет денежного выражения экономической эффективности от каждого конкретного проекта выполняется в соответствии с утверждаемой методикой.
Социальная значимость должна иметь денежное выражение через сумму затрат на приближение социальной функции инвестиционного проекта к устанавливаемым Правительством Республики Татарстан нормативам. Таким образом, реализация инвестиционного проекта должна приводить к сокращению обязательных расходов республиканского бюджета на развитие тех или иных социально значимых направлений.
Поручительства региональных властей могут предоставляться при соблюдении инвестором следующих обязательных условий:

  • доля заемных средств, привлекаемых инвестором под поручительство Правительства Республики в общем объеме инвестиций, должна составлять не более 50%;
  • отсутствие задолженности перед республиканским бюджетом и внебюджетными фондами по результатам последнего отчетного финансового периода;
  • расчетный срок окупаемости общего объема инвестиций должен составлять не более 6 лет с момента начала осуществления инвестиционной деятельности.
При прочих равных условиях приоритетом при предоставлении поручительств Республики Татарстан обладают инвестиционные проекты с меньшими сроками запрашиваемого поручительства и сроками окупаемости инвестиций.
Предоставление налоговых льгот
В регионе по ряду налогов могут быть установлены ставки более низкие, чем в других регионах. Например, ставка налога на прибыль может быть установлена в размере 20%, ставка налога на прибыль банков и страховщиков  22% (в большинстве субъектов Федерации ставки соответственно составляют 22% и 30%).
В дополнение к представленному налоговому окружению, Правительством Республики может быть разработан пакет законов, направленный на активизацию инвестиционной деятельности, направленной на создание основных производственных фондов и, в первую очередь, строительства и реконструкции объектов недвижимости.
В проектах законов могут быть предусмотрены налоговые льготы инвесторам по трем видам налогов:
1. По налогу на прибыль путем разрешения уменьшения налогооблагаемой прибыли на сумму произведенных капитальных вложений и/или на сумму погашения кредитов, включая проценты, полученных в целях осуществления капитальных вложений. Таким образом, данная льгота стимулирует инвесторов "показывать" реальную прибыль и создает легальный механизм уменьшения налогообложения, основываясь на среднесрочных бюджетных целях.



Нетрадиционные виды косвенных издержек


Применение техники остатка для земли осуществляется в следующей последовательности:
1. Определяются улучшения, представляющие наилучшее и наиболее эффективное использование.
2. На основе данных о рыночной арендной плате и предполагаемых операционных расходах определяется чистый операционный доход всей недвижимости.
3. Определяется часть чистого операционного дохода, относящаяся к зданию.
4. Определяется стоимость земли путем капитализации части дохода, относящейся к земле.
Для определения стоимости участка земли методом капитализации арендной платы за землю относимая к земле арендная плата капитализируется определенным из рыночных данных коэффициентом капитализации для земли.

Определение стоимости нового строительства
При расчете стоимости нового строительства в состав затрат следует включать прямые и косвенные издержки, а также прибыль предпринимателя.
К прямым издержкам относят:

  • стоимость строительных материалов, изделий и оборудования;
  • стоимость эксплуатации строительных машин и механизмов;
  • основную заработную плату строительных рабочих;
  • стоимость временных зданий, сооружений и инженерных сетей;
  • прибыль и накладные расходы подрядчика.
К косвенным издержкам относят:

  • затраты на подготовку территории строительства;
  • затраты на проектные и изыскательские работы;
  • прочие затраты и работы;
  • содержание дирекции (технический надзор) строящегося предприятия (учреждения), затраты на авторский надзор;
  • другие (нетрадиционные) виды косвенных издержек.
При определении значений прямых издержек следует руководствоваться общими правилами определения сметной стоимости строительства, изложенными в действующих нормативных и руководящих документах (Свод правил по определению стоимо сти строительства в составе предпроектной и проектно-сметной документации, 1 0181-01-94).
Расче ты значений прямых издержек могут быть выполнены одним из двух способов:

  • пересчетом известной величины сметной стоимости строительства с применением индексов;
  • путем составления восстановительной сметы на объект оценки.
При наличии для объекта оценки проектно-сметной документации значение прямых издержек определяется как величина сметной стоимости строительства, п ересчитанная на дату оценки с помощью индексов, учитывающих отношение текущего уровня цен в строительстве к ценам 1984 г., принятых в качестве базисных. Способ учета в прямых издержках налога на добавленную стоимость, налога на пользование транспортом, а также других налогов, действующих на момент оценки, зависит от вида применяемых индексов.
При отсутствии проектно-сметной документации на объект оценки следует восстановить смету одним из двух способов:

  • по укрупненным сметным нормативам;
  • по сборникам единичных расценок и прейскурантам.
Использование укрупненных сметных нормативов для вычисления прямых издержек допустимо для типовых проектных решений зданий и сооружений, а также повторно применяемых экономических индивидуальных проектов.
Для целей оценки рыночной стоимости недвижимости следует применять следующие виды укрупненных показателей:

  • укрупненные показатели сметной стоимости (УПСС);
  • укрупненные сметные нормы (УСН) на здания, сооружения, конструкции и виды работ;
  • прейскуранты на строительство зданий и сооружений (ПРЭС);
  • укрупненные показатели восстановительной стоимости для целей переоценки основных фондов.
При этом стоимость строительно-монтажных работ приводится с разбивкой по видам работ и комплексам строительных конструкций.
Применение укрупненных показателей осуществляется в соответствии с рекомендациями СП 81-01-84. Механизм индексации прямых издержек аналогичен описанному ранее.
Определение прямых издержек на новое строительство с использованием единичных расценок и укрупненных норм является стандартной процедурой разработки восстановительных локальных смет на виды работ или конструктивные элементы с последующей индексацией.
Значения косвенных издержек на подготовку территории и традиционно относящихся в сводных сметах к разделу "Прочие издержки" следует определять в соответствии с указаниями свода правил СП 81-01-94.
К нетрадиционным видам косвенных издержек относятся:

  • инвестиции в недвижимость в период после завершения строительства и до достижения стабилизированной наполненности;
  • расходы на изменение права собственности.
Значения этих видов издержек определяются как процент от прямых издержек по рыночным данным.
Прибыль предпринимателя определяется как сумма, которую предприниматель ожидает получить в виде премии за использование своего капитала. Значение прибыли предпринимателя принимается по рыночным данным.

Определение накопленного износа
При применении метода сравнения продаж величина накопленного износа определяется как разница между стоимостью нового строительства и стоимостью сооружения на дату оценки. Наличие достоверных данных о продажах подобных объектов и стоимости свободных участков земли является необходимым условием, причем любая корректировка на отличия должна быть рыночно обоснованной.
Метод разбивки заключается в подробном рассмотрении и учете всех видов износа, к которым относят:

  • исправимый и неисправимый физический износ;
  • исправимый и неисправимый функциональный износ;
  • внешний износ.
Считается, что износ относится к исправимому, если затраты на его исправление меньше, чем добавляемая при этом стоимость. И наоборот, износ относится к неисправимому, если затраты на исправление больше, чем добавленная стоимость сооружения.
Для применения метода разбивки при определении накопленного износа необходимо в качестве расчетной базы иметь данные о стоимости нового строительства с разбивкой по конструктивным элементам.
После определения величин исправимого физического износа и суммы восстановительной стоимости короткоживущих элементов с неисправимым физическим износом, необходимо вычесть эти величины из полной восстановительной или замещающей стоимости для определения базы для подсчета неисправимого физического износа в долгоживущих элементах.
Стоимость неисправимого физического износа в долгоживущих элементах рассчитывается как отношение действительного возраста здания к общей физической жизни здания, умноженное на остаточную восстановительную или замещающую стоимость долгоживущих элементов (определенную ранее базу).
Общая физическая жизнь здания определяется в зависимости от типа основных конструктивных элементов для различных категорий зданий по долговечности. Классификация жилых и общественных зданий по долговечности приведена в нормативной литературе.
К исправимому функциональному износу относят потерю стоимости в результате несоответствия проекта, материалов, строительных стандартов, качества дизайна современным требованиям рынка к этим позициям. Аналогично исправимому физическому износу исправимый функциональный износ измеряется стоимостью его исправления.
Исправимый функциональный износ вызывается:

  • недостатками, требующими добавления элементов;
  • недостатками, требующими замены или модернизации элементов;
  • "сверхулучшениями".
К недостаткам, требующим добавления, относят позиции, которых нет в существующем сооружении и без которых сооружение не может соответствовать современным стандартам. Количественным измерителем исправимого функционального износа за счет недостатков, требующих добавления, является разница между стоимостью выполнения требуемых добавлений на момент оценки и стоимостью выполнения этих же добавлений, если бы они были выполнены при строительстве объекта оценки.
К недостаткам, требующим замены или модернизации элементов, относят позиции, которые еще выполняют свои функции, но уже не соответствуют современным рыночным стандартам. Исправимый функциональный износ за счет позиций, требующих замены или модернизации, измеряется как стоимость существующих элементов с учетом их физического износа, минус стоимость возврата материалов, плюс стоимость демонтажа существующих и плюс стоимость монтажа новых элементов.
При этом стоимость возврата материалов определяется как стоимость демонтированных материалов и оборудования при использовании их на других объектах.
К "сверхулучшениям" относят позиции и элементы сооружения, наличие которых в настоящее время неадекватно современным требованиям рыночных стандартов. Исправимый функциональный износ за счет "сверхулучшений" измеряется как текущая восстановительная стоимость позиций сверхулучшений, минус физический износ, плюс стоимость демонтажа и минус возврат материалов, если он имеет место.
Если стоимость строительства определяется как замещающая, то при определении исправимого функционального износа имеют место некоторые особенности. Так как в этом случае "сверхулучшения" отсутствуют, то нет необходимости определять приходящуюся на них долю физического износа.
Однако стоимость исправления "сверхулучшений" все же необходимо учитывать.
Неисправимый функциональный износ вызывается:

  • недостатками за счет позиций, не включенных в стоимость нового, но которые должны быть;
  • недостатками за счет позиций, включенных в стоимость нового, но которых быть не должно;
  • "сверхулучшениями".
Неисправимый функциональный износ за счет позиций, не включенных в стоимость нового строительства, измеряется как чистая потеря дохода, относящаяся к этому недостатку, капитализированная при норме капитализации для зданий, минус стоимость этих позиций, если бы они были включены в стоимость нового строительства.



Общая технология функционирования ИЗС.


3.2. Структура инвестиционно-заемной системы региона (на примере Республики Татарстан) Основные принципы функционирования инвестиционно-заемной системы в регионе Одной из характерных черт экономической политики государства на современном этапе становления и развития рыночных отношений является необходимость привлечения и аккумуляции средств мелких и средних инвесторов для финансирования развития социально-экономической инфраструктуры регионов.
Одним из способов привлечения денежных ресурсов населения является подготовка и выпуск многосерийной системы региональных займов, имея в виду их стабильный характер, направленный на стимулирование финансовой активности потенциальных инвесторов. Перед началом осуществления этой довольно сложной и многогранной задачи целесообразно, на наш взгляд, провести ряд исследований в области формирования обособленного сектора рынка ценных бумаг, а именно рынка региональных облигаций.
Для решения всего комплекса проблем, возникающих при осуществлении региональных заимствований должен быть создан специализированный региональный совет, управляющий средствами, поступающими от займов. На наш взгляд, их использование должно носить строго инвестиционный характер, поэтому совокупность системы заимствований и инвестиционной системы, может получить название инвестиционно-заемной системы (ИЗС).
Инвестиционный характер системы должен выражаться в том, что все аккумулированные средства должны быть инвестированы в высокоприбыльные бизнес-проекты.
Инвестиционно-заемная специфика ИЗС существенно отличает ее от других заемных компаний, ориентированных прежде всего на покрытие бюджетного дефицита или на финансирование социальных проектов, безусловно, важных, но не дающих достаточной отдачи в намеченные сроки.
Региональный заем представляет собой заем, размещаемый несколькими эмиссиями с участием различных по своим характеристикам и свойствам ценных бумаг с учетом интересов всех групп инвесторов, что обеспечивает наиболее гибкую и управляемую систему привлечения средств, а также выпуск новых эмиссий займа по мере достижения готовности на любом этапе действия программы.
Проектированию ИЗС должна предшествовать работа, связанная с определением места системы в рынке ссудных капиталов; анализом адресности займов; структурой займов; направлениями инвестиций. Результатом этой работы может быть, например, принятие концепции региональных займов, утверждаемая Правительством и Государственным Советом Республики Татарстан.
Инвестиционно-заемная система, ориентированная на изыскание дополнительных средств путем организации региональных займов с последующим вложением полученных средств в инвестиционные проекты базируется на нескольких основных принципах.
1. Система целей, лежащая в основе ИЗС, иерархичная и может быть условно распределена по трем уровням.
Цели первого уровня состоят в увеличении числа рабочих мест и оживлении производства и расширении налогооблагаемой базы.
Целями второго уровня является получение дополнительных средств и решение задач региональной инвестиционной программы.
Цели третьего уровня это создание устойчивой системы заимствования средств и отработка стабильного механизма действия системы инвестирования средств.
2. Оптимизация региональной инвестиционной программы вторая позиция концепции республиканских займов.
Не вдаваясь в дискуссию по поводу правомерности термина "оптимизация", предполагающей наличие четких критериев, отметим, что суть этого принципа состоит в переводе множества планов нового строительства, расширения и реконструкции действующих объектов, технического перевооружения с бюджетного порядка финансирования на инвестиционные рельсы. Это означает, что инвестиционная программа, основанная на заемных средствах, ориентируется на безусловную возвратность вложенных средств.
Это, правда, не означает, что социальные проекты, не дающие скорой отдачи не включаются в программу. Имеется в виду, что мало- и недоходные проекты будут включаться в программу по мере появления и реализации высокодоходных проектов с таким расчетом, чтобы весь комплекс проектов был бы безубыточен с учетом необходимости обслуживания займов.
В этом смысле, как нам кажется, термин "оптимизация" вполне приемлем.
Идеология регионального долга состоит в двух кардинальных аспектах.
Первый аспект состоит в том, что заимствования рассматриваются как инвестиционный ресурс, который должен работать на развитие Республики, а не на ликвидацию скрытого бюджетного дефицита, что означает коренное изменение психологии республиканских властей, изменение самого подхода к проблеме заимствований.
Второй аспект идеологии заключается в том, что, не смотря на кажущуюся привлекательность размещения республиканских облигаций за рубежом, где "деньги обходятся дешевле", основной упор делается на отечественных инвесторов, что является одним из условий формирования своего, отечественного рынка ценных бумаг.
Система и условия заимствования средств, представляющая собой сбалансированный набор займов, ориентированный на отечественных и зарубежных юридических и физических лиц, должна быть гибкой, т.е. не регламентироваться по видам займов, а формироваться в зависимости от конкретных потребностей в капиталовложениях в конкретных условиях срочности, возвратности, платности. При этом вырабатываются ограничения по объемам республиканского долга, имеющие законодательный характер.
Что касается срочности, то здесь идеология заимствования ориентирована на преимущественную тенденцию к увеличению сроков займов на столько, на сколько это позволяет состояние рынка ценных бумаг и с учетом временных характеристик потребностей республики в финансовых средствах.
Говоря об обслуживании займов, отметим следующие источники средств. Основным источником покрытия долга и выплаты процентов должны являться доходы от инвестиционных проектов.
Однако сроки возврата средств из инвестиций могут не совпадать со сроками погашений облигаций и процентных выплат.
В этом случае и, особенно на первых порах, когда инвестиционная ветвь инвестиционно-заемной системы еще "не набрала оборотов", допускается использование средств в порядке облигационного рефинансирования и реструктуризации долга, а также использование резервных средств. Кроме того, к погашению могут привлекаться и собственно бюджетные средства, что вполне приемлемо, поскольку экономический эффект от инвестиций может (и должен) проявляться через прирост доходов бюджета за счет расширения налогооблагаемой базы.
В этой связи достаточно просто решается вопрос об обеспечении займов.
Значительные доходы регионального бюджета, внебюджетные фонды, резервы, возможность реструктуризации долга на фоне авторитета региональных органов государственной власти и размеров собственности Республики вот, на наш взгляд, те основные гарантии, которые многократно превышают объемы заимствования.
Организация займов характеризуется: непосредственным участием Правительства Республики Татарстан в лице Инвестиционного Совета, наличием координирующего центра в лице Республиканского Комитета региональных займов и развития фондового рынка, привлечением профессиональных участников рынка ценных бумаг к выполнению функций в ИЗС, единой целеориентированной инфраструктурой рынка республиканских облигаций, контрактной системой отношений между участниками Системы, базирующаяся на гражданском кодексе.
Что же касается методов размещения займов, то этот аспект характеризуется полным возможным их набором, в частности: аукционное размещение, агентское размещение, андеррайтинг, размещение через специальные структуры типа "пенсионный фонд", размещение в порядке долговых взаиморасчетов и ряд других методов, разрабатываемых в зависимости от конкретных ситуаций.

Система управления инвестиционно-заемным процессом

Система управления инвестиционно-заемным процессом базируется на функционально-целевой модели ИЗС. По нашему мнению, она достаточно четко описывает сущность целевых функций, реализуемых посредством выполнения общесистемных функций и помогает увидеть роль и место в частности нашей задачи управления экономической безопасностью.
Из функционально-целевой модели явно прослеживается целевой характер управления экономической безопасностью через управление надежностью (в части организационно-технологических и финансовых методов), управление рыночным использованием временно-свободных средств и управление резервами.
В части общесистемных функций наиболее всего к нашей задаче подходит функция организации и оперативного управления, в частности в условиях сбойных ситуаций. Рассмотрим теперь общую технологию функционирования ИЗС.
Технология текущего оперативного контура управления инвестиционно-заемным процессом основана на создании комплекса финансовых фондов займов. Движение финансовых средств в системе финансовых фондов должно происходить по жесткому регламенту, установленному Правительством и Государственным Советом Республики Татарстан.
Регламент, прежде всего, должен определять условия выпуска облигационных займов, условие гарантированности обслуживания и погашения облигаций, порядок функционирования финансовых фондов займов, который, по нашему мнению, должен быть утвержден постановлением Правительства Республики.



Общие требования к финансовой отчетности корпорации


Она необходима всем, имеющим или предполагающим иметь интересы в данной группе предприятий: инвесторам, кредиторам, поставщикам, заказчикам, персоналу предприятий, банкам, правительственным и местным органам управления. Общие требования к финансовой отчетности корпорации Для удобства анализа финансовой отчетности различных фирм за рубежом был разработан и составлен так называемый "свод обычаев", который известен как Общепринятые принципы бухгалтерского учета (Generally Accepted Accounting Principles GAAP). Другой целью GAAP является структуризация финансовой отчетности, которая позволяла бы сравнивать документацию различных фирм.
Адаптировав требования GAAP для отечественных корпораций, можно сформулировать несколько требований, которые определяют:

  • периодичность отчетности (Accounting Periods) финансовые отчеты должны подготавливаться периодически, через равные промежутки времени. Корпорация может выбрать время, когда будет завершаться ее финансовый период (минимум ежегодный отчет);
  • полноту охвата (Matching) в свои финансовые документы корпорация должна включать все расходы, осуществление которых необходимо для получения доходов, указанных в отчетности;
  • консерватизм (Conservatism) в ситуации, когда неопределенность измерения порождает равновероятные размеры прибыли, корпорация должна сообщать в отчете наименьшую цифру. При этом корпорация должна стремиться предвидеть все расходы и не сообщать о доходах без тщательного обоснования. Умышленное искажение информации запрещено;
  • ясность (Understandability) информация, содержащаяся в отчетах, должна быть изложена на таком уровне, чтобы ее мог воспринять читатель со средним уровнем понимания проблем бизнеса;
  • существенность (Relevance) отчеты должны содержать информацию, существенную для принятия решений и ориентированную на пользователей;
  • надежность (Reliability) предоставляемая информация должна быть полной и достоверной;
  • преемственность (Consistency) корпорация должна стремиться использовать сопоставимые методы финансовых расчетов, так чтобы обеспечивалась возможность сравнения отчетных данных за различные периоды времени.
Приведенный список включает не все требования GAAP, а только те, которые, прежде всего, относятся к внешней отчетности. Любая корпорация в своей финансовой отчетности должна показать:

  • финансовое состояние на конец периода (the Financial Position at Periods End);
  • потоки денежных средств за период (the Cash Flows for the Period);
  • доходы за период (the Earnings for the Period);
  • полный доход за период (the Comprehensive Income for the Period);
  • вклады собственников и выплаты собственникам за период (the Investments by and Distributions to Owners for the Period).
Консолидированная отчетность корпорации Исходя из вышеперечисленных требований, можно сформулировать перечень отчетных документов, составление которых необходимо для функционирования корпорации:

  • баланс документ, отражающий структуру имущества корпорации (структуру активов), распределенного по степени ликвидности, и структуру источников для приобретения активов (структуру пассивов), распределенных по срокам погашения;
  • отчет о доходах и расходах корпорации документ, иллюстрирующий структуру доходов и структуру расходов (затрат) корпорации;
  • сводная ведомость по платежам документ, распределяющий дебиторов и кредиторов в две группы: по срокам платежей (нам должны, мы должны), по суммам платежей (такому-то столько-то, от такого-то  столько-то).
Таким образом, корпорация, имея достаточную свободу в формировании списка статей отчетности, представляет в фискальные органы стандартизированный набор документов финансовой отчетности. Для проведения анализа могут понадобиться дополнительные данные, которые запрашиваются в индивидуальном порядке у каждой корпорации.
Схематично документы представлены на 10.
При составлении консолидированной отчетности за основу можно принять рекомендуемые ЕС формы финансовой отчетности.
2.2. Инвестиционная стратегия корпорации в регионе Поскольку и регион и корпорации проводят операции на финансовом рынке, осуществляя различные финансовые операции, их можно считать субъектами финансового рынка. В рамках финансовой деятельности субъектов финансового рынка непременно возникают две равноважные задачи:
1. Задача привлечения ресурсов для осуществления хозяйственной деятельности.
Привлекаемые ресурсы состоят из:

  • акционерного капитала (ресурсов, получаемых на относительно неопределенный срок с условием выплаты вознаграждения инвестору в виде дивидендов);
  • ссудного капитала (ресурсов, получаемых у специализированных кредитно-финансовых институтов на основе срочности, возвратности и платности);
  • кредиторской задолженности (ресурсов, получаемых у партнеров по бизнесу и государства в виде отсрочек по платежам и авансов);
  • реинвестируемой прибыли и фондов (ресурсов, получаемых в результате успешной коммерческой деятельности самого хозяйствующего общества, амортизационных отчислений).

Баланс (структура)

Активы
Пассивы
по степени ликвидности:
денежные средства имеют самую высокую степень ликвидности
по сроку погашения:
собственные средства имеют неограниченный срок погашения

Отчет о доходах и расходах (структура)

Доходы
Расходы
по видам деятельности
по видам деятельности

Сводная ведомость платежей (контрагенты и даты)

Приток
Отток
по дебиторам
по кредиторам


Дебиторы
Кредиторы
по датам
по датам

10. Документы консолидированной отчетности
Хозяйствующий субъект для привлечения ресурсов выходит на ссудный рынок капиталов, на котором происходит кругооборот предлагаемых к размещению ресурсов. Поскольку объем предлагаемых ресурсов существенно меньше чем объем спроса на них, неизбежно возникает конкурентная борьба за наиболее дешевые ресурсы. Потенциальные вкладчики сравнивают потенциальные объекты вложения средств, изучают их инвестиционную привлекательность и т. д.
Таким образом, инвестиционная привлекательность хозяйствующего субъекта это совокупность характеристик,
позволяющая инвестору оценить, насколько тот или иной объект инвестиций привлекательнее других. В результате возникает задача улучшения инвестиционной привлекательности корпорации как в краткосрочном, так и в долгосрочном периоде.
В этой связи, высшему руководству корпорации необходимо сформировать кредитную стратегию, основной задачей которой стала бы оптимизация показателей инвестиционной привлекательности.
С другой стороны, в непосредственной связи с первой задачей перед корпорацией неизменно возникает вторая.
2. Задача распределения полученных ресурсов (инвестирования).
Инвестиции делятся на:

  • реальные (ресурсы направляются в производственные процессы);
  • финансовые (ресурсы направляются на приобретение финансовых инструментов: эмиссионных и производных ценных бумаг, объектов тезаврации, банковских депозитов);
  • интеллектуальные инвестиции (подготовка специалистов на курсах, передача опыта, вложения в разработку технологий).

















11. Система анализа финансового потенциала
субъектов финансовой системы
Для оценки инвестиционных возможностей необходимо исследовать кредитоспособность, которая представляет собой совокупность характеристик, позволяющих оценить инвестиционный потенциал корпорации.
Инвестиционную привлекательность и кредитоспособность предприятий корпорации можно представить как основные составляющие ее финансового потенциала ( 11).
Поскольку объем инвестиционных ресурсов субъекта ограничен, а потенциальные объекты инвестиций обладают различной инвестиционной привлекательностью, обществу необходимо оптимально распределять свои инвестиционные ресурсы. В связи с этим возникает необходимость формирования инвестиционной стратегии корпорации.
В совокупности инвестиционная стратегия и кредитная стратегия составляют финансовую стратегию корпорации ( 12).



















12. Финансовая стратегия корпорации
Стратегия представляет собой детальный всесторонний комплексный план, предназначенный для того, чтобы обеспечить осуществление миссии корпорации и достижение ее целей.
Поскольку корпорация представляет собой совокупность хозяйствующих субъектов, функционирующих в различных сферах экономики, представляется целесообразным структурировать подразделения корпорации по целям и задачам, выполняемым ими в ее рамках.
Тогда разработка финансовой стратегии корпорации будет основываться на совокупности финансовых функций подразделений корпорации ( 13).
Процесс разработки стратегии включает несколько этапов:
1. Оценка долгосрочных перспектив.
2. Прогноз развития.
3. Осознание цели.
4. Анализ сильных и слабых сторон.
5. Обобщение стратегических альтернатив.
6. Разработка критериев оптимизации.
7. Выбор оптимальной стратегии.
8. Планирование мероприятий.













13. Финансовые функции подразделений корпорации
После выработки общей финансовой стратегии корпорации специальные подразделения в соответствии со стратегией корпорации, а также в соответствии с состоянием финансового рынка разрабатывают инвестиционную и кредитную стратегии корпорации.



Основные цели регионального развития


В современных российских условиях это учреждения образования, здравоохранения, культуры и т.п. Все остальные звенья муниципального хозяйства могут развиваться на коммерческой или комбинированной основе. Для обеспечения единства управления экономикой региона федеральные и региональные владельцы имущества должны в более широком масштабе делегировать региональным органам свои полномочия по управлению собственностью, в частности, предприятиями, образующими хозяйственный комплекс региона. Возможны и другие варианты организации управления экономикой региона как единой системой, однако все они должны предусматривать необходимый уровень координации деятельности органов, управляющих имуществом от лица собственников.
Центр тяжести в реализации социально-экономической политики сегодня сместился в регионы. Здесь решается проблема жизнеобеспечения населения, региональные органы управления несут главную ответственность перед населением и центром за положение в регионе.
В этом и заключается смысл децентрализации управления передать значительную часть прав и соответствующую долю ответственности на места, что идет в русле объективных тенденций развития самоуправления и вместе с тем предъявляет новые требования к региональной политике.
Кроме того, именно на уровне хозяйства субъекта Федерации обеспечивается полный цикл воспроизводства по всем его фазам и факторам. В частности, в границах региона возможно полное воспроизводство трудовых ресурсов, включая инженерные и научные кадры.
Индикаторы региональных интересов. Цели и задачи регионального развития Региональное хозяйство как мезоуровень в отличие от предприятия не может быть обречено на ликвидацию, на юридическое, принудительное (в судебном порядке) прекращение его функций. Особенностью функционирования этого хозяйства в случае неблагоприятных обстоятельств является невозможность нормального воспроизводства экономических, демографических и природных процессов, что выражается в депрессивности региона.
Сам факт наличия депрессивности противодействует реализации всех конституционных прав людей, проживающих на его территории, что чревато ростом социальной напряженности и не исключает социального взрыва.
Соответственно экономическая политика региона должна предусматривать в качестве основы стратегии разработку комплекса антидепрессивных мер на всех уровнях управления. Депрессивными районами считаются территориально-производственные структуры, в которых производственно-ресурсная база перешла в фазу устойчивого спада, исключающего возникновение новых стимулов развития.
При этом речь идет о компактных территориях, в пределах которых наблюдаются повышенные темпы спада производства, снижение уровня жизни и рост безработицы, а также нарастание прочих негативных явлений (демографических, экологических и т.п.) по сравнению с общероссийскими, макрорегиональными.
По мере обретения регионами реальной самостоятельности (обособление хозяйственных и финансовых структур, децентрализация управления) формируется новая собственно региональная сфера интересов и ответственности. И хотя эти интересы только часть мотивационных факторов, они являются основой жизнедеятельности, поскольку реализуются на конкретной территории в специфических для нее условиях.
Жизнедеятельность региона постоянный фактор, она не может быть прекращена. Поэтому региональные интересы это прежде всего потребность в стабильном характере воспроизводства и постоянном сохранении и приумножении потенциала региона.
Иначе при нарушении стабильного процесса воспроизводства регион может перейти в разряд депрессивных.
Для восстановления же подорванного потенциала депрессивного региона требуются (в частности, исходя из опыта США) десятилетия (в отличие от воссоздания отдельного предприятия), а затраты многократно выше, чем на поддержание стабильного характера воспроизводства.
К наиболее значимым индикаторам (параметрам) региональных интересов относятся:

  • соответствие уровня и образа жизни населения государственным и другим стандартам;
  • наличие региональных бюджетно-финансовых и прочих материальных источников (собственности и др.);
  • потенциальные возможности для использования имеющихся ресурсов, мест приложения труда, интеллекта;
  • наличие инфраструктуры для развития внутри- и межрегиональных связей;
  • природоресурсный и экологический потенциалы региона;
  • стабильность общественно-политической и национально-этнической ситуации.
Вместе с тем, проведение реформ регионального характера должно соответствовать правильно сформулированным государственным интересам, по крайней мере, не противоречить общему вектору реформирования.
Наряду с региональными интересами важнейшее критериальное значение для оценки ситуаций в регионах имеют цели их развития, воплощаемые в форме подготовленных управленческих решений и действий. Эти цели могут не совпадать в точности с региональными интересами, но необходимо обеспечить их принципиальное соответствие.
Последнее выступает как база оценок и обоснований принятия решений и действий.
Выделим следующие основные цели регионального развития:

  • стратегические (поступательного или стабилизационного характера);
  • долгосрочные (по отдельным отраслям региона);
  • среднесрочные (отраслевого и функционального типа);
  • тактические (конкретные задания по развитию отдельных служб, объектов, регионального хозяйства в целом).
Выявление, ревизия и систематизация зафиксированных в различных документах всевозможных целей, заданий могло бы стать исходным пунктом активизации регионального управления, основными задачами которого являются:
1. Анализ и оценка общей ситуации (перечень и острота региональных проблем). Основная сложность здесь состоит в невозможности агрегированной (интегральной) оценки по одному критериальному показателю ввиду противоречивости происходящих в регионе процессов.
Мировой опыт территориального управления свидетельствует о необходимости использования совокупности комплексных оценок важнейших региональных ситуаций.
При этом выявление всех возможных ситуаций становится одной из главных задач их оценки.
2. Анализ и оценка конкретных проблем, требующих первоочередного вмешательства региональных властей (локальная безработица, остановка производства и т.п.).
3. Анализ и оценка последствий хода реформ. Сложность заключается в правильном определении влияния действия отдельных нормативных актов на региональные интересы (земельная реформа и реформа собственности, изменения в структуре региональной собственности, новые источники бюджетных поступлений, коммерциализация социальной сферы и т.п.).
Региональная бюджетная политика Важной функцией самоуправления в регионе является бюджетная политика. Действующая юридическая база регулирования бюджетных отношений, на наш взгляд, не полностью отвечает требованиям самостоятельности региона.
Имеются существенные противоречия в экономической основе налоговой и кредитной политики как на федеральном, так и на региональном уровнях.
Однако предложения ряда ученых превратить бюджеты территорий (вплоть до отдельного населенного пункта) в главный бюджетный уровень, где концентрировалась бы значительная часть бюджетных поступлений области, выглядят несостоятельными. Известно, что и регионы, и территории внутри регионов неоднородны по экономическому потенциалу, одни являются донорами, другие носят дотационный характер.
И это следствие объективных факторов.
Установление нормативов формирования бюджета отдельных территорий только в зависимости от уровня их национального богатства означало бы консервирование указанной неоднородности.
Региональная бюджетно-налоговая система, как и федеральная налоговая политика, подвергаются ныне наибольшей критике. Главное требование к ней целевая региональная ориентация, без которой она превращается просто в нижний уровень государственной бюджетно-налоговой системы.
Без этого невозможно обеспечивать независимость регионального управления, поддерживать потенциал региона на должном уровне.
Другими требованиями к бюджетно-налоговой системе являются простота (доступность для исполнения), понятность (обоснованность принципов построения), справедливость (учет региональных и государственных интересов).
Не вдаваясь в сущность бюджетно-налоговых систем различных стран, отметим важность принципа выравнивания, т.е. перераспределения доходов с целью поддержания отдельных регионов. Но для регионов, выступающих в качестве доноров, это означает сокращение бюджетно-налоговых возможностей.
Учитывая объективную необходимость поддержки отдельных (бедных, депрессивных) регионов, а также сложившуюся структуру хозяйства регионов, богатых природными ресурсами и обладающих более высоким налоговым потенциалом, необходимо строить бюджетно-налоговую систему на принципе справедливости, тем более что доходы богатых регионов обеспечиваются, по существу, за счет всей страны.
Принципиальным вопросом при таком порядке формирования бюджетно-финансовой политики является обоснование доли налоговых поступлений, которая должна быть централизована на всех уровнях управления. На федеральном уровне это устанавливается законодательно, однако отдельные регионы добиваются льготных условий.



Основные цели региональной финансовой политики


На региональном уровне определение фонда бюджетных ассигнований требует обязательного планирования необходимых средств для проведения региональных программ, финансирования общерегиональных объектов культуры, науки, здравоохранения. Оставшаяся часть бюджета региона (равно как и федерального) должна распределяться пропорционально численности населения.
Такой подход обеспечивает более справедливое распределение бюджетных средств как между регионами, так и внутри них, чем одноканальное формирование бюджетов снизу вверх или сверху вниз. Сущность региональных финансов Рассмотрим основные аспекты функционирования финансовой системы субъекта Федерации.
Финансы субъекта Федерации представляют собой совокупность денежных отношений, возникающих по поводу формирования, распределения и использования региональных фондов финансовых ресурсов для решения текущих и возникающих социально-экономических задач региона.
Эти отношения складываются между органами государственной власти субъекта Федерации и населением, живущим на его территории, а также хозяйствующими субъектами, которые действуют на территории данного региона.
Региональные финансы включают:

  • средства регионального бюджета;
  • государственные ценные бумаги, принадлежащие органам государственной власти региона;
  • другие денежные средства, находящиеся в собственности региона.
В широком понимании финансы субъекта Федерации могут также включать его консолидированный бюджет. Региональные финансы основываются на следующих основных принципах:

  • самостоятельность;
  • бюджетный федерализм;
  • государственная финансовая поддержка (трансферты из федерального бюджета и целевые поступления);
  • прозрачность;
  • гласность.
Права собственника в отношении региональных финансов осуществляются органами государственной власти региона в соответствии с Конституцией России и Уставом субъекта Федерации.
Региональные финансы составляют экономическую основу государственной власти региона наряду с его собственностью, имуществом, находящимся в государственной собственности и переданным в управление органам государственной власти субъекта Федерации, а также другой собственностью, служащей удовлетворению потребностей региона.
Средства бюджета субъекта Федерации, региональные внебюджетные фонды входят в состав региональной собственности. Управляют собственностью субъекта Федерации его органы государственной власти.
Права собственника в отношении имущества, входящего в состав собственности субъекта Федерации, от его имени осуществляют региональные органы государственной власти.
Региональные органы государственной власти имеют право передавать объекты государственной собственности региона во временное или постоянное пользование физическим и юридическим лицам, сдавать в аренду, отчуждать (приватизировать). Порядок и условия приватизации государственной собственности субъекта Федерации определяются его органами государственной власти самостоятельно.
Особое значение для региональных финансов имеет принцип бюджетного федерализма, который заключается в четком разграничении бюджетных доходов и расходов, а также тесном взаимодействии бюджетов различных уровней на основании соответствующих федеральных и региональных законов и соглашений между федеральным центром и субъектом Федерации. Региональные органы государственной власти по соглашению с федеральными органами государственной власти России могут передавать им право на осуществление части своих полномочий.
Наряду с этим региональные органы государственной власти не могут принимать правовые акты по финансовым и денежно-кредитным вопросам, отнесенным к ведению федеральных органов государственной власти Российской Федерации, также как и федеральные органы государственной власти не могут принимать правовые акты по вопросам, отнесенным к ведению региона.
В целях реализации своих полномочий региональные органы государственной власти:

  • участвуют совместно с федеральными органами государственной власти в разработке проектов федеральных законов и других нормативно-правовых актов по предметам совместного ведения России и региона;
  • осуществляют правовое регулирование по предметам совместного ведения, определенным федеральным законодательством;
  • участвуют в разработке и реализации федеральных целевых программ на территории своего региона;
  • создают условия для привлечения инвестиций в экономику региона в целях реализации федеральных и региональных программ в соответствии с федеральным законодательством.
Региональные органы исполнительной власти могут быть наделены полномочиями территориальных структурных подразделений органов исполнительной власти России в области финансовых отношений в соответствии с соглашениями, заключенными между органами исполнительной власти субъекта Федерации и федеральными органами исполнительной власти.
Территориальные структурные подразделения федеральных органов исполнительной власти могут быть наделены полномочиями региональных органов исполнительной власти в соответствии с действующими соглашениями, заключенными между региональными и федеральными органами исполнительной власти.
Субъект Федерации может самостоятельно устанавливать и вводить своими законами региональные налоги и сборы в соответствии с федеральным законодательством об основах налоговой системы, Налоговым кодексом Российской Федерации, основываясь на общих принципах налогообложения, установленных Конституцией РФ.
Состав и размеры доходов, поступающих в бюджет субъекта Федерации и бюджеты входящих в его состав муниципальных образований в форме отчислений от федеральных налогов и сборов (трансферты, целевые поступления, субсидии, субвенции, дотации и др.), определяются соглашением между федеральными органами государственной власти и органами государственной власти субъекта Федерации, если размер и порядок уплаты таких отчислений прямо не установлены федеральным законодательством.
Финансирование расходов федерального бюджета на территории региона может осуществляться через территориальные органы федерального казначейства, в том числе за счет налоговых и других платежей, взимаемых на территории субъекта Федерации и подлежащих перечислению в федеральный бюджет.
В целях разграничения полномочий между федеральными и региональными органами исполнительной власти по предметам совместного ведения региональные органы исполнительной власти заключают соответствующие соглашения с Правительством РФ.
Разграничение государственной собственности на территории субъекта Федерации, включая разграничение собственности на земельные, водные и другие природные ресурсы, на федеральную и региональную собственность, а также разграничение полномочий по управлению объектами федеральной собственности на территории субъекта Федерации производится, как правило, отдельными соглашениями.
Региональная финансовая политика Региональные финансы одна из важнейших составных частей государственных финансов. Они реализуются в рамках каждого конкретного региона в пределах их компетенции в вопросах законодательного регулирования, организации и управления финансовыми потоками.
Функционирование и развитие региональных финансов основываются на концепции региональной экономической политики, одной из составных частей которой является финансовая политика региона. Основными целями региональной финансовой политики являются:

  • обеспечение основ бюджетно-налогового федерализма в Российской Федерации, основанного на едином экономическом пространстве;
  • обеспечение единых минимальных социальных стандартов и равной социальной защиты в различных регионах;
  • выравнивание условий социально-экономического и финансового развития регионов;
  • приоритетное развитие регионов, имеющих особо важное стратегическое значение;
  • становление и обеспечение гарантий местного самоуправления.
Главная цель региональной финансовой политики стабилизация производства и обеспечение экономического роста.
Одним из главных условий реализации региональной финансовой политики является обеспечение единства экономического пространства страны, определяемого общностью денежной, налоговой, бюджетно-финансовой систем, скоординированным развитием основных финансово-экономических институциональных структур.
Региональная финансовая политика во многом зависит от системы территориального разделения труда и производственной специализации хозяйства регионов РФ и обеспечивается следующими методами:

  • финансирование модернизации структуры хозяйства индустриально развитых районов;
  • обеспечение условий для привлечения финансовых ресурсов российских и иностранных инвесторов к созданию и эксплуатации предприятий в слаборазвитых районах, к развитию производств, в продукции которых заинтересована российская экономика;
  • привлечение инвестиций регионов России и иностранных государств в развитие общероссийской экономической инфраструктуры и ее включение в систему мировых коммуникаций;
  • обеспечение государственного регулирования цен на продукцию естественных монополий, выравнивающего условия предпринимательской деятельности в различных районах.
Важнейшими исходными пунктами региональной финансовой политики являются прогнозирование платежеспособного спроса и его регионального распределения, изучение региональных финансово-кредитных рынков, оценка финансовых возможностей регионов и стимулирование развития их собственного финансового потенциала для решения важнейших социально-экономических проблем.



Особенности обеспечения экономической безопасности инвестиционно-заемной системы


Тем не менее, уже сейчас можно предложить некоторые основные позиции, по которым необходимо развивать работы в этой области. Перечислим их кратко, памятуя о том, что и этот перечень вероятнее всего, может быть и будет дополнен.
  1. Оценка и обеспечение надежности комплекса технических средств.
  2. Отработка технологий взаимодействия субъектов системы и доведение их до стандартов системы.
  3. Разработка и внедрение методов объективного контроля за деятельностью Участников ИЗС.
  4. Разработка методов оценки надежности финансовых инструментов рынка ссудных капиталов.
  5. Организация системы информирования потенциальных инвесторов.
  6. Разработка методов анализа конкуренции на рынке ссудных капиталов.
  7. Развитие методологии и методов оценки эффективности и надежности функционирования ИЗС.
  8. Увязка элементов систем регионального заимствования и инвестирования в единый комплекс управления экономической безопасностью в ИЗС.
  9. Развитие компьютерной сети в целях формирования единой автоматизированной системы управления инвестиционно-заемной деятельностью.
  10. Создание системы мониторинга на рынке ценных бумаг.
Особенности обеспечения экономической безопасности инвестиционно-заемной системы Прежде чем рассматривать вопросы обеспечения экономической безопасности инвестиционно-заемной системы, видимо, следует проанализировать ее особенности, которые могут проявить себя в процессе создания и зачастую проявляются в процессе функционирования.
Прежде всего, это смешанный административно-рыночный характер, который проявляется в том, что функционирование ИЗС будет происходить преимущественно на рынке ценных бумаг, а управление будет осуществляться в жестких административных рамках вплоть до вмешательства Правительства Республики.
В качестве особенности отметим социальную ориентацию на потребности Республики, несмотря на то, что обслуживание займов предполагается осуществлять за счет прибылей, получаемых от инвестиционных проектов.
Отметим также, что принципиальной особенностью ИЗС является нулевая финансовая результативность функционирования системы, обусловленная употреблением прибыли на обслуживание займов и финансирование мало- или недоходных, но социально значимых проектов по мере появления прибыли за счет высокодоходных проектов.
Также имеет место противоречие между характером операций и невозможностью их выполнения, обусловленное законодательными ограничениями на выполнение бизнес-операций административными органами, осуществляющими управление.
Следует иметь в виду, что систему отличает принципиальная невозможность ликвидации скрытого бюджетного дефицита региона во всех его проявлениях при необходимости осуществления бюджетных гарантий по обслуживанию займов.
Функционирование системы осуществляется в условиях жесткой конкуренции с другими финансовыми институтами при необходимости эффективного использования временно свободных средств путем надежного их вложения в конкурентные финансовые инструменты.
Кроме этого, имеется острая потребность в высококлассных специалистах при реальных ограничениях в оплате их труда, что влечет за собой использование услуг профессиональных участников рынка и предоставление им взамен определенных прав в употреблении части заемных средств на их стимулирование.
Перечисленные особенности инвестиционно-заемной системы существенно отличают ее как от функционирования фирмы с чисто рыночной ориентацией, так и от административно-ориентированной организации. Следовательно, обеспечение экономической безопасности ИЗС должно осуществляться на основе синтеза административных и рыночных методов управления, а это, в свою очередь означает необходимость компромиссных решений.
Рассмотрим теперь экономическую безопасность как отдельно взятое понятие, что необходимо как для понятийного аппарата, так и для выработки концепции обеспечения экономической безопасности (ЭБ).
Сама по себе эта категория является достаточно новой и мало применяемой в теории и практике управления. Исключение составляют, быть может, финансово-предпринимательские структуры, работающие на кратчайшем цикле кругооборота капитала, а именно деньги-деньги'.
Традиционное понимание безопасности чаще всего сводится к национальной безопасности, которая определяется как гарантированная конституционными, законодательными и практическими мерами защищенность и обеспечение национальных интересов граждан и страны.
Пообъектная структура экономической безопасности внутри страны применительно к отдельному субъекту Федерации может быть представлена следующей структурой различных уровней экономических отношений: экономический уровень семьи экономические интересы каждого гражданина страны; микроэкономический уровень агенты рынка; региональный и отраслевой уровень экономика субъектов Федерации; макроэкономический уровень экономика страны в целом.
Рассматривая экономико-политическую ситуацию в России, можно выделить ряд основных угроз экономической безопасности страны, затрагивающих интересы практически всех вышеперечисленных объектов:

  • все большее сосредоточение национальных богатств в собственности криминалитета;
  • усиление криминализации различных секторов рынка;
  • близкое к криминальному искажение процессов приватизации с противоправным участием должностных лиц;
  • мошенничество в кредитно-финансовой сфере;
  • просчеты в управлении государственной собственностью;
  • непоследовательный и противоречивый характер налоговой политики государства;
  • коммерциализация средств массовой информации на фоне слабого законодательного обеспечения;
  • противоречивость и уязвимость законодательной базы, создающие трудности даже для юристов-профессионалов;
  • отсутствие надлежащей уголовно-правовой защиты правомерного предпринимательства;
  • расширение криминального бизнеса (нарко-, и порнобизнес, торговля оружием и т.п.);
  • нестабильность в правовой и правоохранительной сферах;
  • коррупция и организованная преступность;
  • недостаточная роль государства в защите интересов субъектов экономики.
Также можно отметить наличие внешних экономических факторов, совокупное действие которых формирует один из фундаментальнейших источников угроз экономической безопасности: значительная внешняя задолженность, отсутствие целостной нормативной базы регулирования внешнеэкономической деятельности, зависимость от импорта, неразвитость инфраструктуры поддержки отечественного экспорта, утрата освоенных рынков сбыта, утечка интеллектуальной собственности и кадров за рубеж, вывоз за рубеж валюты и сырья и др.
Рассматривая источники угроз экономике, можно дать общие рекомендации по обеспечению экономической безопасности рассмотренных ранее субъектов. Концептуальная модель обеспечения экономической безопасности, по нашему мнению, может выглядеть следующим образом (табл.
2).
Таблица 2
Концептуальная модель обеспечения экономической безопасности

Меры по обеспечению экономической безопасности
Информационно-аналитические
Мониторинг за состоянием информации относительно уязвимости жизненно важных интересов и противодействия угрозам;
Выработка текущих и прогностических оценок развития экономических отношений в стране в плане предупреждения кризисных явлений;
Разработка предложений о повышении эффективности системы обеспечения экономической безопасности и др.
Регулятивного воздействия
Локализация и нейтрализация угроз жизненно важным интересам страны;
Устранение кризисных тенденций в сфере обеспечения экономической безопасности и др.
Прямого противодействия
Противодействие носителям угроз жизненно важным интересам страны;
Контроль за состоянием экономических отношений в стране;
Программа выхода из экономического кризиса и др.

Экономическая безопасность региона Экономическая безопасность региона, по нашему мнению, это совокупность текущего состояния, условий и факторов, характеризующих стабильность, устойчивость и поступательность развития экономики региона, определенной независимости и интеграции с экономикой Российской Федерации, что выражается в следующих проявлениях:

  • возможность проведения собственной экономической политики в рамках Федерации;
  • способность безобвально реагировать на резкие геополитические изменения в Федерации;
  • способность осуществлять (начать) крупные экономические мероприятия (не ожидая помощи от Федерации) по неотложным социально-взрывным ситуациям, связанным с локальными экономическими бедствиями или экономическими просчетами на федеральном уровне;
  • возможность на договорной основе оказывать помощь сопредельным регионам, где существующая несбалансированная экономическая ситуация может негативно отразиться на экономических интересах данного региона;
  • возможность стабильно поддерживать соответствие существующих (действующих) на территории экономических нормативов общепринятым в мировой практике, что позволило бы обеспечить достойный уровень жизни населения.
Основные параметры, при помощи которых целесообразно исследовать уровень экономической безопасности и их значимость (в баллах) могут быть сгруппированы следующим образом (табл. 3).
Таблица 3
Система параметров для изучения
экономической безопасности региона



Постановка задачи оптимизации регионального инвестиционного портфеля


2. По налогу на имущество путем уменьшения налогооблагаемой стоимости имущества на балансовую стоимость основных производственных фондов, введенных в эксплуатацию в период, не превышающий четырех кварталов подряд. Данная льгота предоставляется на два года инвесторам, осуществившим инвестиции на сумму свыше 1 млн. руб., и на четыре года инвесторам, осуществившим инвестиции на сумму свыше 5 млн. руб.
Таким образом, эта льгота направлена на стимулирование увеличения инвестиционной активности с точки зрения объемов капиталовложений.
3. По земельному налогу путем освобождения от уплаты налога за земельные участки, используемые в целях осуществления нового строительства и (или) реконструкции расположенных на них объектов недвижимого имущества, начиная с фактического начала капитальных вложений и на период всего нормативного срока строительства и (или) реконструкции и два года после окончания срока строительства. Таким образом, данная льгота направлена на стимулирование сокращения сроков строительства объектов, она действует после ввода объекта в эксплуатацию до выхода на проектную мощность.
Дополнительная льгота, нацеленная на инвесторов, активно осуществляющих инвестиционную деятельность, может работать следующим образом:

  • налогоплательщики, осуществившие за период с 1 января 1992 г. по 31 декабря 1999 г. капитальные вложения в основные производственные фонды на общую сумму свыше 50 млн. долл. США в пересчете по курсу ЦБ РФ на дату ввода указанных фондов в эксплуатацию, полностью освобождаются от уплаты налога на имущество предприятий в 2000 г.;
  • налогоплательщики, осуществившие за указанный период капитальные вложения на общую сумму от 25 млн. долл. США до 50 млн. долл. США в пересчете по курсу ЦБ РФ на дату ввода указанных фондов в эксплуатацию включительно, уплачивают в 2000 г. налог на имущество предприятий в размере 50% ставки указанного налога, действующей на 1 января 2000 г.
В данной льготе может быть заложен механизм стимулирования роста объемов инвестиций, который заставляет крупные компании-инвесторы "дотягиваться" до заданных планок и получить за это ощутимую поддержку и поощрение.
Предоставление льгот по аренде:
При предоставлении в аренду земельных участков для осуществления капитального строительства или реконструкции объектов недвижимости арендная ставка устанавливается на уровне 0,25% от расчетной на период проектно-изыскательских работ, но не более одного года и 0,3% на период нормативного срока строительства. Предоставление подобной льготы позволяет отчасти снизить организационные расходы инвестиционного проекта в наиболее сложный и рискованный период.
Предоставление отсрочек и рассрочек:
Данная мера стимулирования инвестиционной деятельности и поддержки инвесторов также ориентирована на смещение затратной тяжести инвестиционного проекта на этап выхода на запланированные мощности. Инвесторам в недвижимость предоставляется возможность отсрочек и рассрочек по платежам в бюджет Республики за предоставление объектов недвижимости и прав на них на инвестиционных условиях на срок не более 5 лет в порядке, устанавливаемом Правительством Республики Татарстан.
В сложившихся условиях, объем предоставляемых льгот будет существенно меньше чем объемы инвестиций, которые потенциально могут поступить в регион. Однако инвестиционная политика должна основываться на учете различных специфических свойствах различных объектов инвестиций.
Региональная система управления инвестициями Несомненно, что процесс инвестирования в регионе нуждается в управлении. Основным принципом управления инвестициями, по нашему мнению, может быть создание централизованной и иерархической системы, основными целями которой являются:

  • стимулирование инвестиционной деятельности в регионе;
  • повышение инвестиционной привлекательности региона.
В этой связи, данная система управления может строиться по трем основным направлениям ( 2).








2. Принципы управления инвестициями
на региональном уровне
Рассмотрим основные задачи каждого направления:
1. Региональный брендинг:

  • создание нормативно-правовой базы для привлечения инвестиций в регион;
  • создание регионального фонда по страхованию инвестиций;
  • создание специализированного регионального органа по координации инвестиционной деятельности.
2. Корпоративный брендинг:

  • стимулирование создания инвестиционно активных корпоративных структур и улучшения их имиджа за пределами региона;
  • поддержка перспективных корпоративных структур, вывод их с микро- на мезоуровень;
  • стимулирование региональной вертикальной и горизонтальной интеграции для увеличения гибкости инвестиционных ресурсов.
3. Фискальные меры:

  • инвестиционное налоговое кредитование;
  • реструктуризация взаимных долгов;
  • нетарифное регулирование экономических отношений.
В рамках создаваемой системы управления необходимо принятие следующих мер:
а) сфера экономики:

  • развитие инфраструктуры;
  • аккумуляция ресурсов;
  • совершенствование коммуникаций;
б) сфера юриспруденции:

  • законодательная защита инвесторов;
  • региональные инвестиционные программы;
  • бюджетные ассигнования.
Создание и реализация такой системы, на наш взгляд, позволит региону повысить свою инвестиционную привлекательность и осуществить комплекс преобразований для повышения своей бюджетной эффективности.
Вместе с тем, рыночные отношения имеют место повсюду, где спрос и предложение противостоят друг другу. Это может происходить на базарной площади, на аукционе, по телефону или в служебном бюро.
Рынок не находится в каком-либо определенном месте, в переносном смысле говорят также о мировом рынке, о рынке нефти, сырья или валютном рынке, рынке инвестиционных ресурсов.
Структура и методы оптимизации инвестиционных портфелей на региональном уровне

Постановка задачи оптимизации регионального инвестиционного портфеля

Региональная инвестиционная политика определяется как экзогенными (внешними) так и эндогенными (внутренними) факторами. Причем во многом прибыльность инвестиционной деятельности зависит от внешних факторов, таких как:

  • политическая ситуация в стране и регионе;
  • общеэкономическая ситуация;
  • состояние финансового рынка;
  • надежность контрагентов.
То есть, можно утверждать, что наиболее важными направлениями региональной инвестиционной политики, является решение комплекса задач по стабилизации политической ситуации в регионе, снижению инфляционных ожиданий, повышению привлекательности корпоративных инвестиций и долгосрочных сбережений населения, а также углублению предынвестиционного анализа.
В ситуациях, когда действие экзогенных факторов относительно стабильно, успех инвестиционной деятельности определяется эндогенными факторами:

  • правильно выбранной инвестиционной и кредитной стратегией;
  • обеспеченностью инвестиционными ресурсами;
  • квалификацией персонала;
  • существующей системой управления.
Исходя из этого, оптимизация региональных инвестиционных портфелей должна быть построена на основе четкого анализа и прогноза возможных изменений экзогенных факторов, а эндогенные факторы должны планироваться таким образом, чтобы оптимизировать региональный бюджет, а также экономическую ситуацию в регионе.
В этой связи, основным критерием оптимизации портфеля является максимум безрисковой прибыли от инвестиционной деятельности, то есть:
Постановка задачи оптимизации регионального инвестиционного портфеля
,
где
С целевая функция;
I количество инвестиционных ценностей в данном портфеле;
reti ставка прибыли по i-той инвестиционной ценности;
vi удельный вес i-той инвестиционной ценности в инвестиционном портфеле;
J количество региональных рисков;
riij ставка j-того вида риска для i-той инвестиционной ценности;
vij удельный вес i-той инвестиционной ценности, подверженной j-тому виду риска, в региональном инвестиционном портфеле.
При этом ограничения могут выглядеть следующим образом:
Постановка задачи оптимизации регионального инвестиционного портфеля
;
Постановка задачи оптимизации регионального инвестиционного портфеля
;
Постановка задачи оптимизации регионального инвестиционного портфеля
;
Постановка задачи оптимизации регионального инвестиционного портфеля
;
Постановка задачи оптимизации регионального инвестиционного портфеля
;
Постановка задачи оптимизации регионального инвестиционного портфеля
.
Если при осуществлении инвестиционной стратегии, формируется несколько инвестиционных портфелей, целевая функция может быть записана следующим образом:
Постановка задачи оптимизации регионального инвестиционного портфеля
,
где
N количество инвестиционных портфелей, находящихся в управлении.
В рамках поставленной задачи процесс оптимизации инвестиционного портфеля или их совокупности может быть описан в виде принципиальной схемы ( 3).
Процесс оптимизации в этом случае представляет собой замкнутую последовательность действий, то есть циклическую процедуру, в которой на этапе учета и инвентаризации инвестиционных ценностей проверяется и корректируется их перечень, а также определяются их основные характеристики.
На этапе экспертной оценки проводится опрос экспертов для определения средней ставки по каждому виду риска для каждой инвестиционной ценности, а также оценивается норма прибыли от каждой инвестиционной ценности и портфеля в целом.
После оценки исходных данных и определения всех необходимых условий проводится расчет оптимальной структуры портфеля, решением которого является вектор V, представляющий собой совокупность оптимальных долей для всех инвестиционных ценностей с заданными рисками и нормой прибыли.
Далее определяется оптимальная структура всех инвестиционных портфелей и осуществляется поиск инвестиционных ценностей с заданными характеристиками, проводится дальнейший анализ, целью которого является определение объектов купли-продажи для оптимизации портфелей.



Потенциальный валовый доход


Под корректировкой на компоненты стоимости, не связанные с недвижимостью, понимается учет вклада бизнеса в цену продажи объекта сравнения. Величина корректировки на наличие компонентов стоимости, не связанных с недвижимостью, определяется выделением стоимости бизнеса из общей стоимости недвижимости.
Корректировки цен продажи объектов сравнения выполняются в следующей последовательности факторов:

  • набор прав на недвижимость;
  • условия финансирования сделки купли-продажи;
  • условия сделки купли-продажи;
  • время совершения сделки купли-продажи.
Каждая последующая корректировка применяется к предыдущей скорректированной цене продажи. Последовательность выполнения остальных корректировок свободна от приоритетности, при этом все корректировки применяются к одной базовой цене цене продажи, скорректированной на время совершения сделки купли-продажи.
При корректировках все поправки выполняются по принципу "от объекта срав нения к объекту оценки".
Для реализации метода сравнения продаж для оценки рыночной стоимости недвижимости, в зависимости от объема имеющейся информации, применяются качественные или количественные методики. Наиболее точно отражает объективное отношение рынка к конкретному типу недвижимости сравнительный анализ.
Под данным термином понимается либо анализ парного набора данных, либо относительный сравнительный анализ.
Сравнительный анализ включает выполнение четырех последовательных этапов:

  • определение элементов сравнения;
  • определение разницы между объектом сравнения и объектом оценки по каждому элементу сравнения;
  • определение суммарной корректировки цены продажи для каждого объекта сравнения;
  • определение наиболее вероятной величины (или интервала) рыночной стоимости из анализа скорректированных цен продажи объектов сравнения.
Анализ парного набора данных заключается в получении скорректированной цены продажи из сравнения двух объектов, отличающихся одним элементом.
Относительный сравнительный анализ заключается в разделении всех объектов сравнения на две группы. К первой группе относят объекты, превосходящие по своим характеристикам объект оценки, а ко второй группе относят объекты, имеющие более низкие качественные характеристики, чем объект оценки.
Таким образом, выделяется ценовой диапазон вероятной стоимости объекта оценки.
Окончательное заключение о величине рыночной стоимости делается на основании анализа скорректированных цен продажи объектов сравнения и с учетом количества и абсолютной величины произведенных корректировок.
На практике кроме рассмотренных выше методов определения рыночной стоимости недвижимости часто применяется метод капитализации дохода.

Определение рыночной стоимости недвижимости методом капитализации дохода

Определение рыночной стоимости недвижимости методом капитализации дохода производится в два этапа:

  • прогнозирование будущих доходов;
  • капитализация будущих доходов в настоящую стоимость.
Прогнозирование будущих доходов
Расчет прогнозируемого дохода от объекта недвижимости для целей оценки выполняется в виде составления реконструированного отчета о доходах, образец которого представлен в табл. 1.
Таблица 1
Финансовые потоки по объекту недвижимости

Потенциальный валовый доход
Плановая аренда

ХХХХ
Скользящий доход

ХХХХ
Рыночная аренда

ХХХХ
Прочие доходы

ХХХХ
Итого потенциальный валовый доход

ххххх
Недогрузка и потери при сборе арендной платы
-ХХХХ

Действительный валовый доход

ххххх
Операционные расходы
Постоянные
-ХХХХ

Переменные
-ХХХХ

Расходы на замещение
-ХХХХ

Итого операционные расходы
-ХХХХ

Чистый операционный доход

ххххх
Обслуживание долга
-ХХХХ

Денежный поток до выплаты налогов

ххххх
Потенциальный валовый доход есть общий доход, который можно получить от недвижимости при 100 %-ной занятости без учета всех потерь и расходов.
Потенциальный валовый доход включает следующие составляющие:
1. Плановая аренда часть потенциального валового дохода, которая образуется за счет условий арендного договора. При расчете плановой аренды необходимо учитывать все скидки и компенсации, направленные на привлечение арендаторов.
Такие позиции могут иметь вид дополнительных услуг арендаторам (возможности для арендаторов прерывать договор, использование репутации здания и т. д.).
2. Скользящий доход образуется за счет пунктов договора, предусматривающих дополнительную оплату арендаторами тех расходов, которые превышают значения, отмеченные в договоре.
3. Рыночная аренда часть потенциального валового дохода, которая относится к свободной и занятой владельцем площади. Определяется на основе рыночных ставок арендной платы.
4. Прочие доходы доходы, получаемые за счет функционирования недвижимости и не включаемые в арендную плату (доходы от пользования гаражом и автостоянкой, оплата телевизионных подключений, доход от торговых автоматов и т. д.).
Разделение доходов на доходы от недвижимости и доходы от бизнеса должно соответствовать традициям местного рынка.
Потери арендной платы имеют место за счет неполной занятости объекта, смены арендаторов и неуплаты арендной платы. Обычно эти потери выражают в процентах по отношению к потенциальному валовому доходу и определяются для каждого местного рынка.
Оценка занятости должна проводиться с учетом тенденций изменения спроса и предложения на будущий период.
Действительный валовый доход есть предполагаемый доход при полном функционировании объекта недвижимости с учетом потерь от незанятости, смены арендаторов и неплатежей арендаторов.
Операционные расходы это периодические расходы для обеспечения нормального функционирования объекта и воспроизводства действительного валового дохода, которые могут быть отнесены к одной из трех групп:

  • постоянные расходы;
  • переменные расходы;
  • расходы на замещение.
К постоянным расходам относят расходы, которые не зависят от степени заполненности объекта. Обычно это налоги на недвижимость, некоторые эксплуатационные расходы и страховка здания.
Страхование бизнеса и личной собственности не относится к функционированию объекта.
К переменным относят расходы, которые связаны с интенсивностью использования объекта и уровнем предоставляемых услуг. Для каждого вида недвижимости характерны некоторые отличия в составе переменных расходов, однако следующие позиции имеют место практически для любого объекта:

  • расходы на управление;
  • расходы по заключению договоров аренды;
  • заработная плата обслуживающему персоналу;
  • коммунальные расходы газ, электричество, вода, тепло, канализация;
  • расходы на уборку;
  • расходы на эксплуатацию и ремонт;
  • расходы на содержание территории и автостоянки;
  • расходы по обеспечению безопасности и т.д.
Расходы на управление имеют место независимо от того, кто управляет сам владелец или управляющий по контракту. Величина расходов на управление определяется либо по фактическим затратам, либо в процентах от эффективного валового дохода в зависимости от типа недвижимости.
Расходы по заключению договоров аренды включают оплату агентов, ведение и сохранность договоров аренды. Для давно функционирующего объекта эти расходы могут быть включены в состав затрат на содержание.
Однако для вновь вводимого в эксплуатацию объекта расходы на привлечение арендаторов и заключение первых договоров могут быть значительными и относятся к капитальным вложениям на развитие недвижимости.
При расчете чистого операционного дохода расходы по оформлению аренды могут быть учтены либо в году выплаты, либо могут быть распределены на весь срок аренды.
Расходы на заработную плату включают оплату персонала, непосредственно занятого на содержании и эксплуатации объекта.
Расходы на коммунальные услуги определяются из прошлых объемов их потребления или из сравнительного анализа функционирования подобных объектов. При анализе этой статьи расходов следует обратить внимание на распределение оплаты коммунальных услуг между владельцем и арендатором.
Расходы на уборку определяются в виде ставки на единицу площади, независимо от того, будет ли уборкой заниматься обслуживающий персонал или специальная фирма. Эти расходы аналогичны расходам на горничных в гостиницах и могут возлагаться или на владельца, или на арендатора.
Расходы на эксплуатацию и ремонт включают оплату мелкого текущего ремонта, окраску фасадов, ремонт инженерного оборудования здания. Сумма расходов на эксплуатацию и ремонт связана с суммой расходов на замещение.
Чем больше сумма замещения, тем меньше расходы на ремонт.
Расходы на содержание территории и автостоянки целиком зависят от сложности эксплуатации и могут быть включены в арендную плату арендаторам, которые ими пользуются.
Расходы по обеспечению безопасности зависят от местных условий и размеров охраняемой недвижимости. В эту статью включаются расходы на организацию пропускного режима, патрулирование, содержание охранных систем и оборудования.
Расходы на замещение предусматривают периодическую замену быстроизнашивающихся элементов сооружения. Обычно к таким компонентам относят:

  • кровлю, покрытие пола, а также другие строительные элементы с коротким сроком эксплуатации;
  • санитарно-техническую и электроарматуру и приборы;
  • механическое оборудование;
  • пешеходные дорожки, подъездные дороги и т.п.
К этой же статье расходов относят расходы на косметический ремонт арендуемых помещений перед вселением нового арендатора, если ремонт оплачивает владелец.



Расчет неисправимого функционального износа


Расчет неисправимого функционального износа за счет недостатков не зависит от того, восстановительная или заменяющая стоимость будет приниматься за основу.
Неисправимый функциональный износ за счет позиций, которые включены в стоимость нового строительства, но которых быть не должно, измеряется как текущая стоимость нового, минус относящийся физический износ, минус стоимость добавленного (т. е. настоящая стоимость дополнительных расходов, связанных с наличием данной позиции).
Последовательность расчета неисправимого функционального износа за счет "сверхулучшений" определяется в зависимости от того вида стоимости, который принят за основу.
В случае применения восстановительной стоимости неисправимый функциональный износ за счет "сверхулучшений" измеряется как восстановительная стоимость элементов "сверхулучшения", минус их физический износ, плюс настоящая стоимость издержек владельца, связанных с наличием сверхулучшений, минус любая добавленная стоимость. При этом к издержкам владельца относят дополнительные налоги, страховки, расходы по обслуживанию, коммунальные платежи, а к добавленной стоимости относят увеличенную арендную плату и т. д. связанные с наличием "сверхулучшения".
Замещающая стоимость не учитывает стоимость строительства "сверхулучшений", поэтому не учитывается и их физический износ. Тем не менее такие пункты, как дополнительные налоги, страховка, коммунальные платежи должны быть учтены.
Внешний износ вызывает уменьшение полезности здания в результате изменения внешних факторов, определяющих экономическое месторасположение ) объекта положения по отношению к основным транспортным, коммунальным, коммерческим и другим сооружениям, изменения рыночных условий, изменения финансовых и законодательных условий и т.д.
Для определения величины внешнего износа применяют два метода:

  • метод капитализации потери дохода, относящегося к внешнему воздействию;
  • метод сравнения продаж подобных объектов при наличии и без внешних воздействий.
При наличии достаточного количества данных, второй подход более предпочтителен.
Использование метода капитализации потери дохода предполагает определение потерь дохода всей собственности за счет внешних воздействий. Затем доля потерь, приходящаяся на здание, капитализируется при норме капитализации для зданий.
Общая оценка накопленного износа сооружения определяется как сумма величин износа по всем позициям разбивки.
Как было отмечено, наиболее предпочтительным и общепринятым (при наличии необходимой информации) методом определения рыночной стоимости недвижимости является метод сравнения продаж. В связи с этим рассмотрим подробнее порядок определения рыночной стоимости недвижимости с помощью данного метода.

Определение рыночной стоимости недвижимости методом сравнения продаж

Выбор и подготовка рыночной информации
Для определения рыночной стоимости методом сравнения продаж необходимо отобрать и проанализировать рыночные данные о сделках купли-продажи объектов недвижимости, аналогичных объекту оценки.
В качестве аналогичного объекта, или объекта сравнения, следует рассматривать объект недвижимости, наилучшее и наиболее эффективное использование которого аналогично наилучшему и наиболее эффективному использованию объекта оценки.
В зависимости от конкретной ситуации наилучшее и наиболее эффективное использование определяется или как для свободного участка земли, или как для собственности с существующими улучшениями.
Если рассматривается наилучшее и наиболее эффективное использование свободного участка земли, то критерием наилучшего использования является максимальная остаточная стоимость земли, которая определяется:

  • вычитанием из стоимости недвижимости издержек на улучшения;
  • применением техники остатка для земли.
При этом под стоимостью недвижимости понимается стоимость объектов недвижимости, возведение которых на участке земли не противоречит юридическим нормам, физически осуществимо и экономически целесообразно.
Если рассматривается наилучшее и наиболее эффективное использование собственности с уже существующими улучшениями, то критерием наилучшего использования является максимальная стоимость недвижимости при долгосрочной норме прибыли, отражающей риск инвестиций в недвижимость данного типа, который определяется:

  • прямым сравнением стоимости недвижимости при различных вариантах использования;
  • сравнением норм прибыли инвестиций в недвижимость при различных вариантах использования.
Среди выбранных объектов с аналогичным объекту оценки наилучшим и наиболее эффективным использованием следует наибольшее внимание уделять объектам, максимально близким к объекту сравнения:

  • по п редаваемым правам собственности;
  • по условиям финансирования;
  • по условиям сделок купли-продажи;
  • по времени совершения сделок купли-продажи;
  • по физическим характеристикам;
  • по экономическим характеристикам, влияющим на величину чистого дохода;
  • по характеру использования и т.д.
На все отличия от объекта оценки следует выполнять корректировки цен продажи объектов сравнения.
Для проведения процедур сравнения следует определить удельные единицы сравнения объектов недвижимости, физические или экономические. Выбор конкретных единиц сравнения зависит от типа недвижимости и сложившихся на местном рынке традиций.
Для сравнения продаж участков земли используются следующие единицы:

  • цена за единицу площади;
  • цена за 1 м пог. вдоль красной линии;
  • цена за участок.
Для сравнения продаж участков земли с существующими зданиями или сооружениями используются следующие единицы:

  • цена за 1 м2 общей площади;
  • цена за 1 м2 полезно й или подлежаще й сдаче в аренду площади;
  • цена за комнату;
  • цена за квартиру;
  • цена за 1 м2 здания или сооружения;
  • цена за все сооружение;
  • цена за единицу, приносящую доход.
Механизм оценки рыночной стоимости недвижимости методом сравнения продаж
Механизм сравнения продаж заключается в нахождении цены единицы сравнения объекта оценки (или всего объекта), которая определяется путем корректировок цен единиц сравнения объектов-аналогов на существующие отличия от объекта оценки.
Для непосредственных корректировок следует выделять характеристики сделок купли-продажи и объектов недвижимости, которые влияют на цену продажи и называются элементами сравнения. В каждом конкретном типе недвижимости выделяют как общие, так и присущие только ему элементы сравнения.
К общим для всех объектов недвижимости относят следующие элементы сравнения:

  • набор прав на недвижимость;
  • условия финансирования сделки купли-продажи;
  • условия сделки купли-продажи;
  • время совершения сделки купли-продажи;
  • месторасположение объекта недвижимости;
  • физические характеристики объекта недвижимости;
  • экономические характеристики объекта недвижимости;
  • характер использования объекта недвижимости;
  • компоненты цены продажи, не связанные с объектом недвижимости.
Под корректировкой цены на набор прав понимается учет разницы между рыночной арендной платой и контрактной арендной платой, которой может быть обременен объект недвижимости.
Величину корректировки на набор прав определяют двумя способами:

  • прямой капитализацией разницы между контрактной и рыночной арендными платами (в предположении бессрочности аренды);
  • дисконтированием разницы между контрактной и рыночной арендными платами в течение оставшегося срока действия договора аренды.
Под корректировкой на условия финансирования сделки купли-продажи понимается учет разницы в стоимости заемного капитала при рыночной и контрактной нормах процента.
Величину корректировки на условия финансирования определяют дисконтированием фактического денежного потока платежей по кредиту при рыночной норме дисконтирования.
Под корректировкой на условия сделки купли-продажи понимается учет факторов, отражающих нетипичные рыночные отношения между продавцом и покупателем, т.е. наличие деловых и родственных связей, незаконного давления и вынуждающих обстоятельств.
Под корректировкой на время совершения сделки купли-продажи понимается учет изменения стоимости недвижимости во времени.
Величину корректировки на время совершения сделки купли-продажи определяют двумя способами:

  • с помощью индексов, отражающих стоимость строительной продукции;
  • с помощью хронологической статистики, показывающей прямую динамику изменения цен на недвижимость.
Под корректировкой на физические характеристики понимается учет наличия конкретных конструктивных элементов у объектов сравнения. Величина корректировки на физические различия определяется исходя из принципа вклада каждого элемента в общую стоимость недвижимости.
Под корректировкой на экономические характеристики понимается учет разницы показателей, определяющих уровень доходности объектов недвижимости. Величина корректировки на экономические характеристики определяется на основе разницы в уровне операционных расходов.
Под корректировкой на использование понимается учет характера использования объектов при совершении сделок купли-продажи. Величина корректировки на характер использования определяется на основе разницы в уровне потенциального или действительного валового дохода.



Резервно-операционный фонд


Структура предложенной нами системы распределения финансов, полученных в ходе размещения региональных ценны бумаг, такова.
Резервно-операционный фонд, основной задачей которого является аккумулирование и перераспределение средств республиканских облигационных займов, и создание резервов. Данный фонд является своеобразным финансовым "бункером", куда попадают абсолютно все средства инвестиционно-заемной системы.
Фонд обслуживания и погашения предназначен для отслеживания перетоков средств из резервно-операционного фонда к инвесторам-владельцам ценных бумаг в порядке погашения облигаций и выплаты процентов. Кроме того, с помощью этого фонда осуществляются гарантии Правительства Республики по обязательствам перед инвесторами. Поясним сказанное.
Дело в том, что Резервно-операционный фонд, как основной в системе финансовых фондов займов является внебюджетным.
Именно это его качество позволяет осуществлять инвестирование средств в высокорентабельные бизнес-проекты, тогда как бюджетные фонды в соответствии с действующим порядком имеют строго целевое бюджетное предназначение. И на этапе разработки ИЗС это обстоятельство может вызвать серьезные затруднения, состоявшие в том, что деятельность инвестиционно-заемной системы по отношению к инвесторам должна быть гарантирована республиканским бюджетом.
Решение, которое может позволить совместить процесс бизнес-инвестирования с требованием бюджетных гарантий, заключается в том, что в республиканском бюджете устанавливается специальный порядок расходования таких средств.
При этом обеспечивается обособленный учет поступления и расходования средств на цели, установленные бюджетом, а также безусловное выполнение обязательств перед держателями облигаций, включая выплату процентного дохода и своевременное их погашение. Таким образом, наполнение фонда обслуживания и погашение осуществляется в обязательном порядке, но в размерах, необходимых для гарантированного погашения регионального долга.
Третьим финансовым фондом в системе является Фонд обеспечения технологических расходов (ФОТР), основной задачей которого является возмещение текущих затрат на функционирование ИЗС, а также исполнение необходимых платежей налогового характера. В связи с тем, что средства, поступающие в этот фонд потребляются участниками системы, говорить о быстрой и явной их отдаче приходится с некоторой долей условности.
Именно поэтому для накопления ФОТР используется предельный норматив, который должен быть установлен Правительством Республики Татарстан и закреплен в виде специального постановления.
На этапе создания и развития инвестиционно-заемной системы этот норматив может быть утвержден, например, в размере пяти процентов от величины займов. И, тем не менее в целях экономичного расходования средств, окончательное наполнение ФОТР осуществляется в соответствии с утверждаемой сметой, где обосновываются объемы возмещения текущих затрат.
Четвертым финансовым фондом системы является Инвестиционный фонд, основная задача которого обеспечение финансирования инвестиционных проектов в объемах, предписанных решениями Республиканского Инвестиционного Совета высшего органа управления ИЗС.
На инвестиционные цели употребляются все имеющие средства Резервно-операционного фонда за вычетом суммы в размере пяти процентов от суммы сделанных займов, которые составляют собственно резервные средства ИЗС (Резервный фонд) и необходимы для покрытия кассовых резервов, которые могут возникнуть вследствие сбойных ситуаций.
Обособленно формирующимся, но входящим в систему распределения финансов является Залоговый фонд ИЗС, формирующийся из залогового имущества, представляемого проектоустроителями (заемщиками средств) в обеспечение покрытия возможных убытков и кассовых разрывов. Наполнение этого фонда осуществляется по мере утверждения заявок на инвестиционные кредиты, в которых в качестве обязательного требования указываются соответствующие имущественные позиции.
Помимо имущественных позиций в заявке могут быть указаны и другие позиции, выступающие в форме залога.
Так, например, возможна позиция, декларирующая переуступку прав на часть контрактных поставок продукции организаций заемщика инвестиционного кредита.
Таким образом, схема финансовых потоков инвестиционно-заемной системы предполагает наличие следующих циклов обращения средств.
Первый цикл "инвестор
Резервно-операционный фонд
инвестор". Согласно этому циклу средства, поступающие от инвесторов через систему займов, попадают в Резервно-операционный фонд, обезличиваются и через Фонд обеспечения погашения и обслуживания долга попадают к инвестору.
Второй цикл "Резервно-операционный фонд
Резервно-операционный фонд
Фонд обеспечения технологических расходов
Резервно-операционный фонд
Резервно-операционный фонд". Согласно этому циклу, который имеет условный характер, средства, направляемые на возмещение текущих затрат обеспечивают функционирование всей системы циклов, т.к. стимулируют (посредством оплаты труда работников и вознаграждения уполномоченных участников) деятельность каждого участника в интересах ИЗС.
При этом, принимая во внимание фиксированный характер вознаграждения участников в зависимости от объемов оборачивающихся средств и контрактные санкции за ненадлежащее выполнение договорных условий, обеспечивается достаточный уровень эффективности расходования этих средств.
Кроме того, средства, употребляемые на техническое оснащение и материализуемые в имущество за вычетом износа остаются в собственности Эмитента Правительства Республики Татарстан.
Третий цикл "РОФ
Резервно-операционный фонд
Инвестиции
Резервно-операционный фонд
РОФ". Согласно этому циклу средства из РОФ поступают в Инвестиционный фонд (ИФ) и оттуда под контроль Уполномоченного банка, который по договору с Правительством Республики Татарстан и Республиканским Инвестиционным Советом выполняет роль инвестиционного агента с функциями контроля за инвестициями.
Возвраты из инвестиций (т.н. "тело" кредита и проценты) согласно инвестиционному договору и договору между Уполномоченным банком и заемщиками направляются в установленные договором сроки, а в случае срыва сроков или инвестируемого проекта покрываются из Залогового фонда и, таким образом вновь попадают в Резервно-операционный фонд, откуда вновь начинают движение по одному из описываемых циклов.
По нашему мнению, наиболее целесообразно направлять инвестиции в те проекты, прибыль от которых образуется не по завершении проекта, а проявляется опосредовано в процессе реализации проекта.
Четвертый цикл "РОФ
Резервно-операционный фонд
«Рынок»
Резервно-операционный фонд
РОФ". Это особый цикл, суть которого состоит в том, что резервируемые средства, размер которых, как уже упоминалось ранее, не может превышать пяти процентов от суммы заемных средств, подчас являются временно свободными, т.е. их наличие в конкретный момент времени не вызвано реальной необходимостью ликвидировать кассовые разрывы.
Иными словами: сбойной ситуации не ожидается, риск появления кассового разрыва практически отсутствует, а резервные средства лежат "мертвым грузом".
В этом случае временно свободные средства могут и должны быть использованы либо в суперкоротких инвестициях (до 1 месяца) либо вложены в высоколиквидные активы.
Итак, мы рассмотрели четыре основных цикла обращения заемных средств в общей схеме финансовых потоков в инвестиционно-заемной системе. Отметим, что с точки зрения обеспечения экономической безопасности первый цикл, вмещающий в себя все другие циклы, ориентирован на инвестора, второй на интересы уполномоченных участников ИЗС, а третий и четвертый на интересы Республики в целом.
3.3. Проблемы экономической безопасности инвестиционных процессов Комплекс мероприятий, обеспечивающих экономическую безопасность инвестиционно-заемной системы Условия экономической безопасности инвестиционно-заемной системы региона, по нашему мнению, являются начальными и могут дополняться различными мерами, но эти меры непременно должны сопровождаться критериальными оценками. В этой связи, было бы, на наш взгляд, целесообразно описать некоторые меры, которые могут быть подразделены на:

  • меры, предпринятые на этапе проектирования системы;
  • меры, способствующие росту уровня экономической безопасности системы в процессе ее эксплуатации.
Такое разделение является в достаточной степени условным и служит лишь для того, чтобы на начальном этапе проектирования "не упустить" из виду те меры, которые в процессе эксплуатации применять поздно.
Гораздо более реалистичной является структура, основанная на группировке качественно однородных мероприятий, как, например, показанная на 28.









28. Общая структура мероприятий по обеспечению
экономической безопасности функционирования ИЗС
Заметим, что любая структура в достаточной степени условна и служит цели понимания и упорядочения информации, поэтому и в данной структуре мероприятия могут относиться одновременно к нескольким группам.
Перечисленные и охарактеризованные мероприятия по обеспечению экономической безопасности инвестиционно-заемной системы не являются исчерпывающими, уже хотя бы потому, что разработка и эксплуатация ИЗС осуществляется практически одновременно, поэтому дополнения и необходимые корректировки вносятся в рабочем порядке.



Схема комплексной оценки инвестиционной ценности


3. Процесс оптимизации инвестиционного портфеля
В результате проведенного анализа осуществляется реструктуризация портфеля с целью его оптимизации. Процесс оптимизации портфеля включает процесс продажи и приобретения инвестиционных ценностей, то есть управляющий решает задачу выбора тех или иных инвестиционных ценностей для покупки или продажи, с целью удовлетворения требований оптимальности инвестиционного портфеля.
В этой связи для определения возможных инвестиционных альтернатив и их характеристик проводится комплексный анализ инвестиционных ценностей ( 4), по результатам которого осуществляется процесс инвестирования.
Организация оценки инвестиционной привлекательности по такой схеме обоснована следующим. Первоначально управляющий портфелем должен определить, что за инвестиционная ценность предлагается, поскольку различные виды инвестиционных ценностей (реальные, финансовые, интеллектуальные) подразумевают различную степень доходности и риска.
В этой связи, одним из главных экзогенных факторов является инвестиционная привлекательность региона.

4. Схема комплексной оценки инвестиционной ценности
На первом этапе анализа определяется вид инвестиционной ценности. В зависимости от вида выбираются критерии для анализа репутации инвестиционной ценности.
Следует отметить, что репутация инвестиционной ценности это характеристика, позволяющая оценить весь предшествующий планируемой сделке инвестиционный процесс, связанный с данной инвестиционной ценностью, то есть, оценить колебания стоимости, прибыли, риска и другие характеристики данной инвестиционной ценности.
Таким образом, оценка репутации это ретроспективный анализ инвестиционной ценности.
Один из главных вопросов, задаваемых инвестором: сколько заплатить за инвестиционную ценность, чтобы не снизить планируемый доход? Поэтому следующим этапом анализа является оценка реальной стоимости инвестиционной ценности, которая проводится путем определения:

  • минимальной приобретаемой доли объекта инвестиций;
  • стоимости минимальной доли;
  • вариантов оплаты приобретаемой доли.
Если объект инвестиций представляет собой сложное образование акционерное общество и его пакет акций, корпорация и его подразделения, интеллектуальная собственность, результаты научного исследования и др. то, зачастую, бывает необходимо определить какая минимальная "доля" объекта инвестиций подлежит приобретению или продаже, после этого, в зависимости от приобретаемого влияния на объект инвестиций, определяется цена доли объекта и варианты оплаты.
Если репутация и стоимость инвестиционной ценности приемлемы для инвестора, то проводится оценка формальных и неформальных показателей, характеризующих данную инвестиционную ценность.
К формальным относятся показатели, которые могут быть рассчитаны на основе формул, имеют четкое разграничение на исходные и результативные показатели. Неформальные показатели это характеристики инвестиционной ценности, аналитический расчет которых невозможен по тем или иным причинам.
Набор показателей для оценки инвестиционной привлекательности может меняться в зависимости от вида инвестиционной ценности. После проведения анализа репутации, оценки реальной стоимости, а также оценки формальных и неформальных показателей для каждой инвестиционной ценности проводится сравнение альтернатив и выбор приемлемых для инвестора вариантов инвестирования и реструктуризации портфеля.
1.3. Конкурентоспособность региона и методика ее оценки Невозможность использования в субъектах Федерации общих, единых для России в целом мер проведения реформы требует внесения корректив в ход ее осуществления, придания ей региональной направленности. Объективная необходимость регионализации проводимых реформ предопределена также и тем, что ограничивается возможность министерств и ведомств влиять на ход проведения реформ, а новый рыночный механизм пока работает недостаточно эффективно.
Все это говорит о необходимости определения роли и места региона в экономическом пространстве Российской Федерации, его потенциальных возможностей и перспектив развития. Чтобы решить данную проблему, нам представляется целесообразным применение на уровне региона таких экономических категорий как “конкурентоспособность” и механизм ценообразования.
Анализу конкурентоспособности, особенно на уровне предприятия, отрасли, региона, страны в отечественной и зарубежной экономической литературе уделено большое внимание. В частности, некоторые авторы подчеркивают, что "конкурентоспособность представляет собой сложное многоуровневое понятие, анализ и оценку которого необходимо теснейшим образом увязывать с конкретным конкурентным полем и особенно, с его уровнем".
Нельзя всерьез рассчитывать на обоснованно высокую конкурентоспособность отрасли или предприятия, если в государстве не отрегулированы основные балансы политического, социального и экономического характера.
В этой связи можно уверенно утверждать, что главный уровень обеспечения конкурентоспособности макроэкономический, на котором определяются основные условия функционирования всей хозяйственной системы государства. За ним по значимости идет мезоуровень, где формируются перспективы развития региона, отрасли или корпорации, то есть охватывающий группу предприятий.
На микроуровне конкурентоспособность как бы обретает свою окончательную, завершающую форму в виде соотношения цены и качества товара.
Это соотношение зависит от условий, сформировавшихся на предшествующих двух уровнях, и от персонала предприятия, его способности использовать как свои ресурсы, так и сравнительные национальные общехозяйственные и отраслевые преимущества.
Можно сказать, что конкурентоспособность конкретного объекта это экономическая категория, позволяющая оценить положение данного объекта относительно сходных объектов-конкурентов на рынке, выраженная через определенный набор показателей (индикаторов).
При этом наиболее объективным комплексным показателем, объединяющим конкурентоспособность товара, товаропроизводителя, отраслевую конкурентоспособность и характеризующим положение региона на национальном рынке, и затем положение страны на мировом рынке, является показатель региональной конкурентоспособности. В самом общем виде ее можно определить как способность региона в условиях свободной конкуренции производить товары и услуги, удовлетворяющие требованиям рынка, реализация которых увеличивает благосостояние региона, страны и отдельных ее граждан.
Однако необходимо отметить, что современные концепции западной экономической мысли по разному трактуют понятие региональной конкурентоспособности. А некоторые ученые вообще предлагают отказаться от использования данного понятия, ссылаясь на то, что главная цель экономической политики региона обеспечить своим гражданам достаточно высокий уровень жизни, который бы имел повышательную динамику.
Способность региона сделать это зависит не от какого-то аморфного понятия “конкурентоспособность”, а от того, насколько продуктивно используются национальные природные ресурсы, а также труд и капитал. При этом, продуктивность может быть выражена как стоимость отдачи от единицы труда или капитала.
То есть, продуктивность региона зависит как от качества и характеристик продуктов (этим определяется цена, которую могут назначить), так и от эффективности, с которой такие товары производятся. В конечном счете продуктивность главная определяющая уровня жизни в регионе, поскольку в ней основной источник дохода на душу населения.
Продуктивность людских ресурсов определяет их заработную плату, а продуктивность использования капитала доход, который получают его владельцы.
Единственное, на чем может основываться концепция конкурентоспособности на уровне региона это продуктивность использования ресурсов.
В мировой практике, как правило, оценивается конкурентоспособность экономики страны. В частности, международные экономические организации, такие как Всемирный экологический форум, Мировой банк оценивают конкурентоспособность экономики страны по 330 критериям, выделяя ряд определяющих факторов, таких как:

  • совокупная мощь страны (экономический потенциал);
  • интернационализация (степень участия в международной торговле и инвестиционных потоках);
  • правительство (стимулирующая роль государства);
  • финансы (функционирование рынка капиталов и качество финансовых услуг);
  • инфраструктура (соответствие ресурсов базовым потребностям бизнеса);
  • наука и технология (потенциал и результативность НИОКР);
  • люди (численность и качество трудовых ресурсов).
Конкурентоспособность экономики страны определяется как результат взаимодействия перечисленных факторов, особенностей хозяйственно-политической среды, организационных способностей и эффективности механизма функционирования экономики, ее хозяйствующих субъектов.
Однако в международных концепциях понятие “конкурентоспособность” практически не связывается с регионом, хотя рейтинговые оценки по отдельным показателям распространены довольно-таки широко. На наш взгляд, такой подход является недостаточно обоснованным.



Сильна инерция старых подходов.


Это стало стержневыми моментами в поведении банков со второй половины 1996 г. и остаются таковыми по сей день. Крупные московские банки при помощи сложившегося круга своих иностранных партнеров по-новому выстраивают всю цепочку: начиная с клиентов в регионах через свою филиальную сеть (или дочерние банки) и заканчивая собственным каналом привлечения финансовых средств с западных площадок.
Вторую группу банков представляют структуры, связанные с региональными администрациями, которые создали собственную систему заимствований на внешнем рынке. Естественно, что первая группа банков вступает в конкуренцию с регионами, власти которых более или менее успешно работают с предприятиями, развивая схемы региональльных займов (займов субфедерального уровня), в том числе и в виде еврооблигаций.
И конкуренция эта значима отнюдь не по самому формальному признаку кто заемщик. Для федерального устройства России это один из важнейших вопросов ее государственного суверенитета.
Кроме того, кто независимые банки или региональная администрация выведет предприятия к устойчивому потоку финансовых ресурсов будет зависеть и целый комплекс исключительно важных вопросов существования единого экономического пространства России.
Третья группа банковские структуры-одиночки, использующие другие способы работы с источниками заемных средств на Западе и своими агентами в регионах. Целая группа средних устойчивых банков поставила во главу угла своей политики курс на тесное сотрудничество с западными финансовыми компаниями, по существу принимая на себя роль их представителей в России.
Эти банки получают кредитный рейтинг, техническую помощь на переподготовку персонала, они являются первоочередными получателями синдицированных кредитов.
Особняком стоит вопрос о конкуренции московских банков и регионов на финансовом рынке. Думается именно здесь сегодня развертывается основная борьба разных идеологий и поддерживающих их структур.
Сделаем оговорку, что, конечно же, неверно жестко привязывать, скажем, позицию ММВБ и Московской фондовой биржи (МФБ) к той или иной идеологической схеме.
Но доминирующее влияние различных подходов в их поведении все же прослеживается без большого труда.
Суть различия в подходах может быть сведена к роли посредников в процессе привлечения финансовых средств на предприятия. За то, чтобы быть посредниками между открытым рынком и предприятиями выступают как региональные власти, обзаведшиеся местными банковскими институтами, так и собственно банки, представляющие преимущественно структуры со штаб-квартирами в столице. Несколько условно можно определить позицию ММВБ как курс пробанковской партии, поддерживаемый Центробанком, и партии региональной в купе с небанковскими инвестиционными институтами, за которой стоит московское городское руководство и ФКЦБ.
Ее можно отнести к проблемам фазы становления общенациональной рыночной инфраструктуры финансовых взаимоотношений.
Между тем, как показывает опыт других стран, есть и более глобальная проблема роль банковского сообщества в регулировании финансовых потоков, конкуренцию которой создает система фондового рынка с ее небанковскими инвестиционными институтами (еще эту проблему называют проблемой выбора американской (фондовой) и немецкой (банковской) системой построения финансовой системы).
Но разделение банковского и фондового секторов финансового рынка в итоге выливается в то, что в дополнение к конфликту стратегий ММВБ и МФБ запоздалый приход банков компенсируется распараллеливанием институтов фондового рынка.

Местные власти на финансовом рынке новые альянсы

Теперь регионы вынуждены сами искать источники доходов и управлять финансовыми потоками в качестве ответственных инвесторов. Прежде всего регионы, оставшись без федеральных средств, вынуждены полагаться на собственные возможности заимствований и производительное вложение капитала.
Несколько лет назад казалось, что дешевые деньги в необходимом объеме регионы смогут быстро и напрямую заимствовать на внешнем рынке. Техническая подготовка к эмиссии облигаций оказалась не самой сложной проблемой для регионов.
Число профессиональных посредников сегодня явно создает известное конкурентное напряжение на рынке соответствующих услуг.
Проблемой оказалось эффективное вложение средств в доходные инвестиционные проекты. Это можно было предвидеть заранее, ведь время, необходимое для подготовки эмиссии, не превышает 6 месяцев, а подготовка хорошего инвестиционного проекта редко когда укладывается в один год.
Эту разницу многим регионам пришлось почувствовать лишь когда стали приближаться сроки погашения.
В общем сказалась неподготовленность той самой инфраструктуры, которая обеспечивает полный цикл управления финансовым потоком от привлечения средств до распределения доходов.
Опасности массового невозврата при неконтролируемых внешних заимствованиях субфедерального уровня вызвали резонное противодействие федеральной власти, усмотревшей в такой практике перспективу утраты управляемости консолидированным внешним и внутренним долгом России. После трудных переговоров с Парижским и Лондонским клубами наших кредиторов стала особенно понятна необходимость жестких рамок субфедеральных заимствований на открытом рынке.
В итоге региональными администрациями не только обозначена планка увеличения их задолженности, но и определено, что привлекаемые средства должны использоваться лишь на погашение внутреннего долга, а не для того, чтобы проводить самостоятельную инвестиционную политику.
Регионы, куда стремятся московские финансовые структуры, весьма разнятся между собой по экономической стратегии и тем самым определяют весьма различную политику проникновения и закрепления в них банковских институтов.
При этом не верно представлять себе российские регионы в том виде, как мы знаем 89 субъектов Российской Федерации. В России достаточно четко обозначилось такое явление как межрегиональные альянсы, включающие сразу несколько субъектов федерации, которые постепенно приобретают в лице крупнейших российских банков и финансово-промышленных групп своих стратегических партнеров. В их числе Северо-Запад, Калининградский анклав, Сибирь, Поволжье, Юг России и некоторые другие.
Первыми формами мезорегиональной интеграции стали 8 экономических ассоциаций субъектов Федерации: Северо-Запад, Черноземье, Большая Волга, Сибирское Соглашение, Северо-Кавказская, Дальневосточная, Уральская, ассоциация областей Центральных районов России.
Большинство из них становятся существенным фактором экономической и политической жизни государства, с которым начали считаться и органы федеральной власти, пытаясь управлять интеграционными процессами и направлять их в русло законодательного разделения полномочий в сфере исполнительной власти, пресекая в то же время попытки политизации этих союзов.
Эту тенденцию можно считать объективной основой для циркулирующих уже не первый год разговоров о таком явлении, как укрупнение регионов с соответствующим пересмотром административно-территориальной сетки страны. Из этого следует, что вопреки заверениям ряда аналитиков, что с приходом крупного капитала в регионы будут окончательно нейтрализованы центробежные тенденции в Федерации, не вполне обоснованы.
Если предположить, что в ближайшие годы будут повторяться такие острые противоречия, какие можно было наблюдать вокруг приватизационного конкурса Связьинвеста, то не составит труда представить себе, что свои политические системы в регионах способны лишь усилить это противостояние, придав последствиям более широкую комплексность и долговременность.
Нельзя сказать, чтобы в регионах не ждали инвестиций и соответственно банков, которые их могут предоставить. Вопрос в подозрительном отношении к приезжим в части правил распределения прибыли.
Здесь еще сильна инерция старых подходов. Закрепится при новой структуре владельцев смогут немногие из сегодняшних лидеров администрации и директорского корпуса.
Отсюда желание заработать на приличную пенсию.
Доходы часто воспринимаются как откаты и результат дележа каких-то чужих денег, которые не принадлежат ни инвестору, ни тому, кто их привлекает.
Чтобы оценить психологию региональных руководителей надо видеть, что они изначально стремились оставить за собой контроль за предприятиями (к которым сегодня начал проявляться активный интерес). Хотя бы потому, что основная часть этих руководителей пришла в администрацию с этих же предприятий.
Но поскольку предприятия всех своих денег лишились и живут на кредиты под оборотные средства, с государством игры закончились, поскольку его бюджет окончательно свелся к пенсиям и зарплатам госслужащим, то нынешняя смычка региональных руководителей и директоров функционально работает как последний бастион на пути неизбежной, скорой и окончательной продажи.
Центральная власть недовольна ситуацией, которая сложилась на местах приватизационные органы субъектов федерации в 1997 г. дали бюджету всего 354 млрд. руб., в то время как федеральное правительство собрало почти 10 трлн. руб. Правительство склонно видеть в этом даже некий умысел, поскольку во многих субъектах федерации доходы местных бюджетов от приватизации превышают отчисления в федеральный бюджет в 10-45 раз.



Составляющие конкурентоспособности региона


Регионы достигают преимуществ благодаря различиям, а не сходству. В каждом регионе есть свой одному ем у присущий набор конкурентных отраслей.


























7. Составляющие конкурентоспособности региона
В результате, можно предположить, что в тех регионах, где отраслевая структура экономики быстрее адаптировалась к рыночным методам ведения хозяйства, где региональная власть поддерживает структурообразующие предприятия и проводит разумную экономическую политику, факторы ценообразования обеспечивают сбалансированность регионального спроса и регионального предложения и способствуют росту показателей конкурентоспособности региона. Исходя из вышеизложенного, может быть предложен следующий алгоритм оценки конкурентоспособности региона ( 8).





























8. Алгоритм оценки конкурентоспособности региона
Для качественного анализа целесообразно привлекать специалистов в более узких сферах. Например, оценку состояния финансового рынка могут выполнить люди, знающие рынок ценных бумаг, как федеральный так и региональный, специалисты в области денежно-кредитной политики, владеющие ситуацией на валютном рынке и другие.
В этой связи могут быть предложены три этапа повышения конкурентоспособности региона.
На первом этапе, необходимо преодолеть кризисные тенденции, особенно усилившиеся после финансового кризиса в августе 1998 г.
В этот период следует закрепить и придать положительный импульс развитию действующих структурообразующих предприятий региона. Должны быть решены проблемы по созданию условий по разработке и внедрению эффективных технологий.
Базой разработки и внедрения новейших технологий и полигоном для их испытания могут стать отрасли, производящие конкурентоспособные товары и услуги. На этом этапе также необходимо создать предпосылки для организации в регионе финансово-промышленных групп, которые должны стать своего рода “локомотивами” для всей региональной экономики.
Их деятельность не должна ограничиваться рамками федерального рынка. На этом же этапе предусматривается разработка соответствующих процедур и правовых норм прямого действия, определяющих порядок и организацию финансово-промышленных групп.
Параллельно должен проводиться мониторинг эффективности функционирования регионального рынка.
Предметом особого внимания региональной власти должна стать забота о поддержании конкурентной среды, особенно на потребительском рынке региона, борьба с локальными и естественными монополиями.
Второй этап можно определить как период стабилизации модели регионального конкурентного рынка. Основная его особенность - функционирование и совершенствование регионального механизма ценообразования.
Здесь наиболее перспективным направлением может быть обеспечение конкурентных преимуществ более высокого порядка (повышение ресурса научных знаний, развитие техники, технологии, инфраструктуры и т.д.).
Наряду с механизмом ценообразования в региональную экономику должны встраиваться элементы активного государственного воздействия, то есть роль региональной власти должна в корне измениться: переход от поддержания жизнеспособности к активной экономической политике.
На третьем этапе следует создавать предпосылки для устойчивого развития конкурентоспособности региона, необходимо завершить создание производственной и непроизводственной инфраструктуры, диверсифицировать экономику производственного комплекса региона.
ГЛАВА 2. УЧАСТИЕ КОРПОРАЦИЙ В ИНВЕСТИЦИОННОМ ПРОЦЕССЕ 2.1. Корпоративное управление в России В развитых странах основу производственного потенциала составляют крупные корпорации, позволяющие концентрировать огромные материальные, человеческие и финансовые ресурсы на решении сложных научно-технических и производственных проблем.
В широком смысле под корпорацией понимают форму организации предпринимательской деятельности, предусматривающую долевую собственность участников, их самостоятельный юридический статус и сосредоточение функций управления в руках верхнего эшелона профессиональных управляющих (менеджеров).
Помимо общих принципов построения корпоративных взаимоотношений, в каждом корпоративном объединении могут возникать определенные особенности, вызванные спецификой организационной структуры корпорации, приобретенной собственности и др. Рассмотрим наиболее распространенные формы корпоративных объединений в России.
Ассоциация. Добровольное объединение физических и (или) юридических лиц с целью взаимного сотрудничества при сохранении самостоятельности и независимости входящих в объединение членов.
Консорциум. Временное объединение компаний, банков и других организаций на основе общего соглашения для осуществления капиталоемкого проекта или совместного размещения займа (несет солидарную ответственность перед заказчиками).
Концерн. Крупное объединение предприятий, связанных общностью интересов, договорами, капиталом, участием в совместной деятельности (часто такая группа объединяется вокруг холдинга, держащего акции этих компаний).
Синдикат. Объединение предприятий, выпускающих однородную продукцию, в целях организации ее коллективного сбыта через единую торговую сеть.
ФПГ. Зарегистрированная в установленном порядке в соответствующих ведомствах группа юридически независимых предприятий, финансовых и инвестиционных институтов, объединивших свои материальные ресурсы и капиталы для достижения общей экономической цели.
Центральной (головной) компанией в ФПГ может быть как специализированная организация "управляющая компания", так и входящее в группу производственное предприятие или объединение, банк, финансовая или страховая компания.
Холдинг. Акционерная компания, владеющая контрольными пакетами акций, управляющая или контролирующая деятельность других компаний, предприятий с целью осуществления контроля над их операциями.
Холдинговая компания может не владеть собственным производственным потенциалом и не заниматься производственной деятельностью.
Этапы становления корпоративного управления В России корпорации как форма бизнеса возникли вследствие развития рыночных отношений. В различные периоды развития экономики России закладывались предпосылки создания эффективной корпоративной среды, но в то же время возникали определенные противоречия в системах корпоративного управления, с которыми приходится иметь дело на практике в настоящее время.
Каждый период олицетворял новую стадию понимания руководством страны экономических проблем и выработки путей их решения, поэтому границы периодов условны и могут быть сдвинуты в любую сторону в соответствии с применяемыми критериями.
На наш взгляд, временные рамки и ключевые проблемы каждого из периодов могут быть описаны следующим образом.
Период до 1987 г. Административно-командные методы централизованного управления государственной экономикой перестали соответствовать требованиям макроэкономической ситуации; отстранение работников среднего и нижнего уровня от реального участия в управлении предприятиями побудило многих из них попробовать себя в зарождающемся мелком кооперативном бизнесе или индивидуальном предпринимательстве, а отсутствие четкой законодательной базы и практических знаний по экономике привело многих из них к краху иллюзий быстрого обогащения; корпоративность как система управления производством все больше отождествлялась с клановостью партийно-номенклатурной элиты и вызывала противоречивое отношение начинающих предпринимателей.
Корпоративная среда в этот период была похожа на систему партийно-хозяйственных активов: все ключевые посты на предприятиях распределялись не в соответствии с профессионализмом управляющих, а по старым партийно-номенклатурным связям. Основой для этого послужили, на наш взгляд, три причины:
1. Отсутствие отечественных высококвалифицированных независимых управляющих на рынке труда.
2. Неготовность предприятий высоко оплачивать квалифицированный труд зарубежных управляющих.
3. Остатки тоталитарного мировоззрения и, в связи с этим, низкое желание взаимного обмена накопленным опытом между странами с развитой рыночной экономикой и странами бывшего социалистического лагеря.
Период с 1987 г. по 1991 г. Центробежные силы уверенно вели к распаду монополизированной и централизованной организации хозяйства; поощряемая самостоятельность и разрешенная аренда предприятий побудили директорский корпус к поэтапному их подчинению группам работников, разделявшим позицию первых руководителей, то есть корпоративность приобретала оттенок лояльности власти; предусмотренное законодательными нормами участие коллективов в управлении предприятиями через советы трудовых коллективов не получило развития в силу неподготовленности работников к эффективному участию в управлении и нежелания руководителей "делиться властью".
В этот период закладывались основы корпоративности директорского корпуса и структур, приближенных к партийно-номенклатурным органам управления, но уже появились ростки нарождающейся корпоративной среды. Помимо промышленного в России возник и начал развиваться финансовый капитал в банковском и страховом секторах экономики.
Появились источники и первые инструменты накопления капитала.



Спекулятивные инвестиционные ценности


Однако корпорация должна ежеминутно следить за состоянием фондового рынка и экономической ситуацией в регионе и быстро реагировать на изменения финансовой конъюнктуры, а также на смену тенденций в технологии, коммерции и регулировании экономики на федеральном и региональном уровнях. В результате программа может быть достаточно гибкой в своей структуре и приносить корпорации запланированный доход.
Как показывает анализ работы корпораций, региональные программы корпоративных инвестиций должны основываться на трезвом расчете и долгосрочном прогнозировании, механизмы которых достаточно давно разработаны и постоянно совершенствуются в развитых странах.
2.3. Инвестиционный анализ и теория портфеля Классификация объектов корпоративных инвестиций Находящиеся в регионе и предлагаемые инвесторам объекты, по нашему мнению, могут быть объединены в так называемый инвестиционный портфель. Составляющими инвестиционного портфеля являются элементы, представляющие собой инвестиционные ценности различных видов. Каждый вид инвестиционных ценностей имеет собственные отличительные черты, но перед тем, как охарактеризовать виды инвестиций в целом, по нашему мнению, необходимо классифицировать инвестиционные ценности в соответствии с видами инвестиций следующим образом:

  • по степени материализации: материальные, нематериальные;
  • по отдаленности возврата вложенных средств: краткосрочные, среднесрочные и долгосрочные;
  • по степени риска: высокого риска, среднего риска, низкого риска;
  • по объему требуемых инвестиционных ресурсов: дорогостоящие, средней стоимости, дешевые;
  • по целевому использованию: спекулятивные, прямого участия.
Рассмотрим виды классификации более подробно.
Степень материализации позволяет различать такие инвестиционные ценности, как права, технологии, интеллектуальный потенциал персонала (нематериальные инвестиционные ценности) и недвижимость, оборудование (материальные инвестиционные ценности).
Отдаленность возврата вложенных средств классификатор, позволяющий с определенной вероятностью прогнозировать срок возврата средств и, как следствие, формировать план финансовых потоков корпорации.
Степень риска позволяет инвестору устанавливать приемлемую плату за риск или определенный уровень дохода при вложении в конкретную инвестиционную ценность. Причем, высокорискованные инвестиции, как правило, называются венчурами.
Инвестиции среднего риска это наиболее распространенная и многочисленная группа, к которой относятся практически все корпоративные ценные бумаги, типовые инвестиционные проекты, а также инвестиции в переподготовку персонала.
Низкорискованные инвестиционные ценности: государственные ценные бумаги, объекты тезаврации и др.
Расчет объема требуемых инвестиционных ресурсов производится на этапе оценки инвестиционных возможностей инвестора. Он позволяет на предварительном этапе разделить объекты на приемлемые для инвестиций и неприемлемые по объемам требуемых ресурсов для конкретного инвестора.
Целевое использование инвестиционных ценностей может быть охарактеризовано следующим образом. Спекулятивные инвестиционные ценности используются для перепродажи.
В этом случае приобретается инвестиционная ценность и удерживается в руках инвестора сколь угодно долгий срок, по истечении которого она может быть продана по цене, более высокой, чем цена приобретения (например, акции предприятий - голубых фишек).
При этом инвестор не принимает непосредственного участия в изменении рыночной стоимости данной инвестиционной ценности. С другой стороны, инвестиционные ценности прямого участия позволяют инвестору оказывать влияние на изменение их рыночной стоимости (собственный инвестиционный проект, акции дочерних предприятий и т. д.).
Предложенная классификация является общей для всех видов инвестиций, поэтому ее целесообразно использовать для целей управления инвестиционным портфелем корпорации.
В то же время, помимо большого разнообразия самих инвестиционных инструментов, на рынке присутствуют разновидности инвестиционных возможностей и по видам инвестиций.
Объекты реальных инвестиций (капиталовложений) могут быть разными по характеру. Типичным объектом капиталовложений могут быть затраты на земельные участки, здания, оборудование.
Помимо затрат на разного рода приобретения инвестору приходится также производить другие многочисленные затраты, которые дают прибыль лишь через длительный период времени.
Такими реальными затратами являются, например, инвестиции в совершенствование продукции, долгосрочную рекламу, сбытовую сеть, реорганизацию предприятия.
Основной задачей при выборе направления инвестирования является определение экономической эффективности вложения средств в инвестиционную ценность (объект инвестиций). По каждому объекту целесообразно составлять отдельный инвестиционный план.
Итак, объектами реальных инвестиций являются:
1. Строящиеся, реконструируемые или расширяемые предприятия, здания, сооружения (основные фонды).
2. Программы федерального, регионального и местного уровня.
Реальные инвестиции могут охватывать как полный научно-технический и производственный цикл создания продукции (ресурса, услуги), так и его элементы (стадии): расширение или реконструкция действующего производства, организация нового производства или выпуск новой продукции, утилизация и т. д.
Объекты реальных инвестиций классифицируются по:

  • объемам инвестиций;
  • направленности проекта;
  • характеру и содержанию инвестиционного цикла;
  • характеру и степени участия государства;
  • эффективности использования вложенных средств.
Выделяют следующие формы реальных инвестиций:
1. Денежные средства и их эквиваленты.
2. Земля.
3. Здания, сооружения, машины и оборудование, измерительные и испытательные средства, оснастка и инструмент, любое другое имущество, используемое в производстве и обладающее ликвидностью.
Объекты финансовых инвестиций могут быть классифицированы следующим образом.
Ценные бумаги, к которым в соответствии со ст. 143 ГК РФ относятся: государственная облигация, облигация, вексель, чек, депозитный и сберегательный сертификаты, банковская сберегательная книжка на предъявителя, коносамент, акция, приватизационные и другие документы, которые Федеральными законами или в соответствии с ними отнесены к числу ценных бумаг.
Также к объектам финансовых инвестиций относятся объекты тезаврации, то есть, бумажные деньги или золото, накапливаемые населением в целях страхования сбережений от инфляционного обесценения, а также под угрозой потерь в периоды политических и экономических кризисов.
Объекты финансовых инвестиций можно классифицировать по нескольким признакам:

  • по виду имущественных требований: долговые (облигации, векселя и т. д.), имущественные (акции, объекты тезаврации и т. д.);
  • по способу передачи прав: именные (именные векселя, именные акции и т. д.), на предъявителя (сберегательные книжки на предъявителя, денежные средства);
  • по степени овеществления: материальные (золото, денежные средства и т. д.), нематериальные (бездокументарные ценные бумаги и т. д.).
К объектам интеллектуальных инвестиций относятся: технологии, квалификация сотрудников, результаты научных исследований.
Инвестиции в технологии можно охарактеризовать как затраты на совершенствование действующих, а также на разработку и внедрение новых производственных процессов, причем производственный процесс в данном разрезе понимается как описание совокупности действий по переработке сырья в готовую продукцию.
Инвестиции в квалификацию сотрудников могут осуществляться в виде затрат на обучение, повышение квалификации, переквалификацию.
Инвестиции в результаты научных исследований представляют собой затраты на проведение исследований в интересах инвестора, то есть затраты на оплату научного отчета, представляемого по заказу инвестора.
В этой связи, объекты интеллектуальных инвестиций можно классифицировать следующим образом:

  • по срочности оплаты: оплачиваемые единовременно и периодически;
  • по значению: прикладные и фундаментальные.
Таким образом, помимо общей классификации инвестиционных ценностей, можно классифицировать и каждый их вид.

Структура портфеля

Главная цель инвестиционной стратегии корпорации заключается в формировании инвестиционного портфеля, который представляет собой диверсифицированную совокупность вложений в различные виды активов ( 19).
















19. Структура инвестиционного портфеля
Портфель собранные воедино различные инвестиционные ценности, служащие инструментом для достижения конкретной инвестиционной цели инвестора. Формируя портфель, инвестор исходит из своих "портфельных соображений", которые представляют собой желание владельца средств иметь их в такой форме и в таком месте, чтобы они были безопасными, ликвидными и высокодоходными.
Поэтому основными принципами формирования инвестиционного портфеля являются безопасность и доходность вложений, их стабильный рост, высокая ликвидность. Под безопасностью понимаются неуязвимость инвестиций от потрясений на рынке инвестиционного капитала и стабильность получения дохода.
Ликвидность инвестиционных ценностей это их способность быстро и без потерь в цене превращаться в наличные деньги.



Суть иерархического подхода


И та, и другая схема управления портфелем подразумевает иерархический подход к анализу и отбору как элементов корзин, так и элементов портфеля. Суть иерархического подхода показана на 22.
Он позволяет четко распределить полномочия и обязанности в группе инвестиционного менеджмента фирмы.
Руководитель группы или инвестиционного отдела выполняет функцию управления составом портфеля: определяет критерии распределения инструментов по корзинам, определяет веса корзин в портфеле, осуществляет координацию действий в случае перераспределения инструментов между корзинами. Каждый подчиненный, как правило, занимается или "ведет" одну или несколько корзин.
Управление портфелем инвестиционных проектов включает, как и управление любым сложным объектом с переменным составом, планирование, анализ и регулирование состава портфеля. Кроме того, управление любым портфелем включает в себя осуществление деятельности по его формированию и поддержанию с целью достижения поставленных инвестором перед портфелем целей при сохранении необходимого уровня его ликвидности и минимизации расходов, связанных с ним.
В общем виде структура управления портфелем инвестиционных проектов показана на 23.
Существуют два варианта организации управления портфелем инвестиционных проектов. Первый это выполнение всех управленческих функций, связанных с портфелем, его держателем на самостоятельной основе.
Второй вариант это передача большей части функций по управлению портфелем другому лицу в форме траста.
В первом случае инвестор должен решить следующие задачи по организации управления:
1. Определить цели и тип портфеля.
2. Разработать стратегию и текущую программу управления портфелем.
3. Реализовать операции, относящиеся к управлению портфелем.
4. Провести анализ и выявить проблемы.
5. Принять и реализовать корректирующие решения.













23. Структура управления портфелем
инвестиционных проектов
Во втором случае основная задача инвестора правильно определить объект траста (инвестиционные, общественные фонды, специализируемые инвестиционные институты и т.д.) для управления портфелем.
Стандартные цели портфеля инвестиционных проектов приведены на  24.








24. Цели портфеля инвестиционных проектов
Как следует из рисунка, основными целями портфеля являются:

  • получение процента, то есть приращение стоимости портфеля за счет доходов по инвестиционным ценностям;
  • сохранение капитала, то есть размещение инвестиционных ресурсов в инвестиционные ценности, стоимость которых изменяется не медленнее чем, например, стоимость потребительской корзины;
  • развитие производства, то есть получение средств для внедрения новых технологий, закупки оборудования и т. д.

Инвестиционная стратегия

Цели портфеля могут быть альтернативными и соответствовать различным типам портфелей. Например, если ставится цель получения процента, то предпочтение при формировании портфеля отдается высокорискованным, низколиквидным, но обещающим высокую прибыль проектам.
Если же основная цель инвестора сохранение капитала, то предпочтение отдается хорошо разработанным проектам, с небольшим риском, высокой ликвидностью, но с заранее известной небольшой доходностью.
Понятие ликвидности портфеля может рассматриваться как способность:

  • быстрого превращения всего портфеля или его части в денежные средства (с небольшими расходами на реализацию);
  • своевременного погашения обязательств перед кредиторами, возврата им заимствованных денежных ресурсов, за счет которых был сформирован портфель или его часть. В данном случае на первый план выходит вопрос о соответствии сроков привлечения источников, с одной стороны, и формировании на их основе вложений средств, с другой.
Управление инвестиционным портфелем осуществляется в рамках общей финансовой стратегии корпорации, в соответствии с портфельными стратегиями, сформулированными в рамках инвестиционной стратегии корпорации:

  • низкого риска и высокой ликвидности;
  • высокой доходности и высокого риска;
  • долгосрочных вложений;
  • спекулятивная и др.
Конкретные инвестиционные стратегии определяются:
1. Финансовой стратегией корпорации.
2. Типом и целями портфеля.
3. Состоянием рынка (его наполненностью и ликвидностью, динамикой процентной ставки, легкостью или затрудненностью привлечения заемных средств, уровнем инфляции).
4. Наличием законодательных льгот или, наоборот, ограничений на инвестирование.
5. Общеэкономическими факторами (фаза хозяйственного цикла и т.д.).
6. Необходимостью поддержания заданного уровня ликвидности и доходности при минимизации риска.
7. Типом стратегии (краткосрочная, среднесрочная и долгосрочная).
Естественно, различные факторы, а следовательно, и различные стратегии комбинируются между собой, накладываются друг на друга, и вследствие этого появляются сложные комбинированные варианты портфельной стратегии.
Методические основы оценки инвестиционных ценностей

Затратный метод оценки рыночной стоимости недвижимости

Определение стоимости земли
При определении стоимости участка земли, входящего в состав оцениваемой затратным методом недвижимости, следует рассматривать его как свободный от застройки в предположении наилучшего и наиболее эффективного использования. Для оценки рыночной стоимости земли применяют следующие методы:

  • метод сравнения продаж;
  • метод распределения;
  • метод выделения;
  • метод разбивки на участки;
  • техника остатка для земли;
  • капитализация арендной платы.
При наличии необходимой информации метод сравнения продаж является наиболее предпочтительным и общеприменимым. После сбора рыночной информации и выбора единицы сравнения, цены продаж сравнимых участников корректируются по элементам сравнения. Основными элементами сравнения для земли являются:

  • права собственности;
  • условия финансирования;
  • условия продажи;
  • условия рынка (время продажи);
  • месторасположение;
  • физические характеристики;
  • доступные коммунальные услуги;
  • условия зонирования;
  • наилучшее и наиболее эффективное использование.
При оценке земли можно использовать несколько единиц сравнения, корректируя цену каждой из них и получая в конце несколько значений стоимости, определяющих ее диапазон.
Метод распределения основан на положении о том, что для каждого типа недвижимости существует нормальное соотношение между стоимостью земли и стоимостью построек. Такое соотношение наиболее достоверно для новых улучшений, которые отражают наилучшее и наиболее эффективное использование земли.
С увеличением возраста построек отношение стоимости земли к общей стоимости объекта увеличивается.
Данный метод не дает точного значения рыночной стоимости. Он может применяться для оценки в условиях недостаточной информации о продажах свободных участков земли.
Метод выделения является разновидностью метода распределения. Стоимость земли выделяется из стоимости недвижимости вычитанием стоимости улучшений с учетом их износа.
Этот метод можно рекомендовать для оценки загородных участков, для которых вклад улучшений в общую стоимость мал и достаточно легко определяется.
Метод применяется при отсутствии информации о продажах свободных участков в ближних окрестностях.
Метод разбивки на участки применяется в случаях, когда разбивка участка на несколько меньших по размеру представляет наилучшее и наиболее эффективное использование земли , при этом внешние и внутренние улучшения участков, создаваемые при разбивке, обеспечивают условия для наилучшего и наиболее эффективного использования земли.
Расчет стоимости участка земли методом разбивки выполняется в следующей последовательности:
1. Определяется количество и размеры участков, исходя из физических возможностей, юридических возможностей и экономической целесообразности. Хотя обоснованная оценка количества участков получается в соответствии с требованиями действующих нормативов, предпочтение может быть отдано рыночным данным по развитию аналогичного земельного массива, если таковые имеются.
2. Определяется потенциальный доход от продажи или сдачи в аренду подготовленных участков. Основой для расчета является стоимость одного участка, определенная методом сравнения продаж с учетом корректировок на различия.
3. Определяется чистый доход от продаж, который является разностью между потенциальным доходом от продаж и суммой всех издержек на улучшения и устройство участков.
Издержки на улучшение включают:

  • расходы на разбивку, расчистку и планировку участков;
  • расходы по устройству дорог, тротуаров, инженерных сетей, дренажа;
  • налоги, страховка, заработная плата ИТР;
  • расходы на маркетинг;
  • прибыль и накладные расходы подрядчика;
  • прибыль предпринимателя.
Так как освоение территории обычно занимает некоторое время и выручка от продаж поступает не единовременно, настоящая стоимость земельного массива определяется дисконтированием потока чистой выручки от продаж с учетом периодичности поступлений и предполагаемой нормы отдачи проекта.
Техника остатка для земли применяется при отсутствии данных о продажах свободных участков земли. Для определения стоимости земельного участка необходимо знать:

  • стоимость здания;
  • чистый операционный доход от всей недвижимости;
  • коэффициенты капитализации для земли и для зданий.
Стоимость здания может быть определена для нового или проектируемого объекта, который представляет наилучшее и наиболее эффективное использование.



Теоретическая модель конкурентоспособности региона


Эти интересы не только не совпадают, но и вступают в противоречие. Все они входят в группу социально-политических факторов (SP), рассмотренной выше модели и требуют отдельного анализа, который во многом будет определяться спецификой каждого региона.
Исходя из изложенного, может быть предложена следующая теоретическая модель конкурентоспособности региона. В общем случае под моделью конкурентоспособности региона с позиций потенциальной осуществимости, по нашему мнению, можно понимать совокупность правовых, экономических, социальных, политических условий, учреждений, инфраструктуры, обеспечивающих расширенное воспроизводство народно-хозяйственного комплекса региона на основе эффективного функционирования механизма ценообразования и использования преимуществ современного регионального рынка ( 6).
Механизм ценообразования является связующим элементом между различными типами рынков. Состояние ценового хозяйства уровни, динамика, соотношения цен решающим образом влияют на жизнеспособность субъектов регионального рынка.
Прежде всего цены оказывают воздействие на уровень доходов, притоки капиталов, платежеспособный спрос, инвестиционную активность.
В этой связи целесообразно, на наш взгляд, конкретизировать структуру регионального рынка ценообразующими составляющими и провести анализ экономической модели конкурентоспособности региона используя такие категории, как "региональный спрос" и "региональное предложение". Это обусловлено тем, что необходимо абстрагироваться от различий между отдельными рынками и выявить главные элементы функционирования региональной экономической системы, определяющие ее конкурентоспособность.

















6. Теоретическая модель конкурентоспособности региона
Региональный спрос (RD) представляет собой сумму всех расходов на конечные товары и услуги, произведенные в региональной экономике. Он отражает связь между объемом совокупного выпуска, на который предъявлен спрос экономическими агентами, и общим уровнем цен.
Региональное предложение (RS) показывает уровень наличного реального объема производства при каждом возможном уровне цен.
Следует подчеркнуть ряд существенных отличий данных категорий от общепринятых в макроэкономике совокупного спроса (AD) и совокупного предложения (AS):
Поскольку региональный рынок является составной частью федерального, постольку значение уровня цен находятся в сильной зависимости от его состояния и проводимой государством экономической политики. Например, проведенная Правительством РФ в августе 1998 г. девальвация рубля по отношению к доллару более чем на 100 % привела к соответствующему росту цен в регионах на импортные товары.
Такие структурные элементы совокупного спроса, как потребительский и инвестиционный во многом определяются местом региона в общественном разделении труда, его специализацией и отраслевой структурой, удаленностью от рынков ресурсов и сбыта.
Отсутствие четкой границы между краткосрочным и долгосрочным периодами, характерными при анализе совокупного предложения, находит выражение в подвижности на региональном уровне ряда факторов, определяющих тот или иной период.
Необходимость замены составляющей “чистый экспорт” в структуре совокупного спроса и дополнение совокупного предложения данными по ввозу и вывозу продуктов и ресурсов при анализе регионального спроса и регионального предложения.
Неценовые факторы регионального спроса и регионального предложения (налоги, процентные ставки, субсидии и льготные кредиты инвесторам, условия на внешних рынках и т.д.) во многом определяются экономической политикой федерального центра и региональной власти, характером их взаимоотношений.
В качестве примера автором предлагается следующий вариант определения величин RD и RS с использованием статистических материалов по Республике Татарстан за 1997 г. (расчеты произведены в ценах 1997 г.).
Региональный спрос:
RD = Cr + Ir + Gr + Xr
Потребительский спрос (Cr) составил 12 403 млрд. руб. (70,4% объема денежных доходов).
Инвестиционный спрос (Ir) сложился из инвестиций в основной капитал в размере 4 152,4 млрд. руб. и сбережений населения во вкладах и ценных бумагах 436 млрд. руб., то есть Ir = 4 588,4 млрд. руб.
Расходы:

  • регионального бюджета 3 937,1 млрд. руб.;
  • Федерального бюджета 640 млрд. руб.;
Спрос на вывозимые из региона товары и услуги:

  • со стороны других субъектов Федерации 7 863 млрд. руб.;
  • со стороны стран СНГ и "дальнего зарубежья" 240 млрд. руб.
Таким образом, региональный спрос:
RD = 29 671,5 млрд. руб.
Региональное предложение (RS) сложилось из объемов производства крупных секторов экономики Республики Татарстан:

  • промышленное производство 14 873 млрд. руб.;
  • строительство 2 745,9 млрд. руб.;
  • сельское хозяйство 2 631,4 млрд. руб.;
  • товары и услуги 7 103 млрд. руб.
Итого: RS = 27 353,3 млрд. руб.
Из приведенных расчетов видно, что в 1997 г. в Республике Татарстан имелся определенный дисбаланс, который заключался в превышении спроса над предложением в размере 2 318,2 млрд. руб. (8% регионального предложения). На первый взгляд может показаться, что ситуация близка к равновесной. Однако, если подробнее рассмотреть составляющие регионального спроса и регионального предложения, то обнаружится ряд серьезных диспропорций:

  • 12 403 млрд. руб. или 41,8% всего регионального спроса приходятся на потребительские расходы, что при наличии большого промышленного потенциала республики свидетельствует о продолжающихся кризисных явлениях в реальном секторе экономики;
  • производство товаров народного потребления предприятиями области составило 7 103 млрд. руб. или 57,2% от потребительского спроса, что говорит о значительной (42,8%) зависимости регионального рынка от внешних поставок;
  • относительный баланс в промышленном секторе существует на основе бартера и взаимозачетов.
Наиболее ярко эти диспропорции проявили себя в августе-сентябре 1998 г. в разгар финансового кризиса, когда резко ухудшилась ситуация на потребительском рынке (рост инфляции до 40-60%, снижение качества ассортимента товаров и т.д.), фактически “рухнул” финансовый рынок (проблема неплатежей, неработающая банковская система), обострились межбюджетные отношения, появились элементы командно-административной системы (запрет на вывоз товаров из региона, установка предельного уровня цен и т.д.).
Из приведенного анализа регионального спроса и регионального предложения можно сделать ряд выводов:
1. Основные элементы экономической модели конкурентоспособности региона тесно взаимосвязаны между собой и взаимодействуют на региональном рынке через механизм ценообразования, формируя региональный спрос и региональное предложение.
2. Равновесие регионального рынка весьма неустойчиво. Одна из главных проблем дефицит финансового (денежного) капитала, имеющегося в распоряжении финансовых институтов и реального сектора экономики.
Чрезмерно высокая цена кредитов, неплатежи в реальном секторе, низкий платежеспособный спрос следствие дефицита финансового капитала, возникшего в ходе гиперинфляции 1992-1994 гг. и финансового кризиса августа-сентября 1998 г. и уничтожившего сбережения населения и оборотный капитал реального сектора.
3. Неустойчивость регионального рынка во многом определяется факторами ценообразования. Среди них несоответствие цен на ресурсы (прежде всего на энергоносители) и транспортных тарифов природным условиям и господствующим в стране ресурсоемким технологиям.
Следует устранить диспаритет цен, в результате которого значительная часть производств оказалась нерентабельной и прекратила функционирование.
Специфика ценового регулирования определяется тем, что высокие (близкие к мировым и даже превышающие их) цены обусловлены не столько монополизмом соответствующих товаропроизводителей, сколько разросшейся сферой посредников и непомерно высокой налоговой нагрузкой на эти ресурсы.
4. Эффективный региональный спрос зависит от соотношения товарных цен, оплаты труда и процентной ставки, что находит свое отражение во взаимосвязи и нормальном функционировании трех основных типов регионального рынка: потребительского, труда, и финансового.
5. В условиях экономического кризиса крайне низка регулирующая роль федеральной и региональной властей, вынужденных направлять все свои усилия на поддержание жизненнонеобходимых отраслей экономики и социальной сферы региона (подготовка к зиме, обеспечение товарами бюджетных учреждений здравоохранения, образования и т.д.)
6. В результате взаимодействия регионального спроса и регионального предложения формируются доходы основных субъектов регионального рынка, величина которых является базовой при определении конкурентоспособности региона.
Таким образом, содержание экономической модели конкурентоспособности региона свидетельствует о сложном и многофакторном характере ее составляющих, что порождает трудности для нахождения комплексного критерия конкурентоспособности региона. Решить эту проблему можно используя метод “анализ-синтез”. Если исходная функциональная зависимость конкурентоспособности региона имела вид:
RC = f (Y, P, FP, SP),
то после анализа модели “региональный спрос региональное предложение”, ее можно представить как:



Тезис о сверхцентрализации финансовых капиталов


Почему именно сейчас этот процесс набрал высокие обороты? Каковы у него перспективы на ближайшие годы?
Отчего так случилось, что из области противоборства рыночной и нерыночной идеологии споры упорно концентрируются на теме новых механизмов связи центра и регионов?
Как относиться к тому факту, что финансовая политика основных участников рынка с 1997 г. открыто строится на тезисе о том, что сегодня занимать деньги выгодней у зарубежных партнеров, чем в собственной стране? Чтобы разобраться в сложном комплексе проблем важно найти структурообразующие принципы этой непростой ситуации.
Ответить на перечисленные вопросы коротко сложно. Политологи такую ситуацию считают естественным следствием понижения уровня ответственности в системе принятия решений, характерного для периода общего снижения управляемости в обществе.
Экономически ответ в первом приближении мог бы звучать так: центр утратил источники доходов, в связи с чем стала невозможной прежняя логика взаимодействия с субфедеральным уровнем на принципах массированных бюджетных субсидий и прямого кредитования.
Доходы субъектов РФ уже не могут на 90% формироваться за счет отчислений от федеральных налогов, как это было еще несколько лет тому назад. Собственная налоговая база субфедерального уровня находится в состоянии стагнации, наряду с общим депрессивным положением в экономике, испытывая также возросшее давление на бюджет от принятой на баланс социальной сферы.
Раздача государственных денег завершилась исчерпанием казны, и ходокам больше нечего делать у парадного подъезда. По оценке бывшего Министра финансов России М. Задорнова, сегодня от 20 до 35% расходов бюджета идет на обслуживание внешнего и внутреннего долгов, которые к тому же стремительно растут.
По международным нормам дефицит бюджета полтора года сохраняется на уровне 8% от ВВП, а при таком дефиците не может быть экономического роста, поскольку государство изымает из экономики все возможные ресурсы на финансирование своих текущих расходов.
Там, где нет роста остаются займы.
Тезис о сверхцентрализации финансовых капиталов имеет несомненные основания. Москва занимает первое место в стране по числу зарегистрированных коммерческих банков, концентрирующих до двух третей всех финансовых ресурсов страны. К настоящему времени в Москве зарегистрировано свыше 800 коммерческих банков, тогда как, например, во втором по количеству банков городе, Санкт-Петербурге, их около полусотни.
Оправдывать или осуждать такую ситуацию навряд ли имеет смысл.
Тем более надо отделаться от идеи, что будто бы концентрация финансовых ресурсов в Москве носит чуть ли не мистический характер, оставаясь проекцией мифа о всеподавляющем центре и забытой богом периферии.
Денежные ресурсы менее прочих подвержены подобной мотивации. Зато они очень чутко реагируют на те конкретные технологии своего роста, которые предоставляет экономика на данном этапе своего развития.
Так, в объяснение приведенных цифр, можно сказать, что для того, чтобы расти молодому банковскому капиталу до самого последнего времени предприятия с их производственным потенциалом нужны не были, зато финансовые технологии зачастую требовали непосредственного присутствия там, где принимались и осуществлялись решения в отношении государственных финансовых средств и где проще устанавливать контакты с западными партнерами в Москве.
Хочется верить, что вскоре многое будет по-другому. Пресловутые 70% финансовых капиталов, собранных под маркой столичных финансов, попросту не могут себя воспроизводить, оставаясь в рамках московской окружной дороги.
Уход в регионы становится неизбежностью.
И то, что сегодня банковские структуры собраны в основном по столичным адресам, являет собой остатки этой прежней логики. Все это тоже элемент современного банковского бизнеса, но теперь уже не его главный привод.
На стороне банков действуют мощные мотивационные факторы, обусловленные рядом обстоятельств системной природы:

  • окончательное утверждение и быстрое развитие открытой модели российского финансового рынка;
  • снижение доходности основных банковских площадок, главным образом на рынках бумаг федерального долга;
  • бескомпромиссные требования Центрального банка России к укрупнению уставных фондов коммерческих банков;
  • безальтернативность политики движения кредитных институтов в реальный сектор, с его особыми рисками и требованиями к финансовым технологиям.
Коммерческие банки воспринимают свое нынешнее положение прежде всего как результат внешнего принуждения, следствие слишком быстрого и при том намеренного свертывания доходности традиционных площадок: рынка ГКО/ОФЗ; работы с бюджетными деньгами в статусе уполномоченных банком; межбанковских кредитов; операций на валютном рынке.
Занавес опустился для многих слишком неожиданно, и целый ряд банков не смог освоится с необходимостью работать по новым правилам, зарабатывая на собственных вложениях и управлении инвестиционными рисками, а не подбирая деньги, разбрасываемые с государственного подиума. Отсюда стремление банков замедлить эти процессы, попытаться выиграть время.
Если говорить о более долговременной тенденции, то у банков остается один выход, чтобы сохранить и преумножить свои капиталы перестраивать свою работу с производственными объектами: куда деньги должны вкладываться и где они должны давать отдачу от реализации товаров и услуг.

Деньги ищут сферы применения в регионах

Для реализации инвестиционного потенциала банков нужны соответствующие условия. В настоящее время фактически отсутствуют какие-либо значительные льготы для банков по резервированию и налогообложению.
К тому же у них существуют ограничения на владение и вложение средств в акции промышленных предприятий.
Не прошел для российских банков бесследно и 1993 г. Тогда оказалось достаточным участие даже узкой группы банков в приватизации, чтобы создалось впечатление о возможной скупке российскими банками российской же промышленности. Свое выражение это нашло в Программе приватизации государственных и муниципальных предприятий на 1994 г., запрещавшей банкам любые операции с акциями приватизированных предприятий.
В последующем активная работа ФКЦБ еще более грозила ограничить возможность банков работать с корпоративными ценными бумагами.
Если говорить без обиняков, то этот маневр властей закончился тем, что российские банки пропустили вперед иностранные инвестиционные компании и теперь утратили многие шансы, чтобы сравняться с их возможностями.
Некоторая суетливость с уходом банков в регионы в последние полтора года связана с попыткой получить кредитные ресурсы иностранных инвесторов: в качестве комиссии; под пакеты ранее купленных корпоративных ценных бумаг; в обмен на услуги по сопровождению этих денег в рамках инвестиционных программ. Конкуренцию им здесь составляют структуры, которыми обросли региональные власти на первом этапе формирования институтов фондового рынка, где активную роль играли лишь некоторые банки, вовремя рассмотревшие здесь стратегическую перспективу.
Региональные власти, обхаживаемые всеми, у кого есть серьезные деньги, наблюдают это изменение в позиции банковского сообщества со смешанным чувством надежды и страха. Надежды получить столь необходимые финансовые ресурсы для оживления экономики и страха за то, что их не допустят к разделу пирога.
Можно понять опасения регионов в том, что они станут приманкой для денег, которые попадут в банки, но не достанутся регионам (предприятиям).
Правда, при этом не стоит забывать, что эти настроения больше соответствует ситуации с разделом шкуры неубитого медведя. Как бы ни было, с ними невозможно не считаться в практической деятельности.
Некоторая заминка на старте возникла в банках от того, что казалось, что работа с предприятиями непременно связана с прямыми вложениями или кредитами, с резким падением ликвидности активов. Участие в приватизационных конкурсах последних лет показывало банкам, что покупая заводы по низким ценам, банкам не хватало денег для реконструкции, поскольку в отличие от вольной цены приватизации ее стоимость определялась рынком, который давал цифру на порядок, а то и на два превышающую цену покупки.
Возникал единственный сюжет став формальным собственником, искать стратегического инвестора, которому такие траты по карману.
В этих новых обстоятельствах российские коммерческие банки открыли для себя две новые возможности заработков, не рискуя при этом замораживанием собственных капиталов в инвестиционных проектах. Во-первых, стало понятно, что целый ряд объектов не останется без крупного инвестора и время это не за горами.
Но прежде, чем он придет и открыто заявит о себе, можно поиграть в лотерею с ростом котировок, чтобы угадать сколько в действительности этот инвестор принесет с собой денег.
Во-вторых, банки, сумевшие в последние годы удержаться на плаву и сохранить при этом перспективную клиентуру, оказываются привлекательными посредниками для тех иностранных инвесторов, которые хотели бы через некоторое время открыто прийти на российский рынок, но уже сегодня готовых предоставлять дешевые кредиты под оборотные средства предприятий и даже для участия в продолжающихся приватизационных торгах.



Время, необходимое для адаптации


В широком смысле сюда относятся все те деньги, которые выдаются в качестве краткосрочных кредитов.

Товарные рынки

На рынке потребительских товаров потребители приобретают товары повседневного спроса, например продовольственные товары, одежду и предметы домашнего обихода.
На инвестиционном рынке встречаются предприниматели с целью закупки средств производства, например сырья, машин и оборудования.
Рынок обозревается только в тех случаях, если все многообразные и запутанные процессы на нем могут быть рассмотрены в достаточно сильном упрощении. Только через так называемую "экономическую модель" можно дать обоснованные суждения о рыночных процессах.

Совершенный рынок

Модель совершенного рынка основана на предположении, что все участники торговых сделок действуют исключительно в соответствии с экономическими принципами. Кроме того, для функционирования совершенного рынка должны быть выполнены следующие условия:
1. Гомогенность товаров. Для того чтобы цена была однозначно сопоставима с определенным товаром, все товары должны быть объективно однородны в отношении их качества, внешнего вида и упаковки, должны отсутствовать всякие объективные предпочтения.
2. Отсутствие предпочтений пространственного, личностного и временного характера. Условия конкурентной борьбы должны быть одинаковыми для всех продавцов и покупателей.
Например, нельзя допускать, чтобы в конкуренции создавались для кого-либо преимущества, вытекающие из дружбы (личностные предпочтения), географического положения (пространственных предпочтения) или различий в сроках поставок (временные предпочтения).
3. Полная прозрачность рынка. Продавцы и покупатели должны иметь возможность полного обзора рынка.
Они должны быть в достаточной мере информированы обо всех обстоятельствах ведения сделок, например, о ценах, скидках, качестве товара, условиях поставки и платежей.
На совершенном рынке продавцы и покупатели встречаются не только в одном и том же месте, но и в одно и то же время (рынок наличного товара), так чтобы каждый из них мог без промедления реагировать на все изменения на рынке. Ни один из участников торговой сделки не должен оказаться в невыгодном положении из-за ограниченности во времени.
Время, необходимое для адаптации, равно "0".
В связи с тем, что основной задачей данного исследования является анализ инвестиционных проблем, рассмотрим суть рынка инвестиций более подробно.
Рынок инвестиций Инвестиционный рынок, по нашему мнению, состоит из трех равных по значимости секторов ( 26):

  • сектор инвестиционных ресурсов;
  • сектор обязательств и долей;
  • сектор гарантий.
Каждый из названных секторов служит для определения реальных цен на объекты, обращающиеся на рынке. В связи с наличием у инвесторов свободных ресурсов возникает их предложение в секторе инвестиционных ресурсов.
Предприятия предлагают в обмен инвестиционные ресурсы свои доли и обязательства.
Это порождает образование сектора долей и обязательств, при этом как правило, возникают различные виды рисков, поэтому для их минимизации возникает сектор гарантий.
Таким образом, инвестиционный рынок это некая абстрактная площадка, на которой происходит переток объектов рынка между субъектами. Такой переток, как правило, представляет собой замкнутый процесс, который по сути является кругооборотом инвестиций.















26. Составляющие инвестиционного рынка
Инвестиционный рынок может быть представлен в виде модели кругооборота инвестиций и объектов инвестирования ( 27). Данная система основана на свободном движении инвестиционных ценностей и инвестиционных ресурсов (объектов инвестиций и денег), связывающем путем обмена инвесторов и потребителей инвестиций, а также регион в качестве субъекта рынка, предлагающего гарантии, через сектор инвестиционных ресурсов, сектор долей и обязательств и сектор гарантий.
Под инвестором при этом понимается лицо предлагающее на инвестиционном рынке инвестиционные ресурсы (например, инвестиционный банк, холдинговая компания, корпорация).
Сектор инвестиционных ресурсов часть инвестиционного рынка, на которой инвесторы и потребители инвестиций посредством спроса и предложения устанавливают реальную цену инвестиционных ресурсов, получают информацию об объемах ценах инвестиционных ресурсов, а также непосредственно сами инвестиции.
В качестве компенсационного выступают сектор долей и обязательств, а также сектор гарантий. Сектор долей и обязательств часть рынка на которой, посредством спроса и предложения устанавливаются цены на доли обязательства, которая обеспечивает получение информации об объемах и ценах долей и обязательств, а также на которой происходит переход долей и обязательств от потребителей инвестиций к инвестором.






















27. Схема движения инвестиционных ценностей и
инвестиционных ресурсов
В свою очередь, сектор гарантий часть инвестиционного рынка, которая позволяет определить цену и объемы необходимых гарантий на инвестиционные ресурсы, доли и обязательства.
Суммарная стоимость предложенных инвестиционных ресурсов в регионе может рассматриваться как инвестиционный потенциал региона, а суммарная потребность в инвестиционных ресурсах, то есть суммарная стоимость долей и обязательств, предлагаемых к реализации может рассматриваться как инвестиционные потребности региона.
В этом случае установление баланса потенциала и потребностей есть одна из основных задач правительства региона в регулировании регионального инвестиционного рынка. На наш взгляд, существование рынка инвестиций и ход кругооборота инвестиций невозможны без наличия инвестиционной среды.
Политические и экономические предпосылки создания финансового рынка в регионе

Политические предпосылки создания регионального финансового рынка

В последнее время позиция региональных властей в отношении столичных банков становится все более активной, если не сказать агрессивной.
Скандальным и весьма показательным стал пример Курской области. Местный губернатор своим распоряжением создал новый банк с одиозной аббревиатурой КГБ (Курский губернский банк), в котором около 50% уставного фонда принадлежит областной администрации.
Главный смысл его создания в предотвращении утечки местных налогов за пределы области.
Крупнейшие курские предприятия: аккумуляторный завод, завод тракторных запчастей, химкомбинат "Волокно" до последнего времени держали свои счета в филиалах СБС-Агро, Мосбизнесбанка и ТОКОбанка.
Но филиалы, не будучи юридическими лицами, лишь принимали деньги от предприятий, а все операции по этим средствам производились в столице. В результате из этих денег в областной бюджет не попадало ничего, а администрация собирала с предприятий лишь 38% причитающихся ей налогов.
Если КГБ сосредоточит на своих счетах основные областные налоги, столичные банки потеряют в совокупности около 30 млрд. руб. в год.
Пример оказался заразительным и образцы учредительных документов КГБ уже запросили из Алтайского края и ряда других российских регионов.
Другой пример из того же курского опыта не менее примечателен. В октябре 1997 г. в Курске состоялось собрание акционеров банков АБ Воронеж, Курскпромбанка и Роспищинвест, принявшее решение об объединении в Межрегионпромбанк.
При этом местные банки пожелали иметь центральный офис нового банка не в губернской столице, а в Москве, полагая, что такое решение поможет успешней решать задачу аккумулирования активов региональных кредитных учреждений перед лицом столичного банковского прессинга и диверсификации деятельности в сторону сельского хозяйства.
Однако событием наиболее значительным по своему масштабу стало объединение крупных банков Санкт-Петербурга. Северная столица, давно испытывающая что-то вроде комплекса неполноценности перед московскими банками, с самого начала этого проекта объявила, что создание Банкирского дома означает качественно новый уровень конкуренции между петербургскими и московскими банками.
Речь не только о противостоянии двух столиц.
Знакомство с деталями сюжета показывает, что игра на местных чувствах используется противоборствующими московскими банками к собственной выгоде.
Городские московские власти, чувствующие себя в последнее время сильно обиженными федеральным центром, одни из первых побеспокоились о привлечении коммерческих банков в собственный московский инвестиционный консорциум. Цель последнего создать достаточно автономный механизм финансирования амбициозной инвестиционной программы как самого города, так, отчасти, и области.
Столичные власти пригласили банки составить своеобразный финансовый пул, в который город войдет землей и ресурсами.
При этом с пресловутыми столичными банками отношения у города тоже отнюдь не простые. Принципиальное отношение к ним можно почувствовать в реакции Ю.Лужкова на призыв президента Ассоциации российских банков Сергея Егорова в первую очередь пользоваться кредитами российских банков.
Мэр сказал, что такие предпочтения будут только в том случае, если отечественные кредиты будут дешевле западных.
Отсюда также становится понятной устойчивость слухов о создании нового чисто московского супербанка, который должен будет выполнять роль основной структуры принимающей инвестиции, а также контролирующей инвестиционную работу в городе.



Закон о ценных бумагах 1933 г.


Он может оказаться неэффективным для предотвращения накопления долга в условиях, когда рыночная дисциплина является слабой или лидирующая роль центрального правительства в управлении экономикой и налогово-бюджетной сферой является недостаточной. В ряде стран, имеющих как федеральное, так и унитарное устройство, использовали подходы к контролю за заимствованием на региональном и местном уровнях, основанные на применение формулы заимствования и конкретно указанные в конституции или законодательстве.
Некоторые из таких формул устанавливают предельный абсолютный уровень долга региональных и местных органов; другие конкретно указывают, что к заимствованиям можно прибегать только для конкретных целей (как правило, для финансирования инвестиционных проектов); третьи предусматривают, что новые заимствования разрешаются только в пределах уровня, соответствующего максимально допустимому удельному весу услуг, и т.п. Наконец, некоторые страны запрещают или строго ограничивают некоторые виды заимствований, связанные с серьезными рисками в макроэкономической сфере (например, заимствования у центрального банка).
Во многих странах используются сочетания из нескольких формул.
Порядок, ограничивающий объем заимствований местных властей для финансирования инвестиционных проектов (так называемые "золотые правила") часто применяется в развитых промышленных странах: примеры этому можно найти в Германии, Швейцарии, и в конституциях большинства штатов США. В странах, где разрешены краткосрочные заимствования для пополнения ликвидности, как правило, оговорено, что такие обязательства должны быть погашены к концу каждого финансового года.
Такая система применяется, например, в некоторых штатах США, а также для региональных и местных органов власти в Испании.
Примеры правил, которые "подражают" рыночной дисциплине с помощью увязывания ограничений по объему задолженности региональных и местных (в особенности местных) властей с прогнозируемой величиной обслуживания долга, или с другими показателями их способности обслужить долг (такими как объем доходов, за прошлые периоды или налоговая база), также можно наблюдать как в некоторых развитых промышленных странах (Соединенные Штаты Америки, Испания, Япония), так и в развивающихся.
Подход, основанный на применении формулы заимствования, обладает очевидным преимуществом четкой и ясной системы и беспристрастностью подхода; кроме того, он позволяет избежать ведения длительных переговоров между центральными и региональными органами власти процесс, который часто заканчивается, определяется в большей степени политическими факторами краткосрочного характера, нежели принципами макроэкономического управления, поставленного на надежную основу. С другой стороны, в силу своей природы, подходы, основанные на применении формулы заимствования, не обладают достаточной гибкостью и часто способствуют развитию практики, направленной на то, чтобы эти правила обойти. Такая практика, в частности, включает:

  • перенесение расходов в классификации из текущих в капитальные, чтобы избежать требований к балансу по счету текущих операций бюджета;
  • создание учреждений, операции которых, несмотря на то, что они являются государственными по своей природе, не включаются в бюджет;
  • задолженность которых не учитывается при расчете размера долга по сравнению с установленным на него ограничениями;
  • использование государственных или находящихся в собственности местных органов власти предприятий для заимствований на цели, которые должны финансироваться из бюджетов соответствующих властей;
  • использование долговых инструментов, например, процедур продажи и обратного получения в аренду на долгосрочной основе так называемых частных доходных облигаций в Соединенных Штатах которые не включаются в расчет ограничений долговых обязательств;
  • накопление задолженности перед поставщиками, которую обычно трудно отследить с целью включения в параметры ограничений по общему объему государственного долга.
Среди методов регулирования особое место занимают механизмы прямого контроля со стороны центрального правительства за заимствованиями на региональном и местном уровнях. В ряде стран центральное правительство наделено полномочиями прямого контроля за заимствованиями на региональном и местном уровнях.
Этот контроль может осуществляться в различной форме, в том числе через установление ежегодных (или на более короткие периоды) ограничений по объему задолженности для отдельных органов управления на различных уровнях государственной власти (или по некоторым компонентам общего долга, например, по объему внешних заимствований); анализ и санкционирование отдельных операций по заимствованию (в том числе утверждение сроков и условий операций); а также (или) централизация всех операций правительства по заимствованию, с дальнейшим предоставлением средств в качестве целевых кредитов (как правило, на инвестиционные проекты) региональным и местным органам власти.
Полномочия контроля включают, как правило, не только необходимость предварительного утверждения планируемых заимствований, но также и наблюдение за фактическими финансовыми операциями местных и региональных органов управления. Частота предоставления отчетности и степень детализации данных могут варьироваться.
Как показывает анализ, наиболее представительной системой является американская система регулирования фондовых рынков, которое во многом осуществляется государственными органами. Общая структура этой системы такова.
1. Институциональное обеспечение регулирования.
2. Базовые законодательные постановления.
3. Механизм "саморегулирования" рынка.
4. Методы государственного вмешательства в фиктивный сектор экономики.
Институциональное обеспечение государственного регулирования фондовых рынков осуществляется через Комиссию по ценным бумагам и биржам, Совет управляющих федеральной резервной системой, комиссией по торговле товарными фьючерсами и Министерство финансов, которое осуществляет в основном наблюдательные функции. Основную же деятельность по проблеме, нас интересующей, осуществляет Комиссия по ценным бумагам и биржам, созданная Конгрессом и являющаяся независимым, неполитическим и квазисудебным регулирующим агенством.
Базовые законодательные постановления. В США фондовый рынок регулируется рядом основных законов, в которые регулярно в соответствии с накапливаемой практикой вносятся поправки.
Основной задачей этих законов, как и деятельности Комиссии по ценным бумагам является защита прав инвесторов в процессе выкупа и обращения ценных бумаг.
Закон о ценных бумагах 1933 г. это закон о "правдивости в ценных бумагах" и преследует две основные цели:

  • требование предоставлять инвесторам существенную информацию в отношении ценных бумаг, предлагаемых на публичную продажу;
  • предотвращение введения в заблуждение, обмана и других форм мошенничества при продаже ценных бумаг.
Закон о торговле ценными бумагами 1934 г. Согласно этому закону, Конгресс распространил доктрину "раскрытия" для защиты инвестора на ценные бумаги, перечисленные и зарегистрированные для публичных торгов на национальных биржах ценных бумаг США. Спустя тридцать лет положения закона были распространены на внебиржевой рынок ценных бумаг.
Это включило сотни компаний с активами свыше 1 млн. долл. США и числом акционеров в 500 чел. и более.
Закон ставит своей целью обеспечить справедливые и упорядоченные рынки ценных бумаг, запретив определенные виды деятельности и, разработав весьма жесткие правила в отношении операций рынков и их участников (отчетность корпораций, деятельность по доверенности, тендерные компании, запрет незаконных операций и др.).
Закон о холдинговых компаниях в коммунальном хозяйстве 1935 г. Объектом регулирования по этому закону первоначально являлись межштатные холдинговые компании, которые через дочерние отделения занимаются бизнесом в области коммунального хозяйства или розничным сбытом природного или отопительного газа, являются объектом регулирования по настоящему закону. В США эти холдинги должны регистрироваться в Комиссии Конгресса и представлять первоначальные и периодические отчеты.
Холдинговые компании подчиняются правилам Комиссии Конгресса в таких вопросах как структура системы, приобретения, комбинации, а также выпуск и продажа ценных бумаг.
Закон о контракте между держателем акций и компаний 1939 г. Настоящий закон относится к облигациям, долговым обязательствам, векселям и аналогичным долговым ценным бумагам, предлагаемым на публичную продажу и выпущенным по контракту между держателем и компанией с более чем 7,5 млн. долл. США в ценных бумагах, нереализованных в любой момент времени.
Даже хотя такие ценные бумаги могут регистрироваться по Закону о ценных бумагах, они не могут предлагаться на продажу публике, если контракт не соответствует законодательным стандартам данного закона. Положения закона запрещают нарушать право держателей ценных бумаг подавать в суд на получение основного капитала и процента, за исключением особых обстоятельств.
Он также требует ведение списка держателей ценных бумаг для их связи друг с другом в отношении их прав как держателей ценных бумаг.



Закон об инвестиционных компаниях 1940 г.


Закон об инвестиционных компаниях 1940 г. Деятельность компаний, занимающихся преимущественно инвестированием, реинвестированием и торговлей ценными бумагами, чьи собственные ценные бумаги предлагаются инвестирующей публике, являются субъектом определенных законодательных ограничений и правил Комиссии по настоящему закону. Также, публичные предложения ценных бумаг инвестиционных компаний должны регистрироваться согласно Закона о ценных бумагах 1933 г. Однако инвесторы должны понимать, что Комиссия не контролирует инвестиционную деятельность этих компаний, и что регулирование Комиссией не гарантирует безопасность инвестиций.
Помимо требования о регистрации таких компаний, закон требует, чтобы они раскрывали свое финансовое состояние и инвестиционную политику для предоставления инвесторам полной информации о своей деятельности.
Этот закон также запрещает таким компаниям существенно менять природу своего бизнеса или инвестиционную политику без утверждения акционерами; запрещает лицам, виновным в мошенничестве с ценными бумагами, быть должностными лицами и директорами; позволяет гарантам размещения ценных бумаг, инвестиционным банкирам или брокерам быть только меньшинством директоров такой компании; требует, чтобы контракты руководящего звена (и любые существенные изменения) представлялись на утверждение держателей ценных бумаг; запрещает сделки между компаниями и их директорами, должностными лицами, или филиалами и указанными лицами, за исключением случаев, когда это утверждается Комиссией; запрещает таким компаниям выпускать старшие ценные бумаги, за исключением случаев с конкретными условиями; запрещает пирамидальную систему таких компаний и перекрестное владение их ценными бумагами.
Другие положения этого закона связаны с консультативными сборами, не соответствующими фидуциарным обязанностям советника, продажей и повторным приобретением ценных бумаг, выпущенных инвестиционными компаниями, предложениями обмена и другими видами деятельности инвестиционных компаний, включая особые положения о плане периодических платежей и компаниях, выпускающих сертификаты с номинальной суммой.
Закон об инвестиционных советниках 1940 г. Этот закон установил форму для регулирования деятельности инвестиционных советников. В некоторых отношениях он характеризуется положениями, аналогичными положениям Закона о ценных бумагах и биржах, определяющими деятельность брокеров и дилеров.
С определенными исключениями, этот закон требует, чтобы лицо или фирмы, получающие компенсацию за предоставление советов другим относительно инвестирования в ценные бумаги, регистрировались в Комиссии и выполняли законодательные стандарты, предназначенные для защиты инвесторов.
Система внутреннего регулирования фондовых рынков представляет собой ряд взаимодействующих между собой корпораций и советов, составляющих определенный "противовес" действием институциональных субъектов. В эту систему входят: национальная ассоциация фондовых дилеров; опционная клиринговая корпорация; корпорация по защите держателей ценных бумаг; совет по муниципальным ценным бумагам; советы директоров фондовых бирж.
Помимо этого деятельность государства регламентируется методикой вмешательства государства в фиктивный сектор экономики. Эта методика включает методы прямого вмешательства (Постановления и распоряжения органов исполнительной власти; изменение норм биржевой практики; привлечение к административной ответственности; привлечение к судебной ответственности) и рычаги косвенного воздействия (контроль за денежной массой в обращении и объемом кредитов; налоговая политика государства; гарантия пр-ва по депозитам, кредитам и займам; внутренняя экономическая политика государства (валюта, золото, экспорт); внешнеполитическая деятельность государства (политические контракты); выход государства на рынки ссудных капиталов).
Из сказанного следует, что основным методом обеспечения экономической безопасности является деятельность государственных органов и общественных организаций, балансируемая действующим законодательством.
Практика муниципального заимствования, занявшая прочное место в муниципальной экономике имеет одну общую особенность управления муниципальным долгом. Эта особенность повторяется практически во всех странах и состоит в том, что заимствования имеют, как правило, долгосрочный характер, а обслуживание долга осуществляется за счет регулярных и довольно значительных налоговых платежей.
ЗАКЛЮЧЕНИЕ Основная задача инвестиционной политики региона заключается в создании условий для эффективных вложений в его экономику на принципах: доброжелательности во взаимоотношениях инвесторов, презумпции добросовестности инвесторов, сбалансированности публичных и частных интересов, открытости и доступности информации для всех инвесторов, ясности и простоты инвестиционного процесса, равноправия инвесторов, объективности и здравого экономического смысла в принимаемых решениях, неизменности принимаемых решений, поддержки и стимулирования инвесторов.
Региональная инвестиционная политика определяется внешними (политическая ситуация в стране, общеэкономическая ситуация, состояние финансового рынка, надежность контрагентов) и внутренними (выбранная инвестиционная стратегия, обеспеченность инвестиционными ресурсами, квалификация кадров, существующая система управления) факторами, обуславливающими решения комплекса задач по стабилизации политической ситуации в регионе, снижению инфляции, повышению привлекательности корпоративных инвестиций и долгосрочных сбережений населения. Причем в каждом конкретном регионе эта политика должна учитывать его конкурентоспособность, то есть его роль в экономическом пространстве России, способность обеспечить высокий уровень жизни населения и реализовать имеющийся в регионе экономический потенциал.
Поскольку и регион (органы государственной власти) и корпорации проводят операции на финансовом рынке, то их можно считать субъектами инвестиционного процесса. Задача региона состоит в активизации инвестиционной деятельности корпораций.
Инвестиционный процесс корпорации строится, как правило, на основе инвестиционной стратегии, разрабатываемой с использованием различных финансово-экономических моделей и учитывающей институциональный, экономический, нормативно-правовой и информационно-аналитический аспекты.
Главной целью инвестиционной стратегии является формирование инвестиционного портфеля, представляющего собой совокупность реальных, финансовых и интеллектуальных инвестиций.
В процессе инвестиционной деятельности в регионе большое значение придается оценке рыночной стоимости инвестиционных ценностей (земли, объектов строительства, зданий и другой недвижимости). Для решения этой задачи могут быть рекомендованы такие методы, как метод сравнения продаж, метод распределения, метод капитализации дохода и др.
Любой процесс, в том числе и инвестиционный, регулируется с помощью специального механизма. В рассмотренном нами случае механизм регулирования инвестиционных процессов регионе включает региональный финансовый рынок и инвестиционно-заемную систему региона.
Финансовый рынок представляет собой систему организации, планирования и использования финансовых ресурсов.
Инвестиционно-заемная система региона включает инвестиционную систему и систему заимствования и предназначена для аккумулирования средств с целью их инвестирования в высокоприбыльные проекты.
Большое значение в функционировании инвестиционно-заемной системы имеет обеспечение ее экономической безопасности, требующее реализации специальных мероприятий.
Такова суть аспектов региональной инвестиционной политики, рассмотренных автором в данной монографии.
СПИСОК Использованной ЛИТЕРАТУРы
  1.  Алмаев М., Мехед Н., Фомин А. Сущность и угрозы экономической безопасности. // Власть. 1996. № 12.
  2.  Бабич А. М., Павлова Л. Н. Государственные и муниципальные финансы: Учебник для вузов. М.: Финансы, ЮНИТИ, 1999. 687 с.
  3.  Бандурин А. В., Чуб Б. А. Инвестиционная стратегия корпорации на региональном уровне. М.: Наука и экономика, 1998, 132 с.
  4.  Бард В. С. Финансово-инвестиционный комплекс: теория и практика в условиях реформирования российской экономики. М.: Финансы и статистика, 1998. 304 с.
  5.  Бахрамов Ю., Сахаров А. "Методы оценки рисков при составлении плана финансирования инвестиционного проекта. Рассмотрены методы и математические процедуры, надежно ориентирующие траекторию реализации плана проектам на заданный результат". Инвестиции в России, № 7-8, 1997.
  6.  Богачев Е. Б., Чуб Б. А. Проблемы функционирования финансовой системы региона. Под ред. акад. Бандурина В. В. М.: БУКВИЦА, 1999. 260 с.
  7.  Ващекин Н. П., Дзлиев М. И., Урсул А. Д. Безопасность и устойчивое развитие России: Монография. М.: МГУК, 1998.
  8.  Государственная стратегия экономической безопасности Российской Федерации. // Экономическая безопасность России. М.: Юрид. Лит. 1996.
  9.  Мескон М.Х., Альберт М., Хедвури Ф.М. Основы менеджмента: пер. с англ. М., Дело, 1992 г.
  10.  Послание Президента РФ по национальной безопасности.
  11.  Проект мероприятий Правительства РФ по реализации стратегии экономической безопасности.
  12.  Региональная экономика: Учебник для вузов / Т.Г. Морозова, М. П. Победина, Г. Б. Поляк и др.; Под ред. проф. Т. Г. Морозовой. 2-е изд., перераб. и доп. М.: Банки и биржи, ЮНИТИ, 1998. 472 с.
  13.  Российская Федерация в цифрах в 1987 г. М.: 1988.
  14.  Управление государственной собственностью: Учебник / Под ред. д.э.н., профессора В. И. Кошкина, к.э.н., доцента В. М. Шупыро. М.: ИНФРА-М, 1997 г. 496 с.
  15.  Федеральный закон РФ от 22 апреля 1996 г. №39-ФЗ "О рынке ценных бумаг".
  16.  Финансы: Учебник / В.М. Родионова, Ю.Я. Вавилов, Л.И. Гончаренко и др.; Под ред. В.М. Родионовой. М.: Финансы и статистика, 1993. 400 с.: ил.
  17.  Хикс Дж. Р. Стоимость и капитал (пер. с англ.) М.: Международные отношения, 1993.
  18.  Чуб Б. А., Бандурин А. В. Система инвестиционных взаимоотношений в регионе на примере Республики Татарстан. Издание второе исправленное и дополненное. М.: "ТДДС Столица-8", 1999. 272 с.
  19.  Экономический вестник Республики Татарстан.















ЧУБ Борис Андреевич



Управление инвестиционными процессами в регионе





Лицензия ЛР №064520 от 25.03.1996 г.
Подписано в печать 23.08.1999 г. Формат 60х90 1/16
Бумага офсет №1. Гарнитура Times.
Печать RISO. Усл. печ. л. 11,5.
Тираж 500.



ЗАО Издательско-полиграфический центр "БУКВИЦА"
Москва, ул. Большая Спасская, д. 10/1, подъезд 2



Отпечатано на RISO в ООО "Постатор"
103055, Москва, ул. Палиха, 2а



Зарубежный опыт риск-менеджмента


Зарубежный опыт риск-менеджмента в области регионального заимствования
Данное направление не может быть заимствовано в полной мере, поскольку в большинстве стран с развитым фондовым рынком обслуживание региональных и муниципальных долгов осуществляется за счет налоговых платежей, что обеспечивает надежность вкладов инвесторов в государственные ценные бумаги и, как следствие, высокую степень их доверия этому финансовому инструменту. Такое обеспечение надежности вкладов гарантировано мощной налоговой системой (в частности, налогами на имущество).
Концепция же ИЗС должна быть основана, по нашему мнению, на инвестировании заемных средств в надежные проекты.
Основная позиция риск-менеджмента это хеджирование сделок при управлении инвестиционным портфелем в части временно свободных средств.

Использование информационных финансовых систем (типа DOW-Jones, REUTERS)
Это направление логично дополняет ИЗС, особенно в части выработки условий размещения займов. Функционируя в условиях довольно жесткой конкуренции, инвестиционно-заемная система имеет одновременно и возможность установления несколько более льготных условий (доходности) по сравнению с альтернативными инструментами, используемыми потенциальными вкладчиками.

Использование технического и фундаментального анализа
Данное направление, безусловно имеет свои перспективы и должно быть использовано в практике функционирования ИЗС. Как правило, применение этих инструментов может быть затруднено в силу отсутствия реальной статистики по торгам (для технического анализа) и экономической нестабильностью экономики России в целом (для фундаментального анализа).
Это означает, что пока речь может идти о создании добротной информационно-статистической и аналитической базы для применения этих методов.

Управление надежностью сложных технических систем

На этом направлении следует остановиться чуть подробнее, поскольку надежность является едва ли не основной характеристикой экономической безопасности.
Рассмотрим некоторые наиболее важные моменты концепции управления надежностью, не забывая о том, что для социально-экономических систем эта категория является если не совершенно новой, то, во всяком случае, малоисследованной.
По нашему мнению, инвестиционно-заемная система является примером сложной системы, существующей в меняющемся окружении. Задача управления надежностью ИЗС может быть сформулирована как задача достижения нетривиального динамического гомеостазиса системы, подверженной внешним и внутренним изменениям. Существенными моментами являются условия:

  • нетривиальности ИЗС, понимаемой как необходимость поддерживать некоторый минимальный объем средств, включенных в систему;
  • сворачиваемости ИЗС, понимаемое, как возможность сознательного управляемого перевода системы в нулевое состояние (отсутствие долгов и инвестиций).
Как и любая сложная система, ИЗС может быть разделена на относительно большое количество элементов, каждый из которых является источником риска. Очевидно, что управление рисками может вестись как на уровне контроля за отдельными элементами, так и на уровне их агрегирования собственно в систему.
Классические принципы управления надежностью основаны на следующих факторах:

  • возможность управления агрегированием элементов в систему;
  • возможность (экспериментального) исследования отдельных элементов системы с получением численных характеристик их надежности;
  • возможность исследования возмущающего воздействия внешней среды с получением численных характеристик.
После этого можно применить теоретический аппарат теории вероятностей и теории надежности для получения характеристик надежности агрегированной системы, и, в случае необходимости, скорректировать ее конструкцию.
Инвестиционно-заемная система и условия ее функционирования существенно отличаются от классических объектов теории надежности, и в этой связи имеет ряд особенностей.

Отсутствие статистики
Прежде всего, необходимо констатировать бедность статистики функционирования основных ее элементов, особенно в условиях сбоев. Это связано в основном с тем, что срок функционирования важнейших элементов системы слишком мал, поэтому сбои элементов (подсистемы регистрации сделок, торговой системы, платежной системы и банков и т.п.) рассматриваются в основном на теоретическом уровне.

Быстрое изменение внешних факторов
Другим важным фактором является то обстоятельство, что функционирование основных элементов системы происходит в быстроменяющейся среде. Срок существенного изменения факторов среды (как экономических, так и нормативно-политических) сопоставим со сроком функционирования элементов системы.
Поэтому трудно говорить об измерении, каких бы то ни было статистических характеристик этих объектов в отрыве от внешнего воздействия, т.е. трудно выделить характеристики собственно элементов системы.
Соответственно сложно конструировать системы, компенсирующие воздействия внешней среды.

Невозможность постановки эксперимента
Особо следует отметить невозможность постановки эксперимента для выявления характеристик элементов. Поскольку любое возмущение системы немедленно передается рынку, он в состоянии многократно усилить и исказить возмущения, передав их обратно в систему, что чревато деформацией ее или ее элементов.
Поэтому экспериментальное измерение характеристик элементов практически невозможно.

Ограничения на агрегирование элементов
Следует отметить, что, в отличие от технических систем, имеются весьма существенные ограничения на возможности агрегирования элементов. Так, например, невозможно дублировать торговую систему и отключать ветвь, давшую сбой.
То же самое относится и к другим элементам.
В некоторых случаях резервирование возможно, но они касаются самых нижних уровней системы, в основном связанных с хранением и передачей информации.

Дополнительные возможности
Имеются, однако, и дополнительные возможности по сравнению с техническими системами. Это, во-первых, возможности построения юридической системы защиты, а во-вторых, возможности внесистемного влияния на внешнюю среду (принятие административных и иных средств воздействия на рынок и его инфраструктуру).
Исходя из сказанного мы имеем возможность предложить элементы своего рода качественной теории управления надежностью ИЗС, памятуя о необходимости разработки, внедрения и количественных методов, учитывающих ее специфику. В описанных выше условиях классические методы управления надежностью системы непосредственно неприменимы.
Тем не менее, они дают принципы, которые позволяют управлять рисками на качественном уровне.
Для этого в первую очередь нужно выделить решения, обеспечивающие желаемое направление управления рисками вне зависимости от численных значений конкретных параметров.
Помимо сказанного важным моментом является сложность в формулировке критериев надежности. Это, в частности, связано с присутствием политических и иных, трудно поддающихся оценке следствий функционирования ИЗС.

Решения, инвариантные относительно вероятностей
В качестве примера решений, которые дают уменьшение рисков практически вне зависимости от подробностей можно назвать системы резервирования, которые в данном случае трансформируются в системы диверсификации рисков, а также в системы страхования.
Практически в любой ситуации (за исключением случаев прямой функциональной зависимости) диверсификация рисков позволяет уменьшить их влияние, причем уменьшение влияния будет прямо пропорционально степени диверсификации. Это прежде всего связано с существованием некоторого порога, ниже которого сбои не оказывают существенного влияния на целевые функции.
Однако после пересечения порога может начаться эффект лавины.

Управление распространением сбоев
Отмеченная выше особенность функционирования ИЗС позволяет поставить акцент на управлении распространением сбойных ситуаций по системе. Задачей здесь является не допустить концентрации ущерба на одном элементе, который может оказаться слабым звеном системы.
Таким образом, возникает задача отслеживания динамики распространения сбойных ситуаций в системе, их локализации, экспорта и/или распределения по разным элементам.
В этой ситуации особую роль играют сценарные методы, позволяющие реализовать управление в сбойной ситуации, препятствующее концентрации ущерба.

Диагностика сбоев
Как легко понять, наиболее серьезные последствия для ИЗС могут повлечь сбои, связанные с поведением системы в целом. Для того, чтобы их вовремя обнаружить и компенсировать необходимо непрерывно отслеживать поведение, как самой системы, так и ее окружения.
Проблема обнаружения системных сбоев на ранней стадии одна из сложных самостоятельных задач управления надежностью.
Итак, мы рассмотрели различные направления обеспечения экономической безопасности, используемые в отечественной и зарубежной практике. Основной вывод, который можно сделать таков: ни одно из направлений в чистом виде в ИЗС использовано быть не может в силу исключительных характеристик как самой системы, так и условий в которых она создана и функционирует, однако из каждого направления могут быть приняты за основу отдельные принципы, правила и методы обеспечения экономической безопасности.





    Экономика: Знания - Циклы - Макроэкономика