Тема 2. Рыночная экономика как система.


1.1. Потребление, блага, ресурсы

В современных условиях экономика имеет 3 основных значения:

  1. Совокупность общественных отношений, связанных с хозяйственной деятельностью людей.
  2. Производственная система, хозяйство (город, район, мировая экономика).
  3. Научная и учебная дисциплина.
Экономическая теория – это наука, изучающая как в обществе с ограниченными ресурсами принимаются хозяйственные решения и происходит управление ограниченными ресурсами для улучшения условий жизнедеятельности.
Предмет экономической теории – изучение выбора, который люди совершают, используя ограниченные ресурсы. Основная проблема: противоречие между относительно ограниченными ресурсами и неограниченными потребностями.
Взаимодействие общества с природой носит утилитарный характер (потребительский со стороны общества).
Природа – это средство, а общество – это цель взаимодействия.


Человечество

приобщение к экономической культуре других людей
взаимодействие с человеком
изменение экономической культуры
Общество
(домохозяйство, фирма, правительство)

присвоение благ
взаимодействие с природой

выделение отходов

Природа

Присвоение благ происходит в виде вещей и процессов из природы.
Выделение отходов – антиблага, т.е. речь идёт о вторичных отходах, которые никогда уже не будут использованы.
Благо – это всё то, что люди хотели бы присвоить, что представляет для них полезность – реальную или мнимую.
Бесплатные блага – явления природы. Экономические блага – то, к чему прикладывают усилия для получения (экономические товары) и за что надо платить. Товар – продукт труда, предназначенный для обмена.
Экономические товары: предметы потребления, средства производства.
Потребность – это нужда, принявшая специфическую форму в соответствии с культурными особенностями индивида.
Виды потребностей:

  1. Производственные (всё, что необходимо для процесса производства).
  2. Непроизводственные (личные и общественные).
Ресурсы (потенциалы) – это блага, используемые для производства других благ.
Факторы производства – те главные экономические ресурсы, которые непосредственно используются в процессе производства:

  1. земля (все природные ресурсы) > рента (доход)
  2. труд (умственные и физические способности людей) > зарплата (доход)
  3. капитал>процент (доход). Два вида капитала:
1) производственный (экономические товары, которые позволяют увеличить отдачу земли и труда в производственном процессе – здания, сооружения, машины, оборудование, товарные запасы)
2) финансовый (денежные средства, которые привлекаются для приобретения производственного капитала у его владельцев и обеспечивающие соединение ресурсов в едином производственном процессе)

  1. предпринимательская способность (решения и риск) > прибыль (доход)
Любое благо обладает свойствами:

  1. Полезность (выгода, удовлетворение от блага).
  2. Ценность (оценка степени полезности блага).
Показатели полезности: универсальность, значимость, редкость.
Структура экономики: макроэкономика изучает экономику, как единое целое (инфляция, безработица и т.д.), микроэкономика Показатели полезности: универсальность, значимость, редкость.
изучает экономические отношения и процессы на уровне отдельных хозяйственных единиц (изучение отдельных рынков и экономических агентов).


1.2. Эффективность использования ограниченных ресурсов

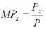
Эффективность – соотношение между результатами и затратами производства. Сравнительное преимущество – это способность производить товары с относительно минимальными альтернативными издержками. Альтернативный выбор – это поиск лучшего сочетания факторов производства.
Цена выбора (упущенная выгода, альтернативная стоимость) – измеряется не суммой уплаченных денег, а полезностью (ценностью) той, другой комбинации товаров, от потребления или производства которых пришлось отказаться ради получения избранных товаров.
Основные вопросы экономики: что производить (какие товары, в каком объёме, в данное время и месте), как производить (какие ресурсы и способы их комбинации, технологии), кто должен производить, для кого производить (кто будет покупать и извлекать выгоду).
Модель кривой производственных возможностей учитывает эффективность выбора и альтернативную стоимость, показывает идеальное сочетание производства двух благ при данных ресурсах. Альтернативная стоимость – это цена, измеряемая через другую вещь, которую вы должны отдать взамен.




А
Б
В
Г
Д
Книги
млн. экз.

1
1
1
1

0
1
2
3
4
Станки
тыс. шт.

1
2
3
4

10
9
7
4
0



Точки на кривой А, Б, В, Г, Д – эффективное производство. В точке Н ресурсы заняты не полностью, в точке W производство не возможно при данных ресурсах. Кривая имеет выпуклый вид, так как растут альтернативные издержки.
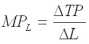
Закон возрастания затрат (альтернативной стоимости): при замене производства одного блага другим при полном использовании ресурсов альтернативные издержки второго блага растут. Закон убывающей производительности ресурсов говорит о снижении эффективности по мере увеличения производства, так как на каждую единицу продукта приходится увеличивать дополнительное количество ресурсов.

1.3. Основные экономические проблемы. Экономические системы

Экономические системы обеспечивают удовлетворение потребностей через создание необходимых жизненных благ.
Экономические системы – это совокупность взаимосвязанных экономических элементов, образующих экономическую структуру общества или набор организационных механизмов, с помощью которых распределяются ограниченные ресурсы для удовлетворения потребностей.
ES=f(A1,A2,…,An)
Основные свойства: меры по принятию решений, права собственности, доходы и контроль, механизм координации, мотивы деятельности. Определяющие признаки системы: форма собственности на факторы производства и способность принятия экономических решений.
Экономические системы:

  1. Традиционная (удалённые регионы, отсталые технологии, средства производства).
  2. Командная (централизованная, директивная). Доминирует госсобственность, коллективное принятие решений и централизованное планирование.
  3. Рыночная (свободное предпринимательство). Основана на частной собственности, свободе выбора и конкуренции, опирается на личные интересы, ограничена роль правительства.
  4. Смешанная. Рыночное саморегулирование дополняется активным централизованным регулированием со стороны государства и крупных фирм. Преобладает в современном мире.
В реальной жизни любая экономическая система не может быть идеальной, главное – это её эффективность, жизнеспособность, гуманность.

Цена ниже точки бегства фирмы с рынка.


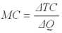
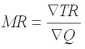
Правило максимальной прибыли и минимальных издержек в краткосрочный период:
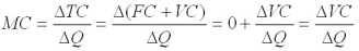
MR (предельная выручка) = MC (предельные издержки)
Соотношение средних и маржинальных издержек:

C
MC
K ATC (или АС)
E AVC

AFC

Q1 Q
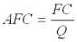
С помощью MC определяют границу прибыльного объема вы пуска продукции. MC сравнивают 1) с AC 2) с ценой товара.
Соотношение MC и AC. Пока величина МС (по мере расширения производства) меньше АС производство эффективное (при этом АТС и AVC нисходящие кривые). Когда МС превысит АТС, эффективность производства падает, и АТС увеличиваются.
МС пересекает АТС и AVC в точках их минимума (К, Е). Когда MC=ATC (точка К) – оптимальное положение и минимальные издержки. Если выпуск товара меньше Q1 - это недогрузRа (использовать аренду), если больше Q1 - это требует дополнительных затрат на факторы производства (невыгодно, лучше использовать альтернативу – вкладывать в банк).
Можно рассматривать следующие состояние фирмы в краткосрочном периоде.
1) Предельная фирма (AVC=Р).
Фирма держится на плаву, она покрывает только средние переменные издержки (AVC). Цена совпадает с точкой бегства фирмы с рынка.


2) Допредельная фирма. Совокупные издержки равны цене (ATC=P).
Обычная допредельная ситуация. Покрываются все
издержки + приносится доход.



3) Запредельная фирма.
Цена ниже точки бегства фирмы с рынка. Цена снижается и становится меньше даже среднепеременных издержек. Фирма несет убытки, перестает быть конкурентоспособной,
возможно банкротство.


4) Сверхприбыльная ситуация (допредельная фирма). Покрываются все издержки, и приносится большой доход (экономическая прибыль). Цена превышает единичные общие издержки.
По закону убывающей отдачи три периода:

1.Убыточное (0-3 ед.). Избыток капитала над трудом.
2.Безубыточное (с 4 – 7 ед.). Но с 6 ед. МС (600) превышает АС (500) из Р(550) – это сигнал снижение эффективности, нарушение баланса (т.к. эффективно при МСАС, MCP).
3.Убыточное (после 7 ед.) Избыток труда над капиталом. Следует увеличить капитальные ресурсы для оптимизации труда и капитала.

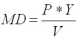
Предприятие в краткосрочном периоде.

Ед прод.
FC
VC
TC
AC
MC
P
(це
на ед.прод)
TR
Общая при
быль
При
быль на ед. прод
1
2
3
4
5
6
7
8
9
10



2+3
4/1


1*7
8-4
9/1
0
1000
---
1000
---
---
---
---
1000
---
1
-//-
350
1350
1350
350
550
550
-800
-800
2
-//-
560
1560
780
210
-//-
1100
-460
-230
3
-//-
740
1740
580
180
-//-
1650
-90
-30
4
-//-
1000
2000
500
260
-//-
2200
+200
+50
5
-//-
1400
2400
480
400
-//-
2750
+350
+70
6
-//-
3000
3000
500
600
-//-
3300
+300
+50
7
-//-
3850
3850
550
850
-//-
3850
0
0
8
-//-
4960
4960
620
1110
-//-
4400
-580
-70

6.3. Равновесие фирмы в долгосрочный период.

В долгосрочный период все издержки носят переменный характер, т.е. фирма меняет объемы всех используемых ресурсов. Это достигается за счет возможности варьировать оборудованием и производственными площадями. Это зависит от анализа краткосрочных издержек.






ATC

SATC1 SATC2 SATC3

LATC
1 3

2 Q

Анализ долгосрочного периода связан с кривыми SATC и LATC. В долгосрочном периоде кривая долгосрочных средних совокупных издержек LATC плавно огибает кривые краткосрочных средних совокупных издержек SATC.
U – образный характер LATC связан с действием эффекта роста масштабов производства (но не связан с законом убывающей отдачи).
Положительный эффект масштаба (1 графике; специализация труда; эффективное использование капитала; оптимальное руководство персоналом; производство побочных продуктов; высокопроизводительные технологии; экономим на расширение производства) имеет место, когда долгосрочные средние издержки фирмы (LATC) падают по мере увеличения выпуска.
Отрицательный эффект масштаба (3 на графике; рост управленческих расходов при расширении; убытки при расширение производства) возникает, когда LATC возрастают по мере увеличения выпуска продукции.
Постоянная отдача от масштаба (2 на графике) – LATC не зависит от объема выпуска.
Значение LATC:
1. Показывает издержки производства любого заданного объема всех факторов производства оптимальным образом в целях минимизации издержек. 2. LATC огибает SATC, но не пересекает их. 3. При принятие решений об объеме производства: а) Если рост (сокращение) объема производства не слишком продолжительное – целесообразно сохранить свой масштаб, переместившись вправо (рост) или влево (сокращение) вдоль LATC; б) Если речь идет об устойчивом изменение объема, то перемещена вдоль LATC.
4. U – образный характер LATC позволяет определить структуру и уровень концентрации в отраслях народного хозяйства.
В долгосрочном периоде P=AC (MR=MC=P=AC). Равенство P=AC показывает, что фирма эффективно использует цену и назначает самую низкую (Р0), причем производит при этом наибольший объем продукции (Q0). Второе равенство P=MC (цена равна предельным издержкам) показывает, что ресурсы распределены в соответствии с предпочтениями потребителей.





Характерны регламентации и контроль со стороны государства.


Преодолеть несбалансированность платежных балансов можно путем использования официальных резервов иностранной валюты. Активное сальдо платежного баланса соответствует покупке иностранной валюты Центробанком. Когда уменьшает свои резервы в иностранной валюте, возникает дефицит платежного баланса.
Сокращение официальных резервов показывает масштаб дефицита платежного баланса. Страна с дефицитом платежного баланса может финансировать его посредством: 1) продажи активов (акции, облигации, заклад имущества), 2) займов у иностранцев.
Корректировка: 1) сокращение расходов за границей, 2) увеличение доходов от продаж за границей.

16.5. Валютный курс и факторы его определяющие

Внешнеэкономические связи требуют необходимость в обмене национальной валютой. Валюта – находящаяся в обращении (рубль, доллар, марка и т.д.)
- Национальная валюта – денежная единица данной страны, используется в международных расчетах с другими странами.
- Резервная валюта – национальные денежно-кредитные средства ведущих стран, используемые: для расчетов по внешнеторговым операциям, для иностранных инвестиций, при определении цен.
Типы валюты: 1. по представительству: национальная, иностранная, коллективная; 2. по обратимости (конвертируемости).
Важная характеристика валюты – конвертируемость – способность национальной денежной единицы свободно использоваться в международном платежном обороте для совершения различных международных расчетов.
По степени конвертируемости валюта бывает:

  1. Свободная (обратимая) конвертируемость (доллар США, японская йена, немецкая марка, швейцарский франк, фунт стерлингов – полностью конвертируемые валюты), связана с устойчивостью экономики. СКВ – свободно конвертируемая валюта.
  2. Частично конвертируемая (обменивается на ограниченное количество иностранной валюты и применяется не во всех видах международного платежного оборота – это большинство стран мира, в том числе и Россия). Характерны регламентации и контроль со стороны государства. Внутренняя обратимость – способность национальной денежной единицы свободно обращаться на внутреннем рынке и обмениваться на другие валюты для резидентов (физических и юридических лиц данной страны). Внешняя обратимость – возможность для нерезидентов (иностранные предприятия и граждане) свободно обменивать данную национальную валюту на любую иностранную по действующему валютному курсу.
  3. Неконвертируемая (необратимая) – не обменивается на другие иностранные валюты, используется внутри страны как национальная денежная единица (развивающиеся страны).
Обмен валюты и расчеты между государствами осуществляется на основе валютного курса.
Валютный курс – цена денежной единицы данной национальной валюты, выражение в денежных единицах валюты другой страны. Он показывает эффективность национальной экономики. Установление курсов иностранной валюты в соответствии с законом и практикой называется котировкой.
2 метода котировки: 1. прямая котировка (1 доллар США = определенному количеству рублей). Преобладает; 2. обратная котировка (косвенная) – единица национальной валюты приравнивается к определенному количеству иностранной валюты.
Кросс-курс – соотношение между двумя валютами, которое устанавливается из их курса по отношению к курсу третьей валюты.
Валютный паритет – законодательно устанавливаемое соотношение между двумя валютами, являющееся основой валютного курса.
Виды валютных курсов: фиксированные (по золотому паритету, по покупательной способности), свободно плавающие (зависит от спроса и предложения валюты), управляемые плавающие (Центробанк покупает и продает на открытых рынках иностранную валюту для снижения колебаний).
Гибкость валютных курсов автоматически выравнивает платежный баланс. Однако колебание валютных курсов приводит к нестабильности в международной торговли, неопределенности перспектив, ущербу банков. Большинство стран выбирает управляемые плавающие курсы (роль государства). Значение валютного курса: определяет численное соотношение при обмене валют, сравнивает товарные цены разных стран, влияет на внешнюю торговлю.
Снижение курса национальной валюты: стимулирует экспорт, препятствует импорту, невыгодно для потребителей данной страны. Повышение курса национальной валюты – все наоборот.
Деятельность государства:

  1. Девальвация – снижение обменного курса валюты своей страны, т.е. товары страны на международном рынке становятся дешевле, т.к. за границей за них заплатят меньше валюты. Товары, купленные за границей, становятся дороже = снижение импорта = снижение внутреннего спроса.
  2. Ревальвация – повышение обменного курса валюты. Корректировка национального валютного курса через валютную интервенцию – воздействие на курс национальной валюты путем купли-продажи иностранной валюты.
Факторы, определяющие валютный курс:

  1. Объем денежной массы. Для повышения курса национальной валюты – ограничение денежного предложения, для понижения – наоборот.
  2. Объем ВНП. Если товар низкого качества, его мало, а цены высокие, то иностранцы будут неохотно покупать, т.е. спрос на валюту этой страны будет низкий, а следовательно и обменный курс будет низкий. В любой стране необходим запас наличных денег, он зависит от ВНП.
  3. Паритет покупательной способности (ППС). Это соотношение между валютами стран, рассматриваемое как соотношении цен на аналогичные товары и услуги, вложение в условную потребительскую корзину этих стран.
Валюта считается сильной, когда ее курс по отношению к другим странам растет.
Международная валютно-кредитная система – набор правил, законов, учреждений, которые регулируют деятельность центральных эмиссионных банков на внешних валютных рынках. Эта система прошла три этапа:
Золотой стандарт (с 1821 по 1944). Фиксированные курсы на основе золотого паритета. Положительные стороны: устойчивость валютных курсов, стабильность экономической политики, благоприятная международная торговля, стабильность внутренних цен.
Отрицательные стороны: зависимость денежной массы от добычи золота, невозможность проводить независимую национальную денежно-кредитную политику.
Бреттон-Вудсская валютная система (с 1944 по 1976). Кроме золота, паритетным становится доллар. Положительные стороны: уменьшение роли золота, гибкость валютных курсов, создание МВФ.
Отрицательные стороны: произвольная корректировка валютных курсов, невозможность обеспечить необходимый уровень международной ликвидности.
Ямайская валютная система (с 1976 по н.в.). Валюта имеет плавающий режим. Положительные стороны: гибкость = выравнивание платежных балансов, стабильность в международной торговле и финансах.
Отрицательные стороны: инфляция, непостоянство, резкая изменчивость валютного курса.
Госрегулирование курса национальной валюты (валютный коридор):
1. Валютная интервенция (вмешательство в торги) через демпинг (попытка продать свой товар за границу по цене ниже стоимости товара, обесценение национальной валюты, чтобы облегчить экспорт). Центробанк продает иностранную валюту, когда предложение недостаточно, а курс высокий, и покупает, когда предложение избыточное и курс низкий.
2. Контроль над внешней торговлей.
3. Валютное рационирование (обязываются фирмы-экспортеры продавать всю или часть инвалютной выручки государству).
4. Внутреннее макрорегулирование (при обесценении национальной валюты политика дорогих денег, что привлекает иностранный капитал и обмен его на национальную валюту, курс последней возрастает).







Тесты по экономике

Укажите единственно верный ответ:




Линия сбережений и инвестиций (изъятий и инъекций).


Инвестиции (I) – ведущий компонент AD (затраты на машины, оборудование, строительно–монтажные работы, изменение запасов)
В модели кругооборота доходов национальный доход представлен либо как сумма (C+I), либо как сумма (C+S), т.е. “утечка” или ”изъятие” из потока (сбережение) должна быть равна “инъекции” в поток (инвестиции).
В точке макроравновесия должно соблюдаться равенство объема планируемых инвестиций и сбережений. Линия сбережений и инвестиций (изъятий и инъекций).
Y = C + S
нац. доход потребление инвестиции
(С/Y) склонность к потреблению.
(S/Y) склонность к сбережению.
С ростом дохода растет склонность к сбережениям и уменьшается склонность к потреблению. Превышение инвестиций над сбережениями – недостаток ресурсов по сравнению с инвестиционным спросом, превышение сбережений над инвестициями – неполная занятость ресурсов.
Задача экономического регулирования – достижение полного использования НД в качестве источника эффективного спроса, чтобы:
C/Y+S/Y=1
Инвестиции – форма “инъекций”, они намного меньше потребительских расходов, более изменчивы и меньше зависит от НД, но больше всего на их изменение воздействуют:
а) прибыль (p` ); б) цена кредита (процентная ставка); в) налоги; г) прогнозы экономического роста.
Учитывается также альтернативная стоимость.
Инвестиции, как и С могут осуществляться независимо от движения доходов (даже при нуле). Речь идет об автономных инвестициях (затраты на образование нового капитала не зависящего от НД). Причины их появления – неравномерность развития технического прогресса, изменение вкусов, прирост населения, расширение внешних рынков и т.д. (сдвигается вся кривая инвестиционных расходов)
Валовые инвестиции = Амортизация + Чистые инвестиции
Амортизация – затраты на замены изношенного оборудования. Чистые инвестиции – прирост инвестиций на расширение производства.
11.4. Модель “расходы - доходы” или “кейнсианский крест”.
Макроравновесие кейнсианство рассматривается при постоянном уровне цен. Кривая совокупных расходов (без учета G и X) получается через сложение C+I. Линия над углом 45 отмечает точки равенства (Y = AE) (где Y - совокупные доходы, AE – совокупные расходы). Полученная диаграмма называется “кейнсианским крестом”:












Если НД больше равновесного уровня Yе (Y1), то совокупные расходы отстают от выпуска (AE1Y1) – это приводит к росту товарных запасов. Чтобы избавиться от них – сокращается выпуск товаров до уровня Ye.
Если НД (Y2) меньше равновесного уровня (Yе), то расходы превышают текущее производство (AE2Y2), что приводит к истощению запасов и выпуск продукции расширяется до Ye. Восстановленное равенства возможно без изменения цен.
Модель можно интерпретировать в терминах AD и AS. AS (в коротком периоде) не зависит от уровня цен, поэтому AD – AS может быть представлена в “кейнсианских” координатах (AE – совокупные расходы, Y – совокупный доход). Линия под углом 45 – линия равенства расходов и доходов представляет собой линию национального продукта или AS (совокупное предложение). Линия планирования совокупных расходов по составу компонентов интерпретирует ее как линия AD (совокупного спроса).
Поэтому кейнсианская краткосрочная модель AD – AS выглядит как пересечение AD и AS.
Пересечение линий определяет в коротком периоде равновесие в экономике и велечину эффективного спроса.
По Дж.Кейнсу это равновесие устойчивое и отклонение от него порождает тенденцию к ликвидации разрыва между AD и AS. AD в модели отождествляется с совокупным расходом, поэтому фирмы будут корректировать свои планы с реалиями на рынке.

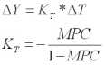
11.5. Теория мультипликатора
Увеличение или уменьшение инвестиций ведет к росту или падению объемов производства и занятости. Прирост или сокращение дохода оказывается более значительным, чем вызвавшее их изменение автономных инвестиций.
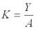
Мультипликатор (К) – это число, показывающее, во сколько раз необходимо увеличить изменение инвестиций, чтобы получить результирующее изменение равновесного НД (пример: инвестиции возросли на 10 млрд руб., если благодаря этому совокупный объем производства увеличился на 50 млрд руб., то мультипликатор равен 5)
Причина явления мультипликатора.
Мультипликационный эффект Дж.Кейнс связывал не с отдачей от инвестиций в виде выпуска дополнительной продукции или услуг, а с тем, что увеличение инвестиций приводит к увеличению доходов фирм, производящих инвестиционные товары. Цепная реакция доходообразования и расширения производства захватывает все более отдаленные друг от друга отрасли. Возникает “эффект кругов по воде”. Чем шире этот процесс, тем “эффект возмещения” становится менее интенсивным (на каждом этапе доход тратится на новое потребление, т.е. становится чьим-то доходом).
Сила эффекта мультипликатора зависит от того, сколько дохода поступит на следующую стадию, т.е.от MPC (предельной склонности к потреблению).
Пример: Индивид сооружает кирпичный завод за 100 тыс. рублей, т.е. незанятые рабочие получат 100 тыс. рублей дополнительного дохода. При МРС = 0,8 – 80 тыс. рублей потратятся на покупку товаров и услуг. У продавцов сократятся товарные запасы и они будут увеличивать объем производства на 80 тыс. рублей . Из этой суммы (МРС=0,8), получившие ее другие работники потратят на потребление 64 тыс. рублей и т.д.
Эта бесконечная цепь вторичных расходов вызвана первоначальными инвестициями в 100 тыс. рублей. Сумма увеличивающего дохода составляет
100 тыс.руб.+80 тыс.руб+64+… = 100 тыс.(1+0,8+0,82+0,83+…)
Предел суммы геометрической прогрессии выглядит
100 тыс. руб.*1/(1-0,8)=100 тыс. руб./0,2=500 тыс. рублей.
При МРС=0,8 , мультипликатор равен 5. По-другому этот результат можно получить :
Если МРС=0,8, то МРS= 0,2
1/(1-МРС)=1/MPS
Отсюда формула мультипликатора
Линия сбережений и инвестиций (изъятий и инъекций).
или
Линия сбережений и инвестиций (изъятий и инъекций).

Вывод: чем больше МРС, тем больше мультипликатор, тем больше будет итоговый прирост НД за счет прироста инвестиций
Y = K* I
Национальный доход
Мультипликационный эффект могут вызвать любые автономные затраты (C,I,G,X), т.е. речь идет о мультипликаторе затрат. Он рассчитывается как отношение прироста НД к изменению всех автономных затрат, вызвавших его прирост
Линия сбережений и инвестиций (изъятий и инъекций).

В случае роста автономных затрат эффект мультипликатора срабатывает в пользу экономического роста и наоборот. Как дестабилизирующий фактор мультипликатор тем сильнее, чем меньше величина MPS (и наоборот).





Неправильное ценообразование.


Значит, это – налог, который интернализирует отрицательный внешний эффект. На графике показано новое рыночное равновесие при объеме выпуска отраслью бумаги в количестве Q2 и продаваемой по цене Р2. При наличии отрицательного внешнего эффекта экономическая неэффективность проявляется как избыточное производство, которое вызывает слишком большой сброс сточных вод в реку. Причина подобной неэффективности заключается в неправильном ценообразовании. Рыночная цена Р1 слишком низка – она отражает предельные частные издержки производства фирм, но не предельные общественные издержки.
Только при более высокой цене Р2 объем производства на целлюлозно-бумажных предприятиях будет эффективным и значительно меньшим по сравнению с тем объемом выпуска, который имел место при отсутствии механизма интернализации внешнего эффекта.
Выход: 1) плата за выбросы (прямой корректирующий налог). Государство заставляет предприятие выплачивать внешние издержки. В государственных фондах аккумулируется денежная сумма для финансирования природных мероприятий (очистка водоемов);
2) определение стандарта на выбросы (специальные очистительные сооружения).
В России это корректирующее воздействие через субсидии и налоги (пример: закон об охране окружающей среды – нормативы шумов, выбросов; технический контроль). Невозможно пока введение бабл-принципа, когда предприниматели договариваются друг с другом о внедрении очистных технологий без государств.
Пример: отрицательные внешние эффекты – загрязнение окружающей среды – увеличивают издержки общества, но не влияют на затраты производителя, кривая S не отражает истинных издержек, продукт производится в излишке (издержки перелива).
Государство может: а) принять закон, запрещающий загрязнение окружающей среды; б) ввести специальный налог, равный издержкам, вызванным загрязнением среды (т.е. фирма платит налог на единицу продукции пока есть загрязнение).

P S1
D
P1 E1

E0 S0
P0



Q
Q1 Q0
На графике рост налогов или затрат на приобретение аппаратуры экологического контроля смещает S0 к S1 вверх, объем производства уменьшается с Q0 до Q1. Государство должно трансформировать внешние для фирмы издержки во внутенние и больше не оценивать ресурсы по заниженной стоимости.
2. Положительные внешние эффекты – это выгода некоторых третьих лиц, не отраженная в цене, по которой совершается рыночная сделка.
Пример: вы разбили фруктовый сад (радость соседям). Третьи лица (соседи) получают выгоду бесплатно, она не учтена при цене услуг садовника. Здесь общественная выгода будет больше, чем частная выгода лица, оплачивающего данную услугу, так как общественная выгода включает в себя как частную выгоду, так и положительный внешний эффект, т.е. выгоду третьих лиц.
Государство регулирует положительные внешние эффекты.
P S0
D
P0 E0 Субсидия

E1 S1
P1



Q
Q0 Q1


  1. Субсидирование со стороны государства – предоставление блага. На графике, она S0 смещает к S1 (вниз) = издержки производителя снижаются = рост Q благ.
  2. Возможно через государство увеличить спрос на блага, т.е. обеспечить покупательную способность потребителя (льготные талоны, абонементы).
При интернационализации положительного внешнего эффекта происходит более эффективное распределение благ (пример: соседи доплачивают садовнику за труд коллективно – больше сад, доход садовника, снижение оплаты для каждого участника. Однако, маловероятно, что соседи будут это делать добровольно.). Поэтому речь идет о вмешательстве государства в экономическую сферу и производства ряда благ, называемых общественными благами.
б) Производство общественных благ
Потребляемые товары и услуги делятся на частные (большая часть) и общественные. Частное благо потребляется одним лицом и не может одновременно быть потребленным другим. Общественное благо потребляется всеми одновременно, причем потребление кого-либо одного не уменьшает потребление другого.
Черты: включенность (всеобщность); нулевые предельные издержки (свет маяка); неделимость (национальная оборона).
Квазиобщественное благо появляется, когда люди могут быть исключены из процесса их потребления (музей, автострады, пожарная охрана, система канализации). Реальное распределение ресурсов осуществляется в рамках системы налогообложения – налоговые поступления идут на приобретение общественных благ.
Принимая на себя содержание общественных благ, государство тем самым решает и задачу минимизации трансакционных издержек. Трансакционные издержки – расходы, связанные не с производством как таковым, а с его организационной стороной: поиск информации о ценах, о контрагентах хозяйственных сделок, расходы на заключение контрактов, контроль над их исполнением, защита прав собственности и т.д. Есть товары, которые по определению не относятся к общественным, но из-за высоких трансакционных издержек государству бывает выгодно взять на себя их финансирование.
Классический пример – некоторые виды страхования, в основном связанные с производственной деятельностью: страхование на случай безработицы, по старости. Затраты государства в данной области значительно ниже, чем если бы это делали частные страховые компании.
Проблема теневой экономики
Причины:

  1. нелегальные формы разрешения конфликтов по защите прав собственности, когда в рамках закона невозможно решить вопросы или высокие трансакционные издержки, т.к. они растут в развитой экономике при расширении специализации и разделении труда;
2. высокая цена подчинении закону (налоги);
3. криминальный бизнес (запрещен законом).
Последствия (влияние на макроразвитие): уход от налогов, низкая соцзащита работников, хищение, организованная преступность и т.д.
Общественное благо обладает свойствами:
а) неконкурентоспособность (неизбирательность) – используется многими, но не вызывает дополнительных изменений (маяк). Неконкурентные блага, когда предельные издержки равны нулю, т.е. дополнительные потребители не увеличивают издержки производства общественных благ.
б) неисключимость – люди не могут быть исключены из сферы потребления, даже если не платят (освещение улиц, национальная оборона).
Проблема: сложно проконтролировать расходы государства и качество общественного блага. Общественное благо создается политикой внешних эффектов. Пример: проблема зайца в транспорте. Трудно учесть потребителей общественного блага – если финансирование через добровольный взнос - число зайцев растет.
Поэтому государство производит общественные блага за счет обязательных платежей (налогов), независимо от полученной индивидуальной пользы.
IV. Регулирование распределительных процессов:
1. Трансферты – соцвыплаты (мин. зарплата, пенсии, пособия). Индексация фиксирования доходов с ростом цен;
2. Расходы (через динамику ВНП);
3. Налоги (инвестиционные решения, финансовая база);
4. Кредит (увеличение или уменьшение объема производства);
5. Госпредпринимательство (предприятия, кредитные учреждения, центральный эмиссионный банк). Тендер - торги с целью выявления эффективного подрядчика. Госзаймы через конкурс.
Проблема перераспределения доходов и богатства: существует естественная тенденция к тому, что богатые становятся еще богаче. Поэтому существует необходимость в перемещении дохода от одной группы населения к другой.
Типичные способы перераспределения дохода государством: прогрессивный подоходный налог (при котором с ростом дохода его доля, изымаемая в госбюджет в форме, возрастает), государственные программы помощи и социального обеспечения, пособия по безработице, всеобщее медицинское обслуживание населения, вмешательство в рыночный механизм (правительство модифицирует цены, установленные под воздействием рыночных факторов, различными способами.; для гарантии определенного уровня доходов конкретных групп обеспечивается ценовая поддержка).

  1. Роль государства в достижении и сохранении национальных и конкурентных преимуществ в мировой экономике.
Главной его задачей становится обеспечение конкурентных преимуществ национальной экономики на мировых рынках. Приоритетные цели социально-экономического развития – финансовая поддержка мелкого и среднего предпринимательства, реструктуризация традиционных базовых отраслей промышленности.

  1. Общая координация экономического процесса посредством разработки долгосрочной экономической стратегии.
На первый план все больше выходит реализация качественных особенностей экономического развития. К ним относятся нацеленные на улучшение качества жизни меры по созданию условий для повышения образовательного уровня и квалификации работников, установлению контроля над качеством и безопасностью потребительских товаров и защите прав потребителей, улучшению условий и охраны труда.
Теория общественного выбора (выбор осуществляется посредством политики) объясняет, каким образом в рамках политической системы завершается процесс распределения ресурсов, т.е. отдается предпочтение каким-либо представителям власти, которые проводят в жизнь законы.

9.3. Методы государственного экономического регулирования.

Методы регулирования: прямые и косвенные.

  1. Прямые методы базируются на властнораспорядительных отношениях:
1.правовое регулирование (система законодательных норм и правил);
2. административное регулирование (регулирование, лицензирование, квотирование и т.д.; разрешение, принуждение, закрепление);
3. целевое финансирование секторов экономики, регионов, фирм – преобладающий метод (субвенции, субсидии).
Финансирование через инвестиции:
а) государственное предпринимательство (капиталоемкое и малорентабельное производство), позволяет решать общенациональные и социальные вопросы;
б) субсидирование предприятий негосударственного сектора (экспорт, госзаказ и т.д.)
II. Косвенные методы – основные направления макроэкономики.
Денежно-кредитная (монетарная) политика – это совокупность мероприятий государства по регулированию хозяйственной конъюнктуры путем воздействия на состояние денежного обращения и кредита.
Основными инструментами денежно-кредитной политики являются: нормирование банковских резервов, варьирование учетной ставки банковского процента, проведение операций на валютном рынке.
Налогово-бюджетная (фискальная) политика – это система мероприятий государства в области правительственных расходов и налогов.
Основные инструменты налогово-бюджетной политики:

  • регулирование налогового обложения имущества граждан;
  • введение муниципальных налогов;
  • регулирование государственных налогов;
  • осуществление государственных закупок;
  • выпуск государственных внутренних займов;
  • поддержка и регламентирование государственного предпринимательства.
Социальная политика – это система мероприятий государства по регулированию положения, отношений и взаимодействия основных элементов социальной структуры общества. Она включает в себя формирование доходов населения, обеспечение занятости и качества жизни населения.
Основными инструментами социальной политики являются:

  • регулирование минимальных ставок оплаты труда;
  • регулирование размеров пенсий, пособий по безработице и т.д.
Внешнеэкономическая политика – это система мероприятий государства по регулированию отношений национальной экономики с экономикой внешнего мира.
Основными инструментами внешнеэкономической политики являются:

  • законодательное установление ставок таможенных пошлин, обменных курсов валют;
  • использование иностранных займов, инвестиций и валютных ограничений.
Все перечисленные методы и инструментарии госрегулирования требуют комплексного использования, что образует макромаркетинг национальной экономики. Этот метод динамичен, охватывает все фазы воспроизводства и экономического роста, территории и региональные подсистемы. При изменении в экономической конъюнктуре меняется маркетинговая деятельность.




Отличительные черты монополистической конкуренции



кривая
спроса
предельного а)
дохода


кривая
совокупного б)
дохода
Спрос на продукцию при монополии: кривая спроса убывающая, объём растёт за счёт снижения цены. MR (предельный доход) меньше, чем цена (средний доход) для каждого уровня выпуска, кроме первого (кривая MR лежит ниже кривой D).
Разрыв между Р и MR – продукция продается по одинаковой цене. Если фирма хочет добиться увеличения объема продаж, цена должна быть ниже на все единицы продукции. Если фирма продает на единицу больше, то получит прирост в размере цены этой единицы, но понесет потери (весь первоначальный объем вынуждена продавать по более низкой цене).

  1. Когда D эластичен, снижение Р ведет к росту совокупной выручки.
  2. Когда D не эластичен, то снижение цены ведёт к падению совокупной выручки. Поэтому монополист старается избежать неэластичного участка (2 единицы по 12 дол., но продавая 3 – цена снижается до 10 дол. за штуку. Совокупный доход прирос на 6 (30-24). Прирост на 2 части: 1) 10 дол. за 3 ед. 2) потери равны 4 дол., т.к. каждая из первых двух единиц приносит по 10 дол., а не по 12 дол.).
Кривая MR пересекает горизонтальную ось в точке, в которой TR максимален. Когда MR0 – TR можно увеличивать за счёт увеличения объёма продаж. Когда MR0 – TR увеличивается при снижении продаж.
TR – максимален, когда MR=0.
Оптимальный выпуск в краткосрочном периоде (MR=MC)


Убытки
Кривая D (спроса) ниже кривой AC (средних совокупных издержек) – спрос недостаточный, чтобы фирма имела прибыль.


MC Прибыль







Сравнение MR и MC показывает величину прибыли монополии. Пока MRMC, рост выпуска продукции увеличивает TR ,больше чем TC, увеличивается прибыль до Q*. Когда выпуск больше Q*, MRMC (дальнейшее увеличение уменьшает совокупную прибыль. Максимальная прибыль – точка пересечения MC=MR. Цена максимальной прибыли равна высоте кривой спроса D(P*).
Эта цена всегда выше MC для монополиста. Прибыль на единицу продукции равна вертикальному разрыву между D и ATC. Прибыль единицы продукции, умноженная на объём выпуска равна совокупной прибыли, т.е. общая величина прибыли равна заштрихованной площадке (P* - ATC*) Q*.
Ценовая дискриминация – установление различных цен на одинаковые товары при несовершенной конкуренции:

  1. Нет возможности перепродажи покупателю (дополнительная прибыль, выгода монополиста).
  2. Возможность разделить покупателей исходя из эластичности спроса на товар (производится больше продукции, выгода покупателя. Пример п. 1 - различные цены на авиабилеты в зависимости дня недели).
Последствия ценовой дискриминации: увеличение цены и производство больше продукции. Значение антимонополистического регулирования.
Оптимальный выпуск в долгосрочном периоде
MR = LMC – предельный доход равен долгосрочным предельным издержкам.
Олигополия
Олигополия – отрасль, в которой большая часть сделок совершается несколькими фирмами, любая из которых способна оказывать влияние на рыночную цену своими собственными действиями.
Черты:
1. Число фирм невелико (2 – 25).
2. Товар и стандартизирован и дифференцирован (стандартизированы товары промышленного спроса, дифференцированы товары потребительского спроса).
3. Очень высокая степень контроля над ценой. Методы контроля над ценами: тайный сговор (скрытое соглашение о распределении рынка или фиксации цен), лидерство в ценах (фирма диктует цену), отсутствие сговора (следование, игнорирование, конкуренция цен).
4. Преобладают ценовые методы борьбы (+ неценовые).
5. Возможность вступления в рынок ограничена, взаимозависимость продавцов.
Ценообразование: цены негибкие (редко изменяются, а если меняются – то у всех предприятий (согласованные действия или тайный сговор)).
Модели поведения фирмы
Дуополия (модель А. Курно). Реакция фирмы А на поведение В: если В снижает цену, то А – тоже (боязнь потерять клиентов); если В повышает цену, А игнорирует (захват потребителей фирмы В).
Сговор (картель) фиксация цен (предотвратить продажу другими, установить квоты).
Лидерство в ценах (молчаливое тайное соглашение) – крупное предприятие меняет цены, а другие следуют за ним (корректировка редко).
Реакция следования (D D ) (понижение цены 1 фирмы приводит к понижению цены 2 фирмы).
Реакция игнорирования (D D ) - когда спрос более эластичен. При понижении цены конкурент будут следовать, не давая увеличивать объём продаж за свой счёт другими. При повышении цены – игнорировать (кривая спроса олигополиста ломается в точке P).
Поведение олигополиста: максимальная прибыль от реакции конкурентов (учёт при цене и объёме), фирма: соперничество (ценовая война - cнижение цен), отрасль: соглашение (явное и молчаливое).
Значение олигополии неоднозначное. Она близка к монополии (по структуре). Особая роль в развитии НТП.
В регулировании этой рыночной структуры отводится государству и правовой базе.
Монополистическая конкуренция – это тип рынка, на котором продукция представлена большим числом товаропроизводителей, товар на котором дифференцирован (похожие, но не схожие товары).
Отличительные черты монополистической конкуренции:
1. Число фирм достаточно большое (более 25).
2. Невозможен тайный сговор.
3. Дифференциация продукта.
4. Ограничен контроль над ценой.
5. Лёгкий вход и выход на рынок.
6. Неценовая конкуренция преобладает.
Эта конкуренция формирует неценовые предпочтения у потребителей. Продукция даёт прибыль при учёте: цены, рекламы и конкурентоспособности. Формы дифференциации продукта (качество, услуги и условие продаж, размещение и доступность, стимулирование сбыта и упаковки).
Спрос на продукцию – суммарный объём продукции, поставляемый фирмой при каждом значении цены.
* P – убывающая;
* большое число конкурентов, слабая дифференциация продукта;
* степень эластичности кривой спроса зависит от числа конкурентов и степени дифференциации продукта.
В результате – рост эластичности кривой спроса. MR (предельный доход) будет составлять половину угла наклона линии спроса.

Оптимальный выпуск в краткосроч- ном периоде: при MR=MC.

В краткосрочном периоде – снижение цен, когда кто-то выпускает подобный товар, до того как потребитель разберётся в преимуществах.

Типы рыночных структур

Характеристики
Рыночной структуры
Совершенная конкуренция
Монополистическая конкуренция
Олигополия
Чистая монополия
Количество производителей
Много независимых
Достаточно много
Несколько крупных
Единствен-ный
Тип продукта
Стандартизи-рованный
Дифференци-рованный
Стандартизированный + дифференци-рованный
УнPкальный, нет заменителей
Контроль над ценой
Контроль рынком
Влияние ограничено
Контроль лидера
полный контроль
Вхождения в отрасль
Свободное
Относитель-но лёгкое
Трудное
Очень трудное
В долгосрочном периоде – тенденция снижения прибыли от максимальной до нормальной (новые качественные товары) и сокращается спрос.
Последствие монополистической конкуренции: нет максимальной эффективности, избыток мощностей, приспособление к спросу, нет продукта по наименьшей цене. Использование в розничной торговле, лёгкой промышленности.

7.3. Антимонополистическое регулирование: цели и методы.

Цели: использование преимуществ естественной монополии (контроль государства), недопущение искусственной монополии.
Методы:
I. Экономические (самого рынка): появление товаров-субститутов, частая смена приоритетных для потребителей товаров как результат НТП, интернационализация рынка.
II. Административные (правительство): антитрестовские законодательства (против сговоров о цене и объёме), принудительная демонополизация (размонополирование, разукрупнение), налоги.
В России особенности – это монополизация государственных структур, всеохватывающий характер в советское время (гигантские заводы, цены, ресурсы, сверхмонопольная прибыль). В 90-е годы антимонопольная политика направлена часто не против злоупотребления монополистов (электро-газо-водоснабжение, транспорт) в завышении цен, а на то, чтобы заставить их делиться с государством сверхприбылью, поэтому многие меры антимонопольной политики не достигают нужного результата: по-прежнему перераспределение общественного богатства в сторону монополий.





Процентная ставка является минимумом рентабельности


Ценность капитала сегодня зависит от того, какие блага приносит его использование (отдается на время с целью приращения).
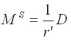
Спрос на капитал – это спрос на денежные средства.
Под процентом понимается плата предпринимателем (заемщиком) любым физическим и юридическим лицам (кредиторам), которые предоставляет в долг капитал (за будущий доход). Цена, уплачиваемая собственнику капитала, за использование средств в течение определенного времени, называется ссудным процентом.
Ссудный процент бывает номинальный (в денежных единицах по текущему курсу), реальный (с поправкой на инфляцию). Именно реальная ставка определяет принятие решений о целесообразности (или нецелесообразности) инвестиций Факторы, определяющие уровень ставки ссудного процента: степень риска (выше при больших рисках), срок (выше для долгосрочного периода), размер (выше не небольшой заем), налогообложение. Ставка ссудного процента определяет уровень инвестиционной активности (низкие процентные ставки увеличивают инвестирование, что расширяет производство).
Ставка ссудного процента как цена капитала-фактора зависит от спроса и предложения заемных средств. Спрос на заемные средства зависит от выгодности предпринимательских инвестиций, размеров потребительского спроса на кредит и спроса со стороны государства, организаций и учреждений.
Инвестирование – процесс создания или пополнения капитала. Валовые инвестиции (Ig) – общее увеличение капитала (включается амортизация (A)). Чистые инвестиции (In), In=Ig –A.
Если In имеет положительное значение, то производство расширяется. Если In A – производство сокращается. Если In=0 – простое воспроизводство.
Активизация инвестирования: норма дохода должна превышать норму ссудного процента. Процентная ставка является минимумом рентабельности инвестиционных проектов. Следует сравнивать ожидаемый уровень дохода на капитал с текущей рыночной ставкой процента по ссудам.
Если ожидаемый уровень дохода не превышает ставки процента, такой процент инвестиций не признается обоснованным (рентабельным).
Норма ссудного процента – отношение дохода на капитал, предоставленного в ссуду, к самому размеру ссужаемого капитала, выраженные в процентах.
Чистая производительность капитала - это ежегодный процент дохода инвестора при использовании денег на капиталовложение. Обоснование эффективности инвестиционных проектов:
1. Сравнение уровня дохода на капитал с процентной ставкой:
- если средства со стороны - проценты являются внешними издержками (чем выше ставка процента, тем меньше окупаемых инвестиционных проектов);
- если собственные средства – процент является внутренними издержками (упущенная выгода).
Чем выше ставка процента, тем больше соблазн положить деньги в банк и отказаться от инвестиций.
2. Метод дисконтирования:
Дисконтирование (как и процент) показывает эффективность инвестирования. Это метод приведения будущих расходов к текущему времени, т.е. определение величины чистой производительности капитала. Это вычисление сегодняшнего аналога суммы денег, которая выплачивается через определенный срок (и) или при существующей ставки ссудного кредита.
Текущая дисконтированная (приведенная) стоимость (Present Value - Vp) – это нынешняя стоимость 1 рубля, выплаченного через определенный период времени.
Если этот период равен одному году, Vp=1/(1+i). Для n лет Vp=1/(1+i)n.
Пример: сегодня инвестируем X долл., чтобы получить в будущем через год 100 долл., при 10% процентной ставке или 0,1 в год.
Х долл. = 100долл./(1+0,1), и в итоге X=91 долл. При ставке 10%, стоимость инвестиций в будущем году будет равна сегодняшней величине инвестиций плюс процент.
Оценка будущих доходов играет важную роль при принятии решений по инвестициям. Для этого используют понятие чистой дисконтированной стоимости (Net Present Value - NVp):
Процентная ставка является минимумом рентабельности

где I – инвестиции, pn – прибыль, получаемая в n-м году, i – норма дисконта (норма приведения затрат к единому моменту времени).
Норма дисконта (i) может быть ставкой процента или какой-либо другой ставкой. Иногда целесообразно рассматривать норму дисконта как альтернативные издержки вложений в основной капитал.
Величина чистой дисконтированной стоимости должна быть больше нуля: NVp 0. С экономической точки зрения это означает, что приведенная стоимость, ожидаемая от инвестиций, больше, чем величина произведенных инвестиций.
Следовательно, необходимо инвестировать тогда и только тогда, когда ожидаемые доходы будут выше, чем издержки, связанные с инвестициями.
Предельная эффективность капитала - это отношение между ожидаемым доходом от дополнительной единицы данного вида капитального имущества и ценой производства этой единицы. По мере увеличения инвестиций их предельная эффективность уменьшается (ожидаемый доход падает с ростом предложения или из-за роста цены предлагаемых ресурсов).
Пример: строительство моста с предельной эффективностью 10% не будет начато, пока рыночная норма процента составляет 11%.
Если кривая спроса на капитал имеет нисходящий характер (закон убывающей доходности), то кривая предложения – восходящий (закон возрастания альтернативных издержек). Совмещение DK и SK есть процент (ie) как свVеобразная равновесная цена.









8.4. Рынок природных ресурсов. Рентные отношения.

Рентные отношения – это отношения по поводу ценообразования и распределения доходов от использования земли, ее ископаемых ресурсов и недвижимости.
Ограниченность земли вызывает рентные отношения, порождающие особый доход (ренту). Рента – денежная сумма, выплачиваемая за пользование ресурсами в течение определенного времени.
Под земельной рентой подразумевается цена, которую платит арендатор земельного участка его собственнику за возможность производительного использования и получения прибыли.
Земля приносит ее собственнику ренту потому, что ее предложение неэластично. Графически кривая предложения земли изображается вертикальной линией.
Экономическая рента определяется соотношением спроса и предложения на рынке землепользования. Земельный собственник, заинтересованный в максимизации дохода, будет предоставлять землю фирмам практически за любую плату. Даже если эта плата мала, ему выгоднее отдать в аренду всю имеющуюся площадь, так как в противном случае с невостребованных участков он вообще не будет получать дохода.








Конкретный размер земельной ренты определяется только спросом на землю, а, следовательно, уровнем цен тех товаров, которые производятся с использованием земельных ресурсов.
Рента бывает:

  1. Чистая экономическая (доход, в зависимости от ограниченности природных ресурсов). Земельная рента – частный случай.
  2. Дифференциальная (доход, в зависимости от качества природных ресурсов)
Дифференциальная рента – это доход, получаемый в результате использования ресурсов с неэластичным предложением и с высокий производительностью.
Если землевладелец продает землю, то ее цена определяется на рынке товара земля. В самом простом случае при банковской ставке процента i цена земли PT будет определяться по формуле PT=(r/i)100%, где r – рента.
Экономически это означает, что, продав единицу земельной площади за цену PT, землевладелец будет иметь доход с полученной суммы в виде банковского процента такой же, как он имел бы с земли в виде ренты.
На рисунке представлены результаты использования трех земельных участков различного плодородия в условиях совершенной конкуренции (линии спроса на продукцию каждого производителя сельскохозяйственной продукции абсолютно эластичны).







а) б) в)

Как следует из данного рисунка, на участке a, характеризующемся самыми низкими средними издержками (ATC), будет получена максимальная дифференциальная рента, соответствующая площади заштрихованного прямоугольника. Несколько меньшая дифференциальная рента будет получена на участке б, где ATC выше, сем на участке a. И, наконец, на участке в дифференциальная рента будет нулевой; производителю удастся лишь возместить свои издержки, в том числе и нормальную прибыль.
Причины появления: ограниченное предложение земли (неэластичность), качественная неоднородность, географической положение и т.д. Цены на сельхозпродукцию удерживаются на уровне прибыльности на худших по качеству участках. А доход получается на лучших – это форма дифференциальной земельной ренты (анализ ATC и MC, если они равны, дифрента нулевая).
Рента для арендатора – плата за землю, для землевладельца – доход на капитал, вложенный в землю, для общества – дань, выплачиваемая земельными собственниками.
Цена земли – суммарная величина всех будущих арендных платежей, которые, как ожидается, может принести конкретный земельный участок. Поэтому цена земли – дисконтированная стоимость будущей земельной ренты.
PT=R/(1+i)t, где R – годовая рента с участка, i – рыночная ставка процента.

Цена на землю определяется спросом на нее: сельскохозяйственным (зависит от спроса на продовольствие) и несельскохозяйственным (для строительства, инфраструктуры и т. д.). Совокупный спрос на землю состоит из суммы общих спросов. Кривые имеют отрицательный наклон (закон убывающей отдачи, но кривая сельскохозяйственного спроса будет более эластичной).
Арендная плата определяет рыночную цену земли. Она состоит из ренты, амортизации на содержание и процента на вложенный капитал. Арендная плата растет, т.к. улучшается инфраструктура.
Государственная политика в аграрной сфере:

  1. Поддержание цен сельхозпроизводителей через субсидии, госзаймы.
2. Борьба с излишками сельхозпродукции.





Тема 10. Основные макроэкономические показатели.


9.1. Соотношение рыночного саморегулирования и государственного регулирования.

В современной развитой экономике рыночное саморегулирование дополняется регулированием государства общественного производства. Причины вмешательства: не решаются социальные вопросы, не обеспечивается стратегический прогресс в науке и технологиях, проблемы производства общественных товаров, необходимость преодоления нищеты и сокращения доходов.
Государственное регулирование экономики — это целенаправленный координирующий процесс управления государством отдельных сегментов рынка посредством изменения микро- и макропоказателей с целью сбалансированности экономики. Государство является рыночным агентом и политической организацией общества во главе с правительством и его органами (госорганы).
На разных этапах развития общества роль государства была различной. 6днако, всегда шла борьба между сторонниками свободного рынка и защитниками государственного вмешательства в экономику. В период становления рыночного хозяйства преобладала либеральная (классическая) традиция о роли государства. Физиократы отражали экономическую роль государства как охранника частной собственности.
Особая роль отводилась невидимой руке рынка (Адам Смит).
После 30-х годов ХХ века (великая депрессия) появляется модель государственного вмешательства в экономику Дж. М. Кейнса (1883-1946), в ней подчеркивалась роль государства в стабилизации экономики, регулировании занятости, смягчении циклических колебаний через финансово-бюджетные инструменты и денежную политику.
Феномен социального трансфертного государства связан с приходом к власти соцпартий в Европе. Государство должно проводить активную социальную политику через перераспределение общественного продукта.
С середины 70-х годов ХХ века в большинстве стран произошел сдвиг в сторону неоконсервативной политики (минимального государства).
Однозначно к роли государства в рынке подходить нельзя. Государственники исходят из фиаско рынка, неоконсерваторы делают упор на фиаско государства.
Существует отличие государственного управления (директивы — как обязательное исполнение для руководства) от государственного регулирования рынка. При централизованной экономике управление предприятиями и хозяйственными связями осуществлялось административно и напрямую повсеместно. Государственное регулирование отличается целями и средствами (государственный патернализм — опека государства).
Цели государственного регулирования:
I. Главная цель — экономическая и социальная стабильность (через адаптацию к меняющимся условиям). В результате устанавливается экономическое равновесие:
1. Стабильные цены и валюта (индикатор — индекс цен);
2. Высокая занятость (индикатор — уровень безработицы);
3. Внешнеэкономическое равновесие (роль внешних факторов в ВНП);
4. Экономический рост (реальный ВНП) — это процесс расширения производственных возможностей.
II. Опосредующие или конкретные цели: экономический рост (благосостояние), полная занятость (доход, обеспеченность работой), экономическая эффективность (разумное использование ресурсов), экономическая свобода (в рамках закона выбор формы предпринимательства и потребительских предпочтений), обеспечение нетрудоспособных (достойный образ жизни), стабильный уровень цен, баланс внешнеэкономических связей (ввоз — вывоз). Все цели достичь одновременно – невозможно.
В основе целей лежит правовое обеспечение, т.е. создание общих правовых условий экономической деятельности (меры запрета, разрешения, принуждения). Важно учитывать социальную ориентацию государственного регулирования, ействие в интересах всех участников хозяйствования (социальное обеспечение и государственное попечительство через налогообложение и государственную собственность).
Причины усиления государственной собственности: войны и национальная оборона, инфраструктура, рост народонаселения, урбанизация, экология, социальные вопросы и т.д.
Границы госсектора (невмешательство): частная собственность, свободное ценообразование (кроме монополий), многообразие форм собственности.
Сферы деятельности госсектора (хозяйственные субъекты, целиком или частично принадлежащие центральным или местным государственным органам): сырьевая и энергетическая отрасли, инновационные процессы, охрана окружающей среды, милитаризация и конверсия, социальные и производственные инфраструктуры. Формы образования: национализация, госстроительство из госбюджета, госприобретение.

9.2. Экономические функции государства.

Экономические функции государства – это сознательное регулирование процессов общественного воспроизводства.
I. Обеспечение правовой и общественной атмосферы (административное и правовое регулирование)
II. Стабилизация экономики (отражено в целях госрегулирования)
III. Корректирующая функция (ее вообще не решает рынок)
IV. Регулирование распределительных процессов
V. Роль государства в достижении и сохранении национальных и конкурентных преимуществ в мировой экономике
VI. Общая координация экономического процесса посредством разработки долгосрочной экономической стратегии


  1. Обеспечение правовой и общественной атмосферы (административное и правовое регулирование). Правовое регулирование функционирования рыночного механизма. Защита прав собственности. Поддержка конкуренции и антимонопольная политика. Защита прав потребителей.
II. Стабилизация экономики (отражено в целях госрегулирования).
III. Корректирующая функция (ее вообще не решает рынок):
а) Регулирование государством внешних эффектов.
Во время рыночных сделок возникает ситуация, когда лицо, не участвующее в сделке несет убыток или получает выгоду – это внешние эффекты ( внешние экстерналии). Внешние эффекты не отражаются в рыночной цене, т.к. направлены на третье лицо и регулируются государством.
Внешние эффекты могут быть отрицательными, если какая-либо производственная или потребительская деятельность приводит к возникновению издержек у лиц, не имеющих непосредственного отношения к данной деятельности. Внешние эффекты могут быть положительными, если какая-либо производственная или потребительская деятельность приводит к возникновению определенных выгод (пользы) у лиц, не имеющих непосредственного отношения к данной деятельности.
1. Отрицательные внешние эффекты – это издержки третьих лиц, не включенные в цену товара. Следовательно, ценH, по которой производитель будет продавать свой товар, окажется ниже, чем цена, учитывающая все издержки: как издержки производителя, так и издержки лиц, не участвующих в купле – продаже данного товара.
Пример: целлюлозно-бумажный комбинат стоит на реке. Сбрасывает отходы в реку. Ущерб включает потерю выгод, связанных с использованием реки в других целях (рыболовы, отдых).
Если заставить предприятие возместить ущерб, то цена бумаги увеличится. Рыболовы несут издержки, связанные с деятельностью комбината.
ТЕС MEC

ТЕС(q) MEC(q)




Q Q
ТЕС – совокупные внешние издержки или ущерб, наносимый третьим лицам (рыболовам). Чем больше Q (объем выпуска), тем больше ТЕС и вред реке. МЕС – предельные внешние издержки – это дополнительные ТЕС с дополнительной Q. Они не оплачиваются, перекладываются на третьи лица : МЕС = ТЕС/ Q. Чем больше сбросов в водоем, тем больше вред.
Цена Р (в ден. ед)

D(спрос) MSC=MC+MEC
Р2
S(MC)
Р1

MEC


Количество продукции Q(вт.)
Q2 Q1
Предположим, что целлюлозно-бумажные предприятия действуют в условиях совершенной конкуренции на рынке бумаги. Тогда кривая предложения (S) на рынке бумаги отражает суммарные предельные издержки производства индивидуальных производителей – МС.
Индивидуальное предложение фирмы – это ее предельные издержки, а рыночное предложение – суммарное предложение всех фирм в отрасли.
Предельные частные издержки всех фирм отрасли (МС) отражают только стоимость тех факторов производства, которые используются в производственном процессе, но они не включают в себя предельные внешние издержки в случае существования отрицательных внешних эффектов.
Параметры равновесия рынка бумаги: Q1 и P1 .
Предельные общественные издержки (MSC) – это все предельные издержки производства: как частные, так и внешние.
MSC = MC + MEC.
Фирмы принимают свои решения об объемах выпуска на основе слишком низких МС, не учитывая МЕС, следовательно, цена оказывается слишком низкой , а объем выпуска слишком большим.
Интернализация отрицательных внешних эффектов – это перевод внешних эффектов во внутренние, что достигается путем корректирования предельных частных издержек таким образом, чтобы они отражали действительные предельные общественные издержки.
Чтобы интернализировать отрицательный внешний эффект, необходимо сложить предельные внешние издержки и предельные частные издержки, т.е. получить предельные общеYтвенные издержки. Интернализация отрицательного внешнего эффекта приводит к увеличению цены товара, порождающего этот эффект, и, следовательно, к снижению величины спроса на этот товар.
Для этого на практике может использоваться корректирующий налог, т.е. налог на выпуск каждой единицы товара, поднимающий МС до уровня MSC.



Тема 11. Макроэкономическое равновесие.


10.1. Цели национального производства

Особенности национальной экономики определяет система макроэкономических целей:

  1. Стабильность роста национального производства.
  2. Стабильность цен.
  3. Экономическая обеспеченность.
  4. Занятость.
  5. Справедливое распределение доходов.
  6. Экономическая эффективность.
  7. Экономическая свобода.
  8. Оптимальный платежный баланс.
  9. Качество жизни.
  10. Равновесие с природной средой
Цели вступают в противоречие, т. к. у каждой экономической системы свои приоритеты. Важно обосновывать цели. Некоторые из целей взаимодополняемые (полная занятость, ликвидация безработицы, рост доходов и качества жизни).
Делая выбор приоритетных целей следует использовать метод постоянного и мягкого маневрирование (реакции на факторы с разных сторон).
Результаты деятельности национального производства:
1. Материально - вещественные (сфера материального производства)
- Совокупный общественный продукт (продукт материального производства за определенное время).
- Конечный общественный продукт (совокупность продуктов, окончотельно завершенных в обработке).
- Чистый общественный продукт (это вновь созданная стоимость или национальный доход).
- Фонд потребления (предметы потребления, созданные за определенное время).
2. Интегральные результаты (агрегированные параметры):
ВНП, ВВП, ЧНП, НД, чистое экономическое благосостояние (к ВНП добавляют товары теневой экономики, созданные на дому, увеличение досуга и отнимают загрязнение окружающей среды).
3. Годовые (номинальный и реальный ВНП).
4. Многолетние (национальное богатство) – это результат многолетнего функционирования экономики (блага и природные ресурсы ). Бывают: материальные и нематериальные.
Источники пополнения: рост национального богатства за счет превышения производимого общественного продукта над текущим потреблением.
Макроучет через СНС (Система Национальных Счетов) – в России с 1988 года. СНС помогает сопоставить показатели на международном уровне.

10.2.Макроэкономические показатели системы национальных счетов
В большинстве стран используются система национальных счетов (СНС). Она разработана статистической комиссией ООН и применяется с 1953 г. (более чем в 100 странах). СНС- представляет собой свод балансовых экономических таблиц, отражающих с одной сторон расходы субъектов хозяйственной деятельности на покупку товаров, с другой- их доходы от результатов хозяйственной деятельности.
Основу составляют сводные счета ВВП, капиталовложений, доходов и расходов домохозяйств и госучреждений, внешнеэкономических операций. СНС включает балансовые таблицы сводных показателей, либо имеющих самостоятельное значение. СНС позволяет упорядочить информацию о хозяйственной деятельности.
Макроучет в России с помощью СНС ведется с 1988 года. До этого использовали баланс народного хозяйства (БНХ), где отсутствовала важная информация, была неадекватность многих показателей. На основе СНС не проводятся разичие между материальным и нематериальным производством.
Источники макроинформации: госкомстат, средства массовой информации, макропоказатели.Приемы и методы макроанализа: балансирование доходов и расходов по методу двойной записи, стоимость оценки товаров и услуг и т.д. Качество управления зависит от степени достоверности информации: статистические данные не всегда надежные и взаимодополняемые.
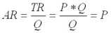
. ВНП (Валовой Национальный Продукт) – суммарная рыночная стоимость всех конечных товаров и услуг, произведенных в стране за год, независимо от местонахождения национальных предприятий. ВНП подсчитывается 3-я методами:

  1. Метод потока расходов ВНП.
  2. Метод потока доходов ВНП.
  3. Метод подсчета по отраслям (производствам).
Основные макропоказатели:



ВНП
(GNP)
Xn
1
2


G


ВВП
(GJP)


ЧНП
(NNP)
3
Iq

НД

Процент
Зарплата

C
Рента
Прибыль
Где:

  1. Сальдо экспорта и импорта (чистые поступления из-за границы).
  2. Амортизация.
  3. Косвенные налоги на бизнес.
Методы потоков доходов и расходов

1.Метод потока расходов ВНП
(на конечное потребление)
C+Iq+G+Xn
2.Метод потока доходов ВНП
(поставщики ресурсов)
W+R+r+P+A+NБ
1. Потребительские расходы населения (С).
2. Инвестиционные расходы предпринимательства (I).
3. Госрасходы на товары, услуги, ресурсы (G).
4. Чистый экспорт (X).

1.Амортизационные отчисления.
2. Косвенные налоги на бизнес.
3.Процент.
4. Зарплата.
5. Рента.
6. Прибыль.
Оба метода – две стороны одного явления - производства (потоки доходов и расходов или кругооборот)
Метод расчета по производству(отрасляи).
Если суммировать общую стоимость (объем продаж), то возникает повторный счет, т. е. завышение объема продукции в многоступенчатом прцессе ее производства и реализации. Когда стоимость одних и тех же частей продуктов учитывается не один раз.
Вводится понятие промежуточного продукта (для дополнительной обработки) и конечного продукта (для конечного потребления). ВНП нужно считать без повторного счета (в СССР использовался повторный счет в валовом общественном продукте), т. е. не по общей, а по добавленной стоимости той части продукта, которая произведена именно данным предприятием, а не его поставщиками.

Стадии производства костюма
Цена продаж
Добавленная стоимость
( расчет)
( сумма)
1.Овцеводческая ферма
60
Промежуточный продукт

60 – 0

60
2.Фирма по переработке шерсти.
100
Промежуточный продукт

100 – 60

40
3.Швейная фабрика.

125
Промежуточный продукт

125 – 100

25
4.Оптовая продажа.
175
Промежуточный продукт

175 –125

50
5.Розничная продажа.
250
Конечный продукт

250 –175

75
Общая стоимость
710

250

Общая стоимость продукта 5 предприятий – 710 у. е, она содержит повторный счет 460 у. е. (710 – 250). Поэтому в ВНП следует включать не 710, а добавленную стоимость 250 у. е. (или то же самое – стоимость конечной продукции ). Чтобы избежать повторного счета, ВНП и ВВП должны включать стоимость конечных товаров и услуг (это валовая продуция предприятия за вычетом текущих материальных издержек и с включением амортизации).
ВНП не включает в себя:

  1. деятельность домохозяйств; подержанные, комиссионные товары; трансферты – платежи, взамен которых не происходит непосредственного получения товаров; доходы теневого бизнеса; работу ученых на себя; чисто финансовые операции (купля – продажа ценных бумаг); полуфабрикаты, сырье (если это не конечные товары).
II. ВВП (Валовой Внутренний Продукт) – расчитывается по территориальному признаку и отличается от ВНП на чистые поступления из – за границы.

ВВП

Внутри страны
Продукция отечественных предприятий за рубежом
Иностранные предприятия
Отечественные предприятия
П1 (200)
П2 (1000)
П3 (300)

ВНП
Если П1 П3 (200 300), т.е. ввоз дохода из – за рубежа больше, то сальдо расходов положительное, т.к. ВВП ВНП (и наоборот).

  1. ЧНП – Чистый Национальный Продукт, ЧНП = ВНП амортизация (NNP = GNP - A).
ЧНП – это валовой национальный продукт за вычетом той части произведенного продукта, которая необходима, чтобы заменить средства производства, изношенные при выпуске продукции. Этот показатель измеряет тот объем конечных товаров и услуг, который страна может использовать, не нанося ущерба производственному потенциалу. Это показатель всех доходов в обществе, однако косвенные налоги в ЧНП скрывают истинный вклад конкретного фактора.
Чтобы определить общий объем доходов, от ЧНП отнимаются косвенные налоги.
IV. Национальный доход (НД) – вновь созданная за год стоимость, показывающая, что прибавило производство к благосостоянию общества в данном году. НД – чистый заработанный доход общества. Формы НД: произведенный и использованный
Личный доход – весь доход, заработанный отдельными лицами. Идет на: потребление, сбережение, уплату налогов. Показывает сколько денег поступят на цели личного потребления, и отражают перераспределительные процессы в движении HД
ЛД получается расчетом: из НД вычитаем взносы на соцстрахование и налоги на прибыль корпораций и прибавляем трансферты (пенсии , стипендии , пособии ) .
Располагаемый ЛД – сумма, оставшаяся после выплаты налогов из ЛД населением ( идет на потребление и сбережение).
Неравенство в распределении доходов в измерений, используются кривые Лоренца
Тема 11. Макроэкономическое равновесие.

ОЕ- равномерное распределение доходов. Отклоняющаяся кривая от ОЕ- фактическое распределение.
Коэффициент Джини - уровень неравенства отношение к площади фигуры (заштрихованная),образованная линиями равномерного и неравномерного распределения дохода к площади треугольника ОЕF. Кривая Лоренца движется в сторону большего равенства при перераспределении доходов (прогрессивное налогообложение) неравномерность доходов между населением учитывается через отношение децильный коэффициент (отношение=10% самых богатых к самым бедным)
10.3. Номинальный и реальный ВНП. Индекс цен
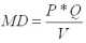
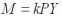
ВНП – денежный показатель, его величина может возрастать за счет физического объема продукции или роста уровня цен ( который выражается в виде индекса).
ВНП бывает:
1) Номинальный ВНП (в текущих ценах) – отражает физический объем производственных товаров и услуг в покупках, действующий в данном году ценах.
2) Реальный ВНП (в базовых ценах) – это номинальный ВНП, скорректированный с учетом цен или выраженный в ценах базового года.
При построений индексов цен индексируемыми величинами являются цены, а роль весов играют объемы продукций и услуг.
Зависимость от базисного и отчетного периодов. Формула Лайспейраса – весы, которые определяются по базовому периоду (неизменна для всех периодов расчета данного индекса). Ответ на вопрос – как изменились бы цены, при условии, что в отчетном периоде сохранились структуры товаров и услуг базисного года
Тема 11. Макроэкономическое равновесие.

где Pi0 Pi1 цена единицы i-го вида товара в базисном и отчетном периоде;
gi0- количество i-го вида товара базового периода ;
Используется, когда структура реализации не изменяется.
Формула Пааше – по весам отчётного периода:
Тема 11. Макроэкономическое равновесие.

Это простой метод дефлирования (понижение стоимостного выражения ВНП с учётом динамики цен)
Индексы по весам базового периода имеют тенденцию завышать изменения цен, а по весам отчётного периода – занижать (замена товаров дешевого ассортимента на более дорогой). Для избавления от искажений используют индекс, представляющий среднюю геометрическую двух индексов, т.е. квадратный корень их произведений (индекс Фишера):
Тема 11. Макроэкономическое равновесие.

Наиболее известен, среди индексов, рассчитанный по весам отчётного периода – индекс цен ВНП (тоже дефлятор ВНП). Он включает не только цены потребительского корзины, но и цены инвестиционных товаров, товаров покупаемых правительством, и товаров, услуг, купленных и проданных на мировом рынке.
Дефлятор ВНП представляет собой индекс цен, связанных с корректировкой номинального объёма ВНП с учётом изменения цен.
Номинальный
ВНП
Реальный ВНП = 100%
Индекс цен
(дефлятор ВНП)

Тема 11. Макроэкономическое равновесие.

Если дефлятор 1, текущие цены растут, если 1 – снижаются.


Индекс
цен т.г ВНП т.г
Индекс цен = 100% Темп роста = 100%
Индекс ВНП б.г
цен б.г
ВНП на душу населения = ВНП / Q населения 100%
Дефлятор ВНП – средневзвешенный индекс или уровень цен на товары и услуги, формирующие ВНП.
Темпы среднегодового прироста ВНП:
Высокие: 7% – 8%; Нормальные: 4%– 6%;Умеренные: 2% - 3%;
Низкие: 1%
Низкие темпы снижают уровень жизни, объемы инвестиций. Высокие темпы приводят к перепроизводству.




Тема 12. Цикличность рыночной экономики.


11.1. Совокупный спрос

Макроравновесие проявляется в сбалансированности экономических процессов. Его основное условие – равенство совокупного спроса (AD) и совокупного предложения (AS). Если ASAD происходит потеря ресурсов, если ADAS невозможно удовлетворение платежеспособного спроса.
AS и AD не имеют натуральных измерителей и их кривые – абстрактные модели.
Компоненты AD: C – потребительский спрос, I – инвестиционный спрос фирм, G – госзакупки, X – чистый экспорт.
Совокупный спрос (AD) – это сумма всех индивидуальных спросов на конечные товары и услуги, предлагаемые на товарном рынке.
Кривая AD показывает изменения совокупного уровня расходов (C, I, G, X) в зависимости от изменения уровня цен. При снижении уровня цен объем реального ВНП будет больше, т.е. реально будет больше куплено товаров и услуг.
Нисходящий (негативный характер) кривой AD: влияние ценового фактора на каждую составляющую ВНП (C+I+G+X). Рост цен уменьшает потребление, инвестиции, госзакупки, экспорт уменьшается, а импорт увеличивается – это “движение по кривой” AD объясняется тремя эффектами: процентной ставки, реального богатства, импортных закупок.
Неценовые факторы AD, т.е. “движение самой кривой”. При положительном влиянии неценовые факторы перемещают AD вправо, вверх (и наоборот), причем цена при этом постоянная.

  1. Изменение в потребительских расходах: благосостояние, ожидание, задолженность, налоги.
  2. Инвестиционные расходы: процентная ставка, ожидаемая прибыль, налоги с предприятий, технологии.
  3. Государственные расходы: цены, налоги, проценты.
  4. Изменение в расходах на чистый экспорт: валютные курсы, НД в зарубежных странах.

Неценовые факторы AD, т.е. “движение самой кривой”. При положительном влиянии неценовые факторы перемещают AD вправо, вверх (и наоборот), причем цена при этом постоянная.

  1. Изменение в потребительских расходах: благосостояние, ожидание, задолженность, налоги.
  2. Инвестиционные расходы: процентная ставка, ожидаемая прибыль, налоги с предприятий, технологии.
  3. Государственные расходы: цены, налоги, проценты.
  4. Изменение в расходах на чистый экспорт: валютные курсы, НД в зарубежных странах.

11.2. Совокупное предложение: классическая и кейнсианская
трактовки
Совокупное предложение(AS) – это величина реально производимого продукта всеми производителями в экономической системе при определенном уровне цен или реальный ВНП. Существует зависимость: AS увеличивается при росте цен. AS – это взаимосвязь между общим уровнем цен (P) и реальным объемом национального производства.
В макроэкономике AS имеет определенную конфигурацию, состоящую из трех участков:
а) Горизонтальной (кейнсианский).
Краткосрочный период. Цена постоянная, неполная занятость ресурсов.
б) Восходящий (промежуточный).
Увеличение реального объема производства и рост цен.
в) Вертикальный (классический).
Долгосрочный период. Рост цен, а реальный объем ВНП не изменяется. Максимальные возможности производства (Y*) при полной занятости ресурсов.
Это потенциальный уровень ВНП.



Р 2
Уровень в
цен

а б

1 Y* ВНП (Y)

1.Фактический уровень ВНП;
2.Потенциальный уровень ВНП.
Неценовые факторы, влияющие на (AS):
Позитивное влияние смещает AS вправо, вниз; негативное – влево, вверх. Изменение цен на ресурсы, технология производства, налоги и дотации, располагаемый доход.

11.3. Равновесие модели AD – AS и политика стабилизации

Равновесие AD и AS – это равновесие уровня цен и реального объема национального производства. Равновесное состояние в макроэкономике в условиях неэластичности цен и зарплаты может иметь место на любом из трех участках кривой AS. Классики не могли объяснить пути (кроме уменьшения зарплаты), как снизить безработицу (которые требует государственных средств).
Кейнсианская теория утверждает необходимость активного регулирования экономики со стороны государства. Так как экономика может находится в условиях спада неопределенно долго.












В экономике наболее динамичен показатель AD:
1.Рост AD. Изменяя точку равновесия, отражается на объеме национального производства, а значит и на занятости населения и на уровне цен.
2. Уменьшение AD. Срабатывает “эффект храповика”, т.е. цены легко повышаются, но не сразу падают при уменьшении AD.

При уменьшении AD-AD1, равновесие устанавливается не в точке E1 при объеме производства Y1 и уровне цен P1, а в точке E. Цена P0 на прежнем уровне, а объем производства падает до уровня Y2, т.е. больше, чем при равновесии. Линия AS устанавливается на уровне P0E2E1.
В реальной экономике уровень цен не снижается, т.к. определяется ценовой инертностью затрат на производство продукции.
Поэтому при снижении AD предприниматель предлагает продукцию по первоначальной цене, чтобы не оказаться в убытке, при этом резко снижает объем производства.
Анализ модели AD - AS показывает, что законы рыночного равновесия действуют на уровне национальной экономики в целом.
Если ASAD лишние убытки, потеря ресурсов (надо либо снизить цены, либо объем производства). Если ADAS рост цен, невозможность удовлетворить платежеспособные потребности людей (надо наращивать объем производства). E точка равновесия – приобретают всю продукцию по данным ценам.
Точка равновесия AS=AD устанавливается при меньшем объеме производства, но при более высокой цене.
Пути стабилизации экономики.
Кейнсианский подход: равновесие экономики при полной занятости через расширение AD. Речь идет о проведении экономической политики расширения со стороны государства: увеличение государственных расходов, снижение налогов, стимулирование инвестиций.
Если ADAS, то увеличивается инфляция, поэтому необходимо сокращать госрасходы и повышать налоги.
Классический (монетаристский) подход служит базой рассмотрения при совершенной конкуренции. кейнсианская теория – при несовершенной, в краткосрочном периоде (характерно для России при сильной монополизации). Необходимы устойчивые тенденции в динамики общего равновесия, сбалансированность всех рынков. Социально-экономическое равновесие достигается, когда ограниченные ресурсы используются полностью и эффективно.
Синергический эффект – проявляется, когда возрастает эффективность экономики за счет использования ресурсов для приоритетных целей.
Потребление, сбережения и инвестиции в кейнсианской теории:
I.Потребления и сбережения.
В кейнсианской модели совокупные расходы составляют: потребление (C), инвестиции (I), госрасходы (G) и чистый экспорт (X). Ведущим компонент в AD является потребление (C), источником которого является располагаемый доход (I).
I=C+S, где С – потребление (текущие нужды), S – сбережения (часть дохода, которая не потребляется)















В отличие от классической теории кейнсианство рассматривает потребление и сбережения как функцию от размеров дохода, а не от ставки процента (i).
C = f(Y) и S = f(Y)
1.Функция потребления C = f(Y) показывает, что потребление растет с ростом доходов, но часть доходов идет на сбережение и CC растет медленнее доходов, т.е. отклоняется от биссектрисы, показывающей равномерный рост. Там, где величина потребления больше величина дохода, процесс потребления протекает “в дом”. Определение часто реальных доходов не зависит от уровня располагаемого дохода – это “автономные потребления”, связанные с расходованием сбережений или занятия денег в долг.
Точка Е – потребление равно доходу, а сбережения равны нулю. Слева от нее – потребление превышает доходы (зона отрицательного сбережения), справа – наоборот (зона чистого сбережения).
2. Функция сбережения S = f(Y) является производной от функции потребления. Отсутствие сбережений ниже оси абсцисс, а их наличие – выше. Величину сбережений показывает расстояние от оси абсцисс до кривой S, причем это расстояние полностью совпадает с расстоянием от линии 45` до кривой C на графике функции потребления.
Наклон кривой С определяется долей располагаемого дохода, которая направляется на потребление (MPC – предельная склонность к потреблению).
Наклон кривой сбережений (S) определяется MPS-предельной склонностью к сбережению.
Чтобы определить как изменяется C и S с ростом доходов, рассчитывают MPC и MPS.
Тема 12. Цикличность рыночной экономики.

MPC и MPS в сумме должны составлять единицу, как C и S в сумме составляют располагаемый доход.
Пример: Из 100 рублей располагаемого дохода (С – 80руб., S – 20 руб.) Если доходы возросли на 50 руб., то увеличение С – 30 руб., S – 20 руб.
MPС = 30\50 = 0.6, MPS = 20\50 = 0.4
Или иначе, если MPC = 0.6, то MPS = 1-0.6 = 0.4
С ростом доходов MPC падает, а MPS растет. На графике это отражается в уменьшающемся наклоне кривой C (график а), и все более крутым подъемом кривой S (график б) При постоянных MPC = MPC графика C и S имеют линейный вид.
Важно сбалансировать предельную склонность к потреблению и сбережению.
C – потребление, Y – располагаемый доход, a –автономное потребление, b – предельная склонность к потреблению (MPC)
Тема 12. Цикличность рыночной экономики.














В ситуации (а) незапланированное сокращение запасов, в ситуации (б) – незапланированное накопление запасов.
S =
прирост сбережений прирост инвестиций

II.Инвестиции.
Под инвестициями (в экономической теории) принято понимать использование сбережений для создания новых производственных мощностей и других капитальных активов.



Тема 13. Налоги. Бюджет.


12.1. Экономический цикл и его фазы

Макроэкономическая нестабильность проявляется в неравномерности экономического роста, т.е. в волнообразности и цикличности экономического развития. Она выражается в цикличности экономики, безработице, инфляции.
Следует различать экономический рост и экономическое развитие, так как экономическое развитие кроме роста включает еще и спад.
Два показателя величины экономического роста.
1.Коэффициент роста=
Тема 13. Налоги. Бюджет.

2.Коэффициент
Тема 13. Налоги. Бюджет.

В основе макродинамики (динамики роста и спада) лежит понятие экономического цикла, часто называемого “созидательным разрушением”. Цикл характеризуется периодичностью подъемов и падений, что проявляется в колебаниях следующих показателей:
а) общий уровень продаж; б) общий уровень цен; в) уровень безработицы; г) темп роста ВНП
Тема 13. Налоги. Бюджет.
с помощью именно этого показателя выделяют четыре основные фазы развития экономики:
1. Спад (кризис, спад производства, рецессия
Тема 13. Налоги. Бюджет.
6 месяцев): свертывается производство, безработица, сокращение расходов бизнеса и домохозяйства, погоня за деньгами (рост % ставок кредита), уменьшение производства.
2. Депрессия (низшая точка - стагнация): производство на грани остановки, высокая безработица, низкая деловая активность, спекуляция, банкротство, приспособление к условиям, банки избегают давать займы, рост запасов.
3. Подъем (оживление): рост деловой активности, рост расходов, снижение безработицы, рост загрузки производства, рост капиталовложений, рост % ставки.
4. Бум (пик): предел возможностей, высокая занятость, высокая прибыль, высокие расходы, высокие инвестиции, резкий рост цен.
В основе экономических циклов – изменение соотношения между потреблением и инвестициями.
Диаграмма экономического цикла
Тема 13. Налоги. Бюджет.



АА – это линия реального экономического роста (долговременные тенденции в экономическом росте).

Кризис бывает: экономический (циклический) и структурный отраслевой.
Экономические циклы различаются по продолжительности:
1. Краткосрочные (3-4 года) – дефицит товара, восстанавливается равновесие рынка (И. Шумпетер);
2. Среднесрочные (8-12 лет) – спрос на промышленное оборудование, перелив капитала (И. Шумпетер);
3. Долгосрочные (40-60 лет) или большие циклы Кондратьева – воспроизводство основного капитала, смена технологических эпох. Длинные волны имеют место на рынках промышленных зданий, сооружений инфраструктуры и рабочей силы.
Причины экономических циклов (разные подходы):
1. Внешние (экзогенные): изменение в численности населения, изобретения и инновации, войны и другие политические события.
2. Внутренние (внутри самой экономической системы): потребление,
инвестирование, деятельность правительства.
Антикризисная (конъюнктурная) политика государства
Она направлена на регулирование колебаний экономической активности, особенно в период депрессии и бума. Синергический эффект – возрастает эффективность в экономике за счет использования экономического равновесия для приоритетных целей. Структурные преобразования - изменение пропорций в экономике.
Экономическая структура – это соотношение подсистем (среда производства, услуг и т.д.) и элементов (фирмы, домохозяйства и т.д.), обеспечивающих непрерывное производство в масштабах всей страны.

В период бума
В период депрессии
В сфере денежно-кредитной политики
1. Повышение учетной ставки
2. Продажа ценных бумаг
1. Понижение учетной ставки
2. Покупка ценных бумаг
В сфере фискальной политики
1. Сокращение расходов госбюджета
2. Повышение налоговых ставок
1. Дополнительные расходы
2. Понижение налоговых
ставок
В сфере политики зарплаты и тарифов
1. Понижение зарплаты
1. Повышение зарплаты

12.2. Безработица и ее типы
Безработица в экономике представляет собой циклические явления на рынке труда, выражающиеся в превышении предложения рабочей силы над спросом на нее.
Закон Оукена: когда фактический уровень безработицы превышает ее естественный уровень на 1%, то отставание объема реального ВНП составляет 2,5% (это зависимость уровня безработицы и отставания в росте ВНП).
Три показателя безработицы:
1. Уровень безработицы =
Тема 13. Налоги. Бюджет.

2. Естественный уровень безработицы (оптимальный резерв работников) – это такие нормы безработицы, при которых достигается долговременное равновесие, когда темпы инфляции равны ожидаемым темпам роста цен.
В настоящее время естественный уровень составляет от 6% до 8% от общего числа рабочей силы в стране.
3. Полная занятость – когда безработица не превышает своего естественного уровня.
Полная занятость = Число трудоспособ. * (1-Естественная норма безработицы)
Виды безработицы:
1. Циклическая безработица - безработица связанная со спадом производства. Эта безработица связана с дефицитом спроса (общий спрос на т/у в стране падает
Тема 13. Налоги. Бюджет.
занятость сокращается). В случае полной занятости эта безработица должна отсутствовать, но фактический уровень безработицы всегда превышает естественный (характеризующий полную занятость).
2. Фрикционная - временная, связана с поиском или ожиданием работы. Она неизбежна, т.к. рабочая сила, временно не работающие, переходят обычно с малооплачиваемой, малопродуктивной работы на более лучшую; это ведет к увеличению доходов у рабочей силы, рациональному использованию ресурсов, распределению объема ВНП. Такой тип безработицы является краткосрочным.
3. Институциональная безработица связана с недоработками самих институтов рынка труда и факторами, влияющими на ее спрос и предложение.
4. Структурная – высвобождение рабочей силы под воздействием структурных сдвигов в экономике (т.е. под воздействием изменения потребительского спроса). Со временем потребительский спрос меняется (под воздействием моды и т.п.), возникают новые товары и услуги, необходимо время для изменения структуры производства и сокращения старого производства уменьшение спроса на рабочую силу отдельных профессий и специальностей безработица. Этот тип безработицы является долговременным и является проблемой общества.
5. Частная безработица - неполный рабочий день.
6. Скрытая безработица – “формально все работают”, но занимают лишние рабочие места.
Последствия безработицы
а) Отрицательные: главная “цена” безработицы – невыпущенная продукция.
1. Экономические издержки: недовыпуск продукции,
недоиспользование рабочей силы.
2. Социальные издержки: потеря квалификации, потеря самоуважения и др.
б) Положительные: резервная рабочая сила, конкуренция.
Воздействие на безработицу со стороны государства: активные (создание новых мест) и пассивные (пособия) методы.
Подходы к безработице
Классический подход к безработице
Безработица вызвана слишком высокой зарплатой (SD), т.е. превышение предложения над спросом.
Тема 13. Налоги. Бюджет.


Величина зарплаты P2 выше равновесного уровня P1, при котором предлагается столько рабочей силы, сколько требуется. При P2 предложение рабочей силы превышает спрос на нее возникает безработица.



Уровень безработицы устанавливается под воздействием распределительного механизма (избыток предложения цена снижается до равновесной).
Кейнсианский подход к безработице
Безработица вызвана недостаточным спросом на рабочую силу.
Тема 13. Налоги. Бюджет.

Совокупный спрос AD в обществе управляет объемом производства, а значит и спросом на рабочую силу.
С помощью понижения зарплаты чаще всего невозможно стимулировать значительное повышение совокупного спроса, чтобы занятость возросла.
Поэтому средство от безработицы: а) в повышение госрасходов или б) снижение налогов, что стимулирует производство и увеличение AD, а значит и спрос на рабочую силу.
Если AD=AS – состояние недолгосрочного равновесия, если ADAS – дефляционный взрыв (падение цен, взрыв безработицы), если ADAS – инфляционный взрыв.

12.3. Инфляция: методы измерения, виды, социально-
экономические последствия

Уровень инфляции измеряется:
Тема 13. Налоги. Бюджет.
, где Pt, Pt –1; индексы цен в периоде
Тема 13. Налоги. Бюджет.
.
Причины инфляции
Внутренние: деформация экономики, монополизм предприятий, инфляция ценовой накидки, механизм налогообложения, денежная эмиссия, дефицит государственного бюджета, незавершенное производство.
Внешние: милитаризация, рост цен на мировом рынке и т. д.

Типы инфляции
1. по формам проявления: открытая, скрытая (подавленная);
2. по темпам прироста: затухающая, умеренная (меньше 10% в год), галопирующая (10-200% в год), гиперинфляция (больше 200% в год);
3. по ожидаемости: ожидаемая (можно прогнозировать 1-3%), неожидаемая (резкое снижение);
4. по месту распространения: локальная, мировая (импортированная);
5. от роста цен: сбалансированная, несбалансированная.
I. Инфляция спроса
Инфляция спроса выражается в появлении избыточной платежеспособности или дополнительных денег, когда ADAS.
Причины: полная занятость, госсубсидии и соцрасходы, эмиссия денег, рост зарплаты. Экономика пытается тратить больше, чем производят (избыточный спрос), что приводит у росту цен, “вымыванию” дешевого товара.
1. AS-горизонтальная часть, расходы очень низкие, реальный ВНП отстает от максимального уровня (потенциального). Уровень безработицы высок, производство бездействует.
2. AD1
Тема 13. Налоги. Бюджет.
AD2. Увеличение объема производства, снижение безработицы. Рост цен (“преждевременная инфляция”, есть запасы на производстве).


Тема 13. Налоги. Бюджет.


3. AD2
Тема 13. Налоги. Бюджет.
AD3. Полная занятость ресурсов. Спрос растет, а объем реального ВНП максимален, рост цен – при полной занятости ресурсов дополнительные расходы инфляционные.




В 1958 году Филлипс разработал теорию модели обратной зависимости между изменением заработную платы и уровнем безработицы (модель инфляции спроса: в период кризиса безработица растёт, а цены падают).
Краткосрочная динамика инфляции и безработицы. Низкая заработная плата, высокая инфляция. Работники добиваются повышения заработной платы больше, чем они создают.
Это приводит к повышению цен. Высокая безработица, низкая инфляция, т.е. из-за высокой безработицы люди согласны на более низкую заработную плату.
Все что левее N – инфляция спроса, когда государство искусственно поддерживает высокую занятость. Все что правее N – падение цен в период кризиса. Un – естественный уровень безработицы.

Кривая Филлипса может быть применена для анализа в краткосрочном периоде. Эта закономерность была верна до 70-х годов
Тема 13. Налоги. Бюджет.

XX века, когда появляется явления стагфляции: сочетание стагнации (застоя) и инфляции. На смену кривой Филлипса пришла теория естественной безработицы.
Черты: одновременное повышение цен и роста безработицы, стагнация производств. Стагфляция объясняется инфляцией издержек (предложения).
II. Инфляция издержек (предложения).

Причины инфляции издержек: рост цен на ресурсы, рост зарплаты в сравнении с производительностью труда, неправильная налоговая политика (косвенные налоги и акцизы),
монополизация рынка. В жизни оба вида инфляции спроса и предложения сложно разделить. Однако если первая может развиваться бесконечно, то вторая вызовет спад экономики, что снизит постепенно издержки и ликвидирует инфляцию.
Тема 13. Налоги. Бюджет.

PSA
Снижение совокупного предложения. Высокие издержки приводят к повышению цен, так как переносят цены на издержки. Спрос при этом не меняется, что связано с ростом цен.
Если предприятие не может увеличить цену (нет денег), то автоматически сокращается прибыль и автоматически снижается производство. Это ведет к спаду (совокупное предложение уменьшается). При спаде товаров мало, что ведет к повышению цен.
Рост издержек приобретает характер ценной реакции, т.е. инфляционной спирали “зарплаты и цен”.
Социально-экономические последствия инфляции. 1. Перераспределение доходов в обществе. 2. Разрушение нормальных социально-экономических отношений. 3. Искажение расчетов. 4. Внешнеэкономические последствия.
5. Эффект инфляционного налогообложения.




12.4. Государственные антиинфляционные меры

Стратегия:
1. Гашение инфляционных ожиданий (больше на текущее потребление).
2. Ограничение денежной массы (денежные реформы).
3. Сокращение бюджетного дефицита (увеличение доходов за счёт налогов или уменьшение госрасходов).
Тактика (мобильность в критической ситуации)
Воздействие на разрыв между AD и AS через: а) увеличение AS без повышения AD, б) снижение AD без падения AS.
Антиинфляционная политика, направлена на обеспечение стабильного уровня цен, предупреждения и смягчения инфляции.
1. Политика противодействия (см. тактику).
2. Политика отбрасывания: а) политика “замкнутой цепи” (нет роста AD); б) политика “зарплата - цена” (ограничение доходов, “замораживание”); 3. Восстановление равновесия: а) бюджетная и денежная политика (равенство гос. доходов и расходов); б) в сфере зарплаты (умерить рост).





Тема 14. Деньги и банковская система.


13.1. Финансовая система. Государственный бюджет

Финансовая система – элемент инфраструктуры рынка. В узком смысле финансы – денежные средства, в широком – система экономических отношений в обществе по формированию и использованию фондов денежных средств, совокупность форм и методов образования, распоряжения и использования денежных средств.
Функции финансов: аккумулирующая, регулирующая, распределительная, контрольная.
Элементы финансовой системы:

  1. децентрализованные финансы: предприятий, учреждений, организаций (исходное звено);
  2. централизованные финансы: государственные, в том числе госбюджет (определяющее звено).
Государственный бюджет – основной финансовый план образования и использования централизованного фонда денежных средств государства. Это баланс доходов и расходов государства за определенный период. Его функции: распределительная и контрольная.
Элементы государственного бюджета :
1. Доходы
а) Налоги на доходы и собственность, отчислений на различные нужды.
б) Налоги на товары и услуги (акцизы, НДС, таможенные пошлины и т.д.).
в) Сборы (прочие поступления) – использование госсобственности (земли, золота,…), доходы от предприятий, займы государства, составление нотариальных договоров.
2. Расходы
а) Закупки (оплата поставки вооружений, оборудования, питания, больниц, школ, зарплата бюджетников).
б) Выплаты (трансфертные платежи).
Госрасходы обладают эффектом экономического регулятора: расширение AD (пенсии, зарплата бюджетников увеличиваются), стимулирование производства (дотации, субсидии, закупки), развитие сфер экономики (наука/образование).
Тема 14. Деньги и банковская система.

Госрасходы обладают также мультипликационным эффектом (“умножение”): относительно меньший прирост расходных сумм дает относительно больший прирост ВНП.
Величина эффекта мультипликации отражается мультипликатором ВНП (рост национального продукта при данном увеличении объема инвестиций). Если инвестиции 5 у.е., увеличение ВНП на 20 у.е., то мультипликатор 4 (20/5).Мультипликатор госрасходов – коэффициент, показывающий зависимость дохода и выпускаемой продукции от изменения госрасходов.
Пропорциональные налоги (единая ставка налогооблажения, независимая от абсолютной величины базы налогооблажения) снижают MPC при данном НД, т.к. домохозяйства реально получают в виде располагаемого дохода лишь часть каждой денежной единицы НД. Пропорциональные налоги понижают величину мультипликатора.
Если происходит приращение общей суммы госрасходов, то доходы и выпуск продукции будет увеличиваться на сумму, которая в K раз превосходит увеличение госрасходов.

Тема 14. Деньги и банковская система.


Тема 14. Деньги и банковская система.
- во сколько раз превосходит увеличение госрасходов полученный доход. В основе предельная стоимость к потреблению (прямая зависимость к MPС и обратная к MPS). Низкая величина MPC – небольшой мультипликатор.
При росте госрасходов – рост AD,AS, национального производства (и наоборот).
Три варианта госбюджета (соотношение между доходами и расходами) :

  1. Нормальный (сбалансированный), AD=AS, K=1
  2. С профицитом, ADAS.
  3. С дефицитом, ASAD.
Пути преодоления дефицита госбюджета: сокращение расходов(заранее, секвестр),увеличение доходов (налоги, приватизация),денежная эмиссия, госзаймы (иностранные государства, международные организации). Существует структурный и циклический дефицит.
Государственный долг – сумма долгов государства по внешним и внутренним займам. “Тяжесть госдолга” для общества: по абсолютной сумме, по отношению его к доходу бюджета, к ВВП, по расходу на душу населения.
Последствия дефицита госбюджета: падение хозяйственной активности, “долговой порочный круг” (рефинансирование, мораторий, дефолт), рост ссудного процента, сокращение инвестиций, рост неплатежей, недофинансирование государственного сектора, неравенство, утечка части ВНП за рубеж, снижение уровня госуправления.
Пути финансового оздоровления: эффективная и стабильная экономика, жизнь “по средствам”.
Внебюджетные фонды - денежные средства, имеющие целевое назначение и не включающиеся в госбюджет (местные органы власти, спецфонды, субсидии из бюджета и займы). Источники : спецуслуги бюджетных учреждений, аренда помещений, плата за обучение и т.д.
Госбюджет 3-х уровней: федеральный, субъектов федерации, органов местного самоуправления.
Макроэкономический индикатор качества бюджета равен отношению дефицита госбюджета к годовому объему ВНП. Граница ненадёжности бюджета 1,5…3 %

13.2. Система налогообложения.

Налоговая система – совокупность форм и методов взимания налоговых платежей. Элементы налоговой системы: субъекты, объекты, налоговые – база, ставка, льготы, платежи и бремя. Функции: фискальная (сбор денежных средств), социальная (перераспределение), регулирующая (влияет на общественное воспроизводство).
Принципы налоговой системы: всеобщность, равнонапряженность, стабильность, обязательность, социальная справедливость, однократность, гибкость, понятность.
Виды налогов:

  1. По объектам: на доходы, на имущество, на расходы покупателей.
  2. По способам взимания: прямые, косвенные.
Прмые налоги – взимаются непосредственно с владельцев имущества и получателей доходов. Виды: подоходный(индивидуально подоходный налоги), поимущественный (налог на собственность).
Ставка налогооблажения должна быть одинаковой для всех (смягчение неравенства, но снижают “стимул” к эффективному труду).
Косвенные налоги: - включаются в цены товаров (взимаются в сфере распределения товаров и услуг). Виды: акцизы, таможенные пошлины, фискальные монопольные налоги.
В косвенных налогах средняя ставка налогооблажения повышается по мере роста суммы налогооблажения.

  1. По способам определения размера (пропорциональные, прогрессивные, регрессивные)
Разновидности налоговых ставок:

  1. Средняя ставка – отношение общего налога к величине налогооблагаемого дохода.
  2. Предельная ставка – отношение прироста выплачиваемого налога к приросту дохода.
  3. Нулевая ставка.
  4. Рыночная ставка.
Методы построения налоговых ставок:

  1. твердое налогооблажение (в абсолютной величине на единицу облажения);
  2. пропорциональное (средняя ставка одинакова для всех сумм обложения независимо от размера базового дохода);
  3. прогрессивное (средняя ставка повышается по мере роста облагаемой суммы);
  4. регрессивное (ставка уменьшается по мере увеличения дохода).
  5. дегрессивное (ставка увеличивается с возрастанием дохода, но каждый прирост ставки меньше предыдущего);
  6. По уровню бюджета: общенациональные, региональные местные.
  7. По порядку использования: общие и целевые.
Тема 14. Деньги и банковская система.

Кривая Лаффера показывает связь между налоговыми ставками и объемами налоговых поступлений, выявляя такую налоговую ставку (от 0% до 100%), при которой налоговые поступления будут максимальными.
В точках (L),(N) поступления от налогов равны. Но точка (L) более предпочтительна, т.к. обеспечивает более высокий уровень активности, высокий уровень благосостояния. В долговременной тенденции снижение чрезмерно высоких налогов разумно.
В ситуации (I) – увеличение налоговых ставок ведет к росту налоговых поступлений, в ситуации (II) – к падению.
Налоговый мультипликатор:
Тема 14. Деньги и банковская система.

(приращивание налогов)


13.3. Методы и типы фискальной политики

Фискальная политика тесно связана с госбюджетом, но у нее “налоговый” акцент. Это политика государства в области налогов как главного источника доходов государства.
Фискальная политика тесно связана с функциями налогов : фискальной (уровень налоговой ставки), регулирующей (налоговые льготы, игра с таможенной пошлиной), перераспределительной.
Цели фискальной политики: сглаживание колебаний экономических циклов, стабильные темпы экономического роста, стабильная занятость, снижение инфляции. Инструменты : госрасходы, налоги. Особенно действует в период бума и спада (депрессии) экономики.
Методы фискальной политики:
1. Дискреционная (активная, стимулирующая, рестриктивная) - сознательное манипулирование налогами и госрасходами.
2. Недискреционная (пассивная, автоматическая) - автоматически изменяющиеся налоги и госрасходы (роль “встроенных стабилизаторов” в расходной части бюджета).
Дискреционная политика: общественные работы, занятость, трансферты, изменение налоговых ставок. Эта политика для перспективного развития, т.к. нужно время для “воздействия” на экономику.
Автоматическая политика: изменение в правовом законодательстве и в налогах. “Встроенные стабилизаторы” – это пособие по безработице, налоги на прибыль корпораций, прогрессивный подоходный налог. Действие автоматических стабилизаторов уменьшает колебания ВНП.
В период спада: Снижение AD, необходимо стимулировать его. Пути: максимальное увеличение госрасходов (налоги постоянные), или уменьшить налоговые ставки (госрасходы постоянны).
В период бума: Увеличение AD (опасность инфляции). Пути: повышать ставки налогов на доходы или ограничивать госрасходы.
Негативные последствия фискальной политики: дефицит бюджета государства (т.к. уменьшаются налоги), инфляция (из-за эмиссии денег). Ее нужно производить с учетом важных прогнозов, в нужное время, чтобы через налоги и госрасходы добиться стабилизации в обществе.






Тема 15. Переходная экономика


14.1. Сущность денежного рынка.

На денежном рынке в результате спроса и предложения денег формируется цена денег в форме процентной ставки.
Деньги не продаются и не покупаются, а обмениваются на другие ликвидные активы по альтернативной стоимости, измеренной в единицах номинальной нормы процента.
Деньги присущи товарному производству, до них существовал натуральный обмен. Деньги – это товар особого рода, играющий роль всеобщего эквивалента.
Эволюция форм денег (всеобщего эквивалента).

  1. Полноценные деньги: товарные доденежные, золотые и(или) серебряные.
  2. Неполноценные деньги (заместители): билонные деньги (разменные), бумажные деньги, кредитные деньги.
Виды кредитных денег: вексель, банкнота, чек, депозитные деньги, электронные деньги. В современное время они наиболее распространены.
Современное денежное обращение выступает в двух формах:

  1. Наличная (монеты, банкноты, казначейские билеты);
  2. Безналичная (записи на счетах, кредитные деньги, электронные переводы)- депозитные сертификаты и облигации госзаймов.
При этом считается экономистами, что M1- это собственные деньги, а M2 и M3 почти деньги , т.к. менее ликвидные.

Закон денежного обращения: количество денег, необходимых для нормального обращения, соответствует сумме цен всех товаров, деленной на скорость оборота денежных единиц.
Тема 15. Переходная экономика
или MV=P*Q
Функции денег.

  1. Деньги как средство обращения. Обеспечивают обмен, их покупательная способность.
  2. Деньги как мера стоимости. Соизмеряют стоимость товаров и услуг.
  3. Деньги как средство накопления. Способность приобретать товар в будущем (финансовые активы в частном банке).
  4. Деньги как средство платежа. Купля-продажа в кредит и при погашении обязательств(вексель, банкнота, чек и т.д.).
  5. Всемирные деньги. Учет курса национальной валюты по покупательной способности.
Денежная масса-совокупность всех денежных средств, находящихся в хозяйстве в любой форме, и выполняющая функции средства платежа, обращения и накопления. Формы: наличная, безналичная и квазиденежная (срочные вклады, депозитные счета денежного рынка и т.д.).
В зависимости от степени ликвидности (обратимость в наличные) денег в разных формах выделяют показатели денежной массы: денежные агрегаты М1, М2, М3 и другие.
М1=банкноты, билонные деньги + денежные средства на текущих счетах. Характерно: абсолютная ликвидность, обслуживает текущий платежный оборот.
М2=М1 + сберегательные и срочные вклады. Характерно: меньшая ликвидность, средство накопления.
М3=М2 + вклады в спецучреждениях (крупные срочные вклады: депозитные, сертификаты и облигации госзаймов).

Спрос на деньги: классический и кейнсианский подходы.
Спрос на деньги - желание субъектов иметь определенное количество денег(денежных знаков) или кассу.
Портфель активов – денежные активы плюс акции, облигации, недвижимость и т.д. Вопрос – какую часть своего портфеля активов люди хотят сохранить в наиболее ликвидной денежной форме?
I Классический (монетаристский): расширение денежного предложения связано со средним ростом реального производства. Основывается на понятии скорости обращения денег и движения доходов. Спрос на деньги зависит от уровня реализации объема производства, абсолютного уровня цен и скорости обращения денег.
Уравнение обмена.
Тема 15. Переходная экономика
, преобразуем:
Тема 15. Переходная экономика

Формула показывает движение доходов, где М – количество денег в обращении, V- скорость обращения денег, Y- реальный объем производства, Р- абсолютный уровень цен, МD-величина спроса на деньги. Показатели V, P,Y-определяют величину спроса на деньги.
Кембриджское уравнение.
а)
Тема 15. Переходная экономика
или б)
Тема 15. Переходная экономика
где
Тема 15. Переходная экономика
- величина, обратная скорости обращения денег. Во второй формуле к=const,
Тема 15. Переходная экономика
-реальный запас “денежных средств”. ФоXмула исключает инфляцию и рассматривается в качестве функции реального спроса на деньги.
Спрос на реальные запасы денежных средств прямо пропорционален доходу.
II Кейнсианская теория (предпочтение ликвидности). Что заставляет экономического субъекта хранить часть богатства в форме наличности. Спрос на деньги зависит от величины номинального дохода (его рост уведичивает спрос на деньги) и нормы ссудного процента (снижение процента увеличивает спрос на деньги).
Три мотива: 1)трансакционный (средство платежа), 2)предосторожности, 3)спекулятивный (неизвестность).

  1. Спрос на деньги для осуществления текущих сделок.
На уровне народного хозяйства этот спрос на деньги прямо пропорционален объему ВНП и обратно пропорционален скорости обращения денег

  1. Связан с возможностью непредвиденных платежей и неожиданного снижения дохода. Размер спроса прямо пропорционален доходу.
  2. Связан с наличием у денег альтернативной стоимости. Спрос на деньги увеличивается с уменьшением доходности других активов. Зависимость от процентной ставки: чем выше последнее, тем меньше желание иметь в портфеле наличные деньги. При отсутствии инфляции – предпочтительна наличность. При низкой процентной ставке - ликвидная ловушка - когда все свободные средства хранятся в виде наличных денег.
Совокупный спрос на деньги формируется из спроса на деньги для совершения сделок (операционный спрос)
Тема 15. Переходная экономика
и из спроса на деньги для формирования финансовых активов (спекулятивный спрос) (
Тема 15. Переходная экономика
при ставки процента,
Тема 15. Переходная экономика
.
На графикe горизонтальное сложение графиков (а) операционного и (б) спекулятивного спроса.
i
Тема 15. Переходная экономика


б





а M/P
При изменении процентной ставки (i) изменение объема спроса как движение по (вдоль) кривой LD(i,Y). При изменении объема производства (дохода) произойдет сдвиг кривой вправо или влево.

  1. Современная теория. Признает важность нормы доходности и
нормы процента
Тема 15. Переходная экономика
, или
Тема 15. Переходная экономика
, однако учитывает инфляцию, отвергает три мотива спроса учитывает разность номинальных и реальных ставок.
Предложение денег.
Это совокупность платёжных средств, обращающихся в данный момент. Формы: собственно деньги (наличные и вклады на текущих счетах) и почти деньги (сберегательные счета, срочные вклады, облигации и др.) Предложение денег (Ms) включает наличность(С) вне банковской системы и депозиты(D), которые экономические агенты при необходимости могут использовать для сделок.
Ms=C+D
Два источниRа Ms: Центробанк(наличные деньги) и коммерческие банки(вклады до востребования, т.е. кредитные деньги).
Кривая Ms отражает количество денег на рынке и процентной ставкой по обычным неденежным активам.
Кривая предложения денег (Ms) отражает взаимосвязь общего количества денег и процентной ставкой, выплачиваемой по обычным денежным активам.


%
ставка Ms1
Ms3
Ms2



Q денег
Ms1 – количество денег остаётся постоянным (роль ЦБ), Ms2 – процентная ставка постоянна (роль ЦБ), Ms3 – ЦБ увеличивает денежное предложение независимо от роста процентной ставки.
Равновесие на денежном рынке.
Упрощённая модель: реальное предложение денег фиксировано на уровне (M/P), Ms - предложение денег, фиксированное ЦБ на этом уровне M, а цены P стабильны в краткосрочном периоде
Тема 15. Переходная экономика
.
Равенство устанавливается через механизм колебания ставки процента
Реальное предложение денег фиксировано на уровне M/P и на графике представлено вертикальной прямой
Тема 15. Переходная экономика

избыток
i1 Ls


iе E

i2
дефицит
M1/P1 M/P M2/P2 M/P
Пересечение функций спроса и предложения определяет состояние равновесия на денежном рынке.
При повышении процентной ставки - более привлекательны финансовые активы . При понижении ставки возрастает спрос на наличные деньги. Неравновесие на денежном рынке возникает из-за процентной ставки и изменения спроса и предложения денег (сдвиг кривых LD и Ls). Государство влияет на денежный рынок через монетарную политику и изменение денежного предложения (контроль).

14.2. Банковская система и ее структура. Денежный мультипликатор.

Ядро кредитной системы – банковская система (Центробанк, коммерческие банки) и небанковские учреждения.
Банки – экономические институты, регулируют ряд функций: аккумулирующую, предоставление кредитов, создание кредитных денег, эмитирует ценные бумаги.
Основной критерий деятельности не прибыльность, а стабильность. Двухуровневая банковская система: Центробанк обеспечивает равновесие денежного рынка, кредиты, контроль за коммерческими банками, и т.д. Коммерческие банки – кредитные учреждения универсального характера. Операции: пассивные (привлечение денежных средств) и активные (их размещение).Коммерческие банки принимают и размещают вклады, кредиты, осуществляют расчёты с клиентами и т.д.
Услуги банков: прямое кредитование, лизинг, инвестиции, факторинг, трастовые операции.
Кредит – предоставление денег (товаров) в долг на гарантированных условиях возвратности, платности, срочности. Формы кредита: коммерческий и банковский (кто кредитует).
Виды: потребительский, государственный, международный (кого кредитуют). Способность банков создавать деньги: когда принимают вклады (отчислив от их стоимости требуемый обязательный резерв), используют оставшуюся денежную массу для выдачи ссуд.
Увеличение денежной массы зависит не только от суммы избыточных резервов, но и от величины денежного мультипликатора (мультипликатора денежного обращения).
Можно денежную массу представить как продукт денежной базы, или мультипликатор
Тема 15. Переходная экономика
, где m – денежный мультипликатор, показывает во сколько раз изменится объем денежной массы (B) в случае изменения денежной массы (H). Можно отразить по-другому:
Тема 15. Переходная экономика
, где r-норма обязательного резерва, 1/r (или k) – депозитный мультипликатор, D - первоначальный вклад. Формула показывает дополнительное предложение денег в результате нового депозита.
Процесс создания банками денег – идеальная схема: все полученные по сделкам деньги относят в банк, никто не изымает свои вклады, строгие нормы обязательного резервирования (r). Но в действительности способность банков создавать деньги зависит не только от (r), но и от пропорций между ликвидной (С) и сберегательной (D) частями своих денежных средств.
В этом случае используется денежный мультипликатор
Тема 15. Переходная экономика
, где d - характеризует отношение объема наличных денег к объему депозитов(
Тема 15. Переходная экономика
).
14.3. Основные инструменты монетарной (денежно-кредитной) политики.
Для практической реализации задач банковской системы (управлять системой платежей, направлять сбережения населения к предприятиям, регулировать размер денежной массы) используются различные меры, которые в совокупности называются денежно-кредитной (монетарной ) политикой. Это сознательный контроль над денежной массой в целях поддержания экономической стабильности, минимальной инфляции.
Основные инструменты денежной политики Центробанка (через косвенное регулирование):

  1. Изменение учётной (дисконтной) ставки процента при кредитовании коммерческих банков: изменяется цена кредитов. Регулирование спроса и предложения на рынке капиталов. Обратная зависимость деловой активности и уровня учётной ставки. Основной инструмент предложения денег
  2. Изменение нормы обязательных резервов (минимальная доля депозитов, хранящихся в виде резервов Центробанка). Обратная зависимость денежной массы и уровня нормы резервов. Используют редко в экстремальных ситуациях.
  3. Операции на открытом рынке (ценные бумаги, валютный рынок). В период подъема Центробанк навязывает покупку ценных бумаг коммерческим банкам, денежные массы сокращаются (и наоборот). Быстро и легко регулирует кредитные средства.
Монетарная политика действует в период спада и бума. Прямая зависимость денег в обращении и уровня деловой активности. В период спада Центробанки увеличивают денежную массу(рост экономики).
В период бума – ограничивает денежное предложение.
Политика дешёвых денег - кредитная экспансия в целях снижения спада производства и безработицы. Увеличение предложения денег. Политика дорогих денег - кредитные сокращения, осуществляются против инфляции в период бума через сокращение предложения денег.
В отличие от кейнсианской трактовки политики дешёвых и дорогих денег, монетаристы выступают за равновесную самонастройку при небольшом контроле государства (временной разрыв принимаемых мер и их осуществление, поведение субъектов рынка, роль налогов и т.д.).
Денежные реформы (при сильной инфляции) – полностью или частично преобразуют денежную систему с целью ее укрепления.
Дефляция – сокращение денежной массы через изъятие из обращения денежных знаков. Деноминация – укрупнение денежной единицы в определённой пропорции старых и новых денежных знаков. Девальвация – удешевление денег, ревальвация – удорожание денег, их возобновление.
Нуллификация - недействительность денежных знаков.





Тема 16. Мировое хозяйство. Международные экономические отношения


15.1. Теоретические основы перехода от плана к рынку

Переходная экономика это не просто реформа экономической политики и аспектов хозяйствования, а всестороннее преобразование общества. Меняются способы распределения ресурсов, отношения собственности, модели мотивации, цели и средства экономического развития, воспроизводство, институты и право.

Основная задача перехода к рынку – переход к современной децентрализованной экономике (от всеохватывающего директивного управления к рыночным отношениям с элементами государственного регулирования).
Основные характеристики избранного пути к переходной системе.
1. Высокий уровень госконтроля, стабильность цен, высокий уровень социальной защиты, частичное разгосударствление, товарный дефицит, дефицит госбюджета, слабые стимулы к труду, низкие темпы роста.
2. Свободные цены, жесткая финансово-кредитная политика, минимальный уровень социальной защиты, обвальная приватизация, галопирующая инфляция, массовая безработица, резкое падение уровня жизни, массовое банкротство, конвертируемость валюты, сильные стимулы к труду.
3. Регулирование цен, мягкая финансово кредитная политика, умеренная социальная защита, поэтапное разгосударствление, умеренная инфляция и безработица, снPжение уровня жизни, социально-экономическая стабильность.
Экономические реформы с начала 90-ых годов ХХ века в странах Восточной Европы являются частью радикального обновленья социально-экономического строя и примером становления качественно новой модели хозяйствования в постсоциалистических странах по пути рыночных отношений через приватизацию госсектора и поощрение частного предпринимательства. Этот курс повсеместно сопровождался кризисными явлениями. Существуют различные варианты формирования рыночной экономики, однако есть и общие закономерности.
Основная роль отводится государству.
Следует выделять концепции соотношения рынка и плана: Дж. Кейнс – о дополнении рыночного механизма плановыми элементами, японская модель (бюджет государства финансирует проект, а затем переводится в руки частного бизнеса и т.д.)

15.2. Основные задачи переходного процесса

В тенденциях переходной экономики 3 слагаемых трансформации(c учетом России):
1. Постепенное умирание “социализма”.
2. Генезис современной рыночной экономики.
3. Тенденция социализации (роль общественных ценностей и гуманизация общества).
Основные задачи: либерализация цен, приватизация собственности, инфраструктура хозяйствования, социальные гарантии, структурная перестройка.
Открытая экономика.
Концептуальная основа российской модели регулирования. Постепенное поэтапное движение к Российскому варианту единства постиндустриального типа с современными характеристиками качества жизни, среды обитания на основе формирования нового технологического способа производства и многоукладности, переход к социально ориентированной, динамичной рыночной экономике при значительной роле государства в ее регулировании.
Основные направления: социальное, структура народного хозяйства и технологическая база, системноинституционироное проблемы (стимулирование предпринимательства), эволюция экономического механизма (конкуренция, инфраструктура и.т.д.), госрегулирование, федеральнорегиональный аспект, отношение собственности (многосекторность), включение в мировое хозяйство, макроструктура.


15.3. Регулирование переходного периода в России

Следует учитывать исторические традиции и российскую специфику реформирования. Важно, чтобы переходные процессы были легитимными, т.е. понятными и поддерживаемые народом.
Особенности: государственный патернализм (гарантии, соцзащита), разумный протекционизм к государственным и отечественным предпринимателям, совмещение с многоукладностью, преодоление сырьевой ориентации экономики и построение эффективно действующей рыночной экономики.
Движение России к рынку имеет свою историю. В XIX веке зарождаются рыночные отношения. В советское время элементы рынка допускались в годы НЭПа(20-е годы XX века). В 1991 году новая политика перехода к рынку (крушение СССР и КПСС).
Этому предшествовала политика “ускорения”(1985) и “перестройки” хозяйственного механизма(1987) по пути регулируемой рыночной экономики. В 1992-1993 годах радикалы выдвинули программу либерально – экономических реформ (“шокотерапия”). Что привело к инфляции (свободное ценообразование), экономическому кризису, социальным проблемам и т.д.
В ближайшие годы стоит вопрос о стабилизации депрессивного состояния экономики России, возникшего после нового витка финансово-производственного кризиса 1998 года. Предполагается изменение макро показателей экономической активности в сравнении с “обвалом” в 1991-1998 годах.
В процессе реформирования было допущено множество ошибок: бессильность, медлительность, искажение идей; не решен вопрос о частной собственности на землю; налоговая реформа не в интересах производителей; утечка капитала за рубеж (коррупция, бюрократия); политическая нестабильность; множество привилегий (какократия – власть плохих людей) и нравственное нездоровье властных структур и т.д.;
Таким образом, нарушались основные условия перехода к рыночному хозяйству, с учетом особенности Росси:
1. Обеспечение свободы хозяйственной деятельности;
2. Становление многообразия форм собственности (приватизация, разгосударствление);
3. Развитие конкуренции производителей (демонополизация)
4. Формирование механизма свободного ценообразования;
5. Сохранение значительного нерыночного сектора экономики;
6. Последовательная интеграция национальной экономики в систему мировых
хозяйственных связей;
7. Обеспечение со стороны государства социальных гарантий гражданам, предоставление всем равных возможностей в “зарабатывании средств” и поддержка нетрудоспособных и социально уязвимых членов общества.

Речь идет о роли государства в переходной период, о качестве управленческого аппарата, о необходимости компетентности, знании содержания и методов реализации при проведении экономических преобразований.
Триединая задача макроэкономики России
1. Преодоление спада производства.
2. Преодоление дефицита госбюджета.
3. Борьба с инфляцией.





Тема 3. Спрос и предложение.


2.1. Товарные основы и принципы функционирования рыночной экономики.
Рыночное хозяйство представляет собой общественную форму организации экономики, основанную на товарном производстве и обеспечивающую взаимодействие между производством и потреблением посредством рынка.
Общие принципы формирования рыночной экономики: юридические основы, многоукладность экономики, атрибуты рыночной системы, свободная конвертируемость национальных денег, социальная защита граждан.
Рынок – это вся система многообразных экономических отношений между людьми, возникающих в процессе производства, распределения, обмена, потребления, основанная на определённых принципах, главный из которых – свобода экономической деятельности. Эволюция общественных форм производства: натуральное хозяйство (продукт производится для внутрихозяйственного потребления), товарное производство (отношения через куплю-продажу). Условиями возникновения рыночного хозяйства являются: общественное разделение труда и экономическая обособленность производителей.
В основе рыночного механизма лежит саморегулирование и свободное ценообразование.
Структура рыночного механизма:

  1. Экономическая связь между субъектами рынка.
  2. Механизм формирования цен.
  3. Механизм конкуренции.
  4. Спрос и предложение.
Воспроизводство - это движение общественного продукта по стадиям:

  1. производство (рождение продукта): создание благ для удовлетворения потребностей, создание факторов производства
  2. распределение - это определение доли каждого участника в производстве продукта
  3. обмен - обеспечивает непосредственную связь производителя и потребителя
  4. потребление - использование продукта в процессе удовлетворения потребностей (новый заказ).
Рыночный механизм действует через пробы и ошибки, так называемый принцип "невидимой руки" А. Смита: когда стремление каждого к богатству ведет к богатству общества в целом.
Функции рынка: универсальное средство перемещения жизненных благ, регулятор экономики, распределитель жизненных благ, средство общения людей.
Преимущества рынка: гибкость, эффективное распределение ресурсов, свобода выбора и действий производителя и потребителя, максимальное использование достижений НТР, успешное функционирование экономики при наличии ограниченной информации.
Недостатки рынка: низкая способность рынка к сохранению невоспроизводимых ресурсов, удовлетворение потребностей тех, кто платит деньги, не гарантирует полной занятости и стабильного уровня цен, нет мотивации фундаментальных исследований в науке, изменчивость рыночной конъюнктуры.
Субъектно-объектная структура рынка – это система взаимоотношений между экономическими системами, отражающая их цели, формы организации и взаимодействия по поводу движения разнообразных объектов рыночных связей (товары, услуги, факторы производства, деньги, капитал, субсидии и т. д. – это объекты рынка). Субъекты рынка – это экономические агенты, участвующие в воспроизводстве экономических благ. Это юридические или физические лица, выполняющие в экономике определённую функцию от собственного имени или по поручению.
Выделяют следующие ведущие хозяйственные субъекты: домохозяйство, предприятие (фирма), государство (правительственные учреждения), банк.
Домохозяйство – экономическая единица в составе одного или более лиц, обеспечивает воспроизводство человеческого капитала, снабжает экономику ресурсами (труд, капитал, природные ресурсы), самостоятельно принимает решения и стремится максимально удовлетворить потребность (семья, церковь).
Предприятие (фирма) – самостоятельная, производственно-хозяйственная единица, цел – получение прибыли или удовлетворение потребностей. Регулируется законом. Использует факторы производства для изготовления продукции с целью продажи.
Государство – правительственное учреждение, осуществляющее необходимость юридическую и политическую власть в стране над хозяйствующими субъектами и рынком для достижения общих целей.
Банк – финансово-кредитное учреждение, регулирующее движение денежной массы, необходимой для функционирования рынка.
Структура рынка: по экономическому назначению объектов, по географическому положению, по степени ограничения конкуренции, по отраслям, по степени зрелости, с учётом ассортимента.
Сегментация рынка: повышение эффективности реализации продукции с учетом интересов покупателей, их финансовых возможностей и потребительских свойств товаров.
Инфраструктура - это комплекс отраслей, систем, служб, предприятий, обслуживающих рынок (биржа, маркетинг, информационные системы, кредитование, страхование, ярмарки, аукционы, коммерческие банки, транспортные средства, складское хозяйство).
Конъюнктура - это совокупность складывающихся в каждый момент времени экономических условий (спрос и предложение, уровень цен и т.д.).
1.2. Экономический кругооборот
Экономические aгенты взаимодействуют друг с другом, обменивая имеющиеся у них блага. Движение благ образует своеобразный кругооборот.
Экономический кругооборот - это круговое движение реальных экономических благ, сопровождающееся встречным потоком денежных доходов и расходов.
Тема 3. Спрос и предложение.

Модель экономического кругооборота

Материально-вещественный кругооборот (кругооборот "ресурсы про-дукция"):
•Домашние хозяйства, являясь собственниками факторов производства, предоставляют на рынок ресурсов труд, землю, капитал. Фирмы, в свою очередь, предъявляют спрос на экономические ресурсы.
•Соединяя приобретенные факторы производства, фирмы производят товары и услуги, которые они предлагают на рынке потребительских товаров. Домашние хозяйства предъявляют спрос на эти товары и услуги.
Денежный кругооборот (кругооборот '"доходы - расходы "):
•Расходуя денежные доходы, полученные от продажи экономических ресурсов, домашние хозяйства приобретают товары и услуги. Расходы домашних хозяйств становятся для фирм доходами (выручкой от реализации).
•Возможность приобрести товары возникает лишь потому, что домашние хозяйства предоставляют фирмам находящиеся в их собственности ресурсы. Расходы фирм на покупку ресурсов являются доходами домашних хозяйств (заработная плата, рента, процент).
Следовательно, расходы одного субъекта являются доходами другого. На движение расходов и доходов существенное влияние оказывает государство. Для своей хозяйственной деятельности (на государственных предприятиях) оно осуществляет закупки на потребительском рынке, приобретает факторы производства у домашних хозяйств, соответственно рассчитываясь за это.
Государство собирает финансовые ресурсы: прямые налоги с домашних хозяйств (подоходный, поземельный, взносы в социальные фонды и др.), прямые налоги с предприятий (на прибыль, и т. п.), а также косвенные налоги - формально с предприятий, а фактически со всего общества (налог на добавленную стоимость, с оборота, акцизы и др.)
С другой стороны, государство осуществляет ряд выплат. Оно предоставляет некоторым фирмам субсидии (дотации), то есть пособия, выдаваемые в безвозвратном порядке для возмещения убытков в случаях, когда цепы на выпекаемую продукцию ниже издержек, и налоговые льготы.
Отдельным домашним хозяйствам государство предоставляет трансфертные платежи (пособия по нетрудоспособности, безработице, стипендии, пенсии и т.д.), т.е. выплаты, не обусловленные предоставлением с их стороны товаров и услуг.
Государство также заимствует средства на финансовом рынке, продавая на нем свои облигации, а затем погашает задолженность, выкупая их с процентами.
Домашние хозяйства свои сбережения направляют в различные финансовые институты (это могут быть вклады в банки, пенсионные фонды и т.п.). Под залог ресурсов, находящихся в их собственности, домохозяйства, в свою очередь, получают кредиты.
Временно свободные денежные средства (амортизационные средства, отчисления в фонд заработной платы и т.п.) фирмы также направляют в различные финансовые институты. В свою очередь, на финансовых рынках фирмы осуществляют заимствования инвестиционных средств, в которых они нуждаются, чтобы дополнить собственные внутренние источники финансирования.
Результатом нормального хода экономического кругооборота является возможность непрерывного существования и выполнения своих экономических функций субъектами экономики.

2.3. Экономические институты

Экономические институты – это устойчивые формы взаимодействия людей. Это своего рода нормы и правила, которые выполняют функцию ограничения поведения экономических агентов и упорядочивают взаимоотношения между ними. Это сложное образование, все экономические институты взаимосвязаны, дополняют и от части заменяют друг друга.
Особо следует выделить рынок и собственность.
Рынок (как экономический институт) – это форма общения равноправных лиц, физических и юридических – производителей (собственников) и потребителей (пользователей) частных экономических благ, включая ресурсы, а также посредников между ними. Это добровольная взаимная передача прав собственности субъектами, результатом чего является договор (добровольная сделка). При этом происходит общественная оценка благ, пеXераспределение доходов.
Рынок сегодня – это социальный механизм (связь между потребителем и производителем), а не просто место купли-продажи.
Купля-продажа – это одновременно взаимная передача агентами полных прав собственности на обмениваемые блага. Аренда – это (временная) передача хозяйственных прав на одно благо в обмен на ренту. При аренде любой может быть в убытке.
Спот-сделка: выполнение договора сразу после его заключения.
Срочные контракты: момент заключения контракта и выполнения его разнесены во времени (хеджирование, спекуляция, арбитраж).
Хеджирование – сделки на бирже. Спекуляция – операции при колебании цен, связанные с изменением конъюнктуры рынка. Арбитраж – одновременное проведение операций с одним товаром на срочном рынке и рынке наличности и извлечение прибыли от разницы цен.
Рынок – это совокупность трансакций (с англ. - сделка)
Трансакционные издержки (операционные издержки) – это издержки в сфере обмена, связанные с передачей прав собственности.
Формы трансакционных издержек: поиск информации; издержки ведения переговоров и заключения контрактов; издержки измерения (ошибки в подсчетах, приобретение измерительной техники); издержки защиты прав собственности; издержки, связанные с противоречивым поведением партнёров. Сокращение данных издержек осуществляется через оптовиков и посредников.
Собственность – это совокупность прав, санкционированных поведенческих отношений, складывающихся между субъектами по поводу использования экономических благ.
Для бизнеса важное значение имеет отношение собственности на средства производства, которые выражаются в 2-х видах экономических прав: право собственника и право хозяйствования (использования).

  1. Право собственника (присвоение средств производства) - юридически закрепляется право субъектов быть собственником средств производства, т.е. владеть (обладать), пользоваться (извлекать пользу) и распоряжаться (определять судьбу)
  2. Право пользования (хозяйствования или использования средств производства) – аренда, лизинг и т.д. На время право владения и пользования отдаётся собственником другому.
Отношение экономической реализации собственности – это когда использование средств производства приносит собственнику доход (прибыль, налог, арендная плата, ройалти – плата за использование чужой собственности).





Тема 4. Поведение потребителя в условиях рыночной экономики.


3.1. Факторы, определяющие спрос и предложение

Спрос (D) - это желание и способность покупателя приобрести благо (потребность, подтвержденная платежеспособностью)
Закон спроса (динамика спроса).
При повышении цены спрос падает и наоборот (обратная зависимость между ценой товара и величиной спроса на этот товар).
Кривая спроса.
Кривая спроса D наклонена вниз, так как существует обратная зависимость P и Q.
Цена спроса – максимальная цена, которую согласен заплатить потребитель.
D1
P (цена) D
D2
D1 Закон спроса отражается на кривой
D спроса и показывает все варианты
соотношений цены и количества.
D2
Q (количество)
Факторы, влияющие на спрос


Изменение величины спроса

Объем спроса
(изменение цены, движение по кривой D)
Тема 4. Поведение потребителя в условиях рыночной экономики.

Тема 4. Поведение потребителя в условиях рыночной экономики.


Функция спроса
(цена постоянная, изменение неценовых факторов, движение самой кривой D или вправо ) Qоа=F(Pa , Pb ,…,Pz , , W, T, F, S)
Pa, Pb,…,Pz – цена товаров а,…,z соответствено; – доход покупателя; W– уровень благосостояния покупателя; Т– вкусы покупателей; F– мнение о своихи перспективах; S– сезонность;
Изменение в спросе
Тема 4. Поведение потребителя в условиях рыночной экономики.

Нормальный товар – товар, спрос на который растет при росте потребительского дохода.
Низший товар – товар, спрос на который падает при росте потребительского дохода (маргарин > сливочное масло).Эти свойства не являются внутренне присущими товарам (их так оценил потребитель)
Исключения из закона спроса: эффект ожидаемой динамики цен, эффект цена – показатель качества, эффект престижного спроса; Изменение спроса (при изменении всех факторов, кроме цены):
увеличение доходов сдвигает кривую вправо и наоборот; высшая категория (нормальные товары) – спрос изменяется пропорционально изменению доходов; низшая категория (некачественные товары) – при падении доходов спрос растёт; вкусы – качественный товар сдвигает кривую вправо;
Предложение (S) – это то количество товаров и услуг, которое производитель готов поставить на рынок в нужное время в нужном месте.
Закон предложения – при повышении цены количество предложения товара увеличивается (прямая зависимость между P и Q)
Кривая предложения.
Кривая показывает то количество товаров и услуг, которое предлагается по данным ценам в определённое время.
S2

P S
S2 S1

S
S1


Q
Цена предложения – минимальная цена, по которой продавец согласен продавать на рынке данное количество товаров.
Факторы, влияющие на предложение

Объем предложения – движение по кривой S, то есть изменение Р.
QSA- (PA)
Тема 4. Поведение потребителя в условиях рыночной экономики.

Qsa=(Pa, ... , Pz , K , L , N , F , Y , G)
Qsa – объём предложения товара A;
Pa, ... , Pz – цены товаров A ... Z; K – технологии, L – налоги и дотации, N – природно-климатические условия, Y – потребительские ожидания, G – число товаропроизводителей;


Когда говорят о предложении имеют ввиду всю кривую предложения.

3.2. Равновесие на рынке товаров

Рыночное равновесие – положение на рынке, при котором количество товаров или услуг, которые хотят приобрести потребители, абсолютно идентично количеству товаров и услуг, которое желает предложить производитель (объем спроса равен объему предложения). Это ситуация в точке Е, где Р0 – цена равновесия (главные координаты на рынке, по Адаму Смиту невидимая рука рынка). При дефеците – хозяин продавец, при изобилии – потребитель.
Модель идеального рынка – совершенная конкуренция – равноправные агенты, влияющие на равновесия спроса и предложения через цену.

Po – цена равновесия; Qo – объём равновесия;
Тема 4. Поведение потребителя в условиях рыночной экономики.

Отклонение от рыночного равновесия


Избыточный спрос (D)

Рыночная цена меньше
равновесной цены

Избыточный спрос

Повышение цены
Избыточное предложение (S)

Рыночная цена больше равновесной цены

Избыточное предложение

Снижение цены
В результате: - изменение равновесной цены
- количества товара на рынке
- сдвиг кривых S и D
При цене Р0 излишек спроса будет толкать цену верх (конкуренция покупателей), а при цене Р0 предложение превышает спрос (конкуренция продавцов) и цена снизится до уравня равновесной.
D1D1 при уменьшение D, снижение равновесной цены P1 b и объема предложения Q1
Тема 4. Поведение потребителя в условиях рыночной экономики.











13
D2 D2 при увеличении D, рост равновесной цены P2 и объёма предложения Q2.

S1 S1 - уменьшение S, повышение равновесной цены P3 и сокраще-ние объёма предложения Q3.
S2 S2 - увеличение S, падение равновесной цены P4 и расши-рение объёма предложения Q4.



Вывод: равновесная цена устанавливается в результате свободного колебания спроса и предложения (координаторы). Государство воздействует на рыночный механизм через фиксацию цен и налоги.
Цена – денежное выражение стоимости.
Функции цены: ориентирующая, стимулирующая, распределительная.
Системы цен: государственная, договорная, мировая.
Помехи свободному движению цен: инфляция, монополия.
3.3. Эластичность спроса и предложения

Эластичность – степень изменения одной переменной на изменение другой (чувствительность D и S к различным факторам).
Виды эластичности

спроса
(по цене, по доходу, перекрестная)
предложения
(фактор времени – мгновенный, краткосрочный, долгосрочный)


Экстремальные формы (абсолютная эластичность и неэластичность)
Эластичность спроса по цене
Два способа вычисления коэффициента эластичности:
1) точечная эластичность (в точке). Относительное изменение
объема спроса при бесконечно малом изменении цены ( на
монопольном рынке, либо в определенном месте сбыта товара
в краткосрочном периоде)
Тема 4. Поведение потребителя в условиях рыночной экономики.

(зависимость количества продаж от изменения цены)

Ep – эластичность спроса по цене; Q/Q – изменение спроса;
P/P – изменение цены;

Если:
- Ep 1 - спрос эластичен, то есть при увеличении цены на 1%
объём спроса уменьшается больше, чем на 1%;
- Ep =1 – единичная эластичность – при увеличении цены на
1% спрос уменьшается на 1%;
- Ep 1 – спрос неэластичный – при увеличении цены на 1%
спрос уменьшается меньше, чем на 1%;
- Ep =0 – абсолютно неэластичный: спрос не чувствителен к
цене;
- Ep = - абсолютно эластичный: малейшее изменение цены
ведет к повышению или понижению спроса до ;
2) дуговая эластичность (используются средние значения P и Q)
Тема 4. Поведение потребителя в условиях рыночной экономики.

Тема 4. Поведение потребителя в условиях рыночной экономики.

Факторы, определяющие эластичность спроса:
чем больше товаров-субститутов (взаимозаменяемые товары), тем выше эластичность; чем разнообразнее способы использования товара, тем выше эластичность; чем насущнее потребность в данном товаре, тем ниже эластичность; чем более ограничен доступ к товару, тем ниже эластичность (дефицит товара); эффект очереди – низкая эластичность; спрос становится более эластичным со временем; чем более агрегирован товар, тем эластичность ниже (агрегирование – объединение товаров во всё более расширяющиеся группы:
колбаса > мясопродукты > еда ).
Эластичность спроса по доходу
Тема 4. Поведение потребителя в условиях рыночной экономики.
, где Q – кол-во
продукта, R-доход.
Отношение изменения объема спроса на товар к изменению дохода потребителя.
R (доход)
C A

E0 W A

B
C
B

Q (кол-во)


АА (Er1) – неэластичный спрос (товары первой необходимости) т.е с ростом дохода на 1% спрос возрастает меньше чем на 1%.
ВВ (Er1) – при росте дохода спрос увеличивается (предметы роскоши). Спрос эластичен по доходу; с увеличением дохода на 1% спрос увеличивается больше, чем на 1%.
СС – неэластичный спрос. Т.е. до точки W спрос на товар не эластичный по доходу (товары первой необходимости); после W доход растет, спрос становится эластичным (предметы роскоши) с отрицательной зависимостью (т.е. с ростом дохода спрос на товар уменьшается).
Формы


Положительная (Er1)

Объём спроса растет с ростом доходов

Нормальные блага

Предметы роскоши (BB)

Отрицательная (неэластичный - эластичный)

Товары низшей группы

Некачественные товары (CC)
Нулевая (0Er1)

Не чувствительна к изменению дохода

Товары первой необходимости
(AA)

Перекрестная ценовая эластичность спроса.
Тема 4. Поведение потребителя в условиях рыночной экономики.
или
Тема 4. Поведение потребителя в условиях рыночной экономики.
,
где a,b – товары.

Т.е., показывает насколько чувствителен спрос на продукт a, к изменению цены на продукт b.
ВВ – товары комплементы (автомобиль-бензин). Рост цены на b уменьшает объем спроса на a. Отрицательная перекрёстная эластичность. СС – товары субституты (конфеты-торт). Рост цены на товар b увеличивает спрос на товар a.
Положительная перекрёстная эластичность. НН – нейтральные товары (автобус-метро). При росте цены на b Q спроса на а увеличивается, но а не влияет на b. Нулевая перекрёстная эластичность.

Pb
B H C
Eab1


Eab=1 Eab1

C H B
Qa

Тема 4. Поведение потребителя в условиях рыночной экономики.


Эластичность предложения.

Эластичность предложения по цене – это степень чувствительности предложения к изменению цены товара.
Тема 4. Поведение потребителя в условиях рыночной экономики.
, где Q – количество продукции, P – цена продукции.
Тема 4. Поведение потребителя в условиях рыночной экономики.

Величина предложения повышается по мере роста, поэтому эластичность предложения по цене – положительная величина.
Зависит от: 1) способности хранения и его стоимости (низкая при минимальном хранении); 2) особенности производственного процесса; 3) инвестиции (если есть свободное движение капитала – то эластичность растет); 4) товарных запасов (если много, то эластичность растет); 5) загрузки производственных мощностей.


Тема 4. Поведение потребителя в условиях рыночной экономики.











Основной фактор эластичности – время. Периоды: мгновенный (Sm), краткосрочный (Sk), длительный (Sp) (реакция на изменение цены продукта).
Sm – реализация товара не эластично: товар произведен, изменить ничего нельзя (абсолютно неэластичное);
Sk – предприятие может подстроиться под спрос, может использовать резервы, загрузить оборудование. Постепенно отклоняется по закону предложения. Похож на мгновенный т.к. не расширяется производство (неэластичное);
Sp – предприятие формирует новый спрос и перестройка производства за счет замены оборудования, за счет строительства предприятий (эластичное).






Тема 5. Эластичность


Тема 5. Эластичность.

1. Понятие эластичности
Понятие эластичность вводится для изучения степени влияния одной величины (фактор) на другую (переменная).


Эластичность экономической переменной по определенному фактору – процентное изменение переменной, вызванное однопроцентным изменением фактора при неизменности всех прочих факторов.
Виды эластичности:

  1. по экономической величине
o спроса
o предложения

  1. по факторам
o по цене
o по доходу
o перекрестная

2. Эластичность спроса
2.1. Эластичность спроса по цене (переменная – объем спроса, фактор – цена) – процентное изменение величины спроса на товар, вызванное однопроцентным изменением его цены при неизменности всех прочих факторов, влияющих на объем спроса. Измеряет меру чувствительности спроса к изменению цены.




Интервалы ценовой эластичности:

  1. Ed (0;1) – неэластичный спрос. Изменения цены вызывают меньшее в процентном отношении изменение спроса










  1. Ed (1;) – эластичный спрос. Изменения цены вызывают большее в процентном отношении изменение спроса










  1. Ed=1 – единично эластичный спрос. Изменения цены вызывают точно такое же процентное изменение спроса










  1. Крайний случай: Ed=0 – абсолютно неэластичный спрос. Изменения цены никак не влияют на изменения спроса.










  1. Крайний случай: Ed= - абсолютно эластичный спрос. При изменении цены 0 спрос . Или при повышении цены на 1 копейку все покупатели тотчас же отказываются от покупки товара, при снижении цены на 1 копейку на рынке наблюдается бесконечно большое число потенциальных покупателей.










Факторы ценовой эластичности:

  1. Количество заменителей для товара
  2. Удельный вес данного товара в доходе потребителя
  3. Относится ли товар к предметам роскоши или предметам первой необходимости
  4. Период времени, за который произошло изменение. Чем больше период, тем больше времени у потребителя на адаптацию к изменениям, тем выше эластичность спроса по цене.
Практическое значение измерения ценовой эластичности спроса:
Если спрос на товар эластичен, то при повышении цены фирма получит выручку меньше. Если сWрос на товар неэластичен, то при повышении цены фирма получит выручку больше.
2.2. Эластичность спроса по доходу (переменная – объем спроса, фактор – доход) – процентное изменение величины спроса на товар, вызванное однопроцентным изменением дохода потребителя при неизменности всех прочих факторов, влияющих на объем спроса. Измеряет меру чувствительности спроса к изменению дохода (I - income).



Интервалы эластичности спроса по доходу:

  1. EI0 – товар является товаром высшей категории (нормальным товаром) – доход растет и потребитель покупает этого товара больше
  2. EI0 - товар является товаром низшей категории (низший товар) – доход растет и потребитель отказывается покупать этот товар, переходит на более качественные аналоги
Практическое значение эластичности спроса по доходу:
Состояние и динамика этого показателя характеризует перспективы отрасли, которая производит рассматриваемый товар – если EI0 и доходы растут, то отрасль будет расширяться.
2.3. Перекрестная эластичность спроса (эластичность спроса на товар А по цене товара Б - переменная – объем спроса на товар А, фактор – цена товара Б) - процентное изменение величины спроса на товар А, вызванное однопроцентным изменением цены товара Б при неизменности всех прочих факторов, влияющих на объем спроса товара А.



Qd2А и Qd1А – объемы спроса на товар А начальные и конечные
P2Б и P1Б – цены товара Б начальные и конечные
Интервалы эластичности спроса по доходу:

  1. EА/Б 0 – товары являются взаимозаменяемыми – цена Б растет и потребитель переходит на товар А.
  2. EА/Б 0 - товары являются взаимодополняемыми - цена Б растет и потребитель отказывается от товара Б, а вместе с ним перестает потреблять и А, спрос на А падает.
  3. EА/Б =0 – независимые товары
Практическое значение перекрестной эластичности спроса:
Предсказывает изменение спроса на данный товар в зависимости от того, что происходит на рынках взаимозаменемых и взаимодополняющих товаров.

3. Эластичность предложения.
Обычно рассматривают только ценовую эластичность предложения - (переменная – объем предложения, фактор – цена) – процентное изменение величины предложения на товар, вызванное однопроцентным изменением его цены при неизменности всех прочих факторов, влияющих на объем предложения.



Интервалы ценовой эластичности те же, что и у ценовой эластичности спроса.
В краткосрочном периоде предложение не может быть резко увеличено, повышается только цена, поэтому =0.
В среднесрочном периоде производители могут отреагировать и повышением цены, и увеличением производства. 0Es
В долгосрочном периоде производитель может подстроиться под любой спрос и произвести любое количество товара. Es=.



Тема 6. Излишек производителя и излишек потребителя


Тема 6. Излишек производителя и излишек потребителя.

1. Излишек потребителя
Рассмотрим кривую спроса. Как видно из графика, на рынке имеется группа потребителей, готовых купить товар по цене выше рыночной (Р2). На рынке устанавливается цена Р1P2.
Получается, что потребители этой группы могут сэкономить некоторую сумму при покупке нужного им количества товара (площадь прямоугольника P1P2BE).
Излишек потребителя разница между максимальной суммой, которую потребители готовы были бы заплатить за запрашиваемое количество, и суммой, которую они платят в действительности.
Графически потребительский излишек площадь треугольника P1AC.
Основа излишка потребителя у группы потребителей, готовых купить товар по цене выше рыночной, интенсивность потребности в данном товаре выше, чем у остальных потребителей, поэтому они согласны платить за товар больше.

2. Излишек производителя.
Рассмотрим кривую предложения. Издержки разных производителей на производство единицы товара разные (у кого-то выше, у кого-то ниже), поэтому некоторые производители могут предлагать товар по более низкой цене (Р3). На рынке устанавливается цена Р1P3.
Производители с низкими издержками получают выигрыш в виде дополнительно полученной прибыли (площадь прямоугольника P3P1EC).
Излишек производителя суммарная величина превышения рыночной цены над экономическими издержками производства.
При этом экономические издержки включают все издержки фирмы и нормальную для данной отрасли прибыль.
Графически излишек производителя - площадь треугольника OP1B.
Основа излишка производителя у разных производителей имеются разные по качеству ресурсы, технологии разной производительности и другие дифференцирующие условия

3. Рыночные излишки и влияние государства.
Приведенные выше примеры излишков образуются в результате действия рыночных сил (конкуренции, спроса и предложения), которые объективны. Поэтому рыночные излишки можно воспринимать как закономерные и экономически эффективные.
Излишек потребителя - площадь треугольника PeCE.
Излишек производителя - площадь треугольника OPeE.
Рыночный излишек - площадь треугольника OСE.





Вмешательство государства приводит к изменению рыночных излишков и чистым общественным потерям.
Например, государство вводит налог на производителя. Это приводит к сдвигу кривой S влево.
Новый излишек потребителя - площадь треугольника Pe1CE1.
Новый излишек производителя - площадь трапеции OРe1E1В.
Рыночный излишек - площадь трапеции OСE1В.
Чистые потери общества разница между рыночным излишком до изменения (площадь треугольника OСE) и рыночным излишком после изменения (площадь трапеции OСE1В) = площадь треугольника ВE1E.



Тема 7. Конкуренция и монополия


6.1. Прибыль и издержки фирмы

Издержки – затраты на оплату факторов производства. Пути повышения доходности: вкладывать деньги в более выгодную сферу (выигрывать в цене), снижение издержек (более предпочтительно).
Все издержки носят альтернативный характер, т.е. измеряются стоимостью наилучшей упущенной возможности.
Классификация издержек:
Альтернативные издержки

явные (денежные) неявные (вмененные, имплицитные)

внешние внутренние
Бухгалтерские издержки – фактический расход факторов производства для изготовления продукции. Экономические издержки любого ресурса, равные его ценности (стоимости) при наилучшем варианте их использования (сумма явных и неявных).
Явные издержки – это альтернативные издержки, которые принимают форму денежных платежей поставщикам факторов производства и промежуточных изделий.
Они включают: зарплату, аренду станков, коммунальные платежи, оплату услуг банков, сырье, консультации менеджера.
Неявные издержки связаны с упущенными возможностями наилучшего использования соответствующих ресурсов. Они принимают форму потерянного дохода от их использования.
Прибыль – это разность между совокупным доходом и совокупными издержками за определенный период. П = TR – TC
Прибыль бывает:

  1. Бухгалтерская (расчетная): разница между общим доходом и явными издержками (бухгалтерским).
  2. Чистая экономическая: разница между общим доходом и суммой явных и неявных издержек, включая нормальную прибыль предпринимателя.
  3. Нормальная прибыль: возмещение упущенных доходов от альтернативного использования собственных ресурсов. Они должны обеспечиваться, что удерживает в бизнесе (экономисты рассматривают ее как элемент внутренних издержек). Относятся к неявным издержкам, величина тяготеет к средней.
Величина бухгалтерской прибыли хотя бы должна равняться нормальной (покрывать неявные издержки). Если предприятие приносит нормальную прибыль – оно получает нулевую экономическую прибыль. Положительная экономическая прибыль всегда больше нормальной. Вывод: бухгалтерская прибыль – абсолютный показатель, фиксирующий прибыль или убытки; нормальная прибыль – бизнес идет не хуже, чем в среднем по экономике; положительная экономическая прибыль показывает, что предприятие лучше других распоряжается ресурсами.
Чистая экономическая прибыль должна превышать нормальную прибыль, которая компенсирует неограниченные внутренние издержки.
Пример:
Внешние издержки – 400 Бухгалтерские издержки – 400
Зарплата наемным рабочим – 300 Экономические издержки – 550
Сырье – 100
Внутренние издержки – 150 Нормальная прибыль – 150
Недополученные: Процент – 20 Экономическая прибыль – 50
Рента – 30, Зарплата – 100 Бухгалтерская прибыль – 200
Общая выручка – 600
Подходы к издержкам: 1. Бухгалтерский: изучает результаты или текущие отчеты и балансы (изучает ретроспективу). 2. Экономистов: изучаются перспективы или альтернативность использования ресурсов.
Оба подхода учитывают получение прибыли.

Норма прибыли
Формула
Пример
Доля прибыли в издержках (прибыльность 2х изделий)

( П / С )*100
ед.пр ед.пр
(2/8)*100=25%
(4/20)*100=20%
В цене (рентабельность изделия при расширение)

( П / цена )*100
ед.пр ед.пр
(1/20)*100=5%
(2/20)*100=10%
В капитале (общая рентабельность)
(П / капитал)*100
общ. Общий
(90/90)*100=10%
(80/400)*100=20%
Издержки по мобильности факторов производства бывают:
ТС – совокупные (валовые), АС – средние (на единицу продукции), МС – предельные (маржинальные, связанные с увлечением затрат на очередную единицу).
Знание этих издержек важно для выявления зависимости издержек от объема производства и периода (времени)
Производственная функция показывает зависимость между вводимыми в производство факторами производства и выходом продукции
Тема 7. Конкуренция и монополия

где Q – максимальный объем производства при заданных затратах,
F1 – количество использованного фактора
Свойства: модель конкретной технологии, эффективного производства, исходит из взаимодополняемости и взаимозаменяемости ресурсов.
Специфика анализа деятельности фирмы от периода времени:
а) краткосрочный период – невозможно изменить хотя бы один производственный фактор – фиксированный (остальные переменные);
б) долгосрочный период – все факторы производства переменные.
Дадим определение понятиям.

Совокупная выручка:
Тема 7. Конкуренция и монополия

где Р – цена, Q- количество

Средняя выручка
Тема 7. Конкуренция и монополия

(при совершенной конкуренции выручка равна цене)
Предельная выручка:

Тема 7. Конкуренция и монополия


(при совершенной конкуренции MR равна цене)


Условие: фирма использует 2 фактора: капитал (постоянный ресурс) и труд (переменный ресурс L)
Тема 7. Конкуренция и монополия

TP – общий продукт (количество продукции за определенное время)
Тема 7. Конкуренция и монополия
- средний продукт (количество продукции на единицу переменного фактора)
Тема 7. Конкуренция и монополия
- предельный продукт (изменение общего продукта за счет ввода дополнительной единицы переменного фактора).
TP отражает зависимость между затратами переменного фактора и итоговым объемом продукции. Предприниматель должен вовремя остановиться, когда речь идет об увеличение мощностей, существует “экономическая граница”, когда доход уменьшается в сравнение с затратами (перегрузка, аварии, простои, низкое качество).
Закон убывающей отдачи (предельной производительности): добавление единиц дополнительного ресурса к фиксированной величине постоянных ресурсов, приводят к ситуации, когда каждая дополнительная единица переменного фактора будет прибавлять к общему продукту все меньшую и меньшую величину, и начнет уменьшаться значение предельного продукта.
Кривая AP возрастает, где MP выше AP и убывает, где MP ниже AP. Они пересекаются при максимальном значении AP.

6.2. Производство и издержки в краткосрочном периоде

Периоды деятельности фирмы разграничены:

  1. Мгновенный (издержки все постоянные)
  2. Краткосрочный (SR) (издержки постоянные и переменные)
  3. Долгосрочный (LR) (все издержки переменные)
Черты периода: постоянными остаются общие размеры зданий; сооружений; количество машин и оборудования; ограничен свободный доступ фирмы в отрасль, варьирование действий только за счет изменения степени загрузки производственных мощностей (уменьшение рабочего времени, количества сырья и т.д.).

C C C
TC
FC VC
FC
VC

Q Q1 Q Q
FC – постоянные VC – переменные ТС=FC+VC
Совокупные
FC – связанные с основным капиталом и не зависят в краткосрочном периоде от объема выпуска продукции. Должны оплачиваться всегда. Они включают: здания, сооружения, машины, производственное оборудование, аренда, капитальный ремонт, ссуда, налоги, амортизация, накладные расходы (транспортировка), административные.
VC – зависят от выпуска продукции и изменяются с изменением объема производства (пропорционально). Они включают: материалы, энергия, комплектующие изделия, заработная плата, сырье.
Сначала VC растут быстрее, чем производство продукции. По мере достижения оптимальных размеров предприятия происходит экономия VC. Дальнейшее расширение производства ведет к росту VC.
Совокупные, постоянные и переменные издержки позволяют определить пути снижения производственных затрат.
Издержки АС и МС удобны для контроля над эффективностью и доходностью фирмы. Они имеют свою динамику.
Средние издержки (АТС или AC)
Средние совокупные издержки АТС или АС
Тема 7. Конкуренция и монополия

Средние постоянные издержки
Тема 7. Конкуренция и монополия

Средние переменные издержки
Тема 7. Конкуренция и монополия


АС K ATC
.
. E AVC

AFC
Q

ATC – показывают динамику затрат по мере изменения количества производства (увеличение или снижение). Е ли ATC с увеличением количества продукции снижаются, значит, эффективность производства увеличивается (и наоборот).

AFC – нисходящая: с увеличением объема общая выручка растет, a AFC все меньше величина, приходящаяся на единицу издержек.
AVC и ATC имеют U – образный вид: при снижение кривой они снижаются (и наоборот). В нижней точке падения К и Е достигается оптимальный объем продукции.
AVC показывают эффективность работы, положение равновесия и определение перспектив: расширение, сокращение или ухода фирмы из отрасли. Предельные (маржинальные) издержки (МС) – это изменение валовых издержек, связанное с производством дополнительной единицы продукции.

Тема 7. Конкуренция и монополия
;
Тема 7. Конкуренция и монополия


В формуле FC не влияют на величину MC, поэтому MC есть производная функция только от переменных издержек (если ТC увеличиваются со 100 до 150 при переходе от 5 к 6 изделию, то МС (6 изделие)=50)
Динамика МС: по закону убывающей отдачи (производительности). Суть закона: по мере увеличения одного вида затрат при неизменных остальных будет достигнута точка, за которой предельный продукт на единицу добавленных затрат начинает сокращаться.

Таким образом МС изменяются за счет переменных издержек.

MC MP
MC
a
b MP

Q Q
Растущая отдача переменных ресурсов – в падение MC (а), убывающая отдача – в росте MC (b).
Увеличение объема производства сопровождается ростом MC. Кривая MC имеет – U-образную форму по закону убывающей доходности. Зеркальным отражением MC является MP (предельная производительность).
Рост MP – падение MC, падение MP – рост MC.
MC позволяет определить те издержки, величину которых фирма может всегда контролировать. Речь идет о затратах: когда увеличить на последнюю единицу продукции при увеличение производства или сэкономить при сокращение объема на эту единицу.



Тема 8. Рынки факторов производства


7.1. Конкуренция и её виды

Конкуренция – сущностный признак рынка. Она означает:
1. соперничество между агентами рынка за выгодную сделку и доход;
2. механизм регулирования общественного производства.
В результате конкуренции происходит отбор лучших товаропроизводителей и их дифференциация.
Значение конкуренции: стимулирует развитие, отбирает эффективные решения, свобода выбора деятельности, экономия ресурсов.
Негативные формы конкуренции: взятничество, очереди, фаворитизм.
Конкуренция обеспечивает выгоду: потребителю (выбор, свобода от производителя), производителю (эффективность), обществу (товары-субституты, повышение уровня жизни, преодоление дефицита).
Виды конкуренции
I. По сферам отношений:
1. внутриотраслевая (за сбыт товара).
2. межотраслевая (перелив в более рентабельные отрасли).
3. международная (при специализации выгодно).
II. По субъектам отношений:
1. между монополиями (за потребителя, доход и т.д.)
2. внутри монополии (между самоокупающимися подразделениями).
3. между монополиями и немонополизированными предприятиями (крупный и мелкий бизнес).
4. внутри немонополизированного сектора (право быть поставщиком крупной компании).
III. По методам борьбы:
1. ценовая (прибыль за счёт снижения издержек)
2. неценовые (за степени воздействия на условия реализации)
а) реклама и послепродажное техническое обслуживание.
б) высокий технический уровень, новизна и качество товара.
в) создание товаров-субститутов (заменителей).
г) комфортность.
В результате соперничества на рынке возникают различные ситуации, которые можно классифицировать в различные типы конкурентных рынков (рыночные структуры).

7.2. Рыночные структуры

Основные рыночные структуры: совершенная (чистая), несовершенная (монополистическая конкуренция, олигополия, чистая монополия).
Степень близости различных видов несовершенной конкуренции к совершенной:

Совершенная Монополистическая Олигополия Чистая монополия
конкуренция
(чистая)
Несовершенная конкуренция
Следует выделять два основных типа конкурентного рынка: совершенная и несовершенная конкуренция. В совершенной конкуренции нет ограничений и товар стандартизированный. При монополистической – удовлетворяются одни потребности, но товар дифференцированный (отличающийся особенностями).
При олигополии несколько крупных производителей и покупателей привлекает низкая цена (есть выбор). Худшее положения для покупателя при чистой монополии, когда один продавец и монопольная цена.
Совершенная (чистая) конкуренция
Черты:
1. Много продавцов и покупателей.
2. Товар однороден (стандартизирован).
3. Отсутствуют барьеры для вхождения в рынок.
4. Полная информация участников рынка.
5. Рациональное поведение всех участников рынка
При совершенной конкуренции кривая спроса горизонтальна – продаётся любое количество товара при определённой цене, при более низкой цене количество покупателей увеличивается.
При совершенной конкуренции фирма принимает цены, т.е. является ценополучателем.
Положительное влияние совершенной конкуренции: ускоряет НТП, расширяет ассортимент, эффективное использование ресурсов.
Используется: в сельском хозяйстве, рыбной промышленности, подотрасли текстильной, фондовые биржи, мелкий бизнес, подотрасли металлообработки и т.д.
Спрос на продукцию фирмы характеризует ее предельный доход (MR). Он постоянен в условиях совершенной конкуренции, т.к. дополнительная единица может быть продана по постоянной цене. График MR совпадает с графиком спроса D (а).
Для отрасли объем продаж может быть увеличен через понижение цен (б).







а) спрос на продукцию фирмы;
б) рыночный спрос.
Предельный доход – приращение дохода, возникающий за счет увеличения выпуска продукции на единицу.









Правило MR=MC – максимизация прибыли при объеме производства, соответствующему равновесию MR и MC. Если выпуск не больше Q*, MC ниже MR – каждая добавочная единица продукции увеличивает прибыль.

Несовершенная конкуренция
Это рыночная структура, характеризующая возможность продавцов или покупателей воздействовать на рыночную цену.
Нисходящая кривая спроса D объясняется тем, что по закону спроса монополист может поднимать цену без потери всех своих покупателей.
Фирмы, которые действуют в условиях несовершенной конкуренции, являются ценопроизводителями.
Конкурентные преимущества связаны с позицированием и сегментацией рынка (через большие блага, дешевую продукцию, дополнительные услуги и т.д.), снижением издержек, оптимальностью продукции и т.д. Бывают преимущества у государства, фирмы, товара. Преимущества высокого порядка у тех, кто сохраняет его длительное время (и наоборот).
Преимущества конкурентной стратегии через анализ деятельности конкурентов (специалисты по маркетингу): выявление товаров-конкурентов, определение силы конкурентов и их слабых сторон, разработка стратегии. Виды стратегий: сдержанная реакция (монополия, олигополия), избирательная (разные направления, игра с ценой), случайная (малопредсказуемая). Особая роль разных участников (по доле в рынке – лидер и т.д.)
Типы стратегий (от конкурентоспособности): по товару, сегментация рынка, рыночная ниша и т.д. Особое внимание на ценовые и неценовые методы борьбы. В России особенности использования стратегий связаны с естественной монополией, налогами, инфляцией.
Участники рынка:
1. Лидер (до 40 % рынка) – в ценах, новых товарах.
2. Претендент на лидерство (около 30%) – атакует первым.
3. Ведомые или последователи (до 20%) – следует за лидером.
4. Окопавшиеся в рыночных нишах (до 10%) – рыночная ниша, специализация.
Чистая монополия
Чистая монополия – это рынок одного продавца с уникальной продукцией. Рыночная структура, которая позволяет влиять на цену товара и услуги путем уменьшения объема выпуска.
Контроль над ценой: лидерство в ценах, тайные соглашения, традиционное существование на рынке.
Черты чистой монополии:
1. Единственный продавец или производитель.
2. Отсутствие заменителей продукции (товар уникален).
3. Ценовой диктат.
4.Наличие вступительных барьеров.
Конкурировать с чистой монополией сложно, так как высокая стоимость товара, патенты, нечестная конкуренция, права от правительства. Легальные монополии: общественные коммуникации, патенты, авторские права и товарные знаки.
Монополия – рынок с множеством продавцов и одним покупателем (на рынке ресурсов).
Классификация монополий:
1. Естественная – базируется на уникальных природных ресурсах или создаётся с целью экономии (транспорт, связь). Государство, как правило, естественный монополист.
2. Искусственная – возникает на основе сговора с целью удаления конкурентов.
3. Случайная – временное превышение спроса над предложением (часто перерастает в искусственную).
Причина появления монополии – концентрация производства и капитала, централизация.
Объединение предприятий происходит по следующим направлениям :
1. Горизонтальная интеграция – слияние предприятий одной отрасли для производства одного товара.
2. Вертикальная интеграция – предприятия разных отраслей, связанные единой технологией производства (последовательные ступени переработки).
3. Диверсификация - комбинация разноотраслевых компаний, технологически не связанных между собой (учитывается исходное сырье, технология, сбыт, управление).
Организационные формы монополий:
1. Картель – соглашение одноотраслевых компаний об объёме производства, ценах на товар, найме рабочей силы, обмене патентами, рынке сбыта; фирмы административно и финансово самостоятельны.
2. Синдикат – теряется коммерческая самостоятельность, сбыт продукции и закупка сырья совместные, сохраняется юридическая и производственная самостоятельность.
3. Трест – монополистическое объединение, при котором предприятия полностью теряют самостоятельность – общая собственность, управление и сбыт.
4. Концерн – предприятия разных отраслей (промышленники, торговцы, транспортники, банкиры, финансисты) объединяются под контролем единой головной фирмы.
5. Конгломерат (консорциум) – участники соглашения абсолютно свободны и самостоятельны, но осуществляется временное соглашение их представителями (например, между промышленниками и банками) с целью научных исследований, строительства крупных промышленных объектов, размещения ценных бумаг.
Цель монополии – максимальный доход через контроль цены и объема производства. Средство ее достижения – монопольная цена, обеспечивает прибыль сверх нормальной.
Монополист один – кривая спроса фирмы (D) совпадает с кривой спроса для отрасли. Отрицательный наклон, монополист искатель цены, т.е. речь идет о монопольной власти. Выбирается комбинация цена – количество на кривой спроса продукта. Воздействие на цену товара, меняет количество.
Монополия, предающая свою продукцию по одной цене всем покупателям – простая монополия.
Экономические последствия монополии
Вмешательство монополии ведёт к перераспределению общественного богатства в её пользу. При этом высокие цены, ограниченный объём производства, нет снижения издержек, социальное неравенство.
Достоинства монополии: эффективна в отдельных отраслях, стимул НТП.



Тема 9. Государство в рыночной экономике


8.1. Особенность функционирования рынка факторов производства. Спрос на факторы производства.

Экономическая функция фирмы описана через производственную функцию Q=f(L, K, T…), где Q – максимальный объем производства при заданных затратах; L, K, T – ресурсы.
На рынке факторов производства, в результате спроса и предложения, формируются цены на труд(L), капитал(К) и аграрные ресурсы(Т) в форме зарплаты(W), процентного дохода(i) и ренты(rт).
Особенности рынка факторов производства:
1. Спрос на ресурсы вторичен, зависит от спроса на продукцию, производимую с помощью ресурсов. Роль идет о производном спросе. Явление производного спроса относительно к L, K, T и любому продукту приобретаемому на стороне фирмой (информация, технология, средства коммуникации и т.д.).
Но оно не относится к предпринимательским способностям, так как субъектом спроса и предложения выступает предприниматель. А у L, K, T, к примеру, субъект предложения – домохозяйство.
2. Прямая зависимость спроса на продукцию и ресрс. Чем выше спрос на продукцию, тем больше спрос на производственные ресурсы.
Подход к спросу на ресурсы пригоден для всех факторных рынков: цена каждого ресурса отражает его предельную производительность. Оно выражается через равенство
P*MPx=MRPx=MRCx=Px, где
L L L W - зарплата
K K K i - процент
T T T rт – рента
MRP – предельная отдача (предельный продукт), прирост дохода фирмы, полученный в результате продажи продукта, созданного одной дополнительной единицей переменного фактора; MRP=MP*MR, где: MP – предельный продукт фактора производства, MR – предельный доход от продажи дополнительной единицы продукции; MRC – предельные издержки (прирост издержек за счет введения в производство дополнительных единиц переменного ресурса); P – цена продукта, Px – цена ресурса.
Равенство можно переписать в виде
Тема 9. Государство в рыночной экономике
, где отношение
Тема 9. Государство в рыночной экономике
- это реальная цена фактора производства, выраженная в единицах произведенной продукции (
Тема 9. Государство в рыночной экономике
- реальная цена труда,
Тема 9. Государство в рыночной экономике
- земли,
Тема 9. Государство в рыночной экономике
- капитала), а не в деньгах.
Фирма покупает фактор до тех пор, пока реальная цена фактора (
Тема 9. Государство в рыночной экономике
) не станет равной MPx. График MPx является кривой спроса фирмы на фактор.
Правило минимизации издержек: издержки на приобретение факторов производства будут минимальными, если рубль, потраченный на любой фактор, дает одинаковую отдачу.
Тема 9. Государство в рыночной экономике
,
где MPL, MPT, MPK – предельный продукты труда, земли и капитала, w – норма заработной платы, rT – рента, i – ставка банковского процента.
Правило максимизации прибыли: фирма будет приобретать дополнительно каждый фактор производства до тех пор, пока доход от предельного продукта (то есть цена единицы фактора Px) не уравновесится с ценой каждого из применяемых факторов, то есть пока не будет выполнятся равенство:
Тема 9. Государство в рыночной экономике

Совместное использование факторов производства можно проанализировать через закон взаимозамещения ресурсов. Критерий отбора ресурсов – минимальные издержки производства (Px = MP), то есть сравнивающие рыночные цены ресурса (Px) и предельный продукт, полученный с помощью этого ресурса (MP). MP и P ресурса должны быть одинаковые.
При использовании двух ресурсов, более дорогой замещают более дешевым.
Вывод: равновесие на рынке факторов производства достигается, если на один рубль любого производства получается равный предельный продукт. Максимальная прибыль реализуется, если каждый вводимый фактор производства используется до точки, в которой его цена равна предельному продукту (выручке) в денежном выражении.
За счет перелива ресурсов достигается минимизация издержек: дорогостоящие ресурсы вытесняются на более дешевые (альтернативные).
Формирование цен на ресурсы зависит от: денежных доходов, редкости ресурсов, минимизации издержек, экономической политики.
Спрос на факторы производства изучаются в общих категориях для всех факторных рынков. Обстоятельства, влияющие на предложение, различные для разных экономических ресурсов.


8.2. Рынок труда и заработная плата.

Рынок труда – это рынок несовершенной конкуренции.
Труд – сознательная деятельность человека, посредством которой он борется с редкостью благ и стремится увеличить их количество.
Рабочая сила является специфическим товаром: субъектами спроса являются бизнес и государство. Особенность рынка – собственником фактора труда выступает практически все население (кроме нетрудоспособных).









Спрос на труд определяется: зарплатой и предельной производительностью труда. Кривая спроса на труд DL со стороны фирмы есть кривая предельной производительности труда по его цене w. Эта убывающая линия отражает убывающую предельную производительность труда (при низкой зарплате большой спрос на труд).
Спрос на труд зависит от: инноваций; от уровня цен на ресурсы – субституты; от спроса на продукт, произведенного с помощью труда.
Предложение рабочей силы происходит тогда, когда реальная плата извне больше, чем отдача последнего часа работы в своем хозяйстве. Оно зависит от: числа фирм, квалификации, динамики воспроизводства, миграции, трудоспособности, качества труда, конверсии и т.д.
Кривая рыночного предложения обычно имеет положительное направление (кривая загибается в обратном направлении, когда при определенном уровне зарплаты положительное направление смещается к отрицательному). Существует два фактора, действующих на рынке труда в противоположных направлениях.









Эффект замещения: при высокой зарплате свободное время рассматривается как потенциальный убыток и предложения труда увеличивается. Досуг замещается набором товаров и услуг, приобретаемых на возросшую зарплату.
Эффект дохода: когда высокая зарплата рассматривается как источник увеличения свободного времени и предложение (SL) труда уменьшается. Высокий доход стимулирует досуг, а не труд (как низший товар в этом случае)
Для экономики в целом SL всегда имеет положительное направление и в экономическом смысле кривая SL есть кривая предельных издержек труда MCL. С ростом зарплаты возрастает SL.
Заработная плата – это цена труда, выплачиваемая за труда наемного работника. Уровень зарплаты определяется стоимостью (минимумом средств существования, с учетом роскоши) и потребительной стоимостью (полезностью и нужностью). Зарплата бывает: а) номинальная (W) – сумма денег, получаемая за время труда; б) реальная (W/P) – количество товаров и услуг, которые можно приобрести на нее (размер (W), налоги, уровень цен).









Ставка заработной платы на рынке труда – результат взаимодействия спроса на труд (DL=MCL) и его предложения (SL=MCL). Таким образом, равновесная ставка заработной платы WE отражает равенство предельной производительности труда и предельных издержек труда:
MPL=MCL.







Зарплату следует рассматривать по следующим признакам:

  1. Уровень зарплаты: общий и средний.
При совершенной конкуренции средний уровень зарплаты близок к цене любого другого товара, при несовершенной – она повышается (найм сокращается). При этом, минимальная оплата труда нормирована. Общий уровень зарплаты является пересечением кривой спроса и предложения (при росте спроса на труд повышается зарплата, устанавливается новая точка равновесия при более высокой кривой спроса).

  1. Формы зарплаты (зависят от метода оценки трудовых затрат)
а) повременная (от количества отработанного времени) = почасовая ставка отработанные часы.
б) сдельная (от количества произведенной продукции) =количество продукции поштучные расценки.
Каждая из форм имеет разновидности, т.е. речь идет о системах зарплаты. Повременная: простая повременная и повременно-премиальная. Сдельная: прямая, сдельно-прогрессивная, сдельно-премиальная, аккордная (соглашение).
Современные системы оплаты труда: деление на основную и дополнительную (бонус, тантьемы), индивидуализация, система участия, аккордно-премиальная.

  1. Дифференциация зарплаты (рынок несовершенной конкуренции). Это порождает неравенство в распределении личных доходов. Причины: способности, образование, профподготовка, опыт, квалификация, уровень привлекательности, неконкурентные группы, спрос и предложение. Следует говорить о человеческом капитале, т.е. когда рыночная стоимость трудовых ресурсов зависит от инвестирования в образование.
Предельная доходность труда:
MRPL= MRMPL, где MPL= W/P, W – номинальная зарплата, P – цена единицы блага, W/P – реальная зарплата. Максимизация прибыли от ресурса, когда MPL=W/P.
Для рынка труда характерно явление конкуренции – монопсонии– наличие единственного покупателя трудовых ресурсов (определенный вид труда на одной фирме, отсутствие мобильности при продаже труда, контроль над ценой труда). Профсоюзы пытаются ограничивать монопсонию (законодательство, рост зарплаты, борьба с монополизацией). Под влиянием профсоюзов складывается несовершенная конкуренция, находящихся на стороне предложение труда и, с другой стороны, предпринимателей, воздействующих на ставки зарплат через спрос на труд.

8.3. Рынок капитала. Дисконтирование.

В широком смысле капитал – это ценность, приносящая доход. На рынке капитала фирма представляет спрос не на физический капитал, а на временно свободные денежные средства, которые можно потратить на эти капитальные блага.



    Экономика: Знания - Циклы - Макроэкономика