Адамчук - Экономика И Социология Труда
Освещаются основные вопросы экономики и социологии труда: трудовые ресурсы и трудовой потенциал, формирование рынка труда и его регулирование, сущность занятости, организация и регулирование заработной платы, становление системы управления трудом и создание системы социальной защиты.
Эти вопросы объединены единой проблемой - повышением качества трудового потенциала организации, выявлением и реализацией экономических и социальных резервов повышения эффективности.
Для студентов и преподавателей вузов, руководителей предприятий и организаций, специалистов соответствующих служб.
ПРЕДИСЛОВИЕ
Большинство ученых в области экономики труда считают, что ее предметом является труд как целесообразная деятельность людей, возникающая в процессе и по поводу производства. В зарубежных странах специалисты полагают, что экономика труда - это исследование функционирования и результатов рынка в сфере труда, а в узком понятии - поведение работодателей и работников в ответ на действие общих стимулов в виде заработной платы, прибыли и неденежных факторов в области трудовых взаимоотношений.
Исходя из содержания указанных формулировок развитие предмета экономики труда, по нашему мнению, будет осуществляться по следующим направлениям:
• раскрытие содержания и регулирование социально-трудовых отношений в области трудовых ресурсов, рынка труда и занятости, предусматривающие создание условий эффективного функционирования трудовых ресурсов;
• экономические направления в области повышения эффективности трудовой деятельности (факторы, условия, резервы, показатели) в кодификационном виде, учитывая переходный период к рыночным отношениям;
• мотивационные и стимулирующие направления предпосылок для эффективной, плодотворной деятельности трудовых ресурсов в условиях рыночных отношений;
• направления, связанные с количественными аспектами, принципами управления трудовыми процессами, а именно производительностью, составом и численностью работников и их оплатой.
В России достижения в области экономики труда в большинстве случаев связаны с деятельностью НИИ труда Министерства труда и социальной защиты РФ, за многие годы издавшего большое количество методических рекомендаций по весьма широкому кругу вопросов.
Социология труда - часть общей социологии, предметом изучения которой является многообразная совокупность социально-трудовых отношений и социальных процессов в сфере труда. Исследования социологии труда служат для выявления социальных резервов повышения эффективности трудовой деятельности наряду с обеспечением условий развития работников, удовлетворения их потребностей, формирования позитивных внутриколлективных отношений.
Цель учебника - предоставить возможность студентам ознакомиться с наиболее важными явлениями в социально-трудовой сфере; показать те изменения, которые происходят в развитии рынка труда и занятости, в организации и регулировании заработной платы и т.д.
Глава 1
ТРУД КАК ОБЪЕКТ СОЦИОЛОГИЧЕСКОГО
ИССЛЕДОВАНИЯ. ПРЕДМЕТ И МЕТОД СОЦИОЛОГИИ ТРУДА
1.1.Сущность и функции труда, его
социальные аспекты. Предметная
область социологии труда
Труд - это целесообразная деятельность людей, направленная на создание материальных и культурных ценностей. Труд есть основа и непременное условие жизнедеятельности людей. Воздействуя на окружающую природную среду, изменяя и приспосабливая ее к своим потребностям, люди не только обеспечивают свое существование, но и создают условия для развития и прогресса общества.
Процесс труда - явление сложное и многоаспектное. Основными формами его проявления выступают затраты человеческой энергии, взаимодействие работника со средствами производства (предметами и средствами труда) и производственное взаимодействие работников друг с другом как по горизонтали (отношение соучастия в едином трудовом процессе), так и по вертикали (отношение между руководителем и подчиненным). Роль труда в развитии человека и общества проявляется в том, что в процессе труда создаются не только материальные и духовные ценности, предназначенные для удовлетворения потребностей людей, но и развиваются сами работники, которые приобретают навыки, раскрывают свои способности, пополняют и обогащают знания. Творческий характер труда находит свое выражение в появлении новых идей, прогрессивных технологиях, более совершенных и высокопроизводительных орудиях труда, новых видах продукции, материалах, энергии, которые, в свою очередь, ведут к развитию потребностей.
Таким образом, в процессе трудовой деятельности не только производятся товары, оказываются услуги, создаются культурные ценности и т д., но появляются новые потребности с требованиями их последующего удовлетворения (рис. 1.1). Социологический аспект исследования заключается в рассмотрении труда как системы общественных отношений, в определении его влияния на общество.

Рис. 1.1. Роль труда в развитии человека и общества
В процессе труда люди вступают в определенные социальные отношения, взаимодействуя друг с другом. Социальные взаимодействия в сфере труда - это форма социальных связей, реализуемая в обмене деятельностью и взаимном действии. Объективной основой взаимодействия людей является общность или расхождение их интересов, близких или отдаленных целей, взглядов. Посредниками взаимодействия людей в сфере труда, промежуточными его звеньями выступают орудия и предметы труда, материальные и духовные блага. Постоянное взаимодействие отдельных индивидов или общностей в процессе трудовой деятельности в определенных социальных условиях образует специфические социальные отношения.
Социальные отношения - это отношения между членами социальных общностей и данными общностями по поводу их общественного положения, образа и уклада жизни, в конечном счете по поводу условий формирования и развития личности, социальных общностей. Они проявляются в положении отдельных групп работников в трудовом процессе, коммуникационных связях между ними, т.е. во взаимном обмене информацией для воздействия на поведение и результаты деятельности других, а также для оценки своего собственного положения, что влияет на формирование интересов и поведение этих групп.
Эти отношения неразрывно связаны с трудовыми отношениями и обусловлены ими изначально. Например, в трудовую организацию работники вживаются, адаптируются в силу объективной потребности и таким образом вступают в трудовые отношения независимо от того, кто будет работать рядом, кто руководитель, какой у него стиль деятельности. Однако затем каждый работник по-своему проявляет себя во взаимоотношениях друг с другом, с руководителем, в отношении к труду, к порядку распределения работ и тд. Следовательно, на основе объективных отношений начинают складываться отношения социально-психологического свойства, характеризующиеся определенным эмоциональным настроем, характером общения людей и взаимоотношений в трудовой организации, атмосферой в ней.
Таким образом, социально-трудовые отношения позволяют определить социальную значимость, роль, место, общественное положение индивида и группы. Они являются связующим звеном между рабочим и мастером, руководителем и группой подчиненных, определенными группами работников и отдельными их членами. Ни одна группа работников, ни один член трудовой организации не могут существовать вне таких отношений, вне взаимных обязанностей относительно друг друга, вне взаимодействий (рис. 1.2).
Как видим, на практике существует многообразие социально-трудовых отношений. Их, а также различные социальные явления и процессы в условиях существующего рынка и изучает социология труда. Поэтому социология труда - это исследование функционирования и социальных аспектов рынка в сфере труда. Если же попытаться сузить данное понятие, то можно сказать, что социология труда - это поведение работодателей и наемных работников в ответ на действие экономических и социальных стимулов к труду. Именно такого рода стимулы, с одной стороны, побуждают к индивидуальному выбору, а с другой, ограничивают его. В социологической теории акцент делается на стимулах, регулирующих трудовое поведение, которые имеют не безличностный характер и относятся к работникам, широким группам людей.

Рис. 1.2. Социально-трудовые отношения в сфере труда
Предметом социологии труда являются структура и механизм социально-трудовых отношений, а также социальных процессов и явлений в сфере труда.
Цель социологии труда - это исследование социальных процессов и разработка рекомендаций по их регулированию и управлению, прогнозированию и планированию, направленных на создание оптимальных условий для функционирования общества, коллектива, группы, отдельного индивида в сфере труда и достижение на этой основе наиболее полной реализации и оптимального сочетания их интересов.
Задачи социологии труда состоят в:
• изучении и оптимизации социальной структуры общества, трудовой организации (коллектива);
• анализе рынка труда как регулятора оптимальной и рациональной мобильности трудовых ресурсов;
• поиске путей оптимальной реализации трудового потенциала современного работника;
• оптимальном сочетании моральных и материальных стимулов и совершенствовании отношения к труду в условиях рынка;
• усилении социального контроля и борьбе с различного рода отклонениями от общепринятых моральных принципов и норм в сфере труда;
• изучении причин и выработке системы мер по предупреждению и разрешению трудовых конфликтов;
• создании системы социальных гарантий, защищающих работников в обществе, трудовой организации и т.д.
Иными словами, задачи социологии труда сводятся к выработке методов и приемов использования социальных факторов в интересах решения важнейших социально-экономических проблем общества и личности, к числу которых относится и создание системы социальных гарантий, поддержания и закрепления социальной защищенности граждан с целью ускоренной социальной переориентации экономики.
Для сбора и анализа информации в социологии труда широко используются социологические методы, которые проявляются в:
• достигнутых знаниях о предмете исследования (понимании сущности труда и отношений в сфере труда);
• процессе методов сбора фактов;
• способе делать заключение, т.е. формулировать выводы о причинно-следственных связях между явлениями.
Необходимо отметить, что исследования, проводимые в рамках социологии труда, предоставляют необходимую и достаточно надежную информацию для формирования социальной политики, разработки научно обоснованных программ социально-экономического развития трудовых организаций (коллективов), для решения социальных проблем и противоречий, постоянно сопровождающих трудовую деятельность и работников. Таким образом, социология труда призвана, с одной стороны, расширять знания о реально существующей действительности, с другой - способствовать утверждению новых связей и процессов, протекающих в сфере труда.
1.2.Связь социологии труда с науками о
труде социологического профиля
Науки о труде социологического профиля существуют внутри социологии в целом, но не обязательно являются составными частями социологии труда. Социологическими они являются не только по методам, но и по предмету исследования. Их общая черта - изучение социальных аспектов общественного труда. Появление дисциплин внутри социологии труда стало возможным благодаря тому, что эта наука анализирует общественный труд на макро- и микроуровнях. Первый касается институционального аспекта труда, а второй - мо-тивационного и поведенческого (рис. 1.3).

Рис. 1.3. Связь социологии труда с науками социологического профиля
Так, социология организаций исследует иерархическую структуру управления производством, формальную и неформальную организацию предприятия, систему власти и подчинения, личные и безличные факторы социальной организации труда. Социология прогрессий также выделяет свой предмет в системе общественного разделения труда, изучая престижность тех или иных видов деятельности, предпочтения, ценностные ориентации, профессиональную пригодность и т.д. Социология производственного коллектива изучает широкий комплекс вопросов, выражающих закономерности совместной трудовой деятельности людей, функции, цели и структуру трудовых организаций (коллективов) как основных экономических, социальных и политических ячеек общества.
Следует также назвать социально-психологические исследования сплоченности, лидерства, морально-психологического климата, группового взаимодействия в производственных бригадах как разновидности малой контактной группы; социологию образа жизни, основой которой выступает жизнедеятельность человека в труде; промышленную (индустриальную) социологию, в центре внимания которой находится изучение социальных последствий научно-технического прогресса, механизации и автоматизации производства, социальной организации предприятий и проблем социального управления; наконец, социальное планирование и прогнозирование, становление которых в качестве самостоятельных дисциплин немыслимо без изучения трудовых проблем. Социология образования изучает систему подготовки специалистов для различных отраслей народного хозяйства, а социология города прослеживает взаимосвязь процессов индустриализации и урбанизации, их влияние на образ и уровень жизни людей, разрабатывает проекты размещения промышленных объектов.
К молодым отраслям знания относится экономическая социология. Ее предмет - ценностные ориентации, потребности, интересы и поведение больших социальных групп (демографических, профессионально-квалификационных и др.) на макро- и микроуровнях в условиях рыночной конъюнктуры. Как происходят сокращение и трудоустройство управленческого аппарата, работников неквалифицированного труда, инженеров, врачей и тд.? Как изменяется оценка вознаграждения (морального и материального) труда в тех или иных общественных группах, в сферах индивидуального и коллективного труда, государственного, частного и кооперативного производства? На эти и другие вопросы призвана и отвечает экономическая социология.
Предмет исследования социологии труда как раз и составляет круг ее научной проблематики в пересечении с другими социологическими Дисциплинами. Иначе это можно назвать горизонтальным срезом знания, или отраслевой социологией. Отраслевая социология покрывается преимущественно предметной областью социологии труда. В то же время в каждой из них найдутся проблемы, которые не входят в ее компетенцию. Так, в социологии профессий узкоспециальные вопро-W, например, возрастные изменения в предпочтениях человеком тех или иных профессий, не обязательно включаются в социологию труда, т.е. не интересуют ее как самостоятельный предмет изучения. Такого рода проблемы больше связаны с социологией личности или психологией.
1.3.Связь социологии труда с науками о
труде несоциологического профиля
Социология труда тесно связана с науками несоциологического профиля, изучающими труд (рис. 1.4).

Рис. 1.4. Связь социологии труда с науками несоциалогического профиля
Психология труда изучает психологические закономерности формирования конкретных форм трудовой деятельности и отношения человека к труду. Объект психологии труда - это деятельность индивида в производственных условиях и условиях воспроизводства рабочей силы. У психологии труда и социологии труда много общего. Общими для них являются такие категории, как трудовые установки, мотивы поведения, готовность высококачественно и производительно трудиться. Однако социологию труда интересуют не индивидуально-личностные проявления трудового поведения, а социально-типичные, характерные для различных представителей социальных и профессиональных групп. В то же время знание положений психологии труда об особенностях психологических свойств работников позволяет социологам научно формировать и развивать коллективы, избегать неоправданных конфликтных ситуаций в сфере труда.
Экономика труда изучает механизм действия экономических законов в сфере труда, формы их проявления в общественной организации труда. Экономику интересует сам процесс создания стоимости. Для нее важны трудовые затраты на всех стадиях производственного цикла, в то время как социология труда рассматривает трудовые взаимодействия работников и возникающие между ними трудовые отношения. Например, в стимулировании труда экономику интересует оплата труда. В этом случае изучаются тарифная система, заработная плата, взаимосвязь между ними. Социология труда, отдавая должное внимание проблеме материального стимулирования, рассматривает в первую очередь совокупность побуждений к труду, такие стимулы, как содержание труда, его организация и условия, степень самостоятельности в труде, характер взаимоотношений в коллективе и тд.
Социология труда тесно связана с физиологией труда, исследующей закономерности функционирования состояния организма работающего человека. Оба эти направления вырабатывают пути преодоления отрицательных последствий монотонности труда. Социологи, управляя трудовой адаптацией работников, используют рекомендации физиологов о закономерностях формирования навыков, умений, трудовых знаний, выработке у работников профессионально важных качеств, снижении утомления и поддержании в течение всего рабочего периода высокого устойчивого уровня трудоспособности.
Трудовое право определяет юридическую сторону трудовых отношений и реализуется через социальный контроль поведения в сфере труда. Административный контроль, меры воздействия (поощрения и наказания) основываются на правовых нормах труда, закрепленных в юридических документах, которые регламентируют основные моменты трудовых взаимодействий. Есть непосредственная связь социологии труда с научной организацией труда (НОТ). Мероприятия по НОТ будут более полными, если учитывается их эффект, для чего социологами широко используется такой показатель, как удовлетворенность трудом.
К промежуточным дисциплинам можно отнести этнографию, антропологию, археологию и некоторые другие. Этнографы сравнивают обычаи, традиции и трудовую этику, бытующие у различных народов, на эмпирических фактах показывают региональные черты сходства и различия трудового уклада жизни в зависимости от этнической принадлежности. О прошлом трудовой деятельности человека свидетельствуют находки археологов. Прослеживая изменения типов орудий, характер приемов труда, методов обработки материалов, они устанавливают социальную историю производственной деятельности людей. Исторические этапы и формы антропосоциогенеза, становления человеческого рода через процесс труда изучает антропология. Она судит об исторических реликтах трудовой деятельности на основании изучения ^временных отсталых сообществ, диких племен.
Резюме
Итак, можно отметить, что предметная область социологии труда не сводится только к совокупности предметных областей конкретных социологических дисциплин, изучающих под разными углами социальную природу труда. В то же время понять и изучить конкретные явления и процессы, происходящие в производственной деятельности, невозможно, если не прибегать к данным других наук, в том числе экономики труда, юриспруденции, социальной и инженерной психологии, этнографии, психотехники, эргономики и тд. Необходимо учитывать, что будут появляться новые науки, отдельные уходить со сцены, поэтому описанные выше взаимосвязи с науками социологического и несоциологического профиля несколько условны и будут видоизменяться. Однако и эти взаимосвязи дают возможность проследить общую тенденцию в социологии труда.
Вопросы для контроля и обсуждения
1. Раскройте сущность и функции труда, его социальные аспекты.
2. Покажите роль труда в развитии человека и общества.
3. Дайте характеристику социально-трудовых отношений в сфере труда.
4. Определите предмет социологии труда как специальной социологической науки.
5. Перечислите основные цели, которые можно достигнуть с помощью социологии труда.
6. Какие задачи решает социология труда на современном этапе развития общества?
7. Дайте характеристику основных методов исследования в социологии труда.
8. В чем прослеживается связь социологии труда с науками о труде социологического профиля?
9. Перечислите общее и особенное у социологии труда с некоторыми науками несоциологического профиля.
Глава 2
НАСЕЛЕНИЕ И ТРУДОВЫЕ РЕСУРСЫ
2.1. Структура и воспроизводство населения
и трудовых ресурсов
Состояние и развитие общества в значительной степени определятся количеством и составом его населения. Под населением понимается совокупность люден, живущих на определенной территории- районе, городе, регионе, стране.
Трудовые ресурсы - это трудоспособная часть населения, обладающая физическими и интеллектуальными способностями к трудовой деятельности, способная производить материальные блага или оказывать услуги, т.е. трудовые ресурсы включают в себя, с одной стороны, тех людей, которые заняты в экономике, а с другой, не занятых, но способных трудиться. Таким образом, трудовые ресурсы состоят из реальных и потенциальных работников.
Необходимые физические и интеллектуальные способности зависят от возраста. В ранний и зрелый период жизни человека они формируются и приумножаются, а к старости утрачиваются. Возраст выступает своего рода критерием, позволяющим выделить из всего населения собственно трудовые ресурсы.
Прежде чем рассматривать основные понятия различных направлений изучения трудовых ресурсов, целесообразно посмотреть на состав и структуру населения и на изменение ее численности.
Под воспроизводством населения понимается процесс непрерывного возобновления поколения людей в результате взаимодействия рождаемости и смертности. Различают три типа воспроизводства населения:
• расширенное воспроизводство характеризуется превышением числа рождений над числом смертей;
• простое воспроизводство - в этом случае нет прироста, поскольку число рождений равно числу смертей;
• суженное - смертность превышает рождаемость, происходит абсолютное сокращение населения.
Воспроизводство населения имеет не только демографический, но также экономический и социальный аспекты. Оно определяет формирование трудовых ресурсов, освоение территорий, состояние производительных сил, развитие социальной инфраструктуры и т.п.
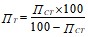
Население и трудовые ресурсы имеют количественные и качественные характеристики, которые необходимы для анализа и оценки демографических процессов и выработки стратегии в области управления трудовыми ресурсами. Для характеристики воспроизводства населения применяются показатели рождаемости, смертности и естественного прироста.
Рождаемость и смертность рассчитываются на 1000 человек населения (в промилле) и измеряются с помощью систем коэффициентов и таблиц. Разница между числом родившихся и умерших при положительном результате называется естественным приростом населения.

и

где КР и КС - соответственно коэффициенты рождаемости и смертности;
Р - число родившихся за год;
С - число умерших за год;
ЧС - среднегодовая численность населения.
Среднегодовая численность определяется на середину года как средняя арифметическая из данных численности населения на начало и конец года или путем прибавления к начальной численности населения половины ее прироста.
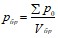
Из табл. 2.1 видно, что численность постоянного населения России сокращается при неизменной структуре городского и сельского населения. Падение численности населения вызвано, с одной стороны, уменьшением относительного числа родившихся, с другой - увеличением относительного числа умерших, что предопределило за последние три года естественную убыль населения на 5-6 промилле в год. Относительное число браков и разводов за рассматриваемый период существенных изменений не претерпело.
Таблица 2.1
Численность, состав и показатели естественного
движения населения России
Наименование
|
Единица измерения
|
Годы
|
1992
|
1993
|
1994
|
1995
|
1996
|
Численность постоянного
населения (на начало года) млн. чел. 148,7
в том числе:
городского % 73
сельского % 27
На тыс. населения:
число родившихся чел. 10,7
число умерших чел. 12,2
естественный прирост (+), убыль (-) чел. -1,5
число браков ед. 7,1
число разводов ед. 4,3
|
148,?
73
27
9.4
14,5
-5,1
7,5
4,5
|
: 148,4
73
27
9,6
15,7
-6,1
7,4
4,6
|
148,3
73
27
9,3
15,0
-5,7
7,3
4,5
|
148,0
73
27
8,8
14,3
-5,5
5,9
3,8
|
Источник: Россия в цифрах. Краткий статистический сборник / Госкомстат России. -
М., 1997. - С. 8,17, 23.
|
Численность, состав населения во всех странах мира определяется с помощью переписей. Последняя перепись в нашей стране состоялась в 1989 г. Ее основные данные опубликованы и служат базой для получения демографических данных в последующий период. Очередная перепись намечена на 1999 г. Переписи населения дают наиболее точные данные о его численности.
Прогнозирование численности населения позволяет .выявить ожидаемые изменения численности населения; оценить демографическую ситуацию, складывающуюся как в отдельных регионах, так и в целом по стране; определить численность трудовых ресурсов, развитие их образовательного и профессионально-квалификационного уровня; проследить влияние других социально-экономических и экологических факторов на воспроизводственный процесс. Для того чтобы определить перспективную численность населения, при составлении краткосрочного прогноза используется метод ретроспективной экстраполяции, на более долгие сроки - метод передвижки по возрастам.
Т а б л и ц а 2.2
Численность постоянного населения России
(на начало года, тыс. чел.)
|
1990
|
1995
|
1997
|
2000
|
2005
|
2010
|
РФ
Районы:
Северный
Северо-Западный в том числе Санкт-Петербург Центральный
в том числе
Москва
Волго-Вятский Центральночерноземный
Поволжский
Северо-Кавказский Уральский
Западно-Сибирский
Восточно-Сибирский
Дальневосточный
|
147662,0
6151,2 8255,8
5002,4 30267,5
8910,9 8500,2
7743,1
16387,5
16747,0
20350,0
15969,2
9203,9
8017,5
|
147938,5
5958,2 8050,1
4805,2 29825,5
8625,4 8480,7
7871,2
16883,1
17548,2
20447,7
15148,8
9164,0
7634,7
|
147137,2
5851,3 7981,0
4746,1 29584,4
8546,6 8419,0
7864,1
16888,9
17580,0
20382,0
15107,7
9112,5
7430,8
|
145950
5712
7838
4629
29097
8361
8338
7808
16890
17781
20295
15028
9041
7182
|
143945
5520
7579
4429
28281
8062
8239
7704
16867
18015
20113
14879
8927
6888
|
141569
5336
7312
4225
27420
7760
8138
7585
16751
18137
19865
14619
8825
6666
|
Источник: Статистический бюллетень Госкомстата РФ, 1997.
|
Прогноз численности населения делается с учетом долговременных тенденций рождаемости и смертности, а также возрастно-полового состава населения. Уже с середины 60-х годов рождаемость в стране не обеспечивает простого воспроизводства населения: детей числено меньше, чем их родителей. К началу 70-х годов доминирующей стала двухдетная семья, затем постепенно выросло число семей с одним ребенком. Почти три десятилетия естественный прирост населения благодаря многочисленным поколениям женщин детородного возраста увеличивался, но в 90-х годах доля этих поколений уменьшилась. В ближайшее десятилетие рождаемость будет несколько более высокой, чем в настоящее время. Однако этого будет недостаточно дня возобновления естественного прироста населения.
2.2. Структура формирования трудовых ресурсов
Возрастные границы и социально-демографический состав трудовых ресурсов определяются системой государственных законодательных актов. В России трудоспособным возрастом считается: у мужчин 16-59 лет включительно и у женщин 16-54 года. Границы трудоспособного возраста в разных странах не одинаковы. В ряде стран нижняя граница трудоспособного возраста установлена в 14- 15 лет (в отдельных - 18 лет), а верхняя - во многих 65 лет для всех, или 65 лет для мужчин и 60-62 года для женщин.
Таблица 2.3
Средняя продолжительность жизни и возраст выхода на пенсию (лет)
Страна
|
Средняя продолжительность
жизни
|
Возраст выхода на пенсию
(общий)
|
Мужчины
|
Женщины
|
Мужчины
|
Женщины
|
Россия 64
США 71
Германия 72
Англия 72
Австрия 72
Венгрия 65
Польша 67
Франция 72
Австралия 74
Швеция 80
|
74 60
78 65
78 65
79 65
79 65'
74 60
76 . 65
81 60
80 65
83,7 65
|
55
65
60
60
60
55
60
60
60
65
|
Источник: Отчет о Мировом развитии. Кризис старения населения. - Вашинг-
тон, 1994.
|
В России не первый год ставится вопрос о необходимости подъема возрастного порога, после достижения которого устанавливается пенсия по возрасту с 60 до 65 лет для мужчин, с 55 до 60 лет для женщин. Такой процесс будет происходить постепенно, поэтапно - вначале до 62-63 лет у мужчин и до 57-58 лет у женщин. Имеются сторонники и противники такого решения. Например, одним из аргументов, выдвигаемым противниками увеличения возраста выхода на пенсию, является ссылка на тяжелое экономическое положение работающего населения в целом.
Начиная с 1993 г. в РФ осуществлен переход на международную систему квалификации состава населения. В соответствии с данной классификацией на рис. 2.1 представлена схема состава трудовых ресурсов.

Рис. 2.1. Трудовые ресурсы и экономически активное население
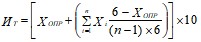
Экономически активное население - часть населения, обеспечивающая предложение рабочей силы для производства товаров и услуг. Численность экономически активного населения включает занятых и безработных, измеряется по отношению к обследуемому периоду. Для того чтобы определить экономическую активность населения, рассматривается ее уровень:

,
где УЭА - уровень экономической активности населения;
dЭА - доля численности экономически активного населения;
ЧН - общая численность населения.
Как видно из табл. 2.4, остается неизменной тенденция сохранения экономически активного населения и удельного веса занятости населения. В то же время возрастает численность безработных, что дает возможность охарактеризовать картину в целом как негативную.
Экономически неактивное население - это население, которое не входит в состав рабочей силы, включая лиц младшего возраста, установленного для измерения экономически активного населения. Величина экономически неактивного населения измеряется по отношению к обследуемому периоду и включает следующие категории:
• учащиеся и студенты, слушатели и курсанты, посещающие дневные учебные заведения (включая дневные аспирантуры и докторантуры);
• лица, получающие пенсии по старости и на льготных условиях, а также получающие пенсии из-за потери кормильца при достижении им пенсионного возраста;
• лица, получающие пенсии по инвалидности (1,2, 3 групп);
• лица, занятые ведением домашнего хозяйства, уходом за детьми, больными родственниками и т.п.;
• отчаявшиеся найти работу, т.е. лица, прекратившие поиск работы, исчерпав все возможности ее получения, но которые могут и готовы работать;
• другие лица, которым нет необходимости работать, независимо от источника дохода.
Таблица 2.4
Численность и состав экономически активного населения России
Наименование показателей
|
Тыс. человек
|
Процент от экономически активного населения
|
1992
|
1993
|
1994
|
1995
|
1996
|
1992
|
1993
|
1994
|
1995
|
1996
|
Экономически
активное население: всего 75665
мужчины 38880
женщины 36785
занятые:
всего 72071
мужчины 37063
женщины 35008
безработные:
всего* 3594
мужчины 1817
женщины 1777
|
75012 38702 36298
70852 36560 34292
4110 2154 2006
|
73962 39077 34885
68484 36132 32352
5498 2945 2533
|
72872 38899 33973
66441 35413 31028
6431 3486 2945
|
72788 100 38839 100 33949 100
66000 98,3 35112 95,3 30888 95,2
6788 4,7
3727 4,7
3061 4,8
|
100
100
100
94,5 94,4 94,5
5,5
5,6
5,5
|
100
100
100
92,6 92,5 92,7
7,4
7,5
7,3
|
100
100
100
91,2 91.0 91.3
8,3
8,4
8,1
|
100
100
100
90,7 90,4 91,0
9,3
9,6
9,0
|
Источник: Россия сии. -в цифрах: Краткий статистический сборник / Госкомстат Рос-
М. 1996. - С. 33.
|
*На конец года.
Содержание и характеристику других компонентов трудовых ресурсов мы рассмотрим в разделе “Занятость населения”.
Структура трудовых ресурсов многогранна. Она включает различные компоненты, характеризующие те или иные стороны трудовых ресурсов. Рассмотрим ее составляющие.

Рис. 2.2. Структура трудовых ресурсов
Структура трудовых ресурсов по полу имеет важное значение для формирования эффективной структуры занятости по сферам приложения труда в профессионально-отраслевом и территориальном разрезах и определяется путем выявления соотношений мужчин и женщин, занятых в общественном производстве, домашнем и личном хозяйстве, на учебе с отрывом от производства и тд. Она различается по территории страны и сферам занятости.
Прежде всего отметим, что в составе трудовых ресурсов России удельный вес мужчин больше, чем женщин. Соотношение такое: мужчины - 62,5%, женщины - 51,2%. Это связано с тем, что трудоспособный возраст у мужчин на 5 лет выше. Однако такое соотношение меняется из-за возрастания смертности мужчин в трудоспособном возрасте.
Уровень образования трудовых ресурсов - важнейшая их качественная характеристика. Он определяется средним числом лет обучения, численностью учащихся и студентов, удельным весом специалистов с высшим образованием и другими показателями общества. Уровень образования характеризуется такими показателями, как процент грамотности, среднее число лет обучения, распределение населения по группам в зависимости от полученного образования.
Таблица 2.5
Уровень образования населения
Показатель
|
1989
|
1994
|
Из 1000 человек населения в возрасте 15 лет и
старше имеют образование, чел.:
высшее
незаконченное высшее
среднее специальное
среднее общее
неполное среднее
начальное
|
113
17 .
192
274
210
129
|
133
18
219
285
202
100
|
Источник: Россия в цифрах. - М., 1W. - С. 74-75.
|
Как видно из таблицы, число лиц, имеющих высшее, незаконченное высшее и среднее специальное образование, возросло с 322 чел. в 1989 г. до 370 в 1994 г., или на 15%. Средний уровень образования работающего населения в России возрос с 8,1 года в 1970 г. до 11,0 лет в настоящее время, это существенно ниже, чем в США, где он составляет сейчас около 14 лет.
Важную информацию о качестве интеллектуального потенциала дает направленность профессиональной подготовки в системе высшего образования. Сейчас ее структура у нас и на Западе отличается довольно значительно.
Таблица 2.6
Численность выпускников высшей школы по направленности
обучения, в процентах к итогу
|
США
|
Канада
|
Великобритания
|
Франция
|
Россия
|
Сфера образования 9,8 11,1 8,3 3,0 25,8
Гуманитарные и
социальные науки 42,2 45,5 39,6 42,7 25,7
Медицина 10,0 10,6 16,8 8,6 7,0
Инженерные науки 5,5 8,0 14,3 3,5 33,7
Сельское хозяйство 1,6 0,8 0,9 0,2 7,8
Другие 30,9 24,0 20,2 42,0
|
Источник: Экономика и жизнь. - Декабрь 1997. - № 51. - С. 27.
|
Данные таблицы свидетельствуют о том, что в нашей стране по сравнению с развитыми государствами преобладает подготовка по инженерным специальностям. Зато в области гуманитарных и социальных наук мы серьезно отстаем от других стран.
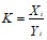
Количественные изменения численности трудовых ресурсов характеризуются такими показателями, как абсолютный прирост, темпы роста и темпы прироста трудовых ресурсов.
Абсолютный прирост определяется как разность между численностью трудовых ресурсов на начало и конец рассматриваемого периода; обьпно это может быть год или более длительный отрезок времени.
Темп роста рассматривается как отношение абсолютной величины численности трудовых ресурсов в конце данного периодов к их величине в начале периода. Если берется темп за ряд лет, то среднегодовой темп определяется как средняя геометрическая по следующей формуле:

,
где ТРС_ - среднегодовой темп роста;
n - число лет;
Rn - численность в конце периода;
RO - численность в начале периода.
Темп прироста рассчитывается по формуле:

,
где ТПС - среднегодовой темп прироста.
2.3. Трудовой потенциал: сущность, показатели
и структура
Словом “потенциал” обычно обозначают средства, запасы, источники, которые могут быть использованы, а также возможности отдельного лица, группы лиц, общества в конкретной обстановке.
Во всем мире пришли к признанию решающей роли главной производительной силы - человека, возможностей и способностей каждого работника, отдельных групп и общества в целом осуществлять и' совершенствовать трудовую деятельность, существенно повышать ее эффективность. В этой связи возникает вопрос, почему же до 80-х годов наша экономическая наука не применяла данный термин? В первую очередь это связано с тем, что на протяжении длительного времени экономическая наука хотя и занималась проблемами трудовых ресурсов. но изучались только три группы населения: трудоспособные в трудоспособном возрасте, фактически занятые в сфере экономики, подростки и пенсионеры. Следовательно, охватывалась только часть трудового потенциала страны, да и то в основном с точки зрения укрупненных объемных характеристик.
Термин “трудовой потенциал” и его понятие начали входить в государственные и правительственные документы с 90-х годов. Так, в мае 1994 г. было принято Постановление Правительства РФ № 434 “О целевом проекте "формирования трудового потенциала для наукоемкого производства"”. Оно было связано с поддержанием и развитием в этот сложный для России период космической отрасли промышленности.
Можно говорить о трудовом потенциале отдельного человека, предприятия, города, области, всего общества, поскольку он представляет собой совокупность всех способностей человека трудиться. Рассмотрим понятие трудовой потенциал с позиции общества, отдельного предприятия, организации, учреждения.
Трудовой потенциал - это ресурсная категория; он должен включать в себя источники, средства, ресурсы труда, которые могут быть использованы для решения какой-либо задачи, достижения определенной цели, возможности отдельного лица, общества, государства в конкретной области. Таким образом, применительно к пред-, приятию трудовой потенциал - это предельная величина возможного участия трудящихся в производстве с учетом их психофизиологических особенностей, уровня профессиональных знаний и накопленного опыта.
Трудовой потенциал предприятия включает несколько половозрастных групп работников, обладающих разными потенциальными возможностями, качественно характеризуется образовательным и профессионально-квалификационным уровнем и стажем работы по избранной специальности. Он формируется под воздействием технических и организационных факторов, так как с целью осуществления производственного процесса с учетом специализации каждое предприятие оснащается необходимым оборудованием.
При определении величины потенциала и его использования, важным является правильный выбор показателя измерения. В качестве главного показателя объема принималась и принимается до сих численность, а показателя использования- человек-год. Исследования, проведенные радом ученых, показывают, что разница в оценке затрат труда в промышленности страны по величине отработанных человеко-часов и среднесписочной численности работников составляет 15%. Следовательно, среднесписочная численность работников, имеющая переменную величину, не может быть эталоном при оценке величины потенциала, поэтому при анализе динамики ее можно применять только с поправочным коэффициентами. А так как такие коэффициенты разработать очень трудно, то требуется нахождение нового объемного показателя.
Некоторые ученые предлагают в качестве объемного показателя использовать человеко-час, так как он стабилен и потому хорошо отражает динамику, требует корректировку (при сравнении по разным периодам) только по числу рабочих дней, позволяет учесть не только полногодовых работников, но и тех, кто может работать лишь часть установленного времени. Применяя этот показатель, можно также выделить в общем потенциале суммарную величину неиспользуемого рабочего времени в связи с неблагоприятными условиями труда на производствах, где законодательно установлен сокращенный рабочий день, а также суммарное время неработы тех исполнителей, которые получают дополнительные отпуска в связи с неблагоприятными условиями труда. Такое выделение позволит организовать работу по коренному улучшению условий труда и эффективному управлению этим процессом. Неиспользуемое рабочее время будет состоять из трех неравнозначных величин, а именно: часов, на которые сокращается продолжительность рабочего дня, дней дополнительного отпуска исполнителей, занятых на данных работах, а также дней сокращения неявок по общей заболеваемости в результате улучшения условий труда.
Исследования, проведенные рядом российских экономистов, в том числе и работниками кафедры экономики труда ВЗФЭИ, убедительно показали, что в качестве основного объемного показателя трудового потенциала может выступать только человеко-час. Он обладает стабильностью и возможностью применения во всех экономических расчетах и на любом уровне.
Величина совокупного потенциального фонда рабочего времени производственного коллектива представляет собой разность между величиной календарного фонда (ФК) и суммарной величиной нерезервообразующих неявок и перерывов, т.е. объемная величина времени работы для выполнения производственного задания данным коллективом работников. К нерезервообразующим (ТНП) относятся регламентированные затраты, которые по своей правовой и экономической сущности являются необходимыми и не могут служить резервом увеличения времени непосредственной работы (выходные и праздничные дни, основные и дополнительные отпуска и другие законодательно обусловленные неявки и перерывы). В этом фонде, как в зеркале, находит отражение весь объем потенциальных возможностей работающих за любой (плановый, отчетный) период времени.
Поскольку базовой расчетной величиной может выступать фонд рабочего времени, то и показателем, характеризующим его возможности, должна выступать одноименная единица измерения, имеющая не качественное, а только количественное отличие. Правильный выбор единого измерителя имеет не только теоретическое, но и практическое значение, так как создает научно обоснованную базу приведения разновеликих величин к единому показателю.
Размеры величины трудового потенциала предприятия определяются по формуле:

или

где ФП - совокупный потенциальный фонд рабочего времени предприятия, ч.;
ФК -величина календарного фонда времени, ч.;
ТНП - нерезервообразующие неявки и перерывы, ч.;
Ч - численность работающих, чел.;
Д - количество дней работы в периоде, дн.;
ТСМ - продолжительность рабочего дня, ч.
Следовательно, потенциальная величина производственного коллектива в часах - это произведение численности работающих (Ч) на законодательно установленную продолжительность рабочего дня в часах (ТСМ) с учетом количества дней (Д) работы в периоде. Отсюда представляется возможным в общем виде выразить и величину трудового потенциала общества (региона):

,
где ФП.ОБЩ - потенциальный фонд времени общества, ч.;

- численность населения, способного участвовать в общественном производстве по группам;
ТР - законодательно установленная величина времени работы по группам работников в течение календарного периода (год, квартал, месяц). Она представляет собой произведение количества рабочих дней в периоде на установленную продолжительность рабочего дня в часах.
Поскольку трудовой потенциал включает всех граждан, способных участвовать в процессе общественного производства, с учетом их физических возможностей, имеющихся знаний и профессионально-квалификационных навыков при нормальном уровне интенсификации труда, то и в расчет должны быть включены все группы работников с учетом характерных для них особенностей. Так как структура этих групп неоднородна по возможностям участия в общественном производстве, то для правильного определения величины трудового потенциала общества необходимо каждую отдельную группу лиц привести к базовой величине. Такой величиной является полногодовой работник. Трудовой потенциал общества, исчисленный в таких работниках, можно определить по формуле:

,
где ПОБЩ - трудовой потенциал общества полногодовых работников;
tP - расчетное время работы одного трудящегося в течение года, ч.
Следовательно, необходимо правильно определелить группу лиц с различным уровнем потенциальных возможностей, участвующую в общественном производстве. Причем продолжительность календарного периода такого участия отдельных работников не всегда является однозначным критерием величины потенциала. Например, мужчины и женщины в силу физиологических особенностей организма при прочих равных условиях в одну и ту же единицу рабочего времени производят различное количество потребительских стоимостей (выполняют неодинаковый объем работ). Эти и другие особенности обязательно должны быть учтены при группировке трудящихся по основному признаку, каким являются в данном случае способность и возможность участия в общественно полезном труде.
В 1990г. в международном лексиконе и терминологии социальных работников появилось новое определение - индекс развития человеческого потенциала (ИРЧП), или сокращенно - индекс человеческого развития (ИЧР). Указанный индекс содержит четыре парадигмы (греч. - пример, образец) и измеряется показателями. К важнейшим парадигмам развития человеческого потенциала относятся:
• продуктивность как результат эффективной деятельности, направленной на повышение дохода и экономического роста;
• равенство, понимаемое как равенство возможностей в реализации способностей использования благами;
• устойчивость, позволяющая обеспечить доступ к достижению цивилизации не только нынешним, но и будущим поколениям;
• расширение возможностей, предполагающее, что развитие осуществляется не только в интересах людей, но и благодаря их усилиям.
Среди ведущих показателей, определяющих индекс развития человеческого потенциала, выделяют три: ожидаемая продолжительность жизни; уровень образования; реальный душевой валовой продукт (ДВП). Взятые вместе они отражают три главных качества: здоровую жизнь, уровень знаний, достойный человека уровень жизни. Однако следует отметить, что ни один индекс неспособен полностью отразить такое сложное понятие, как человеческий потенциал. Каждый показатель описывается отдельными пунктами: продолжительность жизни - годами жизни, образование - годами обучения, доход - покупательской способностью, грамотность взрослого населения - процентами. Для того чтобы можно было использовать данные показатели в единой системе, применяется шкала 0-1, где 0 это минимум, а 1 - максимум (табл. 2.7).
Таблица 2.7
Установленные минимальные и максимальные показатели для ИЧР
Показатель
|
Min
|
Max
|
Продолжительность жизни (годы)
Грамотность взрослого населения (%)
Среднее количество лет обучения
Доход (реальный ВВП на душу населения в покупательской способности доллара)
|
25
0
0
200
|
85
100
15
40000
|
И с т о ч н и к: Кадомцева С. В. Экономические основы системы социальной защиты - М., 1997. - С. 23.
.
|
Резюме
Трудовые ресурсы являются важнейшей и активной частью ресурсов общества. Это трудоспособная часть населения, обладающая физическими и интеллектуальными способностями к трудовой деятельности, которая может производить материальные блага или оказывать услуги. Для характеристики трудовых ресурсов используется их деление по возрасту, полу, образованию и т.д. Исходным пунктом воспроизводства трудовых ресурсов является их формирование, которое обусловливается естественным воспроизводством населения. Естественное движение населения определяется разницей коэффициентов рождаемости и смертности.
Большое социальное и экономическое значение имеет состав населения по образованию. Он характеризуется процентом грамотных, средним числом лет обучения и т.д. Весьма важным является прогнозирование численности населения. Оно позволяет выявить ожидаемые изменения численности населения, оценить демографическую ситуацию, определить численность трудовых ресурсов.
Трудовой потенциал Предприятия - это предельная величина возможного участия работников в производстве с учетом их психологических особенностей, уровня профессиональных знаний и накопленного опыта. При определении его величины важно правильно выбрать показатель измерения, а именно человеко-час. Величину трудового потенциала можно определять на любом уровне: общество, предприятие, человек.
Вопросы для контроля и обсуждения
1. Что вы понимаете под термином “трудовые ресурсы”? Назовите возрастные границы трудоспособного населения.
2. Из каких составных частей складываются трудовые ресурсы, экономически активное и неактивное население?
3. Какие показатели применяются для характеристики количественных изменений трудовых ресурсов и как они рассчитываются?
4. В чем заключается сущность воспроизводства населения?
5. Какие изменения в возрастной структуре населения происходят и России и в мире? Почему в РФ низкая продолжительность жизни?
6. В чем сущность трудового потенциала и его отличие от трудовых ресурсов?
7. Дайте количественную характеристику трудового потенциала. Рассчитайте величину трудового потенциала предприятия. . Я. Индекс развития человеческого потенциала. Какие показатели его измеряют? Назовите их минимальные и максимальные значения.
Глава 3
ФУНКЦИОНИРОВАНИЕ РЫНКА ТРУДА
В УСЛОВИЯХ РЫНОЧНОЙ ЭКОНОМИКИ
3.1. Рынок труда: сущность, содержание и
структура
Рынок труда представляет собой систему общественных отношений “согласовании интересов работодателей и наемной рабочей силы.
В функционировании рынка труда можно отметить несколько принципиальных положений. Во-первых, это совокупность экономических отношений между спросом и предложением рабочей силы на рынке труда. Во-вторых, место пересечения различных экономических и социальных интересов и функций. В-третьих, с позиций предприятий - поле взаимоотношений его сотрудников, т.е. потенциальных или фактических работников, но думающих о переходе на новое место работы в пределах фирмы.
Прежде чем рассматривать сущность и структуру рынка, необходимо выяснить, что продается и покупается на рынке труда: “рабочая сила” или “труд”. Сторонники марксисткой теории рыночных отношений утверждают, что на рынке труда продается рабочая сила, т.е. способность к труду, которую и эксплуатирует работодатель. Современная экономическая теория доказывает, что на рынке труда продается и покупается именно труд, что заработная плата есть плата за труд (и называется это оплатой труда). Сторонники третьей точки зрения считают рынок труда ресурсным рынком. В качестве основных субъектов купли-продажи выступают работодатель - покупатель труда, а также юридически свободный и юридически защищенный собственник - продавец ресурса труда. Последний является носителем и собственником своей рабочей силы, т.е. всей совокупности своих способностей к определенным видам трудовой деятельности. Это особый ресурс, специфика которого заключается в физической неотделимости его от собственника, что отражается на характере объекта купли-продажи на рынке труда. Здесь объектом рыночной сделки является право использования единицы ресурса труда определенного качества при определенных условиях в определенный отрезок времени.
Цена труда на рынке труда выступает в форме ставки - заработной платы (часовой ставки), указываемой в договоре (контракте), заключаемом между работодателем и нанимающимся на работу. На этой основе рыночная цена единицы ресурса труда данного качества сложится в зависимости от соотношения спроса и предложения на рынке труда. В результате фактическая цена труда отразит равновесную ставку заработной платы. Данную точку зрения разделяют и авторы настоящего учебника.
Рынок труда имеет ряд важных особенностей, накладывающих отпечаток на его функционирование.
1. Неотделимость прав собственности на товар (труд) от его владельца. Труд представляет собой процесс расходования рабочей силы от своего носителя, в процесс купли-продажи труда возникают особые отношения.
2. Большая продолжительность контакта продавца и покупателя. Сделка, совершаемая на рынке труда, предполагает начало длительных отношений между продавцом и покупателем.
3. Наличие и действие неденежных аспектов сделки. Это прежде всего условия груда, микроклимат в коллективе, перспективы продвижения по службе и профессионального роста.
4. Наличие большого числа институциональных структур особого рода. К их числу относятся: система трудового законодательства; различные учреждения и службы регулирования занятости, государственные программы в области труда и занятости и т.д.
5. Высокая степень индивидуализации сделок. Они отличаются огромным разнообразием, поскольку каждый работник в своем роде уникален, а каждое рабочее место в той или иной мере отличается от другого и предъявляет к претендентам свои специфические требования.
Главными составными частями рынка труда являются совокупное предложение (П), охватывающее всю наемную рабочую силу, и совокупный спрос (С) как общая потребность экономики в наемной рабочей силе. Они составляют совокупный рынок труД'1 (рис. 3.1).

Рис. 3.1. Совокупный рынок труда:
С - совокупный спрос на труд;
П -совокупное предложение труда;
УС- удовлетворенный спрос на труд
Таким образом, та часть, которая образуется путем пересечения совокупного спроса и совокупного предложения, носит название удовлетворенный спрос на труд (УС). Не пересекающиеся части соответствуют текущему рынку:
ТР=СР-УС,
где СР - совокупный рынок труда;
ТР - текущий рынок труда.
Текущий рынок труда образуется за счет естественного и механического движения рабочей силы и рабочих мест (ввод новых и выбытие старых). Он состоит из отдельных элементов:
- открытый рынок труда - это экономически активное население, которое ищет работу и нуждается в подготовке, переподготовке, а также все вакантные рабочие места во всех секторах экономики.
- скрытый рынок труда - это лица, которые формально заняты в экономике, но в то же время в связи с сокращением производства или же с изменением его структуры могут быть высвобождены.
Исходным материалом для оценки ситуации на открытом рынке труда, анализа тенденций и предложения рабочей силы являются:
Данные Госкомстата РФ по форме № 1-Т - “трудоустройство населения” (годовая, квартальная); месячные отчеты Федеральной службы занятости (далее ФСЗ) “О трудоустройстве и занятости населения, обратившегося в службу занятости РФ, в территориальном разрезе”; Данные Госкомстата РФ по форме № 17 “О наличии и прогнозе рабочих мест”, приеме - выбытии штата и намечаемом высвобождении работников в территориально-отраслевом разрезе (месячные в 1992 г квартальные в 1993г.).
Использование перечисленных материалов позволяет выявить емкость как официального рынка труда, охваченного посреднической деятельностью ФСЗ, так и его неофициальной части, а также проследить динамику показателей спроса и предложения на открытом рынке труда в целом, в рамках его официальной и неконтролируемой частей, оценить их соотношение.
Анализ открытого и скрытого рынков труда будет приведен ниже, •в разделе материалов по безработице.
Исходя из определения и характеристики рынка труда можно установить основные его элементы: субъекты рынка труда; правовые аспекты, регламентирующие отношения субъектов на рынке труда; конъюнктуру рынка; службы занятости населения; инфраструктуру рынка труда; систему социальной защиты и др.
Основными субъектами рынка труда являются работодатели и наемные работники.
Работодатель - наниматель, который может быть представлен разными “фигурами” в зависимости от узаконенной структуры отношений собственности. Им могут быть: государственные предприятия, акционерные общества, общественные организации, колхозы, частные предприятия, хозяйственные ассоциации, кооперативы, совместные предприятия, индивидуальные наниматели и т.п.
Наемные работники - это свободные трудоспособные граждане, для которых работа по найму является главным источником средств существования и индивидуального воспроизводства. Для работодателей они представляют различную ценность в зависимости от пола, возраста, квалификации, социального статуса и ряда социально приобретенных качеств (ответственности, исполнительности, дисциплинированности, предприимчивости и др.).
Система отношений на рынке труда складывается из трех основных компонентов (рис. 3.2):

Рис. 3.2. Система отношений на рынке труда
• отношения между наемными работниками и работодателями;
• отношения между субъектами рынка труда и представителями (профсоюзы, ассоциации работодателей, службы занятости);
• отношения между субъектами рынка труда и государством. Наличие и взаимодействие всех элементов рынка труда необходимо для его функционирования. Рынок труда выполняет ряд функций:
• организация встречи работодателей и наемных работников;
• обеспечение конкуренции на рынке труда как между работодателями, так и наемными работниками;
• установление равновесных ставок заработной платы;
• решение вопросов занятости населения;
• осуществление социальной поддержки безработных путем перераспределения рабочей силы в народном хозяйстве между отраслями и сферами производства и обеспечения работой незанятого населения.
Конъюнктура рынка - это соотношение спроса и предложения в разрезе всех составляющих структуру рынка труда. Она складывается в зависимости от состояния экономики (подъем или спад); отраслевой структуры хозяйства; уровня развития технического базиса; благосостояния (уровень дохода населения, в том числе душевного); развития рынка товаров, услуг, жилья, ценных бумаг; состояния социальной и производственной инфраструктуры; степени развития многоукладности экономики; меры развития интеграционных связей (отраслевых и территориальных). Кроме того, на нее оказывают влияние демографические, этносоциальные, политические, экологические и некоторые другие факторы.
В зависимости от соотношения между спросом и предложением конъюнктура рынка труда может быть трех типов:
• трудодефицитный, когда рынок труда испытывает недостаток предложения труда;
• трудоизбыточный, когда на рынке труда имеются большое число безработных и соответственно избыток предложения труда;
• равновесный, когда спрос на труд соответствует его предложению.
Текущая конъюнктура российского рынка труда характеризуется Диспропорциями в соотношении спроса и предложения труда, которые носят застойный характер, что сдерживает движение работников между предприятиями, секторами экономики.
Конкуренция представляет собой наличие большого числа независимых покупателей и продавцов на рынке труда и возможность для них свободно входить на рынок труда и покидать его. Она - неотъемлемая составляющая механизма любого рынка. Чисто конкурентный рынок характеризуется наличием большого количества покупателей (фирм), которые конкурируют друг с другом при найме конкретного вида труда; свой труп предлагают независимо друг от друга многочисленные работники, имеющие равную квалификацию; ни фирмы, ни работники не контролируют и не диктуют ставки заработной платы.
Для полноценного функционирования рынку труда требуется развитая инфраструктура. Инфраструктура рынка труда - это государственные учреждения, негосударственные структуры содействия занятости, кадровые службы предприятий и фирм, общественные организации и фонды и др., обеспечивающие наиболее эффективное взаимодействие между спросом и предложением на рынке труда. Инфраструктура призвана регулировать отношения между работодателем и работником по поводу цены рабочей силы, условий труда, подготовки и переподготовки работников, а также организовывать и регулировать процессы защиты прав работодателей и наемных работников на рынке труда.
3.2. Занятость: сущность и формы
Занятость населения составляет необходимое условие для его воспроизводства, так как от нее зависят уровень жизни людей, издержки общества на подбор, подготовку, переподготовку и повышение квалификации кадров, их трудоустройство, материальную поддержку безработных. Занятость раскрывает один из важнейших аспектов социального развития человека, связанного с удовлетворением его потребностей в сфере труда и в связи с трудом.
Занятость - это деятельность граждан, связанная с удовлетворением личных и общественных потребностей, не противоречащая законодательству и приносящая им заработок (трудовой доход).
В России 19 апреля 1991 г. был принят Закон “О занятости населения” (с последующими дополнениями и изменениями), в котором сформулированы основные принципы занятости, придающие отношениям занятости рыночный характер.
Первый принцип - обеспечение свободы в труде и занятости, запрещение принудительного, обязательного труда. Человеку принадлежит приоритетное право выбора: участвовать или не участвовать в общественном труде.
Второй принцип- создание государством условий для обеспечения права на труд, на защиту от безработицы, на помощь в трудоустройстве и материальной поддержке при безработице в соответствии с Конституцией РФ.
Закон закрепил основные принципы государственной политики в области содействия занятости: обеспечение равных возможностей всем гражданам России независимо от национальности, пола, возраста социального положения, политических убеждений и отношения к религии в реализации права на добровольный труд и свободный выбор занятости; развитие трудовых ресурсов; предупреждение массовой и сокращение длительной (более одного года) безработицы; поддержка трудовой и предпринимательской инициативы граждан, содействие развитию их способностей к производительному, творческому труду; обеспечение социальной защиты в области занятости, создание специальных мер для граждан, испытывающих трудности в поиске работы, т.е. помощь особо нуждающимся в трудоустройстве; сочетание местных мер с централизованными в области занятости; поощрение работодателей, создающих новые рабочие места и другие принципы.
Занятыми считаются граждане (ст. 2 Закона РФ о занятости):
• работающие по трудовому договору, имеющие иную оплачиваемую работу (службу), включая временные, сезонные работы;
• самостоятельно обеспечивающие себя работой, в том числе индивидуально-трудовой деятельностью (включая фермеров, писателей и др.), предприниматели, а также члены производственных кооперативов;
• избранные, утвержденные или назначенные на оплачиваемую должность;
• военнослужащие любых родов войск, служащие в органах внутренних дел;
• трудоспособные учащиеся любых учебных заведений очной формы, включая обучение по направлению службы занятости;
• временно отсутствующие на работе (отпуск, болезнь, переподготовка и т.п.);
• выполняющие работы по гражданско-правовым договорам (договорам подряда).
Важно определить статус занятости для экономически активного населения, включая и безработных. Обычно различают пять статусов.
1. Наемные работники - это лица, работающие по заключенному именному контракту (договору) либо по устному соглашению с руководством предприятия об условиях трудовой деятельности, за которую они получают оговоренную при найме оплату.
2. Работающие на индивидуальной основе - лица, самостоятельно осуществляющие деятельность, приносящую им доход, не использующие либо использующие наемных работников только на короткий срок.
3. Работодатели - лица, управляющие собственным либо уполномоченные управлять государством, акционерным обществом, хозяйственным товариществом и т.п. Работодатель может полностью или частично делегировать свои функции наемному управляющему, оставляя за собой ответственность за благополучие предприятия.
4. Неоплачиваемые работники семейных предприятий - лица, работающие без оплаты на семейном предприятии, владельцем которого является их родственник.
5. Лица, не поддающиеся классификации по статусу занятости - это безработные, не занимавшиеся ранее трудовой деятельностью, приносившей им доход. Сюда относятся и лица, которых затруднительно отнести к тому или иному статусу занятости.
Та блица 3.1
Занятость по секторам экономики (млн. чел.)
|
1992
|
1993
|
1994
|
1995
|
1996
|
Всего занято в экономике: 72,1 70,9 68,5 66,4 66,0
в том числе:
на государственных и муниципальных
предприятиях 49,7 37,6 30,6 28,0 24,4
в частном секторе 13,2 19,9 22,1 22,8 25,2
в общественных организациях, фондах 0,6 0,6 0,5 0,5 0,5
на совместных предприятиях 0,2 0,3 0,3 0,4 0,4
на предприятиях и в организациях
смешанной формы собственности 8,4 12,5 14,5 14,7 15,5
|
Источник: Экономика и жизнь. - Август 1997. - № 35. - С. 27.
|
Какую информацию для характеристики занятости можно получить при рассмотрении данной таблицы? Во-первых, общая численность занятых в стране из года в год снижается. Во-вторых, наметилась тенденция значительного снижения числа занятых на государственных и муниципальных предприятиях и организациях. За пять лет удельный вес занятости в этом секторе снизился с 69 до 37%. В-третьих, быстрыми темпами развивается частный сектор экономная и, естественно, повышается численность занятых работников. Удельный вес занятых в данном секторе вырос с 1992 г. по 1996 г. с 18,3 до 38,2%, т.е. более чем в два раза. В-четвертых, получили дальнейшее развитие совместные предприятия и организации смешанной формы собственности, где численность занятых возросла за эти годы почти в два раза.
Практическая потребность учета населения вызывает необходимость выделения видов занятости. Так, различают полную, продуктивную и свободно избранную занятость.
Полная занятость - это обеспеченность профессиональным трудом, который приносит доход личности и достойное существование ему и его семье.
Основной смысл продуктивной занятости сводится к следующему. Общественно приемлемой может считаться не любая работа, а только отвечающая двум важнейшим требованиям. Во-первых, занятость должна приносить трудящимся доход, обеспечивающий достойные человека условия жизни. Отсюда вытекает прямая связь политики занятости с политикой доходов, антиинфляционными действиями и т.п. Во-вторых, продуктивная занятость противопоставляется занятости формальной. Частный случай последней - содержание излишних работников или создание формальных рабочих мест во избежание безработицы - политика государства должна способствовать тому, чтобы труд каждого человека был экономически целесообразным, максимально продуктивным для общества.
Свободно избранная занятость предполагает, что право распоряжаться собственной способностью к труду (рабочей силой) принадлежит исключительно ее владельцу, т.е. самому работнику. Этот принцип гарантирует право каждого работника на выбор между занятостью и незанятостью, запрещая любое административное приучение к труду.
Приведенные выше виды занятости отражают состояние количественной и качественной балансировки между потребностью населения в работе и рабочими местами, при которой создаются благоприятные условия для социально-экономического прогресса общества. В условиях переходного периода к рыночным отношениям, по мере роста эффективности труда, уровень занятости профессиональным трудом будет снижаться в целом по стране. Это связано с тем, что высокоэффективная экономика будет нуждаться в относительно меньшем числе работников, а также со снижением потребности самого населения в рабочих местах из-за переключения интересов в другие сферы общественно полезной деятельности.
Количественно занятость характеризуется уровнем занятости. Он может рассчитываться двумя способами.
1.Доля занятых в общей численности населения:

2.Доля занятых в экономически активном населении

В международной статистике исходным показателем для анализа занятости является уровень экономической активности населения, т.е. доля численности экономически активного населения в общей численности населения:

,
где ЧЗ - доля численности занятых;
ЧН - общая численность населения;
Чб - доля численности безработных.
Отношения занятости обусловливаются экономическими, демографическими и социальными процессами. Экономическое содержание занятости выражается в возможности для работника своим трудом обеспечить себе достойное существование и способствовать росту эффективности общественного производства, социальное - в формировании и развитии личности. Демографическое содержание занятости отражает взаимозависимость занятости с возрастно-половыми характеристиками населения, его структурой и др.
В экономической теории и практике разработана система показателей, которая отражает эффективность занятости. Обычно применяются четыре группы показателей. Первая группа -это пропорции распределения ресурсов труда общества по характеру их участия в общественно полезной деятельности. Вторая группа - уровень занятости трудоспособного населения в общественном хозяйстве. Экономически этот показатель отражает, с одной стороны, потребность общественного хозяйства в работниках, а с другой - потребность населения в рабочих местах. Оценка эффективности занятости по этой характеристике может производиться на основе баланса трудовых ресурсов (см. гл. 2). Третья группа- структура определения работающих по отраслям народного хозяйства. Существующая в России отраслевая структура занятых отражает низкий уровень эффективности использования трудового потенциала общества (табл. 3.2).
Таблица 3.2
Структура занятого населения России по отраслям (%)
|
1992
|
1993
|
1994
|
1995
|
1996
|
Всего занятых в экономике:
в том числе в:
промышленности
сельском и лесном хозяйствах
строительстве
транспорте и связи
торговле и общественном питании, материально техническом снабжении, сбыте и заготовках
жилищно-коммунальном хозяйстве, непроизводственных видах бытового обслуживания
здравоохранении, физической культуре, социальном обеспечении
образовании, культуре и искусстве
науке и научном обслуживании
кредитовании, финансах и страховании
аппарате органов управления
других отраслях
|
100
29,6
14,3
11,0
7,8
7,9
4,1
5.9
10,4
3,2
0,7
2,1
3,0
|
100
29,4
14,6
10,1
7,6
9,0
. 4,2
6,0
10,2
3,2
0,8
2,3
2,6
|
100
27,1
15,4
9,9
7,9
9,5
4,4
6,4
10,8
2,7
1,1
2,4
2,5
|
100
25,9
15,1
9,3
7,9
10,1
4,5
6,7
11,0
2,5
1,2
3,0
2,8
|
100
24,7
14,8
9,7
8,0
10,0
5,0
7,0
11,7
2,4
1,3
2,6
2,8
|
Источник: Россия в цифрах. - М., 1997. - С. 37.
|
Из табл. 3.2 видно, что в 1996 г. по сравнению с 1992 г. заметно со-крaтилcя удельный вес занятых в промышленности, строительстве, науке и научном обслуживании и возрос вес занятых в сельском хозяйстве, торговле, транспорте и связи, в жилищно-коммунальном хозяйстве, здравоохранении, образовании, в кредитно-финансовом обслуживании, в аппарате органов управления, т.е. в основном в непроизводственной сфере (за исключением сельского хозяйства). Такое положение нельзя назвать негативным, кроме снижения доли занятых в науке. Становление рыночных отношений приводит к естественному перемещению занятости из производственной сферы обслуживания. Предпочтительной является переориентация структуры занятых в соответствии с общемировыми тенденциями, для которых характерны высокие темпы роста численности работников в отраслях сферы услуг (табл. 3.3).
Таблица 3.3
Структура занятости населения в 1995 г. (% к итогу)
Страна
|
Сельское хозяйство
|
Промышленность
|
Сфера услуг
|
Австралия 5 24 71
Великобритания 2 26 72
Канада 4 23 73
США 3 24 73
Швеция 3 25 72
Россия 15 35 50
|
Источник: Экономика и жизнь. - Декабрь 1997. - № 51. - С. 27.
|
Как видно из таблицы, жители экономически развитых стран заняты преимущественно в сфере услуг. В США здесь сосредоточено 80% всех работников умственного труда и 87% кадров высшей квалификации. В России более половины всех занятых трудится в сфере материального производства, причем только 40% занимается преимущественно умственным трудом.
Формирование трудового потенциала в престижных наукоемких отраслях требует длительного времени, особенно для специалистов с высшим образованием. Просчеты в формировании данной категории занятых сейчас - это по существу углубление трудностей выхода из кризиса экономики в недалеком будущем.
Четвертая группа - это профессионально-квалификационая структура работающих. Она показывает распределение работающего населения по профессионально-квалификационным группам и отражает степень сбалансированности системы подготовки кадров с потребностью экономики в квалифицированных работниках.
Сущностные характеристики занятости, в том числе закономерности в распределении по видам занятости, отраслям народного хозяйства, профессионально-квалификационным группам различаются у людей по полу и возрасту.
Половозрастные группы населения, объединенные по характеру их участия в общественно полезной трудовой деятельности, принято называть социально-демографическими группами населения. Практика показала, что с целью учета особенностей занятости населения по полу и возрасту целесообразно выделять следующие социально-демографические группы: мужчины, женщины, молодежь (трудоактивное население 16-29 лет), лица средних возрастов (30-49 лет), лица предпенсионного возраста (трудоспособное население старше 50 лет), лица пенсионного возраста.
Параметры общественно-трудовой активности женщин зависят от возраста, профессиональной подготовки, ориентации на карьеру, от происходящих в жизни демографических событий, от объема семейно-бытовой занятости и многих других факторов, влияющих на экономическую роль женщины, на ее конкурентоспособность. Прежде всего отметим следующие факторы. Совмещая труд, материнство и домашнее хозяйство, женщина - традиционно менее желанный работник, чем мужчина. Мужская функция всегда заметно влияет на трудовую карьеру женщины: больше перерывов в работе, затраты на специальную охрану труда в соответствии с нынешним законодательством о труде, социальные льготы и тд. Конкурентоспособность женской рабочей силы состоит из экономических, социально-психологических аспектов. Экономические включают в себя: производительность, работоспособность, качество, выгодность или привлекательность. Социально-психологические: уровень образования, квалификация, профессионализм, способность к адаптации, трудовая мобильность. Демографические аспекты: возраст, семейное положение, дети.
Женщины составляют около 47% общей численности занятых в России и не менее 50% экономически активного населения. Пятую часть женщин составляет молодежь до 35 лет, немногим более 10% - лица пенсионного возраста. По данным Госкомстата РФ, среди занятых женщин России лица с высшим образованием составляют 21 %, со средним специальным образованием 68%. Среди работающих мужчин эти показатели соответственно равны 16,8 и 64,2%.
Женщины накопили высокий интеллектуальный потенциал по сравнению с мужчинами. Однако высокий образовательный уровень и профессиональный опыт не гарантируют женщинам-специалистам равные возможности с мужчинами в сфере занятости. Статус женщин, занятых в структурах разных форм собственности по отношению к общей численности работающих по каждой форме, среди: работодателей - 29; самозанятых (работающих без привлечения наемных трудящихся) - 46; неоплачиваемых работников семейных предприятий-41%.
За годы экономических перемен происходит постепенное снижение экономической активности женщин. Их доля за последние семь лет сократилась с 50 до 47%. Такое снижение можно объяснить, во-первых, уменьшением спроса на женскую рабочую силу; во-вторых, часть женщин предпочла выполнение семейных обязанностей, став домохозяйками при достаточном уровне семейных доходов; в-третьих, определенная доля женщин вынужденно покинула оплачиваемую работу при наличии условий трудиться в личном подсобном хозяйстве или на временной работе.
Молодежь представляет собой весьма специфическую группу трудовых ресурсов. Достаточно остро ощущает на себе безработицу именно молодежь. Во-первых, потому, что она имеет довольно высокий образовательный ценз (так, 1/3 всех специалистов с высшим и средним образованием в стране - молодежь 30 лет), но период ее профессионального становления растягивается на несколько лет. Во-вторых, в настоящее время вследствие повышения уровня притязаний молодые люди часто меняют место работы, стремясь работать на более престижном месте. В-третьих, около 2/3 всей молодежи в возрасте до 30 лет не имеет профессионального образования, что существенно ухудшает качество рынка труда. Кроме того, молодые специалисты со стажем работы до 5 лет часто оказываются среди высвобожденных работников государственных предприятий.
Лица средних возрастов (30-49 лет) - наиболее многочисленная группа в составе трудовых ресурсов. Данная группа характеризуется такими особенностями, как:
• высокий уровень занятости в народном хозяйстве страны;
• сложившиеся, устойчивые профессиональные интересы. Лица трудоспособного возраста старше 50 лет имеют следующие особенности:
• снижение физических возможностей;
• высокий уровень профессиональных знаний и наличие большого практического опыта;
• снижение уровня занятости по сравнению с предыдущей группой. Группа лиц пенсионного возраста, входящих в трудоактивное население, характеризуется низким уровнем образования, значительным весом женщин, низкой мобильностью и т д.
3.3. Сегменты рынка труда
Сегментация рынка труда - это разделение работников и рабочих мест на устойчивые замкнутые сектора, зоны, которые ограничивают мобильность рабочей силы своими границами. Сегментами рынка труда являются первичный и вторичный рынки труда.
Первичный рынок труда - это рынок, для которого характерны стабильный уровень занятости и высокий уровень заработной платы, возможность профессионального продвижения, прогрессивная технология, система управления и т.п.
Вторичный рынок труда характеризуется большой текучестью кадров и нестабильной занятостью, низким уровнем заработной платы, отсутствием профессионального продвижения, роста квалификации, наличием отсталой техники и технологий и отсутствием профсоюзов.
Причины разделения рынка труда на сегменты:
• различие в уровне экономической эффективности производства;
• различие в уровне социальной эффективности труда;
• различие в уровне социальной эффективности производства. Сегментация рынка труда предусматривает внутренний рынок труда, который можно охарактеризовать как систему социально-трудовых отношений, ограниченных рамками одного предприятия, внутри которого назначение цены рабочей силы и ее размещение определяются административными правилами и процедурами. Внутренний рынок труда обусловливается наличием и составом работников на предприятии, их движением внутри его, причинами перемещения, уровнем занятости, степенью использования оборудования, наличием свободных, вновь создаваемых и ликвидируемых рабочих мест. При рассмотрении процессов формирования труда любого уровня важно иметь в виду, что положение работника на нем обусловлено тремя состояниями: степенью подготовленности к работе (обучение и переобучение, инструктаж); поиском работы, предложением на рынке товара рабочей силы; занятостью в трудовом процессе на конкретном рабом месте.
Таблица 3.4
Основные особенности первичного и вторичного рынков труда
Особенности
|
Первичный рынок труда
|
Вторичный рынок труда
|
1. Уровень оплаты труда
|
Высокий
|
Низкий
|
2. Важнейшие зарплатообразующие факторы
|
Должность, стаж, квалификация, мера ответственности
|
Выработка, дисциплинированность
|
3. Специфика форм заработной платы
|
Высокая доля единовременных выплат, индивидуальный характер оплаты труда
|
Ведущая роль основной заработной платы, коллективная форма оплаты труда
|
4. Содержание труда
|
Творческий, высококвалифицированный
|
Исполнительный, рутинный труд
|
5. Условия труда
|
Хорошие
|
Плохие
|
6. Степень ответственности за конечные результаты производства
|
Высокие
|
Низкие
|
7. Поддержка со стороны профсоюзов
|
Большая
|
Малая
|
8. Характер занятости
|
Стабильный
|
Прерывный
|
9. Особенности рабочего времени
|
Нормальная или ненормированная продолжительность рабочего дня, недели, года
|
Неполные рабочий день, неделя, сезонная и временная работа
|
10. Продолжительность трудовых контрактов
|
Долгосрочная
|
Краткосрочная
|
11. Развитость нормирования труда
|
Низкая
|
Высокая ,
|
12. Доступ и работа из вне
|
Сложный
|
Простой
|
13. Доля женщин, молодежи, людей предпенсионного возраста, других лиц, нуждающихся в особой социальной защите
|
Низкая
|
Высокая
|
14. Степень социальной защищенности
|
Высокая
|
Низкая
|
15. Объем вложений в образование и профессиональную подготовку
|
Большой
|
Малый
|
16. Возможность продвижения по службе
|
Большая
|
Малая
|
17. Степень участия в управлении производством
|
Большая
|
Малая
|
Внешний рынок труда - это система социально-трудовых отношений между работодателями и наемными работниками в масштабе страны, региона, отрасли. Он предполагает первичное распределение работников по сферам приложения труда и их движение между предприятиями. Внешний рынок труда в значительной степени реализуется через текучесть кадров, он обеспечивает движение работников с одних предприятий на другие и порождает безработицу.
Изменение экономической и социально-политической ситуации в стране в последние годы привело к возникновению ряда новых явлений .в сфере занятости населения - сегментации рынка труда по формам собственности и статусу занятости, развитие неформального сектора, малого предпринимательства и др. Всех лиц, занятых в экономике в настоящее время, можно условно разделить на три группы: занятые в формальном государственном, формальном негосударственном (частном), неформальном секторах. К последнему из названных относится не зарегистрированная в соответствии с законодательством экономическая деятельность, занятые в которой не платят налогов.
В России складывающийся неформальный сектор чрезвычайно разнороден. Граница между формальным и неформальным секторами, формальным сектором и экономической неактивностью, неформальным сектором и “теневой” экономикой, “теневой” и криминальной экономикой довольно условна. Поэтому целесообразно рассматривать неформальный сектор в широком плане, включая смежные с ним формы деятельности.
Внутри неформального сектора можно выделить несколько Разновидностей занятости: по профессионально-квалификационному уровню доходов выделяются квалифицированная, достаточно хорошо оплачиваемая работа (частные уроки, медицинские услуги, пошив одежды, ремонт бытовой техники, строительные работы и т.п.), работа, не требующая квалификации (мелкая торговля, “челночный” бизнес, оказание различных услуг). Работа такого рода может дать как очень высокий, так и низкий доход. По способу осуществления неформальной деятельности и получения доходов выделяются индивидуально занятые работники, работники и владельцы мелких незарегистрированных производственных единиц, официально не оформленные работники в зарегистрированных организациях, неучетная, укрываемая от налогообложения деятельность предприятий формального сектора, приносящая их сотрудникам неучтенные доходы, неучтенная деятельность работников формального сектора, осуществляемая на рабочем месте, и т.п. По статусу занятых в неформальном секторе выделяются лица, занятые только в неформальном секторе, и лица, занятые как в неформальном, так и в формальном секторе. Какие-либо показатели масштабов занятости в неформальном секторе в официальной статистике отсутствуют.
Наряду с разделением на формальный и неформальный секторы происходит сегментация занятости в рамках формального сектора. К новым явлениям на рынке труда можно отнести развитие занятости в негосударственном секторе экономики. В результате разгосударствления предприятий, создания новых негосударственных предприятий, развития самостоятельной занятости населения в российской экономике формируется обширный негосударственный сектор, часть которого по-прежнему связана с государством (колхозы, АО с контрольным пакетом акций у государства), часть же является полностью частной формой организации производства.
Распределение численности занятого населения по месту работы, статусу занятости, полу, возрасту и уровню образования дает представление о структуре спроса на рабочую силу, о перераспределении занятых между секторами экономики. По данным выборочного обследования населения по проблемам занятости (октябрь 1994 г.), основными факторами занятости в настоящее время является работа на государственных и муниципальных предприятиях и в организациях, товариществах, акционерных предприятиях открытого и закрытого типов. Акционерные общества сложно однозначно отнести к новым формам занятости, поскольку в их число входят и АО с контрольным пакетом акций у государства, и АО, созданные путем переименования государственных предприятий, т.е. многие из них по сути близки к государственному сектору.
Анализируя новые явления в сфере занятости, особо следует выделить малые предприятия. Развитие малого бизнеса происходит как за счет разукрупнения и демонополизации действующих предприятий, так и создания новых. Этот процесс идет весьма динамично и охватывает все большую часть экономически активного населения. С учетом совместителей и работающих по договору подряда сфера малого предпринимательства охватывает более 20% занятого населения. Рост занятости на малых предприятиях происходит во всех отраслях, но динамика численности занятых по отраслям существенно различается. В 1995 г. в соответствии с Законом “О государственной поддержке малого предпринимательства в РФ” изменены критерии отнесения предприятий к малым (со средней численностью работников). Субъектами малого предпринимательства считаются коммерческие организации, в которых средняя численность работников не превышает: в промышленности, строительстве и на транспорте - 100 человек, в сельском хозяйстве и научно-технической сфере - 60, в оптовой торговле - 50, в розничной торговле и бытовом обслуживании - 30, в прочих отраслях - 50 (ранее к малым относились предприятия со средне-списочной численностью: в промышленности и строительстве - до 200 человек, в науке - 100, в других отраслях производственной сферы - до 50, а непроизводственной - до 15 человек).
Необходимо отметить, что любая страна формирует свой рынок труда, который учитывает специфику ее экономики. Имеются страны, ориентированные на внешний и на внутренний рынок труда. Обычно модель национального рынка формирует: система подготовки, переподготовки, роста квалификации работников. система заполнения вакантных рабочих мест и способов регулирования трудовых отношений и т.д. В этой связи различают несколько наиболее известных моделей рынка труда. Рассмотрим лишь три: японскую, американскую, шведскую.
Японская модель. Для нее характерна система трудовых отношений, основывающаяся на принципе “пожизненного найма”, при котором гарантируется занятость постоянного работника на предприятии до достижения им возраста 55-60 лет. Заработки работников и размеры социальных выплат им прямо зависят от числа доработанных лет. Работники последовательно проходят повышение квалификации в соответствующих внутрифирменных службах и перемещаются на новые рабочие места строго по плану. Такая политика способствует воспитанию у работников фирмы творческого отношения к выполнению своих обязанностей, повышению их ответственности за качество работы, формирует заботу о престиже фирмы и внутрифирменный патриотизм. Предприниматели при необходимости сокращения производства, как правило, решают эти проблемы не путем увольнения персонала, а сокращением продолжительности рабочего времени или переводом части работников на другие предприятия по соглашению с ними.
Американская модель. Здесь для рынка труда характерна децентрализация законодательства о занятости и помощи безработным, которая принимается каждым штатом отдельно. На предприятиях действует жесткое отношение к работникам, которые могут быть уволены при необходимости сокращения объема применяемого труда или сокращения производства, продолжительность рабочего времени одного работника не меняется. Работники ставятся в известность о предстоящем увольнении не заблаговременно, а накануне самого увольнения. Коллективными договорами охвачена только четверть всех работников. Мало уделяется внимания внутрифирменной подготовке персонала, за исключением подготовки специфических для фирмы работников. Продвижение по службе идет не по линии повышения квалификации, а при переводе работника на другую работу. Подобная политика фирм ведет к высокой географической и профсоюзной мобильности работников и к более высокому, чем в Японии и Швеции, уровню безработицы.
Шведская модель. Характеризуется активной политикой государства в области занятости, в результате чего уровень безработицы в этой стране минимальный. Главное направление политики на рынке труда - предупреждение безработицы, а не содействие уже потерявшим работу. Достижение полной занятости осуществляется путем проведения:
• ограничительной фискальной политики, которая направлена на поддержку менее прибыльных предприятий и сдерживание прибыли высокодоходных фирм для снижения инфляционной конкуренции между фирмами в повышении заработной платы;
• “политики солидарности” в заработной плате, которая преследует цель достижения равной оплаты за равный труд независимо от финансового состояния тех или иных фирм, что побуждает малоприбыльные предприятия сокращать численность работающих, сворачивать или перепрофилировать свою деятельность, а высокоприбыльные фирмы - ограничивать уровень оплаты труда ниже своих возможностей;
• активной политики на рынке труда по поддержке слабоконкурентоспособных работников. Для этого предприниматели получают значительные субсидии;
• поддержки занятости в секторах экономики, которые имеют низкие результаты деятельности, но обеспечивают решение социальных задач.
Сегментация рынка труда позволяет проанализировать причины и факторы, влияющие на мобильность рабочей силы на рынке труда, определить его перспективы. Сегментирование производится по разным критериям и в зависимости от различных признаков. Их набор может включать следующие разновидности:
• демографические характеристики, которые включают пол, возраст, состав семьи;
• географическое положение (определенный регион, город, район и т.д.);
• социально-экономические характеристики рабочей силы на рынке труда (образование, профессиональные знания, уровень квалификации, стаж работы и т.д.);
• экономические показатели, характеризующие работодателей с точки зрения их финансового состояния, формы собственности, а также показатели, характеризующие наемных работников по их обеспеченности;
• психофизиологические качества работника (личные качества физическая сила, темперамент, их принадлежность к определенным слоям общества и тд.);
• поведенческие характеристики с точки зрения мотивации занятости и др.
Подобное изучение составляет содержание маркетинга рынка труда. При его проведении особо выделяют сегменты, в которых сосредоточены малоконкурентоспособные группы лиц, нуждающихся в работе. Сегментация рынка труда изучается при помощи одно- и многофакторных моделей (табл. 3.5)
3.4. Предложение и спрос на рынке труда
Рынок труда, как и любой товарный рынок, развивается по законам спроса и предложения.
Предложение рабочей силы - это потребность различных групп трудоспособного населения в получении работы по найму и на этой основе - источника средств существования. Предложение труда обусловливается следующими факторами:
• численностью населения, прежде всего трудоспособного;
• средним количеством рабочих часов за определенное время (неделя, месяц, год);
• количественным составом населения, его квалификационным уровнем, соответствующей структурой.
Таблица 3.5
Многофакторная модель сегментирования предложения труда по категориям населения, обращающимся в службу занятости
Факторы выделения сегментов рынка труда
|
Категории населения
|
Мотивация занятости, чел*
|
Всего обратилось в службу занятости
|
в том числе
|
А**
|
Б
|
В
|
Г
|
мужчины
|
женщины
|
Численность граждан, ищущих работу через службу занятости населения
из них:
учащиеся, желающие работать в свободное от учебы время
пенсионеры, желающие работать безработные граждане
лица, ищущие работу
лица, имеющие длительный перерыв в работе
беженцы и вынужденные переселенцы
граждане, освобожденные из ИТУ
|
|
|
|
|
|
|
|
* По результатам социологических опросов.
" Варианты ответов: А - намерен работать только по специальности; Б - согласен на любую высоко- или среднеоплачиваемую работу; В - согласен на любую работу; Г - затрудняюсь в определении намерений трудоустройства.
|
Спрос на рабочую силу отражает потребность экономики в определенном количестве работников на каждый данный момент времени. Обычно эта потребность выражается в физических лицах или в среднегодовом исчислении. Общий спрос количественно должен быть равен численности занятых плюс имеющиеся вакансии. Спрос на труд является показателем, в котором скрыто множество экономических явлений и процессов, порождающих этот спрос, и возникает в силу наличия рабочих мест.
В зарубежном курсе “Экономика труда” предложение и спрос на рынке труда изучаются путем описания нескольких моделей взаимодействия продавцов и покупателей ресурсов труда в зависимости от степени конкуренции. Рассмотрим один их таких вариантов. Кривая спроса на рынке труда показывает, сколько работников хотели получить работодатели на каждой определенной ставке заработной платы при допущении, что цена капитала и уровень спроса на продукт остаются неизменными. Кривая предложения труда рынку указывает, сколько работников могут выйти на рынок на каждом уровне ставки заработной платы при допущении, что заработная плата по другим профессиям останется постоянной. Эти кривые могут быть расположены на одном и том же графике, и дадут очень интересную информацию (рис. 3.3).

Рис. 33. Спрос и предложение на рынке труда
Предположим, что рыночная заработная плата установилась на W1. При такой низкой зарплате спрос будет высоким, но предложение низким. Следовательно, в таких условиях работодатели будут конкурировать на рынке за немногих работников, в результате чего возникает нехватка работников. Стремление фирм привлечь работников приведет к тому, что они предложат высокую заработную плату, тем самым подняв общий уровень предлагаемой заработной платы на рынке.
Исходя из построения кривых можно наблюдать два явления. Во-первых, если заработная плата вырастет, то большее число работников решат выйти на рынок и приступить к поиску работы (движение вдоль кривой предложения). Во-вторых, она заставит искать меньшее число работников (движение вдоль кривой спроса). Если заработная плата поднимется до W2 предложение превысит спрос. Работодателям потребуется меньше работников, чем их присутствует на рынке, и не все желающие получат рабочее место, в результате чего образуется избыток работников. У работодателей соберутся длинные очереди претендентов на любое образовавшееся рабочее место. В скором времени работодатели начнут понимать, что могут заполнить рабочие места квалифицированными кандидатами, даже предложив низкую заработную плату. Далее, если они будут платить более низкую заработную плату, у них возникнет желание нанять большее число работников. Некоторые из работников согласятся на это, поскольку они просто нашли работу. Другие покинут рынок и будут искать работу в других местах. Таким образом, спрос и предложение приблизятся к равновесию, когда заработная плата пойдет вниз с уровня W2.
Когда заработная плата равна Wе, работодатели могут заполнить все рабочие места, имеющиеся у них, а все работники, желающие получить работу, найдут ее. При We нет ни недостатка, ни избытка. Все стороны удовлетворены и не появляются силы, которые стремились бы изменить заработную плату. Рынок находится в равновесии, пока заработная плата остается на уровне Wе.
Наиболее существенным представляется уровень жизни населения и конкретного индивида, воздействующий определенным образом на решение человека о предложении своего труда. Особое место здесь занимает заработная плата. Ее воздействие проявляется в двух аспектах: во-первых, величина заработной платы способна влиять на микроуровне на решение индивида об участии в общественном производстве, если предлагаемый заработок способен повысить его уровень жизни. Различие ставок заработной платы в тех или иных сферах деятельности определенным образом воздействует на решение индивида о возможной сфере приложения своего труда. Во-вторых, следует учитывать, что даже приняв решение о предложении рабочей силы, индивид может варьировать ее количеством, т.е. величину отрабатываемых человеко-часов. Если до определенного момента индивид склонен увеличивать количество человеко-часов вместе с ростом ставки заработной платы (так называемый “эффект замены”), то в дальнейшем он уступает место “эффекту дохода”, согласно которому при росте ставки заработной платы может происходить сокращение предложения труда, ибо для индивида вследствие увеличившегося дохода возрастает ценность досуга. Для совокупности индивидов на рынке труда в целом ^зависимость предложения от ставки вознаграждения будет иметь классический вид, поскольку уровень заработной платы, за которым следует эффект дохода, сугубо индивидуален.
Эффект замены возникает, когда при высокой заработной плате свободное время рассматривается как потенциальный избыток. Часы досуга все более дороги, и работник предпочитает вместо досуга работать. Это ведет к росту предложения труда.
Эффект дохода возникает тогда, когда высокая заработная плата рассматривается как источник возможности увеличить свой досуг, свободное время. Рост же свободного времени уменьшает предложение труда.
Таким образом, важно количественно определить предложение и спрос, а также статистические материалы, которые предназначены для этих целей.
В количественном выражении предложение рабочей силы равно числу лиц, выходящих на открытый рынок труда и обращавшихся по вопросам найма в службы занятости или непосредственно на предприятия.
На перспективный период оно должно включать в себя лиц, не занятых трудовой деятельностью и ищущих работу, а также лиц, которые выйдут на рынок труда в течение прогнозируемого периода. К последним относятся: высвобождаемые работники; увольняемые работники (по причинам текучести и в связи с окончанием срока договора); выпускники общеобразовательных учреждений; лица, прибывшие из других территорий; лица, выходящие на рынок труда из домашнего и личного подсобного хозяйства.

Рис. 3.4. Предложение труда индивида:
W/P - уровень заработной платы, при котором начинает действовать эффект дохода;
L - соответствующий W/P уровень предложения труда;
SS' - кривая предложения труда;
М - точка критического перехода от роста предложения труда, связанного с
эффектом замены, к уменьшению предложения труда, зависящего от эффекта
дохода. Выше точки М преобладает действие эффект дохода с получением
заработной платы W/P; ниже точки М эффект замены доминирует.
Предложение рабочей силы следует определять с учетом статистической информации о численности и половозрастной структуре трудовых ресурсов, экономической активности различных категорий населения, уровня занятости лиц старших возрастов и подростков. Спрос на рабочую силу формируется по отраслям и в количественном выражении должен совпадать с общей дополнительной потребностью предприятий и организаций в работниках (вне зависимости от организационно-правовых форм и форм собственности). При расчете спроса на рабочую силу определяются потребность предприятий в новых работниках и потребность предприятий в работниках, необходимых для замены выбывающих (вне зависимости от причин). Таким образом, удается установить численность лиц, которые могут быть трудоустроены.
В качестве исходной информации используются данные текущего статистического учета и специальных обследований, проводимых непосредственно на предприятиях. На этой базе с учетом структурных изменений проводится анализ перспектив развития отдельных сфер занятости. Отраслевой разрез информации характеризуется двумя группами показателей: структурой занятых в народном хозяйстве и структурой занятых в отраслях промышленности.
Для всесторонней оценки состояния и перспектив региональной занятости необходимо осуществлять сбор информации о потребности предприятий в рабочей силе не только в целом, но и по профессиям' (специальностям), проводя при необходимости их группировку.. С использованием данных о потребностях в работниках конкретных профессий (специальностей) и на основе балансовых методов расчета общая величина потребности экономики региона или отдельных отраслей в рабочей силе устанавливается значительно более точно.
Важнейший этап оценки прогнозирования регионального рынка труда - сопоставление названных показателей - можно оценить фактическую и ожидаемую ситуацию на рынке труда, установить наличие недостатка или избытка рабочей силы и уже на этой основе разрабатывать систему мер по совершенствованию региональной занятости.
3.5. Безработица
Под безработицей обычно понимается несоответствие на рынке труда, когда предложение труда превышает спрос, причем это несоответствие может быть как в количественном, так и в качественном отношении. Безработицу необходимо рассматривать с различных точек зрения, выясняя наиболее важные понятия, ее характеризующие. С этих позиций ее изучение осуществляется в следующем порядке: статус безработного; уровень безработицы; распространенность безработицы и движение безработных; продолжительность безработицы; типы безработицы.
Безработным, по методологии Международной организации труда (МОТ), считается тот, кто в настоящий момент не имеет работы, ищет ее, готов к ней приступить и не имеет других источников дохода, кромe заработной платы в сфере оплачиваемой занятости. По российскому законодательству, безработными признаются трудоспособные граждане, которые не имеют работы и заработка, зарегистрированы в органах службы занятости в целях поиска подходящей работы, ищут работу и готовы приступить к ней. Следует отметить, что принятая система учета безработицы в нашей стране не отражает действительных тенденций в развитии российского рынка труда, поскольку большинство безработных не регистрируются на биржах труда, предпочитая искать работу самостоятельно или прибегая к услугам негосударственных посреднических структур.
В соответствии с методикой Федеральной службы занятости России, подготовленной с учетом международных норм, показатель уровня безработицы определяется по следующей формуле:

,
где Уб - уровень безработицы;
ЭА - численность экономически активного населения;
3 - численность занятых.
Таблица 3.6
Динамика численности безработных и уровня официально зарегистрированной безработицы в России
На конец периода, годы
|
Численность безработных, тыс. чел.
|
Уровень безработицы, %
|
1991 61,4 0,08
1992 577,7 0,76
1993 835,5 1,11
1994 1635,7 2,21
1995 2326,9 3,15
1996 2506,0 3,4
|
Как следует из таблицы, скачок численности официально зарегистрированных безработных произошел в 1992 г. Затем в течение последующих лет численность безработных возросла, но темпы роста несколько снизились. Для получения наиболее полной картины важно проанализировать показатели безработицы по причинам увольнений на основании данных о лицах, обратившихся в государственную службу занятости, также уровень безработицы по регионам страны с выделением показателей: зарегистрировано безработных и доля безработных, которым назначено пособие.
Современная наука использует понятие естественного уровня без-работицы. В разных странах уровни безработицы существенно различаются, поскольку они зависят от естественной безработицы (уровня), рг фазы экономического цикла, в которой находится страна, а также от проводимой государственной политики занятости. В зарубежных странах естественной уровень безработицы 4-6%, в России - 3-5%.
Таблица 3.7
Уровень безработицы по отдельным странам
Страны
|
1995
|
Процент
безработицы
|
1996
|
Процент
безработицы
|
Австралия
Австрия
Бельгия
Великобритания
Германия
Испания
Канада
Польша
Словакия
США
Финляндия
Чехия
Чили
Швеция
Япония
|
сентябрь
август
сентябрь
август
сентябрь
2 кв.
июль
сентябрь
2 кв.
октябрь
сентябрь
июль
2 кв.
сентябрь
сентябрь
|
8.4
5.4
14,8
8,4
10,2
22,7
9,8
15,0
13,3
5,2
16,4
2,9
5,8
7,9
3,2
|
сентябрь
август
сентябрь
август
сентябрь
2 кв. июль
сентябрь
2 кв.
октябрь
сентябрь
июль
2 кв.
сентябрь
сентябрь
|
8,7
5,7
14,2
7,8
11,2
22,3
9,8
13,5
12,1
4,9
15,1
3,0
6,6
8,3
3,3
|
Как видно из табл. 3.7, наибольший уровень безработицы отмечен в Испании, Финляндии, Бельгии, Польше и Германии. Наименьший - в Чехии и Японии. Низкий уровень безработицы в этих странах объясняется целенаправленной политикой государства на рынке труда этих стран.
Весьма важно определить продолжительность безработицы, т.е. _змененну, которая характеризует в среднем длительность поиска работы лицами, имеющими статус безработного на конец рассматриваемого периода, а также теми безработными, которые были в этом периоде трудоустроены.
Размеры пособий по безработице дифференцируются в зависимости от категории граждан, признанных безработными. Уволенным с предприятия по любым основаниям в течение 12 месяцев, предшествующих началу безработицы, и имевшим в этот период оплачиваемую работу не менее 12 календарных недель на условиях полного рабочего дня (недели) или на условиях неполного рабочего дня (недели) с пересчетом на 12 календарных недель с полным рабочим днем, пособие по безработице выплачивается:
• в первые три месяца безработицы - в размере 75% от их среднемесячного заработка, исчисленного за последние три месяца по последнему месту работы (службы);
• в следующие четыре месяца - в размере 60%;
• в дальнейшем - в размере 45%, но во всех случаях не ниже установленного законом минимального размера оплаты труда и не выше уровня средней заработной платы, сложившегося в республике, крае, области, городах Москве и Санкт-Петербурге, автономной области, автономном округе.
Пособие по безработице во всех иных случаях устанавливается в размере минимальной оплаты труда.
Продолжительность выплаты пособия в каждом периоде безработицы не может превышать 12 месяцев в суммарном исчислении в течение 18 календарных месяцев, за исключением лиц предпенсионного возраста, для которых период выплаты пособия при определенных условиях может достигать 24 календарных месяцев. По истечении 12-месячного периода выплаты пособий по безработице большая часть безработных граждан, не найдя работу, оказывается в тяжелом финансовом положении, поскольку в последующие 6 месяцев они не имеют права на получение пособия.
Современные экономисты рассматривают безработицу как естественную и неотъемлемую часть рыночной экономики. В этой связи целесообразно большое внимание уделять анализу типов безработицы. Основными ее типами являются: фрикционная, структурная и циклическая, имеется также специфический тип безработицы - скрытая.
Фрикционная безработица связана с изменением в предложении труда. Поскольку человеку предоставлена свобода выбора рода деятельности и места работы, то он обычно использует это право. Одни добровольно меняют место работы, другие ищут новую работу из-за увольнения, некоторые теряют временную, сезонную работу, а отдельная категория (молодежь) впервые ищет _зботу. Часть людей из этой категории трудоустраивается, часть продолжает искать работу- в то же время происходит увольнение новых работников в силу отмеченных выше причин, и так без конца. Рынок труда функционирует неповоротливо, со скрипом, не приводя в соответствие количество рабочих и рабочих мест. Фрикционная безработица считается неизбежной и желательной, поскольку инициатива увольнения исходит от самого человека и многие работники при увольнении переходят с низкооплачиваемой, малосодержательной на более высокооплачиваемую и содержательную работу.
Структурная безработица, иногда ее называют “составная”. Сущность ее заключается в изменении со временем структуры потребительского спроса и технологии, которые влекут за собой изменения структуры общего спроса на труд. Предложение труда, будучи более инертным элементом рынка труда в силу устойчивости психологических стереотипов людей, зачастую не соответствует по качественным параметрам изменившемуся спросу на труд. В связи с невозможностью быстрой подготовки новых и переподготовки ранее занятых работников возникает дисбаланс спроса и предложения труда в различных отраслях. Структурная безработица более длительная и нежелательная.
Циклическая безработица - это безработица, которая вызывается спадом производства, снижением инвестиций в экономику. Когда совокупный спрос на товары и услуги уменьшается, занятость сокращается, а безработица растет.
В последние годы в России появился новый тип безработицы - скрытая. Спад производства и неадекватное ему сокращение занятости - главная причина скрытой безработицы. Экономической возможностью ее существования является падение реальной заработной платы работников (рис. 3.5).
Кривая Р описывает предложение труда, которое увеличивается при росте реальной заработной платы, кривая С0 - спрос на труд, снижающийся с повышением реальной заработной платы. Очевидно, что положение кривой спроса на труд С0 соответствует некоторому фиксированному объему производства. Если реальная заработная плата при этом объеме производства равна Z1, то численность занятых составит LZ2 , предложение труда - LH, а разность LP - LZ определит величину скрытой безработицы. Если объем производства сократится, кривая спроса на труд сместится в положение C1. Чтобы реальная заработная плата осталась на уровне Z1, необходимо уменьшить численность занятых до значения LZ, . Если по каким-то причинам сокрашения занятости не происходит, т.е. накапливается скрытая безработица в объеме LZ2 - LZ1, то реальная заработная плата смещается в точку LP1 .
Таким образом, в точке О работодатели согласны содержать излишнюю численность работников только за счет снижения реальной заработной платы, и те в силу отсутствия возможности продать свой труд по более дорогой цене вынуждены соглашаться. При этом в условиях роста скрытой безработицы и снижения реальной заработной платы открытая безработица может даже сократиться (она станет равной Lp1 -Lp2 ) из-за снижения предложения труда.

Рис. 3.5. Взаимосвязь реальной заработной платы и численности
работников
Скрытая безработица включает потери рабочего времени в связи с низкой интенсивностью труда, потери продукции на стадии хранения, транспортировки и реализации, отвлечения рабочей силы от основной деятельности, устранение целодневных и внутрисменные потерь рабочего времени, а также излишнюю численность работников, образующуюся в результате снижения объемов производства, свертывания убыточных производств, перепрофилирования предприятий и т.д. без адекватного снижения численности работающих. Практика последних лет показала, что в период спада объемов производства, как правило, падает и производительность труда при сохранении численности _збочих или при небольшом сокращении, т.е. имеется очень большой разрыв между этими процессами.
Скрытую безработицу, по нашему мнению, следует разделить на официальную и неофициальную. К официальной скрытой безработице относятся регистрируемые статистикой лица находящиеся в административных отпусках по инициативе администрации, а также лица, вынужденные работать в условиях неполного рабочего времени. В неофициальную скрытую безработицу следует включать избыточную внутрипроизводственную численность работников и тех, кто ищет работу самостоятельно, не обращаясь в службы занятости. Размеры и формы существования этой части скрытой безработицы определяются с помощью проведения специальных выборочных обследований. Характерными признаками неофициальной скрытой безработицы могут быть неполное и неэффективное использование рабочего времени, недостаточное использование квалификационных и профессиональных способностей работников и т.д.
С целью изучения скрытой безработицы непосредственно на _зменении_иях осуществляются специальные обследования с использованием балансовых методов определения потребности в рабочей силе. Проводятся опросы экспертов из числа руководителей и специалистов предприятий, представителей органов управления, ведущих ученых.
Характер современной безработицы в России, ее особенности проявляются в формах безработицы, ее структуре и показателях, социальных _зменении_иях, характере и соотношении факторов, определяющих масштабы, уровень и продолжительность.
Логическим продолжением анализа форм безработицы является характеристика ее структуры по следующим признакам:
• полу, с выделением наименее защищенных в социальном отношении безработных женщин;
• возрасту, с выделением молодежной безработицы и безработицы лиц предпенсионного возраста;
• социальным группам (рабочие, интеллигенция, служащие, технические исполнители);
• уровню образования;
• профессиональным и стажевым группам;
• уровню доходов и обеспеченности;
• причинам увольнения;
• ментальным группам.
Анализ структуры безработицы целесообразно проводить на основе сочетания экономико-статистических, оперативных и социологических методов исследования. Итогом анализа может явиться разработка “Социально-демографического портрета российского безработного” .
Главная “цена” безработицы - невыпущенная продукция. Когда экономика не в состоянии создать достаточное количество рабочих мест для всех, кто хочет и может работать, потенциальное производство товаров и услуг теряется безвозвратно.
Известный американский исследователь в области макроэкономики Артур Оукен математически выразил отношение между уровнем безработицы и отставанием объема ВНП (валовой национальный продукт). Это отношение известно во всем мире как закон Оукена, в соответствии с которым каждые 2%, на которые реальный объем производства превышает свой естественный уровень, сокращают уровень безработицы и, наоборот, каждые 2% сокращения реального национального объема производства ниже естественного уровня увеличивают уровень безработицы на 1 % по сравнению с естественным уровнем безработицы.
Таблица 3.8
Формы российской безработицы
Критерии классификации
|
формы безработицы
|
Разновидности форм
|
Сфера распространения
|
3.Причины возникновения безработицы
2. Продолжительность
4.Внешняя форма проявления безработицы
|
Текущая
Структурная
Циклическая
Сезонная
Экстремальная
Застойная
Краткосрочная
Скрытая
Открытая
|
Конвертоспособная
Технологическая
Конъюнктурная
Аграрная
Частичная
|
Повсеместно
Центры ВПК
Города с градооб-разующими предприятиями
в период спада производства
в сельском хозяйстве, промысловых отраслях, строительстве Районы интенсивной миграции населения, “горячие точки” и т.д. Повсеместно
Повсеместно
Сельская местность Промышленные центры
Повсеместно
|
Примечания. 1) текущая безработица - это постоянная часть безработицы, составной элемент нормальной безработицы. Данный термин соответствует западному эквиваленту “фрикционная безработица”; 2) застойная безработица - когда безработный вследствие длительного пребывания в сфере незанятости теряет полностью или в значительной мере свою квалификацию и надежду получить новое рабочее место, т.е. становится неконкурентоспособным на рынке труда.
|
Безработица имеет и серьезные социальные последствия. Поскольку _збота - это, с одной стороны, источник получения дохода, а с другой - средство самоутверждения человека в обществе, то потеря занятости означает не только утрату этих статусов.
3.6. Государственная политика в области
занятости
Полшпика занятости - это совокупность мер прямого и косвенного воздействия на социально-экономическое развитие общества и каждого ^о члена. Она имеет несколько уровней: общегосударственный, региональный и локальный. В настоящее время можно выделить три основные модели политики занятости, используемые в странах с развитой рыночной экономикой.
Европейская модель предполагает сокращение числа занятых при повышении производительности труда и, как следствие, росте доходов работающих; такая политика предполагает дорогостоящую систему пособий для большого количества безработных.
Скандинавская модель основывается на обеспечении занятости практически всем трудящимся путем создания рабочих мест в государственном секторе со средними условиями оплаты труда. Такая политика рассчитана в основном на государственные средства при дефиците которых наступает спад производства, что влечет за собой увольнения.
Американская модель ориентируется на создание рабочих мест, не требующих высокой производительности, для значительной части экономически активного населения. При этом безработица формально уменьшается, но увеличивается количество людей с низкими доходами.
Использование той или иной модели влияет на политику занятости как на макро-, так и на микроуровне. На макроуровне новые подходы в политике занятости способствуют повышению гибкости рынка труда, уменьшению расходов на рабочую силу, ведут к некоторому свертыванию социальных программ. Однако расширяются системы подготовки и переподготовки кадров, создаются дополнительные рабочие места, ужесточаются условия выдачи пособий. Принимаются меры по усилению роли частного сектора в решении проблем занятости, других социальных проблем. На микроуровне проводится политика сдерживания роста заработной платы, удлинения продолжительности рабочей недели, более широко используются различные формы неполной занятости. В результате кризисные явления обостряются.
Существуют два основных варианта выбора средств политики занятости: активный и пассивный. Активная политика занятости- это совокупность правовых, организационных и экономических мер, проводимых государством с целью снижения уровня безработицы. Она предусматривает мероприятия, связанные с предупреждением, профилактикой увольнений работников для сохранения рабочих мест; обучение, переподготовку и повышение квалификации лиц, ищущих работу; активный поиск и подбор рабочих мест; финансирование создания новых рабочих мест; организацию новых рабочих мест через систему общественных работ. Пассивная политика предусматривает выплату пособий безработным и предоставление услуг по подбору рабочего места через государственную службу занятости. Часто применяют термин - умеренно пассивная политика, которая также предусматривает материальную поддержку безработных, но более разнообразные, чем в первом варианте, услуги по подбору рабочих мест.
Внешне оба этих варианта экономичны с точки зрения текущих госу-дарственных расходов. Однако тактика пассивного ожидания экономического подъема может оправдать себя только при высокой гибкости рынка труда и _збочей силы в целом, позитивных экономических перспективах, при которых высока возможность самостоятельного трудоустройства. В противном случае сдерживающие регуляторы пассивной политики на рынке труда окажутся слабыми и могут только ухудшить ситуацию. Отсутствие активной политики может значительно сузить функции службы занятости, превратив ее в обычный собес.
В соответствии с действующим законодательством о занятости населения государственная политика РФ в области содействия занятости населения направлена на:
• развитие людских ресурсов для труда;
• обеспечение равных возможностей всем гражданам РФ независимо от факторов (пол, возраст и т.д.) в реализации права на добровольный труд и свободный выбор занятости;
• создание условий, обеспечивающих достойную жизнь и свободное развитие человека;
• поддержку трудовой и предпринимательской инициативы граждан, осуществляемой в рамках законности, а также содействие развитию их способностей к производительному, творческому труду;
• обеспечение социальной защиты в области занятости населения, проведение специальных мероприятий, способствующих обеспечению занятости граждан, особо нуждающихся в социальной защите и испытывающих трудности в поиске работы;
• предупреждение массовой и сокращение длительной (более одного года) безработицы;
• поощрение работодателей, сохраняющих действующие и создающих новые рабочие места прежде всего для граждан особо нуждающихся в социальной защите и испытывающих трудности в поиске работы;
• сочетание самостоятельности органов власти субъектов РФ, органов местного самоуправления в обеспечении занятости населения;
• координацию деятельности в области занятости населения с деятельностью по другим направлениям экономической и социальной политики;
• координацию деятельности государственных органов, профессиональных союзов, иных представительных органов работников и работодателей в разработке и реализации мер по обеспечению занятости населения и контроля за ними;
• международное сотрудничество в решении проблем занятости населения и т.д.
Проведение активной государственной политики занятости населения осуществляется путем разработки и реализации федеральной и региональной программ занятости, которые формируются исходя из ситуации на рынке труда и прогноза его развития.
Государственная политика на региональном уровне реализуется в рамках федеральной программы, а также путем региональных и местных программ содействия занятости населения, учитывающих особенности демографического и социально-экономического развития территорий. Обычно региональные программы занятости населения делятся на три уровня:
• республиканская проблема занятости населения, которая содержит набор мероприятий, реализуемых только на уровне республики;
• областная (краевая) программа определяет мероприятия по занятости населения в рамках данного уровня. Например, выделение городов приоритетного развития;
• районная (городская) программа занятости. Она представляет собой набор конкретных мероприятий, направленных на решение проблем отдельных участников рынка труда.
Региональное регулирование занятости позволяет учитывать многие особенности развития регионов и на их основе разрабатывать конкретные целенаправленные мероприятия по созданию условий занятости в зависимости от форм собственности, размеров предприятий и тд. Важным способом смягчения ситуации на региональных рынках труда может стать использование нестандартных форм организации занятости (НФЗ). Оно открывает возможность воздействия на занятость путем ограничения предложения рабочей силы на открытом рынке труда, позволяет ограничивать масштабное высвобождение занятых и предупреждать всплеск безработицы. Внедрение НФЗ является мерой, отвечающей как интересам индивидов и работодателей, так и общества в целом.
С позиции продавцов рабочей силы, особенно представляющих женщин и молодежь, НФЗ явились удобной формой сочетания необходимости работать за плату по найму с другими видами общественно полезной деятельности, например, учебой, воспитанием детей и семейными обязанностями, а также единственно приемлемым способом постепенного включения или выхода из трудовой деятельности (молодежь, инвалиды, пожилые и др.).
Интересам предпринимателей эти формы занятости соответствуют по целому ряду параметров. Во-первых, в отдельные периоды использование НФЗ продиктовано объективными требованиями производства (сокращением его объемов в связи с циклическим кризисом, необходимостью капитального ремонта или замены оборудования и его наиболее квалифицированного и опытного кадрового костяка, сокращение издержек, связанных с увольнением рабочей силы, а позднее - наймом новой). Во-вторых, привлечение дополнительной рабочей силы на принципах нестандартных режимов занятости в большинстве случаев выгодно в финансовом положении, так как не ведет к пропорциональному росту издержек на рабочую силу. В-третьих, интенсивность, производительность, а значит и эффективность некоторых видов труда при НФЗ оказываются даже более высокими, чем при традиционных режимах его организации. Это относится прежде всего, к занятым трудом творческим, выполняющим нешаблонные, не повторяющиеся, различные по набору операций задания, которые зачастую не совпадают с традиционно установленной продолжительностью рабочего времени, да по существу и не могут быть точно уложены в определенный временной график.
На макроэкономическом уровне использование НФЗ открывает возможность снизить остроту проблем занятости за счет обеспечения на рынке труда уязвимым категориям населения способа получения Дохода и поддержания уровня своей квалификации и работоспособности. НФЗ может стать одним из методов смягчения безработицы в массовых и застойных ее формах, а также способом мобилизации, в случае необходимости, имеющихся резервов труда, преодоления мобильности, свойственной определенным сегментам рабочей силы (инвалиды, пожилые, молодежь, женщины и т.п.).
К настоящему времени в странах с развитой рыночной экономикой в нестандартных режимах трудится от 25 до 30% всех занятых и сложилась разветвленная и многообразная система организационных форм такой занятости. К числу разновидностей НФЗ могут быть отнесены:
• частичная занятость, основанная на использовании рабочей силы в течение времени ненормальной или нестандартной продолжительности, включая временную занятость (сезонная, поденная, работа по контракту, временные общественные работы и т.п.); занятость в течение неполного рабочего дня или неполной рабочей недели; чередование на рабочем месте (распределение рабочего места в течение рабочей смены нормальной продолжительности между двумя или более работниками);
• основанные на нетрадиционных способах организации трудовой _змтельности или рабочего времени: надомный труд; совместительство (или труд на принципах двойственной занятости); гибкие графики труда (ГГТ) или, как иначе называют, гибкие графики рабочего времени.
• самозанятосгь предполагает самостоятельный поиск трудовых занятий и создание рабочих мест отдельными гражданами за счет их собственных средств в целях получения постоянного или временного дохода и удовлетворения личных потребностей в самореализации. Самозанятость является одним из важнейших направлений предупреждения и смягчения безработицы. Формами _змозанятости являются индивидуальная трудовая деятельность и предпринимательство в сфере малого бизнеса.
Помимо рассмотренных ранее видов занятости в государственном и частном секторах экономики, новым явлением в сфере занятости населения _зменется деятельность в неформальном секторе экономики. Международная организация труда к неформальному сектору экономики относит небольшие заведения по производству и продаже товаров и услуг с незначительным капиталом, низким уровнем производительности труда и нестабильной занятостью, обеспечивающей невысокие и нерегулярные доходы. Обычно эти заведения не учитываются статистикой, не поддерживаются правительством, на них не распространены система социальной защиты, трудовое законодательство и т.д.
Появление неформального сектора в экономике особенно характерно для развивающихся стран. По оценкам международных экспертов, в этом секторе работает от 30 до 50% всех занятых в городах. Виды неформальной деятельности многообразны, основные из них: уличная торговля; ремонтные работы; _змтельность, связанная с программным обеспечением компьютеров; бухгалтерские работы и секретарские услуги; работа по договору с предприятием формального сектора в ряде отраслей для снижения издержек и увеличения гибкости производства; домашние услуги и пр. Причины, побуждающие людей заниматься такого рода деятельностью, различны. Для некоторых самозанятость обеспечивает более гибкий режим работы. Многие умышленно скрываются от властей с тем, чтобы сохранить социальные пособия или избежать налогообложения (самозанятость пенсионеров, например). В России наметился рост неформального сектора экономики.
Факторами роста неформальной занятости являются:
• уровень безработицы (масштабы неформальной занятости значительнее в регионах, где он выше);
• менее благоприятные условия для легального бизнеса (чем хуже эти условия, тем выше уровень неформальной занятости);
• нехватка новых рабочих мест в формальном секторе экономики (чем меньше создано новых рабочих мест в регионе, тем выше уровень неформальной занятости).
Большинство работников в неформальном секторе (около 65%) занимаются торговлей промышленными и продовольственными товарами на улице, в коммерческих ларьках, на рынке и т.д. Далее по значимости идут посреднические и прочие услуги - 22%, производство сельскохозяйственной продукции и сбыт - 8, производство товаров - 5%.
Положительные стороны занятости в неформальном секторе экономики:
• уменьшение безработицы благодаря занятости в неформальном секторе;
• небольшие предприятия, организуемые в неформальном секторе, _зменются начальной ступенью в создании собственного дела, которое может превратиться в более серьезную форму предпринимательства и увеличить число новых рабочих мест.
Негативные стороны занятости в неформальном секторе экономики:
• экономические и правовые трудности работников;
• большинство из занятых имеют очень небольшой капитал, низкий технический и управленческий уровень, осуществляют свою деятельность в неприспособленных помещениях или на улице;
• высокие налоги, которые приходится платить государству, а главное поборы рэкетиров и штрафы милиции;
• отсутствие социального страхования и других мер социальной защиты;
• высокий риск финансовых потерь при совершении различных торговых или посреднических сделок.
3.7. Миграция населения
Важнейшим фактором, отражающим состояние занятости всех социально-демографических групп населения, является степень его мобильности, которая отражает готовность и возможность населения изменять социальный статус, профессиональную принадлежность и место проживания. Мобильность обусловлена потребностями экономики в труде определенного содержания и места приложения, а также способностью и готовностью личности к _змененииям в существенных характеристиках труда.
Мобильность рабочей силы подразделяется на социально-профессиональную и территориальную. Социально-профессиональная мобильность - это процесс изменения содержания трудовой деятельности, вызванной различными причинами. Она непосредственно связана с текучестью рабочей силы. Территориальная мобильность - это миграция, под которой понимается именно пространственное перемещение трудоспособного населения, вызываемое изменениями в развитии и размещении производства, условиях существования рабочей силы. Мобильность рабочей силы характеризуется определенными факторами, которые можно разделить на четыре группы:
1) предусматривающие настоятельность изменений в мобильности рабочей силы;
2) отражающие желательность мобильности в силу целого ряда социально-экономических обстоятельств;
3) оценивающие легкость мобильности через систему характеристик, которые могут способствовать либо препятствовать ей;
4) отражающие информированность человека о возможных вариантах мобильности, что крайне важно в условиях переходного периода к рыночной экономике.
Таблица 3.9
Факторы мобильности рабочей силы
Факторы мобильности
|
Социально-профессиональная
|
Территориальная
|
I Настоятельность перемещения
|
1.Текущее положение
|
Зарплата, условия труда, содержание труда, рабочее время
|
Уровень жизни, социальная инфраструктура, жилье
|
| 2. Возможности улучшения |
Вероятность продвижения
|
Вероятность улучшения жилищных условий
|
5.Сделанные вложения
|
Вложения в настоящую работу
|
Вложения в дом, квартиру
|
II. Желательность нового места работы (жительства)
|
6.Положение на новом месте
|
Зарплата, условия труда, содержание труда, рабочее время
|
Уровень жизни, социальная инфраструктура, жилье
|
7.Возможность продвижения на новом месте
|
Вероятность продвижения на новом месте
|
Вероятность улучшения жилищных условий
|
Продолжение табл.3.9.
3. Сохранение вложений
|
Возможность использования сделанных вложений на новом месте
|
Возможность обмена жилья
|
Ш. Легкость мобильности
|
1. Объективные характеристики
|
Квалификация работника, его опыт, возраст и т.д.
|
Квалификация работника, его опыт, возраст и т.д.
|
2. Субъективные характеристики
|
Легкость приспособления к новому рабочему месту
|
Легкость привыкания к новому месту жительства
|
3. Степень изменения
|
Разница в функциях
|
Разница в образе жизни
|
4. Затраты на перемещение
|
Расходы на освоение новой деятельности
|
Расходы на переезд
|
IV. Информированность
|
1.Наличие информации о вакантных рабочих местах
|
Информация о вакантных рабочих местах
|
Информация о местах возможного поселения
|
2. Стоимость информации
|
Стоимость получения информации о вакансиях
|
Затраты на получение информации в различных регионах
|
3. Достоверность информации
|
Достоверность информации о вакансиях
|
Достоверность информации о регионах
|
Миграция рабочей силы - это пространственное перемещение трудоспособного населения, вызываемое изменениями в развитии и размещении производства, условиях существования населения.
В последние годы роль миграции в формировании численности и состава населения России значительно возросла. С точки зрения перемещения населения между административно-территориальными образованиями различают два типа миграции: внешнюю и внутреннюю.
Внешняя миграция происходит при пересечении государственной границы. В ней выделяют два потока: эмиграцию и иммиграцию. Эмиграция- это отток населения за пределы данного государства. В России в 1993 г. был введен закон о свободном въезде-выезде. Начиная с 1990 г. ежегодная эмиграция из России составляет (по данным МВД) 100 тыс. чел. Направление эмиграции весьма стабильно: две трети или несколько больше эмигрантов выезжают в Германию, далее - в Израиль и США. Основу эмиграции составляет этническая эмиграция: 50% - немцы, примерно 30% - русские, 12% - евреи. Иммиграция- это приток на территорию данного государства. Если к эмиграции населения Россия уже успела привыкнуть, то свободная иммиграция из-за пределов бывшего СССР - новое для нее явление. Учет иммигрантов пока не налажен. Законодательство, регламентирующее обязательства России по отношению к иммигрантам разной категории, пока только разрабатывается. Осваиваются способы регулирования трудовой иммиграции, общепринятые в развитых странах. Теперь предприятия России могут привлекать иностранную рабочую силу по лицензиям. Для этого больше не требуется разрешения правительства, как прежде. В настоящее время положительная чистая миграция растет. Общее число прибывших в Россию в 1994-1995 гг. - 2 млн чел. (1 млн в год против 0,7 - 0,9 млн ежегодно на протяжении последних 25 лет), выбывших за ее пределы - 0,5 млн (0,25 млн в год против обычных 0,5-0,7 млн). Ежегодная чистая миграция составила около 0,8 млн чел.
Важна не только количественная, но и качественная сторона миграционного источника пополнения трудового потенциала. В современных условиях благодаря миграции, в том числе и вынужденной, население России пополняется высококачественной, квалификационной рабочей силой. Две трети общего количества внешних мигрантов находится в трудоспособном возрасте: 17,8% прибывших из ближнего зарубежья имеют высшее и 28,6% - среднее специальное и незаконченное высшее образование, что почти в полтора раза превосходит соответствующие показатели по занятым в экономике страны.
Таблица 3.10
Различные прогнозные гипотезы годовых объемов чистой миграции в Россию (2000-2015 гг.) (тыс. чел.)
Автор прогноза
|
Варианты прогноза
|
2000
|
2005
|
2010
|
2015
|
Госкомстат РФ, 1993
Госкомстат РФ, 1996 Центр демографии и экологии человека. 1994
|
Верхний
Средний
Нижний
1
Верхний
Средний
Нижний
|
393
275
59
183
507
373
0
|
216
178
5
113
515
313
0
|
109
114
15
75
493
191
0
|
26
60
17
….
473
142
0
|
Источники: Демографические перепективы России. - М.: Госкомстат России, 1993. - С. 47; Прогноз численности населения России до 2010 года (Статистический сборник). М.: Госкомстат РФ, 1996. - С. 90; Население России 1996. Четвертый ежегодный демографический до- клад. Центр демографии и экологии человека. - М., 1997. -С. 136.
|
Внутренняя миграция - это миграция внутри страны. В зависимости от действия различных факторов и условий миграция населения может быть различных видов. Отметим лишь некоторые из них.
1. Если миграция рабочей силы происходит в пределах какого-либо определенного региона и между регионами различного ранга, то делится на внутрирайонную и межрайонную, внутриобластную и межобластную и т.д.
2. В зависимости от времени, на которое перемещается рабочая сила, выделяют безвозвратную (постоянную) и возвратную (временную) миграцию населения.
3. Миграция населения по причинам, ее обусловившим, подразделяется на добровольную и вынужденную, последняя происходит по не зависящим от мигрантов причинам. Например, военные действия, экологические катастрофы, политические и этнические конфликты.
4. По характеру современной подвижности рабочей силы миграция подразделяется на сезонную и маятниковую. Сезонная связана с расширением фронта работ, например в сельском хозяйстве, а маятниковая включает регулярные передвижения рабочей силы из одного населенного пункта в другой на работу и обратно.
С точки зрения соблюдения норм действующего в стране за-конодательства миграция населения может быть законной (без нарушения законодательных норм) и незаконной (с нарушением законодательства).
6. По способу реализации миграция делится на самостоятельную, которая осуществляется силами и средствами самих мигрантов и организованную с помощью государственных или общественных органов, предприятий.
7. Миграция населения, обусловленная трудовой деятельностью, называется трудовой миграцией.
Вышеприведенная структура миграции населения не является исчерпывающей и может быть расширена за счет использования иных критериев оценки и факторов, ее обусловливающих. Изучение миграции населения по выделенным миграционным потокам (это совокупное число мигрантов, имеющих общие районы прибытия и выбытия в течение данного отрезка времени) позволяет системно, всесторонне и во взаимосвязи рассмотреть данное явление в экономике отдельного региона и страны в целом.
Для анализа миграции рабочей силы применяются прямые и косвенные методы, включая различные показатели и коэффициенты, которые рассчитываются на 1000 человек населения, т.е. в промилле (%о). Основными из них являются: число прибывших (ПМ), число выбывших (ВМ), сальдо миграции - разность между числом прибывших и выбывших (ПМ - ВМ). Абсолютные показатели миграции имеют ограниченные аналитические возможности, так как не показывают изменения процесса миграции. Поэтому исчисляются относительные величины - показатели интенсивности миграции. Они позволяют оценить интенсивность миграционных процессов для отдельных территорий и являются показателями, пригодными для временных пространственных сопоставлений.
Коэффициент прибытия (КП) - это отношение числа прибывших за год (ПМ) к среднегодовой численности населения SТ:

.
Коэффициент выбытия (KВ) - это отношение числа выбывших (BМ) за год к среднегодовой численности населения SТ:

Сальдо миграции, или коэффициент миграционного прироста населения (KМП) может быть положительным (+) или отрицательным (-). Положительный знак означает приток населения на данную территорию, отрицательный - отток:

Однако в этих показателях не учитываются различия в составе на-ления мест прибытия и выбытия, особенности структуры самих ми-тантов. Для этого рассчитываются повозрастные коэффициенты интенсивности прибытия, выбытия, сальдо миграции.
Весьма важным является выяснение причины миграции, т.е. какие условия, факторы способствуют усилению или снижению данного процесса. Обычно выделяют несколько групп, а именно: природно-климатические, демографические, этнические, социально-экономические и др.
Природно-климатические включают, как правило, экологические условия и экологические катастрофы. Оказывает .влияние привлекательность для отдельных групп мигрантов районов проживания с благоприятными климатическими условиями и т.д.
Наиболее важное значение имеют социально-экономические причины миграции населения, которые характеризуют: размещение производства на территории того или иного региона; уровень экономического развития; размеры инвестиций; уровень развития инфраструктуры; возможность трудоустройства; возможность получения образования и жилья и тд.
Будучи сложным процессом, миграция населения оказывает противоречивое влияние на социально-экономическое развитие страны. Это относится прежде всего к положению мигрантов, уровень безработицы среди которых выше, чем у коренных жителей того или иного региона. Приток мигрантов сопровождается увеличением нагрузки на социальную инфраструктуру, особенно городов, что приводит к значительному повышению цен на жилье. По некоторым оценкам, переход мигрантов в состав постоянного населения длится не менее 10 лет. В этой связи необходимо выделить меры, которые государство разрабатывает для снижения отрицательного воздействия миграционных процессов и их регулирования. В их основе находится политика Российской Федерации. Различают прямые и косвенные методы. Прямые - субсидирование на перемещение мигрантов, обеспечение их Необходимой информацией. Косвенные - развитие инфраструктуры, строительство промышленных предприятий и т.д.
К основным принципам миграционной политики относятся: дифференцированный подход к различным категориям мигрантов, введение квотирования и ужесточения контроля за иммиграцией иностранных граждан в Россию, ужесточение требований к привлекаемым иностранным работникам в регионах с высоким уровнем безработицы.
Поясним отдельные принципы.
Для граждан, особо нуждающихся в социальной защите, трудовое законодательство предусматривает дополнительные специальные гарантии обеспечения занятости, трудоустройства, реализации ими права на труд, производится квотирование рабочих мест, при помощи которого определяется минимальная численность работников, подлежащих устройству в данный организации. Так, для приема на работу, трудоустройства инвалидов устанавливаются квоты (бронь) для государственных и муниципальных предприятий органами местного самоуправления со службой занятости, а для других предприятий - до специальным договорам, заключаемым с ними органом местного самоуправления. Механизм введения квоты и ее размер определяются Правительством РФ. Для инвалидов размер квоты устанавливается с учетом ранее принятых на работу инвалидов, не менее 5% от средне-списочной численности работников.
Работодателям, создающим рабочие места за счет собственных средств, предоставляются льготы по налогообложению, по тарифам на оплату коммунальных, транспортных и других услуг и по платежам в пределах доли на прибыль. Финансовая помощь может оказываться и в виде прямого финансирования для частичного возмещения затрат, а также в виде возвратного кредита с льготной ставкой при условии трудоустройства безработных и особо нуждающихся граждан на срок не менее 6 месяцев.
Среди основных мер миграционной политики и механизмов по ее реализации следует отметить:
• прием и размещение экономически активной части мигрантов, оказание им помощи в адаптации к новым условиям проживания и работы;
• оказание государственной поддержки в обустройстве социально слабозащищенных вынужденных переселенцев;
• помощь в жилищном устройстве вынужденных переселенцев с учетом специфики различных категорий мигрантов;
• дифференцированную поддержку территорий, предпочтительных для расселения, стимулирование притока мигрантов с этих территорий с учетом интересов государства и населения;
• регулирование притока граждан из государств дальнего и ближнего зарубежья, применение системы санкций за нарушение иммиграционного законодательства;
• государственную поддержку таких категорий мигрантов, как депонированные в период репрессий, военные пенсионеры, казаки, этнические мигранты, жители Крайнего Севера, нуждающиеся в переезде, лица, пострадавшие в экологических и техногенных катастрофах.
3.8. Регулирование рынка труда и служба
занятости
Политика регулирования рынка как составная часть экономической политики предусматривает достижение трех основных целей:
• стимулирование структурной перестройки и ускорение процесса перераспределения высвобождаемых работников;
• наиболее быстрое вовлечение безработных в трудовую жизнь;
• предоставление работы каждому, кто ее ищет.

Рис. 3.6. Направления государственной политики на рынке труда
Меры государственной политики занятости дифференцируются по:
• объекту воздействия (общие меры и специализированные);
• источникам финансирования.
К методам воздействия на занятость можно отнести:
а прямые (административные): законодательное регулирование, трудовое законодательство, коллективные договоры;
• косвенные (экономические): финансовая, монетарная, фискальная политики. 1ипы государственного воздействия на занятость:
• пассивный - социальная помощь незанятому населению;
• активный: стимулирование предложения труда, стимулирование спроса на труд, меры по согласованию спроса и предложения (информация, консультативные услуги, профконсультации, разработка программ занятости для низкоконкурентных групп населения и т.д.), меры помощи регионам и т.д.
В рамках государственной политики занятости следует отметить роль фондов занятости в регулировании рынка труда. Расходы фонда занятости условно можно сгруппировать по четырем направлениям.
1. Средства, расходуемые на пособие по безработице, материальная помощь безработным, выплата досрочных пенсий. Это принято называть пассивной политикой.
2. Средства, идущие на переподготовку и общественные работы. Данная форма активной политики вытекает из действующего законодательства, т.е. является обязательной для государственной службы занятости.
3. Средства, направляемые на финансовую поддержку, приобретение ценных бумаг и прочие расходы. Объединяет названные формы то, что они не гарантированы законом. При этом расходы на статью “финансовая поддержка” принято относить к активным формам политики на рынке труда.
4. Средства, предназначенные для развития служб занятости (их содержание, капиталовложения, реклама, АИС “Занятость”).
Государственный фонд занятости осуществляет следующие выплаты:
• пособие по безработице;
• компенсацию материальных затрат в связи с их добровольным переездом в другую местность по направлению службы занятости;
• оплату периода временной нетрудоспособности;
• стипендии при направлении службы занятости на профессиональную подготовку, переподготовку, повышение квалификации.
Из фонда занятости возмещаются затраты Пенсионного фонда в связи с назначением досрочных пенсий безработным. Страховой тариф для уплаты взносов в Фонд занятости населения составляет 1,5% средств, направляемых на оплату труда. От оплаты взносов освобождены общественные организации инвалидов, общественные организации инвалидов и пенсионеров, принадлежащие им предприятия, а также религиозные объединения. В настоящее время в России сложился ряд направлений в регулировании рынка труда, которые в большей мере исходят из федеральной государственной службы занятости населения. Ее основная задача состоит в повышении эффективности функционирования рынка труда за счет распространения информации о рынке труда.
федеральная служба занятости России была создана в 1991 г. Основные принципы работы российской службы занятости населения соответствуют международной практике. В настоящее время в России функционируют более 2,5 тысяч центров занятости (они есть в каждом городе и районе). В августе 1996 г. на базе трех социальных ведомств - Министерства труда РФ, Министерства социальной защиты населения РФ и федеральной службы занятости - образовано Министерство труда и социального развития России (рис. 3.7).

3.7. Приоритетные направления работы служб занятости
Услуги, связанные с содействием занятости населения, предо. ставляются органами службы занятости бесплатно. Развитие рц, ночных отношений способствует созданию негосударственных структур занятости частного характера. Это различного рода коммерческие агентства по подбору персонала, учреждения при учебных заведениях, при религиозных органах и т.д. Находят применение биржи труда. Практика показывает, что они в полной мере могут стать действенным регулятором рынка труда. Биржи труда аккумулируют информацию о рынке труда, его состоянии и перспективах. Как рыночная структура, биржа труда выполняют многообразные функции (рис. 3.8).
Существуют и другие формы коммерческих структур в области организации занятости населения на негосударственном уровне. На конец 1996 г. в России насчитывалось около 150 негосударственных структур занятости и подбора персонала, которые располагались в различных городах России, но большая их часть сосредоточена в Москве.

Рис. 3.8. Функции биржи труда
Резюме
Занятость населения составляет необходимое условие для его вос-производства. Занятость - это деятельность граждан, связанная с удовлетворением потребностей, не противоречащих законодательству приносящих им заработок (трудовой доход). Состояние занятости, ее важнейшие характеристики позволяют судить о национальном благополучии, об эффективности выбранного пути экономического развития.
Анализ занятости потребовал рассмотрения проблем миграции: будучи одной из форм мобильности, миграция рабочей силы выполняет важные функции в жизни общества. Она подразделяется на внешнюю и внутреннюю. Для анализа миграции рабочей силы применяются различные показатели и коэффициенты. Любая миграция имеет причины и государство разрабатывает определенные меры по регулированию миграции.
Рынок труда является одним из элементов рыночной экономики. Он представляет собой систему общественных отношений в согласовании интересов работодателей и наемной рабочей силой. Система отношений на рынке труда складывается из трех основных компонентов: отношения между наемными работниками и работодателями; отношения между субъектами рынка труда и их представителями; отношения между субъектами рынка труда и государством. Основная функция рынка труда состоит в обеспечении через сферу обращения перераспределения рабочей силы в народном хозяйстве
Вопросы для контроля и обсуждения
1 Что продается и покупается на рынке труда: “рабочая сила” или “Труд”?
2. Перечислите важнейшие особенности рынка труда. Какие вы знаете составные части рынка труда.
3. Что такое система отношений на рынке труда?
4. В чем заключается социально-экономическое содержание занятости?
5. Какие основные принципы занятости сформулированы в Законе занятости населения РФ?
6. Дайте характеристику основных видов и форм занятости.
7. Какие категории относятся к занятому населению?
8. Кто относится к незанятому населению?
9. Можете ли вы определить уровень занятости?
10. Вы читаете о зарубежном опыте регулирования занятости. Какая модель наиболее предпочтительна для использования в России? Или есть другой ответ?
11. Что является сегментами рынка труда? Приведите их краткую характеристику.
12. Перечислите основные особенности первичного и вторичного рынков труда.
13. Какие вы знаете наиболее известные модели рынка труда?
14. Какими факторами определяются спрос и предложение на рынке труда?
15. Что понимается под безработицей?
16. Каковы особенности безработицы в России и ее формы?
17. Перечислите направления государственной политики занятости на рынке труда.
18. Назовите факторы и функции мобильности рабочей силы.
19. В чем заключается сущность миграции? Объясните разницу между внешней и внутренней миграцией.
20. Какие применяются показатели и коэффициенты для анализа ми' грации рабочей силы?
21. Как определяется сальдо миграции? Перед вами три показателя: среднегодовая численность работников города; мигранты, прибывшие и выбывшие. Достаточно ли этих показателей для расчета?
24. Что такое миграционный поток?
22. Какие причины определяют миграцию?
23. Каково содержание миграционной политики?
Глава 4
ЗАРАБОТНАЯ ПЛАТА РАБОТНИКОВ
В РЫНОЧНЫХ УСЛОВИЯХ
4.1. Сущность заработной платы и ее
формирование
Рассматривая сущность понятия “заработная плата”, следует иметь в виду, что оно используется применительно к лицам, работающим по найму и получающим за свой труд вознаграждение в заранее оговоренном размере. Что же представляет собой заработная плата как экономическая категория?
Заработная плата есть элемент дохода наемного работника, форма экономической реализации права собственности на принадлежащий ему ресурс труда. Вместе с тем для работодателя, который покупает ресурс труда для использования его в качестве одного из факторов производства, оплата труда наемных работников является одним из элементов издержек производства.
В условиях рыночной экономики на величину заработной платы влияет целый ряд рыночных и внерыночных факторов, в результате чего складывается определенный уровень оплаты труда. Прежде чем рассмотреть эти факторы и характер их воздействия на заработную мату, необходимо четко определить, какие элементы можно выделить в заработке работника и какие из них в большей или меньшей степени подвержены влиянию рыночной конъюнктуры.
С переходом к рынку возникают и новые отношения по поводу оплаты труда, формируется рынок труда, являющийся ресурсным рынком. Его субъектами выступают: работодатель (индивидуальный предприниматель; объединение предпринимателей), предъявляющий спрос на известное количество ресурса труда, имеющие определенные качественные характеристики, и наемные работники - собственники ресурса труда, количество и профессионально-квалификационные характеристики которых формируют предложение на рынке труда.
Объектом сделки на рынке труда выступает право на использование единицы ресурса труда определенного качества в течение некоторого промежутка времени в конкретных условиях.
Рыночная цена единицы труда - это ставка заработной платы, обусловленная в договоре и определяющая уровень оплаты труда, имеющего конкретные профессионально-квалификационные характеристики в единицу времени. По Марксу, ставка заработной платы работника определяется стоимостью его рабочей силы, т.е. стоимостью набора жизненных средств, потребительских товаров и услуг, необходимых для нормального воспроизводства рабочей силы данного качества. Однако на сегодняшний день в странах с развитой рыночной экономикой ставка заработной платы, как правило, превышает вос-производственный минимум и формируется в основном в зависимости от сложившегося уровня потребления данной социальной группы, достигнутого уровня оплаты труда данного качества в отрасли, в стране. Кроме того, в рамках ставки заработной платы можно иногда выделить “уравнительную разницу” - выплаты, компенсирующие работнику различия в степени привлекательности рабочего места.
Итак, основной элемент заработной платы - ставка заработной платы. Однако он не учитывает индивидуальных различий в способностях работников, их физической силе и выносливости, быстроте реакции, усердия и т.п., неизбежно влияющих на результат труда. Поэтому в структуре заработной платы следует выделить еще один элемент - переменную часть, отражающую различия в индивидуальных результатах трудовой деятельности (премии, надбавки, сдельный приработок и т.п.). Кроме того, существуют различные виды доходов, которые работник может получать в силу того, что работает в данной организации (материальная помощь, оплата питания, оплата путевок и лечения, ценные подарки, дополнительное медицинское и пенсионное страхование и т.п.). В совокупности заработную плату и эти виды доходов можно рассматривать как трудовой доход работника данной организации.
Для наемного работника заработная плата является источником его дохода. Каким же образом он может превысить свой доход от собственности на принадлежащий ему ресурс труда? Один из вариантов - увеличить количество продаваемого ресурса. Однако такая возможность ограничена. Что значит увеличить количество реализуемого ресурса труда применительно к отдельному человеку? По существу это означает увеличить количество отрабатываемого времени, работу на условиях внешнего или внутреннего совместительства сверхурочно, либо повысить интенсивность труда, выполняя дополнительные функции, работая по смежным профессиям, расширяя зоны обслуживания. И тот и другой варианты быстро исчерпываются: первый ограничен количеством часов в сутках и временем, необходимым для отдыха, второй - естественными физиологическими пределами темпа и напряженности работы. Более того, по сравнению с прочими ресурс труда имеет еще одну специфическую особенность: даже если он не используется вовсе (человек не работает) он сокращается в силу естественного снижения трудоспособности вследствие старения человека.
Еще один вариант увеличения дохода от реализации ресурса труда - повысить качество предлагаемого ресурса (повышение мастерства, квалификации, дополнительное обучение). Однако и эта возможность ограничена, поскольку требует дополнительных затрат времени и средств (инвестиции в “человеческий капитал”). Кроме того, ограничениями могут выступать исходный уровень образования, способности, отсутствие свободного времени и т.п.
Следовательно, главным источником увеличения дохода собственника ресурса труда является повышение цены на ресурс - ставки заработной платы. Нижняя ее граница определяется экономическими интересами наемного работника. В свою очередь, работодатель заинтересован в сокращении общих издержек производства, в том числе за счет установления наиболее низких цен на используемые ресурсы. Его экономический интерес - снижение удельных издержек на труд- будет определять (сдерживать) верхнюю границу ставки заработной платы. С учетом баланса экономических интересов субъектов рынка труда рыночная цена единицы труда данного качества сложится под веянием соотношения спроса и предложения.
Среди рыночных факторов, влияющих на ставку заработной платы и конъюнктуру рынка труда, можно выделить следующие (рис. 4.1).
1. Изменения спроса и предложения на рынке товаров и услуг, при производстве которых используется данный труд. Снижение спроса на рынке товаров и услуг (в результате роста цен на них, снижения доходов потребителей, изменения потребительских предпочтений, вытеснения новыми товарами) ведет к сокращению объемов выпуска, а следовательно, к падению спроса на используемый ресурс труда и ухудшению условий найма. Напротив, повышение спроса на товары и услуги может привести к росту спроса на труд и повышению ставки заработной платы.

Рис. 4.1. Факторы формирования заработной платы
2. Полезность ресурса для предпринимателя (соотношение величины предельного дохода от использования фактора труда и предельных издержек на этот фактор). Увеличение спроса на труд во многом будет зависеть от того, как долго предприниматель может использовать экстенсивные факторы роста доходности своего предприятия, т.е., как долго будет экономически эффективным привлечение дополнительных работников при неизменных характеристиках других факторов производства, в частности, технической оснащенности. Вовлечение каждого дополнительного работника (предельного работника) может привести к некоторому увеличению количества выпускаемой продукции (предельная производительность труда - дополнительное количество продукции при вовлечении дополнительной единицы ресурс труда). Реализация этой дополнительной продукции (с учетом возможного изменения цен в результате насыщения ею рынка) привел к получению предпринимателем дополнительного дохода (предметный доход - увеличение дохода от реализации вследствие привлечения дополнительной единицы труда). Вместе с тем использование дополнительного работника повышает переменные издержки производства -прежде всего возникают дополнительные издержки на оплату труда и содержание этого работника). Таким образом, предельному доходу соответствует определенная величина предельных издержек на труд, которые в основном являются издержками на его оплату. До тех пор пока предельные издержки меньше предельного дохода, предприниматель получает дополнительную экономическую выгоду от привлечения дополнительных единиц труда.
Однако нельзя не учитывать “закона убывающей отдачи”. Экономическая эффективность увеличения любого из факторов производства при неизменности всех других факторов имеет определенные пределы, за которыми начинается ее уменьшение. Вовлечение очередного дополнительного работника при неизменности прочих факторов производства начинает приносить все меньший прирост продукции в натуральном выражении и все меньший доход от ее реализации. Прежде всего это связано со снижением фондовооруженности труда, ухудшением использования рабочего времени. Таким образом, дополнительное вовлечение работников, повышающее спрос на рынке труда, оказывается целесообразным для предпринимателя до тех пор, пока величина предельного дохода от использования фактора труда не снизится до уровня предельных издержек. Превышение предельными издержками величины предельного дохода от фактора труда означает исчерпанность эффективности его дальнейшего вовлечения при данной материально-технической базе предприятия. Одновременно можно утверждать, что ориентиром ставки заработной платы для конкретной фирмы будет величина предельного дохода, не меньшая ве-личины предельных издержек.
3. Эластичность спроса на труд по цене. Повышение цены ресурса (например, рост ставки заработной платы под давлением профсоюзов), увеличение издержек предпринимателя ведут к снижению спроса на труд, а следовательно, к ухудшению условий найма. В то же время эластичность спроса на труд по цене (его реакция на колебания цены труда) не всегда одинакова и зависит от:
• характера динамики предельного дохода. Если предельный доход снижается медленно (трудоемкие отрасли с высоким удельным весом ручного труда), то рост цен на ресурс труда вызывает медленное снижение спроса на рынке труда, т.е. эластичность спроса по цене слабая. Напротив, когда возможности получения отдачи дополнительного привлечения работников исчерпываются быстро, повышение ставки заработной платы вызывает резкое падение спроса на труд, т.е. в этом случае спрос на рынке данного ресурса труда высоко эластичен;
• доли затрат на ресурс труда в издержках фирмы. Чем выше доля, затрат на труд в общих издержках производства товара, тем выше зависимость спроса на труд от цены труда, так как изменение издержек на оплату будет во многом определять динамику общих издержек;
• эластичности спроса на товары, при производстве которых используется данный труд. Например, спрос на такие продукты питания, как хлеб, соль, мало зависит от цены на них, потому и спрос на труд, используемый при их производстве, в меньшей степени будет зависеть от его цены.
4. Взаимозаменяемость ресурсов. Рассматривая воздействие данного фактора, следует отметить, что возможности работодателя снизить издержки на труд при неизменной технической базе существенно ограничены. Дело в том, что в цене труда присутствует так называемый “эффект храповика”. Иными словами, ставка заработной платы, будучи вполне гибкой в сторону увеличения, практически не двигается в сторону уменьшения при изменении конъюнктуры на рынке труда. Основные возможности работодателя в снижении издержек на труд связаны с сокращением переменной части заработка, дополнительных социальных льгот и гарантий работника, уменьшением удельных издержек на труд за счет увеличения рабочего времени, повышения интенсивности труда, организационных мер.
Однако в качестве сдерживающего фактора выступают условия коллективных и индивидуальных трудовых договоров, деятельность профсоюзов, возможность потери кадрового потенциала в результате предлагаемых конкурентами более привлекательных условий оплаты. В этом случае встает вопрос о возможности замещения живого труда более производительной техникой, что может оказать двоякое воздействие на условия найма и конъюнктуру рынка труда в зависимости от того, какой эффект будет предпочтительнее для работодателя. Возможны два варианта: первый - эффект замещения, т.е. сокращение кадров при неизменном или возрастающем выпуске продукции в результате внедрения новой техники. Спрос на рынке труда сокращается, высвобождающиеся работники увеличивают предложение труда, что в совокупности ухудшает условия найма и возможности повышения заработной платы. Второй вариант - эффект роста объема выпускав результате применения высокопроизводительной техники, которая значительно снижает средние издержки производства и повышает выгодность. В этом случае спрос на рабочую силу не будет иметь четкой тенденции к снижению. Более того, он может даже возрасти, что создаст тенденцию к повышению цены труда, в том числе за счет потребности в более квалифицированных кадрах для обслуживания сложного оборудования.
5. Изменение цен на потребительские товары и услуги. Рост цен на потребительские товары и услуги, вызывая повышение стоимости жизни, влечет за собой в первую очередь увеличение воспроизводственного минимума в структуре ставки заработной платы, а значит уровня заработной платы в целом. При понижении цен на потребительские товары и услуги такой прямой зависимости не будет, если учесть уже упоминавшийся “эффект храповика”.
На уровень оплаты труда кроме рыночных воздействуют и нерыночные факторы, к которым относятся меры государственного регулирования, связанные с установлением минимума заработной платы, уровня гарантированных законодательством компенсационных доплат, а также меры по регулированию занятости и защите внутреннего рынка труда. Кроме того, на размер и условия оплаты труда воздействует механизм договорного регулирования на всех уровнях заключения трудовых отношений.
Фактором относительной стабильности и малой гибкости ставки заработной платы является долговременность взаимных трудовых обязательств фирмы и работника. Для фирмы затраты на наем (набор, отбор, подготовку, адаптацию) работника достаточно высоки. Что касается работника, то за время своей деятельности в данной фирме он адаптируется именно к конкретным условиям работы, в связи с чем замена его на другого работника, даже обладающего теми же профессионально-квалификационными характеристиками, будет далеко не равноценной. Для самого работника заключение договора на длительный срок также является ценным, поскольку дает некоторые гарантии занятости и условий найма. Именно в силу этого договор (контракт) заключается на определенное время и фиксирует такие условия, как длиительность рабочего времени, уровень оплаты и условия ее увеличения, порядок индексации и т.п. Таким образом, у работодателей снижается возможность изменять уровень и условия оплаты. Более того, они понимают, что падение заработков ведет к снижению трудовой мотивации и, как правило, отрицательно сказывается на трудовой отдаче.
Уровень оплаты, минимальные ставки заработной платы, прочие условия найма регулируются системой коллективных договоров и соглашений. В РФ порядок их заключения определен Законом “О коллективных договорах и соглашениях”, принятым 11 марта 1992 г. с учетом внесенных изменений от 20 октября 1995 г. Соглашения могут заключаться на уровне: федеральном - генеральное тарифное соглашение, отраслевые и профессиональные соглашения; субъектов федерации - региональные, отраслевые, территориальные; отдельного предприятия, организации, фирмы - двусторонние коллективные договоры. Эти соглашения, помимо коллективных договоров, являются преимущественно трехсторонними и заключаются между представителями объединений работодателей и объединений профессиональных союзов соответствующих уровней и представителями государства (для генерального соглашения - это Правительство РФ; отраслевых федеральных - Министерство труда; профессиональных - соответствующие органы по труду; региональных - органы исполнительной власти; территориальных - органы местного самоуправления). Сторонами коллективного договора выступают работники и работодатели. Генеральное и региональное соглашения устанавливают общие принципы регулирования социально-трудовых отношений на федеральном и региональном уровнях.
Специалисты Центра уровня жизни, социальной защищенности и рынка труда разработали “Генеральное соглашение между общероссийскими объединениями профсоюзов, общероссийскими объединениями работодателей и Правительством РФ на 1996 год”. Основная цель этого соглашения - обеспечение социальной стабильности, равноправного партнерства профсоюзов, работодателей и правительства на основе наиболее полного согласования корпоративных интересов сторон. Генеральное соглашение и заключенные на его основе тарифные и региональные соглашения призваны согласовывать:
• политику заработной платы, льгот и пособий;
• политику доходов и цен;
• политику занятости, обеспечения рабочих мест и межотраслевой перелив рабочих кадров;
• обеспечение социальных потребностей работников предприятий всех форм собственности на уровне принятых на текущий год минимальных социальных гарантий;
• соблюдение трудовой дисциплины, установленной системой тарифных разрядов;
• содействие переподготовке кадров;
• кадровую политику;
• участие работников предприятия всех форм собственности в доходах предприятия (система распределения дополнительных эмиссий акций среди работников);
• разработку и принятие социальных нормативов: официального минимального размера оплаты труда и величины его различий с первым разрядом тарифной сетки; минимального размера пенсий, пособий и прочих социальных выплат; прожиточного минимума; порядка индексации доходов в связи с инфляционным ростом цен; расходов федерального бюджета на социальные нужды.
Основное внимание в соглашении уделяется соблюдению оптимальных пропорций между: минимальной, средней и максимальной заработной платой; минимальной заработной платой и прожиточным минимумом; максимальной заработной платой и социальными выплатами (пенсиями, пособиями и прочими выплатами) и т.д.
Отраслевые, профессиональные, территориальные соглашения устанавливают нормы оплаты труда и другие условия труда, социальные гарантии и льготы для работников отраслей, определенных профессий, регионов. Соглашения более высокого уровня должны служить исходной базой для заключения соглашений на более низких уровнях.
Двусторонний коллективный договор может включать такие пункты, как формы, система и размер оплаты, денежные вознаграждения, пособия, компенсации, доплаты; механизм индексации заработной платы; продолжительность рабочего времени и времени отдыха; условий высвобождения; обязательства и дополнительные социальные льготы и гарантии и т.п. Все это в известной мере ограничивает изменения условий оплаты труда на период действия договора.
Кроме того, на ставку заработной платы и условия найма существенное влияние могут оказывать политика профсоюзов, сила профсоюзного движения. Особое значение приобретает традиционная профсоюзная политика, направленная на повышение гарантий в оплаты труда представителей уникальных профессий, чей труд имеет ограниченный спрос у работодателей, а также на разрешение ситуаций, когда в поселке, городе занятость обеспечивают “градообразующие предприятия”, что создает возможность возникновения “монопсонии” на рынке труда (диктат покупателя). В данном случае предприниматель может получать прибыль за счет ограничения спроса на рабочую силу, снижая тем самым ставку заработной платы и свои издержки на труд по сравнению с конкурентным рынком труда, когда спрос создает множество работодателей и работник может выбирать наиболее устраивающие его условия найма.
Выделяют четыре пути, которые профсоюзы могут использовать для повышения заработной платы: первый - ограничение предложения на рынке труда за счет установления эмиграционных барьеров, законодательного ограничения рабочего времени, запрещения принимать на работу нечленов профсоюза, лимитирование интенсивности труда и трудовой нагрузки на день; второй - давление на работодателя при заключении коллективных договоров; третий - содействие развитию производств, обеспечивающих увеличение спроса на труд, рост занятости; четвертый - борьба с монополизацией производства, поскольку монополия стремится к росту цен при сокращении объемов производства. Последнее ведет к росту безработицы и ухудшению условий оплаты труда.
Различают два основных метода регулирования заработной платы'. централизованный и локальный. Централизованный метод предполагает законодательное установление норм оплаты труда, исполнение которых обязательно либо для всех предприятий я организаций России, либо только для отдельных отраслей и профессиональных групп. Централизованное регулирование заработной платы осуществляется путем использования следующих механизмов.
1. Применение норм КЗоТ, регламентирующих условия и порядок оплаты труда.
2. Использование тарифной системы. Она является средством государственного регулирования заработной платы работников бюджетной сферы. Для работников других отраслей она носит рекомендательный характер.
3. Установление минимального размера оплаты труда. Минимальная часовая заработная плата является государственной гарантией и устанавливается Законом РФ. Этот государственный норматив обязателен для всех организаций и предприятий независимо от формы собственности, отрасли, территории.
Рекомендация МОТ гласит, что “основной целью установления минимальной заработной платы должно быть предоставление лицам, работающим по найму, необходимой социальной защиты в отношении минимально допустимых уровней заработной платы”. Установление минимальной заработной платы может осуществляться различными путями. Например, в России - принятием законодательным органом специального закона о минимальной заработной плате; в Австралии - решением промышленного суда. Минимальная заработная плата может устанавливаться в различных формах: месячная или часовая минимальная ставка.
Таким образом, в механизме регулирования заработной платы исходной базой выступает ее минимальный размер, который должен обеспечить нормальные условия для воспроизводства работников, занятых простым, малоквалифицированным трудом. Среди критериев, на которые ориентируются в своей политике государство, работодатели и профсоюзы по установлению обоснованной минимальной заработной платы, основным является потребность трудящихся и членов их семей. Чтобы минимальная заработная плата не только поддерживала физическую активность, но и воспроизводила способность к труду и развитие рабочей силы, она должна соответствовать потребительской корзине, включающей в себя необходимый набор продуктов, товаров и услуг. Минимальная заработная плата должна обеспечивать воспроизводство не только индивидуального работника, но и несовершеннолетних членов его семьи. Количественная неопределенность этой меры зависит от производимой в стране социальной политики, от устанавливаемых размеров семейных и других социальных выплат.
Одним из факторов, который должен учитываться при обосновании минимальной заработной платы, является ее соотношение со средним уровнем оплаты труда. Доля минимальной заработной платы по отношению к средней в России в 1994-1996 гг. колебалась от 6 до 12% по различным месяцам. В то же время в развитых странах с рыночной экономикой эта доля доходит до 40-50%. Весьма важно добиться улучшения соотношения путем опережающих темпов роста минимальной заработной платы по сравнению со средней.
Локальные методы регулирования заработной платы включают все процедуры, механизмы и методы организации заработной платы, которые предприятия разрабатывают самостоятельно. В частности, в локальном порядке определяется размер средств, идущих на оплату труда работников; решение о выборе тарифной или бестарифной системы; введение различных доплат и надбавок к заработной плате (не ниже норм КЗоТ); разработка положений о премировании и выплате вознаграждений по результатам работы за год.
4.2. Функции, Элементы и принципы
организации заработной платы
Сущность заработной платы проявляется в функциях, которые она выполняет в фазах общественного производства: производстве, распределении, обмене и потреблении.
1. Воспроизводственная функция. Она заключается в обеспечении работников, а также членов их семей необходимыми жизненными благами для воспроизводства рабочей силы, воспроизводства поколений. В ней реализуется экономический закон возвышения потребностей. Эта функция тесно связана с особенностями государственного регулирования заработной платы, установлением на законодательном уровне такого минимального ее размера, который обеспечивал бы воспроизводство рабочей силы.
2. Стимулирующая функция. Ее сущность состоит в установлении зависимости заработной платы работника от его трудового вклада, от результатов производственно-хозяйственной деятельности предприятия, причем указанная зависимость должна заинтересовать работника в постоянном улучшении результатов своего труда.
3. Измерительно-распределительная функция. Эта функция предназначена для отражения меры живого труда при распределении фонда потребления между наемными работниками и собственниками средств производства. Посредством заработной платы определяется индивидуальная доля в фонде потребления каждого участника производственного процесса в соответствии с его трудовым вкладом.
4. Ресурсно-разместительная функция. Значение данной функций в настоящее время существенно возрастает. Сущность ее состоит в оптимизации размещения трудовых ресурсов по регионам, отраслям экономики, предприятиям. В условиях, когда государственное регулирование в области размещения трудовых ресурсов сводится к минимуму, а формирование эффективно функционирующего рынка труда возможно лишь при наличии свободы у каждого наемного работника в выборе места приложения своего труда, стремление к повышению жизненного уровня обусловливает его перемещение с целью нахождения работы, в максимальной степени удовлетворяющей его потребности.
5. Функция формирования платежеспособного спроса населения. Назначение этой функции - увязка платежеспособного спроса, под которым понимается форма проявления потребностей, обеспеченных денежными средствами покупателей, и производства потребительских товаров. Поскольку платежеспособный спрос формируется под воздействием двух основных факторов - потребностей и доходов общества, то с помощью заработной платы в условиях рынка устанавливаются необходимые пропорции между товарным предложением и спросом.
Для реализации вышеназванных функций необходимо соблюдение следующих важнейших принципов.
1. Повышение реальной заработной платы по мере роста эффективности производства и труда. Этот принцип связан с действием объективного экономического закона возвышения потребностей, согласно которому более полное их удовлетворение реально лишь при расширении возможностей получить за свой труд большее количество материальных благ и услуг. Но такая возможность должна быть увязана с результатами производственной деятельности, с эффективностью труда. Отсутствие такой увязки может привести с одной стороны, к выплате незаработанных денег, а значит, к инфляции, обеспечению полученной номинальной заработной платы, к снижению реальной заработной платы, а с другой - к выплате заниженной, не соответствующей эффективности трудового вклада минимальной заработной платы. В результате будет отсутствовать возможность удовлетворения растущих потребностей работников и увеличения заработной платы.
2. Обеспечение опережающих темпов роста производительности труда над темпами роста средней заработной платы (или темпов роста объемов выпуска продукции над темпами роста фонда потребления). Сущность этого принципа - максимизация трудовых доходов на основе развития и повышения эффективности производства. Соблюдение его обусловливает непрерывность процесса накопления, расширенного производства и является непременным условием развития и процветания предприятия. Нарушение данного принципа ведет к выплате необеспеченных товарами денег, к инфляции, развитию застойных явлений в экономике страны. В условиях конкретного предприятия - это постепенное замедление процесса обновления средств производства, отсутствие ориентации на разработку и приобретение наиболее перспективных из них и как результат - падение спроса на менее качественную по сравнению с конкурирующими фирмами продукцию.
3. Дифференциация заработной платы в зависимости от трудового вклада работника в результаты деятельности предприятия, содержания и условий труда, района расположения предприятия, его отраслевой принадлежности. Данный принцип основан на необходимости усиления материальной заинтересованности работников в квалификации своего труда, обеспечении высокого качества продукции. При этом должны быть учтены различия в количестве материальных благ, необходимых для воспроизводства рабочей силы, в разных условиях труда, географических и климатических условиях жизни.
4. Равная оплата за равный труд. В условиях рынка рассматриваемый принцип следует понимать как недопущение дискриминации в оплате труда по полу, возрасту, национальной принадлежности и т.д., соблюдение принципа справедливости в распределении внутри предприятия или фирмы, предполагающего адекватную оценку одинакового труда через его оплату.
5. Государственное регулирование оплаты труда (данный принцип будет рассмотрен ниже).
6. Учет воздействия рынка труда. На рынке труда представлен широкий диапазон заработной платы как в государственных и частных компаниях, так и в неорганизованном секторе, где рабочая сила не охвачена профсоюзами и плата за труд полностью определяется администрацией. Рынок труда - это область, где в конечном счете формируется оценка различных видов труда. Заработная плата каждого конкретного работника тесно связана с его положением на рынке труда, кроме того, ситуация на этом рынке определяет возможность занятости.
7. Простота, логичность и доступность форм и систем оплаты труда обеспечивает широкую информированность о сущности систем оплаты труда. Стимул становится таковым лишь в том случае, когда у работника есть о нем понятная и подробная информация. Исполнители должны четко представлять, в каком случае размер заработной платы, т.е. уровень их материального благосостояния, повысится.
Наиболее целесообразно классифицировать принципы организации заработной платы в соответствии с функциями, на реализацию которых они направлены. Каждый принцип связан не с одной, а с совокупностью функций. Тем не менее можно выделить главную функцию, на выполнение которой в первую очередь и направлен конкретный принцип. Связь принципов с функциями заработной платы схематично представлена на рис. 4.2.

Рис. 4.2. Связь принципов организации и функций заработной платы
4.3. Организационные основы заработной платы
На основе принципов организации и функций заработной платы в условиях построения рыночных отношений создается организационная система оплаты труда непосредственно в низовых звеньях - на предприятии. Перестройка организации заработной платы в соответствии с требованиями рынка предусматривает решение следующих задач:
• повышение заинтересованности каждого работника в выявлении и использовании резервов эффективности своего труда при исключении возможностей получения незаработанных денежных средств;
• устранение случаев уравнительности в оплате труда, достижение прямой зависимости заработной платы от результатов труда как индивидуальных, так и коллективных;
• оптимизация соотношений в оплате труда работников различных категорий и профессионально-квалификационных групп с учетом сложности выполняемых работ, условий труда, учитывающих дефицитность профессий, а также влияние различных групп, работающих на достижение конечных результатов, и конкурентоспособность производства.
Поскольку в низовых звеньях управления существует специфика в организации оплаты труда, то ее организационные предпосылки должны быть такими, как показано на рис. 4.3.

Рис. 4.3. Организационные основы оплаты труда на предприятии
При организации заработной платы на предприятии затрагиваются интересы работодателей и работников. Несомненно, при переходе к рыночным отношениям стороны должны иметь равные права в решении вопросов оплаты труда. Коллективные договоры между администрацией предприятия (или представителем собственника) и профсоюзом, представляющим интересы работников, становятся юридической, действующей и единственно действенной формой регулирования трудовых отношений, в том числе и в вопросах оплаты труда.
В условиях рынка, а тем более в переходный период, меняются направления и характер государственного регулирования распределительных отношений, появляются новые формы управления, исключающие жесткие схемы администрирования, предъявляются новые требования к процессам регулирования на уровне предприятий. Государственное вмешательство необходимо для установления, толкования и обеспечения соблюдения условий и принципов распределения доходов. Регулирующее воздействие государства должно быть направлено на создание условий для зарабатывания средств и социальных гарантий с целью повышения эффективности использования рабочей силы, реализации и согласования интересов субъектов распределительных отношений, функционирующих на основе различных форм собственности и хозяйствования.
Основой государственного регулирования распределительных отношений должны стать: законодательство и соглашения по труду, налоговая система, установление зависимости между динамикой индивидуальных доходов и инфляцией. Без участия государства невозможно гарантировать человеку доход, обеспечивающий ему достойную жизнь вне зависимости от итогов экономической деятельности предприятия. В функции государства, кроме того, должно входить повышение доходов малоимущих слоев населения для создания условий нормального воспроизводства рабочей силы, обеспечения оптимального распределения трудовых ресурсов, ослабления социальной напряженности и т.д. Становясь участником воспроизводства рабочей силы, государство во многом берет на себя предложение рабочей силы, стремится, чтобы оно отвечало спросу предпринимателей.
Для регулирования перечисленных вопросов необходима действенная система многоуровневых коллективных договоров, основа для которых у нас в законодательной области создана, но многое предстоит сделать по реализации, доработке, конкретизации, уточнению различных положений этой системы. В законе РФ “О коллективных договорax и соглашениях” предусмотрено заключение генеральных, отраслевых, специальных соглашений и коллективных договоров. Постановлением Совета Министров - Правительства РФ от 14 июля 1993 г. утверждено положение о Российской трехсторонней комиссии по регулированию социально-трудовых отношений, предусматривающее:
• установление общих принципов согласованного проведения социально-экономической политики с учетом интересов работников наемного труда и работодателей;
• развитие системы социального партнерства;
• содействие урегулированию коллективных трудовых споров (конфликтов).
Реализация этих законодательных актов положила начало развитию системы социального партнерства в области трудовых отношений, однако механизм их действия пока еще недостаточно отработан.
Характеризуя практические шаги в области регулирования оплаты труда в нашей стране, следует отметить, что была разработана и введена Единая тарифная ставка (ETC) для дифференциации уровней оплаты труда различных категорий работников, позволяющая обеспечить равную оплату за равносложный труд независимо от сферы его приложения для работников производственных и непроизводственных отраслей экономики, финансируемых за счет бюджетных средств.
Мерой государственного регулирования оплаты труда, обеспечивающей социальную защищенность малоимущих, низкооплачиваемых работников, является установление минимальной заработной платы на объективной основе.
Введение Единой тарифной сетки для оплаты труда работников бюджетной сферы сводится к периодическому пересмотру тарифной ставки первого разряда, т.е. минимальной тарифной ставки, на уровне организаций и учреждений данной сферы. У предприятий, не относящихся к бюджетным, величина этой ставки должна предусматриваться в отраслевых соглашениях, коллективных договорах и зависеть от прибыльности отрасли, предприятия. Следует отметить, что наблюдается ярко выраженная дифференциация в уровнях тарифных ставок первого разряда по отраслям, что приводит к негативным последствиям в экономике страны. Назревает необходимость упорядочения работы по заключению отраслевых тарифных соглашений, отражению в них условий оплаты труда работников.
Возвращаясь к вопросу о проблемах установления минимально заработной платы на основе социальных нормативов, следует отметить, что последние являются основным элементом нормативного подхода при оценке потребностей населения. Это прежде всего Критерий эффективного распределения ресурсов потребления, социальных гарантий в области распределения доходов, неотъемлемый атрибут системы индексации доходов населения. Они являются эталонами, без которых невозможно оценить существующий уровень жизни. К их постижению необходимо стремиться при формировании социальной политики. К недостаткам социальных нормативов следует отнести:
• отсутствие единого методологического подхода при расчетах нормативов. Разработчики социальных нормативов чаще всего действуют изолированно друг от друга, что приводит к разнобою и дублированию в работе. Одни и те же социальные нормативы, разработанные в разных ведомствах, имеют различные значения,
• слабая организация апробирования нормативов и анализа методики их расчетов (обсуждаются лишь конечные результаты), отсутствие ясности в вопросе утверждения нормативов;
• несовершенство норм потребления как основы расчетов социальных нормативов (практически они не дифференцированы по районам, социально-демографическим группам населения, не охватывают всего круга потребительских благ и услуг; в них чаще, всего фокусируются абстрактные, а не реальные потребности).
Последовательность работы по организации заработной платы на предприятии представлена на рис. 4.4, где показаны решения задач, объединенных в три крупных блока: выбор способа формирования основной заработной платы; выбор форм оплаты труда; выбор систем регулирования.
При организации заработной платы на предприятии важен выбор способа формирования основной заработной платы на базе Единой тарифной сетки, либо бестарифной системы оплаты труда. Приоритет принадлежит ETC, при использовании которой достигается более объективная дифференциация заработной платы рабочих разной квалификации. Однако в силу постоянно меняющегося экономического положения предприятиям нередко приходится менять тарифные ставки, что приводит к большим трудозатратам. Бестарифная система оплаты труда позволяет поставить заработную плату в прямую зависимость от фактических результатов работы предприятия. Начисление заработной платы менее трудоемко, но это касается только небольших предприятий.

Рис. 4.4. Последовательность работы но организации заработной
платы на предприятии
Критерием экономической эффективности организации заработной платы является опережающий рост хозрасчетного дохода над фондом заработной платы. В случаях, когда такое опережение не обеспечивается, необходимы тщательный анализ причин и разработка дополнительных мероприятий, направленных либо на увеличение прибыли, либо на снижение расходов на оплату труда.
В современных условиях правильно организовать заработную плату на предприятии невозможно без ее основного элемента - нормирования труда, позволяющего установить соответствие между объемом затрат труда и размером его оплаты в конкретных организационно-технических условиях. Работа по совершенствованию нормирования труда должна быть направлена на повышение качества норм и прежде всего на обеспечение равной напряженности норм для всех видов труда и для всех групп работников. Равная напряженность норм на различных производственных участках достигается либо за счет установления равных или близких по численному значению коэффициентов напряженности на отдельные элементы трудового процесса или виды работ, либо путем учета в нормах определенного уровня интенсивности труда. Равнонапряженность норм предполагает одинаковую интенсивность труда на различных участках производства. В связи с этим первая величина может устанавливаться с учетом темпа работы и времени занятости:
I=KTЧKЗ,
где I -показатель интенсивности труда, доли единиц;
КТ - коэффициент темпа работы, доли единиц;
КЗ - коэффициент времени занятости, доли единиц.
На практике для оценки интенсивности труда чаще используют только один ее показатель - темп работы. В этом случае все устанавливаемые затраты рабочего времени корректируются на коэффициент темпа работы.
Коэффициент темпа работы характеризует отношение фактического темпа работы к физически оптимальному, а коэффициент занятости представляет собой отношение фактического времени занятости в смену к условному уровню отсчета, равному определенному проценту длительности смены. Если интенсивность трупа на данном рабочем месте отличается от нормативной, то следует проводить мероприятия по ее снижению или повышению, в частности, изменению нормы труда.
Улучшение нормирования труда рабочих осуществляется на основе всестороннего анализа его состояния по цехам, участкам и другим структурным подразделениям, по видам работ, профессиям и т.п. При этом следует опираться на данные анализа уровня выполнения норм, фотографий рабочего дня, хронометражных замеров.
Для рабочих-сдельщиков основным показателем, на базе которого регулируется уровень оплаты труда, является процент выполнения норм выработки. Более высокое значение показателя позволяет обеспечить и более высокую заработную плату при одинаковых тарифных ставках, а также увеличить премиальные выплаты, если показателем премирования служит уровень выполнения норм. Поэтому одним из главных направлений анализа и установления равнонапряженных норм является определение уровня выполнения норм: в основном и вспомогательном производстве, по структурным подразделениям, по видам работ, профессиям, по разрядам работ, на работах с нормальными условиями и работах с тяжелыми и опасными условиями труда.
Улучшение нормирования труда специалистов и служащих, а также отдельных категорий работников должно осуществляться на основе анализа степени их загрузки и рационального распределения обязанностей, совершенствования структуры управления и внедрения современных технических средств. Необходимо провести работу по сокращению и упорядочению излишних звеньев управления, сокращению численности вспомогательного, обслуживающего и управленческого персонала. Каждому специалисту следует определить регламент работы, обеспечивающий его полную ежедневную загрузку в течение дня. Положения регламента должны быть конкретными, отражать специфику работы специалиста на данном рабочем месте, в данной должности и соответствующей квалификационной категории. В итоге работы по определению новой структуры предприятия и систем управления им, наименований должностей работников в соответствии фактически выполняемыми ими функциями устанавливается требуемая для составления штатного расписания численность руководителей, специалистов и служащих.
4.4. Сущность и элементы тарифной системы
В условиях формирования рыночных отношений предприятия получившие право самостоятельно решать вопросы организации заработной платы, используют для этого различные модели и подходы. Однако отсутствует банк данных о зарубежном опыте в этой области и об отечественных внутрифирменных моделях оплаты труда, который только формируется, работники отдела организации труда и заработной платы, как правило, не имеют достаточных знаний для выбора оптимальной модели оплаты труда на своем предприятии. По указанной причине большинство предприятий, особенно средних и крупных, использует традиционную тарифную систему.
Основными элементами организации оплаты труда на таких предприятиях являются: нормирование труда, тарифная система, формы и системы заработной платы. Каждый элемент имеет строго определенное назначение.
Нормирование труда - это установление научно обоснованных затрат труда и его результатов: норм времени, численности, управляемости обслуживания, выработки, нормированных заданий. Без этого невозможно учесть количество труда, индивидуальный вклад каждого работника в общие результаты.
Формы и системы заработной платы - это механизм установления размера заработка в зависимости от количественного результата и качества труда (его сложности, интенсивности, условий).
Тарифная система представляет собой совокупность различных нормативных материалов, с помощью которых устанавливается уровень заработной платы работников на предприятии в зависимости от квалификации работников (сложности работ), условий труда, географического расположения предприятия и других отраслевых особенностей. К числу основных элементов тарифной системы относятся тарифные сетки, тарифные ставки, тарифно-квалификационные справочники, должностные оклады, тарифные справочники должностей служащих, надбавки и доплаты к тарифным ставкам, районные квалификационные коэффициенты к заработной плате.
Тарифная сетка - шкала разрядов, каждому из которых присвоен свой тарифных коэффициент, показывающий, во сколько раз тарифная ставка любого разряда больше первого. Тарифный коэффициент первого разряда всегда равен единице. Количество разрядов и величины соответствующих им тарифных коэффициентов определяются коллективным договором, заключаемым на предприятии. Коллективный договор разрабатывается на основе тарифного соглашения и не должен предусматривать ухудшение положения работников по сравнению с его условиями.
Тарифная ставка - выраженный в денежной форме абсолютный пазмер оплаты труда в единицу рабочего времени. На основе тарифной сетки и тарифной ставки первого разряда рассчитываются тарифные ставки каждого последующего разряда. Тарифная ставка первого разряда определяется коллективным договором предприятия и зависит с одной стороны, от его финансовых возможностей, а с другой - от условий оплаты труда, отраженных в отраслевом соглашении. При этом она не должна быть законодательно ниже установленного уровня минимальной заработной платы. Тарифная ставка является исходной величиной для установления уровня оплаты труда рабочих независимо от того, какие формы и системы оплаты труда применяются на предприятии.
В зависимости от избранной единицы времени тарифные ставки бывают часовые, дневные и месячные (оклады). Наибольшее распространение имеют часовые тарифные ставки, так как на их основе исчисляются различные доплаты. Дневная и месячные ставки рассчитываются путем умножения часовой ставки на количество часов в рабочей смене и среднемесячное количество отработанных часов в месяц.
Тарифно-квалификационные справочники - это нормативные документы, с помощью которых устанавливается разряд работы и рабочего. В них содержится информация о том, что должен знать теоретически и уметь практически рабочий каждого разряда каждой специальности. Указанные справочники состоят из трех разделов:
“Характеристика работ”, “Должен знать” и “Примеры работ”. Обязательные для использования во всех отраслях экономики ранее (до введения в действие с 1 января 1991 г. Закона “О предприятиях и предпринимательской деятельности”), в настоящее время тарифно-квалификационные справочники носят рекомендательный характер и являются нормативными лишь для предприятия, их использующего. Квалификационный разряд присваивается рабочему квалификационной комиссией (обычно цеховой или заводской).
Предприятия, использующие традиционные подходы в организации оплаты труда, применяют тарифные сетки, тарифные ставки и тарифно-квалификационные справочники для определения размеров заработной платы рабочих. Для служащих, являющихся работниками управленческого труда на таких предприятиях, применяют штатно-окладную систему. Ее особенностью является составление штатного расписания, где указываются перечень должностей, имеющихся на конкретном предприятии, численность работников по каждой должности и размеры месячных окладов.
Аттестационная комиссия предприятия на основе использования квалификационных справочников должностей в процессе аттестации присваивает служащим квалификационную категорию. Квалификационный справочник должностей служащих состоит из отдельных характеристик. Каждая квалификационная характеристика имеет три раздела. “Должностные обязанности”, “Должен знать”, “Квалификационные требования”. Как и тарифно-квалификационный справочник, квалификационный справочник должностей служащих имеет рекомендательный характер и может произвольно использоваться предприятиями с корректировкой и внесением изменений в его разделы. Периодичность проведения аттестации служащих определяется самим предприятием.
Многие предприятия сейчас идут по пути поиска новых, наиболее эффективных подходов к организации оплаты труда на основе элементов традиционной тарифной системы. Это позитивный процесс, который является следствием предоставления предприятиям самостоятельности в решении рассматриваемых вопросов. Наиболее широкое применение получает использование общей тарифной сетки для организации оплаты труда всех работающих на предприятии. Как правило, количество разрядов, присваиваемых рабочим, остается прежним (6-8). Максимальное количество разрядов в сетке и соответствующий им тарифный коэффициент могут быть определены на конкретном предприятии произвольно и обязательно закреплены в коллективном договоре.
Для бюджетных организаций в 1992 г. введена Единая тарифная сетка. ETC построена по принципу разработки тарифных сеток для дифференциации тарифных ставок рабочих. Она представляет собой поразрядную систему оплаты как рабочих, так и всех категорий служащих, с установлением фиксированных в пределах разряда (группы оплаты) тарифных ставок и должностных окладов. Сетка содержит 18 разрядов. Дифференциация ставок оплаты по разрядам осуществляется по признаку сложности выполняемых работ и квалификации работников. Учет в заработной плате других факторов - условий туда отклоняющихся от нормальных (за исключением общеотраслевых условий труда), тяжести, напряженности труда, индивидуальных результатов труда, повышающих норму, деловых и личных качеств работников и т.д. - осуществляется посредством других элементов организации заработной платы. По отношению к ним тарифная ставка (оклад) как плата за норму труда является основой формирования всей заработной платы.
Таблица 4.1
Пример построения Единой тарифной сетки для оплаты труда
рабочих* предприятий машиностроения
Показатели тарифной сетки
|
Разряды
|
1
|
2
|
3
|
4
|
5
|
6
|
7
|
8
|
9
|
10
|
Тарифные коэффици-
енты 1,0 1,3 1,69 1,91 2,16 2,44 2,76 3,12 3,53 3,99
Возрастание тарифных
коэффициентов:
относительное, % 30,0 30,0 13,0 13,0 13,0 13,1 13,0 13,1 13,0
абсолютное 0,3 0,39 0,22 0,25 0,28 0,32 0,36 0,41 0,46
|
Единая тарифная сетка для оплаты труда рабочих построена на основании сводной сетки согласно Постановлению Правительства РФ “О дифференциации в уровнях оплаты труда работников бюджетной сферы на основе Единой тарифной сетки” от 14 октября 1992г.
Принятый в ETC характер нарастания тарифных коэффициентов от разряда, когда наибольший прирост предусмотрен для начальных разрядов, а наименьший - для высших, объясняется необходимостью социальной защиты наименее квалифицированных, а следовательно, наименее оплачиваемых в прошлом групп работников по сравнению с квaлифициpoвaнными специалистами и руководителями.
Все профессии и должности работников в ETC сгруппированы по признаку общности выполняемых работ (функций). Для тарификации рабочих предназначены первые восемь разрядов сетки. Это соответствует условиям тарификации по ныне действующему Единому тарифно-квалификационному справочнику работ и профессий рабочих (ЕТКС). В то же время высококвалифицированным рабочим, занятым на важных и ответственных или на особо важных и особо ответственных работах, могут устанавливаться оклады исходя из 9-12 разрядов оплаты (это предусмотрено постановлением Правительства) Остальные работники - служащие, специалисты, руководители - та-рифицируются со 2 по 18 разряд.
При разработке межотраслевой ETC руководствуются следующими принципами построения единой шкалы тарификации и оплаты труда рабочих и служащих:
• охват единой тарифной шкалой всех категорий работников сферы экономики;
• группировка профессий рабочих и должностей служащих по признаку общности выполняемых работ (функций);
• тарификация профессий рабочих и должностей служащих, т.е. отнесение их к разрядам оплаты по признаку сложности выполняемых работ или функций;
• установление тарифной ставки 1 разряда в размере, соответствующем уровню минимальной заработной платы работников простого труда, и одинакового относительного возрастания тарифных коэффициентов от разряда к разряду.
Преимущество ETC состоит в том, что она обеспечивает единый подход к оценке различий труда при установлении соотношений тарифных ставок и окладов по всем профессионально-квалификационным группам работников. Единая межотраслевая ETC является аналогом для разработки отраслевых единых тарифных сеток и единых тарифных сеток предприятия, в которых межотраслевые единые условия оплаты труда различных категорий работников должны быть адаптированы к условиям отраслей и конкретных предприятий, к профессионально-квалификационному составу работников.
К основным элементам тарифной системы относятся также районные коэффициенты, и надбавки к заработной плате за стаж работы в неблагоприятных климатических районах. Районный коэффициент представляет собой нормативный показатель степени увеличения заработной платы в зависимости от месторасположения предприятия, организации. Он устанавливается непосредственно к заработной плате, на которую распространен. Районные коэффициенты могут колебаться в пределах от 1,0 до 2,0.
Пример. Месячный заработок работника предприятия, на который распространи районный коэффициент к заработной плате, равный 1,4, составил 270 руб. Следовательно, ему должно быть начислено 378 руб. (270 руб. х 1,4).
Основная задача районного регулирования заработной платы заточается в обеспечении равной реальной заработной платы за равный труд во всех экономических районах страны. Для этого заработная плата работников одинаковой квалификации должна различаться по экономическим районам и такие различия должны складываться не стихийно, а устанавливаться государством сознательно и планомерно.
Районные коэффициенты строятся с учетом разницы: в уровне цен на предметы потребления; в бюджетном наборе товаров, который зависит от различий в природно-климатических условиях районов, требующих специфических наборов продуктов питания, одежды, топлива и тл.; в климатических условиях, воздействующих на работника непосредственно в процессе труда и вызывающих усиление его физической напряженности по сравнению с аналогичным трудом в других климатических условиях.
Для целей анализа трудовых показателей, начисления заработка, установления доплат необходимо иногда использование величин среднего разряда работ, рабочих, установление среднего тарифного коэффициента, средней тарифной ставки. Все эти показатели определяются на основе элементов действующей на предприятии тарифной системы оплаты труда.
Средний разряд рабочих исчисляется по формуле:

,
где Ч - численность рабочих с одинаковым разрядом;
Н - номер разряда рабочего.
Установление среднего разряда работы, необходимое для проведения аналитической работы по выявлению резервов роста производительности труда, связанных со структурой кадров, может осуществляться по одной их двух методик.
1. Если имеется или возможна группировка трудоемкости работ по разрядам, то для расчета среднего разряда работы применяется формула:

,
где ТРП - трудоемкость производственной программы;
ТРР - трудоемкость работ по каждому разряду.
2.Если предыдущий вариант расчета невозможен или затруднителен, то используется методика, основанная на применении средней тарифной ставки работ. В этом случае средний разряд работ определяется следующим образом:

,
где РМ - тарифный разряд, соответствующий меньшей из двух смежных тарифных ставок, между которыми находится средняя тарифная ставка;
ТС - средняя тарифная ставка;
ТМ - меньшая из двух смежных тарифных ставок;
Тб - большая из двух смежных тарифных ставок.
Или

,
где Рб - тарифный разряд, соответствующий большей из двух смежных тарифных ставок, между которыми находится средняя тарифная ставка.
При расчете средней тарифной ставки может быть использована одна из двух методик:
1.

,
где Т - тарифная ставка рабочих (работ), имеющих одинаковый разряд;
Ч - численность рабочих, имеющих одинаковый разряд.
Эта методика расчета наиболее приемлема для оценки средней тарифной ставки рабочих-повременщиков.
2.

,
где ТРР - трудоемкость работ по каждому разряду.
По этой формуле рассчитывается средняя тарифная ставка работ, трудоемкость которых известна.
Средняя тарифная ставка может быть также определена как прои3" ведение среднего тарифного коэффициента на тарифную ставку первого разряда.
Средний тарифный коэффициент исчисляется по одной из формул-
1)

; 2)

;
3)

; 4)

;
где К - тарифный коэффициент, соответствующий разряду данной группы рабочих (работ);
Ч - численность рабочих, имеющих одинаковые разряды;
ТРР - трудоемкость работ, имеющих одинаковые разряды;
Кб, КМ - тарифные коэффициенты, соответствующие большему и меньшему из двух смежных разрядов, между которыми находится средний разряд;
РС - средний тарифный разряд рабочих (работ);
Рб, РМ - больший и меньший из двух смежных разрядов тарифной сетки, между которыми находится средний разряд.
Для аналитических целей расчет вышеприведенных средних показателей целесообразен только по рабочим, так как тарифный коэффициент и разряд у них характеризуют уровень квалификации, сопоставимый с требованиями к этой квалификации, обусловленными сложностью работы. Руководителям, специалистам и служащим при использовании Единой тарифной сетки разряд присваивается с целью четкой дифференциации в оплате труда.
4.5. Разработка собственных заводских
тарифных сеток
При разработке тарифной сетки необходимо знать основные характеристики тарифной сетки и особенности ее построения; наиболее часто встречающиеся ошибки (в целях их устранения).
Важным является вопрос установления достаточного для нормального воспроизводства рабочей силы уровня гарантированных тарифных ставок (окладов) с учетом сложности и условий труда, физических и умственных усилий, возлагаемой на работника ответственности, а также их дифференциации по категориям персонала в зависимости от меняющегося спроса и предложения на рынке труда. Уровень тарифных ставок и окладов различных профессионально-квалификационных групп работников в значительной степени зависит от соотношения их минимального и максимального размеров. Чем выше это соотношение, тем ниже гарантированный уровень заработка неквалифицированных работников, который выражает минимальная тарифная ставка, установленная на предприятии.
При установлении соотношения минимальной тарифной ставки и максимального оклада на предприятии следует учитывать совокупность многих факторов: уровень минимальной тарифной ставки, раз. мер средней заработной платы, степень соответствия заработков различных профессионально-квалификационных групп рыночной цене рабочей силы, размеры предприятия, перспективы его развития. Однако в самом крайнем случае это соотношение не должно превышать 14-16 раз. Оптимальным же соотношением в условиях стабильной работы предприятия, исходя из необходимости реализации воспроизводственной и социальной функции заработной платы, а также учета зарубежного и отечественного опыта, следует признать 7-8 раз.
Количество разрядов должно определить само предприятие: чем оно крупнее либо больше разрыв в уровне квалификации его работников, тем больше число разрядов может содержать тарифная сетка.
Соотношение крайних разрядов в разрабатываемых сетках будет зависеть от того, какое межразрядное соотношение установит предприятие. При этом надо исходить из вывода психологов, что нижний предел ощущения роста материальной заинтересованности составляет 10%, т.е. менее чем 10%-ную разницу в тарифных коэффициентах устанавливать не следует.
При определении соотношения крайних разрядов также учитывается сложившийся уровень заработной платы по самым простым и сложным работам, выполняемым на предприятии.
Пример. У рабочих, выполняющих простые работы, тарифицируемые первым разрядом, заработная плата составила 120 руб., а у рабочих 10 разряда - 360. Значит соотношение крайних разрядов составит 120 : 360 = 1 : 3.
Важным является установление принципа нарастания (как абсолютного, так и относительного) тарифных коэффициентов от разряда к разряду. Существуют два принципа нарастания - равное и прогрессивное. При равном нарастании рост тарифных коэффициентов от разряда к разряду происходит в равном размере. При прогрессивном нарастании тарифные ставки более высоких разрядов могут возрастать в большем относительном размере, чем низших.
Чем больше степеней сложности, т.е. разрядов в тарифной сетке, тем точнее в заработной плате будут отражены различия в сложности труда и квалификации работника, чем меньше количество разрядов, тем меньше эта точность, так как большинство работ будет тарифицироваться или с определенным завышением их сложности или занижением. Чем меньше количество разрядов в сетке, тем более длительное время не меняется разряд рабочего, а вместе с этим уменьшается сила материальных стимулов в повышении его квалификации. Однако количество групп по сложности труда должно быть ограничено исходя оптимального соотношения между крайними разрядами, а также тактической целесообразности.
При определении минимальной тарифной ставки работников предприятия следует ориентироваться на оптимальный для современнoro состояния экономики удельный вес тарифа в заработной плате, равной примерно 65-70%, с последующим повышением этого уровня до общеевропейского стандарта, согласно которому удельный вес тарифной части заработной платы составляет не менее 90%, что обеспечивает высокий уровень организации оплаты и эффективность труда.
При разработке внутрипроизводственных тарифных условий оплаты труда экономическим службам предприятия необходимо ориентироваться на соответствующие территориальное и отраслевое тарифные соглашения, распространенные в установленном порядке на предприятии. В отраслевых тарифных соглашениях предусматриваются нормы, регулирующие социально-трудовые отношения в области организации, оплаты, социальных гарантий, найма и увольнения работников, которые в процессе перехода к рыночным отношениям нацелены на выравнивание условий воспроизводства рабочей силы на отраслевом уровне. При разработке коллективного договора в части тарифных условий оплаты предприятие в соответствии со своими финансовыми возможностями может увеличивать норму оплаты, предусмотренную в отраслевых тарифных соглашениях. В коллективном договоре в качестве основы для построения тарифной оплаты труда работников предприятия фиксируется наименьший уровень оплаты за выполнение нормы труда (круга трудовых обязанностей), который является минимальной тарифной ставкой. В условиях перехода к ры-ночным отношениям, когда необходимо социально защитить низко-оплачиваемых работников, можно рекомендовать регрессивный принцип построения тарифных сеток. Он предусматривает относительное возрастание коэффициентов, но по убывающей. Наиболее часто встречающиеся ошибки при расчете заводских сеток:
• бессистемное построение шкал сетки, завышение ставок отдельных разрядов;
• множественность тарифных сеток.
После того как сетка разработана, определен ее диапазон, установлено межразрядное соотношение, следует приступить к тарификаций работ и работников. Порядок проведения тарификации работ и рабочих приведен на рис. 4.5.
По каждому показателю, применяемому для оценки квалификации и профессиональной компетентности работника, в разрабатываемых положениях следует предусмотреть конкретные критерии, позволяющие характеризовать соответствие работника предъявляемым требованиям. Это необходимо для аттестационных комиссий, которые на основе материалов, представленных на каждого аттестуемого, и непосредственного знакомства с последним дают объективную оценку его деятельности и высказывают суждения о присвоении работнику того или иного разряда оплаты. В табл. 4.2 приводится пример перечня показателей, учитываемых в процессе аттестации.
При положительном решении вопроса о соответствии работника занимаемой должности, когда по большинству показателей, принимаемых в расчет в процессе проведения аттестации, дается оценка “ниже предъявляемых требований”, работнику присваивается начальный разряд по оплате труда в пределах диапазона тарификации, предусмотренного Единой тарифной сеткой для данной должности. Если преобладают оценки “соответствует предъявляемым требованиям”, то работнику устанавливается средний разряд оплаты из предусмотренных для данной должности. Когда аттестуемому даются оценки “Выше предъявляемых требований”, ему присваивается высший разряд оплаты по должности в соответствии в тарифной сеткой.

Рис. 4.5. Порядок проведения тарификации работ и рабочих
Таблица 4.2
Показатели оценки деятельности работника при установлении разряда оплаты, предусмотренного Единой тарифной сеткой
Показатели, характеризующие квалификацию
и профессиональную компетентность работника
|
Уровень соответствия показателя предъявляемым требованиям
|
ниже предъявляемых требований
|
соответствует предъявляемым требованиям
|
выше предъявляемых требований
|
1. Образование 2 Объем специальных знаний
3. Способность к рациональной организации выполняемой работы
4. Способность анализировать возникающие в работе проблемы, принимать правильные решения или делать необходимые выводы
5. Способность адаптироваться к новой ситуации и применять новые подходы к решению возникающих проблем (задач)
6. Готовность к выполнению заданий, не входящих в должностные обязанности, степень самостоятельности их выполнения
7. Качество выполнения порученной работы (дополнительных обязанностей), Уровень ответственности за порученное дело
8. Интенсивность труда, способность и готовность справляться с большими нагрузками
Дополнительные требования к руководителям
9. Умение организовать труд подчиненных
10.Стиль общения:
с подчиненными
с вышестоящими руководителями
11. Способность выразить свои мысли:
исьменно
устно
12 реально осуществляемый масштаб руководства
|
|
|
Резюме
Заработная плата в условиях рыночной экономики есть элемент дохода наемного работника, форма экономической реализации права собственности на принадлежащий ему ресурс труда. Основным элементом заработной платы выступает ставка заработной платы, на которую оказывают влияние факторы: изменение спроса и предложения на рынке товаров и услуг, при производстве которых используем данный труд; полезность ресурса для предпринимателя; эластичность спроса на труд по цене; взаимозаменяемость ресурсов; изменение и на потребительские товары и услуги.
Сущность заработной платы проявляется в функциях, которые она выполняет в фазах общественного производства: производстве, распределении, обмене и потреблении.
Под организацией заработной платы понимают ее построение, обеспечение взаимосвязи количества труда с размерами его оплаты, а также совокупность составных элементов (нормирование, тарифная система, премии, доплаты и надбавки). Весьма важным элементом организации заработной платы является тарифная система, представляющая собой совокупность различных нормативных материалов, с помощью которых устанавливается уровень заработной платы работников в зависимости от группы факторов.
В условиях рыночной экономики предприятие (организация) имеет право разрабатывать собственную тарифную сетку (на основе единой тарифной сетки) и определять количество разрядов. При разработке таких тарифных сеток необходимо учитывать соответствующие территориальные и отраслевые тарифные соглашения.
Вопросы для контроля и обсуждения
1. Назовите основные виды доходов работников в условиях перехода к рыночным отношениям. О чем свидетельствует сложившаяся структура доходов?
2. На чем строится система заинтересованности работников? Попробуйте объяснить формирование мотивации труда.
3. Какие функции выполняет заработная плата работников в условиях рыночной экономики? Назовите функции, которые в настоящее время недооцениваются.
4. Перечислите основные принципы организации оплаты труда, объясните их взаимосвязь. Что понимается под организацией заработной платы?
5. Назовите организационные основы оплаты труда на предприятии.
6. В чем заключаются сущность и последовательность работы по организации заработной платы на предприятии?
7. Без какого основополагающего элемента невозможно в современных условиях организовать заработную плату и почему?
8. Что собой представляет генеральное соглашение между общероссийскими объединениями работодателей и Правительством РФ?
9. Что представляет собой тарифная система заработной платы? Назовите основные элементы тарифной системы.
10. Укажите основные особенности единой тарифной сетки для работников бюджетной сферы.
11. Подумайте: как рассчитать средний тарифный коэффициент в средний тарифный разряд; для какой цели выполняются данные расчеты.
12. Каков порядок разработки тарифной сетки на предприятии? Назовите наиболее часто встречающиеся ошибки при расчете заводских тарифных сеток.
13. Дайте характеристику порядка проведения тарификации работ и рабочих на предприятии.
14. Какие вы знаете показатели оценки деятельности работника при установлении разряда оплаты труда? Нужны ли дополнительные требования к руководителям?
Глава 5
ОРГАНИЗАЦИЯ ЗАРАБОТНОЙ ПЛАТЫ
НА ОСНОВЕ ТАРИФНОЙ СИСТЕМЫ
5.1. Формы организации заработной платы
Первые два элемента организации заработной платы - нормирование труда и тарифная система - не определяют порядок начисления заработной платы. Они представляют собой лишь базу для установления размера заработной платы. Для практического их использования необходим четкий алгоритм зависимости оплаты труда от норм труда, от элементов тарифной системы и от показателей, характеризующих количество и качество затраченного труда. Эта зависимость отражается через формы и системы оплаты труда - третий элемент организации заработной платы, через который осуществляется связь оплаты труда с его количественными и качественными результатами.
Существуют две формы оплаты труда - повременная и сдельная. Повременная форма характеризуется тем, что заработная плата работнику начисляется в зависимости от количества отработанного в соответствии с табельным учетом времени и установленной тарифной ставкой или окладом. Эта зависимость выражается формулой:

где ТС - тарифная ставка присвоенного рабочему разряда (в руб. за час, день);
Фтаб - фонд фактически отработанного по табелю времени (часов, дней).
Целесообразность использования для расчета заработной платы при повременной форме тарифной ставки разряда рабочего, а не работы, объясняется сложностями в установлении разряда работы, которая у повременщиков, как правило, слишком разнородна.
Сдельная форма оплаты труда позволяет установить размер заработной платы рабoтникa в зависимости от объема выполненной работы, который может быть измерен в количестве операций, изделий и т.д., и размера заработной платы за единицу продукции (расценки). Матера тически эта зависимость может быть выражена формулой:

,
где р - расценка (штучная сдельная) за единицу объема работ в руб.;
V - объем выполненной работы в установленных измерителях.
Штучная сдельная расценка устанавливается по формуле:

,
где ТС - часовая тарифная ставка;
НВР - норма времени;
НВЫР,ЧАС - норма выработки часовая;
НВЫР.СМ - норма сменной выработки;
НВЫР.МЕС - месячная норма выработки;
ФСМ, ФМЕС - соответственно сменный и месячный фонды рабочего времени.
Для установления тарифной ставки ориентируются на разряд работы, а не рабочего, так как оплачиваться должен труд, а разряд работы может быть установлен вследствие четкой регламентации содержания выполняемых операций и их элементов. Окончательно эти вопросы решаются на каждом конкретном предприятии и отражаются i коллективном договоре, в котором фиксируются используемые формы и системы оплаты труда.
Применение различных форм заработной платы требует соблюдения ряда условий, которые дифференцированы и зависят от многих обстоятельств. Условиями, предусматривающими целесообразность применения сдельной оплаты труда, являются:
• наличие количественных показателей выработки или работы, правильно отражающих затраты труда работника;
• наличие у работников реальной возможности увеличивать выработку или объем работы против установленной нормы в реальных технических и организационных условиях производства,
• необходимость стимулирования роста выработки продукции, увеличения объема работ и сокращения численности работников за счет интенсификации труда рабочих;
• возможность и экономическая целесообразность разработки норм труда и учета выработки работников;
• отсутствие отрицательного влияния сдельной оплаты на уровень качества продукции (работы), степень соблюдения технологических режимов и требований техники безопасности, рациональность расходования сырья, материалов и энергии.
Если перечисленные условия отсутствуют, то рекомендуется принять повременную форму оплаты труда. При этом необходимо соблюдать:
• строгий учет и контроль за фактически отработанным временем каждым работником с обязательным отражением времени простоя;
• правильное присвоение рабочим-повременщикам тарифных разрядов в соответствии с их квалификацией и с учетом действительной сложности выполняемых ими работ, а также присвоение специалистам, служащим и младшему обслуживающему персоналу должностных окладов, соответствующих выполняемым ими должностным обязанностям и с учетом личных деловых качеств каждого работника;
• разработку и правильное применение обоснованных норм обслуживания, нормированных заданий и нормативов численности по каждой категории работающих, исключающих различную степень загрузки, а следовательно, и различный уровень затрат труда в течение рабочего дня;
• оптимальную организацию труда на каждом рабочем месте, обеспечивающую эффективное использование рабочего времени. Особо выделяется установление нормированных заданий рабочим-повременщикам. При выборе показателей, обосновывающих задания, целесообразно включить показатели, учитывающие результаты их труда:
• нормированные задания, определяющие каждому повременщику объем работы за смену, неделю или месяц:
• плановые нормы или задания по выпуску продукции бригадой (звеном), участком, цехом;
• нормы труда в виде степени выполнения технологических параметров и режимов, норм расхода сырья, материалов и других производственных ресурсов, графиков выполнения определенных видов работ и т.п.
При выборе формы оплаты труда следует учитывать особенности оборудования, технологии, организации производства и труда, требования к качеству работы, необходимость сочетания личных и коллективных интересов. Так, сдельную форму лучше применять, если выработка зависит в основном от работника, т.е. работы ручные, механизированно-ручные и механизированные; есть необходимость заинтересовать работника в увеличении количества выпускаемой продукции. Повременную форму оплаты лучше применять, когда рабочий не может прямо повлиять на выработку продукции (автоматические линии, гибкие автоматические производства, аппаратурные процессы), или при высоком требовании к качеству продукции.
В период административного управления экономикой была широко распространена сдельная форма оплаты. Это объяснялось тем, что она обеспечивала выполнение плана при неритмичной работе и других недостатках в организации производства и труда являлась рычагом административного воздействия на рабочих с целью выполнения плановых заданий. В условиях формирования рыночных отношений выбор формы оплаты труда зависит от ее эффективности с точки зрения увеличения прибыли предприятия. При этом следует учитывать вышеперечисленные факторы, влияющие на целесообразность выбора.
Следует отметить, что повременная форма оплаты является перспективной. Автоматизация, комплексная автоматизация производства, являющиеся неотъемлемыми элементами научно-технического прогресса, делают использование сдельной формы проблематичным и нецелесообразным. От работника требуются в данных условиях не увеличение выпуска продукции (количества выполняемости операций), а контроль за работой оборудования (активное наблюдение) и умение своевременно устранять неполадки.
5.2. Повременные системы заработной платы
На базе форм оплаты труда разработаны системы повременной заработной платы: простая повременная, повременно-премиальная и повременно-премиальная с нормированным заданием.
При простой повременной системе заработок рабочего определяется по той же формуле, с помощью которой характеризовалась повременная форма оплаты труда:

. Область применения ее незначительна из-за недостаточно ярко выражение стимулирующей функции. В основном она используется при onpеделении тарифных заработков работников в бригадах с оплатой по единому наряду. Если твердо установлен размер месячной тарифной ставки (оклад), то работник получает заработную плату, только когда отрабатывает полное количество часов по графику выходов в месяц. За неполный отработанный месяц заработная плата выплачивается исходя из среднечасовой или среднедневной выработк и фактически отработанного времени. При повременно-премиальной системе заработная плата определяется по формуле:

,
где ЗП - тарифная заработная плата, соответствующая заработной плате, определенной где по простой повременной системе;
П - сумма премии, установленной за обеспечение определенных количественных и качественных показателей работы.
Применение повременно-премиальной системы возможно лишь при условии правильного выбора показателей премирования, количество которых не должно быть больше 2-3, причем размер премии рассчитывается по каждому из них. Кроме того, необходимо экономическое обоснование разработанных премиальных положений, иначе использование выбранной системы оплаты труда может быть убыточным для предприятия. Показатели премирования разрабатываются с учетом специфики работ или рабочих и должны четко учитываться. К таким показателям могут относиться: качество выпускаемой продукции, качество работы. В премиальном положении указывается источник премирования: экономия от снижения себестоимости, сокращения расходов материальных ресурсов, дополнительная выручка от реализации более качественной, ставшей более конкурентоспособной продукции. Источник дополнительной выручки - повышенная цена "ли увеличенный объем реализации. При разработке премиального положения следует исходить из того, что сумма выплачиваемой премии не должна превышать полученную экономию от снижения себестоимости.
Повременно-премиальная система оплаты труда с нормированным заданием используется, когда функции рабочих четко регламентированы и может быть рассчитана норма времени по каждой операции. Эта система объединяет в себе элементы как сдельной, так и повременной форм заработной платы. Применение данной системы целесообразно, если:
• необходимо обеспечить выполнение нормированного задания (производственного) по рабочим местам и подразделению в целом;
• поставлена задача добиться экономии материальных ресурсов;
• планируется совмещение профессий и многостаночное обслуживание с целью улучшения организации труда и т.д.
Размер заработной платы при повременно-премиальной системе оплаты труда с нормированным заданием устанавливается по формуле:

,
т.е. аналогично предыдущей системе, но в данном случае премия зависит от выполнения нормированного задания.
Итак, повременная форма оплаты труда и ее системы стимулируют повышение квалификации работников, работу без прогулов, создают условия для заинтересованности в высококачественной работе. В то же время они имеют недостаток - отсутствие связи оплаты труда с его результатами.
5.3. Сдельные системы заработной платы
На базе сдельной формы заработной платы разработаны следующие системы: прямая сдельная, сдельно-премиальная, сдельно-прогрессивная, косвенная сдельная, аккордная сдельная. Кроме того, если труд работников организован по коллективной (бригадной) форме с оплатой по единому наряду, то используется коллективная сдельная система заработной платы.
Прямая сдельная система позволяет установить прямую пропорциональную зависимость заработка работника от его выработки. Такая зависимость отражена в формуле, характеризующей сдельную форму оплаты труда:

.
Эта величина отражает основной (тарифный) заработок, являющийся базой для расчета заработков по другим системам сдельной формы. Данная система проста для расчетов и доступна для понимания, но область ее распространения всегда была незначительной, так как она недостаточно заинтересовывает рабочих в повышении качества продукции, экономии материальных ресурсов и в высоких производственных показателях.
Наибольшее распространение имеет сдельно-премиальная система заработной платы, позволяющая в большей степени реализовать стимулирующую функцию, поскольку кроме тарифной заработной платы предусматривает премию за выполнение установленных показателей премирования. Такими показателями могут быть: рост производительности труда, экономия материальных ресурсов, улучшение качества продукции и др.
Величина заработной платы при использовании сдельно-премиальной системы определяется по формуле:

.
При сдельно-прогрессивной системе оплаты труда для расчета заработков рабочих применяется следующая зависимость:

,
где р0 - штучная сдельная расценка, рассчитанная обычным способом;
VПЛ - объем выполненной работы в пределах установленной нормы или плана;
РПРОГ - прогрессивно нарастающая расценка;
VСВЕХПЛ - объем работы, выполненный сверх плана.
Для установления рПРОГ разрабатывается специальная шкала, где указывается процент изменения, увеличения расценки по сравнению с базовой в зависимости от уровня выполнения норм (плана).
Хотя сдельно-прогрессивная система заинтересовывает рабочих в увеличении объема выполненной работы, область ее применения всегда была незначительной, а с введением и широким распространением коллективных форм организации оплаты труда она практически перестала применяться. Это объясняется значительными недостатками, присущими данной системе: сложностью в расчетах; опасностью того, что темпы роста заработной платы будут опережать темпы роста выработки; повышением интенсивности работы до уровней, при которых здоровью работника будет причинен ущерб. Использование сдельно-прогрессивной системы оплаты труда целесообразно, лишь если нужно обеспечить срочное выполнение важного для деятельности предприятия заказа, ликвидировать в короткие сроки последствия аварии. Время, на которое вводится эта система, устанавливается на срок не более 3-6 месяцев.
Косвенная сдельная система применяется для установления заработка вспомогательным рабочим. Никакая из приведенных ранее систем не заинтересует их в том, чтобы обслуживаемые рабочие увеличили выработку. Для определения заработка рабочих, труд которых оплачивается по косвенной системе, чаще всего используются следующие методы.
1. Косвенная сдельная расценка:

,
где рКОС - косвенная сдельная расценка;
VФ -фактически выполненный объем работ обслуживаемыми рабочими;

,
где ТС - часовая тарифная ставка, соответствующая разряду обслуживающего рабочего;
НВЫР.Ч, НВЫР.СМ, НВЫР.МЕС- соответственно часовая, сменная и месячная нормы выработки каждого из обслуживаемых рабочих;
Ч - численность обслуживаемых рабочих, которых обслуживает один вспомогательный рабочий;
ФСМ, ФМЕС - соответственно сменный и месячный фонды рабочего времени.
2. Коэффициент выполнения норм:

,
где ЗП - заработная плата вспомогательного рабочего, рассчитанная по простой повременной системе;
КВ.Н - средний коэффициент выполнения норм обслуживаемыми рабочими.
Аккордная сдельная система оплаты труда в варианте аккордно-премиальной, являющаяся, как правило, коллективной формой оплаты, применяется, когда необходимо усилить материальную заинтересованность работников в сокращении сроков выполнения конкретного объема работ, сдачи объекта в эксплуатацию. С этой целью устанавливается фонд оплаты труда на весь объем работ. Ежемесячно до окончания работы рабочим выплачивается аванс, а окончательный расчет совершается после окончательной сдачи объекта (выполнения установленного объема работ). В настоящее время использование этой системы проблематично, поскольку в условиях инфляции трудно установить фонд оплаты труда на объем работ, выполнение которого требует длительного времени. Премия обычно выплачивается за качественное выполнение работы и сдачу объекта не позже срока, указанного в договоре.
Особый интерес представляет коллективная (бригадная) систем оплаты труда, так как в настоящее время труд большинства рабочих организован по коллективным формам, или в бригадах. Подобная организация труда предусматривает специфическую организацию производства, планирования, нормирования и оплаты труда. Наиболее эффективным с точки зрения материальной заинтересованности получения наилучших производственных показателей работы считается начисление заработной платы на основе единого наряда по конечным результатам работы бригады или по количеству изготовленных планово-учетных единиц продукции, закрепленной за бригадой. Если оплата труда ведется по сдельно-премиальной системе, то для начисления заработной платы рассчитывается комплексная сдельная расценка на одну планово-учетную единицу. Чаще всего используется один из следующих методов ее расчета.
1. Определяется сумма расценок по работам, тарифицируемым разными разрядами:

,
где рбр - комплексная, или бригадная, расценка на единицу конечной продукции, руб.;
ТС - часовые тарифные ставки, соответствующие разрядам выполняемых работ;
ТР - трудоемкость работ по каждому разряду.
Общий заработок определяется как произведение комплексной сдельной расценки на объем выполненной бригадой работы в планово-учетных единицах. Этот метод используется, если бригада выполняет сборочные, монтажные или ремонтные работы.
2. При обслуживании агрегата группой рабочих, имеющих разную расстановочную квалификацию, комплексная сдельная расценка определяется по формуле:

,
где

- сумма тарифных ставок всех членов бригады;
НВЫР.БР - норма выработки на агрегат за тот же период, за который учитывается ТС.
3. На предприятиях угольной, лесной и некоторых других отраслей промышленности, где единица конечной продукции выражается не в количестве штук изделий, бригадокомплектов, а в м3 и т.п., причем, бригады обычно состоят из рабочих различных профессий, комплексная сдельная расценка определяется по формуле:

,
где

- сумма расценок по всему объему работ, который должна выполнить бригада;
Vбр - объем продукции, который должен быть произведен бригадой в результате выполнения установленного объема работ.
Не менее важной проблемой является распределение заработанных средств между ее членами. Существуют различные методы такого распределения, среди них наиболее распространены следующие.
1.Традиционный метод - по отработанному времени и квалификации (тарифной ставке, соответствующей разряду рабочего).
2.С использованием коэффициента трудового участия (КТУ), являющегося обобщенной количественной оценкой личного вклада каждого работникa в конечные результаты труда бригады. Этот метод имеет ряд разновидностей, которые применяются в зависимости от того, какая часть коллективного заработка подлежит распределению по КТУ: вся заработная плата с премией, только премия, приработок и премия. При распределении всего коллективного заработка по КТУ следует помнить, что уменьшение КТУ возможно только до пределов, обеспечивающих установленный государством минимум заработной платы.
В табл. 5.1 приведен пример распределения коллективного заработка в бригаде между пятью ее членами. Сдельный заработок по единому наряду составляет 500 руб., премия - 100 руб. Показаны четыре наиболее распространенных варианта распределения:
1) без КТУ - по отработанному времени и квалификации. Заработок каждого рабочего определяется как произведение его тарифного заработка на коэффициент К1, показывающий, сколько рублей общего заработка приходится на 1 руб. тарифного;
2) по КТУ распределяются приработок и премия. Коэффициент К2, рассчитываемый для этого варианта, равен отношению суммы премии и приработка к сумме приведенного заработка и показывает, сколько рублей премии и приработка приходится на 1 руб. приведенного заработка;
3) по КТУ распределяется вся заработная плата (вместе с премией). В качестве промежуточного, вспомогательного расчета здесь используется коэффициент К3, равный отношению суммарного заработка к приведенному и показывающий величину суммарного заработка, приходящегося на 1 руб. приведенного;
4) с применением минимума заработной платы. Его особенность состоит в том, что работнику, негативно себя зарекомендовавшему, устанавливается размер заработной платы на уровне определенного государством минимума. Остальная сумма заработанных средств распределяется между членами бригады по третьему варианту. Коэффициент К4, рассчитываемый при использовании этого варианта, равен отношению разницы между суммарным заработком бригады и минимумом заработной платы к разнице между суммарным приведенным заработком и той его частью, которая приходится на наказываемо работника.
Использование предприятиями при организации оплаты труда тарифной системы имеет ряд положительных сторон. Прежде всего наличие четкой регламентации в присвоении квалификационных разрядов рабочим и установлении разряда работы, без чего невозможны анализ соответствия квалификационного состава рабочих требованиям производства и правильная расстановка кадров. Кроме того, тарифная система позволяет установить наиболее эффективные с точки зрения формирования мотивационного механизма пропорции в оплате труда разной сложности.
Отказ от такой системы иногда объясняют тем, что она является элементом директивного управления, слишком жестко определяет размер тарифной части заработка и не способствует заинтересованности работника в личных результатах работы. Это неверное понимание возможностей использования тарифной системы в современных условиях. Ведь величины тарифных ставок и прежде всего размер тарифной ставки первого разряда предприятие устанавливает самостоятельно, с учетом собственных финансовых возможностей. При этом необходимо ориентироваться лишь на ее нижний уровень, установленный государством. Каждое предприятие с учетом своей специфики может творчески подходить к использованию элементов тарифной системы, элементов организации заработной платы на ее основе. В частности, может быть использован аналитический метод оценки рабочих мест и личных заслуг работников, широко распространенный в странах с развитой рыночной экономикой.
Сейчас многие наши предприятия, организуя оплату труда на основе тарифной системы и оставив лица самые необходимые премиальные положения, до очередного пересмотра тарифной ставки первого разряда распределяют средства, предназначенные на оплату труда, ежемесячно приказом руководителя между работниками с использованием коэффициента пересчета этой суммы на фонд оплаты труда, образованный на основе установленных ранее тарифных
Таблица 5.1
Пример распределения коллективного заработка в бригаде
| ФИО и табельный номер |
Разряд рабочего |
Часовая тарифная ставка, руб/час |
.Отработанное время, час |
Тарифный заработок
(гр. 3 × гр. 4), руб. |
Вариант 1 (без КТУ)
(гр. 5 × К1) |
КТУ |
Приведенный заработок
(гр. 5 × гр. 7), руб. |
Вариант 2 (премия и приработок по КТУ) |
Вариант 3 (по КТУ распределяется весь заработок) (гр. 8 × К3), руб. |
Вариант 4 (с применением минимума заработной платы) (гр.8 × К4), руб. |
| Премия и приработок (гр. 8 × К2), руб. |
Вся заработная плата
(гр. 5 + гр. 9), руб. |
| 1 |
2 |
3 |
4 |
5 |
6 |
7 |
8 |
9 |
10 |
11 |
12 |
| 1 |
5 |
360 |
143 |
51 480 |
142 754 |
1,1 |
56 628 |
110 008 |
161 488 |
172 048 |
182 671 |
| 2 |
4 |
320 |
143 |
45 760 |
126 893 |
1 |
45 760 |
88 895 |
134 655 |
139 029 |
147 613 |
| 3 |
5 |
360 |
135 |
48 600 |
134 769 |
1 |
48 600 |
94 412 |
143 012 |
147 658 |
156 774 |
| 4 |
2 |
240 |
127 |
30 480 |
84 522 |
1 |
30 480 |
59 212 |
89 692 |
92 905 |
98 322 |
| 5 |
3 |
280 |
143 |
40 040 |
111 032 |
0,4 |
16 016 |
31 113 |
71 153 |
48 660 |
14 620 |
| Итого |
|
|
|
216 360 |
600 000 |
|
197 484 |
383 640 |
600 000 |
600 000 |
600 000 |

ставок. Заработок каждого работника определяется умножением базовой величины его заработной платы с надбавками и доплатами на полученный коэффициент.
Наряду с традиционными формами и системами заработной платы находят применение нетрадиционные системы оплаты труда, например бестарифная система оплаты труда. Помимо этого существуют различные варианты нетрадиционных систем, особенно для оплати труда руководителей и специалистов, например, система, основанная на “плавающих окладах”. Ее суть заключается в том, что по результатам работы данного месяца в следующем месяце для специалистов о разуются новые должностные оклады. Размер окладов повышаете (понижается) за каждый процент роста (снижения) производительности труда на обслуживаемом участке при условии выполнения планового задания по выпуску продукции.
Пример. По итогам аттестации специалисту установили оклад в размере 1500 руб. Возглавляемый им коллектив в отчетном квартале выполнил план по выпуску продукция на 100%, а по росту производительности - на 120%. В этом случае, исходя из установленного норматива (1% оклада за 1% роста показателя), работник получит дополнительно 300 руб. и его основной оклад составит 1800 руб.
На практике применяется система, при которой оклады руководителей и специалистов могут формироваться в процентах от фактической прибыли.
Пример. Должностной оклад начальника цеха - 3,5 тыс. руб., а планируемая прибыль - 300 тыс. руб. Процент отчисления от прибыли составит: 3,5 тыс. руб.: 300 тыс. руб. = 1,16%. При достижении фактической прибыли 400 тыс. руб. оклад начальника цеха составит: 400 тыс. руб. х 1,16= 4,64 тыс. руб.
На многих малых предприятиях, предметом деятельности которых являются консалтинг, инжиниринг, оказание различного рода сервисных услуг, для оплаты труда работников получила распространение так называемая “ставка трудового вознаграждения”. Для работников, непосредственно оказывающих услуги, ставка может устанавливаться в виде фиксированного процента с суммы платежей, поступивших предприятию от его контрагентов в результате работы, выполненной конкретным исполнителем.
5.4. Система премирования работников
В условиях перехода к рынку предприятиям, организациям предоставлено право самостоятельно разрабатывать и применять премиальные положения, которые в обязательном порядке должны включаться в коллективный договор (рис. 5.1). Однако таким предприятиям и организациям необходимо соблюдать ряд основных требований:
• показатели премирования должны соответствовать задачам производства на предприятии;
• число показателей и условий премирования должно быть не более двух-трех;
• между показателями и условиями премирования не должно быть противоречий;
• показатель премирования устанавливать дифференцирование по фактически достигнутому среднему уровню его выполнения на Данном производстве, выше достигнутого среднего уровня и т.д.;
• определять нормативы премирования (размер премии);
• проводить оценку напряженности показателя премирования;
• в круг премируемых работников включать только тех из них, которые оказывают на показатели премирования непосредственное воздействие;
• устанавливать периодичность премирования в зависимости от особенностей предприятия, организации (организации производства и труда, характера показателей премирования и тд.);
• обеспечивать гарантирование премии соответствующим источником ее выплаты.

Рис, 5.1. Механизм премиальной системы
Особое внимание необходимо обратить на расчет норматива премирования отдельно за: выполнение плана, перевыполнение плана, рост производительности труда, снижение себестоимости продукции и др.
Главным направлением в стимулировании руководителей, специалистов и служащих должно стать премирование за фактическое улучшение результатов работы. В условиях рыночных отношений на предприятии возрастает значение показателя прибыли как источника средств для расширения и технического совершенствования производства, а также увеличения доходов участников этого производства. Стимулирование роста прибыли становится обязательным направлением в организации премирования руководителей, специалистов и служащих подразделений предприятия.
Основными показателями премирования подразделений аппарата управления выступают выполнение (перевыполнение) плана по прибыли и рост (прирост) прибыли к соответствующему периоду предыдущего года. Порядок начисления премий предусматривает:
• основание для начисления премий (данные бухгалтерской отчетности, оперативного учета, статистической отчетности);
• оценка выполненной работы или оказанных услуг;
• установление размера премий (обычно в %) для рабочих к заработной плате по тарифным ставкам и отдельным расценкам; для руководителей, специалистов и служащих - к заработной плате по должностным окладам или в абсолютной сумме.
Пример. Расчет размеров премий по основным показателям премирования для специалистов и служащих подразделений предприятия (исходные данные условные).
Производственным заданием на год подразделению предусмотрены: рост производительности труда - 5%; снижение себестоимости продукции - 0,6 пункта; фонд заработной платы специалистов и служащих по должностным окладам - 145000 руб.; средства, направляемые на текущее премирование специалистов и служащих, - 55 000 руб.
| Основные показатели премирования |
Запланированный рост (снижение), %, пункты, учитываемые в расчете |
Фонд оплаты по должностным окладам, руб. |
Запланировано на текущее премирование |
Размер премии, % к должностному окладу |
| Состояние по показателям премирования, % |
Руб. |
| Выполнение плана производства продукции по договорным поставкам |
- |
- |
43 |
24 000 |
За выполнение плана на 100%

|
| Рост производительности труда |
5 |
- |
25,5 |
14 000 |
1% роста

|
| Снижение себестоимости продукции |
0,6
|
145 000 |
30,9 |
17 000 |
За 0,1 пункта снижения

|
| Итого |
|
145 000 |
100 |
55 000 |
|
При невыполнении тех или иных показателей работники могут лишиться премий (это должно быть отражено в коллективном договоре). Руководство предприятия имеет право депремировать работника за упущения в работе или повысить ему премию за достижение определенных производственных показателей.
На практике используются и некоторые особые виды премирования, как правило, разовые премии и вознаграждения. Они могут быть индивидуальными и коллективными. Независимо от принятых форм и систем заработной платы на предприятиях используются следующие виды разовых премий:
• вознаграждение по итогам работы за год;
• единовременные поощрения за выполнение особо важных заданий, срочных и непредвиденных работ;
• премии по итогам смотров и конкурсов, к праздничным и торжественным датам.
Вознаграждение по итогам работы за год учитывает результаты работы всего предприятия. Обычно размеры выплат увязываются с величиной непрерывного стажа работы на данном предприятии по шкале.
Пример шкалы:
Продолжительность непрерывною стажа Коэффициент
работы на данном предприятии (организации) вознаграждения
От 1 года до 2 лет 1,0
Свыше 2 до 3 лет 1,3
Свыше 3 до 4 лет 1,6
Свыше 4 до 5 лет 1,8
Свыше 5 лет 2,0
Предприятия разрабатывают специальные положения о выплате единовременных поощрений за выполнение определенных заданий и видов работ. В зависимости от специфики достигнутых производственных показателей такие поощрения могут определяться в: рублях, процентах к заработку работника, процентах от полученного эффекта в результате выполнения данной работы. Предприятие может заменить денежные премии натуральными вознаграждениями - ценными подарками, товарами длительного пользования, льготами на приобретение квартиры, дачи, машины и др. Некоторые предприятия практикуют продажу своей продукции со скидкой.
На предприятиях целесообразно рассчитывать экономическую эффективность действующих систем заработной платы, а также системы премирования. При экономическом обосновании эффективности применения той или иной системы премирования выясняется se влияние на себестоимость продукции. К определению экономической эффективности той или иной системы оплаты труда подходят дифференцированно, учитывают характер показателей и источники премирования по каждой системе в отдельности.
5.5. Доплаты и надбавки к заработной плате
Работники предприятий помимо заработной платы и премий получают доплаты и надбавки, исчисляемые на базе установленных им тарифных ставок (окладов). В Кодексе законов о труде Российской федерации и в правительственных документах предусмотрено, что подавляющее большинство компенсационных и стимулирующих доплат и надбавок определяется предприятиями самостоятельно и выплачивается в пределах имеющихся средств. Размеры и условия выплат оговариваются в коллективных договорах.
Все действующие в настоящее время доплаты и надбавки (их более 50 наименований) подразделяются на две большие группы (рис. 5.2). В первую группу входят, например, такие доплаты, как за работу в сверхурочное время; за работу в выходные и праздничные дни; несовершеннолетним работникам в связи с сокращением их рабочего дня и т.д. Вторая группа доплат и надбавок подразделяется на три подгруппы. Первая предусматривает доплаты за совмещение профессий (должностей); за выполнение обязанностей отсутствующего работника, специалистам за высокие достижения в труде и высокий уровень квалификации; бригадирам из числа рабочих, не освобожденных от основной работы: за ведение делопроизводства, бухгалтерского учета и т.д. Вторая подгруппа включает доплаты, связанные с особым характером выполняемой работы (сезонностью, отдаленностью и т.п.) и выплачиваемые за многосменный режим работы, за дни отдыха (отгулов), предоставляемые за работу сверх нормальной продолжительности рабочего времени при вахтовом методе организации работ, а также надбавки к заработной плате за разъездной характер работы и т.д. Третья подгруппа подразумевает доплаты за интенсивность труда рабочим на конвейерах, поточных и автоматических линиях; за работу в ночное время, за работу с тяжелыми (вредными) и особо тяжелыми (особо вредными) условиями труда рабочим, мастерам, начальникам участков, цехов, другим специалистам и служащим - при их постоянной занятости (не менее 50% времени) на участках, в цехах и на производстве, где более половины рабочих "олуча ют доплаты за неблагоприятные условия труда, и т.п.
Доплаты компенсационного характера обусловлены тем, что многие предприятия с их помощью пытаются закрепить или привлечь работников (например, доплата за дни отдыха (отгулы), которая предоставляется за работу сверх нормальной продолжительности при вахтовом методе организации работ). Доплаты компенсационного характера, связанные с условиями труда и работой в ночное время, являются наиболее распространенными. В настоящее время предприятиям дана полная самостоятельность как в определении размеров этих выплат так и в выборе компенсации - в виде процентного (долевого) отчисления к тарифной ставке или абсолютной, т.е. в рублях, выплаты за каждый час работы.

Рис. 5.2. Классификация доплат и надбавок
Доплаты за условия труда резко дифференцированы. Работникам, занятым на работах с тяжелыми и вредными условиями труда, установлены доплаты в размерах 4, 8, 12% тарифной ставки присвоенного разряда, а на работах с особо тяжелыми и особо вредными условиями труда - 16, 20, 24%. Это связано с тем, что компенсация за условия труда в равном по абсолютной величине размере должна выплачиваться всем работающим в тех или иных условиях труда независимо от уровня их квалификации. Доплата за условия труда может быть рассчитана следующим образом:

,
где ДУ.Т. - доплаты за условия труда, руб.;
ТС - часовая тарифная ставка рабочего-сдельщика;
В - процент выплаты.
Пример. Часовая тарифная ставка рабочего 8-ro разряда для машиностроительного предприятия равна 8,30 руб., абсолютные размеры часовых доплат за условия труда, устанавливаемые в коллективном договоре предприятия, должны быть не ниже следующих:
первая группа -

вторая группа -
третья группа -

четвертая группа -

пятая группа -

шестая группа -

В коллективном договоре можно предусмотреть и другой вариант таких выплат, если финансовые возможности предприятия не позволяют ему поднять их уровень. Размер доплат в данном случае рассчитывается по формуле:

,
где ДН, Дб - размеры доплат за условия труда, в % к тарифной ставке присвоенного работнику разряда, соответственно при новых и ранее действовавших (минимально гарантируемых) тарифных ставках;
Т - прирост тарифных ставок и окладов работников предприятия по сравнению с ранее действовавшими (минимально гарантируемыми) тарифными ставками и окладами, %.
Пример. При росте тарифных условий оплаты труда на 60% финансовые возможности предприятия диктуют необходимость сохранения прежних гарантий выплат за условия труда и установленные ранее размеры доплат (4, 8, 12, 16, 20 и 24%) модифицируются в следующие соотношения:
первая группа -

вторая группа -

третья группа -

четвертая группа -

пятая группа -

шестая группа -
В коллективном договоре можно предусмотреть и иной способ исчисления доплат за условия труда (сохранить полностью, отменить частично и т.д.). Доплаты и надбавки компенсационного характера (за работу сверхурочно, в выходные и праздничные дни, подросткам за сокращенный рабочий день и т.п.) должны применяться на предприятии ко всем работникам в обязательном порядке.
Резюме
Согласно действующему законодательству право выбора оплаты предоставляется работодателю, который обязан согласовать ее применение с профсоюзной организацией или другими представителями работающих. Практическое применение того или иного вида оплаты прежде всего зависит от того, что влияет на выбор основного показателя для учета результатов труда и сдельной или повременной формы оплаты труда. Главным условием, влияющим на выбор формы оплаты, является степень детализации нормирования труда - производства и формы его осуществления, допускаемые организацией. Кроме того, оказывает влияние уровень механизации и автоматизации работ, требования к качеству продукции; степень потребности работодателя в увеличении (сокращении) объемов производимых работ; трудоемкость организационно-технического нормирования труда и учета результативности труда; требования к соблюдению технологических режимов работы оборудования и рациональному использованию ресурсов.
В основе применения всех систем оплаты лежат простые системы оплаты труда. Простые повременные системы формируют заработок работника в зависимости от единицы учета рабочего времени и соответствующего ей типа тарифной ставки. Простые сдельные системы отличаются друг от друга порядком исчисления расценки за единицу выполненной работы.
Вопросы для контроля и обсуждения
1. Назовите применяемые формы оплаты труда. Перечислите их достоинства и недостатки.
2. Какие виды определения сдельной расценки вы знаете? Почему они применяются?
3. Перечислите основные системы повременной оплаты труда. Как определить заработную плату по одной из систем?
4. Расскажите о наиболее прогрессивной системе сдельной оплаты труда.
5. Почему особый интерес для многих предприятий представляет коллективная форма оплаты труда?
6. Объясните, как определяется общий заработок коллектива (бригады) в целом и каждого ее члена в отдельности.
Глава 6
ПРОИЗВОДИТЕЛЬНОСТЬ ТРУДА, ФАКТОРЫ
И РЕЗЕРВЫ ЕЕ РОСТА
Производительность труда - показатель экономической эффективности трудовой деятельности работников. Она определяется отношением количества выпущенной продукции или услуг к затратам труда, т.е. выработкой на единицу затрат труда. От уровня и динамики производительности труда зависят развитие общества и уровень благосостояния всех его членов. Более того, уровень производительности труда определяет и способ производства, и даже сам общественно-политический строй.
Существует также понятие эффективности труда. Она шире, чем производительность, и включает кроме экономического (собственно производительность труда) еще психофизиологический и социальный аспекты. Психофизиологическая эффективность труда определяется воздействием трудового процесса на организм человека. С этой точки зрения эффективным может быть признан только такой труд, который наряду с определенной производительностью обеспечивает безвредные, благоприятные санитарно-гигиенические условия и безопасность; достаточную содержательность труда и соблюдение границ его разделения; возможности всестороннего развития физических, умственных сил и способностей человека в процессе труда; предотвращает отрицательное влияние производственной обстановки на работника. Отсюда вытекает и понятие социальной эффективности труда, которое включает требование гармоничного развития личности каждого работника, повышение его квалификации и расширение производственного профиля, формирование позитивного социального климата в деловых коллективах, усиление социально-политической активности, совершенствование всего образа жизни.
Ели указанные требования не соблюдаются, то неизбежно снижаются и темпы роста производительности труда. Так, неблагоприятные санитарно-гигиенические и вредные для здоровья условия труда вызывают потери рабочего времени в связи с заболеваемостью предоставлением дополнительных отпусков, сокращение самого активного периода трудовой деятельности человека. Слишком дробное разделение труда ограничивает возможности расширения производственного профиля человека и роста его квалификации. Негативные социальные взаимоотношения в трудовых коллективах могут также существенно снизить производительность труда при прочих равных условиях его организации.
Итак, эффективность, труда обусловливается его производительностью в их тесной взаимосвязи, что необходимо постоянно учитывать при определении факторов и резервов роста производительности труда.
6.1. Методы измерения производительности труда
Проблема измерения производительности труда является не менее сложной, чем определение самой сущности данной экономической категории. На практике используются различные методы измерения выработки и динамики производительности труда. Применение того или иного метода обусловлено, во-первых, уровнем, на котором измеряется производительность труда, а во-вторых, задачей, которая стоит перед экономической службой, производящей расчеты.
По уровню измерения производительности труда можно выделить индивидуальные рабочие места (бригады, участки), выпускающие однородную продукцию. Здесь целесообразно применять натуральный метод для определения объема произведенной продукции и выработки (в штуках, тоннах, кубических или квадратных метрах и т.д.). Метод прост, нагляден и достоверен. Однако практически он используется скорее как исключение, чем как правило: на редком рабочем месте, а тем более в бригаде или на участке, производится совершенно одинаковая продукция. Поэтому здесь часто используется yc.wW-натуральный метод, при котором один вид продукции или работы приравнивается к другому (преобладающему) по относительной трудоемкости.
Пример. Если в бригаде произведено 20 изделий с трудоемкостью 8 чел.-ч, каждое из 10 изделий с удельной трудоемкостью 12 чел.-ч, то условно-натуральный объем продукции составит 35 изделий:

.
Разумеется, при расчетах объемов продукции и выработки необходимо использовать неизменную (нормативную) трудоемкость единицы продукции. Применение коэффициентов приведения к условно-натуральным показателям по потребительским свойствам продукции (мощность, вес, содержание полезных компонентов и т.п.) для изменения производительности труда неприемлемо, так как между этими физическими и трудовыми показателями нет функциональной связи.
Когда на рабочих местах, в бригадах и на участках производится большое количество разнообразной и часто меняющейся продукции, не имеет смысла пересчитывать всю номенклатуру продукции к одному какому-то натуральному измерителю. Объем продукции или работ и выработку определяют в трудовом измерении - в неизменных нормо-часах (объемы работ умножаются на соответствующие нормы времени, результаты суммируются). Трудовой метод измерения производительности обладает рядом недостатков (недостаточное обоснование и неравнонапряженносгь норм, их частые пересмотры и т.д.), что не способствует объективной оценке уровня и динамики производительности труда даже на отдельных рабочих местах и в бригадах.
На уровне предприятий и их крупных подразделений, равно как и в отраслях народного хозяйства, для измерения объемов производства и производительности труда применяется в основном стоимостной метод: все виды и объемы продукции, работ и услуг выражаются в едином денежном показателе - в рублях, который определяется путем умножения объемных показателей на соответствующие оптовые цены. Выработка также рассчитывается в денежном выражении.
Сложность методики стоимостного метода измерения объемов и производительности труда заключается в выборе наиболее приемлемого для конкретных условий способа исчисления объемов производства. Наиболее употребительными методами измерения объемов производства являются показатели валовой, товарной и реализованной продукции. При одинаковых оптовых ценах валовая продукция, рассчитанная по заводскому методу, отличается от товарной на величину измерений остатков незавершенного производства, а реализованная от товарной - на сумму остатков предназначенной для реализации, но не реализованной продукции. Таким образом, при определении выработки по валовой продукции получается, казалось бы, наиболее точный результат. Однако в условиях рыночной экономики гораздо более важно измерение про-изводительности по реализованной продукции, так как увеличение незавершенного производства и накопление остатков нереализованной продукции не имеют положительного экономического значения.
Недостатком измерения объемов производства и выработки по валовой товарной и реализованной продукции является то, что оптовые цены включают стоимость всех материальных затрат. Поскольку в отечественной практике при определении выработки объемные показатели относятся только к живому труду (часы, дни или численность работников), то уровень выработки в стоимостном выражении в значительной степени подвержен изменению материалоемкости: всякое увеличение материальных затрат, будь то более дорогие материалы или возросшие поставки по кооперации с другими предприятиями, создает видимость повышения производительности труда, а уменьшение материалоемкости - видимость снижения этого показателя.
Для устранения искажающего влияния изменений материалоемкости на показатели объемов производства и выработки применяются дополнительные методы измерения: по условно-чистой, чистой, нормативной чистой продукции и по нормативной стоимости обработки. Использование этих методов полностью или частично устраняет искажающее влияние изменений материалоемкости, но каждый из них имеет тот или иной недостаток и по существу ни один полностью не отвечает требованиям рыночной экономики.
Объем условно-чистой продукции определяется путем вычитания из стоимости валовой продукции прямых материальных затрат (на сырье, комплектующие изделия, энергию, топливо и т.п.). Остаются заработная плата с начислениями, амортизация основных фондов и прибыль. Влияние изменений материальных затрат устраняется, но возрастает удельный вес прибыли и амортизационных отчислений, их изменения могут исказить показатели объемов и производительности труда.
Чистая продукция рассчитывается путем исключения из стоимости валовой продукции всех материальных затрат, включая амортизацию. При расчете объемов и производительности труда искажающее влияние затрат прошлого труда полностью устраняется, но существенно возрастает удельный вес прибыли. Поэтому в условиях разноприбыльности различных видов продукции именно прибыль играет главную роль в искажении показателей объемов чистой про- дукции и производительности труда, исчисляемой на ее основе. Следует отметить, что разноприбыльность характерна только для нашего народного хозяйства, многие десятилетия развивавшегося в paмках централизованного планирования, в котором законы стоимости и сравнения средней нормы прибыли не действовали. В большинстве зарубежных стран существенных различий в уровне прибылей нет, поэтому многие западные экономисты считают метод чистой продукции вполне приемлемым для определения объемов продукции и производительности труда.
Но даже в странах со сложившейся рыночной экономикой показатель чистой продукции более чувствителен к колебаниям цен, чем, например, показатели товарной или валовой продукции. В связи с этим Институтом экономики и НИИ труда был разработан в 80-е годы новый метод измерения объемов промышленной продукции и производительности труда - метод нормативной чистой продукции.
Нормативная чистая продукция (НЧП) в отличие от чистой включает норматив заработной платы с начислениями и среднеотраслевую прибыль. За счет этого устраняется влияние разноприбыльности различных видов продукции. В практике применения этого метода возникли определенные трудности и недостатки. Во-первых, появилась необходимость создать целую систему нормативов заработной платы на все виды продукции, параллельную системе оптовых цен. В массовом производстве это не составило особых трудностей, но в штучном и мелкосерийном с часто меняющейся номенклатурой продукции вызвало серьезные затруднения. Во-вторых, при разработке нормативов заработной платы, которые и составляют основу НЧП, проявилась тенденция к завышению данных нормативов, что привело к относительному увеличению трудоемкости, а значит - и к замедлению темпов роста производительности труда. В-третьих, показатель НЧП слабо связан с конечными финансовыми результатами работы предприятий: можно получить хорошие “нормативно-чистые” показатели объемов выпуска продукции и производительности труда, но не иметь прибыли, например, за счет перерасхода материальных ресурсов. Уже по одной этой причине использование показателя НЧП как основного метода при оценке деятельности предприятия в условиях рыночной экономики представляется нецелесообразным. Он найдет широкое применение только в целях анализа. Метод нормативной стоимости обработки (НСО) применяется для определения объемов производства и производительности труда в легкой промышленности. В нормативы стоимости обработки включаются: заработная плата производственных рабочих с начислениями; норматив цеховых расходов; норматив общезаводских расходов. Производственные материальные затраты в НСО не входят. Не находит в ней отражения и прибыль. В условиях рыночной экономики метод НСО следует отнести, как и метод нормативной чистой продукции, к аналитическим, но не основным методам измерения объемов и производительности труда.
Кроме указанных методов, известных в отечественной экономике необходимо иметь представление об измерении объемов производства и производительности труда в развитых зарубежных странах. В большинстве этих стран под производительностью понимается отношение результатов производства к затратам производственных факторов, причем в результат производства включаются в денежном выражении все произведенные за данный период товары и услуги, а в затраты производственных факторов - издержки на живой труд (заработная плата со всеми начислениями и стоимостью натуроплаты), текущие материальные затраты (сырье, материалы, комплектующие изделия, услуги и т.п.) и капитал (амортизация основных фондов). Все расчеты ведутся в сопоставимых ценах базового года (США) или текущего периода (Европа). Иначе говоря, сопоставляются результаты производства с затратами живого и овеществленного труда.
Поскольку в условиях рыночных отношений между конечными результатами производства и показателями производительности труда должна поддерживаться постоянная и тесная связь, представляется целесообразным ввести новый показатель производительности труда на предприятиях, основанный на соизмерении объемов произведенной или реализованной продукции с совокупными затратами труда в текущих ценах. При таком измерении существенно расширяется и круг факторов, влияющих на производительность труда.
6.2. Факторы и условия изменения
производительности тpуда
Производительность труда - показатель динамичный. Она постоянно изменяется под воздействием множества причин и факторов. Одни из них способствуют повышению производительности труда, другие могут вызывать ее снижение. Кроме того, на уровень и динамику производительности труда влияют также условия, в которых протекает процесс труда. Условия либо усиливают действие того или иного фактора, если они благоприятны, либо ослабляют его. Например, природно-климатические условия существенно влияют на результаты труда и его производительность в сельском хозяйстве. Общественные условия, связанные с формами собственности на средства производства и с производственными отношениями, также могут при прочих равных условиях оказать значительное воздействие на производительность труда.
В основе производительности труда лежит экономическая категория, называемая производительной силой труда. Этот термин и понятие были сформулированы в свое время К.Марксом. Под производительной силой труда понимается потенциальная возможность выпуска определенного количества продукции или производства объема работ в единицу непосредственно затраченного рабочего времени (например, час чистого труда без каких-либо перерывов). Отсюда следует, что производительная сила труда влияет на производительность живого, т.е. совершаемого в данный период времени труда. Величина производительной силы труда зависит, прежде всего, от уровня технической вооруженности производства, применения в производстве достижений науки и энерговооруженности труда (количества киловатт-часов энергии, расходуемой на час труда). Вторым фактором, определяющим производительную силу труда, является уровень профессиональной подготовки работников. Само по себе техническое оснащение производства и высокий уровень технологии не дадут ожидаемых результатов, если работники не будут иметь надлежащей квалификации. В значительной степени на уровень производительной силы труда воздействуют природные, санитарно-гигиенические условия труда на производстве и состояние здоровья работников.
Являясь основой производительности труда, производительная сила труда не тождественна ей: реальная производительность труда зависит от двух важнейших факторов - интенсивности труда и использования номинального фонда рабочего времени.
Интенсивность труда измеряется затратами нервной и мускульной энергии человека в единицу рабочего времени. При этом общественно реальной считается интенсивность, которая не вызывает отрицательного влияния на организм человека, а затраты энергии полностью вoccтaнaвливaютcя за счет питания, отдыха и эмоциональной разгрузки.
Использование рабочего времени определяется как отношение отработанного времени, включая регламентированные перерывы на внутрисменный отдых, к номинальному фонду времени, установленному для данного вида работ (продолжительность рабочего дня, рабочей недели, месяца и года в часах). Индексная связь этих показателей выражается формулой:

,
где IПТ, IПСТ, IИНТ, IИРВ - индексы соответственно производительности труда, производительной силы труда, интенсивности труда и использования рабочего времени.
Пример. Если уровень техники и технологии позволяет выпускать за смену 200 единиц продукции, а индексы интенсивности труда и использования рабочего времени - соответственно 0,95 и 0,9, то реальная производительность труда составит не 200, а только 171 единицу (200∙0,95∙0,9). Разность между производительной силой труда и достигнутой реальной производительностью составит резервы повышения производительности труда, связанные с его организацией.
На уровень и динамику производительности труда влияет множество факторов. Факторами называются движущие силы или причины, под воздействием которых изменяется производительность труда. Одни из них способствуют ее повышению, другие могут вызвать снижение. К первой группе факторов относится все, что связано с повышением производительной силы труда, улучшением организации труда и производства и социальных условий жизни трудящихся; ко второй - неблагоприятное влияние природных условий, недостатки в организации производства и труда, отрицательное влияние негативных элементов социальной обстановки.
Рассматривая факторы на уровне отдельного предприятия или организации, все их можно разделить на внутренние и внешние.
Внутренние факторы включают уровень технической вооруженности предприятия, эффективность применяемой технологии, энерговооруженность труда, организацию труда и производства, действенность применяемых систем стимулирования, обучение кадров и повышение квалификации, улучшение структуры кадров и т.п., т.е. все зависящее от коллектива самого предприятия и его руководителей. К внешним факторам следует отнести: изменения ассортимента продукции и ее трудоемкости в связи с изменением государственных заказов или спроса и предложения на рынке; социально-экономические условия в обществе и регионе; уровень кооперации с другими предприятиями; надежность материально-технического снабжения, природнык условия и т.п.
По своему внутреннему_содержанию и сущности все факторы принято объединять три основные группы: материально-технические, организационные и социально-экономические факторы. Материальной основой повышения производительной силы труда и его производительности являются развитие науки, техники и технологии, внедрение в производство их достижений, поэтому группа материально-технических факторов обычно рассматривается как ведущая и определяющая все остальные.
К материально-техническим факторам роста производительности труда относится повышение технической и энергетической вооруженности труда на основе непрерывного развития научна технического прогресса. Главными направлениями научно-технического прогресса в производстве являются: механизация производства с переходом к автоматизации; увеличение единичных мощностей машин и оборудования, с повышением энерговооруженности труда; электрификация производства; химизация производства в ряде отраслей промышленности и сельском хозяйстве; создание принципиально новых технологий, обеспечивающих интенсификацию производства и резкое сокращение затрат живого труда; снижение материалоемкости продукции и экономия материальных ресурсов; углубление специализации машин и оборудования и т.п. Важное значение имеет освоение новых мощных источников энергии - атомной, внутриядерной, геотермальной, космической и др.
В результате действия материально-технических факторов возрастает во много раз производительная сила труда и снижается тех-яологическая трудоемкости продукции (т). Рост производительности труда по показателю снижения трудоемкости определяется по формулам:

или

где ПТ - повышение производительности труда, %;
ПСТ - снижение трудоемкости единицы продукции, %;
СТ - снижение трудоемкости единицы продукции, чел.-ч;
ТИСХ - исходная трудоемкость, необходимая для выполнения работ по изготовлению единицы продукции до внедрения мероприятия, чел.-ч.
Пример. Если вследствие внедрения нового оборудования трудоемкость единит, продукции снизится на 12%, то производительность труда возрастет на 13,6%:

Исходная трудоемкость изготовления детали 42 чел.-ч, а за счет внедрения но. вой технологии она уменьшилась на 5 чел.-ч, производительность труда возраовг на 13,5%: "

По такой же формуле может быть рассчитан рост производительности труда всей или части производственной программы по целому ряду мероприятий, обеспечивших определенное суммарное снижение трудоемкости.
Пример. За счет мероприятий по совершенствованию техники и технологии общая трудоемкость снижена на 225 тыс. чел.-ч, а исходная трудоемкость фактического объема работ по условиям базового периода (до внедрения мероприятий) была 1560 тыс. чел.-ч, вследствие чего производительность труда возросла на 16,85%:

Аналогично производятся расчеты роста производительности труда по показателям относительного высвобождения численности работ-
К организационным факторам роста производительности труда относится организация производства на уровне предприятий, отраслей и народного хозяйства в целом. Большое значение имеют размещение предприятий по территории РФ, организация транспортных связей как внутри страны, так и с зарубежными странами, специализация предприятий и их последующая кооперация; организация материально-технического снабжения, энергоснабжения, ремонтного обслуживания и т.д. Внутри предприятий важнейшими задачами улучшения организации производства являются: повышение качества планирования с учетом перспективных потребностей развивающегося рынка; организационно-техническая подготовка производства; своевременное внедрение новой техники и технологии; модернизация действующего оборудования; обеспечение текущих и капитальных ремонтов и бесперебойной работы машин, механизмов, оборудования, аппаратуры, а также четкая организация внутризаводского материльно-технического снабжения.
Особое место среди организационных факторов занимает организаия труда. Она тесно связана с организацией производства и включает следующие направления: рациональное разделение и кооперацию труда между различными категориями, группами работающих и отдельными исполнителями; организацию и обслуживание рабочих мест, улучшение санитарно-гигиенических условий труда с доведением их до комфортных, устранение всякого рода производственных вредностей и опасностей; подготовку, переподготовку и повышение квалификации кадров; изучение и системное распространение передовых приёмов и методов труда, организацию рациональных, научно обоснованных режимов труда и отдыха; укрепление трудовой и производственной дисциплины. Большое значение в современных условиях имеют развитие бригадной и других организационных форм коллективного труда, внедрение подрядных, арендных форм организации и стимулирования труда, развитие многостаночного и многоагрегатного обслуживания в условиях автоматизированного и полуавтоматизйрованного производства. Все эти направления сводятся в систему научной организации труда.
Организация управления произзводством включает ряд важных организационных направлений. На уровне управления народным хозяйством в ее задачи входят создание отраслевых и территориальных органов управления предприятиями, обеспечение их эффективного взаимодействия, координация работы предприятий как внутри страны, так и с ближним зарубежьем. На предприятиях задачами организации управления являются создание экономичной и действенной управленческой структуры, укомплектованние всех подразделений компетентными руководителями и специалистами, их правильная расстановка и использование; в экономической области - организация внутрихозяйственного хозрасчета, аренды, акционирования предприятий, эффективного стимулирования труда, а также контроль за производством, реализацией продукции и всеми экономическими показателями.
Все организационные факторы тесно связаны друг с другом и представляют собой единую систему организации производства, труда и управления. Неполное их применение, наличие различных организационных нeдocтаткoв отражаются в основном на использовании рабочего времени и через этот экстенсивный показатель влияют на производительность труда. Все потери рабочего времени, вызванные недостатками в организации труда и производства, при прочих равных условиях почти прямо пропорционально снижают производительность труда, а сокращение потерь обеспечивает ее рост.
Пример. Если расчетное оперативное время за смену равно 410 мин, а в течение смены произошел простой по причине временного отсутствия материалов 25 мин, то сменная производительность снизится на 6,1 %:

Если потеря рабочего времени будет устранена, то производительность труда возрастет пропорционально увеличению фонда оперативного времени на 6,5%:

Таким же образом влияет на производительность труда использование рабочих часов и дней в производственном периоде (неделе месяце, годе). Расчеты возможного роста производительности труда при улучшении использования рабочего времени производятся по одной из следующих формул:

или

где ПТ - процент возможного роста производительности труда за счет улучшения использования рабочего времени;
ФРВПЛ - планируемый фонд рабочего времени на одного рабочего, смен, ч или мин;
ФРВБАЗ - базовый (фактический) фонд рабочего времени до осуществления мероприятий (в том же измерении);
ППЛ - остаточный (планируемый) процент потерь рабочего времени по организационным причинам после осуществления мероприятий (он может быть равен и нулю);
ПБАЗ - базовый процент потерь рабочего времени.
Пример. В базовом году фонд рабочего времени на одного рабочего составляя 1680 ч, а в плановом году за счет устранения организационных недостатков о возрастет до 1820 ч. тогда производительность труда увеличится на 8,3%:

Такой же результат получится и при расчете в относительных цифрах: в базовом году потери рабочего времени составляли 7,7%, а в плановом они будут полностью устранены, тогда производительность труда возрастет на те же 8,3%:

Аналогично, хотя и менее точно, производятся расчеты влияния организационных факторов на рост производительности тpyда в днях (рабочих сменах). Некоторые из организационных мероприятий приводят - непосредственно к снижению трудоемкости (например, мероприятия по освоению передовых приемов и методов труда, расширению производственного профиля и совмещению функций или даже профессий и т.п.).
Важное место в системе организационных факторов занимает улучшение структуры кадров - относительное сокращение управленческого персонала и увеличение в общей численности промышленно-производственного персонала удельного веса производственных рабочих, а в числе последних - удельного веса основных рабочих. Чем выше удельный вес производственных рабочих в общей численности промышленно-производственного персонала, тем выше при прочих равных условиях и производительность труда в среднем на одного работника. Расчет влияния этого фактора на производительность труди можно произвести по следующей формуле:

,
где ДПР(ПЛ) и ДПР(БАЗ) - соответственно планируемый и базовый удельные веса производственных рабочих в общей численности промышленно-производственного персонала, %.
Пример. Вследствие организационных мероприятий удельный вес производственных рабочих увеличивается с 80 до 83%, а производительность труда в расчете на одного работника возрастает на 3,75%:

Действие социально-экономических факторов обусловлено тем, что Развитие научно-технического прогресса, совершенствование материальной основы производства (техники, технологии) и осуществление многообразных и нередко довольно сложных организационных мероприятий происходят не сами по себе, а исключительно в результате активной трудовой деятельности_людей - участников общественного производства. Движущей силой в этой трудовой деятельности является интерес к достижению определенного результата, что в свою очередь позволяет удовлетворять материальные и духовные потребности людей - участников производства. Кроме того, помимо стремления к определенному результату трудовой деятельности, все участники производственной или иной деятельности должны обладать (каждый на своем уровне) достаточной дееспособностью, необходимыми личными качествами, а также здоровьем.
Важнейшими социально-экономическими факторами, влияющими на производительность труда, являются:
• материальная и моральная заинтересованность в результатах труда, как индивидуальная, так и коллективная;
• уровень квалификации работников, качество их профессиональной подготовки и общий культурно-технический уровень;
• отношение к труду, трудовая дисциплина и внутренняя самодисциплина, основанные на интересах и воспитании;
• изменение форм собственности на средства производства и результата труда;
• демократизация политической и производственной жизни и развитие на этой основе самоуправления трудовыми коллективами в условиях различных форм собственности на средства производства.
Материальная и моральная заинтересованность работников в результатах труда как фактор повышения его производительности действует в различных направлениях. Наиболее коротким и доступным путем является повышение интенсивности труда. Оно дает немедленный и очевидный результат. Однако при этом производительная сила труда не увеличивается, а психофизиологические границы повышения интенсивности труда весьма жесткие. Существенный рост производительности труда только за счет повышения интенсивности и увеличения энергетических затрат организма работника не может быть достигнут. Но заинтересованность работников в результатах труда побуждает их к совершенствованию организации производства и труда. Таким путем социальный фактор реализуется через организационные и материально-технические факторы, побуждает к совершенствованию техники, технологии, организации производства, труда и управления.
Однако только одной материальной и моральной заинтересованности в результатах труда недостаточно. Нужно не только хотеть получить желаемый результат, но и уметь, быть способным его достичь. Для этого необходимы квалификация, приобретаемая посредством первоначального обучения и длительной практики, соответвующее выполняемой работе состояние здоровья. Но поскольку стояние здоровья - физическая дееспособность работников - зависит не только от производственных условий, но и от условий жизни вообще, то корни социально-экономических факторов выходят далеко за пределы предприятия и охватывают по существу весь жизненный уклад, сам образ жизни той или иной социальной группы. В экономической и учебной литературе дореформенного периода классификация факторов роста производительности труда сводилась в основном к трем рассмотренным выше группам. Однако переход народного хозяйства на рыночные отношения обусловливает необходимость расширить традиционную классификацию факторов, дополнив ее факторами экономии прошлого труда (сырья, материалов, топлива, комплектующих изделий, энергоносителей, внешних услуг и т.д.)
Выше указывалось, что в странах с развитой рыночной экономикой применяется метод измерения производительности труда, основанный на сопоставлении результата производства и затрат живого и всего прошлого (овеществленного) труда. Если подходить к оценке уровня производительности труда с этой позиции, то круг факторов (и соответственно стоящих за ними резервов) существенно расширяется: будет сказываться не только экономия живого труда (отработанных человеко-часов, человеко-дней или численности работников, занятых в производстве), но и экономия всех видов прошлого труда. Поэтому в условиях рынка существующие классификации факторов роста производительности труда необходимо дополнить по крайней мере двумя новыми группами факторов, связанными с:
• расходованием текущих затрат прошлого труда (сырья, материалов, энергии и пр., непосредственно входящих в продукт производства в каждом производственном цикле);
• экономичным и эффективным использованием основных и неосновных производственных фондов (машин, механизмов, технологического оборудования, аппаратуры, транспортных средств, производственных зданий и сооружений и т.п.).
Экономия прошлого труда, заключенного в материальных затратах первой группы, будет повышать производительность труда непосредственно, в обратной пропорции к достигнутой экономии.
Рациональное использование производственных и непроизводственных фондов, переносящих прошлый труд на вновь созданную продукцию частями (в стоимостной форме, в виде амортизационных отчислений), отразится на показателе производительности труда через величину амортизационных отчислений. Поэтому при прочих равных условиях производителъность труда за счет этого фактора будет выше, чем меньшее будет задействовано фондов и чем лучше и полнее они будут использоваться.
6.3. Резервы повышения производительности
труда
Резервы роста производительности труда - это возможность более полного использования производительной силы труда, всех факторов повышения его производительности за счет совершенствования техники технологии, улучшения организации производства, труда и управления.
Резервы тесно связаны с факторами роста производительности труда. Если тот или иной фактор рассматривать как возможность, то использование связанного с ним резерва - это процесс превращения возможности в действительность.
Существует несколько классификаций резервов роста производительности труда. Все они делятся на две большие группы: резервы улучшения использования живого труда (рабочей силы) и резервы более эффективного использования основных и оборотных фондов. К первой группе относятся все резервы, связанные с вопросами организации, условий труда, повышения дееспособности работающих, структуры и расстановки кадров, создания организационных условий для бесперебойной работы, а также с обеспечением достаточно высокой материальной и моральной заинтересованности работников в результатах труда. Вторая группа включает резервы лучшего использования основных производственных фондов (машин, механизмов, аппаратуры и пр.) как по мощности, так и по времени, а также резервы более экономного и полного использования сырья, материалов, комплектующих изделий, топлива, энергии и других оборотных фондов.
По признакам возможностей их использования резервы делят на резервы запаса и резервы потерь. Например, недоиспользование оборудования по мощности или по сменности работы, изученные, но еще не внедренные передовые методы труда - резервы запаса; потери рабочего времени, брак, перерасход топлива относятся к резервам потерь.
В понятие резервов включаются также производственные помер рабочего времени - это внутрисменные и целодневные простои и прогулы и все не предусмотренные планом неявки на работу, непроизводительные затраты труда - излишние по сравнению с плановыми, затраты труда вследствие нерационального использования орудий и предметов труда и нарушений установленного технологического процесса.
По времени использования резервы деляге текущие и перспективные. Первые могут быть реализованы без существенных изменений технологического процесса и без дополнительных капиталовложений, вторые требуют перестройки производства, установки более совершенного оборудования, капитальных затрат и значительного времени на подготовительные работы.
По месту выявления и использования резервы подразделяются на народнохозяйственные, отраслевые и внутрипроизводственные. Народнохозяйственные включают прежде всего более богатые природные ресурсы, их комплексное использование и т.п. К отраслевым относятся резервы, использование которых повышает производительность труда работников отрасли в целом (специализация предприятий, концентрация и комбинирование производства, совершенствование техники и технологии и т.п). Внутрипроизводственные резервы роста производительности труда имеют важнейшее значение, так как в конечном счете все их виды выявляются и реализуются непосредственно на предприятиях. Кроме деления на текущие и перспективные, они разделяются на две группы:
резервы снижения трудоемкости продукции и резервы лучшего использования совокупного рабочего времени.
Уровень производительности труда, как известно, определяется количеством продукции, приходящейся на единицу рабочего времени. Но если исходные величины выразить во времени, то производительность труда рассчитывается как отношение фонда рабочего времени к трудоемкости продукции:

.
Это означает, что выработка продукции прямо пропорциональна количеству времени, затраченному на ее производство, и обратно пропорциональна ее трудоемкости. Если производительность труда растет за счет увеличения фонда рабочего времени, то это экстенсивный путь ее повышения; если ее рост обеспечивается снижением трудоемкости, то это интенсивный путь, так как уменьшение затрат на изготовление продукции происходит благодаря внедрению новой техники, совершенствованию технологии и организации производства, интенсификации производственных процессов.
Фонд совокупного рабочего времени на предприятии расходуется: непосредственно на производство продукции (на этом заняты основные производственные рабочие), на обслуживание и обеспечение основного прoизвoдcтвa вспомогательным составом рабочих, на организацию и управление производственным процессом специалистами и руководителями. Ясно, что чем выше удельный вес основных рабочих в общей численности промышленно-производственного персонала, тем больше будет выработано продукции, тем выше при прочих равных условиях будет и общая производительность труда. Таким образом, улучшение использования совокупного рабочего времени достигается двумя путями: ликвидацией потерь рабочего времени и улучшением структуры кадров, т.е. повышением удельного веса основных рабочих в общей численности работающих.
Выявление имеющихся резервов осуществляется на основе анализа уровня и динамики производительности труда на отдельных участках производства или по видам работ в текущем и предыдущем периодах. Основой методики анализа является сравнение анализируемых показателей с плановыми. При этом должны быть проверены и обоснованность плановых заданий, в которых могли быть полностью не учтены все особенности, условия производства в планируемом периоде, его резервы. Необходимо обращать внимание также на различные уточнения плана, вносимые в течение года, которые вызывают значительные изменения других показателей - производительности труда, численности работников, фонда оплаты труда.
Анализу трудоемкости важнейших видов продукции или основных видов работ должно быть уделено самое серьезное внимание. Трудоемкость продукции определяется количеством труда, необходимого для изготовления намеченной планом продукции или фактически затраченного на ее производство. Она исчисляется путем суммирования затрат труда по всем операциям при изготовлении каждого изделия, а затем и по всем изделиям производственной программы. Трудоемкость измеряется или в нормо-часах (нормо-днях) работы, или в фактических часах (днях), затраченных на производство продукции. В первом случае будет нормативная трудоемкость, во втором - фактическая. Разница между ними определяется степенью выполнения норм.
Пример. Если нормативная трудоемкость производства равна 180 тыс. нормо-ч., а фактическая - 150 тыс. чел.-ч, это означает, что в среднем нормы выработки выполняюгся на 120%:
Трудоемкость продукции может выражаться в различных количественных показателях в зависимости от того, затраты труда каких категорий работников учитываются при производстве той или иной продукции. Если учитываются затраты труда только основных рабочих, непосредственно участвующих в изготовлении продукции, то это будет технологическая трудоемкость; затраты труда рабочих, обеспечивающих и обслуживающих производство в основных и вспомогательных цехах, составляют трудоемкость обслуживания; затраты труда всех рабочих - основных, обеспечивающих и обслуживающих -производственную трудоемкость, т.е.

. Затраты труда руководителей, специалистов, технических исполнителей и прочего персонала составляют трудоемкость управления, а все три элемента -полную трудоемкость:

.
Трудоемкость обслуживания распределяется по функциям обслуживания и раскладывается по изделиям в процентах, соответствующих удельному весу каждой функции в обслуживании изготовления данного изделия. Затраты труда по управлению производством по изделиям пропорциональны производственной трудоемкости.
Снижение трудоемкости обеспечивается, прежде всего, внедрением нового, высокопроизводительного оборудования и прогрессивных технологических процессов. Наряду с этим большое значение имеет модернизация имеющегося оборудования и рационализация производства без 'коренной перестройки применяемой технологии за счет малой механизации ручных работ, совершенствования приспособлений и т.п.
Величину резервов роста производительности труда при снижении трудоемкости можно определить или непосредственно в процентах по каждой группе рабочих, или по экономии рабочей силы. Показатели роста производительности труда и снижения трудоемкости продукции связаны между собой как обратные величины. Соотношение между ними определяется по формулам:

и

,
где А - процент роста производительности труда при снижении трудоемкости на в;
В - процент снижения трудоемкости при росте производительности труда на а.
Пример. Если трудоемкость снизится на 20%, то производительность труда повысится на 25%:

,
а если производительность труда возрастет на 20%, то трудоемкость понизится на 16,7%:

.
Для расчета экономии сопоставляются затраты труда на выполнение какого-либо вида работ или изготовление того или иного продукта до внедрения мероприятия, снижающего трудоемкость, и после его внедрения
При измерении трудоемкости в нормо-часах экономия (ЭК) в рабочей силе определяется по формуле:

,
где ТН - экономия затрат труда на операции, нормо-ч;
ФР.В - годовой фонд рабочего времени рабочего, ч;
К - плановый коэффициент выполнения норм на данной операции;
М - количество операций (изделий) до конца года.
Пример. При проведении какой-либо операции (работы) в результате организационно-технических мероприятий затраты труда снизятся на 40 мин, и таких операций в течение года 10 000, годовой фонд рабочего времени рабочего - 1800 ч, средний процент выполнения норм - 120, следовательно:

чел.
При измерении трудоемкости работ в человеко-часах экономию труда в результате какого-либо мероприятия можно вычислить по формуле:

,
где ЗБ и 3П - затраты времени на исследуемый объем работы в базисном и плановом периодах;
М - объем работы (количество изделий, операций) в течение года;
В - время действия нового оборудования, новой технологии в плановом году.
Пример. ЗБ и 3П - соответственно 3 и 2,5 ч, М = 4000, а срок перехода на новую технологию - 1 мая, тогда:

чел.-ч.
Если вместо количества обрабатываемой продукции (объема работ) будут известны данные о численности работников на новом оборудовании или усовершенствованном технологическом процессе и повышении производительности нового оборудования (технологии) по сравнению со старым, то снижение трудоемкости, или экономию рабочей силы, можно определить как обратную величину роста производительности труда. Так, если производительность труда растет n % , то индекс производительности будет 100+n, индекс трудоемкости

а экономия равна:

, %
В этом случае экономию рабочей силы можно рассчитать по формуле:

,
где ЧР - число рабочих, занятых на данном оборудовании или в данном технологическом процессе;
Н - норма обслуживания;
В - время работы нового оборудования (часть планового года).
При наличии абсолютных данных об объеме продукции и выработке в базисном и плановом периодах экономию рабочей силы можно определить по формуле:

,
где М2 - объем работы или масса выработанной продукции в плановом периоде;
В1 и В2 - выработка одного рабочего в базисном и плановом периодах.
Так рассчитывается эффективность мероприятий по росту производительности труда и экономии рабочей силы в результате повышения технического уровня производства (механизации и автоматизации производственных процессов, внедрения новых видов оборудования, модернизации станков и машин, совершенствования технологии и т.п.). В ряде случаев (на ручных процессах при совершенствовании орудий труда, механизации труда и пр.) экономия рабочей силы определяется прямым сравнением численности рабочих до и после механизации данного вида работ. В этих условиях снижение трудоемкости (или экономия рабочей силы) рассчитывается по формуле:

, %
или

, в абсолютных цифрах.
В этих расчетах надо учитывать срок внедрения мероприятий и полученную экономию или рост производительности труда корректировать на срок их действия.
Если в результате автоматизации расширяется зона обслуживания, то производительность труда растет прямо пропорционально этому расширению, а экономия рабочей силы будет равна:

,
где ЧОБ(БАЗ) и ЧОБ(ПЛ) - число обслуживаемых объектов соответственно в базисном и плановом периодах.
Пример. 30 станочников переведены со станков с ручной подачей на полуавтоматизированные и вместо 1-го станка стали обслуживать по 3. Производительность труда повысилась в 3 раза, а экономия рабочей силы равна 8 чел. (перевод на новые станки осуществлен с 1 августа):

На машинно-ручных работах при внедрении малой механизации, приспособлений и пр. происходит сокращение ручного времени и за счет этого увеличивается машинное время, повышается выработка продукции и снижается ее трудоемкость.
При увеличении объема производства численность отдельных категорий промышленно-производственного персонала (обслуживающие рабочие, служащие и некоторые др.) растет в меньшей степени, чем объем производства. В связи с этим создается экономия рабочей силы и происходит рост производительности труда в расчете на весь персонал предприятия. В данном случае:

,
где ЧР(БАЗ) - численность той или иной категории персонала в базисном периоде;
%М - процент роста объема производства;
%ЧР - процент роста численности этой группы работников.
Пример. Объем производства вырос на 10%, число обслуживающих рабочих - 800 чел. Увеличение их численности предусматривается только на 4%. Тогда

чел.
Такой же расчет делается по каждой категории промышленного производственного персонала. Рост производительности труда в этом случае определяется по формуле:

,
где ЧР(БАЗ) - численность рабочих базисная;
d - удельный вес обслуживающих рабочих в общей численности работающих.
Пример. Удельный вес обслуживающих рабочих в общей численности персонала равен 40%, тогда рост производительности труда составит:

%.
Резервы роста производительности труда за счет лучшего использования рабочего времени кроются, прежде всего, в ликвидации его потерь. По существу они резко отличаются от резервов снижения трудоемкости и имеют место только при плохой организации труда и производства, слабой дисциплине труда, недостаточной его охране и т.п. Эти резервы иссякнут с ликвидацией указанных недостатков, в то время как резервы снижения трудоемкости практически безграничны. Для выявления резервов роста производительности труда за счет ликвидации потерь рабочего времени нужно тщательно анализировать фактический баланс рабочего времени, сравнивать его с плановым, с помощью фотографий и самофотографий рабочего дня, выявлять потери рабочего времени, устанавливать их причины и разрабатывать мероприятия по уменьшению или полной их ликвидации.
В статистической отчетности имеются данные об использовании совокупного фонда рабочего времени. Но для анализа его использования и выявления резервов роста производительности труда этих данных недостаточно. Для этого надо сопоставлять фактический и плановый балансы рабочего времени в среднем на одного рабочего. На основе такого сопоставления можно установить, каковы были возможности улучшения использования рабочего времени, по каким статьям баланса имеются отклонения фактического использования от планового и наметить пути детального, углубленного исследования причин, вызвавших эти отклонения. Наибольший удельный вес в потерях рабочего времени занимают неявки в связи с болезнями. Для выявления причин заболеваний и разработки мероприятий по их сокращению определяются их размеры и динамика по основным видам: простудные заболевания, хронические болезни, производственный травматизм и пр. Увеличение фонда рабочего времени при сокращении неявок по болезни обеспечивает прямо пропорциональное повышение производительности труда и соответствующую экономию рабочей силы. При изучении невыходов на работу с разрешения администрации устанавливаются их фактические размеры и причины, а также обоснованность предоставления и порядок оформления разрешений. То же выполняется и при анализе потерь в связи с прогулами и другими нарушениями трудовой дисциплины.
При анализе использования рабочего времени необходимо сравнивать динамику часовой, дневной и годовой выработок рабочих. Если индекс дневной выработки меньше индекса часовой, то это является показателем увеличения внутрисменных потерь рабочего времени, а превышение индекса годовой выработки над индексом дневной свидетельствует о росте числа явочных дней в году и наоборот. Сравнение динамики показателей часовой, дневной и годовой выработок рабочих позволяет сделать вывод об изменениях в использовании рабочего времени за отчетный период. Но этим методом можно получить только относительные показатели улучшения или ухудшения использования рабочего времени по сравнению с базисным периодом. Для выявления же резервов роста производительности труда за счет лучшего использования фонда рабочего времени необходимо знать абсолютные размеры потерь рабочего времени.
Размер внутрисменных потерь рабочего времени следует определять путем проведения фотографий рабочего дня, а также на основе изучения учетных материалов о простоях, доплатных листках, выписываемых за дополнительную работу при отступлении от нормальных условий технологического процесса, при переделке бракованной продукции и т.п. Производительность труда растет прямо пропорционально увеличению фонда рабочего времени в среднем на одного рабочего. Если потери рабочего времени составляли в базисном периоде n %, а в плановом намечено их сократить до m%, то производительность труда рабочего повысится на:

, %
Пример. Потери рабочего времени на каком-то участке производства составляют 15%, и есть возможность сократить их при осуществлении соответствующих мероприятий до 5%, тогда это повысит производительность труда на 11,8%:

Так же определяется рост производительности труда при снижении брака продукции и других непроизводительных затрат рабочего времени.
При расчете по экономии рабочей силы:

, %
Пример. Намечено сократить внутрисменные потери с 10 до 5% рабочего времени, экономия в этом случае будет равна 5,26:

;
если данное мероприятие распространяется на 500 рабочих, то экономия численности составляет 26 чел. (500 × 5,26 : 100).
В ряде случаев эффективность отдельных мероприятий может быть незначительной. Тогда экономию рабочего времени следует исчислять в человеко-часах. Для определения экономии в численности рабочих надо суммировать экономию в часах по ряду мероприятий, а затем уже переводить в среднесписочную численность рабочих по формуле:

,
где ФРВ - годовой фонд рабочего времени одного рабочего, ч;
ТСН - снижение трудоемкости в нормо-часах;
К - коэффициент выполнения норм выработки.
Один из резервов роста производительности труда - совершенствoвaниe структуры кадров. Под структурой кадров понимается соотношение численности между отдельными категориями промышленно-производственного персонала. Важнейшими являются соотношения численности основных и вспомогательных рабочих, а также численности рабочих и всех работающих. Показатели структуры кадров: удельный вес рабочих в общей численности промышленно-призводственного персонала и удельный вес основных рабочих в общей численности рабочих и всего персонала. К основным относятся рабочие, которые непосредственно заняты производством товарной продукции, к вспомогательным - рабочие, занятые обслуживанием производства (дежурные слесари, доставщики буров, топлива и т.п.), т.е. обслуживающие рабочие в основных цехах и все рабочие во вспомогательных цехах.
Повышение удельного веса основных рабочих или всех рабочих вобщей численности рабочих (или всех работающих) равнозначно росту производительности труда в расчете на всю категорию работников. Индекс удельного веса (I) рабочих или основных рабочих является коэффициентом перевода показателей производительности труда одной категории работников в показатель другой категории:

или

Пример. Если производительность труда основных рабочих растет на 5%, их удельный вес в числе всех рабочих был 50%, а будет 52%, то:

, т.е. рост на 9,2%
Методы расчета роста производительности труда вспомогательных рабочих те же, что и основных рабочих, и те же факторы роста - снижение трудоемкости работ и улучшение использования рабочего времени. Расчеты можно сделать по формуле:

Аналогично исчисляется возможный рост производительности труда в целом по предприятию при сокращении относительной численности управленческого персонала по следующей формуле:

.
Пример. Удельный вес управленческого персонала до реорганизации составлял 20%, а после - 18%, тогда рост производительности труда на предприятии равен 2,5%:

Для определения общего показателя роста производительности труда в целом по предприятию или цеху надо перемножить индексы производительности по отдельным факторам; их произведение будет общим индексом производительности труда. Если расчет производится по экономии рабочей силы, то определять итог рекомендуется ступенчатым методом по формулам:

,

,

и т.д.
Резюме
Производительность - это отношение количества произведенной продукции за определенный период времени к количеству потребленных ресурсов для производства определенного вида продукции. Построение системы показателей производительности труда должно основываться на выявлении функциональной нагрузки каждого из них с учетом как его свойств и возможностей, так и свойств и возможностей других. Критерием классификации показателей является способ выражения результатов труда. Важным направлением изучения служит задача измерения производительности труда, создание ее системы. Методы измерения производительности труда классифицируются на многофакторные, векторные и многокритериальные.
Поскольку производительность труда - динамичный показатель, то весьма актуальной становится проблема изучения факторов и резервов. Наиболее существенным направлением является построение системы резервов повышения производительности труда, которые целеcooбpaзнo рассматривать на трех уровнях: рабочее место, цех (отдел) и предприятие (организация).
Выше были изложены традиционные методы выявления резервов роста производительности труда. Резервы рассматривались только со стороны их влияния на использование живого труда в виде показателя производительности труда.
Резервы снижения затрат прошлого труда могут находиться под воздействием использования материально-вещественных составляющих процесса производства. Например, сокращение потерь рабочего времени способствует рациональному использованию оборудования, производственной площади, вовлечению в переработку большего количества элементов труда. Повышение качества продукции снижает расходы в связи с браком продукции. Переход на автоматизированные системы позволяет организовать многостаночное и многоагрегатное обслуживание. А это значит, что при меньших затратах живого труда приводится в действие большее количество основных средств, перерабатывается больше сырья и материалов, а следовательно, увеличивается выпуск товаров, снижаются условно-постоянные расходы.
Резервы экономии живого и прошлого труда следует также рассматривать на трех уровнях: непосредственно на рабочем месте (индивидуальное, коллективное); во вторичном трудовом коллективе (участок, цех, отдел); на уровне предприятия.
Вопросы для контроля и обсуждения
1. Что такое производительность труда как показатель его экономической эффективности, ее взаимосвязь с психофизиологической и социальной эффективностью труда?
2. Назовите основные методы измерения производительности труда, их достоинства, недостатки, сфера применения.
3. Какие материально-технические факторы роста производительности труда и методы расчета их влияния вы знаете?
4. Какова структура организационных факторов повышения производительности труда, их влияние на использование рабочего времени
и трудоемкость продукции?
5. Расскажите о важнейших социально-экономических факторах повышения производительности труда и особенностях их влияния.
6. Что такое рациональное использование овеществленного труда как фактор повышения его производительности?
7. Какова классификация резервов роста производительности труда.
8. Расскажите о методике выявления внутрипроизводственных резервов повышения производительности труда.
Глава 7
ОРГАНИЗАЦИЯ И НОРМИРОВАНИЕ
ТРУДА РАБОТНИКОВ
7.1. Разделение и кооперация труда
Труд как общественное явление нуждается в организации на уровне отдельного предприятия, отраслей народного хозяйства и общества в целом. В современных условиях, когда на смену противоестественному состязанию “двух систем” пришло свободное, демократическое развитие, не знающее политических и национальных границ, можно говорить о мировой, интернациональной общественной организации труда. В экономической науке под общественной организацией труда понимаются формирование и поддержание естественных, разумных пропорций между сферами приложения труда, а следовательно, и между отраслями общественного производства и непроизводственной сферы. Формирование этих пропорций происходило исторически, длительное время и основано на потребностях членов общества, его определенных групп и классов в материальных и духовных благах, создаваемых человеческим трудом.
Сложнейшая система общественной организации труда включает в себя совершенно различные по масштабам и значимости элементы: организацию взаимодействия между такими огромными сферами приложения труда, как производственная и непроизводственная; внутри этих сфер - отраслевую и межотраслевую организацию труда; внутри отраслей - организацию труда на отдельных предприятиях, а внутри предприятий - в их структурных подразделениях вплоть до организации труда отдельных работников-исполнителей.
Необходимость организации труда на любом из этих уровней обусло-влена такими объективно существующими и постоянно развивающимися категориями, как разделение и сопутствующая ему кооперацией труда. Разделение труда - это обособление деятельности отдельных работников и их групп в процессе труда. Благодаря разделению труда повышается профессиональная дееспособность работников, возрастает производительность труда, совершенствуются орудия производства и технология.
Различают три вида разделения труда: общее, частное и единичное. К общему принято относить его разделение между производственной и непроизводственной сферами деятельности людей, а внутри этих сфер - между промышленностью, сельским хозяйством, транспортом, связью, торговлей, народным образованием, наукой, государственным управлением, культурой и тд. Распределение численности работников между этими сферами может служить характеристикой общего разделения труда и его изменений в ходе социально-экономического развития общества, отдельной страны или ее региона.
Частное разделение труда предполагает его разделение внутри сфер и отраслей общего разделения труда. Например, промышленность делится по отраслям, подотраслям, объединениям, отдельным предприятиям; сельское хозяйство - на земледелие и животноводство, а внутри них - на специализированные отрасли (производство зерна, хлопка, картофеля, садоводство, производство мяса, молока, шерсти и т.д.). Как и в промышленности, конечной стадией частного разделения труда в сельском хозяйстве является отдельное специализированное предприятие. Подобное частное разделение труда имеется в любой отрасли непроизводственной сферы: в народном образовании, медицине, государственном управлении и т.п.
Единичное разделение труда предусматривает распределение работ и трудовых функций между работниками отдельного предприятия или обособленной организации: по цехам, участкам, бригадам, звеньям, отдельным работникам-исполнителям, а также по их профессионально-квалификационным группам. Этот вид разделения труда наиболее сложен и важен, так как конкретные трудовые процессы совершаются именно в рамках единичного разделения труда; на этом же уровне реализуются и экономические результаты: специализация исполнителей и повышение их профессионального мастерства, применение специализированного высокопроизводительного оборудования, рост производительности труда и повышение эффективности производства в целом. Можно без преувеличения утверждать, что без разделения труда на всех уровнях был бы невозможен современный технический и социально-экономический прогресс.
По мере развития науки, техники, технологии производственны процессы усложняются, что вызывает развитие и углубление разделения труда в обществе в целом, в различных отраслях и на предприятиях: разделяются целые отрасли в связи с их усложнением и появлением ранее неизвестных и специфических производств; внутри каждой отрасли возникают подотрасли и специализированные предприятия; на каждом предприятии, особенно в массовом производстве, происходят разделение и обособление технологических процессов, а на этой основе среди работников-исполнителей появляется все больше специалистов узкого профиля. Чем сложнее и больше специализировано производство, тем глубже единичное разделение труда работников. Можно представить себе, например, кузнеца деревенской кузницы прошлого века, который полностью обеспечивал односельчан всеми видами необходимых по тому времени металлоизделий - от плуга и бороны до печной кочерги. Но невозможно требовать от рабочего даже высочайшей квалификации производства трактора или станка-автомата.
Но разделение труда - это только одна сторона трудовой деятельности. Оно вызывает необходимость объединения труда отдельных работников и их групп в общем трудовом процессе, во взаимосвязанных трудовых процессах на всех уровнях - от рабочих мест отдельных исполнителей и бригад до целых предприятий, подотраслей и взаимосвязанных отраслей народного хозяйства. Это объединение, установление взаимосвязей между разделенными, специализированными исполнителями в процессе трудовой деятельности, носит название кооперации труда и является одним из важнейших элементов организации трудовой деятельности.
Сложность и значение кооперации труда непосредственно на производстве возрастает по мере углубления единичного разделения труда. При предметном разделении труда, когда на рабочих местах отдельных работников изготавливаются законченные виды продукции, Достаточно обеспечить основных производственных рабочих сырьем, материалами, энергией, транспортными услугами, исправным инструментом и оборудованием, технической документацией и определить численность этих рабочих исходя из объемов производственной программы и трудоемкости изделий.
Но при подетальном разделении труда, когда на различных рабочих местах изготовляются только отдельные детали изделия, причем трудоемкость их изготовления и сборки изделия различна, возникает более сложная задача - объединить труд всех участников данного участка производства, обеспечить внутриучастковую кооперацию труда, которая должна обеспечить непрерывность и бесперебойность производственного и трудового процессов, наиболее полное использование оборудования и высокую производительность труда. Решается эта задача путем расстановки исполнителей пропорционально трудоемкости изготовления отдельных деталей и сборки изделия.
Пример. В изделие входит 5 деталей, трудоемкость их изготовления составляет 3,12 15,6 и 9 мин, на сборку и регулировку требуется еще 12 мин. Отсюда минимальная численность рабочих на участке составит 19 чел. (1 чел.; 12: 3=4 чел-15 : 3^5 чел.; 6:2=2 чел.; 9 : 3 =-3 чел.; 12:3=4чел.).
Если объем производства больше, чем может обеспечить минимальная расчетная численность рабочих, то численность их увеличивается пропорционально трудоемкости. При меньшем объеме производства работы по изготовлению деталей совмещаются.
При пооперационном разделении кооперация труда еще более сложна, требует детальных расчетов и тщательной подготовки, например, в массовом производстве. Внутриучастковая кооперация и расстановка рабочих в этих случаях производятся пропорционально трудоемкости отдельных операций. В условиях массового производства на конвейерах внутриучастковая кооперация труда имеет свои особенности. Поскольку темп и ритм работы конвейера одинаков для всех занятых на нем рабочих, то по трудоемкости уравниваются сами операции. В этом случае при формировании состава операции должны учитываться рабочие действия, движения и их продолжительность буквально в секундах.
Широко известен и такой вид внутриучастковой кооперации труда, как бригадная. Производственная бригада - это первичный трудовой коллектив, объединяющий рабочих одной или нескольких профессий, выполняющих единое производственное задание. Основу формирования бригады составляет закрепленный за нею объем работ. Численность бригады определяется трудоемкостью общего объема работ и фонда рабочего времени одного работника.
Пример. Если месячный объем работ составляет 2016 чел.-ч, а реальный фонд paбочего времени на одного рабочего - 168 ч в месяц, то численность бригады будет 12 чел. (2016 : 168).
Профессионально-квалификационный состав производственной бригады определяется исходя из состава и сложности выполняемых работ. Все члены бригады работают совместно и постоянно связаны между собой. Результатом их труда являются законченный продукт или объем работы. Оплата труда всех членов бригады производится по этому конечному показателю, что создает коллективную материальную заинтересованность в результатах труда и способствует более эффективной кооперации труда отдельных рабочих внутри самой бригады (взаимопомощь, совмещение профессий, устранение “узких мест” в процессе труда и т.д.). Распределение коллективного заработка производится с учетом отработанного времени и квалификации рабочего. При необходимости применяются коэффициенты трудового участия, влияющие на заработок отдельных членов бригады, который при одном и том же разряде может быть повышен или понижен в зависимости от реального трудового вклада каждого члена бригады.
В зависимости от особенностей организации производства создаются различные формы и виды производственных бригад, и кооперация труда внутри каждой из них имеет свои особенности. Специализированные бригады состоят из рабочих одной и той же профессии и специальности, различающихся только по уровню квалификации и выполняющих определенный вид работы. В строительстве это могут быть бригады каменщиков или плотников, в горной промышленности - бурильщиков или крепильщиков, в машиностроении - токарей или сварщиков и т.д. Специализированные бригады создаются в основном в массовом производстве.
Комплексные бригады включают в свой состав рабочих различных профессий, которые могут выполнять законченные виды сложных работ. Как правило, это более крупные бригады, со звеньевым делением, нередко многосменные. Оплата труда в них производится за конечный результат труда (полностью выстроенный и отделанный сельский дом, капитально отремонтированный автомобиль и т.п.). Внутри таких бригад складываются своеобразные формы кооперации труда: совмещение профессий и взаимопомощь по инициативе самих членов бригады, овладение смежными профессиями и специальностями и выполнение работ с меньшей численностью рабочих и т.д. Все это способствует повышению производительности труда.
При обслуживании крупных машинных агрегатов и аппаратурных систем разделение и кооперация труда имеют свои особенности. Как правило, здесь создаются комплексные бригады, состоящие из рабочих различных профессий и специальностей, но соблюдается принцип разделения труда: каждый член такой бригада выполняет определенную функцию на специализированном рабочем месте, а бригада в целом стремится к выполнению коллективного производственного задания (нормы, плана). Примером может служить сквозная суточная бригада рабочих по обслуживанию непрерывно действующей аппаратурной системы в химическом производстве или доменной печи в черной металлургии, или драги горнодобывающей промышленности.
Кооперация труда на уровне отдельных исполнителей, бригад и участков является основной, наиболее сложной и важной, но не единственной формой внутрипроизводственной кооперации труда. Большое значение для улучшения организации труда имеет внутрицеховая кооперация. Ее сущность состоит в том, чтобы соединить и согласовать между собой по времени, трудоемкости работ и численности рабочих деятельность всех цеховых структурных подразделений: участков, бригад, звеньев, служб и отдельных работников. Прежде всего согласуются между собой по численности рабочие основных бригад и участков. Основой для расчета служит реальная трудоемкость выполняемых работ на каждом участке, с одной стороны, и фонд рабочего времени одного рабочего - с другой. Подобно тому, как рассчитывалась необходимая численность рабочих в каждой бригаде, определяется численность рабочих всех взаимосвязанных бригад и участков в цехе.
Пример. В цехе 4 основных участка, технологическая трудоемкость на каждом из них соответственно 7056, 5544, 8568 и 2688 чел.-ч. При реальном фонде рабочего времени на одного рабочего в месяц 168 чел.-ч численность основных рабочих в каждом из взаимосвязанных участков составит 42, 33, 51 и 16 чел. (численность определяется делением общей трудоемкости работ на участке в человеко-часах на фонд рабочего времени одного рабочего в том же измерении, т.е. 7056: 168 = -- 42 : 5544 : 168 - 33, 8568 : 168 = 51 и 2588 : 168 = 16 чел., а общая численность основных рабочих в цехе - 142 чел.).
В случае, когда трудоемкость работ рассчитывается не в человеко-, а в нормо-часах, отрабатываемое одним рабочим время пересчитывается в нормо-часы путем умножения рабочих часов на средний планируемый процент (индекс) выполнения норм выработки.
Труд основных производственных рабочих кооперируется с трудом вспомогательных и обслуживающих. Для этого используются нормативы численности вспомогательных рабочих или нормативы обслуживания. В первом случае норматив численности вспомогательных рабочих, например рабочих по профилактике и ремонту машин и оборудования, определяется исходя из объемов и трудоемкости ремонтно-профилактических работ за определенный период, подобно тому, как это делается при определении численности рабочих на основных производственных участках: трудоемкость ремонтных работ делится на фонд рабочего времени одного ремонтного рабочего (в одинаковом измерении). Нормативы обслуживания применяются, когда вспомогательный рабочий обслуживает основных.
Пример. По установленному путем наблюдений и расчетов нормативу один наладчик должен обслуживать 15 основных рабочих-станочников. При 60 станочниках в смену для нормальной организации труда необходимо иметь 4 наладчика (60: 15). Если на руднике или шахте один доставщик бурового инструмента может в конкретных производственных условиях обслужить 5 основных рабочих-бурилыииков, то при численности бурильщиков 45 чел. число доставщиков бурового инструмента будет 9 чел. (45 : 5) и т.д.
При всех расчетах, связанных с кооперацией труда основных и вспомогательных рабочих, необходимо иметь в виду, что численность последних должна быть минимальной, но достаточной для бесперебойного хода производственного процесса в целом. При излишней численности вспомогательных рабочих снизится общая производительность труда в расчете на одного производственного рабочего; если численность вспомогательных рабочих по каким-либо причинам окажется меньше необходимой, это вызовет перебои в ходе основного трудового процесса и во всей системе внутрипроизводственной организации труда (легко представить себе станочника, который останавливает станок и ремонтирует его в середине смены, а все другие рабочие на связанных с ним операциях простаивают).
Процессы разделения и кооперации труда динамичны. Их характер и содержание зависят от изменений в технике, технологии и организации производства, а также от его масштабов. В штучном и мелкосерийном производстве преобладают укрупненные формы разделения труда - предметные и подетальные, когда готовое изделие или деталь полностью изготавливаются на одном рабочем месте одним или несколькими исполнителями широкого профиля. Оборудование при этом применяется универсальное, а рабочие должны иметь высокую квалификацию и достаточно широкий производственный профиль.
В крупносерийном и массовом производстве подетальное разделение труда уступает место пооперационному. Изготовление изделия или детали подразделяется на ряд отдельных операций, которые имеют относительно небольшую продолжительность, проще по содержанию и не требуют высокой квалификации рабочего. При этом возможно применение высокопроизводительного специализированного оборудования, которое позволяет во много раз повышать производительность труда. Наиболее глубоко пооперационное разделение труда в массовом конвейерном производстве при ручном или машинно-ручном способе выполнения произведенных операций. Производительность труда при этом возрастает во много раз.
Однако разделение труда имеет четко выраженные границы. Прежде всего границы технологические: один проход при обточке делали на токаром станке, одна сборочная пара при монтаже изделия и т.д.
Любая операция состоит из нескольких трудовых движений и действий, объединенных общим целевым назначением.
Существенное значение имеют такие границы разделения труда, которые в большинстве случаев не позволяют приблизиться к технологическим. Экономическая граница определяется общей продолжительностью и трудоемкостью производственного цикла. При глубоком разделении труда в основном производстве появляются два осложнения: первое - необходимы дополнительные трудозатраты на транспортировку изделий с одних узкоспециализированных рабочих мест на другие и на межоперационный технический контроль; второе - возможная неувязка во времени множества мелких операций, что вызывает довольно значительные потери рабочего времени в связи с ожиданием предмета труда с предшествующих операций. В результате общая трудоемкость основных и вспомогательных операций может возрасти, а время производственного цикла не только не сократится, но даже увеличится. Применение конвейеров в массовом производстве уменьшает вероятность такого рода негативных явлений, но порождает другую границу - психофизиологическую.
Психофизиологическая граница разделения труда обусловлена повышенной утомляемостью работников при выполнении однообразных повторяющихся операций. Слишком дробное разделение труда увеличивает трудовую нагрузку на отдельные органы тела человека и двигательные мозговые центры, в связи с чем развивается локальное переутомление отдельных органов и общее (физиологическое) торможение. Все это вызывает дополнительные затраты времени на отдых и порождает явление монотонности труда, которое способствует хроническому утомлению и психологическому дискомфорту, а также обусловливает социальную границу разделения труда.
Социальная граница выражается в субъективном отрицательном отношении работников к содержанию труда, появлению у них чувства неудовлетворенности своей трудовой деятельностью и желания переменить место работы. Нарушение социальной границы часто приводит к повышению текучести кадров.
Развитие научно-технического прогресса существенно влияет на характер разделения и кооперации труда. С совершенствованием техники и технологии на смену конвейеру с ручным выполнением монотонных утомительных операций приходят автоматические системы, а рабочий-исполнитель низкого разряда превращается в высококвалифицированного оператора, содержание труда, а следовательно, и интерес к труду которого несравненно выше, чем был на стадии ручного труда Но это требует повышения культурно-технического уровня работников. При этом существенно расширяется их производственный профиль, открываются широкие возможности для перемены труда, работник перестает быть “рабом узкой специальности”.
Однако в современных условиях удельный вес устаревших, рутинных форм организации производства и труда остается все еще значительным, а поэтому необходим глубокий анализ организации труда вообще и важнейшей его части (разделения и кооперации труда) в особенности. Основные этапы такого анализа следующие.
Анализ исходных факторов организации трудового процесса на предприятии: определение типа производства, его масштабов, особенностей технологических процессов, машин и оборудования, уровня механизации труда, специализации цехов, участков, рабочих мест и т.п.
Анализ сложности труда рабочих: требования к профессионально-квалификационному уровню и его соответствие требованиям производства; широта производственного профиля работников и возможности совмещения профессий и перемены трудовой деятельности.
Анализ разделения и кооперации труда рабочих: деление производственного процесса на операции; оценка необходимости обособления отдельных операций и степени укрупнения или дифференциации; изучение связей между рабочими, выполняющими обособленные операции в составе общего производственного процесса; выявление затрат времени на транспортировку и межоперационное пролеживание предметов труда; возможность совмещения или расчленения отдельных производственных операций, а также определение занятости работников работой, входящей в их функциональные обязанности, и соответствия разрядов работ и рабочих.
Анализ использования рабочего времени и времени работы машин и оборудования: выявление внутрисменных потерь рабочего времени и их причин; определение “узких мест” в производственном процессе, когда по причине высокой трудоемкости или неуспеваемости рабочих происходят задержки в выполнении отдельных операций, вызывая простои и ожидания на последующих операциях, а также перебои в ходе единого производственного процесса вследствие нарушений трудовой и производственной дисциплины. При анализе использования рабочего времени учитываются также время выполнения случайных и несвойственных данному виду занятости работ, время пассивного наблюдения за работой оборудования (как резерв для совмещения трудовых функций), время простоев рабочих в связи с ожиданием наладки оборудования или производства неплановых ремонтных работ.
Показатель использования совокупного фонда рабочего времени того или иного производственного коллектива является обобщающие показателем уровня организации труда вообще, так как все организационные недостатки непосредственно отражаются на использовании потенциально возможного фонда рабочего времени данного коллектива, уменьшая его по сравнению с расчетной величиной.
Анализ форм организации труда, применяемых на предприятии является завершающим этапом исследования состояния разделения и кооперации труда рабочих. В него входят следующие направления: изучение численного и профессионально-квалификационного состава рабочих по цехам, участкам, видам работ, отдельным операциям и определение профессионально-квалификационного соответствия выполняемых работ, трудовых функций и рабочих-исполнителей; анализ расстановки рабочих по отдельным участкам производства и рабочим местам с учетом трудоемкости выполняемых работ; выявление возможностей совмещения профессий, трудовых функций и осуществления многостаночного обслуживания; изучение возможностей и целесообразности бригадной организации труда; основные направления улучшения условий труда.
На основании анализа использования рабочего времени и существующих на предприятии форм организации труда разрабатываются мероприятия по совершенствованию разделения и кооперации труда, цель которых - повышение производительности труда на имеющейся технической основе. Важнейшими направлениями таких мероприятий являются:
• формирование частных трудовых процессов и состава производственных операций с учетом технико-экономических, психофизиологических и социальных границ разделения труда;
• составление проектируемых балансов рабочего времени для отдельных рабочих по профессиям и рабочим местам, по бригадам, участкам и цехам с увязкой этих балансов между собой, с трудоемкостью выполняемых работ и трудовых функций;
• разработка тарифно-квалификационных характеристик для каждого вида работ и четкого перечня функциональных обязанностей рабочих, обеспечивающих выполнение частичных трудовых процессов в условиях разделения труда;
• обеспечение равнонапряженности (равной интенсивности) труда на всех участках производственного процесса и научно обоснованных режимов труда и отдыха;
• обеспечение ритмичности, бесперебойности трудового и производственного процесса за счет четкой кооперации труда и повышение производительности труда на организационной основе.
7.2. Организация, планировка и обслуживание
рабочих мест
Обязательным условием эффективной, высокопроизводительной работы исполнителей при любых формах разделения и кооперации труда являются организация и обслуживание рабочих мест. Рабочее место служит первичным звеном, ячейкой любого производственного и трудового процесса, именно на рабочем месте соединяются воедино и взаимодействуют все три элемента производственного процесса: предметы, средства труда и сам живой труд работника-исполнителя, а в результате этого взаимодействия создаются новые потребительные стоимости, продукты труда. Поэтому организации рабочих мест уделяется большое внимание.
Рабочее место - часть производственного пространства со всем расположенным на нем основным и вспомогательным технологическим оборудованием, оснасткой, инвентарем, инструментом, рабочей мебелью и специальными приспособлениями, необходимыми для производства определенного вида работ. Внутри рабочего места выделяется рабочая зона - часть трехмерного пространства, в пределах которого осуществляются все основные трудовые действия работника. Она является наиболее активной частью рабочего места, и к ее организации предъявляются особые требования: соответствие антропометрическим и биомеханическим параметрам человека, обеспечение физиологически рациональной рабочей позы, досягаемости органов тела до предметов труда, инструмента или органов управления машинами и механизма-ми, а также гарантия безопасности трудовых действий и безвредности условий труда. Требования к организации рабочего места и рабочей зоны разрабатываются специальной отраслью науки - эргономикой, задача которой - изучить функциональные возможности человека в трудовых процессах и разработать рекомендации по созданию оптимальных условий труда, обеспечивающих соответствие конструкций оборудования, технологии и условий труда психофизиологическим особенностям организма человека.
Все рабочие места классифицируются по ряду признаков.
По степени механизации они делятся на пять групп: ручные, машинно-ручные, механизированные, автоматизированные и аппаратурные.
При ручной работе на рабочих местах все трудовые процессы осуществляются вручную, с применением ручного инструмента, основным источником энергии для преобразования предметов труда служит физическая сила человека.
К машинно-ручным рабочим местам относится обработка (преобразование) предметов труда механизмами и за счет внешней энергии (электрической, тепловой, кинетической), но при непосредственном участии работника. Примерами могут служить работы на металлорежущих или деревообрабатывающих станках с ручной подачей, бурение ручными пневматическими перфораторами, обработка почвы ручными механизированными культиваторами, шитье на бытовой швейной машинке и т.п.
Механизированные рабочие места отличаются от ручных и машинно-ручных тем, что основные технологические процессы полностью осуществляются машинами и механизмами, а за работником сохраняется только функция управления машинами, т.е. энергия человека затрачивается на управление, а не на непосредственное преобразование предмета труда. К механизированным относятся рабочие места станочников на полуавтоматах, водителей автотранспорта, машинистов экскаваторов или бульдозеров, буровых мастеров механического бурения скважин и многие другие профессии и виды работ, где работает машина, но не автоматически, а при постоянном управлении человеком.
На автоматизированных рабочих местах весь технологический процесс осуществляется станком, машиной или агрегатом автоматического действия без участия работника, за которым сохраняется функция пуска и остановки автомата, контроля за его работой и при необходимости наладки и подналадки. У работника высвобождается значительная часть оперативного времени, которое направляется на многостаночное обслуживание и значительное повышение производительности труда.
Аппаратурные рабочие места оснащены различными аппаратами,
воздействуют ими на предмет труда за счет тепловой, электрической, химической или биологической энергии. Как и в автоматизированных процессах работник лишь наблюдает и контролирует ход аппаратурных процессов и при необходимости регулирует их.
По признаку специализации все рабочие места делятся на специализированные и универсальные. На специализированных рабочих местах, оснащенных оборудованием специального назначения, могут выполняться одни и те же или близкие по содержанию операции и виды работ (рабочие места штамповщика, термиста бурильщика, оператора счетной машины и т.п.). На универсальных рабочих местах осуществляются разнородные работы, такие рабочие места оснащены, как правило, универсальным оборудованием или целым рядом станков и механизмов, позволяющих в условиях мелкосерийного и единичного производства быстро переходить от одного вида работ к другому (например, в условиях ремонтно-механических мастерских, комбинатов бытового обслуживания населения и т.п.).
По признаку разделения труда выделяют два типа рабочих мест - индивидуальные, где постоянно занят один работник-исполнитель, и коллективные, где трудовые процессы осуществляются группами работников, например, в условиях бригадной организации труда, при обслуживании крупных машинных агрегатов и аппаратурных систем и т.п. Здесь важное значение имеет подбор кадров, четкое распределение трудовых функций между исполнителями и объективная оценка трудового вклада каждого работника в коллективный труд.
В зависимости от числа обслуживаемого оборудования рабочие места могут быть одностаночными и многостаночными. При многостаночном обслуживании двух и более рабочих мест с полуавтоматическим или автоматическим оборудованием необходимо правильно определить возможное число одновременно обслуживаемых машин и механизмов, чтобы предотвратить возможность их простоев и полностью загрузить производительным трудом рабочих-исполнителей. Вполне понятно, что такое обслуживание возможно только при полной или частичной автоматизации производства, когда на каждом станке есть свободное машинно-автоматическое время, в течение которого рабочий может обслужить другой или другие станки. Расчет производится по формуле:

,
где НМО - число (норма) многостаночного обслуживания;
ТМА - время машинно-автоматической работы на одном станке;
ТОБС - время на обслуживание одного станка;
ТПЕР - время на переходы от одного станка к другому.
Наконец, рабочие места могут классифицироваться по признаку их стабильности: они подразделяются на стационарные, расположенные и оборудованные на одном месте (например, рабочие места станочников, сборщиков, аппаратчиков); и на передвижные, постоянно перемещающиеся в пространстве (рабочие места строителей, горнорабочих, дежурного или ремонтного персонала).
Могут вводиться и другие признаки классификации рабочих мест: например, для бурильщиков на открытых и подземных горных работах могут быть выделены рабочие места для открытых и подземных буровых работ, для монтажников - работы по монтажу на высоте и на земной поверхности и т.д.
Но как бы ни были разнообразны рабочие места, на какие бы классы и группы они ни подразделялись, существуют общие, обязательные требования для организации рабочих мест. Эти требования можно выразить буквально тремя словами: оснащение, планировка и обслуживание. Все эти три элемента организации очень важны и заслуживают отдельного рассмотрения.
Под оснащением рабочего места понимается совокупность находящихся на нем средств труда: основного технологического и вспомогательного оборудования, технологической и организационной оснастки, средств связи и сигнализации и средств по охране труда и технике безопасности
В основное технологическое оборудование включаются станки, рабочие машины, агрегаты, автоматические линии, технологическая аппаратура и т.п., т.е. все то, при помощи чего ведется основной процесс производства.
К вспомогательному оборудованию относятся транспортеры, рольганги и другие транспортные средства; сборочные, сварочные и испытательные стенды, различные грузоподъемные устройства и т.п.
В состав технологической оснастки входят режущий и мерительный инструмент, различные приспособления и техническая документация, а организационная оснастка представлена производственной мебелью, тарой, средствами сигнализации, связи, освещения, оградительными и предохранительными устройствами и средствами по охране труда и технике безопасности. В каждой отрасли промышленности разработаны подробные перечни предметов, входящих в оснащение рабочих мест основных и вспомогательных рабочих, особенн в ведущих отраслях машиностроения.
К основному и вспомогательному технологическому оборудованию и предметам технологической и организационной оснастки предъявляются жесткие эргономические требования. Эргономика изучает функциональные возможности человека в трудовых процессах и вырабатывает правила, обеспечивающие нормальную работоспособность, высокую производительность труда и сохранение здоровья работающих. Изучая систему “человек - машина - сре-да”, эргономика определяет эргономические свойства человека: антропометрические параметры тела, физиологические и психофизиологические особенности, а также санитарно-гигиенические требования к производству.
Важное значение для конструирования и размещения машин, оборудования и оснастки имеет пространственное согласование рабочего места и рабочей зоны с возможностями работника (установление зон досягаемости органов тела, траекторий рабочих движений, расстояний перемещений в процессе труда и т.п.). Наиболее общим в этом вопросе является принцип экономии движений и энергии человека. Для решения этих задач необходимо учитывать антропометрические данные человека, т.е. данные об основных размерах тела человека. В основу проектирования оборудования и рабочих мест, обеспечивающих физиологически рациональную рабочую позу, закладывается принцип антропометрического соответствия человека (его тела и рабочих органов) и материальных предметов оснащения рабочего места и оборудования.
Пример. Соблюдение антропометрических требований на рабочем месте водителя современного автомобиля: все органы управления автомобилем находятся в пределах досягаемости рук и ног, при этом расстояние кресла от рычагов и педалей регулируется в зависимости от роста водителя, за счет остекления кабины и зеркал обеспечивается круговой обзор местности, предусмотрены вентиляция и отопление, и при всем этом рабочее место занимает минимальную площадь.
Под планировкой рабочего места понимается целесообразное пространственнoe размещение в трехмерном пространстве всех функционально увязанных между собой средств производства, предметов труда и самого работника. При этом расположение средств и предметов труда должно удовлетворять двум основным требованиям: не создавать скученности и тесноты на рабочем месте, с одной стороны, и не вызывать излишних движений, хождений и перемещений предметов труда, оснастки и готовых изделий - с другой. Нарушение принципов размещения средств и предметов труда приводит, как правило, к непроизводительным затратам рабочего времени и энергии работника, к преждевременному утомлению и снижению производительности труда. Для обеспечения рациональной планировки рабочего места должны соблюдаться следующие принципы:
• рабочее пространство должно быть минимальным, но достаточным для свободного осуществления всех трудовых действий с учетом антропометрических показателей при различных рабочих позах;
• размещение оборудования осуществляется в основной рабочей зоне, органы управления им - в пределах зон досягаемости работника;
• обеспечение удобной рабочей позы для работника, исключающей лишние движения, повороты, наклоны и затраты энергии, которые вызывают дополнительное утомление. При небольших физических нагрузках (до 5 кг) рекомендуется рабочая поза “сидя”-при нагрузках от 5 до 10 кг - переменная “сидя” и “стоя”, а свыше 10 кг - “стоя”. Во многом рабочая поза зависит от характера выполняемых трудовых функций (для слесаря - сборщика точных приборов рекомендуется поза “сидя”, для станочников, занятых обслуживанием средних и крупных станков, - поза “стоя”, для многостаночников - сочетание позы “стоя” с постоянными перемещениями по зоне обслуживания и тд.). Но во всех случаях рабочая поза должна обеспечивать удобство положения туловища, головы и конечностей; хороший обзор рабочей зоны; свободу манипуляций с предметами труда, инструментом и органами управления механизмами и приборами;
• необходимо изучение технологической взаимосвязи каждого рабочего места со смежными, способов и расстояний перемещений предметов труда, особенностей средств труда и содержания трудовых действий работников. После этого для каждого конкретного рабочего места определяются его площадь, размещение оборудования и вспомогательных приспособлений, положение работника и проектируются условия труда: освещение, средства для удаления вредных производственных воздействий и обеспечение полной безопасности работающих, а также средства связи;
• важное значение имеет рабочая высота (т.е. высота рабочей поверхности) и высота сидения (при сидячей позе) или высота подставок под ноги (при рабочей позе стоя). Рабочая высота и высота сидения должны быть регулируемыми, что обеспечивало бы удобства для рабочих разного роста;
• важно так спланировать рабочее место, рабочую позу и производственную мебель, чтобы постоянно соблюдать физиологически приемлемое расстояние между глазами работника и предметом, труда: при особо точных работах - до 25 см, при точных - 35 см по группе работ, не имеющих высоких требований к зрительному восприятию, 35-50 см, и для работ, при выполнении которых зрительный фокус имеет подчиненное значение, - свыше 50 см.
Обслуживание рабочих мест является третьим и весьма важным элементом организации труда в производственных условиях. Оно охватывает целую систему мероприятий по обеспечению рабочих мест средствами, предметами труда и по оказанию разного рода услуг производственного характера. Обслуживание связывает множество специализированных рабочих мест и производственных участков в единый, эффективно функционирующий производственный организм. Без четко отлаженной системы обслуживания невозможно реализовать ни самые передовые достижения в развитии техники и технологии, ни возможности высокой квалификации и передового опыта рабочих-исполнителей.
Система обслуживания - это целый комплекс мероприятий по выполнению вспомогательных работ, обеспечивающих рабочие места основных рабочих всем необходимым для высокопроизводительной, ритмичной работы в течение длительного времени - от смены и недели до года и более. В развитом, крупном и хорошо организованном производстве насчитывается до 10 функций обслуживания.
1. Производственно-подготовительная. В нее входит распределение работ по рабочим местам, комплектование заготовок и материалов, обеспечение технической и экономической документацией (чертежи, схемы, наряд-задания и т.п.), а также производство различных вспомогательных материалов. От надлежащей подготовки во многом зависит успех и основного производства.
2. Инструментальная. Ее задача - обеспечить основное производство инструментом и приспособлениями. В нее входят: получение, учет и складирование инструментов и технологической оснастки на центральном инструментальном складе; выдача их в цеховые инструментально-раздаточные кладовые, а затем доставка на рабочие места; централизованная заточка режущего инструмента; технический надзор за правильностью использования и за сохранностью инструмента и технологической оснастки. На складах и в цеховых кладовых хранятся текущие и страховые запасы инструмента и оснастки, величина которых нормируется, как и расход инструментов. Очень важной в системе инструментального обслуживания является постоянная связь рабочих мест с инструментальными кладовыми (доставка инструмента на рабочие места и возврат изношенного, обеспечение ремонта, заточки или восстановления инструмента). При правильной организации инструментального обслуживания сводятся до минимума потери рабочего времени основных рабочих на смену инструмента или ликвидацию неисправностей в оснастке.
3. Наладочная. Чем сложнее применяемое оборудование, тем больше роль этой функции. Первоначальная наладка заключается в установке, оснастке, регулировке и контроле за работой нового или модернизированного оборудования; переналадка - в смене оснастки и регулировке оборудования при переходе к новой технологии или выпуску новой продукции; подналадка - в устранении появляющихся нарушений в работе оборудования, приспособлений и оснастки. По форме может быть планово-предупредительной, осуществляемой по графиками, и дежурной - вызывной, которая применяется на относительно небольших предприятиях и участках. Особенностью функции обслуживания является ее выполнение высококвалифицированными рабочими, превосходящими по своей квалификации рабочих-операторов.
4. Энергетическая. Состоит в обеспечении цехов, участков и рабочих мест энергией и межремонтным обслуживанием энергетических установок и устройств. На большинстве машиностроительных предприятий основным видом энергии является электрическая. Но на предприятиях других отраслей промышленности применяются тепловая, гидравлическая и пневматическая виды энергии, и для выполнения энергетической функции создаются специальные службы при отделах главного энергетика или главного механика (на большинстве горных предприятий применяется пневматическое бурение, и здесь создается отдельное компрессорное хозяйство). Как правило, энергетические функции централизованы и находятся под строгим контролем, так как малейший перебой в снабжении рабочих мест энергией вызывает массовые простои и нарушения всей организации труда и производства.
5. Ремонтная функция заключается в текущем ремонте и профилактическом обслуживании оборудования, а также в изготовлении или восстановлении не получаемых в готовом виде запасных частей к нему. Основной формой организации ремонта является система планово-предупредительного ремонта (ПНР), заключающаяся в проведении ремонта каждого станка, агрегата или установки после отработки им предусмотренного паспортом числа часов. Осуществление ремонтов, контроль технического состояния оборудования, надзор за соблюдением правил его эксплуатации, организацию работы ре-монтно-механических мастерских производят служба главного механика и ее подразделения или функциональные работники в цехах и на участках.
6. Контрольная функция обеспечивает систематический контроль качества продукции или работ, а также приемку, испытание и анализ сырья, материалов и полуфабрикатов или комплектующих изделий, получаемых со стороны. Важной ее задачей являются учет, анализ и предупреждение брака продукции. Для организации трудовой деятельности основных рабочих контроль качества и предупреждение брака имеет очень важное значение, так как брак снижает производительность труда, а время, затраченное на выпуск бракованной продукции, равноценно простоям и потерям рабочего времени. Осуществляют контрольную функцию на большинстве предприятий отделы технического контроля (ОТК), а на горнодобывающих предприятиях - отделы главного маркшейдера.
7. Транспортная. Ее основная задача - доставка сырья, материалов, полуфабрикатов и комплектующих изделий к рабочим местам, перемещение предметов труда между рабочими местами, участками и цехами, вывоз готовой продукции на склад или к потребителям, а также транспортировка отходов производства. Кроме того, в транспортную функцию входят погрузочно-разгрузочные работы и работы на складах. В крупносерийном и массовом производствах организуются постоянные кольцевые или маятниковые маршруты транспортных средств (авто- и электрокаров, автомобилей, электропоездов и др.). В штучном и мелкосерийном производстве производятся единовременные перевозки технических грузов по планам-графикам или заявкам цехов и участков. Наиболее трудоемкими и тяжелыми являются погрузочно-разгрузочные работы и работы на складах. Поэтому необходимо предусматривать всемерное сокращение тяжелого физического труда за счет применения подъемников, кранов-штабелеров, электро- и автoпoгpyзчикoв и других механизмов.
8. Ремонтно-строительная. В ее задачи входят: поддержание в рабочем состоянии зданий, сооружений, их текущий и в некоторых случаях средний ремонт, ликвидация последствий аварий и стихийных бедствий, строительство мелких вспомогательных сооружений, ремонт дорог и подъездных путей, а если на балансе предприятия находятся общежития и жилые дома - то их текущий ремонт.
9. Хозяйственно-бытовая. Служит для поддержания чистоты и порядка в производственных и бытовых помещениях, обеспечивает работающих питьевой водой, спецпитанием (молоком, калорийными завтраками, соками), а также всеми видами бытового обслуживания на производстве.
10. Складская. Выделяется из транспортной, когда на предприятии большие грузопотоки и имеется сложное и разветвленное складское хозяйство.
Организация обслуживания рабочих мест зависит от масштабов и типа производства, его технической оснащенности и особенностей технологии. В условиях единичного и мелкосерийного производства на небольших предприятиях применяется дежурная форма обслуживания, при которой обслуживающие рабочие вызываются по мере надобности. На более крупных предприятиях и в условиях крупносерийного производства получило развитие планово-предупредительное обслуживание. Оно осуществляется по заранее разработанным графикам и расписаниям по каждой из функций обслуживания (доставка материалов - через каждые 30 мин, подналадка станков - два раза в смену, замена или заточка инструмента - через каждые 45 мин и тд.). Эта форма обслуживания требует тщательной подготовки и обеспечения четкой и бесперебойной работы всех вспомогательных служб предприятия.
На крупных предприятиях в условиях массово-поточного производства применяется стандартная форма обслуживания, при которой все функции обслуживания производятся по стандартных планам и схемам, ритмично и бесперебойно. Эта форма экономична, эффективна, но требует строжайшей производственной дисциплины как в основном, так и во вспомогательном производстве.
Управление обслуживанием может осуществляться централизованным или децентрализованным способами. При централизованном способе обслуживания все функции осуществляются едиными централизованными службами предприятия. При децентрализованном способе все функции обслуживания передаются первичным подразделениям предприятия (цехам, участкам). При небольших объемах производства часть функций по обслуживанию могут выполнять основные производственные рабочие, а вспомогательные рабочие - совмещать две и более функции. Кроме того, на многих предприятиях, где это экономически целесообразно, применяется смешанный способ обслуживания рабочих мест, при котором часть наиболее важных сложных функций осуществляется централизованно (например, профилактика и наладка оборудования), а другие - децентрализовано силами самих цехов и участков.
Важной организационной и экономической задачей является оптимизация численности основных и вспомогательных рабочих. С одной стороны, при недостатке вспомогательных рабочих или их отсутствии основные рабочие вынуждены выполнять целый ряд вспомогательных работ. При сложных работах нужна высокая квалификация наладчика, которую далеко не всегда имеет основной рабочий-оператор. В ряде случаев самообслуживание требует слишком много времени, что резко снижает сменную производительность труда.
С другой стороны, надо иметь в виду, что вспомогательные рабочие сами не производят основную продукцию, но вся выработанная продукция распределяется на всех рабочих. Поэтому чем больше в общей численности будет вспомогательных рабочих, тем при прочих равных условиях совокупная производительность труда будет ниже и наоборот. В аналитических расчетах необходимо придерживаться общего правила: численность вспомогательных и обслуживающих рабочих должна быть минимальной, но достаточной для ритмичной, бесперебойной работы обслуживаемых ими основных производственных рабочих. Каких-либо стандартов или единых нормативов в соотношении численности основных и вспомогательных рабочих нет: величина этих соотношений зависит от конкретных условий производства. Можно отметить лишь общую закономерность: чем сложнее и многообразнее функции обслуживания, тем больше численность обслуживающих рабочих по отношению к основным. И наоборот.
В относительно простых производствах (строительном, сельскохозяйственном, ремонтном) функции обслуживания немногочисленны и частично выполняются самими основными рабочими, но в сложных промышленных производствах с глубоким разделением труда и высоким уровнем механизации и автоматизации функции обслуживания гораздо многообразнее и сложнее: здесь и регулярное, бесперебойное транспортное обслуживание, и наладка и подналадка оборудования, и регулировка автоматических систем управления, и обеспечение основных рабочих мест инструментом, всеми видами энергии и тд. Поэтому для каждого конкретного производства необходима оптимизация численности основных и вспомогательных рабочих. Задача оптимизации решается методами, рассмотренными выше, как и кооперация труда рабочих вообще: по нормам времени определяется общая трудоемкость какой-либо функции обслуживания, затем делением этой трудоемкости в нормо-часах на количество нормо-часов, вызываемых одним вспомогательным рабочим за сравнимый пери од времени (месяц, квартал, год), определяется численность вспомогательных рабочих, которая и соотносится с численностью основных (обслуживаемых) рабочих. Так создается норматив соотношения. При изменении производственных условий нормативы должны пересматриваться.
Большую роль в организации труда играет его нормирование. Задачи и функции нормирования труда гораздо шире и многообразнее чем просто определение норм и расценок, как считают многие производственники. Нормирование труда - это важный вид экономической деятельности по управлению производством, посредством которого устанавливаются необходимые затраты труда, определяются его результаты, осуществляется кооперация труда работников различных категорий, их расстановка по рабочим местам. В зависимости от потребностей организации производства и труда нормы труда могут выступать в различных видах. Основой всех видов норм труда является норма времени, при посредстве которой для нужд организации труда рассчитываются другие (производные) нормы: норма выработки (определяется делением продолжительности рабочего периода на нормы времени); норма обслуживания (выражается в численности обслуживаемых рабочих); норма численности обслуживания (выражается в численности рабочих, необходимых для обслуживания какого-либо станка, агрегата или поточной линии); норма управляемости (выражается в численности работников, подчиненных тому или иному руководителю производства).
Использование разного рода норм труда в организации трудовых процессов способствует улучшению и ускорению организации труда, повышает оперативность всей организационной работы. Более подробно методы определения различных норм труда рассматриваются в разделе “Нормы труда, их структура и виды”.
Кроме норм в организации трудовых процессов широко применяются и другие методы, разработанные наукой о нормировании труда-В первую очередь это наблюдения за трудовыми процессами: хронометраж, который проводится за кратковременными повторяющимися операциями; фотографирование рабочего времени исполнителей и технологических процессов, проводимое в более длительные отрезки времени (смену или сутки) и позволяющее буквально до минут учесть все затраты и потери рабочего времени с установлением их конкретных причин. Материалы таких наблюдений позволяют быстро и оперативно устранять различные организационные недостатки и создавать условия для высокопроизводительной, ритмичной работы.
7.3. Дисциплина и стимулирование труда
Следующим важным направлением организации труда является дисциплина. Никакой совместный труд людей невозможен без объединения их трудовых действий и поступков для достижения поставленной цели. Дисциплина труда - это не только своевременный приход на рабочее место и пребывание на нем в течение установленного времени, но и соблюдение установленной технологии, обеспечение качества продукции, режима работы производства, поддержание на определенном уровне производительности труда. Дисциплина труда как бы сливает, спаивает сотни и тысячи работников в единый организм, действующий по общему плану и стремящийся к общей цели. Без дисциплины труда на может быть и речи об его сколько-нибудь приемлемой организации на любом предприятии.
Такое важное и обширное понятие, как дисциплина труда, принято подразделять на три частных: трудовая дисциплина, технологическая и производственная дисциплина.
Трудовая дисциплина предусматривает соблюдение всеми работниками предприятия или организации общих правил внутреннего трудового распорядка: своевременный приход на работу, соблюдение перерывов в течение рабочего дня (на отдых, физкультпаузы, обеденный перерыв), окончание рабочего дня по графику, соблюдение режима пересмен при сменной работе и т.п. Показатели трудовой дисциплины напрямую влияют на производительность труда: любые потери рабочего времени, связанные с нарушениями трудовой дисциплины, снижают производительность труда прямо пропорционально величине этих потерь, а при сокращении потерь производительность труда соответственно возрастает. Но это справедливо только в отношении отдельных работников, самостоятельно выпускающих готовые изделия. Гораздо серьезнее обстоит дело с нарушениями дисциплины в крупном механизированном производстве, при обслуживании сложных агрегатов, аппаратуры и конвейерных линий. Здесь нарушение трудовой дисциплины (опоздание на работу, прогул) одного ведущего рабочего может вызвать простои многих рабочих, механизмов и привести к значительному снижению производительности труда и увеличению себестоимости продукции.
Технологическая дисциплина помимо безусловного выполнения требований трудовой дисциплины предусматривает точное соблюдение технологии данного производства: способов и последовательности выполнения производственных операций, качества продукции или работ, предупреждение брака и аварий. Чем сложнее производство, тем выше требования к технологической дисциплине на всех уровнях, начиная от конструкторской разработки и проектной документации и кончая сборкой и испытанием готовых изделий.
Производственная дисциплина предусматривает выполнение установленных на данном предприятии правил внутреннего трудового распорядка, четкое выполнение приказов и распоряжений руководителей производства, безусловное и точное соблюдение правил охраны труда, производственной санитарии, техники безопасности, а также охраны окружающей среды. К производственной дисциплине относится также бережное отношение к различным материальным ценностям, начиная от сырья, материалов, комплектующих изделий и готовой продукции и кончая инструментом, машинами, механизмами, аппаратурой и прочим производственным оборудованием.
Нет необходимости доказывать важность дисциплины труда в современных условиях. Ее особенностью в условиях приватизации предприятий является постепенное превращение этой дисциплины из административного инструмента во внутреннюю потребность самих работающих - собственников производства (акционеров, членов производственных кооперативов и товариществ и т.д.).
Однако изменившиеся отношения к собственности на средства производства и результаты труда пока окончательно не утвердились в сознании людей, остается немало государственных предприятий и организаций, где трудятся наемные работники. Поэтому очень важно такое направление работы по организации трудовой деятельности, как материальное и моральное стимулирование совершенствования организации труда и укрепления трудовой и производственной дисциплины.
Стимул - это побуждение к действию. Стимулы могут быть позитивными, когда работник поощряется материально (премия, получение доли прибыли, перевод на более высокооплачиваемую работу) или морально (похвала, общественное признание заслуг и т.п.), но могут быть и негативными: материальными (снижение заработной платы или премии, возмещение материального ущерба в случае производства бракованной продукции или повреждения оборудования и т.п.) и моральными (замечания, выговоры, осуждение трудового поведения со стороны товарищей по работе).
В организации трудовой деятельности очень важно применять весь арсенал материального и морального стимулирования в той его части, которая относится непосредственно к организации труда, лучшему использованию трудового потенциала предприятии и повышению производительности труда за счет организационных факторов.
Источником материального стимулирования является снижение себестоимости продукции и увеличение прибыли. Например, при повышении производительности труда и росте объемов производства снижается себестоимость продукции или работ при прочих равных условиях, во-первых, за счет сокращения доли условно-постоянных расходов в себестоимости, а во-вторых, за счет получения прибыли от дополнительного выпуска продукции. Все виды материального поощрения не могут превышать в стоимостном выражении общей суммы увеличения прибыли. В практике на цели премирования обычно расходуется 60-70% дополнительной прибыли.
Если организационные мероприятия позволяют сократить численность работников без изменения объема производства, то экономия создается за счет сокращения расходов на заработную плату. Можно назвать основные показатели позитивного и негативного стимулирования, связанного с организацией труда.
К показателям позитивного, поощрительного стимулирования относятся все достижения в области организации труда, дающие определенный экономический эффект. Они включают:
• все мероприятия по улучшению оснащения и планировки рабочих мест, их наиболее рациональному размещению по ходу производственного процесса;
• предложения по улучшению обслуживания или самообслуживания) основных производственных рабочих по всем функциям обслуживания с уменьшением или полным устранением потерь рабочего времени из-за недостатков в обслуживании рабочих мест в прошлом;
• меры по повышению квалификации рабочих и расширению их производственного профиля (освоение вторых профессий и специальностей), что открывает возможности для совмещения профессий и функций и существенного повышения производительности труда;
• организация многостаночного обслуживания;
• улучшение санитарно-гигиенических и эстетических условий труда и т.п.
К моральным мерам поощрения за улучшение организации труда слелует отнести все виды благодарностей от руководителей производства как официальных (через приказы), так и неформальных (устная хвала в присутствии других членов трудового коллектива), а также присвоение званий “лучший по профессии”, “лучший рационализатор” и т.п. Выдающихся организаторов труда и производства представляют к правительственным наградам. Все меры морального поощрения должны обязательно совмещаться с материальным поощрением.
Одновременно должны приниматься меры “негативного стимулирования”, т.е. меры взысканий за проступки (например, за нарушения трудовой и производственной дисциплины, технологии, допущение перебоев в обслуживании рабочих мест, ненадлежащее обслуживание оборудования, приводящее к его порче, поломкам и выходу из строя машин, механизмов и инструментов). Помимо возмещения материального ущерба к работникам, допустившим дезорганизацию производства, должны применяться меры морального воздействия. Практика работы последних лет показывает, что именно непосредственное воздействие на нарушителей более эффективно, чем прежние формальные административные меры.
Организация трудовой деятельности - неотъемлемая и важнейшая часть организации производства. Организация труда и организация производства теснейший образом связаны друг с другом: изменения в технике и технологии, в особенности механизация и автоматизация производственных процессов, вызывают коренные изменения в организации труда работников, предъявляют все более высокие требования к профессиональной подготовке и широте производственного профиля работников. С другой стороны, потребности лучшей организации труда заставляют совершенствовать и модернизировать технику и технологию.
7.4. Условия труда, их оценка
Под условиями труда понимается внешняя среда, окружающая человека в процессе производства. Она оказывает существенное влияние на организм человека, его физиологические и психические функции во время трудовой деятельности, а следовательно, на его работоспособность и производительность труда.
Различные производственные факторы, воздействующие на здоровье и работоспособность человека в процессе труда, объединены в следующие группы:
• социально-экономические, включающие законодательную и нормативно-правовую базу, регламентирующую условия труда' предупредительный и повседневный надзор, систему льгот и компенсаций за работу в неблагоприятных условиях и т.д.;
• психофизиологические факторы, обусловленные конкретным с° держанием трудовой деятельности, характером данного вида тру
да (физическая и нервно-психическая нагрузки, монотонность, темп и ритм труда);
• санитарно-гигиенические условия, определяющие внешнюю производственную среду (микроклимат, шум, состояние воздуха, освещение и пр.), а также санитарно-бытовое обслуживание на производстве;
• эстетические, способствующие формированию положительных эмоций у работника (архитектурно-конструсторско-художественное оформление интерьера, оборудования, оснастки, производственной одежды, озеленение и т.п.);
• социально-психологические факторы, характеризующие взаимоотношения в трудовом коллективе и создающие у работника соответствующий психологический настрой.
Перечисленные группы факторов составляют основу производственной обстановки.
Предпосылкой организации работы по созданию благоприятных условий труда является объективная оценка их фактического состояния. При этом наряду с анализом и оценкой отдельных факторов, влияющих на формирование условий труда, важно выразить все многообразие воздействия производственной среды с помощью единого, интегрального показателя.
Количественная и качественная оценка совокупного воздействия всех факторов производственной среды на работоспособность, здоровье и жизнедеятельность человека находит выражение в показателе тяжести труда. Это понятие применимо как к физическому, так и к умственному трупу. Под воздействием условий труда формируются три основных функциональных состояния организма: нормальное, пограничное (между нормой и патологией) и патологическое. Каждое состояние имеет собственные отличительные признаки, и от того, в каком из них находится организм человека, зависят результаты его трудовой деятельности и здоровье.
Указанные признаки служат физиологической шкалой тяжести работ, а все работы согласно медико-физиологической классификации, разработанной НИИ труда, разделены на шесть категорий тяжести.
Первая категория - работы, выполняемые в условиях, близких к физиологическому комфорту. При этом умственные, физические и нервно-эмоциональные нагрузки полностью соответствуют физиологическим возможностям человека. У практически здоровых людей такие условия повышают тренированность организма и его работоспособность. Утомление в конце рабочего дня незначительно. В течение всего трудового периода жизни у человека сохраняются высокая работоспособность и здоровье.
Вторая категория - работы, выполняемые в благоприятных условиях. Они также не вызывают сколько-нибудь существенных изменений психофизических функций. По окончании трудового процесса у людей, не имеющих медицинских противопоказаний к таким работам, не возникает значительного утомления. Работоспособность не нарушается, отклонений в состоянии здоровья, связанных с профессией, не наблюдается в течение всего периода трудовой деятельности.
Третья категория - трудовые процессы, протекающие в не вполне благоприятных условиях и сопровождающиеся повышенной мышечной, психической и нервно-эмоциональной нагрузкой. При этом у практически здоровых людей возникают реакции, характерные для пограничного состояния организма: снижаются показатели физиологических функций, особенно к концу работы, по сравнению с дорабочим уровнем; ухудшаются функциональные показатели в момент трудовых усилий, прежде всего функции центральной нервной системы; затягивается восстановительный период и т.д. Эффективным средством устранения подобных отрицательных сдвигов является разработка рациональных режимов труда и отдыха.
Четвертая категория - работы, протекающие в неблагоприятных условиях и вызывающие более глубокие пограничные (предпатологические) реакции в организме практически здоровых людей. Большинство физиологических показателей при этом ухудшается как в межоперационных интервалах, так и в момент трудового усилия. Изменяются соотношения периодов в динамике работоспособности и производительности труда. Повышается уровень общей заболеваемости, появляются производственно обусловленные заболевания, растут количество и тяжесть производственных травм. При наличии повышенного уровня воздействия опасных и вредных производственных факторов могут возникнуть и профессиональные заболевания. Необходимая работоспособность может поддерживаться только за счет перенапряжения механизмов, компенсирующих нарушения функция организма.
Пятая категория - работы, характеризующиеся наличием экстремальных условий труда, под воздействием которых в конце рабочего периода (смены, недели) формируются реакции, соответствующие патологическому функциональному состоянию организма у пракгически здоровых людей. У большинства работников такие реакции исчезают после достаточного и полноценного отдыха, но в силу различных причин они могут стабилизироваться и перейти в более или менее развитое заболевание. Поэтому для данной категории характерен высокий уровень производственно обусловленной и профессиональной заболеваемости. Одновременно у работающих значительно ухудшаются показатели работы, изменяются (нередко хаотично) кривые работоспособности и производительности труда.
Шестая категория - трудовые процессы, протекающие в особо неблагоприятных условиях, вызывающих быстрое развитие патологических реакций организма, нередко сопровождающихся тяжелыми функциональными нарушениями жизненно важных органов.
Категория тяжести труда определяется на основе интегральной оценки условий труда с помощью баллов, отражающих степень воздействия производственной среды на организм человека. При этом каждый элемент по таблице критериев получает количественную оценку от 1 до 6 баллов. При определении интегрального показателя в расчет принимаются биологически значимые элементы условий труда, вызывающие пограничные и патологические изменения и реакции в организме работающего. С помощью специально разработанной для предприятий “карты условий труда на рабочем месте” выявляются значимые элементы, и им присваивается соответствующий балл с учетом времени их воздействия на человека:

,
где ИТ - интегральная балльная оценка тяжести труда на рабочем месте;
XОПР - элемент, получивший наибольшую количественную оценку в баллах;

- сумма количественной оценки биологически активных элементов без ХОПР, в баллах;
n - количество элементов условий труда.
С помощью интегрального показателя тяжести труда определяется Сияние условий труда на работоспособность человека, для чего вначале исчисляется степень утомления (У):

,
где 15,6 и 0,64 - коэффициенты регрессии.
Работоспособность является величиной, противоположной утомлению:
R = 100 - У.
“Карта условий труда на рабочем месте” составляется на все типичные, сходные по условиям труда рабочие места. Она служит объективной основой для разработки организационно-технических, экономических, санитарно-гигиенических и других мероприятий по улучшению условий труда. Практика показывает, что в сборе материалов и заполнении карты должны участвовать специалисты отдела труда и заработной платы, охраны труда и техники безопасности, промышленно-санитарных лабораторий, медсанчасти.
Условия труда, соответствующие первой и второй категориям тяжести, должны служить эталоном при разработке мероприятий для тех участков производства, где сохраняются отдельные вредности или очаги опасности. Интегральная оценка тяжести труда позволяет определить также необходимость предоставления льгот и компенсаций, уменьшения или отказа в них при улучшении условий труда. Наибольший эффект (как специальный, так и экономический) мероприятия по улучшению условий труда дают тогда, когда они разрабатываются на основе аттестации рабочих мест и внедряются на стадии проектирования новых и реконструкции действующих предприятий, технологических процессов и производственного оборудования. Именно в этом случае создаются лучшие возможности для внедрения новейших достижений в области физиологии, психологии, гигиены труда и эргономики. Но, как бы полно и всесторонне ни учитывались эти достижения при проектировании и строительстве предприятий, научный прогресс постоянно открывает все новые возможности для дальнейшего улучшения условий труда.
Сегодня в Российской Федерации высок производственный травматизм, велико число профессиональных заболеваний. Значительные денежные средства выделяются на льготы и компенсации за работу во вредных условиях (табл. 7.1).
Остро встал вопрос о государственной поддержке комплексного решения проблем улучшения условий и охраны труда. В этих целях и во исполнение Постановления Правительства РФ от 27 февраля 1997 г. № 222 “О программе социальных реформ в Российской Федерации на период 1996-2000 годов” Министерство Труда России разработало проект Федеральной целевой программы, которая направлена на реализацию законодательно установленных принципов государственной политики в области охраны труда, включает в себя комплекс организационных, методических, исследовательских, конструкторских, производственных, санитарно-гигиенических, медицинских и других мероприятий.
Таблица 7.1
Производственный травматизм и профессиональные заболевания
в Российской Федерации
|
1990
|
1992
|
1993
|
1994
|
1995
|
1996
|
Число пострадавших на производстве
всего
на 1000 работающих
в том числе со смертельным исходом
всего
на 1000 работающих
Число человеко-дней нетрудоспособности у пострадавших на производстве
всего, тыс. дней
на одного пострадавшего, дней
Материальные последствия несчастных случаев
всего, млн руб.
на одного пострадавшего, тыс. руб.
Расходовано средств на улучшение условий труда
всего.млн.руб.
на одного пострадавшего, тыс. руб.
Профессиональные заболевания
численность пострадав ших от профессиональных заболеваний
на 1000 работающих
|
432434 6,6
8393 0,129
10154
23,5
147,8
0,33
4927
0,08
11525
1,96
|
363678
6,2
7655
0,131
9534
26,2
2464.5
6,5
73413
1,3
10624
1,88
|
343036
6,3
7574
0,139
8869
25,9
29441,4
83,6
695711
12,8
10069
1,85
|
300097
5,9
6770
0,133
7760
25,9
187369,2
624,4
2935227,0
57,5
11019
1,81
|
270680
5,5
6789
0,138
7233
26,7
419907,5
1551,3
8132960,4
164,4
11367
1,82
|
214576
6,1
5424
0,155
5942,825
27,7
508844,8
2371,4
10833501,2
309,0
13273
2,18
|
Льготы и компенсации за работу с вредными условиями труда (% от общей численности работников)
Отрасли экономики
|
Повышенные тарифные ставки (оклады) и доплаты
|
Дополнительные отпуска
|
Сокращенный рабочий день
|
Бесплатное лечеб-но-профи-лактичес-кое питание
|
Бесплатное получение молока или других равноценных пищевых продуктов
|
Пенсии на льготных условиях по спискам №1и2
|
Промышленность Строительство
Транспорт
Связь
|
25,4
7,6
16,7
5,5
|
26,0
16,6
26,1
4,3
|
4,2
1,5
1,7
4,8
|
2,7
0,9
0,3
0,1
|
26,2
13,9
11,2
2,3
|
17,1
10,0
4,5
4,4
|
В соответствии с целевой программой будет существенно расширена и обновлена нормативно-правовая база охраны труда (разработаны четыре федеральных закона, более 200 межотраслевых и отраслевых правил, санитарно-гигиенических нормативов, стандартов безопасности); разработана техническая документация и организовано изготовление опытных образцов средств индивидуальной защиты широкого назначения; разработана автоматизированная система информационного обеспечения, включающая создание банков данных по охране труда на федеральном, региональном и отраслевом уровнях; осуществлен комплекс мероприятий, направленных на улучшение положения дел в сфере профессиональной подготовки, обучения и повышения квалификации, в области охраны труда.
Особое внимание будет обращено на меры, реализация которых позволит существенно улучшить положение дел с охраной труда и здоровья женщин и инвалидов. Финансирование программы предусматривается из трех источников: федерального бюджета; бюджета Фонда социального страхования РФ; средств от штрафов, взимаемых Рострудинспекцией за нарушения законодательства о труде и охране труда. Учитывая, что общие ежегодные расходы на выплату пособий пострадавшим на производстве, на предоставление льгот и компенсаций работающим во вредных условиях и компенсацию прямых убытков на восстановление подорванного здоровья достигают 4 трлн. руб., сокращение этих расходов к 2001 г. даже на 0,1% позволит окупить затраты на реализацию программ в течение года. Социальный эффект от выполнения программ проявится в сокращении производственного травматизма, общей и профессиональной заболеваемости, в повышении безопасности труда и социальной защищенности работников.
7.5. Роль и значение нормирования труда
в современных условиях
При переходе к рыночной экономике можно отметить объективную необходимость повышения роли нормирования труда как одного из существенных звеньев экономического механизма, определяющего эффективность деятельности предприятий. Поскольку доходы работодателей от основной деятельности предприятий и заработная плата наемных работников прямо зависят от объема произведенной и реализованной продукции, от ее цены и себестоимости, и те, и другие заинтересованы в увеличении количества поставляемых на рынок товаров, расширении их ассортимента, повышении их привлекательности для потребителей как по качеству, так и по цене. Этого можно добиться, лишь используя механизм нормирования труда, нацеленный на повышение его эффективности, т.е. увеличивая результаты труда по отношению к затратам на их достижение. Этим, собственно, и определяется изначальная функция нормирования как процесса установления нормативно обоснованных затрат времени на выполнение единицы конкретной работы.
Практика показывает, что наиболее динамичными, т.е. способными к сокращению видами ресурсов, являются затраты труда. Как правило, уменьшение их одновременно обеспечивает снижение затрат на единицу продукции и других видов производственных ресурсов (затрат на основные фонды, топливо, энергоносители), В результате существенно снижается себестоимость производства даже при невысокой доле расходов, связанных с оплатой труда. Кроме того, предприятия, сократившие трудовые затраты, могут получить дополнительный доход за счет увеличения объема выпуска продукции при неизменной технической базе и производственных площадях.
С учетом этой тесной взаимосвязи между эффективностью использования труда и общими экономическими результатами деятельности предприятий весьма актуально проведение систематической работы по снижению удельных трудовых затрат. Именно поэтому возрастают роль и значение действующих на предприятиях служб, занятых нормированием труда.
Использование прогрессивных норм трудовых затрат становится одним из важнейших условий экономического благополучия предприятия и конкурентоспособности его продукции. Но чтобы нормирование труда выполняло ту роль, которую оно призвано выполнять в рыночной экономике, необходимо в полной мере придать процессу установления норм присущую ему рационализаторскую сущность. Для этого при установлении норм главное внимание нужно уделять поиску рациональных организационно-технических условий, т.е. возможностей использования эффективной техники и технологии, соответствующей им организации трудовых процессов в производстве и управлении. Многое здесь зависит от постановки работы с персоналом предприятия - проведения систематической целенаправленной учебы кадров для повышения их квалификации с учетом требований, предъявляемых научно-техническим прогрессом, создания благоприятных условий труда, обеспечения его высокой содержательности, содействия успешной трудовой карьере каждого работника, формирования мотивов и стимулов инициативного отношения к эффективному труду, удовлетворенности им.
Нормирование труда как область экономической, инженерной и социальной деятельности на предприятии - это система средств и методов установления меры труда, необходимой для объективной оценки его эффективности и адекватного уровня его оплаты. К числу средств нормирования труда относятся централизованно разрабатываемые нормативные материалы, средства измерения и анализа трудовых процессов, компьютерная техника. Что касается методов нормирования труда, то они по существу представляют технологии установления и применения норм труда.
Целью нормирования труда на предприятии является обеспечение эффективного использования его производственного и трудового потенциала, конкурентоспособности выпускаемой продукции на основе целенаправленных усилий по снижению трудовых затрат в результате внедрения достижений науки и передового опыта, своевременного их отражения в нормах.
В условиях рыночных отношений нормирование труда не может ограничиваться текущими задачами, выявлением наиболее эффективных условий производства, их закреплением в нормах и освоением. Необходимо решать перспективные стратегические задачи, такие, как оценка трудовых затрат по общеотраслевому уровню, выявление возможности его достижения и снижения, проверка экономической целесообразности снижения трудозатрат при проведении комплекса мер технического и организационного характера. Понятно, что для этого требуется значительное расширение направлений работы в области нормирования, совершенствование нормативной и информационной базы. Рыночные экономические отношения не только усиливают требования к нормированию и нормам, но и создают благоприятные условия для повышения качества нормирования, воздействия его на эффективность производства и труда.
Новые возможности в области нормирования связаны в первую очередь с расширением прав предприятий. Все вопросы нормирования труда теперь полностью стали их прерогативой, они имеют право устанавливать тарифные ставки, решать другие вопросы оплаты труда (размеры премиальных выплат, доплат за неблагоприятные условия труда и др). Отпала необходимость регулирования оплаты труда путем завышения норм времени, что позволяет вводить нормы на уровне необходимых затрат, которые в полной мере могут выполнять присущие им функции планирования и управления на предприятии, регулирования социально-трудовых отношений между работодателем и наемными работниками.
Нормы трудовых затрат призваны выполнять следующие функции:
• определение необходимой численности работников;
• внутрипроизводственное текущее и перспективное планирование;
• оценка и стимулирование эффективного труда;
• обеспечение нормальной интенсивности труда соответственно принятым критериям;
• гарантированное соблюдение интересов работника в части содержательности поручаемых ему в соответствии с нормой работ, перспектив его профессионально-квалификационного роста (“трудовой карьеры”).
С переходом на рыночные отношения значительно расширяются возможности использования трудовых норм в управлении не только производством, но и другими сферами деятельности предприятия при решении вопросов загрузки оборудования, разделения труда и кооперации. Нормированные затраты времени выполнения работ работником в течение одного часа рабочего времени и составляют один нормо-час. Связь между нормированием и оплатой труда может быть обеспечена установлением удельной зарплаты на один нормо-час работы определенной степени сложности применительно к различным видам деятельности и категориям работников. Тем самым нормо-час выступает единым измерителем объема работы, а цена нормо-часа - мерой оплаты труда в отличие от установления месячной ставки.
Вместе с тем в полной мере должна проявиться роль норм трудовых затрат как гаранта обеспечения нормальной интенсивности труда работников, сохранения их здоровья.
Не менее важным является и то, что происходящие изменения в социально-трудовых отношениях меняют мотивацию и результативность труда как отдельного работника, так и всей совокупности наемных работников. Опыт ряда предприятий нашей страны, который подтверждает и практика развитых стран, в частности Японии, свидетельствует, что организация и нормирование труда превращаются из чисто инженерной в комплексную социально-экономическую задачу, охватывающую решение вопросов удовлетворенности трудом, развития работников, перспектив их дальнейшей трудовой деятельности.
7.6. Нормативы по труду
Нормативы по труду - это регламентированные величины режимов работы оборудования, затрат труда и времени перерывов в работе, разработанные на основе заранее проведенных исследований и предназначенные для многократного использования при расчете конкретных норм затрат труда применительно к определенным организационно-техническим условиям. По нормативам определяются обоснованные нормы труда на работы, выполняемые на различных рабочих местах, предприятиях и в различных отраслях промышленности. Нормативы являются основой внедрения наиболее производительных режимов работы оборудования, совершенствования организационно-технических условий производства и трудовых процессов.
Применение нормативов по труду обеспечивает единство в нормах труда на аналогичные работы, выполняемые на предприятиях. Кроме того, установление норм по имеющимся на предприятии нормативам, существенно уменьшает затраты труда на оперативное нормирование. Качество нормативов существенно влияет на уровень и качество норм труда. Поэтому нормативы по труду должны отвечать следующим основным требованиям:
• соответствовать современному уровню развития техники, организации труда и производства, учитывать методы и приемы работы лучших рабочих;
• по степени укрупнения и точности соответствовать техническим, технологическим и организационным условиям того типа производства, для которого они предназначены (массового, крупносерийного, серийного, мелкосерийного и единичного);
• правильно учитывать влияние различных факторов на продолжительность отдельных элементов процесса и операции в целом;
• охватывать наиболее распространенные варианты выполнения работ, быть удобными для расчета норм.
При классификации нормативов для нормирования труда сохраняется традиционная ориентация на минимизацию затрат живого труда на операцию. Наиболее распространена классификационная схема, изображенная на рис. 7.1.

Рис. 7. 1. Классификация нормативов но труду
Согласно своему назначению применяемые нормативы делятся на: нормативы режимов работы оборудования, нормативы времени, нормативы обслуживания, нормативы численности.
По назначению среди нормативов по труду на первое место поставлены нормативы режимов работы оборудования. Это большой раздел нормативного хозяйства, потому что в условиях научно-технического прогресса постоянно совершенствуется техника, осваиваются новые виды сырья и материалов, появляется новый режущий, формообразующий и доводочный инструмент, внедряются лазерные, ультразвуковые и криогенные процессы. При большом разнообразии технических условий требуются нормативные справочники, охватывающие как новые, так и традиционные процессы.
На промышленных предприятиях нормативы режимов резания сводят в инструкционно-эксплуатационные карты по каждому виду и типоразмеру станков, в которых сконцентрированы все необходимые данные для выбора подач, скоростей и глубин резания. В картах приводятся также поправочные коэффициенты, необходимые для перехода к обработке различных видов стали, чугуна и других материалов. Нормативы разработаны на базе данных экспериментальных исследований, а также опыта передовиков производства, применяющих скоростные методы обработки металлов резанием, прогрессивные режущие инструменты, рационально использующих возможности оборудования.
В основе разработки нормативов времени лежит изучение технологически однородных операций, состоящих из определенного количества однотипных элементов. Эти нормативы являются исходными для установления обоснованных норм времени и предназначены для нормирования машинно-ручных и ручных работ, приемов ручной работы по управлению и обслуживанию оборудования. Технологические операции отличаются друг от друга количеством входящих в них элементов и последовательностью их выполнения. Различное сочетание таких элементов в каждом отдельном случае служит содержанием операции. Поэтому в технологически однородных операциях можно выделить типовые элементы и определить затраты рабочего времени, необходимые на их выполнение. В зависимости от структуры затрат рабочего времени выделяются нормативы: основного (технологического) времени, вспомогательного времени; времени на обслуживание рабочего места; времени на отдых и личные надобности; подготовительно-заключительного времени.
Нормативы обслуживания определяют затраты труда на обслуживание единицы оборудования, рабочего места, производственной бригады и т.п. По этим нормативам рассчитывается явочная численность рабочих, необходимая для выполнения конкретного объема работы.
Нормативы численности - это регламентированная численность работников профессионально-квалификационного состава, требуемая для выполнения единицы или общего объема работ.
Нормативы режимов работы оборудования и нормативы времени предназначены для определения нормы времени на производство единицы продукции (работы). Нормативы обслуживания и численности используются для расчета норм обслуживания и общей численности работающих, выполняющих в течение года определенный объем работ по выпуску продукции, управлению агрегатами, аппаратами.
По сфере применения нормативы по труду дифференцируются на межотраслевые, отраслевые и местные.
Межотраслевые нормативы предназначены для нормирования труда рабочих одинаковых профессий и специальностей, занятых выполнением однородных технологических процессов на предприятиях разных отраслей хозяйства, независимо от их подчиненности министерствам и ведомствам. Данные нормативы разрабатываются для наиболее типичных технологических процессов на одинаковые виды работ с типовыми условиями труда и производства и поэтому являются унифицированными. Примером межотраслевых нормативов служат общемашиностроительные нормативы на литейные, кузнечные, станочные, сварочные и другие работы, выполняемые в различных отраслях хозяйства.
Отраслевые нормативы применяются для нормирования труда на работах, выполняемых на однородных по типу производственных предприятиях, и учитывают специфику условий, особенности техники, технологии, организации производства и труда. В отраслевых нормативах приводятся режимы работы оборудования и нормы времени, применяемые только в конкретной отрасли промышленности. Для однородных предприятий (станкостроение, Угольная, радиопромышленность и т.п. ) нормативы разрабатывается отраслевыми научно-исследовательскими организациями. Межотраслевые и отраслевые нормативы являются рекомендательными для предприятий.
Местные (заводские) нормативы на виды работ и операций, ха-рактерных для данного предприятия, разрабатываются нормативными бюро, отделами предприятий, научными организациями на основе хозрасчетных договоров. Такие нормативы утверждаются администрацией предприятия по согласованию с профсоюзом работников. Они необходимы и тогда, когда нормативы с более широкой сферой использования устарели и предусмотренные ими организационно-технические условия хуже, чем на конкретном предприятии.
В соответствии с разделением структуры трудового процесса на составляющие и категории затрат рабочего времени нормативы времени делятся на дифференцированные и укрупненные.
К дифференцированным относятся нормативы времени на выполнение отдельных трудовых приемов, действий и движений. Такие нормативы называются микроэлементными нормативами. Наиболее распространенными являются дифференцированные нормативы времени, разработанные на выполнение отдельных трудовых приемов и предназначенные для расчета конкретных норм в условиях массового, крупносерийного, среднесерийного производства и для разработки более укрупненных нормативов времени. Микроэлементные нормативы могут применяться также в единичном и мелкосерийном производстве, когда необходимо проверить состав и обоснованность отдельных типовых норм и укрупненных нормативов или разработать их на новые трудовые процессы.
При разработке более укрупненных дифференцированных (элементных) нормативов учитывают пооперационную технологию, регламентирующую последовательность переходов, режимы работы оборудования, свойства и конструктивные особенности инструмента, оснастки и т.п. Эти нормативы определяют продолжительность выполнения каждой составляющей нормы времени по каждому переходу в отдельности. Опыт разработки и применения элементных нормативов в различных отраслях промышленности показывает, что установление нормативных значений отдельных приемов или их комплексов, а также разработки нормативов режима работы оборудования позволяют значительно снизить трудоемкость оперативного нормирования и повысить обоснованность установленных норм. Однако вследствие того, что дифференцированные нормативы не являются средством рационализации трудовых процессов, они не обеспечивают единства и равнонапряженности норм, устанавливаемых на, разных предприятиях. Во многих нормативах приводятся поправочные коэффициенты, чтобы можно было корректировать (увеличивать или уменьшать) рассчитанную норму труда в зависимости от конкретных организационно-технических условий производства.
Микроэлементное нормирование основано на том, что самые сложные и многообразные трудовые действия являются комбинациями простых, или первичных, элементов (“перемесить”, “взять”, “повернуть” и т.д.). Микроэлемент состоит из одного или нескольких движений, выполняемых непрерывно, и представляет собой элемент трудового процесса, который дальше расчленять нецелесообразно.
Идею изучения трудового процесса по микродвижениям впервые выдвинул и применил на практике в начале XX в. американский инженер Фр.Б. Гилбрет. Он полагал, что во всех трудовых процессах применяются одни и те же микродвижения, но в различных сочетаниях и последовательности. Гилбрет считал, что на основе тщательного анализа методов выполнения любой работы различными рабочими всегда можно найти наилучший метод, исключающий непроизводительные и излишние движения, что любые трудовые движения можно разложить на простейшие микродвижения и что любая работа, выполняемая человеком, состоит из суммы таких микродвижений (рук, ног, корпуса). Первоначально Гилбрет установил 17 элементарных микродвижений, которые назвал “терблигами”, и тем самым заложил основы современного метода нормирования по микроэлементам.
К числу микроэлементных систем, получивших наибольшее распространение за рубежом, относятся базовые, или детальные, системы МТМ-1 и Work-Factor, а также укрупненные системы МТМ-2, МТМ-3, MTM-V и тд. В последнее время за рубежом созданы автоматизированные системы микроэлементного нормирования, такие, как Most, Univation, Wocom, 4M-Data, Modapts Plus и др.
Принципы нормирования по микроэлементам в нашей стране впервые были сформулированы в 30-х годах XX столетия экономистами В.М. Иоффе и А.А. Трухановым. Однако это направление нормирования не получило тогда широкого развития из-за отсутствия необходимых предпосылок: не было соответствующих технических средств и кадров нормировщиков, владеющих методами микроэлементного нормирования. В дальнейшем принципы, сформулированные этими экономистами, были использованы для разработки диф-ференцированных нормативов времени. В 1982 г. Научно-исследовательским институтом труда и Центральным бюро нормативов по труду совместно с отраслевыми научно-исследовательскими организациями была создана отечественная базовая система микроэлементных нормативов времени (БСМ). В эту систему были заложены нормативы времени на 50 микроэлементов, объединенных в 13 групп. При этом с учетом утомляемости был найден психофизиологически допустимый уровень интенсивности труда, или темп работы. В результате было определено, что нормальный темп работы адекватен выполнению базового микроэлемента “протянуть руку без осторожности и с малой степенью контроля на расстояние 40 см со скоростью 93 см/с”.
7.7. Нормы труда, их структура и виды
В период становления рыночных отношений экономисты занялись тщательным изучением затрат труда в целях их сопоставления. Поскольку виды труда разнообразны, необходимо было найти единый измеритель. Таким измерителем является рабочее время.
В современных условиях назначение нормирования труда - активно воздействовать на потенциальные возможности и результаты деятельности предприятий по достижению двух взаимосвязанных экономических и социальных целей: обеспечение производства и реализации конкурентоспособных товаров и услуг, а также воспроизводство человеческого ресурса.
Под мерой труда следует понимать такие общественно необходимые затраты рабочего времени, которые складываются в условиях рынка. Мера труда отражает величину рыночных затрат и выражает затраты абстрактного труда.
Нормы труда являются конкретным выражением меры труда на каждом предприятии. По своей величине они могут быть больше меры труда, и тогда предприятие не получает прибыль, и наоборот. Поэтому любое предприятие всегда заинтересовано в снижении норм труда на изготовление продукции (выполнение работы), что дает возможность уменьшить издержки производства.
Нормы труда, с одной стороны, должны являться средством получения прибыли, а с другой - способствовать решению социальных задач, в первую очередь обеспечивать для наемного работника нормальную интенсивность труда, его материальную заинтересованность при работе по обоснованным нормам. Обоснование нормы предполагает всесторонний учет факторов, влияющих на ее величину в определенных организационно-технических условиях. Поэтому нормы затрат труда должны учитывать технические характеристики имеющегося оборудования и инструмента, применяемую технологией рациональную организацию и обслуживание рабочих мест и т.д. Нормы труда, установленные с учетом технических, технологических и организационных возможностей производства, называются технически обоснованными. Однако только технического обоснования норм недостаточно.
При установлении норм труда необходимо и психофизиологическое цх обоснование. Оно предполагает выбор варианта работы с учетом уменьшения влияния на организм человека неблагоприятных факторов и введения рациональных режимов труда и отдыха.
Социальное обоснование норм предусматривает обеспечение содержательности труда, повышение интереса к работе.
Степень влияния двух последних видов обоснований в условиях рыночных отношений снижается, так как предприятия не заинтересованы в их выполнении. Их волнует лишь интенсивное и экстенсивное использование труда. В этой связи государству необходимо усилить социальную и правовую защиту наемного работника при интенсификации производства, создании нормальных условий труда. Работодатели должны обеспечить безопасные и комфортные условия труда, что необходимо закрепить в законодательстве. Меры по социальному обоснованию норм следует также предусмотреть в коллективных договорах.
Кроме перечисленных видов обоснования норм труда, необходимо экономическое обоснование, которое дает возможность выбрать эффективный вариант работы с учетом производительности оборудования, норм расхода сырья и материалов, загрузки работника в течение смены и т.д. Оно должно показать необходимые затраты в условиях, принятых при техническом, психофизиологическом и социальном обосновании нормы. Если в трех последних видах обоснований ставятся пределы, то экономическое обоснование нормы труда дает возможность правильно работать при этих условиях.
Таким образом, необходимо техническое, психофизиологическое, социальное и экономическое обоснование норм труда.
Норма труда определяет величину и структуру затрат рабочего времени, необходимых для выполнения данной работы, и является эталоном, с которым сравниваются фактические затраты времени в целях установления их рациональности. При нормировании труда рабочих и служащих применяются следующие виды норм труда: нормы времени, нормы выработки, обслуживания, численности, управляемости, нормированные задания. Поскольку всеобщим измерителем труда служит рабочее время, все нормы труда являются производными от нормы времени.
Норма времени - это количество рабочего времени, необходимое для выполнения единицы определенной работы (операции) одним рабочим цдц группой рабочих соответствующей численности и квалификации в наиболее рациональных' для данного предприятия организационных, технических и хозяйственных условиях с учетом передового производственного опыта. Норма времени исчисляется в человеко-часах, человеко-минутах или человеко-секундах. Чтобы установить норму времени необходимо выяснить состав затрат рабочего времени и конкретные их величины для выполнения данной работы.
Состав нормы времени можно представить в виде следующей формулы:

где НВР - норма времени;
ТПЗ - подготовительно-заключительное время;
TОП - оперативное время;
TОС - основное время;
ТВС - вспомогательное время;
ТОРМ- время на обслуживание рабочего места;
ТОТЛ- время на отдых и личные надобности;
ТПТ - перерывы, обусловленные технологией и организацией производства.
В зависимости от характера отдельных элементов затрат времени изменяется методика нормирования каждого из них.
Подготовительно-заключительное время устанавливается на партию одинаковых изделий или в целом на все задание. Величина его зависит не от размера партии деталей, а от типа и особенностей организации производства и труда, а также от характера работы. В условиях единичного и мелкосерийного производства подготовительно-заключительную работу производит сам рабочий. В массовом производстве многие из этих работ выполняют специальные рабочие (наладка оборудования я др.). Необходимая величина подготовительно-заключительного времени определяется на основе данных фотографии рабочего времени и нормативов времени.
Основное и вспомогательное время для всех процессов, кроме ручных, устанавливается раздельно. Основное время зависит от объема выполняемой работы и от режимов применяемого оборудования. Оно может быть сокращено за счет совмещения приемов работы, использования многоместных приспособлений, групповой обработки деталей и т.п.
Время на обслуживание рабочего места определяется по нормативам или по данным фотографий рабочего времени. Состав работ по обслуживанию рабочего места и необходимые затраты времени на их выполнение зависят от типа и организации производства, характера выполняемой работы, вида оборудования и т.д. Часть этих работ может выполняться в течение машинно-автоматического времени (смазка и чистка оборудования, сметание стружки), а другая - передана рабочим по обслуживанию производства.
Величина времени на отдых зависит от факторов, определяющих утомляемость рабочего: физических усилий, темпа работы, вибрации рабочего места, рабочей позы и др. Время на отдых определяется в процентах от оперативного времени.
Время на личные надобности устанавливается в минутах на смену, или в размере 2% от величины оперативного времени, и входит в состав нормы времени.
Все затраты рабочего времени (кроме подготовительно-заключительного) устанавливаются на операцию или на единицу (штуку) изделия и в сумме составляют норму штучного времени (ТШТ). В нее входят следующие элементы:

.
Следовательно, норма времени состоит из двух основных частей: нормы подготовительно-заключительного времени и нормы штучного времени.
Для ручных и машинно-ручных работ, где время на обслуживание рабочего места, а также на отдых и личные надобности нормируется в процентах от оперативного времени, формула нормы штучного времени принимает следующий вид:

,
где К - время на обслуживание рабочего места, отдых и личные надобности, в % от оперативного времени.
На предприятиях часто необходимо знать полные затраты времени на производство продукции или выполнение операции, т.е. калькуляцию всех затрат. С этой целью определяют штучно-калькуляционное время, в которое кроме штучного входит часть подготовительно-заключительного времени, приходящаяся на единицу продукции. Это наиболее точная и полная норма времени. Она рассчитывается по формуле:

,
где n - количество изделий в партии.
Норму времени на изготовление всей партии изделий или выполнение всего задания определяют следующим образом:

или

где ТПАРТ - время на изготовление партии изделий.
Тогда

.
Нормы времени устанавливаются не для всех рабочих. Чаще применяются нормы выработки.
Норма выработки - это количество натуральных (штук, метров, тонн) или условных единиц продукции (плавок, съемов и т д.), которое должно быть изготовлено в единицу времени (смену, месяц) в определенных организационно-технических условиях одним или группой рабочих соответствующей квалификации. Для расчета норм выработки применяется несколько формул. Наиболее общая формула имеет следующий вид:

,
где НВЫР - норма выработки;
ТСМ - сменный фонд рабочего времени;
НВР - установленная норма времени на единицу изделия.
В тех производствах, где подготовительно-заключительное время, время на обслуживание рабочего места, на личные надобности и отдых нормируются на смену, норма выработки рассчитывается по таким формулам:

,

.
Между нормой времени и нормой выработки существует обратная зависимость, т.е. с уменьшением нормы времени норма выработки увеличивается. Однако изменяются эти величины не в одинаковой мере: норма выработки увеличивается в большей степени, чем уменьшается норма времени.
Между изменениями нормы времени и нормы выработки существуют следующие соотношения:

На отдельные виды работ нормы времени и нормы выработки устанавливать довольно трудно. В этих условиях нормы труда выступают в виде норм обслуживания и норм численности, которые по мере механизации и автоматизации производства находят все большее применение в промышленности.
Норма обслуживания - это установленное количество единиц оборудования (число рабочих мест, квадратных метров площади и т.д.), которое должно обслуживаться одним рабочим или группой рабочих соответствующей квалификации при определенных организационно-технических условиях в течение смены. Она является производной от нормы времени. Чтобы рассчитать норму обслуживания, надо определить норму времени обслуживания.
Норма времени обслуживания - это количество времени, необходимое в определенных организационно-технических условиях на обслуживание в течение смены единицы оборудования, квадратного метра производственной площади и т.д. Определив норму времени на обслуживание по нормативам или с помощью хронометража, можно рассчитать норму обслуживания по следующей формуле:

,
где НО - норма обслуживания;
НВР.О - норма времени на обслуживание единицы оборудования, единицы производственных площадей и т.д.;
НВР - норма времени на единицу объема работы, на выполняемую функцию;
n - количество единиц работы, выполняемой в течение определенного периода (смены, месяца);
К - коэффициент, учитывающий выполнение дополнительных функций, не учтенных нормой времени (функции учета, инструктажа, наблюдения за процессом), а также на отдых и личные надобности.
Разновидностью нормы обслуживания является норма управляемости, определяющая численность работников или число структурных подразделений, приходящихся на одного руководителя. Эти нормы используются, если нормы времени устанавливать нецелесообразно.
Норматив численности - это заранее установленная расчетная величина, определяющая численность работников для выполнения единицы конкретной работы или обслуживания определенных объектов. Норматив численности следует отличать от нормы численности работающих.
Под нормой численности работающих понимают численность работников определенного профессионально-квалификационного состава, требующуюся для выполнения производственного задания. Необходимая численность рабочих, занятых обслуживанием производства, определяется по формулам:

или

,
где НЧ - норма численности;
О - общее количество обслуживаемых единиц оборудования, квадратных метров производственной площади и т.д.;
НО - норма обслуживания.
В целях повышения эффективности труда повременно оплачиваемых работников им устанавливаются нормированные задания на основе указанных выше норм труда.
Нормированное задание - это установленный объем работы, который работник или группа работников должны выполнять за определенный период с соблюдением определенных требований к качеству продукции. Нормированные задания могут устанавливаться обособленно, а в необходимых случаях - применяться в сочетании с нормами обслуживания или численности.
С учетом специфики производства объем работы, устанавливаемый нормированным заданием, может быть выражен в трудовых (нормированные человеко-часы) или натуральных показателях (шт., м3 и др.). В зависимости от организации производства и характера выполняемых работ они могут устанавливаться на смену, месяц или на период производства заданного объема работ.
Наиболее широкое применение нормированные задания должны получить на работах по обслуживанию производства, а также участках основного производства с повременной оплатой труда, где строго регламентирован выпуск продукции и предъявляются повышенные требования к качеству работ. Методика установления нормированных заданий должна соответствовать характеру трудовых процессов, выполняемых рабочими-повременщиками.
Резюме
Необходимость организации труда обусловлена объективно существующими и постоянно развивающимися категориями: разделения и кооперации труда. Существенное значение имеют границы разделения труда, нарушение которых обычно приводит к изменениям производительности труда, себестоимости продукции и т.п.
Обязательным условием эффективной работы исполнителя при любых формах разделения и кооперации труда являются организация и обслуживание рабочих мест. Необходимо учитывать, что никакой совместный труд людей невозможен без объединения их трудовых действий и поступков для достижения поставленной цели.
За последнее время положение дел в области организации труда значительно ухудшилось и оказалось отброшенным на много лет назад. Это проявилось в снижении производительности труда, качества продукции, товаров, услуг, увеличении потерь рабочего времени, снижении уровня профессиональной подготовки и т.д. Отсюда важна системность знаний в области организации труда.
С организацией труда неразрывно связано нормирование труда, которое представляет собой деятельность по управлению трудом и производством, направленную на установление необходимых затрат и Результатов труда, а также соотношений между численностью различныx групп персонала и количеством единиц оборудования.
Вопросы для контроля и обсуждения
1. Какие виды разделения труда существуют в обществе?
2. Перечислите и кратко охарактеризуйте основные разновидности разделения труда на предприятии.
З. Изложите основные направления совершенствования кооперации труда на предприятии.
4. Каковы оптимальные границы разделения труда и почему их необходимо определять?
5. Какие требования предъявляются к организации рабочего места?
6. Перечислите основные требования к планировке рабочего места.
7. Расскажите об основных формах обслуживания рабочих мест.
8. Перечислите и охарактеризуйте виды и разновидности производственных бригад, условия их организации.
9. Каково содержание понятия “условия труда”?
10. Охарактеризуйте карту условий труда на рабочем месте.
11. Перечислите задачи и функции нормирования труда.
12. В чем заключается сущность нормативов, их назначение и место в совершенствовании нормирования труда?
13. Какие требования предъявляются к нормативам по труду?
14. Расскажите о классификации нормативов по степени укрупнения, сфере применения, назначению и видам затрат.
15. В чем сущность меры и нормы труда в условиях рыночной экономики?
16. Какие вы знаете нормы труда?
17. Раскройте взаимосвязь и взаимозависимость нормы времени И нормы выработки.
Глава 8
ПЕРСОНАЛ ПРЕДПРИЯТИЯ
8.1. Структура и состав работников предприятия
Все работающие на предприятии делятся на две категории:
• промышленно-производственный персонал, занятый производством и его обслуживанием;
• персонал непромышленных организаций (работники жилищно-коммунального хозяйства, детских и врачебно-санитарных учреждений, принадлежащих предприятию). Все занятые на предприятии подразделяются по категориям: рабочие, руководители, специалисты, служащие, для чего создан классификатор профессий и должностей.
К рабочим относятся лица, непосредственно участвующие в процессе создания материальных ценностей, а также занятые ремонтом, перемещением грузов, оказанием материальных услуг и т.д. Например, занятые управлением, регулированием и наблюдением за работой автоматов, автоматических линий; изготовлением материальных ценностей вручную; уходом за машинами, оборудованием; обслуживанием производственных и непроизводственных помещений.
Руководители - это работники, занимающие должности руководителей предприятий и их структурных подразделений. Например, директор, начальники, управляющие, заведующие, председатели, мастера, главный бухгалтер, главный инженер, главный механик, главный электрик, главный редактор, а также их заместители.
К специалистам относятся работники, занятые инженерно-техническими, экономическими и другими работами, в частности, администраторы, бухгалтеры, диспетчеры, инженеры, инспектора, математики, нормировщики, механики, ревизоры, социологи, экономисты, юрисконсульты и др.
Служащие - это работники, осуществляющие подготовку ц оформление документации, учет и контроль, хозяйственное обслуживание, в частности, агенты, делопроизводители, кассиры, коменданты, секретари-машинистки, статистики, стенографистки и т.д.
Работники предприятия распределяются по профессиям, специальностям и квалификации.
Профессия характеризуется комплексом теоретических знаний и практических навыков, необходимых для выполнения определенной работы в одной из отраслей производства. Она предопределяется характером создаваемого продукта труда и специфическими условиями производства в данной отрасли. Специальность - это дальнейшее разделение труда в пределах профессии. Квалификация зависит от уровня специальных знаний и практических навыков работника и характеризует степень сложности выполняемого дм данного конкретного вида работы.
В практике учета кадров различают списочный состав, среднесписочный и явочный.
В списочный состав включаются все работники, принятые на постоянную, сезонную и временную работу на срок один день и более, со дня зачисления их на работу. В нем каждый календарный день учитываются как фактически работающие, так и отсутствующие на работе по каким-либо причинам.
В отчетности по труду численность работников списочного состава приводится не только на определенную дату, но и в среднем за отчетный период (месяц, квартал, год). Численность на дату - это показатель численности работников списочного состава предприятия на определенное число отчетного периода (например, на первое или последнее число месяца), включая принятых и исключая выбывших в этот день работников. Для определения численности работников предприятия, учреждения, организации за какой-либо период недостаточно принимать численность работников на дату, так как в этих показателях не учитываются изменения, происшедшие в течение рассматриваемого периода. Для этого необходимо рассчитать среднесписочную численность работников, которая используется для исчисления производительности трУД • средней заработной платы, коэффициентов оборота, текучести ps ботников, и других показателей.
Среднесписочная численность работников за отчетный месяц определяется путем суммирования численности работников списочного состава за каждый календарный день отчетного месяца, т.е. с 1 по 31 число, включая праздничные (нерабочие) и выходные дни, и деления полученной суммы на число календарных дней отчетного месяца.
Численность работников списочного состава за выходной или праздничный (нерабочий) день принимается равной списочной численности работников за предшествующий рабочий день. Для правильного определения среднесписочной численности работников необходимо вести ежедневный учет численности работников списочного состава, которая уточняется на основании приказов (распоряжений) о приеме, переводе работников на другую работу и прекращения трудового договора.
Как видно из табл. 8.1, сумма численности работников списочного состава за все дни сентября, подлежащих включению в среднесписочную численность, составляет 11012, календарное число дней в сентябре - 30, среднесписочная численность работников за месяц в этом случае составила 367 (11012 : 30).
Среднесписочная численность работников за квартал определяется путем суммирования среднесписочной численности работников за все месяцы работы предприятия в квартале и деления полученной суммы на три. Среднесписочная численность работников за год рассчитывается путем суммирования среднесписочной численности работников за все месяцы отчетного года и деления полученной суммы на 12.
Таблица 8.1
Пример расчета среднесписочной численности работников предприятия
за сентябрь 1998 г.
Числа месяцев
|
Состояло в списочном составе
|
В том числе не подлежит включению в среднесписочную численность
|
Подлежит включению в среднесписочную численность (гр.1-гр.2)
|
А
|
1
|
2
|
3
|
1
2
3
4
5с.
6в.
7
8
9
10
11
12с.
13в.
14
15
16
17
18
19с.
20в.
21
22
23
24
25
26с.
27в.
28
29
30
|
320
324
325
328
328
328
340
347
348
350
349
349
349
370
372
380
385
387
387
387
395
398
400
402
400
400
400
410
412
412
|
1
1
1
2
2
2
2
2
3
3
3
3
3
3
3
3
3
3
3
3
3
2
2
2
2
2
2
2
2
2
|
319
323
324
326
326
326
338
345
345
347
346
346
346
367
369
377
382
384
384
384
392
396
398
400
398
398
398
408
410
410
|
От списочного состава работников следует отличать явочный, который показывает, сколько человек из числа состоящих в списке явилось на работу. Число фактически работающих - это численность персонала, не только пришедшего, но и фактически приступившего к работе. Разность между явочным числом и числом фактически работающих позволяет определить число лиц, находящихся в целодневных простоях (из-за отсутствия электроэнергии, материала и т.д.)
Учет численности работников дает возможность выяснить их распределение на разных участках предприятия, а также изменение этого распределения.
Структура кадров предприятия, структурного подразделения характеризуется соотношением различных категорий работников к их общей численности. В целях анализа структуры кадров определяется и сравнивается удельный вес каждой категории работников в общей среднесписочной численности персонала предприятия. Структура кадров определяется и анализируется по каждому подразделению, а также может рассматриваться по таким признакам, как возраст, пол, уровень образования, стаж работы, квалификация, степень выполния норм и т.д.
В условиях рыночной экономики целесообразно не ограничиваться расчетами социально-демографических показателей структуры персонала на предприятии, поскольку необходимо проанализировать качественное соответствие работников уровню производства. Поэтому весьма важным является определение степени соответствия профессионально-квалифицированной структуры работников технико-организационному уровню производства. Для этих целей рассчитывается коэффициент соответствия работника выполняемой работе, который показывает, насколько профессионально-квалификационный уровень работника отвечает сложности выполняемых им трудовых функций. Показатель рассчитывается для оценки рациональности использования отдельных работников и их профессионально-квалификационных групп по формуле:

,
где i - номер профессионально-квалификационной группы;
Xi - количество работников i-й квалификационной группы;
Yi - количество работников i-й профессиональной группы.
Структура промышленно-производственного персонала тем рациональнее, чем ближе к 1 значение данного коэффициента. В этом случае коэффициент указывает, что численность работников определенного профессионально-квалификационного уровня соответствует числу рабочих мест, труд которых предполагает наличие у работников именно данного уровня подготовки.
8.2. Система профессионального отбора
В современных условиях в основе комплектования коллектива лежит научно обоснованная система методов и приемов, направленных на профессиoнaльный отбор желающих путем объективной оценки индивидуальных особенностей человека (его здоровья, склонностей, возможностей и др.) и соответствия их объективным потребностям общества. Эта система, получившая название профессионального отбора, состоит из четырех элементов: профессиональной ориентации, профессиональной консультации, собственно профессионального отбора и профессиональной адаптации.
Профессиональной ориентацией называется элемент системы профессионального отбора, способствующий ознакомлению заинтересованных лиц с существующими профессиями. Она представлена комплексом организационно-воспитательных актов, направленных на повышение уровня мотивации трудовой деятельности желающих заниматься производительным трудом. Задача профессиональной ориентации состоит в выявлении профессиональных интересов, способностей и пригодности к той или иной профессии, в показе социального престижа каждой из них, привлекательности и содержательности, ценностной ее значимости, способствующих появлению предрасположенности личности к данному виду трудовой деятельности.
Путь к профессии человека, идущий через профессиональную ориентацию, состоит из трех этапов: знакомства с профессией, позволяющего иметь о ней полное и правильное представление; приближенного осознания своих интересов и способностей к данной профессии; принятия решения (т.е. выбора или отказа). Установлено, что наиболее значимыми критериями оценки и выбора профессии, на которые должна указывать профессиональная ориентация, являются: ее интеллектуальный и образовательный уровень; условия труда и его оплата; социальный престиж; перспектива совершенствования и продвижения специалиста; условия и возможности для творческого труда; варианты выбора и смены рабочего места. Каждому желающему нужно сообщить об избираемой профессии все до мельчайших подробностей. Пути и методы осуществления профессиональной ориентации могут быть различными. Например, проведение лекций и бесед специалистами, хорошо знающими данную профессию. Беседы могут быть общими, т.е. для всего персонала предприятия, или частными - только для конкретной профессии. Молодые люди, недавно получившие профессию и накопившие некоторый опыт работы, бывают хорошими ее пропагандистами. Избирающие профессию слушают их всегда с большим интересом. Необходимую информацию о профессии можно почерпнуть в процессе чтения специальной литературы - книг, проспектов, а также при просмотре кинофильмов.
Избирающие конкретную профессию лица могут привлекаться предприятием к выполнению специальных поручений. В проведении профессиональной ориентации такие мероприятия являются достаточно эффективными. Ориентация становится реальной, если пропагандисты окажутся методически подготовленными, продемонстрируют умение ярко и содержательно рассказывать о профессии, объективно покажут, как особенности избранной профессии проявляются на практике.
Более глубокое понимание значимости профессии, ее специфических особенностей закладывается во время профессиональной консультации. Она проводится на предприятии наиболее опытными специалистами и способствует появлению у избирающего профессию более определенного решения - выбора или отказа от нее.
Из числа пожелавших получить данную профессию производится профессиональный отбор. Его главная задача сводится к выявлению профессионально значимых качеств у избирающего данную профессию. Основная трудность при этом состоит в необходимости предвидеть возможности успешной профессиональной ориентации в деятельности, которой человек раньше не занимался.
Установив профессии, актуальные в рамках данного предприятия для отбора, и изучив их психологические особенности, нужно определить методы профессионального отбора. Обычно на предприятиях при приеме на работу проводятся беседы с кандидатами, во время которых заполняются специальные стандартизованные бланки. Однако столь необходимые для успешной профессиональной специализации способности человека не находят в них частного отражения, так как они выявляются лишь во время трудовой деятельности или с помощью тестов.
В специальных центрах профориентация и профотбор проводятся на основе профессиограмм - описаний социально-экономических, производственно-технических, санитарно-гигиенических, психологических и других особенностей отдельных профессий.
Пример. Краткое содержание профессиограммы для вальцовщика резиновых смесей на предприятиях химической промышленности.
Вальцовщик выполняет разнообразные работы по вальцеванию на вальцах, изготавливает различные смеси. Содержанием его труда является ввод серы и других ингредиентов в порядке, предусмотренном технологическим регламентом: тщательное перемешивание смесей; определение готовности смеси по показаниям контрольно-измерительных приборов или по внешнему виду и т.д.
Вальцовщик должен иметь хорошую физическую выносливость и силу рук, повышенные (хорошие) осязательное и зрительное ощущения для того, чтобы различать объекты, а также настойчивость, старательность и т.д.
Для выработки конкретных требований, предъявляемых к исполнителю определенного вида работы, необходимо проанализировать ее по факторам, обусловливающим те или иные требования, и оценить каждый из них по значению в данной работе. Детализация факторов каждой большой группы испытуемых позволяет достаточно полно определить требования, предъявляемые к исполнителю работы. Пригодность человека к работе наиболее точно выявляется с помощью тестов. Испытуемому предлагаются один или несколько тестов (заданий), воспроизводящих особенности будущей трудовой деятельности.
Пример. Тест на переключение внимания необходим для водителей транспортных средств, рабочих на конвейере и т.д. Испытуемым раздается следующая таблица:
7
17
11
IX
XIV XXI
16
|
IV
XIII
1
6
25
Ш
5
|
10
19
29
XVII
13
23
XI
|
VI
8
XV
V
9
VIII
2
|
22
II
21
18
XX
15
XXII
|
24
XVI
XXIII
12
I
14
4
|
XII
ХIX
3
XXIV
VII
XVIII
X
|
Они должны выполнить три задания, показав на таблице указкой или карандашом):
арабские цифры в возрастающем порядке от 1 до 25;
римские цифры в убывающем порядке от XXTV до I;
попеременно арабские цифры в возрастающем, а римские в убывающем порядке:
Далее дается команда: “Приготовьтесь к первому заданию. Внимание! Начинайте!” Секундомер включается и останавливается в момент, когда указана последняя цифра.
Разница между временем, затраченным на выполнение первого и второго заданий, и временем, затраченным на третье задание, позволяет судить о переключаемоcти внимания. При этом необходимо соблюдать определенные условия. Так, обязательными являются полная идентичность заданий и равенство условий для всех участников.
На производственном участке мастер или бригадир устанавливают требования, предъявляемые к человеку в силу специфики профессии или рабочего места на основе собственного опыта, а о соответствии работника этим требованиям судят, наблюдая за его работой. Однако выработанная психологией классификация способностей может лучше помочь в подходе к решению указанных задач. Поэтому в последнее время в стране ведется интенсивная работа по созданию рекомендаций для профессионального отбора. Вопросы профотбора входят в компетенцию отделов труда и заработной платы, служб НОТ, в штатах которых имеются специалисты - психологи, физиологи, социологи обязанные давать заключения о пригодности конкретной личности к выполнению данного вида работ.
Профессиональная адаптация сводится к перестройке физиологических функций вследствие реакции организма на изменившиеся условия среды. При этом усложняются процессы, обеспечивающие трудовую деятельность человека.
Следующий, наиболее важный этап работы с людьми, - профессиональная подготовка и повышение профессионального мастерства. Он включает приобретение навыков, знаний и умений. Одновременно развиваются склонности личности.
Производственный навык - это преимущественно двигательный акт. Человек может совершать движения по механизму безусловного и условного рефлексов. Безусловно рефлекторные движения выполняют подчиненную функцию (в форме ориентировочных, оборонительных и других реакций). Все сложные двигательные навыки возникают в результате производственного обучения, последующего опыта в процессе индивидуальной деятельности человека и имеют условно рефлекторную природу. Следовательно, производственный навык - это индивидуально приобретенная форма деятельности, основанная на знании и умении по механизму условного рефлекса.
8.3. Наем и отбор персонала
Одним из этапов управления персоналом на предприятии являются набор и отбор работников.
Прием (наем) на работу - это ряд действий, предпринимаемый предприятием для привлечения кандидатов, обладающих качествами, не- обходимыми для достижения целей, поставленных предприятием.
Отбор - процесс, в котором предприятие отбирает из списков заявителей лицо или лиц, наилучшим образом подходящих по критерий для вакантного места, принимая во внимание условия окружающей обстановки.
Данный процесс работы строится следующим образом. Перед принятием решения о наборе кадров необходимо провести анализ работы, изучить ее со всех точек зрения. На фирмах зарубежных стран этому этапу придают особое значение. Прежде всего составляется общая схема анализа работы, которая включает:
• характеристику работы;
• квалификационные требования (к исполнителю работы);
• рекламу;
• заявление о поступлении на работу;
• сокращенный список;
• соответствующие тесты и собеседования;
• выбор кандидата.
Менеджеру по персоналу советуют подумать над вопросами, ответив на которые можно получить информацию, позволяющую составить описание работы и подобрать соответствующего ей работника. Например, для фирм малого бизнеса рекомендуются следующие вопросы: как называется работа, где нужно выполнять эту работу, какова цель работы, кто отвечает за работника, за что отвечает работник, с кем работник имеет дело в процессе выполнения работы, в чем заключаются основные задачи работы, как эти задачи выполняются, какие рабочие стандарты (нормы) ожидаются, какие умения, знания и опыт нужны для выполнения этой работы, эта работа требует физического и/или умственного труда, какие задачи являются простыми, какие задачи являются сложными?
В целом процесс набора и отбора кадров представлен на рис. 8.1.
Существует много способов набора нового персонала. Цель менеджера по персоналу - правильный выбор источника или источников, которые могут дать нужного кандидата на должность. Рекомендуется задавать самому себе один простой вопрос: “Даст ли этот источник достаточное число подходящих работников при приемлемых затратах”. Источниками могут служить прежние сотрудники, случайные претенденты, размещение объявлений в средствах массовой информации, государственные и коммерческие агентства по трудоустройству, учебные заведения, различного рода семинары, фестивали и т.д. После набора соответствующего числа кандидатов необходимо провести отбор, т.е. окончательный выбор претендента. Собеседования и объективные тесты - самые распространенные методы, используемые для окончательного выбора.

Рис. 8.1. Процесс набора и отбора кадров
Цель собеседования - дать возможность менеджеру оценить соответcтвиe кандидата его будущей работе; позволить кандидату решить, подходит ли эта работа для него; создать образ хорошего бизнеса. В ходе отборочного собеседования должны быть получены ответы на следующие вопросы: сможет ли кандидат выполнять данную задачу, будет ли выполнять ее, подойдет ли кандидат для данной работы (будет ли наилучшим)?
Чтобы достичь желаемых результатов, менеджер должен знать, как подготовиться, провести и оценить собеседование. После его завершения происходит обсуждение кандидата, которое можно проводить и во время собеседования. Таким образом, подписание контракта является итогом отбора кадров на ту или иную вакантную должность.
Другой метод отбора - тесты, при использовании которых необходимо соблюдать определенные принципы:
• должно быть четко определено качество, оцениваемое тестом;
• тест должен быть стандартизованным;
• результаты тестов должны быть надежными, достоверными;
• тест проводится в стандартных условиях.
Обычно тесты подразделяются на пять групп. Это тесты на определение способности; на определение квалификационных навыков; на проверку личных качеств; для отбора группы; медицинский.
Пример. Тест на способности (быстрых подсчетов Отиса).
Этот тест проверяет некоторые умственные действия и способности, включая словарь, способность к счету, понимание и восприятие, выставляет общую оценку.
Он включает такие пункты:
Какая из вещей, перечисленных ниже мягкая?
Стекло, камень, ткань, железо, лед.
Малиновка - это:
Растение, птица, червь, рыба, цветок;
Какое из нижеперечисленных чисел больше, чем 55?
53, 48, 29, 57, 16.
Для принятия решений по отбору претендентов на вакантную должность необходимо проанализировать некоторые документы, требующиеся при подаче заявления о приеме на работу (автобиографию, справки об образовании, рекомендации с прежних мест работы), а затем провести заключительную беседу.
Работники служб управления персоналом (отделы кадров) анализируют эффективность методов отбора, используя так называемый коэффициент отбора:

.
Для разных профессий величина коэффициента отбора разная: менеджеры - около 1:2; служащие - около 1:2; квалифицированные рабочие - около 1:1 и т.д.
Типичный процесс принятия решений по отбору обычно содержит семь ступеней:
- Предварительная отборочная беседа;
- Заполнение бланка заявления и автобиографической анкеты;
- Беседа по найму;
- Тесты по найму;
- Проверка различных документов и послужного списка кандидата;
- Медицинский осмотр;
- Принятие решения.
В системе отбора персонала важную роль играет деловая оценка кадров, устанавливающая соответствие качественных характеристик персонала требованиям рабочего места или должности. Оценка помогает определить работников, требующих большей подготовки, и результаты программ подготовки персонала. Она способствует установлению и укреплению деловых отношений между подчиненными и руководителями через обсуждение результатов оценки, а также побуждает руководителей оказать необходимую помощь.
Оценка служит юридической основой переводов, продвижений по службе, наград и увольнений. Она дает материал доя разработки вопросников по найму, позволяет получить необходимую информацию для определения заработной платы, различного рода выплат и доплат работника. Различают два основных вида деловой оценки: оценку кандидатов на вакантную должность и текущую периодическую оценку сотрудников предприятия. При проведении деловой оценки устанавливаются организационная процедура ее подготовки и ее показатели (результативность труда; профессиональное поведение; личностные качества и др.), выбираются способы оценки тех или иных показателей. При оценке можно использовать несколько методов, которые определяют особенности выделения некоторых конкретных показателей. Например, метод градации значения показателей, при котором оценщику предлагается шкала с балльным определением значений показателей, причем эти баллы представляют степень выражения показателей:

Этот метод, напоминающий систему шкальных оценок, не связан с большими затратами на разработку, а потому удобен и экономичен.
Многосторонность деловой оценки персонала достигается за счет применения “оценочных листов”, которые заполняются всеми участниками процесса деловой оценки. Все заполненные бланки поступают к непосредственному руководителю оцениваемого сотрудника. Руководитель делает собственное заключение по представленным оценкам и знакомит с ним работников. Затем материалы передаются в службу управления, которая принимает итоговое решение по данному сотруднику (выдвигать на вышестоящую должность, зачислять в резерв на выдвижение и т.д.).
8.4. Профессиональная подготовка рабочих
Профессиональная подготовка осуществляется в системе, позволяющей специалисту прежде всего приобрести знания, необходимые для предстоящего выполнения требуемого производственного задания. Приобретенные знания используются для формирования умения.
Умение рассматривается как процесс эффективной организации временных связей на основе ранее полученных знаний. Чем шире объем знаний, тем разнообразнее умение. Умение позволяет выработать у исполнителя важные производственные качества: организованность, способность правильного выбора приемов и методов, а также оценки результатов своей деятельности. Оно может быть приобретено разными средствами, в том числе инструктажем, подражанием лучшим образцам трудовой деятельности, личным поиском. Поэтому разнообразны и умения: познавательные, общетрудовые, конструктивно-технические, организационно-технологические, операционно-контрольные. Высоким по уровню следует считать умение, требующее больших знаний и использующее разнообразные приемы и методы труда.
Умения отличаются от знаний тем, что всегда связаны с практикой. Есть знания, которые не сопровождаются умениями (например, можно хорошо знать устройство автомобиля и не уметь его отремонтировать). Однако ни одно умение не может быть реализовано без знания. Его цель - подготовить исполнителя к приобретению навыков.
Профессиональное умение в процессе своего формирования проходит ряд этапов, представленных в табл. 8.2 (по К.К. Платонову). Приобретаемые человеком профессиональные умения не только определяют качество его трудовой деятельности, обогащают опыт, но и становятся качествами личности, умелостью.
Таблица 8.2
Этапы формирования умений
| Этапы |
Психологическая структура |
1. Первоначальное уме- Осознание цели действия и поиск способов его вы-
ние полнения, опирающихся на ранее приобретенные
(обычно бытовые) знания и навыки.
Деятельность методом проб и ошибок
2. Недостаточно умелая Наличие знаний о способах выполнения действия
деятельность и использование ранее приобретенных, неспеци-
фических для данной деятельности навыков
3. Отдельные общие Ряд высокоразвитых, но узких умений, необходи-
умения мых в различных видах деятельности, например,
умение планировать свою деятельность,
организаторские умения и т.п.
4. Высокоразвитое уме- Творческое использование знаний и навыков дан-
ние ной деятельности с осознанием не только цели,
но и мотивов выбора, способов достижения цели
5. Мастерство Творческое использование различных умений
|
Закрепление умений в навык - сложный процесс, требующий времени и условий. Так, грамотный человек может написать свою фамилию карандашом, пером, мелом, вырезать ее на дереве, картоне, выбить на камне и др. Это свидетельствует о его умении писать. Когда тот же человек длительно ставит свою фамилию на документах, его умение выступает уже в форме навыка со свойственными ему особенностями - скоростью написания, графической стереотипностью формы, наклоном букв, их количеством, дополнениями, не связанными с фамилией. Подобное усложнение можно заметить и при выполнении производственной операции. В фазе умения каждая операция осуществляется медленно, с сопутствующими статическими элементами, нарушением ритма, приложением большей силы, чем требует данная операция. Те же действия на стадии навыка выполняются не только быстрее и точнее, но и экономичнее, увереннее, стабильнее. Отсюда следует, что навык - это закрепленное упражнением умение квалифицированно выполнять определенное профессиональное действие в установленную единицу времени.
Навыков много, и они настолько разнообразны, что ни одна из существующих классификаций не сможет их охватить. Навыки различают: по степени общности - родственные умения переходят в навыки раньше, чем отдаленные; по прочности - чем прочнее усвоен навык, тем легче воспринимаются движения, сходные с ним, и труднее - отдаленные; по сложности - чем больший комплекс раздражителей участвует в формировании навыка, тем он сложнее. Однако сложность нужно рассматривать не как сумму простых навыков, а как самостоятельно организованную систему, имеющую это свойство в своей основе.
В психологическом отношении производственные навыки делятся на: сенсорные, вырабатываемые на анализаторы, обеспечивающие острую чувствительность и точность восприятия (например, навыки определения температуры по цвету пламени, сортности муки по внешнему виду); двигательные - движения рук, синхронность их действий; ориентировочные, формирующиеся при хорошо развитой наблюдательности исполнителя (навыки совершенствования и рационализации приемов труда, станков и приспособлений и др.).
Производственные навыки, приобретенные в процессе трудовой деятельности, формируются поэтапно. К ним относятся способы труда, которые исполнитель избрал для достижения поставленной цели. Возникая как результат синтеза многих знаний и умений, такой навык формируется постепенно. Различают четыре этапа формирования производственного навыка.
Первый этап называется предварительным. В его границах происходят накопление знаний и создание программ навыка, осваиваются цели и значение предстоящей деятельности, дифференцируются движения на основные и вспомогательные. После личных наблюдений и сопоставления их с данными, полученными при инструктировании, роль которого на рассматриваемом этапе значительна, самостоятельно опробуются различные варианты движения. Следовательно, на исходе первого этапа обучающийся овладевает знаниями, представляет цель, характер и особенности технологического процесса, осваивает умения, необходимые для выполнения наиболее простых трудовых действий.
Второй этап - аналитический. Он характеризуется завершением формирования и закрепления полученных знаний и умений, заметным улучшением качества отдельных профессиональных движений, развитием умения выбора наиболее рациональных действий, анализа их и установления между ними связей. Вместе с пониманием схемы выполнения задания у исполнителя сохраняется стабильность уже упрочившихся навыков.
Третий этап получил название синтетического (или стадии мастерства). Элементы действия обобщаются в комплексы, устанавливается прочная пространственная и временная связь. Выполнение задания отличается достаточно высоким уровнем овладения производственными знаниями и умениями. Мастерство исполнителя проявляется в высоком качестве изделия, легкости выполнения задания в требуемой норме, большой уверенности исполнителя в выборе приемов и пользовании ими. Внимание во время работы переносится с процесса действия на его результат, потому что контроль за действием переходит от зрения к осязанию. На данном этапе появляется возможность произвольного регулирования темпа формирования своего оптимального ритма движений. Иногда третий этап называют автоматизированным, однако в полной мере это качество у исполнителя еще не обнаруживается
Четвертый этап - автоматизация движений. В автоматическом совершении движений можно заметить два вида реакций: первичные - по механизму безусловных рефлексов (изменение вегетативных функций - дыхания, деятельности сердца и др.), и вторичные, когда ответные реакции первоначально происходят осознанно и только впоследствии - автоматически. К автоматическим принадлежат все трудовые движения квалифицированного специалиста. Однако, если целостные движения (или отдельные их элементы) автоматизированы, это еще не означает, что навык перестает быть в поле ^знания. Следовые процессы в центральной нервной системе могут охраняться достаточно долго, и это возвращает работающего к осознанному характеру воспроизводимых действий.
В процессе упрочения навыка прежде всего автоматизируются те трудовые движения, которые состоят из меньшего числа звеньев кинематической системы. Например, при движении рук, отличающихся большой цепью звеньев, в сознании более четко отражается именно сложение руки. Несколько меньше ощущается положение кисти и еще меньше - положение пальцев, т.е. они оказываются автоматизированными раньше других ее элементов. Следовательно, в комплексе движений одни продолжают отражаться в сознании, а другие уже действуют автоматизирование. Это означает, что никакое действие человека не бывает полностью автоматизированным, так как вызывается определенной целью, а она не может быть до конца осознанной.
При формировании производственного навыка частичная автоматизация действий всегда сопровождается перестройкой их структуры, которая сводится к:
• изменению приемов исполнения движений - ранее изолированно совершавшиеся движения сливаются в одно сложное, где уже не бывает пауз;
• устранению лишних и ненужных движений, обеспечивающему появление совмещений, т.е. участие в этом акте только необходимых в данный момент органов и систем;
• ускорению темпа движений, приближению его к оптимальному для данного вида деятельности.
Следовательно, при перестройке структуры движений в формировании двигательного навыка необходимо стремление к:
• экономии движений и совершенствованию их состава (они упрощаются) и последовательности (появляется непрерывность), синхронности выполнения (сочетание действий и скоростей);
• обучение через экстернат с аттестацией в специализированных учреждениях;
• самообразование без аттестации;
• обучение на рабочем месте.
Процесс внутрипроизводственного обучения является непосредственной задачей линейного руководства и неотъемлемой частью стратегии развития потенциала кадров, что требует создания эффективной системы подготовки и переподготовки персонала. Для каждой категории работников необходимо разработать собственную подсистему подготовки и переподготовки. Существуют различные организационные формы обучения, которые применяются для работы менеджерами по управлению персоналом (рис. 8.2).
Определение потребности в обучении производится на различных уровнях (предприятия, подразделений, рабочих мест). Оно зависит от результатов освоения новой работы, перевода на другую работу, продвижения по службе, внесения изменений в законодательство, при реорганизации, аттестации и т.п. Заключительным этапом является оценка результатов обучения, на котором подводятся его итоги, выявляется степень достижения цели, экономическая эффективность обучения, сроки окупаемости затрат.

Рис. 8.2. Модель системного обучения
Среди значительного многообразия методов обучения целесообразно выделить следующие: самосовершенствование, наставничество, обучение на рабочих местах, введение в должностные обязанности, ротация работ, плановые курсы совершенствования, активное обучение, дистантное обучение, консультирование. Руководство предприятия должно решить, какой из методов обучения наиболее приемлем для той или иной категории работников или даже отдельного работника.
Особое внимание следует обратить на дистантное обучение, преимущество которого состоит в том, что оно предоставляется обучаемому независимо от местонахождения. В России накоплен положительный опыт в этой области. Например, Всероссийский заочный Финансово-экономический институт является российским центром заочного обучения. Современная техника сумела расширить диапазон и интенсивность дистантного обучения. Видеокассеты, соединенные в некоторых случаях с компьютером, позволяют обучаемому получить Дополнительные стимулы, поскольку слушатель имеет возможность наблюдать профессиональных преподавателей, а также получать хорошо разработанные методические указания и различного рода учебную литературу.
Руководители служб по управлению персоналом обязательно должны оценивать результаты обучения, используя количественную шкалу для оценки по ряду вопросов: насколько понравилось учащимся содержание учебного курса, была ли программа интересной. Необходимо проконтролировать появление у обучающихся новых полезных знаний. Приоритетными качественными показателями являются профессионализм, коммуникации, технические навыки.
Если рассматривать профессиональное образование как систему, то в ней необходимо выделить два этапа. Первый - собственно профессиональная подготовка. Второй - последующие усилия, предпринимаемые для углубления, расширения и дополнения ранее приобретенной квалификации.
Повышение квалификации - обучение, обусловленное изменением характера и содержания труда специалистов на занимаемой Должности, моральным старением знаний. При этом в зависимости от целей приобретенная ранее квалификация должна быть сохранена, приведена в соответствие с изменившейся обстановкой или использована для профессионального продвижения по службе данный подход к повышению квалификации непосредственно вытекает из концепции непрерывного образования, в основе которой лежит принцип организации ступенчатого производственного обучения персонала.
Под непрерывностью подготовки понимается преемственный процесс систематического повышений квалификации и. расширения ее объема по принципу перехода oт менее к более сложным профессиям, от узкой специализации к многопрофильности. Такое развитие потенциала рабочей силы сводит к минимуму потребность в срочных и малоподготовленных мероприятиях по переобучению работников новым профессиям. В настоящее время нет всесторонне обоснованных соображений по срокам переподготовки. Организуя эту работу, исходят из того, что за средний период своей трудовой деятельности (40-45 лет) квалифицированный работник должен 4-5 раз пройти переподготовку и повысить свою квалификацию. В промышленности, и особенно в машиностроении, “обновлять” свою квалификацию для освоения новой техники приходится сегодня в среднем уже 6-8 раз, меняя 3-4 раза профессию. Это в общем-то совпадает с продолжительностью циклов жизни продукции. Другими словами, исходя из периодов смены видов продукции (один раз в 5-8 лет) каждый работник один раз в 4-7 лет должен обновлять свои знания.
Переподготовка - это приобретение базовых знаний, свойственных другой специальности, профессии, а также развитие навыков их применения в производственной деятельности. Необходимость такого обучения связана с переменой профессиональной деятельности.
Виды профессиональной переподготовки очень разнообразны. Типичными являются: направленная передача опыта, планомерная и систематическая смена рабочего места, проведение определенных переводов на новую должность, что часто связано с выполнением задач руководства, проведение дискуссий по актуальным трудовым вопросам и др., т.е. организованная форма повышения квалификации. Наряду с ней большое значение имеет неорганизованная или самостоятельная форма, когда необходимые знания получают из специальных журналов, лекций, заседаний, семинаров, коллоквиумов, бесед, дискуссий по обмену опытом, контактов с вузами, посещений выставок, ознакомления с отраслевыми отделами и т.д.
Цель профессиональной переподготовки - достижение новой ступени квалификации в качестве рабочего-специалиста. Обычно переподготовка проводится в центрах, обслуживающих множество предприятий.
8.5. Движение кадров на предприятии
Движение кадров предназначено для приведения в равновесие потребности производства относительно замещения вакантных рабочих мест и потребности в труде соответствующего качества, в продвижении и т.д. Вместе с тем внутризаводские перемещения связаны не только с наличием вакантных рабочих мест соответствующего качества, но и с возможностью занять их принятыми paботниками, т.е. с уровнем общей и профессиональной подготовки принятых, с их демографическими особенностями, опытом и т.п. От рациональной организации внутренних перемещений на предприятии во многом зависят возможности квалификационного продвижения, получения работы по интересам с оптимальными Для рабочего условиями и оплатой труда.
В настоящее время данные о процессе движения кадров, которыми Располагает экономическая наука, имеют несколько односторонний ^рактер. Из общего числа проблем движения работников на предприятии больше внимания уделяется проблемам внешнего оборота.
К внешнему движению кадров относятся: оборот по приему; оборот по увольнению; коэффициент текучести кадров. Внутреннее движение кадров характеризует межцеховое движение; межпрофессиональную подвижность; квалификационное движение и переход работников в другие категории.
Показатели оборота широко используются для характеристики общих размеров движения кадров. При этом исчисляют общий и частные (по приему и увольнению) коэффициенты оборота.
Общий коэффициент оборота (КО) определяется отношением суммы принятых (ЧП) и уволенных (ЧУ) к среднесписочному (ЧО) числу рабочих или работающих:

.
Частные коэффициенты оборота измеряются соответственно отношением числа принятых (оборот по приему - КОП) или числа уволенных (оборот по увольнению - КОУ) за определенный период к среднесписочному числу работающих:

или

.
Коэффициент сменяемости исчисляется как отношение меньшего из числа принятых или уволенных к среднесписочному числу работников.
Пример. На предприятии при среднесписочном составе работающих в 1500 чел. в течение года уволено 250 чел.; а принято 350, коэффициент сменяемости составит:

.
Текучесть кадров характеризуется количеством рабочих, уволившихся по собственному желанию или уволенных за прогул и другие нарушения трудовой дисциплины. Отношение этого количества к среднесписочному числу позволяет определить ее относительный уровень. Как правило, он исчисляется в процентах:

,
где КТ - коэффициент текучести, %;
ЧУСЖ - число рабочих, уволившихся по собственному желанию;
ЧУЦН - число рабочих, уволенных за прогул и другие нарушения трудовой дисциплины,
ЧС - среднесписочное число рабочих.
При изучении текучести кадров большой интерес представляет измерение ее величины не только в целом по предприятию, но и по отдельным его структурным подразделениям (цехам, отделам, службам), группам работников. Коэффициенты, характеризующие уровень текучести в отдельных подразделениях или группах работников, называются частными коэффициентами текучести. Методика исчисления частных коэффициентов текучести аналогична расчету общего показателя (но только по данному подразделению).
Отношение частного коэффициента текучести к общему по предприятию называется коэффициентом интенсивности текучести:

,
где КИТ - коэффициент интенсивности текучести;
КТЧ - частный коэффициент текучести по определенному подразделению.
Он показывает, во сколько раз текучесть работников исследуемой группы выше (ниже), чем в целом по предприятию. Использование этого показателя имеет большое значение при изучении социальных, демографических, профессиональных и других особенностей текучести.
Для характеристики устойчивости кадров на предприятии применяются показатели: постоянства и стабильности кадров.
Коэффициент постоянства кадров определяется отношением числа лиц, состоявших в списочном составе предприятия в течение всего календарного года, к среднесписочной численности работников. Численность работников, состоящих в списочном составе с 1 января по 31 декабря включительно, определяется следующим образом: из численности работников, состоявших в списках на начало отчетного года (на 1 января), исключаются выбывшие в течение года по всем причинам, кроме выбывших из числа принятых в отчетном году, так как в списках предприятия на 1 января их не было. Из численности работники, состоявших в списках на 1 января, исключаются также перевеянные на другие предприятия, переведенные в состав персонала неровной деятельности своего предприятия, кроме переведенных из ^сла принятых в отчетном году.
Стабильность кадров принято характеризовать долей лиц, рабо-аюцщх продолжительный срок на данном предприятии, в общей Ценности работников. Коэффициент стабильности кадров рассчитывается как доля рабочих со стажем работы на предприятии в пять и более лет в общей совокупности работающих.
Внутрифирменное движение бывает нескольких видов:
- межцеховое движение. В его основе лежат технические сдвиги в производстве, организационные перестройки, перестав вювки одних рабочих в результате выбытия с предприятия других, а также неудовлетворенность условиям и организацией труда и быта, отношениями с администрацией или с коллективом, желание работать в другом подразделении с друзьями, членами семьи и т.д.;
- межпрофессиональная подвижность - Переход к новой профессии. Эти перемещения связаны как с техническим прогрессом, так и с реализацией личных интересов. Профессиональная подвижность занимает значительное место" не только во внешнем, но и во внутреннем обороте кадров;
- квалификационное движение - переход от одного разряда к другому в пределах существующей тарифной системы;
- переход рабочих в другие категории (в специалисты, служащие). Движение реализуется в рамках деления работников предприятия на учетные категории персонала, отражающие социально-экономические различия в положении этих работников.
Общий внутрифирменной оборот работников определяется коэффициентом, который исчисляется по числу работников, принимавших участие во внутрифирменном движении независимо от числа измененных позиций. Таким образом, коэффициент внутрифирменного оборота по числу работников определяется как отношение числа рабочих, принявших участие во внутрифирменном движении независимо от числа совершенных изменений в их позициях, к среднесписочной численности.
Резюме
Структура работников имеет четко выраженную сущность, которая связана с особенностями отрасли, предприятия, изготовляе мой продукции. В практике учета кадров различают списочный состав, среднесписочный и явочный. Учет численности работник дозволяет определить их распределение на разных предприятиях, а также изменение этого распределения. Для выявления степени соответствия профессионально-квалификационной структуры работников технико-организационному уровню производства рассчитывается коэффициент соответствия работника выполняемой работе. При определении численности рабочих-сдельщиков учитываются три основных элемента: трудоемкость производственной программы, коэффициент выполнения норм, баланс рабочего времени одного рабочего.
Численность рабочих-повременщиков определяется в зависимости от действия соответствующих нормативов на предприятии - норм обслуживания, рабочих мест, нормативов численности. Общая потребность в специалистах и служащих рассчитывается в зависимости от трудоемкости закрепленных функций, норм управляемости, степени механизации управления и типовых штатных расписаний. Весьма полезно изучать движение кадров на предприятии, поскольку оно предназначено для приведения в равновесие потребности относительно замещения вакантных рабочих мест и потребности в труде соответствующего качества, в продвижении и т.д.
Вопросы для контроля и обсуждения
1. Дайте характеристику структуры и состава работников предприятия. Подсчитайте в процентном отношении их удельный вес в общей численности работников.
2. Как определяется среднесписочная численность работников на предприятии? Какая численность работников из трех перечисленных выше - явочная, списочная, среднесписочная и почему?
3. Назовите структуру профессионального отбора.
4. По каким признакам профессиональная ориентация отличается от профессионального отбора?
5. Перечислите особенности производственного обучения. Какие его основы, на ваш взгляд, наиболее предпочтительны?
6. Дайте характеристику основным формам обучения рабочих.
7. По каким признакам подготовка кадров отличается от переподготовки?
8. Назовите основные формы повышения квалификации работников.
9. Проанализируйте собственную работу. Какие знания и умения для нее требуются? Владеете ли вы всеми необходимыми знаниями я умениями? Если нет, то что вы делаете, чтобы их приобрести?
10. Что понимается под движением кадров на предприятии? Какие вы знаете виды движения?
11. Приведите примеры расчета коэффициента текучести рабочих. Чем он отличается от коэффициента сменяемости?
12. Назовите основные виды внутрифирменного движения кадров. Чем они отличаются друг от друга? Объясните, для каких целей необходимо изучать данный вид движения кадров.
Глава 9
ВЗАИМОСВЯЗЬ И РАСЧЕТЫ ПОКАЗАТЕЛЕЙ
ПО ТРУДУ НА ПРЕДПРИЯТИИ
В условиях конкуренции меняются роль и место трудовых показателей в планировании, выдвигаются новые показатели. Для рынка не имеет особого значения, какой сложился в организации фонд заработной платы или какой была средняя зарплата. Важен другой показатель: сколько было затрачено труда на производство единицы изделий. Причем сравнивать его придется с величиной, достигнутой конкурентами. Таким образом, на первый план выходят не численность персонала, не фонд заработной платы и не средняя зарплата и т.д., а величина расходов на персонал, отнесенная к единице изделия.
Расходы на персонал - это общепризнанный для стран рыночной экономики интегральный показатель, который включает в себя все расходы, связанные с функционированием человеческого фактора: затраты на заработную плату; выплаты работодателя по различным видам социального страхования; расходы организации на социальные выплаты и льготы (“заводская пенсия”, дотации на оплату жилья, оплата транспорта, оказание единовременной помощи и т.п.), на содержание социальной инфраструктуры; затраты на содержание социальных служб, на обучение и повышение квалификации персонала, на выплату дивидендов и покупку льготных акций. При этом расходы на заработную плату (или базовые Расходы) составляют обычно менее половины общей величины Расходов на персонал.
В рыночной экономике установление допустимой величины Расходов на персонал становится отправной точкой для планирования всех других показателей по труду. Если в организации величина расходов на персонал превышает установившуюся у конкурентов, то дальнейшая деятельность такой организации становится проблематичной. В зарубежной практике в годовых отчетах организаций в обязательном порядке публикуются сведения о численности и структуре персонала, затратах на заработную плату расходах на обеспечение по старости, отчислениях на социальные нужды, видах добровольных услуг социального характера и размерах на их осуществление, об участии рабочих и служащих в прибылях предприятия.
В России также должна создаваться соответствующая система показателей по труду, которая, опираясь на зарубежной опыт, будет учитывать особенности развития экономики нашей страны.
9.1. Планирование персонала предприятия
Важной основой для кадрового планирования являются данные об имеющихся или запланированных на будущее рабочих местах, план проведения организационных мероприятий, а также штатное расписание и план замещения вакантных должностей. С помощью понятия “должность” описывается круг задач, входящих в компетенцию конкретного лица. Совокупность всех должностей на предприятии, включенных в штатное расписание, показывает, сколько работников различной квалификации необходимо для выполнения производственных задач. Тем самым оно указывает на общую потребность предприятия в рабочей силе. Фактически потребность в рабочей силе показывает, сколько работников и какой квалификации необходимо привлечь с внутризаводского или внешнего рынка труда (табл. 9.1).
При составлении штатного расписания исходят из имеющихся на предприятии (занятых и вакантных) должностей. С течением времени штатное расписание может приблизиться к “должному”, так как при любом расширении и изменении оно будет рассмотрено с позиций:
• необходима ли еще данная должность;
• соответствует ли ее организационное включение, прежде всего в отношении организации трудового процесса, принципам целесообразности и рациональности;
• соответствует ли соотношение “объем работы персонала” эмпирическим данным (анализ коэффициента использования);
• оптимально ли организована работа.
Таблица 9.1
Последовательность расчета потребности в рабочей силе
Показатели
|
Количество
|
Штатные должности к началу времени планирования: - занятые штатные должности к началу времени планирования (имеющиеся работники); - поступления (прием на работу после обучения, возвращение после службы в армии и т.д.)
|
|
= подлежащая немедленному покрытию потребность или избыток
|
|
+ случаи необходимой замены в связи с уходом на пенсию;
+ случаи необходимой замены в связи с призывом в армию;
+ случаи необходимой замены в связи с текучестью рабочей силы (с точки зрения статистики
+ имеющиеся увольнения);
+ случаи необходимой замены в связи со смертью (статистически)
|
|
= потребность в замене
|
|
+ потребность в новых кадрах (создаваемые новые штатные должности);
- уменьшение потребности в кадрах (ликвидируемые штатные должности)
|
|
= фактическая потребность в кадрах или их избыток
|
|
День составления баланса
|
|
В интересах гибкой кадровой политики при планировании потребности в кадрах следует учитывать также возможности замены и переводов. В этих случаях в штатном расписании наряду с приказами деятельности следует учитывать также группы тех профессий, по которым заняты или должны быть заняты штатные должности. Анализ данных, относящихся к рабочим местам, позволяет лучшим образом Ч^внивать должности относительно предъявляемых ими профессиональных требований и помогает использовать кадры. При определе-нии потребности в персонале рекомендуется участие руководителей данного подразделения, а также работников, в отношении которых принимаются решения.
Задачей планирования привлечения персонала является удовлетворение в перспективе потребности в кадрах за счет внутренних и внешних источников (рис. 9.1).

Pис. 9.1. Источники привлечения персонам
План привлечения персонала устанавливает требуемое количество, типы людей и сроки привлечения; особые проблемы в предложении и способы борьбы с ними; программу набора.
При привлечении персонала используются две возможности:
• привлечение работников своей фирмы или предприятия в форме сверхурочной работы, квалифицированного роста, перевода на другую работу;
• привлечение работников со стороны.
Выбор варианта должен проводиться по критериям, отражающим социальную и экономическую эффективность принимаемых решений. Здесь важно учесть сохранение структуры кадров с одновременным притоком новых идей; незначительных издержек, связанных с привлечением рабочей силы, по отношению к результату; сохранность психологического климата в коллективе; осуществление личных надежд работников и т.д.
9.2. Определение численности
рабочих-сдельщиков
Исходными данными для определения требуемого количества ра' бочих являются: производственная программа на плановый период времени; нормы времени, нормы выработки; трудоемкость производственной программы; организационно-технические мероприятия снижению трудоемкости программы; отчетные (расчетные) данные коэффициенте выполнения норм; баланс рабочего времени одного р бочего и некоторые другие документы.
Баланс рабочего времени одного рабочего устанавливает среднее количество часов, которое рабочий должен отработать в течение планового периода. Его составление проходит последовательно два этапа:
• расчет среднего количества явочных дней рабочего в течение планового периода;
• расчет средней продолжительности рабочего дня для одного рабочего.
Среднее количество рабочих часов, которое должен отработать рабочий в течение планового периода, определяется как произведение этих двух величин. Баланс рабочего времени составляется для каждого структурного подразделения отдельно.
Пример. Баланс рабочего времени одного среднесписочного рабочего по предприятию за 1997 г. (пример - условный)
Элементы рабочего времени План Отчет
|
1. Календарное время, дней 365 365
2. Выходные и праздничные дни 100 100
3. Номинальное время, дней 265 265
4. Невыходы, дней
в том числе:
очередные и дополнительные отпуска 19,5 19,5
отпуска, связанные с родами 0,9 0,8
выполнение государственных и общественных обязанностей 1,8 1,8
по болезни 9,2 9,7
по разрешению администрации 1,6 1,8
целодневные простои 0,5
прогулы - 0,1
5. Фактически используемое время, дней 232 230,8
6. Установленная средняя продолжительность рабочего
дня,часов:
перерывы для кормящих матерей 7,7 7,7
льготные часы подросткам 0,02 0,01
внутрисменные простои - 0,2
сверхурочная работа - -
7. Фактическая продолжительность дня, часов 7,68 7,49
8. Эффективный фонд рабочего времени, часов 1782 1729
|
При расчете среднего количества явочных дней рабочего различала три вида фондов рабочего времени: календарный, номинальный, эффeкгивный (реальный).
Календарный фонд рабочего времени равен числу календарных дней нового периода.
Номинальный фонд рабочего времени равен количеству рабочих дней, которое максимально может быть использовано в течение планового периода. Он равен календарному за вычетом нерабочих дней. В непрерывных производствах исключаются также невыходы по графику сменности.
Эффективный фонд рабочего времени составляет среднее количество рабочий дней, полезно используемых в течение планового периода. Этот фонд вследствие неявок некоторых рабочих на работу обычно меньше, чем номинальный фонд.
Расчет необходимой численности работников производится на основе производственной трудоемкости единицы продукции, которая определяется исходя из трудоемкости базисного периода, снижения трудовых затрат за счет внедрения организационно-технических мероприятий и изменения объема и структуры выпуска продукции в плановом периоде.
Основными факторами снижения технологической трудоемкости изделий являются повышение технического уровня производства, улучшение организации производства и труда, а также изменения в специализации и кооперировании производства. Все эти факторы находят свое отражение в плане организационно-технических мероприятий.
На снижение трудоемкости обслуживания большое влияние оказывает изменение объема производства данной продукции в плановом периоде, так как увеличение последней не сопровождается пропорциональным увеличением трудозатрат рабочих по обслуживанию производства. После расчета снижения трудоемкости по плану организационно-технических мероприятий расчет плановой производственной трудоемкости единицы продукции ведется отдельно по технологической трудоемкости и по функциям обслуживания.
Снижение трудоемкости в результате внедрения организационно-технических мероприятий определяется с учетом срока их внедренная на весь объем планируемого выпуска продукции (услуг).
Если организационно-техническое мероприятие имеет своим У' зультатом уменьшение нормы времени, то снижение трудоемкости и рассчитывается по формуле:

,
где tД - норма времени до внедрения мероприятия;
tП - норма времени после внедрения мероприятия;
Q - планируемый выпуск продукции;
КДМ - коэффициент действия мероприятия, определяется отношением срока вия мероприятия (в месяцах) к количеству календарных месяцев в году.
Если результатом организационно-технических мероприятий является увеличение норм обслуживания, то снижение трудоемкости определяется по формуле:

,
где НОД, НОП - соответственно нормы обслуживания до и после внедрения организационно-технических мероприятий;
ФП - плановый фонд рабочего времени одного рабочего.
Если результат организационно-технического мероприятия - уменьшение нормированной численности рабочих, то снижение трудоемкости определяется по формуле:

,
где ЧД и ЧП - нормированная численность рабочих до и после внедрения организационно-технических мероприятий.
При расчете снижения трудоемкости на основе проводимых организационно-технических мероприятий следует учитывать комплексность действия мероприятий, заключающуюся в том, что отдельное мероприятие может охватывать несколько изделий и работ, причем на одних работах снижать трудоемкость, а на других повышать ее. Например, внедрение группы агрегатных станков может значительно снизить технологическую трудоемкость, но требует наладочных работ. Поэтому при расчете снижения трудоемкости по функциям следует учитывать мероприятия как снижающие трудоемкость работ по данной функции, так и повышающие ее. Расчет изменения трудоемкости по функциям обслуживания производится по формуле:

,
где СФУНЦ - снижение трудоемкости работ по какой-либо функции обслуживания;
СМ и ПМ - соответственно снижение или увеличение трудоемкости в результате организационно-технических мероприятий;
1…k - количество мероприятий, снижающих трудоемкость по данной функции;
1…m - количество мероприятий, повышающих трудоемкость по данной функции.
Плановая технологическая трудоемкость каждого изделия рассчитывается по формуле:

,
где tiФ - технологическая трудоемкость изделия на начало планового периода, нормо-часов;
Q - планируемый выпуск изделия;
С - снижение трудоемкости планируемого выпуска изделия по плану организационно-технических мероприятий с учетом срока внедрения.
Пример. К началу планируемого периода технологическая трудоемкость изделия А составляла 4 нормо-часа, плановый выпуск его - 2000 шт.; снижение трудоемкости по плану организационно-технических мероприятий на выпуск с учетом срока, внедрения мероприятий составило 400 нормо-часов, тогда плановая технологическая трудоемкость изделия А составит:

нормо-часа.
Плановая трудоемкость обслуживания по каждому виду вспомогательных работ (ТОБС.П) на единицу основной продукции устанавливал ется исходя из трудоемкости обслуживания на единицу основной продукции в базисном периоде (tФОБС), выпуска продукции в базисное (ОФ) и плановом (QП) периоде с учетом коэффициента изменения трудоемкости (КТР) по данному виду работ в плановом периоде. Расчет производится по формуле:

.
Коэффициент изменения трудоемкости по данному виду работ в плановом периоде (КТР) устанавливается на каждом предприятии на основе анализа загрузки рабочих, выполняющих данный вид работ, и изменения всего объема работ по данной функции обслуживания в плановом периоде; снижения трудоемкости по данной функции обслуживания по плану организационно-технических мероприятий.
Так, при расчете коэффициента изменения трудоемкости по транспортным работам необходимо принять во внимание следующие факторы:
• степень загруженности рабочих на транспортных и погрузочно-разгрузочных работах в смену;
• изменение веса выпуска в плановом периоде по сравнению с бa зисным;
• снижение трудоемкости транспортных работ по плану организационно-технических мероприятий.
Таблица 9.2
Плановая производственная трудоемкость изделия
Наименование изделия ________________
Программа выпуска (в шт.) _____________
Виды трудоемкости
|
Плановая трудоемкость
единицы продукции
|
Снижение трудоемкости выпуска продукции в плановом периоде
|
человеко-часов
|
%
|
А. Технологическая трудоемкость Б. Трудоемкость обслуживания технологического процесса по функциям;
наладочно-регулировочной
подсобно-технологической организационно-технологической приемки, хранения и выдачи материаль- ных ценностей
транспортной
контрольной
В. Комплексная трудоемкость
Г. Трудоемкость обслуживания производства по функциям:
Ремонтной
Ремонтно-строительной
энергоснабжения
нструментальной
|
|
|
|
Итого производственная трудоемкость
|
|
|
|
Таблица 9.3
Расчет снижения трудоемкости по плану организационно-технических мероприятий
f
^
|
Наименование мероприятия
|
Срок внедрения мероприятий |
Планируемый выпуск продукции или объем услуг до внедрения мероприятия
|
Планируемый выпуск продукции или объем услуг после внедрения мероприятия
|
Коэффициент действия мероприятия (гр.5:гр.4) |
Единицы
измерения
|
Норма на единицу продукции или услуг
|
Трудоемкость планируемого выпуска
|
Снижение трудоемкости
|
| До внедрения мероприятия |
После внедрения меропрития
|
По нормам до внедр. Меропр. (гр.4Чгр.8) |
По нормам после внедр.меропр (гр.4×гр.9)l
|
Услоно-годовое (гр10-гр.11) |
С учетом срока внедрения (гр.12×гр.6) |
1
|
2
|
3
|
4
|
5
|
6
|
7
|
8
|
9
|
10
|
11
|
12
|
13
|
| А. Основное производство |
1
2
2 |
Цех №1
Внедрение группы агрегатных станков дня обработки колец
……………………………………..
|
март
|
22400
|
18 592
|
0,83
|
нормо-час
|
0,1
|
0,8
|
2240
|
1792
|
448
|
372
|
|
Всего по основному производству
|
|
|
|
|
|
|
|
|
|
|
|
| Б. Вспомогательное производство |
\
|
Транспортные и погрузочно-разгру- зочные работы
|
|
|
|
|
|
|
|
1
|
/
|
;
|
|
1
2
2
|
Механизация погрузочно-разгрузоч-ных работ на участке приемки внешних грузов
……………………………………….. |
май
|
8000
|
4640
|
0,58
|
нормо-час
|
0,8
|
0,65
|
6400
|
5200
|
1200
|
800
|
|
Всего по транспортным работам
|
|
|
|
|
|
|
|
|
|
|
|
II
1
2
1
2
|
Нададочно-регулировочные работы
Совмещение функций наладчиков и операторов в цехе № 1
Внедрение группы агрегатных станков дм обработки колец
|
июнь март
|
2095 2095
|
1047 1738
|
0,5 0,83
|
человек
человек
|
10
1
|
8
-
|
20950
-
|
16760
1739
|
4190 +2095
|
2095
+1739
|
|
Всего по наладочно-регулировочным работам
(И т.д. по всем функциям обслуживания)
Всего по вспомогательным работам Всего по предприятию
|
|
|
|
|
|
|
|
|
|
|
|
Примечание. Знак + означает, что внедрение мероприятия на данных работах повышает трудоемкость.
|
Пример. Вес выпускаемой продукции в плановом периоде увеличивается на 13%, степень загруженности транспортных рабочих в течение смены составляет 90% и снижение трудоемкости по плану организационно-технических мероприятий обеспечивает на 5% снижение численности транспортных рабочих, тогда коэффициент изменения трудоемкости по транспортным работам будет равен:
КТР = 1 + (0,13 Ч 0,9 Ч 0,95) = 1,11.
Предположим, что трудоемкость транспортных работ, изделия А в базисном периоде составляла 0,4 нормо-часа, а выпуск этого изделия - 1600 шт., тогда плановая трудоемкость транспортных работ по изделию А составит:

нормо-часа.
Аналогичным образом делаются расчеты и по другим функциям обслуживания, а затем определяется плановая производственная трудоемкость изделия А суммированием всех плановых трудозатрат на изделие.
Результаты расчетов плановой производственной трудоемкости по технологическим работам и по всем функциям обслуживания сводятся в форму №11, которая является основным исходным документом по проведению всех расчетов плана по труду. Формой предусматривается выражение плановой производственной трудоемкости в нормированных и фактических человеко-часах. Фактические человеко-часы определяются делением нормированной трудоемкости на планируемый коэффициент выполнения норм.
При всяком измерении объема производства, принятого в расчет плановой трудоемкости, нужно произвести необходимую корректировку плановой трудоемкости.
9.3. Определение численности
рабочих-повременщиков, специалистов
Расчет численности рабочих-повременщиков имеет свою специфику, так как обычно отсутствуют достоверные данные об объеме работ на планируемый период, недостаточно применяются нормативные документы.
В отраслях и производствах с аппаратурными процессами численность рабочих рассчитывается по нормам обслуживания (по этой формуле можно определить численность рабочих, выполняющих работы, на которые имеются нормы обслуживания):

,
где О - число единиц оборудования;
С - количество смен;
НО - норма обслуживания, которая показывает, сколько единиц оборудования может обслужить один рабочий;
КСП - коэффициент проведения явочной численности к списочной (в прерывных производствах определяется отношением номинального времени к явочному, в непрерывных - отношением календарного к явочному).
Пример. Определить численность рабочих исходя из следующих данных. На предприятии имеется 2000 единиц оборудования, а также 400 автоматических и полуавтоматических станков. Предприятие работает в две смены, нормы обслуживания следующие:
Специальность рабочего
|
Объект обслуживания
|
Типовая норма обслуживания, чел. в смену
|
Слесарь-ремонтник
|
Стандартное оборудование
|
200 единиц оборудования
|
Смазчик
|
Тоже
|
350 единиц оборудования
|
Наладчик
|
Автоматы и подавтоматы
|
12 станков
|
Номинальный фонд рабочего времени - 265 дней, реальный фонд рабочего времени - 230 дней. При использовании этих данных определяем:
число слесарей ремонтников

чел.
количество смазчиков

чел.
количество наладчиков

чел.
Чтобы установить количество рабочих по рабочим местам, надо Рассчитать количество рабочих мест, на которых должны быть заняты определенные категории рабочих, и соответствующий коэффициент Ценности планового периода. В данном расчете можно применять формулу:

,
где М - число рабочих мест;
С - число смен;
:КСП - коэффициент приведения явочной численности ксписочной.
Пример. В литейном цехе имеются четыре мостовых крана. Каждый из них обслуживается крановщиком и двумя стропальщиками. Цех работает в две смены. В этом случае необходимое количество крановщиков на рабочих местах:

чел.;
стропальщиков:

чел.
Применяется метод расчета по нормативам численности, который разрабатывается и устанавливается, когда производственный объект или оборудование обслуживаются группой рабочих и расстановка их внутри объекта не предопределяется. Нормативы численности (НЧ) определяется на основе нормы обслуживания или нормы времени обслуживания по формуле:

или

,
где Р - объем работы;
НО - норма обслуживания, выраженная в тех же единицах, что и объем работы;
Ф -фонд рабочего времени (в смену, в месяц);
ТНО- норма времени обслуживания для соответствующего периода.
Общая потребность в специалистах и служащих определяется в зависимости от трудоемкости закрепленных функций, норм управляемости, степени механизации управления и с учетом типовых штатных расписаний. Общая потребность в специалистах (С) представляет собой сумму:
С = ЧС + Д,
где ЧС - численность специалистов, имеющаяся на предприятии на начло планируемого периода;
Д - дополнительная потребность в специалистах.
Расчет дополнительной потребности в специалистах включает три основных элемента:
• научно обоснованное определение прироста должностей, замещаемых специалистами, в связи с расширением производства или увеличением объема работ;
• частичную замену практиков, занимающих должности специалистов с высшим образованием, а также средним специальным,
• возмещение естественного выбытия работников, занимают” должности специалистов и руководителей.
Дополнительная потребность (ДП) на прирост должностей представляет собой разницу между общей потребностью в специалистах планируемого и базового периодов и определяется по формуле:

,
где СПЛ - общая потребность в специалистах в планируемом периоде;
СБ - общая потребность в специалистах в базовом периоде.
Дополнительная потребность на частичную замену практиков определяется с учетом возможностей их обучения в учебных заведениях без отрыва от производства, а дополнительная потребность на возмещение естественного выбытия (ДВ) специалистов и практиков - на основе анализа закономерностей их выбытия. Расчет осуществляется по следующей формуле:

,
где КВ - среднегодовой коэффициент выбытия специалистов и практиков.
В последние годы в учебной литературе по управлению персоналом. при определении численности административно-управленческого персонала весьма часто рекомендуется применять формулу Розенкранца. Ее сущность заключается в том, что при определении численности необходимы данные по рабочему времени специалистов, трудоемкость единицы работы, коэффициенты распределения времени и т.п. Формула Розенкранца служит для проверки соответствия фактической численности необходимой, которая задается загрузкой данного подразделения или предприятия в целом:

,
где Ч - численность административно-управленческого персонала, определенной профессии, специальности, подразделения и т.п.
n - количество видов организационно-управленческих работ, определяющих загрузку данной категории специалистов;
mi - среднее количество действий (расчетов, обработки заказов, переговоров и т.п.) в рамках /-го организационно-управленческого вида работ за установленный промежуток времени (например, за год);
ti - - время, необходимое для выполнения единицы в рамках i-го организационно-управленческого вида работ;
T - рабочее время специалиста согласно трудовому договору (контракту) за соответствующий промежуток календарного времени, принятый в расчетах;
КНРВ - коэффициент необходимого распределения времени;
КФРВ - коэффициент фактического распределения времени;
tp - время на различные работы, которые невозможно учесть в предварительных (плановых) расчетах.
Коэффициент необходимого распределения времени (КЗДРВ) рассчитывается следующим образом:

,
где КДР - коэффициент, учитывающий затраты на дополнительные работы, заранее не учтенные во времени, необходимом для определения процесса

; как правило, находится в пределах 1,2 ≤ КДР ≤ 1,4;
КО - коэффициент, учитывающий затраты времени на слдых сотрудников в течение рабочего дня; как правило, устанавливается на уровне 1,12;
КП - коэффициент пересчета явочной численности в списочную.
Коэффициент фактического распределения времени (КФРВ) определяется отношением общего фонда рабочего времени какого-либо подразделения ко времени, рассчитанному как

.
Пример. Расчет численности административно-управленческого персонала с помощью формулы Розенкранца.
Организационно-управленческие виды работ
|
Количество действий по выполнению вида работ
|
Время, необходимое на выполнение действия, ч
|
А 500 1
Б 3000 0,5
В 300 3
Месячный фонд времени одного
сотрудника согласно контракту, ч 170
Коэффициент затрат времени
на дополнительные работы 1,3
Коэффициент затрат времени
на отдых сотрудников 1,12
Коэффициент пересчета
численности 1,1
Время, выделяемое на различные
работы, не учтенное в
плановых расчетах,ч 200
Фактическая численность
подразделения, чел. 30
|
Суммарное время выполнения организационно-управленческих работ определяется как:
(500Ч1) + (300 - 0,5 ) + (300Ч3) = 2900.
Коэффициент необходимого распределения времени:

.
Коэффициент фактического распределения времени:

.
Расчет необходимой численности подразделения ведется по формуле Розенкранца следующим образом:

.
Таким образом, фактическая численность подразделения равна 30 чел., а И необходимая - примерно 29 чел., следовательно, имеется 1 сотрудник сверх нормы (30 чел. - 28,6 чел.).
Выше мы отмечали, что весьма важным элементом планирования численности работников является приведение в соответствие уровня квалификации рабочих уровню сложности выполняемых работ, существующих рабочим местам.
Коэффициент соответствия квалификационным требованиям рабочих мест рассчитывается по формуле:

,
где КСКТ - коэффициент соответствия квалификационным требованиям рабочих мест:
Р3 - количество рабочих, занимающих рабочие места в соответствии с квалификационными требованиями;
РН - необходимое количество рабочих.
Именно эти цифры определяют потребность в рабочих более высокой квалификации, которая должна реально удовлетворяться на предприятии за счет профессионального обучения молодых рабочих. Необходимо отметить, что при расчете дополнительной потребности в работниках обязательно учитывается уход с предприятия персонала по разным причинам. Количество ежегодно выбывающих рабочих, специалистов и других категорий можно определить по отчетным данным путем их соответствующей корректировки.
Пример. Численность работающих на начало планового периода 3200 чел., на конец - 3700, среднесписочная численность - 3450 чел., а ежегодный уход с предприятия - 7,42%, следовательно, дополнительная потребность в кадрах:

чел.
Таблица 9.4
Распределение рабочих определенных разрядов по специальностям в соответствии
с квалификационными требованиями рабочих мест
Наименование рабочей специальности
|
Численность рабочих, необходимая в соответствии с квалификационными требованиями рабочих мест
|
Фактическая численность рабочих
|
Соответствие квалификац. требованияс рабочих мест, чел. |
Коэфф.соответ. квалифик. требованиям рабюочих мест |
Всего
|
В том чиеле по разрядам
|
Всего
|
в том числе по разрядам
|
II
|
III
|
IV V IV и т.д.
|
II
|
III
|
IV V VI и т.д.
|
Слесарь-инструментальщик 42 - 6 6 15 15 34 20 - - 7 7 14 0,33
Слесарь-ремонтник и т.д. 20 - - 3 12 5 16 - 5 - 8 3 11 0,55
|
| Итого 492 206 115 37 35 30 443 236 18 1 15 10 297 0,60 |
Затем составляется таблица дополнительной потребности рабочих.
Таблица 9.5
Дополнительная потребность в квалифицированных рабочих кадрах
Наименование специальности
|
Дополнительная потребность в квалифицированных рабочих
|
В том числе по разрядам
|
II
|
III
|
IV
|
V
|
VI
|
Слесари-инструментальщики
Слесари-ремонтники и т.д.
|
28
9 |
-
- |
6
- |
6
3
|
8
4
|
8
2
|
Итого
|
235
|
62
|
105
|
32
|
20
|
16
|
После определения общей дополнительной потребности в кадрах выявляются пути ее обеспечение и план набора до кварталам и в целом на год (таблица 9.6).
Таблица 9,6
Пути обеспечения дополнительной потребности
| Период |
Общая дополнительная потребность |
Обеспечение дополнительной потребности |
| За счет поступления из учебных заведений, чел. |
За счет набора своими силами |
| За год |
756 |
376 |
380 |
| I квартал |
245 |
100 |
145 |
| II квартал |
166 |
126 |
40 |
| III квартал |
195 |
150 |
45 |
| IV квартал |
150 |
- |
150 |
Для того чтобы произвести расчеты и определить дополнительную потребность в кадрах, обычно используют следующие формулы:

и

,
где ЧПЛ - плановая (потребная) численность рабочих определенной профессии;
ЧН и ЧК - численность рабочих соответственно на начало и конец расчетного периода;
ДП - дополнительная потребность в рабочих соответствующей профессии.
Практика планирования выделяет три основных направления использования дополнительной потребности в рабочих:
• расширение объема производства;
• возмещение планируемой убыли;
• возмещение убыли по причине налипшего оборота рабочей силы.
Дополнительная потребность в руководителях, специалистам и тужащих определяется по числу вакансий в соответствии с утвержденными штатами и с учетом предполагаемой убыли этих работника по различным причинам. Пополнение их численности осуществляется в основном за счет молодых специалистов, окончивших учебные заведения.
9.4. Планирование и прогнозирование
производительного труда
Основной целью планирования производительности труда является поиск резервов, использование которых позволило бы организации выйти на более низкий уровень расходов на персонал, чем достигнутый конкурентами, и обеспечить тем самым возможность выживания в условиях рынка.
При планировании производительности труда в отечественных организациях применяются два метода: метод прямого счета и метод планирования по факторам.
С помощью метода прямого счета рассчитывается возможное уменьшение численности персонала под влиянием конкретных организационных и технических мероприятий. При этом вначале определяется плановая численность персонала по отдельным категориям с учетом ее возможного сокращения в результате внедрения запланированных мероприятий. Затем на основании рассчитанной плановой численности персонала и плановного выпуска продукции вычисляются уровень производительности труда и темпы ее роста по сравнению с базовым периодом.
В условиях рынка предпочтение должно быть отдано второму методу планирования производительности труда, так как он позволяет выделить влияние внешних факторов, не зависящих от организации. Применение метода планирования по факторам предполагает прежде всего четкую классификацию факторов, единую для всех уровней управления.
Прогнозирование производительности труда на предстоящий период производится на основе расчета влияния факторов на его величину. Для определения воздействия того или иного фактора на рост производительности труда рассчитывается экономия рабочей силы по отношению к численности работников, необходимой для выполнения заданного объема работ при базисной выработке. Исходная численность работников (ЧИ) на данный объем работ может быть определена следующим образом:
а) при неизменной структуре объема производства

,
где ЧБАЗ - численность работников базового периода, чел.;
б) при наличии структурных сдвигов ,

где Чi- численность работников i-го структурного подразделения, чел.;
ЮПi - рост объема производства i-ro структурного подразделения.
Важнейшим фактором, влияющим на рост производительности труда, является повышение технического уровня производства.
Экономию рабочей силы (ЭЧР) за счет модернизации или внедрения нового оборудования можно рассчитать по формуле:

,
где М - общее количество единиц оборудования;
МCТ - количество немодернизированного оборудования;
ММ - количество нового или модернизированного оборудования;
ПТ - рост производительности труда при эксплуатации нового или модернизированного оборудования, %;
ТД - число месяцев действия нового или модернизированного оборудования;
ТК - календарное число месяцев в расчетном периоде.
Экономия численности работающих (ЭЧППП) определяется по формуле:

,
где ЧПППИ - исходная численность работающих для производства планового объема продукции исходя из выработки базисного периода;
УЗ - доля рабочих, занятых обслуживанием оборудования, к численности промыш-ленно-производственного персонала, %;
ЭР - относительная экономия численности рабочих, %:

.
Следующая группа факторов, учитываемых при определении Производительности труда, связана с совершенствованием управления, организации производства и труда. Сюда относятся мероприятия по улучшению управления производством, повышению уровня специализации, сокращению потерь от брака продукции, снижению числа рабочих, не выполняющих установленные нормы выработки, и др.
При расчете роста производительности труда за счет совершенствования управления производством используется метод сравнения. При этом сравниваются существующая на данном предприятии численность работников управления с занятыми в сфере управления на передовых предприятиях с более совершенной структурой управления, а также с проектными данными. Влияние совершенствования нормирования труда на рост его производительности устанавливается прямым счетом, т.е. нахождением соотношения между численностью работников при научно обоснованных нормах и существующей численностью.
Рост производительности труда за счет подтягивания рабочих, не выполняющих нормы выработки, определяется двумя способами:
1)исчислением непосредственного роста производительности труда за счет подтягивания не выполняющих нормы до 100%-ного или среднего процента выработки коллектива:

,
где ЧР1 и ЧР2 - численность рабочих по группам, у которых уровень выполнения норм ниже 100%;
X1 и Х2 - среднее выполнение норм соответственно по группам;
Д - удельный вес рабочих, не выполняющих нормы общей численности
работников;
2)выявлением экономии численности работников за счет мероприятий по выполнению норм выработки работающим

где ПРИ - плановое повышение уровня выполнения норм выработки группой рабочих, не выполняющих нормы выработки, %;
УВРН - удельный вес группы рабочих, не выполняющих нормы выработки, в общей численности работающих, %;
У -удельный вес группы рабочих-сделыциков, не выполняющих нормы выработки, в общей численности рабочих;
0,5 - коэффициент, показывающий равномерность повышения уровня выполнения норм на протяжении всего планируемого периода.
Экономия рабочей силы за счет специазациЯ производства и увеличения кооперированных поставок находится по соотношению:

,
где УВБАЗ и УВПЛ - удельный вес кооперированных поставок соответственно в базисном и плановом периодах, %;
ОППЛ - объем производства в планируемом периоде, руб.;
ВБАЗ - выработка на одного работника в базисном периоде, руб.,
а также про формуле:

.
Экономия рабочей силы за счет лучшего использования рабочего времени рассчитывается по формуле:
где УВР - удельный вес рабочих в численности промышленно-производствен-ного персонала, %;
ПБАЗ и ППЛ - потери рабочего времени соответственно в базисном и плановом периодах, %.
Сокращение невыходов на работу ведет к экономии численности рабочих, которую можно вычислить так:

,
где ФПЛ и ФБАЗ - количество рабочих дней, отрабатываемых одним рабочим соответственно в плановом и базисном периодах.
Сокращение брака продукции способствует экономии рабочей силы рабочих-сделыциков, величина которой может быть определена следующим образом:

,
где ББАЗ и БПЛ - потери от брака в процентах к себестоимости продукции соответственно в базисном и плановом периодах;
ЧРБАЗС - численность рабочих-сделыциков в базисном периоде.
Экономия численности при устранении нерацио-Иальных затрат труда рассчитывается по формуле:

,
где ДБАЗ и ДПЛ- доплаты рабочим-сделыцикам за отклонения от запроектированных технологических процессов в общем фонде заработной платы рабочих соответственно в базисном и плановом периодах, %.
Влияние сдвигов в составе (ассортименте) продукции на экономию рабочей силы устанавливается следующим образом:

,
где ТБАЗ и ТПЛ - удельная трудоемкость продукции соответственно в базисном и плановом периодах, нормо-ч;
QПЛ - объем продукции в плановом периоде;
КВН - коэффициент выполнения норм выработки в плановом году;
ФПЛ - фонд полезного времени работы одного рабочего в плановом году, ч.
Влияние природных условии на величину численности работников зависит от следующих пропорций:

,
где ТРО и ТРП - трудоемкость единицы продукции при прежних и изменившихся природных условиях, нормо-ч;
КП - коэффициент, учитывающий время изменения природных условий.
Влияние каждого фактора на рост производительности труда (ПТi) находится по формуле:

,
где ЭЧРi - экономия рабочей силы по i-му фактору, чел.;
ЭЧРi - экономия рабочей силы, исчисленная по всем факторам, чел.
Прирост производительности труда по всем факторам определяется путем суммирования его прироста по каждому фактору или по формуле:

.
9.5. Структура фонда заработной платы
и ее определение
Структура фонда заработной платы на предприятии довольно сложна. Помимо прямой оплаты труда за проработанное время либо произведенную продукцию или работу (при сдельной или договорной оплате) в фонд включаются стимулирующие и компенсирующие выплаты, а также все денежные суммы, выплачиваемые за непрорабо-тянное время, если согласно действующему трудовому законодательству за работниками сохраняется заработная плата. В частности:
А. Оплата за отработанное время
1. Заработная плата, начисленная работникам по тарифным ставкам и окладам за отработанное время.
2. Заработная плата, начисленная за выполненную работу работникам по сдельным расценкам, в процентах от выручки от реализации продукции (выполнения работ и оказания услуг).
3. Стоимость продукции, выданной в порядке натуральной оплаты.
4. Премии и вознаграждения (включая стоимость натуральных премий), носящие регулярный или периодический характер, независимо от источников их выплаты.
5. Стимулирующие доплаты и надбавки к тарифным ставкам и окладам (за профессиональное мастерство, совмещение профессий и должностей, допуск к государственной тайне и т.п.).
6. Ежемесячные или ежеквартальные вознаграждения (надбавки) за выслугу лет, стаж работы кроме сумм, указанных в пункте В.2).
7. Компенсационные выплаты, связанные с режимом работы и условиями труда:
• выплаты, обусловленные районным регулированием оплаты труда: по районным коэффициентам; коэффициентам за работу в пустынных, безводных местностях и в высокогорных районах; процентные надбавки к заработной плате за стаж работы в районах Крайнего Севера, в приравненных к ним местностях и других районах с тяжелыми природно-климатическими условиями;
• доплаты за работу во вредных или опасных условиях и на тяжелых работах;
• доплаты за работу в ночное время;
• оплата работы в выходные и праздничные дни;
• оплата сверхурочной работы;
• оплата работникам за дни отдыха (отгулы), предоставленные в связи с работой сверх нормальной продолжительности рабочего времени при вахтовом методе организации работ, при суммированном учете рабочего времени и в других случаях, установленных законодательством;
• доплаты работникам, постоянно занятым на подземных работах, за нормативное время их передвижения в шахте (руднике) от ствола к месту работы и обратно.
8. Оплата труда квалифицированных рабочих, руководителей, спе-циалистов предприятий и организаций, освобожденных от основной работы и привлекаемых для подготовки, переподготовки и повышения квалификации работников.
9. Комиссионное вознаграждение, в частности, штатным страховым агентам, штатным брокерам.
10. Гонорар работникам, состоящим в списочном составе работников редакций газет, журналов и иных средств массовой информации.
11. Оплата услуг работников бухгалтерий за выполнение ими письменных поручений работников по перечислению страховых взносов из заработной платы.
12. Оплата специальных перерывов в работе.
13. Выплата разницы в окладах работникам, трудоустроенным из других предприятий и организаций, с сохранением в течение определенного срока размеров должностного оклада по предыдущему месту работы.
14. Выплата разницы в окладах при временном заместительстве.
15. Суммы, начисленные за выполненную работу лицам, привлеченным для работы на предприятии, согласно специальным договорам с государственными организациями (на предоставление рабочей силы, например, военнослужащих) как выданные непосредственно этим лицам, так и перечисленные государственным организациям.
16. Оплата труда лиц, принятых на работу по совместительству.
17. Оплата труда работников несписочного состава (указанные ниже суммы не учитываются в фонде заработной платы работников списочного состава предприятия, учреждения, организации):
• лиц, не состоящих в списочном составе работников предприятия (организации), за выполнение работ по гражданским договорам, если расчеты за выполненную работу производятся предприятием с физическими, а не с юридическими лицами. При этом размер средств на оплату труда этих физических лиД определяется исходя из сметы на выполнение работ (услуг) по этому договору и платежных документов;
• услуг (гонорар) работников несписочного состава (за переводы. консультации, чтение лекций, выступление по радио и телевидению и т д.).
Б. Оплата за неотработанное время
1. Оплата ежегодных и дополнительных отпусков (без денежной компенсации за неиспользованный отпуск).
2. Оплата дополнительно предоставленных по коллективному договору (сверх предусмотренных законодательством) отпусков работникам.
3. Оплата льготных часов подростков.
4. Оплата учебных отпусков, предоставленных работникам, обучающимся в образовательных учреждениях.
5. Оплата на период обучения работников, направленных на профессиональную подготовку, повышение квалификации или обучение вторым профессиям.
6. Оплата труда работников, привлекаемых к выполнению государственных или общественных обязанностей.
7. Оплата, сохраняемая по месту основной работы за работниками, привлекаемыми на сельскохозяйственные и другие работы.
8. Суммы, выплаченные за счет средств предприятия, за непроработанное время работникам, вынуждено работавшим неполное рабо- ' чее время по инициативе администрации.
9. Оплата работникам-донорам за дни обследования, сдачи крови и отдыха, предоставляемого после каждого дня сдачи крови.
10. Оплата простоев не по вине работника.
11. Оплата за время вынужденного прогула.
В. Единовременные поощрительные выплаты
1. Единовременные (разовые) премии независимо от источников ' их выплаты.
2. Вознаграждение по итогам работы за год, годовое вознаграждение за выслугу лет (стаж работы).
3. Материальная помощь, предоставленная всем или большинству работников.
4. Дополнительные выплаты при предоставлении ежегодного отпуска (сверх нормальных отпускных сумм в соответствии с законодательством).
5. Денежная компенсация за неиспользованный отпуск.
6. Стоимость бесплатно выдаваемых работникам в качестве поощ-Рения акций или льгот по приобретению акций.
7. Другие единовременные поощрения, включая стоимость подарков.
Г. Выплаты на питание, жилье, топливо
1. Стоимость бесплатно предоставленных работникам отдельных отраслей экономики питания и продуктов (в соответствии с законодательством).
2. Оплата (полная или частичная) стоимости питания, в том числе в столовых, буфетах, в виде талонов, предоставления его по льготным ценам или бесплатно (сверх предусмотренной законодательством).
3. Стоимость бесплатно предоставленных работникам отдельных отраслей экономики (в соответствии с законодательством) жилья и коммунальных услуг или суммы денежной компенсации за непредоставление их бесплатно.
4. Средства на возмещение расходов работников по оплате жилья (сверх предусмотренных законодательством).
5. Стоимость бесплатно предоставленного работникам топлива.
Заработная плата определяется исходя из планируемого рабочего времени и объема производства по тарифным ставкам, окладам или сдельным расценкам. В качестве методики можно рекомендовать следующий порядок определения величины фонда заработной платы рабочих, руководителей, специалистов и служащих.
Фонд заработной платы рабочих включает прямую (тарифную) заработную плату и все доплаты к ней. Прямая заработная плата состоит из суммы сдельных расценок, выплачиваемых рабочим-сдельщикам, и заработной платы рабочих-повременщиков, исчисляемой по тарифным ставкам.
При планировании определяют фонд часовой заработной платы, фонд дневной заработной платы, фонд годовой (квартальной, месячной) заработной платы.
Размер фонда часовой заработной платы определяется в такой последовательности. Рассчитывается фонд заработной платы рабочих-сдельщиков (ФЗПед) по формуле:

.
где РАСЦi - штучная сдельная расценка на единицу объема производственной программы;
ОПi - объем продукции i-го вида.
Этот фонд можно исчислить по трудоемкости продукции:

,
где Hti - норматив трудозатрат на единицу i-й продукции;
Vqi - объем производства i-го вида продукции;
ТCi - тарифная ставка i-го вида работ.
Плановый фонд заработной платы рабочих-повре-менщиков находится из соотношения:

,
где ТСПОВi - часовая тарифная ставка рабочего-повременщика i-го разряда;
ЧПi - численность рабочих-повременщиков i-ro разряда;
ФПЛi - плановый фонд рабочего времени i-ro разряда.
Фонд заработной платы руководителей, специалистов и служащих (ФЗПРСС) определяется по должностным окладам путем умножения месячного оклада каждой группы работников на число месяцев в году и на число работников в группе. Например, фонд заработной платы руководителей (ФЗПР):

,
где 12 - число месяцев в году;
Чi - численность руководителей, имеющих одинаковый должностной оклад, чел.;
ОKi - месячный оклад данной группы руководителей, руб.
Аналогично исчисляется фонд заработной платы специалистов и служащих.
В фонд оплаты труда включаются также выплаты стимулирующего характера - премии. Их размер по сдельно-премиальной и повременно-премиальной системам оплаты труда (ЗПР) определяется в соответствии с действующими премиальными системами на предприятии. Для этого используются формулы:

,
где ППР - процент премии к сдельной заработной плате или тарифной ставке.
Процент премии за выполнение и перевыполнение научно обоснованных норм устанавливается из следующей зависимости:

,
где ППЕР - процент перевыполнения норм;
ППР - процент премии за каждый процент перевыполнения норм;
УНОН - удельный вес научно обоснованных норм по трудоемкости:
У - удельный вес рабочих, премируемых за выполнение и перевыполнение научно обоснованных норм в общей численности рабочих-еделыциков.
Составной частью фонда оплаты труда являются также выплаты ^мпенсирующего характера, связанные с режимом работы и условия-мй труда. Это следующие виды выплат:
а) по районным коэффициентам, коэффициентам за работу в пустынных, безводных и высокогорных районах. Величина выплат (Ф„^) определяется так:

,
где К - соответствующий коэффициент выплат;
б) надбавки к заработной плате за непрерываемый стаж работы (ФЗПнс), исчисляемые по формуле:

,
где Чi - численность работников.соогветствующего стажа работы, чел.;
ТЗПi - прямая (тарифная) заработная плата соответствующего работника, руб.;
Кi - величина надбавки за стаж работы, %;
в) доплаты за условия труда (ФДУТ):

,
где Чi - численность работников, работающих в тяжелых и вредных, а также в особо тяжелых и особо вредных условиях труда, чел.;
ТЗПi - прямая (тарифная) заработная плата соответствующего работника, руб.;
Кi - величина надбавки за отклонение от нормальных условий труда, %;
г) доплаты за работу в ночное (вечернее) время

,
где Чi - численность работников, работающих соответственно в ночной и вечерней сменах, чел.;
ТСТi -тарифная ставка работников i-й группы, руб.;
ТНВi - фонд ночного, вечернего времени, ч;
КНВi - процент доплат к тарифной ставке за каждый час ночной, вечерней смены, %;
д) оплата за работу в выходные и праздничные (нерабочие) дни (ФОВД):

,
где Чi - соответствующая численность работников, которые будут работать в праздничные дни, чел.;
ТСТi - тарифная ставка (сдельная расценка) i-ой группы работников, руб.;
ТСМ - продолжительность смены, ч;
Дi - количество праздничных дней в году для соответствующей группы работников, дн.;
КВН - коэффициент доплат.
В состав фонда оплаты труда включаются также денежные суммы за непроработанное время в соответствии с законодательством:
а) оплата ежегодных и дополнительных отпусков (ФОО):

,
где СЗППЛ - средняя заработная плата работников, руб.;
ОТПЛ - средняя плановая продолжительность отпуска, дн.;
б) доплаты матерям за время перерывов в работе на кормление грудных детей и доплаты подросткам за сокращенный рабочий день. Доплаты кормящим матерям (ДОПМ) определяются по формуле:

,
где П - процент перерывов одного рабочего к реальному фонду рабочего времени одного рабочего;
ФЗПЧАС - фонд часовой заработной платы.
Величина доплат подросткам (ДОППОД)

,
где ТСЧАС - средняя тарифная ставка подростков, руб.:
ФЛ -количество льготных часов в плановом периоде, ч.
в) доплаты неосвобожденным бригадирам за руководство бригадой (3БР) определяются по формуле:

где ТБР - заработная плата бригадира по тарифу в плановом периоде;
ЧБР - число бригадиров;
ДБР - размер доплаты бригадиру за руководство бригадой в процентах к тарифной ставке.
Повышенные доплаты бригадирам за руководство бригадой могут быть установлены в процентах от суммы заработной платы бригады (без премии). Доплаты в повышенных размерах производятся при условии выполнения бригадой производственных заданий и обеспечения высокого качества продукции. Фонд доплат за обучение учеников Рзссчитывается в соответствии с нормой доплаты за обучение учеников, установленной трудовым законодательством. В фонд оплаты труда включаются и другие виды доплат, надбавок, определенные инструкцией о составе средств, направляемых на потребление.
В данном пособии рассмотрены основные, часто применяемые на практикe методики расчета величин составных частей фонда оплаты Фуца. На основе детальных расчетов составляется сводная таблица планируемого фонда оплаты труда. Средняя заработная плата устанавливается на основе рассчитанной численности определенных категорий работающих и фондов их оплаты.
Для руководителей, специалистов и служащих определяется среднегодовая заработная плата, а для рабочих - среднегодовая, среднедневная и среднечасовая по формулам:

или

,
где ФЗПР - фонд заработной платы, руб.;
ФПЛ - рассчитанное число чел.-час., чел.-дней работы;
ЧСП - среднесписочное число рабочих в расчетном периоде.
На стабильно работающих предприятиях, где существенно не меняются производственные и экономические показатели, плановый фонд заработной платы может исчисляться исходя из прямой заработной платы, рассчитанной по расценкам, тарифным ставкам и должностным окладам. Последняя в условиях инфляции корректируется на ожидаемый инфляционный индекс. Все прочие элементы планового фонда, входящие в состав часового, дневного и годового фондов, объединяются в так называемый “коэффициент дополнительной заработной платы”, показывающий, во сколько раз полный годовой фонд заработной платы больше фонда прямой заработной платы. Этот коэффициент может быть рассчитан по отчету.
Пример. Сумма прямой заработной платы на начало планового периода в цехе составляет 691 200 руб., численность всех работающих 320 чел., средний коэффициент инфляции на плановый год ожидается 6,3%, коэффициент дополнительной заработной платы - 1,36. Исходя из этого плановый фонд составит 999 254 руб. (691 200 х 1,063 х 1,36).
В случаях, когда на предприятии существенно изменяются объемы производства и производительность труда, а следовательно, и численность работников, плановый фонд заработной платы может быть приблизительно рассчитан исходя из отчетного фонда, скорректированного на показатели изменения численности и средней заработной платы или изменения объемов производства производительности труда и средней заработной платы, по одной из формул:

или

,
где ФПЛ - плановый фонд заработной платы, руб.;
ФБАЗ - фонд заработной платы отчетного года (ожидаемый), руб.;
Iчисл - индекс изменения численности работников; _
IСР.З.П - индекс изменения средней заработной платы (в условиях инфляции с учетом, ожидаемого инфляционного индекса);
IОП - индекс объема производства;
IП -индекс производительности труда по плану.
Пример. Ожидаемый фонд заработной платы отчетного года - 3 105 000 руб., индекс численности - 1,019, индекс средней заработной платы - 1,13, индекс объема производства - 1,06, производительности труда - 1,04. Рассчитываем укрупненным методом плановый фонд заработной платы:
ФПЛ = 3 105 000 Ч 1,019 Ч 1,13 = 3 575 314,3 руб.,

руб.
Для получения достоверного результата расчетов необходимо при определении изменения объемов производства и производительности труда использовать сопоставимые цены (например, цены базового года) и возможно более точно рост заработной платы.
Одним из широко распространенных укрупненных методов планирования фонда заработной платы является нормативный метод, который позволяет по базовым показателям, а на новых предприятиях или при существенных изменениях ассортимента продукции расчетным путем определить норматив заработной платы на единицу или на 1 тыс. руб. продукции. При расчете по базовым исходным данным фактический расход заработной платы корректируется на плановое отношение индекса роста средней заработной платы к индексу производительности труда

.
Пример. В базовом году ожидаемый расход заработной платы на 1 тыс. руб. продукции составляет 275 руб., объем производства возрастает на 6%, численность - на 1,9%. Исходя из этих данных рост производительности труда достигнет 4%

, а норматив заработной платы при росте средней заработной платы на 1,13% (с учетом инфляции) - 299 руб. на 1 тыс. руб. продукции

. При объеме производства 11 957 572 руб. плановый фонд заработной платы составит 3 575 314руб.

Аналогично определяется и расчетный норматив: сначала подсчитывaeтcя весь потребный фонд заработной платы на новую или сменившуюся производственную программу, а затем этот фонд делится на показатель объема производства. Однажды рассчитанный такой норматив с указанной выше корректировкой может служить несколько лет.
В условиях инфляции, формирующегося рынка и нестабильности цен на продукцию норматив заработной платы целесообразно выражать не в денежном измерении, а в процентах к стоимости товарной продукции. Рассчитать такой норматив можно следующим образом: определить удельный вес заработной платы в стоимости товарной продукции в базовом году, затем исходя из факторов роста производительности труда исчислить индекс производительности (путем перемножения всех частных индексов) и индекс роста заработной платы, связанный с теми факторами, которые вызывают ее профессиональный рост. Плановый норматив определяется по приведенной выше формуле

с той разницей, что значение НБАЗ выражается не в рублях на 1 тыс. руб. продукции, а в процентах к ее рыночной стоимости в базовом году. Кроме того, IСР.З.П рассчитывается только по плановым факторам роста средней заработной платы (без учета коэффициентов инфляции, которые трудно определить заранее с достаточной точностью).
Применение норматива расхода заработной платы в процентах к стоимости продукции позволяет определять фонд заработной платы как в условиях инфляции, так и дефляции: какие бы ни были цены на продукцию, фонд заработной платы всегда будет рассчитываться в процентах от стоимости продукции. Заключительным этапом планирования фонда оплаты трупа является распределение этого фонда между подразделениями предприятия.
Резюме
В рыночной экономике система трудовых показателей включает: персонал, производительность труда и заработную плату. В планировании персонала организации важным этапом является определение источников привлечения персонала, необходимой численности работников, а также расчет дополнительной потребности в квалифицированных кадрах.
Основная цель планирования производительности труда - поиск резервов, использование которых позволяет предприятию успешно работать на рынке. Прогнозирование производительности труда производится на основе расчета влияния факторов на его величину. Определение воздействия того или иного фактора на рост производительности труда производится на основе расчета экономии рабочей силы по отношению к численности работников, необходимой для выполнения данного объема работ при базисной выработке.
При определении фонда заработной платы необходимо знать структуру фонда, поскольку помимо прямой оплаты труда за проработанное время или за произведенную работу в него включены стимулирующие и компенсирующие выплаты. При планировании определяют фонд часовой, дневной и годовой заработной платы.
Предприятиям предоставлено право самостоятельно выбирать метод определения фонда заработной платы работников и его распределения по структурным подразделениям. Предприятия должны иметь собственные фонды заработной платы и стремиться эффективно их использовать, добиваясь экономии в расходовании.
Вопросы для контроля и обсуждения
1. Объясните понятие “расходы на персонал”. Как определяется его величина?
2. Что вы знаете о “штатном расписании”? Какова последовательность расчета потребности в рабочей силе?
3. Назовите основные источники привлечения персонала.
4. Расскажите о структуре баланса рабочего времени одного рабочего.
5. Назовите структуру трудоемкости. Какая трудоемкость продукции включается для расчета численности основных рабочих-сдельщиков?
6. Расскажите о снижении трудоемкости и способах ее расчета.
7. Каковы методы расчета численности рабочих-повременщиков на предприятии? При каких условиях применяется тот или иной метод? Дайте обоснование.
8. Каким методом рассчитывается численность специалистов и служащих в организации? Применяется ли на вашем предприятии формула Розенкранца?
9. Как определяется дополнительная потребность в кадрах? Можете ли вы просчитать ее по направлениям: на расширение объема производства; на возмещение планируемой убыли и на возмещение убыли по причине излишнего оборота рабочей силы?
10. Какие применяются методы для планирования производительности трупа на предприятии?
11. Назовите методику планирования производительности труда по факторам.
12. Назовите структуру фонда заработной платы на предприятии.
13. Определите часовой фонд заработной платы. Какие доплаты включены в него?
14. Охарактеризуйте укрупненный метод определения фонда заработной платы, раскройте его сущность.
Глава 10
ТРУДОВАЯ ОРГАНИЗАЦИЯ (КОЛЛЕКТИВ). СПЕЦИФИКА СОЦИОЛОГИЧЕСКИХ
ИССЛЕДОВАНИЙ В ТРУДОВОЙ ОРГАНИЗАЦИИ
10.1. Роль и значение трудовой организации в
развитии общества
В условиях существования разнообразных форм собственности, рынка и конкуренции значительно изменяются роль и значение трудовых организаций. Постепенно расширяются их полномочия и самостоятельность в принятии различного рода решений, в развитии управления и самоуправления. Однако прежде чем вести разговор о трудовой организации, необходимо остановиться на некоторых часто употребляемых, особенно в нашей отечественной литературе, понятиях и характеристиках.
Трудовой коллектив - это объединение работников, осуществляющих совместную трудовую деятельность на государственном, кооперативном, общественном, частном предприятии, учреждении, организации. В составе единого трудового коллектива действуют трудовые коллективы цехов, отделов, участков, бригад и других подразделений.
Организация - это группа людей, деятельность которых сознательно координируется для достижения общей цели (целей). Чтобы организация состоялась как таковая, необходимо наличие по крайней мере:
• двух людей, которые сознательно считают себя частью этой группы;
• одной цели, которую принимают как общую все члены данной группы;
• членов группы, которые намеренно работают вместе, чтобы достичь значимой для всех цели.
Трудовая организация - это организационно закрепленная совокупность людей, действующих по единому плану для достижения значимой для всех членов организации цели и для создания определенного общественно необходимого продукта или оказания услуг. Такие трудовые организации часто называют трудовыми коллективами. Мы в дальнейшем будем пользоваться понятием “трудовая организация”. Трудовые организации исторически возникают для удовлетворения общественных и личных потребностей людей на основе общественного разделения труда.
Необходимо выяснить различия между трудовой и производственной организациями. Производственная организация относится только к сфере материального производства, в ней объединяются работники с целью производства материальных благ. Трудовая организация значительно шире производственной и охватывает работников производственных, научных, учебных, медицинских, культурно-просветительских, административных и других организаций. Трудовые организации действуют во всех сферах общественной жизни. Их можно различать по двум основаниям:
по форме собственности: государственная, кооперативная, акционерная, собственность трудового коллектива, частная, совместная с иностранным капиталом, иностранная.
по с ф е р а м деятельности: организации, действующие в сфере материального производства (в промышленности, строительстве, транспорте, сельском хозяйстве итд.), и организации, функционирующие в непроизводственной сфере (учреждения культуры, здравоохранения, образования и т.д.).
Роль и значение трудовых организаций в развитии общества огромны. От эффективности и качества труда работников в конечном счете зависят процветание общества, уровень и качество жизни людей. Путь к успеху каждой трудовой организации - это снижение себестоимости и издержек производства, повышение его эффективности, технического и технологического уровня и уровня организации производства; повышение объемов и качества выпускаемой продукции и услуг; максимальный учет запросов потребителя и снижение цен с целью завоевания рынка сбыта, в конечно счете - путь улучшения всей экономики и уровня жизни населе ния в частности. Каждой такой трудовой организации присущ своя трудовая среда.
10.2. Понятие и элементы трудовой среды
Человеческий труд с социологической точки зрения определяется как целенаправленная деятельность человека, в процессе которой он создает материальные и духовные ценности для удовлетворения существенных'человеческих потребностей, совершается всегда в определенном пространстве и времени, определенными средствами труда в рамках конкретных общественных отношений, возникающих между людьми в процессе их трудовой деятельности. Отсюда под средой можно понимать совокупность условий и воздействий, имеющихся в некотором окружении. Человеческая трудовая деятельность осуществляется в трудовой среде. Поэтому под трудовой средой понимаются средства, условия труда и взаимоотношения индивидов, участвующих в прудовом процессе. Трудовая среда включает физические факторы - это воздух, температура, влажность, освещение, цветовое оформление, уровень шума и т.д. и технико-технологические факторы - это средства труда, предметы труда и технологический процесс.
Средства труда представляют собой вещи, с помощью которых люди воздействуют на предметы труда и видоизменяют их. К средствам труда относятся машины и оборудование, инструменты и приспособления, производственные здания и сооружения, все виды транспорта, линии электропередач и тд. Ведущая роль в средствах труда принадлежит орудиям производства, так как именно от них зависит сила воздействия на природу. Средства труда и предметы труда составляют средства производства. Но сами средства производства никаких материальных благ произвести не могут. Поэтому решающим фактором всякого производства, трудовой организации является сам человек, его рабочая сила.
Средства труда, предметы труда и люди в трудовой организации находятся в постоянном взаимодействии. Элементы физической трудовой среды подвержены постоянным изменениям. Эти изменения лроисходят быстрее среди элементов физической трудовой среды, являющихся продуктом человеческого труда, и порождают целый ряд социальных последствий. Изменение материальных элементов физичкой трудовой среды, составляющих часть природы, происходит медленнее и до определенного момента с меньшим числом социальныx последствий. Положение человека в трудовой среде различно и зависит от того, преобладают ли в физической трудовой среде материальные факторы, являющиеся частью природы, или материальные факторы, являющиеся продуктом человеческого труда.
Отношения, в которые вступают люди в процессе трудовой деятельности, образуют социальную трудовую среду. С социологической точки зрения труд в первую очередь представляет собой отношение, возникающее между конкретными людьми - участниками процесса труда. В ходе трудовой деятельности люди вступают в общественные отношения, и в рамках этих отношений формируются межличностные отношения, взаимное поведение индивидов. Характер межличностных отношений в трудовой среде определяется социальным статусом и ролью индивида в трудовой организации и оказывает существенное влияние на поведение человека в трудовой среде и достижение эффекта трудовой деятельности.
Наряду с вышеуказанными факторами трудовой среды на поведение работников и эффективность трудовой деятельности существенно влияют: формы организации и оплаты труда, производственно-бытовые условия, жизненное окружение работников, внепроизводст-венная деятельность людей и т д.
Наличие большого количества факторов и разнообразие выполняемых работником трудовых функций свидетельствуют о социальной неоднородности труда. В этой связи актуальным становится изучение социальной структуры трудовой организации.
10.3. Социальная структура трудовой
организации
Сандальная структура трудовой организации - это ее строение, которое определяется составом и сочетанием в ней различных социальных групп. Под социальной группой понимают обычно совокупность работников, обладающих каким-либо общим, объединяющим их социальным признаком, свойством, например, уровнем образования, профессией, стажем работы и тд.
Социальная структура трудовой организации - это важный параметр, влияющий на эффективность деятельности предприятия. Благоприятная социальная структура способствует развитию трудовой активности, творческой инициативы, высокой дисциплины труда и pосту его эффективности. Неблагоприятная - затрудняет эффективное решение производственных задач.
В зависимости от наличия тех или иных социальных групп обра^ зуются различные социальные срезы трудовой организации. В это связи выделяют следующие разновидности социальной структуры: функционально-производственная, национальная, профессионально-квалификационная, демографическая, социально-психологическая и др.
Функционально-производственная структура складывается из функций, выполняемых работниками, и их функциональных групп: служащих, рабочих, младшего обслуживающего персонала, учеников, военизированной и пожарной охраны итд. Эти функциональные группы объединяются в производственные подразделения, имеющие иерархию и подчиняющиеся определенным должностным лицам.
Национальная структура коллектива еще сравнительно недавно имела второстепенное значение. Однако с распадом СССР, ростом сепаратизма и национального самосознания национальный состав трудовой организации становится заметным фактором стабильности или, наоборот, повышенной напряженности.
Профессионально-квалификационная структура образуется работниками разных профессиональных групп, подразделяемых по уровню квалификации, образованию, производственному стажу.
Демографическая структура трудовой организации (коллектива) определяется его составом по возрасту, полу. Социологические исследования подтверждают, что однополый коллектив менее эффективен, чем разнополый. Большое значение имеет также "сочетание "возрастных групп. Преобладание людей старшего возраста характеризуется высокой трудовой и производственной дисциплиной, но при этом возрастают элементы консерватизма к новациям, повышается уровень потерь рабочего времени из-за роста заболеваний работников и т.д. Преобладание молодежи также отличается специфическими проявлениями: повышенной текучестью кадров, более быстрой реакцией на нововведения и др.
Социально-психологические группы формируются по общности интересов, ценностных ориентации, увлечений. В их состав могут входить работники разных целевых групп.
Совокупность указанных, а также других социальных групп формирует в трудовой организации определенный морально-психологический климат, особенности отношения к труду, состояние сплоченности или разобщенности, большей или меньшей заинтересованности в достижении общих целей производства и тд.
В задачи социологов на предприятии входит изучение социальной структуры организации, ее изменений, выявление позитивных и негативных тенденций в динамике социальных групп, разработка мер, направленных на оптимизацию социальных процессов через изменение социальной структуры.
10.4. Социальная организация, ее структура
Социальная организация (от позднелатинского organize - сообщаю стройный вид) - в широком смысле любая организация в обществе; в узком смысле - социальная подсистема. Социальная организация представляет собой систему социальных групп и отношений между ними. В ней взаимодействуют различные социальные группы, члены которых интегрированы интересами, целями, ценностями, нормами, базирующимися на основе совместной деятельности Социальная организация промышленного предприятия представляет собой систему социальных групп, выполняющих определенные производственные функции, которые способствуют достижению общей цели или целеу. Это обычно работники (организационно оформленная общность людей), объединяющиеся для создания или производства определенной продукции с помощью материальных средств и предметов труда.
Социальная организация обычно характеризуется следующими основными признаками:
• наличие единой цели (производство продукции или оказание услуг);
• существование системы власти, управления, которые подразумевают подчинение работников руководству в процессе трудовой деятельности;
• распределение функций (полномочий и обязанностей) между группами работников, находящихся во взаимодействии друг с другом.
Социальная организация относится к наиболее сложному типу организационных систем, поскольку в ее природе заложена известная Двойственность: во-первых, она создается для решения определенных задач и, во-вторых, выступает социальной средой общения и предметной деятельности людей. На заранее созданную социальную организацию накладывается целая система межличностных отношений.
Перед трудовой социальной организацией, как правило, ставится две задачи: повышение экономической эффективности производства и качества выпускаемой продукции и труда, а также социальное развитие коллектива или работника как личности. На основании этих задач в трудовой организации можно выделить два типа структур социальной организации: производственную и непроизводственную.
Производственный тип структуры формируется в зависимости от производственных факторов деятельности людей и включает такие компоненты общей структуры, как: функциональную (содержание труда); профессиональную (подготовка и переподготовка кадров); социально-психологическую (межличностные отношения) и управленческую (система управления). Качественными признаками функционирования этого типа структуры выступают потребности и интересы, требования работника к труду и в первую очередь к содержанию и условиям труда, к условиям своего профессионального роста, к организации труда. Специфическую область явлений, связанных с производственной структурой, составляет система мероприятий по развитию мотивации производственной активности (моральное и материальное стимулирование и т.д.).

Рис. 10.1. Структура социальной организации трудовою коллектива
Непроизводственный тип структуры возникает, когда члены трудовой организации (коллектива) участвуют в различных видах внепроизводственной деятельности, заполняющей внерабочее и свободное от работы время работников. К непроизводственной структуре можно отнести значительную часть деятельности общественных, культурных, спортивных и других организаций.
Общая структура социальной организации промышленного предприятия возникает и развивается как в рабочее, так и в свободное от работы время. Эти социальные организации взаимосвязаны между собой и дополняют друг друга (рис. 10.1).
В социальную структуру трудовой организации (коллектива) входят социальные процессы и явления, знание которых также крайне необходимо.
10.5. Основные социальные процессы и
явления в трудовой организации
В трудовой организации как целостной системе происходят непрерывное движение всех ее структурных элементов, их воспроизводство и более или менее значительные изменения. Эти изменения представляют собой совокупность однонаправленных и повторяющихся социальных действий, которые можно выделить из множества других.
Под социальным процессом в трудовой организации понимается последовательная смена социальной организации в целом или отдельных ее структурных элементов. Эта смена может быть прогрессивной, когда она отвечает требованиям общественного прогресса и направлена на реализацию прогрессивных целей, регрессивной, когда идет разрушение имеющихся структур и не предлагается ничего нового взамен, и изменения в рамках сохранения исходного состояния. Все эти процессы можно сгруппировать и классифицировать в трудовой организации в три основные группы.
1 группа - процессы формирования и развития организации как целостной социальной общности. Они включают в себя:
прогнозирование потребности в кадрах. Трудовая организация может функционировать эффективно лишь при количественном и качественном соответствии ее подсистем друг другу и целям организации. В условиях рынка, научно-технического прогресса и конкуренции необходимо предусматривать и проводить подготовку и переподготовку кадров в соответствии с последними техническими и технологическими изменениями. Целесообразно прогнозировать и естественное движение кадров (выход на пенсию, служба в армии и т.д.), принимать меры для их профессиональной подготовки и своевременного восполнения потребностей организации в них;
подбор и расстановка кадров. Предусматривает профессиональную ориентацию молодежи в соответствии с потребностями трудовой организации; профессиональный отбор, когда трудовая организация направляет на профессиональную учебу своих работников с учетом их индивидуальных особенностей и склонностей;
подбор для работы в трудовой организации людей, которые могут быть использованы на предприятии (организации) с наибольшей эффективностью как для производства, так и для самого работника;
адаптацию работников, когда в организации создаются все необходимые условия для сокращения срока вживаемости новых работников в коллектив; расстановку кадров, когда при предоставлении работы учитываются способности и склонности индивида; высвобождение и переподготовку кадров, когда не справляющиеся со своей работой работники или переучиваются, или освобождаются;
стабилизация коллектива, социальной организации. В данном случае постоянно изучаются и анализируются причины миграции (увольнения) работников из трудовой организации. Если количество увольняемых превышает 7-8%, то необходимо принимать меры по устранению причин увольнения. Причины необходимо рассматривать всесторонне. Они могут быть внешние и внутренние, объективные и субъективные.
2 группа - процессы изменения условий и качества труда и жизни членов коллектива. Сюда входят:
условия использования трудового потенциала. Все работники трудовой организации должны использоваться в процессе труда с наибольшей эффективностью (с учетом специальности, профессии, образования и способностей);
условия удовлетворения первичных жизненных потребностей. Необходимо повышать материальную заинтересованность всех категорий работников с помощью обоснованной дифференцированной оплаты труда, а уровень оплаты труда поставить в прямую зависимость от трудового вклада работника. При этом ни в коем случае не допускать уравниловки и снять все ограничения с заработка;
условия труда, развитие социально, производственной инфраструктуры. Прежде всего это создание необходимых санитарно-гигиенических условий труда, комфортности. В систему факторов, определяющих комфортность труда, входят: социально-психологические условия; организационно-технические (уровень механизации и автоматизации производственных процессов, организация и оперативность управления, компетентность и т.д.), психофизиологические; эстетические (особенности формирования эмоций, удобство рабочего места и т.д.);
условия быта, развитие социально-бытовой инфраструктуры. Трудовым организациям необходимо принимать участие или самостоятельно решать проблему по развитию социально-бытовой инфраструктуры с учетом перспективных норм, комфорта и благоустроенности;
условия удовлетворения духовных потребностей. Трудовой организации, ее руководителям не должно быть безразлично, как ее сотрудники проводят свое свободное от работы время. Необходимо, чтобы отдых был активным и способствовал восстановлению (рекреации) физических и духовных сил человека;
условия удовлетворения трудовых и гражданских прав. Безусловно, трудовые и гражданские права работников должны соблюдаться. По этому вопросу администрация трудовой организации должна работать в контакте с профсоюзом;
условия участия трудящихся в управлении делами коллектива (организации). В условиях расширения производственной самостоятельности необходимо активно внедрять “партисипативные методы управления”, когда наемному работнику на всех уровнях делегируются дополнительные полномочия в управлении производством, участии в собственности, распределении прибыли и т.д. Очевидно, что новая философия взаимоотношений внутри предприятий, фирм должна формироваться и в российской экономической среде.
3 группа - динамика формирования и развития социальных качеств людей. Данная группа включает:
изменения в системе потребностей и ценностных ориентациях работников. Рыночная система хозяйствования больше, чем командно-административная, ориентирована на учет потребностей и интересов людей. Поэтому одной из основных целей реформирования общества является переход от режима запретов к условиям, наиболее благоприятствующим раскрытию творческих начал людей, на максимум свободы в экономической деятельности. Следовательно, ориентация на социальные интересы людей, их потребности - постоянный, возобновляемый источник экономического развития;
динамика состояния дисциплины и правопорядка в трудовой организации. В целях эффективного регулирования проблем трудовой дисциплины и правопорядка в трудовой организации должны изучаться и регулироваться следующие вопросы: состояние трудовой дисциплины и тенденции ее изменения; состав нарушителей трудовой дисциплины и их причины (по категориям работников, социальным и демографическим группам); влияние условий и организации труда, бытовых условий на состояние трудовой дисциплины;
существующая практика морального и материального воздействия на нарушителей трудовой дисциплины, ее эффективность и т.д.;
изменения в уровне и направленности трудовой, социальной и других видах активности. Уровень и направленность всех видов активности необходимо периодически изучать и вносить коррективы в различные формы ее стимулирования. У каждого вида активности есть свои показатели (критерии), которые можно измерить с помощью социологических исследований;
изменения в образовательной подготовке и культурном уровне развития работников. Необходимо постоянно измерять средний уровень образования работников трудовой организации и принимать меры по его повышению. Чем выше образовательный и культурный уровень работника, тем выше эффективность и качество его труда. Поэтому в трудовых организациях должна существовать система непрерывного Развития образовательного и культурного уровня работников;
Динамика формирования и готовности работников к инновационной деятельности:
В условиях рынка и жесткой конкуренции работники должны быть предрасположены к инновационной деятельности, научиться искать и находить новые пути улучшения производственной деятельности ^и наименьших затратах труда, сырья, материалов и тд.
Рассмотренные три группы процессов взаимосвязаны и взаимообусловлены. Выделение их в группы является чисто условным, но такое абстрагирование предоставляет возможность операционализи-ровать и измерить каждый процесс в отдельности с помощью социологических методов исследования.
Американскими социологами Р. Парку и Э. Берджесу была разработана классификация социальных процессов, которая относится и к трудовой организации. Среди них: кооперация, конкуренция, приспособление, конфликт, ассимиляция, амальгамизация. К ним обычно добавляются социальные процессы, происходящие только в группах. Это поддержание границ и систематические связи.
10.6. Специфика исследований проблем
трудовой организации в условиях рынка
Специфика исследований состоит в использовании специальных социологических и социально-психологических методов, которые взаимно дополняют друг друга и несут большое количество новой информации. Социологическое исследование включает пять взаимосвязанных этапов:
• подготовка исследования;
• сбор первичной информации, необобщенных сведений, подлежащих дальнейшей обработке;
• подготовка собранной информации к обработке и ее обработка;
• анализ обработанной информации;
• написание по результатам исследования отчета с выводами и рекомендациями.
На первом этапе исследования составляются программа или проект исследования, устанавливается выборка (единица наблюдения), определяются методы сбора информации, проводится пробное (пилотажное) исследование. Программа исследования содержит общий контур исследования. В ней формулируются проблема, объект и предмет исследования, цели, задачи и гипотезы исследования, определяется его новизна, осуществляется операционализация понятий (когда теоретические характеристики и понятия каких-либо процессов и явлений переводятся на эмпирический уровень, могут быть измерены), разрабатывается рабочий план исследования с установлением сроков, исполнителей, материальной базы.
Для сбора информации используют: анализ документов, опрос, эксперимент. Вот лишь некоторые проблемы, требующие исследования в условиях рыночной системы хозяйствования:
• проблемы, связанные с условием и содержанием труда;
• материальное положение работников и их социальная защита;
• перспективы развития трудовой организации в условиях разнообразия форм собственности, проблемы его выживания;
• трудовое поведение, факторы и условия, на него влияющие;
• проблемы, связанные с удовлетворенностью трудом, его мотивацией;
• отношение к труду и трудовая адаптация;
• трудовой конфликт, причины, пути разрешения и т.д. В настоящее время проблемы собственности и приватизации становятся крайне актуальными. Поэтому всегда необходим анализ не только их экономических, но и социальных аспектов. Рассматривая собственность с точки зрения социологии, мы видим, что она является объектом внимания людей, играет очевидную или скрытую роль в их жизни, трудовой и экономической деятельности, к ней стремятся, т.е. собственности свойственны социальные аспекты. В качестве наиболее универсальных можно назвать следующие:
• условия достижения, поддержания и реализации власти, господства над людьми, подчинения конкретных индивидов, групп, субъектов;
• способ максимального богатства, самого привлекательного и легкого вида дохода, получения перспективной прибыли, а не текущей заработной платы;
• социальный престиж, условия вхождения в класс собственников, более привлекательный, нежели класс наемных работников;
• фактор свободы и самостоятельности, реализации предпринимательской психологии;
• возможность принятия управленческих решений;
• механизм защиты в трудовых отношениях, гарантии рабочего места, контроля заработной платы, условий труда и реализации его продукта и т.д.
Понимание социального значения собственности еще не дает полного ответа на вопрос о том, почему люди ведут себя определенным образом в конкретных ситуациях урегулирования отношений собственности, согласования и споров по поводу прав владения и распоряжения. Существует немало причин этого поведения. Попробуем сформулировать лишь некоторые из них.
Прежде всего люди различаются в своих потребностях и интересах, поэтому в разной степени нуждаются в собственности как средстве их реализации. Если одни стремятся быть собственниками во что бы то ни стало, то другим собственность безразлична, они не связывают с ней собственное благополучие вообще или не считают ее необходимой в каком-то частном случае.
Большое количество людей относится к государственной собственности как к наилучшему социально-экономическому устройству или, наоборот, рассматривает частную собственность как естественный образ жизни и способ решения всех проблем. Даже среди реальных собственников мы найдем противников приватизации, а среди несобственников - ее “бескорыстных” сторонников. Целые слои населения относятся к приватизации как к очередной политической кампании, либо “большой политике”, в которую не следует вмешиваться и которая скоро пройдет. Поэтому они занимают либо пассивно-безразличную позицию, либо активно-критическую. Ведь собственность в случае приватизации - это не только блага и прибыль, но и ответственность. Все люди в разной степени способны к ответственности и это необходимо учитывать при изучении данного вопроса.
В отношении к собственности и приватизации наглядно проявляются социально-психологические факторы подражания. С одной стороны, естественны быстрые действия из-за боязни отстать от других, оказаться последним, упустить момент для занятия достойной позиции в новых условиях труда и хозяйствования; с другой - осторожность, вытекающая из стремления не выполнять рискованную роль лидера, а следовать уже реальным примерам благополучной реформы. При исследовании трудовой организации необходимо учитывать как разнообразие форм собственности, так и процент собственников (процент собственности у администрации; специалистов в области инженерного и экономического труда; работников, выполняющих квалифицированные функции, рабочих, предпринимателей, иностранных лиц и компаний и т.д.), так как это сказывается на социальных процессах и внутренних взаимоотношениях работников в трудвой организации.
Анализ изменения форм собственности позволит изучить, как меняется менталитет отдельных работников, целых социальных групп, их трудовое поведение. Например, исчезают конфликты и забастовки, поскольку в сознании людей повышается цена рабочего времени, ослабевает необходимость строгого административного контроля за трудом, люди начинают освобождаться от иждивенческих отношений, ожиданий дотаций и т.д. Даже рабочие в случае изменения собственности начинают более критически и принципиально относиться к штату и персоналу, структуре и эффективности рабочих мест. Изменение трудового поведения можно заметить и на обыденном уровне. Сами работники начинают оценивать частные организации и предприятия более высоко, чем государственные, и судят об этом по заработной плате, качеству товаров, стилю взаимоотношений с клиентами, ответственности и переживанию работников за авторитет предприятия.
Однако есть факты, показывающие, что изменение собственности не влияет на менталитет работника. Когда предприятие продолжает работать “по старинке”, низок уровень оплаты труда, нет ожидаемого всплеска трудовой активности работников, сказывается фактор социальной инерции и тд. И это тоже необходимо изучать.
В новых условиях хозяйствования должно изучаться и отношение работников к личному, чужому, общему. Людям свойственна сложная психология в этом вопросе. Если одни воспринимают чужое и общее как личное, то другие - личное как чужое и общее. Это может проявляться в отношении к собственности на средства производства в трудовых организациях и во влиянии этого отношения на трудовое поведение. Нельзя упускать из виду и процесс криминализации собственности, так как эти проблемы беспокоят разные слои населения.
Резюме
Подводя итоги анализа роли и значения трудовой организации в Развитии общества, необходимо подчеркнуть следующие моменты.
1. Существуют разные подходы к определению и изучению трудовой организации, трудового коллектива. Мы считаем, что в условиях рыночной экономики необходимо очень осторожно относиться к понятию “трудовой коллектив” и шире использовать понятие “трудовая организация”.
2. Изучение трудовой организации, ее социальной структуры имеет фундаментальной значение, так как необходимо обеспечить эффективную работу трудовой организации как важного и необходимого условия вывода страны из затянувшегося кризиса.
3. Учитывая, что трудовая организация объединяет людей для совместной деятельности и возрастает значение человеческого фактора в повышении эффективности производства, в главе подробно анализируются социальная организация, основные социальные процессы и явления, которые протекают в ней. Данный подход позволяет более плодотворно подойти к поиску резервов в повышении эффективности и качества труда.
Вопросы для контроля и обсуждения
1. Дайте характеристику понятий “трудовой коллектив”, “трудовая организация”. Что у них общего и какие различия?
2. По каким основаниям можно различать трудовые организации?
3. Дайте характеристику понятия “трудовая среда”.
4. Определите, что понимается под социальной структурой трудовой организации.
5. Перечислите разновидности социальных структур трудовой организации.
6. Охарактеризуйте такое понятие, как “социальная организация”.
7. Перечислите основные признаки социальной организации.
8. Раскройте содержание структуры социальной организации.
9. Что понимается под социальным процессом?
10. Какие бывают социальные процессы в трудовой организации?
11. Раскройте содержание первой группы социальных процессов.
12. Дайте характеристику второй группы социальных процессов.
13. Расскажите о третьей группе социальных процессов в трудовой организации.
14. В чем специфика исследования проблем трудовой организации
социологическими методами?
15. Перечислите некоторые исследовательские направления актуальных проблем трудовой организации в условиях рынка.
Глава 11
ПРОВЕДЕНИЕ КОНКРЕТНЫХ
СОЦИОЛОГИЧЕСКИХ ИССЛЕДОВАНИЙ
В СФЕРЕ ТРУДА
11.1. Сущность, цели и задачи
социологических исследований в
сфере труда
Социология труда является частью науки социология, одной из сфер ее исследования. Социология (от лат. societas - общество и греч. logos - слово, учение) - наука об обществе, рассматривающая его как систему социальных общностей, групп, устанавливающая закономерности их развития, происходящих внутри них процессов и отношений. В свою очередь, социология труда изучает структуру и механизм социально-трудовых отношений, а также социальные процессы в сфере труда.
Социально-трудовые отношения - отношения между социальными группами (общностями) и отдельными индивидами в процессе трудовой деятельности. Взаимодействие - универсальное свойство общностей и явлений. Если оно базируется на общности целей и интересов, то принимает форму сотрудничества, при различии, противоречии в интересах превращается в конфликтные взаимоотношения, соперничество. Любая организация, предприятие состоит из людей. Они являются центральным фактором любой модели управления и, нередко, наиболее уязвимым ее звеном. Именно люди принимают верные или ошибочные решения, выпускают высококачественную продукцию или “гонят брак”, действуют на благо фирмы или в ущерб ее интересам.
Достаточно долго преобладал так называемый “технократический” подход к работнику. До конца XIX в., т.е. до начала промышленной Революции, увеличение трудовой отдачи от работника достигалось в основном за счет увеличения рабочего времени и численности занятых. Иными словами, человеческие возможности использовались в основном экстенсивным образом. Развитие машинного производства потребовало большей регламентации действий работника, обеспечения соответствия деятельности человека и машины.
Первым начал исследования в этой области американский инженер Ф.У. Тейлор в 90-х годах XIX в. на предприятиях компании “Мидвейл Стилл”. Внедренная им жесткая система регламентации труда, определяющая способ выполнения, последовательность, темп трудовых действий, порядок чередования труда и отдыха, устанавливающая прямую связь оплаты труда с выполнением напряженных заданий, привела к резкому росту интенсивности и производительности труда. С появлением конвейерных и поточных производств регламентация трудовой деятельности усилилась. Это стало началом эры “физического работника”, модели рабочего места с “малой свободой действий”. Человек совершенствовался как физическая система, как механизм - отсюда и появившееся название “технократический подход”. Все определяла техника - человек должен был адаптироваться к ней, добиваясь максимального соответствия технической системе. Следовательно, идеальным работником являлся тот, кто точно и беспрекословно выполнял поставленные задачи установленным способом. Более того, работник рассматривался как существо исключительно рациональное, ориентированное на увеличение вознаграждения и стремящееся избежать наказания в виде штрафа, понижения в должности или увольнения. Роль эмоций, взаимоотношений, ожиданий и социальных ценностей работников во внимание не принималась.
Как ни парадоксально, но тот же научно-технический прогресс, который породил “технократический подход” к кадрам, явился и основой принципиально новых позиций. Усложнение и совершенствование техники, систем управления предприятиями и организациями, необходимость снятия социальных противоречий в сфере труда, препятствующих эффективной совместной деятельности управленческого звена и рядовых исполнителей, потребовали нового работника - высококвалифицированного, умеющего принять самостоятельное решение (порой в нестандартной ситуации), хорошо понимающего смысл своей деятельности, способного к развитию и самообучению, заинтересованного в достижении стоящих перед организацией целей. При решении этой задачи необходимо учитывать потребности работников (не только физиологические, но и социальные - в хороших взаимоотношениях, статусе в коллективе, информации, престиже деятельности, реализации своих способностей и т.п.), особенности их индивидуальных ожиданий от результатов деятельности, ценностных установок. Проведенный Элтоном Мэйо в 1929 г. на заводе “Вестерн-Электрик” в г. Хотторн эксперимент над бригадой работниц, длившийся пять лет, показал влияние социально-психологических факторов (взаимоотношения в группе, информированность, удовлетворение трудом) на результаты совместной деятельности. Результатом стала книга “Учение о человеческих отношениях”, заложившая основы широкоизвестной сегодня “теории человеческих отношений”.
Пристальное внимание к роли взаимоотношений в малой (контактной) группе продолжилось в 30-е годы. К. Левин и Дж. Морено разработали методику количественного их анализа (“социомет-рию”). В 50-е годы встал вопрос о приобщении работников к участию в принятии управленческих решений (управление через соучастие). Д. Макгрегор создал теорию нового стиля руководства. 60-70 годы обогатились теорией гуманизации трупа, в основу которой легли разработки Ф.Херцберга о факторах, обеспечивающих привлекательность трудовой деятельности и удовлетворенность трудом.
На сегодняшний день понимание роли социальных процессов и отношений в сфере труда как важнейшего фактора повышения его эффективности стало аксиомой. Более того, социологи и психологи разрабатывают такие проблемы, как роль иррациональных побуждений в трудовой мотивации, значение игровых моментов в работе, специфика трудовых установок, совместной деятельности, обусловленная этническими и историческими особенностями людей и проч.
Всю совокупность социально-трудовых отношений можно подразделить по нескольким признакам.
1.В зависимости от их содержания можно выделить: производственно-функциональные, обусловленные спецификой разделения и кооперации труда; социально-психологические, связанные с симпатиями и антипатиями, общностью или различием интересов, ценностей, возраста, взглядов и т.п.; общественно-организационные, обусловленные функционированием обществен-Hbix организаций на предприятии и принадлежностью к ним.
2. В зависимости от субъектов, вступающих в отношения, можно выделить - межорганизационные (коллектив - Коллектив) и внутриорганизационные (коллектив-личность, личность-личность).
3. В зависимости от наличия или отсутствия отношений подчиненности выделяют горизонтальные (субъекты отношений равны по статусу, отношения подчиненности отсутствуют) и вертикальные отношения (субъекты отношений связаны подчинением в рамках служебной иерархии).
4. По степени регламентированности различают формальные, официально оформленные какими-либо документами (должностная инструкция, Положение о подразделении, карта технологического процесса и т.п.) отношения и неформальные, складывающиеся самопроизвольно (традиции, “неписаные правила”, взаимные симпатии).
5. По способу поддержания отношения могут быть непосредственными, “контактными” (лицом к лицу) и безличными, опосредованными передачей информации, предметом труда, взаимосвязью целей и задач.
Социальные процессы в сфере труда - это процессы формирования, функционирования, развития (или деградации) социальных групп и отдельных работников. Среди них можно выделить следующие.
1. В качестве базового социального процесса социологи рассматривают сам процесс труда. Действительно, значительную часть своей жизни человек проводит на работе. Здесь он сталкивается со всем многообразием социально-трудовых отношений. Трудовая деятельность во многом определяет статус человека в организации и обществе, его материальный достаток, уровень развития его способностей, а значит, и его запросы, интересы, отношение к труду, даже способ проведения досуга, планы на будущее.
2. Социально-интегративные процессы, - это процессы объединения людей в социальную группу, формирования чувства причастности, общности новых работников в организации.
3. Ценностно-ориентационные - это процессы формирования позитивной трудовой мотивации работников, их заинтересованности в достижении целей совместной деятельности.
4. Изменяюще-поддерживающие процессы - связаны с различными видами трудовых перемещений работников: движением между рабочими местами, сменой места работы, профессионально-квалификационными изменениями, развитием трудовой карьеры.
Итак, можно сделать вывод, что предметом социологии труда являются социально-трудовые отношения и социальные процессы в сфере труда. Основная цель проводимых исследований - повышение эффективности трудовой деятельности при обеспечении развития работников, удовлетворении их потребностей, формировании позитивных внутриколлективных отношений.
Задачи, решаемые в ходе социологических исследований, сложны и разнообразны, как сложны социальная структура предприятия, протекающие в ней социальные процессы. Во многом они будут определяться спецификой, содержанием и условиями деятельности. Однако можно выделить ряд наиболее общих задач.
1. Совершенствование системы управления организацией, повышение обоснованности принятия управленческих решений - изучение социальных процессов, влияющих на эффективность управления (разграничение управленческих функций, рациональность иерархической системы, стиль и методы руководства, степень участии рядовых исполнителей в принятии решений, определение пределов компетенции и ответственности и т.п.).
2. Повышение уровня стабильности трудового коллектива, внутри-коллективной сплоченности, формирование единой трудовой морали фирмы на основе изучения факторов и масштабов сотрудничества и конфликтов, формальных и неформальных взаимосвязей, проблем лидерства, уяснения причин избыточной текучести кадров.
3. Развитие системы адаптации новых работников на предприятии, а также работников к инновациям на основе исследования механизма формирования “кадрового ядра”, факторов, определяющих сроки и успешность адаптации, оценки социальных последствий технических и организационных новшеств, совершенствования системы подбора и расстановки кадров.
4. Повышение трудовой активности работников на основе анализа процессов формирования трудовой мотивации, факторов, ее определяющих, оценки действенности существующих и рекомендаций по разработке новых систем стимулирования.
5. Изучение содержания, условий труда и разработка мер по их совершенствованию, гуманизации трудовой деятельности. Выявление фактоpoв, способствующих повышению удовлетворенности трудом, разработка рекомендаций по планированию трудовой карьеры.
6. Повышение качества трудовой жизни, в том числе за счет лучшего Удовлетворения потребностей работников, развития социально-бытовой сферы в организации. Разработка социальных программ, пpoгpaмм социальной поддержки работников, планов социального Развития организации.
Многие из указанных задач актуальны для современной России. В период становления рыночных отношений важнейшими являются вопросы формирования новой трудовой мотивации, защиты трудовых прав работников, согласования экономических интересов “работодатель - наемный работник”, обеспечения нормальных условий и охраны труда, должного уровня социальных гарантий, создания системы социального партнерства, не менее эффективной, чем в развитых странах с рыночной экономикой. В период “первоначального накопления капитала”, ломки старой и отсутствия новой системы управления трудом, считая, что вовремя выплаченная зарплата и дамоклов меч безработицы являются лучшим стимулом к труду, работодатели на довольно длительный период выпустили из поля зрения указанные проблемы. Однако сегодня все большее их число понимает: без учета социальных аспектов совместной деятельности, создания сплоченной, эффективно действующей команды единомышленников возможности предпринимателя существенно ограничены. На вооружение берутся западный опыт, методики, применявшиеся в Советском Союзе, современные отечественные разработки и прикладные исследования в сфере социологии труда в России обретают новую жизнь.
11.2. Разработка программы
социологического исследования
Социологическое исследование - это анализ социальных явлений и процессов при помощи специальных методов, что позволяет систематизировать факты о процессах, отношениях, взаимосвязях, зависимостях и делать обоснованные выводы и рекомендации.
Функции социологических исследований следующие.
Информационно-исследовательская направлена на создание постоянно обновляемой и дополняемой базы социальной информации.
Организационно-внедренческая заключается в разработке по результатам анализа методических рекомендаций, инструкций, мероприятий, предоставлении информации заинтересованным лицам.
Пропагандистская - распространение основ социологических знаний, особенно среди руководящего состава организации.
Методическая - разработка новых, изучение и использование имеющихся прогрессивным методов ведения социологических исследований.
Социологические исследования бывают следующих видов:
В зависимости от цели различают конкретные (эмпирические, прикладные) исследования, направленные на решение конкретных задач, имеющихся проблем в сфере трудовой деятельности, а также теоретические, цель которых - выявление общих социальных закономерностей, разработка методологии исследования, понятийного аппарата.
В зависимости от того, в статике или динамике изучается объект, выделяют разовые (анализирующие состояние на данный момент) и повторные (изучающие объект в развитии) исследования, которые, в свою очередь, подразделяются на когортные (изучается один и тот же объект, те же люди, группы - через определенные интервалы времени) и панельные - повторное исследование проводится на той же выборке (часть общей изучаемой совокупности), но конкретные лица и группы, попадающие в выборку, могут быть другими, нежели в предыдущих исследованиях.
Помимо этого выделяют так называемые пилотажные исследования, т.е. пробные, предназначенные для апробации инструментария (например, анкет, разработочных таблиц и т.п.).
Исследование может быть сплошным, когда изучается вся генеральная совокупность, т.е. весь объект исследования, все входящие в него единицы. Вместе с тем, если генеральная совокупность достаточно велика, может проводиться выборочное исследование, когда изучается лишь часть генеральной совокупности - “выборка”.
Социологическое исследование проводится в несколько этапов. Первый - подготовка к проведению исследования, включая составление его программы. Второй - сбор первичной социологической информации. Третий - подготовка собранной информации к обработке и ее обработка. Четвертый - анализ обработанной информации, составление выводов и предложений. Пятый - подготовка отчета о результатах исследования, практических рекомендаций.
Разработка программы социологического исследования - очень ответственный момент. Это документ, где определяются методология и методы исследования, требующая решения проблема, цель и задачи исследования, его объект и предмет, выдвигаются исходные гипотезы, уточняются используемые понятия, составляется организационно-технический план работ.
В ходе постановки проблемы прежде всего необходимо выявить проблемную ситуацию. Это может быть состояние неустойчивости обьекта (социальной группы), наличие в нем противоречий и конфликтов, несоответствие его параметров задачам дальнейшего развития, поиск более эффективных форм работы и взаимодействия и т.п. Затем формулируется проблема - обоснование необходимости разрешить проблемную ситуацию с помощью социологического исследования, выработать в ходе его конкретное управленческое решение.
В соответствии с проблемой определяется цель исследования - модель ожидаемого решения проблемы. Целью может быть: получение нового теоретического знания; разработка новой методики исследований; прогноз развития объекта исследования; программа действий по совершенствованию изучаемого объекта; практические рекомендации по отдельным управленческим решениям. Следует учитывать, что, поскольку социологические исследования требуют соответствующей квалификации и проводятся специалистами по заказу руководителей организаций, цель должна быть согласована с заказчиком.
Для достижения поставленной цели в ходе исследования должен быть решен ряд задач (средства достижения цели). Их необходимо четко сформулировать. Например: “изучить причины текучести кадров, в том числе по половозрастным, стажевым, профессионально-квалификационным группам работников”, “проанализировать тесноту связи между уровнем заработной платы и удовлетворенностью работников трудом” и т.п. Задачи могут быть основные, ориентированные на решение главной проблемы, и вспомогательные, затрагивающие отдельные побочные вопросы. При построении плана исследования задачи должны быть систематизированы по этапам его проведения.
Не менее важным является определение объекта и предмета исследования.
Объект исследования - носитель проблемной ситуации (социальная группа, совокупность людей). Он должен быть:
• четко обозначен (профессиональная, отраслевая, территориальная принадлежность; функциональная определенность - изучаются межличностные отношения на работе, производственные связи, досуг и т.п.);
• ограничен временными рамками (изучается в статике или в динамике, с каким временным интервалом);
• количественно определен (изучаются вся совокупность, выборка, каков процент и репрезентативность выборки);
• описан в системе факторов, влияющих на его состояние.
В рамках объекта выделяют единицы исследования (наблюдения) - элементы, в отношении которых ведется сбор информации. Такая группировка называется еще типологизацией объекта исследования. Она может проводиться по количественным признакам (возраст, стаж) и качественным (пол, профессия и пр.)
Следующим этапом является определение предмета исследования. Это те стороны объекта, его функционирования, которые нужно изучить, чтобы решить поставленные задачи, выполнить намеченную цель. Так, в качестве объекта исследования может выступать “коллектив цеха № 5”. Предметом исследования могут быть: взаимоотношения в коллективе, текучесть кадров, стиль и методы руководства и т.п. Предмет исследования может иметь сложную структуру, например: текучесть кадров (факторы, мотивы, причины, последствия, направления и т.п.)
Очень ответственный момент - выдвижение гипотез - научных предположений, задающих направление всему исследованию. Здесь окажет существенную помощь предварительный системный анализ объекта исследования, т.е. описание его в виде системы факторов, влияющих на его состояние. Это могут быть: внешние, исходящие из внешней среды, и внутренние, являющиеся частью самого объекта факторы; общие, присущие всем подобным объектам, и специфические, проявляющиеся лишь в некоторых из них; объективные, не зависящие от объекта, и субъективные, зависящие от его деятельности; прямые, чье действие проявляется непосредственно, и косвенные, действующие опосредованно, через изменения в действии других факторов.
При выдвижении гипотеза должна:
• соответствовать исходным методологическим принципам диалектического материализма и прикладной социологии;
• учитывать научные положения и выводы, достоверность которых подтверждена установленными фактами;
• быть доступна для проверки;
• не иметь внутренних противоречий.
Для целей научного исследования выделяют следующие виды гипотез.
1. В зависимости от отношения к целям Исследования: основные, указывающие на наиболее важные, сущнocтныe связи и зависимости; неосновные, характеризующие побочные связи и явления.
2. В зависимости от способа доказательства (проверки): гипотезы-основания, которые сами могут не иметь эмпирических, т.е. доказываемых с помощью опыта, признаков, а обосновываются выводимыми из них гипотезами; гипотезы-следствия используются для доказательства основных.
З.В зависимости от содержания предположения: описательные гипотезы, указывающие на связи, зависимости, но не дающие ответ на вопрос “почему?”; объяснительные гипотезы, формулирующие предположения о причинах тех или иных явлений, процессов, зависимостей; прогнозные гипотезы, в которых заложен возможный прогноз ситуации: “если увеличить заработную плату, текучесть квалифицированных рабочих снизится”.
4. В зависимости от обоснованности: первичные гипотезы (рабочие), выдвигаемые на начальном этапе исследования, при выявлении проблемной ситуации и определении проблемы; вторичные, формулируемые на основе проверки и уточнения первичных.
5. В зависимости от уровня анализа: теоретические гипотезы (формулируемые как совокупность теоретических понятий); статистические (формулируемые как система статистических показателей); эмпирические (формулируемые как система эмпирически выводимых, т.е. возможных к подтверждению опытным путем признаков, показателей, индексов).
Проверить достоверность выдвинутой гипотезы в ходе исследования можно, только если понятия, в которых она выражена, четко сформулированы, однозначно истолковываются и поддаются какому-либо количественному измерению. Для этого при разработке программы исследования применяются две основные процедуры - интерпретация и операционализация понятий.
Интерпретация понятий - уточнение, истолкование их смысла. Теоретическая интерпретация подразумевает, во-первых, выделение главных, опорных понятий. Во-вторых, в ходе интерпретации понятия раскрываются через понятия меньшей степени общности. В-третьих, устанавливаются взаимосвязи понятий между собой, проверяется их непротиворечивость.
Эмпирическая интерпретация - выделение основных признаков объекта, доступных измерению, установление показателей, которые могут быть количественно определены. Эти показатели называют “эмпирическими индикаторами”. Например, масштаб текучести, интенсивность текучести кадров и т.п.
Операционализация понятий (или операциональная интерпретация) - это установление порядка количественного измерения показателей: единиц счета, коэффициентов, индексов, шкал (коэффициент текучести кадров, индекс сплоченности группы).
В ходе подготовки к проведению исследования необходимо обеспечить его репрезентативность (достоверность получаемых данных и выводов, гарантию того, что выводы, сделанные на основе анализа части совокупности, отражают свойства совокупности в целом).
Величина репрезентативной выборки зависит от дисперсии - разброса признаков (например, по возрасту, стажу и т.п.). Если дисперсия равна нулю, достаточно проанализировать одну единицу, входящую в объект исследования - выводы будут достоверно характеризовать всю генеральную совокупность. Соответственно чем больше дисперсия признаков, тем больше должна быть выборка. Обычно считается, что репрезентативная выборка не может быть менее 10% генеральной совокупности.
При формировании выборки используется ряд методов вероятностного отбора. К простым относятся: простая случайная выборка - с помощью таблиц случайных чисел; систематический отбор - через интервал в перечне объектов генеральной совокупности; серийная выборка, когда единицами случайного отбора являются определенные “гнезда” - группы.
Среди сложных методов вероятностного отбора можно упомянуть: многоступенчатую выборку - случайный отбор проводится в несколько ступеней, при этом на каждой из них меняется единица отбора (цех-участок-бригада-работник); комбинированную выборку - на каждой ступени меняется не только единица, но и техника отбора; многофазовую выборку, когда на каждой ступени из большей выборки выделяют меньшую - до достижения необходимой величины; стратифицированную выборку - в генеральной совокупности выде-ляются однородные группы (“страты”), а в них осуществляется случайная выборка любым методом.
Помимо указанных существуют так называемые не строго случайные выборки, чей вероятностный характер снижен сознательно либо из-за применяемого метода отбора. К ним можно отнести: целенаправленную выборку, в которую включаются отобранные по установленным исследователями критериям типичные представители генеральной совокупности; квотную выборку - строится как модель, отражающая генеральную совокупность в пропорциях изучаемых признаков (например, 10% - женщины, 25% - с высшим образованием; 12% - занимаются тяжелым физическим трудом и т.п.); стихийную выборку (“первый встречный”).
Далее в ходе разработки программы исследования определяются методы сбора информации и инструментарий (таблицы, бланки, анкеты, наблюдательные листы, инструкции и проч.) Инструментарий должен быть апробирован на удобство использования и обработки данных, полноту и надежность получаемых сведений в ходе пилотажного исследования. Подробнее этот вопрос будет рассмотрен в следующем параграфе.
Необходимо разработать организационно-технический план исследования. В нем должны быть определены этапы и сроки проведения работ, исполнители, формы предоставления результатов на каждом из этапов, формы контроля за ведением работ, смета затрат и источники финансирования. Целесообразно составление “сетевого графика”, на котором условно обозначаются этапы, процедуры, операции исследования, устанавливаются временные взаимосвязи, возможности кооперации работников, параллельного выполнения отдельных работ.
11.3. Основные методы получения первичной
социологической информации
Любое исследование чаще всего начинается с анализа документов. Документ - это специально сделанный предмет, предназначенный для хранения информации. Документы фиксируют и отражают различные стороны жизнедеятельности практически всех социальных групп.
По форме фиксации информации можно выделить письменные, статистические, иконографические, фонетические документы.
К письменным относятся: государственные и центральные архивы, архивы организаций, учреждений, предприятий и документы временного хранения; пресса; личные документы; косвенная документация. Срок длительного хранения документов в организациях - 10 лет, затем они передаются в ведомственные архивы (25-30 лет хранения) и поступают в центральный архив. С помощью архивных материалов создается возможность изучить историю явления, эволюцию процесса, составить ретроспективный обзор.
Пресса является источником общей информации, дает представление об официальной трактовке событий, общественно-политическом фоне, на котором оно происходило.
Личные документы включают письма, автобиографии, мемуары, дневники и т.п. Из них можно извлечь сведения о неизвестных событиях, пристрастиях, мнениях и оценках автора. Однако следует учитывать возможное влияние настроения, памяти, наконец прямого вымысла пишущего на достоверность данных; нередки случаи фальсификации личных документов; зачастую осложнен доступ к ним. Поэтому чаще личные документы используются как вспомогательная информация.
Косвенные документы - это печатные издания, данные которых используются как дополнительный материал (справочники, каталоги, библиография и проч.)
Статистические данные являются эмпирической основной социологического исследования. Их достоинства - удобство сбора, обработки, анализа сведений, возможность сопоставления информации во времени. Но следует учитывать тот факт, что статистические данные могут существенно розниться в зависимости от методик расчета, что сделает их трудно сопоставимыми.
Иконографические документы - кино-, фото-, видеоматериалы, произведения изобразительного искусства. К фонетическим относятся материалы звукозаписи.
По степени оригинальности различают документы подлинные и копии. Предпочтение всегда отдается первым, подлинность копии должна быть обоснована и подтверждена.
По возможной форме использования в исследовании можно выделить: документы, позволяющие только восстановить события; документы, дающие возможность сделать выводы; документы, используемые как иллюстративный материал (для приведения примеров, ссылок, разбора прецедентов).
По отношению к самому исследованию Документы разделяются на независимые, существующие помимо него, и специальные - инструментарий исследования: анкеты, дневники, протоколы наблюдений и т.п.
Назначение анализа документов - извлечь необходимую информацию, оценить ее надежность, достоверность, значимость для целей Исследования, перевести информацию, содержащуюся в документе, на “язык” (в термины) исследования, зафиксировать ее в виде определенных признаков (категорий анализа), попытаться найти способ квантификации (количественного измерения) этих признаков, дать с ее помощью характеристику исследуемых процессов и явлений.
Существуют два основных метода анализа документов. Первый - традиционный (или “классический”). Его цель - осмысление и интерпретация содержащейся в документе информации.
В ходе традиционного анализа необходимо получить ответы на следующие вопросы: что это за документ; о чем он, кто его автор; с какой целью, на каком общественном фоне он создавался; какова его достоверность и надежность; каково его фактическое содержание; каково его оценочное содержание (мнения, убеждения, пристрастия автора исходя из содержания документа); какие выводы можно сделать относительно автора и содержания документа; достаточна ли информация, содержащаяся в нем, требуется ли привлечение дополнительных материалов.
В традиционном анализе различают внешний и внутренний анализ документов. Внешний - установление вида и формы, времени и места появления, инициатора создания и автора, цель создания, надежность и достоверность. Внутренний - исследование содержания документа и формулировка выводов.
Второй метод анализа документов - формализованный (или “контент-анализ”). Он применяется при наличии объемного и несистематизированного письменного материала. Его суть - выделить поддающиеся подсчету признаки документа, которые отражали бы существенные стороны его содержания. Он может использоваться, чтобы понять основную мысль автора, выяснить общественный резонанс событий или эффект воздействия сообщений, установить причины, породившие те или иные сообщения.
В ходе контент-анализа прежде всего выделяются основные смысловые единицы (категории и подкатегории анализа) (например: сокращение штатов, безработица, социальная справедливость и т.п.), чтобы исследователь мог отнести к ним анализируемую информацию, не путаясь и не испытывая чрезмерных затруднений. Далее определяют единицы анализа- слово, сочетание слов, абзац, глава и т.п. Затем устанавливают единицы счета - это может быть частота повторения, площадь текста (объем внимания, уделяемый проблеме).
При проведении контент-анализа пользуются кодификатором - документом, в котором сведены все выделенные категории, подкатегории и единицы анализа, и специальным бланком (протоколом), в котором фиксируются результаты анализа по категориям. При этом иногда допускается фиксация категорий анализа не строго в соответствии с установленной терминологией, а исходя из смысла анализируемой текстовой информации.
Еще один метод сбора первичной социологической информации - опрос, т.е. получение ответа на заранее подготовленные вопросы. Особенность этого метода - наличие непосредственного (интервью) или опосредованного (анкетирование) социально-психологического контакта между исследователем и опрашиваемым (респондентом); в качестве источника информации выступают суждения опрашиваемых; возможность получить сведения о мнениях, оценках, внутренних побуждениях людей. Разновидности опроса - анкетирование, интервью, экспертный опрос, социометрия. Рассмотрим сущность каждого из них.
1. Анкетирование - опрос с помощью специального документа - анкеты, содержащего вопросы, ответы на которые фиксируются респондентом письменно. Предваряет вопросы обращение, в котором кратко разъясняется цель анкетирования, содержится просьба искренне ответить на вопросы, при необходимости - гарантируется анонимность ответов. Формулировка цели должна быть понятна опрашиваемым и затрагивать их интересы. Немаловажно также начало обращения: для какой-то группы опрашиваемых подойдет “Уважаемый товарищ!”, для какой-то лучшее - “Дорогой друг!” и тд. В конце обращения иногда заранее выражают благодарность за сотрудничество, надежду на искренние и полные ответы на вопросы. Следует помнить, что если исследователь не присутствует при заполнении анкет, в обращении должен быть указан порядок заполнения (нужное подчеркнуть, ненужное зачеркнуть, проставить цифру, выбрать один, несколько ответов и т.п.).
Цель обращения - установить психологический контакт с респондентом, затронуть его интересы, внушить доверие, создать положительную мотивацию на полные и искренние ответы на вопросы, объяснить технику заполнения анкеты.
Различают прессовые (публикуемые в органах печати), почтовые (рассылаемые по почте с просьбой о возврате в определенные сроки) и Раздаточные (раздаваемые для заполнения и немедленного возвращения) анкеты. Недостаток анкетирования - неполный возврат анкет (92-98% раздаточных, порядка 30 почтовых и 5% прессовых). Поэтому, определяя размер выборки, следует делать поправку на процент возврата анкет, соответственно увеличивая выборку. Кроме того, недостатком является потеря контроля над течением хода опроса с момента раздачи или рассылки анкет исследователем.
Успех проведения анкетирования, достоверность получаемой информации во многом зависят от правильности формулировки и последовательности вопросов. Вопросы анкеты различаются в зависимости от их функций, содержания, конструкции, формы (рис. 11.1).

Рис. 11.1. Классификация “опросов анкет
Основные (содержательные) вопросы предлагаются для получения искомой информации. Функциональные вопросы используются для упорядочения течения опроса: психологические задаются для снятия напряженности и усталости респондента, переключения с темы на тему (чаще применяются в интервью); фильтрующие необходимы для определения компетентности опрашиваемого по данному вопросу; контрольные для проверки искренности ответов и представляют собой, как правило, основной вопрос, сформулированный несколько иначе, немного “замаскированный”.
Контрольных вопросов должно быть не менее двух, чтобы исследователь мог принять решение о том, когда респондент был искренен. Наличие контрольных вопросов делает анкету более обширной, более трудоемкой ее обработку, поэтому ставятся они к наиболее существенным основным вопросам, искренность ответов на которые может быть неполной в силу разных причин.
Открытые вопросы предоставляют формулировку ответа самому респонденту - он должен написать ответ. Здесь можно получить обширный спектр мнений, оценок, мотивов. Однако обработка данных по открытым вопросам очень трудоемка - надо разработать классификатор ответов, систематизировать их для дальнейшей обработки. Кроме того, открытые вопросы не подходят для анкет, где важна гарантия анонимности респондента - боясь, что кто-то узнает их по почерку, люди могут дать недостоверные ответы или уклониться от них.
Закрытые вопросы предлагают респонденту перечень возможных ответов - ему остается лишь выбрать один или несколько из них. Здесь возможны варианты непараметрического опроса, когда респондент может выбрать любое число ответов из предложенных, или параметрического, когда количество возможных выборов задается исследователем. Существует несколько разновидностей закрытых вопросов:
вопросы типа “да” - “нет”. Их недостаток - несбалансированность формулировки, “подталкивающая” к ответу. Кроме того, не на каждый вопрос можно ответить “да” или “нет”, а респондент лишен возможности неопределенного ответа типа “не знаю”, в результате мы получаем либо недостоверный ответ, либо уклонение от ответа;
альтернативные - вопросы с уравновешенной формулировкой (“Читаете Вы или не читаете заводскую газету “Пламя”? За исключением уравновешенности формулировки вопроса недостатки предыдущей конструкции здесь сохраняются); “вопросы - диалоги”, когда респонденту предлагается согласиться или нет с мнением одного из вымышленных собеседников (достоинство такой конструкции вопроса заключается в том, что порой человеку психологически легче присоединиться к мнению, совпадающему с собственным, чем высказать его самостоятельно); шкальные вопросы (с их помощью отмечают интенсивность того или иного явления, выбирая один ответ из нескольких;
“вопросы-меню” предлагают респонденту выбрать один или несколько ответов из ряда предлагаемых вариантов.
Полузакрытые вопросы включают либо неопределенные альтернативы ответов типа “не помню”, “не знаю”, “не задумывался”, “затрудняюсь ответить”, либо предлагают возможность, помимо имеющихся вариантов ответов, написать свой.
Прямые вопросы затрагивают реальные явления, ситуации. Про-жективные - подразумевают условную, возможную ситуацию: “Что бы Вы сделали, если бы...?” Косвенные формулируются таким образом, чтобы их формулировка несколько скрывала подлинный смысл необходимой исследователю информации.
Для успешного проведения анкетирования должны соблюдаться определенные требования к разработке анкет. Прежде всего, если информация может быть получена другим методом, опрос проводить не нужно. Сегодня этим правилом нередко пренебрегают. Анкета не должна быть громоздкой в ней следует помещать лишь самое необходимое количество вопросов, не слишком длинных, простых в формулировке, точных, удобных для восприятия. Они должны вызывать положительную реакцию, желание ответить. Вопрос должен быть строго однозначен, не содержать слов с двойным значением, малораспространенных и специальных терминов. Очень важно избегать формулировок, предопределяющих ответ, “наводящих” вопросов. Надо учитывать, что, если содержательные вопросы идут в логической последовательности, это само по себе вызывает определенную установку у респондента и может снизить достоверность ответа. Поэтому лучше избегать такой логической последовательности, перемежать содержательные вопросы контрольными, фильтрующими и т.п. Не следует включать в вопрос эмоционально нагруженные слова (“превосходный”, “никуда не годный”, “головотяпство”), способные повлиять на ответ.
Важно тщательно подготовить альтернативы ответов. Обычно не рекомендуется ставить предлагаемые альтернативы в порядке значимости или в логической последовательности, число ответов “за” и “против”, позитивных и негативных должно быть уравновешено. В закрытых вопросах набор альтернатив должен полностью исчерпывать их содержание, если это под сомнением, лучше использовать полузакрытые.
2. Интервью - это акт непосредственного общения респондента и опрашивающего (интервьюера). В связи с этим очень важна личность последнего, его профессионализм, манера общения, умение войти в контакт, задавать вопросы и слушать собеседника, не навязывать собственное мнение, удерживать беседу в заданных тематических и временных рамках. Имеет значение и внешний вид, интервьюера, тембр и громкость голоса, темп речи, в некоторых случаях - даже возраст и пол.
По способу коммуникации различают телефонное и личное интервью, по способу ведения - стандартизированное (по жесткому предварительному плану, включающему формулировку и последовательность вопросов) и свободное, когда заранее определены лишь общая схема и тематика беседы. По количеству интервьюеров - “один на один” и “групповое”. Все виды интервью имеют достоинства и недостатки. При телефонном опросе респондент может быть более раскован и даже более искренен в ответах, однако интервьюер лишается возможности наблюдать его реакции. Личное позволяет дополнить метод интервью методом наблюдения - поза, мимика респондента может многое сказать опытному исследователю. Стандартизированное интервью упрощает обработку данных опроса, но может оставить в стороне важные дополнительные сведения и оценки. Свободное интервью дает возможность собрать обширную информацию, но требует высочайшей квалификации интервьюера и намного сложнее в обработке. При интервью “один на один” респондент чувствует себя более свободно, легче упорядочить течение опроса, однако не исключена субъективность оценок опрашивающего. При групповом - элемент субъективизма снижается, но психологическая нагрузка на респондента выше.
Как и в случае анкетирования, достоверность получаемой информации определяется соблюдением определенных требований при проведении интервью. Прежде всего необходимо установить доброжелательный контакт с респондентом. Для этого - разъяснить цели и порядок проведения опроса, предложить первоначально ряд легких, “контактных” вопросов, подводящих к основной теме - провести так называемую “психологическую разминку”. Вопросы должны идти от простых к сложным, основные - проверяться контрольными. Если наблюдается усталость, нервозность респондента, следует предложить функционально-психологические вопросы для “разрядки”. Интервьюер не должен прерывать ответ, тем более - высказывать личные соображения.
Очень важны условия проведения интервью. По возможности, они должны быть постоянны и одинаковы для всех опрашиваемых: место, обстановка, время проведения, порядок и формулировка вопросов. Место и время для интервью следует выбрать так, чтобы они располагали к беседе, создавали обстановку доверительности, исключали спешку, возникновение внешних факторов, отвлекающих опрашиваемого. Опрос не должен быть чрезмерно продолжительным.
3. Социометрический опрос (социометрия, структурный анализ малых групп) используется для изучения внутри- и межколлективных связей и дает возможность количественной оценки межличностных отношений в малой (контактной) группе путем выявления взаимных симпатий и антипатий. Социометрия позволяет оценить позицию (социометрический статус) каждого члена группы в ней, выделить подгруппы, взаимоотношения между группой и отдельным ее членом, между индивидами, между подгруппами, определить сплоченность группы и т.п.
Для опроса этим методом применяется специальная анкета - социометрическая карточка, на основе которой устанавливаются предпочтения (выбор, желание сотрудничать), отклонения (отвержение, желание устраниться от сотрудничества), опускания (нейтральное отношение, отсутствие и предпочтения, и отклонения). Для заполнения социокарточки опрашиваемым предлагаются особого рода вопросы - социометрические критерии выбора. В карточке содержатся обращение, гарантия анонимности ответов и указаны фамилии всех членов исследуемой группы в алфавитном порядке. В ней предложен перечень вопросов-критериев, по которым против каждой фамилии или ограниченного числа фамилий (при параметрическом опросе), исключая собственную, респондент должен поставить условный знак, означающий предпочтение (+), отклонение (-), опускание (о). Иногда по каждому критерию выбора предлагается отдельная карточка. Для достоверности получаемой информации особенно важно выбрать верные, значимые для данного коллектива критерии.
Производственные критерии определяют отношения на уровне производственной деятельности (“С кем Вы хотели бы выполнять такую работу?”). Непроизводственные - определяют межличностные отношения вне работы, так называемые “психогруппы” (“Кого бы Вы пригласили надень рождения?”).
Социальные критерии определяют “социогруппы” - выбор для совместной общественной деятельности.
Прогностические критерии выявляют ожидаемое членом коллектива отношение со стороны коллег.
Критерии могут быть положительные, предлагающие объединение для совместной деятельности, и отрицательные, предполагающие отклонение.
Двойные критерии предполагают равенство сторон в результате выбора; одинарные - возникновение иерархического неравенства. Как и вопросы анкет, по форме критерии могут быть прямые, прожективные или косвенные. Кроме того, выделяют сильные критерии, касающиеся наиболее значимых сторон жизнедеятельности группы, и слабые, связанные с малозначимыми, сиюминутными факторами - естественно, предпочтение при ведении опроса отдается первым.
Социометрический критерий должен отражать существенные взаимосвязи между членами коллектива, воспроизводить ситуацию выбора для совместной деятельности, быть значимым, четко и понятно сформулированным.
Следует отметить, что социометрический опрос целесообразен в коллективах, имеющих опыт совместной работы не менее полугода, численностью не более 8-9 человек. В ином случае опрашиваемому трудно четко определить свое отношение к членам группы (в некоторых случаях, при численности группы, превышающей оптимальную, используют параметрический опрос). Выбор в социометрии всегда ограничен пределами исследуемой группы. Опрос должен проводиться посторонним, не включенным в группу лицом, гарантия анонимности первичных данных должна быть абсолютной. В ходе проведения опроса необходимо четко пояснить порядок заполнения социокарточки, рассадить опрашиваемых так, чтобы они могли видеть друг друга (это иногда помогает определиться с выбором), но ни в коем случае не допускать взаимных советов и консультаций.
Обработка данных социометрического опроса начинается с составления социоматрицы, сводящей данные опроса в общую таблицу. В ней определяется количество сделанных и отданных выборов по каждому члену группы и по группе в целом. Ниже приведен вариант социоматрицы (табл. 11.1).
Обработка данных социоматрицы ведется двумя основными способами. Первый - графический, путем построения социограммы, наглядно отражающей взаимосвязи в группе. Члены группы изображаются условными обозначениями, а выборы - сплошными (предпочтение) или пунктирными (отклонение) стрелками, направленными от того, кто выбирает, к тому, кого выбирают. Стрелка с двумя концами означает взаимный выбор или отклонение. Социограмма позволяет наглядно определить позицию каждого члена коллектива, установить “звезд”, получивших наибольшее число предпочтений, “пренебрегаемых”, получивших малое их число, “отвергаемых”, получивших много отклонений, “изолированных”, не получивших ни предпочтений, ни отклонений. По способу построения различают круговые (все члены коллектива на графике располагаются по кругу), концентрические социограммы (получившие большее число предпочтений располагаются ближе к центру круга, образуя своего рода “ядро”), “звезду” (в центре - член группы с наибольшим количеством отданных ему предпочтений, остальные располагаются вокруг) и др. Применяются так называемые “локограммы”, когда обозначения взаимных выборов и отклонений наносятся на схему реального расположения рабочих мест. Ниже приведена социо-грамма (круговая) по данным нашей социоматрицы.
Т а б л и ц a 11.1
Социоматрица
Кто выбирает
|
Кого выбирают
|
Отдано выборов
|
А Б В Г Д
|
+ |
-
|
Всего
|
А
Б
В
Г
Д
|
+ 0 - +
+ + - 0
+ + 0 -
- - 0 0
+ - - +
|
2
2
2
-
2
2 |
1
1
1
2
2
|
3
3
3
2
4
|
+
-
Всего
|
полученные выборы
3 2 1 1 1
1 2 1 2 1
4 4 2 3 2
|
8
|
7
|
15
|
Второй способ обработки данных социоматрицы - расчет персональных и групповых социометричерких индексов - показателей, количественно характеризующих взаимоотношения в группе. Рассмотрим некоторые из них.

Рис. 11.2. Круговая социограмма
Индекс социометрического статус а члена группы, отражающий отношение коллектива к нему, авторитет работника. Определяется делением суммы полученных положительных (положительный статус) или отрицательных (отрицательный статус) выборов на число выборов, которые возможно было получить. Это число равно п - 1, где п - количество членов в группе. В нашем случае наиболее высокий положительный статус у работника А (3: 4), он составит 0,75.
Определяются также индексы положительной, отрицательной или общей эмоциональной экспансивности члена группы - соответственно делением положительного, отрицательного или общего количества отданных им выборов на число выборов, которое он мог отдать (п -1). В нашем случае положительная экспансивность у всех членов группы, кроме Г, одинакова и равна 0,5 (у Г - 0). Индекс отрицательной экспансивности наиболее высок у Г и Д, это самые неуживчивые члены группы.
Если пользоваться прогностическими критериями выбора, можно рассчитать индекс адекватности оценки работником своего места в группе, разделив число угаданных им выборов на общее количество ожидаемых выборов: так оценивается, верно ли человек представляет отношение к себе со стороны коллег.
Для группы в целом можно рассчитать индекс сплоченности - как частное от деления фактических положительных парных выборов на максимальное возможное число парных выборов в группе. Последнее определяется как:

,
где n - численность группы (в нашем случае максимально возможное число парных выборов составит 10).
По данным рассматриваемой социоматрицы индекс сплоченности группы будет равен: 3:10= 0,3 (сплоченность невысока).
Индекс конфликтности группы определяется делением фактического числа отрицательных парных выборов на максимально возможное число парных выборов.
Индексы экспансивности группы вычисляются аналогично индивидуальным, только количество сделанных положительных, отрицательных выборов или их общее число делится на всю численность группы.
Всего в современной социологии используется порядка 30 социо-метрических индексов.
Следует отметить, что социометрия не дает ответа на вопросы: почему один из членов группы оказался “звездой”, а другой - “изолированным”, какими мотивами руководствуются опрашиваемые, выбирая или отвергая того или иного коллегу - она лишь диагностирует ситуацию. Поэтому для получения полных выводов о процессах, происходящих в сфере межличностных отношений, социометрию применяют совместно с другими специальными исследованиями, позволяющими выявить причины и мотивы выборов, сложившихся отношений в группе.
4. Экспертный опрос - разновидность опроса, где респондентами являются эксперты - специалисты в данной области деятельности. Они компетентно участвуют в анализе и решении проблемы прикладного социологического исследования. С помощью экспертного опроса можно более обоснованно выявить существенные стороны проблемы, уточнить цели, задачи, гипотезы исследования; проверить достоверность собранной информации; подтвердить обоснованность выводов.
Экспертный опрос может проводиться в форме свободного или частично стандартизированного интервью, анкеты с открытыми вопросами. Подбор экспертов в группу осуществляется на основе изучения документов (об образовании, ученой степени и ученом звании, перечни публикаций и изобретений, сведения о трудовой карьере и т.п.), путем проведения тестов, методом аттестации каждого предполагаемого эксперта специально созданной комиссией, либо с помощью самооценки эксперта по специально разработанной анкете. Эксперты могут высказывать свое мнение в произвольной устной или письменной форме, однако возможна и формализация процедуры экспертной оценки. Здесь возможен ряд вариантов.
Балльная оценка. Эксперту предлагается оценить, например, влияние того или иного фактора на исследуемый процесс, проставив баллы: от 1 (влияние отсутствует) до 5 (наибольшее влияние).
Ранжирование. Эксперту предлагается упорядочить, например, причины текучести кадров по значимости: на первое место поставить наиболее важную, по его мнению причину, и далее по убыванию значимости.
Метод попарных сравнений часто используется как вспомогательный при ранжировании. Все сравниваемые объекты объединяются в пары и из каждой выбирается наиболее значимый. Это можно пояснить в виде схемы, приводимой ниже.

Сначала первый объект поочередно сравнивается со всеми последующими - номер выбранного из каждой пары объекта заносится в колонку под номером 1. Затем со всеми последующими сравнивается ^^рой объект - номер выбранного из каждой пары заносится в колонку под номером 2 и так далее. По окончании сравнений в приведенную выше таблицу заносится, сколько раз эксперт отдал свое предпочтение каждому из сравниваемых объектов во всех сравнениях.
С помощью последовательных сравнений эксперт оценивает важность каждого фактора в сравнении с группой других.
Существует ряд методов организации коллективной работы экспертов. Метод мозговой атаки использует элементы интуитивного мышления и основан на предположении, что среди массы выдвигаемых идей обязательно найдутся несколько заслуживающих внимания. Эта очная коллективная работа ведется по сценарию, заданному опрашивающим, который ею и руководит. При мозговой атаке ни одна идея не может объявляться ложной, сниматься с обсуждения, участники должны заниматься выдвижением собственных идей, развитием идей других участников, но не имеют права их критиковать. Метод комиссии заключается в том, что выдвигается проблема и участники-эксперты совместно предлагают и обсуждают пути ее решения. Метод “отнесенной оценки” предполагает проведение обсуждения в несколько туров, при этом по каждому туру согласовываются мнения и выводы экспертов. Стимулированное наблюдение состоит в решении экспертами проблемы на реальном объекте или модели реального объекта (“деловая игра”). “Метод Дельфы” используется для коллективного, но заочного решения проблемы. Опрос проводится в несколько туров. С результатами каждого из них, в обработанном исследователем виде, эксперты знакомятся перед началом следующего тура. Каждый эксперт ставится в известность, насколько его суждение отклоняется от средних оценок (при существенном отклонении он должен дополнительно аргументировать свое мнение).
Недостаток экспертного опроса - возможный субъективизм оценок экспертов, особенно включенных” в исследуемую ситуацию.
Помимо анализа документов и различных видов опросов, существуют и другие методы сбора первичной социологической информации.
Метод наблюдения состоит в непосредственном восприятии и регистрации происходящих событий исследователем (наблюдателем). Он используется в основном для получения описательной информации и не раскрывает причин происходящего. Программа наблюдения включает все основные элементы программы социологического исследования. Кроме того, в ней предварительно проводится классификация фактов, составляющих наблюдаемую ситуацию (единиц наблюдения). Кроме того, выделяются так называемые “категории наблюдения” - регистрируемые признаки наблюдаемого объекта. Они могут быть описательные (“что происходит” - изложение фактов, выдвижение предложений, критика руководства и т.п.) и оценочные (реакция наблюдаемых - одобрение, негативная реакция и пр.)
В качестве инструментария при наблюдении используются различные документы. В дневнике наблюдения его результаты фиксируются в формализованном и неформализованном виде. В него заносятся сведения об объекте наблюдения, указываются частота и повторяемость наблюдаемых ситуаций, обстановка, поведение наблюдаемых, оценка наблюдателем преследуемых ими целей. В карточке наблюдения категории наблюдения регистрируются строго в формализованной форме - в соответствии с разработанным перечнем категорий. Часто карточка ведется по каждому наблюдаемому объекту. По результатам наблюдения данные обобщаются и анализируются.
Метод наблюдений имеет ряд недостатков: наблюдатель может субъективно истолковать происходящее; на него могут оказать влияние имеющиеся знания и сложившиеся оценки; факт наблюдения может изменить (исказить) поведение наблюдаемого объекта.
Наблюдения различаются в зависимости от позиции наблюдателя, степени стандартизации процедуры, регламентированности во времени, обстановке, в которой они происходят.
Позиция наблюдателя - это степень его контакта с наблюдаемой группой. “Невключенное наблюдение” - наблюдатель с группой не контактирует; “частично включенное” или “наблюдатель-участник” - наблюдатель общается с группой; “включенное” или “участник-наблюдатель” - наблюдатель становится как бы членом группы, живет ее жизнью (вариант - “инкогнито”: группа не знает о том, что один из ее членов - социолог, ведущий наблюдение).
По степени стандартизации процедуры наблюдение может быть “запрограммированное” (используются карточки наблюдения), частично стандартизированное (протоколы, дневники наблюдения) и “неконтролируемое” - свободная дневниковая запись.
В зависимости от протекания во времени различают систематическое, проводимое через строго определенные интервалы времени, эпизодическое и случайное наблюдения.
“Полевое” наблюдение предполагает, что условия, в которых оно происходит, не подвергаются какому-либо специальному изменению ~~ ситуация наблюдается так, как она есть. Лабораторное наблюдение °тличается тем, что условия ситуации задает наблюдатель.
Эксперимент - один из наиболее сложных методов сбора информации в прикладной социологии. Под экспериментом понимается Получение информации о социальном объекте при воздействии на него заданных и контролируемых факторов, выявление на основе этого изменений в состоянии объекта, причинно-следственных связей. Экспериментальный фактор - это независимая переменная эксперимента (например, “новая система оплаты труда”). В качестве зависимой переменной, изменяющейся под воздействием экспериментального фактора, могут выступать в приведенном примере “производительность труда”, “текучесть кадров” и т.п.
Для получения достоверных данных в ходе эксперимента должны выполняться следующие требования: наличие экспериментальной (воздействует экспериментальный фактор) и контрольной (фактор отсутствует) группы - для обоснования выводов о том, что регистрируемые изменения вызваны именно экспериментальным фактором; воспроизводимость (возможность повторить) условий и процедуры эксперимента; сохранение нормального состояния и функционирования объекта эксперимента.
Научный эксперимент нацелен на достижение новых знаний, практический - на испытание и внедрение практических новшеств. В ходе параллельного эксперимента сравнивают состояние экспериментальной и контрольной групп, при последовательном в качестве контрольной выступает та же экспериментальная группа до введения экспериментальной переменной. При лабораторном эксперименте все параметры его обстановки строго задаются исследователем, либо эксперимент проводится на модели исследуемого объекта; полевой проводится в естественных условиях существования объекта исследования. “Чистый” - эксперимент, о проведении которого не знают члены исследуемой группы. Если независимая переменная вводится экспериментатором, эксперимент называют искусственным, если возникает “сама по себе” - естественным. Особо выделяется эксперимент “экс-пост-факто”, когда воздействие экспериментатора на объект отсутствует, а изучается воздействие независимой переменной на объект по данным прошлых лет (с использованием анализа документов и прочих методов исследования).
11.4. Обработка первичной социологической
информации, анализ результатов
исследования. Квантификация и
шкалирование
Обработка первичной социологической информации может проводиться вручную, с помощью средств малой механизации, с использованием компьютерной техники. Основные этапы обработки первичной информации следующие.
Первый этап. Разрабатываются логическая схема обработки и анализа получаемых данных. В ходе этого этапа устанавливаются формы документов для сбора информации, методы ее кодирования для ручной и машинной обработки, методы контроля данных и устранения ошибок. Определяются порядок и методы обработки данных, алгоритм расчетов, разрабатываются система анализа полученных в ходе обработки данных, основные направления анализа.
Второй этап. В случае обработки данных компьютерными методами осуществляется разработка математического обеспечения, выясняется, какие необходимы программы для обработки материалов исследования, иногда разрабатывается новое программное обеспечение.
Третий этап. Подготовка данных первичной социологической информации к обработке. Работа эта очень трудоемка. Так, при обработке данных анкетирования открытые вопросы анкет “закрывают” - классифицируют по определенным признакам, систематизируют и кодируют в соответствии с классификацией. Осуществляют проверку анкет на качество заполнения. Эта проверка включает три момента:
• на полноту заполнения (ответ может отсутствовать из-за нежелания респондента отвечать, непонимания им вопроса, небрежности в заполнении анкеты). При невозможности устранить ошибку отдельные вопросы или вся анкета изымается из обработки. Часто устанавливают “критерий полноты заполнения”, например, процент незаполненных вопросов анкеты, при превышении которого она будет изъята из обработки. В случае большого изъятия, ставящего под сомнение репрезентативность выборки, возможно возникновение необходимости дополнительного сбора исходных данных;
• на надежность (определяется отклонение от репрезентативной выборки, с помощью контрольных и фильтрующих вопросов проверяется качество информации, устраняются противоречивые ответы, умышленно недостоверные, отфильтровываются ответы или анкеты лиц, некомпетентных в исследуемых вопросах и т.д.);
• на технологичность (удобство обработки). Все ответы необходимо привести к виду, дающему возможность легко перенести информацию на машинный носитель для обработки. Из анкет убирают все пометки, которые можно неоднозначно трактовать, номера (шифры) выбранных ответов четко обводятся ручкой.
Далее подсчитывают все документы, входящие в обрабатываемый массив информации, каждому присваивается порядковый номер. Информация кодируется, т.е. категориям документа присваиваются условные обозначения (шифр, код). Если все вопросы анкеты закрытые, кодирование может осуществляться в ходе ее разработки. При наличии полузакрытых и открытых вопросов кодировать информацию возможно только после их “закрытия”. Закодированную информацию переносят на машинные носители, контролируют качество переноса и устраняют ошибки.
Четвертый этап. Обработка информации (расчет средних величин, установление корреляционных связей, составление группировок, таблиц, графиков и пр.)
Рассмотрим некоторые из перечисленных методов.
1. Простые вариацюнные рады. Пусть варьируемый признак (варианта) Xi - стаж. Объем анализируемой совокупности - 8 чел. Тогда частота проявления признака - пi, т.е. количество человек из данной совокупности с данным стажем. Вариационный ряд будет выглядеть так:
Хi(стаж, лет)
|
5
|
6
|
7
|
8
|
9
|
10
|
ni (чел.)
|
1
|
0
|
1
|
2
|
0
|
4
|
Помимо частоты распределения варьируемого признака, можно определить его частость (mi), т.е. долю частоты в общем объеме совокупности. Так, частость 6-й варианты (стаж 10 лет) составит:

или 50%.
2. Интервальные вариационные ряды. Пример интервального вариационного ряда:
Xi (стаж, лет)
|
до 1 года
|
Свыше 1
до 5 лет
|
Свыше 5 до 8 лет
|
Свыше 8
до 12 лет
|
и т. д.
|
mi (%)
|
20,7
|
10,5
|
8,4
|
15,2
|
и т.д.
|
Здесь важно выбрать оптимальную величину интервала (более 20 группировочных интервалов делать не рекомендуется). Величина интервала определяется по формуле:

,
где Xmax и Xmin - соответственно максимальное и минимальное значения варианты в исследуемой совокупности;
n - величина анализируемой совокупности;
lg-десятичный логарифм;
Δ - величина интервала.
Пример. Численность работников составляет 1000 чел., максимальный стаж работы на данном предприятии - 40 лет, минимальный - 1 год,

лет.
Тогда интервалы могут быть установлены следующим образом:
до 1 года;
1+3,69 = 4,69 ≈ 5 лет;
4,69 + 3,69 = 8,38 ≈ 8 лет;
8,38 + 3,69 = 12,07 ≈ 12 лет и т.д.
Могут применяться как равные, так и неравные интервалы.
3. Расчет средних величин. Средняя величина представляет собой абстрактную характеристику всей анализируемой совокупности.
а) Среднеарифметическая величина рассчитывается по формуле:

,
где

- сумма значений варьируемого признака;

- сумма всех членов совокупности.
Пример. Если взять за основу данные приведенного выше простого вариационного ряда, то среднеарифметический стаж составит:

года.
б) Среднеарифметическая взвешенная величина учитывает частоту лроявления признака, последняя выступает в качестве весов. Расчет яедется по формуле:

.
Пример. В нашем случае среднеарифметическая взвешенная стажа составит

лет.
в) Для расчета средних величин по коэффициентам используется среднегеометрическая величина, рассчитываемая как корень n-й степени из произведения п коэффициентов.
Пример. Имеется 4 коэффициента, характеризующих текучесть кадров в четырех подразделениях предприятия: К1 = 0,85; К2 = 0,9; К3 = 0,4; K4 = 0,6. Тогда средний коэффициент по четырем подразделениям, рассчитанный как среднегеометрическая величина, составит:

г) Определение медианы - значения признака у той единицы совокупности, которая расположена в середине упорядоченного ряда. Если число членов ряда четное, то медиана определяется как среднеарифметическое из двух серединных значений.
Пример. Имеется упорядоченный ряд:
№работника
|
1
|
2
|
3
|
4
|
5
|
6
|
7
|
8
|
стаж
|
20
|
16
|
10
|
8
|
7
|
5
|
1
|
1
|
Медиана равна:

лет.
Если число членов ряда нечетное, то за медиану принимается значение признака у среднего члена ряда.
Пример. Если в рассмотренном простом вариационном ряду не было бы 8-го работника, медиана была бы равна значению величины стажа у 4-го работника, т.е. 8 лет.
д) Определение моды - наиболее часто встречающегося значения признака (варианты с наибольшей частотой).
Пример. На основе приведенного выше простого вариационного ряда можно определить моду как 10 лет (численность работников с данным значением стажа в анализируемой группе наибольшая).
4. Расчет показателей вариации (колеблемости) признака, оценивающих “разброс” его значений в анализируемой совокупности.
а) Среднее линейное отклонение рассчитывается как средняя арифметическая величина из абсолютных величин отклонения значений признака от его среднеарифметического значения:

,
где Xi - величина i-го значения признака;
X - среднеарифметическое значение признака;
n - общее количество значений признака (единиц совокупности).
б) Дисперсия признака - величина, равная среднему значению квадрата отклонений отдельных значений признака от его средней арифметической величины:

.
в) Коэффициенты вариации (степень рассеяния) признака рассчитываются как отношение среднего линейного или среднего квадра-тического (дисперсия) отклонения к средней арифметической величине его значения.
5. При анализе данных социологического исследования используются статистические таблицы на основе группировок. Здесь главное - правильный выбор группировочных признаков. Эти таблицы могут быть:
а) простые - перечень всех единиц совокупности с количественной или качественной характеристикой каждой;
б) групповые - единицы совокупности группируются по одному признаку;
в) комбинационные - единицы совокупности группируются по 2-м г и более признакам.
6. В ходе анализа могут быть использованы графики, наглядно отражающие распределение исследуемых признаков. Это по существу графическое изображение интервального ряда.
а) Гистограмма на основе данных простого вариационного ряда

б) Гистограмма на основе интервального вариационного ряда (общее число единиц совокупности - работников со стажем, входящих в тот или иной интервал, - характеризуется площадью прямоугольников).

в) полигон распределения

7. Изучение статистических зависимостей. Здесь применяются корреляционный анализ (установление формы, направления, плотности взаимосвязи нескольких признаков); регрессионный анализ (анализ изменения значений результирующего признака в зависимости от влияния на него признаков-факторов); факторный анализ (оценивает вариации признаков и внутренние взаимосвязи).
Помимо перечисленных методов статистического анализа, используются и иные методы. Функциональный анализ нацелен на выявление устойчивых взаимосвязей. Структурный анализ определяет внутренние элементы объекта исследования и их сочетания.
Генетический выявляет фазы развития объекта исследования, устанавливает причинные связи. В ходе системного анализа осуществляется целостное изучение объекта, а также описание его в системе влияющих на его состояние факторов. Логлинейный анализ - это поиск и оценка взаимосвязей в аналитической или группировочной таблице, сжатое описание табличных данных. Задача латентного анализа - определение не поддающихся наблюдению, скрытых от внешнего взгляда признаков.
В ходе сбора и обработки данных социологического исследования нередко встает вопрос об измерении социологических характеристик, не имеющих числового выражения (мнения, оценки, суждения и т.п.). Чтобы решить эту проблему, применяется процедура квантификации, т.е. придания качественным признакам количественной определенности.
Для того чтобы измерить социальное свойство, необходимо найти “индикатор” измерения - внешний признак его проявления. В качестве индикаторов могут выступать и варианты ответов на вопросы, а инструментом измерения является шкала. В ходе разработки шкалы сначала определяется ее континуум (продолжительность) от наиболее сильного варианта признака (проявления социального свойства) к наиболее слабому. Затем шкала градуируется, т.е. дробится на определенные части: “полностью удовлетворен” - “удовлетворен” - “скорее удовлетворен, чем не удовлетворен” - “скорее не удовлетворен, чем удовлетворен” - “не удовлетворен” - “совершенно не удовлетворен”.
Применяются следующие типы шкал.
Номинальная (неупорядоченная) шкала наименований представляет собой перечень характеристик объекта или явления. Она позволяет осуществить группировку характеристик по различным признакам. С ее помощью можно найти частоты распределения признаков, определить моду или модальную величину (выявить группу наибольшей численности по какому-то признаку), рассчитать коэффициенты сопряженности по двум признакам (пол - причина увольнения).
Ранговая шкала (шкала порядка) упорядочивает проявление свойств от большего к меньшему или, наоборот, от меньшего к большему. Так, если мы выстроим мотивы увольнений работников по собственному желанию в порядке от мотивов большей значимости к мотивам меньшей значимости, то также получим ранговую шкалу. Ранговая шкала позволяет определить ранговую корреляцию - связь в двух рядах признаков, дисперсию признака, средневзвешенные величины, индексы.
Интервальная (метрическая) шкала образуется на основе ранговой путем присвоения баллов ее делениям.
По форме шкалы могут быть:
вербальные (словесные утверждения);
числовые (баллы);
графические:

На графической шкале респондент должен указать место, соответствующее степени проявления признака (в нашем случае - степень согласия);
смешанные.
При конструировании шкалы используются различные методы.
1. Метод прямого измерения - оценка свойства проводится респондентом путем выбора ответа из серии предлагаемых, которым приписывается числовое значение. Иногда для этих целей используется графическая шкала, где крайние значения обозначены, допустим, 5 и 1, середина - 3; или крайние значения - от +1 до -1, середина- 0.
2. Метод ранжирования. Упорядочив объекты по степени выраженности анализируемого признака, приписываем им числовую оценку по месту в данном ранжированном ряду.
3. Метод попарных сравнений. Объекты сравнения ранжируются в зависимости от количества выборов, полученных в ходе всех сравнений.
4. Метод равных интервалов. Опрашиваемым, чаще экспертам, выдается заранее составленный список суждений с тем, чтобы расположить их в фиксированное число (обычно 7-11) категорий по значимости. При этом эксперты должны считать, что интервалы, т.е. отличия одного суждения от другого, равны. Порядковый номер категории присваивается суждению в качестве ранга.
Существуют и другие, более сложные методы конструирования шкал.
Основное требование к шкале - ее надежность. Понятие надежности шкалы включает три ее характеристики:
• обоснованность (валидность) - шкала способна измерять именно заданное социальное свойство;
• полнота - в шкале учтены все варианты индикатора (признака проявления свойства);
• чувствительность - способность шкалы дифференцировать степень проявления социального свойства.
В какой-то мере к инструментам квантификации можно отнести социологические индексы, используемые для характеристики совокупности свойств исследуемого объекта. В отличие от статистических индексов, отражающих динамику явления, социологические оценивают качественное его состояние на конкретный момент.
Заключительная часть анализа данных социологического исследования - составление отчета, который отражает содержание программы исследования, ее выполнение, полученные выводы, содержит практические рекомендации и оценивает возможности их внедрения, ожидаемые социальные и экономические результаты использования практических предложений.
Резюме
Прикладные социологические исследования в сфере труда нацелены на решение задач совершенствования системы управления, создания стабильного трудового коллектива, повышения мотивированности работников и развития их трудового потенциала, гуманизации труда и повышения качества трудовой жизни.
Для проведения прикладного социологического исследования необходимо разработать его программу, в которой выделить имеющуюся проблемную ситуацию, сформулировать проблему, установить цель исследования как модель ожидаемого решения проблемы, сформулировать задачи, которые необходимо решить для достижения цели. Нужно четко обозначить объект исследования, ограничить его временными рамками, определить количественно, провести его системный факторный анализ. Уточнить предмет исследования, выдвинуть гипотезы - научные предположения, задающие направление всему исследованию. В ходе разработки программы осуществляются интерпретация используемых понятий и их операционализация - установление порядка количественного определения исследуемых признаков, расчета показателей. Устанавливаются вид, размер, репрезентативность выборки. Разрабатываются инструментарий и организационно-технический план исследования.
Методы сбора первичной социологической информации весьма разнообразны и их применение требует соответствующей квалификации. Практически в любом исследовании применяется анализ документов: традиционный, контент-анализ. Используются в исследовании различные виды опроса - анкетирование, интервью, экспертный опрос, социометрия. Для получения достоверных данных при опросе крайне важно учитывать требования к формулировке, конструкции, последовательности вопросов и ответов, к порядку проведения опросов. Применяются также одни из наиболее сложных методов - наблюдение и эксперимент. При выборе метода получения первичной социологической информации необходимо четко представлять себе сферу его применения, его потенциальные недостатки и связанные с этим ограничения, оценивать трудоемкость последующей обработки полученных данных.
Обработка собранных первичных данных - сложный и трудоемкий процесс: необходимо определить логическую схему обработки, разработать математическое обеспечение, подготовить данные к обработке (а при необходимости осуществить их “добор”) и лишь после этого провести собственно обработку и анализ данных. Здесь невозможно обойтись без методов статистического анализа: используются простые и интервальные вариационные ряды, рассчитываются средние величины, показатели вариации, строятся группировочные таблицы, графики, диаграммы. Поскольку не все социальные свойства имеют числовое измерение, осуществляется процедура квантификации - придания качественным характеристикам количественной определенности. Для этого применяется шкалирование - конструируются различные типы шкал, оценивается их надежность (обоснованность, полнота, чувствительность).
По результатам проведенного анализа составляется отчет, в котором, в случае прикладного социологического исследования, важнейшим разделом являются выводы и практические рекомендации с обоснованием социальных и экономических последствий внедрения последних.
Вопросы для контроля и обсуждения
1. Определите предмет, цели и задачи социологии трупа.
2. Что понимается под социально-трудовыми отношениями? Приведите классификацию социально-трудовых отношений.
3. Какие социальные процессы в сфере труда вам известны? Почему труд рассматривается как базовый социальный процесс?
4. Каковы функции и виды социологических исследований?
5. Что такое проблемная ситуация, проблема социологического исследования?
6. Как формулируются цель и задачи исследования, определяются его объект и предмет?
7. Какие вы знаете виды гипотез? Каковы требования к выдвигаемым гипотезам исследования?
8. Какова сущность процедур интерпретации и операционализации понятий в социологическом исследовании? Приведите примеры.
9. Что такое выборка и ее репрезентативности? Какие методы вероятностного отбора вам известны?
10. Что включается в организационно-технический план социологического исследования?
11. Что понимается под документом? Виды анализируемых документов, для чего они используются?
12. Раскройте сущность и методику традиционного анализа документов. Каковы специфика и назначение контент-анализа?
13. Сущность анкетирования. Структура анкеты. Требования к конструкции и формулировке вопросов анкеты. Какие виды вопросов анкет вы знаете, их особенности и назначение?
14. Что такое интервью? Каковы виды, требования к интервьюеру и технике проведения?
15. Поясните сущность, методику проведения и обработку данных со-циометрического опроса.
16. Что такое экспертный опрос, каковы его назначение и методы проведения? Как отобрать экспертов в группу?
17. Дайте объяснение наблюдению и эксперименту в социологическом исследовании, их видов, сфер применения, технике проведения.
18. Перечислите основные этапы обработки первичной социологической информации.
19. Какие работы необходимо провести при подготовке первичной социологической информации к обработке?
20. Приведите пример простого и интервального вариационного ряда. Определите частоту и частость варьируемого признака.
21. Какие средние величины вы знаете? Каков порядок их расчета?
22. Какие показатели вариации исследуемого признака вы знаете?
23. Приведите пример простой, групповой, комбинационной статистической таблицы.
24. Какие графики могут быть использованы в ходе анализа данных социологического исследования?
25. Что такое квантификация, виды шкал и методы их конструирования? Что понимается под валидностыо, полнотой, чувствительностью шкалы?
Глава 12
МОТИВАЦИЯ ТРУДОВОЙ ДЕЯТЕЛЬНОСТИ
12.1. Потребности и интересы как
детерминанты трудового неведения
Трудовое поведение членов общества определяется взаимодействием различных внутренних и внешних побудительных сил. Внутренними являются потребности и интересы, желания и стремления, ценности и ценностные ориентации, идеалы и мотивы. Все они представляют собой структурные элементы сложного социального процесса мотивации трудовой деятельности. Мотив (от франц. motif- побуждение) - побуждение к активности и деятельности личности, социальной группы, общности людей, связанное со стремлением удовлетворить определенные потребности. Мотивация - это вербальное поведение, направленное на выбор мотивов (суждений) для объяснения, обоснования реального трудового поведения.
Формирование этих внутренних побудительных сил трудового поведения - суть процесса мотивации трудовой деятельности. Мотиваторами можно назвать основания или предпосылки мотивации. Они определяют предметно-содержательную сторону мотивации, ее доминанты и приоритеты. Мотиваторами выступают значимые факторы социального и предметного окружения (стимулы), либо устойчивые потребности и интересы.
Потребности - это забота индивида о необходимых средствах и условиях собственного существования и самосохранения, стремление к устойчивому сохранению равновесия со средой обитания (жизненной и социальной). Существует множество классификаций человеческих потребностей, основанием которых выступают: специфический объект Человеческих потребностей, их функциональное назначение, вид реализуемой деятельности и т.д.
Наиболее полно и удачно, на наш взгляд, разработал иерархию потребностей американский психолог А. Маслоу, выделивший пять уровней или групп мотивов поведения в зависимости от доминирующих в тот или иной момент потребностей.
1. Физиологические и сексуальные потребности в воспроизводстве людей, пище, дыхании, физических движениях, одежде, жилище, отдыхе и т.д.
2. Экзистенциальные потребности - потребность в безопасности своего существования, уверенность в завтрашнем дне, стабильность условий жизнедеятельности, потребность в определенном постоянстве и регулярности окружающего человека социума, а в сфере труда - в гарантированной занятости, страховании от несчастных случаев и т.д.
3. Социальные потребности в привязанности, принадлежности к коллективу, общении, заботе о других и внимании к себе, участии в совместной трудовой деятельности.
4. Потребности в самоуважении, престиже - это признание достоинства, потребности в служебном росте, статусе, престиже, признании и высокой оценке.
5. Личностные, духовные потребности выражаются в самоактуализации, самовыражении через творчество.
Первые два типа потребностей Маслоу называл первичными (врожденными), три остальных - вторичными (приобретенными). При этом процесс возвышения потребностей выглядит как замена первичных (низших) вторичными (высшими). Согласно принципу иерархии, потребности каждого нового уровня становятся актуальными для индивида лишь после того, как удовлетворены предыдущие запросы. Поэтому принцип иерархии называют также принципом доминанты (господствующей в данный момент потребности). Маслоу считал, что само удовлетворение не выступает мотиватором поведения человека: голод движет человеком, пока он не удовлетворен. Очевидно, что сила воздействия потребности (ее потенциал) есть функция от степени ее удовлетворения. Кроме того, интенсивность потребности определяется ее местом в общей иерархии.
Существует множество социальных и моральных потребностей, которые изучаются и учитываются в социологии с разных точек зрения. Определенная их часть имеет непосредственное отношение к проблеме мотивации труда и обладает конкретными мотивационно-трудовыми значениями. Среди них можно выделить: потребность в самоуважении (добросовестная трудовая деятельность
независимо от контроля и оплаты труда ради положительного собственного мнения о себе); потребность в самоутверждении (высокие количественные и качественные показатели в труде ради одобрения и авторитета, положительного отношения к себе со стороны других); потребность в признании (направленность трудового поведения на доказательство своей профессиональной пригодности и способностей); потребность в социальной роли (хорошая работа как доказательство необходимости для людей, занятие достойного места среди них); потребность в самовыражении (высокие показатели в работе на основе творческого отношения к ней; работа как способ получения каких-то идей и знаний, проявления индивидуальности); потребность в активности (стремление к поддержанию через активность здоровья и самочувствия); потребность в продолжении рода и самовоспроизводстве (особая ориентация в работе на благополучие семьи и близких, повышение их статуса в обществе; реализация через результаты труда стремления к созиданию и наследованию чего-либо); потребность в досуге и свободном времени (предпочтение работать меньше и иметь больше свободного времени, установка на работу как на ценность, но не как на основную цель жизни); потребность в самосохранении (потребность работать меньше и в лучших условиях, пусть и за меньшую оплату, в целях сохранения здоровья); потребность в стабильности (восприятие работы как способа поддержания существующего образа жизни, достигнутого достатка, неприятие риска); потребность в общении (установка на трудовую деятельность как условия и повод для человеческих контактов); потребность в социальном статусе (подчинение трудовой деятельности целям карьеры с положительным или отрицательным эффектом для самой работы; карьера как решающий мотив поведения во взаимоотношениях с другими); потребность в социальной солидарности (желание “быть как все”, добросовестность как ответственность перед партнерами, коллегами по рабочему месту).
Потребности играют одну из важнейших ролей в общем процессе мотивации трудового поведения. Они стимулируют поведение, когда осознаются работниками. В этом случае они принимают конкретную. форму - форму интереса к тем или иным видам деятельности, объектам и предметам. Интерес (от лат. interest - имеет значение) - это конкретное выражение осознанных потребностей. В отличие от потребности интерес направлен на те социальные отношения, от которых зависит удовлетворение нужд работника. Если потребности показывают, что нужно человеку для его нормальной жизни, то интерес отвечает на вопрос, как действовать, чтобы удовлетворить данную потребность. Таким образом, специфической чертой интереса выступает деятельное отношение к использованию условий существования субъекта, в то время как потребность выражает состояние необходимости овладеть этими условиями. Содержанием интересов выступают предметы и объекты, овладение которыми позволит удовлетворить те или иные потребности субъектов.
Носителем потребностей и интересов выступают различные общности, общество в целом, классы, социальные группы, регионы, трудовые организации, а также отдельные работники. В число субъектов потребностей и интересов входят все субъекты хозяйствования, имеющие определенные функции и цели в системе общественного разделения труда. Каждому субъекту свойственна совокупность различных интересов.
Интересы бывают материальные (экономические) - интерес к денежным и материально-вещественным средствам удовлетворения потребностей. Отсюда интересы работников к соответствующему уровню оплаты труда, размерам премирования, льготам и компенсациям за неблагоприятные условия труда, к режиму труда и т.д. Кроме того, интересы могут быть и нематериальные: интерес к знаниям, науке, искусству, общению, культуре, общественно-политической деятельности и т.д.
Любая из потребностей может породить многообразие различных интересов. Например, потребность в знаниях может сформировать у работников интерес к повышению своего профессионального мастерства; к поиску творческой, разнообразной и содержательной работы, требующей постоянного расширения своего профессионального багажа; интерес к чтению специальной литературы, обобщающей и освещающей передовой опыт и т.д. Таким образом, потребности и интересы характеризуют внутреннюю обусловленность трудового поведения. В различных условиях жизнедеятельности у разных социально-демографических, профессионально-квалификационных и других социальных групп работников разная структура и направленность потребностей и интересов.
На основе потребностей формируются ценности и ценностные ориентации, которые играют существенную роль в мотивационном процессе.
12.2. Ценности и ценностные ориентации
в мотивационном процессе
Важнейшими элементами процесса трудовой мотивации являются ценности и нормы поведения. Ценности - это представления субъекта, общества, класса, социальной группы о главных и важных целях жизни и работы, а также об основных средствах достижения этих целей. К ценностям относят все предметы и явления, которые обладают положительной значимостью в глазах общества, коллектива, личности. Мир ценностей многообразен и неисчерпаем, как многообразны и неисчерпаемы потребности и интересы общества.
Ценности бывают: материальными, духовными, социальными, политическими и т.д. Они формируются на основе потребностей и интересов. Но, формируясь на основе потребностей и интересов, ценности не копируют их. Они могут соответствовать содержанию потребностей, интересов, но могут и не соответствовать. Возможные совпадения, единство потребностей, интересов и ценностей или их противоречия связаны с тем, что сознание обладает относительной самостоятельностью. Специфическая активность сознания, его самостоятельность приводят к тому, что ценности - это не слепок потребностей и интересов, а идеальные представления, которые не всегда им соответствуют.
Для разных социальных групп работников, отличающихся условиями и содержанием труда, профессией, квалификацией и другими социальными признаками, одни и те же объекты и явления могут иметь разную значимость. Так, для одних главным ориентиром поведения в сфере труда является материальное благополучие, для других важнее содержание труда, его творческая насыщенность, для третьих - возможность общения и т.д.
Направленность личности на те или иные ценности материальной или духовной культуры общества характеризует ее ценностные ориентации, служащие общим ориентиром в человеческом поведении. Для кого-то важнейшей ценностной ориентацией является творческий характер труда, и ради него он некоторое время не думает о заработке, условиях труда; если материальное благополучие, то он может пренебречь ради заработка другими ценностями.
Среди ценностей различают ценности-цели (терминальные) и ценности-средства (инструментальные). Терминальные ценности отражают стратегические цели существования человека: здоровье, интересная работа, любовь, материальное благополучие и т.д. Инструментальные представляют собой средства достижения целей. Это могут быть разные личные качества, способствующие реализации целей, убеждения личности.
Содержание ценностей в обществе зависит от его культуры, развитости духовной и нравственной жизни, общественного сознания. Специфической формой ценностей выступают общественные идеалы, т.е. представления о том, какими в обществе должны быть общественные отношения, работник. В идеалах выражена цель деятельности, они выполняют связующую функцию между настоящим и будущим. Социально признанные ценности и идеалы влияют на формирование индивидуальных ценностей, которые также являются элементами мотивации трудового поведения.
В соответствии с общественными и индивидуальными ценностями работник оценивает окружающую действительность, свои и чужие поступки и действия. Ценности дополняют и обогащают мотивацию трудовой деятельности, возвышая ее, так как в процессе труда работник обусловливает свое поведение не только потребностями и интересами, но и принятой системой ценностей. Если предполагаемое действие не находит оправдания в системе общественных и личных ценностей, то оно может не совершиться. Кроме того, ценностная мотивация способствует формированию новых ценностей.
Поведение работника, его мотивация обусловливаются не только системой ценностей общества, трудовой организации (коллектива), но и социальными нормами - стихийно сложившимися или сознательно установленными правилами поведения. Если ценности задают то или иное направление поведения группы, человека, работника, его мотивации, то нормы регулируют конкретные поступки, действия и их осмысливают. Так, когда ценностью считается труд содержательный, разнообразный, творческий, нормой будет поиск такого места работы, которое предоставляет соответствующие условия. Нормой следует считать неудовлетворенность высокообразованных работников малоквалифицированным и нетворческим трудом. Воздействие на трудовое поведение социальных ценностей и норм образуют целую систему ценностно-нормативного регулирования.
12.3. Структура мотивов трудового поведения
Участвуя в трудовой деятельности, работник одновременно имеет ряд потребностей, интересов, ценностных ориентации. Они могут быть существенными или несущественными, разной степени значимости и актуальности. Выбор из всей этой совокупности побудителей осуществляется посредством мотивов (установок) в ходе соотнесения потребностей, интересов, ценностей с трудовой ситуацией.
Сами по себе мотивы достаточно подвижны, поскольку складываются под воздействием эмоций человека, его темперамента. Более устойчивое отношение к ситуациям и объектам, характеризующее более стабильную готовность к определенным действиям, выражается понятием “установка”. Таким образом, “мотив” и “установка” близки по смыслу, хотя не являются полностью аналогами.
Мотивы в сфере труда выполняют разнообразные функции, которые реализуются в поведении работника:
ориентирующая, когда мотив направляет поведение работника в 'ситуации выбора вариантов поведения;
смыслообразующая, если мотив определяет собой субъективную значимость данного поведения работника, выявляя его личностный смысл;
опосредствующая, когда мотив рождается на стыке внешних и внутренних побудителей, опосредуя их влияние на поведение;
мобилизующая, если мотив мобилизует силы организма работника для реализации значимых для него видов деятельности;
оправдательная, когда в мотиве заложено отношение индивида к должному, к нормируемому извне образцу, эталону поведения, социальной и нравственной норме.
Следует различать истинные, реальные мотивы и провозглашаемые, открыто признаваемые. Первые - это мотивы-побуждения. Вторые - мотивы-суждения, функция которых состоит в том, чтобы объяснить себе и другим свое поведение. Открыто провозглашаемые мотивы в отличие от мотивов-побуждений часто называют мотивировками.
Деятельность человека обосновывается одновременно несколькими мотивами, так как человек включен в систему разнообразных отношений с предметным миром, с обществом, окружающими людьми, с самим собой. Группа ведущих мотивов, определяющих поведение работника, получила название мотивационного ядра, которое имеет свою структуру. Структура мотивационного ядра различается в зависимости от конкретных трудовых ситуаций:
• выбора специальности или места работы;
• повседневной работы по данной профессии на предприятии;
• конфликтная;
• перемены места работы или смены профессии;
• инновационная, связанная с изменением характеристик трудовой среды, и т.д.
Как видим, на трудовое поведение оказывают влияние различные составляющие (рис. 12.1).
Рис. 12.1. Классификация мотивационного механизма
регулирования трудового поведения
В последние десятилетия социология труда разрабатывает идеи, позволяющие значительно углубить знания механизма социального поведения. Интересен в этом плане подход В.А. Ядова, сформулировавшего диспозиционную концепцию социального поведения личности. Речь идет о том, что человек обладает сложной системой диспозиций (личных предрасположенносгей), регулирующих его поведение. Они образуются на стыке потребностей, интересов и ситуаций, имеющих сложную структуру. Выделено четыре уровня потребностей, ситуаций и соответствующих им диспозиций:
1) установки, обусловленные потребностями биологического характера в простейших ситуациях, в бытовых условиях;
2) социальные установки, формируемые на основе потребностей в общении в обычных повседневных обстоятельствах;
3) характеризует общую направленность интересов личности в определенную сферу труда или досуга (это базовые социальные установки);
4) система ценностных ориентации личности.
Структура мотивов очень гибка и постоянно меняется (выравнивается). Основой для такого выравнивания в процессе трудовой деятельности выступает удовлетворенность различными сторонами производственной ситуации. Чем благоприятнее воспринимает работник все элементы ситуации, тем более выравнена структура мотивов трудового поведения. Следует различать социологический и психологический уровни изучения мотивации. В последнем случае исследуется процесс целеполагания и принятия решения, предшествующий действию. Постановкой цели заканчивается весь мотивационный процесс.
При изучении мотивов и установок надо иметь в виду, что их содержание скорее отражает содержание ценностей и норм, прежде всего социально одобренных, нежели направление личных потребностей и интересов. При этом иерархия мотивов свидетельствует об иерархии ценностей. Структуру же потребностей и интересов отражают затраты времени на различные виды деятельности. Изучение мотивов, установок, ценностных ориентации трудового поведения различных социальных групп работников, а также их структуры позволяет определить, во имя чего трудится работник. Система стимулов, создаваемая на основе знаний внутренних побудителей трудовой активности, является основой формирования оптимального типа отношений к труду. Действующая в обществе система стимулов эффективна лишь, когда она способствует реализации ведущих потребностей и интересов работников.
Знание динамики мотивации труда - условие обязательных требований к работнику и ожиданий от него в разное время правильного выбора методов стимулирования в данный момент. Ведь мотивация - это процесс стимулирования отдельного работника или группы к действиям, приводящим к осуществлению целей организации.
Резюме
Характеризуя мотивацию трудовой деятельности, необходимо отметить принципиально важные вещи. Основные детерминанты трудового поведения - потребности и интересы, которые могут быть материальными и нематериальными. Важнейшими элементами процесса трудовой мотивации являются ценности - представления субъекта, социальной группы о главных и важных целях жизни и работы, и ценностные ориентации - направленность, ориентир в человеческом поведении.
Схему развертывания механизма мотивации человека в трудовой деятельности на обыденном уровне можно представить следующим образом:
Нужда (нехватка благ, пригодных для обмена) → Потребность (концентрация на нехватке определенных благ) → Влечение (спонтанный поиск восполнения нехватки определенных благ) → Стимул (конструирование образа необходимого блага) → Мотив (нахождение способа добычи эквивалента необходимого блага) → Мотиватор (закрепление этого способа, связанное со стабилизацией предприятия) → Установка (готовность предпринимать необходимые меры) → Интерес (предвосхищение получения прибыли) → Ценность (усвоение общечеловеческих ценностей) → Стремление → Замысел → План → Намерение → Воля.
Данная схема позволяет более четко представить динамику мотивации труда.
Вопросы для контроля и обсуждения
1. Дайте характеристику таких понятий, как “мотив”, “мотивация”.
2. Что такое потребность?
3. Перечислите основные группы потребностей, предложенные американским психологом А. Маслоу.
4. Расскажите о потребностях, имеющих непосредственное отношение к мотивации труда.
5. Раскройте содержание понятия “интерес”.
6. Что представляет собой понятие “ценность”?
7. Какие бывают ценности? Перечислите и дайте характеристику.
8. Каковы основные функции мотивов в сфере труда?
9. Что представляет собой мотивационное ядро? Раскройте содержание.
10. Дайте характеристику понятия “диспозиция”.
11. Расскажите об уровнях диспозиций и месте их в мотивации трудовой деятельности.
Глава 13
ТРУДОВОЕ ПОВЕДЕНИЕ
13.1. Трудовое поведение: понятие, структура
К числу ведущих категорий социологии труда относятся социальное поведение и его модификации - трудовое, экономическое, организационное, функциональное, коммуникационное, производственное, демографическое, нормативное и девиантное. В них отражены свойства основных субъектов социальной жизни: личности, группы, коллектива. Социальное поведение - производная компонента социальной среды, которая преломляется в субъективных характеристиках и актах действующих лиц, а также результат субъективной детерминации человеческой активности. В этом смысле его можно понимать как процесс целенаправленной активности в соответствии со значимыми интересами и потребностями человека. Оно, с одной стороны, сложнейшая система адаптации и приспособления личности к разнообразным условиям, способ функционирования в системе конкретного социума. С другой - активная форма преобразования и изменения социальной среды в соответствии с объективными возможностями, которые человек самостоятельно проектирует и открывает для себя, сообразуясь со своими собственными представлениями, ценностями и идеалами. Разновидностью социального поведения являются трудовая деятельность и трудовое поведение.
Трудовая деятельность - это жестко фиксированный во времени и пространстве целесообразный ряд операций и функций, совершаемых людьми, объединенными в производственной организации. Здесь ставятся следующие цели:
• создание материальных благ, средств жизнеобеспечения;
• оказание услуг различного целевого назначения;
• разработка научных идей, ценностей и их прикладных аналогов;
• накопление, консервация, передача информации и ее носителей и т.д.
Трудовая деятельность - независимо от способа, средств и результатов - характеризуется рядом общих свойств: функционально-технологическим набором трудовых операций, предписанной рабочим местам функциональной программой; набором соответствующих качеств субъектов трупа, зафиксированных в профессиональных, квалификационных и должностных характеристиках; материально-техническими условиями и пространственно-временными рамками реализации; определенным способом организационно-технологической и экономической связи субъектов труда со средствами и условиями их реализации; нормативно-алгоритмизированным способом организации, с помощью которого формируется поведенческая матрица индивидов, включенных в производственный процесс (организационно-управленческой структурой).
Трудовое поведение - это индивидуальные и групповые действия, показывающие направленность и интенсивность реализации человеческого фактора в производственной организации. Это сознательно регулируемый комплекс действий и поступков работника, связанных с совпадением профессиональных возможностей и интересов с деятельностью производственной организации, производственного процесса. Это процесс самонастройки, саморегуляции, обеспечивающий определенный уровень личностной идентификации.
Структуру трудового поведения можно представить следующим образом:
• циклически повторяющиеся действия, однотипные по результату, воспроизводящие стандартные статусно-ролевые ситуации или состояния;
• маргинальные (от лат. maiynalis - находящийся на краю) действия и поступки, которые формируются в фазах переходного состояния от одного статуса в другой;
• поведенческие схемы и стереотипы, часто встречающиеся образцы поведения;
• действия, в основе которых лежат рационализированные смысловые схемы, переведенные в план устойчивых убеждений;
• акции, совершаемые под диктатом тех или иных обстоятельств;
• спонтанные действия и поступки, спровоцированные эмоциональным состоянием;
• осознанное или неосознанное повторение стереотипов массового и группового поведения;
• действия и поступки как трансформация влияния других субъектов, применяющих различные формы принуждения и убеждения.
Трудовое поведение можно дифференцировать по следующим основаниям: предметно-целевой направленности; глубине пространственно-временной перспективе достижения определенной цели; контексту трудового поведения, т.е. по комплексу относительно устойчивых факторов производственной среды, субъектов и систем коммуникации, во взаимодействии с которыми развертывается все многообразие поступков и действий; методам и средствам достижения конкретных результатов в зависимости от предметно-целевой направленности трудового поведения и его социокультурных образцов; по глубине и типу рационализации, обоснования конкретной тактики и стратегии трудового поведения и т.д.
Итак, трудовое поведение: отражает функциональный алгоритм производственного процесса, представляет собой поведенческий аналог трудовой деятельности; является формой приспособления работника к требованиям и условиям технологического процесса и социального окружения; выступает динамическим проявлением социальных стандартов, стереотипов и профессиональных установок, которые интернализованы индивидом в процессе социализации и конкретного жизненного опыта; отражает характерологические черты личности работника; есть определенный способ и средство воздействия человека на окружающую его производственную и социальную среду.
13.2. Виды трудового поведения, механизм
регулирования
В литературе дается различная классификация видов трудового поведения, зависящая от того, что вкладывается в ее основание. Учитывая это, можно предложить следующие виды трудового поведения:
Основания классификации:
1. Субъекты поведения
2. Наличие (отсутствие) взаимодейст- вий с другими субъектами
3. Производственная функция
4. Степень детерминированности
5. Степень соответствия принятым нормам
|
Виды трудового поведения:
Индивидуальное, коллективное
Предполагающее взаимодействие, не предполагающее взаимодействие
Исполнительское, управленческое
Жестко детерминированное, инициативное
Нормативное, отклоняющееся от нормативов
|
6. Степень формализации
7. Характер мотивации
8. Производственные результаты и последствия
9. Сфера осуществления поведения
10. Степень традиционности поведения
11. Результаты и последствия с точки зрения человеческих судеб
12. Степень реализации трудового потенциала
13. Характер воспроизводства трудового потенциала
|
Установленное в официальных документах, неустановленное
Ценностное, ситуативное
Позитивное, негативное
Собственно трудовой процесс, построение отношений на производстве, создание трудовой атмосферы
Сложившиеся виды поведения, зарождающиеся виды, в том числе в форме реакции на различные социально-экономические акции
Соответствующие желаемым образцам трудовой жизни, не соответствующие
Не требующие изменения достигнутой степени реализации трудового потенциала, вызывающие необходимость мобилизации различных компонентов трудового потенциала (как совокупности качеств работника)
Предполагающие простое воспроизводство трудового потенциала, требующие расширенного воспроизводства потенциала
|
Виды трудового поведения трудно ограничить этим перечнем. Для выявления степени осуществления традиционных позитивных видов поведения в социологические опросы, как правило, включается блок вопросов, отражающих производственные требования к работнику и соответствующих сложившемуся представлению о “хорошем” или “плохом” работнике. Так, в ходе социологического опроса рабочих обычно ставится задача обнаружить стремление и сам факт проявления социально одобренного поведения по следующим основаниям: выполнение и перевыполнение норм выработки; повышение качества своей работы и продукции; рационализаторская и изобретательская деятельность; точное соблюдение требований технологии производства и тд. Все это виды исполнительского поведения. К управленческому поведению рабочих традиционно относят участие его в управлении и самоуправлении производством, в обмене опытом и т.д. Безусловно, к характеристикам трудового поведения необходимо подходить гибко. Можно фиксировать виды поведения, которые характеризуются как хозяйские, но можно и наоборот.
Трудовое поведение формируется под влиянием различных факторов: социальных и профессиональных характеристик работников, условий работы в широком смысле (включая условия труда и быта на производстве, оплату труда и т д.), системы норм и ценностей, трудовых мотиваций. Оно направляется личными и групповыми интересами людей и служит удовлетворению их потребностей.
Рис. 13.1. Механизм регулирования трудового поведения
На рис. 13.1 показаны различные составляющие трудового поведения: потребности - нужда в чем-либо необходимом для поддержания жизнедеятельности организма, человеческой личности, социальной группы, общества в целом; интересы - реальные причины действий, формирующиеся у социальных групп, индивидов в связи с их различиями по положению и роли в общественной жизни; мотивы - осознанное отношение (субъективное) к своим поступкам (внутреннее побуждение); ценностные ориентации - разделяемые личностью социальные ценности, являющиеся целью жизни и основными средствами ее достижения и в силу этого приобретающие функцию важнейших регуляторов трудового поведения индивидов; установка - общая ориентация человека на определенный социальный объект, предшествующая действию и выражающая предрасположенность действовать определенным образом относительно данного объекта; трудовая ситуация - комплекс условий в которых протекает трудовой процесс; стимулы - внешние по отношению к человеку воздействия, которые должны побудить его к определенному трудовому поведению.
13.3. Особенности и характеристика
различных видов поведения
Поведение можно рассматривать в зависимости от целей, которые ставит перед собой исследователь.
Функциональное поведение. Это конкретная форма реализации профессиональной деятельности, определяемая технологией рабочего места. Функциональное поведение присуще любому трудовому процессу независимо от степени сложности и специализации. Различия наблюдаются только в преобладании физических или умственных нагрузок. В одном случае доминируют физические, а в другом умственные нагрузки.
Экономическое поведение. Всякое поведение должно ориентироваться на результат, на количество и качество затраченных человеческих ресурсов. Применяя свои профессиональные способности в процессе производства, индивид постоянно ориентируется на оптимальный баланс между затратами и их компенсацией. В противном случае, если не будет компенсации (товарно-денежной, натуральной, экономической, социальной), то начнется падение интереса к такого рода деятельности. Можно сформулировать следующие виды экономического поведения: “максимум дохода ценою максимума труда”, “гарантированный доход ценою минимума труда”, “минимум дохода при минимуме труда” и “максимум дохода при минимуме трудам. Существуют различные формы экономического поведения в сфере распределения и потребления.
Экономическое поведение характеризуется понятием эффективность. Применительно к производственной и трудовой деятельности эффективность часто определяется как соотношение между затратами и результатом. Данную характеристику можно отнести как к производству, так и к работнику. Под экономической эффективностью труда на рабочем месте обычно понимают производительность труда, затраты рабочего времени, материалов, топлива, электроэнергии и т.д. Социальный эффект, получаемый в результате трудовой деятельности, выражается в характере воспроизводства работника, в сбережении и развитии его физических и духовных сил, накоплении знаний, навыков, умений.
На экономическое поведение оказывает влияние ряд факторов: технический (использование новой техники и технологии), организационный (как улучшается организация производства и труда), социально-экономический (влияние условий, содержания труда, его нормирования и оплаты), социально-психологический (удовлетворенность трудом, морально-психологический климат в коллективе), личностный (образовательный и культурный уровень работника), общественно-политический (это солидарность наемных работников, деятельность профсоюза и т.д.). Важным фактором, детерминирующим экономическое поведение работника, является его отношение к форме собственности (когда работник является полным или частичным собственником средств производства).
Организационное и административное поведение. Его суть состоит в формировании позитивной мотивации членов трудовой организации. Для этих целей активно используют различного рода стимулы: моральные, материальные, социальные. Субъекты организационного поведения - отдельные работники, социальные группы, которые действуют в рамках функциональных, нормативных и социокулътурных ограничений, позволяющих им регулировать и соотносить процессы достижения своих специфических целей с целями и задачами тех производственных организаций, в структуру которых они включены.
Стратификационное поведение. Это поведение, связанное с профессиональной, трудовой карьерой, когда работник сознательно выбирает и реализует в относительно длительный промежуток времени путь своего профессионального или должностного продвижения.
Адаптивно-приспособленческое поведение. Оно проявляется в процессе приспособления работника к новым профессиональным статусам, ролям, требованиям технологической среды и тд. Такое поведение обнаруживает себя в фазе первичного вхождения работника в производственный процесс, коллектив, профессиональную среду. Происходит постепенное врастание человека в профессиональную и социальную среду, формирование четко определенной линии трудового поведения. Такое поведение можно наблюдать везде. К нему относятся и такие виды поведения, как конформистское - приспособление к установкам других лиц, особенно вышестоящих в иерархической ступени управления, и конвенциональное - форма приспособления индивида, работника к сложившейся или постоянно изменяющейся поведенческой структуре, постоянно возобновляющаяся система компромиссов.
Церемониальные и субординационные формы поведения. Они проявляются на различных уровнях организационной иерархии, выполняя ряд функций. В частности, обеспечивают сохранность, воспроизводство и передачу значимых ценностей, профессиональных традиций, обычаев и образцов поведения, поддерживают устойчивость и интеграцию работников с организацией в целом. Эти виды поведения связаны с реализацией служебного, профессионального и должностного этикета. Они базируются на объективно заданной субординационной структуре профессионального и должностного подчинения, формы признания, сохранения и поддержания авторитета власти и властных полномочий. Но в этом поведении можно наблюдать различного рода деформации, когда, например, власть трансформируется в официальные и неофициальные привилегии, не имеющие ни экономического, ни социального оправдания.
Характерологические формы поведения. Это эмоции и настроения, которые реализуются в поведении. Личность может подавлять других своим волевым или должностным темпераментом, демонстрируя качества, к которым нужно приспосабливаться. Людей с такой формой поведения часто называют моральными вампирами.
Несовместимость характерологических форм поведения у двух и более лиц является причиной конфликтов и конфликтных ситуаций в трудовой организации. Одна из разновидностей этой формы поведения - спонтанное, немотивированное поведение, возникающее под воздействием сильных эмоций в экстремальных, нестандартных ситуациях. Последствия спонтанного поведения отрицательно сказываются на трудовом процессе, усиливают негативную мотивацию работников, способствуют отказу (явному или скрытому) от выполнения заданий и распоряжений.
Деструктивные формы поведения. Это выход работника за пределы статусно-ролевых предписаний, норм и дисциплинарных рамок трудового процесса. Можно выделить следующие формы такого поведения: противоправное; административно-управленческое, связанное с превышением прав и полномочий, с прямым невыполнением обязанностей; дисфункциональное (профессиональная некомпетентность); индивидуально-целевое, носящее крайне эгоистический характер, направленное на реализацию сугубо личных интересов; групповой эгоизм; имитационное поведение, псевдоактивность; виды группового и индивидуального поведения, связанные с сохранением консервативных привычек и традиций, которые в той или иной мере сдерживают инициативу, творчество, новаторство; девиантное, связанное с реализацией ассоциативных привычек и склонностей.
13.4. Трудовое поведение в рыночных
условиях хозяйствования
Условия хозяйствования на макро- и микроуровнях оказывают определенное воздействие на трудовое поведение различных категорий работников. В свою очередь, становление и распространение новых видов трудового поведения является решающим фактором перехода к новым формам хозяйствования, которые в настоящее время не однородны. Наряду с элементами экономического механизма они включают элементы, отражающие распад командно-административной системы руководства и управления. Это неизбежно порождает некоторые противоречивые черты в трудовом поведении различных групп работников, задерживает распространение новых видов трудового поведения, которые нередко отвергаются общественным мнением.
Разгосударствление и приватизация, основанные на многообразии форм собственности, во-первых, побуждают к интенсивному труду и соответствующему трудовому поведению, которое не обеспечивается социальными гарантиями; во-вторых, создают потенциальную возможность конкуренции, а значит при последовательном развитии ведут к качественному изменению трудового поведения как хозяйственных руководителей и специалистов, так и рабочих.
Социальный механизм трудовой активности персонала, в том числе роста интенсивности труда, находится под влиянием разнообразных факторов-стимулов и факторов-тормозов, среди которых можно выделить два фактора-стимула, действующих на уровне предприятия.
Первый фактор - это понимание всем персоналом экономических и юридических принципов функционирования акционерной собственности в достаточной степени, чтобы ощутить четкую зависимость своего благосостояния как от достижений предприятия в целом, так и от своего личного трудового вклада.
Второй фактор - это возможность рабочих участвовать в управлении своим предприятием. В практике других стран широкое распространение получили так называемые “партисипативные методы управления”, когда наемному работнику на всех уровнях делегируются дополнительные полномочия в управлении производством, участии в собственности, в распределении прибыли и тд. Ему предоставляется возможность распоряжаться (голосовать) своими акциями при принятии управленческих решений и даже самостоятельно решать вопросы, связанные с организацией и условиями труда. Несомненно, процесс приобщения работников к реальной власти происходит крайне болезненно и вызывает сопротивление со стороны администрации. В то же время ясно, что новая философия взаимоотношений внутри предприятий и фирм должна формироваться и в российской экономической среде.
Сегодня на многих предприятиях независимо от форм собственности взаимодействие социальных групп характеризуется тем, что руководители продолжают осуществлять авторитарный стиль управления. Они еще не несут необходимой ответственности перед коллективом за принимаемые экономические решения. У инженерно-технических работников только начинают появляться стимулы к инновациям.
Как видим, трудовое поведение в основном реализуется на промышленном предприятии, поэтому необходимо рассмотреть формы его проявления в новых условиях хозяйствования, которые создаются в результате экономических реформ и демократизации общества. А для этого необходимо провести следующие мероприятия:
• отменить все запретительные акты и законы за исключением пресекающих противоправную деятельность;
• предоставить предприятиям гарантии независимой коммерческой деятельности, собственной инвестиционной политики, свободной хозяйственной деятельности (право выбора поставщиков и рынков сбыта, право покупки на внутреннем и внешнем рынке сырья, оборудования, технологий и т.д.);
• демонополизировать и децентрализировать общественне производство;
• создать стимулы, способствующие экономическому росту, и т.д.
Деятельность промышленных предприятий и управление ими должны осуществляться на началах хозрасчета. Новые условия хозяйствования требуют широкого разнообразия форм собственности. Демократической основой хозяйственного механизма должны являться перестройка внешних условий функционирования хозяйственного механизма, звена как реального товаропроизводителя, вступающего в рыночные отношения, с правом образования любых объединений, ассоциаций; углубление самоуправления в трудовой организации; модификация субъекта управления.

Рис. 13.2. Новые условия хозяйствования (на уровне предприятия)
Новые условия хозяйствования на уровне предприятия должны отражать состояние социальной политики и большинство социальных проблем должно решаться на его уровне.
Научно-технический прогресс необходимо рассматривать как важное условие хозяйствования. Только это позволит постоянно увеличивать эффективность и качество труда, снижать себестоимость выпускаемой продукции.
Примерно по данному сценарию идут преобразования в стране. А если учесть, что все эти преобразования идут ради активизации деятельности работника (человека), то актуальным становится вопрос изучения отношения работника к труду и удовлетворенность им.
Резюме
В зависимости от классификации трудовое поведение бывает разных видов: функциональное, как конкретная форма реализации профессиональной деятельности, определяемая технологией рабочего места; экономическое, как поведение, ориентирующее на результат; административное, как деятельность администрации по формированию позитивной мотивации членов трудовой организации; стратификационное, как поведение, связанное с профессиональной трудовой карьерой; адаптивно-приспособленческое, как приспособление работника к новым профессиональным статусам и ролям, требованиям технологической среды; церемониальное, базирующееся на объективно заданной субординационной структуре профессионального и должностного подчинения; характерологические формы, которые реализуются в поведении на основе эмоций и настроения, и деструктивные, когда работник (группа работников) выходит за пределы статусно-ролевых предписаний, норм и дисциплинарных рамок трудового поведения.
Каждый вид поведения включает в себя определенный экономический механизм, отражающий распад командно-административной системы, который порождает противоречивые черты в трудовом поведении различных групп работников, затормаживает распространение новых видов, пока еще нередко отвергаемых общественным мнением.
Вопросы для контроля и обсуждения
1. Дайте характеристику понятий “трудовая деятельность” и “трудовое поведение”.
2. Раскройте структуру трудового поведения.
3. По каким основаниям можно дифференцировать трудовое поведение?
4. Какие основные виды трудового поведения вы знаете?
5. Расскажите о механизме формирования трудового поведения.
6. Расскажите о разных формах трудового поведения.
7. В чем основной смысл рыночных преобразований?
8. Расскажите, как формируются новые условия хозяйствования на уровне предприятия.
Глава 14
ОТНОШЕНИЕ К ТРУДУ И
УДОВЛЕТВОРЕННОСТЬ ИМ КАК ВАЖНЕЙШИЕ ХАРАКТЕРИСТИКИ ТРУДОВОГО ПРОЦЕССА
14.1. Содержание и структура понятия
“отношение к труду”
В процессе трудовой деятельности люди взаимодействуют друг с другом, образуя социальные отношения. Наиболее важными являются отношения человека к человеку и человека к труду, служащие определяющими признаками характера труда. Если взаимодействие человека со средствами производства формирует у него профессиональные способности и навыки, то отношение к труду и друг к другу - определенные социальные качества. Профессиональные способности и навыки в сочетании с физическими возможностями работников образуют главную движущую силу производства. Однако результат трудовой деятельности зависит не столько от уровня развития профессионального мастерства и физических возможностей, а от отношения человека к труду, которое может быть положительным, отрицательным и индифферентным. Оно оказывает огромное воздействие на развитие производства и всю систему производственных отношений. Его суть заключается в реализации трудового потенциала работника под влиянием осознанных потребностей и сформировавшейся заинтересованности.
Отношение к труду характеризует стремление (или отсутствие его) у человека максимально проявлять свои физические и духовные силы, использовать свои знания и опыт, способности для достижения определенных количественных и качественных результатов. Оно проявляется в поведении, мотивации и оценке труда (рис. 14.1).
Отношение к труду - сложное социальное явление, оно представляет собой единство трех элементов: мотивов и ориентации трудового поведения; реального или фактического трудового поведения; оценку работниками трудовой ситуации - вербального (словесного) поведения.
Первый (мотивационный) элемент связан с трудовыми мотивами и установками, которыми руководствуется работник в трудовой деятельности. Они являются побудителями трудового поведения, трудовых поступков и действий, в совокупности образуют мотивационное ядро.
Второй элемент представляет собой трудовую активность работников и проявляется в таких формах поведения, как степень выполнения норм выработки; качество выполняемой работы; дисциплинированность; инициативность; участие в техническом творчестве; многостаночное обслуживание; овладение передовыми методами и приемами труда; экономное расходование сырья и материалов, топлива, электроэнергии и т.д.

Рис. 14.1. Отношение работников к труду в зависимости
от факторов, оказывающих на него влияние
Третий (оценочный) элемент представляет собой субъективное переживание работников. Он связан с их внутренним состоянием, вызванным выполняемой работой. Без оценки самого субъекта труда любая деятельность предстает неполной, незавершенной.
Социальная активность представляет собой меру социальной преобразующей деятельности работников, основанной на осознании внутренней необходимости действий, цели которых определяются общественными потребностями. Она реализуется в социальной деятельности и соответствует трем ее формам проявления: трудовой, общественно-политической и познавательно-творческой.
Трудовая активность - основной, определяющий вид социальной активности. Она выражается в вовлечении работника в общественное производство и постоянном росте производительности труда, степени реализации им своих физических и умственных возможностей, знаний, умений, способностей при выполнении конкретного вида трудовой деятельности. Уровень трудовой активности определяется по показателям, представленным на рис. 14.1.
Общественно-политическая активность выражается в расширении участия в общественно-политической деятельности, в управлении делами производства. Это участие в работе общественных организаций, в обсуждении различных вопросов, в голосовании и тд.
Познавательно-творческая активность проявляется в повышении образовательного и квалификационного уровня, формировании личности пытливой, ищущей, утверждающей творческое начало во всех сферах жизни общества.
Как видим, основой в формировании отношения к труду выступает мотивация, которая обусловливает определенное трудовое поведение. Мотивация выражается в трудовых мотивах и установках, которыми руководствуется работник в своем трудовом поведении. В процессе трудового поведения работник оценивает труд. Оценка труда - это внутреннее состояние работника, вызванное его трудовой деятельностью, его удовлетворенность окружающей обстановкой (условиями, оплатой, нормированием труда и т.д.). Она зависит от соответствия между мотивами, установками, требованиями, предъявляемыми работником к труду, и собственно трудовой деятельностью, конкретной производственной обстановкой.
Цель изучения отношения к труду - это выявление механизма его формирования и управления им. Наиболее значимыми моментами при этом являются изучение факторов, формирующих отношение к труду, и выявление степени его воздействия на производственные показатели работника. На поведение человека в процессе труда, формирование его отношения к труду влияет множество факторов. Они стимулируют или сдерживают увеличение трудовых усилий, использование трудящимися своих знаний и опыта, умственных и физических способностей.
14.2. Основные факторы и эмпирические
индикаторы, характеризующие отношение
к труду, их типология
Характеристика отношения к труду может даваться как со стороны труда (объекта), так и со стороны работника (субъекта) в виде непосредственного его участия в системе общественного производства, его осознания, понимания, оценки своего трудового участия (вклада) в общественное производство. Поэтому все факторы, формирующие отношение к труду, можно разделить на объективные условия и обстоятельства, которые образуют независимые от субъекта предпосылки его деятельности, связанные с особенностями производственной и непроизводственной среды, и субъективные, являющиеся отражением внешних условий в сознании и психике работника, с его индивидуальными особенностями (рис. 14.2).
Объективные факторы бывают общие и специфические. К общим относятся социально-экономические и иные социальные условия трудовой деятельности. Например, частная форма собственности сказывается на трудолюбии человека, которое проявляется как деятельность внутренних побуждений, когда сознательно сочетаются личные и общественные интересы. Специфические факторы - это обстоятельства и условия конкретной трудовой деятельности: содержание труда, его производственные условия; организация и оплата, социально-психологический климат коллектива, система семейного и школьного воспитания, средства массовой информации и пропаганды, самостоятельность деятельности и степень участия в управлении.

Рис. 14.2. Факторы, формирующие отношение к труду
Объективные характеристики труда хотя и являются внешними по отношению к человеку, воздействуют на человека и оцениваются им. У человека складывается определенное внутреннее отношение к труду как типу деятельности. Объективные факторы выступают стимулами, внешними побудителями к трудовой деятельности; субъективные - мотивами, внутренними побудителями конкретной личности.
Конечно, внешние социальные воздействия первоначальны, но они становятся влиятельной силой, когда преломляются через внутренний мир человека (жизненные идеалы, устремления, мотивы трудовой деятельности, психологический настрой и т.д.). Это позволяет понять, почему в одной трудовой организации, на одних и тех же участках производства люди по-разному относятся к труду: одни трудятся инициативно, высокопроизводительно, с полной отдачей сил и способностей, другие - с ленцой, допускают потери рабочего времени, не соблюдают требования производства, нарушают дисциплину труда. Поэтому большое влияние на формирование отношения человека к труду оказывают субъективные факторы: предшествующий опыт, общая и профессиональная культура, психологические, демографические и социально-обусловленные особенности человека: пол, возраст, образование, стаж работы, способности, наклонности, степень осознания значимости своей трудовой деятельности, потребность в ней и особенно ценностные ориентации.
Чаще всего все факторы невидимыми нитями связаны между собой. Задача социологии выявить наиболее существенные взаимосвязи и взаимозависимости. Поэтому ею предложена следующая типология работников в зависимости от отношения их к труду.
Супернормативный тип. В группу входят исключительно активные и добросовестные работники, значительно выполняющие и перевыполняющие производственные задания, инициативные, участвующие в управлении и самоуправлении своей трудовой организации.
Нормативный тип. Эта группа достаточно добросовестных работников, ориентированных на выполнение предъявляемых требований и норм.
Субнормативный тип. Эта группа включает недостаточно добросовестных работников, пытающихся схитрить, словчить, хотя открыто это они не показывают.
Ненорматиеыый тип. Эту группу составляют недобросовестные работники.
Безусловно, данная типология условна и может видоизменяться и корректироваться в зависимости от различного рода условий и факторов. Но она помогает изучать и проводить типологию работников в зависимости от отношения их к труду.
Основная задача реформирования общества, внедрения рыночных отношений - это преодоление социальной апатии работников, развитие у них интереса к труду, активизация человеческого фактора. Отношение к труду тесно связано с удовлетворенностью трудом, производственной ситуацией.
14.3. Социальная сущность удовлетворен-
ности трудом, ее структура и
эмпирические индикаторы
Удовлетворенность трудам - это состояние сбалансированности требований (запросов), предъявляемых работникам к содержанию, характеру и условиям труда, и субъективной оценки возможностей реализации этих запросов. Это оценочное отношение человека или группы людей к собственной трудовой деятельности, различным ее аспектам, важнейший показатель адаптации работника на данном предприятии, в данной трудовой организации. В социологии труда различают так называемую общую и частичную удовлетворенность трудом, где первая характеризует удовлетворенность в целом, а вторая - различными его аспектами и элементами производственной ситуации.
Существует целый ряд достаточно конкретных значений удовлетворенности трудом, отражающих ее роль, функции, последствия в социально-экономической жизни, в организации и управлении.
1. В результате изучения отношения людей к благополучию в быту, социально-экономической системе, социальному климату установлено, что работа и карьера имеют для них наибольшее значение наряду с личной жизнью, здоровьем, полноценным досугом. Одним словом, удовлетворенность трудом есть прежде всего социальная удовлетворенность, важнейший показатель качества жизни индивидов, групп, населения, нации.
2. Удовлетворенность трудом имеет функционально-производственную значимость. Она влияет на количественные и качественные результаты работы, срочность и точность выполнения заданий, обязательность в отношении других людей. Отношение к труду может основываться на самооценке работником своих деловых качеств и показателей. При этом самоудовлетворенность и самонеудовлетворенность могут положительно и отрицательно влиять на работу в зависимости от конкретного случая.
3. Забота работодателя об удовлетворенности людей их трудом определяет некоторые существенные типы управленческого поведения, трудовых отношений вообще. Работодатель часто скептически относится к производственно-экономическому эффекту всяких мероприятий по гуманизации труда и считает их финансирование нерациональным. Средства на эти цели обычно тратятся под давлением профсоюзов, правовых инстанций или масс (работников). Это происходит из-за недопонимания важности и значимости для производственной сферы такого показателя, как “удовлетворенность трудом”.
4. Удовлетворительные с точки зрения работника характер и условия труда - это важнейший фактор авторитета руководителя.
5. Удовлетворенность трудом часто является индикатором текучести кадров и необходимости соответствующих действий по ее предотвращению.
6. В зависимости от удовлетворенности трудом повышаются или понижаются требования и притязания работников, в том числе в отношении вознаграждения за работу (удовлетворенность может снижать критичность в отношении оплаты труда).
7. Удовлетворенность трудом является универсальным критерием объяснения, интерпретации самых разных поступков отдельных работников и трудовых групп. Она определяет стиль, способ, манеру общения администрации с работниками, т.е. различается поведение удовлетворенных и неудовлетворенных работников, управление удовлетворенными и неудовлетворенными людьми.
Удовлетворенность трудом иногда рассматривается как интегральная характеристика, суммирующая самооценку удовлетворенности частными аспектами трудовой ситуации. Факторы, влияющие на нее, многообразны: уровень запросов работника к содержанию и условиям труда, объективное состояние последних и адекватность их субъективной оценки, мера собственных усилий субъекта в достижении желаемых условий труда и возможность воздействовать на эти условия. Связь удовлетворенности трудом с результатами труда не всегда прямолинейна. Иногда она бывает даже противоречива. Работник может быть удовлетворен трудом, но иметь низкие эффективность и качество труда.
Обычно удовлетворенность трудом измеряют довольно разнообразным набором индикаторов. В рамках предприятия, трудовой организации, фирмы и т.д. можно выделить следующие показатели:
Удовлетворительные
1. Хорошие отношения с коллегами по работе
2. Удобная сменность, ненормируемый рабочий день
3. Разнообразная работа
4. Работа требует знаний, смекалки
5. Хорошая техника безопасности
6. Высокий заработок
7. Работа не вызывает физическое переутомление
8. Работа дает возможность повысить квалификацию
9. Равномерное обеспечение работой
|
Неудовлетворительные
1. Плохие санитарно-гигиенические условия
2. Неравномерное обеспечение работой
3. Физически тяжелая работа
4. Низкий заработок
5. Плохое оборудование
6. Работа не дает возможность повышать квалификацию
7. Невнимательное отношение администрации
8. Однообразная работа
9. Неудобная сменность
|
10. Внимательное отношение администрации
11. Популярность и важность продукции, которую выпускает цех (предприятие)
12. Современное оборудование
13. Хорошая организация труда
14. Хорошие санитарно-гигиенические условия и т.д.
|
10. Плохая организация труда
11. Не вызывает интереса характер продукции, которую выпускает завод 12. Работа не заставляет думать
13. Плохая техника безопасности
14. Плохие отношения с коллегами по работе и т.д.
|
Существует несколько принципов соотношения между общей и частичной удовлетворенностью трудом, которые необходимо учитывать при измерении удовлетворенности трудом:
• общая удовлетворенность возникает в результате значительного перевеса сумм положительных или отрицательных факторов друг над другом;
• один из положительных или отрицательных факторов оказывается настолько значительным, что определяет общую удовлетворенность;
• возникает относительное равновесие между положительными и отрицательными факторами, и общая неудовлетворенность оказывается неопределенной.
Удовлетворенность трудом зависит от многих факторов. Они формируют оценочное отношение работников к их трудовой деятельности или существенно влияют на него. Среди них: объективные характеристики трудовой деятельности, субъективные особенности восприятия и переживания (притязания и критичность работника), квалификация и образование работника, стаж трудовой деятельности, этапы трудового цикла, информированность, особенная материальная или моральная мотивация труда (придают значение труду), административный режим в организации, поддержание положительной оценки и .самооценки, уровень ожидания (наличие или отсутствие, соответствие
•Реальности или несоответствие), официальное и публичное внимание к проблемам труда, общественное мнение и т.д. Практически все перечисленные факторы являются управляемыми и существуют реальные социальные технологии, позволяющие регулировать удовлетворенность трудом. Отношение к труду и удовлетворенность трудом являются как раз теми показателями, которые позволяют определять уровень и степень адаптации работника к условиям труда в самом широком смысле этого слова.
Резюме
Итак, отношение к труду характеризуют определенные качества человека, которые реализуются через проявление его физических и духовных сил. Основными компонентами отношения к труду являются: трудовые мотивы и установки работников, трудовая активность и их внутреннее состояние, вызванное выполняемой работой. Изучение данной проблемы позволило выделить объективные и субъективные факторы, формирующие отношение к труду, удовлетворенность им.
Удовлетворенность трудом рассматривается как состояние сбалансированности требований, предъявляемых работником к содержанию, характеру и условиям труда. Выделен целый ряд достаточно конкретных значений удовлетворенности трудом, отражающих ее роль, функции, последствия в социально-экономической жизни, в организации и управлении. Эти значения можно измерить с помощью социологических методов исследования, регулировать и управлять ими.
Вопросы для контроля и обсуждения
1. Дайте характеристику понятия “отношение к труду”.
2. Расскажите о трех элементах, характеризующих отношение работников к труду.
3. Раскройте объективные условия и субъективные факторы, влияющие на отношение работника к труду.
4. Дайте характеристику типов работников в зависимости от их отношения к труду.
5. Что представляет собой удовлетворенность трудом?
6. Какие основные значения имеет удовлетворенность трудом?
7. Перечислите возможные индикаторы (факторы, критерии) удовлетворенности и неудовлетворенности работника трудом на предприятии.
8. Расскажите о влиянии удовлетворенности на эффективность и качество труда работника. Приведите примеры из жизни.
Глава 15
ТРУДОВАЯ АДАПТАЦИЯ РАБОТНИКОВ
15.1. Сущность и структура трудовой адаптации
Понятие адаптация происходит от лат. adapto - приспособляю. Оно заимствовано из биологии и означает прилаживание, приспособление к окружающей среде. Трудовая адаптация - это социальный процесс освоения личностью новой трудовой ситуации, в котором личность и трудовая среда оказывают активное воздействие друг на друга и являются адаптивно-адаптирующими системами. Поступая на работу, человек активно включается в систему профессиональных и социально-психологических отношений конкретной трудовой организации, усваивает новые для него социальные роли, ценности, нормы, согласовывает свою индивидуальную позицию с целями и задачами организации (трудового коллектива), тем самым подчиняя свое поведение служебным предписаниям данного предприятия или учреждения.
Однако при поступлении на работу человек уже имеет определенные цели и ценностные ориентации поведения, в соответствии с которыми формирует свои требования к предприятию, а оно исходя из своих целей и задач предъявляет свои требования к работнику, к его трудовому поведению. Реализуя свои требования, работник и предприятие взаимодействуют, приспосабливаются друг к другу, в результате чего осуществляется процесс трудовой адаптации. Таким образом, трудовая адаптация - двусторонний процесс между личностью и новой для нее социальной средой.
Адаптированность человека к конкретной трудовой среде проявляется в его реальном поведении, в конкретных показателях трудовой Деятельности: эффективности труда; усвоении социальной информации и ее практической реализации; росте всех видов активности; удовлетворенности различными сторонами трудовой деятельности. Трудовая адаптация может быть первичной - при первоначальном вхождении работника в производственную среду и вторичной - при смене рабочего места без смены и со сменой профессии или при существенных изменениях среды. Она имеет сложную структуру и представляет собой единство профессиональной, социально-психологической, общественно-организационной, культурно-бытовой и психофизической адаптацией.
Профессиональная адаптация выражается в определенном уровне овладения профессиональными навыками и умениями, в формировании некоторых профессионально необходимых качеств личности, в развитии устойчивого положительного отношения работника к своей профессии. Проявляется в ознакомлении с профессиональной работой, приобретении навыков профессионального мастерства, сноровки, достаточных для качественного выполнения функциональных обязанностей и творчества в труде.
Социально-психологическая адаптация заключается в освоении социально-психологических особенностей трудовой организации (коллектива), вхождении в сложившуюся в нем систему взаимоотношений, позитивном взаимодействии с его членами. Это включение работника в систему взаимоотношений трудовой организации с ее традициями, нормами жизни, ценностными ориентация-ми. В ходе такой адаптации работник постепенно получает информацию о своей трудовой организации, ее нормах, ценностях, о системе деловых и личных взаимоотношений в группе, о социально-психологической позиции отдельных членов группы в структуре взаимоотношений, о групповых лидерах. Эта информация не усваивается работником пассивно, а соотносится с его прошлым социальным опытом, с его ценностными ориентациями и оценивается им. При соответствии информации прошлому опыту работника, его ориентациям она оценивается им положительно, работник начинает принимать групповые нормы и постепенно происходит процесс идентификации личности с трудовой организацией. В ходе социально-психологической адаптации работник вступает в реальную жизнь организации, участвует в ней, у него устанавливаются положительные взаимоотношения с коллегами, ^непосредственным руководителем, администрацией.
Общественно-организационная адаптация означает освоение организационной структуры предприятия (коллектива), системы управления и обслуживания производственного процесса, режим труда и отдыха и т.д.
Культурно-бытовая адаптация - это освоение в трудовой организации особенностей быта и традиций проведения свободного времени. Характер этой адаптации определяется уровнем культуры производства, общего развития членов организации, спецификой и особенностями использования свободного от работы времени. Быстро и безболезненно происходит культурно-бытовая адаптация в тех трудовых организациях, члены которых связаны не только отношениями по работе, но и вместе проводят досуг, свободное время, используя его для разностороннего развития личности.
Психофизиологическая адаптация - это процесс освоения условий, необходимых для работников во время труда. В современном производстве морально стареют не только техника и технология, но и санитарно-гигиенические нормы производственной обстановки. Улучшение санитарно-гигиенических условий труда и быта работников, появление все большего количества удобных и современных квартир, одежды, предметов туалета не могут не сказаться на производственной деятельности. Современный работник чутко относится к отклонениям от субъективно воспринимаемых им норм санитарно-гигиеничес-кого комфорта, ритмов труда, удобства рабочего места и т.д. Материалы многих исследований свидетельствуют о том, что для рабочих вопросы санитарно-гигиенических условий комфорта стоят очень остро и оцениваются ими болезненно.
В процессе адаптации работник проходит следующие стадии:
Стадия ознакомления, на которой работник получает информацию о новой ситуации в целом, о критериях оценки различных действий, об эталонах, нормах поведения.
Стадия приспособления, на этом этапе работник переориентируется, признавая главные элементы новой системы ценностей, но пока продолжает сохранять многие свои установки.
Стадия ассимиляции, когда осуществляется полное приспособление к среде, идентификация с новой группой.
Идентификация, когда личные цели работника отождествляются с Целями трудовой организации, предприятия, фирмы и т.д. По характеру идентификации различают три категории работников: безразличные, частично идентифицированные и полностью идентифицированные. Ядро любой трудовой организации составляют полностью идентифицированные работники. И конечные результаты такой трудовой организации всегда высоки. Скорость адаптации зависит от многих факторов. Нормальный срок адаптации для разных категорий работников составляет от 1 года до 3 лет. Неумение войти в трудовую организацию (коллектив), адаптироваться в ней вызывает явление производственной и социальной дезорганизации.
15.2. Объективные и субъективные факторы
трудовой адаптации
Факторы трудовой адаптации - это условия, влияющие на течение, сроки, темпы и результаты этого процесса. Среди них можно выделить как объективные, так и субъективные. Объективные (в трудовой организации - это факторы, связанные с производственным процессом) - факторы, которые в меньшей степени зависят от работника (уровень организации труда, механизации и автоматизации производственных процессов, санитарно-гигиенические условия трупа, размер коллектива, расположение предприятия, отраслевая специализация и т д.).
К субъективным (личностным) факторам относятся:
• социально-демографические характеристики работника (пол, возраст, образование, квалификация, стаж работы, социальное положение и т.д.);
• социально-психологические (уровень притязаний, готовность трудиться, практичность, быстрота ориентации в производственной ситуации, способности самоконтроля и умения распределять свои движения и действия во времени, коммуникабельность и т.д.);
• социологические (степень профессионального интереса, материальной и моральной заинтересованности в эффективности и качестве труда и т.д.).
Интегрированным субъективным показателем успешной трудовой адаптации можно считать общую удовлетворенность работника трудом, морально-психологическим климатом в коллективе. Как видим, в процессе производственной адаптации не последнее место занимает личностный потенциал работника. Это совокупность черт и качеств работника, которые формируют определенный тип поведения: уверенность в себе, общительность, способность к самоутверждению, уравновешенность, объективность и т.д. Наряду с перечисленными характеристиками важное место занимают знания, образование, опыт. Необходимо по-настоящему использовать свой опыт и делать выводы на будущее. В частности, по всем этим критериям можно судить и об уровне адаптации.
15.3. Комплексная система профессиональ-
ной ориентации, адаптации и
продвижения на предприятии
Адаптация проходит быстрее и успешнее, если правильно выбрана профессия. Проблема выбора профессии молодежью представляет как теоретический, так и практический интерес. С одной стороны, в ней отражаются стремления, намерения молодежи, с другой - конкретное осуществление этих намерений, реализация личных планов. Выбор профессии поддается управлению путем целенаправленного формирования личных намерений и интересов у молодежи с учетом социально-экономических потребностей общества и приведением в соответствие стремлений, личных планов молодежи с возможностями их реализации.
Определенной формой такой работы является профессиональный отбор. Профессиональный отбор - это процесс выявления с помощью научно обоснованных методов степени и возможности формирования медицинской, социальной и психофизиологической пригодности человека для выполнения той или иной работы. Применительно к производственному коллективу проблема профотбора состоит в определении профессиональной пригодности как совокупности особенностей человека, его способностей и наклонностей, обусловливающих эффективность определенного вида деятельности и удовлетворенность избранной профессией.
Не все люди в одинаковой степени способны освоить ту или иную профессию - одни очень быстро овладевают навыками и достигают профессионального совершенства, у других на это уходят годы. Нередко в процессе затянувшегося обучения теряется интерес к избранной профессии и человек меняет свой вид деятельности. Назначение профотбора - уменьшить потери из-за неудовлетворенности выбранной профессией и отсутствия у работника необходимых способностей и наклонностей.
Профотбор осуществляется в два этапа:
На первом этапе на основе материалов наблюдения, опросов, тестирования рабочих процессов, бесед с руководителями, ведущими специалистами составляется профессиограмма. Профессиограмма - это всестороннее описание профессии, дающее представление о том, что и как должно выполняться рабочим, специалистом, при помощи Каких орудий труда, в каких производственно-технических условиях. В нее входят и требования, которым должен отвечать исполнитель.
Профессиограмма включает: производственно-техническую, экономическую, гигиеническую, медицинскую, социальную, педагогическую и психофизиологическую характеристики.
На втором этапе изучают природные данные, наклонности, социальные, психологические и физиологические проявления поступающего на предприятие молодого человека. И на их основе составляют карту личности, которая характеризует человека в социальном аспекте (сознательность, мотивы профессиональной деятельности, профессиональные интересы, широта кругозора, удовлетворенность производственной деятельностью) „ психологическом (черты характера, особенности внимания и памяти, быстрота и производительность умственных процессов, эмоциональные особенности, проявление воли) и физиологическом (тип высшей нервной деятельности, особенности организации мозговых регуляторных систем). Для составления карты личности используют обычно два основных методов: систему тестов (набор задач, в процессе решения которых определяются психофизиологические особенности и качества человека - внимание, темперамент и тд.) и личную беседу с поступающим на работу, анкетирование.
При составлении необходимых (профессиограмма) и наличных (карта личности) качеств выявляется профпригодность. Практика свидетельствует, что большинство молодых людей определяют свой жизненный путь самостоятельно под влиянием обстоятельств, не имеющих ничего общего с сознательной профессиональной ориентацией. В результате у них часто возникают общая неудовлетворенность трудом, безразличие к его условиям и содержанию, частое желание сменить место работы и т.д. Для проведения профориентационной работы необходимы специально оформленные кабинеты, наглядные информационные материалы, специально подготовленные люди. Она должна проводиться в различных формах: экскурсии, уроки, лекции, беседы, конкурсы рабочих мест и профессий, встреча с разными людьми и т.д. На предприятиях и организациях должна осуществляться система должностного и профессионального продвижения в зависимости от учебы работника, стажа его работы, приобретаемых профессиональных навыков, инициативности и заинтересованности в результатах качественного труда и т.д.
Карьера - это индивидуально осознанные позиция и поведение, связанные с трудовым опытом и деятельностью на протяжении рабочей жизни человека (последовательность занимаемых должностей, различных мест, положений в трудовой организации). Различают два вида карьеры: профессиональную и внутриорганизационную. | Профессиональная карьера характеризуется тем, что конкретный работник в процессе своей профессиональной деятельности проходит различные стадии развития: обучение, поступление на работу, профессиональный рост, поддержка индивидуальных профессиональных способностей, уход на пенсию. Эти стадии конкретный работник может пройти последовательно в разных организациях.
Внутриорганизационная карьера охватывает последовательную смену стадий развития работника в рамках одной организации. Она реализуется в трех основных направлениях: вертикальное направление карьеры - это подъем на более высокую ступень структурной иерархии; горизонтальное - перемещение в другую функциональную область деятельности, либо выполнение определенной служебной роли на ступени, не имеющей жестко формального закрепления в организационной структуре (например, выполнение роли руководителя временной целевой группы и т д.). К горизонтальной карьере можно также отнести расширение или усложнение задач на прежней ступени с дополнительным вознаграждением; центростремительное направление наименее очевидно, хотя во многих случаях является весьма привлекательным для работников. Это движение к руководству организации. Например, приглашение работника на недоступные для него раньше встречи, совещания как формального, так и неформального характера, доверительное обращение и т.д.
Главной задачей планирования и реализации карьеры является обеспечение взаимодействия двух карьер: профессиональной и внут-риорганизационной. Работник должен четко знать не только свои перспективы на краткосрочный и долгосрочный период, но и то, каких показателей он должен добиться, чтобы рассчитывать на продвижение по службе. На разных этапах карьеры работник удовлетворяет различные потребности.
Предварительный этап включает учебу в школе, среднее и высшее образование и длится до 25 лет. За этот период человек может сменить. несколько различных работ в поисках вида деятельности, удовлетворяющего его потребности и отвечающего его возможностям. Если такой вид находится сразу, начинается процесс самоутверждения как личности, человек заботится о безопасности существования.
Этап становления длится примерно 5 лет (от 25 до 30 лет). В этот период работник осваивает выбранную профессию, приобретает необходимые навыки, формируется его квалификация, происходит самоутверждение и появляется потребность установления независимости. Обычно в этом возрасте создаются и формируются семьи, поэтому возникает желание получать заработную плату, уровень которой выше прожиточного минимума.
Этап продвижения обычно длится от 30 до 40 лет. В этот период идет процесс роста квалификации, продвижения по службе. Происходит накопление практического опыта, навыков, растет потребность в самоутверждении, достижении более высокого статуса и еще большей независимости, начинается самовыражение как личности. В этот период гораздо меньше уделяется внимания удовлетворению потребности в безопасности, усилия работника сосредоточены на увеличении размеров оплаты труда и заботе о здоровье.
Этап сохранения характеризуется действиями по закреплению достигнутых результатов и длится от 40 до 55 лет. Наступает период (пик) совершенствования квалификации и происходит ее повышение в результате .активной деятельности и специального обучения, работник заинтересован создать собственную “школу”, передать свои знания молодежи, этот период характеризуется творчеством, здесь может быть подъем на новые служебные ступени. Человек достигает вершин независимости и самовыражения. Появляется заслуженное уважение к себе и окружающим, достигшим своего положения честным трудом, собственными усилиями. Хотя многие потребности работника в этот период удовлетворены, его продолжает интересовать уровень оплаты труда, но появляется все больший интерес к другим источникам дохода (например, участие в прибылях, капитале других организаций, акции, облигации и т.д.).
Этап завершения длится от 55 до 65 лет. Здесь человек начинает всерьез задумываться о пенсии, готовиться к уходу. В это время идут активные поиски достойной смены и обучение кандидата на освобождающуюся должность. Хотя этот период характеризуется кризисом карьеры, и такие люди все меньше получают удовлетворение от работы и испытывают состояние психологического и физиологического дискомфорта, самовыражение и уважение к себе и другим подобным людям у них достигает наивысшей точки за весь период карьеры. Они заинтересованы в сохранении уровня оплаты труда, но стремятся увеличить другие источники дохода, которые заменили бы им заработную плату данной организации при уходе на пенсию и были бы хорошей добавкой к пенсионному пособию.
Пенсионный этап. Карьера в данной организации (виде деятельности) завершена. Появляется возможность для самовыражения в других видах деятельности, которые были недоступны в период работы в трудовой организации или являлись просто хобби. Стабилизируется уважение к себе и собратьям-пенсионерам. Но финансовое положение и состояние здоровья в эти годы могут сделать постоянной заботу о других источниках дохода и о здоровье.
С целью, управления карьерой и наведения порядка на этом участке работы на предприятии (в трудовом коллективе) на каждого вновь поступающего работника заводится специальная карта адаптации и профессионального продвижения. Карта является своего рода регистрационным документом, отражающим ход трудовой адаптации новичков. В ней приводятся демографические характеристики работающего, данные о составе семьи, мотивы поступления на предприятие, мотивы выбора профессии, его трудовой путь до поступления на предприятие, пожелания работника в отношении дальнейшего повышения или изменения квалификации, профессии, пожелания в отношении увеличения заработка и т.д. При очередном переобучении, переподготовке, приобретении устойчивых профессиональных навыков работники поощряются перемещением по служебной лестнице, увеличением заработка и т.д. Таким образом, карта помогает прослеживать профессиональные и квалификационные изменения работника, в определенной степени управлять этим процессом, а этапы карьеры могут быть своего рода ориентиром при ее планировании.
Резюме
Подводя итоги изучения данной темы, необходимо отметить, что адаптация есть социальный процесс освоения личностью новой трудовой ситуации, когда личность и трудовая среда активно взаимодействуют друг с другом. Она имеет сложную структуру и представляет собой единство разных видов адаптации профессиональной, социально-психологической, общественно-политической и культурно-бытовой.
С адаптацией тесно связан личностный потенциал работника как совокупность определенных черт и качеств работника. Личностный потенциал характеризует внутреннюю физическую и духовную энергию человека, его деятельную позицию. Психофизиологический, трудовой потенциал работника, его образование, опыт активно влияют на уровень и степень адаптации.
Однако адаптация проходит быстрее и успешнее, если правильно выбрана профессия. Профотбор осуществляется в два этапа. На первом на основе результатов наблюдения, опросов, тестирования и т. д. составляется профессиограмма. На втором этапе изучаются природные данные, наклонности, социальные, психологические и физиологические проявления молодого человека. Для управления процессом адаптации и карьерой на предприятии на вновь поступившего молодого работника составляется специальная карта адаптации и профессионального продвижения. Она помогает прослеживать профессиональные и квалификационные изменения работника и управлять этим процессом.
Вопросы для контроля и обсуждения
1. Что представляет собой трудовая адаптация?
2. В чем проявляется конкретная адаптированность работника к трудовой среде?
3. Что такое “первичная” и “вторичная” адаптация?
4. Дайте характеристику видов адаптации.
5. Перечислите и дайте характеристику стадий адаптации.
6. Охарактеризуйте объективные условия и субъективные факторы, влияющие на адаптацию работников.
7. Что представляет собой профессиональная ориентация?
8. Дайте характеристику профессионального отбора.
9. Назовите этапы профессионального отбора.
10. Что представляет собой профессиограмма?
11. Расскажите об имеющемся опыте профессионального и квалификационного продвижения на предприятии.
12. Перечислите возможны
Глава 16
ТРУДОВОЙ КОНФЛИКТ
16.1. Сущность, показатели, типы и
социальная структура трудового конфликта
Исследование проблем конфликта - одно из традиционных и основных направлений социологической науки. В последнее время оно получило название конфликтология.
Трудовой конфликт - это противоречие организационно-трудовых отношений, принимающее характер прямых социальных столкновений между индивидами и группами работников. Не всякие организационно-трудовые противоречия создают конфликтную ситуацию. Она возникает, если:
• противоречия отражают взаимоисключающие позиции субъектов;
• степень противоречий достаточно высока;
• противоречия доступны для понимания, т.е. индивиды и группы осознают эти противоречия или, напротив, они непонятны;
• противоречия возникают мгновенно, неожиданно или довольно длительно накапливаются, прежде чем появятся какие-то социальные столкновения.
Реализация трудового конфликта зависит от таких субъективных человеческих факторов, как потребности и способности. Индивиды и группы должны, с одной стороны, испытывать довольно сильную потребность в преодолении взаимных сложностей для того, чтобы согласиться или решиться на конфронтацию, с другой - обладать достаточной способностью к вступлению в такую конфронтацию, иметь шанс посредством ее решить свою проблему. Способность к конфликту имеет конкретные составляющие: личные качества, деньги, связи, авторитет, наличие сторонников и тд. Отсутствие способности к конфликту - одна из причин того, что трудовой конфликт либо не происходит при достаточных предпосылках, либо ничем конструктивным не завершается. Это достаточно обыденное и часто встречающееся явление, хотя на сегодняшний день в мире существует статистика и криминальных форм его разрешения, что говорит о потенциальной возможности связи трудовых конфликтов и преступности.
По характеру и степени проявления признаков можно различить открытый и закрытый типы трудового конфликта. Основными критериями данной типологизации являются:
• уровень осознания конфликтной ситуации, ее субъектов, причин и перспектив;
• наличие или отсутствие реального конфликтного поведения и активности по урегулированию;
• известность конфликтной ситуации для окружающих и их влияние на нее.
Закрытый конфликт чаще всего бывает неблагоприятным. Он характеризуется большим социальным дискомфортом, деструктивным влиянием на организацию и организационно-трудовые отношения, возможность его разрешения очень мала. В закрытом конфликте не только индивиды, но и группы оказываются объектами взаимной манипуляции, не имеют возможности повлиять на негативные процессы.
Индивиды и группы, имеющие прямое или косвенное отношение к конфликту, являются его субъектами. Они могут быть разделены на следующие категории: первичные агенты, присоединившиеся участники, среда. Эти субъекты образуют социальную структуру трудового конфликта. Различия между субъектами не только условны, но и иллюзорны. Например, внешне конфликтуют индивиды, но за ними в действительности “стоят” соответствующие группы со своими противоположными интересами или, наоборот, внешне конфликтуют группы, но в действительности основу конфликта составляет противоположность именно частных интересов каких-то индивидов. В экономической сфере это бывает довольно часто.
Если межиндивидуалъные конфликты переходят в межгрупповые, то конфликты между группами иногда оборачиваются конфликтами внутри этих групп. На межиндивидуальном и межгрупповом уровнях одни конфликты не только порождают, но и подавляют, замещают другие. Субъектами трудового конфликта оказываются иногда не стихийно самоопределяющиеся и проявляющиеся “одиночки”, “коллективы” и “массы”, а компетентные, опытные и принципиальные активисты и группы давления, способствующие процессу регулирования организационно-трудовых отношений.
Процесс конфликта в организационно-трудовых отношениях часто детерминируется следующим важным обстоятельством. Субъекты трудового конфликта могут быть информированы друг о друге в различной степени, обоюдно или односторонне дезинформированы, что может иметь непредсказуемые последствия. Субъекты трудового конфликта - это часто не равнодействующие факторы. Они могут обладать разной социальной силой вообще или на определенной стадии конфликтной ситуации. Соотношение этих сил может правильно или неправильно осознаваться всеми субъектами трудового конфликта, что также является социальной характеристикой последнего.
Все трудовые конфликты “неповторимы” в зависимости от того, какие социально-экономические группы, роли и статусы являются их субъектами. В качестве первичных агентов трудового конфликта отдельные работники, трудовые группы, коллективы организаций оказываются, если именно их цели сталкиваются в процессе труда и в распределительных отношениях; именно они особенно четко осознают и принципиально относятся к каким-то противоречиям. Присоединение к конфликту вторичных участников возможно путем либо добровольного, сознательного включения в конфликтную ситуацию, либо привлечения в нее все большего количества участников самими первичными агентами конфликта. Это присоединение происходит по множеству мотивов. При расширении социальной базы конфликта сама конфликтообразующая проблема может усложняться, становиться все более запутанной, что способно создавать лучшие условия для разрешения конфликта.
Среда конфликта образуется на основе того, что какие-то индивиды или группы либо занимают нейтральную позицию в конфликтной ситуации, либо безразличны к проблеме, либо воздерживаются от вмешательства с целью его ослабления, либо заинтересованы в продолжении и занимают выжидательную позицию. Не присоединяются к конфликту те, кто не может определить свою позицию, не уверен в правильности его понимания.
В некоторых случаях прямые агенты конфликта стремятся придать своему внутреннему спору широкий социальный масштаб, а свои интересы представить как интересы многих. Это делает их позицию более официальной, сильной. В действительности чаще всего возникают трудовые конфликты, социальная структура которых особенно сложна, т.е. непонятно, кто и какое отношение имеет к конфликту.
Поведение в условиях конфликта является одним из важных критериев типологизации личности работника. Так, одни избегают конфликтных ситуаций любой ценой, другие относятся к ним адекватно, третьи склонны конфликтовать при малейших сложностях в отношениях. Более того, поведение в условиях конфликта может быть показателем отношения работника к труду. Возможны варианты зависимости между отношением к труду и особенностями конфликтного поведения.
1. Хороший работник болезненно восприимчив к конфликтности, он особенно нуждается в благоприятном социальном климате, нормальных условиях работы. Плохой же переживает конфликт безболезненно, готов сам конфликтовать часто.
2. Хороший работник безразличен к конфликтности, поскольку он полностью занят, его внимание сосредоточено на производственных целях. Плохой “более свободен”, уделяет много внимания конфликтности, конфликт может быть одним из его занятий на рабочем месте.
3. Хороший работник “нуждается” в конфликтах, только когда они затрагивают организацию труда и после разрешения конфликта значительно ее улучшат. Плохому конфликты в этом смысле “не нужны”.
Можно продолжить данный перечень, учитывая большое разнообразие трудового поведения.
Трудовой конфликт, как правило, имеет негативные последствия:
• усиление настроения враждебности, увеличение доли недоброжелательных высказываний и взаимных оценок, ухудшение социального самочувствия и самосознания людей в трудовой среде;
• свертывание деловых контактов вопреки функциональной необходимости, предельная формализация общения, отказ от открытых коммуникаций;
• падение мотивации к труду и фактических показателей трудовой деятельности вследствие негативного настроения, недоверия, отсутствия гарантий;
• ухудшение взаимопонимания и ненормальные, установочные разногласия “по пустякам” во взаимодействиях, переговорах, контактах и т.д.;
• умышленное сопротивление желаниям, действиям и мнениям других, даже если в этом нет личностной необходимости и смысла; поведение “наоборот”, т.е. по принципу противоречия; демонстративное бездействие, невыполнение, несоблюдение взаимных обязательств, договоренности из принципа;
• умышленное и целенаправленное деструктивное поведение, т.е. установка на разрушение и подрыв определенных общих связей, организации, культуры и традиций;
• разрушение положительной социальной идентификации, неудовлетворенность принадлежностью к данной трудовой группе, организации, дискредитация связей и отношений в принципиальном плане; установки на индивидуалистическое поведение;
• фактические потери времени, отвлечение от работы или неиспользование благоприятной ситуации, возможности и шанса добиться чего-либо из-за борьбы и споров; бессмысленные затраты сил и энергии на вражду и конфронтацию;
• не разрешение, а “запутывание” каких-либо проблем. Перечисленные негативные последствия трудового конфликта можно рассматривать также как универсальные показатели, признаки конфликтной ситуации. Сам трудовой конфликт имеет и позитивные стороны, так как часто решает многие задачи, устраняет негативные явления.
Можно выделить следующие позитивные функции трудового конфликта:
информационная (только через конфликт становится открытой информация, которая функционально необходима всем или многим);
социализации (в результате конфликта индивиды получают социальный опыт, знания, которые недоступны в обычных условиях);
нормализация морального состояния (в конфликте разрешаются накопленные негативные настроения, происходит очищение моральных ориентации);
инновационная (конфликт вынуждает, стимулирует изменения, демонстрирует их неизбежность; через конфликт официально признается какая-то проблема).
Признание позитивных функций трудового конфликта не означает, что конфликт можно и нужно целенаправленно создавать. При наличии конфликта необходимо правильно относиться к нему с точки зрения возможных положительных исходов; не подавлять, а решать его с полезным эффектом; анализировать, учиться через конфликт; регулировать, направлять его на достижение полезных целей.
16.2. Причины трудовых конфликтов
Исследования причин трудовых конфликтов позволяют подробно их классифицировать и определить возможности и принципы их разрешения. Причина возникает обычно раньше, чем появляется само столкновение социальных сторон. Необходимо также различать причину и инцидент, т.е. какой-то случайный факт отношений оказывается поводом к началу конфликтного поведения. Поводом может быть и умышленно созданная ситуация.
Причины трудовых конфликтов прежде всего можно разделить на объективные и субъективные. В основе трудового конфликта могут лежать объективные недостатки, слабости, ошибки в организации труда; именно они сталкивают людей, делают конфронтацию между индивидами и группами неизбежной. Объективные организационно-трудовые причины конфликтов предполагают две ситуации: определенный принцип организации либо должен быть отменен вообще в целях разрешения трудового конфликта, либо просто усовершенствован в деталях, способах реализации и тд. Одним словом, существуют своеобразные “антагонистические” и “неантагонистические” организационно-трудовые противоречия как причины конфликтов.
Трудовой конфликт может основываться на субъективных особенностях и состояниях индивидов и групп. Более того, индивиды и группы иногда привносят в свои организационно-трудовые отношения внешние конфликтные настроения, возникающие за пределами труда.
Объективные и субъективные причины не всегда различимы, между ними иногда нет четких границ. Объективные противоречия в организации труда способны в конечном итоге привести к глубоким личностным антипатиям, а личностные антипатии могут искажать организационно-трудовые отношения, усложнять их. Кроме того, существует категория причин, которые можно определить как объективно-субъективные. Например, трудовые конфликты возникают из-за того, что отдельные работники или целые трудовые группы недостаточно адаптировались к новым принципам организации труда, не поняли их смысла достаточно точно. Одним словом, трудовой конфликт происходит по поводу, а не вследствие определенной организации труда. Проблема человеческих отношений связана с производством, но главный ее источник - сами работники.
Причины трудовых конфликтов можно рассматривать и более конкретно, исходя из типов противоречий, лежащих в их основе.
1. Проблемы распределительных отношений. Они обычно являются наиболее вероятными факторами конфликтных ситуаций на производстве. Индивиды и группы конфликтуют прежде всего по поводу присвоения каких-либо благ и ценностей. В связи с распределительными отношениями возможен трудовой конфликт из-за: факта распределения благ (справедливо-несправедливо); перераспределения уже присвоенных, полученных благ; самого принципа, критерия распределения благ. Конфликт перераспределения болезненее, чем конфликт распределения; конфликт из-за принципа распределения носит более идейный и конструктивный характер, чем конфликт из-за фактического распределения. Например, если все работники по их собственным оценкам имеют достаточно хорошие условия труда, то конфликт между ними не возникает; если же при равных результатах труда заработная плата одной из групп работников значительно повысилась без достаточных на то оснований, то возможен конфликт. Объектом и предметом конфликта в производственных условиях могут быть не только заработная плата, но условия и содержание труда, норма выработки и тд.
Распределительные конфликты практически не имеют границ, они могут быть между бедными и бедными, богатыми и бедными, богатыми и богатыми, индивидами и группами, занятыми в одинаковых или разных сферах труда и экономической деятельности. Этот конфликт возможен при любой системе распределительных отношений. Например, конфликт может вызвать слишком сильная зависимость заработной платы от возраста и тд.
2. Сложности функционального взаимодействия. Это одна из самых скрытых причин трудового конфликта. Конфликтующими сторонами оказываются индивиды и группы, включенные в единые функциональные отношения, связанные дифференциацией и кооперацией трудовой деятельности. Наблюдения показывают, что чаще конфликтуют те, кто проявляет особую активность. Замечено также, что причиной конфликтной ситуации часто служит бездействие одних по сравнению с другими. Главным здесь является следующее противоречие: чем сложнее дифференциация и кооперация трудовой деятельности, чем активнее и ответственнее отношение самих людей к ней, тем вероятнее и столкновения.
3. Ролевые противоречия. Конфликтные ситуации в организационно-трудовых отношениях часто создаются ролями, выполняемыми индивидами и группами, т.е. происходит ролевой конфликт. У него два аспекта - объективный и субъективный. Объективно существуют разные роли, часто с противоположными целями и различными способами поведения индивидов. Например, производители и потребители, рабочие, занятые основным и вспомогательным трудом, связаны между собой разной степенью ответственности, несовместимостью интересов, жесткой контрактностью и формальностью. Здесь определенные действия одной стороны приносят либо существенный ущерб, либо существенную выгоду другой, что обусловливает высокую степень вероятности не только взаимоотчужденности, но и борьбы, соперничества. Одна из особенностей конфликтной ситуации на ролевой основе - установка субъектов на определенные действия.
Субъекты организационно-трудовых отношений, выполняющие противоположные задачи и функции, имеют свои представления и взгляды по поводу ролей друг друга. Если “исполнение” своей роли одной стороной не соответствует представлению о данной роли другой стороны, то это несоответствие и приводит к конфликту, т.е. причиной конфликта является нереализация взаимных ролевых ожиданий субъектов.
4. Сугубо деловые разногласия. В данном случае конфликт не связан с присвоением, а основывается на разности профессионального мышления, расхождениях во взглядах на организацию работы, правильное решение проблем производства, нормы взаимоотношений и т.д. Это своего рода “идейный” конфликт. Обычно трудовые конфликты из-за деловых разногласий не бывают групповыми, массовыми, но носят острый характер.
5. Раздел вины, ответственности. Если организация переживает неуспех, неблагополучие, работает нерентабельно, на грани банкротства и т.д., то это способно вызвать конфликтную ситуацию. Довольно редко вся трудовая группа, организация принимает на себя ответственность, чаще всего происходит болезненный процесс определения конкретного виновника, персонификации вины, что и становится причиной трудового конфликта.
6. Лидерство. Наряду с формальным руководством в организационно-трудовых отношениях всегда проявляются процессы ненормального соперничества, инициативы, доминирования. Самосознание индивидов и групп рождает разного рода личные и профессионально-деловые амбиции, а также амбиции социального превосходства, которые и сталкиваются между собой. Лидерство и основанный на нем трудовой конфликт могут проявиться не только в сложных, но и в простых видах трудовой деятельности, где выполняются самые примитивные задачи и функции. Любая проблема в совместной трудовой деятельности может умышленно использоваться для борьбы за лидерство. В результате трудовой конфликт может протекать как борьба за власть и господство; занятость, сохранение собственной работы; наставничество; выполнение престижных ролей.
7. Ненормальные условия труда. Они являются частым раздражителем, приводят к враждебным настроениям среди работников, нетерпимости к любым проблемам. Высокая плотность рабочих мест, “скученность” работников в помещении, вынужденная высокая интенсивность контактов, работа на несовременном оборудовании с применением старых технологий являются самостоятельной причиной трудовых конфликтов, хотя полностью это не всегда осознается.
8. Несовместимость. Под несовместимостью понимают существенные различия в характеристиках субъектов, которые препятствуют их нормальным отношениям. В организационно-трудовой сфере проявляются случаи несовместимости в опыте, квалификации, образовании; экономической психологии и отношении к трупу (одни ориентируются на минимум активности и максимум вознаграждения, другие - на максимум активности и максимум вознаграждения, третьи ~ на минимум активности и минимум вознаграждения; если эти типы вынуждены взаимодействовать, то между ними неизбежны конфликты). Несовместимость - это явление не только объективное, но и субъективное. Конфликтность в социально-трудовые отношения вносят не только действительно существующие различия, но и мнения об этих различиях.
9. Половозрастной состав организации. Существуют различные точки зрения по этому поводу. Например: межполовые различия могут вызывать конфликтность через несовместимость вследствие многих идейных стереотипов; способствуют нормальному социально-психологическому климату, предохраняют от конфликтов.
В отношении межвозрастных различий и их значения в организационно-трудовых отношениях чаще всего оговариваются следующие проблемы, вызывающие конфликтность:
• молодому работнику иногда свойственно переоценивать свои способности, недооценивать опыт старших;
• опытные старшие работники не оказывают помощи молодым, особенно в период адаптации;
• опытные старшие работники иногда недооценивают способности молодых;
• молодежь не всегда понимает некоторые специфические сложности и потребности работников старшего поколения, их консерватизм (старшие абсолютизируют свои знания и опыт; часто считают, что они во всем правы), слабую способность воспринимать новое;
• работники старшего поколения иногда слишком ревностно относятся к “слишком быстрой” карьере молодых, их достижениям и т.д.
Считается, что при соответствующей культуре отношений именно разновозрастной состав персонала трудовой организации, группы дает лучшие показатели социально-психологического климата, способствует профессиональному и экономическому успеху.
10. Социальные различия. Трудовые конфликты в организациях могут провоцироваться различиями между людьми сословно-классового, расового, этнического, религиозного, политического характера. Требуются не только культура самих людей, но и талант администратора в предотвращении таких конфликтов. Необходимо быть достаточно компетентным, чтобы полно и правильно понимать сложные социальные различия, создавать на их основе оптимальные социально-трудовые отношения.
16.3. Разрешение трудового конфликта
Разрешение трудового конфликта - это процесс или целенаправленная деятельность, снимающие его причины и последствия. Разрешение трудового конфликта может быть организованным или произвольным, стихийным. Не всегда установимы четкие границы между разрешением конфликта и самим конфликтом, поскольку он иногда протекает как конструктивное преодоление трудовых проблем.
С теоретической точки зрения разрешимость трудового конфликта зависит от степени его сложности. Однако в действительности последняя довольно трудно определяется и прогнозируется. Самые незначительные проблемы оборачиваются острой конфликтной ситуацией, а самые значительные иногда так и не перерастают в открытый и длительный конфликт. Можно сформулировать несколько конкретных факторов, обусловливающих сложность трудового конфликта.
1. Масштаб конфликта. Он определяется общим количеством участвующих в конфликте, затронутых конфликтом индивидов; количеством сторон, позиций в конфликте. Так, в процессе конфликта могут появиться три, четыре и тд. конфликтующие стороны, позиции, что усложняет его разрешение. Количество участвующих не является однозначным фактором. Трудовой конфликт между группами может быть так же прост, как и между отдельными работниками. Более того, в междисциплинарном конфликте сильнее проявляются личностные факторы, что усложняет его разрешение. В межгрупповом конфликте участники могут осознавать его масштабность, связанные с ним последствия, риск, ответственность, поэтому особенно стремятся к его разрешению. В межиндивидуальном преимуществом является простота обсуждения; оно может происходить оперативно, в рабочем порядке (если не требуется заключение специалиста или мнение администратора по какой-то проблеме), однако здесь слабее “коллективный разум”, меньше вероятность компромисса.
2. Длительность конфликтной ситуации. Разрешить конфликт на его начальной стадии может быть проще, так как он еще не персонифицирован (не получил характера личной вражды), невелики разрушительные последствия конфликта, не сформировалась сложная и запутанная структура участников конфликта. Все это говорит о том, что конфликт необходимо разрешать как можно раньше. В то же время поздняя стадия конфликта может иметь свои преимущества при его разрешении, поскольку причина конфликта стала для всех ясной, понятной; все устали от конфликта и хотят его урегулирования; мотив игры сменяется мотивом риска.
3. Новизна или стандартность конфликта. Если подобный конфликт уже имел место ранее, то сейчас он будет происходить в менее острой форме. Участники относятся к проблеме конфликта как к уже знакомой, обычной, они спокойны, знают решения этой проблемы.
4. Объективные или субъективные причины конфликта. Технология разрешения конфликтов по объективным причинам более сложна, так как требуются организационно-трудовые изменения. В то же время, осознавая объективный, надличностный характер проблемы, участники могут относиться к самому конфликту более спокойно, конструктивно. Конфликт в данном случае просто переходит в ожидание соответствующих организационно-трудовых изменений.
5. Субъективные характеристики конфликтующих сторон. Если участники конфликта обладают опытом, культурой, образованием, то способны лучше и быстрее увидеть решение проблемы, найти способы наилучшего поведения в конфликте. Однако острые конфликты возможны на уровне не только рабочих, но и специалистов, администраторов, не только в производственных трудовых группах, но и в коллективах с интеллектуальным трудом. Высокий уровень культуры иногда, наоборот, способствует конфликтам в силу более принципиального отношения людей к делу.
Можно выделить следующие конкретные модели разрешения трудового конфликта.
1. Если конфликтующие стороны не видят способа согласования, то они взаимно отказываются от собственных притязаний в целях сохранения социального мира в организации или между организациями.
2. Одна из конфликтующих сторон отказывается от своих притязаний, осознав их как менее существенные, справедливые, свои возможности “выиграть” конфликт - как более слабые.
3. Конфликтующие стороны находят вариант компромисса, жертвуя частью своих притязаний, чтобы создать возможность их согласования (притязания в полной мере не могут быть согласованы),
4. Обе стороны могут реализовать свои притязания; если находятся “новые ресурсы”, если проблема конфликта “сталкивается” на какую-то третью сторону, т.е. решается за счет этой третьей стороны.
Существуют такие типы разрешения конфликта, как: автономный, когда конфликтующие в процессе социально-трудовых отношений способны снять проблемы самостоятельно, в границах собственных задач и функций; общеорганизационный, если трудовой конфликт разрешается только в результате организационных изменений; самостоятельный, когда конфликтующие стороны сами решают проблему, опираясь на собственные возможности, желания и способности; публичный, если в разрешении конфликта участвуют окружающие, они сочувствуют, советуют, одобряют или осуждают, и административный, когда урегулирование происходит только в результате вмешательства и соответствующих решений администрации.
Различают следующие формы разрешения трудового конфликта.
1. Реорганизация - изменение организационно-трудового порядка, вызвавшего конфликт, а не борьба и уговоры в отношении конфликтующих сторон.
2. Информирование, т.е. социально-психологическая регуляция, направленная на перестройку образа ситуации в сознании конфликтующих сторон, достижение правильного взгляда на конфликт, пропаганда выгоды мира в данном конкретном случае.
3. Трансформация, т.е. перевод конфликта из состояния бесполезной вражды в состояние переговоров.
4. Отвлечение - перенос внимания конфликтующих сторон на другие проблемы или позитивные стороны их отношений; ориентация внимания на что-либо общее, что способствует сплочению.
5. Дистанцирование - исключение конфликтующих сторон из общих организационно-трудовых отношений путем, например, перевода на другие рабочие места, в другие подразделения, кадровые замены.
6. Игнорирование - умышленное невнимание к конфликту с тем, чтобы он разрешился сам или чтобы акцентирование внимания на конфликте не способствовало его обострению.
7. Подавление - это ситуация, при которой причины конфликта не снимаются, но всякое конфликтное поведение запрещается под угрозой административных санкций для одной или обеих сторон.
8. Конформное предпочтение - решение в пользу большинства, удовлетворение интересов более сильной в социальном отношении стороны.
Разрешимость и разрешение трудового конфликта во многом определяются особенностями поведения индивидов и групп в определенных условиях. Обратим внимание на некоторые негативные поведенческие явления в конфликте:
драматизация конфликта - преувеличение конфликтующими сторонами значимости своих притязаний, последствий их нереализации;
установка на конфликт как самоцель - превращение конфликта в игру, возведение своей позиции в принцип, отношение к компромиссу, как к потере достоинства;
эксплуатация конфликта, т.е. заинтересованность в нем как условии достижения каких-то целей; свойственная многим субъектам “угроза вражды” как способ самоутверждения, занятия какой-то позиции;
персонализация конфликта - придание объективной проблеме личностного характера и значения.
Изложенная теория трудового конфликта является общей. Она может конкретно разрабатываться в трех направлениях: конфликты между работниками и трудовыми группами; конфликты между персоналом и администрацией; конфликты между организацией в целом и внешней социально-экономической средой.
Резюме
Исследование проблем конфликта в сфере труда показало, что он представляет собой противоречие организационно-трудовых отношений, социальные столкновения между индивидами и группами работников. Наряду с негативными последствиями трудовой конфликт выполняет и некоторые позитивные функции: через конфликт становится открытой информация, которая функционально необходима всем и многим; в результате конфликта индивиды получают социальный опыт, знания, которые недоступны в обычных условиях; в конфликте разрешаются накопленные негативные настроения, происходит очищение моральных ориентации; конфликт стимулирует изменения, через него официально признается какая-то проблема.
Подводя итог социологического исследования конфликта, необходимо выделить и следующие формы разрешения конфликты: реорганизация, информирование, трансформация, отвлечение, дистанцирование, игнорирование, подавление, конформное предпочтение.
Вопросы для контроля и обсуждения
1. Дайте характеристику трудового конфликта.
2. В каких случаях возникает трудовой конфликт?
3. Раскройте критерии, по которым дается типология трудовых конфликтов.
4. Какая взаимосвязь между отношением к труду и особенностями конфликтного поведения?
5. Расскажите о негативных последствиях трудового конфликта.
6. Что несет в себе позитивного трудовой конфликт?
7. Какие вы знаете объективные и субъективные причины трудовых конфликтов?
8. Раскройте причины трудовых конфликтов исходя из типов противоречий.
9. Как влияют на трудовые конфликты межвозрастные различия работников?
10. Что понимается под разрешением трудового конфликта?
11. Расскажите о факторах, обусловливающих трудовой конфликт.
12. Охарактеризуйте конкретные модели разрешения трудового конфликта.
13. Опишите основные типы разрешения трудового конфликта.
14. Расскажите об основных формах разрешения трудового конфликта.
Глава 17
СИСТЕМА СОЦИАЛЬНЫХ ГАРАНТИИ
В СФЕРЕ ТРУДА
17.1. Понятие социальной защиты и ее
основные направления в сфере труда
Рыночная система хозяйствования меняет не только экономическую политику управления хозяйством, но и требования к рабочей силе, формирует новую политику хозяйственной мотивации. Процесс перехода к новым ценностям в жизни общества идет не совсем гладко. Постоянно дает о себе знать острое противоречие между необходимостью проведения жесткой экономической политики, раскрепощения рыночных механизмов и недостаточным запасом прочности социальной защиты людей.
Социальная защита - необходимый элемент функционирования любого достаточно развитого государства. Концепция социальной защиты возникла в конце XIX - начале XX в. и в широком общесоциологическом смысле соответствующий термин впервые появился в США в 30-х годах и постепенно распространился в западной социологии для обозначения системы мер, защищающих любого гражданина от экономической и социальной ущемленности вследствие безработицы, потери или резкого сокращения дохода из-за болезни, рождения ребенка, производственной травмы или профзаболевания, инвалидности, старости, потери кормильца и т.п.
В имеющихся отечественных публикациях встречается множество трактовок понятия социальной защиты и обозначаемой им реальности. Сама система социальной защиты в широком смысле - это система правовых, социально-экономических и политических гарантий, представляющих условия для обеспечения средств существования:
• трудоспособным гражданам - за счет личного трудового вклада, экономической самостоятельности и предпринимательства;
• социально уязвимым слоям - за счет государства, но не ниже установленного законом прожиточного минимума.
В этой и других трактовках есть элементы, которые отражают разные стороны сущности социальной защиты и опираясь на которые можно в полной мере раскрыть содержание понятия в узком смысле. Социальная защита - это система законодательных, социально-экономических и морально-психологических гарантий, средств и мер, благодаря которым создаются равные для членов общества условия, препятствующие неблагоприятным воздействиям среды на человека, обеспечивающие достойное и социально приемлемое качество их жизни.
Социальная защита представляет собой, с одной стороны, функциональную систему, т.е. систему направлений, по которым она осуществляется, а с другой - институциональную, т.е. систему институтов, ее обеспечивающих (государство, суд, профсоюзы и другие общественные организации).
В полном своем проявлении социальная защита должна охватывать следующие направления:
• обеспечение членам общества прожиточного минимума и оказание материальной помощи тем, кому в силу объективных причин она необходима, защита от факторов, снижающих жизненный уровень;
• создание условий, позволяющих гражданам беспрепятственно зарабатывать себе средства для жизни любыми не противоречащими закону способами;
• создание условий, обеспечивающих удовлетворение определенного минимума (в объеме общественных возможностей и с учетом национально-исторической специфики) потребностей граждан в образовании, медицинской помощи и т.д.;
• обеспечение благоприятных условий труда для наемных работников, защита их от негативных воздействий индустриального производства;
• обеспечение экологической безопасности членов общества;
• защита граждан от преступных посягательств;
• защита гражданских и политических прав и свобод, соответствующих принципам правового, демократического государства;
• создание условий, исключающих вооруженные социальные и межнациональные конфликты;
• защита от политического преследования и административного произвола;
• обеспечение свободы духовной жизни, защита от идеологического давления;
• создание благоприятного психологического климата в обществе в целом, в отдельных ячейках и структурных образованиях, защита от психологического прессинга;
• обеспечение максимально возможной стабильности общественной жизни.
В XX в., когда традиционное капиталистическое общество фактически трансформировалось в новую социально-экономическую систему - социально ориентированное рыночное хозяйство, сложились мощные системы социальной защиты, охватывающие как общество в целом, так и структурные образования хозяйственного организма: предприятия, фирмы, акционерные общества, кооперативы, трудовые организации и тд. К настоящему времени на Западе имеется несколько моделей систем социальной защиты граждан: американская, европейская, японская, в рамках которых имеются свои разновидности. Им присущи некоторые общие черты и наряду с этим специфические, национальные.
Идущие в России глубокие социально-экономические преобразования, направленные на утверждение рыночной экономики, делают проблему обеспечения эффективной социальной защиты граждан вообще и работников предприятий, в частности, чрезвычайно актуальной. С одной стороны, эти преобразования усиливают социальную защиту граждан, но с другой, требуется предпринимать гораздо больше усилий по социальной защите в некоторых важных сторонах жизнедеятельности человека: защиты от безработицы, инфляции, материальной необеспеченности значительной части граждан и т.п.
Цель социально-политических преобразований в России - утвердить настоящее гражданское общество. В последнее время в литературе этому уделяется много внимания, делаются попытки, и не безуспешные, выявить характеристики этой многогранной системы. К сожалению, пока в России эта цель не находит должной реализации. Объективная потребность порождает необходимость усиления социальной защиты по широкому спектру направлений. Но главным остается защита от снижения жизненного уровня трудящихся и от безработицы, а на конкретном предприятии - это забота об условиях и содержании труда, организации и системе оплаты труда работников. Многие важные функции по социальной защите работающего населения осуществляются именно на уровне предприятия, хотя на социальной защите завязана целая система социальных институтов.
17.2. Социальные институты и механизм
социальной защиты работника
В любом государстве имеется целая система социальных институтов, осуществляющих социальную защиту граждан. Социальный институт - это устойчивая форма организации совместной деятельности людей в виде организационной структуры или системы правил нормативно урегулированного порядка, в рамках чего происходит распределение социальных ролей ч статусов людей, охватываемых деятельностью соответствующего института. Первые из названных видов (классов) социальных институтов именуются некоторыми социологами социально-организационными институтами, вторые - социально-нормативными.
Важнейшим и наиболее мощным социально-организационным институтом является государство, которое представляет собой сложную институциональную систему, т.е. состоит из различных институтов. Важную роль в выполнении функций социальной защиты играют такие институты, как страховые компании, различные специализированные фонды, благотворительные организации, а также общественные и политические организации, которые осуществляют социальную защиту представляемых ими социальных групп и слоев.
Институтами, призванными защищать работников наемного труда, являются профессиональные союзы. В настоящее время наряду с традиционными профсоюзами, претерпевшими существенное обновление, появились новые рабочие организации, “независимые” профсоюзы. Однако считать только их защитниками работников наемного труда, а традиционные профсоюзы квалифицировать как “официальные” и отказывать им в праве выступать в качестве защитника, несправедливо. Изменившиеся профсоюзы по праву стали именоваться независимыми, так как они выступают представителями работников наемного труда, ведут борьбу за реализацию их требований и не зависят от государственных структур. Основная деятельность как “зависимых”, так и независимых профсоюзов на данном уровне социально-экономических реформ перешла в русло использования в своей деятельности для защиты прав и интересов трудящихся форм и механизмов социального партнерства. Данный механизм хорошо разработан в странах развитой демократии и зарекомендовал себя с положительной стороны. Суть этого механизма состоит не в конфронтации, а в проведении переговоров с представителями работодателей и государства, нахождения компромисса и выработки на этой основе более или менее приемлемых решений.
Принципы социального партнерства и трехстороннего сотрудничества нашли свое институциональное воплощение в создании Российской Федерацией на общегосударственном уровне трехсторонней комиссии и соответствующих органов на нижестоящих ступенях иерархической лестницы. Эти институты занимают важное место в общей институциональной системе, осуществляющей функции социальной защиты трудящихся, могут рассматриваться как особая разновидность и именоваться институтами социального согласия.
Наряду с социально-организационными в обществе имеется множество социально-нормативных институтов, которые не воплощаются в какой-то организации, а существуют и функционируют сами по себе, играя определенную роль в социальной защите. Каждая отрасль права представляет собой систему таких социально-нормативных институтов (трудовое право, трудовое законодательство). Важным социально-нормативным институтом в системе социальной защиты наемных работников стали в настоящее время тарифные соглашения, контракты, коллективные договора и т.д.
Распространяясь на более низкие уровни иерархической организации общества, институциональная система социальной защиты достигает такой структуры как предприятие. Предприятия, учреждения, фирмы, кооперативы и другие трудовые организации сами являются социальными институтами и играют важную роль в обществе. А если их рассматривать под углом зрения социальной защиты, то их роль и деятельность оказываются довольно сложными и противоречивыми, не позволяющими дать им однозначную характеристику. Основная производственная деятельность сама по себе не предусматривает социальную защиту прав и интересов работников. Стремление к достижению основных целей (повысить эффективность производства, снизить себестоимость, повысить качество производимой продукции и т.д.) может привести к нарушению их прав и интересов. Поэтому необходимы специальные институты социальной защиты работников на предприятии.
Главным институтом социальной защиты, охватывающим своей деятельностью весь коллектив предприятия и располагающим для этого необходимыми правами и возможностями, выступает профсоюзная организация. Повышение защитной роли этой организации особенно необходимо в условиях рынка. Важно обеспечить социальную защиту работников в случае банкротства предприятия, его закрытия или перепрофилирования. Да и при нормальном функционировании предприятия в условиях рынка требуется резкое усиление социально-защитной функции профсоюзных организаций.
Конкретным инструментом или институтом социальной защиты работников на предприятии является коллективный договор. Суть этого договора кардинально изменилась в настоящее время, потому что наемным работникам нужна надежная юридическая база социальной защищенности.
Другим важным социально-нормативным институтом, который все шире входит в практику наших предприятий и различных организаций и который при определенных условиях может выступать средством социальной защиты, является трудовой контракт. Его нельзя однозначно и безусловно оценить именно как институт социальной защиты, но он может быть им, если контрактная система на предприятии (трудовой организации) отрегулирована таким образом, что предусматривает специально систему обеспечения прав работников, если в нем четко оговаривается ответственность работодателя за несоблюдение обозначенных в контракте социально-экономических гарантий.
Все вышеперечисленные социальные институты в той или иной степени включены в механизм социальной защиты. Процесс формирования механизма социальной защиты в нашей стране идет непрерывно и уже сегодня можно говорить о трех его компонентах: институциональном, использующем весь перечень существующих институтов социальной защиты; инструментальном, включающем используемые средства для решения задач социальной защиты; деятельном, когда применяются различные формы деятельности институтов по выполнению функций социальной защиты - нормотворческая, организационная, переговоры социальных субъектов и тд. Как функционирует этот механизм в России выясняют обычно с помощью социологических исследований.
В заключение рассмотрим основные принципы механизма социальной защиты, которая:
• должна быть встроена в систему экономических отношений, базироваться на эффективном труде работающих;
• не может быть ограничена гарантиями только в какой-либо одной сфере жизни;
• должна опираться на национальные и культурные традиции народов, учитывать их. В России все это делается, да наоборот. Традиции и обычаи народов подгоняют под законы, законодательные акты, указы и т д.;
• должна базироваться на ином принципе мышления. Граждане в первую очередь должны стремиться защитить себя сами, а не ждать или добиваться определенных политических решений по данному вопросу;
• активно развивает и формирует у людей элементы самозащиты. Ведь никто и ничто так надежно не защитит работника, как он себя сам. Работник, наравне с субъектом-государством, должен нести ответственность за себя.
17.3. Социальные гарантии
Любая социальная защита строится на социальных гарантиях, которые также представляют собой определенную систему. Гарантии должны:
• регулировать рынок рабочей силы через смягчение возникающих противоречий между ее спросом и предложениями;
• содействовать полной занятости всех трудоспособных членов общества (никто не должен против своей воли оставаться без работы);
• рассчитываться на все категории трудоспособного населения, особо выделяя при этом нуждающихся.
Система гарантий должна учитывать структуру населения конкретного региона, которая по трудовому потенциалу может быть разделена на следующие группы:
• пригодных для работы в современных условиях;
• тех, кто может быть использован лишь после соответствующей профессиональной подготовки;
• кто может работать, но при создании подходящих условий труда;
• кто вообще не может работать;
• кто не стремится работать.
Для полной ясности о социальных гарантиях приведем некоторые | выписки из законодательства по этому вопросу.
1. Гарантии в реализации права на труд:
свобода выбора занятий и работы;
государство признает оплачиваемую занятость как основу образа жизни;
государство бесплатно содействует в подборе подходящей работы;
безработных государство бесплатно обучает новым профессиям и т.д.
2. Дополнительные гарантии некоторым категориям граждан: молодежи; пенсионерам; одиноким и многодетным родителям, воспитывающим несовершеннолетних детей; женщинам, воспитывающим детей дошкольного возраста и детей инвалидов; безработным; освобожденным из мест заключения; беженцам и т.д.
3. Профсоюзы активно содействуют занятости трудоспособного населения.
4. Создаются все необходимые условия и гарантии профессиональной подготовки и переподготовки безработных.
5. Для привлечения безработных к трудовой деятельности организуются общественные работы.
6. Работодатели обязаны социально гарантировать занятость населения.
7. В условиях социально-экономического реформирования общества государство гарантирует материальную и социальную поддержку населения.
8. Закон строго определяет размер пособий по безработице.
9. Закон определяет также условия и сроки выплаты пособия по безработице и тд.
Резюме
В условиях формирования рыночной системы хозяйствования обостряется противоречие между необходимостью проведения жесткой экономической политики и недостаточным запасом прочности социальной защиты людей, которая становится необходимым элементом функционирования цивилизованного общества.
Изучение данной проблемы позволяет определить социальную защиту как систему законодательных, социально-экономических и морально-психологических гарантий, обеспечивающих достойное и социально приемлемое качество жизни человека. Основными институтами социальной защиты человека являются государство, профессиональные союзы и другие общественные объединения. В то же время социальная защита строится на социальных гарантиях. Эти гарантии зафиксированы законодательством.
Вопросы дня контроля и обсуждения
1. Расскажите об истории формирования концепции социальной защиты.
2. Дайте характеристику понятия “социальная защита”.
3. Какие направления охватывает социальная защита?
4. Дайте характеристику понятия “социальный институт”.
5. Перечислите основные социальные инстигуты, осуществляющие защитные функции.
6. Раскройте роль профсоюзной организации по защите прав и интересов наемных работников.
7. Расскажите об основных принципах социальной защиты.
8. В чем основное предназначение социальных гарантий?
9. Приведите некоторые положения из законодательства о социальных гарантиях трудоспособному населению.
Список литературы
1. Закон Российской Федерации от 19 апреля 1991 г. “О занятости населения в Российской Федерации”.
2. Закон Российской Федерации от 20 октября 1995 г. “О порядке разрешения коллективных трудовых споров”.
3. Кодекс законов о труде Российской Федерации с изменениями и дополнениями. - М., 1998.
4. Россия в цифрах. - М., 1998.
5. Федеральный закон от 24 ноября 1995 г. “О коллективных договорах и соглашениях”.
6. Численность и миграция населения в Российской Федерации в 1997 г. Статистический бюллетень. - М., 1998.
7. Внутризаводское движение и текучесть рабочих кадров / Под ред. Е.Г. Антосенкова и З.В. Куприяновой. - Новосибирск: Наука, 1981.
8. Волгин НА., Николаев С.В. Доходы работника и результативность производства. - М.: Луч, 1994.
9. Гавриилов Р.В. Производительность труда: показатели планирования и методы измерения. - М.: Экономика, 1985.
10. Деарецкая Г.В., Махнарылов В.П. Социология труда: Уч. пособие. - Киев: Выща шк., 1990.
11. Дикарем А.А; Мирская М.И. Социология труда: Уч. пособие. - М.: Высшая школа, 1989.
12. Дитяшева А.П. Коллективные договоры и соглашения. Коллективные трудовые споры. - М., 1998.
13. Дорин А.В. Экономическая социология: Уч. пособие. - Мн.: ИП “Экоперспекгива”, 1997.
14. Зубов В.М. Как измеряется производительность труда в США. - М.: Финансы и статистика, 1996.
15. Зущина Г.М., Костин ЛЛ. Трудовые ресурсы и трудовой потенциал общества. - М., 1996.
16. Кадомцева С.В. Экономические основы системы социальной зашиты. - М., Изд-во МГУ, 1997.
17. Казначеева НА. Занятость в условиях новой хозяйственной системы, - Новосибирск, 1996.
18. Киселев И.Я. Трудовой договор: вопросы регулирования найма и увольнения (обзор зарубежного опыта). - М., 1997.
19. Ковалев С.Г., Тучков А.И. Рынок труда: понятие, закономерности, перспективы. - СПб.: Изд-во университета “Экономика и право”, 1992.
20. Котляр А.Э., Kupna И.Н. Проблемы занятости и рынка труда России в условиях перехода в рыночной экономике. Вып. 1. - М.: 1996.
21. Кравченко А.И. Трудовые организации: Структура, функции, поведение / Отв. ред. А.Н.Камозин. - М.: Наука, 1991.
22. Кутулинский Е.Д., Зубкова А.Ф., Румянцев Б.Г. Регулирование трудовых отношений в рыночной экономике. - М.: НИИ труда, 1997.
23. Макконнел К.Р., Брю СЛ. Экономикс. Принципы, проблемы и политика. Том. 1. - М.: Республика, 1992.
24. Мескон М., Альберт М., Хедоури Ф. Основы менеджмента: Пер. с англ. - М.: Дело,1992.
25. Маневич В.М., Тучков А.И. Трудовые отношения. - СПб.: Изд-во университета “Экономика и право”, 1996.
26. Марцинкевич В.И., Соболева И.В. Экономика человека. - М., 1995.
27. Никифорова АА. Рынок труда: занятость и безработица. - М., 1991.
28. Облаухова М.В. Трудовые ресурсы в рыночной экономике. Новосибирск, 1998.
29. Общесоюзный классификатор профессий рабочих, должностей служебных и тарифных разрядов (ОКПДТР), утв. Госстандартом СССР 27.08.86. №016.
30. Одегов Ю.Г. Журавлев П.В. Управление персоналом. - М.: Финстатинформ, 1997.
31. Организация и нормирование труда / Под ред. Адамчука В.В. - М.: Финстатинформ, 1998.
32. Организация и регулирование оплаты труда / Под ред. Адамчука В.В. - М.: Финстатинформ, 1996.
33. Платонов О.А. Повышение качества трудовой жизни. Опыт США. - М., 1992.
34. Проблемы организации. Нормирование и производительность труда. Материалы “круглого стола”. - М.: НИИ труда, 1995.
35. Радаев В.В. Экономическая социология: Курс лекций: Уч. пособие. - М.: Аспект Пресс, 1997.
36. Расчет численности и расходов на оплату труда. - М., 1996.
37. Реформирование трудовых отношений и социальное партнерство. - Клуб “реалисты”. 1995. №12.
38. Рожкова В.В. Управление производительностью труда. - М.: НИИ труда, 1997.
39. Российский рынок труда / Под ред. Масловой И.С. - М.: Интситут экономики РАН, 1993.
40. Рофе А.И. Экономика и социология: Уч. пособие. - М.: МИК, 1996.
41. Рофе А.И., Збышко Б.Г. Ишин В.В. Рынок труда, занятости населения, экономика ресурсов для труда. - М., 1997.
42. Рынок труда России. Монография. Гарсия-Исер М.Х. и др. - М., 1998.
43. Синк С.Д. Управление производительностью. - М.: Прогресс, 1989.
44. Слезенгер Г.Э. Труд в условиях рыночной экономики: Уч. пособие. - М.: Инфра-М, 1996.
45. Социальное партнерство в условиях становления и развития рыночных отношений.
46.Курс лекций. Академия труда и социальных отношений. - М.: РАГС, 1997. Социология труда: Учебник / Под ред. Н.И. Дряхлова, А.И. Кравченко, В.В. Щер-„ V бины. - М.: Изд-во МГУ, 1993.
47. Справочник директора предприятия / Под ред. Лапусты М.Г., 2-е изд. - М.: Инфра-М, 1997.
48. Стратегическое планирование / Под ред. Уткина Э.А. - М.: 1998.
49. Суетина Д.М. Значение, функции и задачи нормирования труда в условиях рыночной экономики. - М.: НИИ труда, 1996.
50. Травин В.В., Дятлов В.А. Основы кадрового менеджмента. - М.: Дело, 1995.
51. Трудовой договор. Комментарий КЗоТ. Рекомендации. - М., 1997.
52. Трудовой потенциал в народном хозяйстве и эффективность его использования / Под ред. проф. Петроченко П.Ф., рук. депон. №35718. - М., 1988.
53. Управление персоналом / Под ред. А.Я. Кибанова. - М.: Инфра-М, 1997.
54. Управление человеческими ресурсами / Под ред. А.Я. Кибанова. - М.: Инфра-М, 1997.
55. Фильев В.И. Нормирование труда на современном предприятии. - М., 1997.
56. Человек: социальная политика, социальное партнерство. - М.: АТиСО, 1997.
57. Щеглова С.Н. Социальное партнерство в сфере трудовых отношений. - М.: Профиздат, 1997.
58. Экономика и социология труда / Под ред Адамчука В.В. - М.: Экономическое образование, 1995
59. Экономика труда и социально-трудовые отношения / Под ред. Г.Г. Меликьяна и Р.П. Колосовой. - М.: Изд-во МГУ, 1996.
60. Эмерсон Г. Двенадцать принципов производительности. - М.: Инфра-М, 1997.
61. Эренберг Р.Дж. Смит Р. С. Современная экономика труда. Теория и государственная политика. - М.: Изд-во МГУ, 1996.
62. Яковлев Р.А. Анализ издержек работодателя на оплату труда и выплаты социального характера. - М.: НИИ труда, 1997.
63. Яковлев P.Л. Коллективный договор на предприятии. - М.: НИИ труда, 1996.
1 См.: Экономика труда и социально-трудовые отношения / Под ред. Г.Г. Меликьяна, Р.П. Колосовой. - М.: Изд-во МГУ, 1996.
2 См.: Эренберг Р., Дж. Смит Р. С. Современная экономика труда. Теория и государственная политика. - М.: Изд-во МГУ, 1996.
3 См.: Основные методологические положения по классификации статистических данных о составе рабочей силы, экономической активности и статусу занятости. / Экономика и жизнь. - 1993. - № 20.
4 Рынок труда в странах содружества в цифрах и диаграммах. - М., 1994. - С. 8-9.
5 Россия сегодня - реальный шанс. - М.: Обозреватель, 1994. - С. 106.
6 Экономика труда и социально-трудовые отношения / Под ред. Г.Г. Меликьяна, Р.П. Колосовой. - м.: МГУ, 1996. - С. 95.
7 См.: Никифорова АЛ Рынок труда: занятость и безработица.- М.. 1991.- С. 10-23.
8 Киян Л.П. Маркетинг рынка труда. - Воронеж, 1995. - С. 66-88.
9 См.: Эренберг Р.Дж., Смит. Р.С. Современная экономика труда. Теория и государственная политика. - М.: Изд-во МГУ, 1996. - С. 53-54.
10 Семенов А. Макроэкономические факторы поддержки занятости / Проблемы теории и практики управления. - 1995. - № 6. - С. 80-81.
11 Управление человеческими ресурсами: Учебн. пособие / Под рея. НА. Горелова, з ' iviKoKi. СП6,1Ч97. - С. 85-91.
12 Работа по контракту является весьма специфической разновидностью временной занятости, поскольку заключаемый сторонами трудовой контракт может предусматривать работу в течение более чем одного года и на условиях стандартных режимов занятости.
13 Российский рынок труда / Под ред. Масловой И.С. - М., 1993. - С. 108-111.
14 Закон о занятости населения в Российской Федерации с изменениями и дополнениями от 20 апреля 1996 г. № Зб-ФЗ. ст. 23, 24, п. 5, 29.
15 См.: Фишер С., Дорнбуш Р., Шмалети Р. Экономика. - М.: Дело, 1993. - С. 583-585.
16 См.: Рекомендации по структуре и содержанию коллективного договора предприятия//Человек и труд. - 1992. - № 8-12. - С. 64.
17 Под организацией заработной платы понимается ее построение, обеспечение взаимосвязи количества труда с размерами его оплаты, а также совокупность составных элементов (нормирование, тарифная система, премии, доплаты и надбавки).
18 При изложении сущности и содержания единой тарифной сетки использованы рекомендации НИИ труда.
19 См.: Практическое пособие по организации оплаты труда на промышленных предприятиях в условиях перехода к рыночной экономике. - М.: Всероссийский центр производительности, 1994. С. 12-14.
20 Определение технологической, производственной и полной трудоемкости изложено в “Методике определения трудоемкости продукции промышленности”, разработанной НИИ труда.
21 См.: Оценка влияния условий труда на его производительность и эффективность производства. Межотраслевые методологические рекомендации. НИИ труда, 1984.
22 Мэйтланд Ян. Руководство по управлению персоналом в малом бизнесе.- М.: ЮНИТИ, 1996. - С. 17.
23 Управление персоналом организации / Учебник под ред. д.э.н., проф. Кибанова А.Я. - М.: Ифра-М, 1997. - С. 241.
24 См.: Управление персоналом / Под ред. Кибанова А.Я.- М.: Инфра-М, 1997. с.196-198.
25 Инструкция о составе фонда заработной платы и выплат социального характера. - М., 1995.