Бланк - Управление прибылью

В книге рассматривается основной круг вопросов управления формированием прибыли предприятия в процессе его операционной, инвестиционной и финансовой деятельности. Значительное внимание уделяется также вопросам управления распределением прибыли, обеспечивающим эффективную реализацию целей стратегического развития предприятия. Книга широко иллюстрирована схемами, графиками, таблицами и примерами, содержит основные расчетные алгоритмы и необходимый справочный аппарат.
В настоящем издании обновлен нормативный и методический материал, расширено изложение теоретических вопросов управления прибылью, рассмотрен современный практический опыт этого управления.
Автор книги — доктор экономических наук, профессор Бланк И.А., продолжительное время сочетает научную и преподавательскую работу по данной проблеме с практической деятельностью в качестве главного эксперта и консультанта ряда компаний.
Книга рассчитана на руководителей и финансовых менеджеров предприятий, преподавателей и студентов экономических вузов.
ВВЕДЕНИЕ
Прибыль, известнейшая с давних времен категория, получила новое содержание в условиях современного экономического развития страны, формирования реальной самостоятельности субъектов хозяйствования. Являясь главной движущей силой рыночной экономики, она обеспечивает интересы государства, собственников и персонала предприятий. Поэтому одной из актуальных задач современного этапа является овладение руководителями и финансовыми менеджерами современными методами эффективного управления формированием прибыли в процессе операционной, инвестиционной и финансовой деятельности предприятий.
Грамотное, эффективное управление формированием прибыли предусматривает построение на предприятии соответствующих организационно-методических систем обеспечения этого управления, знание основных механизмов формирования прибыли, использование современных методов ее анализа и планирования.
Наряду с формированием прибыли на каждом предприятии должно быть обеспечено и эффективное управление ее распределением. Необходимо при этом иметь в виду, что каждый цикл распределения прибыли отчетного периода это одновременно и процесс обеспечения эффективных условий ее формирования на расширенной основе в предстоящем периоде, реализации целей стратегического развития предприятия.
Цель данной книги — вооружить руководителей и финансовых менеджеров предприятий системой современных методов эффективного управления формированием и распределением прибыли, способствовать уяснению ими основных механизмов этого управления.
В книге рассматриваются современные методы управления прибылью, получившие широкое использование в странах с развитой рыночной экономикой, «пропущенные сквозь призму» наших законодательных норм и реалий экономических условий. Значительная часть содержащихся в книге рекомендаций апробирована автором в процессе сотрудничества с рядом компаний и фирм, а также в процессе проведения практических семинаров с руководителями и финансовыми менеджерами предприятий.
В настоящем (втором) издании книги обновлен нормативный и методический материал, расширено изложение теоретических вопросов управления прибылью, рассмотрен современный практический опыт этого управления
Автор выражает надежду, что рекомендации, содержащиеся в данной книге, окажут практическую помощь в повышении эффективности деятельности предприятий. Одновременно автор выражает глубокую признательность Горожину А.Д. за инициативу подготовки и издания этой книги.
Глава 1. Характеристика прибыликак объекта экономического управления
1.1. ЭКОНОМИЧЕСКАЯ СУЩНОСТЬ ПРИБЫЛИ
Прибыль — наиболее простая и одновременно наиболее сложная категория рыночной экономики. Она является стержнем и главной движущей силой экономики рыночного типа, основным побудительным мотивом деятельности предпринимателей в этой экономике.
В системе экономических теорий, связанных с предпринимательской деятельностью, теория прибыли традиционно характеризуется экономистами как одна из наиболее сложных. Эта сложность определяется многообразием сущностных сторон, которые отражает категория прибыли, а также многообразием обличий, в которых она выступает.
Теория прибыли имеет глубокий генезис, так как проблемы эффективного ее формирования и использования интересовали экономистов еще с древних времен.
Известные из истории экономической мысли первые попытки осмыслить сущность прибыли и основы
ее формирования связаны с именами античных ученых Платона и Аристотеля. Их подходы к рассмотрению прибыли тесно увязывались со способами и целями накопления денег в обществе. Хотя эти попытки теоретического осмысления сущности прибыли носили отрывочный, несистемный характер, в процессе дальнейшей эволюции экономической мысли они получали все более развернутое концептуальное развитие в работах последующих экономистов.
Начальный этап формирования основных принципов теории прибыли связывается обычно с парадигмой экономического анализа школы меркантилистов, среди которых наиболее заметную роль сыграли теоретические подходы Т. Манна, Д. Юма, Ж. Кольбера. Ведущие принципы их научного мировозрения в области теории прибыли определяли прежде всего источники ее формирования. Основным из этих источников они считали внешнеторговую деятельность, поскольку в других странах товары реализуются по более высоким ценам, чем внутри страны. Соответственно их научному мировозре-нию для обеспечения притока прибыли государству следовало проводить активную протекционистскую политику в области международной торговли, добиваясь положительного сальдо своего торгового баланса.
Определенное развитие теории прибыли связано с представителями экономической школы физиократов — Ф. Кенэ, Ж. Тюрго, М. Ривьеры. Их подход к источникам формирования прибыли был акцентирован в основном на земледельческом производстве (а не на торговле, как у меркантилистов). Оно, согласно их концепции, было единственным источником формирования положительного значения суммы прибыли. Соответственно приоритетной экономической политикой государства и целью отдельных предпринимателей они считали вложение средств в развитие сельскохозяйственного производства, генерирующего прибыль в наибольших масштабах.
Представители классической политэкономии — в первую очередь А. Смит и Д. Рикардо — серьезно углубили исследование сущности прибыли, расширив область ее рассмотрения сферой промышленного производства, а затем и непроизводительной сферой. Экономистами этой школы впервые была четко сформулирована "факторная модель формирования прибыли" (т.е. модель формирования прибыли как результата использования факторов производства). В рамках этой школы была доказана объективность процесса снижения нормы прибыли на капитал по мере увеличения объема ее использования. Основные сущностные черты процесса формирования прибыли были приняты за основу всеми дальнейшими ее иследователями и оказали большое влияние на последующее развитие ее теории.
В системе марксистского экономического учения исследованию теории прибыли также принадлежит весомое место, хотя многие выводы этого исследования явились предметом острого критического анализа последующих экономистов. В соответствии с разработанной К. Марксом и Ф. Энгельсом трудовой теорией стоимости основным источником формирования прибыли является труд работников производственной сферы экономики. Этот труд создает прибавочный продукт и прибавочную стоимость, а прибыль при этом представляет собой превращенную форму прибавочной стоимости. Теория прибыли марксистской школы, как и вся парадигма марксистского экономического анализа, отличалась чрезмерной политизацией и ее выводы рассматривались сквозь призму непримиримых противоречий между классами капиталистов и наемных рабочих.
Значительный прогресс в развитии теории прибыли связан с исследованиями маржиналистов, в частности С. Джевонса, К. Менгера, Е. Бем-Баверка, Л. Вальраса, Дж. Кларка. Основу их экономической парадигмы составляла теория предельной полезности, разработка которой оценивается экономистами как революционная. В свете этой парадигмы маржиналисты основное внимание в своих исследованиях сосредоточили на микроэкономическом анализе условий формирования прибыли. Используя предельный метод экономического анализа маржиналисты выявили систему важнейших факторов, максимизирующих прибыль предприятия. Особая роль в теории прибыли маржиналистов отведена исследованию проблем рыночного ценообразования и условий формирования монопольной прибыли.
Неоклассические экономические теории прибыли значительно углубили отдельные сущностные ее характеристики и определили многие количественные параметры, связанные с ее формированием. Среди этих теорий особого внимания заслуживают теория предпринимательской прибыли (увязывающая ее уровень с уровнем риска), теория инновационной прибыли (увязывающая дополнительный ее размер с внедрением инноваций) и другие.
Рассматривая сущность прибыли, в свете современной экономической парадигмы, следует в первую очередь отметить такие ее характеристики:
Прибыль представляет собой форму дохода предпринимателя, осуществляющего определенный вид деятельности. Эта внешностная, наиболее простая форма выражения прибыли является вместе с тем недостаточной для ее полной характеристики, так как в ряде случаев активная деятельность в какой-либо сфере может и не быть связанной с получением прибыли (например, деятельность политическая, благотворительная и т.п.).
Прибыль является формой дохода предпринимателя, вложившего свой капитал с целью достижения определенного коммерческого успеха. Категория прибыли неразрывно связана с категорией капитала — особым фактором производства — и в усредненном виде характеризует цену функционирующего капитала.
Прибыль не является гарантированным доходом предпринимателя, вложившего свой капитал в тот или иной вид бизнеса. Она является результатом только умелого и успешного осуществления этого бизнеса. Но в процессе ведения бизнеса предприниматель вследствие своих неудачных действий или объективных причин внешнего характера может не только лишиться ожидаемой прибыли, но и полностью или частично потерять вложенный капитал. Поэтому прибыль является в определенной мере и платой за риск осуществления предпринимательской деятельности. Как будет показано далее уровень прибыли и уровень предпринимательского риска находятся между собой в прямо пропорциональной зависимости.
Прибыль характеризует не весь доход, полученный в процессе предпринимательской деятельности, а только ту часть дохода, которая "очищена" от понесенных затрат на осуществление этой деятельности. Иными словами, в количественном выражении прибыль является остаточным показателем, представляющим собой разность между совокупным доходом и совокупными затратами в процессе осуществления предпринимательской деятельности.
Прибыль является стоимостным показателем, выраженным в денежной форме. Такая форма оценки прибыли связана с практикой обобщенного стоимостного учета всех связанных с ней основных показателей — вложенного капитала, полученного дохода, понесенных затрат и т.п., а также с действующим порядком налогового ее регулирования.
С учетом рассмотренных основных характеристик прибыли ее понятие в наиболее обобщенном виде может быть сформулировано следующим образом: "Прибыль представляет собой выраженный в денежной форме чистый доход предпринимателя на вложенный капитал, характеризующий его вознаграждение за риск осуществления предпринимательской деятельности, представляющий собой разницу между совокупным доходом и совокупными затратами в процессе осуществления этой деятельности".
Основными хозяйствующими субъектами на рынке выступают как отдельные предприниматели (физические лица), так и предприятия (юридические лица). Эти различия в формах хозяйствования порождают и определенные особенности формирования и распределения прибыли. Так как данная книга посвящена проблеме управления прибылью предприятия, остановимся на вопросах, характеризующих прибыль только этого субъекта хозяйствования. В первую очередь рассмотрим какую роль играет прибыль предприятия в условиях рыночной экономики (рисунок 1.1.).
1. Прибыль предприятия является главной целью предпринимательской деятельности. Основным побудительным мотивом осуществления любого вида бизнеса, его главной конечной целью является рост благосостояния собственников предприятия.
Характеристикой этого
|

|
Рисунок 1.1. Характеристика роли прибыли предприятия в условиях рыночной экономики.
роста выступает размер текущего и отложенного их дохода на вложенный капитал, источником которого является полученная прибыль.
Если для собственников предприятия получение высокого уровня прибыли является вполне очевидным мотивом предпринимательской деятельности, то может возникнуть вопрос — является ли получение высокой прибыли столь же побудительным мотивом деятельности наемных менеджеров предприятия и остального его персонала.
|
Для менеджеров, которые не являются собственниками предприятия, руководимого ими, прибыль является основным мерилом успеха их деятельности. Возрастание уровня прибыли предприятия повышает "рыночную цену" этих менеджеров, что сказывается на уровне их личной заработной платы. И наоборот — систематическое снижение уровня прибыли руководимого ими предприятия приводит к обратным результатам в их личной карьере, уровне получаемых доходов, возможностях последующего трудоустройства.
Для остального персонала уровень прибыли предприятия также является достаточно высоким побудительным мотивом их деятельности, особенно при наличии на предприятии программы участия наемных работников в прибыли. Прибыльность предприятия является не только гарантом их занятости (при прочих равных условиях), но в определенной мере обеспечивает дополнительное материальное вознаграждение их труда и удовлетворение ряда их социальных потребностей.
Прибыль предприятия создает базу экономического развития государства в целом. Механизм перераспределения прибыли предприятия через налоговую систему позволяет "наполнять" доходную часть государственных бюджетов всех уровней (общегосударственного и местных), что дает возможность государству успешно выполнять возложенные на него функции и осуществлять намеченные программы развития экономики. Кроме того, реализация известного принципа — "богатство государства характеризуется уровнем богатства его граждан" — также связана с возрастанием прибыли предприятия, которое обеспечивает рост доходов его владельцев, менеджеров и персонала.
Прибыль предприятия является критерием эффективности конкретной производственной (операционной) деятельности. Индивидуальный уровень прибыли предприятия в сравнении с отраслевым характеризует степень умения (подготовленности, опыта, инициативности) менеджеров успешно осуществлять хозяйственную деятельность в условиях рыночной экономики. Среднеотраслевой уровень прибыли предприятий характеризует рыночные и другие внешние факторы, определяющие эффективность производственной деятельности и является основным регулятором "перелива капитала" в отрасли с более эффективным его использованием. При этом капитал перемещается, как правило, в те сегменты рынка, которые характеризуются значительным объемом неудовлетворенного спроса, что способствует более полному удовлетворению общественных и личных потребностей.
Прибыль является основным внутренним источником формирования финансовых ресурсов предприятия, обеспечивающих его развитие. В системе внутренних источников формирования этих ресурсов прибыли принадлежит главенствующая роль. Чем выше уровень генерирования прибыли предприятия в процессе его хозяйственной деятельности, тем меньше его потребность в привлечении финансовых средств из внешних источников и при прочих равных условиях—тем выше уровень самофинансирования его развития, обеспечения реализации стратегических целей этого развития, повышения конкурентной позиции предприятия на рынке. При этом, в отличие от некоторых других внутренних источников формирования финансовых ресурсов предприятия, прибыль является постоянно воспроизводимым источником и ее воспроизводство в условиях успешного хозяйствования осуществляется на расширенной основе.
Прибыль является главным источником возрастания рыночной стоимости предприятия. Способность самовозрастания стоимости капитала обеспечивается путем капитализации части полученной предприятием прибыли, т.е. ее направления на прирост его активов. Чем выше сумма и уровень капитализации полученной предприятием прибыли, тем в большей степени возрастает стоимость его чистых активов (активов, сформированных за счет собственного капитала), а соответственно и рыночная стоимость предприятия в целом, определяемая при его продаже, слиянии, поглощении и в других случаях.
Прибыль предприятия является важнейшим источником удовлетворения социальных потребностей общества. Социальная роль прибыли проявляется прежде всего в том, что средства, перечисляемые в бюджеты разных уровней в процессе ее налогообложения, служат источником реализации разнообразных общегосударственных и местных социальных программ, обеспечивающих "выживание" отдельных социально незащищенных (или недостаточно защищенных) членов общества. Кроме того, эта роль проявляется в удовлетворении за счет полученной прибыли предприятия части социальных потребностей его персонала (социальные программы являются неотъемлемой составной частью коллективных или индивидуальных трудовых соглашений). Наконец, определенная социальная роль прибыли проявляется в том, что она служит источником внешней благотворительной деятельности предприятия, направленной на финансирование отдельных неприбыльных организаций, учреждений социальной сферы, оказания материальной помощи отдельным категориям граждан.
7. Прибыль является основным защитным механизмом, предохраняющим предприятие от угрозы банкротства. Хотя такая угроза может возникнуть и в условиях прибыльной хозяйственной деятельности предприятия (при использовании неоправданно высокой доли заемного капитала, особенно краткосрочного; при недостаточно эффективном управлении ликвидностью активов и т.п.), но при прочих равных условиях, предприятие гораздо успешнее выходит из кризисного состояния при высоком потенциале генерирования прибыли. За счет капитализации полученной прибыли может быть быстро увеличена доля высоколиквидных активов (восстановлена платежеспособность), повышена доля собственного капитала при соответствующем снижении объема используемых заемных средств (повышена финансовая устойчивость), сформированы соответствующие резервные финансовые фонды.
Характеризуя роль прибыли в рыночной экономике, следует отметить, что по мнению многих экономистов эта роль не всегда позитивна, так как отдельные виды прибыли служат источником лишь личного обогащения отдельных категорий граждан не принося пользу обществу в целом. Это относится к таким ее видам, как прибыль, полученная от спекулятивных коммерческих операций, от неоправданно высоких цен в связи с монопольным положением на рынке, от "теневой" деятельности предприятий и т.п. Рассмотрим, полностью ли лишены "позитива" эти виды прибыли с позиций экономического развития общества в целом.
Прибыль, полученная от спекулятивных коммерческих операций (так называемых "арбитражных сделок", основанных на разнице в ценах покупки и продажи), является результатом лучшей информированности предпринимателей о ценах на различных региональных рынках, быстроты реакции на выгодные коммерческие условия, более высокого уровня предпринимательского риска. В конечном счете, спекулятивная прибыль является формой возмещения повышенного предпринимательского риска и служит действенным механизмом выравнивания уровня цен на отдельных региональных рынках. В рамках организованного (биржевого) рынка — товарного, фондового, валютного — спекулятивные сделки служат основным механизмом страхования ценового риска ("хеджирования", "свопа", "опциона" и т.п.) для предпринимателей, избегающих этого риска.
Прибыль, полученная предприятием в связи с его монопольным положением на рынке за счет установления неоправданно высоких цен на продукцию (так называемая "сверхприбыль" от монопольной деятельности), создает активные стимулы для перелива капитала на такие рынки и роста объема предложения, что в конечном итоге приводит к естественному формированию конкурентной среды на таких рынках и снижению уровня цен на них.
Прибыль, полученная предприятием от "теневой" деятельности (выпуска и реализации части неучтенной продукции), в определенной степени является защитной реакцией предпринимателей на установленные государством жесткие "правила игры" в экономике, в первую очередь, на неоправданно высокий уровень налогообложения отдельных видов предпринимательской деятельности. В этих условиях предприятия не могут не только обеспечить условия самофинансирования своего развития, но в отдельных случаях и простого выживания в переходной экономике. Рост объема такой деятельности (а соответственно и объема "теневой" прибыли) является для государства своеобразным индикатором эффективности принимаемых решений в области налогового регулирования коммерческой деятельности с позиций соблюдения паритета интересов, как государства, так и предпринимателей. Кроме того, и эта прибыль, оставаясь неучтенной, является, тем не менее, источником реального прироста чистого национального дохода.
1.2. ПРИБЫЛЬ КАКРЕЗУЛЬТАТЭФФЕКТИВНОГО ИСПОЛЬЗОВАНИЯ
КАПИТАЛА
Среди современных экономических теорий, связанных с предпринимательской деятельностью в условиях рыночной системы хозяйствования, центральное место занимает исследование взаимосвязи категорий прибыли и капитала предприятия. В системе этой взаимосвязи прибыль рассматривается как результат эффективного использования капитала в производственном и инвестиционном процессе, как результат оборота капитала предприятия в целом и т.п. Поэтому в процессе характеристики прибыли следует рассмотреть основные формы ее взаимосвязи с использованием капитала, составляющие основу механизма ее генерирования в хозяйственной деятельности предприятия.
Основу теории использования капитала, направленного на обеспечение формирования прибыли предприятия, составляет его характеристика как производственного ресурса. Используемый в этих целях в процессе производства товаров и услуг капитал, наряду с другими производственными ресурсами, характеризуется в экономической теории как "фактор производства", под которым понимается экономический ресурс, задействованный в производственном процессе и оказывающий определяющее воздействие на результаты производства.
Современная экономическая теория выделяет следующие основные характеристики капитала как фактора производства:
• Комплексность использования. В процессе производства продукции капитал не является самодостаточным фактором, а используется в комплексе с другими производственными ресурсами (факторами производства). К числу основных факторов производства, с которыми капитал взаимодействует в комплексе, относятся труд (трудовые ресурсы), земля (природные ресурсы) другие. Даже для самого примитивного производства товаров и услуг требуется соединение капитала как минимум еще с одним фактором производства — трудом. Комплексное использование капитала в совокупности с другими факторами производства графически представлено на рисунке 1.2.

Рисунок 1.2. Взаимодействие факторов производства в процессе выпуска товаров и оказания услуг
Опосредствующая ролъ в системе факторов производства. В общем комплексе используемых факторов производства капитал выступает связующим звеном, определяющим в целенаправленном взаимодействии все другие виды производственных ресурсов. За счет денежного капитала, вложенного в производственную деятельность, приобретаются необходимые природные и информационные ресурсы, привлекаются недостающие капитальные товары в форме средств труда, оплачивается труд работников на первоначальной стадии производства продуктов и т.д. Реальный капитал, в первую очередь, в виде средств труда обеспечивает эффективное использование других факторов производства в производственном процессе.
Производительность. Носителем этой характеристики капитал выступает как и все другие факторы производства. Производительность капитала или капиталоотдача определяется как отношение результата производственной деятельности (объема произведенного продукта) к сумме примененного (использованного) капитала.
В теории капитала выделяют среднюю и предельную производительность ("предельный продукт") капитала.
Средняя производительность характеризует общий объем продукта, приходящегося на единицу используемого капитала и определяется по следующей формуле:
ПР
к
спк-
где СПК — средняя производительность (средний продукт) капитала; ПР — объем продукта (товаров, услуг), произведенного в определенном периоде; К — средняя сумма используемого капитала в периоде.
- Предельная производительность характеризует прирост объема производства продукта в натуральном выражении на каждую единицу вновь добавленного капитала. Расчет этого показателя осуществляется по следующей формуле:
ппк =
АПР
ДК
где ППК — предельная производительность (предельный продукт) капитала; АПР — прирост объема производства продукции (товаров, услуг) в натуральном выражении; ДК — прирост капитала.
Производительность капитала, используемого конкретным субъектом хозяйствования в рамках неизменной технологии производства, не носит стабильный характер, а изменяется при увеличении объема его использования. Это связано с тем, что прирост капитала, осуществляемый при неизменном объеме использования других факторов производства, будет вызывать относительный дефицит последних и соответственно снижать прирост объема выпуска продукта. Вывод о постоянном уменьшении предельного продукта капитала (при неизменном объеме использования других факторов производства) в экономической теории известен как "закон убывающей производительности капитала". Этот закон носит всеобщий характер и относится к любой сфере использования капитала как фактора производства.
Проявление закона убывающей производительности капитала графически представлено нарисунке 1.3.
Рисунок 1.3. График, иллюстрирующий закон убывающей
производительности капитала.
Из приведенного графика видно, что по мере увеличения объема затрат капитала его предельный продукт уменьшается с каждой новой задействованной единицей (при неизменной технологии и объеме затрат других факторов производства). Эту тенденцию отражает кривая предельного продукта капитала. Если размер чистой прибыли от прироста продукта сравнивается со стоимостью привлечения капитала, его дальнейшее приращение становится экономически нецелесообразным — на графике эта ситуация обозначена точкой "А" на кривой предельного продукта. Это позволяет сформулировать следующий вывод: прирост капитала в системе факторов производства, обеспечивающих рост выпуска продукта, целесообразен до тех пор, пока его предельный продукт не сравняется со стоимостью его привлечения. В этом случае показатель предельной производительности капитала будет являться минимально эффективной мерой вклада капитала в производство продукта.
По данным приведенного графика можно сделатьеще один вывод: если прирост каждой единицы объемазатрат капитала обозначать минимальными размерами,то общий объем выпуска продукта будет равен площадипространства, расположенного под кривой предельногопродукта капитала. я
о Альтернативность производственных возможностей. В комбинации с другими факторами производства капитал формирует определенный производственный потенциал, который может быть использован для альтернативных целей производственной деятельности. В частности, один и тот же производственный потенциал, сформированный с участием капитала, может быть использован для выпуска как потребительских товаров, так и капитальных товаров в форме средств и предметов труда (формируя в последнем случае отложенное потребление в виде запаса реального капитала). Комбинация определенного объема производственных факторов, опосредствованная участием капитала, формирует так называемую "кривую производственных возможностей", которая графически представлена на рисунке 1.4.

|
Рисунок 1.4. График производственных возможностей комплекса факторов производства, сформированного с участием капитала.
|
Как видно из приведенных данных один и тот же количественно определенный комплекс факторов производства, опосредствованный участием капитала, может при необходимости выпускать товары потребительского назначения и капитальные товары в различных пропорциях: в варианте "А" — 2:1 ив варианте "Б" — 1:2. С помощью "кривой производственных возможностей" может быть на альтернативной основе определена оптимальная структура производства продукта при избранной экономической стратегии развития и изменяющихся условиях производственной деятельности.
• Взаимозаменяемость в системе факторов производства. В процессе производства товаров и услуг все производственные ресурсы используются не как простой их конгломерат, а как взаимодействующий комплекс с целенаправленно сформированными определенными внутренними пропорциями. При этом в системе этого взаимодействующего комплекса для выпуска одного и того же объема товаров могут быть использованы различные пропорции основных факторов производства. В теории использования капитала взаимозаменяемость факторов производства является одной из фундаментальных концепций.
Возможная взаимозаменяемость факторов производства в процессе выпуска продукции характеризуется обычно так называемой "производственной функцией", которая в наиболее обобщенном виде имеет следующий вид:
ПР = /(К,3,Т,П)
9
где ПР — предусматриваемый объем производства продукции (товаров, услуг); /— функция взаимодействия факторов производства в различных количественных пропорциях; К—объем задействованного капитала; 3—объем задействованных природных ресурсов
(земли); Т —объем задействованных трудовых ресурсов (труда); П — объем задействованных прочих производственных ресурсов. Экономическая сущность производственной функции состоит в том, что она позволяет формировать альтернативные возможности комбинирования пропорций факторов производства для обеспечения заданного (определенного) объема выпуска продукции. Иными словами, производственная функция характеризует возможность капитала заменять другие факторы производства или быть замененным этими факторами.
Наиболее известной прикладной моделью является производственная функция Кобба—Дугласа, которая характеризует возможности взаимозаменяемости таких производственных факторов, как капитал и труд в процессе промышленного производства. Модель производственной функции Кобба— Дугласа имеет следующий вид:

где ПР — предусматриваемый объем производства продукции (товаров); а— постоянный коэффициент, характерный для выпуска определенного продукта (товара);
К — объем затрат капитала;
Т —объем затрат труда (трудовых ресурсов); х, у — показатели степени возможной взаимозаменяемости рассматриваемых факторов производства, удовлетворяющие требование: х + у = 1.
Рассмотрим на примере этой модели возможности взаимозаменяемости капитала в комплексе факторов производства в рамках конкретной технологии.

|
Рисунок 1.5. График изокванты (кривой безразличия производства).
В первую очередь выясним диапазон возможностей сочетания (пропорций) затрат капитала и труда, обеспечивающих выпуск заданного количества продукта при неизменной технологии. Представление об этом дает "кривая безразличия производства" или "изокванта", характеризующая все возможные значения векторов производственной функции (сочетаний объемов затрат рассматриваемых факторов производства) для выпуска конкретного объема продукта (рис. 1.5).
Приведенные на графике точки А, Б, В, Г, размещенные на изокванте (кривой безразличия производства), показывают различные возможные сочетания объема затрат капитала и труда на выпуск заданного количества продукта. При этом наклон изокванты характеризует предельную норму технологического замещения рассматриваемых факторов производства.
|

Рисунок 1.7. График изокосты.
Наряду с анализом возможностей взаимозамещения представляет интерес выявление возможных комбинаций рассматриваемых факторов, при которых совокупные затраты по их привлечению будут равны. Если соединить на осях абсциссы и ординаты графика точки, в которых затраты на привлечение этих ресурсов будут равными, получим линию, называемую в экономической теории "изокостой". В основе построения изокосты лежит бюджет производства заданного количества продукта и стоимость единицы рассматриваемых факторов производства. Предположим, что единица капитальных товаров стоит 2 уел. ден. един., единица трудовых ресурсов (труда) — соответственно 3 уел. ден. един., а совокупный бюджет производства заданного количества продукции — 12 уел. ден. един. При этих условиях предприниматель в рамках совокупного бюджета может приобрести или 6 единиц капитала, или 4 единицы трудовых ресурсов (труда). Соединение этих точек и будет характеризовать график изокосты для данного конкретного случая (рис. 1.6).
Соответствующие графики изокосты могут быть построены и для любого другого совокупного бюджета производства иного заданного количества продукта. Наклон изокост характеризует соотношение стоимости привлечения (цен) рассматриваемых факторов производства.
Механизм взаимозамещения факторов производства эффективен в том случае, если он позволяет минимизировать совокупные затраты капитала и труда. Если совместить рассмотренные ранее графики изокванты и изокосты, можно получит точку их касания (но не пересечения), в которой совокупные издержки факторов производства (капитала и труда) будут минимальными (рис. Е7).

|
Рисунок 1.7. График формирования точки минимальных совокупных затрат факторов производства в процессе их взаимозамещения.
На представленном графике минимальный совокупный объем затрат факторов производства в возможном диапазоне их взаимозамещения обозначен точной "А", соответствующей затратам 3 единиц капитала и 2 единиц труда. Любое другое сочетание рассматриваемых факторов в процессе их взаимозаменяемости будет формировать более высокий уровень совокупных их затрат, обеспечивающих выпуск предусмотренного объема продукта.
Если бюджет производителя в процессе хозяйственной деятельности возрастает, он может обеспечивать более
высокие объемы выпуска продукта, т.е. формировать новые виды изоквант и изокост. Соединив точки касания новых изоквант и изокост, можно получить линию экономического роста предприятия, называемую "изоклиналь". График изоклинали приведен на рисунке Е8.
|

|
Рисунок 1.9. График изоклинали, характеризующий экономический рост предприятия.
Таким образом производственная функция, формирующая условия взаимозаменяемости капитала, позволяет не только выявлять возможный диапазон этой взаимозаменяемости, но и решать конкретные производственные задачи:
|
а) максимизировать технологическую эффективность производства, характеризующую максимально возможный объем выпуска продукта в процессе использования имеющегося объема факторов производства;
б) максимизировать экономическую эффективность производства,
характеризующую минимальный объем совокупных затрат факторов производства, обеспечивающих выпуск заданного объема продукта;
в) прогнозировать темпы экономического развития предприятия,
обеспечиваемого оптимальными про*"
; порциями отдельных факторов производства.
Важное место в теории использования капитала, направленного на обеспечение формирования прибыли предприятия, составляет его характеристика как инвестиционного ресурса. Рассмотрим основные особенности капитала как экономического ресурса, формирующего инвестиционную прибыль предприятия.
Как инвестиционный ресурс капитал находится в процессе постоянной динамики. Все основные формы движения капитала во всех секторах экономики страны связаны с его инвестированием, реинвестированием или дезинвестированием. При этом с инвестиционным процессом связаны основные формы как внутреннего, так и международного движения капитала.
Процесс использования капитала как реального инвестиционного ресурса представляет собой "чистое капиталообразование". Под этим термином понимается -объем валовых инвестиций в определенном периоде, уменьшенный на сумму амортизационных отчислений. Чистое капиталообразование обеспечивает улучшение производственных возможностей отдельных хозяйствующих субъектов и возрастание производственного потенциала общества в целом за счет чистого прироста реального капитала, достигаемого в процессе инвестирования. При этом следует обратить внимание на то, что процесс чистого капиталообразования обеспечивается путем использования капитала как инвестиционного ресурса лишь в реальном секторе экономики (промышленности, сельском хозяйстве, торговле и т.п.). Использование же капитала как инвестиционного ресурса в финансовом секторе экономики (т.е. в процессе финансовых инвестиций в акции, облигации и т.п.) новый реальный капитал не создает. Такое финансовое инвестирование характеризуется в рамках экономики страны как "трансфертное" — объем инвестирования капитала в финансовые активы одними субъектами хозяйствования равен при этом объему его дезинвестирования другими хозяйствующими субъектами без прироста реального капитала.
в Востребованность капитала как инвестиционного ресурса характеризуется значительной неравномерностью. В первую очередь, эта неравномерность зависит от стадии экономического цикла — когда экономика страны
находится на подъеме, объемы инвестируемого капитала существенно возрастают, усиливая инфляционный разрыв; и наоборот — в периоды экономического спада инвестиционные потребности субъектов хозяйствования снижаются, усиливая дефляционный разрыв или "инвестиционное сжатие экономики". Кроме того, на инвестиционную востребованность капитала в отдельные периоды существенное воздействие оказывают инновационный прогресс, изменение налоговой политики, уровень законодательной защиты инвестиций и другие факторы. Характер этих факторов определяет низкую степень эффективности рыночного саморегулирования инвестиционных процессов. Основным механизмом сглаживания этой неравномерности выступает государственное регулирование инвестиционной деятельности субъектов хозяйствования.
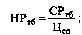
• Уровень потребления капитала как инвестиционного ресурса, вовлекаемого в реальный производственный процесс, имеет минимальные экономические границы. Эти границы определяются, с одной стороны, предельным продуктом капитала (формируемом с учетом механизма производственной функции), а с другой, — нормами выбытия (амортизации) капитала в производственном процессе, подлежащего возмещению для обеспечения последующего простого воспроизводства. Количественные параметры формирования этих границ отражает Модель Солоу, развивающая ранее изложенную модель Кобба—Дугласа. Рассмотрим основные направления развития этой модели в интерпретации Солоу, связанные с формированием минимальных границ накопления и использования капитала как инвестиционного ресурса, вовлекаемого в реальный производственный процесс.
При неизменных соотношениях затрат капитала и труда на производство продукции (т.е. при неизменной капиталовооруженности) прирост капитала (АК) определяется как разница между инвестированным в производство капиталом (Ик) и выбытием (амортизацией) капитала как фактора производства в определенном периоде
(Вк):
АК = Ик-
Вх
Инвестиционный капитал представляет собой произведение суммы дохода от производственной деятельности (операционной прибыли), полученной в предшествующем периоде
(D)
- Ца норму накопления (Нн):
Выбытие капитала представляет собой произведение суммы используемого в производственном процессе капитала (К) на среднюю норму его выбытия (амортизации) в определенном периоде (Н
в):
В
к = КхН
в
Преобразуя ранее рассмотренную модель прироста капитала, получим:
ДК=?>хН
н-КхН
0
Ситуация, при которой сумма инвестируемого (накапливаемого) капитала равна сумме выбытия (амортизации) капитала как фактора производства, характеризует так называемый "золотой уровень накопления капитала". В соответствии с Моделью Солоу, такая ситуация, минимизируя уровень накопления капитала как инвестиционного ресурса, одновременно максимизирует экономически целесообразный уровень потребления дохода, полученного в процессе производственной деятельности (П
маКс) в процессе распределения операционной прибыли предприятия:

Формирование "золотого уровня накопления капитала" как инвестиционного ресурса, вовлекаемого в производственный процесс, может быть проиллюстрировано графически (рис. 1.9).
Точки 3jj 3
2; 3з характеризуют конкретные параметры "золотого уровня накопления капитала" как инвестиционного ресурса, вовлекаемого в производственный процесс, при соответствующих значениях предельного продукта капитала и нормы его выбытия (амортизации). Регулируя нормы выбытия капитала в производственном процессе, государство может соответствующим образом влиять на пропорции накопления и потребления производственного дохода (операционной прибыли).
Рассмотренные положения показывают, что как инвестиционный ресурс капитал обеспечивает генерирование инвестиционной прибыли и постоянный экономичес-

|
Сумма выбытия (амортизации) капитала как фактора производства
Кривая, золотого уровня накопления капитала"
Сумма затрат капитала на единицу затрат труда (капиталовооруженности)
|
Рисунок 1.9. График формирования кривой „золотого уровня накопления капитала" как инвестиционного ресурса, вовлекаемого в реальный производственный процесс.
кий рост предприятия, однако реализация этих возможностей связана с эфективными формами государственного регулирования инвестиционной деятельности.
Определеное место в теории использования капитала направленного на обеспечение формирования прибыли предприятия, отводится характеру его оборота. Под оборотом капитала понимается процесс непрерывного его движения в экономической системе предприятия, сопровождающийся последовательным превращением одной его формы в другую. В механизме формирования прибыли предприятия оборот капитала характеризуется следующими основными особенностями:
Оборот капитала является важнейшим условием его функционирования в экономической системе, обеспечивающим постоянное генерирование дохода или самовозрастания его стоимости. Если бы капитал не совершал в процессе своего использования постоянного оборота с видоизменением конкретных форм, он не мог бы приносить доход своему владельцу.
Оборот капитала как процесс постоянного его движения характеризуется определенными повторяющимися циклами. Под циклом оборота капитала понимается процесс полного завершения кругооборота отдельных его форм, в результате чего авансированный капитал в процессе своего экономического использования возвращается в своей исходной форме. С учетом изложенного понятия оборот капитала в процессе его использования можно рассматривать как совокупность постоянно повторяющихся актов его кругооборота (кругооборота его форм) или как постоянную смену отдельных циклов его оборота).

|
Рисунок 1.10. Характер движения производственного капитала в процессе его кругооборота.
В составе каждого полного цикла оборота капитала (или завершенного цикла его кругооборота) выделяются отдельные его стадии. Стадия оборота (кругооборота)
|
характеризует период нахождения капитала в одной из конкретных его форм до начала его трансформации в иную функциональную форму. Особенности экономического использования различных видов капитала определяют специфику содержания циклов его оборота в разрезе отдельных стадий (форм функционирования в процессе отдельных актов кругооборота). Наиболее существенные различия в стадиях (формах) кругооборота присущи капиталу, используемому в производственном и инвестиционном процессе.
Капитал, используемый в производственном процессе (как фактор производства), на протяжении своего кругооборота функционирует в трех основных формах — денежной, производительной и товарной (рис. 1.10).
Как видно из приведенного рисунка в процессе полного цикла одного оборота капитал проходит следующие стадии:
в На первой стадии капитал в денежной форме (Кд) авансируется в конкретные факторы производства — средства труда, предметы труда — преобразуясь тем самым в производительную форму.
• На второй стадии производительный капитал (К ) в процессе изготовления продукции постепенно преобразуется в товарную форму (включающую и форму произведенных услуг).
в На третьей стадии товарный капитал (Kj.) по мере реализации произведенных товаров и услуг превращается в денежный капитал.
Последовательно проходя перечисленные три стадии и соответственно изменяя формы своего использования, капитал, используемый в производственном процессе, функционирует непосредственно как в сфере обращения, так и в сфере производства (рис. 1.11).
К„->кп
|
средства труда -> К1, -> К1
РІ предметы труда Г т д
«. J
|
|
Капитал, функционирующий в сфере обращения
|
Капитал,
функционирующий в сфере производства товаров и услуг
|
Капитал, функционирующий в сфере обращения
|
Рисунок 1.11. Характер функционирования производственного капитала в сфере обращения и производства в процессе кругооборота.
Из приведенного рисунка можно увидеть, что превращение денежного капитала в производительный осуществляется на первой стадии его оборота в сфере обращения — на рынках факторов производства. Превращение производительного капитала в товарный на последующей стадии его оборота осуществляется непосредственно в
сфере производства товаров и услуг (т.е. непосредственно в производственном процессе отдельных субъектов хозяйствования). И наконец, превращение товарного капитала в денежный, т.е. его возвращение в первоначальную форму, завершающее акт полного кругооборота, вновь происходит в сфере обращения — на различных сегментах потребительского рынка (если предприятие выпускает потребительские товары и услуги) или рынка факторов производства (если предприятие выпускает продукцию производственного потребления — средства или предметы труда).
Некоторые особенности оборота производственного капитала, не меняющие его принципиальной схемы, имеет его использование в отдельных отраслях экономики (сферах и видах деятельности). Так, производительный капитал сельскохозяйственных предприятий в составе факторов производства включает землю, продуктивный скот и некоторые другие конкретные их виды. Производительный капитал торговых предприятий в составе предметов труда состоит преимущественно из закупленных товаров, которые в процессе их производственной деятельности проходят стадии хранения, предпродажной подготовки и т.п., то есть превращаемых в товарный капитал, непосредственно подготовленный к трансформации в денежную форму.
• В процессе оборота различные виды производственного капитала характеризуются разной интенсивностью движения. Одна часть производственного капитала в форме средств труда функционирует на протяжении длительного периода; другая его часть используется в процессе производства продукта однократно. В соответствии с этим признаком в составе капитала, используемого в производственном процессе, принято выделять основной капитал (капитал, авансируемый в средства труда и характеризующийся длительным циклом оборота) и оборотный капитал (капитал, авансируемый в предметы труда и характеризующийся относительно коротким циклом оборота).
в Полный цикл одного оборота капитала характеризуется, с одной стороны, его продолжительностью во времени, а с другой, — изменением суммарного размера капитала в процессе каждого кругооборота. Эти характеристики
присущи капиталу, используемому как в производственном, так и в инвестиционном процессе. Обе эти характеристики с различных сторон отражают эффективность оборота капитала конкретного субъекта хозяйствования.
• Продолжительность одного оборота капитала характеризует период времени, в течение которого осуществляется полный цикл его кругооборота. Она определяется путем деления средней суммы капитала используемого предприятием, на среднегодовой (среднемесячный, среднедневной) объем реализации его продукции. Для расчета средней суммы используемого капитала используют, как правило, среднюю хронологическую ее величину. По указанному принципиальному алгоритму может быть вычислена продолжительность одного оборота не только капитала в целом, но и каждой его формы, определяемой соответствующей стадией процесса кругооборота.
На продолжительность оборота капитала оказывают влияние следующие основные факторы:
соотношение используемого основного и оборотного капитала;
соотношение активной (машин и оборудования) и пассивной (зданий и сооружений) частей производственных основных средств;
структура оборотного капитала;
используемые методы и нормы амортизации основных средств и нематериальных активов;
средняя продолжительность производственного (операционного) цикла;
соотношение объемов реального и финансового инвестирования;
стадия конъюнктуры товарного рынка, определяющая интенсивность реализации продукции.
• Изменение суммарной стоимости капитала в течение одного полного оборота характеризуется термином "стоимостной цикл капитала" ["value cycle of capital”]. Движение стоимостного цикла капитала конкретного субъекта хозяйствования осуществляется по спирали (рис. 1.12).
Как видно из приведенного рисунка капитал в процессе каждого своего кругооборота (стоимостного цикла) может наращивать свою суммарную стоимость в отдельные периоды (на рисунке — периоды II, III и V) в

Рисунок 1.12. Характер движения стоимостного цикла капитала конкретного субъекта хозяйствования по спирали.
результате рентабельного его использования или частично терять ее (на рисунке — период IV) в результате убыточной хозяйственной деятельности. Иными словами, стоимостной цикл капитала в процессе его оборота может развиваться с восходящей или нисходящей тенденцией. Движение стоимостного цикла капитала служит важным индикатором темпов развития конкретного субъекта хозяйствования, динамики его рыночной стоимости и конкурентной позиции.
На динамику стоимостного цикла капитала в процессе его оборота оказывают влияние следующие основные факторы:
стадия экономического цикла развития страны;
уровень средней нормы прибыли на капитал;
уровень налогообложения субъектов хозяйствования;
уровень конкуренции на рынке продукции, выпускаем мой субъектом хозяйствования;
стадия жизненного цикла предприятия;
эффективность использования производственных (операционных) активов, сформированных за счет авансированного в них капитала;
эффективность инвестиционной деятельности субъекта хозяйствования;
уровень риска в деятельности субъекта хозяйствования;
в финансовая гибкость субъекта хозяйствования, характеризующая его способность привлекать необходимые финансовые ресурсы из внешних источников.
Рассмотрение форм взаимосвязи прибыли и капитала показывает, что как экономический ресурс, используемый предприятием, капитал всегда потенциально способен генерировать его прибыль при условии эффективного его применения. Как источник дохода (а соответственно и прибыли) капитал является одним из важнейших средств формирования будущего благосостояния его владельцев. В этом аспекте капитал как источник дохода (прибыли) характеризуется следующими особенностями:
Доход на капитал выступает в форме процентного дохода, получаемого его владельцами. Экономической основой процентного дохода является, в первую очередь, возможный эффект альтернативного использования капитала в экономическом процессе как инвестиционного ресурса или фактора производства. Кроме того, с экономических позиций процентный доход является формой своеобразной платы собственнику капитала за отказ от его использования как экономической ценности на цели текущего потребления — в этом виде он характеризует разницу между ценностью сегодняшнего и будущего потребления в оценке собственника капитала.
Виды процентного дохода на капитал определяются экономическими формами функционирования капитала. Так, доход функционирующего финансового (денежного) капитала выступает в виде ссудного (депозитного или кредитного) процента; доход функционирующего реального капитала — в виде выраженного в процентах уровня производственной (операционной) прибыли, исчисленного по отношению к совокупной сумме используемых капитальных товаров и т.п.
в Процентный доход на капитал формирует постоянный денежный поток, обеспечивающий процесс непрерывного самовозрастания стоимости капитала. Эта особенность характеризует капитал как постоянно возрастающую экономическую ценность. При этом сформированный в определенном периоде процентный доход является формой прибавочной стоимости (ценности) капитала по отношению к первоначальному его размеру.
Размер процентного дохода на капитал измеряется обычно годовой ставкой процента. С экономических позиций годовую ставку процента можно рассматривать как конкретный темп прироста ценности капитала в процессе самовозрастания его стоимости. Уровень годовой процентной ставки зависит от множества экономических, технологических и других факторов и соответственно подвержен высокой колеблемости во времени.
Усредненная годовая процентная ставка формирует в конкретных условиях экономики среднюю норму доходности капитала и служит критерием эффективности его использования в конкретных формах.
В ходе поступательного экономического развития общества средняя норма доходности капитала имеет тенденцию к снижению. В основе этой тенденции лежит закон убывающей производительности капитала, обуславливающий постоянное уменьшение предельного продукта капитала, а также постоянное возрастание конкуренции. Вместе с тем, несмотря на снижение средней нормы доходности капитала, общая сумма формируемого им дохода постоянно возрастает за счет роста объема использования капитала. При этом рост общей суммы дохода, формируемого капиталом, создает предпосылки для расширения экономической базы его накопления. Эти тенденции графически проиллюстрированы на рисунке 1.13.

|
Рисунок 1.13. График, характеризующий тенденции средней нормы доходности и общей суммы дохода капитала с ростом объема его использования.
Таким образом, как источник формирования прибыли капитал представляет собой постоянно возрастающую экономическую ценность. Вместе с тем, потенциальная способность капитала приносить прибыль не реализуется автоматически, а обеспечивается лишь в условиях эффективного его использования. Формирование таких условий предопределяет одну из важных целей использованием капитала.
1.3. КЛАССИФИКАЦИЯ ПРИБЫЛИ. ПРЕДПРИЯТИЯ
|
Прибыль предприятия характеризуется многообразием обличий, в которых она выступает. Под общим понятием "прибыль предприятия" понимают самые различные ее вилы, характеризуемые в настоящее время несколькими десятками терминов. В связи с этим, в целях обеспечения эффективного и целенаправленного управления прибылью предприятия необходимо в первую очередь систематизировать ее терминологию.
В данном разделе рассматривается систематизация прибыли предприятия лишь по тем основным классификационным признакам, которые характеризуют общую ее совокупность (внутренняя классификация отдельных видов прибыли будет подробно изложена в следующих разделах). В числе основных из таких классификационных признаков предлагается выделить следующие:
Характер отражения в учете.
Характер деятельности предприятия.
Основные виды хозяйственных операций предприятия.
Основные виды деятельности предприятия.
Состав формирующих элементов.
Характер налогообложения.
Характер инфляционной "очистки".
Достаточность уровня формирования.
Рассматриваемый период формирования.
Характер использования. И. Степень использования.
12. Значение итогового результата хозяйствования.
в разрезе предлагаемых
Классификация видов прибыли предприятия классификационных признаков приведена в табл. 1.1.
|
Признаки
классификации
прибыли
предприятия
|
Виды прибыли по соответствующим признакам классификации
|
1. Характер отражения в учете
|
Бухгалтерская прибыль Экономическая прибыль
|
2. Характер деятельности
предприятия
|
Прибыль от обычной деятельности
Прибыль от чрезвычайных событий
|
3. Основные
виды
хозяйственных
операций
предприятия
|
Прибыль от реализации продукции
Прибыль от
внереализационных
операций
|
4. Основные
виды
деятельности
предприятия
|
Прибыль от операционной деятельности
Прибыль от
инвестиционной
деятельности
Прибыль от финансовой деятельности
|
5. Состав
формирующих
элементов
|
Маржинальная прибыль Валовая прибыль Чистая прибыль
|
6. Характер налогообложения
|
Налогооблагаемая прибыль Прибыль не подлежащая налогообложению
|
7. Характер
инфляционной
очистки
|
Прибыль номинальная Прибыль реальная
|
8. Достаточность уровня
формирования
|
Низкая прибыль Нормальная прибыль Высокая прибыль
|
9.
Рассматриваемый
период
формирования
|
Прибыль
предшествующего периода Прибыль отчетного периода Прибыль планового периода (планируемая прибыль)
|
10. Характер
|
Капитализируемая
|
|
использования
|
прибыль Потребленная прибыль
|
11. Степень
использования
|
Нераспределенная прибыль Распределенная прибыль
|
12. Значение
итогового
результата
хозяйствования
|
Положительная прибыль (прибыль в обычном ее понимании) Отрицательная прибыль (убыток)
|
Рассмотрим более подробно отдельные виды прибыли предприятия в соответствии с приведенной ее классификацией по основным признакам.
1. По характеру отражения в учете выделяют бухгалтерскую и экономическую прибыль предприятия.
Бухгалтерская прибылъ представляет собой разность между доходами предприятия и внешними его текущими затратами (издержками), отражаемыми бухгалтерским учетом.
Экономическая прибылъ представляет собой разность между суммой доходов предприятия, с одной стороны, и суммой как внешних, так и внутренних его текущих затрат (издержек), с другой. При этом внутренние текущие затраты предприятия, не отражаемые бухгалтерским учетом, оцениваются по альтернативной их стоимости. Экономическая прибыль предприятия всегда меньше бухгалтерской на величину внутренних текущих затрат (издержек).
2. По характеру деятельности предприятия разделяютприбыль от обычной деятельности и прибыль от чрезвычайных событий.
Прибылъ от обычной деятельности характеризует финансовый результат от всех традиционных для данного предприятия видов деятельности и хозяйственных операций, формируемый на регулярной основе.
Прибылъ от чрезвычайных событий характеризует необычный или очень редкий для данного предприятия источник ее формирования.
3. По основным видам хозяйственных операций предприятия выделяют прибыль от реализации продукции иприбыль от внереализационных операций.
Прибылъ от реализации продукции — товаров, работ, услуг — является основным ее видом на предприятии, непосредственно связанным с отраслевой спецификой их деятельности. Аналогом этого термина выступает термин "прибыль по основной деятельности". В обоих случаях под этой прибылью понимается результат хозяйствования по основной производственно-сбытовой деятельности предприятия.
Прибылъ от внереализационных операций формально характеризуется термином "доходы от внереализационных операций", однако по своему сущностному содержанию относится к категории прибыли, так как отражается в отчетности в виде сальдо между полученными доходами
и понесенными расходами по этим операциям. К составу доходов, формирующих эту прибыль, относятся доходы от паевого участия данного предприятия в деятельности других совместных предприятий с отечественными и зарубежными партнерами (в виде распределенной прибыли на сумму его паев в совместных предприятиях); доходы от принадлежащих предприятию облигаций, акций и других ценных бумаг, выпущенных сторонними эмитентами (в виде сумм процентов и дивидендов); доходы по депозитным вкладам предприятия в банках; полученные штрафы, пени и неустойки и некоторые другие.
4. По основным видам деятельности предприятиявыделяют прибыль, полученную от операционной, инвестиционной и финансовой его деятельности.
Прибылъ от операционной деятельности представляет собой совокупный объем прибыли от реализации продукции и прибыли от других операций, не относящихся к инвестиционной или финансовой деятельности.
Прибылъ от инвестиционной деятельности характеризует итоговой финансовый результат от операций по приобретению (сооружению, изготовлению) и продаже амортизируемого имущества — основных фондов, нематериальных активов и других необоротных активов, а также краткосрочных финансовых инвестиций, которые не являются эквивалентами денежных средств.
Прибыль от финансовой деятельности характеризует финансовый результат операций, которые приводят к изменению размера и состава собственного капитала и ссуд предприятия (привлечения дополнительного акционерного или паевого капитала, эмиссии облигаций и других долговых ценных бумаг, привлечение кредита в различных его формах, погашение обязательств по основному долгу ит.п.).
5. По составу элементов, формирующих прибыль, различают маржинальную, валовую (балансовую) и чистуюприбыль предприятия. Под этими терминами понимают обычно различную степень "очистки" полученныхпредприятием чистых доходов от понесенных им в процессе хозяйственной деятельности затрат.
Так, маржинальная прибылъ характеризует сумму чистого дохода от операционной деятельности (валового дохода предприятия от этой деятельности, уменьшенного на сумму налоговых платежей за счет него) за вычетом суммы
переменных затрат. Валовая прибылъ характеризует сумму чистого дохода от операционной деятельности за вычетом всех операционных расходов, как постоянных, так и переменных {балансовая прибылъ соответственно представляет собой разницу между всей суммой чистого дохода предприятия и всей суммой его текущих затрат). Чистая прибылъ характеризует сумму балансовой (или валовой) прибыли, уменьшенную на сумму налоговых платежей за счет нее.
По характеру налогообложения прибыли выделяют налогооблагаемую и не облагаемую налогом ее части. Такое деление прибыли играет важную роль в формировании налоговой политики предприятия, так как позволяет оценивать альтернативные хозяйственные операции с позиций конечного их эффекта. Состав прибыли, не подлежащей налогообложению, регулируется соответствующим законодательством.
По характеру инфляционной "очистки" прибыли выделяют номинальный и реальный ее виды. Реальная прибыль характеризует размер номинально полученной ее суммы, скорректированный на темп инфляции в соответствующем периоде.
По достаточности уровня формирования выделяют низкую, нормальную и высокую прибыль предприятия (критерием такого деления выступает уровень нормальной прибыли).
Нормальная прибылъ характеризует такой уровень ее формирования, когда после покрытия внешних и внутренних текущих затрат (издержек), остается доход, равный минимальной ставке депозитного процента (по отношению к сумме используемого собственного капитала).
Низкая и высокая прибылъ характеризует уровень ее формирования, который соответственно ниже или выше уровня нормальной прибыли.
9. По рассматриваемому периоду формирования выделяют прибыль предшествующего периода (т.е. периода, предшествующего отчетному), прибыль отчетного периодаи прибыль планового периода (планируемую прибыль).Такое деление используется в целях анализа и планирования для выявления соответствующих трендов ее динамики, построения соответствующего базиса расчетов и т.п.
10. По характеру использования в составе прибылщостающейся после уплаты налогов и других обязательных платежей (чистой прибыли), выделяют капитализируемую и потребляемую ее части. Капитализированная прибылъ характеризует ту
ее сумму, которая направлена на финансирование прироста активов предприятия, а потребленная прибылъ — ту ее часть, которая израсходована на выплаты собственникам (акционерам), персоналу или на социальные программы предприятия.
По степени использования выделяют нераспределенную и распределенную прибыль предприятия. Первый ее вид характеризует часть сформированной прибыли предприятия, которая еще не распределена (а соответственно и не использована) на конкретные хозяйственные нужды. Второй ее вид характеризует часть сформированной прибыли, которая на рассматриваемую дату уже распределена и не использована в процессе хозяйственной деятельности.
По значению итогового результата хозяйствования различают положительную прибыль (или собственно прибыль) и отрицательную прибыль (убыток). В нашей практике эта терминология получила пока ограниченное распространение, хотя и встречается в экономических публикациях последних лет по вопросам бухгалтерского учета.
Несмотря на довольно значительный перечень рассмотренных классификационных признаков, он, тем не менее, не отражает всего многообразия видов прибыли, используемых в научной терминологии и предпринимательской практике. Ряд из этих терминов будут дополнительно рассмотрены в процессе изложения конкретных вопросов управления прибылью.
Со структурой отдельных видов прибыли, формируемой на предприятии, связано понятие "качество прибыли". В наиболее обобщенном виде оно характеризует структуру источников формирования прибыли по видам деятельности — операционной, инвестиционной, финансовой. В рамках каждого из этих видов прибыли данное понятие характеризует конкретные источники роста прибыли. Например, высокое качество операционной прибыли характеризуется ростом объема выпуска продукции, снижением издержек и т.п., а низкое ее качество — ростом цен на продукцию без увеличения объема ее выпуска и реализации в натуральных показателях. Понятие "качество прибыли" позволяет правильнее оценивать ее динамику, проводить сопоставимый ее анализ в процессе сравнения с деятельностью других предприятий.
Глава 2. Сущность и функции управления прибылью
2.1. СУЩНОСТЬ, ЦЕЛИИЗАДАЧИ УПРАВЛЕНИЯПРИБЫЛЬЮ
Высокая роль прибыли в развитии предприятия и обеспечении интересов его собтвенников и персонала определяют необходимость непрерывного и эффективного управления ею.
Управление прибылью представляет собой систему принципов и методов разработки и реализации управленческих решений по всем основным аспектам ее формирования, распределения и использования на предприятии.

Рисунок 2.1. Основные принципы управления прибылью предприятия
Эффективное управление прибылью предприятия обеспечивается реализацией ряда принципов, основными из которых являются (рис. 2.1.):
Интегрированность с общей системой управления предприятием. В какой бы сфере деятельности предприятия не принималось управленческое решение, оно прямо или косвенно оказывает влияние на прибыль. Управление прибылью непосредственно связано с производственным менеджментом, инновационным менеджментом, менеджментом персонала, инвестиционным менеджментом, финансовым менеджментом и некоторыми другими видами функционального менеджмента. Это определяет необходимость органической интегрированности системы управления прибылью с общей системой управления предприятием.
Комплексный характер формирования управленческих решений. Все управленческие решения в области формирования и использования прибыли теснейшим образом взаимосвязаны и оказывают прямое или косвенное воздействие на конечные результаты управления прибылью. В ряде случаев это воздействие может носить противоречивый характер. Так, например, осуществление высокоприбыльных финансовых вложений может вызвать дефицит финансовых ресурсов, обеспечивающих производственную деятельность, и как следствие — существенно уменьшить размер операционной прибыли. Поэтому управление прибылью должно рассматриваться как комплексная система действий, обеспечивающая разработку взаимозависимых управленческих решений, каждое из которых вносит свой вклад в результативность формирования и использования прибыли по предприятию в целом.
3. Высокий динамизм управления. Даже наиболееэффективные управленческие решения в области формирования и использования прибыли, разработанные иреализованные на предприятии в предшествующем периоде, не всегда могут быть повторно использованы напоследующих этапах его деятельности. Прежде всего,это связано с высокой динамикой факторов внешнейсреды на стадии перехода к рыночной экономике, и впервую очередь — с изменением конъюнктуры товарногои финансового рынков. Кроме того, меняются во времении внутренние условия функционирования предприятия,особенно на этапах перехода к последующим стадиямего жизненного цикла. Поэтому системе управления
прибылью должен быть присущ высокий динамизм, учитывающий изменение факторов внешней среды, ресурсного потенциала, форм организации и управления производством, финансового состояния и других параметров функционирования предприятия.
Вариативность подходов к разработке отдельных управленческих решений.
Реализация этого требования предполагает, что подготовка каждого управленческого решения в сфере формирования, распределения и использования прибыли должна учитывать альтернативные возможности действий. При наличии альтернативных проектов управленческих решений их выбор для реализации должен быть основан на системе критериев, определяющих политику управления прибылью предприятия. Система таких критериев устанавливается самим предприятием.
Ориентированность на стратегические цели развития предприятия. Какими бы прибыльными не казались те или иные проекты управленческих решений в текущем периоде, они должны быть отклонены, если они вступают в противоречие с миссией (главной целью деятельности) предприятия, стратегическими направлениями его развития, подрывают экономическую базу формирования высоких размеров прибыли в предстоящем периоде.
С учетом содержания процесса управления прибылью и предъявляемых к нему требований формируются его цели и задачи.
Рассматривая главную цель управления прибылью, следует отметить, что она неразрывно связана с главной целью хозяйственной деятельностью предприятия в целом и реализуется с ней в едином комплексе. С развитием теории прибыли менялись и подходы экономистов к определению главной цели управления ею. В генезисе этой проблемы можно выделить три основных подхода.
1. Классическая экономическая теория утверждала, что главной целью хозяйственной деятельности предприятия является максимизация прибыли. Эта цель вытекала из положения А. Смита, что максимизация прибыли отдельным субъектов хозяйствования ведет к максимизации всего общественного благосостояния [overal economic welfare]. Впервые она была четко сформулирована в 1938 году французским экономистом А. Курно и затем развита в работах представителей неоклассической школы. Реализация этой цели обеспечивалась путем достижения равенства показателей предельного дохода и предельных затрат предприятия.
Однако впоследствии эта формулировка главной цели хозяйственной деятельности предприятия была подвергнута критике многими экономистами. Так, было доказано, что максимизация прибыли далеко не всегда обеспечивает необходимые темпы экономического развития предприятия. Полученная высокая по сумме и уровню прибыль может быть полностью израсходована на цели текущего потребления, в результате чего предприятие будет лишено основного источника формирования собственных финансовых ресурсов для своего предстоящего развития (а неразвивающееся предприятие утрачивает в перспективе достигнутую конкурентную позицию на рынке, сокращает потенциал приращения собственного капитала за счет внутренних источников, что в конечном итоге приводит к снижению его рыночной стоимости).
Кроме того, высокий уровень прибыли предприятия может достигаться при высоком уровне предпринимательского риска, генерирующего угрозу банкротства. Поэтому в рыночных условиях максимизация прибыли может выступать как одна из важнейших задач хозяйственной деятельности предприятия или как критерий оценки эффективности отдельных видов его операций, но не как главная цель управления прибылью.
2. Теория устойчивого экономического роста, развиваемая многими последующими экономистами, главной целью хозяйственной деятельности выдвигает обеспечение финансового равновесия предприятия в процессе его развития. По их мнению реализация этой цели обеспечивает длительное безкризисное развитие предприятия и поступательное расширение объема его хозяйственной деятельности. Вместе с тем, такая цель хозяйственной деятельности предприятия, минимизируя уровень предпринимательских рисков, не позволяет реализовать в полной мере все резервы роста ее рентабельности. Кроме того, механизм реализации этой цели недостаточно связан с колебаниями конъюнктуры финансового и товарного
рынков, которые изменяют параметры условий формирования прибыли конкретного предприятия при заданных темпах его экономического развития. В связи с изложенным, достижение и поддержание финансового равновесия не может рассматриваться как главная цель хозяйственной деятельности предприятия (хотя и является одной из важных задач управления прибылью).
3. Современная экономическая теория в качестве главной цели хозяйственной деятельности предприятия выдвигает обеспечение максимизации благосостояния собственников предприятия, которое получает конкретное выражение в максимизации рыночной стоимости предприятия. Это положение разделяется всеми современными теоретиками в области управления прибылью, так как по их мнению она наилучшим образом реализует финансовые интересы владельцев предприятия. В этой главной цели получают отражение факторы времени, доходности и риска, что является более полным отражением мотивации хозяйственной деятельности предприятия.
С учетом изложенного, главной целью управления прибылью является обеспечение максимизации благосостояния собственников предприятия в текущем и перспективном периоде. Эта главная цель призвана обеспечивать одновременно гармонизацию интересов собственников с интересами государства и персонала предприятия.
Исходя из этой главной цели, система управления прибылью призвана решать следующие основные задачи (таблица 2.1.).
Обеспечение максимизации размера формируемой прибыли, соответствующего ресурсному потенциалу предприятия и рыночной конъюктуре. Эта задача реализуется путем оптимизации состава ресурсов предприятия и обеспечения их эффективного использования. Основными естественными ограничителями размера прибыли выступают максимально возможный уровень использования ресурсного потенциала и сложившаяся конъюнктура товарного и финансового рынков.
Обеспечение оптимальной пропорциональности между уровнем формируемой прибыли и допустимым уровнем риска. Как уже отмечалось, между этими двумя показателями существует прямо пропорциональная связь.
Таблица 2.1. Система основных задач, направленных на реализацию главной цели управления прибылью
Главн
|
Основные задачи управления
|
ая цель
|
прибылью, направленные на
|
управл
|
реализацию главной цели
|
1. Обеспечение

максимизации размераформируемой прибыли, соответствующего
ресурсному потенциалу предприятия и рыночной конъюнктуре.
2. Обеспечение оптимальной пропорциональности между уровнем формируемой прибыли и допустимымуровнем риска.
3. Обеспечение высокого
качества формируемой прибыли.
4. Обеспечение выплаты
необходимогоуровня дохода на инвестированныйкапитал собственникам предприятия.
5. Обеспечение формирования достаточного объема финансовых ресурсов за счет прибыли в соответствиис задачами развития
С учетом отношения менеджеров к хозяйственным рискам формируется допустимый их уровень, определяющий агрессивную, умеренную (компромиссную) или консервативную политику осуществления тех или иных видов деятельности или проведения отдельных хозяйственных операций. Исходя из заданного уровня риска в процессе управления должен быть максимизирован соответствующий ему уровень прибыли.
Обеспечение высокого качества формируемой прибыли. В процессе формирования прибыли предприятия должны быть в первую очередь реализованы резервы ее роста за счет операционной деятельности и реального инвестирования, обеспечивающих основу перспективного развития предприятия. В рамках операционной деятельности основное внимание должно быть уделено обеспечению роста прибыли за счет расширения объема выпуска продукции и освоения новых перспективных ее видов.
Обеспечение выплаты необходимого уровня дохода на инвестированный капитал собственникам предприятия.
Этот уровень при успешной деятельности предприятия должен быть не ниже средней нормы доходности на рынке капитала, при необходимости возмещать повышенный предпринимательский риск, связанный со спецификой деятельности предприятия, а также инфляционные потери.
5. Обеспечение формирования достаточного объемафинансовых ресурсов за счет прибыли в соответствии сзадачами развития предприятия в предстоящем периоде.
Так как прибыль является основным внутренним источником формирования финансовых ресурсов предприятия, ее размер определяет потенциальную возможность создания фондов производственного развития, резервного и других специальных фондов, обеспечивающих предстоящее развитие предприятия. При этом в самофинансировании развития предприятия прибыли должна отводиться главенствующая роль.
Обеспечение постоянного возрастания рыночной стоимости предприятия. Эта задача призвана обеспечивать максимизацию благосостояния собственников в перспективном периоде. Темп возрастания рыночной стоимости в значительной степени определяется уровнем капитализации прибыли, полученной предприятием в отчетном периоде. Каждое предприятие исходя из условий и задач хозяйственной деятельности
само определяет систему критериев оптимизации распределения прибыли на капитализируемую и потребляемую ее части.
Обеспечение эффективности программ участия персонала в прибыли.
Программы участия персонала в при-
ников предприятия и ею ч~
с одной стороны эффективно стимулировать тр>м
Л— вклад этих работников в формирование прибыли, а с другой стороны — обеспечивать достаточно приемлемый уровень их социальной защиты, которую государство в современных условиях полностью обеспечить не в состоянии.
Все рассмотренные задачи управления прибылью теснейшим образом взаимосвязаны, хотя отдельные из них и носят разнонаправленный характер (например, максимизация уровня прибыли при минимизации уровня риска; обеспечение достаточного уровня удовлетворения интересов собственников предприятия и его персонала; обеспечение достаточного размера прибыли, направляемой на прирост активов и на потребление и т.п.). Поэтому в процессе управления прибылью отдельные задачи должны быть оптимизированы между собой.
2.2. ФУНКЦИИИМЕХАНИЗМ УПРАВЛЕНИЯПРИБЫЛЬЮ
Система управления прибылью реализует свою главную цель и основные задачи путем осуществления определенных функций. Эти функции подразделяются на две основные группы, определяемые комплексным содержанием рассматриваемой системы управления прибылью.
Функции управления прибылью как управляющей системы. Эти функции являются составными частями любого процесса управления (любой управляющей системы) вне зависимости от вида деятельности предприятия, его организационно-правовой формы, размера, формы собственности и т.п. В теории управления эти функции характеризуются как общие.
Функции управления прибылью как специальной области управления предприятием. Состав этих функций определяется конкретным объектом соответствующей управляющей системы. Теория управления рассматривает эти функции как специфические.
В наиболее общем виде состав основных функций управления прибылью в разрезе этих групп представлен на рис. 2.2.

Рисунок 2.2. Характеристика основных функций управления прибылью предприятия в разрезе отдельных групп
Рассмотри содержание основных функций управления прибылью в разрезе отдельных групп.
В группе функций управления прибылью как управляющей системы основными из них являются:
Разработка целенаправленной комплексной стратегииуправления прибылью предприятия. В процессе реализации этой функции исходя из общей стратегии экономического развития предприятия и прогноза конъюнктуры товарного и финансового рынков формируется система целей и целевых показателей формирования и использования прибыли на долгосрочный период; определяются приоритетные задачи, решаемые в ближайшей перспективе и разрабатывается система действий предприятия по основным направлениям развития его прибыли. Стратегия управления прибылью предприятия рассматривается как неотъемлемая составная часть общей стратегии его экономического развития.
Создание организационных структур, обеспечивающих принятие и реализацию управленческихрешений по формированию и использованию прибыли наразличныхуровнях. Такие структуры строятся по иерархическому или функциональному признаку с выделением конкретных "центров ответственности". В процессе реализации этой функции управления прибылью необходимо обеспечить постоянную адаптацию этих организационных структур к меняющимся условиям функционирования предприятия и направлениям хозяйственной деятельности. Организационные структуры управления прибылью должны быть интегрированы в общую организационную структуру управления предприятием.
Формирование эффективных информационных систем, обеспечивающих обоснование альтернативных вариантов управленческих решений. В процессе реализации этой функции должны быть определены объемы и содержание информационных потребностей управления прибылью; сформированы внешние и внутренние источники информации, удовлетворяющие эти потребности; организован постоянный мониторинг конкурентной позиции предприятия и конъюнктуры товарного и финансового рынков.
Осуществление анализа различных аспектов формирования и использования прибыли. В процессе реализации этой функции проводится экспресс-анализ отдельных хозяйственных операций; исследуется уровень и динамика основных показателей развития прибыли в разрезе видов деятельности и "центров ответственности" предприятия; осуществляется фундаментальный анализ факторов, влияющих на формирование и использование прибыли в рассматриваемом периоде.
Осуществление планирования формирования, распределения и использования прибыли. Реализация этой функции связана с разработкой системы текущих планов и оперативных бюджетов по основным направлениям хозяйственной деятельности, генерирующим прибыль. Основой такого планирования является разработанная стратегия управления прибылью, требующая конкретизации на каждом этапе поступательного дважения предприятия к поставленным стратегическим целям.
Разработка действенной системы стимулирования формирования прибыли и ее эффективного использования. В процессе реализации этой функции формируется система поощрений и санкций в разрезе руководителей и менеджеров отдельных структурных подразделений предприятия за выполнение или невыполнение установленных целевых показателей, нормативов и плановых заданий. Индивидуализация системы стимулирования обеспечивается путем внедрения на предприятии контрактной формы оплаты труда руководителей предприятия и функциональных менеджеров.
Осуществление эффективного контроля за реализацией принятых управленческих решений в области формирования и использования прибыли. Реализация этой функции управления прибылью связана с созданием систем внутреннего контроля на предприятии; разделением контрольных обязанностей отдельных служб и функциональных менеджеров; определением системы контролируемых показателей и контрольных периодов; оперативным реагированием нарезультаты общественного контроля.
В группе функций управления прибылью как специальной области управления предприятием основными из них являются:
1. Управление формированием прибыли. Функциями этого управления является обоснование целевой потребности в общей сумме прибыли, необходимой для эффективного развития предприятия; прогнозирование возможностей получения
прибыли в разрезе отдельных видов его деятельности; формирование целевых критериев нормы прибыли по предприятию и обеспечение их достижения.
2. Управление распределением и использованием прибыли. В процессе реализации этой функции обеспечивается своевременная уплата налогов за счет прибыли; формируется система пропорций распределения прибыли на капитализируемую и потребляемую ее части; обеспечивается формирование финансовых ресурсов за счет прибыли для развития отдельных видов деятельности, а внутри них — по отдельным направлениям использования.
Основные принципы управления прибылью как специальной области управления предприятием рассмотрены в наиболее агрегированном виде. Каждая из этих функций может быть конкретизирована более целенаправленно с учетом специфики хозяйственной деятельности отдельных предприятий. При осуществлении такой конкретизации на каждом предприятии может быть построена многоуровневая функциональная система управления прибылью. Принципиальная схема построения такой детализированной многоуровневой функциональной системы управления прибылью приведена на рис. 2.3.
Процесс управления прибылью предприятия базируется на определенном механизме. Механизм управления прибылью представляет собой систему основных элементов регулирующих процесс разработки и реализации управленческих решений в области ее формирования, распределения и использования. В структуру механизма управления прибылью входят следующие элементы (рис. 2.4.).
1. Рыночный механизм регулирования формирования и использования прибыли предприятия. Спрос и предложение на товарном и финансовом рынках формируют уровень цен на продукцию, стоимость привлечения кредитов, доходность отдельных ценных бумаг, среднюю норму доходности капитала и т.п. По мере углубления рыночных отношений роль рыночного механизма регулирования формирования и использования прибыли предприятия будет возрастать.

|
Рисунок 2.3. Принципиальная схема системы управления прибылью предприятия.
|
многоуровневой функциональной

|
Рисунок 2.4. Характеристика основных элементов механизма управления прибылью.
|
Г осударственное нормативно-правовое регулирование вопросов
формирования и распределения прибыли предприятия. Принятие законов и других нормативных актов, регулирующих формирование и распределение прибыли предприятия, представляет собой одно из направлений экономической политики государства. Законодательные и нормативные основы этой политики регулируют получение и распределение прибыли предприятий в разных формах. К числу основных из этих форм относятся: налоговое регулирование; регулирование механизма амортизации основных средств и нематериальных активов; регулирование размеров отчислений прибыли в резервный фонд; регулирование минимальных размеров заработной платы и другие.
Внутренний механизм регулирования отдельных аспектов формирования, распределения и использования прибыли предприятия. Механизм такого регулирования формируется в рамках самого предприятия, соответственно
регламентируя те или иные оперативные управленческие решения по вопросам формирования, распределения и использования прибыли. Так, ряд этих аспектов может регламентироваться требованиями устава предприятия. Отдельные из этих аспектов регулируются формируемой на предприятии целевой политикой управления прибылью. Кроме того, на предприятии может быть разработана и утверждена система внутренних нормативов и требований по вопросам формирования, распределения и использования прибыли.
4. Система конкретных методов и приемов осуществления управления прибылью. В процессе анализа, планирования и контроля формирования и использования прибыли используется обширная система методов, с помощью которых достигаются необходимые результаты. К числу основных из них относятся методы: технико-экономических расчетов, балансовый, экономике-статистические, экономикоматематические, сравнения и другие (их содержание будет подробно рассмотрено в последующих разделах).
Эффективный механизм управления прибылью позволяет в полном объеме реализовать стоящие перед ним цели и задачи, способствует результативному осуществлению функций этого управления.
Глава 3. Методологические основы формирования систем обеспечения управления прибылью
3.1. СИСТЕМА ОРГАНИЗАЦИОННОГО ОБЕСПЕЧЕНИЯ УПРАВЛЕНИЯ ПРИБЫЛЬЮ
Успешное функционирование системы управления прибылью предприятия во многом определяется эффективностью ее организационного обеспечения. Система организационного обеспечения управления прибылью представляет собой взаимосвязанную совокупность внутренних структурных служб и подразделений предприятия, обеспечивающих разработку и принятие управленческих решений по отдельным аспектам формирования, распределения и использования прибыли, и несущих ответственность за результаты этих решений.
Основу организационного обеспечения управления прибылью составляет формируемая на предприятии структура этого управления, элементами которой являются отдельные менеджеры, службы, отделы и другие организационные подразделения аппарата управления. Так как система управления прибылью является составной частью общей системы управления предприятием, ее организационное обеспечение должно быть интегрировано с общей организационной структурой управления. Такое интегрирование позволяет снизить общий уровень управленческих затрат, обеспечить координацию действий системы управления прибылью с другими управляющими системами предприятия, повысить комплектность и эффективность контроля за реализацией принятых решений.
Формируемую в структуре управления предприятием систему связей между различными звеньями аппарата управления подразделяют на горизонтальные и вертикальные связи. Горизонтальные связи строятся как одноуровневые, а вертикальные — как многоуровневые, обеспечивающие иерархичность управления.
Общие принципы формирования организационной структуры управления предприятием (интегрирующей в своем составе и структуры управления прибылью) предусматривают создание центров управления двух типов — иерархического и органического.
Иерархический тип структур управления предприятием предусматривает движение управленческих решений и информационных потоков строго по вертикали, в которой нижестоящий орган управления подчиняется и контролируется вышестоящим. Соответственно он предусматривает выделение различных уровней управления. В системе иерархического типа наибольшее распространение получили простая линейная, линейнофункциональная и дивизиональная структуры управления.
Органический тип структур управления предприятием характеризуется отсутствием иерархии при полной ответственности руководителей формируемых подразделений за конечные результаты деятельности. Формирование таких подразделений исходит из характера отдельных решаемых в комплексе проблем, что повышает гибкость структуры управления и обеспечивает ее высокую адаптивность к меняющимся внешним и внутренним условиям деятельности предприятия. В системе органического типа наибольшее распространение получили проектная и матричная структуры управления.
В большинстве структур управления иерархического и органического типа центры управления прибылью строятся параллельно центрам управления другими видами деятельности предприятия. Существует два основных подхода к уровню разграничения функций центров управления (рис. З.1.).
В соответствии с первым подходом функциональные центры управления строятся на основе принципов независимой деятельности, а их контакты с другими функциональными подразделениями ограничиваются лишь информационными связями. В соответствии со вторым подходом функциональные центры управления строятся на основе принципов взаимосвязанной деятельности, при котором большинство управленческих решений в рамках конкретной функции управления принимаются ими самостоятельно, а ряд управленческих решений, требующих комплексной разработки, вырабатываются совместно с другими функциональными службами предприятия. Перечень таких комплексных управленческих решений формируется обычно заранее (он может быть дополнен отдельными заданиями руководства предприятия и в оперативном порядке).
В рамках взаимодействия с другими управляющими системами организационное обеспечение управления прибылью может быть интегрировано в общую систему управления предприятием на основе любого из перечисленных подходов. В то же время в системе организационного обеспечения самого управления прибылью используется исключительно принцип взаимосвязанной деятельности его внутренних функциональных центров управления. Это связано с высоким уровнем взаимосвязи отдельных аспектов хозяйственной деятельности предприятия, определяющим необходимость комплексного подхода к разработке многих управленческих решений в области управления прибылью.
ПРИНЦИП независимой деятельности
|

|
ФУНКЦИОНАЛЬНЫХ ЦЕНТРОВ
УПРАВЛЕНИЯ
ПРИНЦИП ВЗАИМОСВЯЗАННОЙ ДЕЯТЕЛЬНОСТИ ФУНКЦИОНАЛЬНЫХ ЦЕНТРОВ
УПРАВЛЕНИЯ

Рисунок 3.1. Принципиальные подходы к уровню разграничения функций
центров управления предприятия.
Наряду с традиционной интеграцией структур управления прибылью с общей системой управления предприятием в рамках организационной его структуры, в последние годы в нашей стране используются и иные, более прогрессивные формы такой интеграции. Одной их таких форм является концепция управления отдельными аспектами хозяйственной деятельности предприятия на основе "центров ответственности". Эта концепция, разработанная американским экономистом Дж. Хиггинсом, получила широкое практическое использование в управлении формированием прибыли, денежными потоками, инвестициями и некоторыми другими аспектами хозяйственной деятельности предприятия.
Центр ответственности представляет собой структурное подразделение предприятия, которое полностью контролирует те или иные аспекты хозяйственной деятельности, а его руководитель самостоятельно принимает управленческие решения в рамках этих аспектов и несет полную ответственность за выполнение доведенных ему плановых (нормативных) показателей. Как видно из этого определения, права руководителя подразделения — центра ответственности, связанного с отдельными аспектами управления хозяйственной деятельностью в рамках этого подразделения, паритетно корреспондируют с мерой его ответственности при контроле со стороны вышестоящей структуры (органа) управления.

Рисунок 3.2. Основные типы центров ответственности, формируемые в системе организационного обеспечения управления прибылью предприятия.
Различия функциональной направленности деятельности таких структурных подразделений, их места в организационной структуре управления, а также широты полномочий их руководителей позволяют выделить ряд конкретных типов центров ответственности в рамках предприятия (рисунок 3.2.).
Центр затрат представляет собой структурное подразделение, руководитель которого несет ответственность только за расходование средств в соответствии с доведенным ему бюджетом. В силу функциональной направленности своей деятельности такое структурное подразделение не может самостоятельно влиять на объем доходов, а соответственно и на сумму прибыли. Примером центра затрат является снабженческозаготовительное или производственное подразделение предприятия.
Центр дохода представляет собой структурное подразделение, руководитель которого несет ответственность только за формирование доходов в установленных объемах. В силу функциональной направленности своей деятельности такое структурное подразделение не может самостоятельно влиять на весь объем затрат по реализуемой продукции, а соответственно и на сумму прибыли. Примером центра дохода является сбытовое подразделение предприятия.
Центр прибыли представляет собой структурное подразделение предприятия, руководитель которого несет ответственность за доведенные ему задания по формированию прибыли. В силу функциональной направленности своей деятельности такое структурное подразделение полностью контролирует как формирование доходов от реализации продукции, так и объем затрат на ее изготовление. Примером центра прибыли является структурное подразделение с законченным циклом производства и реализации отдельных видов продукции.
Центр инвестиций представляет собой структурное подразделение предприятия, руководитель которого несет ответственность за использование выделенных ему инвестиционных ресурсов и получение необходимой прибыли от инвестиционной деятельности. Основным контролирующим показателем при этом является обычно уровень прибыли на инвестированный капитал. Примером центра инвестиций является дочерная фирма предприятия или выделенное в его составе специальное структурное подразделение, осуществляющее исключительно инвестиционную деятельность.
Формирование системы организационного обеспечения управления прибылью на основе центров ответственности предусматривает следующий алгоритм действий (рисунок 3.3.).

|
Рисунок 3.3. Основные этапы формирования системы организационного обеспечения управления прибылью на основе центров ответственности.
Построение системы организационного обеспечения управления прибылью путем создания центров ответственности разных типов зависит от многих факторов — объема деятельности предприятия, многофункциональности этой деятельности, численности персонала, организационной структуры производства, организационно-правовой формы деятельности и других. Поэтому определение численности и состава центров ответственности требует индивидуального исследования для каждого предприятия. Сформированные центры ответственности должны быть укомплектованы квалифицированными менеджерами, способными не только обеспечивать выполнение установленных заданий, но и разрабатывать предложения вышестоящим органам управления по повышению эффективности формирования и использования прибыли в рамках контролируемой ими деятельности подразделений.
|
3.2. СИСТЕМА ИНФОРМАЦИОННОГО ОБЕСПЕЧЕНИЯ УПРАВЛЕНИЯ ПРИБЫЛЬЮ
Эффективность каждой управляющей системы в значительной мере зависит от качества формируемой и используемой ею информационной базы. В условиях перехода к рыночным отношениям известная формула "время — деньги" дополняется аналогичной формулой "информация — деньги". Применительно к системе управления прибылью она приобретает прямое значение, так как от качества используемой информации при принятии управленческих решений в значительной степени зависит сумма получаемой прибыли. Чем больший размер капитала используется предприятием, чем более диверсифицирована его операционная, инвестиционная и финансовая деятельность, тем выше становится роль качественной информации, необходимой для принятия управленческих решений в области формирования и использования прибыли.
Информационная система (или система информационного обеспечения) управления прибылью представляет собой результат непрерывного целенаправленного подбора соответствующих информативных показателей, необходимых для осуществления анализа, планирования и подготовки эфективных управленческих решений по всем аспектам формирования распределения и использования прибыли предприятия.
Информационная система управления прибылью призвана обеспечивать необходимой информацией не только управленческий персонал и собственников самого предприятия, но и удовлетворять интересы широкого круга внешних ее пользователей. Круг основных пользователей информации о прибыли предприятия представлен на рис. 3.4.
Характеризуя состав пользователей информации, входящей в информационную систему управления прибылью, следует отметить, что круг интересов внешних и внутренних потребителей этой информации существенно различается.
Внешние пользователи используют лишь ту часть информации, которая характеризует результаты хозяйственной деятельности предприятия. Подавляющая часть

|
Рисунок 3.4. Характеристика состава основных пользователей информации о прибыли предприятия.
этой информации содержится в официальной финансовой отчетности, представляемой предприятием.
Внутренние пользователи наряду с вышеперечисленной, используют значительный объем информации о хозяйственной деятельности предприятия, представляющей коммерческую тайну.
Высокая роль информации о прибыли и условиях ее формирования и использования в подготовке и принятии эффективных управленческих решений предъявляет соответственно высокие требования к ее качеству при формировании информационной системы управления прибылью. Так, к информации, включаемой в эту систему, предъявляются следующие основные требования (рис. 3.5.):
|

Рисунок 3.5. Состав основных требований, предъявляемых к информации, включаемой в информационную систему управления прибылью.
1. Значимость, которая определяет насколько привлекаемая информация влияет на результаты принимаемых управленческих решений, в первую очередь, в процессе формирования экономической стратегии предприятия,
разработки целенаправленной политики по отдельным аспектам формирования и использования прибыли, подготовки текущих и оперативных ее планов.
Полнота, которая характеризует завершенность круга информативных показателей, необходимых для проведения анализа, планирования и принятия оперативных управленческих решений по всем аспектам формирования и использования прибыли предприятия.
Достоверность, которая определяет насколько формируемая информация адекватно отражает реальное состояние и результаты хозяйственной деятельности, правдиво характеризует внешнюю экономическую среду, нейтральна по отношению ко всем категориям потенциальных пользователей и проверяема.
Своевременность, которая характеризует соответствие формируемой информации потребности в ней по периоду ее использования. Отдельные виды информативных показателей, используемых в управлении прибылью, "живут" в ее информационной системе в неизменном количественном выражении лишь один день, (например, курс иностранных валют, курс отдельных фондовых и денежных инструментов на финансовом рынке), другие — месяц, квартал и т.п.
Понятность, которая определяется простотой ее построения, соответствием определенным стандартам представления и доступностью понимания (а соответственно и адекватного ее толкования) теми категориями пользователей, для которых она предназначается. Не следует однако смешивать требования понятности информации для определенной категории пользователей с ее универсальной доступностью для понимания всеми участниками хозяйственной деятельности предприятия, так как ряд из них может не иметь достаточного уровня квалификации для адекватной ее интерпретации.
Релевантность (или избирательность), определяющая достаточно высокую степень используемости формируемой информации в процессе управления хозяйственной деятельностью предприятия. "Информационное переполнение" системы управления прибылью усложняет процесс отбора необходимых информативных данных для подготовки конкретных управленческих решений, приводит к формированию малосущественных альтернативных
проектов этих решений, удорожает процесс информационного обеспечения управления прибылью предприятия.
Сопоставимость, которая определяет возможность сравнительной оценки стоимости отдельных активов и результатов хозяйственной деятельности предприятия во времени, возможность проведения сравнительного анализа прибыли предприятия с аналогичными хозяйствующими субъектами и т.п. Такая сопоставимость обеспечивается идентификацией определения отдельных информативных показателей и единиц их измерения, использованием соответствующих национальных и международных стандартов финансовой отчетности, последовательностью и стабильностью применяемых методов учета экономических показателей на предприятии.
Эффективность, которая применительно к формированию информационной системы управления прибылью означает, что затраты по привлечению определенных информативных показателей не должны превышать эффект, получаемый в результате их использования при подготовке и реализации соответствующих управленческих решений.
Содержание системы информационного обеспечения управления прибылью, ее широта и глубина определяются отраслевыми особенностями деятельности предприятий, их организационно-правовой формой, объемом и степенью диверсификации хозяйственной деятельности и рядом других условий. При этом вся совокупность показателей, включаемых в систему информационного обеспечения управления прибылью, требует проведения предварительной их классификации.
Система показателей информационного обеспечения управления прибылью, формируемых из внешних источников, делится на четыре основные группы (рисунок 3.6.).
1. Показатели, характеризующие общеэкономическое развитие страны. Система информативных показателей этой группы служит основой проведения анализа и прогнозирования условий внешней среды функционирования предприятия при разработке комплексной политики управления прибылью, осуществлении инвестиционной деятельности, выявлении резервов роста прибыли в ориентире на достижение среднеотраслевых показателей. Формирование системы показателей этой группы основывается на публикуемых данных государственной статистики.

Рисунок 3.6. Система показателей информационного обеспечения управления прибылью, формируемых из внешних источников.
Показатели, входящие в состав первой группы, подразделяются на два блока.
В первом блоке — "Показатели макроэкономического развития" — содержатся следующие основные информативные показатели, используемые в процессе управления прибылью предприятия:
а) темп роста внутреннего национального продуктам национального дохода;
б) объем эмиссии денег в рассматриваемом периоде;
в) денежные доходы населения;
г) вклады населения в банках;
д) индекс инфляции;
е) учетная ставка Национального банка.
Во втором блоке — "Показатели отраслевого развития" — содержатся следующие основные информативные показатели по отрасли, к которой принадлежит предприятие:
а) объем произведенной (реализованной) продукции, его динамика;
б) общая стоимость активов предприятий, в томчисле оборотных;
в) сумма собственного капитала предприятий:
г) сумма балансовой прибыли предприятий, в томчисле по основной (операционной) деятельности;
д) ставка налогообложения прибыли по основнойдеятельности;
е) ставки налога на добавленную стоимость и акцизного сбора на продукцию, выпускаемую предприятиямиотрасли;
ж) индекс цен на продукцию отрасли в рассматриваемом периоде.
2. Показатели, характеризующие конъюнктуру рынка.
Система нормативных показателей этой группы служит для принятия управленческих решений в области формирования ценовой политики и доходов по операционной деятельности, привлечения капитала из внешних источников (включая эмиссию собственных акций и облигаций), определения затрат по обслуживанию дополнительно привлекаемого капитала, формирования портфеля долгосрочных финансовых вложений, осуществления краткосрочных финансовых вложений и некоторых других аспектов формирования и использования прибыли. Формирование системы показателей этой группы основывается на публикациях коммерческих периодических изданий, а при необходимости ежедневного использования в целях оперативного управления фондовым портфелем — на соответствующих электронных источниках информации. Показатели, входящие в состав второй группы, подразделяются на три блока.
В первом блоке —"Показатели, характеризующие конъюнктуру товарного рынка" — содержится информация по всем видам товарных рынков, с которыми связана деятельность предприятия (сырья, материалов, готовой продукции, средств производства и т.п.). В составе этого блока рассматриваются следующие основные показатели:
а) объем и широта предложения, представленногона рынке;
б) котируемые цены предложения и спроса на товары, с которыми связана деятельность предприятия;
в) объемы и цены сделок;
г) сводный индекс динамики цен на товары, аналогичные выпускаемым данным предприятием;
д) уровень конкуренции на рынке готовой продукции предприятия.
Во второй блоке —"Показатели, характеризующие конъюнктуру рынка фондовых инструментов" — содержатся следующие основные информативные данные:
а) виды основных фондовых инструментов (акций,облигаций, деривативов и т.п.), обращающихся на биржевом и внебиржевом фондовом рынке;
б) котируемые цены предложения и спроса основных видов фондовых инструментов;
в) объемы и цены сделок по основным видам фондовых инструментов;
г) сводный индекс динамики цен на фондовом рынке. В третьем блоке — "Показатели, характеризующие
конъюнктуру рынка денежных инструментов" — содержатся следующие основные информативные данные:
а) кредитная ставка отдельных коммерческих банков, дифференцированная по срокам предоставления финансового кредита;
б) депозитная ставка отдельных коммерческих банков, дифференцированная по вкладам до востребованияи срочным вкладам;
в) официальный курс отдельных валют, которымиоперирует предприятие в процессе внешнеэкономической деятельности;
г) курс покупки — продажи аналогичных видов валют, установленный коммерческими банками.
3. Показатели, характеризующие деятельность контрагентов и конкурентов. Система информативных показателей этой группы используется в основном для принятия оперативных управленческих решений по отдельнымаспектам формирования и использования прибыли. Этипоказатели формируются обычно в разрезе следующихблоков: "Банки": "Страховые компании": "Поставщикипродукции": "Покупатели продукции": "Конкуренты". Источником формирования показателей этой группы служат публикации отчетных материалов в прессе (по отдельным видам хозяйствующих субъектов такие публикации являются обязательными), соответствующие рейтингис основными результативными показателями деятельности (по банкам, страховым компаниям), а также платныебизнес-справки, предоставляемые отдельными информационными компаниями (получение такой информациидолжно осуществляться только легальными способами).
4. Нормативно-регулирующие показатели. Системаэтих показателей учитывается в процессе подготовки управленческих решений, связанных с особенностями государственного регулирования вопросов формирования,распределения и использования прибыли предприятий.Эти показатели формируются, как правило, в разрезедвух блоков. "Нормативно-регулирующие показатели поразличным аспектам хозяйственной деятельности предприятия, связанные с формированием и распределением прибыли" и "нормативно-регулирующие показателипо вопросам функционирования отдельных сегментовтоварного и финансового рынков, на которых предприятие осуществляет свою хозяйственную деятельность ".Источником формирования показателей этой группыявляются нормативно-правовые акты, принимаемыеразличными органами государственного управления.
Состав информативных показателей каждого блока определяется конкретными целями управления прибылью, объемом операционной, инвестиционной и финансовой деятельности, длительностью партнерских отношений и другими условиями.
Система показателей информационного обеспечения управления прибылью, формируемых из внутренних источников, также делится на три основные группы (рисунок 3.7.).

|
Рисунок 3.7. Система показателей информационного обеспечения управления прибылью, формируемых из внутренних источников.
1. Показатели финансовой отчетности предприятия.
|
Система показателей этой группы составляет основу информационной базы текущего управления прибылью предприятия. На основе этой системы показателей производится обобщенный анализ, прогнозирование и текущее планирование прибыли.
Преимуществом показателей этой группы является их унифицированность, так как они базируются на общепринятых стандартизованных принципах учета (что позволяет использовать типовые технологии и алгоритмы финансовых расчетов по отдельным аспектам формирования и распределения прибыли, а также сравнивать эти показатели с другими аналогичными предприятиями); четкая регулярность формирования (в установленные нормативные сроки); высокая степень надежности (отчетность, формируемая на базе финансовой отчетности, предоставляется внешним пользователям и подлежит внешнему аудиту).
В то же время, информационная база, формируемая на основе финансовой отчетности, имеет и определенные недостатки, основными их которых являются: отражение информативных показателей лишь по предприятию в целом (что не позволяет использовать ее при принятии управленческих решений по отдельным сферам деятельности, центрам ответственности, видам продукции и т.п.); низкая периодичность разработки (как правило, один раз в квартал, а отдельные формы отчетности — только один раз в год): использование только стоимостных показателей (что затрудняет анализ влияния изменения цен на формирование прибыли).
Показатели, входящие в состав этой группы, подразделяются на три основных
блока.
В первом блоке содержатся показатели, отражаемые в "Балансе предприятия". Этот баланс содержит два основных раздела—"Актив" и "Пассив".
В составе актива баланса отражаются показатели следующих трех разделов: 1) внеоборотные активы; 2) оборотные активы; 3) затраты будущих периодов.
В составе пассива баланса отражаются показатели следующих пяти разделов: 1) собственный капитал; 2) обеспечение предстоящих затрат и платежей; 3) долгосрочные обязательства; 4) текущие обязательства; 5) доходы будущих периодов.
Во втором блоке содержатся показатели отражаемые в "Отчете о финансовых результатах "предприятия. Этот отчет включает показатели по следующим трем разделам:
1) финансовые результаты; 2) элементы операционных затрат; 3) расчет показателей прибыльности акций.
В третьем блоке содержатся показатели, отражаемые в "Отчете о движении денежных средств" предприятия. Этот отчет построен в разрезе следующих разделов: 1) движение средств в результате операционной деятельности; 2) движение средств в результате инвестиционной деятельности; 3) движение средств в результате финансовой деятельности.
2. Показатели управленческого учета предприятия.
Этот вид учета получает развитие в связи с переходом предприятий нашей страны к общепринятой в международной практике системе бухгалтерского учета, который позволяет существенно дополнить учет финансовый. Он представляет собой систему учета всех необходимых показателей, формирующих информационную базу оперативных управленческих решений (в основном, в области управления формированием и использованием прибыли) и планирования деятельности предприятия в предстоящем периоде.
В сравнении с финансовым управленческий учет обладает следующими основными преимуществами: он отражает не только стоимостные, но и натуральные значения показателей (а следовательно и тенденции изменения цен на сырье, готовую продукцию и т.п.); периодичность представления результатов управленческого учета полностью соответствует потребности в информации для принятия оперативных управленческих решений (при необходимости информация может представляться даже ежедневно); этот учет может быть структуризиро-ван в любом разрезе — по центрам ответственности, видам деятельности и т.п. (при одновременном агрегировании показателей в целом по предприятию); он может отражать отдельные активы с учетом темпов инфляции, стоимости денег во времени и т.п. Результаты этого учета являются коммерческой тайной предприятия и не должны предоставляться внешним пользователям.
В процессе построения системы информационного обеспечения управления прибылью управленческий
учет призван формировать группы показателей, отражающих объемы деятельности, сумму и состав затрат, а также сумму и состав получаемых доходов. Эти группы показателей формируются в процессе управленческого учета обычно по следующим блокам:
по сферам деятельности предприятия, связанным с формированием прибыли (операционной, инвестиционной, финансовой);
по видам продукции (по групповой ее номенклатуре, а при необходимости и в разрезе отдельных ее наименований);
по видамресурсов (материальных, нематериальных, трудовых, финансовых);
по регионам деятельности (если для предприятия характерна региональная диверсификация деятельности);
по центрам ответственности (созданным на предприятии центрам затрат, дохода, прибыли и инвестиций).
Управленческий учет строится индивидуально на каждом предприятии и должен быть подчинен задачам информативного обеспечения процесса оперативного управления формированием и использованием прибыли.
3. Нормативно-справочные показатели. Основу этой системы показателей составляют различные нормы и нормативы, разработанные в рамках самого предприятия — нормативы численности; нормативы затрат времени; нормативы обслуживания: нормативы удельных расходов сырья и материалов: нормы списания малоценных и быстроизнашивающихся предметов и т.п. Эта система показателей дополняется различными справоч-но-нормативными показателями, действующими в целом в стране или в отрасли, в которой осуществляет свою деятельность предприятие, — нормы амортизационных отчислений; нормы отчислений прибыли в резервный фонд; ставки налогов, сборов и других обязательных платежей; сроки уплаты налогов, страховых сборов, процентов за кредит; размер установленных государством минимальной заработной платы и социальных льгот и т.п.
Нормативно-справочные показатели формируются обычно в разрезе следующих четырех блоков:
1) по операционной деятельности предприятия;
2) по инвестиционной деятельности предприятия;
3) по финансовой деятельности предприятия;
4) по общим вопросам функционирования предприятия.
Использование всех представляющих интерес показателей, формируемых из внешних и внутренних источников, позволяет создать на каждом предприятии целенаправленную систему информационного обеспечения, ориентированную как на принятие стратегических решений, так и на эффективное текущее и оперативное управление формированием и использованием прибыли.
3.3. СИСТЕМЫИМЕТОДЫЛНЛЛИЗЛПРИБЫЛИ.
Важной составной частью механизма управления прибылью предприятия являются системы и методы ее анализа. Анализ прибыли представляет собой процесс исследования условий и результатов ее формирования и использования с целью выявления резервов дальнейшего повышения эффективности управления ею на предприятии. По целям осуществления анализ прибыли предприятия подразделяется на различные формы в зависимости от следующих признаков (рисунок 3.8.).
1. По объектам исследования выделяют анализ формирования прибыли и анализ ее распределения и использования.
а) Анализ формирования прибыли проводится обычнов разрезе основных сфер деятельности предприятия —операционной, инвестиционной, финансовой. Он является основной формой осуществления анализа с целью выявления резервов повышения суммы и уровняприбыли предприятия.
б) Анализ распределения и использования ярибылипроводится по основным направлениям этого использования. Он призван выявить уровень потребления прибылисобственниками и персоналом предприятия, общий уровень ее капитализации и конкретные формы производственного ее потребления в инвестиционных целях.
2. По организации проведения выделяют внутренний и внешний анализ
прибыли.
а) Внутренний анализ прибыли проводится менеджерами предприятия или его собственниками с использованием

|
Рисунок 3.8. Основные формы анализа прибыли в зависимости от целей его проведения на предприятии.
всей совокупности имеющихся информативных показателей (включая данные управленческого учета). Результаты такого анализа могут представлять коммерческую тайну предприятия.
|
б) Внешний анализ прибыли осуществляют налоговые органы, аудиторские фирмы, банки, страховые компании с целью изучения правильности ее отражения, уровня кредитоспособности предприятия и т.п. Источником информации для проведения такого анализа являются данные финансового учета и отчетности предприятия.
3. По глубине аналитического исследования выделяют следующие его виды:
а) Экспресс-анализ прибыли. Он проводится по данным финансовой отчетности на основе стандартныхалгоритмов расчета основных аналитических показателей формирования, распределения и использованияприбыли предприятия.
б) Фундаментальный анализ прибыли. Он включаетфакторное исследование показателей прибыли и рентабельности предприятия.
4. По масштабам деятельности выделяют следующиеформы анализа прибыли:
а) Анализ прибыли по предприятию в целом. В процессе такого анализа предметом изучения являетсяформирование, распределение и использование прибыли на предприятии в целом без выделения отдельныхего структурных подразделений.
б) Анализ прибыли по структурному подразделению(центру ответственности). Если рассматриваемое структурное подразделение (центр ответственности) по характерусвоей деятельности не имеет законченного циклаформирования прибыли, такой анализ направлен наформирование затрат (доходов). Эта форма анализа базируется в основном на результатах управленческого учетапредприятия.
в) Анализ прибыли пс отдельной операции. Предметом такого анализа может быть прибыль по отдельнымкоммерческим сделкам предприятия; отдельным операциям, связанным с краткосрочными или долгосрочными финансовыми вложениями; отдельным завершеннымреальным проектам и другим операциям.
5. По объему исследования выделяют полный и тематический анализ прибыли.
а) Полный анализ прибыли проводится с целью изучения всех аспектов ее формирования, распределения ииспользования в комплексе.
б) Тематический анализ прибыли ограничиваетсялишь отдельными аспектами ее формирования или использования. Предметом тематического анализа прибылиможет являться изучение влияния проводимой предприятием налоговой политики на формирование затрат,доходов и прибыли; прибыльность сформированногофондового портфеля; влияние структуры и стоимостикапитала на уровень прибыльности предприятия; эффективность избранной политики распределения прибыли; анализ альтернатив возможного использованияприбыли и ряд других аспектов.
6. По периоду проведения выделяют предварительный,текущий и
последующий анализ прибыли.
а) Предварительный анализ прибыли связан с изучением условий ее формирования, распределения или предстоящего использования; с условиями осуществленияотдельных коммерческих сделок, финансовых и инвестиционных операций с предварительным расчетом ожидаемой прибыли по ним.
б) Текущий (или оперативный) анализ прибыли проводится в процессе осуществления операционной, инвестиционной и финансовой деятельности предприятия; реализации отдельных хозяйственных операций с цельюоперативного воздействия на формирование или использование прибыли. Как правило, такой анализ прибылиограничивается кратким периодом времени.
в) Последующий (или ретроспективный) анализ прибыли осуществляется обычно менеджерами и собственниками предприятия за отчетный период (квартал, год). Он позволяет полнее проанализировать результаты формирования и использования прибыли предприятия всравнении с предварительным и текущим ее анализом,так как базируется на завершенных результатах финансового учета и отчетности, дополняемых данными управленческого учета.
Для решения конкретных задач управления прибылью применяется целый ряд специальных систем и
методов анализа, позволяющих получить количественную оценку отдельных аспектов ее формирования, распределения и использования, как в статике, так и в динамике. В практике управления прибылью в зависимости от используемых методов различают следующие основные системы проведения анализа на предприятии: горизонтальный анализ; вертикальный анализ; сравнительный анализ; анализ коэффициентов; интегральный анализ (рисунок 3.9.).
I. Горизонтальный (или трендовый) анализ прибыли базируется на изучении динамики отдельных ее показателей во времени. В процессе использования этой системы анализа рассчитываются темпы роста (прироста) отдельных видов прибыли, определяются общие тенденции ее изменения (или тренда). В практике управления прибылью наибольшее распространение получили следующие виды горизонтального (трендового) анализа:
Исследование динамики показателей прибыли отчетного периода в сопоставлении с показателями предшествующего периода (например, с показателями предшествующего месяца, квартала, года).
Исследование динамики показателей прибыли отчетного периода в сопоставлении с показателями аналогичного периода прошлого года (например, показателями третьего квартала предшествующего года). Этот вид анализа применяется на предприятиях с ярко выраженными сезонными особенностями хозяйственной деятельности.
Исследование динамики показателей формирования, распределения и использования прибыли заряд предшествующих периодов. Целью этого вида анализа является выявление тенденций изменения отдельных изучаемых показателей прибыли в динамике. Результаты такого анализа показателей прибыли обычно оформляются графически (см. рис. 3.10.).
Все виды горизонтального (трендового) анализа прибыли дополняются обычно исследованием влияния отдельных факторов на изменение соответствующих результативных ее показателей. Результаты такого исследования позволяют построить соответствующие факторные модели, которые используются затем в процессе планирования отдельных показателей прибыли.

|
Рисунок
предприятиях.
Основные системы анализа прибыли, используемые на
|
а) Столбиковая диаграмма изменения показателя прибыли в динамике
|

|
б) Линейный график изменения показателя прибыли в динамике
Рисунок 3.10. формы графического представления результатов
горизонтального (трендового) анализа при-: были.
П. Вертикальный (или структурный) анализ прибыли
базируется на структурном разложении агрегированных показателей ее формирования, распределения и использования. В процессе применения этой системы анализа рассчитываются удельные веса отдельных структурных составляющих агрегированного показателя прибыли. В практике управления прибылью наибольшее распространение получили следующие виды вертикального (структурного) анализа:
Структурный анализ прибыли (доходов, затрат), сформированной по отдельным видам деятельности. В процессе осуществления этого анализа рассчитываются удельные веса или соотношения сумм прибыли (доходов, затрат) по операционной и другим видам деятельности.
Структурный анализ формирования прибыли (доходов, затрат) по отдельным видам продукции. Степень агрегирования номенклатуры продукции определяется самим предприятием.
Структурный анализ отдельных видов налоговых платежей в общей их сумме, уплачиваемой предприятием. Такой анализ используется для формирования или оценки эффективности налоговой политики предприятия.
Структурный анализ активов. В процессе этого анализа рассматриваются соотношение оборотных и внеоборотных активов предприятия; состав используемых внеоборотных активов; структура оборотных активов; состав инвестиционного портфеля и другие структурные показатели. Результаты этого анализа позволяют оценить ресурсный потенциал генерирования прибыли предприятием.
Структурный анализ капитала. В процессе этого анализа определяются удельный вес используемого предприятием собственного и заемного капитала; состав используемого заемного капитала по периодам его предоставления (кратко- и долгосрочный привлеченный заемный капитал); состав используемого заемного капитала по его видам (банковский кредит; финансовый кредит других форм; товарный или коммерческий кредит и т.п.). Результаты этого анализа используются в процессе оценки эффекта финансового левериджа, определения средневзвешенной стоимости капитала и других показателей, оказывающих влияние на формирование прибыли предприятия.
6. Структурный анализ распределения или использования полученной прибыли. Такое структурное разложение осуществляется в разрезе направлений распределения прибыли, а по каждому из направлений распределения — в разрезе форм конкретного ее использов ания.
Результаты вертикального (структурного) анализа показателей прибыли также могут быть оформлены графически (см. рис. 3.11.).
а) секторная диаграмма б) столбиковая диаграмманаправлений распределения направлений распределенияприбыли прибыли

Условные обозначения
¦Ш— удельный вес чистой прибыли предприят направленной на потребление, в общей ее сумме, %
I і— удельный вес капитализированной чистой п] были предприятия в общей ее сумме, в %,
Рисунок 3.11. Формы графического представления результатов вертикального (структурного) анализа прибыли.
III. Сравнительный анализ прибыли базируется на сопоставлении значений отдельных групп аналогичных ее показателей между собой. В процессе использования этой системы анализа рассчитываются размеры абсолютных и относительных отклонений сравниваемых показателей. В практике управления прибылью наибольшее распространение получили следующие виды сравнительного ее анализа:
1. Сравнение показателейуровня гц/иииы * v
затрат) данного предприятия и среднеотраслевых. Такой анализ проводится предприятием с целью оценки своей конкурентной позиции по уровню хозяйствования и выявления резервов дальнейшего повышения эффективности производственной деятельности. Соответственно объектом такого анализа являются показатели лишь операционной прибыли.
Сравнение показателей прибыли (доходов, затрат) данного предприятия и предприятий — конкурентов. Целью осуществления такого анализа является определение конкурентной позиции предприятия в рамках конкретного регионального рынка соответствующей продукции и разработка мероприятий по ее повышению.
Сравнение показателей прибыли (доходов, затрат) отдельных центров ответственности (структурных подразделений предприятия). Такой анализ проводится в разрезе различных типов центров ответственности.
4. Сравнение отчетных и плановых (нормативных)показателей прибыли (доходов, затрат). В процессе этогоанализа выявляется степень отклонения отчетных показателей от плановых (нормативных) и определяютсяпричины этих отклонений. Такой анализ используетсядля контроля процесса текущего формирования и использования прибыли и внесения необходимых корректив в направления хозяйственной деятельности предприятия.
IV. Анализ коэффициентов (R-анализ) базируется на расчете соотношения различных абсолютных показателей между собой. В процессе использования этой системы анализа определяются различные относительные показатели, характеризующие отдельные аспекты формирования, распределения и использования прибыли предприятия. В практике управления прибылью наибольшее распространение получили следующие системы аналитических коэффициентов:
1. Коэффициенты рентабельности. Основной целью расчета и использования этой системы коэффициентов является определение эффективности формирования прибыли предприятия. Уровень такой эффективности оценивается по всем видам прибыли — маржинальной, валовой (балансовой), чистой. В процессе такой оценки должен
строго соблюдаться принцип соответствия соотносимых показателей при расчете коэффициентов по конкретным видам деятельности предприятия. Коэффициенты рентабельности могут определяться как в десятичном выражении, так и в процентах.
а) Для наиболее обобщающей оценки эффективности формирования прибыли используются следующие коэффициенты рентабельности:
Коэффициент рентабельности активов (коэффициент экономической рентабельности). Он характеризует общий уровень прибыли, генерируемой всеми используемыми активами предприятия. Расчет этого показателя осуществляется по следующей формуле:

где КР
а — коэффициент рентабельности всех используемых активов; ЧП —сумма чистой прибыли в рассматриваемом пе-_ риоде;
А — средняя стоимость всех использемых активов в рассматриваемом периоде.
По этой принципиальной формуле могут быть определены и коэффициенты рентабельности отдельных групп активов предприятия (оборотных, внеооборотных, отдельных их элементов).
Коэффициентрентабелъности собственного капитала (коэффициент финансовой рентабельности). Он характеризует общий уровень прибыли, генерируемой собственным капиталом предприятия, и служит мерой оценки эффективности его использования на данном предприятии. Расчет этого показателя осуществляется по следующей формуле:
ЧП
КР
Ск=™,
к ск
где КРск—коэффициент рентабельности собственного капитала;
ЧП—сумма чистой прибыли в рассматриваемом
периоде;
СК —средняя сумма собственного капитала в рассматриваемом периоде.
По аналогичной формуле могут быть определены и коэффициенты рентабельности всего заемного капитала или различных составных его видов.
б) Для оценки эффективности формирования прибыли в процессе операционной деятельности используются следующие коэффициенты рентабельности:
Коэффициент рентабельности операционных активов. Он характеризует уровень прибыли, генерируемой операционными активами предприятия (т.е. только той частью активов, которая непосредственно обслуживает производственно-сбытовую деятельность предприятия). Расчет этого показателя осуществляется по формуле:
КР -
“¦“оа--х '
где КРоа — коэффициент рентабельности операционных активов; ЧПо — сумма чистой прибыли по операционной де-_ ятельности в рассматриваемом периоде; Ао — средняя стоимость используемых операционных активов в рассматриваемом периоде.
Коэффициент маржинальной рентабельности реализации продукции. Он показывает в какой степени объем реализации продукции обеспечивает получение маржинальной прибыли предприятия. Расчет этого показателя осуществляется по следующей формуле:
КМР
р=
МП
0 ОР ’
где КМРр —коэффициентмаржинальной рентабельности реализации продукции; МП0 —сумма маржинальной прибыли по операционной деятельности в рассматриваемом периоде; ОР —общий объем реализации продукции в рассматриваемом периоде.
Коэффициент валовой рентабельности реализации продукции. Расчет этого показателя осуществляется по формуле:

где КВРр —коэффициент валовой рентабельности реализации продукции; ВП0 — сумма валовой прибыли по операционной деятельности в рассматриваемом периоде; ОР — общий объем реализации продукции в рассматриваемом периоде.
Коэффициент чистой рентабельности реализации продукции. Этот показатель рассчитывается по следующей формуле:
чгт
1/ IT о _ * ‘ о
ОР
где КЧРр — коэффициент чистой рентабельности реализации продукции; ЧП
0 — сумма чистой прибыли по операционной деятельности в рассматриваемом периоде; ОР — общий объем реализации продукции в рассматриваемом периоде.
Коэффициент валовой рентабельности операционных затрат. Он показывает в какой мере соотносятся между собой сумма прибыли и сумма понесенных затрат, связанных с ее формированием, т.е. характеризует меру эффективности этих затрат. Расчет этого показателя осуществляется по следующей формуле:
[ADD ..
квр°
3" т*7 *
где KB Р03 — коэффициент валовой рентабельности операционных затрат (издержек); В П0 — сумма валовой прибыли по операционной деятельности в рассматриваемом периоде; И0 — общая сумма постоянных и переменных операционных затрат (издержек) в рассматриваемом периоде.
Коэффициент чистой рентабельности операционных затрат. Этот показатель рассчитывается по следующей формуле:

гдеКЧР
03 —коэффициент чистой рентабельности операционных затрат (издержек);
ЧП
0 —сумма чистой прибыли по операционной деятельности в рассматриваемом периоде; И
0 — общая сумма постоянных и переменных операционных затрат (издержек) в рассматриваемом периоде, в) Для оценки эффективности формирования прибыли в процессе инвестиционной деятельности используются следующие основные коэффициенты рентабельности:
Коэффициент рентабельности инвестиций. Он характеризует прибыльность использованных инвестиционных ресурсов в целом по предприятию. Расчет этого показателя осуществляется по следующей формуле:
ЧП
И ИР
1
КР
И=
где КРи—коэффициент рентабельности инвестиций; ЧПи —годовая сумма прибыли, полученная от инвестирования; ИР — сумма инвестиционных ресурсов, направленных на формирование этой прибыли.
В процессе такой оценки должна быть обеспечена сопоставимость рассматриваемых показателей во времени (методика такого сопоставления рассматривается в соответствующем разделе).
Коэффициент доходности фондового портфеля. Он характеризует общий уровень доходности сформированного предприятием портфеля ценных бумаг. Расчет этого показателя осуществляется по следующей формуле:
V Т1 _Д
+ П
КС- СфИн .
где КДфп —коэффициент доходности фондового портфеля (портфеля ценных бумаг); Д —сумма дивидендов и процентов, полученных в рассматриваемом периоде (обычно за год) по всем фондовом инструментам портфеля; П
кс — сумма прироста курсовой стоимости отдельных фондовых инструментов портфеля в рассматриваемом периоде; СФИн—совокупная курсовая стоимость отдельных фондовых инструментов портфеля на начало рассматриваемого периода.
В процессе оценки эффективности отдельных реальных проектов и фондовых инструментов применяется обширная система коэффициентов, которая будет рассмотрена в соответствующих разделах.
г) Для оценки эффективности формирования прибыли в процессе финансовой деятельности используются следующие коэффициенты:
Стоимость привлечения заемного капитала. Этот показатель характеризует как соотносятся между собой сумма привлеченных заемных средств и затраты по их обслуживанию. Расчет этого показателя осуществляется по формуле:
эк
со
СП
ЗЧ
зк
где СПзк —стоимость привлечения заемного капитала, в процентах; С0зк — стоимость обслуживания привлеченного заемного капитала — сумм выплачиваемых процентов и других расходов (методика расчета стоимости обслуживания привлеченного капитала в разрезе отдельных его видов рассматривается в соответствующем разделе), в рассматриваемом периоде;
ЗК —средняя сумма используемого заемного капитала в рассматриваемом периоде. Стоимость привлечения дополнительного собственного капитала из внешних источников. Этот показатель рассчитывается по следующей формуле:

где СПСКВ— стоимость привлечения дополнительного собственного капитала из внешних источников, в %; СОскв —стоимость затрат по привлечению и обслуживанию дополнительного собственного капитала из внешних источников (методика расчета этого показателя излагается в соответствующем разделе) в рассматриваемом периоде (обычно за год);
СКдв — средняя сумма дополнительно привлеченного собственного капитала из внешних источников в рассматриваемом периоде (обычно за год).
Коэффициент рентабельности среднего остатка денежных активов на счетах в банке. Этот показатель определяется в том случае, если в соответствии с договором о расчетно-кассовом обслуживании банк выплачивает предприятию депозитный процент по среднему остатку денежных средств на расчетном или валютном счетах. Расчет этого показателя производится по следующей формуле:
КР
дгб=5ЕхЮ0,
где КРдаб — коэффициент рентабельности среднего остатка денежных активов на счетах в банке, %; ДП —сумма депозитного процента, начисленного банком в рассматриваемом периоде по среднему остатку денежных средств;
ДА — средний остаток денежных средств на счетах в банке в рассматриваемом
периоде.
2. Коэффициенты эффективности распределения прибыли. Основной целью расчета и использования этой системы коэффициентов является определение степени оптимальности распределения и использования полученной предприятием прибыли. Эти показатели могут определяться как в десятичном исчислении, так и в процентах.
а) Для обобщающей оценки эффективности распределения прибыли используются следующие основные показатели:
Коэффициент налогообложения прибыли. Он рассчитывается по следующей формуле:

где КНП—коэффициент налогообложения прибыли; НПп — сумма налогов, сборов и других обязательных платежей, выплаченных за счет прибыли в рассматриваемом периоде; БП — сумма балансовой прибыли предприятия в рассматриваемом периоде.
При необходимости этот коэффициент может быть рассчитан и по отношению к валовой прибыли по отдельным сферам деятельности предприятия.
Коэффициент чистой прибыли. Его расчет осуществляется по следующей формуле:
кчп=™,
ВП
где КЧП —коэффициент чистой прибыли;
ЧП—сумма чистой прибыли предприятия в рассматриваемом периоде; ВП —сумма валовой прибыли предприятия в рассматриваемом периоде.
При необходимости этот коэффициент также может быть рассчитан по отдельным сферам деятельности предприятия по отношению к валовой прибыли.
Коэффициент капитализации прибыли. Расчет этого показателя осуществляется по следующей формуле:
ЧП
ККП = -^-
ЧП
где ККП — коэффициент капитализации прибыли;
ЧПк — сумма капитализированной чистой прибыли; ЧП — общая сумма полученной чистой прибыли.
Коэффициент потребления прибыли. При расчете этого показателя используется следующая формула:
ЧП
ЧП ’
КПП =
0
где КПП—коэффициент потребления прибыли;
ЧПп — сумма чистой прибыли направленной (использованной) на потребление; ., ЧП—общая сумма полученной чистой прибыли
б) Для оценки эффективности использования капитализированной части прибыли применяются следующие основные показатели:
Коэффициент инвестирования прибыли. Он показывает, какая часть капитализированной прибыли была использована на инвестирование прироста активов в рассматриваемом периоде. Расчет этого показателя осуществляется по следующей формуле:
кип -
где КИП
ЧП.
чп
к *
— коэффициент инвестирования прибыли;
ЧПи — сумма капитализированной чистой прибыли, использованной на инвестирование прироста активов в рассматриваемом периоде; ЧПк —общая сумма капитализированной чистой
прибыли. Коэффициент резервирования прибыли. Он показывает какая часть капитализированной прибыли была направлена в резервный и другие страховые фонды предприятия. Для расчета этого показателя используется следующая формула:
^ чп0
где КРП —коэффициент резервирования прибыли;
ЧП
Р —сумма капитализированной чистой прибыли, направленная в резервный и другие страховые фощ ы предприятия; ЧПк —общая сумма капитализированной чистой
прибыли. в) ДЛЯ оценки эффективности использования прибыли, направленной на потребление, применяются следующие показатели:
Коэффициент выплаты прибыли собственникам (коэффициент дивидендных выплат). Он рассчитывается по следующей формуле:
ЧП
квс ~ ЧП *
где KB С — коэффициент выплаты прибыли собственникам; ЧПс — сумма чистой прибыли, выплаченной собственникам предприятия; ЧП — общая сумма чистой прибыли предприятия. Урдвень прибыли собственников на вложенный капитал. Для расчета этого показателя используется следующая формула:
ЧП
УПС
К = ,
к ск
гдеУПСк —уровень прибыли собственников на вложенный капитал; ЧПс — сумма чистой прибыли, выплаченной собственникам предприятия;
С К —средняя сумма собственного капитала предприятия в рассматриваемом периоде. Коэффициент участия персонала в прибыли. Он определяется по следующей формуле:
‘пер
КУП
п -
ЧП
Гчп
где КУПп — коэффициент участия персонала в прибыли; ЧП
пер — сумма чистой прибыли, выплаченной персоналу предприятия. ЧП —общая сумма чистой прибыли предприятия.
Коэффициент стимулирования труда за счет прибыли. Он рассчитывается по формуле:

где КСТп — коэффициент стимулирования труда за счет прибыли; ЧПст — сумма чистой прибыли, израсходованная на материальное поощрение работников; ¦ ЧП
пер — сумма чистой прибыли, выплаченной персоналу.
Средний уровень выплат прибыли персоналу. Для расчета этого показателя используется следующая формула:

где УВПП —средний уровень выплат прибыли персоналу (в расчете на одного работника);
ЧПпер—сумма чистой прибыли, выплаченной персоналу;
СЧП
п — среднесписочная численность персонала предприятия в рассматриваемом
периоде.
3. Другие группы финансовых коэффициентов. Наряду с рассмотренными выше, для оценки отдельных аспектов формирования прибыли предприятия используются и другие группы коэффициентов, основными из которых являются:
а) Коэффициенты платежеспособности. Они характеризуют возможность предприятия своевременно рассчитываться по своим финансовым обязательствам. Основным из этих коэффициентов является коэффициент текущей платежеспособности, который рассчитывается по следующей формуле:
ОА
КФО ’
ктп =
где КТП — коэффициенттекущей платежеспособности; ОА — сумма оборотных активов предприятия (разделы 2 и 3 актива баланса); КФО — сумма краткосрочных финансовых обязательств предприятия (раздел 3 пассива баланса).
б) Коэффициенты финансовой устойчивости. Они характеризуют сложившуюся
структуру источников капитала, используемого предприятием. Основным их этих коэффициентов является коэффициент автономии, который рассчитывается по следующей формуле:

где КА —коэффициент автономии;
С К —сумма собственного капитала предприятия; К — общая сумма капитала, используемого предприятием.
в) Коэффициенты оборачиваемости активов (капитала). Они показывают насколько быстро средства, вложенные в активы или отдельные виды капитала, оборачиваются в процессе хозяйственной деятельности предприятия. Основным их этих коэффициентов является коэффициент оборачиваемости, принципиальная формула расчета которого имеет следующий вид:

где КО — коэффициент оборачиваемости активов или капитала; ОР — объем реализации продукции в рассматриваемом периоде;
А — средняя стоимость активов (всех или отдельных их видов) в рассматриваемом периоде; К —средняя сумма капитала (всего или отдельных его видов) в рассматриваемом периоде.
Более подробно коэффициенты этих групп будут рассмотрены в процессе дальнейшего изложения отдельных вопросов формирования прибыли предприятия по различным сферам его деятельности.
V. Интегральный анализ прибыли позволяет получить наиболее обобщенную характеристику условий ее формирования. В практике управления прибылью наибольшее распространение получили следующие системы интегрального ее анализа:
1) Дюпоновская система интегрального анализа прибыли. Эта система финансового анализа, разработанная фирмой "Дюпон" (США), предусматривает разложение показателя "коэффициент рентабельности активов" на ряд частных финансовых коэффициентов его формирования, взаимосвязанных в единой системе. Принципиальная схема проведения такого анализа приведена на рисунке 3.12.

Условные обозначения:
ЧП — сумма чистой прибыли;
Р — объем реализации продукции;
А — средняя сумма всех активов;
ВД — сумма валового дохода; , .,
И — сумма издержек;
Нд — сумма налогов, уплачиваемых за счет доходов;
Н
п — сумма налогов, уплачиваемых за счет прибыли;
ОА — средняя сумма оборотных активов;
ВА — средняя сумма внеоборотных активов.
Рисунок 3.12. Схема интегрального анализа рентабельности активов предприятия по методике корпорации Дюпон.
В основе этой системы анализа лежит "Модель Дюпона", в соответствии с которой коэффициент рентабельности используемых активов представляет собой произведение коэффициента чистой рентабельности реализации продукции на коэффициент оборачиваемости используемых активов:
КР
а = КЧР
р х КО
а ,
где КР
а—коэффициент рентабельности активов;
КЧРр —коэффициент чистой рентабельности реализации продукции; КО
а — коэффициент оборачиваемости активов.
Для интерпретациирезультатов, полученных при расчете "Модели Дюпона", может быть использована специальная матрица, представленная на рис. 3.13.
|

|
Рисунок 3.13. Матрица оценки результата интегрального анализа коэффициента рентабельности активов предприятия
|
С помощью указанной мартицы можно выявить основные резервы дальнейшего повышения рентабельности активов предприятия — увеличить рентабельность реализации продукции; ускорить оборачиваемость активов; использовать оба эти направления.
2. Система СВОТ-анализа [SWOT-analysis] прибылипредприятия. Название этой системы представляет аббревиатуру начальных букв терминов, характеризующихобъекты этого анализа:
S — Strengths (сильные стороны предприятия); W — Weaknesses (слабые стороны предприятия); О — Opportunities (возможности развития предприятия); Т — Trears (угрозы развитию предприятия).
Основным содержанием СВОТ-анализа является исследование характера сильных и слабых сторон формирования прибыли предприятия, а также позитивного или негативного влияния отдельных внешних (экзогенных) факторов на условия ее генерирования в предстоящем периоде.
Результаты СВОТ-анализа представляются обычно графически по комплексному исследованию влияния отдельных факторов на прибыль предприятия (рис. 3.14).
3. Объектно-ориентированная система интегралъногоанализа формирования
чистой прибыли предприятия. Концепция интегрированного объектно-
ориентированногоанализа, разработанная фирмой "Модернсофт" (США),базируется на использовании компьютерной технологиии специального пакета прикладных программ. Основойэтой концепции является представление модели формирования чистой прибыли (или другого показателя) предприятия в виде совокупности взаимодействующих первичных финансовых блоков, моделирующих "классы"элементов, непосредственно формирующих сумму чистой прибыли. Пользователь сам определяет систему таких блоков и классов исходя из специфики хозяйственной деятельности предприятия, чтобы в соответствии сжелаемой степенью детализации представить в моделивсе ключевые элементы формирования чистой прибыли. После построения модели пользователь наполняетвсе блоки количественными характеристиками в соответствии с отчетной информацией по предприятию. Систе-

|
Рисунок 3.14. Графическое представление результатов СВОТ-анализа по комплексному исследованию влияния основных факторов на прибыль предприятия.
|
му блоков и классов можно расширять и углублять по мере изменения направлений хозяйственной деятельности предприятия и появления более подробной информации о процессе формирования чистой прибыли.
в) Портфельный анализ прибыли. Этот анализ основан на использовании "портфельной теории", в соответствии с которой уровень прибыльности портфеля фондовых инструментов рассматривается в одной связке с уровнем риска портфеля (система "прибыль — риск"). В соответствии с этой теорией можно за счет формирования "эффективного портфеля" (соответствующего подбора конкретных ценных бумаг) снизить уровень портфельного риска и соответственно повысить соотношение уровня прибыли и риска. Процесс анализа и подбора в портфель таких ценных бумаг и составляет основу использования этой интегральной теории.
3.4. СИСТЕМЫ И МЕТОДЫ ПЛАНИРОВАНИЯ ПРИБЫЛИ
Основу механизма управления прибылью предприятия составляют системы и методы ее планирования. Планирование прибыли представляет собой процесс разработки системы мероприятий по обеспечению ее формирования в необходимом объеме и эффективного использования в соответствии с задачами развития предприятия в предстоящем периоде.
Планирование прибыли на предприятии (или внутрифирменное ее планирование) базируется на использовании трех основных его систем: 1) прогнозирование
формирования и распределения прибыли предприятия; 2) текущее планирование формирования, распределения и использования прибыли предприятия; 3) оперативное планирование формирования и использования прибыли предприятия. Каждой из этих систем планирования прибыли присущи свои формы реализации его результатов (таблица
З.1.).
Все системы планирования прибыли предприятия находятся во взаимосвязи и реализуются в определен ной последовательности. Первоначальным исходным этапом планирования является разработка стратегии управления прибылью предприятия, которая призвана определять задачи и параметры текущего ее планирования. В свою очередь, текущее планирование прибыли создает основу для разработки и доведения до исполнителей оперативных бюджетов по всем основным вопросам ее формирования и использования.
формы реализации его результатов
Таблица 3.1. Системы планирования прибыли предприятия и
|
Системы
планирования
прибыли
|
Формы реализации
планирования
прибыли
|
Период
планирования
|
1. Прогнозирование формирования и распределения прибыли
|
Разработка стратегии формирования и распределения прибыли предприятия(политики управления прибылью)
|
до 3-х лет
|
2. Текущее планирование формирования, распределения и использования прибыли
|
Разработка текущих финансовых планов по всем основным аспектам формирования, распределения и
|
1 год
|
|
|
использования прибыли предприятия
|
|
3. Оперативное планирование формирования и использования прибыли
|
Разработка и доведение до исполнителей бюджетов по всем основным вопросам формирования и использования прибыли предприятия
|
месяц, квартал
|
1. Система прогнозирования формирования и распределения прибыли является наиболее сложной в общем механизме управления ею и требует для своей реализации высокой квалификации исполнителей. Ее реализация заключается в разработке стратегии управления прибылью предприятия на ряд предстоящих лет. Под такой стратегией понимается определение системы долгосрочных целей формирования и распределения прибыли в соответствии с задачами развития предприятия и выбор наиболее эффективных путей их достижения.
Процесс разработки стратегии управления прибылью предприятия проходит ряд этапов (рис. 3.15.):
ШУ Определение общего периода разработки стратегии
W формирования и распределения прибыли предприятия
|
|
ЁЖ Исследование факторов внешней среды и степени
у их воздействия на прибыль предприятия
I--
|
I 1. І.І L U1 .L Щ
|
|
ЁЖ Определение системы' стратегических целей
Т формирования и распределения прибыли
|
|
... ш
|
|
КЖ Конкретизация целевых показателей формирования
Т и распределения прибыли по периодам их реализации
|
|
Разработка политики формирования прибыли
|
|
. . * .......
|
|
¦Г Разработка политики распределения прибыли
|
|
Ш
|
|
Разработка системы организационно-экономических
W мероприятий по обеспечению реализации стратегии
Г управления прибылью
|
|
ш
|
|
ргОценка разработанной стратегии управления прибылью
|
Рисунок 3.15. Содержание и последовательность разработки стратегии управления прибылью предприятия.
Определение общего периода разработки стратегии формирования и распределения прибыли предприятия зависит от ряда условий.
Главным условием определения периода формирования этой стратегии является продолжительность периода, принятого для формирования общей стратегии развития предприятия и его финансовой стратегии. Это связано с тем, что стратегия управления прибылью предприятия является неотъемлемой составной частью этих стратегий и, так как носит по отношению к ним подчиненный характер, она не может выходить за пределы
периода их разработки (более короткий период разработки стратегии управления прибылью допустим).
Важным условием периода формирования стратегии управления прибылью является предсказуемость развития экономики в целом и конъюнктуры тех сегментов товарного и финансового рынков, с которыми связана деятельность предприятия. В условиях нынешнего нестабильного (а по отдельным аспектам непредсказуемого) развития экономики страны этот период не может быть слишком продолжительным и в среднем должен определяться рамками 3 лет.
Условиями определения периода формирования стратегии управления прибылью являются также отраслевая принадлежность предприятия, его размер, стадия жизненного цикла и другие.
Исследование факторов внешней среды и степени их воздействия на прибыль предприятия предопределяет изучение экономико-правовых условий деятельности предприятия и возможного их изменения в предстоящем периоде. Кроме того, на этом этапе анализируется конъюнктура товарного и финансового рынков и факторы ее определяющие, а также разрабатывается прогноз конъюнктуры в разрезе отдельных сегментов этих рынков, связанных с деятельностью предприятия.
Определение системы стратегических целей формирования и распределения прибыли должно быть подчинено главной цели управления ею — максимизации благосостояния собственников предприятия в текущем и перспективном периоде. Вместе с тем, эта главная цель требует определенной конкретизации с учетом задач и особенностей предстоящего развития предприятия.
Систему стратегических целей следует формулировать четко и кратко, отражая каждую из целей в конкретных показателях с тем, чтобы впоследствии можно было легко оценить — приблизилось ли предприятие к своим стратегическим целям или отдалилось от них. В качестве таких целевых показателей могут быть установлены:
среднегодовой темп роста прибыли;
уровень рентабельности собственного капитала;
качество формируемой прибыли по отдельным ее видам;
соотношение капитализируемой и потребляемой чистой прибыли и другие.
Конкретизация целевых показателей формирования и распределения прибыли по периодам их реализации осуществляется обычно по годам перспективного периода, что создает основу последующего текущего ее планирования. При этом должна быть обеспечена синхронизация во времени всех стратегических целевых показателей управления прибылью с учетом последовательности и комплексности решаемых предприятием задач.
Разработка политики формирования прибыли определяет основные пути достижения разработанных целевых показателей. Составными частями такой политики могут быть политика формирования доходов, налоговая политика, амортизационная политика и т. п.
Разработка политики распределения прибыли носит аналогичный характер относительно этого аспекта управления прибылью. Составными частями этой политики могут быть инвестиционная политика, дивидендная политика, политика участия персонала в прибыли и т. п.
Разработка системы организационно-экономических мероприятий по реализации стратегии управления прибылью предусматривает формирование на предприятии центров ответственности разных типов; определение прав, обязанностей и меры ответственности их руководителей; разработку системы стимулирования работников за их вклад в формирование и эффективное использование прибыли и т. п.
Оценка разработанной стратегии управления прибылью проводится по следующим основным параметрам:
— согласованность стратегии с внешней средой. В процессе этой оценки определяется насколько разработанная стратегия управления прибылью соответствует прогнозируемому развитию экономики страны и изменениям конъюнктуры товарного и финансового рынков;
внутренняя сбалансированность стратегии. При этом определяется насколько она согласуется с общей финансовой стратегией предприятия; насколько согласуются между собой отдельные цели и целевые показатели стратегии управления прибылью; насколько эффективны и согласованы между собой мероприятия по обеспечению ее реализации;
реализуемость стратегии с учетом имеющегося ресурсного потенциала предприятия: производственного, финансового, кадрового ит. п.;
приемлемость уровня рисков, связанных с реализацией стратегии. Так как уровень прибыли тесно связан с уровнем рисков, в процессе оценки необходимо определить насколько уровень хозяйственных рисков является допустимым для деятельности данного предприятия с позиций возможного размера финансовых потерь;
результативность стратегии. Оценка результативности стратегии управления прибылью может быть определена прежде всего с помощью ранее рассмотренной системы коэффициентов рентабельности. Наряду с этим, могут быть оценены и внеэкономические результаты реализации разработанной стратегии — рост деловой репутации предприятия; повышение уровня управляемости структурными его подразделениями (при создании центров ответственности); улучшение условий труда и быта работников; повышение уровня материальной и социальной удовлетворенности персонала (за счет эффективных программ его участия в прибыли) и т. п.
Разработка стратегии управления прибылью позволяет принимать эффективные управленческие решения по всем основным аспектам ее формирования, распределения и использования в процессе текущего планирования.
2. Система текущего планирования формирования, распределения и использования прибыли базируется на стратегии управления ею и состоит в разработке конкретных видов планов. Исходными предпосылками для разработки таких текущих планов являются:
— целевые показатели, разработанные в процессеформирования стратегии управления прибылью;
планируемые объемы производственной, инвестиционной и финансовой деятельности предприятия;
система разработанных на предприятии норм и нормативов затрат отдельных видов ресурсов;
действующая система ставок налоговых платежей; результаты анализа прибыли за предшествующий период.
Поскольку ряд исходных предпосылок разработки текущих планов носят вероятностный характер и разброс их параметров в условиях современной экономической нестабильности страны довольно высок, текущие планы желательно разрабатывать в нескольких вариантах — "оптимистическом", "реалистическом", "пессимистическом". '¦ Основным видом текущего плана прибыли является план доходов и расходов по операционной (производственно-коммерческой) деятельности. Целью разработки этого плана является формирование суммы чистой прибыли по этой деятельности.
В процессе разработки этого плана должна быть обеспечена четкая взаимосвязь показателей доходов (валового и чистого) от реализации продукции, издержек, налоговых платежей, балансовой и чистой прибыли предприятия. Примерная обобщенная форма плана доходов и расходов предприятия по операционной деятельности приведена в табл. 3.2.
Таблица 3.2. Примерная форма плана доходов и расходов по
операционной деятельности предприятия
Показатели
|
Кварталы
|
Итог
о за
|
I
|
II
|
III
|
IV
|
1
|
2
|
3
|
4
|
5
|
6
|
1. Валовой доход от реализациипродукции
— сумма
— уровень в % к объему реализации продукции
2. Налоговые платежи за счетоперационных доходов
— средняя ставка в % к
|
|
|
|
|
|
3. Чистый доход от
ппол?киии
— сумма
- п/ . Г
ализаиии ппол?киии
4. Издержки — всего
— сумма
------- „ „е:-----
япи^япии ппп л?кпии
вт н • постоянные — г.?ммя
пепеменньте — с?мма
— ?повень в %
5. Маржинальная прибыль от реализации ппол?киии
— сумма
ализаиии ппол?киии
6. Балансовая (валовая) прибыль от реализации ппол?киии
— сумма
ализаиии ппол?киии
7. Налоговые платежи за. счет прибыли
— спелняя ставка в % к балансовой прибыли
— с?мма
8. Чистая прибыль от реализации ПРОЛ?КНИИ
— сумма
__________ _ П/ _ /Г_____
ализации продукции
|
|
|
|
|
|
3. Система оперативного планирования формирования и использования прибыли заключается в разработке системы бюджетов (бюджетировании). Бюджет представляет собой оперативный финансовый план краткосрочного периода — до 1 года (обычно месячный или квартальный), отражающий расходы и поступления средств в процессе осуществления конкретных видов хозяйственной деятельности. Он детализирует показатели текущих
планов и является главным плановым документом, доводимым до центров ответственности всех типов.
Применяемые в процессе оперативного планирования формирования и использования прибыли бюджеты классифицируются по ряду признаков (рисунок 3.16).

|
Рисунок 3.16. Классификация основных видов бюджетов, разрабатываемых в процессе оперативного планирования формирования и использования прибыли.
Классификация бюджетов по первым двум признакам особых пояснений не требует — она отражает особенности управления прибылью по сферам деятельности предприятия и центрам ответственности разных типов.
По видам затрат плановые бюджеты подразделяются на текущий и капитальный.
Текущий бюджет конкретизирует план доходов и расходов предприятия, доводимый до центров прибыли. Он состоит из двух разделов: 1) текущие расходы; 2) доходы от текущей (операционной) хозяйственной деятельности. Текущие расходы представляют собой издержки производства (обращения) по рассматриваемому виду операционной деятельности. Доходы от текущей (операционной) хозяйственной деятельности формируются в основном за счет реализации продукции — товаров или услуг. Примерная форма текущего бюджета представлена в табл. 3.3.
|
Таблица 3.3. Примерная форма текущего бюджета
|
Показатели
|
В
цел
|
В т.ч. по месяцам
|
1
|
2
|
3
|
4
|
и
|
1
|
2
|
3
|
4
|
5
|
6
|
7
|
|
I. Текущие затраты (издержки)
1. Материальные
затраты(по отдельным
статьямзатрат)
2. Амортизация
основныхфондов и
нематериальных активов
3. Расходы на оплату труда
4. Налоговые платежи, относимые на
издержки
5 Пппцир ппям^ір
|
|
|
|
|
|
|
Итого текущие затраты
|
|
|
|
|
|
|
II. Доходы от
операционной
деятельности
1. Доход от
реализации продукции
2. Прочие доходы от
|
|
|
|
|
Г-
|
|
Итого операционные
доходы
|
|
|
|
|
|
|
III. Налоговые платежи, входящие в цену
продукции (налог на
добавленную стоимость, акцизный сбор и др.)
|
|
|
|
|
|
|
IV. Чистый доход (II-III)
|
|
|
|
|
|
|
У. Валовая операционная прибыль (IV-I)
|
|
|
|
|
|
|
VI. Налоговые платежи, уплачиваемые за счет прибыли
|
|
|
|
|
|
|
VII. Чистая операционная прибыль (V-VI)
|
|
|
|
|
|
|
Капитальный бюджет представляет собой форму доведения до конкретных исполнителей результатов текущего плана капитальных вложений, разрабатываемого на этапе осуществления нового строительства, реконструкции и модернизации основных фондов, приобретения новых видов оборудования и нематериальных активов и т. п. Он состоит из двух разделов: 1) капитальные затраты (затраты на приобретение
внеоборотных активов); 2) источники поступления средств (инвестиционных ресурсов). Примерная форма капитального бюджета представлена в таблице 3.4.
Таблица 3.4. Примерная форма капитального бюджета
Показатели
|
В
|
В т. ч.
|
по
|
|
цело
|
отдельным
|
|
|
м
|
периодам
|
|
|
|
I
|
II
|
И.т.д
|
КАПИТАЛЬНЫЕ ЗАТРАТЫ
1. Строительство или
приобретение зданий,
помещений исооружений
2. Приобретение машин и механизмов
3. Прио бретение
оборудованиям инвентаря
(кроме малоценного и
быстроизнашивающегося)
4. Приобретение нематериальных активов
5. Прочие виды
|
|
|
|
|
Итого затраты средств
|
|
|
|
|
ИСТОЧНИКИ
ПОСТУПЛЕНИЯ СРЕДСТВ
1. Собственные средства
инвестора, направляемые на финансирование капитальных затрат
2. Привлекаемый паевой
капитал
3. Привлекаемый акционерныйкапитал
|
|
|
|
|
Итого поступления средств
|
|
|
|
|
САЛЬДО ЗАТРАТ И
ПОСТУПЛЕНИЯ СРЕДСТВ
|
|
|
|
|
По широте номенклатуры затрат разделяют бюджеты функциональный и комплексный. Функциональный бюджет разрабатывается по одной (или двум) статьям затрат — например, бюджет оплаты труда персонала, бюджет рекламных мероприятий и т. п. Комплексный бюджет разрабатывается по широкой номенклатуре затрат — например, бюджет производственного участка, бюджет административно-управленческих расходов и т.п.
По методам разработки различают стабильный и гибкий бюджеты. Стабильный бюджет не изменяется от изменения объемов деятельности предприятия — например, бюджет расходов по охране предприятия. Гибкий бюджет предусматривает установление планируемых текущих или капитальных затрат не в твердо фиксируемых суммах, а в виде норматива расходов, "привязанных" к соответствующим объемным показателям
деятельности. По реальным инвестиционным проектам таким показателем может быть объем строительно-монтажных работ. По операционной деятельности аналогичным показателем может выступать объем выпуска или реализации продукции. В этом случае расходы в целом планируются по следующему алгоритму: оз
0 = И
посх + ОР ^ И
ПСр ,
где 030 — общий объем текущих затрат по конкретному подразделению операционной сферы деятельности предприятия;
Ипост- запланированный объем постоянных статей/ бюджета;
И
Пер —установленный норматив переменных затрат? бюджета на единицу продукции; ОР —объем выпуска или реализации продукции.
Особой формой бюджета выступает платежный календарь, разрабатываемый по отдельным видам движения денежных средств (налоговый платежный календарь, платежный календарь по расчетам с поставщиками, платежный календарь по обслуживанию долга и т. п.) и по предприятию в целом (в этом случае он детализирует текущий финансовый план поступления и расходования денежных средств).
Платежный календарь составляется обычно на предстоящий месяц (в разбивке по
дням, неделям и декаРаздел I. Концептуальные основы управления прибылью предприятия
дам). Он состоит из следующих двух разделов: а) график расходования денежных средств (или график предстоящих платежей); б) график поступления денежных средств. График расходования денежных средств отражает сроки и суммы платежей предприятия в предстоящем периоде по всем (или конкретным) видам его финансовых обязательств. График поступления денежных средств разрабатывается по тем видам движения средств, по которым имеется возвратный их поток; он фиксирует сроки и суммы предстоящих платежей в пользу предприятия.
Использование рассмотренных систем и методов планирования прибыли позволяет повысить эффективность управления ею на предприятии.
3.5. СИСТЕМЫ И МЕТОДЫ ВНУТРЕННЕГО КОНТРОЛЯ ПРИБЫЛИ
Б составе механизмов управления прибылью предприятия важная роль отводится системам и методам ее контроля. Внутренний контроль прибыли представляет собой процесс проверки и обеспечения реализации всех управленческих решений в области ее формирования, распределения и использования на предприятии.
Создание систем внутреннего контроля является неотъемлемой составной частью построения всей системы управления предприятием с целью обеспечения его эффективности. Системы внутреннего контроля создаются на предприятии по линейному и функциональному принципу или одновременно сочетают в себе оба эти принципа. В основе этих систем лежит разделение контрольных обязанностей отдельных служб и их менеджеров. В этих традиционных системах внутреннего контроля органической составной частью является и система контроля за прибылью.
В последние годы в практике стран с развитой рыночной экономикой широкое распространение получила новая прогрессивная комплексная система внутреннего контроля, организуемая в компаниях и фирмах, которая называется "контроллинг". Концепция котроллинга была разработана в 80-е годы как средство активного предотвращения кризисных ситуаций, приводящих предприятие
к банкротству. Принципом этой концепции, получившей название "управление по отклонениям", является оперативное сравнение основных плановых (нормативных) и фактических показателей с целью выявления отклонений между ними и определение взаимосвязи и взаимозависимости этих отклонений на предприятии с целью воздействия на узловые факторы нормализации деятельности. Система контроллинга начинает внедряться и в нашу практику.
Так как главным объектом контроллинга является прибыль предприятия, в общей его системе можно выделить центральный блок — "контроллинг прибыли". Его содержание можно сформулировать следующим образом:
"Контроллинг прибыли представляет собой систему внутреннего контроля, обеспечивающую концентрацию контрольных действий на наиболее приоритетных направлениях формирования и использования прибыли предприятия, своевременное выявление отклонений фактических результатов от предусмотренных и принятие оперативных управленческих решений по выполнению установленных заданий".
Построение системы инвестиционного контроллинга на предприятии базируется на определенных принципах, основными из которых являются (рис. 3.17.):
Направленность системы контроллинга на реализацию разработанной на предприятии стратегии управления прибылью. Для того, чтобы быть эффективным контроллинг прибыли должен носить стратегический характер, т.е. отражать основные приоритеты ее формирования, распределения и использования. Это предопределяет целенаправленное ограничение контролируемых операций. Обширный контроль над текущими операциями во всех их аспектах не имеет смысла, так как будет лишь отвлекать менеджеров от более важных целей управления прибылью.
Обеспечение многофункциональности контроллинга прибыли. Он должен обеспечивать контроль приоритетных показателей прибыли не только по предприятию в целом, но и в
разрезе отдельных его центров ответственности, предусматривать возможность сравнения контролируемых показателей со среднеотраслевыми,
|

|
Рисунок 3.17. Состав основных принципов построения системы контроллинга прибыли на предприятии.
обеспечивать взаимосвязь контролируемых показателей прибыли с другими важнейшими показателями хозяйственной деятельности предприятия.
Ориентированность контроллинга прибыли на количественные стандарты. Эффективность контрольных действий значительно возрастает, если контролируемые стандарты деятельности выражены конкретными количественными показателями. Это не означает, что контроллинг не должен охватывать качественные аспекты формирования и использования прибыли — речь идет лишь о том, что эти качественные аспекты должны быть выражены в системе количественных стандартов, что исключит различное их
|
толкование.
Соответствие методов контроллинга специфике методов анализа и планирования прибыли. В процессе
организации внутреннего контроля прибыли необходимо ориентироваться на весь арсенал ранее рассмотренных систем и методов ее планирования (при подготовке стандартов контроля) и анализа (при подготовке показателей, отражающих фактически достигнутые результаты, и выявлении причин их отклонений от стандартов).
Своевременность операций контроллинга. Эта своевременность заключается не в высокой скорости или частоте осуществления контрольных функций, а в адекватности периодов контрольных действий периоду осуществления отдельных операций, связанных с формированием и использованием прибыли. Главное условие своевременности контроллинга прибыли заключается в следующем: он должен носить характер "раннего предупреждения кризисного развития", т.е. позволять устранять текущие отклонения прежде, чем они примут серьезный характер.
Гибкость построения контроллинга. Внутренний контроль прибыли должен быть построен с учетом возможности приспособления к новым видам продукции; к новым формам и видам осуществления операционной, инвестиционной и финансовой деятельности; к новым технологиям и методам ведения хозяйственной деятельности. Без достаточной степени гибкости система контроллинга не будет эффективной даже в тех областях контроля формирования и использования прибыли, для которых она изначально строилась.
Простота построения контроллинга. Простейшие формы и методы внутреннего контроля прибыли, построенного в соответствии с его целями, требуют меньших усилий контролирующих менеджеров и, как правило, более экономичны. Чрезмерная сложность построения контроллинга прибыли может быть не понята или не поддержана его операторами, а также потребовать существенного увеличения потока информации для его осуществления.
Экономичность контроллинга. Затраты по осуществлению контроллинга прибыли должны быть минимизированы с позиций их адекватности эффекту этого контроля. Это означает, что объем расходов по организации контроллинга не должен превышать размера того эффекта (снижения затрат, прироста доходов, увеличения прибыли и т.п.), который достигается в процессе его осуществления.
С учетом перечисленных требований контролллинг прибыли на предприятии строится по следующим основным этапам (рисунок 3.18).
Ко
|
Определение объекта контроллинга
|
Jb._t , , ¦ ,
|
|
Определение видов и сферы контроллинга
|
г
|
+
|
формирование системы приоритетов контролируемых показателей
|
К4)>
|
+
|
азработка системы количественных стандартов контроля
|
т
|
_і__
|
Построение системы мониторинга показателей, включаемых в контроллинг прибыли
|
г®
|
+
|
формирование системы алгоритмов действий по устранению отклонений
|
Рисунок 3.18. Содержание и последовательность этапов построения системы контроллинга прибыли на предприятии.
Определение объекта контроллинга. Это общее требование к построению любых видов контроллинга на предприятии с позиций целевой его ориентации. Объ-ектом контроллинга прибыли являются управленческие решения по основным аспектам ее формирования, распределения и использования на предприятии.
Определение видов и сферы контроллинга. В соответствии с концепцией построения системы контроллинга, он подразделяется на следующие основные виды: стратегический контроллинг; текущий контроллинг; оперативный контроллинг. Каждому из перечисленных видов контроллинга должна соответствовать определенная его сфера и периодичность осуществления его функций.
В таблице 3.5 приведены основные характеристики отдельных видов контроллинга прибыли на предприятии.
Таблица 3.5. Характеристика отдельных видов контроллинга прибыли на предприятии
Виды
контроллинга
пнибыли
|
Основная сфера
контроллинга
|
Основной
контрольный
пециод
|
1.
Стратегичес
кийконтроллинг
2. Текущий контроллинг
3.
Оперативны
й контроллинг
|
Контроль
политики
управления прибылью и ее целевых
стратегических показателей Контроль текущих планов
Формирования_и
|
Квартал;год Месяц; квартал Неделя, декада; месяц
|
3. Формирование системы приоритетов контролируемых показателей. Вся система показателей, входящих в сферу каждого вида контроллинга прибыли, ранжируется по значимости. В процессе такого ранжирования вначале в систему приоритетов первого уровня отбираются наиболее важные из контролируемых показателей данного вида контроллинга; затем формируется система приоритетов второго уровня, показатели которого находятся в факторной связи с показателями приоритетов первого уровня; аналогичным образом формируется система приоритетов третьего и последующих уровней. Такой подход к формированию системы контролируемых показателей облегчает подход к их разложению при последующем объяснении причин отклонения фактических величин от предусмотренных соответствующими заданиями.
ilpn формировании системы приоритетов следует учесть, что они могут носить разный характер для отдельных типов центров ответственности; для отдельных сфер деятельности предприятия; для различных аспектов формирования, распределения и использования прибыли.
Однако при этом должна быть обеспечена как иерархическая сводимость всех контролируемых показателей по предприятию в целом, так и их сводимость по отдельным сферам его деятельности.
Пример формирования системы приоритетов контролируемого показателя суммы чистой прибыли по операционной деятельности приведен в таблице 3.6.
Таблица 3.6. Пример формирования системы приоритетов
контролируемого показателя суммы чистой прибыли по операционной
деятельности предприятия
Приоритет ы первого порядка
|
Приоритеты
второго
порядка
|
Приоритеты третьего порядка
|
и Т.Д.
|
Сумма
чистой
прибыли
|
Сумма доходов
|
Уровень цен на продукцию
Объем реализации
продукции
Структура
|
|
Сумма затрат
|
Уровень цен и тарифов на услуги Объем
производства
продукции
|
|
|
Сумма
|
Изменение
|
|
|
налоговых
|
системы налогов
|
|
|
платежей
|
Изменение ставок
|
|
|
|
налогообложения
|
|
|
|
Изменение
|
|
4. Разработка системы количественных стандартов контроля. После того, как определен и ранжирован перечень контролируемых показателей, возникает необходимость установления количественных стандартов по каждому из них. Такие стандарты могут устанавливаться как в абсолютных, так и в относительных показателях.
Количественные стандарты могут носить стабильный или подвижный характер (подвижные количественные стандарты могут быть использованы при контроле показателей гибких бюджетов, для корректировки стандартов при изменении учетной ставки, темпов инфляции и т.п.). Стандартами выступают целевые показатели политики управления прибылью, показатели текущих планов и бюджетов, система государственных или разработанных предприятием норм и нормативов и т.п.
5. Построение системы мониторинга показателей, включаемых в контроллинг прибыли. Система мониторинга (или как ее часто переводят "следящая система") составляет основу контроллинга прибыли, самую активную часть его механизма. Система мониторинга прибыли представляет собой разработанный на предприятии механизм постоянного наблюдения за контролируемыми показателями ее формирования и использования, определения размеров отклонений фактических результатов от предусмотренных и выявления причин этих отклонений.
Построение системы мониторинга контролируемых показателей прибыли охватывает следующие основные этапы (рисунок 3.19).
а) Построение системы информативных отчетныхпоказателей по каждому виду контроллинга прибыли основывается на данных финансового и управленческогоучета. Эта система представляет собой так называемую"первичную информационную базу наблюдения", необходимую для последующего расчета агрегированныхпо предприятию отдельных аналитических абсолютныхи относительных показателей, характеризующих уровеньформирования и использования прибыли.
б) Разработка системы обобщающих (аналитических)показателей, отражающих фактические результаты достижения предусмотренных количественных стандартовконтроля, осуществляется в четком соответствии с системой контролируемых показателей прибыли. При этомобеспечивается полная сопоставимость количественного выражения установленных стандартов и контролируемых аналитических показателей. В процессе разработки такой системы строятся алгоритмы расчетаотдельных обобщающих (аналитических) показателей сиспользованием первичной информационной базы наблюдения и методов анализа прибыли.
........... А -
|
Построение системы информативных отчетных показателей по каждому виду контроллинга прибыли
|
¦ с ........-................¦
|
|
Разработка системы обобщающих {аналитических) показателей, отражающих фактические результаты достижения предусмотренных количественных стандартов контроля J
|
* ______________________ в .......... *
|
|
Определение структуры и показателей форм контрольных отчетов исполнителей
|
¦ г ¦
|
|
Определение контрольных периодов по каждому виду контроллинга прибыли и каждой группе контролируемых показателей
|
¦ п ¦
|
|
Установление размеров отклонений фактических результатов контролируемых показателей от установленных стандартов
|
¦______________________< ...... ¦
|
Выявление основных причин отклонений фактических результатов контролируемых показателей от установленных стандартов
|
Рисунок 3.19. Содержание и последовательность основных этапов построения системы мониторинга контролируемых показателей прибыли.
в) Определение структуры и показателей форм контрольных отчетов (рапортов) исполнителей призвано сформировать систему носителей контрольной информации. Для обеспечения эффективности контроллинга такая форма отчета должна быть стандартизирована и содержать следующую информацию:
фактически достигнутое значение контролируемого показателя (в сопоставлении с предусмотренным);
размер отклонения фактически достигнутого значения контролируемого показателя от предусмотренного;
факторное разложение размера отклонения (если контролируемый показатель поддается количественному разложению на отдельные составляющие). Алгоритм такого разложения должен быть определен и доведен до каждого исполнителя заранее;
объяснение причин отрицательных отклонений по показателю в целом и отдельным его составляющим;
указание лиц, виновных в отрицательном отклонении показателя, если это отклонение вызвано внутренними факторами деятельности подразделения.
Форма стандартного контрольного отчета (рапорта) исполнителя
дифференцируется в соответствии с содержанием доведенного ему бюджета (плана).
г) Определение контрольных периодов по каждому виду контроллинга прибыли и каждой группе контролируемых показателей в целом основывается на рекомендациях, изложенных в таблице 3.5. Конкретизация контрольного периода по видам контроллинга и группам показателей определяется "срочностью реагирования", необходимой для эффективного управления прибылью на данном предприятии. С учетом этого принципа выделяют:
недельный (декадный) контрольный отчет;
месячный контрольный отчет;
квартальный контрольный отчет.
д) Установление размеров отклонений фактических результатов контролируемых показателей от установленных стандартов осуществляется как в абсолютных, таки в относительных показателях. Так как этот показатель содержится в контрольных отчетах отдельных исполнителей, на данной стадии он агрегируется в рамках предприятия в целом. При этом по относительным показателям все отклонения подразделяются на три группы:
положительное отклонение;
отрицательное "допустимое" отклонение;
отрицательное "критическое" отклонение.
Для проведения такой градации на каждом предприятии должен быть определен критерий "критических" отклонений, который может быть дифференцирован по контрольным периодам. В качестве критерия "критического" отклонения может быть принято отклонение в размере 20 и более процентов по недельному (декадному) контрольному периоду; 15 и более процентов по месячному периоду; 10 и более процентов по квартальному периоду.
е) Выявление основных причин отклонений фактических результатов контролируемых показателей от установленных стандартов проводится по предприятию в целом и по наиболее крупным центрам прибыли. В процессе такого анализа выделяются и рассматриваются те показатели контроллинга прибыли, по которым наблюдаются "критические" отклонения от целевых нормативов, заданий текущих планов и бюджетов. По каждому "критическому" отклонению (а при необходимости и менее значимым размерам отклонений показателей приоритетов первого порядка) должны быть выявлены вызвавшие их причины. В процессе осуществления такого анализа в целом по предприятию используются соответствующие разделы контрольных отчетов исполнителей.
Разработанная система мониторинга должна корректироваться при изменении целей контроллинга прибыли и системы показателей текущих планов и бюджетов.
6. Формирование системы алгоритмов действий по устранению отклонений является заключительным этапом построения контроллинга прибыли на предприятии. Принципиальная система действий менеджеров предприятия в этом случае заключается в трех алгоритмах (рис. 3.20):

Рисунм 3.20. формирование принципиальных алгоритмов действий по устранению различных видов отклонений фактических результатов формирования и использования прибыли от предусмотренных.
а) "Ничего не предпринимать". Эта форма реагирования предусматривается в тех случаях, когда размеротрицательных отклонений значительно ниже предусмотренного "критического" критерия.
б) "Устранить отклонение". Такая система действий предусматривает процедуру поиска и реализациирезервов по обеспечению выполнения целевых, плановых или нормативных показателей. При этом резервы рассматриваются в разрезе различных аспектов формирования и использования прибыли; отдельных сфердеятельности предприятия; наиболее крупных хозяйственных операций. В качестве таких возможностейможет быть рассмотрена целесообразность введения усиленного режима экономии (по принципу "отсечениялишнего"), использования системы финансовых резервов и другие.
в) Изменить систему плановых или нормативных показателей". Такая система действий предпринимаетсяв тех случаях, если возможности нормализации отдельных аспектов формирования прибыли ограничены иливообще отсутствуют. В этом случае по результатам мониторинга прибыли вносятся предложения по корректировке системы целевых нормативов политики управленияприбылью, показателей текущих финансовых планов илиотдельных бюджетов. В отдельных критических случаяхможет быть обосновано предложение о прекращенииотдельных операционных, инвестиционных и финансовых операций и даже деятельности отдельных центровзатрат и инвестиций.
Внедрение на предприятиях системы контроллинга прибыли позволит существенно повысить эффективность всего процесса управления ею.
Глава 4. Методический инструментарий управления
ПРИБЫЛЬЮ
4.1. КОНЦЕПЦИЯМ МЕТОДИЧЕСКИЙ ИНСТРУМЕНТЛРИЙОЦЕНКИ
СТОИМОСТИДЕНЕГ ВО ВРЕМЕНИ
Управление прибылью требует постоянного осуществления различного рода финансово-экономических расчетов, связанных с потоками денежных средств в разные периоды времени. Ключевую роль в этих расчетах играет оценка стоимости денег во времени.
Концепция стоимости денег во времени состоит в том, что стоимость денег с течением времени изменяется с учетом нормы прибыли на финансовом рынке, в качестве которой обычно выступает норма ссудного процента (или процента).
Иными словами, в соответствии с этой концепцией одна и та же сумма денег в разные периоды времени имеет разную стоимость; эта стоимость в настоящее время всегда выше, чем в любом будущем периоде.
Концепция стоимости денег во времени играет основополагающую роль в практике вычислений, связанных с управлением прибылью. Она предопределяет необходимость учета фактора времени в процессе осуществления любых долгосрочных финансовых и инвестиционных операций путем оценки и сравнения стоимости денег при начале финансирования со стоимостью денег при их возврате в виде будущей прибыли, амортизационных отчислений, основной суммы долга и т.д.
Оценка стоимости денег с учетом фактора времени требует предварительного рассмотрения связанных с ней базовых понятий. Ниже изложено содержание основных из этих понятий.
ПРОЦЕНТ — сумма дохода от предоставления капитала в долг или плата за пользование ссудным капиталом во всех его формах (депозитный процент, кредитный процент, процент по облигациям, процент по векселям и т.п.).
ПРОСТОИ ПРОЦЕНТ — сумма дохода, начисляемого к основной сумме капитала в каждом интервале,
И А Бланк
по которой дальнейшие расчеты платежей не осуществляются. Начисление простого процента применяется, как правило, при краткосрочных финансовых операциях.
СЛОЖНЫЙ ПРОЦЕНТ — сумма дохода, начисляемого в каждом интервале, которая не выплачивается, а присоединяется к основной сумме капитала и в последующем платежном периоде сама приносит доход. Начисление сложного процента применяется, как правило, при долгосрочных финансовых и инвестиционных операциях.
ПРОЦЕНТНАЯ СТАВКА (ставка процента) - удельный показатель, в соответствии с которым в установленные сроки выплачивается сумма процента в расчете на единицу капитала. Обычно процентная ставка характеризует соотношение годовой суммы процента и суммы предоставленного (заимствованного) капитала (выраженное в десятичной дроби или в процентах)
БУДУЩАЯ СТОИМОСТЬ ДЕНЕГ - сумма инвестированных в настоящий момент денежных средств, в которую они превратятся через определенный период времени с учетом определенной ставки процента (процентной ставки).
НАСТОЯЩАЯ СТОИМОСТЬ ДЕНЕГ - сумма будущих денежных средств, приведенных с учетом определенной ставки процента (процентной ставки) к настоящему периоду времени.
НАРАЩЕНИЕ СТОИМОСТИ (компаундинг) - процесс приведения настоящей стоимости денег к их будущей стоимости в определенном периоде путем присоединения к их первоначальной сумме начисленной суммы процентов.
ДИСКОНТИРОВАНИЕ СТОИМОСТИ - процесс приведения будущей стоимости денег к их настоящей стоимости путем изъятия из их будущей суммы соответствующей суммы процентов (называемой "дисконтом ”).
ПЕРИОД НАЧИСЛЕНИЯ — общий период времени, в
г течение которого осуществляется процесс наращения
или дисконтирования стоимости денежных средств.
Раздел I. Концептуальные основы управления прибылью предприятия
ИНТЕРВАЛ НАЧИСЛЕНИЯ — обусловленный конкретный временной срок (в пределах общего периода начисления), в рамках которого рассчитывается отдельная сумма процента по установленной его ставке (осуществляется отдельный платеж процента).
ПРЕДВАРИТЕЛЬНЫЙ МЕТОД НАЧИСЛЕНИЯ ПРОЦЕНТА (метод пренумерандо или антисипативный метод) — способ расчета платежей, при котором начисление процента осуществляется в начале каждого интервала.
ПОСЛЕДУЮЩИЙ МЕТОД НАЧИСЛЕНИЯ ПРОЦЕНТА
(метод постнумерандо или декурсивный метод) — способ расчета платежей, при котором начисление процента осуществляется в конце каждого интервала.
ДИСКРЕТНЫЙ ДЕНЕЖНЫЙ ПОТОК - поток денежных средств по финансовой и инвестиционной деятельности, имеющий четко ограниченный период начисления процентов и конечный срок возврата основной суммы капитала.
НЕПРЕРЫВНЫЙ ДЕНЕЖНЫЙ ПОТОК — поток денежных средств по финансовой и инвестиционной деятельности, период начисления процентов по которому не ограничен, а соответственно не определен и конечный срок возврата основной суммы капитала.
АННУИТЕТ (ФИНАНСОВАЯ РЕНТА) - длительный поток платежей,
характеризующийся одинаковым уровнем процентных ставок на протяжении всего периода.
Среди изложенных базовых понятий, связанных с оценкой стоимости денег во времени, наиболее сложным является понятие процентной ставки, по которой осуществляется процесс наращения и дисконтирования стоимости денежных средств. Это понятие отличается многообразием конкретных его видов, используемых в практике вычислений. Процентная ставка, используемая в процессе наращения или дисконтирования стоимости денежных средств (оценки их будущей и настоящей стоимости), классифицируется по следующим основным признакам (рис. 4.1.).

Рнсунок4.1. Классификация видов процентной ставки, используемой в процессе оценки стоимости денег во времени.
1. По использованию в процессе форм оценки стоимости денег во времени различают ставку наращения и ставку дисконтирования (дисконтную ставку).
Ставка наращения представляет собой процентную ставку, по которой осуществляется процесс наращения
стоимости денежных средств (компаундинг), т.е. определяется их будущая стоимость.
Ставка дисконтирования (дисконтная ставка) представляет собой процентную ставку, по которой осуществляется процесс дисконтирования стоимости денежных средств, т.е. определяется их настоящая стоимость.
2. По стабильности уровня используемой процентнойставки в рамках периода начисления выделяют фиксированную и плавающую процентные ставки.
Фиксированная ставка характеризуется неизменным ее уровнем на протяжении всех интервалов общего периода начисления.
Плавающая (или переменная) процентная ставка характеризуется регулярно пересматриваемым ее уровнем по соглашению сторон в разрезе отдельных интервалов общего периода начислений. Такой пересмотр обусловливается изменением средней нормы процента на финансовом рынке (или в отдельных его сегментах), изменением темпа инфляции и другими условиями.
3. По обеспечению начисления определенной годовойсуммы процента различают периодическую и эффективную процентные ставки.
Периодическая ставка процента при обеспечении определенной годовой суммы процента может варьировать как по уровню, так и по продолжительности отдельных интервалов на протяжении годового периода платежей.
Эффективная ставка процента (или ставка сравнения) характеризует среднегодовой ее уровень, определяемый отношением годовой суммы процента, начисленного по периодическим его ставкам, к основной сумме капитала.
4. По условиям формирования различают базовую идоговорную процентные ставки.
Базовая процентная ставка характеризуется определенным исходным ее уровнем в качестве первоначальной основы последующей ее конкретизации кредитором (заемщиком) в зависимости от условий осуществления соответствующей хозяйственной операции.
Договорная процентная ставка характеризует конкретизированный ее уровень, согласованный кредитором
и заемщиком и отраженный в соответствующем инвестиционном договоре.
Система основных базовых понятий позволяет последовательно рассмотреть методический инструментарий оценки стоимости денег во времени в разрезе наиболее характерных вариантов осуществления такой оценки. Этот методический инструментарий дифференцируется в разрезе следующих видов вычислений (рис. 4.2.).
I. Методический инструментарий оценки стоимости денег по простым процентам использует наиболее упрощенную систему расчетных алгоритмов.
1. При расчете суммы простого процента в процессе наращения стоимости (компаундинга) используется следующая формула:
/ = р X п X / ,
где /— сумма процента за обусловленный период времени в целом; Р — первоначальная сумма (стоимость) денежных
средств; п — количество интервалов, по которым осуществляется расчет процентных платежей, в общем обусловленном периоде времени; / — используемая процентная ставка, выраженная
десятичной дробью. В этом случае будущая стоимость вклада (S) с учетом начисленной суммы процента определяется по формуле:
S = Р + I = Р х (1 + т) .
Пример: Необходимо определить сумму простого процента за год при следующих условиях: первоначальная сумма вклада — 1000 уел. ден. ед.; процентная ставка, выплачиваемая ежеквартально - 20%.
Подставляя эти значения в формулу, получим сумму процента:
I = 1000 х 4 х 0,2 = 800уел. ден. ед.;
будущая стоимость вклада в этом случае составит:
S = 1000 + 800 = 1800 уел. ден. ед.
Множитель (1 + и/) называется множителем (или коэффициентом) наращения суммы простых процентов. Его значение всегда должно быть больше единицы.
|
В процессе наращения стоимости
|
|
->
|
В процессе наращения стоимости
|
|
|
|
|
|
В процессе дисконтирова-
|
|
|
В процессе дисконтирова-
|
|
ния стоимости
|
|
|
ния стоимости
|
|
Рисунок 4.2. Систематизация основных методических подходов к оценке
|
В процессе наращения стоимости
В процессе дисконтирования стоимости
стоимости денег во времени.
Процесс наращения суммы вклада во времени по простым процентам может быть представлен графически (рис. 4.3.).

|
Рисунок 4.3. График наращения суммы денежных средств по простым процентам (при процентной ставке 20%).
2. При расчете суммы простого процента в процессе дисконтирования стоимости (т.е. суммы дисконта) используется следующая формула:
|
D=S-Sx
где D
1 + ш '
сумма дисконта (рассчитанная по простым процентам) за обусловленный период времени в целом;
S — стоимость денежных средств;
и —количество интервалов, по которым осуществляется расчет процентных платежей, в общем обусловленном периоде времени;
/ — используемая дисконтная ставка, выраженная десятичной дробью.
В этом случае настоящая стоимость денежных средств (Р) с учетом рассчитанной суммы дисконта определяется по следующим формулам:
Пример: Необходимо определить сумму дисконта по простому проценту за год при следующих условиях: конечная сумма вклада определена в размере 1000 уел. ден. ед.; дисконтная ставка составляет 20% в квартал.
Подставляя эти значения в формулу расчета суммы дисконта, получим:
D = 1000 - 1000
---= 444
1 + 4x0,2 у
Сл. $
ен.
е$.
Соответственно настоящая стоимость вклада, необходимого для получения через год 1000 уел. ден. единиц, должна составить:
Р = 1000 - 444 = 556 уел. ден. ед.
-• Используемый в обеих случаях множитель f 1 называется дисконтным множителем (коэффициентом; суммы простых процентов, значение которого всегда должно быть меньше единицы.
Процесс дисконтирования суммы денежных средств может быть представлен графически (рис. 4.4).

|
Рисунок 4.4. График дисконтирования суммы денежных средств по простым процентам (при дисконтной ставке 20%).
П. Методический инструментарий оценки стоимости денег во сложным процентам
использует более обширную и более усложненную систему расчетных алгоритмов.
1. При расчете будущей суммы вклада (стоимости денежных средств) в процессе его наращения по сложным процентам используется следующая формула:
|

где S
c — будущая стоимость вклада (денежных средств) при его наращении по сложным процентам;
Р — первоначальная сумма вклада;
i — используемая процентная ставка, выраженная десятичной дробью; n —количество интервалов, по которым осуществляется каждый процентный платеж, в общем обусловленном периоде времени.
Соответственно сумма процента (1
С) в этом случае определяется по формуле:
С — S
c ~ Р ,
Пример: Необходимо определить будущую стоимость вклада и сумму сложного процента за весь период инвестирования при следующих условиях: первоначальная стоимость вклада — 1000 уел. ден. ед.; процентная ставка, используемая при расчете суммы сложного процента, установлена в размере 20% в квартал; общий период инвестирования — один год. Подставляя эти показатели в вышеприведенные формулы, получим:
Будущая стоимость вклада =
= 1000 х (1 + 0,2)
4 = 2074 уел. ден. ед.
- Сумма процента =
= 2074 - 1000 = 1074 уел. ден. ед.
D
r=S - Р
Пример: необходимо определить настоящую стоимость денежных средств и сумму дисконта по сложным процентам за год при следующих условиях: будущая стоимость денежных средств определена в размере 1000 уел. ден. ед.;
используемая для дисконтирования ставка сложного процента составляет 20% в квартал.
Подставляя эти значения в формулы, получим: Настоящая стоимость — уел. ден. ед.
Графически процесс наращения стоимости вклада по сложным процентам представлен на рис. 4.5.
|

|
Рисунок 4.5. График наращения суммы денежных средств по сложным процентам (при процентной ставке 20%).
2. При расчете настоящей стоимости денежных средств в процессе дисконтирования по сложным процентам используется следующая формула:
S
(1 + if ’
где Рс—первоначальная сумма вклада;
S — будущая стоимость вклада при его наращении;
/ — используемая дисконтная ставка, выраженная десятичной дробью;
л—количество интервалов, по которым осуществляется каждый процентный платеж, в общем обусловленном периоде времени.
Соответственно сумма дисконта (Dc) в этом случае определяется по формуле:
|
рс=
1000
(1 + 0,2)4
- 482
Сумма дисконта = 1000 - 482 = 518 уел. ден. ед.
Графически процесс дисконтирования денежных средств по сложным процентам представлен на рисунке 4.6.

применяется
сложным процентам,
стоимости денежных средств по следующая формула:
где /— средняя процентная ставка, используемая в расчетах стоимости денежных средств по сложным процентам, выраженная десятичной дробью; S
c — будущая стоимость денежных средств; Рс — настоящая стоимость денежных средств; и — количество интервалов, по которым осуществляется каждый процентный платеж, в общем обусловленном периоде времени.
Пример: необходимо определить годовую ставку доходности облигации при следующих условиях: номинал облигации, подлежащий погашению через три года, составляет 1000 уел. ден. ед.; цена, по которой облигацияреализуется в момент ее эмиссии, составляет 600 уел. ден. ед.
Подставляя эти значения в формулу, получим: годовая ставка доходности =
- -1 -1,666?
3 - 1 = 0,186 (18,6%).
[б00 ) '
7
4. Длительность общего периода платежей, выраженная количеством его интервалов, в расчетах стоимости денежных средств по сложным процентам определяется
;i=\og(SJ?
Q) ^
путем логарифмирования log (1 +1)
п0 следующей формуле:
где S
c — будущая стоимость денежных средств; Рс — настоящая стоимость денежных средств; /— используемая процентная ставка, выраженная десятичной дробью.
5. Определение эффективной процентной ставки в процессе наращения стоимости денежных средств по сложным процентам осуществляется по формуле:

|
Рисунок 4.6. График дисконтирования суммы денежных средств по сложным процентам (при дисконтной ставке 20%).
3. При определении средней процентной ставки, используемой в расчетах
|

где |
э — эффективная среднегодовая процентная ставка при наращении стоимости денежных средств по сложным процентам, выраженная десятичной дробью;
i — периодическая процентная ставка, используемая при наращении стоимости денежных , средств по сложным процентам, выраженная о десятичной дробью;
яи— количество интервалов, по которым осуществляется каждый процентный платеж по периодической процентной ставке на протяжении года.
Пример: необходимо определить эффективную среднегодовую процентную ставку при следующих условиях:
денежная сумма 1000 уел. ден. ед. помещена в коммерческий банк на депозит сроком на 2 года; i годовая процентная ставка, по которой ежеквартально осуществляется начисление процента, со ставляет 10% (0,1).
Подставляя эти значения в формулу, получим:

Результаты расчетов показывают, что условия помещения денежной суммы сроком на 2 года под 10% годовых при ежеквартальном начислении процентов, равнозначны условиям начисления этих процентов один раз в год под 10,38% годовых (10,38% составляет размер эффективной или сравнимой процентной ставки).
При оценке стоимости денег во времени по сложным процентам необходимо иметь в виду, что на результат оценки оказывает большое влияние не только используемая ставка процента, но и число интервалов выплат в течение одного и того же общего платежного периода. Иногда оказывается более выгодным инвестировать деньги под меньшую ставку процента, но с большим числом интервалов в течение предусмотренного периода платежа.
Пример: Перед инвестором стоит задача разместить 100 уел. ден. ед. на депозитный вклад сроком
на один год. Один банк предлагает инвестору выплачивать доход по сложным процентам в размере 23% в квартал; второй — в размере 30% один раз в четыре месяца; третий — в размере 45% двараза в году; четвертый — в размере 100% одинраз в году.
Для того, чтобы определить, какой вариант инвестирования лучше, построим следующую таблицу:
условиях инвестирования (уел. ден. ед.)
Таблица 4.1. Расчет будущем стоимости вклада при различных
|
^ !
|
Настоящ
ая
стоимос
|
Ставка
процента
|
Будущая стоимость вклада в конце
|
1-го
период
|
2-го
период
|
3-го
период
|
4-го
период
|
1 2
|
100 100
|
23
|
123
|
151
|
186
|
229
|
3 4
|
100 100
|
30
|
130
|
169
|
220
|
|
|
|
45
|
145
|
210
|
|
|
|
|
100
|
200
|
|
|
|
|
Сравнение вариантов показывает, что наиболее эффективным является 1-й вариант (выплата дохода вразмере 23% один раз в квартал).
Используемые в процессе оценки стоимости денег множители (1 + i)
n

|
]
называются соответствен
|
но множителем наращения и множителем дисконтирования суммы сложных процентов. Они положены в основу специальных таблиц инвестиционных вычислений, с помощью которых при заданных размерах ставки процента и количества платежных интервалов можно легко вычислить настоящую или будущую стоимость денежных средств по сложным процентам (см. приложения 1 и 2).
III. Методический инструментарий оценки стоимости денег при аннуитете связан с использованием наиболее сложных алгоритмов и определением метода начисления процента — предварительным (пренумерандо) или последующим (постнумерандо).
1. При расчете будущей стоимости аннуитета наусловиях предварительных платежей (пренумерандо) используется следующая формула:
где SA
pre — будущая стоимость аннуитета, осуществляемого на условиях предварительных платежей (пренумерандо); Л —член аннуитета, характеризующий размер отдельного платежа; / — используемая процентная ставка, выраженная десятичной дробью; и —количество интервалов, по которым осуществляется каждый платеж, в общем обусловленном периоде времени.
Пример: Необходимо рассчитать будущую стоимость аннуитета, осуществляемого на условияхпредварительных платежей (пренумерандо), при следующих данных:* период
платежей по аннуитету предусмотрен в количестве 5 лет;
интервал платежей по аннуитету составляет один год (платежи вносятся в начале года); сумма каждого отдельного платежа (члена аннуитета) составляет 1000 уел. ден. ед.; используемая для наращения стоимости процентная ставка составляет 10% в год (0,1). Подставляя эти значения в приведенную формулу, получим:
будущая стоимость аннуитета, осуществляемого на условиях предварительных платежей (пренумерандо), рав-
, на: 1000х
(1-+-°
1)~
1 х (1 + 0,1) = 671бусл. ден. единиц.
2. При расчете будущей стоимости аннуитета, осуществляемого на условиях последующих платежей (постнуме-рандо), применяется следующая формула:

где SAp
0st — будущая стоимость аннуитета, осуществляемого на условиях последующих платежей (постнумерандо); R— член аннуитета, характеризующий размер
отдельного платежа; i — используемая процентная ставка, выраженная десятичной дробью; п — количество интервалов, по которым осуществляется каждый платеж, в общем обусловленном периоде времени.
Пример: Необходимо рассчитать будущую стоимость аннуитета, осуществляемого на условиях последующих платежей (постнумерандо), по данным, изложенным в предыдущем примере (приусловии взноса платежей в конце года).
Подставляя эти данные в приведенную формулу, получим:
будущая стоимость аннуитета, осуществляемого на условиях последующих платежей (постнумерандо),
равна.усл. ден. единиц.
тох
= 6105
Сопоставление результатов расчета по двум примерам
показывает, что будущая стоимость аннуитета, осуществляемого на условиях предварительных платежей, существенно превышает будущую стоимость аннуитета, осуществляемого на условиях последующих платежей, т.е. в первом случае плательщику обеспечена гораздо большая сумма дохода.
3. При расчете настоящей стоимости аннуитета, осуществляемого на условиях предварительных платежей (пренумерандо), используется следующая формула:

где РА
рге — настоящая стоимость аннуитета, осуществляемого на условиях предварительных платежей (пренумерандо); R — член аннуитета, характеризующий размер отдельного платежа;
147
/ — используемая процентная (дисконтная) ставка,
выраженная десятичной дробью; « — количество интервалов, по которым осуществляется каждый платеж, в общем обусловленном периоде времени. Пример: Необходимо рассчитать настоящую стоимость аннуитета, осуществляемого на условиях предварительных платежей (пренумерандо), при следующих данных:
период платежей по аннуитету предусмотрен в количестве 5 лет;
интервал платежей по аннуитету составляет один год (при внесении платежей в начале года); сумма каждого отдельного платежа (члена аннуитета) составляет 1000 уел. ден. ед.; используемая для дисконтирования стоимости ставка процента (дисконтная ставка) составляет 10% в год (0,1).
Подставляя эти значения в приведенную формулу, получим:
настоящая стоимость аннуитета, осуществляемого на условиях предварительных
mOxldLх (2+0,1)- 4169
платежей (пренумерандо), равна.усл. ден. единиц.
4. При расчете настоящей стоимости аннуитета, осуществляемого на условиях последующих платежей (пост-нумерандо), применяется следующая формула:

где PA
post — настоящая стоимость аннуитета, осуществляемого на условиях последующих платежей (постнумерандо); R — член аннуитета, характеризующий размер отдельного платежа; / — используемая процентная (дисконтная) ставка, выраженная десятичной дробью; и —количество интервалов, по которым осуществляется каждый платеж, в общем обусловленном периоде времени.
Пример: Необходимо рассчитать настоящую стоимость аннуитета, осуществляемого на условиях последующих платежей (постнумерандо), по данным, изложенным в предыдущем примере (приусловии взноса платежей в конце года).
Подставляя эти данные в приведенную формулу, получим:
настоящая стоимость аннуитета, осуществляемого на условиях последующих платежей (постнумерандо),

равна:
уел. ден. единиц.
Сопоставление результатов расчета по двум последним примерам показывает, что настоящая стоимость аннуитета, осуществляемого на условиях предварительных платежей, существенно превышает настоящую стоимость аннуитета, осуществляемого на условиях последующих платежей, т.е. в первом случае в процессе дисконтирования инвестору гарантирована гораздо большая сумма дохода в настоящей стоимости.
5. При расчете размера отдельного платежа при заданной будущей стоимости аннуитета используется следующая формула:
R — SAp
0Slx-
0 + 0"-1
аннуитету (член аннуитета при
где R — размер отдельного платежа по предопределенной будущей его стоимости); SAp
0St — будущая стоимость аннуитета (осуществляемого на условиях последующих платежей); i — используемая процентная ставка, выраженная десятичной дробью; я — количество интервалов, по которым намечается осуществлять каждый платеж, в обусловленном периоде времени.
6. При расчете размера отдельного платежа при заданной текущей стоимости
R-
PA
аннуитета используется такая формула:
1 ^
1 +
где R — размер отдельного платежа по аннуитету (член аннуитета при известной текущей его стоимости); PApost— настоящая стоимость аннуитета (осуществляемого на условиях последующих платежей); /— используемая процентная ставка, выраженная десятичной дробью; и— количество интервалов, по которым намечается осуществлять каждый платеж, в обусловленном периоде времени. В процессе расчета аннуитета возможно использование упрощенных формул, основу которых составляет только член аннуитета (размер отдельного платежа) и соответствующий стандартный множитель (коэффициент) его наращения или дисконтирования.
В этом случае формула для определения будущей стоимости аннуитета
(осуществляемого на условиях последующих платежей), ^
post ^ ^ ’ имеет вид:
где SA
post — будущая стоимость аннуитета (осуществляемого на условиях последующих платежей); R — член аннуитета, характеризующий размер
отдельного платежа; ІА — множитель наращения стоимости аннуитета, определяемый по специальным таблицам, с учетом принятой процентной ставки и количества интервалов в периоде платежей.
Соответственно, формула для определения настоящей стоимости аннуитета имеет
вид:

где PAp
0s
t — настоящая стоимость аннуитета (осуществляемого на условиях последующих платежей); R — член аннуитета, характеризующий размер отдельного платежа; Da —дисконтный множитель аннуитета, определяемый по специальным таблицам, с учетом принятой процентной (дисконтной) ставки и количества интервалов в периоде платежей.
В приложениях 3 и 4 приведены множители наращения стоимости аннуитета и его дисконтные множители.
Использование стандартных множителей (коэффициентов) наращения и дисконтирования стоимости (приложения 1-4) существенно ускоряет и облегчает процесс оценки стоимости денег во времени.
4.2. КОНЦЕПЦИЯМ МЕТОДИЧЕСКИЙ У. ИНСТРУМЕНТАРИЙ УЧЕТА
ФАКТОРА ИНФЛЯЦИИ
В процессе управления прибылью постоянно приходится считаться с фактором инфляции, которая с течением времени обесценивает стоимость находящихся в обращении денежных средств (капитала в денежной форме).
Влияние инфляции сказывается на многих аспектах хозяйственной деятельности предприятия. В процессе инфляции происходит относительное занижение стоимости отдельных материальных активов, используемых предприятием (основных средств, запасов товарно-материальных ценностей и т.п.); снижение реальной стоимости денежных и других финансовых его активов (дебиторской задолженности, нераспределенной прибыли, инструментов финансового инвестирования и т.п.); занижение себестоимости производства продукции, вызывающее искусственный рост суммы прибыли и приводящее к росту налоговых отчислений с нее; падение реального уровня предстоящих инвестиционных доходов предприятия и т.п. Особенно сильно фактор инфляции сказывается на проведении долгосрочных финансовых и инвестиционных операций предприятия.
Инфляция является объективным, постоянно действующим фактором, присущим развитию экономики не только нашей страны, но практически всех стран мирового сообщества. Даже в странах с развитой и наиболее устойчивой экономикой — США, Японии, ФРГ, Великобритании, Франции и других — инфляционные процессы происходят непрерывно, хотя их интенсивность относительно низкая. В современной экономической теории принято даже считать, что рост уровня цен в пределах 10% в год является нормальным экономическим явлением, оказывающим стимулирующее воздействие на развитие общественного производства.
Стабильность проявления фактора инфляции и его активное воздействие на результаты хозяйственной деятельности предприятия определяют необходимость постоянного учета влияния этого фактора в процессе управления прибылью.
Концепция учета влияния фактора инфляции в управлении различными аспектами хозяйственной деятельности предприятия заключается в необходимости реального отражения стоимости его активов и денежных потоков, а также в обеспечении возмещения потерь доходов, вызываемых инфляционными процессами, при осуществлении различных хозяйственных операций.
Реализация этой концепции в практике управления прибылью и использование соответствующего ее методического инструментария требуют предварительного рассмотрения ряда связанных с ней базовых понятий. Ниже изложено содержание основных из этих понятий.
ИНФЛЯЦИЯ — процесс постоянного превышения темпов роста денежной массы над товарной (включая стоимость услуг), в результате чего происходит переполнение каналов обращения деньгами, сопровождающееся их обесценением и ростом цен.
ТЕМП ИНФЛЯЦИИ — показатель, характеризующий размер обесценения (снижения покупательной способности) денег в определенном периоде, выраженный приростом среднего уровня цен в процентах к их номиналу на начало периода.
ФАКТИЧЕСКИЙ ТЕМП ИНФЛЯЦИИ - показатель, характеризующий реальный прирост среднего уровня цен в рассматриваемом прошедшем периоде.
ОЖИДАЕМЫЙ ТЕМП ИНФЛЯЦИИ - прогнозный показатель, характеризующий возможный прирост среднего уровня цен в рассматриваемом предстоящем периоде.
ИНДЕКС ИНФЛЯЦИИ — показатель, характеризующий общий рост уровня цен в определенном периоде, определяемый путем суммирования базового их уровня на начало периода (принимаемого за едини-
Раздел I. Концептуальные основы управления прибылью предприятия
цу) и темпа инфляции в рассматриваемом периоде (выраженного десятичной дробью).
НОМИНАЛЬНАЯ СУММА ДЕНЕЖНЫХ СРЕДСТВ -оценка размеров денежных активов в соответствующих денежных единицах без учета изменения покупательной стоимости денег в рассматриваемом периоде.
РЕАЛЬНАЯ СУММА ДЕНЕЖНЫХ СРЕДСТВ - оценка размеров денежных активов с учетом изменения уровня покупательной стоимости денег в рассматриваемом периоде, вызванного инфляцией.
НОМИНАЛЬНАЯ ПРОЦЕНТНАЯ СТАВКА - ставка процента, устанавливаемая без учета изменения по-: купательной стоимости денег в связи с инфляцией (или общая процентная ставка, в которой не элиминирована ее инфляционная составляющая).
РЕАЛЬНАЯ ПРОЦЕНТНАЯ СТАВКА - ставка процента, устанавливаемая с учетом изменения покупательной стоимости денег в рассматриваемом периоде в связи с инфляцией.
ИНФЛЯЦИОННАЯ ПРЕМИЯ — дополнительный доход, выплачиваемый (или предусмотренный к выплате) инвестору с целью возмещения финансовых потерь от обесценения денег в связи с инфляцией. Уровень этого дохода обычно приравнивается к темпу инфляции.
С учетом рассмотренных базовых понятий формируется конкретный методический инструментарий, позволяющий учесть фактор инфляции в процессе управления прибылью предприятия. Этот методический инструментарий дифференцируется в разрезе следующих основных вычислений (рис. 4.7.).
I. Методический инструментарий прогнозирования годового темпа и индекса инфляции основывается на ожидаемых среднемесячных ее темпах. Такая информация содержится в публикуемых прогнозах экономического и социального развития страны на предстоящий период. Результаты прогнозирования служат основой последующего учета фактора инфляции в хозяйственной деятельности предприятия.
где ТИг — прогнозируемый годовой темп инфляции, выраженный десятичной дробью; ТИм—ожидаемый среднемесячный темп инфляции в предстоящем периоде, выраженный десятичной дробью.
Пример: Необходимо определить годовой темп инфляции, если в соответствии с прогнозом экономического и социального развития страны (или собственными прогнозными расчетами) ожидаемый среднемесячный темп инфляции определен в размере 3%. Подставляя это значение в формулу, получим: Прогнозируемый годовой темп инфляции составит: (1 + 0,003)
12 -1 = 1,4258 - 1 = 0,4258 или 42,58%. По указанной формуле может быть рассчитан не только прогнозируемый годовой темп инфляции, но и значение этого показателя на конец любого месяца предстоящего года. Это может быть проиллюстрировано графически исходя из условия рассмотренного примера (рис. 4.8.).

|
Рисунок 4.7. Систематизация основных методических подходов к учету фактора инфляции в процессе управления прибылью предприятия.
1. При прогнозировании годового темпа инфляции используется следующая формула:
ТИГ= (1 + ТИЧ)'2 - I ,
|

|
Рисунок 4.8 Результаты расчета темпа инфляции (в %) с начала предстоящего года исходя из ожидаемого среднемесячного ее темпа в размере 3%.
2. При прогнозировании годового индекса инфляции используются следующие формулы:
|
ИИ
Г =1 + ти
г
ШИИИ'
= (1
+ ТИм)
12 .
где ИИГ—прогнозируемый годовой индекс инфляции, выраженный десятичной дробью; ТИГ —прогнозируемый годовой темп инфляции, выраженный десятичной дробью (рассчитанный по ранее приведенной формуле); ТИМ — ожидаемый среднемесячный темп инфляции, выраженный десятичной дробью. Пример: Исходя из условий предыдущего примера, необходимо определить прогнозируемый годовой индекс инфляции.
Онравен: 1 + 0,4258 = 1,4258 (или 142,6%); или (1 + 0,03)
12 = 1,4258 (или 142,6%).
II. Методический инструментарий формирования реальной процентной ставки с учетом фактора инфляции
основывается на прогнозируемом номинальном ее уровне на финансовом рынке (результаты такого прогноза отражены обычно в ценах фьючерсных и опционных контрактов, заключаемых на фондовой бирже) и результатах прогноза годовых темпов инфляции. В основе расчета реальной процентной ставки с учетом фактора инфляции лежит Модель Фишера, которая имеет следующий вид:
1 -ТИ
р_ 1 + ТИ ’
где /
р —реальная процентная ставка (фактическая или прогнозируемая в определенном периоде), выраженная десятичной дробью; /—номинальная процентная ставка (фактическая или прогнозируемая в определенном периоде), выраженная десятичной дробью; ТИ-темп инфляции (фактический или прогнозируемый в определенном периоде), выраженный десятичной дробью.
Пример: Необходимо рассчитать реальную годовую процентную ставку на предстоящий год с учетом следующих данных:
..'. - номинальная годовая процентная ставка по опционным и фьючерсным операциям на фондовой бирже на предстоящий год сложилась в размере 19%; прогнозируемый годовой темп инфляции составляет 7%.
Подставляя эти данные в Модель Фишера получим: реальная годовая процентная ставка
0,19-0,07 1 + 0,07
=0,112
(или 11,2%)
прогнозируется в размере:
III. Методический инструментарий оценки стоимости денежных средств с учетом фактора инфляции позволяет осуществлять расчеты как будущей, так и настоящей их стоимости с соответствующей "инфляционной составляющей". В основе осуществления этих расчетов лежит формируемая реальная процентная ставка.
1. При оценке будущей стоимости денежных средств с учетом фактора инфляции используется следующая формула (представляющая собой модификацию рассмотренной ранее Модели Фишера):
5
Н - Р х [(1 + /
р) х (I + ТИ)]*
;
где Sh — номинальная будущая стоимость вклада (денежных средств), учитывающая фактор инфляции; ; Р— первоначальная сумма вклада;
/р — реальная процентная ставка, выраженная де-* сятичной дробью;
ТИ — прогнозируемый темп инфляции, выраженный десятичной дробью; п — количество интервалов, по которым осуществляется каждый процентный платеж, в общем обусловленном периоде времени.
Пример: Определить номинальную будущую стоимость вклада с учетом фактора инфляции при следующихусловиях:
первоначальная сумма вклада составляет 1000уел. ден. ед.;
реальная годовая процентная ставка, используемая для наращения стоимости вклада, составляет 20%; прогнозируемый годовой темп инфляции составляет 12%;
общий период размещения вклада составляет 3 года при начислении процента один раз в
год.
Подставляя эти показатели в вышеприведенную формулу, получим:
номинальная будущая стоимость вклада, учитывающая фактор инфляции, — =1000 х [(1 + 0,20) х(1 + 0,12)]
3 = 2428усл. ден. ед.
2. При оценке настоящей стоимости денежных средств с учетом фактора инфляции используется следующая формула:
С
[(l + /
D)x(l+TH)r
P
rt=-
гд$ Рр — реальная
14 р/ v /J настоящая сумма вклада (денежных средств), учитывающая фактор инфляции; 5"н — ожидаемая номинальная будущая стоимость
вклада (денежных средств); /р — реальная процентная ставка, используемая в процессе дисконтирования стоимости, выраженная десятичной дробью; ТИ — прогнозируемый темп инфляции, выраженный десятичной дробью; и — количество интервалов, по которым осуществляется каждый процентный платеж, в общем обусловленном периоде времени.
Пример: Необходимо определитьреальную настоящую стоимость денежных средств при следующих условиях:
ожидаемая номинальная будущая стоимость денежных средств составляет 1000 уел. ден. ед. реальная процентная ставка, используемая в процессе дисконтирования стоимости, составляет 20% в год; прогнозируемый годовой темп инфляции составляет 12%;
период дисконтирования составляет 3 года, а его интервал — 1 год.
Подставляя эти показатели в вышеприведенную формулу, получим:
реальная настоящая сумма денежных средств, учитывающая фактор инфляции, =
1000
= -- =412'
f(l+0,20):<(ly.0,12)] уел. ден. единиц.
4. Методический инструментарий формирования необходимого уровня доходности инвестиционных операций с учетом фактора инфляции, с одной стороны, призван обеспечить расчет суммы и уровня "инфляционной премии", а с другой — расчет общего уровня номинального дохода, обеспечивающего возмещение предприятию инфляционных потерь и получение необходимого уровня реальной прибыли.
1. При определении необходимого размера инфляционной премии используется следующая формула:
n
tt=Px ТИ,
где П
и — сумма инфляционной премии в определенном периоде; Р — первоначальная стоимость денежных средств; ТИ — темп инфляции в рассматриваемом периоде, выраженный десятичной дробью.
Пример: Рассчитатьразмер годовой инфляци-1
: > онной премии при следующихусловиях: первоначальная стоимость денежных средств составляет 1000уел. ден. ед.; прогнозируемый годовой темп инфляции составляет 12%.
Подставляя эти значения в формулу, получим: сумма инфляционной премии составляет = = 1000 х 0,12 = 120 уел. ден. ед. (уровень инфляционной премии приравнивается к темпу инфляции).
2. При определении общей суммы необходимого дохода по инвестиционной операции с учетом фактора инфляции используется следующая формула:
Дн = Др + П
и,
где Дн — общая номинальная сумма необходимого дохода по хозяйственной операции с учетом фактора инфляции в рассматриваемом периоде; Др — реальная сумма необходимого дохода по инвестиционной операции в рассматриваемом периоде, исчисленная по простым или сложным процентам с использованием реальной процентной ставки;
-in П
и — сумма инфляционной премии в рассматриваемом периоде. Зависимость общей суммы необходимого дохода и размера инфляционной премии от темпа инфляции может быть представлена графически (рисунок 4.9).

|
Рисунок 4.9. Зависимость номинальной суммы необходи-..;и-. - , мого дохода и размера инфляционной премии
4 от темпа инфляции.
3. При определении необходимого уровня доходности хозяйственных операций с учетом фактора инфляции используется следующая формула:
|
УД"
=дГ‘ .
где УДн — необходимый ..
р уровень доходности хозяйственных операций с
учетом фактора инфляции, выраженный десятичной дробью;
Д
н — общая номинальная сумма необходимого дохода по хозяйственной операции в рассматриваемом периоде.
Др — реальная сумма необходимого дохода по хозяйственной операции в рассматриваемом периоде.
Следует отметить, что прогнозирование темповинфляции представляет собой довольно сложный и трудоемкий вероятностный процесс, в значительной степени подверженный влиянию субъективных факторов.Поэтому в практике управления прибылью может бытьиспользован более простой способ учета фактора инфляции. В этих целях стоимость денежных средств приих последующем наращении или размер необходимого дохода при последующем его дисконтировании пере-считывается заранее из национальной валюты в однуиз "сильных" (т.е. в наименьшей степени подверженных инфляции) свободно конвертируемых валют по курсуна момент проведения расчетов. Процесс наращения илидисконтирования стоимости осуществляется затем пореальной процентной ставке (минимальной реальнойнорме прибыли на капитал). Такой способ оценки настоящей или будущей стоимости необходимого доходапозволяет вообще исключить из ее расчетов факторинфляции внутри страны.
4.3. КОНЦЕПЦИЯ. И МЕТОДИЧЕСКИЙ ИНСТРУМЕНТЛРИЙУЧЕТЛ
ФАКТОРА РИСКА
Риски, сопровождающие хозяйственную деятельность, формируют обширный портфель рисков предприятия, который определяется общим понятием — предпринимательский риск. Его уровень возрастает с расширением объема и диверсификацией хозяйственной деятельности, со стремлением менеджеров повысить уровень доходности операций, с освоением инновационных технологий и инструментов.
Предпринимательский риск оказывает серьезное влияние на многие аспекты хозяйственной деятельности предприятия, однако наиболее значимое его влияние проявляется в двух направлениях: 1) уровень риска оказывает определяющее воздействие на формирование уровня прибыльности хозяйственных операций предприятия — эти два показателя находятся в тесной взаимосвязи и представляют собой единую систему "доходность — риск"; 2) предпринимательский
риск является основной формой генерирования прямой угрозы банкротства предприятия, так как финансовые потери, связанные с этим риском, являются довольно ощутимыми.
Риски, сопровождающие хозяйственную деятельность, являются объективным, постоянно действующим фактором в функционировании любого предприятия и поэтому требуют серьезного внимания со стороны руководства и менеджеров. Учет фактора риска в процессе управления хозяйственной деятельностью предприятия сопровождает подготовку практически всех управленческих решений.
Концепция учета фактора риска состоит в объективной оценке его уровня с целью обеспечения формирования необходимого уровня прибыльности хозяйственных операций и разработки системы мероприятий, минимизирующих его негативные финансовые последствия для хозяйственной деятельности предприятия.
Использование соответствующего методического инструментария учета фактора риска в хозяйственной деятельности предприятия требует предварительного рассмотрения базовых понятий в этой области. Ниже рассматриваются основные базовые понятия, связанные с учетом фактора риска.
РИСК — возможность наступления неблагоприятного события, связанного с различными видами потерь.
ИНДИВИДУАЛЬНЫЙ ХОЗЯЙСТВЕННЫЙ РИСК -
риск, присущий отдельным хозяйственным операциям предприятия, или отдельным финансовым инструментам, используемым им в процессе хозяйственной деятельности.
ПОРТФЕЛЬНЫЙ ХОЗЯЙСТВЕННЫЙ РИСК - общий риск, присущий сформированной совокупности финансовых инструментов инвестирования. Основными видами портфельного риска на предприятии могут выступать: риск фондового портфеля (сформированной совокупности ценных бумаг); риск депозитного портфеля (сформированной совокупности депозитных счетов предприятия в коммерческих банках) и другие.
СИСТЕМАТИЧЕСКИЙ (РЫНОЧНЫЙ) РИСК - риск, связанный с изменением конъюнктуры всего финансового рынка (или отдельных его сегментов) под влиянием макроэкономических факторов. Он возникает для всех участников этого рынка и не может быть устранен ими в индивидуальном порядке.
НЕСИСТЕМАТИЧЕСКИЙ (СПЕЦИФИЧЕСКИЙ) РИСК -совокупная
характеристика внутренних рисков, присущих деятельности конкретных хозяйствующих субъектов (эмитентов ценных бумаг, дебиторов и т.п.).
БЕЗРИСКОВАЯ НОРМА ДОХОДНОСТИ - норма доходности по хозяйственным операциям, по которым отсутствует реальный риск потери капитала или дохода. Этот показатель используется обычно как основа расчета необходимой нормы доходности по хозяйственным операциям с учетом премии за риск.
БЕЗРИСКОВЫЕ ХОЗЯЙСТВЕННЫЕ ОПЕРАЦИИ -
хозяйственные операции, по которым отсутствует реальный риск потери капитала или дохода и гарантировано получение расчетной реальной суммы инввестиционной прибыли.
УРОВЕНЬ РИСКА — показатель, характеризующий вероятность возникновения определенного вида риска и размер возможных финансовых потерь при его реализации.
СООТНОШЕНИЕ УРОВНЯ ДОХОДНОСТИ И РИСКА -одна из основных базовых концепций управления прибылью, определяемая прямой взаимосвязью этих двух показателей. В соответствии с этой концепцией рост уровня доходности хозяйственных операций при прочих равных условиях всегда сопровождается повышением уровня их риска и наоборот. Конкретные количественные соотношения на шкале "доходность — риск" определяются "Ценовой Моделью Капитальных Активов".
ВЕРОЯТНОСТЬ РИСКА — измеритель частоты возможного наступления неблагожелательного случая в процессе хозяйственной деятельности, вызывающего финансовые потери предприятия.
БЕТА-КОЭФФИЦИЕНТ (или бета) — показатель, характеризующий уровень изменчивости курса котировки
отдельного инвестиционного инструмента (ценной бумаги) или их портфеля по отношению к динамике сводного индекса цен всего инвестиционного (фондового) рынка. Бета-коэффициент измеряет уровень как индивидуального, так и портфельного систематического риска. Чем выше значение бета-коэффициента, тем выше уровень систематического и общего риска по конкретному инвестиционному инструменту или их портфелю в целом.
ЦЕНОВАЯ МОДЕЛЬ КАПИТАЛЬНЫХ АКТИВОВ - модель определения необходимого уровня доходности отдельных инвестиционных (фондовых) инструментов с учетом уровня их систематического риска, . измеряемого с помощью бета-коэффициента. Расчетный механизм этой модели учитывает необходимый размер премии за риск.
ПРЕМИЯ ЗА РИСК — дополнительный доход, выплачиваемый (или предусмотренный к выплате) предприятию сверх того уровня, который может быть получен по безрисковым хозяйственным операциям. Этот дополнительный доход должен возрастать про-
л , порционально увеличению уровня систематического риска по конкретному финансовому (фондовому) ; инструменту. Основой определения этой количественной зависимости является график "Линии надежности рынка".
"ЛИНИЯ НАДЕЖНОСТИ РЫНКА" - графический метод определения зависимости между уровнем систематического риска по конкретному фининсовому инструменту (ценной бумаге) и уровнем необходимой доходности по нему (этот график будет приведен и рассмотрен при изложении соответствующего раздела методического инструментария учета фактора риска).
С учетом рассмотренных базовых понятий формируется конкретный методический инструментарий учета фактора риска, позволяющий решать связанные с ним конкретные задачи управления прибылью предприятия. Дифференциация этого методического инструментария отражает следующую систематизацию задач учета фактора риска в процессе хозяйственнойдеятельности (рис. 4.10.).

|
Рисунок 4.10. Систематизация основных методических подходов к учету фактора риска в процессе управления прибылью предприятия.
I. Методический инструментарий оценки уровня риска является наиболее обширным, так как включает в себя разнообразные экономике-статистические,
|
экспертные, аналоговые методы осуществления такой оценки. Выбор конкретных методов оценки определяется наличием необходимой информационной базы и уровнем квалификации менеджеров.
1. Экономико-статистические методы составляют основу проведения оценки уровня риска. К числу основных расчетных показателей такой оценки относятся:
а) Уровень риска. Он характеризует общий алгоритмоценки этого показателя,
~ „ УР = ВР х РП ,
представленный следующеиформулои: ’
где УР — уровень соответствующего риска;
размер возможных
ВР — вероятность возникновения данного риска; РП — финансовых потерь при реализации данного риска.
В практике использования этого алгоритма размер возможных финансовых потерь выражается обычно абсолютной суммой, а вероятность возникновения риска — одним из коэффициентов измерения этой вероятности (коэффициентом вариации, бета-коэффициентом и др.) Соответственно уровень риска при его расчете по данному алгоритму будет выражен абсолютным показателем, что существенно снижает базу его сравнения при рассмотрении альтернативных вариантов.
б) Дисперсия. Она характеризует степень колеблемостиизучаемого показателя (в
данном случае — ожидаемогодохода от осуществления хозяйственной операции) поотношению к его средней величине. Расчет дисперсииосуществляется по следующей формуле:
и
2
с
2 = 1(Ъ-Ю XP
t,
1=1
где о
2 — дисперсия;
і?! — конкретное значение возможных вариантов ожидаемого дохода по рассматриваемой хозяйственной операции; R— среднее ожидаемое значение дохода по рассматриваемой хозяйственной операции;
Pi — возможная частота (вероятность) получения отдельных вариантов ожидаемого дохода по хозяйственной операции п — число наблюдений.
в) Среднеквадратическое (стандартное) отклонение. Этот показатель является одним из наиболее распространенных при оценке уровня индивидуального хозяйственного риска, так же как и дисперсия определяющий степень колеблемости и построенный на ее основе. Он рассчитывается по следующей формуле:
о=^>,-я) хЧ.
где с — среднеквадратическое (стандартное) отклонение; Ri— конкретное значение возможных вариантов ожидаемого дохода по рассматриваемой хозяйственной операции; R — среднее ожидаемое значение дохода по рассматриваемой хозяйственной операции; Pi — возможная частота (вероятность) получения отдельных вариантов ожидаемого дохода по хозяйственной операции; п — число наблюдений.
Пример: Необходимо оценитъуровенъриска по инвестиционной операции по следующим данным: нарассмотрение представлено два альтернативных ' инвестиционныхпроекта (проект "А"ипроект "Б")
.А, . с вероятностью ожидаемых доходов, представленной ¦ в табл. 4.2.
Сравнивая данные по отдельным инвестиционным \ проектам, можно увидеть, что расчетные величины доходов по проекту "А " колеблются в пределах от 200 до 600 уел. ден. ед. при сумме ожидаемых доходов в целом 450 уел. ден. ед. По проекту "Б" сумма ожидаемых доходов в целом также составляет 450 уел. ден. ед., однако их колеблемость осуществляется в диапазоне от 100 до 800 уел. ден. ед. Даже такое простое сопоставление позволяет сделать вывод о том, что риск реализации инвестиционного проекта "А" значительно меньше, чем проекта "Б", где колеблемостьрасчетного дохода выше.
Таблица 4.2. Распределение вероятности ожидаемых доходов по двум инвестиционным проектам
Возможные
значения
конъюнктуры
инвестиционного
рынка
|
Инвестиционный проект "А"
|
Инвестиционный проект "Б"
|
Расчетный доход, уел.
Аі'іі /'/)_
|
Значение
вероятности
|
Сумма
ожидаемых
доходов, уел.
|
Расчетный
доход, уел.
|
Значение
вероятности
|
Сумма
ожидаемых
доходов, уел.
|
Высокая
|
600
|
0,25
|
150
|
800
|
0,20
|
160
|
Средняя
|
500
|
0,50
|
250
|
450
|
0,60
|
270
|
Низкая
|
200
|
0,25
|
50
|
100
|
0,20
|
20
|
В целом
|
—
|
1,0
|
450
|
—
|
1,0
|
450
|
Более наглядное представление об уровне риска дают результаты расчета среднеквадратического (стандартного) отклонения, представленные в табл. 4.3.
Таблица 4.3. Расчет среднеквадратического (стандартного) отклонения по двум инвестиционным проектам
іі
«1 к
3.S
«5 &
|
Возможные значения конъюнктуры инвестиционного рынка
|
в,
|
я
|
|
[Rt~Rp
|
Л
|
(Ri~R)2*
*Р,
|
|
)(RrRpx.
і
|
3
Р
§?
«і а, 2 * Sч
|
Высокая
Средняя
Низкая
|
600
500
200
|
450
450
450
|
+150
+50
-250
|
22500
2500
62500
|
0,25
0,50
0,25
|
5625
1250
15625
|
—
|
В целом
|
—
|
450
|
—
|
—
|
1,00
|
22500
|
150
|
|
Высокая
|
800
|
450
|
+550
|
122500
|
0,20
|
24500
|
|
§4t
|
Средняя
|
450
|
450
|
0
|
0
|
0,60
|
0
|
—
|
P s
|
Низкая
|
100
|
450
|
-350
|
122500
|
0,20
|
24500
|
—
|
8
5"
|
В целом
|
—
|
450
|
—
|
|
1,00
|
49000
|
221
|
Результаты расчета показывают, что средне-квадратическое (стандартное) отклонение по инвестиционному проекту "А" составляет 150, в то время как по инвестиционному проекту "Б " — 221, что свидетельствует о болъшемуровне его риска.
Рассчитанные показатели среднеквадратиче-ского (стандартного) отклонения по рассматриваемым инвестиционным проектам могут быть интерпретированы графически (рис. 4.11.)

Рисунок 4.11. Распределение вероятности ожидаемого (расчетного) дохода по двум инвестиционным проектам.
Из графика видно, чтораспределение вероятностей проектов "А"и "Б"имеют одинаковую величину расчетного дохода, однако в проекте "А " кривая уже, что свидетельствует о меньшей колеблемости вариантов расчетного дохода относительно средней его величины R, а следовательно и о меньшемуровнериска этого проекта.
г) Коэффициент вариации. Он позволяет определить уровень риска, если показатели среднего ожидаемого дохода от осуществления хозяйственных операций различаются между собой. Расчет коэффициента вариации осуществляется по следующей формуле:
С? ~^=
R ’
где CV— коэффициент вариации;
а — среднеквадратическое (стандартное) отклонение; R — среднее ожидаемое значение дохода по рассматриваемой хозяйственной операции. Пример: Необходимо рассчитать коэффициент вариации по трем инвестиционным проектам при различных значениях среднеквадратического (стандартного) отклонения и среднего ожидаемого значения дохода по ним. Исходные данные ирезулътаты расчета приведены в табл. 4.4. Таблица 4.4. Расчет коэффициента вариации по трем
инвестиционным проектам
Варианты
проектов
|
Среднеквадра
тическое
(стандартно
е)
|
Средний ожидаемый доход по
проекту, R
|
Коэффициен т вариации,
|
Проект "А" Проект "Б" Проект ”В"
|
150 221 318
|
450 450 600
|
0,33
0,49 0,53
|
Результаты расчета показывают, что наименьшее значение коэффициента вариации — по проекту "А", а наибольшее — по проекту "В". Таким образом, хотя ожидаемый доход по проекту "В" на 33% выше, чем по проекту "А"уровенъ
ХІ00
/'600-450
j ’коэффициентом вариации, выше на
450
риска по нему, определяемый V
61%о
Гадз-Мхіоо].
Следовательно, ? ) при сравнении уровней рисков по отдельным
инвестиционным проектам предпочтение при прочих равных условиях следует отдавать тому из них, по которому значение коэффициентов вариации самое низкое (что свидетельствует о наилучшем соотношении доходности и риска).
д) Бета-коэффициент (или бета). Он позволяет оценить индивидуальный или портфельный систематический финансовый риск по отношению к уровню риска финансового рынка в целом. Этот показатель используется обычно для оценки рисков
инвестирования в отдельные ценные бумаги. Расчет этого показателя осуществляется по формуле:

где р —бета-коэффициент;
К —степень корреляции между уровнем доходности по индивидуальному виду ценных бумаг (или по их портфелю) и средним уровнем доходности данной группы фондовых инструментов по рынку в целом;
о"и — среднеквадратическое (стандартное) отклонение доходности по индивидуальному виду ценных бумаг (или по их портфелю в целом);
с
р —среднеквадратическое (стандартное) отклонение доходности по фондовому рынку в целом.
Уровень риска отдельных ценных бумаг определяется на основе следующих значений бета-коэффициентов:
B = 1 — средний уровень; B > 1 — высокий уровень; B < 1 — низкий уровень.
2. Экспертные методы оценки уровня риска применяются в том случае, если на предприятии отсутствуют необходимые информативные данные для осуществления расчетов экономико-статистическими методами. Эти методы базируются на опросе квалифицированных специалистов (страховых, финансовых, инвестиционных менеджеров соответствующих специализированных организаций) с последующей математической обработкой результатов этого опроса.
В целях получения более развернутой характеристики уровня риска по рассматриваемой операции опрос следует ориентировать на отдельные виды рисков, идентифицированные по данной операции (процентный, валютный и т.п.).
В процессе экспертной оценки каждому эксперту предлагается оценить уровень возможного риска, основываясь на определенной балльной шкале, например: риск отсутствует: 0 баллов;
риск незначительный: 10 баллов;
риск ниже среднего уровня: 30 баллов; риск среднего уровня: 50 баллов;
риск выше среднего уровня: 70 баллов;
МЛ. Бланк
риск высокий: 90 баллов;
риск очень высокий: 100 баллов.
3. Аналоговые методы оценки уровня риска позволяют определить уровень рисков по отдельным наиболее массовым хозяйственным операциям предприятия. При этом для сравнения может быть использован как собственный, так и внешний опыт осуществления таких хозяйственных операций.
II. Методический инструментарий формирования необходимого уровня доходности хозяйственных операций с учетом фактора риска позволяет обеспечить четкую количественную пропорциональность этих двух показателей в процессе управления хозяйственной деятельностью предприятия.
1. При определении необходимого уровня премии за риск используется следующая формула:
где RP
n —уровень премии за риск по конкретному финансовому (фондовому) инструменту; R
n— средняя норма доходности на финансовом
рынке; А
п — безрисковая норма доходности на финансовом рынке; (3 — бета-коэффициент, характеризующий уровень систематического риска по конкретному финансовому (фондовому) инструменту. Пример: Необходимо рассчитать уровень премии за риск по трем видам акций. Исходные данные ирезультатырасчета приведены в табл. 4.5.
Таблица 4.5. Расчет необходимого уровня премии за риск по трем акциям
В
арианты
акций
|
Ср
едняя норма дох
|
Безр
исковая норма доходности на
|
ета-
коэффиц
|
Урове
нь
прем
|
А
кция 1 Акция 2
|
12
,0 12,0 12,0
|
5,0
5,0 5,0
|
,8 1,0 1,2
|
5,6
7,0 8,4
|
Результаты расчета показывают, что уровень премии за риск возрастает пропорционально росту бета-коэффициента, т.е. уровня систематического риска.
2. При определении необходимой суммы премии за риск используется следующая формула:
RP
S = SI у. RP
n ,
где RP
S — сумма премии за риск по конкретному финансовому (фондовому) инструменту в настоящей стоимости; SI—стоимость (котируемая цена) конкретного финансового (фондового) инструмента; RP
n— уровень премии за риск по конкретному финансовому (фондовому) инструменту, выраженный десятичной дробью.
Пример: Исходя из котируемой цены трех акций на фондовом рынке и результатов расчета уровня премии за риск по ним (см. предыдущий пример) определить сумму этой премии по каждой акции. Исход- ные данные и результаты расчета представлены в табл. 4.6.
Таблица 4.6. Расчет необходимой суммы премии за риск по трем акциям
Варианты
акций
|
Котируемая цена акций на фондовом рынке,
|
Уровень премии за риск
|
Сумма премии за риск
(определенная
|
Акция 1
|
100
|
0,056
|
5,6 4,9 7,6
|
Акция 2
|
70 90
|
0,070
|
|
Акция 3
|
|
0,084
|
|
3. При определении (необходимого) общего уровня доходности хозяйственной операции с учетом фактора риска используется следующая формула:
RD„ = А
п + RP„
t
где RD
n — общий уровень доходности го» конкретномуфинансовому (фондовому) инструменту с учетом фактора риска; ,< >¦
А„ — безрисковая норма доходности на финансовом рынке; RP
n — уровень премии за риск по конкретному финансовому (фондовому) инструменту. При определении уровня избыточной доходности (премии за риск) всего портфеля ценных бумаг на единицу его риска используется "коэффициент Шарпа", определяемый по следующей формуле:
Г RDp — Ап
Sp ~ g{RD
p-A)’
где
Л — коэффициент Шарпа, измеряющий избыточ-* /> ную доходность портфеля на единицу риска, характеризуемую среднеквадратическим (стандартным) отклонением этой избыточной доходности; RD
p — общий уровень доходности портфеля; Aw—уровень доходности по безрисковому финансовому инструменту инвестирования; s — среднеквадратическое отклонение избыточной доходности.
Пример: Следует рассчитать необходимый общий уровень доходности по трем видам акций. Исходные данные и резулътатырасчета приведены в табл. 4.7.
Таблица 4.7. Расчет необходимого общего уровня доходности по
трем акциям
Варианты
акций
|
Безрисковая норма доходности на фондовом
|
Уровень премии за риск,
%
|
Необходимый общий уровень доходности (определенный по
|
Акция 1 Акция 2 Акция 3
|
5,0 5,0 5,0
|
5,6 7,0
8,4
|
10,612,013,4
|
Изложенный выше методический инструментарий формирования необходимого уровня доходности хозяйственных операций с учетом фактора риска построен на "Ценовой Модели Капитальных Активов", разработанной Г. Марковицем и У. Шарпом (за разработку этой Модели они были удостоены в 1990 году Нобелевской премии). Графическую интерпретацию этой Модели составляет график "Линии надежности рынка" (рис. 4.12.)-

|
Рисунок 4.12. График „Линии надежности рынка".
Отдельные точки на "Линии надежности рынка" показывают необходимый уровень доходности по ценной бумаге (с учетом премии за риск) в зависимости от уровня систематического риска по ней, измеряемого бета-коэффициентом.
III. Методический инструментарий оценки стоимости денежных средств с учетом фактора риска дает возможность осуществлять расчеты как будущей, так и настоящей их стоимости с обеспечением необходимого уровня премии за риск.
1. При оценке будущей стоимости денежных средств с учетом фактора риска используется следующая формула:
|

где Sr — будущая стоимость вклада (денежных средств), учитывающая фактор риска; Р — первоначальная сумма вклада;
А„ — безркековая норма доходности на финансовом рынкз, выраженная десятичной дробью; - RP„—уровень премии за риск по конкретному финансовому инструменту, выраженный десятичной дробью; п —количество интервалов, по которым осуществляется каждый конкретный платеж, в общем обусловленном периоде времени.
Пример; Необходимо определить будущую стоимость вклада с учетом фактора риска при следую-i щих условиях:
первоначальная сумма вклада составляет 1000 уел. ден. ед.;
безрисковая норма доходности на финансовомрынке составляет 5%;
уровень премии зариск определен в размере 7%; общий период размещения вклада составляет 3 года при начислении процента один раз в год.
Подставляя эти показатели в вышеприведенную формулу, получим:
будущая стоимость вклада, учитывающая фактор риска = = 1000 х 1(1 + 0,05) х (1 + 0,07)Р = 1418усл. ден. ед.
2. При оценке настоящей стоимости денежных средств с учетом фактора риска используется следующая формула:
Р -
Е0+4і)х(і+ДРв)Р
где PR — настоящая стоимость вклада (денежных средств), учитывающая фактор риска; Sr — ожидаемая будущая стоимость вклада (денежных средств); А
п — безрисковая норма доходности на финансовом рынке, выраженная десятичной дробью; RP„ — уровень премии за риск по конкретному финансовому инструменту, выраженный десятичной дробью; я — количество интервалов, по которым осуществляется каждый конкретный платеж, в общем обусловленном периоде времени.
Пример: Необходимо определить настоящую стоимость денежных средств с учетом фактора риска при следующих условиях: ожидаемая будущая стоимость денежных средств — 1000уел. ден. ед.;
безрисковая норма доходности на финансовом рынке составляет 5%; уровень премии за риск определен в размере 7%; период дисконтирования составляет 3 года, а его интервал — 1 год.
Подставляя эти данные в вышеприведенную формулу, получим: настоящая стоимость денежных средств с учетом фактора писка =
....... 1000
ял
=-г - 705 1
[(I+0,05)x(l + 0,07)f '
уел. ден. ед.
Проведенный обзор показывает, что методический инструментарий учета фактора риска в управлении прибылью предприятия является довольно обширным и позволяет решать многообразные задачи в этой сфере хозяйственной деятельности. Более глубокое изложение вопросов управления рисками рассматривается в специальных разделах.
Выше был рассмотрен методический инструментарий вычислений наиболее широко используемый в современной практике управления прибылью предприятия. Методический инструментарий расчетов отдельных специальных показателей рассматривается в последующих разделах.
Глава 5. Механизм формирования операционной прибыли предприятия
5.1. СОДЕРЖАНИЕ ОПЕРАЦИОННОЙДЕЯТЕЛЬНОСТИ ИПОРЯДОК ФОРМИРОВАНИЯ ОПЕРАЦИОННОЙПРИБЫЛИ
В процессе управления прибылью предприятия главная роль отводится формированию прибыли по операционной деятельности. Операционная деятельность — это основной вид деятельности предприятия, с целью осуществления которой оно создано.
Характер операционной деятельности предприятия определяется прежде всего спецификой отрасли экономики, к которой оно принадлежит. Основу операционной деятельности большинства предприятий составляет производственно-коммерческая или торговая деятельность, которая дополняется осуществляемой ими инвестиционной и финансовой деятельностью. Вместе с тем, инвестиционная деятельность является основной для инвестиционных компаний, инвестиционных фондов и других инвестиционных институтов, а финансовая деятельность является основной для банков и других финансовых институтов. Но характер деятельности таких финансовоинвестиционных институтов в силу ее специфики требует особого рассмотрения, которое выходит за рамки этой книги. Операционная деятельность предприятия характеризуется следующими основными особенностями, определяющими характер формирования прибыли:
Она является главным компонентом всей хозяйственной деятельности предприятия, основной целью его функционирования. Основной объем формируемых активов, основная численность персонала предприятия обслуживают эту деятельность. Соответственно прибыль от операционной деятельности при нормальных условиях функционирования предприятия занимает наибольший удельный вес в общем объеме прибыли предприятия.
Операционная деятельность носит приоритетный характер по отношению к инвестиционной, финансовой и другим видам деятельности. Поэтому развитие любых иных видов деятельности не должно вступать в противоречие с развитием операционной деятельности, а только поддерживать ее. Соответственно и прибыль от инвестиционной, финансовой и других видов деятельности не должна формироваться в ущерб формированию прибыли от операционной деятельности.
Интенсивность развития операционной деятельности является основным параметром оценки отдельных стадий жизненного цикла предприятия. Соответственно возможности формирования операционной прибыли на разных стадиях жизненного цикла предприятия определяют цели и задачи не только политики управления прибылью, но и направленность общей стратегии развития предприятия.
Хозяйственные операции, входящие в состав операционной деятельности предприятия, носят самый регулярный характер. В сравнении с операциями других видов деятельности частота операций по ней самая высокая. Это определяет регулярность формирования операционной прибыли в нормальных условиях хозяйствования предприятия.
Операционная деятельность предприятия ориентирована в основном на товарный рынок, в то время как финансовая и инвестиционная его деятельность осуществляются преимущественно на финансовом рынке. При этом, операционная деятельность связана с различными видами и сегментами товарного рынка, определяемыми спецификой используемого сырья и материалов, составом используемого оборудования, характером готовой продукции. Соответственно и условия формирования операционной прибыли в значительной степени связаны с состоянием конъюнктуры соответствующих видов и сегментов товарного рынка.
Осуществление операционной деятельности связано с капиталом, уже инвестированным в нее, в то время как предстоящее инвестирование капитала является предметом инвестиционной и финансовой деятельности предприятия. Инвестированный в операционную деятельность капитал принимает форму операционных активов предприятия. От состава этих активов, их сбалансированности, скорости обращения и других характеристик в значительной мере зависит способность предприятия генерировать операционную прибыль. Поэтому одним из важных факторов успешного формирования операционной прибыли является эффективное управление операционными активами предприятия.
В процессе операционной деятельности потребляется значительный объем живого труда, в отличие от инвестиционной и финансовой деятельности, где затраты этого труда несущественны. Соответственно и способность предприятия генерировать операционную прибыль в значительной степени зависит от достаточности используемых трудовых ресурсов, профессионального и квалификационного состава персонала и т.п. Использование живого труда в значительной мере предопределяет специфику операционных затрат, связанных со стимулированием персонала, обеспечением надлежащих условий труда, формированием особых видов налоговых платежей предприятия и т.п., что отражается и на условиях формирования операционной его прибыли.
Операционной деятельности присущи, наряду с общими, и специфические виды рисков, объединяемые понятием
операционный риск. Поэтому уровень операционной при были, получаемый предприятием при различных альтер нативных вариантах хозяйствования, должен в перву* очередь соотноситься с уровнем операционного риска.
Рассмотренные особенности формирования опера ционной прибыли, связанные со спецификой осуществления операционной деятельности предприятия, требуют всестороннего учета в процессе управления ею.
Операционная деятельность предприятия состоит из ряда последовательно осуществляемых этапов, характер которых определяется отраслевыми особенностями. Принципиальная схема осуществления операционной деятельности в разрезе основных этапов на предприятиях промышленности и торговли (наиболее массовых предприятиях) приведена на рисунке 5.1.
Рисунок 5.1. Последовательность этапов осуществления операционной деятельности на предприятиях промышленности и торговли.
Рассматривая последовательность осуществления операционной деятельности предприятий основных отраслей деятельности, следует выявить их роль в формировании операционной прибыли. Как на предприятиях промышленности, так и на предприятиях торговли первые два этапа осуществления операционной деятельности связаны исключительно с формированием затрат, в то время как третий этап — преимущественно с формированием доходов и частично с формированием затрат. Это предопределяет и формирование конкретных типов центров ответственности предприятия в процессе осуществления операционной деятельности:
на базе структурных подразделений, осуществляющих первые два этапа операционной деятельности, должны формироваться центры затрат;
на базе структурных подразделений, осуществляющих заключительный этап операционной деятельности, должны формироваться в основном центры дохода (хотя отдельные из таких подразделений, например, отдел рекламы или отдел изучения спроса, могут служить базой формирования центров затрат);
на базе структурных подразделений, осуществляющих все три этапа операционной деятельности, должны формироваться центры прибыли.

|
Рисунок 5.2. Основные виды ресурсов, затрачиваемые в процессе операционной деятельности предприятия.
В процессе всех трех этапов операционной деятельности предприятие расходует различные виды ресурсов (рисунок 5.2). Эти ресурсы принято подразделять на следующие четыре группы: а) материальные ресурсы; б) нематериальные ресурсы; в) трудовые ресурсы; г) финансовые ресурсы. Хотя все вилы этих ресурсов принимают
|
участие в различных видах операционной деятельности — снабженческой, производственной и сбытовой, пропорции и объемы их использования в разрезе каждого из них существенно различаются.
Это предопределяет особую структуру затрат каждого типа формируемых на предприятии центров ответственности.
Операционная деятельность предприятия постоянно возобновляется и осуществляется по замкнутому циклу. Наиболее отчетливо этот процесс характерен для оборотных активов предприятия (рисунок 5.3).

Рисунок 5.3. Характеристика движения оборотных активов в процессе операционного цикла.
Период полного оборота всей суммы оборотных активов, в процессе которого происходит последовательная смена их форм, называется операционным циклом.
Важнейшей характеристикой операционного цикла, существенно влияющей на интенсивность формирования операционной прибыли, является общая его продолжительность. Она включает период времени от момента расходования денежных активов на приобретение производственных запасов сырья и материалов до поступления денег от дебиторов за реализованную им готовую продукцию. Принципиальная формула, по которой рассчитывается продолжительность операционного цикла предприятия (П
оц), имеет следующий вид:
Поц = П
да + П
пз + П
нп + П
гп + ПдЗ ,
где П
да —период оборота денежных активов, в днях; Ппз — период оборота производственных запасов
(сырья, материалов), в днях;П
нп — период нахождения оборотных активов в фор-!
ме незавершенного производства продукции,
в днях; П
гп — период оборота запасов готовой продукции,
в днях; Пдз — период инкассации дебиторской задолженности, в днях. Следует отметить, что в процессе операционного цикла потребляются не только оборотные, но и внеоборотные активы, а также затраты живого труда или трудовые ресурсы предприятия. Но две последние группы ресурсов в процессе одного операционного цикла потребляются лишь частично, в то время как оборотные (в разных формах) — полностью. Это и определяет выбор периода полного оборота оборотных активов в качестве измерителя продолжительности одного операционного цикла предприятия.
С учетом последовательности осуществления операционной деятельности, ее цикличности, особенностей формирования доходов и затрат, а также других факторов, процесс формирования различных видов операционной прибыли может быть представлен
в следующем виде (рис. 5.4).
|

|
Рисунок 5.4. Схема формирования различных видов операционной прибыли предприятия.
Из приведенной схемы видно, что в процессе осуществления операционной деятельности формируются три вида операционной прибыли:
1) маржинальная операционная прибылъ. Ее расчет осуществляется по следующим формулам:
МПо = ВДо - НДС - Ипост; МПо = ЧДо - Ипост ,
где МП
0 — сумма маржинальной операционной прибыли в рассматриваемом периоде; ВД
0 — сумма валового операционного дохода в рассматриваемом периоде; ЧД
0
— сумма чистого операционного дохода в рассматриваемом периоде; Ипост — сумма постоянных операционных издержек;
НДС — сумма налога на добавленную стоимость и других налоговых платежей, входящих в цену продукции;
2) валовая операционная прибылъ. Ее расчет осуществляется по следующим формулам:
ВПо = ВДо - НДС - Ио , ВПо = ЧДо - Ио , ВПо = МПо - И
пер , где ВПо —сумма
валовой операционной прибыли в рассматриваемом периоде; ВД
о—сумма валового операционного дохода в рассматриваемом периоде; ЧДо —сумма чистого операционного дохода в рассматриваемом периоде; МП
о — сумма маржинальной операционной прибыли; И
о — совокупная сумма операционных издержек; Ипер—сумма переменных операционных издержек; НДС — сумма налога на добавленную стоимость и других налоговых платежей, входящих в цену продукции.
3) чистая операционная прибылъ. Ее расчет осуществляется по следующим формулам:
ЧПо = ВДо - НДС - НП - Ио ; ЧПо = ЧДо - Ио - НП ; ЧПо = МП - И
пер - НП; ЧПо = ВПо
— НП,
гдеЧП
о — сумма чистой операционной прибыли в рассматриваемом периоде; ВД
о
— сумма валового операционного дохода в рассматриваемом периоде; ЧД
о — сумма чистого операционного дохода в рассматриваемом периоде; МП0 — сумма маржинальной операционной прибыли; ВП
0 —сумма валовой операционной прибыли;
И
0 — совокупная сумма операционных издержек; Ипер — сумма переменных операционных издержек; НДС — сумма налога на добавленную стоимость и других налоговых платежей, входящих в цену продукции; НП —сумма налога на прибыль и других обязательных платежей за счет прибыли.
Механизм управления формированием о
А~ *,
ренных видов операционной прибыли рассматривается в следующем разделе.
Рассмотренные особенности формирования операционной прибыли позволяют конкретизировать систему объектов управления этой прибылью (ранее приведенную на рисунке 1.3). Основные объекты управления формированием операционной прибылью приведенына рис. 5.5.


Управление налоговыми платежами по операционной деятельности
I Управление операционными рисками
I Планирование операционной прибыли
Рисунок 5.5. Схема функциональной системы управления формированием операционной прибыли предприятия.
Управление всеми объектами формирования операционной прибыли должно носить взаимосвязанный характер. Конкретные особенности этого управления рассматриваются в соответствующих разделах.
f Л УПРАВЛЕНИЕ ФОРМИРОВАНИЕМ J.J. ОПЕРАЦИОННОЙ ПРИБЫЛИ НА ОСНОВЕ СИСТЕМЫ "ВЗАИМОСВЯЗЬ ИЗДЕРЖЕК ОБЪЕМА РЕАЛИЗАЦИИ И ПРИБЫЛИ"
Механизм управления операционной прибылью строится с учетом тесной взаимосвязи этого показателя с показателями объема реализации продукции, доходов и издержек предприятия. Система этой взаимосвязи, получившая название "взаимосвязь издержек, объема реализации и прибыли'"[Cost-Volume-Profit Relationships; CVPJ, позволяет выделить роль отдельных факторов в формировании операционной прибыли и обеспечить эффективное управление этим процессом на предприятии.
В процессе управления формированием операционной прибыли на основе системы "взаимосвязь издержек, объема реализации и прибыли" предприятие решает ряд задач:
1. Определение объема реализации продукции, обеспечивающего безубыточную операционную деятельность в течение короткого периода. Графически "точка безубыточности" (или "порог рентабельности") операционной деятельности предприятия
в коротком периоде, в течение которого не меняются уровень цен на продукцию, уровень переменных издержек и сумма постоянных издержек, представлена на рисунке 5.6.
|

|
Рисунок 5.6. График формирования точки безубыточности операционной деятельности предприятия в коротком периоде.
Из приведенного графика видно, что для достижения "точки безубыточности" своей операционной деятельности (ТБ) предприятие должно обеспечить такой объем реализации продукции (Ртб)>
ПР
И котором сумма чистого операционного дохода (валового операционного дохода за вычетом суммы налоговых платежей из него) сравняется с суммой издержек — как постоянных, так и переменных. Это условие может быть выражено следующими равенствами:
ВДо = Ио + НДС ЧДо = Ио,
где ТБ — точка безубыточности операционной деятельности; ВД
0 — сумма валового операционного дохода; ЧДо — сумма чистого операционного дохода;
И
0 — совокупная сумма операционных издержек; НДС — сумма налога на добавленную стоимость и других налоговых платежей, входящих в цену продукции.
Соответственно стоимостной объем реализации продукции, обеспечивающий достижение точки безубыточности операционной деятельности предприятия в коротком периоде, может быть определен по следующим формулам:
где СРтб — стоимостной объем реализации продукции, обеспечивающий достижение точки безубыточности операционной деятельности предприятия в коротком периоде; Ипост
— сумма постоянных операционных издержек (неизменная в рассматриваемом периоде); Учд — уровень чистого операционного дохода к объему реализации продукции, %; У и пер — уровень переменных операционных издержек к объему реализации продукции, %; У&ш —уровень маржинальной операционной прибыли к объему реализации продукции, %.
Натуральный объем реализации продукции, обеспечивающий достижение точки безубыточности операционной деятельности предприятия в коротком периоде,
может
| 
|
И
HP — —Пост
^ tn
|
И
посгх100
(У™-У»пер><Д
НРд> =
по следующим формулам:
быть определен хЮО
УмпХЦ
'СП

где НРтб — натуральный объем реализации продукции, обеспечивающий достижение точки безубыточности операционной деятельности предприятия в коротком периоде; Цеп — цена единицы реализуемой продукции;
(остальные значения показателей те же, что и в предыдущих формулах). 2. Определение объема реализации продукции, обеспечивающего безубыточную операционную деятельность в длительном периоде. Операционная деятельность в длительном периоде по сравнению с коротким периодом претерпевает следующие основные изменения:
а) с ростом объема реализации продукции периодически возрастают постоянные операционные издержки.Это связано с увеличением парка используемых машини оборудования (что приводит к росту амортизационных отчислений), повышением численности работниковаппарата управления (что приводит к росту расходов наего содержание и т.п.);
б) с насыщением рынка в результате роста объемареализации продукции предприятие вынуждено снижатьуровень цен, что приводит к соответствующему уменьшению темпов роста чистого операционного дохода;
в) за счет более экономного использования сырьяи материалов, роста производительности труда операционного персонала, укрупнения партий закупаемого сырья иотгружаемой продукции постепенно снижается уровень переменных операционных издержек на единицу продукции.
Все эти изменения в силу взаимосвязи рассмотренных факторов с операционной прибылью существенно влияют на формирование ее суммы. Это можно проследить по данным графика, представленного на рисунке 5.7.

Рисунок 5.7. График формирования точки безубыточности операционной деятельности предприятия в длительном периоде.
Из приведенного графика видно, что в силу трансформирующихся условий операционной деятельности точка безубыточности постоянно меняет свое значение, т.е. требует гораздо большего объема реализации в сравнении с предыдущим периодом (Р
тб1 < Р
тб2 < Ртбз)- Соответственно меняется и сумма валовой операционной прибыли, получаемой предприятием в силу меняющихся условий операционной деятельности на каждом этапе. Если на первых двух этапах это изменение суммы валовой операционной прибыли вызывалось в основном ростом суммы постоянных операционных затрат, то на третьем этапе основное влияние на изменение суммы этой прибыли оказывало снижение уровня чистого операционного дохода.
Каждый этап изменения условий операционной деятельности предприятия в длительном периоде представляет собой начало этой деятельности в коротком периоде, окончание которого характеризуется новым изменением условий. Иными словами, длительный период операционной деятельности предприятия может быть разложен на ряд коротких ее периодов (с неизменными условиями), что позволяет использовать при
расчетах алгоритмы, характерные для короткого периода. В связи с этим, последующие задачи формирования валовой и других видов операционной прибыли с использованием системы "CVP" будут рассмотрены в рамках короткого периода операционной деятельности предприятия.
3. Определение необходимого объема реализации продукции, обеспечивающего достижение запланированной(целевой) суммы валовой операционной прибыли. Эта задачаможет
иметь и обратную постановку: определение плановой суммы валовой операционной прибыли при заданномплановом объеме реализации продукции. Графически взаимосвязь между плановыми значениями объема реализации продукции и суммы валовой операционной прибыли представлена на рисунке 5.8.
Рисунок 5.8. График формирование точки плановой валовой операционной прибыли предприятия.
Из приведенного графика видно, что при запланированном объеме реализации продукции (Ртпп) предприятие может получить определенную сумму валовой операционной прибыли (ВОПп), на размер которой сумма чистого операционного дохода будет превышать сумму операционных издержек — как постоянных, так и переменных. График может быть интерпретирован и в обратном варианте: при запланированной сумме валовой прибыли (ВОПп) плановой объем реализации продукции предприятия должен находиться в точке Ртпп- Этот объем реализации продукции может быть определен на предприятии по следующим формулам:
|

|
где СРтпп — стоимостной объем реализации продукции, обеспечивающий формирование плановой суммы валовой операционной прибыли предприятия;
ВОПп — планируемая сумма валовой операционной
прибыли;Ипост — плановая сумма постоянных издержек;Учд— уровень чистого операционного дохода кобъему реализации продукции, %;Уи пер —уровень переменных операционных издержек к объему реализации продукции, %;Умп — уровень
маржинальной операционной при-I были к объему реализации продукции, %.
Соответственно, натуральный объем реализации продукции, обеспечивающий формирование плановой суммы валовой операционной прибыли, может быть определен по следующим формулам:
HP — (ВОП
пд-И
пост)х100 _ (ВОП
п+И
пост)хЮО
ТОП (Уэд-Унжр^Ц* ’
ТПП УмпХЦс* '
где НРтпп — натуральный объем реализации продукции, обеспечивающий формирование плановой суммы валовой операционной прибыли предприятия; Ц
еп — плановая цена единицы реализуемой продукции;
(остальные значения показателей те же, что и в предыдущих формулах).
4. Определение суммы "предела безопасности" (или "запаса прочности ") предприятия, т. е. размера возможного снижения объема реализации продукции в стоимостном выражении при неблагоприятной конъюнктуре товарного рынка, который позволяет ему осуществлять прибыльную
операционную деятельность. "Предел безопасности" ("запас прочности") определяет возможные границы маневра предприятия как в ценовой политике, так и в снижении натурального объема производства и реализации продукции в процессе осуществления операционной деятельности в неблагоприятных рыночных условиях (снижения спроса, усиления конкуренции и т.п.). Графически формирование "предела безопасности" ("запаса прочности") предприятия представлено на рис. 5.9.

Рисунок 5.9. График формирования „предела безопасности" („запаса
прочности") предприятия в процессе осуществления операционной деятельности.
Из приведенного графика видно, что "предел безопасности" предприятия ("запас прочности") характеризует тот объем реализации продукции, который находится в пределах между точкой обеспечения запланированной (фактически достигнутой) суммы валовой операционной прибыли предприятия (ТВОП
п) и точкой безубыточности его операционной деятельности (ТБ). В стоимостном выражении предел безопасности операционной деятельности предприятия рассчитывается по следующей формуле:
ПБ
С = СР
воп
— СРц; ,
где ПБс — стоимостной объем реализации продукции предприятия, обеспечивающий предел безопасности (запас прочности) его операционной деятельности; СРвоп — стоимостной объем реализации продукции, обеспечивающий формирование плановой (или фактически достигнутой) суммы валовой операционной прибыли предприятия; СР
тб —стоимостной объем реализации продукции, обеспечивающий достижение точки безубыточности операционной деятельности предприятия.
При необходимости предел безопасности (запас прочности) может быть выражен и натуральным объемом реализуемой продукции. В этом случае используются следующие формулы:
ПБ„ =
СРвоп-СР
т6 . ПБг
-> ПБ
Н “-
еп
еп
где ПБн—натуральный объем реализации продукции предприятия, обеспечивающий предел безопасности (запас прочности) его операционной деятельности; Ц
еп —цена единицы реализуемой продукции;
(остальные значения показателей те же, что и в предыдущей формуле).
Предел безопасности (запас прочности) может быть выражен не только абсолютной, но и относительной величиной — его уровнем (или коэффициентом безопасности). Расчет этого показателя осуществляется по следующей
КБ — х 100 *
формуле: СР
БОП
где КБ — коэффициент (уровень) безопасности операционной деятельности предприятия; ПБс—стоимостной объем реализации продукции предприятия, обеспечивающий предел безопасности (запас прочности) его операционной деятельности;
СРвоп —стоимостной объем реализации продукции предприятия, обеспечивающий формирование плановой (или фактически достигнутой) суммы валовой операционной прибыли предприятия.
Аналогичный результат расчета этого коэффициента может быть получен и при его определении в натуральных показателях объема реализации продукции.
5. Определение необходимого объема реализации продукции, обеспечивающего достижение запланированной (целевой) суммы маржинальной операционной прибыли предприятия. Эта задача может иметь и обратную постановку: определение плановой суммы маржинальной операционной прибыли при заданном плановом объеме реализации продукции. Графически взаимосвязь между плановыми значениями объема реализации продукции и суммы маржинальной операционной прибыли представлена на рисунке 5.10.

|
Рисунок 5.10. График формирования точки плановой маржинальной операционной прибыли предприятия.
Из приведенного графика видно, что при запланированном объеме реализации продукции (Ртмп) предприятие может получить определенную сумму маржинальной
операционной прибыли (МОПп), на размер которой сумма чистого операционного дохода (ЧД0) будет превышать сумму постоянных операционных издержек (Ипост). График может быть интерпретирован и в обратном варианте: при запланированной сумме маржинальной операционной прибыли (МОПп) плановый объем реализации продукции предприятия должен находиться в точке РтмП. Этот объем реализации продукции может быть определен в стоимостном выражении по следующей формуле:
(мопп+ипост)хгоо
|
СР =¦
?-'
ЛГ тмп
чд
где СРтмп — стоимостной объем реализации продукции, обеспечивающий формирование плановой суммы маржинальной операционной прибыли предприятия; МОП
п —планируемая сумма маржинальной операционной прибыли; Ипост ~ плановая сумма постоянных операционных издержек; У
чд—уровень чистого операционного дохода к объему реализации продукции, %.
Соответственно, натуральный объем реализации продукции, обеспечивающий формирование плановой суммы маржинальной операционной прибыли, может быть определен по следующим формулам:

где НРтмп — натуральный объем реализации продукции, обеспечивающий формирование плановой суммы маржинальной операционной прибыли предприятия; Цеп — плановая цена единицы реализуемой продукции;
(остальные значения показателей те же, что и в предыдущих формулах).
6. Определение необходимого объема реализации продукции, обеспечивающего достижение запланированной (целевой) суммы чистой операционной прибыли. Эта задача может иметь и обратную постановку: определение плановой суммы чистой операционной прибыли предприятия при заданном плановом объеме реализации продукции. Графически взаимосвязь между плановыми значениями объема реализации продукции и суммы чистой операционной прибыли представлена на рис. 5.11.

|
Рисунок 5.11. График формирования точки плановой чистой операционной прибыли предприятия
Из приведенного графика видно, что при запланированном объеме реализации продукции (Р-пй) предприятие может получить определенную сумму чистой операционной прибыли (ЧОПп), на размер которой сумма чистого операционного дохода (ЧДо) будет превышать сумму совокупных операционных затрат — как постоянных, так и переменных, а также сумму налоговых платежей, осуществляемых за счет прибыли. График может быть интерпретирован и в обратном варианте: при запланированной сумме чистой операционной прибыли (ЧОП„) плановый объем реализации продукции предприятия должен находиться в точке Ртчп. Этот объем реализации продукции может быть определен в стоимостном выражении по формулам:
|

вде СРтчп — стоимостной объем реализации продукции, обеспечивающий формирование плановой (целевой) суммы чистой операционной прибыли предприятия; ЧОП
п — планируемая (целевая) сумма чистой операционной прибыли предприятия; Ипост — плановая сумма постоянных операционных издержек; НП — плановая сумма налоговых платежей за счет прибыли, исчисленная исходя из суммы чистой операционной прибыли и ставки налога на прибыль методом обратного пересчета; У
вд — уровень чистого операционного дохода к объему реализации продукции, %; У и пер ~ уровень переменных операционных издержек к объему реализации продукции, %; У
мп — уровень маржинальной операционной прибыли к объему реализации продукции, %.
Соответственно, натуральный объем реализации продукции, обеспечивающий формирование плановой суммы чистой операционной прибыли предприятия, может быть определен по следующим формулам:
HP SS
*
д* Т4П
(ЧОПп + И^+НГрхЮО,
(Уад-Ущ^ХЦ*
up — (ЧОП
п +И
П0СГ +НП)х100 _ CP-pjn
™ Ум
ПхЦ
еи ’
тчл“ Ц
еп ’
где НРтчп — натуральный объем реализации продукции, обеспечивающий формирование плановой суммы чистой операционной прибыли предприятия; Ц
еп — плановая цена единицы реализуемой продукции;
(остальные значения показателей те же, что и в предыдущих формулах).
7. Определение возможных результатов роста суммы валовой операционной прибыли при оптимизации соотношения постоянных и переменных операционных издержек. Алгоритм и график, связанные с реализацией этой задачи, будут подробно раскрыты при рассмотрении вопроса операционного левериджа.
Таким образом, механизм управления различными видами операционной прибыли предприятия с использованием системы "взаимосвязь издержек, объема реализации и прибыли" основан на ее зависимости ("чувствительности") от следующих основных факторов:
а) объема реализации продукции в стоимостном илинатуральном выражении;
б) суммы и уровня чистого операционного дохода;
в) суммы и уровня переменных операционных издержек;
г) суммы постоянных операционных издержек;
д) соотношения постоянных и переменных операционных издержек;
е) суммы налоговых платежей, осуществляемых засчет прибыли.
Эти показатели могут рассматриваться как основные факторы формирования суммы различных видов операционной прибыли, воздействуя на которые можно получить необходимые результаты.
Глава 6. Управление операционными доходами
6.1. СУЩНОСТЬ И ВИДЫ ОПЕРАЦИОННЫХОЮ доходов
Важнейшим фактором, влияющим на сумму всех видов операционной прибыли предприятия, является размер доходов, формируемых им в процессе операционной деятельности. Операционные доходы предприятия являются финансовой базой развития его операционной деятельности, обеспечивающей решение следующих трех важнейших задач:
Основная часть операционных доходов предприятия является источником возмещения всех текущих затрат (издержек), связанных с осуществлением его операционной деятельности. Реализация этой задачи обеспечивает самоокупаемость операционной деятельности предприятия.
Часть операционных доходов предприятия служит источником выплат налоговых платежей, связанных с осуществлением операционной деятельности. За счет этой части операционных доходов обеспечивается формирование средств государственного и местных бюджетов, внебюджетных фондов. Реализация этой задачи обеспечивает выполнение финансовых обязательств предприятия перед государством.
Определенная часть операционных доходов предприятия является источником формирования его чистой операционной прибыли. За счет этой части операционных доходов предприятие формирует фонды производственного развития, резервный, дополнительного материального стимулирования персонала, социальных выплат, выплат собственникам предприятия и т.п. Реализация этой задачи обеспечивает самофинансирование развития операционной деятельности предприятия на расширенной основе в предстоящем периоде.
Операционные доходы предприятия классифицируются по следующим основным признакам (табл. 6.1):
Таблица 6.1. Классификация операционных доходов предприятия
по основным признакам
Признаки
классификации
операционных
|
Виды операционных доходов по соответствующим признакам классификации
|
1
|
2
|
1. Состав элементов,
формирующих доход
|
1. Валовой (общий) операционный доход
2. Чистый операционный доход
|
2. Характер налогообложения дохода
|
1. Налогооблагаемый операционный доход
2. Операционный доход не подлежащий
налогообложению
|
3. Вид операционного
дохода
|
1. Доход от реализации продукции (от основной деятельности)
2. Доход от других видов операционной деятельности
|
4. Рассматриваемый период формирования
|
1. Операционный доход отчетного периода
2. Операционный доход будущихпериодов
|
5. Идентификация в
процессе бухгалтерского учета
|
1. Операционный доход, подлежащий
получению и полученный в отчетном периоде
2. Операционный доход, подлежащий
получению, но не полученный в отчетном периоде
3. Операционный доход полученный, но
не подлежащий получению в отчетном периоде
|
6. Уровень достаточности для формирования операционной прибыли
|
1. Операционный доход, достаточный для формированияоперационной прибыли
2. Операционный доход, недостаточный для формированияоперационной прибыли
|
|
1. По составу элементов, формирующих доход, различают валовой (общий) операционный доход и чистый операционный доход.
|
а) Валовый (общий) операционный доход представляетсобой общую сумму дохода предприятия от реализациипроизведенных в процессе операционной деятельноститоваров, работ и услуг на протяжении определенногопериода, полученного в денежной, материальной и нематериальной формах как на территории данного государства, так и за его пределами.
б) Чистый операционный доход представляет собойразницу между суммой валового (общего) операционногодохода и суммой налогов, входящих в цену продукции,
TIP
т.е. уплачиваемых за счет дохода (налог на добавленную стоимость, акцизный сбор и т.п.).
По характеру налогообложения выделяют налогооблагаемый и не подлежащий налогообложению операционный доход предприятия. Такое деление операционного дохода играет важную роль в формировании налоговой и ценовой политики предприятия, так как позволяет оценить отдельные операции с позиций конечного их эффекта. Состав операционных доходов, не поддежащих налогообложению, регулируется законодательством.
По виду операционного дохода в современной хозяйственной практике различают доход от реализации продукции и доход от других видов опрационной деятельности. Такое деление операционного дохода позволяет эффективнее управлять процессом его формирования.
По рассматриваемому периоду формирования выделяют операционный доход отчетного и будущих периодов. Такое деление операционного дохода используется в процессе идентификации операционной прибыли по соответствующим периодам ее формирования.
По идентификации в процессе бухгалтерского учета выделяют операционный доход, подлежащий получению и полученный в отчетном периоде; подлежащий получению, но не полученный в отчетном периоде; полученный, но не подлежащий получению в отчетном периоде. Этот вид классификации операционного дохода также используется для соответствующей идентификации размера прибыли по периодам ее формирования.
Распределение операционного дохода по отдельным периодам в соответствии с принципами его бухгалтерского учета графически представлено на рис. 6.1.
6. По уровню достаточности для формирования операционной прибыли разделение операционного доходана достаточный и недостаточный его размеры (уровни)позволяет сформировать систему критериальных оценок его эффективности для осуществления операционной деятельности предприятия в целом и отдельных ееопераций.
ОПЕРАЦИОННЫЙ ДОХОД ПРЕДПРИЯТИЯ
|
-в-
|
|
В
|
|
В
|
Подлежащий получению и полученный в отчетном периоде
|
|
Подлежащий I
получению, но не полученный в отчетном периоде
|
|
Полученный, но не подлежащий получению в отчетном периоде
|
*
|
|
4
|
|
V
|
Операционный доход отчетного периода
|
|
Операционный доход будущих периодов
|
Рисунок 6.1. Распределение операционного дохода по отдельным периодам в соответствии с принципами его бухгалтерского учета
В процессе управления операционными доходами предприятия используются как абсолютные (выраженные в сумме), так и относительные их показатели. Основными из
относительных показателей оценки уровня операционного дохода предприятия являются:
1) Уровень чистого операционного дохода к объему реализации продукции. Он определяется по следующей формуле:
чод
ор ’
где Учод — уровень чистого операционного дохода к объему реализации продукции, %; ЧОД — сумма чистого операционного дохода, полученного предприятием в рассматриваемом периоде; ОР — объем реализации продукции в рассматриваемом периоде.
2). Коэффициент чистого операционного дохода. Этот показатель характеризует удельный вес чистого дохода в общей сумме валового операционного дохода, т.е. дает представление об условиях налогообложения последнего.
Расчет этого показателя производится по следующей формуле;

где Кчод — коэффициент чистого операционного дохода, в %; ЧОД — сумма чистого операционного дохода, полученного предприятием а рассматриваемом периоде; ВОД—сумма валового операционного дохода, полученного предприятием а рассматриваемом периоде.
3). Уровень валового (или чистого) операционного дохода к стоимости используемых операционных активов.
Этот показатель характеризует способность операционных активов генерировать валовой (или чистый) операционный доход. Расчет этого показателя осуществляется по следующей формуле:
ода
= ВОД (шш ЧОД)
ОПА
где У ода' уровень валового (или чистого) операционного дохода к стоимости используемых операционных активов, в %;
ВОД (или ЧОД) — сумма валового (или чистого) операционного дохода,
полученного предприятием в рассматриваемом периоде;
ОПА — средняя стоимость используемых операционных активов в рассматриваемом периоде (рассчитанная как средняя хронологическая).
4) Уровень валового (или чистого) операционного дохода к сумме собственного капитала. Этот показатель характеризует эффективность использования капитала с позиции интенсивности генерирования дохода от основной деятельности предприятия. Расчет этого показателя осуществляется по следующей формуле:
ск
Уда = водд™чод)х100>
где Удок — уровень валового (или чистого) операционного дохода к сумме используемого собственного капитала, в %; ВОД (или ЧОД) — сумма валового (или чистого) операционного дохода, полученного предприятием
в рассматриваемом периоде;
С К — средняя сумма используемого собственного капитала в рассматриваемом периоде (рассчитанная как средняя хронологическая).
5) Уровень рентабельности валового операционного дохода. Этот показатель характеризует степень достаточности полученного валового операционного дохода для формирования необходимого уровня валовой операционной прибыли. Он рассчитывется
УРвод = ^^ХІ00,
по следующей формуле:
где УРВод — уровень рентабельности валового операционного дохода, в %; ВОП — сумма валовой операционной прибыли, полученной предприятием в рассматриваемом периоде; t ВОД — сумма валового операционного дохода, полученного предприятием в рассматриваемом периоде.
* Как сумма, так и уровень формируемых предприятием различных видов операционных доходов зависят от ряда факторов. Основные факторы, влияющие на сумму и уровень валового и чистого операционного дохода на предприятиях промышленности и торговли, приведены в таблице 6.2.
Рассматривая приведенные факторы, следует отметить, что они носят агрегированный характер, т.е. сами складываются под влиянием факторов второго порядка — емкости соответствующего товарного рынка, уровня конкуренции на нем, номенклатуры производимой (реализуемой) продукции и т.п. Вместе с тем, изложенные выше факторы позволяют полностью обеспечивать механизм управления формированием валового и чистого операционного дохода предприятия. Основу этого механизма управления составляют:
Таблица 6.2. Состав основных факторов, влияющих на
формирование суммы и уровня валового и чистого операционного
дохода предприятии промышленности и торговли
I. На предприятиях промышленности
|
II. На предприятиях торговли
|
1. Уровень цен
реализациипроизведенной продукции
2. Объем реализации произведенной продукции
3. Уровень налогообложения валового операционного дохода
|
1. Уровень цен закупки товаров у поставщиков
2. Уровень цен реализациизакупленных товаров покупателям
3. Объем товарооборота
4. Уровень налогообложения валового операционного дохода
|
|
а) формирование эффективной ценовой политики;
б) планирование операционных доходов.
|
Ниже подробно рассматривается содержание каждого из этих основных составляющих механизма управления формированием валового и чистого операционного дохода предприятия.
6.2. ФОРМИРОВАНИЕ ЦЕНОВОИПОЛИТИКИ
Ценовая политика является не только одной из главных составляющих системы управления операционными доходами предприятия, но и важнейшим механизмом, обеспечивающим многие приоритеты его экономического развития. Она существенно влияет на объем операционной деятельности предприятия, формирование его имиджа у потребителей продукции, уровень финансового состояния в целом. Кроме того, ценовая политика представляет собой действенный инструмент его конкурентной борьбы на товарном рынке.
Конкретный уровень цен на продукцию, устанавливаемый в процессе формирования ценовой политики, прямо влияет как на сумму операционного дохода, так и на сумму операционной прибыли.
Используя систему "взаимосвязь издержек, объема реализации и прибыли", это можно проследить по графику, приведенному на рисунке 6.2.

Рисунок 6.2. График зависимости формируемой суммы чистого операционного дохода и валовой операционной прибыли от уровня цены на продукцию.
На графике представлено три варианта формирования суммы чистого операционного дохода в зависимости от трех значений уровня цен на реализуемую продукцию: Ць Ц2, Цз (объем реализации продукции в натуральном выражении — Рф — при всех трех вариантах остается неизменным).
При первом значении уровня цены на продукцию (Цд) сумма формируемого операционного чистого дохода является наименьшей и не покрывает сумму совокупных операционных издержек (И
ПОСт + И
пер), в результате чего результатом операционной деятельности предприятия является убыток.
При втором значении уровня цены на продукцию (Цг) реализуемый ее объем позволяет преодолеть точку безубыточности и предприятие имеет возможность сформировать определенную сумму валовой операционной
прибыли (хотя и небольшую). Сумма чистого дохода при таком уровне цены существенно возрастает.
При третьем значении уровня цены на продукцию (Цз) предприятие достигает наивысших размеров формируемой суммы чистого операционного дохода и валовой операционной прибыли.
Из графика видно также, что уровень устанавливаемых цен на продукцию существенно влияет как на объем реализации продукции, обеспечивающий достижение точки безубыточности (ТБ), так и на возрастание предела безопасности (запаса прочности). Наименьший объем реализации продукции для достижения точки безубыточности необходим при Цз; при этом же уровне цены обеспечивается и наивысший предел безопасности. При Ц.2 объем реализации продукции, обеспечивающий достижение точки безубыточности, возрастает, а предел безопасности сокращается. При Щ точка безубыточности вообще не достигается, а предел безопасности отсутствует.
С учетом зависимости суммы чистого операционного дохода и валовой операционной прибыли от уровня цены на продукцию формируется и ценовая политика предприятия. Под формированием ценовой политики предприятия понимается обоснование системы дифференцированных цен на реализуемую продукцию и разработка мероприятий по обеспечению оперативной их корректировки в зависимости от изменения ситуации на товарном рынке и условий осуществления операционной деятельности. Возможность осуществления предприятиями собственной
дифференцированной ценовой политики является одним из несомненных достижений осуществляемых в стране рыночных реформ.
В процессе формирования ценовой политики предприятия должны соблюдаться следующие основные принципы:
1 Обеспечение увязки ценовой политики предприятия с общей политикой управления прибылью и приоритетными целями осуществления операционной деятельности. Ценовая политика должна рассматриваться как важнейшая составная часть общей политики управления прибылью на отдельных этапах ее реализации, а ее цели должны строго корреспондировать с избранными приоритетными целями развития операционной деятельности
(по отношению к целям развития операционной деятельности предприятия в целом цели формирования ценовой политики носят подчиненный характер).
Обеспечение увязки ценовой политики предприятия с конъюнктурой товарного рынка и особенностями избранной рыночной ниши. Такая увязка позволяет учесть не только условия формирования уровня цен на товар, но и характер требований к этой цене отдельных категорий покупателей.
Обеспечение комплексности подхода к установлению уровня цен на товар в сочетании с уровнем послепродажного обслуживания покупателей. Уровень послепродажного обслуживания покупателей и его продолжительность с одной стороны формируют степень покупательских предпочтений, а с другой — требуют соответствующего возмещения дополнительных затрат предприятия. Поэтому в процессе формирования ценовой политики оба эти параметра должны учитываться в комплексе.
Осуществление активной ценовой политики на рынке. Активные формы этой политики определяются такими факторами, как самостоятельность подходов к установлению уровня цен (а не "следование в фарватере" в этом вопросе за отдельными хозяйствующими субъектами на товарном рынке), дифференциация подходов к формированию уровней цен на отдельные качественные разновидности товаров и т.п. Осуществление активной ценовой политики обеспечивает четко выраженное ценовое позиционирование данного предприятия на товарном рынке.
Обеспечение высокого динамизма ценовой политики. Этот механизм обеспечивается быстротой реагирования разработанной ценовой политики на изменение внутренних условий осуществления операционной деятельности предприятия и факторов внешней среды, т.е. своевременностью пересмотра отдельных ее параметров в увязке с динамикой товарного рынка, стадиями жизненного цикла предприятия, изменениями норм правового и налогового регулирования операционной деятельности.
С учетом изложенных принципов осуществляется процесс непосредственного формирования ценовой политики на конкретном предприятии. Процесс этого формирования охватывает следующие основные этапы (рисунок 6.3.).

Рисунок 6.3. Содержание и последовательность основных этапов формирования ценовой политики предприятия.
1. Выбор определяющих целей формирования ценовой политики. Этот выбор обусловлен задачами обеспечения стратегического развития операционной деятельности. С учетом этого формирование ценовой политики на предприятиях осуществляется исходя из трех принципиальных целевых ориентиров:
а) ориентира на покупателя. Такая ценовая установка призвана обеспечить развитие операционной деятельности и реализацию производимой продукции, в максимальной степени учитывающих возможности данного сегмента товарного рынка и предстоящих изменений его конъюнктуры;
б) ориентира на текущие затраты. Под текущими затратами в данном случае понимается сложивший уровеньоперационных издержек предприятия в процессе производства и организации сбыта продукции. Такая ценоваяустановка корреспондирует с фактическими затратамитрудовых, материальных, нематериальных и
финансовыхресурсов в процессе операционной деятельности и обеспечивает гарантированное возмещение этих затрат;
в) ориентира на прибылъ. Такая ценовая установкапризвана обеспечить формирование заранее обусловленного размера операционной прибыли (целевой ее суммыили уровня), достаточного для реализации целей разработанной политики управления прибылью предприятия.
2. Оценка сложившегося уровня цен на продукцию.
Основной целью осуществления такой оценки является определение минимального ее уровня, ниже которого она не может быть установлена исходя из требований самоокупаемости процесса производства и сбыта конкретных видов продукции и операционной деятельности предприятия в целом. В процессе оценки уровня цен на продукцию анализируются:
а) средний уровень цен на отдельные виды производимой продукции и его динамика по отдельным этапампредпланового периода;
б) сложившаяся дифференциация уровня цен в разрезеконкретных наименований продукции в сопоставлениис уровнем их качества, формами послепродажного обслуживания и другими ценообразующими факторами;
в) возможности снижения уровня операционныхиздержек за счет экономии
удельного расхода отдельныхвидов ресурсов и осуществления более эффективнойоперационной деятельности предприятия в предстоящем периоде.
3. Оценка потенциала и особенностей товарного рынка. Основной целью осуществления такой оценки являетсяизучение возможностей дифференциации уровня цен сучетом покупательских предпочтений отдельных категорий обслуживаемых потребителей. В процессе оценкитоварного рынка анализируются:
а) возможности дифференциации цен на отдельные виды продукции в рамках сложившегося "конкурентного поля" на данном сегменте товарного рынка;
б) возможности дифференциации уровня цен наотдельные виды продукции в разрезе отдельных категорийпотребителей с учетом различий в уровне их послепродажного обслуживания;
в) возможности расширения объема сбыта отдельныхвидов производимой продукции за счет определенногоснижения уровня цен на них. Рост объема сбыта продукции может вызвать увеличение суммы операционных доходов и прибыли даже при снижении уровня цен.Такая оценка связана с ценовой эластичностью спроса,определяющей степень чувствительности реагированияпокупателей на изменение количества приобретаемойпродукции в зависимости от изменения уровня цен нанее. Эта чувствительность реагирования измеряется коэффициентом эластичности спроса на продукцию по цене,показывающем в каком размере увеличивается объем спроса на продукцию при снижении ее цены на 1%. С точкизрения эластичности спроса на продукцию по цене всереализуемые ее виды подразделяются на следующие четыре группы: а) высокоэластичные (по которым объемспроса возрастает в большей степени, чем снижаетсяцена); б) среднеэластичные (по которым рост объемаспроса происходит в той же пропорции, что и снижениецены); в) низкоэластичные (по которым объем спроса возрастает в меньшей степени, чем снижается цена); г) обратной эластичности (по которым при снижении цены снижается и объем спроса — это относится к некоторым товарам, потребление которых при снижении цены замещается потреблением более высококачественных товаров).
Результаты оценки потенциала и особенностей товарного рынка позволяют с одной стороны выявить верхний предел формирования уровня цены на продукцию, а с другой — возможности дифференциации уровня цен на конкретные ее разновидности.
4. Дифференциация целей ценовой политики в разрезе конкретных видов продукция с учетом возможностей рынка и уровня операционных издержек. Проведенная оценка рынка позволяет перейти к наиболее ответственному этапу формирования ценовой политики — принципам ее дифференциации по отдельным видам продукции. В процессе такой дифференциации для каждого конкретного вида продукции используются различные целевые ориентиры ценовой политики.
Дифференциация целей ценовой политики в разрезе конкретных видов продукции производится по следующим основным ее классификационным признакам:
а) по роли продукции в удовлетворении потребностей.В соответствии с этим признаком выделяют продукциюнаиболее массового спроса; продукцию периодическогоспроса и продукцию эпизодического спроса. По каждомуиз этих видов продукции может осуществляться дифференцированная ценовая политика;
б) по уровню качества продукции и характеру послепродажного обслуживания потребителей. Оба эти признака взаимозависимы и при дифференциации ценовойполитики обычно рассматриваются комплексно;
в) по стадии жизненного цикла товара. На разныхстадиях жизненного цикла товаров (в первую очередьщодверженных влиянию моды и высокотехнологичных)могут быть использованы различные целевые ориентиры ценовой политики.
Результаты проведенной дифференциации позволяют сгруппировать все виды производимой и реализуемой продукции по различным целевым ориентирам осуществления ценовой политики.
S. Выбор модели расчета уровня цен на отдельные виды продукции. Этот выбор определяется конкретным целевым ориентиром, избранным для осуществления ценовой политики по данному виду продукции.
а) при ориентире ценовой политики на покупателябозовым элементом расчета
принимается уровень ценытовара, приемлемый для соответствующих категорий покупателей. При таком подходе модель расчета исходитиз следующего равенства:
УЦпок
= Цп і
где УЦпОк — уровень цены, устанавливаемый на производимую продукцию в ориентире на покупателя; Ц
п — цена, приемлемая для соответствующих категорий покупателей и обеспечивающая реализацию всего производимого объема продукции в минимальные сроки.
б) при ориентире ценовой политики на текущие затраты базовым элементом
уровня цены принимается суммаполных операционных затрат (издержек), приходящихся на единицу продукции. В этом случае модель расчета уровня цены принимает такой вид:
УЦтэ =
(И
в + ВП
о)х100.
пгт И
0 х У
вп
100-С„д
С ,ВІ1°--100
где УЦтз — уровень цены, устанавливаемый на производимую продукцию в ориентире на текущие затраты; Ио — средняя сумма полных операционных издержек, приходящихся на единицу продукции;
ВП
0 — средняя расчетная сумма валовой операционной прибыли, приходящаяся на единицу продукции (ее расчет осуществляется по среднему уровню прибыли по отдельно приведенной формуле);
Сндс — ставка налога на добавленную стоимость (и других налогов, уплачиваемых за счет валового операционного дохода предприятия), %; Увп — средний уровень валовой операционной прибыли к издержкам, в % (он устанавливается единым по продукции с данной ориентировкой ценовой политики).
в) при ориентире ценовой политики на прибылъ базовым элементом расчета уровня цены принимается целевой коэффициент рентабельности операционных издержек (текущих затрат), определяемый отношением целевой операционной прибыли к плановой сумме операционных издержек (полных текущих затрат по операционной деятельности) в процентах. В этом случае модель расчета уровня цены на продукцию имеет следующий вид:
(ЦОП + И
о)х100
И
л хКР
VI ц
; ЦОП =
100-С
100
НДС
гдеУЦпр—уровень цены, устанавливаемый на производимую продукцию в ориентире на прибыль; ЦОП —расчетная сумма целевой операционной прибыли (валовой), приходящаяся на единицу реализуемой продукции (ее расчет осуществляется по целевому коэффициенту рентабельности издержек по отдельно приведенной формуле);
И0 — средняя сумма полных операционных издержек, приходящаяся на единицу продукции; Сндс — ставка налога на добавленную стоимость (и других налогов, уплачиваемых за счет валового операционного дохода предприятия), %; КРщ — средний по предприятию целевой коэффициент рентабельности операционных издержек, в %.
Формирование конкретного уровня цен на отдельные виды продукции. Такая конкретизация осуществляется по каждому виду (разновидности) выпускаемой продукции в соответствии с избранным для него вариантом модели расчета уровня цены. При этом определяются необходимые для расчета конкретные значения отдельных исходных показателей. Основное внимание при этом должно быть уделено калькулированию полных операционных затрат по различным видам продукции.
Формирование механизма своевременной корректировки уровня цен. Такая корректировка может носить характер запланированных и незапланированных отклонений от расчетного уровня цены в сторону ее уменьшения или увеличения.
Запланированное уменьшение уровня цены может регулироваться системой заранее обусловленных скидок с нее, предоставляемых: на покупку определенного количества продукции отдельных видов; на определенный суммарный объем покупки продукции; на наличный расчет за приобретенную продукцию ("деньги против товара"); на покупку сезонно потребляемой продукции в несезонный период; постоянным или льготным категориям покупателей и в других аналогичных случаях.
Запланированное увеличение уровня цены может быть обусловлено специфическими условиями доставки продукции покупателю, необходимостью ее повышенного страхования при транспортировании, ее особой фирменной упаковкой по требованию покупателя, уровнем и продолжительностью периода послепродажного обслуживания и другими аналогичными случаями.
Незапланированное отклонение от расчетного уроиня цены может вызываться изменением конъюнктуры товарного рынка (общим снижением или повышением спроса на данный вид продукции); изменением ставок налогообложения операционной деятельности предприятия;
изменением условий хозяйствования, вызвавшим снижение или увеличение уровня операционных затрат и другими аналогичными причинами.
Механизм такой корректировки расчетного уровня цен на продукцию должен быть разработан на предприятии заранее в процессе формирования ценовой политики.
6.3. ПЛАНИРОВАНИЕ ОПЕРАЦИОННЫХДОХОДОВ
В системе управления операционными доходами предприятия их планированию принадлежит центральное место. Оно подчинено главной цели политики управления прибылью предприятия и обеспечивается комплексом мероприятий по проведению расчетов отдельных видов операционных доходов на предстоящий период.
Основными исходными предпосылками планирования операционных доходов предприятия являются: разработанная производственная программа, определяющая объемы и состав производимой продукции на предстоящий период; целевая сумма операционной прибыли, обеспечивающая условия эффективного развития предприятия в плановом периоде; разработанная ценовая политика предприятия.
1 ЭТА
|
ПЫ ПЛАНИРОВАНИЯ ОПЕРАЦИОННЫХ ДОХОДОВ
|
|
Анализ операционного дохода предприятия в предплановом периоде
|
Оценка и прогнозирование конъюнктуры товар-'
кого рынка
|
__Расчет плановой суммы различных видов опера-'
- ционных доходов
|
_Разработка системы мероприятий по обеспечению
выполнения плана операционных доходов
|
Рисунок 6.4. Содержание и последовательность процесса планирования операционных доходов предприятия.
Процесс планирования операционных доходов предприятия осуществляется по следующим четырем этапам (рисунок 6.4).
1. Анализ операционного дохода предприятия в предплановом периоде. Задачи такого анализа и его глубина должны быть направлены на изыскание возможностей увеличения общей суммы валового и чистого операционного дохода, обеспечение плановых их расчетов необходимыми информативными показателями. В процессе осуществления такого анализа изучаются:
а) динамика общей суммы валового операционного дохода предприятия в предплановом периоде. При анализе динамики операционного дохода должна быть обеспечена сопоставимость цен на реализуемую продукцию. В этих целях на предприятии рассчитывается средний индекс цен по отдельным этапам отчетного периода. Показатели общей суммы валового и чистого операционного дохода предприятия приводятся в сопоставимый вид по следующей формуле:
ОД, =
_ ОДф
И,
где ОДс — сумма валового (чистого) операционного дохода предприятия в сопоставимых ценах; ОДф — сумма валового (чистого) операционного дохода предприятия в фактических ценах; И
ц — средневзвешенный индекс цен на реализованную продукцию по отношению к первому анализируемому периоду.
После ценового сопоставления анализируемых показателей определяются темпы изменения общей суммы валового операционного дохода предприятия по отдельным этапам отчетного периода. Расчеты осуществляются по формуле средней геометрической:

где Твод — средний темп изменения (роста или снижения) общей суммы валового операционного дохода в рассматриваемом отрезке времени (год или квартал), в %; ВОД
и —общая сумма валового операционного дохода в сопоставимых ценах в последнем периоде рассматриваемого отрезка времени (квартала или месяца);
ВОДх — общая сумма валового операционного дохода в первом периоде рассматриваемого отрезка времени (в первом квартале или месяце); и — количество периодов в рассматриваемом отрезке времени;
б) равномерность формирования валового операционного дохода предприятия. Для характеристики этой равномерности используются обычно показатели среднеквадратического отклонения этих доходов и коэффициентам вариации (алгоритмы расчета этих показателей рассмотрены ранее);
в) соотношение чистого и валового операционногодохода предприятия в анализируемом периоде. В этих целяхрассчитывается и анализируется в динамике коэффициент чистого операционного дохода;
г) основные факторы, повлиявшие на изменение суммы валового и чистого операционного дохода предприятияв плановом периоде. В составе эти факторов основноевнимание в процессе анализа должно быть уделено: изменению объема производства продукции; изменению состава производимой продукции; изменению уровня ценна отдельные виды продукции; изменению видов и ставок налоговых платежей, входящих в цену продукции(уплачиваемых за счет валового операционного дохода).
Результаты анализа позволяют выявить основные тенденции в развитии валового и чистого операционного дохода предприятия и учесть их в процессе осуществления плановых расчетов.
2. Оценка и прогнозирование конъюнктуры товарного рынка. Состояние товарного рынка, на различных сегментах которого предприятие формирует свой валовой операционный доход путем реализации отдельных видов продукции, характеризуют такие его элементы, как спрос, предложение, цена и конкуренция. Соотношение указанных элементов товарного рынка постоянно изменяется. Это общее состояние динамики, изменчивости товарного рынка представляет собой чрезвычайно сложное экономическое явление, поскольку оно формируется под влиянием множества разнородных и разнонаправленных внутрирыночных и общеэкономических факторов.
В то же время, каждому предприятию важно знать, на какую степень активности товарного рынка, его видов
и сегментов ему следует ориентироваться при планировании своего валового операционного дохода в процессе реализации производимой продукции.
Степень активности товарного рынка определяется путем изучения рыночной конъюнктуры. Рыночная конъюнктура представляет собой форму проявления на товарном рынке (отдельных его видах и сегментах) системы факторов (условий), определяющих соотношение объемов спроса и предложения, уровней цен и конкуренции.
Конъюнктура товарного рынка характеризуется определенными конъюнктурными циклами, в рамках каждого из которых выделяют следующие четыре стадии: 1) подъем конъюнктуры; 2) конъюнктурный бум; 3) ослабление конъюнктуры; 4) конъюнктурный спад (рисунок 6.5.).

Рисунок 6.5. Характер стадий изменения конъюнктуры товарного рынка
Смена всех стадий конъюнктуры рынка определенного вида продукции происходит в среднем за 1-2 года. При этом стадии конъюнктуры товарного рынка могут совпадать, а могут и не совпадать с фазами общеэкономического развития страны. Практика показывает, что конъюнктурный бум на рынке отдельных видов продукции может происходить даже в период общеэкономической депрессии, в то время как конъюнктурный спад
в конкретном сегменте рынка может иметь место и в период подъема экономики.
В связи с циклическим развитием и постоянной изменчивостью товарного рынка необходимо систематически изучать его конъюнктуру в разрезе отдельных видов и сегментов с тем, чтобы формировать эффективную политику операционной деятельности предприятия и определять потенциал развития его операционных доходов. Изучение конъюнктуры товарного рынка в процессе управления операционными доходами предприятия охватывает следующие этапы:
а) текущее наблюдение за рыночной активностью. Око осуществляется в тех сегментах товарного рынка, вкоторых предприятие осуществляет (или намечает осуществлять в ближайшее время) свою коммерческую деятельность, связанную с формированием операционных доходов. Текущее наблюдение за состоянием товарногорынка требует формирования целенаправленной системы показателей, характеризующих отдельные его сегменты. Среди этих показателей особое внимание должно быть уделено динамике объема спроса в регионе наразличные виды продукции, изменению среднего уровня цен и размера ценового диапазона в отдельных сегментах рынка, изменению числа конкурентов и степени их воздействия на рыночные процессы и некоторымдругим. Результаты текущего наблюдения за конъюнктурой товарного рынка фиксируются в табличной илиграфической форме;
б) оценка текущей конъюнктуры товарного рынка. Онаосуществляется в процессе анализа, основная цель которогосостоит в выявлении особенностей конкретных сегментовтоварного рынка и тех изменений, которые происходятна них в момент наблюдения по сравнению с предшествующим периодом. Анализ конъюнктуры рынка в разрезе отдельных его сегментов производится в два этапа.
На первом этапе анализа производится расчет системы аналитических показателей, характеризующих текущую рыночную конъюнктуру (на основе наблюдаемых информативных показателей). К таким показателям относятся: общий объем продажи данного вида продукции на рассматриваемом региональном рынке; уровень удовлетворения спроса покупателей на продукцию; темпы роста (снижения) среднего уровня цен на продукцию.
На втором этапе анализа выявляются предпосылки к изменению текущей конъюнктурной стадии данного сегмента товарного рынка. Эти изменения по многим видам продукции связаны с сезонностью их производства или потребления.
В процессе оценки текущей конъюнктуры рынка должны быть выявлены и исключены из анализа ее тенденций отдельные краткосрочные колебания, вызванные действием случайных факторов. К таким факторам относятся: резкие изменения погодных условий; нарушения ритмичности работы железнодорожного транспорта; стихийные бедствия; период праздников; паническая реакция покупателей или продавцов на ожидаемые изменения экономической политики государства и т.п.
в) прогнозирование конъюнктуры товарного рынка. В условиях нестабильности экономического развития страны, отсутствия достоверной информации и по ряду других причин прогнозирование рыночной конъюнктуры ограничивается в настоящее время кратко срочным и среднесрочным периодом, что вполне достаточно для целей планирования операционных доходов. Это прогнозирование осуществляется обычно двумя основными методами: факторным и трендовым.
Факторный метод прогнозирования рыночной конъюнктуры основан на изучении отдельных факторов, влияющих на спрос, предложение, цены и конкуренцию на рынке конкретного вида продукции, и определении возможного изменения этих факторов в предстоящем периоде. Эти факторы подразделяются на экономические, демографические, социально-политические и другие. При использовании факторного метода
прогнозирования конъюнктуры рынка вначале изучается влияние различных факторов на отдельные его элементы, затем отбираются наиболее значимые из них (оказывающие наибольшее влияние) и строится многофакторная модель регрессии. Ряд крупных предприятий, специализирующихся на производстве и реализации относительно небольшой номенклатуры продукции, могут самостоятельно разрабатывать
многофакторные конъюнктурные прогнозы (вводя в свой штат маркетологов— специалистов по изучению и прогнозированию рынка). Другие предприятия могут приобретать эту информацию у маркетинговых фирм, специализирующихся на прогнозировании конъюнктуры рынков отдельных видов продукции. Факторный метод используется при среднесрочном прогнозировании рыночной конъюнктуры.
Трендовый метод прогнозирования конъюнктуры основан на распространении выявленной в процессе ранее проведенной оценки конъюнктурной тенденции на предстоящий период. При этом пренебрегают случайными факторами воздействия на эту тенденцию. Вместе с тем, следует учесть предстоящие уже известные изменения факторов внутрирыночных (например, сокращение поступления конкретных видов сырьевых ресурсов) или общеэкономических (например, изменение системы налогообложения производства и реализации отдельных видов продукции; изменение порядка лицензирования и квотирования продукции при осуществлении внешнеэкономических операций и т.п.). Этот метод доступен менеджерам любого предприятия, так как базируется на результатах текущего наблюдения и оценки конъюнктуры отдельных сегментов товарного рынка. Трендовый метод используется обычно для краткосрочного прогнозирования конъюнктуры товарного рынка.
С учетом результатов прогнозирования рыночной конъюнктуры осуществляются плановые расчеты суммы валового и чистого операционного дохода предприятия на предстоящий период.
3. Расчет плановой суммы различных видов операционных доходов. Этот расчет основывается на использовании ряда методов, основными из которых являются:
а) планирование валового операционного дохода на основе разработанной производственной программы (плана производства продукции). Этот метод расчета позволяет увязать планирование валового операционного дохода с ресурсным потенциалом предприятия и уровнем его использования. Базовым показателем расчета плановой суммы валового операционного дохода выступает в этом случае планируемый объем производства товарной продукции. Модель расчета плановой суммы валового операционного дохода предприятия при использовании этого метода имеет следующий вид:
ВОДп = згп
н + пгп - згп
к,
где ВОДп —плановая сумма валового операционного дохода предприятия, рассчитанная на основе производственной программы;
ЗГПн — сумма запасов готовой продукции на начало планируемого периода;
ЗГПк—сумма запасов готовой продукции на конец планируемого периода;
ПГП —суммарный объем производства готовой товарной продукции в плановом
периоде.
б) Планирование чистого операционного дохода наоснове разработанной производственной программы. Базовым показателем при этом выступает плановая суммавалового операционного дохода, рассчитанная на основепроизводственной программы предприятия. Модель расчета этого показателя имеет следующий вид:
ВОД„ (100-НДС)
чод--100 ¦
где ЧОДп — плановая сумма чистого операционного дохода, рассчитанная на основе производственной программы; ВОД
п — плановая сумма валового операционного дохода, рассчитанная на основе производственной программы; НДС —ставка налога на добавленную стоимость (и других налогов, уплачиваемых за счет валового операционного дохода), в %.
в) планирование чистого операционного дохода на основе целевой суммы прибыли.
Этот метод является наиболеепрогрессивным, так как позволяет наиболее полно увязатьпланируемую сумму операционного дохода с задачамиразвития предприятия в предстоящем периоде, обеспечивая необходимый уровень самофинансирования развитияоперационной деятельности. Базовым показателем расчета плановой суммы чистого операционного дохода предприятия в этом случае выступает целевая сумма чистойоперационной прибыли (порядок ее формирования рассматривается в соответствующем разделе). Модель расчета плановой суммы чистого операционного дохода прииспользовании этого метода имеет следующий вид:
чр ЧСП'.хюо
п 100-нп
дохода предприятия,
где ЧОДп —плановаясумма чистого операционного рассчитанная на основе целевой суммы прибыли;
ЧОПц —целевая сумма чистой операционной прибы ли, определенная на плановый период; И0 — планируемая сумма операционных издержек; НП — ставка налога на прибыль (и других обязательных платежей за счет прибыли), в %.
г) планирование валового операционного дохода на основе целевой суммы прибыли. Базовым показателем при этом выступает плановая сумма чистого операционного дохода, рассчитанного на основе целевой суммы прибыли. Модель расчета этого показателя имеет следующий вид:

где ВОДц —плановая сумма валового операционного дохода предприятия, рассчитанная на основе целевой суммы прибыли; ЧОДц —плановая сумма чистого операционного дохода, рассчитанная на основе целевой суммы прибыли; НДС —ставка налога на добавленную стоимость (и других налоговых платежей, уплачиваемых за счет валового операционного дохода), %.
4. Разработка системы мероприятий по обеспечению выполнения плана операционных доходов. Система этих мероприятий разрабатывается в разрезе следующих основных направлений:
а) эффективное осуществление разработанной ценовой политики;
б) использование благоприятной конъюнктуры рынка в отдельных его
сегментах;
в) повышение уровня сервисного обслуживанияпокупателей продукции;
г) предоставление товарного кредита покупателямс целью стимулирования реализации продукции;
д) интенсификация рекламной и информационнойдеятельности;
е) развитие сети фирменных сбытовых филиаловпо реализации продукции;
ж) доведение разработанных планов до центровдохода и прибыли.
Глава 7. Управление операционными затратами
7.1. СУЩНОСТЬ И ВИДЫ ОПЕРАЦИОННЫХ ЗАТРАТ
Операционная деятельность предприятия с моментаего создания связана с осуществлением разнообразных затрат трудовых, материальных, нематериальных и финансовых ресурсов в процессе производства и реализации продукции. По своему характеру эти затраты подразделяются на два основные вида — текущие и долговременные.
Текущие затраты предприятия связаны с решаемыми им в процессе хозяйственной деятельности тактическими задачами — закупкой сырья и материалов,их транспортированием и хранением, обслуживанием материально-технической базы, содержанием персонала ит.п. Долговременные затраты (инвестиции) связаны с решаемыми предприятием стратегическими задачами —строительством, реконструкцией или приобретением новых производственных зданий и помещений; покупкой новых видов машин и оборудования; приобретением различных нематериальных активов, обслуживающих производственно-сбытовые процессы и т.п.
С формированием операционной прибыли связаны текущие затраты предприятия, которые носят название операционных. Операционные затраты предприятия, осуществляемые им в процессе снабженческой, производственной, сбытовой операционной деятельности, представлены в основном его издержками, которые в разных отраслях принимают различную форму: в промышленности — издержки производства или себестоимость (продукции, в торговле — издержки обращения и т.п.В целях унификации терминологии все операционные затраты в дальнейшем будут идентифицироваться с термином "издержки". Под операционными затратами (издержками) понимаются выраженные в денежной форме<затраты трудовых, материальных,
нематериальных ифинансовых ресурсов на осуществление операционной деятельности предприятия.
Для эффективного управления операционными затратами предприятия разработана соответствующая их классификация. Эта классификация используется в процессе учета, анализа, калькулирования, планирования и контроля операционных затрат (издержек) и проводится по следующим основным признакам (табл. 7.1):
Таблица 7.1. Классификация операционных издержек предприятия
по основным признакам
Признаки
классификации
операционных
|
Виды операционных издержек по соответствующим признакам классификации
|
1
|
2
|
1. Характер отражения в учете
|
1. Бухгалтерские издержки (затраты)
2. Экономические издержки (затраты)
|
2. Степень эластичности к объему реализации продукции
|
1. Переменные издержки
2. Постоянные издержки
|
3. Содержание операционного процесса
|
1. Операционные издержки, связанные с
производством продукции
2. Операционные издержки, связанные со сбытом продукции
3. Полные операционные издержки
|
4. Возможность отнесения на конкретные результаты
операционной деятельности
|
1. Прямые издержки
2. Непрямые издержки
|
5. Степень целесообразности
понесенных затрат
|
1. Полезные издержки
2. Бесполезные издержки
|
6. Экономическое содержание затрат (экономические элементы)
|
1. Материальные затраты
2. Расходы на оплату труда
3. Отчислениянасоциальныемероприятия
4. Амортизация
5. Другие операционные затраты
|
7. По конкретным видам затрат
|
1. Номенклатура статей издержек, устанавливаемая предприятием с учетом отраслевой специфики операционной деятельности
|
8. Рассматриваемый период
формирования
|
1. Издержки (расходы) отчетного периода
2. Издержки (расходы) будущихпериодов
|
1. По характеру отражения в учете разделяют бухгалтерские и экономические издержки (затраты) предприятия. Такое разделение операционных затрат связано сидентификацией соответствующих видов операционнойприбыли.
а) Бухгалтерские (или внешние) издержки (затраты)^арактеризуют полный объем понесенных текущих операционных расходов предприятия, которые отражаютсябухгалтерским учетом.
б) Экономические (или внутренние) издержки (затраты) характеризуют объем тех понесенных текущихоперационных расходов предприятия, которые бухгалтерским учетом не отражаются, а оцениваются по альтернативной стоимости.
2. По степени эластичности к объему реализации продукции выделяют постоянные и переменные издержки(операционные затраты). Такое разделение операционных затрат составляет важнейшее условие эффективностиуправления операционной прибылью предприятия вцелом на основе использования системы "Взаимосвязьиздержек, объема реализации иприбыли" (или "CVP").
а) Переменные издержки прямо зависят от изменения объема производства и реализации продукции, однако степень такой зависимости различна. Она можетносить пропорциональный характер (при котором суммапеременных операционных затрат отдельных видов растетили сокращается пропорционально росту или снижению объема производства и реализации продукции); дег-рессивный характер (при котором сумма переменных операционных затрат отдельных видов растет меньшимитемпами, чем возрастает объем производства и реализации продукции, например, расходы на рекламу приэффективном ее осуществлении); прогрессивный характер (при котором сумма переменных операционных затрат отдельных видов растет более высокими темпами,чем увеличивается производство и объем реализациипродукции, например, расходы на заработную платуработников производства при сдельно-премиальнойсистеме оплаты их труда). Таким образом, наличие переменных операционных затрат (издержек) обусловлено процессом производства и реализации продукции напредприятии.
б) Постоянные издержки не зависят от измененияобъема производства и реализации продукции, т.е. ониимеют место даже в том случае, если предприятие временно не осуществляет операционную деятельность. Приэтом в составе таких
операционных затрат въщеляютсяабсолютно постоянные издержки (например, расходы нааренду производственных помещений) и условно постоянные издержки (например, износ малоценных и быстроизнашивающихся предметов). Рассматривая
постоянныеоперационные затраты, следует иметь в виду, что ониявляются таковыми только в коротком периоде операционной деятельности предприятия. В длительном периодеэтой деятельности все виды операционных затрат предприятия подвержены изменению.
Зависимость постоянных и переменных операционных затрат предприятия от объема операционной деятельности схематически представлена на рис. 7.1.
Выделение в составе операционных затрат переменных и постоянных их видов является одним из основополагающих принципов их классификации в целях эффективного управления ими.
Характер зависимости Характер зависимости
переменных издержек постоянных издержек

|
Объем операционной деятельности Объем операционной деятельности
|
В.
Характер зависимости совокупных издержек

|
Обьеы отедздашой деятелькоети Объем операционной деятельности
|
Рисунок 7.1. Характер зависимости переменных и постоянных издержек от объема операционной деятельности
3. По содержанию операционного процесса выделяют операционные затраты, связанные с производством продукции; со сбытом продукции и полные операционные затраты. Такая классификация издержек используется на производственных предприятиях.
а) Операционные затраты, связанные с производством продукции (издержки производства или производственная себестоимость) включают весь комплекс этих затрат, начиная с закупки сырья и материалов и заканчивая выпуском готовой продукции. При большом объеме снабженческой операционной деятельности затраты по этим
операциям могут быть выделены в отдельный самостоятельный блок (издержки снабжения).
б) Операционные затраты, связанные со сбытом произведенной продукции (сбытовые издержки или издержкиобращения) включают весь комплекс затрат по осуществлению ее реализации.
в) Полные операционные затраты (полные издержки или полная себестоимость продукции) объединяютв своем составе как производственные, так и сбытовыеиздержки предприятия.
4. По возможности отнесения на конкретные результаты операционной деятельности (производство и реализацию отдельных видов продукции; деятельность отдельных центров ответственности и т.п.) выделяютпрямые и непрямые издержки.
а) Прямыми издержками являются такие виды операционных затрат, которые в полном объеме могут бытьотнесены к тому или иному конкретному результатуоперационной деятельности (например, расход конкретного вида основного сырья на производство определенного вида продукции).
б) Непрямыми издержками являются такие вилы операционных затрат,
которые в связи с комплексностьюих осуществления не могут быть в полном объеме отнесены к тому или иному результату операционной деятельности и требуют предварительного распределения (например, общепроизводственные затраты).
Непрямыеиздержки образуют так называемые "комплексные статьи калькуляции" и распределяются с использованиемспециальных методов.
Следует отметить, что деление операционных затрат (издержек) на прямые и непрямые зависит от конкретных целей их распределения в процессе управления ими и в соответствии с этими целями может изменяться. Так, при формировании бюджета рекламной компании, связанной с имиджем или продукцией предприятия, расходы на размещение теле-, радио- и других видов рекламы будут носить прямой характер; в то же время они будут являться непрямыми при калькулировании себестоимости отдельных видов продукции.
5. По степени целесообразности понесенных затрат
выделяют полезные и бесполезные издержки.
а) Полезными издержками являются такие видыоперационных затрат, которые способствовали результативному осуществлению операционной
деятельностипредприятия.
б) Бесполезными издержками являются такие видыоперационных затрат, которые связаны с обслуживанием неиспользуемой части трудовых, материальных, нематериальных и финансовых ресурсов, предназначенных для осуществления операционной деятельности (например, выплата заработной платы работникам за период выполнения ими общественных обязанностещамортизационные отчисления по неиспользуемому оборудованию и т.п.).
6. По экономическому содержанию (экономическим элементам) выделяют следующие группы операционных затрат (издержек):
а) Материальные расходы. К ним относятся стоимость сырья, материалов, покупных полуфабрикатов, использованных при производстве отдельных видов продукции; стоимость использованных топлива и электроэнергии; стоимость запасных частей и материалов дляпроведения текущего ремонта производственных основных фондов; потери вследствие недостачи материальныхценностей в пределах норм убыли и некоторые другиеаналогичные виды операционных расходов, связанныес затратами материальных ресурсов.
б) Расходы на оплату труда. К ним относят все видывыплат основной и дополнительной заработной платы штатных и внештатных работников предприятия, относимых на издержки (себестоимость). Все формы материального стимулирования персонала за счет прибылив состав операционных затрат не включаются.
в) Отчисления на социальные мероприятия. К нимотносят все вилы обязательных отчислений предприятия в различные внебюджетные фонды, обеспечивающие реализацию государственных социальных программ(фонд государственного социального страхования;государственный пенсионный фонд; фонд государственного медицинского страхования и т.п.), относимые наиздержки (себестоимость). Социальные выплаты персоналупредприятия за счет прибыли в состав операционныхзатрат не включаются;
г) Амортизация. Особенности выделения этого элемента операционных затрат связаны с действующим порядком налогообложения прибыли. К ним относятсяамортизационные отчисления от балансовой стоимостипроизводственных основных фондов, а также амортизируемых видов нематериальных активов предприятия.
Д) Другие операционные расходы. К ним относятсявсе прочие виды
операционных затрат предприятия.
По конкретным видам затрат выделяют отдельные статьи издержек (себестоимости), совокупность которых составляет их номенклатуру. Такая единая учетная номенклатура установлена для предприятий различных сфер и отраслей экономики и отражает специфику осуществляемой ими операционной деятельности. В рамках каждой из установленных статей издержек (себестоимости) предприятие может организовать управленческий учет своих операционных затрат, обеспечивающий эффективное управление ими.
По периоду отнесения произведенных текущих расходов выделяют издержки, связанные с текущей операционной деятельностью, которые возмещены в процессе данного операционного цикла, и издержки, которые будут возмещены в предстоящем периоде (издержки, отнесенные на запасы готовой продукции на конец периода; расходы будущих периодов и т.п.).
Операционные затраты предприятия характеризуются следующими основными показателями:
а) абсолютной суммой издержек, которые предприятие понесло в процессе своей операционной деятельности за определенный период. Этот показатель даетпредставление об объеме понесенных операционныхзатрат, но не позволяет судить об их эффективности;
б) коэффициентом (или уровнем) издержкоемкостиоперационной деятельности. Он определяется как отношение суммы издержек производства и сбыта продукциик объему ее реализации, выраженное в процентах. Коэффициент издержкоемкости является важнейшим качественным показателем экономичности операционной деятельности предприятия. Расчет этого показателя осуществляетсяпо следующим формулам:
КИ
од=|а
хі00; КИ
пд=^х!00; КИ
с„=^х100,
где КИОД — общий коэффициент издержкоемкости операционной деятельности, %; КИ
Пд — коэффициент издержкоемкости производства
продукции; КИсп — коэффициент издержкоемкости сбыта продукции (в торговле — уровень издержек обращения); И0 — общая сумма издержек (операционных затрат) в рассматриваемом периоде; ИП —сумма издержек, связанных с производством продукции (производственная себестоимость) в рассматриваемом периоде; ИС — сумма издержек, связанных со сбытом продукции (в торговле — полная сумма издержек обращения) в рассматриваемом периоде; ОР—объем реализации продукции в рассматриваемом периоде (в торговле — объем товарооборота); ОП — объем производства продукции в рассматриваемом периоде.
в) коэффициентом (или уровнем) издержкоотдачи. Этот показатель является обратным по отношению к коэффициенту издержкоемкости операционной деятельности. Он характеризует объем реализации (производства) продукции (или товарооборота торговых предприятий), приходящийся на единицу понесенных в определенном периоде затрат. Этот показатель характеризует результативность операционных затрат предприятия. Принципиальная формула расчета этого показателя имеет следующий

кио03
вид:
где КИ0
0з—общий коэффициент издержкоотдачи;
ОР —объем реализации продукции в рассматриваемом периоде (в торговле — объем товарооборота); И
0 — общая сумма операционных затрат (в торговле — издержек обращения) в рассматриваемом периоде.
г) коэффициентом (или уровнем) рентабельности операционных затрат. Он определяется как отношение суммы валовой или чистой операционной прибыли к сумме издержек (модели расчета коэффициентов валовой и чистой рентабельности операционных затрат рассмотрены ранее). Коэффициент рентабельности является одним из важнейших показателей эффективности операционных затрат.
С учетом приведенной классификации и рассмотренной системы оценочных показателей осуществляется конкретное управление операционными затратами на предприятии.
Критерием экономичности операционных затрат предприятия выступает минимизация уровня издержко-емкости операционной деятельности. Низкий уровень издержкоемкости позволяет предприятию получать определенные конкурентные преимущества на товарном рынке, свободнее осуществлять свою ценовую политику и при прочих равных условиях достигать более высоких размеров операционной прибыли.
Однако следует иметь в виду, что снижение уровня издержке емкости операционной деятельности является важной задачей, но не основной целью управления операционными затратами, так как оно может сопровождаться снижением качества продукции и сервисного обслуживания покупателей, отказом от производства и реализации пользующихся спросом отдельных перспективных, но издержкоемких видов продукции, сменой приоритетов стратегического развития операционной деятельности предприятия на кратковременные экономические выгоды в текущем периоде. Поэтому основной целью управления операционными затратами на предприятии является оптимизация их суммы и уровня, обеспечивающая высокие темпы развития операционной деятельности и достижение предусмотренных объемов операционной прибыли.
Процесс управления операционными затратами на предприятии связан с действием определенных факторов, влияющих на их формирование. Эти факторы весьма многообразны. В процессе управления операционными затратами — их анализе, поиске резервов экономии и планировании — все факторы принято подразделять на две основные группы: 1) зависящие от деятельности предприятия (внутренние факторы); 2) не зависящие от деятельности предприятия (внешние факторы).
1) В системе внутренних факторов, зависящих от деятельности предприятия выделяют следующие:
а) объем производства и реализации продукции. Этотфактор оказывает наибольшее влияние на операционныезатраты, так как переменные их виды прямо связаны сизменением этого показателя. Рост объема производства и реализации продукции приводит к увеличению общей суммы операционных затрат, однако уровеньиздержкоемкости при этом снижается (так как суммапостоянных операционных затрат остается неизменной).
С ростом объема производства и реализации продукции до определенного предела сумма переменных, а соответственно и общих операционных затрат предприятия растет обычно меньшими темпами, так как в составе переменных преобладают виды издержек, имеющие дегрессивный характер (это связано с реализацией резервов более эффективного использования ресурсного потенциала предприятия). Однако начиная с определенного момента, рост объема производства и реализации продукции вызывает еще больший рост суммы переменных, а частично и постоянных операционных затрат, в результате чего темпы роста общей их суммы могут превысить темпы роста производства и реализации продукции. Такая ситуация связана с необходимостью вовлечения дополнительного объема ресурсов всех видов на обеспечение прироста производства и реализации продукции, в результате чего резко возрастают постоянные операционные затраты, а в составе переменных в этом периоде начинают преобладать виды издержек, имеющие прогрессивный характер. Следовательно рост объема производства и реализации продукции лишь до определенных пределов может вызывать снижение уровня издержке емкости операционной деятельности.
б) Состав производимой и реализуемой продукции. Различные виды продукции
имеют разный уровень из держко емкости. Управляя операционными
затратами, необходимо всегда сопоставлять уровень издержко емкости реализуемой продукции и уровень ее рентабельности.Как правило, высокий уровень издержкоемкости продукции не должен приводить к снижению уровня рентабельности ее реализации.
в) Продолжительность операционного цикла. Чем короче период обращения оборотных активов, тем соответственно ниже на предприятии уровень расходов по хранению сырья, материалов и
готовой продукции, затраты по инкассации дебиторской задолженности, удельные расходы по управлению предприятием, потери различных материальных ресурсов от естественной убыли.
г) Уровень производительности труда. Чем вышеобъем производства и реализации продукции, приходящийся на одного работника предприятия, тем соответственно ниже уровень операционных расходов по оплатетруда и других затрат по содержанию персонала.
д) Состояние используемых производственных основных фондов. Чем выше степень их износа, тем большийобъем операционных затрат несет предприятие по их ремонтудем выше уровень потерь отдельных видов сырья, материалов и готовой продукции в процессе их хранения.
е) Обеспеченность собственными оборотными активами. Чем выше этот показатель, тем меньшим объемомзаемных средств пользуется предприятие в процессеосуществления операционной деятельности, а соответственно тем ниже сумма и уровень процентов за кредит,включаемых в состав операционных затрат (издержек).
2. В системе внешних факторов, не зависящих от деятельности предприятия,
выделяются следующие:
а) Темпы инфляции в стране. Чем выше этот показатель, тем быстрее растет сумма операционных затрат пооплате труда персонала; обслуживанию используемых впроцессе операционной деятельности заемных средств ;оплате услуг транспортных, ремонтных и других стороннихпредприятий; отчислениям на социальные мероприятия.
б) Уровень развития отдельных сегментов товарногорынка. В условиях "рынка продавца" уровень издержко-емкости реализации отдельных видов продукции значительно ниже, чем в условиях "рынка покупателя". Этосвязано с различиями в скорости обращения запасовготовой продукции, в уровне расходов на ее рекламу, вуровне расходов на сбыт произведенной продукции и т.п.
в) Изменение уровня государственных (муниципальных) арендных ставок. В настоящее время значительнаячасть предприятий арендуют помещения у государственных (муниципальных) органов управления имуществом. Поэтому периодический рост системы государственныхарендных ставок вызывает повышение суммы операционных затрат в целом.
г) Изменение видов и ставок налоговых платежей, входящих в состав операционных затрат (относимых на издержки или себестоимость продукции). В составе операционных затрат налоговые платежи (особенно связанные с начислениями на фонд оплаты труда) занимают довольно существенный удельный вес. Поэтому изменение видов этих платежей или уровня налоговых ставок по ним отражается на общей сумме и уровне операционных затрат предприятия.
Учет этих факторов позволяет более эффективно управлять операционными затратами предприятия.
Эффективность этого управления существенно возрастает при внедрении на предприятии системы управленческого учета и организации центров затрат и центров прибыли.
7.2. ОПЕРАЦИОННЫЙ ЛЕВЕРИДЖ
Разделение всей совокупности операционных затрат предприятия на постоянные и переменные их виды позволяет использовать механизм управления операционной прибылью, известный как "операционный леверидж". Действие этого механизма основано на том, что наличие в составе операционных затрат любой суммы постоянных их видов приводит к тому, что при изменении объема реализации продукции, сумма операционной прибыли всегда изменяется еще более высокими темпами. Иными словами, постоянные операционные затраты (издержки) самим фактом своего существования вызывают непропорционально более высокое изменение суммы операционной прибыли предприятия при любом изменении объема реализации продукции вне зависимости от размера предприятия, отраслевых особенностей его операционной деятельности и других факторов (причины такого изменения подробно рассмотрены при определении влияния объема реализации продукции на сумму и уровень совокупных операционных затрат).
Однако степень такой чувствительности операционной прибыли к изменению объема реализации продукции неоднозначна на предприятиях, имеющих различное соотношение постоянных и переменных операционных затрат. Чем выше удельный вес постоянных издержек в
общей сумме операционных затрат предприятия, тем в большей степени изменяется сумма операционной прибыли по отношению к темпам изменения объема реализации продукции.
Соотношение постоянных и переменных операционных затрат предприятия, позволяющее "включать" механизм операционного левериджа с различной интенсивностью воздействия на операционную прибыль предприятия, характеризуется "коэффициентом операционного левериджа ”, который рассчитываетсяпо следующей формуле:
И
_
Г1пост
К°
л = И
0 *
где К
ол —коэффициент операционного левериджа; Ипост" сумма постоянных операционных издержек; Ио — общая сумма операционных издержек.
Чем выше значение коэффициента операционного левериджа на предприятии, тем в большей степени оно способно ускорять темпы прироста операционной прибыли по отношению к темпам прироста объема реализации продукции. Иными словами, при одинаковых темпах прироста объема реализации продукции предприятие, имеющее больший коэффициент операционного левериджа, при прочих равных условиях всегда будет в большей степени приращивать сумму своей операционной прибыли в сравнении с предприятием с меньшим значением этого коэффициента.
Конкретное соотношение прироста суммы операционной прибыли и суммы объема реализации, достигаемое при определенном коэффициенте операционного левериджа, характеризуется показателем "эффект операционного левериджа”. Принципиальная формула расчета этого показателя имеет вид:
Q _ двоп
ол ДОР ’
где Эол — эффект операционного левериджа, достигаемый при конкретном значении его коэффициента на предприятии; ДВОП — темп прироста валовой операционной прибыли, в %; ДОР — темп прироста объема реализации продукции, в %.
Задавая тот или иной темп прироста объема реализации продукции, мы всегда можем, используя указанную формулу, определить, в каких размерах возрастает сумма операционной прибыли при сложившемся на предприятии коэффициенте операционного левериджа. Различия в достигаемом эффекте на разных предприятиях будут определяться при этом различиями в соотношении их постоянных и переменных операционных затрат, отражаемыми коэффициентом операционного левериджа.
Приведенная выше принципиальная формула расчета эффекта операционного левериджа имеет ряд модификаций.
Так, в целях управления маржинальной прибылью предприятия эффект операционного левериджа может быть выражен следующими формулами:
1=1 _ дмп 0 _ дмп ДОР ’ ол“двбП’
где Эол —эффект операционного левериджа; ДМП —темп прироста маржинальной операционной прибыли, в %; ДВОП —темп прироста валовой операционной прибыли, в %; • ДОР —темп прироста объема реализации продукции, в %. В целях исключения влияния налоговых платежей, включаемых в цену продукции и уплачиваемых за счет валового дохода, расчет эффекта операционного левериджа может быть произведен по следующей формуле:

АВОП
дчод5
где Эол — эффект операционного левериджа; ДВОП —темп прироста валовой операционной прибыли, в %; ДЧОД — темп прироста чистого операционного дохода.
Эта формула наиболее приемлема для расчета операционного левериджа на предприятиях торговли.
В целях раздельного изучения влияния на операционную прибыль прироста объема реализации продукции в натуральном выражении и изменения уровня цен на нее для определения эффекта операционного левериджа используется следующая формула:
^ ДВОП
ол ДОР
нхДЦ
с’
где Эол — эффект операционного левериджа; ДВОП —темп прироста валовой операционной прибыли, в %; дОР
н —темп прироста объема реализации продукции в натуральном выражении (количество единиц продукции), в %; ДЦ
е —темп изменения уровня средней цены за единицу продукции, в %.
Эта формула позволяет комплексно учесть влияние на изменение суммы операционной прибыли как коэффициента операционного левериджа, так и изменения ценовой политики.
Имеются и другие более сложные модификации формулы расчета эффекта операционного левериджа. Однако несмотря на различия алгоритмов определения эффекта операционного левериджа, содержание механизма управления операционной прибылью путем воздействия на соотношение постоянных и переменных издержек предприятия остается неизменным.
Для наглядности рассмотрим эффект операционного левериджа на следующем примере: два предприятия "А" и "Б" имеют одинаковую исходную базу объема реализации продукции и наращивают этот объем на протяжении последующих периодов одинаковыми темпами. При этом на предприятии "Б" сумма постоянных операционных затрат вдвое превышает аналогичный показатель на предприятии "А" (соответственно 60 и 30 условных денежных единиц). В то же время на предприятии "А" в более высоком размере сложился уровень переменных операционных затрат в расчете на единицу производимой продукции, чем на предприятии "Б" (соответственно 20% и 10%). Исходя из этих различных соотношений постоянных и переменных операционных затрат на предприятиях определим темпы прироста суммы валовой операционной прибыли при одинаковых темпах прироста объема реализации продукции (уровень налоговых платежей за счет валового операционного дохода примем в размере 20% от общей его суммы). Результаты расчета эффекта операционного левериджа представлены в таблице 7.2.
условных денежных единицах)
Таблица 7.2. Расчет эффекта операционного левериджа (в
|
Показатели
|
Предприятие "А"
|
Предприятие "Б"
|
I
перио
|
II
перио
|
III
перио
|
I
перио
|
II
перио
|
III
период
|
1
|
2
|
3
|
4
|
5
|
6
|
7
|
1. Объем реализуемой продукции
|
100
|
200
|
300
|
100
|
200
|
300
|
|
2. Сумма постоянных операционных затрат
|
30
|
30
|
30
|
60
|
60
|
60
|
3. Уровень переменных операционных затрат к объему реализации продукции, в %
|
20
|
20
|
20
|
10
|
10
|
10
|
4. Сумма переменных операционных затрат frp. lxrp. 3Л (100 J
|
20
|
40
|
60
|
10
|
20
|
30
|
5. Общая сумма операционных затрат (гр. 2 + гц. 4)
|
50
|
70
|
90
|
70
|
80
|
90
|
6. Коэффициент операционного левериджа » -. - Ггр. 2Л [rp.5j
|
0,60
|
0,43
|
0,33
|
0,86
|
0,75
|
0,67
|
7. Ставка налоговых платежей за счет доходов, %
|
20
|
20
|
20
|
20
|
20
|
20
|
8. Сумма налоговых платежей за счет доходов (тр. Іхгр. 7Л [ 100 J
|
20
|
40
|
60
|
20
|
40
|
60
|
9. Сумма валовой операционной прибыли (гр. 1 - гр. 5 - гр. 8)
|
30
|
90
|
150
|
10
|
80
|
150
|
10. Темп роста валовой операционной прибыли, в %:
— к первому периоду
|
|
300
|
500
167
|
|
700
|
1500
188
|
11. Темп роста объема реализации
продукции, %:
— к первому периоду
— ко второму периоду
|
|
200
|
300
150
|
|
200
|
300
150
|
Как видно из результатов расчета, оба предприятия за счет наличия постоянных операционных затрат получают эффект операционного левериджа. Однако уровень этого эффекта значительно различается в силу различий коэффициента операционного левериджа.
Так, предприятие "А", прирастив объем реализации продукции по отношению к первому периоду на 100% во втором и на 200% в третьем периодах, получило соответственно прирост валовой операционной прибыли в размере 200% и 400%. В то же время предприятие "Б" при тех же темпах прироста объема реализации продукции за счет более высокого коэффициента операционного левериджа получило прирост валовой операционной прибыли в размере соответственно 600% и 1400%. И по отношению ко второму периоду механизм проявления эффекта операционного левериджа остался неизменным — прирастив объем реализации продукции на 50%, предприятие "А" получило прирост суммы валовой операционной прибыли в размере 67%, а предприятие "Б" (за счет более высокого коэффициента операционного левериджа) — в размере 88%.
Для наглядности результаты сравнения эффекта операционного левериджа на предприятиях "А" и "Б" в обобщенном виде могут быть представлены следующим образом (таблица 7.3.).
Таблица 7.3. Обобщенные результаты сравнения эффекта операционного левериджа на различных предприятиях (по расчетным
данным таблицы 7.2.)
Показатели
|
Предприятие
|
Предприятие
|
|
"А"
|
"Б"
|
|
II
перио
|
III
перио
|
II
перио
|
III
перио
|
1
|
2
|
3
|
4
|
5
|
А. К первому периоду '
1. Исходный
коэффициент операционного левериджа
|
0,60
|
0,60
|
0,86
|
0,86
|
2. Эффект операционного левериджа (прирост валовой операционной прибыли на 1% прироста объема
іллптттіпотттііі гиллтпттлтттиД 0 /1
Б. Ко второму периоду
1. Исходный коэффициент операционного левериджа
2. Эффект операционного
левериджа (прирост
валовой операционной
прибыли на 1% прироста
_С.
|
2,0
|
2,0
0,43
1,3
|
6,0
|
7,0
0,75
1,8
|
Результаты сравнения показывают, что за счет более высокого исходного коэффициента операционного левериджа степень чувствительности операционной прибыли к приросту объема реализации продукции на предприятии "Б" значительно выше, чем на предприятии "А".
Выше был рассмотрен общий принцип действия механизма операционного левериджа. Вместе с тем, в конкретных ситуациях операционной деятельности предприятия проявление механизма операционного левериджа имеет ряд особенностей, которые необходимо учитывать в процессе его использования для управления прибылью. Сформулируем основные из этих особенностей.
1. Положительное воздействие операционного левериджа начинает проявляться лишь после того, как предприятие преодолело точку безубыточности своей операционной деятельности. Для того, чтобы положительный эффект операционного левериджа начал проявляться, предприятие вначале должно получить достаточный размер маржинальной прибыли, чтобы покрыть свои постоянные операционные расходы (т.е. обеспечить равенство: МП = Ипост). Это связано с тем, что предприятие обязано возмещать свои постоянные операционные затраты независимо от конкретного объема реализации продукции, поэтому чем выше сумма постоянных издержек и коэффициент операционного левериджа, тем позже при
прочих равных условиях оно достигнет точки безубыточности своей деятельности. В связи с этим, пока предприятие не обеспечило безубыточность своей операционной деятельности, высокий коэффициент операционного левериджа будет являться дополнительным "грузом" на пути к достижению точки безубыточности. Это можно проследить по данным, представленным на рисунке 7.2.


Рисунок 7.3. Сравнение темпов наращения прибыли после достижения точки безубыточности при одинаковом приросте объема реализации продукции на предприятиях с различным удельным весом постоянных операционных затрат.
Из приведенного графика видно, что при одинаковых темпах прироста объема реализации продукции на предприятии с более высоким коэффициентом операционного левериджа (предприятие "Б") сумма операционной прибыли возрастает более высокими темпами после преодоления точки безубыточности, чем на предприятии с меньшим значением коэффициента операционного левериджа (предприятие "А”).
3. Наибольшее положительное воздействие операционного левериджа достигается в поле, максимально приближенном к точке безубыточности (после ее преодоления).По мере дальнейшего наращения объема реализациипродукции и удаления от точки безубыточности (т.е. принаращении предела безопасности или запаса прочности)эффект операционного левериджа начинает снижаться. Иными словами, каждый последующий процент прироста объема реализации продукции будет приводить квсе меньшему темпу прироста суммы операционной прибыли (но при этом темпы прироста суммы прибыли всегда будут оставаться большими, чем темпы прироста объема реализации продукции). Это можно проследить пографику, представленному на рисунке 7.4.
Из приведенного графика видно, что при одинаковых объемах прироста реализации продукции, валовая операционная прибыль снижается при удалении предприятия от точки безубыточности или увеличении предела безопасности: АВОП2 < ABOIli.
4. Механизм операционного левериджа имеет и обратную направленность — при любом снижении объемареалнзацни продукции в еще большей степени будет уменьшаться размер валовой операционной прибыли. При этомпропорции такого снижения зависят от значения коэффициента операционного левериджа: чем выше это значение, тем более высокими темпами будет уменьшатьсясумма валовой операционной прибыли по отношениюк темпам снижения объема реализации продукции. Аналогично, по мере приближения к точке безубыточностив обратном направлении, негативный эффект темповснижения прибыли по отношению к темпам сниженияобъема реализации продукции будет возрастать. Пропорциональность снижения или возрастания эффектаоперационного левериджа при неизменном значении его

Рисунок 7.4. Сравнение темпов прироста валовой операционной прибыли (ВОП) по мере удаления от точки безубыточности.
коэффициента позволяет сделать вывод о том, что коэффициент операционного левериджа является инструментом, уравнивающим соотношение уровня доходности и уровня риска в процессе осуществления операционной деятельности.
5. Эффект операционного левериджа проявляется только в коротком периоде. Это определяется тем, что операционные затраты, относимые к составу постоянных, остаются неизменными лишь на протяжении короткого отрезка времени. Как только в процессе наращения объема реализации продукции происходит очередной скачок суммы постоянных операционных затрат, предприятию необходимо преодолевать новую точку безубыточности или приспосабливать к ней свою операционную деятельность. Иными словами, после такого скачка, обусловливающего изменение коэффициента операционного левериджа, его эффект проявляется в новых условиях хозяйствования.
Понимание механизма проявления операционного левериджа позволяет целенаправленно управлять соотношением постоянных и переменных издержек в целях повышения эффективности операционной деятельности. Это управление сводится к изменению значения коэффициента операционного левериджа при различных тенденциях конъюнктуры товарного рынка и стадиях жизненного цикла предприятия.
При неблагоприятной конъюнктуре товарного рынка, определяющей возможное снижение объема реализации продукции, а также на ранних стадиях жизненного цикла предприятия, когда им еще не преодолена точка безубыточности, необходимо принимать меры к снижению значения коэффициента операционного левериджа. И наоборот при благоприятной конъюнктуре товарного рынка и наличии определенного предела безопасности (запаса прочности) требования к осуществлению режима экономии постоянных затрат могут быть существенно ослаблены — в такие периоды предприятие может значительно расширять объем реальных инвестиций, проводя реконструкцию и модернизацию производственных основных фондов.
Управление операционным левериджем может осуществляться путем воздействия как на постоянные, так и на переменные операционные затраты.
При управлении постоянными затратами следует иметь в виду, что высокий их уровень в значительной мере определяется отраслевыми особенностями осуществления операционной деятельности, определяющими различный уровень фондоемкости производимой продукции, дифференциацию уровня механизации и автоматизации труда. Кроме того следует отметить, что постоянные затраты в меньшей степени поддаются быстрому изменению, поэтому предприятия, имеющие высокий коэффициент операционного левериджа, теряют гибкость в управлении своими издержками.
Однако несмотря на эти объективные ограничители, на каждом предприятии имеется достаточно возможностей снижения при необходимости суммы и удельного веса постоянных операционных затрат. К числу таких резервов можно отнести существенное сокращение накладных расходов (расходов по управлению) при неблагоприятной конъюнктуре товарного рынка; продажу части неиспользуемого оборудования и нематериальных
активов с целью снижения потока амортизационных отчислений; широкое использование краткосрочных форм лизинга машин и оборудования вместо их приобретения в собственность; сокращение объема ряда потребляемых коммунальных услуг и некоторые другие.
При управлении переменными затратами основным ориентиром должно быть обеспечение постоянной их экономии, т.к. между суммой этих затрат и объемом производства и реализации продукции существует прямая зависимость. Обеспечение этой экономии до преодоления предприятием точки безубыточности ведет к росту суммы маржинальной прибыли, что позволяет быстрее преодолеть эту точку. После преодоления точки безубыточности сумма экономии переменных затрат будет обеспечивать прямой прирост валовой операционной прибыли. К числу основных резервов экономии переменных затрат можно отнести снижение численности работников основного и вспомогательных производств за счет обеспечения роста производительности их труда; сокращение размера запасов сырья, материалов и готовой продукции в периоды неблагоприятной конъюнктуры товарного рынка; обеспечение выгодных для предприятия условий поставки сырья и материалов и другие.
Целенаправленное управление постоянными и переменными затратами, оперативное изменение их соотношения при меняющихся условиях хозяйствования позволяет увеличить потенциал формирования операционной прибыли предприятия.
7.3. КАЛЬКУЛИРОВАНИЕ СЕБЕСТОИМОСТИ ПРОДУКЦИИ
В системе управления затратами важная роль отводится калькулированию себестоимости продукции. Калькулирование себестоимости продукции представляет собой процесс определения объема и структуры удельных операционных затрат на производтсво и реализацию отдельных ее видов.
Процесс калькулирования себестоимости продукции состоит из следующих основных этапов (рисунок 7.5).
1. Выбор объектов калькулирования определяет направленность всего его процесса.
Под объектами калькулирования понимаются конкретныерезулътаты или сегмен-

Рисунок 7.5. Содержание и последовательность процесса калькулирования себестоимости продукции на предприятии.
ты операционной деятельности предприятия, требующие стоимостного измерения с целью эффективного управления операционной прибылью. Такими объектами калькулирования могут быть произведенные предприятием изделия (полуфабрикаты, товары), осуществленные работы, оказанные услуги и т.п. Степень детализации объектов калькулирования определяется самим предприятием.
2. Определение полноты калькулирования себестоимости продукции. В зависимости от целей осуществления различают калькулирование частичной или полной себестоимости продукции. Формами частичного калькулирования могут быть калькулирование производственной себестоимости продукции (которое характеризует определение затрат лишь на ее производство); калькулирование маржинальной себестоимости продукции (которое характеризует определение лишь переменных затрат
в разрезе отдельных видов продукции для выяснения суммы маржинальной прибыли по ним) и т.п. Полная себестоимость продукции отражает все виды затрат, связанных с ее производством и реализацией.
3. Формирование системы учета, обеспечивающегокалькулирование
себестоимости продукции. Управленческий учет затрат, позволяющий осуществлять процесскалькулирования себестоимости продукции, долженстроиться в разрезе объектов калькулирования и бытьподчинен конкретной системе осуществления этого процесса. Вместе с тем, независимо от объекта и используемой системы калькулирования себестоимости продукции (эти системы подробно рассматриваются
далее),управленческий учет должен включать:
а) систему учета затрат на производство продукции в разрезе отдельных их
статей;
б) систему учета выхода готовой продукции в натуральных единицах измерения;
в) систему учета затрат на реализацию (сбыт) готовой продукции в разрезе отдельных их статей;
г) систему учета продажи готовой продукции встоимостных и натуральных единицах измерения;
е) систему организации документооборота, обеспечивающего своевременное и корректное отражение учитываемых показателей.
4. Распределение операционных затрат по производству и реализации продукции на прямые и непрямые их виды.
Прямые операционные затраты, группируемые в процессе калькулирования себестоимости продукции, включают следующие их виды: сырье, материалы, покупные комплектующие изделия и полуфабрикаты; топливо и электроэнергия, использованны на технологические цели; основная и дополнительная заработная плата работников, занятых в производстве соответствующих видов продукции; отчисления на социальные нужды — социальное, пенсионное, медицинское страхование и т.п. — по установленным ставкам от суммы заработной платы работников, занятых в производстве соответствующих видов продукции; расходы, связанные с подготовкой и освоением конкретных видов продукции; возмещение износа специальных инструментов и устройств целевого назначения; прямые расходы по реализации продукции; другие прямые расходы.
Непрямые операционные затраты в процессе калькулирования себестоимости продукции подразделяются обычно на две основные группы — а) общепроизводственные непрямые операционные затраты; б) общехозяйственные непрямые операционные затраты.
а) Общепроизводственные непрямые операционныезатраты включают следующие основные их виды: основная и дополнительная заработная плата работниковаппарата управления производственных структурныхподразделений; отчисления на социальные нужды поустановленным ставкам от суммы заработной платы этихработников; расходы на полное восстановление, ремонт,аренду и содержание основных фондов, находящихся впользовании производственных структурных подразделений; износ малоценных и быстроизнашивающихсяпредметов; прочие расходы, связанные с деятельностьюпроизводственных структурных подразделений, которыене могут быть прямо отнесены на производство конкретных видов продукции.
б) Общехозяйственные непрямые операционные затраты включают следующие основные их виды: основнаяи дополнительная заработная плата работников аппаратауправления предприятием в целом; отчисления на социальные нужды от суммы заработной платы этих работников; общие расходы по организации материальнотехнического снабжения и сбыта продукции; расходы наслужебные командировки в пределах норм; расходы насодержание и эксплуатацию основных фондов и нематериальных активов, используемых работниками аппаратауправления предприятием в целом; затраты, связанныес набором персонала; другие расходы, которые не могут быть отнесены на производство конкретных видовпродукции или общепроизводственные затраты структурных подразделений.
5. Отнесение прямых операционных затрат на конкретные виды продукции. Оно представляет собой процесс распределения прямых операционных затрат в разрезе конкретных объектов калькулирования — товаров, полуфабрикатов, проведенных работ, оказанных услуг и т.п. В процессе этого этапа общая сумма прямых операционных затрат предприятия должна быть полностью распределена по видам производимой (реализуемой) им продукции.
6. Распределение непрямых операционных затрат по конкретным видам продукции.
Этот этап является наиболее сложным и трудоемким в процессе калькулирования себестоимости продукции, требующим определенных творческих подходов. Более того, любое распределение непрямых операционных затрат носит условный характер и никогда не позволяет получить абсолютно точные и надежные результаты, отражающие уровень этих затрат в себестоимости конкретных видов продукции.
Распределение непрямых операционных затрат по конкретным видам продукции связано с определением базы распределения, расчетом нормативной ставки распределения и с выбором конкретного метода распределения.
База распределения непрямых затрат характеризует основной показатель, обеспечивающий причинно-следственную связь с конкретным видом распределяемых затрат, который должен быть положен в основу распределения. В зависимости от вида распределяемых затрат обычно применяются следующие варианты базы их распределения:
количество произведенной (реализованной) продукции;
сумма прямых затрат на выпуск (реализацию) отдельных видов продукции (без стоимости материальных затрат);
сумма материальных затрат (сырья, материалов, полуфабрикатов) на выпуск отдельных видов продукции;
среднесписочная численность работников, занятых в производстве соответствующих видов продукции;
число отработанных человеко-часов работниками, занятыми в производстве соответствующих видов продукции;
сумма основной заработной платы работников, занятых в производстве соответствующих видов продукции;
количество машино-часов использования оборудования для выпуска отдельных видов продукции;
размер производственной площади и другие.
Выбор базы распределения должен носить стабильных характер, поскольку он характеризует один из элементов политики управления операционными затратами на предприятии. Ее пересмотр может быть вызван лишь заменой на такую базу, которая имеет более тесную причинно-следственную связь с распределяемой группой непрямых затрат, т.е. обеспечивает более справедливый принцип их распределения.
Нормативная ставка распределения непрямых затрат представляет собой отношение общей суммы этих затрат к совокупной величине базы их распределения. Эта ставка рассчитывается по следующей формуле:

где НСР — нормативная ставка распределения непрямых затрат, используемая на предприятии;
ZH3 — общая сумма непрямых затрат конкретных видов (зарплата работников аппарата управления; общие расходы на содержание и эксплуатацию оборудования и т.п.), подлежащих распределению;
2ИР — общая величина базы распределения в рас— ' сматриваемом периоде (сумма прямой основ
ной заработной платы работников, занятых в производстве продукции; количество машино-часов использования оборудования ит.п.).
Нормативная ставка распределения непрямых затрат действует в процессе лишь одного рассматриваемого периода.
Метод распределения непрямых затрат характеризует механизм и последовательность расчетов в процессе этого распределения. В современной практике наиболее широкое распространение получили следующие методы распределения непрямых затрат:
метод прямого распределения, в соответствии с которым все непрямые затраты прямо относятся на соответствующие виды продукции, минуя промежуточные формы их распределения;
метод последовательного распределения, в соответствии с которым это распределение непрямых затрат идет сверху вниз, т.е. начиная с общехозяйственных и заканчивая последним структурным подразделением;
метод перекрестного (или взаимного) распределения, когда вначале распределение непрямых затрат идет между различными равнозначными подразделениями, оказывающими взаимные производственные и другие услуги, а лишь затем совокупные затраты основного структурного подразделения распределяются по видам продукции.
Выбор конкретных методов распределения непрямых затрат определяется производственной структурой предприятия и широтой номенклатуры выпускаемой им продукции.
7. Определение суммы производственной или полной себестоимости продукции
является завершающим этапом процесса ее калькулирования. Алгоритм осуществления этого процесса представлен на рисунке 7.6.

|
Рисунок 7.6. Алгоритм определения суммы полной себестоимости конкретного
|
вида продукции.
Выше были рассмотрены лишь общие подходы к калькулированию себестоимости продукции на предприятии. Вместе с тем конкретное содержание отдельных этапов в значительной степени зависит от применяемых на предприятии систем калькулирования продукции. Основными из систем калькулирования себестоимости продукции, применяемых в настоящее время, являются (рис. 7.7):
1. Позаказная система калькулирования себестоимости продукции заключается в
последовательном отражении всех видов прямых и непрямых операционных затрат, связанных с выполнением работ (выпуском продукции) по индивидуализированным заказам (контрактам). При

|
Рисунок 7.7. Основные системы калькулирования себестоимости продукции, используемые на предприятиях.
этом индивидуальное изделие, выполняемое по заказу, или их партия рассматриваются как самостоятельный единый объект учета и планирования операционных затрат.
На каждый заказ открывается ведомость (карта) аналитического учета операционных затрат, которой присваивается определенный код. В этом документе отражаются: наименование продукции; заказанное количество изделий; требования к качеству и срокам исполнения заказа; производственные структурные подразделения, обеспечивающие выполнение заказа, и другие показатели.
В процессе выполнения заказа операционные затраты отдельных структурных подразделений учитываются в разрезе статей отчетной калькуляции. В ряде случаев ведомость (карта) аналитического учета операционных затрат по заказу может предусматривать их накопление по следующим позициям: а) прямые материальные затраты
|
(сырье, материалы, покупные комплектующие изделия и полуфабрикаты; топливо и электроэнергия); б) прямые затраты труда производственныхрабочих, занятых выполнением заказа (и соответственно начисленная прямая основная заработная плата); в) прочие прямые затраты; г) непрямые затраты, относимые на заказ. Отнесение непрямых затрат на заказ осуществляется, как правило, по следующей базе: отработанным человеко-часам; отработанным машино-часам; стоимости заказа по контракту.
Калькулирование себестоимости по заказу осуществляется путем суммирования всех видов затрат по изготовлению индивидуального изделия (или путем деления общей суммы затрат на количество выпущенных изделий, если заказ был оформлен на их партию).
Использование этой системы калькулирования себестоимости продукции требует тщательного и своевременного документирования затрат по всем выполненным работам и осуществления большого объема расчетов, связанных с распределением непрямых видов затрат. Эта система калькулирования себестоимости применяется обычно в мелкосерийном производстве продукции или в индивидуальном ее изготовлении в соответствии с техническими требованиями заказчика (в строительстве, авиационной и судостроительной промышленности, при выпуске нестандартной продукции, осуществлении крупных ремонтных работ ит.п).
2. Попроцессная (или попередельная) система калькулирования себестоимости заключается в отражении всех видов прямых и непрямых операционных затрат, связанных с выпуском и реализацией продукции, в разрезе отдельных процессов (стадий, фаз, переделов и т.п.). Такая система калькулирования себестоимости характерна для производства качественно однородной продукции с непрерывным или массовым технологическим процессом, где индивидуальные заказы не оказывают специфического воздействия на ход операционной деятельности и удовлетворяются за счет запасов готовой продукции. Различная степень сложности применения этой системы калькулирования продукции определяется количеством производственных процессов, структурно выделенных на предприятии; объемом незавершенного производства и широты номенклатуры продукции, требующей раздельного учета.
Основу этой системы калькулирования составляет учет затрат по каждому процессу в разрезе отдельных
статей с разделением учета готовой продукции и незавершенного производства. Процесс калькулирования затрат при использовании этой системы проходит следующие четыре этапа:
а) на первом этапе определяется объем незавершенного производства продукции в так называемых "эквивалентных единицах ".Этот объем рассчитывается путемперемножения количества единиц продукции, находящейсяв процессе обработки, на степень завершенности ихобработки (например, 100 единиц продукции, обработкакоторых завершена на 30%, будет составлять 30 эквивалентных ее единиц);
б) на втором этапе определяется общее количествопродукции, произведенное (реализованное) в рассматриваемом отчетном периоде времени. Этот расчет производится по следующей формуле:
ОП = ЗГП
Н + ПП - ЗГП
Н,
где ОП —общее количество произведенной продукции в отчетном периоде; ЗГПн —запасы незавершенной продукции в эквивалентных единицах на начало периода; ПП — количество полностью завершенной и переданной далее продукци; ЗГПн — запасы незавершенной продукции в эквивалентных единицах на конец периода;
в) на третьем этапе определяется общая сумма прямых и непрямых затрат на производство продукции повеем ее процессам (переделам). Распределение непрямых затрат при этом осуществляется по широкой их базе,рассмотренной ранее;
г) на четвертом этапе рассчитывается удельная себестоимость продукции, т.е. определяется объем совокупных операционных затрат, приходящихся на единицупродукции.
Преимуществом использования данной системы калькулирования себестоимости является ее простота, возможность эффективного управления незавершенным производством и запасами готовой продукции, группировка затрат на производство и реализацию продукции в разрезе центров ответственности. В то же время основным недостатком этой системы калькулирования является чрезмерное усреднение себестоимости продукции, не учитывающее сезонные особенности ее производства, различия в потерях материальных ресурсов и времени работников на отдельных этапах операционной деятельности, различия в затратах по хранению запасов и т.п. Попроцессная (попередельная) система калькулирования продукции широко используется на предприятиях угольной, нефтяной, химической, фармацевтической, текстильной, обувной, пищевой и других аналогичных по организации технологических процессов отраслей экономики.
3. Нормативная система калькулирования себестоимости продукции (или система "стандарт-костинг") заключается в ее осуществлении на основе разработанных норм и нормативов затрат. При этом фактические операционные затраты различных видов сопоставляются с нормативными с целью выявления и отражения в учете размеров отклонений (эту систему поэтому часто называют "управление затратами по отклонениям").
Нормативная система калькулирования себестоимости продукции осуществляется по следующим основным этапам:
а) разработка системы норм и нормативов затратматериальных ресурсов, живого труда, отдельных видовдругих прямых и непрямых расходов. Эти нормативыразрабатываются на единицу производимой продукции,на отдельные виды работ и т.п. Нормативы строятся вразрезе отдельных статей учетной калькуляции;
б) текущий учет операционных затрат в разрезе разработанных норм с одновременным определением размераотклонений от этих норм;
в) текущий учет изменения значений норм и нормативов, используемых предприятием в процессе осуществления операционной деятельности;
г) определение фактической себестоимости произведенной (реализованной) продукции. Этот расчет осуществляется по следующей формуле:

где ССП — фактическая себестоимость единицы произведенной (реализованной) продукции в отчетном периоде;
НЗ —суммарная нормативная себестоимость единицы продукции, установленная на предприятии; ЕОФЗ—суммарное отклонение (экономия или перерасход) фактических затрат на производство (реализацию) единицы продукции от нормативов в отчетном периоде; ЕИН — суммарное изменение (увеличение или сокращение) размера норм, определяющих нормативную себестоимость продукции, в отчетном периоде.
Преимуществом использования данной системы калькулирования себестоимости продукции является внедрение в операционную деятельность предприятия прогрессивных норм и нормативов затрат; высокая связь этих нормативов с разработанной ценовой политикой предприятия; повышение эффективности контроля управления затратами; получение более точных результатов калькулирования. Вместе с тем, она имеет и определенные недостатки, основными из которых являются: сложность учета обширной системы затрат; необходимость постоянного управления системой норм и нормативов; нетипичность отдельных отчетных периодов с позиций осуществления затрат, не учитываемая системой их нормативов.
Нормативная система калькулирования себестоимости продукции может использоваться как самостоятельная, так и дополняющая систему позаказного или попроцес-сного ее калькулирования. Ее можно использовать на предприятиях с массовым постоянным технологическим процессом производства и реализации продукции, имеющей стабильный сбыт и использующей однородные виды сырья, материалов, полуфабрикатов — в машиностроении, нефтехимической, текстильной, швейной, пищевой и других отраслях экономики.
4. Система калькулирования переменных затрат ("ди-рект-костинг") заключается в том, что калькулируется не полная себестоимость производства и реализации продукции, а только удельные переменные операционные затраты (их основу составляют прямые виды операционных затрат). Основная цель внедрения этой системы калькулирования — обеспечить контроль за формированием маржинальной прибыли предприятия в разрезе конкретных видов продукции.
При этой системе калькулирования затрат маржинальная прибыль по конкретным видам продукции рассчитывается по следующей формуле:
МП
п = Ц - И
пер,
где МПп — сумма маржинальной операционной прибыли по конкретным видам продукции; Ц — цена реализации единицы произведенной продукции; И
пер — сумма переменных (прямых) операционных затрат, отнесенных на конкретные виды продукции. Преимуществами использования данной системы калькулирования себестоимости продукции являются ее простота; минимум осуществления расчетных операций, связанных с распределением непрямых затрат; высокая надежность полученных результатов, так как при этой системе в основном исключены погрешности отнесения непрямых затрат на отдельные виды продукции в процессе их распределения; возможность целенаправленного управления как переменными затратами, так и маржинальной операционной прибылью. Однако ее недостатком является неполное отражение всей совокупности затрат, связанных с производством и реализацией отдельных видов продукции. Эта система только начинает внедряться в практику калькулирования затрат на наших предприятиях, хотя в странах с развитой рыночной экономикой она используется уже давно.
7.4. ПЛАНИРОВАНИЕ ОПЕРАЦИОННЫХ ЗАТРАТ
Основу управления операционными затратами на предприятии составляет их планирование. Основной целью планирования операционных затрат является установление экономически обоснованной суммы и состава текущих расходов предприятия в плановом периоде в разрезе каждого вида выпускаемой продукции, отдельных центров ответственности и по операционной деятельности в целом. Планирование операционных затрат является неотъемлемой частью общей системы планирования операционной деятельности предприятия.
Основной формой планирования операционных затрат предприятия является их бюджетирование. Разработка плановых бюджетов осуществляется по предприятию в целом (основные результаты расчета этого бюджета включаются в состав плана доходов и расходов по операционной деятельности и других текущих планов предприятия), в разрезе всех типов его центров ответственности, а также по отдельным видам выпускаемой продукции (в форме плановой или нормативной их калькуляции).
Планирование операционных затрат предприятия осуществляется по следующим основным этапам (рис. 7.7):
Рисунок 7.7. Содержание и последовательность процесса планирования операционных затрат на предприятии.
1. Анализ операционных затрат предприятия в предплановом периоде.
Основными задачами проведения этого анализа является выявление основных тенденций изменения суммы и уровня операционных затрат предприятия в предплановом периоде, установление размеров отклонения фактических их показателей от плановых (нормативных), выяснение основных причин, вызвавших эти отклонения. Особое внимание в процессе анализа обращается на выявление причин возникновения излишних расходов, не обусловленных нормальной организацией операционной деятельности: сверхнормативных расходов материальных ресурсов — сырья, материалов, полуфабрикатов, топлива, электроэнергии и других их видов; сверхнормативных расходов на оплату труда в форме оплаты за сверхнормативные работы и работы, не связанные с операционной деятельностью предприятия; сверхнормативные транспортные расходы, вызванные несовершенной структурой поставщиков и покупателей продукции, несовершенными условиями ее поставки; сверхнормативные затраты средств, связанные с нарушениями технологической и трудовой дисциплины, формированием излишних запасов сырья, материалов и готовой продукции, простоем машин и оборудования.
На первой стадии анализа рассматривается динамика общей суммы и уровня операционных затрат в предплановом периоде, определяются темпы изменения этих показателей, рассчитываются показатели абсолютной и относительной экономии операционных затрат или их перерасхода по отношению к предшествующему периоду или ранее установленному плановому их бюджету (текущему плану). Абсолютное отклонение операционных затрат представляет собой разницу между фактической и плановой (нормативной) их суммой. Относительное отклонение (экономия или перерасход) операционных затрат рассчитывается по следующим формулам:


где Эоз — сумма относительной экономии операционных затрат на предприятии (если фактический коэффициент издержкоемкости операционной деятельности ниже планового); Поз
-сумма относительного перерасхода операционных затрат на предприятии (если фактичес-
кий коэффициент издержкоемкости операционной деятельности выше планового); ОРф —фактический объем реализации продукции в
рассматриваемом периоде; КИп—плановый коэффициент (уровень) издержкоемкости в отчетном периоде; КИф — фактический коэффициент (уровень) издержкоемкости в отчетном периоде. На второй стадии анализа рассматриваются аналогичные показатели, характеризующие динамику отдельных статей операционных затрат по предприятию в целом (в разрезе учетной номенклатуры их видов). Этот анализ дополняется рассмотрением показателей динамики удельного веса отдельных статей операционных затрат в общей их сумме.
На третьей стадии анализа рассматривается фактическое выполнение установленных бюджетов в разрезе отдельных центров ответственности предприятия. В процессе анализа определяются размеры абсолютного и относительного отклонения операционных затрат от запланированных (нормативных) показателей (при этом в плановые показатели по гибким бюджетам вносятся соответствующие коррективы, вызванные изменением объема деятельности соответствующего структурного по дразделения).
На четвертой стадии анализа рассматривается уровень выполнения отдельных показателей плановой (нормативной) калькуляции в разрезе видов продукции. Результаты этого анализа служат предпосылкой корректировки системы норм и нормативов, производственной программы (по номенклатуре продукции) и ценовой политики предприятия на предстоящий период с учетом изменившихся условий осуществления операционной деятельности.
На пятой стадии анализа определяется влияние отдельных факторов, вызвавших изменение суммы и уровня издержкоемкости на предприятии. Такой анализ проводится по предприятию в целом и в разрезе отдельных центров ответственности.
2. Подготовка необходимой исходной базы планирования. Основными исходными данными, необходимыми для проведения плановых расчетов операционных затрат, являются:
план реализации товарной продукции в разрезе отдельных ее видов в стоимостных и натуральных показателях;
план производства валовой и товарной продукции в разрезе отдельных ее видов в натуральных и стоимостных показателях;
план материально-технического обеспечения производства и реализации продукции;
нормы и нормативы затрат труда, материальных ресурсов и другая нормативная база, используемая в управлении операционными затратами;
планы организационно-технических мероприятий, направленных на экономию операционных затрат предприятия в плановом периоде;
результаты анализа операционных затрат предприятия в предплановом периоде.
3. Прогнозирование изменения основных факторов, влияющих на объем н структуру операционных затрат на предприятии. К числу основных факторов, требующих учета в процессе планирования операционных затрат, относятся:
изменение объема производства и реализации продукции. Это один из важнейших факторов, позволяющих воздействовать на формирование суммы и уровня операционных затрат;
изменение состава производимой и реализуемой продукции (ее номенклатуры и ассортимента);
изменение технических условий осуществления операционной деятельности (уровня фондо- и механо-вооруженности в разрезе видов работ и производимой продукции);
изменение амортизационной политики предприятия (использование в плановом периоде метода ускоренной амортизации активной части производственных основных фондов);
намеченное изменение ставок налоговых платежей, относимых на издержки (себестоимость);
изменение уровня цен и условий поставки сырья, материалов и других материальных ресурсов по контрактам, заключенным на плановый период;
изменение условий оплаты труда в соответствии с коллективным трудовым договором и индивидуальными трудовыми контрактами, заключенными на плановый период;
— другие факторы, оказывающие ощутимое влияние на сумму и уровень операционных затрат на предприятии с учетом специфики осуществления его операционной деятельности.
4. Составление плановой (нормативной) калькуляциина отдельные виды выпускаемой продукции. Расчеты, связанные с разработкой плановой (нормативной) калькуляции, осуществляются в разрезе отдельных статей учетнойноменклатуры операционных затрат. Обычно плановая(нормативная) калькуляция по видам продукции разрабатывается на предстоящий год с дифференциациейпоказателей по отдельным сезонным периодам или кварталам. В процессе составления плановой (нормативной)калькуляции определяются системы калькулированияпродукции (позаказная, попроцессная, нормативная ит.п.) и размеры прямых и непрямых операционных затрат на производство и реализацию отдельных ее видов(при необходимости уточняется база распределения непрямых затрат).
Для увязки с ценовой политикой предприятия, комплексного управления различными видами операционной прибыли, в плановой калькуляции наряду с общей суммой и структурой удельных операционных затрат приводятся показатели проектируемой на плановый период оптовой (отпускной) цены на соответствующий вид продукции; ставки и суммы налога на добавленную стоимость, акцизного сбора и других налоговых платежей, входящих в цену продукции; сумма и уровень маржинальной и валовой операционной прибыли; ставка и сумма налога на прибыль и других обязательных платежей, осуществляемых за счет валовой операционной прибыли; сумма и уровень чистой операционной прибыли предприятия.
Перечень калькуляционных единиц продукции предприятие устанавливает самостоятельно с учетом особен ностей своей операционной деятельности.
5. Разработка плановых бюджетов ь разрезе отдельных типов центров ответственности. Основой разработкитаких бюджетов являются:
проектируемая на предстоящий период система центров ответственности (их типов и количества) с учетом организационной структуры предприятия и технологических особенностей осуществления операционной деятельности;
проектируемые объемные показатели деятельности отдельных центров ответственности (объема выпуска отдельных видов продукции; объема реализации отдельных видов продукции; объема производства полуфабрикатов; объема отдельных видов работ и т.п.);
плановая (нормативная) калькуляция на отдельные виды выпускаемой продукции. Плановые бюджеты в разрезе отдельных центров ответственности разрабатываются на период до одного года в разрезе видов продукции и статей затрат учетной их номенклатуры.
6. Разработка текущего плана (планового бюджета) операционных затрат по предприятию в целом. Этот этап завершает процесс планирования операционных затрат на предприятии. Основное внимание на этом этапе планирования должно быть уделено обеспечению сбалансированности показателей плановой (нормативной) калькуляции на отдельные виды продукции и плановых бюджетов в разрезе отдельных типов центров ответственности как по общей сумме, так и по каждой статье операционных затрат.
Результаты плановых расчетов суммы и состава операционных затрат по предприятию в целом дополняются расчетами коэффициентов издержкоемкости, издержкоотдачи и рентабельности, а также группировкой отдельных операционных затрат в разрезе постоянных и переменных их видов для обеспечения использования системы "взаимосвязь издержек, объема реализации и прибыли" и механизма операционного леверид-жа в процессе последующего планирования прибыли.
Основные планируемые показатели суммы и состава операционных затрат включаются в разрабатываемый текущий план доходов и расходов по операционной деятельности и другие виды текущих и оперативных планов предприятия.

|
Рисунок 7.2. Сравнение объема реализации продукции, обеспечивающего достижение точки безубыточности, на предприятиях с различным удельным весом постоянных операционных затрат.
Как видно из представленного графика при высоком удельном весе постоянных затрат (коэффициенте операционного левериджа) точка безубыточности лежит гораздо правее при наращении объема реализации продукции.
2. После преодоления точки безубыточности, чем выше коэффициент операционного левериджа, тем большей силой воздействия на прирост прибыли будет обладать предприятие, наращивая объем реализации продукции. Этот тезис уже был подтвержден ранее приведенным примером (см. таблицу 7.2.), поэтому проиллюстрируем его только графически (рисунок 7.3).
|
Глава 8. Управление налоговыми платежами
8.1. СИСТЕМА НАЛОГООБЛОЖЕНИЯ ОПЕРАЦИОННОЙ
ДЕЯТЕЛЬНОСТИ
В условиях перехода к рыночной экономике существенно изменился механизм воздействия государства на хозяйственную деятельность предприятия — вместо директивных государство перешло к разнообразным экономическим формам этого воздействия. При этом одной из главных форм экономического регулирования хозяйственной деятельности предприятия (в том числе и его операционной деятельности) является разработанная государством налоговая система (или система налогообложения предприятий).
Система налогообложения представляет собой совокупность налогов, сборов и других обязательных платежей в бюджеты разных уровней и взносов в государственные целевые фонды, которые уплачиваются вустановленном порядке.
В управлении операционной прибылью предприятия налоговые платежи играют важную роль, определяя не только размеры этой прибыли, но и способы достижения главной цели управления ею — обеспечение повышения уровня благосостояния собственников в текущем и перспективном периоде. Поэтому знание основ построения системы налогообложения, основных видов налоговых платежей и объектов налогообложения позволяет формировать эффективную налоговую политику предприятия, оптимизировать потоки налоговых платежей, повышая тем самым общую эффективность операционной деятельности.
В экономике государства система налогообложения выполняет ряд функций.
Первая и основная функция этой системы состоит в том, что она является источником средств для формирования доходной части государственного бюджета и других целевых фондов государства. Имея эти средства
Раздел II. Управление формированием прибыли предприятия в процессе операционной деятельности
государство располагает возможностью осуществлять необходимую экономическую политику, обеспечивая реструктуризацию отраслей, конверсию и другие направления.
Вторая функция системы налогообложения состоит в том, что она является способом поддержки и развития рыночной конкуренции. Главный принцип, положенный в основу построения системы налогообложения, состоит в обеспечении справедливости налогообложения отдельных хозяйствующих субъектов с помощью дифференциации уровней ставок налогообложения в зависимости от размера предприятий и других условий, обеспечивающих эффективность их деятельности на рынке. К сожалению можно констатировать, что пока этот принцип реализован в нашей стране далеко не в полной мере.
Третья функция системы налогообложения в рыночной экономике заключается в обеспечении социальной защиты тех категорий населения, которые в ней нуждаются. От уровня собираемости налогов во многом зависит выполнение государством намеченных социальных программ.
С учетом этих принципов строится система налогообложения предприятий, дифференцируются группы конкретных налоговых платежей.
Так, в соответствии с порядком установления налоговых ставок и использования средств налоги и другие обязательные платежи разделяются на две группы — 1) общегосударственные; 2) местные.
Общегосударственные налоги и другие обязательные платежи включают следующие основные их виды:
налог надобавленную стоимость;
акцизный сбор;
налог на прибыль;
таможенные пошлины: таможенные сборы; налог на имущество; плату за землю;
взносы в фонд социального страхования;
взносы в пенсионный фонд;
взносы в фонд медицинского страхования;
другие налоги и взносы. Общегосударственные налоги и другие обязательные платежи устанавливаются законодательными актами и И.А. Бланк
уплачиваются субъектами хозяйственной деятельности на территории всей страны.
Местные налоги и сборы включают следующие основные их виды:
налог на рекламу;
рыночный сбор;
коммунальный налог;
сбор за выдачу разрешения на размещение объектов торговли; другие их виды.
Местные налоги, сборы и другие обязательные платежи устанавливаются органами местного самоуправления в соответствии с их перечнем и в рамках установленных законодательством предельных их ставок. Суммы местных налогов направляются на формирование доходной части бюджетов местного самоуправления по месту нахождения плательщика налогов.
По источникам уплаты налоги, сборы и другие налоговые платежи делятся на три группы: 1) налоги и сборы, включаемые в цену товаров (работ, услуг); 2) налоги, сборы и другие обязательные платежи, относимые на себестоимость (издержки) продукции; 3) налоги и другие обязательные платежи, уплачиваемые за счет прибыли предприятия. Учитывая, что эта группировка налоговых платежей играет определяющую роль в механизме формирования операционной прибыли предприятия и особенностях управления ею, рассмотрим ее более детально.
В группе налоговых платежей, включаемых в цену продукции, главное место занимают:
а) налог на добавленную стоимость. Он являетсячастью вновь созданной предприятием стоимостипродукции в процессе ее реализации покупателям. Базой его исчисления является объем реализации продукции предприятия — товаров, работ, услуг (за отдельнымизъятием этих сумм).
б) акцизный сбор. Он является непрямым налогомна высокорентабельные и монопольные товары, которыйвключается в состав их цены. Промышленные предприятия уплачивают этот налог при производстве подакцизных товаров, а торговые предприятия — при их импорте.
Перечень товаров, на которые устанавливается акцизный сбор, и его ставки подлежат законодательному утверждению;
в) таможенные пошлины. Товары, ввозимые на территорию страны подлежат обложению по единым таможенным тарифам, дифференцированным по видам товаров, группам стран и т.п. Эти ставки являются одинаковыми для всех субъектов внешнеэкономической деятельности.
В группе налогов, сборов и других налоговых платежей, относимых на себестоимость (издержки) продукции, основное место занимают следующие их виды:
а) отчисления на обязательное социальное страхование;
б) отчисления на обязательное пенсионное страхование;
в) отчисления в фонд содействия занятости населения;
г) налог на рекламу.
Так как эти налоги и сборы в составе себестоимости входят в цену продукции, они также возмещаются предприятию в процессе ее реализации.
В группе налогов и других обязательных платежей, уплачиваемых за счет прибыли, главное место принадлежит налогу на прибыль. Ряд более мелких налоговых платежей не оказывают столь весомого влияния на разницу между валовой и чистой операционной прибылью.
Как плательщики налогов, предприятия имеют определенные обязательства и права. Так, они обязаны:
вести бухгалтерский учет, составлять отчетность о финансово-хозяйственной деятельности и обеспечивать ее сохранность в течение установленного государством срока;
подавать в государственные налоговые инспекции и другие установленные законодательством государственные органы бухгалтерскую отчетность и другие документы и сведения, связанные с начислением и уплатой налогов и других обязательных платежей;
уплачивать необходимые суммы налогов и других обязательных платежей в установленные государством сроки;
— допускать работников налоговых инспекций вобследуемые помещения, используемые для получениядоходов или связанные с объектом налогообложения, атакже для проверок по вопросам начисления и уплатыналогов и других обязательных платежей.
В то же время предприятия имеют право:
подавать государственным налоговым инспекциям документы, подтверждающие право на льготы по налогообложению;
знакомиться и получать акты проверок, проведенных государственными налоговыми инспекциями;
— опротестовывать в установленном законом порядке решения государственных налоговых инспекцийи действия их служебных лиц.
За уклонение от уплаты налогов предусмотрены различные формы гражданской и уголовной ответственности.
8.2. ФОРМИРОВАНИЕ НАЛОГОВОЙПОЛИТИКИПРЕДПРИЯТИЯ
Объем формирования чистой операционной прибыли предприятия в значительной степени зависит от суммы его налоговых платежей. За счет какого бы источника и на каком бы этапе операционной деятельности предприятия они не осуществлялись, в конечном счете эти платежи уменьшают размер прибыли, остающейся в его распоряжении. Поэтому каждым предприятием должны активно использоваться законные возможности минимизации налоговых платежей с тем, чтобы обеспечить увеличение размера чистой операционной прибыли, а соответственно и финансовых ресурсов для увеличения темпов развития своей операционной деятельности.
Проблема минимизации налоговых платежей с целью увеличения размера операционной прибыли, остающейся в распоряжении предприятия, в значительной степени решается путем формирования эффективной налоговой политики. Налоговая политика представляет собой составную часть обшей политики управления прибылью предприятия, заключающуюся в выборе наиболее эффективного варианта уплаты налогов при альтернативных направлениях операционной деятельности и связанных с ней хозяйственных операций. В отдельных случаях разработанная предприятием налоговая политика сама может быть критерием корректировки отдельных направлений операционной деятельности предприятия.
Формирование эффективной налоговой политики предприятия базируется на следующих основных принципах:
Строгое соблюдение действующего налогового законодательства. Реализация этого принципа обусловливает исключение возможностей уклонения от налогов, которые должны быть уплачены в соответствии с реальными финансовыми результатами операционной деятельности предприятия. Ни одна из противозаконных форм уклонения от уплаты налогов (сокрытие реальных доходов или прибыли, подтасовка бухгалтерской отчетности, задержка налоговых платежей и т.п.) не может быть использована предприятием, которое заботится о своей деловой репутации.
Соотнесение задачи минимизации налоговых платежей с целями общей политики управления прибылью предприятия. Реализация этого принципа означает, что минимизация суммы налоговых платежей не является самоцелью — такая минимизация легко могла бы быть обеспечена за счет сокращения объема операционной деятельности. Поэтому минимизация налоговых платежей всегда должна быть направлена на рост суммы чистой операционной прибыли, т.е. соотноситься с целями ее формирования.
Поиск и использование наиболее эффективных хозяйственных решений, обеспечивающих минимизацию базы налогообложения в процессе операционной деятельности. Это предопределяет целенаправленное воздействие на различные элементы базы налогообложения в разрезе источников уплаты отдельных налогов, широкое использование установленной системы прямых и непрямых налоговых льгот.
4. Оперативный учет изменений в действующей налоговой системе. Разработанная предприятием налоговаяполитика, а в отдельных случаях и виды хозяйственныхопераций, связанных с осуществлением операционной
деятельности, должны оперативно корректироваться с учетом появления новых видов налогов, изменения ставок налогообложения, отмены или предоставления налоговых льгот и т.п.
5. Плановое определение сумм предстоящих налоговых платежей. В основу такого планирования должны быть положены целевая сумма операционной прибыли предприятия, планируемые объемы операционных доходов и затрат и другие показатели развития операционной деятельности предприятия в предстоящем периоде.
Разработка эффективной налоговой политики предприятия требует высокой квалификации исполнителей и комплексного участия различных служб предприятия — плановой, финансовой, учетной, юридической и т.п.
Процесс формирования налоговой политики предприятия осуществляется по следующим основным этапам (рисунок 8.1.).
ОСНОВНЫЕ ЭТАПЫ ФОРМИРОВАНИЯ НАЛОГОВОЙ ПОЛИТИКИ ПРЕДПРИЯТИЯ
|
|
JL Выявление направлений операционной деятель--—>(ГЦ) ности, позволяющих минимизировать налоговые ХУ платежи за счет разных ставок налогообложения
|
JL Выявление возможностей уменьшения базы налоге-—>СЮ) обложения операционной деятельности предпри-X ятия за счет использования прямых налоговых льгот
|
—^чет непРямых налоговых льгот в формировании - - налоговой политики предприятия
|
_Учет региональных особенностей формирования
налоговой политики предприятия
|
—Определение методических принципов налогово-— ¦ го планирования на предприятии
|
Оценка эффективности разработанной налоговой'
политики предприятия
|
Рисунок 8.1. Содержание и последовательность процесса формирования налоговой политики предприятия.
1. Выявление направлений операционной деятельностипредприятия,
позволяющих минимизировать налоговыеплатежи за счет разных ставок налогообложения.
Государственная система налогообложения предусматриваетустановление различных ставок налогов по отдельнымнаправлениям операционной деятельности, связаннымс ней хозяйственным операциям, видам производимойпродукции и т.п.
Формируя направления и объемы своей операционной деятельности, номенклатуру и ассортимент выпускаемой продукции, предприятие может уже на этом этапе создать необходимые предпосылки для минимизации предстоящих налоговых платежей.
2. Выявление возможностей уменьшения базы налогообложения операционной деятельности предприятия засчет использования прямых налоговых льгот. Эти льготыпредоставляются обычно в следующих основных формах: а) уменьшение размера ставок налогообложения(прямое или в процентах к средней ставке); б) предоставление налогового кредита (отсрочки уплаты начисленных налоговых платежей); в) полное освобождение отуплаты налогов.
При использовании предприятием прямых налоговых льгот следует учесть, что все они носят целевой характер. В соответствии с целью их предоставления и использования в процессе формирования налоговой политики предприятия все прямые налоговые льготы рекомендуется подразделять на три группы:
а) налоговые льготы, предоставляемые отделънымкатегориям предприятий. К их
составу относятся льготы,предоставляемые малым предприятиям;
предприятиямобщественных организаций инвалидов; совместным предприятиям с иностранными инвестициями и т.п.;
б) налоговые льготы, предоставляемые по отделънымвидам хозяйственных операций, связанных с операционной деятельностью предприятий. К таким льготам можно относить необлагаемую налогом сумму амортизационных отчислений, начисленную в составе операционныхзатрат; необлагаемую налогом сумму доходов, накапливаемую на пенсионных счетах при дополнительном пенсионном обеспечении работников (в рамках установленныхнорм) и т.п.;
в) налоговые льготы, предоставляемые при реализации отдельных видов продукции льготным категориям покупателей или в порядке осуществления внешнеэкономической деятельности. Это относится к льготному налогообложению добавленной стоимости, к ставкам таможенных пошлин и т.п.
В соответствии с такой группировкой предприятие может на альтернативной основе формировать свою налоговую политику, соответствующим образом диверсифицируя организационные формы своих дочерних фирм, виды хозяйственных операций, ассортимент реализуемой продукции.
Учет непрямых налоговых льгот в формировании налоговой политики предприятия. Состав непрямых налоговых льгот определяется возможностями уменьшения базы налогообложения при неизменных его ставках. Примером направленности таких действий является использование метода ускоренной амортизации активной части производственных основных фондов (сокращающее налоговую базу по прибыли); замена живого труда машинами и механизмами (сокращающая налоговую базу уплаты отчислений от фонда оплаты труда) и т.п.
Учет региональных особенностей формирования налоговой политики предприятия.
В процессе региональной диверсификации операционной деятельности предприятий возникают возможности использования налоговых преимуществ, действующих на отдельных территориях. При формировании налоговой политики предприятия выделяют, как правило, три группы региональных образований с различной системой налогообложения:
а) специальные (свободные) экономические зоны своей страны. В границах этих зон законодательно устанавливается и действует специальный более льготныйналоговый режим;
б) сопредельные страны с более льготной налоговой системой. Такие страны могут быть объектом региональнойдиверсификации операционной деятельности предприятий,в первую очередь, размещенных в приграничных областях;
в) оффшорные территории (зоны). Как правило, дляэтого выбирают территории с очень низким уровнемналогообложения операционной деятельности данноговида (а иногда безналоговые зоны). Выбор конкретной
оффшорной территории зависит от целей и направленности хозяйственной деятельности предприятия, налогового режима, развитости коммерческой и финансовой инфраструктуры, наличия межгосударственного соглашения об устранении двойного налогообложения, стоимости инкорпорирования и ряда других условий. Привлекательность открытия оффшорных предприятий (оффшорных дочерних фирм) заключается не только в возможностях легального уменьшения налоговых платежей, но и в других возможностях — обеспечении визовой поддержки государства — регистрации, открытия за рубежом валютного счета и т.п.
Определение методических принципов налогового планирования на предприятии. Для эффективной реализации налоговой политики, оценки альтернативных ее вариантов предприятие должно использовать корректные методы налогового планирования, связанные с особенностями налогообложения конкретной операционной деятельности. Такая методическая база должна быть создана в процессе формирования налоговой политики (ее содержание подробно рассматривается в следующем разделе).
Оценка эффективности разработанной налоговой политики предприятия. Такая оценка осуществляется в процессе сравнения альтернативных ее вариантов с помощью системы соответствующих показателей. Основными из этих оценочных показателей являются:
а) коэффициент эффективности налогообложения. Он позволяет подучить наиболее обобщенную характеристику избранной налоговой политики предприятия, показывая как соотносятся между собой показатели чистой операционной прибыли и общей суммы налоговых платежей. Расчет этого показателя осуществляется по следующей формуле:
^ _чп0
где Э
н — коэффициент эффективности налогообложения операционной деятельности предприятия;
ЧПо — планируемая сумма чистой операционной прибыли предприятия;
ОНо — общая сумма плановых налоговых платежей;
б) коэффициент налогоемкости реализации продукции. Этот показатель позволяет определить общую суммуналоговых платежей, приходящихся на единицу объемареализованной продукции. Расчет этого показателя осуществляется по формуле:
где КНЕр—коэффициент налогоемкости реализации продукции предприятия; ОН
0 —общая сумма плановых налоговых платежей; ОР
п — общий объем реализации продукции предприятием в плановом периоде;
в) коэффициент налогообложения операционных доходов. Этот показатель позволяет судить об уровне налогообложения операционных доходов предприятия соответствующими видами налогов и сборов, входящими вцену продукции. Расчет этого показателя осуществляется по следующей формуле:
КН -
-
0р^ ,
где КНод —коэффициент налогообложения операционных доходов; Н
ц — общая сумма плановых налоговых платежей, входящих в цену продукции (сумма налога на добавленную стоимость, акцизного сбора и др.); ОРо — общий объем реализации продукции предприятием в плановом периоде. В торговле в этих целях можно использовать планируемую сумму реализованных торговых надбавок;
г) коэффициент налогообложения операционных затрат. Этот показатель
характеризует уровень налогов, относимых на себестоимость (издержки), к планируемой общей сумме этой себестоимости (издержек). Расчет этого показателя осуществляется по следующей формуле:
кн
03 =
Нс
Ио
где КНоз —коэффициент налогообложения операционных затрат;
Н
с —общая сумма плановых налоговых платежей, относимых на себестоимость (издержки) продукции;
И
0 — общая сумма плановых операционных затрат (издержек) предприятия.
д) коэффициент налогообложения операционной прибыли. Этот показатель характеризует уровень налогов,уплачиваемых за счет валовой операционной прибылипредприятия. Расчет этого показателя осуществляетсяпо следующей формуле:

где КНоп —коэффициент налогообложения операционной прибыли; Н
п — общая сумма плановых налоговых платежей, осуществляемых за счет валовой операционной прибыли; ВП
0 — общая сумма плановой валовой операционной прибыли предприятия;
е) коэффициент льготного налогообложения операционной деятельности. Этот показатель позволяет определить, насколько эффективно предприятие используетпредоставленные законодательством льготы по налогам,связанным с его операционной деятельностью (этоткоэффициент позволяет судить и об эффективности использования льгот по отдельным видам налогов). Принципиальная формула расчета этого показателя имеетследующий вид:
V _ 2НЛ
0
лн " ЕНЛ
й +0Н
о *
где К
лн —коэффициент льготного налогообложения операционной деятельности; ХНЛ
0 —общая сумма налоговых льгот, используемых предприятием в процессе осуществления операционной деятельности; ОН
0 — общая сумма плановых налоговых платежей. С помощью вышеприведенной системы показателей оцениваются альтернативные варианты разработанной налоговой политики предприятия, сравнение которы позволяет избрать для реализации наиболее эффективный ее вариант.
8.3. НАЛОГОВОЕПЛАНИРОВАНИЕ
Планирование налоговых платежей является важнейшей составной частью системы планирования операционной деятельности предприятия и формирования его налоговой политики на предстоящий период. Разработка методических принципов такого планирования является одним из важных этапов разработки налоговой политики предприятия. Основные этапы процесса налогового планирования на предприятии приведены на рисунке 8.2.

Рисунок 8.2. Содержание и последовательность процесса налогового планирования на предприятии.
1. Определение основных видов налогов, уплачиваемых предприятием в процессе осуществления операционной деятельности за счет различных источников, основывается на анализе состава налоговых платежей в предплановом периоде. Основной целью этого этапа планирования является установление удельного веса основных видов налоговых платежей в обшей сумме их выплат за счет отдельных источников. Форма для проведения такого расчета приведена в таблице 8.1.
Таблица 8.1 форма группировки налоговых платежей
предприятия, уплачиваемых за счет различных источников в процессе
осуществления операционной деятельности
Наименование налогов,
|
Источники уплаты налогов
|
|
|
|
сборов и других
|
Операционный
ДОХОД
|
Операционные
затраты
|
Операционная
прибыль
|
обязательных платежей
|
Сумма 1 уДельный вес в итоге
|
Сумма
|
Удельный
вес в итоге
|
Сумма
|
Удельный
вес в итоге
|
1. Налог на добавленную
стоимость
|
X
|
X
|
-
|
|
|
|
2. Налог на прибыль
|
—
|
—
|
—
|
—
|
X
|
X
|
3. Акцизный сбор
4. Отчисления на
ное социальное страхова-
|
X
|
X
|
|
1
|
|
|
ние
5. Отчисления на
ное пенсионное страхова-
|
|
|
X
|
X
|
|
|
ние и т.п.
Итого по источнику
уплаты налогов
|
|
100%
|
X
|
X
100%
|
|
100%
|
|
По результатам группировки определяются основные виды налогов каждой группы, включаемые в плановый их расчет (остальные менее существенные налоговые платежи объединяются в группу прочих по каждому из рассматриваемых источников).
|
2. Расчет средневзвешенных ставок уплаты налоговза счет различных источников. Средневзвешенные ставкиналоговых платежей определяются в разрезе каждого изтрех источников их уплаты. Для их расчета используются планируемые показатели операционных валовых доходов и суммы налоговых платежей, исчисленные наплановый период по соответствующей базе налогообложения (подакцизным товарам, фонду оплаты труда ит.п.). Такой расчет ведется лишь по основным видамналогов. Принципиальная формула, по которой ведется расчет средневзвешенных ставок
налогообложенияоперационных доходов, затрат и прибыли имеет следующий вид:
CCH =
H|+
H.3 +" xioc,
ин
п
где ССН— средневзвешенная ставка налогообложения соответственно операционных доходов, операционных затрат и операционной прибыли в плановом периоде (по основным видам налогов), %;
Hi — Н
п —суммы основных налоговых выплат за счет соответствующего источника, рассчитанные по плановым показателям установленной базы налогообложения; ИНп —плановая сумма соответствующего источника уплаты налогов (соответственно операционных доходов, операционных затрат, операционной прибыли).
3. Расчет плановых сумм налогов, уплачиваемых засчет различных источников, осуществляется в разрезекаждого из этих источников. Этот расчет осуществляется по следующим формулам:
„ ССНд к ОД
п ц 100- У П
д ’
и ССН
ах 03
п ,
3 100-УП
3 ’
ССН
П х ОП
п п 100-УП
п ’
где Нц; Н3; Нп — общая сумма налогов, планируемая к уплате за счет соответственно операционного дохода, операционных затрат и операционной прибыли; ССНД; ССН3; ССНП — средневзвешенная ставка налогообложения соответственно операционного дохода, операционных затрат и операционной прибыли, рассчитанная на плановый период по основным видам налогов, %; ОДП; ОЗп; ОПп — планируемая сумма соответственно операционного дохода, операционных затрат и операционной прибыли; УПД; УП3; УПП — удельный вес прочих видов налогов, уплачиваемых за счет соответственно операционного дохода, операционных затрат, операционной прибыли (он определен в процессе первого этапа плановых расчетов), %. 4. Расчет общей плановой суммы налогов, уплачиваемых в процессе осуществления операционной деятельности. Этот расчет осуществляется по формуле:

где ОНо — общая плановая сумма налогов, уплачиваемых в процессе осуществления операционной деятельности;
Нц — сумма налогов, планируемых к уплате за счет операционного дохода;
Н
3 — сумма налогов, планируемых к уплате за счет операционных затрат;
Н
п — сумма налогов, планируемых к уплате за счет операционной прибыли.
После осуществления этого этапа налогового планирования производится расчет эффективности налоговой политики предприятия в плановом периоде, показатели которой (рассмотренные в предыдущем разделе)
сравниваются с аналогичными показателями предпланового периода.
5. Разработка налогового календаря. Он представляет собой график осуществления конкретных видов налоговых платежей предприятия в предстоящем периоде. Разработка такого графика позволяет минимизировать затраты предприятия по обслуживанию налоговых платежей и увязать эти платежи с планом поступления и расходования денежных средств.
Налоговый календарь составляется обычно на предстоящий квартал в разрезе отдельных месяцев. В нем указываются размеры и даты уплаты как авансовых, так и расчетных сумм по каждому виду налогов, сборов и других обязательных платежей исходя из показателей оперативных планов хозяйственной деятельности. Форма планового налогового календаря приведена в таблице 8.2.
Таблица 8.2. форма планового налогового календаря предприятия
Виды налогов, сборов и других обязательных платежей
|
Даты и суммы уплаты
налоговых платежей
|
1. Налог на
добавленную
2. Налог на прибыль и т.п.
|
|
|
|
|
|
|
|
При небольших объемах операционной деятельности налоговый календарь как самостоятельный оперативный план не составляется, а его показатели включаются в общий платежный календарь предприятия на предстоящий период.
Глава 9. Управление операционными акгивами
9.1. СОСТАВ ОПЕРАЦИОННЫХ АКТИВОВ ПРЕДПРИЯТИЯ И ПОЛИТИКА УПРАВЛЕНИЯ ИМИ
Для осуществления операционной деятельности каждое предприятие должно располагать определенным имуществом, принадлежащим ему на правах собственности или контролируемого им. Все имущество» которым располагает предприятие, и которое отражено в его балансе, называется его активами. Вместе с тем, не все активы предприятия обслуживают его операционную деятельность. Так, эту деятельность не обслуживают незавершенное строительство (пока оно не завершено, оно связаны с инвестиционной деятельностью предприятия), долгосрочные и краткосрочные финансовые вложения и некоторые другие виды активов предприятия, отражаемые его балансом. Таким образом, операционные активы предприятия представляют собой контролируемые им экономические ресурсы в форме имущественных ценностей, сформированные за счет инвестированнного в них капитала, непосредственно используемых в его операционной деятельности с целью получения операционной прибыли.
В зависимости от характера участия в операционном процессе и скорости оборота все операционные активы предприятия подразделяются на два основных вида — внеоборотные и оборотные операционные активы.
Внеоборотные операционные активы представляют собой совокупность имущественных ценностей предприятия, многократно участвующих в операционном процессе и переносящих на продукцию свою стоимость частями. Внеоборотные операционные активы обслуживают различные операционные циклы предприятия на протяжении ряда лет.
Оборотные операционные активы представляют собой совокупность имущественных ценностей предпри-
ятия, обслуживающих текущий операционный процесс и полностью потребляемых в течение одного операционного цикла.
В составе внеоборотных и оборотных операционных активов предприятия различают отдельные их виды (рисунок 9.1.)

Рисуцок9.1, Состав операционных активов предприятия в разрезе основных их
видов.
Так, в составе внеоборотных операционных активов выделяют:
1. Производственные основные фонды. К ним относятся принадлежащие предприятию средства труда, используемые в операционном процессе более одного года и установленной минимальной стоимостью. Они функционируют в форме производственных зданий, помещений, машин, механизмов, оборудования и некоторых
ДРУГИХ видов, определяемых отраслевой спецификой операционной деятельности предприятий.
Нематериальные активы, обслуживающие операционный процесс. К ним относятся приобретенные предприятием права пользования товарными знаками, образцами промышленной продукции, патентами, лицензиями, ноу-хау и другими аналогичными имущественными правами, обеспечивающими технологию осуществления операционного процесса.
Прочие виды внеоборотных операционных активов. К ним относятся другие внеоборотные операционные активы, не вошедшие в состав рассмотренных двух групп.
В составе оборотных операционных активов выделяют:
Запасы товарно-материальных ценностей (материальные оборотные операционные активы). К ним относятся производственные запасы всех видов (сырья, материалов, полуфабрикатов, комплектующих изделий, незавершенного производства); запасы малоценных и быстроизнашивающихся предметов (средства труда со сроком эксплуатации до одного года и стоимостью до 15 необлагаемых налогом минимумов доходов граждан); запасы готовой продукции (на предприятиях торговли — запасы товаров, предназначенных к реализации).
Дебиторская задолженность (расчеты с дебиторами). К ней относится задолженность юридических и физических лиц предприятию за товары, работы и услуги; задолженность по расчетам с бюджетом, персоналом, дочерними предприятиями и с другими дебиторами.
Денежные активы и их эквиваленты. К ним относятся денежные средства предприятия в кассе, на расчетном и валютном его счетах и в других формах.
Прочие виды оборотных операционных активов. К ним относятся другие оборотные операционные активы, не вошедшие в состав рассмотренных трех групп и не играющие заметной роли в обслуживании операционного процесса..
Операционные активы занимают преобладающее место в составе совокупных активов предприятия. Для характеристики доли их стоимости в совокупном объеме активов предприятия используется показатель "коэффициент операционных активов", который рассчитывается по следующей формуле:

где Копа—коэффициент операционных активов;
Ао —сумма операционных активов предприятия (на
определенную дату или средняя в периоде); А—общая сумма активов предприятия (на определенную дату или средняя в периоде).
Значительный объем средств, авансируемых в операционные активы, многообразие их видов и форм, приоритетная их роль в обеспечении операционного процесса и ряд других условий, определяют сложность задач по управлению ими в процессе осуществления операционной деятельности предприятия. Для формирования механизма такого управления на предприятиях разрабатывается специальная политика. Политика управления операционными активами представляет собой составную часть общей политики управления прибылью предприятия, заключающуюся в оптимизации структуры этих активов и рационализации их оборота с целью повышения потенциала формирования операционной прибыли.
Политика управления операционными активами предприятия предусматривает (рисунок 9.2.).
1. Анализ использования активов в операционном процессе предприятия в предшествующем периоде. Целью такого анализа является выявление основных тенденций в развитии операционных активов предприятия и оценка достигнутого уровня эффективности их использования.
На первом этапе анализа изучается динамика общей стоимости активов, используемых в операционном процессе предприятия; темпы этой динамики сопоставляются с темпами изменения объема производства и реализации продукции, а также общей стоимости всех активов.
На втором этапе анализа рассматривается динамика операционных активов предприятия в разрезе оборотных и внеоборотных активов. В процессе анализа этой динамики изучаются основные факторы, вызвавшие изменение объема использования как оборотных, так и внеоборотных актвов (в первую очередь — изменение структуры отдельных видов этих активов).

|
Рисунок 9.2. Основные этапы формирования политики управ-и' ления операционными активами предприятия.
На третьем этапе анализа исследуется динамика оборачиваемости используемых активов в целом, в том числе оборотных активов. В этих целях рассматривается система коэффициентов оборачиваемости активов и показателей периода их оборота. Показатели оборачиваемости операционных активов увязываются с анализом конъюнктуры товарного рынка на котором предприятие реализует свою продукцию.
На четвертом этапе анализа рассматривается динамика показателей производительности используемых активов в целом, основных их видов и групп. В процессе этого анализа выявляются резервы возможного повышения производительности отдельных видов основных средств (в первую очередь, активной их части) за счет роста интенсивности их использования во времени и по мощности.
На пятом этапе анализа исследуется динамика уровня эффективности использования операционных активов предприятия. Для оценки этого уровня в первую очередь применяются показатели рентабельности операционных активов.
|
На шестом этапе анализа рассматриваются основные факторы, повлиявшие на изменение уровня эффективности использования операционных активов предприятия. При проведении факторного анализа используется одна из его интегральных систем — система, основанная на модели компании "Дюпон"; система объектно-ориентированного анализа и т.п.
2. Определение потребности в формировании отдельных видов операционных активов в соответствии с объемом операционной деятельности предприятия и особенностями его операционного процесса осуществляется в разрезе каждого из их видов.
Потребность в производственных основных фондах рассчитывается по отдельным их группам: а) производственные здания и помещения; б) машины и оборудование, используемые в производственном технологическом процессе; в) машины и оборудование, используемые в процессе управления операционной деятельностью.
На первом этапе определяется потребность в отдельных видах машин и оборудования, используемых в производственном технологическом процессе. Принципиальная формула расчета этой потребности имеет следующий вид:

где Поб— потребность в производственном оборудовании конкретного вида; ОП — планируемый объем производства продукции, требующей использования данного вида оборудования; ПРэ — эксплуатационная производительность рассматриваемого вида оборудования (нормативный объем производства продукции в расчете на единицу оборудования);
С
е — стоимость единицы рассматриваемого вида
оборудования; У — стоимость установки рассматриваемого вида оборудования.
На втором этапе определяется потребность в отдельных видах машин и оборудования, используемых в процессе управления операционной деятельностью (офисная мебель, электронно-вычислительные машины, средства связи и т.п.).
На третьем этапе определяется потребность в помещениях (зданиях) для осуществления непосредственного производственного процесса (со всеми вспомогательными его видами) и размещения аппарата управления.
Потребность в нематериальных активах определяется исходя из используемой технологии осуществления операционного процесса.
При определении стоимостного объема внеоборотных операционных активов, требуемых предприятию, учитывается форма удовлетворения потребности в отдельных их видах — приобретение в собственность или оперативная аренда.
Потребность в отдельных видах оборотных операционных активов определяется на основе соответствующих нормативов обеспеченности ими выпуска продукции (запасов сырья, материалов, полуфабрикатов и т.п.) или методом прямого счета (дебиторская задолженность, денежные активы). При этом учитываются средняя продолжительность одного операционного цикла, сезонность производства продукции и другие факторы.
3. Оптимизация состава используемых операционных активов осуществляется с учетом обеспечения необходимой их ликвидности, влияния на коэффициент операционного левериджа и ряда других критериев.
Оптимизация состава операционных активов предприятия направлена с одной стороны на обеспечение полного полезного использования отдельных их видов, а с другой — на повышение совокупной потенциальной их способности генерировать операционную прибыль. Процесс этой оптимизации осуществляется по следующим трем этапам:
На первом этапе оптимизируется соотношение совокупных размеров внеоборотных и оборотных активов
предприятия, используемых в процессе его операционной деятельности.
На втором этапе оптимизируется соотношение между активной и пассивной частью внеоборотных активов. К активной части внеоборотных операционных активов относятся машины, механизмы и оборудование, непосредственно задействованные в производственном технологическом процессе. К пассивной части внеоборотных операционных активов относятся здания и помещения; машины и оборудование, используемые в процессе управления операционной деятельностью; нематериальные активы, обслуживающие операционный процесс.
На третьем этапе оптимизируется соотношение трех основных видов оборотных операционных активов — суммы запасов товарно-материальных ценностей; суммы дебиторской задолженности; суммы денежных активов.
Оптимизация состава внеоборотных и оборотных активов требует учета отраслевых особенностей осуществления операционной деятельности, средней продолжительности операционного цикла на предприятии, особенностей формирования коэффициента операционного левериджа на отдельных этапах развития предприятия, а также оценки положительных и отрицательных особенностей функционирования этих видов активов.
Внеоборотные операционные активы характеризуются следующими положительными особенностями:
а) они практически не подвержены потерям от инфляции, а следовательно лучше защищены от нее;
б) им присущ меньший коммерческий риск потерьв процессе операционной деятельности предприятия; онипрактически защищены от недобросовестных действийпартнеров по операционным коммерческим сделкам;
в) эти активы способны генерировать стабильнуюприбыль, обеспечивая выпуск различных видов продукции в соответствии с конъюнктурой товарного рынка;
г) они способствуют предотвращению (или существенному снижению) потерь запасов товарно-материальных ценностей предприятия в процессе их хранения;
д) им присущи большие резервы существенногорасширения объема операционной деятельности в периодподъема конъюнктуры товарного рынка.
Вместе с тем, внеоборотные активы в процессе операционного использования имеют ряд недостатков:
а) они подвержены моральному износу (особенноактивная часть производственных основных фондов инематериальные операционные активы), в связи с чем,даже будучи временно выведенными из эксплуатации,эти виды активов теряют свою стоимость;
б) эти активы тяжело поддаются оперативному управлению, так как слабо изменчивы в структуре в коротком периоде; в результате этого любой временный спадконъюнктуры товарного рынка приводит к снижениюуровня полезного их использования, если предприятиене переключается на выпуск других видов продукции;
в) в подавляющей части они относятся к группенеликвидных активов и не могут служить средством обеспечения потока платежей, обслуживающего операционную деятельность предприятия.
Оборотные операционные активы характеризуются следующими положительными особенностями:
а) высокой степенью структурной трансформации,в результате которой они легко могут быть преобразованы из одного вида в другой при регулировании товарного и денежного потока в операционном процессе;
б) большей приспособляемостью к изменениямконъюнктуры товарного и финансового рынков — онилегко поддаются изменениям в процессе диверсификации операционной деятельности предприятия;
в) высокой ликвидностью; при необходимости значительная их часть может быть конверсирована в денежные активы, необходимые для текущего обслуживанияоперационной деятельности в новых ее вариациях;
г) легкостью управления; основные управленческие решения, связанные с их оборотом, реализуются втечение короткого периода времени.
Вместе с тем им присущи следующие недостатки:
а) часть оборотных операционных активов, находящихся в денежной форме и в форме дебиторской задолженности, в значительной мере подвержена потере стоимости в процессе инфляции;
б) временно свободные (излишне сформированные)оборотные активы практически не генерируют прибыль(кроме свободных денежных активов, которые могут быть использованы в краткосрочных финансовых вложениях) ;более того, излишние запасы товарно-материальных ценностей, не только не гене
лР
иРУ
ют прибыль, но вызывают дополнительные
операционные затраты по их хранению;
в) запасы оборотные товарно-материальных ценностей во всех их формам подвержены постоянным потерям в связи с естественной убылью;
г) значительная чаЛУ потерь в связи с недобросовестностью партнеров п хозяйственным операциям, аиногда и персонала.
Процесс оптимизации соотношения внеоборотных и оборотных операционных активов тесно связан с механизмом управления операционным левериджем. При неблагоприятной конъюнктуре товарного рынка в первую очередь снижается потребность во внеоборотных активах, а в составе оборотнь** активов — в запасах товарноматериальных ценностей (в связи с замедлением оборачиваемости). Свободные денежные активы используются в этом периоде в различных формах финансовых инвестиций. При благопри#
ти-ой конъюнктуре наращение отдельных видов операционных активов предприятия осуществляется в обратном порядке.
Оптимизация структуры внеоборотных операционных активов, т.е. соотношения активной и пассивной их части, исходит из приоритетОІІ развития количества и доли машин, механизмов и оборудования, непосредственно задействованных в производственном процессе. Рост этой части внеоборотных операционных активов обеспечивает прирост производств
Л продукции, повышение производительности труда операционных работников, замену живого труда овеществленным и в конечном счете является главным фактором повышения фондоотдачи. Если исключить отраслевые особенности осуществления операционной деятельности, то чем выше доля активной части производственных основных фондов в общей сумме используемых предприятием внеоборотных операционных активов> тем выше его способность генерировать прибыль з? счет увеличения выпуска продукции. Кроме того, именно активная часть производственных основных фондов в наибольшей степени поддается структурной трансформации в составе внеоборотных активов в процессе управления операционным левериджем.
Оптимизация структуры оборотных операционных активов базируется прежде всего на оптимизации размера каждого их вида — запасов; дебиторской заложенности; денежных активов и их эквивалентов. В основе процесса такой оптимизации лежит анализ операционного цикла предприятия по отдельным его стадиям.
4. Обеспечение максимального вовлечения в операционный процесс всего потенциала имеющихся операционныхактивов. В процессе контроля за использованием операционных активов должны быть определены уровни полезного их участия в операционном процессе и приняты мерык повышению эффективности использования производственных основных средств, предотвращению образованияи ускорению использования сверхнормативных запасовтоварно-материальных ценностей, ускорению инкассации просроченной дебиторской задолженности и т.п.
Особое внимание при этом должно быть уделено повышению уровня полезного использования производственных основных средств как наименее подверженных трансформации в процессе управления операционными активами. В этих целях на предприятии должен быть организован постоянный контроль за использованием производственного оборудования во времени и по технической производительности, полезным использованием производственных помещений и т.п. Для обобщающей характеристики эффективности использования производственных основных средств применяется показатель фондоотдачи, который рассчитывается по следующей формуле:
оп
в
ПОФ ’
Ф
0 =
где Фо —фондоотдача производственных основных средств; ОП
в — валовой объем производства продукции в рассматриваемом периоде;
ПОФ —средняя стоимость производственных основных средств в
рассматриваемом периоде.
5. Обеспечение условий ускорения оборачиваемостиоперационных активов. На
этом этапе исследуются возможности и обосновываются предложения по сокращению цикла оборота внеоборотных активов.
Ускорение оборота операционных активов ведет к сокращению потребности в них, что позволяет повысить эффективность их использования при прочих равных условиях. Размер экономии куммы операционных активов в процессе ускорения их оборота можно рассчитать по следующей формуле:
^опа
= (ПОАф - ПОА
п) х 0Р
о ,
где Э
0па —размер экономии суммы операционных активов, достигаемой в процессе ускорения их оборота; ПОАф —период оборота операционных активов предприятия в предплановом периоде, в днях; ПОАф —планируемый период оборота операционных активов, в днях; ОР
0 —планируемый однодневный объем реализации продукции.
К числу основных мероприятий, обеспечивающих ускорение оборота внеоборотных активов, относятся:
а) реализация излишне закупленных или неиспользуемых в операционном процессе видов машин, механизмов, оборудования;
б) повышение доли активной части производственных основных фондов в общей сумме используемыхвнеоборотных активов предприятия (эти виды внеоборотных активов имеют наименьший период обращения,поэтому с ростом их удельного веса повышается общийкоэффициент оборачиваемости внеоборотных активов);
в) использование метода ускоренной амортизацииактивной части производственных основных средств.Этот метод позволяет сократить период стоимостногооборота этих активов за счет повышенных норм амортизации. На первый взгляд представляется, что ускоренная амортизация оказывает негативный эффект наформирование операционной прибыли, т.к. ее сумма снижается с ростом размера амортизационных отчислений,входящих в состав операционных затрат. Однако этотнегативный эффект полностью погашается следующимипреимуществами использования метода ускоренной амортизации:
во-первых, он способствует ускорению инновационного процесса в операционной деятельности предприятия,
так как позволяет быстрее обновлять парк машин и оборудования, обеспечивающих производство продукции;
во-вторых, ускоренная амортизация активов является одним из эффективных способов противодействия негативному влиянию инфляции на реальную стоимость накапливаемого амортизационного фонда;
в-третьих, ускоренная амортизация актива замедляет процесс его морального износа, который наиболее активно проявляется на заключительных стадиях использования машин и механизмов при прямолинейной их амортизации;
в четвертых, ускоренная амортизация позволяет снизить сумму уплачиваемого налога на операционную прибыль, так как сокращает валовой ее размер (т.е. в определенной мере она уменьшает ту фиктивную часть прибыли, которая формируется из-за заниженной оценки стоимости производственных основных средств);
г) ускорение амортизации нематериальных активов, используемых в операционном процессе. Хотя по отношению к этим активам использование метода ускоренной амортизации законодательно не предусмотрено, такая возможность определяется тем, что полезный срок использования этих активов (а соответственно и размер норм их амортизации) предприятие устанавливает самостоятельно.
Основными мероприятиями, обеспечивающими ускорение оборота оборотных активов предприятия, являются:
а) сокращение размера страховых и сезонных запасов сырья и материалов;
б) прекращение закупок сырья и материалов до полного вовлечения в производство продукции сверхнормативных их размеров;
в) сокращение производственного цикла за счетуменьшения размеров незавершенного производства;
г) осуществление активной маркетинговой политикис целью ускорения реализации запасов готовой продукции;
д) ускорение инкассации дебиторской задолженности,предотвращение
формирования просроченных ее видов;
е) рефинансирование дебиторской задолженностис целью ускорения ее перевода в денежные активы путемоперации факторинга, форфейтинга, учета векселей;
ж) корректировка потока предстоящих платежей сцелью уменьшения страхового остатка денежных активов;
з) ускорение периода инкассации платежных документов за реализованную готовую продукцию;
и) нормирование размеров оборотных активов и обеспечение постоянного контроля за соблюдением норм.
Использование рассмотренных резервов позволяет ускорять оборот операционных активов и соответственно повышать размер операционной прибыли, генерируемой этими активами.
Обеспечение минимизации потерь операционных активов в процессе их использования. Все виды операционных активов в той или иной степени подвержены риску потерь. Так, внеоборотные активы — машины, механизмы, оборудование, нематериальные активы — подвержены потерям стоимости в связи с моральным устареванием при появлении более эффективных их аналогов; запасы товарноматериальных ценностей — потерям от естественной убыли; дебиторская задолженность — потерям от невозврата или несвоевременного возврата; денежные активы — инфляционным потерям стоимости и т.п. Поэтому политика управления операционными активами должна быть направлена на минимизацию размера их потерь на предприятии.
Обеспечение реального отражения в учете стоимости отдельных видов операционных активов в условиях инфляции. Только при реальном отражении стоимости производственных основных фондов, нематериальных активов, запасов сырья, материалов и других материальных ценностей может быть выявлена реальная себестоимость продукции и правильно сформирована цена на нее.
Корректировка балансовой стоимости производственных основных фондов и нематериальных активов осуществляется обычно путем ее индексации, которая осуществляется обычно один раз в год. В отдельных случаях для такой корректировки может быть использован метод стоимости замещения, который основывается на определении стоимости затрат, необходимых для воссоздания всех или отдельных аналогичных активов, входящих в состав производственных основных средств или нематериальных активов (при этом калькулируются все виды затрат, связанных со строительством, приобретением, доставкой и установкой каждого вида активов — стоимость проектных работ, материалов, оплаты труда и т.п.),
Корректировка балансовой стоимости запасов товарно-материальных ценностей в условиях инфляции осуществляется путем их переоценки. Такая переоценка осуществляется ежемесячно исходя из разницы в ценах на них на начало и конец месяца. В практике учета для такой корректировки может быть использован и метод "ЛИФО" ["LIFO"], который основан на алгоритме "последний пришел — первый ушел". В соответствии с этим методом запасы товарно-материальных ценностей направляются в производственное потребление или на реализацию по ценам, по которым было зафиксировано последнее их поступление. В отличие от метода "ФИФО" ["FIFO"], основанном на алгоритме "первый пришел — первый ушел", т.е. когда использование запасов этих ценностей осуществляется по ценам их первоначального формирования, метод "ЛИФО" позволяет получить реальную оценку в условиях инфляции и эффективней управлять стоимостной формой движения запасов.
В современной практике учета для корректировки стоимости активов могут быть использованы также методы идентифицированной себестоимости единицы запасов; средневзвешенной себестоимости; нормативных затрат; цены продажи и другие.
9.2. УПРАВЛЕНИЕ ВНЕОБОРОТНЫМИ ОПЕРАЦИОННЫМИ
АКТИВАМИ
Особенности управления операционными внеоборотными активами в значительной мере определяются спецификой цикла их стоимостного кругооборота. Характер этого кругооборота можно проследить по данным рисунка 9.3.
Как видно из приведенного рисунка внеоборотные операционные активы в процессе полного цикла стоимостного кругооборота проходят три основные стадии.

Рмсунм 9.3. Характер движения операционных внеоборотных активов в процессе их кругооборота.
На первой стадии сформированные предприятием внеоборотные операционные активы (основные средства и нематериальные активы) в процессе своего использования и износа переносят часть своей стоимости на готовую продукцию; этот процесс осуществляется в течение многих операционных циклов и продолжается до полного износа отдельных видов внеоборотных операционных активов.
На второй стадии в процессе реализации продукции износ внеоборотных операционных активов накапливается на предприятии в форме амортизационного фонда.
На третьей стадии средства амортизационного фонда как часть собственных финансовых ресурсов предприятия направляются на восстановление действующих (текущий и капитальный ремонт) или приобретение
аналогичных новых видов (инвестиции) внеоборотных операционных активов. Период времени, в течение которого совершается полный цикл кругооборота стоимости конкретных видов операционных внеоборотных активов характеризует срок их службы. Он рассчитывается по следующей формуле:


где ПОва — период времени полного оборота (срок службы) конкретных видов операционных внеоборотных активов, лет; На — годовая норма амортизации соответствующего вида активов, %.
С учетом особенностей цикла стоимостного кругооборота внеоборотных активов строится процесс управления этими видами долгосрочных активов предприятия. Несмотря на многообразие состава операционных внеоборотных активов по отдельным видам и группам, цель менеджмента активов в этой области относительно проста — обеспечить своевременное их обновление и повышение эффективности использования. С учетом этой цели формируется политика управления использованием операционных внеоборотных активов предприятия.
Политика управления использованием операционных внеоборотных активов представляет собой часть общей стратегии управления прибылью предприятия, заключающейся в финансовом обеспечении своевременного их обновления и высокой эффективности использования.
Политика управления использованием операционных внеоборотных активов предприятия формируется по следующим основным этапам:
1. Анализ операционных внеоборотных активов предприятия в предшествующем периоде. Этот анализ проводится в целях изучения динамики общего их объема и состава, степени их годности, интенсивности обновления и эффективности использования.
• На первом этапе анализа рассматривается динамика общего объема операционных внеоборотных активов предприятия — темпы их роста в сопоставлении с темпами роста объема производства и реализации продукции, объема операционных оборотных активов, обшей суммы внеоборотных активов. В процессе этого анализа изучается изменение коэффициента участия операционных внеоборотных активов в общей сумме операционных активов предприятия. Расчет этого коэффициента осуществляется по формуле:
к? -
0ВА оэа ОВА+ОА ’
где КУ08а — коэффициент участия операционных внеоборотных активов в общей
сумме операционных активов предприятия;
ОВА — средняя стоимость операционных внеоборотных активов предприятия в рассматриваемомпериоде;
О А — средняя сумма оборотных активов предприятия в рассматриваемом периоде.
• На втором этапе анализа изучается состав операционных внеоборотных активов предприятия и динамика их структуры. В процессе этого изучения рассматривается соотношение основных средств и нематериальныхактивов, используемых в операционном процессе предприятия; в составе основных производственных средстванализируется удельный вес движимых и недвижимыхих видов (которые в производственной деятельностихарактеризуют соответственно активную и пассивнуюих части); в составе нематериальных активов рассматриваются отдельные их виды.
» На третьем этапе анализа оценивается состояние используемых предприятием операционных внеоборотных активов по степени их изношенности (амортизации). В процессе такой оценки используются следующие основные показатели.
• Коэффициент износа основных средств. Он рассчитывается по следующей
формуле:
где КИос — коэффициент износа основныюсредств;
Иос — сумма износа основных средетвЧнредприятияна определенную дату; " •
ПС
ос — первоначальная стоимость основных средств на определенную дату. в Коэффициент годности основных средств. Для его расчета используется следующая формула:
ПС
ос
где КГос — коэффициент годности основных средств;
ОСос — остаточная стоимость основных средств предприятия на определенную
дату;
ПСОС — первоначальная стоимость основных средств предприятия на определенную дату.
• Коэффициент амортизации нематериальных активов. Его расчет производится по следующей формуле:
А
ГА — на
ш ~ ПС
1
где КА
на — коэффициент амортизации нематериальных активов; А
на — сумма амортизации нематериальных активов предприятия на определенную дату; ПС
на — первоначальная стоимость нематериальных активов предприятия на определенную дату.
• Коэффициент годности нематериальных активов.Он определяется по
следующей формуле:
ОС
КГ„, = _—Ш-
пс
на *
где КГ
на — коэффициент годности нематериальных активов; ОС
на — остаточная стоимость нематериальных активов
предприятия на определенную дату; ПС
на •— первоначальная стоимость нематериальных
активов предприятия на определенную дату.
о Сводный коэффициент годности операционных внеоборотных активов, используемых предприятием. Он рассчитывается по следующей формуле:
ТСТ -
0ВА<*=
001 ОВА^ -
где КГова — сводный коэффициент годности операционных внеоборотных активов используемых предприятием;
ОВАос — сумма всех используемых предприятием операционных внеоборотных активов по остаточной стоимости на определенную дату;
ОВА
пс — сумма всех используемых предприятием операционных внеоборотных активов по первоначальной стоимости на определенную дату.
• На четвертом этапе анализа определяется период оборота используемых предприятием операционныхвнеоборотных активов. Он рассчитывается по следующей

ПО...,., —
ОВАпс
формуле: ^
ова
где П0
ова — период оборота используемых предприятием операционных внеоборотных активов, лет;
ОВАпс — среднегодовая сумма всех используемых предприятием операционных внеоборотных активов по первоначальной стоимости;
Иова —среднегодовая сумма износа всех исполь-, зуемых предприятием
операционных внеоборотных активов.
На пятом этапе анализа изучается интенсивность обновления операционных внеоборотных активов в предшествующем периоде. В процессе изучения используются следующие основные показатели.
Коэффициент выбытия операционных внеоборотных активов. Он характеризует долю выбывших операционных внеоборотных активов в общей их сумме и рассчитывается по формуле:
_ ОВА
в ова ОВА
н '
где КВова — коэффициент выбытия операционных внеоборотных активов;
ОВА
в — стоимость выбывших операционных внеоборотных активов в отчетном
периоде;
ОВА
н — стоимость операционных внеоборотных активов на начало отчетного
периода,
• Коэффициент ввода в действие новых операционных внеоборотных активов. Он характеризует долю вновьвведенных операционных внеоборотных активов в общей их сумме и рассчитывается по формуле:
306
ОБА
вд
К-ВД
ова —
где КВД
ова — коэффициент ввода в действие новых операционных внеоборотных активов; ОВАвд — стоимость вновь введенных операционных
внеоборотных активов в отчетном периоде; ОВА
к — стоимость операционных внеоборотных активов на конец отчетного периода.
• Коэффициент обновления операционных внеоборотных активов. Он характеризует прирост новых операционных внеоборотных активов в общей их сумме и рассчитывается по формуле:
ВД
К^ова “'
ОВА. -ОВА
и
ОБА.
где К?ова — коэффициент обновления операционных внеоборотных активов; ОВАвд — стоимость вновь введенных операционных
внеоборотных активов в отчетном периоде; ОВАв — стоимость выбывших операционных внеоборотных активов в отчетном периоде; ОВА
к — стоимость операционных внеоборотных активов на конец отчетного периода.
• Скорость обновления операционных внеоборотныхактивов. Она характеризует
средний период времени полного обновления операционных внеоборотных активов.Расчет этого показателя осуществляется по формуле:

где ?>Оова — скорость обновления операционных внеоборотных активов, лет; КВДо8
а — коэффициент ввода в действие операционных внеоборотных активов в отчетном году (или в среднем за ряд последних лет).
Указанные показатели рассчитываются в процессе анализа не только по операционным внеоборотным активам в целом, но и в разрезе их видов — основных средств и нематериальных активов.
• На шестом этапе анализа оценивается уровеньэффективности использования операционных внеоборотных активов в отчетном периоде. В процессе такойоценки используются следующие основное показатели.
• Коэффициентрентабельности операционных внеоборотных активов.
Коэффициент производительности операционных внеоборотных активов.
Коэффициент производственной емкости операционных внеоборотных активов. Он
характеризует среднюю стоимость операционных внеоборотных активов, приходящуюся на единицу объема реализации продукции (или объема ее производства). При расчете этого показателя используется следующая формула:
КПЕ
ова
ОВА ОР ’
где КПЕова — коэффициент производственной емкости операционных внеоборотных активов; ОВА — средняя стоимость операционных внеоборотных активов предприятия в отчетном периоде; ОР — объем реализации продукции (или объем ее производства) в отчетном периоде.
2. Обеспечение своевременного обновления операционных внеоборотных активов предприятия.
В системе управления операционными внеоборотными активами "предприятия одной из наиболее важных функций является обеспечение своевременного и эффективного их обновления. Финансовое управление обновлением внеоборотных активов подчинено общим целям политики управления этими активами, конкретизируя управленческие решения в этой области. Последовательность разработки и принятия управленческих решений по обеспечению обновления операционных внеоборотных активов предприятия характеризуется следующими основными этапами.
а) Формирование необходимого уровня интенсивности обновления отдельных групп операционных внеоборотных активов предприятия. Интенсивность обновления операционных внеоборотных активов определяется двумя
основными факторами — их физическим и функциональным (моральным) износом.
Скорость утраты внеоборотными активами своих первоначальных функциональных свойств под воздействием физического и функционального (морального) износа, а соответственно и уровень интенсивности их обновления, во многом определяются индивидуальными условиями их использования в процессе операционной деятельности предприятия. В соответствии с этими условиями индивидуализируются (в определенных пределах) и нормы амортизации различных видов операционных внеоборотных активов. Эта индивидуализация норм амортизации, определяющая уровень интенсивности обновления отдельных групп операционных внеоборотных активов, характеризует амортизационную политику предприятия.
Амортизационная политика предприятия представляет собой составную часть обшей политики управления операционными внеоборотными активами, заключающуюся в индивидуализации уровня интенсивности их обновления в соответствии со спецификой их эксплуатации в процессе операционной деятельности.
Амортизационная политика предприятия в значительной степени отражает амортизационную политику государства на различных этапах его экономического развития. Она базируется на установленных государством принципах, методах и нормах амортизационных отчислений. Вместе с тем, каждое предприятие имеет возможность индивидуализировать свою амортизационную политику, учитывая конкретные факторы, определяющие ее параметры.
В процессе формирования амортизационной политики предприятия, определяющей уровень интенсивности обновления отдельных групп операционных внеоборотных активов, учитываются следующие основные факторы: • объем используемых операционных основных средств и нематериальных активов. Воздействие амортизационной политики предприятия на интенсивность обновления операционных внеоборотных активов и на конечные финансовые результаты его деятельности возрастает пропорционально увеличению объема собственных oc-i, новных средств и нематериальных активов;
методы отражения в учете реальной стоимости используемых основных средств и нематериальных активов. Осуществляемая переоценка этих видов операционных активов предприятия носит в современных условиях периодический характер и не в полной мере отражает рост цен на них. В связи с этим, амортизационные отчисления не характеризуют в полной мере фактический износ этих активов и утрачивают свое реновационное значение. Занижение размера реального износа операционных внеоборотных активов приводит не только к уменьшению скорости их обновления, но и к формированию излишней фиктивной суммы прибыли предприятия, а соответственно изъятию у него дополнительных финансовых средств в виде уплачиваемого налога на прибыль;
реальный срок использования предприятием амортизируемых активов. Установленный в процессе разработки норм амортизации средний срок использования отдельных видов основных средств носит обезличенный характер и должен конкретизироваться на каждом предприятии с учетом особенностей их использования в операционной деятельности. Это относится и к используемым в операционном процессе отдельным видам нематериальных активов, срок службы которых предприятие устанавливает самостоятельно (но не более 10 лет);
разрешенные законодательством методы амортизации. Зарубежный опыт свидетельствует о большом количестве разрешенных к использованию методов амортизации внеоборотных активов, что позволяет предприятиям формировать альтернативные варианты амортизационной политики в широком диапазоне. Наше законодательство существенно ограничивает используемые методы амортизации;
состав и структура используемых основных средств. Методы амортизации, разрешенные к использованию в нашей стране, дифференцируются в разрезе движимой и недвижимой (активной и пассивной) частей операционных основных средств. Эту же дифференциацию определяют и установленные нормы амортизационных отчислений;
темпы инфляции. В условиях высокой инфляции постоянно занижаются база начисления амортизации, а
соответственно и размеры амортизационных отчислений. Кроме того, инфляция оказывает негативное воздействие на реальную стоимость накопленных средств амортизационного фонда, что отрицательно сказывается на финансовых возможностях увеличения скорости обновления операционных внеоборотных активов;
• инвестиционная активность предприятия. Выбор методов амортизации в
значительной мере определяется уровнем текущей потребности в инвестиционныхресурсах, готовностью предприятия к реализации отдельных инвестиционных проектов, обеспечивающихобновление операционных внеоборотных активов.
Учет перечисленных факторов позволяет предприятию выбрать соответствующие методы амортизации отдельных групп операционных внеоборотных активов, в наибольшей степени отражающие специфику их использования в операционном процессе.
В современной отечественной практике различают два основных метода амортизации внеоборотных активов:
метод прямолинейной (линейной) амортизации. Этот метод основан на прямолинейнопропорциональном способе начисления износа амортизируемых активов (основных средств, нематериальных активов). В современной практике менеджмента активов в нашей стране этот метод амортизации является основным.
ускоренная амортизация. Этот метод позволяет сокращать период амортизации активов за счет использования повышенных норм амортизации. Действующим законодательством ускоренная амортизация разрешена только по активной части производственных основных средств (машин, механизмов, оборудования используемых в производственном процессе). Решение об использовании метода ускоренной амортизации активной части производственных основных средств предприятие принимает самостоятельно.
Следует отметить, что в реальной практике метод ускоренной амортизации может быть использован и в процессе списания стоимости нематериальных активов. Такая возможность определяется тем, что срок полезного использования этих активов (а соответственно и размер норм амортизации) предприятие устанавливает самостоятельно.
Использование метода ускоренной амортизации дает несомненный эффект и должно получить широкое распространение при формировании амортизационной политики предприятия.
Во-первых, использование этого метода начисления амортизации способствует ускорению инновационного процесса на предприятии, так как позволяет быстрее обновлять парк машин и механизмов, различных видов нематериальных активов.
Во-вторых, использование этого метода позволяет существенно ускорять процесс формирования собственных финансовых ресурсов за счет внутренних источников, т.е. способствует росту возвратного чистого денежного потока в предстоящих периодах.
В-третьих, ускоренная амортизация позволяет снизить сумму налога на прибыль, уплачиваемую предприятием, так как сокращает размер балансовой прибыли (т.е. в определенной мере уменьшает ту фиктивную часть прибыли, которая часто формируется из-за заниженной оценки стоимости основных средств).
В-четвертых, ускоренная амортизация активов является одним из эффективных способов противодействия негативному влиянию инфляции на реальную стоимость накапливаемого амортизационного фонда.
С учетом избранного метода амортизации предприятие формирует систему норм амортизации отдельных групп операционных внеоборотных активов, характеризующих необходимый уровень интенсивности их обновления.
б) Определение необходимого объема обновления операционных внеоборотных активов в предстоящем периоде. Обновление операционных внеоборотных активов предприятия может осуществляться на простой или расширенной основе, отражая процесс простого или расширенного их воспроизводства.
• Простое воспроизводство операционных внеоборотных активов осуществляется по мере физического и функционального (морального) их износа в пределах суммы накопленной амортизации (средств амортизационного фонда). Необходимый объем обновления операционных внеоборотных активов в процессе простого их воспроизводства определяется по следующей формуле:
ОВА.
Пр
0С СВф + СВ
М f
где ОВАлрос-необходимый объем обновления операционных внеоборотных активов предприятия в процессе простого их воспроизводства;
СВф —первоначальная восстановительная стоимость операционных внеоборотных активов, выбывающих в связи с физическим их износом;
СВм —первоначальная восстановительная стоимость операционных внеоборотных активов, выбывающих в связи с моральным их износом.
• Расширенное воспроизводство операционных внеоборотных активов осуществляется с учетом необходимости формирования новых их видов не только за счет суммы накопленной амортизации, но и за счет других финансовых источников. Необходимый объем обновления операционных внеоборотных активов в процессе расширенного их воспроизводства определяется по следующей формуле:
ОВА
расш = ОПояа
— ФНова ^ СВф + СВм і
где ОВАрасш— необходимый объем обновления операционных внеоборотных активов предприятия в процессе расширенного их воспроизводства; ОП
ова— общая потребность предприятия в операционных внеоборотных активах в предстоящем периоде (алгоритм ее расчета был рассмотрен ранее); ФН
ова— фактическое наличие используемых операционных внеоборотных активов предприятия на конец отчетного (начало предстоящего) периода; СВф— стоимость операционных внеоборотных активов, выбывающих в предстоящем периоде в связи с физическим их износом; СВм— стоимость операционных внеоборотных активов, выбывающих в предстоящем периоде в связи с моральным их износом.
Пример: Определить необходимый объем обновления операционных внеоборотных активов предприятия в процессе простого и расширенного их воспроизводства исходя из следующих данных: общая потребность предприятия в операционных внеоборотных активах в предстоящем периоде порезультатамрасчета составляет 250 тыс. уел. ден. ед.;
фактическое наличие используемых операционных внеоборотных активов на конец отчетного периода составляло 240 тыс. уел. ден. ед.; стоимость операционных внеоборотных активов предприятия, намеченных к выбытию в связи с физическим износом, составляет 30 тыс. уел. ден. ед.; стоимость операционных внеоборотных активов предприятия, намеченных к выбытию в связи с моральным износом, составляет 10 тыс. уел. ден. ед.; С учетом приведенных данных необходимый объем обновления операционных внеоборотных активов составит: врамках простого их воспроизводства —
30 + 10 = 40 тыс. уел. ден. ед. врамкахрасширенного их воспроизводства —
250 - 240 + 30 + 10 = 50 тыс. уел. ден. ед.
По рассмотренным расчетным алгоритмам необходимый объем обновления операционных внеоборотных активов может быть определен не только в целом по предприятию, ной в разрезе отдельных их групп.
в) Выбор наиболее эффективных форм обновления отдельных групп операционных внеоборотных активов. Конкретные формы обновления отдельных групп операционных активов определяются с учетом характера намечаемого их воспроизводства.
• Обновление операционных внеоборотных активов в процессе простого их воспроизводства может осуществляться в следующих основных формах:
текущего ремонта. Он представляет собой процесс частичного восстановления функциональных свойств и стоимости основных средств в процессе их обновления;
капитального ремонта. Он представляет собой процесс полного (или достаточно высокой части) восстановления основных средств и частичной замены отдельных их элементов. На сумму произведенного капитального ремонта уменьшается износ основных средств и тем самым увеличивается их остаточная стоимость; - приобретения новых видов операционных внеоборотных активов с целью замены используемых аналогов в пределах сумм накопленной амортизации (для нематериальных активов это основная форма простого их воспроизводства).
• Обновление операционных внеоборотных активов впроцессе расширенного их воспроизводства может осуществляться в форме их реконструкции, модернизации идругих. Подробно эти формы обновления операционных внеоборотных активов рассматриваются в разделе"Управление инвестициями".
Выбор конкретных форм обновления отдельных групп операционных внеоборотных активов осуществляется по критерию их эффективности. Так, например, если в результате капитального ремонта отдельных видов основных средств сумма будущей прибыли, генерируемой ими, будет ниже ликвидационной их стоимости, обновление эффективней осуществлять путем их замены новыми более производительными аналогами.
г) Определение стоимости обновления отдельных групп операционных внеоборотных активов в разрезе различных его форм. Методы определения стоимости обновления операционных внеоборотных активов дифференцируются в разрезе отдельных форм этого обновления.
• Стоимость обновления операционных внеоборотных активов, осуществляемого путем текущего или капитального их ремонта, определяется на основе разработки планового бюджета (сметы затрат) их проведения.При подрядном способе осуществления ремонтных работ основу разработки планового его бюджета составляют тарифы на услуги подрядчика, а при хозяйственном способе — расходы предприятия калькулируютсяпо отдельным их элементам.
• Стоимость обновления операционных внеоборотных активов путем приобретения новых их аналогов включает как рыночную стоимость соответствующих видовактивов, так и расходы по их доставке и установке.
• Стоимость обновления операционных внеоборотных активов в процессе расширенного их воспроизводства определяется в процессе разработки бизнес-плана реального инвестиционного проекта.
Итоговые результаты рассмотренных выше управленческих решений позволяют формировать общую потребность в обновлении операционных внеоборотных активов предприятия в разрезе отдельных их видов и различных форм предстоящего обновления.
3. Обеспечение эффективного использования операционных внеоборотных активов предприятия. Такое обеспечение заключается в разработке системы мероприятий, направленных на повышение коэффициентов рентабельности и производстввенной отдечи операционных внеоборотных активов.
Используя в процессе управления эффективностью операционных внеоборотных активов эти показатели, рледует учитывать два важных момента, обеспечивающих объективность оценки разрабатываемых мероприятий. Первый из них состоит в том, что при оценке всегда должна использоваться восстановительная стоимость операционных внеоборотных активов на момент проведения оценки (в этом случае будет учтен фактор
лнфляции, который в прибыли и объеме реализации лродукции отражается автоматически). Второй из них достоит в том, что при оценке следует использовать оста-мочную стоимость операционных внеоборотных активов, так как большая их часть в процессе износа теряет
ласть своей производительности.
Рост эффективности использования операционных внеоборотных активов позволяет сократить потребность л них (за счет механизма повышения коэффициентов IX использования во времени и по мощности), так как Лежду этими двумя показателями существует обратная Зависимость. Следовательно, мероприятия по обеспечению повышения эффективности использования операционных внеоборотных активов можно рассматривать т
Лак мероприятия по сокращению потребности в объеме Три. финансирования и повышению темпов экономического развития предприятия за счет более рационального /использования собственных финансовых ресурсов.
9.3. УПРАВЛЕНИЕ ОБОРОТНЫМИАКТИВАМИ
Процесс управления оборотными активами осуществляется в неразрывной связи с операционным циклом предприятия и отдельных его стадий.
В процессе управления оборотными активами в рамках операционного цикла выделяют две основные его составляющие: 1) производственный цикл предприятия; 2) финансовый цикл (или цикл денежного оборота) предприятия.
Производственный цикл предприятия характеризует период полного оборота материальных элементов оборотных активов, используемых для обслуживания производственного процесса, начиная с момента поступления сырья, материалов и полуфабрикатов на предприятие и заканчивая моментом отгрузки изготовленной из них готовой продукции покупателям.
Продолжительность производственного цикла предприятия определяется по следующей формуле:
ппц = по ^+по m+по гп,
где ППЦ — продолжительность производственного цикла предприятия, в днях;
ПО
см — период оборота среднего запаса сырья, материалов и полуфабрикатов, в
днях;
ПОнз — период оборота среднего объема незавершенного производства, в днях;
ПО
гп — период оборота среднего запаса готовой продукции, в днях.
Финансовый цикл (цикл денежного оборота) предприятия представляет собой период полного оборота денежных средств, инвестированных в оборотные активы, начиная с момента погашения кредиторской задолженности за полученные сырье, материалы и полуфабрикаты, и заканчивая инкассацией дебиторской задолженности за поставленную готовую продукцию.
Продолжительность финансового цикла (или цикла денежного оборота) предприятия определяется по следующей формуле:
ПФЦ = ППЦ+по
да - по
кз,
где ПФЦ — продолжительность финансового цикла (цикла денежного оборота) предприятия, в днях;
ППЦ — продолжительность производственного цикла предприятия, в днях;
ПОдз — средний период оборота дебиторской задолженности, в днях;
ПОкз — средний период оборота кредиторской задолженности, в днях.
Между продолжительностью производственного и финансового циклов предприятия существует тесная связь, которая графически представлена на рисунке 9.4.
ПЕРИОД ПРОИЗВОДСТВЕННОГО ЦИКЛА
|
|
Период оборота запасов сырья, материалов, полуфабрикатов
|
Период оборота незавершенного производства
|
Период оборота запасов готовой продукции
|
Период оборота дебиторской задолженности
|
Период оборота І^В кредиторской Щ^Я задолженности]^!
|
ПЕРИОД ФИНАНСОВОГО ЦИКЛА
(цикла денежнаго оборота)
|
Рисунок 9.4. Схема взаимосвязи производственного и финансового циклов обращения оборотного капитала предприятия.
Рассмотрим систему формирования отдельных циклов обращения оборотных активов предприятия на конкретном примере.
Пример: Определить продолжительность операциои-
ц ного, производственного и финансового циклов предприятия исходя из следующих данных: средний период оборота запасов сырья, материалов составляет 25 дней;
средний период оборота незавершенного производства составляет 8 дней;
средний период оборота запасов готовой продукции составляет 19 дней;
средний период оборота дебиторской задолженности составляет 20 дней;
средний период оборота денежных активов составляет 3 дня; средний период оборота кредиторской задолженности составляет 16 дней.
Подставляя значение этих показателей в вышеприведенные формулы, получим:
1. Продолжительность операционного циклапредприятия = 25 = 8 + 19 + 20 + 3 = 75 дней.
Продолжительность производственного цикла предприятия = 25 + 8 + 19 = 52 дня.
Продолжительность финансового цикла предприятия = 52 + 20 — 16 — 56 дней.
Значительный объем финансовых ресурсов, инвестируемых в оборотные активы, многообразие их видов и конкретных разновидностей, определяющая роль в ускорении оборота капитала и обеспечении постоянной платежеспособности, а также ряд других условий, определяют сложность задач финансового менеджмента, связанных с управлением оборотными активами. Комплекс этих задач и механизмы их реализации получают отражение в разрабатываемой на предприятии политике управления оборотными активами.
Политика управления использованием оборотных активов представляет собой часть общей стратегии управления активами предприятия, заключающейся в формировании необходимого их объема и состава и обеспечении условий оптимизации процесса их обращения.
Политика управления использованием оборотных активов предприятия разрабатывается по следующим основным этапам:
1. Анализ оборотных активов предприятия в предшествующем периоде.
На первом этапе анализа рассматривается динамика общего объема оборотных активов, используемых предприятием, — темпы изменения средней их суммы в сопоставлении с темпами изменения объема реализации продукции и средней суммы всех активов; динамика удельного веса оборотных активов в общей сумме активов предприятия.
На втором этапе анализа рассматривается динамика состава оборотных активов предприятия в разрезе основных их видов — запасов сырья, материалов и полуфабрикатов; запасов готовой продукции; дебиторской задолженности; остатков денежных активов. В процессе этого этапа анализа рассчитываются и изучаются темпы изменения суммы каждого их этих видов оборотных активов в сопоставлении с темпами изменения объема производства и реализации продукции; рассматривается динамика удельного веса основных видов оборотных активов в общей их сумме. Анализ состава оборотных активов предприятия по отдельным их видам позволяет оценить уровень их ликвидности.
в На третьем этапе анализа изучается оборачиваемость отдельных видов оборотных активов и общей их сумме. Этот анализ проводится с использованием показателей — коэффициента оборачиваемости и периода оборота оборотных активов. В процессе анализа устанавливается общая продолжительность и структура операционного, производственного и финансового циклов предприятия; исследуются основные факторы, определяющие продолжительность этих циклов.
• На четвертом этапе анализа определяется рентабельность оборотных активов, исследуются определяющие ее факторы. В процессе анализа используются коэффициент рентабельности оборотных активов, а такжеМодель Дюпона, которая применительно к этому видуактивов имеет вид:
Р = Р хО
1 ок
1 рп
w ок )
где Р
ок—рентабельность оборотных активов; Р
рп — рентабельность реализации продукции; 0ок — оборачиваемость оборотных активов.
• На пятом этапе анализа рассматривается составосновных источников финансирования оборотных активов — динамика их суммы и удельного веса в общемобъеме финансовых средств, инвестированных в этиактивы; определяется уровень финансового риска, генерируемого сложившейся структурой источников финансирования оборотных активов.
Результаты проведенного анализа позволяют определить общий уровень эффективности управления оборотными активами на предприятии и выявить основные направления его повышения в предстоящем периоде.
2. Определение принципиальных подходов к формированию оборотных активов предприятия. Такие принципы отражают общую идеологию финансового управления предприятием с позиций приемлемого соотношения уровня доходности и риска финансовой деятельности. Применительно к оборотным активам они определяют выбор определенного типа политики их формирования.
Теория финансового менеджмента рассматривает три принципиальных подхода к формированию оборотных активов предприятия — консервативный, умеренный и агрессивный.
Консервативный подход к формированию оборотных активов предусматривает не только полное удовлетворение текущей потребности во всех их видах, обеспечивающей нормальный ход операционной деятельности, но и создание высоких размеров их резервов на случай непредвиденных сложностей в обеспечении предприятия сырьем и материалами, ухудшения внутренних условий производства продукции, задержки инкассации дебиторской задолженности, активизации спроса покупателей и т.п. Такой подход гарантирует минимизацию операционных и финансовых рисков, но отрицательно сказывается на эффективности использования оборотных активов — их оборачиваемости и уровне рентабельности.
Умеренный подход к формированию оборотных активов направлен на обеспечение полного удовлетворения текущей потребности во всех видах оборотных активов и создание нормальных страховых их размеров на случай наиболее типичных сбоев в ходе операционной деятельности предприятия. При таком подходе обеспечивается среднее для реальных хозяйственных условий соотношение между уровнем риска и уровнем эффективности использования финансовых ресурсов.
Агрессивный подход к формированию оборотных активов заключается в минимизации всех форм страховых резервов по отдельным видам этих активов. При отсутствии сбоев в ходе операционной деятельности такой подход к формированию оборотных активов обеспечивает наиболее высокий уровень эффективности их использования. Однако любые сбои в осуществлении нормального хода операционной деятельности, вызванные действием внутренних или внешних факторов, приводят к существенным финансовым потерям из-за сокращения объема производства и реализации продукции. Таким образом, избранные принципиальные подходы к формированию оборотных активов предприятия (или тип политики их формирования), отражая различные соотношения уровня эффективности их использования и риска, в конечном счете определяют сумму этих активов и их уровень по отношению к объему операционной деятельности. Это можно проиллюстрировать графиком, представленным на рисунке 9.5.

Рисунок 9.5. Зависимость суммы и уровня оборотных активов предприятия от альтернативных подходов к их формированию.
Из приведенных данных видно, что при альтернативных подходах к формированию оборотных активов предприятия, их сумма и уровень по отношению к объему операционной деятельности варьируют в довольно широком диапазоне.
3. Оптимизация объема оборотных активов. Такая оптимизация должна исходить из избранного типа политики формирования оборотных активов, обеспечивая заданный уровень соотношения эффективности их использования и риска. Процесс оптимизации объема оборотных активов на этой стадии формирования политики управления ими состоит из трех основных этапов.
На первом этапе с учетом результатов анализа оборотных активов в предшествующем периоде определяется система мероприятий по реализации резервов, направленных на сокращение продолжительности операционного, а в его рамках — производственного и финансового циклов предприятия. При этом сокращение продолжительности отдельных циклов не должно приводить к снижению объемов производства и реализации продукции.
На втором этапе на основе избранного типа политики формирования оборотных активов, планируемого объема производства и реализации отдельных видов продукции и вскрытых резервов сокращения продолжительности операционного цикла (в разрезе отдельных его стадий) оптимизируется объем и уровень отдельных видов этих активов. Средством такой оптимизации выступает нормирование периода их оборота и суммы.
На третьем этапе определяется общий объем оборотных активов предприятия на предстоящий период:
ОА
п =ЗС
п + ЗГ
п+ДЗ
п+ДА
п + П„,
где ОА
п — общий объем оборотных активов предприятия на конец рассматриваемого предстоящего периода;
ЗСп — сумма запасов сырья и материалов на конец предстоящего периода;
ЗГп — сумма запасов готовой продукции на конец предстоящего периода (с включением в нее пересчитанного объема незавершенного производства);
ДЗп — сумма дебиторской задолженности на конец
предстоящего периода; ДАп — сумма денежных активов на конец предстоящего периода; П
п — сумма прочих видов оборотных активов на конец предстоящего периода.
4. Оптимизация соотношения постоянной и переменной частей оборотных активов. Потребность в отдельных видах оборотных активов и их сумма в целом существенно
колеблется в зависимости от сезонных особенностей осуществления операционной деятельности. Так, на предприятиях ряда отраслей агропромышленного комплекса закупки сырья осуществляются в течение лишь определенных сезонов, что определяет повышенную потребность в оборотных активах в этот период в форме запасов этого сырья. На предприятиях отдельных отраслей имеется возможность переработки сырья лишь в течение "сезона переработки" с последующей равномерной реализацией продукции, что определяет в такие периоды повышенную потребность в оборотных активах в форме запасов готовой продукции. Колебания в размерах потребности в отдельных видах оборотных активов могут вызываться и сезонными особенностями спроса на продукцию предприятия. Поэтому в процессе управления оборотными активами следует определять их сезонную (или иную циклическую) составляющую, которая представляет собой разницу между максимальной и минимальной потребностью в них на протяжении года.
Процесс оптимизации соотношения постоянной и переменной частей оборотных активов осуществляется по следующим этапам:
Уровень оборотных
активов в днях оборота
А

|
1 2 3 4 5 6 7 8 9 10 11 І2 ШСЯЦЫ
Рисунок 9.6. График „сезонной волны" уровня оборотных активов предприятия на протяжении года.
• На первом этапе по результатам анализа помесячной динамики уровня оборотных активов в днях оборота или в сумме за ряд предшествующих лет строится график их средней "сезоннойволны" (рис. 9.6).
В отдельных случаях он может быть конкретизирован по отдельным видам оборотных активов.
в На втором этапе по результатам графика "сезонной волны" рассчитываются коэффициенты неравномерности (минимального и максимального уровней) оборотных активов по отношению к среднему их уровню.
• На третьем этапе определяется сумма постоянной части оборотных активов по следующей формуле:
ОА посг — ОА п х К мнн,
|
где ОАпост — сумма постоянной части оборотных активов
в предстоящем периоде;
ОА
п — средняя сумма оборотных активов предприятия в рассматриваемом предстоящем периоде;
Кмин — коэффициент минимального уровня оборотных активов.
в На четвертом этапе определяется максимальная и средняя сумма переменной части оборотных активов в предстоящем периоде. Эти расчеты осуществляются по следующим формулам:
п макс
— ОА п х (К.
макс “ К.
мин );
п Х макс
— ^ мин ) _ п макс ~ ОА
пост
UA п сред --2............... “ .......2..........’
где ОАдмакс—максимальная сумма переменной части оборотных активов в предстоящем периоде;
ОАп сред —средняя сумма переменной части оборотных активов в предстоящем периоде; ОА
ПОСт — сумма постоянной части оборотных активов в предстоящем периоде; Кмакс —коэффициент максимального уровня оборотных активов;
кмин — коэффициент минимального уровня оборотных активов.
Соотношение постоянной и переменной частей оборотных активов является основой управления их оборачиваемостью и выбора конкретных источников их финансирования.
Обеспечение необходимой ликвидности оборотных активов. Хотя все виды оборотных активов в той или иной степени являются ликвидными общий уровень их срочной ликвидности должен обеспечивать необходимый уровень платежеспособности предприятия по текущим (особенно неотложным) финансовым обязательствам. В этих целях с учетом объема и графика предстоящего платежного оборота должна быть определена доля оборотных активов в форме денежных средств, высоко- и среднеликвидных активов.
Обеспечение повышения рентабельности оборотных активов. Как и любой вид активов оборотные активы должны генерировать определенную прибыль при их использовании в производственно-сбытовой деятельности предприятия. Вместе с тем, отдельные виды оборотных активов способны приносить предприятию прямой доход в процессе финансовой деятельности в форме процентов и дивидендов (краткосрочные финансовые вложения). Поэтому составной частью разрабатываемой политики является обеспечение своевременного использования временно свободного остатка денежных активов для формирования эффективного портфеля краткосрочных финансовых вложений.
Политика управления использованием оборотных активов получает свое отражение в системе разработанных на предприятии финансовых нормативов. Основными из таких нормативов являются: в норматив собственных оборотных активов предприятия; в система нормативов оборачиваемости основных видов оборотных активов и продолжительности операционного цикла в целом; • система коэффициентов ликвидности оборотных активов.
В системе управления оборотными активами наибольшую сложность представляет процесс оптимизации размеров отдельных их видов. Цели и характер оптимизации различных видов оборотных активов имеют существенные отличительные особенности, которые требуют специального рассмотрения.
I. Оптимизация размера основных групп текущих запасов связана с предварительным разделением всей совокупности запасов товарно-материальных ценностей на два основных вида — производственные (запасы сырья, материалов и полуфабрикатов) и запасы готовой продукции. В разрезе каждого из этих видов выделяются запасы текущего хранения — постоянно обновляемая часть запасов, формируемых на регулярной основе и равномерно потребляемых в процессе производства продукции или ее реализации покупателям.
Для оптимизации размера текущих запасов товарно-материальных ценностей используется ряд моделей, среди которых наибольшее распространение получила "Модель экономически обоснованного размера заказа" [Economic ordering quantity — EOQ model]. Она может быть использована для оптимизации размера как производственных запасов, так и запасов готовой продукции.
Расчетный механизм модели EOQ основан на минимизации совокупных операционных затрат по закупке и хранению запасов на предприятии. Эти операционные затраты предварительно разделяются на две группы: а) сумма затрат по размещению заказов (включающих расходы по транспортированию и приемке товаров); б) сумма затрат по хранению товаров на складе.
Рассмотрим механизм модели EOQ на примере формирования производственных запасов.
С одной стороны, предприятию выгодно завозить сырье и материалы как можно более высокими партиями. Чем выше размер партии поставки, тем ниже совокупный размер операционных затрат по размещению заказов в определенном периоде (оформлению заказов, доставке заказанных товаров на склад и их приемке на складе). Графически это может быть представлено следующим образом (рис. 9.7).
Сумма операционных затрат по размещению заказов при этом определяется по следующей формуле:
опп
wv> рпп ’
где ОЗрз — сумма операционных затрат по размещениюзаказов;
|

|
Рисунок 9.7. Зависимость суммы операционных затрат по. . размещению
заказов от размера партии поставки товаров.
ОПП — объем производственного потребления TOBapoBf (сырья или
материалов) в рассматриваемом '.•'- периоде;
РПП — средний размер одной партии поставки товаров; Срз — средняя стоимость размещения одного заказа.
Из приведенной формулы видно, что при неизменном объеме производственного потребления и средней стоимости размещения одного заказа общая сумма операционных затрат по размещению заказов минимизируется с ростом среднего размера одной партии поставки товаров.
С другой стороны, высокий размер одной партии поставки товаров вызывает соответствующий рост операционных затрат по хранению товаров на складе, так как при этом увеличивается средний размер запаса в днях оборота (период их хранения). Если
|
закупать сырье один раз в два месяца, то средний размер его запаса (период хранения) составит 30 дней, а если размер партии поставки снизить вдвое, т.е. закупать сырье один раз в месяц, то средний размер его запаса (период хранения) составит 15 дней (см. рис. 9.8).

|
Рисунок 9.8. Зависимость между размером партии поставки и средним
|
размером запаса.
С учетом этой зависимости сумма операционных затрат по хранению товаров на складе может быть определена по следующей формуле:
03„=SSxC
I,
где ОЗхт — сумма операционных затрат по хранению товаров на складе; РПП — средний размер одной партии поставки товаров; С
х — стоимость хранения единицы товара в рассматриваемом периоде.
Из приведенной формулы видно, что при неизменной стоимости хранения единицы товара в рассматриваемом периоде общая сумма операционных затрат по хранению товарных запасов на складе минимизируется при снижении среднего размера одной партии поставки товаров.
Таким образом, с ростом среднего размера одной партии поставки товаров снижаются операционные затраты по размещению заказа и возрастают операционные затраты по хранению товарных запасов на складе предприятия (и наоборот). Модель EOQ позволяет оптимизировать пропорции между этими двумя группами операционных затрат таким образом, чтобы совокупная их сумма была минимальной. Графически это представлено на рисунке 9.9.
где РПП0 — оптимальный средний размер партии поставки товаров (EOQ); ОПП — объем производственного потребления товаров (сырья или материалов) в рассматриваемом периоде; Срз — средняя стоимость размещения одного заказа; Сх — стоимость хранения единицы товара в рассматриваемом периоде.
Соответственно оптимальный средний размер производственного запаса определяется по следующей формуле:

где П3о —оптимальный средний размер производственного запаса (сырья, материалов); РПП
0 — оптимальный средний размер партии поставки товаров (EOQ). Рассмотрим механизм использования Модели EOQ на конкретном примере:
Пример. Годовая потребность в определенном виде сырья, определяющая объем его закупки, составляет 1000 уел. ден. ед. Средняя стоимость размещения одного заказа составляет 12 уел. ден. ед., а средняя стоимость хранения единицы товара — 6уел. ден. ед. Подставляя эти данные в Модель EOQ, получаем:

|
Рисунок 9.9. График минимизации совокупных операционных затрат при оптимальном размере партии поставки (E0Q).
Математически Модель EOQ выражается следующей принципиальной формулой:
|

¦I
= /400 = 63,2
РПП,
2 х 1000 У. 12
6 уел. ден. ед.
Оптимальный средний размер производственного запаса сырья составит при этом:
пз,ш**1.зи
* уел. ден. ед.
При таких показателяхереднего размера партии поставки и среднего размера запаса сырья операционные затраты предприятия по обслуживанию запаса будут минимальными.
Для запасов готовой продукции задача минимизации операционных затрат по их обслуживанию состоит в определении оптимального размера партии производимой продукции (вместо среднего размера партии поставки). Если производить определенный товар мелкими партиями, то операционные затраты по хранению его запасов в виде готовой продукции (Сх) будут минимальными. Вместе с тем, при таком подходе к операционному процессу существенно возрастут операционные затраты, связанные с частой переналадкой оборудования, подготовкой производства и другие (Срз). Используя вместо показателя объема производственного потребления (ОПП) показатель планируемого объема производства продукции, мы на основе Модели EOQ аналогичным
образом можем определить оптимальный средний размер партии производимой продукции и оптимальный средний размер запаса готовой продукции.
II. Оптимизация размера дебиторской задолженности
связана с предварительным формированием принципов в кредитной политике по отношению к покупателям продукции. В современной коммерческой и финансовой практике реализация продукции в кредит (с отсрочкой платежа за нее) получила широкое распространение как в нашей стране, так и в странах с развитой рыночной экономикой. Формирование принципов кредитной политики отражает условия этой практики и направлено на повышение эффективности операционной и финансовой деятельности предприятия.
В процессе формирования принципов кредитной политики по отношению к покупателям продукции решаются два основных вопроса: а) в каких формах осуществлять реализацию продукции в кредит; б) какой тип кредитной политики следует избрать предприятию.
Формы реализации продукции в кредит имеют две разновидности — товарный (коммерческий) кредит и потребительский кредит.
• Товарный (коммерческий) кредит представляет собой форму оптовой реализации продукции ее продавцом на условиях отсрочки платежа, если такая отсрочка превы шает обычные сроки банковских расчетов. Обычно товарный (коммерческий) кредит предоставляется оптовому покупателю продукции на срок от одного до шести месяцев.
в Потребительский кредит (в товарной форме) представляет собой форму розничной реализации товаров покупателям (физическим лицам) с отсрочкой платежа. Он предоставляется обычно на срок от шести месяцев до двух лет.
Выбор форм реализации продукции в кредит определяется отраслевой принадлежностью предприятия и характером реализуемой продукции (товаров, услуг).
Тип кредитной политики характеризует принципиальные подходы к ее осуществлению с позиции соотношения уровней доходности и риска кредитной деятельности предприятия. Различают три принципиальных типа кредитной политики предприятия по отношению к покупателям продукции — консервативный, умеренный и агрессивный.
• Консервативный (или жесткий) тип кредитной политики предприятия направлен на минимизацию кредитного риска. Такая минимизация рассматривается как приоритетная цель в осуществлении его кредитной деятельности. Осуществляя этот тип кредитной политики предприятие не стремится к получению высокой дополнительной прибыли за счет расширения объема реализации продукции. Механизмом реализации политики такого типа является существенное сокращение круга покупателей продукции в кредит за счет групп повышенного риска; минимизация сроков предоставления кредита и его размера; ужесточение условий предоставления кредита и повышение его стоимости; использование жестких процедур инкассации дебиторской задолженности.
в Умеренный тип кредитной политики предприятия характеризует типичные условия ее осуществления в соответствии с принятой коммерческой и финансовой практикой и ориентируется на средний уровень кредитного риска при продаже продукции с отсрочкой платежа.
в Агрессивный (или мягкий) тип кредитной политики предприятия приоритетной целью кредитной деятельности ставит максимизацию дополнительной прибыли за счет расширения объема реализации продукции в кредит, не считаясь с высоким уровнем кредитного риска, который сопровождает эти операции. Механизмом реализации политики такого типа является распространение кредита на более рискованные группы покупателей продукции; увеличение периода предоставления кредита и его размера; снижение стоимости кредита до минимально допустимых размеров; предоставление покупателям возможности пролонгирования кредита.
В процессе выбора типа кредитной политики должны учитываться следующие основные факторы:
современная коммерческая и финансовая практика осуществления торговых операций;
общее состояние экономики, определяющее финансовые возможности покупателей, уровень их платежеспособности;
сложившаяся конъюнктура товарного рынка, состояние спроса на продукцию предприятия;
потенциальная способность предприятия наращивать объем производства продукции при расширении возможностей ее реализации за счет предоставления кредита;
правовые условия обеспечения взыскания дебиторской задолженности;
финансовые возможности предприятия в части отвлечения средств в дебиторскую задолженность;
финансовый менталитет собственников и менеджеров предприятия, их отношение к уровню допустимого риска в процессе осуществления хозяйственной деятельности.
Определяя тип кредитной политики, следует иметь в виду, что жесткий (консервативный) ее вариант отрицательно влияет на рост объема операционной деятельности предприятия и формирование устойчивых коммерческих связей, в то время как мягкий (агрессивный) ее вариант может вызвать чрезмерное отвлечение финансовых средств, снизить уровень платежеспособности предприятия, вызвать впоследствии значительные расходы по взысканию долгов, а в конечном итоге снизить рентабельность оборотных активов и используемого капитала.
Расчет необходимой суммы финансовых средств, инвестируемых в дебиторскую задолженность, осуществляется по следующей формуле:

где Идз — необходимая сумма оборотного капитала, направляемого в дебиторскую задолженность; ОР
к — планируемый объем реализации продукции в
кредит; КУц — коэффициент соотношения себестоимости и цены продукции, выраженный десятичной дробью;
ППК —средний период предоставления кредита покупателям, в днях;
ПР —средний период просрочки платежей по предоставленному кредиту, в днях. Пример: Определить необходимую сумму финансовых средств, инвестируемых в предстоящем периоде в дебиторскую задолженность, при следующихусловиях:
планируемый объем реализации продукции с предоставлением товарного (коммерческого) кредита — 3200 тыс. уел. ден. ед.;
планируемыйуделъный вес себестоимости продукции в ее цене —75%; средний период предоставления кредита оптовым покупателям — 40 дней; средний период просрочки платежей по предоставляемому кредиту по результатам анализа — 20 дней.Подставляя эти данные в вышеприведенную формулу, получим:\Необходимая сумма финансовых средств, инвестируемых в предстоящем периоде в дебиторскую
3200x0,75х( 40 + 20) ___
« —¦—¦¦¦
? ' =: 400
задолженность, 360 тыс. уел. ед.
Если финансовые возможности предприятия не позволяют инвестировать расчетную сумму средств в полном объеме, то при неизменности условий кредитования должен быть соответственно скорректирован планируемый объем реализации продукции в кредит.
III. Оптимизация размера денежных активов и их эквивалентов осуществляется в разрезе операционного и страхового их видов.
• Потребность в операционном (трансакционном) остатке денежных активов характеризует минимальную их сумму, необходимую для осуществления текущей хозяйственной деятельности. Расчет этой суммы основывается на планируемом денежном обороте по операционной деятельности (соответствующем разделе плана поступления и расходования денежных средств) и количестве оборотов денежных активов. Для расчета планируемой суммы операционного остатка денежных активов используется следующая формула:
дд _ П°о
дД ““ко,*.
планируемая сумма операционного остатка денежных активов
где ДАО — предприятия;
ПО
0д — планируемый объем денежного оборота (суммы расходования денежных средств) по операционной деятельности предприятия;
КОда — количество оборотов среднего остатка денежных активов в плановом периоде.
Пример: Определить планируемую сумму операционного остатка денежных активов предприятия ис-Ул\ ходя из следующих данных:
в соответствии с планом поступления и расходования денежных средств на предстоящий год объем денежного оборота по операционной деятельности -
т:я предусмотрен в размере 300 тыс. уел. ден. ед.;
количество оборотов среднего остатка денежных .. >¦ <.;-¦_-. активов в
предшествующем году составило 24. На ту плановый период этот показатель оставлен без изменений.
Подставляя эти данные в вышеприведенную формулу, получим: " планируемая сумма операционного остатка денежных средств =-= 12,5 тыс. уел. ден. ед.
Расчет планируемой суммы операционного остатка денежных активов может быть осуществлен и на основе отчетного их показателя, если в процессе анализа было установлено, что он обеспечивал своевременность осуществления всех платежей, связанных с операционной деятельностью предприятия. В этом случае для расчета используется следующая формула:

где ДАО —планируемая сумма операционного остатка денежных активов предприятия;
ДАф —фактическая средняя сумма операционного остатка денежных активов предприятия в предшествующем аналогичном периоде;
ПО Од — планируемый объем денежного оборота (суммы расходования денежных средств) по операционной деятельности предприятия;
ФОод — фактический объем денежного оборота (суммы расходования денежных средств) по операционной деятельности предприятия в предшествующем аналогичном периоде;
КОда — количество оборотов среднего остатка денежных активов в плановом периоде.
Пример: Дополним показатели предшествующего примера следующими данными:
операционный остаток денежных активов составлял в среднем 11 тыс. уел. ден. ед; фактический объем денежного оборота по операционной деятельности составил в отчетном году 262 тыс. уел. ден. ед.
Подставляя эти данные в вышеприведенную формулу, получим:
„ 300 - 262 = 11 + —— = 12,6
планируемая сумма операционного остатка денежных средств
24 тыс.
уел. ден. ед.
• Потребность в страховом (резервном) остатке денежных активов определяется на основе рассчитанной суммы их операционного остатка и коэффициента неравномерности (коэффициента вариации) поступления денежных средств на предприятие по отдельным месяцам предшествующего года. Для расчета планируемой суммы страхового остатка денежных активов используется следующая формула:
где ДАС — планируемая сумма страхового остатка денежных активов предприятия; ДАО — плановая сумма операционного остатка денежных активов предприятия; КВПДС — коэффициент вариации поступления денежных средств на предприятие в отчетном периоде.
В практике зарубежного финансового менеджмента применяются и более сложные модели определения среднего остатка денежных активов.
Наиболее широко используемой в этих целях является Модель Баумоля, который первый трансформировал для планирования остатка денежных средств ранее рассмотренную Модель EOQ. Исходными положениями Модели Баумоля является постоянство потока расходования денежных средств, хранение всех резервов денежных активов в форме краткосрочных финансовых вложений и изменение остатка денежных активов от их максимума до минимума, равного нулю (рис. 9.10).


Рисунок 9.10. формирование и расходование остатка денежных средств в соответствии с Моделью Баумоля.
Исходя из представленного графика, можно увидеть, что если бы пополнение остатков денежных средств за счет продажи части кратко срочных финансовых вложений или краткосрочных кредитов банка осуществлялось в два раза чаще, то размер максимального и среднего остатков денежных средств на предприятии был бы в два раза меньше. Однако каждая операция по продаже краткосрочных активов или получению кредита связана для предприятия с определенными расходами, размер которых возрастает с увеличением частоты (или сокращением периода) пополнения денежных средств. Обозначим этот вид расходов индексом "Р
0" (расходы по обслуживанию одной операции пополнения денежных расходов).
Для экономии общей суммы расходов по обслуживанию операций пополнения денежных средств, следует увеличить период (или снизить частоту) этого пополнения. В этом случае соответственно увеличатся размеры максимального и среднего остатка денежных средств. Однако эти виды остатков денежных средств доходов предприятию не приносят; более того, рост этих остатков означает потерю для предприятия альтернативных доходов в форме краткосрочных финансовых вложений. Размер этих потерь равен сумме остатков денежных средств, умноженной на среднюю ставку процента по краткосрочным финансовым вложениям (выраженную десятичной дробью). Обозначим размер этих потерь индексом "П
д" (потери доходов при хранении денежных средств).
С учетом потерь рассмотренных двух видов строится оптимизационная Модель Баумоля, позволяющая определить оптимальную частоту пополнения и оптимальный размер остатка денежных средств, при которых совокупные потери будут минимальными (рис. 9.11).
где ДАмакс —оптимальный размер максимального остатка денежных активов предприятия;
ДА — оптимальный размер среднего остатка денежных активов предприятия; Ро — расходы по обслуживанию одной операции
пополнения денежных средств; Пд — уровень потери альтернативных доходов при хранении денежных средств (средняя ставка процента по кратко срочным финансовым вложениям), выраженный десятичной дробью; ПОд
0 — планируемый объем денежного оборота (суммы расходования денежных средств).
Пример: необходимо определить на основе Модели Баумоля средний и максимальный размер остатков денежных средств на основе следующих данных: планируемый годовой объем денежного оборота предприятия составляет 225 тыс. уел. ден. ед.; расходы по обслуживанию одной операции пополнения денежных средств составляют 100усл. ден. ед.; среднегодовая ставка процента по краткосрочным финансовым вложениям составляет 20%.
При этих условиях размер максимального и среднего остатков денежных активов предприятия составит:

|
Рисунок 9.19. Схема формирования оптимального размера остатка денежных средств в соответствии с Моделью Баумоля.
Математический алгоритм расчета максимального и среднего оптимальных размеров остатка денежных средств в соответствии с Моделью Баумоля имеет следующий вид:
|

|
ДА = 1ДДХД - 75Q0 уСЛг $ен
|
~ 225000000 =
= 15000 уел, ден, ед.
Модель Миллера-Орра представляет собой еще более сложный алгоритм определения оптимального размера остатков денежных активов. Исходные положения этой модели предусматривают наличие определенного размера страхового запаса и определенную неравномерность в поступлении и расходовании денежных средств, а соответственно и остатка денежных активов. Минимальный предел формирования остатка денежных активов принимается на уровне страхового остатка, а максимальный — на уровне трехкратного размера страхового остатка (рис. 9.12).

Рисунок 9.12. формирование и расходование остатка денежных средств в соответствии с Моделью Мил-лера-Орра.
Как видно из приведенных данных, когда остаток денежных активов достигает максимального значения (верхней границы своего "коридора"), излишние средства (по отношению к среднему остатку) переводятся в резерв, т.е. инвестируются в краткосрочные финансовые инструменты. Аналогичным образом, когда остаток денежных активов достигает минимального значения (нижней границы своего "коридора") осуществляется пополнение денежных средств до среднего уровня за счет продажи части краткосрочных финансовых инструментов, привлечения краткосрочных банковских кредитов и других источников.
Необходимо обратить внимание и на то, что значение среднего остатка денежных активов находится на одну треть выше минимального его значения и на две трети
ниже максимального его значения, а не посредине между этими значениями. При таком подходе уровень альтернативных потерь доходов при хранении денежных средств будет более низким.
Математический алгоритм расчета диапазона колебаний остатка денежных активов между минимальным и максимальным его значением имеет следующий вид:

где ДКОм/м — диапазон колебаний суммы остатка денежных активов между минимальным и максимальным его значением; Р
0 — расходы по обслуживанию одной операции
пополнения денежных средств;
лдо — среднеквадратическое (стандартное) отклонение ежедневного объема денежного оборота; Пд — среднедневной уровень потерь альтернативных доходов при хранении денежных средств (среднедневная ставка процента по краткосрочным финансовым операциям), выраженный десятичной дробью.
Соответственно максимальный и средний остатки денежных активов определяются по формулам:

где ДАмакс — оптимальный размер максимального остатка денежных активов предприятия;
ДА — оптимальный размер среднего остатка денежных активов предприятия; ДАМин — минимальный (или страховой) остаток денежных активов предприятия; ДКО
м/
м — диапазон колебаний суммы остатка денежных активов между минимальным и максимальным его значением.
Пример: необходимо определить на основе Модели Миллера—Орра диапазон колебаний остатка денеж-
ных активов, а также максимальную и среднюю сумму этого остатка на основе следующих данных: страховой (минимальный) остаток денежных активов установлен по предприятию на плановый год в сумме 5000уел. ден. ед.;
среднеквадратическое (стандартное) отклонение ежедневного объема денежного оборота по данным анализа за предшествующий год составляло 2000 уел. ден. ед.; расходы по обслуживанию одной операции пополнения денежных средств составляют 80 уел. ден. ед.; среднедневная ставка процента по краткосрочным финансовым вложениям составляет 0,08%.

= 3х 375000000000 = 3x7211 = 21633 уел. ден. ед.
Соответственно размер максимального и среднего остатков денежных активов составят:
ДАмакс ~ 5000 + 21633 = 26,6 тыс. уел. ден. ед.;
21633
3
ДА = 5000 +
= 5000 + 72//=/2,2 уел. ден. ед.
При этихусловиях диапазон колебаний суммы остатка денежных активов составит:
Несмотря на четкий математический аппарат расчетов оптимальных сумм остатков денежных активов обе приведенные модели (Модель Баумоля и Модель Миллера— Орра) пока еще сложно использовать в отечественной практике финансового менеджмента по следующим причинам:
в хроническая нехватка оборотных активов не позволяет предприятиям формировать остаток денежных средств в необходимых размерах с учетом их резерва;
замедление платежного оборота вызывает значительные (иногда непредсказуемые) колебания в размерах денежных поступлений, что соответственно отражается и на сумме остатка денежных активов;
ограниченный перечень обращающихся краткосрочных фондовых инструментов и низкая их ликвидность затрудняют использование в расчетах показателей, связанных с краткосрочными финансовыми вложениями.
Глава 10. Управление операционным персоналом
10.1. СОСТАВ ОПЕРАЦИОННОГО ПЕРСОНАЛА ИПРИНЦИПЫЕГО
ФОРМИРОВАНИЯ
Осуществление операционной деятельности предприятия невозможно без постоянного участия живого труда. Поэтому важная роль в управлении ресурсами, генерирующими операционную прибыль предприятия, принадлежит управлению его операционным персоналом. Результативность этого управления существенно влияет на объем производства и реализации продукции, уровень затрат на оплату труда (а соответственно и уровень себестоимости отдельных видов продукции), размер налоговых платежей (значительная часть которых непосредственно связана с использованием живого труда) и ряд других показателей, определяющих конечные результаты формирования операционной прибыли. Особенно возрастает роль управления операционным персоналом на предприятиях с большим объемом затрат живого труда. Понятие операционного персонала предприятия характеризуется численностью и составов работников, занятых осуществлением его операционной деятельности. В целях эффективного управления этим персоналом на предприятии применяется классификация работников, занятых операционной деятельностью, по следующим основным признакам:
По категориям. В составе персонала предприятий выделяют обычно четыре категории работников, связанных с осуществлением операционной деятельности: а) персонал управления; б) рабочие основного производства; в) рабочие вспомогательного производства; г) рабочие материально-технического обеспечения и сбыта.
По должностям и профессиям (специальностям). В соответствии с этим признаком в составе персонала управления выделяются должности руководителей разного уровня (менеджеров), специалистов и т.п.; в составе рабочих основного производства — профессии слесарей, столяров и т.п.; в составе вспомогательного персонала — профессии грузчиков, уборщиков и т.п.; в составе рабочих материально-технического снабжения и сбыта — профессии кладовщиков, экспедиторов и т.п.
По уровню квалификации. Работники всех основных должностей и профессий (специальностей) в зависимости от уровня знаний, умения и трудовых навыков подразделены на ряд квалификационных категорий (разрядов).
По полу и возрасту. В соответствии с действующим порядком учета на предприятиях выделяются мужчины в возрасте до 30 лет; от 30 до 60 лет; свыше 60; а женщины соответственно до 30 лет; от 30 до 55 лет; свыше 55 лет. В целях эффективного управления операционным персоналом на крупных предприятиях может быть принята и более детальная группировка работников по возрасту.
По стажу работы в отрасли или на предприятии. Действующей обычно практикой учета предусматривается группировка работников предприятий со стажем до 1 года; от 1 года до 3 лет; от 3 лет до 10 лет; свыше 10 лет. В конкретных целях управления операционным персоналом эта группировка также может быть детализирована.
По отношению к собственности. В зависимости от этого признака на предприятиях выделяют работников — собственников его имущества и наемных работников.
По характеру трудовых отношений. По этому признаку работники предприятий подразделяются на постоянных и временных.
С учетом изложенных принципов классификации строится процесс управления операционным персоналом предприятия. Главная цель управления операционным персоналом состоит в формировании численности и состава работников, отвечающих специфике и объему операционной деятельности предприятия и способных обеспечивать основные задачи ее развития в предстоящем периоде.
Процесс управления операционным персоналом предприятия базируется на следующих основных принципах:
1. Система формирования и использования операционного персонала предприятия должна быть подчинена общей стратегии развития его операционной деятельности.
Управление операционным персоналом должно быть интегрировано со стратегией развития производства и реализации продукции, формирования операционных активов, политикой управления прибылью.
В процессе управления операционным персоналом должна преследоваться цель стабилизации состава работников. С экономических позиций высокая текучесть персонала на предприятиях обходится очень дорого даже по отношению к рабочим специальностям, а опытных, высококвалифицированных специалистов и менеджеров заменить очень сложно (лишь первоначальная их подготовка в системе высшего образования обходится предприятию в сумму, эквивалентную 10-15 тыс. долларов США).
В процессе управления операционным персоналом малых по численности предприятий следует отказываться от жесткой классификации работ. Наибольшая эффективность использования персонала таких предприятий достигается при совмещении профессий работников для обеспечения выполнения необходимого объема разных видов работ.
Отбор работников, на которых намечено распространить гарантию занятости в фиксированном периоде, должен осуществляться на конкурсной основе. В первую очередь этот принцип относится к наемным работникам — главным менеджерам и специалистам предприятий, но может быть распространен и на квалифицированных рабочих важнейших профессий, обеспечивающих операционный процесс. В процессе конкурсного отбора предпочтение должно отдаваться работникам, которые обладают не только высокой квалификацией, но и способностью к индивидуальному поиску, адаптации к высокодинамичному развитию условий операционной деятельности.
В процессе формирования и использования операционного персонала необходимо учитывать трудовую мотивацию основных работников и стремиться к ее реализации в рамках возможностей предприятия. Формирование трудовой мотивации отражает изменение ценностных приоритетов работников в условиях перехода к рыночной экономике, желание наемных работников к сотрудничеству и партнерству с собственниками предприятия на долгосрочной основе.
„ 6. В процессе управления операционным персоналом предприятия должны обязательно учитываться правовые нормы государственного регулирования занятости и оплаты труда. Это относится к порядку приема работников на работу, обеспечению соответствующих режимов и условий их труда, соблюдению минимальной границы заработной, платы, обеспечению соответствующих социальных выплат и другим установленным правовым нормам в этой сфере.
Процесс формирования операционного персонала предприятия охватывает следующие основные этапы (оис. 10.1.):
ЭТАПЫ ФОРМИРОВАНИЯ ОПЕРАЦИОННОГО ПЕРСОНАЛА ПРЕДПРИЯТИЯ
\
J
|

|
Рисунок 10.1. Содержание и последовательность процесса формирования операционного персонала предприятия.
|

Проектирование трудовых процессов на предпри ятии
1. Проектирование трудовых процессов на предприятии. Оно состоит в определении общего объема и видов операционных работ и их распределении в разрезе отдельных групп исполнителей. Общий объем и виды выполняемых работ на предприятии определяются прежде всего производственной программой и номенклатурой выпускаемой продукции (на предприятиях торговли — объемом и составом планируемого товарооборота). Определенное влияние на формируемые объемы и виды работ оказывают также используемые технологии; формы региональной диверсификации операционной деятельности; характер
послепродажного обслуживания покупателей продукции.
Общий объем намечаемых к выполнению работ должен быть распределен между отдельными группами исполнителей. Такое распределение основано на разделении труда, т.е. на относительном обособлении различных видов операционной деятельности предприятия. Основными видами разделения труда на предприятиях являются функциональное, технологическое и квалификационное.
Функциональное разделение труда осуществляется прежде всего в разрезе основных категорий операционного персонала — управления, основного производства, вспомогательных производств, материально-технического обеспечения и сбыта. На крупных предприятиях, имеющих сложную структуру управления, труд персонала управления подлежит более углубленному функциональному разделению, которое получает свое отражение в схеме организационной структуры управления данным предприятием, с выделением в ней различных типов центров ответственности.
Технологическоеразделение труда осуществляется, как правило, по рабочим основной и вспомогательной операционной деятельности. Разделение этих категорий персонала по профессиям и специальностям определяется объемом отдельных операций основного и вспомогательного технологического операционного процесса на предприятии, определяемого производственной программой.
Квалификационное разделение труда определяется различием работ операционного процесса, выполняемых на предприятии, по уровню их сложности.
Глубина разделения труда на предприятиях диктуется в первую очередь общим объемом их операционной деятельности, широтой и сложностью номенклатуры выпускаемой продукции. На небольших предприятиях возможное! разделения труда существенно ограничены, гг? пределяет необходимость его совмещения при проектировании трудовых процессов.
2. Нормирование затрат труда на выполнение отдельных работ. Оно предусматривает разработку и использование на предприятиях определенной системы норм
труда и непосредственно связано с системой нормативного калькулирования себестоимости продукции (системой "стандарт-костинг"). Эта система может включать: нормы численности; нормы времени; нормы выработки; нормы обслуживания.
Нормы численности определяют количество работников, необходимых для выполнения определенного объема работ. Такие нормы рекомендуется разрабатывать на крупных предприятиях, имеющих широко диверсифицированную по регионам сеть центров ответственности одинаковой специализации операционной деятельности. Основным критерием дифференциации норм численности в этом случае может выступать объем производства или реализации продукции.
Нормы времени определяют необходимые затраты времени одного или группы работников на выполнение отдельных видов работ (в расчете на единицу работы). Такие нормы выражаются в человеко-часах или человеко-минутах.
Нормы выработки определяют объемы работ в стоимостных или натуральных единицах измерения, которые должны быть выполнены одним или группой работников в течение определенного периода времени. Нормы выработки устанавливаются обычно для важнейших профессий работников основного производства.
Нормы обслуживания определяют необходимое количество единиц оборудования, площади, рабочих мест, которое должно быть обслужено одним или группой работников в течение смены или другого периода времени. Они устанавливаются обычно для отдельных профессий вспомогательных работников (механиков оборудования, уборщиков и т.п.)
В процессе нормирования затрат труда на выполнение отдельных работ используют обычно следующие методы: хронометраж, фотографию рабочего времени и фотохронометраж. Хронометраж служит для изучения и нормирования затрат труда при систематически повторяющихся технологических операциях. Фотография рабочего дня используется при определении структуры затрат времени работника на протяжении всей смены. Фотохронометраж соединяет два рассмотренных метода, т.е. связан с одновременным их осуществлением.
3. Планирование численности работников отдельных должностей, профессий и уровней квалификации. Оно
предусматривает установление планового количества этих работников. Планированию состава и общей численности работников действующего предприятия предшествует анализ динамики персонала и эффективности использования рабочего времени в предплановом периоде.
Основной задачей анализа динамики операционного персонала является установление тенденций изменения его количественного и качественного состава с позиций соответствия темпам развития операционной деятельности предприятия. В этих целях темпы развития численности отдельных категорий работников сопоставляются с темпами развития объема производства и реализации продукции, суммой операционных доходов и прибыли. Особое внимание в этом разделе анализа должно быть уделено изучению тенденций изменения профессионального и квалификационного состава работников, его соответствия объемам и сложности отдельных видов работ, выполняемых на предприятии в процессе осуществления операционной деятельности.
При анализе эффективности использования рабочего времени устанавливается насколько фактический его фонд соответствовал календарному его объему; выявляется структура неявок на работу (отпуска, болезни, учеба и т.п.). Эти показатели анализируются в человеко-днях и человеко-часах. Особое внимание следует уделять в процессе такого анализа потерям времени по неуважительным причинам (опоздания, прогулы, отсутствие по другим причинам, не предусмотренным трудовым законодательством). Общий объем таких потерь, поделенный на фактический фонд рабочего времени одного работника, позволяет определить излишнюю численность операционных работников, которая содержится в штате предприятия из-за низкого уровня трудовой дисциплины.
Расчет плановой численности операционных работников может быть осуществлен на основе разработанных нормативов или на основе количества рабочих мест и планового баланса рабочего времени. Второй метод используется обычно для определения потребности в рабочих основного производства.
При планировании необходимого количества рабочих основного производства определяют явочную и среднесписочную их численность.
Явочная численность представляет собой количество работников, которые ежедневно должны быть на работе, чтобы обеспечить заполнение всех предусмотренных операционным процессом рабочих мест в течение всего времени работы предприятия с учетом затрат времени на осуществление подготовительно-заключительных операций. Расчет явочной численности работников основного производства осуществляется по следующей формуле:
„ РМх(В
п +В,)
“ тъ >
где Чя —явочная численность работников производственного участка, чел; РМ— количество рабочих мест соответствующего производственного участка (или работников определенной профессии); Вп— объем основного времени работы производственного участка в рассматриваемом периоде; Вв — объем времени, затрачиваемого на осуществление подготовительно-заключительных операций, в рассматриваемом периоде; Вр —плановый фонд рабочего времени одного работника в рассматриваемом периоде. Среднесписочная численность представляет собой общее количество работников, которое необходимо предприятию с учетом замены работников, уходящих в отпуск, отсутствующих по болезни или по другим причинам. Она определяется путем умножения явочной численности на коэффициент замены временно отсутствующих работников. Этот коэффициент рассчитывается путем деления номинального фонда рабочего времени в периоде (т.е. полного числа дней в периоде) на планируемое число рабочих дней одного работника в этом периоде (с учетом планируемых невыходов на работу по уважительным причинам, предусмотренных трудовым законодательством, коллективным трудовым договором или условиями индивидуальных трудовых контрактов). Расчет среднесписочной численности работников основного производства осуществляется по следующей формуле:
ч - хР
п с Р ’
гр
где Ч
с —среднесписочная численность работников, чел;
Ч
я—явочная численность работников, чел;
Рп —полное число рабочих дней в плановом периоде; , Рр—планируемое число рабочих дней одного работника.
Рассчитанная плановая среднесписочная численность рабочих основного производства может быть уменьшена с учетом выполнения части их вспомогательных подготовительно-заключительных работ рабочими вспомогательного производства (если такая практика сложилась на предприятии).
По результатам расчета плановой потребности в работниках отдельных должностей, профессий и уровней квалификации на предприятии составляется штатное расписание. В нем отражаются также работники, занятые неполный рабочий день или неполную неделю (по таким должностям и профессиям показывается соответствующая доля штатной единицы).
4. Обеспечение замещения штатных единиц работниками, отвечающими необходимым требованиям. Оно предусматривает осуществление комплекса мероприятий по отбору необходимых работников на рынке труда, их подготовке в соответствующих учебных заведениях, а также по повышению квалификации собственных работников. При этом обеспечивается замена выбывающих работников.
При решении задач управления движением операционного персонала особое внимание должно уделяться предотвращению его текучести. Уровень текучести персонала оценивается по следующей формуле: у _(P
c+P,JxlOQ
ш Ч
с *
Аде Утп—уровень текучести персонала в периоде, в %; Рс —число работников, уволившихся в рассматриваемом периоде по собственному желанию, чел; Риа- число работников, уволенных в рассматриваемом периоде по инициативе администрации, чел; Чс — среднесписочная численность работников в периоде, чел.
10.2. УПРАВЛЕНИЕ ПРОИЗВОДИТЕЛЬНОСТЬЮ ТРУДА
Эффективное использование сформированного на предприятии операционного персонала в значительной степени обеспечивается разработкой системы мероприятий, направленных на повышение производительности труда. Под производительностью труда понимается отношение основных результатов операционной деятельности предприятия и отдельных его работников к затратам труда персонала на ее осуществление в определенном периоде. Основной целью управления производительностью труда на предприятии является поиск и реализация возможных резервов ее роста при обеспечении высокого качества выпускаемой продукции. Это управление охватывает ряд последовательно выполняемых работ (рис. 10.2):

Рисунок 10.2. Содержание и последовательность процесса управления производительностью труда на предприятии.
1. Построение системы показателей, в наибольшей степени характеризующих производительность труда операционного персонала данного предприятия.
Определение системы таких показателей является одной из важнейших предпосылок управления всей операционной деятельностью предприятия, обеспечения ее нацеленности на конечные результаты — рост суммы операционной прибыли.
Процесс построения системы таких показателей основывается на следующих основных принципах:
а) Понятие производительности труда применимо ковсем категориям и профессиям операционныхработниковпредприятия. В практике оценки результатов труда операционных работников такой подход принят в большинстве стран с развитой рыночной экономикой (в нашейстране это понятие на протяжении многих лет не применялось по отношению к персоналу управления в связисо сложностью оценки результатов его труда).
б) Производительность труда на предприятии характеризует затраты только живого труда. В принципе возможна оценка производительности с использованием объема затрат не только живого, но и овеществленного труда,но такая оценка не входит в систему управления персоналом.
в) В системе показателей оценки эффективности операционной деятельности предприятия производителъностътруда играет вспомогательную ролъ. Это связано с тем,что она характеризует только одну сторону этой эффективности — уровень использования труда операционногоперсонала. Для более обобщенной оценки эффективности операционной деятельности должны учитыватьсязатраты всех видов ресурсов предприятия и основнойрезультат этой деятельности — сумма и уровень операционной прибыли. Так, рост производительности трудана предприятии может сопровождаться снижением эффективности использования операционных активов, финансовых ресурсов и как результат — снижением суммыили уровня операционной прибыли.
Принципиальная формула расчета производительности труда имеет следующий вид:

где ПТ — производительность труда;
Р — объем (результат) деятельность работника (группы работников, операционного персонала в целом) за определенный период времени; ЗТ — объем затрат живого труда за определенный период времени.
Как результаты, так и затраты труда на предприятии могут быть выражены различными показателями. Система основных из этих показателей приведена в табл. 10.1.: Таблица 10.1. Система основных показателей оценки результатов и
затрат труда операционного персонала на предприятии
Показатели оценки
результатов труда
|
Показатели оценки затрат труда
|
1. Объем
производства валовой
продукции
2. Объем
производства товарной
продукции
3. Объем отдельных
видовработ основного
производства
4. Объем отдельных
видовработ
вспомогательногопроизво
детва
5. Объем закупки
сырья,материалов, полуфабрикатов для
обеспеченияпроизводстве иной деятельности
6. Объем реализации
произведенной готовой продукции
|
1. Среднесписочная численность
операционного персонала
в целом
2. Среднесписочная численность операционныхрабочих основного производства
3. Среднесписочная
численность работников отдельных категорий,
профессий,
специальностей,уровней
квалификации
4. Число
отработанных человекодней (в целом ипо видам продукции)
5. Число
отработанных человекочасов (в целом ипо видам продукции)
|
Комбинируя сочетание различных видов оценки результатов и затрат труда можно получить обширную систему показателей производительности труда для конкретных условий работы предприятия. В процессе такого комбинирования могут быть охвачены все виды и уровни операционной деятельности предприятия.
Построение конкретной системы показателей производительности труда на предприятии осуществляется в такой последовательности:
На первом этапе строится система показателей производительности труда для отдельных работников в разрезе выполняемых ими операций.
На втором этапе система показателей производительности труда агрегируется для групп работников отдельных структурных подразделений предприятия (отдельных типов центров ответственности), а там где это возможно — по видам производимой продукции.
На третьем этапе выбирается система показателей, характеризующих производительность труда операционного персонала предприятия в целом, и определяется основной из них (он служит для обобщающей оценки). В качестве такого обобщающего показателя принимаются обычно объем производства валовой продукции или объем реализации товарной продукции в расчете на одного среднесписочного операционного работника за определенный период времени.
При использовании системы показателей производительности труда для их сравнения в динамике должна быть обеспечена сопоставимость трудоемкости выпускаемой (реализуемой) продукции, уровня цен на нее (если для оценки производительности труда используются стоимостные показатели) и других факторов.
2. Поиск и оценка возможных резервов роста производительности труда на предприятии. Предварительную основу этой оценки составляет проводимый на предприятии динамический и факторный анализ производительности труда операционных работников по видам продукции, центрам ответственности и по предприятию в целом. При проведении такого анализа используется избранная для оценки система основных и вспомогательных показателей производительности труда.
В процессе поиска возможных резервов роста производительности труда следует иметь в виду, что ее повышение в процессе операционной деятельности может быть достигнуто на предприятии при соблюдении любого из перечисленных ниже условий:
а) результаты деятельности операционных работников возрастают, а
затратытруда уменьшаются
б) результаты деятельности операционных работников возрастают, а
затратытруда остаются неизменными
в) результаты деятельности операционных работников возрастают,
затратытруда также возрастают, но меньшимитемпами
г) результаты деятельности операционных работников остаются неизменными, а затраты труда снижаются
д) результаты деятельности операционных работников снижаются, затраты труда также снижаются, но большими темпами
Ft .
ЗТ 4-
1
Ft ,
зт ;
РТ>ЗТ t:
Р .
ЗТ і ’
РІсЗТІ.
Каждая из этих моделей поиска резервов роста производительности труда может быть использована предприятием на отдельных этапах его развития и на конкретных стадиях конъюнктуры товарного рынка.
3. Разработка системы мероприятий по обеспечению реализации резервов роста производительности труда на предприятии. Эти мероприятия подразделяются обычно на следующие основные группы:
а) организационные. К ним относятся мероприятиям совершенствованию организационной структурыуправления предприятием; созданию системы центровответственности различных типов; совершенствованиюпроизводственной специализации отдельных структурныхединиц и подразделений; внедрению прогрессивных форморганизации труда; совершенствованию режимов работы отдельных производственных подразделений и т.п.;
б) технические. К ним относятся мероприятия поповышению уровня механизации труда работников, внедрению более прогрессивных (производительных) машин, механизмов и оборудования; повышению уровняиспользования машин и механизмов во времени и помощности и т.п.;
в) технологические. К ним относятся мероприятияпо совершенствованию основных и вспомогательныхтехнологических процессов, обеспечивающие экономиюзатрат живого труда;
г) экономические. К ним относятся мероприятия посовершенствованию формирования системы бюджетов,доводимых до центров ответственности; предоставлению им права самостоятельно распоряжаться частьюсуммы дополнительно полученной прибыли или сэкономленных операционных затрат; совершенствованию системы участия наемных работников в прибыли предприятия ит.п.;
д) социальные. К ним относятся мероприятия по укреплению трудовой дисциплины на предприятии; совершенствованию условий труда и быта персонала; созданию благоприятного психологического климата и другие.
Реализация многих их этих мероприятий может быть осуществлена на каждом предприятии, в каждом центре ответственности, на конкретных рабочих местах.
10.3 УПРАВЛЕНИЕ СТИМУЛИРОВАНИЕМ ТРУДА
В условиях перехода к рыночной экономике система управления стимулированием труда подвергается существенной трансформации. По сути, эта система призвана создать новый мотивационный механизм трудовой активности персонала на предприятиях всех форм собственности и организационно-правовых форм деятельности.
Основной целью управления стимулированием труда является обеспечение достижения нормативных (плановых) прямых и непрямых операционных затрат на оплату труда при одновременном росте доходов персонала и дифференциации их выплат в соответствии с трудовым вкладом отдельных работников в общие результаты операционной деятельности предприятия.
Управление стимулированием труда операционных работников охватывает ряд последовательно выполняемых этапов работ, основными из которых являются (рис. 10.3.):

|
Рисунок 10.3. Содержание и последовательность процессов управления стимулированием труда на предприятии.
1. Выбор форм и систем заработной платы. В современных условиях на предприятиях применяются две формы оплаты труда — повременная и сдельная. При повременной форме заработная плата начисляется работнику по его тарифной ставке или окладу за фактически отработанное время. Сдельная форма представляет собой оплату в зависимости от выполненного объема работ по заранее установленным сдельным расценкам.
Каждая из этих форм оплаты труда подразделяется на отдельные системы. На современном этапе наибольшее распространение на предприятиях получили повременнопремиальная и сдельно-премиальная системы оплаты труда. Сущность этих систем заключается в том, что наряду с тарифным окладом (ставкой) или прямым сдельным
|
заработком работникам выплачиваются премии за отдельные достижения в работе. При этом сдельно-премиальная система оплаты труда может подразделяться на коллективную и индивидуальную.
В странах с развитой рыночной экономикой основной системой оплаты труда является повременно-премиальная (с выплатой по тарифу до 90% заработка). Она строится очень гибко по условиям дифференциации оплаты труда и в качестве основы для расчетов использует не месячные, а часовые тарифные ставки (особенно для рабочих основных производственных профессий).
2. Построение на предприятии тарифной системы заработной платы. Это один из важных этапов организации стимулирования труда на тех предприятиях, где заняты работники различной квалификации и где имеются существенные различия в сложности выполняемых работ. Зарубежный опыт показывает, что тарифная система заработной платы разработана и применяется всеми крупными компаниями. Однако принципы ее построения существенно различаются. В основе европейской практики построения тарифной системы заработной платы лежит принцип дифференциации окладов (ставок) в зависимости от уровня квалификации работников; американской — от сложности выполняемых работ; японской — от стажа работы в данной компании.
Определенное распространение в нашей практике могут получить на предприятиях так называемые "гибкие тарифные системы ”, в основе которых лежит минимальный уровень заработной платы, устанавливаемый на предприятии для работников самой низкой квалификации (он может превышать на предприятии установленный государством минимум заработной платы), и системы коэффициентов повышения размера заработной платы, выплачиваемой по тарифам, по мере повышения квалификации работника (такая система коэффициентов квалификации может быть заимствована из государственной тарифной системы или разработана предприятием самостоятельно). Преимуществом гибкой тарифной системы является то, что при изменении минимального размера заработной платы, устанавливаемого государством или администрацией данного предприятия, оклады или часовые тарифные ставки работников всех должностей, профессий и уровней квалификации могут быть автоматически изменены без проведения трудоемких расчетов.
При построении тарифной системы на предприятии следует иметь в виду, что максимальным размером тарифные ставки и оклады не ограничиваются.
3. Построение системы дополнительного стимулирования отдельных аспектов трудовой активности работников в операционном процессе. Эта система призвана усилить трудовую мотивацию персонала и использует различные формы — премирование за текущие результаты операционной деятельности; доплаты и надбавки; различные единовременные поощрения за результаты труда; премиальные выплаты по итогам операционной деятельности предприятия за год и другие (социальные выплаты персоналу в различных их формах в эту систему не входят, так как они не связаны со стимулированием результатов труда).
Системы премирования за текущие результаты операционной деятельности строятся на каждом предприятии индивидуально. Они могут быть направлены на стимулирование роста объема производства, суммы реализации произведенной продукции, экономию операционных затрат в целом или отдельных видов материальных ресурсов, рост производительности труда, повышение суммы операционных доходов и прибыли. Такие системы премирования могут разрабатываться в разрезе отдельных типов центров ответственности предприятия.
Каждая премиальная система включает в себя в качестве обязательных элементов: показатели премирования; условия премирования; размеры и шкалу премирования; круг премируемых работников.
Показатели премирования, за выполнение которых осуществляются стимулирующие выплаты, являются основой построения премиальной системы. Они выступают в форме конкретных результатов операционной деятельности предприятия, характеризующих работу индивидуального исполнителя, группы исполнителей (центра ответственности) или персонала в целом. Выбор показателей премирования требует соблюдения некоторых условий, от которых в конечном счете зависит действенность премиальной системы. Во-первых, показатели премирования должны быть конкретными, четко сформулированными, исключающими различное толкование и понятными для работников. Во-вторых, выполнение каждого показателя должно быть обеспечено системой управленческого учета на предприятии. В-третьих, премиальная система не должна содержать более двух
показателей премирования (чтобы не усложнять ее), что предопределяет необходимость выбора наиболее важных показателей операционной деятельности, характеризующих работу конкретных исполнителей.
Условия премирования выполняют контрольную функцию. Они вводятся для того, чтобы премирование по избранным показателям не было оторвано от других существенных сторон трудовой деятельности работника (например, требований соблюдения трудовой дисциплины) или операционной деятельности предприятия или центра ответственности (например, выполнения показателей планового бюджета). Соблюдение условий премирования подтверждает право работника получить премию в соответствии с выполнением определенных показателей. Соответственно несоблюдение условий премирования ведет к тому, что премия или вовсе не будет выплачена, или будет выплачена в пониженном размере.
Размеры и шкала премирования определяют величину начисляемой премии. Для этого прежде всего устанавливается исходная база премирования. Она представляет собой ту количественную характеристику (или степень выполнения) показателя премирования, начиная с которой выплачивается премия. Соответственно шкала премирования устанавливает конкретную форму связи между степенью выполнения показателей премирования и размером премии.
Круг премируемых работников предопределяется выбранным показателем премирования; за его выполнение премируются только те работники, которые имеют к нему непосредственное отношение.
Доплаты и надбавки представляют собой одну из дополнительных форм стимулирования персонала, непосредственно примыкающую к тарифной системе, т.е. рассматриваемые как временное или систематическое увеличение тарифной части заработка.
Доплаты к заработной плате представляют собой денежные выплаты, с помощью которых компенсируются дополнительные затраты или сложные условия труда отдельных работников. Основными их видами являются доплаты за совмещение профессий и увеличение объемов выполняемых работ; за выполнение наряду со своей основной работой обязанностей временно отсутствующих работников; за руководство бригадой или другим структурным подразделением при полном объеме выполнения основной работы; за работу в ночное время, в выходные или праздничные дни и другие.
Надбавки к заработной плате представляют собой денежные выплаты, которые систематически начисляются работникам предприятия сверх их тарифной ставки (оклада). Основными их видами могут быть надбавки за профессиональное мастерство, высокое качество выполняемых работ, знание иностранных языков, использование современных компьютерных технологий и другие.
В условиях, когда собственникам или администрации предприятия предоставлено право самостоятельно определять размеры тарифного оклада (ставок), ряд надбавок может быть прямо включен в тарифную часть заработка работника при установлении его размера (т.е. без специального их выделения).
Единовременные поощрения применяются в случае необходимости оперативно отметить какое-либо трудовое достижение работников; за выполнение заранее определенных разовых заданий, выходящих за рамки прямых обязанностей работников; с связи с юбилеями работников и в некоторых других аналогичных случаях.
Премиальные выплаты по итогам операционной деятельности предприятия за год (возможна и другая их периодичность) в процессе управления прибылью получают особое значение. Так как источником этого вида премирования является операционная прибыль предприятия, оно носит характер различных форм участия работников в прибыли. Такое участие позволяет ослабить антагонизм экономических интересов различных групп работников предприятия — его собственников и наемных работников (выплаты по этой премиальной системе для работников — собственников предприятия не должны увязываться с размерами получаемых ими процентов или дивидендов на вложенный капитал). Построение этой премиальной системы должно строиться на единых принципах для всего персонала предприятия, учитывающих квалификацию работников, стаж их работы на данном предприятии, фактически отработанное за год время и другие показатели.
4. Индивидуализация условий материального стимулирования наиболее квалифицированных работников. Эта
индивидуализация обеспечивается путем внедрения на предприятиях контрактной формы оплаты труда. Такие индивидуальные контракты заключаются с менеджерами разных уровней, специалистами и наиболее квалифицированными рабочими предприятия. Как особая форма трудового договора индивидуальный контракт характеризуется максимальным учетом интересов договаривающихся сторон на основе подробного определения системы их взаимных обязательств.
Основное внимание в индивидуальном трудовом контракте должно уделяться вопросам материального стимулирования работников. Условия оплаты труда менеджеров и специалистов, определяемые в контракте, следует устанавливать в прямой увязке с результатами операционной деятельности предприятия.
В индивидуальном трудовом контракте следует четко обозначить не только размер должностного оклада работника, но и все виды выплачиваемых ему премий и доплат, а также виды и размеры предоставляемых материальных льгот. Эти материальные льготы могут выражаться в выплате должностного вознаграждения к отпуску; в выплате повышенных компенсационных сумм при направлении в командировки; в повышении размеров гарантийных выплат, связанных с учебой без отрыва от производства и т.п. Если отдельные условия контракта в какой-то мере ограничивают определенные права работника, они должны быть соответственно компенсированы. Например, если работник по требованию нанимателя отказывается от своего права трудиться по совместительству, он имеет право на соответствующую доплату к заработной плате.
Внося в содержание трудового контракта те или иные обязательства сторон, необходимо одновременно определять и механизм, обеспечивающий их реализацию. В этих целях в индивидуальном контракте следует предусмотреть и выплату неустойки (размер которой может быть заранее оговорен в контракте) или возможность иного взыскания убытков и понесенного ущерба (например, при досрочном одностороннем расторжении
трудового контракта без учета обусловленных в нем причин и условий).
5. Планирование средств на стимулирование труда.
Оно осуществляется в разрезе двух основных источников формирования этих средств — операционных затрат (издержек) и чистой операционной прибыли.
В составе операционных затрат (издержек) планируются средства на оплату труда по установленным на предприятии тарифным окладам, ставкам и сдельным расценкам; на выплату надбавок и доплат к тарифным ставкам и окладам в размерах, предусмотренных действующим законодательством; на оплату ежегодных и дополнительных отпусков, а также учебных отпусков; на выплату премий за текущие результаты операционной деятельности предприятия.
В составе чистой операционной прибыли планируются средства на выплату надбавок и доплат, не предусмотренных законодательством, или сверх размеров, установленных действующим законодательством; единовременных поощрений за результаты труда; премий по итогам операционной деятельности предприятия за год (социальные выплаты работникам за счет прибыли к средствам стимулирования труда не относятся).
При планировании средств на оплату труда исходят из штатного расписания на плановый период; установленной на предприятии тарифной системы и заключенных индивидуальных трудовых контрактов; действующих на предприятии премиальных систем; общей плановой суммы операционной прибыли предприятия; государственных нормативов, регулирующих выплату этих средств.
В процессе планирования средств на стимулирование труда должны быть обеспечены достаточность этих средств в разрезе отдельных форм стимулирования, а также рост среднегодового уровня заработной платы и доходов персонала по отношению к предплановому периоду.
Результаты планирования средств на оплату труда должны быть полностью увязаны с плановыми (нормативными) калькуляциями себестоимости продукции, с плановыми бюджетами всех видов, а также с текущими планами доходов и расходов по операционной деятельности предприятия в целом.
Глава 11. Управление операционными рисками
11.1. СУЩНОСТЬИ ВИДЫ ОПЕРАЦИОННЫХ РИСКОВ
Операционная деятельность предприятия на всем протяжении ее осуществления сопряжена с многочисленными рисками, уровень которых возрастает с расширением объема и диверсификацией этой деятельности, со стремлением менеджеров увеличить сумму операционной прибыли. Риски, сопровождающие эту деятельность, формируют обширный портфель рисков предприятия, который определяется общим понятием — "операционные риски". Эти риски составляют наиболее значимую часть совокупных хозяйственных рисков предприятия.
Под операционными рисками понимается вероятность возникновения непредвиденных имущественных или финансовых потерь, генерируемая неопределенностью внутренних и внешних условий осуществления операционной деятельности предприятия.
Операционные риски являются объективным явлением в деятельности любого предприятия и проявляются как совокупность отдельных видов рисков. Виды операционных рисков весьма многообразны, поэтому в целях эффективного управления ими эти риски классифицируют с различной степенью их интеграции. Система классификации операционных рисков по основным признакам приведена на рисунке 11.1.
1. По сферам операционной деятельности все виды операционных рисков предприятия подразделяются на две основные группы — риски, генерируемые производственной деятельностью, и риски, генерируемые коммерческой деятельностью.
а) Производственные риски объединяют различные виды операционных рисков, связанных с производственной деятельностью предприятия: риск невыполнения запланированного объема выпуска продукции; риск несвоевременного освоения новых видов изделий; риск превышения бюджета затрат на производство продукции и т.п.
КЛАССИФИКАЦИЯ ОПЕРАЦИОННЫХ РИСКОВ ПРЕДПРИЯТИЯ

-К Ікономический риск —Ценовой риск —Н Валютный риск ~

—Н Инфляционный риск" —Н Кредитный риск ~ —>[ Налоговый риск —Н Структурный риск ~~ Прочие виды рисков
Рисунок 11.1. Классификация операционных рисков предприятия по основным признакам.
б) Коммерческие риски объединяют различные виды операционных рисков, проявляющихся в сфере реализации готовой продукции (снижение спроса на нее, снижение уровня цен и т.п.) или в сфере материально-технического обеспечения предприятия (несвоевременное или неполное выполнение контрагентами обязательств по
поставке сырья и материалов; возрастание уровня цен на них и т.п.
2. По степени зависимости от деятельности предприятия различают риск, генерируемый внешними условиями операционной его деятельности (систематическийили рыночный риск), и риск, генерируемый внутренними условиями этой деятельности (несистематическийили специфический риск).
а) Систематический (рыночный) риск характеризуется непредвиденными изменениями конъюнктурытоварного рынка под влиянием макроэкономических факторов. Он возникает для всех участников этого рынка ине связан с конкретной операционной деятельностьюпредприятия.
б) Несистематический (специфический) риск генерируется операционной деятельностью самого предприятия, т.е. определяется внутренними факторами ее осуществления.
3. По основным источникам возникновения операционные риски делятся на такие основные виды:
а) Экономический риск. Этот риск определяется нарушением экономических параметров операционнойдеятельности и генерируется как ситуацией на товарном рынке, так и экономическими просчетами менеджеров самого предприятия. Проявлением этого видариска выступает невыполнение запланированного объемапроизводства или реализации продукции; превышениеобъема затрат отдельных видов ресурсов на выпуск продукции; снижение производительности труда работниковвследствие неэффективного их стимулирования и т.п. Этотвид риска является одним из наиболее распространенных в операционной деятельности предприятия.
б) Ценовой риск. Это один из наиболее опасных видовоперационных рисков, так как он оказывает существенное влияние на возможность потери операционных доходов и прибыли в коммерческой сфере операционнойдеятельности предприятия. Он проявляется в повышении уровня цен на закупаемые сырье, материалы и полуфабрикаты; в росте уровня цен и тарифов на услуги сторонних организаций; в снижении уровня цен реализацииготовой продукции предприятия. Ценовой риск постоянносопровождает операционную деятельность предприятия.
в) Валютный риск. Этот вид риска присущ предприятиям, ведущим внешнеэкономическую коммерческуюдеятельность (импортирующих сырье, материалы и полуфабрикаты и экспортирующих готовую продукцию).Он проявляется в недополучении операционных доходов и прибыли в результате непосредственного воздействия изменения обменного курса иностранной валюты, используемой во внешнеэкономических операцияхпредприятия, на ожидаемые денежные потоки от этихопераций. Так, импортируя сырье и материалы, предприятие проигрывает от повышения обменного курсасоответствующей иностранной валюты по отношениюк национальной. Снижение же этого курса определяетфинансовые потери предприятия при экспорте готовойпродукции.
г) Инфляционный риск. В условиях высоких темповинфляции он выделяется в самостоятельный вид операционных рисков. Этот вид риска характеризует возможностьобесценения операционного и страхового остатка денежных активов, обслуживающих операционную деятельность предприятия; потерю реальной стоимостисредств, авансированных в дебиторскую задолженностьпо товарному кредиту и других ее видов. Так как этотвид риска на современном этапе носит стабильный характер и сопровождает операционную деятельно стьпредприятия в процессе каждого операционного ее цикла, в системе управления операционными рисками емудолжно уделяться постоянное внимание.
д) Кредитный риск. Он имеет место в операционной деятельности предприятий при предоставлении имтоварного (коммерческого) или потребительского кредита покупателям. Формой его проявления является рискнеплатежа или несвоевременного расчета за отпущеннуюпредприятием в кредит готовую продукцию, а также превышение расчетных затрат по инкассированию долга.
е) Налоговый риск. Этот вид операционных рисковимеет ряд проявлений: вероятность введения новых видов налогов и сборов на осуществление отдельных аспектов операционной деятельности; возможность увеличения уровня ставок действующих налогов и сборов щзменение сроков и условий осуществления отдельныхналоговых платежей; вероятность отмены действующих
налоговых льгот в сфере операционной деятельности предприятий. Являясь для предприятия непредсказуемым (об этом свидетельствует современная отечественная фискальная политика), он оказывает существенное воздействие на результаты его операционной деятельности.
ж) Структурный риск. Этот вид риска генерируетсявысоким удельным весом постоянных операционных затрат в общей их сумме, т.е. высоким коэффициентом операционного левериджа на предприятии. При неблагоприятных изменениях конъюнктуры товарного рынка этотриск генерирует значительно более высокие темпы снижение суммы операционной прибыли в сравнении с темпами снижение объема производства продукции (механизмпроявления этого вида риска подробно рассмотрен ранее).
з) Прочие виды рисков. Группа прочих операционныхрисков довольно обширна, но по вероятности возникновения или уровню финансовых потерь она не столь значима для предприятий, как рассмотренные выше. К нимотносятся риски стихийных бедствий и другие аналогичные им (так называемые "форс-мажорные риски"),которые могут привести не только к потере операционной прибыли или дохода, но и части операционных активов (основных фондов, запасов товарно-материальныхценностей); риск объявления фиктивного банкротстваили других недобросовестных действий партнеров поосуществлению операционной деятельности; риск хищения отдельных видов операционных активов собственнымперсоналом и другие.
Многообразие видов рисков, сопровождающих операционную деятельность предприятия, предопределяет необходимость постоянного управления ими, которое рассматривается как неотъемлемая составная часть всей системы управления операционной прибылью. Комплексное управление этими показателями обусловлено высокой степенью связи между уровнем операционной прибыли и уровнем операционных рисков, которая носит прямой характер.
Управление операционнымирисками представляет собой систему мероприятий по их идентификации, оценке, профилактике и страхованию с целью минимизации связанных с ними финансовых потеръ в процессе операционной деятельности предприятия.
Задачей идентификации операционных рисков является установление перечня основных их видов, присущих операционной деятельности конкретного предприятия.
На первой стадии идентификации в разрезе каждой из сфер операционной деятельности (материально-технического обеспечения, производства продукции, сбыта продукции) и видов операций определяются присущие им виды операционных рисков, генерируемых самим предприятием, и на этой основе составляется перечень возможных несистематических операционных рисков данного предприятия.
На второй стадии идентификации определяется перечень систематических рисков, связанных с операционной деятельностью предприятия в целом. В связи со спецификой операционной деятельности конкретных предприятий, отдельные из ранее рассмотренных видов систематических операционных рисков могут быть исключены (например, валютный риск).
На третьей стадии идентификации формируется общий портфель операционных рисков предприятия (включающий систематические и несистематические их виды), которые подлежат последующей оценке по степени вероятности их возникновения и размеру возможных финансовых потерь (принципиальные подходы, показатели и методы такой оценки рассмотрены ранее).
На основе идентификации и оценки уровня операционных рисков производится группировка осуществляемых в процессе операционной деятельности отдельных операций по уровню риска (рис. 11.2.).
Группировка операций предприятия по уровню риска позволяет определить какие из них находятся за пределами уровня допустимого риска (особенно в зоне катастрофического риска) с тем, чтобы еще раз взвесить целесообразность их проведения. Результаты такой группировки позволяют оценить также уровень концентрации операционных рисков по отдельным осуществляемым операциям. Для этого определяется какой удельный вес в каждой из зон риска занимают отдельные операции производственной или коммерческой сфер операционной деятельности. Выделение операций с высоким уровнем концентрации операционных рисков во всех опасных зонах позволит рассматривать их как объект повышенного внимания в процессе управления этими
рисками.

|
Рисунок 11.2. Характеристика зон осуществления отдельных операций
|
предприятия по уровню операционного риска.
Идентификация и оценка отдельных видов операционных рисков позволяет перейти к разработке конкретных мер по их профилактике и страхованию.
11.2. ФОРМЫ ПРОФИЛАКТИКИ И СТРАХОВАНИЯ ОПЕРАЦИОННЫХ РИСКОВ
Мероприятия по предотвращению операционных рисков или снижению их негативных последствий подразделяются на три основные группы: 1) профилактику операционных рисков; 2) внутреннее их страхование на предприятии (самострахование); 3) внешнее их страхование.
С системе превентивных мер по управлению операционными рисками на предприятии основное место
принадлежит их профилактике. Группа мер по профилактике операционных рисков призвана обеспечить снижение вероятности их возникновения. В современной
практике используются обычно следующие формы профилактики операционных рисков (рис. П.З.):
|
ФОРМЫ ПРОФИЛАКТИКИ ОПЕРАЦИОННЫХ РИСКОВ
|
L _1_
|
*-
|
*
|
|
*
|
t
|
Избежание операционных рисков
|
Минимизация операционных рисков
|
|
Диверсификация операционных рисков
|
Лимитирование операционных рисков
|
|
Рисунок 11.3. Основные формы профилактики операционных рисков на предприятии.
1. Избежание операционных рисков представляет наиболее эффективный способ их профилактики. Оно заключается в разработке системы мероприятий, которые полностью исключают конкретный вид операционной риска. К числу основных из таких мер относятся:
а) отказ от осуществления операций, уровень риска покоторым чрезмерно высок и не соответствует политикеуправления прибылью предприятия. Несмотря на высокуюэффективность этой меры, ее использование носит ограниченный характер, так как большинство производственных или коммерческих операций непосредственносвязано с осуществлением операционной деятельностипредприятия, обеспечивающей регулярное поступлениеоперационных доходов и формирование его операционной прибыли;
б) осуществление операций "хеджирования". Такаяоперация позволяет полностью избежать ценового иинфляционного рисков при совершении предприятиемсделок по закупке сырья и материалов или продаже готовой продукции на товарной бирже со сроком их исполнения в будущем периоде. Принцип операции "хеджирования" состоит в том, что продавая продукцию споставкой ее в будущем периоде, предприятие одновременно осуществляет покупку фьючерсных контрактов на аналогичное количество товаров. Если оно понесет финансовые потери из-
за изменения рыночных цен как продавец реального товара, то оно получит выигрыш в таких же размерах как покупатель фьючерсных контрактов на него;
в) осуществление операций "своп ". В их основе лежит паритетный обмен различными видами валют в обусловленном соотношении в начале коммерческой операции по продаже или закупке продукции с обязательством сторон обменять ее в таком же соотношении при завершении операции. Такая операция предприятия, осуществляющего внешнеэкономическую деятельность, позволяет ему полностью избежать валютного риска.
2. Минимизация операционных рисков осуществляется в том случае, если их нельзя избежать полностью. В качестве мер минимизации операционных рисков на предприятии могут быть использованы:
а) получение от покупателей определенных гарантий(в форме поручительства, страхования и т.п.) при предоставлении им товарного (коммерческого) или потребительского кредита. В отдельных случаях в качестве такихгарантий может выступать .залог;
б) сокращение перечня форс-мажорных обстоятельстве контрактах на закупку сырья и материалов, полуфабрикатов. В современной практике заключения коммерческих сделок этот перечень необоснованно расширяется(против общепринятого в международной коммерческой практике), что позволяет партнерам предприятияизбегать в ряде случаев финансовой ответственности заневыполнение своих контрактных обязательств. Это мероприятие направлено на снижение коммерческого риска;
в) использование опционных сделок при операциях натоварной бирже. Эти сделки предусматривают покупкуправа или продажу обязательства заключить биржевойконтракт на обусловленное количество конкретного товара по заранее установленной цене в пределах взаимно согласованного периода. За покупку такого правапокупатель опциона уплачивает премию. При отказе отсовершения сделки (в связи с изменением цен или подругим причинам) премия остается у продавца (т.е. ценовой, инфляционный и коммерческий риски минимизируются в этом случае до размеров уплаченной премии).
3. Диверсификация операционных рисков. Эта формапрофилактики операционных рисков реализует известныйпринцип — "никогда не держите все яйца в одной корзине". Возможности диверсификации очень велики инаправлены на снижение уровня их концентрации воперационной деятельности предприятия. В качестве направлений диверсификации операционных рисков могут быть использованы:
а) диверсификация производимой продукции. Она позволяет предприятию выйти на различные виды товарныхрынков с противоположной направленностью колебанийконъюнктуры, что снижает негативный эффект операционного левериджа;
б) диверсификация поставщиков продукции. Она снижает уровень коммерческого и производственного рисковпри возможных нарушениях контрагентами сроков илиобъемов поставки сырья, материалов, полуфабрикатов;
в) региональная диверсификация деятельности предприятия. Она позволяет снизить уровень производственных и коммерческих рисков, связанных с действием региональных факторов на отдельных местных товарныхрынках.
4. Лимитирование операционных рисков. По тем видам операционной деятельности, которые могут постоянно выходить за установленные пределы допустимогориска, этот риск лимитируется путем установления соответствующих экономических и финансовых нормативов.Такие нормативы устанавливаются с учетом соответствующего менталитета менеджеров предприятия — их приверженности к осуществлению консервативной, умеренной(компромиссной) или агрессивной политики по отдельным направлениям операционной деятельности. При осуществлении умеренной политики предельными значениями уровня операционных рисков по отдельнымоперациям по оценке специалистов являются:
по операциям с допустимым уровнем риска — 0,1; по операциям с критическим уровнем риска — 0,01; по операциям с катастрофическим риском — 0,001.
Это означает, что намечаемая операция предприятия должна быть отклонена, если в одном случае из десяти по ней может быть потеряна вся операционная прибыль;
в одном случае из ста — потерян весь операционный доход; в одном случае из тысячи — потеряны полностью или в значительном объеме операционные активы предприятия и оно может быть объявлено банкротом.
Конкретная система таких нормативов, обеспечивающих лимитирование операционных рисков, может включать:
а) максимальный объем коммерческих сделок по закупке сырья и материалов, заключаемых с одним поставщиком;
б) максимальный размер запасов сырья, материалови готовой продукции на предприятии;
в) максимальный размер товарного (коммерческого)или потребительского кредита, предоставляемого одномупокупателю (в рамках групп покупателей, дифференцированных по уровню риска) и другие.
Система профилактики операционных рисков, снижая вероятность их возникновения, тем не менее не может нейтрализовать все связанные с ними негативные последствия. Частично эту роль может взять на себя внутреннее страхование (самострахование) операционных рисков. Такое страхование может осуществляться в следующих видах:
а) формирование резервного фонда предприятия. Онсоздается в соответствии с
требованиями законодательства и устава предприятия. На его формирование направляется не менее 5% суммы прибыли, полученной предприятием в отчетном периоде;
б) формирование целевых резервных фондов. Примеромтакого фонда может быть фонд страхования ценовогориска (на период временного ухудшения конъюнктурырынка), фонд уценки товаров на предприятиях торговли и т.п. Перечень таких фондов и размеры отчисленийв них определяются уставом предприятия и другимивнутренними нормативами;
в) обеспечение компенсации возможных финансовыхпотеръ по операционной деятельности за счет системыштрафных санкций. Уровень штрафных санкций долженв полной мере компенсировать финансовые потери всвязи с неполучением операционного дохода, инфляцией и другими негативными последствиями операционных рисков;
г) формирование резервных объемов материальных и финансовых ресурсов при разработке бюджетов по отдельным центрам ответственности.
Наиболее серьезные операционные риски страхуются с помощью внешнего страхования. Страховую защиту таких рисков обеспечивают специальные страховые компании ("страховщики"), которые привлекают средства страхователей и используют их для возмещения понесенных ими убытков при возникновении обусловленных обстоятельств ("страхового события").
Внешнее страхование операционных рисков предприятия осуществляется в двух основных формах — обязательной и добровольной.
Обязательное страхование. Оно представляет собой форму страхования, базирующуюся на законодательно установленной обязательности его осуществления как для страхователя, так и для страховщика. Массовость этого страхования позволяет существенно снизить размеры страховых тарифов и упростить процедуру его осуществления. Однако обязательное страхование не учитывает в полной мере особенности страхуемых активов, различную степень вероятности наступления страхового события на предприятиях разных типов, финансовые возможности страхователя и ряд других факторов, индивидуализирующих страховую защиту.
Добровольное страхование операционных рисков осуществляется страховыми компаниями и широком диапазоне. Основными видами такого страхования, используемыми предприятиями в процессе операционной деятельности, являются: а) страхование внеоборотных операционных активов во всех их формах (как дополнение к обязательному страхованию); б) страхование грузов при их перевозке; в) страхование кредитных товарных операций и другие.
При осуществлении внешнего страхования операционных рисков предприятия должны определять его эффективность. Расчет эффективности такого страхования основан на сопоставлении показателей уровня операционного риска, суммы страхового возмещения и суммы уплачиваемых страховых платежей. Экономическая целесообразность осуществления внешнего страхования операционных рисков оправдана при условии:
УР
02
СВ-Ф
б
СП
где УРо — уровень операционного риска (алгоритм его расчета рассмотрен ранее); СВ —полная сумма страхового возмещения по договору страхования; Фб —размер безусловной страховой франшизы (не-компенсируемгя страховщиком минимальная часть убытка, понесенного страхователем); СП — сумма страховых платежей за весь период страхования. Широкое использование разнообразных форм профилактики и страхования операционных рисков позволяет существенно снизить размер возможных финансовых потерь в процессе осуществления операционной деятельности в условиях нестабильной экономики и частого изменения конъюнктуры товарного рынка.
ПРИБЫЛИ
12.1. ИСХОДНЫЕ ПРЕДПОСЫЛКИ ПЛАНИРОВАНИЯ ФОРМИРОВАНИЯ ОПЕРАЦИОННОЙПРИБЫЛИ
Планирование формирования операционной прибыли представляет наиболее ответственный этап в общей системе управления ею на предприятии. Это определяется тем, что плановая сумма операционной прибыли является основным целевым ориентиром всей операционной деятельности и мерой ее эффективности; она составляет основу формирования совокупной прибыли предприятия, являясь базой обеспечения его предстоящего производственного развития и удовлетворения материальных интересов собственников и персонала.
Уровень обоснованности разрабатываемых планов формирование операционной прибыли в значительной мере определяется качеством и широтой исходной базы планирования. Чем шире исходные предпосылки планирования, чем более качественную информацию они содержат, тем шире возможный диапазон используемых методов плановых расчетов, тем более надежными являются результаты планирования операционной прибыли на предприятии.
Основными исходными предпосылками планиро-ваниг формирования операционной прибыли предприятия являются (рис. 12.1.):
ИСХОДНЫЕ ПРЕДПОСЫЛКИ ПЛАНИРОВАНИЯ ФОРМИРОВАНИЯ ОПЕРАЦИОННОЙ ПРИБЫЛИ
|
Анализ формирования операционной прибыли в предплановом периоде
|
—иф
|
Разработанная общая политика управления прибылью предприятия
|
—>Ф
|
Разработанные частные политики, связанные с формированием прибыли предприятия
|
->Ф
|
Разработанные планы операционной деятельности предприятия
|
|
Показатели средней нормы прибыли на начало планового периода
|
Рисунок 12.1. Основные исходные предпосылки планирования формирования операционной прибыли предприятия.
1. Анализ формирования операционной прибыли в предплановом периоде.
Главной целью анализа является выявление основных тенденций формирования операционной прибыли предприятия в предплановом периоде, оценка достигнутого ее уровня, а также выявление степени влияния основных факторов на процесс ее формирования на предприятии.
На первой стадии анализа рассматривается динамика суммы маржинальной, валовой и чистой операционной прибыли предприятия, определяются отклонения фактически достигнутых в отчетном периоде размеров этих показателей от их значений, предусмотренных планом.
В процессе осуществления этого анализа основное внимание должно быть уделено выявлению тенденций (тренда) изменения рассматриваемых показателей по отдельным этапам отчетного периода (кварталам, месяцам) и оценке уровня вариабельности показателя чистой операционной прибыли.
Выявление тенденций изменения суммы маржинальной, валовой и чистой операционной прибыли осуществляется на основе сопоставления темпов динамики этих показателей (прироста или снижения) по отношению к базисному периоду с использованием формулы средней геометрической и графических методов анализа (построения "линии тренда"). Результаты такого анализа могут быть использованы в процессе планирования операционной прибыли для экстраполяции отдельных ее значений.
Оценка уровня вариабельности показателя чистой операционной прибыли (основного показателя, характеризующего результативность процесса формирования операционной прибыли предприятия) осуществляется путем расчета показателей дисперсии, среднеквадрати-ческого отклонения ("стандартного отклонения") и коэффициента вариации. Анализ размера отклонений отдельных значений этого показателя от среднего в отчетном периоде позволяет выявить совокупный уровень операционного риска, связанного с формированием операционной прибыли.
На второй стадии анализа оценивается достигнутый уровень формирования маржинальной, валовой и чистой операционной прибыли на предприятии. Методическим аппаратом такой оценки является анализ коэффициентов ("R-анализ"). В процессе оценки достигнутого уровня формирования операционной прибыли на предприятии основное внимание должно быть уделено расчету и анализу следующих показателей:
— коэффициенту рентабельности операционных активов (коэффициенту экономической рентабельности);
коэффициентам маржинальной, валовой и чистой рентабельности реализации продукции;
коэффициентам валовой и чистой рентабельности операционных затрат.
Результаты этого этапа анализа служат одним из отправных пунктов использования нормативного метода плановых расчетов и базой оценки эффективности разработанного плана формирования операционной прибыли предприятия.
На третьей стадии анализа рассматриваются показатели формирования операционной прибыли в разрезе центров ответственности предприятия (по каждому центру прибыли). В процессе этой стадии анализа выявляется уровень выполнения отдельными центрами прибыли доведенных им плановых заданий (с учетом корректировки этих плановых заданий на изменение объемных показателей их деятельности в отчетном периоде); определяется удельный вес отдельных центров ответственности в совокупной сумме операционной прибыли предприятия; сравниваются коэффициенты рентабельности по отдельным центрам прибыли.
Результаты этого этапа анализа используются в процессе планирования формирования операционной прибыли в разрезе отдельных центров ответственности.
На четвертой стадии анализа рассматриваются показатели маржинальной и валовой прибыли в разрезе отдельных видов выпускаемой продукции. Методической основой осуществления такого анализа является сопоставление среднего уровня цен и отчетной удельной себестоимости в разрезе конкретных видов продукции.
На этом этапе анализа основное внимание должно быть уделено рассмотрению показателей удельного веса прибыли от реализации отдельных видов продукции в общей сумме формируемой операционной прибыли, а также сравнению уровней коэффициентов маржинальной и валовой рентабельности отдельных видов продукции.
Результаты этого анализа используются в процессе факторного метода планирования формирования операционной прибыли для отражения структурных изменений в реализации продукции.
На пятой стадии анализа изучаются основные факторы, обусловившие изменения суммы маржинальной,
валовой и чистой операционной прибыли в отчетном периоде. Предметом такого анализа являются прежде всего факторы ранее рассмотренной системы "взаимосвязь издержек, объема реализации и прибыли". Вместе с тем, ряд этих факторов в процессе анализа требует более глубокого разложения.
На этом этапе анализа основное внимание уделяется изучению влияния на операционную прибыль следующих основных факторов:
изменению объема реализации продукции в натуральном выражении (если предприятие выпускает однородную продукцию, оцениваемую единым условным натуральным показателем); изменению структуры реализации продукции в разрезе основных ее видов; изменению среднего уровня цен на реализуемую продукцию;
изменению среднего уровня операционных затрат на единицу реализуемой продукции; изменению коэффициента операционного леве-риджа; изменению коэффициента рентабельности операционных активов; изменению коэффициента налогоемкости реализации продукции.
Результаты этого анализа используются в процессе построения факторной модели планирования операционной прибыли предприятия.
2. Разработанная общая политика управления прибылью предприятия. В процессе планирования формирования операционной прибыли должны быть в первую очередь учтены: система стратегических целей формирования прибыли предприятия, а также система разработанных отдельных целевых показателей (среднегодовой темп роста прибыли, коэффициенты рентабельности и т.п.), конкретизированных по периодам их реализации (при необходимости в систему этих целевых показателей на предстоящий год вносятся коррективы по результатам проведенного анализа).
Общая политика управления прибылью предприятия устанавливает как цели, так и важнейшие результативные показатели планов формирования операционной прибыли на предстоящий год, позволяет увязать эти показатели с общей системой планов формирования и использования прибыли предприятия.
3. Разработанные частные политики, связанные сформированием прибыли предприятия. В процессе планирования формирования операционной прибыли предприятия должны быть учтены:
ценовая политика; амортизационная политика; налоговая политика.
Каждая из этих политик прямо или опосредствованно влияет на размер маржинальной, валовой и чистой прибыли предприятия, а следовательно должна учитываться в процессе планирования формирования операционной прибыли.
4. Разработанные планы операционной деятельностипредприятия. Исходными предпосылками планированияформирования прибыли предприятия являются следующие основные виды планов операционной деятельностина предстоящий период:
производственная программа предприятия; план операционных доходов предприятия; план операционных затрат предприятия; план налоговых платежей предприятия.
Система этих планов позволяет использовать различные методы планового формирования операционной прибыли и обеспечить взаимосвязь всех основных показателей развития операционной деятельности предприятия в предстоящем периоде.
5. Показатели средней нормы прибыли на начало планового периода. Ориентируясь на внутренние возможностиформирования операционной прибыли, следует учитыватьтакже средние ее показатели, достигнутые в данной отрасли и сформировавшиеся на финансовом рынке.
В качестве среднеотраслевой нормы прибыли используются обычно коэффициент валовой или чистой рентабельности реализации продукции и коэффициент рентабельности операционных активов.
В качестве средней нормы прибыли на финансовом рынке используется обычно средняя ставка депозитного процента на денежном рынке.
Указанные показатели выступают минимальными критериями уровня формируемой прибыли в процессе операционной деятельности предприятия на предстоящий плановый период.
12.2. МЕТОДЫ ПЛАНИРОВАНИЯ ФОРМИРОВАНИЯ ОПЕРАЦИОНОЙ
ПРИБЫЛИ
В процессе планирования формирования маржинальной, валовой и чистой прибыли предприятия используются различные методы. Система основных из этих методов приведена на рис. 12.2.

Рисунок 12.2. Система основных методов планирования формирования операционной прибыли предприятия.
Рассмотрим содержание каждого из этих методов в порядке возрастания их сложности.
1. Метод экстраполяции является наиболее простым методом планирования формирования операционной прибыли предприятия. Он основан на результатах горизонтального (трендового) анализа динамики маржинальной, валовой и чистой
операционной прибыли за ряд предшествующих периодов и выявлении "линии тренда", которая распространяется (пролонгируется) и на плановый период. Вместе с тем, этот метод планирования операционной прибыли является наименее точным, так как он не учитывает изменение влияющих на нее не только факторов внешней среды, но и факторов внутреннего развития предприятия в предстоящем периоде.
Учитывая наибольшую погрешность результатов использования этого метода при плановых расчетах размера операционной прибыли, он может быть использован лишь на предварительной стадии планирования (когда планы операционной деятельности предприятия еще не сформированы) и только на относительно короткий прогнозный период (месяц, квартал).
2. Метод прямого счета является относительно простым и достаточно надежным методом планирования формирования операционной прибыли, но может быть использован только в том случае, если на предварительной стадии уже сформированы планы операционного дохода, операционных затрат и налоговых платежей. При использовании этого метода расчеты плановой суммы операционной прибыли осуществляются по следующим формулам:
МОП
п = ВОДп - ПИпер - НДСП ; ВОПп = ВОДп - ПИ0 - НДСП ; ЧОПп = ВОДп -ПИ0 - НДСП - нпп,
гдеМОПп —плановая сумма маржинальной операционной прибыли;
ВОПп — плановая сумма валовой операционной прибыли;
ЧОП
п — плановая сумма чистой операционной прибыли;
ВОДп — плановая сумма валового операционного дохода; ПИо —плановая сумма совокупных операционных затрат (издержек);
ПИ
пер — плановая сумма переменных операционных затрат (издержек);
НДСп — плановая сумма налоговых платежей, уплачиваемых за счет дохода (входящих в цену продукции); НП — плановая сумма налоговых платежей, уплачиваемых за счет прибыли (налог на прибыль и другие обязательные платежи).
Позволяя получить достаточно точные результаты плановой суммы операционной прибыли, метод прямого ее счета имеет однако отдельные недостатки. Прежде всего, он недостаточно ориентирован на достижение целевых (нормативных) показателей уровня операционной прибыли. Кроме того, этот метод позволяет осуществлять только одновариантный расчет планируемых показателей.
3. Нормативный метод также относится к числу относительно простых методов планирования формирования операционной прибыли, но условием его применения является наличие на предприятии соответствующей нормативной базы. В качестве таких нормативов обычно используются:
а) норма прибыли на собственный капитал (если такой норматив на предприятии не разработан, его минимальным аналогом может выступать средняя норма депозитного процента на денежном рынке). Расчет валовой операционной прибыли в этом случае может быть осуществлен по следующей формуле:

Где ВОП
п —плановая сумма валовой операционной прибыли;
CKQ — средняя сумма собственного капитала предприятия, задействованная в его операционной деятельности в плановом периоде; Нцп — норма валовой прибыли на собственный капитал, в %.
Скорректированная на размер суммы налогов, уплачиваемых за счет прибыли, полученная величина будет характеризовать плановую сумму чистой операционной прибыли;
б) норма прибыли на операционные активы. Эта нормаможет быть выражена как валовой, так и чистой операционной прибылью. Расчет плановой операционной прибылиосуществляется в этом случае по следующим формулам:
НОП = хН
вп _ _ ОПАп ХН
ЧП
п 100 ’
Ч0Пп іоо '
гдеВОПд — плановая сумма валовой операционной прибыли; ЧОП
п—плановая сумма чистой операционной прибыли; Н
вп —норма валовой прибыли на единицу операционных активов, в %; Н
чп —норма чистой прибыли на единицу операционных активов, в %;
ОПА
п—средняя стоимость операционных активов предприятия в плановом
периоде;
в) норма прибыли на единицу реализуемой продукции(рспж такой норматив на предприятии не разработан, его аналогом может выступать среднеотраслевая нормаприбыли на единицу реализуемой продукции в последнем предплановом периоде). Эта норма также может бытьвыражена как валовой, так и чистой прибылью. Расчетплановой суммы операционной прибыли в этом случаеосуществляется по следующей формуле:
ВОП
п = °
РпХНвп ; ЧОП
п = °
РпХНчп ,
п 100
п 100
где ВОПп — плановая сумма валовой операционной прибыли; ЧОП
п— плановая
сумма чистой операционной прибыли; Н
вп — норма валовой прибыли на единицу реализуемой продукции, в %; Н
чп — норма чистой прибыли на единицу реализуемой продукции, в %;
ОРп — планируемых объем реализации продукции.
Нормативный метод планового расчета суммы операционной прибыли получил определенное распространение в процессе ее определения для вновь созданных
предприятий (центров прибыли). Его недостатком является то, что он не увязан с другими показателями операционной деятельности (производственной программой, операционными затратами, налоговыми платежами), вследствие чего также не может быть использован в многовариантных расчетах суммы прибыли.
4. Метод "CVP" или метод планирования операционной прибыли с использованием системы "взаимосвязь издержек, объема реализации и прибыли" позволяет определять все виды этой прибыли при наличии той же информации, которая используется при применении "метода прямого счета". Плановые расчеты ведутся в такой по следов атель ности:
На первом этапе определяется точка безубыточность реализации продукции в плановом периоде. В этих целях используется формула:
ОР _ ПИ
постхЮ0
’
6"ПУ
Ч,-ПУ
Н„
Ч)’
где ОРтб — объем реализации продукции, обеспечивающий достижение точки безубыточности в плановом периоде; ПИпост — планируемая сумма постоянных операционных затрат (издержек); ПУчд — планируемый уровень чистого операционного дохода к объему реализации продукции, %;
ПУИ пер — планируемый уровень переменных операционных затрат (издержек) к объему реализации продукции, %;
На втором этапе определяется плановая сумма валовой операционной прибыли. Ее расчет ведется по следующей формуле:
погт _(ОРп-ОР
гб)х(ПУ
чд-ПУ
н пер)
воп"'-Too-’
где ВОП
п — плановая сумма валовой операционной прибыли; ОР
п —плановый объем реализации продукции; ОРтб — объем реализации продукции, обеспечивающий достижение точки безубыточности в плановом периоде;
ПУвд — планируемый уровень чистого операционного дохода к объему реализации продукции, %; ПУ
И пер — планируемый уровень переменных операционных затрат (издержек) к объему реализации продукции, %; На третьем этапе определяется плановая сумма маржинальной операционной прибыли. Для ее расчета используются следующие формулы:

гдеМОПп —плановая сумма маржинальной операционной прибыли; ОРп — плановый объем реализации продукции; ПУЧД — планируемый уровень чистого операционного дохода к объему реализации продукции, %; ПУ
И пер — планируемый уровень переменных операционных затрат (издержек) к объему реализации продукции, %; ВОПп — плановая сумма валовой операционной прибыли; ПИ
Пост —планируемая сумма постоянных операционных затрат (издержек).
На четвертом этапе определяется плановая сумма чистой операционной прибыли. Ее расчет производится по следующей формуле:
ЧОП
=вопп
х(
10°-
Ск
П)
п 100 ’
где ЧОП
п —плановая сумма чистой операционной прибыли; ВОП
п —плановая сумма валовой операционной прибыли; Сцп ~ средняя ставка налоговых платежей за счет прибыли, %.
Рассмотрим этот метод планирования операционной прибыли на конкретном примере:
На плановый период предприятием установлены следующие показатели (в уел. ден. единицах):
Объем реализации продукции
Налоговые платежи за счет
|
-500 (ОРп)
|
дохода
|
-100(НДС„)
|
Чистый операционный доход
Общая сумма опепаиионных
|
-400(ЧОДп)
|
затрат
|
-150 (ПИ)
|
в том числе — постоянных
|
-50(ПИ„пгО
|
— переменных
Уровень чистого операционного дохода к обьемуреали-
|
-100(ПИпер)
|
зации, %
Уровень переменных операционных затрат к объему реа
|
-80(ПУчд)
|
лизации, %
Спедняя ставка налоговых пла
|
-20(ПУипер)
|
тежей за счет прибыли, %
|
- 30 (Снп)
|
|
Объем реализации продукции — 500 (ОР„)
Налоговые платежи за счет дохода -100 (НДС„)
Чистый операционный доход — 400 (ЧОД„)
Общая сумма операционных затрат —150 (ПИ) в том числе
|
50
постоянных
(НИ
пост)
— переменных —100 (ПИ„
ер)
Уровень чистого операционного дохода к обьемуреализации, % -80(ПУ
чд)
и пер/
Уровень переменных операционных затрат к объему реализации, % — 20 (ПУ
и Средняя ставка налоговых платежей за счет прибыли, % —30 (С
нг)
Последовательностьрасчетов:
1. Определяем точку безубыточности реализации продукции в плановом периоде:
50x100 лл ,
OP** -= 83 у, д. е.
т6 80 - 20 *
2. Определяем плановую сумму валовой операционной прибыли:
3. Определяем плановую сумму маржиналънойоперационной прибыли:
„
ЛГТ 500(80-20)
а
100
МОП„ =--- = 300 у. д. е,
или
МОП
п = 250 + 50 = 300 у. д. е.
4. Определяем плановую сумму чистой операционной прибыли:
ЧОГГ
п =
= 175 у. а. ел
250 х (100 -30) 100
Построенный на основе плановых значений график "CVP" позволяет использовать этот метод в качестве имитационной модели многовариантных расчетов с разложением и варьированием отдельных показателей (объема реализации продукции в натуральном выражении, планируемого среднего уровня цен и т.п.). Система этого разложения была рассмотрена ранее. В процессе имитационного моделирования операционной прибыли могут быть рассмотрены все прогнозные варианты операционной деятельности предприятия — от крайне пессимистического до крайне оптимистического. Кроме того, такая модель может использоваться для оперативной корректировки плановых показателей операционной прибыли при изменении отдельных текущих показателей операционной деятельности.
5. Метод целевого формирования прибыли позволяет обеспечить наибольшую увязку плановых ее показателей со стратегическими целями управления прибыли в предстоящем периоде. Основой этого метода расчета является предварительное
определение потребности в собственных финансовых ресурсах, формируемых за счет чистой операционной прибыли предприятия. Расчет ведется по каждому элементу этой потребности и охватывает как капитализируемую, так и потребляемую их части. Суммарная потребность в средствах, формируемых за счет чистой операционной прибыли, представляет собой целевую ее сумму (методические подходы к расчету этого показателя будут рассмотрены далее). На основе целевой суммы чистой операционной прибыли определяются целевые суммы соответственно валовой и маржинальной операционной прибыли. Их расчет ведется по следующим формулам:
чоа,хіоо
воп„ =
100-С
нп
МОПц — ВОПц 4- ПИ
пост ,
где ВОПц —целевая сумма валовой операционной прибыли в предстоящем периоде; МОПц — целевая сумма маржинальной операционной прибыли в предстоящем периоде;
ЧОПц —целевая сумма чистой операционной прибыли в предстоящем периоде; ПИпост —планируемая сумма постоянных операционных затрат (издержек); С
нп — средняя ставка налоговых платежей за счет прибыли, в процентах.
Особая роль этого метода расчета заключается в том, что полученные на его основе показатели операционной прибыли рассматриваются как важнейшие целевые ориентиры развития всей операционной деятельности предприятия и служат базовыми элементами планирования других важнейших экономических показателей этой деятельности — суммы чистого операционного дохода, объема реализации продукции и других. Иными словами, задачи планирования стратегического развития операционной деятельности предприятия в предстоящем периоде через целевую сумму чистой операционной прибыли получают свое отражение во всей системе основных плановых показателей.
6. Метод прогнозирования денежного потока является относительно новым для нашей практики, хотя широко используется на предприятиях стран с развитой рыночной экономикой. Его основу составляет разработанный на предприятии текущий план поступления и расходования денежных средств по операционной деятельности предприятия, содержание которого подробно рассмотрено ранее.
Принципиальная модель расчета чистой операционной прибыли предприятия на предстоящий период при использовании этого метода имеет следующий вид:
ЧОП
п = ПДСп - РДС
П - АО
п - ПК
п ,
где ЧОП
п —плановая сумма чистой операционной прибыли; ПДСп—плановая сумма поступления денежных средств по операционной деятельности предприятия; РДСп—плановая сумма расходования денежных средств по операционной деятельности предприятия; АО
п — плановая сумма амортизационных отчислений;
ПКп — плановая сумма уплаты процентов за кредит (она отражается в денежном потоке по финансовой деятельности, но входит в учетную номенклатуру статей операционных затрат). На основе рассчитанной плановой суммы чистой операционной прибыли по ранее рассмотренным моделям определяются плановые значения соответственно валовой и маржинальной операционной прибыли.
Использование этого метода позволяет тесно увязать планируемую операционную прибыль с чистым денежным потоком по операционной деятельности, а также конкретизировать ее формирование по отдельным периодам (текущий план поступления и расходования денежных средств составляется обычно в помесячной разбивке).
7. Метод факторного моделирования прибыли является наиболее сложным, так как требует осуществления обширных аналитических и прогнозных расчетов.
На первом этапе использования этого метода определяется система основных факторов, имеющих прямую логическую взаимосвязь с формированием показателя чистой операционной прибыли предприятия. Обычно в составе этих факторов рассматриваются: объем реализации продукции в условных натуральных показателях; структура реализации продукции по отдельным ее видам; средний уровень цен на реализуемую продукцию; средний уровень операционных затрат в процентах к объему реализуемой продукции; коэффициент операционного левериджа; коэффициент рентабельности операционных активов; коэффициент налогоемкости реализации продукции (в разрезе трех основных групп налогов по источникам их уплаты) и другие.
На втором этапе анализируется степень влияния отдельных факторов на формирование чистой операционной прибыли данного предприятия и производится их ранжирование по этому показателю.
На третьем этапе отбираются факторы, оказывающие наибольшее влияние на сумму формируемой чистой операционной прибыли, и с учетом степени их влияния строится многофакторная модель регрессии (включающая обычно 3-4 наиболее весомых факторов).
На четвертом этапе прогнозируется изменение факторов, включенных в модель регрессии, в предстоящем периоде. Прогнозируемое изменение каждого фактора отражается соответствующими количественными показателями.
На пятом этапе путем подстановки прогнозируемых значений факторов в модель регрессии получают прогнозируемый (планируемый) показатель чистой операционной прибыли.
На шестом этапе на основе рассчитанной чистой операционной прибыль по ранее рассмотренным моделям определяются плановые значения соответственно валовой и маржинальной операционной прибыли.
Использование этого метода позволяет осуществлять многовариантные плановые расчеты суммы операционной прибыли путем последовательного изменения заданных значений отдельных факторов.
Таким образом, в зависимости от избранного метода расчетов, планирование формирование операционной прибыли может рассматриваться как завершающий или как началъный этап планирования всей операционной деятельности предприятия.
Глава 13. Механизм формирования инвестиционной прибыли предприятия
13.1. СОДЕРЖАНИЕ ИНВЕСТИЦИОННОЙ ДЕЯТЕЛЬНОСТИ И ОСОБЕННОСТИ ФОРМИРОВАНИЯ ИНВЕСТИЦИОННОЙПРИБЫЛИ
В системе хозяйственной деятельности предприятия, обеспечивающей формирование его прибыли, определенное место занимает инвестиционная деятельность.
Инвестиционная деятельность предприятия представляет собой целенаправленно осуществляемый процесс изыскания необходимых инвестиционных ресурсов, выбора эффективных объектов (инструментов) инвестирования, формирования сбалансированной по избранным параметрам инвестиционной программы (инвестиционного портфеля) и обеспечения ее реализации.
Инвестиционная деятельность предприятия характеризуется следующими основными особенностями:
Она является главной формой обеспечения роста операционной деятельности предприятия и по отношению к ее целям и задачам носит подчиненный характер.
Несмотря на то, что отдельные формы инвестиций предприятия могут генерировать на отдельных этапах его развития большую прибыль, чем операционная деятельность, главной стратегической задачей предприятия является развитие операционной деятельности и обеспечение условий возрастания формируемой им операционной прибыли. Инвестиционная деятельность предприятия призвана обеспечивать рост формирования его операционной прибыли в перспективном периоде по двум направлениям: 1) путем обеспечения возрастания операционных доходов за счет
увеличения объема производственно-сбытовой деятельности (строительства новых филиалов при внедрении на иные региональные рынки; расширения объема реализации продукции за счет инвестирования в новые производства и т.п.); 2) путем обеспечения снижения удельных операционных затрат (своевременная замена физически изношенного оборудования; обновления морально устаревших производств енных основных средств и нематериальных активов и т.п.).
Формы и методы инвестиционной деятельности в гораздо меньшей степени зависят от отраслевых особенностей предприятия, чем операционная его деятельность.
Эта связь опосредствуется только объектами инвестирования. Механизм же этой деятельности практически идентичен на предприятиях любой отраслевой направленности. Это определяется тем, что инвестиционная деятельность предприятия осуществляется преимущественно в тесной связи с финансовым рынком (рынком капитала и рынком денег), отраслевая сегментация которого практически отсутствует, в то время как операционная его деятельность осуществляется преимущественно в рамках конкретных отраслевых сегментов товарного рынка и имеет четко выраженные отраслевые особенности операционного цикла.
3. Объемы инвестиционной деятельности предприятия характеризуются существенной неравномерностью поотдельным периодам. Цикличность масштабов этой деятельности определяется рядом условий — необходимостью предварительного накопления финансовых средств (инвестиционных ресурсов) для начала реализации отдельных крупных инвестиционных проектов; использованием благоприятных внешних условий осуществления инвестиционной
деятельности (на отдельных этапах экономического развития страны неблагоприятный "инвестиционных климат" резко снижает эффективность этой деятельности); постепенность формирования внутренних условий для существенных "инвестиционных рывков" (сформированный предприятием потенциал внеоборотных операционных
активов имеет обычно достаточный "запас прочности", т.е. обладает резервами повышения его производительного использования до определенных пределов; лишь при достижении таких пределов прирост объемов операционной деятельности вызывает необходимость возрастания этих активов).
4. Инвестиционная прибыль предприятия (а такжеиные формы эффекта инвестиций) в процессе его инвестиционной деятельности формируется обычно со значительным "лагом запаздывания". Это означает, что междузатратами инвестиционных ресурсов (инвестиционными затратами) и получением инвестиционной прибылипроходит обычно достаточно большой период времени,что определяет долговременный характер этих затрат. Дифференциация размера "лага запаздывания" зависит от формпротекания инвестиционного процесса (рис. 13.1.).
Как видно из приведенного рисунка, при последовательном протекании инвестиционного процесса инвестиционная прибыль формируется сразу же после завершения инвестирования средств; при параллельном его протекании формирование инвестиционной прибыли возможно еще до полного завершения процесса инвестирования средств; при интервальном его протекании между периодом завершения инвестирования средств и формированием инвестиционной прибыли проходит определенное время.
5. Инвестиционная деятельность формирует особыйсамостоятельный вид денежных потоков предприятия,которые существенно различаются в отдельные периодыпо своей направленности. Принципиальная схема формирования денежных потоков в процессе инвестиционной деятельности представлена на рис. 13.2.

|
Рисунок 13.1. формы протекания процессов инвестирования капитала и
|
получения инвестиционной прибыли предприятия во времени,
|

|
Рисунок 13.2. Принципиальная схема формирования денежных потоков по отдельному инвестиционному проекту.
Как видно из приведенных данных, на протяжении отдельных периодов сумма отрицательного денежного потока по инвестиционной деятельности предприятия может значительно превышать сумму положительного денежного потока по ней. Кроме того,
|
сумма инвестиционной прибыли по отдельным периодам имеет высокий уровень колеблемости.
Инвестиционной деятельности предприятия присущи специфические виды рисков, объединяемые понятием "инвестиционный риск". Уровень инвестиционного риска обычно значительно превышает уровень операционного (коммерческого) риска. Это связано с тем, что в процессе инвестиционной деятельности риск потери капитала (т.е. "катастрофический риск") имеет большую вероятность возникновения, чем в процессе операционной деятельности. Механизм формирования уровня инвестиционной прибыли строится в тесной связи с уровнем инвестиционного риска.
Важнейшим измерителем объема инвестиционной деятельности,
характеризующим темпы экономического развития предприятия, выступает показатель его чистых инвестиций. Чистые инвестиции представляют собой сумму валовых инвестиций, уменьшенную на сумму амортизационных отчислений в определенном периоде:
ЧИ = ВИ - АО, где ЧИ — сумма чистых инвестиций предприятия в определенном периоде; ВИ — сумма валовых инвестиций предприятия в рассматриваемом периоде; АО — сумма амортизационных отчислений предприятия в рассматриваемом периоде. Динамика показателя чистых инвестиций отражает характер экономического развития предприятия, потенциал формирования его прибыли. Если сумма чистых инвестиций предприятия составляет отрицательную величину (т.е. если объем валовых инвестиций меньше суммы амортизационных отчислений), это свидетельствует о снижении производственного его потенциала и экономической базы формирования его прибыли (такая ситуация характеризует предприятие, "проедающее свой капитал"). Если сумма чистых инвестиций равна нулю (т.е. если объем валовых инвестиций равен сумме амортизационных отчислений), это означает отсутствие экономического роста предприятия и базы возрастания его прибыли, так как его производственный потенциал остается при этом неизменным (такая ситуация характеризует предприятие, "топчущееся на месте"). И наконец, если сумма чистых инвестиций составляет положительную величину (т.е. объем валовых инвестиций превышает сумму амортизационных отчислений), это означает, что обеспечивается расширенное воспроизводство внеоборотных операционных активов предприятия и возрастание экономической базы формирования его прибыли (такая ситуация характеризует "растущее предприятие").
Осуществляемые предприятием инвестиции характеризуются многими видами. Для обеспечения эффективного и целенаправленного управления инвестиционной прибылью, инвестиции предприятия классицфицируются по следующим основным признакам (рис. 13.3.):
По объектам вложения капитала разделяют реальные и финансовые инвестиции предприятия.

|
Реальные
13.3. Классификация инвестиций предприятия по основным
(или капиталообразующие) инвестиции характеризуют вложения
|
Рисунок
признакам.
капитала в воспроизводство основных средств, в инновационные нематериальные активы (инновационные инвестиции), в прирост запасов товарно-материальных ценностей и другие объекты инвестирования, связанные с осуществлением операционной деятельности предприятия или улучшением условий труда и быта персонала.
Финансовые инвестиции характеризуют вложения капитала в различные финансовые инструменты инвестирования, главным образом в ценные бумаги, с целью получения дохода.
По характеру участия в инвестиционном процессе выделяют прямые и непрямые инвестиции.
Прямые инвестиции подразумевают прямое участие инвестора в выборе объектов инвестирования и вложении капитала. Обычно прямые инвестиции осуществляются путем непосредственного вложения капитала в уставные фонды других предприятий. Прямое инвестирование осуществляют в основном подготовленные инвесторы, имеющие достаточно точную информацию об объекте инвестирования и хорошо знакомые с механизмом инвестирования.
Непрямые инвестиции характеризуют вложения капитала инвестора,
опосредованное другими лицами (финансовыми посредниками).
По воспроизводственной направленности выделяют валовые, реновационные и чистые инвестиции.
Валовые инвестиции характеризуют общий объем капитала, инвестируемого в воспроизводство основных средств и нематериальных активов в определенном периоде. В экономической теории понятие валовых инвестиций связывается, как правило, с вложением капитала в реальный сектор экономики. На уровне предприятия под этим термином часто понимают общий объем инвестированного капитала в том или ином периоде.
Реновационные инвестиции характеризуют объем капитала, инвестируемого в простое воспроизводство основных средств и амортизируемых нематериальных активов. В количественном выражении реновационные инвестиции приравниваются обычно к сумме амортизационных отчислений в определенном периоде.
Чистые инвестиции характеризуют объем капитала инвестируемого в расширенное воспроизводство основ ных средств и нематериальных активов. В экономической теории под этим термином понимается чистое капиталообразование в реальном секторе экономики. В количественном выражении чистые инвестиции представляют собой сумму валовых инвестиций, уменьшенную на сумму амортизационных отчислений по всем видам амортизируемых капитальных активов предприятия в определенном периоде.
По степени зависимости от доходов разделяют производные и автономные инвестиции.
Производные инвестиции прямо коррелируют с динамикой объема чистого дохода (прибыли) через механизм его распределения на потребление и сбережение.
Автономные инвестиции характеризуют вложение капитала, инициированное действием факторов, не связанных с формированием и распределением чистого дохода (прибыли), например, технологическим прогрессом, природоохранными мероприятиями и другими.
По отношению к предприятию-инвестору выделяют внутренние и внешние инвестиции.
Внутренние инвестиции характеризуют вложение капитала в развитие операционных активов самого предприятия-инвестора.
Внешние инвестиции представляют собой вложение капитала в реальные активы других предприятий или в финансовые инструменты инвестирования, эмитируемые другими субъектами хозяйствования.
По периоду осуществления выделяют краткосрочные и долгосрочные инвестиции предприятия.
Краткосрочные инвестиции характеризуют вложения капитала на период до одного года. Основу кратко срочных инвестиций предприятия составляют его краткосрочные финансовые вложения.
Долгосрочные инвестиции характеризуют вложения капитала на период более одного года. Основной формой долгосрочных инвестиций предприятия являются его капитальные вложения в воспроизводство основных средств.
По совместимости осуществления различают инвестиции независимые, взаимозависимые и взаимоисключающие.
Независимые инвестиции характеризуют вложения капитала в такие объекты инвестирования (инвестиционные проекты, финансовые инструменты), которые могут быть реализованы как автономные (независящие от других объектов инвестирования и не исключающие их) в общей инвестиционной программе (инвестиционном портфеле) предприятия.
Взаимозависимые инвестиции характеризуют вложения капитала в такие объекты инвестирования, очередность реализации или последующая эксплуатация которых зависит от других объектов инвестирования и может осуществляться лишь в комплексе с ними.
Взаимоисключающие инвестиции носят, как правило, аналоговый характер по целям их осуществления, характеру технологии, номенклатуре продукции и другим основным параметрам и требуют альтернативного выбора.
По уровню доходности выделяют следующие виды инвестиций:
Высокодоходные инвестиции. Они характеризуют вложения капитала в инвестиционные проекты или финансовые инструменты, ожидаемый уровень чистой инвестиционной прибыли по которым существенно превышает среднюю норму этой прибыли на инвестиционном рынке.
Среднедоходные инвестиции. Ожидаемый уровень чистой инвестиционной прибыли по инновационным проектам и финансовым инструментам инвестирования этой группы, соответствует примерно средней норме инвестиционной прибыли, сложившейся на инвестиционном рынке.
Низкодоходные инвестиции. По этой группе объектов инвестирования ожидаемый уровень чистой инвестиционной прибыли обычно значительно ниже средней нормы этой прибыли.
Бездоходные инвестиции. Они представляют группу объектов инвестирования, выбор и осуществление которых инвестор не связывает с получением инвестиционной прибыли. Такие инвестиции преследуют, как правило, цели получения социального, экологического и других видов внеэкономического эффекта.
По уровню инвестиционного риска выделяют следующие виды инвестиций:
Безрисковые инвестиции. Они характеризуют вложения средств в такие объекты инвестирования, по которым
отсутствует реальный риск потери капитала или ожидаемого дохода и практически гарантировано получение расчетной реальной суммы чистой инвестиционной прибыли.
Низкорисковые инвестиции. Они характеризуют вложение капитала в объекты инвестирования, риск по которым значительно ниже среднерыночного.
Среднерисковые инвестиции. Уровень риска по объектам инвестирования этой группы примерно соответствует среднерыночному.
Высокорисковые инвестиции. Уровень риска по объектам инвестирования этой группы обычно существенно превышает среднерыночный. Особое место в этой группе занимают так называемые спекулятивные инвестиции, характеризующиеся вложением капитала в наиболее рисковые проекты или инструменты инвестирования, по которым ожидается наивысший уровень инвестиционного дохода.
По уровню ликвидности инвестиции предприятия подразделяются на следующие основные виды:
Высоколиквидные инвестиции. К ним относятся такие объекты (инструменты) инвестирования предприятия, которые быстро могут быть конверсированы в денежную форму (как правило, в срок до одного месяца) без ощутимых потерь своей текущей рыночной стоимости. Основным видом высоколиквидных инвестиций предприятия являются кратко срочные финансовые вложения.
Среднеликвидные инвестиции. Они характеризуют группу объектов (инструментов) инвестирования предприятия, которые могут быть конверсированы в денежную форму без ощутимых потерь своей текущей рыночной стоимости в срок от одного до шести месяцев.
Низколиквидные инвестиции. К ним относятся объекты (инструменты) инвестирования предприятия, которые могут быть конверсированы в денежную форму без потерь своей текущей рыночной стоимости по истечении значительного периода времени (от полугода и выше). Основным видом низколиквидных инвестиций являются незавершенные инвестиционные проекты, реализованные инвестиционные проекты с устаревшей технологией, некотируемые на фондовом рынке акции отдельных малоизвестных предприятий.
Неликвидные инвестиции. Они характеризуют такие виды объектов
инвестирования предприятия, которые самостоятельно реализованы быть не могут (они
могут быть проданы на инвестиционном рынке лишь в составе целостного имущественного комплекса).
По формам собственности инвестируемого капитала выделяют частные, государственные и смешанные инвестиции.
Частные инвестиции характеризуют вложения капитала физических лиц, а также юридических лиц негосударственных форм собственности.
Государственные инвестиции характеризуют вложения капитала государственных предприятий, а также средств государственного бюджета разных его уровней и государственных внебюджетных фондов.
Смешанные инвестиции предполагают вложения как частного, так и государственного капиталав объекты инвестирования предприятия.
По характеру использования капитала в инвестиционном процессе выделяют первичные инвестиции, реинвестиции и дезинвестиции.
Первичные инвестиции характеризуют использование вновь сформированного для инвестиционных целей капитала за счет как собственных, так и заемных финансовых ресурсов.
Реинвестиции представляют собой повторное использование капитала в инвестиционных целях при условии предварительного его высвобождения в процессе реализации ранее выбранных инвестиционных проектов, инвестиционных товаров или финансовых инструментов инвестирования.
Дезинвестиции представляют собой процесс изъятия ранее инвестированного капитала из инвестиционного оборота без последующего его использования в инвестиционных целях (например, для покрытия убытков предприятия). Их можно охарактеризовать как отрицательные инвестиции предприятия.
По региональным источникам привлечения капитала выделяют отечественные и иностранные инвестиции.
Отечественные инвестиции характеризуют вложение национального капитала (домашних хозяйств, предприятий или государственных органов) в разнообразные объекты инвестирования резидентами данной страны.
Иностранные инвестиции характеризуют вложение капитала не резидентами (юридическими или физическими лицами) в объекты (инструменты) инвестирования данной страны.
По региональной направленности инвестируемого капитала различают инвестиции на внутреннем и международном рынках.
Инвестиции на внутреннем рынке характеризуют вложения капитала как резидентов, так и не резидентов на территории данной страны.
Инвестиции на международном рынке (или международные инвестиции) характеризуют вложение капитала резидентов данной страны за пределами внутреннего ее рынка.
По отраслевой направленности инвестиции разделяются в разрезе отдельных отраслей и сфер деятельности в соответствии с их классификатором. Такая форма классификации инвестиций связана с государственным регулированием инвестиционного процесса в масштабах страны, а также оценкой инвестиционной привлекательности отдельных отраслей (сфер деятельности) в процессе реального и финансового инвестирования предприятия.
Несмотря на довольно значительный перечень рассмотренных классификационных признаков, он тем не менее не исчерпывает всего многообразия видов инвестиций предприятия, используемых в научной терминологии и практике инвестиционного менеджмента. Ряд из этих терминов будут дополнительно рассмотрены в процессе изложения конкретных вопросов управления инвестициями предприятия.
Осуществляя инвестиционную деятельность предприятие выступает как инвестор. Инвесторы классифицируются по следующим основным признакам (рис. 13.4).
По направленности основной хозяйственной деятельности разделяют индивидуальных и институциональных инвесторов.
Индивидуальный инвестор представляет собой конкретное юридическое или физическое лицо, осуществляющее инвестиции для развития своей основной хозяйственной (операционной) деятельности.

|
Рисунок 13.4. Классификация инвесторов по основным признакам.
Институциональный инвестор представляет собой юридическое лицо — финансового посредника, аккумулирующего средства индивидуальных инвесторов и осуществляющих инвестиционную деятельность, специализированную, как правило, на операциях с ценными бумагами. Основными институциональными инвесторами выступают инвестиционные компании, инвестиционные фонды и т.п.
По целям инвестирования выделяют стратегических и портфельных инвесторов.
Стратегический инвестор характеризуется как субъект инвестиционной деятельности, ставящий своей целью приобретение контрольного пакета акций (преимущественной доли уставного капитала) для обеспечения реального управления предприятием в соответствии с собственной концепцией его стратегического развития.
Портфельный инвестор характеризуется как субъект инвестиционной деятельности, вкладывающий свой капитал в разнообразные объекты (инструменты) инвестирования исключительно с целью получения инвестиционной прибыли. Такой инвестор не ставит
|
своей целью реальное участие в управлении стратегическим развитием предприятий-эмитентов.
По ориентации на инвестиционный эффект инвесторов подразделяют на следующие виды:
Инвестор, ориентированный на текущий инвестиционный доход. Такой инвестор формирует свой инвестиционный портфель преимущественно за счет кратко срочных финансовых вложений, а также отдельных долгосрочных инструментов инвестирования, приносящих регулярный текущий доход (например, купонных облигаций).
Инвестор, ориентированный на прирост капитала в долгосрочном периоде. Такой инвестор вкладывает свой капитал преимущественно в реальные операционные активы предприятия, а также в долгосрочные финансовые инструменты инвестирования (акции, долгосрочные бескупонные облигации ит.п.).
Инвестор, ориентированный на внеэкономический инвестиционный эффект. Такой инвестор, вкладывая свой капитал в объекты инвестирования, ставит перед собой социальные, экологические и другие внеэкономические цели, не рассчитывая на получение инвестиционной прибыли.
По отношению к инвестиционным рискам инвесторов подразделяют следующим образом:
Инвестор, не расположенный к риску. Таким термином характеризуют субъектов инвестиционной деятельности, которые избегают осуществления средне- и высокорисковых инвестиций даже несмотря на справедливое возмещение роста уровня риска дополнительным уровнем инвестиционного дохода.
Инвестор, нейтральный к риску. Этим термином характеризуют субъектов инвестиционной деятельности, которые согласны принимать на себя инвестиционный риск только в том случае, если он будет справедливо компенсирован дополнительным уровнем инвестиционного дохода.
Инвестор, расположенный к риску. Таким термином характеризуют субъектов хозяйствования, склонных идти на инвестиционный риск даже в тех случаях, когда он недостаточно справедливо компенсирован дополнительным уровнем инвестиционного дохода.

|
Рисунок 13.5. График, иллюстрирующий отношение отдельных инвесторов к инвестиционному риску.
Отношение рассмотренных видов инвесторов к инвестиционным рискам может быть проиллюстрировано графиком, приведенным на рис. 13.5.
По менталитету инвестиционного поведения, определяемого выбором инвестиций по шкале уровня их доходности и риска, выделяют следующие группы инвесторов:
Консервативный инвестор. Этим термином характеризуется субъект
хозяйствования, выбирающий объекты (инструменты) инвестирования по критерию
|
минимизации уровня инвестиционных рисков, несмотря на соответственно низкий уровень ожидаемого по ним инвестиционного дохода. Такой инвестор заботится прежде всего об обеспечении надежности (безопасности) инвестиций.
Умеренный инвестор. Таким термином характеризуется субъект хозяйствования, выбирающий такие объекты (инструменты) инвестирования, уровень доходности и риска которых примерно соответствуют среднерыночным условиям (по соответствующему сегменту рынка).
Агрессивный инвестор. Этим термином характеризуют субъекта хозяйствования, выбирающего объекты (инструменты) инвестирования по критерию максимизации текущего инвестиционного дохода, невзирая на сопутствующий им высокий уровень риска.
По принадлежности к резидентам выделяют отечественных и иностранных инвесторов. Такое разделение инвесторов используется предприятием в процессе осуществления совместной инвестиционной деятельности.
Классификация форм инвестиций и видов инвесторов позволяет целенаправленно осуществлять управление инвестиционной деятельностью предприятия.
13.2. МОДЕЛЬ ФОРМИРОВАНИЯ ИНВЕСТИЦИОННОЙ ПРИБЫЛИ
Как и во всей сфере предпринимательской деятельности инвестиционная прибыль является одним из основных побудительных мотивов инвестиций. Вместе с тем, инвестиционной деятельности предприятия присуща своя особая модель формирования прибыли, определяющая широкий диапазон колебаний ее уровня на вложенный капитал. Элементы, формирующие эту модель и определяющие уровень инвестиционной прибыли,
довольно многочисленны. Рассмотрим лишь основные из них (рис. 13.6.):
|

|
Рисунок 13.6. Основные элементы модели формирования инвестиционной
|
прибыли предприятия.
1. Минимальная норма прибыли на капитал является той изначальной точкой, которая определяет минимальный уровень инвестиционной прибыли предприятия. Являясь побудительным мотивом инвестиционной деятельности, норма прибыли на капитал формирует потребность в осуществлении инвестиций или объем спроса на них. Чем выше граница минимальной нормы прибыли на инвестированный капитал, тем выше при прочих равных условиях объем спроса на инвестиции. Кривая объема спроса на инвестиции в зависимости от минимальной нормы прибыли на капитал графически представлена на рис. 13.7.
Что же определяет уровень минимальной нормы прибыли на капитал? Прежде всего, это показатель, который должен быть очищен от инфляции, т.е. отражать реальную сумму инвестиционной прибыли на вложенные инвестором средства. Кроме того, это
показатель, который должен складываться в условиях высокой ликвидности инвестиций, т.е. обеспечения при необходимости быстрого изъятия инвестором вложенных средств.
|

|
Рисунок 13.7. Кривая объема спроса на инвестиции в зависимости от минимальной нормы прибыли на капитал.
Наконец, это показатель, который минимизирует риск потери капитала инвестором в процессе осуществления инвестиционной деятельности. Тот минимальный уровень прибыли, который побуждает инвестора к осуществлению инвестиционной деятельности при соблюдении вышеперечисленных условий, и будет характеризовать минимальную норму прибыли на инвестируемый капитал. В наибольшей степени эти условия обеспечивает ставка депозитного процента на вклады до востребования (которые могут быть изъяты инвестором в любое время), предлагаемая наиболее надежными (в соответствии с рейтингом) коммерческими банками. Эта ставка формирует минимальный уровень ссудного процента на денежном рынке.
2. Продолжительность инвестиционного процесса
определяет уровень инвестиционной прибыли с учетом концепции оценки стоимости денег во времени. Чем выше период инвестиционного процесса, а соответственно и разрыв между инвестиционными затратами и получением инвестиционной прибыли, тем выше при прочих равных условиях должна быть сумма возвратного денежного потока (прежде всего прибыли) на вложенный капитал (при его наращении по ставке процента, равной минимальной норме прибыли на капитал). Естественно, что чем выше размер минимальной нормы прибыли на
капитал (т.е. ставка процента, используемая при его наращении), тем большую сумму прибыли в пределах одинакового периода инвестирования вправе ожидать инвестор.
3. Темп инфляции оказывает существенное корректирующее воздействие на уровень инвестиционной прибыли. Поэтому номинальный размер минимальной нормы прибыли на капитал или номинальный размер ставки процента, по которой осуществляется наращение суммы вложенного капитала, должны корректироваться с учетом ожидаемого (или сложившегося) темпа инфляции. Такая корректировка осуществляется по следующей формуле:
Ip=I-Ti,
где /р—реальная ставка процента (минимальной нормы прибыли на капитал); / — номинальная ставка процента (минимальной нормы прибыли на капитал); Т\ — темп инфляции, выраженный десятичной дробью.
При определении реальной суммы инвестиционной прибыли в процессе наращения вложенного капитала по реальной ставке процента, мы сталкиваемся с тремя ситуациями:
а) ^
— ^ . В этой ситуации наращение реальной стоимости капитала не произойдет, т.е. реальная инвестиционная прибыль не будет получена, так как прирост будущей стоимости капитала (инвестиционных затрат) будет поглощаться инфляцией;
б) * > ^ . В этой ситуации реальная будущая стоимость инвестируемого капитала будет возрастать несмотря на инфляцию, т.е. предприятию гарантируется получение реальной суммы инвестиционной прибыли на вложенные средства;
В этой ситуации реальная стоимость инвестированного капитала будет снижаться, т.е. процесс инвестирования станетубыточным.
Возмещение потерь инвестора от инфляции предполагает получение им в составе инвестиционной прибыли так называемой "инфляционной премии" [inflation premium]. Размер этой премии, призванной компенсировать эту потерю реальной суммы инвестиционной прибыли, рассчитывается по формуле:

где П,— сумма инфляционной премии; ЦПР —сумма реальной минимальной нормы прибыли на капитал (или сумма процента при его наращении); Т( — темп инфляции, выраженный десятичной дробью.
Соответственно общая сумма инвестиционной прибыли (в номинальном исчислении) составит: ИПц = ИП
Р + П,- ,
где ИПн — номинальная сумма минимальной нормы прибыли на капитал (или номинальная сумма процента при его наращении) с учетом инфляционной премии; ИПр — сумма реальной минимальной нормы прибыли на капитал (или сумма процента при его наращении), рассчитанная без учета фактора инфляции; П, —сумма инфляционной премии.
4. Уровень инвестиционного риска, под которым понимается вероятность возникновения непредвиденных финансовых потерь в условиях неопределенности результатов инвестиционной деятельности, оказывает наиболее существенное влияние на уровень инвестиционной прибыли и на инвестиционную политику предприятия в целом (формируя агрессивный, умеренный или консервативный тип ее осуществления). При оценке уровня инвестиционных рисков используются показатели дисперсии, среднеквадратического (или стандартного) отклонения, коэффициента вариации, бета-коэффициента (методы их расчета рассмотрены ранее).
С оценкой рисков связан важный момент формирования уровня инвестиционной прибыли. Так как инвестор не может подбирать для инвестиционной деятельности только безрисковые объекты инвестирования (а в нашей стране даже самые надежные объекты инвестирования безрисковыми можно считать лишь условно), возникает вопрос — как должен быть компенсирован тот или иной уровень риска по объекту инвестирования, диапазон колебания которого очень высок? Для такого возмещения предназначается так называемая "премия за риск" [risk premium], которая представляет
собой дополнительную инвестиционную прибыль, требуемую инвестором сверх того уровня, который могут принести безрисковые инвестиции. Эта дополнительная инвестиционная прибыль долхсна возрастать пропорционально росту уровня риска по объекту инвестирования. При этом следует иметь в виду, что премия за риск должна возрастать пропорционально росту не общего уровня риска по объекту инвестирования, а только риска рыночного или систематического, который определяется с помощью бета-коэффициента (т.к. риск несистематический связан в основном с действием субъективных факторов и его заранее просчитать нельзя).
Сопоставление расчетных значений уровня систематического риска и уровня ожидаемой инвестиционной прибыли по объекту инвестирования позволяет определить насколько компенсируется соответствующий инвестиционный риск по нему.
5. Уровень ликвидности инвестиций характеризует их потенциальную способность в короткое время и без существенных финансовых потерь конверсироваться в денежные активы. Как видно из данного определения, при оценке уровня ликвидности тех или иных объектов инвестирования используются два основных критерия — время конверсии данного объекта инвестиций в денежные активы и размер финансовых потерь инвестора, связанных с этой конверсией.
Оценка ликвидности инвестиции измеряется обычно в количестве дней, необходимых для реализации на рынке того или иного объекта инвестирования (или коэффициентом ликвидности инвестиций, представляющим собой частное от деления единицы на число дней их конверсии в денежные активы). В инвестиционной практике по этому критерию отдельные объекты инвестирования классифицируются следующим образом: а) срочноликвид-ные (со сроком конверсии до 7 дней); б) высоколиквидные (с возможным сроком реализации от 8 до 30 дней); в) среднеликвидные (такие объекты реализуются в срок от одного до трех месяцев); г) слаболиквидные (срок возможной реализации которых составляет свыше трех месяцев).
Оценка ликвидности инвестиций по уровню финансовых потерь характеризуется размером этих потерь к сумме инвестированного капитала. По этому критерию
финансовые потери классифицируются следующим образом: а) низкче (если их уровень составляет не более 5% к сумме инвестированных средств); б) средние (если этот показатель колеблется в пределах 6-10%); в) высокие (если этот показатель составляет 1120%); г) очень высокие (если ихуровень превышает 20%).
Следует отметить, что показатели ликвидности инвестиций по времени и уровню финансовых потерь находятся между собой в обратной связи (см. рисунок 13.8.):

Рисунок 13.8. Характер зависимости между временем продажи объекта инвестирования и уровнем финансовых потерь.
Экономическое содержание этой связи заключается в том, что если инвестор соглашается на больший уровень финансовых потерь при реализации объекта инвестиций, он быстрее может его реализовать и наоборот. Наличие такой связи позволяет инвестору не только оценивать уровень ликвидности объектов инвестиций, но и управлять процессом их конверсии в денежные активы, варьируя показатель уровня финансовых потерь.
Экономическое поведение инвестора направлено на подбор высоколиквидных объектов инвестирования, что при прочих равных условиях обеспечивает ему большую возможность маневра реинвестирования капитала в более прибыльные объекты. Для того, чтобы инвестор был заинтересован в выборе средне- и слаболиквидных объектов инвестирования, он должен получать определенные экономические стимулы в виде дополнительной суммы инвестиционной прибыли.
Чем ниже уровень ликвидности объекта инвестирования, тем выше при прочих равных условиях должен быть размер этой дополнительной инвестиционной прибыли или "премии за ликвидность" [liquidity premium}. Графически эта зависимость представлена на рисунке 13.9.:
Рисунок 13.9. Зависимость общей и дополнительной суммы инвестиционной прибыли от уровня ликвидности инвестиций.
Зависимость между уровнем ликвидности инвестиций и уровнем инвестиционной прибыли (или премии за ликвидность) может быть проиллюстрирована на примере депозитных вкладов. Наименьшая ставка депозитного процента установлена по вкладам до востребования, которые могут быть изъяты инвестором в любой момент; при срочных вкладах на период не менее шести месяцев ставка депозитного процента увеличивается, а при срочных вкладах на период не менее одного года она достигает максимальных размеров для этого объекта инвестирования.
6. Индивидуальные особенности объекта инвестирования являются завершающим элементом модели формирования инвестиционной прибыли. Если ранее рассмотренные элементы формирования инвестиционной прибыли имели объективную общепринятую основу для определения уровня инвестиционной прибыли, то индивидуальные особенности объекта инвестирования могут отвечать целям стратегического их отбора инвестором вне зависимости от уровня их прибыльности. При этом уровень инвестиционной прибыли может отклоняться от объективных его стандартов как в большую сторону (например, если рыночная стоимость объекта инвестирования недооценена их продавцом), так и в меньшую (если инвестор согласен на потерю определенной части прибыли ради решения других стратегических задач, например, для проникновения на другой региональный рынок).
Индивидуальные особенности объекта инвестирования представляют собой предмет конкретной оценки его инвестиционных качеств, методика которой будет рассмотрена далее в разрезе конкретных видов этих объектов.
Таким образом, модель формирования уровня инвестиционной прибыли по отдельным объектам инвестирования может быть представлена в следующем виде:


где ИП — сумма инвестиционной прибыли по конкретному объекту инвестирования; НПм — сумма минимальной нормы прибыли на инвестируемый капитал (определяемая по ставке минимальной нормы прибыли на капитал на денежном рынке); П,—сумма инфляционной премии; П
р — сумма премии за риск; П
л —сумма премии за ликвидности; ИО
п — отклонения суммы прибыли по индивидуальному объекту инвестирования от среднерыночных условий ее формирования; /' — процентная ставка, принимаемая для наращения суммы прибыли, выраженная десятичной дробью; и — продолжительность процесса инвестирования, выраженная количеством периодов, по которым будет получена инвестиционная прибыль. Предложенная модель формирования инвестиционной прибыли апробирована автором в процессе сотрудничества с рядом инвестиционных компаний.
Глава 14. Управление формированием прибыли в процессе реального инвестирования
14.1. ВЫБОР ФОРМРЕАЛЬНЫХИНВЕСТИЦИЙИ ОБОСНОВАНИЕ
ИНВЕСТИЦИОННЫХ ПРОЕКТОВ
Основу инвестиционной деятельности предприятия составляет реальное инвестирование. На большинстве предприятий реальное инвестирование является в современных условиях единственным направлением инвестиционной деятельности. Это определяет высокую роль управления формированием прибыли в процессе реального инвестирования, выбора наиболее эффективных его форм.
Осуществление реальных инвестиций характеризуется рядом особенностей, основными из которых являются:
Реальное инвестирование является главной формой реализации стратегии экономического развития предприятия. Основная цель этого развития обеспечивается осуществлением высокоэффективных реальных инвестиционных проектов, а сам процесс стратегического развития предприятия представляет собой не что иное, как совокупность реализуемых во времени этих инвестиционных проектов. Именно эта форма инвестирования позволяет предприятию успешно проникать на новые товарные и региональные рынки, обеспечивать постоянное возрастание своей рыночной стоимости.
Реальное инвестирование находится в тесной взаимосвязи с операционной деятельностью предприятия.
Задачи увеличения объема производства и реализации продукции, расширения ассортимента производимых изделий и повышения их качества, снижения текущих операционных затрат решаются, как правило, в результате реального инвестирования. В свою очередь, от реализованных предприятием реальных инвестиционных проектов во многом зависят параметры будущего операционного процесса, потенциал возрастания объемов его операционной деятельности.
Реальные инвестиции обеспечивают, как правило, более высокий уровень рентабельности в сравнении с финансовыми инвестициями. Эта способность генерировать большую норму прибыли является одним из побудительных мотивов к предпринимательской деятельности в реальном секторе экономики.
Реализованные реальные инвестиции обеспечивают предприятию устойчивый чистый денежный поток. Этот чистый денежный поток формируется за счет амортизационных отчислений от основных средств и нематериальных активов даже в те периоды, когда эксплуатация реализованных инвестиционных проектов не приносит предприятию прибыль.
Реальные инвестиции подвержены высокому уровню риска морального старения. Этот риск сопровождает инвестиционную деятельность как на стадии реализации реальных инвестиционных проектов, так и на стадии постинвестиционной их эксплуатации. Стремительный технологический прогресс сформировал тенденцию к увеличению уровня этого риска в процессе реального инвестирования.
Реальные инвестиции имеют высокую степень проти-воинфляционной защиты. Опыт показывает, что в условиях инфляционной экономики темпы роста цен на многие объекты реального инвестирования не только соответствуют, но во многих случаях даже обгоняют темпы роста инфляции, реализуя ажиотажный инфляционный спрос предпринимателей на материализованные объекты предпринимательской деятельности.
Реальные инвестиции являются наименее ликвидными. Это связано с узкоцелевой направленностью большинства форм этих инвестиций, практически не имеющих в незавершенном виде альтернативного хозяйственного применения. В связи с этим компенсировать в финансовом отношении неверные управленческие решения, связанные с началом осуществления реальных инвестиций, крайне сложно.
Реальные инвестиции осуществляются предприятиями в разнообразных формах, основными из которых являются (рис. 14.1.).
—-Гм-
Приобретение
целостных
имущественных
комплексов
|
|
--
Новое
строительство
|
|
--.ЦДУ-
Перепрофили
рование
|
|
|
//___
|
|
|
Инвестирование прироста запасов материальных оборотных активов
|
// швпип \ РЕЙАЫШ! I
|
л
Реконструкция
|
_0U-X
|
|
ПЛШДЛПГІЮППЯ
. : . .. . :. •
|
•М'ІЬГІі? ЛЛ_if R \?____
|
Инновационное инвестирование в нематериальные активы
|
|
Обновление отдельных видов оборудования
|
*1;
|
Модернизация
|
Рисунок 14.1. Основные формы реального инвестирования.
1. Приобретение целостных имущественных комплексов. Оно
представляет собой инвестиционную операцию крупных предприятий, обеспечивающую отраслевую, товарную или региональную диверсификацию ихдеятельности. Эта форма реальных инвестиций обеспечивает обычно "эффект синергизма", который заключается в возрастании совокупной стоимости активовобоих предприятий (в сравнении с их балансовой стоимостью) за счет возможностей более эффективного использования их общего финансового потенциала, взаимодополнения технологий и номенклатуры выпускаемойпродукции, возможностей снижения уровня операционных затрат, совместного использования сбытовой сетина различных региональных рынках и других аналогичных факторов.
2. Новое строительство. Оно представляет собойинвестиционную операцию, связанную со строительствомнового объекта с законченным технологическим циклом по индивидуально разработанному или типовомупроекту на специально отводимых территориях. К новомустроительству предприятие прибегает при кардинальномувеличении объемов своей операционной деятельностив предстоящем периоде, ее отраслевой, товарной или
региональной диверсификации (создании филиалов, дочерних предприятий и т.п.).
Перепрофилирование. Оно представляет собой инвестиционную операцию, обеспечивающую полную смену технологии производственного процесса для выпуска новой продукции.
Реконструкция. Она представляет собой инвестиционную операцию, связанную с существенным преобразованием всего производственного процесса на основе современных научно-технических достижений. Ее осуществляют в соответствии с комплексным планом реконструкции предприятия в целях радикального увеличения его производственного потенциала, существенного повышения качества выпускаемой продукции, внедрения ресурсосберегающих технологий и т.п. В процессе реконструкции может осуществляться расширение отдельных производственных зданий и помещений (если новое технологическое оборудование не может быть размещено в действующих помещениях); строительство новых зданий и сооружений того же назначения вместо ликвидируемых на территории действующего предприятия, дальнейшая эксплуатация которых по технологическим или экономическим причинам признана нецелесообразной.
Модернизация. Она представляет собой инвестиционную операцию, связанную с совершенствованием и приведением активной части производственных основных средств в состояние, соответствующее современному уровню осуществления технологических процессов, путем конструктивных изменений основного парка машин, механизмов и оборудования, используемых предприятием в процессе операционной деятельности.
6. Обновление отдельных видов оборудования. Онопредставляет собой инвестиционную операцию, связанную с заменой (в связи с физическим износом) или дополнением (в связи с ростом объемов деятельности илинеобходимостью повышения производительности труда)имеющегося парка оборудования отдельными новымиих видами, не меняющими общей схемы осуществления технологического процесса. Обновление отдельныхвидов оборудования характеризует в основном процесспростого воспроизводства активной части производственных основных средств.
Инновационное инвестирование в нематериальные активы. Оно представляет собой инвестиционную операцию, направленную на использование в операционной и других видах деятельности предприятия новых научных и технологических знаний в целях достижения коммерческого успеха. Инновационные инвестиции в нематериальные активы осуществляются в двух основных формах: а) путем приобретения готовой научнотехнической продукции и других прав (приобретение патентов на научные открытия, изобретения, промышленные образцы и товарные знаки; приобретение ноу-хау; приобретение лицензий на фрэнчайзинг и т.п.); б) путем разработки новой научнотехнической продукции (как в рамках самого предприятия, так и по его заказу соответствующими инжиниринговыми фирмами). Осуществление инновационного инвестирования в нематериальные активы позволяет существенно повысить технологический потенциал предприятия во всех сферах его хозяйственной деятельности.
Инвестирование прироста запасов материальных оборотных активов. Оно представляет собой инвестиционную операцию, направленную на расширение объема используемых операционных оборотных активов предприятия, обеспечивающую тем самым необходимую пропорциональность (сбалансированность) в развитии внеоборотных и оборотных операционных активов в результате осуществления инвестиционной деятельности. Необходимость этой формы инвестирования связана с тем, что любое расширение производственного потенциала, обеспечиваемое ранее рассмотренными формами реального инвестирования, определяет возможность выпуска дополнительного объема продукции. Однако эта возможность может быть реализована только при соответствующем расширении объема использования материальных оборотных активов отдельных видов (запасов сырья, материалов, полуфабрикатов, малоценных и быстроизнашивающихся предметов и т.п.).
Все перечисленные формы реального инвестирования могут быть сведены к трем основным его направлениям: капитальному инвестированию или капитальным вложениям (первые шесть форм); инновационному инвестированию (седьмая форма) и инвестированию прироста оборотных активов (восьмая форма).
Выбор конкрентных форм реального инвестирования предприятия определяется задачами отраслевой, товарной и региональной диверсификации его деятельности (направленными на расширение объема операционного дохода), возможностями внедрения новых ресурсо- и трудосберегающих технологий (направленными на снижение уровня операционных затрат), а также потенциалом формирования инвестиционных ресурсов (капитала в денежной и иных формах, привлекаемого для осуществления вложений в объекты реального инвестирования).
Все формы реального инвестирования проходят три основные стадии (фазы), составляющие в совокупности цикл этого инвестирования:
• прединвестиционная стадия, в процессе которойразрабатываются варианты альтернативных инвестиционных решений, проводится их оценка и принимается креализации конкретный их вариант;
о инвестиционная стадия, в процессе которой осуществляется непосредственная реализация принятого инвестиционного решения;
• постинвестиционная стадия, в процессе которойобеспечивается контроль за достижением предусмотренных параметров инвестиционных решений в процессеэксплуатации объекта инвестирования.
Основу прединвестиционной стадии цикла реального инвестирования составляет подготовка инвестиционного проекта (аналогом этого термина выступают "бизнес-план", "технико-экономическое обоснование" и др).
Инвестиционный проект представляет собой основной документ, определяющий необходимость осуществления реального инвестирования, в котором в общепринятой последовательности разделов излагаются основные характеристики проекта и финансовые показатели, связанные с его реализацией.
Для таких форм реального инвестирования как обновление отдельных видов оборудования, приобретение отдельных видов нематериальных активов, увеличение запасов материальных оборотных активов, которые, как правило, не требуют высоких инвестиционных затрат, обоснование инвестиционных проектов носит форму
внутреннего служебного документа (докладной записки, заявки и т.п.)) в котором излагаются мотивация, объектная направленность, необходимый объем инвестирования, а также ожидаемая его эффективность.
При осуществлении таких форм реального инвестирования, как приобретение целостных имущественных комплексов, новое строительство, перепрофилирование, реконструкция и широкомасштабная модернизация предприятия, требования к подготовке инвестиционного проекта существенно возрастают. Это связано с тем, что в современных экономических условиях предприятия не могут обеспечить свое стратегическое развитие только за счет внутренних финансовых ресурсов и привлекают на инвестиционные цели значительный объем средств за счет внешних источников финансирования. В то же время любой крупный сторонний инвестор или кредитор должен иметь четкое представление о стратегической концепции проекта; его масштабах; важнейших показателях маркетинговой, экономической и финансовой его результативности; объеме необходимых инвестиционных затрат и сроках их возврата и других его характеристиках. Разработанный реальный инвестиционный проект позволяет сначала собственникам и менеджерам предприятия, а затем и сторонним инвесторам всесторонне оценить целесообразность его реализации и ожидаемую эффективность.
Разрабатываемые в разрезе отдельных форм реального инвестирования предприятия инвестиционные проекты классифицируются по ряду признаков (рис. 14.2.).
В зависимости от видов инвестиционных проектов, изложенных в рассматриваемой их классификации, дифференцируются требования к их разработке.
Для небольших инвестиционных проектов, финансируемых предприятием за счет внутренних источников, обоснование осуществляется по сокращенному кругу разделов и показателей. Такое обоснование может содержать лишь цель осуществления инвестиционного проекта, его основные параметры, объем необходимых финансовых средств, показатели эффективности осуществляемых инвестиций, а также схему (календарный план) реализации инвестиционного проекта.

|
Рисунок 14.2. Классификация инвестиционных проектов предприятия по
|
основным признакам.
™- Для средних и крупных инвестиционных проектов, финансирование реализации которых намечается за счет внешних источников, необходимо полномасштабное обоснование по соответствующим национальным и международным стандартам. Такое обоснование инвестиционных проектов подчинено определенной логической структуре, которая носит унифицированный характер в большинстве стран с развитой рыночной экономикой (отклонения от этой общепринятой структуры вызываются лишь отраслевыми особенностями и формами осуществления реальных инвестиций).
В соответствии с рекомендациями ЮНИДО (Организации Объединенных Наций по Промышленному Развитию) инвестиционный проект должен содержать следующие основные разделы (рис. 14.3.).

Рисунок 14.3. Структура разрабатываемого инвестиционного проекта предприятия в разрезе основных разделов.
Краткая характеристика проекта (или его резюме). В этом разделе содержатся выводы по основным аспектам разработанного проекта после рассмотрения всех альтернативных вариантов, когда концепция проекта, ее обоснование и формы реализации уже определены. Ознакомившись с этим разделом, инвестор должен сделать вывод о том, отвечает ли проект направленности его инвестиционной деятельности и инвестиционной стратегии, соответствует ли он потенциалу его инвестиционных ресурсов, устраивает ли его проект по периоду реализации и срокам возврата вложенного капитала и т.п.
Предпосылки и основная идея проекта. В этом разделе перечисляются наиболее важные параметры проекта, которые служат определяющими показателями для его реализации, рассматривается регион расположения проекта в увязке с рыночной и ресурсной средой, приводится график реализации проекта и характеризуется его инициатор.
Анализ рынка и концепция маркетинга. В нем излагаются результаты маркетинговых исследований, обосновывается концепция маркетинга и разрабатывается проект его бюджета.
Сырье и поставки. Этот раздел содержит классификацию используемых видов сырья и материалов, объем потребности в них, наличие основного сырья в регионе и обеспеченность им, программу поставок сырья и материалов и связанные с ними затраты.
Месторасположение, строительный участок и окружающая среда. В этом разделе подробно описываются месторасположение проекта, характер естественной окружающей среды, степень воздействия на нее при реализации проекта, социально-экономические условия в регионе и инвестиционный климат, состояние производственной и коммерческой инфраструктуры, выбор строительного участка с учетом рассмотренных альтернатив, оценка затрат по освоению строительного участка.
6. Проектирование и технология. Этот раздел должен содержать производственную программу и характеристику производственной мощности предприятия;выбор технологии и предложения по ее приобретениюили передаче; подробную планировку предприятия и основные проектно-конструкторские работы; перечень необходимых машин и оборудования и требования к их
техническому обслуживанию; оценку связанных с этим инвестиционных затрат.
Организация управления. В этом разделе приводится организационная схема и система управления предприятием; обосновывается конкретная организационная структура управления по сферам деятельности и центрам ответственности;
рассматривается подробная смета накладных расходов, связанных с организацией управления.
Трудовые ресурсы. Этот раздел содержит требования к категориям и функциям персонала, оценку возможностей его формирования в рамках региона, организацию набора, план обучения работников и оценку связанных с этим затрат.
Планирование реализации проекта. В этом разделе обосновываются отдельные стадии осуществления проекта, приводится график его реализации, разрабатывается бюджет реализации проекта.
10. Финансовый план и оценка эффективности инвестиций. Этот раздел содержит финансовый прогноз и основные виды финансовых планов, совокупный объем инвестиционных затрат, методы и результаты оценки эффективности инвестиций, оценку инвестиционных рисков.
Разработка инвестиционных проектов предприятия может быть осуществлена с помощью специальных компьютерных программ — COMFAR, PROJECT EXPERT и других.
14.2. ОЦЕНКА ЭФФЕКТИВНОСТИРЕАЛЬНЫХ ИНВЕСТИЦИОННЫХ
ПРОЕКТОВ
В системе управления прибылью при осуществлении реального инвестирования оценка эффективности инвестиционных проектов представляет собой один из наиболее ответственных этапов. От того, насколько объективно и всесторонне проведена эта оценка, зависят сроки возврата вложенного капитала, варианты альтернативного его использования, дополнительно генерируемый поток прибыли предприятия в предстоящем периоде. Эта объективность и всесторонность оценки эффективности инвестиционных проектов в значительной мере определяется использованием современных методов ее проведения.
Рассмотрим базовые принципы и методические подходы, используемые в современной практике оценки эффективности реальных инвестиционных проектов. Основные из таких принципов заключаются в следующем:
Оценка эффективности реальных инвестиционных проектов должна осуществляться на основе сопоставления объема инвестиционных затрат, с одной стороны, и сумм и сроков возврата инвестированного капитала, с другой. Это общий принцип формирования системы оценочных показателей эффективности, в соответствии с которым результаты любой деятельности должны быть сопоставлены с затратами (примененными ресурсами) на ее осуществление. Применительно к инвестиционной деятельности он реализуется путем сопоставления прямого и возвратного потоков инвестируемого капитала.
Оценка объема инвестиционных затрат должна охватывать всю совокупность используемых ресурсов, связанных с реализацией проекта. В процессе оценки должны быть учтены все прямые и непрямые затраты денежных средств (собственных и заемных), материальных и нематериальных активов, трудовых и других видов ресурсов. Как показывает современная практика в большинстве случаев оценка объема инвестиционных затрат не отражает непрямые расходы, связанные с подготовкой проекта к реализации, формированием необходимого объема инвестиционных ресурсов, контролем за реализацией проекта и т.п. Это не позволяет осуществлять сопоставимую оценку эффективности инвестиционных проектов.
Оценка возврата инвестируемого капитала должна осуществляться на основе показателя "чистого денежного потока" [net cash flow]. Этот показатель формируется за счет сумм чистой прибыли и амортизационных отчислений в процессе эксплуатации инвестиционного проекта. При проведении различных видов оценки этот показатель может рассматриваться как среднегодовой, так и дифференцированный по отдельным периодам эксплуатации инвестиционного проекта.
В процессе оценки суммы инвестиционных затрат и чистого денежного потока должны быть приведены к настоящей стоимости. На первый взгляд кажется, что инвестиционные затраты по отношению к чистому денежному потоку всегда выражены в настоящей стоимости, так как
значительно предшествуют ему. В реальной практике это не так — процесс инвестирования в большинстве случаев осуществляется не одномоментно, а проходит ряд этапов. Поэтому, за исключением первого этапа, все последующие суммы инвестиционных затрат должны приводиться к настоящей стоимости (с дифференциацией каждого последующего этапа инвестирования). Точно так же должна приводиться к настоящей стоимости и сумма чистого денежного потока (по отдельным этапам его формирования).
5. Выбор дисконтной ставки в процессе приведения отдельных показателей к настоящей стоимости должен быть дифференцирован для различных инвестиционных проектов. В процессе такой дифференциации должны быть учтены уровень риска, ликвидности и другие индивидуальные характеристики реального инвестиционного проекта.
С учетом вышеизложенных принципов рассмотрим методы оценки эффективности реальных инвестиционных проектов на основе различных показателей. Система этих показателей приведена на рис. 14.4.

Рисунок 14.4. Система основных показателей, используемых в процессе оценки эффективности реальных инвестиционных проектов.
Выше изложена система всех основных показателей, используемых в практике инвестиционного менеджмента для оценки эффективности реальных инвестиционных
проектов. Вместе с тем, в зависимости от метода учета фактора времени в осуществлении инвестиционных затрат и получении возвратного инвестиционного потока все рассмотренные показатели подразделяются на две основные группы — дисконтные и статические (бухгалтерские).
Показатели оценки эффективности реальных инвестиционных проектов, основанные на дисконтных методах расчета предусматривают обязательное дисконтирование инвестиционных затрат доходов по отдельным интервалам рассматриваемого периода. В то же время показатели оценки, основанные на статических (бухгалтерских) методах расчета, предусматривают использование в расчетах бухгалтерских данных об инвестиционных затратах и доходах без их дисконтирования во времени. Распределение рассмотренной системы показателей оценки эффективности реальных инвестиционных проектов по этому признаку приведено на рис. 14.5.
ОСНОВНЫЕ ПОКАЗАТЕЛИ ОЦЕНКИ ЭФФЕКТИВНОСТИ РЕАЛЬНЫХ ИНВЕСТИЦИОННЫХ ПРОЕКТОВ
Определяемые на основе статических методов расчета
|
|
|
Чистый приведенный
ДОХОД
|
|
|
Период окупаемости
недисконтированный
|
Определяемые на основе дисконтных методов расчета
|
|
|
Чистый приведенный доход
|
|
|
Индекс (коэффициент)
доходности
|
|
|
Период окупаемости дисконтированный
|
|
|
Внутренняя ставка доходности
|
Рисунок 14.5. Группировка основных показателей оценки эффективности реальных инвестиционных проектов по используемым методам расчета.
В современной инвестиционной практике показатели оценки эффективности реальных проектов, основанные на использовании дисконтных методов расчета, являются преобладающими. Они обязательно должны рассчитываться по всем средним и крупным реальным инвестиционным проектам, реализация которых носит долгосрочный характер. Показатели, основанные на использовании статических методов расчета, применяются, как правило, для оценки эффективности небольших краткосрочных реальных инвестиционных проектов.
Рассмотрим более подробно методику расчета и условия использования основных показателей оценки эффективности реальных инвестиционных проектов.
1. Чистый приведенный доход [net present value, NPV] позволяет получить наиболее обобщенную характеристику результата инвестирования, т.е. его конечный эффект в абсолютной сумме. Под чистым приведенным доходом понимается разница между приведенными к настоящей стоимости суммой чистого денежного потока за период эксплуатации инвестиционного проекта и суммой инвестиционных затрат на его реализацию. Расчет этого показателя при единовременном осуществлении инвестиционных затрат осуществляется по формуле:

где ЧПДе — сумма чистого приведенного дохода по инвестиционному проекту при единовременном осуществлении инвестиционных затрат; ЧЦЩ — сумма чистого денежного потока по отдельным интервалам общего периода эксплуатации инвестиционного проекта (если полный период эксплуатации инвестиционного проекта определить сложно, его принимают в расчетах в размере 5 лет); ИЗе — сумма единовременных инвестиционных затрат на реализацию инвестиционного проекта, i — используемая дисконтная ставка, выраженная
десятичной дробью п — число интервалов в общем расчетном периоде t Пример: Предприятие располагает двумя альтернативными вариантами
инвестиционных проектов — проектом "А " и проектом "Б". Для оценки эффективности этих проектов необходимо определить ожидаемую сумму чистого приведенного дохода по ним. Данные, характеризующие эти проекты, приведены в табл. 14.1.
Таблица 14.1. Данные инвестиционных проектов, необходимые для
расчета показателя чистого приведенного дохода
Показатели
|
Инвестиционные
|
|
ппоекты.
|
|
|
"А"
|
"Б"
|
1. Объем инвестируемых
|
7000
|
6700
|
средств, долл. США
2. Период эксплуатации
|
2 10 000
|
411000
|
инвестиционного проекта, лет 3. Сумма чистого
в.т.ч. 1-й год
|
6 000
|
2 000
|
2-й год i
|
4 000
|
3 000
|
3-й год
|
—
|
3 000
|
4-й год
|
—
|
3 000
|
Для дисконтирования сумм денежного потока проекта "А " ставка процента принята в размере 10%, а проекта "Б" — 12% (в связи с более продолжительным сроком его реализации). Результаты дисконтирования денежного потока приведены в табл. 14.2.
Таблица 14.2. Расчет настоящей стоимости чистых денежных
потоков по инвестиционный проектам
Боды
|
Инвестиционные проекты
|
"А"
|
"Б"
|
Будущая
стоимост
|
« <4
I і
§ 1
у с
а :
з а
|
Настоящ
ая
|
S
1 § зг I
^ I ^ §
|
« <4
S § * ? §
у с
а -а г 3 5
|
3“
§
3
а
|
1-й год
|
6000
|
0,909
|
5454
|
2000
|
0,893
|
1786
|
2-й год
|
4000
|
0,826
|
3304
|
3000
|
0,797
|
2391
|
3-й год
|
—
|
—
|
—
|
3000
|
0,712
|
2135
|
4-й год
|
|
—
|
—
|
3000
|
0,636
|
1908
|
Итого
|
10000
|
—
|
8758
|
11000
|
—
|
8221
|
С учетом рассчитанной настоящей стоимости чистых денежных потоков определим чистый приведенный доход. По первому инвестиционному проекту он составит: 8758 — 7000 = 1758 долл. США. По второму инвестиционному проекту он составит: 8221 - 6700 = 1521 долл. США.
Таким образом сравнение показателей чистого приведенного дохода по рассматриваемым инвестиционным проектам показывает, что проект "А" является более эффективным, чем проект "Б " (хотя по проекту "А"сумма инвестируемых средств больше, а их отдача в виде будущего денежного потока меньше, чем по проекту "Б").
Если инвестиционные затраты, связанные с предстоящей реализацией инвестиционного проекта, осуществляются в несколько этапов, расчет показателя чистого приведенного дохода производится по следующей формуле:

где ЧПДм — сумма чистого приведенного дохода по инвестиционному проекту при многократном осуществлении инвестиционных затрат; ЧПД/ — сумма чистого денежного потока по отдельным интервалам общего периода эксплуатации инвестиционного проекта; ИЗ/ — сумма инвестиционных затрат по отдельным интервалам общего периода реализации инвестиционного проекта; , ' / — используемая дисконтная ставка, выраженная десятичной дробью; п — число интервалов в общем расчетном периоде t.
Характеризуя показатель "чистый приведенный доход" следует отметить, что он может быть использован не только для сравнительной оценки эффективности реальных инвестиционных проектов, но и как критерий целесообразности их реализации. Независимый инвестиционный проект, по которому показатель чистого приведенного дохода является отрицательной величиной или равен нулю, должен быть отвергнут, так как он не принесет предприятию дополнительный доход на вложенный капитал. Незвисимые инвестиционные проекты с положительным значением показателя чистого приведенного дохода позволяют увеличить капитал предприятия и его рыночную стоимость. Из системы взаимоисключающих инвестиционных проектов принимается тот из них, по которому значение показателя чистого приведенного дохода является наивысшим.
2. Индекс (коэффициент) доходности также позволяет соотнести объем инвестиционных затрат с предстоящим чистым денежным потоком по проекту. Расчет такого показателя при единовременных инвестиционных затратах по реальному проекту осуществляется по следующей формуле:

где ИДе — индекс (коэффициент) доходности по инвестиционному проекту при единовременном осуществлении инвестиционных затрат; ЧДП/ — сумма чистого денежного потока по отдельным интервалам общего периода эксплуатации инвестиционного проекта; ИЗе — сумма единовременных инвестиционных затрат на реализацию инвестиционного проекта; / — используемая дисконтная ставка, выраженная десятичной дробьющ — число интервалов в общем расчетном пери-* оде t.
[v< Пример: Используя данные порассмотренным
ранее двум инвестиционным проектам, определим индекс доходности по ним. По проекту "А " индекс
, 3 8758 ,
доходности составит: = 1,25. По проекту
7000
"Б" индекс доходности составит: ,_„„ = 1,23.
Сравнение инвестиционных проектов по показателю "индекс доходности" показывает, что проект "А " является более эффективным.
Если инвестиционные затраты, связанные с предстоящей реализацией инвестиционного проекта, осуществляются в несколько этапов, расчет индекса (коэффициента) доходности производится по следующей формуле:

где ИДМ — индекс (коэффициент) доходности по инвестиционному проекту при многократном осуществлении инвестиционных затрат; ЧДП, — сумма чистого денежного потока по отдельным интервалам общего периода эксплуатации инвестиционного проекта; ИЗ/ — сумма инвестиционных затрат по отдельным интервалам общего эксплуатационного периода; i — используемая дисконтная ставка, выраженная
десятичной дробью; я — число интервалов в общем расчетном периоде t. Показатель "индекс доходности" также может быть использован не только для сравнительной оценки, но и в качестве критериального при принятии инвестиционного решения о возможностях реализации проекта. Если значение индекса доходности меньше единицы или равно ей, независимый инвестиционный проект должен быть отвергнут в связи с тем, что он не принесет дополнительный доход на инвестированные средства. Иными словами, для реализации могут быть приняты реальные инвестиционные проекты только со значением показателя индекса доходности выше единицы. По взаимоисключающим инвестиционным проектам по этому критерию выбирается тот из них, по которому индекс доходности является наивысшим.
3. Индекс (коэффициент) рентабельности в процессе оценки эффективности инвестиционного проекта может играть лишь вспомогательную роль, так как не позволяет в полной мере оценить весь возвратный инвестиционный поток по проекту (значительную часть этого потока составляют амортизационные отчисления) и не соизмеряет анализируемые показатели во времени. Расчет этого показателя осуществляется по формуле:
ЧП
И
из ’
где ИРи —индекс рентабельности по инвестиционному проекту; ЧПи — среднегодовая сумма чистой инвестиционной прибыли за период эксплуатации проекта; ИЗ — сумма инвестиционных затрат на реализацию инвестиционного проекта.
Показатель "индекс рентабельности"позволяет вычленить в совокупном чистом денежном потоке важнейшую его составляющую — сумму инвестиционной прибыли. Кроме того, он позволяет осуществить сравнительную оценку уровня рентабельности инвестиционной и операционной деятельности (если инвестиционные ресурсы сформированы за счет собственных и заемных средств, индекс рентабельности инвестиций сравнивается с коэффициентом рентабельности активов; если же инвестиционные ресурсы сформированы исключительно за счет собственных финансовых средств, то базой сравнения выступает коэффициент рентабельности собственного капитала). Результаты сравнения позволяют определить: дает ли возможность реализация инвестиционного проекта повысить общий уровень эффективности операционной деятельности предприятия в предстоящем периоде или снизит его, что также является одним из критериев принятия инвестиционного решения.
4. Период окупаемости является одним из наиболее распространенных и понятных показателей оценки эффективности инвестиционного проекта. Расчет этого показателя может быть произведен двумя методами — статичным (бухгалтерским) и дисконтным.
Недисконтированный показатель периода окупаемости, определяемый статичным методом, рассчитывается по следующей формуле:
ПО
н
ИЗ
чдпг ’
где ПО
н — недисконтированный период окупаемости инвестиционных затрат по проекту; ИЗ —сумма инвестиционных затрат на реализацию проекта;
ЧДПг —среднегодовая сумма чистого денежного потока за период эксплуатации проекта (при краткосрочных реальных вложениях этот показатель рассчитывается как среднемесячный).
Соответственно дисконтированный показатель периода окупаемости определяется по следующей формуле:
'X
/=1
ПОд =ИЗ
Ечдп,
(1-*-/)”Xf '
где ПОд —дисконтированный период окупаемости единовременных инвестиционных затрат по проекту; ИЗе — сумма единовременных инвестиционных затрат на реализацию инвестиционного проекта; ЧДП, — сумма чистого денежного потока по отдельным интервалам общего периода эксплуатации инвестиционного проекта; / — используемая дисконтная ставка, выраженная десятичной дробью; п — число интервалов (лет, месяцев) в общем расчетном периоде V, г —общий расчетный период эксплуатации проекта (лет, месяцев).
Пример: Используя данные по рассмотренным ранее инвестиционным проектам, определим период окупаемости по ним. Для этого в первую очередь определим среднегодовую сумму чистого денежного потока в настоящей стоимости. По проекту "А "
07СО
она составит: = 4379 долл. США, а по про-2 8221
екту "Б" — соответственно:-= 2055 долл.
4 США. С учетом среднегодовой стоимости чистого денежного потока период окупаемости по проекту "А" составит: = 1,6 года, а по проекту "Б":
6700 4379
— = 3,3 года.
Сравнение инвестиционных проектов по показателю "период окупаемости " свидетельствует о существенных преимуществах проекта "А" перед проектом "Б " (при сравнении проектов по показателям "чистый приведенный доход" и "индекс доходности " эти преимущества были менее заметными).
Показатель "периода окупаемости" используется обычно для сравнительной оценки эффективности проектов, но может быть принят и как критериальный (в этом случае инвестиционные проекты с более высоким периодом окупаемости будут предприятием отвергаться). Основным недостатком этого показателя является то, что он не учитывает те чистые денежные потоки, которые формируются после периода окупаемости инвестиционных затрат (см. рис. 14.6). Так, по инвестиционным проектам с длительным сроком эксплуатации после периода их окупаемости может быть получена гораздо большая сумма чистого денежного потока, чем по инвестиционным проектам с коротким сроком эксплуатации (при аналогичном и даже более быстром периоде окупаемости последних).

|
Рисунок 14.6. График формирования чистого денежного потока по реальному инвестиционному проекту в течение его полного жизненного цикла.
5. Внутренняя ставка доходности является наиболее сложным показателем оценки эффективности реальных инвестиционных проектов. Она характеризует уровень доходности конкретного инвестиционного проекта, выражаемый дисконтной ставкой, по которой будущая стоимость чистого денежного потока приводится к настоящей стоимости инвестиционных затрат. Внутреннюю ставку доходности можно охарактеризовать и как дисконтную ставку, по которой чистый приведенный доход в процессе дисконтирования будет приведен к нулю (т.е.
ВСД = /, при которой ЧПД = 0). Расчет этого показателя осуществляется исходя из следующей формулы:
|
f .даь—о.
й 0+ВСД)
где ВСД — внутренняя ставка доходности по инвестиционному проекту, выраженная десятичной дробью; ЧДП{ — сумма чистого денежного потока по отдельным интервалам общего периода эксплуатации инвестиционного проекта; и —число интервалов в общем расчетном периоде t. При расчете показателя внутренней ставки доходности предполагается полная капитализация всей суммы чистого денежного потока с предстоящим уровнем доходности, равному этому показателю.
Значение ВСД может быть определено по специальным таблицам финансовых вычислений.
Пример: Используя данные по рассмотренным ранее инвестиционным проектам, определим по ним внутреннюю ставку доходности. По проекту "А " нам необходимо найтиразмер дисконтной ставки, по которой настоящая стоимость денежного потока (8758 долл. США) за 2 года будет приведена к сумме инвестируемых средств (7000 долл. США). Размер этой ставки составляет 11,9%, который и представляет собой внутреннюю ставку доходности данного проекта. По проекту "Б" необходимо соответственно найти размер дисконтной ставки, по которой настоящая стоимость денежного потока (8221 долл. США) за 4 года будет приведена к сумме инвестируемых средств (6700 долл. США). Размер этой ставки составляет 5,2%, которая
также представляет собой внутреннюю ставку доходности данного проекта. Сопоставляя показатели внутренней ставки доходности, мы видим, что по проекту "А " она более чем вдвое выше, чем по проекту "Б", что свидетельствует о существенных преимуществах проекта "А " при его оценке по этому показателю.
Показатель внутренней ставки доходности приемлем для сравнительной оценки не только в рамках рассматриваемых инвестиционных проектов, но и в более широком диапазоне (например, в сравнении с коэффициентом рентабельности операционных активов, коэффициентом рентабельности собственного капитала, уровнем доходности по альтернативным видам инвестирования — депозитным вкладам, приобретению государственных облигаций и т.п.)- На каждом предприятии может быть установлен в качестве целевого норматива показатель "минимальная внутренняя ставка доходности" и инвестиционные проекты с более низким его значением будут автоматически отклоняться как несоответствующие требованиям эффективностиреального инвестирования.
Все рассмотренные показатели оценки эффективности реальных инвестиционных проектов находятся между собой в тесной взаимосвязи и позволяют оценить эту эффективность с различных сторон. Поэтому при оценке эффективности реальных инвестиционных проектов предприятия их следует рассматривать в комплексе.
Если предприятие располагает рядом альтернативных реальных инвестиционных проектов, то по результатам оценки их эффективности разрабатывается сравнительная таблица, форма которой приведена в табл. 14.3.
При составлении сравнительной таблицы значения отдельных показателей эффективности приводятся в сопоставимых для всех проектов единицах измерения, а ранговая значимость показателей формируется на регрессионной основе (т.е. наименьшая ранговая значимость — "единица" — присваивается проекту с наилучшим значением рассматриваемого показателя оценки эффективности).
Обобщенная стравнительная оценка альтернативных инвестиционных проектов по критерию эффективности осуществляется двумя способами:
а) на основе суммированной ранговой значимостивсех рассматриваемых показателей (лучшими по этому критерию считаются проекты с наименьшей суммой рангов);
б) на основе отдельных из рассмотренных показателей, которые являются для предприятия приоритетными.
Таблица 14.3. Сравнительная таблица основных показателей
эффективности рассматриваемых реальных инвестиционных проектов
Перечень
рассматриваемы
X
инвестиционны
X
проектов
|
Показатели эффективности инвестиционных проектов
|
Чистый
приведенный
|
Индекс
доходности
|
Индекс
рентабельное
|
Период
окупаемости
|
Внутренняя
ставка
|
Количественное
значение
показателя
|
Ранговая
значимость в
системе
|
Количественное
значение
показателя
|
Ранговая
значимость в
системе
|
Количественное
значение
показателя
|
Ранговая
значимость в
системе
|
Количественное
значение
показателя
|
Ранговая
значимость в
системе
|
Количественное
значение
показателя
|
Ранговая
значимость в
системе
|
1
|
2
|
3
|
4
|
5
|
6
|
7
|
8
|
9
|
10
|
11
|
Проект 1
|
|
|
|
|
|
|
|
|
|
|
Проект 2
|
|
|
|
|
|
|
|
|
|
|
Проект 3
|
|
|
|
|
|
|
|
|
|
|
ит.д.
|
|
|
|
|
|
|
|
|
|
|
14.3. ОЦЕНКА РИСКОВ РЕАЛЬНЫХИНВЕСТИЦИОННЫХПРОЕКТОВ
Реальное инвестирование во всех его формах сопряжено с многочисленными рисками, степень влияния которых на его результаты существенно возрастает с переходом к рыночной экономике. Возрастание этого влияния связано с высокой изменчивостью экономической ситуации в стране, колеблемостью конъюнктуры инвестиционного рынка, появлением новых для нашей практики видов реальных инвестиционных проектов и форм их финансирования. Основу интегрированного риска реального инвестирования предприятия составляют так называемые проектные риски, т.е. риски, связанные с осуществлением реальных инвестиционных проектов предприятия. В системе показателей оценки таких проектов уровень риска занимает третье по значимости место, дополняя такие его показатели, как объем инвестиционных затрат и уровень чистой инвестиционной прибыли (чистого денежного потока).
Под риском реального инвестиционного проекта (проектным риском) понимается вероятность возникновения неблагоприятных финансовых последствий в форме потери ожидаемого инвестиционного дохода в ситуации неопределенности условий его осуществления.
Проектные риски предприятия характеризуются большим многообразием и в целях осуществления эффективного управления ими классифицируются по следующим основным признакам (рис. 14.7).
1. По видам. Этот классификационный признак проектных рисков является основным параметром их дифференциации в процессе управления. Характеристика конкретного вида риска одновременно дает представление о генерирующем его факторе, что позволяет "привязать" оценку степени вероятности возникновения и размера возможных финансовых потерь по данному виду проектного риска к динамике соответствующего фактора. Видовое разнообразие проектных рисков в классификационной их системе представлено в наиболее широком диапазоне. При этом следует отметить, что появление новых проектных и строительных технологий, использова-
КЛАССИФИКАЦИЯ ПРОЕКТНЫХ РИСКОВ ПРЕДПРИЯТИЯ
ЛЕ) ВИДОМ
ПО эталон
ОСУЩЕСТВЛЕНИЯ
ПРОЕКТА
Основные виды финансовых рисков предприятия рассматриваются ниже
Проектные риски прединвестиционнсго этапа Проектные риски инвестиционного этапа Проектные риски постинвестиционного этапа
ПО КОМПЛЕКСНОСТИ ИСШДОВПННЯ
ПО ИСТОЧНИКОМ ВОЗНИКНОВЕНИЯ
ПО ФИНАНСОВЫМ ПОСЛЕДСТВИЯМ
! ПО ИЯРЛКТЕРЗ
1 ПРОЯВЛЕНИЯ ВС ВРЕМЕНИ
: ПО УРОВНЮ : ФИНАНСОВЫМ ПОТЕРЬ
ПО ВОЗМОЖНОСТИ ПРЕДВИДЕНИЯ
ПО ВОЗМОЖНОСТИ СТРАХОВАНИЯ
Простой проектный риск Сложный проектный риск
Внешний или систематический риск Внутренний или несистематический риск
Риск, влекущий только экономические потери Риск, влекущий упущенную выгоду Риск, влекущий как экономические потери, так и дополнительные доходы
II -
Постоянный проектный риск Временный проектный риск
* Допустимый проектный риск ф Критический проектный риск I ф Катастрофический проектный риск
ф Прогнозируемый проектный риск • Непрогнозируемый проектный риск
ф Страхуемый проектный риск ф Нестрахуемый проектный риск
Рисунок. 14.7. Классификация проектных рисков реальных инвестиционных проектов предприятия по основным признакам.
ние новых инвестиционных товаров и другие инновационные факторы будут соответственно порождать и новые виды проектных рисков.
В современных условиях к числу основных видов проектных рисков предприятия относятся следующие (рис. 14.8).

|
Рисунок 14.8. Характеристика основных видов проектных рисков предприятия.
Риск снижения финансовой устойчивости (или риск нарушения равновесия финансового развития) предприятия. Этот риск генерируется несовершенством структуры
|
инвестируемого капитала (чрезмерной долей используемых заемных средств), порождающим несбалансированность положительного и отрицательного денежных потоков предприятия по реализуемым проектам. В составе проектных рисков по степени опасности (генерирования угрозы банкротства предприятия) этот вид риска играет ведущую роль.
Риск неплатежеспособности (или риск несбалансированной ликвидности) предприятия. Этот риск генерируется снижением уровня ликвидности оборотных активов, порождающим разбалансированность положительного и отрицательного денежных потоков по инвестиционному проекту во времени. По своим финансовым последствиям этот вид риска также относится к числу наиболее опасных.
Риск проектирования. Этот риск генерируется несовершенством подготовки бизнес-плана и проектных
работ по объекту предполагаемого инвестирования, связанным с недостатком информации о внешней инвестиционной среде, неправильной оценкой параметров внутреннего инвестиционного потенциала, использованием устаревшей техники и технологии, оказывающим влияние на показатели его предстоящей доходности.
в Строительный риск. Этот риск генерируется выбором недостаточно квалифицированных подрядчиком, использованием устаревших строительных технологий и материалов, а также другими причинами, вызывающими существенное превышение предусмотренных сроков строительно-монтажных работ по инвестиционному проекту.
* Маркетинговый риск. Он характеризует возможность существенного снижения предусмотренного инвестиционным проектом объема реализации продукции, уровня цен и другими факторами, приводящими к уменьшению объема операционного дохода и прибыли на стадии эксплуатации проекта.
о Риск финансирования проекта. Этот вид риска связан с недостаточным общим объемом инвестиционных ресурсов, необходимых для реализации проекта; несвоевременным поступлением инвестиционных ресурсов из отдельных источников; возрастанием средневзвешенной стоимости капитала, привлекаемого к инвестированию; несовершенством структуры источников формирования заемных финансовых средств.
© Инфляционный риск. В условиях инфляционной экономики он выделяется в самостоятельный вид проектных рисков. Этот вид риска характеризуется возможностью обесценения реальной стоимости капитала, а также ожидаемых доходов от осуществления инвестиционного проекта в условиях инфляции. Так как этот вид риска в современных условиях косит постоянный характер и сопровождает практически все финансовые операции по реализации реального инвестиционного проекта предприятия, в инвестиционном менеджменте ему уделяется постоянное внимание.
в Процентный риск. Он состоит в непредвиденном росте процентной ставки на финансовом рынке, приводящей к снижению уровня чистой прибыли по пероду. Причиной возникновения данного вида финансового риска (если элиминировать ранее рассмотренную инфляционную его составляющую) является изменение конъюнктуры инвестиционного рынка под воздействием государственного регулирования, рост или снижение предложения свободных денежныхресурсов и другие факторы.
• Налоговой риск. Этот вид проектного риска имеет ряд проявлений: вероятность введения новых видов налогов и сборов на осуществление отдельных аспектов инвестиционной деятельности; возможность увеличения уровня ставок действующих налогов и сборов; изменение сроков и условий осуществления отдельных налоговых платежей; вероятность отмены действующих налоговых льгот в сфере реального инвестирования предприятия. Являясь для предприятия непредсказуемым (об этом свидетельствует современная отечественная фискальная политика), он оказывает существенное воздействие на результаты реализации проекта.
в Структурный операционный риск. Этот вид риска генерируется неэффективным финансированием текущих затрат на стадии эксплуатации проекта, обуславливающим высокий удельный вес постоянных издержек в общей их сумме. Высокий коэффициент операционного левериджа при неблагоприятных изменениях конъюнктуры товарного рынка и снижении валового объема положительного денежного потока по операционной деятельности генерирует значительно более высокие темпы снижения суммы чистого денежного потока по инвестиционному проекту.
о Криминогенный риск. В сфере инвестиционной деятельности предприятий он проявляется в форме объявления его партнерами фиктивного банкротства; подделки документов, обеспечивающих незаконное присвоение сторонними лицами денежных и других активов, связанных с реализацией проекта; хищения отдельных видов активов собственным персоналом и другие. Значительные финансовые потери, которые в связи с этим несут предприятия на современном этапе при реализации инвестиционного проекта, обуславливают выделение криминогенного риска в самостоятельный вид проектных рисков.
е Прочие виды рисков. Группа прочих проектных рисков довольно обширна, но по вероятности возникновения или уровню финансовых потерь она не столь значима для предприятий, как рассмотренные выше. К ним относятся риски стихийных бедствий и другие аналогичные "форс-мажорные риски", которые могут привести не только к потере предусматриваемого дохода, но и части активов предприятия (основных средств; запасов товарно-материальных ценностей); риск несвоевременного осуществления расчетно-кассовых операций при финансировании проекта (связанный с неудачным выбором обслуживающего коммерческого банка); и другие.
2. По этапам осуществления проекта выделяют следующие группы проектных рисков:
в Проектные риска прединвестиционного этапа. Эти риски связаны с выбором инвестиционной идеи, подготовкой бизнес-планов, рекомендуемых к использованию инвестиционных товаров, обоснованностью оценки основных результативных показателей проекта.
Проектные риски инвестиционного этапа. В состав этой группы входят риски несвоевременного осуществления строительно-монтажных работ по проекту; неэффективный контроль за качеством этих работ; неэффективное финансирование проекта по стадиям его строительства; низкое ресурсное обеспечение выполняемых работ.
Проектные риски постинвестиционного (эксплуатационного) этапа. Эта группа рисков связана с несвоевременным выходом производства на предусмотренную проектную мощность; недостаточным обеспечением производства необходимыми сырьем и материалом; неритмичной поставкой сырья и материалов; низкой квалификацией операционного персонала; недостатками в маркетинговой политике и т.п.
3. По комплексности исследования выделяют следующие группы рисков:
в простой проектный риск. Он характеризует вид проектного риска, который не расчленяется на отдельные его подвиды. Примером простого проектного риска является риск инфляционный:
о сложный финансовый риск. Он характеризует вид проектного риска, который состоит из комплекса рассматриваемых его подвидов. Примером сложного проектного риска является риск инвестиционного этапа проекта.
4. По источникам возникновения выделяют следующие группы проектных рисков:
• внешний, систематический или рыночный риск (всетермины определяют этот
риск как независящий от деятельности предприятия). Этот вид риска характерен длявсех участников инвестиционной деятельности и всехвидов операций реального инвестирования. Он возникает при смене отдельных стадий экономического цикла, изменении конъюнктуры инвестиционного рынка ив ряде других аналогичных случаев, на которые предприятие в процессе своей деятельности повлиять неможет. К этой группе рисков могут быть отнесены инфляционный риск, процентный риск, налоговый риск;
• внутренний, несистематический или специфический риск (все термины
определяют этот проектный рисккак зависящий от деятельности конкретного предприятия). Он может быть связан с неквалифицированныминвестиционным менеджментом, неэффективной структурой активов и капитала, чрезмерной приверженностьюк рисковым (агрессивным) инвестиционным операциямс высокой нормой прибыли, недооценкой хозяйственныхпартнеров и другими аналогичными факторами, отрицательные последствия которых в значительной мере можнопредотвратить за счет эффективного управления проектными рисками.
Деление проектных рисков на систематический и несистематический является одной из важных исходных предпосылок теории управления рисками.
5. По финансовым последствиям все риски подразделяются на такие группы:
риск, влекущий только экономические потери. При этом виде риска финансовые последствия могут быть только отрицательными (потеря дохода или капитала);
риск, влекущий упущенную выгоду. Он характеризует ситуацию, когда предприятие в силу сложившихся объективных и субъективных причин не может осуществить запланированную инвестиционную операцию (например, при снижении кредитного рейтинга предприятие не может получить необходимый кредит для формирования инвестиционных ресурсов);
риск, влекущий как экономические потери, так и дополнительные доходы. В литературе этот вид финансового риска часто называется "спекулятивным риском", так как он связывается с осуществлением спекулятивных
(агрессивных) инвестиционных операций (например, риск реализации реального инвестиционного проекта, доходность которого в эксплуатационной стадии может быть ниже или выше расчетного уровня).
6. По характеру проявления во времени выделяютдве группы проектных рисков:
о постоянный проектный риск. Он характерен для всего периода осуществления инвестционной операции и связан с действием постоянных факторов. Примером такого проектного риска является процентный риск.
© временный проектный риск. Он характеризует риск, носящий перманентный характер, возникающий лишь на отдельных этапах осуществления инвестиционного проекта. Примером такого вида финансового риска является риск неплатежеспособности эффективно функционирующего предприятия.
7. По уровню финансовых потерь проектные рискиподразделяются на следующие группы:
о допустимый проектный риск. Он характеризует риск, финансовые потери по которому не превышают расчетной суммы прибыли по осуществляемому инвестиционному проекту;
в критический проектный риск. Он характеризует риск, финансовые потери по которому не превышают расчетной суммы валового дохода по осуществляемому инвестиционному проекту;
в катастрофический проектный риск. Он характеризует риск, финансовые потери по которому определяются частичной или полной утратой собственного капитала (этот вид риска может сопровождаться утратой и заемного капитала).
8. По возможности предвидения проектные рискиподразделяются на следующие две группы:
о прогнозируемый проектный риск. Он характеризует те виды рисков, которые связаны с циклическим развитием экономики, сменой стадий конъюнктуры финансового рынка, предсказуемым развитием конкуренции и т.п. Предсказуемость проектных рисков носит относительный характер, так как прогнозирование со 100%-ным результатом исключает рассматриваемое явление из категории рисков. Примером прогнозируемых проектных
рисков являются инфляционный риск, процентный риск и некоторые другие их виды (естественно, речь идет о прогнозировании риска в краткосрочном периоде);
• непрогнозируемый проектный риск. Он характеризует виды проектных рисков, отличающихся полной непредсказуемостью проявления. Примером таких рисковвыступают риски форс-мажорной группы, налоговыйриск и некоторые другие.
Соответственно этому классификационному признаку проектные риски подразделяются также на регулируемые и нерегулируемые в рамках предприятия.
9. По возможности страхования проектные риски подразделяются также на две группы:
• страхуемый проектный риск. К ним относятся риски, которые могут быть переданы в порядке внешнегострахования соответствующим страховым организациям (в соответствии с номенклатурой проектных рисков,принимаемых ими к страхованию);
в нестрахуемый проектный риск. К ним относятся те их виды, по которым отсутствует предложение соответствующих страховых продуктов на страховом рынке.
Состав проектных рисков этих рассматриваемых двух групп очень подвижен и связан не только с возможностью их прогнозирования, но и с эффективностью осуществления отдельных видов страховых операций в конкретных экономических условиях при сложившихся формах государственного регулирования страховой деятельности.
Учитывая экономическую нестабильность развития страны, раннюю стадию жизненного цикла многих созданных в последнее десятилетие предприятий, а соответственно и преимущественно агрессивный менталитет их руководителей и финансовых менеджеров, можно констатировать, что принимаемые ими проектные риски отличаются большим разнообразием и достаточно высоким уровнем в сравнении с портфелем этих рисков у предприятий, функционирующих в странах с развитой рыночной экономикой.
С учетом классификации проектных рисков производится оценка их уровня, основу проведения которой составляет определение степени вероятности их возникновения и объема возможных финансовых потерь при наступлении рискового события. Оценка рисков реальных инвестиционных проектов осуществляется по следующим основным этапам:
1. Идентификация отдельных видов рисков по реальному инвестиционному проекту. Процесс идентификацииотдельных видов проектных рисков осуществляется последующим трем стадиям:
На первой стадии в разрезе каждого реального инвестиционного проекта определяются присущие им внешние или систематические вилы рисков. В связи со спецификой инвестиционной деятельности предприятия отдельные из рассмотренных в процессе классификации видов систематических проектных рисков из формируемого перечня исключаются.
На второй стадии определяется перечень внутренних или несистематических (специфических) проектных рисков, присущих отдельным реальным инвестиционным проектам.
На третьей стадии формируется предполагаемый общий портфель рисков, связанных с осуществлением реального инвестиционного проекта (включающий возможные систематические и несистематические проектные риски).
2. Оценка широты и достоверности информации, необходимой для определения уровня отдельных проектныхрисков. Выбор методов оценки уровня проектных рисков,а также надежность ее результатов во многом определяются используемой в этих целях информационной базой.В процессе оценки качества этой информационной базыпроверяется ее полнота для характеристики отдельныхвидов проектных рисков; возможность построения необходимых рядов динамики (для оценки уровня рисков, проявляемых в динамике — инфляционного, процентного и т.п.) и требуемых группировок (при оценкестатических видов рисков, например, риска проектирования, риска финансирования проекта и т.п.); возможность сопоставимой оценки сумм финансовых потерь ведином уровне цен; надежность источников информации (собственная информационная база, публикуемыестатистические данные и т.п.). Следует иметь в виду,что недостаточная или некачественная информационная база, используемая в процессе оценки уровня проектных рисков, усиливает субъективизм такой оценки, а следовательно снижает эффективность всего дальнейшего процесса риск-менеджмента.
3. Выбор и использование соответствующих методов оценки вероятности наступления рискового события по отдельным видам проектных рисков. Система и содержание основных из этих методов оценки подробно рассмотрена ранее при характеристике методического инструментария инвестиционного менеджмента.
Вместе с тем, в проектном анализе широко используются и специальные методы оценки вероятности отдельных видов рисков. Наибольшее распространение получили следующие из них:
Анализ чувствительности проекта [project sensitivity analisis]. Сущность этого аналитического метода заключается в оценке влияния основных исходных параметров реального инвестиционного проекта на конечные показатели его эффективности. Варьируемыми исходными показателями проекта выступают обычно объем реализации продукции в натуральном выражении; уровень цен на продукцию; сумма инвестиционных затрат по видам и этапам осуществления; продолжительность осуществления проекта; ожидаемый уровень ставки процента; ожидаемый темп инфляции и т.п. Конечными показателями эффективности проекта принимаются обычно чистый приведенный доход; внутренняя ставка процента или сумма чистой инвестиционной прибыли. Последовательно изменяя значение варьируемых исходных показателей, можно определить диапазон колебаний избранных для оценки конечных показателей эффективности, а также критические значения исходных параметров проекта, которые ставят под сомнение целесообразность его осуществления. Чем больше диапазон колебаний исходных параметров проекта, при котором показатели его эффективности соответствуют избранным предприятием критериям, тем менее рисковым он считается по результатам анализа чувствительности.
Анализ сценариев проекта [project scenario analisis]. Этот аналитический метод позволяет оценить влияние на конечные показатели эффективности проекта одновременное изменение нескольких исходных его параметров, генерирующих возможные проектные риски. Основным преимуществом этого метода в сравнении с предшествующим является то, что все варьируемые исходные параметры проекта моделируются с учетом их взаимозависимости. В практике проектного анализа моделируются, как правило, три основных сценария осуществления реального инвестиционного проекта — пессимистический, реалистический и оптимистический, в основе которых лежит предполагаемое ухудшение или улучшение исходных параметров — объема реализации продукции, уровня цен на продукцию, ставки процента, темпа инфляции и т.п. Результаты анализа сценариев проекта позволяют определить условия его реализации, обеспечивающие достижение критериальных значений показателей его эффективности.
Метод имитационного моделирования, основу которого составляет метод Монте-Карло [Monte-Carlo simulation]. Этот метод позволяет наиболее полно учесть весь диапазон неопределенностей исходных значений параметров проекта, с которыми может столкнуться его предстоящее осуществление. Кроме того, путем изначально задаваемых ограничений требуемых показателей эффективности проекта можно наиболее широко использовать информационную базу проведения анализа проектных рисков. Таким образом, метод Монте-Карло позволяет получить интервальные значения показателей проектных рисков, в рамках которых возможна успешная реализация реального инвестиционного проекта. Этот метод требует надежной программной поддержки (одним из вариантов такого программного продукта является пакет "Risk Master", широко используемый в практике инвестиционного менеджмента).
Метод "дерева решений" ["tree-decision" method]. Этот метод позволяет наиболее комплексно учесть риски реального инвестиционного проекта по отдельным последовательным этапам его осуществления. Экспертные оценки возможных сценариев вариации исходных параметров проекта при использовании этого метода являются более обоснованными, т.к. в этом случае они определяются не по проекту в целом, а в разрезе отдельных этапов его реализации и с учетом периода времени каждого из этапов. Вероятность неблагоприятного исхода в
достижении заданных конечных показателей эффективности проекта и будет характеризовать меру его риска. Методика оценки рисков реальных инвестиционных проектов на основе использования рассмотренных специальных методов подробно излагается в специальной литературе. В практике осуществления такой оценки следует учитывать также отраслевые и региональные факторы риска, используя в этих целях методику оценки инвестиционной привлекательности отраслей экономики и регионов страны.
Выбор конкретных методов оценки из рассмотренного их арсенала определяется следующими факторами:
в видом финансового риска;
в полнотой и достоверностью информационной базы, сформированной для оценки уровня вероятности различных финансовых рисков;
в уровнем квалификации финансовых менеджеров (риск-менеджеров), осуществляющих оценку; степень их подготовленности к использованию современного математического и статистического аппарата проведения такой оценки;
в технической и программной оснащенностью финансовых менеджеров (риск— менеджеров), возможностью использования современных компьютерных технологий проведения такой оценки;
в возможностью привлечения к оценке сложных финансовых рисков квалифицированных экспертов и др.
4. Оценка общего уровня проектного риска. Формирование комплексного показателя уровня риска всего проекта основывается на оценке всех видов индивидуальных рисков, генерируемых заданными в ней исходными параметрами и их возможной колеблемостью под воздействием внутренних и внешних факторов. Однако в комплексном показателе уровня риска проекта отдельные индивидуальные риски могут частично взаимопогашаться, т.к. они оказывают противоположное воздействие на конечные показатели эффективности проекта. Поэтому комплексный показатель уровня риска может быть представлен не как сумма значений индивидуальных рисков, а как их функция, имеющая следующий вид:
YPn=/(Pi; Р2;...Р„),
где УРп —общий уровень риска проекта; Pi,2,-H —уровень отдельных видов риска, идентифицированных по проекту; /—значение функции, обеспечивающее взаимопогашение отдельных видов проектных рисков в избранном показателе эффективности проекта.
Для оценки общего уровня риска используется обычно показатель колеблемости ожидаемой суммы чистой прибыли по инвестиционному проекту, позволяющий соотнести расчетный уровень риска с расчетным уровнем дохода. В качестве альтернативы могут быть использованы также показатели колеблемости суммы чистого приведенного дохода или внутренняя ставка доходности по проекту.
В целях проведения сопоставимой оценки уровня риска по отдельным реальным инвестиционным проектам, колеблемость рассматриваемых конечных показателей их эффективности определяется в относительных показателях на основе расчета коэффициента вариации. Чем выше расчетное значение этого коэффициента по рассматриваемому проекту, тем соответственно выше общий уровень его риска. В инвестиционной практике используются следующие критерии общего уровня риска проекта по значениям коэффициента вариации избранного показателя конечной его эффективности:
до 10% — низкий уровень проектного риска;
от 11 до 25% — средний уровень проектного риска;
свыше 25% — высокий уровень проектного риска.
5. Ранжирование рассматриваемых реальных инвестиционных проектов по уровню риска. Обобщенная сравнительная оценка альтернативных инвестиционных проектов по уровню риска осуществляется двумя способами:
а) на основе суммированной ранговой значимостикоэффициента вариации по всем рассматриваемым конечным показателям эффективности проектов (лучшими поэтому критерию считаются проекты с наименьшей суммойрангов);
б) на основе значений коэффициента вариации потем конечным показателям эффективности проектов,которые являются для предприятия приоритетными.
14.4. ФОРМИРОВАНИЕПРОГРАММЫРЕАЛЬНЫХИНВЕСТИЦИЙ
На основе всесторонней оценки каждого из рассматриваемых реальных инвестиционных проектов осуществляется их окончательный отбор в формируемую
предприятием инвестиционную программу.
предприятия
Процесс формирования программы реальных инвестиций основывается на следующих важнейших принципах (рис. 14.9):

|
Рисунок 14.9. Основные принципы формирования программы реальных инвестиций
|
предприятия.
1. Многокритериальность отбора проектов в инвестиционную программу.
Этот принцип позволяет учесть в процессе формирования инвестиционной программы всю систему целей инвестиционной стратегии предприятия, а также характер задач инвестиционной деятельности, возникающих под влиянием изменений внешних и внутренних факторов ее осуществления в среднесрочном периоде. Принцип многокритериальности отбора проектов в инвестиционную программу основан на ранжировании целей (задач) инвестиционной деятельности по их значимости, выделении главного целевого показателя в качестве основного критерия отбора инвестиционных проектов и использовании отдельных целевых показателей как системы соответствующих ограничений в процессе осуществления их отбора.
2. Дифференциация критериев отбора по видам инвестиционных проектов. Такая дифференциация критериевосуществляется в разрезе конкретных форм реальногоинвестирования по независимым, взаимосвязанным ивзаимоисключающим инвестиционным проектам.
Учет объективных ограничений инвестиционной деятельности предприятия. При
формировании программы реальных инвестиций основными из объективных ограничений инвестиционной деятельности предприятия, требующими учета, являются: предусматриваемые объемы инвестиционной деятельности в соответствии с инвестиционной стратегией; направления и формы отраслевой и региональной диверсификации инвестиционной деятельности; потенциал формирования собственных инвестиционных ресурсов; возможности привлечения заемного капитала к финансированию отдельных инвестиционных проектов; основные государственные нормативные требования к реализации инвестиционных проектов.
Обеспечение связи инвестиционной программы с производственной и финансовой программой предприятия.
Инвестиционная деятельность предприятия осуществляется в неразрывной связи с операционной и финансовой деятельностью предприятия. Эта связь обеспечивается комплексным формированием денежных потоков по рассматриваемым видам деятельности предприятия в рамках конкретных временных периодов. Так, реализация каждого инвестиционного проекта и инвестиционной программы в целом должно быть обеспечено соответствующим финансированием, синхронизированным с ней по времени. Возвратный поток инвестированного капитала, обеспечивающий предусматриваемую эффективность каждого инвестиционного проекта и инвестиционной программы в целом должен быть обеспечен выпуском и реализацией соответствующей продукции в запланированных объемах и сроках. Поэтому в процессе
формирования инвестиционной программы необходимо синхронизировать ее основные параметры с соответствующими параметрами производственной и финансовой программ предприятия.
5. Обеспечение сбалансированности инвестиционной программы по важнейшим параметрам. Внутренняя сбалансированность инвестиционной программы предприятия обеспечивается, прежде всего, эффективным соотношением таких важнейших ее параметров как уровень доходности, риска и ликвидности. Такое соотношение параметров инвестиционной программы в целом определяется по шкале "доходность — риск" и "доходность — ликвидность" с учетом избранной инвестиционной идеологии (агрессивной, умеренной или консервативной). В процессе обеспечения сбалансированности инвестиционной программы по рассматриваемым параметрам должны быть изысканы резервы снижения уровня риска и повышения уровня ликвидности при заданном значении уровня ее доходности.
С учетом рассмотренных основных принципов формирование программы реальных инвестиций предприятия осуществляется по следующим основным этапам:
1. Выбор главного критерия отбора проектов в инвестиционную программу предприятия. Так как основной целью инвестиционного менеджмента является обеспечение максимального благосостояния собственников предприятия, достигаемое за счет роста его рыночной стоимости, главный критерий отбора проектов должен быть связан с показателями их эффективности, отражающими темп или объем прироста капитала в процессе инвестиционной деятельности. В практике инвестиционного менеджмента такое предпочтение отдается обычно показателю чистого приведенного дохода (иногда в этих целях используется также показатель внутренней ставки доходности). Выбор в качестве главного критерия отбора проектов в инвестиционную программу предприятия показателя чистого приведенного дохода связан с тем, что он дает наиболее наглядное представление о возможностях прироста собственного капитала (а соответственно и рыночной стоимости предприятия) как в абсолютном, так и в относительном выражении.
2. Дифференциация количественных значений главного критерия отбора по видам инвестиционных проектовдля обоснования скрининговых инвестиционных решений.
В целях осуществления отбора инвестиционных проектов по избранному главному критерию, он должен иметь определенное количественное значение. В практике инвестиционного менеджмента это количественное значение главного критериального показателя отбора дифференцируется обычно по формам осуществления реальных инвестиций (проекты, обеспечивающие разные формы реального инвестирования могут иметь различные количественные значения главного критериального показателя), а также по характеру самих проектов. В частности, дифференциация количественных значений главного критерия отбора производится по независимым, взаимосвязанным и взаимоисключающим инвестиционным проектам.
По независимым инвестиционным проектам количественным значением главного критерия отбора выступает обычно целевой стратегический норматив эффективности инвестиционной деятельности (целевой норматив одного из показателей оценки эффективности инвестиционных проектов при их отборе).
По взаимозависимым инвестиционным проектам аналогичный критерий принимается не по каждому конкретному инвестиционному проекту, а по всему взаимосвязанному их комплексу.
По взаимоисключающим инвестиционным проектам отбор осуществляется по наивысшим значениям избранного главного критериального показателя (на основе сравнительной его оценки).
Дифференциация количественных значений главного критерия отбора позволяет обосновывать "скри-нинговые инвестиционные решения" на первом этапе формирования программы реальных инвестиций. Под этим термином понимается отсев из общего множества рассматриваемых инвестиционных проектов тех из них, которые не соответствуют количественному значению главного критерия их отбора в инвестиционную программу предприятия.
3. Построение системы ограничений отбора проектовв инвестиционную программу по избранному главному критерию. Система ограничений, устанавливаемая в процессе
отбора реальных инвестиционных проектов в формируемую инвестиционную программу предприятия, включает обычно основные и вспомогательные нормативные показатели.
В качестве основных ограничивающих нормативных показателей устанавливаются обычно следующие:
один из альтернативных показателей эффективности проекта (например, при главном критериальном показателе — чистый приведенный доход, ограничивающими показателями эффективности могут быть избраны: минимальная внутренняя ставка доходности или максимальный дисконтированный период окупаемости проекта);
максимально допустимый уровень общего риска проекта;
максимально допустимый период или минимальный коэффициент ликвидности инвестиций.
В качестве вспомогательных ограничивающих нормативных показателей могут быть использованы следующие:
уровень готовности инвестиционного проекта к реализации (наличие завершенного бизнес-плана; завершенность проектных работ; апробированность схем финансирования проекта и т.п.);
предполагаемый период осуществления инвестиционной стадии проекта (до его выхода на эксплуатационную стадию и начала формирования возвратного денежного потока);
в уровень реализуемости проекта (по экономическим, технико-технологическим, экономическим и другим параметрам);
инновационный уровень проекта (его соответствие последним достижениям технологического прогресса);
возможность диверсификации риска инвестиционной программы предприятия за счет отраслевой или региональной направленности проекта;
синхронность формирования предусматриваемых денежных потоков по реализации инвестиционного проекта и его финансированию из различных источников;
возможность отсрочки реализации инвестицион ного проекта без существенного ущерба для реализации стратегических целей развития предприятия.
Построение системы ограничений отбора проектов позволяет углубить обоснование скрининговых инвестиционных решений в процессе формирования программы реальных инвестиций предприятия.
4. Ранжирование рассматриваемых инвестиционныхпроектов по главному критерию и системе ограничений.
Процесс такого ранжирования состоит из нескольких этапов.
На первом этапе инвестиционные проекты после соответствующей скрининговой очистки ранжируются по избранному главному критерию их отбора в инвестиционную программу предприятия (методика такого ранжирования проектов по показателям оценки их эффективности рассмотрена ранее).
На втором этапе инвестиционные проекты, намечаемые к включению в программу реальных инвестиций предприятия ранжируются по каждому из показателей, включенных в систему ограничений их отбора (по методике, аналогичной ранжированию проектов по главному критерию их отбора).
На третьем этапе путем задания конкретной значимости каждого ограничения для инвестиционной деятельности предприятия отдельные ранговые значения инвестиционных проектов интегрируются в единый ранговый их показатель по всей системе ограничений. К установлению конкретной значимости ограничений могут быть привлечены эксперты.
На четвертом этапе ранжирование отдельных инвестиционных проектов по избранному главному критерию уточняется с учетом интегрального рангового их значения по системе ограничений.
5. Формирование инвестиционной программы в условиях ограничений параметров операционной деятельности. В практике инвестиционного менеджмента частовстречается ситуация, когда приоритетом инвестиционной деятельности предприятия на отдельных этапах егостратегического развития выступает необходимость быстрого выхода на заданные объемы производства и реализации продукции (при стратегии ускоренного роста, стратегии ускоренной отраслевой или региональнойдиверсификации операционной деятельности и т.п.).
В этом случае программа реальных инвестиций предприятия формируется по критерию отбора инвестиционных проектов на основе показателя производительности инвестируемого капитала (в этих целях ранжирование инвестиционных проектов осуществляется по показателю объема производства или реализации продукции на единицу инвестируемого капитала).
Для решения этой задачи разрабатывается специальная модель оптимизации инвестиционной программы предприятия при заданной производственной программе (заданном объеме прироста производства или реализации продукции). Исходными условиями построения такой модели являются:
в рассматриваемые инвестиционные проекты являются независимыми, т.е. исключают друг друга;
о к моменту формирования инвестиционной программы уже определен необходимый прирост производства (реализации) продукции в соответствии со стратегическими целями развития предприятия;
• в процессе предварительного рассмотрения инвестиционных проектов предприятия проведено их ранжирование по показателю объема производства (реализации) продукции на единицу инвестированного капитала (при соответствующей скрининговой их очистке по системе избранных ограничений).
Графически указанная модель формирования инвестиционной программы предприятия представлена на рис. 14.10.
Как видно из приведенного рисунка в условиях рассматриваемого ограничения инвестиционная программа предприятия может быть сформирована за счет инвестиционных проектов "А", "Б", "В", "Г" и "Д" (все остальные проекты по этому критерию должны быть отвергнуты). В этом случае заданный объем прироста операционной деятельности будет обеспечен при минимальной сумме инвестируемого капитала в реализацию проектов.
6. Формирование инвестиционной программы в условиях ограничений средневзвешенной стоимости инвестиционных ресурсов. Такая ситуация возникает в том случае, если реализация инвестиционных проектов связана с использованием заемного капитала, объем и стоимость

|
Рисунок
14.10. Графическая модель формирования
|
Прирост объема производства (реализации) продукции, обеспечиваемый реализацией инвестиционных проектов
инвестиционной
программы предприятия в условиях ограничения параметров операционной
деятельности.
привлечения которого возрастают при расширении объемов инвестиционной деятельности. Исходными условиями построения модели решения этой задачи являются:
« рассматриваемые инвестиционные проекты являются независимыми, т.е. не исключают
друг друга;
при формировании инвестиционной программы четко определены показатели предельной стоимости инвестиционных ресурсов (ПСИР) при увеличении объема дополнительного привлечения капитала;
в процессе предварительного рассмотрения инвестиционных проектов предприятия произведено предварительное их ранжирование по показателю внутренней ставки доходности (ВСД), который в этих целях избирается как главный критериальный показатель их отбора в инвестиционную программу (при соответствующей скринин-говой их очистке по системе избранных ограничений).
Графически модель формирования инвестиционной программы в условиях ограничений средневзвешенной стоимости инвестиционных ресурсов представлена на рис. 14.11.

Рисунок 14.11. Графическая модель формирования инвестиционной программы предприятия в условиях ограничений средневзвешенной стоимости инвестиционных ресурсов.
Как видно из результатов сопоставления, для реализации в системе формируемой инвестиционной программы предприятия могут быть приняты лишь инвестиционные проекты "А", "Б", "В" и "Г", уровень внутренней ставки доходности (ВСД) по которым превышает показатель предельной стоимости дополнительно привлекаемого для этого капитала (ПСК). По этому же критерию оценки инвестиционные проекты "Д" и "Е" должны быть отвергнуты.
7. Формирование инвестиционной программы в условиях ограничений общего объема инвестиционных ресурсов. Такая ситуация возникает в том случае, если возможности
формирования собственных инвестиционных ресурсов у предприятия ограничены, а объем заимствований капитала сверх определенных пределов может отрицательно отразиться на состоянии его финансовой устойчивости и платежеспособности. Исходные условия построения модели, решающей эту задачу, те же, что и в предыдущем случае. Они дополняются лишь общим объемом возможного привлечения предприятием инвестиционных ресурсов для реализации реальных проектов, включаемых в его инвестиционную программу.
Графически модель формирования инвестиционной программы предприятия в условиях ограничений общего объема инвестиционных ресурсов представлена на рис. 14.12.

Рисунок 14.12. Графическая модель формирования инвестиционной программы предприятия в условиях ограничений общего объема инвестиционных ресурсов.
Из приведенного рисунка видно, что в условиях рассматриваемого ограничения инвестиционная программа предприятия может быть сформирована за счет инвестиционных проектов "А", "Б", "В" и "Г" (все остальные проекты по этому критерию должны быть отвергнуты).
8. Оценка сформированной инвестиционной программы по уровню доходности, риска и ликвидности. Совокупная оценка сформированной инвестиционной программы предприятия по этим показателям позволяет оценить эффективность всей работы по ее формированию.
Уровень доходности инвестиционной программы определяется на основе общего показателя чистого приведенного дохода или чистой инвестиционной прибыли по всем включенным в нее инвестиционным проектам (рассчитанным в единой размерности времени).
Уровень риска инвестиционной программы определяется путем расчета коэффициента вариации по ней (по ожидаемому уровню вариабельности показателей чистого денежного потока или чистой инвестиционной прибыли).
Уровень ликвидности инвестиционной программы определяется на основе средневзвешенного коэффициента ликвидности инвестиций по отдельным проектам (взвешенным на объем необходимых инвестиционных ресурсов по ним).
Окончательное формирование инвестиционной программы предприятия осуществляется с учетом всех трех ее параметров исходя из приоритетов, определяемых предприятием. Этот процесс характеризуется в инвестиционном менеджменте как обоснование "преферентивных инвестиционных решений". Под этим термином понимается окончательный отбор наиболее предпочтительных для предприятия инвестиционных проектов в его инвестиционную программу, обеспечивающую реализацию его инвестиционной стратегии.
В систему управления инвестиционной программой предприятия входят мероприятия не только по успешной ее реализации, но и по текущей ее корректировке. Каждый инвестор, осуществляющий реальное инвестирование в целях своего развития, должен стремиться к улучшению своей инвестиционной позиции путем объективной оценки эффективности реализуемых инвестиционных проектов и своевременного реинвес-
тирования капитала при наступлении неблагоприятных обстоятельств для осуществления отдельных проектов в их инвестиционной или пост инвестиционной (эксплуатационной) стадиях.
Необходимость корректировки инвестиционной программы предприятия диктуется в современных условиях как минимум двумя существенными причинами. Первая из них связана с технологическим прогрессом, появлением на инвестиционном рынке более производительных инвестиционных товаров и более эффективных объектов вложения капитала. Естественно, что в условиях рыночной конкуренции инвестор будет стремиться к реконструкции своей инвестиционной программы за счет ротации отдельных инвестиционных проектов или товаров с целью повышения общей ее эффективности. Порядок его действий в этом случае аналогичен общим принципам формирования программы реальных инвестиций — исходя из целей инвестиционной стратегии и сопоставимой оценки эффективности, имеющихся и новых инвестиционных активов или проектов следует оптимизировать состав программы с учетом изменившихся обстоятельств. Вторая причина связана с существенным снижением ожидаемой эффективности отдельных реализуемых инвестиционных проектов в изменившихся условиях внешней инвестиционной среды или факторов внутреннего развития предприятия. В этом случае предприятию часто приходится принимать решения о "выходе" отдельных реальных проектов из инвестиционной программы.
Обоснование управленческих решений о "выходе" реальных проектов из инвестиционной программы предприятия представляет собой очень ответственный и сложный процесс. Повышенная ответственность принятия таких управленческих решений связана с тем, что они влекут за собой во многих случаях потерю не только ожидаемого инвестиционного дохода, но и части вложенного капитала. Сложность же принятия таких решений состоит в том, что они должны базироваться на глубоком анализе не только текущей конъюнктуры инвестиционного рынка, но и на прогнозе ее дальнейшего развития, т.к. снижение эффективности отдельных составлных элементов инвестиционной программы может носить временный характер.
Повышенная ответственность и сложность принятия управленческих решений, связанных с "выходом" отдельных проектов из инвестиционной программы, определяют высокие требования к уровню квалификации инвестиционных менеджеров, принимающих такие решения. В крупных предприятиях реального сектора экономики, осуществляющих инвестиционную деятельность в большом объеме, разрабатываются специальные модели принятия таких решений, а также процедуры их реализации.
Оценка эффективности реализации отдельных инвестиционных проектов предприятия осуществляется в процессе мониторинга осуществления каждого из них. Этот мониторинг охватывает обычно инвестиционную стадию реализации реального проекта, в процессе которого определяются показатели выполнения заданий календарного плана, капитального бюджета и других наблюдаемых параметров. С учетом отклонений фактических показателей реализации проекта на инвестиционной стадии от предусмотренных, просчитывается влияние отдельных негативных отклонений на конечные показатели эффективности и риска в предстоящей стадии его эксплуатации.
Установление причин, обусловивших снижение эффективности реализации отдельных инвестиционных проектов предприятия проводится, как правило, руководителями проектов и инвестиционными менеджерами (с привлечением в необходимых случаях независимых экспертов). К числу основных из этих причин относятся (рис. 14.13.).
значительное увеличение продолжительности строительства. Оно приводит, как правило, к перерасходу инвестиционных затрат, подвергает проект дополнительным рискам негативного воздействия факторов внешней среды, отдаляет сроки получения инвестиционной прибыли;
существенное возрастание уровня цен на основные строительные материалы. В отдельные периоды (строительного сезона, снижения объема предложения на рынке и т.п.) рост цен на основные вилы строительных материалов может существенно обгонять общий индекс инфляции. Если такой период совпадает с пиком строительного цикла осуществления инвестиционного проекта, эффективность его реализации существенно
снизится ввиду возрас-
|

|
Рисунок 14.13. Основные причины, вызывающие снижение эффективности
|
реализации отдельных реальных инвестиционных проектов предприятия.
тания объема инвестиционных затрат (при неизменности показателей ожидаемой инвестиционной прибыли);
значительное возрастание стоимости выполнения строительно-монтажных работ. Оно влечет за собой те же негативные последствия для эффективности реализуемого инвестиционного проекта, что и в предыдущем случае;
ощутимое возрастание уровня конкуренции на рынке. Оно может произойти за счет появления новых отечественных производителей аналогичной продукции или ее импорта. Это может вызвать снижение уровня цен на продукцию, прирост которой предприятие обеспечивает за счет реализации инвестиционного проекта. При неизменном уровне инвестиционных затрат это повлечет за собой снижение суммы и уровня расчетной инвестиционной прибыли в процессе последующей эксплуатации проекта;
значительное возрастание ставки процента в связи с изменением конъюнктуры финансовогорынка. Оно вы
зывает негативные экономические последствия по тем инвестиционным проектам, в составе инвестиционных ресурсов которых заемные источники финансирования занимают высокий удельный вес. Увеличивая рост инвестиционных затрат, оно приводит одновременно к возрастанию риска неплатежеспособности предприятия;
недостаточно обоснованный подбор подрядчика (субподрядчиков) для реализации проекта. Строительный опыт, технология осуществления строительно-монтажных работ, парк используемых механизмов подрядчика (субподрядчиков) могут не соответствовать особенностям реализации конкретного инвестиционного проекта. Это влечет за собой, как правило, увеличение продолжительности строительства, низкое качество работ (которое впоследствии отразится на эффективности эксплуатации объекта) и незапланированный перерасход планового объема инвестиционных затрат;
существенное ужесточение системы налогообложения. Оно приводит не только к снижению суммы чистой инвестиционной прибыли, но и вообще может "стимулировать" прекращение соответствующей инвестиционной деятельности.
3. Формирование системы критериев выхода реальных проектов из
инвестиционной программы предприятия
базируется на ранее рассмотренном главном критерии и ограничивающих условий отбора проектов в инвестиционную программу.
Основным критерием для принятия такого решения должно служить ожидаемое значение чистого приведенного дохода или внутренней ставке доходности по инвестиционному проекту в изменившихся условиях его реализации. Продолжение реализации инвестиционного проекта возможно лишь при соблюдении следующих требований:
а) чистый приведенный доход и продолжает оставаться положительной величиной;
б) внутренняя ставка доходности отвечает следующему неравенству:
ВСД > СП + Пр + п
л,
где ВСД — рассматриваемое значение внутренней ставки доходности по инвестиционному проекту в изменившихся условиях его реализации;
СП — средняя ставка процента (учитывающая фактор инфляции) на финансовом
рынке;
Пр — уровень премии за риск, связанный с осуществлением реального инвестирования в процентах;
Пл — уровень премии за ликвидность с учетом прогнозируемого увеличения продолжительности реализации инвестиционного проекта.
Наряду с основными критериями может быть использована и система дополнительных критериев принятия решения о выходе из программы. Такими критериями могут быть:
1. Возрастание продолжительности инвестиционного цикла до начала эффективной эксплуатации объекта(например, выше трех лет);
2. Увеличение продолжительности периода окупаемости инвестиций по проекту (например, выше пяти лет);
Снижение намеченного в бизнес-плане срока возможной эксплуатации объекта (например, более чем на 30%);
Снижение имиджа компании в силу ранее не учтенных обстоятельств, связанных с выбором и реализацией инвестиционного проекта и другие.
Численное значение вышеприведенных дополнительных критериев каждая компания устанавливает самостоятельно с учетом целей и особенностей своей инвестиционной деятельности.
4. Определение наиболее эффективных форм выхода реальных проектов из инвестиционной программы предприятия осуществляется в том случае, если по реализуемым проектам в силу отрицательного воздействия отдельных из вышеперечисленных (или других) факторов следует ожидать дальнейшее существенное снижение их эффективности. Основными из этих форм являются:
отказ от реализации проекта до начала строительно-монтажных работ;
продажа частично реализованного инвестиционного проекта в форме объекта незавершенного строительства;
продажа инвестиционного объекта на стадии начала его эксплуатации в форме целостного имущественного комплекса;
привлечение на любой стадии реализации инвестиционного проекта дополнительного стороннего паевого капитала с минимизацией своей доли паевого участия в инвестировании;
акционирование инвестиционного проекта на любой стадии его реализации с минимизацией своей доли акционерного капитала в нем (если проект структурно может быть выделен в целостный имущественный комплекс);
раздельная продажа основных видов активов закрываемого инвестиционного проекта.
инициированная предприятием процедура банкротства (на стадии пост инвестиционной эксплуатации реального проекта).
5. Разработка процедуры принятия и реализации управленческих решений, связанных с выходом реальных проектов из инвестиционной программы предприятия
предусматрив ает:
• определение состава собственных и независимыхэкспертов, принимающих участие в подготовке соответствующего инвестиционного решения;
определение состава высших менеджеров предприятия, уполномоченных принимать такие решения;
определение предельных сроков принятия таких решений при снижающейся эффективности отдельных реализуемых проектов;
определение наилучших форм реализации таких решений с позиций обеспечения максимизации ликвидационной стоимости реализуемого инвестиционного проекта; в выбор наиболее приемлемых сроков реализации таких решений.
Возможности и формы быстрого "выхода" проекта из инвестиционной программы предприятия должны рассматриваться еще на стадии его разработки (при оценке и страховании инвестиционных рисков). В процессе выбора конкретных форм такого "выхода" следует исходить из экономических критериев и прежде всего — из минимизации потерь инвестированного капитала.
В целях обеспечения формирования запланированной инвестиционной прибыли параллельно с обоснованием решения о "выходе" проекта из инвестиционной программы, должно готовиться решение о возможных формах наиболее эффективного реинвестирования капитала.
Глава 15. Управление формированием прибыли в процессе финансового инвестирования
15.1. ВЫБОР ФОРМИ ИНСТРУМЕНТОВ ФИНАНСОВЫХ
ИНВЕСТИЦИЙ
Функциональная направленность операционной деятельности предприятий, не являющихся институциональными инвесторами, определяет в качестве приоритетной формы осуществление реальных инвестиций. Однако на отдельных этапах развития предприятия оправдано осуществление и финансовых инвестиций. Такая направленность инвестиций может быть вызвана необходимостью эффективного использования инвестиционных ресурсов, формируемых до начала осуществления реального инвестирования по отобранным инвестиционным проектам; в случаях, когда, конъюнктура финансового (в первую очередь фондового) рынка позволяет получить значительно больший уровень прибыли на вложенный капитал, чем операционная деятельность на "затухающих" товарных рынках; при наличии временно свободных денежных активов, связанной с сезонной деятельностью предприятия; в случаях намечаемого "захвата" других предприятий в предверии отраслевой, товарной или региональной диверсификации своей деятельности путем вложения капитала в их уставные фонды (или приобретения ощутимого пакета их акций) и в ряде других аналогичных случаев. Поэтому финансовые инвестиции рассматриваются как активная форма эффективного использования временно свободного капитала или как инструмент реализации стратегических целей, связанных с диверсификацией операционной деятельности предприятия.
Осуществление финансовых инвестиций характеризуется рядом особенностей, основными из которых являются:
1. Финансовые инвестиции являются независимым видом хозяйственной деятельности для предприятий реального сектора экономики. Эта независимость проявляется
как по отношению к операционной деятельности таких предприятий, так и по отношению к процессу их реального инвестирования. Стратегические операционные задачи развития таких предприятий финансовые инвестиции решают лишь в ограниченных формах (путем вложения капитала в уставные фонды и приобретения контрольных пакетов акций других предприятий).
Финансовые инвестиции являются основным средством осуществления предприятием внешнего инвестирования. Все основные формы и инструменты финансовых инвестиций имеют внешнюю направленность инвестируемого капитала, выходящего за рамки воспроизводственных процессов своего предприятия. С помощью финансовых инвестиций предприятия имеют возможность осуществлять внешнее инвестирование как в пределах своей страны, так и за рубежом.
В системе совокупных инвестиционных потребностей предприятий реального сектора экономики финансовые инвестиции формируют инвестиционных потребностей второго уровня (второй очереди). Они осуществляются такими предприятиями обычно после того, как удовлетворены его потребности в реальном инвестировании капитала. В связи с этой особенностью финансовые инвестиции, как правило, не осуществляются на таких ранних стадиях жизненного цикла предприятия, как "рождение", "детство" и "юность". Возможность достаточно обширного удовлетворения потребности в финансовых инвестициях появляется у предприятия, как правило, лишь на стадии "ранняя зрелость".
Стратегические финансовые инвестиции предприятия позволяют ему реализовать отдельные стратегические цели своего развития более быстрым и дешевым путем. Так, при отраслевой или региональной диверсификации операционной деятельности, наращении объемов производства и реализации продукции путем "захвата" предприятий-конкурентов в своем сегменте рынка и других аналогичных случаях вместо приобретения целостных имущественных комплексов лил строительства новых объектов, предприятие путем соответствующих форм финансового инвестирования может приобрести контрольный пакет акций (контрольную долю в уставном фонде) интересующих его субъектов хозяйствования, максимальная сумма покупки которых составляет немногим более половины реальной рыночной стоимости их бизнеса (50% плюс одна акция). В процессе стратегического финансового инвестирования предприятия обычно не преследуют цели максимизации текущего инвестиционного дохода; более того, отдельные стратегические финансовые инвестиции могут осуществляться предприятием и при отрицательном значении текущего инвестиционного дохода в расчете на обеспечение долговременного прироста капитала.
Портфельные финансовые инвестиции используются предприятиями реального сектора экономики в основном в двух целях: получения дополнительного инвестиционного дохода в процессе использования свободных денежных активов и их противоинфляционной защиты. Целенаправленное формирование инвестиционных ресурсов для осуществления портфельных финансовых инвестиций такие предприятия, как правило, не производят. И хотя обычно финансовые инвестиции обеспечивают более низкий уровень прибыли, чем функционирующие операционные активы предприятия, они формируют дополнительный ее приток в периоды, когда временно свободный капитал не может быть эффективно использован для расширения операционной деятельности.
Финансовые инвестиции предоставляют предприятию наиболее широкий диапазон выбора инструментов инвестирования по шкале "доходность-риск". В сравнении с реальным инвестированием эта шкала значительно шире — она включает группу как безрисковых, так и высокорисковых (спекулятивных) инструментов инвестирования, позволяя инвестору осуществлять свою инвестиционную политику в широком диапазоне: от крайне консервативной до крайне агрессивной.
Финансовые инвестиции предоставляют предприятию достаточно широкий диапазон выбора инструментов инвестирования и по шкале "доходность-ликвидность". Хотя в сравнении с реальными инвестициями они характеризуются более высоким уровнем ликвидности, этот уровень варьирует в очень широких пределах.
Процесс обоснования управленческих решений, связанных с осуществлением финансовых инвестиций, является более простым и менее трудоемким. Он не связан с существенными прединвестиционными затратами финансовых средств, аналогичными подготовке реальных инвестиционных проектов; алгоритмы оценки эффективности финансовых инвестиций носят более дифференцированный характер по отношению к объектам инвестирования, что повышает надежность осуществления такой оценки; реализация принятых управленческих решений в сфере финансового инвестирования занимает минимум времени.
9. Высокая колеблемость конъюнктуры финансового рынка в сравнении с товарным определяет необходимость осуществления более активного мониторинга в процессе финансового инвестирования. Соответственно и управленческие решения, связанные с осуществлением финансового инвестирования, носят более оперативный характер.
Финансовое инвестирование осуществляется предприятием в следующих основных формах (рис. 15.1.).

Рисунок 15.1. Основные формы финансового инвестирования,
осуществляемые предприятием.
1. Вложение капитала в уставные фонды совместныхпредприятий. Эта форма финансового инвестированияимеет наиболее тесную связь с операционной деятельностью предприятия. Она обеспечивает упрочение стратегических хозяйственных связей с поставщиками сырья и материалов (при участии в их уставном капитале);развитие своей производственной инфраструктуры (привложении капитала в транспортные и другие аналогичные предприятия); расширение возможностей сбытапродукции или проникновение на другие региональныерынки (путем вложения капитала в уставные фонды предприятий торговли); различные формы отраслевой и товарной диверсификации операционной деятельности идругие стратегические направления развития предприятия.По своему содержанию эта форма финансового инвестирования во многом подменяет реальное инвестирование, являясь при этом менее капиталоемкой и болееоперативной. Приоритетной целью этой формы инвестирования является не столько получение высокойинвестиционной прибыли (хотя минимально необходимый ее уровень должен быть обеспечен), сколько установление форм финансового влияния на предприятиядля обеспечения стабильного формирования своей операционной прибыли.
Вложение капитала в доходные виды денежных инструментов. Эта форма финансового инвестирования направлена прежде всего на эффективное использование временно свободных денежных активов предприятия. Основным видом денежных инструментов инвестирования является депозитный вклад в коммерческих банках. Как правило, эта форма используется для краткосрочного инвестирования капитала и ее главной целью является генерирование инвестиционной прибыли.
Вложение капитала в доходные виды фондовых инструментов. Эта форма финансовых инвестиций является наиболее массовой и перспективной. Она характеризуется вложением капитала в различные виды ценных бумаг, свободно обращающихся на фондовом рынке (так называемые "рыночные ценные бумаги"). Использование этой формы финансового инвестирования связано с широким выбором альтернативных инвестиционных решений как по инструментам инвестирования, так и
по его срокам; более высоким уровнем государственного регулирования и защищенности инвестиций; развитой инфраструктурой фондового рынка; наличием оперативно предоставляемой информации о состоянии и конъюнктуре фондового рынка в разрезе отдельных его сегментов и другими факторами. Основной целью этой формы финансового инвестирования также является генерирование инвестиционной прибыли, хотя в отдельных случаях она может быть использована для установления форм финансового влияния на отдельные компании при решении стратегических задач (путем приобретения контрольного или достаточного весомого пакета акций).
Направленность финансовых инвестиций предприятий в последнее время все больше ориентируется на фондовые инструменты. Различные инструменты фондового рынка составляют сейчас до 80% общего объема финансовых инвестиций предприятия. Это определяет необходимость более подробной характеристики инвестиционных качеств отдельных фондовых инструментов инвестирования.
С позиций особенностей присущих им инвестиционных качеств фондовые инструменты классифицируются по следующим основным признакам (рис. 15.2.).
1. По степени предсказуемости инвестиционного дохода разделяют долговые и долевые ценные бумаги.
Долговые ценные бумаги характеризуется четкой предсказуемостью инвестиционного дохода, размер которого можно определить в любой момент их обращения. Предсказуемость уровня инвестиционного дохода позволяет без особых проблем сопоставлять инвестиционные качества долговых ценных бумаг как по шкале "доходность-риск", так и по шкале "доходность-ликвидность". Кроме того, долговые ценные бумаги имеют приоритетные права погашения обязательств при банкротстве эмитента, что значительно снижает уровень несистематического их риска.
Долевые ценные бумаги характеризуются низким уровнем предсказуемости их инвестиционного дохода, который оценивается по двум параметрам — уровню предстоящих выплат дивидендов и приросту курсовой стоимости фондового инструмента. По этим ценным бумагам при эффективной хозяйственной деятельности

|
Рисунок 15.2. Классификация фондовых инструментов по специфике их инвестиционных качеств.
эмитента возможно получение более высокого уровня инвестиционного дохода в сравнении с долговыми ценными бумагами того же эмитента. При этом для долевых ценных бумаг характерна более высокая степень корреляции доходов с темпами
|
инфляции. Вместе с тем, нестабильность инвестиционного дохода делает их более рисковыми инструментами инвестирования, так как они не защищены ни от систематического, ни от несистематического видов рисков. Низкая эффективность хозяйственной деятельности эмитента может привести не только к потере инвестиционного дохода по долевым ценным бумагам, но и к частичной (а в случае банкротства — и полной) потере вложенного в них капитала.
2. По уровню риска, связанного с характером эмитента, выделяют следующие виды фондовых инструментов инвестирования:
Государственные ценные бумаги. Они представлены в основном долговыми обязательствами и имеют наименьший уровень инвестиционного риска. Отдельные виды государственных ценных бумаг рассматриваются даже в качестве эталона безрисковых инвестиций. Вместе с тем, уровень инвестиционного дохода по таким ценным бумагам, как правило, наиболее низкий. При этом путем из--* менения ставки рефинансирования (учетной ставки центрального банка) государство имеет возможность влиять на реальный уровень инвестиционного дохода по своим ценным бумагам в периоды резких колебаний конъюнктуры финансового рынка.
Ценные бумаги муниципальных органов. Уровень инвестиционных качеств таких ценных бумаг (как правило, долговых) в значительной степени определяется уровнем инвестиционной привлекательности соответствующих регионов. Хотя ценные бумаги такого вида трудно отнести к безрисковым, уровень инвестиционного риска по ним обычно невысокий. Соответственно невысок и уровень инвестиционного дохода по ним.
Ценные бумаги, эмитированные банками. Инвестиционные качества этих фондовых инструментов считаются достаточно высокими, так как уровень доходности по ним обычно выше, чем по государственным и муниципальным ценным бумагам. Кроме того, система экономических нормативов банковской деятельности и высокий уровень государственного контроля за их деятельностью снижают потенциальный уровень риска инвестирования в ценные бумаги этих эмитентов (хотя случаи финансовой несостоятельности банков не такие редкие).
Ценные бумаги предприятий. Этот вид финансовых инструментов инвестирования в нашей стране обладает низкими инвестиционными качествами. Это вызвано низкой эффективностью хозяйственной деятельности большинства предприятий на современном этапе (особенно
корпоратизированных государственных предприятий), вследствие чего по акциям многих из них не выплачиваются даже дивиденды. Уровень инвестиционного риска по ценным бумагам предприятий (особенно относящихся к категории "венчурных") наиболее высокий. Кроме того, этот тип ценных бумаг в целом характеризуется самым низким уровнем ликвидности на фондовом рынке.
3. По уровню риска и ликвидности, связанными с периодом обращения, выделяют следующие фондовые инструменты инвестирования:
Краткосрочные ценные бумаги. Период их обращения определяет достаточно высокий уровень их ликвидности на фондовом рынке. Кроме того, короткий период их обращения в значительной степени снижает уровень инвестиционного риска, связанного с изменением конъюнктуры финансового рынка и финансового состояния их эмитентов. В то же время, относительно низкий уровень риска и достаточно высокий уровень их ликвидности определяют сравнительно невысокий уровень инвестиционного дохода по таким фондовым инструментам.
Долгосрочные ценные бумаги. Уровень инвестиционных качеств таких фондовых инструментов определяется противоположными характеристиками — низким уровнем ликвидности (при прочих равных условиях) и соответственно более высоким уровнем инвестиционного риска. Соответственно по таким фондовым инструментам предлагается и более высокий уровень инвестиционного дохода.
4. По уровню ликвидности, связанному с характеромвыпуска и обращения,
фондовые инструменты инвестирования подразделяются на следующие виды:
Именные ценные бумаги. В связи со сложной процедурой их оформления и более глубоким контролем эмитента за их обращением эти ценные бумаги обладают очень низкой ликвидностью.
Ценные бумаги на предьявителя. Указанная особенность выпуска таких фондовых инструментов не препятствует процессу их свободного обращения, а соответственно и повышает потенциальный уровень их ликвидности.
Выше были рассмотрены общие особенности фондовых инструментов, определяющие их инвестиционные качества в соответствии с приведенной классификацией.
Вместе с тем, главной задачей в процессе финансового инвестирования является оценка инвестиционных качеств конкретных видов ценных бумаг, обращающихся на фондовом рынке. Такая оценка дифференцируется по основным видам ценных бумаг — акциям, облигациям, депозитным (сберегательным) сертификатам и т.п. Рассмотрим основные параметры оценки инвестиционных качеств важнейших видов этих ценных бумаг.
Интегральная оценка инвестиционных качеств акций
осуществляется по следующим основным параметрам (рис. 15.3.).

Рисунок 15.3. Основные параметры оценки инвестиционных качеств акций.
1. Характеристика вида акций по степени защищенности размера дивидендных выплат. Деление акций по характеру обязательств эмитента (Обеспечению защищенности размера дивидендных выплат) на привилегированные (в зарубежной литературе используется термин "преференциальные") и простые имеет наиболее существенное значение для инвестора с позиций принципиального различия их инвестиционных качеств.
Характеризуя эти различия в целом, можно отметить, что уровень безопасности инвестирования в привилегированные акции значительно выше, чем в простые в связи с их преферентивным правом на получение заранее предусмотренного уровня дивидендов и доли имущества при ликвидации акционерного общества. По степени надежности вложений привилегированные акции занимают промежуточное значение между простыми акциями и облигациями компании (они не имеют четкого срока погашения как облигации, а также столь надежного обеспечения имуществом акционерного общества при его ликвидации).
В то же время по критерию доходности более предпочтительными для инвестора могут оказаться простые акции, которые лучше приспособлены к условиям инфляционной экономики и изменениям конъюктуры фондового рынка. Кроме того, владельцы простых акций могут принимать непосредственное участие в разработке дивидендной политики акционерной компании.
2. Оценка отрасли, в которой осуществляет свою операционную деятельность эмитент, предполагает прежде всего изучение стадии ее жизненного цикла и предполагаемых сроков нахождения в этой стадии. Доход инвестора по акциям обеспечивается двумя основными результатами: а) ростом курсовой стоимости акции (основным фактором здесь выступает прирост капитала на одну акцию); б) суммой дивидендов по акциям (определяемом, в основном, размером чистой прибыли эмитента). Наиболее стабильный рост капитала и чистой прибыли характерен, как правило, для компаний тех отраслей, которые находятся на ранних стадиях своего жизненного цикла. Зарубежный опыт показывает, что наиболее высокий доход по акциям обеспечивают компании, осуществляющие свою деятельность в сфере наукоемких отраслей. Однако акции таких компаний являются одновременно и наиболее рисковыми — эти компании так и называются "венчурными" (или рисковыми) компаниями. Среди других факторов, определяющих инвестиционные качества акций компаний различных отраслей, следует обратить особое внимание при оценке на место, отводимое отрасли в структурной перестройке экономики Украины; средний уровень рентабельности предприятий отрасли, а также уровень налогообложения их доходов (прибыли). Последние два фактора могут служить критерием оценки возможного уровня дивидендов по акциям. При оценке инвестиционных качеств
компаний отдельных отраслей можно воспользоваться методикой определения инвестиционной привлекательности отраслей экономики, рассмотренной ранее.
3. Оценка основных показателей хозяйственной деятельности и финансового состояния эмитента дифференцируется в зависимости от того, предлагаются ли акции впервые, или они уже продолжительный период обращаются на фондовом рынке. В первом случае проводится оценка инвестиционной привлекательности предприятия с использованием системы показателей рентабельности, финансовой устойчивости, платежеспособности, оборачиваемости капитала и активов. Во втором случае эта оценка дополняется анализом ряда новых показателей, среди которых наиболее важную роль играют следующие:
а) Уровень отдачи акционерного капитала. Этотпоказатель характеризует
уровень чистой прибыли поиспользуемому акционерному капиталу и рассчитываетсяпо
ЧПхЮО
У vJ Д L* ™ ___'' ' •
формуле:
где УОдк— уровень отдачи акционерного капитала в %; ЧП — сумма чистой прибыли компании в рассматриваемом периоде; АК—средняя стоимость акционерного капитала в рассматриваемом периоде.
б) Балансовая ("книжная") стоимость одной акции.Этот показатель характеризует
размер акционерного капитала и резервного фонда компании, приходящегосяна одну акцию, т.е. обеспеченность собственными реальными активами по балансу. Расчет этого показателяосуществляется по формуле:
балансовая
| 
|
где БСд
стоимость одной акции на определенную
дату;
АК — стоимость акционерного капитала на определенную дату;
РФ — стоимость резервного фонда на определенную дату;
Aq — общее количество акций компании на определенную дату. в) Коэффициент обеспеченности привилегированныхакций чистыми активами. Этот
показатель позволяет определить степень защиты капитала при его инвестированиив привилегированные акции. Он рассчитан по формуле:

где КОнд — коэффициент обеспеченности привилегированных акций чистыми активами; ЧА — сумма чистых активов акционерного общества на определенную дату, определяемая как разница между общей суммой активов по балансу, с одной стороны, и нематериальными активами, текущими и долгосрочными обязательства-' •* ми, с другой; А
прив — количество привилегированных акций компании.
г) Коэффициент покрытия дивидендов по привилегированным акциям. Этот
показатель позволяет оценить, вкакой мере размер чистой прибыли компании обеспечивает выплату дивидендов по привилегированным акциям.Расчет этого показателя осуществляется по формуле:

где КПд — коэффициент покрытия дивидендов по привилегированным акциям; ЧП — сумма чистой прибыли общества в рассматриваемом периоде; Дприв — сумма дивидендов, предусмотренная к выплате по привилегированным акциям в рассматриваемом периоде.
Все рассмотренные показатели характеризуют эффективность предыдущих выпусков акций компании.
4. Оценка характера обращения акции на фондовом рынке связана прежде всего с показателями ее рыночной котировки и ликвидности. Среди этих показателей наиболее важную роль играют следующие:
а) Коэффициент ликвидности акции на фондовой бирже.Он характеризует возможности быстрой ликвидностиакции в случае необходимости ее реализации. Расчетэтого показателя осуществляется по формуле:
Кгт =
Опр
лредл
где Кл — коэффициент ликвидности акции на фондовой бирже; Опр — общий объем продажи рассматриваемых акций на данных торгах (или сумма этого показателя по всем торгам за определенный период); О
предл — общий объем предложения рассматриваемых акций на данных торгах (или сумма этого показателя по всем торгам за определенный период).
б) Коэффициент соотношения котируемых цен предложения и спроса акций. Этот
показатель рассчитываетсяпо формуле:
К -
Цп
Кшс~ІГ’
где Кп/с — коэффициент соотношения котируемых цен
преддожения и спроса акций; Цп - средний уровень цен предложения акции на торгах; Цс — средний уровень цен спроса акции на торгах.
в) Коэффициент обращения акций. Он показываетобъем обращения выпущенных
акций и является косвенным показатели ее ликвидности. В зарубежной практике этот показатель рассчитывается по результатампродаж как на биржевом, так и на внебиржевом фондовом рынке. В нашей практике учет продаж конкретныхпростых акций на внебиржевом рынке не организован,поэтому расчет этого показателя возможен только побиржевому рынку. Он рассчитывается по формуле:
КОд = -—-
пр- ,
Ао
хДпр
где Код — Щвэффициент обращения акций в определенном периоде;
Одр — общий объем продажи рассматриваемых акций на торгах за определенный период; Ао — общее количество акций компании;
Цпр — средняя цена продажи одной акции в рассматриваемом периоде.
Расчет этого показателя может быть также осуществлен на основе количества реализованных и имеющихся акций. Неточность этого показателя заключается в том, что объем продажи может характеризовать многократные спекулятивные операции по небольшому количеству обращающихся акций.
Важную роль в процессе оценки играет сам факт допуска акций к торгам на фондовой бирже (т.е. ее листинг).
5. Оценка условий эмиссии акции является заключительным этапом изучения ее инвестиционных качеств. Предметом такой оценки являются: цели эмиссии, условия и периодичность выплаты дивидендов, степень участия отдельных держателей акций в управлении и другие интересующие инвестора данные, содержащиеся в эмиссионном проспекте. Следует, однако, иметь в виду, что часто декларируемый предполагаемый размер дивидендов не носит характера не только юридических, но и контрактных обязательств эмитента, поэтому ориентироваться на этот показатель не следует.
Интегральная оценка инвестиционных качеств облигаций осуществляется по следующим основным параметрам (рис. 15.4.).
1. Вид облигаций по характеру эмитентов, сроку погашения и формам выплаты дохода существенно влияет на все основные параметры инвестиционных качеств — уровень доходности, риска и ликвидности.
Деление облигаций по видам эмитентов на облигации внутреннего государственного займа; облигации местных займов и облигации компаний и фирм имеет существенное значение для инвесторов прежде всего с позиций уровня их рисков. Наименее рисковыми являются вложения в облигации внутреннего государственного займа—в ряде стран с развитой рыночной экономикой они служат эталоном инвестиций без риска. Наибольшим уровнем риска среди данного вида ценных бумаг отлича-

Рисунок 15.4. Основные параметры оценки инвестиционных качеств облигаций
ются облигации компаний и фирм (хотя уровень риска по ним значительно ниже, чем по привилегированным акциям тех же эмитентов). Соответственно дифференцируется и уровень дохода по этим видам облигаций: наименьший доход предлагается обычно по облигациям внутреннего государственного займа, а наибольший — по облигациям компаний и фирм.
Деление облигаций по сроку погашения на краткосрочные, среднесрочные и долгосрочные определяет те же инвестиционные их особенности, что и в предыдущем случае. По уровню риска наиболее предпочтительными для инвестора являются краткосрочные облигации, после погашения которых капитал может быть реинвестирован в более выгодные объекты. С ростом срока погашения уровень риска возрастает — его усиливает риск возрастания инфляции (а соответственно и рост ссудного процента), а также более низкая ликвидность инвестиций. В соответствии с принципом платы за риск уровень доходности этих видов облигаций формируется в прямой зависимости (при прочих равных условиях).
Наконец деление облигаций по формам выплаты вознаграждения (дохода) на процентные и беспроцентные (целевые) представляет для инвестора интерес с точки
зрения целей вложения средств. Если такой целью является приращение капитала в денежной форме, то инвестирование будет осуществлено в процентные облигации (как правило, эти облигации имеют более высокую текущую ликвидность на фондовом рынке).
Беспроцентные (целевые) облигации предусматривают выплату вознаграждения (дохода) по ним в виде определенного товара или услуги. Такие облигации вызывают интерес у инвесто-ров-физических лиц по меньшей мере в двух случаях:
при значительной дефицитности этих товаров или услуг на потребительском
рынке;
при существенной разнице между стартовой ценой приобретения облигации и реальной ценой на преддагаемые в качестве вознаграждения (дохода) товар или услугу.
Оценки инвестиционной привлекательности региона (такая оценка проводится только по облигациям внутреннего местного займа). Необходимость в такой оценке возникает потому, что часть регионов, получающих от государства значительные объемы субсидий и субвенций, может испытывать серьезные финансовые затруднения при погашении облигаций. Поэтому, рассматривая инвестиционные качества отдельных облигаций внутренних местных займов, следует по меньшей мере изучить динамику сальдо их бюджетов и структуру источников формирования их структурной части;
Оценка финансовой устойчивости и платежеспособности предприятия — эмитента (такая оценка проводится только по облигациям предприятий). Главной задачей такой оценки является выявление кредитного рейтинга предприятия, степени его финансовой устойчивости и ее прогноз на период погашения облигации, а также наличие частично сформированного выкупного фонда по обращающимся кратко срочным обязательствам;
Оценка характера обращения облигации на фондовом рынке. Основу такой оценки составляет изучение коэффициента соотношения ее рыночной цены и реальной стоимости. Этот показатель существенно зависит от ставки процента на финансовом рынке — если ставка процента возрастает, то цена облигации падает (в силу фиксированной величины дохода по ней) и наоборот. Кроме того, реальная рыночная стоимость облигации
зависит также от срока, остающегося до ее погашения эмитентом (чем выше срок, тем больше уровень ее риска и ниже настоящая стоимость, что определяет и более низкий уровень рыночной цены);
5. Оценка условий эмиссии облигации. Предметом оценки являются: цель и условия эмиссии; периодичность выплаты процента и ее размер; условия погашения основной суммы (принципала) и другие показатели. При оценке следует иметь в виду, что более частая периодичность выплат может перекрыть выгоды для инвестора, получаемые от более высокого размера процента.
Следует отметить, что приведенные параметры оценки дают лишь обобщенную групповую характеристику инвестиционных качеств отдельных фондовых инструментов и не гарантируют соответствующее их ранжирование по конкретным разновидностям.
15.2. ОЦЕНКА ЭФФЕКТИВНОСТИОТДЕЛЬНЫХ ФИНАНСОВЫХ ИНСТРУМЕНТОВ ИНВЕСТИРОВАНИЯ
Оценка эффективности отдельных финансовых инструментов инвестирования, как и реальных инвестиций, осуществляется на основе сопоставления объема инвестиционных затрат, с одной стороны, и сумм возвратного денежного потока по ним, с другой. Вместе с тем, формирование этих показателей в условиях финансового инвестирования имеет существенные отличительные особенности.
Прежде всего, в сумме возвратного денежного потока при финансовом инвестировании отсутствует показатель амортизационных отчислений, так как финансовые инструменты, в отличие от реальных инвестиций, не содержат в своем составе амортизируемых активов. Поэтому основу текущего возвратного денежного потока по финансовым инструментам инвестирования составляют суммы периодически выплачиваемых по ним процентов (на вклады в уставные фонды; на депозитные вклады в банках; по облигациям и другим долговым ценным бумагам) и дивидендов (по акциям и Другим долевым ценным бумагам).
Кроме того, коль скоро финансовые активы предприятия (каковыми являются финансовые инструменты инвестирования) не амортизируются, они продаются (погашаются) в конце срока их использования предприятием (или в конце обусловленного фиксированного срока их обращения) по той цене, которая сложилась на них на момент продажи на финансовом рынке (или по заранее обусловленной фиксированной их сумме). Следовательно, в состав возвратного денежного потока по финансовым инструментам инвестирования входит стоимость их реализации по окончании срока их использования (фиксированной стоимости по долговым финансовым активам и текущей курсовой стоимости по долевым финансовым активам).
Определенные отличия складываются и в формировании нормы прибыли на инвестированный капитал. Если по реальным инвестициям этот показатель опосредствуется уровнем предстоящей операционной прибыли, которая складывается в условиях объективно существующих отраслевых ограничений, то по финансовым инвестициям инвестор сам выбирает ожидаемую норму прибыли с учетом уровня риска вложений в различные финансовые инструменты. Осторожный (или консервативный) инвестор предпочтет выбор финансовых инструментов с невысоким уровнем риска (а соответственно и с невысокой нормой инвестиционной прибыли), в то время как рисковый (или агрессивный) инвестор предпочтет выбор для инвестирования финансовых инструментов с высокой нормой инвестиционной прибыли (невзирая на высокий уровень риска по ним).
Коль скоро ожидаемая норма инвестиционной прибыли задается самим инвестором, то этот показатель формирует и сумму инвестиционных затрат в тот или иной инструмент финансового инвестирования, которая должна обеспечить ему ожидаемую сумму прибыли. Эта расчетная сумма инвестиционных затрат представляет собой реальную стоимость финансового инструмента инвестирования, которая складывается в условиях ожидаемой нормы прибыли по нему с учетом соответствующего уровня риска.
Если фактическая сумма инвестиционных затрат по финансовому инструменту будет превышать его реальную стоимость, то эффективность финансового инвестирования снизится (т.е. инвестор не получит ожидаемую сумму инвестиционной прибыли). И наоборот, если фактическая сумма инвестиционных затрат будет ниже реальной стоимости финансового инструмента, то эффективность финансового инвестирования возрастет (т.е. инвестор получит инвестиционную прибыль в сумме, большей чем ожидаемая).
С учетом изложенного оценка эффективности того или иного финансового инструмента инвестирования сводится к оценке реальной его стоимости, обеспечивающей получение ожидаемой нормы инвестиционной прибыли по нему. Принципиальная модель оценки стоимости финансового инструмента инвестирования имеет следующий вид:
^ ^ ВДП
Sfl+нп)
1'
где СфИ —реальная стоимость финансового инструмента инвестирования; ВДП— ожидаемый возвратный денежный поток за период использования финансового инструмента; нп — ожидаемая норма прибыли по финансовому инструменту, выраженная десятичной дробью (формируемая инвестором самостоятельно с учетом уровня риска); п — число периодов формирования возвратных потоков (по всем их формам).
Особенности формирования возвратного денежного потока по отдельным видам финансовых инструментов определяют разнообразие вариаций используемых моделей оценки их реальной стоимости. Система основных из этих моделей оценки приведена на рис. 15.5.
Рассмотрим содержание этих моделей применительно к долговым и долевым финансовым инструментам инвестирования на примере облигаций и акций.
Модели оценки стоимости облигаций построены на следующих исходных показателях: а) номинал облигации: б) сумма процента, выплачиваемая по облигации; в)
СО
б=?
ГБ
ожидаемая норма валовой инвестиционной прибыли (норма доходности) по облигации: г) количество периодов До срока погашения облигации.
|

|
Рисунок15.5. Система основных моделей оценки реальной стоимости отдельных видов финансовых ин-, . струментов инвестирования.
Базисная модель оценки стоимости облигации [Basis Bond Valuation Model] или облигации с периодической выплатой процентов имеет следующий вид:
|
(1 + нп)"
{1 + нп)
где СОб — реальная стоимость облигации с периодической выплатой процентов;
П0 — сумма процента, выплачиваемая в каждом периоде (представляющая собой произведение ее номинала на объявленную ставку процента); Н
0 — номинал облигации, подлежащий погашению
в конце срока ее обращения; нп — ожидаемая норма валовой инвестиционной прибыли (доходности) по облигации, выраженная десятичной дробью; л —число периодов, остающихся до срока погашения облигации. Экономическое содержание Базисной модели оценки стоимости облигации (облигации с периодической выплатой процентов) заключается в том, что ее текущая реальная стоимость равна сумме всех процентных поступлений по ней за оставшийся период ее обращения и номинала, приведенных к настоящей стоимости по дисконтной ставке, равной ожидаемой норме валовой инвестиционной прибыли (доходности).
Пример. На фондовомрынке предлагается к продаже облигация одного из предприятий по цене 90 уел. ден. ед. за единицу. Она была выпущена сроком на 3 года, до погашения осталось 2 года. Ее номинал при выпуске определен в 100 уел. ден. ед. Процентные выплаты по облигации осуществляются один раз в год по ставке 30% к номиналу. С учетом уровня риска данного типа облигации ожидаемая норма инвестиционной прибыли принимается в размере 35% в год. Необходимо определить реальную рыночную стоимость облигации и ее соответствие цене продажи. Подставив в формулу соответствующие значения показателей, получаем реальную рыночную стоимость:
где С0п —реальная стоимость облигации с выплатой всей суммы процентов при ее погашении;
Н
0 — номинал облигации, подлежащий погашению в конце срока ее обращения;
П
к — сумма процента по облигации, подлежащая выплате в конце срока ее
обращения;
нп — ожидаемая норма валовой инвестиционной прибыли (доходности) по облигации, выраженная десятичной дробью; л—число периодов, остающихся до срока погашения облигации (по которым установлена норма прибыли).
Экономическое содержание данной модели состоит в том, что текущая реальная стоимость облигации с выплатой всей суммы процентов при ее погашении, равна совокупным выплатам номинала и суммы процента по ней, приведенным к настоящей стоимости по дисконтной ставке, равной ожидаемой норме валовой инвестиционной прибыли (доходности).
Пример. Облигация предприятия номиналом в 100 уел. ден. ед. реализуется на рынке по цене 67,5 уел. ден. ед. Погашение облигации и разовая выплата уммы процента по ней по ставке 20% предусмотрены через 3 года. Ожидаемая норма валовой инвестиционной прибыли по облигациям такого типа составляет 35%.
Необходимо определить ожидаемую текущую доходность и текущую рыночную стоимость данной облигации.
Подставив необходимые показатели в формулу модели реальной рыночной стоимости облигации, получим:
30
30
100
с°е=2
( 30 30 \ 100
(1+0,35) (ПО,35)
2
(1+0,35Г
= (22,2 + 16,5) + 54,9 =
к1,35 1,82 J 1,82
~ 93,6 уел. ден. ед.
Сопоставив текущую рыночную стоимость облигации и цену ее продажи, можно увидеть, что кроме ожидаемой нормы инвестиционной прибыли по ней
может быть получен дополнительный доход в сумме 3,6 уел. ден. ед. (93,6—90) в связи с заниженнойрыночной стоимостью.
Модель оценки стоимости облигации с выплатой всей суммы процентов при ее погашении имеет следующий вид:
Нп + П
?соп=^
(1 + нп)”
100 + 20 120
СО,т =
(1 + 0,35.У 2,46
= 48,9 уел. ден. ед.
Модель оценки стоимости облигации, реализуемой с дисконтом без выплаты процентов, имеет следующий вид:

где СОд —реальная стоимость облигации, реализуемой с дисконтом без выплаты процентов по ней;
Н
0 —номинал облигации, подлежащий погашению в конце срока ее обращения; нп — ожидаемая норма валовой инвестиционной прибыли (доходности) по облигации, выраженная десятичной дробью; и—число периодов, остающихся до срока погашения облигации (по которым установлена норма прибыли).
Экономическое содержание данной модели состоит в том, что текущая реальная стоимость облигации, реализуемой с дисконтом без выплаты процентов по ней, представляет собой ее номинал, приведенный к настоящей стоимости по дисконтной ставке, равной ожидаемой норме валовой инвестиционной прибыли (доходности).
Пример: Необходимо определить текущую рыночную стоимость облигации внутреннего местного займа и сопоставить ее с ценой продажи, используя следующие исходные данные: облигация номиналом в 100 уел. ден. единиц реализуется по цене 67,5 уел. ден. ед. Погашение облигации предусмотрено через 3 года. Норма валовой инвестиционной прибыли ожидается в размере 16%. Подставив в формулу соответствующие значения показателей получим текущую рыночную стоимость данной облигации:

Сопоставляя текущую рыночную стоимость облигации с ценой ее продажи, можно сделать вывод, что последняя завышена на 3,4 уел. ден. ед. (67,5—64,1).
Трансформируя соответствующим образом указанные модели (т.е. меняя искомый расчетный показатель)
можно по каждому виду облигаций рассчитать ожидаемую норму валовой инвестиционной прибыли (доходности), если показатель реальной стоимости облигации заменить на фактическую цену ее реализации на фондовом рынке (комплекс таких моделей широко представлен в специальной литературе по вопросам обращения фондовых инструментов).
Для оценки текущего уровня валовой инвестиционной прибыли по облигациям используется коэффициент ее текущей доходности, который рассчитывается по формуле:
^ Н
0хСП
тдо " СО *
где К
тдо — коэффициент текущей доходности облигации; Но — номинал облигации; СП —объявленная ставка процента (так называемая "купонная ставка"), выраженная десятичной дробью; СО—реальная текущая стоимость облигации (или текущая ее цена).
Пример: Необходимо определить коэффициент текущей доходности облигации с периодической выплатой процентов (купонной облигации) при следующих исходных данных: номинал облигации составляет 100 уел. ден. ед., а ее текущая стоимость — 67,5 уел. ден. ед. купонная ставка составляет 20%.
Подставив в рассматриваемую формулу соответствующие данные, получим:
jj. 100х0
г2 л тл /л/
К тдо--675--йлг/ 29,6%.
Модели оценки стоимости акций построены по следующим исходным показателям: а) вид акции — привилегированная или простая; б) сумма дивидендов, предполагаемая к получению в конкретном периоде; в) ожидаемая курсовая стоимость акции в конце периода ее реализации (при использовании акции в течении заранее определенного периода); г) ожидаемая норма валовой инвестиционной прибыли (норма доходности) по акциям; д) число периодов использования акции.
Модель оценки стоимости привилегированной акции основана на том, что эти акции дают право их собственникам на получение регулярных дивидендных выплат в фиксированном размере. Она имеет следующий вид:
са„=5е.,
НП
где САП — реальная стоимость привилегированной акции; Дп — сумма дивидендов, предусмотренная к выплате по привилегированной акции в предстоящем периоде; НП — ожидаемая норма валовой инвестиционной прибыли (доходности) по привилегированной акции, выраженная десятичной дробью.
Экономическое содержание данной модели состоит в том, что текущая реальная стоимость привилегированной акции представляет собой частное от деления суммы предусмотренных по ней дивидендов на ожидаемую инвестором норму валовой инвестиционной прибыли.
Пример: определить реальную стоимость привилегированной акции при следующих данных: предусмотренная по акции сумма дивидендов составляет 20 уел. ден. ед. в год; ожидаемая инвестором годовая норма валовой инвестиционной прибыли составляет 10%.
С А
п -ург - 200 уел. ден. ед.
i/j 1
Модель оценки стоимости простой акции при ее использовании в течение неопределенного продолжительного периода времени имеет следующий вид:

где САн —реальная стоимость акции, используемой в те-. чение неопределенного продолжительного периода времени;
Да — сумма дивидендов, предполагаемая к получению в каждом и-ом периоде; нп — ожидаемая норма валовой инвестиционной прибыли (доходности) по акциям, выраженная десятичной дробью; я—число периодов, включенных в расчет.
Экономическое содержание данной модели состоит в том, что текущая реальная стоимость акции, используемой в течение неопределенного продолжительного периода времени (неопределенное число лет), представляет собой сумму предполагаемых к получению дивидендов по отдельным предстоящим периодам, приведенную к настоящей стоимости по дисконтной ставке, равной ожидаемой норме валовой инвестиционной прибыли (доходности).
Пример: Приобретенная инвестором акция пред-. ставляется инвестору перспективной и намечена им к использованию в течение продолжительного периода. На ближайшие пятъ лет им составлен прогноз дивидендов, в соответствии с которым в первый год сумма дивидендов составит 100 уел. ден. ед., а в последующие годы будет ежегодно возрастать на 20усл. ден. ед. Норма текущей доходности акций данного типа составляет 15% в год. Необходимо определить текущую рыночную стоимость акции. Подставив в формулу модели необходимые показатели, получим:

Применительно к нашим условиям рассмотренный вариант представляет собой лишь гепотетический случай, т.к. ни один инвестор не планирует держать свои финансовые активы столь продолжительное время (за этот срок ему представится ряд возможностей реинвестировать капитал на более выгодных условиях) и уж тем более не сможет составить столь длительный прогноз получения дивидендов в условиях нашей экономики. Поэтому рассмотри более типичные ситуации, когда денежный поток будет состоять не только из дивидендов, но и возросшей стоимости акции при ее реализации.
Модель оценки стоимости простой акции, используемой в течение заранее определенного срока, имеет следующий вид:

где САо —реальная стоимость акции, используемой в течение заранее определенного срока; Д
а — сумма дивидендов, предполагаемая к получению в каждом лом периоде; КС
а — ожидаемая курсовая стоимость акции в конце периода ее реализации; нп — ожидаемая норма валовой инвестиционной прибыли (доходности) по акциям, выраженная десятичной дробью; « — число периодов, включенных в расчет.
Экономическое содержание данной модели состоит в том, что текущая реальная стоимость акции, используемой в течение заранее определенного срока, равна сумме предполагаемых к получению дивидендов в используемых периодах и ожидаемой курсовой стоимости акции в момент ее реализации, приведенной к настоящей стоимости по дисконтной ставке, равной ожидаемой норме валовой инвестиционной прибыли (доходности). Иными словами экономическое содержание данной модели аналогично Основной модели оценки облигаций. Отличия состоят лишь в том, что вместо суммы процентов используются показатели дифференцированной по годам суммы дивидендов, а
вместо номинала облигации — прогнозируемая рыночная цена акции в момент ее реализации. Сам же механизм расчета текущей рыночной стоимости при этом не меняется.
Рассмотренная принципиальная модель оценки стоимости акций при ее использовании в течении неопределенного периода времени имеет ряд вариантов:
Модель оценки стоимости простых акций со стабильным уровнем дивидендов имеет следующий вид:
СА
Я =
Да
кп
где СА
П — реальная стоимость акций со стабильным уровнем дивидендов; Да — годовая сумма постоянного дивиденда; нп — ожидаемая норма валовой инвестиционной прибыли (доходности) по акции, выраженная десятичной дробью;
Пример: По акции выплачивается ежегодный постоянный дивиденд в сумме 20 уел. ден. ед. Ожидаемая норма текущей прибыли акций данного типа составляет 15% в год. Реальная рыночная стоимость акции будет составлять:
CAn 0,25
Модель оценки стоимости простых акций с постоянно возрастающим уровнем дивидендов (она известна как "Модель Гордона") имеет следующий вид:
20
= SO уел. ден. ед.

где СА
В — реальная стоимость акции с постоянно возрастающим уровнем дивидендов;
Д
п — сумма последнего выплаченного дивиденда;
Т
д —темп прироста дивидендов, выраженный десятичной дробью;
нп—ожидаемая норма валовой инвестиционной прибыли (доходности) по акции, выраженная десятичной дробью.
Пример: Последний дивиденд, выплаченный по акции, составлял 150 уел. ден. ед. Компания постоянно увеличивает сумму ежегодно выплачиваемых дивидендов на 10%. Ожидаемая норма текущей доходности акций данного типа составляет 20% в год. Реальная рыночная стоимость акции будет составлять:
150 (1 + 0,1) ~ 0,2-0,1
1650 уел. ден. ед.
Модель оценки стоимости акций с колеблющимся уровнем дивидендов по отдельным периодам имеет следующий вид:
Д] , Д_2_^ Д
п
1 + нп
1 + нп
где САи — реальная стоимость акции с изменяющимся уровнем дивидендов по отдельным периодам; Д!-Д
п —сумма дивидендов, прогнозируемая к получению в каждом и-ом периоде; нп — ожидаемая норма валовой инвестиционной прибыли (доходности) по акциям, выраженная десятичной дробью.
Пример: В соответствии с принятой дивидендной политикой компания ограничила выплату дивидендов в предстоящие три года суммой 80 уел. ден. ед. В последующие пять лет она обязалась выплачивать постоянные дивиденды в размере 100 уел. ден. ед. Норма ожидаемой доходности акции данного типа составляет 25% в год. Текущая рыночная стоимость акции будет составлять:
80 80 80 100 100 100 100 100
и 1,25 1,25 1,25 1,25 1,25 1,25 1,25 1,25
— 592 уел. ден. ед.
Оценка реальной стоимости финансового инструмента в сопоставлении с ценой его текущей рыночной котировки или рассчитанная ожидаемая норма валовой инвестиционной прибыли (доходности) по нему являются основным критерием принятия управленческих решений по осуществлению тех или иных финансовых инвестиций.
Вместе с тем, в процессе принятия таких управленческих решений могут быть учтены и иные факторы — условия эмиссии ценных бумаг, отраслевая или региональная принадлежность эмитента, уровень активности обращения тех или иных инструментов финансового инвестирования на рынке и другие.
15.3. ОЦЕНКА РИСКОВ ОТДЕЛЬНЫХ ФИНАНСОВЫХ ИНСТРУМЕНТОВ ИНВЕСТИРОВАНИЯ
Все инвестиционные операции предприятия, связанные с использованием различных видов финансовых инструментов инвестирования, являются рискованными,
так как ожидаемый по ним уровень инвестиционного дохода не может быть гарантирован с полной определенностью. Поэтому используя в процессе инвестирования тот или иной финансовый инструмент, необходимо в каждом конкретном случае оценивать его риск.
Под риском отдельного финансового инструмента инвестирования понимается вероятность отклонения фактического инвестиционного дохода от ожидаемой его величины в ситуации неопределенности динамики конъюкту-ры соответствующего сегмента инвестиционного рынка и предстоящих результатов хозяйственной деятельности его эмитента.
Процесс оценки уровня рисков отдельных финансовых инструментов инвестирования, требует предварительной классификации этих рисков, которая осуществляется по следующим основным признакам (рис. 15.6.).
1.По видам. В современной экономической литературе по вопросам инвестиционного менеджмента различают следующие виды рисков отдельных финансовых инструментов инвестирования:
Рыночный риск. Этот вид риска характеризует изменчивость курса (реальной рыночной стоимости) отдельных финансовых инструментов инвестирования под воздействием колебаний конъюктуры всего инвестиционного рынка или важнейших его сегментов. Он однонаправ-лено влияет на все виды финансовых инструментов инвестирования, хотя степень этого влияния неравнозначна по различным их видам и разновидностям.
Процентный риск. Этот риск характеризуется изменением ставки процента в результате изменений общего соотношения предложения и спроса на деньги. Рост уровня ставки процента вызывает снижение рыночного курса (реальной рыночной стоимости) отдельных финансовых инструментов инвестирования, а следовательно и потерю инвестором части ожидаемого дохода по ним. Особенно сильно влиянию этого вида риска подвержены долговые финансовые инструменты инвестирования (облигации, депозитные сертификаты ит.п.).
Инфляционный риск. Этот вид риска характеризуется изменением уровня цен (покупательной способности денег) в масштабах всей экономики страны. В период
КЛАССИФИКАЦИЯ РИСКОВ ОТДЕЛЬНЫХ ФИНАНСОВЫХ _ ИНСТРУМЕНТОВ ИНВЕСТИРОВАНИЯ

Рыночный риск Процентный риск Инфляционный риск Риск ликвидности Налоговой риск Коммерческий риск Структурный финансовый риск Прочие виды рисков
эг
ПО ИСТОЧНИКАМ ВОЗНИКНОВЕНИЙ
• Систематический риск
* Несистематический риск
>
ПО ФИНАНСОВЫЙ
паспЕдствиян *
|
• Риск, влекущий только финансовые потери
• Риск, влекущий как финансовые потери, так и дополнительные инвестиционные доходы
|
|
ПО УРОВНЮ *
ФИНАНСОВЫХ ПОТЕРЬ
>
|
• Допустимый риск
• Критический риск
• Катастрофический риск
|
|
ПО ХАРАКТЕРУ >
ПРОШЕНИЯ ВО ВРЕМЕНИ*.
|
• Постоянный риск
• Временный риск
|
|
10 ВОЗМОЖНОСТИ >
ПРЕДВИДЕНИЯ >
|
• Прогнозируемый риск в Непрогнозируемый риск
|
Рисунок 15.6. Классификация рисков отдельных финансовых инструментов инвестирования по основным признакам.
инфляции обесценивается реальная стоимость капитала, инвестированного в отдельные финансовые инструменты, а также ожидаемая сумма дохода по ним. В наибольшей
степени этому виду риска в инфляционной экономике подвержены финансовые инструменты инвестирования с фиксированным уровнем дохода по ним (привилегированные акции, облигации и т.п.).
• Риск ликвидности. Этот вид риска связан с отсутствием возможности быстро продавать тот или иной финансовый инструмент инвестирования без потери инвестированного в него капитала при изменившихся целях инвестиционной деятельности, условий формирования инвестиционного дохода, кризисном финансовом состоянии инвестора и другим причинам. Ликвидность отдельного финансового инструмента инвестирования выступает также важным условием формирования инвестором гибкого совокупного инвестиционного портфеля, характеризуемого возможностью быстрой его реструктуризации. В определенной степени риск ликвидности генерируется периодом обращения (погашения) отдельных финансовых инструментов инвестирования, общим сочетанием фондового и других видов инвестиционного рынка, активностью осуществляемых на них операций.
с Налоговой риск. Этот риск генерируется вероятностью введения новых налогов на осуществление операций финансового инвестирования, возможностью увеличения действующих ставок налогообложения этого ввида хозяйственной деятельности предприятий и изменения других налоговых условий, обуславливающих снижение ожидаемой нормы доходности по отдельным финансовым инструментам инвестирования.
о Коммерческий (деловой) риск. Этот риск генерируется результатами операционной деятельности эмитента, обуславливающими снижение уровня и суммы его прибыли. Причинами возникновения такого риска выступают обычно снижение производственного потенциала предприятия-эмитента, падение спроса на его продукцию, снижение уровня цен ее реализации в условиях возрастания конкуренции и ряда других аналогичных факторов. В результате снижения прибыли эмитента и соответствующего ухудшения его финансового состояния возникает угроза выплат процентов по эмитированным им долговым ценным бумагам, уровня дивидендных выплат по акциям и т.п.
в Структурный финансовый риск. Эмиссия предприятиями долговых финансовых инструментов инвестирования часто ведет к нарушению эффективной пропорциональности в использовании им собственного и заемного капитала, что вызывает снижение его финансовой устойчивости и платежеспособности. В этих условиях возникает угроза выполнения эмитентов своих обязательств по таким финансовым инструментам в полном объеме и в предусмотренные сроки (эти обязательства касаются как суммы текущего дохода, так и суммы погашения финансового инструмента по завершении периода его обращения).
• Прочие виды рисков. К этим видам рисков можноотнести появление на рынке неверной информации, связанной с деятельностью эмитента; внезапным его банкротством; другие аналогичные виды рисков, отражаемыена котировке эмитируемых им финансовых инструментов (кроме вышеперечисленных видов рисков).
По источникам возникновения риск отдельных финансовых инструментов инвестирования подразделяется следующим образом:
Систематический риск. Этот риск генерируется изменением условий внешней инвестиционной среды и не связан с деятельностью отдельных эмитентов. Он воздействует на все без исключения финансовые инструменты инвестирования, хотя и в различной степени (в зависимости от их вида). В инвестиционном менеджменте систематический риск рассматривается как интегрированное проявление рыночного, процентного, инфляционного и налогового видов рисков отдельных финансовых инструментов инвестирования.
Несистематический риск. Этот риск генерируется изменениями результатов хозяйственной деятельности эмитентов и их финансового состояния. По отношению к отдельному финансовому инструменту инвестирования причины возникновения этого риска носят строго индивидуальный характер. В инвестиционном менеджменте несистематический риск рассматривается как интегрированное проявление коммерческого (делового), структурного финансового и прочих видов рисков отдельных финансовых инструментов инвестирования.
По финансовым последствиям выделяются следующие виды риска отдельных финансовых инструментов инвестирования:
Риск, влекущий только финансовые потери по соответствующему инструменту инвестирования. Этот риск характеризуется только отдельными последствиями для ожидаемой инвестиционной прибыли инвестора (например, инфляционный риск для привилегированных акций, облигаций и т.п.).
Риск, влекущий как финансовые потери, так и дополнительные инвестиционные доходы. Он может определять как отрицательный, так и положительный исход в формировании предстоящего инвестиционного дохода (например, риск изменения ставки процента может вызывать как снижение, так и рост инвестиционного дохода по долговым финансовым инструментам инвестирования).
По уровню финансовых потерь риск отдельных финансовых инструментов инвестирования подразделяется на следующие группы:
Допустимый риск. Он характеризует риск, по которому финансовые потери по отдельному инструменту инвестирования исчисляются размером утраты только ожидаемого текущего дохода в форме выплат процентов или дивидендов.
Критический риск. Он характеризует риск, по которому финансовые потери по отдельному инструменту инвестирования исчисляются размером утраты невыплаченного текущего дохода и текущим снижением курсовой стоимости (реальной рыночной стоимости).
Катастрофический риск. Он характеризует риск, по которому финансовые потери по отдельному инструменту инвестирования исчисляются размером утраты, как ожидаемого текущего дохода, так и всего инвестированного капитала (например, в случае банкротства эмитента с полной потерей имущества).
По характеру проявления во времени выделяют:
• Постоянный риск, присущий обращению отделъныхфинансовых инструментов инвестирования. Он характерен для всего периода обращения этих инструментов(например, процентный риск, инфляционный риски т.п.).
в Временный риск, присущий обращению отдельных финансовых инструментов инвестирования. Примером такого вида риска является риск появления неверной информации об эмитенте.
По возможности предвидения выделяют две группы рисков отдельных финансовых инструментов инвестирования:
Прогнозируемый риск. Он характеризует те виды рисков отдельного финансового инструмента инвестирования, которые связаны с циклическим развитием экономики страны в целом, конъюктуры отдельных сегментов инвестиционного рынка или хозяйственной деятельностью эмитента. Эти виды рисков могут быть заранее предсказаны в определенных пределах (в пределах определенного размаха вариации ожидаемого инвестиционного дохода).
Непрогнозируемыйриск. Он характеризует те виды рисков отдельного финансового инструмента инвестирования, отличающегося полной непредсказуемостью проявления (например, коммерческий риск эмитента, вызванный проявлением форс-мажорных обстоятельств; налоговый риск и т.п.).
С учетом классификации рисков отдельных финансовых инструментов инвестирования производится оценка их конкретного уровня. Процесс такой оценки осуществляется по следующим основным этапам.
1. Идентификация отдельных видов рисков по каждому рассматриваемому финансовому инструменту инвестирования. Процесс идентификации отдельных видов рисков включает такие стадии:
На первой стадии по каждому финансовому инструменту инвестирования выделяются присущие ему виды систематического риска (рыночного, процентного, инфляционного ит.п.).
На второй стадии по рассматриваемым финансовым инструментам инвестирования определяется перечень отдельных видов несистематического риска (коммерческий, структурный и т.п.).
На третьей стадии формируется общий портфель рисков, дифференцируемый как в разрезе отдельных финансовых инструментов инвестирования, так и в разрезе видов систематического и несистематического риска.
Оценка вероятности наступления рискового состояния по отдельным видам рисков финансового инструмента инвестирования. Если финансовый инструмент инвестирования имеет продолжительный период обращения, такая оценка осуществляется по фактической информативной базе. Если же оценивается вновь эмитированный финансовый инструмент инвестирования, то используется информация о характере обращения аналогичных ему инструментов за предшествующий период. Для оценки вероятности наступления рискового события по отдельным рисков финансового инструмента инвестирования используется ранее рассмотренные экономическо-стати-стические, экспертные и аналоговые методы.
Определение размера возможных финансовых потерь при наступлении отдельных рисковых событий по конкретным финансовым инструментам инвестирования. С
учетом имеющейся исходной базы, характеризующей ретроспективные параметры обращения рассматриваемых финансовых инструментов инвестирования (или их аналогов), выявляется диапазона колебаний размера их текущего дохода и курсовой стоимости (рыночной цены). По результатам оценки этих колебаний определяется конкретный размер возможных финансовых потерь по рассматриваемым инструментам инвестирования с его подразделением на допустимый, критический и катастрофический уровни.
Оценка общего уровня риска отдельных финансовых инструментов инвестирования с его подразделением на систематический и несистематический. Для оценки общего и несистематического риска отдельных финансовых инструментов инвестирования используются показатели среднеквадратического (стандартного)отклонения и коэффициента вариации. Для оценки систематического риска по этим инструментам применяется бета-коэффициент (модели расчета этих показателей рассмотрены при изложении методического инструментария учета фактора риска).
Сопоставление уровня систематического риска отдельных финансовых инструментов инвестирования с ожидаемым уровнем доходности по ним. В основе выявления адекватности рассматриваемых показателей лежит "Ценовая модель капитальных активов" и ее графическая интерпретация определяющая "Линию надежности рынка". Эта модель помогает инвесторам оценивать соотношение "риск—доходность" по каждому финансовому инструменту инвестирования принимать соответствующие инвестиционные решения в процессе их отбора в формируемый инвестиционный портфель.
В процессе такого сопоставления следует учесть, что "Линия надежности рынка", построенная на учете бета—коэффициента по всей совокупности финансовых инструментов инвестирования, носит усредненный характер. Специфика обращения отдельных финансовых инструментов инвестирования может определять разницу в ожидаемых доходах при заданном уровне риска, проявляемую как закономерность в течение длительного периода времени. Разница между фактической доходностью отдельного финансового инструмента инвестирования и ожидаемой его доходностью на основе "Линии надежности рынка" при конкретном уровне риска, характеризуется "коэффициентом альфа", который может иметь как положительную, так и отрицательную величину. Чем выше положительное значение "коэффициента альфа", тем выше при прочих равных условиях инвестиционная привлекательность рассматриваемого финансового инструмента инвестирования.
6. Ранжирование рассматриваемых финансовых инструментов инвестирования по уровню риска. Такое ранжирование в целях использования при отборе финансовых инструментов в инвестиционный портфель осуществляется по показателям общего уровня их риска, а также риска систематического и несистематического. Ранговые значения отдельных финансовых инструментов инвестирования должны возрастать по мере роста уровня риска по ним.
Окончательные инвестиционные решения о возможности использования отдельных финансовых инструментов инвестирования с учетом фактора их риска принимаются с учетом рисковых предпочтений инвестора и адекватности соотношения уровня их риска и доходности.
15.4. ФОРМИРОВАНИЕ ПОРТФЕЛЯ ФИНАНСОВ1ХИНВЕСТИЦИЙ
Современное финансовое инвестирование непосредственно связано с формированием "инвестиционного портфеля". Оно базируется на том, что большинство инвесторов избирают для осуществления финансового инвестирования более чем один финансовый инструмент, т.е. формируют определенную их совокупность.
Целенаправленный подбор таких инструментов представляет собой процесс формирования инвестиционного портфеля.
Инвестиционный портфель представляет собой целенаправленно сформированную совокупность финансовых инструментов, предназначенных для осуществления финансового инвестирования в соответствии с разработанной инвестиционной политикой. Так как на подавляющем большинстве предприятий единственным видом финансовых инструментов инвестирования являются ценные бумаги, для таких предприятий понятие "инвестиционный портфель" отождествляется с понятием "фондовый портфель" (или "портфель ценных бумаг").
Главной целью формирования инвестиционного портфеля является обеспечение реализации основных направлений политики финансового инвестирования предприятия путем подбора наиболее доходных и безопасных финансовых инструментов. С учетом сформулированной главной цели строится система конкретных локальных целей формирования инвестиционного портфеля, основными из которых являются:
обеспечение высокого уровня формирования инвестиционного дохода в текущем периоде;
обеспечение высоких темпов прироста инвестируемого капитала в предстоящей долгосрочной перспективе;
обеспечение минимизации уровня инвестиционных рисков, связанных с финансовым инвестированием;
обеспечение необходимой ликвидности инвестиционного портфеля.
5) обеспечение максимального эффекта "налогового щита" в процессе финансового инвестирования.
Перечисленные конкретные цели формирования инвестиционного портфеля в значительной степени являются альтернативными. Так, обеспечение высоких темпов прироста инвестируемого капитала в долгосрочной перспективе в определенной степени достигается за счет существенного снижения уровня формирования инвестиционного дохода в текущем периоде (и наоборот). Темпы прироста инвестируемого капитала и уровень формирования текущего инвестиционного дохода находятся в прямой связи с уровнем инвестиционных рисков. Обеспечение необходимой ликвидности портфеля может препятствовать включению в него как высокодоходных, так и низкорисковых финансовых инструментов инвестирования.
Альтернативность целей формирования инвестиционного портфеля определяет различия политики финансового инвестирования предприятия, которая в свою очередь предопределяет конкретный тип формируемого инвестиционного портфеля.
Рассмотрим современные подходы к типизации инвестиционных портфелей предприятия, обеспечивающих реализацию конкретных форм его политики финансового инвестирования. Такая типизация проводится по следующим основным признакам (рис. 15.7).
1. По целям формирования инвестиционного дохода различают два основных типа инвестиционного портфеля — портфель дохода и портфель роста.
Портфель дохода представляет собой инвестиционный портфель, сформированный по критерию максимизации уровня инвестиционной прибыли в текущем периоде вне зависимости от темпов прироста инвестируемого капитала в долгосрочной перспективе. Иными словами, этот портфель ориентирован на высокую текущую отдачу инвестиционных затрат, невзирая на то, что в будущем периоде эти затраты могли бы обеспечить получение более высокой нормы инвестиционной прибыли на вложенный капитал.
Портфель роста представляет собой инвестиционный портфель, сформированный по критерию максимизации темпов прироста инвестируемого капитала в предстоящей долгосрочной перспективе вне зависимости от уровня формирования инвестиционной прибыли в текущем периоде. Иными словами, этот портфель ориентирован на
обеспечение высоких темпов роста рыночной стоимости предприятия (за счет прироста капитала в процессе финансового инвестирования), так как норма прибыли при
|

|
Рисунок 15.7. Типизация инвестиционных портфелей предприятия по
|
основным признакам.
долгосрочном финансовом инвестировании всегда выше, чем при краткосрочном. Формирование такого инвестиционного портфеля могут позволить себе лишь достаточно устойчивые в финансовом отношении предприятия.
2. По уровню принимаемых рисков различают три основных типа инвестиционного портфеля — агрессивный (спекулятивный) портфель; умеренный (компромиссный) портфель и консервативный портфель. Такая типизация портфелей основана на дифференциации уровня инвестиционного риска (а соответственно и уровня инвестиционной прибыли), на который согласен идти конкретный инвестор в процессе финансового инвестирования (рис. 15.8.).

Рисунок 15.8. Зависимость нормы инвестиционной прибылм портфеля от уровня портфельного риска.
Агрессивный (спекулятивный) портфель представляет собой инвестиционный портфель, сформированный по критерию максимизации текущего дохода или прироста инвестированного капитала вне зависимости от сопутствующего ему уровня инвестиционного риска. Он позволяет получить максимальную норму инвестиционной прибыли на вложенный капитал, однако этому сопутствует наивысший уровень инвестиционного риска, при котором инвестированный капитал может быть потерян полностью или в значительной доле.
Умеренный (компромиссный) портфель представляет собой сформированную совокупность финансовых инструментов инвестирования, по которому общий уровень портфельного риска приближен к среднерыночному. Естественно, что по такому инвестиционному портфелю и норма инвестиционной прибыли на вложенный капитал будет также приближена к среднерыночной.
Консервативный портфель представляет собой инвестиционный портфель, сформированный по критерию минимизации уровня инвестиционного риска. Такой портфель, формируемый наиболее осторожными инвесторами, практически исключает использование финансовых инструментов, уровень инвестиционного риска по которым превышает среднерыночный. Консервативный инвестиционный портфель обеспечивает наиболее высокий уровень безопасности финансового инвестирования.
3. По уровню ликвидности выделяют три основных типа инвестиционного портфеля — высоколиквидный портфель, среднеликвидный портфель и низколиквидный портфель. Такая типизация инвестиционного портфеля предприятия определяется с одной стороны целями финансового инвестирования (эффективное использование временно свободных денежных активов в составе оборотного капитала или долговременный рост инвестиционного капитала), а с другой — интенсивностью изменения факторов внешней среды, определяющей частоту реинвестирования капитала в процессе реструктуризации портфеля.
Высоколиквидный портфель формируется, как правило, из срочных финансовых инструментов инвестирования, а также из долгосрочных их видов, пользующихся высоким спросом на рынке, по которым регулярно совершаются сделки купли-продажи.
Среднеликвидный портфель, наряду с вышеперечисленными видами финансовых инструментов инвестирования, включает также определенную часть их видов, не пользующихся высоким спросом и с нерегулярной частотой трансакций.
Низколиквидный портфель формируется, как правило, из облигаций с высоким периодом погашения или акций отдельных предприятий, обеспечивающих более высокий (в сравнении с среднерыночным) уровень инвестиционного дохода, но пользующихся очень низким спросом (или вообще не котируемых на рынке).
4. По инвестиционному периоду различают два основных типа инвестиционного портфеля — краткосрочный портфель и долгосрочный портфель. Такая типизация основана на соответствующей практике бухгалтерскогоучета финансовых активов предприятия.
Краткосрочный портфель (или портфель краткосрочных финансовых вложений) формируется на основе финансовых активов, используемых на протяжении до одного года. Такие финансовые инструменты инвестирования служат, как правило, одной из форм страхового запаса денежных активов предприятия, входящих в состав его оборотного капитала.
Долгосрочный портфель (или портфель долгосрочных финансовых вложений) формируется на основе финансовых активов, используемых на протяжении более одного года. Этот тип портфеля позволяет решать стратегические цели инвестиционной деятельности предприятия и осуществлять избранную им политику финансового инвестирования.
5. По условиям налогообложения инвестиционногодохода выделяют два типа инвестиционного портфеля —налогооблагаемый портфель и портфель, свободный отналогообложения. Такая типизация инвестиционного портфеля связана с реализацией одной из целей его формирования предприятием — обеспечением максимальногоэффекта "налогового щита" в процессе финансового инвестирования.
Налогооблагаемый портфель состоит из финансовых инструментов инвестирования, доход по которым надлежит налогообложения на общих основаниях в соответствии с действующей в стране налоговой системой.
Формирование такого портфеля не преследует целей минимизации налоговых выплат при осуществлении финансовых инвестиций.
Портфель, свободный от налогообложения состоит из таких финансовых инструментов инвестирования, доход по которым налогами не облагается. К таким финансовым инструментам относятся, как правило, отдельные виды государственных и муниципальных облигаций, преследующие цели быстрой аккумуляции инвестиционных ресурсов для решения неотложных инвестиционных задач. Освобождение инвестора от налогообложения доходов по таким финансовым инструментам дополнительно стимулирует их инвестиционную активность, увеличивая сумму чистой инвестиционной прибыли на размер данной налоговой льготы.
6. По стабильности структуры основных видовфинансовых инструментов инвестирования их портфельдифференцируется в разрезе двух типов — портфель сфиксированной структурой активов и портфель с гибкойструктурой активов. Такая типизация инвестиционногопортфеля связана с принципиальными подходами инвестора к последующей его реструктуризации.
Портфель с фиксированной структурой активов характеризует такой его тип, при котором удельные веса основных видов финансовых инструментов инвестирования (акций, облигаций, депозитных вкладов и т.п.) остаются неизменными в течении продолжительного периода времени. Последующая реструктуризация такого портфеля осуществляется лишь по одтельным разновидностям финансовых инструментов инвестирования в рамках фиксированного общего объема по данному виду.
Портфель с гибкой структурой активов характеризует такой его тип, при котором удельные веса основных видов финансовых инструментов инвестирования являются подвижными и изменяются под воздействием факторов внешней среды (их влияния на формирование уровня доходности, риска и ликвидности) или целей осуществления финансовых инвестиций.
7. По специализации основных видов финансовыхинструментов инвестирования
в современной практике инвестиционного менеджмента выделяют следующие основные типы портфелей:
. Портфель акций. Такой портфель позволяет целенаправленно решать такую цель его формирования, как обеспечение высоких темпов прироста инвестируемого капитала в предстоящей долгосрочной перспективе. Разновидностью такого типа портфеля является портфель акций венчурных (рисковых) предприятий.
Портфель облигаций. Этот тип портфеля позволяет решать такие цели его формирования как обеспечение высоких темпов формирования текущего дохода, минимизации инвестиционных рисков, получения эффекта "налогового щита" в процессе финансового инвестирования.
Портфель векселей. Этот тип портфеля позволяет предприятию целенаправленно обеспечивать получение текущего дохода в краткосрочном периоде за счет эффективного использования временно свободного остатка денежных активов (при одновременном укреплении хозяйственных связей с оптовыми покупателями своей продукции).
Портфель международных инвестиций. Формирование такого типа портфеля осуществляют, как правило, институциональные инвесторы путем покупки финансовых инструментов инвестирования (акций, облигаций и т.п.), эмитированных иностранными субъектами хозяйствования. Как правило, такой тип портфеля направлен на реализацию цели обеспечения минимизации уровня инвестиционных рисков.
Портфель депозитных вкладов. Такой портфель позволяет целенаправленно решать такие цели его формирования, как обеспечение необходимой ликвидности, получения текущего инвестиционного дохода и минимизации уровня инвестиционных рисков.
Портфель прочих форм специализации. В основе формирования такого порфеля лежит выбор одного из других видов финансовых инструментов инвестирования не рассмотренных выше.
8. По числу стратегических целей формирования выделяют моно- и полицелевой типы портфелей.
Моноцелевой портфель характеризует такой его тип, при котором все входящие в его состав финансовые инструменты инвестирования отобраны по критерию решения одной из стратегических целей его формирования (обеспечения получения текущего дохода; обеспечения прироста инвестируемого капитала в долгосрочной перспективе; минимизации инвестиционного риска и т.п.). Такой одноцелевой портфель может включать в свой состав все основные вилы финансовых инструментов инвестирования, обеспечивающие его стратегическую направленность.
Полицелевой (комбинированный) портфель предусматривает возможности
одновременного решения ряда стратегических целей его формирования. В современной инвестиционной практике наиболее часто осуществляется формирование комбинированного портфеля по первым двум рассмотренным признакам — целям формирования инвестиционного дохода и уровню принимаемых рисков. Такими основными вариантами комбинированных типов инвестиционных портфелей являются: агрессивный портфель дохода (портфель спекулятивного дохода); агрессивный портфель роста (портфель ускоренного роста); умеренный портфель дохода (портфель нормального дохода); умеренный портфель роста (портфель нормального роста); консервативный портфель дохода (портфель гарантированного дохода); Консервативный портфель роста (портфель гарантированного роста).
Диапазон комбинированных типов инвестиционных портфелей может быть расширен в еще большей степени за счет их вариантов, имеющих промежуточное значение целей финансового инвестирования.
Предложенная к использованию типизация инвестиционных портфелей может быть дополнена и другими признаками, связанными с особенностями осуществления финансового инвестирования конкретными предприятиями.
Определение целей финансового инвестирования и типа инвестиционного портфеля, реализующего избранную политику, позволяет перейти к непосредственному формированию инвестиционного портфеля путем включения в него соответствующих финансовых инструментов.
Эффективность этого формирования обеспечивается использованием двух альтернативных теоретических концепций, известных как "традиционный подход к формированию портфеля" и "современная портфельная теория".
Традиционный подход к формированию портфеля использует в основном инструментарий технического и фундаментального анализа и предполагает включение в него самых разнообразных видов финансовых инструментов инвестирования, обеспечивающих его широкую отраслевую диверсификацию. Хотя такой подход к формированию портфеля позволяет решать стратегические цели его формирования путем подбора соответствующих финансовых инструментов инвестирования по показателям уровня их доходности и риска, эффективная взаимосвязь между отдельными из этих инструментов в процессе подбора не обеспечивается. Несмотря на широкую отраслевую диверсификацию финансовых активов портфеля, обеспечивающую снижение уровня его риска, этот риск не дифференцируется в разрезе систематического и несистема- тического его видов.
Современная портфельная теория, принципы которой впервые были сформулированы в 50-х годах Г. Мар-ковицем, а затем развиты Д. Тобином, В. Шарпом и другими исследователями, представляет собой основанный на статистических методах механизм оптимизации формируемого инвестиционного портфеля по задаваемым критериям соотношения уровня его ожидаемой доходности и риска с учетом обеспечения коррелятивной связи доходности отдельных финансовых инструментов между собой. В составе статистических методов оптимизации портфеля, рассматриваемых этой теорией, особая роль отводится определению среднеквадратического отклонения (или дисперсии) доходности отдельных финансовых инструментов инвестирования; ковариации и корреляции, измеряющими характер связи между показателями доходности этих инструментов; коэффициенту "бета", измеряющему систематический риск отдельных финансовых активов и др.
Хотя в современной инвестиционной практике используются оба подхода к формированию инвестиционного портфеля, в последние годы предпочтение отдается современной портфельной теории. Именно она получает на современном этапе все большее развитие. В связи с этим рассмотрим более подробно основные концептуальные положения современной портфельной теории.
Исходными положениями современной портфельной теории являются следующие допущения:
Все виды инвестиционных решений, связанных с формированием портфеля, принимаются только на один период времени, называемый "периодом владения" [holding period].
Инвестиционный рынок во всех его сегментах является эффективным; все инвесторы имеют одинаковый доступ к информации, позволяющей им прогнозировать ожидаемую величину доходов, среднеквадратичес-кое отклонение распределения ее вероятности, а также ковариацию и корреляцию между доходами для любой пары рассматриваемых финансовых инструментов инвестирования.
При формировании портфеля осуществляется отбор только рисковых финансовых инструментов инвестирования; среднеквадратическое (стандартное) отклонение доходности в полной мере характеризует риск обращения каждой из них (риск приобретения их инвестором).
Инвестиционные решения, связанные с отбором отдельных финансовых активов в формируемый инвестиционный портфель, базируется на трех критериальных показателях: а) уровнем ожидаемого дохода; б) индивидуальным уровнем риска (измеряемом среднеквадратическим отклонением или дисперсией доходов; в) характером ко-вариации и степенью корреляции доходности рассматриваемых финансовых активов.
В процессе формирования портфеля трансакци-онные издержки и налоги, связанные с покупкой или продажей отдельных финансовых инструментов инвестирования, в расчет не принимается.
Рассмотренные допущения, используемые в современной портфельной теории, принятые для того, чтобы исключить влияние иных факторов на механизм оптимизации инвестиционного портфеля.
Основополагающим принципом современной портфельной теории является принцип предпочтения инвестора. Он состоит в том, что при прочих равных условиях инвесторы предпочитают больший дохОД меньшему, а также меньший риск большему. Это означает, что в процессе формирования инвестиционного портфеля каждый инвестор должен оценивать уровень доходности и риска портфеля, а затем, основываясь на соотношениях этих показателей, выбрать лучший его вариант. Характер этих предпочтений может быть проиллюстрирован графиком, представленным на рис. 15.9-

|
Рисунок 15.9. График предпочтений инвестора в процессе выбора варианта инвестиционного портфеля.
Как видно из приведенного графика, возможное поле выбора вариантов инвестиционного портфеля для конкретного инвестора ограничено квадратным пространством, обозначенным точками АВИЖ. В рамках этого пространства инвестиционный портфель I, размещенный на линии ГЕ может обеспечивать инвестору тот же уровень ожидаемого дохода, что и инвестиционный портфель II, но последний вариант портфеля имеет более низкий показатель уровня риска, что и определяет предпочтение его выбора. Соответственно, инвестиционный портфель III размещенный на линии БЗ имеет тот же уровень риска, что и инвестиционный портфель I, но первый вариант портфеля может обеспечить инвестору больший уровень ожидаемого дохода, что также определит предпочтение его выбора. В целом же варианты портфелей, ограниченные в рассматриваемом поле выбора линиями
|
АБДГ, следует рассматривать как более предпочтительные для инвестора, чем варианты портфелей, ограниченные линиями ДЕИЗ.
Рассматривая приведенный график, следует отметить, что он не ориентирует инвестора в выборе конкретного инвестиционного портфеля, в общем рассматриваемом пространстве (в заштрихованных и незаштрихованных его квадратах). Например, портфель IV может обеспечить больший уровень ожидаемого дохода, чем портфель III, однако в этом случае инвестор должен будет принять и более высокий уровень риска. Соответственно, портфель V характеризуется меньшим уровнем риска, чем портфель II, но соответственно ниже будет и уровень ожидаемого дохода по нему.
Критерием, обеспечивающим сужение поля выбора портфеля инвесторов, являются "кривые безразличия" [indifference curves]. В основе их построения лежат функции полезности инвестора, отражающие его отношение к риску и доходности портфеля. Принципиальный график формирования кривых безразличия инвестора, нейтрального к риску, представлен на рис. 15.10.
На приведенном графике каждая линия (KBj; КБ2; КБ3) иллюстрирует одну кривую безразличия, обеспечивающую реализацию задаваемых предпочтений инвестора. Например, инвесторы с предпочтениями соотношения уровня доходности и риска, отражаемыми кривой безразличия КБг, будут рассматривать варианты портфелей I и II как равноценные, т.к. они имеют сбалансированные значения показателей их доходности и риска (дополнительный уровень риска портфеля II обеспечивается получением дополнительного уровня ожидаемого дохода по нему). Вместе с тем, инвестор, нейтральный к риску, предпочитает избрать портфель III,

|
Рисунок 15.10. График кривых безразличии инвестора, нейтрального к риску.
лежащий на кривой безразличия КБь т.к. он имеет больший уровень доходности, сбалансированный с уровнем риска. Соответственно, портфель IV для инвестора, нейтрального к риску будет менее предпочтителен, т.к. он лежит на кривой безразличия КБз, имеющей более низкие показатели уровня доходности (хотя и сбалансированные с уровнем риска).
Из приведенного графика можно сделать следующие основные выводы:
Инвестор рассматривает все портфели, лежащие на одной конкретной кривой безразличия (построенной на основе его предпочтений) как абсолютно равноценные.
Все портфели, лежащие на кривой безразличия, расположенной выше и левее, инвестор рассматривает как более предпочтительные в сравнении с портфелями, лежащими на кривой безразличия, размещенной ниже и правее.
Угол наклона кривой безразличия по отношению к горизонтальной оси определятся отношением инвес-
|
тора к инвестиционным рискам. Инвестор, нерасположенный к риску (консервативный инвестор) использует для формирования портфеля кривые безразличия с большим углом наклона, в то время, как инвестор, расположенный к риску (агрессивный инвестор) — наоборот.
Хотя построение кривых безразличия значительно сужает возможное поле формирования инвестиционного портфеля, оно не дает возможности избрать наиболее эффективный его вариант, т.к. существует множество таких вариантов, соответствующих предпочтениям конкретного инвестора. Приблизить к решению этой задачи позволяет сформулированная П.Марковичем "теорема об эффективном множестве" [efficient set theorem]. Она фиксирует модель инвестиционного поведения инвестора в процессе формирования портфеля следующим образом: "Инвестор выбирает свой оптимальный вариант портфеля из множества, каждый из которых: 1) обеспечивает максимальное значение уровня ожидаемой доходности при любом определенном уровне риска; 2) обеспечивает минимальное значение уровня риска при любом определенном уровне ожидаемой доходности." Совокупность вариантов портфелей, обеспечивающих достижение заданных показателей, характеризуется терминами "эффективное множество" [efficient set] или "границей эффективности портфелей".
Общее поле поиска вариантов портфелей, из которых может быть выделено эффективное множество, определяемое термином "допустимое (или достижимое) множество" [feasible set]. Оно характеризует всю совокупность вариантов портфелей, которые могут быть сформированы из конкретного числа рассматриваемых финансовых инструментов инвестирования.
Графическое изображение допустимого (достижимого) и эффективного множества приведено на рис. 15.11.
Расположение эффективного множества на графике определяется требованиями, сформулированными в теореме о нем. Из приведенного графика видно, что портфель с минимальным уровнем риска расположен в точке Г (ни одна из точек допустимого множества не лежит вне точки Г); портфель с максимальным уровнем риска расположен в точке Б (ни одна из точек допустимого множества не лежит правее точки Б). Следователь-

|
Рисунок 15.11. Графическое изображение допустимого (достижимого) и эффективного множеств
но, множество портфелей, обеспечивающих максимальное значение уровня ожидаемой доходности в диапазон изменяющихся уровней их рисков, должно быть расположено на кривой между точками Г и Б (т.е. на верхней границе допустимого множества). Портфель с максимальным значением уровня ожидаемой доходности расположен в точке А (ни одна из точек допустимого множества не лежит выше точки А);
|
портфель с минимальным значением уровня ожидаемой доходности расположен в точке В (ни одна из точек допустимого множества не лежит ниже точки В). Следовательно, множество портфелей, обеспечивающих минимальное значение уровня риска в диапазоне изменяющегося уровня ожидаемой их доходности, должно быть расположено на кривой между точками АиВ (т.е. на левой границе допустимого множества).
Принимая во внимание, что оба эти требования в процессе определения расположения эффективного мно-
жества должны учитываться в комплексе, все варианты портфелей, удовлетворяющие эти требования должны располагаться на кривой между точками А и Г (т.е. на левой верхней границе допустимого множества). Только из состава эффективных портфелей [efficient portfolios], лежащих на кривой эффективного множества, может быть выбран оптимальный вариант инвестиционного портфеля; все остальные варианты портфелей являются для инвестора неэффективными портфелями [inefficient portfolios], т.е. должны им быть отвергнуты.
Выбор оптимального инвестиционного портфеля [optimal portfolios], обеспечивается совмещением графиков кривых безразличия инвестора и эффективного множества (рис. 15.12).

Риеунок 15.12. Графическая модель выбора оптимального инвестиционного портфеля.
Как видно из приведенного графика, оптимальный портфель инвестора находится в точке касания (но не пересечения) одной из кривых безразличия инвестора (КБ2) с эффективным множеством (т.е. в точке Д).
С учетом рассмотренных принципиальных положений современной портфельной теории осуществляется формирование портфеля финансовых инвестиций конкретного предприятия. Процесс этого формирования состоит из следующих основных этапов (рис. 15.13.).

Рисунок 15.13. Основные этапы формирования портфеля финансовых инвестиций предприятия.
1. Выбор портфельной стратегии и типа формируемого инвестиционного портфеля.
На этом этапе в первую очередь формируются цели формирования инвестиционного портфеля предприятия, определяющие содержание его портфельной стратегии. Эти цели формулируются с учетом взаимосвязи показателей уровня ожидаемой доходности и уровня риска формируемого портфеля.
С учетом сформулированных целей портфельной стратегии осуществляется затем выбор типа формируемого инвестиционного портфеля. Так как в современных условиях большинство формируемых инвестиционных портфелей носит полицелевой характер (т.е. являются
комбинированными портфелями), определяется приоритетность отдельных признаков типизации портфеля.
В первую очередь осуществляется типизация портфеля по целям формирования инвестиционного дохода (портфель роста или портфель дохода).
Во вторую очередь осуществляется типизация портфеля по уровню принимаемых рисков (агрессивный, умеренный или консервативный портфель).
В третью очередь типизация портфеля осуществляется по уровню его ликвидности (высоко-, средне- или низколиквидный портфель).
В четвертую очередь в процессе типизации портфеля учитываются иные признаки его формирования, являющиеся существенными для инвестиционной деятельности конкретного предприятия (инвестиционный период, специализация портфеля и т.п.).
Результатом этого этапа формирования инвестиционного портфеля является полная его идентификация по основным признакам типизации и определение задаваемых параметров уровня ожидаемой его доходности ириска.
2. Оценка инвестиционных качеств финансовых инструментов инвестирования по показателям уровня доходности, риска и взаимной ковариации. В соответствии с положениями современной портфельной теории эти показатели являются наиболее существенными характеристиками инвестиционных качеств финансовых инструментов инвестирования.
Оценка уровня ожидаемой доходности отдельных финансовых инструментов инвестирования осуществляется с учетом специфики на основе соответствующих моделей, рассмотренных ранее.
Оценка уровня риска отдельных финансовых инструментов инвестирования осуществляется путем расчета показателей среднеквадратического (стандартного) отклонения или дисперсией их доходности. В процессе оценки уровня риска, он дифференцируется на систематический и несистематический.
Оценка взаимной ковариации отдельных финансовых инструментов инвестирования осуществляется на основе использования соответствующих статистических методов. Ковариация представляет собой статистическую характеристику, иллюстрирующую меру сходства (илираэли-
чий) двух рассматриваемых величин в динамике, амплитуде и направлении изменений. В процессе оценки изучается ковариация изменения (колебания) уровня инвестиционного дохода по различным сопоставимым видам финансовых инструментов. Принцип проявления этого показателя графически иллюстрируется на рис. 15.14.


Вариант 1. Уровень доходности по финансовым инструментам “А” и “Б” колеблется во времени в одном направлении.
Вариант 2. Уровень доходности по финансовым инструментам “А” и “Б” колеблется во времени в противоположных направлениях.
Рисунок 15.14. Характеристика ковариации колебаний уровня инвестиционного дохода по различным фииан-, совыи инструментам инвестирования.
Плотность ковариации между уровнями доходности по двум видам финансовых инструментов инвестирования может быть определена на основе коэффициента корреляции, который рассчитывается по следующей формуле:

где ККф — коэффициент корреляции доходности двух финансовых инструментов инвестирования;
Pi, 2 — вероятность возникновения возможных вариантов отклонений доходности по каждому из
_ сравниваемых финансовых инструментов;
Д1 — варианты уровня доходности первого финансового инструмента в процессе его колеблемости;
Д1 — средний уровень доходности по первому фи-
_ нансовому инструменту;
Д2 — варианты уровня доходности второго финансового инструмента в процессе его колеблемости;
Д2 — средний уровень доходности по второму финансовому инструменту; С\; С2 — среднеквадратическое (стандартное) отклонение доходности соответственно по первому и второму финансовому инструменту.
Коэффициент корреляции доходности по двум финансовым инструментам инвестирования может принимать значения от +1 (означающего полную и
положительную корреляцию между рассматриваемыми величинами) до -1 (означающего полную и отрицательную корреляцию между рассматриваемыми величинами).
Результатом этого типа формирования портфеля является определение перечня финансовых инструментов инвестирования, обращающихся на рынке, полностью соответствующих избранному его типу по всем важнейшим параметрам.
3. Отбор финансовых инструментов в формируемый портфель с учетом их влияния на параметры уровня доходности и риска портфеля. Этот этап связан с обоснованием инвестиционных решений относительно включения в портфель конкретных финансовых инструментов, соответствующих его параметрам, а также пропорций распределения инвестируемого капитала в разрезе основных видов финансовых активов (т.е. формированием структуры портфеля).
Основными исходными предпосылками, связанными с обоснованиями инвестиционных решений относительно включения в портфель конкретных финансовых инструментов, являются:
• тип и основные параметры формируемого инвестиционного портфеля: общий объем инвестируемого капитала, направленного предприятием на формирование портфеля;
широта предложения обращающихся на рынке финансовых инструментов инвестирования, полностью соответствующих важнейшим параметрам избранного типа портфеля (по сформированному в результате их оценки перечню);
конкретные значения показателей уровня доходности, уровня риска и коэффициента корреляции, включенных в перечень отдельных финансовых инструментов инвестирования;
В процессе отбора конкретных финансовых инструментов в формируемый портфель необходимо учитывать их влияние на заданные параметры общего уровня его доходности и риска.
Степень влияния уровня доходности отдельного финансового инструмента инвестирования на формируемый показатель уровня ожидаемой доходности портфеля может быть рассчитана по следующей формуле:

где ВДф — степень влияния уровня доходности отдельного финансового инструмента инвестирования на уровень ожидаемой доходности портфеля; УДф — ожидаемый уровень доходности рассматриваемого финансового инструмента инвестирования; УДп — заданное значение уровня ожидаемой доходности инвестиционного портфеля, формируемого предприятием.
Рассматриваемая разность характеризует прежде всего направленность влияния рассматриваемого финансового инструмента инвестирования на уровень доходности портфеля (при положительном ее значении рассматриваемый финансовый инструмент увеличивает возможность выхода на заданный параметр уровня доходности портфеля, а при отрицательном — снижает эту возможность). Кроме того рассматриваемая разность, сопоставляемая с заданным уровнем доходности портфеля, характеризует количественную оценку меры вклада отдельного финансового инструмента инвестирования в формировании заданного параметра портфеля.
Степень влияния уровня риска отдельного финансового инструмента инвестирования на формирование показателя уровня риска портфеля может быть рассчитана по следующей формуле:
gp _ КК
фп - Одп
Ф (Т *
?дп
где ВРф — степень влияния уровня риска отдельного финансового инструмента инвестирования на уровень риска портфеля; ККфп — коэффициент корреляции колебаний доходности рассматриваемого финансового инструмента и доходности портфеля (уровня его риска), отражающий характер их ковариации; а
2 — дисперсия доходности портфеля (задаваемое
значение уровня его риска); а — среднеквадратическое (стандартное) отклонение доходности портфеля.
В процессе оценки влияния уровня риска отдельного финансового инструмента инвестирования на показатель уровня риска портфеля, следует учесть, что если их несистематический риск может быть снижен путем диверсификации портфеля, то систематический их риск диверсификацией не устраняется. В связи с этим в процессе оценки необходимо определять чувствительность реагирования финансового инструмента на общие колебания конъюктуры рынка (эта чувствительность измеряется показателем бета по каждому финансовому инструменту инвестирования).
Таким образом, процесс отбора финансовых инструментов инвестирования в формируемый портфель направлен на решение следующих задач:
о обеспечение заданного уровня ожидаемой доходности портфеля;
в обеспечение заданного уровня риска портфеля;
в создание возможности диверсификации портфеля в целях снижения уровня несистематического риска;
• формирование совокупности финансовых инструментов инвестирования с отрицательной взаимной корреляцией;
с формирование совокупности финансовых инструментов инвестирования с наименьшим уровнем систематического риска;
о обеспечение прочих параметров формируемого портфеля в соответствии с избранными признаками его типизации.
Формирование структуры портфеля (пропорций распределения инвестируемого капитала в разрезе основных видов финансовых активов) осуществляется в такой последовательности. В первую очередь определяется общее соотношение долевых и долговых финансовых инструментов инвестирования в портфеле. Затем в разрезе каждой из этих групп определяется доля отдельных видов финансовых инструментов инвестирования (облигаций, привилегированных акций, простых акций и т.п.). И наконец, по каждому из видов определяется соотношение кратко- и долгосрочных финансовых инструментов инвестирования.
Пример структурирования портфеля по видам финансовых инструментов инвестирования приведен в таблице 15.1.
Таблица 15.1. Альтернативная структура портфеля по видам
финансовых инструментов (в%)
Виды финансовых
инструментов
|
Тип портфеля
|
Консерва
тивный
|
У меренн ый
|
Агрессивн
ый
|
Государственные
|
45
|
30
|
|
кратко срочные
|
|
|
|
Государственные
|
35
|
25
|
15
|
долгосрочные
|
|
|
|
Долгосрочные
|
15
|
25
|
35
|
облигации
|
|
|
|
Простые акции
|
5
|
20
|
50
|
Итого
|
100
|
100
|
100
|
Результатом этого этапа формирования инвестиционного портфеля является определение его видовой структуры, а также стартового его состава по конкретным финансовых инструментов инвестирования.
4. Оптимизация портфеля, направленная на снижение уровня доходности. Она
основывается на оценке ко-вариации коэффициента корреляции и соответствующей диверсификации инструментов портфеля.
Диверсификация финансовых инструментов инвестирования обеспечиваемая выбором их видов с отрицательной взаимной корреляцией позволяет уменьшить уровень несистематического риска портфеля, а соответственно и общий уровень портфельного риска. Чем выше количество финансовых инструментов с отрицательной взаимной корреляцией, включенных в портфель, тем ниже при неизмененном уровне инвестиционного дохода будет уровень портфельного риска. Графически эта зависимость иллюстрируется на рис. 15.15.
4

|
Рисунок 15.15. Зависимость уровня несистематического и общего портфельного риска от количества финансовых инструментов инвестирования.
Как показывает график, увеличение количества используемых инструментов инвестирования позволяет существенно снизить уровень портфельного риска. По критериям западных специалистов минимальным требованиям диверсификации портфеля соответствует включение в него не менее 10-12 финансовых (фондовых) инструментов. В условиях неразвитости нашего фондового рынка этот критерий может быть несколько снижен.
Из рисунка видно также, что диверсификация позволяет уменьшить только несистематический риск инвестиционного портфеля — систематический риск диверсификацией не устраняется (его можно только возместить соответствующей премией за риск).
Результатом этого этапа формирования портфеля является обеспечение достижения минимально возможного уровня его риска при заданном уровне ожидаемого инвестиционного дохода.
|
5. Оценка основных параметров сформированного инвестиционного портфеля. Такая оценка позволяет оценить эффективность всей работы по его формированию.
Уровень доходности портфеля рассчитывается по следующей формуле:
П
уд
п=?уп
гху,.,
1=1
где УДп — уровень доходности инвестиционного портфеля; УД; — уровень доходности отдельных финансовых инструментов в портфеле; У,—удельный вес отдельных финансовых инструментов в совокупной стоимости инвестиционного портфеля, выраженный десятичной дробью.
Уровень риска портфеля рассчитывается по следующей
П
ур
п=Хуср,ху,+унр
п,
формуле:
f=1
где УРП—уровень риска инвестиционного портфеля; УСР, —уровень систематического риска отдельных финансовых инструментов (измеряемый с помощью бета-коэффициента); У, —удельный вес отдельных финансовых инстру-* • ментов в совокупной стоимости инвестици-- онного портфеля, выраженный десятичной дробью;
УНРп —уровень несистематического риска портфеля, достигнутый в процессе его диверсификации. В условиях функционирования нашего фондового рынка эта оценка должна быть дополнена и показателем уровня ликвидности сформированного портфеля.
Результатом этого этапа формирования портфеля является определение того, насколько стартовые его характеристики отвечают целевым параметрам его построения.
Инвестиционный портфель, который полностью отвечает целям его формирования как по типу, так и по составу включенных в него финансовых инструментов, представляет собой "сбалансированный стартовый инвестиционный портфель ”.
Процесс формирования стартового портфеля после его завершения уступает место процессу оперативного управления его реструктуризацией.
Под оперативным управлением реструктуризацией портфеля финансовых инвестиций понимается обоснование и реализация управленческих решений, обеспечивающих поддержание целевой инвестиционной направленности сформированного портфеля по параметрам его доходности, риска и ликвидности путем ротации отдельных его инструментов.
Изменение целей инвестора и объема инвестиционных ресурсов, значительные колебания конъюнктуры инвестиционного рынка, изменение ставки процента, расширение предложения финансовых инструментов инвестирования и ряд других условий вызывают необходимость текущей корректировки сформированного инвестиционного портфеля. Такая корректировка носит название "реструктуризации портфеля" и является основным содержанием процесса оперативного управления им на
предприятии.
Процесс оперативного управления реструктуризацией портфеля финансовых инвестиций осуществляется на предприятии по следующим основным этапам.
1. Организация постоянного мониторинга условий экономического развития страны и конъюнктуры инвестиционного рынка в разрезе отдельных его сегментов. Такой мониторинг должен носить непрерывный характер в силу высокой динамики текущей конъюнктуры инвестиционного рынка. В процессе мониторинга основное внимание должно быть уделено выявлению динамики факторов, влияющих на снижение уровня доходности, риска и ликвидности финансовых инструментов, входящих в состав портфеля предприятия. Система таких факторов наблюдается и анализируется раздельно по долевым и долговым видам финансовых инструментов.
К числу основных факторов, негативно влияющих на уровень доходности долевых и долговых финансовых инструментов инвестирования, относятся следующие (рис. 15.16):

Раеунок 15.16. Состав основных факторов, снижающих уровень доходности долевых финансовых инструментов инвестирования.
Снижение уровня выплачиваемых дивидендов вследствие уменьшения суммы прибыли эмитента. Изменение уровня дивидендных выплат является первым тревожным симптомом предстоящего снижения рыночной стоимости конкретного вида акций. В какой бы убедительной форме не было бы преподнесено решение акционерной компании, это дает инвестору повод к детальной оценке предстоящей эффективности инвестиций в эти акции.
Снижение темпов прироста стоимости чистых активов эмитента (или уменьшение их суммы)- Хотя такое снижение может носить временный характер, оно неизбежно ведет к соответствующему уменьшению котировки акций на рынке.
Конъюнктурный спад в отрасли, в которой эмитент осуществляет свою операционную деятельность. Этот спад сказывается прежде всего на размере чистой прибыли эмитента от операционной деятельности, а следовательно и на размере будущих дивидендов. Снижение уровня выплаты дивидендов в свою очередь вызывает снижение рыночной котировки акций данного эмитента.
Существенное превышение рыночной цены финансового инструмента над реальной его стоимостью в момент приобретения инвестором. Такая переоцененность стоимости долевых ценных бумаг вызывается, как правило, искусственно завышаемой ее котировкой самим эмитентом или соответствующей спекулятивной игрой участников фондового рынка. Повышение эффективности фондового рынка вызывает снижение цены таких переоцененных финансовых инструментов до уровня реальной их стоимости. Если в портфеле предприятия есть такие переоценные финансовые активы, от них лучше избавиться заранее.
Общий спад конъюнктуры фондового рынка. Каков бы ни был уровень бета-коэффициента по фондовому портфелю в целом или отдельным его активам, спад конъюнктуры (снижение индекса) фондового рынка отрицательно сказывается на эффективности обращаемых ценных бумаг.
Спекулятивная игра участников фондового рынка, характеризующаяся переходом от "рынка быков " к "рынку медведей". Перелом в линии рынка по данному виду ценных бумаг является той пиковой точкой, в которой
продажа этих долевых ценных бумаг является наиболее выгодной с позиций поддержания целевого уровня эффективности портфеля. Однако следует иметь в виду, что такая игра носит, как правило, краткосрочный характер и при формировании портфеля роста обычно может не учитываться инвестором.
7. Повышение уровня налогообложения инвестиционного дохода по долевым финансовым инструментам. Уменьшение уровня чистой инвестиционной прибыли может привести к снижению эффективности финансового инвестирования даже несмотря на рост дивидендных выплат (если фактический прирост суммы дивидендов будет ниже суммы дополнительной уплаты налогов).
К числу основных факторов, негативно влияющих на уровень доходности долговых финансовых инструментов инвестирования, относятся следующие (рис. 15.17.):

Рисунок 15.17. Состав основных факторов, снижающих уровень доходности долговых финансовых инструментов инвестирования.
Увеличение средней ставки процента на финансовом рынке. Рост ссудного процента является основным фактором снижения уровня эффективности этих видов финансовых инструментов. Если этот рост прогнозируется и в дальнейшем, желательно, заменить долгосрочные финансовые инструменты данного вида на краткосрочные, которые более устойчивы к негативному влиянию этого фактора.
Повышение темпов инфляции в сравнении с предшествующим периодом. Рост темпа (индекса) инфляции в более высоких размерах, чем в предшествующем периоде, приводит к обесценению номинальной стоимости этих финансовых инструментов инвестирования и выплачиваемых по ним процентам. При прогнозируемой стабильности указанной тенденции без дополнительного размера инфляционной премии, устанавливаемой эмитентом, от таких финансовых инструментов в портфеле следует отказаться.
Снижение уровня платежеспособности (кредитного рейтинга) эмитента долговых финансовых инструментов. Следствием такого снижения является возрастание уровня риска и проблемы с ликвидностью таких финансовых инструментов, что соответственно снижает и уровень их эффективности.
Непредусмотренное снижение размера выкупного фонда (фонда погашения) эмитента по данному финансовому обязательству. Такое снижение вызывает негативные последствия для котировки таких видов финансовых инструментов инвестирования при приближающихся
сроках их погашения.
Снижение уровня премии за ликвидность по долгосрочным долговым финансовым инструментам. При существенном снижении уровня ликвидности таких активов портфеля ранее установленный размер премии за ликвидность уже не соответствует новым реалиям рынка, что вызывает понижение их котировки и реально выплачиваемой суммы процента по ним.
Повышение уровня налогообложения инвестиционного дохода по долговым финансовым инструментам. Снижение уровня чистого дохода соответственно сказывается на их
инвестиционных качествах и эффективности портфеля финансовых инвестиций в целом.
Раздел III. Управление формированием прибыли предприятия в процессе инвестиционной деятельности
Результаты мониторинга инвестиционного рынка *и условий экономического развития страны в разрезе рассмотренных факторов позволяют повысить обоснованность управленческих решений, принимаемых в процессе дальнейших этапов оперативного управления портфелем финансовых инвестиций предприятия.
2. Оперативная оценка уровня доходности, риска и ликвидности по сформированному портфелю финансовых инвестиций в динамике. В процессе такой оценки, которая должна носить регулярный характер, соответствующийпериодичности осуществления мониторинга, выявляютсятенденции уровня доходности, риска и ликвидности попортфелю в целом; их соответствие целевым параметрамформирования портфеля (типу портфеля); соответствиерассматриваемых параметров рыночной шкале "доходность-риск" и "доходность-ликвидность". Оценка аналогичныхпоказателей проводится с установленной периодичностьюпо отдельным видам финансовых инструментов портфеля, а также в разрезе конкретных их разновидностей.
Результаты оценки служат основой принятия управленческих решений о необходимости и направлениях реструктуризации портфеля финансовых инвестиций.
3. Выбор принципиальных подходов к оперативнойреструктуризации портфеля финансовых инвестиций предприятия. Теория оперативного управления портфелем финансовых инструментов инвестирования выделяет двапринципиальных подхода к осуществлению этого управления — пассивный и активный. Эти подходы различаютсякак задачами, так и методами оперативного управленияпортфелем.
Пассивный подход к управлению портфелем основан на принципе "следования в фарватере рынка". Практическая реализация этого принципа означает, что
реструктуризация портфеля финансовых инвестиций должна четко отражать тенденции конъюнктуры фондового рынка как по общему объему (на основе общерыночных индексов динамики), так и по составу обращающихся на нем ценных бумаг. Иными словами, динамика портфеля финансовых инвестиций предприятия в миниатюре должна копировать динамику фондового рынка в целом. Основное внимание при пассивном подходе к управлению портфелем уделяется обеспечению его реструктуризации по видам ценных бумаг и глубокой диверсификации с целью снижения уровня портфельного риска. Приверженцы этого подхода считают, что эффективность портфеля на 90% обеспечивается структурой видов финансовых инструментов и лишь на 10% — конкретными их разновидностями в рамках отдельных видов. В наибольшей степени пассивный подход отражает менталитет формирования консервативного типа портфеля.
Активный подход к управлению портфелем основан на принципе "опережения рынка". Практическая реализация этого принципа означает, что реструктуризация портфеля финансовых инвестиций должна основываться на прогнозных расчетах рыночной конъюнктуры, а не отражать текущую ее динамику. Для этого подхода характерна индивидуализированная оценка предстоящей рыночной стоимости финансовых инструментов инвестирования с последующим включением в состав реструктурируемого портфеля недооцененных в текущем периоде ценных бумаг. Активный подход предполагает также глубокую индивидуализацию методов прогнозирования конъюнктуры фондового рынка, основанного преимущественно на фундаментальном его анализе. В наибольшей степени активный подход к управлению портфелем отражает менталитет агрессивного его формирования.
Выбор принципиального подхода к оперативной реструктуризации портфеля финансовых инвестиций определяет систему методов ее осуществления на предприятии.
4. Реструктуризация портфеля по основным видам финансовых инструментов инвестирования. Такая реструктуризация осуществляется двумя различными методами в зависимости от избранного принципиального подхода к оперативному управлению портфелем. Основу этих методов составляет установление постоянного (фиксированного) или переменного (гибкого) соотношения спекулятивной и консервативной частей портфеля финансовых инвестиций.
При постоянном (фиксированном) соотношении спекулятивной и консервативной частей портфеля его реструктуризация по основным видам финансовых инструментов всегда должна быть направлена на обеспечение первоначалъ ных целевых параметров его формирования. В зависимости от типа формируемого портфеля инвестор устанавливает постоянное соотношение спекулятивной и консервативной его частей, характеризуемое определенными видами финансовых инструментов инвестирования. Эти значения могут варьировать лишь в небольшом
диапазоне в пределах установленных лимитов. При достижении этих лимитов проводятся операции по реструктуризации видов финансовых инструментов. Так, если сверх лимита возросла стоимость спекулятивных видов ценных бумаг, часть из них реализуется с параллельным приобретением ценных бумаг консервативных видов. Реструктуризация портфеля на основе метода постоянного соотношения отдельных видов финансовых инструментов отражает идеологию пассивного подхода к его управлению.
При переменном (гибком) соотношении спекулятивной и консервативной частей портфеля инвестор постоянно варьирует состав видов ценных бумаг с учетом прогнозируемой динамики их рыночной стоимости. Если результаты прогноза показывают более благоприятную динамику рыночной стоимости финансовых инструментов спекулятивной части портфеля, их доля увеличивается при соответствующем снижении удельного веса финансовых инструментов консервативной его части. И, наоборот, — при прогнозируемой неблагоприятной динамике рыночной стоимости финансовых инструментов спекулятивной части портфеля их доля соответственно снижается. Подчинение реструктуризации портфеля прогнозируемой динамике рыночной стоимости спекулятивных видов финансовых инструментов отражает идеологию активного подхода к его управлению.
5. Реструктуризация портфеля по конкретным разновидностям финансовых инструментов инвестирования.
Методы такой реструктуризации портфеля определяются принципиальными подходами к его управлению.
При пассивном подходе к оперативному управлению портфелем основное внимание в осуществлении этого этапа реструктуризации портфеля уделяется обеспечению глубокой его диверсификации в рамках отдельных видов финансовых инструментов. Одним из методов, характерных для этого подхода к управлению, является
также иммунизация портфеля, направленная на уменьшение процентного риска по долговым ценным бумагам. Суть этого метода состоит в подборе в портфель (в процессе ротации отдельных его финансовых инструментов) долговых ценных бумаг с периодом обращения, в рамках которого процентная ставка на финансовом рынке прогнозируется неизменной.
При активном подходе к оперативному управлению портфелем основное внимание на этом этапе реструктуризации портфеля уделяется поиску и приобретению недооцененных финансовых инструментов инвестирования. Этот подход использует так называемый "Метод Грэхема ” — инвестиционную теорию, утверждающую, что наиболее эффективной стратегией управления является формирование портфеля за счет таких фондовых инструментов, рыночные цены на которые ниже их реальной внутренней стоимости (исчисленной на основе оценки стоимости чистых активов компании). Этот метод характеризуют как идеологию активного управления портфелем, ориентированную на стоимость.
Сложность оперативного управления портфелем финансовых инвестиций определяет необходимость широкого использования в этом процессе современных компьютерных технологий. Программные продукты, связанные с использованием таких технологий, должны обеспечивать мониторинг основных параметров отдельных финансовых инструментов и портфеля финансовых инвестиций в целях определять направления и сроки реструктуризации портфеля по основным видам и разновидностям финансовых инструментов, формировать наиболее эффективные альтернативные проекты приказов брокеру на совершение необходимых сделок. Программное оперативное управление портфелем финансовых инвестиций (известное под термином "программная торговля") получило широкое распространение в странах с развитой рыночной экономикой, где в этих целях разработаны многочисленные виды специальных управляющих программ.
Глава 16. Механизм управления прибылью предприятия в процессе финансовой деятельности
16.1. СОДЕРЖАНИЕ ФИНЛНСОВОЙДЕЯТЕЛЬНОСТИ И ЕЕ ВОЗДЕЙСТВИЕ НА ФОРМИРОВАНИЕПРИБЫЛИПРЕДПРИЯТИЯ
Содержание финансовой деятельности предприятия рассматривается обычно в широком и узком ее значении. В широком понимании под финансовой деятельностью предприятия понимаются все аспекты управления финансами отдельного хозяйствующего субъекта; это управление выделилось в начале XX века в специальную область знаний, получившую название "финансовый менеджмент". В узком значении под финансовой деятельностью предприятия понимается управление денежными потоками, связанными с выбором и обслуживанием внешних источников его финансирования. Эти денежные
потоки оказывают прямое влияние на формирование общей прибыли предприятия; поэтому в данной работе мы ограничимся только такой узкой трактовкой финансовой деятельности предприятия, сформулировав ее следующим образом: "Под финансовой деятельностью предприятия понимается целенаправленная система мер по обеспечению привлечения необходимого объема капитала из внешних источников и своевременного и полного выполнения обязательств по его обслуживанию и возврату". Для того, чтобы полнее представить объект финансовой деятельности предприятия, формирующей соответствующие денежные потоки, рассмотрим состав внешних источников формирования его финансовых ресурсов (рис. 16.1).

|
Рисунок 16.1. Состав внешних источников формирования финансовых ресурсов предприятия.
Как видно из данных рисунка, состав внешних источников формирования финансовых ресурсов предприятия весьма многообразен, что предопределяет сложность формирования денежных потоков, связанных с финансовой деятельностью и оказывающих существенное влияние на формирование общей его прибыли.
|
Финансовая деятельность предприятия (в рассматриваемом нами значении) характеризуется следующими основными особенностями:
Она является главной формой обеспечения развития операционной и инвестиционной деятельности предприятия. Задачи финансовой деятельности и ее масштабы определяются стратегией развития операционной деятельности предприятия и его инвестиционной политикой. Обеспечивая приток финансовых ресурсов для развития операционной и инвестиционной деятельности, она способствует реализации стратегических целей предприятия. Вместе с тем, по отношению к операционной и инвестиционной деятельности предприятия, финансовая его деятельность носит подчиненный характер. Это связано с тем, что формирование финансовых ресурсов из внешних источников не является для предприятия самоцелью, а всегда подчинено задачам эффективного их использования в процессе операционной и инвестиционной деятельности.
Финансовая деятельность предприятия носит стабильный характер, т.е. осуществляется постоянно. Это
связано с тем, что каждое предприятие в той или иной степени в процессе своего развития нуждается во внешнем финансировании, а соответственно и обеспечивает его обслуживание. Только предприятие, свертывающее объемы операционной и инвестиционной деятельности, может позволить себе "передышку" в осуществлении финансовой деятельности по привлечению ресурсов из внешних источников.
3. Формы и объемы финансовой деятельности в значительной мере зависят от отраслевых особенностей и организационно-правовых форм деятельности предприятия. Отраслевые особенности деятельности предприятия, формирующие продолжительность операционного цикла, егосезонность, общую капиталоемкость производства и реализации продукции, определяют пропорции в использовании собственного и заемного капитала, а также в объемах привлечения финансовых средств из внешних источников по отдельным периодам, Организационно-правовые формы деятельности влияют на состав источников привлечения внешнего капитала (дополнительную эмиссию акций; привлечение дополнительного паевого капитала и т.п.).
Финансовая деятельность предприятия генерирует свои специфические виды рисков, объединяемые понятием "финансовый риск". Главными из этих рисков являются риск неплатежеспособности и риск потери финансовой устойчивости предприятия. Риск неплатежеспособности вызывается существенным возрастанием объема обязательств предприятия в процессе привлечения финансовых ресурсов, которые в периоды спада конъюктуры товарного рынка не могут быть обеспечены активами в высоколиквидной форме (формируя так называемый "спазм ликвидности"). Риск потери финансовой устойчивости генерируется несовершенством структуры капитала (чрезмерной долей привлечения и использования заемных средств). По своим финансовым последствиям оба эти риска относятся к числу наиболее опасных, формируя непосредственную угрозу банкротства предприятия. Механизм осуществления финансовой деятельности предприятия строится в тесной связи с уровнем финансового риска.
Финансовая деятельность определяет специфический характер формируемых ею денежных потоков предприятия. Эта специфика заключается в том, что в процессе финансовой деятельности положительный денежный поток (поступление финансовых ресурсов из внешних источников) всегда в итоге этой деятельности ниже по объему, чем отрицательный денежный поток (обслуживание и возврат внешнего долга), хотя в отдельные периоды времени этот процесс может временно носить обратный характер. Естественно речь идет о денежных потоках, приведенных к настоящей стоимости, так как по каждой финансовой операции они осуществляются с разрывом во времени.
Такая ситуация вызывается тем, что любой кредитор (по привлекаемым заемным средствам) или инвестор (по привлекаемому из внешних источников дополнительному паевому или акционерному капиталу) рассчитывает на получение дополнительной прибыли на вложенные средства (в форме процента, дивиденда и т.п.). И конечно,
предприятие, привлекая необходимый капитал, сознательно идет на эти дополнительные финансовые расходы.
Финансовая деятельность предприятия связана непосредственно с финансовым рынком — рынком денег и рынком капитала. Объемы и результаты этой деятельности в значительной степени подвержены колебаниям конъюктуры отдельных сегментов финансового рынка. Если направленность колебаний конъюнктуры товарного и финансового рынков не совпадает (например, при увеличении спроса на товарном рынке на продукцию предприятия на финансовом рынке снижается предложение свободного капитала с соответствующим ростом его стоимости), это создает серьезные проблемы в развитии предприятия.
Финансовая деятельность оказывает опосредствованное влияние на формирование прибыли предприятия.
Так как отрицательный денежный поток в процессе финансовой деятельности всегда превышает положительный, прямое формирование прибыли в процессе этой деятельности отсутствует. Вместе с тем, привлечение дополнительного объема внешнего капитала увеличивает сумму операционных доходов предприятия, а снижение стоимости привлечения этого капитала позволяет предприятию соответственно снижать уровень операционных затрат. Таким образом, формирование прибыли предприятия в процессе его финансовой деятельности опосредствуется дополнительным формированием его операционной прибыли. Уровень дополнительно формируемой в процессе финансовой деятельности операционной прибыли характеризуется разницей между уровнем рентабельности операционных активов и уровнем стоимости дополнительно привлекаемого капитала из внешних источников. Этот показатель является важнейшим критерием оценки результативности финансовой деятельности предприятия. Рассмотрение особенностей финансовой деятельности и форм ее воздействия на общую сумму прибыли предприятия, позволяет сформулировать две важнейшие критериальные задачи этой деятельности, связанные с привлечением дополнительного объема внешнего капитала:
минимизацию стоимости дополнительно привлекаемого капитала;
оптимизацию структуры источников дополнительно привлекаемого капитала.
Обе эти задачи, определяющие результативность финансовой деятельности предприятия, существенным образом влияют на общий уровень формируемой им прибыли.
Различия в уровнях формируемой прибыли в процессе финансовой деятельности предприятия в значительной степени определяют уровень финансовых рисков, сопровождающих эту деятельность. Поэтому выбор тех или иных управленческих решений, связанных с формированием стоимости дополнительно привлекаемого капитала или структуры его источников, сводится к сознательному установлению соотношения уровня прибыли и риска в процессе осуществления финансовой деятельности. Различия этих уровней формируют три основных типа политики финансирования развития предприятия (или финансирования его активов):
агрессивную политику финансирования;
умеренную (или компромиссную) политику финансирования;
консервативную политику финансирования.
Формы проявления каждого из типов этой политики в процессе отдельных аспектов финансовой деятельности предприятия рассматривается далее.
16.2. ФИНАНСОВЫЙ ЛЕВЕРИДЖ
Главная задача финансовой деятельности предприятия — формирование дополнительной прибыли в процессе привлечения внешнего капитала — реализуется разными методами. Одним из основных механизмов реализации этой задачи является "финансовый леверидж".
Финансовый леверидж характеризует использование предприятием заемных средств, которое влияет на изменение коэффициента рентабельности собственного
капитала. Иными словами, финансовый леверидж представляет собой объективный фактор, возникающий с появлением заемных средств в объеме используемого предприятием капитала, позволяющий ему получить дополнительную прибыль на собственный капитал.
Показатель, отражающий уровень дополнительно генерируемой прибыли на собственный капитал при различной доле использования заемных средств, называется эффектом финансового левериджа. Он рассчитывается по
„ ЭФЛ = (1-С„„ )х(КВР
А - ПК )х||
следующей ’ формуле:
где ЭФЛ — эффект финансового левериджа, заключающийся в приросте коэффициента рентабельности собственного капитала, %;Снп — ставка налога на прибыль, выраженная десятичной дробью;КВРа — коэффициент валовой рентабельности активов (отношение валовой прибыли к средней] стоимости активов), %;
ПК — средний размер процентов за кредит, уплачиваемых предприятием за использование заемного капитала, %; ЗК — средняя сумма используемого предприятием заемного капитала; СК — средняя сумма собственного капитала предприятия. Рассмотрим механизм формирования эффекта финансового левериджа на следующем примере (табл. 16.1):
Таблица 16.1.формирование эффекта финансового левериджа (уел. ден. единиц)
№
|
Показатели
|
Предприятия
|
|
|
"А"
|
"Б"
|
"В"
|
1
|
2
|
3
|
4
|
5
|
1.
|
Средняя сумма всего используемого капитала (активов) в
рассматриваемом периоде
|
1000
|
1000
|
1000
|
2.
3.
|
Средняя сумма
собственного капитала Средняя сумма заемного
|
1000
|
800
200
|
500
500
|
4.
|
капитала
Сумма валовой прибыли (без учета расходов по уплате процентов за
|
200
|
200
|
200
|
5.
|
Коэффициент валовой
рентабельности активов (без учета расходов по
|
20
|
20
|
20
|
6.
7.
|
уплате процентов за Средний уровень
процентовза кредит, % Сумма процентов за кредит, уплаченная за
|
10
|
10
20
|
10
50
|
|
использование заемного
|
|
|
|
|
капитала (гр. 3 хгр. 6) {
|
|
|
|
8.
|
100 }
Сумма валовой прибыли
|
200
|
180
|
150
|
9.
|
предприятия с учетом расходов по уплате
процентов за кредит (гр. 4
_ 7)
Ставка налога на прибылъ, выраженная десятичной дпобью
|
0,3
|
0,3
|
0,3
|
10.
|
Сумма налога на прибылъ
|
60
|
54
|
45
|
11.
|
(гр. 8 х гр. 9)
Сумма чистой прибыли,
|
140
|
126
|
105
|
12.
|
остающейся в
распоряжении
Коэффициент
|
14,00
|
15,75
|
21,00
|
13.
|
рентабельности
собственного капитала
или коэффициент
финансовой рентабельно/ 11 ir\rw CmUt %/"___
Прирост рентабельности собственного капитала в
связи с использованием заемного капитала, в % (по отношению к
предприятию "А")
|
|
1,75
|
7,00
|
Рассматривая приведенные данные, можно увидеть, что по предприятию "А " эффект финансового левериджа отсутствует, так как оно не использует в своей хозяйственной деятельности заемный капитал По предприятию "Б" этот эффект составляет:
ЭФЛ = (J-Oj)x(20-J0)x — = 1,75% .
800 . ..
Соответственно по предприятию В этот эффект составляет:
ЭФЛ = О-0,3)х (20 -Ю)х— = 7,00%
' 500
Из результатов проведенных расчетов видно, что чем выше удельный вес заемных средств в общей сумме используемого предприятием капитала, тем больший уровень прибыли оно получает на собственный капитал.
Механизм формирования эффекта финансового ле-вериджа может быть выражен графически. С использованием данных рассмотренного выше примера такой график приведен на рис. 16.2.

|
Рисунок 16.2. График формирования эффекта финансового левериджа.
Рассматривая ранее приведенную формулу расчета эффекта финансового левериджа, можно выделить в ней три основные составляющие:
1) Налоговый корректор финансового левериджа(1 - Снп), который показывает в какой степени проявляется эффект финансового левериджа в связи с различнымуровнем налогообложения прибыли.
2) Дифференциал финансового левериджа (КВРа — ПК),который характеризует разницу между коэффициентомваловой рентабельности активов и средним размеромпроцента за кредит.
|
3) Коэффициент финансового левериджа (ЗК/СК),который характеризует сумму заемного капитала, используемого предприятием, в расчете на единицу собственного капитала.
Выделение этих составляющих позволяет целенаправленно управлять эффектом финансового левериджа в процессе финансовой деятельности предприятия.
Налоговый корректор финансового левериджа практически не зависит от деятельности предприятия, так как ставка налога на прибыль устанавливается законодательно. Вместе с тем, в процессе управления финансовым левериджем дифференцированный налоговый корректор может быть использован в следующих случаях:
а) если по различным видам деятельности предприятия установлены
дифференцированные ставки налогообложения прибыли;
б) если по отдельным видам деятельности предприятиеиспользует налоговые льготы по прибыли;
в) если отдельные дочерние фирмы предприятия осуществляют свою
деятельность в свободных экономических зонах своей страны, где действуетльготный
режим налогообложения прибыли;
г) если отдельные дочерние фирмы предприятия осуществляют свою
деятельность в государствах с более низким уровнем налогообложения прибыли.
В этих случаях, воздействуя на отраслевую или региональную структуру производства (а соответственно и на состав прибыли по уровню ее налогообложения), можно снизив среднюю ставку налогообложения прибыли повысить воздействие налогового корректора финансового левериджа на его эффект (при прочих равных условиях).
Дифференциал финансового левериджа является главным условием, формирующим положительный эффект финансового левериджа. Этот эффект проявляется только в том случае, если уровень валовой прибыли, генерируемой активами предприятия, превышает средний размер процента за используемый кредит (включающий не только его прямую ставку, но и другие удельные расходы по его привлечению, страхованию и обслуживанию), т.е. если дифференциал финансового левериджа является положительной величиной. Чем выше положительное значение дифференциала финансового левериджа, тем выше при прочихравныхусловиях будет его эффект.
В связи с высокой динамичностью этого показателя он требует постоянного мониторинга в процесс управления эффектом финансового левериджа. Этот динамизм обусловлен действием ряда факторов.
Прежде всего, в период ухудшения конъюнктуры финансового рынка (в первую очередь, сокращения объема предложения на нем свободного капитала) стоимость заемных средств может резко возрасти, превысив уровень валовой прибыли, генерируемой активами предприятия.
Кроме того, снижение финансовой устойчивости предприятия в процессе повышения доли используемого заемного капитала приводит к увеличению риска его банкротства, что вынуждает кредиторов увеличивать уровень ставки процента за кредит с учетом включения в нее премии за дополнительный финансовый риск. При определенном уровне этого риска (а соответственно и уровне общей ставки процента за кредит) дифференциал финансового левериджа может быть сведен к нулю (при котором использование заемного капитала не даст прироста рентабельности собственного капитала) и даже иметь отрицательную величину (при которой рентабельность собственного капитала снизится, так как часть чистой прибыли, генерируемой собственным капиталом, будет уходить на обслуживание используемого заемного капитала по высоким ставкам процента).
Наконец, в период ухудшения конъюнктуры товарного рынка сокращается объем реализации продукции, а соответственно и размер валовой прибыли предприятия от операционной деятельности. В этих условиях отрицательная величина дифференциала финансового левериджа может формироваться даже при неизменных
ставках процента за кредит за счет снижения коэффициента валовой рентабельности активов.
Формирование отрицательного значения дифференциала финансового левериджа по любой из вышеперечисленных причин всегда приводит к снижению коэффициента рентабельности собственного капитала. В этом случае использование предприятием заемного капитала дает отрицательный эффект.
Коэффициент финансового левериджа является тем рычагом (leverage в дословном переводе — рычаг), который мультиплицирует (пропорционально мультипликатору или коэффициенту изменяет) положительный или отрицательный эффект, получаемый за счет соответствующего значения его дифференциала. При положительном значении дифференциала любой прирост коэффициента финансового левериджа будет вызывать еще больший прирост коэффициента рентабельности собственного капитала, а при отрицательном значении дифференциала прирост коэффициента финансового левериджа будет приводить к еще большему темпу снижения коэффициента рентабельности собственного капитала. Иными словами, прирост коэффициента финансового левериджа мультиплицирует еще больший прирост его эффекта (положительного или отрицательного в зависимости от положительной или отрицательной величины дифференциала финансового левериджа). Аналогично снижение коэффициента финансового левериджа будет приводить к обратному результату, снижая в еще большей степени его положительный или отрицательный эффект.
Таким образом, при неизменном дифференциале коэффициент финансового левериджа является главным генератором как возрастания суммы и уровня прибыли на собственный капитал, так и финансового риска потери этой прибыли. Аналогичным образом, при неизменном коэффициенте финансового левериджа положительная или отрицательная динамика его дифференциала генерирует как возрастание суммы и уровня прибыли на собственный капитал, так и финансовый риск ее потери.
Знание механизма воздействия финансового левериджа на уровень прибыльности собственного капитала и уровень финансового риска позволяет целенаправленно управлять как стоимостью, так и структурой капитала предприятия.
Глава 17. Управление стоимостью капитала
17.1. ПОНЯТИЕ СТОИМОСТИ КАПИТАЛА ИПРИНЦИПЫЕЕ
ОЦЕНКИ
Одной из вижнейших предпосылок эффективного управления формированием прибыли предприятия в процессе финансовой деятельности является оценка стоимости его капитала. В современной отечественной литературе это понятие характеризуется иногда иными терминами — "затраты на капитал", "издержки капитала", "издержки финансирования капитала" и некоторыми другими. Однако наиболее широкое распространение в специальной отечественной литературе получил термин "стоимость капитала" [cost of capital], который и будет использован в процессе дальнейшего изложения связанной с ним концепции. Эта концепция является одной из базовых теорий всей системы финансового менеджмента.
Сущность концепции стоимости капитала состоит в том, что как фактор производства и инвестиционный ресурс капитал в любой своей форме имеет определенную стоимость, уровень которой должен учитываться в процессе его вовлечения в экономический процесс.
Характеризуя экономическое содержание этой концепции, непосредственно связанной с механизмом формирования капитала предприятия, следует выделить такие основные ее аспекты:
1. Важнейшей характеристикой стоимости капитала выступает ее уровень. Этот показатель имеет различный экономический смысл для отдельных субъектов хозяйствования:
для инвесторов и кредиторов уровень стоимости капитала характеризует требуемую ими норму доходности на предоставляемый в пользование капитал;
для субъектов хозяйствования, формирующих капитал с целью производственного или инвестиционного его исполъ-
: зования, уровень его стоимости характеризует удельные i затраты по привлечению и обслуживанию используемых
финансовых средств, т. е. цену, которую они платят за использование капитала.
2. Уровень стоимости капитала существенно различается по отдельным его элементам (компонентам). Под
элементом (компонентом) капитала в процессе оценки его стоимости понимается каждая его разновидность по отдельным источникам формирования (привлечения). В качестве таких элементов выступает капитал, привлекаемый путем реинвестирования полученной предприятием прибыли ("нераспределенная прибыль"); эмиссии привилегированных акций; эмиссии простых акций; получения банковского кредита; эмиссии облигаций; финансового лизинга и т. п.
Для сопоставимой оценки стоимость каждого элемента капитала выражается обычно годовой ставкой процента.
Уровень стоимости каждого элемента капитала не является постоянной величиной и существенно колеблется во времени под влиянием различных факторов.
3. В процессе формирования капитала оценка уровняего стоимости осуществляется не только в разрезе отдельных его элементов, но и по предприятию в целом. Показателем такой оценки выступает "средневзвешенная стоимость капитала" [weighted average cost of capital —WACC]. Она определяется как среднеарифметическаявзвешенная величина стоимости отдельных элементовкапитала. В качестве "весов" каждого из элементов выступает его удельный вес в общей сумме сформированного(используемого) или намечаемого к формированию капитала. Исходной базой расчета средневзвешенной стоимости капитала являются следующие данные, полученные в процессе поэлементной оценки капитала:
Показатели
|
Элементы капитала,
выделенные в процессе
оценки
|
1
|
2
|
...
|
n-1
|
п
|
1. Стоимость отдельных элементов капитала, % (Ci)
2. Удельный вес отдельных
элементов капитала в общей его сумме,
выраженный десятичной дробью, Уі
|
|
|
|
|
|
|
|
|
|
|
|
С учетом приведенных исходных показателей определяется средневзвешенная
стоимость капитала (ССК), принципиальная формула расчета которой имеет вид:
н
ССК = хУ
f ,
ІД
Исходя из механизма оценки средневзвешенной стоимости капитала предприятия можно сделать вывод, что этот показатель интегрирует в себе информацию о конкретном составе элементов сформированного (формируемого) капитала, их значимости в общей его сумме, а также о стоимости каждого индивидуального его элемента.
В процессе экономической деятельности отдельных субъектов хозяйствования средневзвешенная стоимость капитала может быть определена в следующих вариантах:
фактическая средневзвешенная стоимость капитала (рассчитанная по фактически сложившейся структуре элементов капитала и фактическому уровню стоимости каждого из них);
прогнозируемая средневзвешенная стоимость капитала (рассчитанная по планируемой динамике структуры элементов капитала и прогнозируемому уровню стоимости каждого из них).
оптимальная средневзвешенная стоимость капитала (по оптимизированной целевой структуре элементов капитала и прогнозируемому уровню стоимости каждого из них).
4. Оценка и прогнозирование средневзвешенной стоимости капитала на конкретном предприятии должны осуществляться с учетом многих факторов. Основными из таких факторов являются:
структура элементов капитала по источникам его формирования;
продолжительность использования привлекаемого капитала;
уровень риска хозяйственной деятельности предприятия, характеризуемый состоянием его финансовой устойчивости, платежеспособности, деловой активности и рентабельности;
в средняя ставка ссудного процента и ее динамика, определяемая колебаниями конъюнктуры рынка денег и рынка капитала;
о уровень ставки налогообложения прибыли, установленный для данного вида деятельности, и система налоговых льгот;
в дивидендная политика предприятия, определяющая стоимость собственного капитала;
о доступность различных источников финансирования, определяющая финансовую гибкость предприятия;
• отраслевые особенности деятельности предприятия, определяющие длительность его операционного цикла и уровень ликвидности активов;
о соотношение объемов капитала, используемого в операционной и
инвестиционной деятельности предприятия;
в стадия жизненного цикла предприятия.
Под влиянием перечисленных факторов средневзвешенная стоимость капитала постоянно изменяется в процессе экономического развития предприятия.
5. Обеспечение эффективного формирования капитала предприятия в процессе его развития требует постоянной оценки его предельной стоимости. Под предельной стоимостью капитала [marginal cost of capital] понимается уровень стоимости каждой новой его единицы, дополнительно привлекаемой предприятием.
Концепция формирования предельной стоимости капитала базируется на том, что экономическое поведение субъекта хозяйствования предполагает использование на первоначальной стадии формирования капитала его элементов с наиболее низкой стоимостью; в процессе своего развития по мере исчерпания источников привлечения капитала с таким уровнем стоимости предприятие вынуждено прибегать к привлечению элементов капитала с более высоким уровнем стоимости. Следовательно, по мере развития предприятия и привлечения им все большего объема нового капитала показатель предельной его стоимости постоянно возрастает.
По каждому отдельному элементу капитала возрастание предельной стоимости капитала носит скачкообразный характер. Это означает, что до определенного размера привлечения нового капитала по данному
элементу уровень его стоимости остается прежним, а затем новая единица капитала привлекается по более высокой стоимости (этот новый уровень стоимости элемента капитала также сохраняется до определенных пределов его привлечения, после чего наступает очередной его скачок).
Графически механизм формирования предельной стоимости капитала представлен на рисунке 17.1.

|
Рисунок 17.1. График динамики предельной стоимости капитала предприятия по отдельному его элементу.
Приведенный график иллюстрирует скачкообразный характер изменения предельной стоимости капитала по отдельному его элементу по мере возрастания объема дополнительного его привлечения.
Точка, в которой происходит каждый новый скачок уровня стоимости дополнительно привлекаемого капитала, называется "точкой разрыва" [break point — ВР]. На представленном графике такими "точками разрыва" являются точки А, Б, В, Ги Д.
Увеличение уровня стоимости привлечения каждой дополнительной единицы
отдельного элемента капита-И.А. Бланк
ла в "точке разрыва" приводит одновременно к росту средневзвешенной стоимости дополнительно привлекаемого капитала предприятия. Следовательно "точка разрыва" характеризует не только новый скачок уровня стоимости отдельного элемента капитала,
|
но и границу перехода к новой средневзвешенной стоимости дополнительно привлекаемого капитала.
С помощью "точки разрыва" можно определить, какая сумма дополнительного капитала может быть привлечена предприятием, прежде чем возрастет предельная средневзвешенная стоимость капитала. Алгоритм этого расчета имеет следующий вид:

Если предельная средневзвешенная стоимость возрастает за счет привлечения предприятием дополнительного капитала лишь по одному элементу, то динамика такого возрастания графически будет носить скачкообразный характер, проиллюстрированный на рис. 17.1 (координата такого графика вместо уровня стоимости отдельного элемента капитала будет отражать уровень средневзвешенной стоимости капитала, а кривая динамики — предельную средневзвешенную стоимость капитала).
Вместе с тем, на предприятиях наращивающих свой экономический потенциал высокими темпами, привлечение дополнительного капитала может осуществляться по многим его элементам и в достаточно больших объемах. Такие условия формирования дополнительного капитала будут характеризоваться многочисленными "точками разрыва", в результате чего динамика предельной средневзвешенной стоимости капитала будет графически представлена не скачкообразной, а сглаженной непрерывной линией (рис. 17.2).

|
Рисунок 17.2. График формирования предельной средневзвешенной стоимости капитала предприятия при множественности „точек разрыва".
Точка А на представленном графике характеризует ту границу привлечения предприятием дополнительного капитала, преодоление которой вызывает рост предельной средневзвешенной стоимости капитала.
Динамика предельной средневзвешенной стоимости капитала отражает рост объема его дополнительного привлечения только из внешних собственных и заемных источников.
6. Показатели средневзвешенной и предельной стоимости капитала характеризуются многоаспектным применением во всех сферах финансовой деятельности предприятия, связанных с формированием и использованием капитала. Рассмотрим основные сферы применения этих показателей в финансовой деятельности предприятия (рис. 17.3).
• Показатели стоимости отдельных элементов и средневзвешенной стоимости капитала используются в процессе выбора оптимальных схем финансирования нового бизнеса. Оценка
|
этих показателей составляет основу формирования управленческих решений, связанных с привлечением капитала из альтернативных источников.
|

|
Рисунок 17.3. Основные сферы использования показателей стоимости капитала в хозяйственной деятельности предприятия.
На основе этих показателей формируется и оптимизируется структура капитала по источникам его привлечения.
о Уровень средневзвешенной стоимости капитала является важнейшим измерителем уровня рыночной стоимости предприятия. Снижение средневзвешенной стоимости капитала приводит к соответствующему возрастанию рыночной стоимости предприятия и наоборот. Особенно оперативно эта зависимость проявляется в оценке деятельности акционерных компаний открытого типа, цена на акции которых поднимается или падает при соответственном снижении или росте уровня средневзвешенной стоимости капитала. Следовательно эффективное управление средневзвешенной стоимости капитала является одним из самостоятельных направлений повышения рыночной стоимости предприятия.
Средневзвешенная стоимость капитала служит мерой оценки достаточности формирования прибыли предприятия от операционной деятельности. Так как средневзвешенная стоимость капитала характеризует ту часть прибыли, которая должна быть уплачена собственникам (инвесторам) или кредиторам предприятия за использование сформированного или привлечение нового капитала для обеспечения выпуска и реализации продукции, этот показатель выступает минимальной нормой формирования операционной прибыли предприятия, нижней границей при планировании ее размеров. Чем выше положительная разница между уровнем рентабельности операционной деятельности и уровнем средневзвешенной стоимости капитала, тем большим внутренним финансовым потенциалом обеспечения своего развития располагает предприятие.
Предельная средневзвешенная стоимость капитала выступает критериальным показателем принятия управленческих решений в сфере реального инвестирования предприятия. Если внутренняя ставка доходности по рассматриваемому инвестиционному проекту ниже уровня предельной средневзвешенной стоимости капитала, такой проект должен быть отвергнут, так как он не будет генерировать рост капитала в результате своей реализации. В этом своем качестве предельная средневзвешенная стоимость капитала выступает "ставкой отказа" от
принятия к реализации неэффективных реальных инвестиционных проектов.
Показателъ средневзвешенной стоимости капитала служит критерием принятия управленческих решений при использовании денежных средств предприятия в сфере финансового инвестирования. Так как эффективность финансового инвестирования должна обеспечивать генерирование дополнительных денежных потоков, то при оценке доходности отдельных финансовых инструментов исходной базой сравнения выступает уровень средневзвешенной стоимости капитала. Этот показатель позволяет оценить не только приемлемость уровня доходности отдельных финансовых инструментов инвестирования, но и сформировать наиболее эффективные направления и виды этого инвестирования на предварительной стадии формирования инвестиционного портфеля. И естественно, этот показатель служит мерой оценки приемлемости уровня доходности сформированного портфеля финансовых инвестиций предприятия в целом.
Уровень предельной средневзвешенной стоимости капитала является критериальным показателем оценки эффективности формирования соответствующего типа политики финансирования предприятием своих оборотных активов (рабочего капитала). Исходя из этого показателя, прогнозируемого на ближайшую перспективу, предприятие формирует агрессивный, умеренный (компромиссный) или консервативный тип политики финансирования этих активов.
Показателъ средневзвешенной стоимости капитала предприятия выступает критерием принятия управленческих решений относительно использования аренды (лизинга) производственных основных средств. Если стоимость обслуживания финансового лизинга превышает уровень средневзвешенной стоимости капитала предприятия, использование этого направления формирования производственных основных средств для предприятия невыгодно, так как оно приведет к снижению его рыночной стоимости.
• Прогнозируемый уровень средневзвешенной стоимости капитала является одним из элементов обоснования эффективности управленческих решений по вопросу слияния предприятий. Эта
эффективность обеспечивается при условии, что уровень средневзвешенной стоимости капитала создаваемого предприятия будет ниже, чем средневзвешенной стоимости капитала объединяемых предприятий. Такое снижение средневзвешенной стоимости создаваемого предприятия обеспечивается совершенствованием структуры элементов капитала нового предприятия, использованием эффекта "налогового щита" и т.п.
в Уровень средневзвешенной стоимости капитала позволяет оценить степень риска в хозяйственной деятельности предприятия. В условиях высокого уровня этого риска как инвесторы, так и кредиторы требуют обеспечения повышенной нормы доходности на предоставляемый капитал, в результате чего возрастает средневзвешенный его уровень. И наоборот — низкий уровень риска хозяйственной деятельности предприятия позволяет ему привлекать капитал из внешних источников с более низкой стоимостью, что формирует и более низкий уровень средневзвешенной стоимости капитала.
• Достигнутый или прогнозируемый уровень средневзвешенной стоимости капитала предприятия используется им как норма процентной ставки в процессе наращения или дисконтирования стоимости денежных потоков. В этом своем качестве средневзвешенная стоимость капитала индивидуализирует среднерыночную норму ссудного процента с учетом структуры элементов капитала, меры риска его использования, типа дивидендной политики предприятия и других факторов, определяющих специфику его хозяйственной деятельности.
Проведенный обзор показывает, что показатели оценки стоимости капитала являются важным инструментом обоснования управленческих решений, направленных на повышение эффективности хозяйственной деятельности предприятия в целом и рациональности формирования его капитала, в частности.
Развитие предприятия требует прежде dcero мобилизации и повышения эффективности использования собственного капитала, так как это обеспечивает рост его финансовой устойчивости и уровня платежеспособности. Поэтому первоочередное внимание должно быть уделено оценке стоимости собственного капитала в разрезе отдельных его элементов и в целом с учетом ранее рассмотренных методических принципов.
Оценка стоимости собственного капитала капитала имеет ряд особенностей, основными из которых являются:
а) необходимость постоянной корректировки балансовой суммы собственного капитала в процессе осуществления оценки. Такая корректировка основана на результатах переоценки стоимости активов, сформированныхза счет собственного капитала, в соответствии с рыночной их стоимостью. При этом корректировке подлежиттолько используемая часть собственного капитала, таккак вновь привлекаемый собственный капитал оцененв текущей рыночной стоимости
б) оценка стоимости вновь привлекаемого собственного капитала носит вероятностный, а следовательно, взначителъной мере условный характер. Если привлечение заемного капитала основывается на определенныхконттрактных или иных фиксированных обязательствахпред приятия, то привлечение основной суммы собственного капитала таких контрактных обязательств несодержит (за исключением эмиссии привилегированныхакций). Любые обязательства предприятия по выплатепроцентов на паевой капитал, дивидендов держателямпростых акций и т.п., не носят характер контрактныхобязательств и являются лишь расчетными плановымивеличинами которые могут быть скорректированы порезультатакм предстоящей хозяйственной деятельности;
в) суммы выплат собственникам капитала входят всостав налогооблагаемой прибыли, что увеличивает стоимость собственного капитала в сравнении с заемым.Выплаты собственникам капитала в форме процентов идивидендов осуществляются за счет чистой прибыли
предприятия в то время как выплаты процентов за используемый заемный капитал осуществляются за счет издержек (себестоимости), а следовательно в состав налогооблагаемой базы по прибыли не входят. Это определяет более высокий уровень стоимости вновь привлекаемого собственного капитала в сравнении с заемным;
г) привлечение собственного капитала связано с более высоким уровнем риска инвесторов, что увеличиваетего стоимость на размер премии за риск. Это связано стем, что претензии собственников основной части этогокапитала (за исключением владельцев привилегированных акций) подлежат удовлетворению при банкротствепредприятия в последнюю очередь;
д) привлечение собственного капитала не связано, какправило, с возвратным денежным потоком по основнойего сумме, что определяет выгодность использования этогоисточника предприятием несмотря на более высокую егостоимостъ. Если по заемному капиталу возвратный денежный поток наряду с платежами по его обслуживанию включает и возврат суммы основного долга в установленные сроки, то по привлекаемому собственномукапиталу возвратный денежный поток включает, какправило, только платежи процентов и дивидендов собственникам (за исключением отдельных случаев выкупапредприятием собственных акций или паев). Это определяет большую безопасность использования собственногокапитала с позиций обеспечения платежеспособностей финансовой устойчивости предприятия, что стимулирует его готовность идти на более высокую стоимостьпривлечения этого капитала.
С учетом этих особенностей рассмотрим механизм оценки и управления стоимостью собственного капитала. Базовые элементы такой оценки и управления стоимостью приведены на рис. 17.4.
1. Стоимость функционирующего собственного капитала имеет наиболее надежный базис расчета в виде отчетных данных предприятия. В процессе такой оценки учитываются:
а) средняя сумма используемого собственного капитала в отчетном периоде по балансовой стоимости. Этот показатель служит исходной базой корректировки суммы собственного капитала с учетом текущей рыночной
™ _ЧП
схіОО
где СКфо — стоимость функционирующего собственного капитала предприятия в отчетном периоде, %;
« .. ..ЧПс — сумма чистой прибыли, выплаченная собственникам предприятия в процессе ее распределения за отчетный период; СК — средняя сумма собственного капитала предприятия в отчетном периоде.
Процесс управления стоимостью этого элемента собственного капитала определяется прежде всего сферой использования — операционной деятельностью предприятия. Он связан с формированием операционной прибыли предприятия и осуществляемой им политикой распределения прибыли (формы такой политики будут рассмотрены далее).
Соответственно стоимость функционирующего собственного капитала в плановом периоде

|
Рисунок 17.4. Система базовых элементов оценки и управления стоимостью собственного капитала предприятия.
его оценки. Расчет этого показателя осуществляется по методу средней хронологической за ряд внутренних отчетных периодов;
б) средняя сумма используемого собственного капитала в текущей рыночной оценке. Методика расчета этого показателя изложена ранее.
в) сумма выплат собственникам капитала (в формепроцентов, дивидендов и т.п.) за счет чистой прибылипредприятия. Эта сумма и представляет собой ту цену,которую предприятие платит за используемый капиталсобственников. В большинстве случаев эту цену определяют сами собственники, устанавливая размер процентов или дивидендов на вложенный капитал в процессераспределения чистой прибыли.
Стоимость функционирующего собственного капитала предприятия в отчетном периоде определяется по следующей формуле:
|

определяется по формуле:
где СКф
п — стоимость функционирующего собственного капитала предприятия в плановом периоде, %; СКф
0 — стоимость функционирующего собственного капитала предприятия в отчетном периоде, %; ПВт — планируемый темп роста выплат прибыли собственникам на единицу вложенного капитала, выраженный десятичной дробью.
2. Стоимость нераспределенной прибыли последнего отчетного периода оценивается с учетом определенных прогнозных расчетов. Так как нераспределенная прибыль представляет собой ту капитализированную ее часть, которая будет использована в предстоящем периоде, то ценой сформированной нераспределенной прибыли выступают планируемые на ее сумму выплаты собственникам, которым она принадлежит.
Такой подход к оценке нераспределенной прибыли основан на том, что если бы она была выплачена собственникам капитала при ее распределении по результатам отчетного периода, то они, инвестировав ее в любые объекты, получили бы определенную прибыль, которая
являлась бы ценой этого инвестированного капитала. Но собственники предпочли инвестировать эту прибыль в собственное предприятие, следовательно, ее ценой выступает
планируемая к распределению сумма чистой прибыли предстоящего периода на эту часть инвестируемого капитала.
С учетом такого подхода стоимость нераспределенной прибыли (СНП) приравнивается к стоимости функционирующего собственного капитала предприятия (СКф
п) в
плановом СНП — СКф
П. периоде:
Такой подход позволяет сделать следующий вывод: коль скоро стоимость функционирующего собственного капитала в плановом периоде и стоимость нераспределенной прибыли в этом же периоде равны, при оценке средневзвешенной стоимости капитала в плановом периоде эти элементы капитала могут рассматриваться как единый суммированный элемент, т.е. включаться в оценку с единым суммированным удельным весом.
Процесс управления стоимостью нераспределенной прибыли определяется прежде всего сферой ее использования — инвестиционной деятельностью. Поэтому цели управления этой частью капитала подчинены целям инвестиционной политики предприятия и соответственно норма инвестиционной прибыли (внутренняя ставка доходности) всегда должна соотноситься с уровнем стоимости нераспределенной прибыли.
3. Стоимость дополнительно привлекаемого акционерного (паевого) капитала рассчитывается в процессе оценки ференцированно по привилегированным акциям и по простым акциям (или дополнительно привлекаемым паям).
Стоимость привлечения дополнительного капитала за счет эмиссии привилегированных акций определяется с учетом фиксированного размера дивидендов, который по ним заранее предопределен. Это значительно упрощает процесс определения стоимости данного элемента капитала, так как обслуживание обязательств по привилегированным акциям во многом совпадет с обслуживаем обязательств по заемному капиталу. Однако существенным различием в характере этого обслуживания
с позиций оценки стоимости является то, что выплаты по обслуживанию заемного капитала относятся на издержки (себестоимость) и поэтому исключены из состава налогооблагаемой прибыли, а дивидендные выплаты по привилегированным акциям осуществляются за счет чистой прибыли предприятия, т.е. не имеют "налогового щита" Кроме выплаты дивидендов, к расходам предприятия относятся также эмиссионные затраты по выпуску акций (так называемый "издержки размещения"), которые составляют ощутимую величину.
С учетом этих особенностей стоимость дополнительно привлекаемого капитала за счет эмиссии привилегированных акций рассчитывается по формуле: ;
сск =
ДпрХІРО
К
прх(1-Э3)’
ССК
Пр —стоимость
где
собственного капитала, привлекаемого за счет эмиссии привилегированных акций, %; Дпр
— сумма дивидендов, предусмотренных к выплате в соответствии с контрактными обязательствами эмитента; К
пр — сумма собственного капитала, привлекаемого за счет эмиссии привилегированных акций; ЭЗ — затраты по эмиссии акций, выраженные в десятичной дроби по отношению к сумме эмиссии.
Стоимость привлечения дополнительного капитала за счет эмиссии простых акций (или дополнительно привлекаемых паев) требует учета таких показателей:
а) суммы дополнительной эмиссии простых акций(или суммы дополнительно привлекаемых паев);
б) суммы дивидендов, выплаченных в отчетномпериоде на одну акцию (или суммы прибыли выплаченной собственникам на единицу капитала);
в) планируемого темпа роста выплат прибыли собственникам капитала в форме дивидендов (или процентов);
г) планируемых затрат по эмиссии акций (или привлечению дополнительного паевого капитала).
В процессе привлечения этого вида собственного капитала следует иметь в виду, что по стоимости он
является наиболее дорогим, так как расходы по его обслуживанию не уменьшают базу налогообложения прибыли, а премия за риск — наиболее высокая, так как этот капитал при банкротстве предприятия защищен в наименьшей степени.
Расчет стоимости дополнительного капитала, привлекаемого за счет эмиссии простых акций (дополнительных паев), осуществляется по следующей формуле:

где ССКПА — стоимость собственного капитала, привлекаемого за счет эмиссии простых акций (дополнительных паев), %;Кд — количество дополнительно эмитируемых акцищДПА — сумма дивидендов, выплаченных на однупростую акцию в отчетном периоде (иливыплат на единицу паев), %;ПВх — планируемый темп выплат дивидендов (процентов по паям), выраженный десятичнойдробью;Кпд" сумма собственного капитала, привлеченного за счет эмиссии простых акций (допол-и нительных паев);
ЭЗ — затраты по эмиссии акций, выраженные в десятичной дроби по отношению к сумме эмиссии акций (дополнительных паев).
Процесс управления стоимостью привлечения собственного капитала за счет внешних источников характеризуется высоким уровнем сложности и требует соответственно высокой квалификации исполнителей. Это управление осуществляется путем разработки и реализации эмиссионной политики предприятия, а также его дивидендной политики (или политики распределения прибыли).
С учетом оценки стоимости отдельных составных элементов собственного капитала и удельного веса каждого из этих элементов в общей сумме его привлечения может быть рассчитан показатель средневзвешенной стоимости собственного капитала предприятия.
17.3. УПРАВЛЕНИЕ СТОИМОСТЬЮ ЗАЕМНОГО КАПИТАЛА
Недостающую потребность в капитале, которую не может обеспечить его формирование за счет собственных внутренних и внешних источников, предприятие удовлетворяет путем привлечения собственного капитала. Многообразие источников и условий предложения заемного капитала определяет необходимость осуществления сравнительной оценки эффективности формирования заемного капитала в разрезе отдельных их видов и форм. Основу такой оценки составляет определение стоимости привлекаемого заемного капитала в разрезе отдельных его элементов.
Оценка стоимости заемного капитала имеет ряд особенностей, основными из которых являются:
а) относительная простота формирования базовогопоказателя оценки стоимости. Таким базовым показателем, подлежащим последующей корректировке, является стоимость обслуживания долга в форме процентаза кредит, купонной ставки по облигации и т.п. Этотпоказатель прямо оговорен условиями кредитного договора, условиями эмиссии или другими формами контрактных обязательств предприятия;
б) учет в процессе оценки стоимости заемных средствналогового корректора. Так как выплаты по обслуживанию долга (процентов за кредит и других форм этогообслуживания) относятся на издержки (себестоимость)продукции, они уменьшают размер налогооблагаемойбазы предприятия, а соответственно снижают размерстоимости заемного капитала на ставку налога на прибыль. Как и в формуле расчета эффекта финансовоголевериджа налоговый корректор представляет собойследующий множитель: (1 — С
нп), где С
нп — ставканалога на прибыль, выраженная десятичной дробью;
в) стоимость привлечения заемного капитала имеетвысокую степень связи с уровнем кредитоспособностипредприятия, оцениваемым кредитором. Чем выше уровень кредитоспособности предприятия по оценке кредитора (т.е. чем выше его кредитный рейтинг на финансовом рынке), тем ниже стоимость привлекаемогоэтим предприятием заемного капитала (наименьшаяставка процента за кредит в любой его форме — ставка
прайм раит — устанавливается кредиторами для так называемых "первоклассных заемщиков");
г) привлечение заемного капитала всегда связано с возвратным денежным потоком не только по обслуживанию долга, но и по погашению обязательства по основной сумме этого долга. Это генерирует особые виды инвестиционных рисков, наиболее опасных по своим последствиям (приводящим иногда к банкротству предприятия). Такие риски проявляются вне зависимости от форм и условий привлечения заемного капитала. Вместе с тем, снижение уровня этих рисков вызывает, как правило, повышение стоимости заемного капитала. Так, ставка процента по долгосрочному кредиту во всех его формах, позволяющая предприятию снизить риск неплатежеспособности в текущем периоде, всегда выше, чем по краткосрочному.
Рассмотрим особенности оценки и управления стоимостью заемного капитала в разрезе базовых его элементов, приведенных на рис. 17.5.
|

|
Рисунок 17.5. Система базовых элементов оценки и управления стоимостью заемного капитала предприятия.
1. Стоимость финансового кредита оценивается в разрезе двух основных источников его предоставления на современном этапе — банковского кредита и финансового лизинга-(принципиальные положения такой оценки могут г быть; использованы и при привлечении пред-приятием-финансового кредита из других источников).
а) стоимость банковского кредита, несмотря намногообразие его видов, форм и условий, определяетсяна основе ставки процента за кредит, которая формирует основные затраты по его обслуживанию. Эта ставка в процессе оценки требует внесения двух уточненийюна должна быть увеличена на размер других затратпредприятия, обусловленных условиями кредитногосоглашения (например, страхования кредита за счетзаемщика) и уменьшена на ставку налога на прибыль сцелью отражения реальных затрат предприятия.
С учетом этих положений стоимость заемного капитала в форме банковского кредита оценивается по следующей формуле:
|
где СБК — стоимость заемного капитала, привлекаемого в форме банковского кредита, %;
ПКБ — ставка процента за банковский кредит, %;-< СНП — ставка налога на прибыль, выраженная деся--; тичной дробью;
ЗПБ — уровень расходов по привлечению банковского кредита к его сумме, выраженный десятичной дробью.
Если предприятие не несет дополнительных затрат по привлечению банковского кредита или если эти расходы несущественны по отношению к сумме привлекаемых средств, то приведенная формула оценки используется без ее знаменателя (базовый ее вариант).
Управление стоимостью банковского кредита сводится к выявлению таких его предложений на финансовом рынке, которые эту стоимость минимизируют как по ставке процента за кредит, так и по другим условиям его привлечения (при неизменности привлекаемой суммы кредита и срока его использования).
б) Стоимость финансового лизинга — одной из современных форм привлечения
финансового кредита — определяется на основе ставки лизинговых платежей (лизинговой ставки). При этом следует учитывать, что эта ставка включает две составляющие — а) постепенный возврат суммы основного долга (он представляет собой годовую норму амортизации актива, привлеченного на условиях финансового лизинга, в соответствии с которым после его Оплаты он передается в собственность арендатору); б) стоимость непосредственного обслуживания лизингового долга. С учетом этих особенностей стоимость финансового лизинга оценивается по следующей формуле:
СГЛ (ЛС-НА)х(І-Сцгі)
1'ЗПфл '
где СФЛ — стоимость заемного капитала, привлекаемого на условиях финансового лизинга, %; Л С — годовая лизинговая ставка, %; НА — годовая норма амортизации актива, привлеченного на условиях финансового лизинга, %; СНП — ставка налога на прибыль, выраженная десятичной дробью; ЗПФЛ — уровень расходов по привлечению актива на условиях финансового лизинга к стоимости этого актива, выраженный десятичной дробью.
Управление стоимостью финансового лизинга основывается на двух критериях: а) стоимость финансового лизинга не должна превышать стоимости банковского кредита, предоставляемого на аналогичный период (иначе предприятию выгодней получить долгосрочный банковский кредит для покупки актива в собственность); б) в процессе использования финансового лизинга должны быть выявлены такие предложения, которые минимизируют его стоимость.
2. Стоимость заемного капитала, привлекаемого за счет эмиссии облигаций,
оценивается на базе ставки купонного процента по ней, формирующего сумму периодических купонных выплат. Если облигация продается на иных условиях, то базой оценки выступает общая сумма дисконта по ней, выплачиваемая при погашении.
В первом случае оценка осуществляется по формуле:
соз
= скха-
сНп)
і-эз
0 ’
Раздел IV. Управление формированием прибыли предприятия в процессе финансовой деятельности
где СОЗк —стоимость заемного капитала, привлекаемого за счет эмиссии облигаций, %; СК —ставка купонного процента по облигации, %; СНП — ставка налога на прибыль, выраженная десятичной дробью; к-. ЭЗО —уровень эмиссионных затрат по отношению к объему эмиссии, выраженный десятичной дробью. Во втором случае расчет стоимости производится по следующей формуле:
СОЗ = Дг х(1-С
нп)хЮ0
Д (Н
0 - Д
г)х(1-Э3
0) ’
где СОЗд— стоимость заемного капитала, привлекаемого за счет эмиссии облигаций, %; Дг — среднегодовая сумма дисконта по облигации; HQ — номинал облигации, подлежащей погашению; Сип
— ставка налога на прибыль, выраженная десятичной дробью; ЭЗо — уровень эмиссионных затрат по отношению к сумме привлеченных за счет эмиссии средств, выраженный десятичной дробью.
Управление стоимостью привлекаемого капитала в этом случае сводится к разработке соответствующей эмиссионной политики, обеспечивающей полную реализацию эмитируемых облигаций на условиях, не выше среднерыночных.
3. Стоимость товарного (коммерческого) кредита
оценивается в разрезе двух форм его предоставления:
а) по кредиту в форме краткосрочной отсрочки платежа:
б) по кредиту в форме долгосрочной отсрочки платежа,оформленной векселем.
а) стоимость товарного (коммерческого) кредита, предоставляемого в форме краткосрочной отсрочки платежа, на первый взгляд представляется нулевой, так как в соответствии со сложившейся коммерческой практикой отсрочка расчетов за поставленную продукцию в пределах обусловленного срока (как правило, до одного месяца) дополнительной платой не облагается. Иными словами, внешне эта форма кредита выглядит как бесплатно предоставляемая поставщиком финансовая услуга.
Однако в реальности это не так. Стоимость каждого такого кредита оценивается размером скидки с цены продукции, при осуществлении, наличного платежа за нее. Если по условиям контракта отсрочка платежа допускается в пределах месяца со дня поставки (получения) продукции, а размер ценовой скидки за наличный платеж составляет 5%, это и будет составлять месячную стоимость привлеченного товарного кредита, а в расчете на год эта стоимость будет составлять: 5% х 360 / 30 = 60%.
Таким образом, на первый взгляд бесплатное предоставление такого товарного кредита, может оказаться самым дорогим по стоимости привлечения источником заемного капитала.
Расчет стоимости товарного (коммерческого) кредита, предоставляемого в форме краткосрочной отсрочки платежа, осуществляется по следующей формуле:
СТК ..(ЦС*360)х(1-Сніі)
ПО ’
где СТКк. — стоимость товарного (коммерческого) кредита, предоставляемого на условиях краткосрочной отсрочки платежа, %;
ЦС — размер ценовой скидки при осуществлении наличного платежа за продукцию ("платежа против документов"), %; Сип
— ставка налога на прибыль, выраженная десятичной дробью;
ПО — период предоставления отсрочки платежа за продукцию, в днях.
Учитывая, что стоимость привлечения этого вида заемного капитала носит скрытый характер, основу управления этой стоимостью составляет обязательная оценка ее в годовой ставке по каждому предоставляемому товарному (коммерческому) кредиту и ее сравнение со стоимостью привлечения аналогичного банковского кредита. Практика показывает, что во многих случаях выгодней взять банковский кредит для постоянной немедленной оплаты продукции и получения соответствующей ценовой скидки, чем пользоваться такой формой товарного (коммерческого) кредита.
б) стоимость товарного (коммерческого) кредита в форме долгосрочной отсрочки платежа с оформлением
векселем формируется на тех же условиях, что и банковского, однако должна учитывать при этом потерю ценовой скидки за наличный платеж за продукцию. Расчет стоимости этой формы товарного (коммерческого) кредита осуществляется по формуле:
ГТК ПК
вх(1-С
нп)
в 1-ЦС ’
где CTKB — стоимость товарного (коммерческого) кредита в форме долгосрочной отсрочки платежа с оформлением векселем, %;
ПКв —ставка процента за вексельный кредит, %;
Сип
— ставка налога на прибыль, выраженная десятичной дробью; ЦС — размер ценовой скидки, предоставляемой поставщиком при осуществлении наличного платежа за продукцию, выраженный десятичной дробью.
Управление стоимостью этой формы товарного (коммерческого) кредита, как и банковской, сводится к поиску вариантов поставок аналогичной продукции, минимизирующих.размеры этой стоимости.
4. Стоимость внутренней кредиторской задолженности предприятия при определении средневзвешенной стоимости капитала учитывается по нулевой ставке, так как представляет собой бесплатное финансирование предприятия за счет этого вида заемного капитала. Сумма этой задолженности условно приравнивается к собственному капиталу только при расчете норматива обеспеченности предприятия собственными оборотными средствами; во всех остальных случаях эта часть так называемых "устойчивых пассивов" рассматривается как краткосрочно привлеченный заемный капитал (в пределах одного месяца). Так как сроки выплат этой начисленной задолженности (по заработной плате, налогам, страхованию и т.п.) не зависят от предприятия, она не относится к управляемому финансированию с позиций оценки стоимости капитала.
С учетом оценки стоимости отдельных составных элементов заемного капитала и удельного веса каждого из этих элементов в общей его сумме может быть определена средневзвешенная стоимость заемных финансовых ресурсов предприятия.
Глава 18. Управление структурой капитала
18.1. ПОНЯТИЕ СТРУКТУРА КАПИТАЛА ИПРИНЦИПЫЕЕ
ОПТИМИЗАЦИИ
В арсенале методологических основ управления прибылью предприятия одной из базовых и наиболее дискутируемых концепций является теория структуры капитала. Это связано с тем, что теоретическая концепция структуры капитала формирует основу выбора ряда стратегических направлений финансового развития предприятия, обеспечивающих возрастание его рыночной стоимости, т.е. имеет достаточно широкую область практического использования.
Рассмотрение концепции структуры капитала определяет необходимость концентрации основных теоретических ее положений на следующих моментах:
1. Понятие "структура капитала" [capital structure] носит неоднозначный дискуссионный характер и поэтому требует четкого детерминирования. В наиболее общем виде это понятие характеризуется всеми зарубежными и отечественными экономистами как соотношение собственного и заемного капитала предприятия. Вместе с тем, при рассмотрении как собственного, так и заемного капитала предприятия, отдельными экономистами в них вкладывается различное конкретное содержание (рис. 18.1).
Изначально понятие "структура капитала" рассматривалось исключительно как соотношение используемого предприятием собственного уставного (акционерного) и долгосрочного заемного капитала. Исходя из такой трактовки содержания этого понятия практически все классические теории структуры капитала построены на исследовании соотношения в его составе удельного веса эмитируемых акций (представляющих собственный капитал) и облигаций (представляющих заемный капитал). Такой подход к характеристике понятия структуры капитала, основанный на выделении только дол-
ВАРИАНТЫ СООТНЕСЕНИЯ ВИДОВ I СОБСТВЕННОГО И ЗАЕМНОГО КАПИТАЛА ! [ ПРИ ОПРЕДЕЛЕНИИ ЕГО СТРУКТУРЫ
I
Е®
|
>
|
Собственный
уставный
(акционерный)
капитал
|
*
•
|
Долгосрочный
заемный
капитал
|
<
|
щ
|
ІС
ха
ш ш
|
|
|
|
|
|
|
>
|
Собственный
уставный
(акционерный)
капитал
|
•
•
|
Долгосрочный заемный капитал и краткосрочный банковский кредит
|
<
|
х 5
|
са а.
|
|
|
|
|
|
го-
|
ш
о
U
|
>
|
Все формы используемого собственного
|
•
«
|
Все формы используемого заемного капитала
|
<
|
ш с
<
со
|
|
|
капитала
|
|
|
|
Рисунок 18.1. Обзор основных вариантов соотнесения различных видов капитала предприятия при определении его структуры.
госрочных (перманентных) его видов, присущ и многим современным экономистам.
По мере расширения базы практического использования концепции структуры капитала ряд экономистов предложили расширить состав рассматриваемого заемного капитала, дополнив его различными видами краткосрочного банковского кредита. Необходимость такого расширения понятия "структуры капитала" они обосновали возрастанием роли банковского кредита в финансировании хозяйственной деятельности предприятий и широкой практикой реструктуризации краткосрочных его видов в долгосрочные.
На современном этапе существенная часть экономистов склоняется к мнению, что понятие "структура капитала" должно рассматривать все виды как собственного, так и заемного капитала предприятия. При этом в составе собственного капитала должен рассматриваться не только первоначально инвестированный его объем
(акционерный, паевой или индивидуальный капитал, формирующий уставной фонд предприятия), но и накопленная в дальнейшем его часть в форме различных резервов и фондов, а также предполагаемая к реинвестированию вновь сформированная прибыль ("нераспределенная прибыль"). Соответственно и заемный капитал должен рассматриваться во всех формах его использования предприятием, включая финансовый лизинг, товарный (коммерческий) кредит всех видов, внутреннюю кредиторскую задолженность ("счета начисления") и других.
Такая трактовка понятия "структуры капитала" позволяет существенно расширить сферу практического использования этой теоретической концепции в финансовой деятельности предприятия по следующим причинам:
о она позволяет исследовать особенности и разрабатывать соответствующие рекомендации не только для крупных компаний, но и для средних и малых предприятий, доступ которых на рынок долгосрочного капитала крайне ограничен (большинство таких предприятий в условиях переходной экономики не использует формы долгосрочного заимствования капитала); в при такой трактовке теоретический базис концепции структуры капитала полностью синхронизируется с концепцией стоимости капитала, что позволяет комплексно использовать их инструментарий в целях повышения рыночной стоимости предприятия; в рассматриваемая трактовка понятия структуры капитала дает возможность теснее увязать при исследовании эффективность его использования с эффективностью использования активов, в которые он инвестирован. В этом случае может быть элиминирована роль структуры капитала в обеспечении роста эффективности использования совокупных активов предприятия.
С учетом рассмотренных положений понятие структуры капитала предлагается сформулировать следующим образом: "Структура капитала представляет собой соотношение всех форм собственных и заемных финансовых средств, используемых предприятием в процессе своей хозяйственной деятельности для финансирования активов".
2. Структура капитала играет важную роль в формировании рыночной стоимости предприятия. Эта связь опосредствуется показателем средневзвешенной стоимости капитала. Поэтому концепция структуры капитала исследуется в одном теоретическом комплексе с концепцией стоимости капитала и концепцией рыночной стоимости предприятия. Характер этой взаимосвязи представлен на рисунке 18.2.
_¦ —
|
|
-Щп , ,
|
|
— Ш-
|
Показатель
структуры
капитала
|
|
--
Показатель
средне
взвешенной
стоимости
|
|
-¦' 1
Показатель
рыночной
стоимости
|
|
капитала
|
|
предприятия
|
Рисунок 18.2. Система взаимосвязи показателей структуры капитала, средневзвешенной стоимости капитала и рыночной стоимости предприятия.
Экономический механизм рассмотренной взаимосвязи позволяет использовать в процессе управления комплексом этих показателей единую взаимосвязанную систему критериев и методов. Используя такую методологическую систему можно оптимизируя значение структуры капитала одновременно минимизировать средневзвешенную его стоимость и максимизировать рыночную стоимость предприятия.
3. В генезисе теорий структуры капитала, которые начали формироваться с середины XX века, выделяются четыре основных этапа. Эти этапы связаны с формированием следующих обобщающих теоретических концепций: • традиционалистской концепцией структуры капитала; в концепцией индифферентности структуры капитала; Ф компромиссной концепцией структуры капитала; в концепцией противоречия интересов формирования структуры капитала.
В основе этих концепций лежат противоречивые подходы к возможности оптимизации структуры капитала предприятия и выделение приоритетных факторов, определяющих механизм такой оптимизации.
4. Основу традиционалистской концепции структуры капитала составляет положение о возможной оптимизации структуры капитала путем учета разной стоимости отдельных его составных частей. Исходной теоретической посылкой этой концепции является утверждение, что стоимость собственного капитала предприятия всегда выше стоимости заемного капитала.
Более низкая стоимость заемного капитала в сравнении с собственным объясняется сторонниками традиционалистской концепции различиями в уровне риска их использования. Так, уровень доходности заемного капитала во всех его формах носит детерминированный характер в связи с тем, что ставка процента по нему определена сторонами заранее в фиксированном размере, в то время как уровень доходности собственного капитала формируется в условиях неопределенности (он зависит от варьирующих по уровню финансовых результатов предстоящей хозяйственной деятельности предприятия). Кроме того, использование заемного капитала носит, как правило, финансово обеспеченный характер — в качестве такого обеспечения выступают обычно гарантии третьих лиц, залог или заклад имущества. И наконец, в случае банкротства предприятия законодательством большинства стран предусмотрено преимущественное право удовлетворения претензий кредиторов в сравнении с правом удовлетворения претензий собственников (акционеров, пайщиков и т.п.).
Исходя из предпосылки о более низком уровне стоимости заемного капитала в сравнении с собственным при любом сочетании их использования, содержание традиционалистской концепции механизма оптимизации структуры капитала предприятие сводится к следующему: рост удельного веса использования заемного капитала во всех случаях приводит к снижению показателя средневзвешенной стоимости капитала предприятия, а соответственно и к росту рыночной стоимости предприятия.
Графически содержание этой концепции может быть проиллюстрировано следующим образом (рис. 18.3).
Из приведенного графика видно, что с ростом удельного веса заемного капитала, используемого предприятием в процессе своей хозяйственной деятельности, уровень средневзвешенной стоимости капитала имеет тенденцию к снижению, достигая своего минимального

Рисунок 18.3. График формирования структуры и средневзвешенной стоимости капитала в соответствии с традиционалистской концепцией.
значения при 100%-ом использовании заемного капитала. Учитывая, что между средневзвешенной стоимостью капитала и рыночной стоимостью предприятия существует обратная зависимость, исходя из графика, характеризующего традиционалистскую концепцию, можно сделать вывод, что рыночная стоимость предприятия максимизируется при 100%-ом использовании заемного капитала.
Практическое использование этой концепции побуждает предприятие к максимизации использования заемного капитала в своей хозяйственной деятельности, что в определенных условиях может привести к утрате им финансовой устойчивости и даже к банкротству. Поэтому такая однофакторная модель формирования структуры и средневзвешенной стоимости капитала предприятия, составляющая основу традиционалистской концепции, обоснованно критиковалась многими экономистами как чрезмерно упрощенная, а условие оптимизации рассматриваемого показателя (100%-ое использование заемного капитала) — как нереальное.
5. Основу концепции индифферентности структуры капитала составляет положение о невозможности оптимизации структуры капитала ни по критерию минимизации средневзвешенной его стоимости, ни по критерию максимизации рыночной стоимости предприятия, так как она не оказывает влияние на формирование этих показателей. Эта концепция была впервые выдвинута в 1958 году американскими экономистами Ф. Модильяни и М. Миллером (упоминаемая обычно при ссылках как "концепция ММ"). Она рассматривает механизм формирования структуры капитала и рыночной стоимости предприятия в тесной увязке с механизмом функционирования рынка капитала в целом. При этом в процессе обоснования данной концепции функционирование рынка капитала ограничено ими рядом следующих условий:
о рынок на всех этапах своего функционирования и во всех своих сегментах является "совершенным", что подразумевает полную его конкурентность, широкую доступность информации о его конъюнктуре для всех участников рынка, а также рациональный характер их поведения;
о на рынке действует в рассматриваемом периоде времени единая для всех инвесторов и кредиторов безрисковая ставка процента на вкладываемый или передаваемый в ссуду капитал;
все предприятия, функционирующие на рынке, могут быть классифицированы по уровню риска своей хозяйственной деятельности только на основе показателей размера ожидаемого дохода на сформированные совокупные активы и степени вероятности его получения. Риски, связанные с составом элементов используемого капитала и создающие потенциальную угрозу потери части активов в процессе его банкротства и ликвидации (эти потери активов характеризуются термином "издержки банкротства"), в расчет при этом не принимаются;
стоимость любого элемента привлекаемого (используемого) капитала не связана с действующей системой налогообложения прибыли предприятия;
о в расчет стоимости отдельных элементов капитала не включаются расходы, связанные с его покупкой-продажей (так называемые "транзакционные расходы" или "операционные расходы по формированию капитала").
Исходя из этих базовых условий Ф. Модильяни и М. Миллер математически доказали, что рыночная стоимость предприятия (а соответственно и средневзвешенная стоимость используемого им капитала) зависит только от
суммарной стоимости его активов вне зависимости от состава элементов капитала, авансированного в эти активы. Исходным положением этого доказательства является их утверждение, что в процессе хозяйственной деятельности предприятия его доходность генерируют не отдельные элементы капитала, а сформированные им активы. С учетом изложенных предпосылок содержание концепции механизма формирования средневзвешенной стоимости капитала предприятия, выдвинутой Ф. Модильяни и М. Миллером, сводится к следующему: рыночная стоимость предприятия (а соответственно и средневзвешенная стоимость его капитала) не зависит от структуры капитала. Графически содержание этой концепции проиллюстрировано на рисунке 18.4.
Стоимость
э
?
? ^
? §
CQ * О
?
-ч собственного
Средневзвешенная ¦ напитала
стоимость капитала :
-——--— ->
Стоимость
заемного
каптала
< о го 40 во ео іоо
, і Удельный вес заемного капитала в общей его сумме, % ‘
Рисунок 18.4. График формирования средневзвешенной стоимости капитала в соответствии с концепцией ее независимости от структуры капитала (концепция ф. Модильяни и М. Миллера).
Как видно из приведенного графика, рост удельного веса заемного капитала в общей его сумме не приводит к соответствующему снижению уровня средневзвешенной стоимости капитала несмотря на то, что уровень стоимости заемного капитала намного ниже уровня стоимости собственного капитала. Сопоставление этого графика с рассмотренным ранее (рис. 18.3) показывает, что концепция Ф. Модильяни и М. Миллера по своим выводам полностью противопоставляется традиционалистской концепции структуры капитала. Будучи принципиально правильной в условиях выдвинутых авторами
ограничений, концепция независимости механизма формирования средневзвешенной стоимости капитала и рыночной стоимости предприятия от его структуры носит лишь теоретический частный характер, который несовместим с ситуацией формирования предприятием структуры капитала в реальной практике. Поэтому данная концепция рассматривается лишь как принципиальный механизм оценки рыночной стоимости предприятия в условиях функционирования совершенного рынка при нереальных практических ограничениях (отсутствие налогообложения прибыли; неучет рисков, связанных с издержками банкротства; неучет операционных расходов по формированию отдельных элементов капитала и др.).
В дальнейших своих исследованиях, сняв ряд выдвинутых ограничений, авторы данной концепции вынуждены были признать, что механизм формирования рыночной стоимости предприятия находится в определенной связи со структурой его капитала.
6. Основу компромиссной концепции структуры капитала составляет положение о том, что она формируется под воздействием ряда противоречивых условий, определяющих соотношение уровня доходности и риска использования капитала предприятия, которые в процессе оптимизации его структуры должны быть учтены путем соответствующего компромисса их комплексного воздействия. Эта концепция, основанная на исследованиях М. Миллера, X. Де-Анжел о, Р. Масюлиса, Дж. Уорнера и некоторых других современных экономистов, включает в механизм формирования структуры капитала ряд реальных условий функционирования экономики и рынка, которые не учитывались в предшествующих концепциях. Содержание этих условий сводится к следующему:
• реально функционирующая экономика не может не учитывать фактор налогообложения прибыли, что существенным образом влияет на формирование стоимости отдельных элементов капитала, а следовательно и его структуру. Так, в практике большинства стран расходы по обслуживанию долга (заемного капитала) подлежат полностью или частично вычету из базы налогообложения прибыли. В связи с этим стоимость заемного капитала за счет "налогового щита" ("налогового корректора") всегда является более низкой при прочих равных
условиях, чем стоимость собственного капитала. Соответственно рост использования заемного капитала до определенных пределов (не генерирующих риск возрастания угрозы банкротства предприятия) вызывает снижение уровня средневзвешенной стоимости капитала;
в процессе оценки стоимости отдельных элементов капитала должен обязательно учитываться риск банкротства предприятия, связанный с несовершенной структурой формируемого капитала. С повышением удельного веса заемного капитала во всех его формах вероятность банкротства предприятия усиливается. Экономическое поведение кредиторов в этом случае связано с двумя альтернативами — или снизить объем кредитов, предоставляемых предприятию на тех же условиях (снижение доли заемного капитала вызовет в этом случае рост средневзвешенной стоимости капитала и снижение рыночной стоимости предприятия), или потребовать от предприятия более высокий уровень дохода на предоставляемый в кредит капитал (что также приведет к росту средневзвешенной его стоимости и снижению рыночной стоимости предприятия). При любой из рассмотренных альтернатив возможности привлечения заемного капитала предприятием по более высокой стоимости не безграничны. Имеется экономическая граница привлечения заемного капитала по возрастающей его стоимости, при которой эта стоимость (вызванная с риском банкротства предприятия) возрастает до такой степени, что поглощает эффект, достигаемый налоговым преимуществом его использования. В этом случае стоимость заемного капитала предприятия и его средневзвешенная стоимость сравняется со стоимостью собственного капитала, привлекаемого предприятием из внутренних и внешних источников. Преступив этот уровень стоимости заемного капитала, предприятие теряет экономические стимулы к его привлечению;
стоимость отдельных элементов капитала, из внешних источников, включает не только расходы по его обслуживанию в процессе использования, но и первоначальные затраты по его привлечению ("операционные расходы по формированию капитала"). Эти операционные расходы также должны учитываться в процессе оценки как стоимости отдельных элементов капитала, так и средневзвешенной стоимости, а следовательно и при формировании структуры капитала.
С учетом рассмотренных условий содержание компромиссной концепции структуры капитала сводится к тому, что в реально функционирующих экономике и рынке капитала этот показатель складывается под влиянием многих факторов, имеющих противоположную направленность воздействия на рыночную стоимость предприятия. Эти факторы по своему суммарному воздействию формируют определенное соотношение уровня доходности и риска использования капитала предприятия при различной его структуре. Уровень доходности используемого капитала формирует показатель средневзвешенной его стоимости, учитывающий операционные ("транзакци-онные") расходы по привлечению на рынке капитала отдельных его элементов. Уровень риска используемого капитала формирует показатель удельного веса заемного капитала в общей его сумме, генерирующий при определенных значениях угрозу банкротства предприятия.
Графически сущность компромиссной концепции формирования структуры капитала может быть принципиально представлена в следующем виде (рис. 18.5).

Рисунок 18.5. График формирования оптимальной структуры капитала и его средневзвешенной стоимости в соответствии с компромиссной концепцией.
Как видно из приведенного графика средневзвешенная стоимость капитала предприятия меняет свои тенденции на отдельных стадиях, связанных с ростом удельного веса используемого заемного капитала.
На первой стадии, пока удельный вес заемного капитала находится в безрисковой зоне (не начинает генерировать угрозы банкротства), его рост вызывает ощутимое снижение средневзвешенной стоимости капитала (на графике — на отрезке АБ).
На второй стадии, при относительной невысокой угрозе банкротства, вызывающей невысокий рост стоимости заемного капитала, повышение его удельного веса, сопровождается относительной стабилизацией средневзвешенной стоимости капитала (на графике — на отрезке БВ).
На третьей стадии, при существенном возрастании угрозы банкротства и соответствующем росте стоимости заемного капитала, возрастание удельного веса его использования вызывает еще более высокое возрастание средневзвешенной стоимости капитала (на графике — на отрезке ВГ).
Точка компромисса, представленная на графике (ТК), определяет оптимальную структуру капитала предприятия в положении, соответствующем минимальному значению показателя средневзвешенной стоимости капитала. Вместе с тем, современная компромиссная теория структуры капитала определяет возможность формирования точки компромисса на любом отрезке кривой средневзвешенной стоимости капитала в зависимости от отношения собственников и менеджеров к допустимому уровню риска. При осторожном (консервативном) экономическом поведении (менталитете) точка компромисса может быть избрана гораздо левее представленной на графике, и наоборот — при рисковом (агрессивном) экономическом поведении такая точка может быть избрана гораздо правее. Иными словами, уровень доходности и риска в процессе формирования структуры ка питала, выступающие критерием ее оптимизации в каждом конкретном случае, собственники или менеджеры предприятия выбирают самостоятельно.
7. Основу концепции противоречия интересов формирования структуры капитала составляет положение о различии интересов и уровня информированности собственников, инвесторов, кредиторов и менеджеров в процессе управления эффективностью его использования, выравнивание которых вызывает увеличение стоимости отдельных его элементов. Это вносит определенные коррективы в процесс оптимизации структуры капитала по критерию его средневзвешенной стоимости (а соответственно и рыночной стоимости предприятия). Авторы отдельных теоретических положений этой концепции — М. Гордон, М. Дженсен, У. Меклинг, Д. Галей, Р. Ма-зулис, С. Майерс и некоторые другие современные экономисты, — не изменяя принципиально сущности компромиссной концепции, позволили существенно расширить область ее практического использования за счет исследования отдельных факторов.
Сущность концепции противоречия интересов формирования капитала предприятия составляют теории асимметричной информации, сигнализирования, мониторинговых затрат и некоторые другие.
• Теория асимметричной информации основываетсяна том, что рынок капитала не может быть полностьюсовершенным во всех своих аспектах и в течение всегопериода своего предстоящего функционирования дажев наиболее экономически развитых странах. Реально функционирующий рынок формирует в силу своего несовершенства (недостаточной "прозрачности") неадекватную ("асимметричную") информацию для отдельных егоучастников о перспективах развития предприятия. Это,в свою очередь, порождает неравнозначную оценку предстоящего уровня доходности и риска его деятельности,а соответственно и условия оптимизации структуры капитала. Асимметричность информации проявляется втом, что менеджеры предприятия получают более полную информацию по рассматриваемому аспекту, чем егоинвесторы и кредиторы. Если бы последние располагали такой же полной информацией, что и менеджерыпредприятия, они имели бы возможность более правильно формировать свои требования к уровню доходностипредоставляемого предприятию капитала. А это в своюочередь позволяло бы оптимизировать структуру капитала в соответствии с реальным финансовым состояниемпредприятия и реальными перспективами его развития.
• Теория сигнализирования ("сигнальная теория")являясь логическим развитием теории асимметричной
информации, основывается на том, что рынок капитала посылает инвесторам и кредиторам соответствующие сигналы о перспективах развития предприятия на основе поведения менеджеров на этом рынке. При благоприятных перспективах развития менеджеры будут стараться удовлетворять дополнительную потребность в капитале за счет привлечения заемных финансовых средств (в этом случае ожидаемый дополнительный доход будет принадлежать исключительно прежним собственникам и создаст условия для существенного роста рыночной стоимости предприятия). При неблагоприятных перспективах развития менеджеры будут стараться удовлетворить дополнительную потребность в финансовых ресурсах за счет привлечения собственного капитала из внешних источников, т. е. за счет расширения круга инвесторов, что позволит разделить с ними сумму предстоящих убытков. Теория сигнализирования в условиях асимметричной информации позволяет инвесторам и кредиторам лучше обосновывать свои решения о предоставлении капитала предприятию (хотя и с определенным "лагом запаздывания"), что отражается соответствующим образом на формировании его структуры. • Теория мониторинговых затрат ("теория затрат на осуществление контроля") базируется на различии интересов и уровня информированности собственников и кредиторов предприятия. Кредиторы, предоставляя предприятию капитал, в условиях асимметричной информации требуют от него возможности осуществления собственного контроля за эффективностью его использования и обеспечением возврата. Затраты по осуществлению такого контроля кредиторы стараются переложить на собственников предприятия путем их включения в ставку процента за кредит. Чем выше удельный вес заемного капитала, тем выше уровень таких мониторинговых затрат (затрат на осуществление контроля). Иными словами, мониторинговые затраты (как и издержки банкротства) имеют тенденцию к увеличению с ростом удельного веса заемного капитала, что приводит к росту средневзвешенной стоимости капитала, а соответственно и снижению рыночной стоимости предприятия. Следовательно, наличие мониторинговых затрат ограничивает эффективность использования заемного
капитала и должно обязательно учитываться в процессе оптимизации его структуры.
8. Современные теории структуры капитала формируют достаточно обширный методический инструментарийоптимизации этого показателя на каждом конкретном предприятии. Основными критериями такой оптимизации выступают:
приемлемый уровень доходности и риска в деятельности предприятия;
минимизация средневзвешенной стоимости капитала предприятия;
максимизация рыночной стоимости предприятия.
Приоритет конкретных критериев оптимизации структуры капитала предприятие определяет самостоятельно. Исходя из этого можно сделать вывод: не существует единой оптимальной структуры капитала не только для разных предприятий, но даже и для одного предприятия на разных стадиях егоразвития.
9. Процесс оптимизации предполагает установлениецелевой структуры капитала. Под целевой структурой капитала [target capital structure] понимается соотношениесобственных и заемных финансовых средств предприятия,которое позволяет в полной мере обеспечить достижениеизбранного критерия ее оптимизации. Конкретная целевая структура капитала обеспечивает заданный уровеньдоходности и риска в деятельности предприятия,минимизирует средневзвешенную его стоимость илимаксимизирует рыночную стоимость предприятия. Показатель целевой структуры капитала предприятия отражает финансовую идеологию его собственников илименеджеров и входит в систему стратегических целевыхнормативов его развития.
10. Показатель целевой структуры капитала изменчив в динамике и поэтому требует периодической корректировки. Ряд экономистов объясняют эту динамичностьлишь теоретическим базисом, избранным для его установления, подразделяя все современные теории структуры капитала на статические (теории компромисснойконцепции) и динамические (теории концепции противоречия интересов). Такая трактовка динамичности показателя структуры капитала представляется нам ошибочной. Динамизм целевой структуры капитала определяется не избранным в качестве
методического инструментария теоретическим подходом, а динамизмом конкретных факторов, рассматриваемых любой теорией структуры капитала. Так, основу теорий компромиссной концепции (относимых экономистами к статичным) составляют такие факторы, как ставка ссудного процента, уровень налогообложения прибыли, уровень операционных затрат по привлечению капитала и некоторые другие, которые очень изменчивы в динамике (особенно высок динамизм этих факторов в условиях экономики переходного периода).
С учетом изложенного можно сделать следующий вывод: динамизм показателя целевой структуры капитала не зависит от теоретического подхода, положенного в основу методического инструментария его установления, а определяется изменчивостью системы факторов, оказывающих на него непосредственное влияние.
18.2. ОПТИМИЗАЦИЯ СТРУКТУРЫКАПИТАЛА
Оптимизация структуры капитала является одной из наиболее важных и сложных задач, решаемых в процессе управления его формированием при создании предприятия. Оптимальная структура капитала представляет собой такое соотношение использования собственных и заемных средств, при котором обеспечивается наиболее эффективная пропорциональность между коэффициентом рентабельности и коэффициентом финансовой устойчивости предприятия, т.е. максимизирует-сяч его рыночная стоимость.
Процесс оптимизации структуры капитала неразрывно связан с учетом особенностей использования как собственного, так и заемного капитала.
Собственный капитал характеризуется следующими основными положительными особенностями:
1. Простотой привлечения, так как решения, связанные с увеличением собственного капитала (особенно за счет внутренних источников его формирования) принимаются собственниками и менеджерами предприятия
без необходимости получения согласия других хозяйствующих субъектов.
Более высокой способностью генерирования прибыли во всех сферах деятельности, т.к. при его использовании не требуется уплата ссудного процента во всех его формах.
Обеспечением финансовой устойчивости развития предприятия, его платежеспособности в долгосрочном периоде, а соответственно и снижением риска банкротства.
Вместе с тем, ему присущи следующие недостатки:
Ограниченность объема привлечения, а следовательно и возможностей существенного расширения операционной и инвестиционной деятельности предприятия в периоды благоприятной конъюнктуры рынка на отдельных этапах его жизненного цикла.
Высокая стоимость в сравнении с альтернативными заемными источниками формирования капитала.
Неиспользуемая возможность прироста коэффициента рентабельности собственного капитала за счет привлечения заемных финансовых средств, так как без такого привлечения невозможно обеспечить превышение коэффициента финансовой рентабельности деятельности предприятия над экономической.
Таким образом, предприятие, использующее только собственный капитал, имеет наивысшую финансовую устойчивость (его коэффициент автономии равен единице), но ограничивает темпы своего развития (т.к. не может обеспечить формирование необходимого дополнительного объема активов в периоды благоприятной конъюнктурырынка) и не использует финансовые возможности прироста прибыли на вложенный капитал.
Заемный капитал характеризуется следующими положительными особенностями:
1. Достаточно широкими возможностями привлечения, особенно при высоком кредитном рейтинге предприятия, наличии залога или гарантии поручителя.
2. Обеспечением роста финансового потенциалапредприятия при необходимости существенного расширения его активов и возрастания темпов роста объемаего хозяйственной деятельности.
3. Более низкой стоимостью в сравнении с собственным капиталом за счет обеспечения эффекта "налогового щита" (изъятия затрат по его обслуживанию из налогооблагаемой базы при уплате
налога на прибыль).
4. Способностью генерировать прирост финансовой рентабельности (коэффициента рентабельности собственного капитала).
В то же время использование заемного капитала имеет следующие недостатки:
Использование этого капитала генерирует наиболее опасные финансовые риски в хозяйственной деятельности предприятия — риск снижения финансовой устойчивости и потери платежеспособности. Уровень этих рисков возрастает пропорционально росту удельного веса использования заемного капитала.
Активы, сформированные за счет заемного капитала, генерируют меньшую (при прочих равных условиях) норму прибыли, которая снижается на сумму выплачиваемого ссудного процента во всех его формах (процента за банковский кредит; лизинговой ставки; купонного процента по облигациям; вексельного процента за товарный кредит и т.п.).
Высокая зависимость стоимости заемного капитала от колебаний конъюнктуры финансового рынка. В ряде случаев при снижении средней ставки ссудного процента на рынке использование ранее полученных кредитов (особенно на долгосрочной основе) становится предприятию невыгодным в связи с наличием более дешевых альтернативных источников кредитных ресурсов.
Сложность процедуры привлечения (особенно в больших размерах), так как предоставление кредитных ресурсов зависит от решения других хозяйствующих субъектов (кредиторов), требует в ряде случаев соответствующих сторонних гарантий или залога (при этом гарантии страховых компаний, банков или других хозяйствующих субъектов предоставляются, как правило, на платной основе).
Таким образом, предприятие, использующее заемный капитал, имеет более высокий финансовый потенциал своего развития (за счет формирования дополнительного объема активов) и возможности прироста финансовойрентабельности деятельности, однако в большей мере генерирует финансовый риск и угрозу банкротства (возрастающие по мере увеличения удельного веса заемных средств в общей сумме используемого капитала).
Структура капитала предприятия оптимизируется различными методами. К числу основных из этих методов относятся (рис. 18.6.):
ОСНОВНЫЕ МЕТОДЫ ОПТИМИЗАЦИИ СТРУКТУРЫ _ КАПИТАЛА_ПРЕДПРИЯТИЯ _
|
|
|
|
|
Оптимизация структуры капитала по критерию максимализации уровня
прогнозируемой
финансовой
рентабельности
|
|
Оптимизация структуры капитала по критерию минимизации его стоимости
|
|
Оптимизация структуры капитала по критерию минимизации уровня финансовых рисков
|
Рисунок 18.6. Характеристика основных методов оптимизации структуры капитала предприятия.
1. Оптимизация структуры капитала по критерию максимизации уровня прогнозируемой финансовой рентабельности. Для проведения таких оптимизационных расчетов используется механизм финансового левериджа. Рассмотрим процесс оптимизации структуры капитала по этому критерию на следующем примере:
Пример: Располагая возможностями привлечения собственного капитала в размере 60 тыс. уел. ден. един, предприятие может существенно увеличить объем своей хозяйственной деятельности за счет привлечения заемного капитала.
Коэффициент валовойрентабельности акти-
1 вое (без учета расходов по оплате
процента за кредит) прогнозируется в размере 10%. Минимальная ставка процента за кредит (ставка без риска) составляет 8%. Необходимо определить при какой структуре капитала будет достигнут наивысший уровень финансовой рентабельности предприятия. Расчеты этого показателя приразличных значениях коэффициента финансового левериджа приведены в таблице 18.1.
Таблица 18.1. Расчет коэффициента финансовой рентабельностипри различных значениях коэффициента финансового левериджа (тыс. уел. ден. ед.)
№
|
|
|
|
Вариантырасчета
|
|
|
п/п
|
Показатели
|
1
|
2
|
3
|
4
|
5
|
6
|
7
|
А
|
Б
|
В
|
Г
|
Д
|
Е
|
іstC
|
3
|
И
|
1
2
|
Сумма собственного капитала
Возможная с?мма заемного ка-
|
60
|
60
|
60
|
60
|
60
|
60
|
60
|
|
питала
|
—
|
15
|
30
|
60
|
90
|
120
|
150
|
3
|
Общая сумма капитала
|
60
|
75
|
90
|
120
|
150
|
180
|
210
|
4
|
Коэффициент финансового
левепиджа
|
|
0,25
|
0,50
|
1,00
|
1,50
|
2,00
|
2,50
|
5
|
Коэффициент валовой
пситаБспиипсти пктиапа %
|
10,0
|
10,0
|
10,0
|
10,0
|
10,0
|
10,0
|
10,0
|
6
|
Ставка процента за кредит без риска. %
|
8,0
|
8,0
|
8,0
|
8,0
|
8,0
|
8,0
|
8,0
|
7
|
Премия за риск. %>
|
—
|
—
|
0,5
|
1,0
|
1,5
|
2,0
|
2,5
|
8
|
Ставка процента за кредит с ?чет.ом писка %
|
-
|
8,0
|
8,5
|
9,0
|
9,5
|
10,0
|
10,5
|
9
|
Сумма валовой прибыли без про, гр.Зхгр.5центов за кредит
100
|
6,00
|
7,50
|
9,0
|
12,00
|
15,00
|
18,00
|
21,00\
|
10
|
Сумма уплачиваемых процентов за кредит .: -гр.2хгр.б
100
|
|
1,20
|
2,55
|
5,40
|
8,55
|
12,00
|
15,75
|
11
|
Сумма валовой прибыли с учетом уплаты процентов за кредит гр. 9 - гр. 10
|
6,00
|
6,30
|
6,45
|
6,60
|
6,45
|
6,00
|
5,25
|
12
|
Ставка налога на прибылъ, выраженная десятичной дробью
|
0,3
|
0,3
|
0,3
|
0,3
|
0,3
|
0,3
|
0,3
|
13
|
Сумма налога на прибылъ гр. 11 х гр. 12
|
1,80
|
1,89
|
1,94
|
1,98
|
1,95
|
1,80
|
1,58
|
14
|
Сумма чистой прибыли,
оставшейся в распоряжении ппедппиятия гп. 11 — гп. 13
|
4,20
|
4,41
|
4,51
|
4,62
|
4,50
|
4,20
|
3,67
|
7,00
|
7,35
|
7,52
|
7,70
|
7,50
|
7,00
|
6,12
|
Коэффициент рентабельности собственного капитала
(коэффициент финансовой
рентабельности), % гр. 14 У. 100 г
Р.1
жи акций потребует увеличения размера предполагаемых выплат дивидендов. Минимальная ставка процента за кредит (ставка без риска) составляет 8%..Необходимо определить при какой структуре капитала будет достигнута минимальная средневзвешен-:
Как видно из данных расчетной таблицы наивысший коэффициент финансовой рентабельности достигается при коэффициенте финансового леверид-жа 1,0, что определяет соотношение заемного и собственного капитала в пропорции 50% : 50%.
Приведенные данные показывают также, что эффект финансового левериджа сведен к нулю в предпоследнем варианте при соотношении заемного и собственного капитала в пропорции 67% : 33% (в этом случае дифференциал финансового левериджа равен • нулю, вследствие чего использование заемного капитала эффекта не дает).
И наконец, в последнем варианте мы сталкиваемся с отрицательным значением эффекта финансового левериджа, когда из-за отрицательной величины его дифференциала коэффициент финансовой рентабельности снижается в процессе возможного использования заемного капитала.
Таким образом, проведение многовариантных расчетов с использованием механизма финансового левериджа позволяет определить оптимальную структуру капитала, обеспечивающую максимизацию уровня финансовой рентабельности.
2. Оптимизация структуры капитала по критерию минимизации его стоимости. Процесс этой оптимизации основан на предварительной оценке стоимости собственного и заемного капитала при разных условиях его привлечения и осуществлении многовариантных расчетов средневзвешенной стоимости капитала. Рассмотрим процесс оптимизации структуры капитала по этому критерию на следующем примере:
Пример: Для осуществления хозяйственной деятельности на первоначальном этапе предприятию необходимо сформировать активы (а соответственно привлечь необходимый капитал) в сумме 100 тыс. уел. ден. един. Предприятие организуется в форме < акционерного общества открытого типа. При мини- ¦ мально прогнозируемом уровне дивиденда в размере 7% акции могут бытъ проданы на сумму 25 тыс. уел. ден. единиц. Дальнейшее увеличение объема прода
ная его стоимость. Расчеты этого показателя при
различных значениях структуры капитала приведены в таблице 18.2.
Как видно из приведенных данных минимальная средневзвешенная стоимость капитала достигается при соотношении собственного и заемного капитала в пропорции 50% : 50%. Такая структура капитала позволяет максимизировать реальную рыночную стоимость предприятия (при прочихравныхусловиях).
3. Оптимизация структуры капитала по критерию минимизации уровня финансовых рисков. Этот метод оптимизации структуры капитала связан с процессом дифференцированного выбора источников финансирования различных составных частей активов предприятия. В этих целях все активы создаваемого предприятия подразделяются на такие три группы:
а) Внеоборотные активы.
б) Постоянная частъ оборотных активов. Она представляет собой неизменную часть совокупного ихразмера, которая не зависит от сезонных и других колебаний объема операционной деятельности и не связана с формированием запасов сезонного хранения, досрочного завоза и целевого назначения. Иными словамщона рассматривается как неснижаемый минимум оборотных активов, необходимый предприятию для осуществления текущей операционной деятельности.
в) Переменная частъ оборотных активов. Она представляет собой варьирующую часть их совокупногоразмера, которая связана с сезонным возрастанием объема реализации продукции, необходимостью формиро-зания в отдельные периоды деятельности предприятиятоварных запасов сезонного хранения, досрочного завоза и целевого назначения. В составе этой переменной части оборотных активов выделяют максимальнуюи среднюю потребность в них.
различной его структуре (тыс. уел. ден. ед.)
Таблица 18.2. Расчет средневзвешенной стоимости капитала при
|
м
|
Показатели
|
Вариантырасчета
|
п/п
|
|
1
|
2
|
3
|
4
|
5
|
6
|
7
|
8
|
А
|
Б
|
В
|
Г
|
Д
|
Е
|
Ж
|
3
|
И
|
К
|
1
|
Общая потребность в капитале
|
100
|
100
|
100
|
100
|
100
|
100
|
100
|
100
|
2
|
Варианты структуры капитала, %
а) собственный (акционерный)
|
25
|
30
|
40
|
50
|
60
|
70
|
80
|
100
|
|
капитал
|
|
|
|
|
|
|
|
|
|
б) заемный капитал (кредит)
|
75
|
70
|
60
|
50
|
40
|
30
|
20
|
—
|
3
|
Уровень предполагаемых
дивидендных выплат, %
|
7,0
|
7,2
|
7,5
|
8,0
|
8,5
|
9,0
|
9,5
|
10,0
|
4
|
Уровень ставки процента за кредит с учетом премии за риск,
|
11,0
|
10,5
|
10,0
|
9,5
|
9,0
|
8,5
|
8,0
|
—
|
5
|
%тавка налога на прибылъ, в десятичной дроби
|
0,3
|
0,3
|
0,3
|
0,3
|
0,3
|
0,3
|
0,3
|
0,3
|
6
|
Налоговый корректор І-гр.5
|
0,7
|
0,7
|
0,7
|
0,7
|
0,7
|
0,7
|
0,7
|
0,7
|
7
|
Уровень ставки процента за кредит с учетом налогового
|
7,70
|
7,35
|
7,00
|
6,65
|
6,30
|
5,95
|
5,60
|
|
|
корректора гр. 4 х гр. б
|
|
|
|
|
|
|
|
|
8
|
Стоимость составных частей капитала, %:
а) собственной части капитала гр 2ахгр.З 100
|
1,8
|
2,2
|
3,0
|
4,0
|
5,1
|
6,3
|
7,6
|
10,0
|
|
б) заемной части капитала гр.2бхгр.7
100
|
5,8
|
5,1
|
4,2
|
3,3
|
2,5
|
1,8
|
1,1
|
|
9
|
Средневзвешенная стоимость капитала, %
гр.8ахгр.2а+гр.8бхгр.2б 100
|
4,80
|
4,23
|
3,72
|
3,65
|
4,06
|
4,95
|
6,30
|
10,0
|
|
Существуют три принципиальных подхода к финансированию различных групп активов
предприятия (рис. 18.7).
|
СОСТАВ
АКТИВОВ
ПРЕДПРИЯТИЯ
|
Консервативный подход
к финансированию
активов предприятия
|
Умеренный или
компромиссный подход
к финансированию
активов предприятия
|
Агрессивный подход
к финансированию
активов предприятия
|
Переменная часть оборотных активов
|
— •>.
|
КЗК
|
|
КЗК
|
|
КЗК
|
Постоянная часть оборотных активов
|
|
дзк+ск
|
|
дзк+ск
|
—
|
дзк+ск
|
Внеоборотные
активы
|
|
|
|
|
|
|
Условные обозначения:
КЗК — краткосрочный заемный капитал; ДЗК — долгосрочный заемный капитал; СК — собственный капитал.
|
Рисунок 18.7. Принципиальные подходы к финансированию активов предприятия.
В зависимости от своего отношения к финансовым рискам учредители предприятия избирают один из рассмотренных вариантов финансирования активов. Учитывая, что на современном этапе долгосрочные займы и ссуды предприятиям практически не предоставляются, избранная модель финансирования активов будет представлять соотношение собственного и заемного (краткосрочного) капитала, т.е. оптимизировать его структуру с этих позиций.
Пример: Необходимо минимизировать структуру капитала предприятия по критерию минимизацииуровня финансовыхрисков при следующих исходных данных:
планируемая среднегодовая стоимость внеоборотных активов: 120 тыс. уел. ден. един.; из общей стоимости оборотных активов постоянная их часть: 80 тыс. уел. ден. един.; максимальная дополнительная потребность в оборотных активах в период сезонности производства (6 мес.) — 100 тыс. уел. ден. един.
Исходя из этих данных определяем, что при консервативном подходе к финансированию активов собственный капитал должен составлять:
120 + 80 + —- = 250
2 тыс. уел. ден. ед.;
заемный капитал должен составлять:
2 тыс. уел. ден. ед.;
Соответственно структура капитала, Минимизирующая уровень финансовых рисков, будет составлять:
300 = 17%.
собственный капитал -
50
заемный капитал —200
Предельные границы максимально рентабельной и минимально рискованной структуры капитала позволяют определить поле выбора конкретных его значений для создаваемого предприятия. В процессе этого выбора учитываются ранее рассмотренные факторы, характеризующие индивидуальные особенности деятельности данного предприятия.
Окончательное решение, принимаемое по этому вопросу, позволяет сформировать на предстоящий период показатель "целевой структуры капитала", в соответствии с которым будет
осуществляться последующее его формирование на предприятии путем привлечения финансовых средств из соответствующих источников.
Ij) <| УПРАВЛЕНИЕ
10.0. ПРИВЛЕЧЕНИЕМ КАПИТАЛА
Процесс управления привлечением капитала основывается на ранее определенной потребности в нем в плановом периоде, расчете необходимого его прироста и сформированного показателя целевой структуры капитала. В связи со спецификой источников формирования финансовых средств, управление привлечением капитала на предприятие осуществляется в разрезе двух направлений:
1) управление привлечением собственного капитала;
2) управление привлечением заемного капитала (рис. 18.8).
|

|
Рисунок 18.8. Основное содержание процесса управления привлечением капитала на предприятии.
1. Управление привлечением собственного капитала за счет внутренних источников
осуществляется в процессе распределения прибыли путем установления уровня ее капитализации (принципы распределения прибыли рассматриваются в следующем разделе). Амортизационные отчисления, которые являются одним из важных внутренних источников формирования финансовых ресурсов, сумму собственного капитала предприятия не увеличивают. Они представляют собой высвободившуюся часть стоимости внеоборотных операционных активов в процессе их кругооборота, т.е. не являются источником прироста собственного капитала (не считая индексации активов, когда увеличивается номинальная, а не реальная стоимость собственного капитала).
2. Управление привлечением собственного капитала за счет внешних источников осуществляется путем разработки эмиссионной политики или эмиссионного плана (плана привлечения дополнительного паевого капитала). Разработка политики эмиссии акций охватывает следующие основные этапы:
а) Исследование возможностей эффективного размещения предполагаемой эмиссии акций. Решение о предполагаемой первичной (при преобразовании предприятия в акционерное общество) или дополнительной (еслипредприятие уже создано в форме акционерного общества и нуждается в дополнительном притоке собственногокапитала) эмиссии акций можно принять лишь на основевсестороннего предварительного анализа конъюнктурыфондового рынка и оценки инвестиционной привлекательности своих акций.
Анализ конъюнктуры фондового рынка (биржевого и внебиржевого) включает характеристику состояния спроса и предложения акций, динамику уровня цен их котировки, объемов продаж акций новых эмиссий и ряда других показателей. Результатом проведения такого анализа является определение уровня чувствительности реагирования фондового рынка на появление новой эмиссии и оценка его потенциала поглощения эмитируемых объемов акций.
Оценка инвестиционной привлекательности своих акций проводится с позиций учета перспективности развития отрасли (в сравнении с другими отраслями), конкурентоспособности производимой продукции, а также уровня своего финансового состояния (в сравнении со среднеотраслевыми показателями). В процессе оценки определяется возможная степень инвестиционной предпочтительности акций своей компании в сравнении с обращающимися акциями других компаний.
б) Определение целей эмиссии. В связи с высокойстоимостью привлечения собственного капитала из внешних источников, цели эмиссии должны быть достаточновесомыми с позиций стратегического развития предприятия и возможностей существенного повышения его рыночной стоимости в предстоящем периоде. Основными из таких целей, которыми
предприятие руководствуется, прибегая к этому источнику формирования собственного капитала, являются:
реальное инвестирование, связанное с отраслевой (подотраслевой) и региональной диверсификацией производственной деятельности (создание сети новых филиалов, дочерних фирм, новых производств с большим объемом выпуска продукции и т.п.);
необходимость существенного улучшения структуры используемого капитала (повышение доли собственного капитала с целью роста уровня финансовой устойчивости; обеспечение более высокого уровня собственной кредитоспособности и снижение за счет этого стоимости привлечения заемного капитала; повышение эффекта финансового левериджа и т.п.).
намечаемое поглощение других предприятий с целью получения эффекта синергизма (участие в приватизации сторонних государственных предприятий также может рассматриваться как вариант их поглощения, если при этом обеспечивается приобретение контрольного пакета акций или преимущественная доля в уставном фонде);
иные цели, требующие быстрой аккумуляции значительного объема собственного капитала.
в) Определение объема эмиссии. При определенииобъема эмиссии необходимо исходить из ранее рассчитанной потребности в привлечении собственного капиталаза счет внешних источников.
г) Определение номинала, видов и количества эмитируемых акций. Номинал акций определяется с учетом основных категорий предстоящих покупателей (наибольшиеноминалы акций ориентированы на их приобретениеинституциональными инвесторами, а наименьшие — наприобретение населением). В процессе определениявидов акций (простых и привилегированных) устанавливается целесообразность выпуска привилегированныхакций; если такой выпуск признан целесообразным, тоустанавливается соотношение простых и привилегированных акций (при этом следует иметь в виду, что всоответствии с действующим законодательством доляпривилегированных акций не может превышать 10% общего объема эмиссии). Количество эмитируемых акций
определяется исходя из объема эмиссии и номинала одной акции (в процессе одной эмиссии может быть установлен лишь один вариант номинала акций).
д) Оценка стоимости привлекаемого капитала. В соответствии с принципами такой оценки она осуществляется по двум параметрам: а) предполагаемому уровнюдивидендов (он определяется исходя из избранного типадивидендной политики); б) затрат по выпуску акций иразмещению эмиссии (приведенных к среднегодовомуразмеру). Расчетная стоимость привлекаемого капиталасопоставляется с фактической средневзвешенной стоимостью капитала и средним уровнем ставки процентана рынке капитала. Лишь после этого принимается окончательное решение об осуществлении эмиссии акций.
е) Определение эффективных форм андеррайтинга. Для того, чтобы быстро и эффективно провести открытоеразмещение эмитируемого объема акций, необходимоопределить состав андеррайтеров, согласовать с ними ценыначальной котировки акций и размер комиссионноговознаграждения, обеспечить регулирование объемовпродажи акций в соответствии с потребностями в потоке поступления финансовых средств, обеспечить поддержание ликвидности первой части (первого транша)размещенных акций на начальном этапе их обращения.
Управление привлечением заемного капитала за счет внутренних источников
сводится в основном к прогнозированию прироста суммы внутренней кредиторской задолженности нетоварного характера. Такой прогноз необходим для уточнения потребности в заемном капитале, привлекаемом из внешних источников. Прогноз прироста внутренней кредиторской задолженности основывается на планируемом приросте объема производства и реализации продукции.
Управление привлечением заемного капитала за счет внешних источников требует разработки специальной финансовой политики в этой области на предприятиях, использующих значительный объем заемного капитала.
Политика привлечения заемных средств представляет собой часть общей стратегии формирования капитала, заключающейся в обеспечении наиболее эффективных форм и условии привлечения заемного капитала из различных источников в соответствии с потребностями развития предприятия.
Процесс формирования политики привлечения предприятием заемных средств включает следующие основные этапы (рис. 18.9):

Рисунок 18.9. Основные этапы разработки политики привлечения предприятием заемных средств.
1. Анализ привлечения и использования заемных средств в предшествующем периоде. Целью такого анализа является выявление объема, состава и форм привлечения заемных средств предприятием, а также оценка эффективности их использования.
• На первом этапе анализа изучается динамика общего объема привлечения заемных средств в рассматриваемом периоде; темпы этой динамики сопоставляются
с темпами прироста суммы собственных финансовых ресурсов, объемов операционной и инвестиционной деятельности, общей суммы активов предприятия.
На втором этапе анализа определяются основные формы привлечения заемных средств, анализируется в динамике удельный вес сформированных финансового кредита, товарного кредита и внутренней кредиторской задолженности в общей сумме заемных средств, используемых предприятием.
На третьем этапе анализа определяется соотношение объемов используемых предприятием заемных средств по периоду их привлечения. В этих целях проводится соответствующая группировка используемого заемного капитала по этому признаку, изучается динамика соотношения кратко- и долгосрочных заемных средств предприятия и их соответствие объему используемых оборотных и внеооборотных активов.
На четвертой стадии анализа изучается состав конкретных кредиторов предприятия и условия предоставления ими различных форм финансового и товарного (коммерческого) кредитов. Эти условия анализируются с позиций их соответствия конъюнктуре финансового и товарного рынков.
На пятой стадии анализа изучается эффективность использования заемных средств в целом и отдельных их форм на предприятии. В этих целях используются показатели оборачиваемости и рентабельности заемного капитала, рассмотренные ранее. Первая группа этих показателей сопоставляется в процессе анализа со средним периодом оборота собственного капитала.
Результаты проведенного анализа служат основой оценки целесообразности использования заемных средств на предприятии в сложившихся объемах и формах.
2. Определение целей привлечения заемных средств в предстоящем периоде. Эти средства привлекаются предприятием на строго целевой основе, что является одним из условий последующего эффективного их использования. Основными целями привлечения заемных средств предприятиями являются:
а) пополнение необходимого объема постоянной части оборотных активов. В настоящее время большинство предприятий, осуществляющих производственную деятельность,
не имеют возможности финансировать полностью эту часть оборотных активов за счет собственного капитала. Значительная часть этого финансирования осуществляется за счет заемных средств;
б) обеспечение формирования переменной части оборотныхактивов. Какую бы модель финансирования активов неиспользовало предприятие, во всех случаях переменнаячасть оборотных активов частично или полностью финансируется за счет заемных средств;
в) формирование недостающего объема инвестиционных ресурсов. Целью привлечения заемных средств в этом случаевыступает необходимость ускорения ре&чизации отдельных реальных проектов предприятия (новое строительство, реконструкция, модернизация); обновление основных средств (финансовый лизинг) и т.п.
г) обеспечение социально-бытовых потребностей своих работников. В этих случаях заемные средства привлекаютсядля выдачи ссуд своим работникам на индивидуальноежилищное строительство, обустройство садовых и огородных участков и на другие аналогичные цели;
д) другие временные нужды. Принцип целевого привлечения заемных средств обеспечивается и в этом случае,хотя такое их привлечение осуществляется обычно накороткие сроки и в небольших объемах.
3. Определение предельного объема привлечения заемных средств. Максимальный объем этого привлечения диктуется двумя основными условиями:
а) предельным эффектом финансового левериджа. Так какобъем собственных финансовых ресурсов формируетсяна предшествующем этапе, общая сумма используемогособственного капитала может быть определена заранее.По отношению к ней рассчитывается коэффициент финансового левериджа (коэффициент финансирования),при котором его эффект будет максимальным. С учетом суммы собственного капитала в предстоящем периоде и рассчитанного коэффициента финансового левериджа вычисляется предельный объем заемных средств,обеспечивающий эффективное использование собственного капитала;
б) обеспечением достаточной финансовой устойчивостипредприятия. Она должна оцениваться не только с позиций самого предприятия, но и с позиций возможных его
кредиторов, что обеспечит впоследствии снижение стоимости привлечения заемных
средств.
С учетом этих требований предприятие устанавливает лимит использования заемных средств в своей хозяйственной деятельности.
Оценка стоимости привлечения заемного капитала из различных источников. Такая оценка проводится в разрезе различных форм заемного капитала, привлекаемого предприятием из внешних и внутренних источников. Результаты такой оценки служат основой разработки управленческих решений относительно выбора альтернативных источников привлечения заемных средств, обеспечивающих удовлетворение потребностей предприятия в заемном капитале.
Определение соотношения объема заемных средств, привлекаемых на кратко- и долгосрочной основе. Расчет потребности в объемах кратко- и долгосрочных заемных средств основывается на целях их использования в предстоящем периоде. На долгосрочный период (свыше 1 года) заемные средства привлекаются, как правило, для расширения объема собственных основных средств и формирования недостающего объема инвестиционных ресурсов (хотя при консервативном подходе к финансированию активов заемные средства на долгосрочной основе привлекаются и для обеспечения формирования оборотного капитала). На краткосрочный период заемные средства привлекаются для всех остальных целей их использования.
Расчет необходимого размера заемных средств в рамках каждого периода осуществляется в разрезе отдельных целевых направлений их предстоящего использования. Целью этих расчетов является установление сроков использования привлекаемых заемных средств для оптимизации соотношения долго- и краткосрочных их видов. В процесе этих расчетов определяются полный и средний срок использования заемных средств.
Полный срок использования заемных средств представляет собой период времени с начала их поступления до окончательного погашения всей суммы долга. Он включает в себя три временных периода: а) срок полезного использования; б) льготный (грационный) период; в) срок погашения.
а) срок полезного использования — это период времени, втечение которого предприятие непосредственно использует предоставленные заемные средства в своей хозяй-ственой деятельности;
б) льготный (грационный) период — это период времени с момента окончания полезного использования заемных средств до начала погашения долга. Он служит резервом времени для аккумуляции необходимых финансовых средств;
в) срок погашения — это период времени, в течение которого происходит полная выплата основного долга и процентов по используемым заемным средствам. Этот показатель используется в тех случаях, когда выплатаосновного долга и процентов осуществляется не одномоментно после окончания срока использования заемныхсредств, а частями в течение определенного периодавремени по предусмотренному графику.
Расчет полного срока использования заемных средств осуществляется в разрезе перечисленных элементов исходя из целей их использования и сложившейся на финансовом рынке практике установления льготного периода и срока погашения.
Средний срок использования заемных средств представляет собой средний расчетный период, в течение которого они находятся в использовании на предприятии.
Он определяется по формуле:
СС
3 = ^+ЛП + — 2 2
где ССз — среднийсрок использования заемных средств; СП
3 — срок полезного использования заемных средств; ЛП — льготный (грационный) период; ПП — срок погашения.
Средний срок использования заемных средств определяется по каждому целевому направлению привлечения этих средств; по объему их привлечения на кратко- и долгосрочной основе; по привлекаемой сумме заемных средств в целом.
Соотношение заемных средств, привлекаемых на кратко- и долгосрочной основе, может быть оптимизировано также с учетом стоимости их привлечения.
6. Определение форм привлечения заемных средств.
Эти формы дифференцируются в разрезе финансового
кредита; товарного (коммерческого) кредита; прочих форм. Выбор форм привлечения заемных средств предприятие осуществляет исходя из целей и специфики своей хозяйственной деятельности.
Определение состава основных кредиторов. Этот состав определяется формами привлечения заемных средств. Основными кредиторами предприятия являются обычно его постоянные поставщики, с которыми установлены длительные коммерческие связи, а также коммерческий банк, осуществляющий его расчетно-кассовое обслуживание.
Формирование эффективных условий привлечения кредитов. К числу важнейших из этих условий относятся: а) срок предоставления кредита; б) ставка процента за кредит; в) условия выплаты суммы процента; г) условия выплаты основной суммы долга; д) прочие условия, связанные с получением кредита.
Срок предоставления кредита является одним из определяющих условий его привлечения. Оптимальным считается срок предоставления кредита, в течение которого полностью реализуется цель его привлечения (например, ипотечный кредит — на срок реализации инвестиционного проекта; товарный кредит — на период полной реализации закупленных товаров и т.п.).
Ставка процента за кредит характеризуется тремя основными параметрами: ее формой, видом и размером.
По применяемым формам различают процентную ставку (для наращения суммы долга) и учетную ставку (для дисконтирования суммы долга). Если размер этих ставок одинаков, то предпочтение должно быть отдано процентной ставке, так как в этом случае расходы по обслуживанию долга будут меньшими.
По применяемым видам различают фиксированную ставку процента (устанавливаемую на весь срок кредита) и плавающую ставку процента (с периодическим пересмотром ее размера в зависимости от изменения учетной ставки центрального банка, темпов инфляции и конъюнктуры финансового рынка). Время, в течение которого ставка процента остается неизменной, называется процентным периодом. В условиях инфляции для предприятия предпочтительней является фиксированная ставка или плавающая ставка с высоким процентным периодом.
• Размер ставки процента за кредит является определяющим условием при оценке его стоимости. По товарному кредиту он принимается при оценке в размере ценовой скидки продавца за осуществление немедленного расчета за поставленные товары, выраженной в годовом исчислении
Условия выплаты суммы процента характеризуются порядком выплаты его суммы. Этот порядок сводится к трем принципиальным вариантам: выплате всей суммы процента в момент предоставления кредита; выплате суммы процента равномерными частями; выплате всей суммы процента в момент уплаты основной суммы долга (при погашении кредита). При прочих равных условиях предпочтительным является третий вариант.
Условия выплаты основной суммы долга характеризуются предусматриваемыми периодами его возврата. Эти условия сводятся к трем принципиальным вариантам: частичному возврату основной суммы долга в течение общего периода функционирования кредита; полному возврату всей суммы долга по истечении срока использования кредита; возврата основной или части суммы долга с предоставлением льготного периода по истечении срока полезного использования кредита. При прочих равных условиях третий вариант является для предприятия предпочтительней.
Прочие условия, связанные с получением кредита, могут предусматривать необходимость его страхования, выплаты дополнительного комиссионного вознаграждения банку, разный уровень размера кредита по отношению к сумме заклада или залога и т.п.
9. Обеспечение эффективного использования кредитов.
Критерием такой эффективности выступают показатели оборачиваемости и рентабельности заемного капитала.
10. Обеспечение своевременных расчетов по полученным кредитам. С целью этого обеспечения по наиболее крупным кредитам может заранее резервироваться специальный возвратный фонд. Платежи по обслуживанию кредитоввключаются в платежный календарь и контролируются впроцессе мониторинга текущей финансовой деятельности.
На предприятиях, привлекающих большой объем заемных средств в форме финансового и товарного (коммерческого) кредита, общая политика привлечения заемных средств может быть детализирована затем в разрезе указанных форм кредита.
Глава 19. Механизм управления распределением прибыли предприятия
19.1. СУЩНОСТЬ И ПРИНЦИПЫ РА ОПРЕДЕЛЕНИЯ ПРИБЫЛИ
Эффективность политики управления прибылью предприятия определяется не только результатами ее формирования, но и характером ее распределения. Распределение прибыли представляет собой процесс формирования направлений ее предстоящего использования в соответствии с целями и задачами развития предприятия. Характер распределения прибыли определяет многие существенные аспекты деятельности предприятия, оказывая влияние на ее результативность. Это влияние проявляется в различных формах обратной связи распределения прибыли с ее формированием в предстоящем периоде. Высокая роль характера распределения прибыли в деятельности предприятия определяется следующими основными положениями:
1. Распределение прибыли непосредственно реализует главную цель политики управления ею — повышение уровня благосостояния собственников предприятия. Оно формирует пропорции между текущими выплатами им дохода на капитал (в форме дивидендов,
процентов и т.п.) и ростом этих доходов в предстоящем периоде (за счет обеспечения возрастания вложенного капитала). При этом собственники предприятия самостоятельно формируют эти направления удовлетворения своих потребностей во времени.
2. Распределение прибыли является основным инструментом воздействия на рост рыночной стоимости предприятия. В прямой форме это воздействие проявляетсяв обеспечении прироста капитала в процессе капитализации части распределенной прибыли, а косвенно онообеспечивается основными пропорциями этого распределения.
Пропорции распределения прибыли определяют темпы реализации стратегии развития предприятия. Эта стратегия реализуется в процессе инвестиционной деятельности предприятия, объемы которой определяются возможностями формирования финансовых ресурсов, в первую очередь, за счет внутренних источников. А реинвестируемая в процессе распределения прибыль является основным из этих внутренних источников.
Характер распределения прибыли является важнейшим индикатором инвестиционной привлекательности предприятия. В процессе привлечения собственного капитала из внешних источников уровень выплачиваемых предприятием дивидендов (или других форм инвестиционного дохода) является одним из основных оценочных критериев, определяющих результат предстоящей эмиссии акций. Кроме того, как было показано ранее, возрастание уровня дивидендных выплат определяет соответствующий рост стоимости акций на фондовом рынке, формируя дополнительный доход инвесторов.
Распределение прибыли является одной из действенных форм воздействия на трудовую активность персонала предприятия. Объемы и формы участия персонала в прибыли определяют уровень трудовой мотивации работников, способствуют стабилизации персонала и росту производительности труда.
Пропорции распределения прибыли формируют уровень обеспечения дополнительной социальной защищенности работников. В условиях низкой действенности государственных форм социальной защиты занятых работников, эта роль распределительного механизма прибыли на предприятии позволяет дополнить их минимальную социальную защищенность.
7. Характер распределения прибыли оказывает влияние на уровень текущей платежеспособности предприятия.
Выплаты прибыли, предусмотренной к потреблению собственниками и персоналом предприятия, осуществляются, как правило, в денежной форме, т.е. в форме основного актива, обеспечивающего платежеспособность по неотложным финансовым обязательствам. При большом объеме выплат прибыли на цели потребления, уровень платежеспособности предприятия в текущем периоде может существенно снизиться.
Распределение прибыли осуществляется в соответствии со специально разработанной политикой (ее основу составляет дивидендная политика), формирование которой представляет собой одну из наиболее сложных задач общей политики управления прибылью предприятия. Эта политика призвана отражать требования общей стратегии развития предприятия, обеспечивать повышение его рыночной стоимости, формировать необходимый объем инвестиционных ресурсов, обеспечивать материальные интересы собственников и персонала. При этом в процессе формирования политики распределения прибыли необходимо учитывать противоположные мотивации собственников предприятия (акционеров, вкладчиков) — получение высоких текущих доходов или значительное увеличение их размеров в перспективном периоде.
В процессе формирования политики распределения прибыли предприятия обеспечивается ее использование по следующим основным направлениям (рис. 19.1.).
Основной целью политики распределения прибыли, остающейся в распоряжении предприятия, является оптимизация пропорций между капитализируемой и потребляемой ее частями с учетом обеспечения реализации стратегии его развития и роста его рыночной стоимости.
Исходя из этой основной цели в процессе формирования политики распределения прибыли предприятия решаются следующие задачи:
СУММА БАЛАНСОВОЙ ПРИБЫЛИ ПРЕДПРИЯТИЯ

|
Рисунок 19.1. Основные направления распределения прибыли предприятия.
а) обеспечение получения собственниками необходимой нормы прибыли на инвестированный капитал;
б) обеспечение приоритетных целей стратегического развития предприятия за счет капитализируемойчасти прибыли;
в) обеспечение стимулирования трудовой активностии дополнительной социальной защиты персонала;
г) обеспечение формирования в необходимых размерах резервного и других фондов предприятия.
С учетом реализации этих основных задач осуществляется непосредственное распределение прибыли предприятия. Процесс этого распределения базируется на следующих принципах.
Связь политики распределения с общей политикой управления прибылью предприятия. Цель и задачи политики распределения прибыли должны полностью соответствовать целям и задачам общей политики управления ею, т.к. распределение
|
прибыли отчетного периода представляет собой одновременно процесс обеспечения условий формирования прибыли предстоящего периода.
Приоритетность учета интересов и менталитета собственников предприятия. Прибыль, формируемая предприятием и остающаяся в его распоряжении после уплаты налогов, принадлежит его собственникам, поэтому в процессе ее распределения приоритетность направлений ее использования определяется ими. Менталитет собственников может быть направлен на получение высокого текущего дохода или на обеспечение высоких темпов прироста инвестированного капитала, определяя главную пропорцию распределения прибыли — между потребляемой и капитализируемой ее частями. Эти пропорции могут меняться во времени в связи с изменением внешних и внутренних условий деятельности предприятия.
Стабильность политики распределения прибыли. Базовые принципы распределения прибыли, положенные в основу разработки его политики, должны носить долговременный характер. Соблюдение этого принципа особенно важно в условиях "распыления собственности", т.е. в процессе деятельности крупных акционерных компаний с большим количеством акционеров (это позволяет таким акционерам принимать обоснованные инвестиционные решения).
Предсказуемость политики распределения прибыли.
При необходимости изменения основных пропорций распределения прибыли в связи с корректировкой стратегии развития предприятия или по другим причинам, все инвесторы должны быть заранее извещены об этом. Информированность инвесторов (в первую очередь акционеров) является одним из важных условий обеспечения "прозрачности" фондового рынка, позволяющей формировать реальную стоимость обращающихся акций.
5. Оценка эффективности разработанной политикираспределения прибыли. Такая оценка проводится с использованием следующих основных показателей: коэффициента капитализации прибыли; коэффициента дивидендных выплат (или выплат прибыли собственникам); коэффициента участия персонала в прибыли и других, рассмотренных ранее.
19.2. ФАКТОРЫ, ВЛИЯЮЩИЕНА РАСПРЕДЕЛЕНИЕПРИБЫЛИ
Специфика задач, стоящих перед каждым конкретным предприятием в процессе его развития, различие внешних и внутренних условий их хозяйственной деятельности не позволяют выработать единую модель распределения прибыли, которая носила бы универсальный характер. Поэтому основу механизма распределения прибыли конкретного предприятия составляет анализ и учет в процессе этого распределения отдельных факторов, которые увязывают этот процесс с текущей и предстоящей хозяйственной деятельностью данного предприятия.
Факторы, влияющие на пропорции и эффективность распределения прибыли, весьма разнообразны; различна и степень интенсивности их проявления. Одна группа этих факторов определяет предпосылки к росту капитализируемой части прибыли; другая группа, наоборот, склоняет управленческие решения в пользу увеличения доли потребляемой ее части.
По характеру возникновения все факторы, влияющие на распределение прибыли, можно разделить на две основные группы: а) внешние (генерируемые внешними условиями деятельности предприятия); б) внутренние (генерируемые особенностями хозяйственной деятельности данного предприятия). Состав основных из этих факторов приведен на рисунке 19.2.
I. ВНЕШНИЕ ФАКТОРЫ рассматриваются как своего рода ограничительные условия, определяющие границы формирования пропорций распределения прибыли. К числу важнейших из этих факторов относятся:
1. Правовые ограничения. Законодательные нормы определяют общие финансовые и процедурные вопросы, связанные с распределением прибыли. Они формируют приоритетность отдельных направлений ее использования (налоговых и других отчислений), устанавливают

|
Рисунок 19.2. Система основных факторов, влияющих на распределение прибыли предприятия.
|
нормативные параметры этого использования (ставки налогов, сборов и других обязательных отчислений за счет прибыли; ставки минимальных отчислений в резервный фонд и т.п.) и другие условия.
Налоговая система. Конкретные ставки отдельных налогов и система налоговых льгот существенным образом влияет на пропорции распределения прибыли. Если уровень налогообложения личных доходов граждан значительно ниже уровня налогообложения хозяйственной деятельности и имущества предприятия, это создает предпосылки к повышению доли потребления капитала. И наоборот, если налоговая система предусматривает льготы по реинвестированию прибыли, по ее направлению на благотворительные и иные цели, это создает предпосылки стимулирования таких форм использования прибыли.
Среднерыночная норма прибыли на инвестированный капитал. Характер этого показателя, складывающегося на рынке капитала, формирует эффективность пропорций потребления и реинвестирования прибыли, являясь своеобразным критерием управленческих решений по этому вопросу. В условиях снижения среднерыночного уровня прибыли на капитал возрастают тенденции повышения доли прибыли, направляемой на потребление. В то же время рост этого показателя создает предпосылки к более эффективному использованию реинвестируемого капитала, а соответственно и к повышению доли капитализируемой части прибыли.
Альтернативные внешние источники формирования финансовых ресурсов. Если предприятие имеет возможность привлекать финансовые ресурсы из внешних источников на условиях более низкой стоимости, чем средневзвешенная стоимость его капитала, оно может больший размер прибыли распределять среди собственников и персонала, так как его инвестиционные потребности будут удовлетворяться за счет более дешевых альтернативных внешних источников финансирования. Если же доступ предприятия к внешним источникам формирования собственного и заемного капитала ограничен, или если стоимость его привлечения значительно превышает уровень средневзвешенной стоимости капитала, сложившийся на предприятии, более эффективным будет использование прибыли в инвестиционных целях.
Темп инфляции. Этот фактор генерирует риск обесценения будущих доходов, формируя склонность собственников к росту текущих их выплат. Однако если предприятие выпускает инфляционно защищенную продукцию (а цены на отдельные виды продукции, как показывает опыт, могут и значительно опережать темпы инфляции) или его инвестиционные проекты
обеспечивают высокий уровень материализации капитала (в форме операционных основных фондов, запасов товарно-материальных ценностей и т.п. ), то негативным влиянием этого фактора на реально обусловленные пропорции распределения прибыли можно пренебречь. Главным условием при этом является выплата текущих доходов собственникам в предстоящих периодах с учетом их корректировки на индекс инфляции по отношению к предшествующему периоду.
Стадия конъюнктуры товарного рынка. В период подъема конъюнктуры рынка, на котором предприятие реализует свою продукцию, эффективность капитализации прибыли в процессе ее распределения возрастает. Действие этого благоприятного фактора позволяет получить в предстоящем периоде гораздо большую норму прибыли на реинвестируемый капитал, чем в предшествующие периоды.
"Прозрачность" фондового рынка. Возможность быстрого использования акционерами информации о характере распределения прибыли и уровне выплачиваемых дивидендов на акцию позволяет им оперативно принимать решения о реинвестировании капитала (при снижении уровня дивидендных выплат) или приобретении дополнительного числа акций (при повышении уровня дивидендных выплат). Поэтому в условиях высокой "прозрачности" фондового рынка необходимо учитывать последствия управленческих решений о распределении прибыли, их влияния на изменение реальной стоимости и рыночной котировки акций. При отсутствии такой "прозрачности" влияние этого фактора проявляется в меньшей степени и со значительным "лагом запаздывания".
II. ВНУТРЕННИЕ ФАКТОРЫ оказывают решающее воздействие на пропорции распределения прибыли, так как позволяют формировать их применительно к конкретным условиям и результатам хозяйствования данного предприятия. К числу важнейших из этих факторов относятся:
Менталитет собственников предприятия. Это один из важных показателей, формирующих конкретный тип политики распределения прибыли предприятия (его дивидендной политики). Если собственники (акционеры) нуждаются в постоянном притоке текущих доходов или неприемлют риски, связанные с длительным ожиданием этих доходов в будущем периоде, они будут настаивать на обеспечении высокой доли потребляемой прибыли в процессе ее распределения (если их менталитет не будет учтен, они реинвестируют свой капитал в другие предприятия с более приемлемой для них дивидендной политикой). В то же время, если собственники не нуждаются в высоких текущих доходах и предпочитают еще более высокий уровень этих доходов в предстоящем периоде за счет реинвестирования капитала, доля капитализируемой части прибыли будет возрастать (если их менталитет не будет удовлетворен, они также будут вынуждены реинвестировать свой капитал в другие предприятия с соответствующей дивидендной политикой).
Уровень рентабельности деятельности. Этот показатель оказывает существенное влияние на свободу формирования пропорций распределения прибыли. При низком уровне рентабельности хозяйственной деятельности (а соответственно и меньшей сумме распределяемой прибыли) свобода формирования пропорций ее распределения существенно ограничена. Это связано с тем, что определенная часть прибыли "связана" контрактными обязательствами с собственниками (уровень дивидендных выплат по привилегированным акциям, минимальный объем выплат на паи или простые акции), с персоналом (формы социальной защиты, предусмотренные коллективным или индивидуальным трудовым договором; минимальный объем средств, выделяемых по программам участия в прибыли) или обусловлена правовыми нормами (формирование резервного фонда). Поэтому остающаяся
часть распределяемой прибыли на пропорции ее использования в этих условиях существенно влиять не будет.
Инвестиционные возможности реализации высокодоходных проектов. Если в портфеле предприятия имеются готовые реальные проекты, внутренняя ставка доходности по которым значительно превышает средневзвешенную стоимость капитала, и такие проекты, могут быть реализованы в относительно короткий период, доля капитализируемой прибыли (при прочих равных условиях) должна существенно возрасти.
Необходимость ускорения завершения начатых инвестиционных программ и проектов. Ряд ранее начатых инвестиционных программ и проектов, связанных с региональной или товарной диверсификацией хозяйственной деятельности, переходом на новые технологии, обновлением состава операционных основных фондов и другими направлениями стратегического развития предприятия, могут требовать ускоренного завершения в условиях усиливающейся конкуренции, меняющейся конъюнктуры рынка и т.п. При недостатке инвестиционных ресурсов для ускорения завершения их реализации, следует отказаться от высокого уровня потребления прибыли в пользу ее капитализации.
Альтернативные внутренние источники формирования финансовых ресурсов. Если потребность в инвестиционных ресурсах, обеспечивающих прирост намеченных объемов операционной деятельности, может быть удовлетворена за счет альтернативных внутренних источников их формирования (амортизационных отчислений, реализации неиспользуемых машин и оборудования, продажи финансовых активов при их низкой инвестиционной отдаче и т.п.)., то возможности использования прибыли на цели потребления существенно расширяются. И наоборот — если прибыль является преимущественным внутренним источником формирования финансовых ресурсов, обеспечивающих развитие предприятия, доля капитализируемой ее части в процессе распределения должна возрастать (особенно в условиях низкого доступа к внешним источникам финансирования).
Стадия жизненного цикла предприятия. На ранних стадиях своего жизненного цикла предприятия вынуждены больше средств инвестировать в свое развитие, ограничивая размеры выплат доходов собственникам. Это связано с высоким уровнем инвестиционных потребностей таких предприятий, их относительно меньшим потенциалом доступа к кредитным ресурсам, более высокой стоимостью привлекаемого капитала и т.п. В то же время предприятия в стадии зрелости ведут не столь активную деятельность в сфере реального инвестирования, имеют возможность привлекать необходимые им кредитные ресурсы на более выгодных условиях, а следовательно могут обеспечить более высокие размеры выплат доходов владельцам и персоналу.
7. Уровень рисков осуществляемых операций и видовдеятельности. Если предприятие ведет агрессивную, высокорисковую политику в отдельных сферах своей деятельности или осуществляет большой объем отдельныххозяйственных операций с высоким уровнем риска, оновынуждено больше средств направлять из прибыли информирование резервного и других страховых фондов.Без обеспечения такого минимального внутреннего страхования высокорисковой хозяйственной деятельности возрастает неотвратимая угроза банкротства предприятия.
8. Уровень коэффициента финансового левериджа.
Если предприятие имеет возможность повысить эффект финансового левериджа за счет роста его коэффициента, не снижая при этом существенно уровень своей финансовой устойчивости, доля потребляемой части прибыли в процессе ее распределения может быть повышена. И наоборот, если коэффициент финансового левериджа чрезмерно высок и не обеспечивает прирост финансовой рентабельности, а снижение объема используемого заемного капитала может вызвать существенное сокращение объемов операционной деятельности, предприятие вынуждено капитализировать значительную часть своей прибыли.
9. Уровень концентрации управления. Если в процессеоптимизации структуры капитала возникает необходимость существенного увеличения доли собственной егочасти, а собственников волнует угроза потери финансового контроля над управлением предприятием при привлечении капитала из внешних источников, то в процессе распределения прибыли уровень ее капитализации
должен существенно повышаться. Только при условии существенного возрастания объема внутреннего финансирования развития предприятия контролируемый объем капитала, обеспечивающий реальное управление предприятием, останется в руках прежних собственников.
10. Численность персонала и действующие программыего участия в прибыли. Чем выше численность персонала,чем больше объем контрактных обязательств предприятияпо участию персонала в прибыли, тем соответственновыше должна быть доля потребляемой части прибыли. Этот фактор формирует и внутренние пропорции распределения потребляемой части прибыли — между собственниками и персоналом предприятия.
11. Уровень текущей платежеспособности предприятия. В условиях низкого урозня текущей платежеспособности, высокого объема неотложных финансовыхобязательств предприятие не имеет возможности направлять большие размеры распределяемой прибыли на потребление. Это привело бы к значительному снижениюуровня ликвидности активов, поддерживающих текущуюплатежеспособность, а также к возрастанию угрозы банкротства предприятия. С позиций генерирования финансового риска снижение платежеспособности более опасно, чем снижение уровня дивидендных выплат с его отрицательным воздействием на рыночную цену акций.
Учет рассмотренных факторов позволяет существенно снизить диапазон параметров возможных пропорций распределения прибыли по отдельным направлениям, в первую очередь — пропорций капитализируемой и потребляемой ее частей, формирующих главные условия предстоящего развития предприятия. Кроме того, ряд рассмотренных факторов могут быть использованы и при формировании внутренних пропорций распределения прибыли в рамках основных ее элементов (прибыли, потребляемой собственниками и персоналом; прибыли, направляемой на инвестирование и в резервный фонд и т.п.).
Принципы распределения прибыли и факторы, его обуславливающие, позволяют сформировать на предприятии конкретный тип политики распределения прибыли (дивидендной политики), в наибольшей степени удовлетворяющей цели и учитывающий возможности развития предприятия в предстоящем периоде.
19.3. ДИВИДЕНДНАЯ ПОЛИТИКА
Термин "дивидендная политика" связан с распределением прибыли в акционерных обществах. Однако рассматриваемые в этом разделе принципы и методы распределения прибыли применимы не только к акционерным обществам, но и к предприятиям любой иной организационно-правовой формы деятельности (в этом случае меняться будет только терминология — вместо терминов акция и дивиденд будут использоваться термины пай, вклад и прибыль на вклад; механизм же выплаты доходов собственникам останется таким же). Распределение прибыли в акционерном обществе представляет собой наиболее сложный его вариант и поэтому избран для рассмотрения всех аспектов этого механизма. В принципе же в более широком трактовании под термином "дивидендная политика" можно понимать механизм формирования доли прибыли, выплачиваемой собственнику, в соответствии с долей его вклада в общую сумму собственного капитала предприятия.
Основной целью разработки дивидендной политики является установление необходимой пропорциональности между текущим потреблением прибыли собственниками и будущим ее ростом, максимизирующим рыночную стоимость предприятия и обеспечивающим стратегическое его развитие.
Исходя из этой цели понятие дивидендной политики может быть сформулировано следующим образом: дивидендная политика представляет собой составную часть общей политики управления прибылью, заключающуюся в оптимизации пропорций между потребляемой и капитализируемой ее частями с целью максимизации рыночной стоимости предприятия.
Формированию оптимальной дивидендной политики в странах с развитой рыночной экономикой посвящены многочисленные теоретические исследования. Наиболее распространенными теориями, связанными с механизмом формирования дивидендной политики, являются:
1. Теория независимости дивидендов. Ее авторы — Ф. Модильяни и М. Миллер утверждают, что избранная дивидендная политика не оказывает никакого влияния ни на рыночную стоимость предприятия (цену
акций), ни на благосостояние собственников в текущем или перспективном периоде, так как эти показатели зависят от суммы формируемой, а не распределяемой прибыли. В соответствии с этой теорией дивидендной политике отводится пассивная роль в механизме управления прибылью. При этом свою теорию они сопроводили значительным количеством ограничений, которые в реальной практике управления прибылью обеспечить невозможно. Несмотря на свою уязвимость в плане практического использования, теория ММ стала отправным пунктом поиска более оптимальных решений механизма формирования дивидендной политики.
Теория предпочтительности дивидендов (или "синица в руках"). Ее авторы — М. Гордон и Д. Линтнер утверждают, что каждая единица текущего дохода (выплаченного в форме дивидендов) в силу того, что она "очищена от риска" стоит всегда больше, чем доход отложенный на будущее, в связи с присущим ему риском. Исходя из этой теории максимизация дивидендных выплат предпочтительней, чем капитализация прибыли.
Однако противники этой теории утверждают, что в большинстве случаев полученный в форме дивидендов доход все равно реинвестируется затем в акции своей или аналогичной акционерной компании, что не позволяет использовать фактор риска как аргумент в пользу той или иной дивидендной политики (фактор риска может быть учтен лишь менталитетом собственников; он определяется уровнем риска хозяйственной деятельности той или иной компании, а не характером дивидендной политики).
Теория минимизации дивидендов (или "теория налоговых предпочтений"). В соответствии с этой теорией эффективность дивидендной политики определяется критерием минимизации налоговых выплат по текущим и предстоящим доходам собственников. А так как налогообложение текущих доходов в форме получаемых дивидендов всегда выше, чем предстоящих (с учетом фактора стоимости денег во времени, налоговых льгот на капитализируемую прибыль и т.п.), дивидендная политика должна обеспечивать минимизацию дивидендных выплат, а соответственно
максимизацию капитализации прибыли с тем, чтобы получить наивысшую налоговую защиту совокупного дохода собственников. Однако такой подход к дивидендной политике не устраивает многочисленных мелких акционеров с низким уровнем доходов, постоянно нуждающихся в текущих их поступлениях в форме дивидендных выплат (что снижает объем спроса на акции таких компаний, а соответственно и котируемую рыночную цену этих акций).
Сигнальная теория дивидендов (или "'теория сигнализирования") Эта теория построена на том, что основные модели оценки текущей реальной рыночной стоимости акций в качестве базисного элемента используют размер выплачиваемых по ней дивидендов. Таким образом рост уровня дивидендных выплат определяет автоматическое возрастание реальной, а соответственно и котируемой рыночной стоимости акций, что при их реализации приносит акционерам дополнительный доход. Кроме того, выплата высоких дивидендов "сигнализирует" о том, что компания находится на подъеме и ожидает существенный рост прибыли в предстоящем периоде. Эта теория неразрывно связана с высокой "прозрачностью" фондового рынка, на котором оперативно полученная информация оказывает существенное влияние на колебания рыночной стоимости акций.
Теория соответствия дивидендной политики составу акционеров (или "теория клиентуры'") В соответствии с этой теорией компания должна осуществлять такую дивидендную политику, которая соответствует ожиданиям большинства акционеров, их менталитету. Если основной состав акционеров ("клиентура" акционерной компании) отдает предпочтение текущему доходу, то дивидендная политика должна исходить из преимущественного направления прибыли на цели текущего потребления. И наоборот, если основной состав акционеров отдает предпочтение увеличению своих предстоящих доходов, то дивидендная политика должна исходить из преимущественной капитализации прибыли в процессе ее распределения. Та часть акционеров, которая с такой дивидендной политикой будет не согласна, реинвестирует свой капитал в акции других компаний, в результате чего состав "клиентуры" станет более однородным.
Практическое использование этих теорий позволило выработать три подхода к формированию дивидендной
политики — "консервативный", "умеренный" ("компромиссный") и "агрессивный". Каждому из этих подходов соответствует определенный тип дивидендной политики (табл. 19.1).
таблица 19.1. Основные типы дивидендной политики акционерного
общества
Определяющий подход к формированию дивидендной политики
|
Варианты используемых типов дивидендной
политики
|
I. Консервативный подход
|
1. Остаточная политикадивидендных выплат
2. Политика стабильногоразмера
дивидендныхвыплат
|
П. Умеренный (компромиссный) подход
|
3. Политика минимального стабильного размера дивидендов с надбавкой в отдельные периоды
|
III. Агрессивный подход
|
4. Политика стабильногоуровня дивидендов
5. Политика постоянноговозрастания размера дивидендов
|
1. Остаточная политика дивидендных выплат предполагает, что фонд выплаты дивидендов образуется после того, как за счет прибыли удовлетворена потребность в формировании собственных финансовых ресурсов, обеспечивающих в полной мере реализацию инвестиционных возможностей предприятия. Если по имеющимся инвестиционным проектам уровень внутренней ставки доходности превышает средневзвешенную стоимость капитала (или другой избранный критерий, например, коэффициент финансовой рентабельности), то основная часть прибыли должна быть направлена на реализацию таких проектов, так как она обеспечит высокий темп роста капитала (отложенного дохода) собственников. Преимуществом политики этого типа является обеспечение высоких темпов развития предприятия, повышение его финансовой устойчивости. Недостаток же этой
политики заключается в нестабильности размеров дивидендных выплат, полной непредсказуемости формируемых их размеров в предстоящем периоде и даже отказ от их выплат в период высоких инвестиционных возможностей, что отрицательно сказывается на формировании уровня рыночной цены акций. Такая дивидендная политика используется обычно лишь на ранних стадиях жизненного цикла предприятия, связанных с высоким уровнем его инвестиционной активности.
2. Политика стабильного размера дивидендных выплат
предполагает выплату неизменной их суммы на протяжении продолжительного периода (при высоких темпах инфляции сумма дивидендных выплат корректируется на индекс инфляции). Преимуществом этой политики является ее надежность, которая создает чувство уверенности у акционеров в неизменности размера текущего дохода вне зависимости от различных обстоятельств, определяет стабильность котировки акций на фондовом рынке. Недостатком же этой политики является ее слабая связь с финансовыми результатами деятельности предприятия, в связи с чем в периоды неблагоприятной конъюнктуры и низкого размера формируемой прибыли инвестиционная деятельность может быть сведена к нулю. Для того, чтобы избежать этих негативных последствий стабильный размер дивидендных выплат устанавливается обычно на относительно низком уровне, что и относит данный тип дивидендной политики к категории консервативной, минимизирующей риск снижения финансовой устойчивости предприятия из-за недостаточных темпов прироста собственного капитала.
3. Политика минимального стабильного размера дивидендов с надбавкой в отдельные периоды (или политика "экстра-дивиденда") по весьма распространенному мнению представляет собой наиболее взвешенный ее тип.Ее преимуществом является стабильная гарантированная выплата дивидендов в минимально предусмотренном размере (как в предыдущем случае) при высокойсвязи с финансовыми результатами деятельности предприятия, позволяющей увеличивать размер дивидендовв периоды благоприятной хозяйственной конъюнктуры,не снижая при этом уровень инвестиционной активности.Такая дивидендная политика дает наибольший эффект
на предприятиях с нестабильным в динамике размером формирования прибыли. Основной недостаток этой политики заключается в том, что при продолжительной выплате минимальных размеров дивидендов инвестиционная привлекательность акций компании снижается и соответственно падает их рыночная стоимость.
Политика стабильного уровня дивидендов предусматривает установление долгосрочного нормативного коэффициента дивидендных выплат по отношению к сумме прибыли (или норматива распределения прибыли на потребляемую и капитализируемую ее части). Преимуществом этой политики является простота ее формирования и тесная связь с размером формируемой прибыли. В то же время основным ее недостатком является нестабильность размеров дивидендных выплат на акцию, определяемая нестабильностью суммы формируемой прибыли. Эта нестабильность вызывает резкие перепады в рыночной стоимости акций по отдельным периодам, что препятствует максимизации рыночной стоимости предприятия в процессе осуществления такой политики (она "сигнализирует" о высоком уровне риска хозяйственной деятельности данного предприятия). Даже при высоком уровне дивидендных выплат такая политика не привлекает обычно инвесторов (акционеров), избегающих риска. Только зрелые компании со стабильной прибылью могут позволить себе осуществление дивидендной политики этого типа; если размер прибыли существенно варьирует в динамике, эта политика генерирует высокую угрозу банкротства.
Политика постоянного возрастания размера дивидендов (осуществляемая под девизом — "никогда не снижай годовой дивиденд") предусматривает стабильное возрастание уровня дивидендных выплат в расчете на одну акцию. Возрастание дивидендов при осуществлении такой политики происходит, как правило, в твердо установленном проценте прироста к их размеру в предшествующем периоде (на этом принципе построена рассмотренная ранее "Модель Гордона", определяющая рыночную стоимость акций таких компаний). Преимуществом такой политики является обеспечение высокой рыночной стоимости акций компании и формирование положительного ее имиджа у потенциальных инвесторов при дополнительных эмиссиях. Недостатком же этой политики является отсутствие гибкости в ее проведении и постоянное возрастание финансовой напряженности — если темп роста коэффициента дивидендных выплат возрастает (т.е. если фонд дивидендных выплат растет быстрее, чем сумма прибыли), то инвестиционная активность предприятия сокращается, а коэффициенты финансовой устойчивости снижаются (при прочих равных условиях). Поэтому осуществление такой дивидендной политики могут позволить себе лишь реально процветающие акционерные компании — если же эта политика не подкреплена постоянным ростом прибыли компании, то она представляет собой верный путь к ее банкротству.
Различные типы дивидендной политики акционерной компании проиллюстрированы на графике, представленном на рисунке 19.3.

---¦—-.--1--1--1-годы
Рисунок 19.3. Динамика размера дивидендов на одну акцию при различных типах дивидендной политики.
С учетом рассмотренных принципов дивидендная политика акционерного общества формируется по следующим основным этапам (рис. 19.4).

Рисунок 19.4. Последовательность формирования дивидендной политики акционерного общества.
Первоначальным этапом формирования дивидендной политики является изучение и оценка факторов, определяющих эту политику. В практике финансового менеджмента эти факторы принято подразделять на четыре группы:
1. Факторы, характеризующие инвестиционные возможности предприятия. К числу основных факторов этой группы относятся:
а) стадия жизненного цикла компании (на ранних стадияхжизненного цикла
акционерная компания вынужденабольше средств инвестировать в свое развитие, ограничивая выплату дивидендов);
б) необходимость расширения акционерной компаниейсвоих инвестиционных
программ (в периоды активизации инвестиционной деятельности, направленной на
расширенное воспроизводства основных средств и нематериальных активов, потребность в капитализации прибыли возрастает); в) степень готовности отдельных инвестиционных проектов с высоким уровнем эффективности (отдельные подготовленные проекты требуют ускоренной реализации в целях обеспечения эффективной их эксплуатации при благоприятной конъюнктуре рынка, что обусловливает необходимость концентрации собственных финансовых ресурсов в эти периоды).
2. Факторы, характеризующие возможности формированияфинансовых ресурсов из альтернативных источников. В этойгруппе факторов основными являются:
а) достаточность резервов собственного капитала, сформированных в
предшествующем периоде;
б) стоимость привлечения дополнительного акционерногокапитала;
в) стоимость привлечения дополнительного заемного капитала;
г) доступность кредитов на финансовом рынке;
д) уровень кредитоспособности акционерного общества,определяемый его текущим финансовым состоянием.
3. Факторы, связанные с объективными ограничениями.
К числу основных факторов этой группы относятся:
а) уровень налогообложения дивидендов;
б) уровень налогообложения имущества предприятий;
в) достигнутый эффект финансового левериджа, обусловленный сложившимся соотношением используемого собственного и заемного капитала;
г) фактический размер получаемой прибыли и коэффициент рентабельности собственного капитала.
4. Прочие факторы. В составе этих факторов могут бытьвыделены:
а) конъюнктурный цикл товарного рынка, участником которого является акционерная компания (в период подъемаконъюнктуры эффективность капитализации прибылизначительно возрастает);
б) уровень дивидендных выплат компаниями-конкурентами;
в) неотложность платежей по ранее полученным кредитам(поддержание
платежеспособности является более приоритетной задачей в сравнении с ростом дивидендных выплат); г) возможность утраты контроля над управлением компанией (низкий уровень дивидендных выплат может привести к снижению рыночной стоимости акций компании и их массовому "сбросу" акционерами, что увеличивает риск финансового захвата акционерной компании конкурентами).
Оценка этих факторов позволяет определить выбор того или иного типа дивидендной политики на ближайший перспективный период.
Механизм распределения прибыли акционерного общества в соответствии с избранным типом дивидендной политики предусматривает такую последовательность действий:
На первом этапе из суммы чистой прибыли вычитаются формируемые за ее счет обязательные отчисления в резервный и другие обязательные фонды специального назначения, предусмотренные уставом общества. "Очищенная" сумма чистой прибыли представляет собой так называемый "дивидендный коридор", в рамках которого реализуется соответствующий тип дивидендной политики.
На втором этапе оставшаяся часть чистой прибыли распределяется на капитализируемую и потребляемую ее части. Если акционерное общество придерживается остаточного типа дивидендной политики, то в процессе этого этапа расчетов приоритетной задачей является формирование фонда производственного развития и наоборот.
На третьем этапе сформированный за счет прибыли фонд потребления распределяется на фонд дивидендных выплат и фонд потребления персонала акционерного общества (предусматривающий дополнительное материальное стимулирование работников и удовлетворение их социальных нужд). Основой такого распределения является избранный тип дивидендной политики и обязательства акционерного общества по коллективному договору.
Определение уровня дивидендных выплат на одну простую акцию осуществляется по формуле:

где УДВ
па —уровень дивидендных выплат на одну акцию; ФДВ — фонд дивидендных выплат, сформированный в соответствии с избранным типом дивидендной политики;
ВП — фонд выплат дивидендов владельцам привилегированных акций (по предусматриваемому их уровню);
К
па —количество простых акций, эмитированных акционерным обществом.
Важным этапом формирования дивидендной поли тики является выбор форм выплаты дивидендов. Основными из таких форм являются:
Выплаты дивидендов наличными деньгами (чеками). Это наиболее простая и самая распространенная форма осуществления дивидендных выплат.
Выплата дивидендов акциями. Такая форма предусматривает предоставление акционерам вновь эмитированные акции на сумму дивидендных выплат. Она представляет интерес для акционеров, менталитет которых ориентирован на рост капитала в предстоящем периоде. Акционеры, предпочитающие текущий доход, могут продать в этих целях дополнительные акции на рынке.
3. Автоматическое реинвестирование. Эта формавыплаты предоставляет акционерам право индивидуального выбора — получить дивиденды наличными,или реивестировать их в дополнительные акции (в этомслучае акционер заключает с компанией или обслуживающей ее брокерской конторой соответствующеесоглашение).
4. Выкуп акций компанией. Он рассматривается какодна из форм реинвестирования дивидендов, в соответствии с которой на сумму дивидендного фонда компания скупает на фондовом рынке часть свободно обращающихся акций. Это позволяет автоматическ увеличивать размер прибыли на одну оставшуюся акцию и
повышать коэффициент дивидендных выплат в предстоящем периоде. Такая форма использования дивидендов требует согласия акционеров.
Для оценки эффективности дивидендной политики акционерного общества используют следующие показатели:
а) коэффициент дивидендных выплат. Он рассчитывается по формулам:
где К
дв — коэффициент дивидендных выплат; ФДВ — фонд дивидендных выплат, сформированный в соответствии с избранным типом дивидендной политики; ЧП — сумма чистой прибыли акционерного общества; Да— сумма дивидендов, выплачиваемых на одну акцию; ЧП
а — сумма чистой прибыли, приходящейся на одну акцию.
б) коэффициент соотношения цены и дохода по акции. Он определяется по
формуле:
вли K«=lt
ФДВ
чп
Кд* =
ц/д '
Да
где Кц/д — коэффициент соотношения цены и дохода по акции; РЦа — рыночная цена одной акции; Да — сумма дивидендов, выплаченных на одну акцию.
При оценке эффективности дивидендной политики могут быть использованы также показатели динамики рыночной стоимости акций.
Глава 20. Планирование целевой суммы прибыли
20.1. ПЛАНИРОВАНИЕ ЦЕЛЕВОЙ СУММЫ КАПИТАЛИЗИРУЕМОЙ
ПРИБЫЛИ
Одной из форм планирования пропорций использования прибыли в предстоящем периоде, т.е. планирование ее распределения методом "от обратного", является формирование целевой суммы прибыли планового периода. Целевая сумма прибыли представляет собой плановую потребность в финансовых ресурсах, формируемых за счет чистой прибыли предприятия, обеспечивающую реализацию целей его развития в предстоящем периоде. Расчет целевой суммы прибыли ведется по каждому элементу этой потребности.
Главная роль в процессе планирования целевой суммы прибыли отводится определению потребности в капитализируемой ее части, т.е. необходимого объема финансовых средств для реализации инвестиционных возможностей предприятия. Эта потребность рассчитывается в разрезе следующих основных элементов (рис. 20.1.).

|
Рисунок 20.1. Состав основных элементов расчета плановой суммы капитализируемой прибыли.
1. Прирост производственных основных средств планируется по следующим основным
|
этапам:
На первом этапе определяется общая потребность в приросте производственных основных средств предприятия в процессе расширенного их воспроизводства по всем формам реального инвестирования. Эта потребность определяется по следующей формуле:
ДОФ - ОФ
к - ОФ
н + Вф + в
м ,
где АОФ — общая потребность в приросте производственных основных средств в планируемом периоде;
ОФ
к — планируемая общая потребность в производственных основных средствах на конец планового периода исходя из объема производства продукции (этот показатель определяется путем умножения планового объема валового производства продукции на показатель ее фондоемкости);
ОФ
н —наличие производственных основных средств на начало планируемого периода; Вф—предполагаемое выбытие производственных основных средств в планируемом периоде в связи с их физическим износом; В
м—предполагаемое выбытие производственных основных средств в планируемом периоде в связи с их моральным износом.
Потребность в приросте производственных основных средств предприятия рассчитывается в стоимостных показателях.
На втором этапе определяются формы удовлетворения потребности в приросте производственных основных средств. Основными из этих форм являются: а) приобретение новых видов основных средств в собственность предприятия; б)аренда(лизинг) необходимых предприятию основных средств. Финансирования за счет прибыли требует только приобретение основных средств в собственность предприятия, так как расходы по аренде относятся на себестоимость продукции.
Решая дилемму аренды или приобретения отдельных видов основных средств, следует исходит из преимуществ и недостатков арендных операций.
Основными преимуществами аренды являются:
а) увеличение рыночной стоимости предприятия засчет получения дополнительной прибыли без приобретения основных фондов в собственность;
б) увеличение объема и расширение диверсификации операционной деятельности предприятия без существенного увеличения объема финансирования;
в) существенная экономия финансовых ресурсов напервоначальном этапе использования арендуемых основных средств;
г) снижение риска финансовой устойчивости, таккак аренда не ведет к росту балансовых финансовыхобязательств (сумме пассива баланса), а представляет собой так называемое внебалансовое финансирование основных средств;
д) снижение номинального объема активов предприятия, так как арендуемые виды основных средствнаходятся на балансе арендодателя. В условиях налогообложения имущества это позволяет снизить сумму налоговых платежей;
е) снижение базы налогообложения прибыли предприятия. В соответствии с действующим законодательством арендная плата включается в состав себестоимостипродукции (издержек), что снижает размер балансовойприбыли предприятия. В условиях высокого налогообложения прибыли это позволяет получить существенныйэффект "налогового щита";
ж) освобождение арендатора от продолжительногоиспользования капитала в незавершенных формах капиталовложений при самостоятельном формированииосновных средств (проектно-конструкторских работ,строительно-монтажных работ, пуско-наладочных работ и т.п.);
з) снижение операционных рисков, связанных сморальным старением и необходимостью ускоренногообновления отдельных видов основных средств (приоперативном лизинге).
Основными недостатками аренды являются: а) удорожание себестоимости продукции в связи с тем, что размер арендной платы обычно намного выше, чем размер амортизационных отчислений. Это может ослабить позиции предприятия в ценовой конкуренции или снизить уровень рентабельности операционных затрат;
б) осуществление ускоренной амортизации активной части производственных основных средств можетбыть произведено лишь с согласия арендодателя, чтоограничивает самостоятельность предприятия в проведении необходимой амортизационной политики;
в) невозможность осуществления радикальной модернизации используемых основных средств без согласияарендодателя, что ограничивает скорость их обновленияв целях увеличения рентабельности использования;
г) более высокая стоимость в отдельных случаях всравнении с банковским кредитом (особенно при арендев форме финансового или возвратного лизинга);
д) недополучение дохода в форме реализованнойликвидационной стоимости имущества при оперативномлизинге, если срок аренды совпадает со сроком полнойамортизации основных средств;
е) риск непродления аренды при оперативном лизинге в период благоприятной хозяйственной конъюнктуры, когда арендуемые основные средства используютсянаиболее эффективно (это связано со срочным характером оперативной аренды).
Критерием принятия управленческих решений о приобретении или аренде отдельных видов основных средств, наряду с оценкой вышеизложенных преимуществ и недостатков аренды и их значимостью для данного предприятия, является также сравнение эффективности денежных потоков по этим двум операциям.
С учетом принятых управленческих решений прирост собственных производственных основных средств, финансируемый предприятием, определяется по следующей формуле:
ДОФ
с = ДОФ - ОФ
а ,
где ДОФ
с—необходимый прирост собственных производственных основных средств в плановом периоде; ДОФ — общая потребность в приросте производственных основных средств в плановом периоде;
0Ф
а — потребность в приросте производственных основных средств, удовлетворяемая за счет аренды (лизинга).
На третьем этапе составляется капитальный бюджет прироста собственных основных средств, в котором необходимый прирост собственных основных средств увязывается с динамикой объема незавершенного строительства на начало и конец планового периода. Разработанный бюджет капитальных затрат по обеспечению прироста основных средств будет представлять собой общую потребность в финансировании реальных инвестиционных программ по формируемым собственным про-изводстенным основным средствам.
2. Прирост нематериальных активов определяется в процессе анализа состояния этих активов и показателей эффективности их использования в предплановом периоде; выявления потребности в отдельных их видах и формирования на этой основе потребности в инновационных инвестициях на предстоящий период.
Формирование общей потребности в инновационных инвестициях в планируемом периоде осуществляется в соответствии с используемой инновационной стратегией предприятия. Различают следующие четыре типа инновационной стратегии предприятия, которые определяют объем и виды его инновационных инвестиций:
а) "Все новое сам". Этот тип инновационной стратегии связан с деятельностью предприятий, самостоятельноразрабатывающих и первыми внедряющих инновации. Общая потребность в инновационных инвестициях приэтом типе инновационной стратегии формируется преимущественно за счет объема разработки новой научно-технической продукции в рамках самого предприятия ичастично за счет приобретения патентов;
б) "Быстрый второй". Суть этого типа инновационной стратегии заключается в том, что предприятие,наблюдая за инновационной деятельностью своих конкурентов, быстро подхватывает и реализует осуществленные ими инновации. Общая потребность в инновационных инвестициях при таком типе инновационнойстратегии формируется преимущественно за счет объема разработки научно-технической продукции в форме "инжиниринга" и частично за счет приобретения ноу-хау;
в) "Отставание с минимальными затратами". Этоттип инновационной стратегии заключается в том, чтопредприятие сознательно не осуществляет разработкусвоими силами новой научно-технической продукции,а ждет ее появления на рынке, используя ее впоследствии при существенном снижении стоимости ее приобретения. Общая потребность в инновационных инвестициях в этом случае формируется преимущественно засчет приобретения ноу-хау.
г) "Заполнение пробелов". В основе этого типа инновационной стратегии лежит приобретение и внедрениелишь отдельных элементов инновационной продукцищимеющейся на рынке. Общая потребность в инновационных инвестициях в этом случае формируется восновном за счет объема приобретения неисключительных лицензий на ноу-хау и фрэнчайзинг.
Выбор и оценка стоимости объектов инновационных инвестиций осуществляется в два
этапа.
На первом этапе в разрезе видов инновационных инвестиций, предусмотренных к реализации в соответствии с избранной стратегией, изучается предложение и формируются конкретные объекты инвестирования (приобретение ноу-хау, оплата инжиниринговых услуг и.т.п.), требующие финансирования в предстоящем периоде.
На втором этапе производится оценка стоимости отдельных объектов инвестирования. Такая оценка базируется на следующих принципах: а) по научно-технической продукции, рыночная стоимость которой определена и зафиксирована продавцом, оценка осуществляется на основе цен предложения; б) по продукции, не имеющей аналогов (обычно специфические инжиниринговые услуги), оценка осуществляется на основе договорных цен, предварительно согласованных с исполнителем; в) по научно-технической продукции, разрабатываемой предприятием, оценка осуществляется по объему соответствующего капитального бюджета на ее разработку.
Планирование потребности в инвестиционных ресурсах по отдельным этапам осуществления инновационной деятельности ведется с учетом общей стоимости
объектов инвестирования и стадий жизненнго цикла инноваций (он состоит из следующих пяти стадий: разработка инновационного решения; первичное внедрение в эксплуатацию; расширение внедрения; совершенствование инновации; прекращение инновации).
На завершающем этапе разрабатывается сводный бюджет капитальных затрат по обеспечению прироста нематериальных активов, формирующий общую потребность в финансовых ресурсах на эти цели (с выделением объема финансирования за счет чистой прибыли предприятия).
3. Прирост собственных оборотных активов определяется на основе норматива собственных оборотныхсредств, разрабатываемого на плановый период, и фактического (ожидаемого) их наличия на начало плановогопериода. Расчет осуществляется в разрезе всех основныхэлементов оборотных активов. Форма для проведениятаких расчетов приведена в таблице 20.1.
При расчете общего объема прироста собственных оборотных активов следует учесть, что определенная их часть будет финансироваться за счет прироста внутренней кредиторской задолженности. Поэтому сумма собственного капитала, инвестируемого в плановом периоде в прирост собственных оборотных активов, должна быть соответствующим образом скорректирована:
ДСК
оа = ДСОА - ДКЗ
В ,
где ДСК
оа — потребность в собственном капитале, инвестируемом в прирост собственных оборотных активов в плановом периоде; АСОА — общий прирост собственных оборотных активов предприятия в плановом периоде (обеспечивающий их формирование в нормативном объеме); ЛКЗв — прирост внутренней кредиторской задолженности ("устойчивых пассивов") нетоварного характера в плановом периоде.
4. Отчисления в резервный фонд осуществляются всоответствии с их нормативом и рассчитанной потребностью в объеме внутреннего страхования отдельныххозяйственных операций.
Таблица 20.1. Форма проведения расчетов необходимого объема
прироста оборотных активов предприятия в плановом периоде в сумме
№
п/п
|
Элементы оборотных активов
|
Общая плановая потребность в оборотных активах
|
Коэффициент участия собственного капитала в финансировании отдельных элементов
|
Общая потребность в
собственных источниках
финансирования
обопотных активов
|
Фактическое участие
собственного капитала в
финансировании
оборотных активов на
начало планового
|
Потребность в
приросте собственных
оборотных активов
|
1.
|
Производственные запасы
|
|
-
|
|
|
|
2.
|
Незавершенное производство
|
|
|
|
|
|
3.
|
Запасы готовой продукции
|
|
|
|
|
|
4.
|
Дебиторская задолженность
|
|
|
|
|
|
5.
|
Денежные активы
|
|
|
|
|
|
6.
|
Прочие виды оборотных активов
|
|
|
|
|
|
|
Итого оборотные активы
|
|
|
|
|
|
|
Общая потребность в приросте собственных финансовых ресурсов предприятия определяется путем суммирования всех рассчитанных элементов по следующей формуле:
|

где СФР
П — общая потребность в приросте собственных финансовых ресурсов предприятия в плановом периоде; дФРоф— планируемый объем финансирования прироста основных фондов; АФРна
— планируемый объем финансирования прироста нематериальных активов; АСК
оа — объем собственного капитала, инвестируемого в прирост собственных оборотных активов в плановом периоде; ФРрф—планируемая сумма отчислений прибыли в резервный фонд.
Исходя из объема общей потребности определяется потребность в сумме капитализируемой прибыли предприятия в плановом периоде. Расчет ведется по следующей формуле:
П
к = СФР
П - АО
п - СК
В ,
где П
к — потребность в сумме капитализируемой прибыли предприятия в плановом периоде; СФРп — общая потребность в приросте собственных финансовых ресурсов предприятия в плановом периоде; АО
п — планируемая сумма амортизационных отчислений; СК
В— планируемый объем привлечения собственного капитала из внешних источников (если такое привлечение собственного капитала намечено в предстоящем периоде).
Результаты приведенных расчетов позволяют не только определить целевую сумму капитализируемой прибыли, но и сформировать внутренние пропорции ее использования в предстоящем периоде.
20.2. ПЛАНИРОВАНИЕЦЕЛЕВОЙ СУММЫПОТРЕБЛЯЕМОЙ
ПРИБЫЛИ
Планирование целевой суммы прибыли, предполагаемой к использованию на цели потребления, осуществляется в разрезе следующих основных элементов (рис. 20.2.).
|

|
Рисунок 20.2. Состав основных элементов расчета плановой суммы потребляемой прибыли предприятия.
1. Выплаты доходов собственникам предприятия планируются исходя из разработанной дивидендной политики.
При остаточной политике дивидендных выплат планируемая сумма доходов собственникам предприятия рассчитывается как среднехронологическая за ряд предшествующих лет. При проведении расчетов рассматриваемые показатели корректируются на индекс инфляции к базе последнего периода. На предстоящий период сумма выплат доходов собственникам предприятия устанавливается в ценах предпланового периода.
При политике стабильного размера дивидендных выплат планируемая их сумма устанавливается по базе предпланового периода.
При политике минимального стабильного размера дивидендов с надбавкой в отдельные периоды планируемая сумма выплат доходов собственникам устанавливается по принятой минимальной базе этих выплат. Сумма дивидендных надбавок в плановые расчеты выплат не включается — эти надбавки к установленным выплатам могут быть осуществлены только по фактическим результатам финансовой деятельности предприятия.
При политике стабильного уровня дивидендов по отношению к сумме прибыли плановые расчеты суммы выплат доходов собственникам осуществляются в два этапа. Вначале производится расчет среднехронологической суммы прибыли предприятия за ряд предшествующих лет (в сопоставимых ценах к базе последнего периода). Затем по отношению к средней сумме прибыли по установленному уровню дивидендов определяется плановая сумма выплат доходов дивидендов. Этот расчет может быть скорректирован на темп роста капитализируемой части прибыли в плановом периоде по отношению к предшествующему году, так как рост потребности в этой части прибыли приведет к увеличению общего ее размера), а это, в свою очередь, при неизменном уровне (коэффициенте) дивидендных выплат вызовет соответствующий рост суммы выплат собственникам.
При политике постоянного возрастания размера дивидендов базой плановых расчетов служат показатели выплат последнего отчетного периода, увеличенные на принятый на предприятии коэффициент (темп) их возрастания.
При отсутствии на предприятии какой-либо определенной дивидендной политики сумма выплат доходов собственникам устанавливается исходя из объема собственного капитала предприятия на начало предпланового периода с средней ставки депозитного процента, установившейся на рынке капитала (на уровне ставки срочного вклада с периодом депозита в размере одного года). Как вариант расчетов может быть использован коэффициент дивидендных выплат (выплат доходов собственникам по отношению к сумме прибыли) предпланового периода.
При осуществлении всех видов расчетов следует учесть, что дивидендные выплаты (или другие формы выплат доходов собственникам за счет прибыли) осуществляются после налоговой их очистки на действующую ставку подоходного налога на этот вид дохода. Поэтому планируемая к выплате в виде доходов собственникам сумма прибыли должна быть увеличена на размер соответствующего подоходного налога:

дс
ч0-с„)’
где П
дс — сумма прибыли, планируемая к выплате доходов собственникам предприятия;ДСч—планируемая к выплате сумма чистых дохо-*;,-. дов собственникам в соответствии с разработанной дивидендной политикой; С
пн —ставка налога на доход, полученный в форме дивидендов (процентов), выраженная десятичной дробью.
2. Бюджет участия наемных работников в прибыли
разрабатывается на плановый период исходя из действующей на предприятии политики этого участия. Такая политика исходит из того, что программы участия наемных работников в прибыли являются не только одним из направлений ее распределения, но и действенным инструментом управления ее формированием. В отдельных случаях такие программы могут являться одновременно одним из направлений прироста собственного капитала предприятия, если поощрение наемных работников за счет прибыли осуществляется в форме выплаты акциями (в этом случае участие работников в прибыли соединяется с их участием в капитале).
Главной целью программы участия наемных работников в прибыли является формирование у них устойчивой заинтересованности в ее росте. Поэтому реализация материальных интересов работников при осуществлении таких -программ должна быть четко увязана с результатами финансовой деятельности предприятия и прежде всего с такими показателями, как доход, затраты и прибыль.
Основой разработки бюджета участия наемных работников в прибыли являются согласованные положения коллективного трудового договора и индивидуальных трудовых контрактов, предусматривающие различные формы материального стимулирования труда, по которым источником выплат является прибыль предприятия (различные формы социальных выплат и льгот в этот бюджет не включаются, так как они не носят конкретный стимулирующий характер).
При разработке бюджета участия наемных работников в прибыли на предприятии учитываются, как правило, следующие программы: а) премиальная система по результатам деятельности предприятия за год (квартал);
б) система поощрения работников за выполнение разовых заданий; в) система дополнительных надбавок и доплат сверх размеров, установленных действующим законодательством; г) прочие виды программ.
Премиальная система по результатам деятельности предприятия за год (квартал) является наиболее массовой по охвату работников (практически в ней участвует обычно весь персонал предприятия). Эта система предусматривает дифференцированное вознаграждение работников по результатам хозяйственной деятельности предприятия (прежде всего суммы полученной прибыли) с учетом их индивидуального трудового вклада, стажа работы на данном предприятии, отработанного времени в отчетном периоде, уровня должностных окладов (месячных тарифных ставок) и других показателей, установленных на предприятии по данной системе премирования.
Для того, чтобы эта премиальная система реально стимулировала заинтересованность работников в росте прибыли предприятия, размеры выплат по ней должны быть достаточно ощутимыми — в рамках квартальных выплат они составляют обычно 10-15 дневный заработок, выплачиваемый из фонда заработной платы (в рамках годовых выплат — соответственно 1,5-2 месячных оклада). Поэтому бюджет этой премиальной системы определяется на предстоящий период исходя из планируемого фонда оплаты труда и предусматриваемого по отношению к нему уровня премиального фонда.
Система поощрения работников за выполнение разовых заданий направлена на оперативное их стимулирование за выполнение заранее определенных (или вызванных оперативной потребностью) работ, выходящих за рамки прямых обязанностей работников. В эту систему часто включают и поощрение работников в связи с их юбилеями, выходом на пенсию и в других аналогичных случаях. Бюджет этой премиальной системы также определяется по отношению к планируемому фонду оплаты труда (обычно в пределах 3-5% суммы этого фонда).
Система дополнительных надбавок и доплат сверх размеров, установленных действующим законодательством, формируется по результатам заключенных индивидуальных трудовых контрактов и коллективных трудовых договоров и получает свое отражение в разработанном штатном расписании предприятия. Сумма выплат этих надбавок и доплат, установленная предприятием и уменьшенная на сумму обязательных их размеров в соответствии с действующим законодательством, и будет составлять бюджет этих выплат за счет прибыли.
Прочие виды программ участия наемных работников в прибыли могут носить самый разнообразный характер. По каждой из таких программ также разрабатывается обычно индивидуальный плановый бюджет.
Совокупный бюджет участия наемных работников в прибыли формируется на предстоящий период путем суммирования итоговых показателей бюджетов отдельных программ этого участия:
БРП = Б
Рд + Бр
3 + Б
Нд + Б
п ,
где БРП —совокупный плановый бюджет участия наемных работников в прибыли;
Брд — бюджет премиальной системы по результатам деятельности предприятия за год (квартал);
Бр
3 —бюджет системы поощрения работников за выполнение разовых заданий;
Бнд
— бюджет дополнительных надбавок и доплат работникам сверх размеров, установленных действующим законодательством; Б
п — бюджет прочих видов программ участия наемных работников в прибыли, действующих на предприятии.
3. Бюджет внутренней социальной программы зависит от форм обеспечения социального развития персонала, используемых на предприятии. Такими формами могут быть частичная или полная оплата питания работников в рабочее время; частичная или полная оплата путевок — в санатории, дома отдыха, туристических и т.п.; частичная оплата индивидуальной подписки на периодические издания; повышенный размер гарантийных выплат, связанных с учебой без отрыва от производства; оплата содержания или учебы детей сотрудников; программа помощи пенсионерам — бывшим работникам предприятия и т.п. Бюджет внутренней социальной программы предприятия на плановый период составляется в разрезе каждого из предусмотренных направлений выплат и льгот, осуществляемых за счет прибыли.
4. Бюджет внешней социальной программы предусматривает использование прибыли на цели спонсорства, благотворительности и другие аналогичные мероприятия. Он разрабатывается на плановый период по каждому из направлений предстоящего расходования прибыли на эти цели.
Общая сумма прибыли, намечаемая к потреблению в плановом периоде, рассчитывается по следующей формуле:
П
п = Пдс + БРП + БСПвнут + БСПвнеш ,
где П
п — потребность в сумме потребляемой прибыли предприятия в плановом периоде; Пд
с —сумма прибыли, планируемая к выплате доходов собственникам предприятия; БРП —совокупный плановый бюджет участия наемных работников в прибыли;
БСПвнут — плановый бюджет внутренней социальной программы предприятия;
БСПвнеш—плановый бюджет внешней социальной программы предприятия.
Результаты проведенных расчетов позволяют определить целевую сумму намечаемой к потреблению прибыли предприятия в целом, а также сформировать внутренние пропорции предстоящего ее использования.
20.3. ПЛАНИРОВАНИЕ ОБЩЕЙ ЦЕЛЕВОЙ СУММЫПРИБЫЛИИ ПОКАЗАТЕЛЕЙ, ОБЕСПЕЧИВАЮЩИХЕЕДОСТИЖЕНИЕ
Процесс планирования целевой суммы прибыли предприятия завершается установлением общего ее размера и определением системы основных показателей, обеспечивающих ее формирование в предстоящем периоде. Порядок этих расчетов последовательно осуществляется по следующему алгоритму:
ЦЧП -> ЦБП -» ЦМП -э ЦД -> ЦОП
т ,
где ЦЧП —плановая сумма целевой чистой прибыли предприятия;
ЦБП —плановая сумма целевой балансовой прибыли предприятия; ЦМП — плановая сумма целевой маржинальной прибыли предприятия; ЦД — плановая сумма целевого дохода (объема реализации продукции) предприятия; ЦОП
т —плановая сумма целевого объема производства товарной продукции предприятия.
Базовым показателем расчета приведенной системы показателей выступает плановая сумма целевой чистой прибыли предприятия. Расчет этого показателя осуществляется по следующей формуле:
ЦЧП = П
к + П
п,
где ЦЧП—плановая сумма целевой чистой прибыли предприятия;
П
к — потребность в сумме капитализируемой прибыли предприятия в плановом периоде;
П
п — потребность в сумме потребляемой прибыли предприятия в плановом периоде.
Расчет этого показателя позволяет сформировать на предприятии совокупную систему распределения прибыли по отдельным целям ее предстоящего использования. Форма плана чистой прибыли предприятия в разрезе целевых направлений ее предстоящего использования приведена в таблице 20.2.
Таблица 20.2. Планируемые объем и структура целевойчистой
прибыли предприятия на год
Показатели
|
В целом
|
в том
|
числе по
|
|
на год
|
кварталам (сумма)
|
|
сумма
|
Уд.
вес,
%
|
I
|
II
|
III
|
IV
|
1
|
2
|
3
|
4
|
5
|
6
|
7
|
I. Чистая прибыль предприятия, предназначенная к
|
|
|
|
|
•
|
|
капитализации — всего
|
|
|
|
1
|
|
|
в том числе:
|
|
|
|
|
|
1. Инвестиции в прирост производственных основных фондов, нематериальных активов и собственных оборотных средств
2. Отчисления в резервный фонд
|
|
}
|
|
|
|
|
ІІ.Чистая прибыль, предназначенная к потреблению
|
|
•
|
|
|
|
|
— всего
|
|
|
|
|
|
|
в том числе:
|
|
|
|
|
|
|
1. Выплата доходов собственникам предприятия
2. Бюджет участия наемных работников в прибыли
|
|
|
|
|
|
Ч
|
3. Бюджет внутренней социальной программы
4. Бюджет внешней социальной программы
|
|
t
|
|
|
|
?
|
Итого целевая чистая прибыль
|
|
|
|
|
|
|
|
Разработанный план является одновременно планом формирования и распределения чистой прибыли предприятия.
|
Плановая сумма целевой балансовой прибыли определяется на основе суммы целевой чистой прибыли и средневзвешенной ставки налоговых платежей, осуществляемых за счет прибыли (методика расчета средневзвешенных ставок налоговых платежей рассмотрена ранее).
Основу этой средневзвешенной налоговой ставки составляет ставка налога на прибыль. В процессе расчета средневзвешенной налоговой ставки учитываются льготы по налогу на прибыль, используемые предприятием.
Расчет плановой суммы целевой балансовой прибыли предприятия осуществляется по формуле:

где ЦБП —плановая сумма целевой балансовой прибыли предприятия; ЦЧП — плановая сумма целевой чистой прибыли предприятия; Снп — средневзвешенная ставка налоговых платежей, уплачиваемых за счет прибыли, выраженная десятичной дробью.
Плановая сумма целевой маржинальной прибыли определяется на основе суммы целевой балансовой прибыли и планируемой суммы постоянных операционных затрат предприятия (методика планирования постоянных операционных затрат рассмотрена ранее).
Расчет плановой суммы целевой маржинальной прибыли предприятия
~ , ЦМП = ЦБП + И
пост ,
осуществляется по следующей формуле:
где ЦМП —плановая сумма целевой маржинальной прибыли предприятия; ЦБП — плановая сумма целевой балансовой прибыли
предприятия; Ипост — плановая сумма постоянных операционных затрат (издержек).
Плановая сумма целевого дохода (объема реализации продукции) определяется на основе суммы целевой балансовой прибыли, планируемой совокупной суммы операционных затрат и средневзвешенной налоговой ставки, входящей в цену продукции (налоговых платежей за счет дохода предприятия). Основу этой налоговой ставки составляют ставка налога на добавленную стоимость, а также ставки акцизных сборов на производимую или импортируемую подакцизную продукцию.
Расчет плановой суммы целевого дохода (объема реализации продукции) предприятия осуществляется по следующей формуле: ттгт ЦБП + Ипост+И
пер
ЦД ; 7
Л >
1 Лндс
где ЦД — плановая сумма целевого дохода (объема реализации продукции) предприятия;
ЦБП —плановая сумма целевой балансовой прибыли
предприятия; Ицост ~ плановая сумма постоянных операционных затрат (издержек);
И
пер — плановая сумма переменных операционных затрат (издержек);
Сндо — средневзвешенная ставка налоговых платежей, уплачиваемых за счет дохода предприятия (входящих в цену продукции), выраженная десятичной дробью.
Плановая сумма целевого объема производства товарной продукции предприятия является завершающим показателем в совокупной их системе, обеспечивающей формирование суммы чистой прибыли. Основу расчета этого показателя составляют плановая сумма целевого дохода (объема реализации продукции) и динамика запасов готовой продукции в предстоящем периоде.
Расчет плановой суммы целевого объема производства товарной продукции предприятия осуществляется по следующей формуле:
ЦОП
т = ЦД + ЗГП
К + ПГП - ЗГПн ,
где ЦОП
т —плановая сумма целевого объема производства товарной продукции предприятия; ЦД — плановая сумма целевого объема реализации продукции (целевого дохода) предприятия;
ЗГП
К —сумма запасов готовой продукции на конец планируемого периода;
ЗГПн—сумма запасов готовой продукции на начало планируемого периода;
ПГП—планируемая сумма потерь готовой продукции в процессе хранения и транспортирования (в пределах норм естественной убыли).
По результатам проведенных расчетов составляется сводная таблица системы плановых показателей, обеспечивающих достижение целевой суммы чистой прибыли
предприятия в предстоящем периоде. Форма такого плана приведена в табл. 20.3.
Таблица 20.3. Система основных показателей, обеспечивающих
достижение целевой суммы чистой прибыли (сумма)
Показатели
|
В
целом
на год
|
в том числе по
кварталам
|
I
|
II
|
III
|
IV
|
1
|
2
|
3
|
4
|
5
|
6
|
1. Целевой объем
производства товарной
продукции
2. Целевой объем
реализации продукции
(целевая с?мма походов)
3. Целевая сумма
маржинальной прибыли
4. Целевая сумма
балансовой прибыли
|
|
|
|
|
|
В соответствии с указанным планом разрабатывается система мероприятий по обеспечению достижения рассчитанных показателей в процессе предстоящей хозяйственной деятельности предприятия.
Литература
Литература
1. Ансофф И. Новая корпоративная стратегия. Пер. с англ. — СПб: "Питер Ком",
1999.
2. БабоА. Прибыль. Пер. с франц. — М.: "Прогресс" — "Универе", 1993.
3. БалабановИЛ. Риск-менеджмент. — М.: "Финансыи статистика", 1996.
4. Белов B.C., Селезнева Н.Н., Скоблева И.П. Управление прибылью: проблемы выбора, принятие финансовых решений. — СПб.: "Приоритет", 1996.
5. БелолипецкийВ.Г. Финансы фирмы. — М.: "ИНФРА-М", 1998.
6. Бернстайн Л.А. Анализ финансовой отчетности: теория, практика, интерпретация. Пер. с англ. — М.: "Финансы и статистика", 1996.
7. Бланк И.А. Основы финансового менеджмента. В 2-х томах. — Киев: "Ника-Центр"—"Эльга", 1999.
8. Бланк И.А. Управление формированием капитала. — Киев: "Ника-Центр"-"Эльга",
2000.
9. Бланк НА. Управление использованием капитала. — Киев: "Ника-Центр"-"Эльга", 2000.
10. Бланк И.А. Управление активами. — Киев: "Ника-Центр"-"Эльга", 2000.
11. Бланк И.А. Основы инвестиционного менеджмента. В 2-х томах. - Киев: "Ника-Центр"-"Эльга", 2001.
12. Бреши Р., Майерс С. Принципы корпоративных финансов. Пер с англ. — М.: "Олимп-Бизнес", 1997.
13. Ворст И., Ревентлоу П. Экономика фирмы. Пер. с датского. — М.: "Высшая школа", 1994.
14. Гарнер Д., Оуэн Р., Конвей Р. Привлечение капитала. Пер. с англ. — М.: "Джон УайлиэндСанз", 1995.
15. Гитман Л., ДжонкМ. Основы инвестирования. Пер. с англ. — М.: "Дело", 1997.
16. Грабовый П.Г. и др. Риски в современном бизнесе. — М.: "Алане", 1994.
17. ГрачеваМ.В. Анализ проектных рисков. — М.: ЗАО "Финстатинформ", 1999.
18. Дамари Р. Финансы и предпринимательство. Пер. с англ. — Ярославль: "Еленъ", 1993.
19. Джонс Э. Деловые финансы. — М.: ЗАО "Олимп-Бизнес", 1998.
20. Друри. Введение в управленческий и производственный учет. Пер. с англ. - М.: "ЮНИТИ", 1998.
21. Ирвин Д. Финансовый контроль. Пер. с англ. — М.: "Финансы и статистика", 1998.
22. КингА. Тотальное управление деньгами. Пер. с англ. — СПб.: "Пролигон", 1999.
23. Ковалев В.В. Введение в финансовый менеджмент. — М.: "Финансы и статистика", 1999.
24. Ковалев В.В., Волкова О.Н. Анализ хозяйственной деятельности предприятий. — М.: "Проспект", 2000.
25. Контроллинг как инструмент управления предприятием. Под ред. Данилочкиной Н.Г. — М.: "Аудит" — "ЮНИТИ", 1998.
26. Котляров С.А. Управление затратами. — СПб.: "Питер", 2001.
27. Коупленд Т., Коллер Т, Мудрин Дж. Стоимость компаний: оценка и управление. Пер. с англ. — М.: ЗАО "Олимп-Бизнес", 1999.
28. Краткий курс по экономике предприятия. Пер. с нем. Под ред. Ушаковой Н.Н., Савельева Е.В., Гуляевой Н.Н. - Киев: "Генеза", 1998.
29. КрейнинаМ.Н. Финансовый менеджмент. — М.: "Дело и Сервис", 1998.
30. Лапуста М.Г., Шаршукова Л.Г. Риски в предпринимательский деятельности. — М.: "ИНФРА-М", 1998.
31. Ли Ч., Финнерти Д. Финансы корпораций: теория, методы и практика. Пер. с англ. — М.: "ИНФРА-М", 2000.
32. Лукасевич И.Я. Анализ финансовых операций. — М.: "Финансы"-"ЮНИТИ", 1998.
33. Миддлтон Д. Бухгалтерский учет и принятие финансовых решений. Пер. с англ. — М.: "Аудит"—"ЮНИТИ",1997.
а. Модильяни Ф., Миллер М. Сколько стоит фирма? Теорема ММ. Пер с англ. — М.: "Дело", 1999.
34. Нэгл Т, Холден Р. Стратегия и тактика ценообразования: Руководство для принятия решений, приносящих прибыль. Пер. с англ. — СПб.: "Питер", 2001.
35. Ришар Ж. Аудит и анализ хозяйственной деятельности предприятия. Пер. с франц. — М.: "Аудит"— "ЮНИТИ", 1997.
36. Рэдхэд К., Хьюс С. Управление финансовыми рисками. Пер. с англ. - М.: "ИНФРА-М", 1996.
37. Савруков Н.Т., Егоров А.И., Егорова Е.А. Экономическая стратегия фирмы. — СПб.: "Политехника", 2000.
38. Сергеев И.В., Веретенникова И.И. Организация и финансирование инвестиций. — М.: "Финансы и статистика", 2000.
39. Cuo К.К. Управленческая экономика. Пер. с англ. . Пер с англ. - М.: "ИНФРА-М", 2000.
40. Скотт М. Факторы стоимости: Руководство для менеджеров по выявлению рычагов создания стоимости. Пер. с англ. — М.: ЗАО "Олимп-Бизнес", 2000.
41. Стоянова Е.С., Быкова Е.В., Бланк И.А. Управление оборотным капиталом. — М.: "Перспектива", 1998.
42. Стоянова Е.С., Штерн М.Г. Финансовый менеджмент для практиков: Краткий профессиональный курс. — М.: "Перспектива", 1998.
43. Теплова Т.В. Финансовые решения: стратегия и тактика. — М.: "Магистр", 1998.
44. Уотшем Т., Паррамоу К. Количественные методы в финансах. Пер с англ. — М.: "Финансы"— "ЮНИТИ", 1999.
45. Ушакова Н.Н., Унковская Т.Е., Гуляева Н.Н., Гри-нюк Н.А. Инвестирование, финансирование, кредитование: стратегия и тактика предприятия. — Киев: Киевский государственный торгово-экономический университет, 1997.
46. Файфер Б. Удвойте ваши прибыли: 78 способов сделать фирму
высокоприбыльной. Пер. с англ. — М.: "Банки и биржи" - "ЮНИТИ", 1996.
47. Финансовое управление компанией. — М : "Правовая культура", 1995.
48. Финансовый менеджмент: теория и практика. Под ред. Стояновой Е.С. — М. "Перспектива", 1997.
49. Финансовый менеджмент. Под ред. Поляка Г.Б. — М.: "Финансы" - "ЮНИТИ", 1997.
50. Финансовый менеджмент: руководство по технике эффективного менеджмента. — М.: "КАРАНА", 1998.
51. Финансы предприятий / Под ред. М.В. Романовского. — СПб.: Издательский дом "Бизнес-пресса", 2000.
52. Човутян Э.О., Сидоров М.А. Управление риском и устойчивое развитие. — М.: Из-во. РЭАим. Г.В. Плеханова, 1999.
53. Хелферт Э. Техника финансового анализа. Пер. с англ. М.: "Аудит" - "ЮНИТИ",
1996.
54. Хорн Д. Основы управления финансами. Пер. с англ. — М.: "Финансы и статистика", 1996.
55. Чедвиг Л. Основы финансового учета. Пер. с англ. — М.: "Банки и биржи" -"ЮНИТИ", 1997.
56. Шарп У., Александер Г., Бэйли Д. Инвестиции. Пер. с англ. - М.: "ИНФРА - М",
1997.
57. ШимД., Сигел Д. Методы управления стоимостью и анализа затрат. Пер. с англ. — М.: "Филинъ", 1996.
58. ШимД., Сигел Д. Финансовый менеджмент. Пер. с англ. - М.: "Филинъ", 1996.
59. Шмален Г. Основы и проблемы экономики предприятия. Пер. с нем. — М.: "Финансыи статистика", 1996.
60. Экономика организации. — М.: "Экзамен", 2000.
61. Экономика предприятия. Под ред. Сафронова Н.А. — М.: "Юристъ", 2001.
62. Экономика предприятия. Пер. с нем. — М.: "ИНФРА-М", 1999.
63. Экономическая стратегия фирмы. Под ред. Градо-ва А.П. — С.-Петербург: "СпециальнаяЛитература", 1995.
Словарь менеджмента прибыли
I. ТЕРМИНОЛОГИЧЕСКИЙ СЛОВАРЬ
АВТОМАТИЧЕСКОЕ РЕИНВЕСТИРОВАНИЕ [automatic reinvestment] — один из видов услуг, предоставляемых инвесторам, который позволяет автоматически реинвестировать их доход (полученный в форме дивидендов, процентов и т.п.) в дополнительные акции и другие ценные бумаги.
АГРЕССИВНАЯ ДИВИДЕНДНАЯ ПОЛИТИКА [agressive dividend policy] — один из возможных типов осуществляемой акционерной компанией дивидендной политики*, который предусматривает постоянный рост выплаты дивидендов (как правило, в твердо уста, новленном проценте их прироста к размеру предшествующего периода) вне зависимости от результатов финансовой деятельности.
АГРЕССИВНАЯ ИНВЕСТИЦИОННАЯ ПОЛИТИКА [agressive investment policy] — один из типов политики инвестирования, осуществляемой предприятием, который направлен на максимизацию текущего дохода от вложений в ближайшем периоде. При осуществлении этой политики оценке и учету уровня инвестиционного риска и возможностям роста рыночной стоимости предприятия в перспективе отводится вспомогательная роль. Формой реализации такой политики является формирование агрессивного инвестиционного портфеля.
* Примечание: выделенные курсивом термины рассматриваются в данном словаре более подробно.
АГРЕССИВНАЯ ПОЛИТИКА ФИНАНСИРОВАНИЯ [agres-sive financial policy] — вариант финансирования активов, осуществляемой предприятием, который предусматривает, что за счет собственного и долгосрочного заемного капитала должны финансироваться только внеоборотные активы, в то время как оборотные активы должны финансироваться за счет использования краткосрочного заемного капитала (по принципу: текущие активы должны формироваться преимущественно за счет текущих финансовых обязательств).
АГРЕССИВНЫЙ ИНВЕСТИЦИОННЫЙ ПОРТФЕЛЬ [agres-sive portfolio] — сформированная совокупность ценных бумаг и других финансовых инструментов, реализующая агрессивную инвестиционную политику предприятия. Формирование агрессивного инвестиционного портфеля осуществляется по критерию максимизации дохода от вложений в ближайшем периоде. Как правило, агрессивный инвестиционный портфель характеризуется высоким уровнем портфельного риска и не гарантирует сохранность инвестированного капитала.
АККУМУЛИРОВАННЫЙ ДИВИДЕНД [accumulated dividend] — начисленные, но не выплаченные акционерам в предусмотренный уставом акционерного общества срок дивиденды по результатам деятельности в отчетном периоде. До момента дивидендных выплат аккумулированный дивиденд представляет собой одну из форм внутренних финансовых обязательств акционерного общества.
АКТИВНЫЙ ПОДХОД К УПРАВЛЕНИЮ ПОРТФЕЛЕМ [active portfolio management] — теория оперативного управления портфелем ценных бумаг, основанная на принципе "опережения рынка". Этот принцип означает, что реструктуризация портфеля должна основываться на прогнозах рыночной конъюнктуры, а не отражать текущую его динамику.
АКТИВЫ [assets] — контролируемые предприятием экономические ресурсы, сформированные за счет ин-вестированого в них капитала, характеризующиеся детерминированной стоимостью, производительностью и способностью генерировать доход, постоянный оборот которых в процессе использования связан с факторами времени, риска и ликвидности.
АКТИВЫ ВНЕОБОРОТНЫЕ (ДОЛГОСРОЧНЫЕ) [noncur-rent assets] — совокупность имущественных ценностей предприятия, многократно участвующих в процессе его хозяйственной деятельности и переносящих на продукцию использованную стоимость частями. В практике учета к ним относят имущественные ценности (активы) всех видов со сроком использования более одного года и стоимостью выше минимума, установленного законодательством.
АКТИВЫ ЛИКВИДНЫЕ [liquid assets; quick assets] -
группа активов предприятия, которая быстро может быть конверсирована в денежную форму без ощутимых потерь своей текущей (балансовой) стоимости с целью своевременного обеспечения платежей по текущим финансовым обязательствам. В группу ликвидных активов предприятия входят: краткосрочные финансовые вложения; дебиторская задолженность (кроме безнадежной); запасы готовой продук-\ ции, предназначенной для реализации.
АКТИВЫ МАТЕРИАЛЬНЫЕ [tangible assets] - группа активов предприятия, имеющая вещественную (материальную) форму. В группу материальных активов предприятия входят: основные средства; незавершенные капитальные вложения; оборудование, предназначенное к монтажу; производственные запасы сырья и материалов; запасы малоценных и быстроизнашивающихся предметов; объем незавершенного производства; запасы готовой продукции, предназначенной к реализации.
АКТИВЫ НЕЛИКВИДНЫЕ [slow assets] - группа активов предприятия, которые могут быть конверсированы в денежную форму без потерь своей текущей (балансовой) стоимости лишь по истечении значительного периода времени. В современной практике финансового менеджмента к этой группе активов относят: основные средства; незавершенные капитальные вложения; оборудование, предназначенное
к монтажу; нематериальные активы; долгосрочные финансовые вложения; безнадежная дебиторская задолженность; расходы будущих периодов.
АКТИВЫ НЕМАТЕРИАЛЬНЫЕ [intangible assets] — группа активов предприятия, не имеющая вещественной формы, включающая объекты интеллектуальной (в том числе промышленной) его собственности. К этой группе активов предприятия относят: гудвилл; приобретенные предприятием права пользования отдельными природными ресурсами, программными продуктами, товарными знаками, патентами, ноу-хау и другими аналогичными видами имущественных ценностей, определенными соответствующим законодательством и отражаемыми в балансе предприятия.
АКТИВЫ ОБОРОТНЫЕ (ТЕКУЩИЕ) [current assets;
СА] — совокупность имущественных ценностей предприятия, обслуживающих текущий хозяйственный процесс и полностью потребляемых в течение одного операционного (производственно-коммерческого) цикла. В практике учета к ним относят имущественные ценности (активы) всех видов со сроком использования менее одного года и предельной стоимостью, установленной законодательством.
АКТИВЫ ФИНАНСОВЫЕ [financial assets; monetary assets] — группа активов предприятия, находящаяся в форме наличных денежных средств и различных финансовых инструментов, принадлежащих предприятию. К этой группе активов относят: денежные активы в национальной и иностранной валюте; дебиторскую задолженность; краткосрочные и долгосрочные финансовые вложения предприятия.
АКТИВЫ ЧИСТЫЕ [net assets value; NAV] - совокупность имущественных ценностей (активов) предприятия, сформированных за счет собственного капитала.
АЛЬТЕРНАТИВНЫЕ ИЗДЕРЖКИ [opportunity cost] -
потенциальный инвестиционный доход, упущенный инвестором в результате отказа от вложения капитала в альтернативный объект (инструмент) инвестирования.
АЛЬФА ИЛИ АЛЬФА-КОЭФФИЦИЕНТ [alpha] - показатель, характеризующий разность между ожидаемой доходностью ценной бумаги и расчетной доходностью, определенной исходя из "линии надежностирынка" с учетом премии за риск.
АМОРТИЗАЦИОННАЯ ПОЛИТИКА [depreciation policy] — составная часть общей политики управления внеоборотными активами, заключающаяся в управлении амортизационными отчислениями от используемых основных средств и нематериальных активов с целью их реинвестирования в производственную деятельность. Основу амортизационной политики предприятия составляет применение различных методов амортизации активов.
АМОРТИЗАЦИЯ [depreciation; amortization] — экономический механизм постепенного переноса износа основным средств и нематериальных активов на реализуемый готовый продукт, в результате чего их первоначальная стоимость распределяется во времени в течение полного срока их службы и формируется специальной денежный фонд, обеспечивающий их воспроизводство (реновацию).
АМОРТИЗАЦИЯ НЕМАТЕРИАЛЬНЫХ АКТИВОВ [amortization] — постепенное списание стоимости нематериальных активов в процессе их производственного использования. Амортизация этих активов осуществляется на основе использования прямолинейного (линейного) метода, т.е. равными частями исходя из их первоначальной стоимости с учетом индексации. Нормы списания нематериальных активов предприятие устанавливает самостоятельно в пределах срока их полного полезного использования (но не более 10 лет непрерывной эксплуатации). Амортизационные отчисления производятся до достижения остаточной стоимостью нематериального актива нулевого значения.
АМОРТИЗАЦИЯ ОСНОВНЫХ СРЕДСТВ [depreciation; Dep
n] — постепенное списание стоимости основных средств в процессе их производственного использования, связанное с из физическим и моральным
износом. В стоимость основных средств, подлежащих амортизации, включаются затраты на их приобретение, изготовление и улучшение (ремонт, реконструкцию, модернизацию и т.п.). По различным группам основных средств установлены разные нормы амортизации в процентах к их балансовой стоимости на начало отчетного периода. По активной части основных средств (машинам, механизмам и оборудованию производственного назначения) наряду с прямолинейным (линейным) может применяться метод ускоренной амортизации.
АНАЛИЗ ЧУВСТВИТЕЛЬНОСТИ ПРОЕКТА [project sensitivity analysis] — метод оценки влияния отдельных исходных параметров реального инвестиционного проекта на конечные показатели его эффективности.
АНДЕРРАЙТЕР, ИНВЕСТИЦИОННЫЙ ДИЛЕР [underwriter; UW] — оператор первичного фондового рынка, организующий подписку (первичную реализацию) на эмитируемые предприятием ценные бумаги (акции, облигации).
АНДЕРРАЙТИНГ [underwriting] — гарантированное размещение ценных бумаг на первичном фондовом рынке. Оно заключается в покупке андеррайтером (группой андеррайтеров) новых эмиссий ценных бумаг с целью последующей их продажи мелкими партиями.
АННУИТЕТ [annuity; Anny] — равномерные платежи или поступления денежных средств через одинаковые интервалы времени при использовании одинаковой ставки процента. Примером аннуитета могут быть равномерная уплата суммы процента по облигациям или сберегательным сертификатам, равномерная уплата взносов за арендуемое имущество или страховых взносов и т.п. БАНКОВСКИЙ КРЕДИТ [bank loan; bank advance] -
средства, предоставляемые банком взаймы клиенту для целевого использования на установленный срок под определенный процент. В настоящее время он является основной формой предоставляемого предприятию финансового кредита. Основными видами банковского кредита в современных условиях явля— ются: бланковый или необеспеченный кредит [blank credit]; контокоррентный кредит или "овердрафт" [overdraft]; открытие кредитной линии [credit line]; ломбардный кредит [lombard loan; collateral loan]; ипотечный кредит [mortgage]; ролловерный кредит [roll-over credit]; консорциумный (консорциальный) кредит [cosortium credit] и другие.
'БЕГСТВО КАПИТАЛА" [capital flight] - перевод капитала в значительных размерах в страны с более благоприятным инвестиционным климатом, с целью избежания высокого налогообложения, негативных последствий инфляции, риска экспроприации. Основной целью "бегства капитала" являются более выгодные и гарантированные условия его размещения в избранных странах.
"БЕЗ ЛЕВЕРИДЖА" [unlevered] — финансирование деятельности предприятия без привлечения заемного капитала.
БЕЗНАДЕЖНАЯ ДЕБИТОРСКАЯ ЗАДОЛЖЕННОСТЬ
[bad debts] — задолженность по обязательствам,
• по которым просрочен срок исковой давности, или которые не могут быть погашены должниками в силу различных объективных и субъективных причин.
БЕЗРИСКОВАЯ НОРМА ДОХОДНОСТИ [risk-free rate of return] — норма доходности по хозяйственным (инвестиционным) операциям, по которым отсутствует реальный риск потери капитала или дохода. Этот показатель используется обычно как основа расчета реальной нормы доходности по хозяйственной операции с учетом премии за риск.
БЕЗРИСКОВЫЕ ИНВЕСТИЦИОННЫЕ ОПЕРАЦИИ [riskless investment transactions] — инвестиционные операции, по которым отсутствует реальный риск потери капитала или дохода и гарантировано получение расчетной реальной суммы прибыли.
БЕТА ИЛИ БЕТА-КОЭФФИЦИЕНТ [beta; beta-coefficient; ^coefficient] — показатель, характеризующий изменение курса конкретного фондового инструмента (ценной бумаги) по отношению к динамике сводного индекса всего фондового рынка. Этот коэффициент используется в основном для измерения уровня риска вложений в отдельные ценные бумаги в сравнении с уровнем систематического (рыночного) риска. Чем больше значение бета-коэффициента по рассматриваемой ценной бумаге, тем выше уровень неустойчивости доходов по ней.
БИЗНЕС-ПЛАН [business plan] — основной документ разрабатываемый и предоставляемый инвестору (кредитору) по реальному инвестиционному проекту, в котором в краткой форме в общепринятой последовательности разделов излагаются главные характеристики проекта и финансовые показатели, связанные с его реализацией. Бизнес-план разрабатывается, как правило, при создании нового предприятия, его структурного подразделения, а также при кардинальном изменении стратегии действующего предприятия. Целью его разработки и представления является мобилизация инвестиционных ресурсов или получение кредита, поэтому он должен убедить инвестора в эффективности намечаемых инвестиций (кредитов).
БУДУЩАЯ СТОИМОСТЬ ДЕНЕГ [future value; FV] - сумма инвестированных в настоящий момент денежных средств, в которую они превратятся через определенный период времени с учетом определенной ставки процента. Определение будущей стоимости денег связано с процессом наращения стоимости, осуществляемом по специальным алгоритмам.
БЮДЖЕТ [budget] — оперативный финансовый план, разрабатываемый обычно в рамках до одного года, отражающий расходы и поступления средств по отдельным хозяйственным операциям или инвестиционным проектам. Разработка бюджетов характеризуется термином "бюджетирование" [budgeting] и направлена на решение двух основных задач: а) определение объема и состава расходов; б) обеспечение покрытия этих расходов финансовыми ресурсами из различных источников. В практике менеджмента активов используются два основных вида бюджетов — капитальный и текущий.
ВАЛОВОЙ ДОХОД [gross income] — общий доход предприятия от всех видов хозяйственной деятельности и хозяйственных операций до уплаты из него налоговых платежей, входящих в цену продукции (налога на добавленную стоимость, акцизного сбора, таможенных сборов и пошлин). Основу валового дохода производственных предприятий составляет валовой доход от реализации продукции.
ВЕРОЯТНОСТЬ РИСКА [probability of risk] - измеритель частоты возможного наступления неблагоприятного события, вызывающего финансовые потери предприятия.
ВНЕШНЕЕ СТРАХОВАНИЕ РИСКОВ [external insurance of risks] — страхование отдельных рисков предприятия специальными страховыми компаниями (страховщиками) в полном объеме или частично. Критерием выбора страховщика в процессе внешнего страхования рисков является рейтинг страховой компании и перечень оказываемых ею услуг по страхованию конкретных видов этих рисков.
ВНУТРЕННЕЕ СТРАХОВАНИЕ РИСКОВ [internal insurance of risks] — система мер, разрабатываемых в рамках самого предприятия, призванная обеспечить нейтрализацию негативных последствий отдельных видов рисков в процессе хозяйственной деятельности.
ВНУТРЕННЯЯ КРЕДИТОРСКАЯ ЗАДОЛЖЕННОСТЬ (СЧЕТА НАЧИСЛЕНИЙ [accruals; accruid expenses] — одна из форм краткосрочной кредиторской задолженности предприятия, представленная переходящей задолженностью по заработной плате; отчислением в бюджет и внебюджетные фонды, отчислением на страхование и т.п. Начисления по этим платежам производятся предприятием ежедневно (по мере осуществления текущих хозяйственных операцийна погашение этих обязательств — в определенные (установленные) сроки в диапазоне до одного месяца). Они являются для предприятия бесплатным источником использования заемных средств.
ВОЗВРАТНЫЙ ЛИЗИНГ (АРЕНДА) [lease-back] — хозяйственная операция предприятия, предусматривающая продажу основных средств финансовому учреждению (банку, страховой компании и т.п.) с одновременным обратным получением этих основных средств предприятием в оперативный или финансовый лизинг. В результате этой операции предприятие получает финансовые средства, которые оно может использовать на другие цели.
ВЫПЛАТА ДИВИДЕНДОВ АКЦИЯМИ [stock dividend] -
инвестиционная операция, посредством которой акции новой эмиссии распределяются между акционерами компании пропорционально числу акций, уже находящихся в их владении. На размер таких дивидендных выплат капитализированная прибыль направляется на увеличение уставного капитала.
ВЫСОКОРИСКОВЫЕ ИНВЕСТИЦИИ [high-risk investments] — спекулятивное вложение капитала в объекты (инструменты) инвестирования, прогнозируемая доходность по которым имеет высокий размах вариации (уровень риска по которым существенно превышает среднерыночный уровень).
ГУДВИЛЛ [goodwill; GW] — один из видов нематериальных активов, стоимость которого определяется как разница между рыночной (продажной) стоимостью предприятия как целостного имущественного комплекса и его балансовой стоимостью (суммой чистых активов). Это превышение стоимости предприятия связано с возможностью получения более высокого уровня прибыли (в сравнении со среднерыночным уровнем эффективности инвестирования) за счет (использования более эффективной системы управления, доминирующей позиции на товарном рынке, применения новых технологий и т.п.
ДЕНЕЖНЫЕ АКТИВЫ [monetary assets, cash] — совокупная сумма денежных средств предприятия находящихся в его распоряжении на определенную дату и представляющих собой его активы в форме готовых средств платежа (т.е. в форме абсолютной ликвидности).
ДЕНЕЖНЫЙ ПОТОК [cash flow; CF] - поступление (положительный денежный поток) и расходование (отрицательный денежный поток) денежных средств в процессе осуществления хозяйственной деятельности предприятия. Различают денежный поток по операционной (производственно-коммерческой) деятельности [cash flow from operations]; денежный поток по инвестиционной деятельности [cash flow from investment] и денежный поток по финансовой деятельности предприятия [cash flow from financing]. Разница между положительным и отрицательным денежным потоком по конкретному виду деятельности или по хозяйственной деятельности предприятия в целом называется чистым денежным потоком.
ДЕПОЗИТНЫЙ РИСК [deposit risk] — риск возможного невозвращения полностью или частично депозитных вкладов в связи с банкротством банка или другого финансового учреждения. Он связан с неправильной оценкой и неудачным выбором банка (или другого финансового учреждения) для осуществления депозитных операций предприятия.
ДИВЕРСИФИКАЦИЯ ИНВЕСТИЦИОННОГО ПОРТФЕЛЯ [portfolio diversification] — одно из направлений инвестиционной политики предприятия в процессе формирования портфеля ценных бумаг, обеспечивающих снижение портфельного инвестиционного риска (совокупный риск инвестиционного портфеля всегда ниже суммы индивидуальных инвестиционных рисков отдельных фондовых инструментов). Диверсификация инвестиционного портфеля реализует известный принцип — "никогда не держите все яйца в одной корзине". Инвестиционный портфель диверсифицируется по видам ценных бумаг (акции, облигации и т.п.); по отраслевой и региональной принадлежности их эмитентов; по периоду их обращения и т.п.
ДИВИДЕНДЫ [dividends] — периодические выплаты текущего дохода владельцам акций, осуществляемые за счет прибыли акционерной компании.
ДИВИДЕНДНАЯ ПОЛИТИКА [dividend policy] - часть общей финансовой стратегии акционерного общества, заключающаяся в оптимизации пропорций между потребляемой и капитализируемой частями полученной им прибыли с целью обеспечения роста рыночной стоимости акций.
ДИСКОНТИРОВАНИЕ СТОИМОСТИ [discounting] — процесс приведения будущей стоимости денег (финансового инструмента инвестирования) к настоящей их стоимости. Процесс дисконтирования стоимости осуществляется как по простым, так и по сложным процентам.
ДИСПЕРСИЯ [variance] — степень колеблемости изучаемого показателя по отношению к его средней величине, рассчитываемая как квадрат средне-квадратического (стандартного) отклонения. В инвестиционном анализе используется обычно для изучения колеблемости прогнозируемого инвестиционного дохода в процессе оценки уровня инвестиционного риска.
ДЮПОНОВСКАЯ СИСТЕМА АНАЛИЗА [Du Pont system of analysis] — система углубленного интегрального анализа деятельности предприятия, основой которого является "Модель Дюпона ”. Эта система анализа предусматривает разложение показателя "коэффициент рентабельности активов" на ряд частных финансовых коэффициентов его формирования, взаимосвязанных в единой системе.
ЖИЗНЕННЫЙ ЦИКЛ ПРЕДПРИЯТИЯ [company life-cycle] — общий период времени от начала деятельности предприятия до естественного прекращения его существования или возрождения на новой основе (с новым составом владельцев и менеджеров, с принципиально новой продукцией, технологией и т.п.). В теории жизненного цикла предприятия выделяют обычно шесть основных стадий: "Рождение", "Детство", "Юность", "Ранняя зрелость",
"Окончательная зрелость", "Старение".
ИДЕНТИФИКАЦИЯ РИСКОВ [risks identification] - процесс установления перечня основных видов рисков, присущих деятельности конкретного предприятия.
Идентификация рисков является необходимой предпосылкой оценки их уровня.
ИНВЕСТИЦИИ ПРЕДПРИЯТИЯ [investment of company] — вложение капитала во всех его формах в различные объекты (инструменты) хозяйственной деятельности предприятия с целью получения прибыли, а также достижения иного экономического или внеэкономического эффекта, осуществление которого базируется на рыночных принципах и связано с факторами времени, риска и ликвидности. Инвестиции являются главной формой реализации стратегии развития предприятия.
ИНВЕСТИЦИОННАЯ ДЕЯТЕЛЬНОСТЬ ПРЕДПРИЯТИЯ [investment activity of company] — целенаправленно осуществляемый процесс изыскания необходимых инвестиционных ресурсов, выбора эффективных объектов (инструментов) инвестирования, формирования сбалансированной по избранным параметрам инвестиционной программы (инвестиционного портфеля) и обеспечения ее реализации.
ИНВЕСТИЦИОННАЯ ПРИВЛЕКАТЕЛЬНОСТЬ [investment preference] — обобщающая характеристика преимуществ и недостатков инвестирования отдельных направлений и объектов с позиции конкретного инвестора.
ИНВЕСТИЦИОННАЯ ПРОГРАММА [investment program] — совокупность реализуемых реальных инвестиций предприятия, сформированная из инвестиционных проектов, сгруппированных по отраслевому, региональному или иному признаку в целях удобства управления. Инвестиционная программа представляет собой целостный объект управления.
ИНВЕСТИЦИОННЫЙ ПОРТФЕЛЬ [investment portfolio; portfolio] — целенаправленно сформированная совокупность объектов реального и финансового инвестирования, предназначенная для реализации инвестиционной политики предприятия в предстоящем периоде (в более узком, но наиболее часто употребляемом значении — совокупность фондовых инструментов, сформированных инвестором).
ИНВЕСТИЦИОННЫЙ ПРОЕКТ [investment project] —
объект реального инвестирования, намечаемый к реализации в форме приобретения целостного имущественного комплекса, нового строительства, реконструкции, модернизации, капитального ремонта и т.п. Инвестиционный проект требует обычно разработки бизнес-плана.
ИНВЕСТИЦИОННЫЙ ПРОЦЕСС [investment process] —
совокупность всех действий, осуществляемых инвестором при осуществлении инвестирования по отдельным его стадиям. При осуществлении реальных инвестиций инвестиционный процесс состоит из трех стадий — прединвестиционной, инвестиционной и постинвестиционной (эксплуатационной).
ИНВЕСТИЦИОННЫЙ РИСК [investment risk] - вероятность возникновения непредвиденных финансовых потерь в процессе инвестиционной деятельности предприятия. Так как отдельные из видов инвестиционных рисков связаны с возможной потерей капитала инвестора, они относятся к группе наиболее опасных (часто катастрофических) рисков.
ИНВЕСТОР [investor] — субъект предпринимательской деятельности, который принимает решение о вложении собственного, заемного или привлеченного капитала в объекты инвестирования. В соответствии с действующим законодательством все инвесторы независимо от форм собственности и организационно-правовых форм хозяйствования имеют равные права в осуществлении инвестиционной деятельности; самостоятельно определяют цели, направления, виды и объемы инвестиций; привлекают для их реализации на договорной основе любых участников инвестиционной деятельности (образуя с ними инвестиционный пул). В зависимости от целей инвестирования выделяют стратегических и портфельных инвесторов, а в зависимости от направленности хозяйственной деятельности выделяют институциональных и индивидуальных инвесторов.
ИНДИВИДУАЛЬНЫЙ ИНВЕСТОР [individual investor] -
конкретное юридическое или физическое лицо, осуществляющее инвестиции для развития своей основной хозяйственной (операционной) деятельности.
ИНДИВИДУАЛЬНЫЙ РИСК [individual risk] - риск, присущий конкретному объекту или финансовому инструменту инвестирования.
ИНДЕКСАЦИЯ СТОИМОСТИ ОСНОВНЫХ СРЕДСТВ [indexation of fixed assets] — периодически проводимая переоценка основных средств с целью доведения их первоначальной стоимости до текущей рыночной (восстановительной) стоимости.
ИНСТИТУЦИОНАЛЬНЫЙ ИНВЕСТОР [institutional investor] — юридическое лицо (финансовый посредник), аккумулирующий средства индивидуальных инвесторов и осуществляющий инвестиционную деятельность, специализированную, как правило, на опера-
ч циях с ценными бумагами.
ИНТЕНСИВНОСТЬ ОБНОВЛЕНИЯ ОСНОВНЫХ СРЕДСТВ
[fixed assets change intensivity] — скорость, с которой осуществляется процесс воспроизводства основных средств.
ИНФЛЯЦИОННАЯ ПРЕМИЯ [inflation premium] - дополнительный доход, выплачиваемый (или предусмот-
-*
1 ренный к выплате) инвестору с целью возмещения его потерь от обесценения денег в связи с инфляцией. Уровень этого дохода обычно приравнивается к темпу инфляции.
ИНФЛЯЦИОННЫЙ РИСК [inflation risk] - один из видов рисков, заключающийся в возможности обесценения денежных активов, а также доходов и прибыли
1 предприятия в связи с инфляционными процессами в экономике страны.
КАПИТАЛИЗАЦИЯ [capitalization] — перевод вновь сформированных доходов (или определенной их части) в капитал. В финансовом менеджменте наиболее распространенными операциями капитализации доходов являются: капитализация чистой прибыли (направление определенной ее части на производственное развитие); капитализация чистого денежного потока от инвестиций (его реинвестирование); капитализация суммы депозитного процента (его направление на прирост депозитного вклада); капитализация дивидендов (путем осуществления дивидендных выплат в форме новых акций) и другие.
КАПИТАЛЬНЫЕ ВЛОЖЕНИЯ [capital investments] — одна из основных форм реальных инвестиции в воспроизводство основных средств предприятия. Капитальные вложения в основные средства осуществляются в форме нового строительства, реконструкции, модернизации и капитального ремонта.
КОВАРИАЦИЯ [covariation] — статистическая характеристика, иллюстрирующая меру сходства (или различий) двух рассматриваемых величин в динамике, амплитуде и направлении изменений. В финансовом менеджменте расчет ковариации осуществляется в процессе оценки уровня портфельного риска и подбора в него активов, которые сводят несистематический риск инвестиционного портфеля к минимуму (за счет включения в него активов с разной амплитудой колебаний). Оценка ковариации осуществляется на основе коэффициента корреляции.
КОНСЕРВАТИВНАЯ ДИВИДЕНДНАЯ ПОЛИТИКА [tradeoff dividend policy] — один их возможных определяющих принципов осуществляемой акционерной компанией дивидендной политики, в соответствии с которым приоритетной целью распределения прибыли является удовлетворение потребности в ней для производственного развития (а не для текущего потребления в форме дивидендных выплат). В этом случае более высокими темпами растет стоимость чистых активов акционерного общества, а следовательно и рыночная стоимость акций.
КОНСЕРВАТИВНАЯ ИНВЕСТИЦИОННАЯ ПОЛИТИКА [trade-off investment policy]
— один из ТИПОВ политики инвестирования, осуществляемой предприятием, который направлен на минимизацию инвестиционного риска как приоритетной цели. При осуществлении этой политики инвестор не стремится
ни к максимизации размера текущего дохода от инвестиций, ни к максимизации прироста капитала (а соответственно, максимизации темпов роста рыночной стоимости капитала), а заботится лишь о безопасности своих вложений. Формой реализации такой политики является формирование консервативного инвестиционного портфеля.
КОНСЕРВАТИВНАЯ ПОЛИТИКА ФИНАНСИРОВАНИЯ [trade-off financial policy]
— один из типов политики финансирования активов, осуществляемых предприятием, который предусматривает, что за счет собственного и долгосрочного заемного капитала должны полностью финансироваться внеоборотные активы, постоянная часть оборотных активов (несни-жаемый их размер) и определенная доля переменной части оборотных активов (той их суммы, которая связана с сезонным возрастанием объема деятельности предприятия). Такая модель финансирования активов обеспечивает высокий уровень финансовой устойчивости предприятия в процессе его развития, однако вызывает чрезмерно высокую долю используемого собственного капитала (что снижает эффективность его использования).
КОНСЕРВАТИВНЫЙ ИНВЕСТИЦИОННЫЙ ПОРТФЕЛЬ [trade-off investment portfolio] — сформированная совокупность ценных бумаг и других финансовых инструментов портфеля, реализующая консервативную инвестиционную политику предприятия. Формирование консервативного инвестиционного портфеля осуществляется по критерию минимизации уровня инвестиционных рисков. Такой портфель практически исключает использование финансовых инструментов, уровень риска по которым превышает среднерыночный. При этом минимизация портфельного риска может быть частично обеспечена и за счет эффекта ковариации. Консервативный инвестиционный портфель обеспечивает высокий уровень надежности (безопасности) инвестиций.
КОЭФФИЦИЕНТ ВАРИАЦИИ [coefficient of variation;
CV] — статистический оценочный показатель, характеризующий соотношение среднеквадратического
отклонения и средней величины значения рассматриваемого показатели. Он выражает степень колеблемости изучаемого показателя. В инвестиционном менеджменте коэффициент вариации используется в основном в процессе оценки уровня отдельных рисков.
КОЭФФИЦИЕНТ КОРРЕЛЯЦИИ [correlation coefficient] —
статистический показатель, измеряющий ковариа-цию (степени согласованности изменений двух случайных величин). Значение коэффициента корреляции варьирует в диапазоне от —1 до +1.
КОЭФФИЦИЕНТ СООТНОШЕНИЯ РЫНОЧНОЙ ЦЕНЫ АКЦИИ И ДОХОДА ПО НЕЙ [price-earnings ratio; P/E-ratio; P/E] — один из важнейших показателей оценки инвестиционных качеств акции, характеризующий период окупаемости вложенных в нее средств инвестора.
КРАТКОСРОЧНЫЕ ФИНАНСОВЫЕ ВЛОЖЕНИЯ [short-term financial investment]
— инвестиции предприятия в различные финансовые инструменты на период до одного года. Основными формами краткосрочных финансовых вложений являются: приобретение краткосрочных облигаций, краткосрочных сберегательных сертификатов, векселей, помещение средств на депозитный вклад (до одного года) и т.п. Краткосрочные финансовые вложения представляют собой форму временного использования свободных денежных активов предприятия с целью защиты их от инфляции и получения дохода.
КРАТКОСРОЧНЫЕ ФИНАНСОВЫЕ ОБЯЗАТЕЛЬСТВА [short-term liabilities] — все виды используемых предприятием заемных финансовых средств со сроком погашения основной суммы долга до одного года (краткосрочные банковские кредиты; краткосрочные ссуды небанковских учреждений; эмитированные краткосрочные облигации предприятия; эмитированные вексели; полученные товарные кредиты; различные формы внутренней кредиторской задолженности и т.п.).
КРУГООБОРОТ СТОИМОСТИ ВНЕОБОРОТНЫХ АКТИВОВ [non-current assets value turnover] — движение стой-
~. мости операционных внеоборотных активов (основных фондов, нематериальных активов) посредством их амортизации и последующего реинвестирования средств амортизационного фонда.
ЛЕВЕРИДЖ [leverage] — финансовый механизм управления формированием прибыли, основанный на обес-. печении необходимого соотношения отдельных видов . капитала или отдельных видов затрат. Различают финансовый леверидж (механизм воздействия на уровень рентабельности собственного капитала за счет изменения соотношения собственных и заемных '¦' финансовых средств, используемых предприятием);
: операционный леверидж (механизм воздействия на сумму и уровень прибыли за счет изменения соотношения постоянных и переменных издержек); леверидж активов (механизм воздействия на структуру финансирования активов).
ЛИКВИДНОСТЬ [liquidity] — термин, характеризующий
; способность отдельных видов имущественных цен-и ностей быть быстро конверсируемыми в денежную форму без потери своей текущей стоимости в условиях сложившейся конъюнктуры рынка. В инвестиционном менеджменте этот термин наиболее часто используется при характеристике отдельных активов, находящихся на балансе предприятия, или отдельных объектов инвестиций.
ЛИКВИДНОСТЬ АКТИВОВ [assets liquidity] - характеристика отдельных видов активов предприятия по их способности к быстрой конверсии в денежную форму без потери своей балансовой стоимости с целью обеспечения необходимого уровня платежеспособности предприятия.
ЛИКВИДНОСТЬ ИНВЕСТИЦИЙ [investment liquidity] -
характеристика отдельных объектов инвестирования (как реальных, так и финансовых) по их способности быть реализованными в течение короткого периода времени без потери своей реальной стоимости при изменении ранее принятых инвестиционных решений.
"ЛИНИЯ НАДЕЖНОСТИ РЫНКА" [security market line; SML] — графический метод определения зависимости между уровнем систематического риска по конкретной ценной бумаге и уровнем необходимой доходности по ней. Отдельные точки на "линии надежности рынка" показывают необходимый уровень дохода по ценной бумаге (с учетом премии за риск) в зависимости от уровня систематического риска по ней, измеряемого бета-коэффициентом.
МАРЖИНАЛЬНАЯ ПРИБЫЛЬ [marginal profit; contribution] — один из важнейших показателей, используемых в системе анализа "взаимосвязь издержек, объема реализации и прибыли ". Маржинальная прибыль представляет собой разность между суммой чистого дохода от реализации продукции и суммой переменных издержек.
МЕТОД "ДЕРЕВА РЕШЕНИЙ" ["tree-decision" method] —
один из методов оценки уровня проектных рисков, позволяющих охарактеризовать их по отдельным последовательным этапам осуществления реального инвестиционного проекта.
МЕТОД ЛИФО [LIFO method] — метод оценки и отражения в учете стоимости запасов товарно-материальных ценностей, входящих в состав оборотных активов, основанный на использовании последней цены их приобретения, по принципу: "последний пришел — первый ушел" ["Last In — First Out J.
МЕТОД МОНТЕ-КАРЛО [Monte-Carlo simulation] -
метод иммитационного моделирования вариантов реализации реального инвестиционного проекта, позволяющий определить весь диапазон проектных рисков при заданных исходных параметрах проекта.
МЕТОД АНАЛИЗА СЦЕНАРИЕВ ПРОЕКТА [project scenario analysis] — один из методов оценки уровня проектных рисков, позволяющих учесть одновременное возможное изменение нескольких исходных параметров реального инвестиционного проекта на конечные показатели его эффективности.
МЕТОД ФИФО [FIFO method] — метод оценки и отражения в учете стоимости запасов товарно-материальных ценностей, входящих в состав оборотных акти-
BOB, основанный на использовании первоначальной цены их приобретения, по принципу: "первый пришел — первый ушел" [First In — First Out].
МОДЕЛЬ КОББА-ДУГЛАСА [Kobba-Duglas model] —
алгоритм, используемый для определения количественных параметров взаимозамещения операционных внеоборотных активов и труда в процессе производства продукции (в экономической теории используется термин — "производственная функция Коб-ба-Дугласа").
НАЛОГОВЫЙ РИСК [tax risk] — один из видов финансовых рисков, характеризующих вероятность возникновения непредвиденных финансовых потерь, связанных с введением новых видов налогов, увеличением размеров налоговых ставок по действующим налогам, отменой используемых предприятием налоговых льгот или "налоговых каникул", изменением порядка и сроков внесения налоговых платежей.
НАЛОГООБЛАГАЕМАЯ ПРИБЫЛЬ [declared profit] -
декларируемая в налоговые органы сумма балансовой прибыли предприятия, "очищенная" с учетом предоставленных льгот и порядка ее налогообложения, которая является базой исчисления налога на прибыль.
НАРАЩЕНИЕ СТОИМОСТИ (КОМПАУНДИНГ) [advance, compounding] — процесс приведения настоящей стоимости денег (финансового инструмента) к их стоимости в предстоящем периоде (будущей стоимости). Процесс наращения стоимости может осуществляться как по простым, так и по сложным процентам.
НАСТОЯЩАЯ СТОИМОСТЬ ДЕНЕГ [present value; PV] -
стоимость денег в текущем периоде при их обратном пересчете из будущей стоимости в процессе дисконтирования стоимости. В менеджменте активов расчет настоящей стоимости денег осуществляется при оценке предстоящего дохода от их вложений (инвестирования) и других хозяйственных операциях.
НЕДООЦЕНЕННАЯ ЦЕННАЯ БУМАГА [underpriced security] — ценная бумага, уровень ожидаемой доходности которой превышает равновесный уровень до -
ходности, определяемый "линией надежности рынка" . Такой уровень доходности формируется при положительном значении "алъфа-коэффициента".
НЕПРИЯТИЕ РИСКА [risk aversion] — менталитет собственников или менеджеров предприятия, который не приемлет ведение хозяйственных операций с высоким уровнем риска даже в тех случаях, когда они сопровождаются высоким уровнем прибыли. Неприятие риска определяет осуществление консервативной финансовой политики по всем основным аспектам хозяйственной деятельности предприятия, а также необходимость осуществления обширного комплекса мер по профилактике и нейтрализации негативных финансовых последствий различных видов рисков.
НЕРАСПРЕДЕЛЕННАЯ ПРИБЫЛЬ [retained profits; retained earnings] — прибыль, полученная в определенном периоде и не направленная на потребление путем распределения между акционерами (пайщиками) и персоналом. Эта часть прибыли предназначена для капитализации, т.е. для реинвестирования в производство. По своему экономическому содержанию она является одной из форм резерва собственных финансовых ресурсов, обеспечивающих его производственное развитие в предстоящем периоде.
НЕСИСТЕМАТИЧЕСКИЙ (СПЕЦИФИЧЕСКИЙ) РИСК [non -systematic risk] — совокупная характеристика внутренних инвестиционных рисков, присущих конкретному объекту инвестирования. Он связан с внутренними факторами деятельности эмитента или инвестора (например, неквалифицированный менеджмент), отрицательно воздействующими на эффективность инвестирования.
НЕОБХОДИМАЯ (ТРЕБУЕМАЯ) СТАВКА ДОХОДА [required rate of return;
RRR] — минимальный уровень будущего дохода, который инвестор ожидает получить, вкладывая капитал.
НОРМАЛЬНОЕ РАСПРЕДЕЛЕНИЕ ВЕРОЯТНОСТЕЙ [normal ., probability distribution] — распределение вероятнос-„/ тей, характеризуемое симметрическим графиком, v имеющим форму колокола и полностью оцениваемое стандартным математическим ожиданием и дисперсией.
ОББЕКТНО-ОРИЕНТИРОВАННЫЙ АНАЛИЗ [object-oriented analysis] — одна из форм интегрированного анализа, разработанная фирмой "Модернсофт" США, основу которого составляет компьютерная модель формирования прибыли или другого агрегированного показателя в виде совокупности взаимодействия первичных блоков и классов. Пользователь сам определяет систему таких блоков и классов исходя из специфики хозяйственной деятельности предприятия и желаемой степени детализации анализа, напол -няя их соответствующей отчетной информацией. ОПЕРАТИВНЫЙ ЛИЗИНГ (АРЕНДА) [operating lease] -
хозяйственная операция, предусматривающая передачу арендатору права пользования основными средствами, принадлежащими арендодателю, на срок, не превышающий их полной амортизации, с обязательным их возвратом владельцу после окончания срока действия лизингового соглашения. Переданные в оперативный лизинг основные средства остаются на балансе арендодателя.
ОПЕРАЦИОННАЯ ДЕЯТЕЛЬНОСТЬ [operating activity; operations] — основной вид деятельности предприятия, с целью осуществления которой оно создано. Характер операционной деятельности предприятия определяется спецификой сферы или отрасли экономики, к которой оно принадлежит. Основу операционной деятельности большинства предприятий составляет производственно-сбытовая или торговая деятельность.
ОПЕРАЦИОННАЯ ПРИБЫЛЬ [operating profit] - прибыль, полученная в результате операционной деятельности предприятия. Она выступает в форме маржинальной, валовой или чистой операционной прибыли.
ОПЕРАЦИОННЫЕ АКТИВЫ [operating assets] - активы предприятия, непосредственно задействованные в его производственной деятельности и формирующие доходы от этой деятельности. При определении объема операционных активов из общего состава
активов исключаются долгосрочные финансовые вложения, незавершенное капитальное строительство, неустановленное и выведенное из эксплуатации оборудование, дебиторская задолженность по ссудам, предоставленным персоналу и другие аналогичные их виды. ОПЕРАЦИОННЫЙ ЛЕВЕРИДЖ [operating leverage] -
финансовый механизм управления прибылью предприятия за счет оптимизации соотношения постоянных и переменных издержек. Результат этого управления оценивается с помощью показателя "эффект операционного левериджа ”.
ОПЕРАЦИОННЫЙ ЦИКЛ [operating cycle] — период полного оборота всей суммы оборотных активов, в процессе которого происходит смена отдельных их видов.
ОПТИМИЗАЦИЯ ИНВЕСТИЦИОННОГО ПОРТФЕЛЯ [portfolio optimization] — процесс определения соотношения отдельных объектов инвестирования, обеспечивающий реализацию целей инвестиционной деятельности с учетом имеющихся инвестиционных ресурсов. Основу механизма этой оптимизации составляет "современная портфельная теория”.
ОПТИМИЗАЦИЯ СОСТАВА АКТИВОВ [assets structure optimization] — процесс определения соотношения отдельных видов активов, обеспечивающего наилучшие условия производственно-коммерческой деятельности при высоком уровне ликвидности.
ОПТИМИЗАЦИЯ СТРУКТУРЫ КАПИТАЛА [capital structure optimization] — процесс определения соотношения использования собственного и заемного капитала, при котором обеспечиваются оптимальные пропорции между уровнем рентабельности собственного капитала и уровнем финансовой устойчивости, т.е. максимизируется рыночная стоимость предприятия.
ОСНОВНЫЕ СРЕДСТВА [fixed assets; FA] - совокупность материальных активов в форме средств труда, которые многократно участвуют в процессе производственно-коммерческой деятельности и переносят на продукцию свою стоимость частями. Различают
производственные и непроизводственные основные средства предприятия (к последним относятся объекты социальной инфраструктуры и другие виды основных средств, не участвующих прямо в производственном процессе). В свою очередь, в составе производственных основных средств выделяют активную их часть (машины, оборудование и механизмы, непосредственно участвующие в производственно-технологическом процессе) и пассивную их часть (здания, сооружения ит.п.).
ПАССИВНЫЙ ПОДХОД К УПРАВЛЕНИЮ ПОРТФЕЛЕМ [passive portfolio management] — теория оперативного управления портфелем ценных бумаг, основанная на принципе "следования в фарватере рынка". Он определяет осуществление реструктуризации портфеля в четком соответствии с тенденциями конъюнктуры фондового рынка как по общей совокупности, так и по составу обращающихся на нем ценных бумаг. В соответствии с этим подходом динамика портфеля в миниатюре должна оперативно копировать динамику эффективности отдельных групп ценных бумаг на фондовом рынке в целом.
ПЕРЕМЕННЫЕ ЗАТРАТЫ (ИЗДЕРЖКИ) [variable costs; VC; variable expenses] — текущие затраты предприятия, сумма которых находится в прямой зависимости от объема его производственной или сбытовой деятельности.
ПЛАТЕЖНЫЙ КАЛЕНДАРЬ [schedule of payments] -
один из видов оперативного финансового плана предприятия, разрабатываемый по отдельным видам движения денежных средств (налоговый платежный календарь, платежный календарь по расчетам с поставщиками, платежный календарь по обслуживанию кредита и т.п.) и по предприятию в целом (в этом случае он детализирует текущий план поступления и расходования денежных средств).
ПОРТФЕЛЬ ДОХОДА [income portfolio] — инвестиционный портфель, сформированный по критерию максимизации текущего дохода вне зависимости от темпов роста капитала в отдаленной перспективе и уровня портфельного риска.
ПОРТФЕЛЬ РОСТА [growth portfolio] — инвестиционный портфель, сформированный по критерию максимизации прироста капитала в долгосрочном периоде вне зависимости от уровня его доходности в текущем периоде.
ПОРТФЕЛЬ ФИНАНСОВЫХ ИНВЕСТИЦИЙ [financial investment portfolio] — сформированная предприятием совокупность финансовых инструментов инвестирования, подчиненная определенным целям инвестиционной деятельности предприятия на финансовом рынке. Основу портфеля финансовых инвестиций составляют обычно различные инструменты фондового рынка.
«ПОРТФЕЛЬНАЯ ТЕОРИЯ" ["portfolio theory"] - теоретический и методологический аппарат, используемый в процессе формирования портфеля ценных бумаг. В зависимости от используемых методологических принципов различают традиционную портфельную теорию (традиционный подход) и современную портфельную теорию.
ПОРТФЕЛЬНЫЙ РИСК [portfolio risk] — совокупный риск вложения капитала по инвестиционному портфелю в целом. Уровень портфельного риска всегда ниже, чем уровень риска отдельных входящих в него инвестиционных инструментов (за счет эффекта диверсификации, ковариации ит.п.).
ПРЕДЕЛ ФИНАНСОВОЙ БЕЗОПАСНОСТИ ("ЗАПАС ФИНАНСОВОЙ ПРОЧНОСТИ") [margin of financial safety; M of S] — допустимый размер снижения объема реализации продукции при неблагоприятной конъюнктуре рынка, который позволяет предприятию осуществлять прибыльную деятельность.
ПРЕДЕЛЬНАЯ СТОИМОСТЬ КАПИТАЛА [marginal cost of capital; MCC] — показатель эффективности дополнительного привлечения капитала с позиций уровня средневзвешенной его стоимости. Она характеризует прирост стоимости капитала в сравнении с предшествующим периодом.
ПРЕДЕЛЬНАЯ ЭФФЕКТИВНОСТЬ КАПИТАЛА [marginal efficiency of capital; MEC] — граница эффективности использования дополнительно привлекаемого капитала. Она характеризует соотношение прироста уровня доходности дополнительно привлекаемого капитала и прироста уровня средневзвешенной его стоимости.
ПРЕМИЯ ЗА ЛИКВИДНОСТЬ [liquidity premium] — дополнительный доход, выплачиваемый (или предусмотренный к выплате) инвестору с целью возмещения риска финансовых потерь, связанных с низкой ликвидностью объектов инвестирования.
ПРЕМИЯ ЗА РИСК [risk premium; RP] — дополнительный доход, выплачиваемый (или предусмотренный к выплате) инвестору сверх того уровня, который может быть получен по безрисковым хозяйственным операциям. Этот дополнительный доход должен воз-' растать пропорционально увеличению уровня рис-и ка вложений капитала в тот или иной инструмент инвестирования. При этом следует иметь в виду, что премия за риск должна возрастать пропорционально росту не общего уровня инвестиционного риска по тому или иному инструменту, а только систематического (рыночного) риска, уровень которого опреде-» ляется с помощью бета-коэффициента (т.к. риск несистематический связан в основном с действием субъективных факторов). Основу этой зависимости составляет график "линии надежности рынка".
ПРОЕКТНЫЙ РИСК [project risk] — совокупный риск . реализации реального инвестиционного проекта, интегрирующий все виды его индивидуальных рисков.
ПРЯМЫЕ ИНВЕСТИЦИИ [direct investments] - инвестиции в уставные фонды предприятий, инструменты финансового инвестирования и другие объекты, осуществляемые при прямом участии инвестора в их отборе и вложении капитала.
ПРОФИЛАКТИКА РИСКОВ [risks prophylaxis] - система превентивных мер, направленная на обеспечение снижения вероятности возникновения отдельных видов рисков на предприятии. Эта система
предусматривает использование следующих групп мер: 1) избежание рисков; 2)
диверсификацию; 3) минимизацию рисков; 4) лимитирование рисков. Профилактика рисков является важным направлением обеспечения эффективности управления ими на предприятии.
ПРОЦЕНТНАЯ СТАВКА [interest rate] — фиксированная ставка, по которой в установленные сроки выплачивается сумма процента. Обычно процентная ставка характеризует соотношение годовой суммы процента (процентного дохода) к сумме основного долга. Процентная ставка используется также в процессе наращения стоимости.
ПРОЦЕНТНЫЙ РИСК [interest risk] - один из видов рисков, характеризующий вероятность возникновения финансовых потерь, связанных с изменением средней ставки процента на финансовом рынке. Этот риск генерируется изменением конъюнктуры финансового рынка, мерами государственного его регулирования, изменением объема предложения свободных денежных ресурсов и другими аналогичными факторами.
ПРЯМОЛИНЕЙНАЯ АМОРТИЗАЦИЯ [straight-line depreciation] — наиболее простой метод начисления амортизации, при котором стоимость внеоборотного актива (основных средств, нематериальных активов) списывается равными суммами в течение запланированного срока их службы.
РАЗДЕЛЬНЫЙ ЛИЗИНГ (ЛЕВЕРИДЖ-ЛИЗИНГ) [leverage-leasing] — лизинговая операция, в которой лизингодатель приобретает передаваемый им в лизинг актив частично за счет собственного капитала, а частично за счет заемного.
РАСПРЕДЕЛЕНИЕ ИНВЕСТИЦИОННЫХ РЕСУРСОВ [investment allocation decision] — процесс определения пропорций направления финансовых средств в отдельные объекты реального и финансового инвестирования, обеспечивающие развитие предприятия в предстоящем периоде.
РАСПРЕДЕЛЕНИЕ ПРИБЫЛИ [appropriation] — форма реализации разработанной дивидендной политики и политики формирования собственных инвестиционных ресурсов, в процессе которой полученная (намеченная к получению) прибыль распределяется по основным направлениям ее предстоящего использования.
РАСПРЕДЕЛЕНИЕ РИСКОВ [risk allocation decision] -
один из внутренних механизмом нейтрализации рисков, основанный на частичном их трансферте (передаче) партнерам по хозяйственным операциям. При этом партнерам передается та часть рисков предприятия, по которой они имеют больше возможностей нейтрализации их негативных последствий и располагают более эффективными способами внутренней страховой защиты.
РЕАЛЬНАЯ СТАВКА ПРОЦЕНТА [real interest rate] -
ставка процента, устанавливаемая с учетом изменений покупательной стоимости денег в связи с инфляцией.
РЕАЛЬНЫЕ ИНВЕСТИЦИИ [real investment] — вложение капитала в воспроизводство основных фондов, в инновационные нематериальные активы, в прирост запасов товарноматериальных ценностей и в другие объекты инвестирования, непосредственно связанные с осуществлением производственно-коммерческой (операционной) деятельности предприятия.
РЕЗЕРВНЫЙ КАПИТАЛ [reserve capital] — часть финансовых ресурсов предприятия, зарезервированная в финансовых планах и бюджетах на случай возможного повышения расходной их части. На предприятии резервный капитал находится в форме нераспределенной прибыли, резервного фонда и других.
РЕНОВАЦИЯ [renovation] — процесс замещения физически и морально изношенных производственных основных средств новыми их видами. Как правило, в форме реновации осуществляется простое воспроизводство активной части производственных основных средств (их модернизация или замена).
РЕСТРУКТУРИЗАЦИЯ ПОРТФЕЛЯ [portfolio restruction] —
периодически осуществляемая ротация отдельных видов и разновидностей инструментов портфеля для обеспечения заданных целевых параметров его формирования в меняющихся условиях внешней инвестиционной среды.
РИСК [risk] — вероятность наступления события, связанного с возможными финансовыми потерями или другими негативными последствиями.
САМОФИНАНСИРОВАНИЕ [self-financing] — финансирование развития предприятия (инвестиционной деятельности) исключительно за счет формируемых собственных финансовых ресурсов.
СБАЛАНСИРОВАННЫЙ ИНВЕСТИЦИОННЫЙ ПОРТФЕЛЬ [balanced portfolio] —
портфель, состоящий из финансовых инструментов (преимущественно ценных бумаг) в полной мере соответствующих целям и критерию его формирования исходя из разработанной инвестиционной политики предприятия. Синонимом сбалан-
* сированного инвестиционного портфеля выступает термин "эффективный портфель" [efficientportfolio].
СВОТ-АНАЛИЗ [SVOT-analysis] — система интегрального анализа, основным содержанием которого является исследование характера сильных и слабых сторон предприятия в разрезе отдельных внутренних факторов, а также позитивного или негативного влияния отдельных внешних факторов, обуславливающих развитие предприятия.
СИСТЕМА АНАЛИЗА "ВЗАИМОСВЯЗЬ ИЗДЕРЖЕК, ОБЪЕМА РЕАЛИЗАЦИИ И ПРИБЫЛИ" ["Cost-Volume-Profit Relationships"; CVP] — механизм целенаправленного факторного анализа, позволяющий выявить роль отдельных факторов в формировании прибыли от реализации продукции и обеспечить эффективное управление этим процессом.
СИСТЕМАТИЧЕСКИЙ (РЫНОЧНЫЙ) РИСК [systematic risk; market risk] — риск, связанный с изменениями конъюнктуры всего инвестиционного рынка под влиянием макроэкономических факторов. Он возникает для всех участников этого рынка и не может быть устранен путем диверсификации инвестиционного портфеля, т.к. в процессе колебаний конъюнктуры всего инвестиционного рынка уровень цен отдельных финансовых инструментов инвестирования изменяется аналогично рыночному индексу в целом. Показателем измерения систематического риска является бета-коэффициент.
СКРИНИНГОВЫЕ ИНВЕСТИЦИОННЫЕ РЕШЕНИЯ [screening investment decisions]
— инвестиционные решения, обеспечивающие предварительный отбор реальных инвестиционных проектов и финансовых инструментов инвестирования по критериям, сформированным инвестором, для последующего окончательного преференциального их отбора.
СОВРЕМЕННАЯ ПОРТФЕЛЬНАЯ ТЕОРИЯ [modern portfolio theory] — основанный на статистических методах механизм оптимизации формируемого инвестиционного портфеля по задаваемым критериям соотношения уровня его ожидаемой доходности и риска с обеспечением коррелятивной связи доходности отдельных финансовых инструментов между собой. Основные принципы современной портфельной теории впервые были сформулированы Г. Марковицем.
СООТНОШЕНИЕ УРОВНЯ РИСКА И ДОХОДНОСТИ [risk/ return rate off] — один из важнейших показателей оценки инвестиционных качеств индивидуальных инструментов инвестирования и инвестиционного портфеля в целом, характеризующий как соотносятся между собой уровни риска и доходности. Среднерыночное соотношение этих показателей измеряется графиком "линии надежности рынка". Сравнение этого соотношения по индивидуальному инструменту инвестирования со среднерыночным позволяет судить о степени его инвестиционной привлекательности.
СРЕДНЕКВАДРАТИЧЕСКОЕ (СТАНДАРТНОЕ) ОТКЛОНЕНИЕ [standart
devitation; SD] — один из наиболее распространенных показателей оценки колеблемости значений изучаемых процессов и явлений. В инвестиционном менеджменте среднеквадратическое отклонение служит одним из основных показателей оценки уровня рисков.
СРЕДНЕВЗВЕШЕННАЯ СТОИМОСТЬ КАПИТАЛА [weighted average cost of capital; WACC] — средняя цена, которую предприятие платит за использование совокупного капитала, сформированного из различных источников. Она характеризует среднее значение стоимости капитала, привлеченного из каждого конкретного источника, взвешенной на удельный вес каждого источника в общей сумме используемого капитала.
СРОК АМОРТИЗАЦИИ [depreciation life] — период, в течение которого предусмотрен полный физический и моральный износ конкретных видов основных средств и нематериальных активов.
СТРАТЕГИЧЕСКИЕ ЦЕЛИ [strategic goals] — система основных ориентиров долгосрочного развития предприятия, в соответствии с которыми разрабатывается инвестиционная стратегия по основным ее направлениям. Основной стратегической целью ин-
- вестиционной деятельности предприятия являетсямаксимизация его рыночной стоимости. К числустратегических целей этой деятельности могут бытьотнесены также повышение темпов роста собственного капитала, отраслевая и региональная диверсификация, структура инвестиционных ресурсов поисточникам их формирования и т.п.
СТРАТЕГИЧЕСКИЙ ИНВЕСТОР [strategic investor] —
субъект инвестиционной деятельности, ставящий своей целью приобретение контрольного пакета акций (преимущественной доли уставного капитала) для обеспечения реального управления предприятием в соответствии с собственной концепцией его
- стратегического развития.
СТРУКТУРА КАПИТАЛА [capital structure; capital gearing] — один из важнейший показателей оценки финансового состояния предприятия, характеризующий соотношение суммы собственного и заемного - используемого капитала.
СТРУКТУРА ПОРТФЕЛЯ [portfolio structure] - соотношение удельного веса инвестируемого капитала в различные виды финансовых инструментов портфеля. Различают фиксированную и гибкую структуру портфеля.
ТОВАРНЫЙ (КОММЕРЧЕСКИЙ) КРЕДИТ [commercial credit] — кредит, предоставляемый предприятию в форме отсрочки платежа за поставленные ему сырье, материалы или товары, на определенный период.
"ТОЧКА БЕЗУБЫТОЧНОСТИ" ("ПОРОГ РЕНТАБЕЛЬНОСТИ") [break-even point] — показатель, характеризующий объем реализации продукции, при котором сумма чистого дохода предприятия равна общей сумме постоянных издержек.
"ТОЧКА РАЗРЫВА" [break point; BP] — точка на графике динамики предельной стоимости капитала предприятия, в которой происходит каждый новый скачок уровня стоимости дополнительно привлекаемого его объема.
ТРАДИЦИОННЫЙ ПОДХОД К УПРАВЛЕНИЮ ПОРТФЕЛЕМ [traditional portfolio management] — одна из концепций формирования инвестиционного портфеля, обеспечивающая его максимально широкую отраслевую диверсификацию по составу инструментов с целью минимизации уровня портфельного риска.
УКЛОНЕНИЕ ОТ РИСКОВ [risk aversion] - менталитет инвестиционных менеджеров предприятия, непри-емлющий операции и виды инвестиций, связанные с высоким уровнем риска (придерживающихся консервативной политики в инвестиционном менеджменте).
УМЕРЕННАЯ (КОМПРОМИССНАЯ) ДИВИДЕНДНАЯ ПОЛИТИКА [compromise dividend policy] — один из возможных определяющих принципов осуществления компанией дивидендной политики, в соответст-[ вии с которой в процессе распределения прибыли текущие интересы акционеров по размерам дивидендных выплат стабильно балансируются с потребное" тями формирования собственных финансовых ресурсов для обеспечения развития компании.
УМЕРЕННАЯ (КОМПРОМИССНАЯ) ИНВЕСТИЦИОННАЯ ¦ ПОЛИТИКА [compromise investment policy] — один из типов политики инвестирования, осуществляемый предприятием, который направлен на выбор таких объектов инвестирования, по которой уровень текущей доходности, темпы роста капитала и уровень риска в наибольшей степени приближены к среднерыночным. При реализации этой политики предприятие не стремится к максимизации своего hh-
j вестиционного дохода и избегает вложений капитала в высокорисковые объекты инвестирования. Формой реализации такой политики является создание умеренного (компромиссного) инвестиционного портфеля.
УМЕРЕННАЯ (КОМПРОМИССНАЯ) ПОЛИТИКА ФИНАНСИРОВАНИЯ [compromise approach] — один из типов политики финансирования активов, осуществляемый предприятием, который предусматривает, что за счет собственного и долгосрочного заемного капитала должны полностью финансироваться внеоборотные активы, а также преимущественная часть (или весь объем) постоянной части оборотных активов (неснижаемого их размера). Такая модель финансирования активов обеспечивает приемлемый уровень финансовой устойчивости предприятия в процессе его развития.
УМЕРЕННЫЙ (КОМПРОМИССНЫЙ) ИНВЕСТИЦИОННЫЙ ПОРТФЕЛЬ [compromise portfolio] — сформированная совокупность ценных бумаг и других финансовых инструментов портфеля, реализующая умеренную инвестиционную политику предприятия. Формирование умеренного инвестиционного портфеля осуществляется по критерию соответствия уровня его доходности и риска среднерыночным значениям.
УПРАВЛЕНЧЕСКИЙ УЧЕТ [management accounting] -
вид бухгалтерского учета основных финансовых результатов инвестиционной деятельности, стандарты которого разрабатываются самим предприятием, исходя из целей инвестиционного менеджмента.
- Управленческий учет позволяет существенно углубить информацию о составе капитала и его движении на предприятии.
УРОВЕНЬ РИСКА [degree of risk] — основной показатель, используемый для оценки отдельных рисков. Уровень риска определяется как произведение вероятности его возникновения на размер возможных финансовых потерь при наступлении рискового события.
УСКОРЕННАЯ АМОРТИЗАЦИЯ [accelerated depreciation] — один из методов начисления амортизации, при котором стоимость конкретного актива списывается в более короткие сроки и по более высоким нормам амортизации в первые годы его использования. В нашей стране ускоренная амортизация активов разрешена только по активной части операционных основных средств.
ФИНАНСОВЫЕ ИНВЕСТИЦИИ, ФИНАНСОВЫЕ ВЛОЖЕНИЯ [financial investment] — вложение капитала в различные финансовые инструменты, главным образом в ценные бумаги. По периоду инвестирования различают краткосрочные финансовые вложения (инвестирование средств на период до одного года)
г и долгосрочные финансовые вложения (инвестирование средств на период более одного года). Для снижения уровня риска финансовые инвестиции осуществляются обычно в разнообразные финансовые инструменты, совокупность которых формирует ин-
, вестиционный портфель.
ФИНАНСОВЫЙ ЛЕВЕРИДЖ [financial leverage] - финансовый механизм управления рентабельностью собственного капитала за счет оптимизации соотношения используемых собственных и заемных финансовых средств. Результат этого управления оценивается с помощью показателя "эффект финансового „ левериджа".
ФИНАНСОВЫЙ ЛИЗИНГ [financial lease] - хозяйственная операция, предусматривающая приобретение арендодателем по заказу арендатора основных средств
с дальнейшей передачей их в пользование арендатора на срок, не превышающий периода полной их амортизации с обязательной последующей передачей права собственности на эти основные средства арендатору. Финансовый лизинг рассматривается как один из видов финансового кредита. Основные средства, переданные в финансовый лизинг, включаются в состав основных средств арендатора.
ФОРМИРОВАНИЕ ПОРТФЕЛЯ [portfolio formation] —
процесс подбора в портфель наиболее эффективных финансовых инструментов инвестирования в соответствии с избранной портфельной стратегией и параметрами его типизации.
ФОРМЫ ВОСПРОИЗВОДСТВА ОСНОВНЫХ СРЕДСТВ [fixed assets reproduction forms] — способы обновления и увеличения состава основных средств, используемых предприятием в процессе операционной деятельности. Воспроизводство основных средств может осуществляться на простой и расширенной основе.
ФУНКЦИОНАЛЬНЫЙ (МОРАЛЬНЫЙ) ИЗНОС [obsolescence] — снижение реальной стоимости отдельных видов используемых внеоборотных активов (производственных основных фондов, нематериальных активов) в связи с научным и техническим прогрессом, вызывающим появление на рынке более эффективных аналогов.
ЦЕЛЕВАЯ СУММА ПРИБЫЛИ [target profit; purpose-oriented profit] — плановая сумма прибыли, обеспечивающая ее увязку с целями развития предприятия в предстоящем периоде. Основой этого метода планирования является предварительное определение потребности в собственных финансовых ресурсах, формируемых за счет прибыли, остающейся в распоряжении предприятия {чистой прибыли). Расчет ведется по каждому элементу этой потребности (производственное развитие; выплата дохода владельцам имущества; участие в прибыли персонала и т.п.). Суммарная потребность в средствах, формируемых за счет прибыли, остающейся в распоряжении предприятия, представляет собой целевой размер чистой прибыли предприятия в плановом периоде.
"ЦЕНОВАЯ МОДЕЛЬ КАПИТАЛЬНЫХ АКТИВОВ" [capital assets pricing model; САРМ] — модель определения необходимого уровня доходов отдельных капитальных активов с учетом ожидаемого уровня систематического риска, рассчитываемого с помощью бета-коэффициента. Ценовая модель капитальных активов учитывает необходимый размер премии за риск. Хотя она названа моделью капитальных активов, ее широко используют и при расчете необходимого уровня доходности отдельных ценных бумаг (с учетом ожидаемого уровня систематического риска).
ЦЕНОВОЙ РИСК [price risk] — вероятность возникновения непредвиденных финансовых потерь от изменения уровня цен на продукцию или отдельные финансовые инструменты инвестирования в предстоящем периоде при проведении операций покупки—продажи с поставкой в будущем периоде. Ценовой риск такого присхождения может быть застрахован путем осуществления операции "хеджирования".
ЦЕНТР ДОХОДА [income centre] — структурное подразделение предприятия, руководитель которого несет ответственность только за формирование доходов в установленных объемах (например, сбытовое подразделение предприятия).
ЦЕНТР ЗАТРАТ [cost centre] — структурное подразделение предприятие, руководитель которого несет ответственность только за расходование средств в соответствии с доведенным ему бюджетом операционных затрат (например, производственное подразделение предприятия).
ЦЕНТР ИНВЕСТИЦИИ [investment centre] — структурное подразделение предприятия, руководитель которого несет ответственность за использование выделенных ему инвестиционных ресурсов и получение необходимой прибыли от инвестиционной деятельности.
ЦЕНТР ОТВЕТСТВЕННОСТИ [responsibility centre] -
структурное подразделение предприятия, которое
полностью контролирует те или иные аспекты формирования и использования прибыли, а его руководитель самостоятельно принимает управленческие решения в рамках этих аспектов и несет полную ответственность за выполнение доведенных ему плановых (нормативных) показателей. Центры ответственности могут быть созданы на предприятии в форме центров дохода, центров затрат, центров прибыли и центров инвестиций.
ЦЕНТР ПРИБЫЛИ [profit centre] — структурное подразделение предприятия, руководитель которого несет ответственность за доведенные ему задания по формированию прибыли. В силу функциональной направленности своей деятельности такое структурное подразделение полностью контролирует как формирование доходов от реализации продукции, так и объем операционных затрат на ее изготовление.
ЧИСТАЯ ПРИБЫЛЬ [net profit; profit after tax; PAT] -
окончательная сумма прибыли, остающаяся в распоряжении предприятия после уплаты налогов и других обязательных платежей из суммы балансовой (валовой) прибыли.
ЧРЕЗВЫЧАЙНАЯ ПРИБЫЛЬ [unusual profit] - прибыль, характеризуемая необычным для данного предприятия источником формирования или очень редким характером ее формирования.
ЭМИССИОННАЯ ПОЛИТИКА [emission policy] - система критериев и мер, разрабатываемых предприятием для обеспечения привлечения необходимого объема финансовых ресурсов за счет внешних источников путем выпуска и размещения на первичном фондовом рынке собственных бумаг — акций или облигаций.
ЭФФЕКТ [effect] — результат, достигаемый за счет осуществления различных видов деятельности или проведения отдельных операций. Он может выражаться в получении дополнительной суммы дохода или прибыли, в размере снижения затрат, в сумме прироста рыночной стоимости предприятия и т.п.
ЭФФЕКТИВНОСТЬ [effectiveness] — соотношение показателей результата (эффекта) и затрат (или суммы ресурсов), использованных для его достижения.
ЭФФЕКТИВНЫЙ ПОРТФЕЛЬ [efficient portfolio] — портфель, лежащий на кривой эффективного множества, обеспечивающий достижение наивысшей доходности при заданном уровне риска или наименьшего уровня риска при заданной доходности.
"ЭФФЕКТИВНЫЙ РЫНОК" [efficient market] - экономическая теория, в соответствии с которой инвестиционный рынок считается эффективным, если уровень рыночных цен на отдельные финансовые инструменты на нем быстро реагирует на внешнюю информацию (при полном доступе участников рынка к информации).
ЮНИДО [UNIDO; United Nations Industrial Development Organization] — Организация Объединенных Наций по промышленному развитию.