Психология и технический анализ. Психология - ключевой момент
Анонимные неудачники
Социальный пьяница иногда выпивает, а алкоголик стремится к спиртному. Он отрицает, что алкоголь управляет его жизнью и уничтожает ее, пока ему не приходится пережить кризис. Это может быть опасная болезнь, безработица, уход члена семьи или другое непереносимо болезненное событие. АА называют это “ падением на самое дно”.
Боль при ударе от падения на самое дно разрушает отрицание алкоголика. Он осознает необходимость выбора: утонуть или вынырнуть и держаться на плаву. Его первым шагом к восстановлению должно стать признание того, что он бессилен перед алкоголем. Восстанавливающийся алкоголик никогда больше не сможет выпить.
Потери для неудачника - это то же самое, что выпивка для алкоголика. Маленькая потеря как одна порция. Крупная потеря - как бутылка. Серия потерь - как запой. Неудачник мечется между системами игры, различными рынками и учителями. Его счет сокращаются в то время, как он хочет воссоздать пленительное чувство победы.
Игроки, теряющие деньги, думают и поступают как алкоголики, только язык у них не заплетается. Две эти группы настолько похожи, что глядя на алкоголика можно предсказать, как поступит неудачник.
Алкоголизм - излечимое заболевание. Равно как и неудачи. Неудачники могут измениться, если начнут пользоваться опытом Анонимных Алкоголиков.
Биржевые уроки Анонимных Алкоголиков
Почти каждый пьяница может оставаться трезвым пару дней. Затем тяга к спиртному побеждает, и он возвращается к бутылке. Он не может противостоять этой тяге, поскольку продолжает чувствовать и думать как алкоголик. Трезвость начинается и заканчивается в сознании личности. Анонимные Алкоголики (АА) разработали метод изменения того, что человек чувствует и думает по поводу выпивки. АА используют для изменения своего сознания программу из 12 шагов. Эти 12 шагов, описанные в книге “Двенадцать шагов и двенадцать традиций”, соответствуют 12 шагам развития личности. Восстанавливающиеся алкоголики посещают заседания, на которых они обмениваются опытом с другими такими же алкоголиками, поддерживая друг друга в трезвости. Каждый может получить спонсора - другого члена АА, к которому он может обратиться за поддержкой при сильном желании выпить. АА были основаны в 1930-х двумя алкоголиками - врачом и коммивояжером. Они стали встречаться и помогать друг другу оставаться трезвыми. Они создали систему, которая работала так хорошо, что к ним стали присоединяться другие. У АА только одна цель - помочь членам организации оставаться трезвыми. Они не занимаются сбором средств, не занимаются политикой и не рекламируют себя. АА растут благодаря тому, что весть о них передается из уст в уста. Их успех объясняется исключительно их эффективностью. Двенадцать шагов программы АА настолько конструктивны, что ими могут воспользоваться и люди с другими проблемами. Есть 12-шаговые программы для детей алкоголиков, курильщиков, игроков и прочих. Я убежден, что игроки могут перестать терять деньги на рынке, если применят ключевые принципы Анонимных Алкоголиков к своим сделкам.
Черные ящики
Черный ящик говорит вам, что и когда покупать и продавать, но не говорит почему. Вы вводите данные в черный ящик, лампочки мигают, колесики проворачиваются, и вы получаете бумажку, на которой написано, что делать. Тысячи игроков платят за это хорошие деньги.
Большинство черных ящиков продано шарлатанами неуверенным и слабовольным игрокам. Черный ящик всегда поставляется с впечатляющей историей, доказывающей прибыльную работу в прошлом. Каждый черный ящик самоуничтожается, поскольку рынок непрерывно меняется. Даже системы игры с встроенной оптимизацией не срабатывают, поскольку заранее не известно, какого рода оптимизация понадобится в будущем. В игре нет заменителей для зрелого размышления. Единственный способ заработать на черном ящике - это продать его.
Провал любого черного ящика гарантирован, даже при продаже честным разработчиком. Невозможно автоматизировать сложную человеческую деятельность, в частности, игру на бирже. Машины могут помочь людям, но не заменить их.
Игра при помощи черного ящика предполагает использование слепка с чужого разума, существовавшего в некоторый момент в прошлом. Рынки меняются и мнения экспертов меняются вместе с ними, а черный ящик продолжает выдавать свои сигналы о покупке и продаже. Игра с черным ящиком похожа на секс с протезом пениса: в течение некоторого времени вы сможете обманывать свою партнершу, но никогда не сможете обмануть самого себя.
Данные о рынке
Каждый игрок должен начать с некоторой базы данных и обновлять ее ежедневно. Раньше обе проблемы решались вручную. Сейчас старые данные по любому рынку стоят меньше доллара за месяц и обновление тоже дешево. При помощи обычной телефонной линии и модема вы сможете обновить данные о дюжинах рынков быстрее, чем за минуту. Есть много надежных баз данных по разным акциям, валютам, фьючерсам и опционам.
Некоторые игроки собирают данные круглосуточно. Они пользуются спутниковыми антеннами, УКВ-приемниками и выделенными телефонными каналами. Данные реального времени нужны для игры в течение дня, но не для работы с отдельными позициями.
Игроки на срочных позициях закупают и продают позиции в течение дней или недель. Дневные игроки входят в игру и выходят из нее через часы, если не минуты. До того, как вы сможете играть в течение дня, вам нужно стать компетентным игроком на срочных позициях. Между игрой на срочных позициях и в течение дня такая же разница, как между игрой с компьютером на уровне 1 и на уровне 9. Вы преодолеваете те же препятствия и боретесь с теми же монстрами, но на уровне 9 темп игры столь высок, что ваши реакции должны быть практически автоматическими. Стоит вам задуматься, и вы пропали. Учитесь анализировать рынок и играть на уровне 1 - станьте хорошим игроком до того, как начинать играть в течение дня.
Когда вы будете покупать исторические данные, разумно охватить два периода рынка "быков" и два периода рынка "медведей". Когда я знакомлюсь с новым рынком, то обычно просматриваю месячные графики за 20 лет, чтобы понять, тяготеет ли рынок исторически к высоким или низким ценам. Я покупаю недельные данные за пять лет и дневные за один год.
Начав использовать компьютер, начните с шести или меньшего числа рынков, добавляя новые рынки позже. Например, вы можете отслеживать государственные облигации, S&P 500, золото, японскую йену и германскую марку. Измените список, если вы предпочитаете промышленный или сельскохозяйственный рынок. Выберите несколько технических индикаторов и вычисляйте их ежедневно для каждого рынка. Когда вы хорошо их изучите, добавьте новые. В каждый момент времени я использую привычный набор из 10 или 12 индикаторов и один новый индикатор. Я слежу за ним в течение нескольких месяцев и сравниваю его сигналы с данными других индикаторов. Если индикатор оказывается полезным, я включаю его в основной набор.
Действительный и ложный прорыв
Рынок проводит больше времени в определенном коридоре цен, чем в тренде. Большинство прорывов за пределы коридора цен - ложные. Они как раз успевают втянуть в игру игроков, следующих, а трендом до того, как цены возвратятся к норме. Ложный прорыв - проклятие любителей, а профессионалы обожают их.
Профессионалы ожидают, что большую часть времени цены будут колебаться, без особых отклонений от норм. Они ждут, когда прорыв наверх достигнет последних высот, а при прорыве вниз, когда цены, наконец, перестанут падать. Затем они играют против прорыва, поместив меры предосторожности на последнем максимуме или минимуме цен. Это очень жесткая остановка и их риск невелик, в то время как существует возможность получить большую прибыль, если цены вернутся в свой диапазон. Соотношение риска и прибыли настолько хорошее, что профессионал может ошибаться в половине случаев и все равно получать доход.
Оптимальный вариант игры при открытии позиции на покупку, когда прорыв наверх на дневном графике сопровождается техническими показателями формирования нового восходящего тренда на недельном графике. Действительные прорывы сопровождаются высоким объемом, а ложные обычно имеют небольшой объем. Истинные прорывы подтверждаются тем, что технические индикаторы достигают новых максимальных или минимальных значений в направлении тренда, а ложные прорывы часто отмечаются дивергенцией между ценами и индикаторами.
Диапазоны линии тренда
Диапазон образуется двумя параллельными линиями, между которыми заключены цены. Если вы провели линию восходящего тренда через минимумы спадов, то параллельную ей линию диапазона нужно провести через максимумы подъемов. Если вы рисуете линию нисходящего тренда через максимумы подъемов, то проведите линию диапазона через минимумы спадов.
Линии диапазона (Channels), как и линии трендов, следует проводить через границы областей консолидации цен, отбрасывая экстремально низкие и высокие значения. Существование линии диапазона добавляет надежности линии тренда. Надежность линии диапазона определяется количеством касаний.
Линия диапазона отражает максимальную силу "быков" при восходящем тренде и максимальную силу "медведей" при нисходящем. Чем шире диапазон, тем прочнее тренд. Разумно играть в направлении наклона диапазона, закупая в нижней четверти или половине восходящего диапазона и распродавая в верхней половине или четверти нисходящего диапазона. Извлекать прибыль следует у другого края диапазона (см. главу 9.3).
Дисциплина
Рынок предлагает массу искушений, подобно прогулке в сокровищнице или гареме. Рынок создает сильную жажду новых приобретений и огромный страх потерять то, что уже есть. Эти чувства нарушают нашу оценку открывающихся возможностей и опасностей.
После выигрыша, большинство любителей чувствуют себя гениями. Приятно чувствовать себя настолько умным, что можно нарушить свои собственные правила и выиграть. Вот так игроки отказываются от своих правил и переходят в режим саморазрушения.
Игроки приобретают некоторый навык, выигрывают, их эмоции берут верх и они самоуничтожаются. Многие игроки тут же пытаются “отомстить” рынку. Известны масса примеров скачков от богатства к нищете и обратно. Признаком успешного игрока является способность накапливать благосостояние.
Вам нужно сделать игру как можно более объективной. Ведите запись каждой сделки с графиком “до и после”, записывайте каждое действие, включая разницу цен и комиссионные, и придерживайтесь всех правил по управлению капиталом. Вы должны уделять самоанализу столько же времени, как и анализу рынка.
Когда я учился играть, я читал все книги по психологии биржи, какие только мог достать. Многие авторы дают ценные советы. Одни выделяют дисциплину: “Не давайте рынку увлечь вас. Не принимайте решений во время торгов. Планируйте сделку и работайте по плану”. Другие подчеркивают гибкость: “Не выходите на рынок с жестким планом. Меняйтесь, если рынок меняется”. Некоторые эксперты рекомендуют уединение: никаких деловых новостей. Wall Street Journal, не слушать других игроков, только вы и рынок. Другие рекомендуют быть открытым, поддерживать контакт с другими игроками и вытягивать свежие идеи. Каждый совет выглядит разумным, но противоречит другим разумным советам.
Я играл, читал и сосредоточился на создании системы игры. Я также продолжал заниматься психиатрией. И никогда не думал, что эти две области соединяются, пока не пережил озарение. Идея, изменившая мою биржевую игру, пришла из психологии.
Для расчета MACD:
2. Рассчитайте 12-дневное ЕМА по ценам закрытия.
2. Рассчитайте 26-дневное ЕМА по ценам закрытия,
3. Вычтите 26-дневное ЕМА из 12-дневного ЕМА и нарисуйте эту разность сплошной линией. Это быстрая линия MACD (MACD Line),
4. Рассчитайте 9-дневное ЕМА от быстрой линии, и нарисуйте результат пунктирной линией. Это медленная сигнальная линия (Signal Line) (см. рис 17).
Психология рынка
Каждая цена отражает консенсус по поводу стоимости между всеми участниками рынка на момент совершения сделки. Показатель среднего движения курса отражает средний консенсус за заданный период - совмещенный фотоснимок консенсуса масс. Длительное усреднение отслеживает долговременный консенсус, краткосрочное усреднение - краткосрочный.
Сырая нефть
DAY
|
close
|
12-ЕМА
|
26-ЕМА
|
MACD
|
signal
|
MACD-hist
|
1
|
20.70
|
20.39
|
20.46
|
-0.07
|
-0.16
|
0.09
|
2
|
20.55
|
20.41
|
20.47
|
-0.06
|
-0.14
|
0.08
|
3
|
20.72
|
20.46
|
20.49
|
-0.03
|
-0.12
|
0.09
|
4
|
21.03
|
20.55
|
2053
|
0.02
|
-0.09
|
0.11
|
5
|
21.10
|
20.63
|
2057
|
0.06
|
-0.06
|
0.12
|
6
|
21.29
|
20.73
|
20.62
|
0.11
|
-0.02
|
0.13
|
7
|
21.09
|
20.79
|
20.66
|
0.13
|
0.01
|
0.12
|
8
|
21.48
|
20.90
|
20.72
|
0.18
|
0.04
|
0.14
|
9
|
21.23
|
20.95
|
20.76
|
0.19
|
0.07
|
0.12
|
Рис. 17. Расчет MACD и MACD-гистограммы.
Для получения линий MACD и MACD-гистограммы проделайте следующее:
1. Вычислите 12-дневное и 26-дневное ЕМА по ценам закрытия.
2. Вычтите 26-дневное ЕМА из 12-дневного, чтобы получить быструю линию MACD.
3. Вычислите 9-дневное ЕМА от быстрой линии MACD, чтобы получить медленную сигнальную линию. Нарисуйте обе, это будет классический индикатор MACD.
4. Вычтите сигнальную линию из линии MACD, чтобы получить MACD-гистограмму.
Пересечения линии МАСD с сигнальной указывают на сдвиг в балансе сил между "быками" и "медведями". Быстрая линия MACD отражает консенсус масс за короткий период. Медленная сигнальная линия отражает консенсус за более длительный период. Когда быстрая линия MACD поднимается над медленной сигнальной линией, это говорит о том, что "быки" доминируют на рынке, и лучше играть на повышение. Когда быстрая линия проходит под сигнальной, это говорит о том, что "медведи" доминируют на рынке и стоит играть на понижение.
Двойной сигнал
Простое МА изменяется дважды после одного изменения цен. Сначала оно изменяется тогда, когда новое значение попадает в период усреднения. Это хорошо, ведь мы хотим, чтобы МА отражало динамику цен. Плохо то, что МА изменяется опять, когда старая цена покидает период усреднения. Когда выпадает высокая цена, МА идет вниз. Если выпадает низкая цена, то МА повышается. Эти изменения не имеют ничего общего с текущим состоянием рынка.
Предположим, что акция колеблется между 80 и 90, а ее 10-дневное МА стоит на 85, но включает в себя один день, когда акция поднялась до 105. Когда эта цена выходит из периода усреднения, МА падает, как если бы начался нисходящий тренд. Бессмысленное падение не имеет отношения к состоянию рынка.
Когда старая цена отбрасывается, линейно-акцентированный показатель среднего движения курса дергается. Простое МА похоже на сторожевую собаку, которая лает дважды: когда кто-то подходит к дому, и когда он отходит от него. Неизвестно, когда верить собаке. Игроки используют простое МА по инерции. Современный компьютеризированный игрок должен пользоваться экспоненциальным показателем среднего движения курса.
Эффективность рынка, теория случайности и закон природы
Теория эффективности рынка - это академическое допущение, согласно которому ничто не может действовать более эффективно, чем рынок, поскольку в каждый момент времени цена отражает всю имеющуюся информацию. Уоррен Баффет, один из самых успешных инвесторов нашего столетия, комментирует это так: “Мне кажется совершенно замечательным то, как правящим ортодоксам удается убедить множество людей в том, что Земля плоская. Заниматься инвестициями на рынке, участники которого верят в его эффективность, все равно, что играть в бридж с теми, кому сказали, что смотреть на карты вовсе не нужно”.
Логическая ошибка теории эффективности рынка состоит в уравнивании знания и действия. Возможно, что у людей и есть необходимые сведения, но эмоциональное давление со стороны толпы часто заставляет их действовать нерационально. Хороший аналитик может обнаружить на своих графиках повторяющиеся структуры, отражающие поведение толпы, и воспользоваться ими.
Теория случайности (Random Walk) заключается в том, что цены на рынке изменяются случайным образом. Конечно, на рынке много случайного или “шума”, как много случайного и в любой другой толпе вокруг него. Умный наблюдатель может обнаружить повторяющиеся модели поведения толпы и обоснованно поставить на его продолжение или изменение рынка.
У людей есть память, они помнят прошлые цены, и их память оказывает влияние на их решения о покупке и продаже. Память помогает создать поддержку и сопротивление для рыночных цен. Сторонники теории случайности отрицают влияния нашей памяти на наше поведение в настоящем.
Как указывал Мильтон Фридман, цены дают информацию о возможности предложения и о состоянии спроса. Участники рынка используют эту информацию для принятия решений о покупке и о продаже. Например, потребители покупают больше товаров на распродаже и меньше, когда цены высоки. Финансисты в той же степени способны к разумному поведению на бирже, что и домохозяйки в супермаркете. Когда цены низкие, вступают в игру охотники за наживой. Дефицит может привести к паническим покупкам, но высокие цены ограничат спрос.
Теория детерминированности рынка ("закон природы") является истерическим криком кучки мистиков, противостоящих сторонникам теории случайности. Мистики утверждают, что на рынке царит совершенный порядок, и он работает как часы, подчиняясь неумолимым законам природы. Р.Н. Эллиот даже назвал свою книгу “Закон природы”.
Толпа, следующая “Закону природы” тяготеет к астрологии и ищет связь между ценами и движением планет. Большинство мистиков прячут свои астрологические привязанности, но узнать их очень просто. Когда с вами в очередной раз заговорят о законах природы, действующих на рынке, коснитесь астрологии. Весьма вероятно, что собеседник ухватится за возможность выйти из подполья и поговорить о своих звездах.
Те, кто верит в совершенный порядок на рынке, полагают, что максимумы и минимумы можно предсказывать далеко в будущее. Любителям нравятся прогнозы, а мистицизм обеспечивает прекрасный маркетинг. Он помогает продавать курсы, системы игры и бюллетени.
У мистиков, академических сторонников теории случайности и у теоретиков эффективности рынка есть одна общая черта. Они в равной степени оторваны от реалий рынка. Экстремисты спорят друг с другом, но мыслят одинаково.
Экспоненциальный показатель среднего движения курса
Экспоненциальный показатель среднего движения курса (ЕМА) лучше отслеживает тренд, чем линейно-акцентированное МА. Он придает больше значения свежим данным и быстрее реагирует на изменения. В то же время ЕМА не вздрагивает в ответ на изменение старых данных. Эта собака слышит лучше и лает только тогда, когда кто-то подходит к дому.
Программы для технического анализа позволяют выбрать длительность усреднения ЕМА и рассчитать его одним нажатием клавиши. Чтобы проделать это вручную, нужно:
1. Выбрать период усреднения ЕМА (см. ниже). Например, мы хотим 10-дневное ЕМА.
2. Вычислите коэффициент К для этого периода (см. выше). Если нужно 10-дневное ЕМА, то К равно 2, деленному на 10+1, или 0.18.
3. Рассчитайте простое МА за первые 10 дней: сложите цены закрытия и разделите на 10.
4. На 11-й день умножьте цену закрытия на К, умножьте предыдущее МА на (1-К) и сложите произведения. Вы получите первое ЕМА.
5. Повторяйте шаг 4 для следующих дней, чтобы получить все ЕМА (см. рис. 15).
У ЕМА два основных преимущества перед МА. Во-первых, оно уделяет больше внимания последнему дню торгов. Самое свежее настроение толпы более важно. В 10-дневном ЕМА цена закрытия последнего дня составляет 18 процентов ЕМА, а в простом МА все дни равноправны. Во-вторых, ЕМА не отбрасывает старые данные, как МА, а дает им медленно раствориться.
Эмоциональная игра
Большинство людей стремится к возбуждению и развлечениям. В нашем обществе певцы, актеры и профессиональные спортсмены получают существенно более высокие доходы, чем такие работяги, как врачи, летчики или преподаватели колледжа. Людям нравится, когда им щекочут нервы, они покупают лотерейные билеты, летают в Лас Вегас и притормаживают, завидев аварию на дороге.
Игра - острое ощущение и может быть очень затягивающей. Неудачники, теряющие деньги на рынке, получают отличное развлечение.
На рынке можно развлекаться лучше, чем в каком либо другом месте на планете. Это спорт для наблюдателя и для участника одновременно. Представьте себе игру в высшей лиге по бейсболу, на которой вы не привязаны к трибунам. За несколько сотен долларов вы можете выбежать на поле и принять участие в игре. Если вы ударите по мячу правильно, то вам заплатят как профессионалу.
Первые несколько раз вы хорошенько подумаете, прежде чем выйти на поле. Этот осторожный подход объясняет “счастье новичка”. Стоит любителю несколько раз ударить по мячу удачно, он начинает думать, что он лучше, чем профессионалы и может отлично прожить на подобный доход. Жадный любитель будет выскакивать на поле слишком часто, даже тогда, когда там нет возможности хорошо сыграть. Прежде, чем он сообразит, в чем дело, серия неудач прервет его карьеру.
На рынке эмоционально принятые решения смертельны. Вы можете увидеть прекрасную модель эмоциональной игры придя на ипподром, повернувшись спиной к лошадям и посмотрев на людей. Игроки топают ногами, скачут вверх и вниз, орут на лошадей и наездников. Тысячи людей выплескивают свои эмоции. Выигравшие обнимаются, а проигравшие рвут свои билетики в отчаянии. Радость и боль, сила эмоционального мышления карикатурно изображают то, что происходит на рынке. Хороший игрок, стремящийся обеспечить себя на беговой дорожке, не возбуждается и не делает ставку в каждом заезде.
В казино любят подвыпивших. Там наливают бесплатно, потому что выпивший более эмоционален и играет больше. В казино пробуют избавляться от тех интеллектуалов, кто считает карты. На Wall Street меньше дармовой выпивки и вас, разумеется, не выставят вон за то, что вы хороший игрок.
Эмоциональный серфинг
Большинство игроков проводит большую часть своего времени в поисках хорошей игры. Как только они вошли в рынок, они теряют контроль: или стонут от боли или улыбаются от блаженства. Они катаются на доске эмоционального серфинга и упускают необходимый для выигрыша элемент - управление своими эмоциями. Их неспособность управлять собой приводит к плохому управлению деньгами на их счетах.
Если ваше мышление не соответствует рынку, или если вы игнорируете изменения в массовой психологии толпы, то у вас нет шансов на выигрыш в игре на бирже. Все профессионалы, которые выигрывают, понимают огромное значение психологии в биржевой игре. Все любители, которые проигрывают, игнорируют ее.
Друзья и клиенты, знающие, что я психиатр, часто спрашивают, помогает ли это мне как игроку. Хороший психиатр и хороший игрок имеют одну общую черту. Оба фокусируются на реальности, на том, чтобы видеть мир таким, каков он есть. Чтобы прожить здоровую жизнь, вы должны жить с открытыми глазами. Чтобы быть хорошим игроком, вы должны играть с открытыми глазами, видеть действительные тенденции и повороты и не тратить время и энергию на ненужные сожаления и мечтания.
Еще о линиях тренда
Если цены прорвали восходящий тренд, измерьте вертикальное расстояние от линии тренда до последнего максимума и отложите его от точки прорыва вниз. Если толпа может быть достаточно оптимистичной, чтобы поднять цены на это количество долларов над трендом, то, вероятно, она может быть и достаточно пессимистичной, чтобы опустить цены на ту же величину ниже тренда. При нисходящем тренде примените эту процедуру наоборот. Этот метод дает вам минимальную оценку величины следующего движения рынка, которое обычно бывает больше.
Линии тренда можно применить и к объему и индикаторам. Наклон линии тренда для объема показывает, больше или меньше людей проявляет интерес к рынку. Растущий тренд в объеме подтверждает действующий тренд. Падающий объем указывает на то, что рыночная толпа отказывается следовать за трендом. Из всех технических индикаторов Индекс Относительной Силы (Relative Strength Index-RSI) лучше других подходит для анализа линий тренда. Его линии тренда часто прерываются раньше, чем линии трендов на графиках цен, давая раннее предупреждения об изменении направления движения рынка.
Еще о MACD
Многие игроки пытаются оптимизировать MACD за счет использования других МА вместо стандартных 12, 26 и 9-дневных ЕМА. Популярен выбор 5-34-7. Некоторые игроки пытаются связать MACD с рыночным циклом. К несчастью, большую часть времени на рынке нет циклов (см. главу 5.5). Если вы используете цикл, то первое ЕМА должно быть в четверть длины доминирующего цикла, а второе ЕМА в половину его длины. Третье ЕМА - это инструмент сглаживания, который не нужно привязывать к длине цикла. Остерегайтесь оптимизировать MACD слишком часто. Если вы достаточно долго поработаете с MACD, то сможете заставить его дать вам на одних и тех же данных любой сигнал.
Те игроки, чье математическое обеспечение не включает этот индикатор, могут построить MACD «дешево и сердито». Некоторые пакеты позволяют только нарисовать два ЕМА. В этом случае вы можете использовать пересечения между двумя ЕМА, например, 11 и 26-дневными, как замену линии MACD и сигнальной линии.
Еще о показателе среднего движения курса
Показатель среднего движения курса служит уровнем поддержки и сопротивления. Растущее МА обычно служит как нижняя граница цен, а падающее МА как верхняя граница. Вот почему стоит покупать около растущего МА и продавать около падающего.
Показатель среднего движения курса можно применить не только к ценам, но и к индикаторам. Некоторые игроки используют 5-дневное МА объема. Когда объем падает ниже его 5-дневного МА, это показывает потерю массами интереса к краткосрочному тренду и он, видимо, скоро пойдет вспять. Когда объем превышает его МА, это указывает на высокий интерес и подтверждает тренд.
Правильным способом нанесения показателя среднего движения курса на график является изображение его с запаздыванием. Действительно, 10-дневное МА относится к периоду из 10 дней и его логично нарисовать под 5 или 6 днем. Экспоненциальное среднее сдвинуто к более свежим данным и 10-дневное ЕМА лучше изобразить под 7 или 8 днем. Большинство пакетов позволяют вам сдвинуть показатель.
Показатель среднего движения курса можно построить не только по ценам закрытия, но и по полусумме максимальной и минимальной цены. МА по ценам закрытия используется при ежедневном анализе, а торговцы в течение дня предпочитают основывать МА на средних ценах.
Экспоненциальный показатель среднего движения курса приписывает максимальный вес последнему дню торгов, а взвешенное среднее (WMA) позволяет вам приписать любой вес любому дню, в зависимости от того, что вам кажется важным. WMA настолько сложны, что игроку лучше ограничиться ЕМА.
Еще о разрывах
Островной разрыв (Island Reversal) образуется сочетанием разрыва продолжения и разрывом прорыва в обратном направлении. Островной разрыв выглядит как остров, отделенный от остальных цен проливом, в котором не было сделок. Он начинается как разрыв продолжения, за которым следует ограниченный период торгов с высоким объемом. Затем цены прыгают в противоположном направлении, оставляя за собой ценовой остров. Эта фигура образуется очень редко, но она отмечает фундаментальные изменения направления трендов. Играйте против тренда, предшествовавшего острову.
Имеет смысл искать разрывы на аналогичных рынках. Если золото дает разрыв прорыва, а платина и серебро - нет, то у вас появляется сделать “упреждающий ход” на рынке, который еще не пришел в движение.
Разрывы могут действовать как уровни поддержки и сопротивления. Если после разрыва вверх наблюдался больший объем, то это служит указанием на сильную поддержку. Если больший объем был перед разрывом вверх, то поддержка менее сильна.
Технические индикаторы помогают определить тип разрыва. Индекс Силы (Force Index) (см. главу 8.2) основан на цене и объеме. Если в день разрыва Индекс Силы изменился незначительно, то, вероятно, это обычный разрыв. Если Индекс Силы достигает рекордно высокого или низкого значения за несколько недель, то это подтверждает истинность разрыва продолжения или прорыва.
Графики с масштабом времени менее 1 года показывают множество разрывов открытия, когда цена открытия лежит вне коридора цен предыдущего дня. Если перед открытием имеет место дисбаланс между заказами на покупку и на продажу, торговцы в зале открывают рынок ниже или выше. Если аутсайдеры хотят купить, то торговцы в зале продают им по такой цене, которая позволит им заработать при малейшем падении цен. Если клиенты хотят продать, то товар выхватывают у них из рук и платят столько, чтобы заработать при малейшем подъеме цен. Профессионалы играют круто: они знают, что толпа редко остается в возбуждении долгое время, и цены обычно возвращаются во вчерашний коридор. Они продают выше или покупают ниже этого коридора, ожидая, что когда цены выровняются, они вернут свои позиции и получат прибыль.
Если вы играете на фьючерсах S&P 500, то помните, что их разрывы открытия закрываются почти всегда. Если S&P 500 открываются выше, то в течение дня почти всегда падают и достигают максимума предыдущего дня. Если они открываются ниже, то почти всегда растут в течение дня и достигают вчерашнего минимума. Хитрые дневные игроки тяготеют
продавать при высоком открытии и покупать при низком. Это не механический процесс: вам следует продавать и покупать только тогда, когда технические индикаторы показывают, что сила, вызвавшая разрыв открытия, исчерпала себя и рынок готов закрыть этот разрыв.
Еще о стохастике
Стохастику можно использовать в любом временном масштабе, включая недельный, дневной или еще более короткий. Недельная стохастика обычно меняет направление движения за одну неделю до MACD-гистограммы. Если недельная стохастика повернула назад, вас предупреждают, что через неделю MACD-гистограмма, вероятно, двинется вспять. Это сигнал ужесточить остановки или приступить к извлечению прибыли.
Выбор периода времени для стохастики весьма важен. Краткосрочные осцилляторы более чувствительны. Долгосрочные осцилляторы разворачиваются только в наиболее важных минимумах и максимумах. Если вы пользуетесь только стохастикой, то более длинный период лучше. Если вы пользуетесь стохастикой как частью системы, объединяя ее с индикаторами указателями тренд а, то короткий период лучше.
Остроумный способ использования стохастики, предложенный Яковом Бернстейном, называется стохастическим пиком. Когда стохастика переходит через верхнюю справочную линию, это говорит о силе. Вы можете покупать в расчете на короткий рост цен и продать, как только стохастика пойдет вниз. Этот сигнал поможет вам ухватить последнюю волну рынка "быков".
Стохастика является любимым инструментом создателей автоматизированных игровых систем. Эти современные алхимики пытаются использовать стохастику чисто механически, покупая и продавая при пересечении двух ее линий. Когда стохастика отказывается приносить волшебную прибыль, они отказываются от нее. Игра на пересечении линий стохастики не даст прибыли независимо от того, как хорошо вы оптимизировали ее, просто потому, что в периоды коридора цен и тренда она работает по-разному.
Факторы, действующие против вас
Почему многие игроки проигрывают и исчезают с рынка? Эмоциональные и безрассудные действия являются двумя причинами, но есть и другие. Рынок организован таким образом, чтобы большинство участников теряли деньги.
Биржевая индустрия убивает игроков комиссионными и разницей цен (Slippage). Большинство любителей не могут поверить в это, подобно тому, как средневековые крестьяне не могли поверить, что маленькие невидимые вирусы могут их убить. Если вы игнорируете разницу цен и работаете с брокером, который берет высокие комиссионные, то вы поступаете подобно крестьянину, пьющему воду из городского пруда во время эпидемии холеры.
Комиссионные платятся, когда вы входите в игру и выходите из нее. Разница цен - это разница между ценой, по которой вы подавали вашу заявку, и той ценой, по которой она была фактически удовлетворена. Когда вы подаете заявку с ограничением (Limit Order), то она либо удовлетворяется по вашей цене, либо не удовлетворяется вообще. Если вы очень хотите войти или выйти из игры, вы подаете рыночную заявку (Market Order), и она часто удовлетворяется по менее выгодной цене, чем была в момент ее подачи.
Биржевая индустрия выкачивает огромное количество денег с рынка. Дилеры, наблюдатели, брокеры и консультанты живут за счет рынка, в то время как поколения игроков выметаются с него. Рынок требует свежего притока неудачников подобно тому, как строительство пирамид в Египте требовало свежего притока рабов. Неудачники приносят на рынок деньги, необходимые для процветания биржевой индустрии.
Игра с отрицательной суммой
Брокеры, операционисты и советники проводят свой маркетинг, чтобы привлечь на рынок больше неудачников. Некоторые утверждают, что торговля фьючерсами - это игра с нулевой суммой (Zero-Sum Game).
Они рассчитывают на то, что большинство людей считают себя умнее окружающих и рассчитывают на выигрыш в игре с нулевой суммой.
В игре с нулевой суммой победители получают ровно столько, сколько теряют проигравшие. Если я и вы поспорим на 10 долларов, в какую сторону качнется, на сто пунктов, индекс Доу-Джонса, то один из нас приобретет, а другой потеряет 10 долларов. Тот, кто умнее, через некоторое время будет в выигрыше.
Люди, которые готовы поверить пропаганде об игре с нулевой суммой, заглатывают наживку и открывают биржевой счет. Они не понимают, что игра на бирже - это игра с отрицательной суммой. Победители получают меньше, чем теряют проигравшие, поскольку индустрия вытягивает деньги с рынка.
Например, рулетка в казино является игрой с отрицательной суммой, поскольку казино забирает от 3 до 6 процентов всех ставок. Это делает невозможным выигрыш в рулетку в долгосрочном плане. Если Вы и я поспорим о движении индекса Доу-Джонса на 100 пунктов, но уже через брокеров - это уже игра с отрицательной суммой. По ее окончании проигравший лишится 13 долларов, выигравший приобретет только 7, а два брокера будут улыбаться всю дорогу до банка.
Для игроков комиссионные и разница цен - это то же самое, что смерть и налоги для всех остальных. Они лишают жизнь некоторой доли радости и в конце концов обрывают ее. Игрок должен профинансировать своего брокера и все торговое оборудование прежде, чем ему достанется хотя бы 10 центов. Недостаточно просто быть “лучше большинства”. Вы должны быть выше толпы на голову с плечами, чтобы выиграть в игру с отрицательной суммой.
Фантазии и реальность
Если ваш друг, не имеющий большого опыта в сельском хозяйстве, скажет вам, что собирается прокормить себя с участка в четверть акра, вы решите, что ему придется поголодать. Мы все знаем, сколько можно выжать с такого надела. Но в области биржевой игры взрослые люди позволяют своим фантазиям расцвести.
На днях мой друг сказал мне, что собирается обеспечить себя, играя на свои сбережения в 6000 долларов. Когда я хотел показать ему всю бесплодность такого плана, он быстро сменил тему разговора. Он хороший аналитик, но отказывается видеть, что его идея “интенсивного земледелия” самоубийственна. В своем отчаянном стремлении преуспеть он должен будет делать крупные закупки, и малейшее колебание цен наверняка исключит его из этого бизнеса.
Успешный игрок - это реалист. Он знает свои возможности и ограничения. Он видит, что происходит на рынке и знает, как на это реагировать. Он анализирует рынок без упрощения, наблюдает за своими собственными поступками и строит реалистичные планы. Профессиональный игрок не может позволить себе иллюзии.
Как только любитель получает несколько ударов и получает требование о довнесении денег, он вместо напористого становится робким, и начинает вырабатывать какие-то страшные идеи насчет рынка. Неудачники продают, покупают или остаются в стороне, исходя из своих фантазий. Они как дети, которые боятся пройти через кладбище или заглянуть ночью под кровать, потому что там могут быть призраки. Неструктурированная рыночная среда позволяет легко плодить фантазии.
У многих людей, выросших в условиях западной цивилизации, появляются общие фантазии. Они настолько распространены, что когда я учился в Нью-Йоркском институте психиатрии, мне читали курс “Универсальные фантазии”. Например, большинство людей в детстве выдумывали, что они не родные дети своих родителей, а усыновлены ими. Фантазии, возможно, объясняют недружественный и безличный мир. Они успокаивает ребенка, но мешают ему видеть реальность. Фантазии влияют на наше поведение даже тогда, когда мы не отдаем себе отчета в их существовании.
Поговорив с сотнями игроков, я обнаружил, что они высказывают ряд универсальных фантазий, которые искажают реальность и стоят на их пути к успеху. Успешный игрок должен обнаружить свои фантазии и избавиться от них.
Фигуры
Фигуры, которые вы видите на графиках или на экране компьютера, являются следами, оставленными "быками" и "медведями". Аналитик-это охотник, который ищет слабые следы, видимые только тем, кто знает, куда смотреть. Фигуры могут помочь вам решить, будет ли тренд продолжаться или нет.
Существует две основные группы фигур: продолжающие и реверсивные. К продолжающим фигурам относятся флаги (Flags) и вымпелы (Pennants). Они подсказывают играть в направлении текущего тренда. Реверсивные фигуры включают "голову" и "плечи", обратную "голову" и "плечи", двойное дно и двойной верх. Они говорят о том, что пора извлекать прибыль из имеющихся позиций. Некоторые фигуры могут быть как фигурами продолжения, так и реверсивными фигурами. Известна такая двойная роль треугольников и прямоугольников.
Когда несколько фигур на графике указывают в одном направлении, их сигналы взаимно усиливаются. Например, когда имеется пересечение восходящей линии тренда и завершилось формирование "головы" с "плечами", то оба факта указывают на то, что восходящий тренд заканчивается. Когда разные фигуры дают противоречивые сигналы, их эффект взаимно уничтожается и лучше воздержаться от игры.
Гонки на выживание
Почти все профессии и занятия обеспечивают страховку для участников. Ваш босс, коллега или клиент может предупредить вас, когда вы начнете вести себя опасно или саморазрушительно. В биржевой игре нет такой поддержки, и это делает ее наиболее опасным из всех человеческих занятий. Рынок предлагает массу возможностей для саморазрушения и никакой страховки.
Все члены общества немного следят за тем, чтобы оградить друг друга от последствий ошибок. Когда вы ведете машину, то избегаете столкновения с другими машинами и помогаете им избежать столкновения с вами. Если кто-то открывает дверь стоящей машины, вы объезжаете. Если кто-то выскакивает перед вами на шоссе, вы можете выругаться, но будете тормозить. Вы избегаете столкновений, поскольку они неприятны обоим участникам.
Рынок работает без обычной человеческой взаимопомощи. Каждый игрок пытается нагреть остальных. Биржевое шоссе завалено обломками. Биржевая игра - наиболее опасное занятие человечества, исключая войну.
Покупка по максимальной цене подобна открытию двери на шоссе. Когда ваша заявка на покупку попадает в зал, торговцы ринуться продавать вам и могут оторвать вашу дверь вместе с рукой. Другие игроки желают вам неудачи, поскольку они заработают те деньги, которые вы потеряете.
“Гуру” рыночного цикла
В течение многих десятилетий, рынок ценных бумаг в США примерно следовал четырехлетнему циклу. Значительные спады, вызванные "медведями", случились в 1962, 1966, 1970, 1974, 1978 и 1982 годах. В общем, рынок ценных бумаг в течение 2,5 - 3 лет шел вверх и в течение от 1 до 1,5 лет - вниз.
Новый "гуру" рыночного цикла появлялся почти на каждой волне колебания рынка, каждые четыре года. Слава "гуру" длилась примерно от 2 до 3 лет. Правление каждого "гуру" совпадало с основным периодом рынка "быков" в США.
Рыночный "гуру" предсказывает все основные подъемы и падения. Каждый успешный прогноз увеличивает его славу и заставляет больше людей покупать или продавать, когда он выпускает следующий прогноз. По мере того, как все больше людей обращают внимание на прогноз, он становится все более пророчествующим. Если вы обнаружили свежего "гуру"” то может быть выгодно прислушиваться к его советам.
Среди тысяч аналитиков кто-нибудь обязательно будет в фаворе в каждый конкретный момент. Большинство аналитиков оказалось знаменитыми в какой-то момент своей карьеры по той же причине, по которой испорченные часы показывают точное время дважды в день. Те, кто сумел насладиться славой во время своих удач, часто считают себя уничтоженными, когда удача проходит и они уходят с рынка. Но есть и старые лисы, которые радостно встречают свое счастье и продолжают работать как обычно, когда оно кончается.
Успех рыночного "гуру" определяется не только временной удачей. У него есть любимая теория по поводу рынка. Эта теория - цикличность, объем, волна Эллиота, что угодно - обычно разрабатывается за несколько лет до звездного часа. Сначала рынок отказывается следовать теории "гуру". Затем рынок меняется и несколько лет ведет себя строго по теории. Тут-то и восходит звезда рыночного "гуру", чтобы ярко сиять высоко над рынком.
Сравните это с тем, что происходит с супермоделями, когда меняются вкусы публики. В один сезон популярны блондинки, а в другой -рыженькие. Неожиданно звезда - блондинка больше не находит места на обложке ведущего женского журнала. Всем нужна темненькая или женщина с родинкой на лице. Меняется не модель, а вкусы публики.
"Гуру" всегда возникает на периферии анализа рынка. Им никогда не бывает аналитик с репутацией. Те, кто работает на корпорацию, относятся к делу ответственно и никогда не достигают невиданных результатов, поскольку используют в общем одинаковые методы. Туру" рыночного цикла - это всегда аутсайдер с уникальной теорией.
"Гуру” обычно зарабатывает на жизнь, распространяя информационный бюллетень, и может обогатиться, продавая свои советы. Число подписчиков может возрасти от нескольких сотен до десятков тысяч. Сообщают, что последний "гуру" рыночного цикла нанял трех человек только для того, чтобы распечатывать конверты, в которых ему присылали деньги.
На конференциях по инвестициям "гуру" обычно окружает толпа поклонников. Если вы когда-нибудь окажетесь в такой толпе, обратите внимание на то, что "гуру" почти не задают вопросов по поводу его теории. Последователям достаточно упиваться звуками его голоса. А потом хвастаться друзьям, что они с ним встречались.
"Гуру "остается знаменитым до тех пор, пока рынок ведет себя согласно его теории, обычно меньше, чем в течение полного 4-х летнего рыночного цикла. В какой-то момент рынок меняется и начинает следовать иным законам. "Гуру "про должает использовать методы, которые потрясающе работали в прошлом, и теряет своих последователей. Когда прогнозы "гуру" перестают оправдываться, обожание толпы сменяется ненавистью. Для дискредитированного "гуру" совершенно невозможно вновь стать звездой.
Эдсон Гоулд был царствующим "гуру" в начале 1970 годов. Он основывал свои прогнозы на изменении политики Федеральной Резервной Системы, отражавшейся в изменении ставки дисконтирования. Его знаменитое правило “трех шагов и остановки” гласило, что если Федеральная Резервная Система трижды поднимает ставки дисконтирования, то это означает закручивание гаек и ведет к рынку "медведей". Трехкратное снижение ставки дисконтирования означает смягчение кредитной политики и приводит к рынку "быков". Гоулд также разработал оригинальную графическую технику, называемую линиями скорости - простые линии трендов, чей наклон зависит от скорости изменений и глубины рыночных реакций.
Во время рынка "медведей" 1973-1974 годов Гоулд стал очень знаменит. Он взлетел к славе, правильно предсказав минимум декабря 1974 года, когда индекс Доу-Джонса упал почти до 500. Когда рынок взлетел вверх, этот важный поворот оказался правильно предсказан Гоулдом по линиям скорости, и его слава упрочилась. Но вскоре США были затоплены ликвидными активами, инфляция набрала обороты и методы Гоулд а, разработанные для других условий рынка финансов, перестали работать. К 1976 году у него почти не осталось сторонников и сейчас мало кто даже может вспомнить его имя.
В 1978 году появился новый "гуру" рыночного цикла. Джозеф Гранвил утверждал, что изменения в объеме продаж предшествуют изменениям в ценах. Он красочно это сформулировал: “Объем - это тот пар, от которого едет паровозик”. Гранвил создал-свою теорию во время работы на крупную брокерскую фирму на Wall Street. Он писал в своей автобиографии, что идея пришла к нему, когда он сидел в туалете и изучал узор на полу. Гранвил перенес свою идею из туалета на графики, но рынок отказывался выполнять его прогнозы. Он разорился, развелся и спал на полу в офисе своего друга. Но в конце 1970-х рынок стал работать по сценариям Гранвилла как никогда раньше, и люди начали обращать на это внимание.
Гранвилл ездил по США и собирал огромные толпы. Он выезжал на сцену в коляске, издавал прогнозы и поносил “ретроградов”, которые не признавали его теорию. Он играл на пианино, пел и даже спускал временами штаны, чтобы быть более убедительным. Его прогнозы были поразительно точны. Он привлек внимание к себе, стал широко цитируем и освещаем в печати. Гранвил стал настолько велик, что начал оказывать влияние на рынок ценных бумаг. Когда он объявил, что присоединяется к "медведям", Доу-Джонс падал на 40 пунктов в день, что было очень круто по тем временам. Гранвилл был опьянен своим успехом. Рынок пошел вверх в 1982 году, но он остался с "медведями" и рекомендовал своим сторонникам продавать. Рынок взлетел вверх ракетой в 1983. Гранвилл наконец сдался и порекомендовал покупать, когда индекс Доу-Джонса практически удвоился. Он продолжил выпускать бюллетень, но это была лишь бледная тень былого.
В 1984 году возник новый "гуру". Роберт Причер сделал себе имя как последователь теории волн Эллиота. Эллиот был непримечательным бухгалтером, разработавшим свою рыночную теорию в 1930-х годах. Он верил, что рынок идет вверх 5 волнами, а вниз 3 волнами, причем каждую можно разбить на несколько меньших волн.
Как и большинство рыночных учителей до него, Причер многие годы выпускал рекомендательные письма с ограниченным успехом. Когда рынок "быков" прорвался за отметку 1000 по Доу-Джонсу, люди начали прислушиваться к молодому аналитику, утверждавшему, что индекс достигнет 3000. Сильный рынок "быков" становился все сильнее, и слава Причера росла как на дрожжах.
Во время бушующего рынка "быков" 1980-х слава Причера вырвалась из узкого круга информационных писем и инвестиционных конференций. Пречер выступал по национальному телевидению и давал интервью массовым журналам. В октябре 1987 года он, казалось заколебался, сначала дав сигнал продавать, но затем предложив своим последователям готовиться покупать. Когда индекс Доу-Джонса упал на 500 пунктов, массовое восхищение Причером уступило место презрению и ненависти. Одни обвиняли его в спаде, а другие возмущались, что рынок так и не достиг обещанных 3000. Консультативный бизнес Причера развалился и он, в общем, вышел в отставку.
Основные черты всех "гуру" рыночного цикла совпадают. Они начинают работать с прогнозами за несколько лет до того, как становятся звездами. У каждого есть несколько сторонников, уникальная теория и некоторый кредит доверия, что, собственно, и подразумевает скромное выживание в консультативном бизнесе. Тот факт, что на протяжении нескольких лет теория "гуру" не приносила плодов, не принимается во внимание его последователями. Средства массовой информации замечают только, что теория стала правильной. Когда теория перестает работать, восхищение масс "гуру" перерождается в ненависть.
Когда вы видите, что родился новый успешный "гуру", может быть выгодно вскочить на подножку его поезда. Но еще более важно понять, когда "гуру" достиг своего расцвета. Все "гуру" терпят крах и, по определению, делают это на вершине своей карьеры. Когда "гуру" признан средствами массовой информации, это говорит о том, что он подошел к своему пределу. Ведущие издания сторонятся аутсайдеров. Когда несколько крупных журналов уделяют внимание новому модному "гуру", знайте - его конец близок.
Другим тревожным сигналом, показывающим, что рыночный "гуру" достиг своего максимума, является интервью в "Барронс", крупнейшем деловом еженедельнике. Каждый январь "Барронс" приглашает группу видных аналитиков делиться мудростью и радовать нас прогнозами на следующий год. Эта группа обычно набирается из “безопасных” аналитиков, которые основывают свои суждения на соотношении цен и доходов, появлении новых видов продукции и т.д. Для "Барронс" совершенно не характерно приглашать в эту группу модного "гуру" с необычными взглядами. "Гуру" приглашают только тогда, когда публика этого требует, и в противном случае может пострадать престиж издания. Оба, и Гранвилл и Причер, были приглашены в январскую группу "Барронс" в зените своей карьеры. Оба "гуру" пали через несколько месяцев после этого. Когда очередной "гуру" появится в январском номере "Барронс", не продлевайте подписку на его бюллетень.
Пока массовая психология остается тем, что она есть, новые "гуру" будут появляться с неизбежностью. Старые "гуру" рыночного цикла никогда не возвращаются. Стоит им споткнуться, и восхищение сменяется презрением и ненавистью.
“Гуру” “волшебного” метода
"Гуру" рыночного цикла созданы рынком акций, а "гуру" "волшебного" метода более характерны для производных рынков, особенно для рынка фьючерсов. Такие “гуру" появляется на сцене после того, как они изобрели новую схему игры или новый метод анализа.
Игроки всегда ищут новинку, преимущество перед коллегами -игроками. Подобно тому, как рыцари торговались за мечи, они готовы щедро платить за свои профессиональные инструменты. Никакая цена не будет слишком высокой, если за нее предоставляется возможность подключиться к денежному насосу.
“Гуру" "волшебного" метода продает новый комплект ключей к прибыли. Как только достаточно много людей ознакомятся с этим набором и проверят его на рынке, набор неминуемо изнашивается и теряет популярность. Рынок постоянно меняется и методы, которые хорошо работали вчера, вряд ли будут хороши сегодня и наверняка не сработают через год.
В начале 1970-х издатель бюллетеня в Чикаго Джейк Бернштейн стал знаменит за счет использования рыночных циклов для предсказания максимумов и минимумов. Его метод работал хорошо, и его слава ширилась. Бернштейн установил высокую цену за свой бюллетень, проводил семинары, управлял фондами и издал бесконечную вереницу книг. Как обычно, рынок изменился и в 1980-х стал все менее и менее цикличным.
Над Чикаго высоко поднялась и звезда Питера Стейдлмайера, другого "гуру" "волшебного" метода. Он призывал последователей отбросить старые приемы биржевой игры в пользу его метода Рыночного профиля (Market Profile). Этот метод обещал раскрыть секреты спроса и предложения и дать возможность истинно верующим покупать по минимуму и продавать по максимуму. Стейдлмайер объединился со своим менеджером Кевином Коем и их регулярные семинары привлекали по 50 человек, готовых заплатить 1600 долларов за 4 дня занятий. Среди приверженцев Рыночного профиля не нашлось ярких примеров финансового успеха и отцам-основателям пришлось закрыть дело. Стейдлмайер нашел работу в брокерской фирме и продолжил совместно с Коем проводить семинары, время от времени.
Как это не странно, даже в наше время глобальной коммуникации, репутация изменяется медленно. 'Туру", чей образ в родной стране уже повержен, может успешно собирать деньги, проповедуя свою теорию за рубежом. Мое внимание к этому факту привлек "гуру", сравнивший свою продолжающуюся популярность в Азии с тем, что происходит с теряющими популярность американскими певцами и киноактерами. Они не способны привлечь публику в США, но вполне могут заработать себе на жизнь, выступая за границей.
Ходить или ездить
Игрок без компьютера напоминает путешественника на велосипеде. У него сильные ноги и он видел много, но продвигается вперед медленно. Когда вы совершаете деловую поездку и хотите попасть в определенное место, вы берете машину.
Компьютер может помочь вам отслеживать и глубоко анализировать больше рынков. Он может заняться рутиной и дать вам возможность думать. Компьютер позволит вам использовать больше индикаторов и проверить больше возможностей. Игра на бирже - это игра с информацией. Компьютер поможет вам обработать больше информации.
Компьютеризированный технический анализ объективнее обычных графиков. Вы можете оспаривать существование "головы" с "плечами", но невозможно спорить о динамике индикатора. Если индикатор показывает вверх, то это значит вверх, а если вниз, то только вниз.
Переход от ручного рисования к компьютеризированному анализу напоминает отказ от счетов в пользу калькулятора. На первых порах, пока вы учитесь нажимать на клавиши, работа может замедлиться, но итоговое ускорение оправдает все усилия.
Играть или ждать
Если вы обнаружили восходящий тренд, то вам придется решить, покупать немедленно или подождать до локального минимума. Если вы купите немедленно, то пойдете в ногу с трендом, но ваша мера предосторожности, скорее всего, будет установлена достаточно далеко и ваш риск будет больше.
Рис. 4. Линии тренда определяют тренд.
Самый важный указатель линии тренда - это ее наклон. Если наклон вверх, то играйте на повышение. Если наклон вниз, то играйте на понижение.
Восходящая линия, соединяя минимумы 1 и 2, указывает на восходящий тренд. Обратите внимание на то, что цены иногда прорываются через линию тенденции вниз, но затем вновь поднимаются к ней (3). Это дает прекрасную возможность продавать. То же самое происходит опять в точке 7, где цены вновь возвращаются к линии тренда после того, как они опустились ниже ее.
Когда вы играете в направлении линии тренда, вы обычно играете в направлении рыночного прилива. На правом краю графика вы должны искать возможность для продажи, поскольку тренд идет вниз. Не продавайте немедленно, цены слишком далеко под линией тренда и даже при вступлении в игру страховочные меры не смогут уменьшить Ваших потерь. Важно дождаться сделки с хорошим отношением прибыли к риску. Терпение -добродетель игрока.
Если вы подождете до минимума, то ваш риск будет меньше, но вы приобретете конкурентов четырех разновидностей: держателей позиции, которые хотят добавить к позиции, тех игроков, которые хотят закрыть позицию, которые пока еще не купили, и игроков, продавших слишком рано и теперь стремящихся купить, зал ожидания спада цен весьма полон! Рынок не слишком славится благотворительностью и глубокий спад вполне может означать начало смены направления тренда. Эти рассуждения справедливы и при нисходящем тренде. Ожидание отката назад, когда тренд набирает ход - это занятие для любителей.
Если рынок находится в коридоре цен, а вы - в ожидании прорыва, то вам придется решать, покупать или в предвкушении прорыва, или во время прорыва, или во время отката после действительного прорыва. Если вы работаете с несколькими позициями, то можете треть покупать в ожидании прорыва, треть во время прорыва и треть во время отката.
Какое решение вы ни примете, одно правило по управлению капиталом всегда оградит вас от самых рискованных сделок. Расстояние от точки входа до Вашей меры предосторожности должно быть не больше, чем 2 процента Вашего капитала (см. главу 10). Независимо от того, насколько выгодной представляется сделка, пропустите ее, если она требует более удаленных мер предосторожности.
Во время тренда тактика управления капиталом должна быть другой, чем во время коридора цен. В тренде разумно сделать объем позиции меньше, а меры предосторожности поместить дальше. Тогда у вас будет меньше шансов пострадать от колебаний рынка, а риск по-прежнему останется под контролем.
Во время коридора цен очень важно правильно определить момент выхода на рынок. Здесь важна точность, поскольку возможностей для извлечения прибыли мало. Тренд прощает запаздывание с вступлением в игру, если вы продолжаете действовать в направлении тренда. Старые игроки советуют: “Не ломайте себе голову на рынке "быков"”. Если вы не уверены, находится рынок в коридоре цен или в тренде, то вспомните, что профессионалы предполагают существование коридора цен, пока не доказано обратное. Если вы все еще в сомнении, отойдите в сторону.
Профессионалы любят коридор цен, поскольку они могут приобретать и сбрасывать позиции почти без риска быть захваченными трендом. Поскольку они выплачивают низкие или вообще нулевые комиссионные и не страдают от разницы цен, игра на слегка колеблющемся рынке для них прибыльна. Тем из нас, кто играет вне операционного зала, лучше дождаться возникновения тренда. Во время тренда вы можете заключать сделки реже, и ваш счет меньше пострадает от комиссионных и разницы цен.
Играть с открытыми глазами
Каждый игрок должен овладеть тремя основными компонентами: реалистичной личностной психологией, логичной системой игры и хорошим планом управления капиталом. Эти основы - как три ножки у табуретки. Уберите одну, и табуретка падает, вместе с тем, кто на ней сидит. Неудачники пытаются построить табуретку с одной ножкой, максимум с двумя. Обычно они сосредотачиваются исключительно на игровой системе.
Ваша игра должна основываться на ясно определенных правилах. Вы должны анализировать чувства, которые охватывают вас во время игры, чтобы убедиться в логической обоснованности ваших решений. Вам нужна такая структура управления капиталом, чтобы никакая полоса неудач не вывела вас из игры.
Игра для мужчин?
Архивы брокеров показывают, что большинство игроков - мужчины. Архив моей образовательной фирмы. Financial Trading Seminars, Inc., подтверждает, что 95% из них действительно мужчины. Поэтому я обычно использую мужской род (он) в повествовании и примерах по ходу этой книги. Разумеется, я не пытаюсь умалить достоинства многих успешных игроков - женщин.
Число женщин выше среди корпоративных игроков - служащих банков, инвестиционных компаний и тому подобного. Однако, по моим наблюдениям, те немногие женщины, которые начинают биржевую игру, чаще добиваются успеха, чем мужчины. Женщина должна иметь весьма сильные побудительные мотивы, чтобы заняться чисто мужским делом.
Игра на бирже напоминает такие острые и опасные виды спорта, как прыжки с парашютом, скалолазание или подводное плавание. Они тоже привлекают в основном мужчин: менее 1% дельтапланеристов - женщины.
В нашем все более организованном обществе мужчины тяготеют к рискованному спорту. Нью-Йорк Тайме цитирует доктора Давида Клейна, социолога из университета штата Мичиган, который сказал: “по мере того, как работа становится все более и более рутинной ... мы обращаемся к развлечениям для того, чтобы испытать чувство победы. Чем более однообразной и безопасной мы будем делать нашу работу, тем сильнее мы будем подталкивать людей к развлечениям, в которых заметны свободный выбор, вовлеченность, возбуждение и приключение.”
Такие виды спорта дают острое удовольствие, но считаются опасными, поскольку многие участники игнорируют риск и делают безрассудный выбор. Доктор Джон Тонг, хирург-ортопед в Орегоне, изучал несчастные случаи среди дельтапланеристов и обнаружил, что у более опытных пилотов шансы погибнуть выше, поскольку они идут на больший риск. Тот, кто хочет заниматься опасным спортом, должен выполнять правила безопасности. То же самое относится и к игре на бирже.
Вы можете преуспеть в игре на бирже только тогда, когда вы будете относиться к ней как к серьезной интеллектуальной работе. Эмоциональная игра смертельна. Достижению успеха во многом будет способствовать страховка стратегии управления финансами. Хороший игрок следит за своим капиталом так же внимательно, как ныряльщик за своим запасом воздуха.
Индекс относительной силы
Индекс относительной силы (RSI) является осциллятором, предложенным Дж. Веллсом Вилдером-младшим. Сейчас его включают в большинство пакетов. RSI измеряет относительную силу рынка, отслеживая цены закрытия. Это опережающий или синхронный индикатор, он никогда не запаздывает.

Картина максимумов и минимумов RSI не зависит от того, за сколько дней берется усреднение. Сигналы лучше видно при относительно коротком периоде усреднения, таком, как 7 или 9 дней. Большинство игроков расчитывают и рисуют RSI при помощи компьютера. Для расчета 7-дневного RSI проделайте следующее:
1. Получите цены закрытия за 7 дней.
2. Выделите все дни, в которые цена закрытия оказалась выше, чем накануне, сложите цены закрытия в эти дни и разделите на 7, чтобы найти среднюю цену закрытия ВВЕРХ.
3. Выделите все дни, в которые цена закрытия оказалась ниже, чем накануне, сложите цены закрытия в эти дни и разделите на 7, чтобы найти среднюю цену закрытия ВНИЗ.
4. Разделите среднюю цену закрытия ВВЕРХ на среднюю цену ВНИЗ, чтобы найти относительную силу (RS). Подставьте результат в приведенную выше формулу, чтобы получить RSI - индекс относительной силы.
5. Повторяйте процесс ежедневно (рис. 31).
Швейцарский франк
Date
|
Close
|
UpAvg:7
|
DownAvg:7
|
RSI:7
|
10/29
|
77.34
|
|
|
|
10/30
|
78.02
|
|
|
|
10/31
|
77.71
|
|
|
|
11/1
|
78.45
|
|
|
|
11/2
|
79.15
|
|
|
|
11/5
|
79.91
|
|
|
|
11/6
|
79.63
|
|
|
|
11/7
|
79.99
|
0.4629
|
0.0843
|
84.60
|
11/8
|
79.96
|
0.3967
|
0.0765
|
83.83
|
11/9
|
79.94
|
0.3401
|
0.0685
|
83.24
|
11/12
|
79.96
|
0.2943
|
0.0587
|
83.38
|
11/13
|
79.76
|
0.2523
|
0.0789
|
76,18
|
11/14
|
80.09
|
0.2634
|
0.0676
|
79.58
|
11/15
|
79.72
|
0.2258
|
0.1108
|
67.08
|
11/16
|
80.10
|
0.2478
|
0.0950
|
72.29
|
Рис. 31. Расчет 7-дневного индекса относительной силы
Как нарисовать линию тренда
Большинство игроков проводят линии тренда через самые высокие и самые низкие уровни цен, но лучше проводить их через границы областей консолидации цен (рис. б). Эти границы показывают, где большинство игроков сменило направление игры. Технический анализ - это разновидность опроса общественного мнения, а при таком опросе интересуются мнением масс, а не нескольких экстремистов. Проведение линий трендов через границы областей консолидации несколько субъективно. Вам придется бороться с искушением наклонить линейку.
Паническая продажа "быков" и паническая скупка "медведей" создают экстремальные значения, выглядящие как “хвосты” (Tails) на графике. Вы можете предпочесть проводить линии тренда через области консолидации, а не через экстремальные значения, еще и потому, что последние говорят о толпе только то, что она склонна к панике.
Точки экстремальных значений очень важны, но не для проведения линий тренда. Рынок обычно восстанавливается после таких значений, предоставляя хорошие возможности для краткосрочной игры (рис. 6).
Рис. 6. Линии тренда и “хвосты”
Проводите линии тренда через области консолидации цен и оставляйте в стороне экстремальные цены. "Хвосты" - это высокие черточки в конце тренда, они выскакивают из областей консолидации. Рынок уходит от "хвостов", предлагая хорошие возможности для игры в противоположном направлении.
Обратите на то, как упорно месяц за месяцем повторяются углы наклона линий тренда. Если вы их знаете, то вам будет проще нарисовать предварительные линии тренда. На правом краю графика цены касаются линии тренда. Покупайте, как только увидите, что очередная черта не дала нового максимума.
Как отмечал Стейдлмайер, черта, выглядящая как палец, выставленный из плотного графика, показывает ценную точку отсчета цены для краткосрочной игры.
Рынки постоянно колеблются в поисках области, в которой объем торгов будет наибольшим. Хвосты показывают, что данная цена была отвергнута рынком. Обычно это приводит к броску в противоположном направлении. Как только вы обнаружите хвост, играйте против него. Поместите вашу предохранительную остановку на середине хвоста. Если рынок начнет “жевать свой хвост”, пора выходить из игры.
Виктор Сперандео приводит другой метод изображения линий трендов в своей книге “Игрок Вик”. Его техника помогает определить разворот хорошо установившегося тренда (рис. 7).
Сперандео проводит линию восходящего тренда через наименьший минимум за весь тренд и через наивысший локальный минимум, предшествующий самому высокому максимуму. Такая линия может и не касаться цен между этими двумя точками. Пересечение этой линии ценами дает первый сигнал, что тренд меняется. Следующий сигнал подается тогда, когда цены доходят до предыдущего максимума и двигаются от него вниз. Третий сигнал поступает, когда цены опускаются ниже предыдущего минимума. Он подтверждает, что восходящий тренд изменил направление. Зеркальное отражение описанной процедуры применимо к нисходящему тренду.
Как построен этот раздел
Основа успешной биржевой игры - грамотное применение знаний трех наук: психологии, анализа рынка и систем игры, и управления капиталом. Эта книга поможет вам познакомиться со всеми тремя.
Первая глава покажет вам новый подход к управлению вашими эмоциями как игрока. Я обнаружил этот метод во время занятия психиатрией. Он значительно улучшил мою игру и может помочь и вам.
Вторая глава описывает массовую психологию рынка. Поведение толпы более примитивно, чем поведение индивидуума. Поведение индивидуума всегда более сложно, чем поведение толпы. Если вы понимаете, как ведет себя толпа, то сможете извлечь выгоду из резких смен настроений толпы, не будучи захлестнутыми ее эмоциями.
Третья глава показывает, как графики отражают поведение толпы. Классический технический анализ является практическим изображением психологии толпы, как и проведение опросов общественного мнения. Линии трендов, разрывы и др. фигуры на графиках цен фактически отражают поведение толпы.
Четвертая глава обучает современным методам компьютеризированного технического анализа. Индикаторы дают более глубокое понимание массовой психологии, чем классический технический анализ. Индикаторы указателей тренда позволяют определить направление движения рынка, а осцилляторы показывают, когда рынок готов повернуть вспять.
Объем сделок и число открытых контрактов (Open Interest) тоже отражают поведение толпы. Пятая глава посвящена им, а так же временным циклам на рынке. Внимание толпы сосредоточено на очень коротком промежутке времени и игрок, рассматривающий изменения цен с учетом длительных циклов, получает определенное преимущество.
Шестая глава рассматривает лучшие методики анализа рынка ценных бумаг. Они особенно полезны торгующим опционами и фьючерсами.
Психологические индикаторы, отражающие мнения игроков и инвесторов, приведены в седьмой главе. Толпа идет за ценами, и часто выгодно следовать за ней, если цены меняются. Психологические индикаторы показывают, когда следует покинуть толпу, до того, как будет упущен важный разворот тренда.
Восьмая глава рассматривает два дополнительных индикатора. Лучи Элдера (Elder Rays) - это основанный на ценах индикатор, который позволяет измерять относительную силу "быков" и "медведей", действующих за кулисами рынка. Индекс силы (Force Index) измеряет цены и объем продаж. Он показывает, становится ли доминирующая на рынке группа сильнее или слабее.
Девятая глава излагает несколько систем игры. Моим собственным методом является Система трех экранов (Tri pie Screen). Я пользовался ею много лет. Эта и другие системы показывают, как выбирать сделки и когда начинать и заканчивать игру.
Десятая глава посвящена управлению капиталом. Этот существенный момент успешной игры обычно упускается многими начинающими. У вас может быть блестящая система игры, но если ваше управление капиталом неудовлетворительно, то короткая полоса неудач уничтожит ваш счет. Игра на бирже без системы управления капиталом напоминает попытку перейти через пустыню босиком.
Вам придется провести здесь много часов. Всякий раз, когда вы обнаружите идеи, которые покажутся вам ценными, проверьте их единственным стоящим способом - на вашем собственном опыте. Вы сможете сделать знание вашим собственным, только сомневаясь в нем.
Как построить систему направлений
Направленный шаг (Directional Movement) определяется как часть сегодняшнего коридора цен, лежащая вне вчерашнего коридора. Система направлений определяет, насколько и в какую сторону сегодняшний коридор цен смещен относительно вчерашнего. Эти сложные вычисления (рис. 20) удобнее выполнять на компьютере. Система направлений включена в большинство пакетов для технического анализа.
1. Определите направленный шаг (DM), сравнив сегодняшний интервал цен от минимума до максимума со вчерашним, Направленным шагом будет считаться большая часть сегодняшнего коридора цен, перекрывающая вчерашний. Шаг может быть четырех типов (рис. 21). Численное значение движения всегда положительно, а знак перед ним (+DM или -DM) показывает, выше или ниже лежит сегодняшний интервал цен по отношению к вчерашнему.
2. Определите «истинный коридор» (True Range -TR) анализируемого рынка. Это всегда положительное число, наибольшее из трех значений:
А. Расстояния между сегодняшними максимумом и минимумом.
Б. Расстояния между сегодняшним максимумом и вчерашней ценой закрытия.
В. Расстояния между сегодняшним минимумом и вчерашней ценой закрытия.
3. Вычислите дневный индикатор направления (Directional Index +DI или -DI). Он позволят вам сравнивать разные рынки, поскольку направленный шаг выражается в процентах от истинного диапазона каждого рынка. Значения DI -положительные числа, +DI равен нулю в тот день, когда не было движения вверх и -DI равен нулю, когда не было движения вниз.

4. Постройте сглаженные линии направления (+DI13 и –DI13). Сглаживание +DI и -DI выполняется показателем среднего движения. Большинство пакетов позволяют выбрать период усреднения, например 13-дневный показатель среднего движения. Вы получите две линии: сглаженное положительное направление вверх и сглаженное отрицательное направление вниз, +DI13 и –DI13. Численные значения обоих положительны. Обычно их рисуют разным цветом или как сплошную и пунктирную линию.
Соотношение между положительной и отрицательной линиями определяет тренд. Когда сверху проходит +DI , значит тренд идет вверх, а если сверху проходит – DI13, то тренд идет вниз. Пересечения + DI13 и – DI13, дают сигналы о покупке и продаже.
Рис. 21. Движение в системе направлений
Движение - это наибольшая часть сегодняшнего интервала цен, лежащая вне вчерашнего интервала.
А. Если сегодня интервал располагается выше, чем вчера, то движение положительно (+DM).
В. Если сегодня интервал располагается ниже, чем вчера, то движение отрицательно (-DM).
С. Если сегодняшний диапазон лежит внутри вчерашнего или выступает за него вверх или вниз одинаково, то направленного шага нет (DM=O). Если сегодняшний диапазон выступает за пределы вчерашнего и вниз, и вверх, но по разному, то направленный шаг положителен или отрицателен в зависимости от того, в какую сторону он выступает больше.
D. На текущий день +DM равно расстоянию между сегодняшней ценой закрытия и вчерашним максимумом, a -DM равно расстоянию между сегодняшней ценой закрытия и вчерашним минимумом.
5. Вычислите средний индикатор направления (ADX). Этот уникальный компонент системы направлений показывает, когда за трендом стоит следовать. ADX измеряет расстояние между линиями направлений + DI13 u –
DI13 Он вычисляется за два шага:
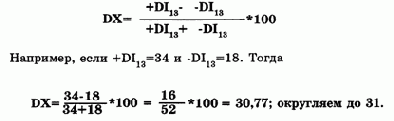
А. Рассчитайте ежедневный индикатор направления (DX):

Б. Вычислите средний индикатор направления (ADX), усреднив DX через показатель среднего движения курса, например 13-дневным ЕМА.
Когда тренд продолжается нормально, расстояние между сглаженными линиями направлений увеличивается и ADX растет. ADX падает, когда тренд поворачивает вспять или когда рынок входит в коридор цен. Когда ADX растет, стоит использовать индикаторы, следующие за трендом, а когда ADX падает, лучше их не применять.
Классификация линий тренда
Основной и наиболее важной характеристикой линии тренда являемся угол ее наклона. Когда линия тренда наклонена вверх, "быки" контролируют ситуацию и нужно искать возможность для покупки. Когда линия наклонена вниз, у руля "медведи" и нужно искать пути продажи. Вы можете классифицировать линии тренда по степени важности при помощи пяти показателей: временному масштабу, длительности, числу раз, когда цены касались линии тренда, углу наклона и объему сделок.
Чем больше временной масштаб, тем важнее линия тренда. Линия тренда на недельном графике показывает более существенный тренд, чем на дневном. Ливия тренда на дневном графике более важна, чем на часовом, и так далее.
Чем длиннее линия тренда, тем она надежнее. Короткая линия тренда отражает поведение масс на коротком интервале времени. Более длинная линия отражает их поведение за более длительный срок. Чем дольше длится тренд, тем больше ее инерция. Серьезный рынок "быков" может следовать своим трендом в течение нескольких лет.
Чем больше число соприкосновений цен с линией тренда, тем она надежнее. При восходящем тренде, возврат к линии означает восстание среди "медведей". При нисходящем тренде подскок цен до линии означает восстание "быков". Когда цены доходят до линии тренда к затем движутся обратно, вы знаете, что доминирующая на рынке группа победила восставших.
Предварительная линия тренда проводится только через две точки. Третья точка контакта делает ее более надежной. Четыре или пять точек контакта показывают, что доминирующая на рынке толпа крепко зернит власть.
Угол между линией тренда и горизонталью отражаем интенсивность эмоций среди доминирующей рыночной толпы. Крутая линия тренда говорит о том, что доминирующая толпа динамична. Относительно пологая линия тренда говорит о том, что доминирующая толпа поворачивается медленно. Пологий тренд обычно длится дольше, подобно соревнованию между черепахой и оленем.
Рис. 7. Простой метод обнаружения разворота
Проведите линию тренда от абсолютного максимума (А) к наименьшему локальному максимуму (В), предшествующему абсолютному минимуму (С) так, чтобы она не пересекала цен между А и В. Прорыв через эту линию тренда (1) дает первый сигнал к тому, что тренд меняется. Возврат к предыдущему минимуму (2) дает второй сигнал об изменении тренда. Это хорошее время для начала покупки. Когда цены преодолеют локальный максимум (3), это подтвердит, что тренд двинулся вспять. При помощи этого метода, описанного Виктором Спирандео, легче поймать основные повороты, а не кратковременные колебания.
Разумно измерить угол наклона каждой линии тренда и отразить его на графике (рис. 6). Это можно сделать при помощи компьютера, транспортира или китайской готовальни. Сравнение углов наклона линий тренда показывает, склоняется доминирующая толпа больше к "быкам" или к "медведям". Поразительно, как часто линии тренда идут с одним и тем же наклоном на данном рынке. Возможно, это объясняется тем, что ключевые игроки редко меняются.
Часто цены отходят от линии тренда быстрее. В этом случае вы сможете нарисовать другой, более крутой тренд. Это показывает, что тренд ускоряется, становясь нестабильным (рис. 8). Нарисовав более крутую линию тренда, вы должны ожесточить меры предосторожности, поместив остановку немедленно за предыдущей линией тренда и корректировать остановку после появления на графике каждого нового столбика цены. Нарушение крутого тренда обычно сопровождается резким броском в обратном направлении.
При восходящем тренде объем сделок обычно увеличивается, когда цены движутся вверх, и сокращается, когда они движутся вниз. Это говорит о том, что подъемы привлекают игроков, а спады оставляют их равнодушными. При нисходящем тренде происходит обратное: объем увеличивается при спадах и сокращается при подъемах. Откат при большом объеме угрожает тренду, поскольку показывает, что мятежная толпа растет.
Если объем увеличивается, когда цены движутся в направлении тренда, то это подтверждает тренд. Если объем сокращается, когда цены движутся против тренда, то это тоже подтверждает тренд. Если объем увеличивается, когда цены возвращаются на линию тренда, то это говорит о возможности перемен. Когда объем сокращается при движении цен от линии тренда, значит этот тренд в беде.
Когда ждать новый пик или спад
MACD-гистограмма работает как фары у машины - она позволяет игроку увидеть дорогу впереди. За максимумами и минимумами этого индикатора обычно следуют максимумы и минимумы цен.
Рекордный за последние три месяца пик на ежедневной MACD-гистограмме показывает, что "быки" чрезвычайно сильны и цены, скорее всего, поднимутся еще выше. Рекордный минимум на MACD-гистограмме за последние три месяца показывает, что впереди, видимо, еще более низкие цены.
Когда MACD-гистограмма достигает максимальных значений во время подъема цен, то восходящий тренд в полном здравии и следующий подъем должен достичь или превзойти предыдущий максимум. Если MACD-гистограмма падает до нового минимального значения во время нисходящего тренда, то "медведи" сильны и спад, вероятно, достигнет или превзойдет предыдущий минимум.
Комиссионные
Вы можете рассчитывать, что вам придется заплатить от 12 до 100 долларов за каждый фьючерсный контракт, который вы покупаете или продаете. Крупные игроки, которые имеют дисконтные фирмы, платят меньше. Мелкие игроки, работающие с обычными брокерами, платят больше. Любители, в своих мечтах о больших прибылях, игнорируют комиссионные. Брокеры утверждают, что комиссионные невелики по сравнению с объемом операций.
Чтобы понять значение комиссионных, вы должны сравнить их с вашей прибылью, а не с объемом операции. Например, вам необходимо 30 долларов на операцию с контрактом на кукурузу (5000 бушелей, примерно 10000 долларов). Брокер говорит, что 30 долларов комиссионных составляют менее 1% от стоимости контракта. Реально вам нужно вложить около 600 долларов, чтобы осуществить эту операцию и 30 долларов составляет 5% от капиталовложений. Это означает, что на капитал, вложенный в игру, вам необходимо получить 5% прибыли только для того, чтобы вернуть свое. Если вы торгуете кукурузой 4 раза в год, то вы должны добиться 20% прибыли в год, чтобы не нести убытков! Мало таких, кто способен на это. Финансовые менеджеры много дали бы за 20% годовых. “Скромные комиссионные” - это не мелочь, а основное препятствие на пути к успеху!
Многие любители тратят на комиссионные 50 процентов и более от своего капитала в год - если протянут так долго. Даже сниженные комиссионные воздвигают высокий барьер перед успешной биржевой игрой. Я слышал, как хихикают брокеры, рассказывая о клиентах, ломающих голову над тем, как бы только удержаться в игре.
Ищите наименьшие возможные комиссионные. Не стыдитесь торговаться за меньшие ставки. Я знаю, что многие брокеры жалуются на недостаток клиентов, но мало кто из клиентов жалуется на недостаток брокеров. Скажите своему брокеру, что в его интересах назначить вам самые низкие из возможных комиссионных, поскольку тогда вы выживете и останетесь его клиентом надолго. Разработайте такую схему игры, чтобы выходить на биржу как можно реже.
Компьютеры
Современные программы работают на разных машинах. Поэтому лучше выбрать программу до того, как покупать компьютер. Приобретайте самую современную машину, чтобы она оставалась полезной многие годы. Игроки продолжают требовать больше памяти и скорости, ни один не пожаловался мне на избыток того или другого. Купите быстрый модем, чтобы получать данные из базы данных. Купите лазерный принтер, если хотите напечатать качественные графики.
Большинство программ позволяет вам автоматизировать процесс исследования и печати результатов. Вы нажимаете на кнопку и оставляете компьютер работать. Когда вы возвращаетесь, перед принтером лежит море графиков с индикаторами. Утомительная работа сделана, и вы можете начинать принимать биржевые решения.
Разумно нанять того, кто уже работает с пакетом, чтобы он установил его на вашу систему. Я часто так поступаю при начале работы с новыми программами, это экономит много времени и сил. Если вы знаете, на какие кнопки нажимать, вы сможете работать с большинством программ, не имея глубоких познаний о компьютерах.
Компьютеры в игре
Чтобы быть успешным игроком, вы должны понимать рынки лучше, чем ваши конкуренты. При помощи компьютера вы сможете проанализировать их более тщательно. У многих игроков, конкурирующих с вами на рынке, уже есть такая техника.
Рисование графиков вручную может дать вам интуитивное, физическое чувство цен. Вы можете купить линованной бумаги и рисовать несколько рынков ценных бумаг или видов сырья каждый день. Остановившись на одной из графиков, запишите, при каком уровне цен вы будете продавать или покупать, когда прекратите играть и где поместите меры предосторожности.
После того, как вы проведете так некоторое время, у вас может появиться желание проанализировать большее число рынков при помощи технических индикаторов. Если так, пора присматривать компьютер и математическое обеспечение для технического анализа.
Конфликт временных масштабов
Большинство игроков не догадываются, что обычно рынок находится в состоянии тренда и коридора цен одновременно! Они выбирают один временной масштаб, например, дневной или часовой, и ищут выгодные сделки на дневных графиках. Когда их внимание приковано к дневным или часовым графикам, тренды других временных масштабов, например, недельные или 10-минутные, застают их врасплох и нарушают все планы.
Рынок существует во всех временных масштабах одновременно (см. главу 4.3). Он может быть изображен на 10-минутном, часовом, дневном, недельном или любом ином графике. На дневном графике может вырисовываться сигнал на покупку, а на недельном - на продажу, и наоборот (рис. 5). Сигналы разных временных масштабов часто противоречат друг другу. Какими из них руководствоваться?
Если у вас сомнения по поводу существования тренда, то рассмотрите график большего временного масштаба. Поиск более широкой перспективы образует один из основных принципов Системы Трех Экранов (см. главу 9.1).
Игрок - неудачник часто считает, что выступил бы удачнее, если бы у него на столе был биржевой телеграф, работающий в реальном времени. Одной из универсальных фантазий неудачников является уверенность в том, что они стали бы победителями, если бы имели больше данных и могли сосредоточиться на меньшем временном масштабе. Но при наличии биржевого телеграфа они теряют деньги еще быстрее! Когда это происходит, некоторые неудачники приходят к выводу, что им нужно играть непосредственно в операционном зале без всяких задержек в передаче данных. Но более половины игроков в зале вымываются в течение первого года, так что попадание в гущу событий не приносит неудачникам ничего хорошего.
Конфликт между сигналами разных временных масштабов, поступающими с одного рынка, составляет одну из великих загадок рыночного анализа. То, что представляется трендом на дневном графике, может оказаться легким подскоком на совершенно прямом недельном графике. То, что выглядит обычным коридором цен на дневном графике, обнаруживает богатство восходящих и нисходящих трендов на часовом графике, и так далее. Когда профессионалы в сомнении, они смотрят на более масштабную картину, любители же сосредотачиваются на мелкомасштабных графиках.
Рис. 5. Противоречивые тренды в разных временных масштабах.
На недельном графике евродоллары дают выраженный восходящий тренд А-В. В то же время дневной график показывает, что начинается нисходящая тенденция X-Y. За какой из них вы последуете? Противоречие между сигналами разных временных масштабов на одном и том же рынке является одним из самых частых и самых неприятных дилемм, встающих перед игроком. Вам нужно следить за рынком в нескольких временных масштабах и знать, как реагировать на противоречия между ними. Система Трех Экранов поможет вам справиться с этой проблемой (см. глава 9.1).
Контроль за саморазрушением
Большинство людей, прожив жизнь, делают в 60 лет те же ошибки, что и в 20. Некоторые организуют свою жизнь так, чтобы добиться успеха в одной области, выплескивая внутренние конфликты в другой. Очень мало людей перерастают свои проблемы.
Вы должны знать о своей тенденции к саморазрушению. Прекратите винить в своих неудачах невезение или других и примите ответственность на себя. Начните вести дневник всех сделок с указанием причин выхода на рынок и ухода с него. Ищите повторяющиеся признаки успеха и неудачи. Те, кто не учится на своем прошлом, обречены пережить его снова.
Вам так же необходима психологическая страховка, как веревка альпинисту. Я обнаружил, что принципы Анонимных Алкоголиков, изложенные ниже в этой главе, очень помогают. Строгие правила управления капиталом - это тоже страховка.
Если вы хотите обратиться к врачу с вашими проблемами на бирже, найдите такого, кто знает, что такое игра на бирже. Вы сами ответственны за ваше лечение и должны следить за тем, как оно продвигается. Обычно я говорю своим пациентам, что если месяц прошел без явного улучшения, то в лечении сбой. Если лечение не дает эффекта в течение двух месяцев, то нужно консультироваться у другого специалиста.
Краткая история
В первые графики цен начали строить в Соединенных Штатах на рубеже столетий. Среди них были Чарльз Доу, автор знаменитой теории рынка ценных бумаг, и Вильям Гамильтон, который сменил Доу на посту редактора Wall Street Journal. Известной максимой Доу была “Индекс решает все”. Он имел в виду, что изменения в индексе Доу Джонса и Железнодорожном индексе отражают все знание о рынке ценных бумаг и все связанные с ним надежды.
Доу так и не написал книги, оставив только редакционные статьи в Wall Street Journal. Гамильтон занял пост после смерти Доу и ввел игру, написав после краха 1929 года редакционную статью “Очередность волн прилива”.
Гамильтон изложил принципы теории Доу в книге “Барометр рынка акций”. Роберт Pea, автор информационного бюллетеня, придал теории законченный вид в своей книге 1932 года “Теория Доу”.
Десятилетие 1930-х было золотым веком графиков. У многих изобретательных людей оказалось много свободного времени после краха 1929 года. Шабакер, Pea, Эллиот, Викофф, Ганн и прочие опубликовали свои исследования в это время. Их работы образовали два отчетливо видимых направления. Одни, как Викофф и Шабакер, считали графики отражением динамики спроса и предложения на рынке. Другие, вместе с Эллиотом и Ганном, искали совершенную упорядоченность рынка, занятие захватывающее, но, к сожалению, бесплодное (см. главу 6).
В 1948 году Эдвардc, который был приемным сыном Шабакера, и Маги опубликовали “Технический анализ рыночных тенденций”. Они популяризировали такие понятия, как треугольник, прямоугольник, "голова и плечи" и другие фигуры на графиках, а так же уровни поддержки и сопротивления, линии тренда. Другие любители графиков применили эти принципы к товарным рынкам.
Со времен Эдвардса и Маги рынки изменились очень сильно. В 1940-х годах количество акций, ежедневно появлявшихся на Нью-Йоркской фондовой бирже, составляло несколько сотен, а в 1990-х годах оно часто превышало миллион. Баланс сил на рынке ценных бумаг сместился в сторону "быков". Ранние специалисты по графикам писали, что подъемы рынка происходят быстро и резко, а падения занимают более длительное время. Это было верно в их дефляционную эру, но с 1950-х справедливо обратное. Теперь спады проходят быстро, а подъемы требуют гораздо большего времени.
Культ личности
Многие, на словах, утверждают, что стремятся к свободе и независимости. Когда же они попадают в переплет, их мнение меняется, и они начинают искать “сильное руководство”. Игроки в беде часто ищут совет у различных "гуру".
Когда я подрастал в бывшем Советском Союзе, детей учили, что Сталин был наш великий вождь. Потом мы выяснили, каким он был чудовищем, но пока он был жив, многие с удовольствием следовали за вождем. Он освободил их от необходимости самостоятельно думать.
В каждой общественной группе существуют “маленькие Сталины” - в экономике, биологии, архитектуре и так далее. Когда я прибыл в Соединенные Штаты и начал играть на бирже, я изумился, когда увидел, как много игроков ищут учителя • своего “маленького Сталина” на рынке. Фантазия, что кто-то другой может сделать вас богатым, заслуживает подробного рассмотрения далее в этой главе.
Линии и флаги
Линия (Line) подобна прямоугольнику: это длинная полоса, в которой остановились цены. С точки зрения теории Доу, линия является корректировкой существующего тренда. Это зона консолидации цен, высотой примерно три процента от текущего уровня рынка. Когда рынок ценных бумаг “рисует линию”, а не реагирует сильно против текущего тренда, то это указывает на особенно сильный тренд.
Флаг (Flag) - это прямоугольник с параллельными границами, слегка наклоненный вверх или вниз. Прорывы обычно происходят в направлении, противоположном наклону флага. Если флаг уходит вверх, то более вероятен прорыв вниз. Если флаг идет вниз, то более вероятен прорыв вверх.
Если во время восходящего тренда вы видите нисходящий флаг, поместите заказ на покупку выше последнего максимума пика, чтобы поймать восходящий прорыв. Восходящий флаг при восходящем тренде служит признаком происходящего перераспределения сил и более вероятен нисходящий прорыв. Поместите заказ на продажу ниже последнего минимума во флаге. При нисходящем тренде действуйте наоборот.
Линии трендов
Графики отражают действия "быков" и "медведей". В минимумах "медведи" теряют, а "быки" обретают контроль над рынком. Максимумы показывают, когда "быки" исчерпали свои ресурсы и инициативу перехватили "медведи". Линия, соединяющая два ближайших минимума, дает наименьший общий делитель силы "быков". Линия, соединяющая два соседних максимума, дает наименьший общий делитель силы "медведей". Эти линии называются линиями трендов (Trendlines). Игроки пользуются ими, чтобы идентифицировать тренд.
Когда цены растут, проведите линию восходящего тренда через минимумы. Когда цены падают, проведите линию нисходящего тренда через максимумы. Проекция этих линий в будущее поможет определить моменты продажи и покупки.
Наиболее важной характеристикой линии тренда является ее наклон, поскольку именно он определяет доминирующую на рынке силу. Когда линия тренда направлена вверх, это говорит о том, что "быки" контролируют ситуацию. В этом случае разумно покупать с мерой предосторожности ниже линии тренда. Когда линия тренда направлена вниз, ситуацией владеют "медведи". В этом случае разумно распродавать и защищать свою позицию остановкой выше линии тренда.
Линии тренда издавна используются игроками. Современные компьютеризированные инструменты для выявления трендов включают в себя показатель среднего движения курса. Систему направлений и MCAD (см. главу 4).
MACD-гистограмма
MACD-гистограмма дает более глубокое понимание баланса сил между "быками" и "медведями", чем первоначальный MACD. Она показывает не только то, кто, "быки" или "медведи", контролируют ситуацию, но и то, становятся они сильнее или слабее. Это один из лучших инструментов, доступных при техническом анализе рынка.
MACD-гистограмма = MACD линия - Сигнальная линия
MACD-гистограмма измеряет расстояние между линией MACD и сигнальной линией (рис. 17). Она рисует эту разницу в виде гистограммы - последовательности вертикальных столбиков. Эта разница может быть очень мала, но компьютер развернет ее на весь экран.
Если быстрая линия выше сигнальной, значение MACD-гистограммы положительно и откладывается вверх от горизонтальной оси. Если быстрая линия идет ниже медленной, то MACD-гистограмма дает отрицательное значение и изображается ниже горизонтальной оси. Когда обе линии пересекаются, MACD-гистограмма дает 0. Когда разрыв между линией MACD и сигнальной линией увеличивается, MACD-гистограмма становится шире. Когда две линии сближаются, MACD-гистограмма становится уже.
Наклон MACD-гистограммы определяется соотношением между двумя соседними столбиками. Если следующий столбик выше, то гистограмма идет вверх, если ниже - то вниз.
Механические системы
Старые механические системы игры обычно включали четыре пункта:
1) Покупайте, когда МА растет и цена закрытия выше этой линии;
2) Продавайте, когда цена закрытия ниже МА;
3) Продавайте, когда МА падает и цена закрытия ниже этой линии;
4) Закрывайте позиции на понижение, когда цена закрытия выше линии МА. Эта механическая система работает на трендовом рынке, но приводит к неудаче из-за зазубрин на спокойном рынке.
Рис. 16. 13-дневный экспоненциальный показатель среднего движения курса
Когда ЕМА растет, это значит, что тренд идет вверх и на рынке нужно играть на повышение. Покупать лучше тогда, когда цены возвращаются к ЕМА, а не тогда, когда они высоко над ним, потому что у вас будет лучше соотношение между прибылью и риском.
Когда ЕМА падает, это говорит о нисходящем тренде и о том, что играть нужно на понижение. Продавать лучше тогда, когда цены поднимаются назад к ЕМА. Когда ЕМА идет ровно, как в декабре, это говорит о том, что на рынке больше нет тренда. Перестаньте пользоваться методами отслеживания тренда, но следите за ЕМА, чтобы вовремя войти в следующий тренд.
Попытка отфильтровать зазубрины механическими правилами обречена на неудачу. Фильтр подавляет потери с той же эффективностью, что и прибыль. Примером фильтра может быть требование того, чтобы цена закрытия была на другой стороне линии МА не один раз, а два раза подряд, или чтобы они проникли за эту линию на определенную величину. Механические фильтры подавляют потери, но они одновременно лишают показатель среднего движения курса основной черты: способности рано сигнализировать о начале тренда.
Любимым подходом Дончина, одного из основателей игры с показателем среднего движения курса, было сочетание 4, 9 и 18-дневных МА. Сигнал подавался, когда все три МА двигались в одном направлении. Его метод, как и все механические системы, работал только на рынке с выраженным трендом.
Игрок должен принять, что ЕМА, как и любой другой игровой инструмент, имеет как сильные, так и слабые стороны. Показатель среднего движения курса позволяет вам обнаружить и отслеживать тренд, но в пределах коридора цен он ведет себя хаотически. Мы поищем решение этой проблемы в главе 9, обсуждая Систему Трех Экранов.
Мертвые "гуру"
Третьим видом рыночного "гуру" является мертвый "гуру". Его книги переиздаются, его лекции изучаются новыми поколениями радостных игроков, и посмертно создается легенда о неимоверном личном состоянии и удаче нашего безвременно ушедшего дорогого аналитика. Мертвого "гуру" нет среди нас, и он не может лично пользоваться своей славой. Другие наживаются на его репутации по истечении срока авторских прав. Одним из безвременно ушедших "гуру" является Р.Н. Эллиот, но более ярким примером будет В.Д. Ганн.
Различные оппортунисты продают курсы “по Ганну” и математическое обеспечение “по Ганну”. Они утверждают, что Ганн был лучшим из когда либо живших биржевых игроков, что он оставил имение стоимостью в 50 миллионов, и тому подобное. Я говорил с сыном В.Д. Ганна, который работает аналитиком в банке в Бостоне. Он рассказал, что его отец не мог содержать семью за счет биржевых операций и зарабатывал на хлеб, составляя и продавая образовательные курсы. Когда В.Д. Ганн умер в 1950-х, его недвижимость оценивалась немногим выше 100000 долларов. Легенда о Ганне, величайшем игроке, поддерживается теми, кто продает курсы и прочие принадлежности легковерным потребителям.
Методы и техника игры
Нет универсального простого метода для идентификации тренда и коридора цен. Существуют несколько методов, и разумно их сочетать. Если они подтверждают результаты друг друга, то доверие к такому результату выше. Если они противоречат друг другу, то в игру лучше не вступать.
1. Рассмотрите соотношение минимумов и максимумов. Когда подъемы достигают все больших значений, а спады останавливаются на все более высоких минимумах, то это указывает на восходящий тренд. Соотношение со снижающимися значениями максимумов и минимумов указывает на понижающийся тренд, а нерегулярные минимумы и максимумы - на коридор цен (см. рис. 3).
2. Нарисуйте линию восходящего тренда, соединив последние важные минимумы и линию нисходящего тренда, соединив последние важные максимумы (см. главу 3.4). Наклон последней линии тренда покажет текущий тренд. (рис. 3, 4, 6).
Важный максимум или минимум на ежедневном графике должен быть самым высоким максимумом или самым глубоким минимумом, по крайней мере за неделю. По мере накопления опыта вы станете лучше находить эти точки. Технический анализ частично является наукой, частично - искусством.
3. Нарисуйте 13-дневную или более длительную экспоненту среднего движущегося значения (см. главу 4.2). Его наклон определяет тренд. Если в течение месяца наблюдается среднее движущееся значение нового абсолютного минимума или максимума, то рынок в коридоре цен.
4. Некоторые рыночные индикаторы, такие, как MACD (см. главу 4.3) или Система направлений (см. главу 4.4), помогают идентифицировать тренд. Система направлений особенно хорошо позволяет уловить ранние сигналы нового тренда.
Метод сближения /расхождения показателя среднего движения курса (MACD) и MACD-гистограмма
Показатель среднего движения курса определяет тренд, сглаживая дневные колебания цен. Джеральд Аппель, аналитик и финансист из Нью-Йорка, построил более сложный индикатор. Метод сближения/ расхождения показателя среднего движения курса, или коротко MACD (Moving Average Convergence-Divergence), состоит не из одной, а из трех экспоненциальных МА. На графике индикатор выглядит как две линии, пересечение которых дает торговые сигналы.
Как построить MACD
Оригинальный индикатор MACD состоит из двух линий: сплошной, называемой линией MACD, и пунктирной, называемой сигнальной. Линия MACD образуется двумя экспоненциальными показателями среднего движения курса. Она реагирует на изменение цен относительно быстро. Сигнальная линия представляет собой линию MACD, сглаженную еще одним ЕМА. Она реагирует на изменения цен более медленно.
Сигнал о покупке или продаже подается тогда, когда быстрая линия MACD пересекает медленную сигнальную линию. Индикатор MACD включен в большинство программ для технического анализа. Редкий игрок рассчитывает его вручную: компьютер делает это быстрее и точнее.
Миф об автопилоте
Представьте себе, что к вам в гараж приходит незнакомец и пытается продать автоматическую систему для управления вашей машиной. Заплатите всего несколько сотен долларов за компьютерный чип, установите его в машину и перестаньте тратить силы на управление, говорит он. Вы сможете вздремнуть в кресле водителя, пока “Ловкий рулила” доставляет вас на работу. Скорее всего, вы засмеетесь такому продавцу в лицо. Но будете ли вы смеяться, если он предложит вам автоматическую систему для биржевой игры?
Игроки, верящие в миф об автопилоте, полагают, что погоня за богатством может быть автоматизирована. Одни пытаются сами разработать автоматическую систему игры, а другие покупают ее у специалистов. Люди, годами оттачивавшие свое мастерство юриста, врача или бизнесмена, выкладывают тысячи долларов за консервированную компетентность. Ими руководит алчность, лень и математическая безграмотность.
Раньше системы записывали на клочках бумаги, а теперь они обычно принимают форму защищенных от копирования дискет. Некоторые примитивны, а некоторые очень сложны и имеют встроенные оптимизаторы и правила управления финансами. Множество игроков находится в поисках волшебства, способного превратить несколько страниц компьютерного кода в нескончаемый поток денег. Те, кто платит за автоматизированные игровые системы, напоминают средневековых рыцарей, которые платили алхимикам за секрет превращения простых металлов в золото.
Сложная человеческая деятельность не позволяет себя автоматизировать. Компьютерные обучающие программы не вытеснили учителей, а бухгалтерские системы не вызвали безработицу среди бухгалтеров. Большинство человеческих занятий требует опыта в принятии решений, так что машины и программы могут помочь, но не заменить человека. Погорело так много покупателей этого товара, что они организовали Клуб 3000, по характерной цене системы.
Если бы вам удалось приобрести работающую автоматическую систему, то вы могли бы уехать на Таити и провести остаток жизни в роскоши и неге, получая непрерывный поток чеков от вашего брокера. Но пока единственными, кто заработал на автоматизированных системах, остаются продавцы программного обеспечения. Они сформировали небольшую, но красочную надомную индустрию. Если бы их системы работали, то зачем бы им их было продавать? Они могли бы сами уехать на Таити и коллекционировать чеки от брокеров! Однако, у каждого продавца готов ответ. Одни утверждают, что любят программирование больше, чем игру на бирже. Другие говорят, что продают систему только для того, чтобы получить капитал для биржевой игры.
Рынок каждый раз изменяется и переигрывает автоматическую систему. Самые жесткие вчерашние правила плохо работают сегодня и, скорее всего, совсем не будут работать завтра. Компетентный игрок может скорректировать свои методы, если он обнаруживает сигналы тревоги. Автоматическая система не так легко приспосабливается и самоуничтожается.
Имея автопилоты, авиакомпании выплачивают высокое жалование пилотам. Они поступают так потому, что люди способны справиться с непредвиденными ситуациями. Когда у лайнера над Тихим Океаном происходи повреждение корпуса, или когда над заповедными местами Канады кончается топливо, только человек может выбраться из кризисной ситуации. О таких ситуациях писали газеты, и в обоих случаях опытные пилоты сумели посадить свои машины, потому что импровизировали. Никакой автопилот не смог бы это повторить. Доверять свои деньги автоматизированной системе - это то же самое, что доверять жизнь автопилоту. Первое же непредусмотренное событие уничтожит ваш счет.
Есть хорошие игровые системы, но за ними нужно присматривать и корректировать каждое их решение. Вы сами должны следить за процессом, не перекладывая свою ответственность на систему.
Игроки, приверженные фантазии об автопилоте, пытаются вновь пережить испытанное в детстве. Их матери удовлетворяли их потребности в тепле, пище и комфорте. И теперь они хотят вновь лежать на спине и смотреть, как прибыли льются на них подобно бесконечному потоку бесплатного теплого молока.
Нельзя рассчитывать на доброжелательность рынка. Он состоит из жестких мужчин и женщин, думающих о том, как забрать у вас деньги, а не о том, как налить молоко вам в рот.
Миф об интеллекте
Неудачники, подверженные мифу о мозгах, скажут вам: “Я проиграл, поскольку не знал секретов биржевой игры”. У многих неудачников есть фантазия, что у успешных игроков есть какой-то секрет. Эта фантазия помогает поддерживать оживленный рынок услуг консультантов и готовых торговых систем.
Деморализованный игрок достает чековую книжку и отправляется покупать “секреты игры”. Он может отправить перевод на 3000 долларов шарлатану, предлагающему “надежную”, проверенную на прошлых данных, компьютеризированную систему игры. Когда это кончается саморазрушением, он посылает другой чек, за “научное руководство”, объясняющее, как ему перестать быть дураком и стать настоящим посвященным и победителем, за счет сопоставления положения Луны, Сатурна или даже Урана.
Неудачники не знают, что с интеллектуальной точки зрения игра на бирже очень проста. Она требует меньше способностей, чем вырезание аппендикса, постройка моста или отстаивание дела в суде. Хорошие игроки часто сообразительны, но среди них мало интеллектуалов. Многие никогда не ходили в колледж, а некоторые даже не окончили среднюю школу.
Умные и работящие люди, достигшие успеха в своих карьерах, часто склоняются к биржевой игре. Среднему клиенту брокерской фирмы 50 лет, он женат и окончил колледж. У многих есть ученая степень или собственный бизнес. Две самые большие профессиональные группы среди них - инженеры и фермеры.
Почему эти умные и работящие люди проигрывают в игре? Не интеллект и не секреты, и уж точно не образование, отличает победителей от проигравших.
Миф о недостаточности капитала
Многие неудачники думают, что добились бы успеха, если бы располагали большими средствами. Все неудачники были выброшены из игры серией неудач или одной, но чрезвычайно разрушительной сделкой. Часто, после того, как любитель закрыл все позиции, являющиеся в данный момент убыточными, рынок поворачивает вспять и двигается в том направлении, на которое он рассчитывал. Неудачник готов избить себя или своего брокера: "Если бы он продержался еще неделю, он мог бы заработать небольшое состояние!"
Неудачники воспринимают смену направлений рынка как подтверждение своих методов. Они зарабатывают, занимают или экономят достаточно денег для того, чтобы вновь открыть скромный счет. История повторяется: неудачника сметают, затем рынок движется в другом направлении, “доказывая”, что тот был прав, но слишком поздно, счет вновь пуст. В этот момент и рождается фантазия: “Если бы у меня был больший счет, я продержался бы немного дольше и выиграл”.
Некоторые неудачники собирают деньги у родных и знакомых, показывая им записи. Казалось бы, они подтверждают, что, имея больше средств, неудачник получил бы крупный выигрыш. Но если они получат больше денег, то также их потеряют, как будто рынок смеется над ними!
Неудачник страдает не от недостатка капитала, а от недоразвитого сознания. Он может уничтожить крупный счет почти так же быстро, как и мелкий. Он переигрывает, а его система управления капиталом неудовлетворительна. Он идет на слишком большой риск при любом размере счета. Независимо от того, насколько хороша его система, последовательность неудачных сделок непременно выкинет его из игры.
Игроки часто спрашивают меня, сколько денег нужно иметь, чтобы начать игру. Они хотят иметь возможность пережить спад, временное падение стоимости их активов. Они ожидают, что потеряют кучу денег перед тем, как что-нибудь заработают! Они напоминают инженера, собирающегося построить несколько мостов, обреченных развалиться, а затем возвести шедевр. Может ли хирург рассчитывать убить несколько пациентов до того, как он станет экспертом по удалению аппендикса?
Игрок, собирающийся выжить и преуспеть, должен управлять своими потерями. Это достигается тем, что вы рискуете только малой частью своих активов в каждой отдельной сделке (см. главу 10). Отведите себе несколько лет на то, чтобы научиться биржевой игре. Не начинайте со счета, превышающего 20000 долларов, и не допускайте потери более 2 процентов от него в одной сделке. Учитесь на дешевых ошибках, работая с малым капиталом.
Любитель равно не предполагает, что у него будут потери, как и не готовится к ним. Убежденность в том, что у него недостаточно средств, это уловка, позволяющая не замечать две неприятные вещи: отсутствие дисциплины в игре и отсутствие реалистичного плана управления финансами.
Одним из преимуществ большого счета является то, что стоимость оборудования и услуг меньше в сравнении с вашим капиталом. Тот, кто управляет фондом в миллион долларов и тратит 10000 долларов на компьютеры и семинары, должен заработать всего 1 процент, чтобы компенсировать это. Те же расходы составят 50% для игрока с капиталом в 20000 долларов.
Моментум и скорость изменения
Моментум (Momentum) и скорость изменения (Rate of Change) отслеживают ускорение тренда, рост или снижение скорости его движения. Это основные индикаторы, показывающие, ускоряется ли тренд, замедляется или движется с прежней скоростью. Они обычно достигают максимума до пика цен и минимума до дна спада.
Пока осцилляторы продолжают давать новые максимумы, безопаснее открывать позиции на покупку. Пока они продолжают давать новые минимумы, безопаснее открывать позиции на продажу. Когда осциллятор поднимается к новым высотам, это означает, что скорость движения тренда увеличивается и она, вероятно, будет продолжаться. Когда осциллятор дает меньший пик, это означает, что ускорение закончилось, как если бы у ракеты кончилось топливо. Когда она летит только по инерции, вы должны быть готовы к развороту. Те же рассуждения относятся и к минимальным значениям осцилляторов при нисходящем тренде.
Рис. 23. Виды дивергенции
Дивергенции между ценами и индикаторами дают одни из самых сильных сигналов технического анализа. Дивергенции создаются различиями высоты или глубины экстремумов цен и индикаторов.
Дивергенции "медведей" класса А: цены поднимаются к новому максимуму, а индикатор дает менее высокий максимум, чем предыдущий. Это самый сильный сигнал к продаже.
Дивергенции "быков" класса А: цены опускаются к новому минимуму, а индикатор дает менее глубокий минимум, чем предыдущий. Это самый сильный сигнал к покупке.
Дивергенции "медведей" класса Б: цены опять поднимаются к прежнему максимуму, а индикатор дает менее высокий максимум, чем предыдущий. Это второй по силе сигнал к продаже.
Дивергенции "быков" класса Б: цены опять опускаются к прежнему минимуму, а индикатор дает менее глубокий минимум, чем предыдущий. Это второй по силе сигнал к покупке.
Дивергенции "медведей" класса В: цены поднимаются к новому максимуму, а индикатор дает такой же максимум, что и предыдущий. Это самый слабый сигнал к продаже.
Дивергенции "быков" класса В: цены опускаются к новому минимуму, а индикатор дает такой же глубокий минимум, что и предыдущий. Это самый слабый сигнал к покупке.
Моментум и скорость изменения сравнивают сегодняшнюю цену с той, которая была некоторое время тому назад. Моментум вычитает прошлую цену из сегодняшней. Скорость изменения делит сегодняшнюю цену на прошлую.

М — моментум,
RoC — скорость изменения,
Рc— сегодняшняя цена закрытия,
Рc-n — цена закрытия n дней тому назад (n выбирается игроком).
Например, 7-дневный моментум цен закрытия равен разности между сегодняшней ценой и ценой 7 дней назад. Моментум положителен, если сегодня цена выше, отрицателен, если ниже, и равен нулю, если цены одинаковые. Наклон линии, соединяющей моментумы каждого дня, показывает, растет значение моментума или падает.
7-дневная скорость изменения - это частное от деления сегодняшней цены на цену 7 дней тому назад. Если цены одинаковы, RoC равна 1. Если сегодня цена выше, то RoC больше 1, а если ниже, то меньше. Наклон линии, соединяющей значения RoC для каждого дня, показывает, растет скорость изменения или падает (рис. 24).
Игрок должен выбрать промежуток времени для моментума или RoC. Опыт подсказывает, что лучше держать осциллятор в узком временном окне. Пользуйтесь широкими промежутками времени для индикаторов указателя тренда, которые должны уловить его присутствие. Для осцилляторов пользуйтесь короткими промежутками времени, чтобы отреагировать на быстрые изменения цен.
Моментум и скорость изменения имеют тот же недостаток, что и МА: они реагируют дважды на одно изменение цен. Они реагируют на каждое изменение цен, а потом меняются еще раз, когда старые данные покидают их временной интервал. Сглаженная скорость изменения решает эту проблему.
Моментум, скорость изменения и сглаженная скорость изменения
Когда массу игроков охватывает страх или жадность, толпа мечется. Осцилляторы измеряют скорость этих метаний и определяют их интенсивность.
Технические индикаторы делятся на три основные группы. Указатели тренда помогают выделить тренд. Осцилляторы помогают найти точки поворота. Прочие индикаторы, например, индекс нового максимума -нового минимума, показывают общие изменения психологии масс.
Осцилляторы определяют пики эмоций рыночной толпы. Они позволяют вам определить необоснованные уровни оптимизма и пессимизма. Профессионалы пытаются избегать таких крайностей. Они играют против них, ставя на возврат к норме. Когда рынок подскакивает, толпа вскакивает на ноги и ревет от жадности, профессионалы продают. Они покупают, когда рынок падает и толпа стонет от страха. Осцилляторы помогают им выбрать время для таких действий.
Наборы инструментов
Если вы хотите работать по дереву или по металлу, то пойдете в магазин инструментов и купите набор в ящичке. Вам придется научиться правильно пользоваться этими инструментами, чтобы работать разумно и эффективно. Наборы инструментов для технического анализа предлагают электронные средства обработки данных о рынке.
Набор инструментов рисует дневные и недельные графики, делит экран на несколько окон, строит графики цен и индикаторов. В хорошем наборе есть множество популярных индикаторов: показатель среднего движения курса, каналы, MACD, MACD-гистограммы, стохастика, индекс относительной силы и дюжины прочих. Он позволяет вам настроить все индикаторы. Например, одним нажатием кнопки он позволяет перейти от 5-дневной к 9-дневной стохастике.
Качественный пакет позволяет вам написать собственный индикатор и добавить его к системе. Кроме готовых индикаторов, у вас может быть своя любимая формула. Избегайте программ, ограничивающих вас готовыми средствами.
Хороший пакет позволяет вам сравнить любые два рынка и найти сходство между ними. Если вы торгуете опционами, то пакет обязательно должен включать в себя модель оценки опционов. Сложные пакеты могут проверить прибыльность систем игры.
Хорошие наборы инструментов предлагаются в широком диапазоне цен. Из более дорогих, например, список индикаторов CompuTrac занимает две страницы, возможна проверка прибыльности, пакет высоко автоматизирован. Большинство рисунков в этой книге подготовлены CompuTrac. У "Financial Trading Seminars, Ink.", есть обновляемый список принадлежностей для компьютеризованных игроков: пакеты программ любой стоимости, служб данных, конфигурации компьютеров и так далее. Этот список обновляется каждые несколько месяцев и выдается игрокам бесплатно. Вы можете получить последнюю версию, если свяжитесь с нашей фирмой.
Начни с одного дня
Возможно, вы видели наклейки на бамперах машин "Начни с одного дня" и “Мало-помалу”. Это лозунги АА и те, кто водит такие машины, вероятно, восстанавливающиеся алкоголики.
Планировать целую жизнь без алкоголя непросто. Поэтому АА предлагают своим членам оставаться трезвыми только один текущий день.
Цель каждого члена АА быть трезвым сегодня и вечером лечь спать трезвым. Постепенно дни становятся неделями, потом месяцами и годами. Заседания АА и другая деятельность помогают каждому восстанавливающемуся алкоголику остаться трезвым по принципу: "Начни с одного дня".
На этих заседаниях восстанавливающиеся алкоголики получают, и дают другим, неоценимую товарищескую помощь. Заседания проводятся постоянно, по всему миру. Игроки могут многому научиться на этих встречах.
Нетипичные треугольники
Вымпел (Pennant) - это маленький треугольник, стороны которого наклонены в одну сторону. Вымпелы с наклоном, противоположным тренду, служат фигурами продолжения. Старая поговорка гласит: “Вымпел поднимают посередине мачты”, то есть подъем, вероятно, продлится столь же долго после вымпела, как он длился до него. Вымпел, наклоненный вдоль тренда, указывает на то, что тренд готов развернуться вспять.
Расширяющийся треугольник (Widening or Expanding Triangle) образуется, когда цены дают последовательность возрастающих максимумов и падающих минимумов. Эта фигура говорит о том, что рынок становится истерически нестабильным, "быки" и "медведи" заметались. Битва между "быками" и "медведями" становится слишком горячей для того, чтобы восходящий тренд продолжился. Расширяющийся треугольник убивает восходящий тренд.
Алмаз (Diamond) начинается как расширяющийся треугольник, а заканчивается как симметричный треугольник. Вам нужно сильно сосредоточиться, чтобы распознать его. Алмаз - прямой потомок карты Роршаха для работающих с графиком. Если вы будете всматриваться достаточно долго, вы его найдете, но его ценность для игрока минимальна. Я сам искал алмазы, и большинство из них оказалось фальшивками из циркония.
Двойная "голова" и двойное "дно"
Двойная "голова" (Double Top) образуется, когда цены вновь подскакивают до предыдущего максимального значения. Двойное "дно" (Double Bottom) - когда цены падают до предыдущего минимального значения. Второй максимум или минимум может быть и немного ниже или выше предыдущего. Это часто смущает начинающих аналитиков.
Игроки определяют двойную "голову" и двойное "дно" при помощи технических индикаторов. Они часто сопровождаются дивергенцией "быков" или "медведей". Покупка в двойном "дне" и продажа в двойной "голове" предлагают игроку одну из самых лучших возможностей.
Общий ущерб
Разница цен и комиссионные делают игру на бирже похожей на плавание в кишащей акулами лагуне. Давайте сравним то, что утверждают брокеры, с реальным положением вещей.
Стратегия такова: фьючерсный контракт на золото соответствует 100 унциям золота. Пятеро покупают по контракту у лица, которое играет на понижение, 5 контрактов. Золото падает в цене на 4 доллара и покупатели теряют 4 доллара на унцию или 400 долларов на контракт, продав их. Продавец закрывает контракты на понижение, возвращает свой капитал и зарабатывает 400 долларов на контракт, всего 2000 долларов.
В реальном мире каждый из проигравших потеряет больше, чем 400 долларов. Он заплатит минимум 25 долларов комиссионных и, вероятно, еще 20 долларов за счет сдвига при покупке и продаже. В результате, каждый неудачник потерял 465 долларов, а все вместе они понесли 2325 долларов убытка. Победитель, открывший 5 контрактов на понижение, заплатил, вероятно, 15 долларов комиссионных на круг и 10 долларов на разнице цен, выходя на рынок и уходя с него, что уменьшило его прибыль на 35 долларов с контракта или на 175 долларов с 5 контрактов. Он положил в карман всего 1825 долларов.
Победитель думает, что выиграл 2000, а на самом деле получает 1825. Проигравшие думают, что потеряли 2000, а платят 2325. Итого, 500 долларов (2325-1825) исчезли со стола. Это львиная доля брокеров и торговцев в операционном зале, которые урывают много больше, чем когда-либо осмеливалось любое казино или ипподром!
Есть и другие расходы, выкачивающие деньги игрока. Стоимость компьютеров и данных, плата за услуги консультантов и книги, включая ту, которую вы сейчас читаете, все они должны покрываться из доходов от биржевой игры.
Найдите брокера с наименьшими комиссионными и вейтесь чад ним, как коршун. Разработайте такую систему игры, которая подает сигналы относительно редко, и позволяет вам входить на рынок и выходить из него в спокойное время.
Обычные разрывы
Обычные разрывы (Common Gaps) быстро закрываются за несколько дней цены возвращаются в свой коридор. Обычные разрывы часто возникают на спокойных рынках без трендов. Они характерны для рынка фьючерсов с удаленной датой закрытия и для нижней границы рынка с малым объемом, когда все возможные позиции на продажу уже открыты.
У обычных разрывов нет продолжения: новых максимумов после восходящего разрыва и новых минимумов после нисходящего. Объем может несколько возрасти в день обычного разрыва, но в последующие дни он возвращается к своим средним значениям. Отсутствие новых максимумов и минимумов, а так же постоянный объем, показывают, что ни у "быков", ни у "медведей" не появилось сильных чувств к этому рынку. Из всех разрывов, обычные наименее полезны для игрока.
Обычные разрывы возникают чаще, чем остальные. На застойном рынке они возникают очень легко. Торговец в зале однажды рассказывал на семинаре, как он может сдвинуть золото на два доллара вверх или вниз в тихий день. Он был крупный игрок и если он подавал заявку на 20 контрактов сразу, другие игроки обращали на это внимание, считая, что ему стало что-то известно. Золото подскакивало вверх, и его задачей было продать до того, как разрыв закроется.
Последивидендовый разрыв возникает на рынке ценных бумаг в день выплаты дивиденда и это обычный разрыв. Например, если дивиденд составляет 50 центов, то после выплаты дивиденда каждая акция становится на 50 центов дешевле. Это похоже на падение цены коровы после того, как она родит теленка. После родов цена коровы падает на цену теленка, поскольку он больше не поставляется вместе с коровой. Раньше последивидендовые разрывы были обычным явлением. Сейчас дневной диапазон колебания цен на акции, по которым выплачиваются дивиденды, больше, чем эти дивиденды, и постдивидендное изменение цен редко приводит к разрыву.
Основные группы индикаторов
Индикаторы позволяют обнаружить тренды и моменты их изменения. Они позволяют лучше понять соотношение сил между "быками" и "медведями". Индикаторы более объективны, чем нарисованные графики.
С индикаторами проблема в том, что они противоречат друг другу. Некоторые работают лучше при тренде, другие - при спокойном рынке. Некоторые лучше обнаруживают точки поворота, другие лучше выявляют тренды.
Большинство любителей ищут единый индикатор: серебряную пулю, убивающую все сомнения на рынке. Другие собирают множество индикаторов и пытаются усреднить их сигналы. В любом случае, беспечный новичок с компьютером похож на подростка со спортивной машиной, нужно ждать катастрофы. Серьезный игрок должен знать, какие индикаторы лучше работают в определенных условиях. Прежде, чем воспользоваться индикатором, вы должны узнать, что он измеряет и как работает. Только потом вы сможете уверенно пользоваться их сигналами.
Игроки делят индикаторы на три группы: указатели трендов (Trend Following), осцилляторы (Oscillator) и прочие. Указатели трендов хорошо работают, когда рынок в движении, но дают опасные сигналы, если рынок стоит. Осцилляторы показывают точки поворота на неподвижном рынке, но дают преждевременные и опасные сигналы, когда рынок начинает движение. Прочие индикаторы дают лучшее представление о психологии масс. Секрет успешной игры в объединении нескольких индикаторов из разных групп так, чтобы их отрицательные качества взаимно компенсировались, а положительные оставались нетронутыми. Это цель работы Системы Трех Экранов (см. главу 9.1).
Указатели трендов включают в себя показатель среднего движения курса (Moving Average), MACD (принципы сближения/расхождения среднего движения курса), MACD-гистограмму. Систему Направлений (Directional System), Балансовый Объем (On Balance Volume), Показатель Аккумуляции/Распределения (Accumulation/Distribution) и прочие. Эти указатели трендов - отстающие индикаторы, они двигаются, когда тренд изменился.
Осцилляторы помогают определить точки поворота. К ним относятся стохастика (Stochastic), скорость изменения (Rate of Change), сглаженная скорость изменения (Smoothed Rate of Change), моментум (Momentum), индекс относительной силы (RSI), лучи Элдера (Elder-Ray), индекс силы (Force Index), %R Вильямса (Wm%R), индекс диапазона сырьевого рынка (CCI) и прочие. Осцилляторы - синхронные или опережающие индикаторы, они часто меняются раньше цен.
Прочие индикаторы позволяют оценить мнение рынка и его близость к "быкам" или "медведям". Среди них индекс новых максимумов и минимумов (New High-New Low), отношение спроса и предложения (Put-Call Ratio), консенсус быков (Bullish Consensus), направление игры, индекс подъема /спада (Advance/Decline), индекс игроков (Traders Index) и так далее. Они могут быть синхронными или опережающими индикаторами.
Отрицание
Социально пьющий употребляет стакан вина или пива и останавливается, когда чувствует, что ему хватит. У алкоголика другая химия. Если алкоголик выпил, то ему хочется выпить еще, и так пока он не напьется.
Пьяница часто утверждает, что ему нужно сократить потребление алкоголя, но не признает, что его питье неуправляемо. Многие пьяницы отрицают, что они алкоголики. Попробуйте сказать другу, родственнику или подчиненному алкоголику, что он алкоголик, и на вы упретесь в стену из опровержений.
Алкоголик часто скажет так: “Босс уволил меня потому, что с похмелья я опоздал. Моя жена забрала детей и уехала прежде всего потому, что она дура. Мой домовладелец хочет выкинуть меня на улицу потому, что я немного задолжал. Я буду пить немного меньше, и все наладится”.
Этот человек потерял семью и работу. Скоро он потеряет крышу над головой. Его жизнь несется под откос, а он продолжает утверждать, что может пить меньше. Это и есть отрицание!
Алкоголики отрицают наличие проблемы, а их жизнь разваливается. Большинство носятся с фантазией о том, что могут бросить пить. Пока алкоголик думает, что он управляет выпивкой, он на пути вниз. Ничего не изменится, даже если он найдет новую жену, новую работу и нового домовладельца.
Алкоголики отрицают, что алкоголь управляет их жизнью. Когда они говорят о сокращении его потребления, они пытаются совершить невозможное. Они напоминают водителя, потерявшего управление машиной на горной дороге. Когда машина слетает в пропасть, слишком поздно обещать ездить осторожнее. Жизнь алкоголика неуправляема, пока он отрицает, что он алкоголик.
Есть четкая параллель между алкоголиком и игроком, чей счет поражен серией потерь. Он пытается изменить стратегию игры, подобно алкоголику, пытающемуся перейти от крепких напитков к пиву. Неудачник отрицает, что потерял контроль над движениями рынка.
Озарение, изменившее мою игру на бирже
Как и у большинства психиатров, у меня всегда были пациенты с алкогольной проблемой. Я так же был консультантом крупной программы реабилитации наркоманов. Довольно быстро я понял, что алкоголики и наркоманы скорее восстановятся в группах взаимопомощи, чем в стандартном психиатрическом окружении.
Психиатр, лекарства и дорогая больница могут протрезвить пациента, но редко способны поддерживать его трезвость. Большинство наркоманов быстро начинают снова. У них много больше шансов на восстановление, если они участвуют в работе Анонимных Алкоголиков (АА) или подобной группы взаимопомощи.
Когда я понял, что АА имеют лучшие шансы на трезвость и восстановление своей жизни, я стал их большим поклонником. Я стал посылать своих пациентов к АА и в другие подобные группы, например к Взрослым Детям Алкоголиков. Если ко мне приходил на лечение алкоголик, я настаивал, чтобы он так же обратился к АА. Я говорил ему, что в противном случае время и деньги будут потрачены зря.
Однажды, много лет тому назад, я направлялся на вечеринку на отделение психиатрии и по дороге зашел в офис к приятелю. У нас было два часа до вечеринки и мой приятель, который был выздоравливающим алкоголиком, сказал: “Ты хочешь посмотреть кино или побывать на заседании АА?” Я многих послал к АА, но никогда не был на заседании, не имея проблем с алкоголем. И я ухватился за это предложение, чтобы приобрести новый опыт.
Заседание проводилось в местном молодежном центре. На креслах в пустой комнате сидела дюжина мужчин и несколько женщин. Заседание продолжалось час. Я был поражен тем, что услышал: казалось, что эти люди говорят о моей биржевой игре!
Они говорили о спиртном, но если я заменял это слово на “убыток”, то ко мне относилось почти все! В то время состояние моих счета все еще колебалась вверх и вниз. Я покинул молодежный центр зная, что мне нужно бороться со своими убытками так же, как АА борются с алкоголем.
Память, боль и сожаление
Поддержка и сопротивление существуют потому, что у людей есть память. Наша память подсказывает, при каком уровне цен нужно продавать и покупать. Покупки и продажи толпами игроков и создают поддержку и сопротивление. Когда игроки помнят, что цены перестали падать и начали подъем с определенного уровня, они с большей вероятностью будут покупать, когда цены достигнут этого уровня снова. Когда игроки помнят, что недавний восходящий тренд двинулся вспять, когда цены достигли определенного максимума, то они будут тяготеть продавать, когда цены вновь подойдут к этому уровню.
Например, все крупные подъемы на рынке ценных бумаг с 1966 по 1982 год заканчивались, когда индекс Доу-Джонса поднимался до уровня от 950 до 1050. Сопротивление было столь сильным, что игроки назвали его “кладбищем на небесах”. Стоило "быкам" протолкнуть рынок через этот уровень, как он стал сильным уровнем поддержки.
Поддержка и сопротивление существуют потому, что массы игроков чувствуют боль и сожаление. У тех, кто держит проигрывающие позиции, сильна боль. Неудачники стремятся выйти из игры, как только рынок даст им такой шанс. Игроки, упустившие выгоду, чувствуют сожаление, и тоже ждут, когда рынок даст им вторую попытку. Чувства боли и сожаления достаточно слабы тогда, когда колебания цен в коридоре невелики и неудачники не теряют слишком много. Прорыв за обычный коридор цен создает ярко выраженные боль и сожаление.
Когда рынок остается какое-то время стабильным, игроки привыкают покупать на нижней границе коридора цен и продавать на верхней. При восходящей тенденции "медведи" чувствуют боль, а "быки" сожалеют, что не купили больше. И те и другие намерены покупать, если рынок даст им еще один шанс. Боль "медведей" и сожаление "быков" готовит их к покупке, создавая поддержку в восходящем тренде.
Сопротивление является областью, в которой "быки" чувствовали боль, "медведи" чувствовали сожаление, и обе группы были готовы продавать. Когда цены провалились вниз из своего коридора, "быки", которые купили, ощутили боль, почувствовали себя в ловушке и ждут подъем, который даст им возможность компенсировать потери и выйти из игры. "Медведи" сожалели, что не продали больше, и тоже ждут подъем, который даст им шанс опять продавать. Боль "быков" и сожаление "медведей" создают сопротивление, потолок цен, в нисходящем тренде. Сила поддержки или сопротивления зависит от силы эмоций, охватывавших массы игроков.
Перепродажа и сверхпокупка
Когда стохастика поднимается выше верхней справочной линии, это говорит о том, что на рынке сверхпокупка. Если куплено слишком много, то готова почва для движения вниз. Когда стохастика опускается ниже нижней справочной линии, на рынке наблюдается перепродажа. Если слишком много продано, то готова почва для движения вверх.
Эти сигналы хорошо работают в коридоре цен, но плохо, когда на рынке начинается тренд. При восходящем тренде стохастика быстро уходит в область сверхпокупки и подает сигнал о продаже все время роста цен. В нисходящем тренде стохастика быстро уходит в перепродажу и подает ложный сигнал о покупке все время, пока цены падают. Хорошо комбинировать стохастику с долгосрочным индикатором указателя тренд а (см. главу 9.1). Система Трех Экранов позволяет игрокам следовать сигналам дневной стохастики о покупке только тогда, когда недельный график показывает восходящий тренд. Когда недельный тренд нисходящий, то система допускает использование сигналов стохастика о продаже.
3. Если вы определили восходящий тренд по недельным графикам, то подождите, пока линии стохастики опустятся ниже нижней справочной линии. Затем не дожидаясь их пересечения или движения вверх, поместите заказ на покупку выше максимума последнего интервала цен. Поскольку вы собираетесь удерживать позицию, поместите предохранительную остановку ниже минимума текущего или предыдущего дня, смотря по тому, какой ниже.
Форма минимума в стохастике показывает, насколько сильным должен быть следующий подъем. Если минимум узкий и мелкий, то "медведи" слабы и подъем должен быть значительным. Если минимум глубокий и широкий, то "медведи" сильны и подъем будет небольшим. Лучше реагировать только на сильные сигналы о покупке.
4. Если вы увидели нисходящий тренд на недельном графике, то подождите, пока линии стохастики поднимутся над верхней справочной линией. Затем, не дожидаясь их пересечения или движения вниз, подайте заявку на продажу чуть ниже минимума последнего интервала цен. К тому времени, как линии индекса пересекутся, рынок уже может быть в состоянии свободного падения. Поскольку вы собираетесь открыть позицию на продажу, предохранительную остановку поместите над максимумом текущего или предыдущего дня, смотря по тому, какой выше,
Форма максимума стохастики часто показывает, будет ли грядущий спад резким или пологим. Узкий максимум показывает, что "быки" слабы и вероятен суровью спад. Широкий и высокий максимум стохастики показывает, что "быки" сильны и безопаснее пропустить такой сигнал о продаже.
5. Не покупайте, если стохастика указывает на сверхпокупку и не продавайте, если он указывает на перепродажу. Так вы избавитесь от большинства плохих сделок,
Направление линий
Когда обе линии стохастики идут в одном направлении, они подтверждают существующий краткосрочный тренд. Если цены растут и обе линии стохастики тоже растут, то вероятно, что рост цен продолжится. Когда цены уменьшаются и обе линии стохастики тоже падают, вероятно, что краткосрочный спад продолжится.
Перевернутая "голова" и "плечи"
Некоторые игроки называют эту фигуру перевернутой "головой" с "плечами" - зеркальным отражением вершины. Это выглядит как силуэт перевернутого человека: "голова" и пара "плеч". Эта фигура образуется тогда, когда нисходящий тренд выдыхается и готов начаться подъем (рис. 12).
При сильном нисходящем тренде каждый минимум оказывается ниже предыдущего, а каждый подъем останавливается ниже, чем предыдущий. Значительный подъем после "головы" позволяет вам нарисовать линию "горловины". Когда спад от линии "горловины" не может достичь "головы", образуется правое "плечо". Когда цены прорывают при своем подъеме линию "горловины" при росте объема, формирование "головы" с "плечами" завершается и новый подъем начался.
Иногда обратная фигура "голова" и "плечи" сопровождается возвратом на линию "горловины" при малом объеме сделок, и это дает отличную возможность покупать. Измерьте расстояние по вертикали от минимума "головы" до линии "горловины" и отложите его вверх от точки пересечения линии "горловины" ценами. Это даст вам минимальный прогнозируемый уровень, который чаще всего оказывается значительно превышенным.
Тактика игры при обратной "голове" с "плечами" примерно та же, что и при обычной. При игре в минимуме цены не столь сильно колеблются, и вы можете рисковать меньшими суммами, выбрав более близкие предохранительные остановки.
Первый шаг
Алкоголик, желающий восстановиться, должен пройти двенадцать шагов, двенадцать ступеней развития личности. Он должен изменить свои мысли и чувства, свое отношение к себе и к другим. Первый шаг АА самый трудный.
На первом шаге алкоголик должен признать, что он бессилен перед алкоголем. Он должен признать, что его жизнь стала неуправляемой, что алкоголь сильнее его. Большинство алкоголиков не могут сделать этот шаг, уходят и продолжают ломать свою жизнь.
Если алкоголь сильнее вас, то вам нельзя больше прикасаться к нему, ни глотка за всю оставшуюся жизнь. Вы должны бросить пить навсегда. Большинство пьяниц не хотят отказываться от удовольствия. Они скорее испортят себе жизнь, чем сделают первый шаг с АА. Только боль от удара о дно способна дать мотив для первого шага.
Алкоголик должен признать, что он не может управлять своей выпивкой. Игрок должен признать, что он не может контролировать свои потери. Он должен признать, что его потери вызваны психологической проблемой, которая уничтожает его счет. Первым шагом члена АА является утверждение: “Я алкоголик, я бессилен перед алкоголем”. Как игрок, вы должны сделать свой первый шаг и сказать: “Я неудачник, я бессилен перед своими потерями”.
Игрок может восстановиться, пользуясь принципами Анонимных Алкоголиков. Восстанавливающийся алкоголик стремится оставаться 'трезвым начиная с одного дня. А вам нужно стремиться играть без потерь, начиная с одного дня.
Вы можете сказать, что это невозможно. Что, если вы купите, а рынок немедленно пойдет вниз? Что, если вы продадите в низшей точке, а рынок бросится вверх? Даже лучшие игроки теряют деньги в отдельных сделках.
Ответ в том, чтобы провести черту, отделяющую деловой риск от потерь. Игрок должен идти на определенный риск, но никогда не нести потери, превышающие этот предопределенный риск.
Лавочник рискует каждый раз, когда покупает товар. Если его не удастся продать, то он теряет деньги. Умный бизнесмен идет только на такой риск, который не может выкинуть его из дела даже в том случае, если будет совершено несколько ошибок подряд. Отправить на склад пару поддонов товара - это, вероятно, разумный деловой риск, а приобрести целый трейлер - уже азартная игра.
Как игрок, вы в бизнесе игры на бирже. Вы должны определить ваш деловой риск - максимальную сумму, которой вы можете рисковать в одной сделке. Нельзя указать стандартное значение, потому что нет стандартного бизнеса. Допустимый деловой риск определяется, прежде всего, объемом вашего счета. Он также зависит от вашего метода игры и способности переносить боль.
Принцип делового риска может изменить ваши методы управления капиталом (см. главу 10). Разумный игрок никогда не рискует большим, чем двумя процентами от своих активов в одной сделке. Например, если у вас на счету 30000 долларов, то вы не можете рисковать большим, чем 600 долларов, а если на счету 10000, то только 200 долларами. Если у вас скромный счет, то работайте только с дешевыми рынками или мини-контрактами. Если вы увидите выгодную операцию, но вам придется вложить столько, что более 2 процентов активов окажется под угрозой, пропустите операцию. Избегайте рисковать большим, чем 2 процента, так же, как алкоголик избегает бар. Если вы не знаете точно, скольким можно рискнуть, ошибитесь в сторону уменьшения.
Если вы начинаете обвинять брокера по поводу завышенных комиссионных и разницы цен, то вы теряете контроль над своей деятельностью. Попробуйте уменьшить и то, и другое, но внимательно следите за собой. Если вы потеряли хотя бы на доллар больше, чем ваш предопределенный риск - вы неудачник.
Вы ведете записи ваших действий? Плохие записи - верный признак игрока и неудачника. У хорошего бизнесмена и записи хорошие. Ваш архив должен отражать дату и цену при каждом входе на рынок и уходе с него, разницу цен, комиссионные, уровни остановки (Protective Stops), изменения этих уровней, причины более раннего или запоздалого входа на рынок и обстоятельства ухода с него, обстоятельства помешавшие уходу, максимальные выигрыши и проигрыши при достижении уровня остановки и прочие необходимые данные.
Если вы вышли из игры в пределах вашего предопределенного риска, то это нормальный бизнес. Не было азарта, желания подождать еще, надежды на перемены к лучшему. Потерять доллар свыше предопределенного предела - все равно, что напиться, ввязаться в драку, идти домой, испытывая тошноту и проснуться в канаве с головной болью. Вы же не хотите, чтобы это произошло с Вами.
Победители и проигравшие
Мы приходим на рынок разными путями и приносим с собой ” интеллектуальный багаж нашего воспитания и предыдущего опыта. Большинство из нас обнаруживает, что если вести себя на рынке также как и в повседневной жизни, то деньги уходят.
Ваш успех или неудача на рынке зависит от ваших мыслей и чувств, от того, как вы относитесь к прибыли и риску, страху и жадности, от того, как вы переносите возбуждение от игры и риска.
Более всего ваш успех определяется способностью руководствоваться разумом, а не эмоциями. Игрок, излишне радующийся успеху и ввергаемый в депрессию неудачей, не может накапливать активы, потому что им управляют его чувства. Если вы позволите рынку сделать вас счастливым или несчастным, то вы потеряете деньги.
Для того, чтобы быть победителем на рынке, вы должны знать себя и действовать хладнокровно и ответственно. Боль от потерь заставляет людей искать волшебные приемы. Одновременно они отрицают многое полезное из их профессионального и делового опыта.
Показатель среднего движения курса
Старожилы Wall Street утверждают, что показатель среднего движения курса был внедрен на финансовых рынках бывшими зенитчиками. Они использовали его для наведения орудий на вражеские самолеты во время второй мировой войны и применили этот метод к ценам. Двумя первыми экспертами по показателю среднего движения курса были Ричард Дончин и Дж.М. Херст, ни один из них, вроде бы, не был зенитчиком. Дончин был служащим Меррил Линч и разработал методы биржевой игры, основанные на пересечениях показателя среднего движения курса. Херст был инженером, применившим метод показателя среднего движения курса к акциям в своей, ныне классической, книге «Чудо прибыли от выбора момента обмена акций».
Показатель среднего движения курса (moving average, МА) показывает среднее значение данных за определенный период времени, 5-дневное МА показывает средние цены за последние 5 дней, 20-дневное за последние 20 дней и так далее. Соединяя значения МА, вы рисуете линию показателя среднего движения курса.
Значение МА зависит от двух факторов: усредняемых значений и промежутка времени усреднения. Предположим, что вы хотите рассчитать 3-х дневный простой показатель среднего движения курса цены акции. Если в течение трех последовательных дней цена закрытия составляла 19, 21 и 20, то МА будет равно 20 (19+21+20 и разделить на 3). Пусть на следующий день цена закрытия будет 22. Это поднимет МА до 21 (сумма за три дня, 21+20+22, деленная на 3).
Есть три основных вида показателя среднего движения курса: линейно-акцентированный (Simple МА), экспоненциальный (Exponential МА) и взвешенный (Weighted МА). Большинство игроков используют линейно-акцентированный МА, поскольку его просто вычислить, и Дончин с Херстом использовали его в докомпьютерную эру. У этого МА есть, однако, роковой недостаток - оно реагирует на одно изменение цен дважды.
Последователи "гуру"
Личности рыночных "гуру" разнообразны. Некоторые мертвы, а те, кто жив, заполняют пространство от типа серьезного академического ученого до великого клоуна. "Гуру" должен в течение нескольких лет заниматься оригинальными разработками, а затем воспользоваться своим счастьем, когда рынок повернется в его сторону.
Чтобы прочитать о скандалах, которые окружали многих "гуру", обратитесь к “Победитель забирает все” Виллиама Галлахера и к “Руководство к системам игры по Доу-Джонсу” Брюса Баблока. Целью данного раздела является лишь анализ самого феномена "гуру".
Когда мы платим "гуру", мы ожидаем, что вернем больше, чем потратили. Так ведет себя человек, поставивший несколько долларов у наперсточника на углу улицы. Он надеется выиграть больше, чем положил в эту дырявую корзину. Только невежество или жадность заставляют попасться на такую удочку.
Некоторые обращаются к "гуру" в поисках сильного лидера. Они ищут патентованного безгрешного провидца. Как сказал один мой друг, “они бродят вокруг с пуповиной в руке и ищут, куда бы ее воткнуть”. Умный провидец предоставляет такую возможность, за деньги, разумеется.
Публика хочет "гуру", и новые "гуру" явятся к ней. Как разумный игрок, вы должны понимать, что, в долгосрочном плане, никакой "гуру" не сделает вас богатым. Вам придется работать над этим самому.
Игра на бирже очень тяжела. Тот, кто хочет преуспеть в долгосрочном плане, должен очень серьезно относиться к тому, что делает. Он не может быть наивным или играть, повинуясь скрытым психологическим импульсам.
К несчастью, игра часто привлекает импульсивных людей, игроков и тех, кто считает, что мир задолжал им состояние. Если вы играете ради удовольствия, то, скорее всего, будете заключать сделки с плохими шансами на успех и излишне рисковать. Рынок ничего не прощает, и эмоциональная игра приводит к потерям.
Построение графика
Приверженцы технической школы изучают поведение рынка, пытаясь идентифицировать повторяющиеся модели изменения цен (Price Patterns). Их цель - добиться прибыли, основывая свою игру на повторяющихся моделях поведения цен. Большинство из них работает с линейными графиками, отражающими максимальную и минимальную цены, цену открытия и закрытия и объемами сделок. Некоторые так же отслеживают цену открытия и число открытых контрактов (Open Interest) на момент открытия (неудовлетворенный спрос). Так называемые графики "крестики-нолики" отражают только изменения цен, без учета временных интервалов, объема и числа открытых контрактов (неудовлетворенного спроса).
Классическое построение графика (Classical Chart Analysis) требует только наличия карандаша и листа бумаги. Он подходит людям, мыслящим визуальными образами. Те, кто изображает цены вручную, часто вырабатывают физическое чувство их изменения. Компьютер ускоряет рисование ценой утраты части этого чувства.
Наибольшей проблемой при использовании графика является принятие желаемого за действительное. Игрокам часто удается убедить себя в том, что график показывает на рынок "быков" или "медведей", в зависимости от того, хотят ли они купить или продать.
В начале нашего века швейцарский психиатр Герман Роршах придумал тест для исследования человеческого сознания. Он капнул чернила на 10 листочков бумаги и согнул каждый пополам, получив симметричные пятна. Большинство людей, рассматривавших эти пятна, могли описать, что они видели: фрагменты тел, животных, здания и прочее. В действительности, это были только чернильные пятна! Каждый видел то, что существовало в его сознании. Большинство игроков пользуются графиками как гигантским тестом Роршаха. Они переносят на графики свои надежды, страхи и фантазии.
Поведение толпы
Система направлений измеряет тяготение толпы к "быкам" или к "медведям", измеряя способность "быков" и "медведей" выталкивать цены за пределы вчерашнего интервала. Если сегодняшний максимум выше вчерашнего, значит толпа клонится к "быкам", а если сегодняшний минимум ниже вчерашнего минимума, то толпа клонится к "медведям".
Относительное положение линий направления определяет тренд. Когда положительная линия направлений проходит над отрицательной, "быки" управляют рынком. Когда отрицательная линия поднимается над положительной, это означает, что "медведи" стали сильнее. Разумно играть в направлении верхней линии движения.
Средний индикатор направления ADX растет, когда расстояние между линиями направления увеличивается. Значит, доминирующая группа становится сильнее, проигрывающая слабее, и тренд, видимо, продолжится. Когда ADX растет, выгодно играть в направлении верхней линии направления, используя указатели тренда.
ADX падает, когда расстояние между +DI13 и –DI13 уменьшается. Это показывает, что доминирующая группа теряет силы, а их противники наращивают их. Когда рынок приходит к нестабильности, лучше не пользоваться указателями тренда.
Экспоненциальный показатель среднего движения курса (ЕМА) представляет собой средний консенсус участников рынка за свой временной период. Это как совмещенный фотоснимок, отражающий основные черты рыночной толпы, а не мгновенную смену ее настроений.
S-RoC сравнивает каждое значение ЕМА с прошлым значением, отстоящим назад на выбранный срок. Она сравнивает средний консенсус толпы сегодня с прошлым. S-RoC отражает основные изменения тяготения толпы к "быкам" или к "медведям".
Правила игры
1. Как только тренд, па котором вы играете приближается к поддержке или сопротивлению, ужесточите Ваши меры предосторожности (Protective Stop). Меры предосторожности - это указание продать ниже существующего уровня цен, если у Вас открыта позиция на покупку или распоряжение закрыть позицию на продажу выше существующего уровня цен. Такое распоряжение предохранит вас от крупных потерь, если тренд переменится. Тренд показывает силу рынка, когда цены достигают уровней поддержки и сопротивления. Если они достаточно сильны, чтобы преодолеть их, то тренд ускорится, и ваша мера предосторожности не задействуется. Если тренд обнаруживает свою слабость, то цены отскакивают от поддержки или сопротивления. В этом случае мера предосторожности спасает большую часть прибыли.
2. Поддержка и сопротивление более важны на долгосрочных, чем на краткосрочных графиках. Недельные графики более важны, чем дневные. Хороший игрок видит несколько временных масштабов и ориентируется по более длительному. Если на недельном графике вы движетесь через свободную зону, то касание линии сопротивления на дневном графике не столь существенно. Когда вы приблизитесь к сопротивлению или поддержке на недельном графике, то нужно быть более готовым к действию.
3. Уровни поддержки и сопротивления хороши для выдачи указаний по предотвращению потерь и сохранению прибыли. Минимум области консолидации всегда совпадает с самой низкой точкой поддержки. Если вы покупаете, поместив ваш уровень остановки ниже этого минимума, то у восходящего тренда масса пространства для маневра. Более осторожные игроки покупают после того, как перейдена верхняя граница и размещают страховочные меры в ее середине. При настоящем пробитии сопротивления маловероятно чтобы цены вновь вернулись в этот диапазон как маловероятно” что ракета вернется на пусковой стол сразу же после старта. При нисходящем тренде зеркально отобразите эту процедуру.
Многие игроки избегают устанавливать уровень остановки на круглых цифрах. Этот предрассудок восходит к мудрому совету Эдвардса и Маги избегать устанавливать остановку на круглой цифре потому, что “все ее там устанавливают. Иными словами, если игрок покупает медь по 92, то он устанавливает остановку на 89.75, а не на 90. Когда он распродает акции по 76, мера предосторожности устанавливается на 80.25, а не на 80. Но сегодня на круглых цифрах установлено меньше остановок, чем на дробных. Поэтому лучше устанавливать остановку на разумном уровне, независимо от того, круглое это число или нет.
Правила игры
Продавайте, если +DI13 выше –DI13. Открывайте позиции на покупку, если –DI13 выше +DI13. Лучшее время покупать наступает тогда, когда и +DI13 и ADX выше –DI13 и ADX растет. Это говорит об укреплении восходящего тренда.
Рис. 22. Сигналы системы направлений
Линии направления определяют тренд. Когда +DI сверху, стоит играть на повышение. Когда сверху -DI, лучше играть на понижение. Лучшее время для использования указателей тренда наступает тогда, когда ADX поднимается и проходит выше нижней линии направления. Это два признака динамичного тренда.
Система направлений дает самые лучшие сигналы после того, как ADX проведет несколько недель под обоими линиями направления. Это происходит при тихом застойном рынке. Как только ADX «проснется» и сдвинется вверх на 4 единицы (например, с 10 до 14), это дает сильный сигнал играть в направлении верхней линии движения. Такой сигнал часто появляется перед главными движениями рынка. На данной диаграмме ADX поднялся с 9 до 13 в сентябре, как раз перед динамичным ростом японской йены. Поскольку во время появления сигнала +DI проходила сверху, то это был сигнал играть на повышение.
Покупайте с предохранительной остановкой ниже последнего локального минимума. Лучшее время продавать наступает тогда, когда и -DI и ADX выше +DI13 и ADX растет. Это говорит о том, что "медведи" становятся сильнее. Продавайте с предохранительной остановкой над последним локальным максимумом.
2. Когда ADX падает, это значит, что направление движения рынка становится менее выраженным. Обычно бывает много всплесков, как бывает много водоворотов при смене направления прилива. Если ADX идет вниз, лучше не использовать методы для отслеживания тренда.
3. Если ADX проходит ниже обеих линий направления, то рынок вялый и сонный. Не пользуйтесь указателями трендов, но будьте начеку, потому что основные тренды начинаются из таких застойных зон.
4. Лучший сигнал от системы направлений поступает тогда, когда ADX падает ниже обеих линий направлений. Чем дольше он там остается, тем прочнее основание для следующего движения рынка. Когда ADX растет, оставаясь ниже линий направления, это показывает, что застой на рынке заканчивается. Если ADX поднимается на 4 единицы (например с 9 до 13) от своего наименьшего значения под обеими линиями направления, «звонит колокол», возвещая начало нового тренда. Это значит, что начался новый рынок "быков" или "медведей" (рис 22). Покупайте, если +DI13 сверху с предохранительной остановкой под последним локальным минимумом. Продавайте, если –DI13 наверху с предохранительной остановкой выше последнего локального максимума.
Например, ADX поднялся с 8 до 12 и обе линии выше 12, причем +DI13 сверху. Это указывает на начало нового восходящего тренда. Если ADX поднимается с 9 до 13, обе линии выше 13 и –DI13 сверху, значит начинается нисходящий тренд.
Система направлений уникальна в том, что она показывает вам, когда вероятно начало нового тренда. Она звонит в колокол раз или два в год для данного рынка. Она говорит, когда рождается маленький "бычок" или "медвежонок". Финансовый риск в это время обычно мал, поскольку рынок мало колеблется при начале тренда.
5. Когда ADX поднимается выше обеих линий направления, это говорит о перегреве рынка. Когда ADX движется вниз, находясь над обеими линиями, это сигнал о том, что доминирующая тренд споткнулся. Это хороший момент для извлечения прибыли. Если у вас несколько контрактов, то Вам стоит закрыть с прибылью хотя бы часть открытых позиций.
Рыночные индикаторы дают мягкие и жесткие сигналы. Например, пересечение установившегося минимума цен или изменение направления движения МА - это жесткие сигналы. Уход вниз ADX - это мягкий сигнал. Если вы видите, что ADX пошел вниз, будьте очень и очень осторожны, добавляя новые позиции. Лучше начать извлекать прибыль, сокращать объем позиции и искать возможность избавиться от нее, а не продолжать добавлять к ней.
Правила игры
Опережающие индикаторы подобны стоп-сигналам машины, идущей по шосссе перед вами. Когда они загораются, вы не знаете, прикоснулся ли предыдущий водитель к тормозам или вдавил их в пол. Вы должны быть особенно осторожны, вступая в игру на основании опережающих индикаторов (рис. 25).
1. При восходящем тренде покупайте, когда RoC опускается ниже средней линии и двигается вверх. Это говорит о том, что восходящий тренд притормозил, подобно поезду, тормозящему, чтобы взять пассажиров. При нисходящем тренде продавайте, когда RoC поднимается над средней линией и двигается вниз.
2. Когда у вас открытая позиция на покупку, а цены сползают вниз, посмотрите, достигла ли RoC максимального значения при предыдущем подъеме. Рекордное значение RoC указывает на сильных "быков", которые, вероятно, смогут поднять рынок до прежних высот или выше. Тогда держать позицию относительно безопасно. С другой стороны, ряд понижающихся пиков RoC является признаком слабости, лучше закрывать позицию немедленно. При нисходящем тренде применяйте обратный подход.
3. Прорыв линии тренда на графике моментума или RoC часто опережает аналогичный прорыв линии тренда на графике цен на день или два. Когда вы видите, что линия тренда опережающего индикатора пробита, готовьтесь к пробитию линии тренда на графике цен.
Рис 25. 7-дневный моментум (Mtm:7) и скорость изменения (RoC: 7)
Когда моментум или RoC растут, это означает, что подъем цен ускоряется. Когда они падают, это показывает, что спад цен ускоряется. Максимумы и минимумы этих индикаторов показывают, когда тренд достиг максимальной скорости. Когда моментум или RoC разворачиваются и идут в обратном направлении, пора начинать обратный отсчет перед разворотом цен Эти индикаторы дают самые лучшие сигналы, когда расходятся с ценами (отмечено стрелками).
Моментум и скорость изменения можно анализировать методами классического технического анализа, что часто дает упреждающие сигналы. Обратите внимание на то, как моментум и RoC прорвали свой уровень сопротивления в августе, на несколько дней раньше прорыва цен. На правом краю графика дивергенция "медведей" показывает, что восходящий тренд исчерпал себя. Это время для получения прибыли по удерживаемым позициям и начала игры на понижение с предохранительной остановкой немного выше сентябрьского максимума
Правила игры
Изменения направления движения S-RoC часто указывают на основные повороты рынка. Поворот S-RoC вверх указывает на заметное дно, а поворот вниз - на заметную вершину (рис. 26). Расхождение между S-RoC и ценами дает особенно сильный сигнал к продаже или покупке.
1. Покупайте, когда S-RoC находится под средней линией и поворачивает в вверх.
2. Продавайте, когда S-RoC перестает расти и двигается вниз. Продавайте, когда S-RoC двигается вниз, находясь над средней линией.
3. Если цены дают новый максимум, а подъем S RoC меньше предыдущего, то толпа теряет энтузиазм, хотя цены и высоки. Дивергенция "медведей" между S-RoC u ценами дает сильный сигнал к продаже.
Рис. 26 . Сглаженная скорость изменения (S-RoC 13/21)
Для вычисления этого индикатора найдите 13-дневный экспоненциальный показатель среднего движения по цене закрытия и примените к нему 21-дневную скорость изменения. S-RoC обычно идет плавными волнами, чьи максимумы и минимумы часто совпадают с важными поворотными точками. Этот индикатор особенно хорошо работает на рынке акций как с отдельными акциями, так и с их группами.
4. Если цены падают до нового минимума, а минимум S-RoC не так глубок, как раньше, то толпа не столь напугана, хотя цены и низкие. Это значит, что давление вниз не столь сильно, как раньше, хотя рынок и упал еще ниже. Дивергенция "быков" дает сильный сигнал закрыть позиции на понижение и открыть позиции на повышение.
Правила игры
Wm%R дает три типа сигналов. В порядке убывания значимости, это дивергенция "быков" и "медведей", зашкаливание и указание на сверхпокупку или перепродажу (рис. 28).
Рис. 28. 7-дневное %R Вильямса (Wm%R:7)
Когда Wm%R: 7 поднимается выше верхней справочной линии, это показывает, что рынок перезакуплен. Когда он опускается ниже нижней справочной линии, это говорит о том, что рынок перепродан. Лучшие сигналы к покупке и к продаже даются дивергенциями (показаны стрелками). Дивергенция "медведей" класса Б в июле дает сигнал к продаже. Дивергенция "быков" класса А в сентябре дает сильный сильный сигнал к покупке.
Отсутствие размаха (отмечено буквой F) появляется тогда, когда Wm% R разворачивается, не достигая своей справочной линии. Это бывает во время отката против очень сильного тренда, повороты без размаха подтверждают такой тренд. Поворот без размаха во время нисходящего тренда в августе давал сильный сигнал к продаже. Поворот без размаха во время восходящего тренда в сентябре давал сильный сигнал к покупке.
На правом краю графика цены дают вершину пика. Если Wm% R упадет ниже нижней справочной линии, это будет возможность для покупки. Не играйте на понижение, исключая случай возникновения дивергенции "медведей".
Дивергенция
Дивергенция (Divergence) между ценами и Wm%R встречается редко. Они дают наилучшие возможности для игры. Когда Wm%R поднимается над верхней справочной линией, падает, а затем, при следующем подъеме цен, не может достичь справочной линии, то создается расхождение "медведей". Оно указывает на потерю силы "быками" и вероятное падение рынка. Дивергенция"быков" возникает тогда, когда Wm%R падает низке справочной линии, поднимается и не может вновь опуститься ниже справочной линии при следующем падении цен. Это указывает на то, что "медведи" теряют силы и должен начаться подъем.
1. Увидев дивергенцию "быков", покупайте, и помещайте предохранительную остановку ниже последнего минимума цен.
2. Увидев дивергенцию "медведей", продавайте и помещайте предохранительную остановку над последним максимумом цен.
Зашкаливание (Failure Swing)
Толпа обычно бросается из одной крайности в другую. Wm% R редко меняет направление движения в середине своего диапазона. Отсутствие размаха наблюдается тогда, когда Wm%R не поднимается над верхней справочной линией при подъеме цен или не опускается ниже нижней линии при их падении.
3. Когда во время подъема цен Wm%R прекращает рост не дойдя до верхней справочной линии и движется вниз, это образует сигнал зашкаливания. Это говорит о том, что "быки" особенно слабы, и следует продавать.
4. Когда Wm%R перестает падать в середине спада и поворачивает вверх не дойдя до нижней справочной линии, это зашкаливание. Это говорит о том, что "медведи" очень слабы и дается сильный сигнал о покупке.
Перепродажа и сверхпокупка
Когда цена закрытия устанавливается на верхней границе интервала, Wm%R достигает вершины и указывает на то, что рынок перезакуплен. Когда цена закрытия оказывается у нижнего конца недавнего интервала, Wm% R падает до минимума и указывает на то, что рынок перепродан. Ни "быки", ни "медведи" не всемогущи. Они редко способны устанавливать крайние цены закрытия в течение многих дней подряд.
5. Когда Wm%R поднимается над верхней справочной линией, это указывает на возможную вершину рынка и дает сигнал к продаже.
6. Когда Wm%R падает ниже нижней справочной линии, это указывает на возможное дно и дает сигнал к покупке.
Эти сигналы о перезакупке или перепродаже рынка работают хорошо при коридоре цен. Когда на рынке начинается тренд, они становятся обманчивыми и опасными. Во время сильного подъема Wm%R может держаться наверху неделю или дольше, сигнал о перепродаже может говорить о силе, а не о возможности продавать. Аналогично, при сильном спаде, Wm%R может указывать на перепродажу неделями, показывая слабость рынка а не возможность покупать.
Сигналы о перепродаже и сверхпокупке могут использоваться для игры только после того, как вы разберетесь с доминирующим трендом. Для этого используйте долгосрочные индикаторы указателя тренда (см. главу 9.1). Если недельный график показывает рынок "быков", реагируйте только на сигналы о покупке, исходя из дневного Wm% R и не продавайте, когда он даст такой сигнал. Если недельный график показывает рынок "медведей", продавайте по сигналам дневного Wm%R, но не покупайте, когда он укажет на сверхпродажу.
Правила игры
Стохастика показывает, когда "быки" и "медведи" становятся слабее или сильнее. Эти сведения помогают вам решить, кто, с большей вероятностью, выиграет очередное сражение на рынке. Лучше играть с победителями против побежденных.
Стохастика дает три типа сигналов, расположенных по мере убывания важности: дивергенция, уровень линий стохастики, направление линий стохастики (рис. 30).
Дивергенция
Наиболее сильный сигнал к покупке или продаже стохастика дает при дивергенции между нею и ценами.
Дивергенция "быков" возникает тогда, когда цены падают до нового минимума, а стохастика устанавливается в менее глубоком минимуме, чем в прошлый спад цен. Это говорит о том, что "медведи" теряют силу и цены падают по инерции, Когда стохастика двигается вверх из второго минимума, подается сильный сигнал о покупке: закупайте, расположив предохранительную остановку ниже последнего минимума. Сигнал самый сильный тогда, когда первый минимум ниже справочной линии, а второй выше нее.
Рис. 30. 5-дневная медленная стохастика
Когда линии стохастики проходят над или под справочными линиями, они помогают определить области максимума или минимума цен. Эти сигналы работают хорошо во время коридора цен, но преждевременно во время образования нового тренда (см. начало сентября). Стохастика дает самый сильный сигнал при дивергенции с ценами. В начале октября была дивергенция "медведей", непосредственно перед резким падением цен.
Если вы играете на повышение или понижение при помощи стохастики, поместите предохранительную остановку непосредственно под последним минимумом или над последним максимумом. На правом краю графика виден сигнал покупать. Пора закрывать позиции на понижение и покупать.
2. Дивергенция "медведей" возникает тогда, когда цены достигают нового максимума, а стохастика останавливается в менее высоком максимуме, чем при предыдущем подъеме цен. Это говорит о том, что "быки" слабеют, а цены растут по инерции. Как только стохастика тронется вниз от второго максимума, поступает сигнал: продавайте, поместив предохранительную остановку выше последнего максимума цен. Самый сильный сигнал о продаже тогда, когда первый максимум расположен над справочной линией, а второй ниже нее.
Правила игры
1. Играйте в направлении наклона линии тренда. Если она идет вверх, ищите возможности для покупки и воздерживайтесь от продаж. Если наклон вниз, играйте за счет продаж и избегайте покупок.
2. Линия тренда обеспечивает поддержку или сопротивление. При росте цен, выставляйте заказ на линии тренда и меры предосторожности ниже ее. При падении цен поступайте наоборот.
3. Крутые тренды предшествуют резким сменам направления. Если крутизна линии тренда больше 45 градусов, поместите меры предосторожности на линию тренда и корректируйте ее ежедневно.
4. Цены часто возвращаются к предыдущей экстремальной цене после того, как они прорвали крутой тренд. Подъем к старому максимуму при падении объема сделок и дивергенции с индикаторами дают отличную возможность для продажи. Спад до предыдущего минимума после прорыва нисходящего тренда дает возможность покупки с малым риском.
5. Нарисуйте линию диапазона (Channel) параллельную линии тренда, и используйте ее для определения момента извлечения прибыли.
Правила игры
1. Обычные разрывы не дают хороших возможностей для игрока, но если вы вынуждены играть, то играйте против них. Если цены поднялись, продавайте как только рынок перестанет давать новые максимумы и поставьте меры предосторожности над максимумом за прошедшие несколько дней. Закрывайте позицию на понижение и извлекайте прибыль на нижнем краю разрыва. Если цены прыгнули вниз, закупайте как только рынок перестанет давать новые минимумы и поставьте меры предосторожности под минимумом за последние несколько дней. Дайте указание продавать и извлекайте прибыль на верхнем краю разрыва.
2. Если рынок выпрыгнул из долговременного коридора цен при пике в объеме сделок и продолжает давать новые максимумы и минимумы несколько дней, то вы, вероятно, столкнулись с разрывом прорыва. Если цены двинулись вверх, то покупайте, поставив меры предосторожности на нижнем краю разрыва. Настоящий разрыв прорыва почти никогда не закрывается. При нисходящем тренде пользуйтесь обратной процедурой. Ожидание отката назад, когда новый тренд только начался, может оставить вас на обочине.
3. Игра после разрыва продолжения похожа на игру после разрыва прорыва. Покупайте сразу и установите меры предосторожности на нижнем крае разрыва. При нисходящем тренде пользуйтесь обратной процедурой. Ужесточите вашу остановку, когда тренд подойдет к целевому уровню, на который указывает разрыв продолжения.
4. Истинный разрыв продолжения или прорыва должен подтверждаться серией новых максимумов или минимумов. Если этого нет, то вы, возможно, столкнулись с разрывом истощения. Если рынок отказывается достигать новых минимумов или максимумов в направлении разрыва, то выйдите из игры и еще раз оцените рынок, глядя со стороны.
5. Разрывы истощения открывают привлекательные возможности для игры, поскольку за ними часто следует стремительное обратное движение. Если вы обнаружили восходящий разрыв истощения, продавайте, установив меры предосторожности над последним максимумом. Когда цены начнут падать, наиболее слабые "быки" начнут сбрасывать. Продавайте, пока цены будут по-прежнему достигать новых минимумов и возвращайте своё на следующий день после того, как цены не дадут новый минимум. При нисходящем тренде поступайте наоборот. Из-за значительной подвижности, играть на разрывах истощения легче, используя опционы, особенно "put" на максимумах.
Правила игры
После того, как фигура "голова" и "плечи" обнаружена, вам необходимо принять два решения: что делать с открытой позицией и как приступить к продаже. С открытой позицией можно поступить тремя способами: немедленно закрыть, ужесточить меры предосторожности, часть закрыть, а часть оставить открытыми.
Многие игроки выбирают четвертый путь, они просто замирают и не делают ничего. Игра на бирже сложна, нетривиальна и требует принятия решений в атмосфере неопределенности.
Ваше решение должно определяться тем, насколько вы уверены в фигуре. Оно так же зависит от размеров вашего счета. Большой счет позволит вам продавать и покупать постепенно. Игра с одним контрактом при малом счете требует точного выбора момента, это отличная школа для начинающего игрока.
Вам следует проанализировать графики для нескольких временных масштабов (см. главу 5.5). Если на недельном графике образуется вершина, то "голова" и "плечи" на дневном графике требуют бежать из рынка. Если недельный тренд силен, то часто достаточно просто ужесточить остановки. Технические индикаторы тоже помогают понять, насколько срочно нужно начинать продажу.
Рынки обычно более склонны к резким перепадам цен, когда они формируют вершины. Продажа с мерой предосторожности выше последнего максимума может подвергнуть вас большему риску, чем позволяет ваш счет для работы с одним контрактом (см. главу 10). Вам, может быть, придется пропустить сделку или не удваивать позиции, чтобы удержать риск в допустимых пределах.
1. Продавайте” когда увидите "голову" или правое "плечо" при падении объема, пересечении линии тренда и дивергенцию между техническими индикаторами и ценами.
2. Спад после "головы" образует линию "горловины". Если вы все еще удерживаете позицию, то поместите меры предосторожности ниже линии "горловины".
3. Подъем правого "плеча" обычно характеризуется малым объемом и показателями слабости рынка на технических индикаторах. Он дает последнюю реальную возможность выйти из восходящего тренда с прибылью. В правом "плече" технические индикаторы часто достигают больших значений, чем в "голове", но они никогда не превышают максимальных значений, достигнутых в левом "плече". Если вы продаете в правом "плече", то поместите остановку на уровне вершины "головы". Сделайте этот заказ “остановкой с разворотом” (Stop-and-Reverse). Если заказ выполняется, позиция закрывается и вновь открывается в противоположном направлении (см. сигнал “Собака Баскервилей”).
4. После того, как линия "горловины" пересечена, откат с малым объемом дает отличную возможность для продажи при мерах предосторожности чуть выше линии "горловины".
Правила игры
Торговцы в зале могут получить прибыль от колебания цен в пределах прямоугольника, но большие деньги делаются на игре в сторону прорыва.
1. Играя в пределах прямоугольника, покупайте на нижней границе и продавайте на верхней. Осциляторы помогут вам решить, когда цены готовы развернуться в пределах прямоугольника. Стохастика (Stochastic), индекс относительной силы (RSI) и %R Вильямса (Wm%R) (см. главу 4), указывают на изменение движения цен в прямоугольнике, когда они доходят до своих ключевых уровней меняют направление движения.
Если вы покупаете на нижней границе прямоугольника, то поместите меры предосторожности чуть ниже нижнего края прямоугольника. Если вы продаете у верхнего края прямоугольника, поместите остановку чуть выше него. Вам придется быть очень чутким и извлекать прибыль при первых признаках поворота цен. Внутри прямоугольника малейшее промедление очень опасно.
2. Чтобы выяснить, прорыв в какую сторону более вероятен, проанализируйте рынок в большем временном масштабе, чем тот, на котором вы играете. Если вы хотите поймать прорыв на дневном графике, поищите тренд на недельном, поскольку в направлении тренда прорыв более вероятен (см. главу 9.1).
3. Если вы покупаете при восходящем прорыве или продаете при нисходящем, то поместите остановку немного внутри прямоугольника. Возможен откат к границе прямоугольника при малом объеме сделок, но цены не должны вернуться внутрь него, если прорыв настоящий.
Правила игры
Лучше не играть на незначительных колебаниях цен внутри треугольника, конечно, если этот треугольник не очень велик. По мере старения треугольника колебания цен становятся меньше. Прибыль уменьшается, а сдвиг и комиссионные продолжают поедать ваш счет как и раньше.
1. Если вы играете внутри треугольника, используйте такие осцилляторы, как стохастика (см. главу 3.7) и лучи Элдера (см. главу 8.1). Они помогут вам уловить мелкие колебания.
2. Пытаясь решить, приведет ли треугольник на дневном графике к прорыву вверх или вниз, посмотрите на недельный график (см. главу 9.1). Если на недельном графике восходящий тренд, то дневной треугольник с большей вероятностью будет прорван вверху и наоборот.
3. Если вы намерены покупать при прорыве вверх, поместите свой заказ выше верхней границы треугольника и понижайте его по мере того, как треугольник становится уже. Если вы хотите продавать при прорыве вниз, поместите заказ на продажу ниже нижней границы треугольника. По мере того, как треугольник становится уже, повышайте его. Когда вы в игре, поместите предохранительную остановку немного внутри треугольника. Цены могут вернуться к границе, но, при истинном прорыве, они не проникнут глубоко внутрь.
4. Когда после прорыва из треугольника происходит откат, обратите внимание на объем. Откат при высоком объеме угрожает наметившемуся тренду, а откат при низком объеме дает хорошую возможность удвоить вашу позицию.
5. Когда цены подойдут к последней трети треугольника, аннулируйте ваш заказ на покупку или продажу. Прорывы из последней трети треугольника очень ненадежны.
Правила игры
Успешный игрок не пытается предсказать будущее, он следит за рынком и работает со своими открытыми позициями (см. главу 2.6). Показатель среднего движения курса помогает нам играть в направлении тренда. Основным сигналом от МА является направление его изменения. Оно показывает, куда движется рынок. Когда ЕМА растет, следует играть на повышение, а когда падает, лучше играть на понижение (рис. 16).
1. Когда ЕМА растет, открывайте позиции на покупку, Покупайте, когда цены падают до уровня показателя среднего движения курса или немного ниже его. Если вы в игре, поместите меры предосторожности ниже последнего локального минимума и перенесите их в точку пересечения как только цены перейдут через их линию ЕМА.
2. Когда ЕМА падает, открывайте позиции на продажу. Продавайте, когда цены поднимутся до ЕМА или немного выше, установив меры предосторожности выше ближайшего локального максиму мл. Опустите их до точки пересечения, как только цены опустятся ниже их ЕМА.
3. Когда ЕМА идет ровно и только немного колеблется, это говорит о рынке без движения (Flat). Не играйте при помощи указателей тренда.
Правила игры
Пересечение линии MACD и сигнальной показывает изменение рыночных течений. Играть в направлении пересечения, значит идти в ногу с массой рынка. Такая система дает меньше сигналов к игре и меньше всплесков, чем механическая система, построенная на одном показателе среднего движения курса.
1. Когда быстрая линия MACD пересекает сигнальную линию снизу вверх, это дает сигнал о покупке. Покупайте и поместите страховочные меры ниже последнего локального минимума.
2. Когда быстрая линия пересекает сигнальную сверху вниз, это дает сигнал о продаже. Продавайте и поместите страховочные меры выше последнего локального максимума (рис. 18).
Рис. 18. Линии MACD
Когда быстрая линия MACD пересекает медленную сигнальную линию снизу вверх, это дает сигнал к покупке. Сигнал к продаже подается тогда, когда быстрая линия пересекает медленную двигаясь вниз. Этот метод позволяет обнаружить все важные тренды и дает всплески реже, чем пересечения цен и одного показателя среднего движения.
Правила игры
MACD-гистограмма дает игроку два типа сигналов. Один обычный, возникающий при каждой новой черте на графике цен. Другой редкий, возникающий только несколько раз в год на любом рынке, но зато очень сильный.
Обычный сигнал дается наклоном MACD-гистограммы (рис, 19). Если текущий столбец выше предыдущего, то наклон вверх. Это говорит о том, что у руля "быки" и нужно покупать. Когда текущий столбец ниже предыдущего, то наклон вниз. Это говорит о том, что командуют "медведи" и пора продавать. Если цены идут в одну сторону, а MACD-гистограмма идет в другую, значит доминирующая толпа теряет свой энтузиазм и тренд на самом деле слабее, чем кажется.
Рис. 19. Расхождения MACD-гистограммы
MACD-гистограмма подтверждает тренд, когда он дает новые максимумы и минимумы одновременно с ценами. Новые минимумы MACD-гистограммы в точках А и F подтверждают нисходящий тренд. Новые минимумы этого индикатора говорят игроку о том, что нисходящий тренд, вероятно, снова достигнет минимальных значений А и F или опустится еще ниже. Новые максимумы С и D MACD-гистограммы подтверждают восходящий тренд. Они говорят о том, что восходящий тренд, вероятно, снова достигнет или превзойдет максимумы С и D.
Дивергенция между MACD-гистограммой и ценами указывают на основные точки разворота. Эти сигналы появляются редко, но если они появились, то, как правило, позволяют уловить моменты основных разворотов и начала нового тренд а. Дивергенция "быков" А-В дает прекрасную возможность купить. Цены в новом минимуме, а минимум индикатора выше предыдущего. Это говорит о том, что "медведи" выдохлись и "быки" готовы перехватить инициативу.
Дивергенция "медведей" D-E дает прекрасную возможность для продажи. На правом краю графика оказалась дивергенция "быков" F-G. Лучшее время для покупки тогда, когда MACD-гистограмма двинется вверх из своего второго минимума G. Если вы играете на повышение, поместите предохранительную остановку ниже минимума цен G. Повышайте ее по мере развития тренда.
1. Покупайте, когда MACD-гистограмма перестает падать и движется вверх. Поместите предохранительную остановку ниже последнего локального минимума.
2. Продавайте, когда MACD-гистограмма перестанет расти и пойдет вниз. Поместите предохранительную остановку выше последнего локального максимума.
Дневная MACD-гистограмма так часто движется вверх и вниз, что продавать и покупать всякий раз, когда это происходит, не практично. Изменения наклона MACD-гистограммы значительно более информативно на недельном графике, поэтому именно она включена в Систему Трех Экранов (см. главу 9.1).
Предварительная линия тренда
Обычно линия тренда проходит по крайней мере через две точки на графике. Но есть и мало известный метод проведения предварительной линии тренда только через одну точку (рис. 9).
Если цены прорвали нисходящий тренд и поднялись над ней, вы можете предположить, что нисходящий тренд кончился и начался новый восходящий тренд. Соедините два последних максимума - это будет линия диапазона для нового подъема. Проведите параллельную ей линию через последний минимум. Эта предварительная линия тренда, параллельная линии диапазона, покажет вам, где ожидать следующего минимума. Часто она показывает на отличную возможность для покупки. Этот метод несколько лучше работает на минимумах, чем на максимумах.
Рис. 9. Диапазоны тренда и предварительные линии тренда
Нисходящая линия тренда 1, проведенная через максимумы подъемов, характеризует рынок "медведей" на кукурузу. Линия диапазона 2 проведена через минимумы параллельно линии тренда. Она отслеживает максимальную силу медведей в нисходящем тренде. Лучшие возможности для продажи - в верхней половине падающего диапазона, а для покупки - в нижней половине растущего.
Когда цены прорываются вверх через нисходящую линию тренда, диапазон поможет вам провести предварительную линию восходящего тренда. Сначала нарисуйте линию нового диапазона 3, соединяющую две вершины подъемов. Затем проведите параллельную ей линию 4 через последний минимум. Это и будет предварительная линия нового тренда.
На правом краю графика кукуруза продается дорого. Она у верхнего края диапазона. Если вы хотите играть на повышение, поместите заказ на покупку около новой линии тренда 4.
Профиль рынка
Питер Стейдельмайер разработал этот метод анализа периодов накопления и распределения на протяжении дневных торгов. Профиль рынка (Market Profile) требует доступа к данным в реальном времени -постоянного потока сведений на протяжении всего дня. Каждому получасу торгов присваивается своя буква последовательно по алфавиту. Эта буква отражает максимальную цену, достигнутую в течение этого получаса.
По мере того, как цены изменяются, на экране появляется все больше и больше букв, образующих фигуру в форме колокола. Когда цены образуют тренд, профиль рынка отражает это, принимая вытянутую форму. Метод профиля рынка иногда сочетают с Банком данных о ликвидности, который отражает объем сделок нескольких групп игроков-трейдеров в операционном зале, хеджеров и игроков вне биржи.
Прорыв тренда
Прорыв установившегося тренда показывает, что доминировавшая на рынке группа утратила свою власть. Вам нужно быть осторожным и не ожидать сигналов о вступлении в игру, большинство теряет деньги, пытаясь оседлать ядро, вылетевшее из пушки.
Линия тренда - это не стеклянный пол под рынком, для разрушения которого достаточно одной трещины. Скорее это забор, на который могут опереться "быки" и "медведи". Они могут даже немного сдвинуть его не разрушая. Тренд действительно прорван, когда цены коснутся ее с другой стороны. Некоторые игроки утверждают, что тренд можно считать прорванным только тогда, когда цены отходят от него на два или три процентных пункта (8-12 долларов для унции золота за 400 долларов).
После прорыва крутого восходящего тренда цены часто вновь подскакивают, проходят через предыдущий максимум и касаются старой линии тренда снизу (рис. 4 и 8). Когда такое случается, у вас почти идеальная возможность для продажи: сочетание двойного максимума, касания старой линии тренда и, возможно, дивергенция "медведей" по индикаторам. К нисходящим трендам опять применимо зеркальное отражение.
Рис. 8. Когда тренд ускоряется
Рынок ценных бумаг медленно и устойчиво рос после минимума 1987 года. Вы могли покупать всякий раз, когда цены касались пологой линии тренда (1). Тренд ускорился в 1988 году, и в точке А нужно провести новую линию тренда (2). Когда новая более крутая линия была прорвана, это означало конец периода "быков". Рынок предоставил, как это часто бывает, отличную возможность играть на понижение в точке В, когда цены поднялись к старой линии тренда перед обвалом.
Прямоугольники
Прямоугольник (Rectangle) - это фигура, где цены движутся между двумя параллельными линиями. Они обычно горизонтальны, но иногда могут быть и наклонными (см. “Линии и флаги”). Прямоугольники и треугольники могут служить знаками продолжения и изменения тренда. Для того, чтобы нарисовать прямоугольник, необходимо четыре точки. Верхняя линия соединяет две верхних точки максимума, а нижняя - два минимума (рис. 13). Эти линии следует проводить через края областей консолидации цен, а не через экстремальные значения (см. главу 3.2).
Рис. 12. Перевернутая "голова" и "плечи"
Во время нисходящего тренда высокий объем подтверждает все спады вплоть до левого "плеча" (LS). Спад к "голове" проходит при малом объеме, что предупреждает "медведей". Подъем после "головы" пересекает линию тренда и показывает, что он закончился.
Низкий объем в правом "плече" и наклон линии "горловины" вверх говорят о приближении значительного подъема. Рост объема при пересечении линии "горловины" подтверждает новый тренд. Ни один из откатов так и не коснулся линии горловины.
Проектируемый уровень цен (В) настолько же выше линии "горловины", насколько "голова" (А) ниже нее. Типичным явлением при подъеме рынка с минимальных значений перевернутой фигуры является значительное превышение рассчитанного уровня цен. Лучшая возможность для покупки была в правом "плече" с предохранительной остановкой немного ниже головы. На правом краю диаграммы разрыв подтверждает бурный рост. Поместите предохранительную остановку по открытым позициям на нижнем краю разрыва.
Верхняя линия прямоугольника показывает сопротивление, а нижняя - поддержку. Верхняя линия показывает где "быки" теряют энтузиазм, нижняя - где выдыхаются "медведи". Прямоугольная форма показывает, что "быки" и "медведи" равны по силе. Ключевой вопрос состоит в том, кто, "быки" или "медведи", в конечном итоге окажутся победителями.
Рис. 13. Прямоугольники
Верхний край каждого прямоугольника проводится через два или более максимумов. Нижний край проводят через два и более минимумов. Прямоугольник может быть как фигурой продолжения, так и реверсивной фигурой. Пока основная линия тренда не затронута, более вероятно, что прямоугольник говорит о продолжении.
После того, как цены вырвались из прямоугольника, они часто возвращаются и касаются его границ снаружи (В, D, Е). Эти откаты дают отличные возможности для игры с малым риском в направлении прорыва и предохранительной остановкой внутри прямоугольника.
Одни и те же уровни цен могут служить и поддержкой, и сопротивлением. Обратите внимание, как линия D превратилась из поддержки в сопротивление и обратно в поддержку. На правом краю графика цены существенно выше линии тренда и для покупки лучше подождать отката.
Если объем растет при приближении к верхней границе, то более вероятен прорыв вверх, а если объем растет при приближении к нижней границе, то более вероятен прорыв вниз. Истинный прорыв из прямоугольника подтверждается увеличением объема на треть или половину от среднего значения за последние пять дней. Если объем низок, то это, скорее всего, ложный прорыв.
В восходящем тренде прямоугольники обычно шире, а при нисходящем тренде уже. Чем дольше длится прямоугольник, тем значительнее будет прорыв. Прорывы из прямоугольников на недельных графиках особенно важны, поскольку они отражают крупные победы *'быков" или "медведей".
Есть несколько методов для предсказания того, что последует за прямоугольником. Измерьте высоту прямоугольника и отложите ее от прозванной линии в направлении прорыва. Это его минимальный прогнозируемый уровень цен. Максимальный проектируемый уровень цен получается, если взять длину прямоугольника и отложить ее вертикально в направлении прорыва. Тони Пламмер пишет, что прямоугольник является частью спирального развития тренда. Он рекомендует измерить высоту прямоугольника, умножить ее на три числа Фибоначчи (1,618; 2,618; 4,236) и отложить эти значения в направлении изменения цен для получения прогнозируемых уровней цен.
Психология - ключевой момент
Вы можете основывать ваши действия на фундаментальном или же на техническом анализе. Вы можете заключать сделки согласно вашим догадкам об экономических или политических тенденциях, использовать “внутреннюю информацию” или просто надеяться на лучшее.
Вспомните, что вы чувствовали в последний раз, когда подавали заявку? Вы были возбуждены и рвались вперед или испытывали страх перед возможными убытками? Вы колебались, прежде чем взять телефонную трубку? Когда вы совершили сделку, вы чувствовали себя возвышенным или униженным? Чувства тысяч игроков образуют огромный психологический прилив, который и движет рынок.
Психология игры
Ваши чувства оказывают непосредственное влияние на состояние Вашего счета. У вас может быть блестящая система игры, но если вы чувствуете себя испуганным, раздраженным или опечаленным, то ваш счет наверняка пострадает. Если вы чувствуете, что возбуждение игрока или страх туманят ваш разум, прекратите играть. Ваш успех или неудача как игрока определяются вашей способностью контролировать эмоции.
Когда вы играете, то противостоите лучшим умам мира. Поле, на котором вы играете, задумано так, чтобы обеспечить ваш проигрыш. Если вы позволите чувствам вмешаться в процесс, то битва окончена.
Вы отвечаете за каждую заключенную сделку. Сделка начинается тогда, когда вы решаете выйти на рынок и заканчивается только тогда, когда вы окончательно с него ушли. Недостаточно иметь хорошую систему игры. Большинство игроков, имевших хорошую систему, ушли с рынка потому, что психологически не были готовы победить.
Психология масс
Восходящий тренд образуется тогда, когда "быки" сильнее "медведей" и их покупки толкают цены вверх. Если "медведям" удается сбить цены, "быки" вновь вступают в игру с новыми силами, переламывают спад и поднимают цены до нового максимума. Нисходящий тренд образуются тогда, когда "медведи" сильнее и их продажи толкают цены вниз. Когда приток покупателей возвращает цены наверх, "медведи" пользуются удобным случаем снова продают, сбивают подъем и опускают цены до нового минимума.
Рис. 3. Тренд и коридор цен
Рисунок из последовательно снижающихся минимумов и максимумов указывает на нисходящий тренд. Соевые бобы дешевели с ноября по середину января. Минимум 4 ниже, чем минимум 2 и пик 3 ниже, чем пик 1. Прорыв нисходящей линии тренда в точке 5 указывает на окончание нисходящего тренда. Нарушение линии, определяющей нисходящий тренд, может указывать на разворот рынка в противоположном направлении или о том, что цены перестанут падать и будут колебаться в определенном коридоре.
Нисходящий тренд ноября-января перешел в коридор цен, определенный горизонтальными линиями, проведенными через минимум 4 и максимумы 3 и 6. Когда спад из максимума 6 остановился в минимуме 7, не достигнув дна диапазона, уже можно было нарисовать предварительную линию восходящего тренда. Прорыв из коридора в точке 8 подтверждает начало нового восходящего тренда.
На правом краю графика цены остановились как раз над линией тренда. Поскольку тренд восходящий - это возможность для покупки. Риск, в случае движения вниз, может быть ограничен помещением остановки либо ниже последнего минимума, либо ниже линии тренда. Обратите внимание на то, что дневные интервалы цен (расстояния от максимумов до минимумов) относительно невелики. Это типично для сильного тренда. Тренд часто оканчиваются после нескольких дней с широким коридором цен, говорящим о лихорадочной активности.
Когда "быки" и "медведи" примерно равны по силе, цены остаются в границах коридора цен. Когда "быкам" удается поднять цены, "медведи" начинают продажу, и останавливают падение. Охотники за прибылью вступают в игру и прерывают спад. "Медведи" закрывают позиции на продажу, что приводит к росту цен, и цикл повторяется.
Коридор цен похож на битву между двумя равными по силе бандами. Они теснят друг друга вперед и назад на углу улицы, но никто не может овладеть положением. Тренд похож на драку, в которой одна банда гонит другую вдоль улицы. Время от времени более слабая банда останавливается и пытается дать сдачи, но потом ей все равно приходится бежать дальше.
В коридоре цен движения цен не происходит, равно как и толпа, большую часть времени проводит бесцельно, роясь на месте. Рынок проводит больше времени в коридоре цен, чем в тренде, просто потому, что бездействие более естественно для людей, чем осмысленная деятельность. Когда толпа приходит в возбуждение, она ищет и создает тренд. Толпа не остается возбужденной долго, она возвращается к своим колебаниям. Профессионалы обычно предполагают, что имеет место коридор цен.
Психология рынка
Каждая цена - это мгновенный снимок консенсуса масс по поводу стоимости (см. главу 2.1). Одна цена не скажет вам, близка ли толпа к "быкам" или к "медведям", как одна фотография не скажет, изображен ли на ней оптимист или пессимист. Или, например, если в лабораторию принесли 10 снимков одного человека, то можно составить совмещенное изображение, и оно даст его характерные черты. Если вы будете делать совмещенный снимок каждый день, то сможете отследить изменение настроения этого человека.
Показатель среднего движения курса - это совмещенная фотография рынка, он объединяет цены за несколько дней. Рынок состоит из огромной толпы, и показатель среднего движения курса показывает направление движения масс.
Наиболее полезная информация от показателя среднего движения курса - это направление его изменения. Когда он растет, это значит, что толпа становится более оптимистичной, склоняется к "быкам". Когда он падает, толпа становится более пессимистичной и склоняется к "медведям". Если толпа ближе к "быкам", чем раньше, цены выше показателя среднего движения курса, а если толпа ближе к "медведям", то цены ниже него.
MACD-гистограмма показывает разницу между долгосрочным и краткосрочным консенсусом по поводу стоимости на рынке. Быстрая линия MACD отражает консенсус за более короткий период. Медленная сигнальная линия отражает консенсус за более длительный период. MACD-гистограмма отслеживает разницу между двумя линиями.
Наклон MACD-гистограммы описывает доминирующую на рынке группу. Поднимающаяся MACD-гистограмма говорит о том, что "быки" становятся сильнее. Падающая MACD-гистограмма говорит о том, что сильнее становятся "медведи".
Когда быстрая линия MACD поднимается быстрее, чем медленная сигнальная линия, MACD-гистограмма поднимается. Она показывает, что "быки" сильнее, чем были раньше, и разумно покупать. Когда быстрая MACD линия падает быстрее, чем медленная линия, MACD-гистограмма падает. Это показывает, что "медведи" становятся сильнее и лучше продавать.
Когда наклон MACD-гистограммы совпадает с движением цен, тренд в безопасности. Когда MACD-гистограмма идет в противоположном ценам направлении, состояние тренда под вопросом. Лучше играть в направлении наклона MACD-гистограммы, поскольку он показывает, кто, "быки" или "медведи", доминируют на рынке.
Наклон MACD-гистограммы более важен, чем ее положение выше или ниже оси. Лучший сигнал к продаже подается тогда, когда MACD-гистограмма выше нуля, но наклонена вниз, показывая, что "быки" выбились из сил. Лучший сигнал к покупке подается, когда MACD-гистограмма ниже оси, но наклонена вверх, показывая, что "медведи" выдыхаются.
Психология толпы
Каждая цена отражает консенсус по поводу стоимости между всеми участниками рынка на момент сделки. Импульс и RoC сравнивают сегодняшний консенсус (цены сегодня) с прошлым (ценами тогда). Они измеряют динамику оптимизма и пессимизма масс.
Сырая нефть
Date
|
Close
|
Mtm:7
|
RoC:7
|
13-ЕМА
|
S-RoC 13/21
|
6/6
|
20.51
|
-0.64
|
96.07
|
21.04
|
100.51
|
6/7
|
20.45
|
-0.71
|
96.64
|
20.95
|
99.68
|
6/10
|
20.09
|
-1.36
|
93.66
|
20.83
|
98.61
|
6/11
|
20.20
|
-1.06
|
95.01
|
20.74
|
98.14
|
6/12
|
20.31
|
-0,94
|
95.58
|
20.68
|
97.96
|
6/13
|
20.01
|
-1.11
|
94.74
|
20.5ё
|
97.65
|
6/14
|
20.00
|
-0.64
|
96.90
|
20.50
|
97.25
|
6/17
|
20.13
|
-0.38
|
98.15
|
20.45
|
96.94
|
6/18
|
20.10
|
-0.35
|
98.29
|
20.40
|
96.56
|
6/19
|
19.91
|
-0.18
|
99.10
|
20.33
|
96.07
|
6/20
|
20.17
|
-0.03
|
99.85
|
20.30
|
95.94
|
6/21
|
20.21
|
-0.10
|
99.51
|
20.29
|
96.04
|
6/24
|
20.00
|
-0.01
|
99.95
|
20.25
|
95.90
|
6/25
|
20.10
|
0.10
|
100.50
|
20.23
|
95.72
|
6/26
|
20.09
|
-0.04
|
99.80
|
20.21
|
95.49
|
6/27
|
20.46
|
0.36
|
101.79
|
20.24
|
95.66
|
6/28
|
20.53
|
0.62
|
103.11
|
20.29
|
95.67
|
7/01
|
20.65
|
0.48
|
102.38
|
20.34
|
95.88
|
7/02
|
20.70
|
0.49
|
102.42
|
20.39
|
96.10
|
7/03
|
20,55
|
0.55
|
102.75
|
20.41
|
96.27
|
7/05
|
20.72
|
0.62
|
103.08
|
20.46
|
96.84
|
7/08
|
21.63
|
0.94
|
104.68
|
20.54
|
97.64
|
7/09
|
21.10
|
0.64
|
103.13
|
20.62
|
98.41
|
7/10
|
21.29
|
0.76
|
103.70
|
20.71
|
99.45
|
7/11
|
21.09
|
0.44
|
102.13
|
20.77
|
100.14
|
7/12
|
21.48
|
0.78
|
10.3.77
|
20.87
|
100.93
|
7/15
|
21.23
|
0.68
|
103.31
|
20.92
|
101.65
|
7/16
|
21.37
|
0.65
|
103.14
|
20.99
|
102.37
|
7/17
|
21.81
|
0.78
|
103.71
|
21.10
|
103.21
|
7/18
|
21.66
|
0.56
|
102.65
|
21.18
|
103.85
|
Рис. 24. Расчет моментума, скорости изменения и сглаженной скорости изменения.
Моментум ( Mtm:7) равен сегодняшней цене закрытия минус цена закрытия 7 дней назад. Скорость изменения (RoC:7) - это сегодняшняя цена закрытия, деленная на цену закрытия 7 дней тому назад. Вместо цены закрытия вы можете использовать среднюю цену (половина суммы максимальной и минимальной). Это верно и в отношении большинства других индикаторов, приведенных в этой книге. Можно использовать и другой временной интервал, как длиннее, так и короче 7 дней.
Чтобы найти сглаженную скорость изменения (S-RoC 13/21) вычислите 13-дневный экспоненциальный показатель среднего движения от цен закрытия и примените к нему 21-дневную скорость изменения.
Чтобы узнать, растет ли ребенок достаточно быстро, вы можете измерять его рост каждый месяц и сравнивать с ростом шесть месяцев назад. Тогда вы узнаете, растет ли ваш ребенок нормально, отстает ли настолько, что его нужно отвести к врачу или растет столь бурно, что нужно думать о тренере по баскетболу. Моментум и RoC показывают вам, ускоряется ли тренд или замедляется, а может и сохраняет свою скорость.
Когда моментум и RoC достигают нового максимума, это говорит о том, что оптимизм рыночной толпы растет и подъем, видимо, продолжится. Когда моментум и RoC падают до нового минимума, это говорит о росте пессимизма толпы и о вероятности продолжения падения цен в будущем.
Когда цены растут, а моментум или RoC падают, это предупреждает вас о том, что вершина близка и пришло время извлекать прибыль из удерживаемых позиций и ужесточать остановки. Когда цены дают новый максимум, а максимум моментума и RoC ниже предыдущего, дивергенция "медведей" дает сильный сигнал к продаже. Обратное справедливо при нисходящем тренд е.
Иногда моментум и RoC оказываются не предварительными, а синхронными индикаторами. Представьте себе, как ракета ударяется о препятствие. Ее моментум и скорость изменения падают вместе с разбитой ракетой. Это происходит тогда, когда на рынок приходят существенные плохие новости, отправляя RoC и цены вниз одновременно.
Каждая цена - это консенсус всех участников рынка. Верхний край недавнего интервала цен показывает, как высоко "быки" смогли поднять цену и какова была их максимальная сила. Нижний конец интервала показывает, какова была максимальная сила "медведей" за этот период. Цена закрытия является самым важным консенсусом дня, поскольку по ней корректируется состояние счетов игроков.
Wm% R сравнивает каждую цену закрытия с недавним интервалом. Он показывает, могут ли "быки" установить цену закрытия у верхней границы интервала и могут ли медведи установить ее у нижней границы. Wm%R определяет баланс сил "быков" и "медведей" на момент закрытия, критически важный момент подсчета денег.
Золото
|
|
|
|
|
Date
|
High
|
Low
|
Close
|
Wm%R:7
|
8/14
|
362.2
|
358.2
|
361.2
|
|
8/15
|
363.5
|
360.2
|
360.4
|
|
8/16
|
361.6
|
360.3
|
361.3
|
|
8/19
|
366.5
|
360.4
|
362.0
|
|
8/20
|
362.0
|
355.3
|
359.3
|
|
8/21
|
360.4
|
358.2
|
360.1
|
|
8/22
|
359.9
|
357.4
|
357.5
|
80.36
|
8/23
|
357.2
|
355.3
|
356.7
|
87.50
|
8/26
|
358.6
|
357.1
|
358.5
|
71.43
|
8/27
|
358.8
|
356.9
|
357.8
|
77.68
|
8/28
|
359.5
|
356.1
|
357.3
|
70.15
|
8/29
|
356.4
|
353.7
|
354.1
|
94.03
|
8/30
|
351.5
|
348.5
|
351.4
|
74.56
|
9/03
|
352.0
|
349.4
|
351.6
|
71.82
|
9/04
|
352.3
|
351.6
|
351.8
|
70.00
|
9/05
|
350.7
|
349.8
|
350.3
|
83.64
|
9/06
|
352.5
|
349.8
|
352.3
|
65.45
|
9/09
|
355.9
|
353.4
|
354.3
|
26.58
|
|
|
|
|
|
Рис. 27. Расчет %R Вильямса
Wm% R выражает расстояние от последней цены закрытия до верха 7-дневного интервала цен как процент от ширины этого интервала. Wm%R:7 рассчитано для 7-дневного периода. Вы можете выбрать как более длинный, так и более короткий период в зависимости от того, какой тренд вы пытаетесь анализировать.
Возможно, в течение дня "быки" смогли поднять цены выше, или "медведи" смогли спустить их ниже. Wm%R показывает, какая группа способна установить цену закрытия в свою пользу. Если "быки" не могут установить цену закрытия у максимума во время подъема цен, то они слабее, чем кажутся. Это возможность для продажи. Если "медведи" не могут установить цену закрытия у минимума во время падения цен, то они слабее, чем выглядят. Это возможность для покупки.
Каждая цена отражает консенсус всех участников рынка по поводу стоимости на момент сделки. Цена закрытия дня важна потому, что она определяет изменение состояния счета. Максимум за любой период отражает максимальную силу "быков" за этот период. Минимум за любой период отражает максимальную силу "медведей" за этот период.
Стохастика показывает способность "быков" и "медведей" установить цену закрытия на краю недавнего интервала. Когда цены растут, цены закрытия сдвигаются к максимумам. Если "быки" могут поднять цены в течение дня, но уже не могут установить цену закрытия около максимума, то стохастика падает. Это означает, что "быки" слабее, чем кажутся, и следует продавать.
Цена закрытия сдвигается к минимумам, когда цены падают. Если цена закрытия поднимается к верхней границе диапазона, значит "медведи" могут опустить цены вниз, но не могут удержать их там. Подъем стохастики показывает, что "медведи" не столь сильны, как выглядят, что является сигналом покупать.
Ради вашей жизни
Когда обезьяна ударится о ветку, она приходит в ярость и бьет кусок дерева. Над обезьяной вы смеетесь, а над собой, когда поступаете так же? Когда рынок падает, а у Вас открытая позиция на покупку, вы можете либо удвоить объем вашей убыточной позиции, либо продать, пытаясь вернуть свое. Вы действуете эмоционально, а не руководствуетесь разумом. Какая разница между игроком, пытающимся сквитаться с рынком, и обезьяной, наказывающей дерево? Выплескивание злости, страха или отчаяния в действиях лишает вас шансов на успех. Вы должны анализировать ваше поведение на рынке, а не давать волю чувствам.
Мы сердимся на рынок, боимся его, изобретаем глупые предрассудки. А рынок тем временем продолжает переходить от спада к подъему, как океан от ясных периодов к штормовым. Марк Дуглас пишет в “Дисциплинированном игроке”, что на рынке “Нет начала, середины и конца, все это вы создаете в своем сознании. Мало кто из нас воспитан для действий в области, позволяющей полную свободу творческого самовыражения, без внутренней структуры, налагающей какие либо ограничения”.
Мы пытаемся быть благодарны рынку или манипулировать им, подобно древнему императору Ксерксу, который приказал своим солдатам высечь море за то, что оно потопило его корабли. Большинство из нас не понимает, насколько мы увертливы, как азартно мы играем, как мы выражаем свои чувства на рынке. Мы считаем себя центром Вселенной и ожидаем, что любой человек или группа либо за нас, либо против. Это не проходит с рынком, который полностью безличен.
Лестон Хавенс, психиатр из Гарвардского университета, пишет: “Каннибализм и рабство, вероятно, древнейшие проявления человеческой хищной природы и способности к самоунижению. Оба больше не встречаются в жизни и их постоянное появление в психологической форме показывает, как далеко продвинулась цивилизация от конкретного и физического к абстрактному и психологическому, сохранив, однако, первоначальные цели”. Родители угрожают детям, хулиганы бьют их, учителя пытаются сломить их волю в школе. Не удивительно, что большинство из нас вырастает либо упрятанными в раковину, либо научившись манипулировать другими в целях самозащиты. Независимые действия неестественны для нас, но это единственный способ преуспеть на рынке.
Дуглас предупреждает, что “если поведение рынка кажется вам загадочным, то это потому, что ваше собственное поведение загадочно и неуправляемо. Вы не можете сказать, что, вероятнее всего, будет делать рынок дальше, и не знаете, что вы сами сделаете дальше”. И, наконец, “единственным, чем вы можете управлять, являетесь вы сами. Как игрок, вы можете либо взять чужие деньги, либо вручить свои деньги другим.” Он добавляет, что “игроки, которые способны делать деньги сознательно, ... подходят к игре с позиций интеллектуальной дисциплины”.
Каждому игроку приходится изгнать своего дьявола, прежде чем стать успешным профессионалом. Вот несколько правил, которые помогли мне продвинуться от дикого любителя к нервному полупрофессионалу и, наконец, к состоянию профессионального игрока. Вам нужно поработать над этим списком, чтобы подогнать его к вашей личности.
1. Решите, что вы пришли на рынок надолго, и будете игроком и через 20 лет.
2. Учитесь как можно больше. Читайте и слушайте специалистов, но сохраняйте долю здорового скептицизма. Задавайте вопросы и не верьте экспертам на слово.
3. Не будьте жадным и не бросайтесь в игру. Дайте себе время научиться. Рынок со всеми его возможностями будет на месте и через месяц, и через год.
4. Разработайте метод анализа рынка, т.е. “если случилось А, то вероятно, что случится Б”. Рынок многомерен, используйте несколько аналитических методов, чтобы подтвердить сделку. Проверяйте все сначала на архивных данных, а затем на рынке, с живыми деньгами. Рынок постоянно меняется, вам понадобятся разные инструменты для игры на рынке "медведей" и на рынке "быков", равно как и для переходного периода, а так же способ отличить один рынок от другого (см. разделы по техническому анализу).
5. Разработайте схему управления капиталом. Вашей основной целью должно быть длительное выживание; второй целью - постепенный рост капитала; и третьей целью - получение высокой прибыли. Большинство игроков делают третью цель первой и не знают о существовании остальных двух (см. главу 10).
6. Помните, что игрок - это самое слабое звено в любой системе игры. Сходите на заседание Анонимных Алкоголиков” чтобы узнать, как избежать потерь, или разработайте собственную систему, исключающую импульсивные сделки.
7. Победители думают, чувствуют и действуют не так, как неудачники. Вы должны взглянуть вглубь себя, отказаться от своих иллюзий и изменить старые способы существования, мышления и действия. Изменяться тяжело, но если вы хотите стать профессиональным игроком, вам нужно работать над вашей личностью”.
Разница цен (Slippage)
Всякий раз, когда вы выходите на рынок или уходите с него, разница цен (Slippage), подобно акуле или пиранье, откусывает свой кусок от вашего счета. Разница цен означает выполнение вашей заявки по цене, отличающейся от той, которая существовала в тот момент, когда вы подавали свою заявку. Это то же самое, что платить 30 центов за яблоко, хотя на ценнике написано 29 центов.
Существует три вида разницы цен: обычный, динамический и криминальный. Обычная разница цен вызвана разницей цены продажи и покупки. Торговцы в операционном зале поддерживают две цены - спроса и предложения (Bid & Ask).
Например, ваш брокер сообщает, что цена на июньские S&P 500 составляет 390.45. Если вы захотите купить контракт на рынке, то придется заплатить не менее 390.50. Если вы захотите продать на рынке, то получите 390.40 или меньше. Поскольку один пункт составляет 5 долларов, разница в 10 пунктов между ценой спроса и предложения означает перевод 50 долларов из вашего кармана в карман торговцев в операционном зале. Они заставляют вас платить за право войти на рынок или уйти с него.
Разница цен спроса и предложения законна. Она обычно меньше на больших и ликвидных рынках, таких, как S&P 500 или боны, и гораздо больше на вялых рынках, таких, как рынок апельсинового сока или какао. Операционисты утверждают, что разница цен - это плата за ликвидность, возможность торговать в любой момент, когда пожелаете. Электронная торговля обещает урезать разницу цен-
Разница цен возрастает с ростом неустойчивости рынка. На быстро изменяющихся рынках торговцы в зале могут дать большую разницу цен. Когда рынок действительно приходит в движение, разница цен взлетает до небес. Когда S&P 500 быстро растут или падают. Вы можете столкнуться с разницей цен в 20 и 30 пунктов, а иногда и в 100 пунктов или больше.
Третий вид разницы цен отражает нелегальную активность торговцев в зале. У них множество способов присвоить деньги клиентов. Некоторые занесут неудачные сделки на ваш счет, а хорошие оставят для себя. Такая деятельность и ей подобные описаны в книге “Брокеры, карманники и кроты” Давида Грейсинга и Лори Морса.
Когда сотня мужчин проводят день за днем стоя плечом к плечу на ограниченном пространстве, у них возникает чувство товарищества, менталитет “мы против них”. У торговцев в зале есть прозвище для посторонних, показывающее, что они не считают нас за людей. Они называют нас “бумагой” (например: “Сегодня идет бумага?”). Поэтому вам нужно позаботиться о самозащите.
Для того, чтобы уменьшить разницу цен, работайте на ликвидных рынках и избегайте мелких и быстро движущихся рынков. Заключайте сделки, когда рынок спокоен. Пользуйтесь заявками с ограничением. Продавайте и покупайте по оговоренной цене. Записывайте, какие цены были в момент подачи заявки и, когда нужно, заставляйте брокера выступить против зала, отстаивая ваши интересы.
Разрывы
Разрыв (Gap) - это такая конфигурация соседних черт на графике цен, когда нижняя точка первой из них выше максимального значения следующей черты (рис. 10). Он говорит о том, что по некоторой цене не было заключено сделок, а заключались сделки только по более высоким и низким ценам. Словарь Вебстера определяет, что “Разрыв: 1. Дыра или отверстие, например, в стене или заборе, возникшее вследствие прорыва или раздвижения; 2. Нарушение непрерывности в пространстве или во времени”.
Разрывы возникают, когда цены скачут при внезапном дисбалансе между заказами на покупку и продажу. Важные новости часто приводят к разрывам. Разрывы на дневном графике отражают реакцию на события, которые стали известны ночью, когда торги были закрыты. Если бы новость стала известна во время торгов, то разрыв мог бы образоваться только на более мелких графиках, и разброс цен в течение дня был бы, вероятно, больше.
Например, забастовка на крупном медном руднике на руку "быкам". Если новость придет вечером, игроки на продажу испугаются и захотят закрыть позицию. Они затопят зал заказами на покупку до открытия торгов. Торговцы в зале отреагируют стартовой ценой на медь, превосходящей максимум предыдущего дня. Самые хитрые брокеры, видимо, покупали медь до того, как забастовка была объявлена. Умный игрок предпочитает играть тогда, когда на рынке тихо, а любители тяготеют импульсивно реагировать на новости.
Разрывы указывают на то, что рыночная толпа возбуждена, что проигравшие испытывают боль за свои позиции. Когда вы знаете, что "быки" или "медведи" страдают, вы можете предсказать, что они предпримут дальше и действовать соответственно.
Рис. 10. Разрывы
Закройте этот график листом бумаги и медленно сдвигайте его слева направо.
А. Разрыв прорыва. Играйте на понижение с остановкой над верхним краем разрыва.
В. Разрыв истощения, цены вернулись назад на следующий день. Нисходящий тренд кончился. Немедленно закрывайте позицию.
С. Еще один разрыв истощения, отмеченный отсутствием новых максимумов после него. Несколько дней предлагается возможность играть на понижение с остановкой выше максимума.
D. Разрыв продолжения в ходе нисходящего тренда. Играйте на понижение с остановкой над верхним краем разрыва. Цены активируют остановку через несколько дней, поскольку нет метода, застрахованного от неудач.
Е. Разрыв истощения, закрывшийся через несколько дней. Закрывайте позицию немедленно.
F. Обычный разрыв в области остановки цен. Рекомендуется не делать ничего.
G. Разрыв прорыва. Играйте на повышение с остановкой чуть ниже нижнего края разрыва.
Н. Разрыв продолжения. Добавляйте к открытой позиции еще и поместите остановку немного ниже нижнего края разрыва. Разрыв на правом краю диаграммы будет либо разрывом продолжения, либо истощения. Относительно небольшой объем намекает на продолжение. Если вы будете покупать, установите остановку ниже нижнего края этого разрыва.
Некоторые разрывы настоящие, а остальные мнимые. Настоящий разрыв возникает тогда, когда рынок пропускает некоторый коридор цен. Мнимый разрыв возникает тогда, когда торги происходят на другом рынке в то время, когда данный рынок закрыт. Например, дневные графики с Чикагской биржи валютных фьючерсов полны мнимых разрывов. Валютой торгуют в Токио, Лондоне и в других местах, когда биржа в Чикаго закрыта. Когда биржа открывается, цены отражают итоги торгов за океаном.
Все разрывы можно разделить на четыре основных группы: обычные, прорыва, продолжения и истощения. Вам нужно уметь различать их, поскольку каждый рассказывает свою историю и требует своей тактики в игре.
Разрывы прорыва
Разрывы прорыва (Breakaway Gaps) возникают тогда, когда цены покидают область консолидации с большим объемом сделок и начинают новый тренд, Разрыв прорыва может оставаться открытым неделями и месяцами, а иногда и годами. Чем дольше длился период коридора цен, предшествовавший разрыву, тем дольше продлится новый тренд.
Прорыв вверх обычно сопровождается новым максимумом на протяжении нескольких следующих дней, а прорыв вниз - рядом новых минимумов. В день разрыва наблюдается резкое увеличение объема сделок, сохраняющееся несколько дней после него. В день разрыва объем может быть вдвое больше среднего за несколько предыдущих дней.
Разрыв прорыва показывает значительное изменение менталитета масс и вскрывает наличие большого давления, поддерживающего новый тренд. Чем скорее вы присоединитесь к новому тренду, тем лучше.
Большинство разрывов являются обычными и закрываются быстро. Профессиональные игроки любят их и играют против разрыва на отскоке. Вам нужно быть осторожным, поскольку если вы будете делать это механически, то рано или поздно разрыв прорыва вам отомстит. Нужно иметь глубокие карманы для того, чтобы держать проигрывающую позицию месяцами, ожидая, пока разрыв закроется.
Разрыв истощения
Разрыв истощения (Exhaustion Gap) не сопровождается новыми максимумами или минимумами в течение нескольких дней после разрыва. Цены останавливаются, а затем идут в обратном направлении и закрывают разрыв. Разрывы истощения возникают в конце тренда. Цены растут или падают в течение недель или месяцев, а затем прыгают в направлении тренда. Сначала разрыв истощения выглядит как разрыв продолжения - прыжок в направлении тренда при высоком объеме. Но если ценам не удается достичь новых максимумов или минимумов в течение нескольких следующих дней, то это, вероятно, разрыв истощения.
То, что это разрыв истощения, подтверждается только тогда, когда цены движутся в обратном направлении и закрывают его. Этот разрыв похож на последний бросок уставшего спортсмена. Он вырывается вперед, но не может удержать темп. Если остальные догонят его, то можно считать, что он проиграл.
Разрыв продолжения
Разрыв продолжения (Continuation Gap) возникает в середине мощного тренда, который продолжает давать новые максимумы или минимумы не закрывая разрыва. Он похож на разрыв прорыва, но возникает в середине тренда, а не в самом начале. Он означает прилив новых сил к доминирующей рыночной группе. Во время инфляционного рынка "быков" на сырьевых рынках 1970-х таких разрывов было множество.
Разрыв продолжения помогает вам оценить, как долго может продлиться тренд. Измерьте расстояние по вертикали от начала тренда до разрыва и отложите его от разрыва в направлении тренда. Когда рынок будет подходить к этой отметке, следует задуматься об извлечении прибыли.
Объем подтверждает наличие разрыва продолжения, если он увеличивается, по крайней мере на 50 процентов, по сравнению со средним уровнем за последние несколько дней. Если цены не достигают новых максимумов или минимумов в течение нескольких дней после разрыва, то вы, вероятно, имеете дело с предательским разрывом истощения.
Рыночные “гуру”
Рыночные "гуру" появились с того самого момента, как люди столкнулись с рынком. В 1841 в Англии была издана классическая книга по рыночным маниям “Необычайно популярные заблуждения и сумасшествие толпы”. Ее переиздают и сегодня. Чарльз Маккей описывает в ней тюльпанную манию, бум Южных морей в Англии и другие массовые мании. Человеческая природа меняется медленно, и сегодня новые мании, включая манию следования за "гуру", продолжают охватывать рынки.
Благодаря современным средствам телекоммуникаций, "гуру "создают свои мании намного быстрее, чем раньше. Даже образованные и умные игроки и инвесторы следуют за рыночными "гуру", подобно последователям средневековых мессий.
На рынке присутствует три типа "гуру": "гуру" рыночного цикла, волшебного метода и мертвые "гуру". Некоторые "гуру" предсказывают важные переломы рыночных тенденций. Другие пропагандируют “уникальные методики” - новые пути к обогащению. Оставшиеся вышли из-под огня критики и поддерживают свой культ простым приемом покидания нашего грешного мира.
Рынок - это океан
Рынок - как океан, его волны движутся вверх и вниз независимо от ваших желаний. Вы можете радоваться, когда покупаете акцию, а ее стоимость взлетает вверх. Вы можете дрожать от страха, когда открыли позиции на продажу, а рынок пошел вверх и ваш счет уменьшается с каждым пунктом роста. Эти чувства не имеют никакого отношения к рынку, они существуют только внутри вас.
Рынок не знает о вашем существовании. Вы не можете повлиять на него. Вы можете всего лишь управлять своим поведением.
Океан не заботится о вашем благополучии, но и не пытается вам навредить. Солнечным днем, когда легкий ветерок несет вашу яхту туда, куда вы хотите, вы можете радоваться. Когда в шторм волны несут вас на скалы, вы можете запаниковать. Но ваши чувства по поводу океана существуют только у вас в голове. Они будут угрожать вашей жизни, если будут определять ваше поведение вместо разума.
Моряк не может управлять океаном, но может управлять собой. Он изучает погоду и течения. Он учится безопасной практике мореплавания и приобретает опыт. Он знает, когда выходить в море, а когда оставаться в гавани. Успешный моряк полагается на свой разум.
Океан может быть полезным, в нем можно ловить рыбу и по нему можно добраться до дальних островов. Океан может быть опасным, в нем можно утонуть. Чем более рационально вы будете относиться к нему, тем выше шансы, что вы получите желаемое. Когда вы следуете своим эмоциям, вы не в состоянии сосредоточиться на реалиях океана.
Игрок должен изучать тенденции и повороты рынка так же, как моряк изучает океан. Он должен играть в малом масштабе, пока не научится вести себя на рынке. Вы никогда не сможете управлять рынком, только собой.
Начинающий, заключивший несколько выгодных сделок, часто думает, что может ходить по воде. Он идет на большой риск и теряет свой капитал. С другой стороны, любитель, проигравший несколько раз подряд, бывает настолько деморализован, что не в состоянии разместить заказ даже тогда, когда его система дает явный сигнал о покупке или продаже. Если игра заставляет вас быть счастливым или испуганным, вы не можете полностью использовать возможности вашего разума. Когда вы охвачены радостью, вы предпримите нерациональные действия и проиграете. Когда вы боитесь, вы упустите выгодные возможности.
Профессиональный игрок пользуется головой и остается спокойным. Только любителей радует или печалит исход их операций. Эмоциональная вовлеченность - это роскошь, непозволительная на рынке.
%R Вильямса
Л. Вильяме описал % R Вильямса (Wm% R), простой, но эффективный осциллятор, в 1973 году. Он отражает способность "быков" и "медведей" устанавливать цену закрытия каждый раз на краю интервала цен прошлого дня. Wm%R подтверждает тренд и предупреждает о его грядущем обращении вспять.

r — интервал времени, выбираемый игроком, например, 7 дней,
Нr — максимальный дневной максимум за этот интервал, например, за 7 дней,
Lr — минимальный дневной минимум за то же время, например, за 7 дней,
С — последняя цена закрытия.
Wm% R отмечает положение каждой цены закрытия в предыдущем интервале цен. Он берет расстояние от самого высокого максимума до самого низкого минимума за свой отрезок времени за 100 процентов. Он выражает расстояние от последней цены закрытия до верхнего края предыдущего интервала цен в процентах от величины этого интервала (рис. 27). %R Вильямса тесно связан со стохастикой (см. главу 4.7).
Wm%R должен колебаться между 0 и 100%. Он равен 0 (нарисован вверху графика), когда "быки" в максимальной силе и устанавливают цену закрытия на вершине интервала. Он достигает 100 процентов когда "медведи" в полной силе и устанавливают цену закрытия на нижней границе интервала.
Эмпирическое правило для всех осцилляторов: если сомневаетесь, сделайте их короче. Для указателей тренда наоборот: если сомневаетесь, сделайте их длиннее. Осцилляторы с коротким временным интервалом могут уловить кратковременные изменения направления. Если вы работаете с циклом, сделайте Wm% R в половину длины цикла. Хорошо работает 7-дневный Wm%R. Wm%R работает хорошо и на недельных графиках, пользуйтесь 7-дневным интервалом.
Горизонтальные справочные линии для Wm%R проводятся на уровне 10 и 90 процентов. Когда Wm%R устанавливается выше верхней справочной линии, это значит, что "быки" сильны, но рынок перезакуплен. Если Wm%R устанавливается ниже нижней справочной линии, то "медведи" сильны, но рынок перепродан.
Саморазрушение
Прозанимавшись много лет психиатрией, я пришел к выводу, что большинство неудач в жизни вызвано саморазрушением. Мы терпим неудачу в деловых, личных или профессиональных делах не из-за глупости или некомпетентности, а ради удовлетворения подсознательного желания потерпеть неудачу.
У моего друга, человека блестящего и сообразительного, пожизненная тяга уничтожать свой успех. В молодости он был преуспевающим торговым агентом, но был уволен. Он стал брокером, поднялся почти на вершину в своей фирме, но был исключен. Он стал известным игроком, но потерпел крах, пытаясь загладить последствия предыдущих неудач. Во всех несчастьях он обвинил завистливое начальство, некомпетентных ревизоров и жену, не оказывающую ему поддержки.
Наконец, он достиг дна. У него не было ни работы, ни денег. Он одолжил биржевой терминал у такого же разорившегося игрока и занял денег у тех, кто слышал, что он раньше неплохо играл на бирже. Он знал, как заработать деньги для своего пула. По мере распространения слухов, все больше людей вносили свои средства. Мой друг был на подъеме. В этот момент он отправился с лекциями в Азию, но продолжал играть и в дороге. Он уклонился с маршрута, чтобы посетить страну, известную своими проститутками, оставив крупную открытую позицию не оговорив страховочные меры. К тому времени, когда он вернулся к цивилизации, рынок уже сделал огромный шаг и его пул был закрыт. Пытался ли он понять свою проблему? Пытался ли он измениться? Нет! Он обвинял своего брокера!
Больно всматриваться в себя в поиске причин своих неудач. Когда игрок попадает в беду, он склонен обвинять других, невезение или еще что-нибудь.
Известный игрок пришел ко мне за консультацией. Его состояние существенно уменьшилось за счет скачка курса доллара, от которого он сильно пострадал. Он вырос в борьбе с грубым и самоуверенным отцом. Он сделал себе имя, делая крупные ставки на игру против рынка. Этот игрок продолжал открывать позиции против рынка потому, что не мог допустить, что рынок, который ассоциировался с его отцом, больше и сильнее, чем он.
Это всего два примера того, как люди выражают саморазрушительные желания. Мы занимаемся саморазрушением, когда ведем себя как импульсивные дети, а не как разумные взрослые. Мы привержены нашим саморазрушительным стереотипам несмотря на то, что они могут быть изменены. Неудача - это излечимое состояние.
Психологические последствия детства могут помешать вам добиться успеха на рынке. Для того, чтобы измениться, вы должны обнаружить свое слабое место. Ведите дневник, записывайте причины, по которым вы вышли на рынок и ушли с него в каждой сделке. Ищите повторяющиеся обстоятельства успеха и неудачи.
Самореализация
У многих людей есть внутренняя потребность достичь личного совершенства, полностью раскрыть свои способности. Эта потребность, вместе с удовольствием от игры и привлекательностью денег, заставляет игрока противостоять рынку.
Хорошие игроки - обычно напряженно работающие и сообразительные люди. Они открыты новым идеям. Целью хорошего игрока, как ни парадоксально, не является получение денег. Его цель в том, чтобы хорошо играть. Если он играет правильно, то деньги следуют почти автоматически. Успешные игроки продолжают совершенствовать свое мастерство. Достичь предела своих возможностей для них важнее, чем зарабатывать деньги.
Успешный игрок из Нью-Йорка говорил мне: "если каждый год я буду становиться на полпроцента умнее, то к моменту смерти я буду гением”. Его стремление улучшить себя - верный признак успешного игрока.
Профессиональный игрок из Техаса пригласил меня в свой кабинет и сказал: “Если ты просидишь через стол от меня в течение целого дня, когда я буду играть на бирже, то не сможешь сказать, заработал ли я за этот день 2000 долларов или потерял 2000. ” Он достиг такого уровня, когда выигрыш не радует его, а проигрыш не огорчает. Он настолько сосредоточился на том, чтобы играть правильно и оттачивать свое мастерство, что деньги уже не влияют на его чувства.
Проблема с самореализацией состоит в том, что у многих людей есть тяга к саморазрушению. Водители, подверженные авариям, продолжают уничтожать свои машины, а саморазрушительные игроки продолжают уничтожать свои счета (см. главу 7). Рынок предлагает неограниченные возможности для саморазрушения, равно как и для самореализации. Идея вынести ваши внутренние конфликты на рынок обойдется очень дорого.
Те игроки, у которых нет мира с самими собой, часто стремятся удовлетворить свои противоречивые желания за счет рынка. Если вы не знаете, что Вы хотите, то окажетесь там, где Вам никак не хотелось бы быть.
Самый сильный сигнал технического анализа
Дивергенция между ценами и MACD-гистограммой возникает на любом рынке только несколько раз в году, но она дает один из самых сильных сигналов в техническом анализе. Эта дивергенция указывает на основные точки разворота и дает особенно сильный сигнал о покупке или продаже. Сигнал не возникает в каждом важном максимуме или минимуме, но если вы его видите, то это значит, что вскоре должно быть фундаментальное изменение направления.
Когда цены поднимаются к новому максимуму, а MACD-гистограмма останавливается на более низком значении, образуется дивергенция "медведей" (Bearish Divergence) (рис. 19). Меньший подъем на MACD-гистограмме показывает, что "быки" внутренне слабы, несмотря на высокие цены. Когда "быки" выдыхаются, "медведи" готовы перехватить инициативу. Дивергенция "медведей" между MACD-гистограммой и ценами указывает на слабость вершины рынка. Она дает сигнал к продаже тогда, когда большинство игроков чувствуют возбуждение от прорыва к новым вершинам!
3. Продавайте, когда MACD-гистограмма двинется вниз от своего второго» более низкого максимума, в то время как цены достигли большего максимума. Предохранительную остановку поместите выше последнего максимума.
Пока цены дают минимумы и MACD-гистограмма продолжает опускаться ниже, это подтверждает нисходящий тренд. Если цены упали до нового минимума, а MACD-гистограмма опустилась не так низко, как раньше, то образовалась дивергенция "быков" (Bullish Divergence). Она говорит о том, что цены падают по инерции, "медведи" слабее, чем кажутся, а "быки" готовы к перехвату инициативы. Дивергенция "быков" между ценами и MACD-гистограммой показывает силу в рыночном дне. Она дает сигнал покупать тогда, когда большинство игроков напутаны спадом до нового минимума!
4. Покупайте тогда, когда MACD-гистограмма двинется вверх из своего второго, менее глубокого минимума, в то время как цены падают до нового минимума. Поместите страховочные меры ниже последнего минимума.
Если дивергенция "быков" между MACD-гистограммой и ценами будет забыта, и цены упадут до нового минимума, вы остановитесь. Продолжайте следить за MACD-гистограммой. Если она остановится в еще более мелком минимуме при достижении ценами рекордно низкого уровня, то вы столкнулись с «тройной дивергенцией "быков» - особенно сильным сигналом к покупке. Снова покупайте, как только MACD-гистограмма двинется вверх от третьего мелкого минимума. Обратное применимо к продаже при "тройном расхождении "медведей".
Еще о MACD-гистограмме
MACD-гистограмма работает на любом временном масштабе: недельном, суточном и внутри дня. Сигналы от недельной MACD-гистограммы предвещают большие изменения цен, чем сигналы от дневного индикатора. Это верно для всех индикаторов, сигналы больших временных масштабов соответствуют большим изменениям цен.
Когда вы работаете с недельной MACD-гистограммой, не ждите пятницы, чтобы проверить наличие сигнала. Ведущий тренд может измениться в середине недели, рынок не следит за календарем. Поэтому исследовать недельные данные нужно каждый день.
Самый трудный момент
Идентификация тренда или коридора цен составляет наиболее сложную задачу технического анализа. Их легко узнать в середине графика, но, чем ближе вы подходите к правому краю, тем сложнее становится ваша задача.
На старых графиках тренды и коридоры цен видны совершенно ясно. На семинарах эксперты показывают эти графики и делают вид, что поймать тренд очень просто. К сожалению, ваш брокер не позволяет вам играть с середины графика. Он требует, чтобы вы принимали решение на опасном нынешнем моменте!
Прошлое статично и его легко анализировать. Будущее подвижно и неопределенно, К тому времени, как вы обнаружите тренд, солидный кусок от него уже будет потерян. Никто не звонит в колокол, когда тренд растворится в коридоре цен. К тому времени, как вы осознаете эту перемену, некоторая сумма будет потеряна благодаря игре на предположении, что рынок все еще находится в тренде.
На правом краю графика различные фигуры и индикаторы противоречат друг другу. Вам приходится принимать решения в атмосфере неопределенности и основываясь на вероятностях.
Большинство людей не могут смириться с неопределенностью. У них есть сильная эмоциональная потребность оказаться правыми. Они держатся за убыточные позиции, ожидая, что рынок изменится и вернет им их деньги. Стремиться быть всегда правым на рынке - это очень дорого. Профессиональные игроки избавляются от убыточных позиций немедленно. Когда рынок отклоняется от вашего анализа, вам нужно без гнева и без эмоций соглашаться на потери.
Серые ящики
Как и черный ящик, серый ящик дает сигналы игроку на основании заложенной в него формулы. В отличии от черного ящика, он в общих чертах сообщает вам, как работает формула, и позволяет в определенных пределах настроить ее работу. Чем ближе серый ящик к набору инструментов, тем он лучше.
Среди широко известных серых ящиков есть такие программы, как MESA. Ее считают лучшей программой для обнаружения рыночных циклов.
Сглаженная скорость изменения
Этот осциллятор, разработанный Фредом Г. Шуцманом, свободен от главного недостатка RoC. Он реагирует на каждое изменение данных один раз, а не два. Сглаженная скорость изменения (S-RoC) сравнивает значения экспоненциального показателя среднего движения, а не цен, в два момента времени. Она дает меньше сигналов, но качество этих сигналов выше.
Чтобы построить S-RoC, вам сначала нужно построить ЕМА по ценам закрытия (см. главу 4.2). Следующим шагом будет применение скорости изменения к ЕМА. S-RoC не очень чувствительна к временным отрезкам ЕМА и RoC. Можно построить 13-дневное ЕМА и применить к нему 21-дневную RoC (рис. 24).
Некоторые игроки сначала строят скорость изменения цен, а затем сглаживают ее через показатель среднего движения курса. При этом получается значительно более прыгучий и менее полезный индикатор, чем S-RoC.
Сила уровней поддержки и сопротивления
Область консолидации, о которую ударилось несколько трендов, подобна изрытому воронками полю боя. Ее защитники имеют массу укрытий, и атакующим, скорее всего, придется притормозить. Чем дольше цены останавливаются в области консолидации, тем сильнее эмоциональная приверженность "быков" и "медведей" этой области. Когда цены подходят к ней сверху, она служит как поддержка. Когда цены поднимаются к ней снизу, она служит как сопротивление. Роль области консолидации может меняться, она может быть как поддержкой, так и сопротивлением.
Сила каждой области поддержки или сопротивления определяется тремя факторами: ее длительностью, высотой и объемом сделок, который был в ней заключен. Эти факторы можно представить себе как длину, ширину и глубину зоны консолидации.
Чем более длительна зона консолидации, во времени или по числу касаний, которые она выдержала, тем она сильнее. Поддержка и сопротивление, как доброе вино, становятся с возрастом лучше. За 2 недели торгов образуются ближайшие поддержка и сопротивление, за два месяца люди успевают привыкнуть к ним и поддержка или сопротивление становятся средней силы, а за два года образуется фактический стандарт, обеспечивающий очень сильные поддержку и сопротивление.
По мере старения уровней поддержки и сопротивления, они слабеют. Неудачники уходят с рынка, и их место занимают новички, у которых нет эмоциональной связи со старыми уровнями цен. Те, кто только что потерял деньги, отлично помнят, что с ними произошло. Возможно, они все еще на рынке, со своей болью или сожалением, и стремятся исправить положение. Те, кто принимал неверные решения несколько лет тому назад, скорее всего уже ушли с рынка и их чувства значат меньше.
Сила поддержки и сопротивления усиливается каждый раз, когда цены доходят до этого уровня. Когда игроки видят, что цены поворачивают вспять на определенном уровне, они будут рассчитывать, что они повернут и на следующий раз.
Чем больше диапазон цен в области сопротивления и поддержки, тем она сильнее. Консолидация с большим диапазоном цен перелома подобна высокому забору вокруг ценной собственности. Область консолидации, равная 1 проценту от текущего уровня цен (4 пункта при S&P 500 на уровне в 400) дает только незначительную поддержку или сопротивление. Область цен, равная 3 процентам дает средние поддержку или сопротивление, а область цен, равная 7 процентам или более, может остановить очень сильный тренд.
Чем больше объем сделок в зоне поддержки или сопротивления” тем она сильнее. Большой объем в области консолидации показывает на вовлеченность многих игроков и говорит о сильных эмоциях. Малый объем говорит о том, что игрокам не важно, что они пересекают этот уровень и служит признаком слабости поддержки или сопротивления.
Система направлений
Система направлений (Directional System)- это указатель тренда. Она была разработана Дж. Уолласом Велдером младшим в середине 1970-х и модифицирована несколькими аналитиками. Система направлений позволяет обнаруживать тренд и определять, движется ли тренд достаточно быстро, чтобы за ним стоило следовать. Она позволяет игрокам войти в игру в середине мощного тренда.
Японская йена
Date
|
High
|
low
|
Close
|
Dl13
|
-DI13
|
DX
|
ADX
|
7/1
|
72.24
|
71.87
|
71.92
|
30
|
20
|
20
|
20
|
7/2
|
71.83
|
71.63
|
71.69
|
29
|
23
|
12
|
19
|
7/3
|
71.65
|
71.33
|
71.36
|
27
|
27
|
0
|
18
|
7/5
|
72.10
|
71.83
|
72.06
|
31
|
23
|
15
|
18
|
7/8
|
71.94
|
71.78
|
71.90
|
30
|
23
|
13
|
18
|
7/9
|
72.02
|
71.77
|
71.79
|
30
|
22
|
15
|
18
|
7/10
|
71.95
|
71.87
|
71.90
|
29
|
21
|
16
|
18
|
7/11
|
72.13
|
71.82
|
71.85
|
30
|
20
|
20
|
18
|
7/12
|
73.20
|
71.94
|
73.11
|
41
|
16
|
44
|
20
|
7/15
|
72.94
|
72.65
|
72.80
|
38
|
15
|
43
|
22
|
7/16
|
72.75
|
72.55
|
72.58
|
36
|
16
|
38
|
23
|
7/17
|
72.91
|
72.62
|
72.71
|
37
|
15
|
42
|
24
|
7/18
|
73.07
|
72.29
|
72.42
|
32
|
18
|
28
|
24
|
7/19
|
73.06
|
72.69
|
73.06
|
26
|
16
|
29
|
24
|
7/22
|
72.76
|
72.22
|
72.36
|
26
|
21
|
11
|
23
|
7/23
|
72.76
|
72.62
|
72.69
|
25
|
20
|
11
|
22
|
7/24
|
72.96
|
72.38
|
72.48
|
23
|
22
|
2
|
20
|
7/25
|
72.42
|
71.64
|
71.76
|
20
|
30
|
20
|
20
|
7/26
|
72:50
|
71.96
|
72.37
|
19
|
27
|
17
|
20
|
7/29
|
72.34
|
72.08
|
72.25
|
18
|
26
|
18
|
20
|
7/30
|
72.47
|
72.18
|
72.26
|
19
|
25
|
14
|
20
|
7/31
|
72.59
|
72.31
|
72.51
|
20
|
23
|
7
|
19
|
8/1
|
72.59
|
72.36
|
72.41
|
19
|
22
|
7
|
18
|
8/2
|
72.92
|
72.28
|
72.58
|
23
|
20
|
7
|
17
|
8/5
|
72.95
|
72.56
|
72.80
|
22
|
19
|
7
|
16
|
8/6
|
73.57
|
72.94
|
73.50
|
28
|
17
|
24
|
17
|
8/7
|
73.29
|
73.07
|
73.21
|
27
|
16
|
26
|
18
|
8/8
|
73.15
|
72.84
|
73.06
|
25
|
18
|
16
|
18
|
8/9
|
73.18
|
72.67
|
72.81
|
23
|
20
|
7
|
17
|
8/12
|
72.92
|
72.72
|
72.88
|
22
|
19
|
7
|
16
|
Рис. 20. Расчет по системе направлений
+DI13 и –DI13 основаны на истинном диапазоне рынка и положительных и отрицательных движениях за последние 13 дней. DX рассчитывается по +DI13 и –DI13 , а ADX является сглаживанием DX. Формулы приведены в этой главе.
Смысл линейных графиков
Графики отражают волны жадности и страха, захватывающие игроков. В этой книге основное внимание уделяется дневным графикам, отражающим ежедневные данные, но вы можете применить основные принципы к иным временным отрезкам. Правила анализа графиков, построенных по недельным, дневным, часовым и так далее данным очень похожи.
Каждая цена отражает мгновенный консенсус по поводу стоимости между всеми участниками рынка, выраженный действием. Каждая черта дает несколько видов данных о балансе сил между "быками" и "медведями" (рис. 1).
Цена открытия дня или недели, обычно отражает точку зрения любителей на текущую стоимость. Они прочитали утренние газеты, узнали, что происходило накануне, и позвонили своим брокерам, сообщив свои заявки, перед тем, как уйти на работу. Любители особенно активны в начале дня и в начале недели.
Рис. 1. Смысл биржевого графика.
Цены открытия определяются любителями, чьи заказы накапливаются ночью и выходят на рынок утром. Цены закрытия в основном устанавливаются профессионалами рынка, которые играют в течении дня. Обратите внимание на то, как часто цены открытия и закрытия оказываются на противоположных концах вертикальной линии.
Верхний конец каждой линии показывает максимальную силу "быков" за определенный период времени. Нижний конец каждой вертикальной линии показывает максимальную силу "медведей" за соответствующий этой линии период времени. Разница цен обычно меньше, если вы открываете или закрываете позицию, когда линия короткая.
Игроки, изучавшие соотношение между ценами открытия и закрытия на протяжении десятилетий, обнаружили, что цены открытия обычно располагаются рядом с верхним или нижним концом вертикальной линии цены, отражающим события одного дня. Продажи и покупки любителями в начале дня создают эмоциональное потрясение, от которого цены постепенно, со временем, оправляются.
На рынке "быков" цены достигают минимального значения за неделю в понедельник или во вторник, когда любители получают свою прибыль, а затем поднимаются к новым высотам в четверг или в пятницу. На рынке "медведей" наибольшие цены за неделю часто устанавливаются в понедельник или во вторник, с последующим снижением к четвергу и пятнице.
Цена закрытия на дневном или недельном графике обычно отражает действия профессиональных игроков. Они наблюдают за рынком в течение дня, реагируют на изменения и становятся особенно активны перед закрытием. Большинство из них предпочитают получить свою прибыль в это время, не откладывая на следующий день.
Профессионалы, как группа, обычно играют против любителей. Они стремятся покупать при низкой цене открытия, продавать при высокой и затем закрывать свою позицию в течение дня. Игроку следует обращать внимание на соотношение между ценами открытия и закрытия. Если цена закрытия выше, чем цена открытия, то рыночные профессионалы, видимо, ближе к "быкам", чем любители. Если цены закрытия ниже цен открытия, то рыночные профессионалы, скорее всего, ближе к "медведям", чем любители. Играть с профессионалами против любителей выгодно.
Верхний конец линии цены показывает максимальную силу "быков" за соответствующий период. "Быки" делают деньги, когда цены растут. То, что они покупают, толкает цены вверх, и каждый подъем увеличивает их прибыли. Наконец, "быки" достигают точки, где они не могут дальше поднять цены, даже чуть-чуть. Верхний конец линии цены на дневном графике, показывает максимальную силу "быков" в этот день; верхний конец линии цены на недельном графике, показывает максимальную силу "быков" на этой неделе; верхний конец линии цены на 5-минутном графике, показывает максимальную силу "быков" в течение этих 5 минут. Верхний конец каждой линии цены показывает максимальную силу "быков" за период времени, соответствующий этой линии.
Нижний конец линии цены показывает максимальную силу "медведей" за период, соответствующий этому столбику. "Медведи" делают деньги, когда цены падают. Они продолжают продавать, их продажи толкают цены вниз и каждое снижение увеличивает их прибыль. В какой-то момент у них кончается капитал или энтузиазм и цены перестают падать. Нижний конец каждой линии цены показывает максимальную силу "медведей" за период, соответствующий этой линии. Нижний конец линии цены, на дневном графике, показывает максимальную силу "медведей" в течение этого дня, а нижний конец линии цены на недельном графике показывает максимальную силу "медведей" на этой неделе.
Цена закрытия, отмеченная на каждой линии цены, показывает исход борьбы между "быками" и "медведями" за соответствующий период. Если цена закрытия близка к верхнему концу линии, значит в этот день "быки" выиграли битву. Если цена закрытия близка к нижнему концу, то дневную битву выиграли "медведи". Особенно важны цены закрытия на дневных графиках, отражающих рынок фьючерсов. Сумма на вашем счету зависит от них, поскольку стоимость ваших активов “сверяется с рынком” каждый вечер.
Расстояние между верхним и нижним концами линии цены отражает интенсивность конфликта между "быками" и "медведями". Линия средней длины говорит об относительно спокойном рынке. Линия длиной в половину средней указывает на сонный, не заинтересованный рынок. Линия в два раза длиннее среднего показывает на бурлящий рынок, на котором "быки" борются с "медведями" по всему полю.
Разница цен (см. главу 3) обычно ниже на спокойном рынке. Выгодно вступать в игру, когда линии цен имеют среднюю длину или даже короче. Длинные линии показывают на подходящее время для закрытия позиций и получения прибыли. Попытка выйти с заявкой на динамичный рынок напоминает стремление запрыгнуть на движущийся поезд. Лучше подождать следующего.
Собака Баскервилей
Этот сигнал возникает тогда, когда надежная фигура не сопровождается ожидаемой реакцией рынка, и цены движутся в противоположном направлении. Например, "голова" и "плечи" указывают, что восходящий тренд закончился. Если цены продолжают расти, то это дает сигнал "Собака Баскервилей".
Сигнал назван по повести Артура Конан-Дойля, в которой Шерлок Холмс должен расследовать убийство в деревенском поместье. Он нашел ключ к разгадке, когда заметил, что собака семьи не лаяла в момент совершения убийства. Это означало, что собака знала убийцу и, следовательно, дело семейное. Сигналом явилось отсутствие действия - отсутствие ожидаемого лая!
Когда рынок отказывается "лаять" после вполне доброкачественного сигнала, это дает вам "Собаку Баскервилей". Он показывает, что под поверхностью идут фундаментальные изменения. В таком случае нужно срочно пристраиваться к новому мощному тренду.
"Голова" и "плечи" дают сильный сигнал на продаже. Если рынок отказывается поворачивать и продолжает стремиться вверх, то это дает сигнал "Собака Баскервилей". Когда цены прошли вершину "головы", пора закрывать позиции, разворачиваться и играть в противоположном направлении. Неудавшаяся или не классически разрешенная "голова" с "плечами" часто ведет к бурным движением вверх. Покупайте при прорыве вверх и поместите меры предосторожности слегка ниже вершины "головы".
Сопротивление и поддержка
Мячик падает на пол и подскакивает. Он падает, ударившись о потолок. Поддержка и сопротивление похожи на пол и потолок, между которыми зажаты цены. Понимание роли поддержки и сопротивления необходимо для понимания тренда и графических фигур. Оценка их силы позволит вам решить, что вероятнее - продолжение тенденции или ее обращение вспять.
Поддержка (Support) - это уровень цен, при котором позиции на покупку достаточно сильны для того, чтобы остановить или развернуть нисходящий тренд в противоположном направлении. Когда нисходящий тренд достигает уровня поддержки, он ведет себя как ныряльщик, достигший дна и оттолкнувшийся от него. Поддержка изображается на графике как горизонтальная или почти горизонтальная линия, соединяющая несколько минимумов (рис. 2).
Рис. 2. Поддержка и сопротивление
Проведите горизонтальные и вертикальные линии через области консолидации цен. Проведенная через минимумы линия показывает уровень поддержки, на котором покупатели пересиливают продавцов. Проведенная через максимумы линия показывает уровень сопротивления, на котором продавцы пересиливают покупателей. Области поддержки и сопротивления часто меняются ролями. Обратите внимание, что мартовский уровень поддержки стал областью сопротивления в мае. Сила этих барьеров увеличивается каждый раз, когда цены ударяются о них и отскакивают прочь.
Остерегайтесь ложных прорывов через поддержку и сопротивление. На этом графике ложные прорывы отмечены буквой F. Любители любят следовать за прорывами, а профессионалы любят играть в противоположном направлении. На правом краю графика цены встретились с сильным сопротивлением. Это время искать возможность для продажи с предохранительной остановкой слегка выше уровня сопротивления.
Сопротивление (Resistance) - это уровень цен, при котором позиции на продажу достаточно сильны для того, чтобы остановить или развернуть восходящий тренд в противоположном направлении. Когда восходящий тренд достигает уровня сопротивления, он останавливается и падает вниз, как человек, ударившийся головой о ветку, когда он залезал на дерево. Сопротивление изображается на графике как горизонтальная или почти горизонтальная линия, соединяющая несколько максимумов.
Лучше проводить линии поддержки и сопротивления по краям областей консолидации (Congestion Zones), а не через минимальные или максимальные значения. Они показывают, где передумало большинство игроков, а минимумы и максимумы отражают лишь панику среди слабейших игроков.
Слабые поддержка и сопротивление заставляют тренд приостановиться, а сильные - обратиться вспять. Игроки покупают на уровне цен поддержки и продают на уровне цен сопротивления, делая их воздействие самооправдывающимся прогнозом.
Спуск на самое дно
Пьяница может начать путь к выздоровлению только после того, как признает, что он алкоголик. Он должен увидеть, что алкоголь управляет его жизнью, а не наоборот. Большинство пьяниц не могут принять эту болезненную истину. Они осознают ее только после удара о дно:
Некоторые алкоголики ударяются о дно, когда приобретают болезнь, угрожающую жизни. Другие - после того, как их отвергла семья или они потеряли работу. Алкоголик должен опуститься настолько низко, увязнуть так глубоко, испытать такую боль, чтобы она наконец преодолела его отрицание.
Боль от удара о дно невыносима. Она заставляет алкоголика увидеть, как низко он пал. Эта боль разрушает его отрицание. Он видит простой и жестокий выбор - или изменить свою жизнь, или умереть. Только после этого алкоголик может начинать путь к выздоровлению.
Прибыль заставляет игрока чувствовать свою силу и испытывать эмоциональный подъем. Он пытается ощутить этот подъем снова, путем необдуманных действий, и теряет прибыль. Большинство игроков не в силах пережить боль от серии серьезных потерь. Они погибают как игроки после того, как ударились о дно, и уходят с рынка. Редкие выжившие понимают, что проблема не в их методах, а в их мышлении. Они могут измениться и стать успешными игроками.
Спуск на самое дно - это ужасно. Это и больно, и унизительно. Вы спускаетесь на самое дно, когда теряете те деньги, которые не можете позволить себе потерять. Или когда вы проигрываете свои сбережения. Вы спускаетесь на самое дно, когда сначала рассказываете друзьям о том, какой вы умный, а потом просите у них взаймы. Вы падаете на дно, когда рынок орет вам в лицо: “Ты дурак!”.
Некоторые падают на дно уже после нескольких недель игры. Другие продолжают добавлять деньги на свой счет и отдаляют день расплаты. Увидеть себя, как в зеркале, неудачником - очень неприятно.
Всю жизнь мы копим самоуважение. У многих из нас высокое мнение о себе. Умной и успешной личности больно падать на дно. Вашей первой мыслью может быть спрятаться, но помните, что это произошло не только с вами. Такое случалось с подавляющим большинством игроков.
Большинство упавших на самое дно умерли как игроки. Они покинули рынок и больше не заглядывают туда. Архивы брокеров показывают, что 90 из 100 людей, в данный момент играющих на бирже, уйдут в течение года. Они ударятся о дно, разобьются и уйдут. Они попробуют забыть игру как страшный сон.
Некоторые неудачники залижут свои раны и подождут, пока боль утихнет. Затем, немного подучившись, они вернутся к игре. Они будут пугливы, и их страх еще больше ухудшит их показатели.
Очень немногие игроки начнут процесс роста и перемен. У этого меньшинства падение на самое дно разорвет порочный круг наслаждения от успеха, ведущего к потере всего и к краху.
Когда вы признаете, что у вас есть личная проблема, заставляющая вас проигрывать, вы можете начать новую жизнь на бирже. Вы можете начать вырабатывать дисциплину победителя.
Стохастика
Стохастика (Stochastic) обязана своей популярностью Джорджу Лану. Сейчас она включен во многие пакеты и широко используется компьютеризированными игроками. Стохастика показывает положение каждой цены закрытия в предыдущем интервале максимальных и минимальных цен.
Стохастика сложнее %R Вильямса. В ней есть несколько шагов удаления рыночного шума и подавления плохих сигналов. Стохастика состоит из двух линий: быстрой, называемой %К, и медленной, называемой %D.
1. Первый шаг расчета состоит в получении «сырой стохастики» или %К.

С — сегодняшняя цена закрытия,
Ln — минимальная цена за выбранное число дней,
Нn — максимальная цена за эти дни,
n — число дней для расчета стохастики, выбранное игроком.
Стандартное время для расчета стохастики равно 5 дням, хотя многие игроки используют гораздо более длинные сроки. Короткий период позволяет обнаружить больше точек поворота, а более длительный - выявить самые важные поворотные точки.
2. На следующем шаге находится %D. Это достигается сглаживанием %К, обычно за три дня. Сгладить можно по-разному, например так:

Можно изобразить два варианта стохастики: быстрый и медленный. Быстрая стохастика состоит из двух линий, % К и % D, нарисованных на одном графике. Она очень чувствительна к поворотам рынка, но дает много всплесков. Многие игроки предпочитают менее чувствительную медленную стохастику. % D быстрой стохастики становится % К медленной и сглаживается повторением шага 2 для получения %D медленной стохастики. Медленная стохастика лучше подавляет рыночный шум и дает меньше всплесков, 5-дневная медленная стохастика со сглаживанием за три дня весьма популярена среди игроков (рис. 29).
Швейцарский франк
Date
|
High
|
Low
|
Close
|
%K:5
|
%D:5
|
Stow %D
|
9/16
|
68.07
|
67.24
|
67.83
|
|
|
|
9/17
|
68.22
|
67.79
|
67.97
|
|
|
|
9/18
|
67.61
|
66.81
|
67.36
|
|
|
|
9/19
|
67.52
|
67.02
|
67.25
|
|
|
|
9/20
|
67.57
|
66.87
|
67.50
|
48.94
|
|
|
9/23
|
68.21
|
67.89
|
68.04
|
87.23
|
|
|
9/24
|
68.53
|
67.48
|
67.64
|
48.26
|
60.57
|
|
9/25
|
67.87
|
67.57
|
67.71
|
50.60
|
60.54
|
|
9/26
|
67.97
|
67.48
|
67.58
|
42.77
|
47.22
|
56.11
|
9/27
|
68.30
|
67.37
|
68.23
|
74.14
|
53.79
|
53.85
|
9/30
|
68.49
|
68.25
|
68.37
|
86.21
|
64.57
|
55.20
|
Рис. 29. Расчет стохастики
%К быстрой стохастики аналогично %R Вильямса. % D быстрой стохастики получено усреднением % К за 3 дня. % D быстрой стохастики становится % К медленной стохастики 8 усредняется еще раз, чтобы получить медленную стохастику.
Большинство игроков рассчитывают стохастику при помощи компьютера. Выбор периода усреднения определяется тем, какой тренд вы хотите обнаружить. Очень краткосрочная стохастика (Примерно 5 дней) помогает уловить краткосрочные развороты. Более длительная (14-21 день) стохастика помогает определить более крупные повороты рынка.
Стохастика может колебаться между 0 и 100. Справочные линии проводятся на уровне 20 и 80 процентов и отмечают области перепродажи и сверхпокупки. Медленная стохастика редко достигает столь же крайних значений, что и простое %R Вильямса.
Сверхпокупка и перепродажа
Мартин Принг сравнивает указатели трендов и осцилляторы со следами человека, прогуливающего на поводке свою собаку. Человек оставляет весьма ровный след, как индикатор указателя трендов. Собака отклоняется вправо и влево на длину поводка, как осциллятор. Когда собака отбегает на всю длину поводка, весьма вероятно, что она развернется и побежит в другую сторону.
Вы можете смотреть, куда идет человек, и понять, куда движутся оба. Когда собака выбирает всю длину поводка, она обычно поворачивает обратно. Обычно, но не всякий раз. Если собака увидит кошку или кролика, она может настолько возбудиться, что стащит человека с его пути. Игрок должен понимать сигналы осциллятора.
Осциллятор показывает сверхпокупку (Overbought), когда цена достигает максимального уровня. Сверхпокупка означает перебор, готовность к спуску. Осциллятор показывает перепродажу (Oversold), когда цена достигает минимального значения. Когда продано слишком много, подготовлена почва для подъема.
Линии сверхпокупки и перепродажи отмечаются на графике горизонтальными справочными линиями. Их нужно провести так, чтобы осциллятор находился вне ограничиваемой ими области примерно пять процентов времени. Проведите линии сверхпокупки и перепродажи так, чтобы они отсекали только самые высокие и самые низкие броски индикатора за последние шесть месяцев. Корректируйте эти уровни каждые три месяца.
Когда осциллятор падает или поднимается до справочной линии, это дает игроку возможность определить дно или вершину. Осцилляторы работают изумительно во время коридора цен, но дают преждевременные и опасные сигналы, когда зарождается новый тренд. Когда начинается сильный тренд, осцилляторы ведут себя как собака, стаскивающая хозяина с пути.
Осциллятор может неделями показывать сверхпокупку, если зарождается новый сильный восходящий тренд, давая ложный сигнал о продаже. Он может указывать перепродажу неделями при крутом нисходящем тренде, давая ложный сигнал о покупке. Признаком зрелого аналитика является способность решить, когда пользоваться осцилляторами, а когда доверять указателям трендов (см. главу 9.1).
Трейдер
Быть трейдером (игроком) - значит делать ставки на исход игры, определяемый случаем или мастерством. Игроки есть в любом обществе, и большинство играли хотя бы раз в жизни.
Фрейд верил, что игра столь привлекательна потому, что может заменить мастурбацию. С мастурбацией игру связывают повторяющиеся движения рук, непреодолимая тяга, решения бросить, высокое качество доставляемого удовольствия и чувство вины.
Доктор Ральф Гринсон, известный психоаналитик их Калифорнии, разделил игроков на три группы: нормальный человек, играющий для развлечения и способный остановиться по желанию; профессиональный игрок, который выбрал игру как источник средств к существованию; невротический игрок, который управляется нуждами своего подсознания и не в состоянии прекратить играть.
Невротический игрок либо чувствует себя счастливчиком, либо хочет испытать свою удачу. Выигрыш дает ему чувство силы. Он ощущает удовлетворение, как ребенок, припавший к груди. Невротический игрок всегда проигрывает, поскольку пытается повторно пережить пьянящий миг удачи, а не сосредотачивается на долговременной и реалистичной стратегии.
Доктор Шейла Блюм, директор компенсаторной программы для игроков в Нью-Йоркском госпитале Саут Блюм, называет игру “привыканием без наркотика”. Большинство игроков - это мужчины, стремящиеся к действию. Женщины играют скорее из стремления уйти от реальности. Проигравшие обычно скрывают свой проигрыш, ведут себя как выигравшие, но они отравлены сомнением в самих себе.
Торговля акциями, фьючерсами или опционами доставляет игроку удовольствие и выглядит более респектабельно, чем ставки на того или иного пони. Более того, игра на финансовом рынке окутана аурой усложненности и предоставляет более интеллектуальные удовольствия, чем просто отгадывание номеров у букмекера.
Игроки чувствуют себя счастливыми, когда выигрывают. Они крайне несчастны, когда проигрывают. Этим они отличаются от успешных профессионалов, которые сосредотачиваются на долговременных планах и равно не переживают и не радуются в процессе игры.
Брокеры отлично знают, что многие их клиенты - игроки. Они часто избегают передавать записки для них через жен, даже если они звонят, чтобы просто подтвердить сделку. Играют не только любители, но и большое число профессионалов. Сони Клейнфилд описывает в своей книге “Игроки” обычай делать ставки на исход спортивных соревнований, распространенный в операционных залах.
Основной признак игрока неспособность отказаться от того, чтобы сделать ставку. Если вы чувствуете, что играете слишком много, а результаты неважные, остановитесь на месяц. Это даст вам возможность пересмотреть вашу игру. Если тяга столь сильна, что вы не можете бездействовать в течение месяца, то вам пора посетить собрание Анонимных Игроков, или начать следовать принципам Анонимных Алкоголиков, изложенным ниже в этой главе.
Тренд и коридор цен
Игроки пытаются извлечь прибыль из колебания цен: купить дешево и продать дорого, или продать при высоких ценах и закрыть позицию на покупку, когда цены упадут. Даже быстрый взгляд на графики показывает, что рынок большую часть времени находится в коридоре цен. И намного меньше времени занимают тренды.
Тренд возникает тогда, когда цены все время растут или падают. При восходящем тренде (Uptrend) каждый подъем достигает более высокого значения, чем предыдущий, а каждый спад останавливается на более высоком уровне, чем предыдущий. При нисходящем тренде (Downtrend) каждый спад достигает более глубокого минимума, чем предыдущий, а каждый подъем останавливается на более низком уровне, чем предыдущий. В коридоре цен (Trading Range, Trendless Market) все подъемы останавливаются примерно на одном и том же максимальном уровне, а все спады достигают примерно одинакового минимума.
Игрок должен различать тренд и коридор цен. Во время действия тренда играть проще (см. рис. 3). Когда цены постоянны, делать деньги труднее, если вы не играете на опционах, что требует специальных навыков.
Игра в тренде и в коридоре цен требует разной тактики. Когда вы делаете закупки во время восходящего тренда, или продаете во время нисходящей, вам нужно предоставить тренду презумпцию невиновности и не позволить легко сбить себя с толку, выгодно пристегнуть ремень и держаться так долго, как длится тренд. Когда вы играете в коридоре цен, нужно быть чутким и закрывать вашу позицию при первых признаках перемен.
Другим отличием в игре в тренде и в коридоре цен является подход к взлетам и падениям рынка. В тренде Вы следуете за рынком - покупаете при взлете и продаете при падении. Если цены стоят в коридоре, то Вам стоит покупать при падении и продавать при взлете.
Треугольники
Треугольник (Triangle) - это область консолидации цен, границы которой пересекаются справа (рис. 14). Он может служить признаком разворота или, более часто, продолжения тренда. Рынок стягивается, и энергия игроков сжимается, чтобы потом выплеснуться из треугольника.
Небольшой треугольник высотой от 10 до 15 процентов предыдущего тренда обычно бывает фигурой продолжения. Многие восходящие и нисходящие тренды разбиты на части такими треугольниками, подобно тому, как фразы делятся на части запятыми. Большие треугольники, чья высота составляет треть и более от предыдущего тренда, обычно оказываются реверсивными изменениями. И, наконец, некоторые треугольники переходят в обычный коридор цен.
Треугольники можно разделить, согласно их углу, на три большие группы. Верхняя и нижняя линия симметричного треугольника идут с одинаковым наклоном. Если верхняя линия наклонена под 30 градусов к горизонтали, то и нижняя тоже наклонена под 30 градусов. Симметричный (Symmetrical) треугольник отражает равенство сил "быков" и "медведей" и более вероятно, что он отмечает продолжение.
Восходящий (Ascending) треугольник имеет относительно ровную верхнюю границу и поднимающуюся нижнюю границу. Ровная верхняя граница показывает, что "быки" сохраняют свою силу и могут поднимать цены до тех же высот, в то время, как "медведи" слабеют и не могут опускать цены так же низко, как и раньше. Восходящий треугольник с большей вероятностью завершится прорывом вверх.
Рис. 14. Треугольники
Каждый треугольник образован двумя сближающимися линиями. Верхняя линия соединяет два или более максимумов, а нижняя два или более минимумов.
Треугольник с растущей нижней границей называется восходящим. Он говорит вам о том, что следует ожидать прорыв вверх. У нисходящего треугольника падающая верхняя граница. Он говорит о том, что цены, вероятно, пойдут вниз. Симметричный треугольник говорит о том, что силы "быков" и "медведей" уравновешиваются, и тренд, вероятно, продолжится.
Истинные прорывы обычно случаются в пределах первых двух третей длины треугольника. Иногда после прорыва цены вновь возвращаются к треугольнику. Эти откаты создают отличные точки начала игры в направлении прорыва.
Нисходящий (Descending) треугольник имеет относительно ровную нижнюю границу, а его верхняя граница идет вниз. Ровная нижняя граница показывает, что "медведи" сохраняют свою силу и опускают цены до прежнего уровня, а "медведи" слабеют и не могут поднимать цены так же высоко, как раньше. Нисходящий треугольник с большей вероятностью завершается нисходящим прорывом.
Объем тяготеет падать по мере старения треугольника. Если он возрастает при движении цен вверх, то более вероятен прорыв вверх. Если объем увеличивается, когда цены подходят к минимумам, то более вероятен прорыв вниз. Истинный прорыв подтверждается всплеском объема, по крайней мере на 50 процентов от среднего за последние пять дней.
Истинные прорывы обычно происходят в пределах первых двух третей треугольника. На прорывах из последней трети треугольника лучше не играть. Если цены стагнируют весь путь до точки пересечения, то они, вероятно, так и останутся постоянными. Треугольник напоминает бой двух уставших боксеров, начинающих опираться друг на друга. Ранний прорыв показывает, что один из бойцов сильнее. Если цены остаются в пределах треугольника до конца, значит оба бойца измотаны и мало вероятно образование нового тренда.
Диаграммы сопредельных рынков часто показывают треугольники одновременно. Если золото, платина и серебро одновременно показали треугольник и золото прорвалось вверх, то вероятно, что платина и серебро последуют за ним. Этот подход хорошо работает с валютами, особенно с тесно связанными, например, с немецкой маркой и швейцарским франком. Он так же работает с акциями одной группы, сравните General Motors с Ford, но не с IBM.
Из треугольника можно рассчитать минимальный уровень цен для следующего движения рынка. Измерьте высоту треугольника от основания и отложите по вертикали от той точки, в которой треугольник был прорван. Если вы имеете дело с маленьким треугольником в середине сильного тренда, то очень вероятно, что эта минимальная оценка будет превзойдена. Вы можете использовать и прогноз по числам Фибоначчи, как сказано выше.
Три шага к компьютеризированному анализу
Чтобы стать компьютеризированным игроком, нужно сделать три шага. Сначала вам нужно выбрать программное обеспечение, затем компьютер, и потом - данные для анализа. Разные программы требуют разных компьютеров, поэтому лучше сначала выбрать программу. Программа говорит компьютеру, как обрабатывать данные и как показывать результаты. Каждая программа обладает уникальными особенностями и имеет неповторимый облик.
Составьте список того, что для вас должен делать компьютер, и обсудите его с игроками, у которых он есть. Свяжитесь с организациями игроков, такими, как клуб 3000, и узнайте, что предпочитают их члены. Многие игроки звонят в “Financial Trading Seminars, Ink.”, чтобы узнать наше мнение о лучших пакетах. В журналах для игроков, таких, как Фьючерс или Технический Анализ Акций и Сырья, много рекламных объявлений по математическому обеспечению для технического анализа. Прочитайте эти объявления и обзоры программ, выпишите демонстрационные дискеты.
После того, как ваш выбор сузится до двух или трех пакетов, позвоните фирмам-производителям и запросите имена пользователей в вашем районе. Требуйте имена активных пользователей, ваших лучших объективных советчиков по практическим вопросам. Многие игроки ощущают изоляцию и рады встречам с другими игроками. Они с удовольствием покажут свое оборудование и расскажут о качестве технической поддержки.
Большинство программ для технического анализа попадает в одну из трех категорий: это наборы инструментов, черные ящики и серые ящики. Наборы инструментов предназначены для серьезных игроков, черные ящики для тех, кто верит в Санта Клауса, а между ними располагаются серые ящики. Рассматривая конкретный пакет, подумайте, к какой группе он относится.
Тяга к игре
Успешные игроки относятся к операциям на бирже как социальный пьяница к выпивке - позволяют себе немного и останавливаются. Если они понесли несколько потерь подряд, то воспринимают это как сигнал о неполадках: время остановиться и проверить свой анализ и методы. Неудачник не может остановиться, он продолжает играть ради возбуждения от игры и в надежде на крупный выигрыш.
Один известный биржевой консультант писал, что наслаждение от игры больше, чем от секса или пилотирования реактивного самолета. Подобно алкоголику, переходящему от эпизодических выпивок к запою, неудачник идет на все больший и больший риск. Он пересекает грань между деловым риском и азартной игрой. Многие неудачники даже не знают, что такая грань существует.
У неудачника такая же страсть к совершению операций на бирже, как у алкоголика к выпивке. Они совершают их импульсивно, идут на риск и пытаются немедленно выбраться из провала.
Неудачники заставляют свои счета истекать кровью. Большинство из них исчезает, но некоторые умудряются получить в распоряжение деньги других людей, после того, как они растратили свои собственные. А некоторые рассылают рекомендательные бюллетени, подобно алкоголику, устроившемуся мыть стаканы в бар.
Большинство неудачников скрывают свои неудачи от самих себя и от всех остальных. Они продолжают манипулировать счетами, плохо вести записи и выбрасывать квитанции от брокеров. Неудачник похож на алкоголика, который не желает знать, сколько он выпивает.
Вершина в виде "головы" и "плеч"
Сильный восходящий тренд движется вперед отдельными шагами. Большинство подъемов достигают более высоких максимумов, чем предыдущие подъемы, а большинство спадов останавливаются в более высоких минимумах. Если подъему не удается достичь нового максимума или спад опускается ниже предыдущего минимума, то это говорит о том, что "быки" теряют задор.
"Голова" и "плечи" (Head & Shoulders) отмечает конец восходящих трендов. “Голова” - это пик цен, окруженный двумя более низкими пиками или “плечами”. Линия "горловины" (Neckline) соединяет минимумы после левого "плеча" и "головы". Линия "горловины" не обязана быть горизонтальной, она может идти вверх или вниз. Идущая вниз линия "горловины" особенно на руку "медведям". Она показывает, что "медведи" набирают силу.
Когда ясно, что цены не могут подняться выше "головы", "голова" и "плечи" окончательно сформированы. Правое "плечо" может быть выше или ниже левого, длиннее или короче. Спад от правого "плеча" может пересечь линию "горловины". Если это произошло, то с восходящим трендом покончено.
Рис. 11. "Голова" и "плечи"
Восходящий тренд считается сильным, когда новые подъемы достигают новых максимумов. Растущий объем подтверждает подъемы цен. Объем падает, когда цены достигают "головы" (Н) и указывает на необходимость ужесточить остановки по открытым позициям. Спад после "головы" прорывает линию тренда и говорит о том, что он заканчивается.
В данном случае "голова" является “островным разворотом” (см. “Разрывы”, глава 3.5). Это очень сильный сигнал "медведям". Объем несомненно растет во время спада после "головы". Правое "плечо" (RS) много ниже левого (LS) - это еще один признак слабости. Низкий объем в правом "плече" так же показывает на хорошую возможность играть на понижение.
Спад от правого плеча прорывает линию "горловины". Это завершает формирование "головы" с "плечами". Когда цены снова подойдут к линии горловины с низким объемом, это будет отличная возможность играть на понижение. Расстояние от вершины головы до линии "горловины" (А) дает оценку глубины спада. На правом краю графика продолжайте игру, поскольку цены падают при высоком объеме и еще не достигли проектируемого уровня. Предохранительную остановку поместите на верхнем краю диапазона за последние 5 дней.
После пересечения линии "горловины", цены часто возвращаются к ней при меньшем объеме. Этот слабый подъем дает отличную возможность для продажи с мерой предосторожности как раз над уровнем линии "горловины".
Вершины "голова" и "плечи" часто сопровождаются типичной динамикой объема. Объем обычно ниже в "голове", чем в левом "плече". В правом "плече" он еще ниже. Объем тяготеет возрастать, когда цены прорывают линию "горловины". При обратном подходе к ней он очень мал.
"Голова" и "плечи" дают возможность рассчитать уровень цен, для нового нисходящего тренда. Вы можете получить его, измерив расстояние от вершины "головы" до линии "горловины" и отложив его от линии "горловины" вниз.
Виды дивергенции
Осцилляторы, как и все прочие индикаторы, дают самые полезные сигналы тогда, когда они расходятся с ценами. Дивергенция "быков" появляется тогда, когда цены падают до нового минимума, а осциллятор отказывается опускаться к новому минимуму. Это показывает, что "медведи" теряют силы, цены движутся вниз по инерции и "быки" готовы перехватить инициативу. Дивергенция "быков" часто указывает на конец нисходящего тренда.
Дивергенция "медведей" возникает при восходящем тренде и указывает на вершины рынка. Оно появляется, когда цены выходят на новый максимум, а осциллятор отказывается подниматься до нового максимального значения. Дивергенция "медведей" показывает, что "быки" выбиваются из сил, цены растут по инерции и "медведи" готовы перехватить инициативу.
Есть три класса дивергенции "быков" и "медведей" (рис. 23). Класс А показывает важные точки поворота и лучшие возможности для игры. Дивергенция класса В менее сильные, а класса С - менее важные. Истинные дивергенции отлично видно, они просто выпрыгивают из графика. Если для того, чтобы определить, есть ли дивергенция, вам нужна линейка, считайте, что ее нет.
Дивергенция "медведей" класса А возникает тогда, когда цены установили новый максимум, а осциллятор достиг более низкого максимума, чем при предыдущем подъёме цен. Дивергенция "медведей" класса А обычно ведет к резкому повороту. Дивергенция "быков" класса А наблюдается тогда, когда цены опустились до нового минимума, а индикатор установился в менее глубоком минимуме, чем при предыдущем спаде цен. Это часто предшествует крутым подъемам.
Дивергенция "медведей" класса В появляется тогда, когда цены второй раз поднялись до максимума, а осциллятор установился на меньшем максимальном значении, чем в прошлый подъем цен. Дивергенция "быков" класса В возникает тогда, когда цены дают второй минимум, а осциллятор дает менее глубокий минимум, чем в предыдущий раз.
Дивергенция "медведей" класса С возникает тогда, когда цены поднимаются до нового максимума, а осциллятор дает тоже самое значение, что и при прошлом подъеме. Это говорит о том, что "быки" не становятся ни сильнее, ни слабее. Дивергенция "быков" класса С появляется при спуске цен до нового минимума и остановке осциллятора на той же глубине, что и в прошлый раз.
Дивергенции класса А почти всегда показывают на хорошие условия для игры. Дивергенции классов В и С чаще сопровождаются только всплесками. Их лучше игнорировать, за исключением уверенно подтверждаемых другими индикаторами.
Тройная дивергенция "быков" или "медведей" состоит из трех минимумов или максимумов цен и трех минимумов или максимумов осциллятора. Оно еще важнее, чем обычные дивергенции. Чтобы возникла тройная дивергенция, первоначальная дивергенция "быков" или "медведей" должна не подействовать. Вот еще одна причина для того, чтобы жестко контролировать капитал! Если вы потеряете мало в первом всплеске, то у вас будут и деньги и психологическая готовность к продолжению игры.
Вперед, в пропасть
Неудачник никогда не знает, почему он неудачник. Если бы он знал, то предпринял что-нибудь по этому поводу и стал победителем. Он продолжает играть в тумане. Неудачник пытается справиться со своей игрой также, как алкоголик пытается справиться со своим пьянством.
Неудачники всегда пытаются вылезти из ямы, куда упали, и отыграться. Они меняют систему, покупают новое матобеспечение или начинают руководствоваться советами нового "гуру". Они создают фантазию о своем спасении. Какая милая вера в Санта Клауса! Их отчаянная вера в магические решения помогает огромному числу консультантов продавать свои советы публике.
Когда счет неудачника начинает сокращаться, он действует точно так же, как алкоголик, которому угрожает увольнение. От отчаяния он придерживает то, что нужно продавать, удваивает проигрышные позиции, начинает играть в обратном направлении и так далее. Эти маневры помогают неудачнику так же эффективно, как алкоголику переход от крепких напитков к вину.
Проигрывающий игрок теряет контроль над ситуацией, пытается достичь недостижимого. Алкоголики умирают преждевременно, и большинство игроков уходят с рынка и никогда больше на нем не появляются. Новые методы игры, модные советы и улучшенное матобеспечение не помогут вам, если вы не в состоянии справиться с самим собой. Вам нужно изменить образ мысли, чтобы перестать прогорать и начать восстанавливаться как игроку.
Неудачники пьянеют от потерь, у них вырабатывается привыкание к ним. Игроки предпочитают прибыли, но даже потери могут доставить массу удовольствия. Наслаждение от процесса игры очень велико. Мало кто из неудачников сознательно пытается проигрывать, но и мало кто из алкоголиков сознательно стремится оказаться в канаве.
Неудачник продолжает получать удовольствие от игры и в то время, когда счет его активно уменьшается. Объяснять ему, что он неудачник, все равно, что отбирать бутылку у алкоголика. Неудачнику необходимо скатиться до самого дна, прежде чем он начнет восстанавливаться.
Выбор периода усреднения показателя среднего движения курса
Относительно более короткое ЕМА чувствительнее к изменению цен и вы можете заметить новый тренд раньше. Оно так лее чаще меняет направление и дает больше зазубрин. Зазубрина (Whipsaws) - это кратковременное изменение сигнала. Относительно более длинное ЕМА дает меньше зазубрин, но дольше запаздывает с определением начала тренда.
Day
|
Close
|
10-ЕМА
|
1
|
447.30
|
|
2
|
456 80
|
|
3
|
451.00
|
|
4
|
452 50
|
|
5
|
453.40
|
|
6
|
455.50
|
|
7
|
456.00
|
|
8
|
454.70
|
|
9
|
453.50
|
|
10
|
456.50
|
453.70
|
11
|
459.50
|
454 80
|
12
|
465 20
|
456.60
|
13
|
460.80
|
457 40
|
14
|
460.80
|
458 00
|
Рис. 15. Расчет 10-дневного ЕМА
Начните с расчета простого скользящего среднего. Первое число в колонке 3 - это простое МА. Затем по формуле, приведенной в этой главе, подсчитывайте экспоненциальный показатель среднего движения курса.
Когда появились первые компьютеры, игроки перемалывали цифры, чтобы найти «лучший» период усреднения для данного рынка. Они нашли, какие МА лучше работали раньше, но это не помогло им в игре, поскольку рынок непрерывно меняется. Наши брокеры не дают нам играть в прошлом.
Если вы сумели найти рыночный цикл, то ЕМА можно связать с ним. Длина периода усреднения должна составить половину от длины доминирующего рыночного цикла (см. главу 3.5). Если вы нашли 22-дневный цикл, то используйте 11-дневный показатель среднего движения курса. Если цикл длится 34 дня, то используйте 17-дневное МА. К несчастью, циклы все время меняют свою длину и иногда исчезают. Некоторые игроки используют такие программы, как MESA, в поиске циклов, но MESA большую часть времени сообщает, что шум больше амплитуды цикла.
В конце концов, игрок может руководствоваться следующим эмпирическим правилом: чем более длинный тренд вы ищите, тем длиннее должен быть период усреднения. Чтобы поймать более крупную рыбу, нужно взять удочку побольше. Для крупных инвесторов в акции, стремящихся использовать основные тренды, подходят 200-дневные МА. Большинство игроков могут пользоваться ЕМА от 10 до 20 дней. МА не должно браться меньше, чем за 8 дней, потому что иначе оно утратит свойства инструмента для выявления тренда. Последние несколько лет я использовал 13-дневное ЕМА почти во всех случаях.
Японские подсвечники
Японские торговцы рисом начали рисовать японские подсвечники (Candlestick) примерно за два столетия до того, как в Америке появились первые поклонники графиков. Вместо линии цены, на этих графиках изображены ряды свечей с фитилями с обоих концов. Высота каждой свечи показывает разницу между ценами открытия и закрытия. Если цена закрытия выше, чем цена открытия, то свеча белая. Если цена закрытия ниже, то свеча черная.
Конец верхнего фитиля показывает максимальную цену дня, а конец нижнего фитиля - минимальную цену дня. Японцы считают, что максимальная и минимальная цены не столь важны, согласно книге Стива Нисона “Техника японских подсвечников”. Они сосредотачиваются на соотношении между ценами открытия и закрытия и фигурах, образованных несколькими свечами.
Основным преимуществом графиков подсвечников является то, что они сосредотачивают внимание на борьбе между любителями, которые определяют цены открытия, и профессионалами, определяющими цены закрытия. К сожалению, большинство любителей свеч не пользуются многими инструментами западного анализа. Они не учитывают объем и не выделяют линии трендов и технические индикаторы. Эти пробелы сейчас заполняются усилиями современных западных аналитиков, таких, как Грег Моррис, чья программа Candelpower объединяет западные технические индикаторы и классические графики с японскими подсвечниками.
Зачем играть?
Игра на бирже выглядит обескураживающе простой. Когда начинающий игрок выигрывает, он чувствует себя гением и везунчиком. Затем он идет на сумасшедший риск и теряет все.
Люди играют по многим причинам, частью рациональным, а частью иррациональным. Игра позволяет им быстро заработать много денег. Для многих людей деньги означают свободу, хотя часто они не знают, что делать со своей свободой.
Если вы умеете играть, вы сами установите себе рабочие часы, будете жить и работать где пожелаете и никогда не будете докладывать начальству. Игра на бирже - это потрясающий интеллектуальный спорт: шахматы, покер и кроссворд одновременно. Игра привлекает людей любящих головоломки.
Игра притягивает рисковых и отторгает тех, кто избегает риска. Обычный человек встает рано утром, уходит на работу, наслаждается перерывом на обед, возвращается домой к пиву и телевизору и отходит ко сну. Если он заработает несколько лишних долларов, то положит их на сберегательный счет. Игрок переживает ужасные часы и рискует своим капиталом. Многие игроки - одиночки, отрицающие конкретность настоящего и устремляющиеся в неизвестность.
Заседание Анонимных Алкоголиков
Лучшее, что может сделать игрок, это сходить на заседание АА. Я особенно рекомендую это игроку во время полосы неудач. Позвоните Анонимным Алкоголикам и спросите о ближайшем “открытом заседании” или “заседании для начинающих” в вашем районе.
Заседание продолжается около часа. Вы можете посидеть в глубине комнаты и внимательно послушать. Заставлять говорить не принято, и никто не спросит ваше имя.
Каждое заседание начинается с того, что ветеран встает и рассказывает о его или ее личной борьбе за избавление от алкоголизма. Несколько других членов делятся своим опытом. Проводится сбор средств на покрытие издержек. Большинство дает один доллар. Все, что от вас требуется - это внимательно слушать и всякий раз заменять слово “выпивка” словом “потери”. Вы почувствуете, что люди на заседании говорят о вашей игре!
Заседание для одного
Если вы придете на заседание АА, то услышите, как люди, годами не прикасавшиеся к спиртному, встают и говорят: “Привет, меня зовут так-то и так-то, я алкоголик”. Почему они называют себя алкоголиками после, нескольких лет трезвости? Потому, что если они решат, что победили алкоголизм, то начнут пить опять. Если человек считает, что он не алкоголик, то он вправе выпить порцию, затем другую, и закончить в канаве опять. Тот, кто хочет оставаться трезвым, должен помнить, что он алкоголик, всю жизнь. Игроки выиграли бы, если бы у них была организация взаимопомощи, которую я назвал бы Анонимные Неудачники. Почему не Анонимные Игроки? Потому, что резкое название поможет сосредоточиться на ваших саморазрушительных тенденциях. В конце концов. Анонимные Алкоголики не называют себя Анонимными Дегустаторами. Пока вы называете себя неудачником, вы сосредоточены на избежании потерь.
Некоторые игроки возражают против того, что они называют “негативным мышлением” Анонимных Неудачников. Пенсионерка из Техаса, очень успешный игрок, рассказывала мне о своем подходе. Она очень религиозна и считает, что Бог будет огорчен, увидев, как она теряет деньги. Поэтому она очень жестко ограничивает свои потери. Мне показалось, что наши методы очень похожи. Необходимо ограничить потери за счет подчинения какому-либо жесткому внешнему закону.
Игра в пределах делового риска похожа на жизнь без выпивки. Игрок должен согласиться с тем, что он неудачник, как пьющий с тем, что он алкоголик. Потом можно начинать путь к восстановлению.
Вот почему каждое утро, перед началом игры, я сижу перед биржевым терминалом в моем офисе и говорю: “Доброе утро, меня зовут Алекс, я неудачник. Во мне есть сила, способная заставить меня нанести серьезный ущерб моему счету". Это как заседание АА - поддерживает мой ум сосредоточенным на первых принципах. Даже если сегодня мне удастся добыть на рынке тысячи долларов, завтра я скажу: “Доброе утро, меня зовут Алекс, и я неудачник”.
Мой друг шутит: “Когда я сижу перед терминалом, я говорю, что меня зовут Джон, и я вытрясу из него дух”. Его мышление создает напряжение. Мышление Анонимных Неудачников создает спокойствие. Игрок, остающийся спокойным и расслабленным, может сосредоточиться на поиске наиболее выгодных и безопасных сделок. Напряженный игрок похож на водителя, скрючившегося за рулем. Если трезвый и пьяный участвуют в гонках, вы точно скажете, кто скорее всего победит. Пьяный сможет выиграть один раз благодаря везению, но ставить надо на трезвого. Вы же хотите быть трезвым участником гонки.