ОСНОВАНИЯ МИКРО- И МАКРОЭКОНОМИКИ.


Введение. Модель общественного богатства: исходные условия и метод построения

Модель общественного богатства – это модель воспроизводства материальной жизни индивидов и общества.
Исходные условия:
Дано: общество, в котором преобладает капиталистический способ производства жизниi, в течение определенного промежутка времени (года) с данной численностью населения, например Россия в 2007 году.
Найти: условия воспроизводства жизни индивидов и общества в данный и последующие промежутки времени.
Цель построения модели – выяснение экономического закона развития современного общества.
Теория общественного богатства – теория развития общества и воспроизводства жизни – принципиально отлична от т. н. экономической теории марксизма (марксистской политической экономии), целью которой является обоснование неизбежной гибели капитализма. Анализ марксизмаii выходит за рамки теории общественного богатства.
Критика экономической теории марксизма, основанной на трудовой теории стоимости, дается по ходу исследования.
Предмет и метод
Годичный общественный продукт как огромное скопление товаров, богатство народов – материальное условие воспроизводства жизни индивидов и общества. Но предметом исследования является не общественное богатство как таковое.
Предмет исследования – совокупность отношений индивидов к природе и к друг другу, или отношений, при которых они производят богатство и воспроизводят свою жизнь, т. е. совокупность производственных отношений, образующих экономическую структуру общества (экономический базис).
В теоретической модели конкретные производственные отношения отражены научными категориями (цена, прибыль, рента и т. д.).
Примеры производственных отношений
В совокупность производственных отношений входят все отношения, опосредующие воспроизводство материальной жизни. Для того чтобы жить, необходимо потреблять. В рыночной экономике предметы потребления являются товарами и приобретаются на рынке. Состав предметов потребления определен историческими условиями, хотя и различен в каждый момент времени.
Представим ситуацию: покупатель собирается приобрести и приобретает автомобиль. Какие производственные отношения необходимы для того, чтобы автомобиль перешел в руки покупателя и вошел в процесс потребления? Прежде всего это отношение человек – вещь. Автомобиль – полезная вещь, удовлетворяющая человеческую потребность.
Покупатель выбирает автомобиль, исходя из своих потребностей. Но он должен купить автомобиль по определенной цене, заплатив деньги, т. е. вступает в отношение с продавцом в качестве покупателя (отношение человек – человек).
За спиной продавца обнаруживается целая сеть производственных отношений. Для того чтобы автомобиль появился у продавца, тот должен вступить в отношения с торговыми посредниками, получающими торговую прибыль, либо непосредственно с производителем. Головное предприятие осуществляет сборку, комплектующие производят предприятия-поставщики, представляющие практически все отрасли народного хозяйства. Чтобы произвести деталь или осуществить сборку, предприятия должны нанять работников соответствующей квалификации и закупить на рынке товары – средства производства (необходимое сырье, вспомогательные материалы, оборудование и т. п.). Дл капиталистического способа производства характерно, что занятые получают заработную плату, а владельцы предприятий – прибыль.
Предприниматели могут использовать заемные денежные средства, кредит, уплачивая процент, они также должны выплачивать земельную ренту собственникам земли.
За спиной покупателя также сеть отношений. Деньги могут представлять различные виды доходов – заработную плату, прибыль, процент, ренту.
Автомобиль можно купить в кредит.
Каждый отдельный акт купли-продажи скрывает совокупность многообразных производственных отношений.
Для построения модели берется вся совокупность производственных отношений, опосредующих воспроизводство жизни индивидов и общества, конгруэнтных данному общественному организму. В этом отличие модели общественного богатства от экономической теории марксизма, которая сводила производственные отношения к отношениям непосредственного производства, а последние – к отношениям эксплуатацииiii.
Общество – живой, развивающийся организм. Совокупность отношений, при которых индивидуумы производят богатство и воспроизводят свою жизнь, – есть общество, рассматриваемое с точки зрения его экономической структуры1. Общество, с экономической точки зрения, – органическая целостность.
Этим и определяется метод построения модели общественного богатства. Метод – не строительные леса, которые возводятся отдельно от рассматриваемого предмета, а потом убирают. Метод – душа предмета (Гегель).
Каков предмет, таким должен быть и метод.
Традиционными приемами познания сложных систем является рассмотрение целого и части в определенном соотношении. Выделяют две онтологические2 концепции – холизм и парциализм (редукционизм). В холизме действуют два принципа:
1) целое состоит из частей;
2) целое не равно сумме частей.
Гносеологическое3 следствие холизма – описание и объяснение частей на основе целого. В логике холизму соответствует метод дедукции.
Антиподом холизма является парциализм4 (от лат. pars, partis – часть). В парциализме действуют следующие принципы:
1) части образуют целое, и все делимо на части;
2) целое равно сумме частей.
Гносеологическое следствие парциализма – описание и объяснение целого на основе частей, в логике – метод индукции.
Модель любого организма (например, биологического) невозможно построить, если в качестве исходного берется:
1) простое как отдельное конкретное. Конкретная клетка организма вне организма мертва, из нее нельзя получить модель живого организма. Пусть даже в истории (эволюции) она имела самостоятельное существование как живая клетка, как например, одноклеточный организм, она не может быть исходным в модели данного развитого организма;
2) простое как абстрактное конкретное. Из клетки вообще, состоящей из ядра и протоплазмы, выводится любой (но не данный) конкретный организм.
3) сложное абстрактное – организм вообще, или общество вообще. Общество вообще – пустая абстракция.
В целом парциализм (от простого к сложному целому), холизм (от непознаваемого целого к простому) и их разновидности (метод от простого абстрактного к сложному конкретному, метод от простого конкретного к сложному конкретному, метод единства исторического и логического, метод аналогий) неприменимы для построения модели живой органической целостностиiv.
Поскольку ни абстрактное (простое или сложное), ни простое конкретное не могут служить исходным пунктом исследования, то остается единственный вариант: исследование должно начинаться со сложного конкретного и заканчиваться сложным конкретным, т. е. вестись методом от конкретного к конкретному.
Исходным пунктом является совокупность конкретных производственных отношений, экономический организм во всех его проявлениях, единство многообразного. В исходном пункте определяется аксиома двухфакторности общественного богатства.
Первый этап – анализ, логическое расчленение предмета на иерархические уровни методом абстракции, выделение простейшего отношения.
Второй этап – синтез, собственно построение модели, движение от абстрактного к живому конкретному целому.
Результат – теоретическая модель богатства общества как развивающегося организма.
Движение от абстрактного к конкретному не является абсолютным или самодостаточным методом исследования.
Метод восхождения от абстрактного к конкретному есть лишь тот способ, при помощи которого мышление усваивает себе конкретное5.
На первом этапе анализируется наличное бытие общественного богатства – годичный общественный продукт, огромное скопление товаров. Наличное бытие означает, что становление предмета снято (не рассматривается), т. е. предмет предстает таким, как он есть.
Похожие, имевшие место в истории отношения – обмен продуктами между первобытными общинами, обмен излишками натурального хозяйства и т. п. – выходят за рамки предмета. Рассматривается именно наличное бытие, а не эволюционно-исторический процесс происхождения, становления, зрелости, возможной гибели и т. п. Законы развития организма можно определить только после его анализа.
Задача второго этапа – вдохнуть жизнь в аналитическую схему, вывести определения категорий, опираясь на исходную аксиому. В ходе синтеза раскрывается внутренний потенциал или внутреннее противоречие исходного отношения.
Предмет предстаеZ как развивающийся предмет, как развивающееся единство многообразного, как конкретное живое целое.
Лапидарное от конкретного к конкретному разворачивается как метод от наличного бытия многообразного конкретного через абстракцию к конкретному как живому развивающемуся целому, или от статического многообразного конкретного через абстракцию к конкретному как проявлению живого развивающегося целого.

Анализ доходов и их источников


Затем - Процесс обращения капитала и, наконец, Процесс производства капитала. Внутри каждого крупного структурного уровня выделяются структурные уровни абстракции, в общем и целом соответствующие названиям отделов томов Капитала.
Анализ доходов и их источников (7 отдел третьего тома Капитала) позволяет придти к выводу, что все доходы связаны с капиталом. Под рентой имеется в виду часть прибыли (добавочная прибыль) которая выплачивается капиталистом земельному собственнику. Получение заработной платы возможно только в случае найма рабочей силы.
Прибыль во всех ее разновидностях (процент, который получают денежные капиталисты, предпринимательский доход, который получают функционирующие капиталисты и т. п.т. п.т. п.) – порождение капитала.
Следующий этап абстракции – абстракция от земельной ренты. Почему именно от ренты?
Ведь исторически рента предшествовала капиталу. Тем не менее, в условиях развитого общества рента – подчинена капиталу:
"Ничто не кажется более естественным, как начать с земельной ренты… Однако нет ничего более ошибочного... В буржуазном обществе ... земледелие все более и более становится всего лишь одной из отраслей промышленности и совершенно подпадает под господство капитала... Земельная рента не может быть понята без капитала, но капитал вполне может быть понят без земельной ренты. Капитал - это господствующая над всем экономическая сила буржуазного общества.
Он должен составлять как исходный, так и конечный пункт и его следует анализировать до земельной собственности". ( Маркс К. Введение. Маркс К., Энгельс Ф. Соч.
Т.46. Часть I. С. 37.)
Но как можно абстрагировать от ренты (r), если она образует часть стоимости годичного продукта, и соответственно, часть продукта в натуральной форме и является условием существования класса земельных собственников? При исследовании органической целостности отсечение часта целого, т. е. сокращение стоимости продукта с СТ до (СТ – СТr), где СТr – часть стоимости продукта, соответствующая ренте, невозможно.
Абстрагируясь от ренты, мы должны сохранить ее стоимость СТr без указания на ренту. Рента как стоимость становится первым элементом более общей категории, категории-агрегата – прибавочной стоимости.
Следующие этапы анализа представляют собой последовательную абстракцию от функциональных форм капитала (банковского, ссудного, функционирующего, товарно-торгового, денежно-торгового) и функциональных подразделений класса капиталистов. Процент (%) выплачивается владельцам ссудного капитала, денежным капиталистам.
Процент представляет собой часть стоимости годичного продукта СТ. Абстрагируясь от процента, мы должны включить СТ% в агрегат прибавочная стоимость.
Прибыль в широком смысле включает предпринимательский доход и процент. После выплаты процента функционирующим капиталистам остается предпринимательский доход (прибыль в узком смысле, промышленная прибыль). В современных условиях предпринимательский доход может идти на оплату высших менеджеров, которые представляют собой наемных работников.
Абстракция от функционирующих капиталистов (или наемных высших менеджеров) предполагает включение предпринимательского дохода, (прибыли в узком смысле – ) СТ в более общую абстрактную категорию прибавочной стоимости.
Точно также прибыль товарно-торгового (коммерческого) капитала и денежно-торгового капитала включается в состав прибавочной стоимости. При этом мы абстрагируемся от соответствующих функциональных подразделений капиталистов.
Первоначально структура стоимости годичного продукта была представлена как СТ = СТcтар + СТнов, где СТcтар - старая стоимость, или стоимость средств производства, подлежащих возобновлению, СТнов - новая, внвь созданная в текущем периоде стоимость. В структуру стоимости включались все доходы, т. е. СТ = СТстар + (СТзарплата + СТr + СТ% + СТ ). В результате абстракции–агрегирования мы получили СТ = СТcтар + (СТзарплата + СТприб.ст.) = СТcтар + СТзарплата + СТприб.ст.
Такая абстракция принципиально отличается от абстракции-отсечения, т. е. исключения из рассмотрения, применяемой в микро- и макроэкономике.
Результатом абстракции от функциональных форм капитала является промышленный капитал, включающий все функциональные формы капитала. Промышленный капиталист – обобщенный образ капиталиста, выполняющего все функции капитала: он является собственником и менеджером в одном лице, сам нанимает рабочую силу, закупает средства производства, организует производство и реализует товары, сам себе дает кредит и выплачивает самому себе процент.
Следующий этап – абстракция от отраслевых различий. На уровне Превращения прибыли в среднюю прибыль выясняется, что неизменной стоимости годичного продукта, стоимость товаров отдельных отраслей не обязательно равна полной произведенной стоимости (СТcтар + СТнов). Издержки производства – обособившаяся часть товарной стоимости. СТизд = СТcтар + СТзарплата.
Они входят как в полную, или произведенную стоимость, так и в реализованную стоимость товаров каждой отрасли. Если издержки не покрываются, то воспроизводство невозможно. Произведенная стоимость равна издержкам плюс прибавочная стоимость (СТcтар + СТзарплата+ СТприб.ст.).
Прибавочная стоимость, производимая в разных отраслях различна.
Функционирование отраслей единого экономического организма возможно лишь в том случае, если вложения в каждую из них дают равную прибыль на равный капитал, или среднюю прибыль. Реализованная отраслевая товарная стоимость должна быть равна цене производства, т. е. издержкам плюс средняя прибыль (СТcтар + СТзарплата) + СТср. приб. Средняя прибыль рассчитывается как произведение средней нормы прибыли на весь авансированный капитал.
Прибыль начисляется не на издержки производства, а на весь авансированный капитал, включающий издержки производства и остаточную стоимость средств производства. В результате цены производства, которые позволяют покрыть издержки и получить равную прибыль на равный капитал, или реализованная стоимость может отличаться от произведенной стоимости: СТср.приб. может быть больше, меньше или равна СТприб.ст.
Поскольку мы исходим из неизменной величины стоимости годичного продукта (СТСОП), то сумма СТср. приб. равна сумме СТприб.ст., или, можно сказать, что средняя прPбыль – результат отраслевого распределения совокупной прибавочной стоимости неизменной величины.
Абстракция от отраслевых различий позволяет рассматривать экономику как единый организм. Сердцевиной экономики является отрасль со средним органическим строением капитала (натурально-стоимостной пропорцией между средствами производства и рабочей силой) в которой произведенная и реализованная стоимости совпадают. Абстракция от отраслевых различий означает, что весь дальнейший анализ (как и предыдущий) ведется на основе полной, или произведенной стоимости, т. е. (СТcтар + СТзарплата) + СТзарплата
Следующий этап – абстракция от непосредственно наблюдаемых форм общественного богатства - прибыли и издержек производства. Норма прибыли промышленного капитала как отношение прибавочной стоимости ко всему авансированному капиталу является неточным выражением степени эксплуатации, или эффективности использования занятых, поскольку соотносятся два различных качества – новая и старая стоимость. Абстракция от прибыли и издержек производства позволяет разложить издержки на две составляющих и рассматривать товарную стоимость как СТcтар + (СТзарплата + СТприб.ст) или, просто как СТcтар + СТзарплата+ СТприб.ст
Анализ второго крупного структурного уровня - процесса обращения капитала начинается с анализа воспроизводства и обращения всего общественного капитала. Жизнеобеспечение общества возможно только в случае определенной натурально-стоимостной структуры годичного продукта.
Годичный товарный продукт капитала имеет два подразделения. Потребительные стоимости, которые предназначены для производительного потребления (средства производства) - продукт первого подразделения, предназначенные для индивидуального потребления – продукт второго подразделения:
СТ = (I. СТcтар + СТзарплата+ СТприб.ст) + (II. СТcтар + СТзарплата + СТприб.ст)
Процесс обращения капитала идет между капиталистами первого и второго подразделения, между капиталистами и рабочими. На этапе анализа предполагается (а на этапе синтеза доказывается), что при определенных условиях процесс воспроизводства общественного капитала протекает нормально, т. е. имеет место равновесие: капиталисты обеспечиваются средствами производства и жизненными средствами, рабочие – жизненными средствами, необходимыми для воспроизводства жизни рабочего населения, по меньшей мере, той же численности.
Абстракция от деления годичного продукта на два подразделения означает, что товары рассматриваются как потребительные стоимости, т. е. вещи с полезными свойствами, удовлетворяющие общественную потребность независимо от того, относятся ли они к средствам производства или предметам потребления.
От воспроиOводства и обращения общественного капитала переходим на следующий структурный уровень - оборот индивидуального капитала.



Богатство - не деньги, а простой продукт.


Адам Смит разделял критику меркантилистов физиократами и считал, что деньги не являются общественным богатством. Богатство - не деньги, а простой продукт.
В Евгении Онегине А.С. Пушкин точно характеризует главную идею: "… Зато читал Адама Смита, и был глубокий эконом, то есть, умел судить о том, как государство богатеет, и чем живет, и почему не нужно золота ему, когда простой продукт имеет. Отец понять его не мог и земли отдавал в залог.
Заметим, что отец глубокого эконома, понимал односторонность подхода Смита: он отдавал земли в залог, чтобы получить деньги, т. е. признавал деньги богатством.
Адама Смит рассматривал продукт как результат различных видов деятельности (мануфактурной, коммерческой и т. п.т. п.т. п.), а не только земледельческой. Его знаменитый труд А. Смита начинается словами: Годичный труд каждого народа представляет собою первоначальный фонд, который доставляет ему все необходимые для существования и удобства жизни продукты, потребляемые им в течение года и состоящие всегда или из непосредственных продуктов этого труда, или из того, что приобретается в обмен на эти продукты у других народов (Смит А. Исследование о природе и причинах богатства народов.
М.,1997. С. 5).
Название работы Смита - Исследование о природе и причинах богатства народов (An Inquiry into the Nature and Causes of Welth of Nations by Adam Smith, 1776) представляет особый интерес. В нем дается и определение экономической науки как науки об общественном богатстве и ее новое название. По Шумпетеру, Этим названием он определяет экономическую науку вполне точно. (Шумпетер Й. История экономического анализа. http://ek-lit.agava.ru/)
Традиция оказалась сильнее новаторства Смита, экономическая наука не стала наукой о природе и причинах богатства народов, или теорией общественного богатства, а сохранила прежнее название политическая экономия.
Это произошло, несмотря на то, что Смит в предисловии к IV книге Исследования определял политическую экономию не как науку о природе и причинах богатства наций, а как отрасль науки государственного человека или законодателя, (которая, - С.А.) ставит перед собой две различные задачи: во-первых, обеспечить народу обильный доход или средства существования, а точнее, обеспечить ему возможность добывать себе их; во-вторых, доставлять государству или обществу доход, достаточный для государственных услуг (public services). Она ставит себе целью обогащение как народа, так и государя.
Определение обобщает традиционные подходы к политической экономии, начиная с Монкретьена (политическая экономия – наука о государственном управлении хозяйством города) и заканчивая последним меркантилистом Джемсом Стюартом (Steuart James. An Inquiry into the Principles of Political Economy.
1767.) Стюарт определяет политическую экономию как науку о внутренней (экономической) политике и считает ее наукой государственного деятеля. Он настаивает на активной роли государства в планировании (plan of political oeconomy) и создании новой системы политической экономии (new system of political oeconomy), останавливаясь на специфике национальных систем политической экономии (Стюарт Дж. Введение в принципы политической экономии.
Steuart James. An Inquiry into the Principles of Political Economy.
1767).
В отличие от меркантилистов и физиократов Смит считал, что в условиях естественной свободы, государство должно выполнять только три основные функции: защиты от внешних врагов (армия), поддержания внутреннего порядка, развития инфраструктуры и образования. Предмет политической экономии раскрывается в последней, пятой книге своей работы О доходах государства или государя, где рассматриваются функции государства, дается теоретическое обоснование необходимости покрытия расходов на эти цели за счет общества, анализируются источники доходов (налоги, государственный долг).
Экстраполируя логику Смита на современную Россию можно сказать, что теоретическое обоснование политической и экономической безопасности страны и, в частности, национальных программ доступного жилья, образования, здравоохранения, сельского хозяйства – прямая задача политической экономии.
По Смиту наука о природе и причинах богатства наций и политическая экономия – разные вещи. Но исторически сложилось так, что новая наука сохранила старое название.
Главная заслуга в сохранении термина политическая экономия как названия науки об общественном богатстве принадлежит популяризатору Смита на континенте Жану Батисту Сэю. Его книга была посвящена общественному богатству, но называлась политической экономией: Трактат по политической экономии, или простое изложение того, как образуются, распределяются и потребляются богатства (Trait d conomie politique, ou simple exposition de la manire dont se forment, se distribuent et se consomment les richesses. 1803). Она состояла из трех книг О производстве богатства, О распределении богатства, О потреблении богатства. Несоответствие названия содержанию требовало разъяснений.
В Катехизисе политической экономии (1815) Сэй пишет, что политическая экономия – это не политика; она … дает знание экономики общества; она говорит о том, как народы обеспечивают себя тем, что необходимо для их существования. Нельзя рассматривать политическую экономию как дело исключительно государственных людей, она является делом всех (Say Jean-Baptiste.
Catchisme d conomie politique, 1815. www.uqac.uquebec.ca).
Использование термина политическая экономия применительно к науке о богатстве получает широкое распространение и в течение первой половины XIX века считается общепризнанным.
Давид Рикардо называет свою работу Принципы политической экономии и налогообложения (On the Principles of Political Economy and Taxation, 1817), и считает главной задачей политической экономии определение законов, управляющих распределением богатства. В письме Мальтусу от 9 октября 1820 г. Рикардо отмечал "Вы полагаете, что политическая экономия является исследованием о природе и причинах богатства; я же думаю, что ее следовало бы назвать исследованием законов, определяющих распределение произведенного продукта между классами, участвующими в его образовании. В отношении общего количества нельзя установить какого-либо закона, но есть возможность установить сравнительно правильный закон в отношении пропорций. С каждым днем я все больше убеждаюсь, что исследования первого вопроса тщетны и обманчивы и что только последний представляет собой истинный предмет науки". (David Ricardo, "Letter to T.R.
Malthus, October 9, 1820", in Collected Works, Vol. VIII: p.278-9).
Джон Стюарт Милль в Принципах политической экономии (The Principles of Political Economy: with some of their applications to social philosophy, 1848) определяет предмет политической экономии как богатство и разбивает работу на пять книг: Производство, Распределение, Обмен, О влиянии общественного прогресса на производство и распределение, О влиянии правительства.
Во второй половине XIX века разворачивается критика политической экономии. Главным ее критиком становится Карл Маркс.
Он называет свой труд Капитал. Критика политической экономии (1867). Основное название – Капитал - это конкретно-историческая форма общественного богатства. Капитал – это то, что обычно называют общественным богатством, "богатством народов".( Маркс К. Капитал.
Критика политической экономии. Т.I.
М., 1963. С.377). В отличие от Смита, речь идет не богатстве народов вообще, а богатстве обществ, в которых господствует капиталистический способ производства (Маркс К. Капитал. Критика политической экономии. Т.I.
М. 1963. С. 43).
Маркс опирается на общепринятое в то время понимание политической экономии. Он не называет свою работу политической экономией, например, политической экономией капитализма, или политической экономией труда.
Он критикует политическую экономию и в качестве первого названия дает позитивный результат этой критики – капитал, теорию капитала.
Подход Маркса заключается в том, что общественное богатство, (специфической формой которого является капитал) – материальное условие существования человеческой жизни.
В процессе воспроизводства своей жизни индивидуумы вступают в совокупность отношений к природе и к друг к другу, или отношений производства богатства и их взаимных отношений, т. е. отношений при которых они производят богатство и воспроизводят свою жизнь.
Совокупность этих производственных отношений составляет экономическую структуру общества, реальный базис, на котором возвышается юридическая и политическая надстройка и которому соответствуют определенные формы общественного сознания (Маркс. К. К критике политической экономии. Маркс К., Энгельс Ф. Сочинения.
2-е изд. Т.13.
С.5-9.).
По Марксу, предмет экономической науки – экономический базис, а не политическая надстройка, которая включается в предмет политической экономии со времен меркантилистов.
Вслед за Марксом, критику политической экономии как названия науки, предметом которой является экономический базис, разворачивают экономисты неоклассического направления.



Человеческий труд - созидатель стоимости.


Абстрактно человеческий труд – созидатель стоимости. В основе двух факторов товара лежит двойственный характер труда.

Прежние представления о товаре. А. Смит: потребительная стоимость - свойство вещи, или полезность.
Ошибочное определение товара в экономической теории марксизма: товар, продукт труда, произведенный для продажи.
По Смиту, потребительная стоимость – это не вещь с полезными свойствами, а свойство вещи, полезность.
Надо заметить, что слово стоимость имеет два различных значения: иногда оно обозначает полезность какого-нибудь предмета, а иногда возможность приобретения других предметов, которую дает обладание данным предметом. Первую можно назвать потребительной стоимостью, вторую – меновой стоимостью.
Предметы, обладающие весьма большой потребительной стоимостью, часто имеют совсем небольшую меновую стоимость или даже совсем ее не имеют; напротив, предметы, имеющие очень большую меновую стоимость, часто имеют совсем небольшую потребительную стоимость или совсем ее не имеют. Нет ничего полезнее воды, но на нее почти ничего нельзя купить, почти ничего нельзя получить в обмен на нее.
Напротив, алмаз почти не имеет никакой потребительной стоимости, но часто в обмен на него можно получить очень большое количество других товаров34.
В теории капитала вода и алмаз – это и есть товарное тело, потребительная стоимость, которая измеряется литрами и каратами. У такого товара не может быть нулевой, весьма большой, небольшой, нулевой потребительной стоимости.
Для товара из модели Капитала парадокса воды и бриллиантов не существует.
Если вода и бриллианты действительно товары, то всегда можно найти соотношение x каратов бриллиантов = y литров воды, в котором левая и правая части уравнения являются равновеликими стоимостями.
"Так как величина стоимости товара выражает лишь количество заключающегося в нем труда, то взятые в известной пропорции товары всегда должны быть равновеликими стоимостями35.
Положение Смита о потребительной стоимости как полезности легло в основу неоклассики. Термин потребительная стоимость, тождественный полезности, оказался излишним.
Вместо него стал использоваться термин полезность, измеряемая ютилями.
Положение Смита о потребительной стоимости как полезности легло в основу определений т.н. экономической теории марксизма. Наиболее типичные определения это товар – продукт труда, произведённый для продажи и потребительная стоимость – полезность вещи. (Об ошибочных определениях товара в экономической теории марксизма см. сноскуxv.)

Соотношение потребительной стоимости и стоимости. Стоимость товарной массы и стоимость единицы товара. Производительная сила общественного труда
Между количеством потребительной стоимости и величиной стоимости нет необходимой внутренней связи. В формуле товара
Человеческий труд - созидатель стоимости.
нижний и верхний индексы являются двумя факторами, т. е. двумя независимыми переменными. Но в каждый данный промежуток времени оба фактора представляют собой определенные величины и между ними устанавливается определенное соотношение. В формуле годичного продукта
Человеческий труд - созидатель стоимости.
определено количество потребительной стоимости каждого товарного вида (в статистических ежегодниках можно найти количества нефти, стали, молока и т. п., которые вошли в состав совокупного продукта). По условию стоимость годичного продукта – определенная величина, например 1 млн. ч ОНРВ.
Эта стоимость распределяется между товарами A, B и т. д., в определенной пропорции, т. е. стоимость товарной массы каждого вида (СТМ) также дана.
Отсюда выводится два обратных показателя:
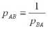
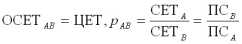
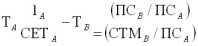
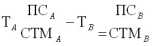
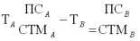
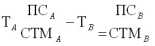
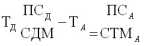
1) стоимость единицы товара, СЕТ – отношение стоимости к потребительной стоимости,
Человеческий труд - созидатель стоимости.
.
В Капитале Маркса под товаром, в зависимости от контекста, имеется в виду и товарная масса, и единица товара. Для детального анализа целесообразно различать товарную массу (ТМ) и единицу товара (ЕТ), стоимость товарной массы (СТМ) и стоимость единицы товара (СЕТ). При этом, каждый отдельный товар в данном случае имеет значение лишь как средний экземпляр своего рода36;
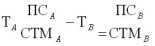
2) производительная сила общественного труда, (сокращенно – продуктивность, ПР) – отношение потребительной стоимости к стоимости товарной массы.
Человеческий труд - созидатель стоимости.
.
Один и тот же труд в равные промежутки времени создает всегда равные по величине стоимости, но может быть более или менее продуктивным, т. е. создавать большее, или меньшее количество потребительных стоимостей.
Производительная сила… всегда есть производительная сила полезного, конкретного труда и фактически определяет собой только степень эффективности целесообразной производительной деятельности в течение данного промежутка времени37.

Обстоятельства, определяющие производительную силу общественного труда
Производительная сила труда определяется разнообразными обстоятельствами, между прочим средней степенью искусства рабочего, уровнем развития науки и степенью ее технологического применения, общественной комбинацией производственного процесса, размерами и эффективностью средств производства, природными условиями38.
В общем виде это обстоятельства, определяющие естественную производительную силу человека и природы, общественную производительную силу, возникающую вследствие кооперации, специализации и комбинирования труда на предприятии и в масштабе общества, и всеобщую производительную силу – науку. Перечень можно продолжить: развитие инфраструктуры, транспорта, связи, изменение климатических условий и т. п. В России к таким факторам относятся культура населения и его образовательный уровень, научный потенциал, природные ресурсы, климат и географическое положение, размеры территории и др.

Производительная сила общественного труда и производительность труда
Производительная сила общественного труда не сводится к производительности труда. Производительность труда – характеристика продуктивности живого труда (на данном предприятии), производительная сила труда – производительная сила всех полезных видов труда, необходимых для производства потребительной стоимости.
Можно говорить, например, о производительность труда на отдельном предприятии, но "собственное рабочее время данного производителя является частью общественного рабочего времени"39.
Когда речь идет о производительной силе общественного труда, имеется в виду вся цепочка – затраты ОНРВ на комплектующие, сырье, материалы, плюс затраты живого труда на предприятии. Подробное рассмотрение единства и различия производительной силы общественного труда и производительности труда относится к более высоким уровням.
Интенсивность труда
В определении величины стоимости предполагается, что рабочая сила затрачивается с обычной средней степенью напряжения, с общественно обычной степенью интенсивности труда. Интенсивность труда – интенсивность производительного расходования человеческого мозга, мускулов, нервов, рук и т. д. Труд более интенсивный по сравнению с обычным уровнем создает большую величину стоимости и воплощается в большем количестве потребительной стоимости.
Простой и сложный труд
В определении величины стоимости предполагается, что абстрактно человеческий труд – простой средний труд, расходование простой рабочей силы, которой в среднем обладает телесный организм каждого обыкновенного человека, не отличающегося особым развитием. Сравнительно сложный труд означает помноженный простой труд, меньшее количество сложного труда равняется большему количеству простого.
Сведение (редукция) сложного труда к простому осуществляется через товарную стоимость: стоимость как кристаллизация сложного труда больше стоимости как кристаллизации простого труда за равные промежутки времени.
2. Формализация модели товара. Комбинации факторов товара.
Модель товара. Кривая стоимости.
Модель товара может быть представлена на объемном графике с тремя осями – периоды времени (товар по периодам времени), потребительная стоимость и стоимость.
Товар – единство стоимости и потребительной стоимости. В каждый данный момент производительная сила общественного труда или соотношение стоимости и потребительной стоимости задано. Но это соотношение меняется во времени.
Точка O фиксирует значения стоимости и потребительной стоимости в исходном периоде. Она проецируется на три плоскости (Рисунок 1).

Человеческий труд - созидатель стоимости.

Стоимость меняется по периодам времени независимо от потребительной стоимости. Обществом может быть выделено большее или меньшее время на изготовление товаров данного рода.
Динамика стоимости (СТМ и СЕТ) отражается на плоскости Периоды времени – Стоимость.

Потребительная стоимость меняется независимо от стоимости. Носителем стоимости данной величины может быть разное количество потребительной стоимости.
Динамика потрMбительной стоимости (ТМ и ЕТ) отражается на плоскости Периоды времени – Потребительная стоимость.

Проекция графика на плоскость Стоимость – Потребительная стоимость – результат изменений двух независимых переменных – стоимости и потребительной стоимости.



Форма стоимости, или меновая стоимость


4. Если СТМ и СЕТ меняются в одном направлении, но разными темпами, то:
а) когда СТМ растет быстрее, чем СЕТ, получаем кривую СЕТ с положительным наклоном, расположенную в I квадранте (от 12 до 15 ч);
б) когда СТМ растет медленнее, чем СЕТ, то получаем кривую с отрицательным наклоном во II квадранте (от 21 до 24 ч);
в) когда сокращение СЕТ идет быстрее, чем сокращение СТМ, получаем кривую СЕТ с отрицательным наклоном в IV квадранте (от 15 до18 ч);
г) когда сокращение СТМ идет быстрее, чем сокращение СЕТ, получаем кривую СЕТ с положительным наклоном во II квадранте (от 18 до 21 ч).

Форма стоимости, или меновая стоимость



5. Если СТМ и СЕТ меняются в разных направлениях, то


а) при росте СМТ и падении СЕТ кривая СЕТ имеет отрицательный наклон и направлена вправо–вниз;
б) при сокращении СМТ и росте СЕТ кривая СЕТ имеет отрицательный наклон, но направлена влево–вверх.
Множество различных положений кривой стоимости (от 0 до 360) – графическое выражение того обстоятельства, что стоимость не находится в необходимой внутренней связи с потребительной стоимостью. Прямая функциональная зависимость, типа чем больше потребительная стоимость, тем меньше стоимость единицы товара, чем больше стоимость, тем меньше потребительная стоимость и т. п., отсутствует. (Об ошибочном представлении о возможности существования стандартного товара см. сноскуxvii).
2. Форма стоимости, или меновая стоимость
Понятие формы стоимости.
Товар не только потребительная стоимость (Use Value) и стоимость (Value), он представляет определенную ценность для обмена (Exchange Value), т. е. обладает меновой стоимостью.
Формула годичного общественного продукта записывалась как

Форма стоимости, или меновая стоимость
,
или, в произвольно заданных значениях:
Форма стоимости, или меновая стоимость
.
Эта формула методом абстракции была сведена к молекуле товара или формуле отдельного товара:
Форма стоимости, или меновая стоимость
.
С позиций наблюдателя, способного силой мышления охватить все общество в целом, очевидно, что общественный товарный продукт был произведен и обращался, т. е. обменивался на другой товар непосредственно или путем продажи и купли.
Товар A, например, сначала принадлежал одному или нескольким товаровладельцам, затем в результате обращения, попал в руки других. Но перемена владельцев не меняет характеристик товара.
5 т стали стоимостью 10 ч ОНРВ остаются 5 (т стали) стоимостью 10 ч ОНРВ независимо от того, в чьих руках они находятся – производителя, или потребителя.
Весь общественный продукт стоимостью 1000 ч ОНРВ обращался, все товаровладельцы бросали в обращение потребительные стоимости стоимостью 1000 ч ОНРВ и взамен получали другие потребительные стоимости той же стоимости – 1000 ч ОНРВ. Отдельные товаровладельцы бросали в обращение товары определенной стоимости (например, 10 ч ОНРВ) и получали взамен другие товары, удовлетворяющие их потребности, той же стоимости (10 ч ОНРВ).
Воспроизводство жизни экономического организма предполагает общественный обмен веществ, причем сбалансированный обмен веществ. Основой баланса является стоимостная эквивалентность (стоимостное равенство) обмена. Неэквивалентный обмен приводит к невозможности воспроизводства жизни и гибели экономического организма.
Представим крайний случай: если бы владельцу товара А, бросившему в обращение товар стоимостью 10 ч ОНРВ, каким-то образом удалось получить в обмен товары стоимостью 990 ч ОНРВ, то остальные товаровладельцы остались бы без необходимых жизненных средств и средств производства.
Неэквивалентный обмен (как и вообще обращение товаров) не увеличивает и не уменьшает стоимости общественного продукта – 1000 ч ОНРВ, но приводит к нарушению обмена веществ и прекращению воспроизводства жизни общества и его членов. Поскольку, как показывает опыт стран с рыночной экономикой, этого не происходит, то действует закон эквивалентного стоимостного обмена, сокращенно – закон стоимости.
Обмен или продажа товаров по их стоимости есть рациональный принцип, естественный закон их равновесия44.
Стоимостная эквивалентность обмена, или равновесие, – естественное условие и закон жизнедеятельности общественного организма.
Остается выяснить, как товаровладельцы, не имеющие представления о стоимости товара, подчиняются действию закона стоимости, или закона равновесия. Как товаровладельцы обменивают свои товары по стоимости, если она непосредственно не наблюдается и не измеряется?
Потребительная стоимость отдельного товара – носитель стоимости, непосредственная форма стоимости отдельного товара. Но потребительная стоимость данного товара ничего не говорит о его стоимости.
В стоимость не входит ни одного атома вещества природы. Вы можете ощупывать и разглядывать каждый отдельный товар, делать с ним что вам угодно, он как стоимость остается неуловимым45.
Тем не менее стоимость товара необходимо каким-то образом измерить, причем до обмена на другой товар. Стоимость нельзя измерить абсолютно, но ее можно измерить относительно.
Товары вступают в общественное отношение друг к другу, они постоянно приравниваются друг к другу как стоимости. Простая, единичная, или случайная, форма выражения стоимости, или простая форма относительного измерения стоимости, содержится в отношении двух товаров.
Пусть задача состоит в измерении стоимости товара A (10 ч ОНРВ). Рассмотрим его отношение любому другому товару, например, товару B. Товар A –
Форма стоимости, или меновая стоимость
, товар B –
Форма стоимости, или меновая стоимость
. В этом отношении стоимости товаров не равны,
Форма стоимости, или меновая стоимость
. Мы должны взять количество товара B той же стоимости, что и стоимость A. Учитывая неизменную продуктивность, мы можем разделить верхний и нижний индексы товара B на одно и то же число (см. следствие первой комбинации факторов товара). Получаем
Форма стоимости, или меновая стоимость
.
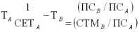
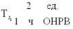
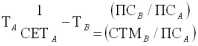
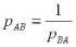
Приравняв 5 ед. товара A к 200 ед. товара B, мы измерили 10-часовую стоимость товара A 200 ед. товара B. Стоимость A была относительно измерена потребительной стоимостью товара B той же стоимости. Если потребительная стоимость товара A (5 ед.) это непосредственная форма стоимости A – 10 ч ОНРВ, то потребительная стоимость товара B – относительная форма стоимости товара A. Стимость единицы товара A, т. е. СЕТA – (2 ч ОНРВ) относительно измеряется 40 ед. товара B (40ПСB), стоимость 2 ед. (4 ч ОНРВ) – 80 ед. ПСB и т. д.
Первая (I) – простая форма стоимости потенциально содержит неравновесие или, другими словами, риск неравновесия максимален.
Если производительная сила общественного труда B меняется, например, с 20 до 30 ед. в час ОНРВ
Форма стоимости, или меновая стоимость
, то прежняя стоимость СЕТA будет измеряться не 40, а 60 ед. ПСB.
Процесс перехода от старого измерения к новому (к новой равновесной цене) занимает определенное время, в течение которого обмен является неравновесным. Возможность неравновесия возрастает в геометрической прогрессии, поскольку товар A выражает свою стоимость в каждом из множества товаров, входящих в состав общественного продукта.
Вторая (II) – полная, или развернутая форма стоимости предполагает относительной измерение стоимости товара A в потребительных стоимостях незаконченного ряда товаров – B, C, M. и т. д.
Мы уже знаем, что СТМA относительно измеряется 200ПСB. Приравняв товар A к товару C, получим
Форма стоимости, или меновая стоимость
. Чтобы выразить стоимость A, необходимо записать
Форма стоимости, или меновая стоимость
. Но такого количества B нет в наличии. Это не является препятствием для измерения стоимости A в потребительной стоимости C. Измерение не означает, что за этим сразу следует обмен. Чтобы измерить стоимость A в C, достаточно, чтобы этот товар присутствовал физически, т. е. чтобы в составе общественного продукта была хотя бы одна единица товара C. Стоимость относительно измеряется не наличным, а мысленно представляемым количеством потребительной стоимости другого товара, или идеальным количеством другого товара.
СТМA относительно измеряется 100 ед. ПСC. Аналогично для измерения в товаре М:
Форма стоимости, или меновая стоимость
,
Форма стоимости, или меновая стоимость
. Мы получили более надежный способ измерения стоимости A в нескольких товарах. Стоимость 10 ч ОНРВ измеряется в 200ПСB, 100ПСC, 1ПСМ и т. д.
Но и этот способ измерения обладает недостатками, т. е. потенциально содержит неравновесие. Стоимость товара A адекватно (точно) выражается в потребительных стоимостях незаконченного ряда товаров, но стоимость товаров этого ряда не получает выражения.
Они не приравниваются друг к другу как стоимости, поэтому возникает проблема нахождения равновесных отношений между ними.
Более точным является измерение стоимости всех товаров в потребительной стоимости нескольких товаров. Стоимости всех товаров могут быть относительно измерены в потребительной стоимости товара B или M. Третья форма измерения стоимости (III) называется всеобщей формо стоимости.
Четвертая форма стоимости (IV) – денежная предполагает, что из нескольких товаров всеобщих эквивалентов выделяется один – денежный товар, в котором относительно измеряются стоимости всех товаров. Это наиболее развитая форма стоимости, посредством которой все товары как стоимости становятся качественно сравнимыми и количественно соизмеримыми.
Эта форма минимизирует риск неравновесия, но (как и всякое относительное измерение) она несовершенна.
Непосредственное наблюдение фиксирует форму выражения стоимости как меновую стоимость.



Экономическая наука должна изучать естественные факты


Вальрас считает, что две задачи в определении Смита, не составляют предмета науки в собственном смысле слова. Задачи государственного деятеля сродни задачам штурмана и архитектора, которые в своей деятельности опираются на науки – астрономию и геометрию.
Факты, их отношения и законы - таков предмет любого научного исследования (Вальрас Л. Элементы чистой политической экономии, или Теория общественного богатства. М.,2000.С.13.).
Экономическая наука должна изучать естественные, т. е. не зависящие от воли людей факты. Ее предмет – общественное богатство.
Отсюда название первого выпуска работы – Элементы чистой политической экономии, или Теория общественного богатства (Walras L. Elements d conomie politique pure ou la Thorie de la richesse sociale, 1874). Чистая политическая экономия, т. е. политическая экономия очищенная от политики, по смыслу тождественна английскому термину экономикс.
Сравнивая свою работу с работой Джевонса, Вальрас употребляет термины чистая политическая экономия и экономикс как равнозначные.
Если не считать теорию Капитала, т. е. теорию экономического базиса Маркса, то именно Вальрасу принадлежит приоритет переименования политической экономии. Чистая политическая экономия, или теория общественного богатства это и есть экономикс.
Поэтому название работы Вальраса в английском переводе - Элементы чистого экономикса (Elements of pure economics, or, The theory of social wealth L. Walras. Richard D. Irwin, 1954. trans.
W. Jaffe) – нельзя признать удачным.
Джевонс называет свою работу Теория политической экономии (The theory of political economy, 1871), но уже во втором издании (1879) отказывается от термина политическая экономия. Он редактирует текст второго издания, заменяя политическую экономию на economics.
В предисловии к этому изданию он пишет: Среди незначительных изменений я могу упомянуть замену названия политическая экономия единственным подходящим термином экономикс (Economics). Я не могу не сказать, что было бы хорошо как можно скорее отказаться от старого неудобного (troublesome) двухсловного названия нашей науки.
Некоторые авторы пробовали ввести совершенно новые названия, типа плутология, хрематистика, каталактика (Plutology, Chrematistics, Catallactics), и т. д. Но почему мы нуждаемся в чем–то лучшем, чем экономикс (Economics)?
Этот термин, помимо того, что он более знаком и близко связан со старым термином, является совершенно аналогичным по форме математике, этике, эстетике (Mathematics, Ethics, Еsthetics) и названиям других отраслей знания, использовавшимся со времени Аристотеля. Г. Маклеод, насколько я знаю, вводил это название в последние годы, оно, кажется, было принято также г. Альфредом Маршаллом в Кембридже. Хочется надеяться, что экономикс станет признанным названием науки, которая почти сто лет назад была известна французским экономистам как la science еconomique (экономическая наука). Несмотря на употребление нового названия в тексте, очевидно, было бы нежелательным менять титульный лист книги.
Джевонс У.С. Теория политической экономии.
Предисловие ко второму изданию 1879.
Если Вальрас вводит термин чистая политическая экономия в 1874 году, то его английский аналог экономикс появляется уже в 1879 году. Джевонс первым употребляет этот термин в печати как название всей экономической науки.
В том же году Альфред Маршалл использует этот термин применительно к промышленности (Экономикс промышленности - The Economics of Industry with Mary Paley Marshall, 1879).
Economics окончательно входит в научный оборот после издания Принципов экономикс Маршалла (Principles of Economics, 1890). Экономикс, по Маршаллу, с одной стороны, представляет собой исследование богатства, - а с другой - образует часть исследования человекаxi.
И Маршалл и Вальрас рассматривают общественное богатство как предмет экономической теории - чистой политической экономии, или экономикс.
В СССР экономическую науку было принято называть политической экономией. На экономическом факультете МГУ читался общий курс политическая экономия капитализма, основанный на Капитале Маркса и проводился специальный семинар по Капиталу.
Ученым кафедры политической экономии МГУ принадлежит разработка фундаментальной экономической теории, или политической экономии.
Политическая экономия имеет два значения. В классическом определении Смита, которое восходит к меркантилистам, - политическая экономия это наука о государственном управлении экономикой, т. е. наука о государственной надстройке.
Во втором значении (по Сэю): политическая экономия – это не политика, а экономическая наука, т. е. наука об экономическом базисе.
В настоящее время политическая экономия используется в значении, близком к значению по Смиту. В новую политическую экономию включается теория общественного выбора (public choice theory) – теория, изучающая различные способы и методы, посредством которых люди используют правительственные учреждения в собственных интересах.
Предмет теории общественного богатства тождественен предмету политической экономии по Сэю, тождественен предмету микро- и макроэкономики.
xii Объяснение и математическое описание в естественных науках. Со времен Аристотеля в описании явлений с помощью формул большинство ученых видели лишь первый шаг.
Истинную же задачу науки последователи Аристотеля видели в том, чтобы попытаться найти физическое объяснение наблюдаемых явлений. Новаторский подход Галилея состоял в том, чтобы получить количественные описания явлений, независимо от каких бы то ни было физических сущностных или качественных объяснений. Поясним на примере: мяч, выпущенный из руки, падает на землю. Почему он падает? В объяснение этого можно приводить различные гипотезы, Галилей рекомендует поступить иначе.
По мере того как время, отсчитываемое от начала падения, увеличивается, растет и расстояние, пройденное мячом от начальной точки. На математическом языке и расстояние, проходимое мячом при свободном падении, и время, отсчитываемое от начала падения, называются переменными, ибо в процессе падения и то и другое изменяется.
Галилей попытался найти математическое соотношение между этими переменными. Полученный результат записывается в виде формулы
Экономическая наука должна изучать естественные факты
(где g = 9,8 м/с2 - ускорение свободного падения вблизи поверхности Земли).
Формула компактна, точна и отличается количественной полнотой. При любом значении одной переменной (в нашем примере - времени) формула позволяет точно вычислить соответствующее значение другой переменной (расстояния).
Следует подчеркнуть важное обстоятельство: эта математическая формула описывает то, что происходит, не объясняя причинной связи, т. е. ничего не говорит о том, почему мяч падает. Она лишь дает нам количественную информацию о том, как происходит падение мяча.
Обычно ученый пытается установить математическую зависимость (выражаемую формулой) между переменными, которые (как он надеется), имеют причинно- следственную связь. Для успешного решения этой задачи - установления математической зависимости между переменными - ученому вовсе не обязательно исследовать или понимать причинную зависимость.
И это отчетливо понимал Галилей, отстаивая приоритет количественного математического описания перед менее успешным качественным исследованием и поиском причинных связей в природе.
В формуле Галилея правая и левая части уравнения выражают количественную зависимость, но ни одна из них не имеет приоритета. Можно сказать, что причиной является время, т. е. время определяет расстояние.
Можно сказать, что причиной является расстояние, т. е. расстояние определяет время. В описательной науке утверждения деревья качаются, оттого, что дует ветер и ветер дует оттого, что деревья качаются абсолютно равнозначны.
Парадокс причинно-следственного параллелизма формулировал еще Конфуций: сколько не бросаю камень в воду, все время попадаю в центр круга.
Ньютон, как и Галилей, надеялся исследовать природу силы тяготения. Но ему пришлось довольствоваться количественным описанием того, как действует тяготение, и это описание оказалось весьма значительным. Ньютон отчетливо сознавал, что открытый им закон всемирного тяготения – описание, а не объяснение. Ньютон писал одному из эрудитов того времени Ричарду Бентли: Иногда вы говорите о тяготении как о чем-то существенном и внутренне присущем материи.
Молю вас не приписывать это понятие мне, ибо я отнюдь не претендую на знание причин тяготения и поэтому не буду тратить время на их рассмотрение. ( Клайн М., Математика. Поиск истины.
М.,1988. С.139.)
Природа тяготения не может быть выведена из явлений, т. е. является гипотезой, которой не место в экспериментальной науке. Ньютон считал, что выведенных им законов вполне достаточно для определения движений как земных, так и небесных тел, гипотез же я не измышляю
Описание исключает гипотезы-объяснения, такие как объяснение Аристотеля: камень падает вниз потому, что стремится занять свое естественное место; пламя огня устремляется вверх, потому что там естественное место пламени. Объяснение возможно только в том случае, если открыта природа тяготения.



Маркс и марксизм отнюдь не тождественны.


С. 47 34 Смит А. Исследование о природе и причинах богатства народов. М.,1997.
С. 30.
35 Маркс К. Капитал. Т.I. М.,1963.
С. 54.
36 Маркс К. Капитал. Т.I.
М.,1963. С. 48.
37 Маркс К. Капитал. Т.I. М.,1963.
С. 55.
38 Маркс К. Капитал. Т.I. М.,1963.
С. 48.
39 Маркс К. Капитал. Т.I.
М.,1963. С. 48.
40 Маркс К. Капитал. Т.I. М.,1963.
С. 54.
41 Маркс К. Капитал. Т.I.
М.,1963. С. 325.
42 Маркс К. Капитал. Т.I. М.,1963.
С. 55.
43 Трудно согласиться с мнением Блауга о том, что разложение реакции спроса на изменение цены на эффекты дохода и замещения, по Слуцкому – Алену – Хиксу, и неизменно отрицательный знак эффекта замещения являются единственными существенными результатами колоссальных интеллектуальных усилий сотен экономистов, больше века трудившихся над чистой теорией потребительского выбора (Блауг М. Методология экономической науки, или Как экономисты объясняют. М. 2004.
С. 231). Эти единственные существенные результаты имеют колоссальное научное значение.
44 Маркс К. Капитал. Т.III. Ч.I. М., 1985.
С. 205.
45 Маркс К. Капитал. Т.I. М.,1963.
С. 56.
46 Маркс К. Капитал. Т.I.
М.,1963. С. 70.
47 Маркс К. Капитал. Т.I.
М.,1963. С. 57.
48"Стоимость, т. е. меновая стоимость какой-либо вещи, выраженная в определенном месте и в определенный момент в единицах другой вещи, представляет собой количество единиц последней вещи, которое можно там и тогда получить в обмен на первую".(Маршалл А. Принципы политической экономии. М.1984. Т. I. С. 120).
Маршалл дает точное определение: в неоклассике стоимость – это всегда меновая стоимость, которая измеряется в количестве другого товара или денег, но не в часах ОНРВ.
49 СЕТВ =СТМВ/ПСВ, отсюда СТМВ = СЕТВ•ПСВ.
50 Желание приобрести означает, что покупатели действительно имели бы желание и возможность заплатить за требуемое количество товара, если бы таковое имелось в наличии (Фишер С. , Дорнбуш Р., Шмалензи Р. Экономика. М. 1993.
С. 41).
51 См. Маркс К. Капитал.
Критика политической экономии. Том первый.
М. 1963. С. 62–64.
52 Маркс К. Капитал. Т.I.
М.,1963. С. 64.
i Капиталистический способ производства материальной жизни. Экономическая структура общества. Экономический базис. Материальная жизнь (real life) – базовая форма человеческой жизни, обеспечивающая само существование человека.
Производные материальной жизни - духовная, религиозная, политическая и т. п.т. п.т. п. жизнь. В общественном производстве своей жизни люди вступают в определенные, необходимые, от их воли не зависящие отношения - производственные отношения, которые соответствуют определенной ступени развития их материальных производительных сил. Совокупность этих производственных отношений составляет экономическую структуру общества, реальный базис, на котором возвышается юридическая и политическая надстройка и которому соответствуют определенные формы общественного сознания. Способ производства материальной жизни обусловливает социальный, политический и духовный процессы жизни вообще.
Маркс. К. К критике политической экономии. Маркс К., Энгельс Ф. Сочинения.
2-е изд. Т.13.
С.5-9.
Капиталистический способ производства материальной жизни отличается от других способов – первобытнообщинного, рабовладельческого, феодального. Способ производства материальной жизни, или обеспечения существования людей при социализме отличался от современного капиталистического способа производств жизни по многим параметрам.
Достаточно указать на два условия - личную свободу и признание частной собственности.
ii арксизм и экономическая теория марксизма (марксистская политическая экономия, политическая экономия марксизма).Марксизм - особое философское, экономическое и политическое учение. По В.И.Ленину, три источника марксизма - немецкая классическая философия (Гегель, Фейербах и др.), английская политическая экономия (Смит, Рикардо и др.), французский утопический социализм (Сен-Симон, Фурье и др.). Три составные части марксизма: философия - диалектический и исторический материализм, политическая экономия и научный коммунизм.
Марксизм-ленинизм был государственной идеологией в СССР. Конечной целью марксизма-ленинизма провозглашалось установление коммунистического строя во всём мире.
Экономическая теория марксизма – теория, которая должна была служить обоснованием марксизма. Принципиально отлична от экономической теории Маркса, изложенной в Капитале. В основании экономической теории марксизма лежит трудовая теория стоимости Смита и Рикардо, согласно которой стоимость продукта – овеществление живого труда (догма Смита), поэтому весь продукт должен принадлежать работникам, в то время как прибыль и рента – вычет из продукта труда.
Маркс квалифицирует догму Смита как невероятную ошибку всей политической экономии, баснословную, абсурдную догму.
Догма Смита, или трудовая теория стоимости – программное положение классиков, сформулированное в первых строках Исследование о природе и причинах богатства народов: Годичный труд каждого народа представляет собою первоначальный фонд…. Годичный труд народа – это живой труд, количество человеко-часов, к овеществлению которых в трудовой теории стоимости сводится стоимость годичного продукта.
Поскольку годичный продукт создается живым трудом, то получается, что работник имеет право, или этические притязания (Шумпетер) на продукт.
Отношение Маркса к марксизму также выходит за рамки работы. Еще при жизни Маркса марксизм принимал такие формы, которые заставили его воскликнуть - То, что я знаю наверняка, так это то, что я не марксист. (Tout ce que je sais c est que je ne suis pas marxiste, moi!) Это высказывание приводится в письме Энгельса Лафаргу от 27 августа 1890. Маркс и марксизм отнюдь не тождественны.
Маркс не был идеологом социализма в СССР, как не был и идеологом современных экстремистских течений.
iii Ошибочное понимание производственных отношений в экономической теории марксизма. Экономическая теория марксизма сводила производство материальной жизни к материальному производству, а производственные отношения к отношениям непосредственного процесса производства. Считалось, что предметом политэкономии являются общественные отношения по производству (В.И.
Ленин), общественные отношения, складывающихся в производстве и вокруг него. В качестве примера сошлемся на С.М. Меньшикова: "Лет сто назад (а в СССР и до последнего времени) в ходу было понятие политическая экономия, под которым понималась наука об общественных отношениях, складывающихся в производстве и вокруг него". Меньшиков С. Новая экономика. Основы экономических знаний.
М., 1999.С.10–11.
Производство материальной жизни и материальное производство, под которым понимается производство материальных благ (вещей) не тождественны. Материальное производство - один из моментов производства материальной жизни.
Исторически наиболее развитой формой производства было крупное машинное производство. Отсюда делался вывод, что предмет политэкономии – отношения, складывающиеся вокруг индустриального производства.
Поскольку в современных условиях индустриальное производство уступает место другим формам производства, получается, что предмета науки больше не существует.
Производство материальной жизни не тождественно материальному благосостоянию. См. Л. Роббинс: Наиболее популярные (по крайней мере, в англоязычных странах) определения экономической науки связывают ее с изучением причин материального благосостояния. Роббинс Л. Предмет экономической науки.
TESIS. Зима 1993
iv режние представления о методе.
олизм и парциализм (редукционизм).
Проблема применения парциализма к органической целостности в том, что части неотделимы от живого организма. Если механически расчленить организм на части, то части прекращают свое существование. Воссоздать теоретическую модель организма из мертвых частей невозможно.
А. С. Пушкин описывает, как Сальери пытался постичь гармонию музыки: Звуки умертвив, музыку я разъял, как труп. Поверил я алгеброй гармонию.
Сальери применил метод парциализма и использовал математические методы, но построение модели гармонической целостности оказалось недостижимым.
Проблема применения холизма к органической целостности в том, что идеальное целое, определяющее части, трансцедентно, или непознаваемо. Термин холизм был введен Яном Смэтсом в книге "Холизм и эволюция" (1926). Изначально холизмом называлась идеалистическая "философия целостности", согласно которой миром управляет процесс творческой эволюции, создающий новые целостности.
Носителем всех органических свойств, по Смэтсу, является чувственно невоспринимаемое, нематериальное структурное поле, остающееся постоянным при всех изменениях организма, при этом сам "фактор целостности" непознаваем.
Моцарт не сводил музыку к сумме звуков-частей, но он не смог бы объяснить как создается музыка. Пушкин объяснял свое творчество веленьем божьим.
Применительно к экономике это означает, что если начать с общества, то выяснится, что общество это не материальное, чувственно воспринимаемое, а идеальное понятие, абстракция.



Микроуровень рассматривается в единстве с макроуровнем.


Предмет микро- и макроэкономики – тот же, что и предмет Капитала Маркса, т. е. экономический базис, совокупность производственных отношений живого, развивающегося экономического организма. Если справедливо утверждение каков предмет, таков и метод, то справедливо и положение каков метод, таков (в глазах исследователя и в теоретической модели) и предмет.
В классической теории предмет предстает как развивающийся, в неоклассической предмет статичен.
Классики и Маркс разрабатывали природу и причины роста общественного богатства, акцент делался на накопление капитала и экономический рост19. В неоклассическом направлении классическая теория экономического развития была заменена концепцией общего равновесия в рамках принципиально статической структуры20.
Проблема роста общественного богатства уступила место проблеме оптимального распределения наличного богатства.
Развитие теории общественного богатства неоклассикой пошло по пути описания форм богатства. Отчетливо выраженный математически описательный метод характеризует работу Вальраса Элементы чистой политической экономии, или Теория общественного богатства (1874), в которой богатство определяется как совокупность редких (т. е. полезных и количественно ограниченных вещей), обладающих меновой стоимостью.
В работе Маршалла Принципы экономикс (1990) описательный метод выражен менее отчетливо21.
Диалектический метод накладывает жесткие ограничения на исследователя. Предмет должен быть с самого начала определен и расчленен на иерархические структурные уровни. Категории рассматриваются последовательно на каждом уровне абстракции.
Они получают определения (объяснение с позиций природы общественного богатства). При переходе на новый уровень происходит изменение качества. Микроуровень рассматривается в единстве с макроуровнем. Описательный метод не связан с подобными ограничениями. Неопределенность предмета не является препятствием22.
Допускается рассмотрение категорий, которые в модели капитала расположены на разных структурных уровнях. Последовательность не задана (можно изучать курс микроэкономики, затем макроэкономики, или наоборот). Допускается любая точка отсчета или позиция наблюдателя – потребитель, фирма и т. п.
Единственное ограничение связано с принципиальной невозможностью выведения природы общественного богатства (стоимости) из описания экономических явлений (потребительной стоимости), и следовательно, с принципиальной невозможностью объяснения (выведения, обоснования) явлений с позиций природы богатства. Применительно к математически описательному методу в физике это ограничение было сформулировано Ньютоном: Гипотез не измышляю (Hypotheses non fingo)23.
Для математически описательной экономической науки это ограничение было сформулировано М. Фридменом: Факты следует описывать, а не объяснять24.
Все, что не выводится из непосредственного наблюдения экономических явлений, представляет собой гипотезу-объяснение. Строгое разграничение описания и объяснения – основа математически описательного метода естественных наукxii. Осознание необходимости такого разграничения в экономической науке пришло не сразу.
Впервые об этом было заявлено в 1953 г. в работе М. Фридмена "Методология позитивной экономической науки (The Methodology of Positive Economics)25.
Фридмен приводит вымышленную гипотезу, аналогичную многим гипотезам в общественных науках. Наблюдение расположения листьев в кроне деревьев показывает, что они сосредоточиваются скорее на южной, чем на северной, стороне деревьев.
Это многократно описанный факт.
Я выдвигаю гипотезу, – пишет Фридмен, – что листья расположены так, будто каждый лист сознательно стремится максимизировать количество получаемого им солнечного света при данном расположении его соседей, как будто он знает физические законы, определяющие количество солнечного света, которое было бы получено в различных положениях, и может быстро или мгновенно перемещаться из любого положения в любое другое желаемое и незанятое место. Некоторые из наиболее очевидных следствий гипотезы несомненно согласуются с опытом… Гипотеза утверждает не то, что листья совершают такие действия, а лишь то, что листья расположены так, как будто они их совершали.
Вопреки очевидной ложности "предпосылок" гипотезы, она обладает большим правдоподобием, поскольку ее следствия "согласуются с наблюдениями"26.
Объяснения-гипотезы служат правдоподобным объяснением реальных экономических явлений и закономерностей, но явления ни в коем случае не выводятся из гипотез-объяснений. Гипотезы-объяснения не являются инструментом экономического анализа и прогноза. К ним относится все, что выходит за рамки описания непосредственно наблюдаемых и измеряемых явлений (цена, количество блага, количество денег и т. п.). Приведем примеры.
Кривая спроса в координатах Цена – Количество – описание, кривые (предельной) полезности и кривые безразличия – объяснение. Уравнение обмена Фишера – описание, количественная теория денег Фишера – объяснение.
Содержание основного психологического закона Кейнса – описание, психология общества – объяснение.
Объяснения в большей степени распространены в микроэкономике, в меньшей степени в макроэкономике, в большей степени в маршаллианской версии неоклассики, в меньшей степени в вальрасианской27.
Экономическая математически описательная наука призвана выполнять важнейшую пионерную функцию – детальное описание старых и открытие новых явлений и закономерностей.
Задача науки:
1) дать названия описываемым явлениямxiii;
2) классифицировать, или каталогизировать названные явления;
3) установить количественные взаимосвязи между непосредственно наблюдаемыми и измеряемыми параметрами явлений и записать их математически;
4) вывести правила поведения индивидов при той или иной комбинации экономических параметров.
Природа общественного богатства не выводится из явлений, поэтому описательный метод должен строиться на отказе от поисков сущностей, субстанций, подлинной природы28.
Объяснение явлений с позиций природы общественного богатства не является задачей микро- и макроэкономики. Это задача двухфакторной теории общественного богатства.
Маркс дал теоретическое обоснование таким явлениям, как товар, относительная и денежная цена, деньги, капитал, заработная плата, издержки производства и прибыль, процент, рента. После выхода в свет Капитала в микро- и макроэкономике продолжалась разработка и описание таких явлений, как спрос, величина спроса, спрос на деньги и предложение денег, эффект дохода и замещения, избыток потребителя, инвестиции, потребление, сбережение; таких закономерностей как производственная функция, основные макроэкономические тождества и т. д.
Задача фундаментальной теории общественного богатства – объяснить реальные закономерности, отраженные и не отраженные в микро- и макроэкономике.
Диалектический метод построения двухфакторной модели общественного богатства содержит принципиальную возможность обоснования всех реальных микро- и макроэкономических категорий и закономерностей.
Включение категорий микро- и макроэкономики в многоуровневую модель капитала необходимо для развития фундаментальной модели общественного богатства. В последнее время в российских экономических кругах выдвигается тезис о ренессансе политической экономии.
Но как бы ни называлась фундаментальная наука – политической экономией или теорией общественного богатства, наука, которая утратила способность объяснять непосредственно наблюдаемые явления, теряет право на существование. Восстановление экспликативной функции политической экономии является главным условием ее ренессанса.
Объяснение категорий, полученных описательным методом, с позиций природы общественного богатства необходимо для развития микро- и макроэкономики. Оно позволяет дать определения категориям, названиями которых оперирует микро- и макроэкономика. Оно позволяет систематизировать разрозненные микро- и макроэкономические категории, расположить их на соответствующих структурных уровнях модели капитала. Оно позволяет задать направления поиска и приблизить его к экономическим реалиям, избежать излишней математизации.
Поле деятельности описательной науки безгранично, поскольку формы общественного богатства и их комбинации многочисленны.
Экономическая действительность слишком многовариантна и скорость ее изменения опережает темп ее изучения. Дело обстоит так, как будто после длительной, кропотливой и изощренной работы над моделью исследователь получает от нее следующее сообщение: "Ответы на Ваши вопросы зависят от не учтенных Вами обстоятельств".
Обнаруженные эмпирические закономерности не накапливаются, а напротив, опровергаются последующими исследованиями29.
Понимание природы явлений очерчивает круг явлений, который подлежит наблюдению, дает возможность теоретического обоснования эмпирических наблюдений. Применение фундаментальной модели, построенной диалектическим методом, особенно эффективно в меняющемся экономическом мире.



Можно провести аналогию с современной биологией.


Конечный пункт идентичен исходному: богатство народов в его конкретно-исторической форме – это капитал, поэтому капитал… должен составлять как исходный, так и конечный пункт6. Конечный пункт идентичен исходному, поскольку задачей является построение теоретической модели экономической действительности:
На первом пути полное представление подверглось испарению путем превращения его в абстрактные определения, на втором пути абстрактные определения ведут к воспроизведению конкретного посредством мышления7.
Метод от конкретного к конкретному применяется во всех науках. Можно провести аналогию с современной биологией. Предметом является данный конкретный биологический организм, из которого выделяется генотипv, определяющий структуру организма. Определенные гены содержатся во всем организме, а с другой стороны, являются простейшими элементами, содержащими генетическую информацию.
Генотип обезьяны состоит из определенного набора генов, из которого развивается именно обезьяна, а не какой-нибудь другой биологический организм. Генотип как исходное не рождается в голове исследователя, а выводится из анализа конкретного организма.
В биологии такой метод называется генетическим, в физико-математических науках – аксиоматическим, в общественных – диалектическим. .Генотип содержит в себе, скрыто или в потенции весь организм. Из генотипа (при определенных условиях внешней среды) развивается данный организм.
Исходное отношение содержит внутреннее противоречие, которое обусловливает развитие и (при определенных институциональных условиях) разворачивается в целостную органическую систему.
При построении экономической модели общества применение химических реактивов и скальпеля исключено. В общественных науках их должна заменить сила абстракции.
Богатство обществ, в которых господствует капиталистический способ производства, выступает как огромное скопление товаров, а отдельный товар – как элементарная форма этого богатства8, - такими словами начинается Капитал Маркса.
В этой формулировке определен:
1) действительный исходный пункт исследования – богатство обществ, огромное скопление товаров;
2) конечный пункт анализа – товар, который одновременно является исходным пунктом синтеза, или построения теоретической модели.
Исходная аксиома теории общественного богатства.
В исходном пункте движения от конкретного к абстрактному формулируется исходная аксиома теории общественного богатства.
Годичный общественный продукт как основа воспроизводства населения представляет собой, во-первых, потребительную стоимость (use value), т. е. вещи с полезными свойствами, удовлетворяющие общественную потребность; во-вторых, – стоимость (value), т. е. кристаллизацию одинакового, абстрактно человеческого труда, необходимого обществу для изготовления данных потребительных стоимостей.
Всякий ребенок знает, что каждая нация погибла бы, если бы она приостановила работу не то что на год, а хотя бы на несколько недель. Точно так же известно всем, что для соответствующих различным массам потребностей масс продуктов требуются различные и количественно определенные массы общественного совокупного труда9.
Продукт является результатом целесообразной деятельности всех членов общества, принимавших участие в его изготовлении и доведении до потребителя (транспортировке, реализации и т. п.). Труд или целесообразная деятельность, в ходе которой человек при помощи средства труда воздействует на предмет труда, называется процессом труда.
Общественный продукт является продуктом процесса труда. Это аксиома.
Процесс труда предшествует продукту, процесс угасает в продукте. Как потребительная стоимость или набор потребительных стоимостей продукт – результат особых видов труда.
Набору потребительных стоимостей соответствуют разные виды труда (разделение труда). Как стоимость, продукт – результат одинакового человеческого труда, измеренного по параметру время.
В потребительных стоимостях труд представлен не как процесс, а как застывший труд. Стоимость – кристаллизация абстрактно человеческого труда, но не всякого труда, не всякого количества рабочего времени, а только количества рабочего времени, общественно необходимого для изготовления потребительной стоимости.
Стоимость – кристаллизация абстрактно человеческого труда в потребительной стоимости под ограничением общественно необходимого рабочего времени (ОНРВ).
Потребительная стоимость – непосредственно наблюдаемая и измеряемая форма общественного богатства, носитель стоимости. Потребительная стоимость – вещь, удовлетворяющая общественную потребность, иначе она не вошла бы в годичный общественный продукт.
Стоимость – непосредственно не наблюдаемая природа общественного богатства, носителем которой является потребительная стоимость. Стоимость – то, во что обходится, чего стоит обществу производство продукта и, в конечном счете, воспроизводство его жизни.
Термин стоимость в этом значении не применяется в обиходном языке, микро- и макроэкономике, где он означает меновую стоимость, относительную цену, денежную цену, произведение цен на количество, но не природу общественного богатства.
Природа общественного богатства (стоимость) не выводится из экономических явлений, не выводится из потребительной стоимости или формы богатства. Процесс труда предшествует продукту, он угасает в продукте, но ни по виду, ни по запаху продукта нельзя обнаружить в нем стоимость.
Вы можете ощупывать и разглядывать каждый отдельный товар, делать с ним что вам угодно, он как стоимость остается неуловимым 10.
Предположение о том, что общественный продукт обязан своим происхождением (nature) денежным издержкам производства, полезности вещи, заработной плате, цене и т. п., абсурдно.
Никаких других теорий природы общественного богатства, теорий стоимости, кроме теории, основанной на труде, т. е. целесообразной человеческой деятельности, в экономической науке не существует и не может существовать. Это ни в коем случае не означает, что за аксиому принимается трудовая теория стоимостиvi.
В биологии аналогом исходной аксиомы является молекула ДНК, которая, с одной стороны, содержится во всех клетках конкретного организма, а с другой стороны, служит исходной матрицей для сборки новых молекул, поскольку на ней записана программа жизнедеятельности конкретного живого организма.
Движение от конкретному к абстрактному методом прямой и последовательной абстракции
Движение от конкретного (огромного скопления товаров) к абстрактному (отдельному товару) осуществляется единственно возможным для общественного организма методом абстракции. В Капитале Маркса применен метод прямой абстракции: товар с самого начала, без опосредующих звеньев, рассматривается как элементарная форма общественного богатства.
Исторически политическая экономия следовала методу последовательной абстракции: классики начинали с населения и шли от конкретного ко все более тощим абстракциямvii.
Маркс применяет метод прямой абстракции, поэтому логическое расчленение предмета, т. е. метод последовательной абстракции остается за кадром.
"Исследование должно детально освоиться с материалом, проанализировать различные формы его развития, проследить их внутреннюю связь. Лишь после того как эта работа закончена, может быть надлежащим образом изображено действительное движение"11.
Чтобы получить представление о последовательном расчленении предмета, возьмем структуру Капитала в обратном порядке – от третьего тома к первому (Таблица 1).
Таблица 1. Структура Капитала в обратной последовательности

Блоки структурных уровней – названия томов Капитала
Структурные уровни модели – названия отделов Капитала.
III. Процесс капиталистического производства, взятый в целом
7. Доходы и их источники
6. Превращение добавочной прибыли в земельную ренту
5. Распадение прибыли на процент и предпринимательский доход. Капитал, приносящий проценты
4. Превращение товарного капитала и денежного капитала в товарно-торговый капитал и денежно-торговый капитал
3. Закон-тенденции нормы прибыли к понижению
2. Превращение прибыли в среднюю прибыль
1. Превращение прибавочной стоимости в прибыль и нормы прибавочной стоимости в норму прибыли
II. Процесс обращения капитала
3. Воспроизводство и обращение всего общественного капитала
2. Оборот капитала
1. Метаморфозы капитала и их кругооборот
I. Процесс производства капитала
7. Процесс накопления капитала
6. Заработная плата
5. Производство абсолютной и относительной прибавочной стоимости
4. Производство относительной прибавочной стоимости
3. Производство абсолютной прибавочной стоимости
2. Превращение денег в капитал
1. Товар и деньги
1.3. Деньги, или обращение товаров
1.2. Процесс обмена
1.1.Товар

Остановимся на главных моментах. Годичный продукт это результат двух процессов – производства и обращения.
Продукт был произведен, но не для потребления производителей.



Они взваливают свои проблемы на общество.


Эту мысль лаконично выразила Маргарет Тэтчер - нет такой вещи как общество: "Я думаю, что мы покончили с периодом, когда слишком многим людям давали понять, что если у них есть проблемы, то решать их - дело правительства. "У меня проблема, я получу дотацию", "Я бездомный, правительство должно предоставить мне жилье". Они взваливают свои проблемы на общество. А знаете, нет такой вещи как общество. Существуют отдельные мужчины и женщины, и существует семья.
Thatcher M. Interview. Woman s Own. 31 Oct.
1987.
Как верно заметил Л. Мизес, общество само по себе не является сущностью (Мизес Л. Теория и история. (Интерпретация социально-экономической эволюции). 1957. www. libertarium.ru)
Принцип от сложного (абстрактного) к простому (конкретному) с самого начала исключается из рассмотрения. Из абстрактного общества ничего нельзя вывести.
ринцип от простого (отдельного конкретного) к сложному (конкретному). Метод аналогии.Эволюция – движение от простого к сложному, теоретические модели в любых науках также начинаются с простого и переходят к сложному. Эти положения бесспорны, но насколько принцип от простого к сложному применим к анализу и построению теоретической модели органической целостности? Если простое трактуется как часть целого, то принцип от простого к сложному представляет собой разновидность парциализма.
Движение от простого к сложному как движение от отдельного конкретного (отношения, явления, факта) к некоторому множеству конкретного (отношений, явлений, фактов) может привести к созданию более сложной модели за счет включения новых параметров, но ни в коем случае не может привести к созданию теоретической модели органической целостности.
Конкретное вообще это материальные, непосредственно наблюдаемые, чувственно воспринимаемые, непосредственно измеряемые явления, отношения, факты. Конкретное применительно к органической целостности – живое целое, синтез многих определений, единство многообразного, организм во всех его проявлениях.
В ходе построения модели по принципу от отдельного конкретного (простого) к многообразию конкретного (сложному), перед исследователем возникает первая неразрешимая задача - определить, что именно является простым конкретным в живой органической целостности (например, труд, разделение труда, потребность, меновая стоимость и т. д.). Задача неразрешима, потому что в организме нет отдельного, самостоятельного конкретного, нет части, которая могла бы существовать самостоятельно, отдельно от организма. Вторая неразрешимая задача, связанная с первой, – определить последовательность рассмотрения фактов в теоретической модели, т. е. выяснить какой факт является простым, какой – более сложным, какой – еще более сложным и т. д.
В качестве примера можно привести человеческий организм. Что в нем является отдельным конкретным (простым)? Интуитивный ответ – клетка – неверен, поскольку она не может существовать вне организма. Логика приводит исследователя к поиску ответов на эти вопросы за пределами данного организма с использованием аналогий. В самом деле, эволюция начиналась с простых, конкретных и самостоятельно существовавших одноклеточных организмов.
За ними следовали более сложные – многоклеточные и, через ряд промежуточных звеньев, возник человеческий организм. Метод аналогии гласит – как было в эволюции, так должно быть и в развитом организме.
Получается, что теоретическая модель развитого организма должна начинаться с клетки (простое). Для перехода к более сложному конкретному (к следующей ступени модели) предлагается искать анHлог этого сложного в истории, в эволюции.
Если в развитом организме отсутствуют некоторые эволюционные звенья, или последовательность фактов не совпадает с эволюцией, то исследователь может откорректировать эволюцию, очистив ее от случайностей.
Эволюция демонстрирует смену низших форм организмов высшими. Низшие формы погибают, на их место приходят более высокие органические формы, которые также погибают, уступая место еще более высоким формам.
Таким образом, еще до анализа развитого организма, можно придти к необоснованному априорному выводу о том, что еще не исследованный развитый организм с необходимостью должен погибнуть.
Метод построения логической модели организма по аналогии с его эволюцией не операционален. Здесь смешиваются два различных процесса и два различных вопроса. Один – эволюция, которая привела к появлению органической целостности (например, происхождение человека), другой – развитая органическая целостность, живое целое, существующее в данный момент времени (например, человек).
Анализ эволюции, безусловно, важен для обнаружения законов развития или общих законов диалектики. ( Диалектика – наука о законах развития, общих мышлению и бытию).
Но это не значит, что исследователь имеет право применять эти законы к новому, еще неисследованному объекту. Задачей исследователя является открытие собственных законов развития органической целостности.
Лишь после того, как данный организм будет проанализирован, после того, как будет построена иерархически последовательная модель данного организма, после того, как будет открыт закон развития данного организма, можно сравнивать полученное с эволюцией, эволюционной последовательностью, законами эволюции.
ринцип единства исторического и логического.В экономике сочетание принципа от простого к сложному с методом аналогии в экономике получило название принципа единства исторического и логического, сформулированного Ф. Энгельсом. По Энгельсу, суть диалектического метода Маркса сводится к тому, что логическая теоретическая модель должна начинаться с простого конкретного факта: с первого и наиболее простого отношения, которое исторически, фактически находится перед нами, следовательно, … первого экономического отношения, которое мы находим (Энгельс Ф. Карл Маркс.
К критике политической экономии.1859).
Логика теоретической модели и последовательность рассмотрения экономических категорий должны соответствовать их исторической последовательности, при условии очищения истории от случайных скачков и зигзагов: С чего начинает история, с того же должен начинаться и ход мыслей, и его дальнейшее двжение будет представлять собой не что иное, как отражение исторического процесса в абстрактной и теоретически последовательной форме; отражение исправленное, но исправленное соответственно законам, которые дает сам действительный исторический процесс (Энгельс Ф. Карл Маркс. К критике политической экономии.1859).
В истории, по мнению Энгельса, первым экономическим отношением был обмен (историческое). Поэтому теоретическая модель экономики развитого конкретно-исторического общества (логическое) должна также начинаться с обмена, или, точнее, с товара (единство исторического и логического): Политическая экономия начинает с товара, с того момента, когда продукты обмениваются друг на друга отдельными людьми или первобытными общинами.
Продукт, вступающий в обмен, является товаром. (Энгельс Ф. Карл Маркс. К критике политической экономии.1859).
Обмен (товар) – простейшее конкретное отношение развитой системы. Применив к этому отношению законы диалектики, можно перейти к следующему конкретному отношению – деньгам. При этом окажется, что соблюдается и историческая последовательность возникновения обмена и денег и т. д.
Построение теоретической модели развитого организма по принципу единства исторического и логического не представляется возможным. Движение от факта к факту не может привести к созданию модели целостного организма даже в том случае, если оно сверяется с исторической эволюцией и опосредовано диалектикой
Нельзя согласиться с Э.В. Ильенковым в том, главное достоинство логики Капитала заключается в том, что процесс выведения категорий совершается в ходе анализа последовательного ряда фактов, в ходе движения мысли от факта к факту по пути систематического углубления понимания их универсальной взаимосвязи… Последовательность движения мысли от факта к факту (соответственно от определения к определению) обусловливается здесь историей становления и развития того конкретного целого, которое в данном случае выступает как предмет исследования. (Ильенков Э.В.
Логика Капитала. Философская энциклопедия, т. 2, с. 436-439. http://caute.net.ru/ilyenkov/texts/)
Нельзя построить модель целостного организма, опираясь на его часть, на отдельное простое конкретное отношение, на одно-единственное конкретное отношение.
Нельзя согласиться с Э.В. Ильенковым и в том, что чтобы выработать подлинно всеобщее определение (понятие стоимости), надо выделить одно особенное отношение, одно-единственное конкретное отношение, и в его исчерпывающем анализе добыть всеобщие характеристики всей системы, из него растущей. (Ильенков Э.В. Проблема абстрактного и конкретного в свете Капитала Маркса Капитал К. Маркса. Философия и современность.
М., 1968. С. 186-213. http://caute.net.ru/ilyenkov/texts/pakmx.html.)
В организме вообще нет отдельных частей, хотя в истории их аналоги (в данном случае – обмен, меновая стоимость) могут существовать как самостоятельные отношения.



Под определение подпадают все товары.



xiii В описательной науке мы не знаем ничего, кроме названий явлений. В Диалоге о двух главнейших системах мира Галилея два действующих лица - Сальвиати и Симпличио - ведут между собой такой разговор:

Сальвиати. И если он [автор] определит мне природу движителя одного из этих движущихся тел, то я обязуюсь доказать ему, что заставляет двигаться Землю.
И более того, я сделаю то же самое, если он сумеет объяснить мне, что именно движет частицы Земли вниз.
Симпличио. Причина этого явления общеизвестна, и всякий знает, что это тяжесть.
Сальвиати. Вы ошибаетесь, синьор Симпличио, вы должны были бы сказать - всякий знает, что это называется тяжестью, но я вас спрашиваю не о названии, а о сущности вещи; об этой сущности вы знаете ничуть не больше, чем о сущности того, что движет звезды по кругу, за исключением названия, которое было к нему приложено и стало привычным и ходячим благодаря опыту, повторяющемуся на наших глазах тысячу раз в день. Но это не значит, что мы в большей степени понимали и знали принцип или ту силу, которая движет книзу камень, сравнительно с теми, которые, как мы знаем, дают камню при отбрасывании движение вверх или движут Луну по кругу. Мы не знаем ничего, за исключением, как я сказал, названия, которое для данного специального случая известно как тяжесть. Цит. по Клайн М. Математика.
Поиск истины. М.,1988.
С.137-138.
xiv Молекула ДНК имеет форму двойной спирали, и ее воспроизведение основано на том, что каждая цепь двойной спирали служит матрицей для сборки новых молекул.
Проще всего представить молекулу ДНК в виде длинной лестницы. Вертикальные стойки этой лестницы состоят из молекул сахара, кислорода и фосфора. Вся важная рабочая информация в молекуле записана на перекладинах лестницы — они состоят из двух молекул, каждая из которых крепится к одной из вертикальных стоек.
Эти молекулы — азотистые основания — называются аденин, гуанин, тимин и цитозин, но обычно их обозначают просто буквами А, Г, Т и Ц. Форма этих молекул позволяет им образовывать связи — законченные ступеньки — лишь определенного типа. Это связи между основаниями А и Т и между основаниями Г и Ц (образованную таким образом пару называют парой оснований).
Других типов связи в молекуле ДНК быть не может. Спускаясь по ступенькам вдоль одной цепи молекулы ДНК, вы получите последовательность оснований. Именно это сообщение в виде последовательности оснований и определяет поток химических реакций в клетке и, следовательно, особенности организма, обладающего данной ДНК. http://elementy.ru/trefil/69
xv шибочное представление о товаре в экономической теории марксизма.Наиболее типичные марксистские определения (1) Товар - продукт труда, произведённый для продажи, (2) Потребительная стоимость – полезность вещи
В Большой советской энциклопедии: Товар - продукт труда, произведённый для продажи. Всякий товар обладает 2-мя свойствами: потребительной стоимостью и стоимостью. Потребительная стоимость — способность вещи удовлетворять какую-либо человеческую потребность, то есть её полезность.
В Советском энциклопедическом словаре (1980): потребительная стоимость – полезность вещи, ее способность удовлетворять какую-либо человеческую потребность. В Современном экономическом словаре (2004): Потребительная стоимость - термин марксистской политической экономии, означающий полезность вещи как предмета потребления, наличие у нее свойств и качеств, позволяющих удовлетворять человеческие потребности.
Современный экономический словарь. Райзберг Б.А., Лозовский Л.Ш., Стародубцева Е.Б. 2004. http://dic.academic.ru/
Предназначение этих определений – популяризация Капитала Маркса. Можно только догадываться каким образом они появились. Либо вследствие поверхностного знакомства в Капиталом и непонимания основ модели. Либо вследствие твердой уверенности, что Маркс развивал Смита и был учеником Рикардо, а потому можно заменить определения Маркса определениями классиков. Как бы то ни было, эти определения разрушают основания модели капитала, или делают невозможным построение научной модели.
Рассмотрим эти популяризации подробнее.
. Товар - продукт труда, произведённый для продажи.В первой главе, которая так и называется Товар и в которой, по всей видимости, следовало искать определение товара, такого определения нет. В пятой главе Капитала находим похожее, но принципиально иное: И наш капиталист заботится о двоякого рода вещах.
Во-первых, он хочет произвести потребительную стоимость, обладающую меновой стоимостью, предмет, предназначенный для продажи, т. е. товар. Маркс К. Капитал. Т.I. М.,1963.
С.197. Точнее было бы сказать, обладающую стоимостью, но повествование ведется от лица капиталиста, который не имеет понятия о стоимости, хотя хорошо знает, что такое меновая стоимость.
Предмет не устраивает экономическую теорию марксизма и заменяется на продукт труда. Смысл замены в том, чтобы свести теорию стоимости Маркса к трудовой теории стоимости: продукт труда здесь – продукт живого труда данного периода, продукт произведенный живым трудом.
У Маркса предназначенный для продажи - характеристика товара, поизведенного капиталом. В марксистском определении продажа - характеристика всех товаров.
Ошибочное определение исходной категории модели капитала разрушает модель Маркса. Из него выпадают деньги (по Марксу, товар) и функционирующие в качестве промышленного капитала средства производства, которые не предназначены для продажи; товар рабочая сила, которая не является продуктом труда и т. д.
Оправдания популяризации в том смысле, что Капитал слишком сложен и определения основных категорий надо еще поискать, не могут быть приняты.
Если понимать метод материалистической диалектики, примененный в Капитале, то определения не приходится отыскивать. Определения основных категорий даются по единой системе.
Во-первых, категория определяется со стороны формы, так как она дается в непосредственном наблюдении. Первое определение товара - товар есть прежде всего внешний предмет, вещь, которая благодаря ее свойствам, удовлетворяет какие-либо человеческие потребности. Во-вторых, категория определяется со стороны природы общественного богатства – стоимости.
Вслед за первым определением товара идет определение субстанции и величины стоимости. В-третьих, дается синтетическое, объемное определение, представляющее собой единство природы и формы:
Товары являются на свет в форме потребительных стоимостей, или товарных тел, каковы железо, холст, пшеница и т. д. Это их доморощенная натуральная форма. Но товарами они становятся лишь в силу своего двойственного характера, лишь в силу того, что они одновременно и предметы потребления и носители стоимости.
Следовательно, они являются товарами, или имеют товарную форму, лишь постольку, поскольку они обладают этой двойной формой — натуральной формой и формой стоимости.
В учебнике это определение дается в сокращенном виде: товар – потребительная стоимость, обладающая стоимостью. Под это определение подпадают все товары.
. Потребительная стоимость – полезность вещи.Это калька со Смита, не имеющая никакого отношения к Марксу. Аргументом в пользу такого определения служит выражение Маркса: Полезность вещи делает ее потребительной стоимостью. Если вырвать его из контекста, то действительно может показаться, что это выражение похоже на казнить нельзя помиловать. Полезность и вещь – женского рода, поэтому ее может относится и к вещи, и к ее свойству, полезности.
Но если просто прочитать следующий за этим выражением текст, то станет ясно, что потребительная стоимость – это вещь, а не полезность вещи. Или, как дается в определении учебника, потребительная стоимость – вещь с полезными свойствами, удовлетворяющая общественную потребность. Далее Маркс пишет:
Но эта полезность не висит в воздухе. Обусловленная свойствами товарного тела, она не существует вне этого последнего. Поэтому товарное тело, как, например, железо, пшеница, алмаз и т. п., само есть потребительная стоимость, или благо. Маркс К. Капитал. Т.I.
М.,1963. С.44.
Наконец, аргумент экономической теории марксизма, основанный на некоторой двусмысленности выражения полезность вещи делает ее потребительной стоимостью, которое дается в немецком оригинале, в русском и английском переводе, полностью опровергается в авторизованном французском издании Капитала. Маркс исключает всякую двусмысленность и дает - “l utilit d une chose fait de cette chose une valeur d usage, в дословном переводе - полезность вещи делает из этой вещи потребительную стоимость.
К каким фантастическим выводам может привести определение потребительной стоимости как полезности, показывает утверждение в Энциклопедии политической экономии (1979 г.): марксистско-ленинская политическая экономия исходит из того, что потребительная стоимость не поддается количественному измерению. Противоположный подход лежит в основе субъективно-психологических теорий стоимости, созданных буржуазными теоретиками в 70-х годах 19 в.



Последовательность категорий в теоретической модели


Последовательность категорий в теоретической модели не определяется их последовательностью в истории (См. подробнее Маркс К. Введение. Маркс К., Энгельс Ф. Соч.
Т.46. Часть I.) Исходное отношение данного организма нельзя искать за его пределами. Цель исследователя состоит не в применении общих законов диалектики к развитому экономическому организму, а в открытии экономического закона движения современного общества.
Именно такую цель ставит перед собой Маркс в Капитале.
В ранних работах Маркс использовал метод аналогий. Наиболее известный пример – Манифест коммунистической партии, в котором из положения о том, что история обществ была историей борьбы классов, заканчивающейся революционным переустройством всего общественного здания, делается априорный и необоснованный вывод о неизбежности гибели буржуазии и победе пролетариата:
История всех до сих пор существовавших обществ была историей борьбы классов. Свободный и раб, патриций и плебей, помещик и крепостной, мастер и подмастерье, короче, угнетающий и угнетаемый находились в вечном антагонизме друг к другу, вели непрерывную, то скрытую, то явную борьбу, всегда кончавшуюся революционным переустройством всего общественного здания или общей гибелью борющихся классов. Отсюда, по методу аналогии, делается необоснованный априорный вывод: Таким образом, с развитием крупной промышленности из-под ног буржуазии вырывается сама основа, на которой она производит и присваивает продукты. Она производит прежде всего своих собственных могильщиков.
Ее гибель и победа пролетариата одинаково неизбежны.
ринцип от простого (абстрактного) к сложному (конкретному).Поскольку отдельное конкретное не может быть началом системы (в организме не существует отдельного конкретного), то остается еще один вариант: рассматривать в качестве простого не конкретное, а абстрактное отношение, абстракцию отдельного конкретного отношения. В биологическом организме в качестве простого абстрактного можно взять клетку вообще, состоящую из ядра и протоплазмы.
Клетка вообще – абстракция, результат абстрагирующего мышления, идеальное. В философии этот метод в сочетании с диалектикой разрабатывался Гегелем, который пришел к выводу, что процесс мышления (идеальное) есть демиург (творец, созидатель) действительного (материальное).
Движение от абстрактного к конкретному – один из моментов познания и построения модели органической целостности. Если это движение берется изолированно, т. е. исследователь, перед которым стоит задача рассмотрения единства многообразного конкретной органической целостности, начинает с абстракции, с идеального, то построение модели не представляется возможным.
Помимо прочего, здесь возникает проблема, аналогичная поиску единственного простого конкретного: необходимо найти и обосновать единственное исходное абстрактное. Абстрактное начало системы получает обоснование в случае, если из него удается вывести всю систему. Обнаружение исходного превращается в основную задачу. Российскими учеными были разработаны характеристики исходного отношения: Предвосхищая дальнейшее развертывание мысли в Капитале, можно было бы дать ряд определений исходной абстракции восхождения. Важнейшие из них следующие: 1.В исходной абстракции отражается такое отношение предмета, которое дальше разложить нельзя, не выходя за рамки данного специфического предмета.
2. В исходной абстракции воспроизводится отношение, являющееся простейшим по сравнению с остальными сторонами изучаемого специфического, предмета. 3.Исходная абстракция отражает зародышевое противоречие, на основе которого и из которого вырастают все другие отношения данного предмета. 4. Исходная абстракция воссоздает исторически первичное отношение предмета. 5. Исходная абстракция отображает простейшее отношение предмета и следовательно, некоторую совокупность различных, многообразных сторон. (Вазюлин В.А.
Логика Капитала. М.:СГУ, 2002.
С.32).
v Генотип - наследственная информация, закодированная в генах - сложных молекулах, находящихся в клетках организма. Существует два смысла термина: 1) генотип как генетическая структура организма по одному или нескольким изучаемым генным локусам; 2) генотип как совокупность всех генов организма.
vi Как раз наоборот. В Капитале Маркса дается теория стоимости без дальнейших определений. Прилагательное трудовая - избыточно, поскольку трудовая теории стоимости в расшифровке дает трудовая теория кристаллизованного в товаре абстрактно человеческого труда, т. е. тавтологию.
Маркс не употреблял выражения трудовая теория стоимости, у Маркса нет трудовой теории стоимости не только по форме, но и по существу.
В экономической теории марксизма прилагательное трудовая не случайно. (1) Под трудовой теорией стоимости имеется в виду то, что стоимость – результат годичного труда нации (Смит), т. е. живого труда данного периода. Маркс называет такую теорию догмой Смита, и характеризует ее как баснословную, абсурдную догму, как невероятную ошибку всей политической экономии, начиная со Смита. Если стоимость, как это следует из трудовой теории стоимости классиков – овеществление годичного живого труда, то воспроизводство жизни общества невозможно: в этом случае стоимость общественного продукта равна доходам населения, т. е. не содержит стоимости средств производства, потребленных в данном периоде.
В следующем периоде общество оказывается без предметов и средств труда, необходимых для возобновления производства.

(2) Под трудовой теорией стоимости имеется также в виду трудовая теория меновой стоимости, или цены. По Блаугу, Адам Смит свел применение трудовой теории относительных цен к предположительному грубому и примитивному состоянию общества. Рикардо сделал следующий шаг и показал, что однофакторная теория ценности может, пусть не вполне совершенно, объяснить, как формируются цены в реальном мире. (Блауг М. Экономическая мысль в ретроспективе.
М. 1994. С .86.)

Эта теория вменяется Марксу: нашей первой задачей, - пишет Блауг, - будет объяснить, как Маркс использует трудовую теорию ценности для того, чтобы дать определение..относительных цен…. (Блауг М. Экономическая мысль в ретроспективе. М. 1994. С. 207.)
В этом качестве трудовая теория стоимости, или марксистская теория трудовой цены сравнивается и противопоставляется неоклассической теории цены, основанной на предельной полезности (См. Шумпетер СТР.).
Трудовая теория стоимости в этом понимании не имеет никакого отношения к теории стоимости как природы общественного богатства. Теория стоимости несопоставима с теорией цены (трудовой, или основанной на предельной полезности), это качественно различные плоскости исследования.
В исходной аксиоме модели капитала речь идет о стоимости и потребительной стоимости, но не упоминается о цене, которая получает определение на этапе восхождения от абстрактного к конкретному.
vii Кажется правильным начинать с реального и конкретного, с действительных предпосылок, следовательно, например в политической экономии, с населения, которое есть основа и субъект всего общественного процесса производства. Однако при ближайшем рассмотрении это оказывается ошибочным. Население - это абстракция, если я оставлю в стороне, например, классы, из которых оно состоит.
Эти классы опять-таки пустой звук, если я не знаю тех основ, на которых они покоятся, например наемного труда, капитала и т. д. Эти последние предполагают обмен, разделение труда, цены и т. д. Капитал, например, - ничто без наемного труда, без стоимости, денег, цены и т. д. Таким образом, если бы я начал с населения, то это было бы хаотическое представление о целом, и только путем более детальных определений я аналитически подходил бы ко все более и более простым понятиям: от конкретного, данного в представлении, ко все более и более тощим абстракциям, пока не пришел бы к простейшим определениям. Отсюда пришлось бы пуститься в обратный путь, пока я не пришел бы, наконец, снова к населению, но на этот раз не как к хаотическому представлению о целом, а как к некоторой богатой совокупности многочисленных определений и отношений.
Первый путь - это тот, по которому политическая экономия исторически следовала в период своего возникновения. Например, экономисты XVII столетия всегда начинают с живого целого, с населения, нации, государства, нескольких государств и т. д., но они всегда заканчивают тем, что путем анализа выделяют некоторые определяющие абстрактные всеобщие отношения, как разделение труда, деньги, стоимость и т. д. Как только эти отдельные моменты были более или менее зафиксированы и абстрагированы, стали возникать экономические системы, восходившие от простейшего - труд, разделение труда, потребность, меновая стоимость и т. д. - к государству, международному обмену и мировому рынку. Маркс К. Введение. Маркс К., Энгельс Ф. Соч. Т.46.
Часть I. С. 36- 37.
viii ыделение структурных уровней модели капитала методом последовательной абстракции.Выделяются три крупных структурных уровня анализа: начальный - Процесс капиталистического производства, взятый в целом, где рассматривается и производство и обращение.



Последовательность - первая комбинация


в противовес марксизму. Энциклопедия политической экономии.
М., 1979, Т. III. С. 307.
xvi Последовательность первая комбинация – вторая комбинация. Пусть в нулевом периоде
Последовательность - первая комбинация
, в первом
Последовательность - первая комбинация
, т. е. имеет место первая комбинация (эффект дохода). Во втором периоде СТМ остается неизменной – 2 ч ОНРВ, ПР удваивается и имеет место вторая комбинация (эффект замещения):
Последовательность - первая комбинация
. Общий прирост потребительной стоимости Тt2 4 ед. - Тt0 1ед.= 3 ед. Прирост при неизменной ПР вследствие увеличения СТМ, (эффект дохода) составил Тt12 ед. - Тt01ед. = 1 ед. Прирост вследствие удвоения ПР, или эффект замещения составил Тt2 4 ед. - Тt1 2 ед. = 2 ед.
Общий прирост – 3 единицы - равен сумме приростов (сумме эффекта дохода и замещения).

Последовательность вторая комбинация – первая комбинация. Пусть в нулевом периоде
Последовательность - первая комбинация
, в первом
Последовательность - первая комбинация
, т. е. имеет место вторая комбинация (эффект замещения). Во втором периоде СТМ удваивается при неизменной ПР, имеет место первая комбинация (эффект дохода):
Последовательность - первая комбинация
. Общий прирост Тt2 4 ед. - Тt0 1 ед. = 3 ед. Эффект замещения Тt1 2ед. - Тt0 1 ед. = 1 ед.
Эффект дохода - Тt2 4 ед. - Тt1 2 ед. = 2 ед. Общий прирост (3) равен сумме эффектов замещения (2) дохода (1).

Обратим внимание, что при неизменной величине общего прироста потребительной стоимости, величины ценовых эффектов различны. В первом случае эффект дохода – 1 ед., эффект замещения – 2, во втором эффект дохода – 2 ед., эффект замещения – 1.


xvii режние представления о предмете: неизменная мера стоимости и стандартный товар.Между потребительной стоимостью и стоимостью нет установленного раз и навсегда соотношения, поэтому нет и не может быть стандартного товара (например, хлеба), потребительная стоимость которого находилась бы в постоянном неизменном соотношении с его стоимостью. Задача найти неизменную меру стоимости, независимую относительно изменений заработной платы и прибыли была поставлена Рикардо. По мнению Рикардо, для этого идеально подходит зерно, поскольку неизменной мерой стоимости может быть товар, производимый все время одинаковым количеством труда без участия капитала. Над этой проблемой работал П. Сраффа (Производство товаров посредством товаров.
1960).


xviii шибочное представление экономической теории марксизма о возможности выведения стоимости из меновой стоимости.

Из потребительной стоимости невозможно вывести стоимость. Потребительная стоимость и стоимость – различны качественно и имеют различные единицы измерения. Точно также из отношения потребительных стоимостей, из меновой стоимости (относительной, или денежной цены) невозможно вывести стоимость товара.
В Капитале Маркс действительно исходит из менового отношения товаров для того, чтобы перейти к стоимости.
В экономической теории марксизма это положение трактовалось как выведение стоимости из меновой стоимости. Аналогичную позицию занимали критики Маркса. По Бем-Баверку, "в первом томе (Капитала Маркса, - А.С.) утверждалось, что всякая стоимость основана на труде и только на труде, что стоимости товаров относятся друг к другу как рабочее время, необходимое для их производства. Эти положения были выведены и отдистиллированы непосредственно и исключительно из меновых отношений товаров (Бем-Баверк О. Критика теории Маркса. К завершению марксистской системы.
М., 2002. С. 33-34).
Но Маркс не выводит стоимость из меновой стоимости. Он исходит из менового отношения товаров, чтобы напасть на след скрывающейся в них стоимости (Маркс К. Капитал. Т.I. М. 1963.
С. 56.) "Напасть на след" и вывести - разные вещи. Анализируя уравнение хA = уB, Маркс пишет о том, что в двух различных вещах существует нечто общее равной величины.
Следовательно, обе эти вещи равны чему-то третьему, которое само по себе не есть ни первая, ни вторая из них.
Этим третьим может быть все что угодно, но только не цена (не меновая стоимость), и не потребительная стоимость. Это нечто третье – представляет собой иное качество, отличное от качества потребительной стоимости и, соответственно, меновой стоимости как пропорции потребительных стоимостей.
По меновому отношению можно догадаться, что за ним что-то стоит. Можно начать с менового отношения, чтобы напасть на след иного качества, формой выражения которого служит меновая стоимость.
Но вывести стоимость из меновой стоимости невозможно.
Для того чтобы напасть на след массы физического тела, физики также исходили из анализа веса. Но зная вес физических тел невозможно вывести массу, - это другое качество.
Отсюда следует принципиальная невозможность выведения стоимости (природы общественного богатства) из формы, т. е. из цен и количеств. Стоимость нельзя вывести математически описательным методом, основываясь на анализе цены.
Математическое описание возможно только в пределах одного качества. Здесь можно сослаться на Вальраса, несомненной заслугой которого является глубокий и всесторонний анализ меновой стоимости. Он вплотную подходит к открытию абсолютной стоимости, но не переступает черты, отделяющей меновую стоимость от стоимости:
Факт меновой стоимости, являющийся столь сложным, особенно когда речь идет о нескольких товарах, предстает здесь… в своем истинном свете. Что такое va, vb, vc, vd (т. е. меновые стоимости, - С.А.)? Не что иное, как неопределенные и произвольные величины. Есть даже искушение пойти несколько дальше..., дабы сказать, что в состоянии общего равновесия каждый товар имеет на рынке только одну меновую стоимость по отношению ко всем остальным товарам. Но такая манера изложения, видимо, уводила бы слишком в сторону абсолютной стоимости; и лучше выразить данный факт, пользуясь терминами теоремы общего равновесия или аналитического определения обмена (Вальрас Л. Элементы чистой политической экономии.
М. 2000.С.118.).
Отождествление формы и природы общественного богатства, или отождествление стоимости и меновой стоимости, представление о том, что стоимость и меновая стоимость это категории одного качества, и что, следовательно, из меновой стоимости можно вывести стоимость, означает разрушение модели капитала в ее исходном пункте, или, в точной формулировке Бем-Баверка, завершение марксистской системы.




При росте продуктивности вещное богатство возрастает.


В целях упрощения мы будем использовать проекции объемного графика на три плоскости.

При росте продуктивности вещное богатство возрастает.

Первая комбинация факторов товара: производительная сила общественного труда и стоимость единицы товара неизменны, стоимость товарной массы и потребительная стоимость меняются

Иллюстрация первой комбинации факторов товара дается на двух графиках: в координатах Стоимость – Временные периоды (СТ – t) и стоимость – потребительная стоимость (СТ – ПС) (Рисунок 2).

На левом графике точкой отсчета кривых являются значения СТМ и СЕТ в исходном периоде. Поскольку ПР и СЕТ неизменны, то кривая стоимости единицы товара параллельна оси времени.
СТМ меняется и может принимать любые значения, поэтому кривые стоимости товарной массы образуют веер. Алгоритм построения точек кривой СЕТ на правом графике:
1) ордината точки кривой СЕТ одинакова на двух графиках, поэтому за ординату на правом графике берется значение СЕТ на левом;
2) абсцисса находится по формуле
При росте продуктивности вещное богатство возрастает.
, которая вытекает из формулы стоимости единицы товара
При росте продуктивности вещное богатство возрастает.
.
Если СТМ и СЕТ неизменны по периодам времени, т. е. кривая СТМ параллельна кривой СЕТ, то ПС также неизменна по периодам времени. Кривая СЕТ правого графика на левом графике превращается в точку 0, которой соответствует произвольное значение ПС.
Из формулы
При росте продуктивности вещное богатство возрастает.
следует, что при росте СТМ, т. е. восходящей кривой СТМ с положительным наклоном, на правом графике мы получим кривую СЕТ, направленную от начала координат от точки 0 до точки 1. Эта кривая описывает все варианты роста СТМ при неизменной СЕТ (верхнюю часть веера кривых СТМ). С ростом СТМ при неизменной СЕТ (и ПР) в той же пропорции растет и ПС.
Нижняя часть веера кривых СТМ при неизменной СЕТ на правом графике отражена сдвигом точки 0 в точку 2, или кривой СЕТ, направленной к началу координат. Направление изменений ПС сопровождается указанием на последовательность изменений, или вектором времени.
С сокращением СТМ при неизменной СЕТ (и ПР) в той же пропорции сокращается и ПС.
Три следствия первой комбинации при неизменном уровне производительной силы общественного труда:
1) изменение количества потребительной стоимости служит показателем пропорционального изменения стоимости товарной массы.
"Если производительная сила всех полезных видов труда, необходимых для производства одного сюртука, остается неизменной, величина стоимости сюртуков растет пропорционально их количеству40;
2) изменение величины стоимости товарной массы служит показателем пропорционального изменения потребительной стоимости;
3) изменение количества товаров пропорционально изменению стоимости и потребительной стоимости.
При неизменной продуктивности государство богатеет по Смиту: рост простого продукта означает рост его стоимости.

Вторая комбинация факторов товара: стоимость товарной массы неизменна, потребительная стоимость и производительная сила общественного труда меняются.
Иллюстрация второй комбинации факторов товара дается на графиках в двух системах координат (Рисунок 3). Центр фигуры на правом графике соответствует исходным значениям СТМ, СЕТ и ПС.
Преобразование кривых осуществляется по алгоритму, рассмотренному выше.
Кривые в нижней части веера кривых СЕТ левого графика имеют отрицательный наклон, т. е. СЕТ сокращается и, соответственно, ПР и ПС растут. На правом графике они расположены в IV квадранте центральной фигуры.
Кривые в верхней части веера кривых СЕТ левого графика имеют положительный наклон, т. е. СЕТ растет и, соответственно, ПР и ПС сокращаются. На правом графике они расположены во II квадранте.


При росте продуктивности вещное богатство возрастает.


При неизменной стоимости товарной массы стоимость единицы товара меняется обратно пропорционально изменению производительной силы общественного труда. Это вытекает из формул
При росте продуктивности вещное богатство возрастает.
и обратной формулы
При росте продуктивности вещное богатство возрастает.
, где СТМ – const. При повышении производительной силы общественного труда, под которой понимается всякое вообще изменение в процессе труда, сокращающее рабочее время, общественно необходимое для производства данного товара, так что меньшее количество труда приобретает способность произвести большее количество потребительной стоимости41, стоимость единицы товара понижается, и наоборот.
Следствием этой комбинации является то, что изменение количества потребительной стоимости не является показателем изменения стоимости. При росте продуктивности вещное богатство возрастает.
Большее количество потребительной стоимости составляет само по себе большее вещественное богатство: два сюртука больше, чем один. Двумя сюртуками можно одеть двух человек, одним – только одного и т. д.42.
Но возрастающей массе потребительных стоимостей, т. е. массе вещественного богатства, может соответствовать неизменная величина его стоимости и, как выяснится далее, одновременное понижение или повышение величины его стоимости.
Определение эффекта дохода и замещения на уровне двух факторов товара
Прирост потребительной стоимости, или блага, в микроэкономике называется ростом благосостояния.
Если рассматривать рост благосостояния с позиций двухфакторной модели товара, то выясняется, что общий прирост потребительной стоимости может скрывать два разнокачественных процесса: прирост при неизменном уровне производительной силы общественного труда за счет роста стоимости товарной массы и прирост в результате повышения производительной силы общественного труда при неизменной стоимости товарной массы. Оба прироста – проявление двойственного характера труда и двухфакторности товара.
Если рассматривать рост благосостояния безотносительно к природе общественного богатства – стоимости, то он предстает как однородный процесс: первое дополнительное благо ничем не отличается от второго, третьего и т. п. Обнаружение неоднородности прироста благосостояния и выделение в нем двух качественно различных составляющих описательным методом – сложнейшая и почти неразрешимая задача. Тем не менее в результате открытия Слуцкого, Хикса, Аллена и колоссальных интеллектуальных усилий экономистов эта задача была решена.
Разработка эффекта дохода и эффекта замещения – одно из самых значительных достижений микроэкономики в XX в.43.
Анализ вербального и графического описаний ценовых эффектов приводит к выводу о том, что:
1) эффект дохода – название прироста потребительной стоимости товаров–предметов потребления при неизменном уровне производительной силы общественного труда и, соответственно, неизменной стоимости единицы товара за счет роста стоимости товарной массы (первая комбинация факторов товара);
2) эффект замещения – название прироста потребительной стоимости товаров–предметов потребления при неизменной стоимости товарной массы за счет роста производительной силы общественного труда и, соответственно, сокращения стоимости единицы товара (вторая комбинация факторов товара).
Эффект дохода и замещения – частный случай первой и второй комбинации факторов товара, применимых ко всем товарам, а не только к потребительским.
Если в исходном периоде
При росте продуктивности вещное богатство возрастает.
,
При росте продуктивности вещное богатство возрастает.
= 1 ч ОНРВ, а в текущем
При росте продуктивности вещное богатство возрастает.
,
При росте продуктивности вещное богатство возрастает.
= 1 ч ОНРВ, то эффект дохода составит 2 – 1 = 1ед. потребительной стоимости Т.
Если в исходном периоде
При росте продуктивности вещное богатство возрастает.
,
При росте продуктивности вещное богатство возрастает.
= 1 ч ОНРВ, в текущем
При росте продуктивности вещное богатство возрастает.
,
При росте продуктивности вещное богатство возрастает.
= 0,5 ч ОНРВ, то эффект замещения составит 2 – 1 = 1 ед. потребительной стоимости Т..
В микроэкономике эти эффекты рассматриваются внутри общего прироста благосостояния. Модель двухфакторного товара позволяет анализировать комбинации факторов в любой последовательностиxvi.
Развернутое обоснование ценовых эффектов дается на структурном уровне формы стоимости, или меновой стоимости. Гипотезы–объяснения ценовых эффектов выходят за рамки описательного метода микроэкономики и за рамки двухфакторной модели общественного богатства.
В то же время фундаментальная двухфакторная модель задает направление поиска для микроэкономики – обнаружение эффекта дохода и замещения применительно к средствам производства и выведение общего эффекта дохода и замещения применительно ко всем благам, а не только к потребительским.

Сочетание всевозможных комбинаций факторов товара. Циферблат кривой стоимости

Рисунок 4, а обобщает все возможные варианты расположения кривых стоимости СТМ и СЕТ в координатах СТ – t.
Рисунок 4, б отражает расположение кривой стоимости СЕТ при различных сочетаниях изменений СТМ, ПР и СЕТ, отраженных на левом графике.
Центр циферблата на правом графике в координатах СТ – ПС соответствует неизменной СТМ и СЕТ.
1. Если СТМ растет, а СЕТ постоянна, то кривая СЕТ представляет собой горизонтальную линию, направленная вправо (часовая стрелка, показывающая 15 ч). Если СТМ падает, а СЕТ постоянна, то кривая СЕТ – горизонтальная линия, направленная влево (21 ч).
2. Если СТМ постоянна, а СЕТ растет, то кривая СЕТ с отрицательным наклоном расположена во втором квадранте (от 21 до 24 ч).
Если СТМ постоянна, а СЕТ падает, то кривая СЕТ с отрицательным наклоном расположена в IV квадранте (от 15 до 18 ч).
3. Если СТМ и СЕТ меняются в одном направлении и одинаковой пропорции, то при их росте получаем вертикальную кривую СЕТ, направленную вверх (12 часов), а при падении – вертикальную кривую, направленную вниз (18 часов).



Процесс обращения капитала


Он обращался, т. е. обменивался при посредстве денег. Эта логика позволяет выделить три крупных структурных уровня модели при движении от конкретного к абстрактному:
III. Процесс капиталистического производства, взятый в целом, т. е. в единстве производства и обращения
II. Процесс обращения капитала
I. Процесс производства капитала.
Годичный продукт по стоимости и по натуральной форме (по потребительной стоимости) с необходимостью включает средства производства продукта, возмещающие потребленные в течение периода, и доходы трех основных классов – заработную плату, промышленную прибыль, процент, ренту. Величина годичного продукта по стоимости и потребительной стоимости дана. В ходе движения от конкретного к абстрактному происходит абстракция от ренты. Но это не значит, что часть продукта, соответствующая ренте, отсекается и теряется.
То же относится к проценту, промышленной и торговой прибыли, которые включаются в общую категорию прибавочная стоимость. Абстракция здесь – не абстракция-отсечение (при прочих равных низвестных условиях), а абстракция-агрегирование. Это единственный способ абстракции, который не умерщвляет организм. (О расчленении предмета методом последовательной абстракции см. сноскуviii.)
Абстракция, применяемая в модели общественного богатства, принципиально отличается от абстракции, применяемой в микро- и макроэкономике. Здесь под абстракцией понимается выделение главных зависимостей и их представление в схематичной, упрощенной форме. Смысл абстракции сводится к тому, что исследователь выбирает доступные для наблюдения факторы, которые принимаются как эндогенные.
Все остальные факторы считаются экзогенными. Исследуется не все целое, а лишь часть целого.
В микро- и макроэкономике абстракция – иное название метода парциализма (редукционизма).
Применение абстракции для анализа сложных систем признано в математическом направлении общей теории систем (ОТС). Показательно название работы представителя этого направления американского ученого М. Месаровича: Теория иерархических многоуровневых систем.
В ней делается вывод, что единственным способом описания сложной системы является выделение ее иерархических уровней методом абстракцииix.
Второй этап – движение от исходного абстрактного к многообразному конкретному, собственно построение модели.
Модель начинается с абстрактного, но это не значит, как считал Гегель, что абстрактное (идеальное) является действительным исходным пунктом, демиургом12 действительного (материального). Это не значит, что модель начинается с произвольной абстракции, рожденной в мозгу исследователя.
Это не значит, что исходное отношение модели является случайным открытием. Действительным исходным пунктом исследования является конкретное (материальное).
Исходное абстрактное отношение модели выводится из анализа конкретного в ходе первого движения от конкретного к абстрактному.
Соотношение модели общественного богатства, национальной экономики, институционализма и политической экономии
Общественный организм развивается в определенной социальной (или, в современной терминологии, институциональной) среде. При построении генотипической модели капитала предполагается, что институциональные условия соответствуют потребностям развития экономического организма.
Генотип организма потенциально содержит зрелый организм. Генотип коровы определенной породы потенциально содержит зрелый организм коровы с определенными параметрами – весом, количеством молока и т. п. Однако корова может не достигнуть этих показателей, если не получает достаточно корма, если не соблюдались условия ухода и т. п. Реальный организм – фенотип – зависит как от генотипа, так и от окружающей среды.
Национальная экономика представляет собой сочетание экономического генотипа и институциональной среды. В действительности институциональная среда может быть адекватной или неадекватной, может тормозить экономическое развитие или способствовать ему.
Социальные условия или отношения функционирования экономического организма (совокупности производственных отношений) – предмет институционального направления экономической науки. Это действительный предмет институционализма, хотя и не вполне осознанный учеными, разрабатывающими данное направление.
Модель капитала не является моделью странового капитализма (англо-саксонского, рейнского, японского и т. д.). При анализе конкретной страны генотипическая модель обогащается национальными институциональными условиям.
Один и тот же экономический базис – один и тот же со стороны основных условий – благодаря бесконечно разнообразным эмпирическим обстоятельствам, естественным условиям, расовым отношениям, действующим извне историческим влияниям и т. д. – может обнаруживать в своем проявлении бесконечные вариации и градации, которые возможно понять лишь при помощи анализа этих эмпирически данных обстоятельств13.
Создание институциональных условий, способствующих нормальному функционированию и развитию экономического организма, – составная часть предмета политической экономии в определении А. Смита14.
Исторически выработка институциональных отношений проходила методом проб и ошибок. Понимание того, что институциональные условия должны соответствовать не интересам отдельных классов (капиталистов или наемных рабочих), а экономическому организму в целом, пришло не сразу.
Первопроходцем в этом отношении была Англия, в которой, как свидетельствует А. Маршалл, неограниченная свобода предпринимательства привела к деградации населения15.
России нет необходимости повторять ошибки стран, первыми вставшими на путь развития капиталистического способа жизни. Всякая нация может и должна учиться у других.
Идея сознательного создания цивилизованных институциональных отношений впервые была высказана Марксом, который, обращаясь к господствующим классам Германии, предлагал убрать все те стесняющие развитие рабочего класса препятствия, которые поддаются законодательному регулированиюx.
Теория общественного богатства идентична политической экономии, понимаемой как наука об экономическом базисе. Она является основанием политической экономии, понимаемой как наука о надстройке, наука о государственном управлении и создании институциональных условий развития рыночного экономического организма. (Подробнее см. сноскуxi.)
Разработка модели общественного богатства в экономической теории. Место микро- и макроэкономики в модели общественного богатства
Постновка вопроса о природе и причинах богатства народов принадлежит А. Смиту. В своей работе Смит дает, с одной стороны, основы теории природы богатства16, а с другой стороны, описание форм богатства.
Отсюда двойственность метода.
С одной стороны, он прослеживает внутреннюю связь экономических категорий, или скрытую структуру буржуазной экономической системы. С другой стороны, он ставит рядом с этим связь, как она дана видимым образом в явлениях конкуренции...
Оба эти способа понимания, из которых один проникает во внутреннюю связь буржуазной системы, так сказать, в ее физиологию, а другой только описывает, каталогизирует, рассказывает и подводит под схематизирующие определения понятий то, что внешне проявляется в жизненном процессе, в том виде, в каком оно проявляется и выступает наружу, – оба этих способа понимания у Смита не только преспокойно уживаются один подле другого, но и переплетаются друг с другом и постоянно друг другу противоречат17.
Поставленная Смитом проблема природы и причин богатства была окончательно решена Марксом. Открытие природы общественного богатства Марксом равнозначно открытию системы мира Ньютоном, о котором Лагранж писал: величайший из гениев и самый удачливый, ибо система мира одна и открыть её можно только однажды.
Метод Маркса – развитие метода прослеживания внутренней связи экономических категорий Смита. Марксу принадлежит разработка диалектического метода построения модели общественного богатства, или капитала, и открытие двойственного характера труда, позволившее дать принципиально новые (по сравнению со Смитом) определения всех категорий модели – товара, цены, денег, капитала, издержек производства, прибыли.
Все определения даются в единстве природы и формы богатства, т. е. непосредственно наблюдаемые формы богатства получают теоретическое обоснование с позиций природы богатства.
В Капитале. Критике политической экономии (1867) Маркс дает критику классической политической экономии А. Смита и Д. Рикардо, физиократов и меркантилистов.
В отличие от современного понимания, критика для Маркса означала не огульное отрицание, а включение элементов критикуемого (в качестве подчиненных) в фундаментальную модель Капитала. В этом и заключается дальнейшее развитие учения Смита – Рикардо18.
Неоклассический метод, применяемый в микро- и макроэкономике, представляет развитие второй стороны метода Смита, т. е. описание непосредственно наблюдаемых форм богатства, экономических явлений, без проникновения в их внутреннюю связь. Математически описательный метод – метод Галилея и Ньютона, который успешно применяется в физике.



Процесс производства капитала


Задача двухфакторной модели общественного богатства не сводится к обоснованию микро- и макроэкономики. Теория капитала дает объяснение практическим категориям бизнеса, которые либо отсутствуют, либо недостаточно отражены в микро- и макроэкономике.
Цель учебного курса Теория общественного богатства – дать студентам системное знание о рыночной экономике, необходимое в практике бизнеса и других сферах экономической деятельности. Задача – обучение навыкам анализа и прогноза экономической действительности на уровне предприятия, отрасли, государства.






Глава 1. Процесс производства капитала. Исходный структурный уровень: наличное бытие общественного богатства – товар и деньги






Структурный блок соответствует первому тома Капитала, который называется Процесс производства капитала.
Этот состоит из структурных уровней, соответствующих отделам первого тома капитала:
1. Товар и деньги
2. Превращение денег в капитал
3. Производство абсолютной прибавочной стоимости
4. Производство относительной прибавочной стоимости
5. Производство абсолютной и относительной прибавочной стоимости
6.Заработная плата
7. Процесс накопления капитала
На первом и втором уровнях анализируется сфера обращения, наличный мир товаров и денег; на третьем, четвертом и пятом – производство прибавочной стоимости капиталом; на седьмом – производство капитала прибавочной стоимостью и первоначальное накопление капитала.
Исходный структурный уровень, первый отдел первого тома Товар и деньги – состоит из трех глав:
1. Товар
2. Процесс обмена
3. Деньги, или обращение товаров.
1. Товар
1. Два фактора товара: потребительная стоимость и стоимость. Двойственный характер труда.
Богатство обществ, в которых осподствует капиталистический способ производства, выступает как огромное скопление товаров, а отдельный товар – как элементарная форма этого богатства. Наше исследование начинается поэтому анализом товара30.
В этом положении, с которого начинается Капитал, определен действительный исходный пункт исследования – богатство обществ. Но это не богатство народов вообще (А.
Смит), а конкретно-историческое богатство обществ, в которых преобладает капиталистический способ производства жизни. Это богатство – огромное скопление товаров, общественный товарный продукт, взятый в определенный промежуток времени, или годичный (совокупный) общественный продукт.
На этом уровне формулируется исходная аксиома двух факторов общественного богатства: огромное скопление товаров представляет собой
1) набор потребительных стоимостей, или вещей с полезными свойствами, удовлетворяющих общественную потребность, т. е. обеспечивающих воспроизводство жизни общества;
2) стоимость – общую всем товарам общественную субстанцию, сгусток одинакового человеческого труда.
Модель годичного общественного продукта записывается как
Процесс производства капитала
,
где Т – товар;
СОП – совокупный годичный общественный продукт;
ПС – потребительная стоимость;
СТСОП – стоимость годичного продукта;
СТМ – стоимость товарных масс товаров A, B, C,…,M, входящих в состав общественного продукта.
Сложению подлежат только нижние индексы – стоимости, верхние индексы – потребительные стоимости различного рода – не складываются.
Исходное количественное условие модели: величина стоимости годичного товарного продукта – определенная, данная величина.
Отдельный товар – абстрактная, элементарная форма общественного богатства, он обладает теми же факторами, что и общественное богатство.
Определение товара выводится из исходной аксиомы модели: товар – потребительная стоимость, обладающая стоимостью.
Модель товара
Процесс производства капитала
, или
Процесс производства капитала
.
Ее можно условно назвать формулой, но в ней нет математических знаков. Модель товара ближе к биологической молекуле ДНК, на которой записана программа жизнедеятельности всех живых организмовxiv.
Точно так же программа жизнедеятельности рыночного экономического организма записана на молекуле товара.
Товар как потребительная стоимость определяется через качество –количество – меру.
Качество. Потребительная стоимость это внешний предмет, вещь, которая, благодаря ее свойствам, удовлетворяет какие-либо человеческие потребности, или вещь с полезными свойствами (в микроэкономике она называется благом).
Природа этих потребностей, – порождаются ли они, например, желудком или фантазией, – ничего не изменяет в деле. ело также не в том, как именно удовлетворяет данная вещь человеческую потребность: непосредственно ли, как жизненное средство, т. е. как предмет потребления, или окольным путём, как средство производства.
Потребительная стоимость со стороны качества – совокупность многих свойств, которые существуют в вещи. Определить, чем именно полезна вещь, – дело каждого индивида. Одна и та же вещь может иметь разное употребление31, может быть полезна разными свойствами разным индивидам. Количество.
Количество этой полезной вещи измеряется собственными единицами измерения вещи (штуками, метрами, унциями и т. п.). В микроэкономике оно называется количеством и обозначается Q.
Мера. Потребительная стоимость – количество вещи с полезными свойствами, удовлетворяющей общественную потребность.
Краткое определение: потребительная стоимость – вещь с полезными свойствами, удовлетворяющая общественную потребность. В математической терминологии – вещь с полезными свойствами под тем ограничением, что она удовлетворяет общественную потребность.
Не всякая полезная вещь и не всякое количество полезных вещей удовлетворяет общественную потребность. Это ограничение для отдельного товара вытекает из исходной аксиомы: в состав общественного продукта входят только те вещи, которые удовлетворяют общественную потребность. Потребительная стоимость как фактор товара – потребительная стоимость не для себя, а для других.
Бесполезная вещь не является потребительной стоимостью. Полезность вещи делает вещь потребительной стоимостью.
Присвоение потребительских свойств вещи осуществляется вне рынка – в пользовании или потреблении.
Определение потребительной стоимости – общее, абстрактное определение, которое применимо ко всем потребительным стоимостям, благам (предметам потребления, средствам производства и т. п.). Метод построения модели исключает классификацию благ в исходном пункте исследования.
Товар как стоимость определяется через качество – количество – меру.
Качество. Стоимость (Value) товара со стороны качества – кристаллизация общей всем товарам общественной субстанции, сгусток лишенного различий, одинакового человеческого труда, или абстрактно человеческого труда.
Как потребительные стоимости все товары различны, как стоимости все товары одинаковы. Как потребительные стоимости товары могут быть делимы и неделимы, как стоимости все товары абсолютно делимы.
Количество. Величина стоимости определяется количеством (quantum32) этой стоимостеобразующей субстанции, воплощенной в потребительной стоимости, или количеством абстрактно человеческого труда, измеряемого рабочим временем.
Мера. Стоимость товаXа – кристаллизация абстрактно человеческого труда, количество которого определяется общественно необходимым рабочим временем, в потребительной стоимости.
Единицы измерения стоимости – часы общественного необходимого рабочего времени (часы ОНРВ).
Не всякие затраты рабочего времени признаются обществом, т. е. считаются общественно необходимыми.
В математической терминологии стоимость – кристаллизация абстрактно человеческого труда в потребительной стоимости под ограничением ОНРВ.
Это ограничение для отдельного товара вытекает из исходной аксиомы и основного количественного условия модели. Поскольку стоимость годичного продукта – величина данная, то на изготовления каждого товарного вида обществом может быть выделено лишь определенное время.
Общественно необходимое рабочее время
Общественно необходимое рабочее время есть то рабочее время, которое требуется для изготовления какой-либо потребительной стоимости при наличных общественно нормальных условиях производства и при среднем в данном обществе уровне умелости, и интенсивности труда33.

Двойственный характер воплощенного в товаре труда. Конкретный и абстрактный труд

Появлению товара на рынке предшествует целесообразная деятельность людей, или труд. Воплощенный в товаре труд обладает двойственным характером.
С одной стороны, это конкретный, полезный труд, который характеризуется особой целью, особым характером операций, особыми предметами и средствами труда. Конкретный труд – созидатель особых потребительных стоимостей.
Набору потребительных стоимостей общественного продукта соответствует общественное разделение труда на особые виды труда.
Другая сторона труда – абстрактно человеческий труд, затрата человеческой рабочей силы безотносительно к форме этой затраты, лишенный различий человеческий труд.



Равновесия на уровне годичного продукта недостаточно.


Равновесия на уровне годичного продукта недостаточно. Индивидуальный товарный капитал, который входит в состав годичного продукта – одна из трех форм существования капитальной стоимости.
Две другие формы – денежный и производительный капитал. Для нормального воспроизводства недостаточно того, что совокупность индивидуальных капиталов производит потребительные стоимости в данный период времени (год).
Капитал, как правило, существует не один год. Важно, чтобы каждый капитал обращался и воспроизводился по стоимости и по натуральной форме. Анализ оборота производительного капитала показывает различие оборота основного и оборотного капитала. Основной капитал – капитал, который не покидает сферы производства, изнашивается постепенно и переносит свою стоимость на продукт по частям. Стоимость, необходимая для возобновления основного капитала в натуральной форме, накапливается в фонде амортизации.
Оборотный капитал включает часть средств производства, которые теряют свою потребительную стоимость (потребляются как сырье, горюче-смазочные материалы, либо полностью изнашиваются как некоторые средства труда) и требуют возобновления после каждого выпуска, т. е. единичного акта процесса производства. В состав оборотного капитала также входит капитал, затраченный на рабочую силу. Абстракция от непосредственно наблюдаемых форм - основного и оборотного капитала - позволяет перейти к делению капитала на постоянный и переменный капитал, которые рассматриваются на третьем крупном уровне анализа.
Второй уровень – процесс обращения капитала – заканчивается рассмотрением действительного кругооборота индивидуального капитала как единства кругооборота денежного, производительного и товарного капитала. В целом, абстракция от обращения капитала позволяет перейти к третьему и последнему крупному структурному уровню - процессу производства капитала.
Здесь предмет анализа - процесс производства капитала, включающий производство капиталом прибавочной стоимости и обратное превращение прибавочной стоимости в капитал (накопление). Это наиболее абстрактный уровень, на котором выясняется природа общественного богатства.
Накопление капитала – капитализация прибавочной стоимости, но для того, чтобы понять, как производится сама прибавочная стоимость, необходимо абстрагироваться от накопления.
Абстракция от заработной платы и сведение ее к стоимости и цене рабочей силы (СТзарплата = СТРС), предваряет анализ производства капиталом прибавочной стоимости. Наиболее заметной является относительная прибавочная стоимость, которая образуетс в результате нововведений, т. е. в результате роста производительной силы общественного труда.
Абстракция от относительной прибавочной стоимости позволяет перейти к абсолютной прибавочной стоимости, которая имеет место при неизменном уровне производительной силы общественного труда. Условие ее производства – при данном уровне продуктивности стоимость товара рабочая сила должна быть меньше новой стоимости.
Абстракция от производства прибавочной стоимости выводит анализ за пределы сферы производства в сферу обращения. Здесь обращается особый товар – рабочая сила.
Абстракция от особенностей этого товара выводит на конечный структурный уровень анализа – товар и деньги, который подразделяется на три уровня – деньги, или обращение товаров, процесс обмена и, наконец, товар.
Здесь деньги выступают просто как деньги, а не как капитал. Товары как потребительные стоимости не различаются, или не дифференцируются на товар – рабочая сила, товары – средства производства, товары – предметы потребления и т. п.т. п.т. п. Стоимость товара не дифференцируется на на старую и новую стоимость, на СТcтар + (СТзарплата + СТr + СТ% + СТ ) и т. д. В философской терминологии на конечном уровне анализа и исходном уровне синтеза рассматривается наличное бытие товаров, в котором их становление (происхождение) снято. Товар в абстрактном определении есть товар без дальнейших определений, например, капиталистически произведенный товар и т. п.т. п.т. п.
Здесь товар – абстракция двухфакторного общественного богатства, его элементарная форма. Первый фактор – потребительная стоимость, вещь с полезными свойствами, удовлетворяющая общественную потребность безотносительно к тому, является ли она предметом потребления или средствами производства.
Второй фактор – стоимость, просто стоимость как кристаллизация абстрактно человеческого труда без дальнейшей дифференциации.
Товар – абстракция живого целого. Товар в своем абстрактном определении содержит в потенции весь экономический организм, или содержит внутреннее противоречие, которое, при определенных институциональных условиях, обусловливает развитие всего организма.
В терминах генетики, два фактора - потребительная стоимость и стоимость – генотип капиталистического способа производства жизни, который содержит наследственную информацию и присутствует во всех клетках организма.
Товар – конечный пункт анализа и исходный пункт синтеза. Это предел абстракции, за которым теряется специфика капиталистического способа производства жизни.
Если абстрагироваться от стоимости, то товар перестает быть товаром и превращается просто в полезную вещь (благо). Производство полезных вещей (продуктов) существовало на протяжении всей истории человечества, в них нет специфики рассматриваемого способа производства жизни.
ix Метод абстракции находит подтверждение в современных исследованиях. Действительным прорывом в философии стало положение Нильса Бора о несепарабельных системах, т. е. неделимых и не разложимых на части системах. Их невозможно анализировать с позиций части и целого - парциализма или холизма.
С середины прошлого века усилия многих ученых были направлены на создание общей теории систем. Главный вопрос теории - исследование организма как целого или системы сформулирован ее основоположником Л. фон Берталанфи. Характеризуя свою позицию, он пишет: "я защищал организмическую концепцию в биологии, подчеркивающую необходимость рассмотрения организма как целого или системы и видящую главную цель биологических наук в открытии принципов организации живого на его различных уровнях. (Берталанфи Л. фон.
Общая теория систем - обзор проблем и результатов. В кн.: Системные исследования, Ежегодник. М., 1969.
С. 36).
Представитель математического направления общей теории систем, американский математик Микеле Месарович, в работе с многозначительным названием - Теория иерархических многоуровневых систем - пришел к выводу, что абстракция – единственный инструмент, позволяющий анализировать сложные системы: "Действительно сложную систему почти невозможно описать точно и детально, что по существу вытекает уже из определения такой системы. Основная дилемма состоит в нахождении компромисса между простотой описания, что является одной из предпосылок понимания, и необходимостью учета многочисленных поведенческих (т. е., типа вход-выход) характеристик сложной системы. Разрешение этой дилеммы ищется в иерархическом описании. Система задается семейством моделей, каждая из которых описывает поведение системы с точки зрения различных уровней абстрагирования".(Месарович М., Мако Д., Тахакара И. Теория иерархических многоуровневых систем.
М., 1973. С. 56.)
x В Англии процесс переворота стал уже вполне осязательным. Достигнув известной ступени, он должен перекинуться на континент. Он примет здесь более жестокие или более гуманные формы в зависимости от уровня развития самого рабочего класса.
Таким образом, помимо каких-либо мотивов более высокого порядка, насущнейший интерес господствующих ныне классов предписывает убрать все те стесняющие развитие рабочего класса препятствия, которые поддаются законодательному регулированию. Потому-то, между прочим, я уделил в настоящем томе столь значительное место истории, содержанию и результатам английского фабричного законодательства. Всякая нация может и должна учиться у других. Маркс К. Капитал.
Т.I. М., 1963.
С.9-10.
xi Соотношение теории общественного богатства, политической экономии и экономикс.
Первоначально исследование общественного богатства велось в рамках политической экономии – науки о государственном управлении экономикой, об экономической политике государства. Этот термин был введен в 1615 году Антуаном Монкретьеном (Antoine de Montchrtien Trait d Economie Politique). Название политическая экономия было принято меркантилистами.
Они связывали рост общественного богатства с государственными протекционистскими мерами в международной торговле, направленными на поддержку национальной экономики.
Меркантилисты абсолютизировали одну из форм общественного богатства – деньги. Критика меркантилизма привела физиократов к выводу, что внимание правительства должно быть обращено не на развитие торговли и накопление денег, а на земледелие, на создание изобилия продуктов земли, в которых заключено подлинное общественное богатство.
Физиократы абсолютизировали другую форму богатства – продукт земли.



Соотношение относительной стоимости и относительной цены


Задача данного структурного уровня – теоретическое обоснование непосредственно наблюдаемого явления меновой стоимости, или цены. Цена – необходимая форма проявления стоимости – должна быть выведена из стоимости. Форма стоимости, или выражение стоимости, товара вытекает из природы товарной стоимости а не наоборот, не стоимость и величина стоимости вытекает из способа ее выражения как меновой стоимости46.
(Об ошибочном представлении экономической теории марксизма о возможности выведения стоимости из меновой стоимости см. сноскуxviii.)

Простая форма стоимости (I)

Уравнение простого относительного выражения стоимости. Два полюса выражения стоимости: относительная форма стоимости и эквивалентная форма.
Тайна всякой формы стоимости заключена в этой простой форме стоимости. Ее анализ и представляет поэтому главную трудность47.
Уравнение простой (единичной, или случайной) формы стоимости записывается как x товара A = y товара B, или
Соотношение относительной стоимости и относительной цены
, где стоимость A равна стоимости B.
Товар A играет активную роль, он стремится выразить свою стоимость; товар B – пассивную, он служит материалом для выражения стоимости. Товар A соотносит свою стоимость с товаром B, т. е. находится в относительной форме стоимости.
Второй товар представляет собой эквивалент, или находится в эквивалентной форме. Величина стоимости эквивалента не получает никакой иной формы выражения, кроме его непосредственной формы, формы потребительной стоимости товара B. Стоимость эквивалента фигурирует в стоимостном уравнении только как определенное количество данной вещи.
Товар B – товар-эквивалент – служит измерителем, относительной мерой стоимости A. Для того чтобы выразить стоимость товара B, необходимо поменять товары A и B местами.
Эквивалент обладает свойством непосредственной обмениваемости (в современной терминологии ликвидности) на товар A и другие товары, он является воплощением стоимости.
Стоимость товара A относительно измеряется потребительной стоимостью товара B той же стоимости. В отличие от стоимоYти товара A, которая измеряется часами ОНРВ, единицами измерения относительной стоимости товара A являются собственные единицы измерения потребительной стоимости товара B. Относительная стоимость A измеряется количеством товара-эквивалента B – метрами, литрами, унциями и т. п.
Соотношение относительной стоимости и относительной цены
Вместо выражения относительная форма проявления (измерения) стоимости товара A в потребительной стоимости товара B употребляется сокращенное – относительная стоимость товара A в товаре B, относительная стоимость товара A. Учитывая современное словоупотребление, мы будем также использовать понятие относительная цена товара A в товаре B и обозначение pAB.
Следует иметь в виду, что в отличие от относительной цены, понятие относительная стоимость применимо ко всем товарам, в том числе денежному. Деньги не имеют цены.
Они относительно выражают свою стоимость в потребительных стоимостях рядовых товаров.

Анализ уравнения простого выражения стоимости.

Форма стоимости, или меновая стоимость в непосредственном наблюдении. Непосредственно наблюдаемая часть формулы относительной стоимости (цены). Полная формула относительной стоимости (цены)
Непосредственное наблюдение фиксирует форму выражения стоимости как меновую стоимость.
Меновая стоимость представляется в виде количественного соотношения, в виде пропорции, в которой потребительные стоимости одного рода могут быть обменены и обмениваются на потребительные стоимости другого рода.
Урезанная формула относительной стоимости (цены) отражает непосредственно наблюдаемые верхние индексы уравнения простого относительного выражения стоимости
Соотношение относительной стоимости и относительной цены
, или пропорцию потребительных стоимостей, которая фиксируется в микроэкономике48.
Меновая стоимость товарной массы, или относительная стоимость (цена) товарной массы ОСТМAB = ЦТМAB = ПСB.
Уравнение формы стоимости товарной массы может быть преобразовано в уравнение формы стоимости единицы товара. Деление индексов на ПСA дает
Соотношение относительной стоимости и относительной цены
, или
Соотношение относительной стоимости и относительной цены

Непосредственно наблюдаемая часть формулы, или урезанная формула относительной стоимости (цены) единицы товара, ОСЕТAB = ЦЕТAB =
Соотношение относительной стоимости и относительной цены
.
С позиций теории капитала меновая стоимость, или относительная цена, не просто количественное отношение, а форма стоимости. Цена – название относительного измерения стоимости одного товара потребительной стоимостью другого товара.
Возьмем равенство нижних индексов СТМA = СТМB и заменим СТМB на СЕТB•ПСB49. Теперь оно записывается как СТМA = СЕТB•ПСB. Отсюда следует полная формула относительной стоимости (цены) товарной массы:
Соотношение относительной стоимости и относительной цены
.
Равенство нижних индексов может быть также записано как СЕТA•ПСA = СЕТB•ПСB. Отсюда выводится полная формула относительной стоимости (цены) единицы товара:
Соотношение относительной стоимости и относительной цены
.
При данной производительной силе общественного труда (а цена всегда определяется в данный момент времени) отношению стоимостей товаров соответствует отношение потребительных стоимостей. Полная формула цены – формализация положения, согласно которому форма стоимости, или цена, выводится из стоимости. Товары относятся друг к другу как стоимости. Носителем стоимости является определенное количество потребительной стоимости.
Поэтому стоимостному отношению товаров соответствует их отношение как потребительных стоимостей.
Равновесная и неравновесная цена
В уравнениях
Соотношение относительной стоимости и относительной цены
и
Соотношение относительной стоимости и относительной цены
имеет место равенство нижних индексов.
Стоимость товара выражается в потребительной стоимости другого товара той же стоимости. Это адекватное, или точное, относительное измерение стоимости, которое в дальнейшем обеспечивает стоимостную эквивалентность обмена.
Меновая стоимость (относительная стоимость, относительная цена) – форма стоимости, которая на практике содержит возможность неадекватного выражения стоимости. Но определение меновой стоимости как формы стоимости не меняется оттого, что нижние индексы могут быть не равны.
Неравновесная цена – выражение стоимости единицы товара A в потребительной стоимости товара-эквивалента, стоимость которого не равна стоимости товара A. Неравновесной цене соответствует неравенство
Соотношение относительной стоимости и относительной цены
.
Неравновесная цена может отклоняться от равновесной цены (по Смиту, естественной цены).
В модели капитала относительная цена это выражение стоимости одного товара в потребительной стоимости другого товара той же стоимости. Модель основана на равенстве стоимостей товара A, (выражающего свою стоимость) и товара-эквивалента B, который служит материалом для выражения стоимости, или на равновесной цене.
Равновесная цена – выражение стоимости единицы товара в потребительной стоимости товара-эквивалента той же стоимости. Равновесная цена выводится из уравнения
Соотношение относительной стоимости и относительной цены

Определение спроса и величины спроса с точки зрения качества. Два полюса выражения стоимости: относительная форма стоимости, или спрос, эквивалентная форма, или величина спроса.
Для выражения стоимости одного товара необходимо общественное отношение двух товаров.
Один полюс выражения стоимости – стоимость товара, находящегося в относительной форме; другой полюс – товар-эквивалент, его потребительная стоимость.
Относительная форма стоимости и эквивалентная форма – это взаимно обусловливающие, нераздельные моменты, но в то же время др[г друга исключающие или противоположные крайности, т. е. полюсы одного и того же выражения стоимости. Они всегда распределяются между различными товарами, которые выражением стоимости ставятся в отношение друг к другу.
Из качественного различия относительной и эквивалентной форм следует количественное различие и количественная определенность.
Стоимость определенной величины (х ч ОНРВ) относительно измеряется идеальным количеством потребительной стоимости (ед. товара) той же стоимости.
Так, в формуле относительной стоимости денежного товара
Соотношение относительной стоимости и относительной цены
определенная стоимость денежной массы СДМ (ч ОНРВ) выражается в определенном идеальном количестве ПСA, (ед. товара A). При неизменной производительной силе общественного труда увеличение СДМ ведет к увеличению ПСA, и наоборот.
Типичное неоклассическое описание спроса как желания, подкрепленного покупательной способностью, показывает, что спрос, с точки зрения качества, – название стоимости товара, находящегося в относительной форме. Стоимость этого товара и есть покупательная способность, а желание означает измерение стоимости в идеальном количестве товара50.
Стоимость – реально существующая, но ненаблюдаемая категория, призрачная реальность (unsubstantial reality, ralit fantomatique). Ее можно описать только иносказательно, например, покупательная способность, платежеспособность, доход, бюджет и т. п.
В данном случае спрос (demand) с точки зрения качества – название стоимости денежной массы (СДМ).
Величина спроса (quantity demanded) с точки зрения качества, т. е. безотносительно к количеству, – название потребительной стоимости товара-эквивалента, в данном случае ПСA.
Спрос и величина спроса, с точки зрения количества, – производные от качественных определений, будут подробнее рассмотрены ниже.



Способ преобразования графиков


Рисунок 6, б представляет результат преобразования – график цены, по форме идентичный графику кривой стоимости единицы товара. Если левый график строился в координатах СТ – ПС, то правый – в координатах Относительная стоимость (цена) – ПС.
Способ преобразования графиков подтверждает, что все выводы, сделанные для кривой стоимости, применимы к кривой относительной стоимости, или кривой цены.
1) расположение кривой стоимости и, следовательно, кривой цены зависит от изменений производительной силы общественного труда, т. е. от соотношения стоимости товарной массы и стоимости единицы товара;
2) сдвиг точек кривой стоимости и, следовательно, кривой цены обусловлен изменением стоимости товарной массы;
3) кривая стоимости единицы товара и, соответственно, кривая цены в координатах Цена – Потребительная стоимость может представлять собой точку, или прямую с направленностью от 0 до 360.
1 Структура вообще это совокупность устойчивых связей объекта, обеспечивающих его целостность, сохранение основных свойств при внешних и внутренних изменениях.
2 Онтология (от греч. on, ontos – сущее, logos – учение) – учение о бытии.
3 Гносеология (от греч. gnosis – знание, logos – учение) – теория познания.
4 Термин парциализм является более точным, чем атомизм или индивидуализм. Греческое слово атом (неделимый) переводится на латынь как индивид – (последняя) неделимая часть общества. Парциализм обозначает любую часть целого, а не только последнюю неделимую.
В экономике такой частью может быть индивид, группа, класс индивидов. Парциализм, применительно к экономике, – анализ с позиций индивида, фирмы, с классовых позиций пролетариата или буржуазии, но не с позиций общества в целом.
5 Маркс К. Введение. Маркс К., Энгельс Ф. Соч. Т.46.
Часть I. С. 37.
6 Маркс К., Энгельс Ф. Соч. Т.46.
Часть I. М., 1968. С. 43 – 44.
7 Маркс К. Введение. Маркс К., Энгельс Ф. Соч. Т.46.
Часть I. С. 37.
8 Маркс К. Капитал. Т.I.
М.,1963. С. 43.
9 Маркс – Людвигу Кугельману. 11 июля 1868 г. Маркс К., Энгельс Ф. Письма о Капитале. М.,1988.
С. 167.
10 Маркс К. Капитал. Т.I. М.,1963.
С. 56.
11 Маркс К. Капитал. Критика политической экономии.
Том первый. М. 1963.
С. 21.
12 То есть творцом, созидателем.
13 Маркс К. Капитал. Т.III. Ч.I.
М., 1985. С. 860.
14 В предисловии к IV книге Исследования… А. Смит определяет политическую экономию не как науку о природе и причинах богатства наций, а как отрасль науки государственного человека или законодателя, (которая. – С. А.) ставит перед собой две различные задачи: во-первых, обеспечить народу обильный доход или средства существования, а точнее, обеспечить ему возможность добывать себе их; во-вторых, доставлять государству или обществу доход, достаточный для государственных услуг (public services). Она ставит себе целью обогащение как народа, так и государя.
15 См.: Маршалл А. Принципы политической экономии. М.,1984.
16 Огромным шагом вперед Адама Смита явилось то, что он отбросил всякую опредленность деятельности, создающей богатство; у него фигурирует просто труд, не мануфактурный, не коммерческий, не земледельческий труд, а как тот, так и другой. Вместе с абстрактной всеобщностью деятельности, создающей богатство, признается также и всеобщность предмета, определяемого как богатство; это –продукт вообще или опять-таки труд вообще, но уже как прошлый, овеществленный труд. Как труден и велик был этот переход, видно из того, что Адам Смит сам еще время от времени скатывается назад к физиократической системе. (Маркс К. Введение.
Маркс К., Энгельс Ф. Соч. Т.46.
Часть I. С. 39-40).
17 Маркс К., Энгельс Ф. Соч. 2-е изд., т. 26, ч. II, С. 177.
18 Еще в 1871 году г-н Н. Зибер, профессор политической экономии в Киевском университете, в своей работе Теория ценности и капитала Д. Рикардо показал, что моя теория стоимости, денег и капитала в ее основных чертах является необходимым дальнейшим развитием учения Смита – Рикардо. Маркс К. Капитал. Критика политической экономии. Том первый.
М. 1963. С. 19.
Нет большего заблуждения, чем считать, что Маркс лишь подтвердил и всесторонне обосновал трудовую теорию стоимости и другие положения Смита и Рикардо. В своей оригинальной теории стоимости денег и капитала Маркс не развивал, не продолжал и тем более не обосновывал ошибочное понимание классической политической экономией стоимости как овеществления живого труда данного периода (трудовая теория стоимости); прибыли и ренты – как вычетов из продукта труда; стоимости – как цены, или естественной цены; потребительной стоимости – как полезности вещи; денег, которые, по Смиту и Рикардо, не являются общественным богатством; купли-продажи рабочей силы – как купли-продажи труда; капитала (по Смиту, капитал – запас); переменного капитала – как жизненных средств, или заработной платы и так далее по всем основным пунктам модели.
19 Блауг М. Экономическая мысль в ретроспективе. М. 1994.
С. 276.
20 Блауг М. Экономическая мысль в ретроспективе. М. 1994. С. 276
21 Очевидно, "Принципы" являются изложением статической микроэкономической теории, но время от времени читателю говорится, что …"Мекка экономиста"… лежит в "экономической биологии". Под "экономической биологией" Маршалл, видимо, подразумевает изучение экономической системы как организма, развивающегося в историческом времени… Необычное соединение статической микроэкономической теории с фрагментами классической теории экономического развития затруднило последующим авторам понимание истинного значения анализа частичного равновесия. (Блауг М. Экономическая мысль в ретроспективе.
М. 1994. С. 389).
В современной микроэкономике этот недостаток Маршалла полностью преодолен.
22 Все мы говорим об одном и том же, но до сих пор не решили, о чем именно… Как отметил сто лет назад Милль, определение науки почти всегда не предшествует ее созданию, а следует за ним. "Подобно городской стене, оно, как правило, возводится не для того, чтобы окружить здания, которые будут построены впоследствии, а для того, чтобы огородить нечто, уже существующее." Действительно, из самой природы науки вытекает, что определить ее предмет невозможно до тех пор, пока она не достигла определенной стадии развития (Роббинс Л. Предмет экономической науки. THESIS.
Зима 1993. С. 10 – 11).
23 До сих пор я изъяснял небесные явления и приливы наших морей на основании силы тяготения, но я не указывал причины самого тяготения... Причину же этих свойств силы тяготения я до сих пор не мог вывести из явлений, гипотез же я не измышляю. Все же, что не выводится из явлений, должно называться гипотезою, гипотезам же метафизическим, физическим, механическим, скрытым свойствам не место в экспериментальной философии (Ньютон И. Математические начала натуральной философии.
В кн. Собрание трудов Академика А.Н.Крылова. Т.7.
М., 1936. С. 661–662).
24 Фридмен М. Маршаллианская кривая спроса. В кн.: Вехи экономической мысли. Теория потребительского поведения и спроса. Т.1.
Под ред. В.М. Гальперина.
СПб. 1999.
С. 294.
25 Фридмен М. Методология позитивной экономической науки // THESIS, 1994, Вып. 4.
26 Фридмен М. Методология позитивной экономической науки // THESIS, 1994, Вып. 4.
27 Блауг характеризует экономическую теорию как бедную содержанием, поскольку Вальрас уделял слишком много внимания форме. Блауг упрекает Вальраса в том, что "он начал свой анализ исходя из данных (эмпирических, наблюдаемых. – С. А) кривых спроса и вывел условия рыночного равновесия до того, как он сказал хотя бы слово относительно полезности".
Блауг М. Экономическая мысль в ретроспективе. М. 1994.
С. 306.
28 С отказом от поисков субстанции цен и связан переход от теории ценности (стоимости) к теории цены, более известной под названием микроэкономика. Он означал переход и в экономической теории от "реализма" к методологическому "номинализму", господствующему в естественных науках. "Методологический номинализм стремится не к постижению того, чем вещь является на самом деле, и не к определению ее подлинной природы, а к описанию того, как вещь себя ведет при различных обстоятельствах, и в частности к выяснению того, имеются ли в этом поведении какие-либо закономерности" (Поппер К. Открытое общество и его враги. М., 1992.
Т. I. С. 64) Гальперин В.М., Игнатьев С.М., Моргунов В.И. Микроэкономика. Приложение 3Б. http://microeconomica.economicus.ru/
29 Полтерович В.М. Кризис экономической теории.
Доклад на научном семинаре отделения экономики и ЦЭМИ РАН. Неизвестная экономика 1997. www.cemi.rssi.ru

30 Маркс К. Капитал. Т.I. М.,1963.
С. 43.

31 Хлеб и молоко как потребительные стоимости могут иметь разное употребление. Из хлеба можно сделать чернильницу, а из молока – чернила.
32 Marx K. Le Capital. M.1982.
P.46.
33 Маркс К. Капитал. Т.I.
М.,1963.



Законы количественной определенности простой формы стоимости


Спрос, с точки зрения количества, – определенная величина стоимости товара, находящегося в относительной форме. Величина спроса, с точки зрения количества, – количество товара-эквивалента, или количество потребительной стоимости товара-эквивалента, ПСA .
2. Комбинации простой формы стоимости. Законы количественной определенности простой формы стоимости
Формула простой формы стоимости
Законы количественной определенности простой формы стоимости
вдвойне сложна для количественно-математического анализа, поскольку каждая из двух ее частей описывается рассмотренными выше многочисленными комбинациями двух факторов товара.
Рассмотрим две простейшие комбинации:
1) ПРA и ПРB, СЕТA и СЕТB,– неизменны,
2) ПРA и ПРB, СЕТA и СЕТB меняются.

Первая комбинация простой формы стоимости: неизменная производительная сила общественного труда A и B
Если в уравнениях базового и текущего периода
Законы количественной определенности простой формы стоимости
производительная сила общественного труда и, соответственно, стоимость единиц товаров остается неизменной, то относительная стоимость (цена) единицы товара неизменна.
К этому выводу можно придти, если взять полную формулу цены:
Законы количественной определенности простой формы стоимости
.
Следствие 1. Единственность равновесной цены рAB при неизменной производительной силе общественного труда A и B
При неизменной продуктивности товара A, выражающего свою стоимость, и товара-эквивалента B, существует единственное значение относительной цены товара A, удовлетворяющее условию равенства стоимости товара в относительной форме и стоимости товара-эквивалента, или единственное значение равновесной цены рAB.
Другие значения цены будут неравновесными, так как
Законы количественной определенности простой формы стоимости
и
Законы количественной определенности простой формы стоимости
.
Следствие 2. Единственность равновесной цены рBA при неизменной производительной силе общественного труда A и B
Если товар B выражает свою стоимость, а товар A служит эквивалентом, то формула цены B
Законы количественной определенности простой формы стоимости
. Так как отношение
Законы количественной определенности простой формы стоимости
– постоянно, то оно является единственным значением равновесной цены рBA.
Следствие 3. Обратное отношение равновесных цен двух товаров
Между равновесными ценами двух товаров устанавливается отношение
Законы количественной определенности простой формы стоимости
,
Законы количественной определенности простой формы стоимости
.

Обоснование условия равновесия обмена двух товаров Вальраса

Открытие количественной закономерности
Законы количественной определенности простой формы стоимости
, или условия равновесия обмена двух товаров принадлежит Вальрасу. Модель капитала позволяет дать теоретическое обоснование этой закономерности.

Вторая комбинация простой формы стоимости: изменение производительной силы общественного труда A и B. Законы простого относительного выражения стоимости. Кривая относительной стоимости (цены)
В первой главе Капитала в разделе Простая, единичная или случайная форма стоимости в параграфе Количественная определенность относительной формы стоимости Маркс рассматривает законы простого относительного выражения стоимости 51.
Первый случай – ПРA и СЕТA меняются, ПРB и СЕТB неизменны, в двух вариантах СЕТA падает, СЕТA растет.
Второй случай – ПРA и СЕТA неизменны, ПРB и СЕТB меняются в двух вариантах СЕТB падает, СЕТB растет.
Третий случай – СЕТA (ПРA) и СЕТB (ПРB) изменяются одновременно в одном и том же направлении и в одной и той же пропорции, в двух вариантах СЕТA и СЕТB падают, СЕТA и СЕТB растут.
Четвертый случай – сочетание предыдущих комбинаций.
Приведем простейшую табличную иллюстрацию трех случаев (табл. 2 – 4)..
Таблица 2. Первый случай динамики относительной стоимости

t
СТМA
ПСA,QA
ПРA
СЕТA
СТМB
ПСB,Qb
ПРB
СЕТB
ОСЕТA,
pAB
СЕТA сокращается, ПРA растет, ПРB и СЕТB – const
1
10
1
0,1
10
10
12
1,2
0,8
12
2
10
2
0,2
5,0
10
12
1,2
0,8
6
3
10
3
0,3
3,3
10
12
1,2
0,8
4
6
10
6
0,6
1,7
10
12
1,2
0,8
2
12
10
12
1,2
0,8
10
12
1,2
0,8
1
Таблица 3. Второй случай динамики относительной стоимости

t
СТМA
ПСA,QA
ПРA
СЕТA
СТМB
ПСB,Qb
ПРB
СЕТB
ОСЕТA, pAB
СЕТA и ПРA – const, СЕТB падает, ПРB растет
1
10
12
1,2
0,8
10
1
0,1
10
0,1
2
10
12
1,2
0,8
10
2
0,2
5
0,2
3
10
12
1,2
0,8
10
4
0,4
2,5
0,3
4
10
12
1,2
0,8
10
6
0,6
1,7
0,5
12
10
12
1,2
0,8
10
12
1,2
0,8
1
Таблица 4. Третий случай динамики относительной стоимости

t
СТМA
ПСA,QA
ПРA
СЕТA
СТМB
ПСB,Qb
ПРB
СЕТB
ОСЕТA, pAB
ПРA и ПРB растут в одной и той же пропорции, СЕТA и СЕТB сокращаются
1
10
1
0,1
10
10
2
0,2
5
2
2
10
2
0,2
5
10
4
0,4
2,5
2
3
10
4
0,4
2,5
10
8
0,8
1,3
2
4
10
8
0,8
1,3
10
16
1,6
0,6
2
5
10
16
1,6
0,6
10
32
3,2
0,3
2
Вторые варианты не приводятся: их можно получить, взяв обратную последовательность временных периодов.


Сравнение динамики относительной цены и стоимости единицы товара по периодам времени показывает, что корреляция имеет место только в первом случае. Во втором случае цена растет, СЕТA неизменна, в третьем – цена неизменна, СЕТA падает (Рисунок 5).
Действительные изменения величины стоимости не отражаются… достаточно ясно и полно в относительном выражении величины стоимости, или в величине относительной стоимости52.

На нижних графиках представлена кривая стоимости единицы товара, на верхних – кривая относительной стоимости (цены) единицы товара. На нижних – динамика стоимости в абсолютном измерении (в ч ОНРВ), на верхних – та же динамика, но в относительном измерении (в количестве ПСB).


Общее соотношение кривой стоимости и кривой относительной стоимости (кривой цены). Циферблат кривой относительной стоимости (цены)
Формула относительной стоимости (цены)
содержит алгоритм построения кривой цены на основе кривой стоимости.
1. Если известно расположение кривой стоимости единицы товара (кривой СЕТ) в координатах Стоимость – Временные периоды, то значения ординат кривой относительной стоимости (цены) с теми же абсциссами на графике в координатах Цена – Временные периоды получаются путем умножения значений точек кривой СЕТ на коэффициент
, где B – товар-эквивалент.
2. Если известно расположение кривой СЕТ в координатах Стоимость – Потребительная стоимость, то значения ординат кривой цены с теми же абсциссами на графике в координатах Цена – Потребительная стоимость получаются путем умножения значений точек кривой СЕТ на коэффициент
, где B – товар-эквивалент.
Все возможные варианты расположения кривой стоимости единицы товара в координатах СТ – ПС были рассмотрены при анализе комбинаций факторов товара. На циферблате кривой стоимости было показано, что кривая может представлять собой точку или прямую с направленностью от 0 до 360.
Все кривые стоимости на циферблате кривой стоимости превращаются в кривые цены путем умножения значения каждой точки на
. Полученные таким образом значения цены откладывHются по оси цен, при тех же значениях абсцисс (ПС), что и на графике стоимости (Рисунок 6).
1. Если СЕТB неизменна, то цена рAB пропорциональна стоимости СЕТA. Форма кривой стоимости и ее направленность сохраняется на графике цены с другой осью Y – осью
, или рAB. Если принять СЕТB за единицу, то мы получим идентичные графики в двух различных системах координат – СТA – ПСA и рAB – ПСA.
Это правило действует как для относительной, так и для денежной цены. В последнем случае коэффициент, на который умножается значение стоимости единицы товара, равен
, где СЕД – стоимость денежной единицы.
2. Если СЕТB меняется, то цена рAB или рA не пропорциональна стоимости СЕТA. По сравнению с графиком стоимости график цены деформируется в зависимости от изменения СЕТB или СЕД.
Рассмотрение всех вариантов расположения формы стоимости, или кривой цены в координатах Цена – Временные периоды и Цена A – Потребительная стоимость A – представляет собой объемную математическую задачу, решение которой выходит за рамки учебника.









Ограничимся элементарным вариантом – рассмотрением графиков кривой цены при неизменной стоимости единицы товара-эквивалента (стоимости денежной единицы) в координатах СТ – ПС.


Рисунок 6, а воспроизводит циферблат кривой СЕТ, который рассматривался ранее (Рисунок 4). На графике отражены все возможные расположения кривой СЕТ и ее направленность при той или иной комбинации факторов товара – стоимости товарной массы, стоимости единицы товара, потребительной стоимости и производительной силы общественного труда.
Преобразование этого графика в график кривых относительной стоимости или цены (pAB, pA) осуществляется путем умножения каждой точки кривой СЕТ на коэффициент
, где B – товар-эквивалент. В условиях денежной формы стоимости коэффициентом служит
. В нашем элементарном случае СЕТB (или СЕД) принимается за постоянную величину, при том что СЕТB (или СЕД) равна 1 ч ОНРВ.





    Экономика: Знания - Циклы - Макроэкономика