Макроэкономика II. Курс лекций


Раздел 1. Макроэкономический анализ инвестиций
1.1. Понятие инвестиций

В данном разделе рассматриваются инвестиции, которые являются важнейшей составной частью ВВП. Например, в России 2002 г. общий объем инвестиций (инвестиции в основной капитал, затраты на капитальный ремонт, инвестиции в нематериальные активы и инвестиции в прирост запасов материальных оборотных средств и инвестиции в другие нефинансовые активы) составляли 1660,5 млрд. руб. или примерно 15 % валового внутреннего продукта равного в том же году 10863,4 млрд. руб. [1].
В США инвестиции составляют также примерно 20 % от ВВП. Значение инвестиций определяется не только их объемом, но и их ролью в деловом цикле.
Значительная часть экономистов считает, что обновление основного капитала и связанные с этим изменения величины инвестиций в основной капитал оказывают значительное влияние на формирование делового цикла ВВП: рост инвестиций в основной капитал способствует началу подъема производства ВВП, а их сокращение приводит к началу кризиса.
Существует различие в понимании инвестиций в системе баланса народного хозяйства (БНХ) и в системе национальных счетов (СНС). БНХ представляет собой статистическую систему, использовавшуюся в России в советский период.
Это различие приводит соответственно к отличающимся методам определения инвестиций в этих системах.
В БНХ под инвестициями или капитальными вложениями понимались инвестиции в основной капитал (или в основные фонды в соответствии с терминологией российской статистики). Капитальные вложения в БНХ - это инвестиции на простое и расширенное воспроизводство машин, оборудования, зданий, сооружений и передаточных устройств.
Именно в такой трактовке капитальные вложения даны во всех статистических сборниках, относящихся к советскому периоду и к начальному периоду экономических реформ в России.
В БНХ в состав инвестиций не включались затраты на капитальный ремонт основных фондов и затраты на прирост запасов и резервов материальных оборотных фондов.
СНС трактует инвестиции более широко. В этой системе инвестиции состоят из следующих составных элементов: 1) инвестиции в прирост запасов и резервов материальных оборотных фондов; 2) инвестиции в основной капитал, включая затраты на капитальный ремонт; 3)инвестиции в жилищное строительство.
В данном разделе мы сосредоточимся на анализе инвестиций в основной капитал.

1.2. Инвестиции в основной капитал.

Как уже было отмечено выше, в СНС под инвестициями в основной капитал понимаются затраты на простое и расширенное воспроизводство, а также затраты на капитальный ремонт машин и оборудования, зданий, сооружений и передаточных устройств.
В российской экономической литературе принято структурировать инвестиции в основной капитал двумя способами.

  1. Рассматривается воспроизводственная структура, под которой в теории понимается деление инвестиций в основной капитал на две части:
  • инвестиции, обеспечивающие простое воспроизводство основного капитала , то есть его воспроизводство в прежнем объеме;
  • инвестиции, обеспечивающие расширенное воспроизводство основного капитала, то есть его воспроизводство в увеличивающемся объеме.
В российской статистике под воспроизводственной структурой инвестиций в основной капитал понимается их деление на следующие части:

  • на новое строительство;
  • на расширение действующих предприятий;
  • на техническое перевооружение и реконструкцию действующих предприятий.
Такое понимание воспроизводственной структуры, принятое в российской статистике, не корректно с теоретической точки зрения, так как, например, введенное в действие новое предприятие может заменить ликвидированное с таким же объемом производства и, таким образом, обеспечить лишь простое воспроизводство основного капитала.
2) Под технологической структурой инвестиций в основной капитал понимается их деление на следующие составляющие:

  • инвестиции в активную часть основного капитала (в машины и оборудование);
  • строительно-монтажные работы или инвестиции в пассивную часть основного капитала (в здания и сооружения);
  • прочие капитальные работы и затраты.
Макроэкономический анализ инвестиционного процесса в российской экономической литературе и в статистике проводится с использованием также таких показателей как ввод в действие основных фондов и незавершенное строительство. Под вводом в действие основных фондов (основного капитала) понимается стоимость законченных строительством и введенных в действие в данном периоде времени зданий, сооружений, машин, оборудования и некоторые другие составляющие.
Объем незавершенного строительства на определенный период времени представляет собой совокупность объектов, строительство которых не закончено в данный момент времени.
В упрощенном виде связь между инвестициями в основной капитал, вводом в действие основных фондов и величиной незавершенного строительства описывается следующим соотношением:

Макроэкономика II. Курс лекций



где Nfa(t) - величина незавершенного строительства на конец года t;
Ifa(t) - величина инвестиций в основной капитал в году t;
B(t) - величина ввода в действие основных фондов (основного капитала) в году t.
1.2.1. Инвестиции в основной капитал как один из факторов долгосрочного экономического роста

В анализе инвестиций в основной капитал необходимо отметить, что они представляют собой один из важнейших факторов, определяющих экономический рост в долгосрочном плане.
В наиболее обобщенном виде производственная функция, описывающая экономический рост в долгосрочном плане, может быть представлена следующим образом:
Y = f(K, L, A) (1.2)
где Y – ВВП;
K – основной капитал;
L – величина трудовых ресурсов;
A – переменная, отражающая влияние внедрения новых технологий на экономический рост ( влияние научно – технического прогресса на производство).
Поскольку основной капитал является важнейшим фактором экономического роста, постольку инвестиции, обеспечивающие его воспроизводство, также в значительной степени предопределяют траекторию экономического развития в долгосрочном плане. Проиллюстрируем это с использованием модифицированной производственной функции.
Производственная функция может быть записана в терминах производства продукции и затрат капитала на одного работника. Такой подход реализован в модели экономического роста Солоу.
Запишем производственную функцию для этой модели следующим образом.

y = A * f (k) (1.3)
где y – производство ВВП на одного работника;
k – капиталовооруженность труда, k = K/L.
Графическое изображение функции (1.3) показано на Графике 1.1











График 1.1. Производственная функция в модели Солоу.

Из графика 1.1 видно, что производственная функция в модели Солоу построена при предположении о том, что предельная производительность капитала убывает по мере увеличения капиталовооруженности. Это – первое предположение модели Солоу.
Второе предположение заключается в том, что в данной модели рассматривается закрытая экономика.
Пусть – инвестиции в основной капитал на одного работника. В терминах удельных показателей они равны тому объему продукции, который производится на одного работника за минусом потребления, приходящегося на одного работника1 (при предположении об отсутствии государственных расходов): = y – c. При названных предположениях, удельные инвестиции связаны с нормой сбережения следующим соотношением:

= y – c = s*y = s*A*f(k) (1.4)
где s – норма сбережения на одного работника.
Пусть (k) – величина возмещения выбытия капитала на одного работника. Тогда устойчивым уровнем капиталовооруженности k*называется ее значения, при котором ее уровень не меняется, то есть инвестиции в основной капитал обеспечивают его простое воспроизводство.

= s*y = (k) (1.5a)
Следовательно, прирост капиталовооруженности равен нулю:
k = - (k) = 0 (1.5b)
Устойчивый уровень капиталовооруженности зависит от нормы сбережения s. При прочих равных условиях, чем выше s, тем выше устойчивый уровень k*.
Пусть удельная норма сбережения s2 s1. Тогда для второго значения нормы сбережения устойчивый уровень капиталовооруженности будет выше: k2* k1* (см.
График 1.2).
Увеличение капиталовооруженности имеет двоякие последствия. С одной стороны, растет производство. С другой стороны, все большая часть продукции идет на обеспечение возмещения выбывающего капитала. С точки зрения экономической политики интересен тот случай устойчивой капиталовооруженности, который обеспечивает максимальное потребление на одного работника. Устойчивый уровень капиталовооруженности k**, при котором достигается это максимальное потребление на одного работника, называется золотым уровнем капиталовооруженности.
Он обеспечивает золотой уровень накопления капитала.












График 1.2. Большему значению нормы сбережений на одного работника соответствует больший уровень устойчивой капиталовооруженности.
Золотой уровень капиталовооруженности достигается в точке касания линии, идущей параллельно линейной функции (k) (см. График 1.3), производственной функции y. Значения капиталовооруженности, находящиеся справа от k**, не обеспечивают прирост потребления на одного работника.

Далее начинается отток капитала из страны.


Дефицит торгового баланса и счета текущих операций будет уравновешиваться профицитом счета операций с капиталом.
2.5. Анализ последствий использования инструментов монетарной и фискальной политики в условиях абсолютной мобильности капитала и фиксированного обменного курса национальной валюты


Рассмотрим ситуацию, когда правительство сокращает денежную массу в стране, например, в целях борьбы с инфляцией. В исходной точке E1 платежный баланс сбалансирован (BP = 0 – см.
График 2.4). В результате применения такой ограничительной меры линия LM перемещается из положения LM1 в положение LM2 и норма процента в новой равновесной точке E2 поднимается выше ее значения на международных финансовых рынках (i2 if).

График 2.4. Последствия увеличения и сокращения денежной массы в условиях абсолютной мобильности капитала и фиксированного обменного курса национальной валюты.











После перемещения экономики в точку E2 в страну начинается приток капитала, при прочих равных условиях платежный баланс становится положительным и возрастает спрос на национальную валюту. В условиях фиксированного обменного курса Центральный банк начинает скупать иностранную валюту за национальную валюту данной страны, что приводит к росту предложения денег.
Линия LM начинает движение в обратном направлении из положения LM2 в направлении LM1 до тех пор, пока внутренняя норма процента не сравняется с ее значением на международных финансовых рынках (i = if).

При монетарной экспансии линия LM первоначально перемещается из положения LM1 в положение LM3 и норма процента становится ниже международной (i3 if). Далее начинается отток капитала из страны.
Платежный баланс при прочих равных условиях становится пассивным (BP 0). Для поддержания фиксированного обменного курса центральный банк начинает скупать национальную валюту у нерезидентов. В результате этого денежная масса в стране начинает сокращаться и линия LM начинает движение в обратном направлении к LM1 до тех пор, пока внутренняя норма процента не сравняется с международной.
Величина равновесного ВВП приблизится к исходному уровню.
Следовательно, в условиях фиксированного валютного курса и абсолютной мобильности капитала никакая страна не может проводить независимую кредитно – денежную политику, а норма процента внутри страны будет весьма близка среднемировому уровню. Монетарная экспансия в таких условиях является малоэффективной.
При тех же условиях рассмотрим влияние фискальной экспансии. Пусть правительство увеличивает государственные затраты A. В результате этого линия IS перемещается из положения IS1 в положение IS2 (см.
График 2.5). Норма процента i2 становится выше нормы процента на международных рынках.













График 2.5. Последствия фискальной экспансии в условиях абсолютной мобильности капитала и фиксированного обменного курса национальной валюты.














В страну начинается приток капитала, платежный баланс при прочих равных условиях становится активным (BP 0). Центральный банк начинает скупать избыток иностранной валюты за национальные деньги.
В результате предложение денег в стране возрастает и линия LM перемещается из положения LM1 в положение LM2, до тех пор пока равновесная внутренняя норма процента не сравняется с международной. В равновесной точке E3 величина ВВП Y3 Y2 и существенно больше первоначального значения ВВП Y1.

Следовательно, в условиях абсолютной мобильности капитала и фиксированного валютного курса фискальная политика весьма эффективна.

2.6. Анализ последствий воздействия шоков на экономику в условиях абсолютной мобильности капитала и плавающего обменного курса национальной валюты


Предположим, что цены внутри страны стабильны, а валютный курс является плавающим. При этих условиях центральный банк не осуществляет валютных интервенций и сальдо платежного баланса равно нулю, так как дефицит платежного баланса по счету текущих операций финансируется за счет положительного сальдо по счету операций с капиталом.
Положительное сальдо по счету текущих операций компенсируется оттоком капитала по счету операций с капиталом и финансовыми инструментами.

Разъясним сказанное на примере. Пусть имеется отрицательное сальдо по счету текущих операций платежного баланса за счет того , что чистый экспорт отрицателен (Ex Im). В этих условиях резидентам требуется купить дополнительную валюту на валютном рынке для расчетов с поставщиками импортных товаров и услуг – нерезидентами.
Спрос на иностранную валюту растет, увеличивается предложение национальной валюты, и она обесценивается (растет величина реального валютного курса RE). Обесценение национальной валюты стимулирует экспорт и снижает импорт.
В результате линия IS на графике 2.6 смещается из положения IS1 в положение IS2, так как. чистый экспорт увеличивается (или снижается его отрицательная величина). Равновесный продукт и норма процента возрастают. В новой равновесной точке E2 внутренняя норма процента выше ее значения на международных рынках.
Поэтому в страну начинается приток капитала из за рубежа, сальдо счета операций с капиталом платежного баланса становится положительным, что компенсирует отрицательное сальдо по счету текущих операций. Кроме того, нужно помнить, что в результате обесценения национальной валюты сокращается отрицательное сальдо счета текущих операций.













График 2.6. Отрицательное сальдо счета текущих операций в условиях плавающего курса компенсируется положительным сальдо по счету операций с капиталом.














В условиях плавающего обменного курса национальной валюты у центрального банка отпадает необходимость в валютных интервенциях и появляется возможность регулировать денежную. массу, то есть проводить независимую кредитно – денежную политику.



Влияние изменения реального валютного курса



Из уравнения (2.8) видно, что реальный валютный курс RE является одним из факторов, определяющих величину совокупного спроса. Следовательно, RE определяет положение линии IS на графике. Обесценение национальной валюты (рост RE) в условиях неизменных , и f означает, что цены на иностранные товары, выраженные в валюте данной страны (например, в рублях) возросли относительно цен на аналогичные товары, произведенные в данной стране. Это приводит к росту конкурентоспособности товаров данной страны и при прочих равных условиях – к росту чистого экспорта.
В результате линия IS перемещается параллельно вправо (IS1 > IS2, см. график 2.7). Удорожание национальной валюты (снижение RE) приводит к уменьшению чистого экспорта и сдвигу линии IS параллельно влево (IS1 > IS3).













График 2.7. Влияние изменение реального обменного курса на положение линии IS в модели Манделла – Флеминга.













Увеличение спроса на мировых рынках на товары, производимые в данной стране


Пусть экономика находится в исходной точке E1 (см. график 2.8). Рост мирового спроса на товары данной страны приводит к увеличению чистого экспорта и смещению линии IS из положения IS1 в положение IS2. В новой равновесной точке E2 казалось бы достигнуто равновесие на рынке товаров и денег.
Однако, вследствие увеличения дохода, растет спрос на деньги, что приводит к росту равновесной нормы проценты выше международного уровня. Следовательно, в точке E2 нарушено внешнее равновесие экономики и если эта точка и будет достигнута, то на краткий период времени. При движении экономики от точки E1 к точке E2 в данную страну начнется приток капитала из за рубежа.
Вследствие этого национальная валюта подорожает и начнется снижение чистого экспорта Nx. Экономика начнет обратное движение от линии IS2 к линии IS1 до тех пор пока внутренняя норма процента не станет равной норме процента на международных финансовых рынках.
Равновесный ВВП вернется к исходному уровню Y1.











График 2.8. Влияние на экономику увеличения спроса на мировых рынках на товары, производимые в данной стране, оказывается краткосрочным











Следовательно, в условиях абсолютной мобильности капитала стимулирующее воздействие роста экспорта на равновесный объем ВВП оказывается краткосрочным.


Фискальная экспансия


Рассмотрим последствия влияния на экономическую систему фискальной экспансии, выражающейся в уменьшении налоговых ставок. В этой ситуации линия IS изменит свое положение на графике путем разворота из положения IS1 в более пологое положение IS2 (см. график 2.9). Как и в предшествующем случае, при прочих равных условиях норма процента возрастет выше международного уровня, национальная валюта подорожает и произойдет снижение чистого экспорта.
Линия IS начнет обратное движение в направлении IS1, но уже имея другой наклон, так в экономке изменились налоговые ставки. В результате линия IS стабилизируется в положении IS3 .


















График 2.9. Влияние на экономику снижения налоговых ставок – фискальная экспансия при заданных условиях малоэффективна.

















Вывод из приведенного выше краткого анализа состоит в том, что фискальная экспансия при абсолютной мобильности капитала и плавающем валютном курсе малоэффективна в отличие от случая, когда валютный курс фиксирован.

Адаптация к монетарной экспансии


РассмотрPм ситуацию увеличения количества реальных денег в экономике.




Динамический аспект в принятии решений



3.6. Динамический аспект в принятии решений в области экономической политики

Каждое решение в области экономической политики представляет собой звено в цепи последовательно принимаемых решений. В связи с этим возникает о том, какова должна быть последовательность решений, насколько точно политики должны следовать объявленным планам и правилам или они могут без существенных последствий для экономического развития менять правила игры в экономической системе в зависимости от обстоятельств.
Рассмотрим ситуацию, когда после выборов в стране к власти пришло новое правительство, которое сформулировало последовательность действий в области экономической политики, рассчитанных на определенный период времени. Обычно последовательность таких действия декларируется председателем правительства или резидентом страны на год и на среднесрочную перспективу (3-5 лет).
Последовательность действий в области кредитно – денежной политики во многих странах, включая Россию, объявляется председателем центрального банка.
Однако в ходе выполнения намеченных мер условия в экономике страны и в мире могут измениться. В связи с этим возникает вопрос, следует ли правительству придерживаться первоначально сформулированного плана или оно должно менять про декларированные им правила по ходу пьесы?
Эту задачу принято называть проблемой совместимости во времени экономической политики.
Рассмотрим случай, когда правительству необходимо выбрать вариант денежной политики на определенный период времени, а профсоюзам – заключить соглашение с правительством о темпе роста заработной платы в том же периоде. При этом профсоюзы стремятся сохранить величину реальной заработной платы, а правительство ставит своей целью снизить в стране безработицу. Предполагается, что изменение денежной массы оказывает воздействие на темп роста цен и, следовательно, на величину реальной заработной платы. Профсоюзы и правительство предпочитают меньшую инфляцию большей.
Однако для правительства снижение безработицы является приоритетной целью.
Пусть правительство провозглашает политику низких темпов прироста денежной массы ML. Профсоюзы верят этой декларации и подписывают соглашение с правительством, устанавливающий прирост заработной платы на низком уровне WL. Таким образом, при предположении о том, что инфляция зависит от темпов прироста заработной платы, правительство достигает низкой инфляции L. Однако, как это было отмечено выше, приоритетом для правительства является снижение безработицы.
У него появляется соблазн не выполнить свои обязательства относительно низких темпов прироста денежной массы и попытаться достигнуть более высоких темпов роста ВВП и снижения безработицы посредством монетарной экспансии MH ML. При этом реальная инфляция H будет выше согласованной с профсоюзами величины: H L.
В краткосрочном плане правительство может достигнуть своих целей, пойдя на обман профсоюзов. Однако в дальнейшем профсоюзы не будут доверять провозглашенной правительством политике и если оно вновь про декларирует политику низких темпов прироста денежной массы и невысоких темпов роста цен, профсоюзы будут настаивать на высоких темпах прироста заработной платы WH.
Равновесное состояние в экономике будет достигаться в этом случае при более высокой инфляции.
В рассмотренном примере в терминах теории игр стратегия MH является совместимой во времени стратегией5 органов государственного управления, которые выбирают в каждый момент времени наилучшую для этого момента экономическую политику.
Стратегия ML несовместима во времени, но она оптимальна поскольку при соблюдении правительством правил игры в конечном итоге общество достигает лучших результатов. Например, повышается занятость при достаточно низкой инфляции.
При несоблюдении правительством правил игры первоначальный эффект, достигнутый в результате обмана, затем сводится на нет и экономика достигает равновесного состояния при высокой инфляции H и низкой занятости.
В связи с этим многие экономисты ставили вопрос о необходимости законодательного принуждения правительства выполнять ту политику, которую оно официально провозгласило, в том числе обязательств придерживаться политики низкой инфляции, избегая получения дополнительного сеньоража в краткосрочном плане. В США, например, в 1985 г. Конгрессом был принят закон, устанавливавший абсолютный размер максимального дефицита государственного бюджета на период 1986 – 1995 гг.
Другим часто приводимым примером, подтверждающим необходимость выполнения правительством принятых на себя перед обществом обязательств в области экономической политики, является соблюдение объявленных правил в области налогообложения. Невыполнение субъектами экономики своих обязательств в области налогообложения во многих странах карается жесткими мерами наказания, включая уголовную ответственность.
Однако, как показывает история, при слабых правительствах многие компании и граждане уклоняются от уплаты налогов полностью или частично. Например, такие факты в массовых масштабах имели место в России в первой половине 90-х годов. В условиях, когда правительство сталкивается со значительным дефицитом государственного бюджета, а методы прямого финансирования дефицита ограничены уже имеющейся высокой инфляцией, часто ставится вопрос о проведении так называемой налоговой амнистии. В частности, такой вопрос неоднократно обсуждался в России в период проведения экономических реформ после 1992 г. При налоговой амнистии в случае уплаты налогоплательщиками части налогов за прошлый период оставшаяся часть, а также различные штрафы прощаются государством. В результате этой совместимой во времени политики в краткосрочном плане правительство имеет положительный результат – дополнительный не инфляционный доход государственного бюджета.
Однако стратегия поведения правительства должна состоять в несовместимой во времени, но оптимальной политике, исключающей налоговые амнистии. При рассмотрении экономической политики в динамике, как цепи последовательно принимаемых решений, отказ от налоговых амнистий даст положительный результат, состоящий в том, что значительная часть налогоплательщиков постепенно поймет необходимость уплаты налогов в большем или в полном объеме.
Это в течение нескольких лет принесет большие доходы государственному бюджету, чем полученное в результате амнистии их краткосрочное увеличение. При использовании налоговых амнистий наоборот, те кто платил налоги раньше, перестанет делать это, надеясь на то, что будущем им также это простят.
В конечном итоге за период из нескольких лет при прочих равных условиях правительство будет иметь меньший доход.
Примером обратной ситуации, когда изменения экономической политики обязательны, являются различного рода форс – мажорные обстоятельства такие как эмбарго на поставку нефти западным странам, объявленное арабскими странами во время арабо – израильской войны 1973 г. или последствия террористического акта в США 11 сентября 2001 г.
Вывод из проведенного краткого анализа динамического аспекта принятия решений в области экономической политики состоит в том, что правительствам при отсутствии форс – мажорных обстоятельств следует максимально избегать изменений в объявленных обществу правилах игры в экономике. Краткосрочные выгоды от изменения экономической политики по сравнению с провозглашенными планами, в перспективе оборачиваются недоверием общества к декларациям правительства, что является фактором, снижающим эффективность воздействия на экономику политических решений, и уменьшает вероятность достижения поставленных целей.

3.7. Некоторые важнейшие результаты позитивной теории экономической политики

В данном разделе мы сосредоточились в основном на нормативной теории экономической политики и ее результатах. Обратимся к некоторым важнейшим результатам позитивной теории, объясняющим ряд существенных аспектов в поведении правительств различных стран в последние десятилетия.
1. Результаты исследований Эдварда Тафла и Уильяма Нордхауса показали, что во многих демократических странах имеет место политический бизнес-цикл. Сдерживающая фискальная и монетарная политика проводилась обычно в первые годы после выборов.
В предвыборный период практически всегда применялись экспансионистские приемы (рост государственных расходов, снижение налогов и т.д.) в надежде на получение дополнительных голосов избирателей на выборах.
2. Анализ, выполненный Джефри Саксом и некоторыми другими исследователями, показал, что коалиционные правительства, включающие предсZавителей нескольких партий, из-за внутренних разногласий с большим трудом принимают ограничительные меры (снижение государственных расходов, уменьшение темпов роста денежной массы и т.д.).
3. В странах, где происходит частая смена правительств, и к власти приходят различные политически группировки, наблюдается большая склонность к фискальной экспансии, чем в странах со стабильными правительствами.
4. Многие правительства сосредотачивают свою деятельность на улучшении результатов экономического развития в период их правления, не обращая должного внимания на долгосрочные последствия принимаемых решений.



Функция социальных потерь в системе координат


В связи с этим в анализ вводится функция социальных потерь, которая может быть сформулирована следующим образом.
L = ( Y – Y*)2 + ( – *)2, (3.22)


где Y*, * - оптимальные значения изменения ВВП и инфляции.

Возведение в квадрат разницы между фактическим и оптимальным значением изменения целевых показателей является стандартным приемом, позволяющим избежать взаимного “поглощения” отклонений с различными знаками. Например, может иметь место ситуация, когда ( Y – Y*)0, а ( – *)0 и сумма этих показателей может быть существенно ниже, чем каждое слагаемое в отдельности.
В более общем виде функция социальных потерь может быть описана следующим образом.

L = ( Y – Y*)2 + *( – *)2, (3.23)


где 0 – весовой коэффициент, который показывает, достижение какой цели является более приоритетным для правительства. Например, при 1 более важным является достижение цели по снижению инфляции.
При 1 – более приоритетна цель по изменению ВВП.

Для приведенного в пункте 3.2 примера функция социальных потерь будет иметь следующий вид.

L = ( Y)2 + *( + 4)2, (3.24)


Пусть L = L02. Тогда при предположении о том, что = 1, уравнение (3.24) будет иметь вид.


L02 = ( Y)2 + ( + 4)2, (3.25)


Точкой блаженства, в которой социальные потери равны нулю, будет точка с координатами Y = 0 и = -4.

Дадим геометрическую интерпретацию функции социальных потерь. Кривая безразличия функции социальных потерь L02 представляет собой окружность радиуса L0 с центром в точке блаженства A с координатами (-4, 0) (см. График 3.1).
В случае больших потерь L12 L02 кривая безразличия представляет собой большую окружность c тем же центром и с радиусом L1.
График 3.1. Функция социальных потерь в системе координат ( , Y) представляет собой кривую безразличия с некоторым радиусом Ln.














Линия T на Графике 3.1 представляет собой графическое изображение функции, описываемой уравнением (3.21). Она показывает то реальное ограничение, с которым сталкивается правительство при реализации своих попыток снизить инфляцию.
Поскольку идеальной точкой для органов управления экономикой является точка блаженства, постольку целью правительства является максимальное приближение к ней. Очевидно, что такое максимальное приближение будет иметь место в точке касания кривой безразлиия L02 и линии T. На Графике 3.1 это точка B. В данном примере L02 является ближайшей к точке блаженства А кривой безразличия, касающейся линии Т.

В точке B достигается компромисс. Инфляция заметно снижается, хотя и не на оптимальную величину. Одновременно на незначительную величину - YB уменьшается ВВП, что является своеобразной платой общества за уменьшение темпов роста цен.
В случае достижения нулевой инфляции эта плата была бы слишком велика, так как ВВП снизился бы на значительно большую величину - YA.

3.4. Модель экономической политики в условиях неопределенности


В проведенных выше рассуждениях о выборе наилучшей экономической политики мы абстрагировались от фактора неопределенности. В действительности органы управления экономикой имеют дело со стохастической системой и не могут точно оценить последствия принимаемых ими решений. В частности, если оценить с помощью методов математической статистики значение коэффициентов a1, a2, b1, b2 в уравнениях (3.13), (3.14), имея данные о динамических рядах показателей этих уравнений в ретроспективе, это не означает, что в будущем эти коэффициенты будут иметь такие же значения.
Большую роль во влиянии инструментов экономической политики на динамику целевых показателей имеют временные лаги. Например, увеличение государственных затрат окажет влияние на темп роста ВВП лишь через определенной время.
При этом значение этого временного интервала также является стохастической величиной. Наконец, на экономическую систему воздействуют различного рода экзогенные факторы: природные катаклизмы (засухи, наводнения, землетрясение и т.д.) войны, терроризм и др.

Простейшая модель экономики с одним целевым показателем Y*0 и с использованием одного инструмента экономической политики M с учетом неопределенности может быть записана следующим образом.

Y = * M + , (3.26)

где – случайная величина, отражающая воздействие на Y прочих неучтенных в явном виде факторов. Эффект влияния на Y величины суммируется с эффектом влияния изменения денежной массы.
Поэтому такого рода случайные величины характеризуют аддитивную неопределенность.
Коэффициент также является случайной величиной. Поэтому невозможно точно спрогнозировать влияние изменения денежной массы на динамику ВВП.
Однако, в отличие от , коэффициент умножается на величину изменения денежной массы и принято говорить, что такого рода случайные величины отражают влияние мультипликативной неопределенности.
Одна из возможностей для органов управления экономикой состоит в применении для оценки последствий использования инструментов экономической политики средних значений случайных величин и . Однако, в действительности они могут оказаться ниже своих средних значений и ожидаемое изменение ВВП не будет достигнуто или выше средних значений и ВВП изменится больше, чем это планировалось. Например, темп роста продукта будет выше прогнозного и произойдет “перегрев” экономики, что в будущем чревато негативными последствиями.
Величина умножается на изменение инструментов экономической политики. Поэтому влияние мультипликативной неопределенности на достижение конечных целей экономической политики намного сильнее, чем влияние аддитивной неопределенности.
Исследования показали, что при принятии решений органы управления могут ориентироваться на средние значения случайной величины , характеризующей аддитивную неопределенность. Однако со случайной величиной следует быть намного осторожней.
Ее значение при оценке последствий влияния инструментов экономической политики в будущем следует принимать ниже среднего [4].

3.5. Критика теории экономической политики Робертом Лукасом


В середине 70-х годов профессор Чикагского университета Роберт Лукас подверг серьезной критике теорию экономической политики Тинбергена и поставил под сомнение саму возможность использования результатов расчетов по укрупненным эконометрическим моделям при принятии решений в области экономической политики [5].

В макроэкономических моделях предполагается, что определенные на основе ретроспективного анализа динамических рядов коэффициенты в уравнениях, описывающих связь между инструментами экономической политики и целевыми показателями, являются стабильными величинами, которые могут быть использованы при прогнозировании.
Р. Лукас оспаривает этот принципиальный тезис. Он говорит, что в условиях отсутствия заметных изменений в экономической политике полученные коэффициенты уравнений связи инструментов экономической политики с целевыми показателями могут достаточно корректно описывать поведение экономики. Однако, при существенном изменении экономической политики, значения коэффициентов в эконометрических моделях могут измениться (в нашем случае это значение коэффициентов a1, a2, b1, b2 в уравнениях (3.1), (3.2)). Этот факт может обнаружиться позже во время переоценки коэффициентов модели.
Следовательно, политики будут принимать решения, основываясь на результатах расчетов по модели, где количественные взаимосвязи описаны некорректно.
В соответствии с подходом, предлагаемым Р. Лукасом, центральной проблемой является то, как в моделях трактуются ожидания. В эконометрических моделях ожидаемые значения прогнозных покHзателей формируются на основе функций, построенных на ретроспективной информации.
Как уже было отмечено, при резкой смене экономической политики эти функции могут дать недостоверные значения ожидаемых (прогнозных) переменных.
Поясним сказанное на простом примере. С помощью методов математической статистики можно оценить параметры уравнения связи ВВП (Y) и прироста денежной массы (M) в данном периоде относительно предыдущего.

Y = b0 + b1*(M – M-1), (3.27)


В соответствии с подходом, разработанным Тинбергеном, полученные коэффициенты b0, b1 можно использовать для определения влияние прироста денежной массы в будущем на динамику ВВП. Однако, в соответствии с подходом Лукаса модель (3.27) не следует применять для принятия решений в области экономической политики.
В соответствии с теорией рациональных ожиданий связь между величиной Y и величиной прироста денежной массы следовало бы оценивать следующим соотношением.


Y = g0 + g1*(M – Me), (3.28)

где Me – ожидавшаяся в предыдущем периоде величина денежной массы текущего периода.
Следовательно, если реальная величина денежной массы в данном периоде будет весьма близка в ожидавшемуся значению, то это не окажет (или почти не окажет) влияния на ВВП. Влияние на Y окажет лишь неожиданное отклонение денежной массы от ожидаемой величины.
Каковы выводы из критического анализа Р. Лукаса? Очевидно, что в эконометрических моделях все в большей степени должны находить отражение ожидаемые величины.
При этом возникает вопрос о методах их оценки. Вместе с тем, представляется неоправданным отказаться от использования эконометрического аппарата прогнозирования развития экономики для анализа последствий использования тех или иных инструментов экономической политики.



График функции чистого экспорта


m – коэффициента предельной склонности к импорту, показывающий, насколько вырастет импорт при увеличении дохода на единицу;
v – коэффициент, показывающий влияние изменения реального валютного курса на чистый экспорт, v 0: реальное обесценение национальное валюты (рост RE ) улучшает торговый баланс страны.
График 2.1. График функции чистого экспорта.











На графике 2.1 функция Nx1 построена для данного уровня дохода за рубежом и для заданного реального валютного курса. При низких значениях Y значение Nx велико, так как расходы на импорт малы. По мере увеличения дохода Y расходы на импорт возрастают, и чистый экспорт снижается.
Линия Nx тем круче, чем большее значение имеет коэффициент m. Увеличение дохода за рубежом является экзогенной (заданной извне) величиной и приводит к сдвигу линии чистого экспорта из положения Nx1 в положение Nx2. Аналогичное влияние на положение линии Nx оказывает обесценение национальной валюты, то есть рост величины RE.

Уравнение, описыващее состояние равновесия на рынке товаров для модели открытой экономики, выглядит следующим образом.

Y = A + cY – bi + Nx = A + cY – bi + X – mY + vRE, (2.7)


После простых преобразований получим уравнение линии IS для модели Манделла – Флеминга.


Y = 1/(s+m) *(A – bi + X + vRE), (2.8)


Где s = 1 – с – предельная склонность к сбережению. Величину 1/(s+m) принято называть мультипликатором открытой экономики, показывающим, какое воздействие на равновесный доход оказывает увеличение на единицу внутренних независимых затрат.

Из (2.8) следует, что реальное обесценение национальной валюты на единицу (рост RE на единицу) при прочих равных условиях приводит к увеличению равновесного дохода на величину v/(s+m).
В модифицированном уравнении линии IS в качестве дополнительных элементов автономных затрат включены экспорт, доход за рубежом (в неявном виде отражен в X), реальный валютный курс.
Рассмотрим пример того, как уменьшение реального валютного курса влияет на равновесный доход в модели IS–LM для открытой экономики.
В результате снижения RE цены иностранных товаров, измеренные в национальной валюте данной страны, уменьшаются. Иначе говоря, происходит удорожание национальной валюты данной страны, и стоимость произведенных в ней товаров за рубежом возросла, а цены импортных товаров в данной стране, выраженные в ее национальной валюте, снизились.















График 2.2. Последствия уменьшения реального валютного курса RE в модели Манделла – Флеминга.
Линия BP характеризует внешнее равновесие экономики, понимаемое как сбалансированность платежного баланса4.
















Следовательно, произошло снижение конкурентоспособности товаров данной страны, что при прочих равных условиях приводит к уменьшению равновесного дохода (см. График 2.2). Линия Nx параллельно сдвигается влево вниз.
На графике модели IS–LM для открытой экономики линия IS переходит из положения IS1 в положение IS2, а значение равновесного дохода изменяется от Y1 до Y2 (График 2.2 A).

Уравнение линии LM в модели Манделла – Флеминга записывается следующим образом.

Y = 1/k*(M/P + if), (2.9)

Где if – норма процента на международных финансовых рынках.
Уравнение (2.9) построено при предположении, что валютный курс является плавающим, и нет ограничений по перетоку капитала из страны в страну, то есть имеет место полная или абсолютная мобильность капитала. Это означает, что в условиях, когда процентные ставки в разных странах различны, нет причин, которые помешали бы перевести капитал из активов в одной стране в активы другой страны. Следовательно, предполагается, что степень интегрированности рынка капиталов очень высока и ни в одной стране процентные ставки не могут существенно отклоняться от ставок в других странах в течение длительного времени.
Например, если в какой – либо стране норма процента по ценным бумагам выше, чем в других странах, то с целью получения более высокого процента, туда будут переведены дополнительные капиталы, спрос на ценные бумаги возрастет, что приведет к росту их цены. В результате, норма процента по ценным бумагам начнет снижаться и стабилизируется на международном уровне.
Высокие процентные ставки в какой – либо стране порождают приток капитала в нее двумя путями: 1) покупка нерезидентами ценных бумаг, о чем было сказано выше; 2) приток из заграницы кредитных ресурсов, поскольку резиденты стремятся кредитоваться заграницей, где ниже ставки процента (в том числе и по кредитным ресурсам). Оба эти потока способствуют улучшению платежного баланса страны.
Наоборот, низкие процентные ставки при прочих равных условиях ухудшают платежный баланс в результате оттока капитала.
Следовательно, изменения монетарной или фискальной политики, приводящие к изменению процентных ставок, влияют на платежный баланс, что необходимо учитывать при принятии органами государственного управления соответствующих решений.
Из уравнения (2.9) видно, что равновесный для рынка активов уровень дохода Y определяется объемом реальной денежной массы и международным уровнем процентных ставок.
При предположении для равновесного состояния экономики о равенстве внутренней нормы процента норме процента на международных рынках приравняем правые части уравнений (2.8) и (2.9) и получим величину реального валютного курса, характеризующую состояние одновременного равновесия на рынке товаров и рынке активов.

RE = (s + m)/(k*v)*(M/P) + [(s + m)h + k*b]* if /k*v – (
График функции чистого экспорта
+ X)/v, (2.10а)


При том же предположении можно получить значение равновесного дохода для модели открытой экономики.

Y0 = [h/(k*b+h*(s+m)]* (
График функции чистого экспорта
+ X+v*RE)*h + b/[k*b+h*(s+m)]* M/P (2.10b)
Из (2.10a) видно, что фискальная экспансия, то есть рост
График функции чистого экспорта
, приводит к снижению RE или к удорожанию национальной валюты, а монетарная экспансия, то есть увеличение M/P приводит к росту RE или к обесценению национальной валюты.
Из (2.10b) видно, что фискальная экспансия, то есть рост
График функции чистого экспорта
, рост RE (обесценение национальной валюты) и увеличение экспорта, а также монетарная экспансия, то есть увеличение M/P, приводят, при прочих равных условиях, к росту равновесного дохода в открытой экономике.




2.4. Внутреннее и внешнее равновесие экономики и их сочетание





Каждая страна стремится к тому, чтобы иметь активный или нулевой платежный баланс. В случае, когда платежный баланс является отрицательным в течение длительного периода времени, золотовалютные резервы центрального банка начинают сокращаться и в перспективе это может привести к девальвации валюты данной страны.
Девальвация способствует повышению конкурентоспособности товаров данной страны, однако одновременно она представляет собой фактор экономической нестабильности, которая негативно отражается на экономическом развитии, так как в экономике повышается неопределенность, что всегда является фактором, снижающим инвестиционную привлекательность данной страны.

Под внешним равновесием мы будем понимать далее достижение сбалансированности платежного баланса, когда BP = 0. Внешнее равновесие достигается при условии, когда норма процента внутри страны равна норме процента за рубежом i = if . Луч, исходящий из точки if на оси ординат Графика 2.3, характеризует состояние внешнего равновесия.
В случае превышения нормы процента внутри страны над нормой процента на международных рынках в данную страну начинается приток капитала и при прочих равных условиях платежный баланс становится активным. Это происходит в точках выше луча, исходящего из точки if на Графике 2.3.
Дефицит платежного баланса имеет место в точках ниже вышеупомянутого луча.













График 2.3. Иллюстрация различных сочетаний внутреннего и внешнего не равновесия в экономике.














Под внутренним равновесием в данном разделе будет пониматься такое состояние экономики, когда имеет место сбалансированность рынка труда или безработица находится на естественном уровне ( Y = Y*), где Y* представляет собой величину ВВП при естественном уровне безработицы. На Графике 2.3 состояние внутреннего равновесия достигается в точках, расположенных на луче, исходящем из точки Y* на оси абцисс.
В точках правее луча, исходящего из Y*, имеет место избыточная занятость, в точках левее данного луча – безработица.

Внутреннее и внешнее равновесие одновременно достигается в точке пересечения лучей, исходящих из точки Y* на оси Y и точки if на оси i.
Сочетание различных состояний неравновесия показано на четырех полях Графика 2.3. Например, на поле 2 имеет место сочетание избыточной занятости и дефицита платежного баланса.
Выше мы показали, что величина нормы процента оказывает влияние на платежный баланс. С учетом этого обстоятельства и соотношения (2.6) уравнение (2.4.) может быть переписано в модифицированном виде.

BP = Nx(Y, Yf, RE) – KNx(i - if), (2.11)


где Yf – доход за рубежом.

Рост дохода в стране при прочих равных условиях приводит к росту импорта, снижению чистого экспорта и ухудшению платежного баланса. Повышение нормы процента в стране способствует усилению притока капитала и при прочих равных условиях к улучшению платежного баланса.
Отсюда следует важный вывод о том, что для сохранения внешнего равновесия в условиях роста Y достаточно проведения политики увеличения нормы процента.



Механизм образования субсидий


Таким образом, государственные предприятия в социалистической экономике пользовались массой привилегий, что приводило к отсутствию реальной рыночной конкуренции. Директора государственных предприятий были склонны к расширению неэффективных инвестиций (явление долгостроя). Если инвестиции не давали отдачи, последствия для директора были минимальны, государство поддерживало убыточные предприятия. Не смотря на громадные убытки, банкротства происходили крайне редко.
Например, в Польше только 11 государственных фирм разорились после принятия в 1983 году закона о банкротстве. В России закон о банкротстве принят давно, но официально механизм банкротства работает с июня 1998 года (после железнодорожной войны шахтеров и отставки правительства) и то достаточно неэффективно.
Отсутствие бюджетных ограничений на предприятиях порождало несоответствие заработной платы и производительности труда. Не смотря на существование тарифной системы, существовало много способов безудержного роста оплаты (фонды социального обеспечения, премиальные системы). Рост заработной платы всегда мог быть профинансирован за счет бесплатных (а то и безвозвратных) кредитов Центрального банка.
В СССР в 1988-1991 гг. и в Польше в 1987- 1989 гг. рост заработной платы значительно превышал рост производительности труда. Отсутствие связи величины заработной платы и качества выпускаемой продукции приводило к затовариванию магазинов не пользующимися спросом товарами.

  • Централизация планирования и управления экономикой приводила к необходимости централизованных цен, что порождало перекосы в ценообразовании или ценовые диспропорции. Для удержания потребительских цен на низком уровне необходимы были большие бюджетные субсидии сектору домашних хозяйств и отдельным отраслям экономики. Например, в Польше дотации на продукты питания, уголь, сельскохозяйственные ресурсы и энергопотребление составляли в 1989 году 11% ВНП, в Чехословакии – 16%, в СССР – 15%. Бесплатным было образование, медицинское обслуживание, значительно дотировались коммунальные платежи, так как цена жилья была значительно ниже стоимости. До 1991 года в СССР квартиросъемщики за жилье и коммунальные услуги платили менее 3% своих доходов. Субсидировались все виды пассажирского транспорта и другие отрасли сферы нематериального производства. Проблема образования субсидий представлена в модели AD-AS на Графике 4.1. (см. [2]).

  • График 4.1. Механизм образования субсидий в экономике командного типа.


В данной схеме AS – гипотетическая линия совокупного предложения на субсидируемые товары и услуги (т.е. такой была бы функция предложения, если бы цены выполняли регулирующую роль, чего не было в административно-командной экономике).

AD – линия совокупного спроса на субсидируемые товары;
E – гипотетическая точка равновесия;
P1 - средняя цена производителей, по которой производится объем товаров и услуг Y1 (выше гипотетической равновесной цены P0);
P2 - средняя цена потребителей, по которой покупается объем товаров и услуг Y1 (ниже гипотетической равновесной цены P0);
Y1 x (Р1 – Р2) - величина субсидий в народном хозяйстве, которые выплачиваются из государственного бюджета.

  1. Бюджетные субсидии и значительные военные расходы способствовали возникновению дефицита государственного бюджета, для финансирования которого в 80-х годах возникла необходимость эмиссии денег. Фактически бюджетные дефициты не ощущались: денег эмитировалось столько, сколько было необходимо. Следствием этого явился так называемый денежный навес, т.е. избыточная денежная масса, которой не противостояла соответствующая масса товаров.
  2. Низкие централизованные цены и избыточная денежная масса порождали дефицит товаров и скрытую инфляцию, индикатором которой могли служить цены на черном рыUке, превышающие гипотетические равновесные. Скрытая инфляция подавлялась государственным контролем над ценами и при либерализации цен быстро перерастала в высокую или гиперинфляцию. Проблема дефицита товаров и услуг схематично представлена на Графике 4.2.













График 4.2. Механизм образования дефицита товаров и услуг.













На графике 4.2 AS – гипотетическая линия совокупного предложения на дефицитные товары и услуги;
AD – линия совокупного спроса на дефицитные товары и услуги;
Pf - централизованные цены (ниже равновесной гипотетической цены P0);
Y1 – количество товаров и услуг, которое готовы произвести производители по централизованным ценам;
Y2 - спрос на дефицитные товары и услуги по централизованным ценам;
(Y2 – Y1) - совокупный дефицит товаров и услуг.


  1. Экономики рассматриваемых стран отличались большой ресурсоемкостью. В социалистических странах экономический рост на 90% формировался за счет экстенсивных факторов (в Китае – за счет рабочей силы, в СССР – за счет природных ресурсов). В большинстве западных стран, а также в Тайване, Южной Корее, Гонконге, Сингапуре экономический рост достигается в основном за счет роста эффективности производства. Факторами роста ресурсоемкости являлись устаревшие технологии, недогрузка производственных мощностей, износ основных производственных фондов и мягкие бюджетные ограничения (возможность для многих потребителей не оплачивать часть используемых ресурсов (например, энергоносителей).
  2. В 80-е годы для социалистических стран характерным становится замедление темпов экономического роста. Например, если в 70-е годы среднегодовой рост реального валового общественного продукта6 составил в Болгарии 7.1%, то в 80-е годы – 3.7%, в Венгрии соответствующие показатели были равны 5.4% и 1.6%, в Польше - 6.6% и падение с темпом 0.1% в 80-х годах, в Румынии – 9.7% и 4.5%, в Югославии – 6.1% и 0.7%, в СССР – 5.3% и 2.3% (см._[3], с. 381). Несмотря на сокращение темпов экономического роста, данные показатели были все же выше, чем в западных странах, хотя необходимо учитывать несовершенство социалистической статистики и ее стремление приукрашать действительность. По оценкам некоторых западных и российских экономистов реальные темпы роста в Советском Союзе были гораздо ниже официальных [4]. В экономиках рассматриваемых стран еще задолго до кризиса сложилась тенденция к последовательному замедлению приростов производственных мощностей. Например, в СССР, начиная с 1988 года, их расширение прекратилось, размер мощностей стабилизировался, а с 1991 года они стали сокращаться [5].
  3. В начале переходного периода перечисленные выше особенности усугубляются политической нестабильностью (которая сдерживалась ранее авторитарными режимами). В различных странах обостряются национальные проблемы: Сербия и Хорватия, Азербайджан и Армения, Грузия и Абхазия, Молдавия, Северный Кавказ, Чехия и Словакия.


4.2. Основные элементы стратегии перехода к рыночной экономике


Основные концепции реформирования экономики


Перед странами, решившими осуществить переход к рынку, неизбежно вставал вопрос о выборе концепции экономического развития. Существуют две различные концепции реализации этого перехода.

Градуализм (gradual – постепенный) предполагает проведение реформ медленно, шаг за шагом. Источником рыночных преобразований данная концепция видит государство, которое должно постепенно заменять элементы административно - командной экономики рыночными отношениями. На начальном этапе преобразований необходимо регулирование заработной платы, цен, контроль над внешними связями, банками, лицензирование менеджмента.
По этому пути реформ довольно успешно шли Венгрия, Китай.
Противоположная градуализму концепция шоковой терапии построена в основном на либеральном подходе к регулированию экономической системы. Либерализм исходит из того, что рынок – самая эффективная форма экономической деятельности, способная к самоорганизации. Следовательно, преобразования переходного периода должны происходить с минимальным участием государства. Главная задача государства – поддержание устойчивости финансовой системы, так как без стабильной денежной единицы рынок существовать не может.
Поэтому борьба с инфляцией – стержень либеральной доктрины.
Основным инструментом антиинфляционной политики сторонники либерального подхода и, в том числе, - монетаристы считают либерализацию цен и резкое сокращение государственных расходов. Именно этот, чрезвычайно болезненный для экономики шаг и называют шоковой терапией. Выбор, который большинство стран с переходной экономикой делают в пользу шоковой терапии обусловлен объективными факторами.
На начальном этапе переходного периода часто нет условий для реализации стратегии градуализма.
Не существует единого пакета реформ, пригодного для всех переходных экономик, так как условия в них во многом различаются. Тем не менее, можно выделить общие элементы стратегии перехода к рыночной экономике.

  1. Либерализация экономики
  2. Макроэкономическая финансовая стабилизация
  3. Институциональная трансформация
На рубеже 80-х – 90-х годов многие экономисты, занимавшиеся проблемой трансформации экономик командного типа и слаборазвитых экономик в направлении создания развитой экономики рыночного типа пришли к общему мнению о необходимости реализации целого ряда мер, которые позволили бы осуществить такую трансформацию.



Многочисленные налоговые льготы.


Единственно по-настоящему революционным элементом новой налоговой системы стал налог на добавленную стоимость, введенный вместо применявшегося ранее налога с оборота в 1992 г. Однако и этому налогу были присущи искажения, обусловленные желанием государства усилить его фискальную роль и одновременно приспособить его к сложной ситуации в экономике, характеризовавшейся массовыми неплатежами, бартером и т.п.
В первые годы своего существования российская налоговая система в целом неплохо выполняла свою роль, обеспечивая в условиях высокой инфляции и глубоких изменений в экономике поступление в бюджеты всех уровней необходимых финансовых ресурсов. Однако по мере дальнейшего углубления рыночных преобразований присущие налоговой системе недостатки становились все более заметными, а ее несоответствие происходящим в обществе изменениям все более явным.
Налоговая система стала очевидным тормозом экономического развития государства.
Многочисленные изменения, которые ежегодно на протяжении 1992-1999 гг. вносились в законодательство о налогах и сборах, решали лишь некоторые частные проблемы, не затрагивая, однако, основ системы.
Бессистемность внесения поправок, их количество и частота, с которой они вносились, привели к тому, что до последнего времени налоговая система характеризовалась не иначе как нестабильная и непредсказуемая. Такая практика делала невозможным планирование бизнеса даже на краткосрочную перспективу и приводила к тому, что риски, связанные с изменениями в налогообложении, оценивались как чрезвычайно высокие.
Цель налоговой реформы, начатой в 2000 г., заключалась не в том, чтобы собирать больше налогов и тем самым решить проблему бюджетного кризиса в России, а в том, чтобы [19]:
а) по мере снижения обязательств государства в области бюджетных расходов снизить уровень налоговых изъятий;
б) сделать российскую налоговую систему более справедливой по отношению к налогоплательщикам, находящимся в различных экономических условиях (в частности, ликвидировать ситуации, при которых одни налогоплательщики несут полное налоговое бремя, а другие уклоняются от налогов законными и незаконными методами);
в) повысить уровень нейтральности налоговой системы по отношению к экономическим решениям фирм и потребителей (налоги должны вносить минимум искажений в систему относительных цен, в процессы формирования сбережений, в распределение времени между досугом и работой и т.д.);
Создание справедливой и нейтральной налоговой системы требует решения, по крайней мере, трех взаимосвязанных проблем. Во-первых, это многочисленные налоговые льготы.
Реализация популярного тезиса о "стимулирующей роли" налогов ради поддержки некоторых отраслей экономики, видов бизнеса или отдельных категорий налогоплательщиков привела к многочисленным деформациям налоговой системы и трансформировала ее в несправедливую по отношению к обычному законопослушному налогоплательщику, не имеющему специальных налоговых льгот. На такого обычного налогоплательщика государство сегодня возлагает чрезвычайно высокую налоговую нагрузку.
По оценкам Министерства финансов РФ, ежегодные потери только федерального бюджета из-за наличия льгот составляют порядка 12-15 млрд. долларов ([19] c. 170).
Во-вторых, важным явлением, характеризующим фискальный кризис в России и нарушающим справедливость налоговой системы, стало наличие значительного объема задолженности предприятий по налогам. Начиная с 1992 года, наблюдался устойчивый рост объема недоимки в консолидированный бюджет Российской Федерации.
Как показала практика 1996 - 1999 годов, периодически предпринимавшиеся попытки усиления политического и административного давления на экономических агентов с целью заставить их платить налоги давали лишь краткосрочные результаты. Снижает эффективность налогового администрирования и применение различных специальных схем, соглашений и пр.
В-третьих, существующая техника уплаты налогов и налогового администрирования оставлят для налогоплательщиков чрезвычайно много возможностей для уклонения от налогов. В такой ситуации государство объективно неспособно обеспечить тотальный контроль за уплатой налогов всеми субъектами хозяйственной деятельности. В то же время значительное число налогоплательщиков имеет экономически неоправданные льготы, и (или) наращивает недоимку. Одновременно, несмотря на то, что налоговый контроль и налоговое администрирование с каждым годом улучшаются, многие потенциальные налогоплательщики, вовлеченные в сферу "теневой экономики", либо не платят налогов вообще, либо платят их в существенно меньших размерах, чем предписывает законодательство.
Это приводит к несправедливости налоговой системы и низкому уровню ее нейтральности. Это проявляется в том, что добросовестные налогоплательщики, выполняющие требования налогового законодательства, оказываются неконкурентоспособными и либо выталкиваются с рынка, либо начинают уклоняться от налогов.
Таким образом, неспособность государства на протяжении многих лет решать назревшие проблемы создания справедливой налоговой системы и реального облегчения налоговой нагрузки на законопослушных налогоплательщиков стала одной из главных причин развития теневой экономики, массового бегства капиталов за границу, отсутствия полномасштабных иностранных инвестиций в экономику России. В конечном итоге, она препятствовала экономическому росту и укреплению государственности.
Несовершенство экономической политики, неблагоприятный инвестиционный и деловой климат имели своим следствием огромное падение производства (см. пункт 4.4 данного раздела), что явилось коренной причиной систематического превышения расходов федерального бюджета и подавляющего большинства бюджетов субъектов федерации над доходами. Начиная с 1995 г., финансирование бюджетных расходов все в большей мере осуществлялось за счет заимствований на внутреннем и внешнем рынках с использованием, прежде всего, государственных краткосрочных бескупонных облигаций (ГКО). Платежи по ГКО постепенно стали составлять все большую и большую часть расходной части федерального бюджета, что привело в августе 1998 г. к ситуации, когда Правительство РФ объявило о своей неспособности выкупать в установленные сроки ГКО, то есть фактически объявило о своей неплатежеспособности (так называемый дефолт). Последовавшая за дефолтом девальвация рубля привела к резкому усилению инфляции и снижению уровня жизни населения.
В последующий период осенью 1998 г. – весной 1999 г. Правительство РФ, возглавляемое в то время Е.М. Примаковым, стабилизировало финансовую ситуацию и создало условия, когда начался экономический подъем, особенно существенно проявившийся в 2000 г.
После финансового кризиса 1998 г., в 1999 – 2000 гг. Правительством России и Государственной Думой были предприняты меры по улучшению налоговой системы.

  1. В 1999 г. была снижена ставка налога на прибыль с 35 % до 30%. В последующем ставка этого налога была снижена до 24 % (2002 г.).
  2. Прогрессивный подоходный налог с физических лиц был заменен пропорциональным с низкой ставкой 13 % (2001 г.).
  3. В 1999 г. был введен налог с продаж, что позволило отчасти перенести налоговое бремя с производителей на потребителей и повысить уровень собираемости налогов.
  4. Самым значительным изменением в фискальной политике в этот период было принятие первой и второй частей Налогового кодекса РФ, который решил некоторые из существующих в области налогообложения проблем, в том числе более четко определил порядок взаимоотношений налогоплательщиков и государства.

4.7. Монетарная политика в годы реформ

Для понимания монетарной (кредитно – денежной) политики Центрального банка и Правительства России в первые годы радикальных экономических реформ необходимо иметь в виду то обстоятельство, что в эти годы в распоряжении федеральных органов управления экономикой не было целого ряда важнейших инструментов, используемых для достижения тех или иных экономических целей. Прежде всего, в силу отсутствия рынка государственных обязательств и инфрастуктуры этого рынка, до 1995 г. невозможно было проведение операций на открытом рынке, являющихся главным инструментом кредитно – денежной политики.

Использование инструментов кредитно – денежной политики в период до финансового кризиса 1998 г.

В период до кризиса 1998 г. были предприняты следующие важнейшие меры в области кредитно – денежной политики.

  1. В 1992 г. был введен единый обменный курс рубля по отношению к иностранным валютам. До этого в Советском Союзе и России существовало несколько обменных курсов каждой иностранной валюты по отношению к рублю (туристский, инвестиционный и т.д.). Курс рубля по отношению к валютам ведущих западных стран был искусственно завышен. С лета 1992 г. обменный курс стал фактически определяться результатами торгов на валютных биржах, прежде всего результатами торгов на Московской межбанковской валютной бирже (ММВБ), поскольку Центральный банк России стал ориентироваться на рыночный курс при объявлении официального обменного курса рубля. В том же году населению был разрешен фактически свободный обмен рублей на иностранную валюту через обменные пункты банков.
  2. С января 1995 г.


Модель AD–AS для открытой экономики


В этом случае линия LM переходит из положения LM1 в положение LM2 и экономика переходит из первоначальной точки равновесия E1 в точку E2 .В точке E2 имеет место внешнее неравновесное состояние поскольку внутренняя норма процента ниже нормы процента за рубежом. В связи с этим из страны начинается отток капитала и произойдет обесценение национальной валюты. Следствием обесценения национальной валюты будет рост чистого экспорта и перемещение линии IS из положения IS1 в положение IS2 (график 2.10).
Это перемещение IS будет происходить до тех пор пока внутренняя норма процента не сравняется с нормой процента за рубежом. В новой точке равновесия E3 величина равновесного ВВП Y3 больше Y2.



















График 2.10. Влияние на экономику монетарной экспансии при заданных условиях оказывается эффективным.

Следовательно, в условиях абсолютной мобильности капитала и плавающем валютном курсе при фиксированных ценах монетарная экспансия приводит к обесценению национальной валюты и росту равновесного ВВП и является эффективным средством краткосрочного оживления экономики.

2.7. Модель AD–AS для открытой экономики

Регулирование экономики при фиксированном валютном курсе

До сих пор в данном разделе предполагалось, что цены неизменны. Для развития анализа открытой экономики откажемся от этой абстракции.
Следовательно, мы должны перейти к использованию аппарата модели AD–AS.
Анализ последствий увеличения цен для закрытой экономики показал, что при росте цен и неизменной номинальной денежной массе сокращается реальное предложение денег, линия LM параллельно сдвигается вверх, происходит рост равновесной нормы процента и снижение равновесного ВВП. В терминах модели AD–AS происходит перемещение по кривой AD влево вверх.

















График 2.11. Процесс перехода экономики из неравновесной точки E1 в равновесную точку E2.

Посмотрим, что нового привносит в анализ переход к открытой экономике?
Отметим, что кривая AD на графике 2.11, характеризующая внутренний спрос, построена при следующих предположениях.

  1. Задан уровень мировых цен.
  2. Фиксированном номинальном предложении денег.
  3. Заданной фискальной политике, то есть неизменной линии IS.
  4. Фиксированном валютном курсе.
В этих условиях рост цен на товары данной страны привоит к их удорожанию относительно аналогичных товаров, произведенных за рубежом. В результате этого снижается чистый экспорт и, как следствие, уменьшается совокупный спрос.
Линия Nx на графике 2.11 характеризует состояние равновесия чистого экспорта (Nx = 0) при данном уровне мировых цен. Рост дохода в экономике приводит к увеличению импорта. Поэтому для сохранения баланса между экспортом и импортом данной страны необходимо, чтобы цены внутри страны снизились.
Поэтому линия Nx на данном графике имеет отрицательный наклон.
Пусть точкой равновесия на графике 2.11 является E1. В данной точке имеет место дефицит торгового баланса. Помимо этого в точке E1 имеет место безработица, так как она находится на луче, исходящем из точки Y1 Y*.
Для достижения нулевого чистого экспорта при ВВП, равном Y1, необходимо, чтобы цены были на уровне P2. В точке равновесия E1 они выше и равны P1.
При ценах P1 экспорт ниже того уровня, который должен быть для достижения сбалансированности внешнеторгового баланса. Для достижения сбалансированности платежного баланса дефицит внешнеторгового баланса в точке E1 должен финансироваться, что порождает ряд проблем для правительства. Например, платежный баланс можно сбалансировать путем поддержания высокой процентной ставки в экономике, обеспечивающей приток капитала из заграницы, но это чревато замедлением экономического роста. Другое негативное последствие состоит в том, что при отсутствии компенсирующего воздействия счета операций с капиталом, постоянный пассивный счет текущих операций приводит к необходимости расходования золотовалютных резервов центрального банка.
Поэтому экономика должна выйти из этой точки путем применения методов экономической политики или автоматически.
Так называемый автоматический классический процесс корректировки состоит в следующем. В точке E1 для поддержания фиксированного обменного курса центральный банк продает иностранную валюту за валюту данной страны (например, рубли в случае России).
В результате денежная масса сокращается, что геометрически на графике 2.11 выражается в том, что кривая AD становится более вогнутой и переходит из положение AD1 в положение AD2.
С другой стороны, в исходной точке E1 имеет место безработица, что способствует снижению реальной заработной платы и, следовательно, действует в направлении уменьшения издержек производства. В результате, линия AS начинает движение вправо вниз, которое продолжается до тех пор пока экономика не достигнет положения достаточн близкого к точке E2 (AS1 > AS2), характеризующей состояние внутреннего и внешнего равновесия. Как видно из графика 2.11, в точке E2, находящейся на луче, исходящем из точки Y* на оси абсцисс, пересекаются линия Nx, кривая AD2 и линия AS2. Однако процесс автоматического перехода экономики из точки E1 в точку E2 может занять много времени.
Поэтому целесообразно остановиться на мерах экономической политики, которые могут его ускорить.
Отметим, что в ряде случаев последствия применения мер экономической политики с целью перехода экономики к состоянию внутреннего и внешнего равновесия могут быть противоречивы. Например, снижая ВВП с целью уменьшения импорта, можно усугубить в экономике ситуацию с безработицей или, наоборот, стимулируя рост ВВП можно обострить проблему дефицита платежного баланса.
Систематизируем возможные ситуации с использованием графика 2.12.




















График 2.12. В точках, расположенных в областях 1 и 3, возможно одновременное приближение к состоянию внутреннего и внешнего равновесия.
В областях 2 и 4 попытки достичь равновесия дают противоречивые результаты.

На графике 2.12 линия Nx характеризует состояние внешнего равновесия, а луч, исходящий из точки Y*, характеризует состояние внутреннего равновесия. Для примера рассмотрим точку A1 в области 4. В данной точке имеет место избыточная занятость, стимулирующая рост реальной заработной платы и, как следствие, инфляцию.
Одновременно в этой точке имеет место положительный чистый экспорт (превышение экспорта над импортом), что означает (при условии сбалансированности счета операций с капиталом) наличие активного платежного баланса. В попытке избежать перегрева экономики и снизить инфляцию правительство может принять меры по снижению ВВП (или снижению темпов его роста). Например, может быть сокращена денежная масса путем проведения операций на открытом рынке (продажа облигаций).
Это, в свою очередь, будет иметь своим следствием снижение импорта и усилит профицит платежного баланса. Увеличивающийся профицит платежного баланса означает, что центральный банк все в больших размерах должен скупать поступающую в страну иностранную валюту и тем самым увеличивать денежную массу, что противоречит принятым мерам антиинфляционной политики. Такое положение связано с тем, что для достижения двух целей используется один инструмент. Такого рода ситуации принято называть дилеммой экономической политики.
Для разрешения таких противорчий необходимо использовать дополнительные инструменты воздействия на экономику. В данном случае это могут быть: снижение пошлин на импортные товары (что при прочих равных увеличит импорт), ревальвация национальной валюты и т.д.
Наоборот, в областях 1 и 3 возможно достижение двух целей одновременно. Например, в точке A2 имеет место дефицит торгового баланса (и, соответственно, счета текущих операций платежного баланса) и избыточная занятость.
Принимая меры фискальной и монетарной политики по снижению дефицита торгового баланса (уменьшению ВВП или темпов его роста), правительство одновременно решает проблему излишней занятости опасной своими инфляционными последствиями.

Регулирование экономики при плавающем валютном курсе

В данном пункте анализа, как и ранее, предполагается, что капитал абсолютно мобилен, а цены имеют тенденцию к снижению, если Y Y* и увеличиваются, если Y Y*. Пусть экономика находится в состоянии внешнего и внутреннего равновесия в точке E1 (см. график 2.13).
Это означает, что в данной точке платежный баланс сбалансирован (BP = 0), а безработица находится на естественном уровне (Y = Y*), то есть рынок труда также находится в состоянии равновесия.











График 2.13. Последствия монетарной экспансии в условиях абсолютной мобильности капитала и плавающего обменного курса.

Пусть в точке E1 правительство осуществляет монетарную экспансию. В результате линия LM перемещается из положения LM1 в положение LM2. Новой точкой равновесия становится E2. В этой точке внутренняя норма процента ниже, чем за рубежом.
Вследствие этого начинается отток капитала из страны и обесценение национальной валюты. Последнее является фактором, обеспечивающим повышение конкурентоспособности товаров, произведенных в данной стране.
Как следствие, чистый экспорт увеличивается, и линия IS перемещается из положения IS1 в направлении IS2 до тех пор, пока внутренняя ставка процента не сравняется с международной.



Модель акселератора инвестиций в основной капитал.


Процент по кредитам представляет собой цену, которую экономические субъекты платят банкам за заимствование денег. При снижении спроса на деньги цена кредитных ресурсов или норма процента снижается.

График 1.4. Рост налога на прибыль и снижение государственных расходов в краткосрочном периоде приводят к уменьшению ВВП и нормы процента.

Очевидно, что в краткосрочном плане повышение налоговых ставок и снижение государственных закупок приводит к уменьшению равновесного продукта и дохода. Однако в перспективе снизившаяся норма процента приведет к росту спроса на инвестиционные товары и, далее, по цепочке межотраслевых связей к увеличению агрегированного спроса.
Следовательно, фискальная политика высоких налоговых ставок и низких государственных закупок, приводящая к снижению нормы процента в экономике, в перспективе имеет своим следствием рост спроса на инвестиционные товары. Наоборот, фискальная политика низких налогов и высоких государственных закупок, приводящая к росту нормы процента, в перспективе имеет своим следствием снижение спроса на инвестиционные товары.


Монетарная политика

При увеличении предложения реальных денег (монетарная экспансия), когда, например, правительство скупает государственные ценные бумаги, происходит снижение нормы процента (см. график 2.2). В результате этого в перспективе спрос на инвестиционные товары вырастет и, следовательно, увеличится величина требуемого основного капитала.



















График 1.5. Монетарная экспансия приводит к росту равновесного продукта и снижению нормы процента.
Последнее в перспективе, при прочих равных условиях, может стимулировать увеличение величины требуемого основного капитала.



















1.2.5. Связь между величиной требуемого основного капитала и инвестициями в основной капитал


Пусть К–1 – величина основного капитала на конец предшествующего периода, К* - как и ранее, величина требуемого основного капитала.

В модели гибкого акселератора реализуется положение о постепенном переходе от величины имеющегося основного капитала к требуемому его объему. В конце данного периода фирма хочет иметь величину основного капитала K, которая увеличивается по сравнению с имеющейся на величину *(K* - K-1), где - некоторое неотрицательное число.
В итоге мы определяем величину основного капитала на конец данного периода следующим образом.

Модель акселератора инвестиций в основной капитал.




Модель акселератора инвестиций в основной капитал.



Величина инвестиций в основной капитал из соотношения (1.13) определяется следующим образом.


Из соотношений (1.10) и (1.14) следует.



Модель акселератора инвестиций в основной капитал.




Модель акселератора инвестиций в основной капитал.



С учетом фактора инвестиционного лага уравнение (1.15) может быть записано более сложным образом (см. соотношения (1.11)).



1.2.6. Модель акселератора инвестиций в основной капитал.


Модель акселератора инвестиций в основной капитал.


В макроэкономической теории используется так называемая модель акселератора, которая связывает величину требуемого основного капитала с объемом валового национального продукта.

где - отношение величины требуемого капитала к валовому национальному продукту.


Модель акселератора инвестиций в основной капитал.

Используя соотношения (1.14) и (1.17) в условиях предположения о том, что переход от имеющейся величины основного капитала K-1 к требуемой величине K* происходит в течение одного периода (года), то есть = 1, мы получаем следующее выражение.


Из соотношения (1.18) видно, что в соответствии с моделью акселератора динамика инвестиций определяется динамикой прироста валового национального продукта. При его положительном приросте инвестиции растут, при отрицательном приросте продукта инвестиции в основной капитал уменьшаются. Следовательно, циклический характер поведения инвестиций в основной капитал объясняется цикличностью в изменении продукта. Отметим, что такая связь важна, но в объяснении взаимосвязи динамики продукта и инвестиций в основной капитал существуют и другие подходы.
В частности, целый ряд экономистов считает, что в основе инвестиционного цикла лежат волны массовой замены основного капитала в связи с его физическим и моральным износом (см., например, работу А.П. Ермилова [9]).


1.2.7. Расчет окупаемости инвестиций по приведенным (дисконтированным) затратам.

В макроэкономическом анализе инвестиций существенную роль играет вариация нормы процента в экономике. Для понимания механизма воздействия нормы процента на динамику инвестиций на национальном уровне представляется полезным понять влияние процентной ставки на инвестиции на микроэкономическом уровне.
В связи с этим обратимся к основам теории дисконтирования.

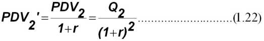
Пусть мы имеем облигацию с номиналом Рс, Qс – процент или купонный доход, который приносит эта облигация, а r – норма процента.
r = 100% * Qс/Рс
Предположим, что Qс = 10 и Рс = 100. Тогда r = Qс/ Рс*100 = 10/100*100 = 10%. В нашем примере известно, что через год облигация с номиналом 100 руб. принесет 10 руб. дохода и ее владелец будет иметь активы равные 110 руб.
Следовательно, для получения одного рубля в конце года в начале года необходимо затратить примерно 0,91 руб. (100/110 = 0,91). Или, в общем виде можно записать.






Модель акселератора инвестиций в основной капитал.









Модель акселератора инвестиций в основной капитал.





Сумма, которую владелец облигации будет иметь в виде дохода через год, приведенная (или продисконтированная) к началу года, определяется следующим образом.


где РDV – сумма приведенного (продисконтированного) дохода.
В нашем примере PDV = 10*0,91 = 9,1 руб.
Рассмотрим более общий случай, когда облигация приносит через год доход Q1 (момент времени t=1), а еще через год (момент времени t=2) доход Q2 (см. рисунок ниже).


t=0 t=1 t=2


Для этого случая приведенный к начальному моменту времени доход будет определен следующим образом. Доход Q2 должен быть продисконтирован дважды.
Если бы Q2 был получен в момент времени t = 1, то приведенный доход был бы рассчитан следующим образом.

Модель акселератора инвестиций в основной капитал.



Но величина Q2 будет получена еще через год, отстоящий от момента времени t=1. Следовательно, PDV2 должна быть продисконтирована еще раз.



Модель акселератора инвестиций в основной капитал.



Доход Q1 приводится (дисконтируется) к моменту времени t = 0 способом, который определен в соотношении (2.16). В результате, суммарный приведенный доход PDV определяется как следующая сумма.



Модель акселератора инвестиций в основной капитал.




В более общем случае, пусть облигация приносит доход Q1 через год, доход Q2 через два года и т.д., доход Qn через n лет. Тогда приведенный к началу первого года доход определяется следующим образом.




Модель акселератора инвестиций в основной капитал.


Модель акселератора инвестиций в основной капитал.

Каждая компания, планируя свое производство на будущее, соотносит свои затраты и результаты, приводя их к единому моменту времени с использованием определенной нормы процента. Поскольку процесс производства основного капитала длится несколько лет, постольку изменение нормы процента особенно сильно влияет на динамику именно этой части инвестиций.
Совокупность решений компаний формирует общую величину инвестиций в экономике и существенным образом влияет на агрегированный спрос. Следовательно, прежде всего через спрос на инвестиционные товары, норма процента оказывает заметное воздействие на динамику агрегированного спроса и производства.
1.2.8. q – теория инвестиций Джеймса Тобина.

Модель акселератора инвестиций в основной капитал.

Обратимся к так называемой q–теории инвестиций, предложенной Джеймсом Тобином ([10]). В данном теоретическом построении предпринимается попытка установить связь между стоимостью компании на рынке ценных бумаг (фондовом рынке) и разницей между наличным капиталом K и требуемым для будущего периода капиталом K*+1.
Величина q есть отношение цены компании на фондовом рынке к ее восстановительной цене или, как принято говорит в российской экономической литературе, к восстановительной стоимости. Цена компании на фондовом рынке представляет собой сумму денег, которую покупатели готовы заплатить в определенный момент времени за все акции данной компании. Восстановительная стоимость компании или, точнее, восстановительная стоимость капитала компании представляет собой затраты на приобретение на рынке товаров аналогичных зданий, сооружений, машин, оборудования и нематериальных активов, которые равны по производственным возможностям основному капиталу компании.
Например, если цена всех акций компании на фондовом рынке равна 2 млрд. руб., а основной капитал, равный по производственным возможностям основному капиталу компании, можно приобрести на рынке товаров за 1 млрд. руб., величина q будет Xавна двум (q = 2млрд. руб./ 1 млрд. руб. = 2).
В соответствии с q – теорией считается, что, если q1, то требуемый для будущего периода капитал больше имеющегося (K*+1K). Инвестиции в развитие данной компании должны быть значительными.
Если q1, то требуемый капитал для будущего периода должен быть меньше имеющегося (K*+1K). В этом случае инвестиции в развитие компании должны быть незначительными и обеспечивать, например, простое или даже суженное воспроизводство основного капитала компании.
Предположим для простоты анализа, что затраты предприятия равны амортизации основного капитала. Тогда общая сумма прибыли, получаемой на единицу капитала, равна MPK – d, где MPK – предельная производительность капитала показывающая, насколько увеличивается продукт при росте капитала на единицу, d – удельная амортизация или затраты основного капитала на единицу производимой продукции (для простоты они равны у нас всем производственным затратам).
Пусть MPK, d, r = const, то есть не меняются во времени.



Модель экономической политики Тинбергена


Примером такого рода инструментов могут быть различные законодательные акты, регулирующие внешнюю торговлю и движение капитала в страну и из нее. Например, взаимоотношения России со Всемирной торговой организацией. Другой пример - правила, регулирующие процесс создания самостоятельного бизнеса населением: они могут быть простыми и, тем самым, способствовать развитию экономической активности населения и, как следствие, росту производства и занятости или забюрократизированными, что будет препятствовать развитию бизнеса и росту ВВП.
В дальнейшем в приведенном в данной работе анализе речь будет идти о количественных инструментах. Конечные цели и инструменты экономической политики должны быть увязаны между собой, каким-то образом согласованы. Такого рода согласование проводится с использованием различных моделей экономической политики.
После того как с использованием моделей экономической политики определен набор и параметры инструментов, на практике правительству необходимо организовать процесс достижения необходимых целей.

3.2. Модель экономической политики Тинбергена

В модели экономической политики Я. Тинбергена рассматривается два целевых показателя и два инструмента экономической политики. Пусть T1 и T2 – два целевых показателя, I1 и I2 – два инструмента экономической политики.
Желаемый уровень целевых показателей обозначим как T1* и T2*. Если экономика находится в состоянии, когда достигнуты оба целевых показателя, то принято говорить, что она находится в точке блаженства.
Связь между целевыми показатели и инструментами описывается с помощью простой линейной модели.

T1 = a1* I1 + a2* I2 (3.1)

T2 = b1* I1 + b2* I2 (3.2)

Экономическая политика может достигнуть обеих целей только тогда, когда влияние инструментов на цель линейно независимо друг от друга. Математически это условие достигается, если имеет место следующее неравенство.

a1/ b1 a2/ b2 (3.3)

Если имеет место равенство,

a1/ b1 = a2/ b2 (3.4)

то возможно достижение лишь одной из поставленных целей. Покажем это.
Пусть имеет место равенство (4). Тогда после простых преобразований можно получить следующее равенство.

b2/ b1 = a2/ a1 (3.5)

Разделим правую и левую часть соотношения (3.1) на a1 и правую и левую часть соотношения (3.2) на b1. Тогда эти соотношения могут переписаны в следующем виде.
T1/ a1 = I1 + a2/ a1* I2 (3.6)

T2 / b1= I1 + b2/ b1* I2 (3.7)

С учетом соотношения (3.5) уравнение (3.7) может записано следующим образом.

T2 / b1= I1 + b2/ b1* I2 = I1 + a2/ a1* I2 = T1/ a1 (3.8)

Из уравнения (3.8) следует, что, если описанная им комбинация инструментов экономической политики будет использована a1 раз, то будет достигнута цель T1. Если эта же комбинация будет использована b1, то будет достигнута цель T2.
Однако невозможно достичь обеих целей одновременно.
Запишем теперь математическое выражение, позволяющее определить значение инструментов при достижении точки блаженства.

T1* = a1* I1 + a2* I2 (3.9)

T2* = b1* I1 + b2* I2 (3.10)

После преобразований получим следующие значения для инструментов экономической политики.

I1 = (b2* T1* - a2* T2*) / (a1* b2 - b1* a2) (3.11)

I2 = (a1* T2* - b1* T1*) / (a1* b2 - b1* a2) (3.12)

Таким образом, при линейной независимости инструментов экономика достигнет точки блаженства в случае, если они будут иметь значения, определяемые уравнениями (3.11) и (3.12).
Обобщение полученного вывода состоит в следующем. В экономике, которая может быть описана системой линейных уравнений с n целевыми показателями, данные показатели могут быть достигнуты при наличии n линейно независимых инструментов экономической политики.
Рассмотрим конкретный пример для системы уравнений (3.1) – (3.2). Пусть целевыми показателями являются ВВП при безработице, находящейся на естественном уровне (Y = Y*), и нулевая инфляция ( = *).
В качестве инструментов рассмотрим изменение денежной массы M и государственных затрат G. Тогда связь между целевыми показателями и инструментами экономической политики описывается следующими уравнениями.

Y = a1 * G + a2 * M (3.13)

= b1 * G + b2 * M (3.14)

Пусть экономика находится в состоянии, когда инфляция = 4% в год, а ВВП равен его значению при естественном уровне безработицы (Y = Y*). Цели правительства состоят в удержании ВВП на достигнутом уровне при снижении инфляции до нуля.
Таким образом, цели экономической политики состоят в том, чтобы = -4%, Y = 0. Перепишем систему уравнений (3.13) – (3.14) в терминах приростов с учетом требуемых численных значений изменения целевых показателей.

0 = a1 * G + a2 * M (3.15)

-4 = b1 * G + b2 * M (3.16)

После проведения простых преобразований получим следующие значения целевых показателей.

G = 4a2 / (a1* b2 - b1* a2) (3.17)

M = -4a1 / (a1* b2 - b1* a2) (3.18)

Необходимо помнить, что рассматриваемая модель Тинбергена является очень сильным упрощением действительности. На практике, при определенном сочетании численных значений коэффициентов a1, a2, b1, b2 расчетная величина изменения инструментов может быть такой, что, например, требуемая вариация G может привести к недопустимому дефициту государственного бюджета или существенное изменение M через определенное время породит большую инфляцию. Такого рода проблемы возникают в случае, когда a1/ b1 и a2/ b2 не равны, но имеют весьма близкие значения.
В этом случае знаменатель в уравнениях (3.11) и (3.12) весьма близок к нулю и I1, I2 могут иметь очень значительные, недопустимые для практического применения значения.

3.3. Анализ экономической политики с использованием эффективной рыночной классификации Манделла

Иная интерпретация проблемы выбора экономической политики была предложена Робертом Манделлом. Исходя из наблюдений за реальной экономической политикой он предположил, что различные инструменты экономической политики находятся под контролем различных органов государственного управления. Например, монетарная политика находится под контролем центрального банка, а фискальная – под контролем правительства страны.
Органы управления в модели Манделла действуют не скоординированным образом, т.е. децентрализовано. Р. Манделл показал, что если инструменты экономической политики правильно приписаны к органам управления, то оптимальное значение целей экономической политики может быть достигнуто в условиях, когда решения принимаются децентрализовано.
Концепция эффективной рыночной классификации, предложенная Р. Манделлом, исходит из того, что каждая цель экономической политики должна быть приписана к тому инструменту (и, соответственно, к органу государственного управления), который оказывает на нее большее воздействие и имеет преимущество перед другими мерами воздействия на данный показатель с точки зрения его регулирования.
Например, изменение денежной массы M, осуществляемое центральным банком, оказывает большее воздействие на изменение инфляции по сравнению с инструментами фискальной политики. Математически это означает, что в системе уравнений (3.13), (3.14) отношение и b2/ a2 больше, чем отношение b1/ a1. Следовательно, органы, отвечающие за кредитно - денежную политику (прежде всего, центральный банк) должны управлять инфляционными процессами, а органы, под контролем которых находится фискальная политика, отвечают за изменение динамики ВВП.
В случае такого распределения обязанностей между органами управления государством инструменты M и G будут стремиться к своему оптимальному значению. Наоборот, при попытке правительства регулировать инфляцию, а центрального банка – динамику ВВП, невозможно получить процесс, сходящийся к оптимальным значениям инструментов экономической политики.
В реальной экономической жизни встречаются ситуации, когда инструментов, которыми располагают органы управления, меньше, чем целевых показателей. В этом случае невозможно достижение оптимальных значений всех показателей и возникает проблема минимизации потерь, связанных с не оптимальностью значений инструментов.
Представим ситуацию, когда использование государственных затрат как инструмента макроэкономического регулированию на какой – то момент времени невозможно. Например, это может быть в случае, когда дальнейший их рост приведет к недопустимому дефициту государственного бюджета.
Следовательно, изменение государственных затрат должно быть нулевым ( G = 0). В терминах модели (3.13) – (3.14) это означает, что существует лишь один реальный инструмент воздействия на экономическую систему – изменение денежной массы.
С учетом того, что G = 0, уравнения (3.13) – (3.14) в терминах приростов могут быть записаны следующим образом.

Y = a2 * M (3.19)

= b2 * M (3.20)

Из (3.19) следует, что M = Y/ a2. Подставив это значение M в уравнение (3.20), получим следующее соотношение.

= (b2/ a2)* Y (3.21)

Из соотношения (3.21) следует, что при неизменных a2 и b2 невозможно уменьшить инфляцию без сокращения ВВП.
Как это уже отмечалось выше, в условиях меньшего по сравнению с целями числа инструментов перед правительством встает вопрос о минимизации обществом потерь, связанных с тем, что целевые показатели не достигнут своих оптимальных значений.



Модель открытой экономики


Любой инвестор сравнивает получаемую прибыль на единицу вложенного капитала с нормой процента, то есть с тем доходом, который он мог бы получить если бы вложил ту же сумму, например, на депозит в банке. Следовательно, в данном случае величина q может быть определена иным образом:



Модель открытой экономики



Ясно, что q1, если MPKr+d и q1, если MPKr+d. Если MPK = r+d и q=1, то основной капитал, имеющийся в настоящее время, равен требуемому K=K*.
Если MPKr+d, то KK* и если MPK r+d, то KK*.



Следовательно, q – теория Джеймса Тобина представляет фондовый рынок в качестве индикатора, показывающего, необходимо ли увеличивать имеющийся основной капитал. Когда q1, то есть цена единицы капитала на фондовом рынке выше стоимости приобретения единицы этого капитала на рынке товаров, то имеющаяся величина основного капитала. должна быть увеличена до требуемого значения K*.
Если q1, то фондовый рынок свидетельствует о необходимости перехода к более низкому уровню капитала (K*K).
Для отдельных фирм подтверждена зависимость колебаний величины q и инвестиций. Исследования по экономике США показали, что существует зависимость между усредненным для экономики в целом значением показателя q и общим уровнем инвестиций. Однако, эта зависимость слаба. Следовательно, показатель q не может быть использован для объяснения инвестиционных циклов в экономике. Однако, снижение или рост показателя q говорит о тенденциях инвестиций к росту или снижению, а, следовательно, о росте или снижении значительной части совокупного спроса в экономике.
Кроме того, показатель q характеризует связь между рынком реальных инвестиций (а, следовательно, и агрегированным спросом) и финансовым рынком, прежде всего рынком корпоративных ценных бумаг. Последние два отмеченных обстоятельства описывают значение показателя q для макроэкономического анализа.

Основные выводы из проделанного в данном разделе анализа сводятся к следующему.


  1. Инвестиции являются существенным элементом совокупного спроса в любой стране. Деловой цикл валового национального продукта в существенной степени определяется динамикой инвестиций.
  2. В макроэкономике принято выделять три основные составляющие инвестиций:
  • инвестиции в основной капитал;
  • инвестиции в запасы;
  • инвестиции в жилищное строительство.
  1. Существенным фактором, определяющим объем инвестиций в основной капитал, является скорость, с которой фирмы переходят от имеющегося основного капитала к его требуемой величине. Период времени, отделяющий момент начала создания основного капитала от момента получения эффекта от его введение в действие, определяется как инвестиционный лаг. В связи с существованием инвестиционного лага, объем требуемого основного капитала в экономике в целом находится в положительной зависимости не только от величины продукта общества в данном году, но и от его величины в последующие годы. Одновременно требуемый основной капитал находится в обратной зависимости от величины издержек использования капитала.
  2. В Российской экономической литературе инвестиции в основной капитал структурируются двояким образом:
а) рассматривается технологическая структура, понимаемая как соотношение долей инвестиций в машины и оборудование, инвестиций в здания, сооружения в сумме с прочими инвестициями в их общем объеме;
б) анализируется воспроизводственная структура, которая теоретически правильно должна быть определена как соотношение инвестиций на простое и расширенное воспроизводство основного капитала в их общем объеме.

  1. Издержки использования капитала тем выше, чем выше реальная норма процента и норма амортизации. Налогообложение так же оказывает влияние на издержки использования капитала: чем выше инвестиционная налоговая скидка, тем они ниже и, следовательно, выше стимулы к инвестициям.
  2. Инвестиции в основной капитал оказывают воздействие на величину валового национального продукта с определенным запаздыванием, значение которого определяется инвестиционным лагом.
  3. На практике при принятии решений об инвестициях экономические субъекты используют расчет окупаемости инвестиций, приводя (дисконтируя) затраты и результаты к единому моменту времени. Использование метода дисконтирования особенно наглядно демонстрирует зависимость динамики инвестиций от величины нормы процента в экономике.

Библиография к разделу 1.


1. Интернет: сайт ИЭПП www.%20iet.ru/trend/2002/razd3.pdf по состоянию на 16.06.2003.

2. Дорнбуш Р., Фишер С. Макроэкономика... Гл. 9.
3. Мэнкью Н. Макроэкономика... Гл. 10, пп.
10-3, 17.
4. Фишер С., Дорнбуш Р., Шмалензи Р. Экономика... Гл.
17. С. 319 - 321.
6. Джефри Сакс, Фелипе Ларрен Б. Макроэкономика. Глобальный подход.
М.: Дело, 1996. Гл. 5.
7. Баранов А.О. Инвестиционный лаг в воспроизводстве общественного продукта и фондов.
Новосибирск: Наука. Сиб. отд-ние, 1991.
Гл. 1.
8. Российская Федерация в 1992 году. М.: Респ. информ.-издат. центр, 1993.
С. 530 - 532.
9. Ермилов А.П. Механизм инвестиционного цикла при капитализме. Новосибирcк: Наука.
Сибирское отд-ние. 1986.
10. J. Tobin.
A General Equilibrium Approach to Monetary Theory. Journal of Money.
Credit and Banking. Feb.
1969.


Раздел 2. Модель открытой экономики


Внешнеэкономические связи играют существенную роль в формировании продукта любой страны. Если говорить о России, то после начала перехода к рыночной системе развития она стала страной с весьма открытой экономикой. По данным Госкомстата РФ в 2000 г. экспорт составлял примерно 42 % от ВВП, а импорт – примерно 18 % от ВВП ([3], с. 36 – 37).2 Однако значение внешнеэкономических связей не исчерпывается внешнеторговым оборотом.
Огромное влияние на развитие экономики страны оказывает движение капиталов. Нерезиденты могут инвестировать свои капиталы в развитие экономики данной страны, приобретать государственные и корпоративные ценные бумаги. Резиденты могут экспортировать капитал с целью вложений в другие страны в виде прямых инвестиций или в виде приобретения других активов (иностранных государственных ценных бумаг, ценных бумаг зарубежных корпораций).
Значение движения капиталов для России наглядно продемонстрировал финансовый кризис августа 1998 г., когда нерезиденты, владевшие значительной долей российских государственных ценных бумаг, опасаясь потерять свои активы, начали их массовую продажу, на полученные рубли стали покупать доллары, что в конечном итоге могло привести Центральный банк России к ситуации полной потери золотовалютных резервов. В результате государство объявило о своей неплатежеспособности (дефолте), а Центральный банк России в считанные дни девальвировал рубль в несколько раз.
Поэтому модель IS–LM, описывающая равновесное состояние на рынке товаров и рынке активов, была модифицирована в направлении учета внешнеэкономических связей с целью более адекватного отражения реальных процессов в народном хозяйстве. Эта модификация впервые была выполнена в 60-х годах XX века америанскими экономистами Робертом Манделлом и Маркусом Флемингом. Поэтому модель IS–LM для открытой экономики часто называют моделью Манделла – Флеминга.
Прежде чем перейти к этой модели введем несколько важных понятий.






2.1. Валютные резервы и валютные курсы







Золотовалютные резервы


Центральный банк любой страны имеет так называемые золотовалютные резервы, которые представляют собой определенную сумму иностранной валюты и драгоценных металлов, которые могут быть проданы за иностранную валюту. Например, в августе 2002 г. золотовалютные резервы Центрального банка России составляли примерно 43 млрд. долл. США.
При избыточном спросе на иностранную валюту на валютных биржах центральный банк производит ее дополнительную продажу, поддерживая баланс спроса и предложения. Золотовалютные резервы при этом сокращаются. Наоборот, при превышении предложения иностранной валюты над спросом центральный банк скупает ее, обеспечивая стабильность курса национальной валюты.
Операции по купле – продаже иностранной валюты центральным банком называются валютными интервенциями.


Валютные курсы


Номинальный валютный курс представляет собой фактическую цену одной валюты в единицах другой валюты. Например, цена 1 долл.
США на российском рынке в январе 2002 г. была равна примерно 30 руб., а цена одного рубля – примерно 0,033 долл. США.

В макроэкономическом анализе часто применяют другой важный показатель, называемый паритетом покупательной способности (ППС). ППС представляет собой количество одной валюты, выраженное в единицах другой валюты, необходимое для приобретения одинакового товара или услуги на рынках обеих стран. Например, цена одной булки хлеба в США равна 1 долл., а в России хлеб того же качества стоит 10 руб.
Следовательно, ППС доллара по хлебу будет равен 10 руб., а ППС рубля по хлебу равен 0,1 долл. США.
Для международных сопоставлений принято использовать значения ППС, рассчитываемых по большой совокупности (корзине) товаров и услуг, в максимальной степени отражающей структуру производства и потребления в сравниваемых странах. С учетом ППС могут быть пересчитаны макроэкономические показатели. Например, ВВП России, пересчитанный в доллары США по среднегодовому номинальному обменному курсу в 1999 г.



Новая точка временного равновесия


Последнее достигается в точке E3. Однако в этой точке имеет место избыточная занятость и, как следствие, рост цен. Рост цен приведет к уменьшения реального предложения денег, что служит причиной движения LM в обратном направлении к положению LM1. Новой точкой временного равновесия будет E4. В этой точке норма процента в экономике данной страны выше, чем за рубежом.
Поэтому в страну начинается приток капитала и происходит удорожание национальной валюты, имеющее своим следствием уменьшение чистого экспорта. Линия IS вновь возвращается в положение IS1.
Таким образом, экономика описала своеобразный круг (см. график 2.13). Из приведенного анализа видно, что, если в краткосрочном плане монетарная экспансия привела к оживлению экономики, то в долгосрочном плане деньги оказались нейтральны.
Важным аспектом проведенного анализа является то, что цены и валютный курс изменялись неодинаковым темпом. После проведения монетарной экспансии в момент времени T0 денежная масса возросла с уровня M0 до M1. Вслед за этим обменный курс национальной валюты меняется очень быстро c EX1 до EX2 (например, с величины 6 руб./один $ до 18 руб./ один $), что приводит к росту конкурентоспособности товаров.
Однако вариация цен в строну увеличения от уровня P0 до P1 происходит более постепенно. Изменение данных показателей во времени приводится на графике 2.14.











График 2.14. Динамика изменения денежной массы, валютного курса и цен в экономике при монетарной экспансии в условиях плавающего валютного курса и абсолютной мобильности капитала.

Основные выводы из проделанного в данном разделе анализа сводятся к следующему.

  1. Платежный баланс представляет собой обобщенную на национальном уровне таблицу, в которой отражены все международные экономические сделки страны. Он состоит из двух основных частей: 1) счета текущих операций; 2) счета операций с капиталом. Балансирующим счетом для платежного баланса является счет изменения золотовалютных резервов центрального банка страны.
  2. Счет текущих операций описывает баланс торговли товарами и услугами, движение переводов и трансфертных платежей. Счет операций с капиталом отражает баланс прямых и портфельных инвестиций, включая движение кредитных ресурсов.
  3. Положительное сальдо платежного баланса означает, что нерезиденты должны заплатить данной стране больше, чем данная страна – нерезидентам. Если платежный баланс дефицитен, то это означает, что данная страна должна заплатить нерезидентам больше, чем они должны заплатить данной стране. Центральный банк страны продает валюту для покрытия разницы платежей при дефиците платежного баланса и скупает излишнюю валюту – при профиците платежного баланса.
  4. При фиксированном обменном курсе центральный банк поддерживает постоянной цену иностранных валют, выраженную в валюте данной страны. Для этого центральный банк продает и покупает валюту, используя для этого золотовалютные резервы.
  5. Валютный курс может быть плавающим. При чистом плавающем обменном курсе цена валюты определяется спросом и предложением. При регулируемом плавающем обменном курсе центральный банк старается поддержать валютный курс в определенных границах, используя политику валютного коридора. Для поддержания курса валюты в этих границах центральный банк прибегает к валютным интервенциям.
  6. Паритет покупательной способности (ППС) представляет собой количество одной валюты, выраженное в единицах другой валюты, необходимое для приобретения одинакового набора (корзины) товаров или услуг на рынках обеих стран ППС.
  7. Анализ совокупного спроса в открытой экономике показал, что, наряду с другими факторами, он зависит также от реального обменного курса национальной валюты и уровня реального дохода за рубежом. Рост реального обменного курса национальной валюты (то есть ее обесценение) или увеличение реального дохода за рубежом вызывают увеличение чистого экспорта и параллельное смещение линии IS вправо вверх.
  8. В условиях абсолютной мобильности капитала процентные ставки в любой стране не могут значительно отклоняться от уровня ставок, сформировавшихся на мировом рынке в течение длительного времени. Этот вывод важен для оценки последствий применения мер фискальной и монетарной политики в условиях фиксированного и плавающего валютных курсов.
  9. При абсолютной мобильности капитала и фиксированном обменном курсе монетарная экспансия практически не влияет на объем ВВП и занятость, а центральный банк не может осуществлять независимую кредитно – денежную политику. Наоборот, фискальная экспансия эффективна: в результате ее действия увеличивается норма процента, начинается приток капитала из заграницы, центральный банк скупает поступающую иностранную валюту, увеличивая тем самым денежную массу. Рост денежной массы усиливает стимулирующее воздействие на экономику фискальной экспансии.
  10. В условиях абсолютной мобильности капитала и плавающего обменного курса монетарная экспансия ведет к обесценению национальной валюты, росту чистого экспорта и объема производства. Фискальная экспансия в этих же условиях малоэффективна. Она приводит лишь к удорожанию национальной валюты, сокращению чистого экспорта, не оказывая существенного влияния на равновесный объем производства.
  11. Анализ открытой экономики с использованием модели AD–AS показывает, что гибкость цен в условиях фиксированного обменного курса позволяет экономике перейти из неравновесного состояния (дефицит торгового и платежного баланса и безработица) к состоянию внутрнней и внешней сбалансированности следующим образом. Сначала - сокращение предложения денег при продаже центральным банком валюты резидентам, уменьшение внутренних цен и, как следствие, улучшение торгового и платежного баланса.
  12. При попытке приблизить ВВП к равновесному состоянию Y* и одновременно сбалансировать внешнюю торговлю (снизить дефицит торгового баланса) правительство может столкнуться с проблемой дилеммы выбора экономической политики. В такой ситуации увеличение ВВП приводит к ухудшению торгового баланса за счет роста импорта. Такого рода противоречия разрешаются путем использования дополнительных инструментов экономической политики (повышение импортных пошлин и т.д.).
  13. В условиях гибкого валютного курса монетарная экспансия может привести к росту ВВП в краткосрочном плане. В долгосрочном плане деньги являются нейтральными, то есть не влияют на реальные экономические показатели.
Библиография к разделу 2

1. Гальперин В. М. и др. Макроэкономика / Гальперин В. М., Гребенников П. И., Леусский А. И., Тарасевич Л. С. СПб.: Изд-во С.-Петербург. ун-та экономики и финансов, 1997.
Гл. 12.
Пп. 12.1, 12.2.
2. Дорнбуш Р., Фишер С. Макроэкономика. Гл.
6, 20.
3. Российский статистический ежегодник. 2002: Стат. сб.
М.: Гос. ком. Рос.
Федерации по статистике, 2002.

Раздел 3. Упрощенные модели экономической политики

По мере того как общество постепенно осознавало роль принимаемых правительствами решений в области экономической политики, возник вопрос о том, как следует действовать политикам. Поисками ответа на этот вопрос занимается специальная область экономической теории – нормативная теория экономической политики. Эта теория пытается найти ответы на вопрос, насколько активно правительства должны вмешиваться в экономическую жизнь, не лучше ли экономику в максимальной степени предоставить самой себе.
Если вмешательство в экономическую жизнь необходимо, то какие методы регулирования экономики наиболее эффективны.
Другое направление экономической теории занимается анализом практики экономической политики и называется позитивная теория экономической политики.
Специалисты в этой области экономической теории пытаются найти ответы на вопрос, почему, под давлением каких обстоятельств политики принимали определенные решения, проводят сравнительный анализ практики экономической политики в различных странах.
В дальнейшем в данном разделе будет рассматриваться нормативная теория экономической политики.

3.1. Цели и инструменты экономической политики

Голландский экономист Ян Тинберген в 50-е годы XX века впервые предложил комплексный анализ теории экономической политики [3]. Я. Тинберген изучил основные этапы выработки наилучшей (оптимальной) экономической политики.
Прежде всего, правительство должно определить конченые цели экономической политики. Под конечными целями понимается максимизация общественного благосостояния, интерпретируемого в том или ином виде. Далее правительство должно определить целевые показатели.
Часто под целевыми показателями понимается естественный уровень безработицы и нулевая инфляция. В качестве конечного целевого показателя может быть принята определенная величина производства ВВП или национального дохода на душу населения.
Инструментами, которыми располагает правительство для достижения той или иной цели, являются известные меры воздействия на народное хозяйство фискального и кредитно – денежного характера. Это так называемые количественные инструменты воздействия на экономику.
Но большое значение имеют и качественные инструменты, применение которых оказывает большое воздействие на формирование деловой среды в стране и в конечном итоге на достижение целевых показателей.



Общие макроэкономические условия


Распространенный пример такого рода – заимствования на внутреннем и международном финансовых рынках без учета того, что в будущем это приведет к существенному росту выплат из государственного бюджета по долгам прошлых лет. 5. В периоды социальных потрясений (революции, войны и т.д.) и после них слабые правительства, не имеющие широкой поддержки у населения, находятся под давлением различных групп общества и принимают решения о чрезмерно высоких расходах, что во многих случаях приводит к гиперинфляции.
6. В ситуациях глубоких экономических кризисов слабые правительства, не имеющие твердой поддержки в парламентах, часто откладывают проведение антикризисных мер (уменьшение государственных расходов, снижение темпов роста денежной массы, проведение более жесткой налоговой политики и т.д.) в связи с тем, что общество не может определить, каким образом будет распределено бремя антикризисной программы между различными его группами. Выход из этого положения находится только после победы той или иной политической группировки на выборах.

Общие выводы из проведенного в разделе 3 анализа сводятся к следующему.

  1. В теоретическом анализе экономической политики принято выделять два подхода. Первый – нормативная теория экономической политики, которая изучает вопрос о том, насколько активно правительства должны вмешиваться в экономическую жизнь, и какие методы регулирования экономики наиболее эффективны. Второй - позитивная теория экономической политики, которая исследует реальную экономическую политику и пытается дать ответ на вопрос, чем были обусловлены конкретные политические решения, проводит сравнительный анализ практики экономической политики в различных странах.
  2. Впервые комплексную модель экономической политики предложил голландский экономист Ян Тинберген. С помощью линейной модели он показал, что в случае двух целевых показателей и двух инструментов экономической политики можно достигнуть желаеого значения показателей при условии, когда эффекты влияния инструментов на цели линейно независимы. Обобщением этого результата является то, что в экономике, которая описывается системой линейных уравнений с n целевыми показателями, данные показатели могут достигнуть желаемых значений при наличии n линейно независимых инструментов экономической политики.
  3. Анализ экономической политики с использованием эффективной рыночной классификации Роберта Манделла исходит из того, что каждая цель может быть приписана к определенному инструменту и, соответственно, органу государственного управления, который наиболее значительно влияет на данную цель. В условиях, когда органы государственного управления действуют не скоординированным образом, оптимальный набор политических целей может быть достигнут при условии правильной приписки инструментов к целям.
  4. В ситуации, когда инструментов экономической политики меньше, чем целей, общество сталкивается с проблемой минимизации потерь от того, что целевые показатели не достигнут желаемого значения. Решение этой проблемы проводится с использованием функции социальных потерь.
  5. Органы государственного управления имеют дело с экономикой, которая является стохастической системой. Поэтому при подготовке решений необходимо учитывать фактор неопределенности. В анализе экономической политики принято выделять два типа неопределенности: аддитивную и мультипликативную. Аддитивная неопределенность связана с экзогенными шоками, такими как землетрясения, погодные аномалии и т.д. Она не оказывает существенного влияние на выбор экономической политики, и значения соответствующих переменных при прогнозировании могут быть приняты на уровне их математических ожиданий. Мультипликативная неопределенность усиливает эффект от применения инструментов экономической политики. Поэтому органы управления экономикой при оценке последствий влияния инструментов экономической политики в будущем должны принимать значение параметров, отражающих мультипликативную неопределенность, на уровне ниже математического ожидания.
  6. Теория экономической политики была подвергнута критике Робертом Лукасом. Он поставил под сомнение корректность подхода, реализуемого в макроэкономических моделях, в которых не находят должного отражения ожидания. При резкой смене экономической политики полученные с их применением прогнозы могут оказаться недостоверными. Конструктивный вывод из критики Лукаса состоит в необходимости совершенствования макроэкономических моделей в направлении более корректного отражения в них ожиданий. Примером такого конструктивного подхода является учет ожидаемой инфляции при прогнозировании темпа роста цен.
  7. Анализ динамического аспеRта принятия решений в области экономической политики показал необходимость последовательного проведения в жизнь объявленных правительством правил игры в экономике. Краткосрочные выгоды от изменения экономической политики по сравнению с провозглашенными планами в перспективе оборачиваются недоверием общества к декларациям правительства. Это снижает эффективность воздействия на экономику политических решений и уменьшает вероятность достижения поставленных целей.
  8. Позитивная теория экономической политики дает объяснения многих фактов экономической жизни, исходя из анализа политической структуры общества и соотношения сил между различными политическим группировками.

Библиография к разделу 3.


  1. Сакс Д., Фелипе Ларрен Б. Макроэкономика. Глобальный подход. М.: Дело, 1996. Гл. 19.
  2. Кебабджян Ж. Макроэкономическая политика. Деньги. Бюджет. Валютный курс. Новосибирск: TEMPUS-TACIS, 1996. Гл. 9.
  3. Tinbergen J. On the Theory of Economic Policy. Amsterdam: North Holland Publising House, 1952.
  4. W. Brainard, Uncertainty and the Effectiveness of Policy, American Economic Review, May 1967.
  5. Robert Lucas, Econometric Policy Evaluation: A Critique, Carnegie Rochester Conference Series on Public Policy. No. 1, 1976.


Раздел 4. Макроэкономические проблемы перехода от централизованной экономики к экономике рыночного типа (на примере России)

Переходный период в экономике (пост социалистическая трансформация, пост коммунистическая трансформация) в литературе определяется как период времени, в течение которого завершается демонтаж административно-командной системы и формируется система основных рыночных институтов.
+
4.1. Общие макроэкономические условия, предшествующие началу переходного периода

После второй мировой войны под влиянием СССР возникла целая группа государств, во главе которых стояли правительства, руководствовавшиеся коммунистической идеологией. В экономике они использовали командные методы управления, опиравшиеся на государственную собственность на подавляющую часть средств производства.
Однако достаточно быстро стало выясняться, что жестко централизованная система управления экономикой имеет не только преимущества (например, возможность концентрации ресурсов на приоритетных государственных программах развития экономики), но и существенные недостатки. Главный из них – невозможность командной системы обеспечить сопоставимую с рыночной экономикой эффективность производства.
Коренная причина низкой эффективности производства – отсутствие личной заинтересованности работников и менеджеров в увеличении прибыли и в повышении эффективности производства.
В различных странах постепенно пришли к выводу о необходимости реформирования существовавшей экономической системы. Начиная с 50-х годов, стали проводиться эксперименты по модернизации экономик командного типа, которые, однако, не затрагивали коренных причин низкой эффективности производства – преобладание государственной собственности на средства производства, отсутствия демократической системы управления обществом.
Экономические эксперименты начались в Югославии в 50-х годах. В середине 60-х годов в ГДР была осуществлена реформа цен одновременно с предоставлением предприятиям большей самостоятельности.
В конце 60-х годов были начаты реформы в Чехословакии и Венгрии. Довольно успешная экономическая реформа в 1978 г. была проведена в Китае после катаклизмов культурной революции.
В СССР в первой половине 80-х годов проводился эксперимент по расширению самостоятельности предприятий, а в 1985 г. было объявлено о начале перестройки и гласности.
В конце 80-х - начале 90-х годов бывшие социалистические страны Восточной Европы заявили о своем намерении перейти от системы социалистического хозяйствования к рыночному хозяйству западного образца. Как уже было отмечено выше, экономики данных стран обладали рядом общих характеристик, главной из которых являлась государственная собственность на средства производства.
Преобладание данной формы собственности над другими приводило к необходимости централизованного планирования и управления экономикой. Эта главная причина объясняет особенности экономики социалистических стран, характерные для начала переходного периода.

  1. Существование мягких бюджетных ограничений на предприятиях (см. [1], с. 40), что означает возможность получения предприятиями субсидий со стороны государства, дешевого кредита, налоговых льгот, отсутствие санкций за нарушение финансовой дисциплины.


Обзор инструментов денежно-кредитной политики


было прекращено прямое кредитование Правительства РФ банком России ([15] c. 6). Иначе говоря, прекратилось финансирование дефицита государственного бюджета за счет кредитной эмиссии Центрального банка. Эта мера явилась существенным фактором, способствовавшим прекращению гиперинфляции в России (см. таблицу 4.1 данного раздела).
  • В мае 1995 г. были проведены первые торги государственными бескупонными краткосрочными обязательствами (ГКО) на ММВБ. Это открыло возможности по использованию операций на открытом рынке для изменения объема денежной массы в стране, влияния через этот инструмент на процентные ставки, а также неэмиссионного финансирования дефицита государственного бюджета. Кроме того, ГКО начали использоваться Центральным банком и коммерческими банками как инструмент поддержания ликвидности финансовой системы. Уже в августе 1995 г. во время кризиса рынка межбанковских кредитов Центральный банк России выкупил у коммерческих банков ГКО на сумму 1,6 трлн. неденоминированных рублей и, тем самым, дал банкам возможность выполнить свои финансовые обязательства. Это способствовало ликвидации последствий кризиса рынка межбанковских кредитов.
  • Другая значительная мера в области монетарной политики в 1995 г. – введение с 1 июля 1995 г. валютного коридора. Политика валютного коридора продолжалась до финансового кризиса августа 1998 г. В этом же году Центральный банк России ввел резервирование по валютным депозитам банков, что способствовало перераспределению активов банков в направлении снижения в них доли иностранной валюты и увеличило спрос на рубли.
  • В связи со стабилизацией цен (см. таблицу 4.1), в 1996 г. Центральный банк России в несколько раз понизил ставку рефинансирования: со 160% до 48% годовых. Однако реальная учетная ставка даже в конце 1996 г. оставалась очень высокой – около 30 % годовых, что фактически делало невозможным широкое использование кредитов для финансирования развития производства.
  • В 1997 г. в период до осеннего финансового кризиса в странах Юго – Восточной Азии (Гонконг, Таиланд, Индонезия и т.д.) Центральный банк снизил ставку рефинансирования до 21% годовых. Существенно возросло предложение реальных денег (см. график 4.2). Эти меры монетарной политики способствовали стабилизации производства ВВП, который не снизился впервые с начала радикальных экономических реформ (см. таблицу 4.2). Однако, с октября 1997 г. финансовый рынок России испытал на себе последствия финансового кризиса в Юго – Восточной Азии. Международные финансовые компании, разместившие свои активы на финансовых рынках развивающихся стран, потеряли значительную их часть в результате обесценения ценных бумаг стран Юго – Восточной Азии. Это привело их к необходимости снижения рисков вложений во избежании дальнейших потерь. В результате, нерезиденты, владевшие на тот момент существенной частью ГКО и российских корпоративных ценных бумаг, начали продавать принадлежащие им ценные бумаги, минимизируя риски вложений на развивающихся рынках (emerging markets). Рынок ГКО и курс рубля оказались под угрозой дестабилизации. В связи с этим в конце 1997 г. Центральный банк вновь повысил ставку рефинансирования до 28 % годовых и ставку ломбардных кредитов (до 36%), выдававшихся коммерческим банкам под залог государствнных ценных бумаг. . Была существенно увеличена доходность ГКО: от 38 % до 50 % по отдельным траншам. Эти меры помогли удержать финансовый рынок России от краха осенью 1997 г. Однако дальнейшие события показали, что принятые меры лишь временно стабилизировали ситуацию, поскольку не была устранена коренная причина нестабильности российских финансовых рынков – отсуствие экономического роста.


  • Обзор инструментов денежно-кредитной политики Банка России и условий их использования в после кризисный период.

    Экономический кризис 1998 года резко ухудшил структуру финансового рынка, что было обусловлено частичным прекращением выполнения обязательств по государственным ценным бумагам, являвшимся основным видом обеспечения по кредитным операциям, резким ухудшением состояния банковской системы, а также потерей доверия участников финансового рынка друг к другу. Произошло многократное падение объемов операций практически на всех рынках рублевых инструментов.
    Вследствие этого резко сократился набор рыночных инструментов денежно-кредитного регулирования и качественно снизилась эффективность их использования. В частности:
    • невыполнение Министерством финансов Российской Федерации обязательств по ГКО и ОФЗ привело к невозможности проведения операций на открытом рынке (прямых сделок купли-продажи бумаг и операций РЕПО)10;
    • высокая степень сегментированности рынка межбанковских кредитов не позволяет ему выполнять функции одного из основных регуляторов ликвидности банковской системы, что способствует сохранению высокой степени дифференциации банков по уровню ликвидности;
    • резко сузились возможности для размещения свободных резервов кредитных организаций и получения кредитов, т.е. ухудшилось качество управления ликвидностью на уровне банков, что в определенной степени обусловило рост остатков средств на счетах кредитных организаций в Банке России и возможность усиления давления на внутреннем валютном рынке в случае ухудшения экономической конъюнктуры;
    • возросла амплитуда колебаний процентных ставок на финансовом рынке при фактическом отсутствии у Банка России эффективных инструментов для воздействия на этот процесс;
    • сохраняется неопределенность в динамике спроса на деньги со стороны экономических агентов, в том числе банков.

    Применяемая в настоящее время Банком России система инструментов денежно-кредитной политики является весьма ограниченной и сводится к изменению ставки рефинансирования и норм резервирования. Еще один действующий рыночный инструмент - ломбардные кредитные аукционы – в настоящее время фактически не используется.
    Курсовая политика в период после кризиса 1998 г. характеризуется переходом к плавающему обменному курсу, регулируемому валютными интервенциями.
    Относительно использования вышеупомянутых монетарных инструментов необходимо отметить, что ставка рефинансирования по-прежнему выполняет больше расчетную функцию, а размеры резервных требований являются завышенными и, учитывая степень воздействия изменения резервных требований на устойчивость банковской системы России, дальнейшее повышение нормативов обязательных резервов в целях изъятия избыточной ликвидности допустимо лишь в исключительных случаях.

    4.8. Пути обеспечения стабильного экономического роста в России11

    Общие предпосылки окончательного преодоления кризиса

    1. Дальнейшее укрепление внутриполитической стабильности. Ни российские, ни внешние инвесторы не будут делать значительных долгосрочных инвестиций в страну, испытывающую постоянные политические потрясения типа событий октября 1993 г. или военные действия в Чеченской республике.
    Политическая стабильность в стране существенно повысит привлекательность России в качестве объекта инвестирования.
    2. Улучшение политических и экономических отношений со странами СНГ и дальнего зарубежья. Разрыв экономических связей с республиками бывшего СССР в существенной степени способствовал развитию экономического кризиса в России. Например, Узбекистан резко снизил поставки хлопка для текстильной промышленности и, таким образом, лишил ее сырьевой базы. Сложности в экономических отношениях с Украиной породили множество проблем у производителей машиностроительной и оборонной продукции, нарушив сформировавшиеся в течение десятилетий кооперационные производственные связи. Это, несомненно, способствовало углублению кризиса в названных отраслях.
    Восстановление кооперационных связей с бывшими советскими республиками может оказать позитивное воздействие на процесс экономического роста в России.
    В отношениях со странами дальнего зарубежья необходимо добиваться улучшения условий реализации продукции российских предприятий на их рынках и, одновременно, применять антидемпинговые меры на рынке России. Многие зарубежные товары, например бытовая электроника, часть продукции пищевой промышленности, зачастую реализуются на российском рынке по демпинговым ценам, что ставит российские предприятия в условия неравной конкуренции.
    3. Укрепление законности и правопорядка в широком смысле включает:

    • совершенствование и развитие законодательной базы рыночной экономики;
    • обеспечение выполнения принятых законов и судебных решений;
    • борьбу с преступностью и коррупцией.
    Отсутствие целого ряда законодательных актов существенно затрудняет ведение бизнеса в России. Например, отсутствие четкого законодательства о частной собственности на землю является важной причиной, сдерживающей инвестиции в российскую экономику.
    Другой проблемой является неисполнение принятых законов и судебных решений. В последние годы в России была создана служба судебных приставов, которая должна была обеспечить выполнение судебных решений.
    Однако деятельность ее нуждается в существенном улучшении.
    Преступность является значительным препятствие на пути экономического роста. В стране, где плохо гарантирована сохранность собственности, а жизнь человека подвержена опасности, трудно ожидать инвестиционного бума.



    Основная диспропорция централизованной системы


    Этот комплекс мер получил название вашингтонского консенсуса и включал следующий список рекомендаций для стран, осуществлявших реформирование своих экономик:7 1) бюджетная дисциплина (крупный и устойчивый бюджетный дефицит способствует инфляции и бегству капитала; следовательно, правительства должны удерживать его на минимальном уровне);
    2) приоритеты общественным расходам (субсидии производственным предприятиям должны быть сокращены или отменены вовсе; правительственные затраты должны быть перенаправлены на образование, здравоохранение и развитие инфраструктуры);
    3) налоговая реформа (база налогообложения "должна быть широкой", то есть все компании и предприниматели должны нести равномерную налоговую нагрузку, а предельные ставки налогов "должны быть умеренными");
    4) процентные ставки (внутренние финансовые рынки должны определять размеры процентных ставок данной страны; ставки должны быть положительными поскольку в этом случае сокращается бегство капитала из страны и увеличиваются накопления);
    5) обменные курсы валют (развивающиеся страны должны поддерживать обменные курсы на таком уровне, который бы стимулировал экспорт);
    6) либерализация торговли (внешнеторговые тарифы должны быть минимизированы и никогда не должны применяться по отношению к промежуточным товарам, необходимым для производства экспорта);
    7) прямые иностранные инвестиции (зарубежные инвестиции могут принести необходимый капитал и квалифицированное управление компаниями и потому должны поощряться);
    8) приватизация (частная промышленность функционирует более эффективно, поскольку управляющие или "имеют прямую личную долю в прибылях предприятия", или "подотчетны тем, кто ее имеет"; государственные предприятия следует приватизировать);
    9) дерегулирование (избыточное правительственное регулирование может способствовать коррупции и дискриминации более мелких предприятий, не располагающих широким доступом к высшим эшелонам бюрократии; правительства должны дерегулировать экономику);
    10) обеспечение прав частной собственности (права частной собственности должны быть укреплены; слабые законы и плохая правовая система снижают стимулы к накоплению и аккумулированию богатства).
    Идеи, проистекавшие из "вашингтонского консенсуса", имели огромное влияние на экономические реформы во многих странах. Вместе с тем, характер их интерпретации в разных странах существенным образом различался, а характер их реализации различался еще больше.
    К тому же, 10 исходных политических предписаний "вашингтонского консенсуса" господствовали лишь непродолжительное время. Изменения в международной экономической и политической обстановке наряду с новыми внутренними условиями в реформирующихся странах создали проблемы, которые не предвидели люди, сформулировавшие первоначальные положения консенсуса, что обусловило поиск новых ответов.
    Правительства, осуществлявшие реформы, повсеместно обнаруживали, что политические цели, которые еще лишь несколько лет или даже месяцев назад считались окончательными рубежами процесса преобразований, становились только предпосылкой успеха. Новые, более комплексные и более труднодостижимые цели постоянно добавлялись к списку условий приемлемого функционирования экономики.
    Среди важнейших условий, дополнивших список вашингтонского консенсуса в последние годы часто называют следующие;

    • надежно функционирующая правовая система, основанная на развитом законодательстве, обеспечивающем правовые аспекты функционирования рыночной экономики;
    • хорошо подготовленные и высокооплачиваемые государственные чиновники (это условие, в частности, способствует снижению коррупции);
    • хорошо образованная рабочая сила и, следовательно, достаточно развитая система образования;
    • отсутствие огромного разрыва в доходах наиболее богатой и наиболее бедной частей общества (наличие очень значительного разрыва является угрозой для политической стабильности общества и препятствием для роста инвестиций);
    • эффективная телекоммуникационная система, что необходимо для надежной работы финансового сектора и других секторов экономики.

    Либерализация экономики как один из основных элементов стратегии перехода к рыночной экономике

    Либерализация экономики – ликвидация основных диспропорций и ограничений административно-командной экономики, запуск механизмов основных законов рыночного хозяйства. Основная диспропорция централизованной системы – диспропорция цен. Таким образом, либерализация цен является составным элементом либерализации экономики.
    В Польше, Югославии либерализация цен была осуществлена в 1989 году, в России в 1992 году. Фактически с либерализации цен в нашей стране и были начаты экономические реформы.
    Другой важнейший элемент либерализации – либерализация внешней торговли.
    Помимо либерализации цен и либерализации внешней торговли, либерализация экономики предполагает либерализацию деятельности предприятий на внутреннем рынке – самостоятельность, свободу в производстве продукции, поиск партнеров, поставщиков рынков сбыта и т.д.
    Либерализация экономики порождает главную проблему переходного периода – инфляцию. В связи с этим возникает необходимость следующего элемента стратегии перехода к рыночной системе.

    Макроэкономическая финансовая стабилизаци как один из основных элементов стратегии перехода к рыночной экономике

    Подавление инфляции, укрепление денежной единицы и придание устойчивости валютному курсу и другим макроэкономическим финансовым параметрам называют макроэкономической финансовой стабилизацией. Центральным моментом этого элемента стратегии перехода к рыночной экономике составляет борьба с инфляцией.
    Насколько разнообразны причины инфляции, настолько разнообразны и методы борьбы с ней. В развитых странах для этого сокращают государственные расходы, повышают учетную ставку процента и обязательную норму резервирования. Иначе говоря, применяются методы фискального и монетарного характера для того, чтобы сделать деньги более дорогими, трудодоступными для экономических организаций и населения. Разрабатываются специальные стабилизационные программы.
    Если борьба с инфляцией осуществляется только путем сжатия денежной массы и спроса через сокращение бюджетного дефицита и ограничение кредитно-денежной эмиссии, то такая стабилизация называется ортодоксальной. Такие стабилизационные программы осуществлялись (правда, не всегда успешно) в 70-80-х гг в Чили, Бразилии, Аргентине, Боливии.
    Если же наряду с ограничением дефицита и эмиссии предусматривается так же административные методы: замораживание цен, зарплаты и обменного курса (Аргентина, Бразилия, Мексика, Израиль в 80-90 гг), то стабилизация носит название гетеродоксальной. Финансовое стабилизация в России шла по ортодоксальному пути.
    Однако стандартные монетаристские рецепты ограничения денежной массы не всегда помогают, так как необходимо учитывать специфику инфляции и инфляционного регулирования в переходный период. Специфика эта – в большой роли немонетарных факторов долгосрочного характера.

    1. В экономике России большое значение имеет монополистический фактор. К предприятиям естественных монополий относятся топливно-энергетический комплекс и железнодорожный транспорт, играющие в экономике огромную роль. Но если в рыночном хозяйстве монополии вынуждены считаться со спросовыми ограничениями, то в переходной экономике, если цены для покупателя слишком высоки, он зачастую не оплачивает закупленную продукцию. Тем не менее, он принимает ее от продавца для дальнейшей переработки и реализации. Таким образом раскручивается механизм образования неплатежей, чему способствует отсутствие реального механизма банкротств. Слабость рыночных санкций за повышение цены сверх уровня спросовых ограничений ведет к тому, что импульс увеличения цен, исходящий от монополиста, распространяется по технологической цепочке на всю экономику и возвращается к монополисту в виде возросших издержек, порождая новый виток инфляции.
    2. Проблема неплатежей, которую формально пытались решить с помощью векселей и бартера. В экономике появились так называемые квази-деньги или денежные суррогаты, бороться с которыми сокращением денежной массы невозможно.
    3. Мягкие бюджетные ограничения, сохраняющиеся во время переходного периода, приводят к субсидированию государством неэффективных компаний. Приватизация не устраняет связь между предприятиями и государством. Государство, в частности, продолжает владеть акциями во многих компаниях. Правительство продолжает субсидировать неэффективные и неконкурентоспособные компании с неизбежно возникающим при этом инфляционным эффектом. Наблюдается образование мощных финансово-промышленных групп, способных оказывать инфляционное давление на государство в целях получения льгот и других форм поддержки.
    4. Инфляция выступает как защитное средство для производителей, которые увеличивают цены на свою продукцию с целью поддержания рентабельности производства в условиях растущих издержек.
    Наличие долгосрочных инфляционных факторов немонетарного характера порождает так называемую фоновую инфляцию, которая не может быть устранена сжатием денежной массы и требует проведения глубоких институциональных реформ.



    Основные методы приватизации.


    Поэтому необходим следующий элемент стратегии перехода к рыночной экономике.
    Институциональная трансформация как один из основных элементов стратегии перехода к рыночной экономике

    Либерализация устраняет запреты и ограничения командной системы и предоставляет свободу экономическим агентам. Однако свобода не означает деятельность экономических субъектов без правил.
    Должны быть запущены в действие механизмы функционирования рыночной экономики, создана соответствующая рыночным отношениям законодательная система (законы по защите прав частной собственности, по обеспечению конкурентной среды, антимонопольное, трудовое законодательства и так далее), построены рыночные институты (институциональная трансформация включает изменение института собственности - приватизацию, возникновение новых субъектов хозяйственной деятельности - коммерческих банков, товарных и фондовых бирж, инвестиционных фондов). Таким образом, институциональные преобразования являются стержнем экономических реформ, без них не возможна ни либерализация экономики, ни финансовая стабилизация.
    Остановимся более подробно на приватизации, которую можно рассматривать в качестве центрального звена не только институциональной трансформации, но и всей экономической реформы. Приватизация в переходной экономике является преобладающей формой разгосударствления и надления граждан собственностью за счет различных способов перераспределения общественного имущества. Способы перераспределения общественного имущества называются методами приватизации.
    Кратко остановимся на основных методах приватизации.

    1. Массовая приватизация путем выдачи приватизационных чеков (ваучеров, купонов). Положительная сторона данного способа приватизации в том, что он позволяет сравнительно быстро распределить государственные активы среди большого числа граждан и является социально наименее конфликтным способом приватизации. Однако данный метод – не полноценная приватизация (т.к. определяет лишь право собственности, а не саму собственность), а лишь стартовое условие для дальнейшей трансакции ваучеров в собственность или деньги. Недостаток ваучерных схем в том, что, исключая возможность получения доходов от приватизации в бюджет, они углубили проблемы внутреннего и внешнего государственного долга. Преобладающим методом ваучерные схемы были в Чехии, Словакии, России, Монголии, Казахстане, Албании. В России массовая ваучерная приватизация проходила в 1992-1994 годах.
    2. Стихийная приватизация – льготная (или по номинальным ценам) продажа или бесплатная передача активов работникам компаний. Во многих случаях продажа осуществлялась по балансовой стоимости предприятия (так как существовала проблема точной оценки стоимости предприятия), то есть происходила практически бесплатно, в период несовершенства приватизационного законодательства. Такая приватизация применялась в Венгрии, Польше, Югославии в начале 90-х годов. Недостатком данного метода является несправедливость в распределении собственности: предприятия чаще всего передавались тем, кто был связан с данным предприятием, имел доступ к информации. Те же, кто не работал на предприятии (пенсионеры, военнослужащие, студенты, госслужащие) оставались в стороне от приватизации прибыльных предприятий. В дальнейшем существовала возможность низкой эффективности производства на стихийно приватизированных предприятиях. Активы попадали не в руки того, кто ими будет лучше управлять, а в руки прежних работников, которые будут управлять старыми методами.
    3. Активная приватизация (публичные торги) – альтернатива стихийной приватизации, при которой правительство продает предприятие тому, кто предлагает наивысшую цену (такая приватизация проходит в форме аукциона), или наилучшие условия хозяйствования (конкурсная форма). В Югославии, Восточной Германии активная приватизация выступала в качестве главного метода, в Польше, в Венгрии – применялась только к крупным предприятиям. Препятствием для данного способа прPватизации являлось отсутствие владельцев крупного капитала.
    4. Реприватизация – восстановление в правах собственности лиц, лишенных имущества в результате национализации. Возвращение собственности прежним владельцам или предоставление им компенсации (деньгами, ваучерами) происходило в Чехии, Словакии, Венгрии, Болгарии, Словении, Хорватии, Эстонии. Данный метод приватизации не использовался в России.


    4.3. Краткая характеристика экономических реформ в России

    Ключевыми элементами экономических реформ в России в 90 – е годы были: приватизация средств производства, либерализация цен, либерализация внешней торговли. Проведение экономических реформ сочеталось с созданием законодательных основ рыночной экономики.

    Либерализация цен

    Радикальные экономические реформы в России начались в январе 1992 г. с либерализации цен на подавляющее число товаров и услуг. В последние годы советского периода в экономике накопилась существенная денежная масса (так называемый "денежный навес"), не обеспеченная соответствующим объемом товаров и услуг. Поэтому, после того как государство прекратило регулирование цен, они выросли в несколько раз уже в первый месяц 1992 г. Так, индекс цен на потребительские товары и услуги в январе 1992 г. составил 330 %, то есть потребительские цены в среднем выросли в 3.3 раза.
    В дальнейшем в 1992 г. ежемесячный темп роста потребительских цен колебался в пределах от 10 % до 30 %. В целом, за 1992 г. цены на потребительские товары и услуги выросли примерно в 26 раз, а цены производителей промышленной продукции увеличились примерно в 34 раза (см. таблицу 4.1). Чрезвычайно высокий темп роста цен имел место и в последующие три года: в 1993 г. индекс потребительских цен увеличился в 9,4 раза, в 1994 г. – в 3,2 раза и в 1995 г. – в 2,3 раза.
    Последствиями гиперинфляции явились: 1) резкое снижение среднедушевых реальных денежных доходов населения; 2) скачкообразное уменьшение оборотных средств предприятий. Так, например, в 1992 г. среднедушевые реальные денежные доходы населения сократились примерно в 2 раза (см. [8], c. 50).










    Таблица 4.1.Темп роста цен и реальных денежных доходов населения в экономике России в 1991 – 2001 гг.


    91
    92
    93
    94
    95
    96
    97
    98
    99
    2000
    2001
    Индекс
    Потребительских
    цен, раз


    2,6


    26,1


    9,4


    3,2


    2,3


    1,2


    1,1


    1,8


    1,4


    1,2


    1,19
    Индекс
    цен производителей
    промышленной
    продукции,
    раз





    2,4





    33,8





    10,0





    3,3





    2,7





    1,3





    1,1





    1,2





    1,7





    1,3





    1,11
    Реальные
    располагаемые денежные
    доходы в
    процентах
    к предыдущему году






    -






    52,5






    116,4






    112,9







    84,9







    99,3






    106.3






    81,5






    83,0






    109,0






    106,0

    Источники: [6], с. 101, 351; [7] с. 284; [8], с. 99, 335; [12].
    Снижение реальных доходов населения и оборотных средств предприятий привело к резкому сокращению агрегированного спроса как на потребительские товары, так и на товары производственного назначения.
    Темп роста денежной массы в 1992 г. отставал от инфляции, что привело к уменьшению реальной денежной массы в несколько раз и способствовало дальнейшему падению производства валового внутреннего продукта (почти на 20 % в 1992 г.).
    Наряду с негативным воздействием на социально – экономическую жизнь, либерализация цен имела и важнейшие позитивные последствия: 1) исчезновение дисбаланса между денежной и товарной массой; 2) резкое уменьшение, а затем и полное исчезновение дефицита товаров и услуг, имевшего место по подавляющему числу товарных позиций в конце 80 –х – начале 90 – х годов.
    Либерализация цен была необходимым этапом перехода к формированию равновесных рыночных механизмов в сфере производства и реализации товаров и услуг.


    Приватизация средств производства

    В 1991 г. в государственной собственности находилось 91 % основных фондов ([10], с. 264) и было занято более 75 % работающих в народном хозяйстве России ([10], с. 114). В результате приватизации уже в 1995 г. доля основных фондов, находящихся в государственной собственности сократилась до 42 %, доля занятых на государственных и муниципальных предприятиях в общей численности занятых в народном хозяйстве в том же году составила также примерно 42 % и 38 % в 1998 г.
    Основной результат приватизации состоял в том, что основная часть факторов производства продукта общества в народном хозяйстве России - средств производства и рабочей силы, была перераспределена в пользу негосударственного сектора. Вследствие этого уже в 1994 г. в негосударственном секторе было произведено более 60 % ВВП ([11], с. 127).
    В России так же использовался смешанный вариант из предложенных выше первых трех способов (см. раздел 4.2). Российская программа приватизации включала передачу 25% акций предприятий его работникам за ваучеры (массовая и стихийная приватизация) и продажу остальной части акций на аукционе, где работникам предоставлялась дополнительная возможность купить еще 10% акций со скидкой 30% их номинальной стоимости (стихийная и активная приватизации).



    Предложение денег и скорость их обращения


    В 1999 г. в России начался экономический рост, который привел к увеличению ВВП за 3 года (1999 – 2001 гг.) примерно на 17 % (см. График 4.1). В результате, в 2001 г. ВВП экономики России стал приблизительно равен величине ВВП в 1994 г. Произошло также и улучшение показателей эффективности производства.9
    Большинство исследователей выделяют два основных фактора, обусловивших экономический рост в России в 1999 – 2001 гг.: 1) замещение товаров зарубежного производства продукцией отечественных производителей и существенное увеличение прибыльности экспорта после девальвации рубля в три с лишним раза осенью 1998 г.; 2) прекрасную конъюнктуру мирового рынка нефти и нефтепродуктов в 2000 г., когда цены на нефть по сравнению с 1999 г. выросли в среднем почти в два раза, что способствовало росту производства нефтяной и нефтеперерабатывающей промышленности и связанных с ними отраслей.


    Предложение денег и скорость их обращения


    Первый фактор в наибольшей степени оказал воздействие на динамику производства в таких отраслях как легкая, лесная, деревообрабатывающая и целлюлозно-бумажная промышленность. Производство в легкой промышленности (импортозамещение) в 1999 – 2000 г. возросло 1,5 раза, а в лесной, деревообрабатывающей и целлюлозно-бумажной промышленности (рост прибыльности экспорта) - на 25 % [12].
    Второй фактор, как это уже отмечено выше, способствовал росту нефтяной и нефтеперерабатывающей промышленности.
    Наряду с двумя вышеперечисленными факторами, необходимо, по нашему мнению, отметить также третий. В период с 1990 г. по 1998 г. инвестиции в основной капитал в России сократились примерно в пять раз (см. [10], с. 529).
    Вследствие этого произошло существенное старение имеющихся в экономике средств труда. Так, если в 1990 г. доля производственного оборудования промышленности в возрасте не более 10 лет составляла примерно 58 % от его общей стоимости, то в 1998 г. этот показатель снизилась более чем в два раза и был равен приблизительно 24 %. Устаревшее морально и физически производственное оборудование в возрасте более 20 лет в промышленности составляло в 1998 г. около 32 % от его общей стоимости, тогда как в 1990 г. эта величина была равна только 11 % (см. [10], с. 312).
    Аналогичные тенденции были характерны и для других отраслей народного хозяйства.
    Для производства конкурентоспособной продукции и услуг российским предприятиям необходимо в ближайшие годы провести массовое обновление основного капитала, и, прежде всего, его активной части. Следовательно, в экономике России наступил этап массового обновления основного капитала, что повлияло на совокупный спрос в части увеличения спроса на инвестиционные товары.
    Действительно, в 1999 – 2001 гг. инвестиции в основной капитал возросли примерно на треть (см. табл. 4.2).
    Это – третий фактор, обусловивший экономический рост в 1999 – 2001 гг.
    Необходимо отметить, что долгосрочном плане экономический рост не может продолжаться без значительных инвестиций в основной капитал. В связи с этим, одной из важнейших задач Правительства России является создание условий, обеспечивающих дальнейший существенный рост внутренних и внешних инвестиций в национальную экономику (более подробно см. пункт 4.4 данного раздела).

    4.5. Изменение денежной массы в экономике России в 1992 – 2001 гг. и ее влияние на динамику ВВП

    Предложение денег и скорость их обращения

    Поквартальная динамика реальной денежной массы в России в 1993 – 2000 г. представлена на графике 4.2. Реальная денежная масса была получена путем дефлирования номинальной денежной массы с использованием дефлятора ВВП и исчислена в ценах второго квартала 2000 г. В анализируемом периоде наименьшее значение реальной денежной массы было в первом квартале 1995 г. (569,4 млрд. руб.).
    В течение последующих трех лет количество денег в экономике возросло более чем на 60 %, достигнув своего максимума в первом квартале 1998 г. (917,6 млрд. руб.). После финансового кризиса в августе 1998 г. величина денежной массы уменьшилась до величины 736,1 млрд. руб. в третьем квартале 1999 г., после чего предложение реальных денег в экономике неизменно росло, достигнув 841 млрд. руб. в третьем квартале 2000 г. или увеличилось примерно на 14 % по сравнению с после кризисным минимумом. Доля наличных денег в общем объеме денежного агрегата М2 в конце 2000 г. была равна примерно 35 %.
    Необходимо отметить низкую величину соотношения среднегодовой денежной массы М2 и ВВП в России, которая в 2000 г. составляла примерно 13 %. Этот же показатель в среднем по странам ОЭСР (Организации экономического сотрудничества и развития) составляет40-50%, Латинской Америки - 30-45%, Восточной Европы - 30-60%. Низкая монетаризация экономики России имеет своим результатом высокую долю бартерных операций, которая в общем объеме платежей промышленных предприятий составляла в 2000 г. около 60%, повысившись с 47% в начале 1999 года ([18] c. 206).
    Бартер, в свою очередь, предоставляет благодатную почву для различного рода налоговых и административных нарушений.
    График 4.2. Величина реальной денежной массы М2 в экономике России в 1993 – 2000 гг., млрд. руб., цены 2000 г.

    Предложение денег и скорость их обращения


    Скорость обращения денег, исчисленная путем деления номинального ВВП на среднегодовой объем номинальной денежной массы, в рассматриваемом периоде была подвержена существенным колебаниям. Максимальная скорость обращения денег была достигнута в 1995 г. (10,6 оборотов в год), а минимальная имела место в 2000 г. (5,8 оборота в год.

    Влияние изменения денежной массы на динамику
    валового внутреннего продукта и цены

    Важнейшее положение монетаристской теории состоит в том, что изменение денежной массы оказывает решающее воздействие на краткосрочную динамику продукта общества ([16], [17]). В связи с этим, интересно проанализировать, насколько изменение денежной массы влияло на производство ВВП в России в последнем десятилетии уходящего века.
    Исследования с использованием методов математической статистики показали [18], что поквартальное изменение номинального ВВП в наибольшей степени предопределялось вариацией номинальной денежной массы М2 (см. график 4.3). То же можно сказать и об изменении цен.
    Динамика дефлятора ВВП находилось под существенным воздействием изменения денежной массы (см. график 4.4).
    Исследование взаимосвязи реального ВВП и реальной денежной массы М2, полученной путем пересчета номинальной денежной массы М2 с использованием дефлятора ВВП, показало, что между этими показателями в анализируемом периоде не существовало положительной зависимости [18]. Следовательно, для анализируемого периода применительно к экономике России не было получено статистического подтверждения монетаристской теории о решающем влиянии изменения денежной массы на динамику реального продукта общества.

    Предложение денег и скорость их обращения







    Предложение денег и скорость их обращения


    4.6. Краткая характеристика фискальной политики в период реформ

    Фискальная политика в России в последнем десятилетии XX века характеризовалась по сравнению с советским периодом следующими крупными изменениями.
    1. Резким снижением государственных расходов, прежде всего расходов на приобретение продукции отраслей военно – промышленного комплекса. По отдельным позициям военно – технической продукции расходы на ее приобретение снизились в десятки раз.
    2. Существенным снижением доли государственных инвестиций, финансируемых за счет федерального бюджета, бюджетов субъектов Российской Федерации и местных бюджетов в общем объеме финансирования инвестиций. Если в 1989 г. доля централизованных бюджетных инвестиций в общем объеме инвестиций в основной капитал составляла 49%, то в 1998 г. этот показатель был равен примерно 20 % ([6] c. 343, [7] c. 372).
    3. Значительным сокращением реальных трансфертных платежей населению. Иначе говоря, реальная покупательная способность выплачиваемых пенсий, пособий, стипендий в годы гиперинфляции (1992 – 1994 гг.) сократилась в несколько раз.
    4. Существенной перестройкой системы налогообложения.
    Остановимся более подробно на последнем важнейшем элементе фискальной политики – перестройке системы налогообложения.
    Принятые в 1991 г. в канун начала радикальных экономических реформ законы и законодательные акты, регулирующие систему налогообложения, были подготовлены в течение короткого времени и потому не отличались глубиной проработки. Недостаток времени, неопределенность будущих структурных преобразований в экономике, быстро меняющееся правовое пространство, отсутствие опыта и знаний о международном опыте построения налоговых систем, приспособленных к функционированию в условиях рыночной экономики, явились главной причиной того, что российская налоговая система изначально обладала врожденными недостатками.
    К ним относились: гипертрофированно большая роль налога на прибыль, неоправданно приниженная роль налогов с физических лиц и на имущество, недостаточная разработанность вопросов налогообложения природных ресурсов и некоторые другие.
    Серьезный вред был нанесен перешедшим из советского времени ярко выраженным карательным уклоном налоговой системы, выражавшимся, в частности, в очевидной незащищенности налогоплательщика перед контролирующими органами, а также необоснованно высокими размерами санкций за налоговые правонарушения.



    Российская приватизация


    Существовала еще одна смешенная форма стихийной и активной приватизации – так называемая министерская приватизация, когда государственные предприятия преобразовывались в акционерные компании, акциями которых владеет государственная холдинговая компания, контрольным пакетом акций – министерство, а остальную часть акций холдинговая компания размещает среди частного сектора (АГРОХИМ, КАМАЗ, АВТОВАЗ, РАО ЕЭС России и др.). Российская приватизация имела следующие недостатки.

    1. Бесплатность. Начальная стоимость приватизируемого предприятия определялась балансовой стоимостью предприятия, тем самым обходилась проблема точной оценки стоимости предприятия, но обостряются проблемы дефицита государственного бюджета.
    2. Чрезмерные льготы. Помимо льгот, предложенных трудовым коллективам, большие льготы были предложены так же местным властям, для заинтересованности местного бюрократического аппарата в осуществлении реформ (местные власти получали 5% приватизируемых поступлений).
    3. Несовершенство и нарушения приватизационного законодательства. Сомнительные манипуляции с чековыми аукционами таких чрезвычайно привлекательных объектов, как РАО ЕЭС России, РАО Норильский никель, РАО Газпром и других, состоялись до официального завершения ваучерной приватизации. Это позволило получить колоссальные спекулятивные прибыли, в результате чего провозглашенная народная приватизация в кратчайший срок превратилась в беспрецедентную экспроприацию значительной части общественной собственности в пользу узкой группы лиц.
    4. Во многих случаях не было прогресса в сфере рыночной реструктуризации приватизированных предприятий, которыми управляет неэффективный класс собственников. В процессе приватизации управление на приватизированных предприятиях стали осуществлять инсайдеры - администрация и рабочие коллективы, которые не меняли существенно методы хозяйствования. Гораздо более эффективным собственником являются аутсайдеры - частный капитал, пришедшй со стороны (как было, например, в Венгрии, Восточной Германии). Анализ показывает, что производительность труда на частных российских предприятиях либо ниже, либо такая же как и на государственных предприятиях. Многие частные предприятия осуществляют модернизацию устаревшего оборудования, однако по народному хозяйству в целом частными предприятиями, составляющими 74% всех предприятий, на которых занято 40% численности всего промышленно-производственного персонала, осуществляется лишь около 26% народнохозяйственных инвестиций (см. представленную ниже таблицу). Помимо отсутствия реструктуризации частных предприятий, одной из причин их неэффективного функционирования является вывоз прибыли за границу. Однако необходимо делать поправку на неточность статистических данных из-за теневой экономики, в результате чего, возможно эффективность приватизированных предприятий несколько занижается.
    5. Несогласованность приватизации с другими направлениями реформ, например – с либерализацией цен. Колоссальный удар по населению нанесло то, что в момент либерализации цен отсутствовали меры по защите сбережений. Если бы заблаговременно были созданы механизмы, призванные переориентировать сбережения на выкуп приватизируемого имущества и оценить его стоимость по рыночным ценам, это не только бы защитило интересы вкладчиков, но и значительно бы уменьшило исходный ценовой всплеск, способствовало оздоровлению всей финансовой системы, предопределило принципиально иное отношение людей к реформам.

    Либерализация внешней торговли

    До 1992 г. экспорт и импорт товаров в России осуществлялся через несколько десятков государственных внешнеторговых объединений, располагавшихся, в основном, в Москве. В 1992 г. предприятиям многих отраслей экономики России было разрешено самостоятельно напрямую заключать с иностранными партнерами договоры об экспорте и импорте товаров и услуг. В результате, количество участников внешнеэкономической деятельности возросло от нескольких десятков до нескольких десятков тысяч.
    Из страны с закрытой экономикой Россия быстрыми темпами превратилась в страну, для которой внешнеэкономические связи имеют огромное значение для обеспечения производства, а также формирования потребления населения.
    Позитивными последствиями либерализации внешнеэкономической деятельности явились: 1) существенно большее вовлечение экономики России в мировой хозяйственный оборот и, как следствие, приспособление предприятий – экспортеров к более высоким требованиям, предъявляемым на мировом рынке к производимой продукции; 2) приобретение десятками тысяч российских управляющих опыта работы в условиях конкуренции на международных рынках, что, несомненно, способствовало ускорению адаптации руководящего персонала российских предприятий к работе в рыночных условиях; 3) импорт потребительских товаров способствовал сокращению товарного дефицита, существенному расширению ассортимента и повышению качества потребляемых населением России товаров.
    Негативные последствия либерализации внешнеэкономической деятельности состояли в следующем.

    1. Некоторые отрасли экономики России оказались неготовыми к конкуренции с зарубежными товаропроизводителями. Это касается, прежде всего, легкой и пищевой промышленности. В результате, вследствие жесткой конкуренции со стороны иностранных производителей, а также вследствие снижения спроса на товары со стороны населения, реальные доходы которого существенно уменьшились, производство в этих отраслях в начале – середине 90-х годов резко сократилось. Так, в 1992 – 1996 гг. производство продукции в легкой промышленности сократилось почти в пять раз ([10], с. 300), Производство в пищевой промышленности за тот же период уменьшилось более чем на 40 % ([10], с. 300).
    2. В условиях несовершенства законодательства, налоговой системы и фактического расстройства, в особенности в первые годы реформ, государственных органов управления (таможни, налоговых служб) в 90 – е годы произошел нелегальный вывоз за рубеж огромных сумм экспортной выручки и других форм капитала. Так предприниматели реагировали на политическую и экономическую нестабильность в стране и уходили от непродуманной, чрезмерно жесткой системы налогообложения. В результате, в 90 – е годы из России были нелегально вывезены капиталы на сумму, по разным оценкам, от нескольких десятков до нескольких сотен миллиардов долларов США. Наряду со многими другими негативными последствиями, это явилось одной из главных причин недостатка инвестиций в российскую экономику в рассматриваемом периоде.




    4.4. Товарный рынок и динамика производства


    Рынок потребительских товаров и услуг

    Как уже отмечалось выше, последние годы существования СССР и командной экономики характеризовались тотальным дефицитом как потребительских товаров, так и средств производства. В течение первых лет экономических реформ был фактически ликвидирован дефицит потребительских товаров и услуг.
    Так, уже в 1993 г. средний коэффициент насыщенности розничной торговли непродовольственными товарами составил 80 %, а для продовольственных товаров – 70 % ([10], с. 194 – 195).8 Для многих отдельных товаров коэффициент насыщенности розничной торговли превышал 90 %. Процесс повышения насыщенности товарами торговых предприятий продолжился в последующие годы.

    Динамика производства ВВП и факторов его производства

    Из данных таблицы 4.2. и графика 4.1 видно, что в 1991 – 1998 гг. падение производства ВВП в России было во все годы за исключением 1997 г. В результате этого, ВВП России в 1998 г. составлял только примерно 60 % от соответствующей величины в 1991 г. Значительно ухудшились и такие важнейшие показатели эффективности производства как производительность труда и фондоотдача. В 1998 г. производительность труда, посчитанная путем деления произведенного ВВП России на общую численность занятых в народном хозяйстве, была примерно на одну треть ниже, чем в 1990 г. (посчитано на основе данных таблицы 4.2).
    Таблица 4.2. Темп роста некоторых макроэкономических показателей экономики России в 1991 – 2001 г., %.

    Показатель
    91
    92
    93
    94
    95
    96
    97
    98
    99
    2000
    2001
    ВВП
    95
    86
    91
    87
    96
    97
    101
    95
    103
    108
    105
    Основные фонды
    103,4
    101,9
    100,5
    99,7
    100,2
    99,9
    99,6
    99,5
    99,5
    100,0

    101,7
    Численность занятых

    98

    98

    98

    97

    97

    99

    98

    99

    100,2

    100,6

    101,0
    Инвестиции
    в основной капитал

    85

    60

    88

    76

    90

    82

    95

    93

    105

    117

    109
    Производительность труда

    96,9

    87,8

    92,9

    89,7

    99,0

    98,0

    103,1

    96,0

    102,8

    107,4

    104,0
    Фондоотдача
    91,9
    84,4
    90,5
    87,3
    95,8
    97,1
    101,4
    95,5
    103,5
    108,0
    103,2
    Источники: [6], с. 14, 16; [8], с. 32, 33; [12]; [13]; [14], c. 10.

    Показатель фондоотдачи характеризует эффективность использования основного капитала (основных фондов в терминах российской статистики) и представляет собой величину ВВП, приходящуюся на один рубль основных фондов, имевших в экономике в анализируемом периоде. В 1998 г. уровень фондоотдачи составлял в экономике России примерно половину от значения этого показателя в 1990 г. (расчет на снове данных таблицы 4.2).



    Схема платежного баланса


    составлял 192,8 млрд. долл., а с учетом ППС – 1011,3 млрд. долл. или в 5,2 раза больше!3 При фиксированном валютном курсе центральный банк готов покупать и продавать иностранную валюту по заранее объявленному стабильному курсу. При такой системе валютного курса центральный банк должен финансировать любое положительное или отрицательное сальдо платежного баланса.
    Другая система называется гибким или плавающим валютным курсом. В случае свободного плавающего валютного курса центральный банк не регулирует курс национальной валюты путем интервенций и тот фактически формируется как равновесный курс спроса и предложения на валютных биржах.
    При регулируемом плавающем валютном курсе центральный банк стремится удержать колебания валютного курса в определенных рамках, прибегая к валютным интервенциям. В этом случае часто центральный банк объявляет об установлении так называемого валютного коридора.
    Иначе говоря, Центральный банк гарантирует, что за определенный период времени (часто в течение года) курс национальной валюты, например, по отношению к доллару США не будет выше определенной величины (скажем, 31 руб./$) и не будет ниже некоторой величины (скажем, 33 руб./$).
    В случае, когда при фиксированном валютном курсе принимается решение о повышении цены иностранной валюты и, соответственно, снижении цены национальной валюты, то говорят о ее девальвации. При снижении цены иностранной валюты в условиях фиксированного валютного курса принято говорить о ревальвации национальной валюты.
    В условиях гибкого или плавающего валютного курса снижение цены национальной валюты, выраженной в иностранных валютах, принято называть ее обесценением, а повышение цены – удорожанием.
    Следовательно, обесценение и девальвация, а также удорожание и ревальвация означают одно и то же, но в условиях различных систем валютных курсов: плавающего (гибкого) или фиксированного. На практике часто нет строгого разделения в использовании этих терминов: девальвация и обесценение, ревальвация и удорожание используются как синонимы.
    В практике макроэкономического анализа и статистики используется также такое понятие как многосторонний или эффективный обменный курс. Он показывает цену набора (корзины) иностранных валют, выраженную в национальной валюте.
    В набор каждая иностранная валюта включается с весовым коэффициентом, соответствующим ее значимости для платежного баланса данной страны. Например, для определения многостороннего курса рубля необходимо брать с большим весовым коэффициентом ЕВРО и украинскую гривну, так как Европейский Союз и Украина являются крупнейшими торговыми партнерами России.
    Если индекс многостороннего валютного курса снижается, то это означает удорожание валюты данной страны относительно набора валют других стран, а увеличение данного показателя показывает обесценение национальной валюты. Индекс многостороннего валютного курса демонстрирует динамику номинального курса валюты данной страны относительно валют других стран.
    Для учета инфляции в данной стране и в остальном мире, а также конкурентоспособности товаров данной страны на мировом рынке используется реальный эффективный обменный курс.

    RE = e * f / , (2.1)

    где , f – темп роста цен на внутреннем рынке и за рубежом соответственно, а e – многосторонний обменный курс национальной валюты.
    Увеличение RE означает, что цены мирового рынка, измеренные в национальной валюте данной страны, возросли, т.е. произошло обесценение национальной валюты. Если зарубежные товары стали более дорогими по сравнению с товарами, произведенными в данной стране (например, России), то при прочих равных условиях потребители внутри страны начнут покупать больше товаров национального производства.
    Это означает также рост конкурентоспособности товаров данной страны за рубежом, так как их цены, выраженные в иностранных валютах, уменьшились. Ярким примером возросшей конкурентоспособности российских товаров является ситуация после обесценения рубля в августе 1998 г., когда все импортные товары на российском рынке резко подорожали. Падение реального обменного курса RE означает, что цены мирового рынка, измеренные в национальной валюте данной страны, снизились.
    Следовательно, цены отечественных товаров данной страны (например, России), возросли относительно мировых цен. Поэтому конкурентоспособность товаров, произведенных в данной стране, на внутреннем и мировом рынке уменьшилась.

    2.2. Платежный баланс

    Платежным балансом называется составленный в форме бухгалтерских счетов статистический отчет о торговых и финансовых сделках экономических субъектов страны с заграницей за определенный период времени. В платежном балансе выделяются 4 балансовых счета (см.
    Таблицу 2.1).
    Таблица 2.1. Схема платежного баланса

    № счета
    Наименование счета
    Кредит (поступление средств)
    Дебет (расходование средств)
    Сальдо
    1.
    Торговый баланс
    Выручка от экспорта товаров
    Расходы на импорт товаров
    Выручка минус расходы
    2.
    Баланс услуг
    Выручка от экспорта услуг
    Расходы на импорт услуг
    Выручка минус расходы
    3.
    Баланс переводов
    Переводы из-за границы
    Переводы за границу
    Разность между переводами из за границы и за границу

    Текущих операций
    (1+2+3)

    Ex

    Im

    Nx = Ex – Im
    4.
    Операций с капиталом
    Импорт каитала KIm
    Экспорт капитала KEx
    NKx = Kex - Kim

    Валютные резервы ЦБ
    Увеличение валютных резервов заграницы
    Увеличение валютных резервов данной страны

    R

    Счета торгового баланса и баланса услуг показывают объемы экспорта и импорта страны за определенный период времени. Баланс услуг включает выплату и получение дивидендов, поскольку они являются оплатой услуг капитала.
    На счете переводов учитываются безвозмездные поставки товаров и услуг по их фактическим текущим ценам, все виды помощи и денежные переводы.
    Сумма первых трех счетов дает счет текущих операций. Сальдо по этому счету представляет собой чистый экспорт.

    Nx = Ex – Im, (2.2.)

    Ситуация, когда Nx 0 в целом благоприятна для страны и означает, что приток иностранной валюты в страну выше, чем отток из нее. В этой ситуации данная страна кредитует остальной мир.
    При Nx 0 для расчета за поставку товаров и услуг (при нулевом счете операций с капиталом) данная страна вынуждена будет прибегать к займам заграницей.
    В счете операций с капиталом отражается сальдо прямых инвестиций (вложения в основной капитал, предоставление кредитов на развитие производства) данной страны за рубежом и инвестиций из за рубежа в данную страну. Здесь же находит отражение сальдо портфельных инвестиций (приобретение различных видов ценных бумаг).
    В дебете счета операций с капиталом учитываются расходы резидентов данной страны на приобретение различных финансовых активов и предоставление кредитов загранице (экспорт капитала KEx), а в кредите (поступление денег) – приток капиталов от нерезидентов в данную страну при приобретении ими финансовых активов (импорт капитала KIm). Сальдо по счету операций с капиталом рассчитывается следующим образом.
    KNx = KEx – KIm, (2.3)

    Суммарное сальдо счета текущих операций и счета операций с капиталом дает сальдо платежного баланса BP.
    BP = Nx – KNx = (Ex – Im) – (KEx – KIm) = R, (2.4)

    где R представляет собой сальдо валютных резервов центрального банка. Принято говорить, что страна имеет активный платежный баланс, если BP 0. При BP 0 говорят о пассивном платежном балансе и дефиците платежного баланса.
    Иначе говоря, при BP 0 резиденты данной страны за определенный период времени заплатили нерезидентам больше (оплата импорта плюс экспорт капитала), чем получили от них (выручка от экспорта плюс импорт капитала). Следовательно, нерезиденты имеют сумму денег в валюте данной страны, которую они преLъявят центральному банку для обмена на девизы (валюту своей страны или другую иностранную валюту).
    В этом случае центральный банк продает часть принадлежащей ему иностранной валюты, и его золотовалютные резервы сокращаются, что и отразится на величине R. При профиците платежного баланса, когда BP 0, наоборот, резиденты получают девизов (иностранной валюты) больше, чем заплатили нерезидентам. Эта валюта предъявляется в центральный банк для обмена на валюту данной страны (например, рубли в случае России) и золотовалютные резервы центрального банка возрастают (на величину R).
    Поэтому разность между сальдо платежного баланса и сальдо золотовалютных резервов центрального банка за определенный период времени должна быть равна нулю.

    BP – R = 0 (2.5)

    Из проведенного анализа видно, что, продавая или покупая иностранную валюту, центральный банк может увеличивать или уменьшать денежную массу в стране. При активном платежном балансе при прочих равных условиях денежная масса увеличивается.
    При пассивном платежном балансе при прочих равных условиях денежная масса снижается.

    2.3. Модель IS–LM для открытой экономики – модель Манделла – Флеминга

    Прежде всего, дадим иную интерпретацию величины чистого экспорта Nx, определив ее как функцию от дохода Y.

    Nx = X – mY + vRE, (2.6.)

    где X – постоянная, отражающая величину экспорта, а также влияние на чистый экспорт изменения дохода за рубежом (в остальном мире);



    Советский экономический рост:


    Это позволит банкам повысить оперативность и эффективность управления своей ликвидностью, снизить системные и внесистемные риски, а для банковской системы будет способствовать обеспечению бесперебойного функционирования системы безналичных расчетов и в значительной степени решению проблемы неплатежей. 2. Целесообразно дальнейшее расширения круга активов, которые могли бы использоваться в качестве обеспечения при предоставлении кредитов банкам со стороны Банка России. В качестве одной из таких мер рассматривается возможность предоставления Банком России кредитов, обеспеченных залогом векселей финансово устойчивых и платежеспособных предприятий, прав требований по кредитам, закладных ценных бумаг и поручительствами.
    3. Необходимо создать условия для возобновления операций на рынке государственных ценных бумаг, но проводить операции с ними не для поддержания доходности или ликвидности этого рынка, а в целях регулирования ликвидности банковской системы. Позитивным фактором для рынка может стать размещение небольших объемов ГКО, выпускаемых в целях финансирования кассовых разрывов бюджета, которые традиционно рассматриваются инвесторами как инструмент, более привлекательный по сравнению с купонными облигациями.

    Библиография к разделу 4

    1. Суслов Н.И. Структурные проблемы российской экономики // Проблемы, успехи и трудности переходной экономики.
    М.: Транспечать, 2000.
    2. Тагаева Т.О. Макроэкономические проблемы перехода от централизованной экономики к экономике рыночного типа.
    Новосибирск: НГУ, 2002.
    3. Линвуд Т. Гайгер. Макроэкономическая теория и переходная экономика.
    М.: Инфра-М, 1996.
    4. Ханин Г.И. Советский экономический рост: анализ западных оценок.
    Новосибирск: ЭКОР. 1993.
    5. Селиверстова Н.Н. Промышленные мощности: современный уровень и прогноз на перспективу // ЭКО, 1996, N 4.
    6. Россия в цифрах. Краткий статистический сборник.
    М., Госкомстат России, 1999.

    1. Российский статистический ежегодник. Статистический сборник. М., Госкомстат России, 1994.
    8. Россия в цифрах. Краткий статистический сборник.
    М.: Госкомстат России, 2002.
    9. Россия в цифрах. Краткий статистический сборник.
    М.: Госкомстат России, 1997.
    10. Российский статистический ежегодник.
    Статистический сборник. М.; Госкомстат России, 1999.
    11. Россия в цифрах. Краткий статистический сборник.
    М.: Госкомстат России, 1995.
    12. Сайт Госкомстата России: www.gks.ru/scripts/free.
    13. Сайт Госкомстата России: www.gks.ru/scripts/reg1.
    14.Статистическое обозрение. Ежеквартальный журнал. № 2 (33) – 2000.
    15. Ивантер А. Пробуждение.
    Добро пожаловать в экономику роста. Эксперт. № 1-2 (262), 2001 г., с.16 – 19.
    16. M. Friedman, A. Schwartz.
    A Monetary History of The United States, 1867 - 1960. Princeton, N.J.: Princeton University Press, 1963.
    17. M. Friedman, A. Schwartz.
    Monetary trends in the United States and the United Kingdom. Chicago: University of Chicago Press, 1982.
    18. Баранов А.О., Гильмундинов В.М., Павлов В.Н. Прогноз развития экономики России на период 2001 – 2005 гг. с использованием динамической межотраслевой модели с бюджетным и монетарным блоком. Препринт.
    Новосибирск, Институт экономики и организации промышленного производства СО РАН, 2000.
    19. “Стратегия развития Российской Федерации до 2010 г.” Проект. Фонд “Центр стратегических разработок”.
    2000 г. Сайт http://www.commersant.ru/docs/strat1.htm.
    20. План действий Правительства Российской Федерации в области социальной политики и модернизации экономики на 2000 – 2001 годы.
    Российская газета. 5 августа 2000 г., с. 5, 7.
    21. Деньги и кредит. № 7. 1995.
    22. Сайт Министерства финансов Российской Федерации http://mac.www.minfin.ru/budjet/budjet99.htm
    23. Илларионов А. Лекарство от спада.
    Известия. 19.09.1996 г.
    24. Илларионов А. Экономическая свобода и благосостояние народов. Вопросы экономики. № 4. 2000 г.
    25. Ясин Е., Алексашенко С., Гавриленков Е., Дворкович А. Реализация либеральной стратегии при существующих экономических ограничениях. Вопросы экономики. № 7, 2000 г.
    26. Вальтух К.К.
    Стратегия возрождения. ЭКО. № 7 – 8. 1996 г.
    27. Глазьев С. Грядет ли новый финансовый кризис в России? Вопросы экономики. №6, 2000 г.
    28. Ивантер А., Кириченко Н. Пять экономических задачек.
    Эксперт. № 1 – 2 (262). 2001 г., с. 46 – 50.
    29. What Washington Means by Policy Reform.
    In John Williamson, Ed., Latin American Adjustment: How Much Has Happened? – Washington: Institute for International Economics, 1990.
    30. Экономика переходного периода. Очерки экономической политики пост коммунистической России (1991-1997).
    М.: ИЭПП, 1998.


    1 В модели Солоу предполагается, что население равно численности занятых.
    2 Данные об экспорте и импорте в российской статистике приводятся в долл. США. В рубли эти показатели были пересчитаны по среднегодовому курсу рубля к доллару в 2000 г.
    3 Посчитано на основе данных Госкомстата РФ: [3, с. 36, 637, 657].
    4 Подробнее о понятиях внутренней и внешней сбалансированности см. пункт 2.4 настоящего раздела.
    5 Под совместимой во времени политикой понимаются такие действия правительства, когда оно оптимизирует свои решения в каждый момент времени.
    6 Валовой общественный продукт представляет собой показатель, рассчитывавшийся в социалистических странах в рамках методологии баланса народного хозяйства и представлявший собой валовой выпуск, рассчитывавшийся только для отраслей для материального производства.
    7 Термин вашингтонский консенсус был введен американским экономистом Джоном Уильямсоном [29].
    8 Коэффициент насыщенности розничной торговли равен отношению количества городов, в которых во время обследования товар был в наличии, к общему числу обследуемых городов.
    9 Анализ экономического развития России в 90 – е годы см. также в статье Александра Ивантера Пробуждение. Добро пожаловать в экономику роста ([9]).
    10 Операция РЕПО фактически представляет собой предоставление краткосрочного кредита под залог ценных бумаг, в том числе государственных ценных бумаг. Операция обратного РЕПО – выкуп заложенных ценных бумаг на определенных условиях.

    11 В данной работе мы, естественно, не претендуем на исчерпывающее описание этого сложнейшего вопроса, а лишь останавливаемся на некоторых важнейших его аспектах.
    12 В 2000 г. Андрей Илларионов был назначен экономическим советником Президента Российской Федерации.
    13 Предложения по совершенствованию экономической политики в России, направленные на закрепление тенденций роста экономики см. также в статье Александра Ивантера и Никиты Кириченко Пять экономических задачек ([22]).



    Упрощение налоговой системы


    Коррупция государственного аппарата, не говоря о моральной стороне вопроса, повышает предпринимательские издержки и замедляет решение многих вопросов развития бизнеса.
    Совершенствование экономической политики – разные подходы

    Вокруг вопроса совершенствования экономической политики в России ведется жесткая дискуссия как среди теоретиков, так и среди практиков. Суть дискуссии в кратком виде сводится к следующему.
    Одна часть экономистов, например, Андрей Илларионов12, видит окончательный выход их экономического кризиса на путях дальнейшей либерализации российской экономики ([23], [24]). К сторонникам либерального подхода можно отнести также таких известных российских экономистов как Егор Гайдар, Евгений Ясин ([19]) и некоторых других.
    Андрей Илларионов считает, для обеспечение высоких темпов экономического роста необходимо уменьшить долю валового внутреннего продукта, перераспределяемого через бюджет до 24 – 26 % при том, что эта величина, например в 1997 г., была равна 33% ([6], c. 28), а в 1999 г. примерно 30 % ([12], [22]). Фактически это означает снижение государственного вмешательства в экономическое развитие.
    Сторонники дальнейшей либерализации экономики ссылаются на международный опыт. В Швеции через государственный бюджет длительное время перераспределялось около 60 % ВВП, что привело к глубокой экономической депрессии. Наоборот, Китай с 1979 г. по 1995 г. резко снизил расходы консолидированного бюджета с 36 %; до 14 % ВВП. Высвободившиеся финансовые ресурсы были направлены в более эффективный частный сектор.
    В результате среднегодовой темп роста ВВП в Китае в последние 20 лет составил около 10 % [23].
    Теоретическое обоснование подхода сторонников усиления либерализации экономики состоит в следующем.

    1. В случае увеличение доли ВВП, перераспределяемой через государственный бюджет, происходит увеличение государственных доходов и расходов и, следовательно, возрастает налоговое бремя частного сектора, что приводит к подавлению деловой активности и, в конечном итоге, снижает экономический рост.
    2. Увеличение доли государственных расходов в ВВП, при прочих равных условиях, снижает эффективность экономики, так как государственный сектор распоряжается своими ресурсами менее эффективно, чем частный.
    3. Рост государственных расходов порождает дефицит государственного бюджета, приводит к росту государственного долга. Обслуживание растущего государственного долга отвлекает ресурсы национальной экономики от инвестирования, что подрывает основы экономического роста.
    Позиция другой части экономистов сводится к тому, что государство должно резко усилить свое влияние на экономику. Видными представителями этого подхода являются известный российский экономист Константин Вальтух [26] и Сергей Глазьев [27].
    Наиболее существенные предложения К. Вальтуха по совершенствованию экономической политики сводятся к следующему [26].

    1. Необходимо значительно усилить централизованное управление государственными предприятиями и компаниями, где государство имеет контрольный пакет акций. Цель – налаживание хозяйственных связей, лучшее использование производственных мощностей.
    2. Требуется ввести жесткое регулирование заработной платы независимо от форм собственности. Цель – мобилизовать денежные ресурсы для финансирования инвестиций.
    3. Введение жесткого регулирования цен на производимую продукцию. Основная цель – борьба с инфляцией.
    4. Введение всеобъемлющего государственного контроля над внешнеэкономическими связями. Цель – предотвращение незаконного экспорта и незаконного вывоза капитала.
    5. Возродить всеобщее государственное регулирование финансового сектора экономики. Цель – недопущение антисоциальных финансовых операций, мобилизация финансовых ресурсов для осуществления капитальных вложений.
    6. Необходимо осуществлять разработку конкретных государственных программ развития экономики и организовывать их практическую реализацию.
    В целом реализация предложенных К. Вальтухом мер весьма близко подведет российскую экономическую систему к экономике командного типа со всеми вытекающими отсюда последствиями, которые в течение десятилетий наблюдались в странах так называемого коммунистического блока. Например, контроль над заработной платой и ценами, будучи введенными на достаточно длительный период времени, приведут к появлению дефицита товаров и рабочей силы, что неоднократно было доказано опытом других стран.

    Совершенствование экономической политики
    как фактор ускорения экономического развития

    Совершенствование экономической политики должно привести к конечной цели – существенному повышению уровня жизни населения России на основе экономического роста. Достижение этой цели, рассматриваемое с позиций среднесрочного и долгосрочного экономического развития, невозможно без значительного роста инвестиций в российскую экономику.
    Дальнейший рост инвестиций в российскую экономику должен быть обеспечен посредством использования всего спектра инструментов экономической политики.13
    Поддержание невысокой для экономики переходного типа инфляции (5 % - 10 % в год) будет являться фактором, способствующим росту инвестиций, и возможно лишь в условиях проведения достаточно жесткой монетарной политики. . Снижение реальной нормы процента должно быть обеспечено дальнейшим последовательным уменьшением ставки рефинансирования и процентов по государственным долговым обязательствам. Доходность по государственным долговым обязательствам должна быть ниже прибыльности вложений в развитие производства товаров и услуг.
    Это будет содействовать направлению финансовых ресурсов в развитие производства.
    Фискальные методы стимулирования инвестиций должны включать: 1) реальное налоговое льготирование предприятий и финансовых институтов, осуществляющих инвестиции в основной капитал или кредитующих инвестиционный процесс (например, инвестиционные налоговые скидки); 2) выдачу льготных государственных инвестиционных кредитов на основе проведения открытых конкурсов; 3) разработку и реализацию государственных инвестиционных программ в отраслях, определяющих научно – технический прогресс (космос, оборона и т.д.) и обеспечивающих развитие инфраструктуры.
    В ряде случаев государственные инвестиции должны сочетаться с инвестициями частного сектора экономики.
    “Стратегия развития Российской Федерации до 2010 г.” [19 и План действий Правительства Российской Федерации в области социальной политики и модернизации экономики на 2000 – 2001 годы [20] предусматривают следуюшие направления совершенствования экономической политики.

    Совершенствование налоговой системы

    В рамках осуществления реформы налоговой системы должны быть достигнуты следующие глобальные цели ([19], [20]).
    1. Улучшение инвестиционного климата и создание условий для достижения сбалансированности государственного бюджета.
    2. Повышение уровня справедливости и нейтральности налоговой системы за счет:

    • выравнивания условий налогообложения для всех налогоплательщиков (прежде всего за счет отмены имеющихся необоснованных льгот и исключений);
    • отмены неэффективных и оказывающих негативное влияние на экономическую деятельность хозяйствующих субъектов налогов и сборов (прежде всего так называемых "оборотных" налогов);
    • улучшения налогового администрирования и повышения уровня собираемости налогов за счет включения в налоговое законодательство дополнительных механизмов и инструментов налогового контроля;
    • сокращения числа контролирующих органов за счет объединения Налоговой службы, Налоговой полиции, Службы валютного контроля, подразделений государственных внебюджетных фондов, ответственных за сбор платежей;
    • упрощения и ускорения процедур обжалования решений и действий налоговых органов (в том числе за счет создания специализированных коллегий по налоговым спорам в судах общей юрисдикции и арбитражных судах).
    3. Упрощение налоговой системы за счет:

    • установления закрытого перечня налогов и сборов;
    • сокращения числа налогов и сборов;
    • максимальной унификация налоговых баз и правил их исчисления по отдельным налогам, а также порядка их уплаты.
    4. Обеспечение стабильности и предсказуемости налоговой системы. Налоговая реформа должна проводиться в несколько этапов и занять 4 - 5 лет.
    Причем часть предлагаемых преобразований уже реализована в 2000 г., в том числе в связи с принятием второй части Налогового кодекса. В связи с этим бюджет на 2001 год отчасти основывается на новой налоговой системе.
    Например, с 2001 г. введена единая ставка подоходного налога с физических лиц , равная 13% независимо от уровня получаемого дохода.

    Совершенствование инструментов кредитно – денежной политики

    Для обеспечения устойчивого экономического роста предлагается, в частности, обеспечить развитие системы инструментов денежно-кредитной политики по следующим направлениям ([19], [20]).
    1. Необходимо обеспечить доступ к операциям по рефинансированию и депозитным операциям Банка России кредитным организациям других регионов (кроме банков Москвы и г. Санкт-Петербурга). Основным препятствием являются вопросы технического обеспечения.
    По мере развития единой телекоммуникационной системы и системы расчетов Банка России процедура предоставления банкам кредитов должна быть автоматизирована посредством создание программных комплексов по кредитным операциям и перехода на электронный документооборот между всеми участниками процесса кредитования.



    Временной аспект воспроизводства основного капитала


    Значения капиталовооруженности, находящиеся слева от k**, обеспечивают прирост потребления на одного работника. Однако его максимум достигается именно в точке k**.
    С математической точки зрения максимум удельного потребления достигается в той точке, в которой первая производная по k функции потребления c = A*f(k) – равна нулю.















    График 1.3. Максимальный уровень потребления на одного работника достигается при капиталовооруженности, равной k**.

    Действительно, при переходе от устойчивого уровня капиталовооруженности k1* к уровню устойчивой капиталовооруженности k2* прирост ВВП на одного работника (верхний сплошной участок линии, исходящей из точки k2*, ) больше прироста возмещения выбытия капитала (нижний сплошной участок линии, исходящей из точки k2* ). Следовательно, в этих условиях обеспечивается рост потребления на одного работника.
    При переходе от устойчивого уровня капиталовооруженности k3* к уровню устойчивой капиталовооруженности k4* прирост ВВП на одного работника (верхний сплошной участок линии, исходящей из точки k4*, ) меньше прироста возмещения выбытия капитала (нижний сплошной участок линии, исходящей из точки k4* ). Следовательно, в этих условиях не обеспечивается рост потребления на одного работника, так как весь прирост продукта используется для возмещения выбывшего капитала.
    Отметим в заключении данного параграфа, что основной капитал играет большую роль в обеспечении экономического роста в долгосрочном плане еще и потому, что является важнейшим каналом внедрения новых технологий в производственный процесс. Новые технологии приходят в производство вместе с новыми машинами и оборудованием.
    1.2.2. Временной аспект воспроизводства основного капитала.
    Понятие инвестиционного лага.

    В анализе инвестиций в основной капитал большую роль играет понятие требуемого основного капитала. Под требуемым основным капиталом понимается его величина, которую фирма хотела бы иметь в долгосрочном плане.
    Для отдельных объектов экономики и для экономической системы в целом важна длительность периода времени, в течение которого можно перейти от величины имеющегося к требуемой величине основного капитала. В связи с этим введем понятие инвестиционного лага.
    Под инвестиционным лагом в наиболее общем случае понимается период времени между моментом начала вложений денег в какой-либо проект и моментом получения эффекта от этого проекта. Вопрос сводится к тому, что считать моментом начала вложений (например, начало проектирования объекта, начало строительства и т.д.) и что считать моментом получения эффекта (например, начало производства продукции, момент, когда прибыль от работы предприятия превысила инвестиции в него и т.д.).
    Один из наиболее распространенных вариантов понимания инвестиционного лага является строительный лаг, равный периоду времени, отделяющему момент начала строительства объекта от момента ввода его в действие.
    Важно понимать, что инвестиции в основной капитал данного года t в экономике в целом направляются на сооружение объектов, которые будут введены в действие в годах t, t+1,…, t+, где представляет собой величину строительного лага. Следовательно, мы можем записать следующее соотношение:

    Временной аспект воспроизводства основного капитала



    где () – коэффициент, показывающий, какая доля ввода в действие основного капитала в году t+ будет формироваться за счет инвестиций года t.

    Временной аспект воспроизводства основного капитала


    Временной аспект воспроизводства основного капитала

    С другой стороны, ввод основных фондов данного года t есть результат инвестиций нескольких лет.

    где (s) - коэффициент, показывающий, какая доля инвестиций в основной капитал года t - s направляется на формирование ввода в действие основного капитала года t.
    Следовательно, инвестиции данного года через ввод в действие основного капитала в данном году и в последующие годы будут воздействовать на производство продукта общества не только в данном году, но и в последующие годы. В этом смысле понятие требуемого капитала и инвестиций в основной капитал необходимо связывать не только с величиной продукта общества в данном году, но и с его величиной в последующие годы.
    Иначе говоря, требуемый капитал есть функция от валового национального продукта нескольких лет: данного года и ряда последующих лет, максимально отстоящих от данного года на величину строительного лага.

    1.2.3. Предельная производительность капитала и издержки его использования

    Под предельной производительностью капитала понимается максимальное увеличение выпуска продукции при увеличении капитала на единицу. Применительно к макроэкономическому анализу это максимальное увеличение валового национального продукта при увеличении основного капитала общества на единицу. Если ВНП есть функция от капитала, то предельная производительность MPK есть:

    Временной аспект воспроизводства основного капитала



    Под издержками использования капитала понимаются затраты на использование дополнительной единицы основного капитала в производстве.
    Основой для определения издержек использования капитала является понятие нормы процента - i, так как в подавляющем большинстве случаев процесс инвестирования в основной капитал связан с получением кредитов на реализацию инвестиционных проектов и, следовательно, необходимо учитывать ту ставку, под которую берется кредит. Кроме того, если субъект экономики осуществляет инвестиции за свой счет, то он всегда сравнивает ту норму прибыли, которую он получит в результате реализации проекта, с процентом, который он мог бы получить в банке, если бы положил соответствующую сумму на депозит.
    Для того, чтобы инвестиции были привлекательными, норма прибыли по ним должна быть строго больше банковского процента по депозитам.
    Продукт общества может быть произведен с использованием различных комбинаций основного капитала и труда. Связь величины требуемого капитала K* с издержками использования основного капитала и продуктом общества в самом общем
    Временной аспект воспроизводства основного капитала

    виде может быть описана следующим образом.


    где rc – издержки использования основного капитала.
    Упрощенный вид конкретной функциональной зависимости требуемого основного капитала от ВНП и издержек использования основного капитала во многих учебных пособиях по макроэкономике описывается в виде следующей функции:




    Временной аспект воспроизводства основного капитала



    Из (1.10) хорошо видно, что К* прямо пропорционально Y и обратно пропорционально rс. Однако выше мы показали, что величина требуемого капитала есть функция ВНП не только данного года, но и последующих лет.
    В связи с этим соотношение (1.10) может быть записано иным, более сложным образом с учетом инвестиционного лага.


    Временной аспект воспроизводства основного капитала


    где – как и ранее, величина строительного лага;
    (s)0 – коэффициенты, показывающие в какой степени выпуск продукции в году s оказывает влияние на величину К* в данном периоде.
    При анализе понятия издержек использования основного капитала необходимо рассматривать реальную норму процента: r = i – l, где i – номинальная ставка процента, а l – темп роста цен. Кроме того, необходимо включать в издержки использования основного капитала его амортизацию, которая представляет собой часть стоимости основого капитала, перенесенную на произведенную продукцию в течение определенного периода времени.
    С учетом сделанных замечаний, издержки использования основного капитала могут быть описаны следующим образом.


    Временной аспект воспроизводства основного капитала


    где K – величина используемого основного капитала;
    D – величина амортизации основного капитала.
    1.2.4. Влияние фискальной и монетарной политики на величину требуемого основного капитала.

    Фискальная политика

    Используя налоговую политику, государство может оказывать воздействие на величину требуемого основного капитала и, следовательно, на величину спроса на инвестиционные товары и в целом на объем агрегированного спроса.
    Среди инструментов фискального воздействия на величину требуемого основого капитала правительства часто используют так называемую инвестиционную налоговую скидку (). Инвестиционная налоговая скидка обычно представляет собой часть налога на прибыль, которая не изымается у экономического субъекта в случае, если он инвестирует часть своих свободных финансовых ресурсов в развитие бизнеса. Иначе говоря, если экономический субъект осуществил инвестиции I, то налог на прибыль снижается для него на величину *I. Следовательно, увеличивая инвестиционную налоговую скидку, государство может стимулировать рост требуемого капитала и инвестиций.
    Снижая или увеличивая , государство может снизить или увеличить налог на прибыль.
    Изменение налога на прибыль оказывает двойственное влияние на величину требуемого основного капитала. Например, рост налога на прибыль приводит, при прочих равных условиях, к падению уровня получаемого частным сектором экономики дохода. Это подрывает стимулы к производству и приводит к его снижению. Уменьшение продукта приводит к снижению национального дохода (при неизменности стоимостной структуры валового национального продукта). В результате этого снижается спрос на деньги, публика начинает приобретать активы, приносящие проценты, цены на них растут и норма процента в экономике падает.
    Другое содержательное обоснование снижение нормы процента может состоять в том, что снижение спроса на деньги в результате снижения объемов производства, при прочих равных условиях, приводит к снижению спроса на кредиты.



    

        Экономика: Знания - Циклы - Макроэкономика