Модель IS-LM


Глава 1. Взаимосвязь моделей AD-AS и IS-LM. Основные переменные и уравнения модели IS-LM
Глава 2. Вывод кривых IS и LM. Наклон и сдвиг кривых IS и LM. Равновесие в модели IS-LM
Глава 3. Фискальная и монетарная политика в рамках модели IS-LM
Глава 4. Относительная эффективность бюджетно-налоговой и кредитно-денежной политики. Эффект вытеснения
Глава 5. Вывод кривой совокупного спроса. Экономическая политика в моделях AD-AS и IS-LM при изменениях уровня цен
Список литературы

Введение
Макроэкономическое равновесие на товарном рынке.
Одна из составляющих макроэкономического равновесия товарного рынка это спрос на инвестиции, другая предложение сбережений. Спрос на инвестиции предъявляют предприниматели, сбережения предлагает население, в общем случае они не совпадают.
Факторы здесь будут разными (доход домохозяйств DI, финансовые активы домохозяйств, уровень цен, инфляционные ожидания и ожидания роста доходов, величина задолженности, налоговые ставки, величина процентной ставки r).
Для макроэкономического равновесия товарного рынка нужно, чтобы инвестиционный спрос был полностью удовлетворен предложением сбережением, т.е.
Ig (r) = S ( DI ).
Т.к. инвестиции зависят от процентной ставки, а сбережения от личного располагаемого дохода, то существует какая-то функциональная связь между процентной ставкой и доходом при условии равенства инвестиций и сбережений. Выявление этой зависимости DI = f (r) можно свести к графическому построению искомой кривой.
Учитывая, что одновременно нужно анализировать несколько графиков, совместим их между собой.
1. Макроэкономическое равновесие на товарном рынке.

Во II-м квадранте график спроса на инвестиции, в III-м под углом 45о проведена линия I = S, в IV-м квадранте функция сбережений S от личного дохода DI.
Логика искомого графика:
Равновесная ставка процента rE вызывает инвестиционный спрос IE (квадрант II). Для его полного удовлетворения нужно предложение сбережений в объеме SE (квадрант III), а такое предложение возможно только при личном располагаемом доходе DIE, что отражает точка равновесия Е (квадрант I).
При новой равновесной ставке rM возникает новый инвестиционный спрос IM и равное ему предложение сбережений SM при доходе DIM. Соответствие rM и DIМ устанавливается в новой точке равновесия М.
Эта искомая зависимость DI = f (r) называется кривой IS.
Таких точек Е, М, N может быть много. Соединив их, получим кривую макроэкономического равновесия товарного рынка, называемую кривой «инвестиции-сбережения» (IS).
Это геометрическое место точек равновесия инвестиций и сбережений при любых значениях ставки процента и личного располагаемого дохода.
Макроэкономическое равновесие товарного рынка очень неустойчиво, т.к. инвестиции чаще всего не совпадают со сбережениями.
Рассмотрим 3 варианта соотношений инвестиций и сбережений:
I S.
малые сбережения сдерживают инвестиции, нет расширения производства;
чем меньше сбережения, тем большая часть располагаемого дохода идет на потребление, т.е. растет совокупный спрос. Эти два эффекта давят на цены, усиливается инфляция.
S I.
Низкий текущий спрос, мощный поток инвестиций, рост производства (= кризис перепроизводства), цены падают = спад промышленности и рост безработицы.
3. I = S.
Возможно несовпадение реальных потоков инвестиций и инвестиционного спроса; высокие ставки процента делают кредиты недоступными для мелкого бизнеса.
Отсюда вывод: рыночный механизм не обеспечивает устойчивого макроэкономического равновесия между инвестиционным спросом и предложением сбережений. Нужно активное вмешательство государства в различных формах:
Когда текущий спрос велик, сбережения малы, а кредит дорог, государство должно стимулировать предложение товаров и услуг, следя за инфляцией.
Если текущий спрос низок, сбережения велики, то государство должно стимулировать спрос, не сокращая производство.

2. Макроэкономическое равновесие на денежном рынке.
На денежном рынке определяющим является спрос на деньги. В первом приближении закон денежного обращения является теорией спроса на деньги, т.е. количество денег, необходимое для обращения, и есть величина спроса на деньги, т.е. количество денег, необходимое деловым фирмам и частным лицам, которые они хотят сохранить как часть своих активов.
DM = Y*P/V, где DM спрос на деньги, У реальный объем национального производства, Р- средний индекс цен, V скорость обращения.
Т.о. спрос на деньги зависит от следующих факторов:
Абсолютный уровень цен. При прочих равных условиях более высокий уровень цен требует больше денег, т.к. покупателю требуется больше денег для покупки товаров и услуг.
Уровень реального объема производства. По мере его роста растут реальные доходы.
При прочих равных условиях людям понадобится больше денег при условии роста реальных доходов.
Скорость обращения денег.
Кейнс говорил о трех причинах, вызывающих спрос на деньги:
Людям нужны деньги, чтобы использовать их в качестве средства платежа (трансакционный мотив).
У людей есть желание обеспечить в будущем возможность распоряжаться определенной частью своих ресурсов в форме наличности (мотив предосторожности).
Хозяйственные агенты будут держать часть своих активов в ликвидной форме, если они считают, что владение активами в иной форме сопряжено с риском (спекулятивный мотив).
Вывод: величина спроса на деньги зависит от номинального дохода У и номинальной ставки процента R, т.е. DM = f (Y, R). Такая функция трех переменных в системе координат может быть представлена семейством кривых:















2. Кривая спроса на деньги.

Наклон вниз каждой кривой возрастает по мере уменьшения R при заданном уровне номинального дохода, что означает увеличение спроса на деньги при уменьшении номинальной ставки %.
Форма кривой предложения денег во многом зависит от денежно-кредитной политики ЦБ. Если государство руками ЦБ стремится удержать совокупные резервы банковской системы на фиксированном уровне, независимо от изменений R, кривая предложения денег представляет собой вертикальную линию, перпендикулярную оси ОХ в точке Е, равной «резервы банковской системы * денежный мультипликатор».
















3. Равновесие на денежном рынке.

В т. Е наблюдается равновесие на денежном рынке. Это равновесие называется частичным.
Если предложение денег в экономике будет падать, то в новой точке равновесия R будет выше, а М меньше.
Если растет спрос на деньги, то экономические субъекты предъявляют спрос на деньги больший, чем банковская система в состоянии предложить. Субъекты пытаются приобрести больше денег, продавая ценные бумаги и прося ссуды. Это ведет к повышению равновесной R.
R выступает в качестве цены денег.
Частичное равновесие на денежном рынке не дает представления о макроэкономическом равновесии на денежном рынке.
При постоянном предложении денег возможны различные положения равновесия денежного рынка в зависимости от величины совокупного спроса на деньги. Эти различные положения представлены различными комбинациями: т. Е: DM (Y) = SM; т. F: DM1 (Y) = SM1; т. N: DM2 (Y) = SM2.
Эту систему уравнений можно изобразить графически, перейдя от зависимости M = f (R) к зависимости Y = f (R).
R R

IS

N N

F F

E E
R0 R0


M Y1 Y2 Y3 Y


Точка Е точка макроэкономического равновесия товарного и денежного рынка. Это называется график IS-LM, или модель Хикса-Хансена.

Глава 1. Взаимосвязь моделей AD-AS и IS-LM. Основные переменные и уравнения модели IS-LM.
В модели AD-AS и модели Кейнсианского креста рыночная ставка процента является внешней (экзогенной) переменной и устанавливается на денежном рынке относительно независимо от равновесия товарного рынка. Основной целью анализа экономики с помощью модели IS-LM является объединение товарного и денежного рынков в единую систему. В результате рыночная ставка процента превращается во внутреннюю (эндогенную)
Модель IS-LM
переменную, и ее равновесная величина отражает Динамику экономических процессов, происходящих не только на денежном, но и на товарном рынках.
Модель IS-LM (инвестиции- сбережения, предпочтение ликвидности - деньги) - модель товарно - денежного равновесия, позволяющая выявить экономические факторы, определяющие функцию совокупного спроса. Модель позволяет найти такие сочетания рыночной ставки процента R и дохода Y, при которых одновременно достигается равновесие на товарном и денежном рынках.
Поэтому модель IS-LM является конкретизацией модели AD-AS.
Основные уравнения модели IS-LM:
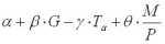
1) У==С+I+G+X
Модель IS-LM
- основное макроэкономическое тождество.
2) C=a+b(Y-T) - функция потребления, где Г=T
Модель IS-LM
+tY
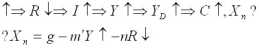
3) I=e-dR - функция инвестиций.
4) X
Модель IS-LM
=g-m'Y-n R - функция чистого экспорта.
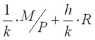
5)
Модель IS-LM
= k Y - h R- функция спроса на деньги.
Внутренние переменные модели: Y (доход), С (потребление), I (инвестиции), Х
Модель IS-LM
(чистый экспорт), R (ставка процента).
Внешние переменные модели: G (государственные расходы), M
Модель IS-LM
(предложение денег), t (налоговая ставка).
Эмпирические коэффициенты (a, b, е, d, g, т , п, k, h) положительны и относительно стабильны.
В краткосрочном периоде, когда экономика находится вне состояния полной занятости ресурсов (Y
Модель IS-LM
Y*), уровень цен Р фиксирован (предопределен), а величины ставки процента R и совокупного дохода Y подвижны.

Случай классической теории и эффект вытеснения


Именно поэтому любимым детищем кейнсианцев является фискальная политика. гвительно, если вернуться к рассмотрению 3.2, то на кейнсианском линии LM смещение линии IS из положения ISo в IS 1 увеличивает доход от уо до y1 без изменения процентной ставки. Стимулами для такого роста являются сличение государственных расходов, либо снижение налогов.
При создании государственного долга дефицит государственного бюджета имеет место при неизменном уровне процентной ставки is. В данном случае кейнсианский мультипликатор «работает» со стопроцентной эффективностью.
При этом, естественно, существенно возрастает роль государства.

НЕОКЛАССИЧЕСКИЙ (МОНЕТАРИСТСКИЙ) СЛУЧАЙ
Монетаристы отвергают фискальную политику с прямо противоположных позиций,
Отводя главную роль денежно-кредитной или монетарной политике. Для крайней неоклассической позиции характерны следующие допущения.
Во-первых, по мнению неоклассиков, линия спекулятивного спроса на деньги является абсолютно неэластичной по отношению к процентной ставке, то есть линия LM представляет собой вертикаль.
Во-вторых, функция инвестиционного спроса, напротив, обладает высокой эластичностью относительно процентной ставки.
Первое предположение отрицает мотив держания денег для спекулятивных целей. Это означает, что L = Lt.
Согласно данной концепции, люди держат деньги исходя только из трансакционных соображений.
Второе допущение означает, что инвестиционные затраты чрезвычайно чувствительны к изменениям процентной ставки. Именно поэтому действенность монетарной политики очень эффективна при увеличении расходов.
Монетаристы считают, к примеру, что даже незначительное снижение процентной ставки приведет к крупному увеличению инвестиционных расходов.
Для увеличения валового дохода центральному банку необходимо всего лишь увеличить предложение денег. При этом процентная ставка упадет, возрастут инвестиционные расходы, и совокупный доход увеличится на желаемую величину.
Эластичный инвестиционный спрос демонстрируется положением линии IS.
Исходя из этих соображений, монетаристы являются решительными противниками фискальной политики.


Случай классической теории и эффект вытеснения

3.3 Увеличение валового дохода монетаристкими методами
Вернемся к рассмотрению 3.1 и обратим внимание на то, что сдвиг линии IS, вызванный увеличением государственных расходов из положения IS4 в положение IS5 в районе вертикального участка линии LM, не оказывает никакого воздействия на величину дохода, несмотря на увеличение процентной ставки. Увеличение процент ставки может лишь снизить величину частных инвестиций и частное потребление, при этом произойдет так называемое «вытеснение» частных расходов государственными, и величина совокупных расходов не претерпит никаких изменений, значит и величина дохода также не изменится.
Ортодоксальные неоклассики и монетаристы не признают поэтому такие категории, как ликвидная и инвестиционная ловушки, мультипликатор со всеми его составляющими (предельная склонность к потреблению, предельная склонность к сбережению и т.д.).

ПРОМЕЖУТОЧНАЯ СИТУАЦИЯ
Промежуточная ситуация (между крайним кейнсианством и крайним монетаризмом) отражает случай, при котором и фискальная, и монетарная политики могут быть достаточно эффективными. Однако при этом следует иметь в виду следующее, во-первых, выбор той или иной экономической политики требует высочайшей компетенции высшего управленческого звена страны, которое должно четко осознавать цели и последствия этого выбора. Причем перед государственными властями обязательно встанет вопрос философского характера: желательным ли является рост государственного сектора и государственных программ? Более того, следствием выбора фискальной политики, является повышение процентной ставки, что неизбежно ведет снижению частных инвестиций и увеличению инвестиций государственных и т. д. во-вторых, как мы уже выяснили, эффективность фискальной или монетарной гики во многом зависит от эластичности линий IS и LM, которые соответствуют той экономической ситуации.
Но определить такую ситуацию, предусмотреть направление изменений IS и LM дело чрезвычайно непростое. Итак, мы выяснили, что состояние экономической конъюнктуры зависит от большого количества факторов.
Более того, теперь можно судить о правомерности выбора государством методов фискальной или монетарной политики. Это имеет принципиальное значение и при оценке нынешней экономической ситуации в России.



Глава 4. Относительная эффективность бюджетно-налоговой и кредитно-денежной политики. Эффект вытеснения.




yo"
Ставка процента
Доход, выпуск
4.1
Масштабы вытеснения
Сравнивая точку Е' с первоначальной точкой равновесия Е, мы видим, что возросшие государственные расходы вызвали повышение и дохода, и ставки процента. Но важно также сравнить точку Е с Е" точкой равновесия на рынке товаров при исходной ставке процента. Точка Е" соответствует равновесию, когда не учитывали воздействие ставки процента на экономику. При сравнении Е" и Е' становится ясно, что приспособление ставки процента и ее влияние на совокупный спрос гасят стимулирующее воздействие возросших государственных расходов.
Доход, вместо того чтобы увеличиваться до Y, растет только до y0 . Это вызывает следующий вопрос: какие факторы определяют степень, в которой сдерживающее воздействие ставки процента может погасить рост выпуска, вызванный возросшими государственными расходами?
Размер повышения дохода и ставки процента, вызванный фискальной экспансией зависит от наклона графиков LM и IS и от величины мультипликатора.

Случай классической теории и эффект вытеснения
Если кривая LM имеет вид вертикали, то увеличение государственных расходов не будет оказывать воздействия на величину равновесного дохода и приведет всего лишь к повышению ставки процента. Этот случай показан на 5. З а, где увеличение государственных расходов смещает кривую IS в положение IS', но не оказывает воздействия на доход.
Если спрос на деньги не связан с величиной ставки процента, как это предполагает вертикальная кривая LM, то тогда существует единственный уровень дохода, при котором денежный рынок находится в равновесии.
Следовательно, при вертикальной кривой LM увеличение государственных расходов не может изменить уровень равновесного дохода и только лишь увеличивает уровень равновесной ставки процента. Но если государственные расходы повысились, а величина выпуска не изменилась, то должно произойти уравновешивающее сокращение частных расходов:

Случай классической теории и эффект вытеснения

yo
Доход, выпуск
(а)

I Io
Инвестиции
(б)


Случай классической теории и эффект вытеснения


Ставка процента
4.2. ЭФФЕКТ ПОЛНОГО ВЫТЕСНЕНИЯ. Если график LM имеет вид вертикали, то фискальная экспансия, сдвигая график IS, вызывает рост ставки процента, но не дохода.
Государственные расходы замещают или вытесняют частные расходы в равном объеме.
Увеличение ставки процента вытесняет частные инвестиционные расходы. Вытеснение, как оно было определено ранее, представляет собой сокращение частных расходов (в частности, инвестиций), связанное с увеличением ставки процента, вызванное фискальной экспансией.
При вертикальной кривой LM будет иметь место эффект полного вытеснения*.
На 4.2 б показан процесс вытеснения с использованием графика функции инвестиций. Фискальная экспансия повышает уровень равновесной ставки процента с iо до i' на графике (а). На графике (б) вследствие этого инвестиционные расходы снижаются с уровня Iо до I'. Теперь легко увидеть, что, если график LM имел бы положительный наклон, а не был вертикальным, ставка процента поднималась бы по мере фискальной экспансии несколько медленнее, и в результате инвестиционные расходы сократились бы значительно меньше. Масштабы вытеснения, следовательно, зависят от наклона кривой LM и, значит, чувствительности спроса на деньги к величине процента.
Чем меньше чувствительность спроса на деньги к величине процента, тем в большей степени фискальная экспансия вытесняет инвестиции, а не вызывает повышение объема выпуска.
Заметно, что, в принципе, при увеличении ставки процента могут быть сокращены, а затем и вытеснены и инвестиции и потребление. Как мы увидим в главе б, фискальная экспансия может вытеснить чистый экспорт, вызывая внешнеторговый дефицит.
Бюджетно-налоговая экспансия. Рост государственных расходов и снижение налогов приводит к эффекту вытеснения который значительно снижает результативность стимулирующей фискальной политики (см.
4.3).
4.3

Случай классической теории и эффект вытеснения

G
(или T
)


эффект вытеснения
Если госрасходы G увеличиваются, то совокупные расходы и доход возрастают, что приводит к увеличению потребительских расходов С. Увеличение потребления, в свою очередь, увеличивает совокупные расходы и доход У, причем с эффектом мультипликатора. Увеличение Y способствует росту спроса на деньги m
), так как в экономике совершается большее количество сделок. Повышение спроса на деньги при их фиксированном предложении вызывает рост процентной ставки R. Повышение процентных ставок снижает уровень
инвестиций I и чистого экспорта Xn. Падение чистого экспорта связано также с ростом совокупного дохода Y, который сопровождается увеличением импорта.
В итоге рост занятости и выпуска, вызванный стимулирующей фискальной политикой, оказывается частично элиминированным за счет вытеснения частных инвестиций и чистого экспорта.



Спрос на деньги высокочувствителен


Если бы не было вытеснения инвестиций и чистого экспорта, то увеличение Y из-за приращения госрасходов (или снижения налогов) было бы равно (YoY2). Однако вследствие эффекта вытеснения действительное увеличение Y составляет только (YoY).
Кредитно-денежная экспансия. Увеличение предложения денег позволяет обеспечить краткосрочный экономический рост без эффекта вытеснения, но оказывает противоречивое воздействие на динамику чистого экспорта.
Увеличение денежной массы Ms сопровождается снижением процентных ставок R (см. 9.6), так как ресурсы для кредитования расширяются и цена кредита снижается.
Это способствует росту инвестиций I. В итоге совокупные расходы и доход Y увеличиваются, вызывая рост потребления С. Динамика чистого экспорта Хп оказывается под влиянием двух противодействующих факторов: роста совокупного дохода Y, который сопровождается снижением чистого экспорта, и снижения ставки процента, которое сопровождается его ростом. Конкретное изменение величины Хп зависит от величин изменений У и R, а также от значений предельной склонности к импортированию т' и коэффициента п.
Относительная эффективность бюджетно-налоговой и кредитно-денежной политики определяется в зависимости от:
а) степени чувствительности функций инвестиций и чистого экспорта к динамике рыночной ставки процента (коэффиценты d и n);
б) степени чувствительности спроса на деньги к динамике рыночной ставки процента (коэффицент h).
Относительная эффективность стимулирующей фискальной политики определяется величиной эффекта вытеснения. Если эффeкт вытеснения меньше, чем эффект роста выпуска, то, при прочих равных условиях, фискальная политика эффективна.

4.4

Спрос на деньги высокочувствителен

M

Эффект вытеснения оказывается относительно незначительным в двух случаях:
1) если инвестиции и чистый экспорт малочувствительны к повышению процентных ставок на денежном рынке, то есть если коэффициенты чувствительности d и п относительно малы. В этом случае даже значительное увеличение R вызовет лишь небольшое вытеснение I и Хп, и поэтому общий прирост Y будет существенным. Графически эта ситуация иллюстрируется более крутой кривой IS (см. 4.3).
Наклон кривой LM имеет в данном случае второстепенное значение.
2) Если спрос на деньги высокочувствителен к повышению процентных ставок и достаточно незначительного увеличения R, чтобы уравновесить денежный рынок. Поскольку повышение R незначительно, то и эффект вытеснения будет относительно мал (даже при относительно высоких коэффициентах чувствительности I и Хп к динамике R). Графически эта ситуация иллюстрируется более пологой кривой LM (см.4.4).
Наклон кривой IS имеет в данном случае второстепенное значение.

Инвестиции и чистый экспорт малочувствительны к динамике процентных ставок.
сильная (эффективная)

4.5
Спрос на деньги высокочувствителен к динамике процентных ставок.


Спрос на деньги высокочувствителен



Стимулирующая фискальная политика оказывается наиболее эффективной при сочетании относительно крутой IS и относительно пологой LM (см.4.6). В этом случае эффект вытеснения очень мал, так как и повышение ставок процента очень незначительно, и коэффициенты d и п очень малы.
Общий прирост Y составляет величину (YoY1).
Стимулирующая фискальная политика относительно неэффективна, если эффект вытеснения превосходит эффект прироста выпуска.

4.6
R IS (крутая)

Спрос на деньги высокочувствителен



Эффект вытеснения значителен, если:
1) инвестиции и чистый экспорт высокочувствительны к
динамике процентных ставок, то есть коэффициенты d и n очень велики. В этом случае даже незначительное увеличение R вызовет большое снижение I и Хп и поэтому общий пророст Y будет мал.
Графически эта ситуация иллюстрируется относительно пологой кривой IS (см.4.7) Наклон кривой LM в данном случае имеет второстепенное значение.


Спрос на деньги высокочувствителен

4.7
Инвестиции и чистый экспорт высокочувствительны к динамике процентных ставок



слабая Y (неэффективная)

2) если спрос на деньги малочувствителен к динамике R. В этом случае для того, чтобы уравновесить денежный рынок, нужно очень значительное повышение R. Это вызывает очень сильный эффект вытеснения даже при относительно небольших коэффициентах d и п. Графически эта ситуация иллюстрируется более крутой кривой LM (см.4.8). Наклон кривой IS данном случае имеет второстепенное значение.


Спрос на деньги высокочувствителен



слабая Y (неэффективная)


4.8 Спрос на деньги малочувствителен к динамики процентных ставок



Стимулирующая фискальная политика оказывается наименее эффективной в случае сочетания относительно пологой IS и крутой LM. В этом случае прирост Y, равный (Y0Y1), очень мал, так как и повышение ставок процента очень велико, и коэффициенты d и п значительны.
4.9


Спрос на деньги высокочувствителен


Стимулирующий эффект на I и Хп относительно велик в 2-х случаях:
если I и Хп высокочувствительны к динамике процентных ставок. Графически это соответствует относительно пологой IS (см.9.13).
В этом случае даже незначительное снижение R в ответ на рост денежной массы приводит к значительному росту I и Хп, что существенно увеличивает Y. Угол наклона кривой LM в данном случае имеет второстепенное значение.










4.10
сильная Y (эффективная)
Инвестиции и чистый экспорт высокочувствительны к динамике
процентных ставок.

2) если спрос на деньги малочувствителен к динамике R. Графически это соответствует относительно крутой LM (см.4.11). В этом случае прирост денежной массы сопровождается очень большим снижением процентных ставок, что сильно увеличивает I и Хп даже при относительно незначительных коэффициентах d и n.
Угол наклона IS в данном случае имеет второстепенное значение.
Стимулирующая денежно-кредитная политика наиболее эффективна при сочетании относительно крутой LM и пологой IS (см.4.12). В этом случае и снижение процентных ставок весьма существенно и коэффициенты d и п значительны.
Поэтому прирост Y, равный (YoY1), относительно велик.
4.11



Спрос на деньги высокочувствителен



Сильная (эффективная)

4.12

Спрос на деньги высокочувствителен



Стимулирующая денежно-кредитная политика относительно неэффективна при высокой чувствительности спроса на деньги к динамике R, а также низкой чувствительности инвестиций и чистого экспорта к динамике ставки процента.

Рис 4.13



слабая(неэффективная)
Пологая LM означает, что денежный рынок приходит в равновесие при очень небольшом снижении R в ответ на рост денежной массы. Даже если I и Хп очень чувствительны к динамике R, такого небольшого снижения процентных ставок оказывается недостаточно, чтобы существенно увеличить инвестиции и чистый экспорт. Поэтому общий прирост выпуска очень мал (см.
9.16).
Крутая IS означает, что даже при значительном снижении R инвестиции и чистый экспорт возрастут очень слабо, так как коэффициенты d и п очень малы. Поэтому общий прирост выпуска будет незначителен даже при большом увеличении денежного предложения и существенном снижении ставок процента (см.4.13).
Монетарная политика наименее эффективна при одновременном сочетании крутой IS и пологой LM. В этом случае и R снижается незначительно, и реакция на это со стороны I и Хп очень слабая.
Поэтому общий прирост очень невелик и равен (Y0Y1).


4.14



Спрос на деньги высокочувствителен

LМ(пологая)
LM


Глава 5. Вывод кривой совокупного спроса. Экономическая политика в моделях AD-AS и IS-LM при изменениях уровня цен.
9.19
Графическое выведение кривой AD из модели IS-LM А. Модель IS-LM

ставка процента

Спрос на деньги высокочувствителен

В.Кривая совокупного спроса









Доход, выпуск
Уравнение совокупного спроса можно получить из алгебраического выражения для равновесного Y при условии введения в него гибких цен. В обобщенном виде его можно представить как:

Y=

где
,
,
и
- обобщающие коэффициенты.
Повышение уровня цен от Р1 до Р2 снижает реальное предложение денег, что графически соответствует сдвигу кривой LM влево (см. 9.19-А). Снижение предложения денег повышает ставку процента R, что приводит к снижению инвестиций I и относительно сокращает чистый экспорт Хп.
В итоге объем производства Y снижается от У1 до У0 (см.9.19-В).
Увеличение государственных расходов, сокращение налогов или увеличение предложения денег сдвигают кривую совокупного спроса вправо. Однотипный сдвиг кривой AD сопровождает совершенно различные сдвиги кривых IS и LM, соответствующие мерам стимулирующей бюджетно-налоговой и кредитно-денежной политики (см.9.20 и 9.21).


9.20
Стимулирующая
кредитно-денежная политика

9.21
Стимулирующая
бюджетно-налоговая политика

Спрос на деньги высокочувствителен

Доход,

Спрос на деньги высокочувствителен

выпуск
Доход, выпуск

Стимулирующая бюджетно-налоговая политика при изменении уровня цен
Экономика стартует в точке С. (см. 9.22.). При росте госрасходов G (или снижении налогов Т) кривая IS смещается в положение IS' что отражает рост совокупного спроса до AD'. Сдвиг AD вызывает инфляцию спроса - уровень цен возрастает с Ро до P1. Под влиянием роста цен относительно сокращается реальное предложение денег и кривая LM уходит влево (в положение LM).
В точке А устанавливается краткосрочное макроэкономическое равновесие.
9.22

Спрос на деньги высокочувствителен

В условиях инфляции спроса экономические агенты постепенно корректируют свое поведение: повышаются ставки номинальной заработной платы. Это увеличивает средние издержки на единицу продукции и сокращает прибыль фирм. Постепенно фирмы начинают снижать свой выпуск и кривая AS медленно смещается влево.Сокращение AS вызывает дальнейший рост цен (инфляция издержек) от Р1 до Р2 повышение цен смещает кривую LM' еще дальше влево, в положение LM".
Так как предложение денег все время относительно снижается, то ставка процента все время возрастает (от ro до R2). В точке В устанавливается долгосрочное макроэкономическое равновесие при более высоком уровне цен и процентных ставок, чем в точке С, и изменении структуры экономики в пользу государственного сектора.
Уровень производства равен потенциальному.

Экономика стартует в точке В (см.9.23).
Увеличение предложения денег сдвигает кривую LM вправо до положения LM что отражает рост совокупного спроса AD до AD'. Сдвиг AD сопровождается инфляцией спроса - цены увеличиваются с Ро до Р1. Это относительно сокращает реальное денежное предложение и кривая LM' смещается назад влево до положения LM".
В точке А устанавливается краткосрочное макроэкономическое равновесие.
9.23


Спрос на деньги высокочувствителен

Y

Спрос на деньги высокочувствителен



В дальнейшем инфляция издержек приводит к спаду совокупного предложения: кривая AS смещается влево до AS. Повышение цен от р1 до Р2 возвращает кривую LM" в исходное положение LM, так как реальное предложение денег постоянно снижается. В точке В устанавливается долгосрочное макроэкономическое равновесие при потенциальном уровне производства, исходном уровне процентных ставок rq и возросшем с Ро до Р2 Уровне цен. Очевидно, что в долгосрочном плане рост денежной массы вызывает только рост цен при неизменности бальных переменных.
Это явление получило название нейтральности денег.
При однократном и неожиданном увеличении денежного предложения в коротком периоде снижаются и реальная, и минальная ставки процента (хотя изменения номинальной
ставки могут быть незначительными). В долгосрочном плане обе процентные ставки остаются неизменными.
Если имеют место длительные изменения темпов роста денежной массы, то в долгосрочном плане увеличивается номинальная ставка процента, "подталкиваемая" ростом уровня ожидаемой инфляции. Это не исключает, однако, краткосрочных понижений номинальной ставки из-за текущих мер денежно-кредитной политики.
Ожидаемые темпы роста денежной массы, согласно уравнению Фишера, не оказывают на реальную ставку процента заметного воздействия.
И фискальная, и монетарная экспансия вызывает лишь краткосрочный эффект увеличения занятости и выпуска, не способствуя росту экономического потенциала. Задача обеспечения долгосрочного экономического роста не может быть решена с помощью политики регулирования совокупного спроса.
Стимулы к экономическому росту связаны с политикой в области совокупного предложения.


Список литературы
1.Агапова Т.А., Серегина С.Ф. Макроэкономика.-М., «Дис», 1997
2.Селищев А.С. Макроэкономика.-С-Пб, «Питер», 2000
3.Дорбнуш Р., Фишер С., Макроэкономика.-М., «Инфра-М»,1997
4.Бурда М., Виплош Ч., Макроэкономика.-С-Пб, «Судостроение», 1997





Вывод кривых IS и LM


Поскольку Р = const. поскольку номинальные и реальные значения всех переменных совпадают. В долгосрочном периоде, когда экономика находится в состоянии полной занятости ресурсов (Y=Y*), уровень цен Р подвижен. В этом случае переменная Ms (предложение денег) является номинальной величиной, а все остальные переменные модели - реальными.


Глава 2. Вывод кривых IS и LM. Наклон и сдвиг кривых IS и LM.
Равновесие в модели IS-LM.
Кривая IS - кривая равновесия на товарном рынке. Она представляет собой геометрическое место точек, характеризующих все комбинации Y и R, которые одновременно удовлетворяют тождеству дохода, функциям потребления, инвестиций и чистого экспорта. Во всех точках кривой IS соблюдается равенство инвестиций и сбережений.
Термин IS отражает это равенство (Investment = Savings).
Простейший графический вывод кривой IS связан с использованием функций сбережений и инвестиций (см. 2.1).
На 2.1,А изображена функция сбережений: с ростом дохода от Y
до У
сбережения увеличиваются с S
до S

На 2.1,В изображена функция инвестиций: рост сбережений сокращает процентную ставку с r
до R
увеличивает инвестиции с I
до I
. При этом I
= S
, а I
=S
.
На 2.1,С изображена кривая IS: чем ниже ставка процента, тем выше уровень дохода.
А. функция сбережений



Доход, Y Выпуск
I
I
Инвестиции
Y Доход, yj
Выпуск

2.1
Аналогичные выводы могут быть получены с использованием модели Кейнсианского креста (см. 2.2).
На 2.2,А изображена функция инвестиций: рост ставки процента от R
до R
снижает планируемые инвестиции с 1(R
)
На 2.2,В изображен крест Кейнса: уменьшение планируемых инвестиций сокращает доход с Y
до Y
.

На 2.2,С показана кривая IS: чем выше ставка процента, тем ниже уровень дохода.
Графический вывод кривой IS из креста Кейнса В. Кейнсианский крест


А. Функция инвестиций
Ставка процента R


Доход, Y выпуск
I(R
) I(R
) Y
Y


Инвестиции


Алгебраический вывод кривой IS
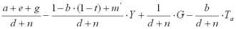
Уравнение кривой IS может быть получено путем подстановки уравнений 2, 3 и 4 в основное макроэкономическое тождество и его решения относительно R и Y.

Уравнение кривой IS относительно R имеет вид:
R=
, где


Т = Та + t Y


Уравнение кривой IS относительно Y имеет вид:



Y=
, где T=T
+tY



Коэффициент
характеризует угол наклона кривой IS относительно оси Y, который является одним из параметров сравнительной эффективности фискальной и монетарной политики.
Кривая IS является более пологой при условии, если:
1) чувствительность инвестиций (d) и чистого экспорта (п) к динамике ставки процента велика;
2) предельная склонность к потреблению (Ь) велика;
3) предельная ставка налогообложения (t) невелика;
4) предельная склонность к импортированию (т') невелика;
Под влиянием увеличения государственных расходов G или снижения налогов Т кривая IS смещается вправо. Изменение налоговых ставок t изменяет также и угол ее наклона. В Долгосрочной перспективе угол наклона IS также может быть изменен с помощью политики доходов, так как у высокообеспеченных семей предельная склонность к потреблению относительно ниже, чем у малообеспеченных.
Остальные параметры (d, п п т) практически не подвержены воздействию макроэкономической политики и преимущественно являются вешними факторами, определяющими ее эффективность.
Кривая LM - кривая равновесия на денежная рынке. Она фиксирует все комбинации Y и R, которые удовлетворяют функции спроса на деньги при заданной Центральным Банком величине денежного предложения Мs. Во всех точках кривой
LM спрос на деньги равен их предложению. Термин LM отражает это равенство (Liquidity Preference = Money Supply) (см.
9.3).
Графический вывод кривой LM
2.3 А. Рынок реальных запасов В.Кривая
LM
денежных средств.

Вывод кривых IS и LM

LM









Y1
Y2 Y3



2.3,А показывает денежный рынок: рост дохода от Y1 до Y2 увеличивает спрос на деньги и, следовательно, повышает ставку процента от r1 до R2.
2.3,В Показывает кривую LM:
чем выше уровень дохода , тем выше ставка процента.
Алгебраический вывод кривой LM
Уравнение кривой LM может быть получено путем решения уравнения 5 модели относительно R и У. Уравнение кривой LM имеет вид:

R=
(относительно R)
Y=
(относительно Y)

Коэффициент
характеризует угол наклона кривой LM относительно оси Y, который, аналогично углу наклона кривой IS, определяет сравнительную эффективность фискальной и монетарной политики.

Кривая LM является относительно пологой при условии, если:
1) чувствительность спроса на деньги к динамике рыночной ставки процента (h) велика;
2) чувствительность спроса на деньги к динамике ВНП (k) невелика.
Увеличение предложения денег Ms или снижение уровня цен Р сдвигает кривую LM вправо.


Равновесие в модели достигается в точке пересечения кривых IS и LM (см.9.4).

2.4
Ставка процента R
Равновесная
ставка
процента

Вывод кривых IS и LM



У Доход, выпуск
Равновесный
уровень
дохода
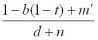
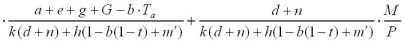
Алгебраически равновесный объем производства может быть найден путем подстановки значения R из уравнения IS в уравнение LM и решения последнего относительно Y:
Y=h

(при условии, что Т = T
+ t Y).
При фиксированном уровне цен Р равновесное значение Y удет единственным. Равновесное значение процентной ставки


R может быть найдено путем подстановки равновесного значения У в уравнение IS или LM и решения его относительно R.


Глава 3. Фискальная и монетарная политика в рамках модели IS-LM.
Чтобы получить некоторые предварительные ответы на вопросы, связанные с вероятными эффектами фискальной политики (с использованием государственных расходов налогов) или монетарной политики (использующей изменения предложения денег должны еще раз внимательно посмотреть на модель IS-LM.
Есть три возможные ситуации, используя при этом только те инструменты модели IS-LM, которые уже известны. Называются эти три возможные ситуации кейнсианской, монетаристской (неоклассической) и промежужуточной.. Две первых из этих ситуаций являются экстремальными. Однако именно они нам лучше понять альтернативы экономической политики.
На 8.8 изображена модель IS-LM, которая демонстрирует эти три ситуации.


Вывод кривых IS и LM


3.1 Экономическая политика в рамках модели IS-LM

КЕЙНСИАНСКИЙ СЛУЧАЙ
Фискальная и монетарная политики являются двумя главными инструментами осуществления экономической стабилизации на макроуровне. Экстремальный кейнсианский случай этой альтернативы экономической политики даст высокую оценку фискальной политике и низкую или даже нулевую оценку монетарной политике.
Для того чтобы понять почему, мы должны исходить из двух экстремальных кейнсианских предпосылок.
Во-первых, пересечение линий IS и LM здесь осуществляется на том отрезке линии LM, которому соответствует рассмотренная уже нами «ликвидная ловушка». Иначе говоря, на этом отрезке кривой LM спекулятивный спрос на деньги абсолютно эластичен.
Во-вторых, график инвестиционного спроса почти или вовсе неэластичен относительно изменений процентной ставки.
«Ликвидная ловушка» может существовать в том случае, когда инвесторы или владельцы денег считают, что ценные бумаги являются «ненадежным» объектом инвестиций.
Второе предположение также основано на здравом смысле. Высокоэластичная или совершенно неэластичная инвестиционная функция означает, что при данной ставке процента предприниматели не станут заниматься созданием новых нетто-инвестиций.
Подобная ситуация, по мнению кейнсианцев, типична для состояния депрессии или кризиса. В данном случае мы имеем дело с так называемой инвестиционной ловушкой.
Инвестиционная ловушка имеет место в том случае, когда спрос на инвестиции является неэластичным по ставке процента. В такой ситуации функция инвестиций, а значит и линия IS, занимают перпендикулярное положение к оси абсцисс.
8.9 отражает эту кейнсианскую ситуацию. На рисунке видно, что как в случае «ликвидной ловушки», так и в случае «инвестиционной ловушки» меры монетарной политики, сводящиеся к увеличению денежной массы, абсолютно неэффективны.
Увеличение денежной массы от m0 к М1 при довольно эластичной линии ISo лишь удлиняет протяженность ликвидной ловушки, оставляя неизменной ставку процента.
Если ставка процента не может быть понижена, то, очевидно, не следует ожидать и притока в экономику новых инвестиций. А это значит, что национальный доход страны не может быть увеличен.
Но если мы предположим, напротив, что монетарная политика является эффективной при понижении ставки процента из положения i0 в положение i1 (что явилось следствием сдвига вправо линии LM), то мы должны при этом полагаться на определенную эластичность линии IS. Однако именно эластичность IS1 по ставке процента, по мнению сторонников кейнсианской школы, оказывается нулевой.
8.9 иллюстрирует эту ситуацию: несмотря на понижение процентной ставки с iо до i1 неэластичность линии IS1 препятствует увеличению дохода.

Вывод кривых IS и LM
3.2 «Ликвидная» и «инвестиционная» ловушки
Таким образом, несмотря на все ухищрения экспансионистской монетарной политики, величина дохода (у) оказывается неизменной. Именно поэтому ортодоксальные кейнсианцы трактуют монетарную политику как неэффективную с теоретической и практической точек зрения.
По мнению сторонников кейнсианской школы монетарная политика не способна стимулировать увеличение дохода, занятости и экономической активности.





    Экономика: Знания - Циклы - Макроэкономика