Туманова - Макроэкономика
Учебник предназначен для изучения курса «Макроэкономика» магистерского уровня. В нем излагаются макроэкономические проблемы, актуальные для российской экономики, содержатся примеры использования макроэкономических моделей для анализа конкретных ситуаций, формулируются вопросы и задания по каждой теме.
Для студентов, аспирантов и преподавателей экономических вузов и факультетов, специалистов в области макроэкономической теории и практики.
Подготовлен при содействии НФПК — Национального фонда подготовки кадров в рамках Программы «Совершенствование преподавания социально-экономических дисциплин в вузах» инновационного проекта развития образования.
Настоящий учебник выходит в рамках серии «Учебники экономического факультета МГУ им. М.В. Ломоносова», венчающей многолетние усилия коллектива факультета по обновлению содержания и структуры университетского экономического образования.
Переход страны к рынку потребовал пересмотра профессии экономиста, освоения и применения невостребованных ранее знаний, известных, может быть, лишь ограниченному кругу критиков «буржуазной» экономической мысли.
Для обогащения содержания экономического образования путем включения в него новых экономических дисциплин и обновления ряда традиционных нужно было переобучить преподавателей и решить проблему учебников. Первые попытки включения в учебные планы новых дисциплин показали невозможность этого в рамках одной ступени, поэтому, обновляя содержание, пришлось попутно решать проблему перевода обучения на двухступенчатую систему.
Истекшие 10 с небольшим лет — это годы освоения технологии двухступенчатого образования «бакалавр—магистр», которое факультет осуществляет без параллельной подготовки специалистов. Присоединение страны к Болонскому процессу сделало этот переход необратимым.
Все эти годы велась переподготовка преподавательского корпуса: благодаря программам международного сотрудничества около 160 преподавателей факультета в среднем не меньше двух раз стажировались в лучших зарубежных университетах.
Что касается учебников, то первые годы приходилось использовать лучшие зарубежные учебники, многие из которых были переведены преподавателями на русский язык. Сейчас пришло . время готовить качественные отечественные учебники. Преподавательский корпус имеет возможность создавать оригинальные учебники и учебные пособия, подготовленные с учетом опыта преподавания и дифференцированные по уровню подготовки
слушателей (учебники для программ бакалавров и учебники для программ магистров).
Решению этой задачи способствовало и участие факультета в Инновационном проекте Министерства образования РФ, финансируемом Всемирным банком. Непосредственным исполнителем проекта стал Национальный фонд подготовки кадров.
Благодаря этому проекту факультет в течение трех лет осуществил свой проект «Совершенствование высшего экономического образования в МГУ», в результате чего преподаватели экономического факультета подготовили 74 учебника и учебных пособий по основным дисциплинам, формирующим профессии экономистов и менеджеров.
Мы считаем, что данные учебники в полной мере отражают наиболее важные достижения университетской экономической мысли, необходимые для полноценной подготовки экономистов и управленцев высшего звена.
Сейчас на экономическом факультете МГУ обучается более 3000 студентов, факультет располагает самой большой в стране магистратурой по экономике, наибольшим числом аспирантов по экономическим специальностям. Образовательное «поле» насчитывает более 300 общих дисциплин и специальных курсов. Часть общих курсов представлена в данной серии учебников.
Коллектив факультета с благодарностью примет замечания и предложения относительно улучшения предложенной серии учебников.
В.П. Колесов
декан экономического факультета МГУ им. М.В. Ломоносова профессор, доктор экономических наук
ВВЕДЕНИЕ
Предлагаемый учебник обобщает опыт многолетнего чтения авторами курса макроэкономики в Школе Магистров экономического факультета МГУ им. М.В. Ломоносова. В мировой практике отсутствует общепринятый стандартный набор тем, рассматриваемых в подобных курсах. Поэтому настоящая книга ориентирована на темы, актуальные для современной российской экономики. В ней делается попытка углубить изучение исследуемых проблем не только за счет модельного описания с помощью более сложного по сравнению с промежуточным уровнем математического инструментария, но и более подробного содержательного обсуждения результатов современных исследований.
В ряде разделов учебника представлены результаты применения изучаемых макроэкономических моделей к анализу конкретных ситуаций, связанных с российской экономикой и экономикой ряда зарубежных стран. Эти результаты получены в рамках работы возглавляемого авторами (совместно с Е.Н. Лукашом) научного семинара «Макроэкономические исследования» кафедры математических методов анализа экономики.
На наш взгляд, актуальными макроэкономическими проблемами российской экономики в настоящий момент являются последствия либерализации внешней торговли, платежеспособность по внешнему и внутреннему государственному долгу, инфляция, экономический рост, колебания деловой активности, последовательность проводимой макроэкономической политики. Эти проблемы и определили структуру предлагаемого учебника, включающего шесть соответствующих разделов.
В разделе I «Открытая экономика» рассматривается влияние экономической политики на динамику основных макроэкономических показателей. На основе модели равновесия в открытой экономике с несовершенной мобильностью капитала анализируется сравнительная эффективность бюджетно-налоговой, кредитноденежной и внешнеторговой политик при различных валютных режимах, исследуются возможные последствия проводимой в российской экономике в настоящее время политики либерализации внешней торговли.
В разделе II «Государственный долг» рассматриваются влияние долга на экономическое развитие и проблема обеспечения платежеспособности страны.
Решение этой проблемы тесно связано с анализом влияния макроэкономической политики на показатели платежеспособности. В разделе проводится обзор моделей, выявляющих основные факторы и условия платежеспособности по внутреннему и внешнему долгу. Описывается модель, характеризующая взаимосвязь возможных источников финансирования государственного долга, оцениваются объемы этих источников в российской экономике, анализируются перспективы выплаты долга нашей страны.
В разделе III «Инфляция» обсуждаются проблемы инфляции. Рассматриваются существующие взгляды на причины инфляции, с учетом характера поведения экономических агентов анализируются возможные последствия использования стандартных монетаристских рекомендаций по борьбе с инфляцией. Исследуется влияние эмиссионного и долгового финансирования дефицита государственного бюджета на инфляционные процессы. Приводятся оценки возможностей извлечения сеньоража в случае инфляционного финансирования бюджетного дефицита в России. Описывается эконометрическая оценка характера поведения российских экономических агентов. На основе этой оценки анализируется эффективность проводимой в различные периоды кредитно-денежной политики с точки зрения ее стабилизационных возможностей.
В разделе IV «Экономический рост» приводятся модели, выявляющие основные факторы экономического роста, и рассматриваются проблемы конвергенции. Отправным пунктом анализа выступает модель Солоу, неполнота которой преодолевается в моделях эндогенного роста, Рамсея и пересекающихся поколений. Исследуется эффективность экономического развития с точки зрения благосостояния населения. Проводится сравнительный анализ достоинств и недостатков представленных моделей. Описываются попытки верификации их выводов.
Раздел V «Деловые циклы» посвящен анализу существующих взглядов на причины колебаний экономической активности. В нем представлены неокейнсианские и неоклассические модели, по-разному трактующие природу деловых циклов. Рассматриваются дискуссии по вопросам предпосылок и выводов этих моделей. Раздел завершается описанием моделей политических циклов, связывающих колебания экономической активности с периодическими выборами высших органов власти.
В последнем разделе VI анализируется одна из дискуссионных проблем реализации экономической политики — ее несогласованность во времени. Обсуждаются существующие модельные постановки, а также пути преодоления временной несогласованности проводимой макроэкономической политики, связанные с формированием соответствующих норм и правил поведения.
После каждой главы формулируются вопросы и задания, способствующие усвоению ее содержания. В конце разделов приводится список рекомендуемой литературы.
Мы старались изложить материал в максимально доступной для широкого круга читателей форме. Книга предназначена для студентов и преподавателей экономических вузов, а также специалистов, занимающихся вопросами макроэкономической политики.
Авторы выражают глубокую признательность руководству экономического факультета за постоянную поддержку в процессе подготовки учебного курса и написания учебника.
Мы благодарим всех участников семинара «Макроэкономические исследования» за активное обсуждение представленных в учебнике проблем. Особая благодарность — доценту кафедры математических методов анализа экономики Е.Н. Лукашу за помощь и ценные замечания; к.э.н. Н.Е. Когутовской, магистрам экономики В.В. Полещук,
С.С. Приходько, результаты исследования которых использованы в настоящем учебнике; магистру экономики А.А. Туманову за неоценимое техническое содействие.
Раздел I
ОТКРЫТАЯ ЭКОНОМИКА
Целью настоящего раздела является анализ влияния экономической политики и изменения поведения экономических агентов на равновесное состояние экономики страны.
При исследовании экономических механизмов достижения равновесия невозможно игнорировать мировую торговлю и международное движение капитала. Поэтому будем использовать равновесные модели открытой экономики. Рассматриваемые модели являются моделями сравнительной статики ([1], [2]).
В настоящем разделе равновесие в открытой экономике исследуется с позиций неоклассического синтеза, т. е. выделяются краткосрочный и долгосрочный аспекты анализа. Долгосрочный аспект основывается на предпосылке о полной гибкости цен, которая означает занятость ресурсов на естественном уровне и выполнение принципа нейтральности денег. Краткосрочный аспект предполагает жесткость цен, следствием которой является возможность неполной занятости имеющихся в экономике ресурсов и отклонения выпуска от естественного уровня. Описывается также процесс корректировки цен, номинальных и реальных показателей при переходе от краткосрочного равновесия к долгосрочному.
В главе 1 анализируются долгосрочные и краткосрочные последствия экономической политики в малой открытой экономике с совершенной мобильностью капитала. Используются модели, относящиеся к наиболее разработанному классу моделей открытой экономики. Однако практически в любой стране существуют ограничения, препятствующие свободному переливу капитала. Поэтому в главе 2 рассматриваются модели открытой экономики с более реалистичной предпосылкой о несовершенной мобильности капитала, уточняющие стандартные представления о последствиях экономической политики в открытой экономике.
Глава 3 посвящена вопросам количественной оценки последствий экономической политики в открытой экономике. Обсуждаются результаты верификации описанных моделей на примере российской экономики.
Глава 1
МОДЕЛИ ОТКРЫТОЙ экономики
с совершенной мобильностью
КАПИТАЛА
Модель малой открытой экономики с совершенной мобильностью капитала (долгосрочный аспект): предпосылки, условия равновесия на макроэкономических рынках, механизм достижения общего экономического равновесия. Анализ влияния на долгосрочное равновесие бюджетно-налоговой политики в стране и за рубежом, внешнеторговой политики, сдвигов инвестиционного спроса.
Модель краткосрочного равновесия в малой открытой экономике с совершенной мобильностью капитала. Моделирование последствий бюджетно-налоговой, кредитно-денежной, внешнеторговой политики при различных валютных режимах. Анализ влияния экономической политики за рубежом на краткосрочное равновесие. Процесс перехода от краткосрочного равновесия к долгосрочному.
Рассмотрим малую открытую экономику, сбережения и инвестиции которой представляют собой лишь несущественную долю мирового рынка заемных средств и поэтому не оказывают влияния на мировую ставку процента. Предположим, что ничто не препятствует свободному переливу капитала из страны в страну, т. е. имеет место совершенная мобильность капитала. Поэтому реальная ставка процента в стране устанавливается на уровне мировой.
Мировая реальная ставка процента — это равновесная ставка на мировом рынке заемных средств. Так как мировую экономику можно рассматривать как закрытую, то равновесие на этом рынке достигается при ставке процента, уравновешивающей величину мировых сбережений с величиной мирового инвестиционного спроса.
1.1. МОДЕЛЬ ДОЛГОСРОЧНОГО РАВНОВЕСИЯ В МАЛОЙ ОТКРЫТОЙ ЭКОНОМИКЕ С СОВЕРШЕННОЙ МОБИЛЬНОСТЬЮ КАПИТАЛА
Долгосрочное макроэкономическое равновесие предполагает одновременное равновесие на всех макроэкономических рынках. Как известно из анализа закрытой экономики, долгосрочное равновесие на рынке товаров и услуг означает равенство спроса и предложения на рынке заемных средств. Рынки факторов производства в соответствии с гипотезой гибкости цен в долгосрочном аспекте находятся в состоянии равновесия на уровне полной занятости. Денежный рынок не влияет на реальные экономические переменные. Поэтому для описания долгосрочного макроэкономического равновесия в открытой экономике достаточно рассмотреть два рынка: рынок товаров и услуг и валютный рынок.
Равновесие на рынке товаров и услуг описывается с помощью тождества национальных счетов в открытой экономике
Y = С + I + G + NX, (1.1)
где Y — реальный доход;
С — потребление;
/ — инвестиции;
G — государственные закупки товаров и услуг;
NX — чистый экспорт.
В долгосрочном периоде выпуск находится на уровне потенциального (Y) и при неизменных ресурсах и технологии остается постоянным (Г = F(K, L) = Y^j, где F— производственная функция, К, L — естественные уровни запаса капитала и занятости соответственно. Потребление зависит от располагаемого дохода
(C = f(Y-T), 0< f(Y-T) < l)> объем государственных Закупок и налогов определяется государственной политикой IG = G, Т = 7’), объем инвестиций задан мировой ставкой процента (/ = Чистый экспорт является убывающей функцией
от реального валютного курса (NX = NX{zr), NX'?r <0)'.
1 Под номинальным валютным курсом будем понимать количество иностранной валюты, обмениваемое на единицу отечественной.
Поэтому национальные сбережения S — Y — С — G — постоянны и избыток сбережений над инвестициями (S — I) есть величина постоянная, не зависящая от реального валютного курса. Ее можно рассматривать в качестве предложения на рынке национальной валюты, где спросом выступает чистый экспорт. Тогда условие равновесия на рынке национальной валюты имеет вид
0.2)
NX(zr) = (S-f).
На этом рынке в качестве уравновешивающей переменной выступает реальный валютный курс.
Легко видеть, что курс, уравновешивающий валютный рынок, одновременно обеспечивает равновесие спроса и предложения на рынке товаров и услуг. Другими словами, уравнения (1.1) и (1.2) эквивалентны. Это означает, что долгосрочное общее экономическое равновесие в малой открытой экономике с совершенной мобильностью капитала можно изучать с помощью анализа равновесия на валютном рынке (рис. 1.1).
 |
|
Рис. 1.1. Долгосрочное равновесие на валютном рынке |
Любые нарушения состояния равновесия в такой экономике влекут за собой соответствующие изменения реального валютного курса, приводящие к достижению нового состояния долгосрочного равновесия.
Проанализируем теперь, как изменится равновесный валютный курс и другие реальные показатели в результате проведения экономической политики в стране и за рубежом.
1.1.1. Влияние бюджетно-налоговой политики в стране
Пусть в стране, экономика которой находится в состоянии долгосрочного экономического равновесия, государство проводит стимулирующую бюджетно-налоговую политику, например, увеличивает государственные закупки товаров и услуг на величину АС. Это приводит к уменьшению национальных сбережений и, следовательно, предложения национальной валюты на величину АС. При первоначальном равновесном реальном валютном курсе спрос на национальную валюту превысит предложение. Поэтому в новом состоянии долгосрочного равновесия реальный валютный курс вырастет, а чистый экспорт упадет на величину AG: I AC I = ІДУ?А'І (рис. 1.2). Таким образом, стимулирующая бюджетная политика приводит в долгосрочном периоде к вытеснению чистого экспорта. Остальные реальные показатели не меняются.
 |
|
Рис. 1.2. Влияние увеличения государственных закупок товаров и услуг на долгосрочное равновесие |
Снижение налогов на АТ вызывает увеличение потребления на величину МРС-АТ, где МРС — предельная склонность к потреблению. В результате национальные сбережения снижаются на ту же величину, что приводит к росту реального валютного курса и вытеснению чистого экспорта в объеме МРС-АТ(рис. 1.3).
 |
|
Рис. 1.3. Влияние снижения налогов на долгосрочное равновесие |
Сдерживающая бюджетно-налоговая политика в результате действия аналогичных механизмов проводит к соответствующему увеличению чистого экспорта.
1.1.2. Сдвиги в инвестиционном спросе
Пусть правительство проводит политику стимулирования внутренних инвестиций, например, вводит инвестиционный налоговый кредит, т. е. снижает налогооблагаемую часть прибыли на величину этих инвестиций. Предположим, что общая величина налоговых сборов при этом не меняется (например, за счет увеличения других налогов). Тогда для каждого значения ставки процента увеличивается инвестиционный спрос и, следовательно, объем инвестиций при мировой ставке процента будет выше, чем раньше. Поэтому предложение национальной валюты уменьшится, что при неизменном спросе на нее вызовет рост реального валютного курса и падение чистого экспорта. В новом равновесии инвестиции увеличатся, а чистый экспорт уменьшится: | А/1 = | АУУТІ (рис. 1.4).
 |
|
Рис. 1.4. Влияние увеличения инвестиционного спроса на долгосрочное равновесие |
Аналогично снижение инвестиционного спроса приведет к увеличению чистого экспорта.
1.1.3. Влияние политики, проводимой зарубежными государствами
Долгосрочное равновесие в открытой экономике может измениться под влиянием бюджетно-налоговой политики, осуществляемой зарубежными государствами, так как она воздействует на мировую ставку процента. Если, например, зарубежные государства проводят сдерживающую бюджетно-налоговую политику, то на мировом рынке заемных средств объем сбережений увеличивается и равновесная ставка процента падает. В результате перелива капитала в малой открытой экономике реальная ставка процента снижается до уровня мировой, а величина инвестиций растет. Тогда на валютном рынке снижается предложение национальной валюты, что приводит к росту валютного курса и снижению чистого экспорта: |А/1 = |ДМС| (рис. 1.5).
 |
|
Рис. 1.5. Долгосрочные последствия ограничительной бюджетно-налоговой политики за рубежом |
1.1.4. Влияние внешнеторговой политики
Пусть правительство проводит политику поддержки внутренних производителей и вводит импортные квоты на определенный вид товаров. Тогда при неизменности прочих факторов величина чистого экспорта растет, что нарушает равновесие валютного рынка (рис. 1.6). Образуется превышение спроса на национальную валюту над ее предложением, и реальный валютный курс увеличивается. В результате чистый экспорт падает до первоначального уровня, поскольку предложение национальной валюты не изменилось.
 |
|
Рис.1.6. Долгосрочные последствия протекционистской внешнеторговой политики |
Все реальные показатели, кроме валютного курса, в новом равновесии не меняются, однако объемы внешнеторговых операций падают.
Таким образом, протекционистская внешнеторговая политика в долгосрочном аспекте приводит к снижению объемов международной торговли, что в соответствии с теорией сравнительных преимуществ может негативно отразиться на благосостоянии страны. Такая политика оказывается выгодной только отечественным производителям тех товаров, на импорт которых накладываются квоты, в ущерб остальному населению.
1.2. МОДЕЛЬ МАНДЕЛЛА-ФЛЕМИНГА
Краткосрочное макроэкономическое равновесие в малой открытой экономике с совершенной мобильностью капитала обычно анализируют с помощью модели Манделла—Флеминга, в основе которой лежит стандартный IS—LM анализ.
В этой модели, как и в предыдущей, предполагается совершенная мобильность капитала, следствием которой является выравнивание ставки процента в стране и за рубежом (/•= г*, где л* — мировая ставка процента) |11].
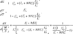
Общее экономическое равновесие трактуется как одновременное достижение равновесного состояния на рынке товаров и услуг и на денежном рынке, так как равновесие на рынке товаров и услуг гарантирует одновременное равновесие на рынках заемных средств и национальной валюты. Модель описывается следующей системой уравнений:
1) Y = C + I+G + NX\
2) С = f(Y - T) 0 < f(Y_T) < 1;
3) / = /(г);
4) G=G\ Т = Т\ (1.3)
5) NX = NX(zr) NX't< 0;
м r
6) — = L(r, Y), L'y > 0, Ц. < 0;
7) r = r*.
Уравнения 1—5 (1,3) описывают равновесие на рынке товаров и услуг (модель IS); 6 — условие равновесия денежного рынка, где М — предложение денег; Р — общий уровень цен; L(r, Y) — спрос на реальные запасы денежных средств (модель LM). В модели предполагается отсутствие инфляции и нулевые инфляционные ожидания, реальная и номинальная ставки процента совпадают, что позволяет использовать в функции спроса на деньги реальную ставку процента. Уравнение 7 (1.3) формулирует последствие совершенной мобильности капитала для малой открытой экономики.
Эндогенными переменными модели являются доход и реальный валютный курс.
В краткосрочном периоде цены не меняются, т. е. инфляция в стране и за рубежом отсутствует, и, следовательно, реальный курс совпадает с номинальным. В координатах Y—r модель (1.3) представлена на рис. 1.7.
 |
|
Рис. 1.7. Краткосрочное общее экономическое равновесие в модели Манделла—Флеминга |
Положение IS в этих координатах определяется валютным курсом. Если ег растет, то чистый экспорт падает, на рынке товаров и услуг при каждой ставке процента равновесное значение дохода уменьшается, и, следовательно, кривая IS сдвигается влево вниз. При падении курса IS, наоборот, сдвигается вправо вверх.
На рис. 1.7 общее равновесие в экономике достигается при ставке процента, установившейся на уровне мировой. Действительно, если ставка процента в стране установится ниже мирового уровня, то инвесторы будут стремиться вкладывать капитал за рубежом, спрос на зарубежную валюту увеличится, валютный курс понизится, чистый экспорт вырастет, доход вырастет, и кривая IS сдвинется вправо-вверх до положения, при котором внутренняя ставка процента окажется равной мировой (рис. 1.8).
 |
|
Рис. 1.8. Последствия случайного снижения внутренней ставки процента |
Аналогично, если внутренняя ставка процента окажется выше мирового уровня, то иностранные инвесторы будут стремиться вкладывать капитал в эту страну, курс ее валюты повысится. Чистый экспорт упадет, доход упадет, и кривая IS сдвинется влево вниз до положения, при котором равновесная ставка процента в стране окажется на уровне мировой (рис. 1.9).
В первом случае на денежном рынке рост дохода при неизменном предложении денег (реальном запасе денежных средств) ведет к превышению спроса на деньги над предложением и, следовательно, к росту равновесной ставки процента до мирового уровня. Во втором случае, напротив, предложение превысит спрос и равновесная ставка процента упадет. В обоих случаях общее равновесие установится при равенстве внутренней ставки процента мировой (точка В).
Поскольку эндогенными переменными в модели Манделла-Флеминга являются реальный курс и доход, удобнее представлять ее графически в координатах Y— ег. В этих координатах кривая IS будет иллюстрировать все возможные комбинации «доход — валютный курс» (Y, гг), при которых достигается равновесие на рынке товаров и услуг (ставка процента, как уже отмечалось, равна мировой).
 |
Рис. 1.9. Последствия случайного повышения внутренней ставки процента
Так как в кейнсианской функции потребления доля прироста потребления, а следовательно, и сбережений в приросте располагаемого дохода постоянна, то с ростом дохода, при прочих равных условиях, будет увеличиваться и объем сбережений. Объем инвестиционного спроса внутри страны не меняется, поэтому инвесторы будут стремиться увеличить капиталовложения за рубежом, спрос на иностранную валюту вырастет, и, таким образом, реальный валютный курс упадет. Напротив, при падении дохода реальный курс будет расти. Поэтому кривая IS в координатах Y— ?г носит убывающий (понижающийся) характер. Это легко вывести аналитически из модели IS, подставив условия уравнений 2—5 системы (1.3) в уравнение 1 и взяв дифференциал от обеих частей. |
тг
\-fy-
После преобразований получим ¦¦
dzr
¦<0.
Равновесие на денежном рынке не зависит от валютного курса. При ставке процента, равной мировой, уравновешивающей переменной на денежном рынке является доход. Поэтому в координатах К— ег LM представляет собой вертикальную линию, проходящую через равновесное значение дохода, установившееся на денежном рынке.
Графическая иллюстрация модели Манделла—Флеминга в координатах Y — ег представлена на рис. 1.10.
 |
|
Рис. 1.10. Краткосрочное общее экономическое равновесие в модели Манделла—Флеминга |
Краткосрочные последствия экономической политики существенным образом зависят от принятого в стране валютного режима. Как правило, принципиально различают два возможных режима — плавающего и фиксированного валютного курса.
Валютный курс, складывающийся в результате взаимодействия спроса и предложения на валютном рынке, носит название плавающего. В отличие от плавающего фиксированный валютный курс — это результат соглашения заинтересованных стран о поддержании пропорций обмена своих валют на определенном уровне или в определенных пределах. Центральный банк этих стран в случае отклонения курса национальной валюты от установленной величины обязан продавать или покупать валюту с целью поддержания объявленного курса.
Рассмотрим последствия государственной политики в модели Манделла—Флеминга при плавающем и фиксированном валютных курсах.
1.2.1. Плавающий валютный курс
Бюджетно-налоговая политика
Увеличение государственных расходов или снижение налогов приводит к увеличению дохода при каждом значении валютного курса, а значит, к сдвигу IS вправо вверх (рис. 1.11).
 |
|
Рис. 1.11. Последствия стимулирующей бюджетно-налоговой политики |
В краткосрочном периоде равновесие перейдет из точки А в точку В (доход останется на прежнем уровне, реальный курс повысится). Это происходит из-за того, что стимулирующая бюджетно-налоговая политика приводит к повышательному давлению на внутреннюю ставку процента. Капитал устремляется из-за рубежа в страну, валютный курс растет, чистый экспорт падает. Таким образом, стимулирующая бюджетно-налоговая политика приводит к росту реального валютного курса и вытеснению чистого экспорта.
Поскольку при применении этой политики равновесное значение дохода не меняется, ее краткосрочные и долгосрочные последствия одинаковы.
Кредитно-денежная политика
Увеличение предложения денег ведет к росту реальных запасов денежных средств, что вызывает на денежном рынке (при неизменной ставке процента) рост равновесного значения дохода. Линия LM сдвигается вправо (рис. 1.12).
 |
|
Рис. 1.12. Последствия стимулирующей кредитно-денежной политики |
В краткосрочном периоде равновесие перейдет из точки А в точку В, равновесное значение реального валютного курса понизится, а доход увеличится. Это происходит потому, что увеличение предложения денег оказывает понижательное давление на ставку процента, приводящее к оттоку капитала за границу, падению реального валютного курса, а следовательно, росту чистого экспорта и дохода. Таким образом, в краткосрочном периоде стимулирующая кредитно-денежная политика приводит к увеличению дохода.
Если первоначально экономика находилась в состоянии долгосрочного равновесия, то увеличение спроса в долгосрочном периоде вызовет рост цен, реальный запас денежных средств упадет, LM начнет сдвигаться влево, пока не вернется в первоначальное положение (т. е. доход вновь установится на уровне потенциального). В долгосрочном периоде равновесие вернется в точку А. Поскольку уровень цен вырос, а реальный курс не изменился, то номинальный валютный курс упадет во столько же раз, во сколько раз вырос уровень цен. Таким образом, с точки зрения долгосрочного аспекта денежная политика влияет не на реальные показатели, а только на номинальные.
Внешнеторговая политика
Пусть эта политика направлена на ограничение импорта. Тогда при каждом значении валютного курса чистый экспорт, а следовательно, и доход растут. Кривая IS сдвигается вправо вверх (рис. 1.13).
 |
Рис. 1.13. Последствия протекционистской внешнеторговой
политики |
Валютный курс растет, равновесное значение дохода не меняется. Так как равновесное значение дохода остается постоянным, то долгосрочное равновесие совпадает с краткосрочным (т. е. устанавливается в точке В). Таким образом, при плавающем курсе внешнеторговая политика не оказывает влияния на доход как в краткосрочном, так и долгосрочном периоде.
1.2.2. Фиксированный валютный курс
При установлении фиксированного валютного курса кредитноденежная политика Центрального банка сводится к поддержанию этого курса. Если курс растет, то Центральный банк должен скупать валюту для его снижения. При падении курса Центральный банк, наоборот, будет продавать иностранную валюту для его повышения. Под фиксированным валютным курсом понимается номинальный курс. Напомним, что в краткосрочном периоде номинальный и реальный валютные курсы совпадают.
Рассмотрим последствия экономической политики при фиксированном курсе.
Бюджетно-налоговая политика
В краткосрочном периоде стимулирующая бюджетно-налоговая политика приводит к сдвигу кривой IS вправо вверх, что оказывает повышательное давление на реальный валютный курс. Для поддержания фиксированного курса Центральный банк скупает иностранную валюту, увеличивая тем самым предложение денег. В результате равновесное значение дохода растет (рис. 1.14).
 |
|
Рис. 1.14. Последствия стимулирующей бюджетно-налоговой политики |
В краткосрочном периоде стимулирующая бюджетно-налоговая политика приводит к росту дохода.
В долгосрочном периоде, если первоначально выпуск был на естественном уровне, цены начнут расти, реальный запас денежных средств будет цадать до тех пор, пока LM не вернется в первоначальное положение, т. е. выпуск вновь установится на потенциальном уровне; так как номинальный курс фиксирован, то реальный курс возрастет, а чистый экспорт понизится (точка С на рис. 1.14). Таким образом, в долгосрочном периоде стимулирующая бюджетно-налоговая политика приводит к вытеснению чистого экспорта.
Кредитно-денежная политика
При фиксированном курсе кредитно-денежная политика сводится только к поддержанию этого курса, т. е. предложение денег становится эндогенной переменной. Поэтому эта политика не может быть использована для изменения дохода как в краткосрочном, так и в долгосрочном периоде.
Однако Центральный банк может проводить девальвацию — снижение фиксированного курса или ревальвацию — его повышение.
При девальвации для поддержания нового курса Центральный банк увеличивает предложение денег, LM смещается вправо (рис. 1.15).
 |
|
Рис. 1.15. Последствия девальвации национальной валюты |
Равновесное значение дохода в краткосрочном периоде увеличивается (равновесие в точке В). В долгосрочном периоде цены начнут расти, реальный запас денежных средств упадет, LM вернется в первоначальное положение. Выпуск установится на естественном уровне. Поскольку номинальный курс фиксирован, а цены выросли, то реальный валютный курс повысится до первоначального уровня. Равновесие установится в точке Л. Таким образом, девальвация в долгосрочном периоде вызовет увеличение общего уровня цен, а на реальные показатели влияния не окажет.
Внешнеторговая политика
Ограничения на импорт, как уже отмечалось, сдвигают 1S вправо вверх, что оказывает повышательное давление на валютный курс. Для поддержания фиксированного курса Центральный банк увеличивает предложение денег, LM сдвигается вправо. Равновесное значение дохода увеличивается (рис. 1.16).
 |
|
Рис. 1.16. Последствия протекционистской внешнеторговой политики |
В краткосрочном периоде при фиксированном валютном курсе внешнеторговые ограничения приводят к росту дохода.
В долгосрочном периоде цены начинают расти, LM сдвигается влево в первоначальное положение, реальный валютный курс растет (так как номинальный фиксирован, а уровень цен растет), чистый экспорт падает. В долгосрочном периоде рост чистого экспорта в результате внешнеторговых ограничений сводится на нет его падением в результате роста реального курса.
Из вышеприведенного анализа видно, что последствия стимулирующей экономической политики в краткосрочном периоде в малой открытой экономике зависят от того, является ли установленный в ней валютный курс фиксированным или плавающим. С точки зрения долгосрочного аспекта рассмотрения для реальных показателей результаты экономической политики не зависят от принятого в стране валютного режима. Долгосрочные последствия бюджетно-налоговой политики, естественно, совпадают с полученными из модели, представленной в предыдущем параграфе. Однако модель Манделла—Флеминга позволяет более детально проследить процесс перехода к новому состоянию долгосрочного равновесия и проанализировать, как будут изменяться номинальные показатели.
При рассмотрении вопроса, какой валютный режим предпочтительнее, следует учитывать недостатки каждого из них. Недостатком фиксированного валютного курса является то обстоятельство, что Центральный банк теряет возможность проводить кредитноденежную политику, направленную на стабилизацию занятости и цен. Недостаток плавающего валютного курса состоит в том, что связанная с его изменением неопределенность затрудняет международную торговлю.
На практике фиксированный и плавающий курсы в чистом виде встречаются редко. При фиксированном курсе правительство проводит девальвации и ревальвации, изменяя его величину. При плавающем курсе Центральный'банк зачастую проводит экономическую политику, направленную на его стабилизацию.
1. Используя модель долгосрочного макроэкономического равновесия в малой открытой экономике с совершенной мобильностью капитала, проанализируйте, что произойдет с текущим счетом, счетом движения капитала, реальным и номинальным валютным курсом в каждом из следующих случаев:
а) неуверенность потребителей в будущем вынуждает их меньше расходовать и больше сберегать;
б) потребители начинают предпочитать иностранные автомобили автомобилям отечественного производства;
в) введение банкоматов для выдачи наличных денег сокращает спрос на деньги.
2. Что произойдет в долгосрочном периоде со счетом текущих операций и реальным валютным курсом страны с малой открытой экономикой при увеличении объема государственных закупок, например во время войн? Зависит ли ответ оттого, является война локальной или мировой?
3. Предположим, что зарубежные государства начали субсидировать инвестиции, проводя политику инвестиционного налогового кредита. С точки зрения долгосрочного макроэкономического равновесия:
а) что произойдет с мировым инвестиционным спросом как функцией мировой ставки процента?
б) что будет с мировой ставкой процента?
в) что произойдет с инвестициями в малой открытой экономике?
г) что будет с текущим счетом и счетом движения капитала в малой открытой экономике?
д) что произойдет с реальным валютным курсом в малой открытой экономике?
4. Пусть потенциальный выпуск в малой открытой экономике с совершенной мобильностью капитала описывается производственной функцией У = Ky'2Ll'\ где К и L — запасы капитала и труда в экономике; К = 225, L = 1600. Равновесная ставка процента на мировом рынке заемных средств равна 2. Автономные расходы в экономике на потребление, инвестиции и чистый экспорт составляют соответственно 50, 140 и 180. Предельная склонность к потреблению равна 0,7, чувствительность инвестиций к ставке процента — 10, а чувствительность чистого экспорта к реальному валютному курсу — 50. Общая величина собираемых налогов не зависит от дохода и равняется 100, государственные закупки составляют 50.
В предположении о линейном характере функций потребления, инвестиций и чистого экспорта для этой экономики:
а) определите выпуск, потребление, инвестиции, чистый экспорт, ставку процента, реальный валютный курс, частные, государственные и национальные сбережения в первоначальном состоянии долгосрочного равновесия;
б) пусть государство проводит стимулирующую налоговую политику и снижает величину собираемых налогов до 50. Определите величину изменения показателей, перечисленных в пункте «а», для нового состояния долгосрочного экономического равновесия. Каков основной итог проведенной политики с точки зрения долгосрочного аспекта?
в) проиллюстрируйте переход от первоначального долгосрочного равновесия к новому для пункта «б» на графике с реальным валютным курсом в качестве ординаты.
5. Пусть выпуск в малой открытой экономике с совершенной мобильностью капитала описывается производственной функцией Г= Kl/4Ly\ где К и L — запасы капитала и труда в экономике; К= 10 000, L = 256. Равновесная ставка процента на мировом рынке заемных средств равна 3. Расходы в экономике описываются следующими функциями:
функция потребления С = 50 + 0,6(К— 7);
функция инвестиций /= 150 — Юг;
функция чистого экспорта NX = 60 — 5еЛ.
Общая величина собираемых налогов не зависит от дохода и совпадает с величиной государственных закупок, равной 140.
а) определите выпуск, потребление, инвестиции, чистый экспорт, ставку процента, реальный валютный курс в первоначальном состоянии долгосрочного равновесия;
б) в результате введения инвестиционного налогового кредита автономные инвестиционные расходы увеличиваются на 10. Определите показатели, перечисленные в пункте «а», для нового состояния долгосрочного равновесия;
в) пусть при первоначальных условиях в результате проведения стимулирующей бюджетно-налоговой политики зарубежными государствами мировая ставка процента возрастает до 5. Определите показатели, перечисленные в пункте «а», для нового состояния долгосрочного равновесия;
г) пусть при первоначальных условиях введение квот на импорт привело к росту автономного чистого экспорта на 20. Определите показатели, перечисленные в пункте «а», для нового состояния долгосрочного равновесия;
д) проиллюстрируйте графически переход от первоначального долгосрочного равновесия к новому для пунктов «в» и «г» в координатах (NX, S — I; ег).
6. Пусть малая открытая экономика с совершенной мобильностью капитала находится в состоянии долгосрочного макроэкономического равновесия. Как повлияет политика сокращения предложения денег на доход, потребление, инвестиции, валютный курс и чистый экспорт в краткосрочном и долгосрочном периодах:
а) при плавающем валютном курсе;
б) при фиксированном валютном курсе?
7. Пусть малая открытая экономика с совершенной мобильностью капитала находится в состоянии долгосрочного макроэкономического равновесия. Как повлияет увеличение мировой ставки процента на доход, реальный и номинальный валютный курс и чистый экспорт в краткосрочном и долгосрочном периодах:
а) при плавающем валютном курсе;
б) при фиксированном валютном курсе?
8. Сопоставьте краткосрочные и долгосрочные результаты стимулирующей бюджетно-налоговой политики:
а) в закрытой экономике;
б) в малой открытой экономике с плавающим валютным курсом;
в) в малой открытой экономике с фиксированным валютным курсом.
9. Предположим, что чистый экспорт зависит не только от валютного курса, но и от дохода: рост дохода приводит к расширению импорта и соответствующему сокращению чистого экспорта. Как повлияет на объем производства и на счет текущих операций в малой открытой экономике стимулирующая бюджетно-налоговая политика при:
а) плавающем валютном курсе;
б) фиксированном валютном курсе?
10. Страх населения перед нищетой в старости приводит к сокращению потребительских расходов и росту сбережений. Как это повлияет на краткосрочные равновесные величины дохода, чистого экспорта и валютного курса в малой открытой экономике при:
а) плавающем валютном курсе;
б) фиксированном валютном курсе?
Глава 2
МОДЕЛИ ОТКРЫТОЙ экономики
С НЕСОВЕРШЕННОЙ МОБИЛЬНОСТЬЮ КАПИТАЛА
Модель открытой экономики с несовершенной мобильностью капитала (долгосрочный аспект): предпосылки, условия равновесия на макроэкономических рынках, механизм достижения общего экономического равновесия.
Анализ влияния на долгосрочное равновесие бюджетно-налоговой политики в стране и за рубежом, внешнеторговой политики, сдвигов инвестиционного спроса.
Модель открытой экономики с несовершенной мобильностью капитала (краткосрочный аспект): предпосылки, условия равновесия на макроэкономических рынках, механизм достижения общего экономического равновесия.
Моделирование последствий бюджетно-налоговой, кредитноденежной, внешнеторговой политики при различных валютных режимах.
Рассмотрим теперь открытую экономику, где по ряду причин внутренняя ставка процента отличается от мировой. В качестве причин такого несовпадения могут выступать:
• несовершенная информация относительно условий зарубежных вложений;
• легальные барьеры и препятствия, устанавливаемые государством в целях ограничения ввоза или вывоза капитала;
• влияние уровня внутренних сбережений и инвестиций данной страны на равновесие мирового рынка заемных средств, имеющее место в связи с относительно большими объемами экономики.
Первые две причины связаны с отсутствием совершенной мобильности в переливе капитала между странами, третья — с существенной долей инвестиций и сбережений рассматриваемой страны в мировом объеме. Последнее не всегда позволяет даже при совершенной мобильности капитала обеспечить выравнивание уровней доходности вложений из-за того, что требующегося объема капитала может не хватить.
Таким образом, будем рассматривать открытую экономику, в которой не происходит выравнивания ставок процента и потоки капитала между страной и всем остальным миром зависят от соотношения внутренних и зарубежных ставок процента. Будем называть ее для краткости большой открытой экономикой. Заметим, что модельный анализ большой открытой экономики полностью применим и к рассмотрению малой открытой экономики с несовершенной мобильностью капитала.
2.1. МОДЕЛЬ ОТКРЫТОЙ ЭКОНОМИКИ С НЕСОВЕРШЕННОЙ МОБИЛЬНОСТЬЮ КАПИТАЛА (ДОЛГОСРОЧНЫЙ АСПЕКТ)
Для анализа большой открытой экономики используется показатель чистых зарубежных инвестиций {Net Foreign Investment, NFI), которые составляют разницу между величиной, вкладываемой в иностранные активы отечественными инвесторами, и величиной внутренних активов, приобретаемых иностранными инвесторами [6]. Очевидно, что чистые зарубежные инвестиции зависят от внутренней ставки процента и ряда других факторов, например, экономической политики зарубежных государств. Чем выше внутренняя ставка процента, тем менее привлекательны зарубежные инвестиции для внутреннего инвестора и более привлекательны внутренние для зарубежного.
Другими словами, зависимость чистых зарубежных инвестиций от внутренней ставки процента отрицательная NFI = NFI(r); NFI'r <0 (рис. 2.1). Если NFI > 0, то рассматриваемая экономика выступает кредитором на мировых финансовых рынках; если NFI < 0, то рассматриваемая экономика является заемщиком.
В закрытой экономике NFI = 0, при любых ставках процента инвесторы в стране и за рубежом не держат иностранных активов, невзирая на приносимый доход (рис. 2.2).
Такая ситуация может возникнуть, если государство препятствует переливу капитала между странами.
В малой открытой экономике с совершенной мобильностью капитала внутренняя ставка процента совпадает с мировой г= г*,
Рис. 2.2. Чистые зарубежные инвестиции в закрытой экономике
 |
О
Рис. 2.1. Чистые зарубежные инвестиции в большой открытой экономике |
NFI
NF1
инвесторы в стране и за рубежом покупают любой актив, приносящий наиболее высокий доход, независимо от его национальной принадлежности. Кроме того, экономика слишком мала, чтобы перелив капитала смог повлиять на состояние равновесия на мировом рынке заемных средств. Поэтому функция чистых зарубежных инвестиций бесконечно эластична по ставке процента, соответствующей значению мировой равновесной ставки процента (рис. 2.3).

NFI
Рис. 2.3. Чистые зарубежные инвестиции в малой открытой экономике
2.1.1. Долгосрочное экономическое равновесие в большой открытой экономике
Как уже отмечалось в главе 1, для описания долгосрочного макроэкономического равновесия в открытой экономике достаточно рассмотреть два рынка: рынок заемных средств и валютный рынок. Равновесие на рынке заемных средств анализируется с помощью тождества национальных счетов в открытой экономике,
означающего равенство предложения сбережений .5и инвестиционного спроса I + NFI:
S = I + NFI, (2.1)
где S = Y - С - G.
С учетом того, что труд (L) и капитал (К) заняты на естественном уровне, выпуск Yравен потенциальному У.
Потребление положительно зависит от располагаемого дохода
С = f(Y-Т) 0</(?-г) < 1 •
Инвестиции и чистые зарубежные инвестиции отрицательно зависят от реальной ставки процента / = І(г), /' < 0; NFI = NFI(r), NFI'r <0. Объемы государственных закупок и собираемых налогов
определяются государственной политикой Т = Т\ G=G.
Таким образом, условие равновесия на рынке заемных средств имеет вид
Y - f(Y - T)-G = /(/•)+ NFI (г) (2.2)
и обеспечивается за счет изменения реальной ставки процента (рис. 2.4).
На рынке валюты в состоянии равновесия предложение национальной валюты (5 — I) равно спросу на нее, т. е. чистому экспорту, который, в свою очередь, зависит от реального валютного
курса {NX = NX(er); NX'tr <о). Рынок валюты уравновешивается
за счет изменения реального валютного курса. Из тождества национальных счетов для открытой экономики NX = S — I и условия S = I + NFI следует, что в состоянии равновесия NX(er) = NFI(r) (рис. 2.5).
 |
|
Рис. 2.5. Равновесие на валютном рынке |
 |
|
Рис. 2.4. Равновесие на рынке заемных средств |
Номинальный валютный курс изменяется в зависимости от проводимой в стране и за рубежом денежной политики, определяющей внутренний и внешний общие уровни цен. На его равновесное значение влияют также все те события, которые изменяют и реальный валютный курс [7J.
Состояние общего долгосрочного равновесия в открытой экономике описывается моделью (2.3)—(2.9) и может быть проиллюстрировано графически с помощью рис. 2.6.
|
Y = С + / +G + NX |
(2.3) |
T = T, G = G |
(2.7) |
|
F = F(K, L) = Y |
(2.4) |
NX = NX(er) |
(2.8) |
|
C = f(Y-T) |
(2.5) |
NX(Er) = NFI(r) |
(2.9) |
|
/ = I (г), NFI = NFI(r) |
(2.6) |
|
|
 |
|
Рис. 2.6. Долгосрочное макроэкономическое равновесие в большой открытой экономике |
На рынке заемных средств устанавливается равновесная реальная ставка процента г*, определяющая величину чистых зарубежных инвестиций, от которой зависит объем предложения на валютном рынке NFl(t¦*), т. е. количество национальной валюты, которую хотят обменять на иностранную.
Реальный валютный курс е* уравновешивает спрос и предложение на валютном рынке. Отметим, что на рис. 2.6 график чистых зарубежных инвестиций круче наклонен к оси абсцисс, чем график I + NFI, так как на наклон второго влияет чувствительность и чистых зарубежных инвестиций, и внутренних инвестиций к изменению ставки процента.
Проанализируем результаты проведения экономической политики с точки зрения долгосрочного равновесия.
Влияние бюджетно-налоговой политики
Пусть в стране, экономика которой находится в состоянии долгосрочного экономического равновесия, государство проводит стимулирующую бюджетно-налоговую политику, например, увеличивает государственные закупки товаров и услуг на величину Д(7. Это приводит к уменьшению национальных сбережений на величину ДG. Очевидно, что при первоначальной равновесной ставке процента t* на рынке заемных средств предложение сбережений станет меньше инвестиционного спроса и чистых зарубежных инвестиций.
Поэтому в новом состоянии долгосрочного равновесия ставка процента вырастет, упадет величина внутренних инвестиций и чистых зарубежных инвестиций. Это приведет к уменьшению предложения национальной валюты на валютном рынке, что вызовет рост реального курса и падение чистого экспорта (рис. 2.7).
 |
|
Рис. 2.7. Долгосрочные последствия стимулирующей бюджетно-налоговой политики в большой открытой экономике |
В итоге, в новом долгосрочном равновесии (точка В на рис. 2.7) увеличение государственных закупок товаров и услуг на АС приводит к вытеснению инвестиций и чистого экспорта: | АС| = |А/ + ДУ?Л'|.
В закрытой экономике подобная политика приводит к вытеснению инвестиций |ДС| = |А/|, в малой открытой экономике — к вытеснению чистого экспорта: |ДС| = |А7?А'|. Таким образом, в большой открытой экономике наблюдается комбинированный эффект результатов, полученных для закрытой и малой открытой экономики.
Сдвиги в инвестиционном спросе
Пусть правительство проводит политику стимулирования внутренних инвестиций, например, вводит инвестиционный налоговый кредит (рис. 2.8).
 |
|
Рис. 2.8. Долгосрочные последствия увеличения инвестиционного спроса в большой открытой экономике |
Тогда для каждого значения ставки процента увеличивается инвестиционный спрос и, следовательно, график (/ + NFI) сдвинется вправо. При старой равновесной ставке процента f спрос на рынке заемных средств будет превышать предложение. Следовательно, ставка процента будет расти до /у* > г*.
Рост ставки процента в новом равновесном состоянии приведет к падению чистых зарубежных инвестиций, росту реального валютного курса и вызванному этим падению чистого экспорта. В итоге в новом долгосрочном равновесии введение инвестиционного налогового кредита в большой открытой экономике приводит к вытеснению чистого экспорта на величину прироста внутренних инвестиций |Д/| = |AAOf| (см. рис. 2.8).
Отметим, что данный результат аналогичен последствиям проведения этой политики в малой открытой экономике с совершенной мобильностью капитала.
В закрытой экономике эта политика приводит только к росту ставки процента и не изменяет равновесного значения инвестиций.
Влияние политики, проводимой зарубежными государствами
Долгосрочное равновесие в экономике с несовершенной мобильностью капитала может изменяться и под влиянием политики, осуществляемой зарубежными государствами, если она затрагивает мировую ставку процента и, следовательно, воздействует на международные потоки капитала. Механизм действия связан с изменениями (сдвигами) в чистых зарубежных инвестициях большой открытой экономики.
Поэтому такая причина, как ограничительная бюджетноналоговая политика зарубежных государств, снижающая мировую ставку процента, приведет к уменьшению чистых зарубежных инвестиций рассматриваемой большой открытой экономики.
Другой существенной причиной, влияющей на функцию чистых зарубежных инвестиций, является политическая нестабильность за рубежом. Инвесторы зарубежных государств избавляются от внутренних активов и стараются приобрести активы стабильных в политическом отношении стран. Это также будет означать уменьшение чистых зарубежных инвестиций стабильной страны для всех значений ставки процента (рис. 2.9).
Таким образом, для рассматриваемой страны с большой открытой экономикой спрос на рынке заемных средств падает, равновесная ставка процента тоже уменьшается до г*. Это приводит к росту величины чистых зарубежных инвестиций, которая, однако, остается все-таки ниже первоначального уровня NFI(r*). Отсюда, предложение на рынке валют падает, валютный курс
растет до е].*, а чистый экспорт падает. Падение чистого экспорта количественно совпадает с ростом инвестиций, вызванным падением внутренней ставки процента
IД/1 = IАУ?А' I.
 |
|
Рис. 2.9. Долгосрочные последствия уменьшения чистых зарубежных инвестиций в большой открытой экономике |
Очевидно, что долгосрочные последствия ограничительной политики за рубежом в большой открытой экономике и малой открытой экономике с совершенной мобильностью капитала совпадают.
Влияние внешнеторговой политики
Пусть правительство проводит политику поддержки внутренних производителей и вводит импортные квоты на определенный вид товаров. Тогда при неизменности прочих факторов величина чистого экспорта растет, что нарушает равновесие валютного рынка (рис. 2.10). Образуется превышение спроса на национальную валюту над ее предложением, и реальный валютный курс
увеличивается до е)* . Удорожание национальной валюты сокращает экспорт и увеличивает импорт по всем остальным товарам, не подвергшимся регулирующим действиям. В результате значение чистого экспорта уменьшается до первоначального уровня, а объемы внешнеторговых операций падают.
Последствия протекционистской внешнеторговой политики, таким образом, оказываются такими же, как и в малой открытой экономике с совершенной мобильностью капитала.
|
г |
 |
|
Рис. 2.10. Долгосрочные последствия протекционистской внешнеторговой политики в большой открытой экономике |
Из табл. 2.1 видно, что последствия экономических политик в большой и малой открытых экономиках по многим показателям совпадают на качественном уровне, т. е. в смысле направления изменения рассматриваемых параметров. Поэтому для качественной оценки последствий различных сдвигов в открытой экономике зачастую используется модель малой открытой экономики.
Таблица 2.1
Сравнительный анализ долгосрочных последствий экономической политики в закрытой и открытой экономике |
|
|
Закрытая
экономика |
Малая открытая экономика с совершенной мобильностью
капитала |
Большая открытая экономика |
Стимулирующая бюджетно-налоговая политика в стране
Gt на (=ДG) |
Г |
г |
г = гж= const |
т |
|
I |
к=дс) |
Const |
1 |
|
Ел |
Отсутствует |
г |
т |
|
NX |
Отсутствует |
і(=ДО |
1 |
|
|
|Д/| = |ДС| |
1 ДЛУГІ = 1 Д<71 |
\АГ + ANX\=]AG\ |
|
|
Продолжение табл. 2.1 |
|
|
Закрытая
экономика |
Малая открытая экономика с совершенной мобильностью капитала |
Большая
открытая
экономика |
|
Ограничительная бюджетно-налоговая политика за рубежом Gw1 |
г |
Не влияет |
—
*
II
Sk |
1 |
|
/ |
1 |
г |
|
|
t |
1 |
|
NX |
I |
1 |
|
|
1 Д/| = 1 ANX\ |
\AI\ = \NNX\ |
|
Введение квот на импорт |
Ел |
Не влияет |
1 |
1 |
|
NX |
Const |
Const |
|
Imp |
J |
J |
|
Exp |
1 |
1 |
|
|
1 Д Imp 1 = 1 Д Exp 1 |
1 AImp 1 = 1 AExp\ |
|
2.2. МОДЕЛЬ ОТКРЫТОЙ ЭКОНОМИКИ С НЕСОВЕРШЕННОЙ МОБИЛЬНОСТЬЮ КАПИТАЛА (КРАТКОСРОЧНЫЙ АСПЕКТ)
Для описания краткосрочного равновесия в открытой экономике с несовершенной мобильностью капитала рассмотрим три рынка: товаров и услуг, рынок валюты и денежный рынок.
Множество состояний равновесия на рынке товаров и услуг описывается моделью IS, которая определяется следующими условиями:
(2.10)
Y = С + I + G + NX.
Потребление зависит от располагаемого дохода Yd
C=f(Y— Т) = f(Yd). (2.11)
Инвестиции отрицательно зависят от реальной ставки процента г
(2.12)
I = 1{г).
Чистый экспорт отрицательно зависит от реального валютного курса гг
NX=NX(er). (2.13)
Условие равновесия на валютном рынке выглядит следующим образом:
NX(er) = NFl(r). (2.14)
Равновесие на рынке национальной валюты достигается за счет изменения реального валютного курса при заданной реальной ставке процента.
Объемы государственных закупок и чистых налогов являются в модели экзогенными переменными
Т = Т, G = G. (2.15)
Подставив (2.11)—(2.15) в (2.10), получим уравнение IS в виде:
Y=f(Y- 7) + I(r) + G + NFI(r). (2.16)
Равновесие на денежном рынке описывается моделью LM
у = ?(г, X) (2.17)
где L(r, Y) — спрос на реальные запасы денежных средств, зависящий от дохода Y и в условиях жесткости цен от реальной ставки процента;
М
— — предложение реальных запасов денежных средств.
Общее экономическое равновесие, таким образом, предполагает одновременное выполнение условий (2.16), (2.17) и (2.14). Одновременное равновесие на рынках денег и товаров и услуг формирует равновесную процентную ставку, которая в свою очередь определяет величину чистых зарубежных инвестиций, а значит, и предложение национальной валюты. Установившееся значение реального валютного курса уравновешивает рынок национальной валюты. В краткосрочном периоде цены не меняются, т. е. инфляция в стране и за рубежом отсутствует, и, следовательно, реальный курс совпадает с номинальным.
Общее экономическое равновесие в открытой экономике с несовершенной мобильностью капитала может быть отражено на трех графиках (рис. 2.11).


Рис. 2.11. Общее экономическое равновесие в открытой экономике с несовершенной мобильностью капитала и плавающим курсом
Так как совокупные расходы зависят от ставки процента по двум причинам: в связи с чувствительностью к ней как инвестиций, так и чистых зарубежных инвестиций, то IS является более пологой, чем в случае закрытой экономики.
Отметим, что изменение реального валютного курса, а значит, и чистого экспорта не влияет на положение кривой IS в координатах (Y, г).
Краткосрочные последствия экономической политики существенным образом зависят от принятого в стране валютного режима. Поэтому будем рассматривать модель открытой экономики с несовершенной мобильностью капитала в двух вариантах:
]) для страны, придерживающейся плавающего валютного режима;
2) для страны, правительство которой поддерживает фиксированный валютный курс.
2.2.1. Открытая экономика с плавающим валютным курсом Бюджетно-налоговая политика
Рассмотрим результаты проведения стимулирующей бюджетной политики в открытой экономике с плавающим валютным курсом (рис. 2.12). Пусть, например, возрастает объем государственных расходов G. В условиях жесткости цен это приводит к росту дохода, в результате растет спрос на реальные запасы денежных средств. На денежном рынке растет равновесная ставка процента. Следовательно, в новом равновесном состоянии доход и равновесная ставка процента возрастают. На рис. 2.12а это отражается сдвигом линии М1 вправо вверх, равновесие перемещается из точки А в точку В.
Рост ставки процента приводит к падению инвестиций, чистых зарубежных инвестиций и, соответственно, предложения на валютном рынке. Поэтому реальный обменный курс растет, а чистый экспорт падает (рис. 2.126 и 2.12в).
Таким образом, увеличение государственных расходов, приводя к росту дохода, сопровождается вытеснением инвестиций и чистого экспорта. Доход растет меньше, чем в закрытой экономике. Однако в данном случае бюджетно-налоговая политика
 |
Рис. 2.12. Результаты стимулирующей бюджетно-налоговой
политики |
все-таки влияет на него в отличие от случая малой открытой экономики с совершенной мобильностью капитала, где она совсем не изменяет доход.
Снижение налогов оказывает аналогичное воздействие на все перечисленные показатели.
Если первоначально экономика находилась в состоянии долгосрочного равновесия, то в долгосрочном периоде цены начнут расти, реальный запас денежных средств упадет, для любого значения дохода соответствующая равновесная ставка процента увеличится. Поэтому LM начнет сдвигаться влево до тех пор, пока доход не вернется к потенциальному уровню. В новом долгосрочном равновесии ставка процента вырастет по сравнению с краткосрочным равновесием, что еще сильнее снизит инвестиции и предложение национальной валюты, реальный валютный курс еще больше увеличится, а чистый экспорт упадет. В конце концов, влияние возросших государственных закупок товаров и услуг будет полностью нейтрализовано вытеснением инвестиций и чистого экспорта:
Ylr=Y\ = Y
пя >г2 >'г 4R >4 >4
|дс|=|д/|+|дмг|.
Поскольку уровень цен и реальный валютный курс выросли пропорционально, то номинальный курс не изменится.
Очевидно, что ограничительная бюджетно-налоговая политика приводит к снижению дохода и ставки процента, росту инвестиций и чистых зарубежных инвестиций, снижению реального обменного курса и повышению чистого экспорта.
Влияние кредитно-денежной политики на краткосрочное равновесие
Предположим, что Центральный банк увеличивает предложение денег М. В условиях жесткости цен это приводит к увеличению предложения реальных запасов денежных средств, что вызывает падение равновесной ставки процента. Инвестиции и чистые зарубежные инвестиции растут, предложение национальной валюты повышается, в результате чего реальный валютный курс падает, а чистый экспорт увеличивается. Доход возрастает. На рис. 2.13 это отражается сдвигом LM вправо вниз, а равновесие переходит из точки А в точку В.
 |
|
Рис. 2.13. Результаты стимулирующей кредитно-денежной политики |
Если первоначальный равновесный уровень выпуска совпадает с потенциальным, то в долгосрочном периоде цены начнут расти, реальный запас денежных средств упадет, LM начнет сдвигаться влево, пока не вернется в первоначальное положение (т. е. доход вновь вернется к потенциальному уровню). Равновесная ставка процента вырастет до первоначального уровня, что сократит величину инвестиций и чистых зарубежных инвестиций до исходной. Поэтому реальный валютный курс увеличится до первоначального и упадет чистый экспорт. Таким образом, в долгосрочном периоде равновесие вновь вернется в точку А. Поскольку уровень цен вырос, а реальный валютный курс не изменился, то номинальный курс упадет во столько же раз, во сколько раз вырос уровень цен. Таким образом, с точки зрения долгосрочного аспекта денежная политика не повлияет на реальные показатели, а затронет только номинальные.
Аналогично можно показать, что ограничительная кредитноденежная политика приводит в краткосрочном периоде к снижению дохода и росту ставки процента, снижению инвестиций и чистых зарубежных инвестиций, росту реального обменного курса и снижению чистого экспорта.
Предположим, что правительство осуществляет протекционистскую внешнеторговую политику, например, вводит квоты на импорт. Это приводит к падению импорта и, следовательно, росту чистого экспорта при прежних значениях реального обменного курса. Спрос на валютном рынке растет, равновесный курс повышается.
Поскольку предложение на валютном рынке не изменилось, то экспорт упадет на ту же величину, на которую снизился импорт. В новом состоянии равновесия величина чистого экспорта остается неизменной. Остальные показатели тоже не меняются (рис. 2.14).
 |
|
Рис. 2.14. Результаты протекционистской внешнеторговой политики |
Политика либерализации внешней торговли, например отмены квот на импорт, приведет к снижению реального обменного курса при неизменности остальных показателей.
Таким образом, в открытой экономике с плавающим валютным курсом внешнеторговая политика неэффективна.
Если первоначально экономика функционировала на уровне полной занятости, то в связи с неизменностью дохода краткосрочное равновесие совпадает с долгосрочным, т. е. устанавливается в точке В.
2.2.2. Открытая экономика с фиксированным валютным курсом
Для того чтобы обеспечивать объявленный фиксированный уровень валютного курса, Центральный банк должен поддерживать соответствующую этому уровню ставку процента неизменной. Это достигается путем изменения предложения денег в ответ на тенденции процентной ставки к повышению или понижению. Поэтому в модели, описываемой уравнениями (2.14)—(2.17), предложение денег М становится эндогенной переменной, а обменный курс ?г — фиксированной.
Проанализируем результаты экономической политики в открытой экономике с несовершенной мобильностью капитала и фиксированным валютным курсом.
Бюджетно-налоговая политика
Проведение стимулирующей бюджетно-налоговой политики, как уже было показано, оказывает повышательное давление на ставку процента.
Для поддержания ставки на неизменном уровне Центральный банк должен увеличить предложение денег, что приводит к увеличению дохода. Все остальные показатели остаются неизменными (рис. 2.15).
 |
Рис. 2.15. Результаты стимулирующей бюджетно-налоговой
политики |
Поскольку ставка процента и валютный курс не меняются, вытеснения инвестиций и чистого экспорта не происходит. Поэтому бюджетно-налоговая политика в такой экономике сильнее влияет на доход, чем при плавающем курсе.
Если исходное равновесное состояние соответствовало уровню полной занятости ресурсов, то в долгосрочном периоде общий уровень цен в экономике вырастет, так как спрос на рынке товаров и услуг.будет превышать потенциальный выпуск. Реальные запасы денежных средств уменьшатся, равновесные ставки процента, соответствующие каждому уровню дохода, увеличатся, что приведет к сдвигу LM влево. В результате реальная ставка процента в новом долгосрочном равновесии вырастет, инвестиции и предложение национальной валюты упадут, при неизменном номинальном валютном курсе реальный возрастет, чистый экспорт уменьшится. В новом долгосрочном равновесии доход вернется на потенциальный уровень, так как возрастание государственных закупок нейтрализуется падением чистого экспорта и инвестиций:
Гья = Уі = У |дс| = |д/|+|дмг|.
Заметим, что долгосрочные последствия проведения бюджетноналоговой политики для реальных показателей в экономике с фиксированным валютным режимом совпадают с ранее описанными последствиями для экономики с плавающим курсом. Другими словами, они не зависят от валютного режима.
Аналогично можно показать, что при ограничительной бюджетно-налоговой политике в краткосрочном периоде предложение денег уменьшается, доход снижается, остальные показатели не меняются.
Кредитно-денежная политика
Изменение предложения денег приводит к изменению равновесной процентной ставки, что влечет за собой изменение валютного курса. Поэтому в экономике с фиксированным курсом кредитно-денежная политика не эффективна, т. е. не влияет на доход. Единственным видом кредитно-денежной политики может быть изменение объявленного валютного курса (его девальвация или ревальвация).
Рассмотрим последствия девальвации. Для того чтобы реальный валютный курс в условиях жесткости цен снизился, необходимо повысить предложение на валютном рынке. Поскольку оно является следствием снижения равновесной ставки процента, Центральный банк должен увеличить предложение денег. Снижение процентной ставки и валютного курса вызывает увеличение инвестиций и чистого экспорта, а следовательно, и дохода (рис. 2.16).
 |
|
Рис. 2.16. Последствия девальвации |
Если первоначальный равновесный уровень выпуска совпадал с потенциальным, то в долгосрочном периоде цены начнут расти, реальный запас денежных средств упадет, LM начнет сдвигаться влево, пока не вернется в первоначальное положение (т. е. доход вновь вернется к потенциальному уровню). Равновесная ставка процента вырастет до первоначального уровня, что сократит величину инвестиций и чистых зарубежных инвестиций до исходной. Поэтому реальный валютный курс увеличится до первоначального и упадет чистый экспорт. Таким образом, в долгосрочном периоде равновесие вновь вернется в точку А, изменились только номинальные показатели: уровень цен вырос, а номинальный курс остался на новом, более низком уровне. Таким образом, с точки зрения долгосрочного аспекта денежная политика не повлияет на реальные показатели, а затронет только номинальные.
Аналогично ревальвация в краткосрочном периоде приводит к падению чистого экспорта и дохода, а в долгосрочном — к снижению цен.
Осуществление протекционистской внешнеторговой политики (например, введение импортных квот) вызывает падение импорта и, следовательно, рост чистого экспорта при прежних значениях реального валютного курса. Спрос на валютном рынке увеличивается, что оказывает повышательное давление на равновесный курс.
С целью поддержания валютного курса на прежнем уровне Центральный банк увеличивает предложение денег. Реальная ставка процента падает, инвестиции растут. Рост чистого экспорта и инвестиций приводит к росту дохода (рис. 2.17).


Рис. 2.17. Результаты протекционистской внешнеторговой политики
Политика либерализации внешней торговли, например отмены квот на импорт, приведет к снижению чистого экспорта. Центральный банк снизит предложение денег, реальная ставка процента возрастет. В результате снижения инвестиций и чистого экспорта в новом состоянии краткосрочного равновесия доход упадет.
Таким образом, в открытой экономике с несовершенной мобильностью капитала и фиксированным курсом внешнеторговая политика эффективна, т. е. влияет на доход.
Если первоначальный равновесный уровень выпуска совпадал с потенциальным, то в долгосрочном периоде цены начнут расти, реальный запас денежных средств упадет, LM начнет сдвигаться влево, пока не вернется в первоначальное положение. Равновесная ставка процента вырастет до первоначального уровня, что сократит величину инвестиций и чистых зарубежных инвестиций до исходной. Поэтому реальный валютный курс увеличится, чистый экспорт упадет до первоначального уровня. Таким образом, в долгосрочном периоде равновесие вновь вернется в точку А с выросшим реальным валютным курсом и неизменными остальными реальными показателями.
Из проведенного анализа следует, что последствия экономической политики в малой и большой открытой экономике во многих случаях сходны. Принципиальная разница состоит в том, что в большой открытой экономике с режимом плавающего валютного курса в отличие от малой можно влиять на доход с помощью бюджетно-налоговой политики. В остальных случаях различия носят только количественный характер. Вопросам количественной оценки последствий экономической политики в малой и большой открытой экономике посвящена следующая глава.

1. Пусть выпуск в открытой экономике с несовершенной мобильностью капитала описывается производственной функцией Y = Kl/2Ll/1, где К и L — запасы капитала и труда в экономике; К= 2500, L = 400. Потребление (Q, инвестиции (/), чистые зарубежные инвестиции (NF1), чистый экспорт (NX) описываются следующими функциями:
С= 60 + 0,8(У — 7);
/= 150 - 30г;
NFI= 50 - 20г ;
NX= 19 - Зег.
Общая величина собираемых налогов не зависит от дохода и совпадает с величиной государственных закупок, равной 200.
а) Определите выпуск, потребление, частные, государственные и национальные сбережения, инвестиции, чистый экспорт, чистые зарубежные инвестиции, ставку процента, реальный валютный курс в первоначальном состоянии долгосрочного равновесия.
б) Пусть государство проводит стимулирующую налоговую политику и увеличивает государственные закупки на 20. Определите величину изменения показателей, перечисленных в пункте «а», для нового состояния долгосрочного экономического равновесия. Каков основной итог проведенной политики с точки зрения долгосрочного аспекта?
в) На сколько нужно изменить величину собираемых налогов, чтобы достичь тех же значений инвестиций и чистого экспорта, которые были получены при увеличении государственных закупок (пункт «б»)? Значения каких реальных переменных будут отличаться от результатов пункта «б»)?
г) Пусть при первоначальных условиях в результате введения инвестиционного налогового кредита автономные инвестиционные расходы увеличиваются на 15. Определите показатели, перечисленные в пункте «а», для нового состояния долгосрочного равновесия.
д) Пусть при первоначальных условиях в результате проведения стимулирующей бюджетно-налоговой политики зарубежными государствами возрастает мировая ставка процента, что приводит к росту автономных чистых зарубежных инвестиций на 10. Определите показатели, перечисленные в пункте «а», для нового состояния долгосрочного равновесия.
е) Пусть при первоначальных условиях введение квот на импорт привело к росту автономного чистого экспорта на 6. Определите показатели, перечисленные в пункте «а», для нового состояния долгосрочного равновесия.
ж) Проиллюстрируйте графически переход от первоначального долгосрочного равновесия к новому для пунктов «б—е».
2. Пусть в модели открытой экономики с несовершенной мобильностью капитала функции потребления, инвестиций, чистых зарубежных инвестиций и чистого экспорта являются линейными. Покажите алгебраически, как в этом случае проведение стимулирующей бюджетно-налоговой политики за рубежом повлияет в долгосрочном периоде на потребление, инвестиции, чистый экспорт, чистые зарубежные инвестиции, ставку процента, реальный валютный курс рассматриваемой страны.
3. В 1980-е гг. в США были понижены налоговые ставки и увеличены военные расходы. Какое влияние эти меры оказали на:
а) уровень инвестиций в Бельгии;
б) счет движения капитала в Бельгии;
в) счет текущих операций в Бельгии;
г) реальный валютный курс Бельгии?
В тот же период в Бельгии вырос бюджетный дефицит. Как это повлияло на:
д) уровень инвестиций в США;
е) счет движения капитала в США;
ж) счет текущих операций в США;
з) реальный валютный курс США?
4. Когда во Франции в 1971 г. пришел к власти президент левой ориентации, многие французы считали, что в стране может возникнуть ситуация политической нестабильности. Поэтому они перемещали свои финансовые активы за границу, существенно увеличив потоки капитала в другие страны, и в частности в Германию.
а) Допустив, что Германия — это большая открытая экономика, проанализируйте, как приток капитала в Германию повлиял на реальную ставку процента Германии, инвестиции Германии, счет движения капитала и текущий счет Германии, валютный курс марки.
б) Допустив, что Франция — это большая открытая экономика, проанализируйте, как приток капитала в Германию повлиял на реальную ставку процента Франции, инвестиции, счет движения капитала и текущий счет, валютный курс франка в долгосрочном периоде.
5. Что произойдет в большой открытой экономике со сбережениями, инвестициями, чистым экспортом, ставкой процента и реальным валютным курсом, если в зарубежных странах начнется война, которая будет сопровождаться одним из шести перечисленных ниже обстоятельств:
а) правительство этой большой страны увеличит закупки военной техники в связи с вступлением в войну;
б) другие страны увеличат спрос на сверхточное оружие, которое в основном экспортируется рассматриваемой большой страной;
в) война увеличит неопределенность для фирм этой страны, и они откажутся от некоторых инвестиционных проектов;
г) война увеличит неопределенность для потребителей этой страны, и они станут больше сберегать;
д) граждане этой страны начнут опасаться отдыхать за границей и будут проводить отпуск дома;
е) зарубежные инвесторы в целях безопасности переведут свои инвестиции в эту страну.
Рассмотрите долгосрочные последствия для экономики большой страны в каждом из шести перечисленных случаев отдельно.
Дайте графическую иллюстрацию решения.
6. Предположим, что цель Центрального банка в большой открытой экономике с плавающим валютным режимом — стабилизация дохода. Опишите, как отразятся на краткосрочном равновесии в экономике с несовершенной мобильностью капитала действия Центрального банка с предложением денег, ставкой процента, валютным курсом и счетом текущих операций при следующих событиях:
а) правительство увеличивает налоги, чтобы сократить бюджетный дефицит;
б) правительство увеличивает пошлины на импорт иностранных автомобилей.
Приведите графическую иллюстрацию решения.
7. Допустим, что в большой открытой экономике валютный курс фиксирован.
а) Опишите последствия проведения политики повышения налогов. Сравните результаты со случаем малой открытой экономики.
б) Что случится, если Центральный банк решит покупать облигации у населения? Сравните свой ответ со случаем малой открытой экономики.
Приведите графическую иллюстрацию решения.
8. Предположим, что зарубежные государства увеличивают объем собираемых налогов. Как изменятся краткосрочные равновесные ставка процента, реальный валютный курс, выпуск, инвестиции, чистые зарубежные инвестиции, чистый экспорт в большой открытой экономике
а) с фиксированным валютным курсом;
б) с плавающим валютным курсом?
Приведите графическую иллюстрацию решения.
9. Пусть в большой открытой экономике с плавающим валютным курсом
С = 125 + 0,75(У — 7);
/ = 200 - Юг;
/?Х= 150 - 50е,;
NFI = 100 - 20/-;
(M/P)d = 0,5 К - 40г;
G = Т = 100;
М = 500;
Р= 1.
а) Выпишите уравнения IS и LM для этой экономики.
б) Определите равновесные значения выпуска, реальной ставки процента, инвестиций, чистых зарубежных инвестиций, реального обменного курса, чистого экспорта.
в) Пусть государственные расходы увеличились на 100. Найдите новый равновесный уровень выпуска.
г) Пусть государственные расходы снова равны 100, а предложение денег увеличилось на 100. Найдите новый равновесный уровень выпуска.
Глава 3
ЭФФЕКТИВНОСТЬ ЭКОНОМИЧЕСКОЙ политики ГОСУДАРСТВА В ОТКРЫТОЙ ЭКОНОМИКЕ
Совокупный спрос в открытой экономике с различными валютными режимами.
Мультипликаторы экономической политики в моделях открытой экономики при фиксированном и плавающем валютном курсе. Анализ сравнительной эффективности бюджетно-налоговой, кредитно-денежной и внешнеторговой политик при различных валютных режимах.
Учет в моделях открытой экономики зависимости чистого экспорта от дохода: последствия в этом случае экономической политики при различных валютных режимах, мультипликаторы и эффективность экономической политики. Сравнительный анализ результатов представленных моделей.
Применение моделей открытой экономики к анализу эффективности экономической политики в России. Анализ сравнительной эффективности бюджетно-налоговой, кредитно-денежной и внешнеторговой политик в российской экономике в периоды действия плавающего валютного курса и поддержания валютного коридора.
В предыдущих главах было подробно исследовано, как изменяется объем национального производства стран с открытой экономикой при изменениях экономической политики. Равновесный объем выпуска в рассмотренных моделях представляет собой величину совокупного спроса при сложившемся уровне цен. Под совокупным спросом понимается зависимость между количеством продукции, на которую предъявляется спрос во всей экономике со стороны домашних хозяйств, фирм, государства и заграницы, и общим уровнем цен.
Предыдущий анализ проводился в предположении, что цены являются жесткими. Очевидно, что изменение уровня цен вызовет изменение равновесного объема выпуска, т. е. величины совокупного спроса. Проанализируем характер зависимости этой величины от общего уровня цен.
3.1. СОВОКУПНЫЙ СПРОС В ОТКРЫТОЙ ЭКОНОМИКЕ
В большой открытой экономике с плавающим валютным курсом повышение общего уровня цен приводит к падению реальных запасов денежных средств, что ведет к повышению реальной ставки процента, падению инвестиций и чистых зарубежных инвестиций. Снижение предложения на валютном рынке вызывает повышение реального валютного курса и падение чистого экспорта. В итоге в связи с падением инвестиций и чистого экспорта снижается равновесное значение дохода.
Таким образом, при плавающем валютном курсе величина совокупного спроса отрицательно зависит от общего уровня цен. Из анализа последствий фискальной и кредитно-денежной политики, проведенного в главе 2, видно, что, при прочих равных, величина совокупного спроса положительно связана с величиной государственных закупок товаров и услуг и предложением денег и отрицательно — с объемом собираемых налогов. Поэтому совокупный спрос в такой экономике может быть представлен в виде:
Y = f(G, Т, М, Р) fg > 0, //<0,/^>0, f'p <0.
В большой открытой экономике с фиксированным курсом предложение денег становится эндогенным параметром, изменение которого направлено на поддержание объявленного номинального курса. В такой экономике повышение общего уровня цен оказывает понижательное давление на номинальный валютный курс, что вынуждает для его поддержания сокращать предложение денег. В результате реальные запасы денежных средств падают, что в силу описанных выше причин ведет к падению дохода.
Таким образом, при фиксированном валютном курсе величина совокупного спроса отрицательно зависит от общего уровня цен. Анализ последствий фискальной политики (см. главу 2) показал, что, при прочих равных, величина совокупного спроса положительно связана с величиной государственных закупок товаров и услуг, и отрицательно — с объемом собираемых налогов. Поэтому совокупный спрос в такой экономике может быть представлен в виде:
y = f(G, т, Р) /с> о, /;¦< о, /;< 0.
Функция совокупного спроса позволяет оценить эффективность экономической политики в странах с различными валютными режимами.
3.2. МУЛЬТИПЛИКАТОРЫ ЭКОНОМИЧЕСКОЙ ПОЛИТИКИ В МОДЕЛИ ОТКРЫТОЙ экономики С НЕСОВЕРШЕННОЙ МОБИЛЬНОСТЬЮ КАПИТАЛА
Под эффективностью экономической политики будем понимать изменение дохода в расчете на единицу управляющего воздействия. Поэтому показателями, отражающими эффектив-
я ~ dY dY
dG dT’
ность бюджетно-налоговой политики, будем считать — и —,
а кредитно-денежной политики — -
dM
Определим эти показатели для экономики с плавающим валютным режимом.
Из условий равновесия на товарном и денежном рынках (см. (2.16) и (2.17) главы 2) с учетом неизменности уровня цен следует, что:
dY = f;/dY- /;; dT + I'd г +dG+ NFI’dr

(3.1)
Отсюда
|
dr = |
 |
Сгруппировав подобные члены, получим:
|
1-Д +{n + NFI’r) |  |
лл/
рц'
dY = - д dT+dG+(/; + у?я;)
Откуда при неизменной налоговой и денежной политике {dT = dM = 0)
(3.2)
ЛК
dG
При неизменной величине государственных расходов и денежной массы (Л(7 = ЛЛ/ = 0):
д,
ЛК
ЛГ
(3.3)
1-Д +{I'r + NFI'r)
Если переменные бюджетно-налоговой политики не меняются (ЛС = dT = 0), то:
лк /; + aw;
7ТГ\ =—-
(3.4)
|
|
|
/' |
ГІ
М |
д |
1-д +(i; + nfi')-^ |
/; + лтл;
Поскольку уровень цен представляет собой индекс, можно считать, что в формуле (3.4) Р = 1. Таким образом, в открытой экономике с несовершенной мобильностью капитала и плавающим валютным курсом (3.2) представляет собой мультипликатор государственных расходов, (3.3) — налоговый мультипликатор, (3.4) — мультипликатор кредитно-денежной политики.
Так как Д — предельная склонность к потреблению, то эта величина лежит в промежутке (0; 1).
/Д NFI'r, L'r <0; Ly > 0, поскольку это — показатели соответственно чувствительности инвестиций, чистых зарубежных инвестиций и спроса на деньги к ставке процента; чувствительности спроса на деньги к доходу.
„ ЛК п ЛК . ЛК .
Следовательно, ->0;-<0;->0.
dG dT dM
Из (3.2) и (3.3) видно, что с ростом чувствительности инвестиций к ставке процента, чувствительности чистых зарубежных инвестиций к ставке процента и чувствительности спроса на деньги к доходу эффективность бюджетно-налоговой политики падает; а с ростом предельной склонности к потреблению и чувствительности спроса на деньги к ставке процента — растет.
Условие (3.4) показывает, что с ростом чувствительности спроса на деньги к ставке процента и чувствительности спроса на деньги к доходу эффективность кредитно-денежной политики падает; а с ростом предельной склонности к потреблению, чувствительности инвестиций и чистых зарубежных инвестиций к ставке процента — растет.
Из (3.2)—(3.4) легко получить мультипликаторы экономической политики в малой открытой экономике с совершенной мобильностью капитала и плавающим валютным курсом. Они выводятся из предположения, что чистые зарубежные инвестиции
бесконечно эластичны по реальной ставке процента (NFI' —»°°).
_ dY п dY . dY 1 Тогда —— = 0; -= 0; -= —,
dG
dT
dM
т. e. в такой экономике бюджетно-налоговая политика неэффективна в отличие от кредитно-денежной политики.
Чтобы определить мультипликаторы экономической политики для экономики с фиксированным валютным курсом, необходимо вспомнить, что в этом случае М становится эндогенной переменной, поэтому понятие эффективности кредитно-денежной политики теряет смысл.
Учитывая, что dr = 0, dzr = 0, из (3.1) следует
dY = f^dY - f^dT + dG.
Отсюда
dY 1 и dY Д,
dG 1-Д, dT 1 - fyd
Очевидно, что мультипликаторы бюджетно-налоговой политики в открытой экономике с несовершенной мобильностью капитала и фиксированным обменным курсом совпадают с соответствующими мультипликаторами в модели малой открытой экономики с совершенной мобильностью капитала, а также с мультипликаторами модели кейнсианского креста.
3.3. МОДЕЛЬ ОТКРЫТОЙ экономики С НЕСОВЕРШЕННОЙ МОБИЛЬНОСТЬЮ КАПИТАЛА И ЗАВИСИМОСТЬЮ ЧИСТОГО ЭКСПОРТА ОТ ДОХОДА
В проведенном ранее анализе считалось, что чистый экспорт зависит только от реального валютного курса. Рассмотрим более общий случай, когда чистый экспорт зависит и от реального дохода.
Зависимость чистого экспорта от дохода отрицательна, поскольку импорт увеличивается с ростом дохода, в то время как на экспорт влияют иные факторы. Другими словами,
NX = NX (ег, Г);
NX'tr < 0; NX’y < 0.
Учитывая все вышеперечисленное, можно сформулировать условие достижения равновесия на рынке национальной валюты как
NX(en У) = NFI(r). (3.5)
Условия равновесия товарного рынка IS и денежного LM остаются неизменными.
Таким образом, модель может быть записана в следующем виде:
(3.6)
Y - f(Y-Т) +l(r) + G + NFI(r)\ y = Ur, Y);
NX(er, Y) = NFI(r).
Графическая интерпретация модели краткосрочного равновесия в большой открытой экономике будет иметь следующие особенности: .
• изменение реального обменного курса не влияет на положение линии IS в координатах (Г, г);
• изменение дохода вызывает сдвиг функции чистого экспорта. Предложенная модификация может быть использована для
более тонкого анализа эффективности экономической политики и выработки рекомендаций по ее применению. Полученные на ее основе выводы, как будет видно в дальнейшем, корректируют представления о последствиях бюджетно-налоговой и кредитноденежной политик в открытой экономике.
Определим мультипликаторы экономической политики для рассматриваемой модели. Попутно будем анализировать и изменение валютного курса der/dG, der/dT, der/dM.
Рассмотрим влияние бюджетно-налоговой и кредитно-денежной политики на макроэкономическое равновесие в двух ситуациях:
1) в стране, придерживающейся плавающего валютного режима;
2) в стране, правительство которой поддерживает фиксированный валютный курс.
Открытая экономика с плавающим валютным курсом
Из (3.6) с учетом неизменности уровня цен следует, что
dY - /;; d Y - f'yi dT +1'dr + dG + NFI'rdr;
 |
|
NX'fe, + NX'ydY = NFI'rdr. |
(3.7)
Отсюда, как и раньше
|
dY |
 |
Проанализируем теперь изменение реального валютного курса. Учитывая, что при плавающем валютном режиме валютный курс устанавливается на уровне, обеспечивающем равновесие на рынке национальной валюты, из (3.1) получим
dY =
~fy.idT + (Ir + NFI')-~ + dG
Lr
'r
1-Д/ + {I'r +NFI'r)~
Li*
(3.8)
dM{\- fyd)- LydG + L'yfyddT L’r{\-nd) + L'Y{rr + NFrr)
(3.9)
Отсюда
dtrNX'r [Ц(і- fiё) + L'y (/; + NFI'r)] =
= dM^NFi'r( i-/;J-NX'y (/;+т?/у;)] -
-dG(L'YNFI'r + MfpZ,;) + f;dT{L'yNFI'r + L'rNX'Y). Из (3.10) видно, что
dzr -(Uy NFI' + NX у L')
(3.10)
=r
dG
dM
NX'r[Lr(\-f^)+Uy{l'r + NFI'r)]’ NFI'(\-f^)-NX'Y(l'r + NFI'r)\
NX',\i;(\-f;d)+Uy{rr + NFI'r)]
(3.11)
Очевидно, что влияние кредитно-денежной политики на ре-
„ „ der „
альныи валютный курс всегда однозначно: —-<0, т. е. с ростом
dM
предложения денег курс падает, а с уменьшением — растет.
Таким образом, в рассматриваемой экономике кредитноденежная политика приводит к однозначному направлению изменения основных показателей. В случае стимулирующей денежной политики выпуск растет, а ставка процента и валютный курс падают. При ограничительной политике выпуск падает, а ставка процента и курс растут. Эти результаты совпадают с выводами базовой модели, в которой не учитывается зависимость чистого экспорта от дохода.
Проанализируем теперь воздействие бюджетно-налоговой политики на реальный валютный курс.
Из (3.6) вытекает, что
der
-(L'y NFI' + NX'yL')
dG NX'r [l;( 1 - ,fyd)+L'y(l'r + nfi;)\ ’
(3.12)
dzr
~dT
fyt, {L'y NFl'r + NXyL'r)
NX'r [L'{ 1 -/k„) + L'y (/; + NFI')] ‘
(3.12')
Очевидно, что в силу свойств рассматриваемых зависимостей знаменатель (3.12) больше нуля. Поэтому знак (3.12) зависит от числителя, первое слагаемое которого меньше нуля, а второе — больше. Таким образом, получаем, что
^>0, если L^NFI'r + L'rNX'Y < 0.
(3.13)
dG
Из (3.13) следует, что

(3.14)
В левой части условия (3.14) стоит положительная величина,
Положительную величину правой части условия (3.14) можно интерпретировать как наклон в координатах (Y, г) линии, описывающей условие сбалансированности платежного баланса
dr NX'y dY ~ NFI'
Эта линия, обычно называемая ВР, отражает положительную зависимость между ставкой процента и доходом, обеспечивающими нулевое сальдо платежного баланса.
Другими словами, если LM круче линии сбалансированности платежного баланса, то стимулирующая бюджетная политика приведет к росту обменного курса.Это означает, что стимулирующая бюджетная политика, приводящая к росту дохода и ставки процента, при неизменности обменного курса вызовет образование профицита платежного баланса (NX(er, Y)> NFI(г)) и поэтому реальный обменный курс национальной валюты вырастет.
Если же
L’y NX j
Ц
|
Y |
 |
(3.15),
то —- < 0, т. е. стимулирующая бюджетно-налоговая политика dG
приводит к снижению реального обменного курса. Другими словами,
если в координатах (Y, г) кривая LM более пологая, чем линия сбалансированности платежного баланса (ВР), то стимулирующая бюджетная политика вызовет тенденцию к образованию дефицита платежного баланса (NX{zr, У)< NFI(r)) и, следовательно, в условиях плавающего валютного режима приведет к падению валютного курса.
U NX'
Если же наклоны этих линий совпадают —— =-—, т. е.
Ь; NFI'
dr
величина — одинакова как на денежном, так и на валютном dY
рынке, то изменения валютного курса не произойдет, так как равновесие на валютном рынке сохранилось и при новых значениях
der п
ставки процента и дохода —- = 0.
dG
Совпадение наклонов линий LM и і?/’возможно, в частности, в следующих ситуациях:
• Бесконечная эластичность чистых зарубежных инвестиций к ставке процента и нечувствительность спроса на деньги к доходу Ly = 0 NFI'r = -°°.
• Бесконечная эластичность чистых зарубежных инвестиций и спроса на деньги к ставке процента L'r = -°° NFI'r = -°°.
• Нечувствительность чистого экспорта к доходу и бесконечная эластичность спроса на деньги по ставке процента Ц =
NX у =0.
• Нечувствительность чистого экспорта и спроса на деньги к доходу Ly = 0 NX у = 0.
Две последние ситуации свидетельствуют о том, что неизменность валютного курса при проведении бюджетно-налоговой политики возможна даже в случаях независимости чистого экспорта от дохода. Последнее условие должно сочетаться с особенностями денежного рынка страны, когда изменение дохода по разным причинам не влечет за собой изменение равновесной ставки процента: либо имеет место «ликвидная ловушка», либо спрос на деньги совсем не зависит от дохода. Этим случаям соответствует горизонтальная LM в координатах (У, г).
Две первые ситуации связаны с условиями совершенной мобильности капитала и относительно малыми размерами страны (в смысле влияния на мировые рынки заемных средств).
Следует отметить, что перечисленные условия совпадения наклонов линий LM и ВР на практике вряд ли возможны и их анализ представляет чисто теоретический интерес.
Таким образом, в условиях плавающего курса последствия бюджетно-налоговой и кредитно-денежной политики для всех переменных, кроме реального курса, остаются такими же, как и в базовой модели открытой экономики, в которой чистый экспорт независим от дохода.
Внешнеторговая политика при плавающем валютном режиме приводит только к изменению реального валютного курса и не влияет на другие реальные показатели, так как ее следствием будет только изменение спроса на валютном рынке.
Открытая экономика с фиксированным валютным курсом
В условиях фиксированного режима любая мера бюджетноналоговой политики должна дополняться изменением предложения денег, необходимым для поддержания валютного курса. Поэтому предложение денег становится эндогенной переменной, а необходимая величина изменения предложения денег определяется либо из (3.10), либо из второго условия системы (3.7).
Из (3.10) видно, что, например, при dG> 0 и dT= 0 неизменность обменного курса достигается только при условии
(3.16)
L'yNFI' + L'NX'y ^
dM =-;-г---dG.
NFI;(l - fyd) - NXy(I' + NFl'r)
Знаменатель (3.16) меньше нуля, а числитель совпадает с условием (3.13) и может быть как больше, так и меньше нуля.
Если выполняется условие (3.14) , т. е. числитель (3.16) меньше 0, тогда > 0. Другими словами, стимулирующая бюджетно-dG
налоговая политика оказывает повышательное давление на „ der _
реальный валютный курс —->0, поэтому для поддержания
dG
фиксированного курса необходимо увеличить предложение денег, а это приведет к дополнительному росту дохода. Таким образом, при выполнении условия (3.14) стимулирующая бюджетноналоговая политика оказывает большее влияние на доход при фиксированном валютном режиме, чем в случае плавающего.
Если же выполняется условие (3.15), т. е. числитель (3.16)
больше 0, тогда < 0. Иначе говоря, стимулирующая бюджетного/
налоговая политика оказывает понижательное давление на реаль
dzr
~dG
<0, и для поддержания фиксированного
ный валютный курс
курса необходимо уменьшить предложение денег. Это ослабляет возможности влияния стимулирующей бюджетно-налоговой политики на доход.
В общем виде изменение дохода при проведении бюджетноналоговой политики определяется из (3.8) путем учета связанных с этой политикой изменений в денежном предложении (3.16):
(3.17)
dY = -
zrdG.
NX'y
NFI'
1 -nd-{l’r + NFI'r)
Очевидно, что ->0.
dG
Кредитно-денежная политика, как и в базовом варианте модели при фиксированном валютном режиме, остается неэффективной и не влияет на доход.
Анализ эффективности внешнеторговой политики
Внешнеторговая политика, например введение импортных квот или тарифов, приводит к изменению спроса на валютном рынке, что оказывает повышательное давление на реальный валютный курс. Для поддержания фиксированного курса увеличивается предложение денег, вызывающее рост дохода и связанное с этим снижение чистого экспорта. Падение чистого экспорта оказывает понижательное давление на реальный валютный курс. Таким образом, для поддержания фиксированного курса требуется меньшее увеличение предложения денег, чем в случае базовой модели.
Проанализируем влияние внешнеторговой политики на доход. Для этого представим функцию чистого экспорта следующим образом:
NX = N + NX(zr, Т), (3.18)
где У? — автономный чистый экспорт, т. е. та его часть,
которая не зависит от реального валютного курса и дохода (в частности, протекционистская политика приводит к увеличению У?, а либерализация внешней торговли — к его снижению);
NX(er, К) — часть чистого экспорта, зависящая от изменения реального обменного курса и дохода. Заметим, что чувствительность чистого экспорта к реальному
курсу совпадает с чувствительностью NX:
Ш\г = NX^ <0.
Аналогично, чувствительность чистого экспорта к реальному доходу совпадает с чувствительностью NX:
NXy = NX'y <0. Тогда из (3.7) с учетом (3.18) следует
(3.19)
dY = Д; dY - Д, dT + I'rdr + dG + NFI’dr d[y] = ^y = L'rdr + L'YdY dN + NX'zdzr + NX'ydY = NFl'rdr.
Оценим влияние внешнеторговой политики на доход по показателю dY/dN в предположении о неизменности бюджетно-налоговой политики (dG = dT= 0) и фиксированном обменном курсе (der = 0).
dY
.dN
(3.20)
nfi;
(і-ЛЛ-тт
. *r
7-NX'y
+ NFI'r
Очевидно, что в силу свойств рассматриваемых зависимостей
знаменатель (3.20) больше нуля. Поэтому ^->0. Другими сло-
dN
вами, протекционистская политика приводит к росту дохода, а отмена таможенных барьеров — к его падению.
Легко видеть, что с увеличением чувствительности чистых зарубежных инвестиций к ставке процента мультипликатор внешнеторговой политики dY/dN растет. Это означает, что либерализация экономики, приводящая к возрастанию мобильности капитала (росту NF!'r) и снижению автономного чистого экспорта (уменьшению N), вызывает снижение дохода.
Сравнение мультипликатора государственных расходов (3.17) и мультипликатора внешнеторговой политики (3.20) показывает,
что при фиксированном курсе внешнеторговая политика более эффективна, чем бюджетно-налоговая
dN dG
Проведенное теоретическое исследование экономики с несовершенной мобильностью капитала и учетом зависимости чистого экспорта от дохода показало, что:
1. При плавающем валютном режиме последствия бюджетно -налоговой и кредитно-денежной политик для всех переменных, кроме реального валютного курса, остаются такими же, как и в базовой модели открытой экономики, в которой чистый экспорт независим от дохода.
Валютный курс в результате бюджетно-налоговой политики может как вырасти, так и упасть в зависимости от конкретных условий экономической деятельности.
Валютный курс в результате кредитно-денежной политики изменяется в направлении, противоположном изменению реальных запасов денежных средств.
Внешнеторговая политика приводит к изменению реального курса и не влияет на доход.
2. При фиксированном валютном режиме кредитно-денежная политика неэффективна, так как подчинена задаче поддержания фиксированного курса.
При определенных особенностях экономики страны эффект проводимой бюджетно-налоговой политики может существенно ослабляться противоположно направленным влиянием изменения предложения денег, использующегося для поддержания фиксированного курса. .
Внешнеторговая политика эффективна, и ее влияние на доход сильнее, чем бюджетно-налоговой.
3.4. ПРИМЕНЕНИЕ МОДЕЛЕЙ ОТКРЫТОЙ ЭКОНОМИКИ К АНАЛИЗУ ЭФФЕКТИВНОСТИ МАКРОЭКОНОМИЧЕСКОЙ ПОЛИТИКИ В РОССИИ
Россию с большой долей уверенности можно рассматривать как малую экономику, так как российский капитал незначителен на фоне мирового и не может оказывать значимого влияния на мировую процентную ставку. Аналогично, не вызывает сомнений и тот факт, что Россия — открытая экономика. Однако российскую экономику нельзя считать экономикой с абсолютной мобильностью капитала, поскольку в целях борьбы с массовым вывозом легальных и нелегальных средств за границу правительство приняло ряд мер, ограничивающих экспорт капитала. К таким мерам можно отнести существование бюрократических процедур проверки происхождения средств, требование разнообразных документов, подтверждающих легальность капитала, и многое другое. Таким образом, экономику России можно исследовать как малую открытую экономику с несовершенной мобильностью капитала. Авторы проводили эти исследования, взяв за основу модель, изложенную в параграфе 3.3 настоящей главы [3].
Верификация осуществлялась с помощью эконометрических моделей по данным за 1996—2000 гг. До 1996 г. валютный курс России можно считать плавающим, а затем он был, по существу, фиксирован, т. е. были заданы границы, в рамках которых мог меняться валютный курс. После 1998 г. валютный коридор официально не поддерживается, однако одним из приоритетных направлений политики Центрального банка является обеспечение стабильности валютного курса. Поэтому особый интерес представляет верификация рассмотренной модели для случая фиксированного курса.
Вообще говоря, прежде чем переходить к верификации модели, следует проверить утверждение о том, что одной из особенностей функционирования малой открытой экономики с несовершенной мобильностью капитала является отличие внутренних процентных ставок от мировых. В работе [3] проведено сравнение внутренней (российской) реальной ставки процента с аналогичной мировой ставкой, в качестве которой использовалась процентная ставка экономики США. Оно подтвердило предпосылку о несовершенной мобильности капитала для российской экономики.
Для применения модели необходимо также проанализировать влияние дохода на чистый экспорт.
3.4.1. Эконометрический анализ влияния дохода на чистый экспорт по российским данным
Оценивалась зависимость чистого экспорта от реального дохода, реального обменного курса и мировых цен на нефть. Включение последнего показателя объясняется тем, что в последние годы динамика чистого экспорта существенно зависела от динамики цен на нефть.
Использовались помесячные данные по всем упомянутым показателям.
Исследовалась зависимость следующего вида:
NX — OtI 4* OLjS-r ^лРоіІ
где а,, а4 — коэффициенты регрессии;
8 — случайная остаточная компонента.
В результате оценивания получено следующее регрессионное уравнение: .
NX = 8,409 - 0,047ег - 0,062 У + 3,257роі/;
(2,632) (0,03) (0,028) (0,288)
/- стат. 3,195 -13,861 -2,197 11,292.
В скобках указано среднеквадратическое отклонение (ст. ош.), ниже — значение Г-статистики. Коэффициент детерминации R2 = 0,872, статистика Дарбина—Уотсона DW = 1,129.
Все полученные значения коэффициентов регрессии являются значимыми. Коэффициент щ значим с вероятностью 0,97, что согласуется с предположением об отрицательном влиянии дохода на чистый экспорт.
Кроме того, исследовалась зависимость чистого экспорта в момент времени t от объясняющих переменных в предыдущие моменты времени. Наиболее сильная связь наблюдается при использовании степенной зависимости с единичными лагами во всех объясняющих переменных. Результаты оценивания по модели
1п7?ЙГ(0 = а] +а2lner(f- 1) + а31пУ(/- 1) + а4 In poii(t-1) + 8 следующие:
In NX(t) = 41,299 - 2,054 In еД/ -1) - 7,782 In Y(t -1) + 1,828 In pojl{t -1), (8,718) (0,177) (1,875) (0,226)
t- стат. 4,737 -11,605 -4,128 8,089
R2 = 0,761, DW= 1,436.
Все полученные значения коэффициентов регрессии являются значимыми с вероятностью 0,99.
Таким образом, гипотеза об отрицательной форме связи между доходом и чистым экспортом подтверждается при различных спецификациях модели.
3.4.2. Анализ влияния бюджетно-налоговой политики России на изменение реального валютного курса
Ранее было показано, что в открытой экономике с несовершенной мобильностью капитала и фиксированным валютным режимом результаты воздействия бюджетно-налоговой политики на доход зависят от того, какое влияние эта политика оказывает на реальный валютный курс. Если, например, рост государственных расходов приводит к снижению обменного курса, то бюджетноналоговая политика окажет слабое воздействие на доход, так как ее стимулирующее влияние будет ослаблено сдерживающей кредитно-денежной политикой, направленной на стабилизацию курса.
Если же рост государственных расходов вызывает повышение обменного курса, то стимулирующее влияние бюджетно-налоговой политики на доход будет усилено политикой увеличения предложения денег, необходимой для поддержания курса.
Поэтому для исследования возможных последствий экономической политики российского правительства необходимо проанализировать направление связи между изменением сальдо государственного бюджета и динамикой реального валютного курса.
Был проведен регрессионный анализ зависимости изменения реального валютного курса от изменения сальдо федерального бюджета за период с января 1999 г. по январь 2001 г. [4]
Исследовалась зависимость следующего вида:
Де,. = (*! +ос2Л/) + 8,
где Аег — изменение реального валютного курса;
AD — изменение первичного дефицита государственного бюджета;
аь а2 — коэффициенты регрессии;
5 — случайная ошибка.
В результате была получена следующая оценка уравнения регрессии:
Агг = 0,126 - 0,0298АД (0,269) (0,0102),
где в скобках указано среднеквадратическое отклонение.
Значение Г-статистики (t = —2,89) показывает, что с вероятностью 0,99 коэффициент сс2 значимо отличается от нуля. Это подтверждает наличие отрицательной связи между изменениями сальдо государственного бюджета и реального обменного курса.
Невысокое значение коэффициента детерминации R2 = 0,25 объясняется тем, что помимо показателей бюджетно-налоговой политики на реальный валютный курс влияют и другие переменные, анализ которых не являлся целью нашего исследования. Коэффициент автокорреляции Дарбина—Уотсона DW= 1,578 позволяет говорить об отсутствии автокорреляции остатков.
Таким образом, проведенный по российским данным за 1999— 2001 гг. анализ показывает, что бюджетный дефицит был отрицательно связан с реальным валютным курсом. Это означает, что стимулирующая бюджетно-налоговая политика может привести к обесценению национальной валюты. Для обеспечения стабильности курса Центральный банк будет вынужден проводить ограничительную кредитно-денежную политику, что ослабит воздействие бюджетно-налоговой политики на доход.
Аналогично, воздействие ограничительной бюджетно-налоговой политики на доход окажется ослабленным в связи со стимулирующей кредитно-денежной политикой, направленной на поддержание курса национальной валюты.
В этих условиях важным рычагом стабилизационной политики является внешнеторговая политика. Поэтому была предпринята попытка оценить и влияние внешнеторговой политики на доход.
3.4.3. Анализ влияния российской внешнеторговой политики на доход
Непосредственный анализ эффективности внешнеторговой политики России невозможно провести ввиду отсутствия статистических показателей, адекватно отражающих ее изменения. В качестве косвенного показателя была использована доля суммы экспорта и импорта в доходе, обычно рассматриваемая в экономических исследованиях как степень открытости экономики [3], [4]. Исследовалась связь между динамикой этого показателя и изменениями реального дохода за период 1999—2000 гг. на основе помесячных данных.
Оценивалось регрессионное уравнение вида:
A Y = а, + а2 A OPEN + 8, где AY — изменение реального дохода;
A OPEN — изменение доли суммы экспорта и импорта в доходе;
а,, а2 — коэффициенты регрессии;
5 — случайная ошибка.
1 Разумеется, приведенные выводы верны при неизменности прочих факторов, в частности, цен на нефть.
Была получена следующая оценка уравнения регрессии:
Д У = 2,771 - 19943,8ДО/’?7? (5,218) (5228,854),
/-стат. 0,531 —3,814,
где в скобках указано среднеквадратическое отклонение, а строчкой ниже — значение /-статистики.
Коэффициент а2 значим с вероятностью 0,99. Это подтверждает наличие отрицательной связи между изменениями дохода и степенью открытости экономики. Коэффициент Дарбина— Уотсона DW = 2,364 позволяет говорить об отсутствии автокорреляции остатков. Коэффициент детерминации R = 0,398, что указывает на наличие других факторов, также оказывающих влияние на доход.
Полученный результат позволяет предположить, что резкая либерализация внешней торговли в России может привести к падению дохода, т. е. вызвать спад и депрессию. Этот вывод представляется особенно важным в свете предполагаемого вступления России в ВТО. Нежелательность резкой либерализации внешней торговли нельзя сбрасывать со счетов при обсуждении выгод и издержек присоединения России к Всемирной торговой организации.
в) Выпишите уравнение совокупного спроса.
г) Найдите мультипликаторы бюджетно-налоговой и кредитноденежной политики.
д) Пусть государственные расходы увеличились на 100. Найдите новый равновесный уровень выпуска с помощью мультипликатора и из решения модели. Сравните полученные результаты.
е) Пусть государственные расходы снова равны 100, а предложение денег увеличилось на 100. Найдите новый равновесный уровень выпуска с помощью мультипликатора и из решения модели. Сравните полученные результаты.
ж) Как чувствительность спроса на деньги к доходу влияет на эффективность кредитно-денежной политики?
3. Пусть основные макроэкономические зависимости в малой открытой экономике с фиксированным валютным курсом имеют вид:
С = а + b(Y — 7); I = с — dr; NX = g — кг/ (M/P)d = eY - fr;
a, c, d, g, k, e,f> 0, 0 < b < 1.
Выразите мультипликаторы экономической политики через коэффициенты модели.
4. Пусть в малой открытой экономике с фиксированным валютным курсом
С = 125 + 0,75( У — 7); /= 200 - Юг; NX = 150 - 50ег;
(M/P)d =0,5 У - 40т;
G= Т = 100; Р= 1; тмир = 5; е = 2; />мир = 1.
а) Выпишите в координатах (У, гг) уравнения IS и LA/для этой экономики.
б) Определите равновесные значения выпуска, инвестиций, реального обменного курса, чистого экспорта, предложения денег.
в) Выпишите уравнение совокупного спроса.
г) Найдите мультипликаторы бюджетно-налоговой политики.
д) Пусть государственные расходы увеличились на 100. Найдите новый равновесный уровень выпуска с помощью мультипликатора и из решения модели. Сравните полученные результаты.
е) Пусть государственные расходы снова равны 100, а предложение денег увеличилось на 100. Найдите новый равновесный уровень выпуска с помощью мультипликатора и из решения модели. Сравните полученные результаты.
ж) Как предельная склонность к потреблению влияет на эффективность бюджетно-налоговой политики?
5. Пусть основные макроэкономические зависимости в большой открытой экономике с плавающим валютным курсом имеют вид:
С = а + b(Y — 7); I = с — dr; NX = g — ker; NFI — I — mr;
(M/P)d = eY-fr;
a, c, d, g, к, /, m, e, f> 0, 0 < b < 1.
Выразите мультипликаторы бюджетно-налоговой и кредитноденежной политики через коэффициенты модели.
6. Пусть в большой открытой экономике с плавающим валютным курсом
С = 125 + 0,75(7- 7); /= 200 - Юг; NX = 150 - 50ег;
NFI = 100 - 20л-;
(М/РУ1 = 0,5 7- 40г; G = Т= 100; М = 500; 7=1.
а) Выпишите уравнение совокупного спроса.
б) Найдите мультипликаторы бюджетно-налоговой и кредитно-денежной политики.
в) Пусть государственные расходы увеличились на 100. Найдите новый равновесный уровень выпуска с помощью мультипликатора. Сравните полученные результаты с решением пункта «в» задачи 9 к главе 2.
г) Пусть государственные расходы снова равны 100, а предложение денег увеличилось на 100. Найдите новый равновесный уровень выпуска с помощью мультипликатора и из решения модели. Сравните полученные результаты с решением пункта «г» задачи 9 к главе 2.
д) Как чувствительность спроса на деньги к доходу, чувствительность спроса на деньги к ставке процента, чувствительность инвестиций к ставке процента, чувствительность чистых зарубежных инвестиций к ставке процента, предельная склонность к потреблению влияют на сравнительную эффективность бюджетно-налоговой и кредитно-денежной политики?
ЛИТЕРАТУРА К РАЗДЕЛУ I
1. Бурда М., Виплош Ч. Макроэкономика. Европейский текст. 2-е изд. СПб.: Судостроение, 1998.
2. Дорнбуш Р., Фишер С. Макроэкономика. М.: Изд-во МГУ, 1997; ИНФРА-М, 1997.
3. Макроэкономическая теория и анализ конкретных ситуаций / Под ред. H.J1. Шагас и Е.А. Тумановой. М.: ТЕИС, 2000.
4. Макроэкономическая теория и проблемы современной России / Под ред. Н.Л. Шагас и Е.А. Тумановой. М.: ТЕИС, 2001.
5. Blanchard О., Fischer S. Lectures on Macroeconomics. The MIT Press, 1990.
6. Branson W. Macroeconomic Theory and Policy. New York: Harper & Row, 1989.
7. Devereux M.B. Real Exchange Rates and Macroeconomics: Evidence and Theory// Canadian Journal of Economics, 1997 November.
8. Edwards S. Interest Rates, Contagion and Capital Controls // NBER Working Paper 7801, 2000.
9. Engel Ch. Real Exchange Rates and Relative Prices: an Empirical Investigation//Journal of Monetary Economics, 1993, 32.
10. Frenkel J. International Capital Mobility and Crowding out in the US Economy: Imperfect Integration of Financial Markets or of Goods Markets? «How Open is the US Economy?» ed. R.Hafer. Lexington Mass: Lexington Books, 1986.
11. Frenkel J., Razin A. The Mundell—Fleming Model. A Quarter Century Later//NBER Working Paper 2321, 1987.
12. Grilli V., Roubini N. Financial Integration, Liquidity and Exchange Rates // NBER Working Paper 3088, 1989.
13. Krugman P. Pricing to Market when the Exchange Rate Changes // NBER Working Paper 1926, 1986.
14. Romer D. Advanced Macroeconomics. McGrow-Hill, 1996.
15. Taylor A. International Capital Mobility in History: PPP in the Long Run// NBER Working Paper 5742, 1996.
Раздел II
ГОСУДАРСТВЕННЫЙ ДОЛГ
Проблема государственного долга является в настоящее время одной из важных для российской экономики. Тяжелое бремя накопленной как внутренней, так и внешней государственной задолженности ставит перед правительством задачу стабилизации государственного долга и повышения платежеспособности России в долгосрочном периоде. Успешное решение этой задачи может стать одним из ключевых факторов устойчивого долгосрочного экономического развития нашей страны. Поэтому любая экономическая политика, проводимая правительством, должна обязательно оцениваться с точки зрения ее влияния на состояние государственного долга и перспективы платежеспособности.
В главе 4 настоящего раздела обсуждаются различные теоретические подходы к оценке последствий государственного долга. Проблема платежеспособности усугубляется из-за неточностей в измерении величины бюджетного дефицита и накопленного долга. В связи с этим в главе 5 рассматриваются возможные направления корректировок бюджетного дефицита, способствующих более точному определению его величины. Кроме того, обсуждаются модели платежеспособности государства по внутреннему долгу. В главе 6 формулируются теоретические условия платежеспособности по внешнему долгу, на основе которых можно проводить оценку последствий экономической политики правительства.
Глава 4
МОДЕЛИ ОЦЕНКИ ПОСЛЕДСТВИЙ ГОСУДАРСТВЕННОГО ДОЛГА
Способы финансирования бюджетного дефицита. Традиционный
взгляд на краткосрочные, среднесрочные и долгосрочные последствия
государственного долга в открытой экономике. Гипотеза Барро-Рикардо.
Связь моделей межвременного выбора И. Фишера, жизненного цикла
Ф. Модильяни, постоянного дохода М. Фридмана и гипотезы Барро-
Рикардо. Критика гипотезы Барро-Рикардо.
В случае когда расходы правительства превышают налоговые поступления, возникает бюджетный дефицит. Обычно выделяют четыре способа финансирования бюджетного дефицита.
1. Финансирование за счет налогов.
Величина бюджетного дефицита может уменьшаться, если увеличиваются налоговые доходы государства. К сожалению, осуществление политики сбалансированного бюджета наталкивается на ряд трудностей социального, политического и экономического характера. Кроме того, по мнению некоторых экономистов, существуют вполне объективные границы увеличения налоговых доходов. Эти проблемы более подробно рассмотрены в главе 5 настоящего раздела и в главе 7 раздела III.
2. Денежное финансирование.
Бюджетный дефицит может быть покрыт за счет денежной эмиссии. Этот способ очевидно влечет за собой ускорение инфляционных процессов. В законодательствах многих стран запрещено или ограничено заимствование у Центрального банка страны в целях покрытия дефицита бюджета.
3. Продажа активов.
Для покрытия бюджетного дефицита государство может осуществлять продажу земли, предприятий государственного сектора
(в процессе их приватизации), золота и т. п. К этому способу финансирования прибегают достаточно редко, так как в противном случае в конце концов будут проданы все имеющиеся активы. В результате в будущем доходы государства уменьшатся. Происходившая в России в 1992—1995 гг. приватизация государственных предприятий и продажа части золотого запаса могут служить примерами подобного финансирования бюджетного дефицита.
4. Долговое финансирование.
Правительство, обычно через посредство Центрального банка, осуществляет продажу долговых обязательств (облигаций) населению и коммерческим банкам. Долговое финансирование осуществляется также с помощью внешних займов, получаемых, как правило, в виде кредитов иностранных государств или международных валютных организаций. Такое финансирование приводит к возрастанию величины государственного долга.
Общий объем непогашенных государственных облигаций образует государственный долг.
Если правительство сводит бюджет с профицитом, то оно либо уменьшает объем неоплаченных государственных облигаций (погашает долг), либо уменьшает предложение денег. Управление долгом подразумевает выпуск облигаций не только для финансирования текущего бюджетного дефицита, но также для оплаты долговых обязательств, по которым наступил срок платежа (рефинансирование долга).
Большинство экономистов считает бюджетный дефицит и сопровождающий его государственный долг серьезнейшей экономической проблемой. Существует и альтернативная точка зрения: некоторые экономисты полагают, что бюджетный дефицит и государственный долг не имеют большого значения. Далее мы рассмотрим оба взгляда на проблему государственного долга.
4.1. ТРАДИЦИОННЫМ ВЗГЛЯД НА ГОСУДАРСТВЕННЫЙ ДОЛГ
Традиционный подход к оценке последствий государственного долга сформулирован в рамках схемы неоклассического синтеза в работе [13]. Он интегрирует взгляды экономистов классического и кейнсианского направлений и подразумевает обсуждение положительных и отрицательных последствий государственного долга в экономике. В качестве положительных последствий отмечается его стимулирующий эффект для закрытой и большой открытой экономик в краткосрочном периоде, в качестве отрицательных — вытеснение инвестиций и чистого экспорта в кейнсианских моделях и уменьшение экономического потенциала в классических.
Обсуждение краткосрочных и долгосрочных последствий государственного долга с позиций традиционного подхода осуществляется при помощи IS— LM анализа. Проведем его для открытой экономики с несовершенной мобильностью капитала.
Увеличение бюджетного дефицита, вызванное, например, снижением налогов, приведет к росту располагаемого дохода, а следовательно, и объема потребления. Увеличение потребительского спроса на товары и услуги в краткосрочном периоде вызовет рост объема производства (кривая /^сдвигается вправо вверх). Реальная ставка процента повысится, так как возросший доход повысит спрос на деньги. Тогда при прежней ставке процента спрос на деньги превысит реальные запасы денежных средств. Ставка процента возрастет. Повышение ставки процента приведет к снижению инвестиций и притоку капитала из-за рубежа, что увеличит обменный курс. В результате чистый экспорт упадет (рис. 4.1).
 |
|
Рис. 4.1. Краткосрочные последствия бюджетного дефицита, финансируемого за счет долга, в открытой экономике с несовершенной мобильностью капитала |
Таким образом, в краткосрочном периоде объем производства и занятости вырастет, что, скорее всего, повысит уровень благосостояния текущего поколения. В то же время сальдо счета текущих операций уменьшится и замедлится процесс накопления капитала.
Долгосрочными последствиями при неизменных факторах производства и уровне технологии будут рост цен, дальнейшее падение инвестиций и чистого экспорта: рост потребления вызовет снижение национальных сбережений и, следовательно, вытеснение инвестиций и чистого экспорта в сумме на величину роста потребления (рис. 4.2).
 |
|
Рис. 4.2. Долгосрочные последствия бюджетного дефицита, финансируемого за счет долга, в открытой экономике с несовершенной мобильностью капитала |
Если рассматривать последствия долгового финансирования с точки зрения влияния на экономический потенциал, то в соответствии с моделью Солоу (см. главу 9 в разделе IV) падение инвестиций снизит устойчивые уровни капиталовооруженности и выпуска. В результате понизится уровень благосостояния всех будущих поколений.
Таким образом, в соответствии с традиционным взглядом накопление внутреннего долга — это политика улучшения благосостояния текущего поколения за счет будущих. Положительный эффект политики долгового финансирования состоит в краткосрочном стимулировании экономики, сопровождающемся частичным вытеснением инвестиций и чистого экспорта. Отрицательный эффект — долгосрочное вытеснение инвестиций и чистого экспорта, уменьшенный запас капитала, достающийся будущим поколениям.
4.2. БАРРО-РИКАРДИАНСКИЙ ПОДХОД
Часть экономистов не разделяет традиционный взгляд на государственный долг. Они полагают, что бюджетный дефицит, финансируемый за счет долга, не оказывает существенного влияния на экономику. Аргументы в поддержку подобной точки зрения были впервые отмечены Д. Рикардо, который, тем не менее, не принимал их всерьез. В настоящее время его идеи развил представитель новой классической школы Роберт Барро. Ниже мы рассмотрим выдвинутую им гипотезу, которая получила название равенство Рикардо (иногда оно встречается под именем равенство Барро—Рикардо).
4.2.1. Логика барро-рикардианского подхода
Согласно гипотезе Барро—Рикардо финансирование государственных расходов за счет долга и за счет налогов приведет к одинаковым последствиям для экономики. Эта идея была высказана впервые Д. Рикардо, однако он считал ее маловероятной. В наше время Р. Барро использовал ее для анализа последствий государственного долга США, поэтому эту гипотезу часто называют равенством Барро—Рикардо или просто равенством Рикардо. Гипотеза опирается на взгляды Ф. Модильяни и М. Фридмана на функцию потребления. Они полагали, что потребители в своих решениях относительно объема текущего потребления:
1) руководствуются не только текущими доходами, но и доходами, ожидаемыми в будущем;
2) стараются обеспечить одинаковый уровень потребления в течение всей жизни;
3) сберегают случайные приросты дохода, чтобы сгладить потребление при временном его снижении.
Идея Р. Барро состоит в следующем. Если государство сегодня продает облигации для финансирования бюджетного дефицита, возникшего, например, из-за снижения налогов, то в будущем оно увеличит налоги, чтобы выплатить образовавшийся долг. Рациональный потребитель понимает, что снижение налогов сегодня означает их увеличение в будущем, т. е. рассматривает возникшее увеличение дохода как временное и поэтому не увеличивает потребление, а сберегает образовавшийся излишек для выплаты в будущем возросшего налога. Таким образом, снижение государственных сбережений будет в точности компенсировано увеличением частных сбережений, текущее потребление и национальные сбережения не изменятся, поэтому никакого влияния на экономику снижение налогов не окажет.
Изменения в бюджетно-налоговой политике могут повлиять на макроэкономические показатели, только если государство объявит о будущем снижении государственных расходов. Тогда потребители, ожидая соответствующего снижения налогов в будущем, могут уже сегодня увеличить объем потребления.
4.2.2. Обоснование барро-рикардианского подхода
Обоснование барро-рикардианского подхода может быть проведено с использованием любой многопериодной модели, рассматривающей поведение рациональных экономических агентов, обладающих даром совершенного предвидения относительно доходов и налогов и действующих в экономике, где:
1) частные агенты могут занимать и давать взаймы на тех же условиях, что и государство;
2) частные агенты готовы и могут принять любую схему государства по перераспределению доходов между поколениями;
3) все налоги и трансферты, направленные на перераспределение доходов в обществе, являются аккордными паушальными (lump sum) и поэтому не затрагивают принимаемые решения.
Обычно его иллюстрируют с помощью модели репрезентативного агента, живущего бесконечно долго, — модели Рамсея. Многопериодная модель межвременного выбора поведения потребителя И. Фишера при определенных предпосылках также позволяет объяснить равенство Рикардо.
Рассмотрим вначале последствия долгового финансирования бюджетного дефицита с помощью двухпериодной модели И. Фишера. В ней рациональный потребитель, живущий два периода времени, владеет всей информацией о текущих и будущих доходах, налогах и государственных расходах. Он максимизирует свою полезность, зависящую от потребления в первый и второй периоды и задаваемую функцией
и= ЩС{, С2),
где С, — потребление периода i (U'c. >0, Uq <0).
Государство может допускать бюджетный дефицит D в первом периоде, но к концу второго долг должен быть выплачен полностью. Ставки по займам и кредитам (г) одинаковы и не меняются во времени.
Пусть С, и Т’г — объемы соответственно государственных расходов и налогов периода і, тогда бюджетный дефицит первого периода равен D = С, — Т?
Налоги второго периода должны обеспечить выплату долга за первый период и покрыть государственные расходы второго периода:
Т2 = (1 + r)D + G2. (4.1)
Отсюда
Т2 = (1 + г)(<7, - Г,) + С2 (4.2)
или
¦ = Т,+-
(4.3)
С,+-
Условие (4.3) представляет собой бюджетное ограничение государства. Другими словами, предполагается, что приведенная к текущему периоду стоимость государственных расходов должна быть равна приведенной стоимости налоговых поступлений.
Бюджетное ограничение потребителя, в котором учитываются налоговые выплаты, принимает вид:
С, + -^— = (УІ — ТЛ + ———. (4.4)
Из (4.2) вытекает, что если в первом периоде государство допускает бюджетный дефицит в объеме АТ, финансируемый за счет выпуска облигаций В = АТ, то прирост налогов во втором периоде составит АТ2 = (1 + г) АТ = (1 + г)В.
Бюджетное ограничение потребителя (4.4) в этом случае примет вид:
Cl+-^ = (Yl-Tl) + B+Y2 Tl (l±^ = 1 1 + г ? 1 1 + г
= {У1-Т1) + В + ^-В = (У1-Т1) + ^1
Таким образом, бюджетное ограничение потребителя в этом случае остается неизменным, а значит, не меняются и его потребительские решения (рис. 4.3).
 |
|
Рис. 4.3. Потребительский выбор при временном снижении налогов |
Точка, при которой текущее потребление в точности равно текущему располагаемому доходу (точка А) переместилась вдоль бюджетного ограничения (точка А'). Оптимальное решение
потребителя — это в обоих случаях точка С (cj*, С2).
Видно, что снижение налогов не повлияло на текущее потребление, а следовательно, и на совокупный спрос. Недостаток государственных сбережений полностью компенсировался приростом частных. Поэтому равновесие на рынке заемных средств не меняется. Этот вывод идет вразрез с традиционными взглядами.
Обобщим теперь проведенный анализ на случай многих периодов. Допустим, что на начало периода t у государства был долг Bt_x. Сталкиваясь с бюджетным дефицитом в произвольный момент времени, государство может финансировать его за счет выпуска государственных облигаций. Однако к концу рассматриваемого периода времени F [t, F\ оно должно погасить все сделанные ранее долги, включая процентные выплаты по ним.
Tt =Gi +{l + ri)Bt-1 ~Bt ті+1 =Gi+1 +0+rt+\)Bt - B
....................................... (4.5)
7>_i =Gy-\ +0 + r/--\)BF_2 ~ Bf_x TF =Gf +(l +rF )BF_X.
Отсюда очевидно, что приведенная к текущему моменту времени t суммарная стоимость налогов должна равняться суммарной приведенной стоимости доходов государства, полученных за рассматриваемый период, и стоимости начального долга.
Тогда межвременное бюджетное ограничение государства за период [/, F] может быть записано:
„ G, _Gl+]_ _Gl+2_
+ l + П +(l + '-,)(l + '-,+l) + (l + '-/)(l + ^ + l)(l + '}+2)+”’ +
O + 'OO + 'i+O-O + 'y)
/' + l + r;+(l+r,)(l + r(+1) (l + r,)(j + r,+1)(l + r/+2)
(! + r,)(!+/-,+i)...(1+r/.)
F ] I F j
(4.6)
B^+YGjn—-=іт
/=/ j = t
Аналогично, многопериодное бюджетное ограничение потребителя имеет вид:
(4.7)
В правой части ограничения (4.7) к приведенным доходам потребителя добавляется теперь стоимость долговых обязательств, накопленных к началу рассматриваемого периода. Если в некотором периоде государство выпускает облигации для финансирования дефицита государственного бюджета, то их стоимость является прибавкой к располагаемому доходу этого периода. Чтобы погасить выпущенные обязательства, государство в будущем должно увеличить налоги. И это увеличение налогов, как и в двухпериодной модели, должно совпадать по приведенной стоимости со стоимостью выпущенных облигаций.
Таким образом, потребители не воспринимают стоимость облигаций государственного займа как чистый прирост их приведенных доходов, так как она соответствует равновеликому (по приведенной стоимости) приросту их налоговых обязательств в будущем. Потребители просто сберегают величину В, и доход, приносимый облигациями, для того чтобы расплачиваться по увеличившимся налогам в более поздние моменты времени.
Если из (4.6) выразить значение долга В,_і на начало периода [t, F] и подставить в бюджетное ограничение потребителя (4.7), то последнее преобразуется в:

(4.8)
Отсюда следует, что бюджетное ограничение потребителя не зависит от распределения налогов между периодами и от способов финансирования (долгового или налогового) государственных расходов. На потребительское решение, таким образом, влияет приведенная стоимость государственных закупок товаров и услуг, а не их временная структура. С этой точки зрения эффект временного увеличения государственных расходов будет одинаковым вне зависимости оттого, возрастают ли на соответствующую величину налоги данного периода или государство финансирует возникший дефицит с помощью выпуска государственных облигаций.
4.2.3. Возражения против равенства Рикардо
Сторонники традиционной точки зрения опровергают утверждение о нейтральности долга для экономики. Критика рикардианского подхода с их стороны основана на доказательствах невыполнимости в действительности его ключевых предпосылок относительно поведения потребителей. Так, наиболее часто подвергаются сомнению предпосылки о рациональности потребителей, совершенном предвидении, неискажающих налогах и совершенстве финансового рынка [35].
Бесконечный временной горизонт и связи между поколениями
Равенство Барро—Рикардо опирается на гипотезу рациональных ожиданий. Предполагается, что потребитель мыслит рационально и способен оценить, к каким последствиям в будущем может привести дефицит государственного бюджета. На самом деле потребители, как правило, не заглядывают так далеко, а учитывают лишь ближайшую перспективу. Другими словами, их ожидания — адаптивны, они предполагают, что нынешний уровень налогов сохранится и в будущем. Поэтому даже при финансируемом за счет займов снижении налогов потребители будут считать, что постоянный доход вырос, и увеличат свое текущее потребление.
К этому же выводу можно прийти, если считать, что срок жизни индивида не бесконечен. Тогда снижение текущих налогов не означает их увеличения в ближайшем будущем. Правительство может увеличить их лишь в очень отдаленном будущем, а не при жизни теперешнего поколения. Поэтому нынешнее поколение может увеличить свое потребление, не очень заботясь о том, что будущим поколениям придется оплачивать этот нынешний рост.
Сторонники барро-рикардианского взгляда преодолевают эту очевидную нереалистичность, утверждая, что нынешнее и будущие поколения связаны родственными узами и существуют альтруистические трансферты между поколениями. Поэтому родители не захотят воспользоваться возможностью увеличить свое потребление за счет детей и внуков. Таким образом, нужно рассматривать поведение не отдельного потребителя, а семьи, которая принимает решения на бесконечном временном горизонте. Другими словами, подобные решения будут аналогичны решению индивида, который предполагает жить вечно, а следовательно, текущее снижение налогов воспринимает как временное изменение дохода и поэтому не увеличивает текущее потребление.
Кроме того, в ряде эмпирических исследований были приведены доказательства того, что большая часть налогов, возникающих в связи с расплатой по сделанному ранее долгу, возлагается на то поколение, при котором образовались эти долги. Такие выводы были сделаны при изучении бремени возврата долга времен второй мировой войны в США и Великобритании [42J. В пользу равенства Барро-Рикардо свидетельствует и то, что возрастание богатства в результате долгового финансирования оказывает лишь небольшой эффект на текущее потребление в связи с тем, что распределяется потребителем по всем ожидаемым годам жизни.
Несовершенство финансовых рынков
Равенство Барро—Рикардо не учитывает возможность несовершенства финансовых рынков, т. е. не принимает в расчет существование ограничения по.заимствованию. В условиях ограничения по заимствованию потребитель, являющийся по характеру своих предпочтений заемщиком, потребляет весь текущий располагаемый доход. В результате снижения налогов располагаемый доход растет, что позволяет заемщику увеличить свое текущее потребление. Для двухпериодной модели случай несовершенного финансового рынка проиллюстрирован на рис. 4.4. Оптимальное решение заемщика перейдет из точки А в точку А'.
Из вышеприведенного анализа ясно, что в таком случае часть потребителей при снижении налога увеличит текущее потребление, а следовательно, совокупное потребление возрастет.
 |
|
Рис. 4.4. Выбор потребителя, сталкивающегося с ограничением по заимствованию |
Кроме того, высказывается сомнение, что потребители могут брать взаймы на тех же самых условиях, что и государство. Если процентные ставки по частным и государственным займам не совпадают, то долговое финансирование государственных расходов может привести к увеличению текущего потребления и тем самым опровергнуть равенство Барро—Рикардо.
В то же время некоторые исследователи обращают внимание на то, что ограничение по заимствованию не является экзогенно заданным, а может возникать в силу уменьшения предложения на рынке заемных средств. Рациональный сберегатель может понять, что в случае долгового финансирования падает вероятность возврата заимствованных средств в связи с увеличением будущих налоговых обязательств. Поэтому он уменьшит сбережения при выпуске долговых обязательств, и это ограничит увеличение потребления заемщиков. Другими словами, высказывается мнение, что нельзя рассматривать существование ограничения по заимствованию как безусловную причину нарушения равенства Рикардо.
Искажающее налогообложение и неопределенность по поводу будущих доходов и налогов
Если налоги не являются паушальными, например существует подоходный налог, то в этой ситуации бюджетный дефицит, отодвигая время сбора налога, может повлиять на решения потребителей. Зависимость налогов от уровня получаемых доходов означает некоторую неопределенность: налоги будут высоки, если доход большой, и налоги низки, если доход мал. Откладывание налогов на будущее, когда будущие доходы увеличиваются, не изменяет текущей стоимости располагаемых доходов, получаемых за всю жизнь, однако уменьшает неопределенность относительно ее величины и поэтому увеличивает потребление. Как показали эконометрические оценки, это увеличение может быть существенным.
Из приведенных возражений видно, что теоретические аргументы в пользу гипотезы Барро—Рикардо не всегда убедительны. Выводы эмпирических исследований неоднозначны, так как трудно выделить воздействие изменения государственного долга на потребительский спрос. Таким образом, проблема последствий государственного долга остается актуальной и окончательное решение спора между сторонниками традиционных взглядов и приверженцами теории Барро—Рикардо пока не найдено.
ВОПРОСЫ И ЗАДАНИЯ К ГЛАВЕ 4 ( ' "
1. Потребитель, поведение которого может быть описано в рамках двухпериодной модели межвременного выбора, сталкивается с ограничением по заимствованию. Государство объявляет о временном снижении налогов, финансируемом за счет государственного долга. Подтверждается или опровергается рикардианский взгляд на государственный долг поведением потребителя? Обоснуйте свой ответ. Приведите графическую иллюстрацию.
2. Пусть в стране F не существует альтруистических связей между поколениями. Какой взгляд на государственный долг (традиционный или барро-рикардианский) скорее окажется верным? Обоснуйте свой ответ.
3. Предположим, что Государственная Дума решает увеличить налоги с работающих для того, чтобы повысить размер пособий пенсионерам, и объявляет, что эта мера рассчитана только на один год.
а) Как изменится совокупное потребление?
б) Изменится ли ответ, если допустить возможность существования альтруистических связей между поколениями?
4. Пусть государство проводит политику сбалансированного бюджета. Каковы будут ее последствия в закрытой экономике в соответствии с традиционным и рикардианским взглядами на государственный долг? Объясните свой ответ.
5. Предположим, что верен рикардианский взгляд на государственный долг и вы планируете эмигрировать со своей семьей в другую страну в будущем году. Какова будет ваша реакция на снижение налогов в этом году? Какова будет реакция экономики в целом?
6. Как ожидаемое в будущем сокращение государственных закупок повлияет на текущее потребление и текущие частные сбережения в соответствии с традиционным и рикардианским взглядами на государственный долг? Объясните свой ответ.
7. Предположим, в двухпериодной модели предпочтения людей таковы, что они желают полного выравнивания потребления во времени {Сх = С2). Временной горизонт правительства больше, чем у домашних хозяйств, так что правительство допускает определенную величину долга в конце второго периода D2.
Доходы потребителей составляют Yx = 200, Y2 = ПО, государственные расходы (7, = 50, G2 = ПО, налоги Т{ = 40, Т2 = 55, процентная ставка г = 0,1.
а) Выпишите межвременное бюджетное ограничение государства. Каковы приведенные величины государственных расходов и налогов? Какова величина государственного долга в конце второго периода, если первоначально государство не имело долгов? Сколько домашние хозяйства потребляют в каждом периоде?
б) Чему равны совокупные национальные сбережения, частные сбережения и государственные сбережения в периоды 1 и 2?
в) Предположим, государство изменило налоги так, что Г, = 50 и Т2 = 44, а государственные расходы остались прежними. Изменилась ли приведенная величина налогов? Какова величина государственного долга в конце второго периода? Чему равны национальные сбережения, частные сбережения и государственные сбережения в периоды 1 и 2? Что можно сказать по поводу равенства Рикардо?
г) Как изменится ответ на пункт «в», если новые налоги составят Т\ = 30, Т2 = 44?
8. Предположим, в двухпериодной модели потребитель не имеет начального богатства. Ему известен доход первого периода У,. Доход второго периода Y2 случаен. Ожидается, что он совпадет с величиной дохода первого периода: E(Y2) = У|. Ставка налога на доход различается по периодам и соответственно равна /, и t2. Потребитель может давать и брать взаймы по ставке процента г= 0, одинаковой для двух периодов. Потребитель максимизирует функцию ожидаемой полезности U = U(C{) + EU(C2), где С, — потребление периода /.
а) Выпишите межвременное бюджетное ограничение потребителя.
б) Покажите, что ожидаемое значение потребления во втором периоде равно С,, если ЩС2) = (С2)2 или доход второго периода не является случайной величиной.
в) Покажите, что если доход второго периода является случайной величиной, то ожидаемое потребление второго периода больше Сj, т. е. имеют место сбережения по мотиву предосторожности.
г) Пусть правительство снижает и повышает t2 на одну и ту же величину. Как изменится потребление первого периода, если U(C2) = (С2)2 или доход второго периода не является случайной величиной?
д) Как изменится потребление первого периода, если U'” > О и доход второго периода является случайной величиной?
Глава 5
ПЛАТЕЖЕСПОСОБНОСТЬ ГОСУДАРСТВА ПО ВНУТРЕННЕМУ
ДОЛГУ
Проблемы измерения дефицита государственного бюджета и величины государственного долга: неучтенные и обусловленные обязательства; бюджетирование капитала. Влияние инфляции: эффект Оливера—Танци, инфляционный налог, эффект Д. Патинкина. Оценка скорректированной величины государственного долга России.
Модели платежеспособности по внутреннему долгу: «жесткие» и «относительные» условия платежеспособности, условия отсутствия игры Понци. Жесткие условия для одного периода и межвременное бюджетное ограничение. Относительные условия платежеспособности с учетом роста реального выпуска и сеньоража, основанные на текущих доходах и доходах будущих периодов.
5.1. ПРОБЛЕМЫ ИЗМЕРЕНИЯ ДЕФИЦИТА ГОСУДАРСТВЕННОГО БЮДЖЕТА
Дефицит государственного бюджета является одним из основных показателей, по которым можно судить о результатах деятельности государства. Однако несовершенство методик расчета этого показателя и наличие факторов, влияющих на динамику финансовых статей государства, делают целесообразной корректировку дефицита бюджета для более точной оценки изменений в государственном секторе экономики.
С этой точки зрения можно выделить следующие факторы, не учитываемые официальной методикой при определении величины бюджетного дефицита:
1) циклическая составляющая в величине бюджетного дефицита;
2) изменение активов государства, включая некоторые нематериальные активы, такие, как образование населения;
3) наличие неучтенных и обусловленных обязательств, предъявляемых как государству, так и им самим;
4) влияние денежных факторов, в частности инфляции.
5.1.1. Циклическая составляющая в величине бюджетного дефицита
Поскольку бюджетный дефицит является автоматическим стабилизатором, его уровень возрастает в периоды спада и сокращается во время роста. Для элиминирования этого эффекта рассчитывают циклически скорректированный показатель бюджетного дефицита. Фактический дефицит при этом уменьшают на часть, возникающую из-за того, что экономика не находится на уровне потенциального выпуска. Другими словами, проводят различие между дефицитом при полной занятости и фактическим дефицитом.
Циклический компонент появляется из-за того, что на государственные доходы и расходы влияет экономический цикл. Например, при постоянных налоговых ставках рост доходов приводит к росту налоговых поступлений, а падение — к их уменьшению. Государственные расходы во время спадов возрастают из-за роста выплат пособий по безработице.
При таком подходе очевидно, что снижение дефицита в принципе может быть достигнуто за счет роста выпуска, а следовательно, и дохода, и расширения таким образом налоговой базы.
Эффект роста доходов страны напрямую учитывается в показателе бюджетного дефицита, скорректированного по отношению к реальному доходу. Он измеряется как изменение отношения государственного долга к ВВП. В [34] показано, что с учетом такой корректировки в США с 1994 по 1996 г. в связи с наблюдавшимся ростом ВВП имел место бюджетный профицит.
Однако использование показателя циклически скорректированного дефицита оправдано в тех случаях, когда циклическая составляющая достаточно велика, чтобы эффект стал заметным.
5.1.2. Изменения активов государства и их учет при расчете дефицита (бюджетирование капитала)
Некоторые экономисты считают, что в структуре расходов государственного бюджета следует отдельно рассматривать капитальные расходы, так как они влияют на изменения активов государства. Целесообразность подобного подхода становится понятной, если расходы на строительство дорог, мостов, систем водоснабжения рассматривать как прибавление к материальным активам государства. В этом смысле их нельзя учитывать в расходах бюджета так же, как и текущие выплаты, зарплату госслужащих или расходы на обслуживание государственного долга [37]. Различие между капитальными расходами и текущими выплатами проводят и многие крупные компании. В большинстве развивающихся фирм исключение капитальных расходов и учет в качестве убытков амортизации позволяет сводить финансовые счета с прибылью, тогда как без этих мер компании оказались бы убыточными. Поскольку в растущей фирме капитальные расходы практически всегда превышают амортизацию, это позволяет в значительной степени улучшить баланс предприятия.
Следует заметить, однако, что для государства исключение капитальных расходов при учете только амортизации вряд ли позволит сократить государственный дефицит, поскольку государственные материальные сооружения изнашиваются, по крайней мере так же быстро, как восстанавливаются. Хотя при более полном выделении капитальных расходов, предусматривающем капитализацию расходов на исследование и разработки, образование и подготовку, их исключение, скорее всего, позволило бы уменьшить показатель дефицита. Кроме того, определение амортизации материальных сооружений в масштабе государства связано с затруднениями, при этом возможны различия в методиках подсчета, вследствие чего довольно сложно посчитать амортизацию с приемлемой точностью.
Попытка оценки совокупных активов американского правительства была сделана Робертом Эйснером [37]. Согласно его расчетам величина активов американского правительства составила 1118 млрд дол. в 1984 г., при этом размер государственного долга достигал 1175 млрд дол. Таким образом, в наличии был чистый долг в объеме 57,9 млрд дол. Расчет активов был сделан по их восстановительной стоимости, однако вряд ли полученная оценка была точной. Подход, связанный с рассмотрением капитальных расходов в структуре совокупных расходов государства, может быть использован разве что при качественном анализе бюджета — значительный дефицит бюджета может быть оправдан высокими капитальными расходами, в то время как дефицит, вызванный превышением текущих выплат над доходами, следует считать гораздо более серьезной проблемой.
В свете высказанных идей доходы от приватизации следует рассматривать как доходы, получаемые за счет сокращения государственных активов. Поэтому они должны быть исключены из доходной части бюджета при расчете его дефицита. Подобный подход используется Международным валютным фондом, рекомендации которого учитываются при расчете российских показателей. Размер дефицита корректируется в сторону его увеличения. Так, в 1997 г. доходы от продажи государственного имущества составили 6% бюджета, или 0,7% ВВП. Соответственно на эту величину был скорректирован федеральный бюджет.
5.1.3. Неучтенные и обусловленные государственные обязательства
Еще один источник корректировок при измерении бюджетного дефицита — неучтенные государственные обязательства. Такими обязательствами могут быть выплаты в социальный и пенсионный фонды. Отчисления из заработной платы, направленные на пенсионное обеспечение и социальное страхование работников, по существу даются в долг государству. Будущие пенсии работников, будущие социальные выплаты — это обязательства, которые берет на себя правительство, поэтому некоторые экономисты считают, что эти отчисления должны быть отнесены к государственному долгу [37, 4].
Указанный подход предполагает возможность корректировки бюджетного дефицита в связи с изменениями политики государства в области пенсионного обеспечения, социального страхования, а также других видов государственной деятельности, связанных с образованием неучтенных обязательств. К примеру, увеличение минимального пенсионного возраста при накопительной системе пенсионного обеспечения приведет к тому, что совокупные пенсионные отчисления работников увеличатся, а количество пенсионеров в течение некоторого времени будет иметь тенденцию к снижению (поскольку люди, возраст которых приближается к новому минимальному пенсионному возрасту, уже будут пенсионерами). В результате размер неучтенных обязательств государства в виде будущих пенсий возрастет, следовательно, увеличится и совокупная государственная задолженность. Это приведет к корректировке бюджетного дефицита в сторону его увеличения.
Аналогично в системе государственного страхования изменения в экономике или в страховой политике государства могут повлиять на размер совокупных государственных обязательств. К примеру, циклический рост производства обусловливается повышением занятости, а следовательно, и увеличением объема выплат в фонд социального страхования. В то же время сокращаются выплаты пособий по безработице, следовательно, неучтенные обязательства государства возрастают. В данном случае возможна также корректировка дефицита бюджета в сторону его увеличения.
В течение рассматриваемого периода возможно наступление событий, влекущих за собой выплаты по государственным обязательствам. Примером обусловленных обязательств является государственное страхование банковских вкладов. При наступлении неблагоприятного случая государство гарантирует выплаты компенсации вкладчикам. Поэтому с учетом возможности наступления страхового случая дефицит бюджета нужно скорректировать в сторону увеличения.
5.1.4. Инфляция и ее влияние на размер государственных обязательств
Влияние инфляции на размер государственных обязательств неоднозначно. Можно выделить по крайней мере три направления влияния: эффект Оливера—Танци, инфляционный налог и эффект Дона Патинкина.
Согласно эффекту Оливера—Танци между бюджетным дефицитом и инфляцией существует положительная связь: бюджетный дефицит увеличивается по мере роста цен. Это происходит вследствие того, что моменты начисления налогов и их поступления в государственную казну не совпадают. Существование лага между начислением налогов и их фактической выплатой обесценивает в условиях инфляции налоговые доходы государства и поэтому увеличивает величину дефицита.
С позиций концепции «инфляционного налога» между инфляцией и дефицитом имеет место отрицательная связь. При неожиданном росте цен происходит сокращение реального процента по заимствованиям, следовательно, инфляция облегчает выплату государственного долга и уменьшает реальную величину бюджетного дефицита. Получается, что, принимая за ориентир номинальную величину дефицита, можно завысить его значение на величину инфляционного налога с держателей государственных обязательств, реальная стоимость которых постоянно снижается, и кредиторы правительства поэтому понесут убытки.
Согласно эффекту Дона Патинкина инфляция уменьшает величину бюджетного дефицита. Этот эффект имеет место в странах с нестабильной экономикой, где принята прогрессивная система налогообложения, а бюджетная система приспособлена к тому, чтобы государство могло осуществлять фискальные функции в условиях инфляции. В таких странах в период инфляции с ростом номинальных доходов экономические агенты попадают в более высокие доходные группы и облагаются по более высоким налоговым ставкам. Другими словами, происходит рост налоговых доходов, непропорциональный росту цен, при неизменных номинальных расходах правительства, поэтому дефицит бюджета уменьшается.
Кроме того, можно выделить еще несколько факторов, побуждающих правительство избегать низкой инфляции для сокращения дефицита бюджета:
• в периоды высокой инфляции правительство обычно задерживает выплату заработной платы государственным служащим, что сокращает размер реальных расходов;
• при планировании бюджета часто предусматривается индексация налоговых доходов в соответствии с инфляцией. Расходы же обычно формируются исходя из предпосылки о более низкой инфляции, чем в действительности;
• при сокращении инфляции реальная ставка процента увеличивается, а следовательно, инвестиционный климат в стране ухудшается. В результате доходы государства сокращаются, что ведет к увеличению дефицита бюджета.
Указанные факторы, определяющие отрицательный характер зависимости дефицита бюджета от инфляции, были выявлены Д. Патинкиным при анализе ситуации в Израиле в 1980-х гг. Правительственные меры по сокращению инфляции, проводившиеся при широкой поддержке населения и помощи США, привели к резкому росту дефицита государственного бюджета, в то время как в течение 1982—1984 гг. в условиях очень высокой инфляции экономика функционировала стабильно. Отталкиваясь от конкретного эпизода, Д. Патинкин выдвинул и теоретически обосновал гипотезу об отрицательной зависимости между темпом инфляции и бюджетным дефицитом.
5.1.5. Расчет размера корректировки на инфляцию дефицита бюджета: иллюстрация на примере России
В истории государственных финансов России последних лет можно наблюдать ситуацию, когда, несмотря на огромные займы государства (Министерства финансов) у Центрального банка и займы на рынке государственных ценных бумаг с целью финансирования дефицита государственного бюджета, реальная внутренняя задолженность правительства быстро сокращалась.
Так, на начало 1993 г. эта задолженность составляла 3,59 трлн руб. За счет покрытия бюджетного дефицита при помощи кредитов Центрального банка задолженность возросла с 3,59 трлн руб. до 12,81 трлн руб. При этом имел место рост потребительских цен в 9,4 раза. В результате долг правительства Центральному банку в ценах на начало 1993 г. составил 1,3 трлн руб. То есть имело место сокращение государственной задолженности в постоянных ценах более чем в 2 раза [6].
В последующие годы этот эффект стал менее явным в отношениях государства и Центрального банка, так как начиная с 1995 г. правительством проводилась политика по уменьшению размера заимствований у Центрального банка, а впоследствии и по сокращению общей задолженности перед Центральным банком. Однако после финансового кризиса 1998 г. правительство было вынуждено вновь обратиться к кредитам Центрального банка.
Указанный факт в отношении задолженности перед Центральным банком не относится к чисто российской специфике. Подобные процессы наблюдались и в США во второй половине 1970-х гг., когда, несмотря на то, что расходы правительства США ежегодно превышали его доходы, реальный федеральный долг сокращался. Дефицит государственного бюджета США покрывался в основном эмиссией государственных ценных бумаг, уменьшение реальной рыночной стоимости которых и привело к снижению государственной задолженности. Исследования в этой области были проведены американскими учеными Р. Эйснером и Р. Пипером [37]. Ими была предложена идея учитывать при измерении бюджетного дефицита обесценение государственных обязательств.
В соответствии с их подходом в работе [18] была сделана попытка оценить бюджетный дефицит России для 1997—2000 гг.
Таблица 5.1
Скорректированный государственный бюджет
для 1997—2000 гг.
(млрд деноминированных рублей) |
|
|
1997 |
1998 |
1999 |
2000 |
|
Обязательства органов государственного управления перед ЦБ в среднем за период |
194,2 |
282,4 |
547,6 |
540,1 |
|
Индекс потребительских цен (% к предыдущему году) |
111 |
184,4 |
136 |
103,4 |
|
Дефицит государственного бюджета |
86,4 |
86,5 |
52,9 |
-173,5 |
|
(в % от ВВП) |
(3,5) |
(3,2) |
0,2) |
(-2,5) |
|
Скорректированный дефицит |
67,5 |
-141,7 |
-86,7 |
-273,3 |
|
(в % от ВВП) |
(2,7) |
(-5,3) |
(-2,0) |
(-3,9) |
|
|
Источники: Бюллетень банковской статистики. 1998. № 4; 2001. № 2. М.: Центральный банк Российской Федерации. Обзор экономики России. Ч. I. М.: Госкомстат России, 1999. |
В таблице приведен расчет возможной корректировки бюджетного дефицита для 1997—2000 гг. В это время из-за тяжелого финансового положения правительство было вынуждено поддерживать величину заимствований у Центрального банка на высоком уровне, что сопровождалось ростом цен, особенно резким в период кризиса 1998 г.
Как видно, размер корректировки дефицита в каждом из рассматриваемых периодов довольно значителен, а в 1998, 1999 и 2000 гг. можно было говорить о том, что правительство имело профицит бюджета за счет сокращения реальной величины задолженности Центральному банку.
Использованная методика корректировки дефицита не учитывала изменение объема денежной массы. Это не имеет большого значения в стабильных экономиках, где реальный объем денежной массы сохраняется практически на постоянном уровне, однако может повлиять в случае нестабильности денежного предложения в стране и колебаниях правительства при выборе способа покрытия дефицита бюджета. Данный подход применим в случае, если государственный долг не включает в себя кредиты Центрального банка. Разделение задолженностей правительства Центральному банку и другим экономическим агентам позволяет выделить в составе совокупной корректировки величину инфляционного налога (табл. 5.2).
Таблица 5.2
Доля инфляционного налога к совокупной величине корректировки |
|
|
1997 |
1998 |
1999 |
2000 |
|
Совокупная величина корректировки дефицита бюджета, млрд руб. |
18,9 |
227,2 |
171,9 |
99,8 |
|
В том числе за счет инфляционного сокращения денежной базы, млрд руб. |
11,2 |
110,8 |
52,2 |
57,2 |
|
Доля в совокупной корректировке инфляционной составляющей, % |
59,3 |
48,8 |
30,3 |
57,3 |
|
Как видно из табл. 5.2, доля инфляционного налога в совокупной величине корректировки на протяжении 1997—1999 гг. имела тенденцию к снижению, что может быть объяснено политикой сдерживания инфляции, проводимой Центральным банком в этот период.
Описанные корректировки частично учитываются в моделях платежеспособности. Так, в бюджетных ограничениях используются преимущественно реальные показатели долга и дефицита и относительные, скорректированные с учетом циклической составляющей.
5.2. МОДЕЛИ ПЛАТЕЖЕСПОСОБНОСТИ ПО ВНУТРЕННЕМУ ДОЛГУ
Платежеспособность в наиболее общем смысле означает способность расплачиваться по долгам, не прибегая бесконечно к новым заимствованиям. С этой точки зрения можно говорить о платежеспособности государства по внешнему или внутреннему долгу, если оно обладает ликвидными ресурсами, достаточными для обслуживания накопленного на данный момент долга. Актуальность проблемы государственного долга зависит от величины накопленного долга. Начиная с некоторого уровня долгового бремени поддержание платежеспособности становится специальной задачей макроэкономической политики. Накопленный долг в соответствии с традиционным взглядом рассматривается как бремя для национальной экономики, которое приводит к сдерживанию экономического роста и снижению благосостояния.
В этих условиях страна заинтересована в максимальном снижении долга, что может привести к дефолту перед внешними или внутренними кредиторами.
Однако по ряду причин, из которых главной является поддержание репутации в мире и доверия своих граждан, государство, как правило, выплачивает долги, а не отказывается от них.
Теория платежеспособности, занимающаяся одним из главных направлений исследований по управлению государственным долгом, изучает ресурсные возможности страны по выплате долга. Оценивается соответствие приведенных потоков доходов накопленному долговому бремени заемщика. Другими словами, анализируется бюджетное ограничение государства при заданной динамике долга. Теория платежеспособности отвечает на вопрос, какой должна быть государственная политика, чтобы избежать кризиса, связанного с неограниченным возрастанием государственного долга и невозможностью государства расплатиться по нему. Как будет показано далее, для платежеспособности государственного сектора по внутреннему долгу это должен быть первичный профицит госбюджета с учетом сеньоража. Для платежеспособности страны по внешнему долгу — первичный профицит счета текущих операций платежного баланса.
5.2.1. Жесткое условие платежеспособности при отсутствии инфляции
Обозначим реальную величину долга, накопленного к концу периода времени / (как правило, это год), — В,. Пусть г, — реальная процентная ставка по долгу, действующая в период времени t\
S,= Tt— Gf — реальный первичный профицит бюджета (до выплат процентов), характеризующий чистые доходы государства, из которых выплачивается долг.
Тогда динамика реальной величины государственного долга на период I описывается уравнением:
(5.1)
В, = (1 + - 5,.
Это уравнение представляет собой бюджетное ограничение государства для периода t. Реальная величина долга прирастает на сумму необходимых выплат по накопленному к началу периода времени t долгу и величину бюджетного дефицита (—S,).
Другими словами, бюджетный дефицит периода t в реальном выражении представляет собой сумму первичного дефицита этого периода и выплат по обслуживанию государственного долга (г,В,_|). При отсутствии эмиссионного финансирования правительство должно сделать новый заем и увеличить сумму долга В,_х на ABt:
(5.2)
А В/— В/ Bt_x—r,Bt_x St.
Из (5.2) видно, что величина государственного долга В, может расти по сравнению с прошлым периодом, даже если государственный бюджет этого периода сбалансирован (G, — Tt = 0). Поэтому условие стабилизации долга государства в одном отдельно взятом периоде можно записать как

(5.3)
где левая часть представляет собой первичный профицит, а правая — величину обслуживания государственного долга. Очевидно, что это условие, оценивающее способность государство платить по долгам, слишком жесткое, так как оно не учитывает будущие доходы государства и возможность эмиссионного финансирования.
Условие платежеспособности с учетом будущих доходов
В целях учета будущих доходов государства предположим, что временной горизонт ограничен отрезком от периода t до периода F и имеются соображения о допускаемой величине долга В,г в конечный период времени.
Выразим величину долга, накопленного к концу периода t— 1, в зависимости от доходов и расходов государства в течение периода /. Из уравнения (5.2) следует, что

(5.4)
Тогда величина долга, накопленная на начало периода F — 1, будет равна
F-1
Bf + Sf 1 + rF
Следовательно, реальная величина долга, накопленного на начало периода F— 2, должна удовлетворять условию
Г/г-, + BF+SF
Bf-1
Вр-2 ~
т-1 0 + /У-і)0+,?)
І+/?
F-\
В,
¦?-1
I j I I' I
j=F-\ J i = F~1 1 + ri ' i=F-\ 1 + ri
= I S. П 7T~~ + П
Подобным образом, дисконтируя будущие доходы и расходы государства на момент времени t, т. е. решая разностное уравнение (5.2) рекуррентным способом, можно получить межвременное бюджетное ограничение для периода времени [/; F\.
F j (
Bf~\ - S ^ П
j=l І=І\
+ *fn
(5.5)
1+П
t=i 1+ П
Согласно ограничению (5.5), государство признается платежеспособным к началу периода t, если долг, накопленный на данный момент, равен дисконтированной сумме профицитов будущих периодов до некоторого момента времени F, которые пойдут на его выплату (первое слагаемое), и дисконтированной допустимой на момент /'"величине долга (второе слагаемое).
В случае оценки платежеспособности для конечного интервала времени естественно предположить, что долг в последний период времени Одолжен быть выплачен, т. е. BF = 0.
Если же ставится задача оценить платежеспособность с учетом бесконечного периода жизни государства (при F—> °°), тогда это условие заменяется условием отсутствия игры Понци (No Ponzi Game Condition — далее NPG):
приведенная терминальная величина долга стремится к 0, при F —» °°.
(5.6)
Ч 1 Л
lim BF П т—
F^>°° і=і\ 1 +Г; J
Это условие означает, что государство, занимающее в долг, не может бесконечно расплачиваться за счет новых займов по старым долгам, а когда-нибудь все-таки должно погасить все свои долги. Иногда это условие интерпретируют как невозможность для бесконечно живущего государства играть в финансовые пирамиды.
Тогда с учетом (5.6) межвременное бюджетное ограничение (5.5) принимает вид:
(5.7)
j = t i = l\
На бесконечном горизонте накопленный долг должен быть равен сумме дисконтированных будущих профицитов. Данное условие является основным условием платежеспособности. Согласно ему государство не может поддерживать бюджетный дефицит бесконечно, финансируя его за счет последующих заимствований. Государство платежеспособно, если оно начиная с некоторого периода рассматриваемого промежутка времени обеспечивает профицитный бюджет, достаточный для выплаты сделанных займов.
После дефолта 1998 г. весьма популярной стала точка зрения, что политика российского правительства в отношении внутреннего долга соответствовала схеме финансовой пирамиды. Действительно, отказ от выплат по ГКО в сочетании с девальвацией рубля на 70% и увеличением инфляции на 70% в августе—декабре 1999 г. обесценил обязательства государства как минимум на 93—94%. Вполне естественно, что неплатежеспособность правительства воспринималась как крах всей предшествующей политики государственных обязательств. Но было ли в действительности накопление рыночного долга игрой Понци? В работе [15] тестируются гипотезы неограниченного роста внутреннего долга, что является достаточным условием игры Понци, и его роста с последующей стабилизацией. Статистические данные позволяют отвергнуть первую гипотезу и подтвердить вторую. Таким образом, авторы исследования приходят к выводу, что сложившуюся в России в 1993—1998 гг. ситуацию нельзя считать игрой Понци.
Условие (5.7), оценивающее способность государства платить по долгам, хотя и принимает во внимание будущие доходы, по-прежнему остается достаточно жестким, так как оно не учитывает размеры ВВП и, следовательно, налогооблагаемой базы. Очевидно, что тяжесть рассматриваемой проблемы зависит от относительной величины долга: чем выше ВВП при одной и той же величине долга, тем выше платежеспособность государства. Так, например, достаточно высокая абсолютная величина долга США не является тяжелой проблемой для американской экономики, поскольку высокий уровень дохода позволяет выплачивать этот долг без особых усилий. Поэтому платежеспособность государства обычно оценивают с_учетом размеров ВВП и темпа его роста.
5.2.2. Условие платежеспособности при отсутствии инфляции, учитывающее относительную величину долга
При анализе платежеспособности растущей экономики принято рассматривать не абсолютную величину долга, а его отношение к ресурсам страны, в качестве которых обычно выступает ВВП. Обозначим реальную величину общего дохода, полученного в экономике за период времени t, как У„ а темп экономического роста — g
у, = (1 +ё,)У,-і- (5.8)
Пусть на момент времени t Ь, = — — отношение долга к ВВП,
Уі
5
s, =— — отношение профицита бюджета к ВВП.
У/
Запишем (5.1) в долях от дохода периода f.
в, _0+/?)Д/-і s, _ О+/•/)#/-! _ і+г, -
у, " у, у, ~(і + *,)к,_. s,~i + g, s,‘
Отсюда
(5.9)
и 1 + ^ и
ь,=——b,_y-s,.
1 + g,
Тогда изменение отношения долга к ВВП может быть описано как разность
' \ + п
J + S/
АЬ, = Ь, - Ь,_у =
b,-i V
Откуда
(п-іЛ
J +St ,
А b,
(5.10)
Из (5.10) видно, что, пока реальная процентная ставка превышает темп роста ВВП, динамика долга имеет взрывной характер. При данном первичном дефиците как доле ВВП больший долг означает больший дефицит и необходимость увеличения займов. Очевидно, что для стабилизации соотношения «долг-ВВП» необходимо, чтобы начиная с некоторого момента АЬ, = О, т. е. должно выполняться равенство
(5.11)
гі — St ч 1 + St j
Равенство (5.11) является условием платежеспособности, учитывающим относительную величину долга. Назовем его относительным условием платежеспособности государства. Так как темпы роста выпуска, как правило, невелики, то можно использовать его приближенный вариант:
s, = (г, - g,)b,_i. (5.12)
Из (5.11) и (5.12) следует, что если в момент / реальная ставка процента меньше темпа роста реального ВВП, то доля долга в ВВП может оставаться неизменной даже при постоянном существовании первичного бюджетного дефицита. Если же реальная ставка процента больше темпа роста реального ВВП, то для стабилизации доли долга в ВВП необходимо достижение первичного бюджетного излишка.
Полученное относительное условие платежеспособности не учитывает будущих доходов государства. Поэтому, следуя логике, изложенной в предыдущем пункте, решим разностное уравнение (5.11) для периода времени [/,/]. В результате получим межвременное бюджетное ограничение
1+gj_
\1 + ГІ J
lsjYl
j=t i=t
Ь,-1
+ bF П
i-t
(5.13)
к1 + П у
Относительный долг, накопленный к концу периода /— 1, равен сумме дисконтированных относительных профицитов до некоторого терминального периода времени ^(первое слагаемое) и оставшейся на момент /’дисконтированной величине относительного долга (второе слагаемое).
Условие отсутствия игры Понци (NPG):
(5.14)
lim bF П
= 0.
F->~
i —t
Это условие выполняется, только если (за исключением конечного числа периодов) процентная ставка г, превышает темп
роста выпуска gt. В противном случае государство может оставаться платежеспособным, никогда не выплачивая долг, поскольку долг будет всегда расти медленнее, чем ВВП. Однако такое положение не устроит кредиторов, и они начнут повышать процентные ставки или откажутся от предоставления кредитов.
Условие отсутствия игры Понци, необходимое для моделирования платежеспособности, является стандартным условием в динамических моделях, исключающим случай неограниченного возрастания долга. Это условие, в частности, следует из решения оптимальной задачи для кредиторов. В [35] показано, что игра Понци невозможна в моделях с полной определенностью при предположении рациональности кредиторов и с постоянным темпом роста населения. В [30] также доказывается, что игра Понци со стороны заемщика неэффективна с точки зрения Парето-эффективности для всего мира.
Следует отметить, что ограничение на «игру Понци» выполняется, только когда долгосрочная реальная процентная ставка по государственному долгу г превышает долгосрочный темп роста реального ВВП g. Когда это не так, у государства остается возможность для «игры Понци»: оно может продолжать увеличивать долг, не сталкиваясь с неплатежеспособностью. Равновесный темп роста долга тогда будет равен b/(g — г). [26]. В этом случае страна будет платежеспособна за счет достигнутого экономического роста.
При выполнении условия NPG экономическая политика должна удовлетворять условию платежеспособности для отношения долга к ВВП:
Г1 + 8' 1 + г,
Ь,-1 = 1 5.П
(5.15)
j=i і=і
Равенство (5.15) представляет собой межвременное относительное условие платежеспособности государства по внутреннему долгу при отсутствии инфляции. Оно означает, что государство платежеспособно, если относительная величина накопленного долга равна сумме дисконтированных с учетом темпов роста относительных профицитов. Таким образом, накопив долг, государство должно когда-нибудь найти ресурсы для его выплаты. Только в этом случае дисконтированная доля долга в ВВП стремится к нулю. Из (5.15) видно, что экономический рост ослабляет условие (5.7), т. е. способствует увеличению платежеспособности, уменьшая величину необходимых профицитов.
Условие (5.7) существенно упрощается, если считать процентную ставку неизменной во времени. Тогда можно получить вполне конкретные представления о необходимых ежегодных значениях профицита S или относительного профицита s, достаточных для достижения платежеспособности.
При этом предположении дисконт в уравнении (5.7) меняется следующим образом: 1 у-'+|
/=/
1 + г)
Условие платежеспособности для долга (5.7) становится следующим:
<5'Г)
Тогда, по формуле бесконечно убывающей геометрической прогрессии:
S=rB,_v
В этом случае задача становится эквивалентной условию стабилизации долга (т. е. решение (5.7') и решение уравнения (5.2) при АВ, = 0 совпадают).
Аналогично при предположении о постоянстве темпов экономического роста условие платежеспособности для долга к ВВП (5.15) преобразуется в условие:
Отсюда по формуле бесконечно убывающей геометрической прогрессии:
(5.16)
0 + *)
В этом случае задача становится эквивалентной условию стабилизации долга к ВВП (решение (5.15') и решение уравнения
(5.9) при АЬ, — 0 совпадают). Если темпы роста невелики, то это условие превращается в
s = (г - g)b,_v (5.17)
Требование ежегодного профицита в объеме s является слишком сильным в том смысле, что в общем случае достаточным для платежеспособности может быть обеспечение последовательности различных профицитов SjSj, удовлетворяющих условиям (5.15) и (5.7).
5.2.3.Условие платежеспособности государства при смешанном финансировании бюджетного дефицита
Рассмотрим теперь случай, когда в растущей экономике государство прибегает как к долговому, так и к денежному финансированию дефицита бюджета, что вызывает инфляцию.
AM,
Р,У,
Пусть а, =
— отношение реального сеньоража к ВВП,
тогда динамика относительного реального долга принимает вид:
(5.18)
В, (1 + г,)В,_х s, AM,
У. У, У. Р'У' (1 + *,)Г,_,
Отсюда
Ь,=±±Л-Ь,_х-з,-с5,. (5.19)
1 + St
Это уравнение представляет собой бюджетное ограничение государства с учетом сеньоража. Тогда изменение отношения долга к ВВП может быть описано следующим образом:
АЬ,
Ь,_\ s,
(5.20)
S, )
Положив ДЬ, = 0, придем к условию платежеспособности для одного периода
S, +а,
O + ft)
Снова, решив разностное уравнение (5.20) для периода времени [/; Fі, получим межвременное бюджетное ограничение
?, = ?(*/+°Лп(?т‘-??п
j=l J /¦ = /
1 + g/
l + П
(5.21)
При предположении о выполнении NPG, экономическая политика удовлетворяет условию платежеспособности для отношения долга к ВВП, если:
i+g
l+o
fy-i
(5.22)
В относительном выражении накопленный долг равен сумме дисконтированных профицитов и величин сеньоража. В (5.22) экономический рост по-прежнему способствует платежеспособности, однако необходимые профициты уменьшаются и за счет сеньоража.
Если предположить, что реальная ставка процента и темпы экономического роста не меняются во времени, то можно определить постоянные значения относительного профицита и сеньоража (s + ст), достаточные для достижения платежеспособности.
Аналогично тому, как были выведены (5.15') и (5.16), можно получить
J-t+1
1 + g 1+r
(5.22')
?і = (5 + ст)І
J=t
Тогда, по формуле бесконечно убывающей геометрической прогрессии:
(5.23)
ь,-\(г~і)
О + *)
Если темпы роста невелики, то (5.23) можно приближенно представить как
і = Ь,_{(г - g) - or. (5.24)
Очевидно, что наличие сеньоража ослабляет требования к величине необходимого профицита, хотя этот источник финансирования не может быть использован постоянно из-за опасности гиперинфляции.
На основании условия (5.23) может быть получен показатель, характеризующий текущий уровень платежеспособности страны с учетом будущих доходов. Так, в работе [10] для этого предлагается задать ожидаемую разность долгосрочной процентной ставки и долгосрочного темпа роста ВВП (г — g)LR и на этой основе оценить по (5.23) необходимые ежегодные значения источников финансирования — суммы первичного профицита и сеньоража (,s + с), которые должны быть достигнуты для того, чтобы государство было платежеспособным. Разница между этими показателями и прогнозируемой в результате определенной экономической
политики правительства суммой первичного профицита и сеньоража (s + а) составляет так называемый разрыв платежеспособности (GAP).

То есть
(5.25)
Если считать, что текущие значения первичного профицита и сеньоража являются основой прогноза будущих значений, то соответствующая разность представляет собой упрощенный показатель миопического разрыва платежеспособности — Myopic Solvency Gap (MGАР).
|
MGAP = |  |
(5.26)
Эти показатели могут быть легко рассчитаны для конкретных стран.
С известной долей условности можно использовать данные показатели при анализе общего долга России, предполагая, что в условиях отсутствия экономического роста существует единственный источник выплаты — первичный профицит бюджета. Такая ситуация была характерна для России, например, в критический с точки зрения платежеспособности момент — 1998 г.
С помощью показателя (5.26) в работе [10] оценивались последствия списания части долга России. При максимальном разрыве процентной ставки и темпа экономического роста в 5% в случае списания 50% долга показатель необходимого целевого первичного профицита уменьшается с 3 до 1,4% ВВП. В случае же списания двух третей внешнего долга — до 0,9%. Это подтверждает тот факт, что в данной модели иметь первичный дефицит государственного бюджета могут позволить себе только страны, у которых долгосрочный темп роста ВВП превышает долгосрочную ставку процента по долгу.
Учитывая чувствительность выводов модели к значению первичного профицита, следует отметить, что улучшение бюджетной ситуации страны кардинально повлияет на результаты расчетов. За январь—апрель 2000 г. первичный профицит российского бюджета составил 5,9% ВВП, а общий бюджетный профицит — 2,8%. Предположим, что такие положительные тенденции сохранятся в будущем. Тогда в терминах описанной модели можно сделать вывод о платежеспособности России, поскольку целевой первичный профицит, необходимый для выплаты общего государственного долга в объеме 105% ВВП, составляет 2,5% в год.
Очевидно, что данная модель рассматривает платежеспособность как некоторую абстрактную категорию — принципиальную возможность расплатиться по долгу, строго говоря, в бесконечном временном интервале, не привязываясь к конкретным, согласованным сторонами срокам, графику и размерам платежей с учетом достигнутых соглашений по реструктуризации. При неравномерном распределении выплат первичного профицита, достигнутого в определенном году, может не хватить для осуществления требуемых платежей по долгу, и страна столкнется с необходимостью новых заимствований или получения отсрочки. Однако меры, необходимые для решения подобных проблем, включая мобилизацию наиболее ликвидных активов государства для выплат по внешним обязательствам (например, использование валютных резервов Центрального банка, введение повышенных требований по продаже валютной выручки российских экспортеров), относятся к краткосрочным задачам управления государственным долгом.
Приведенный метод, несмотря на свою условность, помогает оценить состоятельность экономической политики с точки зрения перспектив государственной платежеспособности в долгосрочном периоде.
1. Объясните, что некоторые экономисты понимают под проблемой неучтенных обязательств и бюджетирования капитала при оценке государственного долга.
2. В каких странах, с прогрессивной или пропорциональной шкалой налогообложения, скорее будет наблюдаться эффект Патинкина? Объясните свой ответ.
3. По данным Бюро экономического анализа за 1996 г. дефицит консолидированного бюджета РФ составил 189,9 млрд руб. Внутренний долг по усредненным оценкам равнялся 32 млрд руб. Темп инфляции составил 21,8%. Рассчитайте скорректированную с учетом инфляции величину реального дефицита.
4. При темпе роста 3,5% в год страна имеет соотношение «долг—ВВП» 40%. Каким должен быть первичный профицит бюджета (в % от ВВП), чтобы сохранить это соотношение постоянным, если реальная процентная ставка равна: а) 2%; б) 6%?
5. Пусть в стране соотношение «долг—ВВП» равнялось 60%. Предположим, что для поддержания платежеспособности государства денежное финансирование долга составило 3% ВВП. Рост реального ВВП равен 2% в год, а реальная процентная ставка — 5%. Какую долю в ВВП составлял первичный бюджетный дефицит?
6. Предположим, что соотношение «долг—ВВП» составляет 100%, экономический рост — 3% в год, а реальная процентная ставка — 5%.
а) Каким должен быть первичный профицит бюджета (в процентах от ВВП), чтобы в стране выполнялось относительное условие платежеспособности?
б) Как изменится необходимая величина первичного профицита, если процентные ставки упадут до 2%?
в) Если темп экономического роста упадет до 1%?
г) Какую долю в ВВП должно составить денежное финансирование долга для того, чтобы выполнялось относительное условие платежеспособности при первичном бюджетном дефиците, составляющем 1% от ВВП?
7. Пусть в стране А отношение внутреннего долга к ВВП составляет 60%. Правительство планирует в ближайшие 3 года достичь следующих уровней доли бюджетного профицита в ВВП: 1, 2 и 3% соответственно. Прогноз темпов роста ВВП в эти годы предсказывает по годам: 4, 2 и 1%. Расчеты показывают, что реальные процентные ставки будут по годам: 1, 2 и 3%.
Достаточны ли планируемые профициты для достижения к концу третьего года уровня долга к ВВП в 40%?
Если нет, то какой постоянный уровень профицита по отношению к ВВП нужно поддерживать для достижения этой цели?
8. Пусть в условиях задачи 7 среднегодовая доля профицита торгового баланса составит 2%. Нужно ли прибегать к сеньоражу как средству достижения поставленной цели и какова должна быть его доля в ВВП?
На сколько в среднем можно снизить относительный уровень профицита, если обеспечить экономический рост в размере 3% в год?
Глава 6
МОДЕЛИ ПЛАТЕЖЕСПОСОБНОСТИ ГОСУДАРСТВА ПО ВНЕШНЕМУ ДОЛГУ
Особенности внешнего долга.
Модели платежеспособности по внешнему долгу: «жесткие» и «относительные» условия платежеспособности, условия отсутствия игры Понци. Жесткие условия для одного периода и межвременное бюджетное ограничение. Относительные условия платежеспособности с учетом роста реального выпуска и реального валютного курса, основанные на текущих доходах и доходах будущих периодов. Сравнительный анализ различных способов финансирования государственного долга. Анализ факторов, влияющих на платежеспособность России. Эконометрические оценки платежеспособности России.
Строго говоря, в отношении внешнего долга следует различать платежеспособность государственного сектора и страны в целом. В первом случае оценивается способность государственного сектора платить по внешнему или общему долгу, включая внутренний. Во втором — платежеспособность по внешнему долгу как государственного сектора, так и частных заемщиков (например, коммерческих банков и предприятий). Мы будем рассматривать платежеспособность государственного сектора, полагая, что на его долю приходится подавляющая часть внешнего долга, что характерно, например, для России.
Внешняя задолженность государства имеет специфические особенности, отличающие ее от внутреннего долга. Внутренний долг, или долг государства перед своими же гражданами, означает внутренний трансферт между ними в пределах своей страны. Внешний же долг является чистым бременем для экономики, так как выплачивается иностранцам и поэтому может рассматриваться как чистый трансферт из страны (внешний трансферт). Кроме того, внешний долг не может быть погашен с помощью денежного финансирования, так как исчисляется в иностранной валюте. Это устраняет стимул к использованию эмиссионного способа погашения долга.
С точки зрения теории в наиболее общем смысле источником выплат по долгу является ВВП страны, исчисляемый в национальной валюте. Входящие в ВВП доходы страны от международной деятельности, выраженные в показателе чистого экспорта (сальдо торгового баланса), и внутренние доходы страны представляют собой источники поступлений в государственный бюджет. Выплаты как по внешнему, так и по внутреннему долгу происходят в действительности из первичного профицита бюджета. Однако потенциальным ресурсом для покрытия внешней задолженности является положительное сальдо счета текущих операций. Если не брать в расчет международную помощь, чистые трансферты из-за границы и доходы от собственности за рубежом, то положительное сальдо торгового баланса является единственным источником выплат по внешнему долгу.
Следует еще раз подчеркнуть, что платежеспособность — это долгосрочная концепция, оценивающая не только текущее финансовое положение заемщика, но и его способность выплачивать долги в будущем. Для этого необходимо иметь долгосрочный прогноз его-будущих доходов и состояния ресурсной базы. Данное обстоятельство сильно усложняет оценку способности страны выплачивать долги, поскольку неизбежны ошибки в долгосрочных прогнозах относительно внутренней экономической ситуации и мировой экономической конъюнктуры. Однако оценка динамики показателей платежеспособности по ретроспективным статистическим данным может также быть полезна для анализа усилий страны по улучшению платежеспособности.
В отличие от моделей управления долгом модели платежеспособности исследуют возможности выплаты долга по отношению к накопленной величине долга, вне зависимости от его конкретной временной структуры, и, как правило, предполагают полное доверие к государству-заемщику. Управление непосредственно долговыми обязательствами не рассматривается в качестве инструмента платежеспособности. Накопленный долг выступает как заданный параметр при изучении вопросов достижения платежеспособности за счет остальных факторов.
6.1. ЖЕСТКОЕ УСЛОВИЕ ПЛАТЕЖЕСПОСОБНОСТИ
Итог взаимодействия страны с остальными странами мира отражается в платежном балансе. Поэтому динамика величины иностранной задолженности на конец периода t D, выводится из условия равновесия платежного баланса
РСА, + /;(Z,_, - />,_,) = Z, - Z,_, -(D, - (6.1)
где РСА, — первичное сальдо текущего счета в иностранной валюте, например в долларах;
і* — иностранная ставка процента;
Z, — чистые частные зарубежные активы.
Левая часть условия (6.1) представляет собой текущий счет платежного баланса, правая — счет движения капитала (взятый с обратным знаком). Будем в дальнейшем считать для упрощения, что чистые зарубежные активы и чистая международная помощь отсутствуют, т. е. Z= 0. Тогда первичное сальдо текущего
счета РСА, совпадет с чистым экспортом NXf>, номинированным в иностранной валюте и представляющим собой сальдо торгового баланса. Отсюда (6.1) преобразуется в (6.2), описывающее динамику внешней задолженности в момент ?.
D,=^ + e,)D,_,-NXct.. (6.2)
Это уравнение является бюджетным ограничением государства для периода t. Величина долга, исчисленная в иностранной валюте, прирастает на сумму необходимых выплат по накопленному к началу периода времени t долгу и величину дефицита
торгового баланса (-У?А7).
Таким образом, дефицит по счету внешнеторговых операций периода t представляет собой сумму первичного дефицита этого периода и выплат по обслуживанию государственного долга
|). Для его финансирования правительство должно сделать новый внешний заем и увеличить сумму долга на ДD,:
ДD, = D,- D,_x = i*D,_x - NX?. (6.3)
Отсюда условие платежеспособности заключается в стабилизации величины внешнего долга:
А D, = 0.
Из (6.3) видно, что величина государственного долга Dt может расти по сравнению с прошлым периодом, даже если имеет место баланс внешнеторговых операций. Поэтому жесткое условие стабилизации долга государства в одном отдельно взятом периоде, не учитывающее будущие доходы государства, можно записать как
NXf=CD,_x, (6.4)
где левая часть представляет собой первичный профицит счета текущих операций, а правая — величину обслуживания внешнего долга.
Другими словами, государство платежеспособно, если первичный излишек счета текущих операций достаточен для выплат по обслуживанию внешнего долга.
Аналогично способу учета будущих доходов государства в случае внутреннего долга выразим величину долга, накопленного к концу периода Г— 1, в зависимости от доходов и расходов государства в течение периода t. Из уравнения (6.3) следует, что
D, + NX7
1+/;
Д-1
(6.5)
Тогда для величины долга, накопленной на начало периода F— 1, будет выполняться следующее соотношение
Д/--1 -
Df + NXcf 1 + І*г
где F — последний из рассматриваемых периодов;
Df — допускаемая величина внешнего долга в конечный период времени F.
Таким образом, дисконтируя будущие доходы и расходы государства на момент времени t, т. е. решая разностное уравнение
(6.3) рекуррентным способом, можно получить межвременное бюджетное ограничение для периода времени [/; F].
f j (
Д-1 = I NX) п
j = l k = t
+ Df П
(6.6)
k = l 1 + /V
\‘ + lkJ
Согласно ограничению (6.6), государство признается платежеспособным к началу периода t, если номинированный в иностранной валюте долг, накопленный на данный момент, равен дисконтированной (в иностранной валюте) сумме профицитов торгового баланса будущих периодов (до F), которые пойдут на его выплату (первое слагаемое), и дисконтированной допустимой на момент F величине долга (второе слагаемое).
В случае оценки платежеспособности для конечного интервала времени естественно предположить, что долг в последний период времени /Одолжен быть выплачен, т. е. DF — 0.
Если же ставится задача оценить платежеспособность с учетом бесконечного периода жизни государства (при F -э <*>), тогда это условие заменяется условием отсутствия игры Понци
lim Df П —Цг = 0.
Fk = t 1 +
Как и в случае внутреннего долга, это условие означает, что государство, имеющее внешний долг, не может строить финансовую пирамиду для расплаты по старым долгам. Иногда государство в таких случаях прибегает к внутренним займам как источникам расплаты по внешнему.
С учетом условия Понци межвременное бюджетное ограничение (6.6) принимает вид:
(6.7)
4-1 = I NX] п
j = l k = t
Для рассматриваемого горизонта времени [/; F\ накопленный долг к началу этого периода должен быть равен сумме дисконтированных будущих профицитов торгового баланса. Данное условие является основным условием платежеспособности. Согласно ему государство не может поддерживать дефицит торгового баланса бесконечно, финансируя его за счет последующих заимствований. Государство платежеспособно, если оно в какие-то периоды рассматриваемого промежутка времени обеспечивает положительное сальдо счета текущих операций, достаточное для выплаты внешних займов. Естественно, что при этом государство должно обеспечить трансформацию доходов от международной торговли в доходы бюджета.
Учтем теперь размеры и темп роста ВВП, исчисленного в иностранной валюте, и сформулируем менее жесткие условия платежеспособности государства по внешнему долгу.
6.2. УСЛОВИЕ ПЛАТЕЖЕСПОСОБНОСТИ, УЧИТЫВАЮЩЕЕ ОТНОСИТЕЛЬНУЮ ВЕЛИЧИНУ ДОЛГА
Обозначим величину общего дохода, полученного в экономике за период времени t и выраженного в иностранной валюте, — У,с, а темп его прироста — g,c:
=(! + *,') УД,. (6.8)
D,
На момент времени t d, =— — отношение долга к ВВП,
* 1
NX,
— отношение сальдо текущего счета к ВВП (в ино
странной валюте).
Тогда (6.2) в долях от дохода периода /:
, о, nx;
' ? о+*?)>¦,'-, у;
Откуда
4 =-П774-і-«*/¦ (6.9)
1 + St
Изменение отношения долга к ВВП может быть описано как разность
4-1
(6.10)
А4=4 -4-1
Из (6.10) видно, что при данном первичном дефиците торгового баланса как доле ВВП больший долг означает необходимость увеличения займов. Очевидно, что для стабилизации соотношения «долг—ВВП» необходимо, чтобы Ad, = 0, т. е. выполнялось равенство
(6.11)
пх, =
•ч-і
Формула (6.11) описывает относительное условие платежеспособности государства, учитывающее динамику дохода, номинированного в иностранной валюте.
Если считать, что темпы роста выпуска, как правило, невелики, то можно использовать его приближенный вариант:
пх, = (i* -gt)d,_]. (6.12)
Из (6.11) и (6.12) следует, что если в момент t номинальная ставка по внешнему долгу меньше темпа роста ВВП в иностранной валюте, то доля долга в ВВП может оставаться неизменной даже при первичном дефиците торгового баланса. Если же ставка процента больше темпа роста ВВП, то для стабилизации доли долга в ВВП обязательно необходимо достижение первичного профицита торгового баланса.
Выведем теперь это условие с учетом будущих доходов государства. Иначе говоря, для периода времени [/; F\ получим межвременное бюджетное ограничение.
Выразим величину долга, накопленного к концу периода / — 1, в зависимости от доходов и расходов государства в течение периода t. Из уравнения (6.9) следует, что
4-1=777"(4+**/)•
1 +11
Тогда для величины долга, накопленной на начало периода F— 1, будет справедливо
dF-\ = Xj^pr{dF+nxF)-1 + If
А реальная величина долга, накопленного на начало периода F— 2, должна удовлетворять условию
J _ * + &F-\ j j_ 1 + gF-1
V-2 - . dF-1 +---nxF-1 -
1 + І/Г-1 1 + *jT-1
nxF_ I =
(l + gCf_,)(l + gCf) (l + gf-,)(l + gf) (l + gf-l) (l + l*._i)(l + /f) F (l + »F-i)(l + /f) (l + V-l)
F J \ + gl
= ъ пх, n --4+4 - , .
j=F-1 k - F-\ 1 + Ц k = F-\ 1 + /
Продолжая таким образом до периода г — 1, получим:
/•' і d,-1 = X nxj П
j = l к =t
\ + sck
1 + gy-
і+/; у
+ df П
к=і
(6.13)
Относительный долг, накопленный к концу периода t— 1, равен сумме дисконтированных относительных профицитов до некоторого терминального периода времени /’(первое слагаемое) и оставшейся на момент / дисконтированной величине относительного долга (второе слагаемое).
При условии отсутствия игры Понци (NPG):
lim df П
(6.14)
0.
F-»-
Это означает, что рассматривается только случай, когда ставка процента по внешнему долгу превышает темп роста ВВП в иностранной валюте il > gct. В противном случае государство сможет расплачиваться по старым долгам за счет новых внешних заимствований, и это будет противоречить рациональному поведению кредиторов, которые в итоге не получат назад выданного в кредит.
Если же приведенная стоимость долга приближается к нулю с увеличением временного горизонта, то межвременное относительное условие платежеспособности государства по внешнему долгу принимает вид
V 1 + ‘к J
(6.15)
4-1 = I nxj П
у = / к-t
Оно означает, что государство платежеспособно, если относительная величина накопленного долга равна сумме дисконтированных относительных профицитов торгового баланса. Таким образом, накопив долг, государство должно когда-нибудь найти ресурсы для его выплаты. Только в этом случае доля долга в ВВП стабилизируется. Из (6.15) видно, что экономический рост ослабляет условие (6.7), т. е. способствует увеличению платежеспособности, уменьшая величину необходимых профицитов.
Опыт экономики США последних лет свидетельствует о том, что процентная ставка по государственным обязательствам была немного ниже темпа экономического роста. Можно ли утверждать, что в этот период имела место игра Понци, приводящая к неограниченному росту долга? По мнению некоторых исследователей, такого вывода все-таки сделать нельзя [19]. Причина заключается в выборе ставки процента /*, по которой дисконтируются будущие торговые профициты. В том случае, когда она по величине не слишком отличается от темпа роста, большое значение приобретает учет или игнорирование фактора неприятия риска кредиторами. Если этот фактор не учтен, т. е. использована сравнительно безрисковая ставка процента по государственным обязательствам, то процент по долгу меньше темпа экономического роста, как это и происходит в случае США. Если же принять во внимание, что государственные долговые обязательства — это относительно безрисковый актив и доходность по ним, как правило, ниже, чем средняя ставка отдачи в экономике [23], то использование более высокой ставки процента с учетом риска может привести к ситуации, при которой она станет больше темпа экономического роста и условие NPG будет выполняться. Именно такая ситуация и наблюдалась в США.
На самом деле возможность существования условий для игры Понци зависит от степени доверия кредиторов и их готовности к риску. Так, безупречная кредитная история правительства США позволила существенно нарастить долг, не сталкиваясь с ограничением на заимствования. Поэтому в подобном случае дисконт должен учитывать показатель неприятия риска кредиторами.
Очевидно, выбор адекватного дисконта особенно важен для экономики, в которой темп роста превышает процентную ставку по долгу, так как он способен повлиять на общий вывод относительно платежеспособности государства. Возможно, в настоящий момент США как раз переживает период падения доверия кредиторов, отражением чего служит ситуация на фондовых рынках. В какой-то мере это может быть следствием переоценки в прошлом платежеспособности этой страны. В случае, когда темп роста ниже даже безрисковой ставки процента, выводы о наличии или отсутствии платежеспособности принципиально не изменятся при учете фактора риска.
6.2.1. Связь межвременных условий платежеспособности с условиями для отдельного периода
Условия (6.7) и (6.15) существенно упрощаются, если считать процентную ставку неизменной и рассматривать бесконечный горизонт. Тогда можно получить постоянное значение профицита торгового баланса NX или его долю в ВВП пх, достаточные для платежеспособности.
Определим вначале тот постоянный во времени профицит торгового баланса, который необходим для стабилизации долга. При сделанном выше предположении в уравнении (6.7) дисконт меняется следующим образом:
J (
п
к =1
У-' + І
1.* + /
V 1 + ‘к У
Межвременное бюджетное ограничение стабилизации долга (6.7) принимает вид:
~ ( 1 ?~'+1
"'-'=нмЫ • <6j'>
Тогда, по формуле бесконечно убывающей геометрической прогрессии:
NX = i*D,_i.
Таким образом, при неизменной ставке процента каждый период бесконечного горизонта времени необходимо поддерживать найденное значение профицита торгового баланса NX, чтобы расплатиться по долгам, накопленным к началу периода t. Другими словами, межвременное условие платежеспособности с учетом будущих доходов становится эквивалентным условию стабилизации долга для одного периода (т. е. решение (6.7') и (6.4) совпадают).
Аналогично при предположении о постоянстве темпов роста ВВП в иностранной валюте условие стабилизации доли долга в ВВП (6.15) принимает вид:
'і±?Г'-' + І 1 •*
1 + l
¦nx'Z
j=i
(6.15')
л!-\
Тогда, по формуле бесконечно убывающей геометрической прогрессии, если Г > gf:
(6.16)
(1 + SC)
В этом случае задача становится эквивалентной условию стабилизации долга к ВВП, т. е. в каждый момент времени межвременное условие стабилизации долга к ВВП (6.15') приводит к тому же решению, что и и условие для одного периода (6.11).
Из (6.16) следует, что если процент по иностранным обязательствам превосходит темп роста ВВП, исчисленного в иностранной валюте, то для стабилизации долга необходимо каждый год поддерживать отношение первичного профицита сальдо текущего счета к ВВП на уровне пх, полученном из этого условия.
Отметим еще раз, что все разобранные в данном пункте межвременные условия (т. е. с учетом будущих доходов) основывались на предположении, что темп роста выпуска g меньше процента по внешнему долгу Г. Только оно гарантирует отсутствие возможности у государства-заемщика использовать финансовую пирамиду для выплаты внешнего долга и описывает наиболее часто встречающуюся ситуацию в странах с серьезными долговыми проблемами.
Если же Г < /, то с точки зрения одного текущего периода страна платежеспособна и при первичном отрицательном сальдо текущего счета. Но в случае бесконечного временного горизонта и учета всех будущих доходов и расходов это означает ситуацию, невыгодную кредиторам, так как предполагает, что государство может погашать старые долги за счет выпуска новых.
6.2.2. Влияние валютного курса на условие платежеспособности
Межвременное относительное условие платежеспособности (6.15) задает лишь общее соотношение между будущими значениями сальдо торгового баланса, ставкой процента и темпом роста ВВП, номинированного в иностранной валюте, необходимое для выплаты накопленного на текущий момент долга. Между тем пока остается в тени механизм воздействия экономической политики на способность страны выплачивать свои долги.
С этой целью проанализируем влияние реального валютного курса на межвременное условие платежеспособности по внешнему долгу (6.15). Номинальный иностранный процент может быть представлен в виде:
(1 + Г) = (1+ /*)(1 + л*),
где г* и к* — соответственно, реальная ставка процента и темп инфляции за рубежом.
Номинальный ВВП, исчисленный в иностранной валюте, представляет собой произведение общего уровня цен в стране Р, реального ВВП в национальной валюте Yи номинального валютного курса г (PYe). Соответственно, темп роста номинального ВВП, исчисленного в иностранной валюте, может быть выражен как произведение темпов роста внутреннего уровня цен, реального выпуска в национальной валюте и номинального валютного курса:
1 + gct = (1 + п,) (1 + g,) (1 + упот,).
В свою очередь, темп роста номинального валютного курса зависит от изменений реального курса у и относительной динамики
1 + 71,
внешних и внутренних цен -
1 + 7t,
1 * 1 + 71,
1 + 71,
(1 + у/ими,) = (1 + у,)
Отсюда
l + g,c=(l + S,)(l + Yr)(l + rc,*)-
Выражение в скобках в правой части условия (6.11) будет иметь
вид
C~g> _ 1 + /H1 + g>C)_ (1 + ?)(1 + Я>)
l + g,c i + gf (l + gr)(l + Y,)(l + <)
Тогда условие (6.11) преобразуется в (6.1 Г)
(6. IT)
пх, =
1 * 1 + г,
(l + g/)(l + Y()
Если темпы изменения реального выпуска и реального валютного курса невелики, то из (6.1 Т) следует, что
пх,={п -g,~l,)dt-\- (6-17)
Другими словами, для каждого периода времени t рост реального выпуска и повышение реального валютного курса ослабляют условие платежеспособности и снижают требования к необходимой величине отношения профицита торгового баланса к ВВП. Рост реального валютного курса наряду с темпом роста реального выпуска предстает еще одним способом смягчения проблемы внешнего долга. Поэтому страны с большой внешней задолженностью заинтересованы в улучшении условий торговли, приводящем к удорожанию национальной валюты.
Однако повышение реального обменного курса уменьшает чистый экспорт, что снижает левую часть условия (6.11' и 6.17) и тем самым усугубляет проблему платежеспособности. Конечный результат, а значит, и результат любой политики, направленной на повышение реального валютного курса, зависит от эластичности чистого экспорта по валютному курсу. Если эластичность чистого экспорта по валютному курсу велика, то рост последнего будет снижать левую часть условия сильнее, чем ослаблять правую. Следовательно, в результате такой политики платежеспособность ухудшится. Если же чистый экспорт неэластичен, то платежеспособность улучшится.
Отсюда следует, что при формировании политики, направленной на улучшение платежеспособности, необходимо оценить влияние колебаний валютного курса на сальдо счета текущих операций.
Сформулируем теперь межвременное условие платежеспособности, явно отражающее зависимость от реального валютного курса. Для этого учтем в (6.15) связь между показателями, выраженными в иностранной и национальной валютах:
(1 + ?*)(1 + У*)(1 + <Г
(1 + rl )(1 + 7tl)
(1 + ^)(1 + y*)
4-і = I nxj П
j=t k=t
(6.18)
X nXj П
j—t k = l
Предполагая, как и раньше, в целях упрощения неизменность реального процента по иностранному долгу, темпов роста реального ВВП и реального валютного курса, можно определить то минимальное ежегодное значение профицита торгового баланса в долях от ВВП, которое обеспечивает при бесконечном временном горизонте выплату накопленного к началу периода долга:
4-,
(6.19)
-1
пх =
(l + g)(l + y)
Если темпы изменения реального выпуска и реального валютного курса невелики, то тогда
(6.20)
nx = (r* -g-у) d,_i
6.2.3. Критические (пороговые) значения показателей платежеспособности
Сопоставляя условие (6.18) и условие (5.22), можно сделать вывод о важности соотношений «долг—ВВП» и «внешний долг — экспорт» для решения проблем платежеспособности. Международные кредитные организации ориентируются на некоторые пороговые значения для этих соотношений, чтобы выделить страны, где долговые проблемы приобретают особо серьезный, угрожающий характер.
Так, согласно методологии Мирового банка вызывает большие сомнения платежеспособность стран, у которых доля процентных выплат по долгу в ВВП превышает 80%, а отношение «процентные выплаты — экспорт» больше чем 2,2. Такие страны относятся к группе серьезных должников, и для них уже нельзя говорить о стабилизации долга или относительной величины долга на достигнутом уровне. В этом случае должна ставиться задача снижения соответствующих соотношений до уровня, ниже критического.
В то же время известны и другие пороговые значения. Так, например, по Маастрихтскому соглашению 1992 г. условием вхождения в Европейское сообщество были приняты в качестве количественных ориентиров: уровень долга к ВВП в 60%, соотношение долга к экспорту в 300% и доля дефицита от ВВП в 3%. Это было связано с тем, что ряд стран, вступавших в Европейский Союз, имел очень высокое отношение долга к ВВП (этот показатель в Бельгии, Ирландии и Италии превосходил 100%).
Одним из способов кардинального решения долговой проблемы для стран, неспособных выплатить свои долги, является списание части долга. Международными кредитными организациями была предпринята такая программа списания долга бедным странам с высокой задолженностью (НІРС). Так, для 40 стран, обладающих правом на участие в этой программе, в 1991 г. среднее отношение чистой приведенной стоимости внешнего государственного долга к экспорту составило 600%. По мнению экспертов МВФ, государства, в которых данный показатель находится в пределах 200—250%, все еще способны обслуживать свои долги. Таким образом, ключевым индикатором возможности данной страны осуществлять выплаты по внешнему долгу являются доходы от экспорта. В то же время эксперты Мирового банка и МВФ полагают, что данный критерий не является самодостаточным, поскольку правительство также должно иметь возможность направить часть доходов от экспорта на выплату внешних долгов.
Только когда объем собираемых налогов превышает 20% ВВП, правительство в состоянии осуществлять обслуживание своих долгов. Данный показатель совпадает с долей налоговых поступлений в российском валовом доходе.
6.3. ЭКОНОМЕТРИЧЕСКИЕ ОЦЕНКИ ПЛАТЕЖЕСПОСОБНОСТИ РОССИИ
Анализ платежеспособности России по внешнему долгу, проведенный в работе [11], показывает, что в последнее десятилетие основная проблема состояла не столько в нехватке ресурсов для его выплаты, сколько в трудностях концентрации этих ресурсов в государственном секторе. Имея значительные по сравнению с другими странами с переходной экономикой доходы от экспорта, Россия вплоть до 1999 г. испытывала хронический дефицит государственного бюджета, что приводило к наращиванию ее внешнего долга. Возможности стабилизации доли долга в ВВП также осложнялись отсутствием экономического роста.
Эконометрические оценки зависимости российского торгового баланса от цен на нефть и реального валютного курса с 1995 по 2002 г. (помесячно, с исключением периода кризиса) показали, что, по-видимому, для российского торгового баланса укрепление реального валютного курса пока не являлось значимым фактором для того, чтобы отрицательно воздействовать на его приросты. В то же время на торговый баланс и, следовательно, платежеспособность существенно влиял такой фактор внешнеэкономической конъюнктуры, как цены на нефть. Зависимость экспорта и торгового баланса от внешних факторов приводит в случае благоприятной конъюнктуры к облегчению платежеспособности России, но может оказаться опасной в случае ее ухудшения и продолжения роста импорта, вызванного ростом дохода и высоким валютным курсом.
Положительное сальдо торгового баланса, вызванное ростом цен на нефть в последние годы и эффектом девальвации 1998 п, привело к снижению внешнего долга. Наряду с укреплением бюджетной дисциплины и достижением профицитного бюджета это расширило возможности снижения государственного внешнего долга и, соответственно, улучшения платежеспособности государственного сектора.
Однако при сохранении роста валютного курса наряду со снижением цен на нефть торговый баланс может стать более чувствительным к реальному валютному курсу. Следовательно, текущая политика поддержания высокого реального валютного курса может облегчать бремя текущих выплат, но приводит к нарушению платежеспособности в долгосрочной перспективе. Поэтому такая политика оправдана только в условиях пиковых платежей ближайших двух лет.
Расчеты также показали, что в условиях пиковой долговой нагрузки 2002—2003 гг. и сохранении благоприятной динамики цен на нефть примерно треть торгового баланса должна быть отдана кредиторам. Первичный профицит для этого должен составить около 5,5% ВВП. Этот показатель находится на уровне 2001 г. и выглядит вполне выполнимым.
6.4. ОБЩАЯ МОДЕЛЬ ПЛАТЕЖЕСПОСОБНОСТИ ГОСУДАРСТВА
Запишем теперь общее бюджетное ограничение государства, в котором учтен как внешний, так и внутренний государственный долг. Условие платежеспособности (6.15) формулирует принципиальные возможности государства осуществлять выплаты по внешнему долгу и отражает взгляд со стороны кредитора. Очевидно, что государство способно распоряжаться только своими доходами, поступающими в бюджет, а не всей величиной сальдо торгового баланса. Налоговые доходы государства, в том числе и фактические доходы государства от налогообложения внешнеторговых операций, отражаются в показателе бюджетного профицита S = Т — G.
В то же время источником выплат по внешнему долгу наряду с профицитом бюджета с точки зрения государства является внутренний долг. Поэтому сеньораж, облегчающий бремя внутренних заимствований, тоже включается в бюджетное ограничение государства по общему долгу [24, 25]. С учетом всех перечисленных обстоятельств динамика внешнего долга принимает вид
AM,
Р,

(6.21)
?,/)
Реальная величина внешнего долга в национальной валюте складывается из процентных платежей по внешнему и внутреннему долгу, накопленному к началу периода t, за вычетом внутреннего долга текущего периода, первичного профицита бюджета и сеньоража как источников финансирования.
В долях ВВП это условие будет выглядеть как
D,
S, AM,
ёы
У,
Р,-х
г,Р,У,
h
У,г
¦М)
+ {l + r,)
?,Р,У,
Отсюда
о-;)
, 1 + r, , ,
d,-\ + , _ i */ st G,.
d,=
0 + Y/)(l + */) “ 1 + 8,
Изменение доли общего долга в ВВП
(ч-п)
+ ё—— bf^-Abt-s,-а,,
(6.22)
-1
Ad, =
*t-1
0 + у,)(1 + g,)
1 + g,
где Ab, = b, - b,_i-
Таким образом, доля внешнего долга в ВВП (левая часть (6.22)) увеличивается, если сумма реальных процентных платежей по внешнему и внутреннему долгу, скорректированных с учетом темпов роста реального ВВП g и реального валютного курса у, превосходят суммарную величину внутреннего долга, профицита и сеньоража (в долях от ВВП), которые имеются в распоряжении на момент времени t.
Если предположить, что темпы роста валютного курса и реального ВВП невелики, то динамика доли общего долга в ВВП имеет вид
Щ =(г'< -It-gt)d,~ 1 +(')-gt)bt-1 - ДА,-s,-О,. (6.23)
Отсюда очевидно, что для произвольного периода времени t государство стабилизирует отношение долга к ВВП, если прироста внутреннего долга, профицита и сеньоража будет достаточно, чтобы осуществить процентные выплаты по внешнему и внутреннему долгу с учетом роста экономики и изменения реального валютного курса.
Таким образом, различные модификации бюджетных ограничений позволяют сделать выводы относительно условий, которые накладывает требование платежеспособности на динамику основных экономических факторов [25, 10].
В целом, обсуждение различных условий платежеспособности государства позволяет заключить, что основными источниками улучшения платежеспособности государства являются устойчивый профицит государственного бюджета, сопровождающийся положительным сальдо торгового баланса страны, и меры, способствующие экономическому подъему, ведущие к повышению темпов экономического роста. Укрепление национальной валюты, с одной стороны, облегчает платежи по внешнему долгу, но, с другой стороны, может привести к снижению экспорта, что ухудшит перспективы платежеспособности. Очевидно, что сеньораж может служить лишь ограниченным источником покрытия бюджетного дефицита и стабилизации государственного долга из-за связанных с ним издержек высокой инфляции.
Таким образом, экономическая программа правительства, направленная на укрепление платежеспособности, должна включать мероприятия по достижению бездефицитного бюджета, активного сальдо торгового баланса или темпа экономического роста, превышающего среднюю реальную процентную ставку по долгу.

6 ..
1. Развивающиеся страны рассчитывают иметь положительное сальдо текущего счета в размере 10 млрд дол. в течение следующих двух периодов.
а) Какой максимальный внешний долг они могут позволить себе, если хотят оставаться платежеспособными при номинальной ставке, равной 9%?
б) Как изменится ответ, если ставка поднимется до 12%?
2. Экспорт развивающейся страны — 80 млрд дол., ее импорт — 75 млрд дол., ВВП = 500 млрд дол. Какое влияние на ее счет текущих операций окажет ухудшение условий торговли?
Пусть номинальная ставка процента по внешнему долгу равна 12%, а темп роста номинального выпуска составляет 8% (в дол. США). Какое снижение ставки процента необходимо для стабилизации соотношения «долг—ВВП» на уровне 50%?
3. Пусть в стране Z доля внешнего долга к ВВП (оба показателя измерены в иностранной валюте) составляет 80%. Правительство планирует в ближайшие 3 года иметь следующую динамику доли торговых профицитов в ВВП (оба показателя измерены в иностранной валюте): 3, 4 и 5%. Номинальный процент по внешнему долгу составляет 8%. Прогноз экономического развития предполагает, что темп инфляции за рубежом будет неизменно составлять 3% в год; динамика темпов роста реального ВВП будет соответственно 4, 2 и 1% в год; темпы роста реального валютного курса составят: —5, —2, 3% в год.
Будет ли при этих параметрах доля внешнего долга в ВВП к концу третьего года снижена до 60%?
Какую постоянную долю торговых профицитов в ВВП нужно поддерживать ежегодно, чтобы это снижение произошло?
4. В условиях задачи 3 определите, выгодно ли правительству для улучшения платежеспособности проводить политику, направленную на повышение реального валютного курса, если эконометрическая оценка показала следующий вид зависимости чистого экспорта (NX) от реального валютного курса (ег):
Іп(У?Л) = 2,4 - 0,81п(ег).
5. В условиях задачи 3 определите, какую постоянную долю торговых профицитов в ВВП необходимо поддерживать для достижения в конце концов платежеспособности страны по внешнему долгу, если реальный валютный курс не будет меняться, номинальный процент по долгу и темп инфляции за рубежом останутся на том же уровне, а темпы роста реального выпуска (в национальной валюте) составят в среднем 3% в год.
6. Известно, что на 2003 г. приходился пик выплат по внешнему долгу России. Следовало ли российскому правительству для повышения платежеспособности проводить политику, направленную на повышение реального валютного курса, если эконометрические оценки позволили выявить следующий вид зависимости чистого экспорта России от реального валютного курса:
NX = 2е;18 ?
Приведите модельное обоснование своего ответа. Изменится ли ответ, если зависимость будет иметь вид ln(A^Y) = —0,61п(е,.)?
7. Приведите формальный вывод, иллюстрирующий влияние роста цен при фиксированном валютном курсе на платежеспособность государства по внешнему долгу. Как повлияет инфляция на платежеспособность страны, в которой эластичность чистого экспорта по реальному валютному курсу по модулю больше единицы.
8. На основе условий платежеспособности по внешнему и общему долгу выведите теоретическую зависимость, связывающую между собой различные источники финансирования общего долга государства. Дайте содержательную интерпретацию.
9. Проанализируйте влияние денежной эмиссии на платежеспособность государства по общему долгу в условиях фиксированного валютного курса.
10. Выберите одну из стран с высоким уровнем внешнего долга, представленную в базе данных World Bank Statistics on External Debt (www 1 .oecd.org/dac/debt/htm/debto.htm).
а) Сформируйте необходимую информацию для оценки платежеспособности по внешнему долгу за пять последовательных лет.
б) Оцените платежеспособность страны с помощью жестких и относительных условий платежеспособности. Проанализируйте динамику платежеспособности в выбранной стране. Объясните причины ее изменения.
в) Перечислите меры, которые могут привести к улучшению платежеспособности данной страны.
ЛИТЕРАТУРА К РАЗДЕЛУ II
1. Бурда М., Виплош Ч. Макроэкономика. Европейский текст. 2-е изд. СПб: Судостроение, 1998.
2. Балацкий Е., Свистунов В. Прогнозирование внешнего долга: модели и оценки//Мировая экономика и международные отношения. 2001. № 2.
3. Вавилов А. Государственный долг: уроки кризиса и принципы управления. М., 2001.
4. Головачев Д.Л. Государственный долг. Теория, российская и мировая практика. М.: ЧеРо, 1998.
5. Гурвич Е.Т., Дворкович А.В. Процентные ставки и цена внутренних заимствований в среднесрочной перспективе. Научный доклад EERC № 99/08.
6. Дементьев Н.П. К уточнению бюджетного дефицита в условиях инфляции долга//Экономика и математические методы.
1997. Т. 33. Вып. 3.
7. Дорнбуш Р., Фишер С. Макроэкономика. М.: Изд-во МГУ, ИНФРА-М, 1997.
8. Замков О.О. Бюджетный дефицит, государственный» долг и экономический рост//Вестник Московского университета. Сер. 6. Экономика. 1997. № 2.
9. Инструменты макроэкономической политики для России. Экономическая экспертная группа. М., 2001.
10. Когутовская Н. Государственный долг//Макроэкономическая теория и анализ конкретных ситуаций/Под ред. Н.Л. Шагас и Е.А. Тумановой. М.: Экономический факультет МГУ-ТЕИС, 2000.
11. Когутовская Н. Сравнительный анализ факторов, влияющих на платежеспособность России//Сборник тезисов международной конференции студентов и аспирантов: Ломоносов-2001. М.: МАКС Пресс, 2001.
12. Когутовская Н. Государственный долг и платежеспособность// Макроэкономическая теория и проблемы современной России/ Под ред. Н.Л. Шагас и Е.А. Тумановой. М.: ТЕИС, 2001.
13. Мэнкью Н.Г. Макроэкономика. М.: Изд-во МГУ, 1994.
14. Смирнов А.Д. Лекции по макроэкономическому моделированию. М.: ГУ-ВШЭ, 2000.
15. Финансовый кризис и государственный долг. Институт финансовых исследований. М., 1999.
16. Фискальная политика и управление государственным долгом. Институт финансовых исследований. М., 2000.
17. Шагас Н.Л., Туманова Е.А. Макроэкономика-2. Краткосрочный аспект. М.: ТЕИС, 1998.
18. Приходько С. С. Проблемы измерения дефицита государственного бюджета//Макроэкономическая теория и анализ конкретных ситуаций/Под ред. Н.Л. Шагас и Е.А. Тумановой. М.: Экономический факультет МГУ—ТЕИС, 2000л
19. Ball L., Elmendorf D., Mankiw N.G. The Deficit Gamble//NBER Working Paper № 5015, 1995.
20. Barro R. On the Determination of the Public Debt//Journal of the Political Economy. 1979. ?Ы. 87. № 5.
21. Bernheim D. Ricardian Equivalence: An Evaluation of Theory and Evidence//NBER Macroeconomic Annual, 1987.
22. Blanchard O., Fisher S. Lectures on Macroeconomics. Cambridge: MIT Press, 1989.
23. Bohn H. The Sustainability of Budget Deficits in a Stochastic Economy//Journal of Money, Credit and Banking. 1995. Vol. 27. Issue 1. Feb.
24. Buiter W.H. A Guide to Public Sector Debt and Deficits// Economic Policy, Great Britain. 1985. Nov.
25. Buiter W.H. Principles of Budgetary and Financial Policy//Some Thoughts on the Role of Fiscal Policy and Structural Adjustment in Developing Countries. MIT Press, 1990.
26. Buiter W.H. Aspects of Fiscal Performance in Some Transition Economies Under Fund-Supported Programs. Center for Economic Performance//Discussion paper. 1997. № 333. March.
27. Buiter W.H. The Fallacy of the Fiscal Theory of the Price Level. Bank of England//Quarterly Bulletin, L., Autumn 2001.
28. Cardoso E. Virtual Deficits and the Patinkin Effect//International Monetary Fund: WP/98/41.
29. Cochrane J. Long Term Debt and Optimal Policy in the Fiscal Theory of the Price level//NBER Working Paper. № 6771, 1998.
30. Cohen D. Private Lending To Sovereign States. A Theoretical Autopsy. MIT Press, 1991.
31. Cohen D. A Valuation Formula for LDC Debt//PRE Working Paper, 1991.
32. Cole H.L. Kehoe T.J. Self-Fulfiling Debt Crisis//Review of Economic Studies. 2000. № 67.
33. Corsetti G., Roubini N. Fiscal Deficits. Public Debt and Government Solvency: Evidence from OECD Countries//NBER Working Paper. 1991. No 3658. March.
34. Corsetti G., Roubini N. European versus American Perspectives on Balanced Budget Rules//American Economic Review. 1996. Vol. 86. Issue 2.
35. Cuddington J.T. Analysing the Sustainability of Fiscal Deficits in Developing Countries. Economics Department Georgetown University. Washington, 1996, 1997 Revision.
36. Dornbush R. Exchange Rate Economics//The Economic Journal. 1987. March.
37. Eisner R. How real is the federal deficit? N.Y., 1984.
38. ElmendorfD. W., Mankiw N.G. Government Debt//NBER Working Paper. № 6470, 1998.
39. Lane Ph., Perotti R. The Trade Balance and Fiscal Policy in the OECD//European Economic Review. 1998. № 42.
40. Levine P., Krichel T. Growth, Debt and Public Infrastructure. 1994. Dec.
41. Reinhart V., Sack B., Heaton J. The Economic Consequences of Disappearing Government Debt//Brookings Papers on Economic Activity. Washington, 2000.
42. Romer D. Advanced Macroeconomics. McGraw-Hill, 1996.
43. Turnovsky S. Methods of macroeconomic dynamics. The MIT Press, 1995.
44. Интернет-ресурсы: www.info.debt.ru,,
Раздел HI
ИНФЛЯЦИЯ
Для большинства переходных экономик и экономик развивающихся стран одной из основных экономических проблем является инфляция. Причины инфляции можно условно разделить на те, которые возникают в связи с проводимой в стране кредитноденежной политикой (монетарные), и те, которые связаны с функционированием реального сектора экономики (немонетарные). Об изменении уровня цен, возникающем вследствие изменения совокупного спроса и совокупного предложения, рассказывается в главе 14. В этом разделе будут в основном рассматриваться последствия денежной политики, так как одной из основных причин инфляции обычно считается применяемая для покрытия дефицита государственного бюджета денежная эмиссия.
В главе 7 кратко охарактеризованы существующие взгляды на природу российской инфляции и приведены эконометрические оценки влияния на ее динамику обычно выделяемых факторов. Проанализированы возможности извлечения реального дохода от эмиссии и определены их границы. Выявлены факторы, от которых зависит «оптимальный» с точки зрения извлечения реального сеньоража темп инфляции. Приведены оценки возможностей инфляционного финансирования бюджетного дефицита в России.
В главе 8 описываются последствия ограничения темпов роста денежной массы, обычно применяемого для борьбы с высокой инфляцией. Показано, что успех этой меры во многом зависит от характера поведения экономических агентов.
Поскольку денежная эмиссия, как правило, применяется для покрытия бюджетного дефицита, снижение дефицита государственного бюджета традиционно считается одной из наиболее эффективных мер борьбы с инфляцией. Однако в экономической истории ряда стран, в том числе и России, можно выделить периоды, когда снижение бюджетного дефицита не сопровождалось существенным снижением цен. Для оценки эффективности кредитноденежной политики рассматривается модель Бруно—Фишера, объясняющая, почему в ряде случаев стандартные антиинфляционные меры не приводят к желаемым результатам. Выводы, полученные из модели Бруно—Фишера, используются для анализа эффективности российской денежной политики.
Существует мнение, что бюджетный дефицит не приводит к инфляции, если его покрытие осуществляется за счет внутреннего долга. Последствия долгового финансирования с точки зрения влияния на текущий и будущие темпы инфляции рассматриваются с помощью модели Саржента—Уоллеса.
ГЛАВА 7
ИНФЛЯЦИЯ И КРЕДИТНОДЕНЕЖНАЯ ПОЛИТИКА
Природа инфляции: монетарные и немонетарные концепции. Анализ факторов российской инфляции.
Возможности инфляционного финансирования дефицита государственного бюджета. Сеньораж. Инфляционный налог. Определение «оптимального» с точки зрения сеньоража темпа инфляции. Модель Фридмана.
Спрос на деньги и «оптимальный» темп инфляции в российской экономике.
7.1. ТЕОРЕТИЧЕСКИЕ ПОДХОДЫ К МОДЕЛИРОВАНИЮ ИНФЛЯЦИОННЫХ ПРОЦЕССОВ
На протяжении последних лет инфляция остается одной из основных российских экономических проблем, а сдерживание инфляционных процессов — одной из целей экономической политики правительства. Вследствие этого анализ причин инфляции представляется актуальным направлением экономической теории.
Существующие взгляды на природу инфляции можно условно разделить на два основных направления: согласно первому инфляция имеет монетарную (денежную) природу; другая точка зрения состоит в том, что она имеет немонетарные или не только монетарные источники.
Согласно монетаристской точке зрения инфляция — чисто денежное явление, а динамика цен зависит только от изменения денежной массы, т. е. устанавливается жесткое однозначное соответствие динамики цен и темпа роста денежной массы. В основе этих представлений лежит количественная теория денег.
Критики такого подхода утверждают, что на уровень цен оказывает влияние не только темп роста денежной массы, но и ряд других факторов, среди которых инфляционные ожидания и изменения уровней выпуска и безработицы. Теоретической основой этих взглядов служат закон Окуня, кривая Филлипса и модель IS-LM.
В последнее десятилетие в экономической литературе ведется широкая дискуссия о причинах российской инфляции и способах ее преодоления ([11—[9]).
Монетаристская точка зрения лежала в основе антиинфляционной политики в России с 1992 г., заключавшейся в попытке регулирования денежной массы и недопущения ее чрезмерного роста. В частности, одна из мер антиинфляционной политики состояла в финансировании бюджетного дефицита за счет выпуска государственных обязательств. Из монетарной концепции вытекает утверждение, что причиной высоких темпов инфляции в России является дефицит государственного бюджета, для финансирования которого используется рост денежной массы. Следовательно, для преодоления инфляции необходимо сокращать дефицит бюджета. Предлагались традиционные способы сокращения дефицита [31:
1) снижение до минимума государственных расходов, в особенности дотационных расходов, а также расходов на социальные программы, науку, культуру и т. п.;
2) усиление налогового бремени, поскольку в условиях спада производства происходит падение доходов бюджета. Увеличение налогов на прибыль предприятий и оплату труда позволяет ограничить платежеспособный спрос и, следовательно, рост потребительских цен.
Альтернативные (немонетарные) подходы к исследованию российской инфляции, утверждающие, что основные ее причины не связаны с темпом роста денежной массы, примыкают к нео-кейнсианскому направлению.
Среди немонетарных причин российской инфляции выделяются: инфляция издержек, либерализация внешней торговли, структурные особенности экономики, изменение отраслевой структуры спроса, неплатежи, неинфляционное финансирование бюджетного дефицита, инфляционные ожидания. Краткое изложение соответствующих взглядов приводится в [6].
Российские инфляционные процессы в различные периоды времени определялись, по-видимому, разными причинами. Поэтому для анализа детерминант российской инфляции обычно выделяются однородные периоды, внутри которых и выявляются основные факторы.
В развитии инфляционного процесса в России с 1992 г. можно условно выделить четыре периода. Первый — период высоких и сильно изменяющихся темпов инфляции (1992—1995 гг.); второй — период относительно низких и стабильных темпов инфляции (1995 г. — август 1998 г.); третий — кризисный период (август—декабрь 1998 г.), характеризующийся резкими скачками уровня цен; четвертый — период послекризисного развития (с 1999 г. по настоящее время) — снова относительно низкие и стабильные темпы инфляции.
Эконометрические расчеты с применением методов коинтег-рационного анализа позволили выделить основные факторы, определявшие развитие инфляционных процессов в каждом из перечисленных периодов [7].
Период высокой инфляции характеризовался инфляцией издержек, вызванной ростом цен на энергоносители и падением курса рубля. В этом и последующих периодах наблюдался высокий уровень инфляционной инерции, связанный с инфляционными ожиданиями. Снижение темпов инфляции во втором периоде произошло в результате введения валютного коридора (т. е. фактической фиксации курса рубля) и задержек в выплате заработной платы. Положительной связи темпов инфляции с темпами роста денежной массы обнаружено не было, что свидетельствует скорее в пользу немонетарных концепций российской инфляции.
Иллюстрацией немонетарных концепций природы инфляции является анализ процесса корректировки цен в ответ на изменение бюджетно-налоговой и внешнеторговой политики, проведенный в разделе I. Поэтому в настоящем разделе эти концепции отдельно рассматриваться не будут.
Российское правительство для борьбы с инфляцией в основном старалось использовать обычные монетаристские меры — ограничение темпов роста денежной массы и снижение бюджетного дефицита. Влияние этих мер неоднозначно, что демонстрирует ряд моделей, построенных в рамках монетаристских предпосылок. Далее будут рассмотрены современные взгляды на причины инфляционных процессов и последствия для их протекания различных способов финансирования бюджетного дефицита.
7.2. ВОЗМОЖНОСТИ ИНФЛЯЦИОННОГО ФИНАНСИРОВАНИЯ ДЕФИЦИТА ГОСУДАРСТВЕННОГО БЮДЖЕТА
Дефицит государственного бюджета, или превышение государственных расходов над доходами, достаточно часто встречается в современной экономике. Для того чтобы добиться сбалансированности бюджета, правительству необходимо либо сократить государственные расходы, либо увеличить доходы. Зачастую сократить расходы бюджета в силу причин социально-политического характера не удается и приходится искать пути увеличения доходов. Однако в условиях хронического бюджетного дефицита обычные источники пополнения доходов часто оказываются недостижимы. В качестве этих источников, как отмечалось в предыдущем разделе, выступают налоги, внутренний долг и приватизация.
Государственные расходы могут финансироваться из налоговых поступлений. Однако этот источник пополнения бюджета носит ограниченный характер. Причина состоит в следующем. Поступления от налога равны t • ТВ, где t— средняя ставка налога, ТВ — налоговая база. Можно увеличить налоговые поступления, подняв, например, ставки налогов. Однако налоговые поступления не будут расти бесконечно с увеличением налоговых ставок. Происходит это потому, что величина налоговой базы зависит от налоговой ставки: ТВ =/(0> /,'< 0. Если государство увеличивает ставки налогов, то налоговая база сокращается. Действительно, увеличение, например, ставок налога на прибыль приведет к снижению деловой активности, банкротству некоторых фирм, переходу других фирм в теневой сектор, иными словами, к уменьшению объема налогооблагаемой прибыли в экономике. Увеличение налоговой ставки выше определенного значения (f) будет приводить к настолько значительному сокращению налоговой базы, что поступления от налогов начнут снижаться.
Итак, до тех пор, пока налоговая ставка не достигла уровня г*, рост налоговой ставки вызывает увеличение поступлений от налогов в казну государства, однако дальнейший рост налоговой ставки выше f уже не сможет компенсировать уменьшение налогооблагаемой базы, что приведет к снижению налоговых доходов государства. Такой вид зависимости налоговых поступлений от ставки налога носит названия кривой Лаффера по имени американского экономиста А. Лаффера, впервые предложившего эту модель в 1982 г. (рис. 7.1).
Налоговые
доходы
 |
(*
Рис. 7. І.Кр икая Лаффера |
Таким образом, увеличение налогов не всегда помогает в борьбе с бюджетным дефицитом.
Для того чтобы покрыть дефицит бюджета, государство может взять в долг у населения или на мировом рынке. Использование этого способа также ограничено, поскольку, как было показано в разделе И, повышение доли долга в ВВП может привести к потере платежеспособности государства и дефолту.
Государство может продать часть своих активов. Естественно, что и возможности финансирования государственных расходов с помощью доходов от приватизации не безграничны, к тому же приватизация означает уменьшение активов государства. В соответствии с идеей «бюджетирования капитала» при подсчете бюджетного дефицита такой способ вообще не меняет сальдо государственного бюджета.
Таким образом, если все перечисленные способы финансирования дефицита государственного бюджета исчерпаны, государство может просто напечатать деньги.
Насколько широки возможности покрытия бюджетного дефицита с помощью доходов, получаемых государством от денежной эмиссии? Ясно, что для такого покрытия необходим реальный доход. Доход, получаемый государством от денежной эмиссии, носит название сеньоража. Реальный сеньораж представляет собой объем эмиссии (т. е. изменение номинальной денежной массы (іdM/dt)), скорректированный с учетом уровня цен (Р).
|
Реальный сеньораж |  |
dt
dt Р Р |
(7.1)
После преобразования этого выражения получаем
(7.2)
М • М 1 ММ
RS — — = М--------- тг,
Р М Р М Р
М ..
где т = — — темп роста денежной массы;
М
z = М/р — реальные запасы денежных средств.
Проводя эмиссию, государство увеличивает предложение денег, что ведет к инфляции. Рост цен снижает покупательную способность денег. В результате обесценения денег потребители несут потери, называемые инфляционным налогом.
Реальный инфляционный налог — это изменение реальной денежной массы, вызванное исключительно изменением уровня цен:
 |
М=const' |
Реальный инфляционный налог IT = -
(7.3)
Преобразовав это выражение, получим
(7.4)
d(M/p) I М dP М Р
dt ІА'=С0ПЯ- Р2 'dt ~ Р' Р
где к — темп инфляции. Реальные денежные запасы (z) представляют собой налоговую базу инфляционного налога, а темп инфляции (к) аналогичен налоговой ставке.
Заметим, что, согласно количественной теории денег, в состоянии долгосрочного равновесия при отсутствии экономического роста темп инфляции равен темпу роста денежной массы к = т, а это значит, что величина инфляционного налога равна величине сеньоража RS = IT — пт.
Логично предположить, что идеи, в соответствии с которыми была предложена кривая Лаффера, верны и для реальных доходов государства от эмиссии. Величина сеньоража, как и налоговые доходы, не увеличивается бесконечно с ростом объемов денежной эмиссии. Существует такой темп инфляции (л*), при котором доходы бюджета от эмиссии достигают максимума. Увеличение инфляции выше этого «оптимального» темпа приводит к значительному снижению налоговой базы и уменьшению сеньоража. Естественно, что с точки зрения государственных финансов темп инфляции (п*), который позволяет достигнуть максимума реальных доходов от эмиссии, является оптимальным (рис. 7.2).
к*
Модель, позволяющая найти оптимальный с точки зрения максимума величины реального сеньоража темп инфляции, была предложена в 1971 г. М. Фридманом [20].
7.2.1. Модель Фридмана Предпосылки модели
1. Функция спроса индивида на деньги имеет вид
RS
 |
|
Рис. 7.2. Кривая Лаффера для реальных доходов от эмиссии |

(7.5)
где у — реальный доход индивида;
кс — ожидаемый темп инфляции, fy >0, /^, <0.
Заметим, что в модели взята не традиционная функция спроса на деньги /(у, /'), где у — реальный доход, і — номинальная процентная ставка, а ее частный случай, предполагающий постоянство реальной процентной ставки (г = const). Если реальная процентная ставка постоянна, то из уравнения Фишера і = г + ке следует, что динамика номинальной ставки процента (/) полностью определяется динамикой ожидаемого темпа инфляции (ке) и /(у, /) с точностью до константы совпадает с /(у, пе). Следует заметить, что предположение о постоянстве реальной процентной ставки несет в себе неявную предпосылку о том, что инфляция не влияет на процесс распределения ресурсов.
2. Темп инфляции не влияет на темп роста экономики. Иными словами, в модели Фридмана доходы от инфляционного финансирования не рассматриваются в качестве возможного источника экономического роста, как это делается в некоторых работах кейнсианцев (см., например: [21]).
3. Наконец, модель предполагает ситуацию совершенного предвидения. Это означает, что экономические агенты всегда угадывают (или знают наперед) будущий темп инфляции. В этом случае реальный темп инфляции (л) совпадаете ожидаемым (ле):
Если функция спроса на реальные запасы денежных средств
(7.5) описывает спрос типичного экономического агента, то агрегированную функцию спроса на деньги можно записать как
где N — численность населения.
Предполагается, что денежный рынок находится в равновесии.
где Ms — предложение денег;
М — денежная масса.
Следовательно,
Прологарифмируем это тождество
Возьмем производную по времени
(7.10)
— + —+---—у +---—-я = —
N Р / dy / dn М
Третье и четвертое слагаемые в левой части (7.10) можно представить следующим образом:
df у_ у__ df к к
dy / у 11/у8’ dn / л
где Рул = (df/dn){n/f) — эластичность спроса на реальные денежные запасы по темпу инфляции;
gn=— — темп изменения темпов инфляции;
К
Л> = (df/dy)(y/f) — эластичность спроса на реальные денежные запасы по доходу;
g = — — темп роста реального ВВП.
У
Отсюда
(7.11)
N
где п = — — темп роста населения.
N
Предположим, что темп инфляции постоянен и не меняется с течением времени (т. е. = 0), тогда мы получим
т = п + л + лfyg. (7.12)
Реальный доход государства от сеньоража RS определяется из (7.2).
Теперь мы можем найти темп инфляции, при котором реальные доходы государства от сеньоража достигают максимума:
RS = mz —» max; (7.13)
RS = mz = Nf(y, п)(п + к + г\^У (7.14)
Продифференцируем (7.14) по л и результат приравняем к нулю
dRS
dn
Nf(y, п) \ + +N[n + n + r]/yg)--^7^ =0. (7.15)
Если экономический рост отсутствует, т. е. g = п = 0, то после преобразований (7.15) получаем
(7.16)
df я dn /
Итак, при отсутствии экономического роста максимальная величина сеньоража будет достигнута при темпе инфляции, при котором эластичность спроса на деньги по темпу инфляции равна (—1). Это достаточно предсказуемый результат, если вспомнить известное положение микроэкономической теории о том, что выручка монополиста максимальна при цене, при которой ценовая эластичность спроса равна (—1).
В случае роста экономики (g и/или п положительны) у правительства появляется возможность выпуска дополнительного количества денег для обеспечения потребностей растущей экономики. Покажем, что темп инфляции, при котором сеньораж достигнет максимума, в этом случае будет ниже.
После преобразований (7.15) получаем
dT\fy 8~г^ +
ап
= - 1
> dn f
(п
(7.17)
+ 71 +
Ц/yg
Если эластичность реального спроса на деньги по доходу не зависит от темпа инфляции {dr\fy/dn = 0), то доходы государства от сеньоража достигают максимума, когда выполняется условие:
(n + n + T\fyg)4Lj = -\, (7.18)
где п > 0, g > 0 (по предположению) и r\j-y > 0, /я' <0 (по условию (7.5)).
При положительном темпе экономического роста условие (7.18) выполняется при более низком темпе инфляции, чем в случае отсутствия роста. Сравните уравнения (7.16) и (7.18).
Очевидно, что темп инфляции, при котором выполняется равенство (7.18), должен быть ниже того темпа инфляции п*, при котором верно уравнение (7.16). (Так как если п > п*, то г|д < — 1.) Такой же результат получается и если с ростом темпа инфляции эластичность спроса на деньги по доходу снижается (dx\fy/dn < 0).
Таким образом, возможности извлечения реального сеньоража при прочих равных выше, если экономический рост отсутствует. При появлении экономического роста, если функция спроса на деньги остается неизменной, эти возможности снижаются. Целесообразность сеньоража зависит от соотношения фактического и оптимального темпов инфляции. Если фактический темп инфляции ниже оптимального, то увеличение денежной массы приведет к росту сеньоража; если выше, то подобная политика не имеет смысла, так как ее следствием будет увеличение инфляции и снижение реального сеньоража.
7.3. СПРОС НА ДЕНЬГИ И «ОПТИМАЛЬНЫЙ» ТЕМП ИНФЛЯЦИИ В РОССИЙСКОЙ ЭКОНОМИКЕ
Модель Фридмана использовалась для анализа возможностей сеньоража в России в периоды, когда экономические процессы носили достаточно однородный характер [10, 11]. Эти периоды:
1. Середина 1995—1997 гг. (постепенное снижение темпов инфляции, стагнация, отсутствие экономического роста).
2. 1999—2000 гг. (положительные темпы роста выпуска).
Для оценки функции спроса на деньги была выбрана функция
вида
г=/(Г, к) = У?и', (7.19)
где z = М/Р — реальная денежная масса;
Y — ВВП в реальном выражении, с > 0, у > 0, а > 0.
Полученное уравнение регрессии для периода 1995—1997 гг. можно записать следующим образом:
Z, = с1К(3’57с_0,09я'; с, = const.
Из этого уравнения можно сделать вывод, что на рассматриваемом временном интервале полуэластичность спроса на деньги по ожидаемому темпу инфляции (параметр а) равнялась 0,09, а эластичность спроса на деньги по доходу составляла 3,57.
На временном промежутке 1999—2003 гг. полученное уравнение регрессии:
На этом временном интервале полуэластичность спроса на деньги по ожидаемому темпу инфляции равнялась 0,015, а эластичность спроса на деньги по доходу оказалась незначительной.
Согласно модели Фридмана получить оценку тс* можно из уравнения
тс*=1/а-Г|jyg, (7.20)
где а — полуэластичность спроса на деньги по темпу инфляции; г|уу — эластичность спроса на деньги по доходу; g — темп роста ВВП.
Для периода 1995—1997 гг. значение оптимального темпа инфляции находилось приблизительно на уровне 8—20% в месяц. Наблюдаемые в этот период темпы инфляции были несколько ниже полученного значения, что позволяет утверждать, что эмиссионные возможности финансирования дефицита бюджета на тот момент времени исчерпаны не были.
Для периода 1999—2003 гг. полученная оценка темпа инфляции, максимизирующего значение реального сеньоража, оказалась на уровне 0,5—2,6% в месяц. Такое снижение возможностей извлечения сеньоража объясняется повышением коэффициента а, который, как мы увидим, является важной характеристикой поведения экономических агентов. Полученные оценки темпов инфляции близки к фактическим. Это означает, что возможности извлечения реального сеньоража в этом периоде невелики.

1. Приведите аргументы сторонников монетаристских взглядов на природу российской инфляции.
2. Приведите аргументы противников монетаристских взглядов на природу российской инфляции.
3. Кратко охарактеризуйте однородные инфляционные периоды в России начиная с 1992 г.
4. Пусть в стране А спрос на реальные запасы денежных средств

описывается функцией Кагана — =е~6л. При условии отсут
ствия экономического роста определите темп инфляции, «оптимальный» с точки зрения извлечения сеньоража, а также максимально возможную величину реального сеньоража в этой стране.
5. Пусть в стране /’спрос на реальные запасы денежных средств описывается следующей функцией:

d 100 1 + л + 4л2 ’
где л — темп инфляции.
При условии отсутствия экономического роста найдите темп инфляции, при котором государство получит наибольший реальный доход от эмиссии.
6. Пусть в стране А функция спроса на деньги, зависящая от
d
I =у/зе-юл Исчерпаны
Л/
/>
дохода и темпа инфляции, имеет вид:
ли в этой стране возможности сеньоража, если темп роста выпуска составляет 3% в год, а фактический темп инфляции равен 8% в год? Обоснуйте свой ответ с помощью модели Фридмана.
7. Пусть в стране В функция спроса на деньги, зависящая от
d
I = у°’5е~ш. Исчерпаны
М_
Р
дохода и темпа инфляции, имеет вид:
ли в стране В возможности сеньоража, если темп роста выпуска составляет 2% в год, а фактический темп инфляции равен 9% в год? Обоснуйте свой ответ с помощью модели Фридмана.
Глава 8
ПОВЕДЕНИЕ ЭКОНОМИЧЕСКИХ АГЕНТОВ И БОРЬБА
С ИНФЛЯЦИЕЙ
Денежная политика в условиях высокой инфляции. Модель гиперинфляции Кагана с учетом адаптивных ожиданий: предпосылки, анализ процесса достижения равновесия.
Политика снижения денежного финансирования дефицита государственного бюджета и инфляция. Модель Бруно-Фишера. Последствия кредитно-денежной политики в модели Бруно-Фишера. Эмиссионное финансирование дефицита государственного бюджета. Оценка влияния снижения бюджетного дефицита на темпы инфляции в зависимости от характера поведения экономических агентов. Смешанное финансирование бюджетного дефицита и его последствия для инфляционных процессов в случае адаптивных инфляционных ожиданий. Зависимость равновесия денежного рынка от целей политики Центрального банка.
Применение моделей инфляции для анализа последствий макроэкономической политики в России. Оценка характера поведения российских экономических агентов.
Последствия долгового и смешанного финансирования бюджетного дефицита в случае рациональных ожиданий. Модель Саржента-Уоллеса.
В качестве обычной меры борьбы с инфляцией рассматривается ограничение темпов роста денежной массы. Однако иногда бывают ситуации, когда эта мера не приводит к желаемым результатам и высокая инфляция продолжается, несмотря на стабилизацию темпов роста денежной массы. Возможные причины низкой эффективности подобной ортодоксальной меры борьбы с инфляцией можно объяснить с помощью модели Кагана [191-
8.1. МОДЕЛЬ КАГАНА
Модель была создана для описания процессов гиперинфляции. В качестве единственного фактора спроса на деньги модель рассматривает инфляционные ожидания. Это предположение соответствует ситуации отсутствия экономического роста, т. е. модель Кагана описывает экономику с постоянным выпуском.
Предпосылки модели
1. Функция спроса на деньги имеет вид

(8.1)
|
где |  |
спрос на реальные денежные запасы;
л' — ожидаемый темп инфляции;
а — параметр, характеризующий эластичность спроса на деньги по темпу инфляции, а > 0. Заметим, что эластичность спроса на деньги по темпу инфляции равна ал*.
2. Предполагается, что темп прироста денежной массы постоянен
—- = т =? = const. (8.2)
М
3. Правило пересмотра ожиданий в модели Кагана задается уравнением
^-7- = л* =р(л-ле), Р>0, (8.3)
т. е. предполагается, что ожидания адаптивны. Если реальный темп инфляции (л) оказывается выше того темпа, который ожидали экономические агенты (л*), то они корректируют свои ожидания
на будущее в сторону увеличения инфляции ке >0, и наоборот,
если л — л*< 0, т. е. л< л*, то пе <0. Параметр Р, таким образом, является показателем скорости пересмотра ожиданий или нервозности экономических агентов.
Условие равновесия на денежном рынке:
( ,, \п
М
rM^s
М_
Р
(8.4)
-е
кР /
Прологарифмируем это тождество
-осле = In М - \пР.
Взяв производную по времени, мы получим уравнение в темпах роста .
-апе = ? — л. -осле = -<ф(л-лс).
(8.5)
(8.6)
Из (8.3) следует, что
Отсюда
(8.7)
(?-сфле)
(1 —otp)
Возьмем производную по времени и, используя (8.5), получим
Р(?-Д)
1 - оф
-оф 1 -а(3
• лг
(8.8)
Решение этого линейного дифференциального уравнения имеет вид:
-Р і
л(/) = ? + (л(0)-?)в,-“Р. (8.9)
Поскольку анализируется высокоинфляционная экономика, можно считать, что л(0) > ?. Из (8.9) видно, что если оф < 1, то л(0 -> ? при t ^ оо. Это означает, что в ситуации, когда коэффициенты, характеризующие эластичность спроса на деньги по темпу инфляции (а) и скорость пересмотра инфляционных ожиданий (Р), не слишком высоки, результат модели Кагана согласуется с выводом количественной теории денег, т. е. в состоянии равновесия л= т = ?.
Если сф > I, то л(0 —> оо при t —> оо. Иными словами, если а или р велико, т. е. агенты сильно меняют спрос на деньги при пересмотре ожиданий или резко меняют свои ожидания, экономика может не прийти в равновесное состояние. В первом случае с ростом инфляционных ожиданий они резко снижают спрос на деньги, что ведет к дальнейшему усилению инфляции. Во втором — с ростом инфляции они резко увеличивают инфляционные ожидания, что по тем же причинам усиливает инфляционные процессы. Инфляция продолжается, несмотря на стабилизацию темпов роста денежной массы. Для восстановления равновесия в такой экономике необходимо проведение мероприятий, направленных на снижение нервозности экономических агентов.
В модели Кагана не учитывается влияние на равновесие динамики ВВП. Этот недостаток преодолевается в модели Бруно-Фишера [18], позволяющей углубить анализ равновесия денежного рынка и последствий монетарной политики. Эта модель помогает оценить влияние на равновесный темп инфляции такой меры борьбы с инфляцией, как снижение бюджетного дефицита.
8.2. МОДЕЛЬ БРУНО-ФИШЕРА. ЭМИССИОННОЕ ФИНАНСИРОВАНИЕ ДЕФИЦИТА ГОСУДАРСТВЕННОГО БЮДЖЕТА
Модель Фридмана, как и модель Кагана, исходит из предпосылки о том, что зависимость реальных эмиссионных доходов государства от темпа инфляции описывается кривой Лаффера. Однако эмпирические исследования в ряде случаев показывают отсутствие зависимости между этими показателями. Иллюстрацией может служить необычный инфляционный эпизод, произошедший в Израиле в начале 80-х гг., когда инфляция за период с 1980 по 1984 г. выросла в 4 раза (со 133 до 445%), а реальный сеньораж не изменился. За то же время доля бюджетного дефицита в ВВП снизилась с 20,6 до 16,9%. Для объяснения отсутствия видимой зависимости между сеньоражем и темпами инфляции была предложена модель Бруно—Фишера [18].
Предпосылки модели:
1. Функция спроса на деньги имеет вид:
 |
а >0. |
(8.10)
Здесь, в отличие от предыдущей модели, используется удельный спрос на деньги (в долях ВВП). Заметим, что эта модифицированная функция Кагана уже может применяться для анализа экономики, в которой темп роста ВВП отличен от нуля.
2. Предполагается, что весь дефицит бюджета финансируется за счет эмиссии. Тогда бюджетное ограничение государства выглядит следующим образом:
dM 1 dt ' PY
-= d = const,
PY
(8.11)
где d — доля бюджетного дефицита, финансируемого целиком за счет эмиссии, в доходе.
Условие (8.11) означает, что доля бюджетного дефицита (и, следовательно, прироста денежной массы) в доходе остается постоянной.
3. Выпуск растет постоянным темпом:
? = -p = p = const. (8.12)
4. Ожидания носят адаптивный характер:
лс=(3(д-де), Р>0. (8.13)
Условие равновесия денежного рынка имеет вид:
(8.14)
M\d (_му =м_ = е-т<
PYJ {PY J PY
Прологарифмируем (8.14) и возьмем производную по времени:
(8.15)
(8.16)
т-п-р = -ап .
Из (8.11)
М М 1 _алі-
-= М---= те =d.
PY М YP
Отсюда
m = deaK . (8.17)
Если выразить л из (8.13) и подставить в (8.15), то после преобразований получим
тсс = —&—-(ш-р-ле). (8.18)
1 - ар ? '
Найдем стационарные решения уравнения (8.18), т. е. пе, при котором 7ХС=0.
Если аР * 1, Э > 0, то пе = 0 в том случае, когда т — р — пе - 0.
Отсюда, с учетом (8.16), условие равновесия принимает вид
ne = deaK'-p. (8.19)
Решим уравнение (8.19) графически, т. е. найдем точки пересечения кривых к = пе и тіе = dean — р (рис. 8.1).
 |
|
Рис. 8.1. Точки равновесия модели Бруно—Фишера |
Если d » р, т. е. бюджетный дефицит намного превосходит темп роста экономики, то кривая ле = dean — р может пройти выше прямой л = ле. Отсутствие точки пересечения означает, что экономика не придет в равновесие.
Таким образом, если доля бюджетного дефицита (и, следовательно, прироста денежной массы) в доходе существенно превышает темпы экономического роста, денежный рынок не придет в состояние равновесия. Для исправления ситуации необходимо проведение ограничительной бюджетно-налоговой политики.
Если р > d, т. е. доля бюджетного дефицита в доходе меньше темпа роста ВВП, то существует одна точка пересечения — единственное равновесие.
В случае когда бюджетный дефицит чуть выше темпа роста ВВП d > р, могут существовать два стационарных режима. Существование нескольких равновесий означает, что экономика, в которой государственные расходы финансируются при помощи инфляционного налога, может находиться в равновесном состоянии с более высокими темпами инфляции, чем это необходимо. Так, на рис. 8.2 состояние А характеризуется низкой инфляцией, состояние В — высокоинфляционное.
 |
|
Рис. 8.2. Устойчивость равновесных состояний в модели Бруно—Фишера |
Исследуем найденные равновесия на устойчивость.
Если а(3 < 1, то справа от точки лв и слева от точки кА производная dn'/dt имеет положительный знак (из (8.19)), а на интервале кА пв отрицательный. Это означает, что если темп инфляции больше лА, но не превышает кв, то инфляционные ожидания и, вслед за ними, темпы инфляции будут снижаться, пока экономика не придет в точку А, и, наоборот, если темп инфляции ниже лА, то инфляция будет расти, пока не достигнет уровня пА, Если же темп инфляции превысит лв, то это приведет к постоянному росту инфляционных ожиданий и темпов инфляции. Таким образом, А — является устойчивым режимом, В — неустойчивым.
Итак, если коэффициент, характеризующий эластичность спроса на деньги по темпу инфляции, (а) и скорость пересмотра инфляционных ожиданий (Р) невысоки, то экономика будет находиться в устойчивом низкоинфляционном состоянии А.
Но при ар > 1 устойчивым режимом будет уже высокоинфляционное состояние В.
Существование двух равновесий, каждое из которых при определенных условиях может быть устойчивым, приводит к тому, что применение правительством традиционных мер по борьбе с инфляцией может оказаться безрезультатным. Так, снижение дефицита бюджета (уменьшение d), стандартная мера по борьбе с инфляцией, эффективная в низкоинфляционном состоянии А, может вызвать еще большее увеличение инфляции, если экономика находится в высокоинфляционном состоянии В. Снижение дефицита бюджета dx < d0 означает сдвиг вниз кривой пе = deaK — р. Если устойчивым было состояние В, то при уменьшении дефицита бюджета экономика перейдет в новое устойчивое состояние В1,
с более высоким темпом инфляции пв> >пв (рис. 8.3).
 |
|
Рис. 8.3. Последствия снижения бюджетного дефицита в модели Бруно—Фишера |
Экономически этот результат можно объяснить следующим образом. Снижение темпов роста денежной массы в результате ограничительной политики приводит к снижению инфляционных ожиданий, в результате чего они становятся ниже фактического темпа инфляции (см. рис. 8.3). Если нервозность экономических агентов (характеризуемая коэффициентом р) высока, то в следующий момент времени это вызовет резкий рост инфляционных ожиданий, который будет сопровождаться снижением спроса на деньги. Падение спроса на деньги приведет к росту цен. Если же высока полуэластичность спроса на деньги (коэффициент а), то рост инфляционных ожиданий приведет к резкому падению спроса на деньги, что повлечет за собой увеличение инфляции.
Таким образом, иногда снижение дефицита бюджета приводит к падению темпов инфляции (если устойчивым было состояние А), иногда — к росту (если экономика находилась в равновесии В). Это и объясняет наблюдаемое в ряде случаев отсутствие четкой зависимости между доходами от эмиссии и темпом инфляции.
Чем выше а — коэффициент, характеризующий эластичность спроса на деньги по темпу инфляции, и чем выше Р — скорость пересмотра ожиданий, тем выше вероятность того, что осР > 1, устойчивым режимом окажется высокоинфляционный режим В и стандартные меры по борьбе с инфляцией будут неприменимы. Поэтому ортодоксальные меры по финансовой стабилизации (снижение дефицита государственного бюджета, сбалансированность бюджета, стабилизация курса национальной валюты, стабилизация внешнего долга) предлагается предварять мерами, направленными на снижение нервозности агентов. Этими мерами являются: введение лимитов на кредиты, замораживание цен и заработной платы.
Реализация перечисленных мер позволит экономике перейти в низкоинфляционное состояние, в котором ортодоксальные меры борьбы с инфляцией будут эффективны.
8.3. МОДЕЛЬ БРУНО-ФИЩЕРА. СМЕШАННОЕ ФИНАНСИРОВАНИЕ ДЕФИЦИТА ГОСУДАРСТВЕННОГО БЮДЖЕТА
Более сложная, но и более реалистичная версия модели, предполагает, что государство имеет возможность финансировать бюджетный дефицит не только при помощи денежной эмиссии, но и прибегая к заимствованиям. Бюджетный дефицит G - Т
в модели финансируется либо за счет денежной эмиссии М !Р,
либо за счет увеличения государственного долга В. Бюджетное ограничение государства записывается следующим образом:
(8.20)
— + B-rB = G-T=dY, Р
где В — величина реального государственного долга; г — реальная процентная ставка; d — доля бюджетного дефицита в ВВП.
Пусть V — богатство (сбережения) потребителей, складывающееся из двух активов: запаса государственных облигаций В и реального запаса наличных денег M/P, V = В + М/Р; ? = V/Y.
Тогда спрос экономических агентов на деньги может быть задан уравнением

(8.21)
где г + пе = і — номинальная процентная ставка.
Выпишем условие равновесия на рынке товаров для случая, когда инвестиционный спрос является частью потребительного спроса:
Y = С + G. (8.22)
Предположим, что частное потребление С прямо пропорционально величине богатства V и обратно пропорционально ставке процента г. Кроме того, потребление снижается с ростом налогов Т.
С = -^--с,7\ у >0, q>0. (8.23)
г7
Тогда уравнение равновесия на рынке товаров будет выглядеть следующим образом [из (8.22) с учетом (8.23)]:
 |
С\Т
ІІ-чЛ У У |
(8.24)
Из (8.24) следует, что величина богатства (в долях ВВП) является возрастающей функцией от реального процента г и ставки налогов t = Т/У и убывающей функцией от доли государственных расходов в ВВП t, = G/Y.
? = (1 + с,/-5)г* = ?М, /), (8-25)
где у — параметр, характеризующий эластичность сбережений по ставке процента, у > 0.
Тогда бюджетное ограничение государства (8.20) может быть переписано как
Qz + b + nb = d + rb, (8.26)
где п — темп роста населения, совпадающего с темпом роста выпуска;
z — доля реальных денежных средств в ВВП;
Ь = В/У
В состоянии равновесия Ь = 0, ? = л + я, ке = к. Преобразовав (8.26), считая, что Ь = ? — z (следует из определения ?), получим
(n + r)z = d + {r-ri) v. (8.27)
Наклон полученного бюджетного ограничения в координатах (л, г) равен
Знак числителя (8.28) положителен при л<(1/а) — г и отрицателен при л >(1/а) — г. Знак знаменателя зависит от величины параметра у. Если значение эластичности сбережений по процентной ставке сравнительно мало (у < у*, где у* — значение параметра у, при котором знаменатель (8.28) обращается в ноль, у* = r(b + <xiz)/d), то знаменатель (8.28) положителен и верен рис. 8.4. Если значение у велико (у > у*), то знаменатель отрицателен и верен рис. 8.5.

Рис. 8.4. Состояния равновесия в модели Бруно—Фишера при слабой чувствительности сбережений к изменениям процентной ставки (у < У*)
Рассмотрим три возможные стратегии государства в области финансирования бюджетного дефицита, используя рис. 8.4 и 8.5.
Пусть целью государства является поддержание реальной процентной ставки на постоянном уровне г*. Это означает, что правительство будет размещать на рынке такой объем государственных облигаций, чтобы реальная ставка процента сохранялась на уровне г*, а оставшийся бюджетный дефицит будет покрывать при помощи денежной эмиссии. Этому варианту кредитноденежной политики на рис. 8.4 и 8.5 соответствует линия г = г*. При такой политике в экономике возможны два равновесных состояния А и В.
С другой стороны, государство может поддерживать постоянный темп роста денежной массы ?*, финансируя оставшийся
 |
|
Рис. 8.5. Состояния равновесия в модели Бруно—Фишера при высокой эластичности сбережений по ставке процента СY > Y*) |
дефицит при помощи государственных облигаций. Графически этот вариант кредитно-денежной политики можно представить линией тс = ?* — п. В этом случае в экономике вне зависимости от значения эластичности сбережений по процентной ставке будет наблюдаться единственное равновесие С.
Наконец, Центральный банк может поддерживать постоянную номинальную ставку процента Г. В таком случае при низком у существует одно равновесие Е (рис. 8.4), а при высоких значениях у (рис. 8.5) возможно существование двух точек равновесия — Е и Z.
Какими будут последствия увеличения дефицита государственного бюджета в каждом из рассмотренных случаев? Ответ на этот вопрос зависит от того, какие из полученных равновесных состояний являются устойчивыми.
Увеличение бюджетного дефицита приведет к сдвигу кривой GG к GG, (вниз на рис. 8.4 и вверх на рис. 8.5). При относительно низком значении у увеличение бюджетного дефицита вызовет рост инфляции, если экономика находилась в равновесии А или Е, и падение инфляции, если экономика находилась в равновесии В.
Результатом увеличения бюджетного дефицита в случае у > у* будет увеличение темпов инфляции, если экономика находилась в равновесии А или Е, и снижение темпов инфляции, если экономика находилась в точке В или Z.
Исследуем полученные равновесные состояния модели на устойчивость. Предположим, что механизм формирования ожиданий тот же, что и в предыдущей модели
тс^ = 3(л-ле), (8.13)
где (3 — скорость, с которой экономические агенты пересматривают свои инфляционные ожидания, р > 0.
Перепишем бюджетное ограничение государства (8.27) как d + (r-n)b = Qz~v-i, (8.27')
где z, напомним, задается уравнением (8.21).
Рассмотрим случай, когда целью государства является поддержание постоянного темпа роста денежной массы. Как уже было показано выше, в этом случае в экономике возможно единственное равновесное состояние. Из (8.13) и (8.27') с учетом (8.21) получим следующую систему дифференциальных уравнений, определяющую динамику модели вблизи точки равновесия:
 |
|
-n -1 |
г/г = < у?
{(1 - ap)[of + (г - n)v - zr\
-z(& - n - afine^)j.
Можно показать, что если значение ар невелико и г > п, то при относительно низких значениях эластичности сбережений по ставке процента единственное равновесие в экономике не будет устойчивым (решение системы дифференциальных уравнений будет седловой точкой). Чем больше значение эластичности сбережений по ставке процента, тем вероятнее, что единственное равновесие окажется устойчивым.
Динамика системы в случае, когда государство поддерживает на постоянном уровне процентную ставку (реальную или номинальную), также определяется значениями параметров а, р и у.
В этом случае, как и в модели Бруно—Фишера, предполагающей эмиссионное финансирование бюджетного дефицита, в экономике возможно существование двух равновесных состояний, из которых низкоинфляционное будет устойчивым при ар < 1.
Иными словами, главный вывод модели Бруно—Фишера можно сформулировать следующим образом: при любом варианте финансирования бюджетного дефицита (как эмиссионном, так и смешанном) действенность антиинфляционных мер во многом зависит от того, как устроен механизм формирования инфляционных ожиданий в экономике. Возможна ситуация, когда традиционные, ортодоксальные меры борьбы с инфляцией, такие, как снижение бюджетного дефицита, стабилизация курса национальной валюты, укрепление независимости Центрального банка, сдерживание роста денежной массы и т. д., оказываются недостаточными. В этом случае предлагается использовать так называемые гетеродоксные меры, направленные на снижение инфляционных ожиданий экономических агентов (на модельном уровне это означает уменьшение значений параметров а и р), такие, как замораживание заработной платы и контроль цен.
8.4. ОЦЕНКА ХАРАКТЕРА ПОВЕДЕНИЯ РОССИЙСКИХ ЭКОНОМИЧЕСКИХ АГЕНТОВ
В России правительство проводит в последние годы политику борьбы с бюджетным дефицитом, что в соответствии с ортодоксальными взглядами должно привести к снижению инфляции. С точки зрения рассмотренной модели последствия зависят от характера поведения экономических агентов. Величину ар в модели Бруно—Фишера можно оценить на основе уравнения:
п = —-—(т-р-п). (8.18)
1-«Р? ’
Результаты МНК-оценивания этого уравнения (выполнены в [11]) на временном интервале 1995—1997 гг. представлены в табл. 8.1.
Отрицательная связь между показателями пи(лі-р-і), свидетельствующая о том, что ар > 1, позволяет сделать вывод, что на данном временном интервале эффективность традиционных мер борьбы с инфляцией была, скорее всего, невысока.
Таблица 8.1
Оценки параметров <х(3 для временного интервала 1995—1997 гг. |
|
1 - оф |
Значение
/-статистики |
|
DW |
|
-0,17 |
-5,65 |
0,49 |
1,59 |
|
В период с 1999 по 2003 г. расчеты показали наличие положительной связи между Л и (т — р — п). Результаты представлены в табл. 8.2'.
Таблица 8.2
Оценки параметров оф для временного интервала 1999—2003 гг. |
Р
1 - оф |
Значение
/-статистики |
|
DW |
|
0,35 |
2,43 |
0,3 |
2,66 |
|
Оценки, полученные для периода 1999—2003 гг., говорят о том, что а(3 < 1. Очевидно, что скорость пересмотра инфляционных ожиданий р существенно снизилась по сравнению с периодом 1995-1997 гг.
Это означает, что в России для борьбы с инфляцией недостаточно было иметь профицит государственного бюджета, а требовались меры по снижению нервозности поведения экономических агентов. Такими мерами, в частности, является стабилизация политической ситуации и последовательность в проведении экономической политики. Складывающаяся в настоящем периоде ситуация позволяет надеяться на замедление в будущем инфляционных процессов. Эта надежда связана, в частности, с политикой достижения профицита государственного бюджета, проводимой в последние годы российским правительством. В противном случае, как показали в своей работе Саржент и Уоллес [24], инфляция может развиваться и в случае долгового финансирования бюджетного дефицита.
1 Значение /-статистики говорит о наличии значимой связи между показателями л и (? — п — л). Заметим, что в этом случае низкое значение Л2 не является свидетельством неудовлетворительного качества регрессии (см., например: Доугерти К. Введение в эконометрику. М.: ИНФРА-М, 1997. С. 264).
8.5. МОДЕЛЬ САРЖЕНТА-УОЛЛЕСА
В модели [22, 24] предполагается, что государство имеет возможность финансировать бюджетный дефицит либо при помощи денежной эмиссии, либо за счет увеличения государственного долга. Правительство заранее планирует будущие значения бюджетных дефицитов, возможность финансирования которых за счет долга ограничена спросом на государственные облигации. Ставка процента превышает темп роста выпуска, поэтому в некоторый момент финансирование бюджетного дефицита становится возможным только за счет сеньоража. В результате темп роста денежной массы увеличивается, что приводит к повышению темпов инфляции.
Предпосылки модели:
1. ВВП (Y) и население (У?) растет с постоянным темпом я:
Yt+\ =0 +n)Y,\ (8.29)
Nr+I=(l+n)Nr (8.30)
Модель Саржента—Уоллеса, как и предыдущие модели, предполагает, что денежная политика не способна повлиять на темп роста реального ВВП и на реальную процентную ставку.
2. Реальная процентная ставка я превышает темп роста экономики я:
г> п. (8.31)
Таким образом, долговое финансирование бюджетного дефицита рано или поздно должно привести к ситуации, когда государство не сможет погашать его за счет долга и будет вынуждено перейти к денежному финансированию. Это порождает в будущем усиление инфляционных процессов.
3. Эластичность спроса на деньги по доходу постоянна.
df Y
г|/у = —-у =eonst. (8.32)
Это означает, что скорость обращения денег остается постоянной.
Условия 1—3 представляют собой стандартные предпосылки, используемые во всех монетаристских моделях. В рамках этих предпосылок демонстрируется ограниченность возможностей контролировать инфляцию с помощью денежной политики.
Бюджетно-налоговая политика в модели задается последовательностью Dx, D2, ..., Dt, ..., где D, — дефицит государственного бюджета в реальном выражении в момент времени t, т. е. государственные расходы (за исключением процентов по государственному долгу) минус налоговые поступления (за вычетом трансфертов). Кредитно-денежная политика представлена последовательностью Мх, М2, ..., М,, ..., где М, — денежная масса в момент времени Л
Модель показывает, что для любой заранее заданной последовательности Z)|, D2, ..., Dp ... сдерживающая кредитно-денежная политика сегодня неизбежно приведет к росту уровня цен завтра. Более того, при определенных условиях долговое финансирование бюджетного дефицита и сдерживающая кредитно-денежная политика могут привести к росту цен не только в будущем, но и в настоящем.
Бюджетное ограничение государства в модели задается уравнением:
D,=^J-^L + B<-B!-і(і+/}_і), /= 1,2,... (8.33)
где Р, — уровень цен в момент времени /;
В' — объем государственных облигаций в реальном выражении в момент времени V,
— ставка доходности по государственным облигациям в момент времени t— 1.
Предполагается для простоты, что долг погашается в течение одного периода.
Разделив (8.33) на N, — численность населения в момент времени t и перегруппировав слагаемые, получим
(8.34)
В, _ I+ /•/_! д/-і D, М,~М,_, N, 1 +п 'у?,_, У?, N,Pt
Модель предполагает, что денежная масса растет с постоянным темпом ?до момента Т, пока величина государственного долга на душу населения не достигает некого критического значения ЬТ(?). После этого величина долга на душу населения поддерживается на постоянном уровне, достигнутом к моменту Т.
М, = (1 + ?)Л/,_і, t= 2, ..., Т. (8.35)
После момента Т государство вынуждено покрывать дефицит государственного бюджета только посредством денежной эмиссии, не наращивая более объем внутреннего долга.
Теперь можно проанализировать последствия выбора величины ? и момента Т. Предположим, что последовательность /),, D2, D,, ..., а также величины ? и Т объявлены заранее
в момент t= 1 и известны экономическим агентам. Ожидания в модели носят рациональный характер, т. е. ожидаемый и фактический темпы инфляции совпадают.
Согласно предпосылкам скорость обращения денег и рост ВВП (равный темпу роста населения) постоянны. Из этих предположений в соответствии с уравнением количественной теории денег (которое в данном случае имеет вид M,V— PtNty, где у — постоянный выпуск на душу населения) следует, что уровень цен в экономике в момент времени t пропорционален денежной массе.
1 М М
р' = йлГилилf = hP>’h>0- (8-36)
Тогда из (8.36) с учетом (8.35) вытекает, что для периодов времени t = 2, ..., Т P,/Pt_7 = (1 + ?)/(1 + п). Иными словами, задавая темп роста денежной массы ? в период от 1 до Г при темпе экономического роста п, мы фактически выбираем темп инфляции для этого периода. Цель модели — проанализировать, как выбранный темп инфляции влияет на темпы инфляции в периодах, следующих за Т.
Подставив (8.36) в (8.34), считая, что для ОТ величина долга на душу населения постоянна и составляет Ь7 (?), получим следующее выражение:
. D,
где^=-
Р,-\
1-
Ьт (&)=—,——bT(Q) + d, -h 1 + п
1 + и Р,
Отсюда
( , Л
1 + п j
Р,-Х |
|
|
dі + |
г \
rt_x-n |
М?) |
X
1 |
|
1 1 + « J |
|
) |
|
h |
|
t>T. (8.37)
1-
По предположению (предпосылка 2) г(_, — п > 0. В условиях инфляции < 1, поэтому левая часть (8.37) положительна. Тогда из уравнения (8.37) следует, что чем выше bГ(?), тем больше левая
часть уравнения и, следовательно, ниже Р,_х/Р,, а значит, выше темпы инфляции Р,/Р,_х для всех t> Т.
Для того чтобы доказать, что сдерживающая кредитно-денежная политика приведет к росту уровня цен в будущем, осталось показать, что чем ниже темп прироста денежной массы ?, тем выше значение ЬГ(?).
Решив (8.34) при /= 1 относительно 6,(?), получим
Мх-М0
N\P\
1 +/п
М?) =
+ d.
(8.38)
1 +п
Заменим Д0(1 + г0) в уравнении (8.38) на В0/Рх, где В0 — приведенная к периоду 1 номинальная величина долга, выпущенного в период t= 0. Эта подстановка позволяет избежать необходимости делать какие-либо предположения о виде зависимости между темпами инфляции в периодах 0 и 1, так как по условию темпы роста денежной массы ? поддерживаются только начиная с периода 1.
М\-М0
N\P\
Во
N\P\
Й,(?) =
+ d\-
(8.39)
Уравнение (8.39) с учетом (8.36) позволяет найти 6,(?) = bx
как зависимость от Dx, Nx, Мх, Л/0 и В0 (т. е. без использования темпа роста денежной массы между периодами 0 и 1).
(8.390
=hh.+d
Л/, 1 Л/,
М?)=Т—lbx+d2-h
I + п
где bx описывается уравнением (8.390-
Теперь, используя (8.34) и (8.36), найдем Л2(?), ?3(?), ..., bT(Q). ' ? '
?‘ +?у
С учетом этого
b,__x(Q) + d, -h
У =2, 3, ..., Т (8.40)
1 +п
Подставляя 3 < t< Т в (8.40), получим
'іч?
*з(?) =
+ d,-h
b,+d7-h
?1 + ?,
1+?
1 + ^2 hO hO
(l+/j)(l+r2) l+r2 ______
(1 + я)2 1 1 + /J 2 3 1 + n 1 + ? 1 + ?'
Аналогично
b\ +
*,(?) =
I-1
nV'/)
i=j
„ . Д0+Ч)
t
+ x
У =2
(8.41)
-J
0+я)
t-J
(-1
где будем считать, что ПО + б) = 1, если j = t.
i=j
Из уравнения (8.41) следует, что чем ниже ?, тем больше bj(Q). А это, в свою очередь, означает, что чем ниже ?, тем выше темп инфляции в период ОТ.
Итак, при предположении, что реальная ставка процента по государственному долгу в экономике превышает темпы экономического роста, было показано, что сдерживающая кредитноденежная политика в настоящем приводит к высоким темпам инфляции в будущем.
В проведенном анализе спрос на деньги формировался в соответствии с количественной теорией денег (см. уравнение (8.34)). Кейнсианская функция спроса на деньги предполагает его зависимость не только от реального дохода, но и от номинальной ставки процента. Если доход и реальная ставка процента неизменны, то спрос на деньги меняется только при изменении инфляционных ожиданий. Эту зависимость можно выразить с помощью функции, аналогичной функции Кагана, тогда равновесие денежного рынка описывается уравнением
M,
N. P,
|
= а, -а2 |  |
(8.42)
где а,, а2 > 0.
р
Здесь —L±L — ожидаемый темп инфляции, который при раци-
Р/
ональных ожиданиях совпадает с фактическим; а, — автономный спрос на деньги; ос2 — чувствительность спроса на деньги к изменению инфляционных ожиданий.
Покажем, что при предположении (8.42) нынешние темпы инфляции зависят от ожидаемых в будущем темпов роста денежной массы. Уравнение (8.42) можно переписать в виде
(8.43)
' a, N, а, '+|
Аналогично можно выразить РІ+] и, подставив в (8.43), получить
( V Оз
?аі j
1 М, а2 М.
м-1
Р, =----г + —•
Ч+2-
а, N.
а,
/+і
С помощью подобных рекурсивных подстановок выразим текущий уровень цен в зависимости от ожидаемых в будущем темпов роста денежной массы
а,
р, =—X
t+j
(8.44)
N,
?аі
і і=о
+j
Таким образом, темп инфляции сегодня зависит не только от текущей, но и от ожидаемой в будущем денежной политики. Если в настоящий момент проводится ограничительная денежная политика, но в будущем ожидается повышение темпа роста денежной массы, то это может привести к инфляции уже в текущем периоде. Из (8.44) видно, что вероятность такого исхода тем выше, чем больше ос2, т. е. чувствительность спроса на деньги к изменению ожидаемых темпов инфляции.
Модель Саржента—Уоллеса демонстрирует, что при сделанных предпосылках ограничительная кредитно-денежная политика в настоящем приводит к инфляции в будущем, а при неблагоприятных условиях может вызвать инфляцию уже в текущем периоде. Более того, Саржент и Уоллес построили числовые примеры, показывающие, что возможны: 1) случаи, когда сдерживающая кредитно-денежная политика в настоящем приводит в будущем к более высоким темпам инфляции, чем они были бы при менее жесткой политике; 2) случаи, когда сдерживающая кредитноденежная политика уже в текущем периоде приводит к более высоким темпам инфляции, чем они были бы при менее ограничительной политике. Причем вероятность такого исхода зависит от нервозности поведения экономических агентов. Этот вывод перекликается с результатами модели Бруно—Фишера. Следует отметить, что ограниченность возможностей применения денежной политики для борьбы с инфляцией продемонстрирована в рамках стандартных монетаристских предпосылок.
Модель Саржента—Уоллеса сравнивает последствия денежного и долгового финансирования дефицита государственного бюджета. Если экономические агенты ожидают, что правительство вынуждено будет в будущем в некоторый момент времени Т перейти от долгового финансирования бюджетного дефицита к денежному, то они считают, что низкий рост денежной массы означает более быстрый рост долга. Следовательно, после Т правительство будет быстро наращивать денежную массу. Ожидание столь быстрого роста предложения денег в будущем вызовет быстрый рост инфляции в настоящем. Саржент и Уоллес показали, что инфляция в этом случае может расти в ответ на снижение темпов роста денежной массы, т. е. инфляция в случае долгового финансирования может оказаться выше, чем при денежном. С этой точки зрения единственно надежным средством борьбы с инфляцией является достижение профицита государственного бюджета.
Все рассмотренные в этой главе модели демонстрируют ограниченность в ряде случаев возможностей применения стандартных монетаристских рекомендаций для борьбы с инфляцией. Последствия ограничительной кредитно-денежной политики, как было показано, существенным образом зависят от характера поведения экономических агентов. Это обстоятельство необходимо учитывать при проведении экономической политики.

I. В странах Си/) наблюдаются высокие темпы инфляции. В стране Сспрос на реальные запасы денежных средств описыва-

= е 0Jn . В стране D спрос на
ется функцией Кагана вида: —
V ”
реальные запасы денежных средств также описывается функцией
-0,1 я'
Кагана вида: — V Р
В странах С и D инфляционные ожидания экономических агентов носят адаптивный характер, причем инфляционные ожидания в них изменяются на 2 п. п., если фактический темп инфляции отклоняется от ожидаемого на 1 п. п.
Центральные банки этих стран поддерживают постоянный темп роста денежной массы в 3%.
Используя модель Кагана, ответьте на следующие вопросы.
а) Придут ли денежные рынки этих стран в равновесие? При каких темпах инфляции оно будет достигнуто?
б) Если нет, то какие меры требуются для достижения равновесия?
Объясните свой ответ.
2. Пусть в странах Ли В бюджетный дефицит покрывается целиком за счет эмиссии. Доля бюджетного дефицита в выпуске постоянна и составляет 5%. Выпуск растет с постоянным темпом в 3%. Спрос на реальные запасы денежных средств (в долях ВВП)
= е-°Ж
в этих странах описывается функцией Кагана
PY
В странах А и В инфляционные ожидания экономических агентов носят адаптивный характер:
• в стране А инфляционные ожидания изменяются на 3 п. п., если фактический темп инфляции отклоняется от ожидаемого на 1 п. п.;
• в стране В инфляционные ожидания изменяются на 1,5 п. п., если фактический темп инфляции отклоняется от ожидаемого на 1 п. п.
Следует ли в этих странах для борьбы с инфляцией использовать такую меру, как снижение бюджетного дефицита? Если нет, то почему и какие меры следует предпринять. Поясните свой ответ, используя модель Бруно—Фишера.
3. Пусть в модели Бруно—Фишера (случай эмиссионного финансирования бюджетного дефицита) соотношение доли бюджетного дефицита в выпуске и темпов роста ВВП таково, что имеет место единственное равновесие в точке касания линий if = deaK — р и к= if (см. рис. 8.1).
Определите темп инфляции, при котором достигается это равновесие.
Является ли оно устойчивым? Как изменятся темпы инфляции в случае снижения бюджетного дефицита? Зависит ли ответ от характера поведения экономических агентов?
4. Изобразите равновесие в модели Бруно—Фишера (случай эмиссионного финансирования бюджетного дефицита) в координатах: темп роста денежной массы (?) — ожидаемый темп инфляции (лс). Проведите анализ устойчивости стационарных состояний в этих координатах. Исследуйте последствия снижения бюджетного дефицита с помощью полученного графика.
5. Одной из ключевых предпосылок модели Саржента— Уоллеса является превышение реальной ставкой процента темпа роста выпуска. Предположим, что темпы роста выпуска превышают реальную ставку процента. Останутся ли в силе выводы модели? Объясните свой ответ.
6. Как изменятся выводы модели Саржента—Уоллеса, если в каждом периоде ставки процента окажутся выше, чем предполагалось первоначально? Объясните свой ответ.
ЛИТЕРАТУРА К РАЗДЕЛУ III
1. Афанасьев М., Вите О. Инфляция издержек и финансовая стабилизация/УВопросы экономики. 1995. № 3.
2. Бокарева Л. Факторы инфляции//Экономист. 1996. № 2.
3. Икее Б. Инфляция в России: уроки для реформаторов//Во-просы экономики. 1995. № 3.
4. Илларионов А. Природа российской инфляции//Вопросы экономики. 1995. № 3.
5. Лукаш Е.Н. Применение моделей инфляции в условиях рациональных ожиданий для анализа индекса потребительских цен в России//Компьютерный анализ данных и моделирование. Сборник научных статей V Международной конференции.
Ч. 2. Минск, 1998.
6. Лукаш Е.Н., Шакунова Е.Э. Теоретические подходы к моделированию инфляционных процессов//Макроэкономическая теория и проблемы современной России/Под ред. Н.Л. Шагас,
Е.Л. Тумановой. М.: ТЕИ С, 2001. Гл. 1.
7. Лукаш Е.Н. Эконометрический анализ факторов российской инфляции// Макроэкономическая теория и проблемы современной России. Под ред. Н.Л. Шагас, Е.Л. Тумановой. М.: ТЕИС, 2001. Гл. 2.
8. Лушин С. Проблема инфляции//Экономист. 1999. № 2.
9. Никитин С.М., Глазова К.С., Степанова М.П. Антиинфляционная политика: зарубежный опыт и Россия//Деньги и кредит. 1995. № 5.
10. Полещук В.В. Возможности инфляционного финансирования дефицита государственного бюджета//Макроэкономическая теория и анализ конкретных ситуаций/Под ред. Н.Л. Шагас,
Е.Л. Тумановой. М.: ТЕИС, 2000. Гл. 2.
11. Полещук В.В. Проблемы эффективности кредитно-денежной политики//Макроэкономическая теория и проблемы современной России/Под ред. Н.Л. Шагас, Е.Л. Тумановой. М.: ТЕИС, 2001. Гл. 3.
12. Шмелев Н. Новый этап российских реформ: пределы и воз-можности//Вопросы экономики. 1998. № 1.
13. Экономика переходного периода. Очерки экономической политики посткоммунистической России. 1991 — 1997. М.: Институт экономических проблем переходного периода, 1998.
14. Обзор экономической политики в России за 1998 год/С.Б. Ав-дашева, А.З. Астапович, Д.А. Беляев и др. Бюро экономического анализа. М.: РОССПЭН, 1999.
15. Обзор экономической политики в России за 1999 год/ С.В. Алексашенко, А.З. Астапович, С.А. Афонцев и др. Бюро экономического анализа. М.: ТЕИС, 2000.
16. Обзор экономической политики в России за 2000 год/С.Б. Ав-дашева, А.З. Астапович, А.А. Аузан и др. Бюро экономического анализа. М.: ТЕИС, 2001.
17. Blanchard О. and Fisher S. Lectures on Macroeconomics. Ch. 4. The MIT Press, 1990.
18. Bruno M. and Fischer S. Seigniorage, operating rules, and the high inflation trap//Quarterly Journal of Economics. 1990. Vol. 105.
19. Cagan P. The monetary dynamics of hyperinflation//Studies in the quantity theory of money. Ed. Friedman. Chicago, 1956.
20. Friedman M. Government revenue from inflation//Journal of Political Economy. 1971. Vol. 79. № 4.
21. Mundell R. Inflation and real interest//Journal of Political Economy. 1963. Vol. 71. № 3.
22. Sargent T. and Wallace N. Inflation and the government budget constraint//Economic policy in theory and practice. Ed. Razin, Sadka. L„ 1987.
23. Sargent T. and Wallace N. Rational Expectations and the Dynamics of Hyperinflation//International Economic Revue. 1973. ?Ы. 14.
24. Sargent. T. and Wallace N. Some Unpleasant Monertarist Arithme-tic//Federal Reserve Bank of Minneapolis. Quarterly Review 5. 1981. № 1-17.
25. Taylor M.P. The Hyperinflation Model of Money Demand Revisited//Journal of Money, Credit and Banking. 1991. Vol. 23. № 3.
Раздел IV
ЭКОНОМИЧЕСКИЙ РОСТ
С течением времени в среднем реальный доход страны, как правило, растет. Бывают периоды, когда он падает (периоды рецессий), но в целом тренд в долгосрочном аспекте указывает на постоянный рост.
Экономический рост — актуальнейшая тема экономической теории и практики. Принято считать, что одна из важнейших задач-макроэкономики — понять причины краткосрочных колебаний выпуска вокруг тренда, т. е. экономических циклов. Однако во время рецессий страна теряет несколько (редко больше 2—3%) процентов реального дохода по сравнению с трендовым значением. В то же время расчеты показывают, что если бы в такой экономически развитой державе, как США, темпы роста за последнее столетие были в среднем ниже на один процентный пункт, то в конце XX в. эта страна имела бы примерно такой же реальный ВВП на душу населения, как Венгрия или Мексика, и намного ниже, чем Португалия или Греция.
Поэтому не менее важная задача — объяснить причины роста реального выпуска в долгосрочном периоде, проанализировать различные сценарии этого роста, выявить показатели, влияющие на рост. Решение этой задачи помогает выявить причины межстрановых различий в уровне жизни и наметить пути их ликвидации.
Перечисленные проблемы рассматриваются в теории экономического роста, под которым обычно понимается рост потенциального выпуска или потенциального выпуска на душу населения.
В настоящем разделе будет проведен обзор существующих моделей экономического роста и примеров их прикладного анализа.
Глава 9
МОДЕЛЬ СОЛОУ
Формулировка модели. Устойчивые (стационарные) состояния. Темпы роста основных макроэкономических показателей в устойчивом состоянии.
Влияние изменения нормы сбережения на темпы экономического роста. Золотое правило накопления. Переход к устойчивому состоянию по Золотому правилу. Возможность динамической неэффективности.
Оценка темпов экономического роста. Остаток Солоу.
Темпы экономического роста при переходе к устойчивому состоянию. Проблема конвергенции. Оценка скорости конвергенции.
Модель Солоу исследует влияние на экономический рост сбережений, роста населения и технологического прогресса.
Модель экономического роста Солоу является необходимой отправной точкой практически всех исследований экономического роста. С ее помощью выявляются причины временного и постоянного, устойчивого роста экономики и существования различий в уровне жизни населения разных стран.
В модели рассматриваются четыре переменные: выпуск У, капитал К, труд L и Е— уровень «знаний», накопленных в обществе. Выпуск У может изменяться во времени только при изменении факторов производства: К, L, Е.
Если научно-технический прогресс способствует совершенствованию технологии в целом, не изменяя соотношения предельных производительностей капитала и труда, Y= EF(K, L), то такой прогресс носит название «нейтральный по Хиксу». Если же он способствует увеличению производительности капитала У= Е(КЕ, L), то он называется капиталосберегающим (прогресс по Харроду).
В модели Солоу переменная Е отражает эффективность труда одного работника, зависящую от состояния его здоровья, образования и квалификации.
Изменение численности работников и эффективности труда Е всегда рассматриваются совместно: в каждый момент времени t в экономике насчитывается L, работников с возросшей эффективностью труда или возросшее число работников с постоянной (начальной) эффективностью труда (LtE,). Таким образом, выпуск описывается производственной функцией Yt= F(Kt, L,Et). Это означает, что в модели Солоу предполагается так называемый трудосберегающий тип научно-технического прогресса, под влиянием которого повышается эффективность труда одного работника.
Рассматривается неоклассическая производственная функция, т. е. предполагается, что выполняются следующие свойства:
]) положительная и убывающая предельная производительность факторов
д2Е п dF п
— <0; — > 0,
д2К д L
дЕ п —— >0, ък
д]F_
д 2L
(9.1)
<0;
2) несущественность влияния других факторов производства, в частности земли и природных ресурсов;
3) постоянная отдача от масштаба
Е(ЛК, \(ЕЕ)) = ЩК, ЕЕ). (9.2)
Содержательно такая предпосылка соответствует достаточно большой экономике, для которой выигрыш от специализации уже исчерпал себя, и поэтому новые факторы производства используются тем же технологическим способом, что и уже существующие;
4) условие Инада: если капитал (или труд) бесконечно мал, то его предельная производительность бесконечно велика; если капитал (или труд) бесконечно велик, то его предельная производительность бесконечно мала
Перечисленные свойства предполагают, что каждый фактор необходим для производства Е(К, 0) = ДО, LE) = 0 и выпуск неограниченно растет при неограниченном росте каждого фактора.
Предположение о постоянной отдаче от масштаба позволяет перейти к производственной функции в интенсивной форме — в расчете на единицу труда с постоянной эффективностью:
Y
LE
К
LE
= -F{K, LE).
Обозначим к =- как уровень капиталовооруженности од-
LE
ного работника с постоянной эффективностью труда; у = -?— —
LE
производительность труда одного работника с постоянной эффективностью труда. Получим зависимость производительности труда от уровня капиталовооруженности у =f(k).
Таким образом, выпуск в расчете на единицу труда с постоянной эффективностью зависит только от уровня капиталовооруженности и не зависит от масштаба экономики.
Для производственной функции в интенсивной форме сохраняются все вышеперечисленные свойства.
Наиболее часто используется конкретный пример производственной функции, обладающей перечисленными свойствами, —
функция Кобба—Дугласа F(K, LE) = Ка[LE)X~a; 0<ос<1.
9.1. ОПИСАНИЕ МОДЕЛИ
Выпуск в экономике расходуется на потребление и инвестиции, государство отсутствует, экономика закрытая, так что основное тождество национальных счетов имеет вид у = с + /, где с, і — соответственно потребление и инвестиции на единицу труда с неизменной эффективностью.
Все, что сберегается, инвестируется, т. е. инвестиции равны сбережениям. Одна единица инвестиций превращается без дополнительных издержек в одну единицу нового капитала. Лаг капитальных вложений отсутствует. Сбережения пропорциональны доходу. Норма сбережения s задается экзогенно и постоянна во времени (0<s< 1). Таким образом, і = sy = sf(k).
Понятия «население» и «рабочая сила» совпадают.
Существующий капитал изнашивается с постоянной нормой 5. Тогда изменение запасов капитала определяется разностью общей величины инвестиций sY и износа капитала ЬК,
т. е. К = sY-ЪК.
В расчете на единицу труда с постоянной эффективностью уровень капиталовооруженности изменится на
sY -ЪК LE
К
LE
К
(LE)2
К E_ LE’ E
К L_ LE' L
(ІЕ + LE)
= sf(k)-(n + g + S)k,
L
где n =--темп роста численности населения;
Е
g =--темп роста технологического прогресса.
Таким образом,
k = sf(k) — (п + g + 8)&. (9.5)
Соотношение (9.5) является ключевым в модели. Оно утверждает, что величина изменения уровня капиталовооруженности одного работника с постоянной эффективностью труда определяется соотношением двух величин в расчете на одного работника — инвестиций sf(k), фактически произведенных в экономике, и величины инвестиций, необходимых для того, чтобы сохранять
 |
|
Рис. 9.1. Устойчивый уровень капиталовооруженности к* |
достигнутый уровень к в условиях роста населения с темпом п, роста эффективности труда с темпом g и выбытием капитала с нормой 5 (вычитаемое в правой части (9.5)).
Уровень капиталовооруженности к падает, если фактические инвестиции меньше, чем необходимые для сохранения уровня к, и возрастает, если
¦*(/(*)) >(л + ? + 8)?.
Вводится понятие стационарного состояния к, при котором к = 0, а следовательно, величины фактических и необходимых
инвестиций совпадают (см. рис. 9.1), т. е. из к= 0 следует, что s/(k*) = (п + g+ Ь)к*. Еще одним стационарным состоянием является к = 0, однако по вышеописанным причинам это состояние не является устойчивым.
В устойчивом состоянии к* неизменно, постоянна и производительность труда работника с постоянной эффективностью у = f(k*). Общий объем производства Y = y(LE) растет с темпом
Y
(п + g), а производительность труда — - уЕ растет с темпом g, так
К _ k(LE) L ~ L
= кЕ.
же как и уровень капиталовооруженности труда
Более подробная характеристика устойчивого состояния экономики приведена в табл. 9.1, из которой видно, что рост производительности труда в устойчивом состоянии определяется исключительно темпом роста технологического прогресса.
В отсутствии технологического прогресса (т. е. при неизменной эффективности труда) для экономики с растущим населением в устойчивом состоянии уровень капиталовооруженности остается постоянным, производительность труда не меняется, общий выпуск и общий запас капитала растут с темпом, равным темпу роста населения п. Если же отсутствуют и рост населения, и технологический прогресс, то в устойчивом состоянии при постоянном уровне капиталовооруженности производительность труда, общий выпуск и общий запас капитала остаются неизменными.
Таким образом, причинами, определяющими рост общего выпуска и общего запаса капитала в устойчивом состоянии, являются увеличение численности населения и технологический прогресс, а устойчивый рост производительности труда и капиталовооруженности достигается только при наличии технологического прогресса.
Таблица 9.1
Темпы роста показателей ж устойчивом состоянии экономики |
|
Показатели |
Наличие НТП и роста населения |
|
n>0,g> 0 |
п > 0, g = 0 |
п = 0, g= 0 |
Каи италовооружен ность работа и ка с постоянной эффективностью
к = ^-LE |
0 |
0 |
0 |
Капиталовооруженность работника
— = кЕ
L |
S |
0 |
0 |
|
Общий запас капитала К — k(LE) |
п + g |
п |
0 |
Производительность труда одного работника с постоянной эффективностью
у=ТЁ = т |
0 |
0 |
0 |
Производительность труда одного работника
У с
Т = уЕ |
g |
0 |
0 |
|
Общий выпуск У = y(LE) |
п + g |
п |
0 |
|
Изменение численности населения влияет на величину устойчивого уровня капиталовооруженности, но не влияет на темпы роста производительности труда и капиталовооруженности в устойчивом состоянии.
9.2. ВЛИЯНИЕ ИЗМЕНЕНИЯ НОРМЫ СБЕРЕЖЕНИЯ
Предположим, что экономика находится в устойчивом состоянии, характеризующемся устойчивым уровнем капиталовооруженности А,* и соответствующей нормой сбережения j,. Пусть под влиянием внешних изменений произошло возрастание нормы сбережения до s2. Это приведет к увеличению устойчивого уровня
капиталовооруженности до к2, так как инвестиции при А,* превысят уровень необходимых для поддержания к на прежнем уровне и капиталовооруженность начнет расти, пока не достигнет к2 (рис. 9.2).
Инвестиции на единицу эффективного труда
 |
|
Рис. 9.2. Переход в новое устойчивое состояние при изменении нормы сбережений |
Производительность труда — = Ef{k) будет расти в связи с ростом к и с ростом эффективности труда Е. Поэтому в переходный период темп роста производительности труда превысит g. Как только А: достигнет к?, темп роста производительности труда упадет до g. Таким образом, увеличение нормы сбережения приведет к временному увеличению темпа роста производительности труда. Это изменение влияет на уровень капиталовооруженности и производительности, а не на темпы их роста в устойчивом состоянии.
9.3. СРАВНЕНИЕ УСТОЙЧИВЫХ СОСТОЯНИЙ. ЗОЛОТОЕ ПРАВИЛО
Благосостояние населения зависит не только от величины общего дохода, но и от его распределения на потребление и инвестиции. Увеличение s увеличивает к* и выпуск, но его влияние на потребление может быть двояким. Поэтому возникает вопрос: при каком уровне к* достигается максимум потребления?
Другими словами, ищется
maxc[A(j)j
с [k(s)] = (1 -s)y = f [*($)] - (п + g + 8) ф).
Отсюда
!=иВД)>+г+5)]|.
Возрастание s увеличивает к. Влияние же на величину потребления зависит от того, превысит ли предельная производительность капитала f'(k) величину (я + g+S).
Увеличение уровня капиталовооруженности на единицу увеличивает величину инвестиций, необходимых для того, чтобы капиталовооруженность сохранилась на новом, более высоком уровне, на (я + #+8). Если предельная производительность капитала меньше величины (п + g + 5), то прирост общего выпуска недостаточен для поддержания к на новом устойчивом уровне и, следовательно, потребление должно упасть, хотя экономика достигнет нового устойчивого состояния. Если же предельная производительность капитала больше, чем (п + g + 8), то прирост общего выпуска превышает объем необходимых инвестиций, так что увеличиваются и инвестиции, и потребление.
Если f'(k) — (п + g + 8), то это означает, что достигается максимально возможное потребление из всех возможных устойчивых состояний и небольшое изменение в к никак не повлияет на величину потребления. Устойчивый уровень капиталовооруженности, при котором достигается максимально возможное потребление, называется уровнем, соответствующим Золотому правилу накопления. Золотое правило накопления состоит в выборе нормы сбережений s, обеспечивающей достижение именно этого устойчивого состояния.
Геометрически это означает, что график f(k) и линия (n + g+5)k имеют одинаковые наклоны в соответствующей точке к** (рис. 9.3).
Норма сбережений, соответствующая Золотому правилу, определяется из следующих условий:
(9.6)
(9.7)
sf(k) = (п + g+ 8) к;
Г (к) = (я + g+S).
Из (9.6) и (9.7) следует, что sf(k) = f'(k)k.
|
Выпуск и инвестиции на единицу |
 |
|
Рис. 9.3. Устойчивый уровень капиталовооруженности, соответствующий Золотому правилу |
* = /'(*)¦
норма сбережений, обеспечива
Откуда
,т. е.
ющая достижение устойчивого состояния по Золотому правилу, совпадает с эластичностью выпуска по капиталу при уровне капиталовооруженности к**.
Если выпуск в экономике описывается производственной функцией Кобба—Дугласа К= AKaLl~a, (0<а<1), то оптимальная норма накопления, соответствующая Золотому правилу, s = а.
Переход к устойчивому состоянию, соответствующему Золотому правилу
Возникает вопрос о развитии экономики, которая осуществляет переход от первоначального устойчивого состояния, не соответствующего Золотому правилу, к устойчивому состоянию с максимально возможным потреблением.
Случай 1. Первоначальный устойчивый уровень капиталовооруженности превышает уровень по Золотому правилу.
В этом случае проводится политика, направленная на снижение нормы сбережения до уровня, соответствующего Золотому правилу. Пусть происходит одномоментное снижение нормы сбережения. В этот момент резко вырастет потребление с, а инвестиции і упадут.
Экономика выходит из устойчивого состояния, так как фактические инвестиции і становятся меньше, чем необходимые для поддержания к на постоянном уровне. Поэтому к, а за ним и выпуск, падают до тех пор, пока не достигнут нового устойчивого состояния. Падение выпуска сопровождается падением инвестиций и потребления к уровню Золотого правила. Следовательно, потребление в новом устойчивом состоянии установится на уровне, более высоком, чем первоначальный (рис. 9.4). Заметим, что на всем пути перехода (в каждый момент времени) к новому устойчивому состоянию потребление остается выше первоначального уровня. Поэтому такую экономику с избыточным уровнем сбережений называют динамически неэффективной.
 |
Норма сбережения уменьшилась
Рис. 9.4. Переход к устойчивому состоянию по Золотому правилу в случае снижения нормы сбережений |
Случай 2. Первоначальный устойчивый уровень капиталовооруженности меньше значения, соответствующего Золотому правилу.
В этом случае проводится политика, направленная на повышение нормы сбережения, что влечет за собой увеличение выпуска и объема потребления в будущем. Однако в настоящем увеличение нормы сбережения приводит к резкому падению потребления и соответствующему росту инвестиций. Фактические инвестиции начнут превышать величину, необходимую для поддержания к на новом уровне. Поэтому и потребление, и накопление начнут постепенно возрастать, пока не достигнут нового устойчивого уровня по Золотому правилу (рис. 9.5).
Выпуск (у)

Потребление (с)
Инвестиции (/)
->
Время
'о
Норма сбережения увеличилась
Рис. 9.5. Переход к устойчивому состоянию по Золотому правилу в случае повышения нормы сбережений
Описанный случай показывает, что если начальное устойчивое состояние ниже уровня Золотого правила, то переход к новому более высокому уровню сопровождается первоначально падением благосостояния населения, которое еще некоторое время будет оставаться ниже, чем раньше. Отношение населения к такому варианту развития зависит от характера его межвременных предпочтений (от того, насколько для него сегодняшнее потребление предпочтительнее будущего).
Это обстоятельство необходимо учитывать при проведении экономической политики.
9.4. РАСЧЕТ ИСТОЧНИКОВ ЭКОНОМИЧЕСКОГО РОСТА. ОСТАТОК СОЛОУ
Для оценки вклада факторов производства в экономический рост в 1957 г. Р. Солоу было предложено использовать производственную функцию с постоянной отдачей от масштаба У= AF(K, L), где А отражает уровень развития технологии. Изменения в уровне технологических знаний приводят к одинаковому увеличению предельных производительностей труда и капитала и поэтому часто интерпретируются как повышение совокупной производительности факторов производства.
Тогда изменения в выпуске определяются изменениями факторов производства К, L, А:
Y = MPKK + MPL-L + F{K,L)A, (9.8)
где МРК, MPL — предельные производительности капитала и труда.
Из (9.8) путем преобразования можно получить:
(9.9)
Y МРК К К MPLL L А Y~ Y 'К+ Y L + А
Соотношение (9.9) означает, что темп прироста продукции равен сумме трех слагаемых:
темпа прироста капитала, умноженного на долю капитала в общем доходе;
темпа прироста труда, умноженного на долю труда в общем доходе;
темпа прироста совокупной производительности факторов.
„ MPLL МРК К
Отношения --- и --- могут рассматриваться как
доли дохода на труд и капитал в предположении, что в условиях совершенной конкуренции труд и капитал оплачиваются в соответствии со своими предельными производительностями.
Если для оценки источников экономического роста в качестве производственной функции с постоянной отдачей от масштаба используют функцию Кобба—Дугласа Y= AKaLl~a, (0<ос<1), то соотношение (9.9) можно переписать в виде:
Y К ,L А п
о-"»
где а отражает эластичность выпуска по капиталу и является постоянной для данной производственной функции.
Используя статистические данные, можно подсчитать вклад труда и капитала в экономический рост. Оценка же вклада научно-технического прогресса в экономический рост не может быть проведена напрямую и обычно вычисляется как остаточный член уравнения (9.10) (так называемый остаток Солоу):
(9.И)
Y К , -.L
--а--(1 -ос —.
Y К к L
Поэтому, строго говоря, остаток Солоу (9.11) определяет не вклад научно-технического прогресса в экономический рост, а ту часть экономического роста, которая не поддается непосредственным измерениям (объясняется любыми причинами, за исключением изменений количества используемых труда и капитала).
9.5. ОЦЕНКА ТЕМПОВ РОСТА ПРИ ПЕРЕХОДЕ К УСТОЙЧИВОМУ СОСТОЯНИЮ
Выше было показано, что в устойчивом состоянии темпы роста не зависят от нормы сбережений и типа производственной функции. Проанализируем, от каких параметров зависят темпы роста капиталовооруженности и производительности труда1 при переходе от первоначального состояния к устойчивому.
Разделим обе части (9.5) на к, получим
| = ^-(« + g + 6). (9.12)
Формула (9.12) описывает темпы роста капиталовооруженности одного работника с постоянной эффективностью труда. На рис. 9.6 изображены темпы роста капиталовооруженности:
1) в устойчивом состоянии к* — это точка А, так как темп роста равен 0;
2) для случая, когда первоначальное состояние ниже устойчивого уровня — отрезок ВС, темпы роста положительные;
3) для случая, когда первоначальное состояние выше устойчивого уровня — отрезок DE, темпы роста отрицательные.
Отрицательный наклон кривой можно проиллюстриро-
к
вать следующим образом:
f{k)-kf'{k)
(9.13)
s.
tf{k) к
Числитель правой части (9.13) представляет собой предельную производительность труда (в чем нетрудно убедиться, вспомнив,
что Y = LE-FILE
, 1 ) и поэтому больше 0. Следовательно,
'Здесь и далее под капиталовооруженностью и производительностью труда будем понимать эти показатели в расчете на единицу труда с постоянной эффективностью.
 |
|
Рис. 9.6. Темпы роста капиталовооруженности при различных первоначальных состояниях |
производная, представленная в левой части (9.13), отрицательна,
*/(*)
к
т. е. функция
— убывающая.
Из рис. 9.6 видно, что при к0 < к* темпы роста капиталовооруженности положительны и убывают по мере приближения к устойчивому состоянию, а при к0> к* — отрицательны и возрастают. Таким образом, при любом первоначальном уровне капиталовооруженности система приходит к устойчивому состоянию к*.
Можно оценить также темпы роста производительности труда по мере перехода к устойчивому состоянию:
(9.14)
У _Г{к)Іс (Г(к)к^ к У f{k) { f(k) ) к'
Темпы роста производительности труда равны произведению доли дохода на капитал в доходе и темпов роста капиталовооруженности.
С учетом (9.12) условие (9.14) можно переписать следующим образом:
' Г {к)кЛ
I № J
?(?)
Л
(n + g + b)
(9.15)
= sf\k) - (п + g + 5)
Выражение (9.15) позволяет найти зависимость темпов роста у от изменения капиталовооруженности к.
' ГЩ{ к) + /'(*)/(*) - f'{k)kf\k)л
I т )
\yj
дк
sf"{k)-(n + g + 5)
sf(k)-(n + g + Ь)к'
I № )
~(n + g + 5)
=/"(*)
Г'{к)к к /(*) к
Пк)к
№
Пк)
№
(/j + g + 5)
(9.16)
В правой части (9.16) выражение в квадратных скобках всегда положительно, так как доля дохода на капитал в доходе меньше 1. При к0<к* темп роста капиталовооруженности больше 0. f"(k) < 0 по свойству производственной функции. Следовательно, правая часть (9.16) отрицательна, т. е. темпы роста у падают с ростом к. При к0 > к* темпы роста капиталовооруженности меньше 0, поэтому правая часть (9.16) может быть как положительна, так и отрицательна, однако при приближении к устойчивому состоянию темпы роста капиталовооруженности стремятся к 0, поэтому правая часть (9.16), скорее всего, будет отрицательной и темпы роста Убудут падать. Динамика темпов роста потребления на одного работника с постоянной эффективностью труда повторяет динамику у, так как с составляет его постоянную часть (с = (1 — j)y).
Из проведенного анализа видно, что при прочих равных более низкий первоначальный уровень капиталовооруженности предполагает более высокие темпы экономического роста, которые затухают по мере приближения к устойчивому состоянию. Проанализируем, означает ли это, что со временем должно происходить сближение уровней жизни бедных и богатых стран, т. е. наблюдаться процессы конвергенции.
9.6. АБСОЛЮТНАЯ И ОТНОСИТЕЛЬНАЯ КОНВЕРГЕНЦИЯ
Уравнение (9.16) демонстрирует тот факт, что если в двух странах структурные параметры s, п, g, 5 и производственные функции примерно одинаковы, но они различаются по начальному уровню запаса капитала (в бедной стране он ниже), то, поскольку их устойчивые состояния совпадают, бедная страна будет расти быстрее. Таким образом, бедная страна в конце концов достигнет уровня развития богатой.
Существуют различные подходы к проблеме конвергенции. Концепция абсолютной конвергенции предполагает, что бедные страны растут быстрее богатых, и разница в уровнях среднедушевого дохода постепенно снижается независимо от характеристик экономики. Обычно рассматривается два типа абсолютной конвергенции:
р — конвергенция означает, что для относительно более бедных стран характерны более высокие темпы роста, чем для богатых;
8 — конвергенция означает уменьшение разброса в подушевом доходе между странами с течением времени.
Можно показать, что наличие Р-конвергенции не предполагает обязательно, что будет иметь место 8-конвергенция (см., например, [6], главу 1).
Гипотеза условной конвергенции предполагает, что бедные страны растут быстрее богатых при прочих равных (при условии схожести структурных параметров и производственной функции), т. е. при одинаковом устойчивом состоянии. В случае если устойчивые состояния отличаются, условная конвергенция означает, что страна растет тем быстрее, чем дальше она находится от собственного устойчивого состояния.
Существующие эмпирические исследования не подтверждают наличия абсолютной конвергенции (см., например, [23]). Эти выводы можно объяснить с помощью модели Солоу, если предположить, что страны имеют различные устойчивые состояния, связанные, например, с разницей в норме сбережений.
Заменим в (9.12) s с учетом условия устойчивости
к
s = (п + g + 8) тогда (9.12) примет вид

(9.17)
Из (9.17) видно, что темпы роста к зависят от соотношения средней производительности капитала в рассматриваемом и устойчивом состояниях. Страна с более низким первоначальным запасом капитала может иметь более низкие темпы роста, чем страна с более высоким, если ее устойчивый уровень также ниже. Эта ситуация отражена на рис. 9.7.
 |
|
Рис. 9.7. Темпы роста капиталовооруженности при различных устойчивых состояниях в зависимости от первоначального уровня |
На рис. 9.7 в стране 2 первоначальный уровень запаса капитала выше, чем в стране 1 (к2ф) > &і(0)), однако темпы роста в этом состоянии у нее также выше (NP> DE).
В стране 2 выше норма сбережений и, следовательно, выше устойчивый уровень капиталовооруженности. Хотя она имеет более высокий первоначальный уровень капиталовооруженности, но от своего устойчивого состояния отстоит дальше, чем страна 1 (PL > ЕМ), поэтому растет быстрее. Таким образом, по отношению к этим странам можно говорить только об условной конвергенции.
Важной проблемой является оценка скорости условной конвергенции. Она помогает понять, как быстро произойдет переход к новому устойчивому состоянию при изменении параметров, влияющих на темпы роста, чаще всего это норма сбережений.
Исследуем скорость сходимости капиталовооруженности
к устойчивому состоянию. Поскольку к зависит от к (см. (9.5)), можно записать, что к = к(к). Линейная аппроксимация этой функции, полученная с помощью разложения в ряд Тейлора вокруг к = к*, имеет следующий вид:
(9.18)
В свою очередь на основании (9.5) дк{к)
„І,*\ / ^ (л + g+ 5) **/'(**) , ^
. =sf [к )-(п + g + 8) =-—-'—(n + g + 8) =
f{k)
= -(1-Лд(*‘))(« + ^ + 8), (9.19)
где Лд(^*) — эластичность производительности труда по капиталовооруженности при к = к*.
Тогда с учетом (9.18) и (9.19)
^ = -(і-Лд(Л:*))(я + ? + 5)(?-Г). (9.20)
Если обозначить х(і) = к(і) — к*, X = (і~Лд(&*))(« + ? + 8), то
из (9.20) следует, что x(t) = -Хх((), откуда *(/¦) = х(0)е_х'.
Таким образом,
к{() - к* =е~х'(к(0) -к*). (9.21)
На основании (9.21) можно оценивать скорость конвергенции к устойчивому состоянию, которую отражает коэффициент X. Так, например, при п — \ %, g= 2%, 8 = 3% в год и эластичности производительности труда по капиталовооруженности (совпадающей с долей дохода на капитал в общем доходе), равной* 1/3, каждый год разрыв между кик* сокращается на 4%. Тогда сокращение наполовину разрыва между первоначальным и устойчивым состояниями потребует около 18 лет (е~Хі =1/2, откуда / = (in (1/2))/А = 0,69/0,04).
Конечно, проведенная оценка приблизительна, так как использованное разложение дает возможность с большой степенью точности оценивать скорость конвергенции только при значениях капиталовооруженности, близких к устойчивому. Однако на ее основе можно видеть, поскольку приведенный пример построен при достаточно реалистичном значении показателей, что даже процесс условной конвергенции протекает достаточно медленно.
Попытки эконометрических проверок наличия конвергенции с использованием выводов модели Солоу дают противоречивые результаты. Работа [7] подтвердила гипотезу конвергенции, однако ее выводы были поставлены под сомнение ввиду того, что рассматривались страны, по которым имелись надежные ряды данных за достаточно большой период времени, а это либо развитые страны, либо те, которые вначале были бедны, но впоследствии имели высокие темпы роста. Естественно, что такая выборка продемонстрировала более высокие темпы роста в бедных странах. В работе [15] была сделана попытка устранения этого недостатка, результаты не позволяли однозначно подтвердить наличие конвергенции. Мэнкью, Ромер и Вэйл [23], используя базу данных Summers and Heston (1991), в которой представлена очень широкая выборка стран, получили статистически значимое направление связи темпов роста выпуска с нормой сбережений и темпами роста населения, предсказанное моделью Солоу. Однако количественно влияние этих показателей оказалось выше, чем оценки, рассчитанные по модели. Был сделан вывод о том, что модель Солоу не дает возможности учесть ряд важных факторов, вызывающих различие в уровне жизни богатых и бедных стран. Одним из основных направлений критики модели Солоу является экзогенность ключевых факторов экономического роста, таких, как темпы роста научно-технического прогресса, норма сбережений и темп роста населения. В следующих главах будут освещены подходы к анализу экономического роста, преодолевающие эти недостатки.
ВОПРОСЫ И ЗАДАНИЯ К ГЛАВЕ 9 .
1. Пусть выполняются все предпосылки модели Солоу с трудосберегающим типом научно-технического прогресса.
а) Определите зависимость реальной ставки заработной платы от уровня капиталовооруженности и эффективности единицы труда.
б) Каким темпом изменяются реальная ставка заработной платы и реальная ставка процента в устойчивом состоянии?
в) Предположим, что уровень капиталовооруженности в экономике ниже устойчивого. По мере перехода к устойчивому состоянию будет ли темп роста реальной заработной платы выше, ниже или равен темпу роста в устойчивом состоянии?
г) Дайте аналогичную оценку темпа роста реальной ставки процента.
2. Предположим, что производственная функция в модели
Солоу имеет вид Y = KaHx(LE)'~a~x, где Н — человеческий капитал, а, X > 0, а+ Х< 1.
Оба типа капитала изнашиваются с темпом 5. Доля инвестиций в физический капитал в выпуске равна sk, а доля инвестиций в человеческий капитал составляет s/r
Выведите уравнения динамики физического и человеческого капитала на единицу эффективного труда.
Найдите устойчивые уровни физического капитала, человеческого капитала и выпуска на единицу эффективного труда.
Найдите темп роста выпуска на единицу эффективного труда.
3. Найдите скорость конвергенции в модели Солоу, если выпуск описывается производственной функцией Кобба—Дугласа
с постоянной отдачей от масштаба вида Y = Ka(LE)l~a.
4. Пусть в стране А выпуск описывается производственной функцией Кобба—Дугласа с постоянной отдачей от масштаба вида
Y = А'|/,3(/.?’)2/3. Население этой страны растет с постоянным темпом 1% в год. Средняя норма выбытия капитала равна 0,05. Темп роста научно-технологического прогресса составляет 2% в год. Найдите скорость конвергенции для этой страны. Сколько лет потребуется стране А для сокращения вдвое разрыва между первоначальным и устойчивым уровнями капиталовооруженности?
5. Покажите, что если в гипотетической экономике капиталисты сберегают весь доход на капитал, а работники тратят весь доход от своего труда, то в такой экономике устойчивое состояние соответствует Золотому правилу.
6. Пусть в стране В отсутствует технологический прогресс и она находится в устойчивом состоянии. Как изменятся капиталовооруженность, производительность труда и потребление на душу населения, если в стране упадет темп роста населения? Нарисуйте графики изменения этих переменных во времени при переходе в новое устойчивое состояние.
7. Предположим, что производственная функция зависит, кроме обычных факторов еще и от земли. Пусть производственная функция имеет вид
Y,=K?N](LtE,)[-a-\
где N — количество земли, а > 0, у > 0, (а + у) < 1. Норма сбережения равна s, темп роста населения — п, темп роста технологического прогресса — g, норма выбытия — 5. Земельные ресурсы неизменны.
а) Покажите, что если в такой экономике существует устойчивое состояние, то в этом состоянии капитал и выпуск растут одинаковым темпом.
б) Найдите темпы роста выпуска и капитала в устойчивом состоянии.
в) Докажите, что эти показатели достигают устойчивого состояния.
8. Пусть выпуск в стране С описывается производственной функцией вида У= Л'0,4/,0'6. Предположим, что капитал в этой стране не снашивается, технологический прогресс отсутствует, а население растет с темпом в 2% в год. Устойчивое состояние в этой стране соответствует Золотому правилу. Пусть первоначально капиталовооруженность составляет 200 единиц. Через сколько лет в стране С отставание капиталовооруженности от устойчивого уровня достигнет 90%?
9. По аналогии со случаем производственной функции Кобба-Дугласа найдите коэффициент конвергенции X в случае производственной функции с постоянной эластичностью замещения
Y = F(K, ?) = а[ЫС*+{\-Ь)і?\ч, А> 0, 0< А< 1, ср < 1.
10. Пусть выпуск в экономике описывается производственной функцией вида У= А0’3/,0,7. В этой экономике население растет с темпом в 1%, темп роста научно-технологического прогресса равен 2%, а срок службы капитала в среднем составляет 50 лет. На сколько процентов сокращается каждый год разрыв между первоначальным и устойчивым уровнями капиталовооруженности?
Глава 10
ОБЗОР МОДЕЛЕЙ ЭНДОГЕННОГО
РОСТА
Модель АК (модель Лукаса). Включение человеческого капитала в понятие «капитал». Модель АК и процессы конвергенции.
Модель Ромера. Включение продукта исследований и разработок (R&D) в понятие «капитал». Включение результата обучения на опыте (learning-by-doing) в понятие «капитал».
Модели, объясняющие научно-технический прогресс. Модель растущего разнообразия товаров (expanding variety). Модель ступенек качества. Модель заимствования технологий. Факторы, влияющие на темпы роста научно-технического прогресса.
Модель Солоу обычно критикуется за экзогенность задания ряда ключевых параметров экономического роста. Основными из них являются норма сбережений и темп роста технологического прогресса, который в модели Солоу задается через темп роста эффективности единицы труда. При таком задании научно-технический прогресс остается необъясненным, как говорят некоторые экономисты, «падает с неба». Неполнота модели Солоу привела к созданию целого класса моделей экономического роста, в которых факторы роста выводятся на основе их решения, т. е. определяются эндогенно. Этот класс получил название «модели эндогенного роста».
Сомнения в адекватности модели Солоу возникли при верификации ее выводов. Они использовались для объяснения более быстрого темпа роста в послевоенной Японии по сравнению с США. В Японии темп роста был выше, так как ее запас капитала находился ниже устойчивого уровня, в то время как в США уровень запаса капитала был близок к устойчивому. Однако это объяснение, сделанное на базе модели Солоу, плохо согласовывалось с оценкой межстрановых различий в реальных ставках процента.
Для оценки этих различий в качестве производственной функции использовалась функция Кобба—Дугласа вида
Y = AKaL'-a (0 < а < 1). (10.1)
Реальная ставка процента в соответствии с неоклассической моделью представляет собой разницу между предельной производительностью капитала и нормой амортизации (см., например: [1], главу 4):
(К_
= МРК-Ъ = аА
-5.
(10.2)
Если предположить, что в Японии и США совпадали все параметры, кроме запаса капитала, то можно, хотя и очень приблизительно, сравнить ставки процента этих стран. В 1950 г. ВВП Японии был в 5 раз ниже, чем в США.
Угіпі /Гріцж
Тогда из (10.1) следует, что —-= —-= 5-
^Япония ^Япония
(*сша> ^сша ~ объемы выпуска и запаса капитала в США; ТЯпония, ^Япония — значения тех же показателей в Японии.)
Отсюда
^США =5^А'яиония- (10.3)
Лі-“)
ЛСША
^С-“)
л Япония
1-а
^Япония 5
/¦США + 5
Из (10.2) вытекает, что
Таким образом,
1-а
^Япония =5 “ (/"США+5)-5. (Ю.4)
В [10] /сша оценивается в 6,5%, и если использовать обычно применяемые в расчетах величины ос= 1/3, 8 = 0,1, то из (10.4) следует, что в 1950 г. в Японии ставка процента была приблизительно 400%. Ясно, что это абсолютно нереальная оценка. Приведенные рассуждения можно оспорить, поскольку они используют предпосылку об идентичности производственных функций Японии и США. Ответ на это возражение состоит в том, что для исследования различий в темпах роста необходимо понять, как развиваются технологии в различных странах и какие факторы определяют это развитие.
Существует два направления решения поставленной задачи. Первое — расширить понятие капитала, представив его шире, чем просто физический капитал. Тогда ос (представляющее собой долю дохода на капитал в ВВП) окажется существенно больше 1/3, и выводы о динамике показателей в процессе перехода к устойчивому состоянию не будут приходить в противоречие с оценкой реальной ставки процента. Второе — эндогенизировать научнотехнический прогресс, т. е. определять темпы его роста g в процессе решения модели. Далее будут рассмотрены оба этих направления.
10.1. МОДЕЛЬ АК
Модель, на основе которой делается попытка объяснить экономический рост, не привлекая предпосылку об экзогенно задаваемых темпах роста технологического прогресса, была предложена Р. Лукасом [22]. В модели выпуск описывается производственной функцией Кобба—Дугласа вида:
У, =AK“(LH,)'"\
где 0 < а < 1;
А — технологический параметр, А>0;
Н, — уровень человеческого капитала репрезентативного агента в экономике в момент времени t (т. е. уровень человеческого капитала, которым обладает типичный представитель рабочей силы).
Как и в модели Солоу, численность населения и рабочей силы совпадают, в этом варианте численность населения неизменна, поэтому совокупный запас человеческого капитала равен (LH При такой интерпретации эффективность труда измеряется уровнем человеческого капитала. Производственная функция, как и в модели Солоу, описывает экономику с постоянной отдачей от масштаба. Инвестиции в момент t представляют собой сумму
инвестиций в физический (/*) и человеческий (//') капитал:
1 = Ік + Iй
Равновесие на рынке товаров и услуг, как и в модели Солоу, описывается уравнением У = С + /.
Нормы амортизации физического и человеческого капитала
совпадают, поэтому К = 1к -ЪК\ Я =Jh -5Н.
В модели предполагается полная взаимозаменяемость капитальных ресурсов. Поэтому поскольку издержки накопления физического и человеческого капитала совпадают, в устойчивом состоянии их предельные производительности также должны уравниваться, т. е. должно выполняться условие МРК = МРН. Отсюда
К,
К,
LH,
- (1 - а)А
(10.5)
L.
Из (10.5) следует, что
(10.6)
Я, _ 1-а К, - а
С учетом (10.6) производственная функция принимает вид:
Y = AK, (10.7)
(І-а)
-а
Г (1-а)
где А - А
Модель (10.7) получила название «модель АК». Ее основным свойством является постоянная предельная производительность капитала, в отличие от модели Солоу, в которой используется свойство убывающей предельной производительности факторов. Эта постоянная отдача становится возможной благодаря тому, что в окончательной постановке капитал понимается в широком смысле, т. е. включает в себя не только физический, но и человеческий капитал.
Все остальные предпосылки модели Солоу остаются в силе. Поэтому выпуск на душу населения можно представить в виде
У = /(*)= Лк,
где к — капиталовооруженность одного работника.
Поскольку k = i-Sk = sAk-5k, темп роста капиталовооруженности равен
(10.8)
к f{k) _ _
— -s—---о = sA — о при любом значении к.
к к
В модели не рассматриваются темпы роста технологического прогресса и роста населения, так как ее задача показать, что постоянный рост можно объяснить без экзогенно заданных технологических изменений.
На рис. 10.1 темп роста капиталовооруженности при любом ее уровне — это расстояние между горизонтальными линиями sA
Іс
и 5. Если sA > 8, то — >0 и капиталовооруженность растет с по-к
стоянным темпом. sA, 8“
- sA
к
к
- 5
к
Рис. 10.1. Темпы роста капиталовооруженности в модели АК
Поскольку у = Ак, а потребление с = (1 — j)y, то, очевидно, что темпы роста производительности труда, потребления на одного работающего и капиталовооруженности совпадают
^=- = 7 = л/1-5. (10.9)
у с к
Таким образом, в рассматриваемой модели постоянный экономический рост возможен без технологического прогресса. Причем, в отличие от модели Солоу, увеличение нормы сбережений приводит к тому, что темпы роста увеличиваются не временно, а постоянно. Снижение нормы амортизации также приводит к устойчивому повышению темпов экономического роста.
Из (10.7) следует, что А представляет собой как предельную, так и среднюю производительность капитала. Поэтому условие
(10.9) означает, что если та часть капиталоотдачи, которая идет на накопление капитала, превышает норму выбытия, то в экономике будет наблюдаться устойчивый экономический рост. Темпы роста увеличиваются при технологических изменениях, ведущих к росту параметра А, т. е. повышающих среднюю и предельную производительность капитала.
Модель АК предсказывает отсутствие как абсолютной, так и относительной конвергенции. Ее анализ позволяет сделать следующий вывод. Если две страны имеют одинаковые производственные функции, нормы сбережений и нормы амортизации, но отличаются первоначальным уровнем запаса капитала, то капиталовооруженность, производительность труда и потребление на одного работника в этих странах будут расти с одинаковым темпом (sA — 8), т. е. сближение уровней жизни происходить не будет. Этот результат — следствие постоянной предельной производительности капитала. Он сдавит под сомнение адекватность модели, так как эмпирические наблюдения показывают наличие условной конвергенции. Это обстоятельство побудило к созданию модификации модели АК, оставляющей в силе постоянный темп экономического роста в долгосрочной перспективе (без использования предпосылки об экзогенном технологическом прогрессе), однако предсказывающей условную конвергенцию [21].
Рассмотрим уравнение, описывающее темп роста капиталовооруженности
к
к |  |
(10.10)
По определению, если устойчивое состояние существует, то соответствующий ему темп роста капиталовооруженности является константой. Из (10.10) видно, что для того, чтобы эта константа была положительной (а не нулевой, как в модели Солоу), необходимо и достаточно, чтобы выполнялось условие
т
к |  |
Пт
(10.11)
Таким образом, (10.11) является необходимым и достаточным
условием постоянного эндогенного роста. Если lim f{k)=°°, то
к—
lim f’{k), т. е. при неограничен
lim
по правилу Лопиталя
ном росте к средняя и предельная производительности капитала совпадают. Тогда из (10.11) следует, что для наличия постоянного эндогенного роста необходимо и достаточно, чтобы выполнялось условие:
С
lim f'(k) > —>0. (10.12)
к->~ 5
Это условие противоречит условию Инада lim f'{k) =0. Выражение (10.12) означает, что отдача от капитала со временем перестает быть убывающей и становится постоянной. Производственная функция, обладающая свойством (10.12), может быть представлена функцией вида
Y = F(K, L) = АК + ВКаі}~а, (10.13)
где А > 0, В > 0, 0 < сс< 1.
Функция (10.13) обладает свойствами постоянной отдачи от масштаба и убывающей предельной производительности капитала, однако Ііш F'K = А> 0, т. е. одно из условий Инада для нее к->~
не выполняется.
С учетом постоянной отдачи от масштаба в расчете на душу населения можно переписать (10.13) в виде
у = f{k) = Ak + Bka. (10.14)
Отсюда
(10.15)
f(k)
к
Из (10.15) видно, что средняя производительность капитала падает с ростом капиталовооруженности, а при ее неограниченном росте стремится к А.
С учетом (10.15) темп роста капиталовооруженности (при отсутствии технологического прогресса и постоянном населении) равен
В
к}~а
-6.
-5 = sA + s
(10.16)
Выражение (10.16) показывает, что с ростом капиталовооруженности темп ее роста падает, а при неограниченном возрастании к темп роста капиталовооруженности стремится к постоянной величине (тЛ — 5). Если sA > 5, то темп роста к в устойчивом состоянии положителен, т. е. наблюдается постоянный эндогенный рост.
В этом случае будет также наблюдаться и условная конвергенция. Пусть в двух странах С и D производственная функция и все параметры совпадают, но в стране С первоначальный уровень капиталовооруженности ниже (kc<kD).
s ¦ f{k)
к
 |
|
Рис. 10.2. Темпы роста капиталовооруженности в двух странах |
Тогда в устойчивом состоянии обе страны будут расти с одинаковым темпом (sA — 5), но первоначально темп роста в Сбудет
В „ , В
-6. Иными словами, чем дальше
- 5 > sA + s
выше: &4 + .S
/,1-а
Кс
і,1-а
КП
страна отстоит от устойчивого уровня, тем выше темпы экономического роста. На рис. 10.2 график функции sf(k)/k отражается понижающейся кривой, стремящейся с ростом к к горизонтальной прямой sA, темп роста капиталовооруженности — это отрезок С\С2 для страны С и отрезок DXD2 для страны D. По мере накопления капитала темпы роста падают, и в конце концов страны приближаются к одинаковому устойчивому уровню. В соответствии с определением это означает, что имеет место условная конвергенция.
10.2. МОДЕЛЬ РОМЕРА
В модели АК используется расширение понятия «капитал» за счет включения в него помимо физического еще и человеческого капитала. Одним из альтернативных способов расширения понятия капитала для получения эндогенного роста является интерпретация Ромера [26], предложившего рассматривать капитал как комбинацию физического капитала и продукта инвестиций в исследования и разработки (R&D). Таким продуктом могут, например, считаться идеи по производству новых товаров или по совершенствованию технологии производства уже имеющихся. Эти идеи являются, в частности, побочным продуктом инвестиций, так как фирма, увеличивая физический капитал, обучается одновременно более эффективному его использованию. Этот эффект получил название «обучение на опыте» (learning-by-doing). Часть подобного капитала порождает внешние эффекты (экстерналии), так как фирма может узнать, как произвести новый продукт или улучшить технологию производства старого, наблюдая за деятельностью других фирм. Таким образом, выпуск фирмы, помимо обычно включаемых в производственную функцию ресурсов, зависит также от общего уровня знаний (технологии) в экономике.
В модели Ромера используется производственная функция Кобба—Дугласа, причем производственная функция репрезентативной фирмы имеет вид:
У, =kf-L\-aAf, 0 <а < 1, р>0, (10.17)
где Y, К, L — соответственно выпуск, капитал и трудовые ресурсы репрезентативной фирмы в момент времени /;
А, — уровень технологии в экономике.
Показатель At растет с ростом общего уровня знаний. Другими словами, А, растет вместе с общим запасом капитала К„ так как с его ростом происходит обучение на опыте. Поэтому в этой модели в качестве аппроксимации уровня знаний служит общий запас капитала. А, = К„ где К, — совокупный запас капитала в экономике в момент времени t.
Пусть в экономике действует /V подобных фирм. Тогда К, = NK,,
рабочая сила L, = NL, и выпуск в экономике описывается производственной функцией:
Y, =K?L'raK?, 0<а < 1, р>0. (10.18)
Норма сбережений s и норма выбытия капитала 5 задаются, как и в модели Солоу, экзогенно. Темп роста населения равен п.
В экономике наблюдается возрастающая отдача от масштаба, так как а + (1 — а) + р = (1 +Р)> 1, однако это не обязательно означает отсутствие совершенной конкуренции, так как экономия от масштаба может достигаться за счет экстерналий.
Изменение запаса капитала описывается следующим образом:
К = sY-ЪК.
к y
Отсюда — = s--5 и, следовательно, в устойчивом состоянии
К К
У (а + Р)Л'а+*3-1АХ1-а + (1 - a)Ka+^L~aL . К ,, ,
— ---*---= (а + Р) — + (1-а)я.
К
У и К растут одинаковым темпом. Темп роста выпуска АХ'-а + (1
ка+$1}-а
Так как в устойчивом состоянии у = —, то
^ = (а + р)^ + (і-а)/і.
Отсюда
(10.19)
К _ (1 -а)п ~К~ 1-а-р
Из (10.19) следует, что если числитель и знаменатель в правой части не равны 0, то в устойчивом состоянии рост обеспечивается за счет роста населения. Если и>0ир=1-а, темпы роста будут стремиться к бесконечности.
В случае, когда (а + Р) > 1, темпы роста также будут стремиться к бесконечности, так как
lim — = s lim--8 = s lim
*•->- К к->- К к-*~
-8 =
У'к
= lim (<x + p)A:a+ML1-a-5 = +oo.
Во всех этих случаях мы сталкиваемся с экзогенным ростом, так как экономический рост зависит от темпа роста населения, а он задается в модели экзогенно.
Единственная возможность для эндогенного роста остается в случае, если я = 0иР=1— а.
Тогда
К_
К
sKaL'-aKl~a-8K
--- sL “
К
(10.20)
-8.
Выражение (10.20) показывает, что в этом случае наблюдается постоянный эндогенный рост, причем его темпы зависят от нормы сбережений и постоянной численности населения. Из (10.20) следует, что темпы роста капитала не зависят от его величины, т. е. эта модель не предполагает ни абсолютной, ни условной конвергенции.
Если подставить условия п = 0 и (а + (3) = 1 в (10.18), то легко видеть, что модель превращается в модель АК, в которой уровень человеческого капитала зависит от инвестиций в исследования и разработки и от обучения на опыте. Здесь постоянная отдача от масштаба на уровне экономики является результатом внешних эффектов, возникающих при заимствовании отдельной фирмой в процессе освоения инвестиций идей эффективного использования капитала, разработанных остальными фирмами. В этой модели предполагается, что все изобретения являются побочным продуктом инвестиций и немедленно становятся общим знанием. Это означает, что классическая предпосылка модели Солоу о совершенной конкуренции остается в силе, хотя решение уже не является оптимальным по Парето. Поскольку предельная полезность запаса капитала с учетом экстерналий будет выше, чем без подобного учета, темпы роста при централизованном управлении окажутся выше, чем в децентрализованной экономике при совершенной конкуренции (подробнее см., например: [6]).
Ранние эмпирические исследования, использующие данные по американской промышленности, обнаружили положительное влияние опыта на производительность ряда отраслей [9]. Однако современные попытки оценки производственной функции с использованием более точных показателей запаса капитала [8] не подтвердили наличие внешних эффектов. Возможно, это объясняется тем, что для эконометрической оценки использовались данные о физическом капитале и, таким образом, не были включены инвестиции в R&D, с которыми Ромер связывал наличие внешних эффектов.
В любом случае модель носит достаточно ограниченный характер. Поскольку понятие «капитал» в ней включает в себя много различных типов деятельности, для объяснения устойчивого экономического роста внешние эффекты должны быть очень велики, чтобы обеспечивать постоянную предельную производительность капитала.
10.3. МОДЕЛИ, ОБЪЯСНЯЮЩИЕ ТЕМП РОСТА НАУЧНО-ТЕХНИЧЕСКОГО ПРОГРЕССА
Описанные в предыдущих пунктах модели отражали попытки объяснения экономического роста с помощью переопределения понятия «капитал». Однако подобный способ не позволяет ответить на один из главных вопросов — чем объясняется научно-технический прогресс?
Попытки ответа на поставленный вопрос с помощью прямого включения в производственную функцию переменной научнотехнического прогресса, т. е. предположения, что производительность может быть увеличена при расходовании части ресурсов на эти цели, наталкивается на ограничение, связанное с постоянством отдачи от масштаба. Дело в том, что при постоянной отдаче от масштаба в экономике с совершенной конкуренцией доход полностью тратится на вознаграждение капитала и труда (см. [1], главу 2), поэтому ничего не остается для оплаты такого фактора выпуска, как научно-технический прогресс. В силу того, что при совершенной конкуренции в равновесии экономическая прибыль равна нулю, фирмы не хотят нести издержки, связанные с разработкой новой продукции. Поэтому для эндогенного объяснения научно-технического прогресса Ромер предложил теорию, использующую модель монополистической конкуренции Диксита— Стиглица.
10.3.1. Модель растущего разнообразия товаров
Предполагается, что фирмы несут фиксированные издержки по производству нового товара, но затем получают постоянную монополию на этот товар. По-прежнему считается, что на инвестиции расходуется постоянная часть выпуска. Инвестиции тратятся на создание и внедрение новых товаров.
Производственная функция имеет вид
|
т, |
 |
|
о |
(10.21)
где х} — затраты /-го промежуточного продукта в момент времени /;
mt — количество затрачиваемых промежуточных продуктов для производства выпуска в момент времени /;
А — уровень технологии.
Производственная функция (10.21) описывает экономику с постоянной отдачей от масштаба по труду и промежуточным продуктам. Трудовые ресурсы и, соответственно, реальная заработная плата неизменны во времени. Поэтому задача максимизации прибыли решается следующим образом: f p'.xldi-wL —> шах,
|
А |  |
(10.22)
J 1 1 V1 /
0 *'• L
где p't —реальная (измеренная в единицах выпуска) цена промежуточного продукта /; w — реальная ставка заработной платы.
Необходимые условия имеют вид:
ос4(х,') ^ a)L'~a=p,l для каждого і; (10.23)
J (xifdi
(1 -а) А
(10.24)
L~a = w.
Условие (10.23) описывает спрос на /-й товар. Предположим, что производство /-го товара вознаграждается монополией на его выпуск, а издержки, связанные с производством единицы этого товара, равны у. Тогда задача максимизации прибыли монополиста будет выглядеть следующим образом:
шах(/>'*' - ух').
А • */
Решение этой задачи состоит в нахождении
тах^смі(х(') ^ а)ІІ ах\ - ух,
и подстановке полученного оптимального значения xj в (10.23).
Решение задачи монополиста, таким образом, носит узнаваемый характер и состоит в назначении надбавки к предельным издержкам в размере:
|
Р, |  |
(10.25)
Так как издержки для всех производителей одинаковы, то и цены также будут равными. Тогда для определения предложения каждого товара в равновесии подставим (10.25) в (10.23).
'а2Ал
< У ,
1-а
а А (х{)
(10.26)
Таким образом, предложение каждого товара одинаково. Подставив (10.26) в (10.21), получим производственную функцию вида:
1 / 2 Л 1-
- I 1 —ос
а_
? У
Yt - Лт,Ь, где
(10.27)
А = А'~а
Предположим, что создание нового продукта требует издержек ресурсов в размере ср для его разработки и развития (процесса R&D).
Таким образом, если доля дохода s тратится на инвестиции для создания и производства промежуточных продуктов, то
I, = sY,\ (10.28)
1, ={ті+і-т,)ц + ухтг (10.29)
Выражение (10.29) показывает, что инвестиции возмещают издержки на создание новых продуктов (первое слагаемое) и производство уже существующих (второе слагаемое).
Из (10.27) вытекает, что темпы роста в экономике
Aml+lL
*і+і
У,
м-1
Am,L т,
совпадают с темпом роста количества промежуточных продуктов. Из (10.28) и (10.29) sY, = (mt+l-т^у + ухт,, откуда
sAmtL = ф/я,+і -{q>-yx)mr (10.30)
sAL + y-yx
Ф
Выразим из (10.30)
. Из (10.26) следует, что
т,
г сх2Ал
1-а
и, с учетом (10.27), ух = А La2
ух = уL
? У
Таким образом,
Yl+1 w.+i , AL/ 2\ -ш- = —^ = 1 + [s-a2 ,
У, щ ф ? '
откуда темп экономического роста равен
— (.-а2).
ф ' '
(10.31)
В случае s > а2 наблюдается устойчивый экономический рост.
Как и в предыдущих моделях, темп роста тем выше, чем выше норма сбережений. Однако в этой модели темпы роста тем выше, чем ниже уровень издержек ф, необходимых для осуществления исследований и разработок по вводу нового продукта, а также чем ниже издержки производства уже существующих у (см. (10.27)). Таким образом, модель непосредственно отражает технический прогресс, состоящий в разработке новых товаров и совершенствовании изготовления уже существующих. Причем темпы экономического роста связаны с издержками по его осуществлению.
В представленной модели наблюдается тот же эффект, что и в модели Ромера, — темпы роста зависят от размера рабочей силы L, т. е. от размера экономики. Эти выводы не нашли эмпирического подтверждения, анализ межстрановых данных не выявил связи между темпами роста выпуска и численностью населения. Однако приведенная модель больше всего подходит для описания развитых экономик, которые осуществляют значительные инвестиции в R&D. Подобные экономики экспортируют свою продукцию, поэтому, возможно, в качестве размера рынка для них правильнее использовать не численность их населения, а население тех стран, в которые они осуществляют экспорт. Поэтому модель можно использовать для анализа последствий мировой торговли, что осуществлено в [13].
Из (10.31) следует, что модель не предполагает ни абсолютной, ни условной конвергенции. Это происходит потому, что в ней устойчивый эндогенный рост возникает благодаря тому, что в процессе производства новых товаров не используются ограниченные факторы производства, поэтому запас продуктов может неограниченно возрастать. Другими словами, в модель не заложены механизмы, вызывающие снижение темпов расширения запаса продуктов по мере его увеличения. В работе [27] введена предпосылка о том, что новые товары вводятся с использованием квалифицированного труда, запас которого постоянен. Для того чтобы в этом случае устойчивый экономический рост, тем не менее, наблюдался, предполагается, что издержки разработки нового товара падают с увеличением существующего запаса товаров (т,). В такой постановке уже появляется возможность условной конвергенции (по мере роста запаса продуктов его темпы уменьшаются благодаря ограниченности квалифицированного труда, однако остаются положительными из-за падения издержек по вводу нового товара).
10.3.2. Модель ступенек качества
В модели растущего разнообразия товаров не предусмотрена возможность замены старых продуктов вновь разработанными. На практике зачастую новые продукты заменяют старые. Например, лампочки заменили свечи, компьютер — счетные и печатные машинки и т. п. В [4] предложены модели, предполагающие ограниченность жизненного цикла нововведений. В этих моделях, как и в предыдущей, производитель сравнивает издержки по разработке нового продукта с выгодой от его монопольного использования. Однако в них монопольная власть временна. Она теряется с введением нового продукта, улучшающего старый, поскольку старый при этом перестает производиться.
Будем, как и ранее, считать, что инвестиции составляют постоянную часть выпуска. С введением нового товара старый перестает производиться, поэтому уровень разнообразия товаров остается неизменным.
Производственная функция имеет вид:
№a{xl)adi
rl-cc
У'=Л
(10.32)
где Хи — уровень качества /-го товара в момент времени /.
Количество /-го товара постоянно, но требуются ресурсы для улучшения качества существующих товаров. Спрос на /-й товар определяется так же, как и в предыдущей модели:
РІ = а AX\ja )_(|_а). (10.33)
Издержки производства промежуточного продукта постоянны
. у
и равны у, поэтому монопольная цена также будет равна р‘. = р = — .
а
Если предположить, что качество всех товаров стремится к уровню X, (ки = X'), то производственная функция примет вид:
\-а
У, =AX,L, где А = А ]~а
(10.34)
Пусть качество нового товара зависит от уже достигнутого уровня качества, ресурсов, необходимых для изобретения и производства этого товара а также от издержек, связанных с исследованиями и разработками (ф). Предполагается следующий вид этой зависимости:
*7+і =*¦,+ — • (Ю.35)
Ф
Равенство (10.35) показывает, что в экономике с уже достигнутым высоким уровнем качества легче повышать качество продукта, т. е. предполагается существование внешних эффектов.
Аналогично предыдущей модели
/, =sYt; (10.36)
1,=1,г+Ух- (10.37)
Проделав такие же выкладки, как и в пункте 10.3.1, получим %L = %tL = l + — (s-a2). (10.38)
Л, ф
Из (10.38) следует, что темпы экономического роста равны темпам роста качества товаров и совпадают с темпами роста выпуска в модели растущего разнообразия товаров. Они, так же как и в предыдущем пункте, зависят от размера экономики, задаваемой численностью рабочей силы. Однако в данной модели эта зависимость подчеркивает влияние размера на рост качества.
В [3] делается попытка использовать идею влияния масштаба экономики для объяснения динамики вознаграждения за квалификацию в США. В этой работе применяется модификация модели ступенек качества для исследования влияния технологического прогресса на изменение вознаграждения факторов производства. В этой модели работающие делятся на две группы — квалифицированные и неквалифицированные. Инвестиции в исследования и разработки направляются на производство продукта, который используется обеими группами. Издержки инвестиций в R&D (ф) фиксированы. Это означает, что увеличение размера одной из групп может привести к усилению исследований и разработок, направленных на развитие промежуточных продуктов, дополняющих этот тип труда. Описанная модификация применяется для объяснения, почему ставки заработной платы квалифицированных работников не упали, несмотря на значительное увеличение в последние три десятилетия в США доли квалифицированного труда по сравнению с неквалифицированным. На основе модели делается вывод о том, что увеличение числа квалифицированных работников привело к созданию товаров, которые дополняют их трудовую деятельность. Поэтому, несмотря на увеличение предложения такого типа труда, ставки его оплаты не упали, так как одновременно увеличился и спрос на него.
10.3.3. Модель заимствования технологий
Рассмотренные модели технологического прогресса подходят для развитых стран. Для большинства стран проблема заключается не в решении, тратить или не тратить ресурсы на нововведения, а в вопросе, перенимать ли технологии, развитые другими. Рассмотрим модель заимствования технологии [17].
Пусть производственная функция имеет тот же вид, что и в модели расширяющегося множества продуктов (10.21)
|
?, = Л |  |
rl-ct |
0 < a < 1.
Предположим, что все промежуточные продукты импортируются и, для простоты, по одинаковой цене р. Тогда задача оптимизации сводится к следующей
П, ' /И,
J (xl'j di Z,l_a - р J x'tdi-wL -мтіах. (10.39)
о v о xi •L
(
аЛ
1-а
Решение (10.39) аналогично полученному ранее: х =
L.
Если подставить это решение в (10.21), то производственная функция примет вид:
a 1 a
Yt = Am,Lp 1-a, где Д = Д1_“a1-a.
Допустим, что количество уже введенных товаров /е(0, °°). Пусть для того, чтобы ввести новый товар в процесс производства, надо обучить работников его использованию. Издержки обучения каждого работника равны ср, тогда
/, =(w,+1-m,)cpT
и, следовательно,
ь_
ср L ’
-т,+
(10.40)
'/+і
где /, — инвестиции, связанные с заимствованием новых технологий.
Если сберегается постоянная часть выпуска s, то lt=sY, и с учетом (10.40) темп роста выпуска будет
(10.41)
Y,+\ _т,+\ _і і sAp
у, Щ ср
Поскольку издержки заимствования технологий пропорциональны количеству работников, в этой модели размер экономики уже не влияет на экономический рост. Импортные цены, являющиеся для рассматриваемой экономики экзогенным фактором, оказывают влияние на темпы роста. При прочих равных их увеличение снижает темпы экономического роста. Этот вывод соответствует результатам работы [6], в которой получена отрицательная корреляция между темпами роста и ценой капитала.
Поскольку цены на импорт отражают условия торговли, отсюда следует, что укрепление национальной валюты ведет к увеличению темпов роста выпуска. Для России это означает, что повышение реального курса рубля может способствовать ускорению экономического роста.
Важное развитие модели заимствования технологий выполнено в [24]. В предложенной модели, в отличие от рассмотренной, где обучение новой технологии происходит мгновенно, для этого требуется время. Если фирмы не обновляли свой капитал, то они в конце концов обучаются наилучшему использованию своей технологии. Когда фирмы принимают решение о заимствовании нового производственного процесса, они теряют эти навыки и начинают снова с низкого уровня обучения.
Гринвуд и Йорукоглу [12] использовали эту идею для построения модели, в которой крупные технологические открытия ведут к падению производительности. Существуют эмпирические данные, согласующиеся с этими выводами. Так, например, внедрение электричества в Америке XIX в. сопровождалось падением производительности. После 1974 г. упали цены на новое оборудование и выросли ставки заработной платы квалифицированных работников, что считается следствием технологической революции.
Все модели, пытающиеся объяснить научно-технический прогресс, не объясняют ни абсолютной, ни условной конвергенции. Однако этот недостаток не носит принципиального характера. По-видимому, в их рамках условную конвергенцию можно получить с помощью модификации, аналогичной той, которая была предложена Ромером для модели растущего разнообразия товаров.
Интересная идея была высказана на этот счет Ф. Агийоном . Он предложил ввести в модель заимствования технологий ограничение на уровень технологии в каждый момент времени. Темпы роста падают при заимствовании технологий и приближении тем самым бедных стран к границе производственных возможностей, заданной уровнем технологии страны-лидера. Таким образом, появляется возможность в рамках этой модели получить условную конвергенцию.
Ряд моделей, как было показано, указывает на возможность зависимости темпов роста от размера экономики. Попытки верификации подобной зависимости пока не дали результата, возможно, по причине неточного использования исходных данных.
Преимущество описанных моделей состоит в том, что они выделяют новые детерминанты роста, связанные с решениями фирм по поводу нововведений.
Это — издержки, связанные с производством единицы промежуточного продукта, издержки ресурсов в процессе исследований и разработок по созданию нового продукта, издержки обучения работника использованию в процессе производства нового товара, цены на импортируемые промежуточные продукты.
. 1 г BortPodfr ttstAjgiAiffi^ -
1. Пусть выпуск описывается производственной функцией с постоянной высокой эластичностью замещения
Y = F(K, L) = A[bK'»+{\-b)I?Y, Q<b<\, 0 < ср < 1.
а) Выразите производительность труда в зависимости от капитал о вооруже н н ости.
б) Найдите предел при к—средней и предельной производительности капитала.
X
в) Покажите, что эндогенный рост возникает, если sAJ >(я + 8).
г) Определите в этом случае темпы роста капиталовооруженности в устойчивом состоянии.
sf{k)' ' к
д) Проиллюстрируйте графически в координатах
темпы роста капиталовооруженности.
2. Пусть выпуск описывается производственной функцией с постоянной низкой эластичностью замещения
_і_
Y = F(K, L) = A[bK'*+(\-b)iyy, Q<b<\, ф<0.
а) Выразите производительность труда в зависимости от капиталовооруженности .
б) Найдите предел при &—»°° средней и предельной производительности капитала.
в) Покажите, что конвергенция в этом случае имеет место при
j_
sAb? <(я + 5).
&{к)' к )
г) Проиллюстрируйте графически в координатах
темпы роста капиталовооруженности.
3. Будет ли в задаче 2 наблюдаться эндогенный рост?
4. Влияет ли в модели Лукаса величина рабочей силы на темпы экономического роста? Если да, то каким образом?
5. Пусть выпуск в экономике описывается производственной функцией вида Y = F(K, L) — К + K>/2L1/2. Капитал снашивается с темпом 2% в год. Технологический прогресс и рост населения отсутствуют. Норма сбережения равна 0,4. Найдите темп роста капиталовооруженности при уровне капиталовооруженности в 16 единиц.
6. Объясните, чем отличаются трактовки понятия «капитал» модели Ромера от модели Лукаса.
7. От каких факторов зависят темпы экономического роста в модели растущего разнообразия товаров? Предполагает ли эта модель конвергенцию? Если нет, то какую модификацию следует внести в модель растущего разнообразия товаров, чтобы она предполагала условную конвергенцию?
8. Каким образом размер экономики влияет на экономический рост в модели ступенек качества? Оказывает ли он влияние в модели заимствования технологий? Объясните свой ответ.
9. Пусть выпуск в стране Z описывается производственной функцией вида Y= О,ЗА-. Население в стране постоянно, технологический прогресс отсутствует. 25% дохода тратится на сбережения. Срок службы капитала в среднем составляет 20 лет. В соответствии с моделью Лукаса найдите темп роста запаса капитала, выпуска и потребления. Приведите графическую иллюстрацию решения.
Глава 11
МОДЕЛЬ РАМСЕЯ
Формулировка модели. Оптимизация поведения домашних хозяйств. Оптимизация поведения фирмы. Общее экономическое равновесие.
Равновесие при централизованном управлении. Эквивалентность решения рыночной модели и модели централизованного управления. Правило Кейнса-Рамсея. Условие трансверсальности.
Устойчивые (стационарные) состояния. Динамика макроэкономических показателей. Динамика нормы сбережения. Случай производственной функции Кобба-Дугласа.
Скорость конвергенции в модели Рамсея. Случай производственной функции Кобба-Дугласа.
Влияние на равновесие бюджетно-налоговой политики. Политика сбалансированного бюджета. Влияние долгового финансирования бюджетного дефицита.
Одним из недостатков модели Солоу является экзогенное задание постоянной во времени нормы сбережений. Этот недостаток преодолевается в модели Рамсея—Касса—Купманса, которую мы будем в дальнейшем для краткости называть моделью Рамсея ([26], [11], [20]). В ней траектория потребления и, следовательно, сбережений определяется в ходе решения задачи оптимизации поведения домашних хозяйств и фирм, взаимодействующих друг с другом в условиях совершенной конкуренции. Поэтому далее будут отдельно рассмотрены модели поведения домашних хозяйств и фирм, а затем модель общего экономического равновесия.
11.1. ЗАДАЧА ПОТРЕБИТЕЛЬСКОГО ВЫБОРА
Рассматривается задача оптимизации деятельности репрезентативного домашнего хозяйства. При принятии решений оно учитывает благосостояние и ресурсы своих настоящих и будущих членов, т. е. считается, что каждая семья живет бесконечно долго и между ее поколениями существуют альтруистические связи. Таким образом, можно условно считать, что ее решения аналогичны решениям бесконечно живущего индивида. Задача оптимизации потребительского поведения репрезентативного домашнего хозяйства с L работающими членами аналогична задаче оптимизации совокупного потребления в экономике с численностью населения L. Пусть население растет с постоянным темпом п и численность населения в нулевой момент времени равна 1, т. е. L, = ет. Функция полезности индивида (домашнего хозяйства, представляющего все население) имеет вид:
U - J u[ct)e~pldt, (11.1)
о
где с, — потребление на душу населения в момент времени Г;
р(р > 0) — коэффициент дисконтирования, отражающий межвременные предпочтения индивида.
Таким образом, функция полезности представляет собой взвешенную сумму всех будущих значений полезности, причем веса определяются с помощью индивидуальных коэффициентов дисконтирования. Функция полезности является сепарабельной, т. е. полезность в каждый момент времени зависит только от потребления в этот момент.
и'(с)> 0; и"(с)< 0 и выполняются условия Инада:
1ішм,(с) = °°; 1іты'(с) = 0. с->0 с->~
Коэффициент дисконтирования для индивида и всего поколения один и тот же. Рассматривается закрытая экономика с реальными переменными, т. е. все переменные измерены в единицах товаров и услуг. Экономика работает в условиях совершенной конкуренции.
Доходы индивида складываются из заработной платы и доходов, полученных за принадлежащие ему активы. Свои доходы он тратит на потребление и сбережения в форме накопления дополнительных активов. Активы — это капитал либо заемные средства. Заемные средства могут быть и отрицательными, в этом случае их величина представляет собой долг. Домашнее хозяйство может как давать в долг, так и занимать средства у других домашних хозяйств, но, в конце концов, долги должны быть возвращены. Капитал и заемные средства являются совершенными заменителями, поэтому в каждый момент времени t приносят одинаковый доход в виде реального процента г,.
Пусть в момент t чистые реальные активы (капитал и заемные средства за вычетом возврата долга), приходящиеся на каждого индивида, — а,, реальная ставка заработной платы — ??,, тогда его доходы составят (w, + г, а,). Вследствие роста населения активы в каждый момент времени уменьшаются на величину па,, поэтому бюджетное ограничение индивида имеет вид:
a = w + ra-c-na. (11.2)
Рынок заемных средств накладывает ограничение на займы — нельзя бесконечно выплачивать взятые кредиты за счет новых долгов (условие отсутствия игры Понци). Так как чистый долг в расчете на члена семьи растет с темпом г — п, то это ограничение имеет вид:
-j[r(v)-n\dv
lim а,е 0 >0. (11.3)
Таким образом, задача оптимизации поведения потребителя сводится к максимизации функции (11.1) при ограничениях (11.2) и (11.3). Эту задачу динамической оптимизации можно решить с помощью принципа максимума Понтрягина.
Для этого строится функция Гамильтона
Я = и(с)е pl +X(w +га-с-па). Необходимые условия для ее максимизации имеют вид
|
= и'(с)е рІ - X, откуда ос |
и'(с)е рІ = X; |
(И.4) |
дн , „¦
-= (г-п)Х = -Х, откуда
да |
5?
1
т
II |
(11.5) |
|
Условие трансверсальности: |
|
|
|
lim X,а, = 0. |
|
(11.6) |
Здесь X представляет собой приведенную теневую цену активов.
Дифференциальное уравнение (11.5) — это уравнение Эйлера, описывающее необходимое условие, которому должна удовлетворять каждая оптимальная траектория. На основании этого уравнения сформулировано правило Кейнса—Рамсея. Оно было выведено
Рамсеем и проинтерпретировано Кейнсом. Смысл этого правила можно проиллюстрировать следующим образом.
Возьмем логарифм от обеих частей (11.4) и продифференцируем полученное уравнение по времени.
In А = In и'(с) - pt; Т = р. (П-7)
А и (с)
Из (11.5) — = п-г, откуда с учетом (11.7) получаем К
и"{с)
и'(с)
(11.8)
г — п = р-
Поскольку выражение в квадратных скобках в правой части
(11.8) отрицательно, динамика потребления во времени ^-J зависит от соотношения дохода на капитал г за вычетом темпа роста населения п и коэффициента межвременного предпочтения р. Потребление будет расти во времени >0^, если доход
на капитал в расчете на каждого члена семьи выше нормы дисконтирования, падать в противном случае и оставаться постоянным, если эти коэффициенты совпадают. Другими словами, домашние хозяйства готовы отказаться от части сегодняшнего потребления ради увеличения его в будущем, если этот отказ будет компенсирован доходом, превышающим норму межвременного предпочтения. Размер этой компенсации определяется выражением, стоящим в квадратных скобках (11.8). Оно представляет собой эластичность предельной полезности по потреблению. Это выражение показывает, насколько (г — п) должно превышать р для каж-
с
дой величины —. Чем выше эластичность, тем больше должен
с
быть разрыв между (г — п) и р для заданной величины -. Элас-
с
тичность предельной полезности по потреблению является величиной, обратной к эластичности межвременного замещения. Для того чтобы существовало стационарное состояние (г — const,
- — const), эта эластичность должна асимптотически стремиться с
к постоянной величине. Поэтому в качестве функции полезности
с(і-?) _!
обычно используют функцию и(с) = —j—-— с постоянной эластичностью замещения, равной 1/?. При подстановке этого выражения в (11.8) получаем
- = Ur-n-p). (11.8')
с ?
Условие трансверсальности (11.6) означает, что стоимость активов домашних хозяйств, представляющая собой произведение их теневой цены X на количество ос, должна со временем стремиться к 0. Если бы речь шла о конечном временном горизонте, то это означало бы, что к концу все накопления должны быть истрачены. При бесконечном временном горизонте это условие выполняется в предельном смысле.
Если решить дифференциальное уравнение (11.5), то можно получить траекторию изменения теневой цены во времени:
-J [r(v)-n\tlv X, = Х0е 0 .
Из (11.4) следует, что А,0 = и'(с0)>0, т. е. Х0 — положительная константа. Таким образом, если подставить полученное решение в условие трансверсальности, то оно примет вид
-j[r(v)-n]dv
Ііш а,е 0 =0. (11.6')
Отсюда следует, что активы не могут расти с темпом г—п и выше, такое решение будет неоптимальным, поскольку полезность в случае увеличения потребления за счет отказа от части накоплений будет возрастать. В случае постоянных займов (а,< 0) желание расплачиваться за долги путем новых заимствований, т. е. желание накапливать долг с темпом г—п и выше, сдерживается отсутствием кредиторов, готовых накапливать активы с темпом г—п и выше. Отсюда становится понятной необходимость введения в задачу потребительского выбора условия отсутствия игры Понци (см. условие (11.3)).
11.2. ЗАДАЧА ФИРМЫ
Производственная функция репрезентативной фирмы, которая описывает совокупное предложение, имеет вид Y, = F(fC„ L,Et) и обладает всеми классическими свойствами, описанными в главе 9 настоящего раздела. Поскольку эффективность труда одного работника растет с постоянным темпом g, то, при предположении единичной эффективности в первоначальный момент времени {Е0 =!),?,= е*.
Пусть у =-, к =-, тогда y = f(k). Можно представить
LE LE
производственную функцию в виде Y = LEf(k), откуда легко
ческих предпосылках реальная арендная цена капитала равна (г + 8) (см. [1], главу 4). Поэтому прибыль фирмы составляет
P = F(K, LE)-{r + Ъ)К -wL. (11.9)
Фирма максимизирует приведенную прибыль. Эта задача максимизации не носит межвременного характера. Максимизация прибыли фирмы
/» = (!?) [/(*)-(г+ 5)Jfc-we*] (11.9')
при совершенной конкуренции означает выполнение условий
(11.10)
f\k) = r + 5;
\f(k)-kf'(k)
es< = w.
<11.11)
Если подставить (11.10) в (11.11), а результат затем в (11.9), то легко видеть, что при условии постоянной отдачи от масштаба в равновесии выпуск целиком расходуется на платежи за факторы производства, т. е. экономическая прибыль равна 0. Это соответствует результату теоремы Эйлера для однородных функций (подробнее см. [1], главу 2). Таким образом, фирма выбирает такой уровень капиталовооруженности на единицу эффективного труда, при котором экономическая прибыль равна 0.
11.3. ОБЩЕЕ ЭКОНОМИЧЕСКОЕ РАВНОВЕСИЕ
Ранее были рассмотрены отдельно задачи производителя и потребителя. Теперь можно рассмотреть ситуацию, когда обе задачи выполняются одновременно, т. е. описать общее равновесие в децентрализованной экономике. Рассмотрим закрытую экономику, действующую в условиях совершенной конкуренции. В закрытой экономике весь запас капитала принадлежит резидентам. Поскольку домашнее хозяйство в конце концов выплачивает долг полностью, в этой экономике величина активов индивида а

совпадает с запасом капитала на одного работающего к к
Величину этого запаса можно выразить следующим образом:
к = кЕ = kegl, откуда к=ке s>. Аналогично, c = ce~gt, где с = —.
LE
Уравнение динамики капиталовооруженности в расчете на единицу эффективного труда имеет вид (см. главу 9):
к = f[kj-c-(8 + n + g)k. (11.12)
Выражение (11.12) описывает траекторию изменения капиталовооруженности, а значит, и производительности труда (в расчете на единицу эффективности).
С с
— = — g, откуда с учетом (11.8') и (11.10) с с
/'(&) -d-n-p-Qg
— (r-n-p)-g = — ? V 6 ?
(11.13)
Если (11.12) и (11.13) дополнить начальным условием к0 и условием трансверсальности, то полученная система опишет
траектории изменения к и с во времени.
Подставим в условие (11.6') выражения а = к, k = kegl и используем (11.10). Получим условие трансверсальности в виде:
|
kte ” |  |
|
У |
(11.14)
lim
i->~
Из условия (11.14) видно, что если капиталовооруженность стремится к стационарному состоянию, то темп ее роста в стационарном состоянии должен быть ниже выражения, стоящего в квадратных скобках, т. е. в стационарном состоянии f'{k)-5-g — n>0, откуда следует, что в этом состоянии
МРК> 5 + п + g. (11.15)
Условие (11.15) предполагает, что стационарный уровень чистого предельного продукта капитала (МРК— S) должен превышать темп роста запаса капитала в стационарном состоянии (n + g). Условие (11.15) представляет собой модифицированное Золотое правило. Если соединить его с условием (11.13), то видно, что при отсутствии технологического прогресса модифицированное Золотое правило имеет вид f'(k) = 8 + п + р, так как при выполнении этого условия потребление на одного работника неизменно во времени. При наличии технологического прогресса (g^ 0) модифицированное Золотое правило имеет вид: /'(A:) = 5 + «-i-p + 9g. С учетом (11.15) р + 0g > g. Так как ? > 0, это условие будет автоматически выполнено, если р >g.
11.4. РАВНОВЕСИЕ ПРИ ЦЕНТРАЛИЗОВАННОМ УПРАВЛЕНИИ
Можно сформулировать условие общего экономического равновесия в ситуации централизованного управления. Эта гипотетическая для рыночной экономики постановка, тем не менее, оказывается полезной для формального решения ряда возникающих задач.
Если управляющий орган имеет ту же систему предпочтений, которая использовалась в задаче оптимизации поведения потребителя, т. е. ту же форму функции полезности и тот же коэффициент дисконтирования, то можно показать, что решение задачи оптимального управления в этом случае совпадет с децентрализованным равновесием.
Формулировка задачи централизованного управления будет выглядеть следующим образом:
U - J u(c,)e~pldt —» max о
при условиях: к = f(k)-ce gl -(8 + п + g)k; с>0; к> 0 и начальном состоянии к0.
Функция Гамильтона для этой задачи имеет вид
Н = и(с)е рІ + X
f{kJ-се gl -(8 + п + g)k
Необходимые условия:
(11.16)
— = u'(c)e-pl-Xe-gl= 0; дс
дН
дк
f'[k}-{b + n + g)
= -Х.
(11.17)
Прологарифмировав (11.16) и взяв производную по времени, получим
X и"(с) .
Т = ~Ч\С~Р + 8’
Л и (с)
откуда с учетом (11.17) X и"(с)
f'(/cj-(8 + n + g)
c-p+g=-
X и'(с)
После преобразований это условие принимает вид
“"(с)
¦ p-[f'(k)-b-n] = p-(r-n). (11.18)
и'(с)
Условие (11.18) представляет собой уже рассмотренное выше правило Кейнса—Рамсея. На основании представленного решения можно показать, что оно является предельным аналогом для непрерывного случая известного дискретного правила, утверждающего, что в оптимальном состоянии предельная норма замещения равна предельной норме трансформации.
Уравнение (11.18) показывает, что потребление будет расти во времени, оставаться постоянным или убывать в зависимости от того, будет ли чистый предельный продукт капитала за вычетом темпа роста населения больше, меньше или равен межвременной норме предпочтений. Легко видеть, что из (11.18) можно получить условие (11.13), а условие трансверсальности для описанной задачи приводится к условию (11.14). Таким образом, решение будет таким же, как в децентрализованной задаче. Поскольку при централизованном управлении достигается Парето-оптимальное решение, результат в децентрализованной экономике также оптимален по Парето.
11.5. УСТОЙЧИВОЕ СОСТОЯНИЕ
Стационарное состояние в описанной модели достигается при
с к
— = 0 и — = 0. Это означает, что в стационарном состоянии с и к с к
растут с постоянным темпом g, а С и К — с постоянным темпом (п + g). Этот результат совпадает с выводами модели Солоу.
Из (11.12) и (11.13) следует, что стационарное состояние достигается при одновременном выполнении условий
к = f{k j - с - (5 + п + g)k - 0; (11.19)
= 0.
(11.20)
Отсюда стационарное состояние описывается системой уравнений
с =/(&) - (5 + я + g)&; (11.19')
/'(yfc) = 5 + « + p + 0g. (11.20')
На рис. 11.1 в координатах [к, cj отражено условие (11.19),
причем максимум, достигаемый при Іс = к**, соответствует Золотому правилу, так как из этого условия видно, что потребление
максимально при /'^| = 5 + и + g.
Из (11.20) следует, что стационарный уровень потребления
л л*
достигается при значении к = к , при котором ставка процента
совпадает с (« + p + 0g). Это значение определяется
независимо от с и поэтому представлено на рисунке вертикальной прямой. Поскольку выполняется свойство убывающей предельной производительности капитала и имеют место условия Инада,
решение (11.20) существует и единственно. Это решение к*, будучи
с
с = О |
 |
|
Рис. 11.1. Стационарное состояние в модели Рамсея |
подставлено в (11.19), определит устойчивый уровень потребления с*. Модифицированное Золотое правило означает, что f'{k* j > f'[kj, откуда следует к* < к**, что отражено на рисунке.
Таким образом, в отличие от модели Солоу, в модели Рамсея устойчивый уровень капиталовооруженности не может быть выше Золотого правила, т. е. возможность динамической неэффективности отсутствует. Темпы роста в устойчивом состоянии те же, что в модели Солоу, и не зависят от вида производственной функции и параметров р и ?, отражающих предпочтения индивидов. Эти параметры влияют только на уровень потребления и капитала в расчете на единицу эффективного труда в устойчивом состоянии.
Если предпочтения индивида будут меняться в сторону большей склонности к сбережениям, то это приведет к падению параметра р или ? и, следовательно, снижению (что видно из
(11.20)). Следовательно, к увеличится, прямая к- к* сдвинется вправо, и, значит, у*, с* также станут больше, чем раньше.
Совершенствование технологии, вызывающее улучшение производственной функции, вызовет сдвиг вверх кривой А: = 0 и вправо
линии к = к* (см. (11.19) и (11.20)). В результате к*, у*, с* вырастут. Увеличение параметров 5, я, g приведет к сдвигу вниз кривой
А: = 0 и влево линии к = к*. Результатом явится снижение как к \ так и у*, с*.
11.6. ТРАЕКТОРИИ ИЗМЕНЕНИЯ ПОКАЗАТЕЛЕЙ
Исследуем движение к равновесию в зависимости от первоначального состояния к0. Траектория задается уравнениями (11.12) и (11.13).
Устойчивый уровень капиталовооруженности, при котором с = 0, задается уравнением (11.20) и отражается на рис. 11.2а
вертикальной прямой с = 0. При к > к* потребление падает (см. уравнение (11.20)), что отражено на рисунке стрелкой, направленной вниз. При к <к* потребление растет, что показано стрелкой, направленной вверх.
Комбинации капиталовооруженности и потребления, удовлетворяющие уравнению (11.19), отражены на рис. 11.26кривой к = 0. Для любых точек с координатами {к, cj, находящихся выше этой кривой, к < 0. Поэтому, при соответствующих комбинациях капиталовооруженности и потребления, капиталовооруженность будет падать (стрелка влево). Для точек ниже этой кривой капиталовооруженность растет (стрелка вправо).
Рисунок 11.2в объединяет первые два и характеризует возможные траектории движения к устойчивому состоянию. Из рисунка видно, что экономика может достичь этого состояния, только если движение начинается во 11 или IV квадрантах.
Рисунок 11.3 описывает возможные траектории развития при
первоначальном значении капиталовооруженности к^кк*. Оптимальная траектория описывается линией ЕЕ'. Рассмотрим любую траекторию, которая начинается с точки, находящейся выше Е. При этом уровень первоначального потребления на единицу эффективного труда таков, что его рост приведет экономику в I квадрант, что закончится падением капиталовооруженности до 0.
d2k
Эта траектория предполагает, что в конце концов величина -
dt2
становится отрицательной.
Действительно, из (11.12) следует, что
d2k
dt2
/'(Д
к -с < 0 при с > 0 и
>0.
n-g
-n-g


|
Рис. 11.2. Направления изменения показателей |
 |
Рис. 11.3. Динамика показателей в модели Рамсея
Это означает, что капиталовооруженность за конечный промежуток времени упадет до 0. Поэтому выпуск также упадет до 0, а следовательно, и потребление. Но такой скачок противоречит условию (11.13) в сочетании с условием Инада. Точка D характеризует первоначальный уровень потребления, при котором экономика попадает в третий квадрант, что ведет в конечном итоге к росту капиталовооруженности выше уровня Золотого правила. При этом
значении капиталовооруженности ^/'^|-б|<(я + ?). Но это противоречит условию трансверсальности.
Единственная точка, из которой экономика попадает в устойчивое состояние, — это точка Е. В ней первоначальный уровень потребления таков, что условия (11.19), (11.20) и условие трансверсальности в конце концов будут выполнены. Линия ЕЕ представляет оптимальную траекторию, каждая точка которой характеризует то единственное значение потребления в расчете на единицу эффективного труда, соответствующее первоначальному значению капиталовооруженности, при котором будет достигнуто устойчивое состояние. На рисунке это с0. Оптимальная траектория обозначена линией ЕЕ.
Если начальный уровень капиталовооруженности находится в 111 квадранте, то с помощью аналогичных рассуждений можно показать, что первоначальный уровень потребления — это соответствующая точка на кривой ЕЕ. В модели Рамсея она имеет вид седла, поэтому ее иногда называют «седловой путь».
11.7. ТРАЕКТОРИЯ ИЗМЕНЕНИЯ НОРМЫ СБЕРЕЖЕНИЙ
В модели Рамсея в устойчивом состоянии (точка А на рис. 11.3) капиталовооруженность, потребление и выпуск в расчете на единицу эффективного труда остаются постоянными, из чего вытекает, что норма сбережений 5 = ——- также остается постоянной.
З7
Это означает, что, как и в модели Солоу, единственным источником роста производительности труда и уровня жизни в устойчивом состоянии является научно-технологический прогресс. Однако, в отличие от модели Солоу, норма сбережений при движении к равновесию изменяется.
На поведение нормы сбережений оказывают противоположное воздействие два эффекта. Первый состоит в том, что по мере роста капиталовооруженности ее предельная производительность
f'(k) падает, что означает падение отдачи от активов г и снижение стимулов к сбережениям. Это эффект замены. Он действует в сторону снижения со временем нормы сбережения. Второй состоит в том, что при низком уровне капиталовооруженности в бедных странах доля потребления в доходе очень высока, а сбережений — достаточно мала. Это объясняется тем, что по сравнению с постоянным (стационарным) долгосрочным уровнем доход слишком мал, а потребление носит достаточно сглаженный во времени характер и в периоды низкого дохода составляет большую его долю, чем в период высокого. По мере роста капиталовооруженности растет доход и доля потребления в нем становится меньше, а сбережений — больше. Это эффект дохода. Его влияние вызывает рост во времени нормы сбережения. Поэтому траектория нормы сбережений зависит от того, какой эффект оказывается сильнее — эффект дохода или эффект замены.
11.7.1. Динамика нормы сбережения.
Случай производственной функции Кобба—Дугласа
Проанализируем изменение со временем нормы сбережения в экономике, выпуск которой описывается производственной
функцией Кобба—Дугласа Y = Ka(LE)'~a, 0<ос<1. В устойчивом состоянии выполняются условия (11.19) и (11.20), откуда
с* _ (5 + n + g)k*
/(**) /(**)
(11.21)
* =1-тг=1-У
Доля дохода на капитал в такой экономике постоянна и равна а. Поэтому из условия f'[k*\—-—- = а можно выразить
1 '/(**)
—j—- = —т—т- С учетом (11.20) —— =--- и, под-
/(**) /'(**) /(**) 5 + « + p + 0g
ставив это выражение в (11.21), получим норму сбережения в устойчивом состоянии
(11.22)
ос(8 + п + g) 5 + n + p + Qg
Из условия трансверсальности и (11.20) следует, что в устойчивом состоянии p + 0g>g, поэтому s* < а.
Заметим, что если норма потребления растет, то норма сбережений падает и наоборот, поэтому динамика нормы потребления определяет динамику нормы сбережений. Обозначим норму потребления z-—-т~, тогда темп роста этой нормы равен №
_ тлЛлЛіл-оі („в,
г г /(*іг /(*) г /(*) *г *
Из условия (11.20)
/-(*)
5 + п + р + 9g ? '
с _
? ~~ ?
(11.24)
Из условия (11.19) с использованием (11.22)
4)
( \
і- с
4),
-(5 + n + g) =
4*),
-S*(p +Л + 8 + Og)
а ' ' а
Подставив (11.24) и (11.25) в (11.23), получим
/f)
(11.25)
8 + п + р + 0g г
/'^(1 - г,) +/(р + л + 8 + 0g) =
z_ = _ z - ?
=/'(4
?-1
?
(11.26)
+ (p + « + 8 + 0g)( s*--
Динамика нормы потребления зависит, таким образом, от * 1
соотношения s и —.
?
Рассмотрим три случая.
1. 5* = —. Тогда:
?
\ * п ?-1
а) — = 0 при z, = z ?
б) если для некоторого 1 z, >-, то для любого t — >0;
в) если для некоторого t z, <-, то для любого t — < 0.
Случаи «б» и «в» противоречат тому, что норма сбережений
. 1
достигает устойчивого состояния, следовательно, если s =—,
?
то z постоянная величина и норма сбережений также постоянна и равна (і-г) = 1.
2. ? >—. Тогда z, <- для всех t, так как иначе норма
всех t s, >
сбережений будет неограниченно возрастать. В этом случае для 1
?-!
а s, <
I
Если продифференцировать (11.26) по времени, то получим выражение
(11.27)
Zt
dt
* 1. ?
Анализ (11.27) показывает, что если s >—, то — <0 (так как
? г
в противном случае левая часть (11.27) положительна и, следовательно, потребление неограниченно растет, что противоречит условию устойчивости). Поэтому г<0 и, следовательно, і>0.
Аналогично, если 5* < —, то і<0.
?
Траектории изменения нормы сбережений во всех трех случаях представлены на рис. 11.4.
Случай 1 хотя и означает, что норма сбережения остается постоянной при переходе к устойчивому состоянию, однако отличается от модели Солоу тем, что является результатом Парето-
Рис. 11.4. Траектории изменения нормы сбережения
оптимального решения и не предполагает поэтому возможности динамической неэффективности.
Случай 2 означает, что эффект дохода выше, чем эффект замены. Из (11.22) видно, что он соответствует условию ?>(1/а) или (1/?)<а. Последнее означает, что эластичность замещения ниже эластичности выпуска по капиталу. Случай 3 описывает ситуацию, когда эффект межвременного замещения выше эффекта дохода. Он иногда соответствует условию ?< (1/а), когда эластичность замещения выше эластичности выпуска по капиталу.
11.8. СКОРОСТЬ КОНВЕРГЕНЦИИ. СЛУЧАЙ ПРОИЗВОДСТВЕННОЙ ФУНКЦИИ КОББА-ДУГЛАСА
Для оценки возможностей конвергенции применим тот же прием, что и в первой главе настоящего раздела, т. е. проведем линейную аппроксимацию оптимальной траектории вокруг точки равновесия с помощью разложения в ряд Тейлора.




(11.28)
дк Э к
к=к
(с-С*)
(11.29)
Из условий устойчивости следует, что второе слагаемое в правой части (11.28) равно 0.
Из (11.20) видно, что
(11.30)
Из (11.19)
= (р + Qg - g){k - - с*).
(11.31)
Обозначим P = p + 0g-g, к=к-к*, с-с-с*, тогда (11.30) и (11.31) можно записать как
; /"(*")<
-к;
(11.32)
к=$к-с. (11.33)
Решение системы дифференциальных уравнений (11.32), (11.33) имеет вид:
к=к0еХі-, с = с0еи,
Хі
Р2 +
4/"(**)<
где А, = —
2
откуда
*/ - Л* = (^ - Л*) еХ/; с, - с* = (с0 - с*)ех>.
Таким образом, скорость конвергенции характеризуется коэффициентом X. В случае функции Кобба—Дугласа
f"{k*) = а(а- 1)(^*) ; ?*=(&*) ~(n + g + 5)k*.
На основании (11.19) для этого случая
і
а-1
После преобразований с учетом вышесказанного коэффициент X принимает вид
(
.(11.34)
\ + ^(§ + " + Р + ?#)[(§ + я + Р + ??)-а(я + ? + 5)]
V
Помимо тех параметров, которые характеризуют скорость конвергенции в модели Солоу, в модели Рамсея эта скорость зависит от коэффициентов р и ?, характеризующих предпочтения населения. Эта разница заключается в том, что в модели Солоу норма сбережения в процессе движения к равновесию остается постоянной, в то время как в модели Рамсея она меняется. В случае функции Кобба—Дугласа более высокое значение ?, скорее всего, приведет к росту нормы сбережения по мере роста капиталовооруженности (более вероятен случай 2) и поэтому более медленному движению уровня потребления на душу населения к стационарному состоянию, т. е. будет способствовать снижению скорости конвергенции.
Из проведенного анализа очевидно, что модель Рамсея, как и модель Солоу, предполагает только условную конвергенцию.
Расчеты с использованием коэффициента а= — и остальных
параметров, по оценкам близких к параметрам экономики США, предсказывают для бедных стран (далеких от устойчивого состояния) слишком высокую скорость конвергенции, высокие темпы роста и ставки процента. Более реалистичные оценки получаются при а = 0,75, т. е. при более широкой трактовке капитала, описанной в предыдущей главе.
11.9. ПОСЛЕДСТВИЯ БЮДЖЕТНО-НАЛОГОВОЙ
ПОЛИТИКИ
Для анализа последствий государственной бюджетно-налоговой политики введем в модель переменную, отражающую величину государственных закупок в расчете на единицу труда с постоянной эффективностью G,. Предполагается, что эти закупки не оказывают влияния на полезность от частного потребления. Также предполагается, что они не влияют на будущий выпуск, т. е. не расходуются на инвестиции. Государственные закупки финансируются за счет налогов, т. е. налоговая масса на
единицу труда с постоянной эффективностью также равна G,. Тогда уравнение (11.12) принимает вид
к- f[pj-c-G ~{Ъ + п + g)k. (11.35)
Бюджетное ограничение потребителя также изменится, поскольку доходы в каждый момент времени снизятся на величину налогов, поэтому уравнение (11.2) будет выглядеть так:
a = w + ra-G-с-па. (11.36)
На уравнение Эйлера (11.5) и, соответственно, на условие (11.20)
это изменение влияния не окажет. Прямая с = 0 на рис. 11.3 останется в прежнем положении. Выпуск, остающийся в распоряжении частного сектора, снизится на G. Это отразится на рисунке
снижением кривой к= 0 вниз при каждом уровне капиталовооруженности на величину G (рис. 11.5).
 |
|
Рис. 11.5. Последствия увеличения государственных расходов |
Новое равновесие окажется в точке А' при том же уровне капиталовооруженности и более низком уровне потребления в расчете на единицу эффективного труда. Потребление снизится на величину G. Таким образом, в равновесном состоянии государственные закупки вытесняют потребление, оставляя неизменной капиталовооруженность.
Если государство финансирует свои расходы за счет внутреннего долга, то бюджетное ограничение государства выглядит следующим образом:
b + nb = G-T + rb, (11.37)
где b, G, Т — величины надушу населения долга, государственных закупок и налогов соответственно.
Ограничение (11.5) — бюджетное ограничение домашнего хозяйства примет вид
(11.38)
a = w + ra-T -с-па
где а, = к, +Ь,.
Приведение к началу периода ограничений (11.37) и (11.38) с учетом условия отсутствия игры Понци дает следующий результат:
b0 + lGlRldt=lT,Rldf, (11.37')
J c,R,dt =кц + Ь0 + \ w,R,dt -J TtRtdi, (11.38')
-J>,.-«)*
Если подставить (11.37') в (11.38'), то получим приведенное бюджетное ограничение потребителя в виде
\ctR,dt=kо + \w,Rtdt-\G,Rtdt.
0 0 0
Очевидно, что приведение к началу периода ограничения (11.36) даст тот же результат. Таким образом, при данной траектории государственных расходов их последствия не зависят от способа финансирования. Это происходит потому, что потребители ведут себя рационально и понимают, что рост долга приведет в будущем к увеличению налогов для выплаты этого долга и процентов по нему. Для выплаты в будущем долга домашнее хозяйство (бесконечно живущий потребитель) снижает потребление и увеличивает сбережения.
Поэтому снижение налогов без соответствующего снижения государственных расходов (приводящее к бюджетному дефициту) не меняет траектории потребления, так как образовавшийся излишек домашние хозяйства сберегают. Этот результат мы уже обсуждали во втором разделе, разбирая равенство Барро—Рикардо.
При любом способе финансирования увеличение государственных закупок ведет к эквивалентному вытеснению потребления. Этот результат отличается от традиционного, опирающегося на предпосылку о зависимости потребления от текущего располагаемого дохода. При этой предпосылке рост государственных расходов приводит к эквивалентному вытеснению инвестиций. Эти отличия вызваны тем, что традиционный подход не принимает в расчет межвременной оптимизации.

1. Проанализируйте влияние коэффициента дисконтирования потребления во времени на скорость конвергенции к устойчивому состоянию в экономике, в которой отсутствует экономический рост, и капитал не снашивается. Дайте экономическую интерпретацию полученного результата.
2. Определите, на сколько процентов в год капиталовооруженность приближается к устойчивому состоянию, если выпуск описывается производственной функцией Кобба-Дугласа Y= K°'\LE)°’\ темп роста населения — 1% в год, темп роста научно-технологического прогресса — 2% в год, коэффициент дисконтирования — 0,02 в год, межвременная эластичность замещения в функции полезности равна 3.
3. Пусть потребитель руководствуется в своих решениях логарифмической функцией полезности. Проанализируйте в этом случае решение проблемы потребителя.
а) Как будет выглядеть уравнение Эйлера?
б) Нарисуйте фазовую диаграмму для случая, когда выпуск в экономике описывается производственной функцией Кобба-Дугласа.
в) Какова будет динамика нормы сбережения?
4. Проанализируйте с помощью фазовых диаграмм влияние на устойчивый уровень капиталовооруженности и потребления (в расчете на одного работника с постоянной эффективностью труда):
а) роста нормы выбытия;
б) роста эластичности замещения в случае функции полезности с его постоянной величиной;
в) улучшения производственной функции.
5. Проанализируйте решение задачи потребителя в случае, если для него существует ограничение по заимствованию.
6. Покажите, что решение модели Рамсея не изменится, если домашние хозяйства сами являются производителями и используют в качестве работников членов своей семьи.
7. Как на устойчивые уровни капиталовооруженности и потребления (в расчете на одного работника с постоянной эффективностью труда) повлияет рост коэффициента дисконтирования в функции полезности? Проиллюстрируйте свой ответ с помощью фазовой диаграммы. Дайте экономическую интерпретацию полученного результата.
Глава 12
МОДЕЛЬ ПЕРЕСЕКАЮЩИХСЯ ПОКОЛЕНИЙ
Формулировка модели. Оптимизация поведения домашних хозяйств. Оптимизация поведения фирмы. Общее экономическое равновесие.
Динамика макроэкономических показателей. Случай производственной функции Кобба-Дугласа и логарифмической функции полезности. Равновесные состояния.
Скорость конвергенции в модели пересекающихся поколений. Случай производственной функции Кобба-Дугласа и логарифмической функции полезности.
Возможность динамической неэффективности.
Влияние на равновесие бюджетно-налоговой политики.
Последствия введения в модель пересекающихся поколений предпосылки о существовании альтруистических связей между поколениями.
Модель Рамсея выделяет репрезентативное бесконечно живущее домашнее хозяйство и анализирует динамику его потребительского и сберегательного поведения. Это поведение определяет совокупный потребительский спрос в экономике и объем совокупных сбережений. Однако характер потребительского поведения существенным образом зависит от стадии жизненного цикла индивида. В молодом возрасте он работает и делает сбережения. В старости эти сбережения тратит. Поэтому в каждом временном периоде одновременно живут как минимум два репрезентативных типа экономических агентов — условно их можно идентифицировать как молодое и пожилое поколения, потребительское поведение которых различается. В результате совокупное потребление в каждом периоде представляет собой суммарное потребление соответствующих групп. Этот сложный характер формирования совокупного потребления и, следовательно, совокупных сбережений отражает модель, разработанная Самуэльсоном [28] и Даймондом |11] и получившая название «модель пересекающихся поколений».
12.1. ПРЕДПОСЫЛКИ МОДЕЛИ
В модели пересекающихся поколений, в отличие от рассмотренных ранее моделей, предполагается, что время изменяется дискретно. Рассматривается закрытая экономика. Условно считается, что каждый индивид живет в течение только двух периодов. В первом периоде своей жизни он рождается и, будучи молодым, работает. Получаемое за труд вознаграждение он распределяет на текущее потребление и сбережения, необходимые для обеспечения потребления в старости. Во втором периоде он, будучи пожилым, тратит накопленные сбережения и умирает.
В каждом периоде t рождается L, индивидов. Население растет с постоянным темпом п, т. е. ?,+І — (1 + n)L,. Поэтому в каждом периоде / одновременно живут Lt молодых и пожилых, т. е. родившихся в предыдущем периоде индивидов (/.,_, = Lt/{ 1 + п)). Рассматривается ситуация полной занятости. Молодой индивид предлагает единицу труда (предложение труда неэластично) и в качестве вознаграждения за свой труд получает заработную плату, выраженную в единицах товаров и услуг. Предполагается, что функция полезности индивида имеет вид:
і-?_, , і-? ,
U,=^-- + — ¦ 21+1 (?>0, р>-1), (12.1)
' 1-? 1 + р 1-? ? '
где сі,, с2і — соответственно потребление молодых и старых в периоде t.
В качестве функции полезности, как и в предыдущей главе, используется функция с постоянной эластичностью межвременного замещения.
Выпуск репрезентативной фирмы, представляющей всю экономику, описывается производственной функцией Yt = F{Kt, L,Et), удовлетворяющей всем ранее описанным неоклассическим свойствам. Темп роста эффективности единицы труда g является постоянным и задается экзогенно, Е/+1 = (1 + g)Er Норма выбытия капитала 8 задается экзогенно и является постоянной. Лаг капитальных вложений отсутствует.
В период t реальная ставка заработной платы в расчете на единицу труда с постоянной эффективностью равна ??„ а реальная ставка процента — Вознаграждение индивида за труд, которое он распределяет между потреблением (cw) и сбережениями (s,), составляет, таким образом, wlEl.
(12.2)
w,E, = с„ + s,.
В первоначальный момент времени все пожилые наделены равным запасом капитала К0. Альтруистические связи между поколениями отсутствуют, поэтому старые тратят к концу жизни все свои сбережения и у молодых нет первоначального запаса капитала. Объем сбережений, накопленных молодыми в периоде /, составляет Lt(wtEt — си).
12.2. ЗАДАЧИ ПОТРЕБИТЕЛЯ И ФИРМЫ
Выбор потребителя
Опишем бюджетное ограничение потребителя. В экономике с совершенной конкуренцией потребитель воспринимает ставки заработной платы и процента как заданные величины. В старости потребитель тратит сделанные в рабочий период сбережения с накопившимися процентами
с2/+, = (1 + rl+l)(W'E, - с„).
Отсюда межвременное бюджетное ограничение потребителя имеет вид:

(12.3)
Таким образом, задача потребителя сводится к максимизации функции полезности (12.1) при ограничении (12.3).
Функция Лагранжа для этой задачи

откуда

(12.4)
„-?
(12.5)
X.
1 + p 2,+1 1 + r,
/+і
Условия (12.4), (12.5) и (12.3) определяют оптимальное поведение потребителя.
Из (12.4) и (12.5) следует, что
1
1 + Гм-1
1 + p j
b2t+\
(12.6)
На основании (12.6)
I
?
clr
(12.7)
Условие (12.6) является дискретным аналогом уравнения Эйлера в модели Рамсея.
Подставив (12.7) в (12.3), получим
1-е
О + 'І-м)0 „
-j—cu=w,E„
с|; +
(1 + р)ё
откуда
(і+р)?
w,E,
1-?
(1 + р)? +(1 + /}+|) ?
О + 'ж)
и, соответственно,
1-?
?
(12.8)
s, =¦
(і + р)?+(і +гІ+]) ?
Полученное выражение позволяет выписать норму сбережения ?-го периода s,:
і-?
(1 + ')+і) ?
I Ь?‘ (12.9)
(і + р)?+(і+гж) ?
Из (12.8) видно, что сбережения /-го периода являются возрастающей функцией от ставки заработной платы (x'w>0). На основании (12.9) можно оценить влияние ставки процента на норму сбережения. Рост ставки процента оказывает на норму сбережения двоякое воздействие. Во-первых, отказ от единицы потребления в молодости приводит к большему, чем раньше, увеличению потребления в старости. Это эффект замены, который действует в сторону увеличения сбережений в t-м периоде. Во-вторых, прежний уровень потребления в молодости обеспечивает теперь больший уровень потребления в старости. Это эффект дохода, который действует в сторону снижения сбережений в /-м периоде. Для того чтобы определить, какой эффект окажется преобладающим, проанализируем уравнение (12.9). Оно показывает, что ответ на вопрос, является ли s,(r) возрастающей функцией, убывающей или константой, зависит от ?. Если ? < 1, то норма сбережения является возрастающей функцией от ставки процента, т. е. преобладающее влияние оказывает эффект замены. Если ? > 1, то функция убывает и доминирует эффект дохода. Наконец, если ? = 1, т. е. функция полезности является логарифмической, оба эффекта взаимно уравновешиваются, и сбереже
В этом
ния молодых не зависят от ставки процента
2 + Р
случае норма сбережения зависит только от коэффициента дисконтирования, отражающего межвременные потребительские предпочтения индивида.
Фактически подобный случай рассматривается в модели Солоу, где норма сбережения постоянна и задана экзогенно.
Выбор фирмы
Как уже отмечалось, выпуск фирмы описывается неоклассической производственной функцией, интенсивная форма кото
K,
L, E,
В условиях совершенной
рой имеет вид у, =
конкуренции задача максимизации прибыли при заданном количестве ресурсов приводит к выводу, что в равновесии труд и капитал оплачиваются в соответствии с их предельными производительностями. Поэтому в период / реальная ставка заработной платы в расчете на единицу труда с постоянной эффективностью
(см. главу 9).
Таким образом, результат решений фирмы записывается в виде
?,,=г[к,)-к,г[к,)\ (12.10)
г, =/'(*,)-8. (12.11)
12.3. ОБЩЕЕ ЭКОНОМИЧЕСКОЕ РАВНОВЕСИЕ
К концу каждого периода старое поколение продает весь свой капитал молодому, поэтому величина запаса капитала на начало следующего периода равна сбережениям, накопленным к концу предыдущего:
Kl+l = stLr (12.12)
С учетом (12.8) уравнение (12.12) принимает вид
1-8
О+Г.,) ?
-tew>L‘E<- (I2-13)
'(1 + р)е+(1 + г<+1) ?
Разделив обе части (12.13) на L, с учетом (12.10) и (12.11), L Е
а также того, что L, =—^2—, Е, =—, получим уравнение ди-
(1 + я) 0 + я)
намики капиталовооруженности в расчете на единицу труда с постоянной эффективностью
1-?
?
1-8
8
(12.14)
Уравнение (12.14) не задает динамику капиталовооруженности в явном виде, поскольку к!+х входит как в правую, так и в левую
его части. Найти явные решения этого уравнения можно только для некоторых частных случаев, которые будут приведены ниже. Поэтому рассмотрим возможные варианты развития с помощью построения фазовых диаграмм.
Последовательность (?) является временным равновесием, V /(=0
если условие (12.14) выполняется для всех t при заданном к0. Можно доказать (см., например: [5J), что если потребление одного поколения в молодости и в старости является нормальным благом, причем эти блага являются совершенными заменителями, то временное равновесие существует, но не обязательно единственное. Достаточным условием единственности является возрастание сбережений по процентной ставке.
Уравнение (12.14) можно переписать в виде
(l + n)(l + g)kl+l = s(rl+v wt),
где s(r/+1, ?г,) = ^г (см. (12.8));
ьі
s[rt+1, w,) — сбережения в расчете на единицу труда с постоянной эффективностью в периоде t.
С учетом (12.10) и (12.11) это условие имеет вид:
|
(1 +п){\ + g)k!+i =s |  |
(12.15)
На основании (12.15) можно проанализировать характер зависимости капиталовооруженности от его значения в предыдущем периоде.
Таким образом,
(12.16)
Э кІ+] -*'ЛГ’(к')
дк, (! + «)(! + g)+1)
Поскольку для положительных значений капиталовооруженности s'w >0, f"(k)<0, числитель (12.16) положителен. Знак знаменателя зависит от знака s'r.
Если он отрицателен, то возможно существование устойчивого равновесия в нуле. Это возможно, если, например, экономика имеет низкий первоначальный уровень капиталовооруженности, а, значит, высокую предельную производительность капитала
и, следовательно, ставку процента. Тогда при s'r < 0 сбережения могут быть очень низкими, что приведет к дальнейшему сокращению капиталовооруженности.
Если s’r >0, то знаменатель (12.16) положителен и капиталовооруженность во времени растет. Тогда возможно отсутствие
устойчивого равновесия, если при этом кг+] остается все время меньше, чем к,- На фазовой диаграмме соответствующая траектория лежит ниже линии kt+l =кг
Проанализируем случай существования устойчивого равновесия. Пусть временное равновесие существует и является единственным. Это означает, что сбережения возрастают по процентной ставке и решение (12.14) существует и единственно. Выразим

решение относительно кІ+і следующим образом: kt+i = ф{А:,). Функ
ция ф монотонна и дифференцируема в каждой точке.
Поскольку сбережения не могут превышать трудовой доход,
(1 + л) (1 + *)*,+I (/¦„,, w,)<w„
откуда
(1 + я)(1 + я)?,+і </(?,)-?,/'(?,)
и, следовательно,

(12.17)
Из (12.17) следует, что

(12.18)
Выражение в скобках в правой части (12.18) неотрицательно, поскольку представляет собой отношение реальной заработной платы к капиталовооруженности. Применение правила Лопиталя показывает, что предел, стоящий в правой части (12.18), равен 0.
„ ?
Поэтому при к, —отношение -4^-—»0. Из (12.14) видно, что
к,
кІ+1 - 0 при к, = 0. Следовательно, любая фазовая диаграмма уравнения (12.14) будет показывать отображение, которое начинается в начале координат, лежит ниже линии кІ+і =к, для больших значений к, и направлена выше для малых. Возможные варианты показаны на рис. 12.1 и 12.2.
 |
Рис. 12.2. Фазовая диаграмма.
Вариант 2 |
 |
|
Рис. 12.1. Фазовая диаграмма. Вариант 1 |
к,
Если ф'(0) > 1, то это отображение в начале координат имеет наклон больше 45* и нечетное число отличных от 0 нетривиальных стационарных состояний (см. рис. 12.1).
Поскольку, если некоторому к, соответствует jfc такое, что к)+{ > к,, то капиталовооруженность во времени растет, а в противном случае падает, то точки А и С — это устойчивые равновесные состояния, а точка В — неустойчивое. В этом варианте будет нечетное число (2т + 1) равновесных состояний, из них (т + 1) устойчивых.
Если ф'(0) < 1, то это отображение в начале координат имеет наклон меньше 45* и четное число нетривиальных стационарных состояний (см. рис. 12.2).
Таким образом, для того чтобы существовало хотя бы одно устойчивое нетривиальное стационарное состояние, достаточно, чтобы выполнялось условие ср'(0)>1, которое эквивалентно условию
sW'ik)
lim-——— > 1.
*->о(1 + й)(1 + я)_,;/"(Л)
Чтобы это состояние было единственным, вблизи точки равновесия должно также выполняться условие
Э*,+І
Э к/
0<
<1,
или, что то же самое,
< 1.
(l + n)(\ + g)-s'rr(k*)
Если сбережения не всюду возрастают по процентной ставке, то уравнение (12.14) может быть решено для кІ+] только локально. Отображение (р оценивается так же, как на рис. 12.1 и 12.2, однако нет уверенности в том, что устойчивые равновесия А и С разделены неустойчивыми.
Из проведенного анализа вытекает, что устойчивый рост зависит от начальных условий, а может и не существовать (случай
тривиального стационарного состояния). Тот факт, что при к, —> °°
?
отношение -Ар- -»0 означает, что темпы роста капиталовоору-
к,
женность ограничены. Поэтому, как и в модели Солоу, устойчивым фактором роста выпуска на душу населения является рост эффективности труда. Поскольку эта модель предполагает возможность нескольких устойчивых равновесий, то с ее точки зрения даже экономики с одинаковыми параметрами не обязательно конвергируют. Они могут прийти в разные устойчивые состояния из-за различий в первоначальном уровне запаса капитала.
Далее рассмотрим несколько частных случаев модели, помогающих проанализировать проблемы конвергенции, динамической эффективности экономики, последствия бюджетно-налоговой политики.
12.4. ИССЛЕДОВАНИЕ ДИНАМИКИ. СЛУЧАЙ ПРОИЗВОДСТВЕННОЙ ФУНКЦИИ КОББА-ДУГЛАСА И ЛОГАРИФМИЧЕСКОЙ ФУНКЦИИ ПОЛЕЗНОСТИ
Проанализируем динамику экономики, в которой функция полезности индивидов носит логарифмический характер, т. е. ? = 1. Тогда функция полезности имеет вид
„ , , ІП(С2,+|)
а выпуск описывается производственной функцией Кобба—Дугласа У = Ka(LE)l~a. Тогда норма сбережения s, =—!—, ставка зара-
2 + р
ботной платы w, -(1-а)к“ и уравнение (12.14) принимает вид:
(12.19)
?+і
(l + /i)(I + g)(2 + p)
Равновесие достигается при кІ+х =к, =к*, поэтому устойчивый уровень капиталовооруженности в этом случае составляет
1 -а
1-а
(12.20)
(1 + /»)(1 + я)(2 + р)
На рис. 12.3 представлена соответствующая фазовая диаграмма. На ней отражены два равновесных состояния — нулевое и точка А. Если начальный уровень капиталовооруженности ниже равновесного (yLcyt*), то уровень капиталовооруженности в следующем периоде кх > кй. Так как кІ+] — возрастающая функция от к,, то кх - cp(A:0) < срІА;*) = к*, поэтому кх<к*. Аналогично, уровень капиталовооруженности соответствующий кх, выше кх, но
ниже к* и т. д. Такие же рассуждения можно провести и в случае превышения первоначальным уровнем капиталовооруженности к*.
к,
 |
к0 к*
Рис. 12.3. Случай производственной функции Кобба—Дугласа и логарифмической функции полезности |
Таким образом, к* — устойчивое равновесие, а 0 — неустойчивое. Очевидно, что в устойчивом состоянии темпы роста экономических показателей такие же, как в модели Солоу.
Этот вариант предполагает условную конвергенцию, поскольку устойчивое равновесие является единственным, к нему приходит экономика при любом первоначальном положительном уровне кап италовооружен ности.
12.4.1. Скорость конвергенции
Устойчивый уровень выпуска на единицу труда с постоянной эффективностью у* составляет:
1-а (1 + л)(1 + ?)(2 + р)
В этом случае можно оценить скорость конвергенции к устойчивому состоянию. Для этого воспользуемся линейной аппроксимацией зависимости к1+1 от к, с помощью разложения в ряд Тейлора:

путем рекуррентных подстановок получим к!+]-к* = А/ ^ - к J.
Таким образом, скорость конвергенции зависит от параметра X. В нашем конкретном случае для оценки X воспользуемся уравнениями (12.19) и (12.20).
(і-Г-
1 -а
(1 + «)(! + g)(2 + р)
¦ а-1
f4+i
д к,
|
-к |  |
откуда |
Обозначим
, тогда
к, =к’
Л+1
_1 -а_
(1 + «)(! + g)(2 + р)
_ 1 -а
“(l + «)(l + g)(2 + p)a
Полученная оценка показывает, что параметр, характеризующий скорость конвергенции, в нашем конкретном примере совпадает с долей дохода на капитал в общем доходе. Следует помнить, что один период в данной модели по временной протяженности совпадает с половиной периода жизни одного поколения, т. е. можно условно считать, что он составляет примерно 30 лет. Поэтому полученная оценка скорости конвергенции не является такой большой, как это кажется на первый взгляд.
12.4.2. Динамическая неэффективность в модели пересекающихся поколений
Как показано ранее, в модели Солоу существует возможность динамической неэффективности, т. е. возможность избыточного накопления капитала по сравнению с уровнем Золотого правила. Этот результат является следствием экзогенного задания нормы сбережения. В модели Рамсея динамическая неэффективность отсутствует, поскольку выбор нормы сбережения есть результат оптимального решения экономических агентов, совпадающий с оптимальным решением при централизованном управлении. Проанализируем возможность динамической неэффективности в модели пересекающихся поколений. Воспользуемся частным случаем, разобранным в предыдущем пункте.
Устойчивый уровень капиталовооруженности задастся уравнением (12.20). С его помощью определим предельную производительность капитала в устойчивом состоянии
Потребление ct в периоде t равно сумме потребления молодого и старого поколений, проживающих в этом периоде: с, = cuLt + c2,_1L,_|. Потребление в расчете на единицу населения составит
с, _ с, _ \ + п с,
4 + 4-1 L, + 2 + п
' 1 + п
Таким образом, задача максимизации потребления на душу населения эквивалентна задаче максимизации потребления на одного работающего.
Условие максимизации потребления состоит в том, что /'^**j = n + g + 8. Если f'[k* )< /'(?**), то к* > к**, т. е. капиталовооруженность в устойчивом состоянии будет выше уровня Золотого правила. Это означает, что потребление в устойчивом состоянии окажется ниже уровня Золотого правила.
Для данного конкретного случая это возможно, если
-p-(l + «)(l + g)(2 + p)<(/7 + g + 5). (12.21)
Условие (12.21) может оказаться выполненным, если темпы роста населения, научно-технологического прогресса, межвременная норма предпочтения, доля дохода на капитал в общем доходе невысоки, а норма выбытия достаточно велика.
В таком случае при централизованном управлении можно было бы в какой-то момент времени t0 перераспределить ресурсы от сбережений в пользу потребления, для чего снизить капиталовооруженность до уровня к**. После этого потребление на одного работника с постоянной эффективностью труда составило бы
+ -?**|-(я + g + S)ic**. В последующие периоды доступный
уровень потребления будет f{k**^J-(n + g + d)k**. Он превышает потребление устойчивого уровня.
Так как к* > к**, то f{k*} + k* > /(/с'** ) + ?**.
чем /^,,j-(« + g + 5)?1'*, т. e. выше уровня Золотого правила.
Таким образом, в момент tQ потребление выросло бы выше уровня Золотого правила и затем, приближаясь к уровню Золотого правила, оставалось бы выше устойчивого уровня. Это означает, что экономика является динамически неэффективной, а рыночное равновесие не является оптимальным по Парето.
Вывод представляется неожиданным, поскольку устойчивое равновесие — результат оптимального решения экономических агентов. Возможность неоптимальности по Парето получается из-за того, что в модели принимают решение индивиды, живущие конечный отрезок времени, тогда как время жизни экономики в целом не ограничено. Если индивиды в рыночной экономике хотят потреблять в старости, они должны сберегать в молодости, даже если ставки процента малы. Управляющий орган в централизованной экономике может перераспределять при таких обстоятельствах ресурсы от молодых пожилым. Чтобы не ухудшить при этом положение молодых, он может снова перераспределять ресурсы в их пользу в следующем периоде, когда они станут старыми, и т. д. Если устойчивый уровень капиталовооруженности остается выше уровня Золотого правила, такой способ перераспределения ресурсов оказывается эффективнее накопления.
Эмпирические исследования возможности динамической неэффективности в экономике развитых стран показали, что, хотя теоретически это возможно, на практике пока подобное явление нигде не наблюдалось (см. [2]).
12.4.3. Влияние бюджетно-налоговой политики
Рассмотрим влияние бюджетной налоговой политики государства на равновесие. Будем считать, что правительство проводит политику сбалансированного бюджета, функция полезности носит логарифмический характер, выпуск описывается производственной функцией Кобба—Дугласа.
Пусть G, — величина государственных закупок товаров и услуг в расчете на единицу труда с постоянной эффективностью, государственные расходы целиком финансируются за счет налогов. Тогда располагаемый доход молодых в расчете на единицу
эффективного труда равен w,-б, - (1 -ос)?“-Gt, а уравнение (12.19) принимает вид
^-(іт;)(ін'г)рті)[<'-а>*“-4 <|2-22>
Предположим, экономика находилась в состоянии равновесия с неизменным уровнем государственных расходов, и правительство решило увеличить государственные закупки. Проанализируем влияние этого решения на равновесие с помощью рис. 12.4. Пусть первоначальное равновесие — это точка А. Увеличение государственных расходов, как видно из формулы (12.21), приводит к сдвигу вниз траектории изменения капиталовооруженности.
 |
|
Рис. 12.4. Последствия бюджетно-налоговой политики |
Новое равновесие установится в точке В с более низким
уровнем капиталовооруженности к*в и, соответственно, более высокой предельной производительностью капитала и реальной ставкой процента. Поскольку капиталовооруженность падает, то выпуск также уменьшается, а так как норма сбережения в этом случае постоянна, то потребление в расчете на одного работника с постоянной эффективностью труда также снизится. Так как индивиды живут в течение двух периодов, а налоги накладываются на их доход только в молодости, то для сглаживания потребления они снизят в первом периоде потребление на величину, меньшую объема налогов, т. е. уменьшат как потребление, так и сбережения.
Таким образом, в рассматриваемой модели увеличение государственных закупок приведет к вытеснению как потребления, так и инвестиций. Этот результат отличается от полученного в модели Рамсея, где потребление снижается на величину увеличения государственных закупок.
Поскольку старое поколение не платит налоги, то финансирование увеличения государственных закупок за счет долга не означает для молодого поколения необходимости в будущем выплачивать этот долг, поэтому равенство Барро—Рикардо не будет наблюдаться.
12.5. АЛЬТРУИСТИЧЕСКИЕ СВЯЗИ МЕЖДУ ПОКОЛЕНИЯМИ
Рассмотрим, как изменятся выводы модели, если допустить существование альтруистических связей между поколениями. В этом случае пожилые не обязательно тратят до конца во втором периоде свои сбережения, а допускается возможность трансферта их части последующим поколениям, например, в виде наследства. Таким образом, горизонт модели пересекающихся поколений расширяется и становится бесконечным в том смысле, что индивиды при принятии решений принимают в расчет интересы последующих поколений.
Одним из способов введения альтруистических связей в модель является введение в функцию полезности учета будущей полезности своих потомков (см., например: [6]). Пусть функция полезности имеет вид
с1-0
l2t+\
„і-?
-1
-1
(12.23)
U,=-
і+1 •
(1+р)(1 + у)
-?
1-? 1+р
Последнее слагаемое в правой части (12.23) учитывает полезность каждого прямого потомка U/+l. Она, в свою очередь, зависит от потребления в молодости и в старости и от полезности следующего поколения Ul+2 и т. д. Суммарная полезность прямых потомков (1 + n)Ut+[ дисконтируется, во-первых, в соответствии с нормой межвременного предпочтения р, поскольку речь идет о следующем периоде времени, и, во-вторых, с коэффициентом у, отражающим предпочтения населения по поводу заботы о потомках.
Если подставить в (12.23) вместо Ul+] его выражение через Ul+2 и т. д., то получим функцию полезности в виде
,'-?
“І/+/
J-?
L2l+l+i
. (12.24)
(і+р)0 + у)
!+p 1 —?
Предполагается, что (1 + п) < (1 + р)(1 + у).
Пусть каждый представитель молодого поколения в t-м периоде получает от предыдущего поколения наследство в объеме Ь„ а затем, становясь старым, оставляет после своей смерти наследство в объеме 6,+ 1. Тогда бюджетные ограничения принимают вид:
си +s, = w, +Ь,\ (12.25)
<=2,+1 + 0 + «) ь,+і = 0 + 'ж) st ¦ (12.26)
Предполагается, что трансферты осуществляются только от родителей к детям, т. е. для любого / bt+i>0 (эта предпосылка ослабляется в [19] и [31]).
Выразим на основании (12.25) и (12.26)
си+і = wi+i +bt+i~st+i’ / = 0’ Ь 2> - (12.27)
С2/+1+/ = О + '>+і+/)^/+,--(і + я)*,+і+«; '=0, 1, 2, ... (12.28)
Подставим (12.27) и (12.28) в (12.24) и выпишем необходимые условия максимизации относительно s, и ?,+). Получим:
+^[(l + r„,)s,-(l+n)S„,] ”(l (12.29)
[(1 + 'жЬ-(1 + л)*ж] ?(і + «) +
{wt+\ +bt+\ _J(+i)-9 =0-
(12.30)
1 +п
(1 + р)(1 + у)
Из (12.29), (12.30) следует, что:
-^)"?+тгг(с-)'?=0;
+ П / \-? 1 + ft / \-?
\C2t+\) +/, , „л \U+1) =0-
(1 + р)(1 + у)
1+р
Отсюда
(l+Г,
'2/+1
L2f+1
(12.31)
b]/+]
На основании (12.31)
1 + r.
-I/+1
r+l
(l + p)(l + y)
Если проделать аналогичные выкладки для U,_u то получим
:(і+у)?(*)
и, следовательно,
1 +Т,
-1/+1
/+1
L2r+I
с2,
(! + р)(! + у)
Потребление на душу населения в период t составляет
с21
1 +П ’
с, = с„ +
поэтому с учетом (*)
1 + г,
СІ +1 _ Cl/+1 С2<+1 С, Су с21
Уравнение (12.32) является дискретным аналогом одной из стандартных постановок модели Рамсея для случая, когда р = О, т. е. коэффициент дисконтирования отражает только предпочтения по поводу перераспределения потребления родителей в пользу своих детей и не отражает предпочтения насчет перераспределения во времени потребления одного поколения. Поскольку задача фирмы в модели Рамсея и модели пересекающихся поколений различается только в смысле дискретной и непрерывной постановки, равновесные траектории и устойчивые состояния также не будут отличаться. В этом случае динамическая неэффективность становится невозможной, и последствия бюджетно-налоговой
/+і
(12.32)
(1 + р)(1 + у) J
политики отвечают равенству Барро—Рикардо. Таким образом, введение в модель пересекающихся поколений предпосылки об альтруистических связях между поколениями фактически делает ее дискретным аналогом модели Рамсея. Однако именно отсутствие этой предпосылки в более реалистичной, чем модель Рамсея, модели с двумя типами одновременно живущих и представляющих различные образцы сберегательного поведения экономических агентов, демонстрирует одну из возможных причин несовершенства рынка и необходимости государственного вмешательства.
- - ВОПРОСЫ И ЗАДАНИЯ К ГЛАВЕ 12 •
1. Пусть выпуск в экономике описывается производственной функцией вида У = К1/3(ЬЕ)2/3. Полезность экономических агентов описывается логарифмической функцией. Коэффициент межвременого дисконтирования полезности равен 1.
а) Найдите устойчивый уровень капиталовооруженности в зависимости от темпов роста населения и научно-технологического прогресса.
б) Пусть в экономике отсутствуют рост населения и научнотехнологический прогресс. Найдите уровень капиталовооруженности и выпуска (оба показателя в расчете на единицу эффективного труда) в устойчивом состоянии.
в) Пусть научно-технологический прогресс отсутствует, а каждое последующее поколение вдвое больше предыдущего. Найдите в этом случае новый уровень капиталовооруженности и выпуска в устойчивом состоянии.
г) На сколько сокращается разница между текущим и устойчивым уровнями капиталовооруженности за один период?
2. Пусть экономика описывается условиями задания 1 пункта «в». Капитал не снашивается. Покажите, что в этом случае она динамически эффективна.
3. Пусть в экономике отсутствует рост населения и научнотехнологический прогресс. Покажите, что если зависимость производительности труда от капиталовооруженности в такой экономике описывается функцией у = 1п(1 + к), то она имеет единственный тривиальный устойчивый уровень капиталовооруженности.
4. Пусть выпуск в экономике описывается производственной
j_
функцией вида У = А^ЬК^ +{\-. Полезность экономических агентов описывается логарифмической функцией. Коэффициент межвременного дисконтирования полезности равен 1. Покажите, что при Р = 0 в такой экономике существует единственное положительное устойчивое состояние.
5. Докажите, что если в предыдущей задаче (3 < 0, то существует хотя бы одно положительное устойчивое состояние.
6. Покажите, что в условиях задания 4, если (3 > О, средняя и предельная производительности капитала ограничены, то при больших значениях параметра А будут наблюдаться не меньше двух стационарных состояний, причем одно из них устойчивое.
7. Покажите, что в условиях задания 4, если Р > 0, средняя и предельная производительности капитала ограничены, то при достаточно малых значениях параметра А возможно существование единственного тривиального устойчивого состояния.
8. Опишите последствия временного увеличения государственных расходов в модели с производственной функцией Кобба-Дугласа и логарифмической функцией полезности.
ЛИТЕРАТУРА К РАЗДЕЛУ 4
1. Шагас Н.Л., Туманова Е.А. Макроэкономика-2. Выпуск первый. Долгосрочный аспект. М.: ТЕИС, 1999. Гл. 4.
2. Abel A., Mankiew G., Summers L. and Zeckhauser R. Assessing Dynamic Efficiency: Theory and Evidence//Review of Economic Studies. 1989. Vol. 56.
3. Acemoglou D. Why do New Technologies Complement Skills? Directed Technical Change and Wage lnequality//Working Paper, MIT, 1997.
4. Aghion P. and Howitt P. A Model of Growth Through Creative Destruction//Econometrica. 1992. Vol. 60.
5. Azariadis C. Intertemporal Macroeconomics. Blackwell, MS, 1994.
6. Barro R. and Sala-l-Martin X. Economic Growth. McGraw-Hill, New York, 1995.
7. Baumol W. Productivity Growth, Convergence and Welfare/ American Economic Review. 1986. Vol. 76.
8. Burnside C. Production Function Regressions, Returns to Scale and Externalities//Journal of Monetary Economics. 1996. Vol. 37.
9. Caballero R. and Lyons R. External Effects and Procyclical Productivity in the U.S.//Journal of Monetary Economics. 1992. Vol. 29.
10. Cass D. Optimum Growth in an Aggregative Model of Capital Accumulation//Review of Economic Studies. 1965. Vol. 32.
11. Diamond P. National Debt in a Neoclassical Growth Model/ American Economic Review. 1965. Vol. 55.
12. Greenwood J. and Yorukoglu M. 1974//Carnegie-Rochester Public Policy Conference. 1997. Vol. 46.
13. Grossman G. and Helpman E. Innovation and Growth in the Global Economy. MIT Press, Cambridge, 1991.
14. Grossman G. and Helpman E. Quality Ladders in the theory of Growth//Review of Economic Studies. 1991. Vol. 58.
15. De Long J. Productivity Growth, Convergence and Welfare: Comment//American Economic Review. 1988. Vol. 78.
16. De Long B. and Summers L. Equipment Investment and Economic Growth//Quarterly Journals of Economics. 1991. Vol. 106.
17. Easterly W., King R., Levine R. and Rebelo S. Policy, Technology Adoption and Growth, in R.SoIowand L. Pasinetti (eds.) Economic Growth and the Structure of Long Term Development, International Economic Association, 1994.
18. Kimball M. Making Sense of Two-Sided Altruism//Journal of Monetary Economics. 1987. Vol. 20.
19. Koopmans T. On the Concept of Optimal Economic Growth// The Economic Approach to Development Planning. Amsterdam: Elsevier, 1965.
20. Jones Ch. Economic Growth and the Relative Price of Capital/ Journal of Monetary Economics. 1994. Vol. 34.
21. Jones L., Manuelli R. A Convex Model of Equilibrium Growth: Theory and Policy Implications//Journal of Political Economy.
1998. Vol. 5.
22. Lucas R. On the Mechanics of Economic Development//Journal of Monetary Economics. 1988. Vol. 22.
23. Mankiw N., Romer D. and Weil D. A Contribution to the Empirics of Economic Growth//Quarterly Journal of Economics. 1992. Vol. 107.
24. Parente S. Technology Adoption, Learning-by-Doing, and Economic Growth//Journal of Economic Theory. 1994. Vol. 63.
25. Ramsey F. A Mathematical Theory of Saving//Economic Journal. 1928. Vol. 38.
26. Romer P. Increasing Returns and Long Run Growth//Journal of Political Economy. 1986. Vol. 94.
27. Romer P. Endogenous Technical Change//Journal of Political Economy. 1990. Vol. 98.
28. Romer P. Advanced Macroeconomics, 2-nd ed. McGrow-Hill, New York, 2001.
29. Samuelson P. An Exact Consumption-Loan Model of Interest with or without the Social Contrivance of Money//Journal of Political Economy. 1958. Vol. 66.
30. Siegel J. The Real Interest Rate from 1800-1990; A Study of the U.S. and the U.K.//Journal of Monetary Economics. 1992. Vol. 29.
30. Weil Ph. Love Thy Children: Reflections on the Barro Debt Neutrality Theorem//Journal of Monetary Economics. 1987. Vol. 19.
Раздел V
ДЕЛОВЫЕ ЦИКЛЫ
Под деловыми циклами понимается особый тип колебаний экономической активности, состоящих в повторяющемся расширении и сжатии экономики. Они носят периодический, но нерегулярный характер. В соответствии со схемой неоклассического синтеза деловые циклы обычно рассматривают как краткосрочные колебания вокруг долгосрочного тренда развития экономики, интерпретируемого как устойчивая тенденция увеличения потенциального выпуска. Существуют и альтернативные взгляды, согласно которым наблюдаемые колебания отражают изменения потенциального выпуска.
Отношение к природе и причинам деловых циклов является дискуссионным и обосновывается в связи с принятыми постулатами различных макроэкономических школ. В настоящем разделе представлены модели, отражающие основные теоретические взгляды на природу деловых циклов. В главе 13 раздела описываются ранние кейнсианские модели, представляющие детерминистский подход — модели мультипликатора—акселератора. В главе 14 стохастический взгляд на причины деловых циклов рассматривается с кейнсианских позиций — с помощью динамической модели совокупного спроса — совокупного предложения. В главе 15 как приложение стохастического подхода в условиях полной гибкости цен обсуждается теория реального делового цикла. В главе 16 анализируются основные особенности моделей политических циклов, связывающих колебания экономической активности с периодическими выборами высших органов власти.
Эконометрические исследования американской экономики по данным за период с середины XIX в. до конца 70-х гг. XX в. позволили выделить следующие эмпирические закономерности, часто называемые стилизованными фактами Калдора:
1. В развитых странах темпы роста реального ВВП демонстрируют постоянно повторяющиеся, но нерегулярные колебания (по продолжительности в среднем продолжающиеся от 5 до 8 лет).
2. Амплитуда этих колебаний, измеренная относительно тренда ВВП, невелика и составляет от 2 до 4%.
3. Частные расходы — потребление, инвестиции, импорт — процикличны (т. е. тесно связаны с изменением ВВП и изменяются в одном направлении с ним), а государственные закупки товаров и услуг — довольно сглажены и ацикличны (не зависят от изменения ВВП). Последние были бы контрциклическими, если бы правительство систематически компенсировало колебания частных расходов.
4. Некоторые экономические переменные систематически опережают в своем изменении ВВП в ходе экономического цикла (запасы, использование производственных мощностей, цены акций, реальные кассовые остатки, общие инвестиционные расходы), а другие — отстают (инфляция, безработица), третьи (например, процентные ставки) — совпадают.
5. Инвестиции (особенно инвестиции в запасы) более изменчивы, а потребление менее изменчиво, чем ВВП. Экспорт и импорт весьма изменчивы, государственные закупки товаров и услуг — ацикличны.
Замеченная относительно меньшая изменчивость потребления хорошо согласуется с теориями жизненного цикла и постоянного дохода. Неустойчивость инвестиций может быть объяснена с позиций теории ^-Тобина изменением в ходе экономического цикла представлений о будущей прибыльности.
Анализ длительности и структуры 35 циклов, проведенный Национальным бюро экономических исследований США [7], позволил заключить, что длительность и структура циклов имеет переменный характер. После второй мировой войны фаза подъема стала продолжительнее, а фаза спада — короче. Если раньше 45% всего времени приходилось на спад, то за период с 1945 по 1989 г. всего 26%. Уменьшилась и амплитуда колебаний: снизился рост в фазе подъема и сократилось падение в фазе спада.
Статистические исследования не позволяют выделить определенный универсальный образец цикла, а подтверждают наличие некоторых закономерностей в макроэкономической динамике. Поэтому долгое время была популярна точка зрения, что в действительности взаимодействуют несколько разных «типичных» циклов. Выделяются следующие виды циклов [1|:
1. Циклы Кондратьева длительностью от 40 до 60 лет (так называемые «большие волны»). Они связаны с открытиями или важными техническими нововведениями и их распространением (электричество, паровой двигатель, железные дороги, компьютеры).
2. Циклы Кузнеца длительностью от 15 до 23 лет. Связаны с долгосрочным накоплением факторов производства (инвестиции, строительство и миграция населения).
3. Циклы Жюгляра продолжительностью в 5—8 лет, отражающие колебания в инвестиционных расходах, ВВП, инфляции и безработицы. Они являются наиболее близкими к современному пониманию циклов экономической активности.
4. Циклы Китчина продолжительностью в 2—4 года, связанные с движением запасов и изменением оптовых цен.
Однако в связи с тем, что эмпирические факты не подтверждают регулярность или наличие определенного шаблона в колебаниях экономической активности, современная макроэкономика отказалась от попыток интерпретировать фактические колебания как комбинацию регулярных циклов различной продолжительности. Другими словами, отвергаются попытки объяснения наблюдаемых колебаний как результата совместного действия циклов Китчина, Жюгляра, Кузнеца и Кондратьева. (Хотя всегда признается сезонность, которая в большинстве случаев является регулярной.)
На причины деловых циклов высказываются две основные точки зрения. Согласно детерминистским взглядам циклы вызываются предсказуемыми, вполне определенными факторами, и в период подъема уже зарождаются силы, которые обязательно вызовут спад и, наоборот, в период спада — те, которые вызовут подъем. В соответствии со стохастическими взглядами циклы порождаются причинами случайной природы и представляют собой реакцию экономической системы на ряд непредсказуемых внутренних или внешних импульсов.
Преобладающая точка зрения состоит в том, что экономика подвергается возмущениям различных типов и масштабов через более или менее случайные интервалы времени. Эти возмущения распространяются на всю экономику. Макроэкономические школы различаются в определении тех резких сдвигов, которые вызывают первоначальные импульсы, и механизмов их распространения.
Глава 13
ДЕТЕРМИНИРОВАННЫЕ ЦИКЛЫ: МОДЕЛЬ МУЛЬТИПЛИКАТОРА-АКСЕЛЕРАТОРА
Запаздывание как причина экономических колебаний. Лаг Робертсона. Лаг Лундберга. Модель с учетом зависимости потребления от текущего дохода и запаздыванием реакции инвесторов на изменение дохода. Аналитическое решение модели. Графическая иллюстрация траектории движения к равновесию. Соответствие выводов модели наблюдаемым фактам.
Модель с учетом запаздывания реакции потребителей и инвесторов на изменение дохода. Аналитическое решение модели. Возможные траектории движения к равновесию в зависимости от структурных параметров в экономике. Графическая иллюстрация динамики дохода в зависимости от структурных параметров. Соответствие выводов модели наблюдаемым фактам. Критика детерминистского подхода.
В основе детерминистского подхода к колебаниям экономической активности лежит представление, что деловые циклы воспроизводят себя сами, т. е. в ходе развития экономики порождаются силы, которые то ускоряют, то замедляют ее развитие. Одна из возможных причин такого положения заключается в наличии лагов — систематических задержек в реакции на изменение условий экономической деятельности. Например, согласно кейнсианским теоретическим представлениям величина потребительских расходов С, зависит от располагаемого дохода текущего периода Yf:
С, = /{У/1 У Между тем очевидно, что это может быть верно только
в отношении намерений, для их же фактического осуществления требуется дополнительное время. Другими словами, более реалистичным следует признать зависимость потребительских расходов от располагаемого дохода предыдущего периода (так называемый
лаг Робертсона): С, =
Аналогично отмечают и задержку в реакции выпуска на повышение спроса: вначале фирмы будут распродавать запасы, и только потом — расширять производство. Поэтому есть основания считать, что выпуск текущего периода зависит от совокупного спроса прошлого периода (лаг Лундберга).
Отмеченные обстоятельства учтены в кейнсианских моделях — мультипликатора—акселератора, предложенной П. Самуэльсоном и Дж. Хиксом [27], и модели циклов инвестиций в запасы Л. Мецлера [19]. Они отражают ранний кейнсианский подход к объяснению экономических колебаний в условиях жесткости цен, согласно которому основное внимание концентрируется на изучении механизма распространения случайных возмущений, а не на их возможных источниках. Эти модели предполагают, что любое несоответствие спроса и предложения в первую очередь изменяет не цены, а инвестиции (в запасы, как у Мецлера, или производственные, как у Самуэльсона и Хикса), что посредством механизма мультипликатора воздействует на выпуск, вызывая в свою очередь его колебания, а значит, и изменения в индуцированных инвестициях.
Таким образом, главная причина, порождающая экономические циклы, — это акселеративное влияние изменения дохода на инвестиции, усиленное ответным мультипликативным влиянием инвестиций на изменение дохода — механизм взаимодействия акселератора и мультипликатора. Характер процесса реагирования экономики на нарушение исходного равновесия и изучается моделью мультипликатора—акселератора.
13.1. МОДЕЛЬ МУЛЬТИПЛИКАТОРА-АКСЕЛЕРАТОРА БЕЗ УЧЕТА ЛАГОВ В РЕАЛИЗАЦИИ ЭКОНОМИЧЕСКИХ РЕШЕНИЙ
Согласно кейнсианским воззрениям предполагается, что объем выпуска в экономике определяется совокупным спросом, т. е. объем предложения совершенно эластичен.
Ставка процента и цены неизменны, поэтому потребление и инвестиции не зависят от накопленного богатства, ставки процента или <7-Тобина и могут быть представлены линейными зависимостями от дохода или его изменений.
Рассмотрим вначале упрощенный случай этой модели, где отсутствуют отмеченные выше лаги и учитывается только взаимодействие мультипликатора и акселератора, связывающего величину инвестиций не с абсолютным уровнем выпуска, а с его изменением. Существование жесткой связи между изменениями в доходе и инвестициями или допущение об акселераторе уже без учета лагов позволяет выявить принципиальную возможность существования циклических колебаний в экономике.
Итак, объем потребительских расходов в текущем периоде определяется величиной их текущего дохода
С, = а0 +ах • Y„
где о, — предельная склонность к потреблению 0 < ах <1; я0 — автономный потребительский спрос, а0 > 0.
В инвестиционных расходах текущего периода может быть выделена автономная часть bQ (b0 > 0) и инвестиции, зависящие от прироста дохода по сравнению с прошлым периодом (У] — Y,_x):
/; = Ь0+Ь,(Г, - Yt_i).
Коэффициент Ьх отражает чувствительность инвестиций к изменению дохода и представляет собой акселератор Ьх > 0. Предполагается также, что предельная склонность к потреблению и акселератор не слишком высоки {ах + Ьх < 1).
Анализируется равновесие на рынке товаров и услуг
Y, = С, + I, + G, + NXr
Предполагается, что государственные закупки товаров и услуг G и чистый экспорт NX заданы экзогенно, т. е. рассматриваются как компоненты автономного спроса с0 = G +NX.
Yt = я0 +«і -У,+ Ьо + bx(Yt - Y,_x) + с0.
После приведения подобных получим
Y,( 1 - ах - Ьх) = а0 + Ь0 + с0 - Ьх • Y,_x.
Отсюда очевидно, что зависимость дохода /-го периода от дохода периода /— 1 имеет отрицательный характер У, =
g' <0, связанный с тем, что чем выше доход периода /— 1, тем
к і
меньше при прочих равных условиях будут индуцированные инвестиции и, значит, меньше величина дохода следующего периода.
+ (Ш)
• ~ах~Ьх
В долгосрочном стационарном состоянии Yt = Yt_x = Y. Следовательно, равновесное значение дохода
у _ flp + fy) + Cp
(13.2)
1-fl,
В выражении (13.2) величина -представляет собой кейн-
\-а,
сианский мультипликатор автономных расходов, показывающий, как в ответ на изменение независимых компонент совокупного спроса изменится общий выпуск.
Проанализируем теперь динамику движения к долгосрочному равновесию. Для этого будем рассматривать величину отклонения дохода текущего периода от долгосрочного равновесного
A Yt = Yt-Y. (13.3)
Тогда для периода t— 1
A Yt_x = Yt_x-Y. (13.4)
После подстановки условий (13.3) и (13.4) в.( 13.1) получим
К
\-ах-Ьх
а0+Ь0+с0
Y + AY,
Приведя подобные и учитывая (13.2), приходим к
Y{\-ai) + AY,{\-al-bi) = afi + b0 + CQ-bitiYt_l\
(13.5)
-ЬУ,-?
1 и\
Условие (13.5), эквивалентное (13.1), представляет собой однородное разностное уравнение первой степени, описывающее динамику отклонения дохода текущего периода от равновесного в зависимости от разницы между доходом прошлого периода и равновесным значением. Так как согласно предпосылкам модели
Л „
--->0, то упомянутая зависимость отрицательна. Другими
\-ах-Ьх
словами, чем больше доход прошлого периода превышал равновесный, тем ниже будет доход текущего периода в сравнении с равновесным.
Очевидно, что динамика отклонений дохода существенным образом определяется конкретными значениями предельной склонности к потреблению а( и акселератором Ьх.
Если чувствительности потребления и инвестиций к доходу
относительно невелики, т. е. о, + 2Ь{ < 1, и значит
< 1,
Ь,
1-я,-6,
то колебания дохода около равновесного значения будут затухающими, сходящимися (рис. 13.Іо).
 |
|
Рис. 13.1. Возможные типы колебаний дохода в зависимости от структурных параметров |
Если суммарная чувствительность потребления и инвестиций
к
к доходу велика, о, + 2Ь, > 1 и, значит, -1-> 1, то экономика
\-ах-\
из любого начального состояния, не совпадающего с равновесным,
никогда не достигнет своего равновесного состояния. Колебания дохода будут расходящимися (рис. 13.Ій).
В случае когда выполняется равенство а, + 2Ь] = 1, колебания дохода будут бесконечно повторяться с одинаковой амплитудой (рис. 13.1 б).
Таким образом, рассмотренная модель демонстрирует принципиальную возможность экономических колебаний, а значит, и циклов экономической активности, что вполне согласуется с действительностью. Тем не менее в двух случаях из трех эти колебания со временем либо затухают, либо приобретают взрывной характер (см. рис. 13.1а и в). Оба этих вывода противоречат наблюдаемым эмпирическим фактам. Единственный случай этой модели, допускающий постоянные незатухающие экономические колебания (см. рис. 13.1 б), является маловероятным, так как предполагает слишком строгое соотношение между величиной акселератора и предельной склонностью к потреблению. Поэтому рассмотрим вариант модели мультипликатора—акселератора, учитывающий более реалистичные предпосылки.
13.2. МОДЕЛЬ МУЛЬТИПЛИКАТОРА-АКСЕЛЕРАТОРА С УЧЕТОМ ВРЕМЕННЫХ ЛАГОВ
В этом варианте модели мультипликатора—акселератора учитываются лаги в реализации потребительских и инвестиционных решений. Пусть потребительские расходы в экономике определяются доходом предыдущего периода
С, = а0 + а, • Y,_x, а0 > 0, 0 < ах < 1.
Индуцированные инвестиции зависят теперь от изменения дохода в предыдущий момент времени
/,= А0 + ад., - Г,_2), b0,bx> 0.
Тогда условие равновесия на рынке товаров и услуг описывается как
Y, = а0 + Ь0 + с0 + (а, + bx)Y,_{ - bx • Г,_2. (13.6)
Отсюда видно, что доход текущего периода положительно зависит от дохода предыдущего периода и отрицательно от дохода периода ( — 2.
В долгосрочном стационарном состоянии, когда Yt=Y/_l =
? ? “ V ^0 "*¦ ^0 ^0 п
=/,_2 = Y, равновесный доход составит Y =—----. Проанализируем динамику отклонения текущего дохода от его равновесного значения. Для этого представим, как и ранее, текущий доход
Yf=AY,+Y.
Тогда (13.6) преобразуется в
F + ДУ; =a0 + b0 + c0 + (а, +6,)(F + ДУ,_,)- + ДТ,_2). (13.7)
После приведения подобных получим
AY, =(al+b])AYt_l-blAYt_1. (13.8)
Условие (13.8) является однородным конечно-разностным уравнением 2-го порядка.
Для нахождения и исследования динамических свойств решения однородного разностного уравнения 2-го порядка (13.8) используются корни A,j и Х2 так называемого характеристического уравнения [2,12]
X2 - (а, + bi)X + Л, = 0. (13.9)
Корни характеристического уравнения (13.9)

(13.10)
В зависимости от дискриминанта характеристического уравнения эти корни могут быть:
1) действительными и не равными друг другу, если дискриминант больше нуля, т. е. (а, + Ь{)2 > 4ЬХ,
2) действительными кратными при + й,)2 = 4й,;
3) мнимыми, если дискриминант меньше нуля, т. е. (а, + bt)2 < 4й,.
Тогда решение исходного разностного уравнения (13.8) в случае неравных друг другу корней (действительных или мнимых) может быть представлено в виде
AY, = к1Х1+к2Х!2, (13.11)
а зависимость дохода от времени
Y/ — Y + k2kll + k27i2 > (13.1 К)
где кь к2 — коэффициенты, определяемые начальными условиями экономики.
В случае же кратных действительных корней (Л., = Л,2 = Я, = решение (13.8) записывается следующим образом
ДГ, =к]\'+к2(ХІ. (13.12)
Тогда траектория дохода
Y^Y+kft+kjtti. (13.12')
Если корни характеристического уравнения мнимые, то выражение (13.10) можно представить в виде
Я., 2 =А± ?/,
А -
а\+ь\ . 2 ' |
 |
где
Тогда решением (13.11) будет выражение
AY, =к\'Х!1 + к2кІ2 =к\(И + ?іУ +k2{h-vi)', (13.13)
откуда трудно в явной форме выявить особенности динамики поведения AYr Поэтому удобно комплексные числа представить в тригонометрической форме
(h±vi)' = R'(coswt ± /sin wt), (13.14)
где R = Va2 + v2 =Л/?
w — радианная мера угла в интервале [0, 2л], для которого ?
tg ?? = —.
А
Тогда решение (13.13) можно записать в виде
А К, = А2 (К) cos wt + К2 sin wt),
где Kh К2 —действительные числа, определяемые в зависимости от начальных условий.
Траектория движения дохода в этом случае
/
Yt = Y + A,2 (A-, cos wt + К2 sin wf). (13.15)
Исследуем теперь равновесие на устойчивость. Оно будет устойчивым, если
ІітДУ, =0. (13.16)
Очевидно, что условие (13.16) выполняется тогда и только тогда, когда |Я,| < 1 и |Х2| < 1. Если учесть, что по теореме Виета акселератор Ьх = Х{к2, а суммарная чувствительность потребления и инвестиций к доходу а{ + Ь{ = Х{ + Х2, то из положительности ах и Ь{ следует, что корни характеристического уравнения всегда неотрицательны:
0 < Л., <1 и 0 < Aj< 1. (13.17)
Из (13.10) следует, что (13.17) выполняется, если ах + Ьх< 2. С учетом теоремы Виета в случае (13.17) Ь{ < 1. Поскольку 0 < а, < 1, то равновесное состояние является устойчивым, если Ь{ < 1 и экономика, выведенная из состояния равновесия внешними возмущениями, всегда возвращается в него.
Если же Ь, > 1, то процесс имеет расходящийся характер и нарушенное равновесие никогда не восстанавливается.
Проанализируем теперь траекторию изменения дохода во времени, определяемую (13.11) или (13.12). Если характеристические корни действительные и различные, т. е. справедливо (13.11), то доход изменяется монотонно — либо увеличивается, либо уменьшается в зависимости от того, превышают ли корни единицу.
Другими словами, независимо от начальных условий при достаточно больших t имеет место монотонное развитие — сходящееся к равновесному состоянию или удаляющееся от него (рис. 13.2).


Рис. 13.2. Варианты динамики дохода в случае действительных корней характеристического уравнения
Если же характеристические корни являются мнимыми и решение записывается в виде (13.15), то динамика отклонения дохода от равновесного имеет колебательный характер. Колебания затухают, и процесс сходится к равновесию, если Ьх < 1; если же Ьх > 1, то амплитуда колебаний возрастает (рис. 13.3).
 |
|
Рис. 13.3. Варианты динамики дохода в случае комплексных корней характеристического уравнения |
Итоговые результаты исследования устойчивости и динамики развития дохода приведены на рис.13.4 и в табл. 13.1.
Можно ли объяснить наблюдаемые деловые циклы с помощью модели. Скорее всего, нет, так как:
• циклы, порождаемые детерминистскими моделями, носят регулярный характер, что противоречит эмпирическим наблюдениям;
• циклы носят затухающий, взрывной и перманентный характер. Первый и второй противоречат бесконечной повторяемости циклов. Единственный случай повторяющихся циклов — это третий, но он требует слишком редкого сочетания ряда экономических параметров.
 |
|
Рис. 13.4. Характер динамики дохода в зависимости от параметров модели мультипликатора—акселератора |
Таблица 13.1
Возможные траектории изменения дохода в модели мультипликатора—акселератора с учетом временных лагов |
|
Варианты решения характеристического уравнения |
Номер области на рис. 13.4 |
Величина
акселератора |
Тип траектории
дохода |
|
1. Различные действительные корни (я, + А,)2 > 4А, |
I
IV |
6, < і
а, > і |
Монотонная,
сходящаяся
Монотонная,
расходящаяся |
|
2. Кратные действительные корни (я, + А,)2 = 4 А, |
VI
VII |
а, < 1
А, > 1 |
Монотонная,
сходящаяся
Монотонная,
расходящаяся |
|
|
11 |
А, < I |
Затухающие
колебания |
|
3. Комплексные корни (я, + А,)2 < 4А, |
V |
А,= I |
Колебания с постоянной амплитудой |
|
|
III |
А, > 1 |
Расходящиеся
колебания |
|
Альтернативный подход — стохастические циклы. В них предполагается, что экономика подвержена случайным, но повторяющимся толчкам (шокам), влияющим на спрос или на предложение.

1. Пусть в экономике предельная склонность к потреблению по доходу прошлого периода составляет 0,75, а чувствительность инвестиций к изменению дохода в прошлом периоде равна 0,3. Предположим, что первоначально экономика находится в неравновесном состоянии. Будет ли экономика приближаться к равновесному состоянию? Опишите траекторию развития экономики в процессе приспособления.
2. Пусть в экономике предельная склонность к потреблению по доходу прошлого периода составляет 0,75, а чувствительность инвестиций к изменению дохода в прошлом периоде равна 1,5. Предположим, что первоначально экономика находится в неравновесном состоянии. Будет ли экономика приближаться к равновесному состоянию? Опишите траекторию развития экономики в процессе приспособления.
3. Пусть в экономике предельная склонность к потреблению по доходу прошлого периода составляет 0,75, а чувствительность инвестиций к изменению дохода в прошлом периоде равна 0,1. Предположим, что первоначально экономика находится в неравновесном состоянии. Будет ли экономика приближаться к равновесному состоянию? Опишите траекторию развития экономики в процессе приспособления.
4. Пусть в экономике предельная склонность к потреблению по доходу текущего периода составляет 0,5, а чувствительность инвестиций к изменению дохода в текущем периоде равна 0,25. Предположим, что первоначально экономика находится в неравновесном состоянии. Будет ли экономика приближаться к равновесному состоянию? Опишите траекторию развития экономики в процессе приспособления.
5. Пусть в экономике предельная склонность к потреблению по доходу прошлого периода составляет 0,625, а чувствительность инвестиций к изменению дохода в прошлом периоде равна 0,125. Автономное потребление и автономные инвестиции составляют соответственно 120 и 80. Государственные расходы равны 250, чистый экспорт — 150.
а) Определите равновесное значение выпуска в устойчивом состоянии.
б) Найдите фактическую траекторию развития экономики, если первоначально (в нулевой момент времени) выпуск равнялся 1300, а в период 1 — 1400. Выпишите в явном виде зависимость фактического выпуска от времени. Определите значение выпуска во периоде 2.
в) Дайте графическую иллюстрацию траектории развития экономики. Будет ли экономика приближаться к устойчивому состоянию?
г) Можно ли с помощью использованной модели объяснить обычно наблюдаемые в реальности экономические колебания?
6. Пусть предельная склонность потребления по доходу прошлого периода равна а (0 < а< 1), а инвестиции в запасы пропорциональны изменению потребления по сравнению с прошлым периодом с коэффициентом (3 (р > 0). Автономное потребление и инвестиции отсутствуют. При наличии государства и внешней торговли определите для этой экономики:
а) равновесное значение дохода;
б) выведите формальное решение, определяющее динамику дохода во времени;
в) проанализируйте возможные траектории развития экономики в зависимости от значений структурных параметров;
г) дайте графическую иллюстрацию, обобщающую пункт «в».
7. Рассмотрите модифицированную версию циклов Мецлера, в которой производители стремятся поддерживать постоянное соотношение запасов и объема продаж, а ожидаемое значение объема продаж устанавливается на уровне потребления предыдущего периода. Фактический объем запасов таким образом равен К, = кС,_х — {С,—Автономные инвестиции отсутствуют. Определите:
а) функцию инвестиций;
б) равновесное значение дохода;
в) выведите формальное решение, определяющее динамику дохода во времени;
г) проанализируйте возможные траектории развития экономики в зависимости от значений исходных параметров;
д) дайте графическую иллюстрацию, обобщающую пункт «г».
Глава 14
СТОХАСТИЧЕСКИЕ ЦИКЛЫ В УСЛОВИЯХ МАЛОПОДВИЖНЫХ
ЦЕН
Стохастический подход как альтернативный взгляд на природу циклических колебаний. Неокейнсианская теория реальных деловых циклов — стохастические шоки в условиях негибких цен. Динамическая модель «совокупный спрос — совокупное предложение» для малой открытой экономики с совершенной мобильностью капитала.
Случай плавающего валютного режима. Совокупный спрос и кредитно-денежная политика, ее краткосрочные и среднесрочные последствия, процесс корректировки макроэкономических показателей при переходе от краткосрочного к долгосрочному равновесию. Траектория изменения состояний равновесия под влиянием монетарного импульса.
Режим фиксированного валютного курса. Совокупный спрос и бюджетно-налоговая политика, ее краткосрочные и среднесрочные последствия, процесс корректировки макроэкономических показателей при переходе от краткосрочного к долгосрочному равновесию. Траектория изменения состояний равновесия под влиянием фискального импульса.
Настоящая глава посвящена анализу одной из теорий, представляющих альтернативный взгляд на причины деловых циклов. Согласно ему, циклы являются реакцией экономической системы на случайные возмущения, которым регулярно подвергается экономика, и, значит, причины, вызывающие циклы, имеют стохастическую природу. Случайные толчки, незначительные или крупные, благоприятные или неблагоприятные, выводят экономику из устойчивого состояния и вызывают цепную реакцию во всей экономической системе. Каждый из такого рода импульсов распространяется в экономике, причем способ распространения зависит от структуры экономической системы. Процесс приспособления экономики, протекающий, например, так, как было описано в предыдущей главе, и приводит к колебаниям экономической активности.
Сторонники стохастического подхода обычно рассматривают экономику как «черный ящик», т. е. не интересуются конкретными процессами приспособления экономики к шокам и возмущениям. Они в первую очередь проводят различие между импульсом и механизмом его распространения. Под импульсом тогда понимается первоначальный толчок (шок, сдвиг), который вызывает отклонение экономических переменных от их устойчивых равновесных значений. Механизм распространения — это те силы, которые обеспечивают сохранение эффекта с течением времени и иногда вызывают постоянное отклонение экономики от первоначального устойчивого состояния.
Впервые идея о стохастической природе циклов была сформулирована Е. Слуцким и Р. Фришем, а экспериментальное подтверждение получила лишь в 50-х гг. XX в. с появлением ЭВМ. И. Эдельман и Ф. Эдельман, проводившие расчеты по эконометрической модели американской экономики, предложенной Л. Клейном и А. Голдбергером, обнаружили, что при воздействии случайных импульсов модель описывала колебательный процесс, близкий к фактическим деловым циклам США. А сама по себе модель не могла генерировать правдоподобные экономические колебания — колебания затухали.
В настоящее время механизм «импульс—распространение» является господствующим подходом к осмыслению экономических циклов, поскольку он хорошо согласуется с эмпирическими наблюдениями.
Основа современной теории колебаний находится внутри широких рамок подхода импульс — распространение — сохранение эффекта после устранения причины, вызвавшей его. В этих рамках колебания начинаются со случайного импульса. Это могут быть сдвиги в технологии или предпочтениях, сдвиги в монетарной или фискальной политике.
Тип сдвигов и механизм распространения циклических колебаний, возникших в результате первоначального шока, являются пунктами разногласий. Сторонники кейнсианских взглядов считают, что центральную роль в развитии циклов играет недостаток конкуренции, приводящий к жесткости цен и заработной платы. Сторонники новой классической школы предлагают альтернативный подход к изучению циклических колебаний в условиях совершенной конкуренции и гибкости цен. Неокейнсианцы утверждают, что причинами циклических колебаний являются шоки спроса, новые классики предпочтения отдают технологическим сдвигам — шокам предложения.
Проанализируем более подробно стохастический подход в условиях малоподвижных цен. Для описания механизма распространения первоначальных сдвигов совокупного спроса обычно используется динамическая модель «совокупный спрос — совокупное предложение». Проведем анализ этого подхода на упрощенном примере модели для малой открытой экономики с совершенной мобильностью капитала.
14.1. ДИНАМИЧЕСКИЕ ФУНКЦИИ СОВОКУПНОГО СПРОСА И СОВОКУПНОГО ПРЕДЛОЖЕНИЯ
Проанализируем влияние шоков совокупного спроса на малую открытую экономику с совершенной мобильностью капитала. Для этого рассмотрим подробно процесс приспособления открытой экономики к изменениям в экономической политике. Будем иметь дело с динамическими функциями совокупного спроса и совокупного предложения, которые показывают взаимосвязь между объемом производства и темпом инфляции.
Для вывода динамического спроса применим функции совокупного спроса, полученные в главе 2. Динамическое совокупное предложение можно получить с помощью кривой Филлипса, которая является другой формой представления функции краткосрочного совокупного предложения Лукаса.
Кривая Лукаса имеет вид:
Р = Ре +\{Y-Y), (14.1)
где F— ожидаемый уровень цен;
Y — естественный уровень выпуска, X > 0.
Покажем ее связь с кривой Филлипса
7Г = Пе -Р(и-ы") + ?, Р>0,
где п и ке — фактический и ожидаемый темпы инфляции;
и" — естественный уровень безработицы; е — шок со стороны предложения.
Для этого вычтем из обеих частей (14.1) показатель уровня цен прошлого года Р_{
P-P_l = Pe-P__]+X(Y-Y). (14.2)
Будем считать, что общий уровень цен как относительный показатель (индекс) измерен в логарифмической шкале, т. е. Р= Inр, где р — уровень цен.
Такое измерение существенно упрощает условие (14.2), так как,
учитывая, что dP = —, получим Р-Р,~ dP = л и Ре-Р,=ке.
Р
Тогда условие (14.2) преобразуется к виду
я = ле+Д.(У-Г). (14.3)
Если фактический выпуск превышает потенциальный, то уровень безработицы ниже естественного уровня, другими словами, существует зависимость
Y-Y = S{u-uH), 5>0.
Поэтому (14.3) принимает вид
я = я® - р (м - и"),
где (3 = 5Л.>0.
И наконец, если ввести параметр 8, характеризующий влияние внешних шоков предложения на изменение уровня цен, то получим кривую Филлипса:
я = я® -р(ц-н',) + е.
Пусть ожидания носят адаптивный характер и определяются как я® = я_|, тогда из (14.3) может быть получено уравнение динамического совокупного предложения:
я, =Л,_,+Я.(т,-Г). (14.4)
График динамической функции совокупного предложения в координатах (У, я) приведен на рис. 14.1. Он описывает краткосрочную функцию совокупного предложения, так как предполагается, что ожидаемый уровень инфляции постоянен. При заданном темпе ожидаемой инфляции краткосрочная функция предложения показывает, что уровень инфляции растет вместе с объемом выпуска. Чем выше инфляционные ожидания, тем при прочих равных условиях выше влево вверх сдвигается график краткосрочного предложения (см. рис. 14.1). В устойчивом состоянии
(при Y,=Y) фактическая инфляция равна ожидаемой.
 |
|
Рис. 14.1. График динамической функции совокупного предложения |
При рациональных инфляционных ожиданиях люди формируют свои прогнозы наилучшим образом на основе полной информации, к' = к и ожидания отклоняются от фактического значения инфляции только случайным образом. Систематическая ошибка в ожиданиях отсутствует. В этом случае динамическое
совокупное предложение имеет вид У, =Y и совпадает с долгосрочным.
В малой открытой экономике с совершенной мобильностью капитала вид динамической функции совокупного спроса существенным образом зависит от валютного режима. Поэтому процесс приспособления к изменениям в экономической политике рассмотрим отдельно для случаев плавающего и фиксированного валютного курса.
14.2. ЦИКЛЫ В ОТКРЫТОЙ ЭКОНОМИКЕ С ПЛАВАЮЩИМ ВАЛЮТНЫМ КУРСОМ
Для малой открытой экономики с плавающим курсом зависимость дохода от уровня цен выводится на основе LM, так как изменение валютного курса обеспечивает приспособление равновесия на товарном рынке к изменившемуся из-за общего уровня цен равновесию на денежном рынке.
Равновесие на денежном рынке определяется условием равенства спроса на деньги и предложения денег
м_

р
Известно, что спрос на деньги зависит от номинальной ставки процента / и дохода Y

Поэтому изменение реальных запасов денежных средств может произойти вследствие изменения номинального процента или из-за изменения реального дохода. Другими словами, в линейном приближении можно считать, что

(14.5)
где а, 3 > 0 — параметры чувствительности спроса на деньги
к проценту и доходу соответственно.
Будем считать, что реальный запас денежных средств измерен в логарифмической шкале. Тогда

(14.6)
Отметим, что изменение реальных запасов денежных средств зависит от соотношения темпа роста денежной массы т, и темпа инфляции л,. Если т, превышает к„ денежная масса растет быстрее цен и, таким образом, реальные запасы денежных средств возрастают; если же денежная масса растет медленнее цен, т, меньше п„ тогда реальные запасы денежных средств падают.
Из (14.5) и (14.6) следует, что для сохранения равновесия на денежном рынке необходимо, чтобы в каждый момент времени t

Используя уравнение Фишера (/, =г, +л^) и принимая во внимание, что в малой открытой экономике с совершенной мобильностью капитала реальная ставка процента поддерживается на мировом уровне (т. е. Art = 0), получим:

„ 1 а ^ ,
Пусть ф = —, а \|/= —. Тогда динамическая функция совокупного спроса для рассматриваемой экономики имеет вид:
Y, = Г,_, +<р(т,-7і,) + ?|/А<, (14.7)
где ср, ф > 0.
Из (14.7) следует, что чем выше темп роста денежной массы, чем выше уровень дохода прошлого периода, чем ниже темп инфляции и чем больше возрастают инфляционные ожидания, тем больше совокупный спрос.
Изменение совокупного спроса определяется приростом реальных денежных средств: чем выше уровень реальных денежных средств, тем сильнее тенденция процентной ставки к снижению, тем больше отток капитала и, следовательно, больше падение реального валютного курса и увеличение чистого экспорта, а поэтому и темп роста совокупного дохода.
Если растут инфляционные ожидания Ал' > 0, то при прочих равных условиях в малой открытой экономике это означает тенденцию реальной ставки процента к падению, приводящую к росту чистого экспорта и, следовательно, увеличение совокупных расходов. В дальнейшем будем всегда полагать, что Дл' =0, т. е.
Y, =Г/_,+ф(/и, -л,). (14.8)
В устойчивом состоянии, когда Y, = Г,_|5 темп инфляции совпадает с темпом роста денежной массы л, = т,. График динамической функции совокупного спроса в координатах (К, л) представлен на рис. 14.2.
 |
|
Рис. 14.2. График динамической функции совокупного спроса |
Отрицательный наклон графика динамической функции совокупного спроса в координатах (К, п) объясняется тем, что при заданном темпе роста денежной массы снижение темпа инфляции означает рост реальных запасов денежных средств. В малой открытой экономике с совершенной мобильностью капитала это вызывает отклонение внутренней процентной ставки от мировой, что ликвидируется путем мгновенного оттока капитала и связанного с этим уменьшения реального обменного курса, приводящего к возрастанию величины совокупного спроса.
Положение кривой динамического совокупного спроса в координатах (Y, п) зависит от объема выпуска прошлого периода и темпа роста денежной массы. Чем выше уровень выпуска прошлого периода, тем при прочих равных условиях выше темп инфляции, соответствующий данному уровню выпуска, следовательно, кривая совокупного спроса сдвигается вправо вверх. Увеличение темпа роста денежной массы увеличивает темп инфляции в состоянии долгосрочного равновесия и поэтому смещает кривую совокупного спроса по вертикали ровно на величину изменения темпов роста денежной массы Ат (см. рис. 14.2).
14.2.1. Последствия бюджетно-налоговой и кредитно-денежной политики в случае плавающего валютного курса
Вспомним, что в малой открытой экономике с совершенной мобильностью капитала и плавающим курсом бюджетно-налоговая политика неэффективна. Убедимся в этом, анализируя изменения в /S, которая и отражает осуществляемую бюджетноналоговую политику:
Y= С + I + G + NX-
A Y= 5ДЛ — г|Дгг, (14.9)
где АЛ — изменение автономных расходов (государственных расходов (7; потребительских расходов, не зависящих от располагаемого дохода С0; инвестиционных расходов, не зависящих от ставки процента /0; расходов на чистый экспорт, не зависящих от реального валютного курса У?0)
Д А = AG + ДС0 + Д/0 + ДУ?0;
5, т| — коэффициенты, большие нуля.
Из уравнения совокупного спроса (14.8), получаемого при описании равновесных состояний на денежном рынке (LM), имеем
ДГ=ф(т-л). (14.10)
Очевидно, что при изменении параметров бюджетно-налоговой политики выпуск не меняется и поэтому Д У = 0. Учитывая (14.9), получаем
0 = Д У = 5ДИ - г| Де,.,
откуда
Де = -АА. (14.11)
Л
Из условия (14.11) видно, что любые изменения в автоном-. ных расходах нейтрализуются изменениями реального обменного курса.
Из условия для LM(14A0) следует, что в открытой экономике с плавающим курсом спрос изменяется только при изменении денежной массы.
14.2.2. Динамический процесс приспособления экономики к изменению денежной массы
Проследим теперь последствия монетарного импульса в экономике с плавающим валютным курсом.
Пусть параметры бюджетно-налоговой политики, как и автономные расходы, остаются постоянными: Д<7= АА = 0. Совокупный спрос и совокупное предложение определяются соответствующими функциями
AD: У, = К,_, + ф(/я, - я,); (14.12)
AS: п, = п,_,+МУ,- Y). (14.13)
Пусть рассматриваемая экономика первоначально находится в состоянии краткосрочного равновесия, совпадающего с долгосрочным, которое отображается на рис. 14.3 точкой Е0 — точкой пересечения AD0 и AS0. Темп инфляции в исходном состоянии л0 совпадает с темпом роста денежной массы т0.
Пусть теперь темп роста денежной массы увеличивается до тх. Как это следует из (14.12), совокупный спрос увеличивается, а кривая AD сдвигается вправо в положение AD] на величину по вертикали, равную разности (т, — т0). Новое краткосрочное равновесие — в точке ?,. В новом краткосрочном равновесии темп
 |
|
Рис. 14.3. Последствия монетарного импульса при плавающем курсе |
инфляции возрос по сравнению с прошлым > л0, поэтому вырастет ожидаемая инфляция (формирующаяся на уровне прошлого года) и, следовательно, как это видно из (14.13), уменьшится предложение: AS сдвинется вверх в положение AS2 на величину, по вертикали равную разности (л, — л0), и будет проходить через точку с координатами (Y, л,). С другой стороны, в связи с ростом выпуска (К,> Y) совокупный спрос возрастет (согласно (14.12)), что отобразится сдвигом вправо на величину (К, — Y) по горизонтали. Очевидно, что в новом краткосрочном равновесии, отображаемом точкой Еъ темп инфляции возрастет, а как изменится выпуск — неизвестно. Это зависит от того, какая кривая — совокупного спроса или совокупного предложения — сдвинется больше вверх. Можно показать, что
1'2=г'+о4чг(”,"’'о)(1'<рЧ'
Так как л0 < т}, то Y2> Yh если произведение констант (рХ < 1. Другими словами, К2> К,, если совокупный спрос слабо чувствителен к разнице между темпом роста денежной массы и темпом инфляции (ф — мало) или слаба чувствительность темпа инфляции к отклонению выпуска от потенциального (X — мало). Пусть для определенности это соответствует действительности. Тогда в новом состоянии равновесия Е2:
1. У2> К,, поэтому при прочих равных условиях совокупные расходы увеличиваются и AD сдвигается вверх в положение ADy
2. л2>л(, поэтому при прочих равных условиях совокупное предложение уменьшается и AS сдвигается вверх в положение ASy
Аналогично в новом краткосрочном равновесии, отображаемом точкой Еу имеем:
1. >з < Y2, следовательно, совокупный спрос уменьшается и AD сдвигается вниз в положение AD4.
2. л3 > л2, следовательно, совокупное предложение уменьшается и AS сдвигается вверх в положение AS4.
Далее, в новом краткосрочном равновесии, отображаемом точкой Е4, имеем:
1. У4< К3, поэтому AD сдвигается вниз.
2. л4< л3, AS сдвигается вниз.
На рис. 14.4 приведено направление изменения дохода в зависимости от соотношения фактической инфляции и темпа роста денежной массы, что определяется из уравнения совокупного спроса (14.12), а на рис. 14.5 — направление изменения темпа инфляции в зависимости от соотношения фактического и потенциального выпуска, что определяется из уравнения совокупного предложения (14.13).
На рис. 14.6 отражена равнодействующая изменений уровня дохода и темпа инфляции в зависимости от состояния экономите А Л А
Рис. 14.5. Направление изменения инфляции в зависимости от соотношения фактического и потенциального дохода
Рис. 14.4. Направление изменения дохода ж зависимости от соотношения фактической инфляции и темпа роста денежной массы
 |
Рис. 14.6. Направление изменения Рис. 14.7. Полная траектория равновесных значений дохода приспособления экономики
и темпа инфляции в зависимости к монетарному импульсу
от начального состояния экономики |
ческой конъюнктуры, а на рис. 14.7 — полная траектория динамического приспособления экономики к монетарному импульсу.
Если ожидания рациональны л,= ле, то выпуск моментально возвращается на уровень потенциального, как это следует из уравнения (14.13).
14.3. ЦИКЛЫ В ОТКРЫТОЙ экономике С ФИКСИРОВАННЫМ ВАЛЮТНЫМ КУРСОМ
В малой открытой экономике при фиксированном валютном режиме равновесный уровень спроса целиком определяется ситуацией на рынке товаров и услуг при г=/-мир и фиксированном обменном курсе е. Предложение денег становится эндогенным, т. е. подстраивается для обеспечения равновесия на рынке товаров и услуг. Другими словами, уравнение совокупного спроса выводится из IS:
AY = 8Л/1 - г) АеЛ = 5Д/4 - Г| А J • (14.14)
С учетом того, что цены измерены в логарифмической шкале, а курс фиксирован и поэтому е является константой, условие (14.14) принимает вид:
Д Y = 5ЛЛ - т|е (л - к*) = 8ДД - ср (л - к*), (14.15)
где ср = г)е > 0.
Если меняются государственные расходы, то изменение совокупного спроса при прочих равных условиях можно описать как:
АУ = 8Д(7 - ф(я - я*).
Отсюда AD:
У, = Yt_x + 5Д(7-ф(я-я*), (14.16)
а совокупное предложение при условии адаптивных ожиданий описывается, как и раньше в (14.13), AS:
к,=кІ__]+Х(УІ-У). (14.17)
Из условия (14.16) очевидно, что совокупный спрос изменяется только при изменении параметров бюджетно-налоговой политики и темпа инфляции за рубежом.
14.3.1. Динамический процесс приспособления экономики к изменению государственных расходов
Проследим последствия фискального импульса в экономике с фиксированным валютным курсом (см. рис. 14.8).
Пусть, как и раньше, исходное состояние экономики отображается на рисунке точкой Е0 — точкой пересечения ADQ и AS0. Пусть она является точкой краткосрочного равновесия, совпадающего с долгосрочным. Темп инфляции в состоянии долгосрочного равновесия совпадает с темпом роста денежной массы т0 и темпом инфляции за рубежом я*: из IS следует, что АУ= —ср(я —я*), из LM — ДТ= ф(т —я). Так как в долгосрочном равновесии выпуск не меняется, то АТ=0, поэтому я= т = я*.
Увеличение государственных расходов увеличивает совокупный спрос, и он сдвигается вправо в положение ADX. Новое краткосрочное равновесие — в точке Ех. В новом краткосрочном равновесии Е{ темп инфляции возрос по сравнению с прошлым Я! > я0, поэтому вырастет ожидаемая инфляция (формирующаяся на уровне прошлого года) и предложение, как это следует из (14.17), уменьшится (сдвигается вверх в положение AS2).
Новое положение кривой AD неоднозначно — совокупный спрос может как упасть по сравнению с прошлым периодом, так и возрасти: с одной стороны, выпуск увеличился по сравнению с прошлым периодом и, значит, совокупный спрос растет, но, с другой — государственные расходы больше не изменяются, AG= 0 и, следовательно, совокупные расходы будут меньше, чем в прошлом периоде. Предположим, что совокупный спрос все-таки уменьшится и кривая AD сдвинется вниз в положение AD2.
В новом краткосрочном равновесии, отображаемом точкой Е2, имеем:
1. Y2< У[, следовательно при прочих равных совокупные расходы уменьшаются и AD сдвигается вниз в положение ADy
2. к2 > Л), следовательно при прочих равных совокупное предложение уменьшается и AS сдвигается вверх в положение AS2.
Аналогично в новом краткосрочном равновесии, отображаемом точкой Еъ, имеем:
1. Е3< У2, поэтому AD сдвигается вниз.
2. л3< п2, поэтому AS сдвигается вниз.
Процесс приспособления к однократному изменению государственных расходов продолжается до тех пор, пока экономика не вернется в состояние первоначального равновесия Е0 (рис. 14.8). Динамика приспособления экономики к фискальному импульсу в более полном виде приведена на рис. 14.9.
Если принять предпосылку о рациональных ожиданиях, то долгосрочный уровень выпуска восстанавливается мгновенно
 |
|
Рис. 14.8. Последствия фискального импульса в малой открытой экономике с фиксированным курсом |
 |
Ex |
|
Рис. 14.9. Полная траектория динамического приспособления экономики к фискальному импульсу |
и экономика из состояния краткосрочного равновесия Ех перейдет в состояние первоначального равновесия Е0.
Аналогичный механизм приспособления будет наблюдаться в экономике с фиксированным курсом, если резко изменятся автономные совокупные расходы в результате изменения поведения экономических агентов. Примером может служить увеличение инвестиционного спроса при росте оптимизма инвесторов относительно будущих прибылей, снижение совокупных потребительских расходов из-за неуверенности в завтрашнем дне и т. п.
Рассмотренный механизм приспособления открытой экономики к шокам различной природы фактически является описанием экономического цикла в рамках кейнсианской парадигмы малой подвижности цен в краткосрочном периоде.
f 4 4- ВОПРОСЫ И ЗАДАНИЯ К ГЛАВЕ 14
I. Пусть малая открытая экономика с фиксированным курсом описывается следующими условиями:
С = ~(Y — Т)\
400 200 |
 |
NX = 200 - Ю0ег;
G = T= ЮО; e,= l; P= l; /** =l; гмир = 2;
M Y
— = 100 + — -I00r.
P 2
Определите:
а) равновесные уровни выпуска, чистого экспорта, реального обменного курса, реальной ставки процента и предложения денег;
б) как изменится ответ на пункт «а», если государственные расходы увеличились до 150?
в) функцию совокупного спроса;
г) динамическую функцию совокупного спроса;
д) пусть краткосрочное совокупное предложение описывается уравнением

Первоначально экономика находилась в состоянии долгосрочного макроэкономического равновесия (при условиях задания 1, пункта «а»), неизменном предложении денег и уровне цен за рубежом. Государственные расходы увеличиваются до 150. Определите равновесные уровни выпуска и темпа инфляции в первом и втором периодах после увеличения государственных расходов.
е) Определите значения дохода, чистого экспорта, реального обменного курса и уровня цен в новом состоянии долгосрочного равновесия.
2. Пусть малая открытая экономика с плавающим обменным курсом описывается следующими условиями:
С = |(Г-Г);
460 200 |
 |
г;
NX = 200 - 100?г;
М = G = Т = 100; Р=\;Р =1; гмир = 2;
М Y
— = 100+ — - 100г.
Р 2
а) Определите равновесные уровни выпуска, чистого экспорта, реального обменного курса в состоянии исходного равновесия.
б) Пусть предложение денег увеличивается до 150. Определите новые равновесные уровни выпуска, чистого экспорта, реального обменного курса.
в) Определите функцию совокупного спроса.
г) Определите динамическую функцию совокупного спроса.
д) Пусть краткосрочное совокупное предложение задается уравнением
п = п . + — (у-Y).
Экономика первоначально находилась в состоянии долгосрочного макроэкономического равновесия (при условиях пункта «а» задания 2) с нулевым темпом роста денежной массы и неизменным уровнем цен за рубежом. Предложение денег увеличилось до 150 и стало расти с этим новым темпом. Определите равновесные уровни выпуска и темпа инфляции в первом и втором периодах после произошедшего изменения.
Определите значения дохода, чистого экспорта, реального и номинального обменного курса, уровня цен в новом состоянии долгосрочного равновесия.
Глава 15
СТОХАСТИЧЕСКИЕ ЦИКЛЫ: ТЕОРИЯ РЕАЛЬНОГО ДЕЛОВОГО
ЦИКЛА
Проблемы верификации детерминистских взглядов на природу циклов — отделение тренда от цикла. Идея о стохастическом характере тренда. Влияние временных и постоянных шоков на динамику экономической системы. Основные положения теории реальных деловых циклов.
Стохастические циклы в условиях гибкости цен. Иллюстрация идей теории реального делового цикла с помощью модификации модели Солоу. Возможность колебаний экономической активности в связи с технологическими сдвигами и изменениями темпа роста населения.
Эффект межвременного замещения в предложении труда.
Реальный деловой цикл в модели IS-LM с гибкими ценами. Понятия реального совокупного спроса и реального совокупного предложения. Влияние бюджетно-налоговой политики на макроэкономическое равновесие. Влияние резких технологических сдвигов постоянного и временного характера.
Микроэкономический анализ функции предложения труда для верификации модели реального экономического цикла.
Возможности эконометрической верификации модели. Калибровка модели реального делового цикла. Соответствие выводов модели наблюдаемым фактам.
Дискуссии по предпосылкам и выводам теории реального делового цикла. Характер технологических сдвигов. Проблемы измерения технологических сдвигов. Межвременное замещение в предложении труда. Нейтральность денег в краткосрочном периоде. Гибкость цен. Методы верификации модели.
15.1. ТРЕНД И ЦИКЛИЧЕСКИЕ КОЛЕБАНИЯ
При исследовании феномена деловых циклов одна из основных проблем заключалась в отделении тренда макроэкономических данных от их циклических колебаний. Можно сказать, что теория реальных деловых циклов родилась как теоретическое обобщение вполне конкретной эконометрической проблемы разграничения цикла и тренда. До начала 80-х гг. экономисты всех направлений придерживались подхода, что тренд, описываемый, например, моделью Солоу, отражает общее поступательное направление развития и является детерминированным, а цикл — это краткосрочные временные отклонения от него, вызываемые преимущественно резкими изменениями спроса. Основной пункт разногласий состоял в рекомендациях относительно экономической политики. Кейнсианцы считали, что нужна активная стабилизационная политика, монетаристы и неоклассики защищали тезис об отказе от вмешательства в экономику.
В начале 80-х гг., когда экономисты стали применять более продвинутые методы обработки статистических показателей, Нельсон и Плоссер f20] опубликовали работу по анализу временных рядов макроэкономических данных. Они сделали вывод, что макроэкономические модели, рассматривающие монетарные шоки в качестве источника экономических колебаний, не могут объяснить большей части изменчивости выпуска, нужно обязательно привлекать реальные факторы. Кроме того, Нельсон и Плоссер не смогли отвергнуть гипотезу о том, что динамика дохода описывается процессом случайного блуждания. Чем же этот взгляд отличается от традиционных?
Согласно общепринятому подходу фактический выпуск Y, может быть разложен на трендовую и случайную составляющие, например, в следующем виде:
Yt = g, +bY,_] + z„ (15.1)
где g, — переменная, отражающая рост выпуска в соответствии с детерминированным трендом;
z, — случайная составляющая с нулевой средней, 0 < b < 1.
Другими словами, выпуск периода t зависит от всех своих предыдущих состояний, потенциальных темпов роста и случайных отклонений.
Пусть в момент t{ произошел положительный шок спроса, вызвавший превышение фактическим выпуском в момент tl трендового значения. Без ограничения общности будем полагать, что шок длится только один период. Так как выпуск периода t зависит от своего фактического значения в предыдущий период, то влияние шока будет ощущаться несколько периодов. Однако это влияние будет со временем исчезать, и выпуск вернется к своему потенциальному значению (на тренд) в связи с тем, что согласно традиционному подходу 0 < b < 1. Такое развитие вполне соответствует гипотезе о естественном уровне безработицы, но не может объяснить эмпирически наблюдаемый случайный характер динамики выпуска (рис. 15.1).
Нельсон и Плоссер утверждали, что большинство изменений в ВВП являются постоянными и не исчезают со временем, поэтому отсутствует тенденция возвращения выпуска к старому тренду. Другими словами, выпуск представляет собой случайное блуждание со смещением (random walk with drift), представляемое в виде:
Y, = g, + ?,_> + zr (15.2)
Из (15.2) видно, что любой положительный шок приведет к постоянному увеличению выпуска по сравнению с трендовыми значениями (рис. 15.2).
 |
Рис. 15.1. Последствия временного Рис. 15.2. Последствия позитивного технологического постоянного позитивного
сдвига технологического сдвига |
Это связано с тем, что в любой следующий после шока период выпуск будет определяться выпуском периода tu когда произошел шок. Другими словами, следует предположить, что изменяется производственная функция и поэтому смещается тренд выпуска. Эконометрические тесты на «единичный корень» (единичный коэффициент при ,), по сути дела, являются проверкой гипотезы об изменении производственной функции в результате случайных шоков.
Исследования Нельсона и Плоссера сыграли значительную роль в формировании теории реальных деловых циклов. Так как изменения в потенциальном ВВП (в тренде) не могут быть следствием изменения в монетарной сфере из-за принципа нейтральности денег, то основной причиной нестабильности являются реальные шоки.
Шоки, приводящие к изменению потенциальных возможностей экономики, стали интерпретировать как стохастические изменения в производительности факторов, связанные с неравномерностью технологического прогресса, хотя некоторые версии теории реального делового цикла допуска ют реальный шок спроса в качестве первоначального импульса. В таком случае наблюдаемые изменения выпуска, выглядящие колебаниями вокруг сглаженного детерминированного тренда, на самом деле являются колебаниями самого тренда, вызванными последовательностью постоянных сдвигов в производительности, определяющих новую траекторию роста.
Отсюда серьезной ошибкой является изолированное изучение экономического роста и циклических колебаний. Согласно теории реальных деловых циклов факторы, определяющие эти два процесса, одинаковы. Поэтому теории циклических колебаний и экономического роста должны быть интегрированы между собой и изучаться с помощью одних и тех же моделей — моделей общего экономического равновесия.
15.2. ОСНОВНЫЕ ПОЛОЖЕНИЯ ТЕОРИИ РЕАЛЬНЫХ ДЕЛОВЫХ ЦИКЛОВ
На основании предыдущего обсуждения можно сформулировать основные положения, которые должны быть отражены в моделях, используемых в теории реальных деловых циклов:
1. Экономические агенты максимизируют полезность или прибыль при ограничениях на ресурсы.
2. Ожидания формируются рационально, отсутствует информационная асимметрия. Экономические агенты могут сталкиваться с проблемой распознавания характера технологических сдвигов — постоянные они или временные. Но динамика уровня цен общеизвестна.
3. Гибкость цен всегда обеспечивает состояние макроэкономического равновесия на уровне полной занятости.
4. Колебания совокупного выпуска связаны со случайными изменениями в доступной технологии, а разнообразные механизмы распространяют влияние первоначального импульса.
5. Колебания в занятости отражают добровольные изменения в количестве рабочих часов. Предполагается, что работа и досуг замещают друг друга во времени.
6. Не существует различий между краткосрочным и долгосрочным аспектами анализа.
Для изучения теории реальных деловых циклов обычно используют модифицированные неоклассические модели роста и общего макроэкономического равновесия с гибкими ценами, репрезентативным потребителем, фирмой и государством (см., например: [II, 25, 29]). Они являются достаточно сложными в смысле формального аппарата. Ранние, более простые и легче интерпретируемые модели роста отличаются от них двумя чертами, подвергающимися критике со стороны представителей теории реального делового цикла. Первая — предположение о сглаженном характере технологического прогресса. Вторая, которая относится и к кейнсианским моделям делового цикла, — механистические и произвольно задаваемые правила поведения. Например, в модели Солоу сбережения — всегда постоянная доля дохода. А теория реального делового цикла заменяет это механистическое правило эндогенным определением доли сберегаемого дохода. Другими словами, репрезентативный потребитель будет формировать потребительское решение в зависимости от доступной на текущий период информации так, чтобы максимизировать текущее значение ожидаемой полезности. По мере поступления новой информации оптимальный план пересматривается. Учет подобных корректировок и делает модели реального делового цикла такими сложными.
Продемонстрируем содержание теории реального делового цикла на модификациях известных, более простых моделей — модели Солоу, модели IS—LM и AD—AS.
15.2.1. Иллюстрация идей теории реального делового цикла на примере модели Солоу
Проиллюстрируем идеи теории реального делового цикла с помощью модифицированной модели Солоу, учитывающей резкие сдвиги (неравномерность) в развитии технологического прогресса, но все еще допускающей механистические правила ранних теорий роста. Упрощение существенное, но оно позволяет наглядно продемонстрировать сущность теории реального делового цикла и проанализировать, как такие сдвиги могут постоянно генерировать циклы.
Для того чтобы понять первопричину и механизм распространения технологического цикла, модифицируем производственную функцию в модели Солоу за счет введения переменной А„ учитывающей неравномерность в развитии научно-технического прогресса:
Y, = A,F(K„ L,E,).
Неизменность технологии отражается А, = 1, в период технологических усовершенствований At> 1. Период технологического регресса соответствует А, < 1.
На рис. 15.3 показаны возможные траектории развития выпуска с неизменной (At = 1) и с изменяющейся технологией (А, 1).
 |
|
Рис. 15.3. Влияние технологических сдвигов на динамику выпуска в модели Солоу |
С учетом модификации основное динамическое уравнение модели Солоу (9.5) усложняется и принимает вид
к = sAf (к)-(п + g + Ь)к.
В этом условии отражен факт инерции или постоянства в реакции выпуска на технологический сдвиг, действие которого уже закончилось. Это продемонстрировано на рис. 15.4. Предположим, что А,= 1 поддерживалось в течение продолжительного периода времени, так что экономика достигла устойчивого состояния, характеризующегося уровнем капиталовооруженности kf.
 |
|
Рис. 15.4. Влияние позитивного технологического сдвига в модели Солоу |
Вспомним, что устойчивое состояние в модели Солоу описывает динамику потенциального выпуска (сглаженного тренда).
Если произошел положительный технологический сдвиг, т. е. А, > 1, то в исходном равновесном состоянии фактические инвестиции превышают необходимые, поэтому уровень капиталовооруженности начнет увеличиваться. Экономика будет переходить в новое равновесное состояние, соответствующее более высокому
уровню капиталовооруженности іС2. Поэтому выпуск будет расти более быстрыми темпами, чем в исходном равновесном состоянии (чем трендовый темп роста).
Теперь продемонстрируем возникновение инерции в реакции выпуска на технологический шок. Предположим, что At возвратилось опять на старый единичный уровень. Другими словами, первоначальный положительный технологический импульс исчез, т. е. улучшение технологии имело временный характер. Очевидно, что хотя новым устойчивым уровнем капиталовооруженности
опять будет исходный А,*, выпуск, тем не менее, не возвратится немедленно к своей первоначальной равновесной траектории. Поэтому пока к, > А;,*, выпуск будет продолжать оставаться больше потенциального, хотя технологический уровень в этот период соответствует исходному. Отсюда, технологический сдвиг вызывает начало цикла и содержит встроенный механизм его распространения (см. рис. 15.1).
Таким образом, получаем достаточно простое содержательное объяснение делового цикла, отвлекаясь от сложности его формального вывода. Рациональные агенты формируют потребительский план, базирующийся на доступной информации. Последствием положительного технологического сдвига является увеличение выпуска, а значит, и величины сбережений. Следовательно, запас капитала будет больше, чем он мог бы быть при отсутствии технологического сдвига. Поэтому эффект совершенствования технологии будет действовать даже тогда, когда уровень технологии вернется к первоначальному, так как более высокий запас капитала приведет к более высоким сбережениям и более высокому выпуску.
Резкие изменения в темпе роста населения могут привести к циклу, подобному технологическому. Это неудивительно, если вспомнить, что в модели Солоу на темп роста выпуска в устойчивом состоянии непосредственным образом влияет и скорость роста населения.
Допустим возможность случайных изменений в темпе роста
4 л
численности населения, т. е. — = п + Х,, где п характеризует темп
4
роста населения в устойчивом состоянии; X, — случайная составляющая, X, > 0 — означает более высокий, чем в устойчивом состоянии, рост населения, а Х,< 0 — более низкий. Тогда основное уравнение динамики модели (9.5) примет вид:
к = sAf(k)-{n + g + b + X)k.
Отсюда цикл и сохраняющийся эффект в реакции выпуска на, например, снижение темпов роста населения генерируются изменением величины необходимых сбережений. На рис. 15.5 этой ситуации соответствует более пологая линия необходимых сбережений и новый, более высокий устойчивый уровень капиталовооруженности.
Аналогично ситуации положительного технологического сдвига снижение темпов роста населения вызовет превышение выпуска над первоначальным, которое сохранится в течение определенного времени даже при возвращении темпа роста населения на исходный уровень (при ликвидации причин такого снижения). В модели Солоу предполагается, что все население является занятым, поэтому описанный механизм отражает влияние изменения занятости на темпы роста выпуска.
 |
|
Рис. 15.5. Влияние замедления темпа роста населения на динамику выпуска (пі <гі) |
Таким образом, если произошел постоянный сдвиг производительности, то выпуск никогда не возвращается к первоначальному устойчивому уровню, если временный сдвиг — то эффект в отклонении выпуска исчезает не сразу. Другими словами, под влиянием случайных импульсов происходят колебания тренда, отражающего потенциальный выпуск экономики.
Теперь необходимо объяснить причины значительных колебаний в уровне полной занятости, которую предполагает теория реальных деловых циклов (как и модель Солоу). Для этого рассмотрим более подробно одно из основных положений теории реальных деловых циклов — эффект межвременного замещения труда.
15.2.2. Эффект межвременного замещения и предложение труда
В теории реальных деловых циклов предполагается, что работник максимизирует функцию полезности, зависящую не только от потребления, но и от досуга, и определяет величину предложения труда в каждый момент времени в зависимости от ожидаемого вознаграждения. Если в будущем ожидается снижение уровня реальной заработной платы, то он постарается в настоящем работать больше; если же в будущем ожидается рост реальной заработной платы, то он может снизить в настоящем свои трудовые усилия или вообще временно отказаться от работы. Поэтому периоды высокой занятости чередуются с периодами, когда работники предпочитают работать меньше или вообще не работать. Такое распределение занятости носит название эффекта межвременного замещения в предложении труда.
При сравнении вознаграждения за труд в различные моменты времени работник обращает внимание как на реальную заработную плату, так и на реальную ставку процента. Чем выше реальная зарплата в настоящем по сравнению с будущим, тем более привлекателен сегодняшний труд. Чем выше ставка процента, тем больший доход будет получен от текущей зарплаты, если ее положить на сберегательный счет. Работники принимают решение об объеме предлагаемого труда в момент t в зависимости от межвременной относительной цены труда:
(!+/•)• Wt
(15.3)
и/,
(+і
где І?„ И^+1— уровни реальной заработной платы соответственно в моменты t и /+1.
Если Wt возрастет по сравнению с И/ж или растет г, то отношение (15.3) увеличивается. Это означает, что работники будут в настоящем увеличивать предложение своего труда. В противном случае они его уменьшают.
Таким образом, эффект межвременного замещения труда объясняет колебания занятости. На рис. 15.4, когда At> 1 в результате положительного шока технологии, заработная плата растет с более быстрым, чем трендовый, темпом роста (>g). Ставка процента тоже высока, так как увеличилась предельная производительность капитала. В соответствии с (15.3) это вызывает дополнительное предложение труда. Противоположный эффект наблюдается, когда выпуск ниже трендового. Таким образом, изменения в естественном уровне занятости носят добровольный характер.
Из сказанного вытекает, что с ростом ставки процента растет предложение труда, занятость, а следовательно, и потенциальный выпуск.
15.3. РЕАЛЬНЫЙ ДЕЛОВОЙ ЦИКЛ В МОДЕЛИ «РЕАЛЬНЫЙ СОВОКУПНЫЙ СПРОС —
РЕАЛЬНОЕ СОВОКУПНОЕ ПРЕДЛОЖЕНИЕ»
Проиллюстрируем теперь идеи теории реального делового цикла с помощью модели IS—LM.
Согласно основным предпосылкам теории реального делового цикла, ожидания рациональны, цены гибкие даже в краткосрочном периоде, поэтому выпуск всегда находится на уровне потенциального У :
Y = Y = F(K, L),
где К, L — имеющиеся в экономике ресурсы капитала и труда; F(K, L) — производственная функция, отражающая достигнутый в экономике уровень технологии.
Таким образом, модель IS-ЬМддя открытой экономики с несовершенной мобильностью капитала принимает вид (см. главу 2.):
IS: Y = f(Y-T) + I(r) + G + NFf(r)
(15.4)
NX(er) = NFI(r)
M
LM: — = L(r, Y)
P _ _ _
Y = Y = F(K, L).
Предполагается, что ожидаемый темп инфляции равен нулю, поэтому реальная и номинальная ставки процента одинаковы.
В модели (15.4) ставка процента обеспечивает равновесие на рынке заемных средств, т. е. уравновешивает сбережения, с одной стороны, и внутренние и чистые зарубежные инвестиции — с другой. Иначе говоря, она определяется из уравнения
S(Y) = I(r) + NFI{r),
где национальные сбережения = У -C-G = У - f{Y -T^j-G.
Деньги нейтральны, поэтому на денежном рынке цены изменяются таким образом, чтобы обеспечить равновесное состояние
при Y = Y и равновесной ставке процента, определяемой на рынке заемных средств.
На рис. 15.6 представлено экономическое равновесие при сделанных предпосылках.
 |
|
Рис. 15.6. Модель IS—LMс гибкими ценами |
Таким образом, кривая LM не играет существенной роди в определении общего равновесия, она лишь определяет общий уровень цен Р, который в модели (15.4) становится эндогенной величиной. На реальные показатели денежный рынок влияния не оказывает. Это позволяет исключить кривую LM из дальнейшего анализа.
Будем в дальнейшем называть кривую IS на рис. 15.6 кривой реального совокупного спроса (RAD), а линию У = У — кривой реального совокупного предложения (RAS).
Модель реального совокупного спроса — реального совокупного предложения отличается от стандартной модели AD—ASтем, что в ней уравновешивающим параметром является не уровень цен, а реальная ставка процента, т. е. для объяснения экономических колебаний используются только реальные переменные.
Рассмотренный выше эффект межвременного замещения труда позволил сделать вывод, что с ростом ставки процента растет потенциальный выпуск, т. е. функция реального совокупного предложения является возрастающей по ставке процента (рис. 15.7).
Экономические колебания в теории реального экономического цикла являются следствием сдвигов кривых реального совокупного спроса или реального совокупного предложения. Причинами сдвигов сторонники этой теории считают изменения в бюджетно-налоговой политике и резкие сдвиги в технологии производства.
 |
|
Рис. 15.7. Равновесие в модели RAD—RAS |
15.3.1. Изменения бюджетно-налоговой политики
Стимулирующая бюджетно-налоговая политика (рост государственных расходов или снижение налогов) приводит к увеличению спроса при каждом уровне ставки процента, т. е. к сдвигу кривой реального совокупного спроса вправо вверх (рис. 15.8).
 |
|
Рис. 15.8. Влияние стимулирующей бюджетно-налоговой политики в модели RAD—RAS |
Результатом является рост равновесного уровня ставки процента и рост объема производства (переход равновесия из точки Л в точку В). Хотя последствия стимулирующей бюджетно-налоговой политики в этой модели и в модели IS—LM одинаковы, их трактовка имеет принципиальные различия. В модели 1S—LM увеличение объема производства является следствием жесткости цен, когда на увеличение спроса предприниматели могут откликнуться только увеличением уровня выпуска.
В модели реального экономического цикла увеличение спроса приводит к повышению ставки процента (так как при прежней ставке процента инвестиционный спрос превышает уровень сбережений), это в свою очередь побуждает работников предлагать больше труда, увеличивается естественный уровень занятости, а следовательно, и потенциальный выпуск.
15.3.2. Резкие изменения технологии производства
Эти изменения влияют как на кривую реального совокупного спроса, так и на кривую реального совокупного предложения. Совершенствование технологии увеличивает реальный объем выпуска при каждом уровне ставки процента и, следовательно, сдвигает кривую реального совокупного предложения вправо вниз. Появление новых технологий приводит к увеличению инвестиционного спроса, в результате чего кривая реального совокупного спроса сдвигается вправо вверх.
Последствия резких изменений технологий зависят от того, влияют ли эти изменения в основном на спрос или на предложение.
В первом случае (рис. 15.9) следствием этих изменений будет увеличение как объема выпуска, так и ставки процента. Во втором случае (рис. 15.10) объем выпуска в новом состоянии равновесия увеличится, а ставка процента уменьшится.
Детальный анализ влияния резких сдвигов в технологии производства на объем выпуска представляет собой довольно сложный процесс. Совершенствование технологии может выражаться в увеличении предельной производительности труда, а следовательно, и в увеличении реальных ставок заработной платы
W
(в состоянии равновесия — = MPL). Если это процесс постоянный, то реальная заработная плата увеличится как в настоящий момент, так и в будущем, межвременная относительная цена труда не изменится, значит, предложение труда также не увеличится. Однако постоянное совершенствование технологии может
 |
Рис. 15.10. Влияние положительного технологического сдвига
на равновесие в модели RAD—RAS (случай 2) |
|
\ |
 |
|
Рис. 15.9. Влияние положительного технологического сдвига на равновесие в модели RAD—RAS (случай 1) |
привести к росту предельной производительности капитала, что побудит инвесторов увеличить инвестиции, в результате увеличится запас капитала и выпуск. Временные сдвиги в технологии приводят к росту сегодняшних ставок реальной заработной платы, увеличению предложению труда и уровня выпуска.
Таким образом, новое состояние равновесия зависит от характера технологических сдвигов (носят ли они постоянный или временный характер, влияют ли на производительность труда или на производительность капитала).
15.4. МИКРОЭКОНОМИЧЕСКИЙ АНАЛИЗ ПРЕД ЛОЖЕНИЯ ТРУДА И ПОСЛЕДСТВИЯ РЕЗКИХ ИЗМЕНЕНИЙ ТЕХНОЛОГИИ
В теории реального экономического цикла предполагается гибкость цен и, следовательно, постоянное равновесие на рынке труда. Технологические сдвиги изменяют предельную производительность труда и приводят к сдвигу графика спроса на труд. Рассмотрим последствия этих сдвигов в случае крутого (рис. 15.11) и пологого (рис. 15.12) графиков предложения труда.
Первому случаю (см. рис. 15.11) соответствуют сравнительно большие изменения ставок реальной заработной платы и лишь небольшое увеличение занятости. Во втором случае, наоборот, зарплата увеличивается несущественно, а занятость повышается значительно. Эмпирические наблюдения свидетельствуют, что во время экономических циклов реальная зарплата меняется несущественно, а занятость колеблется заметно.
Следовательно, чтобы выводы теории реального экономического цикла соответствовали действительному поведению экономических переменных, она должна либо предполагать пологую
 |
|
Рис. 15.11. Влияние положительного технологического сдвига на занятость (случай относительно неэластичного предложения труда) |
 |
|
Рис. 15.12. Влияние положительного технологического сдвига на занятость (случай относительно эластичного предложения труда) |
линию предложения труда, либо объяснять, почему технологические изменения сдвигают также и график предложения труда.
Микроэкономическая теория не подтверждает пологости графика предложения труда. Стандартный микроэкономический анализ распределения времени между трудом и отдыхом, предполагающий, что отдых является нормальным товаром, показывает, что при росте ставки зарплаты предложение труда если и растет, то незначительно (рис. 15.13).
 |
|
Рис. 15.13. Влияние роста ставки зарплаты на предложение труда |
Это является следствием того, что при росте реальной зарплаты возникают эффекты дохода и замены, которые действуют в противоположном направлении, ослабляя друг друга.
Таким образом, микроэкономический анализ показывает, что график предложения труда относительно крутой. Поэтому при изменениях технологии мы можем получить небольшие изменения ставок реальной заработной платы и существенные изменения занятости, только если сдвигаются в одном направлении как спрос, так и предложение труда (рис. 15.14).
Сдвиг графика предложения труда является следствием временного повышения ставок заработной платы либо ставки процента. В этом случае работники решают больше работать в настоящем и больше отдыхать в будущем, когда зарплата будет ниже (рис. 15.15 иллюстрирует эту ситуацию). Положение графика предложения труда в координатах «текущая занятость —текущая
 |
Рис. 15.14. Влияние одновременного увеличения спроса и предложения труда на занятость
ставка реальной заработной платы» определяется ожидаемой в будущем ставкой реальной заработной платы и ставкой про- |
 |
|
Рис. 15.15. Влияние временного позитивного технологического сдвига на занятость |
 |
<
t+\ |
W_
Р
I ИЛИ г'>г.
t+\
c ;w
Если — Р
падает или г растет, то
м-1
((W'
сдвигается
вправо вниз и занятость существенно увеличивается.
Временные технологические сдвиги (вызванные, например, улучшением погоды) приводят к небольшим изменениям инвестиционного спроса и к довольно существенному увеличению занятости (так как W, растет по сравнению с Wt+[ и поэтому работники
ожидают, что — упадет), а следовательно, и к сдвигу кривой V Р Л+І
предложения труда, и к увеличению потенциального выпуска. В этом случае мы имеем ситуацию, отраженную на рис. 15.10 (кривая реального совокупного предложения сдвигается существенно, реального совокупного спроса — незначительно).
Постоянные технологические сдвиги приводят к росту инвестиционного спроса, в то время как рост реальных ставок зарплаты наблюдается и в настоящем, и в будущем. Ожидание роста —
? Р Л+1
может сдвинуть график предложения труда влево вверх и привести к снижению занятости. Рост ставки процента в результате роста инвестиционного спроса, напротив, сдвигает график предложения труда вправо вниз. Общий эффект, скорее всего, выразится в сравнительно небольшом увеличении занятости. Следовательно, график реального совокупного спроса сдвинется существенно, а реального совокупного предложения — незначительно (см. рис. 15.9).
15.5. КАЛИБРОВКА МОДЕЛИ РЕАЛЬНОГО ДЕЛОВОГО ЦИКЛА
Обычно в целях верификации модели проводится сравнение модельных результатов с реальными данными на основе эконометрических методов. Однако провести прямую эконометрическую проверку результатов модели не представляется возможным из-за сложности оценки большого числа используемых параметров.
Представители теории реального делового цикла для проверки своей теории предложили использовать метод калибровки, который состоит в компьютерной имитации экономической динамики по модели реального делового цикла и сравнении полученных результатов с фактическими данными [16].
Этот метод включает в себя:
1. Построение неоклассической модели равновесия (например, RAS—RAD, модель Рамсея и т. д.).
2. Задание конкретной формы производственной функции и функции потребления, а также их параметров, которые соответствуют особенностям рассматриваемой экономики.
3. Симулирование эффекта влияния на выходные показатели модели последовательных случайных технологических сдвигов, задаваемых с помощью датчика случайных чисел.
4. Сравнение полученных по модели временных рядов основных макроэкономических переменных с фактически наблюдаемыми.
Проведенные симуляции [16, 23] показали, что конкурентная экономика, испытывающая повторяющиеся резкие технологические сдвиги, демонстрирует колебания, близкие к реально наблюдаемым. Другими словами, модельные результаты хорошо имитируют временные ряды некоторых основных макроэкономических показателей.
Так, в частности, оказалось, что ряды ВНП и потребления хорошо согласуются с фактическими данными, инвестиций и зарплаты — хуже.
Таким образом, однозначного вывода об адекватности модели реальной действительности получено не было, однако указанные работы дают толчок дальнейшим исследованиям в этом направлении.
15.6. ДИСКУССИИ ПО ВОПРОСАМ ТЕОРИИ РЕАЛЬНОГО ЭКОНОМИЧЕСКОГО ЦИКЛА
Выводом из теории реального экономического цикла служит утверждение, что экономические циклы не являются следствием несовершенства рынка, а представляют собой естественный процесс изменения потенциального выпуска. Деловые циклы будут иметь место до тех пор, пока существует случайный элемент в технологических нововведениях. Экономические колебания являются оптимальной реакцией на неопределенность в темпе технологических изменений. Поэтому с точки зрения этой теории стабилизационная политика теряет свой смысл.
Естественно, многие экономисты оспаривают предпосылки и выводы этой теории. Разногласия вызывают утверждения о резких изменениях технологии производства, постоянном равновесии на рынке труда, нейтральности денег, а также о гибкости цен в краткосрочном периоде.
Роль резких изменений технологии
Многие экономисты утверждают, что научно-технический прогресс носит плавный характер и не бывает периодов научнотехнического регресса, которые в теории реального экономического цикла являются причиной рецессии.
Сторонники этой теории предлагают трактовать сдвиги в технологии более широко. Это все, что может повлиять на кривую реального совокупного предложения:
1. Неблагоприятные изменения в окружающей среде, влияющие на сельскохозяйственное производство, — природные катаклизмы (землетрясение, наводнение, ураганы и смерчи, засуха).
2. Значительные изменения цен на энергоносители.
3. Войны, политическая нестабильность, смуты и волнения, забастовки.
4. Государственное регулирование — импортные квоты, природоохранное законодательство.
5. Изменения в производительности, вызванные изменением качества используемого капитала и труда, — разработка новых продуктов и внедрение новых технологий, новой практики управления.
С этих позиций можно рассматривать рецессию как результат влияния неблагоприятных изменений на совокупное производство, понимаемое как процесс преобразования ресурсов в товары и услуги, т. е. снижение реального совокупного предложения.
Обычно изменения уровня технологического прогресса представители теории реальных деловых циклов оценивают с помощью остатка Солоу.-.
Эконометрические исследования подтверждают случайный характер колебаний совокупной производительности, измеряемой по остатку Солоу. Так, в работе [16] получено, что 70% вариации выпуска США в послевоенный период объясняются за счет вариации остатка Солоу.
Однако критики отмечают, что очень трудно дать формальное определение технологическим сдвигам. Хотя развитие технологии демонстрирует строгую процикличность с душевым доходом, главный вопрос состоит в том, не является ли это результатом подъемов и падений, а не их причиной. По разного рода причинам требуется значительное время для того, чтобы уменьшить рабочую силу до эффективного уровня при спаде. Фирмы склонны не увольнять работников, а занимать их деятельностью, не соответствующей их квалификации, что приводит к падению производительности. Беря в качестве индикатора технологического шока отклонения производительности от тренда, можно перепутать причину и следствие.
Большая изменчивость остатка Солоу может быть объяснена как результат феномена скрытой безработицы: фирмы в период спада не увольняют рабочих, а переводят на должности, несоответствующие их квалификации. Поэтому падает производительность труда. В результате процентное сокращение выпуска, как правило, превышает процентное сокращение занятости.
Межвременное замещение в предложении труда
В рамках этой теории безработица носит добровольный характер и является следствием добровольного отказа работников от работы в настоящий момент вследствие ожидания роста зарплаты в будущем или снижения ставки процента. Утверждается, что изменение стимулов к работе определяет колебания занятости в модели.
Тем не менее эконометрические оценки эластичности предложения труда показывают слабую реакцию на временные изменения заработной платы. Изменения в занятости, наблюдаемые во время цикла, слишком велики, чтобы их объяснять межвременным замещением труда. Кроме того, влияние ставки процента на принятие решений о предложении труда не подтверждается эконометрическими тестами.
Противники этой теории утверждают, что большое число зарегистрированных безработных во время рецессий противоречит выводу о добровольном отказе от работы.
Им возражают, приводя тот аргумент, что статистика труда несовершенна и не позволяет выделить людей, которые готовы работать при существующей ставке заработной платы, однако не могут эту работу получить.
Нейтральность денег
Центральным пунктом теории реальных деловых циклов является утверждение, что причинами циклических колебаний выступают реальные шоки в противовес монетарным. Если же монетарные сдвиги влияют на реальные переменные, как утверждают противники, то единственным объяснением этому может быть неполное приспособление номинальных переменных и цен. Негибкость цен представляет собой еще один канал, через который могут распространяться колебания в результате возмущений произвольной природы, а не только реальной. Другими словами, многие выводы теории реальных деловых циклов в таком случае должны быть пересмотрены и скорректированы.
Противники теории утверждают, что многочисленные примеры демонстрируют факт роста объема производства в результате увеличения предложения денег. Сторонники считают, что в данном случае перепутаны причина и следствие. Рост объема производства увеличивает спрос на деньги и вынуждает Центральный банк увеличивать предложение денег.
Гибкость заработной платы и цен
Противники теории приводят примеры негибкости цен и заработной платы в краткосрочном периоде. Подвергается критике то обстоятельство, что остается без ответа вопрос о правомерности допущения равновесного подхода. Равновесный подход сам по себе — большое упрощение, необходима проверка соответствия действительности. Критики отмечают, что создать модель, более или менее имитирующую поведение реальной экономики, возможно и с помощью конкурирующих теорий.
Сторонн"йки теории утверждают, что пока нет убедительного микроэкономического объяснения жесткости цен, включение предпосылки о негибкости цен в краткосрочном периоде в макроэкономический анализ неправомерно.
Серьезной критике подвергается и способ верификации модели — калибровка. Как уже отмечалось, обычно модели реального делового цикла не тестируются сравнительно с другими альтернативами, поэтому неизвестно, насколько хорошо эти другие модели могут отражать особенности экономической динамики данной страны. А в выборе конкретных параметров и форм зависимостей при калибровке моделей РДЦ существует определенная свобода.
Кроме того, совершенно неясно, насколько хороша идея настройки модели на фактические особенности изучаемой экономики. Модель — это всегда упрощение действительности. Поэтому в любой модели отвлекаются от разнородности товаров, капитала и труда, издержек приспособления и несоответствия выбранной форме производственной функции. В результате трудно определить, какую практическую информацию несет в себе факт соответствия или несоответствия модельных расчетов наблюдаемым колебаниям в агрегированных данных.
Критики высказывают мнение, что более хорошей стратегией является оценка адекватности действительности отдельных компонентов модели, чем попытка оценить соответствие агрегированного поведения, генерируемого в модели, макроэкономическим данным. В этом направлении имеет смысл верифицировать основные предпосылки модели — значительные технологические сдвиги, существенную краткосрочную эластичность предложения труда, соответствие потребительских решений и решений о предложении труда задаче межвременного выбора.
Приведенные дебаты показывают, что точка в споре между сторонниками и противниками теории реального экономического цикла еще не поставлена. Важным выводом этой теории является тот факт, что даже в хорошо функционирующей экономике, где ресурсы распределены эффективно, возможны циклические колебания вследствие резких технологических изменений. Поэтому взгляд на экономическое развитие как на краткосрочные циклические колебания вокруг долгосрочного тренда является несколько упрощенным.
Споры в среде экономистов продолжаются, однако возможным компромиссом является вывод, что резкие изменения реального совокупного предложения объясняют некоторые колебания ВВП, а изменения совокупного спроса при жесткости цен и ставок заработной платы — остальные.

а) Найдите равновесные уровни выпуска, реальной ставки процента, занятости и реальной ставки заработной платы.
б) Пусть государственные расходы увеличиваются до 1500. Найдите новые равновесные уровни выпуска, реальной ставки процента, занятости и реальной ставки заработной платы. Будут ли в этом случае 'реальная ставка заработной платы, реальная ставка процента и занятость вести себя проциклически или контрциклически?
в) Предположим, спрос на деньги описывается функцией М[Р = 0,2 Yи предложение денег М= 1000. Каким будет уровень цен в первом и втором случае?
г) Пусть после увеличения государственных расходов предложение денег изменяется так, чтобы уровень цен оставался постоянным. Каким должно быть новое значение МЧ
3. Пусть в условиях задачи 2 в результате технологического сдвига выпуск теперь описывается производственной функцией У= 525Ь'/2. Каковы новые равновесные уровни выпуска, реальной ставки процента, занятости и реальной ставки заработной платы? Будут ли в этом случае реальная ставка заработной платы, реальная ставка процента и занятость вести себя проциклически или контрциклически по сравнению с пунктом «а» задачи 2?
4. Пусть в условиях задачи 2 предложение труда имеет вид

Каковы новые равновесные уровни
выпуска, реальной ставки процента, занятости и реальной ставки заработной платы? Будут ли в этом случае реальная ставка заработной платы, реальная ставка процента и занятость вести себя проциклически или контрциклически по сравнению с пунктом «а» задачи 2?
5. Согласно теории реального экономического цикла кредитно-денежная политика не изменяет реальный выпуск, так как не влияет ни на реальное совокупное предложение, ни на реальный совокупный спрос. Проиллюстрируйте этот вывод с использованием модели IS-LM с гибкими ценами.
6. С помощью графика «реальный совокупный спрос — реальное совокупное предложение» проанализируйте эффект снижения пособий по безработице на реальный выпуск и реальную ставку процента с точки зрения модели реального экономического цикла.
7. Пусть производственная функция в экономике имеет вид: Y= 500 L'/2, предложение труда описывается как Ls = 4( Н//Р)( 1 + г)3, спрос на труд Ld = 62500(IV/P)~, {W — номинальная зарплата).
Определите вид функции совокупного предложения в соответствии с моделью реального делового цикла.
8. Опишите механизм, в соответствии с которым по теории реального делового цикла уменьшение государственных закупок повлияет на объем выпуска.
9. Каким наиболее вероятным образом в соответствии с теорией реального делового цикла изменятся равновесные реальная ставка процента и объем производства при ужесточении законодательства об охране окружающей среды? Приведите графическую иллюстрацию.
10. Сопоставьте взгляды сторонников и противников теории реального делового цикла на причины безработицы.
11. Предположим, экономика находится в устойчивом состоянии. Происходит временное падение темпов роста населения. С помощью модели Солоу проиллюстрируйте графически и объясните экономически последствия этого события с точки зрения сторонников теории реального делового цикла.
12. Предположим, экономика находится в устойчивом состо-ятии. Происходит временное резкое падение совокупной производительности факторов. С помощью модели Солоу проиллюстрируйте графически и объясните экономически последствия этого события с точки зрения сторонников теории реального делового цикла. Приведите траекторию изменения выпуска во времени.
 |
кривая |
Глава 16
ПОЛИТИЧЕСКИЕ ЦИКЛЫ
Деловые циклы как результат стратегического поведения экономических агентов. Сравнительный анализ подходов к моделированию политического цикла. Основные предпосылки и содержательные выводы. Модель политического цикла Нордхауза. Модель экономического цикла при двухпартийной системе Алесины.
При изучении эмпирических фактов, относящихся к циклическому поведению экономики, многие экономисты обращали внимание на тот факт, что большинству современных циклов, как правило, предшествовали значительные изменения количества денег в обращении. В предыдущей главе было отмечено, что предпосылка о нейтральности денег — одно из основных направлений критики теории реального делового цикла именно в связи с наблюдаемой тесной связью выпуска и переменных кредитноденежной политики. Поэтому в ряде современных теорий как вероятный источник циклических колебаний часто рассматривается денежная политика.
Частые колебания в денежной политике некоторые экономисты объясняют сменой политических ориентиров выборных высших органов власти. Они утверждают, что большинство политиков пытаются повлиять на экономическую активность в надежде завоевать популярность и обеспечить себе повторные победы на новых выборах. В таких условиях важной детерминантой краткосрочной динамики будет продолжительность периода, на который выбран политик, или так называемый выборный цикл. Гипотеза о том, что циклы экономической активности определяются выборами высших органов власти, получила название теории политического делового цикла {political business cycle theory). Впервые модельное представление этих взглядов с использованием теоретико-игрового подхода было предложено В. Норд-хаузом в 1975 г. [21]. Однако впоследствии оно было подвергнуто резкой критике за то, что основывалось на нерациональности поведения и недальновидности избирателей. Дальнейшее развитие шло по линии более широкого использования аппарата теории игр и ослабления слишком нереалистичных предпосылок этой модели: учета рациональных ожиданий и различий в политических платформах конкурирующих партий. В настоящей главе обсуждаются предпосылки и выводы двух наиболее ярких модельных постановок — модели Нордхауза [21, 26] и модели политических циклов при двухпартийной системе Алесины [9].
16.1. СРАВНИТЕЛЬНЫМ АНАЛИЗ РАЗЛИЧНЫХ ПОДХОДОВ К МОДЕЛИРОВАНИЮ ПОЛИТИЧЕСКОГО ЦИКЛА
В противовес обычно принимаемой в макроэкономических исследованиях предпосылке о постоянстве и экзогенной заданное™ политических факторов в теориях политического цикла рассматривается взаимодействие экономических и политических переменных. Модели политического цикла могут быть систематизированы в зависимости от характеристик действующих в них избирателей, партий, экономической структуры, шоков, компетенции партий (как это сделано в работе [21]). Как правило, предпосылки моделей содержат ответы на следующие вопросы:
1. Чем определяется поведение избирателей, рациональны ли их ожидания в отношении платформ партий и экономической политики, хорошо ли они информированы?
2. Чем мотивируется поведение политических партий и их лидеров? Является ли их поведение оппортунистическим, т. е. направленным исключительно на приход к власти, без учета состояния экономики, или же идеологическим, ориентированным на достижение не только власти, но и некоторых социальных и экономических целей? В ранних моделях предполагалось, что единственной целью борьбы политических партий является нахождение у власти. Они заботятся не о влиянии их политических действий на экономику, а только о воздействии на выбор избирателей. Это предположение приводит к выводу, что при заданных предпочтениях избирателей и структуре экономики в многопартийной системе обе партии предлагают одинаковые платформы и воплощают одинаковые политики в случае победы на выборах (теорема о медианном избирателе). Этот результат выполняется, даже если есть неопределенность для партий в предпочтениях избирателей, и они информационно находятся в одинаковом положении.
В исследованиях Гиббса [14], наоборот, предполагалось, что наблюдаемые колебания экономической активности связаны со сменой политической ориентации партий, приходящих к власти. Партии левой ориентации склонны проводить политику низкой безработицы и поэтому высокой инфляции, а правые партии — антиинфляционную политику, сопровождающуюся высоким уровнем безработицы. Следовательно, ситуация бума наступает при левых, спад — при правых.
3. Могут ли партии повлиять на состояние экономики? С помощью каких инструментов осуществляется это влияние?
В большинстве моделей предполагается возможность воздействия партии, пришедшей к власти, на центральный банк страны, так что регулирование денежного обращения становится основным инструментом экономической политики правительства.
4. Каковы экономические и политические шоки, внешние они или внутренние?
Большинство моделей политического цикла в качестве шоков рассматривают резкие структурные сдвиги, связанные с внутренней политической системой. Однако в некоторых обсуждаются и последствия внешних шоков — таких, как войны, революции, погодно-климатические условия и изменения мировых цен на энергоресурсы.
5. Компетентность партий — способны ли партии достигать поставленных целей? Считается, что партия компетентна в той мере, в какой она может эффективно управлять экономикой. Отсюда некоторые исследователи объясняют существование циклических колебаний сменой действующих политиков, обладающих разной степенью компетенции.
Сравнительный анализ основных типов разработанных моделей политического цикла позволяет сделать вывод, что при заданных конкретных особенностях рассматриваемых ситуаций, характеризующихся перечисленными выше позициями, ясный и универсальный шаблон политико-экономического поведения вряд ли будет найден. Следует отметить, что наиболее существенные особенности в объяснении причин и механизма возникновения циклов связаны с выбором первых двух предпосылок модели — относительно характера ожиданий избирателей и характера поведения партий.
Из табл. 16.1 видно, что существование политических циклов может быть обосновано с помощью моделей, базирующихся на диаметрально противоположных предпосылках. Поэтому именно модели Нордхауза и Алесины и будут обсуждаться далее.
Таблица 16.1
Классификация основных типов моделей политического цикла |
|
Предпосылки моделей |
Нерациональное поведение и нерациональные ожидания избирателей |
Рациональное поведение и рациональные ожидания избирателей |
Партии
оппортунистические
Партии
идеологические |
Нордхауз, 1975 [21] МакРей, 1977 [18]
Гиббс, 1977, 1987 [14] |
Рогофф-Сиберт,
1988 [24]
Алесина, 1987 [9], Алесина, Сакс, 1988 [10] |
|
16.2. МОДЕЛЬ ПОЛИТИЧЕСКОГО ЦИКЛА НОРДХАУЗА
Одним из первых подходов к моделированию влияния политических переменных на экономические была модель Нордхауза [21,26], в которой предполагались нерациональные избиратели и оппортунистические партии. В этой модели избиратели, оценивающие находящегося у власти политика только по его прошлому поведению и полностью доверяющие его заявлениям, не пытаются прогнозировать будущую ситуацию. Политик же ведет себя так, чтобы максимизировать число голосующих за него на следующих выборах. Другими словами, политик является представителем оппортунистической партии и добивается исключительно политических целей. В его арсенале — кредитно-денежная политика, реализующая выбор между инфляцией и безработицей, когда низкая безработица в текущий момент ведет к более высокой инфляции как в текущий момент, так и в будущем. Иначе говоря, предполагается, что у действующего политика в краткосрочном периоде существует возможность выбора между инфляцией и безработицей как основными макроэкономическими ориентирами, т. е. кривая Филлипса адекватно описывает краткосрочное совокупное предложение.
В этой модели экономические циклы получаются благодаря нерациональности избирателей и оппортунистическому поведению политика. Обсуждаемая ситуация может быть представлена как повторяющаяся игра между избирателями и правительством (политиком), цель которого остаться у власти на очередных выборах. Достижение цели зависит от состояния экономики, определяемого темпом инфляции тг, и уровнем безработицы и,.
Пусть доля избирателей, согласных проголосовать за действующее правительство, определяется функцией популярности
где и — оптимальный для экономики уровень безработицы, который может быть меньше естественного уровня и".
Правительство достигает максимума своей популярности, когда п, = 0 и и,= и*
шах К, = с.
На рис. 16.1 точка с координатами (и*, 0) отражает оптимальное состояние для общества.
 |
|
Рис. 16.1. Кривые безразличия — линии равной популярности правительства |
Чем ближе фактическое состояние к точке социального оптимума, тем больше популярность правительства, отражаемая на рисунке кривыми безразличия — линиями равной популярности правительства. Чем дальше расположена кривая безразличия, тем меньший процент избирателей готов голосовать за него при различных сочетаниях инфляции и безработицы:
V* > V, > ?2 > ?3 > ?4.
Предполагается, что правительство контролирует предложение денег и, значит, определяет текущие значения к, и основываясь на краткосрочной кривой Филлипса, рассматриваемой как ограничение вида
к, = к* -Щ +а, где а, (3>0. (16.2)
Если ожидания верны, то rf = л, и экономика функциониру-
„ а
ет на уровне полной занятости и, =и =—.
Ожидания избирателей адаптивны и основываются только на уровне инфляции прошлого периода
п‘=пІ_г (16.3)
Изменение ожиданий сдвигает краткосрочную кривую Филлипса SRPC (л^=л), поэтому в долгосрочном периоде выбора
между инфляцией и безработицей нет. Долгосрочная кривая Филлипса вертикальна (рис. 16.2).
 |
|
Рис. 16.2. Возможности регулирования экономики ¦ рамках краткосрочного и долгосрочного выбора между инфляцией и безработицей |
Предположим, что экономика первоначально находилась в точке А (и", 0), являющейся точкой долгосрочного макроэкономического равновесия с нулевой инфляцией, и приближается время очередных выборов (рис. 16.3).
Для действующего правительства достигнутый уровень популярности не является максимальным, поэтому оно стремится увеличить его и перейти на новую кривую безразличия, более близкую к точке социального оптимума. С этой целью оно может неожиданно увеличить предложение денег в экономике, стимулировать таким образом деловую активность и уменьшить уровень безработицы.
 |
|
Рис. 16.3. Иллюстрация модели политического цикла экономической активности |
В результате экономика переместится в точку В с более высоким темпом инфляции, превышающим инфляционные ожидания населения, и поэтому не являющейся точкой долгосрочного равновесия:
л,>ло = л^=0, их<ип.
Поэтому инфляционные ожидания населения вырастут, краткосрочная кривая Филлипса сдвинется вправо и, в конце концов,
новое равновесие установится, например, в точке С, где к, =п2 >л0, и2 = н". Однако в этом состоянии популярность правительства существенно снизилась (?2< Р*) в связи с высокой инфляцией. Поэтому правительство будет проводить антиинфляционную политику, снижая предложение денег. Равновесие переместится в точку D, где ожидаемая инфляция больше фактической, ожидания снизятся, кривая Филлипса сдвинется влево. Экономика возвратится в точку А. Образуется цикл деловой активности: A-^B^C-^D^A. Подобный процесс возобновится, как только подойдет время очередных выборов.
Таким образом, из рассмотренной модели следует, что в условиях нерациональности избирателей и возможности для правительства непосредственно использовать инструменты денежной политики циклические колебания деловой активности зависят от периода избирательного цикла:
а) в первый период нахождения у власти правительство будет проводить антиинфляционную политику, а в предвыборный период — использовать меры по стимулированию экономики. Политические деятели, находящиеся у власти и заинтересованные в победе на очередных выборах, в конце своего срока ориентируются на проведение политики, стимулирующей увеличение занятости, пусть даже ценой роста инфляции, обеспечивая себе поддержку у избирателей. После победы на выборах они в первой половине своего срока вынуждены проводить политику сдерживания инфляции за счет роста безработицы. Таким образом, имеет место систематический цикл безработицы, соответствующий циклу использования инструментов политики, что вызывается избирательным циклом;
б) экономика будет двигаться к равновесию с высокой инфляцией.
Хотя В. Нордхауз и представил эмпирические данные по разным странам, подтверждающие его выводы, модель политического делового цикла была подвергнута резкой критике за то, что предполагала недальновидность избирателей. В соответствии с моделью получалось, что предшествующая история ничему не учит избирателей и они не корректируют свои инфляционные ожидания с поправкой на фазу выборного цикла, хотя и знают, что действующий политик перед каждыми выборами стимулирует экономику денежными мерами. Критики замечали, что, даже если в краткосрочном периоде и существует жесткость номинальных показателей, предвыборная денежная экспансия не сможет повлиять на реальные показатели. Выборы являются абсолютно ожидаемым событием, и, следовательно, систематическая предвыборная денежная экспансия будет полностью ожидаема экономическими агентами при составлении номинальных контрактов.
Другое направление критики касалось предпосылки об оппортунистическом поведении партий и представляющих их политиков. Указывалось, что это совсем не соответствует эмпирическим фактам в странах с рыночной экономикой и есть статистические подтверждения различий в поведении действующих политиков в зависимости от их партийной принадлежности.
Тем не менее такого типа модели политических циклов пробуют применить в России. В работе [4] на основании анализа выборов 1993—1996 гг. делается вывод о том, что российская ситуация может быть описана с помощью модели Нордхауза, так как выполняются ее предпосылки:
• избиратель еще не приобрел политическую память и может рассматриваться как наивный и близорукий;
• анализируемые циклы не связаны непосредственно со сменой находящихся у власти партий.
Однако российский политический цикл имеет так называемый «перевернутый» характер — после выборов проводится социальная политика, направленная на повышение уровня занятости и стимулирования развития экономики, а непосредственно перед выборами осуществляется антиинфляционная политика.
16.3. МОДЕЛЬ ПОЛИТИЧЕСКОГО ЦИКЛА АЛЕСИНЫ
Альтернативный подход {partisan political business cycle theory), также рассматривающий экономический цикл в контексте действия политических партий, преследующих и некоторые идеологические цели, предложен в работах А. Алесины [9,10]. С помощью теоретико-игровой модели при предположении о рациональных ожиданиях избирателей был сделан вывод, что, например, в США можно ожидать спада с приходом к власти республиканской партии и подъем в начале срока демократической. Во второй половине срока обеих партий рост выпуска будет приблизительно одинаковым с более высокой инфляцией при демократической администрации. Эти теоретические выводы были подтверждены и эмпирическими данными.
16.3.1. Основные предпосылки модели
В стране действуют две политические партии, представляющие интересы различных слоев избирателей. Поэтому их целью является не только приход к власти, но и проведение экономической политики, направленной на достижение различных целей, реализующих их предвыборные экономические платформы. Следовательно, разные партии моделируются как политические деятели с разными целевыми функциями. Другими словами, при проведении политики присутствует идеологический элемент. Партии выигрывают доступ к формированию политики через выборы с неопределенным результатом.
Пусть партии D и R по-разному относятся к инфляции: экономическая платформа партии R предполагает стабилизацию цен, поэтому целевым значением инфляции является ее нулевой уровень (л = 0). Партия D допускает возможность ненулевой инфляции (л = с) в целях стимулирования экономики и увеличения уровня занятости.
Поэтому в качестве целевых функций партий D и R можно рассматривать функции издержек этих партий, связанные с отклонением текущей экономической ситуации от наиболее благоприятной (сформулированной в экономической платформе) для произвольного периода t
z? =^(я, -с)2 -Ь'у,; (16.4)
06.5)
где z/\ zR — издержки, соответственно партии D и R; у, — темп роста выпуска, с > 0, Ь' > 0.
Тогда издержки бесконечно долго живущих политиков, представляющих интересы каждой партии, будут равны дисконтированной сумме их издержек каждого периода
Г К -с)2 -Ь'у,
(16.6)
Z Я Zf я
/=0 /=0
zR = 06.7)
г=0 /=0 ^
где <7 — дисконтирующий множитель, отражающий межвременные предпочтения.
Выпуск в экономике изменяется в соответствии с кривой Лукаса, представленной в темповой записи для переменных, измеренных в логарифмической шкале. Другими словами, в краткосрочном периоде темп роста фактического выпуска у, может отклоняться от темпа роста потенциального у, если имеет место неожиданное изменение темпа инфляции
Уі = у(л,-пс,) + у, у >0. (16.8)
Полагая, что потенциальный выпуск не изменяется {у = 0), упростим функцию издержек партии Д подставив (16.8) в (16.4)
где b—b' у > 0.
Будем теперь рассматривать функцию издержек партии D без учета последнего слагаемого в (16.9), которое для каждого периода неизменно:


(16.10)
Таким образом, издержки для партии D уменьшаются, если происходит неожиданная инфляция, которая стимулирует экономику и повышает занятость и выпуск. Поэтому для нее существует стимул к неожиданной инфляции.
Находящийся у власти политик имеет возможность использовать инструменты денежного регулирования и поэтому непосредственно контролировать инфляцию. Политические выборы происходят с заранее установленным интервалом в У?лет, в начале периода. Победившая партия сразу формирует свою политику путем определения темпа инфляции к.
Общеизвестно, что на выборах с вероятностью Р побеждает партия D, а с вероятностью (1 — Р) — партия R.
Избиратели рациональны, информированы о целях и экономических платформах обеих партий и способны прогнозировать ситуацию, учитывая прошлый опыт.
Так как существует неопределенность относительно предпочтений избирателей, то результат выборов не определен. Эта неопределенность и порождает существование экономических циклов в экономике с двухпартийной системой и рациональными потребителями.
Другими словами, ситуация может быть представлена в виде игровой модели с двумя игроками — политиком и населением (избирателями). .
Проанализируем ее возможные решения.
16.3.2. Дискреционное равновесие в одношаговой игре
Если рассматриваемая ситуация складывается всего один раз, т. е. имеет место одношаговая игра, то получается так называемое дискреционное равновесие, или равновесие по обстоятельствам.
Политик минимизирует свои издержки при заданных текущих и будущих действиях населения, а также своих собственных будущих действиях.
Население формирует ожидания: контракты заключаются в год, предшествующий выборам. При этом известны вероятности победы на выборах Р и 1 — Р. Поэтому, если победит партия Д то каждый период она будет минимизировать свои издержки при заданных ожиданиях населения, т. е. решать задачу
min = min f — nj - bin, - л')-сл, |. (16.11)
Л, n, v2 v ' )
Решение этой задачи определяется из условия дгп
~^— = п, -Ь-с = 0. (16.12)
on,
Отсюда, равновесное значение инфляции в случае победы пар-„ D
тии D п— превышает ее целевой уровень с для любого периода t
h°=b + c. (16.13)
Если будет выбрана партия R, то каждый период она будет минимизировать свои издержки при заданных ожиданиях населения, т. е. решать задачу
(16.14)
(16.15)
min = min — п] ;
к, п, 2
эZ±
дп,
= п, = 0.
Отсюда для любого периода t
Z.R п
п, =1).
В этом случае равновесный уровень инфляции совпадает с целевым.
Предположим, что при заключении трудовых договоров население устанавливает темп изменения ставки заработной платы на уровне ожидаемой инфляции. Тогда в год выборов, когда существует неопределенность относительно результатов, ожидаемый темп инфляции, а значит, и ставка заработной платы будут сформированы на уровне
< = Р(Ь + с) + (\-Р)0 = Р(Ь + с). (16.16)
Во все остальные годы избирательного цикла никаких неожиданностей нет, поэтому
Рассмотрим теперь темпы роста выпуска в ходе избирательного цикла. Используя функцию краткосрочного предложения Лукаса (16.8), получим в случае победы партии D неожиданную инфляцию и рост выпуска:
b + c, если победила партия D\ О, если победила партия R.
|
7t |  |
(16.17)

(16.18)
Отсюда фактический выпуск растет в отличие от неизменного потенциального (j>=0), т. е. наблюдается циклический подъем.
Если же на выборах победит партия R, то наступает циклический спад, выпуск имеет отрицательные темпы роста
у, = у(л, - я*) = у(0 - Р(Ь +с)) = -уР{Ь + с) <0. (16.19)
В остальные периоды не будет никаких неожиданностей, поэтому выпуск увеличивается с темпом роста потенциального, независимо от того, какая партия пришла к власти.
На основании анализа (16.18) и (16.19) можно сделать следующие выводы:
1. Амплитуда отклонений фактического темпа роста выпуска от потенциального положительно связана с величиной различий между целевыми ориентирами партий. Другими словами, чем больше разница между с и нулем и чем больше различаются стимулы для каждой партии к инфлированию экономики (b и 0), тем при прочих равных больше будет отклоняться от нуля темп роста выпуска. Чем более поляризованы политические партии, тем большие циклические колебания испытывает экономика.
2. Чем менее вероятен приход к власти партии D, тем больше циклический подъем в случае ее победы и тем меньше циклический спад в случае выбора партии R. Иначе говоря, чем менее вероятна политика, тем сильнее ее реальный эффект.
3. Равновесная инфляция всегда выше при нахождении у власти партии D по двум причинам — оптимальный уровень инфляции этой партии выше, кроме того, у нее существует достаточно серьезный стимул к генерированию инфляции для стимулирования экономики.
Следует отметить, что ни один из перечисленных выводов содержательно не изменился бы, если бы обе партии имели одинаковый оптимальный уровень инфляции с = 0.
Определим теперь равновесные значения целевых функций обеих партий и В соответствии с (16.17) в любой год, кроме года выборов, равновесные издержки партии D представляют собой взвешенные по вероятности издержки в случае победы и проигрыша этой партии
— (Ь + с)2 -b(b + c-{b + c))-c(b + c)
(16.20)
= ^Р(Ь2-с2).
Аналогично, для партии R
if =ip(b + c)2 +j{\~P)0 = jP(b + c)2. (16.21)
Очевидно, что zf возрастают при увеличении вероятности проигрыша на выборах, а также при росте целевого уровня инфляции партии D и чувствительности к неожиданной инфляции.
Равновесные издержки партии D уменьшаются при возрастании вероятности ее победы на выборах, только если величина Ь, определяющая стимул к неожиданной инфляции, не слишком высока и не превышает целевой уровень инфляции с. Тем самым задаются неявные ограничения на соотношение целевого уровня инфляции для партии D и чувствительностью издержек этой партии к неожиданной инфляции.
16.3.3. Равновесие в повторяющейся игре
Рассмотрим теперь, как изменяется равновесие в случае многократного повторения описанной выше ситуации. Для упрощения предположим, что выборы происходят каждый период. Тогда при многократном повторении появляется возможность достигнуть согласованного между партиями решения, которое будет Парето-улучшением для каждого участника по сравнению с равновесием в одношаговой игре.
Поэтому введем величину ?, представляющую собой степень учета интересов партии R в общем согласованном решении (0 < ? ). Другими словами, рассматриваем задачу минимизации общих издержек двух партий при условии уменьшения издержек каждой из них по сравнению с дискреционным равновесием
|
min Z, = |
 |
(16.22)
Представим общие издержки более подробно

(16.23)
+ 0-Р) y(nf)2 -b{nf -<)-C7lf + + ?Гі^(я,°)2+і(1-Р)(я/г)2 .
В выражении (16.23) сумма первых двух слагаемых в квадратных скобках отражает ожидаемые издержки партии Д а последний член — взвешенную величину издержек партии R.
Другими словами, каждый период проводится согласованная политика, представляющая собой компромиссное решение — некоторое сочетание целевых установок двух партий. Какая бы партия ни пришла к власти, назначаемый ориентир будет одинаков и равен пс из задачи (16.22). Поэтому ожидания населения устанавливаются на этом же уровне

Отсюда решением для каждого периода будет постоянная величина

(16.24)
Очевидно, что равновесное значение уровня инфляции лс
(16.24) меньше, чем в случае дискреционного равновесия при выигрыше партии Д и больше, чем в случае выигрыша партии R.
Отсюда следует, что во многопериодной модели при достаточно большой значимости будущего (т. е. при величине дисконтирующего во времени множителя <7—> 1) партии могут исключить макроэкономические колебания, придерживаясь скоординированной политики пс.
Проанализируем величину равновесных издержек.
1 , / \2
 |
- СК, |
|
+(|-Р) |  |
-ск |
]_
2 |  |
^^О + г?ці
' 2(1+ ?)2 |
(16.25)
Z,
!(*«)’=i _1_ .
2V 1' г^і+? J
Соотношение между издержками для каждого периода можно выразить как
Zn=zR-c^2z*. (16.26)
Эта зависимость представлена на рис. 16.4, где точка N соответствует ситуации равновесия по Нэшу (дискреционного равновесия). Часть кривой между точками А и В отражает так называемое переговорное множество, т. е. множество таких состояний, в которых достигается минимум общих издержек, а издержки обеих партий не превышают соответствующих величин при дискреционном равновесии.
 |
|
Рис. 16.4. Переговорное множество для определения координированной политики |
В зависимости от величины ? выбранная общая политика может лучше отражать целевые ориентиры одной из двух партий. Так, при росте ? скоординированные ориентиры ближе к оптимальным для партии R и наоборот. Другими словами, выбор ? — это проблема переговоров между двумя партиями, результаты которых зависят от вероятности Р. Чем выше вероятность победы партии D, тем меньше степень учета интересов другой партии в кооперативном решении. Если предположить, что в случае, когда соглашение о совместной политике не достигнуто, каждая партия
придерживается своей предпочтительной политики лд и ref, то основной задачей становится определение конкретной величины ?*. Рассматривая относительную степень учета интересов двух партий как показатель относительной популярности партии и, значит, функцию от вероятности Р, можно сформулировать ряд свойств, которым она должна удовлетворять:
а) ^г<0; б)?*(Л=1; в) 1іт?*(/>) = ~; г) 1іт?*(Р) = 0. дР ) Р^> 0 р-> і
В качестве одного из приближений такой функции в работе [9]
« 1 — р
предлагалось использовать функцию ?*(Р) = - , которая удов
летворяет всем перечисленным свойствам и отражает сравнительную популярность двух партий.
Таким образом будет сформулировано кооперативное решение, партии проводят скоординированную политику, устраняется элемент неопределенности в ожиданиях населения и в результате устраняются циклические колебания. Экономика приходит в состояние равновесия с более низкой инфляцией.
Конечно, на практике такая задача вряд ли может быть успешно реализована в течение достаточно продолжительного времени, потому что у партий существуют стимулы к нарушению скоординированной политики. Они связаны с тем, что каждая партия может уменьшить свои издержки, если отклонится от согласованной политики. Поэтому циклы экономической активности повторяются многократно. Трудности проведения согласованной политики будут обсуждаться в следующей главе.
И ЗАДАНИЯХтАВЕШ : .
1. Как изменятся выводы модели политического цикла Норд-хауза, если оптимальный уровень безработицы будет совпадать с естественным? Приведите графическую иллюстрацию.
2. Сопоставьте основные выводы моделей политического цикла Нордхауза и Алесины. Сформулируйте гипотезы, статистическая проверка которых подтвердила бы соответствие действительности одной из них.
3. Будут ли справедливы основные выводы модели политического цикла Алесины, если целевые уровни инфляции для обеих партий одинаковы? Приведите формальный вывод темпов роста выпуска и уровня инфляции в одношаговой и повторяющейся игре.
4. Предположим, что при сохранении всех прочих предпосылок модели целевая функция партии D связана с выпуском квадратичной зависимостью и имеет вид

Определите равновесный уровень инфляции в случае одношаговой игры и сравните его со стандартным случаем модели.
5. Проинтерпретируйте основные выводы модели Алесины в случае, когда партии обладают приблизительно равной популярностью среди избирателей. Достижимо ли кооперативное равновесие? Сравните со случаем, когда вероятность победы партии D на выборах составляет 0,8.
6. Обсудите вопрос: благодаря какой из предпосылок модели Алесины можно сделать вывод о том, что существует принципиальная возможность устранения циклических колебаний экономики?
7. Какая из рассмотренных моделей политического цикла больше соответствует российской ситуации? Возможно ли в принципе применение таких моделей к анализу экономики России?
ЛИТЕРАТУРА К РАЗДЕЛУ V
1. Бурда М., Виплош Ч. Макроэкономика. Европейский текст. 2-е изд. СПб.: Судостроение, 1998.
2. Гальперин В., Гребенников П., Леусский А., ТарасевичЛ. Макроэкономика. 2-е изд. СПб., 1997.
3. Дорнбуш Р., Фишер С. Макроэкономика. М.: Изд-во МГУ, ИНФРА-М, 1997.
4. May В., Синельников-Мурылев С, Трофимов Г. Макроэкономическая стабилизация: тенденции и альтернативы экономической политики России. М.: ИЭППП, 1996.
5. Миллер Р.Л., Ван-Хуз Д.Д. Современные деньги и банковское дело. М.: ИНФРА-М, 2000.
6. Мэнкыо Н.Г. Макроэкономика. М.: Изд-во МГУ, 1994.
7. Сакс Дж., Даррен Ф. Макроэкономика. Глобальный подход. М.: Дело, 1996.
8. Шагас Н.Л., Туманова Е.А. Макроэкономика-2. Краткосрочный аспект. М.: ТЕИС, 1998.
9. Alesina A. Credibility and Policy Convergence in a Two-Party System with Rational Voters//The American Economic Review. 1988, Sept. Vol. 78, № 4.
10. Alesina A. Macroeconomics and Politics//NBER. Macroeconomics Annual. Cambridge: MIT Press, 1988.
11. Blanchard O., Fisher S. Lectures on Macroeconomics. Cambridge: MIT Press, 1989.
12. Chiang A. Fundamental Methods of Mathematical Economics. Third Edition. McGraw-Hill, 1984.
13. Hicks J. A Contribution to the Theory of the Trade. 3-nd ed. Oxford University Press, 1956.
14. Hihbs D. Political Parties and Macroeconomic Policy//American Political Science Review. LXXI (Dec. 1977).
15. King R., Rebelo S. Resuscitating Real Business Cycles. — Ch. 14 in Handbook of Macroeconomics/Ed. by M. Woodford and J. Taylor. Vol. IB. Elsevier Science B.V., 1999.
16. Kydiand F., Prescott E. Time to Build an Aggregate Fluctuations// Econometrica. 1982. № 50.
17. Leslie D. Advanced Macroeconomics: Beyond IS—LM. McGrow-H ill, 1991.
18. McRae D. A Political Model of the Business Cycle//Journal of Political Economy. 1977. April.
19. Metzler L. The Nature and Stability of Inventory Cycles. Reading in Business Cycle Theory, Richard D. Irvin, Inc., Homewood, 1944.
20. Nelson C.R., Plosser C.I. Trends and Random Walks in Macroeconomic Time Series: Some Evidence and Implications//Journal of Monetary Economics. 1982. Sept.
21. Nordhaus W. Alternative Approaches to the Political Business Cycle// Brookings Papers on Economic Activity. 1989. №2.
22. Plosser C. Understanding Real Business Cycle//Journal of Economic Perspectives. 1989. № 3 (summer).
23. Prescott E., Kydiand F. The computational Experiment: An Econometric Tool//Journal of Economic Perspectives. 1996. Winter.
24. Rogoff К., Sibert A. Equilibrium Political Business Cycles //Review of Economic Studies. 1988. ?Ы. 55 (Jan.).
25. Romer D. Advanced Macroeconomics. McGrow-Hill, 1996. Ch. 1.
26. Romp G. Game Theory. Introduction and Applications. Oxford University Press. N.Y., 1997.
27. Samuelson P. Interaction between the Multiplier Analysis and the Principle of Acceleration//Reading in Business Cycle Theory, Richard D. Irvin, Inc., Homewood, 1944.
28. Snowdon B., Vane H., Wynarczyk P. A Mordern Guide to Macroeconomics: an introduction to competing schools of thought. Edward Elgar, Cambrige, Great Britain, 1999.
29. Turnovsky S. Methods of macroeconomic dynamics. The MIT Press, 1995.
Раздел VI
ПРОБЛЕМЫ ОСУЩЕСТВЛЕНИЯ МАКРОЭКОНОМИЧЕСКОМ ПОЛИТИКИ
Проблемы формирования экономической политики традиционно рассматриваются в свете последствий однажды принятого решения и выбора мер, которые должны быть реализованы в будущем для его осуществления. Обсуждается.целесообразность этого выбора с точки зрения достижения социальных ориентиров, а также реакция частного сектора на сформированную политику.
Между тем в действительности реализация решений представляет собой постоянно продолжающийся в каждый последующий момент времени процесс сопоставления и выбора инструментов, наилучшим образом реализующих поставленную цель. На этот выбор оказывают влияние политическая репутация лица, находящегося у власти, степень доверия населения к его заявлениям и другие структурные и институциональные условия.
В настоящем разделе будет рассмотрена одна из основных и широко обсуждаемых проблем, связанных с реализацией направленной на достижение общественных ориентиров оптимальной экономической политики — ее несогласованность во времени. Применительно к кредитно-денежной политике обсуждаются модельные постановки этой проблемы и возможные пути ее преодоления, связанные с формированием институциональных условий.
ГЛАВА 17
ВРЕМЕННАЯ НЕСОГЛАСОВАННОСТЬ ЭКОНОМИЧЕСКОЙ ПОЛИТИКИ
Шоки совокупного спроса и активная экономическая политика. Стабилизационные цели и инструменты активной политики. Дискреционная политика. Правила в экономической политике. Примеры правил в экономической политике.
Модель динамической несостоятельности политики низкой инфляции Кидланда и Прескотта. Модель Барро-Гордона. Дискреционное равновесие. Политика по правилам. Динамическая непоследовательность политики низкой инфляции. Стимулы к обману и навязывающие правила. Основные содержательные выводы.
Способы преодоления динамической непоследовательности монетарной политики по правилам. Делегирование полномочий. Независимость Центрального банка. Репутация и степень доверия.
Модель делегирования полномочий. Модели репутации.
Проблема координации кредитно-денежной и бюджетно-налоговой политик в случае независимости Центрального банка. Модель Б. Хенри и Дж. Никсона.
При обсуждении проблем формирования экономической политики одним из дискуссионных является вопрос о том, должны ли правительственные органы действовать по установленным заранее правилам, определяющим выбор в каждый момент времени, или же такие правила отсутствуют, и политики обладают свободой действия исходя из сложившихся обстоятельств в каждый момент времени. Соответственно различают политику по правилам и дискреционную политику — политику по обстоятельствам. Эти разногласия отражают один из дискуссионных моментов экономической теории — должна ли проводиться активная экономическая политика или же ее роль состоит в пассивном приспособлении к текущим экономическим колебаниям.
Примерами политики по правилам в денежно-кредитной сфере могут служить поддержание постоянных темпов роста денежной массы, поддержание темпов роста номинального выпуска и контроль над уровнем цен. В качестве правила бюджетно-налоговой политики можно рассматривать требование сбалансированности бюджета, политику сглаживания налогов, поддержания платежеспособности по внутреннему долгу.
Активная экономическая политика обосновывается внутренней нестабильностью экономической системы и длительностью ее естественного приспособления к различного рода шокам, сопровождающегося нежелательными социальными последствиями. Поэтому дискреционная политика является необходимой. Однако в процессе ее осуществления могут возникать проблемы, связанные с внутренними и внешними временными лагами в реакции на конкретные обстоятельства.
Кроме того, при проведении любого вида политики, рассчитанной на относительно продолжительный период, важную роль играют ожидания частного сектора, формирующиеся во многом в зависимости от степени доверия к заявляемым целям провозглашаемой политики. Они могут существенно повлиять на результаты проводимой политики, как это следует из широко известной критики Лукаса [13]. Модельное изучение этой проблемы и составляет предмет настоящей главы, посвященной изучению временной несогласованности экономической политики.
Согласованная во времени политика — это политика ex-post, при которой правительство оптимизирует свои действия при сложившихся условиях в каждый момент выбора. Если приходится принимать решения последовательно во времени, то очень часто оказывается, что согласованная во времени политика не является оптимальной с точки зрения достижения долгосрочной цели. Она слишком примеривается к обстоятельствам, определяющим конкретные выигрыши и затраты текущего периода. Оптимальная же политика (политика ex-ante) состоит в выборе мер, позволяющих достичь желаемую цель, и необходимости придерживаться их в каждый момент времени, не поддаваясь искушению отступить от них. Между тем иногда это искушение может быть очень велико, так как обман позволяет снизить издержки по достижению цели.
Впервые Кидланд и Прескотт в работе [12] обратили внимание на возможные различия оптимальной политики и политики, согласованной во времени. Политика называется динамически несогласованной (time inconsistent), если будущие политические решения, которые являются частью оптимального плана, сформулированного по состоянию на начальную дату, не являются оптимальными по состоянию на более позднюю дату, хотя никакая новая информация не была получена. Другими словами оптимальная политика ex-ante может быть динамически непоследовательной, т. е. не совпадать с наилучшей в конкретных обстоятельствах политикой ex-post.
Именно временной несогласованностью политики низкой инфляции многие экономисты стали объяснять так называемое инфляционное смещение (inflationary bias) — постоянную инфляцию, наблюдаемую в рыночной экономике развитых стран. Можно привести и примеры временной несогласованности бюджетноналоговой политики [2,8]:
• для стимулирования инвестиционной активности правительство объявляет об освобождении доходов на капитал от налогообложения. Но после того, как капитал уже инвестирован, оно оказывается заинтересованным в отказе от своих обещаний, так как налоги на уже функционирующий капитал не подрывают экономических стимулов;
• правительство обещает сурово наказывать тех, кто уклоняется от уплаты налогов. Однако после того, как уклонение уже произошло и обнаружено, правительство, возможно, прибегнет к «налоговой амнистии», благодаря которой виновные смогут избежать тюремного заключения при условии выплаты ими всех налогов.
В дальнейшем будем анализировать проблему временной несогласованности на примере политики низкой инфляции, впервые рассмотренном в [12] и развиваемом в работах [5—7, 14,15] и др.
17.1. ОСНОВНЫЕ ПОНЯТИЯ И КОНЦЕПЦИИ
Пусть в экономике действует лицо, находящееся у власти и олицетворяющее политика или правительство, и репрезентативный экономический агент, представляющий все население страны.
Будем понимать под политикой правительства последовательность управленческих решений для каждого периода времени t л = (л,, л2, л3, ..., кг). Деятельность политика направлена на максимизацию уровня общественного благосостояния, которое зависит и от предпринимаемой политики, и от поведения населения.
Поведение репрезентативного экономического агента отражается переменной х = Х(хи х2, х3, ..., хт). Это могут быть, например, инфляционные ожидания, в соответствии с которыми устанавливается уровень заработной платы в контрактах и, значит, формируется выпуск в краткосрочном периоде. Решения экономического агента в каждый момент времени зависят от прошлой и будущей политики и всех своих прошлых решений, т. е.
х, = X(xt, х2, х3, xt_v л,, л2, л3, пт) (17.1)
V/, /с(1, Т).
Тогда оптимальная (ex-ante) политика л определяется как последовательность управленческих решений каждого периода времени /, которые обеспечивают при ограничениях (17.1) максимальное значение функции общественного благосостояния
U = U(xu х2, ..., х,_,, л,, щ, ..., л7). (17.2)
Политика л будет согласованной во времени (оптимальной ex-post), если каждое из составляющих эту политику управленческих решений л,, принимаемых при уже заданных действиях населения х{, х2, х3, ..., х,_1; обеспечивает максимум функции общественного благосостояния (17.2).
Сформулируем для двухпериодной модели условия последовательной во времени и оптимальной политики, формируемой до начала первого периода:
(17.3)
max U = U(xv х2, лр л2)
711 , К2 '
при ограничениях
*і =*|(Л|. Я2);
(17.4)
х2 = Х2{х? Лр л2).
Для того чтобы политика л2 была последовательной во времени, необходимо, чтобы достигался максимум целевой функции при уже заданных действиях х, и уже принятой политике лР
Предположим, что функция U дифференцируема и имеется внутреннее решение. Тогда необходимо, чтобы выполнялось условие
dll
dn2
(17.5)
= 0.
При уже совершенных действиях населения х, и уже принятой политике л, dxt = dnt = 0. Поэтому (17.5) примет вид
(17.7)
Э U ЭХ2 д U
---L +-
Эх2 Эл 2 Эл 2
Отсюда видно, что не учитывается влияние л2 на х,
*/(*,(л,, Л2), *2(х,, Лр Л2), Лр л2).
Поэтому, чтобы политика была оптимальной, необходимо выполнение условия:
... Э и, Э и, ъи , э и , п
аи =-—dx, +-—ах-, + -—ап, +-—dn2 =0.
ап-,
(17.6)
Эх, 1
дп
дх-.
Э U ЭХ2 Э U п
+---L +-= 0.
Эх2 Эл2 Эл2
(17.8)
Щ dU_+<W_ Эхг Эл2 Эх, Эх2 Эх,
Только если первый член выражения (17.8) равен нулю, тогда оптимальная политика ex-ante будет последовательной во времени (оптимальной ex-post).
Во многих обсуждаемых ниже моделях совокупное предложение в экономике будет описываться с помощью функции Лукаса, представленной в логарифмически линейном виде:
у = у + b[n-ле), Z>>0, (17.9)
где у и у — соответственно текущий и потенциальный выпуск, измеренные в логарифмической шкале; лил'- текущий и ожидаемый темпы инфляции.
Эту функцию легко получить, используя стандартное представление совокупного предложения (14.1)
р = Р' + х(г-7),
где Р, Ре — фактический и ожидаемый уровни цен;
Y, Y — соответственно фактический и естественный уровни выпуска (X > 0).
Если перейти к измерению уровня цен и потенциального выпуска в логарифмической шкале, сохраняющей отношения порядка, то
In У = In У + b(ln Р - In Ре) = In У + b [(in Р - In Р_,)-(In Ре - />_,)] =
= ІП К + />(я-7іг),
b = ->(), X
P_\ — уровень цен предыдущего периода.
Откуда и следует (17.9).
17.2. МОДЕЛЬ КИДЛАНДА-ПРЕСКОТТА
В модели [12] анализируются причины чрезмерно высоких равновесных уровней инфляции, которые возникают на фоне проводимой правительством антиинфляционной политики и, тем самым, объясняется факт инфляционного смещения экономики.
Основные предпосылки модели состоят в следующем. Предполагается, что краткосрочное предложение описывается кривой Лукаса (17.9), а целевая функция правительства или политика отражает потери в уровне общественного благосостояния. Предельные потери возрастают по мере увеличения отклонения от целевых уровней инфляции и выпуска, т.е.:
Z = ja(n-K*}2 +\{у-у*^, а> 0, (17.10)
где а выражает степень относительной важности инфляции по сравнению с выпуском как общественных ориентиров с точки зрения потерь благосостояния.
Без ограничения общности можно предположить, что правительство ориентируется на нулевой уровень инфляции л*=0. Целевой уровень выпуска превышает потенциальный и равен у =ку, где к > 1. Тогда
Z = jan2 +\{у-ку)2. (17.11)
Другими словами, политик рассматривает естественный уровень безработицы как чрезмерный. Это может быть следствием низкого равновесного уровня занятости, сложившегося в связи с искажающим влиянием налогообложения или пособий по безработице. Инфляция также считается нежелательной, поэтому правительство должно выбирать между временным увеличением выпуска и постоянно более высокой инфляцией.
Решение определяется при условии рациональности ожиданий частного сектора
к = п'. (17.12)
В рамках сформулированной задачи минимизации функции потерь (17.11) при ограничениях (17.9) и рациональных ожиданиях (17.12) оптимальная (ex-ante) политика правительства будет найдена из условия
(17.13)
dZ(n, пе(я)) _о dn ’
где Z = \ак2+\{у+ b[n.-n'}-ky^ .
Отсюда
(17.14)
л* = ке = 0.
Однако в каждый момент времени при уже заданных инфляционных ожиданиях л'= 0, которые не может изменить выбираемая в данный момент времени политика, решение будет определяться из необходимого условия
= 0;
dZ[n, пе = О)
dn
+ + b(n - nej - kyjb = 0.
Откуда согласованная во времени (оптимальная ex-post) политика будет представлять собой следующую зависимость темпа инфляции от ожидаемой инфляции и потенциального выпуска:
Ь2 'Ь{к-\)у -п +-
(17.15)
а + Ь1
По существу, условие (17.15) является функцией реакции правительства на действия населения.
Учитывая, что функцией реакции населения на действия правительства является равенство ожидаемой и фактической инфляции, получим, что в равновесии
Ь{к-\)у
(17.16)
>0.
Равновесие, определяемое (17.16), соответствует равновесию при проведении дискреционной политики, т. е. в условиях уже заданных инфляционных ожиданий населения. В терминах теории игр оно является равновесием по Нэшу.
На рис. 17.1 приведена зависимость согласованного во времени (оптимального ex-post) уровня инфляции от ожидаемого и определено его значение при дискреционном равновесии. Видно, что нулевой темп инфляции не является равновесным, так как при нулевых ожиданиях оптимальный ex-post темп инфляции больше нуля.
 |
|
Рис. 17.1. Оптимальный ex-ante (я*) и согласованный во времени (ті) темпы инфляции |
л = /(лг)
Другими словами, оптимальная ex-ante политика (политика нулевой инфляции) не согласована во времени. Именно этим и можно объяснить инфляционное смещение — феномен устойчивой инфляции на протяжении ряда лет.
Стандартными способами преодоления временной несогласованности политики низкой инфляции являются соображения репутации правительства, делегирования полномочий и политика по правилам, которые и будут обсуждаться далее.
17.3. МОДЕЛЬ ДЕЛЕГИРОВАНИЯ ПОЛНОМОЧИЙ
Модель делегирования полномочий была предложена в работе [15]. Основная идея состояла в том, что можно преодолеть проблему временной несогласованности политики низкой инфляции и тем самым уменьшить инфляционное смещение экономики, если доверить ее осуществление более консервативному политику. Его целевая функция имеет вид
Z=jacn2 + j(y-kyf, где ас > а > 0.
Иначе говоря, консервативный политик более чувствителен к увеличению уровня инфляции. Это приведет к падению оптимальной ex-post инфляции для каждого возможного уровня ожидаемой инфляции, т. е. к сдвигу вниз и изменению угла наклона
|
зависимости п = /(ле) в условии (17.15) (рис. 17.2). |
 |
|
Рис. 17.2. Результат делегирования полномочий консервативному политику |
Тогда в дискреционном равновесии темп инфляции упадет кс < пА , инфляционное смещение уменьшится:
Ь(к -1 )у ас
пс = пе
(17.16')
Отсюда видно, что чем более высока чувствительность консервативного политика к инфляции, тем ниже равновесный уровень при дискреционном решении. Чаще всего в качестве консервативного политика предлагается независимый центральный банк.
Такая модель, возможно, наиболее близка к обычному пониманию причин независимости центрального банка: передача монетарной политики несклонным к риску властям с независимыми инструментами для проведения этой политики. В случае полной определенности, рассмотренном выше, делегирование полномочий является безусловным Парето-улучшением.
Однако в случае неопределенности, как отмечается в работе [10], возникают издержки, связанные с потерями в эффективности стабилизационной политики, а также с ухудшением координации политик.
Следуя работе [10], введем показатель относительной несклонности консервативного политика к инфляции р = а/ас, р< 1. Допустим также, что функция предложения Лукаса (17.9) включает случайную составляющую е
у = у + b(n- + е. (17.9')
Тогда решая задачу минимизации функции (17.11) при ограничениях (17.9') и при заданных ожиданиях населения, получим равновесный темп инфляции:
(17.17)
pb(k-l)y ре а а
Первое слагаемое представляет собой инфляционное смещение, второе отражает возможности реагирования на случайные шоки. С помощью (17.17) можно проанализировать как выгоды, так и издержки предоставления независимости центральному банку. Очевидно, что инфляционное смещение в условиях делегирования полномочий уменьшилось, так как р < 1. В то же время
ре е
снизились также и возможности нейтрализации шоков —<—.
а а
Таким образом, сокращение инфляционного смещения произошло за счет возросшей подверженности выпуска колебаниям.
Налицо выбор между доверием и гибкостью реагирования. В работе [15] показано, что когда ас выбирается оптимально, предоставление независимости приводит к приросту благосостояния как по сравнению с политикой по обстоятельствам, так и по сравнению с политикой использования правил. Обычно это воспринимается как подтверждение мнения, что предоставление независимости центральному банку представляет собой решение проблемы инфляционного смещения. Однако это верно лишь при одинаковом виде целевых функций и отсутствии других ориентиров независимого агента. Кроме того, не учитываются потери, которые могут возникнуть от нескоординированности монетарной и фискальной политики.
Основные идеи развития этого направления будут рассмотрены в заключительной части главы (параграф 17.5).
17.4. РЕПУТАЦИЯ И ДИНАМИЧЕСКАЯ СОГЛАСОВАННОСТЬ ПОЛИТИКИ
Соображения репутации представляются наиболее значимым элементом механизма, позволяющим смягчить проблему временной несогласованности политики. Политик, рассчитывающий находиться у власти в течение длительного срока, осознает, что его близорукая политика, направленная на достижение краткосрочной выгоды, может подорвать доверие частного сектора к его заявлениям и поэтому приведет к худшему решению в будущем. Учет возможности многократного повторения ситуации и отражение этого в процессе формирования инфляционных ожиданий уже улучшает положение.
17.4.1. Репутационное равновесие
Рассмотрим модель, предложенную в [7,5], в которой показана принципиальная возможность устранения временной несогласованности и достижения Парето-оптимального равновесия.
Пусть целевая функция правительства отражает социальные потери, взвешенные по периодам
г
Z=?8tzn 0<5, < 1, (17.18)
/=і
где 8, — дисконтирующий множитель, связанный с предпочтениями во времени.
Эта функция в отличие от рассмотренной ранее функции издержек (17.10, 17.11) линейна по выпуску, т. е. при его увеличении сверх потенциального предельная выгода остается постоянной:
Z,=\an2t ~{у,-у). (17.19)
Предложение, как и раньше, описывается кривой Лукаса (17.9). Поэтому целевая функция правительства в конкретный период t может быть представлена как
Z, =jcmt-b(n,-nf). (17.20)
Каждый период правительство заявляет о целевом уровне инфляции, который обязуется поддерживать. Частный сектор
формирует ожидания net в зависимости от степени доверия к заявленным целям, и на этой основе заключаются контракты. Правительство определяет к, так, чтобы минимизировать целевую функцию (17.18).
Сравним возможные исходы этой игры правительства и частного сектора.
При политике по обстоятельствам правительство определяет темп инфляции при заданных п% поэтому для каждого периода
уровень инфляции находится из условия ап, — b = 0, откуда п, = —.
Если ожидания рациональны, то население может предвидеть инфляцию, поэтому пе, = я, =—. В связи с тем, что неожиданная инфляция отсутствует, функция социальных потерь для каждого
„ Ьг
периода принимает значение z, =—•
2 а
При политике использования правил правительство формулирует правило регулирования денежного предложения, и поэтому всем известен уровень инфляции. Правительство решает задачу минимизации общественных потерь, учитывая равенство
п1; =п,. Другими словами, функция потерь для каждого периода преобразуется в z, = Тогда оптимальная политика по правилам состоит в выборе я* = пс, = 0,следовательно, z* =0.
Социальные потери в случае политики по правилам ниже, чем при политике по обстоятельствам. Однако возникает проблема динамической несогласованности политики по правилам, так как она не является оптимальной в текущий момент времени. Стимул к нарушению со стороны правительства возникает потому, что при уже сформированных инфляционных ожиданиях пе, =0 политик может уменьшить потери, допустив неожиданную инфляцию. Целевая функция правительства для каждого периода
времени (17.20) преобразуется в z, = janj -bn,.
Эта функция достигает своего минимума при темпе инфляции
Ь
а |  |
Таким образом, можно количественно определить стимул к нарушению политики по правилам как величину уменьшения потерь по сравнению с политикой нулевой инфляции:

Сравнивая возможные исходы рассматриваемой игры политика и частного сектора, приведенные в табл. 17.1, можно сделать вывод, что наиболее выгодным для правительства является неожиданная инфляция в условиях сформировавшихся ожиданий. Это и будет примером несогласованной во времени политики, объясняющей наблюдаемое инфляционное смещение в экономике.
Таблица 17.1
Возможные решения модели Барро—Гордона |
|
|
Темп
инфляции |
Инфляционные ожидания, пг |
Значение
функции потерь, z |
|
Политика по правилам |
л* =0 |
тс' = 0 |
г* = 0 |
|
|
- ь |
, b |
. ь1 |
|
Политика но обстоятельствам |
к = — |
К* =- |
г |
|
|
а |
а |
2(7 |
|
Нарушение заявленных правил |
_ Ь к = — а |
а
II
О |
. ь2
Z 2 а |
|
Однако в условиях рациональности экономических агентов трудно предположить, что ошибки в ожиданиях будут систематически повторяться. В работе [7] утверждается, что репутация действующего политика через формирование инфляционных ожиданий позволяет преодолеть проблему временной несогласованности. Если политик потерял доверие в глазах частных агентов, то они сформируют инфляционные ожидания на уровне дискреционного равновесия, независимо от заявлений политика.
В ряде работ [5,7] рассматриваются конкретные формы стратегии населения, позволяющие сохранить равновесие по правилам:
1) стратегия наказания, длящаяся всего один период;
2) так называемая стратегия курка (trigger strategy) для игры, повторяющейся неизвестное или бесконечное число раз.
В работе [7] в ответ на объявление о проведении политики
с постоянным низким темпом инфляции л* = л< — инфляцион-
а
ные ожидания населения строились по следующему принципу:
п =7і, если
(17.21)
- Ъ е
л = —, если л,_, * л, ,. а
Такой механизм формирования инфляционных ожиданий означает, что наказание длится всего один период: если в момент времени t политик нарушил ранее провозглашенное правило к = к и получил выигрыш в размере
S(n) = (z-z,)=^
то в следующий момент t+ 1 население формирует инфляционные ожидания на уровне = — . Поэтому издержки увеличиваются
на величину
|
Еп{п) = [іІ+х - |  |
 |
2 |
В момент времени / + 2 ожидаемая инфляция опять снижается до ке = п, так как ожидания относительно периода t+ 1 полностью оправдались.
Таким образом, чтобы проблема временной несогласованности политики низкой инфляции была решена в условиях конкретного механизма формирования инфляционных ожиданий, необходимо, чтобы наказание Еп(к) было не меньше стимула S(n).
Учитывая разновременность предельных выгод и предельных издержек, связанных с нарушением правила, имеем
(17.22)

а
2 |  |
где 0 < 8 < 1 — дисконтирующий множитель, отражающий межвременные предпочтения.
Решение этого условия относительно к приводит к 1
ІИ'-2)!
—+ 8— а а.
ь-±.
Л1,2 _
(17.23)
1+8
Отсюда оптимальный темп инфляции, который может быть поддержан политиком по соображениям репутации, составляет
Величина (17.24) меньше темпа инфляции при дискреционном
равновесии я=-^, она уменьшается по мере роста б, приближаясь
к нулевому. Иначе говоря, чем более дальновиден политик, чем больше он ценит будущее, тем более стабильные цены он будет поддерживать.
На рис. 17.3 графически проиллюстрированы функция стимулов к нарушению политики по правилам и функция наказания (штрафов), определяемых механизмом формирования ожиданий. По горизонтальной оси отложен темп инфляции, который правительство обещает поддерживать при политике по правилам.
 |
|
Рис. 17.3. Репутационное равновесие при Л = |
1-5 Ь 1 + 5 а
Стимулы к нарушению провозглашенной политики по мере роста л падают возрастающим темпом, так как уменьшается величина неожиданной инфляции и, значит, предельные выгоды от нее. Штрафы, препятствующие нарушению, тоже являются убывающей функцией от л. Когда правило предписывает поддержание все более высокой инфляции, издержки от потери репутации ослабевают. При л = 0 стимул всегда больше издержек от потери
= 0.
репутации, в точке дискреционного равновесия Еп
Таким образом, получили пример того, что равновесие по правилам может поддерживаться соображениями репутации.
17.4.2. Стратегия курка в поддержании репутационного равновесия
Другой пример устойчивости репутационного равновесия демонстрируется в условиях многократного повторения описанной игры правительства и частного сектора [4,7].
В теории игр показано, что результат повторяющейся игры полностью совпадает с результатом одношаговой в случае, когда число повторений известно. Принципиально новое решение можно получить, только когда ситуация повторяется бесконечное число раз или, что еще ближе к реальности, число повторений неизвестно. Тогда стандартный метод решения повторяющихся игр — обратную индукцию — применить нельзя, а можно сформулировать равновесные стратегии и вывести условия поддержания кооперативного равновесия — в настоящем примере — политику нулевой инфляции.
Для этого случая принцип формирования инфляционных ожиданий населения формулируется как стратегия курка: если политик выполняет свои обещания и фактический темп инфляции совпадает с ожидаемым, то инфляционные ожидания устанавливаются каждый период на уровне, определяемом политикой правил тг*.
Если же политик нарушает провозглашенное правило, то он теряет доверие частных агентов навсегда и поэтому инфляционные ожидания во все оставшиеся периоды времени устанавливаются на уровне дискреционного равновесия к. Другими словами, наказание длится всю оставшуюся жизнь. Длительное наказание поэтому может перевесить временную выгоду от нарушения провозглашенного заранее правила.
Определим стимулы к нарушению политики нулевой инфляции
U
в момент времени t величиной S{t) = (z*-z,) = —, а издержки
? ' 2 а
потери репутации за все последующие периоды (/+ і), /= 1, 2, 3, ...
lf_ 5 2а 1-8
En{t) = ? 5'
i=i
(17.25)
Сопоставление выгод и издержек потери репутации показывает, что при 5>у приведенная стоимость издержек превышает выгоды. Это обстоятельство вынуждает политика поддерживать нулевую инфляцию. Другими словами, когда будущее является значимым в глазах политика, он будет заинтересован в поддержании политики' нулевой инфляции из-за возможной потери репутации. Если же политик близорук и заинтересован только
в краткосрочном эффекте проводимой политики (8<у), механизма поддержания низкой инфляции нет.
17.4.3. Модель репутации в условиях неопределенности
По мнению некоторых исследователей [5, 16,], проблема временной несогласованности политики низкой инфляции связана с неопределенностью частного сектора относительно предпочтений политика, находящегося у власти.
Проанализируем поэтому модель репутации в условиях неопределенности — так называемую игру Крепса—Вилсона [11], обсуждаемую и развиваемую в [5, 8, 16]. Ее основной особенностью является способность правительства манипулировать своей репутацией в глазах населения.
Как и в предыдущих моделях, целевая функция правительства отражает общественные выгоды, связанные с отсутствием инфляции и увеличением выпуска
W, =-\ак] +b{n'-n')- (17.26)
W = JJb,~xW„ 0 <5 < 1.
!=\
Однако предполагается, что существуют два типа правительства, различающиеся чувствительностью целевой функции к неожиданной инфляции:
тип 1 — слабое правительство, для которого оба параметра в целевой функции не равны 0 и, значит, есть стимул допускать инфляцию, способствуя росту выпуска;
тип 2 — непреклонное, жесткое правительство, которое никогда не допускает инфляцию: для всех периодов оно всегда выбирает к* = 0, т. е. в целевой функции параметр Ь = 0.
Правительство, находящееся у власти в данный момент, с вероятностью р может оказаться слабым (тип 1), а с вероятностью (1 — р) — жестким, непреклонным.
Иначе говоря, правительство вступает в игру с репутацией р, которую оценивает население по мере наблюдения за его действиями. Предполагается, что текущая оценка репутации правительства доступна всем, и она может пересматриваться по мере поступления новой информации. Далее каждый из игроков выбирает стратегию, принимая во внимание возможные стратегии противника и влияние выбранной линии поведения на репутацию в будущем.
Слабое правительство может некоторое время бороться с инфляцией для завоевания репутации жесткого правительства: с вероятностью д может быть установлена нулевая инфляция,
Ь
а с вероятностью (1 — q) — на уровне п~~-
Для упрощения рассмотрим только двухпериодную модель. Непреклонное правительство в оба периода выбирает нулевую инфляцию, поэтому неопределенности в формировании инфляционных ожиданий нет.
Если же у власти политик первого типа, то во второй период
при заданных инфляционных ожиданиях тге= — он, максими-
а
зируя функцию (17.26), всегда будет выбирать ненулевую инфля-Ь
цию л = —. а
Очевидно, что выбор темпа инфляции в первом периоде существенным образом повлияет на инфляционные ожидания будущего периода. Если политик выберет любую ненулевую инфляцию, то население поймет, что у власти слабое правитель, ь
ство, и сформирует ожидания на уровне л2 = —. Тогда значение
а
целевой функции за оба периода составит
|
W,NF=Wx+bW2=b |
|
'ь_ |
- лГ |
а |
V |
2
-8 — |
V |
|
а |
1
7 |
~2 |
ка ; |
2 |
|
|
(17.27)
=—(1 -8 )-bn 2 а '
Другой возможностью для политика первого типа является установление нулевой инфляции. Это позволяет снизить инфляционные ожидания второго периода и увеличить эффект неожиданной инфляции. Наблюдая стабильность цен в первом периоде, население пересматривает свою оценку вероятности того, что у власти слабый политик (С), а не политик типа 2 (Я). Иначе говоря, население корректирует свою оценку репутации действующего политика. Эта корректировка происходит по формуле условной вероятности Байеса:
РгоЬ(С/к = 0) =
=_Prob(n = 0/С) • Prob(C)_ (17 28)
Prob(n = 0/С) ¦ Prob(C) + Prob(n = 0/Я) • Prob(H)' '
Оценивается вероятность нахождения у власти слабого политика (С), если наблюдается нулевая инфляция. Она равна частному от деления вероятности одновременного осуществления событий — того, что слабый политик устанавливает нулевую инфляцию, на полную вероятность осуществления события — отсутствие инфляции. Другими словами, в глазах населения вероятность того, что у власти политик первого типа, изменяется и становится равной
рд
pq + 0-p)
(17.29)
Pt+1 _
Величина (17.29) служит оценкой репутации правительства — рост р1+, означает падение репутации. Сравнивая (17.29) с начальной величиной р, можно сделать вывод, что репутация улучшается:
Гд-рд-(1-р)Л
(\-р){д-\)
_ Р /. ч < 0. pq + {\-p)
(17.30)
Р,+\-Р = Р
pq + (\-p)
Неудивительно поэтому, что население будет ожидать более низкую инфляцию:
? ¦ Л я?<А.
рд + [1-р) а а
п\ =
(17.31)
Таким образом, инфляционные ожидания падают по сравнению со случаем дискреционного равновесия, и слабому политику это выгодно: тем неожиданней будет инфляция во втором периоде, следовательно, на большую величину возрастет значение целевой функции второго периода. Значение целевой функции в этом случае составит
-f-T
2{а)
рд
Wb(q) = -bn\ +8
1-р + рд а)
\
рд
= -Ьк\і +5 —
2 l-p + pq
Эта функция является убывающей по <7: увеличение степени «твердости и непримиримости» слабого правительства приводит к росту ожидаемой во втором периоде инфляции (что следует из (17.31)) и, значит, меньшего выигрыша от неожиданной инфляции. Максимальное значение целевой функции достигается при q = 0, а минимальное — при <7=1.
Поэтому результат игровой ситуации, т. е. выбор слабым политиком линии поведения, будет зависеть от соотношения выигрышей, получаемых им при инфляционном равновесии и равновесии при нулевой инфляции. Определим теперь эти условия в каждом из возможных случаев.
Случай 1. Выигрыш политика первого типа при инфляционном равновесии для любого q больше выигрыша в равновесии с нулевой инфляцией:
W,NF> W(0). (17.32)
Другими словами, если политик типа 1 приходит к власти, то он поддерживает инфляционное равновесие, т. е. слабому политику выгодно не маскироваться под жесткого.
При заданной нулевой вероятности q = 0 условие (17.32)
выполняется, когда 8<у, т. е. будущее мало значимо и поэтому соображения репутации не стоит принимать во внимание. В теории игр этому соответствует так называемое разделяющееся равновесие, когда игрок каждого типа выбирает свой особый характер поведения.
Случай 2. Достигается равновесие с нулевой инфляцией, т. е. слабому политику выгодно всегда в первом периоде устанавливать нулевой уровень инфляции, что соответствует q= 1. Для этого минимальный выигрыш при неинфляционном равновесии должен превышать значение целевой функции при инфляционном равновесии:
W,NF< Щ1). (17.33)
Отсюда, дисконтирующий множитель 8> —-р-—. Такая ситу-
2(1 -р)
ация возможна, когда будущие доходы, а значит, и репутация политика существенно влияют на величину получаемого выигрыша и поэтому политик типа 1 сам заинтересован в поддержании нулевой инфляции. В теории игр этому соответствует так называемое объединяющееся равновесие, когда игроки разного типа ведут себя одинаково.
Случай 3. Если выигрыши от разных видов поведения соотносятся как ЩІ) < W,NF< И^О), то политик первого типа иногда выбирает нулевую инфляцию, иногда — положительную. Этому соответствует условие
(17.34)
1 e 1 — <5<-
2 2(1 -р)
В данном случае для достижения равновесия необходимо, чтобы слабому политику было безразлично, какую инфляцию устанавливать, т. е. какой тип поведения выбрать. Такая ситуация
имеет место, если q = -—— (25 — 1) при соблюдении (17.34).
Р
Проанализированные случаи показывают, что репутация действует как стимул к поддержанию равновесия при нулевой инфляции. Отсутствие инфляции в начальный период понижает ожидаемую инфляцию следующего периода и, следовательно, увеличивает выигрыш политика.
Влияние репутации тем сильнее, чем больше ценится будущее и чем более велика неопределенность относительно типа политика. Чем шире рассматриваемый горизонт и больше дисконтирующий множитель, тем более вероятно достижение репутационного равновесия с нулевой инфляцией. Поддержание равновесия обеспечивается с помощью угрозы потери репутации на протяжении длительного периода.
Еще один пример репутационного равновесия в условиях неопределенности можно рассмотреть с помощью модели двухпартийной системы Алесины, обсуждаемой в главе 16. В ней неопределенность типа политика, пришедшего к власти, связана с результатами выборов. Если партии решат проводить скоординированную политику, устанавливая одинаковый уровень инфляции и тем самым устраняя колебания экономической активности, то встает вопрос об осуществимости такой политики (кооперативного решения). Она возможна в условиях приблизительно одинаковой популярности обеих партий, большого временного горизонта и значимости будущего для политиков. Формальные условия поддержания скоординированной политики обсуждаются в задании 5.
17.5. ПРОБЛЕМЫ КООРДИНАЦИИ КРЕДИТНО-ДЕНЕЖНОЙ И БЮДЖЕТНО-НАЛОГОВОЙ ПОЛИТИК
Как уже отмечалось в параграфе 17.2, решение проблемы временной несогласованности политики низкой инфляции за счет делегирования полномочий независимому агентству, например, в лице Центрального банка, может повлечь за собой издержки нескоординированности кредитно-денежной и бюджетно-налоговой политик.
В работе [10] высказывается предположение, что в случае разделения функций фискальные власти сильнее поддаются предвыборному давлению, а монетарные — более осмотрительны и не склонны к инфляции. Поэтому фискальные власти могут оказаться в ситуации с большим бюджетным дефицитом, чем желательно, частью из-за слишком жесткой монетарной политики, вызванной, в свою очередь, слишком мягкой фискальной.
Для теоретического обоснования этого утверждения предлагается модель игры монетарной и фискальной властей. Предполагается, что власти независимы между собой и их целевые функции различны. Эти целевые функции отражают разные предпочтения относительно безработицы как показателя уровня экономической активности, темпа инфляции и уровня бюджетного профицита S. В свою очередь, уровень безработицы положительно зависит от бюджетного профицита S и ставки процента R, являющихся инструментами регулирования. С ростом ^и Л уменьшается совокупный доход, значит, падает уровень экономической активности и растет безработица.
Тогда конкретное значение совокупного спроса (дохода) в экономике может быть достигнуто при разных сочетаниях инструментов политики R и S: чем больше ставка процента, тем меньше при прочих равных инвестиционный спрос и тем меньше должен быть профицит бюджета для сохранения дохода. Другими словами, линия равного совокупного дохода в координатах (R, S) характеризуется отрицательным наклоном.
Очевидно, что совокупный спрос убывает по мере движения линии равного дохода вправо вверх. На рис. 17.4 обозначены целевые ориентиры фискальной и монетарной властей, причем монетарный ориентир находится правее фискального, так как целью монетарной власти является более сильное сокращение совокупного спроса. При независимости фискальной и монетарной властей происходит конфликт их интересов. Фискальная власть пытается снизить безработицу, повышая дефицит и стимулируя совокупный спрос; монетарная власть противодействует этому, повышая процентные ставки для борьбы с возникающей инфляцией.
Проиллюстрируем основные идеи предложенной модели игры монетарной и фискальной властей на рис. 17.4.
 |
|
Рис. 17.4. Функции реакции монетарных и фискальных властей |
График функции реакции монетарной власти совпадает с кривой совокупного спроса, проходящей через точку целевого ориентира денежной политики (А/). Кривая реакции фискальной власти более полога, чем линия совокупного спроса, проходящая через целевую точку фискальной политики F: при заданной ставке процента уровень профицита, обеспечивающий оптимальное значение целевой функции, будет больше, чем это нужно для достижения целевого уровня дохода, поэтому доход меньше целевого. Дискреционное равновесие, или равновесие по Нэшу (У?), находится в точке пересечения кривых реакции монетарной и фискальной властей. Важно, что в этом равновесии дефицит будет больше, а процентные ставки выше, чем целевые уровни каждой из властей.
Возможные варианты скоординированной политики показывает кривая контрактов FN. Сопоставляя их с точкой равновесия по Нэшу, и можно сделать вывод о наличии потерь от проведения нескоординированной политики.
Как показывает конкретный пример такой несогласованности, наблюдаемой в Великобритании, эти потери оказываются значительными, приводят к переоценке национальной валюты и сокращению национального производства.
Одним из первых действий правительства лейбористов, пришедших к власти в начале 1990-х гг., стало предоставление Банку Англии независимости. Банку было разрешено самостоятельно устанавливать ставки процента для достижения заданного правительством темпа инфляции. Предполагалось, что таким образом устраняется возможность политического давления на кредитноденежную политику, т. е. попыток с ее помощью стимулировать спрос накануне выборов с неизбежной инфляцией после.
Первые несколько лет индекс розничных цен в Великобритании равнялся в среднем 2,8% в год, а выпуск рос быстрее потенциального. Сочетание циклического роста и низкой инфляции объяснялось стабильностью в проведении политики и четкой антиинфляционной приверженностью правительства, обеспеченной за счет независимости монетарной власти.
Однако в конце 1997 г, когда рост замедлился и риск спада увеличился, потребление стало быстро расти, сопровождаясь инфляцией, особенно очевидной в сфере услуг. Правительство решило бороться с инфляцией путем сдерживающей кредитноденежной политики. В результате процентные ставки возросли сильнее, нежели потребовалось бы в случае применения фискальных мер, ограничивающих рост совокупного спроса. Хотя эта мера и снизила совокупный спрос, но с существенным лагом. Немедленным же последствием стало влияние на номинальный — а затем реальный — валютный курс и торговый баланс. Таким образом, бремя регулирования непропорционально легло на производственный сектор. Учитывая, что монетарная политика имела лишь опосредованное влияние на инфляцию в сфере услуг, общие изменения, потребовавшиеся для снижения инфляции в экономике в целом, были больше необходимого. В общем, без координации монетарной и фискальной политики предоставление независимых инструментов Банку Англии привело к большим, а не меньшим изменениям выпуска для достижения требуемого темпа инфляции. Таким образом, степень замедления роста была завышена, потому что монетарная политика была слишком жесткой, а бюджетная — слишком мягкой.
Следует отметить, что в конце 1990-х гг. были получены и некоторые другие эмпирические доказательства обсуждаемого выше тезиса о том, что увеличение независимости центрального банка может привести к росту издержек контроля инфляции [9]. Используя три различные меры независимости центрального банка, Уэлш [18] оценивал эффект независимости центрального банка на краткосрочный выбор «инфляция—выпуск» для 12 членов
Европейского сообщества. Он пришел к выводу, что увеличение независимости связано с более значительным влиянием изменений в номинальных доходах на реальный выпуск. Отсюда следует, что страны с более независимым центральным банком несут большие издержки при .снижении инфляции. Одно из возможных теоретических объяснений этого парадокса и содержалась в рассмотренной выше модели.
1. При сохранении всех прочих предпосылок модели Кид-ланда—Прескотта предположим, что правительство объявляет политику поддержания фиксированного уровня инфляции п*. Определите оптимальную политику и темп инфляции при равновесии по обстоятельствам. Выведите в явном виде зависимость оптимального темпа инфляции от целевого уровня инфляции при дискреционном равновесии и проанализируйте их соотношение. Графически проиллюстрируйте решение.
2. Пусть в модели Кидланда—Прескотта правительство поручает осуществлять политику поддержания инфляции на некотором низком уровне независимому центральному банку. Сформулируйте модель и приведите ее решение. Дайте графическую иллюстрацию.
3. Может ли политика нулевой инфляции поддерживаться в равновесном состоянии в рамках предпосылок модели Барро-Гордона, если целевая функция политика имеет вид
Z = ±b'zt,
/=1
где z, =jan2 + j(y-ky)2.
4. В рамках двухпериодной модификации модели Барро-Гордона проанализируйте влияние неопределенности относительно типа политика на равновесный темп инфляции и на силу воздействия репутации в случае, когда будущее ценится так же, как и настоящее.
5. Проанализируйте условия, при которых возможно устранение феномена экономических колебаний с точки зрения модели Алесины политического цикла при двухпартийной системе.
6. Приведите графическую иллюстрацию репутационного равновесия, поддерживаемого стратегией курка на бесконечном горизонте времени в рамках предпосылок модели Барро—Гордона и определите оптимальный уровень инфляции, политика сохранения которого является согласованной во времени.
ЛИТЕРАТУРА К РАЗДЕЛУ VI
1. Дорнбуш Р., Фишер С. Макроэкономика. М.: Изд-во МГУ, ИНФРА-М, 1997.
2. Мэнкью Н.Г. Макроэкономика. М.: Изд-во МГУ, 1994.
3. Сакс Дж., Даррен Ф. Макроэкономика. Глобальный подход. М.: Дело, 1996.
4. Alesina A. Credibility and policy convergence in a two-party system with rational voters//The American Economic Review. 1988. Sept. Vol. 78. № 4.
5. Backus D., Driffill J. Inflation and Reputation//American Economic Review. 1985. № 75. June.
6. Barro R. Reputation in a Model of Monetary Policy with Incomplete Information//Journal of Monetary Economics. 1986. № 17.
7. Barro R., Gordon D. Rules, Discretion and Reputation in a Model of Monetary Policy//Journal of Monetary Economics. 1983. № 12.
8. Blanchard O., FisherS. Lectures on Macroeconomics. Cambridge: MIT Press, 1989.
9. Fisher S. Central Bank Independence and the sacrifice ratio//Open Economy Review. 1996. ?Ы. 7.
10. Flail S., Henry B., Nixon J. Central Bank Independence and Co-ordinating Monetary and Fiscal Policy//Economic Outlook.
1999. February.
11. Kreps D., Wilson R. Reputation and Imperfect Competition// Journal of Economic Theory. 1982. Vol. 27.
12. Kydland F., Prescott E. Rules Rather than Discretion: The Inconsistency of Optimal Plans//Journal of Political Economy. 1977. Vol. 87.
13. Lucas R. Econometric Policy Evaluation: A Critique//Studies in Business Cycle Theory. Cambridge, Mass.: MIT Press, 1981.
14. Persson M., Persson T., Svensson L. Time Consistency and Monetary PoIicy//Econometrica. 1988. № 55.
15. Rogoff К. The Optimal Degree of Commitment to an Intermediate Monetary Target//Quarterly Journal of Economics. 1985. № 100 (November).
16. Romer D. Advanced Macroeconomics. McGrow-Hill, 1996.
17. Turnovsky S. Methods of macroeconomic dynamics. The MIT Press, 1995.
18. Walsh C. Optimal Contracts for Central Bankers//American Economic Review. 1995. Vol. 85.
(17.24)
ОТВЕТЫ
К ВОПРОСАМ И ЗАДАНИЯМ
ГЛАВА 1
1. а) Текущий счет растет, счет движения капитала падает, реальный и номинальный валютные курсы падают.
б) Текущий счет и счет движения капитала неизменны, реальный и номинальный валютные курсы падают.
в) Текущий счет, счет движения капитала и реальный валютный курс неизменны, номинальный валютный курс падает.
2. Если мировая ставка процента неизменна, то сальдо текущего счета падает, а сальдо счета движения капитала и реальный валютный курс растут.
Если война мировая, то мировая ставка процента растет и последствия для анализируемых показателей неоднозначны.
3. а) растет для каждого возможного значения мировой ставки процента;
б) растет;
в) упадут;
г) сальдо текущего счета вырастет, а сальдо счета движения капитала упадет;
д) упадет.
4. а) У = 600, С = 400, I = 120, NFI = NX = 30, г = 2, ег = 3, = 100, Sroc = 50, 5нац = 150.
б) У= 600, С = 435, /= 120, NF/ = NX = -5, г = 2, гг = 3,7, =115, 5^ = 0, 2>нац =115.
Вытеснение чистого экспорта на величину 35, равную MFC ¦ АТ.
5. а) У= 640, С = 350, /= 120, NX = 30, г = 3, ег = 6.
б) У= 640, С = 350, I = 130, NX= 20, г = 3, ег = 8.
в) У= 640, С = 350, / = 100, NX = 50, г = 5, ег = 2.
г) У= 640, С = 350, /= 120, NX = 30, г= 3, ег= 10.
7. а) В краткосрочном периоде доход и чистый экспорт возрастут, реальный и номинальный курсы упадут. В новом состоянии долгосрочного равновесия доход вернется к первоначальному уровню, реальный валютный курс вырастет по сравнению с краткосрочным уровнем, но окажется ниже первоначального долгосрочного, номинальный валютный курс упадет, чистый экспорт будет выше первоначального долгосрочного уровня.
б) В краткосрочном периоде доход упадет; чистый экспорт, реальный и номинальный курсы не изменятся. В новом состоянии долгосрочного равновесия доход вернется к первоначальному уровню, реальный валютный курс упадет, номинальный валютный курс не изменится, чистый экспорт вырастет.
10. а) При плавающем валютном курсе доход не изменится, валютный курс упадет, чистый экспорт вырастет.
б) При фиксированном валютном курсе доход упадет, валютный курс и чистый экспорт не изменятся.
ГЛАВА 2
1. а) Y= 1000, С = 700, S4 = 100, Дгос = 0, SHaa = 100, I = 90, NF/ = NX = 10, r= 2, ?r= 3;
б) Y, С, S4 — неизменны, ДД гос. = Д5|іац = —20, Д/ = —2, ANFI = А NX = -8, Аг = 0,4, Аег = 2,7;
в) АТ= -25, АС = 20, AS4 = 5, ДЗ^ = -25;
г) Y = 1000, С = 700, S4 = 100, Sroc = 0, SHiU = 100, / = 96, NFJ = NX = 4, r = 2,3, ?r = 5;
д) Y = 1000, C = 700, S4 = 100, Sroc = 0, 5нац = 100, / = 84, NFJ = NX= 16, /•= 2,2, ?r — 1;
е) Y = 1000, C = 700, S4 = 100, Sroc = 0, SHm = 100, / = 90, NF/= NX = 10, r= 2, er = 5.
3. а) уменьшился; б) уменьшился; в) увеличился; г) уменьшился.
Показатели, перечисленные в пунктах «д—ж» не изменились.
4. а) В Германии реальная ставка процента упадет, инвестиции увеличатся, сальдо счета движения капитала увеличится, сальдо текущего счета уменьшится, реальный валютный курс увеличится.
б) Во Франции реальная ставка процента увеличится, инвестиции уменьшатся, сальдо счета движения капитала уменьшится, сальдо текущего счета увеличится, реальный валютный курс уменьшится.
5. а) Сбережения, инвестиции и чистый экспорт упадут, ставка процента и реальный валютный курс вырастут.
б) Сбережения, инвестиции, чистый экспорт и ставка процента не изменятся, реальный валютный курс и объем внешнеторговых операций вырастут.
в) Сбережения не изменятся, инвестиции, ставка процента и реальный валютный курс уменьшатся, чистый экспорт вырастет.
г) Сбережения и инвестиции вырастут, ставка процента и реальный валютный курс уменьшатся, чистый экспорт вырастет.
д) Сбережения, инвестиции, ставка процента и чистый экспорт не изменятся, реальный валютный курс вырастет.
е) Сбережения не изменятся, ставка процента упадет, инвестиции вырастут, реальный валютный курс вырастет, чистый экспорт упадет.
6. а) Предложение денег вырастет, ставка процента и реальный валютный курс упадут, сальдо счета текущих операций увеличится.
б) Предложение денег, ставка процента и сальдо счета текущих операций не изменятся, реальный валютный курс увеличится.
7. а) Выпуск падает; ставка процента, инвестиции, чистые зарубежные инвестиции, реальный валютный курс и сальдо счета текущих операций неизменны. В малой открытой экономике последствия те же.
б) Выпуск растет; ставка процента, инвестиции, реальный валютный курс неизменны, чистые зарубежные инвестиции и чистый экспорт растут. В малой открытой экономике последствия те же.
8. а) Выпуск вырастет, ставка процента, чистые зарубежные инвестиции, реальный валютный курс и чистый экспорт не изменятся, инвестиции вырастут.
б) Выпуск, ставка процента, чистые зарубежные инвестиции и чистый экспорт упадут; инвестиции и реальный валютный курс вырастут.
9. а) IS: Y= 1800 - 120r; LM: Y= 1000 + 80r,
б) Y* = 1320; r = 4; t = 160; NFl* = 20; e? = 2,6; NX* = 20;
в) Yh* = 1480;
г) yM* = 1440.


2. а) IS: Y= 1800 - 200er; LM: Y= 1400.
б) Y* = 1400, Г = 150, e* = 2, Ж* = 50.
в) Y= 400 + 2(M/P).

д) Y* = 1400.
е) Y* = 1600.
ж) При росте чувствительности спроса на деньги к доходу
эффективность кредитно-денежной политики падает.
. Переменная кредитно-денежной
dY__1__ dY -Ь
dG~(\-b)' dT ~ (1 -b)
политики М становится эндогенной переменной.
4. a) IS: Y= 1800 - 200er; LM: Y= 2(M/P) + 400.
б) Y* = 1400, J* = 150, e* = 2, NX* = 50, M* = 500.
в) Y= 1700 - 3T+ AG - 1007».
д) Y* = 1800.
е) = 1400, M* = 500.
ж) При росте предельной склонности к потреблению эффективность бюджетно-налоговой политики растет.
dY___1_. dY -b
^ (1 -b) + (d + m)-j: (i _ A)+ (af+ /«)-?.
dY 1

6. a) Y= 720 - 1,27’+ 1,6(7+ 1,2M/P.
= -1,2;
1,2.
dY ' M_ \P J
в) Y* = 1480.
г) V* = 1440.
д) Эффективность бюджетно-налоговой политики растет при увеличении чувствительности спроса на деньги к ставке процента и предельной склонности к потреблению, а также при уменьшении чувствительности спроса на деньги к доходу, чувствительности инвестиций к ставке процента и чувствительности чистых зарубежных инвестиций к ставке процента.
Эффективность кредитно-денежной политики растет при увеличении чувствительности инвестиций к ставке процента, чувствительности чистых зарубежных инвестиций к ставке процента и предельной склонности к потреблению, а также при уменьшении чувствительности спроса на деньги к ставке процента и доходу.
ГЛАВА 4
1. Опровергается.
2. Традиционный.
3. а) Вырастет, б) Изменится.
7. а) 150, 90, 66; С, = С2 = ПО.
б) Период 1: 40, 50, —10. Период 2: —110, —55, —55.
в) Приведенная величина налогов и государственный долг не изменились. Период 1: 40, 40, 0; Период 2: —110, —44, —66. Равенство Барро—Рикардо выполняется.
г) Приведенная величина налогов упала до 70, государственный долг равен 88. Период 1: 30, 50, —20; Период 2: —120, —54, —66. Равенство Барро—Рикардо не выполняется.
3. 182 млрд руб.
4. а) возможен дефицит 0,6%; б) нужен профицит в 1%.
5. 1,2%
6. а) 2%; б) возможен дефицит в 1%; в) 4%; г) 3%.
7. Нет. Достаточный уровень планируемых профицитов =6,4%.
8. Нужно, уровень сеньоража =4,4%.
ГЛАВА 6
1. а) =232,2 млрд дол.; б) =177 млрд дол.
2. На 2 п.п.
3. Нет. Достаточный уровень планируемых профицитов =9,8%.
4. Такая политика выгодна.
5. =1,6%.
6. При данных условиях не следует. Ответ изменится.
ГЛАВА 7
4. =17%; 1 /(бе).
5. 50%.
6. Исчерпаны.
7. Не исчерпаны.
ГЛАВА 8
1. а) в стране С не придет, в стране D придет; при 3%.
2. В стране А не следует; в стране В следует.
^ Іпа + Іпг/ а
1. б) g; 0; в) выше; г) ниже.
3. (1 - а)(5 + п + g).
4. 5,6%; 12,5 лет.
7. Темп роста выпуска равен темпу роста запаса капитала
и равен
(l-g-Y)(/7 + g)
-а
sA
9. Х = -(п + Ь)
10. 3,5%.
1 -Ь
ГЛАВА 10
ill
1. а) +(1 V; б) АЬ?; г) sAbv -(я + б).
1
2. а) /([м’Р + О-бГ]*; б) АЬ*.
5. 0,48.
9. 2,5%; 2,5%; 2,5%.
ГЛАВА И
1. Отрицательное.
2. 11%.
с
3. а) — = г-п-р; в) норма сбережения будет со временем
с
убывать.
4. а) Падает, падает; б) падает, падает; в) растет, растет.
7. Понизится, понизится.
 |
|
J |
б) 0,105, (0,105)1/3; в) 0,037,
1. а)
(0,037)'/3;
^O+zOO + g)
г) на 1/3.
ГЛАВА 13
1. Не будет.
2. Не будет.
3. Будет.
4. Не будет.
5. а) 1600; б) У = 1600 - 500(0,5)' + 200(0,25)'; У, = 1487,5;
в)
будет, монотонно; г) нет.
ГЛАВА 14
1. a) Y* = 400; NX* = 50; = 1,5; е= 1; Р* = 1,5;
в) У= 700 - 300 Л г) У, = У,_, + ЗАG -
д) л, = 0,1; У, = 520; к2 = 0,157; У2 = 468.
2. a) Y* = 400; NX* = 133,3; г* = 0,67; Р* = 1,5;
¦{т, - л,);
(мЛ (мл
в) У =2 — +200; г) У,=У,_,+2 ^
V “ / V ° А-\
д) л, = 0,1; У, = 480; л2 =0,15; У2 = 439,3.
ГЛАВА 15
1. а) У = 900 л/г; б) 4; 400; 1800; в) 9; 900; 2700.
2. а) У = 5181,82; г= 3,636; L = 107,4; Ж/Р = 24,12;
б) У= 5272,73; г = 5,455; Ь= 111,21; И-у/5 = 23,71;
в) реальная зарплата изменяется контрциклически, а г и L — проциклически;
г) в первом случае Р= 0,9649, во втором Р= 0,9483; М= 1017,54.
3. Y= 5416,29; r= 3,167; L = 106,44; W/P = 25,44; реальная зарплата изменяется проциклически, a rw L — контрциклически.
4. Y= 5275,86; г = 3,448; L = 111,34; = 23,69; занятость
изменяется проциклически, а реальная ставка процента и реальная зарплата контрциклически.
ГЛАВА 16
1. Цикла не будет.
3. Да.
5. Поддерживать кооперативное равновесие легче, чем в случае, когда Р = 0,8.
ГЛАВА 17
1. Целевая функция
7Г = 7С +--j[y +И +--уіл'- л );
a + b ? ' a + b к '
3. Может при высоких дисконтирующих множителях:
50 <1,
= 8.
4. Влияние репутации на равновесный темп инфляции тем больше, чем больше:
а) разница между целевыми ориентирами
б) неопределенность относительно типа политика (р = 0,5).