Введение в макроэкономику


В последнее время издано большое количество учебников по вводному курсу экономической теории как зарубежных, так и российских авторов. Все они содержат изложение основных проблем современной экономической теории микро- и макроэкономики. В большинстве случаев при подаче материала активно используется формальный аналитический аппарат графики и формулы, которые сопровождаются подробными, иногда даже чересчур подробными, пояснениями. Это, конечно, очень полезно при углубленной работе с учебником в течение семестра. Однако и студентам, и преподавателям периодически приходится выписывать из учебников самое главное, опуская подробности и оставляя только самые необходимые комментарии.
Преподаватели проделывают такую работу регулярно, готовя конспекты лекций. Некоторые студенты занимаются этим при подготовке к экзамену, пытаясь «втиснуть» максимум информации на крошечное поле шпаргалок. При этом, конечно, неопытному первокурснику бывает трудно отделить действительно существенное от второстепенного и не наделать ошибок. Вот почему коллектив опытных преподавателей экономического факультета МГУ им.
М.В. Ломоносова решил им помочь.
Каждый из авторов много лет преподает вводный курс макроэкономики и потому не понаслышке представляет, насколько необходимо студенту перед экзаменом компактное изложение курса, так как прочитать толстый учебник обычно просто не хватает времени.
Именно это стремление побудило нас написать для наших студентов готовую шпаргалку по всем разделам вводного курса макроэкономики, преподаваемого на экономическом факультете МГУ. Для них в первую очередь и предназначено наше новое учебное пособие.
В нем квинтэссенция тех знаний, с которыми студент должен прийти на экзамен. Эта небольшая книга поможет ему быстро проработать пройденный материал, опираясь на самые существенные моменты.
Долгий опыт работы помог нам придать ей вид «идеальной шпаргалки».
Во время работы над этим учебным пособием многочисленные консультации с нашими коллегами убедили нас в том, что в нем много полезного найдут для себя и преподаватели для разработки конспектов лекций и планов семинарских занятий по вводному курсу макроэкономики.
Современная экономическая наука требует от студентов не только знаний, но и понимания изученного материала. К сожалению, большинство первокурсников полагают необходимым заучить только формальные моменты (графики и формулы), совершенно не вдумываясь в их экономический смысл.
В известной степени их к этому поощряют и сами преподаватели, поскольку в отведенное для лекций и семинаров время невозможно достаточно глубоко проанализировать сущность экономических процессов.
Действительно, подробно расписать за время лекции каждый шаг действия, например, фискального или денежного мультипликатора почти нереально, но очень нужно. Наше пособие призвано помочь в решении этой непростой задачи.
Его можно использовать в течение семестра в дополнение к лекциям, поскольку в нем приведены достаточно громоздкие в изложении, но абсолютно необходимые для понимания экономические механизмы. Доступная форма представления материала и наличие примеров позволяют предложить их студентам для самостоятельного изучения при подготовке к семинарским занятиям, а преподаватели могут уделить больше внимания постановке проблемы и выводам.
Кроме того, мы надеемся, что оригинальные задания к каждой теме помогут нашим коллегам при проведении семинарских занятий расширить набор задач вычислительного характера и научить студентов использовать изученный исследовательский аппарат при анализе реальных экономических ситуаций. Для этих же целей предназначены и приведенные в пособии статистические сведения, иллюстрирующие развитие макроэкономических процессов в России.
Мы полагаем, что данное учебное пособие поможет в преподавании и изучении непростой, но очень нужной и увлекательной науки макроэкономики.
Желаем успехов!
Коллектив авторов
Глава 1 МАКРОЭКОНОМИЧЕСКИЕ ПОКАЗАТЕЛИ. МЕТОДЫ ИЗМЕРЕНИЯ МАКРОВЕЛИЧИН 1.1. Модель кругооборота реальных и денежных потоков В модели кругооборота выделяются два сектора: реальный сектор (поток ресурсы-продукция) и денежный сектор (поток доходы-расходы).
Простая модель кругооборота в закрытой экономике без государства показана на 1.1.

Введение в макроэкономику

1.1. Простая модель кругооборота в закрытой экономике без государства:
реальные потоки; - - - денежные потоки
С введением государства в модель кругооборота она усложняется, включая:
налоги, которые платят домашние хозяйства и фирмы;
субсидии государства производителям и трансфертные выплаты домашним хозяйствам;
государственные закупки товаров и услуг;
государственные услуги домашним хозяйствам и фирмам.
Дальнейшее усложнение модели кругооборота происходит при учете открытости национальной экономики.
Открытая экономика, в отличие от закрытой экономики, имеет экономические связи с внешним миром.
Модель кругооборота открытой экономики ( 1.2) включает в себя:
экспорт и импорт товаров и услуг и встречные потоки соответственно доходов и расходов отечественных фирм;
экспорт и импорт факторов производства и встречные потоки соответственно доходов и расходов отечественных домашних хозяйств.

Введение в макроэкономику

1.2. Утечки и инъекции В идеале в экономике сумма доходов равна сумме расходов, а также объему производства в денежном выражении. При несоблюдении этого условия экономика теряет устойчивость.
Причиной неустойчивости являются утечки и инъекции в процесс кругооборота.
Утечки - (или изъятия) из национального дохода возникают, когда он расходуется на цели, иные, чем покупки потребительских товаров и услуг, произведенных внутри страны.
Инъекции - расходы, осуществляющиеся в дополнение к расходам отечественных потребителей на покупку продукции, произведенной внутри страны.

  • Из потока «доходы-расходы» утекают:
сбережения;
налоговые платежи;
расходы на закупку импортных товаров и услуг.

  • В поток «доходы-расходы» вливаются:
капиталовложения отечественных и зарубежных инвесторов;
доходы от экспорта;
государственные расходы.
1.3. Потоки и запасы Запасы характеризуют состояние какого-либо показателя на данный момент времени (сумма денег на определенную дату; капитал, имеющийся в экономике страны; государственный долг; численность безработных на конец года; национальное богатство и т.п.).
Потоки характеризуют изменение какого-либо показателя за определенный промежуток времени (заработная плата за месяц; инвестиции в экономику страны за квартал; дефицит государственного бюджета за финансовый год; количество потерявших работу за месяц; объем производства в текущем году и т.п.).
Потоки и запасы тесно взаимосвязаны: поток - это изменение запаса за определенный промежуток времени.
1.4. Макроэкономические показатели системы национальных счетов Национальное богатство - запас вещественных благ и стоимость земли. Оно состоит из зданий, сооружений, оборудования и запасов (товарно-материальных запасов фирм и запасов потребительских товаров длительного пользования у домашних хозяйств).
Изменение (поток) национального богатства в течение определенного промежутка времени описывается показателем ВВП или ВНП.
Валовой внутренний продукт (ВВП) текущая рыночная стоимость всех конечных товаров и услуг, произведенных в экономике страны за определенный промежуток времени (обычно за год) всеми факторами производства в границах национальной территории.
Валовой национальный продукт (ВНП) текущая рыночная стоимость всех конечных товаров и услуг, созданных факторами производства, находящимися в собственности граждан данной страны, в том числе на территории других государств.

Введение в макроэкономику

Два основных метода подсчета ВВП:
метод конечной продукции;
метод добавленной стоимости.
1. Метод конечной продукции. ВВП может быть рассчитан как сумма текущих рыночных стоимостей всех конечных товаров и услуг, произведенных на территории страны в течение данного периода времени.
При этом в ВВП не включается стоимость промежуточной продукции и товаров, созданных в предшествующий период.
Конечная продукция товары и услуги, поступающие в конечное потребление, т.е. не предназначенные для дальнейшей переработки или перепродажи.

Введение в макроэкономику

Промежуточная продукция товары и услуги, предназначенные для дальнейшей переработки или перепродажи, т.е. используемые для производства других товаров и услуг в период, за который рассчитывается ВВП. Стоимость промежуточной продукции учтена в издержках производства конечной продукции.
Ее повторное включение в ВВП привело бы к завышению его действительной величины из-за возникновения так называемого двойного счета.
Сделки по приобретению товаров, созданных в предшествующий период (например, дома, построенного пять лет назад), означают лишь смену собственника, перераспределение активов и доходов, а не приращение реального количества благ.
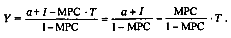
Исходя из упрощающего предположения, что суммарная стоимость всей конечной продукции, произведенной в стране, равна сумме расходов на ее приобретение всех конечных потребителей домашних хозяйств, фирм, государства и иностранцев (их расходы на импорт из данной страны), ВВП может быть рассчитан не методом суммирования стоимостей конечных продуктов, а методом суммирования конечных расходов на их покупку (подсчет ВВП по расходам):

ДЕНЕЖНО-КРЕДИТНАЯ ПОЛИТИКА


Величина спроса на деньги уменьшится (Md = Вd), и на рынке денег возникнет избыточное предложение. При ограниченном предложении облигаций рост величины спроса на них приведет к увеличению рыночной цены облигаций и снижению их доходности. По мере роста цены и снижения доходности величина спроса на облигации будет снижаться, а величина спроса на деньги расти. Этот процесс будет продолжаться до тех пор, пока избыточный спрос на облигации, который давит на их цену в сторону понижения, не исчезнет. Одновременно с ним исчезнет и избыточное предложение денег.
Выполнение этого условия означает, что процентная ставка достигла равновесного значения. Ситуация в экономике, при которой фактический уровень процентной ставки ниже равновесного, показана на 8.7.

ДЕНЕЖНО-КРЕДИТНАЯ ПОЛИТИКА

8.7. Рынок денег (а) и рынок облигаций (б) для ситуации в экономике, при которой фактический уровень процентной ставки ниже равновесного
Если на рынке облигаций установится ставка процента
, которая ниже равновесного значения
, то на рынке облигаций возникнет избыточное предложение. Население будет пытаться продать лишние облигации и пополнить свой спекулятивный запас денег. Величина спроса на деньги возрастет (Md = Вd), и на рынке денег возникнет избыточный спрос. Поскольку при избыточном предложении желающих продать облигации гораздо больше, чем желающих их купить, рыночная цена облигаций начнет падать, а их доходность расти.
По мере снижения цены и роста доходности величина спроса на облигации будет повышаться, а величина спроса на деньги снижаться. Этот процесс будет продолжаться до тех пор, пока избыточное предложение облигаций, которое давит на их цену в сторону увеличения, не исчезнет. Одновременно с ним исчезнет и избыточный спрос на деньги.
Выполнение этого условия означает, что процентная ставка достигла равновесного значения.
Следовательно, равенство величины спроса на деньги величине предложения денег устанавливается посредством движения ставки процента (доходности облигаций) к своему равновесному уровню.
Задания
Задание 1. Эластичность спроса на деньги по совокупному доходу равна 2, а эластичность спроса на деньги по процентной ставке равна -5. За истекший год совокупный доход страны увеличился на 10%.
Денежная масса осталась неизменной. Подсчитайте, чему стала равна процентная ставка, если ее прошлогоднее значение составляло 25% годовых, а рынок денег был и остался в равновесии.
Задание 2. По купонной облигации государственного займа номиналом в 100 руб. выплачивается 5% годовых. Заполните нижеприведенную таблицу недостающими данными:

Среднерыночная ставка процента
Рыночная цена облигации
Текущая доходность облигации
2%




8%






125 руб.




80 руб.






12,5%




2,5%

Задание 3. В 1993 г. денежный агрегат М2 в России увеличился по сравнению с 1992 г. в 5,3 раза. Скорость обращения денег, рассчитанная как отношение номинального ВВП к среднегодовому значению М2, в 1992 г. составляла 5,6 оборота в год. а в 1993 г. 7,9 оборота в год:
а) определите, во сколько раз должен был возрасти реальный ВВП в 1993 г. по сравнению с 1992 г. в соответствии с уравнением обмена;
б) по данным Госкомстата, в действительности ВВП возрос в 1993 г. по сравнению с 1992 г. в 8,9 раза. Как объяснить расхождение результатов ваших расчетов и пункта а, если статистические ошибки отсутствовали?
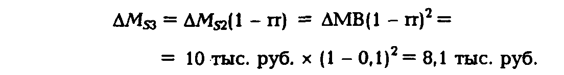
Задание 4. В экономике коэффициент «наличность-депозиты» составляет 20%, норма обязательного резервирования вкладов установлена центральным банком на уровне 5% и сами коммерческие банки поддерживают среднюю норму избыточного резервирования в размере 15%. Общая сумма вкладов до востребования, размещенных в банковской системе, составляет 1500 трлн руб.
Средний коэффициент предпочтения ликвидности населением данной страны равен 0,6. Функция спекулятивного спроса на деньги имеет вид Mdc = 3000 30 000 i. Номинальный ВВП данной страны составляет 2000 трлн руб., а уровень цен равен 2:
а) определите равновесную процентную ставку в номинальном измерении;
б) несколько банковских банкротств подряд снизили доверие населения к банковской системе, в связи с чем коэффициент «наличность депозиты» возрос до 30% при неизменной денежной базе. Какая процентная ставка теперь установится на денежном рынке?
Задание 5. Американские исследователи в области спроса на деньги обнаружили, что начиная с 1974 г. общепринятая функция спроса на денежный агрегат Ml стала давать значения спроса на деньги, устойчиво превышающие значения их предложения. Как вы думаете, почему такое могло произойти?
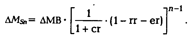
Глава 9 ДЕНЕЖНО-КРЕДИТНАЯ ПОЛИТИКА Наряду с фискальной денежно-кредитная политика является важнейшим инструментом государственного регулирования экономики. В отличие от фискальной политики, которая проводится правительством и воздействует на равновесие рынка товаров и услуг, денежно-кредитную политику проводит центральный банк, и она влияет на равновесие рынка денег.
Денежно-кредитная политика совокупность монетарных мероприятий, с помощью которых центральный банк воздействует на параметры равновесия денежного рынка предложение денег и процентную ставку.
9.1. Основные инструменты денежно-кредитной политики Изменение нормы обязательного минимального резервирования вкладов
При сокращении нормы обязательного минимального резервирования вкладов часть фонда обязательных резервов возвращается обратно в коммерческие банки, превращаясь в дополнительные избыточные резервы. Денежная база при этом не изменяется, но предложение денег увеличится за счет двух факторов:
а) высвободившиеся из обязательного резервного фонда средства могут быть использованы банками для выдачи дополнительных ссуд;
б) дополнительные ссуды приведут к мультипликационному расширению вкладов.
Рассмотрим пример снижения нормы минимального резервирования с 10 до 8% при прочих равных: сr = 25% и еr = 15% ( 9.1).

ДЕНЕЖНО-КРЕДИТНАЯ ПОЛИТИКА

9.1. Итоговые изменения балансов банковской системы, вызванные снижением нормы минимального резервирования вкладов с 10 до 8%
Следовательно, сокращение нормы минимального резервирования вкладов высвобождает часть резервов коммерческих банков и приводит к увеличению предложения денег за счет роста величины денежного мультипликатора при прежнем объеме денежной базы ( 9.2).

ДЕНЕЖНО-КРЕДИТНАЯ ПОЛИТИКА

9.2. Влияние снижения нормы минимального резервирования вкладов на величину предложения денег
В нашем числовом примере предположим денежную базу равной 100 млн руб.:

ДЕНЕЖНО-КРЕДИТНАЯ ПОЛИТИКА

Следовательно, снижение нормы обязательного минимального резервирования вкладов с 10 до 8% привело к увеличению денежного мультипликатора с 2,5 до 2,6 и к росту предложения денег примерно на 10 млн руб. при неизменной денежной базе.
При повышении нормы обязательного минимального резервирования вкладов банки обязаны увеличить объем своего фонда обязательных резервов за счет сокращения избыточных резервов. Денежная база при этом не изменяется, но предложение денег сократится за счет двух факторов:
1. Дополнительные средства для перечисления в фонд обязательных резервов банки скорее всего возьмут из фонда избыточных резервов. Следовательно, при возврате очередной ссуды банк не станет снова выдавать эти деньги в кредит, а использует их для пополнения своих избыточных резервов. Банки также могут прибегнуть к досрочному отзыву части выданных ссуд для пополнения своего резервного фонда.
В результате резервный фонд банковской системы возрастет за счет сокращения объема выдаваемых ссуд.
2. Снижение объема ссуд приведет к мультипликативному сокращению вкладов, поскольку средства, предназначенные для погашения взятых кредитов, лишь частично хранятся заемщиками в наличной форме, а большей частью аккумулируются на банковских счетах. Размер этих накоплений определяется коэффициентом «наличностьдепозиты».
Например, при коэффициенте «наличностьдепозиты», равном 25%, 20% предназначенных для возвращения банковских ссуд средств скапливается населением в наличной форме, а 80% этих средств накапливается на банковских счетах.
Рассмотрим пример повышения нормы минимального резервирования с 10 до 12% при прочих равных: cr = 25%, еr = 15% ( 9.3).

ДЕНЕЖНО-КРЕДИТНАЯ ПОЛИТИКА

9.3. Итоговые изменения балансов банковской системы, вызванные повышением нормы минимального резервирования вкладов с 10 до 12%
Следовательно, повышение нормы минимального резервирования вкладов связывает часть выданных ссуд в виде дополнительных резервов коммерческих банков и приводит к сокращению предложения денег за счет снижения величины денежного мультипликатора при прежнем объеме денежной базы ( 9.4).

ДЕНЕЖНО-КРЕДИТНАЯ ПОЛИТИКА

9.4. Влияние увеличения нормы минимального резервирования вкладов на величину предложения денег
В нашем числовом примере, предположив денежную базу равной 100 млн руб.:

ДЕНЕЖНО-КРЕДИТНАЯ ПОЛИТИКА

Таким образом, повышение нормы обязательного минимального резервирования вкладов с 10 до 12% привело к сокращению денежного мультипликатора с 2,5 до 2,4 и к уменьшению предложения денег примерно на 10 млн руб. при неизменной денежной базе.
Изменение ставки рефинансирования
Выполняя свою функцию банкира банков, центральный банк может выдавать кредиты коммерческим банкам. Объем таких кредитов колеблется в зависимости от их цены, т.е.



Факторы, определяющие спрос на деньги


Задание 6. Во многих аналитических и статистических материалах, публикуемых в России, величина денежного мультипликатора рассчитывается делением агрегата М2 на агрегат МО. Проанализируйте этот способ подсчета денежного мультипликатора.
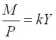
Глава 8 СПРОС НА ДЕНЬГИ. МАКРОЭКОНОМИЧЕСКОЕ РАВНОВЕСИЕ НА РЫНКЕ ДЕНЕГ Спрос на деньги объем кассовых остатков, который экономические субъекты желают держать при определенных условиях. 8.1. Факторы, определяющие спрос на деньги
Количественная теория спроса на деньги
Разработанная экономистами классической школы в XIX в. и начале XX в. количественная теория, строго говоря, занималась изучением факторов, определяющих номинальное значение совокупного дохода при заданном реальном его значении. Но так как в рамках количественной теории изучается и вопрос о количестве денег, которое должно находиться на руках у населения при каждом заданном уровне совокупного выпуска, ее можно считать и теорией спроса на деньги.
Она исходит из того, что деньги необходимы только для обслуживания сделок купли-продажи товаров и услуг.

  • Уравнение обмена И.Фишера. Версия И.Фишера описывает объективные факторы, определяющие спрос на деньги. В экономике денег должно быть ровно столько, сколько необходимо для опосредования всех сделок купли-продажи, совершающихся за определенный промежуток времени.
Каждая денежная единица за данный промежуток времени успевает обслужить не одну, а несколько сделок купли-продажи. Количество этих сделок описывается показателем, называемым скоростью обращения денег (v).
Скорость обращения денег число оборотов, совершаемых денежной массой в течение данного промежутка времени. Показывает, сколько раз в среднем каждая денежная единица была потрачена на приобретение товаров и услуг.
Факторы, влияющие на скорость обращения денег:
состояние платежной системы;
способ осуществления платежей;
платежные традиции общества (например, частота выплаты заработной платы) и т.п.
Перечисленные институциональные и технологические факторы весьма инертны и изменяются во времени очень медленно, поэтому скорость обращения денег в краткосрочном периоде может считаться постоянной.
Отсюда следует основной вывод модели И.Фишера:
Mv PT,
где М количество денег, обращающихся в экономике;
v скорость обращения денег;
Р средняя цена каждой сделки;
T количество сделок купли-продажи, совершающихся в экономике в течение данного промежутка времени.
Данное выражение является не уравнением, а тождеством;* оно служит одновременно и определением понятия скорости обращения денег, а значит, выполняется всегда, а не только при каких-то конкретных (равновесных) значениях входящих в него переменных.
* Тождество равенство, справедливое при всех значениях свободных переменных, входящих в это равенство.

Следовательно, необходимое экономике количество денег тождественно определяется как:

Факторы, определяющие спрос на деньги

Однако количество сделок показатель, который чрезвычайно трудно оценить эмпирически. Поэтому для упрощения обычно заменяют количество сделок Т на реальный объем совокупного выпуска Y, исходя из предположения, что обычно изменение количества сделок купли-продажи примерно пропорционально совокупному объему производства:
T = zY,
где z коэффициент пропорциональности (его значение больше единицы, поскольку Y описывает объем сделок купли-продажи только конечных товаров и услуг).
Тогда вместо тождества получается уравнение:

Факторы, определяющие спрос на деньги

где Y объем совокупного выпуска за данный промежуток времени;
V = v/z скорость обращения денег при покупке конечных товаров и услуг (показывает, сколько раз за данный промежуток времени в среднем каждая денежная единица была потрачена на приобретение конечных товаров и услуг, именно этот смысл вкладывает в понятие скорость обращения денег современная экономическая наука),
или
MV=PY.
Это уравнение называется количественным уравнением или уравнением обмена. Левая часть (MV) описывает величину предложения денег, а правая часть (РY) величину спроса на деньги.
Они равны друг другу не при любом значении уровня цен, а только при равновесном. Именно за счет изменений уровня цен и устанавливается соответствие между существующими объемами денежной и товарной массы.

  • Закон денежного обращения К.Маркса. К.Маркс приводит более развернутую формулу, определяющую потребность экономики в деньгах за данный промежуток времени:
Факторы, определяющие спрос на деньги

Эта формула примечательна тем, что включает в себя элементы, существенные для учета специфики денежного обращения в России, а именно: различные разновидности неплатежей (взаимозачетов, просроченной задолженности, бартера).

  • Кембриджская версия А.Маршалла и А.С.Пигу. В отличие от И.Фишера, А.Маршалл и А.С.Пигу исследовали не объективные, а субъективные факторы формирования спроса на деньги. В центр анализа ими был поставлен вопрос о том, почему экономические субъекты не расходуют весь свой номинальный доход на покупку товаров и услуг, а часть его оставляют в форме денег (кассовых остатков).
Хранение кассовых остатков сопряжено с определенными выгодами и издержками.
Выгода снижение трансакционных издержек при покупке товаров и услуг.
Издержки упущенная полезность тех товаров и услуг, которые могли бы быть приобретены на эти деньги, поскольку полезность самих денег равна нулю.
Сопоставляя выгоды и издержки, экономические субъекты определяют оптимальную долю своего номинального (денежного) дохода, которую следует оставлять на руках в форме денег. Эта доля носит название коэффициента предпочтения ликвидности.
Коэффициент предпочтения ликвидности показатель, описывающий отношение запаса кассовых остатков к величине номинального дохода:

Факторы, определяющие спрос на деньги

где коэффициент предпочтения ликвидности данного экономического субъекта;
m оптимальный объем кассовых остатков этого экономического субъекта;
Р уровень цен;
I реальный доход экономического субъекта.
Например, если к = 0,4, то средний запас денег на руках у экономического субъекта равен 40% его номинального дохода за данный промежуток времени.
Следовательно, индивидуальный спрос на деньги данного экономического субъекта:
тd = РI.
Агрегированный спрос на деньги всех экономических субъектов:
M = kPY,
где k средневзвешенное значение коэффициента предпочтения ликвидности в экономике;
Y совокупный реальный доход.
Это уравнение называется кембриджским уравнением.
Нетрудно заметить сходство данного уравнения с уравнением обмена. Это неудивительно, поскольку оба уравнения являются различными версиями одной и той же количественной теории денег.
Следствием является вывод о том, что коэффициент предпочтения ликвидности величина, обратная скорости обращения денег (k = 1/V). Понятно, что чем чаще деньги переходят из рук в руки, тем меньший запас их надо хранить населению для оплаты покупок в период между поступлениями денег.
Обе версии количественной теории денег, следовательно, полагают, что единственным фактором, определяющим величину спроса на деньги, является совокупный доход. Величина спроса на деньги зависит от величины совокупного дохода положительным образом.
Теория предпочтения ликвидности
Теория предпочтения ликвидности была впервые сформулирована Кейнсом в развитие кембриджского подхода к анализу спроса на деньги. Кейнс расширил представления предшественников о субъективных мотивах, побуждающих экономических субъектов иметь на руках запас денег.

  • Субъективные мотивы спроса на деньги по Кейнсу
1. Трансакционный мотив потребность в деньгах для совершения текущих покупок, т.е. для использования их в качестве платежного средства. Как и его предшественники, Кейнс полагал, что эта составляющая спроса на деньги определяется прежде всего объемом осуществляемых сделок (трансакций). Но поскольку объем покупок пропорционален доходу, то и трансакционная составляющая спроса на деньги пропорциональна доходу:
Мdт = kTY,
где Мdт величина трансакционного спроса на деньги;
kт чувствительность трансакционного спроса на деньги к изменению номинального совокупного дохода (коэффициент предпочтения ликвидности по трансакционному мотиву).
2. Мотив предосторожности потребность в наличии определенного запаса денег на случай непредвиденных трат и неожиданной возможности совершить выгодную покупку. Кейнс считал, что объем денег, которые экономические субъекты хранят исходя из соображений предосторожности, определяется ожидаемым в будущем объемом сделок, а планируемая величина таких покупок пропорциональна доходу. Таким образом, Кейнс пришел к выводу, что составляющая спроса на деньги, определяемая мотивом предосторожности, также пропорциональна доходу:
Мdп = kпPY,
где Мdп величина спроса на деньги по мотиву предосторожности;
kп чувствительность спроса на деньги по мотиву предосторожности к изменению номинального совокупного дохода (коэффициент предпочтения ликвидности по мотиву предосторожности).

Факторы, определяющие спрос на деньги

8.1. Спрос на деньги:
1 по трансакционному мотиву (Мdт); 2 по мотиву предосторожности (Мdп); 3 суммарный (Мdт + Мdп)

На 8.1 показаны графики спроса на деньги. Их взаимосвязь можно описать формулой:
Мdт + Мdп = kтPY + kпPY = (kт+kп)PY = kPY.
где k коэффициент чувствительности суммарного спроса на деньги по трансакционному мотиву и мотиву предосторожности к изменению номинального совокупного дохода (коэффициент предпочтения ликвидности по трансакционному мотиву и мотиву предосторожности).



Функции потребительского спроса и планируемых сбережений


Функции потребительского спроса и планируемых сбережений

3.4. Функции потребительского спроса и планируемых сбережений
Факторы, сдвигающие графики функций потребления и сбережений:
накопленное богатство домохозяйств;
уровень цен;
ожидания (будущих цен, доходов, наличия товаров);
потребительская задолженность;
налогообложение.
Функция инвестиционного спроса:
I = c dr,
где с автономные инвестиции;
d = I/r эмпирический коэффициент чувствительности инвестиционного спроса к изменению ставки процента; показывает, на какую величину изменится объем инвестиционного спроса при изменении реальной ставки процента на один пункт;
r реальная ставка процента.
Инвестиционный спрос в кейнсианской модели зависит только от процентной ставки и не зависит от величины совокупного дохода, поэтому объем инвестиций полагается автономным.
Графическое изображение функции инвестиционного спроса показано на 3.5.

Функции потребительского спроса и планируемых сбережений

3.5. Функция инвестиционного спроса
Основные направления инвестиций:
в производство;
в жилищное строительство;
в товарно-материальные запасы.
3.3. Макроэкономическое равновесие на рынке товаров Планируемые расходы расходы, которые домохозяйства и фирмы планируют истратить на товары и услуги.
Функция планируемых расходов:
АЕ = С + I,
где АЕ планируемые расходы.
Равновесие в кейнсианской модели показано на 3.6.

Функции потребительского спроса и планируемых сбережений

3.б. Равновесие в кейнсианской модели
В точке е устанавливается макроэкономическое равновесие, которое достигается при равенстве совокупного выпуска и планируемых расходов АЕ = Y* (и равенстве планируемых инвестиций и сбережений I=S).
Если планируемые расходы не равны совокупному выпуску (т.е. между ними существует разрыв), то инвестиционный спрос не равен планируемым сбережениям.
Ситуация в экономике, при которой фактический уровень совокупного выпуска превышает равновесный
Графическое изображение ситуации в экономике, при которой фактический уровень совокупного выпуска превышает равновесный, показано на 3.7.

Функции потребительского спроса и планируемых сбережений

3.7. Фактический уровень совокупного выпуска, превышающий равновесный
Перепроизводство значение, на которое объем совокупного выпуска превышает планируемые расходы и, соответственно, на которое планируемые сбережения превышают величину инвестиционного спроса. Следовательно, объем перепроизводства может быть измерен как YАЕ или S I.
В условиях перепроизводства образуется незапланированный излишек непроданной продукции. При негибкости цен предприниматели реагируют на данное событие снижением объема производства. В краткосрочном периоде это достигается увольнением части рабочих.
В результате и объем производства, и объем потребительского спроса сокращаются до тех пор, пока объем совокупного выпуска не снизится до своего равновесного значения.
Ситуация в экономике, при которой фактический уровень совокупного выпуска ниже равновесного
Графическое изображение экономической ситуации, при которой фактический уровень совокупного выпуска ниже равновесного, представлено на 3.8.

Функции потребительского спроса и планируемых сбережений

3.8. Фактический уровень совокупного выпуска ниже равновесного
Недопроизводство значение, на которое планируемые расходы превышают объем совокупного выпуска и, соответственно, на которое объем инвестиционного спроса превышает планируемые сбережения. Следовательно, инфляционный разрыв может быть измерен как АЕ Y или I S.
В условиях недопроизводства образуется недостаток продукции. При негибкости цен предприниматели реагируют на данное событие увеличением объема производства.
В краткосрочном периоде это достигается посредством найма дополнительных рабочих. В результате и объем производства, и объем потребительского спроса увеличиваются до тех пор, пока объем совокупного выпуска не достигнет своего равновесного значения.
Следовательно, в условиях негибкости цен равенство совокупного предложения совокупному спросу устанавливается путем движения совокупного объема производства и дохода к своему равновесному уровню.
Основной вывод кейнсианской модели: состояние макроэкономического равновесия на рынке товаров и услуг (т.е. равенство совокупного спроса и совокупного предложения) совместимо с любым уровнем занятости ресурсов (полным, частичным или избыточным).
Состояние экономики в период экономического спада
Графически состояние экономики в период экономического спада показано на 3.9.

Функции потребительского спроса и планируемых сбережений

3.9. Экономический спад
Во время спада экономической конъюнктуры наблюдается частичная занятость ресурсов, в том числе и рабочей силы (т.е. существует устойчивая безработица). Поэтому фактический объем совокупного выпуска оказывается меньше потенциального, возникает так называемый разрыв совокупного выпуска, или разрыв ВВП.
Разрыв совокупного выпуска (разрыв ВВП) разница между значениями потенциального и фактического ВВП.
Состояние экономики в период экономического подъема
Состояние экономического подъема характеризуют графики, представленные на 3.10.

Функции потребительского спроса и планируемых сбережений

3.10. Экономический подъем
Во время подъема («перегрева») экономической конъюнктуры наблюдается избыточная занятость ресурсов. Поэтому фактический объем совокупного выпуска оказывается выше потенциального.
Следствием этого является устойчивый рост уровня цен (инфляция).
Состояние экономики при полной занятости ресурсов
Графическое изображение состояния экономики при полной занятости ресурсов показано на 3.11.

Функции потребительского спроса и планируемых сбережений

3.11. Состояние экономики при полной занятости ресурсов
Такое состояние экономической конъюнктуры считается оптимальным, поскольку в экономике отсутствуют безработица и инфляция.
Но в экономике отсутствует внутренний механизм, способный автоматически поддерживать ее в оптимальном состоянии (поскольку цены товаров и ресурсов негибки).
Вывод: для поддержания оптимального состояния экономической конъюнктуры, необходимо вмешательство государства.
Задания
Задание 1. Представлены данные об объеме потребительского спроса С и объеме совокупного дохода Y:

Y, млрд руб.
240
280
320
360
400
440
480
520
С, млрд руб.
228
256
284
312
340
368
396
424

Выведите функцию потребительского спроса и функцию сбережений для данной экономики.
Задание 2. Объем инвестиций в экономике, о которой идет речь в предыдущем задании, равен 30 млрд руб. Определите наличие, размер и характер разрыва (двумя способами), если фактический объем совокупного выпуска составит:
а) 200 млрд руб.;
б) 300 млрд руб.;
в) 500 млрд руб.
Задание 3. Одним из любопытных выводов кейнсианской модели является так называемый «парадокс бережливости». Суть его заключается в том, что если у домашних хозяйств появляется стимул больше сберегать при каждом значении дохода (т.е. увеличивать значение автономных сбережений), то общий объем сбережений в экономике отнюдь не увеличится, а останется прежним.
Объясните, почему так получается; поясните на примере, предположив, что в экономике, описанной в предыдущих заданиях, автономные сбережения возросли на 12 млрд руб.
Задание 4. Потребительская функция Кейнса выведена для объяснения с ее помощью так называемого «основного психологического закона». Согласно эмпирическим наблюдениям, при росте дохода доля сбережений в доходе увеличивается.
Следовательно, население богатых стран сберегает большую долю дохода, чем население бедных стран. Объясните «основной психологический закон» на основе полученной Кейнсом функции потребительского спроса.
Задание 4. Покажите, используя известную вам из курса микроэкономики модель конкурентного рынка труда, что на таком рынке безработица не может иметь устойчивого характера и потому тезис классической модели об автоматическом поддержании полной занятости ресурсов правомерен, если выполняется предпосылка об абсолютной гибкости заработной платы.
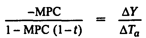
Глава 4 РЕГУЛИРОВАНИЕ МАКРОЭКОНОМИЧЕСКОГО РАВНОВЕСИЯ НА РЫНКЕ ТОВАРОВ И УСЛУГ. ФИСКАЛЬНАЯ ПОЛИТИКА 4.1. Цель и основные виды государственной экономической политики Главной целью государственной экономической политики является поддержание экономики, в состоянии полной занятости. Это гарантирует отсутствие безработицы и инфляции.
Графическое изображение задач государственной экономической политики в периоды спада и подъема показано на 4.1 (а, б).

Функции потребительского спроса и планируемых сбережений

4.1. Задачи государственной экономической политики в периоды спада (а) и подъема (б)
Задача государственной экономической политики в период экономического спада (см. 4.1, а) добиться увеличения объема производства до потенциального уровня и достижения полной занятости посредством увеличения планируемых расходов.
Государственная экономическая политика, направленная на увеличение объема производства и занятости, называется стимулирующей или расширительной. Такая политика проводится во время экономического спада.
Задача государственной экономической политики в период экономического подъема (см. 4.1, б) добиться снижения объема производства до потенциального уровня и устранения избыточной занятости путем сокращения планируемых расходов.
Государственная экономическая политика, направленная на сокращение объема производства и занятости, называется сдерживающей или рестриктивной. Такая политика проводится во время экономического подъема.
Фискальная (бюджетно-налоговая) политика разновидность государственной экономической политики, представляющая собой манипулирование государственным бюджетом, его доходами и расходами для достижения макроэкономического равновесия на уровне полной занятости при отсутствии инфляции.



Государственная политика в области внешней торговли


Страна Б, у которой внутренняя равновесная цена РБ* превышает сложившуюся мировую цену и которая, следовательно, имеет избыточный спрос на этот товар, станет импортировать недостающее его количество (QdБ QSБ).
При торговле между двумя странами с большой открытой экономикой ( 13.3) мировая цена устанавливается на таком уровне, чтобы общий объем спроса на данный товар обеих стран был полностью удовлетворен суммарным объемом предложения этого товара обеими странами, т.е. чтобы QdA + QdБ = QSA + QSБ. Тогда объем экспорта из страны А (QSA QdA) точно совпадет с потребностью в импорте страны Б (QdБ QSБ), т.е. (QSA QdA) = (QdБ QSБ).

Государственная политика в области внешней торговли

13.3. Международная торговля между двумя странами с большой открытой экономикой
13.3. Государственная политика в области внешней торговли Мировой рынок характеризуется соединением рыночного регулирования с государственным. На нем действуют две противоречивые тенденции к либерализации внешней торговли и к усилению протекционистской политики.
Торговая политика («неомеркантилизм», управляемая внешняя торговля)
1. Политика в области ограничения импорта. Проводится с протекционистскими целями для защиты отечественных производителей от конкуренции со стороны иностранных товаров.
Способы ограничения импорта:

  • Введение тарифов на импорт
Тариф на импорт таможенная пошлина на импорт.
В стране с малой открытой экономикой введение тарифа на импорт приводит к повышению внутренней цены по сравнению с мировой на величину тарифа. Величина импорта при этом сокращается с Qd - QS до Q'd -Q'S ( 13.4).

Государственная политика в области внешней торговли

13.4. Влияние тарифа на импорт на объем импорта в стране с малой открытой экономикой
Для стран с большой открытой экономикой: при введении тарифа на импорт в стране-импортере Б ( 13.5) внутренний спрос на импортируемый товар снижается, а его предложение увеличивается. Это приводит к снижению мировой цены до такого значения, при котором новый объем экспорта из страны A (Q'sa Q'dA) по новой мировой цене Р'мир не сравняется с желаемым новым объемом импорта страны Б (Q'dБ Q'SБ) по новой мировой цене плюс тариф (Р'мир+ Тариф).

Государственная политика в области внешней торговли

13.5. Влияние тарифа на импорт на объем импорта в стране с большой открытой экономикой

  • Введение импортных квот
В стране с малой открытой экономикой ( 13.6) введение импортной квоты приводит к тому, что внутренняя цена Рвнутр начнет расти по сравнению с мировой и будет увеличиваться до тех пор, пока не достигнет такого уровня, при котором объем импорта в точности равен квоте. Величина импорта при этом сокращается с Qd QS до Q'd Q'S .

Государственная политика в области внешней торговли

13.6. Влияние импортной квоты на объем импорта в стране с малой открытой экономикой
Для стран с большой открытой экономикой влияние введения импортной квоты показано на 13.7.

Государственная политика в области внешней торговли

13.7. Влияние импортной квоты на объем импорта в стране с большой открытой экономикой
При введении импортной квоты в стране-импортере Б ( 13.7) прежний объем предложения уже не удастся реализовать. Поэтому предложение в стране А начнет снижаться.
Это приводит к росту мировой цены до такого значения, при котором новый объем экспорта из страны A (Q'sa Q'dA) по новой мировой цене Р'мир не сравняется с разрешенным квотой объемом импорта страны Б (Q'sb Q'dБ) при этом же значении мировой цены.
Различия влияния тарифов и квот на экономику страны-импортера:
1. При снижении мировой цены в стране с малой открытой экономикой, где импорт ограничивается квотами, объем импорта остается неизменным, а в стране, использующей тарифы, увеличивается.
2. Тарифы и пошлины представляют собой косвенные налоги, и потому их введение увеличивает доходы государственного бюджета. Введение же квот не меняет объем поступлений в бюджет, поскольку разница между мировой и внутренней ценами остается у импортера.

  • Нетарифные ограничения:
лицензирование импортных операций;
введение ужесточенных стандартов качества для импортной продукции и др.
2. Политика в области стимулирования экспорта. Обычно принимает форму экспортных субсидий и проводится с целью увеличения валютных поступлений и улучшения платежного баланса.

Государственная политика в области внешней торговли

13.8. Влияние экспортных субсидий на объем экспорта в стране с малой открытой экономикой
В стране с малой открытой экономикой ( 13.8) введение экспортной субсидии дает возможность отечественным производителям продавать свою продукцию за рубежом по цене ниже внутренней, т.е. не окупающей их предельные издержки. Экспортная квота покрывает разницу между внутренней ценой Рвнутр и мировой ценой Рмир и потому ее величина равна (Рвнутр Рмир).
Объем экспорта при этом увеличивается с (QS Qd) до (QS' - Qd').
Для стран с большой открытой экономикой влияние экспортных субсидий показано на 13.9.

Государственная политика в области внешней торговли

13.9. Влияние экспортных субсидий на объем экспорта в стране с большой открытой экономикой
При введении экспортной субсидии в стране-экспортере А ( 13.9) внутренний спрос на экспортируемый товар падает, а его предложение растет. В результате мировая цена снижается до значения Р'мир. Именно по этой цене производители страны А будут экспортировать свой товар в страну Б. Внутри же страны А этот товар будет продаваться по более высокой цене (Р'мир+Субсидия).
При этой цене объем экспорта из страны А (Q'sa Q'dA) будет точно равняться тому объему импорта, который желает приобрести страна Б (Q'dБ Q'SБ) по новой мировой цене Р'мир.

  • Либерализация внешней торговли
Либерализация внешней торговли отмена государственного регулирования экспорта и импорта.
Либерализацией внешней торговли занимается Всемирная торговая организация (ВТО), 1995 г.
13.4. Регионализация мирового рынка Региональные группировки государств:
Европейский союз (ЕЭС);
Североамериканская зона свободной торговли (НАФТА);
Тихоокеанско-азиатская экономическая интеграция;
Содружество независимых государств (СНГ).
Формы региональной экономической интеграции:
1) зона свободной торговли;
2) общий рынок;
3) экономический и валютный союз;
4) политическая интеграция (создание федеративного государства).
Региональная экономическая интеграция, с одной стороны, способствует сближению национальных государств, участвующих в этом процессе, с другой она порождает опасность раскола единого мирового рынка на обособленные соперничающие части.
13.5. ТНК как субъекты внешнеторговых отношений и производители товаров за рубежом Транснациональные корпорации (ТНК) фирмы, имеющие дочерние компании в двух и более странах независимо от юридической формы или сферы деятельности и осуществляющие координацию деятельности своих зарубежных компаний.
Функционирование ТНК объясняется тремя моментами:
1) наличием олигополистических преимуществ у фирмы (С. Хаймер, Ч. Кинддебергер);
2) использованием преимуществ локализации использованием местных ресурсов и условий (Дж. Даннинг);
3) использованием преимуществ интернационализации (Э. Рагмен).
Особенности современных ТНК:
глобализация;
глокализация;
образование глобальных союзов.
Задания
Задание 1. В таблице представлены издержки на производство одного компьютера и одного дивана странами А и Б в человеко-часах:

Изделие
СтранаА
СтранаБ
Компьютер
100
125
Диван
40
20

Возможна ли торговля между этими странами? Если да, то какая страна какой товар будет экспортировать и к а к о в ы будут условия торговли?
Задание 2. В стране с малой открытой экономикой внутренние спрос и предложение на одноразовые ручки описаны следующими уравнениями:
Спрос: Р = 8 0,05Q; предложение: Р = 4 + 0,2Q,
где Q количество ручек, млн шт.;
Р цена одной ручки, руб.
Мировая цена равна 6 руб. за одну ручку. Правительство вводит экспортную субсидию в размере 1 руб. на ручку.
Как изменится объем экспорта ручек из этой страны?
Задание 3. В стране с малой открытой экономикой внутренние спрос и предложение на сигареты описаны следующими уравнениями:
Спрос: Q = 240 15Р; предложение: Q = 60 + 10Р,
где Q количество пачек сигарет, тыс. шт.;
Р цена одной пачки сигарет, руб.
Мировая цена равна 4 руб. за одну пачку сигарет.
а) Правительство вводит квоту, равную половине существующего объема импорта. Как это повлияет на величину спроса, предложения и цену на внутреннем рынке сигарет по сравнению с первоначальной ситуацией?
б) Правительство вводит тариф в размере 80 коп. на одну пачку сигарет. Как это повлияет на величину спроса, предложения на внутреннем рынке сигарет и на объем импорта сигарет в страну по сравнению с первоначальной ситуацией?
Задание 4. Предположим, что некий сорт вина производится только в двух странах с большой открытой экономикой, которые торгуют этим вином только друг с другом. Внутренние спрос и предложение этого вина в обеих странах выглядят следующим образом:
Страна А Страна Б
Спрос: Q = 135 5Р; Спрос: Q = 350 10Р ;
предложение: Q = 15 +5Р, предложение: Q = 20 + 10Р,
где Q количество бутылок вина, тыс. шт.;
Р цена одной бутылки вина, руб.
а. Определите, какая страна будет экспортировать вино, а какая его импортировать? Какая мировая цена на бутылку вина будет установлена и к а к о в будет объем торговли?
б. Правительство страны-импортера ввело тариф на продажу вина в размере 1 руб. 50 коп. на одну бутылку.Как это повлияет на объем торговли вином между этими странами и какая цена за бутылку будет установлена в каждой стране?
в. Правительство страны-импортера ввело квоту на торговлю вином в размере 10 тыс. бутылок. По какой цене теперь будет продаваться вино и к а к при этом изменится ситуация на внутреннем рынке вина в обеих странах?
г. Правительство страны-экспортера решило ввести экспортную субсидию в размере 3 руб. на каждую бутылку. Как это повлияет на объем торговли вином между этими странами и к а -к а я цена за бутылку будет установлена в каждой стране?
Задание 5. Если одна и та же страна является одновременно и экспортером и импортером продукции одной и той же отрасли, то говорят, что в этой стране имеет место внутриотраслевая торговля. Большинство промышленно развитых стран являются активными участниками внутриотраслевой торговли.
Как вы думаете, противоречит ли развитие международной внутриотраслевой торговли постулатам теории сравнительных преимуществ? Мотивируйте ваш ответ.
Задание 6. Как вы считаете, стоит ли России вступать во Всемирную торговую организацию? Какие выгоды и негативные последствия выпадут на долю России в случае вступления в эту организацию?
Задание 7. Почему Россия добивается признания ее экономики рыночной в международных организациях?
Ответы к заданиям
Государственная политика в области внешней торговли


Государственная политика в области внешней торговли


Государственная политика в области внешней торговли


Государственная политика в области внешней торговли


Государственная политика в области внешней торговли


Государственная политика в области внешней торговли


Государственная политика в области внешней торговли





Инфляция


Экономическими издержками безработицы является отставание (отклонение) фактического объема ВВП от потенциального.
Закон Оукена связывает колебания уровня безработицы с колебаниями ВВП: увеличение отклонения фактического ВВП от потенциального на % сопровождается увеличением фактического уровня безработицы по сравнению с естественным на один процентный пункт.
Формула Оукена:

Инфляция

где Y фактический ВВП;
Yf потенциальный ВВП;
u фактический уровень безработицы;
uf естественный уровень безработицы;
коэффициент Оукена, измеряет чувствительность ВВП к изменению циклической безработицы; определяется эмпирически и различен в разных странах, но всегда больше единицы, т.е. 1.
11.2. Инфляция Инфляция процесс длительного и устойчивого (обычно длящегося не менее года) обесценения денег, вызванного снижением их относительной редкости по сравнению с товарной массой. Различают открытую и скрытую инфляцию.
Открытая инфляция процесс обесценения денег, проявляющийся через устойчивую и длительную тенденцию к повышению общего уровня цен, причем отдельные цены поднимаются неравномерно и на некоторые товары могут даже опускаться.
Показатель открытой инфляции (уровень инфляции) темп прироста общего уровня цен, измеряемого обычно как дефлятор ВВП (в России же чаще как ИПЦ):

Инфляция

11.2. Инфляция спроса

Инфляция

где Р уровень цен в текущем периоде;
P1 уровень цен в прошлом периоде.
Скрытая инфляция процесс обесценения денег, не сопровождающийся повышением общего уровня цен (например, если они фиксированы государством) и потому имеющий другие проявления, например, возникновение дефицитов.
Источники инфляции:

  • Инфляция спроса ( 11.2) возникает в условиях, близких к полной занятости ресурсов, в случае если рост уровня цен происходит в результате увеличения совокупного спроса.
  • Инфляция издержек ( 11.3) возникает в результате факторов, вызывающих рост издержек производства и, следовательно, снижение совокупного предложения. К числу этих факторов относятся:
повышение номинальной зарплаты, не подкрепленное ростом производительности труда;
повышение налогов;
рост цен на ресурсы.
Экономические последствия инфляции:
снижение реальных доходов;
перераспределение богатства;
появление инфляционного налога.
Экономические издержки инфляции:
потери эффективности на микроуровне;
нарушение Парето-оптимального распределения ресурсов.

Инфляция

11.3. Инфляция издержек
11.3. Концепция альтернативы между инфляцией и безработицей. Кривая Филлипса Кривая Филлипса показана на 11.4.

Инфляция

11.4. Кривая Филлипса
На 11.4 использованы следующие обозначения:
u фактический уровень безработицы;
иf естественный уровень безработицы;
коэффициент чувствительности темпа прироста номинальной заработной платы к изменению уровня безработицы;
коэффициент чувствительности темпа инфляции (темпа прироста общего уровня цен) к изменению уровня безработицы;

Инфляция
среднегодовой темп прироста уровня номинальной заработной платы;

Инфляция
среднегодовой темп прироста общего уровня цен (среднегодовой темп инфляции).
Взаимосвязь инфляции и безработицы, описываемая кривой Филлипса: рост темпов инфляции сопровождается снижением уровня безработицы, и наоборот.
Дилемма государственной экономической политики: низкий уровень безработицы при высокой инфляции или высокий уровень безработицы при низком уровне инфляции.
Монетаристская интерпретация кривой Филлипса (модель ФридменаФелпса)
Главная идея модели Фридмена-Фелпса введение в аппарат кривой Филлипса концепции адаптивных ожиданий.
Адаптивные ожидания ретроспективные ожидания; хозяйствующие субъекты строят свои прогнозы, основываясь исключительно на прошлом опыте.
Адаптивные инфляционные ожидания ожидания будущей инфляции, сформированные хозяйствующими субъектами на основе предшествующих уровней инфляции; изменение этих ожиданий происходит медленно.
Уравнение кривой Филлипса с учетом адаптивных ожиданий:

Инфляция

где e ожидаемый уровень инфляции:
если = e циклической безработицы нет;
если e уровень безработицы сокращается ниже естественного;
если e уровень безработицы растет выше естественного.
Реакция экономики с адаптивными ожиданиями на неожиданное и ожидаемое увеличение предложения денег показана на 11.5, 11.6.

Инфляция

11.5. Реакция экономики с адаптивными ожиданиями на неожиданное увеличение предложения денег:

Инфляция

После неожиданного увеличения предложения денег экономика смещается влево вдоль краткосрочной кривой Филлипса PC1 из точки, соответствующей нулевой инфляции и естественному уровню безработицы uf, в точку, где безработица снижается до уровня
, а инфляция возрастает до 1. Дальнейшее развитие событий зависит от того, произойдет ли новое денежное вливание и в каком объеме (см. 11.5).
После ожидаемого увеличения предложения денег не происходит даже краткосрочного роста занятости. Экономика сразу смещается вверх вдоль долгосрочной кривой Филипса РСLR в точку, где безработица сохраняется на естественном уровне uf, а инфляция достигает 3 (см.
11.6).

Инфляция

11.6. Реакция экономики с адаптивными ожиданиями на ожидаемое увеличение предложения денег
Выводы:
1. Обратная связь между инфляцией и безработицей существует только в краткосрочном периоде, в долгосрочном же периоде кривая Филлипса вырождается в вертикальную прямую.
2. Удерживать экономику на уровне безработицы ниже естественного можно только путем постоянных неожиданных денежных вливаний, приводящих к сдвигу краткосрочной кривой Филлипса вверх и, следовательно, к акселерации (ускорению) инфляции. При прекращении вливаний экономика возвращается к естественному уровню безработицы.
Поэтому в долгосрочном периоде экономика устойчиво находится на уровне естественной нормы безработицы, которая может сочетаться с любым темпом инфляции.
3. Государственная политика, направленная на сокращение безработицы в краткосрочном периоде, действительно способствует снижению уровня безработицы при росте уровня инфляции, но только в том случае, когда она осуществляется неожиданным образом. Однако достигнутое таким образом расширение производства и занятости будет временным и в долгосрочном периоде неизбежно выльется только в повышение цен.
Ожидаемые же мероприятия стимулирующей политики не оказывают даже краткосрочного воздействия на производство и занятость.
4. Для снижения инфляции необходима рестрикционная (сдерживающая) экономическая политика. Неизбежным следствием такой политики является рост уровня безработицы в краткосрочном периоде.
Интерпретация кривой Филлилса с позиции теории рациональных ожиданий (Р. Лукас, Т. Сарджент)
Рациональные ожидания способ прогнозирования будущей экономической конъюнктуры, при котором экономические субъекты строят свои прогнозы, основываясь на всей доступной им информации. Ожидаемое значение инфляции это значение, представляющееся наиболее вероятным на основе всей доступной экономическому субъекту информации.
Предполагается, что хозяйствующие субъекты полностью информированы обо всех событиях в экономике и полностью предвидят их последствия, равно как и последствия своих собственных действий, поэтому их поведение рационально.
Уравнение кривой Филлипса в условиях рациональности ожиданий:

Инфляция

где случайная ошибка прогноза.
Реакция экономики с рациональными ожиданиями на непредсказуемое увеличение предложения денег
Реакция экономики на увеличение предложения денег будет аналогичной той, которая изложена в концепции адаптивных ожиданий. Разница заключается в том, что для сокращения безработицы ниже естественного значения и дальнейшего поддержания ее на этом уровне все денежные вливания должны быть не неожиданными, а непредсказуемыми даже с учетом всей имеющейся информации ( 11.7).
Для сравнения на 11.8 представлена реакция экономики с рациональными ожиданиями на предсказуемое увеличение предложения денег.

Инфляция

11.7. Реакция экономики с рациональными ожиданиями на непредсказуемое увеличение предложения денег
На 11.7 использованы следующие обозначения:

Инфляция


Инфляция

11.8. Реакция экономики с рациональными ожиданиями на предсказуемое увеличение предложения денег
Выводы:
1. Изменения уровня цен, полностью соответствующие ожидаемым, не меняют величину совокупного выпуска, и он остается равным потенциальному.
2. Фактическая инфляция может отклоняться от ожидаемой в результате непредсказуемых событий только на случайную величину е. Из-за непредвиденных колебаний спроса и предложения не соответствующие ожиданиям «сюрпризы уровня цен» вызывают краткосрочные колебания реального объема выпуска, но в долгосрочном периоде экономика возвращается к своему потенциалу.
3. Любая предсказуемая экономическая политика оказывается неэффективной с точки зрения воздействия на занятость и объем производства, поскольку результатом ее является исключительно изменение общего уровня цен.
4. Заранее объявленные, а следовательно, предсказуемые мероприятия рестрикционной (сдерживающей) экономической политики позволяют снизить инфляцию без сокращения объема производства и занятости.
11.4. Статистические материалы Уровень безработицы в Российской федерации, 1995-1998 гг.

Инфляция

1 Показатель, рассчитанный по методологии Международной организации труда (МОТ).



Информация воспринимается населением ныне более критично.


Накопленный в мире опыт свидетельствует о нескольких направлениях деятельности государства в этой области. Некоторые из них вполне типичны для всех стран  независимо от того, идет ли речь о зрелой рыночной или переходной экономике.
Среди общепризнанных направлений следует назвать в первую очередь политику по реализации социальных программ. Ее задача  создание и поддержание социального равновесия в обществе.
В расчет берется исходная основа: общество по своей природе всегда имеет элемент неоднородности и, как результат,  материального неравенства. Социальный баланс, благоустроенная жизнь более обеспеченных слоев общества стабильнее сохраняется в том случае, если через систему налогов они поддерживают (естественно, в определенной степени) материальный уровень жизни более низкооплачиваемых слоев.
Общим элементом для стран с развитой рыночной и переходной экономикой является и наличие определенных противоречий, порождаемых самой социальной политикой, реализацией ее целей. Конфликтная ситуация обусловлена противопоставлением потребностей общества и финансовых ресурсов государства, а также противостоянием целей разных социальных групп.
Методы решения данного конфликта (потребности  ресурсы, цели  возможности, интересы  интересы) имеют в названных группах стран как общие, так и специфические черты. К общим отнесем систему компромиссов, метод гибкого маневрирования с поочередным покрытием потребностей различных социальных групп.
Однако существуют и заметные различия. В странах с развитой рыночной экономикой эпицентр решений находится в русле достижения эффективного экономического роста. Максимально возможный прирост ВНП обеспечивает ослабление напряженности между запросами и финансовыми резервами, целями различных групп. Благоприятный эффект оказывает и система общенациональных дискуссий, проводимая через средства массовой информации по вопросу о социальных проблемах и методах их решения (практически это часто совпадает по времени с избирательными кампаниями).
Как показывает практика, современные, целенаправленные методы массового убеждения играют весьма заметную роль в решении социальных конфликтов. Неоспорима при этом институциональная роль партий, общественных групп, средств массовой информации.
В условиях переходной экономики (как это имеет место, например, в России) методы решения социальных противоречий во многом специфичны. Прежде всего положение осложнено тем, что экономика находится в депрессии. Экономический рост пока еще в стадии ожидания. Поэтому путь решения противоречий социальной политики достаточно затруднен. Естественно, что в ход идут методы “второго эшелона”  социально-экономическое маневрирование.
Финансовые средства направляются прежде всего в те сферы, где их отсутствие наиболее опасно. В первую очередь речь идет о поддержании пенсионного обеспечения. В отношении же заработной платы лиц, занятых на государственных предприятиях, вынужденно используется метод задержки выплаты денежных сумм; практикуется также предоставление неоплачиваемых внеочередных отпусков.
Более радикальный путь  закрытие убыточных предприятий, но это неизбежно влечет массовые увольнения, что не добавляет равновесия в обществе.
Важнейший аспект государственной активности в сфере экономики (без чего не могут быть решены социальные вопросы) развитие инфраструктуры. Понятие инфраструктуры многопланово и имеет тенденцию к более широкому толкованию.
Существуют так называемые материальные объекты инфраструктуры (система дорог, портов, средств связи, учреждения социальной сферы) и нематериальные (правовая система, стабильная национальная валютная система, эффективная система конкуренции, система образования).
В этом отношении существует немало общего между странами с развитой рыночной и переходной экономикой. Однако налицо и заметные различия.
В странах с развитой рыночной экономикой поле деятельности государства постепенно перемещается от материальных к нематериальным объектам инфраструктуры. Наблюдается также положение, при котором необходимые социальные расходы постепенно сдвигаются в сторону частного сектора. Например, прослеживается тенденция более широкого распространения частного социального страхования, обеспечивающего пенсионное и медицинское обслуживание населения.
Все это стало возможным на определенной стадии зрелости общества.
Обусловлено это растущей социальной нивелировкой общества, что происходит за счет увеличения доли среднего класса. Этот процесс позволяет несколько снизить социальную ответственность государства. Само общество постепенно приходит к выводу: более оплачиваемый не может до бесконечности кормить менее оплачиваемого.
Право граждан на индивидуальный выбор формы социальных услуг позволяет поставить преграду механическим перечислениям собственных средств в пользу оплаты пенсий и медицинских расходов других лиц, которые зачастую сознательно избегают необходимой доли своего вклада в общий финансовый фонд государства. Примеров злоупотребления в пользовании социальными благами со стороны “несознательных элементов” в любом обществе  масса.
Этим проблемам посвящено немало публикаций в печати западных стран.
Что касается тенденций в социальном развитии нашей страны, то в блоке нематериальных составляющих понятия инфраструктуры следует обозначить самостоятельное звено: складывающуюся систему экономического образования широких масс населения, становление экономического мировоззрения нации. Памятуя о роли государства в общественных процессах, отметим, что здесь его задача  в оказании помощи обществу по формированию грамотного, цивилизованного понимания экономических и социальных проблем в условиях демократических перемен и становления рыночной экономики.
Данная целевая ориентация  непростая задача, ее решение во многом определяется степенью образованности населения, его менталитетом, сложившимися традициями. Степень образованности населения в нашей стране в целом достаточно высока (по крайней мере по внешним параметрам).
Однако по линии традиций и менталитета проявляются обстоятельства, которые мешают формированию современного мировоззрения, ориентированного на положительное восприятие новых стереотипов жизни.
Среди указанных обстоятельств отметим отсутствие навыка к самостоятельному принятию решений. Российское население длительное время существовало в условиях царского самодержавия, позднее  тоталитарной партийной диктатуры. Создалась привычка следования за лидером (что освобождало от необходимости самостоятельного принятия решений). Для рядовых членов общества такое положение облегчало существование.
Однако в российском менталитете образовались признаки противоречия: привычка следовать за лидером непостижимым образом сочеталась с традиционной чертой внутреннего неуважения к начальствующим персонам.
Единомыслие в российском обществе сколачивалось прежде за счет нескольких факторов: до революции помогали жесткие рамки феодальной зависимости крестьян, нормы религии. После изменения социально-экономической системы единение взглядов обеспечивалось методами тотальной пропаганды и насаждения всеобщего страха.

В современных условиях формирования демократического общества отпадает система страха как метод воздействия на мировоззрение нации. Исчезла и тотальная пропаганда.
Информация воспринимается населением ныне более критично. Тем не менее следует учитывать еще достаточно крепко сохранившуюся привычку населения доверять средствам массовой информации.
В связи с этим одна из важнейших задач современной российской действительности  разработка методов воздействия на мировоззрение людей с помощью умелой, профессионально поданной, объективной и всесторонней информации. При этом важно учитывать особенности менталитета нации.
Известно, например, что для многих россиян достаточно типична не столько рациональная, сколько эмоциональная форма восприятия информации, и далеко не всегда приемлем чересчур рассудительный, теоретически и логически выстроенный стиль подачи материала. Присовокупим сюда еще известную всему миру так называемую российскую непредсказуемость в мыслях и поступках!
Все сказанное свидетельствует о необходимости выработки системы воздействия на общественное мировоззрение с помощью гибких и умных, то есть нелобовых мер. Косвенные меры (в отличие от прямых) выражаются не в жестком навязывании той или иной точки зрения, а во всемерном развитии самосознания людей, что побуждает личность к самостоятельности и активности и отвечает задачам общественного развития.
***
В заключение отметим, что российский экономический форум в Екатеринбурге стал очевидным свидетельством того, что в развитии экономической реформы наступает новый этап. Активными ее участниками стремятся стать регионы, желая при этом повернуть Москву к себе лицом. В этом побуждении проявляется, безусловно, как объективная основа, так и субъективный, психологический момент.
Интересна в связи с этим мысль, прозвучавшая в Екатеринбурге: в Москве есть флаги республик, но нет пока флагов областей...
Хочется надеяться, что разрешение противоречий, неизбежных между различными политическими течениями, партиями и их лидерами, постепенно примет более цивилизованный характер, отчего выиграют все.




Инвестиционные расходы фирм


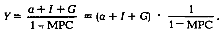
ВВП = С + I + G + NX,
где С - потребительские расходы;
I - инвестиционные расходы фирм, т.е. приобретение нового физического капитала или материальных активов;
G - государственные закупки товаров и услуг (они не включают государственные трансферты, которые лишь перераспределяют доходы);
NX - чистый экспорт разница (сальдо) между экспортом и импортом товаров и услуг (если импорт больше, чем экспорт, то NX отрицательная величина).
В инвестиции включаются:
расходы на покупку новых машин и оборудования;
расходы на новое строительство (в том числе жилищное);
изменение производственных запасов.
В инвестиции не включаются:
деньги и ценные бумаги, которые относятся к финансовым активам.
В ВВП фигурируют валовые частные внутренние инвестиции, т.е. все произведенные за год капитальные товары независимо от того, используются ли они для замены старых изношенных капитальных благ или для расширения производственных возможностей. Этим они отличаются от чистых частных внутренних инвестиций, показывающих величину чистого прироста запаса капитальных благ:

Инвестиционные расходы фирм

В инвестиции не включаются государственные капиталовложения, но входят все другие капиталовложения в национальную экономику, в том числе сделанные иностранцами. Капиталовложения отечественных инвесторов за рубежом не входят в ВВП данной страны.
2. Метод добавленной стоимости. ВВП, рассчитанный методом добавленной стоимости, равен сумме стоимостей, добавленных на каждом этапе производства конечной продукции во всех секторах экономики.
Добавленная стоимость равна разнице между валовой выручкой фирмы от продажи ее продукции и затратами на покупку товаров и услуг у других фирм. Эти затраты равны стоимости промежуточной продукции.
Добавленная стоимость собственный вклад фирмы в создание ВВП.
Поскольку добавленная стоимость полностью расходуется на вознаграждение собственникам факторов производства, участвовавшим в ее изготовлении, то в экономике:
Сумма добавленных стоимостей = Сумма всех факторных доходов = (Заработная плата и жалование) + Арендная плата + Рента + Процентный доход + Прибыль предпринимателей.
Следовательно, ВВП может быть рассчитан как сумма всех факторных доходов.
Однако в экономике расходы на конечные товары и услуги не равны доходам, получаемым от факторов производства. Это связано с тем, что в экономике существуют расходы, не являющиеся доходами никаких собственников ресурсов:
расходы на возмещение изношенных капитальных благ (амортизационные расходы);
расходы на оплату ценовых надбавок (косвенных налогов).
Косвенные налоги нефакторный доход государства, который делает затраты покупателя больше, чем валовая выручка фирмы от реализации конечных товаров и услуг (акцизы, налог с продаж, налог на добавленную стоимость).
Государственные субсидия производителям нефакторный доход производителей, позволяющий фирмам получить большую выручку от реализации конечных товаров и услуг, чем расходы потребителя на их покупку:

Инвестиционные расходы фирм

Для уравновешивания суммы доходов и суммы расходов амортизационные расходы и косвенные налоги прибавляются к сумме факторных доходов:

Инвестиционные расходы фирм

Другие показатели системы национальных счетов:
Чистый внутренний продукт (ЧВП) чистая стоимость конечных товаров и услуг (отличается от ВВП на стоимость износа основного капитала):
ЧВП = ВВП - Амортизационные расходы.
Внутренняя доход совокупный доход, получаемый всеми экономическими агентами, собственниками факторов производства:
ВД = ЧВП - Чистые косвенные налоги. Примечание:
ВНП Амортизационные расходы = Чистый национальный продукт (ЧНП);
ЧНП Чистые косвенные налоги = Национальный доход (НД).
Личный (персональный) доход (ЛД) денежный доход, полученный всеми домашними хозяйствами, служащий базой для уплаты подоходных налогов:

Инвестиционные расходы фирм

Личный располагаемый доход личный доход за вычетом подоходных налогов:

Инвестиционные расходы фирм

Все показатели системы национальных счетов измеряются по их текущей рыночной стоимости. Но благосостояние общества зависит и от результатов экономической деятельности, трудно поддающихся рыночной оценке.
В ВВП не отражается большой объем услуг, оказываемых в домашних хозяйствах (уборка квартир, стирка, приготовление пищи, самостоятельный ремонт личных автомашин и т.п.).
Нелегальные виды деятельности не поддаются точной оценке, их результаты также не учитываются в ВВП, и они относятся к подпольной (теневой) экономике:
часть доходов от вполне законной деятельности, скрываемая ради уменьшения налогов;
доходы от криминальной деятельности (например, торговли наркотиками).
Доходы от подпольной экономики оцениваются в 3-20% ВВП США и до 40% ВВП Российской Федерации.
Показатели системы национальных счетов характеризуют экономическое благосостояние, но недостаточно говорят о социальном благосостоянии, качестве жизни.
Показатель ВВП на душу населения более полно характеризует экономическое благосостояние членов общества. Оно зависит от степени равенства в распределении доходов, от динамики уровня цен.
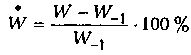
1.5. Макроэкономические показатели уровня цен Чтобы учесть влияние цен, рассчитываются индексы цен. Они предназначены для определения среднего изменения цен в экономике.
Все индексы цен описывают изменение стоимости репрезентативного набора (корзины) товаров, взвешенное по количеству каждого товара.
Виды индексов цен:
индекс оптовых цен (на все товары, реализуемые большими партиями);
индекс цен производителей (оптовых цен на товары отдельных отраслей);
индекс розничных цен (цен на все товары, продаваемые в розничной торговле);
индекс стоимости жизни (цен «потребительской корзины» определенной группы розничных покупателей);
индекс экспортных и импортных цен и т.п.;
индекс - дефлятор ВВП (индекс цен на все товары и услуги, покупаемые конечными потребителями).
Дефлятор ВВП позволяет пересчитать номинальный ВВП, т.е. ВВП в текущих ценах, в реальный ВВП, т.е. ВВП в постоянных (сопоставимых) ценах, очищенный от влияния изменения цен:

Инвестиционные расходы фирм

Дефлятор ВВП (рассчитывается как индекс Пааше) составляется как средневзвешенная оценка изменения стоимости набора товаров как потребительского, так и производственного назначения, входящих в корзину текущего года:

Инвестиционные расходы фирм

Индекс потребительских (розничных) цен (рассчитывается как индекс Ласпейреса) составляется как средневзвешенная оценка изменения стоимости набора потребительских товаров, входящих в корзину базового года:

Инвестиционные расходы фирм

где Ртек, Рбаз цены текущего и базового года соответственно;
Qтек, Qбаз количества товара, входящего в набор, в текущем и базовом году соответственно.
Индекс Ласпейреса (ИПЦ) не учитывает эффект замещения сильно подорожавших товаров относительно более дешевыми и завышает рост уровня цен. Индекс Пааше учитывает эффект замещения, но не принимает во внимание снижение уровня благосостояния, вызванное подорожанием.
Поэтому индекс Пааше занижает рост уровня цен.
Для более адекватного отражения динамики уровня цен рассчитывается индекс Фишера:

Инвестиционные расходы фирм

1.6. Статистические материалы Основные макроэкономические показатели в России

Показатель
1991 г.
1992 г.
1993 г.
1994 г.
1995 г.
1996 г.
1997 г.
Номинальный ВВП, трлн руб.
1.4
19,0
171,5
610,6
1631,0
2256,0
2675,0
Дефлятор ВВП, раз
2,3
36,7
362,0
1484,4
4156,3
5852,4
6866,2
Реальный ВВП, трлн руб.*
0,61
0,52
0,47
0,41
0,39
0,385
0,39
Индекс потребительских цен*
2,6
67,9
637,9
2041,2
4721,4
5750,6
6325,7
* За базовый год взят 1990 г.
Соотношение различных показателей уровня цен в России*

Показатель
1991 г.
1992 г.
1993 г.
1994 г.
1995 г.
1996 г.
1997 г.
Индекс потребительских цен
2,6
67,9
637,9
2041,2
4721,4
5750,6
6325,7
Дефлятор ВВП
2,3
36,7
362,0
1484,4
4156,3
5097,2
6866,2
Индекс цен промышленной продукции
2,4
49,2
487,1
2484,1
6831,3
8580,1
9120,7
Индекс цен сельскохозяйственной продукции
1,6
15,0
121,8
365,5
1206,1
1419,5
1554,4
Индекс цен в капитальном строительстве
3,4
54,7
635,0
3365,4
8416,9
11556,4
12920,1
Индекс цен на грузовые перевозки
1,5
30,8
568,9
4323,5
10972,9
13387,0
13440,5
* За базовый год взят 10090 г.
Динамика структуры ВВП России

Показатель
Доля в ВВП (в%)
1991 г.
1992 г.
1993 г.
1994 г.
1995 г.
1996 г.
1997 г.
Частное потребление Инвестиции
Государственное потребление Чистый экспорт
45,7
37,1
16,9
0,3
35,5
35,7
14,3
14,5
46,3 27,9
17,9
8,0
47,1 25,7
22,6
4,6
51,4 24,7
19,7
4,2
50,3 23,7
20,6
5,5
53,1 21,7
22,2
3,1

Источник: Таблицы составлены по данным сб. «Российский статистический ежегодник» (М.: Госкомстат РФ) и сб. «Россия в цифрах» (М.: Госкомстат РФ) за соответствующие годы.
Задания
Задание 1. Представим себе упрощенною экономику гипотетической страны Хиксонии. Основу ее благосостояния составляют тысячи мелких самостоятельных фермерских хозяйств.
Крупных фирм всего две: машиностроительная компания «Special Motors» (SM) и предприятие по переработке сельскохозяйственной продукции «Food Development» FD). Компания SM производит за год 1000 легковых автомобилей, которые продает по цене 6000 хиксов (хикс денежная единица Хиксонии), и 1000 тракторов ценой 8000 хиксов.



Итоговые изменения балансов банковской системы


ставки процента по ссудам центрального банка, называемой ставкой рефинансирования. Ставка рефинансирования* та ставка процента, под которую центральный банк выдает кредиты коммерческим банкам.
* Ставка рефинансирования российский термин. В США она называется учетной ставкой, в Великобритании банковской ставкой, в Германии ломбардной ставкой.


  • При снижении ставки рефинансирования кредиты центрального банка становятся дешевле и делаются более доступными для коммерческих банков. Объем займов по ставке рефинансирования в центральном банке увеличивается, приводя к росту избыточных резервов коммерческих банков. Это означает рост денежной базы. Занятые у центрального банка средства могут быть использованы коммерческими банками для выдачи дополнительных ссуд, а дополнительные ссуды вызовут мультипликативное расширение вкладов. Денежная масса увеличится.
Рассмотрим процесс расширения денежной массы при увеличении объема кредитов центрального банка на 10 тыс. руб. при прочих равных: cr = 25%, rr = 10%, er = 15% ( 9.5).

Итоговые изменения балансов банковской системы


9.5. Итоговые изменения балансов банковской системы, вызванные ростом объема кредитов центрального банка на 10 тыс. руб.
Следовательно, снижение ставки рефинансирования центрального банка ведет к росту денежной базы в форме увеличения избыточных резервов коммерческих банков за счет дополнительных заимствований у центрального банка. Ссудный потенциал банковской системы растет, объем выдаваемых коммерческими банками ссуд увеличивается и приводит к мультипликационному расширению вкладов и росту предложения денег ( 9.6).

Итоговые изменения балансов банковской системы

9.6. Влияние снижения ставки рефинансирования на величину предложения денег
В нашем числовом примере:

Итоговые изменения балансов банковской системы

Снижение ставки рефинансирования, которое привело к росту объема кредитования коммерческих банков на 10 тыс. руб., вызвало рост денежной базы на 10 тыс. руб. и увеличение денежной массы на 25 тыс. руб.

  • При повышении ставки рефинансирования ссуды центрального банка становятся дороже, и часть возвращенных коммерческими банками кредитов не будут снова отданы в ссуду. Объем займов по ставке рефинансирования в центральном банке сократится, и часть банков не получит запланированных средств для пополнения избыточных резервов. Тогда банкам придется пополнять избыточные резервы за счет внутренних источников. С этой целью часть ссуд будет отозвана или по возвращении не выдана снова в кредит. Это приведет к мультипликативному сокращению вкладов банковской системой и уменьшению предложения денег.
Рассмотрим процесс сокращения денежной массы при сокращении объема кредитов центрального банка на 10 тыс. руб. при прочих равных: сr = 25%, rr = 10%, еr = 15% ( 9.7).

Итоговые изменения балансов банковской системы

9.7. Итоговые изменения балансов банковской системы, вызванные сокращением объема кредитов центрального банка на 10 тыс. руб.
Следовательно, повышение ставки рефинансирования центрального банка ведет к сокращению той части избыточных резервов коммерческих банков, которая поддерживается за счет заимствований у центрального банка. Ссудный потенциал банковской системы снизится, объем выдаваемых коммерческими банками ссуд сократится и приведет к мультипликативному сокращению вкладов и уменьшению предложения денег ( 9.8).

Итоговые изменения балансов банковской системы

9.8. Влияние повышения ставки рефинансирования на величину предложения денег
В нашем числовом примере:

Итоговые изменения балансов банковской системы

Таким образом, повышение ставки рефинансирования, которое привело к сокращению объема кредитования коммерческих банков на 10 тыс. руб., вызвало уменьшение денежной базы на 10 тыс. руб. и сжатие денежной массы на 25 тыс. руб.
В описанном виде механизм воздействия ставки рефинансирования на предложение денег работает только в тех странах, где займы, полученные у центрального банка страны, коммерческим банкам разрешено использовать для выдачи ссуд клиентам (как во многих развитых странах Западной Европы). В ряде же стран (например, в США) делать это запрещено законом, и ссуды центрального банка запрашиваются коммерческими банками исключительно в случае угрозы банкротства для расчета по обязательствам. В таких случаях говорят, что центральный банк выполняет функции кредитора в последней инстанции.
Объем таких кредитов обычно незначителен и не влияет сколько-нибудь всерьез на величину предложения денег. Ставка рефинансирования в таких странах выполняет скорее функцию индикатора для межбанковского рынка кредитов.
Ставка процента по межбанковским ссудам колеблется обычно синхронно со ставкой рефинансирования, и последняя регулирует не столько объем кредитов самого центрального банка, сколько косвенно объем межбанковских займов.
Центральный банк РФ примерно до конца 1994 г. выдавал кредиты в значительных объемах и пользовался ставкой рефинансирования как основным инструментом воздействия на денежную базу и денежную массу. Приблизительно с 1995 г. объем кредитования экономики был значительно снижен, и Центральный банк РФ принял на себя функции кредитора в последней инстанции.
Ставка рефинансирования стала с тех пор играть в основном индикативную роль. Но с начала 1997 г. центральный банк РФ стал практиковать выдачу краткосрочных ломбардных кредитов не по ставке рефинансирования, а по так называемой ломбардной ставке, которая равнялась ставке рефинансирования для кредитов длительностью до 7 дней, а для более длительных кредитов превышала ее.
Операции на открытом рынке
Операции на открытом рынке это операции центрального банка по купле-продаже государственных облигаций (долговых обязательств правительства) на вторичном рынке.
Выполняя функцию банкира правительства, центральный банк выдает правительству ссуды и потому является крупнейшим держателем государственных облигаций. Краткосрочные облигации используются им для проведения операций на открытом рынке, представляющем собой вторичный рынок государственных долговых обязательств. В странах с развитой рыночной экономикой это основной инструмент денежно-кредитной политики.
Операции на открытом рынке позволяют быстро изменить объем денежной массы, в отличие от прочих инструментов, которые носят скорее среднесрочный характер. Проведение таких операций опирается на мощную инфраструктуру, и объем сделок центрального банка на открытом рынке очень велик.

  • При покупке пакета государственных ценных бумаг центральный банк предъявляет на них дополнительный спрос на вторичном рынке. При этом текущая рыночная цена этих облигаций увеличивается, а их текущая доходность уменьшается. Привлекательность этих ценных бумаг снижается, и центральному банку нетрудно будет найти желающих их продать. За купленные ценные бумаги центральный банк расплатится с населением наличными деньгами, которые частично останутся в обращении в виде кассовых остатков, а частично будут внесены на счета до востребования в коммерческих банках. Пропорция зависит от значения коэффициента «наличность депозиты». Например, если коэффициент «наличность депозиты» равен 25%, то 20% выплаченных центральным банком денег население оставит на руках, а 80% внесет на счета, увеличив тем самым избыточные резервы коммерческих банков.
В результате денежная база увеличивается на величину рыночной стоимости купленного центральным банком пакета государственных облигаций. Рост же избыточных резервов коммерческих банков позволит им увеличить объем выдаваемых ссуд и вызовет мультипликационное расширение вкладов и рост денежной массы.
Рассмотрим процесс увеличения денежной массы при покупке центральным банком государственных облигаций на сумму 10 тыс. руб. при прочих равных: сr = 25%, rr = 10%, еr = 15% ( 9.9).

Итоговые изменения балансов банковской системы

9.9. Итоговые изменения балансов банковской системы, вызванные покупкой центральным банком государственных облигаций на сумму 10 тыс. руб.
Следовательно, скупка центральным банком государственных ценных бумаг ведет к росту денежной базы на сумму покупки благодаря увеличению кассовых остатков и избыточных резервов коммерческих банков. Ссудный потенциал банковской системы расширится, объем выдаваемых коммерческими банками ссуд увеличится и приведет к мультипликативному расширению вкладов и росту денежной массы ( 9.10).

Итоговые изменения балансов банковской системы

9.10. Влияние покупки центральным банком государственных ценных бумаг на открытом рынке на величину предложения денег
В нашем числовом примере:

Итоговые изменения балансов банковской системы

Таким образом, покупка центральным банком у населения государственных ценных бумаг на сумму 10 тыс. руб. вызвала увеличение денежной базы на 10 тыс. руб. и рост денежной массы на 25 тыс. руб.

  • При продаже дополнительного пакета государственных ценных бумаг центральный банк предлагает их на вторичном рынке, тем самым увеличивая их предложение. При этом текущая рыночная цена данных облигаций снижается, а их текущая доходность увеличивается. Привлекательность этих ценных бумаг повышается, и центральному банку нетрудно будет найти желающих их купить. За приобретенные ценные бумаги население частично расплачивается из своих кассовых остатков, а частично деньгами, снятыми со счетов до востребования в коммерческих банках. Пропорция зависит от значения коэффициента «наличностьдепозиты». Например, если коэффициент «наличностьдепозиты» равен 25%, то 20% пакета облигаций будут куплены за счет кассовых остатков, а 80% за счет денег, снятых со счетов, которые банки выдадут из своих избыточных резервов.
Полученные центральным банком деньги выводятся им из обращения, и, таким образом, денежная база уменьшается на величину рыночной стоимости проданного пакета государственных облигаций.



Изменение балансов банковской системы


руб. ( 7.1). При этом наличная составляющая денежной массы возросла на ту же величину.
Значит, первое расширение предложения денег будет произведено центральным банком на сумму.
Изменение балансов банковской системы

Предположим для простоты, что все получатели этих денег вносят их на вклады до востребования в один и тот же коммерческий банк №1. При норме обязательного резервирования, равной 10% от суммы вкладов, коммерческий банк №1 может выдать дополнительную ссуду на сумму 10тыс.руб.х(1 0,1)= 9 тыс. руб. Именно на эту величину расширит денежную массу данный банк:

Изменение балансов банковской системы

Получатель ссуды в 9 тыс. руб. в коммерческом банке №1 скорее всего потратит эти деньги на покупку или на возврат долга. Получатель платежа, в свою очередь, вложит полученные средства в коммерческий банк №2.
Объем вкладов до востребования в банке №2 увеличится на 9 тыс. руб., и он сможет выдать дополнительную ссуду в размере 9 тыс. руб. х (1 0,1) = 8,1 тыс. руб. На эту величину и расширит денежную массу банк №2:

Изменение балансов банковской системы

Аналогичным путем полученная в коммерческом банке №2 ссуда попадет на вклад до востребования в коммерческий банк №3. Объем вкладов до востребования в банке №3 увеличится на 8,1 тыс. руб., и он сможет выдать дополнительную ссуду в размере 8,1 тыс. руб. х (1 0,1) = 7,29 тыс. руб. На эту величину расширит денежную массу банк №3:

Изменение балансов банковской системы

и т.д. до тех пор, пока все дополнительно выпущенные центральным банком 10 тыс. руб. не вернутся в центральный банк в виде обязательных резервов участвующих в этом процессе коммерческих банков.
В общем виде:

Изменение балансов банковской системы

По окончании процесса суммарный прирост предложения денег составит:

Изменение балансов банковской системы

Следовательно, по окончании процесса 10 тыс. руб. наличных денег, созданных центральным банком, будут выведены из обращения и окажутся в фонде обязательных резервов банковской системы, а в обращении останется 100 тыс. руб. кредитных денег (вкладов до востребования).
Таким образом, увеличение денежной базы приводит к многократному (мультипликационному) расширению вкладов в коммерческих банках и денежной массы.
Депозитный (кредитный) мультипликатор
Изменение балансов банковской системы
показывает, во сколько раз конечный прирост денежной массы (предложения денег) превосходит первоначальный прирост денежной базы при отсутствии наличных денег в обращении и избыточных резервов.
Так как rr 1, то депозитный мультипликатор всегда больше единицы.
Поскольку любое расширение денежной массы всегда является следствием расширения денежной базы, то

Изменение балансов банковской системы

Однако такое определение предложения денег основано на малореалистичных предпосылках.

  • Случай 2.
В более реалистичном виде:
1. Население обычно не вносит все попадающие к нему наличные деньги на банковский вклад, а часть их оставляет на руках в наличной форме (в форме кассовых остатков). Пропорция, в которой денежная масса распределена на кассовые остатки и вклады до востребования, описывается коэффициентом «наличность-депозиты»:

Изменение балансов банковской системы

Тогда любой прирост денежной массы будет распределен между приростом кассовых остатков и приростом вкладов в определенной пропорции.
Поскольку
Изменение балансов банковской системы
и
Изменение балансов банковской системы
, то
Изменение балансов банковской системы
;

Изменение балансов банковской системы

Следовательно, если общий прирост денежной массы составил 1 рубль, то
копеек приходится на прирост вкладов до востребования и
копеек на прирост кассовых остатков.
2. Коммерческие банки обычно считают минимальную норму резервирования вкладов чересчур низкой для поддержания нормальной платежеспособности. К тому же обязательные резервы хранятся в центральном банке.
Поэтому коммерческие банки, как правило, предпочитают часть своих избыточных резервов не отдавать в ссуду, а хранить в самом банке. Та доля вкладов, которую коммерческие банки в среднем считают необходимым хранить в виде избыточных резервов, называется нормой избыточного резервирования вкладов:

Изменение балансов банковской системы

где ERes объем избыточных резервов.
При наличии избыточных резервов коммерческие банки используют для выдачи ссуд не весь свой ссудный потенциал, а за вычетом суммы хранящихся в банке избыточных резервов:

Изменение балансов банковской системы

Тогда процесс мультипликации вкладов будет протекать по-другому. На каждом этапе из него будут исключаться не только обязательные, но и избыточные резервы, а также кассовые остатки.
Поэтому итоговое расширение денежной массы будет меньше, чем в предыдущем случае.


Изменение балансов банковской системы


7.2. Изменение балансов банковской системы в процессе мультипликации вкладов (случай 2)
Например ( 7.2), если сr = 0,25, еr = 0,15 и по-прежнему rr = 0,1, то при эмиссии дополнительных 10 тыс. руб. первое расширение денежной массы центральным банком будет таким же, как и в предыдущем случае:

Изменение балансов банковской системы

Но теперь получатели этих денег оставят у себя 20% от полученной суммы в наличной форме:

Изменение балансов банковской системы


и только 80%, т.е.

Изменение балансов банковской системы
будут внесены на вклады до востребования в коммерческий банк № 1.
Банк №1 поступит с этими деньгами следующим образом:
10%, т.е. RRres = Dер rr = 8 тыс. руб. 0,1 = 0,8 тыс. руб., отправит в центральный банк для пополнения своих обязательных резервов;
15%, т.е. ERres = Dер еr = 8 тыс. руб. 0,15 = 1,2 тыс. руб., оставит в наличной форме для формирования избыточных резервов;
оставшиеся после формирования резервного фонда 75% от суммы вклада выдаст в ссуду:
Прирост объема ссуд = Dер (1 rr cr) = 8 тыс. руб. (1 0,1 0,15) = 6 тыс. руб.
Следовательно, банк №1 увеличит денежную массу на 6 тыс. руб. (а не на 9 тыс. руб., как в предыдущем случае):

Изменение балансов банковской системы

Из общей суммы ссуды банка №1 в коммерческий банк №2 попадет только 80% ее, и всего 75% от этого вклада будут выданы в кредит. Следовательно, банк №2 увеличит денежную массу на 3,6 тыс. руб. (а не на 8,1 тыс. руб., как в предыдущем случае):

Изменение балансов банковской системы


и т.д. до тех пор, пока все дополнительно выпущенные центральным банком 10 тыс. руб. постепенно не выпадут из процесса мультипликации вкладов в виде кассовых остатков, обязательных резервов и избыточных резервов участвующих в этом процессе коммерческих банков.
В общем виде:

Изменение балансов банковской системы

По окончании процесса суммарный прирост предложения денег составит:

Изменение балансов банковской системы

Суммарная норма резервирования вкладов, т.е. доля суммарных резервов (обязательных и избыточных) в объеме вкладов до востребования:

Изменение балансов банковской системы

где r суммарная норма резервирования вкладов.
Следовательно, по окончании процесса прирост денежной базы на 10 тыс. руб. приведет к увеличению денежной массы на 25 тыс. руб., а не на 100 тыс. руб., как в предыдущем случае.
Таким образом, наличие кассовых остатков у населения и избыточных резервов у коммерческих банков уменьшает масштаб мультипликативного расширения банковских вкладов и денежной массы (в нашем примере в 4 раза).
Денежный мультипликатор
Изменение балансов банковской системы
показывает, во сколько раз конечный прирост денежной массы (предложения денег) превосходит первоначальный прирост денежной базы при наличии кассовых остатков у населения и избыточных резервов у коммерческих банков.
Так как (сr + r) 1, то денежный мультипликатор всегда больше единицы.
Поскольку любое расширение денежной массы всегда является следствием расширения денежной базы, то при наличии кассовых остатков у населения и избыточных резервов у коммерческих банков:

Изменение балансов банковской системы

Задания
Задание 1. Предположим, что в коммерческий банк вкладчик внес на вклад до востребования 1 тыс. руб. Банк добавил эти деньги к своим избыточным резервам.
Если норма обязательного резервирования равна 10%, то как в результате описанных событий изменится предложение денег?
Задание 2. В коммерческий банк обращается директор предприятия с просьбой о кредите в размере 100 тыс. руб. Половину этих средств директор просит выдать в кредит в наличной форме, а остальные перевести на расчетный счет предприятия в этом банке. Средства для выдачи этой ссуды банку придется взять из своих избыточных резервов.
Норма обязательного резервирования вкладов составляет 10%, и выданные в кредит наличные деньги, вероятнее всего, больше не вернутся в банковскую систему. Если просьба директора будет удовлетворена, то как изменится предложение денег?
Задание 3. Баланс банка, владельцем которого вы являетесь, имеет следующий вид:

Актив, тыс. руб.
Пассив, mыс. руб.
Суммарные резервы
Ссуды
140 660
Вклады до востребования Уставный капитал банка
700
100

Финансовый кризис вызвал массовые изъятия средств с вкладов, которые сократились на 100 тыс. руб.:
1. Что бы вы предприняли для предотвращения банкротства при условии, что норма обязательного резервирования составляет 10%? Покажите, каким станет тогда баланс вашего банка.
2. Какой исходный баланс вы бы предпочли иметь в сложившейся ситуации: приведенный в условии или нижеследующий? Почему?

Актив, тыс. руб.
Пассив, млн. руб.
Суммарные резервы
Ссуды
170
630
Вклады до востребования Уставный капитал банка
700
100

Задание 4. «Если бы центральный банк не устанавливал минимальную норму резервирования вкладов, то мультипликативное расширение вкладов могло бы происходить неопределенно долго». Верно ли это утверждение?
Задание 5. В годы Великой депрессии (19291933 гг.), сильнейшего экономического спада в истории США резко выросли коэффициент «наличностьдепозиты» и норма избыточного резервирования.
1. Как вы считаете, почему это произошло?
2. К а к эти события повлияли на величину предложения денег, если денежная база поддерживалась Федеральной резервной системой на прежнем уровне?



Изменение суммы подоходного налогообложения


Государственный бюджет совокупность доходов и расходов правительства за определенный период времени (обычно за так называемый бюджетный год, который по длительности равен календарному, но не всегда совпадает с ним).
4.2. Основные инструменты дискреционной фискальной политики. Эффект мультипликатора Дискреционная фискальная политика проводимое по решению правительства изменение доходов и расходов государственного бюджета с целью достижения макроэкономического равновесия на уровне полной занятости при отсутствии инфляции.
Основные инструменты дискреционной фискальной политики:
1. Изменение объема государственных закупок товаров и услуг (G).
2. Изменение суммы подоходного налогообложения (Т).
Изменение объема государственных закупок товаров и услуг
В период экономического спада с целью увеличения объема производства и занятости производится увеличение государственных закупок товаров и услуг. Тогда величина планируемых расходов увеличивается на величину прироста государственных закупок товаров и услуг G.
При этом объем производства и совокупный доход увеличиваются больше чем на G благодаря эффекту мультипликатора государственных закупок ( 4.2).
Увеличение государственных закупок товаров и услуг на G сдвигает функцию планируемых расходов вверх и смещает точку равновесия из положения 1 в положение 2. Изменение объема государственных закупок имеет мультипликационный эффект, поскольку конечное увеличение планируемых расходов АЕ и совокупного дохода Y больше, чем исходный прирост государственных закупок G.


Изменение суммы подоходного налогообложения

4.2. Эффект мультипликатора государственных закупок при проведении стимулирующей фискальной политики

  • Алгебра мультипликатора государственных закупок.
При наличии государственных закупок товаров и услуг АЕ = С + I + G; тогда в точке равновесия Y=С+I+G. Введем в это уравнение потребительскую функцию С = а + МРС Y и получим:

Изменение суммы подоходного налогообложения

Решим уравнение относительно Y:

Изменение суммы подоходного налогообложения

Отсюда очевидно, что
Изменение суммы подоходного налогообложения
где
Изменение суммы подоходного налогообложения
мультипликатор государственных закупок, показывающий, во сколько раз конечный прирост совокупного дохода превосходит вызвавший его первоначальный прирост государственных закупок товаров и услуг. Поскольку МРС 1, то мультипликатор государственных закупок всегда больше единицы.
Следует отметить, что точно такой же мультипликационный эффект даст увеличение любых автономных расходов (государственных закупок G, инвестиционных расходов I или автономного потребления a). Поэтому мультипликатор
более расширительно может быть назван мультипликатором автономных расходов. В общем виде:
, где А любой компонент автономных расходов.

  • Экономический смысл мультипликатора государственных закупок.
При увеличении государственных закупок планируемые расходы увеличиваются на G. В ответ на ту же величину возрастет и объем производства, а значит, и совокупный доход:

Изменение суммы подоходного налогообложения

Рост совокупного дохода вызовет увеличение потребительских (а вместе с ними и совокупных) планируемых расходов на МРС Y1. Благодаря этому объем производства, а значит, и совокупный доход возрастут на ту же величину:

Изменение суммы подоходного налогообложения

Новый прирост дохода вызовет новое увеличение потребительских (а вместе с ними и совокупных) планируемых расходов теперь уже на МРС Y. Тогда объем производства, а значит, и совокупный доход возрастут:

Изменение суммы подоходного налогообложения

Аналогично следующее расширение объема производства и совокупного дохода будет:

Изменение суммы подоходного налогообложения

и т.д. до бесконечности.
В общем виде:

Изменение суммы подоходного налогообложения

По окончании процесса мультипликационного расширения доходов суммарный прирост совокупного дохода составит:

Изменение суммы подоходного налогообложения

Отсюда
Изменение суммы подоходного налогообложения

Следовательно, увеличение государственных закупок приводит к многократному (мультипликативному) расширению совокупного дохода и планируемых расходов.
В период экономического подъема с целью снижения объема производства и занятости производится уменьшение государственных закупок товаров и услуг. Тогда величина планируемых расходов снижается на величину сокращения государственных закупок товаров и услуг G. При этом объем производства и совокупный доход сокращаются больше чем на G благодаря эффекту мультипликатора ( 4.3).

Изменение суммы подоходного налогообложения

4.3. Эффект мультипликатора государственных закупок при проведении сдерживающей фискальной политики
Сокращение государственных закупок товаров и услуг на G сдвигает функцию планируемых расходов вниз и смещает точку равновесия из положения 1 в положение 2. Изменение в автономных расходах имеет мультипликационный эффект, поскольку итоговое сокращение планируемых расходов АЕ и совокупного дохода Y больше, чем первоначальное сокращение государственных закупок G.
Изменение суммы подоходного налогообложения
При наличии подоходного налогообложения располагаемый доход, идущий на потребительские расходы и сбережения, становится меньше совокупного дохода на сумму собранных налогов:
Yd = Y T.
Тогда потребительская функция принимает вид:
С = а + МРС(Y T).
В период экономического спада с целью увеличения объема производства и занятости производится сокращение объема подоходного налогообложения. При этом располагаемый доход домохозяйств возрастает, и увеличивается их потребительский спрос.
Тогда объем планируемых расходов возрастет, и объем производства, и совокупный доход тоже увеличиваются, причем больше чем на величину сокращения налогов благодаря действию налогового мультипликатора.
Графическое изображение эффекта налогового мультипликатора при проведении стимулирующей фискальной политики представлено на 4.4.

Изменение суммы подоходного налогообложения

4.4. Эффект налогового мультипликатора при проведении стимулирующей фискальной политики
Сокращение подоходных налогов на T увеличивает располагаемый доход домашних хозяйств на ту же величину (
). Этот прирост располагаемого дохода будет израсходован на прирост сбережений на сумму MPS
= MPS T и на увеличение потребительского спроса на сумму МРС
= МРС T. В результате функция планируемых расходов сдвинется вверх на МРС T, и точка равновесия сместится из положения 1 в положение 2. Изменение подоходного налогообложения имеет мультипликационный эффект, поскольку конечное увеличение планируемых расходов АЕ и совокупного дохода Y по модулю больше, чем исходное сокращение подоходных налогов T.

  • Алгебраический вывод налогового мультипликатора.
При наличии подоходных налогов С = а + МРС (Y Т).
В точке равновесия Y = С + I.
Введем в это уравнение потребительскую функцию С = а + МРС (Y Т) и получим:
Y = а + МРС (Y Т) + I.
Решим уравнение относительно Y:

Изменение суммы подоходного налогообложения

Отсюда очевидно, что

Изменение суммы подоходного налогообложения

где
Изменение суммы подоходного налогообложения
налоговый мультипликатор, показывающий, во сколько раз конечный прирост совокупного дохода превосходит первоначальное изменение объема подоходных налогов. Знак «минус» означает, что Y и T всегда имеют разные знаки, так как при увеличении подоходного налогообложения совокупный доход сокращается, и наоборот.
Поскольку МРС 1, то налоговый мультипликатор по модулю больше единицы, но меньше мультипликатора государственных закупок.

  • Экономический смысл налогового мультипликатора.
При сокращении подоходного налогообложения планируемые расходы увеличиваются на МРС T. В ответ на ту же величину возрастет и объем производства, а значит, и совокупный доход:

Изменение суммы подоходного налогообложения

Дальнейшее развитие процесса мультипликативного расширения планируемых расходов и совокупного дохода будет происходить так же, как и в случае увеличения государственных закупок:

Изменение суммы подоходного налогообложения

и т.д.
В общем виде:

Изменение суммы подоходного налогообложения

По окончании процесса мультипликационного расширения доходов суммарный прирост совокупного дохода составит:

Изменение суммы подоходного налогообложения

Следовательно, сокращение подоходного налогообложения также приводит к многократному (мультипликативному) расширению совокупного дохода и планируемых расходов.
В период экономического подъема с целью снижения объема выпуска и занятости производится увеличение объема подоходного налогообложения. Тогда объем планируемых расходов снизится на T МРС.
При этом объем производства и совокупный доход сокращаются больше чем на T благодаря действию налогового мультипликатора ( 4.5).

Изменение суммы подоходного налогообложения

4.5. Эффект налогового мультипликатора при проведении сдерживающей фискальной политики
Рост подоходных налогов на T вызывает снижение располагаемого дохода на ту же величину, а потребительского спроса на T МРС. В результате функция планируемых расходов сдвигается вниз, и точка равновесия смещается из положения 1 в положение 2. Увеличение объема подоходного налогообложения имеет мультипликационный эффект, поскольку итоговое сокращение планируемых расходов АЕ, объема производства и совокупного дохода Y по модулю больше чем первоначальное увеличение налогов T .
Таблица 4.1. Инструменты фискальной политики

Состояние экономики
Вид фискальной политики
Изменение объема государственных закупок
Изменение объема подоходного налогообложения
Экономический спад
Стимулирующая
Увеличение
Сокращение
Экономический подъем
Сдерживающая
Сокращение
Увеличение
4.3. Комбинированная фискальная политика
Комбинированная фискальная политика дискреционная фискальная политика, представляющая собой применение обоих инструментов одновременно. Проведение такой фискальной политики может привести к образованию несбалансированности (ненулевому сальдо) государственного бюджета.
Сальдо государственного бюджета разница между суммой доходов и суммой расходов правительства.



Эффективность стимулирующей фискальной политики.


Влияние стимулирующей фискальной политики

  • Механизм воздействия стимулирующей фискальной политики на совместное равновесие (10.3).
Эффективность стимулирующей фискальной политики.

10.3. Механизм воздействия стимулирующей фискальной политики на совместное равновесие
При проведении стимулирующей фискальной политики равновесный объем производства и дохода увеличивается и реальная процентная ставка тоже возрастает ( 10.4).

Эффективность стимулирующей фискальной политики.

10.4. Механизм действия стимулирующей фискальной политики

  • Факторы, определяющие эффективность стимулирующей фискальной политики. Эффективность стимулирующей фискальной политики будет тем выше, чем больше величина фискальных мультипликаторов ( 10.5).
Эффективность стимулирующей фискальной политики.

10.5. Влияние значения фискальных мультипликаторов на эффективность фискальной политики:
а значение фискальных мультипликаторов велико;
б значение фискальных мультипликаторов мало

Если значение фискальных мультипликаторов выше (угол наклона кривой совокупных расходов меньше случай а), то для увеличения совокупного дохода на заданное значение требуется гораздо меньший прирост совокупных расходов, чем в случае б. Следовательно, и объем фискального вмешательства потребуется менее значительный.
Факторы, определяющие значение фискальных мультипликаторов:
1. Предельная склонность к потреблению МРС.
2. Налоговая ставка t.
Поэтому при прочих равных условиях чем больше значение предельной склонности к потреблению и чем ниже налоговая ставка, тем выше будет эффективность фискальной политики.

  • Факторы, снижающие эффективность стимулирующей фискальной политики. Эффективность стимулирующей фискальной политики может быть ослаблена сокращением инвестиционного спроса, вызванным ростом процентной ставки. Это явление получило название эффекта вытеснения.
Сокращение инвестиционного спроса вследствие эффекта вытеснения снижает планируемые расходы и вызывает мультипликативное сокращение совокупного выпуска эффекты, противодействующие стимулирующему фискальному воздействию государства. Поэтому чем больший масштаб имеет эффект вытеснения, тем ниже будет эффективность стимулирующей фискальной политики.
Факторы, определяющие масштаб эффекта вытеснения:
чувствительность инвестиционного спроса к изменению процентной ставки d;
чувствительность спроса на деньги к изменению совокупного дохода k;
чувствительность спроса на деньги к изменению процентной ставки h.
1. Чем выше чувствительность инвестиционного спроса к изменению процентной ставки d, тем больше при прочих равных условиях будет масштаб эффекта вытеснения ( 10.6).

Эффективность стимулирующей фискальной политики.

10.6. Влияние чувствительности инвестиционного спроса к изменению процентной ставки на масштаб вытеснения инвестиций:
а инвестиционный спрос сильно чувствителен к изменению процентной ставки;
б инвестиционный спрос слабо чувствителен к изменению процентной ставки

При увеличении совокупного дохода, а значит, спроса на деньги и процентной ставки на равную величину в первом случае инвестиционный спрос сильнее реагирует на рост ставки процента и объем вытеснения инвестиций будет заметно больше, чем во втором случае.
2. Чем выше чувствительность спроса на деньги к изменению совокупного дохода k, тем больше при прочих равных условиях будет масштаб эффекта вытеснения ( 10.7).

Эффективность стимулирующей фискальной политики.

10.7. Влияние чувствительности спроса на деньги к изменению совокупного дохода на масштаб вытеснения инвестиций:
а спрос на деньги сильно чувствителен к изменению совокупного дохода;
б спрос на деньги слабо чувствителен к изменению совокупного дохода

При одинаковом увеличении совокупного дохода в первом случае спрос на деньги возрастает на большую величину и объем вытеснения инвестиций будет заметно больше, чем во втором случае.
3. Чем выше чувствительность спроса на деньги к изменению процентной ставки d, тем больше при прочих равных условиях будет масштаб эффекта вытеснения ( 10.8).
Увеличение совокупного дохода и как следствие этого спроса на деньги на равную величину во втором случае будет сопровождаться более сильным ростом процентной ставки, и объем вытеснения инвестиций будет заметно больше, чем в случае а.
Следовательно, эффект вытеснения, ослабляющий воздействие стимулирующей фискальной политики на совокупный доход, тем слабее, чем ниже чувствительность инвестиционного спроса к изменению процентной ставка, чем ниже чувствительность спроса на деньги к изменению совокупного дохода и чем выше чувствительность спроса на деньги к изменению процентной ставки.

Эффективность стимулирующей фискальной политики.

10.8. Влияние чувствительности спроса на деньги к изменению процентной ставки на масштаб вытеснения инвестиций:
а спрос на деньги сильно чувствителен к изменению процентной ставки;
б спрос на деньги слабо чувствителен к изменению процентной ставки

Влияние сдерживающей фискальной политики
Воздействие сдерживающей фискальной политики на совместное равновесие происходит через тот же механизм, что и воздействие стимулирующей политики ( 10.9).

Эффективность стимулирующей фискальной политики.

10.9. Механизм воздействия сдерживающей фискальной политики на совместное равновесие
При проведении сдерживающей фискальной политики равновесный объем производства и дохода сокращается и процентная ставка тоже снижается ( 10.10).

Эффективность стимулирующей фискальной политики.

10.10. Механизм действия сдерживающей фискальной политики
Эффективность сдерживающей фискальной политики будет тем выше, чем больше величина фискальных мультипликаторов.
Эффективность сдерживающей фискальной политики может быть ослаблена ростом инвестиционного спроса, вызванным снижением процентной ставки. Рост инвестиционного спроса увеличивает планируемые расходы и вызывает мультипликационное увеличение совокупного дохода эффекты, противодействующие сдерживающему фискальному воздействию государства.
Поэтому чем сильнее будет рост инвестиционного спроса, тем ниже будет эффективность сдерживающей фискальной политики.
Следовательно, условия, при которых сдерживающая фискальная политика эффективна, те же, что обеспечивают эффективность стимулирующей фискальной политики (табл. 10.1).
Таблица 10.1. Условия, при которых фискальная политика высокоэффективна

Воздействие на совокупный доход сильное
Противодействующее влияние эффекта вытеснения слабое
Предельная склонность к потреблению МРС
Высокая
Чувствительность инвестиционного спроса к изменению ставки процента d
Низкая
Ставка подоходного налогообложения t
Низкая
Чувствительность спроса на деньги к изменению совокупного дохода k
Низкая
Чувствительность спроса на деньги к изменению ставки процента h
Высокая

10.3. Влияние денежно-кредитной политики на совместное равновесие Денежно-кредитная политика воздействует на совместное равновесие через изменение равновесия на денежном рынке.
Влияние стимулирующей денежно-кредитной политики

  • Механизм воздействия стимулирующей денежно-кредитной политики на совместное равновесие ( 10.11).
Эффективность стимулирующей фискальной политики.
Эффективность стимулирующей фискальной политики.

10.11. Механизм воздействия стимулирующей денежно-кредитной политики на совместное равновесие
При проведении стимулирующей денежно-кредитной политики равновесный объем производства и дохода увеличивается, а процентная ставка снижается ( 10.12).


Эффективность стимулирующей фискальной политики.

10.12. Механизм действия стимулирующей денежно-кредитной политики


  • Факторы, определяющие эффективность стимулирующей денежно-кредитной политики, показаны на 10.13.
Эффективность стимулирующей денежно-кредитной политики будет тем выше, чем выше чувствительность спроса на деньги к изменению процентной ставки и чем ниже чувствительность инвестиционного спроса к изменению процентной ставки.
1. Чем выше чувствительность инвестиционного спроса к изменению процентной ставки d, тем выше при прочих равных условиях будет эффективность денежно-кредитной политики ( 10.13).

Эффективность стимулирующей фискальной политики.

10.13. Влияние чувствительности инвестиционного спроса к изменению процентной ставки на эффективность денежно-кредитной политики:
а инвестиционный спрос сильно чувствителен к изменению процентной ставки;
б инвестиционный спрос слабо чувствителен к изменению процентной ставки

Для того чтобы увеличить инвестиционный спрос на одну и ту же величину, в первом случае пришлось значительно меньше сократить ставку процента, поскольку инвестиционный спрос сильно реагирует на сокращение процентной ставки. Поэтому центральному банку в случае а нужно обеспечить заметно меньший прирост предложения денег, чем в случае б.
2. Чем ниже чувствительность спроса на деньги к изменению процентной ставки h, тем выше при прочих равных условиях будет эффективность денежно-кредитной политики ( 10.14).
Для того чтобы увеличить инвестиционный спрос на одну и ту же величину, в обоих случаях надо было одинаково сократить процентную ставку. Но в первом случае для снижения ставки процента на заданную величину надо было создать значительно меньший избыточный спрос на деньги, поскольку если спрос на деньги слабо реагирует на изменение процентной ставки, то процентная ставка сильно снижается даже при небольшом приросте величины спроса на деньги.
Поэтому добиться необходимого прироста инвестиционного спроса удалось путем относительно небольшого увеличения предложения денег по сравнению со вторым случаем.

Эффективность стимулирующей фискальной политики.

10.14. Влияние чувствительности спроса на деньги к изменению процентной ставки на эффективность денежно-кредитной политики:



Количество агрегатов определяется центральным банком.


Пониженная ликвидность таких активов связана с тем, что они не могут быть напрямую использованы для оплаты товаров и услуг из-за различных ограничений (наличие оговоренных сроков вклада и др.). Поскольку неабсолютная ликвидность означает, что владельцу подобного рода активов при покупке товаров и услуг придется понести трансакционные издержки (в виде потерянных процентов, штрафа за досрочное изъятие денег со счета, затрат времени и т.п.), то в качестве компенсации за пониженную ликвидность по таким активам платится доход в виде процента: М2 = М 1 + Сберегательные вклады + Срочные вклады.

  • Точно так же строятся и более крупные денежные агрегаты (МЗ и т.д.). Количество агрегатов произвольно определяется центральным банком. Так, в ФРГ и Японии рассчитываются два агрегата, в Великобритании три, в США и в России четыре.
Принципы построения денежных агрегатов:
1. Каждый последующий агрегат включает в себя все предыдущие плюс еще некоторую группу активов (рис 5.2).

Количество агрегатов определяется центральным банком.

5.2. Принцип построения денежных агрегатов
2. По мере продвижения от агрегата с меньшим индексом к агрегату с большим индексом средняя ликвидность входящих в него активов убывает, поскольку продвижение от менее крупного агрегата к более крупному означает последовательное включение в денежную массу все менее ликвидных активов.
3. По мере продвижения от агрегата с меньшим индексом к агрегату с большим индексом средняя доходность входящих в него активов возрастает, поскольку чем ниже ликвидность актива, тем выше должна быть компенсация в виде процентного дохода. Поэтому продвижение от менее крупного агрегата к более крупному означает последовательное включение в денежную массу все более доходных активов ( 5.3).

Количество агрегатов определяется центральным банком.

5.3. Сравнительная доходность и ликвидность денежных агрегатов
Согласно этой логике существуют два способа определения предложения денег.
1. Предложение денег в узком смысле слова предложение таких активов, которые наиболее эффективно выполняют функции денег.
Основные подходы к определению предложения денег в узком смысле слова:

  • Теоретический подход основан на определении денег, используемом в экономической теории. Деньги от всех остальных вещей отличает их способность выполнять функцию средства обращения. С этой точки зрения предложение денег это предложение только абсолютно ликвидных активов, т.е. агрегат Ml.
  • Эмпирический подход основан на определении денег, существенном в первую очередь для макроэкономической практики.
Агрегат, описывающий предложение денег:
а) оказывает наиболее предсказуемое воздействие на изменения тех экономических переменных, динамика которых должна быть связана с изменениями денежной массы: совокупного дохода и уровня цен;
б) в наибольшей степени контролируется центральным банком страны.
Большинство экономистов полагают, что обоим критериям в наилучшей степени соответствует агрегат Ml, но в последние десятилетия целая группа влиятельных ученыхсторонников эмпирического подхода выдвигает в качестве оптимальной меры предложения денег в узком смысле слова агрегат М2.
2. Предложение денег в широком смысле слова предложение всех активов, которые выполняют функции денег независимо от того, насколько эффективно они это делают. В этой роли выступает наиболее крупный денежный агрегат, рассчитываемый центральным банком данной страны.
Измерение предложения денег в России:
в узком смысле слова агрегат М0 или М2;
в широком смысле слова агрегат М3.
Агрегат Ml рассчитывается Центральным банком Российской Федерации, но никогда не используется для макроэкономических расчетов, поскольку составляется посредством механического копирования аналогичного зарубежного агрегата без учета того обстоятельства, что вклады до востребования в России не являются чековыми и потому не могут считаться абсолютно ликвидными. Такие вклады за рубежом называются сберегательными и включаются в агрегат М2.
Функционально же агрегату Ml с точки зрения теоретического подхода соответствует агрегат М0, а с точки зрения эмпирического подхода агрегат М2.
Следует особо отметить, что насыщенность экономики России деньгами типа М2 чрезвычайно низка. Коэффициент монетизации экономики (отношение объема денежного агрегата М2 к объему номинального ВВП), по официальным данным, в 67 раз ниже, чем в развитых странах.
Этот показатель, по-видимому, окажется еще меньше, если к официально регистрируемому статистикой объему ВВП добавить объем теневой экономики, которая, по оценкам Госкомстата РФ, составляет около 25% ВВП, а по оценкам ФСБ до 40%. Это порождает определенную специфику денежных расчетов в России, которая должна учитываться при определении денежной массы.
1. При расчетах в производственном секторе из-за колоссального объема неплатежей (около 30% ВВП) происходят безденежные сделки в виде бартерной торговли и обращения суррогатных заменителей денег (векселей, налоговых освобождений, взаимозачетов и др.).
2. Высокая инфляция в последние годы привела к сильной долларизации денежного обращения, особенно в потребительском секторе.
Статистические материалы
Денежные агрегаты Центрального банка Российской федерации

1

Наличные деньги в обращении на руках у нефинансовых агентов

М0=1
2
Средства на расчетных, текущих и спецсчетах нефинансовых агентов в финансовых институтах
в том числе:
расчетные счета
специальные счета
счета капиталовложений
чековые счета
счета бюджетов и общественных организаций
счета Госстраха
счета долгосрочного кредитования
3
Вклады в коммерческих банках
4
Депозиты до востребования в Сбербанке

М1=М0+2+3+4
5
Срочные вклады в Сбербанке

М2=М1+5
6
Депозитные сертификаты
7
Облигации государственного займа
8
Корпоративные и банковские ценные бумаги

М3=М2+6+7+8

Источник: Текущие тенденции в денежно-кредитной сфере. M.: Департамент исследований, информации и статистики Центрального банка Российской Федерации.
Основные монетарные показателя в Россия

Показатель
1991г.
1992г.
1993г.
1994г.
1995г.
1996г.
1997г.
М0, трлн руб.
0.17
1.9
14,0
36,5
80,8
103.8
129,5
М2, трлн руб.
0,96
7,1
36,7
109.4
220.8
295,2
379,6
Номинальный ВВП, трлн руб.
1,4
19,0
171,5
610,6
1631,0
2256,0
2675,0
Скорость обращения денег М2 (ВВП/М2), раз
1,46
2.68
4,67
5,58
7,39
7,64
7.05
Коэффициент монетизации экономики (М2/ВВП), %
68,6
37,4
21,4
17,9
13,5
13,1
14.2

Источник: Таблица составлена по сб. «Российский статистический ежегодник» (M.: Госкомстат РФ) за соответствующие годы.

Денежные агрегаты Федеральной резервной системы США

1
Наличные деньги
2
Вклада до востребования
3
Дорожные чеки
4
Прочие чековые вклада

М1=1+2+3+4
5
Сберегательные вклада
6
Срочные вклада менее 100 тыс. долл.
7
Краткосрочные вклада в евродолларах
8
Соглашения о покупке ценных бумаг с обратным выкупом
9
Акции взаимных фондов денежного рынка
10
Депозитные счета денежного рынка

М2=Ь1+5+6+7+8+9+10
11
Срочные вклада свыше 100 тыс. долл.
12
Долгосрочные соглашения о покупке ценных бумаг с обратным выкупом

М3=М2+11+12
13
Прочие вклада в евродолларах
14
Сберегательные облигации государства
15
Краткосрочные векселя Казначейства
16
Коммерческие ценные бумаги
17
Векселя коммерческих банков

L=М3+13+14+15+16+17

Источник: Federal Reserve Bulletin.
СТРУКТУРА РАСЧЕТОВ ПРЕДПРИЯТИЙ РОССИИ НА 1997 г.

Количество агрегатов определяется центральным банком.

Источник: Вопросы экономики, 1997, № 4, с. 54.
Задания
Задание 1. Предположим, что на некоем острове живут только три семьи. Одна из них выращивает картофель, другая растит пшеницу и печет из нее хлеб, а третья является владелицей фруктового сада.
Помимо собственной продукции, первая семья любит только фрукты, вторая только картофель, а третья только хлеб.
а) Перечислите, с какими трансакционными издержками столкнутся обитатели этого острова, если они захотят торговать друг с другом излишками своей продукции, а на острове нет денег.
б) Теперь предположим, что на острове появились деньги. Как это обстоятельство повлияет на величину различных видов трансакционных издержек жителей острова?
Задание 2. Герой одного из рассказов Джека Лондона, золотоискатель на Аляске, просит своего приятеля вернуть долг не золотом, как тот настойчиво предлагает, а чеком, хотя у него нет уверенности, что к моменту предъявления чека к оплате у приятеля на счету останется достаточно средств. Подумайте, какими аргументами мог руководствоваться этот золотоискатель.
Задание 3. Проранжируйте нижеперечисленные активы от наиболее ликвидных к наименее ликвидным:
а) вклад до востребования в Сбербанке;
б) дом в Псковской области;
в) наличные деньги;
г) стиральная машина;
д) срочный вклад в Сбербанке;
е) акции РАО ЕЭС;
ж) квартира в центре Москвы;
з) золотой слиток;
и) спецкартсчет во Внешэкономбанке (т.е. вклад, владелец которого получает дебетовую пластиковую карточку).
Задание 4. Некоторые американские исследователи обнаружили, что за последние 20 лет динамика уровня цен и совокупного выпуска сильнее коррелировала с динамикой общей суммы внутренних долговых обязательств, чем с динамикой агрегатов Ml и М2.



Краткосрочные и долгосрочные последствия шоков спроса


Затем по мере снижения уровня цен экономика выходит из рецессии, и объем производства возвращается к равновесному значению (точка Е"). Изменения макроэкономического равновесия
Шок спроса (предложения) это экзогенное явление, которое вызвало изменение совокупного спроса (предложения) и породило тем самым отклонение производства и занятости от потенциального уровня.
Шок спроса может быть связан со следующими событиями:
резкими изменениями предложения денег или скорости их обращения;
резкими колебаниями инвестиционного спроса и другими неценовыми событиями экзогенного характера.
Краткосрочные и долгосрочные последствия шоков спроса

Краткосрочные и долгосрочные последствия шоков спроса

2.5. Краткосрочные и долгосрочные последствия положительного шока спроса
Предположим, что из-за увеличения скорости обращения денег и увеличения совокупного спроса (ADAD', 2.5) состояние долгосрочного равновесия сместилось из точки Е в точку Е', где объем производства превышает потенциальный уровень. По мере роста цен происходит возвращение к потенциальному уровню производства и устанавливается новое равновесие в точке Е ".
Шок предложения может быть связан со следующими изменениями:
резкими скачками цен на ресурсы;
стихийными бедствиями, приводящими к утрате ресурсов;
усилением активности профсоюзов;
изменениями в законодательстве (в частности, усилением требований по охране окружающей среды) и другими неценовыми событиями экзогенного характера.
Краткосрочные и долгосрочные последствия шоков предложения
Предположим, что рост цен на ресурсы привел к росту издержек производства и вследствие этого росту уровня цен и сдвигу краткосрочной кривой совокупного предложения (ASSRASSR') на 2.6. Если совокупный спрос остался неизменным, то равновесие смещается из точки Е в точку Е', что приводит к падению уровня производства.
Постепенно в долгосрочном периоде происходит возвращение к потенциальному уровню производства в точке Е или Е".

Краткосрочные и долгосрочные последствия шоков спроса

2.6. Краткосрочные и долгосрочные последствия негативного шока предложения
Например,
если государство поддерживает прежний уровень совокупного спроса, то в экономике некоторое время будет иметь место стагфляция, а затем экономика вернется по той же траектории к прежнему состоянию равновесия (Е'Е);
если государство стимулирует совокупный спрос (AD = AD'), то в экономике сохранится более высокий уровень цен, но восстановятся на потенциальном уровне равновесный объем производства и занятость (равновесие в точке E").
Более подробно о краткосрочной (кейнсианской) и долгосрочной (классической) версии совокупного предложения см. соответствующие разделы.
Задания
Задание 1. Экономика изначально находится в состоянии полной занятости. Уравнение кривой совокупного спроса при этом имеет вид Y = 3750 - 300Р. Затем увеличение государственных закупок сдвинуло эту кривую так, что в краткосрочном периоде равновесный ВВП увеличился до 3150 млрд руб.
Потенциальный ВВП равен 3000 млрд руб. Изобразить на графике кратко- и долгосрочные последствия этого события и подсчитать, какими будут равновесный ВВП и уровень цен в долгосрочном периоде.
Глава 3 МАКРОЭКОНОМИЧЕСКОЕ РАВНОВЕСИЕ НА РЫНКЕ ТОВАРОВ И УСЛУГ 3.1. Классическая модель макроэкономического равновесия Предпосылки классической макроэкономической модели:
1. Исследование поведения экономики в долгосрочном периоде.
2. Цены на товары и услуги, равно как и цены факторов производства (зарплата, процентная ставка), являются абсолютно гибкими, и именно с их помощью экономика адаптируется к любым изменениям.
3. В экономике существует автоматическая тенденция к полной занятости и максимально эффективному использованию ресурсов.
4. Ведущую роль в экономике играет совокупное предложение.
Кривая совокупного предложения в классической модели показана на 3.1.

Краткосрочные и долгосрочные последствия шоков спроса

3.1. Кривая совокупного предложения в классической модели
Равенство совокупного спроса и совокупного предложения обеспечивается автоматически при отсутствии утечек (т.е. если весь совокупный доход расходуется домашними хозяйствами).
Закон Сэя предложение само создает себе спрос.
При наличии утечки в виде сбережений закон Сэя нарушается и совокупный спрос оказывается меньше совокупного предложения. Чтобы равновесие восстановилось, сбереженные средства должны быть впрыснуты обратно в экономический кругооборот.
Это происходит на рынке заемных средств (рынке капитала), где предприниматели, ощущающие временную нехватку средств, занимают эти средства у домашних хозяйств.
Функция спроса инвесторов на заемные средства:
I = r,
где I объем инвестиционного спроса;
а объем спроса инвесторов на заемные средства при нулевой реальной процентной ставке;
=I/r эмпирический коэффициент чувствительности спроса инвесторов на заемные средства к изменению ставки процента; показывает, на какую величину изменится объем спроса предпринимателей на заемные средства при изменении реальной ставки процента на один пункт;
r реальная ставка процента.
Функция предложения заемных средств держателями сбережений:
S = + r,
где S объем предложения сбережений домашними хозяйствами;
объем предложения сбережений домашними хозяйствами при нулевой реальной процентной ставке;
= S/r эмпирический коэффициент чувствительности предложения сбережений к изменению ставки процента; показывает, на какую величину изменится объем предложения заемных средств при изменении реальной ставки процента на один пункт.

Краткосрочные и долгосрочные последствия шоков спроса

3.2. Графическое изображение рынка заемных средств
Графическое изображение рынка заемных средств представлено на 3.2.
При абсолютно гибкой процентной ставке равновесие рынка заемных средств поддерживается автоматически; при этом все сбереженные средства будут взяты в кредит предпринимателями и потрачены ими на покупку инвестиционных товаров.
Алгебраический вывод условия равновесия в классической модели:

  • Домохозяйства весь свой совокупный доход (который равен объему совокупного выпуска, т.е. потенциальному ВВП) распределяют между потреблением и сбережениями:
YS = С + S.

Краткосрочные и долгосрочные последствия шоков спроса

3.3. Макроэкономическое равновесие в классической модели

  • Совокупный спрос в экономике складывается из спроса домашних хозяйств на потребительские товары и услуги и спроса предпринимателей на инвестиционные товары:
Yd = С + I.
Следовательно, YS = Yd, если S=I.

  • Поскольку условие S = I выполняется благодаря автоматическому поддержанию равновесия на рынке заемных средств, то основной вывод классической модели заключается в следующем: экономика устойчиво находится в состоянии макроэкономического равновесия ( 3.3), т.е. равенства совокупного спроса и совокупного предложения, при полной занятости ресурсов, т.е. на уровне потенциального ВВП.
Начиная с конца 20-х гг. нашего столетия этот вывод стал подвергаться сомнению, поскольку неполная занятость ресурсов, в первую очередь рабочей силы, стала хронической.
3.2. Кейнсианская модель макроэкономического равновесия Предпосылки кейнсианской макроэкономической модели:
1. Исследование поведения экономики в краткосрочном периоде.
2. Цены на товары и услуги, равно как и цены факторов производства (зарплата, процентная ставка), в краткосрочном периоде недостаточно гибки для адаптации экономики к изменениям.
3. Психологические факторы принятия решений людьми и бизнесом играют важную роль в экономике.
4. Ведущую роль в экономике играет совокупный спрос.
Простая кейнсианская модель:

Краткосрочные и долгосрочные последствия шоков спроса

где Y совокупный спрос;
С потребительский спрос домашних хозяйств;
I инвестиционный спрос предпринимателей.
Функция потребительского спроса в модели Кейнса:

Краткосрочные и долгосрочные последствия шоков спроса

где а автономное (т.е. не зависящее от размера дохода) потребление; его размер чаще всего ассоциируется с прожиточным минимумом;
МРС предельная склонность к потреблению;
Y совокупный доход (который равен объему совокупного выпуска в денежном выражении).
Предельная склонность к потреблению (МРС) показывает, на какую величину изменится объем спроса (планируемых расходов) на потребительские товары и услуги при увеличении совокупного дохода на единицу:

Краткосрочные и долгосрочные последствия шоков спроса

где С прирост потребительского спроса;
Y прирост совокупного дохода.
Функция сбережений:

Краткосрочные и долгосрочные последствия шоков спроса

где MPS = (1 МРС) предельная склонность к сбережению;
s = (а) автономные (т.е. не зависящие от размера дохода) сбережения.
Предельная склонность к сбережению (MPS) показывает, на какую величину изменится объем планируемых сбережений при увеличении совокупного дохода на единицу:

Краткосрочные и долгосрочные последствия шоков спроса

где S прирост сбережений;
Y прирост совокупного дохода.
Поскольку в простой модели каждая дополнительная единица совокупного дохода распределяется только между приростом потребления и приростом сбережения, то МРС + MPS = 1.
Предельные склонности к потреблению и сбережению необходимо отличать от средних склонностей к потреблению и сбережению.
Средняя склонность к потреблению (АРС) показывает долю планируемых потребительских расходов в общем объеме совокупного дохода:

Краткосрочные и долгосрочные последствия шоков спроса

Средняя склонность к сбережению (APS) показывает долю планируемых сбережений в общем объеме совокупного дохода:

Краткосрочные и долгосрочные последствия шоков спроса

Поскольку в простой модели весь совокупный доход распределяется только между потреблением и сбережением, то АРС + APS = 1.
Графическое изображение функции потребительского спроса и функции планируемых сбережений показано на 3.4.



КРЕДИТНО-ФИНАНСОВАЯ СИСТЕМА СОВРЕМЕННОЙ ЭКОНОМИКИ


Означает ли это, что Федеральной резервной системе США следует определять предложение денег как величину, равную объему внутренних долговых обязательств? Почему? Задание 5. Предположим, что Центральный банк Российской Федерации принял решение включить находящиеся на руках у граждан России доллары США в российские денежные агрегаты. В какой агрегат вы бы предложили их включить?
Мотивируйте свой ответ.
Глава 6 КРЕДИТНО-ФИНАНСОВАЯ СИСТЕМА СОВРЕМЕННОЙ ЭКОНОМИКИ Структура современной кредитно-финансовой системы представлена на 6.1.

КРЕДИТНО-ФИНАНСОВАЯ СИСТЕМА СОВРЕМЕННОЙ ЭКОНОМИКИ

6.1. Структура современной кредитно-финансовой системы
6.1. Центральный банк Центральный банк главный банк страны, ответственный за проведение денежно-кредитной политики.
Особенности центрального банка:
1. Не ставит целью своей деятельности получение прибыли.
2. Не оказывает банковских услуг ни физическим лицам, ни небанковским учреждениям.
Основные функции центрального банка:
1. Эмиссия наличных денег.
2. Хранение золотовалютных резервов.
3. Банкир правительства:
открывает вклады правительству (Казначейству);
выдает ссуды правительству (Казначейству).
4. Банкир банков:
открывает вклады коммерческим банкам и другим депозитным учреждениям;
выдает ссуды коммерческим банкам и другим депозитным учреждениям.
5. Контроль и надзор за деятельностью коммерческих банков.
6. Проведение денежно-кредитной политики.
Деятельность центрального банка отражается в его балансе (табл. 6.1).
Баланс банка (фирмы) перечень активов и пассивов банка (фирмы).
Пассивы банка источники средств, которыми распоряжается банк.
Пассивы банка подразделяются на собственные средства (уставный капитал) и привлеченные средства (вклады, паи и т.п.).
Активы банка финансовые требования, титулы собственности и другие объекты вложения средств, являющиеся средством сохранения стоимости.
Таблица 6.1. Типичный баланс центрального банка

Актив
Пассив
Золотовалютные резервы
Облигации государственного займа
Ссуды коммерческим банкам и другим депозитным институтам
Наличные деньги в обращении
Вклады Казначейства
Вклады коммерческих банков и других депозитных институтов
Уставный капитал
Центральный банк единственный банк страны, для которого наличные деньги являются пассивом.

6.2. Кредитно-финансовые институты Кредитно-финансовые институты финансовые посредники между кредиторами и заемщиками. Они позволяют уменьшить трансакционные издержки финансовых сделок, т.е. время и деньги, затрачиваемые на осуществление последних.
Финансовые посредники могут существенно сократить трансакционные издержки, поскольку имеют опыт их снижения и поскольку крупные размеры позволяют им воспользоваться преимуществами экономии от масштаба сокращения трансакционных издержек на каждый рубль сделки при увеличении размера (масштаба) сделки.
С позиций макроэкономики функция кредитно-финансовых институтов заключается в обслуживании рынка капитала, так как именно через них происходит превращение подавляющей доли частных сбережений в инвестиции.
Депозитные институты
Депозитные институты финансовые посредники, которые принимают вклады (депозиты) частных юридических и физических лиц и выдают кредиты. В их число входят коммерческие банки, ссудо-сберегательные ассоциации и кредитные союзы.
Коммерческие банки привлекают средства в основном за счет открытия чековых счетов до востребования (вкладов, против которых могут быть выписаны чеки; к ним относятся вклады до востребования, счета с оговоренным порядком изъятия (нау-счета) и счета с автоматическим переводом средств (ATS-счета)), сберегательных и срочных счетов. Привлеченные средства используются для предоставления коммерческих и потребительских кредитов, выдачи ссуд под залог недвижимости (закладных) и на приобретение государственных ценных бумаг.
Вклады до востребования вклады, на которые можно вносить средства и снимать их в любой момент времени. Против них в странах с развитой рыночной экономикой можно без ограничения выписывать чеки в пределах остатка средств на вкладе, а иногда и сверх него (прибегать к овердрафту).
Счета с оговоренным порядком изъятия (нау-счета) вклады до востребования, против которых можно выписывать приказы об изъятии средств, аналогичные чекам. По таким вкладам выплачивается процент, однако существуют ограничения на величину единовременного изъятия средств, на сумму изъятий в течение месяца и пр.
Счета с автоматическим переводом средств (ATS-счета) комбинация вклада до востребования и сберегательного вклада. Остатки средств на вкладе до востребования сверх оговоренного минимума автоматически переводятся на сберегательный счет, по которому начисляется процент. Когда против такого вклада выписывается чек, соответствующая сумма автоматически переводится со сберегательного вклада на вклад до востребования.
Таким образом, остаток на сберегательном вкладе является в действительности частью вклада до востребования, поскольку против этих средств можно выписывать чек. Формально, однако, эти средства лежат на сберегательном, а не на чековом вкладе, и поэтому по ним вкладчику начисляется процент.
Сберегательные вклады вклады, с которых можно снимать деньги в любой момент времени по требованию вкладчика, но их владельцу выдается не чековая, а сберегательная книжка. Для изъятия денег с такого счета вкладчик не может выписать чек, а должен лично ехать со сберегательной книжкой в банк.
В России такие вклады называются вкладами до востребования, что не соответствует западному пониманию этого термина.
Срочные вклады вклады, средства с которых могут быть сняты только по истечении оговоренного срока.
Инвестиционные банки предоставляют долгосрочные кредиты и финансируют экономических агентов, занимаясь эмиссионно-учредительными операциями.
Сберегательные учреждения:

  • Сберегательные банки принимают мелкие вклады, аккумулируемые средства вкладывают в ценные бумаги. Различают:
взаимно-сберегательные банки, клиенты которых одновременно являются и их собственниками, т.е. кооперативные банки;
фондовые сберегательные банки акционерные банки (например, Сбербанк России);
гарантийные сберегательные банки имеют две категории вкладчиков, отличающихся по условиям получения процентного дохода: «обычные вкладчики» получают по своим вкладам фиксированный процент, а «специальные вкладчики» процент, зависящий от финансовых результатов деятельности банка.

  • Ссудо-сберегательные ассоциации привлекают средства в основном за счет открытия сберегательных счетов (часто называемых паями), продажи клиентам сберегательных сертификатов, выкупаемых по первому требованию, а также срочных и чековых счетов. Собранные средства традиционно используют на выдачу кредитов под залог недвижимости. Различают:
взаимные ссудо-сберегательные ассоциации (называемые также взаимно-сберегательными банками), организуемые на паевых началах;
фондовые ссудо-сберегательные ассоциации (акционерные общества).

  • Кредитные союзы обычно представляют собой маленькие кооперативные кредитные учреждения, организованные группой людей, объединенных общими интересами: членами профсоюза, работниками какой-либо фирмы и так далее. Они привлекают средства путем открытия счетов, которые носят название паевых взносов (долей), и в основном предоставляют краткосрочные потребительские кредиты членам союза.
Сберегательные институты договорного типа
Сберегательные институты договорного (контрактного) типа финансовые посредники, формирующие свои фонды через периодические интервалы времени на контрактной основе. К ним относятся страховые компании и пенсионные фонды.
Страховые компании (компании страхования жизни и компании страхования имущества) привлекают средства за счет денег, уплачиваемых за приобретение или продление страховых полисов, и используют эти средства в основном для покупки корпоративных облигаций и закладных. Страховые компании также приобретают и акции, но вложения в них ограничены.
Частные и государственные пенсионные фонды формируются за счет взносов наемного персонала компаний, а также их работодателей, у которых либо суммы взноса автоматически вычитаются из прибыли, либо они делают взносы на добровольной основе. Привлеченные средства используются для выплаты пенсий, а за счет временно свободных средств приобретаются ценные бумаги, в основном корпоративные облигации и акции; в США поглощают треть всей рыночной стоимости акций. Обычно управляются по доверенности банками через трастовые (доверительные) отделы, что позволяет банкам участвовать в контроле за деятельностью таких компаний.
В России в настоящее время действует 284 негосударственных пенсионных фонда с активами около 8 млрд руб.
Инвестиционные институты
Инвестиционные институты категория финансовых посредников, включает в себя финансовые компании, инвестиционные компании, взаимные (паевые) фонды и взаимные (паевые) фонды денежного рынка.
Финансовые компании привлекают средства, продавая коммерческие ценные бумаги и выпуская акции и облигации. Эти средства направляются на выдачу потребительских ссуд, предназначенных для приобретения потребительских товаров длительного пользования, для ремонта дома и т.п., а также для развития малого бизнеса.



Механизм действия сдерживающей денежно-кредитной политики


а спрос на деньги слабо чувствителен к изменению процентной ставки;
б спрос на деньги сильно чувствителен к изменению процентной ставки

Следовательно, эффективность стимулирующей денежно-кредитной политики тем выше, чем выше чувствительность инвестиционного спроса к изменению процентной ставки и чем ниже чувствительность спроса на деньги к изменению процентной ставки.

  • Факторами, снижающими эффективность стимулирующей денежно-кредитной политики, является рост спроса на деньги, вызванный увеличением совокупного дохода. Тогда возникает избыточный спрос на деньги и избыточное предложение облигаций, которые приведут к падению цен на облигации и росту процентной ставки. За этим последует сокращение инвестиционного спроса и мультипликативное сокращение совокупного дохода эффекты, противодействующие стимулирующему денежно-кредитному воздействию центрального банка. Поэтому чем больше будет рост спроса на деньги, тем ниже эффективность стимулирующей денежно-кредитной политики ( 10.15).
Фактор, определяющий степень роста спроса на деньги, чувствительность спроса на деньги к изменению совокупного дохода k.

Механизм действия сдерживающей денежно-кредитной политики

10.15. Влияние чувствительности спроса на деньги к изменению совокупного дохода на степень роста спроса на деньги:
а спрос на деньги сильно чувствителен к изменению совокупного дохода;
б спрос на деньги слабо чувствителен к изменению совокупного дохода

Чем выше чувствительность спроса на деньги к изменению совокупного дохода k, тем больше при прочих равных условиях будет рост спроса на деньги.
При одинаковом увеличении совокупного дохода в первом случае спрос на деньги возрастает на большую величину и объем вытеснения инвестиций будет заметно больше, чем во втором случае.
Следовательно, рост спроса на деньги, ослабляющий воздействие стимулирующей денежно-кредитной политики на совокупный доход, тем слабее, чем ниже чувствительность спроса на деньги к изменению совокупного дохода.
Влияние одерживающей денежно-кредитной политики
Воздействие сдерживающей денежно-кредитной политики на совместное равновесие происходит через тот же передаточный механизм, что и воздействие стимулирующей политики ( 10.16).

Механизм действия сдерживающей денежно-кредитной политики

10.16. Механизм воздействия сдерживающей денежно-кредитной политики на совместное равновесие
При проведении сдерживающей денежно-кредитной политики равновесный объем производства и дохода снижается, а процентная ставка увеличивается ( 10.17).

Механизм действия сдерживающей денежно-кредитной политики

10.17. Механизм действия сдерживающей денежно-кредитной политики
Эффективность сдерживающей денежно-кредитной политики будет тем выше, чем выше чувствительность спроса на деньги к изменению процентной ставки и чем ниже чувствительность инвестиционного спроса к изменению процентной ставки.
Эффективность сдерживающей денежно-кредитной политики может быть ослаблена ростом спроса на деньги, вызванным увеличением совокупного дохода. Тогда возникают избыточное предложение денег и избыточный спрос на облигации, которые приведут к росту цен на облигации и снижению процентной ставки. За этим последует рост инвестиционного спроса и мультипликационное увеличение совокупного дохода эффекты, противодействующие сдерживающему денежно-кредитному воздействию центрального банка.
Поэтому чем сильнее снизится спрос на деньги, тем ниже эффективность сдерживающей денежно-кредитной политики.
Следовательно, условия, при которых сдерживающая денежно-кредитная политика эффективна, те же, что обеспечивают эффективность стимулирующей денежно-кредитной политики (табл. 10.2).
Таблица 10.2. Условия, при которых денежно-кредитная политика высокоэффективна

Воздействие на совокупный доход сильное
Противодействующее влияние изменения спроса на деньги слабое
Чувствительность инвестиционного спроса к изменению ставки процента d
Высокая
Чувствительность спроса на деньги к изменению совокупного дохода k
Низкая
Чувствительность спроса на деньги к изменению ставки процента h
Низкая

Задания
Задание 1. Когда в США в 1981 г. пришла к власти администрация Р. Рейгана, то в качестве трех основных целей ее экономической политики были выдвинуты: сокращение инфляции, снижение налогов и увеличение расходов на вооружение. Объясните, какую фискальную и денежно-кредитную политику требовалось проводить администрации Р. Рейгана, чтобы достичь всех трех целей одновременно, если экономика США в этот период находилась близко к уровню потенциального ВВП.
Задание 2. В закрытой экономике государственные закупки товаров и услуг и предложение денег изменились одновременно таким образом, что величина совокупного дохода осталась на прежнем уровне, а реальная процентная ставка снизилась. Как (в какую сторону) изменились государственные закупки и предложение денег?
Мотивируйте свой ответ.
Задание 3. В экономике страны за истекший год автономное потребление составило 160 трлн руб.; предельная склонность к потреблению из совокупного дохода равна 0,8; подоходное налогообложение осуществляется по ставке 10%, независимо от уровня дохода; инвестиционный спрос и объем государственных закупок товаров и услуг автономны и составили 100 трлн руб. и 300 трлн руб. соответственно; норма обязательного минимального резервирования вкладов установлена центральным банком на уровне 10%. Бюджетный дефицит правительство этой страны полностью финансирует путем займа денег у центрального банка, который с этой целью осуществляет дополнительную эмиссию соответствующей суммы наличных денег, остающихся на руках у населения.
Подсчитайте, как изменялось предложение денег в этой стране за истекший год в связи с состоянием государственного бюджета.
Задание 4. Предположим, что в экономике спрос на деньги стабилен, а причиной нестабильности являются колебания автономной составляющей инвестиционного спроса. Какое правило недискреционной денежно-кредитной политики приведет к меньшим колебаниям совокупного спроса кейнсианское или монетаристское?
Аргументируйте свой ответ.
Задание 5. Как вы ответите на вопрос предыдущего задания, если в экономике автономный инвестиционный спрос стабилен, а причиной нестабильности служат колебания автономной составляющей спроса на деньги?
Глава 11 ИСТОЧНИКИ МАКРОЭКОНОМИЧЕСКОЙ НЕСТАБИЛЬНОСТИ: ИНФЛЯЦИЯ И БЕЗРАБОТИЦА 11.1. Безработица Схематическое изображение распределения населения по различным категориям показано на 11.1.

Механизм действия сдерживающей денежно-кредитной политики

11.1. Рабочая сила, занятые и безработные
Трудоспособное население население трудоспособного возраста, который устанавливается законодательно (в России: для женщин от 16 до 55 лет, для мужчин от 16 до 60 лет).
Нетрудоспособное население население нетрудоспособного возраста (дети и пенсионеры), а также инвалиды и лица, длительно находящиеся в институциональных учреждениях (тюрьмах, исправительных колониях, психиатрических больницах и т.п.).
Выбывшие из состава рабочей силы трудоспособное население, не имеющее работы и активно ее не ищущее (например, студенты, домохозяйки, а также те, кто отчаялся найти работу и прекратил ее поиски).
Рабочая сила это совокупность занятых и безработных.
Занятые население, которое имеет работу или работает неполный рабочий день.
Безработные трудоспособное население, которое не работает, но ищет работу.
Безработица бывает явная и скрытая.
Явная безработица связана с наличием трудоспособных людей, которые не работают, но ищут работу и зарегистрированы на бирже труда и потому учитываются официальной статистикой.
Скрытая безработица обусловлена наличием:
а) трудоспособных людей, которые не работают, ищут работу, но не регистрируются на бирже труда и потому не учитываются официальной статистикой;
б) «безработицы на работе», т.е. реального отсутствия производственных функций формально занятого работника (например, находящегося в вынужденном отпуске без сохранения заработной платы);
в) трудоспособных людей, которые работают неполный рабочий день или неполную рабочую неделю.
Фактическая безработица представляет собой сумму явной и скрытой безработицы, но ввиду трудностей с выявлением и оценкой скрытой безработицы под фактической безработицей обычно понимается явная (зарегистрированная) безработица.
Уровень безработицы доля безработной части рабочей силы, выраженная в процентах:

Механизм действия сдерживающей денежно-кредитной политики

где u уровень безработицы;
U количество безработных;
Е количество занятых;
L = Е + U количество людей, входящих в состав рабочей силы.
Уровень занятости доля занятых в составе рабочей силы, выраженная в процентах:

Механизм действия сдерживающей денежно-кредитной политики

где е уровень занятости.
Виды безработицы:
1. Естественная безработица.
фрикционная связана с поиском и ожиданием работы;
структурная связана с технологическими сдвигами в производстве, изменяющими структуру спроса на рабочую силу.
2. Вынужденная (циклическая) безработица связана с циклическим спадом в экономике, в период экономического подъема отсутствует.
Естественный уровень безработицы уровень безработицы при полной занятости ресурсов, соответствует потенциальному ВВП. Он включает фрикционную и структурную безработицу.
Фактический уровень безработицы включает естественную и вынужденную безработицу:
Фактическая безработица = Естественная безработица + Вынужденная (циклическая) безработица = =(Фрикционная безработица + Структурная безработица) + Вынужденная безработица.



Международная торговля


Ее создание связано с трудами А. Смита, Д. Рикардо, Э. Хекшера, Б. Олина, В. Леонтьева и др. Международная торговля охватывает движение товаров и услуг на мировом рынке.
Мировой рывок это совокупность национальных рынков в той их части, в которой операции купли-продажи товаров и услуг связаны с международным разделением труда и его специализацией, мировыми ценами и валютой.
Международное разделение труда и его специализация развиваются под воздействием природно-климатических и экономических факторов.
Теория сравнительных издержек Д. Рикардо
Теория сравнительных издержек объясняет выгодность внешней торговли разницей издержек производства товаров в различных странах. Производители сравнивали пропорции обмена одного товара на другой внутри страны и при вывозе товара за границу.
Пример 13.1. Сравнительные издержки производства зерна и глад» странами А, Б ( 13.1).

Международная торговля

13.1. Сравнительные издержки производства зерна и ткани
В стране А производственные возможности позволяют произвести либо 300 млн т зерна, либо 450 млн м ткани. Поэтому зерно обменивается на ткань в пропорции 1 : 1,5.
В стране Б производственные возможности позволяют произвести либо 300 млн т зерна, либо 600 млн м ткани. Пропорция обмена зерна на ткань равна 1 : 2. Если международной торговли не будет, то обе страны смогут потреблять зерно и ткань в пределах своих производственных возможностей (кривая 1).
Если же между странами А к Б возможна торговля, то она принесет обеим странам выгоду. Допустим, зерна произведено в стране А 300 единиц. Производители зерна при его обмене в своей стране А получают 450 единиц ткани. При вывозе зерна в страну Б они приобретают 600 единиц ткани. Производители страны Б располагают 600 единицами ткани.
При обмене ее в своей стране Б они получат 300 единиц зерна. Обмен ткани на зерно в стране А дает возможность приобрести 450 единиц зерна.
В результате международной торговли, обе страны получают возможность в потреблении зерна и ткани выйти за пределы своих производственных возможностей, т.е. перейти с кривой производственных возможностей 1 на кривую 2.
Для того чтобы торговля была взаимовыгодной, каждая страна должна экспортировать тот товар, который она производит с более низкими относительными издержками, т.е. по которому она имеет сравнительное преимущество.
Сравнительное преимущество по данному товару дают относительно более низкие издержки производства данного товара.
Абсолютное преимущество по данному товару дают абсолютно более низкие издержки производства данного товара.
В приведенном примере страна А производит зерно с относительно более низкими издержками, чем страна Б (в стране А ради производства одной тонны зерна придется пожертвовать 1,5 м ткани, а в стране Б 2м ткани). Соответственно страна Б производит ткань с относительно более низкими издержками (в стране Б ради производства одного метра ткани приходится жертвовать 1/2 тонны зерна, а в стране А 2/3 тонны). Следовательно, стране Б выгодно специализироваться на производстве ткани и экспортировать ее в страну А, а стране А имеет смысл специализироваться на производстве зерна и экспортировать его в страну Б.
Условия торговли реальные пропорции, в которых один товар обменивается на другой в международных торговых сделках. Определяется как соотношение цен на экспортные и импортные товары:


где
условия торговли;
Рех экспортные цены;
Pim импортные цены.
В приведенном примере диапазоны условий торговли следующие:
от 1,5 до 2 м ткани за одну тонну зерна,
от 1/2 до 2/3 тонны зерна за один метр ткани.
Конкретные условия торговли будут установлены в указанном промежутке в зависимости от соотношения спроса и предложения на ткань и зерно.
Факторы, воздействующие на условия торговли:
1) неравномерность роста производительности труда в разных странах;
2) соотношение спроса и предложения;
3) изменение структуры внешней торговли;
4) олигополистическое ценообразование.
Теория сравнительных преимуществ Э. Хекшера и Б. Олина
Теория сравнительных преимуществ шведских экономистов Э. Хекшера и Б. Олина вовлекает в анализ внешней торговли не только сравнительные издержки, соотношение цен, спроса и предложения, но и наделенность факторами производства.

  • Теорема Хекшера-Олина. Страна экспортирует товары, при производстве которых использован избыточный фактор, импортирует товары, при производстве которых применен дефицитный для данной страны фактор.
Однако теорема Хекшера-Олина противоречит ряду эмпирических данных.

  • Парадокс В. Леонтьева. Предполагалось, что в США капитал является избыточным фактором, а труд дефицитным. Расчеты показали, что в экспорте товаров из США в 1947 г. отношение капитал/труд было ниже, чем это же отношение для импортируемых товаров.
Направления пересмотра теории Э. Хекшера и Б. Олина:
а) дифференциация факторов, выделение таких факторов, как профессиональное мастерство, искусность населения страны;
б) учет интенсивности использования факторов в процессе производства.
Коэффициент сравнительных преимуществ экспорта i-товара страной j:

Международная торговля

где Kс.п коэффициент сравнительных преимуществ;
Xij объем экспорта товара i страной j,
Ехi объем экспорта товара i из всех стран ОЭСР;
Хimj объем экспорта готовых товаров из страны j;
Exim объем экспорта готовых товаров всеми странами ОЭСР.
Формула сравнивает удельный вес экспорта товара i страной j в общем объеме экспорта изделий i из стран ОЭСР (Xij / Ехi) с удельным весом экспорта готовых товаров страной j в общем объеме экспорта готовых товаров странами ОЭСР.
Отрицательное последствие внешней торговли
При наличии внешней торговли появляется дополнительный канал утечки средств из внутреннего кругооборота доходов и расходов в экономике. Это уменьшает величину фискальных мультипликаторов и снижает эффективность фискальной политики.
Функция спроса на импорт:
Im = Im0 + МРХ Y,
где Im объем спроса на импорт;
Im0 автономный импорт, т.е. объем спроса на импорт при нулевом совокупном доходе;
МРХ предельная склонность к импорту; описывает чувствительность спроса на импорт к изменению совокупного дохода и показывает, на какую величину изменится объем спроса на импорт при изменении величины совокупного дохода на единицу.
Функция чистого экспорта:

Международная торговля

где NX величина чистого экспорта;
Ех объем экспорта из данной страны;
Х0 сальдо экспорта и автономного импорта.

  • Алгебраический вывод мультипликатора государственных закупок с учетом внешней торговли
При наличии внешней торговли
AE = C + I + G + NX,
тогда в точке равновесия Y = C + I + G + NX.
Введем в это уравнение потребительскую функцию С = а + МРС Y и функцию чистого экспорта NX = Х0 МРХ Y и получим:
Y = a + МРС Y + I + Х0 МРХ Y.
Решим уравнение относительно Y:

Международная торговля

Отсюда очевидно, что
Международная торговля
где
Международная торговля
мультипликатор государственных закупок с учетом внешней торговли.

  • Экономический смысл мультипликатора государственных закупок с учетом внешней торговли
При увеличении государственных закупок планируемые расходы увеличиваются на G. В ответ на ту же величину возрастет и объем производства, а значит, и совокупный доход:
Y1 = G
Рост совокупного дохода вызовет увеличение потребительских (а вместе с ними и совокупных) планируемых расходов на МРС Y1. Благодаря этому объем производства, а значит, и совокупный доход возрастут на ту же величину.
Но при наличии склонности к импортированию часть прироста дохода, равная Y1МРХ, утечет за рубеж при покупке импортных товаров. Значит, прирост дохода составит:

Международная торговля

Новый прирост дохода вызовет новое увеличение потребительских (а вместе с ними и совокупных) планируемых расходов теперь уже на МРС Y2. Прирост же импорта сократит прирост внутреннего дохода на Y2 МРХ. Тогда объем производства, а значит, и совокупный доход возрастут:

Международная торговля

Аналогично следующее расширение объема производства и совокупного дохода будет равно:

Международная торговля

и т.д. до бесконечности.
В общем виде

Международная торговля

По окончании процесса мультипликационного расширения доходов суммарный прирост совокупного дохода составит:

Международная торговля

Отсюда
Международная торговля

Аналогично налоговый мультипликатор с учетом внешней торговли:

Международная торговля

Очевидно, что наличие склонности к импортированию уменьшает величину фискальных мультипликаторов, поскольку представляет собой дополнительную (кроме сбережений) утечку из процесса мультипликации доходов.
13.2. Внешняя торговля в странах с большой и малой открытой экономикой Страна с большой открытой экономикой страна, имеющая такой большой удельный вес в общем объеме международной торговли данным товаром, что изменение объема ее внешнеэкономических операций способно повлиять на мировую цену этого товара;
Страна с малой открытой экономикой страна, удельный вес которой в общем объеме международной торговли данным товаром незначителен и потому изменение объема ее внешнеэкономических операций не влияет на мировую цену этого товара; такая страна принимает мировую цену как данную ( 13.2).

Международная торговля

13.2. Участие в международной торговле стран с малой открытой экономикой
Страна А, в которой существующая мировая цена превышает равновесную внутреннюю цену РА* и которая, следовательно, имеет избыточное предложение этого товара, станет экспортировать излишек (QdA QSA).



Монетаристские представления о денежно-кредитной политике


Монетаристские представления о денежно-кредитной политике

9.17. Стабилизация процентной ставки при внезапном росте спроса на деньги
При росте спроса на деньги центральный банк должен увеличить предложение денег так, чтобы прирост денежной массы удовлетворил весь дополнительно возникший спрос на кассовые остатки. Тогда населению не придется для увеличения своих кассовых остатков продавать ценные бумаги, и ставка процента останется неизменной.

Монетаристские представления о денежно-кредитной политике

Рас 9.18. Стабилизация процентной ставки при внезапном сокращении спроса на деньги
При сокращении спроса на деньги центральный банк должен уменьшить предложение денег так, чтобы денежная масса сократилась в точном соответствии с падением спроса на кассовые остатки. Тогда у населения не возникнет избытка денег, который можно было бы вложить в покупку ценных бумаг, и ставка процента останется неизменной.
Монетаристские представления о денежно-кредитной политике
Монетаризм широко распространившаяся в 60-е годы нашего столетия экономическая концепция, по-новому трактующая роль денег и денежно-кредитной политики.
Основное положение монетаристской теории, в отличие от кейнсианской, заключается в том, что спрос на деньги стабилен и не зависит от факторов, определяющих предложение денег, а потому не подвержен случайным колебаниям.

  • При проведении стимулирующей денежно-кредитной политики. расширение предложения денег центральным банком по-прежнему приводит к возникновению избыточного предложения денег MSМd.
Но поскольку спрос на деньги стабилен, то избыточные деньги население в основном направит на покупку товаров и услуг. Это означает, что рост предложения денег сразу же вызывает увеличение совокупного спроса за счет увеличения потребительских расходов.
Передаточный механизм денежно-кредитной политики при этом получается гораздо короче ( 9.19).

Монетаристские представления о денежно-кредитной политике

9.19. Передаточный механизм стимулирующей денежно-кредитной политики в монетаристском представлении
Таким образом, стимулирующая кредитно-денежная политика имеет своим непосредственным результатом увеличение объема производства, совокупного дохода и занятости.

  • При проведении сдерживающей денежно-кредитной политики сокращение предложения денег центральным банком приведет к возникновению избыточного спроса на деньги: MS Мd.
Но поскольку спрос на деньги стабилен, то недостающие деньги население в основном попытается сэкономить путем сокращения объема покупок товаров и услуг. Это означает, что рост предложения денег сразу же вызывает сокращение потребительских расходов и совокупного спроса ( 9.20).

Монетаристские представления о денежно-кредитной политике

9.20. Передаточный механизм сдерживающей денежно-кредитной политики в монетаристском представлении
Таким образом, сдерживающая кредитно-денежная политика имеет своим непосредственным результатом сокращение объема производства, совокупного дохода и занятости.
Следовательно, в представлении монетаристов изменения совокупных расходов определяются преимущественно изменениями предложения денег.
Дискреционные мероприятия денежно-кредитной политики должны проводиться центральным банком как можно реже, потому что именно они чаще всего и служат причиной колебаний совокупного дохода и занятости.
Недискреционная денежно-кредитная политика должна быть направлена на поддержание стабильности предложения денег.
Колебания предложения денег могут быть вызваны и колебаниями величины денежного мультипликатора, связанными с изменениями ожиданий частного сектора:
а) при пессимистических ожиданиях доверие населения к банковской системе ослабевает, что приводит к росту изъятий средств со вкладов, повышению коэффициента «наличность депозиты» и вынужденному увеличению нормы избыточного резервирования вкладов. Величина мультипликатора при этом падает, и предложение денег сокращается, вызывая снижение совокупного спроса, совокупного дохода и занятости;
б) при оптимистических ожиданиях доверие населения к банковской системе укрепляется, что приводит к росту средств на банковских вкладах, снижению коэффициента «наличность депозиты» и нормы избыточного резервирования вкладов. Величина мультипликатора при этом растет, и предложение денег увеличивается, вызывая рост совокупного спроса, совокупного дохода и занятости. Следовательно, центральный банк должен манипулировать денежной базой так, чтобы нейтрализовать влияние изменений денежного мультипликатора на общую величину денежной массы:
при снижении мультипликатора денежную базу надо увеличивать, чтобы величина предложения денег осталась неизменной;
при росте мультипликатора денежную базу надо уменьшать, чтобы величина предложения денег осталась неизменной.
Рост денежной массы допускается только в долгосрочном периоде в соответствии с монетарным правилом.
Монетарное правило: для поддержания устойчивого экономического роста при полной занятости и стабильных ценах долгосрочный темп роста денежной массы должен совпадать с долгосрочным темпом роста потенциального ВВП за вычетом темпа роста скорости обращения денег.
Монетарное правило выводится на основе уравнения обмена:
MV = PY.
В динамической форме при небольших изменениях переменных:

Монетаристские представления о денежно-кредитной политике

где
Монетаристские представления о денежно-кредитной политике
темп прироста предложения денег;

Монетаристские представления о денежно-кредитной политике
темп прироста скорости обращения денег;

Монетаристские представления о денежно-кредитной политике
темп прироста общего уровня цен (темп инфляции);

Монетаристские представления о денежно-кредитной политике
темп прироста совокупного выпуска (ВВП) в реальном измерении.
Для того чтобы уровень, цен оставался стабильным (т.е. чтобы = 0), необходимо:

Монетаристские представления о денежно-кредитной политике

Монетарное правило основное правило недискреционной кредитно-денежной политики в монетаристской концепции. Поэтому такую политику называют также политикой таргетирования денежной массы (от англ. target цель).
Задания
Задание 1. Предложение денег в экономике составляет 1 млрд руб. Суммарные резервы коммерческих банков равны 200 млн руб.; 20% денежной массы составляют наличные деньги в обращении.
Какую операцию на открытом рынке и на какую сумму необходимо произвести центральному .банку для того, чтобы увеличить денежную массу на 10%?
Задание 2. Известно, что коэффициент «наличностьдепозиты» равен 20%, а общая норма резервирования вкладов составляет 10%. Государственный бюджет сведен с дефицитом 30 млрд руб.
Правительство решило полностью финансировать бюджетный дефицит за счет займа денег у центрального банка. Подсчитайте, как это повлияет:
а) на величину денежной базы;
б) на величину предложения денег;
в) на объем наличных денег в обращении;
г) на общую величину резервов коммерческих банков.
Задание 3. Денежная база страны составляет 1400 млрд руб. Известно, что номинальный ВВП этой страны составляет 5600 млрд руб. и средняя денежная единица совершает 2 оборота в год.
Объем кассовых остатков у населения составляет 40% от объема средств на его счетах до востребования. Норма избыточного резервирования в целом составляет 20%:
а) заполните сводный баланс коммерческих банков этой страны:

Актив, млрд руб.
Пассив, млрд руб.
Обязательные резервы Избыточные резервы
Ссуды


Вклады до востребования



б) центральный банк страны скупил у населения на открытом рынке государственных облигаций на сумму 140 млрд руб. Покажите, как после этого изменится сводный баланс коммерческих банков.
Задание 4. В России, как известно, против счетов до востребования чеки выписывать нельзя, поэтому процесс мультипликативного расширения вкладов в том же виде, как в развитых странах, протекать не может. И тем не менее величина денежного мультипликатора, рассчитанная Центральным банком РФ, в 1998 г. составляла примерно 3. Подумайте, почему в России увеличение денежной базы на 1 руб. приводит к увеличению денежной массы все же не на 1 руб., а на 3 руб.
Глава 10 СОВМЕСТНОЕ МАКРОЭКОНОМИЧЕСКОЕ РАВНОВЕСИЕ ТОВАРНОГО И ДЕНЕЖНОГО РЫНКОВ 10.1. Определение совместного макроэкономического равновесия Совместное макроэкономическое равновесие товарного и денежного рынков ситуация, когда рынок товаров и услуг и рынок денег одновременно находятся в равновесии ( 10.1).

Монетаристские представления о денежно-кредитной политике

10.1. Равновесие рынка товаров и услуг
Макроэкономическое равновесие на рынке товаров и услуг (т.е. равенство планируемых расходов и совокупного выпуска, а также равенство инвестиционного спроса и объема сбережений) достигается путем изменения совокупного объема производства и дохода Y.
Условия равновесия рынка товаров и услуг:
АЕ = Y; I = S.
Макроэкономическое равновесие на рынке денег (т.е. равенство спроса на деньги и предложения денег) устанавливается посредством изменения номинальной ставки процента i (и реальной процентной ставки r) на рынке ценных бумаг. Поэтому равновесие на денежном рынке устанавливается только тогда, когда уравновешен рынок ценных бумаг* ( 10.2).
* Далее при изображении рынка денег и рынка облигаций используются реальные значения всех величин: Мd, MS, Вd, BS и процентной ставки r.

Условие равновесия на рынке денег:
Мd = МS при Bd = BS.
Следовательно, установление совместного равновесия на товарном и денежном рынках предполагает одновременное достижение совокупным доходом и реальной процентной ставкой своих равновесных значений.

Монетаристские представления о денежно-кредитной политике

10.2. Равновесие рынка денег и рынка ценных бумаг
10.2. Влияние фискальной политики на совместное равновесие Фискальная политика воздействует на совместное равновесие через изменение равновесия на рынке товаров и услуг.



Недискреционная фискальная политика.


Если в бюджетном году расходы правительства превышали его доходы, то говорят, что государственный бюджет сведен с отрицательным сальдо, или имеет место дефицит государственного бюджета (бюджетный дефицит).
Если в бюджетном году расходы правительства были меньше его доходов, то говорят, что государственный бюджет сведен с положительным сальдо, или имеет место профицит государственного бюджета (бюджетный излишек).
Если в бюджетном году расходы правительства были равны его доходам, то говорят, что государственный бюджет сведен с нулевым сальдо, или имеет место сбалансированный государственный бюджет.
Воздействие одновременного изменения государственных закупок и подоходных налогов на объем производства и совокупный доход
Каждое из этих фискальных мероприятий окажет свое воздействие на объем производства и совокупный доход:

Недискреционная фискальная политика.

где YG изменение совокупного дохода, вызванное изменением государственных закупок; YT изменение совокупного дохода, вызванное изменением подоходных налогов.
Конечное изменение объема производства и совокупного дохода, очевидно, будет представлять собой суммарный результат этих двух фискальных мероприятий:

Недискреционная фискальная политика.

Комбинированная фискальная политика и проблема сбалансированности бюджета
В период экономического спада комбинированная стимулирующая фискальная политика заключается в одновременном увеличении государственных закупок товаров и услуг и сокращении объема подоходного налогообложения, т.е. сводится к росту расходов и снижению доходов государственного бюджета. При этом образуется бюджетный дефицит.
Следует ли его избегать?
Предположим, что правительство желает стимулировать рост объема производства и занятости посредством увеличения государственных закупок, избегая при этом образования бюджетного дефицита. Тогда необходимо следовать правилу G = T.
Итоговое изменение объема производства и совокупного дохода будет представлять собой суммарный результат этих двух фискальных мероприятий:

Недискреционная фискальная политика.

Поскольку по условию G = T, то

Недискреционная фискальная политика.

Следовательно, мультипликатор сбалансированного бюджета равен 1, что равнозначно отсутствию мультипликационных эффектов. Поэтому соблюдение правила сбалансированности бюджета резко снижает эффективность политики государственных расходов.
Вывод: во время экономического спада комбинированная фискальная политика будет тем эффективней, чем большим бюджетным дефицитом она будет сопровождаться.
Способы финансирования бюджетного дефицита
Существуют следующие способы финансирования бюджетного дефицита:
эмиссионное финансирование;
долговое финансирование.
Эмиссионное финансирование заем денег у центрального банка. Положительная сторона не сокращает экономическую активность частного сектора; отрицательная сторона связан с увеличением денежной массы и потому является потенциальным источником инфляции.
Поэтому такой способ финансирования бюджетного дефицита называют также инфляционным.
Долговое финансирование заем денег у населения путем выпуска облигаций государственного займа. Положительная сторона отсутствие потребности в дополнительной эмиссии денег.
Поэтому такой способ финансирования бюджетного дефицита называют также неинфляционным; отрицательная сторона сокращение экономической активности частного сектора.
При наличии налогов совокупный доход, заработанный домашними хозяйствами, направляется ими на уплату налогов, потребительские расходы и сбережения:
Y = Yd + T = C + S + T.
Следует заметить, что в условиях равновесия совокупный доход равен сумме планируемых расходов:
Y = C + I + G,
отсюда
С + S + T = С + I + G,
или
S = I + (G Т) = I + Дефицит государственного бюджета.
При наличии дефицита государственного бюджета для его финансирования правительство занимает средства из того же источника, что и частные предприниматели, из сбережений домохозяйств. Поэтому все дополнительные сбережения, возникшие в результате роста совокупного дохода при проведении стимулирующей фискальной политики, пойдут на оплату возникающего при этом бюджетного дефицита, вместо того чтобы быть направленными на расширение инвестиционной активности частного сектора.
Аналогично в период экономического подъема комбинированная стимулирующая фискальная политика заключается в одновременном сокращении государственных закупок товаров и услуг и увеличении объема подоходного налогообложения, т.е. сводится к росту расходов и снижению доходов государственного бюджета. При этом образуется бюджетный излишек.
Вывод: во время экономического подъема комбинированная фискальная политика будет тем эффективней, чем большим бюджетным излишком она будет сопровождаться.
4.4.
Недискреционная фискальная политика (система встроенных стабилизаторов) фискальное законодательство, сформулированное таким образом, чтобы автоматически смягчать колебания совокупного выпуска и занятости. Его цель встроить в экономику механизмы, которые влияют следующим образом:
а) ослабляют колебания производства и занятости;
б) без специальных правительственных решений оказывают при наступлении спада стимулирующее фискальное воздействие на экономическую конъюнктуру (путем увеличения бюджетного дефицита), а во время подъема сдерживающее (путем увеличения бюджетного излишка).
Основная задача недискреционной политики ослабить колебания совокупного спроса и дохода (тогда как задача дискреционной политики устранить негативные последствия этих колебаний).
Наиболее широко распространенные виды встроенных стабилизаторов:
1. Система прогрессивного налогообложения доходов домохозяйств.
2. Система пособий по безработице.
3. Поощряемая правительством система участия наемных работников в прибылях.
4. Система фиксированных дивидендов и др.
Подоходное налогообложение в качестве встроенного стабилизатора
Ставка налога (налоговая ставка)
доля налоговых отчислений Т в общем объеме налогооблагаемого дохода.
Если по мере роста дохода налоговая ставка увеличивается, то такой налог называется прогрессивным. В России примером прогрессивного налога может служить подоходный налог.
Если по мере роста дохода налоговая ставка уменьшается, то такой налог называется регрессивным. В России примером регрессивного налога служит любой косвенный налог (НДС, пошлины, акцизы и т.п.).
Если при любом значении дохода налоговая ставка остается неизменной, то такой налог называется пропорциональным. В россии примером пропорционального налога служит налог на прибыль.
Стабилизирующее воздействие подоходного налогообложения
Поскольку при пропорциональном налогообложении налоговая ставка постоянна и не зависит от размера дохода, то формула, описывающая зависимость объема налоговых отчислений от дохода, выглядит следующим образом:
T = t Y.
Тогда функция потребления будет иметь следующий вид:

Недискреционная фискальная политика.

1. Во время экономического спада, когда совокупный доход Y снижается, сумма налоговых отчислений tY автоматически сокращается. Это оказывает стимулирующее действие на экономику без специальных решений правительства.
Аналогично, во время экономического подъема, когда совокупный доход Y чрезмерно увеличивается, сумма налоговых отчислений tY автоматически возрастает, что воздействует на экономическую конъюнктуру сдерживающим образом без специальных решений правительства.
Еще более эффективным встроенным стабилизатором является прогрессивное налогообложение, поскольку в этом случае во время спада налоговая ставка снижается, а во время подъема увеличивается. В результате колебания располагаемого дохода будут не такими сильными, как колебания совокупного дохода.
Колебания потребительских расходов будут, таким образом, смягчены.
2. Введение подоходного налогообложения уменьшает величину мультипликатора автономных расходов. Это ослабляет воздействие шоков совокупного спроса (в первую очередь инвестиционных шоков) на объем производства и совокупный доход.
Мультипликаторы при наличии встроенных стабилизаторов
Если государство вводит пропорциональный налог, то все мультипликаторы изменяются.
Налоговая функция принимает вид:

Недискреционная фискальная политика.

где Ta объем автономных (т.е. не зависящих от совокупного дохода) налоговых поступлений.
Тогда потребительская функция С = а + МРС (Y Ta tY).
В точке равновесия Y = С + I + G.
Введем в это уравнение потребительскую функцию С = а + МРС (Y Ta tY) и получим:

Недискреционная фискальная политика.

Решим уравнение относительно Y:

Недискреционная фискальная политика.

Отсюда очевидно, что

Недискреционная фискальная политика.

где
Недискреционная фискальная политика.
мультипликатор автономных расходов (в т.ч. государственных закупок) при наличии встроенных стабилизаторов.
Ясно также, что

Недискреционная фискальная политика.


Недискреционная фискальная политика.
налоговый мультипликатор при наличии встроенных стабилизаторов.
Очевидно, что при наличии встроенных стабилизаторов (табл. 4.2) величина мультипликатора автономных расходов снижается, что ослабляет влияние шоковых изменений автономных (в первую очередь инвестиционных) расходов на объем совокупного выпуска и совокупного дохода ( 4.6).
Таблица 4.2. Фискальные мультипликаторы при отсутствии и наличии встроенных стабилизаторов

Недискреционная фискальная политика.


Недискреционная фискальная политика.

4.6. Результат смягчения колебаний совокупного дохода, вызванных колебаниями инвестиционного спроса, с помощью системы встроенных стабилизаторов
4.5. Статистические материалы
Дефицит федерального бюджета РФ



Определение и функции денег


Дефицит бюджета
1991г.
1992г.
1993г.
1994г.
1995г.
1996г.
1997г.
1998г.
В трлн руб.
0,23
1,2
16,9
65,3
46,9
48,7
23,3
28,3
В % к ВВП
16,5
6,6
10,0
10,7
3,0
3,3
4,0
3,3

Источник: Текущие тенденции в денежно-кредитной сфере, 1998, № 5 (63).

Утвержденный федеральный бюджет РФ на 1998 г.

Определение и функции денег


Задания
Задание 1. В экономике страны автономное потребление равно 100 млрд руб., объем инвестиционного спроса составляет 160 млрд руб., предельная склонность к сбережениям составляет 20% от располагаемого дохода, объем государственных закупок товаров и услуг равен 300 млрд руб., автономные налоги составляют 200 млрд руб., потенциальный ВВП равен 2500 млрд руб.
1. Как нужно изменить объем государственных закупок для того, чтобы полностью ликвидировать разрыв ВВП?
2. Как добиться поставленной в п. 1 цели, манипулируя объемом автономных налогов?
3. Каким будет объем бюджетных расходов, если правительство поставит перед собой цель ликвидировать разрыв ВВП за счет расширения системы государственных заказов, финансируя это мероприятие полностью за счет увеличения налоговых сборов?
Задание 2. В прошлом году совокупный доход страны составил 1000 млрд руб., а государственные закупки товаров и услуг были равны 100 млрд руб. В текущем году, увеличив государственные закупки на 50 млрд руб., правительству удалось увеличить совокупный доход на 200 млрд руб., при этом дефицит государственного бюджета стал равен 0. Какова предельная склонность к потреблению, если подоходное налогообложение носит пропорциональный характер?
Задание 3. Экономику страны описывают следующие уравнения (в млрд руб.):
С = 60 + 0,5Yd функция потребительского спроса;
Y = 800 совокупный объем производства (совокупный доход);
G = 100 государственные закупки товаров и услуг;
t = 20% ставка подоходного налога.
Правительство хочет увеличить объем производства и занятость, избежав образования бюджетного дефицита. До какой максимальной величины следует при этом условии увеличить государственные закупки товаров и услуг и чему при этом будет равен совокупный выпуск?
Задание 4. Определить для каждого из нижеприведенных случаев тип налога (регрессивный, прогрессивный, пропорциональный) из нижеприведенных таблиц:

Определение и функции денег

Задание 5. Экономика двух стран находится на уровне потенциального ВВП.
Экономические показатели обеих стран (в млрд руб.):

Определение и функции денег

1. Имеет ли хоть одна из них систему встроенных стабилизаторов; и если имеет, то которая из них?
2. Предположим, что в обеих странах одновременно ухудшились ожидания инвесторов относительно их будущих доходов, в результате чего объем инвестиционного спроса сократился на 56 млрд руб. В какой стране это вызовет большее падение совокупного выпуска?
Почему?
Задание 6. Если устроить систему трансфертных выплат таким образом, что они станут положительным линейным образом зависеть от совокупного дохода (т.е. чтобы функция потребительского спроса приобрела вид С = а + МРС (Y+ fY), где f положительная величина, меньше единицы), то будут ли такие трансфертные выплаты выполнять роль встроенного стабилизатора? Аргументируйте свой ответ.
Глава 5 ДЕНЬГИ 5.1. Определение и функции денег Существует много определений денег, но ни одно из них не может полностью раскрыть все богатство их содержания.
Наиболее распространенное определение денег: деньги все, что все члены данного общества принимают в оплату товаров и услуг или в возмещение долгов.
Существование денег позволяет избежать трансакционных издержек бартерных обменов.
Трансакционные издержки время и/или деньги, затрачиваемые на обмен товарами или услугами.
Трансакционные издержки бартерных сделок:
1) издержки, связанные с поиском контрагента со взаимно совпадающими потребностями;
2) издержки, связанные с изучением большого количества пропорций натурального обмена;
3) издержки, связанные с утратой многими благами потребительских свойств с течением времени.
Следовательно, основная задача, возлагаемая на деньги, снижение трансакционных издержек. Функции денег:
1. Средство обращения (средство обмена).
2. Универсальная мера стоимости (счетная единица).
3. Средство сохранения стоимости.
5.2. Основные виды денег Современные деньги подразделяют на наличные и кредитные ( 5.1).

Определение и функции денег

5.1. Разновидности денег
Наличные деньги законное платежное средство; в современной экономике имеют форму бумажных денег и монет, выпускаемых центральным банком страны.
Исторические формы наличных денег
1. Товарные деньги. Для того чтобы любой предмет мог функционировать в качестве денег, его должны повсюду принимать: каждый должен быть готов принять его в уплату за товары и услуги.
Предмет, ценность которого очевидна каждому, является вполне подходящим для того, чтобы служить в качестве денег, а поэтому выбор в качестве денег таких драгоценных металлов, как золото или серебро, является вполне естественным. Деньги, созданные из драгоценных металлов или других ценных товаров, называют товарными деньгами.
Товарные деньги деньги, имеющие внутреннюю стоимость, т.е. номинальная стоимость которых совпадает со стоимостью материала, из которого они сделаны. К ним относятся как товары, выполнявшие в разных странах и в разные времена роль денег, так и полноценные металлические деньги (золотые, серебряные, медные).
Свойства, способствовавшие закреплению функции денег за драгоценными металлами:
редкость;
портативность;
сохранность;
делимость;
соединимость.
Проблема платежной системы, обслуживаемой исключительно товарными деньгами, заключается в том, что такие деньги очень дороги в изготовлении и тяжелы, их трудно транспортировать.
2. Символические деньги. Символические (декретные) деньги деньги, внутренняя стоимость которых существенно меньше номинала или которые вообще не имеют внутренней стоимости.
Становятся законным платежным средством благодаря соответствующему указу (декрету) властей. К ним относятся неполноценные металлические и бумажные деньги.
Первоначально бумажные деньги были разменны на золото в фиксированной пропорции (эта денежная система называется золотым стандартом). Стоимость таких денег определялась их золотым содержанием.
С 1971 г. ни одна валюта в мире официально не разменивается на золото. Стоимость неразменных на золото денег определяется их покупательной способностью.
Преимущество бумажных денег в том, что они намного легче монет и драгоценных металлов, но при этом их принимают в качестве средства обмена лишь в случае доверия органам, выпустившим их.
3. Кредитные деньги. Кредитные деньги долговые обязательства, выполняющие функции денег.
Определение денег как всего, что обычно принимается в оплату товаров и услуг, говорит о том, что деньги становятся деньгами благодаря поведению людей. Любой актив становится деньгами, если люди верят в то, что другие его примут в качестве оплаты покупки или при возврате долга.
Долговые обязательства, на которые распространяется такая вера, должны быть признаны деньгами.
Исторические формы кредитных денег
Существуют следующие исторические формы кредитных денег:
1. Вексель долговое обязательство частного лица.
2. Банкнота долговое обязательство банка.
3. Чек приказ владельца банковского счета своему банку списать указанную в чеке сумму со счета и выдать ее чекодателю. В развитой рыночной экономике с помощью чеков и их более продвинутого аналога дебетовых пластиковых карточек оплачивается 6070% покупок.
Чеки выписываются только против счетов до востребования, потому что это единственный вид банковского вклада, с которого можно в любой момент снимать деньги. Такие счета поэтому называются еще чековыми депозитами.
Классические чековые счета являются беспроцентными.
5.3. Измерение денежной массы. Денежные агрегаты Практически полная функциональная равноценность наличных денег и чековых счетов еще в 30-е годы нашего века побудила включить вклады до востребования в понятие «деньги». В современной же развитой рыночной экономике, кроме того, существует много других финансовых активов, которые могут выполнять функции денег с разной степенью эффективности и надежности.
Различная комбинация этих активов получила название агрегатов денежной массы, или денежных агрегатов.
Денежные агрегаты различные показатели объема денежной массы, используемые центральным банком страны.
Критерием включения того или иного актива в определенный денежный агрегат является ликвидность этого актива.
Ликвидность относительная легкость и быстрота, с которой финансовый актив выполняет функцию платежного средства. Чем выше трансакционные издержки, связанные с приобретением товаров и услуг с помощью данного финансового актива, тем ниже ликвидность этого актива.

  • В денежный агрегат Ml включаются активы, которые в любое время без всяких ограничении могут быть использованы в качестве платежного средства, т.е. обменивающиеся на товары и услуги с нулевыми трансакционными издержками. Такие активы называются абсолютно ликвидными (доходность абсолютно ликвидных активов тоже равна нулю):
Ml = Наличные деньги в обращении + Чековые депозиты.

  • В денежный агрегат М2 помимо активов, входящих в Ml, включаются другие активы, которые менее ликвидны и потому называются «почти деньги».


Основные статьи пассивов


Некоторые финансовые компании организуются крупными корпорациями с целью обеспечения продаж своего продукта. Инвестиционные компании (взаимные фонды инвестиционного типа) промежуточное звено между мелкими собственниками капитала и крупными корпорациями. Выпускают собственные акции, полученные средства вкладывают в ценные бумаги, что позволяет собственникам небольших капиталов получать доход от деятельности крупных компаний и уменьшать риск, «кладя яйца в разные корзины».
Различают инвестиционные компании открытого и закрытого типов. Первые, в отличие от вторых, обязуются выкупать свои акции у держателей по первому требованию.
Взаимные (паевые) фонды привлекают средства путем продажи населению паев, а собранные средства направляют на приобретение разнообразных акций и облигаций. Объединение средств пайщиков дает возможность снизить трансакционные издержки при покупке крупных пакетов акций или облигаций. Пайщики могут продать (вернуть) свои паи в любой момент времени, а стоимость паев определяется совокупной рыночной стоимостью всех ценных бумаг, которыми владеет фонд на данный момент времени. Поскольку рыночная стоимость ценных бумаг постоянно меняется, то же самое происходит и со стоимостью пая.
Поэтому вложение средств во взаимные фонды считается рисковым.
Взаимные (паевые) фонды денежного рынка обладают всеми характеристиками взаимных фондов, но, помимо того, являются в какой-то мере депозитными учреждениями, поскольку позволяют своим клиентам открывать счета депозитного типа. Как и у всех взаимных фондов, привлечение средств осуществляется посредством продажи паев, а затем эти средства используются для приобретения краткосрочных и высоколиквидных ценных бумаг, что позволяет фондам поддерживать твердые цены на собственные акции.
Отличительной чертой этих фондов является то, что пайщики имеют право выписывать чеки против своих паев, правда, при соблюдении определенных условий (обычно чеки разрешается выписывать только на суммы, не превышающие $500, и для открытия подобного счета требуется внести довольно большую сумму денег). По сути дела, паи во взаимном фонде денежного рынка играют роль чековых счетов, по которым выплачивается процент, хотя и с некоторыми ограничениями на право выписывать чек.
Паевые инвестиционные фонды (ПИФы) России подобны взаимным фондам. Их активы составляют 250 млн деноминированных рублей. Сегодня в России публикуется информация по 23 ПИФам и 400 чековым инвестиционным фондам.
В последнее время серьезную конкуренцию им составляют объединенные фонды банковского управления (ОФБУ) привлекающие средства в доверительное управление.
Некоторые кредитно-финансовые институты России строились по принципу финансовой пирамиды (МММ, Русский дом Селенга, Тибет, Властилина, Чара).
Деятельность кредитно-финансовых институтов отражается на их балансах. В зависимости от типа кредитно-финансового учреждения состав и структура его пассивов и активов будут заметно различаться (табл.
6.2).
Таблица 6.2. Основные статьи активов и пассивов финансовых посредников

Посредник
Основные статьи пассивов (источники привлечения средств)
Основные статьи активов (направления использования средств)
Депозитные учреждения (банки)
Коммерческие банки
Вклады
Коммерческие и потребительские кредиты; закладные; государственные ценные бумаги
Ссудо-сберегательные ассоциации
Вклады
Закладные
Взаимно-сберегательные банки
Вклады
Закладные
Кредитные союзы
Вклады
Потребительские кредиты
Сберегательные институты договорного типа
Страховые компании
Сборы от продажи страховых полисов
Корпоративные облигации и акции; закладные; государственные. ценные бумаги
Пенсионные фонды, государственные пенсионные фонды
Взносы работающих граждан и работодателей
Корпоративные облигации и акции
Инвестиционные институты
Инвестиционные компании
Эмиссия собственных акций
Корпоративные и государственные ценные бумаги
Финансовые компании
Коммерческие ценные бумаги, акции
Потребительские ссуды и коммерческие кредиты
Взаимные (паевые) фонды
Паевые взносы
Акции; облигации
Взаимные (паевые) фонды денежного рынка
Паевые взносы
Инструменты денежного рынка

В последние годы в странах с развитой рыночной экономикой наблюдается размывание границ между различными видами финансовых посредников. Например, коммерческие банки берут на себя дополнительно функции инвестиционных и финансовых компаний. В результате возникают так называемые «финансовые универмаги», у которых отсутствует явно выраженная специализация.
Они оказывают клиентам широкий спектр посреднических услуг.
6.3. Статистические материалы Доля различных кредитно-финансовых институтов США в общей сумме их активов

Актив
Доля, %
Коммерческие банки,
в том числе доверительные отделы
40
12
Сберегательные банки
5
Ссудо-сберегательные ассоциации
16
Кредитные союзы
2
Инвестиционные компании
2
Страховые компании
13
Частные пенсионные фонды
7
Государственные пенсионные фонды
6
Финансовые компании
51
Взаимные фонды денежного рынка
41
Итого

100


Источник: Federal Reserve Bulletin, 1998, № 6.
Баланс Центрального банка Российской Федерации на 1.06.98 г.

Актив
млн руб.
%
Пассив
млн руб.
%
Драгоценные металлы
37471
11,9
Наличные деньги в обращении
138667
44,1
Средства в иностранной валюте
66746
21,2
Средства на счетах в ЦБ РФ
72293
23,0
Кредиты в рублях,
из них:
кредитным организациям-резидентам
10546




9800
3,4




3,1
из них:
счета Правительства РФ
счета кредитных организаций-резидентов



9108



51 128



2,9



16,2
Ценные бумаги,
147000
46,7
Средства в расчетах
4481
1,4
из них:




Капитал
65650
20.9
ценные бумаги Правительства РФ


139458


44,3
Прочие пассивы
33694
10,7
Прочие активы
52322
16,7






Итого по активу

314785

100,0

Итого по пассиву

314785

100,0

Источник: Бюллетень банковской статистики, 1998, №7 (62).
Сводный баланс кредитных организаций России на 1.06.98 г.

Актив
млн руб.
%
Пассив
млн руб.
%
Резервы
59055,3
9,6
Депозиты до востребования
138380,1
22,6
Иностранные активы
68657,4
11,2
Срочные и сберегательные депозиты и депозиты в иностранной валюте,





192 415,0





31,4
Требования к органам государственного управления
202702.8
33,1
в том числе депозиты в иностранной валюте



78 671,8



12,8
Требования к нефинансовым гос. предприятиям
30283,8
4.9
Инструменты денежного рынка
37521,4
6,1
Требования к нефинансовым частным предприятиям и населению
246 059,9
40,1
Иностранные пассивы
103 212.3
16,8
Требования к прочим финансовым институтам
5269,9
0,9
Депозиты органов государственного управления
17 424,2
2,8






Кредиты, предоставленные денежными властями*
8544,0
1,4






Счета капитала
144 028,2
23,5






Прочие (сальдо)
29495,2
4,8
Итого по активу

612030

100,0

Итого по пассиву

612030

100,0

*Центральным банком и Министерством финансов РФ.
Источник Бюллетень банковской статистики, 1998, № 7 (62).

Задания
Задание 1. К а к с помощью концепции экономии от масштаба объяснить существование финансовых посредников?
Задание 2. Чем объясняется большое разнообразие кредитно-финансовых институтов?
Задание 3. К а к о в ы принципы построения финансовых пирамид, как они функционируют?
Задание 4. Почему в любом банковском балансе сумма активов всегда равна сумме пассивов?
Задание 5. Объясните:
1. Почему для центрального банка наличные деньги являются пассивом, а для любого другого кредитного учреждения активом?
2. Почему пассивом центрального банка становятся только наличные деньги в обращении, а та часть наличных денег, которая хранится s сейфе центрального банка, пассивом последнего не является?
Глава 7 ПРЕДЛОЖЕНИЕ ДЕНЕГ Предложение денег (или денежная масса) общий объем находящихся в обращении общепринятых платежных средств, широко принимаемых в качестве оплаты товаров и услуг и при погашении долгов.
В развитой рыночной экономике предложение денег в узком смысле слова представляет собой сумму наличных денег в обращении и вкладов до востребования:
MS = Cur + Dep,
где MS находящаяся в обращении денежная масса (предложение денег в узком смысле слова);
Cur количество наличных денег в обращении;
Dep объем депозитов до востребования.
Следовательно, существуют два источника предложения денег:
1. Центральный банк, выпускающий наличные деньги.
2. Коммерческие банки, открывающие вклады до востребования, т.е. создающие кредитные деньги.
7.1. Предложение наличных денег центральным банком. Денежная база Выполняя функции эмиссионного центра, центральный банк осуществляет эмиссию законных платежных средств (банкнот), которые на современном этапе представляют собой долговые обязательства центрального банка, не имеющие золотого обеспечения. Эти банкноты образуют денежную базу экономики.



ПЛАТЕЖНЫЙ БАЛАНС И ВАЛЮТНЫЙ КУРС



Задания
Задание 1. Экономика страны характеризуется следующими показателями:
Фрикционная безработица, млн чел. ................................... 6
Структурная безработица, млн чел. .................................... 6
Циклическая безработица, млн чел. .................................... 8
Численность занятых, млн чел. ............................................. 180
Общая численность населения, млн чел. ............................ 400
Потенциальный ВВП, млрд руб. ........................................... 4000
Определите фактический ВВП при условии, что коэффициент Оукена равен 2,5.
Задание 2. Кривая Филлипса задана уравнением: = е 0,5(u - 0,05). Уровень инфляции всегда ожидается равным прошлогоднему.
Определите:
а) уровень циклической безработицы в текущем году, если уровень инфляции снизился по сравнению с прошлым годом на 5 процентных пунктов;
б) величину отклонения фактического ВВП от потенциального в текущем году, если известно, что сокращение этого отклонения на 2,5% сопровождается сокращением фактического уровня безработицы по сравнению с естественным на один процентный пункт.
Задание 3. Экономика некоторой страны на сегодняшний день находится в состоянии полной занятости. Естественный уровень безработицы составляет в этой стране 5%, а коэффициент Оукена равен 2. Кривая Филлипса обнаруживает линейную зависимость между инфляцией и безработицей, так что снижение инфляции на 1% сопровождается ростом безработицы тоже на 1%.
Подсчитайте, как изменится объем совокупного выпуска в краткосрочном и долгосрочном периодах, если правительству удастся снизить инфляцию на 10%.
Задание 4. Экономическая история Соединенных Штатов обнаруживает любопытную закономерность. Второй год правления президентов-демократов всегда ознаменован сокращением объема ВВП, тогда как на второй год правления республиканцев ничего подобного не происходит.
Сделайте из этой информации вывод о том, какой выбор из дилеммы, описанной кривой Филлипса, делают республиканцы и демократы, и опишите, какие мероприятия проводят они в первый год своего правления.
Задание 5. Экономика стран А и Б идентична и близка к полной занятости; единственное различие состоит в том, что в стране А в коллективных договорах есть пункт об индексации заработной платы, а в стране Б этот пункт отсутствует. Ожидания населения в обеих странах носят адаптивный характер.
В целях стимулирования экономического роста центральные банки обеих стран однократно увеличивают предложение денег. Изобразите последствия этого события в обеих странах с помощью аппарата усиленной ожиданиями кривой Филлипса.
Задание 6. Предположим, что в экономике с адаптивными ожиданиями в момент времени t0 с целью увеличения занятости центральный банк увеличивает предложение денег. Динамика уровня цен Р и объема производства Y дана на графиках:

ПЛАТЕЖНЫЙ БАЛАНС И ВАЛЮТНЫЙ КУРС

1) каким было это мероприятие ожидаемым или неожиданным? Мотивируйте свой ответ;
2) предположим теперь, что способ вмешательства оказался противоположным тому, который вы назвали при ответе на пункт 1. Начертите на вышеприведенных графиках новую динамику уровня цен и объема производства.
Глава 12 ПЛАТЕЖНЫЙ БАЛАНС И ВАЛЮТНЫЙ КУРС Валютные отношения первоначально обслуживали функционирование внешней торговли. К концу XX столетия валютный рынок из вспомогательного превратился в один из ведущих рынков, объект приложения огромных капиталов.
Экономический оборот на валютном рынке в 60 раз превышает объем операций на мировом рынке товаров и услуг. 12.1. Эволюция валютных систем и ее закономерности
Валютная система политика и практика использования инструментов международных расчетов.
Валютный курс пропорции обмена одной валюты на другую.
Прямой валютный курс показывает, сколько единиц иностранной валюты обменивается на одну единицу отечественной валюты. Прямой оценкой валютного курса пользуются США, Великобритания и ряд других стран.
Обратный валютный курс показывает, сколько единиц отечественной валюты обменивается на одну единицу иностранной валюты. Обратная оценка валютного курса используется в России, ряде латиноамериканских стран.
Исторические виды валютных систем:
1. Золотой стандарт (1879-1934 гг.). Валютный курс регулируется «золотыми точками».
Он отклоняется от паритета на сумму издержек по страхованию, упаковке и транспортировке золота.
Достоинства стабильность денежного обращения, исключение инфляции.
Недостатки внутреннее экономическое развитие полностью подчинено поддержанию стабильности валютного курса.
2. Золотодевизная система (1944-1971 гг.). Валютные курсы были фиксированными. Но национальные государства имели право самостоятельно изменять курс валюты в пределах 10% паритета. Изменение валютного курса сверх этого предела допускалось только с согласия Международного валютного фонда (МВФ).
Поддержание фиксированных курсов валют требовало проведения всеми странами единой экономической политики. Проблемы создавались и неодинаковыми темпами инфляции.
Парадокс резервной валюты: резервная валюта должна быть доступной для всех стран, это возможно при дефицитности платежного баланса страны эмитента резервной валюты; но дефицитность платежного баланса порождает сомнения в надежности данной валюты и бегство от нее.
3. Система управляемых плавающих валютных курсов (ямайская валютная система, 1971 г.). Рамки независимости внутренней экономической политики от состояния платежного баланса расширились.
Приспособление национальной экономики к внешнеэкономическим отношениям осуществляется посредством изменения валютного курса.
Недостаток: большая степень неопределенности и непредсказуемости.
Тенденция развития системы плавающих валютных курсов: в глобальном масштабе курсы продолжают плавать. При этом центральные банки стремятся координировать свои действия в этой области.
Вместе с тем региональные группировки (ЕЭС, АСЕАН) стремятся фиксировать валютные курсы в пределах региона.
Факторы, определяющие плавающий валютный курс
1. Модель доходы/расходы концентрируется на товарном рынке и выявляет воздействие торгового баланса или баланса по текущим операциям на валютный курс.
Согласно этому подходу все, что увеличивает спрос на товары отечественного производства относительно иностранных товаров, ведет к удорожанию национальной валюты, поскольку в этом случае спрос на отечественную валюту также вырастет ( 12.1).

ПЛАТЕЖНЫЙ БАЛАНС И ВАЛЮТНЫЙ КУРС

12.1. Влияние роста спроса на отечественные товары на валютный курс:
ER валютный курс;
Q количество валюты
Аналогично все, что увеличивает спрос на иностранные товары относительно товаров отечественного производства, ведет к удешевлению национальной валюты, поскольку в этом случае возрастет предложение национальной валюты на валютных рынках с целью приобретения иностранной валюты ( 12.2).

ПЛАТЕЖНЫЙ БАЛАНС И ВАЛЮТНЫЙ КУРС

12.2. Влияние роста спроса на импортные товары на валютный курс
2. Портфельная модель полагает, что на валютный курс влияет не только торговый баланс, но и баланс по счетам капиталовложений, при этом акцент переносится на последний. Эта теория принимает во внимание то обстоятельство, что в современной развитой рыночной экономике объем внешней торговли относительно мал по сравнению с объемом сделок на валютном рынке (в США, например, годовой объем валютных сделок более чем в 25 раз превосходит объем экспортно-импортных операций).
Поэтому решения об инвестировании средств в национальные или иностранные финансовые активы играют более значительную роль в формировании валютного курса, чем спрос на экспортные и импортные товары и услуги.
В основе портфельной модели лежит теория паритета процентных ставок, гласящая, что в условиях международной мобильности капиталов и при отсутствии трансакционных издержек доходность идентичных финансовых активов должна быть одинаковой. Тогда валютный курс определяется соотношением доходности идентичных отечественных и зарубежных финансовых активов.
Доходность отечественных финансовых активов Rвн равна процентной ставке iвн, выплачиваемой по ним внутри страны, d доходность зарубежного финансового актива Rин для отечественного держателя определяется как

ПЛАТЕЖНЫЙ БАЛАНС И ВАЛЮТНЫЙ КУРС

где Rин доходность иностранного финансового актива;
i ставка процента, выплачиваемая владельцу данного актива страной-эмитентом;

ПЛАТЕЖНЫЙ БАЛАНС И ВАЛЮТНЫЙ КУРС
темп прироста валютного курса.
Тогда паритет процентных ставок описывает условие равновесия и на валютном рынке, так как если Rвн=Rин, то ER1 = ER0 + ER0(iвн iин).
Только когда валютный курс установится на таком уровне, что доходность внутренних и зарубежных финансовых активов будет одинаковой (iвн = iин), т.e. когда будет выполняться условие паритета процентных ставок, переток капитала из страны в страну прекращается и валютный курс стабилизируется (ER1=ER0).
3. Концепция паритета покупательной способности (ППС) исходит из теории единой цены У. Джевонса: при отсутствии транспортных издержек, барьеров в торговле и одинаковых качественных характеристиках идентичный товар должен продаваться по одной и той же цене во всех странах. Теория ППС является приложением закона единой цены к национальным уровням цен, а не к ценам на отдельные товары.
Паритет покупательной способности на практике соответствует соотношению уровня цен в различных странах.



Платежный баланс


Валютный курс с учетом ППС это номинальный валютный курс, умноженный на соотношение уровня цен. Такой валютный курс называется реальным валютным курсом. Номинальный валютный курс - пропорция, в которой валюта одной страны обменивается на валюту другой.
Реальный валютный курс - соотношение покупательной способности двух валют (принимает во внимание еще и соотношение цен на товары в разных странах):

Платежный баланс


Платежный баланс


Платежный баланс

Например, реальный обменный курс рубля к доллару (обратный):

Платежный баланс

Согласно теории ППС рост уровня цен в одной стране относительно уровня цен в другой стране приводит к удешевлению валюты первой страны (и удорожанию валюты второй страны).
Недостатки теории паритета покупательной способности:

  • Показатель общего уровня цен в различных странах рассчитывается для «корзины» товаров, большинство которых не являются идентичными (например, автомобили «Волга» и «Мерседес»).
  • Теория ППС не учитывает, что многие товары и услуги, цены которых включаются в «корзину», используемую для расчета национального уровня цен, не продаются за границей (недвижимость, многие виды услуг). Поэтому даже если цены на эти товары будут расти и это приведет к установлению более высокого уровня цен, чем в другой стране, прямое воздействие данного события на валютный курс будет незначительным, поскольку для установления единой цены требуется свободный перелив товаров и услуг между странами.
4. Монетаристская модель обменного курса предполагает, что главным фактором, определяющим валютный курс, является соотношение темпов инфляции. Формула изменения валютного курса рубля по отношению к доллару США за определенный период времени:

Платежный баланс

где
Платежный баланс
темп прироста обменного курса рубля к доллару;
РФ темп инфляции в России за данный период времени;
США темп инфляции в США за тот же период времени;
индекс, характеризующий изменение условий торговли между РФ и США.
Следовательно, обменный курс между любыми двумя валютами будет меняться таким образом, чтобы отражать изменения уровня цен в обеих странах.
12.2. Платежный баланс Платежный баланс - соотношение между общей суммой платежей иностранным государствам и общей суммой поступлений от иностранных государств в течение определенного периода.
Структура платежного баланса («плюс» приток валюты, «минус» отток валюты):
I. Баланс по текущим операциям:

  • Торговый баланс:
экспорт товаров (+);
импорт товаров ().

  • Баланс услуг:
экспорт услуг (+);
импорт услуг ().

  • Баланс трансфертных платежей:
доходы граждан страны от зарубежных инвестиций (+);
доходы иностранцев от инвестиций в экономику страны ();
трансферты из-за рубежа (+);
трансферты за рубеж ().
II. Баланс по счетам долгосрочных капиталовложений.
приток долгосрочных капиталовложений из-за рубежа (+);
отток долгосрочных капиталовложений за рубеж ().
III. Баланс по счетам краткосрочных капиталовложений:
приток краткосрочных капиталовложений из-за рубежа (+);
отток краткосрочных капиталовложений за рубеж ().
IV. Ошибки и упущения
V. Итоговый баланс.
Основные уравнения платежного баланса:
В открытой экономике Y = C + I + G + NX.
Следовательно,

Платежный баланс

Далее, поскольку объем совокупного выпуска равен объему совокупного дохода, который расходуется на уплату налогов, частное потребление и частные сбережения:

Платежный баланс


Платежный баланс

Состояние платежного баланса и изменение валютных курсов
Улучшение платежного баланса рост положительного сальдо платежного баланса (или уменьшение отрицательного сальдо). Таким образом, любые события, вызывающие рост притока валюты в страну и/или уменьшающие отток валюты из страны, улучшают ее платежный баланс.
Ухудшение платежного баланса снижение положительного сальдо платежного баланса (или рост отрицательного сальдо). Таким образом, любые события, сокращающие приток валюты в страну и/или увеличивающие отток валюты из страны, ухудшают ее платежный баланс.
Одной из важнейших причин изменения состояния платежного баланса является изменение курса валюты (табл. 12.1).
Ревальвация валюты повышение курса валюты по отношению к другим валютам.
Девальвация валюты понижение валютного курса по отношению к другим валютам.
Таблица 12.1. Влияние ревальвации и девальвации валюты на состояние платежного баланса

Платежный баланс

Вывод: ревальвация ухудшает состояние платежного баланса, девальвация улучшает.
12.3. Статистические материалы Платежный баланс Российской Федерация за I квартал 1998 г.*
* Бюллетень банковской статистики, 1998, № 7 (62).

Счет текущих операций, млн долл. США
1. Экспорт товаров 17956
2. Экспорт услуг 2909
3. Экспорт товаров и услуг (1 + 2) 20866
4. Оплата труда полученная 51
5. Инвестиционные доходы к получению 2407
6. Текущие трансферты полученные 59
7. Всего возмещении, подлежащих получению от нерези- 23383
дентов по текущим операциям (3+ 4+ 5+ 6)
8. Импорт товаров 16832
9. Импорт услуг 3898
10. Импорт товаров и услуг (8 + 9) 20730
11. Оплата труда выплаченная 3642
12. Инвестиционные доходы к выплате 2703
13. Текущие трансферты выплаченные 372
14. Всего возмещении, подлежащих предоставлению нерези- 24881
дентам по текущим операциям (10 + // + 12 + 13)
Сальдо счета текущих операций (7- 14) 1498
Счет операций с капиталом и финансовыми инструментами,
млн долл. США («» снижение, «+» рост)
15. Капитальные трансферты полученные 341
16. Обязательства сектора государственного управления 4890
17. Обязательства банковского сектора 181
18. Обязательства прочих секторов: 2576
прямые инвестиции 457
портфельные инвестиции 7
ссуды и займы 2026
торговые кредиты и авансы 86
прочие обязательства 0
19. Обязательства всего (14+ 15+ 16) 7647
20. Капитальные трансферты выплаченные 433
21. Активы сектора государственного управления 1327
22. Активы банковского сектора 526
23. Активы прочих секторов: 4501
прямые и портфельные инвестиции 143
наличная иностранная валюта 559
торговые кредиты и авансы 2334
изменение задолженности по своевременно 2572
поступившей экспортной выручке и непогашенным
импортным авансам
прочие активы 11
24. Активы всего (20 + 21 + 22) 5302
25. Сальдо счета операций с капиталом (14 + 19) 92
26. Сальдо финансового счета (кроме резервных активов) (18+23) 2345
Сальдо счета операций с капиталом и финансовыми 2253
инструментами (24 + 25)
27. Чистые ошибки и пропуски 1647
Изменение валютных резервов («» рост, «+» снижение) 892

Задания
Задание I. Ниже приведены данные (в трлн руб.), характеризующие экономическую активность в стране в течение трех последних лет.
Заполните таблицу недостающими данными.

Платежный баланс

Задание 2. Основные макроэкономические показатели внешнеэкономической деятельности страны за 1998 г. выглядят следующим образом (в трлн руб.):
Экспорт товаров ...........................................................................100
Импорт товаров ............................................................................. 75
Экспорт услуг ................................................................................ 30
Импорт услуг ................................................................................. 40
Доходы резидентов страны от зарубежных
инвестиций .................................................................................... 20
Доходы нерезидентов от инвестиций
в экономику страны ...................................................................... 10
Трансферты за рубеж .................................................................... 10
Трансферты из-за рубежа ............................................................... 5
Экспорт капитала .......................................................................... 80
Импорт капитала ......................................................................... 120
Рассчитайте:
а) сальдо баланса по текущим операциям;
б) сальдо баланса капиталовложений;
в) изменение валютных резервов.
Задание 3. С 1991 по 1996 г. международное сообщество выделило для российской экономики 41,3 млрд долл., в том числе:
Поддержание платежного баланса и бюджетная поддержка ...... 15,8
Инвестиции ....................................................................................... 5,3
Экспортные кредиты........................................................................ 15,1
Техническое содействие.................................................................... 2,6
Гуманитарная и продовольственная помощь............................ ..... 2,5
Оцените эффективность структуры финансовых ресурсов, полученных Россией за этот период, для экономического развития страны и состояния ее платежного баланса. Какие формы привлечения финансовых ресурсов из-за рубежа наиболее предпочтительны?
Задание 4. Россия в 1996 г. присоединилась к статье VIII Устава Международного валютного фонда, обязавшись перейти от внутренней конвертируемости рубля к внешней. Как это повлияло на состояние платежного баланса России?
Задание 5. Какой модели валютного курса придерживается Правительство России? Какая связь существует между валютным курсом рубля и его покупательной способностью внутри страны?
Глава 13 ТЕОРИЯ МЕЖДУНАРОДНОЙ ТОРГОВЛИ 13.1. Основные положения теории международной торговли Теория международной торговли изучает закономерности движения товаров и услуг через национальные границы.



Совокупный спрос и величина совокупного спроса


Потребители внутри страны покупают 800 автомобилей, а остальные 200 экспортируются. Все трактора скупает фирма FD.
Кроме того, FD скупает у фермеров весь их урожай на сумму 7 млн хиксов, перерабатывает его, расфасовывает, упаковывает и продает полученный товар потребителям через сеть собственных розничных магазинов, общий объем продаж которых составляет 14 млн хиксов в год. Годичный объем издержек основных действующих лиц экономики Хиксонии (тыс. хиксов)

Виды издержек
SM
FD
Фермеры
Заработная плата Процентные выплаты
Рентные платежи
3800 100
200
4500 200 1000

700
2000

Составить баланс ВВП Хиксонии, используя данные таблицы, если в этой стране нет правительства и годичный износ капитальных запасов равен нулю.
Задание 2. Усложним предыдущую задачу. Предположим, что в Хиксонии появилась государственная власть.
Для обеспечения собственной жизнедеятельности правительство установило налог с продаж в размере 500 тыс. хиксов на компанию SM и 200 тыс. хиксов на фирму FD, а также ввело 10%-й подоходный налог на заработную плату, процентные и рентные доходы. На собранные в виде налогов деньги у SM закуплены 50 автомобилей из числа предназначенных на экспорт для высших государственных деятелей, набрана наемная армия, на зарплату которой тратится 800 тыс. хиксов в год, и произведено на 1200 тыс. хиксов трансфертных платежей.
Компания FD оснастила все свои магазины компьютерами (общим числом 500 штук), которые с этой целью закупила в США по 2000 хиксов за штуку. Кроме того, обе компании обнаружили необходимость возмещать капитальный износ, который у SM составляет 600 тыс. хиксов в год, а у FD 200 тыс. хиксов в год.
Составить баланс ВВП для этих условий и подсчитать размер ЧВП, внутреннего дохода, личного дохода и располагаемого дохода Хиксонии.
Задание 3. Используя данные таблицы об экономике гипотетической страны, производящей только три вида товаров, и выбрав 1992 г. в качестве базового, подсчитать для 1998 г. реальный ВВП, номинальный ВВП, дефлятор ВВП и индекс потребительских цен.
Экономические показатели

Товар
1992г.
1998г.
Цена, руб.
Количество, шт.
Цена, руб.
Количество, шт.
Хлеб
Ботинки Самосвалы
2,00
200,00 75000,00
300000
50000
100
1,80
230,00 90000,00
410000
45000
70

Задание 4. Используя следующие данные, трлн руб., подсчитайте ВВП двумя способами и вычислите ЧВП, внутренний доход, личный доход, личный располагаемый доход и размер личных сбережений;

Потребительские расходы
250
Трансфертные платежи
12
Арендная плата
13
Амортизация зданий
13
Пенсии по старости
3
Взносы на социальное страхование
20
Амортизация оборудования
14
Пособия по безработице
4
Платежи частного бизнеса по процентам
14
Импорт
8
Доход от собственности
31
Доход от продажи акций
14
Доходы от косвенного налогообложения
18
Дивиденды
16
Заработная плата наемных работников
226
Чистые частные внутренние инвестиции
33
Нераспределенные прибыли корпораций
21
Подоходные налоги
26
Прибыли корпораций
56
Доходы от прямого налогообложения
77
Налоги на прибыль корпораций
19
Экспорт
11
Государственные закупки товаров и услуг
72




Задание 5. Стремясь привлечь внимание к гигантским размерам современных корпораций, часто пользуются сравнением их валовой выручки от продаж с ВВП или ВНП малых стран (см. рисунок). На рисунке сверху обозначена величина ВНП каждой из указанных стран, а снизу валовая выручка корпорации, сопоставимая с ВНП указанной страны:

Совокупный спрос и величина совокупного спроса

В результате получается, что в определенном смысле корпорация IBM больше, чем Польша, так как ее валовая выручка превышает ВНП Польши. Почему такое сравнение некорректно?
Задание 6. В СССР в качестве одного из основных макроэкономических показателей исчислялся совокупный общественный продукт (СОП). Он отличается от ВВП тем, что включает в себя стоимость промежуточной продукции, но не учитывает услуги нематериального характера.
Прокомментируйте целесообразность перехода от СОП к ВВП как основному макроэкономическому показателю.
Глава 2 ОСНОВНАЯ МАКРОЭКОНОМИЧЕСКАЯ МОДЕЛЬ РЫНКА ТОВАРОВ И УСЛУГ Агрегирование объединение равновесных цен на отдельных товарных рынках в уровень цен и равновесных количеств товаров в реальный объем совокупного выпуска. 2.1. Совокупный спрос
Совокупный спрос (AD) это модель, описывающая зависимость между уровнем цен и реальным объемом совокупного выпуска, на который предъявляется спрос при каждом значении уровня цен.
Составные части совокупного спроса:
потребительский спрос домашних хозяйств (С);
инвестиционный спрос предпринимателей (I);
государственные закупки товаров и услуг (G);
чистый экспорт (NX).
Графическое изображение совокупного спроса представлено на 2.1 кривая AD.


Совокупный спрос и величина совокупного спроса

2.1. График совокупного спроса
По оси ординат уровень цен Р (индекс-дефлятор ВВП), измеряемый в долях (процентах) от уровня цен базового года, принимаемого за единицу.
По оси абсцисс реальный объем совокупного выпуска Y (реальный ВВП).
Кривая совокупного спроса AD имеет отрицательный наклон (между уровнем цен и объемом совокупного выпуска существует обратная зависимость) вследствие трех причин:
1) эффект процентной ставки воздействует прежде всего на потребительские расходы и инвестиции: повышение уровня цен Р приводит к росту номинального спроса на деньги Md, росту процентной ставки r, а, следовательно, сокращению инвестиций, потребительских расходов и объема совокупного выпуска, на который предъявляется спрос:

Совокупный спрос и величина совокупного спроса

2) эффект реального богатства воздействует прежде всего на потребительские расходы: повышение уровня цен приводит к снижению покупательной способности активов с фиксированной денежной стоимостью, а следовательно, снижению потребительских расходов и объема совокупного выпуска, на который предъявляется спрос:

Совокупный спрос и величина совокупного спроса

3) эффект импортных закупок воздействует на величину чистого экспорта: повышение уровня цен приводит к увеличению импорта и уменьшению экспорта, а следовательно, сокращению чистого экспорта и объема совокупного выпуска, на который предъявляется спрос:

Совокупный спрос и величина совокупного спроса

Таблица 2.1. Совокупный спрос и величина совокупного спроса

Совокупный спрос и величина совокупного спроса

Таблица 2.2. Неценовые факторы, сдвигающие кривую совокупного спроса

Неценовые факторы, сдвигающие кривую совокупного спроса
Составная часть совокупного спроса, на которую оказывается воздействие
Благосостояние потребителей
Ожидания потребителей
Налоги на потребителей
Задолженность населения по потребительскому кредиту
С
Процентные ставки
Ожидаемые прибыли от инвестиций
Налоги с предприятий
НТП, изменения в технологии
Избыточные мощности
I
Политика в области государственных расходов
G
Размеры национального дохода;
валютные курсы
NX
Предложение денег: Ms
r
AD

С,I

2.2. Совокупное предложение Совокупное предложение (AS) это модель, показывающая зависимость между уровнем цен и реальным объемом совокупного выпуска, который производители готовы продать при каждом значении уровня цен.
Кривая совокупного предложения ( 2.2):
а) в краткосрочном периоде (при фиксированных ценах) представляет собой прямую, параллельную оси Y;
б) в долгосрочном периоде (при гибких ценах) представляет собой прямую, параллельную оси Р, отсекающую на оси Y отрезок, равный потенциальному ВВП.

Совокупный спрос и величина совокупного спроса

2.2. Кривые совокупного предложения:
а в краткосрочном периоде;
б в долгосрочном периоде
На 2.2 Yf потенциальный объем совокупного выпуска (ВВП) объем совокупного выпуска (ВВП) при полной занятости и максимально эффективном использовании всех ресурсов.
Таблица 2.3. Совокупное предложение и величина совокупного предложения

Совокупный спрос и величина совокупного спроса

2.3. Макроэкономическое равновесие Пересечение кривых совокупного спроса и совокупного предложения определяет равновесный уровень цен и равновесный реальный объем совокупного выпуска.
Краткосрочное равновесие точка пересечения кривой совокупного спроса и краткосрочной кривой совокупного предложения (точки Е и Е' нa рис 2.3, а). При сокращении совокупного спроса (AD'AD) происходит сокращение объема совокупного выпуска (Y'Y), и, наоборот, при увеличении совокупного спроса (ADAD') увеличивается реальный объем совокупного выпуска (YY'). Увеличение реального объема совокупного выпуска без инфляции возможно только если экономика работает в условиях неполной занятости ресурсов (см.
2.3, а).
Долгосрочное равновесие точка пересечения кривой совокупного спроса и долгосрочной кривой совокупного предложения (точка Е). Поскольку в длительном периоде цены гибки, краткосрочная кривая совокупного предложения тоже пересекает эту точку (см.
2.3, б).

Совокупный спрос и величина совокупного спроса

2.3. Макроэкономическое равновесие:
а краткосрочное;
б долгосрочное
Долгосрочное равновесие не может существовать при неполной занятости ресурсов.

Совокупный спрос и величина совокупного спроса

2.4. Краткосрочное и долгосрочное изменения макроэкономического равновесия, вызванные сокращением совокупного спроса
Допустим, экономика изначально находилась в равновесии, соответствующем состоянию полной занятости ресурсов (точка Е на 2.4). При снижении совокупного спроса (вызванного, например, сокращением предложения денег) происходит переход от точки Е к точке Е', в которой объем производства ниже потенциального.



Способы принудительного изъятия денег из обращения:


Сокращение же избыточных резервов коммерческих банков приводит к уменьшению объемов выдаваемых ими ссуд и вызывает мультипликационное сжатие денежной массы. Рассмотрим процесс сокращения денежной массы при продаже центральным банком государственных облигаций на сумму 10 тыс. руб. при прочих равных: cr = 25%, rr = 10%, er = 15% ( 9.11).

Способы принудительного изъятия денег из обращения:

9.11. Итоговые изменения балансов банковской системы, вызванные продажей центральным банком государственных облигаций на сумму 10 тыс. руб.
Следовательно, продажа центральным банком государственных ценных бумаг ведет к сокращению денежной базы на сумму продажи за счет сокращения кассовых остатков и избыточных резервов коммерческих банков. Ссудный потенциал банковской системы снизится, объем выдаваемых коммерческими банками ссуд сократится и приведет к мультипликационному сокращению вкладов ( 9.12).

Способы принудительного изъятия денег из обращения:

9.12. Влияние продажи центральным банком государственных ценных бумаг на открытом рынке на величину предложения денег
В нашем числовом примере:

Способы принудительного изъятия денег из обращения:

Таким образом, продажа населению государственных ценных бумаг на сумму 10 тыс. руб. вызвала уменьшение денежной базы на 10 тыс. руб. и сжатие денежной массы на 25 тыс. руб.
Эмиссия и принудительное изъятие денег из обращения
Эмиссия наличных денег приводит к расширению денежной базы и мультипликационному расширению денежной массы. Ее воздействие рассматривалось в разделе «Предложение денег».
Обратное влияние на денежную базу и денежную массу оказывает принудительное изъятие центральным банком наличных денег из обращения.
Способы принудительного изъятия денег из обращения:
замена денежных знаков в ограниченных масштабах;
прекращение хождения денежных знаков с ограниченным обменом их на новые;
деноминация денежных знаков, не сопровождающаяся адекватным снижением цен, и т.п.
Эти инструменты редко используются современными центральными банками.
9.2. Цели и результаты денежно-кредитной политики Стимулирующая денежно-кредитная политика денежно-кредитная политика, направленная на увеличение денежной массы.
Сдерживающая денежно-кредитная политика денежно-кредитная политика, направленная на сокращение денежной массы.
Способы проведения денежно-кредитной политики представлены в табл. 9.1.
Таблица 9.1. Способы проведения денежно-кредитной политики

Политика
Изменение нормы обязательных резервов
Изменение ставки рефинансирования
Операции на открытом рынке
Стимулирующая
Снижение
Снижение
Скупка государственных ценных бумаг
Сдерживающая
Увеличение
Увеличение
Продажа государственных ценных бумаг

Классические представления о денежно-кредитной политике
Кембриджское уравнение:
М = kPY
или


где kY желаемый объем реальных кассовых остатков;

фактический объем реальных кассовых остатков.
Согласно представлениям классической школы:
экономика имеет тенденцию к автоматическому поддержанию полной занятости ресурсов и, следовательно, к устойчивому соответствию совокупного выпуска своему потенциальному значению: Y = Y1;
коэффициент предпочтения ликвидности k стабилен, поскольку зависит от платежных традиций общества, изменяющихся крайне медленно.
При увеличении денежной массы объем реальных кассовых остатков на руках у населения М/Р начинает превышать желаемое их значение kY. Избыточные деньги население предъявит в виде дополнительного спроса на товары и услуги.
Но поскольку экономика функционирует на уровне полной занятости ресурсов, то рост совокупного спроса не может быть удовлетворен ростом совокупного предложения ввиду отсутствия свободных ресурсов. Поэтому увеличение совокупного спроса при неизменном объеме совокупного предложения приведет к росту уровня цен, которое будет продолжаться до тех пор, пока реальное значение кассовых остатков не вернется к желаемому уровню.
Противоположный процесс будет происходить при сокращении денежной массы.
Следовательно, изменение денежной массы приводит только к пропорциональному изменению уровня цен, не затрагивая реального объема выпуска.
В терминах классической модели этот вывод означает, что:
экономика характеризуется дихотомией (от греческого «рассечение на две части»);
деньги в такой экономике нейтральны.
Классическая дихотомия положение, гласящее, что величина и динамика показателей реального сектора в экономике не зависят от состояния денежного сектора.
Нейтральность денег экономическая ситуация, в которой реальные значения экономических показателей не зависят от количества денег в обращении.
Таким образом, денежно-кредитная политика способна повлиять только на уровень цен и не способна изменить значения реального совокупного выпуска и занятости. Стимулирующая политика приведет к пропорциональному росту уровня цен, сдерживающая политика к пропорциональному их снижению.
Кейнсианские представления о денежно-кредитной политике

  • При проведении стимулирующей денежно-кредитной политики расширение предложения денег центральным банком приведет к возникновению избыточного предложения денег ( 9.13).
Способы принудительного изъятия денег из обращения:

9.13. Графическая интерпретация стимулирующей денежно-кредитной политики в кейнсианской модели
По мнению представителей кейнсианского направления, избыточные деньги население целиком направит на покупку государственных облигаций. При этом спрос на облигации вырастет и при прежней ставке процента
станет избыточным. В результате рыночная цена увеличится, а доходность (номинальная процентная ставка) сократится до уровня i2. Поскольку в кейнсианской модели цены стабильны, то падение номинальной процентной ставки приводит к сокращению реальной процентной ставки на то же значение.
Снижение же реальной процентной ставки по государственным облигациям сократит альтернативные издержки инвестирования и приведет к росту инвестиционного спроса, который, в свою очередь, вызовет мультипликационное расширение объема производства, совокупного дохода и занятости.
Следовательно, в кейнсианской модели экономика не дихотомна и деньги не нейтральны, потому что существует специальный передаточный механизм, через который деньги влияют на реальный сектор.
Передаточный механизм последовательность событий, в результате которых изменение предложения денег изменяет реальные показатели, например, реальный объем совокупного выпуска и занятость ( 9.14).

Способы принудительного изъятия денег из обращения:

9.14. Передаточный механизм стимулирующей денежно-кредитной политики в кейнсианском представлении
Не-нейтральность денег экономическая ситуация, в которой изменение количества денег в обращении влияет на реальные значения экономических показателей.
Таким образом, стимулирующая кредитно-денежная политика имеет своим конечным результатом увеличение объема производства, совокупного дохода и занятости.

  • При проведении сдерживающей денежно-кредитной политики сокращение предложения денег центральным банком приведет к возникновению избыточного спроса на деньги ( 9.15).
Способы принудительного изъятия денег из обращения:

9.15. Графическая интерпретация сдерживающей денежно-кредитной политики в кейнсианской модели
По мнению представителей кейнсианского направления, при недостатке денег для спекулятивных целей спрос на облигации сократится, и при прежнем уровне процентной ставки
возникнет избыток их предложения. В результате этого рыночная цена облигаций снизится, а их доходность (номинальная процентная ставка) увеличится до уровня
. При стабильном уровне цен на то же значение вырастет и реальная ставка процента. Рост реальной процентной ставки по государственным облигациям увеличивает альтернативные издержки инвестирования и приводит к снижению инвестиционного спроса, которое, в свою очередь, вызовет мультипликационное сокращение объема производства, совокупного дохода и занятости ( 9.16).

Способы принудительного изъятия денег из обращения:

9.16. Передаточный механизм сдерживающей денежно-кредитной политики в кейнсианском представлении
Таким образом, сдерживающая кредитно-денежная политика имеет своим конечным результатом снижение объема производства, совокупного дохода и занятости.
Точно так же как и в случае с фискальной политикой, основная задача недискреционной денежно-кредитной политики предотвратить колебания совокупного спроса и дохода , а основная задача дискреционной денежно-кредитной политики устранить негативные последствия этих колебаний.
Дискреционная денежно-кредитная политика должна поэтому иметь антициклическую направленность:
во время спада центральному банку следует проводить стимулирующую политику, способствующую увеличению инвестиционного спроса;
во время подъема центральному банку следует проводить сдерживающую политику с целью сокращения инвестиционного спроса.
Недискреционная денежно-кредитная политика должна быть направлена на поддержание стабильной процентной ставки, поскольку колебания доходности государственных ценных бумаг приводят к колебаниям инвестиционного спроса, а следовательно, и совокупного спроса. Основной причиной колебаний ставки процента служит спрос на деньги, который в кейнсианской модели полагается весьма нестабильным из-за наличия в нем спекулятивной составляющей.
Следовательно, центральный банк должен манипулировать предложением денег так, чтобы нейтрализовать влияние колебаний спроса на деньги на процентную ставку ( 9.17, 9.18).



Спрос на облигации государственного займа


Спрос на облигации государственного займа

3. Спекулятивный мотив это новый, выявленный Кейнсом, мотив спроса на деньги. В экономике обращаются не только товары и услуги, но и доходные финансовые активы (ценные бумаги), на которые тоже тратятся деньги. Благодаря этому у домашних хозяйств возникает потребность в наличии определенного запаса денег, предназначенного для вложения в доходные финансовые активы, когда такое вложение станет выгодным. Поэтому объем спекулятивного спроса на деньги определяется населением одновременно с принятием решения об объеме своих вложений в ценные бумаги.
Задача сводится, таким образом, к выбору оптимальной структуры портфеля (набора) финансовых активов. По этой причине кейнсианская теория спроса на деньги называется еще портфельной теорией спроса на деньги.
При выборе оптимальной доли денег в общей структуре портфеля экономические субъекты сравнивают выгоду и издержки хранения спекулятивного запаса денег:
Издержки неполученный процентный доход по ценным бумагам, которые можно было бы сегодня купить на отложенные деньги. Их величина измеряется текущей доходностью ценных бумаг.
Выгода процентный доход, который можно получить по ценным бумагам в будущем. Измеряется ожидаемой будущей доходностью ценных бумаг.
Поскольку издержки и выгоды определяются доходностью финансовых активов независимо от их конкретного вида, то при решении экономическими субъектами вопроса о величине своего спекулятивного спроса на деньги все финансовые активы с равной доходностью являются абсолютными субститутами. Кейнс поэтому рассматривал поведение экономических субъектов в предположении, что они владеют только одним видом ценных бумаг облигациями государственного займа.
Это позволяет упростить анализ, исключив из него переменные, описывающие риск (облигации государственного займа полагаются в странах с развитой рыночной экономикой безрисковыми).
Следовательно, назначение спекулятивного запаса денег служить удовлетворению спроса на облигации государственного займа.
Облигация государственного займа ценная бумага, представляющая собой долговое обязательство правительства, по которому заемщик (правительство) обязуется выплачивать держателю облигации определенную сумму денег (процентный доход) через оговоренные промежутки времени до наступления оговоренной даты (даты погашения), когда занятая сумма возвращается владельцу облигации (производится погашение облигации).
Государственные облигации представляют собой ценные бумаги с фиксированным доходом. В зависимости от способа выплаты дохода их подразделяют на два основных вида:
1. Дисконтные облигации облигации, по которым платеж осуществляется только в день погашения (т.е. периодические процентные выплаты не производятся), но которые поступают в первичное размещение со скидкой (дисконтом). Например, покупка облигации номинальной стоимостью 100 руб. (т.е. по которой при погашении будет выплачено 100 руб.) на первичном рынке по цене 98 руб. означает получение при погашении дисконтного дохода в размере 2 руб.
2. Купонные облигации продаваемые на первичном рынке по номиналу облигации, по которым правительство периодически выплачивает держателю определенный процент от номинала (купонный доход) через оговоренные промежутки времени до наступления срока погашения. Например, покупка 5%-й облигации государственного займа номиналом 100 руб. сроком на три года гарантирует держателю облигации ежегодное получение в виде купонного дохода фиксированной суммы в размере 5 % от номинала (100 руб. х 0,05 = 5 руб.), а в конце третьего года ему будет выплачен не только купонный доход, но и 100 руб. номинальной стоимости при погашении облигации.
Первичный рынок ценных бумаг финансоиый рынок, на котором новые выпуски ценных бумаг продаются после эмиссии своим первым (начальным) покупателям.
Вторичный рынок ценных бумаг финансовый рынок, на котором перепродаются ценные бумаги до наступления срока их погашения тем, кто желает их купить, когда первичное размещение уже закончено.
На вторичном рынке купля-продажа облигаций происходит по текущей рыночной цене, которая определяется соотношением спроса и предложения данного вида облигаций. Равновесная рыночная цена всегда устанавливается на таком уровне, чтобы доходность облигации равнялась среднерыночной.
Доходность дисконтной облигации в первом приближении оценивается показателем дисконтной доходности:

Спрос на облигации государственного займа

Доходность купонной облигации в первом приближении оценивается показателем текущей доходности:

Спрос на облигации государственного займа

Таким образом, текущая рыночная цена любой облигации и ее доходность связаны между собой обратной зависимостью и взаимно однозначным соответствием. Каждому значению рыночной цены облигации соответствует только одно значение ее доходности.
Именно эта доходность и служит теории Кейнса мерилом npоцентнoй ставки.
Величина спроса на облигации Вd, как и любого другого блага, не являющегося товаром Гиффена, отрицательным образом зависит от их рыночной цены РB. А поскольку рыночная цена облигаций однозначно определяет их доходность, то можно утверждать, что величина спроса на облигации Вd положительным образом зависит от их номинальной доходности i ( 8.2).

Спрос на облигации государственного займа

8.2. Спрос на облигации государственного займа
При снижении цены облигации с РB до
и, соответственно, при увеличении ее доходности (ставки процента) с i до
спрос на облигации вырастет на величину (
). Для удовлетворения растущего спроса на облигации население будет тратить на их приобретение деньги из своих спекулятивных запасов. Следовательно, объем спекулятивного спроса на деньги сократится точно на величину, равную приросту спроса на облигации: Мd = Bd.
Поэтому спекулятивный спрос на деньги при росте процентной ставки снизится. Следовательно, величина спекулятивного спроса на деньги Мdc связана с процентной ставкой (доходностью облигаций) отрицательной зависимостью:

Спрос на облигации государственного займа

В простейшем виде:

,
где M0 объем спекулятивного спроса на деньги при нулевой процентной ставке;
h коэффициент чувствительности спроса на деньги по номинальной процентной ставке; показывает, как изменится спекулятивный спрос на деньги при изменении номинальной ставки процента на один пункт.
Графическое изображение спекулятивного спроса на деньги представлено на 8.3.

Спрос на облигации государственного займа

8.3. Спекулятивный спрос на деньги
Величина суммарного спроса на деньги Мd представляет собой сумму величины спроса на деньги по трансакционному мотиву Мdт, величины спроса на деньги по мотиву предосторожности Мdп и величины спроса на деньги по спекулятивному мотиву Мdc при каждом значении дохода и процентной ставки:

Спрос на облигации государственного займа

График суммарного спроса на деньги показан на 8.4 (кривая 3).
Взаимосвязь графиков, представленных на 8.4, можно описать формулой:

Спрос на облигации государственного займа


Спрос на облигации государственного займа

8.4. Суммарный спрос на деньги:
1Мdт + Мdп;
2Мdc:
3Мd
Суммарный спрос на деньги полагался Кейнсом весьма нестабильным, поскольку в него входит спекулятивная составляющая, которая зависит от процентной ставки, определяемой неустойчивой и непредсказуемой конъюнктурой рынка ценных бумаг.
Следовательно, и скорость обращения денег становится величиной нестабильной даже в коротком периоде. Ее значение находится в обратной зависимости от процентной ставки и колеблется вместе с последней.
В этом разделе речь идет о номинальном спросе на деньги (спросе на номинальные кассовые остатки). Реальный же спрос на деньги (спрос на реальные кассовые остатки) Мd/Р получается путем деления обеих частей уравнения на уровень цен. Если вспомнить, что номинальная процентная ставка, деленная на уровень цен, это реальная процентная ставка r, то получим:

Спрос на облигации государственного займа

График реального спроса на деньги аналогичен графику номинального спроса на деньги, с той лишь разницей, что по оси ординат откладывается величина не номинальной, а реальной процентной ставки.
8.2. Модель рынка денег. Макроэкономическое равновесие рынка денег Предложение денег MS в экономике определяется решениями центрального банка, которые не зависят ни от совокупного дохода, ни от ставки процента. То же самое справедливо применительно к предложению облигаций BS правительством.
Поэтому предложение обоих финансовых активов является экзогенной величиной.
Графическое изображение рынка денег и рынка облигаций представлено на 8.5.

Спрос на облигации государственного займа

8.5. Рынок денег (а) и рынок облигаций (б)
Равновесие рывка денег ситуация, когда величина спроса на деньги в точности равна величине предложения денег, т.е. когда население желает хранить в виде кассовых остатков ровно столько денег, сколько их имеется в экономике.
Равновесие на рынке денег устанавливается только одновременно с равновесием на рынке облигаций: MS = Md только в том случае, если на рынке облигаций установилась такая процентная ставка, при которой ВS = Вd.
Ситуация в экономике, при которой фактический уровень процентной ставки превышает равновесный, иллюстрируется графиками, показанными на 8.6.

Спрос на облигации государственного займа

8.6. Рынок денег (а) и рынок облигаций (6) для ситуации в экономике, при которой фактический уровень процентной ставки превышает равновесный
Если на рынке облигаций установится ставка процента
, превышающая равновесное значение
, то на рынке облигаций возникнет избыточный спрос. Население будет пытаться удовлетворить этот избыточный спрос за счет денег, хранящихся в спекулятивных запасах.



Запас денег повышенной мощности


Денежная база общий запас наличных денег (банкнот и монет) в экономике. Также называется запасом денег повышенной мощности:
MB = Cur + Res,
где MB денежная база;
Cur сумма наличных денег в обращении;
Res сумма резервов банковской системы.
Наличные деньги в обращения (Cur) общая сумма наличных денег, которую население хранит вне банковской системы. Также называются кассовыми (или денежными) остатками.
Резервы (Res) наличные деньги, хранящиеся внутри банковской системы.
7.2. Предложение кредитных денег коммерческими банками. Мультипликация вкладов Создание кредитных денег единичным банком
В способности создавать деньги заключается основное отличие коммерческих банков от других финансовых учреждений. Только коммерческие банки наделены правом иметь пассивы, являющиеся частью денежной массы в узком смысле слова (вклады до востребования, против которых можно выписывать чеки без ограничений).
Коммерческий банк преследует в своей деятельности две цели:
а) платежеспособность, т.е. способность оплачивать свои обязательства по первому требованию;
б) прибыльность.
Эти цели находятся в противоречии друг с другом.

  • Для обеспечения максимальной платежеспособности коммерческий банк должен хранить в форме резервов все привлеченные на вклады средства. Такая политика называется полным резервированием вкладов.
Например, если банк привлек на вклады до востребования дополнительно 10 тыс. руб., то для обеспечения максимальной платежеспособности он должен все эти деньги хранить в наличной форме, т.е. в форме резервов (табл. 7.1).
Таблица 7.1. Изменения в балансе коммерческого банка с полным резервированием вкладов

Актив, тыс. руб.
Пассив, тыс. руб.
Резервы
+10
Вклады до востребования
+10

В результате проведения политики полного резервирования вкладов:
1) изменяется структура денежной базы: на 10 тыс. руб. меньше наличных денег в обращении и на 10 тыс. руб. больше резервов;
2) изменяется структура денежной массы в обращении: на 10 тыс. меньше наличных денег и на 10 тыс. больше кредитных денег (вкладов до востребования). При этом величина денежной массы не изменяется.
Таким образом, если коммерческий банк придерживается политики полного резервирования вкладов, то его деятельность изменяет только структуру предложения денег, но не оказывает влияния на величину последнего.
Недостаток политики полного резервирования вкладов заключается в том, что банк не получает прибыли, поскольку источником прибыли коммерческого банка является процент по выданным ссудам, которые в случае полного резервирования вкладов равны нулю.

  • Для обеспечения максимальной прибыли коммерческий банк должен выдавать в ссуду все привлеченные на вклады средства, ничего не оставляя в виде резервов. Такая политика называется нулевым резервированием вкладов.
Например, если банк привлек на вклады до востребования дополнительно 10 тыс. руб., то для получения максимальной прибыли он должен все эти деньги выдать в ссуду, ничего не оставляя в форме резервов (табл. 7.2).
Таблица 7.2. Изменение баланса коммерческого банка с нулевым резервированием вкладов

Акта, тыс. руб.
Пассив, тыс. руб.
Ссуды
+10
Вклады до востребования
+10
В результате проведения политики нулевого резервирования вкладов:
1) денежная база остается неизменной по объему и структуре, поскольку принятые на вклад средства, будучи выданы в кредит, снова оказываются в обращении;
2) денежная масса в обращении увеличивается на 10 тыс.: после приема денег на вклад 10 тыс. руб. наличных денег в обращении превратились в 10 тыс. руб. кредитных денег (вкладов до востребования), т.е. объем денежной массы не изменился, а после выдачи ссуды 10 тыс. руб. наличных денег вернулись обратно в обращение. Теперь в обращении вместо 10 тыс. руб. наличных денег находится 10 тыс. руб. кредитных денег (вкладов до востребования) и 10 тыс. руб. наличными (банковская ссуда).
Следовательно, при проведении политики нулевого резервирования коммерческий банк увеличивает денежную массу ровно на сумму дополнительно привлеченных им вкладов, которая равна объему выданных этим банком дополнительных ссуд:

.
Недостаток политики нулевого резервирования вкладов заключается в полном отсутствии платежеспособности. Такой банк не способен удовлетворять свои обязательства по первому требованию.

  • Противоречивость целей заставляет коммерческие банки придерживаться промежуточного варианта: часть привлеченных на вклады средств оставлять в форме резервов для поддержания платежеспособности, а оставшуюся часть выдавать в ссуду для получения прибыли. Такая политика называется частичным резервированием вкладов.
Главной проблемой при частичном резервировании вкладов является выбор нормы резервирования.
Норма резервирования вкладов
доля привлеченных на вклады средств, которая не выдается в ссуду, а хранится банком в форме резервов.
При выборе нормы резервирования коммерческий банк сталкивается с дилеммой целей: чем выше норма резервирования, тем выше платежеспособность и меньше риск банкротства, но тем ниже прибыль.
Минимальная норма резервирования обычно устанавливается центральным банком. Поэтому ее часто называют нормой обязательного резервирования вкладов (rr).
Норма обязательного минимального резервирования вкладов устанавливаемая центральным банком минимальная доля привлеченных на вклады средств, которую коммерческие банки обязаны хранить в форме резервов. Эти резервы носят название обязательных резервов и отправляются коммерческим банком на хранение в центральный банк:

Запас денег повышенной мощности

где RRes объем обязательных резервов.
Остальная часть привлеченных средств носит название избыточных резервов и представляет собой ссудный потенциал данного коммерческого банка.
Избыточные резервы находящийся в коммерческом банке запас наличных резервов сверх обязательных.
Ссудный потенциал коммерческого банка максимально возможный объем ссуд, который может выдать коммерческий банк при существующем объеме вкладов до востребования и норме обязательного резервирования. Ссудный потенциал коммерческого банка равен объему избыточных резервов банка.
Если коммерческий банк не держит резервов сверх обязательных, то весь его ссудный потенциал используется для выдачи ссуд, и любой прирост вкладов до востребования приводит к максимальному увеличению объема выдаваемых ссуд:
Прирост объема выдаваемых ссуд = Dер RRes = Dер(1 rr).
Например, при норме обязательного резервирования, равной 10%, коммерческий банк, который привлек на вклады до востребования дополнительно 10 тыс. руб., должен поступить следующим образом (табл. 7.3).
Таблица 7.3. Изменение баланса коммерческого банка при минимальной резервной норме, установленной в размере 10% от суммы вкладов

Актив, тыс. руб.
Пассив, тыс. руб.
Резервы
Ссуды
+1
+9
Вклада до востребования
+10

В результате проведения политики частичного резервирования вкладов (табл. 7.3):
1) изменяется структура денежной базы: в ней становится на 1 тыс. руб. меньше наличных денег в обращении и на 1 тыс. руб. больше резервов, поскольку 9 тыс. руб. из числа принятых на вклад средств, будучи выданы в кредит, снова оказываются в обращении;
2) денежная масса в обращении увеличивается на 9 тыс. руб.: после приема денег на вклад 10 тыс. руб. наличных денег в обращении превратились в 10 тыс. руб. кредитных денег (вкладов до востребования), т.е. объем денежной массы не изменился, а после выдачи ссуды 9 тыс. руб. наличных денег вернулись обратно в обращение. Теперь в обращении вместо 10 тыс. руб. наличных денег находится 10 тыс. руб. кредитных денег (вкладов до востребования) и 9 тыс. руб. наличными (банковская ссуда).
Следовательно, при проведении политики частичного резервирования коммерческий банк увеличивает денежную массу ровно на сумму выданных им ссуд:

Запас денег повышенной мощности

Создание денег банковской системой
Если все коммерческие банки страны придерживаются политики полного резервирования вкладов, то их деятельность не оказывает влияния на величину предложения денег, и оно остается равным денежной базе:
МS = Cur + Dep;
MB = Cur + Res.
При полном резервировании вкладов всеми коммерческими банками норма резервирования равна 100%. Тогда Dep = Res, следовательно,
МS = MB.
Если все коммерческие банки страны придерживаются политики частичного резервирования вкладов, то их деятельность увеличивает предложение денег, и оно превышает размер денежной базы.
Процесс расширения денежной массы банковской системой


Запас денег повышенной мощности


7.1. Изменение балансов банковской системы в процессе мультипликации вкладов (случай 1)

  • Случай1.
Предположим, что:
а) население настолько ценит удобства, связанные с владением чековой книжкой, что все попадающие к нему наличные деньги стремится сразу же положить на счет до востребования;
б) коммерческие банки полагают минимальную резервную норму достаточной для поддержания необходимого уровня платежеспособности и не стремятся держать избыточных резервов, используя весь свой ссудный потенциал полностью для выдачи кредитов.
Пусть центральный банк расширил денежную базу, осуществив дополнительную эмиссию средств в размере 10 тыс.





    Экономика: Знания - Циклы - Макроэкономика