Безопасность жизнедеятельности
В учебном пособии рассмотрен широкий круг вопросов, связанный с новой областью знаний – безопасностью жизнедеятельности.Пособие подготовлено на основе рекомендаций государственного образовательного стандарта высшего профессионального образования по специальности 330100 "Безопасность жизнедеятельности в техносфере".
Авторы пособия, имея значительный опыт работы в области производственной безопасности, начали в 1994 г., одними из первых в Российской Федерации, подготовку специалистов по только что введенной тогда новой специальности "Безопасность жизнедеятельности" (приказ Минвуза № 292 от 13.05.93). Эта работа проводилась на одноименной кафедре Ивановского государственного энергетического университета.
Одной из серьезных проблем, которая возникла при обучении студентов по этой специальности (шифр специальности 330100), явилась недостаточная учебно-методическая обеспеченность образовательного процесса, недостаток апробированных типовых программ новых учебных дисциплин, учебных пособий, методических материалов, учебно-лабораторного практикума.
Появившийся учебник "Безопасность жизнедеятельности", под редакцией профессора Белова С.В. (издание "Высшая школа", 1999 г.) является первым официальным изданием в этой области знаний и в определенной степени снижает остроту проблемы. Однако, в основном, он ориентирован на методическую поддержку дисциплины "Безопасность жизнедеятельности", которая в высшей школе читается студентам всех технических специальностей.
Авторы предлагаемого учебного пособия не исключают востребованность своего труда студентами различных технических специальностей, особенно в сочетании с выше названным учебником, при изучении соответствующей дисциплины и, главным образом, при выполнении раздела "Экологичность и безопасность" дипломного проекта.
Однако главная задача заключается в методической поддержке ряда специальных дисциплин специальности 330100. К их числу можно отнести такие как: "Источники загрязнения среды обитания", "Безопасность в чрезвычайных ситуациях", "Безопасность труда", "Системы защиты среды обитания", а также общепрофессиональную дисциплину "Медико-биологические основы безопасности жизнедеятельности".
Учитывая разносторонность знаний и навыков специалиста по безопасности жизнедеятельности, авторы сочли целесообразным осветить отдельные аспекты некоторых нравственных мировоззренческих проблем, которым посвящена вторая глава пособия.
При написании учебного пособия работа была распределена следующим образом: предисловие, введение, глава 1 написаны проф. Поповым Г.В., глава 2 – доц. Тихоновым А.И., глава 3 – доц. Соколовым А.К., главы 4 и 8 – доц. Горбуновым А.Г., глава 5 – доц. Строевым В.П., глава 6 – доц. Ларионовым В.Н., главы 7 и 9 – проф. Дьяковым В.И., глава 10 – доц. Черновым К.В.
Авторы будут благодарны всем, кто сочтет целесообразным высказать замечания и пожелания по содержанию учебного пособия.
ВВЕДЕНИЕ
В своем очередном ежегодном послании о положении в стране (июль, 2000 г.) Президент обратил внимание на деградацию населения в РФ, которая выражается как в уменьшении его численности, так и ухудшении качества.
Подобная проблема, по всей видимости, в ближайшие десятилетия станет для национальной безопасности России одной из наиболее острых. Сейчас наша страна переживает системный кризис, который характеризуется тем, что большинство параметров развития экономики и общества находятся в закритической области.
В этих непростых условиях становление и развитие новой науки – безопасности жизнедеятельности (БЖД) – приобретает значение.
Хотя безопасность человека – понятие комплексное, в дальнейшем будем иметь в виду только техносферную безопасность, под которой понимается область науки и техники, занимающаяся разработкой методов и средств, обеспечивающих благоприятные для человека условия существования в преобразуемой человеком биосфере – техносфере.
Техносферная безопасность также достаточно сложное понятие, охватывающее экологическую, производственную и бытовую безопасность, что в определенной степени характеризует распределение опасностей в пространстве. Оценивая развитие опасностей во времени, можно говорить о медленных (вялотекущих) и быстрых (взрывных) процессах.
В последнем случае имеют дело с чрезвычайными ситуациями, которые также входят в круг вопросов, рассматриваемых техносферной безопасностью.
Объектами изучения здесь являются потенциально опасная техника; человек, этой техникой управляющий и являющийся объектом воздействия опасностей; среда обитания; система методов и средств идентификации, подавления или локализации опасностей.
Само понятие опасности, являясь центральным в БЖД, довольно эфемерно (таких понятий в науке много). Безусловным считается ее негативное свойство, проявляющееся в способности причинять определенный ущерб людям, природной среде, материальным ценностям.
Нет сомнений в том, что масштабность влияния техногенных бедствий и катастроф на социальные, экономические, политические и другие процессы современного общества придают этим процессам не только драматический, но и трагический характер. Существует и обратная связь. Политическая, социальная и т.д. нестабильность вызывает всплеск катаклизмов и в техногенной сфере.
Особую роль в БЖД занимает человек, который здесь выступает в триединстве функций:
Перед этими специалистами в третьем тысячелетии постоянно будут ставиться все новые и новые задачи.
Одной из глобальных проблем является оптимизация государственной политики в области обеспечения безопасности. Если некоторое время назад в обществе доминировала идея обеспечения "абсолютной безопасности", то сейчас практически все государства строят свою внутреннюю и внешнюю политику на концепции "приемлемого риска". Такой подход позволяет обосновывать вложение средств на прогнозирование и предупреждение наиболее нежелательных для каждого региона аварий и катастроф.
Однако, наиболее эффективным использованием инвестиций в этой области является соответствующее воспитание и обучение подрастающего поколения, формирование в обществе культа (моды) на безопасное поведение, здоровый образ жизни и т.п.
Это является фундаментом для всех последующих мероприятий по обеспечению безопасности.
В РФ за последние годы сделано немало в этом направлении: в школах введен предмет "Основы безопасности жизнедеятельности"; в вузах на технических специальностях преподается дисциплина "Безопасность жизнедеятельности"; начата подготовка специалистов по техносферной безопасности и т.д. К сожалению, не всегда результат от подобных мероприятий соответствует ожиданиям. Одной из главных причин этого является, на наш взгляд, недостаточная обеспеченность учебных занятий методическими разработками (учебниками, пособиями, видеофильмами и т.д.), практически полное отсутствие соответствующей лабораторной базы, слабое внедрение компьютерных технологий в учебный процесс и др.
Предстоит еще значительная работа, чтобы каждое занятие, урок, лекция по безопасности жизнедеятельности в детском саду, школе, институте оставляли след в сознании вступающего в жизнь человека, действенно формировали его мировоззрение, чтобы своими дальнейшими поступками он не провоцировал аварии и катастрофы.
1. ОСНОВЫ ЖИЗНЕДЕЯТЕЛЬНОСТИ ЧЕЛОВЕКА
1.1. Понятие здоровья и образа жизни
Вопрос Что понимается под здоровьем человека?
Ответ В уставе Всемирной организации здравоохранения (ВОЗ) здоровье определяется как "состояние полного физического, духовного и социального благополучия, а не только отсутствия болезней и физических дефектов".
Многие мыслители и известные врачи прошлого и наших дней имели свое мнение о том, что такое здоровье:
"Здоровье – первое богатство" (А. Эмерсон).
"Три высшие блага жизни – здоровье, молодость и свобода не сознаются нами как таковые, покуда мы их имеем: мы начинаем сознавать их лишь тогда, когда потеряем" (А. Шопенгауэр).
"Величайшая из всех глупостей – жертвовать своим здоровьем ради чего бы то ни было, ради наживы, чинов, учености, славы, не говоря уже о сластолюбии и мимолетных наслаждениях: напротив, все должно отходить перед ним на задний план" (он же).
"Здоровье – это конкретные и на каждый момент ограниченные ресурсы организма, которые человек использует для непрерывного противостояния внешним воздействиям" (Р. Баевский).
"Кто потерял здоровье, не жалеет времени и сил, чтобы его вернуть, хотя бы частично. Даже частички этих затрат и усилий, направленной на уход за здоровьем, оказалось бы достаточно, чтобы защитить себя от такой потери" (Ф. Зодер-Файхтеншлагер).
Вопрос Что понимается под болезнью человека?
Ответ По этому поводу также лучше обратиться к высказываниям философов:
"Болезнь не сваливается человеку на голову, как гром с ясного неба. Она является результатом постоянных нарушений законов природы. Постепенно расширяясь и накапливаясь, эти нарушения внезапно прорываются в виде болезни, но сия внезапность только кажущаяся" (Гиппократ).
"Со временем болезни будут расцениваться как следствие бескультурья, отсталости и потому болеть будет считаться позорным" (В. Гумбольдт).
Болезнь человека аналогична дефекту в технической системе. Однако, если в машине дефект приведет к отказу или аварии, то у человека изначально заложена способность к саморегулированию, позволяющая без внешнего воздействия устранять сбои в работе различных органов, то есть самостоятельно избавляться от заболеваний. Этот исцеляющий эффект саморегуляции выявил еще в ХIХ веке выдающийся русский врач С.П. Боткин. К сожалению, подобные возможности организма не беспредельны. Тот, кто неразумно долго и упорно испытывает стойкость своего организма неправильным образом жизни, рано или поздно (в наше время это, как правило, происходит быстрее) полностью истощает защитные ресурсы организма и получает в результате необратимое заболевание.
Болезнь – расплата за легкомыслие, за необдуманные поступки, за глупость и упорство в глупости, за самонадеянность и высокомерие, за переоценку себя при недооценке других людей, обстоятельств, препятствий и сложности жизни. Болезнь – следствие искаженного, больного образа жизни.
Она – расплата за гонку, спешку, суету, ложный страх не успеть, чего-то упустить. Болезнь – расплата за притязания, превышающие возможности человека [1.4].
Вопрос Какими факторами определяется уровень здоровья конкретного человека?
Ответ Здоровье по оценкам специалистов на 25 % зависит от состояния окружающей среды, на 10 % – от уровня медицинского обслуживания, на 15 % определяется наследственностью и на 50 % зависит от образа жизни человека. Поэтому "рассматривая жизнь как дар, полученный от Бога, человек обязан заботиться о своем здоровье: не сокращать дней своих безмерными утехами, невоздержанностями, пресыщениями, излишествами, многозаботничеством, неразумным рвением, противоестественными извращениями".
Прав Н.М. Амосов, утверждая: "Сейчас нужно создать новую моду – моду на здоровье. Нужно убедить людей попробовать изменить свой образ жизни, чтобы ощущать удовольствие от здоровья. Но сначала нужно научить – это первая задача".
Вопрос Что такое "здоровый образ жизни"?
Ответ "Формулу" и секреты здорового образа жизни (ЗОЖ) и долголетия люди пытались открыть на протяжении всех веков существования цивилизации. Кстати, термин "образ жизни" был введен еще Гиппократом. Идея о влиянии образа жизни на состояние человека обсуждалась в трудах Авиценны и многих других философов средневековья и нашего времени. Однако каких-либо кардинальных прорывов в этой области достигнуто не было. Об этом можно судить хотя бы на основе результатов исследований проведенных Д. Фридманом. Он сравнил сроки жизни ученых, занимавшихся вопросами ЗОЖ с продолжительностью жизни известных представителей других профессий. Составив таблицу, в которую вошли 14622 человека, Фридман обнаружил, что специалисты по ЗОЖ не имели заметных преимуществ в долголетии. В среднем срок их жизни составил 68 лет, в то время как у людей других профессий – 67,9 лет. В этой связи занятный эпизод связывают с именем известного ученого А. Богомольца, автора книги "Продление жизни", утверждавшего, что человек может жить до 150 лет.
За работой ученого внимательно следил Сталин, не отказывая ему в средствах. Когда в возрасте 65 лет Богомолец неожиданно умер, Сталин воскликнул: "Вот жулик. Всех обманул!".
Поскольку на свете нет одинаковых людей, то и говорить об универсальном ЗОЖ не имеет смысла. Даже люди одного пола, возраста, общественного положения и т.п. глубоко индивидуальны и то, что для кого-то будет благом, другому совершенно противопоказано. Из истории известен пример жизни У. Черчилля, весьма комфортно дожившего до 91 года и при этом совершенно не утруждавшего себя соблюдением рекомендаций врачей. Анализ этого и других аналогичных случаев позволяет дать два варианта объяснения:
человек, подобный Черчиллю, интуитивно нашел оптимальный для себя образ жизни, который позволил ему дожить до глубокой старости при хорошем здоровье;
если бы такой человек приблизил свой образ жизни к уровню ЗОЖ, то он бы смог прожить еще дольше фактического срока.
К сожалению, подобные случае единичны и всем нам приходится наблюдать, когда аномальный образ жизни очень быстро превращает изначально здорового человека в дряхлого, больного старика, плачевный конец которого абсолютно неизбежен.
Таким образом, из сказанного понятно, что каждый человек должен самостоятельно строить свой ЗОЖ. Тиберий говорил, что проживший на свете двадцать лет уже должен понимать, что для него вредно, а что полезно, и уметь обходиться без врачей. Еще раньше Сократ, советуя ученикам прилежно изучать свое собственное здоровье, добавлял при этом, что было бы невероятно, если бы рассудительный человек, не понимал лучше всех врачей, что для него хорошо, что плохо.
Следовательно, правильнее говорить не о ЗОЖ, а о принципах ЗОЖ, ориентируясь на которые заинтересованный человек в процессе своей жизни в большей или меньшей степени приближается к оптимальному для себя образу жизни. Задача состоит в том, чтобы степень этого приближения была полнее и достигнуто оно было возможно раньше.
Вопрос Каковы основные принципы здорового образа жизни?
Ответ Поскольку человек – самая сложная в природе биологическая система, состоящая из трех частей: духа, души и тела, говорить о здоровье надо каждой из них. До последнего времени очень распространенной была поговорка: "В здоровом теле – здоровый дух". Не отрицая влияния состояния тела на уровень духа, тем не менее следует отметить, что многие современные ученые приоритет отдают все-таки духу, когда именно здоровье духа обусловливает здоровое состояние тела. В наше непростое время сохранить здоровыми дух и душу становится все сложнее. Рекомендации типа:
"Знай свое место и будь Человеком" (немецкий философ И. Кант);
"Победите в себе жадность, лень, самодовольство, стяжательство, страх, лицемерие, гордость. Верьте людям и любите их. Не говорите о них несправедливо" (народный целитель П. Иванов);
"Избавьтесь от разрушительных эмоций – злости, зависти, обиды" (американский психолог Ч. Тойч) и т.д. – слишком поверхностны и малоубедительны. Для нас, жителей современной России, как и для наших предков, нравственные заповеди и духовные ценности лежат в Православном вероучении, на протяжении многих веков формирующих не только духовное, но и физическое здоровье нашего народа. Все многочисленные и новомодные учения, как, впрочем, и хорошо известный "Моральный кодекс строителя коммунизма" выхватывают отдельные фрагменты из Библии, интерпретируют их в современном звучании и выдают за собственные откровения.
Таким образом, можно заключить, что, живя по заповедям Христа, человек формирует свое духовное здоровье. Оно, в свою очередь, является основой для здоровья тела.
При социализме делались безуспешные попытки скачкообразного перехода к ЗОЖ значительных слоев населения. Без системного подхода, предполагающего целый комплекс мер по обучению, воспитанию, моральному и материальному стимулированию населения, они были обречены на неудачу. Значительно более успешный подход демонстрируют власти США. Начав в середине 70-х годов глубоко продуманную компанию по оздоровлению своего населения, они только теперь начали ощущать практические результаты.
Некоторые советы по формированию и укреплению физического здоровья будут даны в следующих разделах данной главы.
Вопрос Если человек имеет какое-либо хроническое заболевание, может ли он стремиться к восстановлению здоровья?
Ответ По оценкам медиков не менее 60-70 % россиян сегодня находятся в так называемом третьем состоянии, которое характеризуется наличием одного или нескольких хронических заболеваний. Эти люди, как правило, не могут полноценно жить, трудиться, отдыхать, т.е. реализовывать себя в полной мере. Попытки избавиться от заболевания с помощью врачей в лучшем случае приносят временное облегчение. К появившейся болезни с течением времени добавляется новая, которая также постепенно переходит в хроническую форму и т.д. Вся оставшаяся жизнь человека начинает состоять из периодов, когда болезни обостряются и затихают, и люди привыкают к этому.
Чтобы разорвать порочный круг необходимо:
психологически настроиться на длительную борьбу с недугами;
решительно и окончательно отказаться от вредных привычек;
обратиться к общеоздоравливающим методам, которые направлены на неспецифическую стимуляцию скрытых резервных возможностей организма за счет изменения или тренировки общих физиологических механизмов; это физкультура, закаливание;
последовательно, по совету с врачом, уменьшать объемы медикаментозного воздействия на организм лекарственных препаратов, лечебных процедур и т.п.
Тот, у кого патологические процессы в организме еще не проявились в виде конкретных заболеваний, не должен дожидаться этого, а начинать заниматься самооздоровлением как можно раньше.
1.2. Основные жизненные потребности
Вопрос Как соотносятся потребности человека со здоровым образом жизни?
Ответ Среди многообразия потребностей человека необходимо особо выделить так называемые жизненные (витальные) потребности. Они обеспечивают биологические нужды организма в воздухе, воде, пище, сне и т.д. Их неудовлетворение грозит человеку гибелью. Соотнося эти потребности с ЗОЖ, можно говорить о мере и способе их реализации.
Иначе говоря, их оптимальное для данного индивида удовлетворение, скорее всего, существенно повысит уровень его здоровья. В то же время схематизм в этом вопросе грозит обернуться трагедией. В качестве примера можно привести результаты опытов, неоднократно проводимых учеными на двух собаках, когда одну из них кормили только черным хлебом, другую – только белым, давая обеим и воду. Если состояние первой собаки практически не менялось, то вторая – буквально погибала на третий–четвертый месяц проведения эксперимента. Другой пример: известен такой экзотический способ казни, когда приговоренного несколько дней кормят исключительно мясом (вода также дается). На девятый-десятый день несчастный умирает от сильнейшего самоотравления организма. Подобных примеров, когда имеют место отдельные извращения в удовлетворении витальных потребностей с последующими плачевными результатами, масса.
Другие многочисленные (кроме витальных) потребности человека формируются в процессе его жизнедеятельности. Среди них сразу можно выделить группу патологических потребностей (курение, наркотики, алкоголь и т.п.), которые, однозначно, разрушают организм. Когда в состоянии стресса, куража, желания выделиться или, наоборот, примкнуть к "стае" человек бездумно обращается к подобному способу самоубийства и затем вновь и вновь повторяет это, он не думает о страшных последствиях привыкания организма к этому злу и его последующем разрушении. В подавляющем большинстве случаев сформировавшаяся таким образом потребность для данного человека становится фатальной.
Оставшиеся потребности обычно делят на разумные и неразумные, хотя такое деление, безусловно, субъективно и относительно. Потребности, например, в знаниях, физической активности и т.п., безусловно, надо считать разумными, а двигательную активность – неотъемлемым элементом ЗОЖ. Однако и здесь, как впрочем и везде, необходима мера. Индивидуальность этой меры – определяющее свойство не только каждого индивида, но и конкретного этапа его жизненного пути.
Науке еще предстоит разработка концепции формирования здоровых и профилактики нездоровых потребностей человека, особенно в детском и юношеском возрасте.
Вопрос Ограничен ли набор витальных потребностей человека?
Ответ Все без исключения люди нуждаются в достаточно ограниченном наборе потребностей, без удовлетворения которых человек может находиться от нескольких минут до нескольких лет. К их числу относятся: воздух, вода, пища, сон, солнечный свет, надлежащие метеорологические условия, наличие движения, информации, человеческого общения, труда (самореализации) и отправление физиологических потребностей.
При невозможности удовлетворения этих потребностей человек сначала испытывает стресс, а затем может наступить гибель организма. Как уже отмечалось, для каждого человека существует индивидуальный оптимальный интервал по каждой потребности, выход за который как в сторону уменьшения, так и увеличения провоцирует возникновение болезней. Важно отметить, что этот интервал меняется с возрастом. Сказанное иллюстрирует рис. 1.1.

Рис. 1.1. Влияние ресурса, например, белковой пищи, на состояние организма: 1 – молодой возраст; 1' – зрелый возраст; за пределами интервала 1(1') – угнетение жизнедеятельности
Вопрос Можно ли кратко охарактеризовать особенности процессов удовлетворения жизненных потребностей?
Ответ О воздухе, воде, пище и т.д. и о том, как дышать, пить, есть и т.п. написаны сотни книг, статей, защищено множество диссертаций. Тем не менее большинство людей на рекомендации ученых обращает мало внимания и продолжает жить в соответствии с инстинктивными потребностями своего организма, семейными традициями, финансовыми возможностями, текущими обстоятельствами (бытовыми, производственными и проч.). Подобное поведение еще объясняется и противоречивостью рекомендаций, даваемых разными специалистами, их неоднозначностью для людей разного места жительства, различной профессиональной деятельности, пола, возраста, темперамента и т.д. Поэтому из-за ограниченности объема пособия ниже остановимся только на самых важных рекомендациях, выполнение которых будет полезным для каждого.
Вопрос Как формулировали свое отношение к жизненным потребностям и ресурсам для их удовлетворения видные мыслители и философы?
Ответ Святой Феофан Затворник наставлял: "Трудиться – дело святое. Но и здоровье надо беречь. Здоровье – что та лошадка. Загонишь – ехать не на чем. Всякий день быть с час на свежем воздухе до сна вдоволь, есть и поменьше можно, винопития совсем не касаться, больше ходить, чем сидеть, – и труд не оставит разорительного следа. Если же можно прибавить к сему и телесные упражнения – точить, пилить, строгать, рубить, то этим можно сделаться совсем недоступным для немощей".
"Воздух – пастбище жизни", считали древние греки. Лечение свежим воздухом – одна из знаменитых заповедей Гиппократа. Наш знаменитый ученый А. Чижевский открыл исключительную роль отрицательно заряженных ионов, содержащихся в свежем природном воздухе, на здоровье людей.
"Вода – колыбель жизни", – так считают и врачи, и философы. Удивительные свойства воды до сих пор остаются загадкой для ученых. Бесспорно ее огромное влияние на здоровье и жизнедеятельность человека. Не вызывает сомнений также и то, что ресурсы питьевой воды ограничены, и все больше людей на Земле начинают это ощущать.
"Питание – самое интимное общение человека с природой", – писал известный русский физиолог И. Мечников. "Употребление в пищу всех растений, произрастающих в той стране, где человек живет, есть лучший залог того, что организм получит все необходимые ему компоненты", – учил Гиппократ. Неоднозначность процессов в организме человека, происходящих при потреблении пищи, была издавна замечена, на что разные народы сформулировали емкие выражения типа: "Человек сам роет себе могилу ножом и вилкой", "Треть болезней от плохих поваров, а две трети – от хороших" и т.д.
1.3. Питание
Вопрос Влияет ли структура и процесс питания на здоровье человека?
Ответ Знаменитый американский диетолог П. Брэгг, доживший до 90 лет и погибший в результате несчастного случая, занимаясь серфингом, писал: "Большинство современных людей потребляют пищу для удовольствия и это желание заслоняет все остальное.
На самом деле этот процесс – целая наука".
К сожалению, пищевая индустрия, стремясь к сверхприбылям, делала и продолжает делать все для улучшения вкусовых качеств продуктов. При этом они подвергаются многочисленным технологическим операциям. Так, при приготовлении батона белого хлеба полуфабрикат проходит операции грубого и тонкого помола, отбеливания, обогащения, очищения, смягчения, ароматизирования и т.п. В ряде подобных операций широко используются химические ингредиенты. Зажиточные слои общества с древних времен расплачивались за избыточное потребление белой муки и белого хлеба так называемой болезнью аристократии – несварением желудка.
Каждый человек может и должен, если он хочет сохранить или улучшить свое здоровье, стремиться к рациональному или оптимальному для себя питанию. При этом речь идет о рациональности, когда человек стеснен в средствах, или об оптимальности, когда подобных ограничений не возникает. Учитывая более широкий выбор и большие искушения, вторая задача оказывается намного сложней. Однако, как говорил Аристотель: "Разумный гонится не за тем, что приятно, а за тем, что избавляет от неприятностей".
Говоря о влиянии питания на здоровье конкретного человека, специалисты имеют в виду следующие аспекты:
состояние желудочно-кишечного тракта в данный момент;
вид и количество обычно потребляемой пищи;
как сочетаются приемы пищи и жидкости, а также разные продукты в процессе трапезы;
как часто приходится принимать участие в обильных застольях;
как индивид ест и что при этом его окружает;
устраиваются ли разгрузочные дни;
отношение индивида к таким продуктам, как соль, сахар, мясо.
Вопрос Можно ли по внешним признакам и ощущениям судить о том, как функционирует желудочно-кишечный тракт?
Ответ В наше время люди, не имеющие отклонений в функционировании желудочно-кишечного тракта, – большая редкость. Чаще всего эти отклонения проявляются в виде расстройства стула (запоры, поносы), вздутия кишечника, болей и урчания в животе, зловонных газов и крайне неприятного запаха кала.
Есть и более серьезные проявления в нарушении работы системы пищеварения, когда из-за гнилостных процессов в кишечнике начинается самоотравление организма. При этом возникает головная боль, человек не чувствует себя отдохнувшим после сна, быстро утомляется, на теле появляются прыщи и т.д.
Причин сбоев в работе системы пищеварения, кроме неправильного питания, достаточно много. Это и постоянно испытываемые стрессы, и прием антибиотиков, и генетические или приобретенные нарушения ферментативного аппарата, и атония кишечника, возникающая у пожилых людей, и конечно, к сожалению, многочисленные хронические заболевания разных органов. Нарушают эту деятельность и вредные привычки (курение, алкоголь), и, казалось, такие безобидные, как постоянное потребление газированных напитков и жевательной резинки.
Поэтому, правильно питаясь, каждый человек должен постоянно анализировать и другие аспекты своей жизнедеятельности.
Вопрос Что человек должен есть, чтобы сохранить свое здоровье?
Ответ Питание каждого человека должно быть сбалансированным по жирам, белкам, углеводам, макро- и микроэлементам, а также должно обязательно содержать растительную клетчатку. Интуитивно сразу обеспечить подобный баланс для своего организма практически невозможно. Заниматься научной дозировкой вряд ли кто-нибудь станет, тем более истинные потребности собственного организма в пищевых составляющих неизвестны. Единственный путь – следовать общим рекомендациям специалистов, вырабатывая для себя в процессе жизненного цикла истинную структуру питания. Анализ показывает, что очень многие из тех, кто не относится бездумно к этому поистине ключевому для каждого человека процессу, вознаграждаются дополнительными годами активной и творческой жизни.
Приведем наиболее полезные для очень многих людей группы продуктов питания:
разнообразные овощи и фрукты, не подвергнутые термической обработке; среди них для россиян наиболее полезны и доступны такие, как чеснок, капуста, яблоки, помидоры;
кисломолочные продукты, особенно бифидокефир, кефир, ряженка, творог;
сухофрукты (изюм, курага, чернослив, финики и т.д.), орехи, мед;
каши (кроме манной и рисовой), сваренные не на молоке;
рыба, в первую очередь, морская;
зерновой хлеб или хлеб из ржаной муки грубого помола;
зелень: разнообразные салаты, петрушка, укроп, крапива, одуванчики и др.;
различные продукты из сои;
растительные масла, в первую очередь, оливковое и подсолнечное.
К числу продуктов, потребление которых целесообразно ограничивать следует отнести соль, сахар, кондитерские изделия, белый хлеб, молоко (для взрослых), мясо, мясные изделия и мясные бульоны, животное масло и некоторые другие. Также не следует употреблять в пищу и продукты, которые начали портиться. Так, часто заплесневелый хлеб обрезают, с варенья снимают плесень и т.д., а затем используют в пищу. Этого нельзя делать, так как при потреблении подобных продуктов происходит отравление организма.
Вопрос Оказывает ли влияние на состояние здоровья совместное употребление напитков и пищи, а также различных продуктов?
Ответ Это влияние достаточно велико. В частности, несмотря на распространенную привычку, не рекомендуется совместное употребление пищи и напитков, особенно подслащенных (чай, компот, соки и др.). Пить желательно за час до или через 1,5-2 часа после приема пищи. Люди с отклонениями в работе желудочно-кишечного тракта, начинающие придерживаться этого правила, уже через месяц отмечают улучшение самочувствия.
Также имеются продукты, которые нецелесообразно есть одновременно. Существует таблица совместимости продуктов, составленная известным диетологом Г. Шелтоном. Важно помнить, что несовместимыми считаются белки и углеводы. Употребление их в пищу лучше разнести во времени. В частности, молоко или несовместимо, или плохо совместимо с любыми другими продуктами.
Вопрос Почему нежелательны частые и обильные застолья?
Ответ Подобные застолья обычно сопровождаются алкогольными возлияниями, при которых очень часто закуривает даже ранее некурящий человек. Вред подобного сочетанного воздействия алкоголя и никотина на здоровье несомненен.
Но даже, если этого не происходит, здоровье подрывается из-за переедания, когда за короткое время перемешиваются в недопустимых количествах разнообразные продукты питания. Кроме всей системы пищеварения от этой русской традиции особенно страдает такой важный орган, как печень, которая принимает на себя главный удар токсинов от полупереваренной и несовместимой пищи.
Вопрос О чем не следует забывать в процессе употребления пищи?
Ответ Не следует садиться за стол и принимать пищу, когда есть не хочется, когда человек испытывает раздражение, гнев, обиду и т.п. Не желательно отвлекаться во время еды на просмотр интересных программ по телевизору, телефонные разговоры, чтение газет и книг. В наше динамичное время люди стали забывать о необходимости тщательного пережевывания пищи. Для этого очень важно следить за состоянием зубов. Американец Р. Флетчер создал целое учение о том, как пережевывать пищу, в результате чего он сам и многие его пациенты избавились от различных хронических заболеваний.
Крайне важно не допускать переедания. Употребление избыточного количества продуктов перегружает функционирование пищеварительной системы, вызывая заболевания различных органов, приводит к самоотравлению организма, часто является главной причиной ожирения.
Вопрос Почему в составе пищевого рациона обязательно должны присутствовать пищевые волокна (клетчатка)?
Ответ Недостаток в рационе питания клетчатки приводит к дисбактериозу и является одной из причин целого ряда заболеваний кишечника. Незаменимым поставщиком клетчатки можно считать отруби, получаемые из оболочек зерна при переработке пшеницы. Кроме пищевых волокон отруби содержат много витаминов группы В, а также калия, значительно превосходя по их содержанию такие распространенные продукты, как мука и картофель соответственно.
Отруби помогают отрегулировать работу кишечника, улучшить его микрофлору, вывести из организма излишки холестерина, снизить содержание сахара в крови при сахарном диабете. Их регулярное употребление является хорошей профилактикой атеросклероза.
Обычно рекомендуется в день съедать 1- 2 чайные ложки отрубей или непосредственно, или добавлять их в суп, кашу, кефир и т.п.
Вопрос Как проконтролировать свой вес?
Ответ Контроль за своим весом возможен с помощью очень простой формулы Брока, которая позволяет определить идеальный вес:
для мужчин: Видм=0,9(Р – 100);
для женщин: Видж=0,85(Р – 100),
где Р – рост, измеряемый в сантиметрах.
Для этих же целей можно рассчитать так называемый индекс Кетле:
Ик=В / (Р/100)2,
где В – вес, кг;
Р – рост, см.
При нормальном весе индекс Кетле должен находиться в интервале:
20<Ик<25.
Причин избыточного веса, кроме постоянного переедания, достаточно много:
употребление высококалорийных продуктов питания;
прекращение профессиональных занятий спортом;
отказ от курения;
преобладание в рационе питания таких продуктов, как картофель, макароны, хлеб, запиваемый сладким чаем;
гормональные нарушения в организме.
По данным американских исследований, за последние 12 лет вес среднестатистического человека увеличился на 10 %. Повышенной полнотой отличается около полумиллиарда человек на Земле, что объясняется меньшим расходом энергии из-за растущих благ цивилизации.
1.4. Физическая активность и закаливание
Вопрос Почему человеку необходимо соблюдать определенную физическую активность на протяжении всей своей жизни?
Ответ Еще в ХVIII веке французский врач Тиссо писал: "Движение как таковое может заменить любое лекарство, но все лечебные средства мира не в состоянии заменить действие движения". Физические упражнения необходимы, поскольку благотворно воздействуют на все системы организма, а именно:
укрепляют мускулатуру;
сохраняют подвижность суставов;
улучшают фигуру;
повышают минутный выброс крови и увеличивают дыхательный объем легких;
стимулируют обмен веществ;
нормализуют вес и улучшают работу органов пищеварения;
успокаивают нервную систему;
повышают сопротивляемость простудным заболеваниям.
Как отмечает Н. Амосов, людям присущ могучий рефлекс лени.
Исключение составляют дети, которые, казалось бы, бесполезно затрачивают на игры массу энергии. Но это не бесполезные траты. Они предназначены для жизненно необходимой тренировки и накапливания резервов организма. У взрослого человека начинает преобладать принцип экономичности, который вступает в противоречие с необходимостью постоянной физической активности всех систем организма. Подобное отношение достаточно быстро самым негативным образом сказывается на общем уровне здоровья. Еще Аристотель говорил: "Ничто так сильно не разрушает человека, как продолжительное физическое бездействие". Знать Эллады специально создала олимпийские игры, чтобы избежать вырождения.
Вопрос Какие виды спорта наиболее полезны и физиологичны?
Ответ Как для мужчин, так и для женщин наиболее полезны бег, плавание, ходьба на лыжах. Наверное не об одном виде спорта не сказано столько проникновенных слов, сколько о беге. Две с половиной тысячи лет назад на громадной скале в Элладе были высечены слова: "Если хочешь быть сильным – бегай, хочешь быть красивым – бегай, хочешь быть умным – бегай!" Спустя пятьсот лет Гораций писал: "Если не бегаешь пока здоров, будешь бегать, когда заболеешь!" В самой богатой стране мира, США, именно бег получил массовое распространение. Там бегает и сам президент и еще более 10 миллионов американцев.
Неоценимо влияние бега на сердечно-сосудистую систему. При регулярных занятиях бегом повышается эластичность сосудов, уменьшается уровень холестерина, существенно снижается риск инфарктов и инсультов. Человек начинает подсознательно избавляться от вредных привычек, правильно питаться и т.п.
Вопрос Можно ли рассчитать наиболее приемлемую для себя физическую нагрузку?
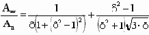
Ответ Такой расчет производится по формуле (все параметры определяются в баллах):
N=(t+i+s) – (a+u+v),
где t – продолжительность нагрузки на одном занятии:
до 15 мин – 1, 61-91 – 5,
16-30 – 2, 91-120 – 6,
31-45 – 3, св. 120 – 7;
46-60 – 4,
i – интенсивность нагрузки (по частоте сердечных сокращений):
до 100 уд./мин – 1, 140-149 –5,
100-119 – 2, 150-159 – 7,
120-129 – 3, св. 160 – 10;
130-139 – 4,
s – систематичность выполнения нагрузки:
2-3 раза в неделю – 1, 6-7 – 3,
4-5 – 2, более 7 – 4;
а – физическая активность на работе и дома в дни занятий:
напряженная физическая работа – 1,
полумеханизированная работа – 2,
нефизическая работа с периодической подвижностью – 3,
сидячая работа – 4,
полное отсутствие физической нагрузки – 5;
u – уровень здоровья, определяется по [1.3];
v – возраст:
18-39 лет – 5, 71-75 лет – 2,
40-60 лет – 4, св. 75 лет – 1.
61-70 лет – 3,
Для женщин к полученному результату добавляется 1 балл.
Если -1 < N < 1, то считается, что нагрузка соответствует функциональному состоянию организма;
N > 1 – физическая нагрузка превышает возможности организма;
N < -1 – уровень нагрузки ниже возможностей организма.
Вопрос В чем заключается смысл закаливания человека?
Ответ Закаливание – это различные мероприятия, связанные с рациональным использованием естественных сил природы для повышения сопротивляемости организма вредным влияниям различных метеорологических факторов.
Хорошо известно, что воздух, вода и солнце широко использовались еще в давние времена. Горячим сторонником использования в оздоровительных целях обтираний, обмываний и холодных ванн был Гиппократ. Аналогичных взглядов придерживался и великий ученый, философ и врач древности Авиценна.
Многие люди буквально преображали свой организм последовательно занимаясь закаливанием. Прославленный русский полководец А.В. Суворов, будучи от рождения хилым и болезненным, благодаря неотступно проводимым на протяжении долгих лет закаливающим процедурам, сумел стать выносливым и стойким человеком, невосприимчивым к холоду и жаре. До преклонного возраста он сохранил неукротимую энергию, жизнерадостность, творческую работоспособность.
Суровые климатические условия России заставляли людей уделять закаливанию повышенное внимание. Неслучайно у русского народа родилась такая поговорка: "Укрепился человек – крепче камня, а ослабнет – слабее воды".
Вопрос Существуют ли общие рекомендации при проведении закаливания?
Ответ При закаливании необходимо придерживаться следующих правил:
постоянство; первые результаты закаливания начинают проявляться через 20-25 дней, а устойчивые – через 2-3 месяца непрерывных процедур;
постепенность; очень важно не подвергнуть организм чрезмерной нагрузке, при которой может наступить срыв защитных механизмов;
последовательное увеличение дозировки; нагрузка, хотя бы немного, должна возрастать;
учет индивидуальных особенностей и возраста; для женщин, детей и пожилых людей процедуру закаливания необходимо проводить особенно осторожно;
сочетание общих и местных процедур; например, обливание холодной водой не только ног, но и всего тела;
активность режима закаливания; например выполнение физических упражнений во время принятия воздушной ванны;
самоконтроль; при проведении закаливания необходимо тщательно следить за состоянием своего организма.
Вопрос Может ли русская баня рассматриваться как средство закаливания?
Ответ Для русского человека баня всегда была больше, чем просто гигиеническое средство. Она давала отдых натруженному телу, снимала усталость. Одно из главных достоинств жара состоит в том, что он улучшает, стимулирует и тонизирует деятельность всего организма, благотворно воздействует на сердечно-сосудистую и костно-мышечную систему, улучшает общее самочувствие. В условиях парной бани ускоряются процессы обмена веществ. Через 2 млн потовых желез из тела удаляются продукты распада, а с поверхности тела – омертвевший верхний слой кожи. Благотворное воздействие баня оказывает на почки и эндокринные железы.
1.5. Вредные привычки
Вопрос Что обычно имеют в виду, когда говорят о вредных привычках?
Ответ Под вредными привычками понимают сквернословие, курение, частое и неумеренное потребление алкоголя, токсикоманию, употребление наркотиков, т.е. все то, что разрушает духовное и физическое здоровье человека. Вредную привычку можно уподобить ржавчине, которая иногда медленно, иногда стремительно, но всегда неуклонно, разрушает здоровое основание.
Продолжая мысль Платона о том, что от "хороших привычек проистекает бесконечное благо", можно утверждать, что плохие привычки порождают огромное зло.
Имея в виду алкоголь, никотин, наркотики и т.п., знаменитый американский врач П. Брэгг писал: "Плоть глупа. Она приемлет все! Указанные вещества только сначала действуют как стимуляторы, а затем вызывают депрессию центральной нервной системы".
Вопрос Почему люди начали курить?
Ответ Первооткрывателями табака являются американские индейцы, научившие этой роковой привычке испанских конкистадоров. Индейцы больше занимались жеванием табачных листьев, чем собственно курением табака, которое у них носило ритуальный характер.
Когда в 1604 году английскому королю Джеймсу продемонстрировали употребление привезенного из Нового Света табака, монарх заявил: "Привычка, отвратительная для взора, омерзительная для обоняния, вредная для мозга, опасная для легких. Вонючий табачный дым напоминает смрад из бездонной преисподней".
Впрочем, до начала ХХ века в Европе курили немногие. Табак считался лекарством и продавался в аптеках. Мария Медичи и многие другие жертвы мигрени искали спасения от головных болей, нюхая табачный порошок.
Эпидемия курения началась во время первой мировой войны, чему способствовали два фактора: начавшееся фабричное производство папирос и сигарет и невиданное до той поры скопление мужчин с многочисленными тяготами, лишениями и т.п. военной жизни.
В настоящее время в мире курит каждый второй мужчина и каждая пятая женщина. Россия по распространению табакокурения занимает четвертое место в мире – после Вьетнама, Манилы и Китая.
Вопрос Влияет ли качество выкуриваемых сигарет на степень разрушения здоровья?
Ответ Международное агентство по изучению рака приняло специальную классификацию качества сигарет, с помощью которой можно определить степень их канцерогенности:
низкая – менее 9,9 мг смол на сигарету;
умеренная – 10-14,9 мг;
высокая – 15-19,9 мг;
очень высокая – свыше 20 мг.
Содержание смол в сигаретах, выпускаемых в нашей стране, колеблется в пределах от 19 до 26 мг. В американских сигаретах, изготовленных для России, смол ненамного меньше: от 17 до 23 мг. Поэтому у курильщиков выбор практически отсутствует.
Массированное и регулярное воздействие смол с очень высокой вероятностью вызывает рак легких, ротовой полости, гортани, пищевода, почек, мочевого пузыря.
Вопрос Известно, что около 60 % смертей в России вызвано таким заболеванием, как атеросклероз. Курильщику это заболевание угрожает?
Ответ В организме курящего человека происходит нарушение обмена веществ, существенно повышается содержание в крови жировых веществ, среди которых главную роль играет "знаменитый" холестерин. Никотин способствует отложению холестерина на стенках кровеносных сосудов, нарушает их эластичность, сужает просвет, а все это и означает развитие атеросклероза. Последующим проявлением этого заболевания, как правило, являются весьма грозные недуги: ишемическая болезнь сердца, инфаркт, инсульт, а для курильщиков еще и такое страшное, как облитерирующий эндартерит (поражение артерий конечностей), приводящий часто к ампутации.
Вопрос Как влияет количество сигарет, выкуриваемых в день, на продолжительность жизни?
Ответ Естественно, чем больше человек курит, тем сильнее разрушается его здоровье. Ученые определили, как возрастает смертность, например, от ишемической болезни сердца (ИБС) в зависимости от числа выкуриваемых сигарет мужчинами в возрастной группе 45-54 лет (рис. 1.2). По оси ординат здесь откладывается показатель смертности, по оси абсцисс – число выкуриваемых сигарет в день. Видно, что 15 сигарет достаточно, чтобы риск смерти только от ИБС возрос в 3 раза.

Рис. 1.2. Влияние числа выкуриваемых сигарет на показатель смертности от ИБС
Вопрос Возможно ли бросить курить? Насколько это трудно?
Ответ Желание выкурить сигарету длится всего несколько минут. В это время надо постараться отвлечься, переключиться на что-то другое: выпить стакан воды, съесть яблоко и т.п.
Что- нибудь съедать вместо того, чтобы курить – это один из приемов отвлечения от курения, т.к. пищевой центр и центр желания закурить в головном мозге находятся рядом, и активация одного ведет к подавлению другого.
Очень эффективным считается следующий метод, разработанный американскими специалистами при подготовке астронавтов, позволяющий бросить курить в течение пяти дней:
1-й день. Встать на полчаса раньше обычного, выпить 2 стакана воды, принять душ. На завтрак – только фрукты и фруктовые соки. После завтрака выполнить несколько дыхательных упражнений (глубокий вдох и выдох). Желание курить все время подавлять двумя стаканами воды или фруктами. Избегать общества курящих людей. Обед: овощной салат, овощное рагу, суп, немного варенья и сок. Ужин (легкий): овощи и фрукты. В течение дня стараться постоянно отвлекать себя работой.
2-й и 3-й дни. Вести такой же образ жизни и питаться так же, как в первый день.
4-й день. Возникает ощущение, что тяга к курению пропадает. Режим и диета остаются прежними.
5-й день. Ощущается заметное удовлетворение достигнутыми результатами. Диета и режим работы те же.
В тот период, когда вы приняли решение бросить курить, необходимо избегать конфликтных ситуаций и постараться существенно увеличить двигательную активность. Движение, как отмечалось выше, является универсальным оздоровительным фактором. Если Вы не справились с собой и опять закурили, то начинайте все сначала. Ни в коем случае не откладывайте попытку бросить курить.
Специалисты уверены: избавиться от этой вредной привычки может любой человек.
Вопрос Что понимается под пассивным курением?
Ответ Это когда некурящий человек работает или находится в одном помещении с курильщиками. Научно доказано, что у пассивных курильщиков риск заболевания раком легкого повышен на 34 %, сердечно-сосудистыми заболеваниями – на 50 %. Особенно большой опасности подвергаются дети курящих родителей. Зачатый курящим отцом ребенок уже автоматически получает на треть большую вероятность заболеть раком по сравнению с ребенком некурящего отца.
А если курит еще и мать, и родители не оставляют эту привычку и после рождения ребенка? Нужно ли давать новую жизнь и сразу обрекать ее на борьбу за выживание?
Вопрос Чем опасен алкоголь для выпивающего человека?
Ответ Алкоголь, как доказал еще великий русский физиолог И.И. Павлов, это нервный яд, прежде всего влияющий на процесс торможения нервной системы. Не зря про пьяных говорят: "Тормоза ослабли".
В настоящее время широкое распространение получила гипертоническая болезнь, возникновение которой связано именно с ослаблением процесса торможения. Поэтому среди медиков нет сомнений, что алкоголь существенно способствует развитию этого заболевания. Имеется масса фактов, когда одна-две рюмки водки вызывали инсульт, а затем и нередко летальный исход. Такое коварство алкоголя объясняется еще и тем, что он повышает свертываемость крови, при этом усиливается наклонность к образованию тромбов, т.е. сгустков в кровеносных сосудах, которые, закупоривая сосуд, вызывают его разрыв и последующее кровоизлияние.
Алкоголь опасен также для людей, уже имеющих развитие атеросклеротического заболевания или устойчиво компенсированный порок сердца. Сочетание алкоголя с физической нагрузкой может привести к срыву компенсации – развитию тяжелого осложнения. Русский физиолог Н. Волович выяснил влияние алкоголя на работу сердечной мышцы. Оказалось, что 60 граммов спирта учащают пульс в течение суток на 1872 удара, 120 граммов – на 12980 ударов и т.д. по нарастающей.
Особенно опасен алкоголь в сочетании с никотином. Люди, которые закуривают, употребляя спиртное, наносят наиболее массированный удар по своему здоровью, степень вреда и последствия которого в обыденной жизни не имеют аналогов.
Вопрос Чем опасен выпивший человек для окружающих?
Ответ Водитель в нетрезвом состоянии совершает аварию в 70 раз чаще. Содержание алкоголя в крови определяют специальной единицей, которая называется промиле. Один промиле соответствует одному грамму чистого спирта на один литр крови.
Обычно у водителей в нетрезвом состоянии в крови содержится от 1,5 до 2, 5 промиле алкоголя. При этом вероятность ДТП повышается в десятки раз. Смерть обычно наступает, когда содержание алкоголя достигает 5 промиле.
Вопрос Если человек сам или из-за влияния окружения пока не может воздержаться от приема алкоголя, может ли он, по крайней мере, стремиться уменьшить вред от его употребления?
Ответ Любой здравомыслящий человек, понимая, что алкоголь – яд, должен минимизировать степень отравления в любой ситуации. За 2-3 часа до употребления алкоголя можно выпить полстакана свежевыжатого капустного сока или горячего мясного бульона. Будет полезен также отвар из сухой полыни (столовая ложка на стакан кипятка).
Во время застолья надо стараться сочетать прием алкоголя с закуской и при этом пить медленно, чтобы уменьшить удар по печени – органу, страдающему в этот момент в максимальной степени. Под водку хорошо идут сало, грибы, квашеная капуста, огурцы, помидоры и т.д. Полезно запивать крепкие напитки соками, минеральной водой. От сладостей и фруктов в такой ситуации лучше воздержаться.
Для быстрого снятия опьянения рекомендуется выпить стакан холодной воды, добавив в него 5 капель нашатырного спирта. Поможет также чашка крепкого горького кофе с лимоном. Будет полезен и мед, которого надо съесть за два приема 100-120 граммов.
Перед сном желательно принять душ. Спать надо в хорошо проветренной комнате. В течение ночи надо стараться как можно больше пить.
Вопрос Почему, находясь в одной компании, люди пьянеют по-разному?
Ответ Циркулируя в организме, алкоголь постепенно распадается. В печени от молекулы спирта отделяется атом водорода, спирт превращается в уксусный альдегид. Скорость этой реакции определяется наличием необходимых ферментов и скоростью их выработки. При недостатке ферментов алкоголь не окисляется, а вызывает отравление. У непьющих и малопьющих таких ферментов мало, они организму не требуются. Поэтому, когда подобный человек употребляет даже незначительное количество алкоголя, он быстро пьянеет.
У пьющих же количество ферментов значительное, и даже при большой дозе спиртного они не пьянеют, т.к. идет расщепление алкоголя.
Однако со временем процесс образования ферментов истощается. Это характерно для определенной стадии алкоголизма. Такой человек хотя и мало пьет, все равно быстро пьянеет, а алкоголь для него особенно токсичен.
Совсем недавно японские ученые открыли особый ген NN, который формируется в организме в течение многих поколений, причем систематически и в значительных дозах. Поэтому особая стойкость к опьянению может быть обусловлена и наличием этого гена, чем данный человек "обязан" своим предкам.
Вопрос Почему в России так много алкоголиков?
Ответ Замечено, что у народов, у которых потребление вина – часть религиозного ритуала, почти нет алкоголиков, например среди евреев. Нет видимых алкоголиков в тех странах, где вино – составляющая обычной каждодневной трапезы: во Франции, Испании, Италии, Грузии, Армении и др. Культура пития складывалась веками, формируя красивые традиции. К сожалению, у русского народа сложилась традиция не культурного пития, а пьянства. По официальным данным у нас 2,5 миллиона зарегистрированных алкоголиков. Однако есть данные о том, что в действительности алкоголиков на порядок больше, т.е. около 25 миллионов. Еще Некрасов писал, что Россия "…до усмерти работает, до полусмерти пьет". Медики делят алкоголизм на винный и водочный. У человека, пьющего вино и слобоалкогольные напитки, алкоголизм развивается значительно медленнее. Ясно, что в России преобладает водочный алкоголизм, который обусловливает высокую смертность и низкую продолжительность жизни.
Поскольку алкоголизм это болезнь с наследственной предрасположенностью и каждый пятый алкоголик генетически зависим (не путать с геном NN), то можно представить перспективы для страны с населением в 147 миллионов человек, среди которых есть и инвалиды, и серьезно больные, и отягощенные другими дурными привычками.
Вопрос Можно ли вылечиться от алкоголизма?
Ответ Сегодня врачи могут сделать из алкоголика почти здорового человека, хотя добиться этого очень нелегко. Без огромного желания самого больного с помощью одних таблеток да психотерапии вырваться из алкогольного плена не удастся. Известному русскому художнику М. Шемякину, по его словам, имплантировали торпеду (ампула вещества, вызывающая у больного при сочетании с алкоголем крайне тяжелое состояние) 9 раз, и все напрасно. И только, когда он сам твердо решил покончить с выпивкой, получилось. Так что без добровольного прихода алкоголика к врачу не может быть сколь-нибудь успешного результата.
Медицина имеет значительный арсенал лекарственных препаратов для подавления алкогольной зависимости: антидепрессанты, нейролептики, транквилизаторы. Врачи используют сотни психотерапевтических методик. Широко применяются и методы рефлексотерапии.
Но в любом случае, понижая порог влечения больного к спиртному, они не снимают биологической зависимости к нему, не решают проблему до конца. Поэтому каждый "бывший" должен понимать: каким бы успешным не выглядело лечение, угроза рецидива остается. Спровоцировать срыв порой способен любой пустяк, неприятности, которыми так богата наша действительность.
Вопрос Как избавиться от употребления наркотиков?
Ответ К сожалению, человек, втянувшийся в процесс употребления наркотиков, как правило, самостоятельно от этого страшного зла избавиться не может. В большинстве случаев бессильной оказывается и медицина. Врачи с помощью лекарств и других известных медицинских способов и средств не излечивают наркоманию, а только на время выводят человека из болезненного состояния. В Перу врачи даже разработали операцию по удалению из головного мозга того участка, который влияет на влечение к наркотику. Но через год пациент начинает употреблять его вновь.
Однако люди, близкие наркоману, не должны впадать в отчаяние. Известны случаи, когда духовное возрождение близких, их обращение к Православной вере, их искренняя и постоянная молитва к Господу за своего сына или дочь чудесным образом спасали их ребенка.
За советом в этом случае целесообразно обратиться к священнослужителям.
В России средний возраст больных наркоманией – 23 года. Продолжительность жизни с первого случая употребления наркотиков обычно не превышает 10 лет. Необходимо помнить, что наркотики к нам завозятся. На Руси о них никогда не слышали, в отличие, скажем, от Азии, и отсутствие генетической информации на сей счет делает организм человека беззащитным перед этой болезнью. Аналогично, жители Крайнего Севера, не видавшие спиртного, поголовно спивались, когда получали доступ к алкоголю. А в России, имеющей в этом деле богатые традиции, как известно, из 10 пьющих алкоголизмом заболевают только три человека.
Таким образом, единственным эффективным сегодня способом борьбы с наркоманией является профилактика. Необходимо обучать, убеждать, доказывать и наглядно показывать каким горем и крушением человеческой судьбы могут обернуться "шалости" с наркотиками.
Вопрос Как по внешнему виду определить, что человек употребляет наркотики?
Ответ При употреблении наркотиков в поведении человека и его внешнем виде можно заметить некоторые странности, которые классифицируют как очевидные, физиологические и поведенческие признаки.
К очевидным признакам относятся: следы от уколов, порезы, синяки, наличие лекарств снотворного и успокоительного действия.
К физиологическим признакам относятся: бледность кожных покровов, расширенные или суженные зрачки, потеря аппетита, плохая координация движений, хронический кашель.
Поведенческими признаками являются: вялость, апатия, ухудшение памяти и внимания, бессонница, повышенная утомляемость, резкая смена настроения.
1.6. Несчастные случаи
Вопрос Что обычно понимают под несчастным случаем?
Ответ Это случайное происшествие, в результате которого в процессе внешнего воздействия человеку наносится ущерб. Он теряет здоровье (иногда необратимо) или даже погибает. Несчастные случаи (НС) чаще всего роковым образом поражают людей омраченных. Один мчится на автомашине, выигрывая секунды и теряя жизнь, другой переходит в глубокой задумчивости через дорогу и попадает в ДТП, третий неосознанно желает смерти, и несчастный случай для него закономерен [1.4].
Известна спираль Фишера. Ученый изучил тысячи случаев инфаркта миокарда. Он рассматривал жизнь больных за несколько лет до сердечной катастрофы и обнаружил, что человек идет к инфаркту 3-6 лет. Он буквально загоняет себя в болезнь, несмотря на многочисленные сигналы со стороны сердца, сосудов, других органов, которые омраченный человек игнорирует.
Таким образом, случайность НС, как правило, чисто кажущаяся. При глубоком анализе оказывается, что это или неосознаваемое самонаказание, или даже расплата за неправильный образ жизни, за омраченность.
Вопрос Существуют ли какие-то закономерности в развитии НС?
Ответ Внимательное рассмотрение НС позволяет выделить в этом событии три звена: опасное поведение – опасное происшествие – ущерб (травма, смерть). Первые два звена составляют суть бестравматического НС, когда какая-то случайность спасает человека от поражения. Немецкий исследователь Х. Гейнрих на основании многих производственных наблюдений выявил средние показатели, образующие соотношение бестравматических НС и НС с легкими и тяжелыми травмами. Оно составило 300:29:1. Это означает, что примерно на 300 бестравматических НС приходится 29 случаев с легкой и 1 с тяжелой или смертельной травмой.
Даже бестравматический НС должен стать для человека серьезным поводом для всестороннего анализа своего поведения.
Вопрос Как прогнозировать НС?
Ответ Вероятность потенциального травмирования с определенной точностью может быть рассчитана на основе случаев, происшедших с человеком ранее. Выявлено, что распределение НС отвечает статистической модели Пуассона, которая формализует определенные индивидуально-психологические свойства, присущие конкретному человеку. Прибалтийские ученые М. Котик и Я. Тамм распределяют всех работающих на производстве на три группы: "хорошо защищенных", т.е. не имеющих травм в течение определенного периода, "средне защищенных", получивших два легких или одно повреждение средней тяжести и "плохо защищенных", попавших в два и более средних или один тяжелый НС.
Вопрос Какие физиологические особенности человека способствуют возникновению НС?
Ответ Ученые провели интересное исследование. Они проанализировали, как люди, для которых ведущей является левая рука, чувствуют себя в нашем "праворуком" мире. Оказалось, что они в значительно большей степени (в среднем на 50 %) подвержены НС. После 35 лет летальный исход для левши на 2 % выше, чем для его одногодки-правши. Поэтому процент левшей среди населения по мере старения уменьшается. Если среди двадцатилетних почти 13 % левшей, то среди восьмидесятилетних их менее 1 %.
Левши не более неловки, чем правши. Просто к правой руке у нас приспособлены все орудия ручного труда, станки, всевозможные приборы, пульты управления, машины и механизмы. После призыва в армию, например, у юноши могут возникнуть дополнительные трудности в освоении военной техники и вооружения. Даже личное оружие офицера по уставу носится только с правой стороны.
Поэтому при обучении левшей вопросам обеспечения безопасности необходимо уделять особое внимание.
1.7. Отравления
Вопрос Что такое отравление человека?
Ответ Отравление возникает в результате воздействия на организм человека яда, который может попасть в организм следующими путями:
посредством инъекций (в вену, внутримышечно, подкожно);
через слизистую оболочку рта, желудка и кишечника (алкоголь, бензол, органические кислоты);
через кожу (хлорированные углеводороды, фосфорорганические соединения, ртуть, йод);
через органы дыхания (угарный газ, сероводород, пары бензина, эфира);
через слизистые оболочки глаз, носа, рта;
посредством введения в различные полости организма – прямую кишку, слуховой проход и др.
Чем скорее всасывается ядовитое вещество, тем быстрее нарастает его концентрация в организме. Большинство лекарств всасывается в течение 30–60 минут.
При попадании в организм яд оказывает местное, рефлекторное или общее действие.
Большая часть ядовитых веществ поражает нервную систему и вызывает в организме кислородную недостаточность.
Вопрос Что может быть причиной отравления человека?
Ответ Причиной отравления могут быть разнообразные химические вещества – промышленные яды, ядохимикаты, бытовые химикаты, лекарственные препараты, принятые в токсических дозах, а также недоброкачественные пищевые продукты, ядовитые растения и т.д.
По причине и месту возникновения отравления делятся на:
случайные, которые могут иметь место на производстве и в быту (передозировка лекарств при самолечении, алкогольная или наркотическая интоксикация и т.п.);
преднамеренные, совершаемые в целях самоубийства или убийства.
В последние годы значительно увеличилось количество отравлений наркотическими веществами.
Вопрос Какова основная схема действий при отравлении?
Ответ Для спасения человека при тяжелом отравлении важно:
уточнить причину и время отравления, количество использованного токсического вещества и его путь поступления в организм;
обнаружить вещественные доказательства отравления (посуда из-под алкогольных напитков, упаковки от химикатов, лекарств и т.п.), сообщить о них врачу;
лечить больных с отравлением следует в условиях отделения реанимации больницы, для доставки в которое необходимо вызвать скорую помощь;
до приезда врача необходимо уменьшить действие яда, для чего:
а) при поражении через органы дыхания – вывести пострадавшего из зараженной атмосферы, освободить от стесняющей одежды, согреть;
б) при поражении кожи или слизистых оболочек – смыть яд с пораженной поверхности чистой водой с мылом или раствором соды (при попадании кислот) или 2 %-ным раствором лимонной кислоты (при ожогах щелочами);
в) в случае ошибочного введения подкожно или внутримышечно токсических доз лекарств – местно применять холод;
г) при поступлении яда через рот – промывать желудок, если пострадавший находится в сознании, дав ему выпить 4-5 стаканов подсоленной воды, а затем постараться вызвать рвоту, надавливая на корень языка; при отравлении крепкими кислотами рвоту вызывать нельзя.
Вопрос Какие официальные формулировки могут сопровождать отстранение работника от выполнения своих производственных обязанностей из-за алкогольного, наркотического опьянения или недомогания?
Ответ Нормативные акты рекомендуют пользоваться следующими заключениями:
а) "Трезв, но имеет нарушения функционального состояния, требующие отстранения от работы с источником повышенной опасности по состоянию здоровья";
б) "Алкогольное опьянение";
в) "Алкогольная кома";
г) "Состояние одурманивания, вызванное наркотическими или другими веществами".
Вопрос Каковы особенности алкогольного отравления?
Ответ Этиловый спирт является одной из наиболее частых причин отравления. Смертельная доза для взрослого человека в среднем – 0,75-1 л водки. Для алкоголиков она может быть существенно выше, для подростков ниже.
Часто алкогольное отравление сопровождается травматическими повреждениями и в первую очередь черепно-мозговыми травмами, на выявление которых надо обратить внимание: ссадины на лице, кровотечение из носа и ушей, неравномерная величина зрачков. Именно травма, а не отравление, может быть причиной коматозного состояния.
При таком виде отравления отмечается значительное расстройство температурной регуляции. Поэтому не редкость, когда пострадавшие отмораживают конечности, а иногда замерзают.
Вопрос Можно ли "мертвецки" пьяного человека привести в сознание?
Ответ Надо быстро и сильно растереть оба уха пьяного человека ладонями рук. Прилив крови к голове может привести опьяневшего на короткое время в сознание и при этом он будет в состоянии сказать свой адрес. В последующем необходимо провести комплекс процедур по оказанию первой помощи пострадавшему, а при необходимости доставить его в реанимационное отделение.
Вопрос Какая первая помощь должна быть оказана при алкогольном отравлении?
Ответ При средней степени опьянения пострадавшему дают выпить 2-3 столовые ложки измельченного активированного угля для уменьшения всасывания алкоголя; затем (через 10-15 минут) дают выпить 4-5 стаканов подсоленной воды и вызывают рвоту; после этого предлагают выпить стакан воды с растворенным в ней нашатырным спиртом (8-10 капель на стакан); к ногам можно положить грелку или поставить горчичники.
При тяжелом алкогольном отравлении обследование и вытрезвление пострадавшего должно производиться медицинским работником.
Вопрос Каковы особенности и первая помощь при отравлении атропином?
Ответ Препараты, содержащие атропин широко применяются в медицине. Это – белладонна, скополамин, аэрон, бесалол, беллоид и др. В растительном мире широко распространены атропинсодержащие растения: красавка, белена, дурман, скополия. Смертельная доза атропина – 0,1 г.
Для отравления атропином характерно психическое возбуждение, зрительные галлюцинации. Возникает резкое двигательное беспокойство: пострадавшие пытаются куда-то бежать, что-то ловят в воздухе, натыкаются на предметы и т.п. Зрачки расширены, речь невнятная, координация движений нарушена. Возбуждение, как правило, переходит в сон.
Внешние симптомы: покраснение лица, иногда сыпь, сухость кожи и слизистых оболочек, жажда, охриплость голоса и лающий кашель, в начальный период возможна рвота. Повышается температура тела и артериальное давление, учащается дыхание, пульс, отмечается головокружение.
Первая помощь: обильное питье с добавлением активированного угля, к голове и на паховые области прикладывают пузыри со льдом.
Вопрос Каковы особенности и первая помощь при отравлении снотворными?
Ответ Острые отравления снотворными (барбитуратами) возникают при приеме их в целях самоубийства или при неправильном использовании для самолечения. Смертельной дозой считается одномоментный прием 10 разовых доз препарата.
Через 0,5-1 ч после приема токсических доз появляются симптомы, характерные для алкогольного опьянения – общая слабость, сонливость, нарушение координации движений, смазанность и невнятность речи. Постепенно наступает глубокий сон или потеря сознания. Наблюдается сужение зрачков, подергивание глазных яблок в стороны, частое шумное дыхание. Пульс учащается, артериальное давление снижается.
Первая помощь: если пострадавший в сознании – вызвать рвоту и (или) дать обильное питье с добавлением поваренной соли, после чего ввести активированный уголь; при коматозном состоянии – очистить дыхательные пути от слюны и слизи, при необходимости применить искусственное дыхание.
Вопрос Каковы особенности и первая помощь при отравлении наркотиками?
Ответ Острое отравление наркотиками проявляется или немедленно, или через 0,5-1 ч, в зависимости от способа введения (внутривенно, подкожно, внутрь). Смертельная доза морфина для взрослого – 0,2-0,5 г.
При отравлении морфином (опием, пантопоном, дионином, кодеином) вначале отмечается возбуждение, человек становится веселым. Появляется чувство жара во всем теле, сухость во рту, краснота кожи. Затем возникает резкая слабость, головокружение, головная боль, шум в ушах, сильное потоотделение, частое мочеиспускание. Нарастает сонливость и человек впадает в бессознательное состояние. Зрачки при этом резко сужены. Дыхание замедляется, ритм его становится неправильным, с большими паузами. Наблюдается посинение кожи и слизистых оболочек. Температура понижается.
При отравлении гашишем (коноплей, планом, марихуаной, анашой) появляются головокружение, шум в ушах, зрительные и слуховые галлюцинации. Пострадавший смеется, плачет, поет, пляшет и т.д. Затем появляются общая слабость, вялость, плаксивость. Человек впадает в глубокий сон, во время которого температура понижается, пульс замедляется, дыхание становится реже.
Первая помощь: обильное питье с добавлением марганцовки, активированный уголь, очистительная клизма. Пострадавшего необходимо согреть. При нарушении дыхания – очистить дыхательные пути и проводить искусственное дыхание.
Вопрос В каких случаях возможно отравление окисью углерода?
Ответ Отравление окисью углерода (CO) – одно из наиболее частых бытовых и производственных отравлений. Оно происходит при неисправном дымоходе и при раннем закрытии заслонок при топке печей, неполном закрытии кранов газовых плит и газовых колонок. Эти отравления наблюдаются при попадании выхлопных газов от двигателей внутреннего сгорания в кабины автомобилей, при нахождении в закрытом гараже при работающем двигателе. Большие количества окиси углерода образуются при взрывах. Отравление может произойти при рытье тоннелей, нахождении в каменноугольных шахтах и т.д.
Опасность отравления особенно велика, поскольку этот газ не имеет вкуса и запаха и процесс отравления происходит незаметно.
Вопрос Каковы особенности и первая помощь при отравлении окисью углерода?
Ответ Единственным путем проникновения окиси углерода в организм являются органы дыхания. Это кровяной яд. Токсическое действие этого газа заключается в том, что соединяясь с гемоглобином и блокируя его, окись углерода нарушает снабжение тканей кислородом. Возникает кислородное голодание. Даже незначительная примесь CO к вдыхаемому воздуху в течение нескольких часов может вызвать смерть, а концентрация величиной всего 0,1 % может привести к смерти в течение часа. Особенно чувствительны к этому яду дети, старики, больные с заболеваниями системы дыхания.
При отравлении окисью углерода появляются головная боль, головокружение, тошнота, рвота, резкая мышечная слабость, затемнение и потеря сознания, кома. Эти симптомы развиваются с разной скоростью в зависимости от концентрации яда.
Первая помощь: возможно быстрый и максимально обильный приток свежего воздуха.
Вопрос Каковы особенности и первая помощь при отравлении уксусной кислотой?
Ответ Уксусная эссенция (концентрированная уксусная кислота) является одной из наиболее часто встречающихся причин отравлений. Основной путь попадания яда – через ротовую полость, хотя возможно отравление и через дыхательные пути и кожу. Тяжесть отравления зависит от быстроты возникновения рвоты после приема эссенции и степени наполнения желудка перед приемом яда. Смертельная доза – 50-100 мл эссенции.
Ожог глотки, гортани, трахеи характерен для этого вида отравления. Степень его различна – от незначительной осиплости голоса и отека голосовых связок до закрытия входа в гортань обожженным надгортанником, ларингоспазмом и острой асфиксией. Кроме обширного по протяженности ожога слизистой оболочки пищеварительного тракта отравление уксусной кислотой сопровождается разрушением эритроцитов крови. Поэтому ее справедливо называют "кровяным ядом".
По окраске мочи в розовый, красный, вишневый, черный цвет, который она приобретает в первые минуты отравления, можно судить о степени его тяжести. Часто быстро развивается острая почечная недостаточность с последующим прекращением образования мочи.
Первая помощь: промывание желудка и необходимый комплекс терапевтических мероприятий необходимо экстренно проводить в условиях стационара.
Вопрос Каковы особенности и первая помощь при отравлении фосфорорганическими соединениями?
Ответ К фосфорорганическим соединениям (ФОС) относятся применяемые для борьбы с домашними и сельскохозяйственными вредителями инсектициды: хлорофос, карбофос, дихлофос, метафос. Такие ФОС как табун, зарин, трилон – по силе действия превышают все известные ядовитые вещества. Отравления развиваются при попадании ФОС в желудок, через дыхательные пути и кожные покровы. Они возникают при неправильном хранении ФОС, применении их в повышенных концентрациях, неправильном использовании для самолечения кожных заболеваний, употреблении внутрь при токсикомании или в целях самоубийства. Смертельная доза карбофоса или хлорофоса при попадании внутрь – около 5 г.
Симптомами отравления ФОС являются: рвота, понос, усиленное выделение слюны и слизи из дыхательных путей. Почти постоянно наблюдается выраженное учащение пульса (до 120 – 130 ударов в минуту), резкое и стойкое повышение давления. Ведущим синдромом острых отравлений являются дыхательные нарушения, что приводит к цианозу, учащенному клокочущему дыханию, параличу дыхательной мускулатуры и нередко к смерти от асфикции.
Первая помощь: искусственное дыхание с периодическим отсасыванием бронхиального секрета через интубационную трубку.
1.8. Первая помощь
Вопрос Каковы признаки остановки сердца?
Ответ Диагноз остановки сердца ставится тогда, когда есть следующие признаки: потеря сознания, отсутствие дыхания и пульса на крупных артериях, причем последний из перечисленных признаков является самым важным.
Различают два вида остановки сердца: асистолия и фибрилляция желудочков.
Асистолия представляет собой прекращение сокращений желудочков. Фибрилляция сердца характеризуется полным нарушением координации сердечных сокращений и беспорядочным сокращением волокон сердечной мышцы. Электрокардиографически эти состояния характеризуются прямой и волнистой линиями (рис. 1.3).
![]() |
Рис. 1.3. Электрокардиограммы при нормальном и терминальном состояниях: а – ЭКГ здорового человека; |
|
б – асистолия сердца; |
|
|
в – крупноволновая фибрилляция желудочков; |
|
|
г – мелковолновая фибрилляция желудочков |
Ответ Попытаться восстановить сердечный ритм необходимо. Для этого надо попросить пациента покашлять. Механизм действия кашля пока неизвестен, но, возможно, объясняется улучшением коронарного кровообращения вследствие увеличения внутригрудного давления, активацией вегетативной нервной системы или преобразованием механической энергии кашля в энергию электрической деполяризации миокарда. Кашель восстанавливает ритм в неожиданно большом числе случаев. Однако на практике этот прием используют неоправданно редко [1.5].
Вопрос Как убедиться в отсутствии дыхания?
Ответ Отсутствие эффективного дыхания диагностируется просто: если за 10-15 секунд наблюдения не удается определить явных и координированных дыхательных движений, самостоятельное дыхание следует считать отсутствующим.
Вопрос Что представляет собой процесс умирания?
Ответ Детальное изучение процессов умирания показало, что в это время деятельность отдельных органов и систем прекращается не одновременно, а постепенно, в строго определенной последовательности.
Процесс умирания включает три периода, каждый из которых завершается клинической, социальной и биологической смертью соответственно. Первый период начинается с предагонии, что характеризуется угасанием деятельности организма, когда химические реакции, физические и электрические процессы настолько изменены, что не в состоянии обеспечить его нормальную жизнедеятельность.
Затем наступают агония и клиническая смерть – состояние функционального бездействия. Все ткани в этот период еще жизнеспособны, но организм как целое уже не живет. Своевременно и правильно проведенные реанимационные мероприятия в этот отрезок времени полноценно восстанавливают функции всех органов и систем. Необходимо помнить, что период клинической смерти составляет всего 4-6 минут.
Следующий период – социальная смерть, когда на фоне уже нежизнеспособной коры головного мозга изменения в других органах еще обратимы, но вернуть человека к полноценной жизни невозможно. Наконец наступает биологическая смерть, характеризуемая необратимыми изменениями во всех тканях организма.
Вопрос Приведите основные признаки клинической смерти.
Ответ Признаками клинической смерти служат: полное отсутствие сознания и рефлексов (включая роговичный); резкий цианоз кожи и видимых слизистых оболочек; значительное расширение зрачков; отсутствие эффективных сердечных сокращений и дыхания. Прекращение сердечной деятельности – диагностируется по отсутствию пульсации на сонных артериях в течение 5 секунд (рис. 1.4).

Рис. 1.4. Диагностика клинической смерти по отсутствию пульса на сонной артерии
Далеко не всегда удается установить момент наступления клинической смерти. Практика показывает, что только в 10-15 % случаев даже медицинский работник на догоспитальном этапе может точно установить время наступления клинической смерти и переход ее в социальную и биологическую. Поэтому при отсутствии явных признаков биологической смерти у пострадавшего (трупные пятна и др.), его следует считать находящимся в состоянии клинической смерти. В таких случаях необходимо немедленно начинать реанимационные мероприятия. Отсутствие эффекта в первые минуты служит одним из показателей наступления биологической смерти.
Вопрос Что такое реанимация?
Ответ Это поддержание и восстановление нарушенных и утраченных функций организма и в первую очередь функции головного мозга. Важное значение для реаниматологии приобрели работы американца П.
Сафара (50-е годы) и немца В. Ковенховена (1960 г.). Первый разработал приемы проведения искусственного дыхания, а второй – обосновал эффективность непрямого массажа сердца. Последовательность действий оказывающего помощь должна быть следующей:
констатация отсутствия реакции на внешние раздражители;
вызов реанимационной бригады;
правильное укладывание больного на твердую, ровную поверхность (расстегнуть ремень, расслабить галстук и т.п.) и обеспечение проходимости дыхательных путей;
проверка наличия самостоятельного дыхания;
при отсутствии самостоятельного дыхания – искусственная вентиляция легких;
проверка наличия пульса;
непрямой массаж сердца (при отсутствии пульса) в сочетании с искусственной вентиляцией легких до прибытия реанимационной бригады.
Роль так называемых парамедиков в проведении всего комплекса реанимации исключительно велика. Именно они первыми отмечают резкое ухудшение состояния пострадавшего, наступление предагонии, агонии и клинической смерти. Они же первыми приступают к проведению реанимационных мероприятий. Поэтому от их знаний, умений и четкости в организации работы нередко зависит исход реанимации.
Следует отметить, что вероятность оживления человека зависит от того, насколько быстро были начаты реанимационные мероприятия. Если активные действия по спасению предприняты в первые 4 минуты клинической смерти, то успех возможен в 90 % случаев, если процесс реанимации был начат на 5-6 минутах, то вероятность оживления снижается.
Вопрос Как обеспечить проходимость дыхательных путей?
Ответ Искусственная вентиляция легких эффективна только в случаях отсутствия механических препятствий в верхних дыхательных путях. Если пострадавший находится в сознании, то удаление инородных тел из дыхательных путей возможно с помощью приема, приведенного на рис. 1.5. Еще более эффективен способ, показанный на рис. 1.6, который носит название приема Геймлиха. Пострадавшего сзади обхватывают руками, надавливают на живот (по средней линии живота между пупком и мечевидным отростком) и производят резкий толчок вверх.
При этом из легких выталкивается достаточное количество воздуха, которое может увлечь инородное тело.
![]() Рис. 1.5. Удары по спине для удаления инородного тела из дыхательных путей у пострадавших, не утративших сознание |
![]() Рис. 1.6. Компрессия живота для удаления инородного тела из дыхательных путей |
Рвотные массы, вставные челюсти и т.п. из глотки и гортани удаляются пальцами, зажимами, отсосами.
Для проведения искусственного дыхания голову пострадавшего следует максимально запрокинуть назад, положив ладонь руки на его лоб (рис. 1.8). Затем следует выдвинуть вперед нижнюю челюсть и открыть рот пострадавшего (рис. 1.9). При таком положении головы за счет смещения корня языка и надгортанника открывается гортань и обеспечивается свободный доступ воздуха через нее в трахею.
![]() Рис. 1.7. Удары по спине для удаления инородного тела из дыхательных путей у пострадавших, утративших сознание |
![]() Рис. 1.8. Запрокидывание головы пострадавшего |
![]() Рис. 1.9. Запрокидывание головы, выдвижение нижней челюсти вперёд и открывание рта (тройной приём) |
Ответ Задачей искусственной вентиляции является ритмичное нагнетание воздуха в легкие в достаточном объеме. Выдох при этом осуществляется за счет эластичности легких и грудной клетки, т.е. пассивно. Наиболее распространен самый простой способ искусственного дыхания "рот в рот". При этом в легкие пострадавшего можно вдувать двойную физиологическую норму – до 1200 мл воздуха. Этого вполне достаточно, так как здоровый человек при спокойном дыхании вдыхает около 600-700 мл воздуха. Воздух, вдыхаемый оказывающим помощь, вполне пригоден для оживления, поскольку содержит 16 % кислорода (в атмосферном воздухе, как известно, содержится 21 % кислорода).
Спасатель, располагаясь сбоку от пострадавшего, одной рукой сжимает его нос и надавливает на лоб, а другой открывает рот или поддерживает запрокинутую голову (рис. 1.10).
Рот пострадавшего во избежание инфицирования необходимо прикрыть носовым платком или марлей, после чего спасатель делает глубокий вдох, плотно прижимается губами к его рту и делает энергичный выдох, затем отнимает губы ото рта и отводит свою голову в сторону для очередного вдоха.
Искусственный вдох хорошо контролируется. Вначале вдувание воздуха проходит легко, однако по мере наполнения и растяжения легких сопротивление возрастает. При эффективном искусственном дыхании хорошо видно, как во время “вдоха” расширяется грудная клетка. При сохраненном пульсе искусственное дыхание выполняют с частотой 12 вдохов в 1 минуту.
Иногда происходит нежелательный заброс воздуха в желудок. В этом случае его необходимо удалить мягким надавливанием на соответствующую область (рис. 1.11).
Если самостоятельное дыхание не восстанавливается, следует поменять положение головы пострадавшего и продолжить искусственную вентиляцию легких. При подозрении на инородное тело в верхних дыхательных путях выполняют прием Геймлиха (рис. 1.6).
![]() Рис.1.10. Искусственная вентиляция лёгких способом "рот в рот" |
![]() Рис. 1.11. Удаление воздуха из желудка в случае ошибочного нагнетания его при проведении искусственного дыхания |
Ответ Эффективный массаж сердца обеспечивает достаточное кровоснабжение жизненно важных органов и нередко ведет к восстановлению самостоятельной работы сердца. Вне лечебного учреждения проводят только непрямой или закрытый массаж сердца (т.е. без вскрытия грудной клетки).
При непрямом массаже резкое надавливание на грудину ведет к сдавливанию сердца между позвоночником и грудиной, уменьшению его объема и выбросу крови в аорту. Систолическое давление при этом может достигать 100 мм рт. ст. и более. В момент прекращения давления грудная клетка расправляется, сердце принимает свой первоначальный объем, и кровь из вен поступает в предсердия и желудочки. Диастолическое давление обычно не превышает 10 мм рт. ст.
Ритмичное чередование сжатий и расслаблений таким образом в какой-то мере (около 40 % нормы) заменяет работу сердца. Этого оказывается достаточно для временного поддержания жизнеспособности мозга и сердца на протяжении ограниченного периода.
Вопрос Как правильно выполнять непрямой массаж сердца?
Ответ При проведении непрямого массажа сердца пострадавший должен лежать обязательно на жесткой поверхности (пол, земля, щит и т.д.).
Осуществляющий массаж спасатель должен стоять сбоку от пострадавшего, положив часть ладони (рис. 1.12) на нижнюю треть груди пациента (на 2,5 см выше мечевидного отростка), как показано на рис. 1.13. Вторая кисть руки кладется поверх первой, так чтобы прямые руки и плечи массирующего находились над грудью пострадавшего (рис. 1.14). Не следует при массаже располагать кисть руки над мечевидным отростком, так как резко надавливая на него, можно поразить печень и другие органы, расположенные в верхнем отделе брюшной полости.
Резкий нажим на грудину прямыми руками с использованием массы тела, ведущий к сжатию грудной клетки на 3-4 см и сдавливанию сердца, должен повторяться 80-100 раз в минуту.
При проведении наружного массажа сердца следует учитывать, что у лиц пожилого возраста эластичность грудной клетки снижена. Поэтому при энергичном массаже и слишком сильном сдавливании грудины может произойти перелом ребер. Однако это осложнение не должно являться противопоказанием для продолжения массажа сердца, особенно при наличии признаков его эффективности.
Проведение массажа требует достаточной силы и выносливости. Желательна смена массирующего каждые 5-7 минут, проводимая быстро, без нарушения ритмичности массажа сердца.
![]() Рис. 1.12. Место приложения усилия ладонью спасателя при наружном массаже сердца |
![]() Рис. 1.13. Место расположения рук спасателя на грудной клетке пострадавшего при наружном массаже сердца |
![]() Рис. 1.14. Взаимное положение рук спасателя при проведении наружного массажа сердца |
Вопрос Как определить эффективность проводимых реанимационных мероприятий?
Ответ Признаками эффективности проводимого непрямого массажа сердца являются сужение ранее расширенных зрачков, уменьшение цианоза, пульсация крупных артерий (прежде всего сонной) соответственно частоте массажа, появление самостоятельных дыхательных движений. Продолжать массаж следует до момента восстановления самостоятельных сердечных сокращений, обеспечивающих достаточное кровообращение.
Реанимацию приостанавливают на 5 секунд в конце первой минуты оживления и в дальнейшем через каждые 2 минуты для оценки наличия самостоятельного дыхания и вероятного восстановления кровообращения.
При неэффективности реанимационных мероприятий в течение 30 минут обычно констатируется биологическая смерть, так как шансы на выживание без неврологических нарушений в этом случае крайне малы. Более длительное проведение реанимации целесообразно в следующих случаях: у детей; при утоплении в холодной воде и в случае сильного переохлаждения.
Реанимация не показана, если пациент находился в последней стадии неизлечимого заболевания.
Вопрос Сколько спасателей должны проводить реанимацию?
Ответ Практика показывает, что наиболее эффективно реанимационные мероприятия могут выполняться двумя спасателями. При этом на один "вдох" одного спасателя должно приходиться 5 сжатий грудной клетки, производимых другим спасателем (рис. 1.15). Необходимо так чередовать эти мероприятия, чтобы вдувание воздуха не совпадало с моментом сжатия грудной клетки при массаже сердца.
Естественно, реанимация может выполняться и одним спасателем. В этом случае он должен попеременно выполнять обе функции, но в другой, более удобной для себя последовательности: сделать 15 надавливаний на грудную клетку, затем два вдоха "рот в рот" и т.д.

Рис. 1.15. Проведение реанимации двумя спасателями
Вопрос Что понимают под электрической дефибрилляцией сердца?
Ответ Очень часто основной причиной прекращения тока крови даже в крупных артериях является фибрилляция желудочков, т.е. беспорядочное сокращение отдельных групп мышечных волокон сердца, которое продолжаясь более 3-5 минут, ведет к развитию биологической смерти.
При этом отдельные мышечные волокна миокарда могут продолжать сокращаться еще несколько десятков минут. Фибрилляция часто наступает при электротравме, асфиксии, острой коронарной недостаточности.
Основным способом прекращения фибрилляции желудочков и восстановления работы сердца является электрическая дефибрилляция, в основе которой лежит пропускание через грудную клетку короткого (0,01 с) одиночного разряда электрического тока высокого (до 7000 В) напряжения, вызывающего одномоментное возбуждение всех волокон миокарда и восстанавливающего тем самым ритмичные сокращения сердца. Для проведения этой манипуляции применяют специальный прибор – электрический дефибриллятор.
Дефибрилляция требует участия не менее двух человек при строгом соблюдении техники безопасности, чтобы предупредить тяжелую электротравму спасателей.
Начальная величина разряда составляет обычно 200 Дж. Если после первого разряда правильный ритм не восстанавливается, дефибрилляцию повторяют, повысив напряжение до 300 Дж. При отсутствии эффекта наносят третий разряд величиной 360 Дж. Если сердечная деятельность не восстанавливается, то обычно медицинская бригада принимает решение о внутрисердечном введении лекарственных средств и при необходимости повторной дефибрилляции.
Считается, что предельного числа дефибрилляций не существует. Пока сохраняется фибрилляция желудочков, остановка кровообращения обратима. Антифибрилляторные мероприятия нужно продолжать, пока не восстановится сердечный ритм или не наступит асистолия.
Вопрос Иногда в случае клинической смерти в область сердца пострадавшего рекомендуется нанести удар кулаком. Зачем это делается?
Ответ Это так называемый прекордиальный удар, который иногда устраняет фибрилляцию желудочков. Но чаще всего он бесполезен и даже вреден, так как может вызвать асистолию. Это происходит потому, что удар не может быть синхронизирован с фазами сердечного ритма.
Прекордиальный удар может расцениваться как процедура, приемлемая в ситуации, когда нечего терять. Однако если в распоряжении реаниматора имеется готовый к работе дефибриллятор, то от удара лучше воздержаться.
2. ЧЕЛОВЕК И ОКРУЖАЮЩАЯ СРЕДА
Вокруг каждого человека условно можно выделить несколько сфер, включающих в себя в разной мере объекты окружающего мира, с которыми мы вступаем в более или менее тесные отношения. Во-первых, человек контактирует с самим собой. Наша уникальность состоит в том, что волевой сознающий центр человека ("Я") находится гораздо глубже, чем тело, эмоции и даже рассудок. Поэтому в определенном смысле сам человек является для себя особого рода окружающей средой. Поэтому конфликт с самим собой оказывается наиболее частым.
Однако наиболее зримы конфликты человека с другими людьми, образующими вокруг него социальную среду, которую он воспринимает как источник, пожалуй, самой высокой опасности для своего существования.
Кроме того, человек является неотъемлемой частью природы, "пренебрежение" которой, наметившееся и прогрессирующее в настоящее время, является, по-видимому, главным источником всех наших проблем, который мы в силу своей высокомерной близорукости перестали распознавать с должной четкостью. В результате мы упорно пытаемся искать выход не там, где он существует, а там, где мы хотели бы его видеть. Это формирует иллюзию безысходности.
Но выход есть. Человек должен войти в гармонию с природой, социумом и самим собой. Только после этого количество потенциальных опасностей (вероятностей возникновения ситуаций, грозящих жизни и здоровью человека) будет сведено до минимума. И для этого не обязательно быть дипломированным медиком, экстрасенсом или мистиком. У каждого человека есть весь необходимый набор ощущений, позволяющий с большой точностью оценивать степень его близости к состоянию гармонии.
2.1. Человек и природа
Вопрос Каковы статус, место и роль человека в природе? Должен ли человек покорять природу, или необходимо подчиниться ей?
Ответ Вопрос о чьем-либо предназначении имеет смысл только по отношению к системе, частью которой он является. Так роль клеток нашего организма определяется их функциями: клетки кожи служат для защиты организма от агрессии со стороны окружающей среды; клетки мышц– для обеспечения подвижности организма; клетки желудка – для снабжения организма питательными веществами.
Аналогично можно ответить и на вопрос о предназначении того или иного растения или животного. Это легко сделать, изучив его строение, место в пищевой цепи экосистемы, его инстинкты, повадки и т.п. Живые организмы наделены природой всем, что необходимо для выполнения ими своей особой функции в природе. В соответствии с этим они заполняют в экосистемах определенную экологическую нишу. Поэтому мы знаем, например, что волк нужен лесу для избавления популяции лосей от больных животных и недопустимого превышения их численности. Исправное выполнение животными и растениями своих "обязанностей" обеспечивает устойчивость (жизнеспособность) экосистем.
Биосфера в целом устроена более сложно и целесообразно, чем любой живой организм, поэтому ее с полным правом можно также считать грандиозным живым организмом. Биосфера породила человека, значит, нам также отведена какая-то роль в этом организме. Понять эту роль можно изучив строение и направленность действий тех подсистем, которыми она нас наделила: тело, психика, разум и т.п. И хотя единого ответа на этот вопрос, по-видимому, не существует, можно предположить, что человек является промежуточным звеном на пути создания природой подвижного носителя "генетической" информации о строении биосферы, то есть своего рода "космической пыльцы", способной переноситься с одной планеты на другую и зарождать на них биосферы, что является заветной мечтой человечества. В любом случае по отношению к природе в целом человек должен играть подчиненную роль, и в своих решениях необходимо, в первую очередь, оценивать полезность или опасность данного шага для организма, частью которого мы являемся.
Вопрос Может ли человек прожить без природы?
Ответ Наблюдая за темпами экологической катастрофы, у человечества возникает желание спрятаться от природы, "агрессивность" которой нарастает с каждым годом. В результате возникают разного рода проекты космических или земных "городов под куполом". Однако, несмотря на видимую независимость человека от природы, мы должны констатировать, что в обозримом будущем это невозможно.
Человек является неотъемлемой частью биосферы, ее органичным элементом. Быть может, в отдаленном будущем мы сможем выйти за пределы ее влияния, однако сегодня любой наш отрыв от природы чреват опасностью. Она, как добрая мать, способна указать людям правильный выход из любой ситуации. Нужно только уметь слушать ее и подчиняться ее советам и требованиям, потому что в соответствии с третьим законом Коммонера "природа знает лучше" [2.2]. Правда, человек в погоне за "прелестями рассудка" разучился "слушать" голос природы так, как это умеют все, даже самые примитивные животные и растения. Причина этого в том, что рассудок и инстинкт (интуиция) в известной мере противостоят друг другу. Нам придется учиться гармонии рассудка и инстинкта. В награду человек получит самого мудрого советчика на все случаи жизни. Иначе мы обречены на ошибки, а значит, на болезни и страдания.
Вопрос В чем причины конфликта человека и природы? Почему человек разучился ее понимать? Возможно ли, в принципе, такое понимание?
Ответ Согласно биогенетическому закону [2.10] каждый из нас в своем индивидуальном развитии (онтогенезе) повторяет те шаги, которые проделала природа, создавая человека в процессе эволюции (филогенезе). Это значит, что человеку дано практически все то, чем обладали наши предки, в том числе и огромное количество информационных каналов восприятия мира. Многое из этой информации не осознается нами и оседает в глубинах нашего подсознания. Однако ничего не забывается, о чем свидетельствуют опыты с гипнозом (под гипнозом человек способен вспомнить мельчайшие детали событий из любого момента времени своей жизни). Весь этот постоянно пополняющийся информационный комплекс оказывает большое влияние при мотивации наших поступков. При этом рассудок, чья деятельность тяготеет к анализу событий, оказывается не в состоянии разложить этот информационный комплекс на осознаваемые составляющие. Поэтому многие наши поступки, особенно если в них преобладают интуитивные мотивы, кажутся абсолютно необоснованными, нелогичными.
Современный человек доверяет логике больше, чем "внутреннему голосу", который формируется как результат обобщения всей воспринимавшейся когда-то и воспринимаемой в данный момент информации. Именно он является, по сути дела, голосом внешнего мира, голосом природы. Не воспринимая его всерьез, человек сознательно отказывается от знаний, предоставляемых ему природой абсолютно бесплатно. Но если я не хочу видеть камень, падающий мне на голову, то, закрыв глаза, я не избавлюсь от боли, которую он мне причинит. Логические конструкции человека зачастую оказываются иллюзиями, имеющими мало общего с реальностью. Это добровольный самообман, который является причиной практически всех наших ошибок, а следовательно, и проблем.
Получив от природы рассудок, человек не должен отказываться от других ее даров, являющихся достижениями прошлых этапов эволюции живого мира. Однако это не так просто, потому что согласно теоремам Геделя [2.17] попытки логического обоснования какого-то обобщения (например, интуитивного) приводят к парадоксам логики. То есть совместить интуитивные и рассудочные знания практически невозможно. Поэтому, идя по пути совершенствования рассудка, человек перестал понимать природу. Вернуться к природе, не растеряв при этом достижений рассудка (иначе пришлось бы вернуться к животному состоянию), можно только в гармонии между интуитивными и рассудочными знаниями, чему нам предстоит научиться в ближайшем будущем.
Вопрос Может ли человек жить не разрушая природу?
Ответ Попытка логического ответа на этот вопрос приводит к парадоксу. С одной стороны, мы – составная часть организма биосферы и можем и должны жить не разрушая этого организма. С другой стороны, согласно законам неравновесной термодинамики, любая самоорганизующаяся система может существовать только за счет отвода внутренней энтропии (хаоса, неупорядоченности) в окружающую среду, другими словами, за счет разрушения окружающей среды [2.1].
Мы, как самоорганизующиеся системы, не можем существовать не разрушая окружающей среды.
Однако природа и не требует от нас, чтобы мы ее не разрушали. Более того, все живые организмы так или иначе разрушают друг друга, находясь на разных ступенях пищевых цепей. Само существование биосферы возможно лишь благодаря активности этих круговоротов живого вещества, которые строго упорядочены и детально "подогнаны" друг под друга. Попытки силового вмешательства в их механизмы приводят к разбалансировке экосистем.
Человек имеет право на разрушение природы, но только в определенных, строго ограниченных размерах. Но, разучившись понимать голос природы, мы потеряли чувство меры. Это привело в итоге к тому, что в эпоху научно-технической революции наша деятельность приобрела характер неуправляемой цепной реакции, грозящей уничтожить все механизмы жизнедеятельности биосферы.
Вопрос Может ли человечество уничтожить природу?
Ответ Данные геологии свидетельствуют о том, что формы жизни на нашей планете регулярно существенно обновляются, и эти обновления носят характер экологических катастроф. При этом соседние геологические слои оказываются разделенными прослойками с крайне бедным жизненным разнообразием. Нечто похожее мы наблюдаем и сегодня, когда огромное разнообразие форм жизни уступает натиску всего одного вида живых существ. Возможно, мы являемся свидетелями формирования новой геологической прослойки. Но никогда еще жизнь не останавливалась. Закон экспансии жизни достаточно быстро восполняет утраченное богатство после снятия фактора давления на жизненное разнообразие.
Но, может быть, человек ввиду достигнутого могущества сможет поколебать какие-то основополагающие системы биосферы, погубив ее, как живое существо, после чего ее восстановление станет невозможным?
Теоретическая вероятность этого существует, но очень малая. Разнообразие форм жизни для того и "задумано" природой, чтобы обеспечить ее выживание практически при любых формах давления на нее. Пьер Тейяр де Шарден назвал эти механизмы неотразимым оружием природы, обреченным на успех: "Размножаясь в бесчисленности, жизнь делает себя неуязвимой от наносимых ей ударов и умножает свои шансы на продвижение вперед" [2.14].
Но вот уничтожить себя как вид мы вполне можем. И таких примеров в истории Земли очень много, достаточно вспомнить трагедию динозавров. История учит, что после подобных трагедий выживает не сильнейший, а наиболее перспективный в плане требований закона цефализации: вся эволюция пронизана идеей усложнения поведения. То есть выживает тот, кто смог "открыть" более сложные системы отражения (познания) реальности. Поэтому после гибели динозавров господство в мире было отдано теплокровным с более развитой психикой, затем человеку-разумному. Вполне возможно, что уже сейчас среди нас, в нашем обществе, живут предки тех, кому природа отдаст свое предпочтение.
Вопрос Каковы механизмы воздействия природы на человека?
Ответ Идя путем рассудка, человек неизбежно приходит к противоречиям, которые невозможно разрешить логическим путем, например, противоречие между стремлением победить болезни и ростом количества и тяжестью болезней, вызванным движением в этом направлении [2.11]. Побеждая ту или иную болезнь силой своего разума, человек освобождает в природе определенную экологическую нишу, на которую вследствие закона экспансии жизни обязательно найдется достаточное количество претендентов. При этом наибольшие шансы имеют организмы с более простой организацией и более короткими сроками воспроизведения и накопления полезных для них изменений. Поэтому на место простейшим одноклеточным возбудителям заболеваний, побежденных с изобретением антибиотиков, пришли вирусные формы жизни, способные порождать новые виды в течение нескольких недель и даже дней. Это вынуждает нашу фармакологическую промышленность форсировать создание все новых препаратов. Но вот уже на смену вирусам грядут формы довирусной жизни, представленные так называемыми ретровирусами, в частности СПИД. В основе их генетической информации лежит молекула РНК, не способная воспроизводить свои точные копии, а потому абсолютно непредсказуемая и мобильная. Сможем ли мы устоять против них?
Еще одним парадоксом является противоречие между стремлением к росту благосостояния людей и ростом количества проблем, встающих перед человеком.
Очень часто человек втягивается в круговорот, не имеющий определенной цели, заставляющий его в то же время отдавать все свои силы. В масштабах всего человечества это приводит к безудержному росту промышленности, работающей не столько на человека, сколько на самовоспроизведение, грозящее разрушить жизненно важные механизмы биосферы. Растет количество и тяжесть техногенных катастроф, изменяется климат, усиливаются ураганы и наводнения. Причины этих явлений лежат в самом человеке и, прежде всего, в нашем стремлении к росту благосостояния.
Разрушая основополагающие природные механизмы, мы неизбежно вызываем к жизни объективные законы, играющие в отношении нас роль отрицательной обратной связи. Хотя мы не склонны относить эту защиту к проявлению разума природы тем не менее следует предположить, что устроена она настолько мудро, что разрушитель природных механизмов гибнет в первую очередь сам.
Вопрос Может ли человечество избавиться от болезней?
Ответ Избавиться от болезней полностью нам никогда не удастся, несмотря ни на какие достижения науки и техники. В этом нет особой трагедии. С помощью болезней природа направляет нас, указывая слабые места, где человек должен что-то изменить в своем образе жизни. Надо пользоваться этим шансом. Правда, за последнее время в норму вошла практика не искать истинные причины болезней, а бороться с возбудителями, которые всегда были и будут. Но почему-то одни люди регулярно болеют и "живут на лекарствах", а другие успешно противостоят натиску возбудителей. Причины снижения нашей сопротивляемости, как и причины таких неприятностей, как травматизм, раздражимость, депрессия лежат в нашей дисгармонии с природой, социумом и самим собой. Неумение видеть и устранять причины дисгармонии приводит к тому, что мы упорно идем по пути ошибок, где учителями являются только боль и страдание.
Существует и другой путь. Если человек вовремя послушает совета мудрого учителя, то количество ошибок существенно уменьшится. Таким учителем может стать сама природа, которая всегда "знает лучше".
Мы бросили все силы на то, чтобы изучать ее, и совершенно перестали ее "слушать". В результате многое поняли, но и количество ошибок возросло. Доверившись голосу природы, человек может свести болезни до минимума. Для этого необязательно развивать в себе особые способности. Все мы изначально умеем слушать природу. Она "прорывается" к нам в первую очередь в виде голоса совести. Но очень часто мы ему не доверяем. Поступая вопреки совести, мы достигаем мелких успехов, но теряем несоизмеримо большее. Внутренняя дисгармония (несогласие со своей совестью) является истинной причиной подавляющего большинства болезней.
Вопрос Может ли проблему болезней решить нетрадиционная медицина?
Ответ При всем своем могуществе современная медицина не всесильна. Там, где она не справляется, люди ищут защиту у специалистов в области так называемой нетрадиционной медицины, которая формировалась веками и представлена множеством разного рода методик, культов и т.п. Это всевозможные мистики, маги, колдуны, экстрасенсы, гипнотизеры и т.п. Если не считать тех, кто лечит травами, то практически всех их объединяет то, что они пытаются воздействовать не на возбудителей болезни, а на тонкие психические структуры человека, то есть на его подсознание. Это "святая святых" человека. Все то, что находится в подсознании, является частью "внутреннего голоса". Корректировка подсознания может в корне изменить весь образ жизни человека, чего собственно и добивается природа. Не случайно, поэтому иногда удается достичь поразительных успехов. Однако при этом сторонний человек берет на себя роль самой природы, то есть роль мудреца, который всегда прав. Где гарантия, что его вторжение в подсознание больного несет в себе благо истины в последней инстанции? Правом на такую истину обладает только сама природа. Человек же, каким бы мудрым он ни был, какими бы древними учениями он не располагал, всегда несет в себе вероятность ошибки. Поэтому в случае таких вторжений иногда начинает "сыпаться" не только психика человека, но и все системы его тела.
Особенно часто от этого страдают сами лекари, которых природа жестко осаждает за их попытки делать не свое дело.
На этом фоне выделяются некоторые психотехники, особенно религиозные, которые не дерзают вмешиваться в подсознание, минуя личную свободу воли человека. Они пытаются оградить человека от ошибок путем "слова", располагая зачастую огромным опытом своих подвижников. При этом человек вправе принять или не принять тот или иной опыт. "Внутренний голос" всегда подскажет ему, где истина. На наш взгляд, это наилучший способ обмена опытом, дающий человеку шанс узнать, что выход из его проблем существует.
Вопрос Может ли человек победить смерть?
Ответ Человек – это открытая система, которая может бесконечно возобновлять свою структуру [2.1]. То есть теоретически в индивидуальном бессмертии человека нет ничего противоестественного. Почему же мы умираем?
Пока человек является неразрывной частью биосферы, пока само существование человека вне биосферы немыслимо, индивидуальное бессмертие человека можно рассматривать лишь как огромную опасность для природы. Жизнь на Земле развивается только благодаря бесконечному круговороту живого вещества. Только благодаря смерти природа может наращивать биологическое разнообразие путем поиска новых форм живых существ. Ограничивается даже количество клеточных делений. В организмах со сложной организацией, типа человека, смерть запрограммирована генетически. Попытки "подкорректировать" природу, исключив "ген смерти" из генотипа человека, чреват процессами, аналогичными распространению в организме раковой опухоли (раковые клетки практически бессмертны). Бессмертное человечество – это, по сути дела, рак биосферы.
Вопрос В чем причины современных природных катаклизмов?
Ответ Любой природный катаклизм имеет свои конкретные причины и механизмы. Как правило, они настолько сложны, что возникает искушение сослаться на действие слепых сил природы. Однако во многих случаях нам все же удается расшифровать свое участие в механике природных катаклизмов.
К числу типичных примеров такого рода можно отнести возросшую в последнее время силу ураганов и наводнений. Дело в том, что нам "удалось" поколебать температурный баланс планеты, вызвав потепление в среднем на 2 ° С по сравнению с доиндустриальной эпохой. Это произошло из-за увеличения содержания углекислого газа в атмосфере, что вызвало парниковый эффект. В результате возросла штормовая деятельность мирового океана. В будущем ожидаются еще более сильные последствия вплоть до таяния ледниковых шапок на полюсах, которое, судя по сообщениям о нестабильности антарктических ледниковых шельфов, уже началось. Это сопровождается ростом активности циклонов, которые несут на материки значительное количество осадков. Раньше водный баланс на материках поддерживался лесами, которые стабилизировали уровни рек после дождей. Сейчас густонаселенные зоны материков практически потеряли свой лесной покров. Поэтому дождевая вода, не задерживаясь в почве, прямиком попадает в реки, вызывая подъем их уровня, особенно в низовьях.
Примеров подобного рода огромное множество. Человек в настоящее время превратился не только в главную геологообразующую силу (как на это указывал Вернадский), но и стал главным творцом большинства наиболее масштабных природных процессов, которые в первую очередь бьют по нему самому.
Вопрос Можно ли предотвратить техногенные катастрофы?
Ответ По вопросу о человеческих корнях техногенных катастроф у нас обычно не возникает никаких сомнений. Более того, мы всегда стремимся найти конкретного виновника той или иной катастрофы, что больше напоминает поиск "козла отпущения", а не поиск истинных причин катастрофы. Действительно, самое простое – это обвинить диспетчера авиарейсов в том, что он проявил преступную халатность, что привело к авиакатастрофе. Обвинить начальника атомной электростанции за необеспечение своевременного проведения требуемых по инструкции работ. Однако корни техногенных катастроф лежат гораздо глубже, что подтверждается статистикой роста числа и тяжести этих катастроф.
Людей невозможно превратить в роботоподобные автоматы, они способны забывать, проявлять халатность, совершать ошибки. Средний процент этих халатностей и ошибок на удивление постоянен. Поэтому, наказав конкретного виновника, мы не сможем предотвратить нарастающего вала техногенных катастроф, хотя, конечно же, и ослаблять контроль за соблюдением людьми своих обязанностей ни в коем случае нельзя, так как это равносильно самоубийству.
Существует закономерность, гласящая, что с ростом сложности производства количество и тяжесть техногенных катастроф будет возрастать, несмотря на все усилия по обеспечению должной производственной дисциплины. Дело в том, что человек имеет своеобразный "предел безошибочности", остается довериться автоматике. Но чем сложнее техника, тем больше вероятность сбоев и отказов в ее работе. Человек оперирует все большими энергиями. И если эти энергии выходят из-под его контроля, последствия сопоставимы с крупными природными катаклизмами. В дальнейшем эта тенденция будет, вероятно, нарастать. Возникает порочный круг, который неуклонно ведет нас к глобальной катастрофе. Таким образом, в социальной среде мы сталкиваемся с законами природы, регулирующими наше вторжение в механизмы биосферы, которые бьют по нам же, когда природа не выдерживает натиска.
Вопрос Можно ли создать экологически чистое производство?
Ответ Согласно второму закону термодинамики исключительно все реальные процессы сопровождаются ростом энтропии (беспорядка, хаоса) [2.1]. Обойти этот закон невозможно, как бы нам ни казалось, что мы смогли обмануть природу. Просто мы чего-то не учли, но это обязательно проявится когда-нибудь. Поэтому никогда нам не создать безотходного производства. Правда, можно снизить количество отходов до оптимума. Однако этот предел уже был однажды найден природой, создавшей механизмы круговоротов веществ, так что отходы с одного уровня природных систем поступают на другой. При этом все круговороты согласованы друг с другом наилучшим способом. Человеку еще не удавалось достичь такой степени организованности производственных процессов, поэтому круговороты, создаваемые нами, всегда гораздо менее эффективны.
В то же время природа нашла наиболее оптимальный ритм и темп своих круговоротов, который гораздо ниже темпов производственных. Пока мы не синхронизируем темпы своего производства с темпами природных процессов, говорить о безотходных производствах не имеет смысла. Поэтому пока мы не ограничим наши растущие потребности, мы будем конфликтовать с природой.
Куда же девать отходы производства? Попытки их захоронений ведут к росту опасности в будущем. Даже вынос отходов за пределы планеты не решит проблемы. Так например существуют даже проекты отправки ядерных отходов на Солнце. Однако законы экологии гласят, что любая наша деятельность возвращается к нам в виде экологического бумеранга [2.2]. Поэтому есть только один выход, связанный с отказом от ценностей благосостояния [2.10].
Вопрос Можно ли создать экологичную экономику? Какова роль государства в вопросах охраны природы?
Ответ Несмотря на родственность названий (экология – наука о доме, экономика – наука о ведении домашнего хозяйства) экономика является главным препятствием на пути сохранения природной среды [2.10]. Основа этого антагонизма лежит в природе рынка, который начинает давать сбой, когда в него вмешиваются с разного рода нерыночными отношениями, когда общество считает некоторые ценности более или менее желательными, чем это обозначается рыночными ценами.
С точки зрения рынка стоимость любого товара оценивается по количеству вложенных в него средств, сил, времени. Природные богатства, которые даются человеку даром, оцениваются лишь усилиями по их добыче. Поэтому любые вложения средств в защиту окружающей среды экономически невыгодны. Попытки усовершенствовать рыночные отношения так, чтобы забота о природе и потомках приобрела значимую рыночную ценность, до сих пор не привели к успеху.
Единственной силой, способной противостоять рынку является государство, которое более чувствительно к проблемам экологии. Только благодаря государству существуют заповедники, очистные сооружения, дымоуловители и т.п. Устанавливая систему законов по охране природы, государство сдерживает натиск рынка на природу.
Однако оно постепенно сдает свои позиции под натиском рынка. Все чаще в политике звучит требование избавить экономику от "чрезмерного" государственного регулирования. Сила рынка в его интернациональности. Ничто не смогло бы так крепко спаять международное содружество и обуздать агрессивную сущность самого государства, как международный рынок. Не за горами осуществление мечты многих людей о создании единого общепланетного государства, которое смогло бы положить конец всем войнам на Земле. Это можно было бы только приветствовать, если бы не тот факт, что сущность грядущего общепланетного государства чисто рыночная. Это значит, что рынок встанет над всеми национальными государствами и силой высшей власти сможет диктовать им свои условия. Это значит, что государство перестанет быть регулятором рынка, его лимитирующим фактором. Это может снизить до минимума роль всяких нерыночных ценностей. Что тогда будет с экологией?
2.2. Человек и социум
Вопрос Что такое социум? Можно ли считать социум живым организмом? Может ли человек прожить без социума?
Ответ Социум – это то человеческое общество, в котором мы живем. По отношению к отдельному человеку социум – это наиболее тесно контактирующая с ним часть окружающей среды. Вместе с тем социум является одной из подсистем биосферы, поэтому наиболее глубокие механизмы, регулирующие жизнь социума, кажущиеся нам подчас вольным порождением человеческого разума, являются продолжением законов природы, управляющими воздействиями биосферы.
По принципу подобия части и целого (любой элемент самоогранизующейся системы подобен системе в целом) [2.10] социум, как и биосферу в целом, можно рассматривать как относительно самостоятельный живой организм, построенный из отдельных людей так же, как многоклеточное существо построено из отдельных клеток. Правда, "клетки" социума сравнительно подвижны и самостоятельны. Отличительной особенностью органичности может служить факт нежизнеспособности отдельных клеток за пределами организма.
Так ампутированные ткани нежизнеспособны. Между колонией живых существ и единым организмом, построенным из этих существ, можно проследить ряд промежуточных форм, отличающихся разной степенью органичности.
Человеческий социум, как и социумы многих видов насекомых (пчелы, муравьи, термиты и т.п.), характеризуется достаточно высокой степенью органичности. Это подтверждается наблюдением фактов вынужденной изоляции людей от социума. Так основная масса людей, оказавшихся на необитаемом острове и потерявших надежду на возвращение, теряет рассудок уже на пятом-шестом годах одиночества. Четкая дифференциация общества, разделение труда, разного рода специализация – все это способствует усилению органичности социума.
Таким образом, человек (личность), являясь органичной частью социума, создается социумом, живет ради социума хотя и несет в себе иллюзию самостоятельности, но не способен полноценно существовать за пределами социума.
Вопрос Что нас объединяет?
Ответ Как бы мы не были недовольны законами социума, как бы мы не превозносили достоинства уединения, нас тянет к людям. Это можно назвать голосом крови или "социальным тяготением" (по аналогии с гравитационным тяготением). В любом случае можно констатировать наличие особой силы психического плана. В системной динамике такие силы называют системообразующими. Их природа лежит в действии наиболее фундаментальных законов природы, которые распространяются как на живые, так и на неживые объекты природы. Это вариационные принципы, которые можно объединить единым понятием оптимальности: любая система стремится занять состояние, в котором любое изменение внутри системы минимально возможным образом влияет на состояние системы в целом; из всех возможных состояний в каждый момент времени реализуется то состояние, с которым связано наименьшее количество изменений. Поэтому любая система стремится к состоянию с наименьшим количеством внутренних напряжений, с наименьшей потенциальной энергией, с наименьшим количеством конкурентных отношений, с наименьшими затратами на поддержание жизни и т.п.
Социальные механизмы системообразования (объединения, дифференциации, структурирования и т.п.) строятся на основе информационного обмена между отдельными личностями и социальными группами (возможно, это универсальный природный механизм). Особенность любого социума в создании языков общения, то есть внутренних информационных каналов с предельной степенью стилизации информационных конструкций (абстракций). Так аналогами человеческой речи могут служить пчелиные "танцы на сотах", язык кодировки нервных импульсов, кодировка ДНК и т.п. Эти языки призваны повысить четкость, однозначность и упорядоченность внутрисистемных отношений.
Однако помимо стилизованного языка человеческой речи, мы обладаем массой информационных каналов, доставшихся нам по наследству от наших предков, стилизация которых менее явна. Это язык запахов, движений, жестов, мимики и многое другое, о чем мы пока, возможно, даже не догадываемся. На этих "древних языках" можно даже разговаривать с животными. Это внутренний язык природы, который воспринимается человеком на подсознательном уровне, то есть без осознания принимаемой информации. Тем не менее эта информация играет огромную роль в мотивации наших поступков, что мы относим к "внутреннему голосу", интуиции и т.п. Именно в этих информационных взаимодействиях лежит причина многих наших, порой необъяснимых, желаний. Именно здесь, по-видимому, кроются основные механизмы социального системообразования.
Вступая в частые, порой мимолетные, отношения с людьми, мы даже не подозреваем о той работе по обработке массы информации, которая осуществляется на уровне подсознания. Неуловимые, а потому не осознаваемые запахи, движения, восклицания и т.п., идущие от разных людей, складываются в целостные образы, которые, накладываясь друг на друга, формируют то, что психологи называют коллективным бессознательным. Это единый информационный массив, в котором трудно выделить "свои" и "чужие" информационные элементы. Это то, что мы – люди – имеем одно на всех.
Мы подпитываем этот информационный комплекс своими мыслями, отражающимися в наших глазах, эмоциями, читаемыми по выражению лица и жестикуляции, неосознанными поступками, в которых находит обобщение весь наш внутренний мир. Этот комплекс подпитывает нас психической энергией, давая нам мотивы (силу) для наших поступков. Это информационное нечто обладает определенной самостоятельностью, а может даже и аналогом личности, борющейся за свое выживание, а потому крайне заинтересованной в открытии все новых системообразующих механизмов.
Вопрос Можно ли считать социум разумным существом?
Ответ Все конкретные законы природы вытекают из вариационных принципов, то есть из принципа оптимальности. Другими словами, в природе действуют только такие законы, которые в итоге приводят к оптимальным последствиям.
Если не вдаваться в детали, а рассматривать явления в целом, то можно увидеть, что оптимальность природных процессов создает эффект целесообразности или даже разумности. Даже разум человека можно вывести из действия принципа оптимальности. Можно спорить о том, обладает ли природа разумом, но все доводы против этого можно применить и к человеку, что поставит под сомнение сам факт существования разума у человека. Поэтому вследствие действия принципа оптимальности любая самоорганизующаяся система, в том числе и природа, и социум, обладают некоторым качеством, являющимся аналогом человеческого разума, часто достаточно примитивным, а иногда значительно превосходящим разум человека. Наверное поэтому наши предки, обладающие богатой фантазией, наделяли многие экосистемы (реки, леса, озера, моря и т.п.), а также многие природные стихии и природу в целом качествами разумных существ.
Вопрос В чем природа морали, нравственности, этики и т.п.?
Ответ Корни многих норм и правил, регламентирующих жизнь человеческого общества, лежат в действии принципа оптимальности, то есть в механизмах социального системообразования. Любая самоорганизующаяся система, особенно система, достигшая состояния органичного единства всех ее элементов, может существовать длительно и устойчиво только при наличии механизмов стабилизации внутренней структуры.
Тот факт, что история человеческого общества насчитывает тысячелетия, говорит о наличии таких механизмов. К их числу можно отнести и государственное регулирование, и правовые нормы, и механизмы рынка, и многое другое, в том числе мораль, нравственность, этику и т.п.
На первый взгляд все эти механизмы являются изобретением человечества. В то же время они являются лишь более сложными формами гомеостаза (способности гасить возникающие в системе возмущения и приходить в исходное состояние включением ряда специфических механизмов). Поэтому все эти явления вполне объективны, субъективны лишь их конкретные формы. Несоблюдение этих норм неизбежно влечет за собой реакцию системы, как целостного организма, направленную на устранение нарушений в структуре системы и подавление причин этих нарушений. В многоклеточном организме подобные функции выполняет иммунная система, в социуме эти функции возлагаются на разного рода государственные и общественные организации (суд, полиция, народная дружина и т.п.). Однако наиболее действенные механизмы формируются на уровне подсознания каждого человека, через его нравственные качества, совесть и пр.
Вопрос Должен ли человек жить по совести или по трезвому расчету?
Ответ Человек, поставивший рассудок в качестве главного критерия истины, обречен на неполноту знания, следовательно, на высокую вероятность ошибки в плане соизмерения своих поступков с требованиями законов природы. В основе рассудка лежат законы формальной логики, которые согласно теоремам Геделя ведут к парадоксам при попытках сформулировать обобщающие знания. Само слово "рассудок" происходит от слов рассуждать, судить, разделять на добро и зло, истину и заблуждение. Поэтому рассудок обречен на "близорукость" при попытках оценить целостность и органичность мира. Вот почему так трудно нам признать то, что биосфера является грандиозным живым существом. Доказать это невозможно, методы формальной логики обязательно приведут нас к парадоксу, это можно лишь чувствовать на интуитивном уровне.
"Внутренний голос", интуиция и наиболее осознаваемая составляющая интуиции – совесть, – все это рождается как проявление механизмов гомеостаза системы более высокого иерархического уровня (социума, биосферы и т.п.). Они направлены на обеспечение системной целостности. В принципе, человек имеет определенную свободу возможности неподчинения требованиям надсистем. Но при этом он рискует попасть под действие механизмов системного гомеостаза. Это необязательно реализуется в форме общественного наказания, например, за раскрытое преступление. Для поддержания системной целостности природа имеет множество более тонких и незаметных, зачастую гораздо более суровых механизмов, устраняющих "антизаконные" возмущения. Так именно конфликт со своей совестью оказывается причиной огромного количества самоубийств, случаев травматизма, заболеваний как психических, так и соматических и т.п. Так или иначе человек, "преступивший закон", устраняется из системы.
Это давно уже обнаружили наши предки, которые вовсе не были темными и невежественными. Тысячелетние наблюдения позволили накопить громадный опыт, вылившийся в нормы морали, нравственности и т.п. Несоблюдение этих норм (грехи) караются высшими силами (механизмы гомеостаза), добропорядочность вознаграждается особым благоволением со стороны высших сил.
Вопрос Можно ли жить обманом?
Ответ Все живые существа "заинтересованы" в том, чтобы максимально понять окружающий их мир, чтобы вовремя распознать опасности и удовлетворить свои насущные потребности. Одновременно они "заинтересованы" и в том, чтобы их самих правильно поняли те, от кого можно ожидать помощь в удовлетворении своих потребностей. Кроме того, необходимо максимально запутать или лишить информации о себе тех, от кого исходит опасность. Так рождается обман.
Жизнь любого социума напрямую зависит от правильности и однозначности расшифровки внутренних информационных обменов. Человеческий социум в этом смысле по-своему уникален, он внутренне противоречив.
Практически каждый человек имеет внутри социума как друзей, для которых он максимально открыт, так и врагов, доступ к информации которым ограничивается, а сама информация искажается. Либо это следствие недостаточной развитости и органичности человеческого социума, либо это следствие особенностей рассудка.
Обман антисоциален по своей природе, поэтому социум создает механизмы "наказания" за обман. Раскрытый обманщик рискует оказаться в принудительной изоляции. Поэтому обман тщательно скрывается даже от самого себя. Так рождается самообман. Чтобы искоренить его, в силу вступают испытанные методы социальной иммунной защиты, действующие на уровне подсознания каждого человека. Можно обмануть свой рассудок, но только не совесть, служащую надсистеме. Человек, потерявшей согласие с совестью, идя по улице, на подсознательном уровне буквально "кричит" о том, что он должен быть наказан. В хаосе большого города обязательно найдется тот, кто способен должным образом ответить на этот безмолвный крик. Поэтому не стоит удивляться тому, что кто-то тебя незаслуженно обижает. Он просто отвечает на подсознательную просьбу твоей совести.
Дело в том, что подсознание человека исключительно правдиво, оно просто не умеет обманывать, в чем можно убедиться на примерах гипноза [2.7]. Если человеку под гипнозом внушить, что на его руку положена раскаленная монета, то на этом месте у него появится вполне реальный ожег. Подсознание не понимает обмана, оно исключительно доверчиво. Вот почему невозможно обмануть свою совесть и спрятаться от себя. Можно временно оградить свой рассудок от совести, но тогда в подсознании совесть может просто разрушить человека, что проявится в непроизвольных движениях в самое неподходящее время, ведущих к травматизму, а также в болезнях, душевных расстройствах или в разного рода "скрытых самоубийствах", каковыми являются наркомания, алкоголизм, курение и т.п.
Вопрос Почему человек не должен замыкаться в себе? Почему отдельные социальные группы не должны замыкаться в себе?
Ответ Любое живое существо, в том числе и человек – это открытая система. Она может существовать только в потоке информации. Потребляя информацию из окружающего мира, я корректирую свой внутренний мир, свою физиологическую, психическую, ментальную и прочие структуры. Открытость системы означает не только потребление, но и излучение информационного потока в окружающее пространство. Излученная мной информация "рассказывает" миру обо мне.
Информационный обмен во многом подобен энергетическому обмену. Это явление парное, в нем всегда присутствует "излучатель" информации и "приемник". Прием информации (например в разговоре) приводит человека в особое состояние большего или меньшего психического возбуждения, которое требует реализации, являясь источником социальной активности человека. Наличие такого возбуждения – явный признак того, что информация принята. В этот момент "излучатель" информации ощущает особого рода удовлетворение, освобождение от переполнявшей его энергии.
Откуда берет информацию сам "излучатель"? Любой человек является преобразователем энергии, получаемой от природы, в энергии более высокого плана, в том числе и психическую. Это энергия, которая движет нашу социальную жизнь. Кто-то очень тонко чувствует природные энергии (информации) и умеет транслировать их в социум (учитель), другой способен принять только преобразованную, очеловеченную энергию (ученик), но он может передать эти энергии дальше, поднимая тем самым социальный тонус.
Замкнутый человек добровольно лишает себя психической энергии, становясь все более инфантильным и малоподвижным вплоть до апатии и нежелания жить. Если же он способен воспринимать природные энергии, то он может переполниться этой энергией и "взорваться". Человек живет в потоке энергии (информации). Сколько энергии он принял, столько он должен ее и излучить. Чем больший поток информации проходит через него, тем больше его жизненная сила. То же самое можно сказать и о социальных группах.
Попытки некоторых групп уединиться и замкнуться в себе (сектантство) чревато их вырождением и распадом. Если же во главе такой группы стоит сильный лидер, то неспособность малой группы "ассимилировать" полученные от него энергии может поставить ее на путь экспансии в основной социум вплоть до агрессии, что неизбежно вызовет ответный удар по ней со стороны социума.
Вопрос Почему меня не понимают?
Ответ Любая информация имеет свой код, шифр, язык. Принять ту или иную информацию может только тот, у кого есть соответствующий "дешифратор". Например, наши глаза не могут распознавать плоскость поляризации света, а пчелиный глаз – может [2.16]. Поэтому нам никогда не понять, насколько существенно отличается окружающий мир утром и вечером, что для пчелы – дело обычное. Даже обладая соответствующим дешифратором, в силу уникальности каждого существа мы обречены на определенные различия в информационной расшифровке одних и тех же знаков. Поэтому всегда найдется человек, который, в меру отличия своего внутреннего мира от моего, произнесенную мной фразу истолкует с точностью "до наоборот". Доказывать ему, что он ошибается, равносильно доказательству того, что я правильный человек, а он – неправильный.
Это один из примеров парадоксальности формальной логики. Согласно теоремам К. Геделя [2.17], любая закодированная информация (обобщение) всегда несет в себе вероятность логического доказательства того, что она истинна и ложна одновременно. Сама природа не может рассудить кто прав, а кто заблуждается. Принцип дополнительности Н. Бора [2.15] говорит, что обе точки зрения по-своему верны, но только при определенных условиях, и только взятые вместе, они дают относительно полное знание о явлении. Природа противоречива сама в себе. Поэтому мой оппонент тоже прав. И если я отвергаю его знание, то тем самым я отвергаю другую сторону мира, которую в меру своих особенностей я не воспринимаю. Только вместе мы можем правильно отразить (понять) мир.
Непонимание людьми друг друга – это нормальное явление. Попытки "сломать" своего оппонента ведут к односторонности наших знаний о мире, а в перспективе – к явным заблуждениям. Это главная особенность рассудка. Если воспринимать своего оппонента не как врага, а как свое дополнение в этом мире, то у нашей воинственности по отношению к себе подобным не останется основы. Жизнеспособность социума зависит от правильности отражения в нем всей полноты информации о мире. Поэтому социум "заинтересован" в разнообразии мировоззрений. Попытки подравнять социум под единый мировоззренческий эталон ведут к гибели данного социума. Поэтому терпимость – одно из главных достоинств человека.
Вопрос В чем причины семейных скандалов?
Ответ Это одно из следствий противоречивости мира.
Любое живое существо должно иметь однозначную внутреннюю организацию, все внутренние процессы должны быть четко согласованы, это основное отличие живого организма от неживого тела. То же самое требуется и от психики человека, его мировоззрения и т.п. Отсутствие четких внутренних принципов способствует накоплению хаоса в душе, что может привести человека к паранойе.
В то же время человеческая однозначность и непротиворечивость есть свидетельство его ущербности, как любого другого живого существа. Мир противоречив, вместить всю информацию об этом мире в непротиворечивое существо невозможно. Поэтому жизнь "изобрела" разнообразие видов, каждый из которых отображает только часть мира, но жизнь в целом может претендовать на обладание полным знанием о мире. Человеческий рассудок на это неспособен.
Другим не менее мощным изобретением природы в этом отношении является двуполость живых существ. Разделив мир на женскую и мужскую половины, природа наделила каждую половину абсолютно противоположными качествами, что и является основной причиной частичного непонимания мужчинами и женщинами друг друга. Наша способность видеть врага в том, кого мы не понимаем, отсутствие терпимости к инакомыслящим, нежелание принять человека таким, какой он есть, желание сломать, переделать, перевоспитать человека под свои эталоны, все это является основным источником семейных скандалов.
Каждый из супругов в меру своих половых особенностей воспринимает ту сторону мира, в отношении которой другой супруг абсолютно слеп. Таким образом, супруги информационно дополняют друг друга. Семью, в которой царит терпимость и способность идти на компромиссы, можно рассматривать как единое целое, несущее в себе противоречивость, а потому способное правильно понять противоречивый мир, чего лишен каждый человек в отдельности. Семья "тирана", в которой главенствует мнение одного из супругов, обречена на ошибку в понимании мира, а потому ее ожидают большие сложности.
Вопрос В чем природа конфликтов?
Ответ Конфликт – это следствие неприятия мира таким, каков он есть.
Любое живое существо в своих попытках выжить под напором окружающей среды решает одновременно две задачи: как приспособиться к окружающей среде (адаптация) и как изменить среду, сделав ее более комфортной для себя (давление на среду). При этом известно, что если давление на среду превысит некоторый допустимый предел, то это грозит разрушением среды.
Современный человек настолько привык "давить на среду", настолько велики его "успехи" в этом, что это уже стало частью его сути. По отношению к отдельному человеку социум есть часть окружающей среды, которая также подвергается давлению со стороны человека. Но здесь объектами давления оказываются такие же люди, которые зачастую сильнее того, кто пытается на них давить. Реакцией на такое давление является обычно ответный удар.
Психический мир человека представляет собой очень тонкую материю. Поэтому, если физические удары по моему телу влекут за собой правовую ответственность, то "психические удары" (обиды, оскорбления и т.п.) распознаются иногда с большим трудом. В условиях современного социума именно они, как правило, обладают наибольшей поражающей силой, особенно если производятся с большим искусством, на уровне подсознательных механизмов, так что непосредственно не осознаются ни тем, кто получает удар, ни тем, кто его наносит.
Следствием такого удара может явиться раздражение, угнетенное состояние, потеря интереса к жизни, апатия, психическое истощение и т.п.
Скрытая подсознательная вражда людей друг к другу вызывает целую психическую войну "всех против всех". Даже если человек ощущает психический удар, ему трудно локализовать источник этого удара. Поэтому "виноватым", как правило, оказывается ближний. Именно на ближнего обрушиваем мы всю мощь своего ответного удара за все накопившиеся за день обиды. Особенно часто это происходит вечером в кругу семьи, когда человек, находясь в относительной безопасности, временно снимает с себя "броню" психической защиты и в этот момент подвергается давлению со стороны своих родных.
Вопрос Можно ли наказать зло?
Ответ Зло наказать невозможно в принципе. Можно наказать человека, от которого, как вам кажется, пришло зло, но само зло от вашего наказания только выигрывает, оно возрастает, усиливается и плодится, а однажды опять возвращается к вам многократно умноженным. Наказанный человек, как правило, с наказанием не согласен. Он по-своему воспринимает мир, его поступки по-своему обоснованы. Если он даже почувствует, что поступил по отношению к вам не совсем честно и корректно, то все равно наказание не достигнет цели, так как обычно само наказание (ответ на удар) по силе оказывается несоизмеримо больше того удара, который был нанесен по вам. Поэтому недостаточно взвешенное наказание в силу "требования справедливости", как правило, ведет к ответному удару. Так люди втягиваются в круговорот войны, когда каждый по-своему "справедливо" возмущен действиями противника и уверен в необходимости очередного наказания.
Зло нельзя победить злом, холод нельзя разогнать холодом. Зло можно победить только добром, победить холод можно только теплом. Правда, это доступно только тому, кто способен пожертвовать собой, своим имуществом, своим временем и т.п. Наиболее показателен в этом плане пример Христа, который, будучи ни в чем не виновным, добровольно пошел на крест ради того, чтобы показать всю абсурдность человеческой жестокости, всю лживость "справедливого наказания".
Только после распятия абсолютно невиновного в ослепленном ненавистью разуме человека просыпается раскаяние. Тогда даже палачи становятся праведниками. И это настоящая победа добра над злом.
Вопрос Можно ли жить без конфликтов?
Ответ Зная природу конфликтов, можно найти множество способов уменьшить их количество в своей жизни или избавиться от них вовсе. Один из способов – повысить свою "психическую силу", под которой понимается способность человека выдерживать психический удар. Индикатором того, что удар достиг цели и разрушил вашу психическую защиту является состояние раздражения.
Здесь удобно различить два вида психической защиты: жесткую и мягкую. Жесткая защита – это способность отбить удар, ответить ударом на удар, наказать обидчика. Это сила бетонной стены, ударив по которой можно лишь отбить себе руку. Сила такой защиты оценивается гордостью человека. Примерами могут служить наши попытки не реагировать на оскорбления, в результате чего постепенно внутри зарождается "вулкан" раздражения, а также попытки осадить кого-то, ответить оскорблением на оскорбление. Применение жесткой защиты втягивает человека в замкнутый круг конфликтов, интенсивность которых все более нарастает, грозя в конечном итоге пробить любой психический барьер.
Мягкая психическая защита подразумевает уход от удара, в результате чего психический удар не находит цели. Это требует большого искусства. Механизмы такой защиты могут быть самыми различными. Чаще всего используется юмор, если он достаточно безобиден и не задевает чье-либо личное достоинство. Опытный юморист может свести к шутке любую обостренную ситуацию, особенно если он способен "посмеяться над собой". Вообще минимальный уровень личной гордыни отличает людей с развитой мягкой психической защитой.
Более высокой степенью такой защиты обладают люди, идущие по пути так называемого смирения, под которым понимается готовность принять мир (а также и социум, и населяющих его людей) таким, как он есть, ничего не требуя от него взамен.
С такими людьми легко общаться, так как они не давят на собеседника, не заставляют его признать свою правоту, даже если они с ним не согласны. Удары судьбы они воспринимают как должное, считая их "уроками жизни", которые всегда "бьют" по наиболее слабым (негармоничным) местам психической защиты, указывая тем самым на эти слабости, чтобы можно было приложить все силы на их устранение. Это не значит, что их можно как угодно ломать, их внутренние принципы обычно настолько сильны, что они готовы ради них "идти на крест", не озлобляясь при этом и не теряя уважения даже к своим палачам. Высшая степень мягкой психической защиты – любовь к ближним, любовь ко всему, что есть в этом мире. Такие люди постепенно выходят из круговорота конфликтов – очень трудно ударить того, кто тебя любит.
2.3. Человек наедине с собой
Вопрос Что такое обида?
Ответ Обида – это перенесение конфликта в свой внутренний мир.
Нежелание принять мир таким, как он есть, и адаптироваться под его требования приводят к тому, что человек, встретив отпор со стороны внешнего мира (особенно со стороны социума), переносит силу своего давления (упрямства) на внутренний мир, как одну из наиболее близких и податливых составляющих окружающей среды. Таким образом, происходит замещение объектов внешнего мира их образами, которыми населен внутренний мир. Человек пытается воздействовать на образы, как на реальные объекты, никогда не достигая при этом желаемой цели – реальность от этого не меняется. Но это приносит временное облегчение, на мгновение снимая остроту конфликта. В результате человек вновь и вновь проигрывает в душе конфликтную ситуацию, что напоминает движение белки в колесе. В итоге однажды ему удается исказить сам образ реального явления, который перестают верно отражать реальность. Это своего рода самообман, наркотическое опьянение, уводящее человека в мир вымышленных персонажей. Обида "застилает глаза", она заставляет видеть мир в кривом зеркале. При этом человек пребывает в уверенности в своей правоте и в том, что мир несправедлив и уродлив, что его нужно срочно переделать.
Это рождает "праведный гнев", дающий человеку силу обрушить на реальный мир все свое негодование. Это тоже один из видов психической защиты, точнее псевдозащиты, так как человек сам себе творит ад, увлекая себя в круги страданий. Обидчивый человек несчастен, он не знает покоя, так как даже оставаясь наедине с собой, он всегда окружен врагами.
Природа знает лучше – это аксиома экологии. Не осуди ближнего – это подобная ей аксиома межчеловеческих отношений. Живя в окружении искаженных образов, мы невольно оказываемся в ситуации, когда свои оценки внешнего мира могут оказаться ошибочными. Смирение праведников – это постоянная готовность принять возможность собственной ошибки в оценке окружающей реальности, готовность принять реальность такой, как она есть, а не такой, какой нам рисует ее наше обиженное искаженное воображение. Людей, способных на это, на востоке называют буддами, то есть пробудившимися, проснувшимися, просветленными. Это мудрость жизни, накопленная тысячами поколений ищущих людей.
Вопрос Почему так не везет?
Ответ Секрет удачи кроется во внутреннем мире человека.
Удача – вещь относительная. Иногда человек клянет судьбу за то, что опоздал на самолет, не ведая того, какой подарок она ему посылает, спасая от предстоящей авиакатастрофы. А сколько таких подарков, о которых мы даже не подозреваем? Неудачник склонен видеть мир в мрачных тонах, коллекционируя свои неудачи и не замечая подарков судьбы. Удачливый человек предпочитает радоваться тому, что дарит ему жизнь, считая мелкие неудачи пустяками.
Есть правда и более объективные черты типичных неудачников и удачливых счастливчиков. Неудачник требует от жизни больше того, что она может ему дать, поэтому его требовательное давление на внешний мир, как правило, превышает пределы, после которых мир начинает отвечать на это давление ответными ударами, количество которых в жизни неудачника растет, как явное подтверждение его неудач. Тот, чьи требования к окружающей среде понижены, кто привык довольствоваться малым, принимать мир таким, как он есть, является претендентом на удачу.
Люди любят делать подарки друг другу. Особенно приятно подарить что-то хорошему человеку, тому, кто ничего от тебя не требует, никогда на тебя не давит, сам готов отдать тебе последнее, тем более если он делает это от чистого сердца, что всегда безошибочно распознается на подсознательном уровне. Тем, кто мало требует от жизни всегда сопутствует удача.
Есть еще ряд характерных черт, объективно увеличивающих шанс на удачу. В первую очередь это постоянство и целеустремленность. Если человек знает, для чего он живет, последовательно идет к выбранной цели, не сворачивая и не отступая, то он легко предсказуем, ему проще сделать приятный и нужный подарок. Подарки эти делаются обычно руками людей, которые иногда даже и не подозревают об этом. Дело в том, что в целеустремленных людях заинтересован сам социум, как единый живой организм. Обычно эти люди являются выразителями какой-то социально полезной функции. Поэтому помощь к ним идет на уровне коллективного бессознательного. По-видимому, именно к таким людям были обращены слова Христа: "Просите, и дано будет вам; ищите, и найдете; стучите, и отворят вам; ибо всякий просящий получает, и ищущий находит, и стучащему отворят". Если же человек часто меняет свои ценности и цели, то подарки, которые готовит судьба на его пути, оказываются нетронутыми, потому что, он сворачивает раньше, чем достигнет приготовленного подарка.
Вопрос Почему в мире так много страдания?
Ответ Страдание – это особого рода предрассудок, вызванный нежеланием принять мир таким, как он есть, это следствие бунта человека против породившей его природы, ответ на усилия человека переделать природу.
Страдание напрямую связано с болью, как физической, так и душевной. Боль же является сигналом того, что допущена какая-то ошибка, грозящая нарушением целостности систем организма. Любое существо, ощущающее боль, стремится выявить и устранить ее причину. Особенность человека в том, что живя в мире искаженных образов, он зачастую оказывается не в состоянии найти истинные причины боли, что в природе является исключительной редкостью.
Не устранив причину, человек погружается в бесконечную боль – страдание.
Очень часто человек даже не хочет видеть истинных причин и предпочитает искать избавление от боли не там, где оно находится, а там, где он хочет его видеть, точнее там, где видит его искаженное сознание. Поэтому вместо того, чтобы изменить свой образ жизни и адаптировать себя к требованиям окружающей среды, мы предпочитаем искать виноватого на стороне. Ублажая свою гордость, мы погружаем себя в пучину страданий. Именно нежелание учитывать и адекватно реагировать на информацию, поступающую к нам из внешнего мира, рождает ошибку в реакции на внешние воздействия и, как следствие, продолжительную непрекращающуюся боль. Что толку винить мир в том, что он несет страдание, если ты непрерывно колотишься головой о стену. Извратить можно любой дар природы, в том числе и дар ощущать голос собственного организма в ответ на наши ошибки. Причины страданий в нашем подсознательном нежелании избавиться от них. А это есть следствие внутренней дисгармонии человека. Не является исключением и душевная боль.
В природе страдания не существует. Животное, пойманное хищником, испытывает сравнительно кратковременную боль и затем погибает. Раненые и больные животные способны свести боль к минимуму. Длительное истязание живого существа, в том числе и самоистязание - есть изобретение человека. В отличие от животных, человек знает о предстоящих событиях и зачастую боится их, постоянно помнит о них. Страх – это еще один источник страданий. Он переносит предполагаемые события во внутренний мир человека, заставляя его вновь и вновь переживать их в своем воображении, напоминая того, кто колотится головой о стену. Это же происходит и с теми, кто, потеряв близкого и любимого человека, погружает себя в море душевной боли. Все это рождает абсурдные поступки вплоть до добровольного отказа от жизни. Причина та же – нежелание принять мир таким, как он есть, нежелание понять, что реальный мир устроен так, что лучше уже не бывает. Создавая ад внутри себя, человек думает, что весь мир – это сплошное страдание.
Это неправда, это предрассудок, это иллюзия. Мир прекрасен!
Вопрос Как избавиться от страха?
Ответ Страх – это пассивная реакция на реальную или потенциальную опасность, которая возникает в случаях, когда неизвестны или есть сомнения в способах противостояния данной опасности. Таким образом, главным источником страха является неопределенность. Имея рассудок, но не имея возможности точного прогноза будущих событий, человек попадает в парадоксальную ситуацию, когда многократно пытается решить задачу, не имеющую однозначного решения, поэтому он обречен жить в постоянном страхе. Страх исчезает тогда, когда человек абсолютно уверен в исходе событий или готов принять будущее, каким бы оно не было.
Практически всегда страх порождается нашей неготовностью принять мир таким, как он есть. Наше желание избавиться от страха выливается в стремление предусмотреть все на все случаи жизни, что является неисчерпаемым источником страданий и еще большего страха. Человек сам изгнал себя из рая, когда беззаботность веры в мудрость природы променял на возможность подстраховки (от слова страх) на черный день, когда, не надеясь больше на природу, в поте лица стал добывать свой хлеб насущный, когда стал брать от природы больше, чем ему необходимо (на всякий случай). Появились новые заботы, новые проблемы, возросло количество неопределенности, а следовательно, и страха.
Человеческий рассудок не бесконечен, он не в состоянии вместить в себя все многообразие мира. Парадокс рассудка в том, что чем больше я познаю мир, тем больше возникает вопросов. Путь рассудка – это путь страха. И если бы в глубинах подсознания даже у самых прожженных скептиков не жила ничем не доказуемая вера в мудрость природы, которая не даст в обиду свое бунтующее создание, человек оказался бы в пропасти полной неизвестности, гасящей все проявления разума. Человек не может существовать без веры в целесообразность природы. Причину этой целесообразности он может видеть в мудрости Творца, или в принципе оптимальности, управляющем природой, или в чем-то другом, это не столь принципиально.
Человек без веры отдает себя в руки страха.
Вера позволяет человеку сбросить с себя бремя неизвестности и вручить это бремя тому, кто обладает гораздо большей мудростью, чем он сам. Природа (реальность) знает лучше, поэтому я доверяюсь ей, в каком бы обличие я ее не представлял, в обличие Бога, или в обличие механизмов гомеостаза. В любом случае она сможет решить мою задачу наиболее оптимальным образом. Если я направлю все свои силы на то, чтобы услышать "голос природы", данный мне в интуиции, звучащий в моей совести, то решение будет найдено, и оно будет одним из самых лучших. Тогда останется только принять данное решение.
Вопрос Как развить интуицию?
Ответ Интуиция рождается как обобщение огромного массива информации, приходящей или когда-либо приходившей из окружающей среды, которая непрерывно обрабатывается разными системами организма. Поэтому интуитивные знания – это самые полные знания о мире, которыми может располагать человек. Как любое обобщение, интуицию нельзя разложить на составляющие, поэтому интуитивные знания, как правило, не выходят за пределы подсознания, оказывая, тем не менее, необъяснимое с точки зрения рассудка влияние на поведение. Так известно, что количество опоздавших на авиарейсы, которые заканчивались катастрофой, всегда больше, чем обычно.
Не в силах пробиться в сознание, интуиция достаточно сильно воздействует на нашу эмоциональную сферу. Но проще всего "вытащить на поверхность" интуитивные знания через непроизвольные движения рук [2.7]. Общеизвестен опыт с маятником (груз на нитке), который мы держим в своей руке, задавая себе какой-то вопрос, ответ на который, как мы полагаем, находится в нашем подсознании. Нужно заранее договориться с собой в каких плоскостях должен качаться маятник, чтобы его ответ означал "да", "нет", "не знаю", "не скажу" и т.п. После этого мы задаем вопрос и по качанию маятника читаем ответ нашего подсознания.
Однако подобная работа со своим подсознанием достаточно примитивна.
Интуиция гораздо богаче, чем односложные ответы маятника. К тому же очень просто наложить на природную информацию искаженные образы своего внутреннего мира. Поэтому никогда нельзя серьезно доверять маятнику. Человек способен воспринять все богатство интуитивных знаний.
Для того, чтобы "услышать" и понять голос природы, в первую очередь необходимо примириться с самим собой, точнее, со своей совестью. А это невозможно, не примирившись со всем миром. Опыт подвижников свидетельствует, что самый короткий путь к себе – это путь любви к ближнему и к той сущности, которая является выразителем целостности природы. Хорошим проводником на этом пути является человеческая совесть. Можно смело сказать, что полное доверие во всем голосу своей совести оградит человека практически от всех ошибок. Слушая совесть, человек одновременно учится слушать голос природы. Очищая свою совесть, человек приближает себя к природе. "Упражняйте свою совесть" – говорили подвижники. Очищая свой внутренний мир от наслоений самообмана, человек однажды начинает понимать истинные причины событий. Без смирения и готовности изменить себя такой путь пройти невозможно, так как убирая самообман, часто приходится видеть себя таким, как есть, а не таким, как хотелось бы.
Вопрос Что такое совесть?
Ответ Совесть – это голос социума.
Развитие ребенка неизбежно сопряжено с познанием им разного рода правил и условностей, регламентирующих жизнь социума. Он познает их через поощрение и наказание, наслаждение и боль, радость и огорчение. Сначала функции корректировки его поведения выполняют родители, близкие, друзья, посторонние люди. Но постепенно в подсознании формируется целостная структура, в которой воплощены все механизмы социума как осознанные, так и воспринятые на подсознательном уровне. По сути дела, совесть является незримым представителем социума во внутреннем мире человека, его продолжением, частью коллективного бессознательного. Поэтому ее требования – это требования социума.
Совесть – это самая близкая к сознанию и самая сильная структура подсознания. По сути дела, она является надстройкой над более глубокими структурами, объединяющими в себе инстинктивные и даже рефлекторные механизмы, расширяя и усложняя эти механизмы, но зачастую входя в противоречие с ними и подавляя их. С одной стороны, это может рождать разного рода внутренние напряжения, например, когда совесть сдерживает какие-то животные инстинкты. С другой стороны, именно жизнь в социуме является для человека наиболее значимой, сопряженной с наибольшими опасностями и радостями. Выход из гармонии с социумом для человека более опасен, чем подавление инстинктов. Поэтому при принятии решений голос совести обладает наибольшим приоритетом по отношению к более низшим структурам подсознания.
Являясь типичным информационным комплексом, совесть способна решить сложнейшие задачи отношений между людьми с учетом всей массы неосознанных нюансов, даже инстинктивных и рефлекторных, и выдать ответ, наиболее близкий к оптимальному. Обладая относительной самостоятельностью, волевой центр человека ("Я") имеет право поступить вопреки решениям совести, однако при этом он игнорирует наилучшее решение. Частое злоупотребление такой свободой ведет к накоплению ошибки в социальном поведении человека, что рано или поздно ударит его посредством механизмов социального гомеостаза, наиболее важной и действенной составляющей которого является его же совесть.
Вопрос Какова роль фантазии в жизни человека?
Ответ Человек живет в мире своих фантазий, которые есть более или менее верные модели реальных явлений. Даже научные и технические модели являются плодами фантазии, которые тем не менее достаточно точно отражают реальность, позволяя нам вполне однозначно прогнозировать ее и использовать их для своих целей. Причина этого в том, что человек мыслит образами, а образ – это уже плод фантазии. Природа такова, что познать мир можно только с помощью моделей, которые, являясь неточными копиями реальных объектов, в то же время несут в себе подобие этих объектов.
Человеческая фантазия – это самый универсальный и пластичный субстрат для реализации моделей. Ни одна модель никогда не дает полного знания о реальном объекте. Поэтому, оперируя своими образами, человек не должен абсолютизировать их, считая истиной в последней инстанции. Другими словами, человек должен дать себе право на ошибку, на то, что реальность может оказаться вовсе не такой, как она рисуется в его образах.
Фантазии по поводу таинственных событий, механизмы которых человеку неизвестны, зачастую принимают форму мистики, особенно если в этих событиях угадывается разумная составляющая. Если учесть, что все законы природы вытекают из принципа оптимальности, то нет ничего удивительного в одушевлении нашими предками некоторых реальных явлений. Мистические образы – это такие же модели реальных событий, как и квантовая модель электрона или атома, или модель расширяющейся Вселенной. Правда, здесь на первый план выходит целесообразная, целостная сторона мира, в отличие от детальной стороны мира, хорошо отражаемой в научных моделях. Мистические модели работают так же успешно, как и научные. Однако никогда не следует отождествлять реальность и образы, творимые человеком. Между ними громадная пропасть.
Богатая фантазия может дать человеку больше приятных и полезных плодов, чем реальность. Такой человек способен преодолеть все возможные препятствия. Правда, при этом существует опасность потерять различие между фантазией и реальностью и погрузиться в мир иллюзий. Не случайно дома для душевнобольных переполнены подобного рода экспериментаторами с миром мистики.
Именно фантазия помогает человеку понять свою интуицию. Облекая свои неясные ощущения в понятные образы, человек создает свой внутренний язык, с помощью которого можно выйти на прямой контакт с самыми глубокими структурами своего подсознания. Так рождаются экстрасенсы. Правда, при этом может возникнуть эффект раздвоения личности, когда ты, разговаривая с самим собой, противопоставляешь себя себе, как двух и более собеседников.
Воспринимая свое подсознание, как потустороннего мудреца, одновременно искажая его мудрость своими корыстными желаниями, мы рискуем попасть под власть своих же пороков. При этом мы будем уверены, что действуем от лица некой мистической силы, хотя и это не исключено, если человеку удается выйти на некоторые относительно обособленные области коллективного бессознательного. В любом случае человеку грозит опасность заблудиться в своих иллюзиях и потерять рассудок.
Фантазия – это удивительный дар человеку. Человек, лишенный фантазии, не способен познавать мир. Однако любой дар можно извратить. Единственный маяк, данный человеку в море иллюзий, это его критическое отношение к себе, не позволяющее погрязнуть в дебрях добровольного самообмана.
Вопрос Что такое счастье?
Ответ Согласно принципу оптимальности, любая система стремится к состоянию с наименьшим количеством внутренних напряжений, противоречий, то есть к состоянию наибольшего согласия между отдельными подсистемами. Такое состояние называется гармонией. Гармония – это согласие несогласного, созвучие разноголосого, такое сочетание разнородной смеси, когда нельзя уже ничего добавить или убавить, не испортив целого. Все природные системы несут в себе отпечаток противоречивости мира. Поэтому ни в одной системе не удается полностью избавиться от внутренних противоречий. Но любая система стремится минимизировать их количество. Поэтому гармония – это устойчивое состояние, к которому стремится любая самоорганизующаяся система. Может быть мир и не совершенен, но он гармоничен.
Гармония несет в себе особое сочетание предсказуемости, закономерности, упорядоченности в строении системы и непредсказуемости, хаоса, ошибки, абсурда, которое тяготеет к золотому сечению (0,618) [2.13], в соответствии с которым строятся все устойчивые самоорганизующиеся системы. Если бы в строении живых организмов преобладал хаос, то они не смогли бы поддерживать свою структуру. Если бы преобладал порядок, то жизнь не смогла бы эволюционировать.
Тем же законам гармонии подчиняется и внутренний мир человека.
Достаточно сказать, что наши представления о красоте очень точно вписываются в законы гармонии, что было замечено еще в древней Греции, где вся архитектура создавалась с учетом золотого сечения. Если количества непредсказуемости, хаоса в душе превышает допустимый предел, то человек начинает ощущать беспокойство, затем тревогу, страх, в пределе он может впасть в состояние паранойи. Преобладание порядка наводит скуку, вызывает меланхолию, вплоть до депрессии и нежелания жить. Обе крайности вызывают в человеке психические силы, стремящиеся вернуть соотношение хаоса и порядка в состояние, когда человек ощущает особый комфорт с минимальным количеством неприятных ощущений. Это состояние гармонии души, к которому постоянно стремится человек, и есть счастье, в наиболее объективном понимании этого слова.
Вопрос Как достичь душевной гармонии?
Ответ Для того, чтобы достичь гармонии, не обязательно знать о золотой пропорции. Достаточно уметь "слушать" свой внутренний мир. Лучшим индикатором достижения состояния гармонии является ощущение счастья. Гармония души, а следовательно, и счастье, не зависит от количества денег и приобретенных вещей, или от достигнутого положения в обществе. Гармония творится внутри человека, и разрушить ее может только сам человек. Самым печальным заблуждением является то, что кто-то или что-то из внешнего мира может лишить нас счастья. Человек сам отказывается от этого состояния, погружая себя в дебри самообмана.
Источником внутренних напряжений, стоящих на пути к гармонии, являются наши неудовлетворенные желания. Желание есть сила, заставляющая нас искать способы его удовлетворения, после чего оно ослабевает, снимая остроту внутреннего напряжения. Не случайно поэтому восточные мудрецы советовали избавиться от желаний. Однако пока жив человек, он находится в потоке энергии, которая рвется наружу, заставляя человека вновь и вновь окунаться в море желаний. Наверное это не так уж и плохо. Ведь достижение желанной цели дает более острое ощущение счастья, нежели вечный покой и забвение.
Тот, кто имел счастье двигаться к заветной цели, знает, что само это движение есть покой особого рода. Попробуйте воспрепятствовать своим желаниям, и в душе будет нарастать напряжение. Отдайтесь на волю желания, приведите себя в движение, и напряжение исчезнет, так же как исчезает сила тяжести в свободном падении. Значит, для достижения гармонии нужно реализовывать все свои желания? А как же быть с порочными желаниями, их тоже надо реализовывать? Тот, кто утвердительно отвечает на этот вопрос, неизбежно попадает в ловушку природы, которая отлавливает любое извращение ее даров.
Человек – часть природы и поэтому играет в ней вполне определенную роль, заложенную в него при рождении на уровне физиологии, рефлексов, инстинктов. Даже наша культура, наши мечты несут в себе отпечатки человеческого предназначения. Знаем мы о нем или нет, но именно оно оказывает наибольшее влияние на мотивацию наших поступков. Так же, как муравей, подчиняясь голосу природы, отдает все свои силы на благо муравейника, так и в человеке изначально заложены такие побудительные мотивы, которые продиктованы природой. Исполнение этих желаний приносит человеку особое удовлетворение.
Но человек – не муравей, мир его желаний значительно богаче того, чем наделила его изначально природа. Многие из этих желаний являются следствием искажения внутреннего мира. Это результаты самообмана, ошибки в оценке реальности. Такие желания, как правило, противодействуют друг другу, "растаскивая" внутренний мир человека в разных направлениях, удерживая его в постоянном напряжении, сводя на нет все усилия по достижению душевной гармонии. Отдавшись на волю противоречивого комплекса желаний, человек неизбежно втягивается в круговорот конфликтов с самим собой и внешним миром.
Для гармонизации внутреннего мира, человек должен систематизировать все свои желания, выделить главную цель своего существования и отсеять желания, препятствующие достижению поставленной цели. Тогда жизнь человека не только приобретет должный динамизм, но и принесет достойный плод.
При этом следует помнить, что любое извращение желаний, которыми нас наделила природа, то есть искажение их целей, неизбежно приводит к конфликту с природой и социумом, который наиболее ярко проявляется в угрызениях совести. Можно обмануть свой рассудок, запутав его псевдологичными рассуждениями, но совесть обмануть невозможно. Поэтому, человек, вставший на путь порока, обречен на вечный конфликт с совестью и иллюзию недостижимости счастья.
Вопрос Что такое порок?
Ответ Порок – есть результат извращения (искажение целей) природных желаний.
Очень часто люди оправдывают свои безнравственные поступки тем, что они подчиняются голосу природы. Так именно природа наделила мужчин и женщин сексуальным влечением друг к другу. Отсюда делается вывод, что разврат – явление вполне естественное. Природные законы естественного отбора мы используем для оправдания насилия сильных над слабыми. Сквернословие мы считаем очень "емким" языком общения. И многое-многое другое.
Несмотря на внешнее подобие описанных явлений, они не имеют ничего общего с природной мудростью и являются типичными извращениями, порожденными больным рассудком, заблудившемся в самообмане. Например, разврат и так называемая свободная любовь способствует кровосмешению и притуплению родительских инстинктов. Сквернословие в русском варианте ведет к осмеянию самого святого в природе – продлению рода. Все это способствует вырождению человека. Не случайно количество здоровых детей неумолимо снижается и возрастает количество врожденных пороков, уродств, умственной отсталости. Не случайно у кормящих матерей пропадает молоко. Все это свидетельство того, что цивилизованное человечество постепенно теряет интерес к своему потомству.
Закон естественного отбора также не имеет ничего общего с диктатом силы. В природе выживает вовсе не сильнейший, как это принято повторять на уроках биологии при воспитании наших детей. Почему-то сильная волчица, за которой ухаживает вожак стаи, зачастую отдает предпочтение вовсе не ему, а другому, слабому и неприметному волку.
Вприроде наибольшие шансы на выживание имеет тот, кто наилучшим образом удовлетворяет ее требованиям, направляющим эволюцию через факторы среды в сторону все более сложного поведения (закон цефализации). Выживает тот, кто способен наилучшим образом расшифровать "голос природы" и должным образом адаптировать себя к ее требованиям.
Аналогичным образом можно разоблачить любую попытку подвести под человеческие пороки объективные законы природы. Любые оправдания собственных пороков приводят лишь к самообману, втягивая человека во все усиливающиеся круговороты конфликтов с самим собой и с внешним миром. Единственный способ, позволяющий обладателю искаженного сознания отличить порок от голоса природы, это научиться слушать свою совесть. Совесть обмануть невозможно. О ней можно лишь временно забыть. Но однажды она вернется, безжалостно вскрывая фальшь самообмана, демонстрируя наяву и особенно в снах истинное лицо человека. Тогда необходимо смирить свою гордость и принять правду такой, как она есть, а затем приложить все свои силы, чтобы навсегда избавиться от порока, противного природе. Особенно неприятно сознавать, что я не такой хороший, как себе казался.
Тогда возникает искушение обвинить свою совесть в некомпетентности, в том, что это лишь игра фантазии. Гордость – главный враг на пути очищения души от самообмана. Только испепелив свою гордость в огне раскаяния, можно достичь душевной гармонии. Однако дело стоит того, потому что только достигнув состояния гармонии, человек способен увидеть, что никто вовсе не изгонял нас из рая, что окружающий мир прекрасен, и все наши страдания есть не более, чем предрассудок.
3. ЭКОЛОГИЧЕСКАЯ БЕЗОПАСНОСТЬ ГЕОСФЕРЫ РЕГИОНОВ
Безопасность экологическая – это совокупность состояний, процессов, действий, обеспечивающая экологический баланс в окружающей среде и не приводящая к жизненно важным ущербам (или угрозам возникновения таких ущербов), наносимым природной среде и человеку.
Опасность экологическая – это вероятность ухудшения показателей качества природной среды (состояний, процессов) под влиянием природных и техногенных факторов, представляющих угрозу экосистемам и человеку [3.6].
Жизнедеятельность человека неотделима от функционирования окружающей природной среды (ОПС), которую условно можно разделить на четыре сферы: атмо-, гидро-, лито- и биосферу. В соответствии с законом оптимума [3.8] отклонение значений параметров, характеризующих эти сферы от оптимальных (или нормальных), представляет опасность для жизнедеятельности человека. Изменение параметров ОПС в значительной степени вызвано деятельностью человека в области техносферы, связанной с материальным производством. Величины отклонений параметров среды от оптимальных значений качественно характеризуют степени экологического неблагополучия территорий [3.6]:
Две последние стадии кратко описаны в табл. 3.1 [3.6].
Таблица 3.1
Признаки, определяющие степень экологического неблагополучия
|
Объекты воздействия |
Кризисная (зона ЧЭС) |
Катастрофическая (зона ЭБ) |
|
Естественные экосистемы |
Устойчивые отрицательные изменения экосистем (уменьшение видового разнообразия, исчезновение отдельных видов растений, животных, нарушение генофонда) |
Необратимые изменения и разрушение экосистем (нарушение природного равновесия, деградация флоры и фауны, потеря генофонда) |
|
Здоровье населения |
Угроза здоровью населения (увеличение частоты обратимых нарушений здоровья, связанных с загрязнением окружающей среды) |
Существенное ухудшение здоровья населения (увеличение необратимых, несовместимых с жизнью нарушений здоровья, появление специфических заболеваний, увеличение частоты обратимых нарушений здоровья) |
Обеспечение экологической безопасности включает решение следующих проблем:
Решение двух первых проблем зависит от вида геосферы, поэтому будет рассмотрено в этом разделе раздельно для атмо-, гидро- и литосферы в п.3.1, 3.2, 3.3. Напротив, вопросы обеспечения экологической безопасности включены в один подраздел 3.4, поскольку они мало зависят от вида геосферы или ОПС.
3.1. Загрязнение приземного слоя атмосферного воздуха
Нормирование загрязнения атмосферы
Вопрос Какие негативные последствия возможны при антропогенных воздействиях на атмосферу?
Ответ Загрязнение атмосферы приводит к следующим последствиям:
Вопрос Как оцениваются степени опасности вредных веществ и степень загрязнения атмосферного воздуха?
Ответ По степени воздействия на организм человека вредные вещества подразделяют на четыре класса: 1 – чрезвычайно опасные; 2 – высокоопасные; 3 – умеренноопасные и 4 – малоопасные.
Основной характеристикой опасности вредного вещества является его максимальная разовая (усредненная в 20-минутном интервале) предельно допустимая концентрация (ПДК), которая не оказывает на человека или на окружающую среду вредное действие. Кроме разовых ПДК для характеристики опасности используются среднесуточные ПДКсс. Разовые ПДК веществ устанавливаются для предупреждения рефлекторных реакций человека (ощущение запаха, световой чувствительности, изменение биоэлектрической активности головного мозга и др.), а среднесуточные для предупреждения общетоксического, канцерогенного, мутагенного влияния веществ на организм человека.
Классы опасности ПДК и ПДКсс регламентированы списком Минздрава СССР № 3086-84 от 27.08.1984 и приведены в [3.5].
Степень загрязнения атмосферного воздуха устанавливают по кратности превышения ПДК с учетом класса опасности, суммации биологического действия загрязнений воздуха и частоты превышения ПДК.
Кратность превышения К
рассчитывается по формуле:
К = с95/ПДК,
где с95 – значение концентрации, измеренное с уровнем достоверности 95 %.
Крайние степени экологического неблагополучия, вызванного загрязнением атмосферы, приведены в табл. 3.2 [3.6].
Таблица 3.2
Критерии оценки степени загрязнения атмосферного воздуха
|
Класс опасности вредного вещества |
Кризисная (зона ЧЭС) |
Катастрофическая (зона ЭБ) |
||
|
кратность превышения ПДК |
проценты измерений выше ПДК |
кратность превышения ПДК |
проценты измерений выше ПДК |
|
|
1 |
3…5 |
30 |
>5 |
30 |
|
2 |
5…7,5 |
30 |
>7,5 |
30 |
|
3 |
8…12,5 |
50 |
>12,5 |
50 |
|
4 |
12,5…20 |
50 |
>20 |
50 |
Вопрос Как состав атмосферного воздуха влияет на здоровье людей?
Ответ Разовые сильные загрязнения атмосферного воздуха приводили к смерти большого количества людей. Например, в городе Бхопал (Индия) в 1985 году в результате сильного загрязнения воздуха метилизоционитом пострадало около 200 тыс. человек, из них 2000 умерли.
При повышении предельно допустимых концентраций (ПДК) вредных веществ в атмосферном воздухе увеличивается заболеваемость населения (табл. 3.3) [3.6].
Таблица 3.3
Показатели среднемесячной заболеваемости
взрослого населения на 1 тыс. человек
|
Болезни органов и систем |
Средний показатель |
г. Липецк |
г. Березники |
|
Злокачественные новообразования |
0,25 |
0,48 |
0,32 |
|
Эндокринная система |
0,26 |
1,09 |
0,30 |
|
Органы пищеварения |
1,9 |
12,1 |
6,64 |
|
Органы дыхания |
14,7 |
32,3 |
25,0 |
|
Система кровообращения |
3,06 |
18,8 |
11,7 |
|
Кожа |
0,76 |
2,4 |
1,3 |
|
Органы чувств |
1,18 |
4,1 |
3,2 |
П р и м е ч а н и е. ПДК вредных веществ в воздухе г. Липецка была превышена в 2¸ 6 раз, г. Березники – в 2¸ 4 раза.
Вопрос При каких метеоусловиях оценивается степень опасности загрязнения атмосферного воздуха?
Ответ
Степень опасности характеризуется наибольшим значением концентрации вредных веществ, рассчитанных для неблагоприятных метеоусловий и в том числе опасной скорости ветра, при которой создаются наибольшие концентрации вредных веществ.
Метеоусловия, неблагоприятные для рассеивания выбросов, характеризуются температурами воздуха, которые возрастают с увеличением высоты над поверхностью земли. Такие условия называются инверсией.
Вопрос Как оценивается допустимость воздействия на атмосферу?
Ответ Допустимость воздействия оценивается путем сравнения максимальных разовых концентраций с
с соответствующими разовыми предельно допустимыми концентрациями вредных веществ, ПДК:
с+сф
< ПДК, (3.1)
где сф – фоновая концентрация того же вещества.
Для вредных веществ, обладающих суммацией вредного действия, допустимость воздействия оценивается по сумме безразмерных концентраций:

ПДК некоторых веществ приведены в табл. 3.4.
Таблица 3.4
Предельно допустимые концентрации вредных веществ
в атмосферном воздухе населенных мест
|
Загрязняющее вещество |
Класс опасности |
ПДК, мг/м3 |
|
|
максимальная разовая |
среднесуточная |
||
|
Пыль нетоксичная |
3 |
0,5 |
0,15 |
|
NO2 |
2 |
0,085 |
0,04 |
|
SO2 |
3 |
0,5 |
0,05 |
|
CO |
4 |
5,0 |
3,0 |
|
Бензин |
4 |
5 |
1,5 |
Ответ
Воздействие суммируется для веществ, оказывающих аналогичное биологическое действие, например, разрушение живых тканей кислотами. Аналогичное воздействие производят, например, такие вещества, как:
О процессе рассеивания выбросов
Вопрос
Каковы основные способы уменьшения антропогенного загрязнения атмосферы?
Ответ Уменьшить загрязнение атмосферы можно следующими способами:
Последний способ наименее эффективен, т.к. вредные вещества в конечном счете неорганизованно попадают в воду, почву и загрязняют их.
Вопрос
Существуют ли ограничения на концентрацию пыли в газах, подвергаемых рассеиванию?
Ответ Величина предельно допустимой концентрации пыли сп (мг/м3), подвергаемой рассеиванию, ограничена СНиП 2.04.05-86 "Отопление, вентиляция и кондиционирование воздуха". Значение сп зависит от расхода выбросов Vг и предельно допустимой концентрации пыли в воздухе рабочей зоны ПДКрз.
сп = 100´ k , Vг ³ 15000 м3/ч,
сп = k´ (160 – 4Vг), Vг
< 15000 м3/ч, (3.3)
k = 0,3 при ПДКрз
£ 2,
k = 0,6 ПДКрз
£ 4,
k = 0,8 ПДКрз
£ 6,
k = 1 ПДКрз
³ 6.
Газы следует подвергать очистке, если концентрация пыли в выбросах превышает сп или размеры частиц пыли превышают 20 мкм.
Вопрос Как классифицируются источники выбросов?
Ответ Все источники подразделяют на точечные и линейные, затененные и незатененные. Точечными считают трубы, шахты, когда их поля рассеивания не накладываются друг на друга на расстоянии двух высот здания с заветренной стороны.
Линейными считаются источники, имеющие значительную протяженность в направлении, перпендикулярном ветру.
Незатененные, или высокие, источники располагаются в недеформируемом потоке ветра (в 2,5 раза выше высоты здания Нзд).
Затененные, или низкие, источники расположены в зоне подпора или аэродинамической тени; их высота не превышает Нзд.
В зависимости от высоты Н устья источника над уровнем земной поверхности их подразделяют на следующие классы:
а) высокие, Н³ 50 м;
б) средней высоты, Н=10…50 м;
в) низкие, Н=2…10 м;
г) наземные, Н£ 2 м.
Вопрос Что влияет на процесс рассеивания выбросов?
Ответ На процесс рассеивания вредных выбросов из труб и вентиляционных устройств оказывают влияние: расположение предприятий и источников выбросов (наличие других зданий в зоне рассеивания), характер местности (впадины, возвышения), состояние атмосферы, высота источника и скорость выброса, диаметр устья трубы, физико-химические свойства выбрасываемых веществ (плотность, размер частиц), температура газов и др.
Вопрос От чего зависит вертикальное и горизонтальное перемещение примесей?
Ответ
Распространение промышленных выбросов в атмосфере подчиняется законам турбулентной диффузии. Горизонтальное перемещение примесей зависит в основном от скорости ветра, а вертикальное – от температуры и плотности газов, распределения температур по высоте (инверсия dТв/dh > 0, изотермия dTв/dh = 0 и конвекция dТв/dh < 0, где Тв – температура воздуха, h – высота).
Скорость ветра оказывает неоднозначное влияние на рассеивание вредных веществ. С одной стороны, ее увеличение способствует турбулентному перемешиванию загрязнений с окружающим воздухом и снижению их концентраций. С другой стороны, ветер уменьшает высоту факела над устьем трубы, пригибая его к поверхности земли и способствуя повышению концентраций в приземном слое атмосферы. Скорость ветра, при которой приземные концентрации при прочих равных условиях имеют наибольшие значения, называется опасной скоростью ветра.
Для предотвращения отклонения струи вблизи горловины трубы скорость выбрасываемых газов должна вдвое превышать опасную скорость ветра на уровне горловины трубы.
Вопрос Как распределяются концентрации вредных веществ под факелом организованного источника выбросов?
Ответ
Характер распределения концентрации вредных веществ в атмосфере под факелом организованного источника показан на рис. 3.1.

Рис. 3.1. Распределение концентрации вредного вещества в атмосфере от организованного источника выбросов при наличии фонового загрязнения
Пространство под факелом по мере удаления от источника выброса можно условно разделить на три зоны:
Вопрос Как в расчётах процесса рассеивания учитывается направление ветра?
Ответ При оценке воздействия на атмосферу в задачах проектирования расчёты проводятся для опасного направления ветра в сторону наибольших фоновых концентраций вредных веществ селитебной территории или на центр города.
Вопрос
Какого вида задачи возникают при расчетах процесса рассеивания выбросов?
Ответ
Задачи расчета рассеивания можно разделить на две группы:
Вопрос
Какие основные задачи решаются при расчете загрязнения атмосферы выбросами одиночного источника?
Ответ
Расчет заключается в решении следующих задач [3.4]:
на уровне флюгера (обычно 10 м от уровня земли).
Дополнительно можно рассчитать распределение концентраций при произвольных скоростях ветра u, определить скорости ветра, при которых на заданном расстоянии от источника выброса концентрации будут максимальны, а также определить размер зоны рассеивания (зоны влияния).
Вопрос
Можно ли с помощью известных методик решать более сложные задачи, связанные с рассеиванием выбросов в атмосфере?
Ответ
Методика [3.4] позволяет рассчитывать загрязнение атмосферы выбросами точечного, линейного, площадного источников, с учетом следующих усложняющих расчет факторов: сложного рельефа или застройки местности, наличия группы источников, суммации действия нескольких вредных веществ, фоновых концентраций, а также определять минимально допустимые высоты источников выбросов и величины предельно допустимых выбросов ПДВ, г/с.
Расчет концентраций вредных веществ в атмосфере
от одиночного источника выбросов
Вопрос Как рассчитывается максимальное значение концентрации вредного вещества см
и расстояние хм, на котором будет достигнуто значение см
при неблагоприятных метеоусловиях?
Ответ
Расчет заключается в решении следующей задачи: определение максимального значения концентрации вредного вещества см и расстояния хм, на котором будет достигнуто значение см (рис. 3.1) при неблагоприятных метеоусловиях.
Максимальное значение приземной концентрации вредного вещества см на расстоянии хм
от источника с круглым отверстием при неблагоприятных метеоусловиях определяется по формуле:

где А – коэффициент, зависящий от температурной стратификации (расслоения) атмосферы;
М – масса вредного вещества, выбрасываемого в атмосферу в единицу времени, г/с;
F – коэффициент, учитывающий скорость оседания вредных веществ;
m и n – коэффициенты, учитывающие условия выхода газов из устья источника;
h – коэффициент, учитывающий влияние рельефа местности (при перепаде высот менее 50 м на 1 км длины h =1);
Н – высота источника выброса над уровнем земли, м (для наземных источников Н = 2 м);
D Т – разность температур между температурой выбрасываемых газов Тг и температурой окружающего воздуха Тв, ° С, D Т = Тг - Тв;
Vг – расход газов,

где D – диаметр устья источника выбросов, м;
w0 – средняя скорость выхода газов из устья источника, м/с.
Поясним методику определения параметров, входящих в формулу (3.4).
Коэффициент А принимается для неблагоприятных метеоусловий, при которых концентрация вредных веществ в атмосферном воздухе максимальна. Для Московской, Тульской, Рязанской, Владимирской, Ивановской, Калужской областей А =140.
Величины М, Vг, Тг определяются расчетом в технологической части проекта или по паспорту установки. Для изменяющихся во времени значений М, Vг, Тг
принимаются такие их величины (усредненные в 20¸ 30-минутном), при которых см максимально.
Температура воздуха Тв
принимается равной средней максимальной температуре наиболее жаркого месяца по СНиП 2.01.01–82 или средней температуре самого холодного месяца для отопительных котельных.
Значение коэффициента F для вредных газообразных веществ принимается равным единице (F = 1), а для пыли и золы в зависимости от степени предварительной их очистки m (F = 2 при m ³ 90 , F = 2,5 при 75 £ m < 90 и F = 3 при m < 7 5 % ) .
Напомним, степенью очистки называют отношение в процентах уловленной массы пыли и золы к поступившей.
Значения коэффициентов m и n определяют в зависимости от параметров f, vМ, v и fe:




Коэффициент m (m = 0,4...1,6) определяется в зависимости от f по рис. 3.2 (приближенно) или по формуле:

Для fe < f < 100 коэффициент m вычисляется по формуле (3.10) при f = fе.

Рис. 3.2. Коэффициент m в зависимости от f или fe
Коэффициент n при f < 100 определяется в зависимости от vм по рис. 3.3 (приближенно) или по формуле:



Для f³ 100 (или D Т» 0, холодные выбросы) при расчете см вместо формулы (3.4) используется формула

где

(3.13)

Рис. 3.3. Коэффициент n в зависимости от vм
и v
Причем n рассчитывается по формулам (3.11) при vм=v.
В случае предельно малых опасных скоростей ветра при f < 100 и vм<0,5 или f ³ 100 и v < 0,5 расчет см
выполняется по другой формуле:

(3.14)
где mн = 2,86 ´ m при f < 100, vм
< 0,5;
mн = 0,9 при f ³ 100, v < 0,5 . (3.15)
Расстояние xм от источника выбросов, при котором достигается максимальное значение концентрации см, определяется по выражению

где безразмерный коэффициент d находится по формуле
![]() ![]() ![]() |
при vм ![]() при 0,5 < vм ![]() при vм > 2. (3.17) |
При f >100 или D Т» 0 значение d находится по-другому:
|
d = 5,7 d = 11,4´ v d = 16 ´ ![]() |
при v ![]() при 0,5 < v ![]() при v > 2 . (3.18) |
|
uм = 0,5 uм = vм ![]() |
при vм ![]() при 0,5 < vм ![]() при vм > 2. (3.19) |
|
uм = 0,5 uм = v uм = 2,2 |
при v < 0,5 , при 0,5 ![]() ![]() при v > 2 . (3.20) |
Ответ При опасной скорости ветра uм приземная концентрация вредных веществ с
в атмосфере на различных расстояниях х от источника выброса определяется по формуле
c = s1 ´ cм, (3.21)
где s1 – безразмерный коэффициент, зависящий от X = x/xм и коэффициента F, определяется по рис. 3.4 (приближенно) или по формуле:
|
s 1 = 3X4 - 8X3 + 6X2 |
при X ![]() |
s 1 = ![]() |
при 1 < X ![]() |
s 1 = ![]() |
при F ![]() |
s 1 = ![]() |
при F > 1,5 и X > 8 . (3.22) |

Рис. 3.4. Коэффициент s1 в зависимости от Х=х/хм и F
При низких источниках выброса H

s1н=
0,125´ (10-H)+0,125´ (H-2) ´ s1 при 2

Значение приземной концентрации вредных веществ в атмосфере cу на расстоянии у по перпендикуляру к оси факела выброса определяется по концентрации с
су = s2 ´ с, (3.24)
где s2 – безразмерный коэффициент, зависящий от скорости ветра u, м/c и отношения x/y , определяется по рис. 3.5 (приближённо) или по формуле:
s2 = (1 + 5 ´ ty + 12,8 ´ ty2 + 17 ´ tу3 + 45,1 ´ tу4)-2, (3.25)
где ty = u ´ y2/x2 при u

ty = 5 ´ y2/x2 при u > 5. (3.26)

Рис. 3.5. Коэффициент s2 в зависимости от комплекса ty
Задача Определить максимальное значение концентрации cм газа SO2 и расстояние хм при неблагоприятных метеоусловиях для следующих исходных данных: А=240, V=10,8 м3/с,

Наименования параметров приведены выше.
Решение
Средняя скорость выхода газов из устья истечения выбросов определяется из формулы (3.5):
w0 = 10,8/(0,785´ 1,42)=7,02 м/с.
Коэффициент F для газовых выбросов равен единице
F = 1.
Вспомогательные параметры f, vм , v, fe найдутся по (3.6) … (3.9):
f=1000´ 7,022´ 1,4/(352´ 100)=0,563;
vм

v

fe

Коэффициент m рассчитается по формуле (3.10) при f <100 и f
m

Коэффициент n определится по формуле (3.11) при f<100:
n=1, т.к. vм³ 2.
Максимальная концентрация SO2 в приземном слое воздуха найдется по (3.4):
cм

Безразмерный коэффициент d вычислим по формуле (3.17) при vм>2
d

Расстояние xм
определим по формуле (3.16)
xм

Задача При какой опасной скорости ветра будет достигнута концентрация cм=0,223 мг/м3? (Исходные данные из предыдущего решения.)
Решение Опасная скорость ветра uм при f>100 определится по формуле (3.19) при vм>2 и составит:
uм

Задача Как распределяются приземные концентрации с по оси факела при неблагоприятных метеоусловиях и опасной скорости ветра? (Исходные данные из предыдущих ответов, если см=0,223 мг/м3, xм=430 м).
Решение Расчет концентраций на различных расстояниях х выполняется по формуле (3.21) с учетом (3.22) при F<1,5. Результаты расчета приведены в табл. 3.5.
Таблица 3.5
Распределение концентрации вредного вещества (SO2)
под осью факела
|
Параметр |
Значение |
||||||||||||
|
х |
100 |
200 |
300 |
400 |
500 |
600 |
800 |
1000 |
1200 |
1400 |
1600 |
2000 |
4300 |
|
Х |
0,23 |
0,46 |
0,70 |
0,93 |
1,16 |
1,62 |
1,86 |
2,32 |
2,79 |
3,26 |
3,72 |
4,65 |
10 |
|
s1 |
0,232 |
0,633 |
0,914 |
0,999 |
0,961 |
0,902 |
0,78 |
0,664 |
0,562 |
0,476 |
0,404 |
0,296 |
0,079 |
|
c |
0,052 |
0,142 |
0,204 |
0,223 |
0,215 |
0,202 |
0,174 |
0,149 |
0,126 |
0,106 |
0,09 |
0,066 |
0,018 |
В качестве примера рассмотрим расчет концентрации для трех точек х=300; 1000; 4300, для которых соответственно получим Х=0,7; 2,32; 10:
c=(3´ 0,74–8´ 0,73 +6´ 0,72)´ 0,223=(0,72-2,74+2,94)´ 0,223=2,04;
с=1,13´ 0,223/(0,13´ 2,322+1)=0,252/1,70=1,49;
с=10´ 0,223/(3,58´ 100-35,2´ 10+120)=0,018 мг/м3.
Задача Как распределяются приземные концентрации с в точках, удаленных от оси факела на расстояниях у при условиях, взятых из предыдущего ответа?
Решение Поскольку расчет выполняется для опасной скорости ветра, u=uм=2,2 м/с.
Определим значение концентрации SO2 в точке с координатами [х=1000 м, у=100 м] по формулам (3.26), (3.25), (3.24), учитывая, что u£ 5:
ty = 2,2´ 1002/10002 = 0,022;
s2 = 1/(1+5´ 0,022+12,8´ 0,0222+17´ 0,0223+45,1´ 0,0224)2 = 0,8;
cy = 0,8´ 0,149 = 0,119 мг/м3 .
Для других координат значения концентраций приведены в табл. 3.6, используя которую и расчеты с другими х и y, построено поле концентраций SO2 (рис. 3.6).
Таблица 3.6
Поле концентрации SO2 при опасной скорости ветра и неблагоприятных метеоусловиях (cy´ 1000 или cy в мкг/м3)
|
y, м |
х, м |
||||||||||
|
100 |
200 |
300 |
400 |
500 |
600 |
800 |
1000 |
1200 |
1400 |
1600 |
|
|
0 |
52 |
142 |
204 |
223 |
215 |
202 |
174 |
149 |
126 |
106 |
90 |
|
50 |
0 |
36 |
112 |
159 |
173 |
174 |
160 |
141 |
121 |
104 |
88 |
|
100 |
0 |
1 |
18 |
57 |
90 |
110 |
124 |
119 |
108 |
95 |
83 |
|
150 |
0 |
1 |
11 |
30 |
52 |
81 |
91 |
89 |
83 |
75 |
|
|
200 |
0 |
1 |
7 |
18 |
45 |
62 |
69 |
68 |
64 |
||
|
250 |
0 |
1 |
5 |
21 |
38 |
32 |
53 |
53 |

Рис. 3.6. Поле концентраций SO2 в приземном слое воздуха в виде линий постоянного уровня (вверху даны расстояния х, кратные высоте источника выброса Н)
Вопрос Как рассчитывается поле концентраций для неблагоприятных метеоусловий и скорости ветра u, м/с, отличающейся от опасной?
Ответ Максимальное значение приземной концентрации вредного вещества cмu, мг/м3, находится по формуле
cмu=r´ cм , (3.27)
где r – безразмерная величина, определяемая в зависимости от отношения U=u/uм по рис. 3.7 (приближённо) или по формуле:
|
r=0,67´ U+1,67´ U2-1,34´ U3 r=3U/(2U2-U+2) |
при U£ 1, при U>1. (3.28) |
Расстояние от источника выбросов xмu, на котором приземная концентрация составит cмu
найдётся по формуле
xмu = p´ xм , (3.29)
где p – безразмерный коэффициент, зависящий от U.
|
p=3 p=8,43´ (1-U)5+1 p=0,32´ U+0,68 |
при U£ 0,25; при 0,25 при U>1. (3.30) |

Рис. 3.7. Коэффициенты r и p для расчёта cмu
при скоростях ветра,
отличающихся от опасной
Поле концентрации при u

подставляются значения смu и xмu.
Задача Как уменьшится концентрация c в точке с [x=1000, y=100] при скорости ветра u=4,4 м/с, т.е. в два раза превышающей опасную uм=2,2? Исходные данные из предыдущих расчётов.
Решение Максимальная концентрация cмu находится по формуле (3.27) с учётом (3.28) и U=u/uм=4,4/2,2=2, (U>1):
r=3´ 2/(2´ 22-2+2)=0,75;
cмu=0,75´ 0,223=0,167 мг/м3.
Расстояние xмu
рассчитаем по формуле (3.29) с учётом (3.30)
р=0,32´ 2+0,68=1,32; xмu=1,32´ 430=568 м.
Концентрация cu
под осью факела на расстоянии x=1000 м по (3.21) с учётом (3.22):
Х=1000/568=1,76; 1<Х£ 8;
s1=1,13/(0,13´ 1,762+1)=0,81; сu=0,81´ 0,167=0,135 мг/м3.
Концентрация в точке [х=1000, у=100] по формуле (3.24) с учётом (3.25) и U>5:
ty=4,4´ 1002/10002=0,044;
s2=1/(1+5´ 0,044+12,8´ 0,0442+17´ 0,0443+45,1´ 0,0444)2=0,64
cyu=0,64´ 0,135=0,087 мг/м3.
Таким образом, cмu
уменьшилась на 24 %, xмu – увеличилось на 32 %, а cyu
– уменьшилась на [(0,119/0,087)-1]´ 100=37 %.
Вопрос Как рассчитываются поля концентраций, если в выбросах содержится несколько вредных веществ?
Ответ
Расчет проводится для каждого вещества отдельно по формулам, рассмотренным выше, причем для упрощения расчета величин см и хм для второго и последующего веществ могут использоваться значения см и хм, найденные в предыдущих решениях для первого вещества.
Например, если в выбросах содержатся три вредных вещества SO2, NO2 и зола с массовыми расходами Mso2 , MNO2, MЗ
и известны значения сSO2, cSO2м, хSO2м,
то концентрации с NO2 могут быть найдены по соотношению
с NO2=cSO2´ MNO2/МSO2, (3.31)
где сSO2 – концентрации SO2 тех же точек [x, y], что и искомая концентрация сNОx.
Поскольку коэффициенты F в (3.4) для газов и золы различны, по упрощенным соотношениям можно найти только сзм и хзм, используя формулы:
сзм
= сSO2м ´ Мз/МSO2, (3.32)
xзм
= xSO2м ´ (5 – Fз)/4. (3.33)
Задача Рассчитать концентрацию NO2 и золы в точках [xм, y=0] и [x=1000, y=100] при неблагоприятных метеоусловиях и опасной скорости ветра, если МSO2 =12, MNO2 =0,4, Мз=3 г/с, использовав данные предыдущих расчетов для SO2.
Решение Для оксида азота расстояние хм не изменится, хNO2м=xSO2м=430 м, а концентрации в точках [xм, 0], [1000, 100] найдем по формуле (3.31):
сNO2м = 0,223´ 0,4/12 = 0,0074 мг/м3,
сNO2 = 0,119´ 0,4/12 = 0,004 мг/м3.
Для выбросов золы расстояние xзм определим по (3.33), приняв, что золоочистка не используется и F=3 (см. пояснение к формуле (3.4)),
xзм = 430 ´ (5 – 3)/4 = 215 м.
Максимальную концентрацию золы сзм в точке [215, 0], рассчитаем по (3.31)
сзм
= 0,223´ 3/12 = 0,056 мг/м3.
Для расчета сз
в точке [1000, 100] вначале найдем сзх в точке [1000, 0] по (3.21) с учетом (3.22) и величины Х = 1000/215 = 4,65 (1
s1 = 1,13/(0,13´ 4,652+1) = 0,296,
сзх
= 0,296´ 0,056 = 0,017 мг/м3.
Значение сзхy
в точке [1000, 100] вычислим по (3.24) с учетом (3.25), (3.26) и uм = 2,2 £ 5. Поскольку координаты и скорость не изменились, ty = 0,022, s2 = 0,8 (см. предыдущие ответы) и Sзxy = 0,8´ 0,017 = 0,014.
Задача
Оценить допустимость воздействия на атмосферу, если расчетные максимальные приземные концентрации веществ при неблагоприятных метеоусловиях и опасной скорости ветра соответственно составили сSO2м=0,223; сNO2м=0,0074; сзм=0,056, при фоновых концентрациях сSO2ф=0,2; сNO2ф=0,02; сзф=0,3 мг/м3.
Решение Два вещества SO2 и NO2 обладают однонаправленным действием, поэтому оценка допустимости воздействия выполняется по соотношениям (3.1) для золы и (3.2) для газов:
0,3+0,056<0,5 Ù (0,223+0,2)/0,5+(0,02+0,0074)/0,085<1
или 0,356<0,5 Ù 1,16<1,
где Ù – знак логического умножения “И”, а значения ПДК взяты из табл. 3.3.
Условие не выполняется, следовательно, концентрация загрязнений превышает предельные нормы.
Минимальная высота источника выбросов вредных веществ
Вопрос Как и с какой целью рассчитывается минимальная высота источников выбросов вредных веществ?
Ответ При проектировании и реконструкции предприятий, минимальная высота источника выбросов выбирается таким образом, чтобы концентрации вредных веществ в приземном слое атмосферы с учетом их фоновых концентраций сф не превышали ПДК.
Расчеты проводятся по каждому веществу, причем, если рассеиваются вещества, обладающие суммацией вредного действия, в расчетах следует использовать приведенные массы выбросов Мс
и фоновых концентраций сф,с:

cф,с=сф,1+сф,2´

Минимальная высота источника для холодных выбросов D Т» 0 находится по формуле

Если найденному по формуле (3.36) значению Н соответствует v < 2 м/с, то Н уточняется методом последовательных приближений по формуле

где ni и ni-1
– значения коэффициента n, полученные соответственно по значениям Hi
и Hi-1 (при i=1 принимается n0=1).
Формулы (3.36) и (3.37) применяются при D Т>0,если при этом выполняется условие

В противном случае первое приближение следует найти по формуле

По величине Н1
определяются величины f, vм, v, fe икоэффициенты mi=1, ni=1. Новое приближение Нi+1 находится по формуле

(при i = 1 можно принять m0 = n0 = 1 и Н0 = Н1).
Если выбрасываемые вещества не обладают суммацией среднего действия, расчет минимальных высот выполняется по каждому веществу при неблагоприятных метеоусловиях и опасной скорости ветра, а для сооружения принимается наибольшее значение Н.
Задача Определить минимальную высоту источника выбросов SO2 и NO2 при следующих исходных данных: А=240; F=1; D=2,0; Mc=20; cфс=0,2; D Т=100; Vг=10; h =1; ПДКSO2=0,5, где Мс
и сфс – приведенные к SO2 по (3.34) и (3.35) масса выбросов и фоновая концентрация. Расчеты выполнить с точностью до 0,5 м.
Решение Определим Н по (3.36):

Проверим условие H£ w0´

w0=10/(0,785´ 22)=3,18, 89,4£ 3,18´

Оно не выполняется, поэтому первое приближение Н найдем по формуле (3.38):

Уточним величины f, vм, m и n по (3.6),(3.7), (3.10), (3.11):
f=

vм

m1=

n1=0,532´ 1,92-2,13´ 1,9+3,13=1,0.
Рассчитаем второе приближение Н по (3.39) и определим разницу Н1-Н2:
Н2=40´

Заданная точность не достигнута (|-2,7|>0,5), поэтому вновь уточним параметры f, vм , m, n и Н:
f=1000´

vм=0,65´

m2=

n2=0,532´ 1,862-2,13´ 1,86+3,13=1,01;
Hз=42,7´

Разница Нj+1-Hj=42,4-42,7= -0,3 по модулю меньше 0,5, поэтому расчёт закончен. Таким образом, высота трубы для рассеивания выбросов SO2 и NO2 должна быть не менее 42,4 м.
Нормирование массы выбросов
Вопрос Как устанавливаются зоны влияния источника загрязнений атмосферы?
Ответ Зоны влияния источника устанавливаются отдельно по каждому вредному веществу или комбинации вредных веществ с суммирующимися вредными действиями. Приближенно зона определяется площадью окружности, радиус которой принимается как наибольшее из двух расстояний от источника: х1 и х2, где х1=10хм. Значение х2 определяется как расстояние, начиная с которого с£ 0,05ПДК. Величина х2 находится графически или интерполяцией табличной функции сi=c(xi), i=1, 2,…,k, или решением уравнений (3.22) при s1 = 0,05´ ПДК/см.
Задача
Определить радиус зоны влияния источника загрязнений, если концентрации газов SO2 и NO2, приведенные к SO2, имеют такие же значения, как в табл. 3.5, а см = 0,223, хм
= 430 м, ПДКSO2=0,5.
Решение Расстояние х1=10´ 430=4300 м. Граничное значение концентраций сг=0,05´ 0,5=0,025 мг/м3 на расстоянии х2 находится между значениями 0,066 и 0,018, которые соответствуют расстояниям 2000 и 4300 м.
Следовательно, 2000<х2<4300 м, х2
Вопрос Что такое предельно допустимый выброс (ПДВ), с какой целью его нормируют и где применяют?
Ответ
Величина ПДВ устанавливается для каждого источника загрязнения атмосферы таким образом, что приземные концентрации вредных веществ в совокупности с фоновыми загрязнениями и с учетом перспективы их роста не превысят ПДК для населения, растительного и животного мира.
Значения ПДВ указываются в разделах "Охрана окружающей среды" предпроектной, проектной документации в "Экологическом паспорте предприятия" строящихся и действующих предприятий.
ПДВ устанавливаются не только по каждому источнику, но и для предприятия в целом для условий полной нагрузки оборудования и их нормальной работы. Величины ПДВ не должны превышаться в любой 20-минутный период времени.
Для действующих предприятий, выбросы которых превышают ПДВ, могут устанавливаться временно согласованные выбросы, которые должны поэтапно уменьшиться до значений ПДВ.
Вопрос Как рассчитывается величина ПДВ?
Ответ
Величина ПДВ при сф < ПДК определяется по формулам


Для действующих предприятий в формулы (3.40) и (3.41) подставляются значения фоновой концентрации сдф, из которой исключен вклад рассматриваемого источника.
При установлении ПДВ веществ, обладающих однонаправленным действием, сначала определяется ПДВс, приведенного к одному из веществ. ПДВ отдельных вредных веществ определяются по составу выбросов.
Вопрос Как определяется значение фоновой концентрации сф?
Ответ
Фоновые концентрации определяются по нормативной методике при наличии данных наблюдений за приземными концентрациями веществ. Значение сф
вычисляется по формуле:
сф = сдф´ (1 – 0,4´ смху/ сдф) при смху £ 2 сдф,
сф = 0,2´ сдф, при смху > 2 сдф, (3.42)
где смху – максимальная расчетная концентрация вещества от источника для точки размещения поста замера фона [х, у] при фактических скоростях и направлениях ветра;
сдф
– измеренное значение концентрации вещества на посту наблюдения, мг/м3.
При отсутствии данных наблюдений фоновая концентрация определяется расчетным путем.
Для вновь строящихся предприятий сф=сдф.
Задача Определить ПДВ1 и ПДВ2 соответственно для газов SO2 и NO2
при следующих исходных данных: H=35 м; А=240; F=1; m=0,9; n=1; h =1; Vг=10 м3/с; D Т=100; сдф,1=0,2; смху,1=0,25; сдф,1=0,02; смху,2= = 0,025 мг/м3; М1=10; М2=0,4 г/с.
Решение
Фоновые концентрации загрязнений при смху<2сдф для SO2 и NO2 найдём по (3.42):
сф,1=0,2´ (1-0,4´ 0,25/0,2)=0,1 ,
сф,2=0,02´ (1-0,4´ 0,025/0,02)=0,01.
Приведённую к SO2
фоновую концентрацию определим по (3.35) с учётом ПДК из табл 3.4.
сф,с=0,1+0,01´ 0,5/0,085=0,16.
Приведённое значение ПДВс
рассчитаем по (3.40):
ПДВс =

Значение ПДВ для каждого вещества определим по формулам, полученным из (3.34) при замене М на ПДВ:
ПДВ1= ПДВс-ПДВ2´ ПДК1/ПДК2, (3.43)
ПДВ2=( ПДВс-ПДВ1)´ ПДК2/ПДК1. (3.44)
Из соотношения М1/М2=ПДВ1/ПДВ2
можно выразить ПДВ2= =ПДВ1´ М2/М1 и, подставив его в (3.43), получить уравнение:
ПДВ1= ПДВс- (М2/М1)´ ПДВ1´ ПДК1/ПДК2,
из которого выразить и рассчитать ПДВ1:
ПДВ1= ПДВс/(1+( М2´ ПДК1/(М1´ ПДК2))), (3.45)
ПДВ1=19,4/(1+(0,4´ 0,5/10´ 0,085))=15,7 г/с .
Значение ПДВ2
найдём по (3.44):
ПДВ2=(19,4-15,7) ´ 0,085/0,5=0,63 г/с.
4. ЗАЩИТА СРЕДЫ ОБИТАНИЯ ОТ ТЕХНОГЕННЫХ ВОЗДЕЙСТВИЙ
4.1. Защита от воздействия вибрации
Колебания мощных кузнечно-прессовых машин, компрессоров, насосов, вентиляторов через опорные конструкции (фундаменты, основания и т.п.) передаются грунту и затем – фундаментам расположенных рядом зданий, в том числе и зданиям непроизводственного назначения. Поэтому при проектировании таких зданий, особенно расположенных в селитебной зоне, необходимо учитывать вибрационный фактор и определять минимально допустимое расстояние от фундаментов этих зданий до фундаментов или оснований машин с динамическими нагрузками.
Подобную задачу необходимо решать при проектировании учреждений здравоохранения, жилых зданий, вычислительных центров, КБ и лабораторий, зданий производственного назначения без источников вибрации.
Оценку ожидаемой амплитуды виброперемещения при распространении вибрации по грунту от фундамента машин-источников вибрации на произвольное расстояние осуществляют по формуле [ 4.7]

где Am, Аmr
– соответственно амплитуды виброперемещения грунта под фундаментом источника вибрации и на расстоянии r от него, м;
d =r/ro – относительное расстояние от источника вибрации до расчетной точки;
ro– приведенный радиус подошвы фундамента,
ro =

S – площадь подошвы фундамента, м2.
Значение Am
принимают равным амплитуде виброперемещения системы “источник вибрации-фундамент” Amф. Последнюю или определяют экспериментально, или рассчитывают по формуле [ 4.2] :

где Fm – амплитуда возмущающей силы, Н;
Kz–жесткость системы “источник вибрации – фундамент”, H/м;
mS –масса системы “источник вибрации-фундамент”, кг;
w – круговая частота возмущающей силы, с–1.
w =2×p ×f, (4.3)
где f – частота возмущающей силы, Гц.
Жесткость системы "источник вибрации-фундамент" определяют по соотношению [ 4.7] :
Kz=Gz×S, (4.4)
где Gz – коэффициент упругого равномерного сжатия грунта, H/м3, определяется по табл. 4.1, в зависимости от вида грунта.
Таблица 4.1
Коэффициент упругого равномерного сжатия
|
Допустимое давление на основание фундамента, Па |
98000 |
196000 |
294000 |
392000 |
490000 |
|
Gz, Н/м3 |
1,96× 107 |
3,92× 107 |
4,9× 107 |
5,88× 107 |
6,86× 107 |
(b – одно из отношений вида Amr/Am, vmr/vm, amr/am) типа представленной на рис. 4.1.

Рис. 4.1. Зависимость параметра b от расстояния до расчетной точки
Следует отметить, что для гармонических колебаний справедливы следующие соотношения:

vm=w × Am; am=w × vm
; vm=

где vr, vmr
– соответственно среднеквадратическое и амплитудное значения виброскорости (виброускорения, вибросмещения) на расстоянии r от источника вибрации;
vф, vmф
– соответственно среднеквадратическое и амплитудное значения виброскорости (виброускорения, вибросмещения) фундамента источника вибрации.
Для жилой застройки вибрацию нормируют по санитарным нормам [ 4.2] , а для производственных сооружений – по стандарту ССБТ [ 4.6] . В обоих случаях нормируемые параметры – вибросмещение, виброскорость, виброускорение и их логарифмические уровни в стандартных октавных полосах частот относительно соответствующих пороговых значений. Предельно допустимые значения параметров вибрации для жилой застройки приведены в табл. 4.2, в табл. 4.3 приведены поправки на особенности вибрации, а в табл. 4.4 – предельно допустимые значения параметров вибрации для производственных зданий без источников вибрации.
Таблица 4.2
Допустимые значения параметров вибрации для жилой застройки
|
Среднегеометрические частоты октавных полос, Гц |
2 |
4 |
8 |
16 |
31,5 |
63 |
|
Уровни вибросмещения, дБ |
133 |
121 |
109 |
103 |
97 |
91 |
|
Уровни виброскорости, дБ |
79 |
73 |
67 |
67 |
67 |
67 |
|
Уровни виброускорения, дБ |
75 |
75 |
75 |
81 |
87 |
93 |
Поправки на тип вибрации
|
Влияющий фактор |
Условия |
Поправка, дБ |
|
Характер вибрации |
Постоянная Непостоянная |
0 –10 |
|
Время суток |
Ночь (23…7 ч) День (7…23 ч) |
0 +5 |
|
Длительность воздействия в дневное время за наиболее интенсивные 30 минут |
Суммарная длительность, % 56¸ 100 18¸ 56 6¸ 18 менее 6 |
0 +5 +10 +15 |
Допустимые значения параметров вибрации на рабочих местах
|
Среднегеометрические частоты октавных полос, Гц |
2 |
4 |
8 |
16 |
31,5 |
63 |
|
Допустимые значения виброскорости, м/с |
0,013 |
0,0045 |
0,0022 |
0,002 |
0,002 |
0,002 |
|
Допустимые значения логарифмических уровней виброскорости, дБ |
108 |
99 |
93 |
92 |
92 |
92 |
|
Допустимые значения виброускорения, м/с2 |
0,14 |
0,1 |
0,11 |
0,2 |
0,4 |
0,8 |
Для перевода абсолютных значений параметров вибрации в логарифмические уровни и обратно используются следующие соотношения:



где A, v, a – среднеквадратические значения соответственно вибросмещения, м, виброскорости, м/с и виброускорения, м/c2.
На основе приведенных соотношений можно решать следующие типы практически важных задач по определению:
1) параметров вибрации на заданном расстоянии от источника;
2) минимально допустимого расстояния от источника вибрации;
3) требуемого ослабления вибрации на пути распространения или в источнике при заданных параметрах источника вибрации и расстоянии от источника до здания.
Задача Рассчитать виброскорость и виброускорение на расстоянии 40 м от пресса типа КА2028 с усилием 6,18× 105
Н (63 тс) и числом оборотов кривошипа n=90 об/мин. Масса пресса mп= 6,9× 103 кг, масса фундамента mф= 8,6×103
кг, площадь фундамента S=4 м2, допустимое давление на основание фундамента 98000 Па.
Решение
1. Определяем частоту вибровозбуждающей силы:
f=n/60=90/60=1,5 Гц.
2. По данным табл. 4.1 определяем коэффициент упругого равномерного сжатия грунта:
Gz=1,96× 107 Н/м.
3. По формуле (4.4) определяем жесткость системы "машина-фундамент-грунт":
Kz=Gz× S=1,96× 107× 4=7,84× 107 Н/м.
4. По формуле (4.2) определяем амплитуду вибросмещения фундамента пресса:

5. Определяем приведенный радиус фундамента пресса и параметр d :

6. По формуле (4.1) определяем амплитуду вибросмещения на расстоянии 40 м:

7. По формулам (4.6) определяем амплитуду виброскорости и виброускорения, а также их среднеквадратические значения и логарифмические уровни на расстоянии 40 м от пресса:
vmr=2× p × f× Amr=2× p × 1,5× 7,7× 10-4=7,25× 10-3 м/с;
v=vmr /

amr=2× p × f× vmr=2× p × 1,5× 7,25× 10-3=6,83× 10-2 м/с2;
a=6,83× 10-2/

LV=20lgv / 5× 10-8 = 20lg5,14× 10-3/5× 10-8=100 дБ;
La=20lg a/10-6=20lg 4,84× 10-2/10-6=94 дБ.
Задача Определить минимально допустимое расстояние до жилой застройки от пресса типа КА2028 с усилием 6,18× 105 Н (63 тс) и числом оборотов кривошипа n=90 об/мин.
Масса пресса mп= 6,9×103 кг, масса фундамента mф=8,6× 103 кг, площадь фундамента S= 4 м2, допустимое давление на основание фундамента 98000 Па. Пресс работает трехсменно, вибрация – постоянная.
Решение
1. Определяем частоту вибровозбуждающей силы:
f=n/60=90/60=1,5 Гц.
2. По данным табл.4.1 определяем коэффициент упругого равномерного сжатия грунта:
Gz=6,86× 108 Н/м.
3. По формуле (4.4) определяем жесткость системы "машина-фундамент-грунт":
Kz=Gz× S=6,86× 108× 4=2,74× 108 Н/м.
4. По формуле (4.2) определяем амплитуду вибросмещения фундамента пресса:

5. Определяем приведенный радиус фундамента пресса:

6. По табл. 4.2 для частоты 1,5 Гц определяем допустимый уровень виброперемещения Lдоп=133 дБ.
7. По формуле (4.8) определяем допустимое значение виброперемещения:
Адоп = 8× 10-12× 100,05× Lдоп = 8× 10-12× 100,05× 133
= 3,57× 10-5 м.
8. Определяем допустимое значение амплитуды виброперемещения:
Аmдоп= Адоп×

9. Определяем отношение Аmдоп/Amф=2,12× 10-2 и, подставляя его в (4.1), решаем последнее относительно d . При d >>1 (а в нашем случае это именно так – см., например, предыдущую задачу) уравнение (4.1) сильно упрощается:

Подставляя вместо Аmr
значение Аmдоп, определяем d min, а зная приведенный радиус подошвы фундамента ro, определяем минимально допустимое расстояние до жилой застройки:
d min=

rmin=ro× d min=1,128× 740=834,72» 835 м.
Следовательно, от пресса до жилой застройки по соображениям вибробезопасности должно быть не менее 835м.
Задача На сколько децибел необходимо уменьшить уровень виброскорости пресса типа КА2028, чтобы при трехсменной работе цеха в жилых зданиях, расположенных на расстоянии 100 м, вибровоздействие не превышало допустимого значения. Вибрация непостоянная, суммарная длительность воздействия вибрации в дневное время за наиболее интенсивные 30 минут равна 5 минутам.
Масса пресса mп= 6,9× 103 кг, масса фундамента mф= 8,6× 103 кг, площадь фундамента S=4 м2. Усилие пресса 6,18× 105 Н (63 тс), число оборотов кривошипа n=90 об/мин, допустимое давление на основание фундамента 98000 Па.
Решение
1. Определяем частоту вибровозбуждающей силы:
f=n/60=90/60=1,5 Гц,
следовательно, она попадает в октавную полосу f=1,4¸ 2,8 Гц со среднегеометрической частотой f *=2Гц.
2. По [ 4.2] определяем допустимое значение виброскорости для f*=2Гц Lvдоп=79 дБ.
3. По табл. 4.6 определяем поправки на характер вибрации D L=–10 дБ и на длительность воздействия вибрации D L=+10 дБ. Таким образом, окончательное значение Lvдоп=79 дБ. Допустимое среднеквадратическое значение виброскорости равно:
vдоп=5× 10-8× 100,1× 79=4,46× 10-4 м/c.
4. По данным табл. 4.1 определяем коэффициент упругого равномерного сжатия грунта:
Gz=1,96× 107 Н/м.
5. По формуле (4.4) определяем жесткость системы "машина-фундамент-грунт":
Kz=Gz× S=1,96× 107× 4=7,84× 107 Н/м.
6. По формуле (4.2) определяем амплитуду вибросмещения фундамента пресса и ее среднеквадратическое значение:



7. Определяем среднеквадратическое значение виброскорости фундамента пресса по формуле (4.6):
vф=w × Аф=2× p × 1,5× 5,69× 10-3=5,36× 10-2 м/с.
8. Определяем приведенный радиус фундамента пресса и параметр d :

9. Определяем значение виброскорости фундамента пресса, при котором в жилой зоне вибровоздействие не превышает норм:

10. Определяем на сколько децибел необходимо уменьшить уровень виброскорости фундамента пресса, чтобы в жилой зоне вибровоздействие не превышало норм:
D L=20lg vф / vфтреб=20lg5,36× 10-2/7,27× 10-3=18 дБ.
4.2. Защита от шума
Для защиты от многочисленных источников шума как в быту, так и на рабочих местах в настоящее время используются разнообразные методы. Рассмотрим некоторые из них.
Звукопоглощение
В замкнутом пространстве уровень шума определяется как прямой волной, идущей непосредственно от источника шума (ИШ), так и совокупностью волн, отраженных от всех поверхностей в помещении. Подобное звуковое поле называется диффузным, и его уравнение имеет следующий вид

где Lp – уровень звуковой мощности, дБ;
S(r) – площадь поверхности, через которую на расстоянии r проходит звуковая энергия источника шума, м2; если r меньше наибольшего размера ИШ, то S(r) – площадь геометрически подобной поверхности, проходящей через расчетную точку; если r больше наибольшего размера ИШ, то S(r) определяется по соотношению
S(r)=W × r2; (4.10)
W – телесный угол, в который излучает источник, стерад.; W =4p – если ИШ уединенный; W =2p – если ИШ находится на поверхности (например, на полу), W =p – если ИШ находится у стены, и W =p /2 – если ИШ находится в углу комнаты;
Ф – фактор направленности излучения, задается в паспорте ИШ в виде диаграммы направленности излучения, в виде таблицы или математического соотношения; если значение Ф неизвестно, то принимают Ф=1;
В – постоянная помещения;


Здесь Si – площадь звукоотражающей поверхности, имеющей коэффициент звукопоглощения a i; значение a i зависит от вида звукопоглощающего материала и частоты f акустических колебаний.
При использовании звукопоглощения для снижения шума стараются максимально уменьшить отраженные волны. При этом второе слагаемое, стоящее в формуле (4.9) под знаком логарифма, стремится к нулю. Это достигается путем обработки возможно большей площади отражающих поверхностей материалами, имеющими коэффициент звукопоглощения a близкий к 1 (акустическая обработка). Если до акустической обработки постоянная помещения была равна В1, а после нее – В2, то в расчетной точке шум уменьшился на

Разделим числитель и знаменатель (4.12) на Ф/S(r) и назовем акустическим отношением величину

Тогда соотношение (4.13) можно переписать в виде

а (4.9) – представить в виде:
D L= Lp+10× lg[Ф/S(r)] +10× lg[ 1+М] , дБ. (4.16)
Поскольку звукопоглощение – весьма дорогой метод, то на основе анализа (4.16) можно сделать вывод, что использовать его для снижения шума следует только в том случае, если М>>1, что возможно лишь в зоне отраженного звука, т.е. на значительном расстоянии от рабочих мест. Например, если исходное значение М=1, то за счет звукопоглощения шум можно уменьшить максимум на 3 дБ, а если исходное значение М=0,12, то уменьшение шума за счет звукопоглощения будет вообще незаметно! Покажем это на примере решения задачи.
Задача В помещении размером А×В×С=10×7×4 м у боковой стены расположен постоянно работающий принтер размером 0,7×0,3×0,1м. Спектр уровней звуковой мощности принтера приведен в табл. 4.5.
Таблица 4.5
Спектр уровней звуковой мощности принтера
|
f, Гц |
31,5 |
63 |
125 |
250 |
500 |
1000 |
2000 |
4000 |
8000 |
|
Lp, дБ |
40 |
45 |
50 |
55 |
60 |
65 |
70 |
60 |
62 |
Таблица 4.6
Коэффициенты звукопоглощения штор
|
f, Гц |
31,5 |
63 |
125 |
250 |
500 |
1000 |
2000 |
4000 |
8000 |
|
a штор |
0,15 |
0,25 |
0,35 |
0,45 |
0,55 |
0,6 |
0,65 |
0,7 |
0,75 |
Коэффициенты звукопоглощения человека
|
f, Гц |
31,5 |
63 |
125 |
250 |
500 |
1000 |
2000 |
4000 |
8000 |
|
a чел |
0,1 |
0,2 |
0,3 |
0,4 |
0,5 |
0,55 |
0,57 |
0,6 |
0,62 |
Таблица 4.8
Коэффициенты звукопоглощения материала
|
f, Гц |
31,5 |
63 |
125 |
250 |
500 |
1000 |
2000 |
4000 |
8000 |
|
a стен |
0,6 |
0,7 |
0,8 |
0,9 |
1 |
1 |
1 |
1 |
1 |
Решение Оценим условия труда на РМ, расположенном на расстоянии 1 м от ИШ. Вначале определяем уровни звукового давления на РМ, расположенном на расстоянии 1 м. Это расстояние меньше максимального размера принтера, поэтому РМ находится в ближнем поле с S(r), определяем как площадь геометрически подобной поверхности (ГПП) (рис. 4.2).

Рис. 4.2. К определению площади ГПП
Из условий задачи известны размеры принтера: д=0,7 м; ш=0,3м; h=0,1м. Тогда с учетом обозначений рис. 4.2 коэффициент подобия определится как

Тогда
Д=д× Кп=0,7× 4,3=3,03 м.
Ш=1,3 м – по определению
Н=0,1× 4,3=0,43 м.

Определяем постоянную помещения:


Sстен=2× А× В+2× (А+В)× С–2× Sштор=2× 10× 7+2× (10+7)× 4–2× 3× 3=258 м2, Sштор=18 м2, Sчел=3 м2.
Для первой октавной полосы частот:

Аналогично определяя постоянную помещения для других октавных полос, получим:
Таблица 4.9
Постоянные помещения для различных октавных полос
|
f, Гц |
31,5 |
63 |
125 |
250 |
500 |
1000 |
2000 |
4000 |
8000 |
|
В, м2 |
16,86 |
19,25 |
21,66 |
24,11 |
26,61 |
27,88 |
29,04 |
30,26 |
31,43 |
Для первой октавной полосы:

Аналогично определяя уровни звукового давления для других октавных полос, получим:
Таблица 4.10
Спектр звукового давления на РМ 1
|
f, Гц |
31,5 |
63 |
125 |
250 |
500 |
1000 |
2000 |
4000 |
8000 |
|
L,дБ |
36 |
41 |
46 |
51 |
55 |
60 |
65 |
55 |
57 |

Весовые коэффициенты Кi
для частотной характеристики "А" определяем по табл. 4.11 [4.1]:
Таблица 4.11
Весовые коэффициенты для частотной характеристики "А"
|
f, Гц |
31,5 |
63 |
125 |
250 |
500 |
1000 |
2000 |
4000 |
8000 |
|
Кi |
42 |
26,3 |
16,1 |
8,6 |
3,2 |
0 |
-1,2 |
-1 |
1,1 |

По санитарным нормам [ 4.3] определяем допустимое значение уровня звука 50 дБ "А", следовательно, параметры шума не соответствуют требованиям норм.
Оценим условия труда на втором РМ, расположенном на расстоянии 9 м от ИШ. В данном случае РМ находится в дальнем поле у стены, т.е. W =p и S(r)=p × r2. Определяем уровни звукового давления, используя данные табл. 4.9.
Для первой октавной полосы:

Аналогично определяя уровни звукового давления для остальных октавных полос, получим:
Таблица 4.12
Спектр звукового давления на РМ 2
|
f, Гц |
31,5 |
63 |
125 |
250 |
500 |
1000 |
2000 |
4000 |
8000 |
|
L, дБ |
34 |
38 |
43 |
47 |
52 |
57 |
61 |
51 |
53 |
Определим, как изменятся спектры звукового давления и уровни звука на рабочих местах после обработки потолка и стен материалом с коэффициентом звукопоглощения, приведенным в табл. 4.8. Для этого рассчитаем новые значения постоянных помещения. Для первой октавной полосы:

Для остальных октавных полос расчеты аналогичны и их результаты приведены в табл. 4.13.
Таблица 4.13
Постоянные помещения для различных октавных полос после акустической обработки
|
f, Гц |
31,5 |
63 |
125 |
250 |
500 |
1000 |
2000 |
4000 |
8000 |
|
В, м2 |
209,3 |
284,9 |
387 |
533,7 |
765,6 |
781,4 |
795,4 |
810,6 |
827,4 |
Для первой октавной полосы:

Аналогично определяя уровни звукового давления для других октавных полос, получим:
Таблица 4.14
Спектр звукового давления на РМ 1 после акустической обработки
|
f, Гц |
31,5 |
63 |
125 |
250 |
500 |
1000 |
2000 |
4000 |
8000 |
|
L,дБ |
33 |
38 |
43 |
48 |
53 |
58 |
63 |
53 |
55 |
Тогда (по 4.37) D =3,45× 10–6 м и требуемый радиус экрана:

Экран любого меньшего размера обеспечит большую эффективность экранирования, и, следовательно, мы выберем радиус экрана из соображений удобства.
5. ЭРГОНОМИКА И БЕЗОПАСНОСТЬ
Эргономика – это наука о проектировании эргономических систем, т.е. систем, в которых взаимодействуют субъект (человек, оператор) и объекты: машины (техника), социальная и природная окружающая среда. Различают макроэргономику, которая исследует такие системы на общеорганизационном уровне, изучает связи и разрабатывает методы проектирования социо- и техносистем, и микроэргономику, занимающуюся проектированием отдельной системы "человек-машина", конкретного рабочего места или группы мест. От того, насколько правильно (эргономично) спроектированы рабочие места, во многом будет зависеть комфортность условий, в которых работает оператор, безопасность обслуживания техносистем, сохранение жизни и здоровья работников.
5.1. Психофизиологические характеристики оператора
Вопрос Какие особенности организма оператора (анатомические, психофизиологические, гигиенические) необходимо учитывать при проектировании рабочего места?
Ответ При проектировании рабочего места оператора важно учитывать все особенности его организма, а также функционирование основных систем жизнеобеспечения. В частности, большое значение имеют сенсомоторные реакции. Так для определения времени, затрачиваемого на выполнение работ, связанных с обслуживанием аппаратуры, необходимо знать временные характеристики совершения различных операций (табл. 5.1, 5.2, 5.3).
Таблица 5.1
Временные характеристики совершения двигательных (моторных) операций
|
Характер движения |
Время выполнения, с |
|
Движение пальцами |
0,17 |
|
Движение ладонью |
0,33 |
|
Нажатие рукой. ногой (на педаль) |
0,72 |
|
Сгибание и разгибание ноги |
1,33 |
|
Сгибание и разгибание руки |
0,72 |
|
Ходьба (один шаг) |
0,61 |
|
Шаг в сторону на расстояние 50 см одной ногой |
0,75 |
|
Шаг в сторону на расстояние 50 см одной ногой с приставлением второй ноги к первой |
1,50 |
|
Поворот корпуса на 45-90° в положении сидя |
0,72 |
|
Поворот корпуса на 45-90° стоя, с приставлением второй ноги к первой |
1,34 |
|
Приседание – движение вниз |
1,25 |
|
Приседание – движение вверх |
1,56 |
|
Наклон, опускание на одно колено |
1,04 |
|
Подъём из предыдущего положения |
1,15 |
|
Опускание на оба колена |
2,50 |
|
Подъём из предыдущего положения |
2,76 |
|
Установка предмета: |
|
|
без точного положения |
0,36 |
|
без точного положения с прижимом |
0,72 |
|
с сильным прижимом |
1,80 |
|
в точное положение |
0,55 |
|
в точное положение с прижимом |
0,90 |
|
то же с сильным прижимом |
2,23 |
Приведенные данные характеризуют затраты на выполнение собственно действий или движений. В необходимых случаях следует учитывать также предшествующее им время скрытой реакции (латентный период), т.е. промежуток времени от момента возникновения раздражителя до начала реакции на него. Учет скрытого времени имеет особенно большое значение при необходимости выполнения оператором экстренных действий (например, деятельность водителей различных видов транспорта, работа в условиях дефицита времени и т.д.). Значения скрытого времени зависят от вида реакции (табл. 5.2).
Таблица 5.2
Время реакций на различные типы раздражителей
|
Рефлекторные реакции |
Время выполнения, с |
|
На световое раздражение: |
|
|
центральная часть сетчатки |
0,16 – 0,18 |
|
периферийная часть сетчатки |
0,18 – 0,22 |
|
На слуховое раздражение |
0,14 – 0,16 |
|
На слуховое (световое) раздражение с выбором |
0,22 – 0,34 |
|
На болевое раздражение: |
|
|
электрокожное |
0,10 – 0,12 |
|
тепловое |
0,36 – 0,40 |
|
На тепловое контактное раздражение |
0,50 – 0,80 |
|
На холодное контактное раздражение |
0,35 – 0,45 |
|
Вестибуломоторная реакция: |
|
|
на угловое ускорение |
0,26 – 0,28 |
|
на прямолинейное ускорение |
0,32 – 0,38 |
|
На обонятельное раздражение – воздействие паров: |
|
|
релина |
0,90 – 1,00 |
|
линолеума |
0,70 – 0,80 |
|
древесно-стружечных плит |
0,90 – 1,00 |
Временные затраты оператора при приеме сигнальной информации
|
Выполняемое действие |
Средняя длительность, с |
|
Чтение показаний цифрового индикатора: |
|
|
газоразрядная лампа ИН-1 |
0,73 |
|
оптическое проекционное табло |
0,45 |
|
семисегментный электролюминофор |
0,58 |
|
восьмисегментный электролюминофор |
0,63 |
|
электролюминесцентная шкала |
0,53 |
|
прибор типа "открытое окно" |
0,20 |
|
Работа с цифро-буквенным формуляром: |
|
|
восприятие семизначного числа |
1,2 |
|
восприятие одной характеристики формуляра |
0,57 |
|
сравнение двух формуляров по одному признаку |
0,38 |
|
выбор формуляра по минимальным (максимальным) значениям одной характеристики |
0,96 |
|
Считывание показания стрелочного прибора: |
|
|
демпфированного |
0,4 |
|
среднедемпфированного |
1,0 |
|
малодемпфированного |
1,5 |
|
Восприятие оперативной единицы информации: |
|
|
цифры или транспаранта |
0,2 |
|
условного знака |
0,3 |
|
знака со счетом |
0,5 |
|
одной из четырех оперативных единиц информации (в среднем) |
0,6 |
|
Элементарные акты приема информации (усредненные данные по различным видам сигналов): |
|
|
обнаружение сигнала |
0,1 |
|
опознание простого сигнала |
0,4 |
|
Фиксация предмета глазами |
0,28 |
продолжение табл. 5.3
|
Выполняемое действие |
Средняя длительность, с |
|
Перемещение взгляда на a градусов |
0,002 + 0,004a |
|
Переключение внимания (без перемещения головы и взгляда); |
|
|
для зрительных сигналов |
0,1 |
|
для звуковых сигналов |
0,17 |
|
Чтение слов из n букв, мс |
22 + 0,9n |
|
Поиск цели на одном из ста формуляров при различных способах кодирования: |
|
|
мерцает только цель |
10,6 |
|
мерцает весь формуляр |
10,9 |
|
мерцают все формуляры кроме цели |
14,0 |
|
мерцают все формуляры |
23,4 |
|
нет мерцания |
26,8 |
|
Работа с дисплеем (с клавишей "маркер влево"): |
|
|
установка маркера |
0,35 – 3,1 |
|
набор на клавиатуре одного знака: |
|
|
с самоконтролем |
0,62 |
|
без самоконтроля |
0,50 |
|
Работа с дисплеем (без клавиши "маркер влево"): |
|
|
установка маркера |
0,55 – 4,3 |
|
набор на клавиатуре одного знака: |
|
|
с самоконтролем |
1,10 |
|
без самоконтроля |
0,50 |
Вопрос Как правильно спроектировать (организовать) рабочее место?
Ответ
Эргономическое проектирование и организация рабочего места не совсем одно и то же, хотя эти понятия иногда подменяются (например, организационное проектирование). В любом случае необходимо решить три основных вопроса: спроектировать рабочую позу; определить зоны рабочего места, в которых можно работать с той или иной степенью удобства; разместить на рабочем месте органы управления и средства отображения информации. При решении этих вопросов необходимо руководствоваться одним из основных принципов эргономики - принципом экономии рабочих движений
Зонирование моторного поля рабочего места осуществляется на основании схем и данных, представленных на рис. 5.1, 5.2 и табл. 5.4.

Рис. 5.1. Зонирование рабочего места:
А – зона для расположения наиболее важных и часто используемых органов управления и средств отображения информации; Б – зона для расположения нечасто используемых органов управления и средств отображения информации (в пределах досягаемости и обзора); В – зона для расположения редко используемых органов управления (в пределах максимальной досягаемости, обзор только при движении глаз и головы); Г – зона для размещения вспомогательных органов управления (вне пределов досягаемости и обзора из исходного рабочего положения)

Рис. 5.2. Зоны досягаемости
Таблица 5.4
Зоны досягаемости
|
№ позиции (рис. 5.2) |
В вертикальной плоскости |
В горизонтальной плоскости |
||
|
для женщин |
для мужчин |
для женщин |
для мужчин |
|
|
1 |
1400 |
1550 |
1370 |
1550 |
|
2 |
1100 |
1350 |
1100 |
1350 |
|
3 |
730 |
800 |
660 |
720 |
|
4 |
430 |
500 |
200 |
240 |
|
5 |
630 |
700 |
200 |
240 |
|
6 |
1260 |
1400 |
300 |
335 |
|
7 |
680 |
770 |
480 |
550 |
|
8 |
720 |
800 |
– |
– |
Ответ Зоны визуального поля называются полями зрения (поле ясного зрения, поле обзора и т.д.). Их размеры определяются углами зрения (см. рис. 5.3) и расстояниями до них от глаз, учитывая соотношения, определяемые уравнением (5.1) (см. примеч. к табл. 5.9).

Рис. 5.3. Информационные зоны визуального поля: а – при повороте глаз; б – при повороте головы; в – при повороте головы и глаз;
|
_____________ |
– оптимальные углы обзора; |
|
----------------- |
– максимальные углы обзора |
Каковы основные требования при выборе средств отображения информации (СОИ)?
Ответ Выбор СОИ определяется несколькими факторами, одним из которых является назначение СОИ, а следовательно, способ кодирования информации.
Существующие СОИ по воздействию на органы чувств оператора можно делить на визуальные, акустические, тактильные, проприоцептивные.
Так как наибольшее количество информации человек получает по зрительному каналу, для ее отображения используют разнообразные визуальные элементы индикации на основе физических эффектов, пригодных для применения в индикаторной технике: лампочки накаливания, стрелочные измерительные приборы, оптико-механические проекционные приборы, плазменные газоразрядные и электролюминесцентные индикаторы, электронно-лучевые трубки, полупроводниковые светодиоды, жидкие кристаллы и др.
Кодирование зрительной информации (ГОСТ 21829-76) оказывает большое влияние на надежность и эффективность приема и переработки информации человеком.
При кодировании качественных и количественных характеристик объектов можно использовать алфавиты различных видов (табл. 5.5).
Существует ряд относительно независимых параметров, по которым следует строить и оценивать алфавиты кодовых сигналов. К числу таких параметров относятся: модальность сигнала, длина алфавита, т.е. число символов, образующих алфавит, мера абстрактности кода, компоновка знака или группы знаков.
Вид алфавита следует выбирать с учетом характера передаваемой информации и задач, решаемых оператором для обеспечения максимальной скорости, надежности обнаружения, различения, идентификации и декодирования информации человеком.
Главную роль в опознании знака играет его контур, который должен быть хорошо различим (иметь достаточный угловой размер и яркость). В зависимости от признаков отображаемого объекта к контуру добавляют внутренние и наружные детали, буквы и цифры, кроме того, используют цвет (табл. 5.5).
При выборе способа кодирования следует принимать во внимание возможную допустимую длину алфавита сигналов (число символов, образующих алфавит), а следовательно, и возможный объем информации на символ, число и характер признаков объекта, кодируемых с помощью того или иного способа, и характер решаемых оператором задач. Учитывают также величину информационного поля, необходимую для отображения информации; условия работы человека; технические возможности аппаратуры, генерирующей сигнал; ее стоимость, габариты и т.п.
Таблица 5.5
Характеристика способов кодирования
|
Код |
Возможный вариант |
Длина алфавита, симв. |
Применение |
|
Условные знаки |
![]() |
200¸ 1000 |
Отображение качественных характеристик объектов: типа, структуры, функций |
|
Буквы и знаки |
АБ!? |
42 |
|
|
Математические знаки |
+ – Ö |
15 |
Отображение аналитических зависимостей, указание операций |
|
Абстрактные геометрические фигуры |
? ? ? |
8¸ 16 |
Отображение качественных характеристик объектов |
|
Ориентировка линии в пространстве |
–– |
12¸ 16 |
Отображение положения объекта в пространстве, его направления, а также изменения величин |
|
Цветовой тон |
— |
11 |
Отображение качественных характеристик объекта: типа, принадлежности, состояния |
|
Цифры |
1, 2, …, 0 |
10 |
Отображение количественных характеристик объекта, а также (иногда) и качественных |
|
Позиции |
–– |
4¸ 9 |
Отображение позиции объекта в пространстве, а также (иногда) состояния |
|
Число точек (или геометрических элементов) |
![]() |
5¸ 7 |
Отображение количественных характеристик объекта (для визуального сравнения) |
продолжение табл. 5.5
|
Код |
Возможный вариант |
Длина алфавита, симв. |
Применение |
|
Площадь геометрической фигуры |
??? |
3-5 |
Отображение количественных характеристик объекта (для визуального сравнения) |
|
Тип линии |
![]() |
4 |
Отображение контуров, траекторий движения, типа объекта |
|
Длина линии |
![]() |
6 |
Отображение величин (для зрительного сравнения) |
|
Штриховка |
![]() |
4 |
Отображение типа объекта, его принадлежности, состояния |
|
Стереоскопическая глубина |
–– |
3 |
Отображение пространственного положения объекта, а также (иногда) состояния |
|
Яркость |
–– |
4 |
Отображение состояния объекта |
|
Частота мельканий |
— |
4 |
|
|
Ширина линии |
![]() |
3 |
Отображение типа объекта |
Ответ Площадь на одно рабочее место с компьютером для взрослых пользователей должна составлять не менее 6 м2, а объем – не менее 20 м3, для дошкольных и учебных заведений –6 м2 и 24 м3 соответственно. Рабочее место, рабочая поза при работе с компьютером во многом определяется правильным подбором мебели. Основные требования к ней, а также размерные соотношения между элементами рабочего места представлены в табл. 5.6 и на рис. 5.4.
Таблица 5.6
Требования к элементам рабочего места
|
Элементы рабочего места |
Единицы измерения |
Размеры |
Примечание |
|
|
регулируемые |
нерегулируемые |
|||
|
Стол |
||||
|
рабочая поверхность: |
||||
|
высота |
мм |
680…800 750 |
||
|
глубина |
мм |
не менее 600 |
предпочтительнее 800 |
|
|
ширина |
мм |
не менее 1200 |
предпочтительнее 1600 |
|
|
пространство для ног: |
||||
|
высота |
мм |
не менее 600 |
||
|
ширина |
мм |
не менее 500 |
||
|
глубина |
мм |
не менее 450/650 |
уровень колен / уровень вытянутых ног |
|
|
Стул (кресло) |
||||
|
сиденье: |
мм |
не менее 400 |
||
|
ширина |
мм |
не менее 400 |
||
|
глубина |
мм |
400…550 |
||
|
град |
-5…+15 |
“-” – назад от вертикали; “+” – вперед |
||
|
спинка: высота ширина радиус кривизны угол наклона расстояние от переднего края сиденья |
мм мм мм град мм |
300±20 не менее 80 ±30 260…400 400 |
в горизонтальной плоскости от вертикали |
|
продолжение табл. 5.6
|
Элементы рабочего места |
Единицы измерения |
Размеры |
Примечание |
|
|
регулируемые |
нерегулируемые |
|||
|
Стул (кресло) подлокотники: длина ширина друг от друга |
мм мм мм |
не менее 250 50…70 350…500 |
||
|
Подставка для ног ширина глубина регулировка по высоте регулировка по наклону |
мм мм мм град |
не менее 300 не менее 400 до 150 до 20 |
||
|
Дисплей |
||||
|
угол наблюдения экрана относительно горизонтальной линии взгляда расстояние экрана от глаз |
град мм |
не более 60є 600…700 |
не ближе 500 |
|
|
Клавиатура |
||||
|
расстояние от переднего края стола |
мм |
100…300 |
или на подставке, не связанной со столом |
|

Рис. 5.4. Соотношение взгляда и экрана дисплея:
1 – горизонтальная линия взора;
2 – нормальная линия взора;
3 – лицевая поверхность средств отображения информации;
4 – линия максимального отклонения лицевой поверхности СОИ
Вопрос Существуют ли специальные эргономические требования, которые необходимо учитывать при выборе дисплеев?
Ответ Да, существуют визуальные и эмиссионные эргономические параметры. Требования к визуальным параметрам представлены в табл. 5.7 и 5.8 [5.3].
Таблица 5.7
Требования к основным визуальным эргономическим параметрам
|
Наименование параметра |
Диапазон значений параметра |
|
Яркость знака (фона), кд/м2 |
10 ¸ 150 |
|
Внешняя освещенность экрана, лк |
100 ¸ 500 |
|
Угловой размер знака, углов. мин. |
16 ¸ 60 |
|
Угол наблюдения |
Не более 40° от нормали к любой точке экрана дисплея |
Требования к визуальным эргономическим параметрам
|
Наименование параметра |
Значение параметра |
|
Контрастность деталей изображения и фона для деталей изображения размером один пиксель, разделенных интервалом один пиксель |
Не менее 3:1 Не менее 1,5:1 |
|
Неравномерность яркости элементов контура знака |
Не более 1,5:1 |
|
Неравномерность яркости элементов знаков дискретных (матричных) экранов, % |
В пределах ±20 |
|
Неравномерность яркости рабочего поля экрана, % |
В пределах ±20 |
|
Контрастность соседних уровней кодирования яркостью |
Не менее 1,5:1 |
|
Относительная ширина линии контура знака |
От 1/6 до 1/12 высоты прописной буквы |
|
Остаточное несведение цветов, мм: - в центральном круге диаметром, равным длине вертикальной стороны вертикального поля - в пределах остальной части рабочего тела |
Не более 0,3 Не более 0,5 |
|
Временная нестабильность изображения (мелькание) |
Не должна быть зафиксирована |
|
Отношение яркостей в зоне наблюдения (экран, лицевая панель, корпус дисплея, документы) |
Не более 10:1 |
|
Пространственная нестабильность изображения (дрожание). Амплитуда смещения изображения при частоте дрожания 0,5¸ 30 Гц, мм |
Не более 2´ 10–4L (где L – проектное расстояние наблюдения, мм) |
|
Формат матрицы знака: - для прописных букв и цифр - для дробей в одном знакоместе и подстрочных и надстрочных знаков |
Не менее 7´ 9 Не менее 5´ 7 Не менее 4´ 5 |
|
Отношение ширины знака к его высоте для прописных букв |
От 0,7 до 0,9 (допускается от 0,5 до 1,0) |
продолжение табл. 5.8
|
Наименование параметра |
Значение параметра |
|
Расстояние между знаками для буквенных шрифтов без выступов |
Не менее ширины линии контура знака или один пиксель |
|
Расстояние между словами |
Не менее ширины матрицы знака |
|
Расстояние между строками текста |
Не менее одного пикселя |
|
Угол наклона линии наблюдения |
Не более 30° ниже горизонтали |
|
Искажения изображения по рабочему полю: - максимальное горизонтальное смещение соседних знаков в столбце, % от ширины знака - максимальное вертикальное смещение соседних знаков в строке, % от высоты знака - изменение размеров однотипных знаков по рабочему полю, % от высоты знака - максимальное различие длины строк текста на рабочем поле, % от длины строки - максимальное различие длины столбцов на рабочем поле, % от длины столбца |
Не более 5 Не более 5 В пределах ±5 Не более 2 2 |
|
Отклонение формы рабочего поля от прямоугольника: - по горизонтали ??=2(?1- ?2)/( ?1+ ?2) - вертикали ?В=2(В1- В2)/( В1+ В2) - диагонали ?D=2(D1- D2)/( D1+ D2) (где Н1и Н2 – значения длины соответственно крайнего левого и крайнего правого столбцов на рабочем столе, мм; В1и В2 – значения длины соответственно верхней и нижней строк на рабочем поле, мм; D1 и D2 – значения диагоналей рабочего поля, мм) |
Не более 0,02 Не более 0,02 Не более 0,04(?1-?2)/(?1+ ?2) |
?=arctg (h/2L), (5.1)
где h – высота знака, мм; L – расстояние от знака до глаза наблюдателя, мм.
Задача Определить основные фотометрические требования, предъявляемые к информационному полю (ИП) СОИ, если информационная модель буквенно-цифровая, матрица знака точечная форматом 5´ 7, расстояние до наблюдателя L=500 мм, освещенность на рабочей поверхности Еп=1000 лк, коэффициент отражения от изображения в информационном поле ?ип=0,2, контраст прямой.
Решение Угловой размер ИП по горизонтали ?г выберем в соответствии с рекомендациями для буквенно-цифровых СОИ равным 50є.
Ширину ИП определим в соответствии с формулой (5.1):
В=2L× tg (?г/2)=2·500× tg25є=466 мм.
Выбираем формат ИП kф = 5:3. Высоту Н ИП определим следующим образом: Н=В/kф?280 мм. Угловой размер знака по вертикали должен быть в пределах рекомендуемого значения ?эм в=27?.
При малых углах ? уравнение (5.1) имеет вид h» L?, ???тому высота знака hз=4 мм. Ширину знака определим, исходя из размерности матрицы bз=hз·5/7=2,9 мм. Расстояние между знаками bп и между текстовыми строками hп
выберем в соответствии с рекомендациями [5.7] bп=0,5 мм; bз=1,45 мм; hп=hз=4 мм. Максимальное количество знаков в текстовой строке определим из следующего соотношения: Nзтс=В/(bз+bп)=466/4,35=107 знаков. Максимальное количество текстовых строк Nтс=Н/(hз+hп)= =280/8=35 строк.
При прямом контрасте яркость объекта Lo определяется [5.7]:
Lo=0,2·1000/p =63 кд/мІ.
В соответствии с рекомендациями [5.7] задаем значение контраста kпр=0,7. Необходимую яркость фона получим:
Lф=Lо/(1-kпр)=210 кд/мІ.
Снизить влияние внешней освещенности на ИП можно применяя затеняющие козырьки, уменьшающие световой поток, падающий на ИП, или специальные фильтры, уменьшающие коэффициент отражения ?ип. Это уменьшает значение Lo и Lф, т.е. выравнивает яркости ИП по отношению к яркости внешних предметов, что улучшает условия адаптации зрения.
Вопрос Как осуществляется проект цветовой отделки помещения?
Ответ Разработку цветового решения интерьера ведут в следующей последовательности:
Таблица 5.9
Характер ассоциаций, возникающих при восприятии основных цветов
|
Наименование цветов |
Характеристики цветов по ассоциации |
||||||||
|
теплые |
холодные |
легкие |
тяжелые |
отступающие |
выступающие |
возбуждающие |
угнетающие |
успокаивающие |
|
|
Спектральные цвета |
|||||||||
|
красный |
+ |
+ |
+ |
+ |
|||||
|
желтый |
+ |
+ |
+ |
+ |
|||||
|
желто-зеленый |
+ |
+ |
+ |
||||||
|
зеленый |
+ |
+ |
+ |
||||||
|
зелено-голубой |
+ |
+ |
+ |
+ |
|||||
|
оранжевый |
+ |
+ |
+ |
||||||
|
голубой |
+ |
+ |
+ |
+ |
|||||
|
синий |
+ |
+ |
+ |
||||||
|
фиолетовый |
+ |
+ |
+ |
+ |
|||||
|
пурпурный |
+ |
+ |
+ |
+ |
|||||
|
Ахроматические цвета |
|||||||||
|
белый |
+ |
||||||||
|
светло-серый |
+ |
||||||||
|
темно-серый |
+ |
+ |
|||||||
|
черный |
+ |
+ |
П р и м е ч а н и е. Приведённые в таблице характеристики психофизиологического воздействия различных цветов даны ориентировочно и справедливы при применении их на основных поверхностях интерьеров. При изменении чистоты цвета и условий освещения эти характеристики могут изменяться.
Таблица 5.10
Влияние цвета на человека
|
Цвет |
Воздействие |
|
Белый |
создает ощущение легкости, прохлады и чистоты |
|
Желтый |
возбуждает радость, создает ощущение тепла, легкости, укрепляет пульсацию крови, расширяет зрачки |
|
Оранжевый |
создает ощущение тепла, бодрит, ускоряет пульсацию крови |
|
Красный |
создает впечатление теплоты, возбуждает, ускоряет пульсацию крови, приводит к усталости |
|
Пурпурный |
возбуждает |
|
Фиолетовый |
вызывает ощущение усталости, тяжести, тесноты |
|
Синий |
вызывает ощущение холода, тесноты, навевает грусть, успокаивает |
|
Зеленый |
вызывает ощущение холода, успокаивает, понижает давление внутри глаза, стабилизирует кровообращение, улучшает мускульную деятельность |
|
Голубой |
вызывает ощущение прохлады, успокаивает |
|
Черный |
вызывает ощущение тяжести, тесноты, громоздкости, подавляет настроение, угнетает |
|
Коричневый |
создает ощущение тепла, спокойного настроения |
|
Серый |
вызывает скуку, апатию |
|
Коричневый с серым |
плохо действует на психику, вызывает чувство тревоги |
|
Синий с белым и серым |
вызывает ощущение холода и спокойствия |
|
Сине-зеленый |
вызывает ощущение холода, успокаивает |
|
Желто-зеленый |
вызывает ощущение холода, бодрит, облегчает |
|
Желто-коричневый |
создает ощущение легкости |
Вопрос Существуют ли требования или рекомендации по цветовому оформлению помещений, в которых ведутся работы с компьютером?
Ответ Да, такие рекомендации существуют, они приведены в табл. 5.11 [5.4].
Таблица 5.11
Параметры цветового оформления помещений
|
Ориентация окон помещения |
Наименование цвета (поверхности) |
Коэффициент отражения, % |
Номер образца по СН 181-70 |
|
Юг |
Зеленовато-голубой (стены) Светло-голубой (стены) Зеленый (пол) |
69 + 7 64 + 7 29 + 7 |
10,0 11,4 7,1 |
|
Север |
Светло-оранжевый (стены) Оранжево-желтый (стены) Красновато-оранжевый (пол) |
71 + 7 67 + 7 10 + 7 |
4,5 22,4 18,1 |
|
Восток |
Желтовато-зеленый (стены) Зеленый (пол) Красновато-оранжевый (пол) |
67 + 7 29 + 7 10 + 7 |
6,5 7,1 18,1 |
|
Запад |
Светло-желтый (стены) Голубовато-зеленый (стены) Зеленый (пол) Красновато-оранжевый (пол) |
70 + 7 67 + 7 29 + 7 10 + 7 |
5,4 9,4 7,1 18,1 |
П р и м е ч а н и е. Потолки во всех помещениях должны быть белого цвета.
Вопрос Есть ли требования или рекомендации к цветовым параметрам дисплеев?
Ответ Да. Такие требования существуют они определены [5.3] и заключаются в следующем:
5.3. Организация труда и отдыха
Вопрос Каково предельное время работы за компьютером?
Ответ Режимы труда и отдыха при работе с компьютером должны организовываться в зависимости от вида и категории трудовой деятельности. Виды трудовой деятельности разделяют на 3 группы:
группа А – работа по считыванию информации с экрана компьютера с предварительным запросом;
группа Б – работа по вводу информации;
группа В – творческая работа в режиме диалога с компьютером.
При выполнении в течение рабочей смены работ, относящихся к разным видам трудовой деятельности, за основную работу с компьютером следует принимать такую, которая занимает не менее 50 % времени в течение рабочей смены или рабочего дня.
Работы по ремонту компьютеров с применением дисплейных устройств следует относить к группе В. Работы по контролю качества отремонтированных компьютеров с применением дисплейных устройств следует относить к группе А.
Для видов трудовой деятельности устанавливается 3 категории тяжести и напряженности работы с компьютером, которые определяются:
для группы А – по суммарному числу считываемых знаков за рабочую смену;
для группы Б – по суммарному числу считываемых или вводимых знаков за рабочую смену;
для группы В – по суммарному времени непосредственной работы с компьютером за рабочую смену.
Таблица 5.12
Предельные значения величин, определяющих общее и непрерывное время работы с компьютером
|
Группа пользователей |
Величина, определяющая продолжительность работы |
Допустимое время работы |
|
|
общее за рабочий день |
непрерывное |
||
|
Деятельность, отнесенная к группе А Деятельность, отнесенная к группе Б Деятельность, отнесенная к группе В Преподаватели высших и средних учебных заведений (проведение занятий) Инженеры, обслуживающие учебный процесс Студенты вузов: I курс, учебный процесс II - VI курсы, учебный процесс |
зн./смену зн./смену ч/смену ч/уч.день ч/уч.день ч/занятие ч/занятие |
60 000 40 000 6 4 6 2 3 |
2 ч 2 ч 2 2 2 45 мин. 45 мин. |
Ответ Для получения оптимальной работоспособности и сохранения здоровья профессиональных пользователей в течение рабочего дня должны быть установлены обеденный и регламентированные перерывы. Продолжительность обеденного перерыва определяется трудовым законодательством и Правилами внутреннего трудового распорядка организации. Суммарное время регламентированных перерывов устанавливается в соответствии с данными таблицы 5.13.
Таблица 5.13
Время регламентированных перерывов в зависимости от продолжительности рабочей смены, вида и категории тяжести трудовой деятельности
|
Категория работы |
Уровень нагрузки за рабочую смену |
Суммарное время регламентированных перерывов, мин |
|||
|
группа А, количество знаков |
группа Б, количество знаков |
группа В, час |
при 8-часовой смене |
при 12-часовой смене |
|
|
I |
до 20000 |
до 15000 |
до 2,0 |
30 |
70 |
|
II |
до 40000 |
до 30000 |
до 4,0 |
50 |
90 |
|
III |
до 60000 |
до 40000 |
до 6,0 |
70 |
120 |
П р и м е ч а н и я. 1. Время перерывов дано при соблюдении требований [5.5]. При несоответствии фактических условий труда время регламентированных перерывов следует увеличить на 30 %. 2. При работе с компьютером в ночную смену, независимо от категории и вида трудовой деятельности, продолжительность регламентированных перерывов должна увеличиваться на 60 минут. 3. Во время регламентированных перерывов целесообразно выполнять комплексы упражнений для снятия напряжения с мышц глаз, шеи, рук, спины и т.д. [5.5]. 4. С целью снижения влияния монотонии целесообразно применять чередование видов деятельности.
6. ПРЕДУПРЕЖДЕНИЕ ЭЛЕКТРОТРАВМАТИЗМА
Вопрос Что такое электротравматизм?
Ответ Несчастные случаи, вызванные воздействием электрического тока, электрической дуги, наведенных зарядов, а также обусловленные иными факторами (травмирование вращающимися частями механизмов, падение с высоты и др.), если им предшествовал электрический удар, называются электротравмами.
Электротравматизм – это совокупность электротравм, характеризуемая определенными причинно-следственными связями между элементами системы "человек–электроустановка-среда" (Ч-Э-С). В этой системе человек является непосредственным объектом поражения, электроустановка – непосредственным источником поражения, а среда оказывает влияние как на человека, так и на электроустановку. Решение вопросов предупреждения электротравматизма должно вестись в направлении изучения свойств и взаимосвязи всех элементов этой системы. Свойства элементов системы, влияющие на электротравматизм, учитываются совокупностью признаков. Поскольку возникновение электротравмы при различных обстоятельствах связано с большой степенью неопределенности, то анализ причинно-следственных связей должен быть основан на использовании теории вероятностей и математической статистики на всех этапах анализа: выявления опасностей и опасных действий, разработки логических процедур формулирования защитных мер, выбора лучшей защитной меры для внедрения.
Социальные и психологические факторы, а также состояние экономики, науки, техники и производства являются внешними по отношению к системе безопасности электроустановок, однако они влияют на выбор допустимого уровня защиты.
6.1. Основные виды опасностей и опасных действий
Вопрос Что следует понимать под опасностями и опасными действиями?
Ответ Существует два комплекса проблем при анализе электротравм – рассмотрение опасностей электроустановок и определение опасных действий персонала.
Опасность представляет включение человека в цепь электрического тока. Можно выделить следующие основные виды опасностей:

Рис. 6.1. Двухфазное прикосновение Iп = UЛ / Rп

Рис. 6.2. Однофазное прикосновение:
а – сеть с заземленной нейтралью: Ih = UФ / Rh; б – сеть с изолированной нейтралью: Ih = UФ / (Rh + R/3)
![]() |
![]() |
|
Рис. 6.3. Прикосновение к аварийному корпусу электроустановки Ih = UПD / Rh |
Рис. 6.4. Включение под напряжение шага Ih = UШ / Rh |
Основными факторами, влияющими на тяжесть электротравмы, являются ток, проходящий через тело человека, и длительность действия этого тока. Длительность действия тока, как правило, определяется временем срабатывания автоматической защиты.
Опасные действия персонала возможны при небезопасных работах, а также при выполнении им работ на небезопасных рабочих местах.
При обслуживании электроустановок опасные действия связаны с их монтажом, демонтажом, включениями, отключениями, оперативными переключениями, а также профилактикой, осмотром, ремонтом и испытаниями.
При эксплуатации электрифицированных машин опасные действия возможны при работах на станках с электроприводом, при использовании электроинструмента и т.д. Электротравмы возможны и при выполнении таких работ, в которых электроустановки вообще не используются, но свои действия человек осуществляет вблизи действующих электроустановок. Например, опасны работы на крыше здания, скирдование сена, грузоподъемные работы, если они выполняются в зоне воздушной линии электропередачи.
Вопрос Какие факторы влияют на выбор предельно допустимых уровней токов?
Ответ В зависимости от значений факторов, определяющих условия поражения, с определенной статической вероятностью может наступить электротравма. В табл. 6.1 приведены предельно допустимые уровни токов, проходящих через тело человека [6.3]. Данные представлены для аварийных режимов двух видов электроустановок: 1) производственных – напряжением до 1000 В с глухозаземленной нейтралью и выше 1000 В с изолированной нейтралью; 2) бытовых – напряжением до 1000 В.
Таблица 6.1
Предельно допустимые уровни токов, проходящих через тело человека
|
Вид электроустановки |
Предельно допустимые уровни токов, не более, при продолжительности воздействия t,с |
||||||
|
0,01¸ 0,08 |
0,2 |
0,4 |
0,6 |
0,8 |
1,0 |
>1 |
|
|
1 |
650 |
250 |
125 |
85 |
65 |
50 |
6 |
|
2 |
220 |
100 |
55 |
40 |
30 |
25 |
2 |
Вопрос Как классифицируются защитные меры в электроустановках?
Ответ Защитные меры включают в себя мероприятия и средства. Мероприятия подразделяются на организационные и технические. Для обеспечения безопасности работ в действующих электроустановках должны выполняться следующие организационные мероприятия:
Для обеспечения безопасности работ в электроустановках следует выполнять технические мероприятия:
Средства защиты от поражения электрическим током и электрической дугой целесообразно подразделять на средства, предупреждающие прикосновение человека к опасным элементам электроустановок, и средства, обеспечивающие защиту при прикосновениях как к токоведущим, так и к нетоковедущим частям, оказавшимся под напряжением (табл. 6.2).
Таблица 6.2
Средства защиты от поражения электрическим током
|
Средства, предупреждающие прикосновение к токоведущим частям |
Средства, защищающие при прикосновении |
||
|
к токоведущим частям |
к нетоковедущим частям |
к токоведущим и нетоковедущим частям |
|
|
Коллективные |
|||
|
изоляционные покрытия, оболочки, ограждения |
Устройства заземления токоведущих частей, устройства выравнивания потенциала |
Устройства защитного заземления, зануления |
устройства защитного отключения, разделяющие трансформаторы, источники малого напряжения |
|
Индивидуальные |
|||
|
накладки, колпаки, каски, пояса монтерские, канаты страховочные, штанги, клещи, указатели напряжения |
ковры, подставки, боты, галоши, кабины, площадки, лестницы, подъемники телескопические, инструмент слесарно-монтажный |
перчатки |
Вопрос Какие принципы положены в основу выбора защитных мер в электроустановках?
Ответ Опасность реализуется, если действия человека сопряжены с возможностью протекания через его тело тока, который, с учетом времени его действия, превышает допустимое для человека значение. Из этого следует, что существуют три группы защитных мер, обеспечивающих:
Вопрос В чем заключается принцип действия защитного заземления?
Ответ Защитное заземление – преднамеренное электрическое соединение с землей металлических нетоковедущих частей, которые могут оказаться под напряжением вследствие замыкания на корпус.
Принцип действия защитного заземления – снижение до безопасных значений напряжения прикосновения и шага, обусловленных замыканием на корпус. Это достигается путем уменьшения потенциала заземленного оборудования (уменьшением сопротивления заземлителя), а также путем выравнивания потенциалов основания, на котором стоит человек, и заземленного оборудования (подъемом потенциала основания, на котором стоит человек, до значения, близкого к значению потенциала заземленного оборудования). Защитное заземление применяют в сетях с изолированной нейтралью при любом напряжении (рис.6.5, а), а также в сетях с заземленной нейтралью напряжением выше 1000 В (рис. 6.5, б).

Вопрос В чем заключается принцип действия зануления?
Ответ Зануление – преднамеренное электрическое соединение металлических нетоковедущих частей электроустановки, могущих оказаться под напряжением, с глухозаземленной нейтральной точкой обмотки источника тока в трехфазных сетях (рис.6.6).

Принцип действия зануления – превращение замыкания на корпус в однофазное короткое замыкание с целью получения большого тока, способного обеспечить автоматическое отключение поврежденной электроустановки от сети.
Зануление применяют в сетях с заземленной нейтралью напряжением до 1000 В.
Вопрос В чем заключается принцип действия защитного отключения?
Ответ Защитное отключение – защита, обеспечивающая отключение электроустановки при возникновении в ней опасности поражения человека током. Такая опасность может возникнуть, в частности, при замыкании фазного провода на корпус, снижении сопротивления изоляции сети ниже определенного предела и, наконец, в случае прикосновения человека непосредственно к токоведущей части, находящейся под напряжением.
Устройства в зависимости от принятых для них входных величин делятся на типы, реагирующие на потенциал корпуса, напряжение нулевой последовательности, ток нулевой последовательности и т.д.
Наибольшими защитными свойствами обладают устройства защитного отключения, реагирующие на ток нулевой последовательности (рис. 6.7). Они позволяют обеспечить защиту человека, прикоснувшегося к токоведущим частям, находящимся под напряжением, в сетях до 1000 В.

Вопрос В чем заключается комплексный подход к выбору защитных мер?
Ответ Если вероятность возникновения электротравм является высокой при существующих защитных мерах, то необходимо существенное изменение всего комплекса мер. Как правило, можно предложить много дополнительных защитных мер, повышающих электробезопасность, но их внедрение будет ограничено финансовыми возможностями. Следовательно, главная задача при выборе защитных мер состоит в наиболее эффективном использовании выделенных финансовых ресурсов.
Ниже, в качестве примера рассмотрим выбор защитных мер, повышающих электробезопасность электродрели.
Вопрос
Какие процедуры позволяют произвести группирование травм по общности причин их возникновения?
Ответ На этом этапе (этапе синтеза) выполняют следующие процедуры:
Рассмотрим опасности, возникающие при эксплуатации электродрели, и сведем их в табл. 6.3. Вероятности возникновения отдельных опасностей взяты из [6.4].
Таблица 6.3
Определение головного события дерева отказов
|
Опасности (схемы включения в цепь электрического тока) |
Вероятность, % |
Головные события |
Вероятность, % |
|
Двухфазные прикосновения |
2 |
Прикосновение к токоведущим частям |
22,4 |
|
Однофазное прикосновение между фазным и нулевым проводом |
8,2 |
||
|
Однофазное прикосновение между фазным проводом и землей |
12,2 |
||
|
Прикосновение между корпусом электродрели, на который произошло замыкание фазного провода, и землей |
77,6 |
Прикосновение к корпусу электродрели, оказавшемуся под напряжением |
77,6 |
Вопрос
Какие процедуры позволяют перейти к количественной оценке защитных мер?
Ответ На этом этапе (этапе анализа) выполняют следующие процедуры: 1) определяют все события, которые могут вызвать головные события; 2) определяют отношения между событиями с помощью логических операций И или ИЛИ; 3) производят количественный анализ.
Ниже дан анализ головного события "Электротравма при прикосновении к корпусу электродрели", дерево отказов которого приведено на рис. 6.8. Головное событие А произойдет, если будут иметь место все четыре события Б, В, Г и Д, представленные входами логической операции И. Наличие напряжения на корпусе электродрели (событие Б) возможно, если имевшее место замыкание токоведущих частей на ее корпус (событие Е) не было устранено перед ее применением (событие Ж). Касание человеком корпуса электродрели (событие В) возможно при любом из событий И, К и Л, которые представлены входами логической операции ИЛИ.
Ток, проходящий через тело человека, может превысить допустимое значение (событие Г) как при источнике напряжением не более 42 В (событие М) при длительном прикосновении, так и при источнике напряжением более 42 В (событие Н) при неэффективных индивидуальных защитных средствах (событие Т) и неэффективных автоматических средствах защиты (событие С). Под неэффективностью средств защиты понимается их отсутствие или сознательное неприменение, а также несоответствие их параметров установленным нормам. Индивидуальная сопротивляемость человека к действию электрического тока будет ослаблена (событие Д) при неблагоприятной окружающей среде (событие П) или неудовлетворительном его самочувствии (событие Р).

Рис. 6.8. Дерево отказа "Электротравма при прикосновении к корпусу электродрели"
На рис. 6.9 представлено это же дерево с указанными вероятностями событий для интервала времени продолжительностью один год. Предположим, из статистики известно, что в этот интервал времени произошла 21 электротравма в расчете на 1 млн электродрелей. Вероятность головного события составила

Средняя серьезность электротравмы, соответствующая ожидаемым потерям при несчастном случае, принята равной



Вопрос Как наиболее эффективно использовать средства, выделенные на безопасность труда?
Ответ Поскольку при повышенной безопасности затрачиваются деньги, то защитные меры должны приводить или к снижению вероятности головного события или к снижению серьезности его последствий.
Защитные меры, приведенные в табл. 6.4., направлены на уменьшение вероятности возникновения причин электротравматизма при работах с электродрелью.
Первый вариант предлагаемых мер состоит в том, что сопротивление изоляции электродрели будет гарантированно замеряться периодически через 6 месяцев, а также перед каждым применением электродрели. При выполнении этого условия вероятность использования электродрели, имеющей поврежденную изоляцию, уменьшится.
Однако полностью исключить возможность повреждения изоляции во время работы нельзя.
Второй вариант защитных мер состоит в том, что применение диэлектрических перчаток уменьшит вероятность электротравмирования человека при работе с электродрелью за счет уменьшения тока, проходящего через тело, до значения, меньше порогового ощутимого.
Третий вариант заключается в том, что УЗО и существующая максимальная защита будут резервировать друг друга, существенно повысив тем самым надежность аварийного отключения электродрели от электрической сети. Затраты на покупку УЗО составляют 25 у.е. При сроке эксплуатации УЗО равном 10 лет ежегодные затраты равны 25 у.е./10 лет.
Таблица 6.4
Варианты предлагаемых защитных мер
|
№ п/п |
Защитные меры |
Затраты, у.е. |
Эффект |
|
1 |
Гарантия соблюдения требований к испытаниям изоляции электродрели |
1 |
Снижение вероятности события Ж до 0,1 |
|
2 |
Гарантия того, что работы с электродрелью напряжением более 42В будут выполняться с применением диэлектрических перчаток |
2 |
Снижение вероятности события Л до 0,1 и события Н до 0,001 |
|
3 |
Подключение электродрели напряжением более 42В к сети с использованием УЗО |
25 у.е. 10 лет |
Снижение вероятности события Н до 0,01 |
Таблица 6.5
|
№ п/п |
Затраты, у.е. |
Исходная вероятность головного события |
Новая вероятность головного события |
Исходные потери |
Новые потери |
Прибыль |
Затраты/ прибыль |
|
1 |
1 |
21× 10-6 |
12,6× 10-6 |
4,2 |
2,52 |
1,68 |
0,59 |
|
2 |
2 |
21× 10-6 |
1,3× 10-6 |
4,2 |
0,26 |
3,94 |
0,51 |
|
3 |
2,5 |
21× 10-6 |
4,2× 10-6 |
4,2 |
0,84 |
3,36 |
0,74 |
Наиболее выгодно затрачивать средства на вариант, имеющий наименьшее отношение затраты/прибыль. Этот вариант следует реализовать в первую очередь.
6.2. Разработка системы информации по предупреждению электротравматизма
Вопрос
Какие задачи решает информационно-справочная система в электробезопасности?
Ответ Преимущества метода, основанного на выборе мер защиты по критерию их экономической эффективности, можно реализовать лишь при наличии информационно-справочной системы, соответствующей задачам, решаемым электробезопасностью. Создание системы информации включает следующее:
Информационно-справочная система является средством контроля состояния электробезопасности. Контроль осуществляют путем измерения значений признаков, оценки этих измерений (диагностики), разработки вариантов защитных мер с определением их эффективности (подготовки решения).
Формулировка поставленных задач и выбор защитных мер не входят в функции информационной системы и выполняются на уровне системы электробезопасности. Такими задачами могут быть следующие: совершенствование способов и средств защиты, разработка нормативно-правовых актов, усиление деятельности энергослужб предприятий (рис. 6.10).

Выполнение функций оценки и формулирования защитных мер требует организации обслуживания базы данных. При работе с базой данных выполняется преобразование результатов измерения в информацию, используемую для разработки защитных мер. Основная цель внедрения системы информации состоит в повышении эффективности функций измерения и оценки признаков, а также формулировании защитных мер. Для осуществления этой цели данные измерения должны быть обработаны и представлены в необходимой форме.
Ценность системы информации раскрывается в использовании признаков, описывающих каждую электротравму, в последующем статистическом анализе электротравматизма.
В результате становится возможным анализ обстоятельств и причин электротравм, а также эффективности мер предупреждения конкретных опасностей и опасных действий.
Изучение причин электротравматизма должно проводиться с максимальным использованием количественных методов. Причины одной электротравмы и их совокупности – это не одно и то же. Если причина отдельной травмы отражает только качественную взаимосвязь между нарушениями нормативно-правовых актов и предпосылками этих нарушений, то причины электротравматизма отражают также и количественную взаимосвязь. Достоверность выводов статистического анализа электротравматизма зависит от размеров изучаемой совокупности, т.е. от количества учтенных травм. В настоящее время не учитываются электротравмы, которые вызвали утрату трудоспособности менее чем на один день, хотя обстоятельства и причины легких и тяжелых травм, как правило, одинаковы. Однако дополнительные затраты, связанные с расследованием легких травм и разработкой соответствующих процедур сбора информации согласно предъявленным к ним дополнительным требованиям, должны сопоставляться с прибылями, которые могут быть при этом получены.
Вопрос
Какие признаки системы Ч-Э-С определяют уровень электротравматизма?
Ответ Качественное представление информации в документации об обследованиях неудобно по следующим причинам. Например, два человека могут докладывать об одном и том же несчастном случае, используя различную терминологию. Название подразделения также может быть указано по-разному разными людьми в разное время. Третий человек может стараться сократить записи, из-за чего они могут потерять смысл, хотя ему все будет казаться очевидным.
Для устранения этих недостатков и эффективного использования информации, полученной на стадии измерения признаков, описывающих состояние электробезопасности, информация должна быть классифицирована и рассортирована по заданным категориям.
Важное место в ГОСТ 12.1.019-79 занимает классификация признаков, от которых зависит уровень электробезопасности.
Эти признаки характеризуют либо элементы системы Ч-Э-С, либо связи между этими элементами.
Характеристики человека учитывают его психофизиологическое состояние.
К характеристикам электроустановки отнесены следующие: номинальное напряжение, род и частота тока, способ электроснабжения (от стационарной сети, автономного источника питания электроэнергией), режим нейтрали (средней точки) источника питания (изолированная, заземленная), вид исполнения (стационарные, передвижные, переносные).
Среда в зависимости от ее признаков относится к особо опасным помещениям, помещениям повышенной опасности и помещениям без повышенной опасности.
Связи "человек-электроустановка" определены следующими признаками: условиями работы (возможностью снять напряжение с токоведущих частей); характером возможного прикосновения человека к элементам цепи тока (однофазное и двухфазное прикосновение, прикосновение к металлическим нетоковедущим частям, оказавшимся под напряжением); возможностью приближения к токоведущим частям, находящимся под напряжением, на расстояние менее допустимого или попадания в зону растекания тока; видом работ (монтаж, наладка, испытание, эксплуатация электроустановок, работа в зоне расположения электроустановок).
В ГОСТ 12.1.038-82 [6.1] характеристиками человека являются сопротивление тела в электрической цепи, реакция ощущения тока (ощущение, неотпускание, фибрилляция сердца). Связи "человек-электроустановка" учитываются следующими признаками: цепью тока при электротравме, продолжительностью воздействия электрического тока, напряжением прикосновения, током, проходящим через тело человека.
Вопрос
Какие задачи позволяет решить единый классификатор признаков электротравм?
Ответ Применение единого классификатора признаков, характеризующих каждую электротравму, необходимо в силу ряда причин, в частности, для решения следующих задач:
Единый классификатор признаков помогает собирать такие сведения об электротравмах, объективность которых очевидна или поддается проверке.
Вопрос
Какая структура принята для единого классификатора признаков электротравм?
Ответ Сложная и кропотливая работа по созданию единого классификатора выполнена в Ленинградском институте охраны труда [6.4]. Классификатор содержит 58 признаков, объединенных в 9 групп, и около 500 значений признаков (с учетом резервных). Структурная схема классификатора приведена на рис. 6.11.
Выделены следующие группы признаков: характеристика пострадавшего, место происшествия, время происшествия, характеристика электроустановки, характеристика работы, технические меры безопасности, организационные мероприятия, цепь тока при электротравме, группа электротравматизма.

Человек в системе Ч-Э-С описывается следующими признаками: пол, возраст, образование, профессия, стаж по профессии, квалификационная группа по ТБ, социальная группа, категория работника, медицинские противопоказания, психофизиологическое состояние, виды воздействия электрического тока (электротравмы, реакции ощущения).
Электроустановка характеризуется следующими признаками: формой собственности; видом; элементом; номинальным напряжением; режимом нейтрали; родом и частотой тока; способом электропитания (от электросети, от автономного источника); степенью мобильности (стационарные, передвижные, переносные, ручные); режимом работы (нормальный, аварийный); неисправностью; причиной неисправности; соответствием типа установки условиям применения; соответствием конструкции, монтажа и эксплуатации требованиям техники безопасности.
Среда описывается следующими признаками: температура и относительная влажность воздуха, климатические факторы, категория помещения в отношении степени электробезопасности, сопротивление растекания тока с ног человека.
Связь "человек-электрооборудование" характеризуется следующими признаками: условиями работы; видами работ или действий; характером включения в цепь электрического тока; цепью тока при электротравме; продолжительностью воздействия электрического тока; напряжением прикосновения; током, проходящим через тело человека; сопротивлением тела в электрической цепи; средствами защиты от электрического тока и дуги; мероприятиями по электробезопасности.
Особое место занимает группа признаков под названием “время происшествия”. Сведения о времени травмирования могут быть полезны при установлении связи электротравматизма с медико-биологическими особенностями человека (пол, возраст, состояние здоровья и др.). Признак "год" используется для исследования влияния значений признаков на динамику электротравматизма. Значение признака "часы" позволяет выявить травматизм, обусловленный переутомлением человека.
Классификатор электротравм предназначен для статистической обработки значений признаков и поэтому должен иметь такую структуру, чтобы совокупность возможных значений каждого признака составляла полную группу событий. Признаки должны охватывать все интересующие исследователя аспекты анализа электротравматизма, но не следует включать в классификатор признаки, значения которых в процессе расследования электротравм невозможно определить.
Вопрос
Какие формы документации можно использовать при обработке результатов расследования электротравм?
Ответ С помощью единого классификатора все виды доступной информации об электротравмах могут быть расположены в одинаковом формате. В этом случае мы получим возможность обрабатывать различную информацию с помощью одной и той же программы независимо от источника этой информации.
Поскольку основная часть информации об электротравмах может быть получена в результате расследования электротравм, то кодирование признаков прежде всего необходимо при разработке форм протоколов обследований.
Важную информацию для составления протоколов расследования электротравм можно извлечь, анализируя первичную информацию, включающую анализ обстоятельств электротравм, заключения технических инспекторов труда, судебно-медицинских и электротехнических экспертов, наряды на работу, журналы инструктажей, должностные инструкции и другие материалы расследования. Некоторые виды чисто описательной информации обязательны. Эти записи должны быть удобными для чтения.
Обеспечить одинаковую по объему и качеству исходную информацию для проведения статистического анализа электротравматизма по стране в целом можно, лишь применяя одинаковую для всех электротравм, подлежащих учету, специальную форму. Такая форма была разработана и реализована в картах электротравм (производственных и непроизводственных), а основу обеих карт составил единый классификатор.
При разработке карт соблюдались следующие условия (в дополнение к тем, что были предъявлены к классификатору):
Заполнение карт тяжелых электротравм поручено инспекторам энергонадзора, а заполнение карт нетяжелых электротравм могут выполнить работники предприятий, например, ответственный за электрохозяйство или инженер по охране труда предприятия.
Вопрос Каким способом можно выявить влияние признаков на уровень электротравматизма?
Ответ Главным назначением единого классификатора электротравм является сбор данных для получения статистических распределений признаков, характеризующих электротравматизм. В качестве примера рассмотрим использование статистических данных по признакам, влияющим на электротравматизм при обслуживании электродрели. На рис. 6.12 выделена та часть структуры единого классификатора, которая содержит признаки, необходимые для решения поставленной задачи.
Признак А учитывает влияние значения номинального напряжения электродрели.
Выделим два значения (позиции) признака: 36-42 В (А1) и ³ 220 В (А2). Вероятность появления значения А2 признака А при электротравме будет равна сумме вероятностей появления признака А при напряжениях 220 В и 380 В и составит 95 %.
Признак В определяет виды работ, связанных с электродрелью. Выделены следующие значения признака: подключение электродрели к сети, ремонт и работа с электродрелью. Как правило, эти виды работ не выполняются одним и тем же лицом.
Признак С определяет вид опасности – схему включения человека в цепь электрического тока. Для дальнейшего анализа выделены два значения признака: "прикосновение к корпусу", что соответствует внешней цепи "фаза-корпус-земля", и "прикосновение к токоведущим частям", что соответствует внешним цепям "фаза-фаза", "фаза-нуль" и "фаза-земля".
Признак D определяет категорию помещения по электробезопасности, причем значения "особо опасное" и "вне помещения" можно объединить в одно, если нормативно-правовые акты не оговаривают особые требования к выполнению защитных мер для электроустановки.

С учетом числа признаков, подлежащих анализу, их распределения могут быть одномерными, двухмерными и многомерными. Одномерные распределения позволяют сравнивать статистические данные по электротравматизму, учитывающие изменения значения одного признака.
На рис. 6.12 представлены четыре одномерных распределения по числу представленных признаков. Учет влияния значений признака на электротравматизм оценивается с помощью показателя, представляющего собой отношение числа травм к базовой величине. В данном случае базовой величиной является общее число учтенных при анализе электротравм, а показатели выражены в процентах или долях. Доля представляет собой статистическую вероятность появления электротравмы при конкретном значении признака.
Каждое одномерное распределение позволяет глубже вникнуть в причины электротравматизма. Рассмотрение приведенных на рис. 6.12 признаков показывает, что наибольшее число травм наблюдается при повышенном напряжении электродрели, когда при работе с ней человек прикасается к ее корпусу, на котором присутствует фазное напряжение, а работа выполняется в особо опасном помещении.
Очень важно научиться использовать сведения по одномерным распределениям для определения видов последующего анализа, исходя из возможностей, предоставляемых информационной системой. Первый шаг в этом направлении заключается в изучении необходимости построения двухмерных распределений, в которых рассматривается влияние на травматизм одновременного изменения значений двух признаков. Например, можно рассмотреть одновременное влияние значения напряжения и вида работ на результаты электротравматизма (табл. 6.6). Наибольшую опасность, как это следует из таблицы, представляют работы с электродрелью напряжением 220 В и выше.
Таблица 6.6
Суммарное влияние значения напряжения и вида работ
на результаты травматизма, в %
|
Номинальное напряжение дрели, В |
Виды работ |
|||
|
работы с электродрелью |
подключение |
ремонт |
другие работы |
|
|
42 (36) |
3,8 |
0,6 |
0,4 |
< 1 |
|
³ 220 |
75 |
12,1 |
8,1 |
< 1 |
Конечные ветви дерева представляют собой все варианты имевших место электротравм, отличающихся значениями одного, двух, трех или четырех признаков.
Для определения вероятности конечных ветвей рассмотрим дерево признаков, приведенное на рис. 6.13. Поскольку это дерево содержит операции ИЛИ, связанные через операцию И, то логическая функция головного события "Электротравматизм", обозначенного буквой Т имеет вид произведения сумм
Т= (А1+А2) (В1+В2+В3+В4) (С1+С2) (D1+D2+D3+D4).
Вероятности конечных ветвей дерева должны представлять собой слагаемые правой части приведенной ниже формулы после раскрытия скобок
P(T) = [P(A1)+P(A2)] [P(B1)+P(B2)+P(B3)+P(B4)] [P(C1)+
+P(C2)] [P(D1+P(D2)+P(D3)+P(D4))].
Для уменьшения размерности дерева каждая ветвь, вероятность которой уменьшилась до уровня, меньше 1 %, в дальнейшем не разветвляется. На дереве не разрабатываются также до конца ветви для электродрели напряжением больше 220 В и таких видов работ, как "подключение" и "ремонт", поскольку из статистических данных неизвестен вид внешней цепи при этих видах работ. Например, эта цепь может и не включать в себя электродрель, а быть цепью сети испытательного напряжения. В последнем случае имеет место зависимость признака "вид работы" от предшествующего ему на дереве признака "номинальное напряжение".

Рис. 6.13. Дерево многомерного распределения признаков Электротравматизма
Получить структурную схему для случая зависимых параметров и тем самым более точно определить вероятности ветвей можно, если карты электротравм будут обрабатываться поочередно и по следующему алгоритму:
В рассматриваемом случае зависимых параметров электротравматизма вероятность совместного появления совокупности определенных значений рассматриваемых признаков равна произведению вероятности определенного значения первого рассматриваемого признака на условные вероятности определенных значений остальных признаков, причем вероятность появления каждого определенного значения следующего признака вычисляется в предположении, что все определенные значения предыдущих признаков уже проявились.
Например, статистическая вероятность электротравм при работе с электродрелью (В1) напряжением 220 В и выше (А1) вне помещений (D1) и прикосновении к её корпусу, находящемуся под напряжением, (С1) определяется по формуле
Р(А1В1С1D1) = Р(А1) Р(В1/А1) Р(С1/А1В1) Р(D1/А1В1С1).
Порядок, в котором расположены значения признаков, может быть выбран любым, т.е. безразлично, какой признак считать первым. Однако в целях уменьшения количества ветвей на дереве рекомендуется:
Рассмотрение дерева позволяет выявить, при каких значениях признаков происходит наибольшее число электротравм. Это работа с электродрелью напряжением 220 В и выше, имеющей повреждение изоляции токоведущих частей относительно корпуса в особо опасных помещениях (29 % от общего числа электротравм). Очевидны и меры безопасности в этих помещениях: применение малых напряжений, использование диэлектрических перчаток, изолирующих подставок, более качественная проверка сопротивления изоляции дрели.
Второе место по числу электротравм занимает работа с электродрелью вне помещения. Из этого можно прийти к неправильному заключению, что работа вне помещения менее опасна, чем в особо опасном помещении. Однако здесь не учтен тот факт, что работы вне помещения проводятся реже. Очевидно, более правильно будет, если использовать не экстенсивные показатели травматизма, применяемые выше, а интенсивные. В качестве базовой величины для интенсивных показателей используют количество применяемых электродрелей, интенсивность их использования (число травм, приходящихся на одну электродрель, в течение одного года или одного миллиона часов эксплуатации), а также число лиц, относящихся к каждому значению используемых признаков.
Вопрос
Какие способы можно использовать при определении ущерба, вызванного электротравмой?
Ответ Для оптимизации выбора защитных мер необходимо знать величину ущерба, вызванного электротравмой. Выше этот ущерб определен как серьезность травмы, которая включает две составляющие: ущерб здоровью пострадавшего и материальный ущерб, причиненный пострадавшему, его семье и государству. Методика оценки ущерба здоровью пострадавшего в настоящее время разработана недостаточно. Введение обязательного страхования от несчастных случаев способствует ликвидации этого пробела.
Статистика [6.4] показывает, что от непосредственного воздействия электрического тока погибло около половины всех пострадавших. В 10 % случаев пострадавшие подверглись электроудару, а умирали от сотрясения мозга, переломов и других травм, полученных в результате падения. В 13 % случаев смерть наступила от ожогов электрической дугой. Медицинские последствия пятой части электротравм в материалах расследований не указаны.
Соотношение между тяжелыми и смертельными электротравмами составило 9:1, причем в установках напряжением до 1кВ и выше эти соотношения равны соответственно 6:1 и 13,7:1. Это объясняется тем, что в установках свыше 1 кВ ожоги электрической дугой составляют большую долю, чем в установках до 1 кВ, а ожоги не всегда приводят к летальному исходу.
В "Указаниях по заполнению карты электротравмы" [6.4] рекомендуется учитывать следующие материальные потери от электротравм:
Вышесказанное показывает, что серьезность отдельных травм изменяется в широком диапазоне. В классификаторе электротравм выделены лишь три значения признака "Степень тяжести травм": 1) смертельный, 2) тяжелый, 3) легкий.
Сделаем выводы и предложения по определению серьезности электротравм:
Таблица 6.7
Пример распределения травм по степени серьезности
|
№ п/п |
Степень тяжести травм |
Серьёзность травм (у.е.) |
|
1 |
Первая помощь |
20 |
|
2 |
Временная нетрудоспособность |
345 |
|
3 |
Частичная инвалидность |
2500 |
|
4 |
Полная инвалидность (смертельный исход не учитывается) |
21000 |
6.3. Расследование и учет электротравм на производстве
Вопрос
Какие задачи входят в программу расследования электротравм?
Ответ Каждый несчастный случай, вызвавший необходимость перевода работника в соответствии с медицинским заключением на другую работу на один рабочий день и более, потерю им трудоспособности не менее чем на один рабочий день или его смерть, оформляется актом о несчастном случае на производстве по форме Н-1.
В программу расследования электротравм [6.4] входят следующие задачи:
Вопрос
Какие процедуры позволяют определить обстоятельства электротравм?
Ответ Определим обстоятельства электротравмы как совокупность событий, обусловливающих возникновение электроопасной ситуации и ее реализацию. Для выяснения обстоятельств электротравмы нужно проделать следующее:
При осмотре места происшествия определяют вид электроустановки, на которой произошла электротравма, характеристику электроустановки и ее внешнее состояние, характеристику помещения и его классификацию в отношении электробезопасности.
Опрашивать пострадавшего целесообразно в процессе осмотра места происшествия (если пострадавший не госпитализирован). При опросе пострадавшего необходимо выяснить: какую именно работу он выполнял перед травмированием, от кого получил задание на выполнение данной работы и в какой форме, пользовался ли он средствами индивидуальной защиты. При опросе очевидцев необходимо выяснить, что именно они видели и слышали, как вел себя пострадавший до, в момент и после травмирования.
При ознакомлении с документами, имеющими отношение к происшествию, уточняется характеристика пострадавшего, соответствие выполняемой работы его специальности и заданию.
Проверяются распоряжение или наряд на работу, журналы испытаний защитного заземления и зануления, приказы, определяющие ответственность должностных лиц за соблюдение мероприятий безопасности.
Техническая экспертиза проводится, когда требуется определить характер неисправности электроустановки, проверить средства защиты, провести расчеты или измерения.
Изложение обстоятельств в акте о несчастном случае на производстве по форме Н-1 представляет собой описание действий пострадавшего и других лиц, связанных с несчастным случаем, изложение последовательности событий и т.д.
Вопрос Что следует понимать под причинами электротравм?
Ответ Под причинами электротравмы следует понимать нарушения НПА во взаимосвязи с объективными и субъективным предпосылками этих нарушений. К объективным предпосылкам относятся, например, неправильная организация труда, недостатки материально-технического обеспечения, ненастная погода, а к субъективным – безответственное отношение работников к порученному делу, их невнимательность.
Руководствуясь действующими НПА и классификатором электротравм, следует установить: какие защитные меры не были выполнены и что препятствовало их выполнению. Выделяют следующие группы причин: технические, организационно-технические, организационные и организационно-социальные.
К техническим причинам относятся: несоответствие электроустановок, средств защиты и приспособлений требованиям безопасности и условиям применения, возникшее на стадии конструирования, изготовления, монтажа, ремонта и эксплуатации. При установлении этих причин следует пользоваться "Правилами устройства электроустановок" и нормативно-технической документацией на электроизделия, средства защиты и технологические процессы (стандарты, паспорта и др.).
К организационно-техническим причинам следует относить несоблюдение персоналом технических мероприятий безопасности на стадии эксплуатации электроустановок. При установлении этих причин следует пользоваться "ПТЭ электроустановок потребителей" и "ПТБ электроустановок потребителей", а также местными инструкциями, разработанными на основе этих правил.
К организационным причинам относится невыполнение или неправильное выполнение организационных мероприятий, обеспечивающих безопасность работ. При оценке нарушений учитываются также личные данные пострадавшего (возраст, профессия, группа по электробезопасности и др.)
К организационно-социальным причинам относятся: работа в сверхурочное время, несоответствие работы специальности, допуск к работе лиц моложе 18 лет и др. При установлении этих причин следует руководствоваться законодательством о труде.
Вопрос
Каким способом можно автоматизировать расследование конкретной электротравмы?
Ответ Своевременный осмотр места происшествия и опрос очевидцев способствуют получению первичных и, как правило, неискаженных данных об обстоятельствах несчастного случая. Применяя вышеуказанные рекомендации, можно составить первичное описание обстоятельств электротравмы. Пример такого описания случая электротравмирования слесаря при работе с электродрелью, приведен ниже.
В целях подготовки строительно-монтажных работ бригадир поручил слесарю просверлить отверстия в стене с помощью электродрели напряжением 220 В. Работу было поручено выполнять после устройства подмостей.
Не дожидаясь устройства подмостей, слесарь использовал приставную лестницу. При сверлении слесарь прикоснулся плечом к металлоконструкциям, почувствовал воздействие электрического тока, потерял равновесие и упал на бетонный пол с высоты 2 метра. В результате падения он получил перелом руки.
Несчастный случай произошел в механическом цехе завода на участке токарных станков.
Очевидно, что этих данных недостаточно для решения задач расследования и сбора статических данных об электротравматизме.
На рис. 6.14 представлена структурная схема системы расследования электротравм. Стрелки показывают потоки информации между компонентами системы. Схема помогает организовать логическую последовательность операций при расследовании электротравм, позволяющих получить необходимую и достаточную информацию для решения задач расследования.

Рис. 6.14. Основные компоненты системы расследования электротравм
Для облегчения расследования следует использовать классификатор электротравм [6.4]. По мере поступления данных в процессе расследования их рекомендуется заносить в соответствующие позиции классификатора. Пример заполнения позиций классификатора, содержащих первичные данные об обстоятельствах электротравмы, приведен в табл. 6.8.
Таблица 6.8
Заполнение классификатора электротравм
|
Признак |
Значение признака |
Источник информации |
|
Пол |
Мужчина |
Документы |
|
Возраст |
25 |
Документы |
|
Образование |
Неполное среднее |
Документы |
|
Профессия |
Слесарь |
Документы |
|
Стаж по профессии |
Свыше 1 года до 3 лет |
Документы |
|
Квалификационная группа по ТБ |
2 |
Документы |
|
Характеристика помещения |
Механический цех, участок токарных станков |
Осмотр |
|
Категория помещения в отношении электробезопасности |
Особо опасное |
Осмотр |
|
Вид электроустановки |
Электродрель |
Осмотр |
|
Напряжение (электроустановки) |
220 В |
Осмотр |
|
Вид работы |
С применением электрифицированных машин |
Свидетели |
|
Работа на высоте |
Свидетели |
|
|
Соответствие работы специальности |
Да |
Документы |
7. ПОЖАРНАЯ БЕЗОПАСНОСТЬ
7.1. Категории помещений по взрывопожарной и пожарной опасности
В связи с развитием и совершенствованием технологических процессов принятую категорию помещения необходимо обосновывать нормативными требованиями и расчетами.
Категории помещений по взрывопожарной и пожарной опасности принимаются в соответствии с табл. 7.1.
Примеры производств, размещенных в помещениях категорий А, Б, В1-В4, Г и Д, приводятся ниже.
Категория А: пункты и насосные станции по перекачке легковоспламеняющихся жидкостей (ЛВЖ); депо промывки и дегазации цистерн из-под легковоспламеняющихся жидкостей (бензина, бензола, сырой нефти и т.д.); склады бензина и баллонов для горючих газов; помещения стационарных кислотных и щелочных аккумуляторных установок; водородные станции; малярные цехи и кладовки, в которых применяются нитрокраски, лаки и растворители из легковоспламеняющихся жидкостей с температурой вспышки паров 28 0С и ниже; станции по производству ацетилена.
Категория Б: цехи вагонных, локомотивных депо и заводов с производством малярных работ с применением лаков и красок с температурой вспышки паров от 28 0 до 61 0С; склады указанных лаков и красок, дизельного топлива; насосные и сливные эстакады по перекачке и сливу дизельного топлива; участки по изготовлению и ремонту деталей из пластических масс и стеклопластика; отделения и участки мойки и обтирки узлов и деталей с применением бензина и керосина; промывочно-пропарочные станции цистерн и другой тары из-под мазута и других жидкостей с температурой вспышки паров от 28 0 до 61 0С, аммиачные холодильные установки; мазутное хозяйство электростанций; цехи приготовления и транспортирования угольной пыли, древесной муки, сахарной пудры и др.
Категория В1-В4: лесопильные и деревообрабатывающие цехи; цехи текстильной и бумажной промышленности; швейные и текстильные фабрики; склады масла и масляное хозяйство электростанций; трансформаторные подстанции; смазочное хозяйство заводов; асфальтовые заводы; склады и кладовые масляных красок; малярные цехи, в которых применяются краски и растворители с температурой вспышки выше 61 0С; автомобильные гаражи; гардеробные помещения; архивы; библиотеки; угольные эстакады; склады торфа.
Категория Г: литейные, плавильные, кузнечные и сварочные цехи; цехи горячей прокатки металлов; котельные; главные корпуса электростанций; цехи горячей штамповки, обжига кирпичных, цементных и известковообжигательных заводов; отделения ремонта двигателей внутреннего сгорания.
Категория Д: механические цехи холодной обработки металлов; воздуходувные и компрессорные станции воздуха и других негорючих газов; депо электрокаров и др.
Исходя из категории помещений, регламентируется этажность и степень огнестойкости зданий, а также площадь этажа между противопожарными стенами.
В некоторых случаях, когда в цехе размещаются аппараты, связанные с использованием в них разных по взрывопожарным свойствам веществ, требуется определить, будет ли относиться к данной категории производства все помещение или только определенная зона в нем, непосредственно вблизи аппарата. Для такой оценки проводится специальный расчет [7.3] или взрывоопасная зона принимается равной 5 м по горизонтали от аппарата, содержащего взрывоопасное вещество.
Таблица 7.1
Категории помещений по взрывопожарной и пожарной опасности
|
Категория помещения |
Характеристика веществ и материалов, находящихся в помещении |
|
А взрывопожаро- опасная |
Горючие газы, ЛВЖ с температурой вспышки не более 28 0С в таком количестве, что могут образовывать взрывоопасные парогазовоздушные смеси, при воспламенении которых развивается расчетное избыточное давление взрыва в помещении, превышающее 5 кПа Вещества и материалы, способные взрываться и гореть при взаимодействии с водой, кислородом воздуха или друг с другом в таком количестве, что расчетное избыточное давление взрыва в помещении превышает 5 кПа |
|
Б взрывопожаро- опасная |
Горючие пыли или волокна, легковоспламеняющиеся жидкости с температурой вспышки более 28 0С, горючие жидкости (ГЖ) в таком количестве, что могут образовывать взрывоопасные пылевоздушные или паровоздушные смеси, при воспламенении которых развивается расчетное избыточное давление взрыва в помещении, превышающее 5 кПа |
|
В1–В4 пожароопасные |
Горючие и трудногорючие жидкости, твердые горючие и трудногорючие вещества и материалы (в том числе пыли и волокна), вещества и материалы, способные при взаимодействии с водой, кислородом воздуха или друг с другом только гореть, при условии, что помещения, в которых они имеются в наличии или обращаются, не относятся к категориям А или Б |
|
Г невзрывопожароопасная |
Негорючие вещества и материалы в горячем, раскаленном или расплавленном состоянии, процесс обработки которых сопровождается выделением лучистого тепла, искр и пламени; горючие газы, жидкости и твердые вещества, которые сжигаются или утилизируются в качестве топлива |
|
Д непожароопасная |
Негорючие вещества и материалы в холодном состоянии |
Вопрос Как определить избыточное давление взрыва для горючих газов, паров, легковоспламеняющихся и горючих жидкостей?
Ответ
Основными расчетными параметрами при определении категории помещений являются объем взрывоопасной смеси и избыточное давление взрыва, которые определяются исходя из следующих предпосылок:
1) все содержимое аппарата поступает в помещение;
2) происходит одновременно утечка веществ из трубопроводов, питающих аппарат по прямому и обратному потоку в течение времени, необходимого для их отключения: при автоматическом отключении 120 с, при ручном – 300 с;
3) происходит испарение с поверхности разлившейся жидкости, площадь испарения которой определяется исходя из расчета, что 1 л смесей и растворов, содержащих 70 % и менее (по массе) растворителей, разливается на площади 0,5 м2, а остальных жидкостей – на 1 м2 пола помещения;
4) происходит также испарение жидкости из емкостей, эксплуатируемых с открытым зеркалом жидкости, и со свежеокрашенных поверхностей;
5) длительность испарения жидкости Т принимается равной времени ее полного испарения по расчету, но не более 3600 с.
Избыточное давление взрыва D Р для индивидуальных горючих веществ, состоящих из атомов С, Н, N, Cl, Br, F, определяется по формуле, кПа:

где Рmax – максимальное давление взрыва газовоздушной или паровоздушной смеси в замкнутом объеме, определяемое экспериментально или по справочным данным. При отсутствии данных допускается принимать Рmax равным 900 кПа;
Р0 – начальное давление, кПа (допускается принимать равным 101 кПа);
m – масса горючего газа (ГГ) или паров ЛВЖ и горючих жидкостей (ГЖ), вышедших в результате расчетной аварии в помещение, вычисляемая для ГГ по формуле (7.4), а для паров ЛВЖ и ГЖ по формуле (7.5), кг;
Vсв – свободный объем помещения, м3, который определяется как разность между объемом помещения и объемом, занимаемым технологическим оборудованием. Если свободный объем помещения определить невозможно, то его допускается принимать равным 80 % геометрического объема;
Z – коэффициент участия горючего во взрыве, который может быть рассчитан на основе характера распределения газов и паров в объеме помещения согласно [7.3].
Допускается принимать Z по табл. 7.2;
Таблица 7.2
Коэффициент участия горючего во взрыве
|
Вид горючего вещества |
Значение Z |
|
Водород Горючие газы (кроме водорода) Легковоспламеняющиеся и горючие жидкости, нагретые ниже температуры вспышки и выше Легковоспламеняющиеся и горючие жидкости, нагретые ниже температуры вспышки, при наличии образования аэрозоля Легковоспламеняющиеся и горючие жидкости, нагретые ниже температуры вспышки, при отсутствии образования аэрозоля |
1,0 0,5 0,3 0,3 0 |
r гп=М / V0(1+0,00367tр), (7.2)
где М – молярная масса, кг× кмоль-1;
V0 – мольный объем, равный 22,413 м3× кмоль-1;
tр – расчетная температура, ° С, которую допускается принимать равной 61 ° С;
Сст – стехиометрическая концентрация ГГ или паров ЛВЖ и ГЖ, % (об), принимается по справочным данным или вычисляется по формуле
Сст=100 / (1+4,84b ), (7.3)
где b = nc +


nc, nн, nx, n0 – число атомов С, Н, О и галоидов в молекуле горючего.
Ки – коэффициент, учитывающий негерметичность помещения; допускается принимать равным 3.
Масса m, кг поступившего в помещение при расчетной аварии газа определяется по формуле
m=(Va+Vт)× r г, (7.4)
где Va – объем газа, вышедшего из аппарата, м3;
Vт – объем газа, вышедшего из трубопроводов, м3.
При этом Va = 0,01× Р1× V,
где Р1 – давление в аппарате, кПа;
V – объем аппарата, м3;
Vт = V1т + V2т,
где V1т – объем газа, вышедшего из трубопровода до его отключения, м3;
V2т – объем газа, вышедшего из трубопровода после его отключения, м3.
V1т=q× Т',
где q – расход газа, определяемый в соответствии с технологическим процессом, м3/с;
Т' – время, необходимое для отключения аппарата (см. выше).
V2т=0,0314× Рz× (r12× L1+…+rn2× Ln),
где Рz – максимальное давление в трубопроводе по технологическому регламенту, кПа;
r – внутренний радиус трубопроводов, м;
L – длина трубопроводов от аварийного аппарата до задвижек, м.
Масса паров жидкости m, поступивших в помещение определяется из выражения
m = mp + mемк + mсв.окр., (7.5)
где mp – масса жидкости, испарившейся с поверхности разлива, кг;
mемк – масса жидкости, испарившейся с поверхностей открытых емкостей, кг;
mсв.окр. – масса жидкости, испарившейся с поверхностей, на которые нанесен применяемый состав, кг.
При этом каждое из слагаемых в формуле (7.5) определяется по формуле
m = W× Fn× T , (7.6)
где W – интенсивность испарения, кг× с-1× м-2;
Fn – площадь испарения, м2.
Интенсивность испарения W определяется по справочным или экспериментальным данным или по формуле
W=10-6× h ×

где h – коэффициент, принимаемый по табл. 7.3 в зависимости от скорости и температуры воздушного потока над поверхностью испарения;
Рн – давление насыщенного пара при расчетной температуре жидкости tр, определяемое по справочным данным, кПа.
Таблица 7.3
|
Скорость воздушного потока в помещении, м× с-1 |
Значение коэффициента h при температуре t (° С) воздуха в помещении |
||||
|
10 |
15 |
20 |
30 |
35 |
|
|
0 0,1 0,2 0,5 1,0 |
1,0 3,0 4,6 6,6 10,0 |
1,0 2,6 2,8 5,7 8,7 |
1,0 2,4 3,5 5,4 7,7 |
1,0 1,8 2,4 3,6 5,6 |
1,0 1,6 2,3 3,2 4,6 |
К=А× Т+1, (7.8)
где А – кратность воздухообмена, создаваемого аварийной вентиляцией, с-1.
Если D Р будет по расчету более 5 кПа, то помещение относится к взрывопожароопасному, если менее 5 кПа – к невзрывопожароопасному.
Задача Определить категорию помещения, в котором размещается технологический процесс с использованием ацетона.
Ацетон находится в аппарате объемом Vап=0,07 м3. Длина напорного и обводящего трубопроводов d=0,05 м равна соответственно 3 и 10 м. Производительность насоса q=0,01 м3× мин-1.
Отключение насоса автоматическое. Объем помещения составляет 10000 м3 (48х24х8,7). Основные строительные конструкции здания железобетонные (D Рдоп = 25 кПа). Кратность аварийной вентиляции А=10 ч-1. Скорость воздушного потока в помещении при работе аварийной вентиляции равна 1,0 м× с-1. Температура ацетона равна температуре воздуха и составляет 293 К. Плотность ацетона r =792 кг× м-3.
Решение
1. Объем ацетона, вышедшего из трубопроводов при времени автоматического отключения в 2 мин, составляет
Vтр=qt +(


Vп=Vтр+Vап= 0,046+0,07=0,116 м3.
mп=Vп× r =0,116× 792=91,9 кг,
где r – плотность ацетона.
W=10-6× h


Т=m/(W× S)=91,9 / (1,44× 10-3× 116)=550 с=0,153 ч.
r гп=М / V0(1+0,00367tр) = 58,08 / (22,413(1+0,00367× 61)) =
= 2,117 кг/м3.
Сст=100 / (1+4,84× 4)=4,91 % об.
Vсв=0,8Vпом=0,8× 10000=8000 м3.
m=W× Fп× T× К-1=1,44× 10-3× 116× 550× 2,53-1=36,3 кг,
где К=А× Т+1=10× 0,153+1=2,53.

Поскольку D Р (3,48 кПа) < 5 кПа, то помещение в целом относится к невзрывопожароопасным.
Взрывоопасная зона в соответствии с [7.4] будет в пределах 5 м по вертикали и горизонтали от аппарата, из которого выделяется горючее вещество.
Вопрос Как определить категории помещений В1-В4 по пожарной опасности?
Ответ
Определение пожароопасной категории помещения осуществляется путем сравнения максимального значения удельной пожарной нагрузки на любом из участков с величиной удельной пожарной нагрузки, приведенной в таблице 7.4.
Таблица 7.4
Удельная пожарная нагрузка на участке
|
Категория помещения |
Удельная пожарная нагрузка g на участке, МДж× м-2 |
Способ размещения пожарной нагрузки |
|
В1 |
Более 2200 |
не нормируется |
|
В2 |
1401– 2200 |
см. ниже |
|
В3 |
181–1400 |
см. ниже |
|
В4 |
1–180 |
на любом участке пола помещения площадью 10 м2, способ размещения участков пожарной нагрузки рассмотрен ниже |
В помещениях категории В4 расстояния между этими участками должны быть больше предельных. В табл. 7.5 приведены рекомендуемые значения предельных расстояний lпр в зависимости от величины критической плотности падающих лучистых потоков qкр, кВт× м-2 для пожарной нагрузки, состоящей из твердых горючих и трудногорючих материалов.
Таблица 7.5
Рекомендуемые значения предельных расстояний lпр в зависимости от величины критической плотности падающих лучистых потоков qкр
|
qкр, кВт× м-2 |
5 |
10 |
15 |
20 |
25 |
30 |
40 |
50 |
|
lпр, м |
12 |
8 |
6 |
5 |
4 |
3,8 |
3,2 |
2,8 |
l=lпр+(11-Н),
где lпр – определяется из табл. 7.5;
Н – минимальное расстояние от поверхности пожарной нагрузки до нижнего пояса ферм перекрытия, м.
Значение qкр берется из справочной литературы. Для материалов пожарной нагрузки с неизвестными значениями qкр значения предельных расстояний lпр>12 м.
Для пожарной нагрузки, состоящей из ЛВЖ и ГЖ, рекомендуемое расстояние lпр между соседними участками размещения (разлива) пожарной нагрузки определяется по формулам
lпр>15 м при Н>11 м,
lпр>26-Н при Н<11 м.
Если при определении категорий В2 или В3 количество пожарной нагрузки Q, определенное по формуле 7.9, превышает или равно Q > 0,64× g× Н2, то помещение будет относиться к категориям В1 или В2 соответственно.
При пожарной нагрузке, включающей в себя различные сочетания горючих, трудногорючих жидкостей, твердых горючих и трудногорючих веществ и материалов в пределах пожарного участка, пожарная нагрузка Q, МДж определяется из соотношения

где Yi – количество i-го материала пожарной нагрузки, кг;
Q

Таблица 7.6
Низшая теплота сгорания некоторых материалов
|
Горючий материал |
Теплота сгорания, МДж× кг-1 |
Горючий материал |
Теплота сгорания, МДж× кг-1 |
|
Бумага разрыхленная |
13,4 |
Фенопласты |
11,3 |
|
Волокно штапельное |
13,8 |
Хлопок разрыхленный |
15,7 |
|
Древесина в изделиях |
16,6 |
Амиловый спирт |
39,0 |
|
Карболитовые изделия |
24,9 |
Ацетон |
20,0 |
|
Каучук синтетический |
40,2 |
Бензол |
40,9 |
|
Органическое стекло |
25,1 |
Бензин |
41,9 |
|
Полистирол |
39,0 |
Бутиловый спирт |
36,2 |
|
Полипропилен |
45,6 |
Дизельное топливо |
43,0 |
|
Полиэтилен |
47,1 |
Керосин |
43,5 |
|
Резинотехнические изделия |
33,5 |
Мазут |
39,8 |
|
Нефть |
41,9 |
Этиловый спирт |
27,2 |
определяется из соотношения

Задача
Определить категорию помещения по пожарной опасности площадью S=84 м2.
В помещении находится: 12 столов из деревостружечного материала массой по 16 кг; 4 стенда из деревостружечного материала массой по 10 кг; 12 скамеек из ДСП по 12 кг; 3 хлопчатобумажные шторы по 5 кг; доска из стеклопластика массой 25 кг; линолеум массой 70 кг.
Решение
1. Определяется низшая теплота сгорания материалов, находящихся в помещении (табл. 7.6):
Q

Q

Q

Q

2. По формуле 7.9 определяется суммарная пожарная нагрузка в помещении

3. Определяется удельная пожарная нагрузка q

Сравнивая полученные значения q=112,5 с приведенными в таблице 7. 4 данными, помещение по пожарной опасности относим к категории В4.
8. РАДИАЦИОННАЯ БЕЗОПАСНОСТЬ
8.1. Основные понятия и определения
Вопрос
Какое излучение называют ионизирующим?
Ответ
Ионизирующее излучение (в дальнейшем – ИИ) – излучение, взаимодействие которого с веществом приводит к образованию в этом веществе ионов разного знака. ИИ состоит из заряженных (a и b частицы, протоны, осколки ядер деления) и незаряженных частиц (нейтроны, нейтрино, фотоны).
Вопрос
Какие физические величины характеризуют взаимодействие ИИ с веществом и с биологическими объектами?
Ответ
Взаимодействие ИИ с веществом характеризуется поглощенной дозой.
Поглощенная доза D – основная дозиметрическая величина. Она равна отношению средней энергии dw, переданной ионизирующим излучением веществу в элементарном объеме, к массе dm вещества в этом объеме:
D=dw/dm. (8.1)
Энергия может быть усреднена по любому определенному объёму, и в этом случае средняя доза будет равна полной энергии, переданной объёму, деленной на массу этого объёма. В системе СИ поглощенная доза измеряется в Дж/кг и имеет специальное название грэй (Гр). Внесистемная единица – рад, 1рад = 0,01 Гр. Приращение дозы за единицу времени называется мощностью дозы


Для оценки радиационной опасности хронического облучения человека согласно [ 8.2] вводятся специальные физические величины – эквивалентная доза в органе или ткани НT,R
и эффективная доза Е.
Эквивалентная доза НT,R
– поглощенная доза в органе или ткани Т, умноженная на соответствующий взвешивающий коэффициент данного вида излучения WR:
НT,R=WR× DT,R , (8.3)
где DT,R – средняя поглощенная доза в ткани или органе Т;
WR – взвешивающий коэффициент для излучения вида R.
При воздействии различных видов ИИ с различными взвешивающими коэффициентами WR эквивалентная доза определяется как сумма эквивалентных доз для этих видов ИИ:

Значения взвешивающих коэффициентов приведены в табл. 8.1 [ 8.1] .
Таблица 8.1
Взвешивающие коэффициенты различных видов ИИ
|
Вид излучения |
WR |
|
Фотоны любых энергий |
1 |
|
Электроны и мюоны любых энергий |
1 |
|
Нейтроны с энергией: менее 10 кэВ |
5 |
|
От 10 до 100 кэВ |
10 |
|
От 100 кэВ до 2 МэВ |
20 |
|
От 2 до 20 МэВ |
10 |
|
Более 20 МэВ |
5 |
|
Протоны с энергией более 2 МэВ, кроме протонов отдачи |
5 |
|
a -частицы, осколки деления, тяжелые ядра |
20 |

где НТ – эквивалентная доза в органе или ткани Т;
WT – взвешивающий коэффициент радиочувствительности для органа или ткани Т; их значения приведены в табл. 8.2.
Таблица 8.2
Взвешивающие коэффициенты радиочувствительности
|
Наименование органов и тканей |
WT |
|
Гонады |
0,2 |
|
Красный костный мозг, желудок, толстый кишечник, легкие |
0,12 |
|
Грудная железа, печень, пищевод, мочевой пузырь, щитовидная железа |
0,05 |
|
Кожа, клетки костных поверхностей |
0,01 |
|
Остальное |
0,05 |
Приращение доз за единицу времени (секунду, минуту, час) называется мощностью дозы.

Вопрос Что является источником ионизирующего излучения?
Ответ
Источником ионизирующего излучения (в дальнейшем – ИИИ) является радиоактивное вещество или устройство, испускающее или способное испускать ИИ. ИИИ могут быть как природного (космические частицы, радиоактивные изотопы земной коры и т.п.), так и искусственного происхождения (топливо ядерных энергетических установок, радиоактивные отходы, ускорители и т.п.).
Вопрос
Какие физические величины характеризуют интенсивность радиоактивных изотопов как ИИИ?
Ответ
Интенсивность радиоактивных изотопов как источников ИИ можно характеризовать несколькими физическими величинами:
Активность – мера радиоактивности какого-либо количества радионуклида, находящегося в данном энергетическом состоянии в данный момент времени [ 8.2] :
А=dN/dt , (8.7)
где dN – ожидаемое количество спонтанных ядерных превращений из данного энергетического состояния, происходящих за промежуток времени dt. Единицей активности является беккерель (Бк), 1 Бк=1 распад/с. Внесистемная единица активности – кюри (Ки). 1 Ки=3,7× 1010 Бк.
При распаде радионуклидов образуются фотоны и частицы иногда разного типа, например, a и g , a и нейтроны, b и g , и т.д. Среднее количество частиц, образующихся при распаде одного ядра данного радионуклида называется выходом данных частиц:
h =Ni/N, (8.8)
где Ni – количество частиц i-го типа, образовавшихся при распаде N ядер данного радионуклида. Выход частиц может быть как больше, так и меньше 1.
Образующиеся при распаде частицы и фотоны имеют вполне определенную энергию Е, характерную для распада данного радионуклида, находящегося в данном энергетическом состоянии.
Таким образом, зная активность А радионуклида и выход частиц h , можно определить поток фотонов или частиц i-го вида, испускаемых данным радионуклидом:
Fi=A×h i . (8.9)
Это количество частиц радионуклид испускает равномерно во все стороны сферы, т.е. в телесный угол 4p . Тогда на расстоянии r от данного ИИИ плотность потока частиц или фотонов можно найти по следующему соотношению:
Ф=F/4p ×r2
, (8.10)
где Ф – плотность потока частиц или фотонов, частиц/с×м2.
8.2. Оценка радиационной обстановки
Оценка радиационной обстановки заключается в определении эффективной эквивалентной дозы, которую человек может получить находясь в данных условиях, и сравнении её с предельно допустимым значением.
Исходными данными при этом могут быть:
В зависимости от исходных данных используются различные методы расчета эффективной эквивалентной дозы.
Например, известен состав ИИ, мощность эффективной эквивалентной дозы и время облучения. Тогда эффективная эквивалентная доза определяется следующим образом:

где

t – время облучения, с.
Полученное значение Е сравнивают с предельно допустимым. Последнее установлено для трех категорий облучаемых лиц:
Согласно НРБ-99 [ 8.2] установлены основные пределы доз (ПД) для всех категорий облучаемых лиц, значения которых приведены в табл. 8.3.
Таблица 8.3
|
Нормируемые величины |
Пределы доз |
||
|
Персонал группы А |
Персонал группы Б |
Население |
|
|
Эффективная доза |
20 мЗв/год в среднем за любые последовательные 5 лет, но не более 50 мЗв/год |
5 мЗв/год в среднем за любые последовательные 5 лет, но не более 12,5 мЗв/год |
1 мЗв/год в среднем за любые последовательные 5 лет, но не более 5 мЗв/год |
В другом случае известен состав ИИ, мощность поглощенной дозы, создаваемой каждой составляющей ИИ, облучаемые органы и время облучения. Тогда эффективная доза определяется следующим образом:

где

WR – коэффициент качества R-й составляющей ИИ;
WT – коэффициент радиочувствительности Т-го органа;
n1 – количество облучаемых органов;
n2 – количество различных видов ИИ;
t – время облучения, с.
Обычно при подобных ситуациях облучается всё тело, поэтому S WT=1 и формула (8.12) упрощается:

Полученное по (8.12) или (8.13) значение Е сравнивают с соответствующим пределом дозы из табл. 8.3 и аналогично предыдущему делают вывод о радиационной обстановке.
Возможна ситуация, когда при прогнозе радиационной обстановки, создаваемой g -активным радионуклидом, известны активность радионуклида А, Бк, расстояние до источника и время облучения. В этом случае при оценке радиационной обстановки можно использовать следующее соотношение [ 8.1] :

где А – активность радионуклида, Бк;
Г – гамма-постоянная данного радионуклида, аГр×м2/c×Бк;
r – расстояние до ИИИ, м.
Гамма-постоянной радионуклида Г называется мощность поглощенной дозы в воздухе, создаваемая g-излучением точечного изотропного радионуклидного источника активностью А=1 Бк на расстоянии 1 м от него без начальной фильтрации излучения. В системе СИ единица измерения Г-постоянной аГр×м2/c×Бк (аттогрей×м2/с× Бк). Приставка "атто" означает множитель 10–18.
В подобных ситуациях есть только один вид ИИ и облучается, как правило, всё тело. Следовательно, эффективная доза численно равна поглощенной дозе, а ее значение может быть определено по соотношению:

Поскольку при облучении всего тела S WT=1, то (8.15) упрощается:

Еще одна ситуация, когда при прогнозе радиационной обстановки, создаваемой точечным радионуклидом, известны его активность, выход частиц, их энергия. В этом случае оценка радиационной обстановки может быть дана путём сопоставления реальной и допустимой плотности потока частиц на рабочем месте.
Плотность потока частиц на рабочем месте Ф определяется в соответствии с (8.9) и (8.10) как
Ф=А×h /4p ×r2 , (8.17)
где А – активность радионуклида, Бк;
h – выход частиц или фотонов;
r – расстояние до ИИИ, м.
Значение Ф, полученное по (8.17), сравнивают со среднегодовой допустимой плотностью потока для частиц или фотонов данного вида и данной энергии, определяемой по табл. 8.5 и 8.8 НРБ-99 [ 8.2] . Если полученное по (8.17) значение Ф больше значения Фдоп, определенного из [ 8.2] , то условия труда недопустимы и требуется уменьшение плотности потока частиц или фотонов на рабочем месте.
Наконец, известен вид ИИ, плотность потока частиц или фотонов и время облучения. Тогда оценка радиационной обстановки может быть дана путем сопоставления реальной эффективной дозы с соответствующим пределом дозы по табл. 8.3.
В этом случае реальная эффективная доза за время облучения t определяется по соотношению:
Е=h×Ф×t , (8.18)
где h – эффективная доза на единичный флюенс, Зв×см2; значение h определяется из табл. [ 8.2] и зависит от вида и энергии частиц и фотонов;
Ф – плотность потока частиц или фотонов на рабочем месте, см–2×с–1;
t – время облучения, с.
Если человек облучается потоками различных частиц или фотонов, то эффективная доза определяется по соотношению:
Е=t ×S h×Ф, (8.19)
где Ф, h – соответственно плотность потока частиц или фотонов данного вида и эффективная доза на единичный флюенс данного вида частиц или фотонов.
Задача Мощность эффективной дозы на рабочем месте равна 1мкЗв/ч. Работник из числа персонала группы А находится на этом рабочем месте 1000 часов в году. Оценить условия труда.
Решение Используя соотношение (8.11) находим:

Для персонала группы А ПДА=20 мЗв/год (табл. 8.3). Полученная доза меньше предела дозы, следовательно, радиационная обстановка на данном месте при данных условиях работы соответствует нормам.
Задача Мощность поглощенной дозы от источника нейтронов энергией 0,5 эВ на рабочем месте равна 1мкГр/ч. Работник из числа персонала группы А находится на этом рабочем месте 1000 часов в году. Облучается всё тело. Оценить условия труда.
Решение Используем соотношение (8.13) и принимая во внимание, что у нас только один вид ИИ, находим:

Здесь WR=5 по табл. 8. 1 для нейтронов энергией менее 10 кэВ. Полученная доза меньше предела дозы 20 мЗв/год, следовательно, радиационная обстановка на данном месте при данных условиях работы соответствует нормам.
Задача Оценить условия труда работника из числа персонала группы А, находящегося 100 дней в году в течение 1 часа на расстоянии 1м от радионуклида 57Со, активностью 1 Ки.
Решение Оценка условий труда сводится к определению годовой эффективной дозы и сопоставлении её с пределом дозы для персонала группы А. При данных условиях облучается всё тело, поэтому S WT=1, а т.к. используется g -источник, то WR=1 (табл.8.1). Определяем годовое время облучения:
t =100дн/год×1час/день×3600с/ч=3,6×105 с/год.
По таблице из [ 8.1] находим Г-постоянную 57Со Г=3,64 аГр× м2/с× Бк. Используя (8.16), определяем годовую эффективную дозу:

Сравнивая полученное значение с пределом дозы для персонала группы А ПДА=20 мЗв/год, видим, что радиационная обстановка не соответствует нормам – условия труда недопустимы.
Задача Активность источника нейтронов энергией 5 МэВ А=1 Ки, выход нейтронов h =0,001. Оценить условия труда на рабочем месте, расположенном на расстоянии 1 м от источника, если возможно пребывание работника из числа персонала группы А в течение 100 дней в году по 1 ч ежедневно.
Решение Как и в предыдущем примере оценка условий труда сводится к определению годовой эффективной дозы и сопоставлении её с пределом дозы для персонала группы А. Продолжительность облучения известна t =3,6× 105 с. Для определения годовой эффективной дозы воспользуемся соотношением (8.18), но вначале по (8.17) определим плотность потока нейтронов на данном рабочем месте, переведя расстояние в сантиметры:
Ф=А×h /4p ×r2=3,7×1010×0,001/4p ×1002=2,9×102 нетр./см2× с.
По таблице из [ 8.1] определяем эффективную дозу на единичный флюенс для нейтронов таких энергий h = 2,72× 10-10 Зв× см2 (для изотропного поля излучения). Тогда по (8.19) определяем годовую эффективную дозу:
Е=Ф×h×t =2,9×102×2,72×10–10×3,6×105=28 мЗв/год.
Сравнивая полученное значение с пределом дозы для персонала группы А ПДА=20 мЗв/год, видим, что условия труда недопустимы.
8.3. Защита от g -излучения
При прохождении через вещество в результате взаимодействия с ним интенсивность g -излучения падает. Однако законы ослабления g -излучения различаются в зависимости от вида источника ИИ.
Пусть на барьер-поглотитель падает моноэнергетический параллельный пучок g -излучения начальной плотностью потока фотонов Фо. Тогда после прохождения в веществе расстояния х плотность потока будет равна:
Фх=Фо× е–m ×х, (8.20)
где m – линейный коэффициент ослабления, 1/см, зависит от материала защиты и энергии фотонов; значения m для некоторых материалов и энергий фотонов приведены в табл. 8.4.
Таблица 8.4
Линейный коэффициент ослабления
|
Еg , МэВ |
m , см–1 |
m , см–1 |
m , см–1 |
m , см–1 |
m , см–1 |
|
вода |
бетон |
алюминий |
железо |
свинец |
|
|
0,5 |
0,0966 |
0,2 |
0,226 |
0,646 |
1,7 |
|
1,0 |
0,0706 |
0,146 |
0,165 |
0,467 |
0,771 |
|
1,25 |
0,0631 |
0,131 |
0,148 |
0,422 |
0,658 |
|
2,0 |
0,0494 |
0,103 |
0,116 |
0,333 |
0,508 |
|
10,0 |
0,0222 |
0,0529 |
0,0626 |
0,234 |
0,55 |
Соотношение (8.20) не учитывает рассеяние фотонов и справедливо только для так называемой геометрии узкого пучка, которая создается путем коллимации потока фотонов. Пучок фотонов, не удовлетворяющий этим условиям, называется широким. В абсолютном большинстве случаев при проектировании защиты рассеянием фотонов пренебрегать нельзя. В этом случае плотность потока будет равна:
Фх=Фо ×ехр(–m х)×В(Еg , Z, m ×х), (8.21)
где В(Еg, Z, m ×х) – фактор накопления, безразмерная величина, показывающая во сколько раз учет рассеяных фотонов увеличивает плотность потока фотонов за защитой.
Фактор накопления зависит от вещества защиты (Z – атомный номер), энергии фотонов Еg , толщины защиты х, расположения источника и детектора по отношению к защите, геометрии и компоновке защиты.
Фактор накопления может относиться к различным измеряемым параметрам g -излучения: числу фотонов (числовой фактор накопления – Вч); дозе излучения (дозовый фактор накопления – ВД). В зависимости от геометрии защиты и расположения источника и детектора относительно её возможны следующие варианты:
Некоторые значения факторов накопления изотропного источника в барьерной геометрии приведены в табл. 8.5.
Таблица 8.5
Дозовые факторы накопления в барьерной геометрии

Отношение Фо/Фх, где Фх определено по (8.21), часто называют коэффициентом ослабления широкого пучка или кратностью ослабления широкого пучка, Косл. Используя это понятие и для упрощения расчета защиты, разработаны таблицы для определения толщины защиты в зависимости от материала, кратности ослабления и энергии фотонов. Полностью эти таблицы приведены в [ 8.2] . Ниже, в табл. 8.6, приведен фрагмент одной из этих таблиц.
Таблица 8.6
Толщина защиты из свинца, cм в зависимости от кратности ослабления и энергии фотонов
|
Косл |
Энергия фотонов, МэВ |
|||||
|
0,5 |
1,0 |
1,25 |
2,0 |
4,0 |
10,0 |
|
|
1,5 |
0,2 |
0,8 |
0,95 |
1,2 |
1,2 |
0,9 |
|
5 |
1,1 |
2,8 |
3,4 |
4,3 |
4,5 |
3 |
|
10 |
1,6 |
3,8 |
4,5 |
5,9 |
6,4 |
4,2 |
|
100 |
3 |
7 |
8,45 |
11,3 |
12,1 |
8,7 |
|
200 |
3,4 |
8 |
9,65 |
12,9 |
13,8 |
10,2 |
|
500 |
4 |
9,2 |
11,3 |
15 |
16,1 |
11,9 |
|
1000 |
4,4 |
10,2 |
12,3 |
16,5 |
17,8 |
13,3 |
|
2000 |
5 |
11,1 |
13,5 |
17,9 |
19,5 |
14,8 |
Если источник g - излучения точечный, то он излучает фотоны равномерно во все стороны. При удалении от него даже при отсутствии поглощения в веществе плотность потока фотонов, а следовательно, и мощность дозы падают обратно пропорционально квадрату расстояния. Если расчетная точка находится на расстоянии х от точечного источника и между ними расположена бесконечная пластина толщиной d из материала с атомным номером Z, то плотность потока фотонов в расчетной точке можно определить по следующему соотношению:

где Вчб(Еg ,Z,m х) – числовой фактор накопления в барьерной геометрии;
А – активность источника, Бк;
h – выход фотонов.
Мощность дозы в расчетной точке определяется как
Dx=(Dr/x2)× ехр(–m х)× ВДб(Еg ,Z, m х), (8.23)
где Dx,Dr – соответственно мощности доз на расстоянии х и r от ИИИ;
ВДб(Еg ,Z, m х) – дозовый фактор накопления в барьерной геометрии.
Используя понятие кратности ослабления для барьерной геометрии, соотношение (8.23) можно представить в виде
Dx=(Dr/x2)/Косл(Еg ,Z, m х). (8.24)
Задача Измерения и расчеты показали, что мощность эффективной дозы, создаваемая на рабочем месте широким пучком g -излучения, составляет 200 мЗв/ч. Работа с данным ИИ выполняется 100 дней в году по 1 часу в день. Энергия фотонов 1,25 МэВ. Определить необходимую толщину экрана из свинца.
Решение Определяем допустимую мощность эффективной дозы при данных условиях работы.

Определяем требуемую кратность ослабления.

По табл. 8.6 находим, что ослабление в 1000 раз обеспечивает экран из свинца толщиной 12,3 см.
Задача Точечный изотропный источник 60Со активностью 1010 Бк необходимо перевезти на захоронение. Время перевозки около 100 часов. При этом расстояние до оператора 1м. Определить, будет ли обеспечена безопасность оператора, если источник поместить в свинцовый контейнер с толщиной стенки 10 см. Энергия фотонов 1,25 МэВ.
Решение Для решения задачи необходимо определить дозу, которую может получить оператор от ИИИ в данном контейнере на расстоянии 1м от него и сравнить её с ПДА.
Мощность поглощенной дозы от находящегося контейнере с толщиной стенки d =10 см точечного ИИИ на расстоянии г=1м от него определиться по соотношению

По таблице из [ 8.1] находим Г-постоянную 60Со Г=84,63 аГр× м2/с× Бк. По таблице из [ 8.2] находим для свинца и энергии фотонов 1,25 МэВ m =0,658 1/см.
Зная толщину стенки d =10 см, находим m × d =0,658× 10= =6,58. По табл. 8.5 для свинца, m × d =6,58 и энергии фотонов 1, 25 МэВ находим фактор накопления ВбД» 3. Подставляя найденные значения в (8.25), получаем:

За 100 часов поездки (3,6× 105 с) оператор получит поглощенную дозу:

Для g -излучения WR=1 (табл.8.1), а поскольку облучается все тело, то S WT=1. Тогда эффективная доза, полученная оператором за время транспортировки данного ИИИ в данных условиях составит

Полученная доза в 15 раз меньше предела дозы для персонала группы А равного 20 мЗв, следовательно, транспортировка ИИИ в данных условиях безопасна.
9. ОХРАНА ТРУДА В СТРОИТЕЛЬСТВЕ ЭНЕРГЕТИЧЕСКИХ ОБЪЕКТОВ
9.1. Определение опасных зон
Границы опасной зоны башенных кранов определяются площадью между подкрановыми путями, увеличенной в каждую сторону на

длина

ширина

где lп – длина подкранового пути, м;
b – ширина колеи, м;
R – максимальный вылет крюка, м;
Sн – отлет груза при его падении с высоты (табл. 9.1).
Таблица 9.1
Границы опасной зоны Sн в связи с падением предметов
|
Высота возможного падения предмета h, м |
Границы опасной зоны Sн, м |
|
|
Вблизи мест перемещения грузов |
Вблизи строящегося здания или сооружения (от внешнего периметра) |
|
|
До 20 20¸70 70¸120 120¸200 200¸300 300¸400 |
7 10 15 20 25 30 |
5 7 10 15 20 25 |
Отлет груза при падении с высоты h от точки его подвешивания может быть определен по формуле

Задача Требуется оценить возможную опасную зону при работе автомобильного крана на вылете R=11 м, при подъеме груза массой 2 т на высоту h =12м, при угловой скорости вращения стрелы w = 0,1 с-1.
Решение

Таким образом, в зависимости от погодных условий и габаритов груза опасную зону определяют:
для компактных грузов при безветренной погоде

для плит и панелей высокой парусности при ветреной погоде

Границы опасных зон вблизи движущихся частей и рабочих органов определяются расстоянием в пределах 5 м, если другие повышенные требования отсутствуют в паспорте и инструкции завода-изготовителя.
Граница опасной зоны в местах прохождения временных электрических сетей определяется пространством, в пределах которого рабочий может коснуться проводов монтируемыми длинномерными деталями. Опасная зона в этом случае определяется максимальной длиной детали плюс 1 м.
Границы опасной зоны высоковольтных линий электропередач, проходящих через территорию строительной площадки, устанавливают в зависимости от напряжения сети в обе стороны от крайних проводов: при напряжении до 20 кВ – 10, до 35 кВ – 15, до 110 кВ – 20, до 220 кВ – 25 м.
Граница опасной зоны вблизи выемок с откосами, разрабатываемых без механических креплений, связана с выходом следа поверхности скольжения от возможной призмы обрушения грунта на берму.
Положение границы опасной зоны относительно подошвы выемки в случае отсутствия пригрузки бермы можно определить по формуле:

где h – глубина выемки, м;

Таблица 9.2
Коэффициент заложения откоса, a
|
Грунт |
Коэффициент заложения откоса, a при глубине выемки, не более, м |
||
|
1,5 |
3 |
5 |
|
|
Насыпной неуплотняемый Песчаный и гравийный Смесь Глина Лесс и лессовидный |
0,67 0,5 0,25 0 0 |
1 1 0,67 0,5 0,25 |
1,25 1 0,85 0,5 0,5 |
Таблица 9.3
Наименьшее допустимое расстояние до подошвы траншеи
|
Глубина выемки, м |
Наименьшее допустимое расстояние lн, м для грунта (ненасыпного) |
|||
|
песчаного |
супесчаного |
суглинистого |
глинистого |
|
|
1 2 3 4 5 |
1,5 3 4 5 6 |
1,25 2,4 3,6 4,4 5,3 |
1 2 3,25 4 4,75 |
1 1,5 1,75 3 3,5 |
Решение

берма выемки свободна от нагрузки – lн = 2,8 м;
берма выемки имеет нагрузку – lн = 3,25 м.
9.2. Устойчивость кранов
Для свободно стоящих стреловых кранов проверка грузовой устойчивости обязательна при двух положениях крана. В первом случае кран установлен на рабочей площадке с наибольшим допустимым уклоном a при направлении стрелы в сторону уклона перпендикулярно ребру опрокидывания (рис. 9.1, а).

|
а) |
б) |
устойчивости стрелового крана
На кран со стороны противовеса действует ветровая нагрузка рабочего состояния и инерционные нагрузки, возникающие при работе механизмов подъема, поворота, изменения вылета и передвижения крана. Инерционная нагрузка, возникающая при передвижении крана, учитывается только при проверке устойчивости вдоль подкранового пути. Во втором случае при работе крана на площадке с наибольшим допустимым уклоном a стрела с грузом на максимальном вылете направлена в плане под углом 45° к ребру опрокидывания в сторону уклона рабочей площадки. В дополнение к первому расчетному случаю на кран действует касательная инерционная нагрузка от массы груза и стрелы, возникающая при работе механизма поворота крана в неустановившемся режиме.
9.3. Расчет ветровых нагрузок
За ветровую нагрузку на кран в рабочем состоянии принимается предельная нагрузка, при которой обеспечивается эксплуатация крана с номинальным грузом. Ветровой нагрузкой на кран в нерабочем состоянии считается предельная ветровая нагрузка, на которую должны быть рассчитаны элементы крана. Ветровая нагрузка определяется суммой статической и динамической составляющих.
Статическая составляющая ветровой нагрузки рассчитывается по формуле

где r – плотность воздуха;
u – скорость ветра, направленного параллельно земле;
к – коэффициент, учитывающий изменение динамического давления ветра по высоте;
с – коэффициент аэродинамической силы;
п – коэффициент перегрузки (для рабочего состояния п=1, для нерабочего п=1,1).
Для нерабочего состояния динамическое давление и скорость ветра на высоте 10 м над поверхностью земли в зависимости от района РФ следует принимать по табл. 9.4.
Таблица 9.4
Скорость и давление ветра
|
Показатель ветровой нагрузки |
Районы РФ |
||||||
|
I |
II |
III |
IV |
V |
VI |
VII |
|
|
Скорость ветра, м/с |
21 |
24 |
27 |
30 |
33 |
37 |
40 |
Динамическое давление ![]() |
270 |
350 |
450 |
550 |
700 |
850 |
1000 |
Для рабочего состояния крана динамическое давление

Таблица 9.5
Скорость и давление ветра
|
Назначение кранов |
Скорость ветра, м/с |
Динамическое давление, Па |
|
Краны: строительные, монтажные, для полигонов железобетонных изделий, штучных грузов, а также стреловые самоходные общего назначения |
14,0 |
125 |
|
Краны всех типов, устанавливаемые в речных и морских портах |
20,0 |
250 |
|
Краны, устанавливаемые на объектах, исключающих возможность перерыва в работе |
28,5 |
500 |
Задача
Оценить собственную устойчивость стрелового самоходного крана, выполненного по схеме рис. 9.1.б, если: G1=42,49 кН – вес поворотной части крана; G2=118,59 кН – вес неповоротной части крана, b=2,42 м, С1=1,44 м и С2=0,02 м, a =6°, h'1=2,1 м и h''1=1,0 м – расстояния от центра тяжести поворотной и неповоротной частей крана до плоскости, проходящей через точки ребра опрокидывания; А1=3,8 м2; А2=9,6 м2, r'2=2,3 м, r''2=1,1 м – наветренные площади и расстояния от плоскости, проходящей через точки опорного контура до центров приложения ветровой нагрузки поворотной и неповоротной частей крана соответственно. Район установки крана II.
Решение Расчет ветровой нагрузки ведем по формуле (9.1) Динамическое давление ветра для нерабочего состояния крана выбираем по табл. 9.4. Для района II РФ

Дальнейший расчет по алгоритму, приведенному в [9.1], показывает, что кран устойчив.
9.4. Определение расчетных параметров стропов и чалочных канатов
Строповку строительных конструкций производят по заранее разработанным схемам (рис. 9.2). Для подъема и перемещения крупногабаритных и длинномерных грузов применяют траверсы.
Чтобы определить технические данные гибких стропов, необходимо провести расчет (рис. 9.3).
Определяют усилие (натяжение) в одной ветви стропа

где S – расчетное усилие, приложенное к стропу, без учета коэффициента перегрузки и воздействия динамического эффекта, кН;
Q – вес поднимаемого груза, Н;
m – общее число ветвей стропа;
a – угол между направлением действия расчетного усилия стропа;
k – коэффициент, зависящий от угла наклона a ветви стропа к вертикали (табл. 9.6):
Таблица 9.6
|
a , град |
0 |
15 |
30 |
45 |
60 |
|
k |
1 |
1,03 |
1,15 |
1,42 |
2 |


Рис. 9.2. Схемы строповки конструкций:
а – двухветвевым стропом; б – траверсой в двух точках; в – траверсой в трех точках с уравнительным роликом; г – траверсой в четырех точках с двумя уравнительными роликами; д – трехветвевым стропом; е – траверсой в четырех точках; ж – продольной и двумя поперечными траверсами в четырех точках; з – подъем вертикального элемента; и – подъем наклонного элемента; 1 – центр тяжести груза; 2 – траверса; 3 – ролик; 4 – строп; a – угол между стропом и вертикалью

Рис. 9.3. Схема для расчета усилий в ветвях стропа
Определяют разрывное усилие в ветви стропа

где kз – коэффициент запаса прочности для стропа, определяемый в зависимости от типа стропа.
По найденному разрывному усилию по табл. 9.7 подбирают канат и определяют его технические данные: временное сопротивление разрыву, ближайшее большее к расчетному, и его диаметр.
Таблица 9.7
Техническая характеристика стальных канатов
|
Диаметр каната, мм |
Масса 100 м смазанного каната, кг |
Маркировочная группа по временному сопротивлению разрыву, МПа |
|||
|
1400 |
1600 |
1700 |
1800 |
||
|
Канат типа ТК 6´ 19 |
|||||
|
11 |
43,3 |
52 560 |
60 050 |
63 850 |
65 800 |
|
14,5 |
71,5 |
86 700 |
99 000 |
105 000 |
108 000 |
|
17,5 |
107 |
129 000 |
147 500 |
157 000 |
161 500 |
|
19,5 |
127,5 |
154 500 |
176 500 |
187 500 |
193 500 |
|
21 |
149,5 |
1 810 000 |
207 000 |
220 000 |
227 000 |
|
22,5 |
173,5 |
210 000 |
240 000 |
255 000 |
263 000 |
|
24 |
199 |
241 000 |
275 500 |
292 500 |
302 000 |
|
Диаметр каната, мм |
Масса 100 м смазанного каната, кг |
Маркировочная группа по временному сопротивлению разрыву, МПа |
|||
|
1400 |
1600 |
1700 |
1800 |
||
|
Канат типа ТК 6´19 |
|||||
|
27 |
255,5 |
309 500 |
364 000 |
376 000 |
387 500 |
|
29 |
286 |
347 000 |
396 500 |
421 500 |
434 000 |
|
32 |
353 |
428 000 |
489 500 |
520 000 |
536 000 |
|
35 |
427 |
518 000 |
592 000 |
614 500 |
648 000 |
|
38,5 |
508 |
616 000 |
704 000 |
748 000 |
771 000 |
|
Канат типа ТК 6´ 37 |
|||||
|
9 |
27,35 |
— |
36 850 |
39 150 |
41 450 |
|
11,5 |
42,7 |
— |
57500 |
61 050 |
62 550 |
|
13,5 |
61,35 |
— |
82 400 |
87 700 |
89 600 |
|
15 |
83,45 |
98 400 |
112 000 |
119 000 |
122 000 |
|
18 |
109 |
128 000 |
146 500 |
155 500 |
159 500 |
|
20 |
138 |
162 000 |
185 500 |
197 000 |
202 000 |
|
22,5 |
170,5 |
200 000 |
229 000 |
243 500 |
249 000 |
|
24,5 |
206 |
242 500 |
277 000 |
294 500 |
301 500 |
|
27 |
245,5 |
289 000 |
330 500 |
361 000 |
360 000 |
|
29 |
288 |
339 000 |
387 500 |
412 000 |
422 000 |
|
31,5 |
334 |
393 600 |
449 500 |
478 000 |
489 500 |
|
33,5 |
383,5 |
451 500 |
616 500 |
548 500 |
661 500 |
|
36,5 |
436 |
514 000 |
687 500 |
624 000 |
639 500 |
|
38 |
492 |
580 000 |
662 500 |
704 000 |
721 500 |
|
39,5 |
551,5 |
650 000 |
743 000 |
789 500 |
808 500 |
Задача Требуется определить диаметр каната стропа для подъема груза весом 102 кН с зацепкой крюками при угле отклонения ветвей стропа от вертикали 45° , число ветвей m=4. Для a =45° коэффициент k=1,42.
Решение Усилие, действующее на одну ветвь стропа,
S = 1,42× 102 / 4=36,2 кН.
Разрывное усилие ветви стропа, изготовленного из стального каната, R ³ kзS. При kз = 6, R = 6 × 36,2 = 217,26 кН.
10. БЕЗОПАСНОСТЬ В ЧРЕЗВЫЧАЙНЫХ СИТУАЦИЯХ
10.1. Чрезвычайные ситуации: определения основных понятий и классификации
Вопрос Что следует понимать под чрезвычайной ситуацией?
Ответ Наиболее строгое определение понятия чрезвычайной ситуации приведено в [10.2]. В соответствии с ГОСТом, чрезвычайная ситуация (ЧС) есть состояние, при котором в результате возникновения источника чрезвычайной ситуации на объекте, определённой территории или акватории, нарушаются нормальные условия жизни и деятельности людей, возникает угроза их жизни и здоровью, наносится ущерб имуществу населения, народному хозяйству и окружающей природной среде.
Понятие чрезвычайной ситуации основано на том, что источником чрезвычайной ситуации является опасное происшествие, в результате которого создаются поражающие факторы прямого или косвенного воздействия на человека.
Вопрос Что такое поражающие факторы воздействия?
Ответ При системном подходе биосфера представляется совокупностью систем. В любой системе, включающей в себя человека, воздействия одних элементов на другие осуществляются посредством вещества, энергии и информации. Вещество, воздействующее на человека, может быть твёрдым, жидким и газообразным; однофазным, двухфазным и многофазным; обладать различным физическим, химическим, биохимическим и физиологическим действием на организм. Энергия, воздействующая на человека, проявляет себя в акустической, гравитационной, механической, тепловой, электрической, электромагнитной и других формах; каждая из них обладает своими биологическими эффектами. Информация оказывает воздействие на человека лишь тогда, когда она воспринята им и преобразована в знание.
Воспринятое знание и знание, приобретённое ранее, побуждает человека к определённому типу поведения, например, к бездействию.
Воздействия энергии и вещества можно классифицировать по продолжительности, направлению и результатам действия. В зависимости от продолжительности действия выделяют воздействия острые, осуществляемые в течение малого периода времени; воздействия хронические, осуществляемые в течение достаточно длительного периода времени. По направлению действия различают воздействия прямые, направленные непосредственно на человека; воздействия косвенные, направленные на другие элементы системы, которые преобразуют и переводят воздействие к человеку. Результаты воздействия могут носить благоприятный и неблагоприятный характер, в том числе негативный, проявляющийся в травмах, болезнях, летальных исходах.
Проявления энергии и вещества относительно человека можно выразить через совокупность факторов воздействия. Необходимо принять то, что фактор воздействия представляет собой физическую величину, значение которой можно измерить или получить расчётом.
Результат воздействия любого фактора на человека зависит от его величины и времени действия. Весь диапазон возможных значений фактора воздействия с учётом продолжительности его действия можно разделить на интервалы следующими характеристическими значениями:
Набор указанных значений для каждого фактора образует шкалу воздействий, которая может носить индивидуальный или осреднённый характер.
Фактор, по своим параметрам превышающий значение предельно допустимого уровня воздействия, относится к числу негативных. Фактор, по своим параметрам превышающий пороговое значение, относится к числу поражающих.
Вопрос Что следует понимать под безопасностью при чрезвычайных ситуациях?
Ответ Все факторы воздействия в системе целесообразно разделить на факторы детерминированные и стохастические. Детерминированный фактор жестко обусловлен причинно-следственными связями в этой системе. Стохастический фактор проявляется случайно и относится к вероятностным факторам. Такое разделение основано на детерминированно-стохастическом характере развития природы. Человек, неразрывно связанный с биосферой, существует в условиях отсутствия всеобъемлющего знания о биосфере, поэтому его жизнедеятельность сопряжена с неопределённостью, а следовательно, с риском. Стохастический фактор, по своим параметрам превышающий значение предельно допустимого уровня воздействия, при ненулевой вероятности своего проявления относится к числу опасных факторов и является опасностью. Численное значение риска может быть пренебрежимо малым. С учётом этого стохастический фактор воздействия относится к опасным факторам, если уровень риска, которым он измеряется, превышает приемлемый. Приемлемый риск есть минимальный риск, уровень которого допустим и обоснован, исходя из ожидаемых последствий реализации опасностей для элементов биосферы.
Любая система биосферы относится к числу открытых систем. На состояние её элементов способны оказывать влияние вещество, энергия, информация, порождаемые другими системами. В связи с этим следует различать безопасность внутреннюю и внешнюю. Внутренняя безопасность системы есть интегральное свойство, отражающее её способность существовать и исполнять свою функцию в условиях приемлемого риска.
Источником опасности может быть любой элемент системы, в том числе человек, осуществляющий деятельность в этой системе. Внешняя безопасность системы есть состояние защищённости её элементов от воздействия негативных стохастических факторов, способных образоваться в тех системах биосферы, в зонах влияния которых располагается данная система.
Безопасность в чрезвычайной ситуации есть состояние защищённости населения, объектов народного хозяйства и окружающей природной среды от поражающего воздействия совокупности поражающих факторов источника ЧС. Защищённость в чрезвычайной ситуации определяется деятельностью, направленной на предотвращение, а также на преодоление и снижение т.е. на ликвидацию негативных последствий реализации опасностей ЧС.
Вопрос Как классифицируются чрезвычайные ситуации?
Ответ По характеру источника различают техногенные, природные, биолого-социальные (биосоциальные) и военные чрезвычайные ситуации.
Источником техногенной чрезвычайной ситуации является опасное техногенное происшествие. К опасным техногенным происшествиям относятся аварийные взрывы в промышленной зоне индустриально-селитебного комплекса; аварии на инженерных и транспортных коммуникациях; пожары в промышленной зоне индустриально-селитебного комплекса; химические аварии, связанные с поступлением в окружающую среду опасных химических веществ; радиационные аварии и т.п.
Источником природной чрезвычайной ситуации является опасное природное явление, в результате которого на определённой территории или акватории может возникнуть чрезвычайная ситуация. Опасное природное явление есть событие природного происхождения или результат деятельности природных процессов, которые по своей интенсивности, масштабу распространения и продолжительности могут вызвать поражающее воздействие на людей, объекты народного хозяйства и окружающую природную среду. К опасным природным явлениям относятся опасные геологические, гидрологические и метеорологические явления, а также природные пожары.
Источником биосоциальной чрезвычайной ситуации может быть особо опасная или широко распространённая инфекционная болезнь людей, сельскохозяйственных животных и растений.
Источником военной чрезвычайной ситуации является применение современных средств поражения. К современным средствам поражения относятся боевые средства, находящиеся на вооружении войск, применение которых в военных действиях вызывает гибель людей, животных и растений, разрушения и повреждения объектов народного хозяйства, элементов окружающей природной среды.
Правительство РФ своим постановлением [10.10] утвердило положение о классификации чрезвычайных ситуаций природного и техногенного характера, в соответствии с которым ЧС классифицируются в зависимости от: количества пострадавших людей; количества людей, у которых нарушены условия жизнедеятельности; размера материального ущерба; размеров зон распространения поражающих факторов источника чрезвычайной ситуации.
В соответствии с этим постановлением, чрезвычайные ситуации подразделяются на локальные, местные, территориальные, региональные, федеральные и трансграничные.
К локальной относится чрезвычайная ситуация, в результате которой пострадало не более 10 человек, либо нарушены условия жизнедеятельности не более 100 человек, либо материальный ущерб составляет не более 1 тыс. минимальных размеров оплаты труда на день возникновения ЧС и зона чрезвычайной ситуации не выходит за пределы территории объекта производственного или социального назначения.
К местной относится чрезвычайная ситуация, в результате которой пострадало свыше 10, но не более 50 человек, либо нарушены условия жизнедеятельности свыше 100, но не более 300 человек, либо материальный ущерб составляет свыше 1 тыс., но не более 5 тыс. минимальных размеров оплаты труда на день возникновения ЧС и зона чрезвычайной ситуации не выходит за пределы населённого пункта, города, района.
К территориальной относится чрезвычайная ситуация, в результате которой пострадало от 50 до 500 человек, либо нарушены условия жизнедеятельности от 300 до 500 человек, либо материальный ущерб составляет от 5 тыс. до 0,5 млн минимальных размеров оплаты труда и зона чрезвычайной ситуации не выходит за пределы субъекта РФ.
К региональной относится чрезвычайная ситуация, в результате которой пострадало от 50 до 500 человек, либо нарушены условия жизнедеятельности от 500 до 1000 человек, либо материальный ущерб составляет от 0,5 млн до 5 млн минимальных размеров оплаты труда и зона чрезвычайной ситуации охватывает территорию двух субъектов РФ.
К федеральной относится чрезвычайная ситуация, в результате которой пострадало свыше 500 человек, либо нарушены условия жизнедеятельности свыше 1000 человек, либо материальный ущерб составляет свыше 5 млн минимальных размеров оплаты труда и зона чрезвычайной ситуации выходит за пределы территории двух субъектов РФ.
К трансграничной относится чрезвычайная ситуация, поражающие факторы которой выходят за пределы РФ или чрезвычайная ситуация, которая произошла за рубежом и затрагивает территорию РФ.
10.2. Техногенные чрезвычайные ситуации
Источник техногенной чрезвычайной ситуации - аварийный взрыв в промышленной зоне
Вопрос Что следует понимать под аварийным взрывом?
Ответ Аварийный взрыв, происходящий в воздушной среде, есть практически мгновенное преобразование энергии, связанное с изменением физико-химического состояния веществ, сопровождающееся образованием воздушной ударной волны с избыточным давлением на фронте волны, выше порогового значения. При давлениях, ниже порогового значения, воздушные волны не являются взрывными, а относятся к звуковым.
Все аварийные взрывы по характеру изменения состояния вещества можно разделить на взрывы физические и химические. Физический взрыв вызывается изменением физического состояния вещества, характеризующегося высокими, относительно окружающей среды, значениями температуры или давления. Химические взрывы связаны с химическими превращениями веществ.
К физическим взрывам относятся взрывы сосудов под давлением и паровые взрывы. Взрыв сосуда под давлением происходит вследствие снижения прочности стенок ёмкости; заполнения ёмкости веществом сверх установленного предела, приводящего к возникновению внутреннего давления, которое превышает предельно допустимые значения; нагрева герметизируемого в сосуде вещества до температур, превышающих предельно допустимые значения; химических превращений веществ, находящихся в ёмкости, которые приводят к росту внутреннего давления до значений, превышающих предельно допустимые.
Паровой взрыв возникает при смешении двух жидких веществ с разными температурами при условии, что температура одного из них значительно превышает температуру кипения другого.
Химические взрывы вызываются быстрыми химическими превращениями веществ. Химические превращения происходят в результате реакций взрывчатого разложения вещества; окислительных реакций; реакций полимеризации, изомеризации и конденсации сложных химических соединений; реакций в сложных смесях.
По характеру развития взрывного процесса в пространстве все химические взрывы подразделяются на сосредоточенные (точечные) или объёмные. Сосредоточенный взрыв есть взрыв твёрдого или жидкого вещества, занимающего малый, относительно зоны воздействия, объём. Объёмный взрыв есть дефлаграционный или детонационный взрыв газовоздушного, паровоздушного или пылевоздушного облака, занимающего значительный, относительно зоны воздействия, объём. Под облаком понимают рассеяние в атмосфере какого-либо вещества в твёрдом жидком или газообразном состоянии.
Химические взрывы классифицируют также по плотности взрывчатого вещества. Различают взрывы конденсированного и неконденсированного вещества. Взрывы конденсированных веществ вызываются твёрдыми и жидкими веществами, такими как тринитротолуол C6H2CH3(NO2)3
и нитроглицерин C3H5 (ОNO3)3. Взрывы неконденсированных веществ наблюдаются в смесях воздуха с горючими газами, парами или пылью.
Вопрос Какие поражающие факторы могут возникнуть в результате аварийных взрывов и каково их поражающее воздействие?
Ответ В процессе аварийного взрыва энергия взрывной системы переходит в энергию взрывного процесса, а именно в энергию ударной волны; энергию разлетающихся осколков, образующихся при разрушении оболочки, которая ограничивает взрывающееся вещество; энергию переносимых предметов и тел, вовлечённых во взрывной процесс динамическим напором воздушного потока; энергию теплового излучения раскаленных продуктов взрыва; остаточную энергию взрывной системы.
В зависимости от того, как распределится энергия во взрывном процессе, поражающими факторами взрыва могут стать параметры: воздушной ударной волны; движущихся осколков, обломков, предметов и тел; раскалённых продуктов взрыва и теплового излучения центральной зоны взрыва.
Действие взрыва на людей можно подразделить на прямое и побочное. Прямое действие связано с существенным увеличением давления воздуха окружающей среды в результате прихода фронта ударной волны. Человек как приёмник этой волны наиболее восприимчив к скорости повышения давления, к величине избыточного давления на фронте волны и к длительности воздействия. Части организма, отличающиеся существенной разницей в плотностях соседних тканей, наиболее поражаемы.
Лёгкие человека содержат множество альвеол, поэтому обладают меньшей плотностью, чем окружающие ткани, и, следовательно, очень чувствительны к действию взрывной волны. Повреждения лёгких являются прямой или косвенной причиной многих патофизиологических эффектов, среди которых лёгочные кровотечения и отёк, разрыв лёгких, закупорка кровеносных сосудов воздухом, потеря дыхательного запаса, образование мелких рубцов на лёгких.
Слуховой анализатор человека также проявляет очень высокую чувствительность к изменению давления. Ухо может откликаться на очень низкие величины потока акустической энергии, которые вызывают отклонение барабанной перепонки на расстояние, меньшее диаметра молекулы водорода. Однако ухо не способно верно реагировать на импульсы, период которых меньше 0,3 мс. При большой величине потока акустической энергии такие импульсы вызывают отклонение барабанной перепонки большой амплитуды. Именно такая реакция может стать причиной разрыва барабанной перепонки, повреждений среднего уха и т.п. Границей временной потери слуха [10.1] при нормально падающей волне для импульса фазы сжатия iS > 4 Па? с является уровень звукового давления в 160 дБ, 50 %-я вероятность разрыва барабанной перепонки наблюдается для iS > 80 Па? с при 195 дБ. К другим последствиям прямого действия взрыва относятся повреждения гортани, трахеи, брюшной полости, нервных окончаний спинного мозга и т.д.
Побочное действие взрыва связано с образованием осколков и обломков, переносом предметов и тел, с нагревом продуктов взрыва и тепловым излучением.
Осколки образуются при разрыве твёрдой оболочки взрывной системы. Их характеристиками, определяющими степень поражения, являются: масса, форма, плотность, площадь миделева сечения, скорость и угол падения при ударе. К патофизиологическим последствиям действия осколков относятся рваные раны кожи, проникающие ранения внутренних органов, грубые травмы, переломы черепа и проломы костей.
К побочным эффектам взрыва относится перенос тела и последующий тормозящий удар. В этом случае под действием давления фронта волны и динамического напора воздушного потока, создаваемого этой волной, тело может быть оторвано от твердой опоры и перенесено на некоторое расстояние. Повреждения могут возникнуть либо на стадии ускорения, либо во время тормозящего удара о твёрдую преграду. При подобных ударах наиболее уязвимой оказывается голова человека, кроме того, возможны травмы жизненно важных органов и переломы костей. К побочному действию взрывной волны относятся также поражения горячими продуктами взрыва и тепловым излучением. При взрывах пыли, паров или газов это может стать основной причиной гибели людей.
Вопрос Какими параметрами характеризуется воздушная ударная волна?
Ответ После инициирования взрыва расширяющиеся продукты взрывной системы образуют зону сжатого воздуха, которая в виде ударной волны перемещается в атмосфере. Ударная волна представляет собой область сжатия – разрежения воздуха со скачкообразным изменением давления на фронте волны. К параметрам, описывающим её характеристики, относятся: избыточное давление на фронте ударной волны; максимальное давление разрежения; продолжительность фазы сжатия; продолжительность фазы разрежения. Интегральная характеристика ударной волны, объединяющая в себе изменяющееся во времени давление и продолжительность фазы сжатия, называется импульсом фазы сжатия. Перемещающаяся зона сжатия ударной волны вовлекает в движение частицы воздуха. Они движутся с определённой скоростью и создают динамическое давление на любую преграду.
Давление на фронте волны по мере удаления от центра взрывной системы снижается.
Фронт волны последовательно проходит центральную зону, т.е. зону разлёта продуктов взрыва; ближнюю зону взрыва; дальнюю зону взрыва; зону вырождения ударной волны в звуковую.
Основными параметрами, характеризующими поражающую способность воздушной ударной волны, являются избыточное давление на фронте ударной волны и импульс фазы сжатия.
Взрыв резервуара высокого давления с химически инертным газом
При взрыве резервуаров высокого давления с химически инертными газами могут образовываться ударные волны, способные привести к серьёзным разрушениям и травмам. Энергию взрыва сосуда под давлением можно оценить по величине работы адиабатического расширения сжатого газа:

где Р1 – абсолютное давление газа в резервуаре до взрыва, Па; Р0 – атмосферное давление, Па; kr – показатель адиабаты газа, находящегося в резервуаре; Vr – объём резервуара, м3.
Предполагаем, что математическое описание газодинамики взрывного процесса исходит из теории точечного взрыва [10.4]. Математическая модель ударной волны будет основываться на приближенных аналитических выражениях с использованием безразмерных величин. Безразмерное расстояние от центра взрыва до фронта ударной волны можно получить из выражения:

динамический параметр

где Rпр – расстояние от центра взрыва до приёмника ударной волны, м; kу.в.
– коэффициент перехода энергии взрывного процесса в энергию ударной волны (в первом приближении kу.в. = 0,5).
Давление на фронте ударной волны можно определить по следующим уравнениям

где k – показатель адиабаты для газообразной среды, в которой образуется ударная волна; a – энергетический параметр.
Для вычисления энергетического параметра взрыва можно использовать формулы вида

Значения коэффициентов а1, а2, а3 приведены в табл. 10.1.
Таблица 10.1
Коэффициенты для вычисления энергетического параметра
|
№ п/п |
Параметр симметрии, n |
Показатель адиабаты, k |
а1 |
а2 |
а3 |
|
1 |
1 |
1,1-3 |
0,36011 |
-1,2700 |
-0,17912 |
|
2 |
1 |
1,2-2 |
0,36594 |
-1,2537 |
-0,18471 |
|
3 |
2 |
1,1-3 |
0,34649 |
-1,19796 |
-0,14134 |
|
4 |
2 |
1,2-2 |
0,35246 |
-1,1768 |
-0,13945 |
|
5 |
3 |
1,1-3 |
0,30774 |
-1,1598 |
0,11917 |
|
6 |
3 |
1,2-2 |
0,31246 |
-1,1409 |
-0,11735 |
Скорость частиц газа за фронтом ударной волны вычисляется по формулам:

Скорость звука при атмосферном давлении

Скорость движения фронта ударной волны

Плотность воздуха при давлении сжатия

Значение импульса фазы сжатия ударной волны определяется из приближенного выражения:

Динамическое давление воздушного потока, следующего за фронтом ударной волны, составляет

Уровень звукового давления, соответствующего давлению на фронте ударной волны

Для сферической симметрии (n =3) и воздушной среды (k=1,4):
энергетический параметр

давление на фронте при 0 < RS < 2

давление на фронте при RS
? 2

скорость воздушного потока при 0 < RS < 2

скорость воздушного потока при RS ? 2

импульс фазы сжатия

Задача В сферическом резервуаре радиусом 1 м давление азота в момент взрыва составило 3,2 МПа. Определить минимальное расстояние, начиная с которого не происходит временной потери слуха.
Решение Объём сосуда с азотом составляет:

Энергия взрыва

Динамический параметр

Задаёмся значением расстояния от центра взрыва до приёмника ударной волны Rпр = 40 м. Безразмерное расстояние от центра взрыва до фронта ударной волны

Скорость звука при атмосферном давлении

Импульс фазы сжатия

Границей временной потери слуха для iS > 4 Па? с является уровень звукового давления L = 160 дБ. Из соотношения

получаем pS = 2000 Па.
При Rпр = 40 м, когда RS ? 2

Полученное значение pS
меньше 2000 Па, потому задаёмся новым значением Rпр и повторяем расчёт. В итоге получим Rпр=37,1 м.
Источник техногенной чрезвычайной ситуации - пожар в промышленной зоне
Вопрос Какие поражающие факторы могут образоваться при пожарном горении?
Ответ В Федеральном законе "О пожарной безопасности" [10.8] даётся следующее определение понятию пожар: "Пожар есть неконтролируемое горение, причиняющее материальный ущерб, вред жизни и здоровью граждан, интересам общества и государства". Подобное определение позволяет считать пожар опасным происшествием, которое может стать источником чрезвычайной ситуации, сопровождающейся возникновением и реализацией поражающих факторов воздействия на человека, объекты народного хозяйства и окружающую природную среду.
Горением называется физико- химический процесс взаимодействия горючего вещества с окислителем, приводящий к высвобождению энергии и образованию продуктов горения.
К поражающим факторам пожара, способным воздействовать на человека, относятся: концентрация токсичных веществ в продуктах сгорания; оптические свойства дыма, проявляющиеся в повышенном светопоглощении; недостаточное количество кислорода во вдыхаемом воздухе, разбавленном продуктами горения; высокая температура и интенсивный лучистый тепловой поток зоны горения; параметры ударной волны при горении, протекающем по взрывному механизму.
Вопрос Какое поражающее воздействие оказывают поражающие факторы пожара на человека?
Ответ В соответствии со статистическими данными 60-70 % смертей при пожарах происходит в результате отравления и удушья. К токсичным веществам, образующимся при пожарном горении относятся: угарный газ (СО), цианиды (HCN), хлорсодержащие вещества (СОСl2), альдегиды (С3Н6О) и другие продукты неполного горения и пиролиза.
Микрочастицы сажи, золы, капельки смол и кислот, входящие в состав дыма, рассеивают и поглощают свет. При концентрации дисперсной фазы дыма более 0,1 г/м3 видимость в задымлённой среде составляет менее 10 метров. Ограничение видимости способно привести человека в паническое состояние, при котором вероятны действия, неадекватные складывающейся обстановке.
В помещениях при пожаре могут образовываться зоны, в которых концентрация токсичных веществ незначительна, в то же время концентрация кислорода существенно понижена. Известно, что содержание кислорода во вдыхаемом воздухе менее 15 % вызывает асфиксию и может привести человека к гибели.
Непосредственное воздействие пламени на человека способно привести к его быстрой гибели в результате болевого шока, т.е. вследствие нарушений функционирования жизненно важных органов.
Высокая температура зоны горения приводит к генерации интенсивного теплового излучения. Поражающее действие теплового излучения на человека приводит к ожогу открытых участков кожи и сетчатки глаза.
Ожоги кожных покровов по тяжести разделяют на 4 степени (табл. 10.2).
Таблица 10.2
Степени тяжести ожогов кожных покровов
|
Степень ожога |
Результат воздействия теплового излучения на кожный покров |
|
I |
Покраснение и отёк кожи |
|
II |
Образование пузырей, наполненных плазмой крови |
|
IIIA |
Неполное омертвение (некроз) кожного покрова |
|
IIIБ |
Полный некроз, поражение всех слоёв кожи |
|
IV |
Обугливание кожного покрова и некроз подлежащих тканей |
При ожогах II степени, охвативших более половины поверхности тела человека, вероятность летального исхода превышает 50 %. Количественным критерием ожога II степени может служить повышение температуры тела на глубине 0,1 мм от поверхности кожи до значения, равного 44,8 ° С [10.1].
Ожог сетчатки глаза происходит при изображении на ней высокотемпературной зоны горения. Параметрами, определяющими степень воздействия теплового излучения на сетчатку, являются энергия падающего потока (тепловой импульс), время облучения сетчатки и размер изображения зоны горения на сетчатке. Количественная взаимосвязь указанных параметров установлена экспериментально [10.1].
Аварийное горение углеводородного газа с образованием огневого шара
При разрушении резервуара с углеводородными газами СmHn выброс горючего вещества в атмосферу приводит к образованию облака. Облако смеси газов с воздухом, переобогащённой горючими веществами, неспособно гореть в детонационном режиме. Оно начинает гореть с внешней оболочки, горит по дефлаграционному механизму и образует огневой шар. Высокотемпературные продукты горения светятся и излучают тепловую энергию, что может стать причиной ожогов кожных покровов людей, находящихся на опасных расстояниях.
Огневой шар зарождается в момент контакта облака с источником зажигания. Поднимаясь, шар, образует грибовидное облако, ножка которого – восходящие конвективные потоки воздуха. Вовлекаемый воздух разбавляет и охлаждает газы, радиационные потери также вносят свой вклад в процесс быстрого охлаждения. Горение газов и вовлечённого воздуха продолжается до тех пор, пока температура горения не становится меньше температуры воспламенения.
Стехиометрическое уравнение горения углеводородов имеет вид:

где m – количество атомов углерода, n – количество атомов водорода.
Диаметр огневого шара можно определить по следующей формуле [10.6]:

где М – масса углеводородов, образовавших облако, т.
Время существования огневого шара

Верхний концентрационный предел распространения пламени

Коэффициент расхода окислителя для огневого шара, при котором происходит дефлаграционное горение, определяется значением верхнего концентрационного предела:

Состав продуктов горения в огневом шаре определяется соотношением горючих веществ и окислителя, а также температурой горения. При расчёте состава продуктов горения ограничимся определением удельных количеств основных компонентов, содержание которых в продуктах сгорания превышает 0,1 %. При a < 1 к ним относятся СО2, СО, Н2О, Н2, N2. Предварительно составляется система уравнений, которая включает в себя:

которое имеет вид

где tГ – температура горения, ° С.
Удельное количество углекислого газа определится из выражения

где g 1, g 2, g 3
– вспомогательные величины.
Удельное количество окиси углерода определится из выражения

_____________________
* Здесь и далее м3 компонента горения отнесен к м3
углеводородного газа.
Удельное количество водяного пара определится из выражения

Удельное количество водорода определится из выражения

Удельное количество азота определится из выражения

Удельное количество продуктов горения определится из выражения

Процентный состав продуктов горения

При расчёте состава продуктов неполного горения необходимо знать температуру горения. Если исходить из того, что радиационные потери из зоны горения компенсируются теплотой вторичного горения, а зависимость теплоёмкости от температуры носит линейный характер, то выражение для температуры горения имеет вид

Теплота сгорания углеводородных газов может быть определена по следующему выражению

Энтальпия продуктов горения при 2200 ° С составит

Теплота химического недожога продуктов неполного горения определится из выражения

Расчёт горения носит итерационный характер, т.к. константа равновесия зависит от температуры горения.
Высокая температура зоны горения приводит к генерации интенсивного теплового излучения. Излучателями являются многоатомные газы. Интегральный поток собственного излучения зоны горения, образованной излучающими газами, определяется по следующей формуле

где s о = 5,67? 10-8 Вт/(м2? К4) – коэффициент излучения абсолютно чёрного тела; tг – средняя температура зоны горения, ° С; F – площадь условной поверхности, ограничивающей зону горения, м2; e г – степень черноты зоны горения.
Для огневого шара степень черноты

где kг – коэффициент ослабления лучей, 1/м; Sэф – эффективная длина луча, м.
Значение коэффициента ослабления можно определить по следующей формуле

где "СО2", "Н2О" – процентное содержание углекислого газа и водяного пара в продуктах горения.
Эффективная длина луча для сферического объёма

где D – диаметр зоны горения, м.
Удельный тепловой поток, падающий на приёмника теплового излучения, определяется по формуле:

Fпр. – площадь поверхности условной сферы, образованной радиусом, равным расстоянию от центра зоны горения до приёмника теплового излучения, м2.
Облучённость тепловой энергией огневого шара, находящегося у поверхности земли, выражается:

где R – радиус огневого шара, м; tГ – средняя температура зоны горения, К; Rпр – расстояние от центра зоны горения до приёмника теплового излучения, м.
Поражающее действие теплового излучения на человека выражается в ожогах открытых участков кожи. Зависимость облучённости тепловой энергией от времени облучения при ожогах II степени приведена в табл. 10.3 [10.1].
Таблица 10.3
Облучённость тепловой энергией при ожогах II степени
|
Время облучения t , с |
Облучённость q, Вт/м2 |
Время облучения t , с |
Облучённость q, Вт/м2 |
|
2 |
18000 |
30 |
3000 |
|
3 |
14000 |
40 |
2500 |
|
4 |
10500 |
50 |
2000 |
|
6 |
8500 |
60 |
1850 |
|
10 |
6200 |
80 |
1600 |
|
20 |
3800 |
? 100 |
1400 |
Решение Число атомов углерода в горючем веществе

Число атомов водорода в горючем веществе

Теплота сгорания углеводородных газов

Диаметр огневого шара

Время существования огневого шара

Верхний концентрационный предел распространения пламени

Коэффициент расхода воздуха

Задаёмся температурой горения в первом приближении tГ = 1250 ° С. Константа равновесия

Вспомогательные величины

Удельное количество углекислого газа

Удельное количество окиси углерода

Удельное количество водяного пара

Удельное количество водорода

Удельное количество азота

Удельное количество продуктов горения

Процентный состав продуктов горения

Энтальпия продуктов горения

Теплота химического недожога

Температура горения

Задавались значением tГ =1250 ° С, расхождение с вновь полученным превышает 3 %, поэтому необходимо провести пересчёт. В итоге получаем tГ=1100 ° С; "СО2"=1,24 %; "Н2О"=3,36 %.
Эффективная длина луча

Коэффициент ослабления

Степень черноты

Облучённость тепловой энергией огневого шара, находящегося у поверхности земли, при времени облучения t =10 с (табл. 10.3) составляет q = 6200 Вт/м2.
Минимальное расстояние, начиная с которого не происходит ожогов II степени, составит

Источник техногенной чрезвычайной ситуации – химическая авария в промышленной зоне
Вопрос Какие вещества относятся к числу аварийно химически опасных веществ?
Ответ В соответствии с стандартом [10.3] под химической аварией понимается авария на химически опасном объекте, сопровождающаяся утечкой, проливом или выбросом опасных химических веществ, способная привести к гибели людей или химическому заражению окружающей природной среды. Химически опасный объект есть объект, на котором обращаются опасные химические вещества, при аварии на котором может произойти гибель людей или химическое заражение окружающей природной среды. Химическое заражение представляет собой распространение опасных химических веществ в окружающей природной среде в концентрациях, создающих угрозу для людей в течение определённого времени.
Опасное химическое вещество есть техногенное химическое вещество, прямое или опосредованное воздействие которого на людей может вызвать острые или хронические заболевания, или гибель. Под техногенным химическим веществом понимают вещество, которое получается, используется, перерабатывается, образуется, хранится, транспортируется, уничтожается, т.е. обращается в техносфере.
Согласно перечню сильнодействующих ядовитых веществ (СДЯВ), утверждённому в 1988 году, к СДЯВ отнесены 34 опасных химических вещества, среди которых: аммиак, сероводород, синильная кислота, фосген, хлор и т.д. В руководстве по аварийно химически опасным веществам (АХОВ) к ранее названным добавлены ещё 17 опасных химических веществ, среди которых: все боевые отравляющие вещества, диоксин, метиловый спирт, фенол, бензол, ртуть и др. Критериями отнесения вещества в разряд аварийно химически опасных являются:
Аварийно химически опасное вещество есть опасное химическое вещество, применяемое на химически опасном объекте в таком количестве, при котором вследствие химической аварии на этом объекте может произойти химическое заражение окружающей среды в поражающих живые организмы концентрациях.
Вопрос Какие поражающие факторы могут образоваться при химической аварии?
Ответ Факторами воздействия при химической аварии являются количество токсичного вещества, способное поступить из окружающей среды в организм, а также время действия этого вещества на человека. Поражающие факторы объединяются в одну величину, называемую токсической дозой.
Токсическая доза выражает собой количество опасного химического вещества, которое при попадании в организм человека вызывает определённый токсический эффект. В зависимости от эффекта различают смертельные, выводящие из строя и пороговые токсические дозы. Смертельная или летальная токсическая доза (LD) есть минимальное количество вещества, вызывающее при попадании в организм человека смертельный исход. Выводящая из строя токсическая доза (ID) – минимальное количество вещества, вызывающее при попадании в организм человека потерю дееспособного состояния. Пороговая токсическая доза (PD) – минимальное количество вещества, вызывающее при попадании в организм человека начальные симптомы поражения.
Опасные химические вещества попадают в организм человека через дыхательные пути, желудочно-кишечный тракт, кожные покровы и слизистые оболочки. В зависимости от способа попадания аварийно химически опасные вещества подразделяют на вещества ингаляционного действия (АХОВ ИД), вещества перорального действия (АХОВ ПД) и вещества кожно-резорбтивного действия (АХОВ КРД).
Кожно-резорбтивная токсическая доза представляет собой массу жидкого или твёрдого вещества, воздействующего на человека через кожу, слизистые оболочки и кровь и вызывающего определённый токсический эффект, отнесённую к 1 кг массы тела или к полной массе тела человека; измеряется в мг/кг или в мг.
Пероральная токсическая доза представляет собой массу вещества, воздействующего на человека при его заглатывании и вызывающего определённый токсический эффект, отнесённую к 1 кг массы тела или к полной массе тела человека. Ингаляционная токсическая доза представляет собой массу вещества, воздействующего на человека при вдыхании его с воздухом и вызывающего определённый токсический эффект. Ингаляционная токсическая доза определяется следующим выражением:

где МТ – масса тела человека, кг; VД – интенсивность дыхания человека, м3/с; t1, t2 – время начала и окончания воздействия опасного химического вещества, с; С(t) – переменная во времени концентрация ОХВ во вдыхаемом воздухе. При постоянной во времени концентрации опасного химического вещества

где t – время воздействия опасного химического вещества. Для людей, находящихся в одинаковых условиях, отношение VД/ МТ » пост., поэтому токсичность вещества можно выразить через значение коэффициента токсичности:

При острых поражающих воздействиях под ингаляционной токсической дозой часто понимают коэффициент токсичности D'=T=C? t. Исходя из этого, ингаляционная токсодоза есть произведение концентрации токсичного вещества, воздействующего через органы дыхания, и времени экспозиции, т.е. продолжительности периода вдыхания зараженного воздуха. Для характеристики уровней токсичности АХОВ при воздействии через органы дыхания используют среднепороговую токсодозу – PCt50, средневыводящую токсодозу ICt50 и среднесмертельную токсодозу LCt50, где число 50 указывает на пятидесятипроцентную вероятность поражения человека токсичным веществом. Для хлора летальная токсодоза составляет LСt50=6 мг? мин/л.
Выброс аварийно химически опасного вещества в окружающую среду
Аварийно химически опасные вещества попадают в окружающую среду в результате:
Параметры рабочего состояния аварийно химически опасного вещества и последствия потери этого состояния позволяют разделить АХОВ на 4 категории:
Выброс АХОВ первой, второй и третьей категории сопровождается образованием первичного облака. Радиус первичного облака полусферической формы можно определить по следующей формуле

где Мохв – масса опасного химического вещества, потерявшего рабочее состояние в результате выброса, кг; r о – плотность опасного химического вещества при нормальных условиях, кг/м3; kисп
– доля опасного химического вещества, испарившегося в момент выброса.
Плотность опасного химического вещества можно определить по следующей формуле:

где Мm , – молярная масса вещества, кг/кмоль; Vm – молярный объём вещества, м3/кмоль.
Значение коэффициента испарения зависит от категории вещества и его свойств: для веществ первой категории kисп = 1; для веществ четвёртой категории kисп
= 0; для веществ второй и третьей категории:

где iн – энтальпия вещества в условиях рабочего состояния, iк – энтальпия вещества в точке кипения, rисп – удельная скрытая теплота парообразования при температуре кипения.
Для определения энтальпий необходимо использовать следующую формулу:

где сж – коэффициент теплоёмкости опасного химического вещества в жидкой фазе; tохв
– температура опасного химического вещества, ° С.
Коэффициент теплоёмкости жидкости можно определить по формуле [10.12]:

где R – индивидуальная газовая постоянная вещества, Дж/кг/К; Тпр – приведённая температура опасного химического вещества; w – фактор ацентричности; сро – идеальногазовая теплоёмкость вещества, Дж/кг/К.
Приведённая температура вещества

где Ткр – критическая температура вещества, К.
Фактор ацентричности определяется по следующему выражению:

где Q – приведённая температура кипения, Ркр – критическое давление, МПа.
Приведённая температура

где Тк – температура кипения при нормальных условиях, К.
Идеальногазовая теплоёмкость

где t - температура, ° С; A, B, C, D – константы, значения которых определяются в зависимости от типа вещества (табл. 10.4).
Таблица 10.4
Характеристики некоторых АХОВ
|
ОХВ |
Тк |
A |
B |
C |
D |
|
Аммиак |
239,7 |
1604 |
1,399 |
1,003? 10-3 |
-0,6957? 10-6 |
|
Хлор |
238,9 |
379,8 |
0,4772 |
-0,5456? 10-3 |
0,2181? 10-6 |
Теплоту парообразования при температуре кипения можно определить по следующей формуле:

Время образования парового облака

С1 – скорость звука при атмосферном давлении.
Задача В резервуаре находился хлор в количестве 1 т при давлении насыщения и температуре 18 ° С. При его разрушении произошёл выброс токсичного вещества, который привёл к проливу хлора и образованию первичного облака. Определить начальный радиус первичного облака.
Решение Хлор относится к веществам 2-й категории, т.к. его критическая температура выше, а температура кипения ниже температуры окружающей среды (табл. 10.4), поэтому доля опасного химического вещества, испарившегося в момент выброса, 0 < kисп
< 1.
Приведённая температура кипения

Числитель выражения для фактора ацентричности

Знаменатель выражения для фактора ацентричности

Фактор ацентричности

Приведённая температура вещества

Идеальногазовая теплоёмкость в условиях рабочего состояния

Идеальногазовая теплоёмкость при температуре кипения

Коэффициент теплоёмкости жидкости в условиях рабочего состояния

Коэффициент теплоёмкости жидкости при температуре кипения

Энтальпия вещества в условиях рабочего состояния

Энтальпия вещества в точке кипения

Теплота парообразования

Коэффициент испарения для хлора

Плотность хлора при нормальных условиях

Радиус первичного облака полусферической формы

Источник техногенной чрезвычайной ситуации – радиационная авария
Вопрос Какой объект называют радиационно опасным?
Ответ Радиационная обстановка на территории индустриально-селитебного комплекса определяется: природной радиоактивностью косного вещества, включая излучения, приходящие из космоса; радиоактивным фоном, обусловленным проводившимися ранее испытаниями ядерного оружия; наличием территорий, загрязнённых радиоактивными веществами; эксплуатацией радиационно опасных объектов.
Радиационно опасным объектом называют объект, на котором хранят, перерабатывают, используют или транспортируют радиоактивные вещества, при аварии на котором может произойти облучение ионизирующим излучением или радиоактивное загрязнение людей, сельскохозяйственных животных и растений, объектов народного хозяйства, а также окружающей природной среды.
Радиационная авария есть авария на радиационно опасном объекте, приводящая к выходу или выбросу радиоактивных веществ или ионизирующих излучений за предусмотренные проектом для нормальной эксплуатации данного объекта границы в количествах, превышающих установленные пределы безопасности его эксплуатации. Радиоактивное загрязнение есть загрязнение земной поверхности, атмосферы, воды, продовольствия, пищевого сырья, кормов и различных предметов радиоактивными веществами в количествах, превышающих уровни, установленные нормами радиационной безопасности и правилами работы с радиоактивными веществами.
К радиационно опасным объектам относятся: исследовательские ядерные установки различного назначения; судовые ядерные энергетические установки; предприятия, использующие в своих технологиях радиоактивные материалы; предприятия ядерного топливного цикла. Ядерный топливный цикл предусматривает добычу руды, обогащение урана, изготовление тепловыделяющих элементов, использование ядерного топлива в реакторах атомных электрических станций, регенерацию ядерного топлива. Цикл завершает утилизация и захоронение радиоактивных отходов.
Вопрос Как происходит облучение при радиационных авариях?
Ответ Облучение возникает при воздействии на людей ионизирующего излучения. Облучение может быть внешним – от источников, находящихся вне тела человека, или внутренним – от источников, попавших внутрь организма. Аварийное облучение можно разделить на облучение, осуществляемое по прямым путям воздействия, и облучение, осуществляемое по непрямым путям воздействия. К облучению при прямом воздействии относятся:
К облучению при непрямом воздействии относится внутреннее облучение от радионуклидов, попавших в организм человека в результате их миграций по пищевым цепочкам.
Вопрос Какие факторы воздействия способны образоваться при радиационных авариях?
Ответ Факторами воздействия, способными возникнуть при радиационной аварии, являются:
Названные факторы объединяют в один фактор, называемый дозой облучения. Величина дозы облучения может быть выражена величиной дозы ионизирующего излучения, в частности, величиной эффективной эквивалентной дозы ионизирующего излучения.
Облучение фотонами от радионуклидов
Ожидаемую поглощённую дозу на всё тело человека от фотонного излучения веществ, загрязнивших земную поверхность, можно определить по следующей формуле [10.4]:

t – время облучения, с; АS
– поверхностная активность радионуклида, загрязнившего земную поверхность в момент оседания примеси

А – активность радионуклида, Бк; F – площадь, загрязнённая радионуклидом, м2; l ЭФ – эффективная постоянная распада

l – постоянная распада; l В – постоянная выведения нуклида из поверхностных слоёв вследствие биосферных процессов, по закону

Если источник представлен бесконечной поверхностью с косинусоидальным распределением излучения, то дозовый коэффициент определяется по формуле:

где r=1,09; kг
– безразмерный коэффициент, учитывающий глубину и характер распределения радионуклидов в приповерхностном слое, для поверхностного загрязнения kг=1; Гd – керма-постоянная, Гр· м2/c/Бк.
Керма-постоянная радионуклида характеризует мощность кермы в воздухе при стандартных условиях, содержание которых следующее: источник излучения – точечный изотропный; активность в источнике – 1 Бк; расстояние от источника до точки детектирования – 1 м. В табл. 10.5 приведены значения кермы-постоянной для некоторых нуклидов.
Принятие решений о защитных мерах основывается на определённых принципах и критериях. Принцип обоснования вмешательства основан на том, что предполагаемое вмешательство должно приносить облучаемым лицам больше пользы, чем вреда. Принцип оптимизации вмешательства исходит из того, что масштаб и длительность вмешательства должны быть оптимизированы таким образом, чтобы чистая польза от снижения дозы облучения была максимальной. При определённых обстоятельствах, сложившихся в результате радиационной аварии, необходимо применять срочные меры защиты. В табл 10.6 приведены прогнозируемые уровни облучения, при которых безусловно необходимо срочное вмешательство [10.7].
Таблица 10.5
Керма-постоянная радионуклидов
|
№ п/п |
Нуклид |
Период полураспада |
Керма-постоянная, аГр? м2/c/Бк |
|
1 |
![]() |
2,062 года |
57,14 |
|
2 |
![]() |
30, 14 года |
21,24 |
|
3 |
![]() |
371, 6 суток |
7,55 |
|
4 |
![]() |
285,8 суток |
1,782 |
|
5 |
![]() |
63,98 суток |
27,12 |
Уровни облучения, при которых безусловно необходимо срочное вмешательство
|
№ п/п |
Орган или ткань |
Поглощённая доза в органе или ткани за двое суток, Гр |
|
1 |
Всё тело |
1 |
|
2 |
Лёгкие |
6 |
|
3 |
Кожа |
3 |
|
4 |
Щитовидная железа |
5 |
|
5 |
Хрусталик глаза |
2 |
|
6 |
Гонады |
3 |
Задача Авария на радиационно опасном объекте привела к выбросу в атмосферу радиоактивных веществ и загрязнению территории цезием-134 с активностью АS=8,5 ГБк/м2. Определить по величине поглощенной дозы, приходящейся на всё тело, необходимость применения срочных мер защиты.
Решение Постоянная распада цезия-134 с периодом полураспада Т1/2 =2,062 года

Эффективная постоянная распада

Дозовый коэффициент

Прогнозируемая поглощённая доза на всё тело человека

Поглощённая доза за двое суток при которой безусловно необходимо срочное вмешательство составляет 1 Гр, т.е. необходимо применять срочные меры защиты, например, проводить эвакуацию населения.
10.3. Предупреждение техногенных чрезвычайных ситуаций
Вопрос Какие виды деятельности государства в области промышленной безопасности направлены на предупреждение техногенных чрезвычайных ситуаций?
Ответ Основными видами деятельности государства в области промышленной безопасности, направленными на предупреждение техногенных чрезвычайных ситуаций, являются:
Вопрос Какие объекты промышленности относят к опасным производственным объектам?
Ответ Опасными производственными объектами [10.9] являются предприятия или их цехи, участки, площадки, а также иные производственные объекты, на которых:
1) получаются, используются, перерабатываются, образуются, хранятся, транспортируются, уничтожаются следующие опасные вещества:
а) воспламеняющиеся вещества – газы, которые при нормальном давлении и в смеси с воздухом становятся воспламеняющимися и температура кипения которых при нормальном давлении составляет 20 ° С или ниже;
б) окисляющие вещества
– вещества, поддерживающие горение, вызывающие воспламенение и (или) способствующие воспламенению других веществ в результате окислительно-восстановительной экзотермической реакции;
в) горючие вещества
– жидкости, газы, пыли, способные самовозгораться, а также возгораться от источника зажигания и самостоятельно гореть после его удаления;
г) взрывчатые вещества
– вещества, которые при определённых видах внешнего воздействия способны на очень быстрое самораспространяющееся химическое превращение с выделением тепла и образованием газов;
д) токсичные вещества
– вещества, способные при воздействии на живые организмы приводить к их гибели и имеющие следующие характеристики:
е) высокотоксичные вещества – вещества, способные при воздействии на живые организмы приводить к их гибели и имеющие следующие характеристики:
ж) вещества, представляющие опасность для окружающей природной среды – вещества, характеризующиеся в водной среде следующими показателями острой токсичности:
2) используется оборудование, работающее под давлением более 0,07 МПа или при температуре нагрева воды более 115° С;
3) используются стационарно установленные грузоподъёмные механизмы, эскалаторы, канатные дороги, фуникулёры;
4) получаются расплавы чёрных и цветных металлов и сплавы на основе этих расплавов;
5) ведутся горные работы, работы по обогащению полезных ископаемых, а также работы в подземных условиях.
Вопрос В каких случаях и с какой целью разрабатывается декларация промышленной безопасности?
Ответ Декларация промышленной безопасности разрабатывается в обязательном порядке для опасных производственных объектов, на которых обращаются опасные техногенные вещества в количествах, превышающих установленные законом [10.9] значения. В табл. 10.7 и 10.8 приведены предельные количества опасных веществ, наличие которых на опасном производственном объекте является основанием для обязательной разработки декларации промышленной безопасности.
Таблица 10.7
Предельные количества опасных веществ
|
№ п/п |
Наименование опасного вещества |
Предельное количество опасного вещества, т |
|
1 |
Аммиак |
500 |
|
2 |
Нитрат аммония (нитрат аммония и смеси аммония, в которых содержание азота из нитрата аммония составляет более 28 % массы, а также водные растворы нитрата аммония, в которых концентрация нитрата аммония превышает 90 % массы) |
2500 |
|
3 |
Нитрат аммония в форме удобрений (простые удобрения на основе нитрата аммония, а также сложные удобрения, в которых содержание азота из нитрата аммония составляет более 28 % массы; сложные удобрения содержат нитрат аммония вместе с фосфатом и (или) калием) |
10000 |
|
4 |
Акрилонитрил |
200 |
|
5 |
Хлор |
25 |
|
6 |
Оксид этилена |
50 |
|
7 |
Цианистый водород |
20 |
|
8 |
Фтористый водород |
50 |
|
9 |
Сернистый водород |
50 |
|
10 |
Диоксид серы |
250 |
|
11 |
Триоксид серы |
75 |
|
12 |
Алкилы |
50 |
|
13 |
Фосген |
0,75 |
|
14 |
Метилизоцианат |
0,15 |

где n – количество видов опасных веществ; mi – количество применяемого вещества; Mi
– пороговое количество того же вещества.
Таблица 10.8
Предельные количества опасных веществ
|
№ п/п |
Виды опасных веществ |
Предельное количество опасного вещества, т |
|
1 |
Воспламеняющиеся газы |
200 |
|
2 |
Горючие жидкости, находящиеся на товарно-сырьевых складах и базах |
50000 |
|
3 |
Горючие жидкости, используемые в технологическом процессе или транспортируемые по магистральному трубопроводу |
200 |
|
4 |
Токсичные вещества |
200 |
|
5 |
Высокотоксичные вещества |
20 |
|
6 |
Окисляющие вещества |
200 |
|
7 |
Взрывчатые вещества |
50 |
|
8 |
Вещества, представляющие опасность для окружающей природной среды |
200 |
Декларация промышленной безопасности разрабатывается в составе проектной документации на строительство, расширение, реконструкцию, техническое перевооружение, консервацию и ликвидацию опасного производственного объекта. Декларация уточняется или разрабатывается вновь в случае:
Определение количества опасного вещества, обращающегося на опасном объекте
Массу опасного вещества, обращающегося на опасном производственном объекте, определяют по формуле

где r (P,T) – плотность вещества при давлении Р и температуре Т, определяемых условиями его хранения или перемещения, кг/м3; Vг – объём, который занимает вещество, м3.
Методика расчёта плотности зависит от агрегатного состояния вещества. При температуре больше критической вещество находится в газообразном состоянии при любом давлении. При температуре, меньше критической, состояние вещества зависит от величины давления. При давлении, большем давления насыщения, вещество существует в виде жидкости, а при давлении, меньшем давления насыщения – в виде газа. Каждому значению температуры вещества соответствует свое значение давления насыщения. Это значение с ростом температуры увеличивается. Значение давления насыщения можно определить по следующей формуле [10.12]:

где f1(0), f1(1) – коэффициенты полинома; w -фактор ацентричности, характеризующий строение молекулы и её полярность. Коэффициенты полинома определяются по следующим выражениям:

где Тпр – приведённая температура вещества.
Для веществ с параметрами, близкими или равными параметрам насыщения, используют понятие коэффициента сжимаемости

где R – газовая постоянная; u – удельный объём.
При известном значении коэффициента сжимаемости плотность выражается следующей формулой:

Коэффициент сжимаемости можно определить, используя вириальное уравнение состояния.
Воспользуемся усечённым вариантом вириального уравнения состояния [10.12]:

для приближённого определения плотности газа при Р? Рн.
В указанном случае вириальный коэффициент определяется по формуле

Коэффициенты полинома определяются по следующим выражениям:

Применимость вириального уравнения в усечённом виде ограничена диапазоном значений плотности менее половины критической. Погрешность расчёта плотности газовой фазы составляет, как правило, не более 5 %.
Плотность насыщенной жидкости при Тпр и Рн может быть определена из уравнения

Функции f3i
выражаются следующим образом:

Значения коэффициентов полинома приведены в табл. 10.9.
Таблица 10.9
Значения коэффициентов полинома
|
i |
![]() |
![]() |
![]() |
![]() |
![]() |
![]() |
|
0 |
0,11917 |
0,009513 |
0,21091 |
-0,06922 |
0,07480 |
-0,084476 |
|
1 |
0,98465 |
-1,60378 |
1,82484 |
-0,61432 |
-0,34546 |
0,087037 |
|
2 |
-0,55314 |
-0,15793 |
-1,01601 |
0,34095 |
0,46795 |
-0,239938 |

где Zкр – критический коэффициент сжимаемости.
Функция f4
определяется из уравнения:

Погрешность определения плотности жидкости по данной методике не превышает 3 %.
При расчёте плотностей необходимы значения критических параметров. Для некоторых веществ они приведены в табл. 10.10.
Таблица 10.10
Критические параметры некоторых веществ
|
Вещество |
Давление, Ркр, МПа |
Температура, Ткр, К |
Плотность, r кр, кг/м3 |
|
Аммиак |
11,3 |
405,55 |
234,7 |
|
Бутан |
3,83 |
425,2 |
227,9 |
|
Пропан |
4,27 |
369,99 |
227,3 |
|
Хлор |
7,76 |
417 |
571,8 |
Решение Приведённая температура кипения

Числитель выражения для фактора ацентричности

Знаменатель выражения для фактора ацентричности

Фактор ацентричности

Приведённая температура вещества

Значение первого коэффициента первого полинома

Значение второго коэффициента первого полинома

Давление насыщения

Давление в трубопроводе меньше давления насыщения, поэтому хлор находится в газообразном состоянии.
Значение первого коэффициента второго полинома

Значение второго коэффициента второго полинома

Вириальный коэффициент

Коэффициент сжимаемости

Плотность хлора

Геометрический объём хлоропровода

Масса опасного вещества, обращающегося в техническом устройстве опасного производственного объекта

Список литературы
Глава 1
Глава 2
Ю.И. Полянского. – 23-е изд. – М.: Просвещение, 1993. – 287 с.
Глава 3
– 1996. – Т 39, вып. 4, 5. – С. 167-169.
Глава 4
Глава 5
Указания по проектированию цветовой отделки интерьеров производственных зданий промышленных предприятий.
Глава 6
Глава 7
Глава 8
Глава 9
Глава 10
Уэстайн П. и другие. – М.: Мир, 1986. – 360 с.
Работа с информацией: Безопасность - Защита - Софт - Криптография
- Информационная безопасность
- Аспекты информационной безопасности
- Системы информационной безопасности
- Софт и информационная безопасность
- IInternet Information Services
- Защита и безопасность
- Защита с Firewall
- Атаки и информационная безопасность
- Информационная безопасность в интернет
- Борьба с вирусами
- Антивирусы против вирусов
- Хакеры и информационная безопасность
- Криптография






































