Жаворонков - Российское Общество

Монография А. В. Жаворонкова — большая удача не только автора, но и всей отечественной социологии, поскольку в ней социологическое мышление и воображение ученого созидают на базе многочисленных показателей достаточно полную картину массового сознания и пейзаж социальной реальности последних десятилетий.
A. И. Антонов, профессор, доктор философских наук. зав. кафедрой социологии семьи и демографии МГУ им. М. В. Ломоносова
Публикация результатов уникального лонгитюдного исследования, проанализированного автором, может во многом изменить традиционные представления об устойчивости индивидуального поведения и повлиять на подходы к интерпретации результатов социологических и маркетинговых исследований, планированию длительных рекламных и пропагандистских кампаний.
М. Н. Дымшиц, генеральный директор компании «Дымшиц и партнеры»
Монографию отличают фундаментальность, строгая научная доказательность выдвигаемых положений, многофункциональность возможного использования результатов исследования, богатство привлеченного фактологического материала.
Она представляет практический интерес для специалистов в рекламной, маркетинговой деятельности и в организации товарных потоков в обществе.
B. Б. Новичков, ректор Московского института экономики, политики и права

Александр Васильевич Жаворонков — ведущий научный сотрудник Института социологии РАН. разработчик и участник исследований Генерального проекта «Общественное мнение», автор крупномасштабных всесоюзных и региональных исследований, создатель баз данных, синтезирующих информацию более двухсот исследований о социальных процессах нашего общества за последние сорок лет. Соавтор монографии «Массовая информация в советском промышленном городе», изданной в СССР. США и Венгрии. Специализируется на системном моделировании процессов обмена в обществе, массовой коммуникации и ее эффектах, информационном потреблении. Преподает социологию и маркетинг в Российском государственном гуманитарном университете и Государственном университете гуманитарных наук.
Книга посвящается памяти Владимира Леонидовича Павлова, моего друга, замечательного ученого и человека, подготовившего к полетам на орбиту Земли тринадцать советских космонавтов.
«Не так сели!» Президент Ельцин в телеэфире с заседания кабинета
А вы, друзья, как ни садитесь, Все в музыканты не годитесь! Баснописец Крылов за 188лет до того
ВВЕДЕНИЕ
В этой книге впервые широко представлены практически никогда не публиковавшиеся результаты более чем сорокалетней работы автора в области социологии и социальной истории. Первая статистическая разработка, затрагиваемая в Приложении 3, получена мной еще в 1964 г. (табл. П3.2 и П3.3)
, последние данные — результаты исследований 2004 г. Современное общество, помимо прочего, — это еще и огромное поле информационного обмена. Информация давно стала в нем товаром со всеми вытекающими отсюда социальными последствиями. Этот факт ярче других показывает, что любое общество является продуктом обмена свойствами и способностями индивидуумов, происходящего через присвоение свойств предметного мира (включая знаковый) в процессе общественного разделения труда для воспроизводства жизни.
Еще в 1974 г. в до сих пор не обнародованном первом варианте диссертации я писал о всеобщем характере присвоения и корпоративном характере производства сознания в общественной системе. Тогда это было скорее догадкой, основанной на данных частного исследования, — теперь это общее место. Литераторы и работники печати составляли в 70-х гг. 0,1 % занятого населения СССР
, а суммарный объем созданного, организованного и отредактированного ими потока только газетной информации был равен 1 миллиарду 250 миллионам сообщений, ежедневно принимаемых (реально прочитанных) аудиторией страны. Коллективы редакций газет «Правда» и «АиФ» (читатели этих двух изданий были наиболее активной частью аудитории газет в 1990/91 гг.) составляют и того меньшую долю, однако объем информации, принятой населением из этих двух газет, составлял в 1991 г. около 300 миллионов человеко-сообщений в день.
Абсолютная «не-аудитория» информационных средств, найденная мной в Таганроге по данным 1969 г., составляла 5 человек на тысячу взрослого населения города
; в 1977 г. в границах РСФСР по всем городам типа Таганрога по занятому населению — 6 человек на тысячу, в 1991 г. в границах РСФСР по той же группе городов и населения — 18 человек на тысячу, в 2004 г. в одном из центральных округов Москвы — 2, а в Тамбове — 6 человек на каждую сотню жителей. Вопрос о результатах такого информационного охвата — это решение фундаментальной проблемы модели функционирования сознания в общественной системе. А для построения такой модели необходимо минимум: 1) иметь статистически значимый ряд измерений процесса деятельность — сознание — деятельность, реализуемого в срезе общество — личность — общество, и 2) рассмотреть информационные средства, дающие такой ряд, в широком комплексе сфер жизнедеятельности общества.
Информационная деятельность вторична и детерминирована всем образом жизни населения. Рекламой халвы или рождаемости и халвой не накормишь, и рождаемость не повысишь, а ответ на вопрос: «Как действует соответствующая реклама на головы голодных и бездетных?», будет для «рекламодателей» неутешителен.
Отметим прежде всего, что первоначальный период становления социологии в СССР в 60-е гг. уникально совпал с возможностью, используя, с одной стороны, социально-политический заказ на изучение эффективности массмедиа, а с другой — имея предметом высокостандартизированные общественные процессы обмена результатами труда, решить на примере одного конкретного общества фундаментальные научные проблемы. Одним исследованием это нельзя было сделать. Понадобилось несколько сотен, однако в стартовую основу были положены данные Генерального проекта «Функционирование общественного мнения в условиях города и деятельность государственных и общественных институтов», реализованного блистательным научным коллективом проекта под руководством Б. А. Ірушина в 1967—1972 гг.
В проекте удалось зафиксировать фундаментальные показатели обмена информацией в контуре «органы власти — население» при решении социальных проблем территориальной агломерации среднего города РСФСР — Таганрога
.
Реализация первого и второго (1979 г.) таганрогских проектов и около десяти крупномасштабных Всесоюзных и Всероссийских исследований в ИСИ АН СССР (1971—1997 гг.) позволила создать за 35 лет с целью системного моделирования социальных процессов за счет проведения экспериментов типа ex-post-facto на больших массивах данных социологических исследований в машинной памяти ряд баз (INSYS, UNIVERSUM и др.), насчитывающих около 200 исследований, которые фиксируют в общей сложности 60 млн социальных фактов: ответов, частот тестов, поведенческих актов, свойств предметного мира
.
Предварительный анализ информации позволил сделать несколько выводов.
1. Выявилась связь между числом и качеством освоенных личностью предметно-институциональных форм деятельности, составляющих фундаментальные подсистемы социума в целом и выступающих детерминантами фигур и слепков активности индивидов. Это дало возможность создать инструменты измерения структуры и динамики параметров активности и информированности личности.
2. Обнаружилась константность средних величин, свидетельствующих о едином факторе, стоящем за законами распределения людей, их актов и продуктов деятельности в базовых подсистемах.
3. Выявился рост энтропии (по Шеннону) при расширении масштабов общности (независимо от величины выборки) и уменьшение энтропии при возрастании числа предметов присвоения в сферах обмена (числа вещей, сообщений, идей-элементов информации, товаров на рынке и т. д.). Последнее отражает рост интенсивности выбора индивидами характеристик предметного мира на структурах, сужающихся до оптимального размера полей активности.
4. Суммарная масса актов деятельности в тех или иных подсистемах социума оказалась достаточно устойчивой, а распределение относительно максимальных и средних величин активности людей в базовых подсистемах всегда было близко к нормальному, что позволило дифференцировать население на разноактивные слои, с одной стороны, по вкладу в процесс создания предметного мира, а с другой — по присвоению его свойств. Это привело к выявлению социальных областей дисбаланса обмена результатами человеческой активности. При этом выявилась резкая дифференциация социально-профессиональных по роду занятий и образованию групп в процессе присвоения мира культуры и материальных благ. Ряд создающих стоимость групп оказался на периферии активного процесса ее присвоения, а группы, занимающие верхние страты, в ряде случаев (сфера досуга, информированность) дискриминировались критерием +1ст по активности и информированности не только с «пассивными» стратами, но и с умеренно активными слоями. Уже в 70-е гг. на социальных картах активности и информированности резко обозначилась мировоззренческая пропасть между полярными слоями населения по их отношению к сфере перераспределения созданной стоимости, что имело затем решающее значение в последовавшем сломе общественных институтов и массовой вспышке идеологических миазмов
.
Анализ полученных в 70-е гг. данных о социальной реальности поставил задачу моделирования общественной системы в целом на конкретных актах деятельности людей. Решение последней потребовало, во-первых, нахождения хотя бы в первом приближении пространственно-временной конфигурации общественной системы, рассматриваемой как фигура распределения массы индивидуальных актов обмена свойствами и способностями, реализуемых в данной исторически определенной предметно-институциональной среде, а во-вторых, поиска принципиальных форм производства и реализации практического сознания в социуме
. В свою очередь эти задачи требовали анализа и синтеза информации как отдельных исследований, так и всей базы данных (точнее, нескольких баз). Эта работа велась по трем важнейшим направлениям.
1. Разработка системы показателей, позволяющих не столько верифицировать системную модель в эмпирических фактах (соответствующие частоты ответов, событий, актов, свойств продуктов и т. п.), сколько интегрировать ее из миллионов этих фактов, показав закономерности развертки этих фактов в определенных системных конфигурациях, полях, наборах переменных и т. п.
2. Поиск тех констант и соотношений, которые, пронизывая всю общественную систему, детерминируют разнообразие и единство социальных явлений.
3. Поиск иного принципа анализа социологической статистики, нежели тот, что практикуется в настоящее время и сосредоточен на анализе отдельных параметров частных исследований.
Деятельность общества по созданию и присвоению текста культуры в широком плане можно представить как ряд последовательных превращений по отражению социальной реальности в обыденном сознании, моделированию ее в феноменах сознания, организации процесса создания текста, созданию текста, контакта с ним, присвоению его содержания, интериоризации фрагментов этого содержания и объективации их в действительность, новому отражению действительности другого порядка, уже измененной с помощью идеальных представлений и деятельности. Рассмотрение этого ряда применительно к фрагменту духовного производства — процессу обращения массовой информации в обществе — приводит к обнаружению в последнем принципиально тех же метаморфоз, фиксируемых в виде первоначальной схемы из пяти элементов: «отражаемая социальная действительность — сознание производителя информации — информация — сознание потребителя информации — измененная социальная действительность», или в формализованном виде:
(Д----С----И----С’----Д’)
.
Проект «Общественное мнение» уникально представлял информацию в каждой позиции данной схемы, причем в статистически значимых рядах, фиксирующих переход одних форм деятельности и сознания в другие. Прежде чем давать общую оценку продуктивности схемы проекта для решения поставленных задач, укажу вкратце на объемы исследований. Анализ содержания информационного ряда («И»): 14 000 упоминаний различных профессий всеми информационными средствами, 52 000 упоминаний различных стран мира, 9900 упоминаний людей и организаций в сообщениях единственной городской газеты, 2200 документов с характеристиками людей, выразивших мнение в печати по проблемам жизни города, 10 000 документов с характеристиками сообщений местных газет. Процесс производства информации («С»): характеристики авторов газетных материалов, характеристики материалов, характеристики обстоятельств их создания и позиции редакции, характеристики людей, чье поведение отражено в этих материалах и чье мнение и оценки выражены, — все в одном массиве документов, фиксирующем процесс создания текста и отражения в нем социальной жизни. Ввод
информации в реальность («С’--Д’»): 4500 актов приема (реального чтения)
сообщений, оценки 625 лицами, ответственными за исправление недостатков, указанных в 120 критических статьях газеты, положения с исправлением этих недостатков и степень согласованности этих оценок с оценками 625лиц, заинтересованных в исправлении недостатков, характеристики сообщений, относительно содержания которых замерены эти оценки. Аналогичные схемы реализованы на исследованиях деятельности депутатов местных Советов Я. С. Капелюшем (более 1600 бесед депутатов с населением), в циркуляции и эффективности информации собраний в производственных коллективах, в деятельности органов власти по приему населения (более 4200 бесед с населением), в деятельности авторов писем в редакции и органы власти (анализ содержания около 3000 писем, опрос авторов писем, анализ ответов на письма), в выработке решений местными органами власти
.
Таким образом, генеральный проект «Общественное мнение» своей схемой «органы власти — прямые и обратные каналы информации — население» и подсхемой «органы власти — СМИ — аудитория» дал возможность анализировать процесс производства сознания в обществе в качестве информационного обмена между властью и населением с целью решения социальных проблем. Однако проект не был исчерпывающим.
Во-первых, генпроект не был завершен информационно, во-вторых, был уязвим (в скобках укажем — для околонаучной критики) в региональных ограничениях, в-третьих, в нем не были представлены исследования некоторых общественных подсистем: воспроизводство населения, материальное благосостояние в широком аспекте, правовые нормы. К тому же некоторые исследования были разрознены, хотя даже их внутренние задачи требовали синтеза данных и сведения ряда массивов в единые блоки. Преодоление этих препятствий потребовало работы.
Данные проектов «Общественное мнение» — «ЦИОМ-1971», «Витебск-1975», «Правда»-1977», «Таганрог-2», «Правда»-1991», «Образ жизни-1980—85, 81—87», «Нормы права-1976» — и некоторых частных исследований были преобразованы автором книги в базы INSYS и UNIVERSUM с целями:
1) интеграции и переработки информации отдельных исследований. Это направление обеспечено тем, что, во-первых, в единые массивы сведены данные исследований, реализованных разными методами или инструментарием на одном объекте, во-вторых, документы ряда исследований стандартизированы унифицированными кодами на уровне машиночитаемых файлов;
2) снятия «региональной ограниченности» информации. На этом направлении действуют адекватные инструментарию проекта «Общественное мнение» методические блоки, введенные в полевой документ Всесоюзного исследования аудитории средств массовой информации и пропаганды «Правда»-1977» и проекта «Правда»-1991», и тем самым обеспечивается соотнесение выводов, получаемых в масштабах Таганрога и страны в целом, выявление типических социальных форм поведения;
3) создания в информации динамических рядов. Это направление обеспечивается наиболее ценными пучками методического аппарата повторного исследования «Таганрог-2», проведенного ИСИ АН СССР в 1979 г., Всесоюзных исследований «Правда»-1977», «Образ жизни-1980—87», «Правда»-1991», частных и Всероссийских исследований 1994—2004 гг.;
4) рассмотрения коммуникативных процессов в системе образа жизни населения. Здесь необходимо было получить представления о тех областях социальной жизни в подсистеме материального производства и потребления, слабо разработанных в исследованиях информационных процессов 70-80-х гг. (рождаемость, благосостояние, вещной мир человека, формы досуга и т. п.)
. Эта операция была обеспечена восстановлением данных Всесоюзного зондажа «ЦИОМ-1971»
. Адекватный «ЦИОМу-1971», «Витебску-1975», «Таганрогу-2», «Правде»-1977» инструментарий был введен в полевой документ Всесоюзного исследования «Правда»-1991». Массивы же исследований «Образа жизни-1980—87» (четыре исследования — два по 768 и два по «10 000 респондентов) были радикально перегруппированы комбинаторными методами в соответствии с результатами анализа и взяты в качестве «контрольных групп».
Параллельно шел анализ информации, и до 2004 г. проводились точечные исследования на основе полученных результатов. Все это и позволило обнаружить неразложимые постоянные, которые пронизывают общественную систему и детерминируют стабильность и динамику обнаруживаемых явлений, позволяют получить показатели, организующие информацию в модели, проверяемые на конкретных актах деятельности людей ex-post-facto, виртуально. Работа по этим направлениям позволила рассмотреть комплексно процессы порождения некоторых форм обыденного сознания, которое мы не можем статистически поймать иначе, как анализируя деятельность, его порождающую, текст, сохраняющий его в информационных рядах культуры и отношений, деятельность и обстоятельства по присвоению и развертке текста культуры. При этом деятельность информационной подсистемы и ее содержание, смысловой ряд ее продуктов — сообщений рассматриваются неразрывно в контексте других подсистем: досуга, политической, материального потребления, трудовой, межличностного общения и т. д. Все это — за почти 40 лет современного развития.
Однако пока речь идет лишь об информационном обеспечении задачи. Это полдела. Ясно, что никакое упорядочение научного материала не обойдется без общей, а затем детально разработанной методологической посылки.
Методологические посылки объяснения в книге динамики социальных изменений являются результатом интеграции эмпирических данных. Основная посылка структуризации объекта на полюсе «деятельность» и получения пространственно-временной конфигурации социума — константность относительной величины времени, общественно необходимого для коллективного воспроизводства жизни социальной системы в одном цикле ее качественной определенности
. Исходя из этого, смена форм жизни системы идет за счет редукции и свертывания форм, исчерпавших свое положительное содержание в процессе обмена результатами человеческой деятельности. Дифференциация социальной активности личности детерминирована эффективностью функционирования в определенных ареалах социума механизмов присвоения результатов труда, заданностью проекций из культуры норм общественных потребностей в снятии свойств личности. Обмен носит предметный характер, его объем, масса и плотность в социальной среде измеряемы. Плотность массы актов деятельности в предметно-институциональной структуре (равно вышеупомянутая дифференциация активности) зависит как от масштаба и свойств социального пространства, данного в ощущение как поля фундаментальных общностей, на которых разворачивается индивидуальная жизнь (семья, производственный коллектив, территориально-производственная агломерация, нация, государственность, общество в целом), так и — главным образом! — от социальных регуляторов механизмов обмена результатов человеческой активности на этих полях (формы собственности, уровень развития производительных сил, архетипы и нормы управления и идеологий и т. п.). Дифференциация на типы активности на этих полях позволяет построить социальные карты трендов системы, увидеть формы, которые срезонируют в зонах разряжения плотности социокультурных полей.
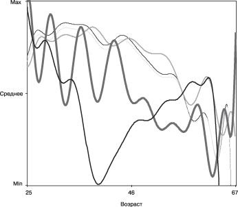
Два слова о константности (хотя об этом говорится и в соответствующих главах книги). Среднее число принятых сообщений в газетной аудитории константно на протяжении 36 лет и составляет около 23 сообщений в день на человека, взявшего в руки газету. Распределение относительно средней близко к нормальному. Абсолютная величина времени, потребного для приема информации «Аргументов и Фактов» и «Правды» (читатели сразу двух изданий, как я говорил, — сердце аудитории 1990/91 гг.), равна затратам на чтение 300 миллионов человеко-сообщений в день, а для «Таганрогской правды» 1968 г. — 2 или 3 миллионов в день. Величины несопоставимые. Но средняя одна и та же. Она говорит, что относительная величина времени, общественно необходимого для принятия информации прессы в целях социальной ориентации населения, константна (по крайней мере в определенном историческом цикле). За этой средней стоит системное время. В исследованиях 1967—2004 гг. кривые относительно средних величин активности близки к нормальной, какую бы подсистему человеческой деятельности мы ни брали. Именно стабильность распределений активности в овладении людьми формами существования подсистем социального целого позволила предположить, что относительная величина времени, общественно необходимого для коллективного воспроизводства жизни в социальной системе в одном цикле воспроизводства его качественной определенности, константна для любого исторического периода.
Дальнейший поиск привел к рассмотрению системных распределений на шкале времени и выявлению в первом приближении формы пространственно-временной конфигурации социальной системы (и, возможно, собственно ноосферы). При этом конфигурации полей людских представлений оказались повторяющими фигуру поля человеческой активности в предметном мире. Стало возможно, исходя из общей модели, построить карты слепков социальной активности, фиксирующей объективные мыслительные формы, — суть аппликации социальной семантики скрытой обыденными формами, сопоставить их с картинами социальной реальности, отраженной в сознании и фиксируемой в информации, вводимой в социальную практику. Это позволило выявить и характер процесса формирования мыслительных форм как на элементарном уровне, так и на уровне макросистемы, где неизбежно проступают превращенные формы сознания, с железной необходимостью функционирующие в обществе.
Социальные механизмы возникновения и воспроизводства мыслительных форм деятельности могут быть скорее всего выделены в наиболее развитой их форме. Она фиксируется массовостью существования в предметно закрепленном виде продукта информационных средств и каналов выражения мнений. В границах информационной деятельности существуют наиболее массовидные, а значит, и развитые в статистическом плане формы духовного производства. Продуктом этих форм является текст сообщений, писем, бесед и т. п. Широкое, статистически значимое присвоение этого продукта различными слоями в процессе социального взаимодействия позволяет воспроизвести и затем проверить общую модель механизма производства сознания
. Смысл этой модели состоит (в общем и целом) в следующем.
Процесс социального взаимодействия может быть представлен в вероятностно-статистической модели как суммарная масса актов обмена деятельностью, общественно необходимой для воспроизводства жизни. Данный личности в границах полей той или иной общности процесс взаимодействия (обмена свойствами и способностями индивидов), имея предметный характер, отображаясь в индивидуальном мышлении, накапливает у личности частоту соответствия результатов деятельности (ее целей, характера, способов достижения результатов и т. п.) исходным посылкам этой деятельности. Это накопление, в свою очередь, соотносится со всеми представлениями, отражающими реальность и уже данными предыдущим ограниченным опытом (с накопленными ранее и сгущенными в голове человека на тот или иной общественный лад моделями действий). В социально ограниченный опыт входят здесь и обстоятельства формирования личности, и ограниченные тем или иным социальным горизонтом и размерами определенных общностей типы информационного воздействия, нормы поведения и т. д. и т. п. Частота соответствия результатов деятельности ее исходным посылкам накладывается на эти представления и изменяет их (укрепляет, разрушает, уничтожает, порождает новые и т. д. и т. п.). Таким образом, деятельность дана как взаимодействие, развертывающееся перед личностью и с ее участием, в различных общностях (задающих масштабы, характерные типы и нормы обмена), а сознание — двояко: как, скажем, «базовое», основное, накопленное в предыдущем опыте отражения реальности и сложившееся в мировоззрение, убеждение, знание, на которые ложится второе — своего рода «оперативное», функционально-целевое содержание взаимодействия. Прошлая социально организованная деятельность дана здесь, следовательно, в накопленных представлениях, а будущая выступает как функционально-целевое моделирование результата на основании оперативно наблюдаемых соотнесений начальных и исходных пунктов действия (потребностей, мотивов, интересов и результатов). И фундаментом этого моделирования являются накопленные в прошлом, предыдущем опыте представления о причинно-следственных связях обмена деятельностью в общественной системе. Вторые (оперативные представления) никогда не вплетаются в реальность иначе, как будучи пропущенными через первые (накопленные). Здесь выделяется значение превращенных форм сознания, общественного мнения и подобных феноменов, функционирующих «извечно» или в данный момент развития.
Ответы на вопрос, каким конкретно образом все это происходит (скажем, как соотносятся истинные, т. е. данные в скрытой социальной механике обмена, мотивы с их декларируемыми идеологическими «именами»), можно получить, рассматривая наиболее массовидные формы протекания информационных процессов. Повторю: 60, 70, 80-е гг. дали неповторимый шанс отечественной социальной науке увидеть этот процесс в стабильном обществе и при достаточно сносном финансировании научной работы.
В отобранных исследованиях указанные массовые формы представлены многочисленными параметрами жизнедеятельности нашего общества, изучавшимися многие десятилетия в частных исследованиях. Отбор исследований, аппарата измерения явлений и категорий анализа определены теми целями, которые кратко рассмотрены выше.
В книге три части. В первой части — поля активности — рассматривается устойчивость форм деятельности в разные периоды жизни нашего общества (в ней 4 главы: глава 1 — методическая, в главе 2 описана общая конфигурация обмена, в главе 3 рассмотрена динамика общественной активности, в главе 4 показаны связи активности, информированности, отношений). Во второй части — поле информированности и поле оценок — рассматриваются информационный ряд массмедиа и ряды массового сознания, своего рода «поля смыслов», функционировавших тогда же (здесь 4 главы: в главе 5 рассмотрено соответствие взглядов населения на внешний мир и элементов содержания на международные темы информационного ряда СМИ, в главе 6 — соотношения профессиональных структур в текстах и в реальности, в главе 7 — механика производства текста, в главе 8 — соответствие отражения социально-политических отношений в тексте массмедиа и в массовом сознании). В третьей части — поле решений — рассматривается процесс присвоения элементов информации в различных социальных ареалах (здесь одна глава — 9 — поле решений, где рассмотрены корреляция всех потоков информации между населением и органами власти, стабильность проблем, волнующих население Таганрога 1969 г. и Петербурга 1999 г., эффективность решений собраний и критической информации СМИ). Раздел «Единицы измерения и показатели» главы 1 автор постарался сделать менее скучным, разворачивая в виде истории получения слепков человеческой активности, выявленных еще в 1978 г.
Описание информации, послужившей основой для книги, вы найдете в Приложении 1, где дается перечень «цитируемых» исследований из баз данных INSYS и UNIVERSUM. Огромный объем интегрированной информации позволил представить в книге только некоторые интегральные таблицы, графики, модели и социальные карты и диаграммы. Обычно используемые в социологии двухмерные или трехмерные распределения ответов на вопросы почти не приводятся, однако если вывод по ним формулируется в тексте книги, то он может быть проверен на данных тех исследований, список которых следует в приложении. Методы получения результатов описываются при подаче статистических данных, и, таким образом, вывод эксперимента (натурного или ex-post-facto) можно в случае необходимости проверить, во-первых, в рамках этих же баз данных, во-вторых, на информации иных исследований при сходных параметрах, в-третьих, при проведении новых исследований. Это одни из важнейших принципов анализа в данной книге.
В заключение я выражаю глубокую благодарность всем, с кем мне довелось общаться при работе над книгой. Базы данных создавались в основном в течение 25 лет, а книгу я начал писать 15.09.2004 г. и закончил вчерне 26.12.2005 г., хотя работа над ней взяла старт сразу же после доклада на II Всероссийском социологическом конгрессе 01.10.2003 г. К этому меня подвинули А. И. Антонов и В. А. Борисов. Решающим толчком оказалась поддержка идеи книги и ее заказ М. Н. Дымшицем. Я очень надеюсь, что его долготерпение окажется вознагражденным. Огромное значение имела помощь Э. И. Бутаева и А. И. Лумпова. Совместная работа с ними над полученными в книге поверхностями позволила осуществить принципиальный прорыв в описаниях второй главы. Оригинальность ситуации с написанием отдельных параграфов состояла в том, что заранее, хотя все казалось ясным, структура изложения не планировалась. Она многократно менялась в процессе работы, когда очередной логический вывод требовал полного переосмысления уже описанного когда-то результата, обращения к базе данных вновь и переработки информации и полученных таблиц. Когда потребовалось проверить выводы в режиме физического времени, В. Г. Андреенков и В. Д. Патрушев предоставили файлы исследований бюджетов времени за 1986 и 1993 гг. Образовался своеобразный методический семинар, в процессе которого обкатывались выводы и выбрасывался «интеллектуальный брак». Ту же роль выполнили и лекции по вторичному анализу в ГУГНе перед студентами 4-го курса, реакцию которых на результаты анализа я видел.
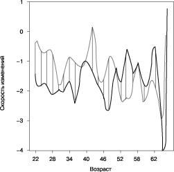
В этом «семинаре» приняли участие Е. М. Авраамова, Е. М. Акимкин, А. И. Антонов, Н. Г. Аристова, В. А. Борисов, Э. И. Бутаев, А. А. Давыдов, Е. Н. Данилова, С. Е. Кухтерин, О. М. Маслова, А. Ю. Согомонов, Н. В. Романовский, Н. И. Рос-тегаева, Л. Н. Федотова, И. Д. Фомичева, О. Н. Яницкий. Я глубоко признателен коллегам за поддержку и заинтересованность в этой работе. Кроме того, практически каждый новый вывод обсуждался с Эдуардом Измаиловичем Бутаевым, а Володя Павлов поддерживал меня до последних своих дней. Надо сказать, что некоторые идеи, косвенно отраженные в последней главе, мы начали обсуждать с ним еще в 1973 г., а методику последнего Всесоюзного исследования «Правда»-1991» мы разрабатывали практически вместе. Володе принадлежит и первый опыт просчета со мной волнообразного характера концентрации определенных конкретных форм жизни на возрастной шкале. Он подходил к этим проблемам с точки зрения социальной психологии, замеряя, например, волну интереса к театру в досуговом поведении, но взаимообогащение различных подходов от этого только выигрывало.
Таким образом, эта книга — результат двухлетнего активного диалога автора с коллегами и экспертной системой в компьютерных базах из миллионов ответов респондентов. Хотя раньше, начиная с 1978 г., мной были созданы несколько сотен страниц многомерных таблиц по отдельным исследованиям первого и второго таганрогских исследований, Всесоюзных проектов и зондажей, сквозной анализ потребовал сделать все заново. Два студента-дипломника ГУГНа ИС РАН А. А. Гнутов и А. С. Топорков оказали большую помощь, проведя самостоятельно и вместе со мной в процессе курсовых и дипломных практик по апробированным методикам три контрольных замера в Тамбове и Москве в 2004—2006 гг. Все расчеты в книге, таблицы и диаграммы выполнены лично автором. Неоценимую помощь в течение последних десяти лет оказывали программисты А. Л. Королев и Р. Б. Богрычев — постоянно, В. А. Афанасьев и Д. Ю. Васюра — в решении ряда сложнейших задач.
Часть I
ИНФОРМАЦИОННЫЕ СРЕДСТВА В ПОЛЯХ СОЦИАЛЬНОЙ АКТИВНОСТИ
Глава 1
ПРОБЛЕМА СТРУКТУРИРОВАНИЯ ОБЪЕКТА РАССМОТРЕНИЯ
Единицы измерения и показатели
Некоторые науки предоставляют социологии готовые количественные показатели анализа целых подсистем человеческой деятельности. Например, демография — количество детей, рожденных в той или иной когорте, рассмотренном еще на шкале времени или в различных этнических группах. Однако два важнейших показателя, используемых в этой книге, — социальной активности человека и его информированности о тех или иных областях социальной жизни, — апробированных количественных эквивалентов измерения при начале работы еще не имели.
Связь количественно-качественных характеристик
Важнейшим результатом предварительного анализа информации проекта «Общественное мнение» было выявление устойчивости распределений больших масс людей в сложных социальных структурах, которые представляли интегральные образования. При этом особенно проявилась связь количественно-качественных характеристик институционализированных форм по активности деятельности в социальной среде.
Еще в 1973 г. была получена общая картина распределения деятельности населения по использованию средств массовой информации и пропаганды на институциональном уровне. Сама идея была весьма проста. Так как обмен свойствами и способностями индивидуумов носит предметный характер и протекает в различных институциональных формах социальной среды, то за отдельными частными формами и их качественным разнообразием стоят суммарные социальные потребности, в данном случае — в информации, средства удовлетворения которых могут быть представлены на полюсах «общество» и «знание об обществе» в интегрированном виде. Сфера деятельности выступает при этом как совокупность актов поведения личности, рассмотренных на уровне институциональной структуры. Так, можно допустить, что сфера приема информации населением из системы информационно-пропагандистских средств представлена шестью «элементарными» формами контакта с институциональными поставщиками этой информации: чтение газет, просмотр телепередач, прослушивание радио, лекций, политинформаций, посещение политзанятий. Уже здесь каждая из «элементарных» форм социальных институтов выступает в известной мере как нечто синтезированное, безразличное к свойствам и функциям предмета, на который направлена деятельность, к мотивам присвоения предмета или к конкретному каналу — поставщику информации (скажем, к теме информации или ее функциям — «дать сведения», «развлечь»; мотивам — «снять напряжение работы», «сориентироваться в социальной обстановке», «убить время» и т. п.).
Полученная в то время структура, однако, не была выдержана в строгости из-за недостатков машинной обработки. Средства массовой устной пропаганды в ней были объединены в один пласт, тогда как каждое из этих средств имело статус самостоятельного социального института. В 1976 г. этот недостаток был исправлен, была получена комплексная структура включенности населения, во-первых, в информационные средства в целом как в структуру прямого потока информации от органов власти к населению, во-вторых, в каналы выражения общественного мнения как структуру обратного потока, в-третьих, в формы общественной работы по созданию текстов массовой устной пропаганды и регуляции общественных процессов через политические организации, пронизывавшие в то время все поры общественного организма (как, впрочем, и сейчас, только в других формах).
Таблица расчета на каждую тысячу взрослого населения числа используемых сочетаний видов деятельности из шести по два («используют — не используют») позволяет увидеть комбинации представленных в мышлении элементарно форм деятельности, которые и есть реальные слепки и сгустки человеческой активности в социальной среде. Кластерный анализ или логическая классификация, давая более дробные разбиения, мешают анализу. Здесь система в целом на ладони (табл. 1.1).
|
Таблица 1.1. Общая картина распределения населения г. Таганрога по институциональным формам приема массовой информации (в расчете на 1000 взрослого населения с избирательным правом; количество опрошенных n,969 = 1021) |
|
Совокупная аудитория средств массовой коммуникации, средств массовой устной пропаганды в 1969 г. |
Лекции |
В целом |
Газеты |
Радио |
00
1— |
|
+ |
- |
|
Политинформации |
Политинформации |
|
+ |
- |
+ |
- |
|
Занятия |
Занятия |
Занятия |
Занятия |
|
+ |
- |
+ |
- |
+ |
- |
+ |
- |
|
Газеты |
+ |
Радио |
+ |
0Q
1— |
+ |
242 |
255 |
36 |
154 |
7 |
35 |
12 |
109 |
850 |
+953 |
+963 |
+900 |
|
16 |
18 |
2 |
21 |
|
4 |
|
17 |
78 |
|
- |
СО
1— |
- |
7 |
1 |
|
6 |
|
3 |
|
3 |
20 |
|
1 |
1 |
|
|
|
|
|
3 |
5 |
|
- |
Радио |
+ |
00
1— |
+ |
|
|
|
8 |
|
|
2 |
15 |
25 |
-47 |
-37 |
-100 |
|
|
|
|
1 |
|
|
|
4 |
10 |
|
- |
00
1— |
- |
|
1 |
|
1 |
|
|
|
5 |
5 |
|
|
|
|
|
|
|
|
|
7 |
|
В целом по колонкам |
268 |
277 |
38 |
194 |
7 |
42 |
14 |
160 |
1000
1000
1000
1000 |
|
Лекции |
+768 |
-232 |
|
Политинформации |
+594 |
-406 |
|
Политзанятия |
+327 |
-673 |
|
«+» - читают, слушают, смотрят, посещают.
«-» - не читают, не слушают, не смотрят, не посещают. |
Во-первых, данный результат уже с 1976 г.
делает беспочвенными рассуждения не только о характеристиках, но и о существовании отдельных аудиторий радио, телевидения, газет. «Чистая» аудитория телевидения составляет 0,4 % взрослого населения, радиоканалов — 0,4 %, газет — 0,3 %, лекций — 0,1 %, а соответствующие «чистые» аудитории политинформаций и политзанятий не обнаружены. Можно ли всерьез рассуждать об «аудитории телевидения», составляющей 4 человека на тысячу, не берусь судить. Важнее другое: 5 человек на каждую тысячу — «абсолютная не-аудитория» информационно-пропагандистских средств. Охват ими носит всеобщий характер
. Четвертая часть аудитории в то время — это аудитория всех шести информационных средств (24,2 %). Треть населения использует пять средств информации. При этом из семи различных сочетаний из шести по пять только одна форма дает почти четыре пятых этой третьей части аудитории (255 человек из 321 — 79,4 %), принимающих информацию из пяти средств: используют каналы радио, телевидения, газет, лекций, политинформаций. 226 из каждой тысячи принимают информацию четырех средств. При этом одна из 15 форм сочетаний из шести по четыре (154 человека на 1000, читающих газеты, принимающих информацию радио и телевидения и посещающих лекции) дает 68,1 % от всех принимающих информацию из шести по четыре. Среди 155 человек, ведущих прием из трех средств, одна форма из 20 сочетаний (и газеты, и радио, и телевидение) дает 70,3 % от этой группы. Из 4 %, использующих два средства — сочетания «газеты и радио» или «радио и телевидение», — составляют 3,2 % или 87,5 % группы в 4 %.
Отмеченные резко ограниченные сочетания форм приема дают 800 человек из 1000. Оставшаяся пятая часть распылена и статистически не даст отклонений в частотах своих оценок и формах поведения. Количество средств, используемых людьми, может вполне говорить о характере информационного приема и его интенсивности на социетальном уровне.
Обратимся теперь к структуре деятельности в обратном потоке информации — от населения к органам местной и центральной власти. Конечно, сейчас они изменились, но, во-первых, кроме исчезнувших собраний в производственных коллективах, не все, во-вторых, по-прежнему важна их динамика и метаморфозы в другие формы (например, тех же собраний в митинги, которые потом будут сводиться и в сходы), а в-третьих, мы рассматриваем их пока здесь только с точки зрения создания, а затем показа эффективности инструмента измерения социальной активности (табл. 1.2).
Процесс выражения общественного мнения и постановки проблем перед местными и центральными органами власти носит принципиально иной по «мощности», можно сказать, «зеркальный» по отношению к «прямому» потоку информации характер. В институционализированную структуру обратного потока связи населения и власти (кстати, более развитую в то, чем в нынешнее, время) включено 62,3 % взрослого населения города. Заметим: через 10 лет в структуре занятого населения
НІЛІЭ а еиіяоиц
Таблица 1.2. Общая картина распределения населения г. Таганрога по каналам выражения общественного мнения (ОУ - органы управления; СМК - средства массовой коммуникации) (в расчете на 1000 взрослого населения города с избирательным правом; количество опрошенных - n
1969 = 1021)
ЛО а еиіяоиц
иинвсідоэ
иіоі/эіі д
Я ч?
ЯІЛіО а еіліяэии
ЯІЛіО а еіліяэии
ДО а еіліяэии
ДО а еіліяэии
BHHBdgoo
города этот процент упал до 28,0 %, а через 22 года в масштабе всего населения СССР на пороге социальной катастрофы он составлял 25,2 % (по сопоставимым каналам). В структуре обратного потока ярко выделяются три группы населения
.
Замечу: сам характер заполнения таблицы свидетельствует о качественной характеристике общества. Клетки таблицы могли бы быть заполнены иначе. И это было бы другое общество. Выявленная же структура достаточно ярко показывает недостаточность даже предшествующих нынешнему периоду институтов обратной связи. Воздержимся от сравнений. Мы пока что конструируем инструменты анализа системы в целом. То, как они заработают, можно показать на примерах пилотажных маленьких исследований по 1000—2000 респондентов. Но перед этим надо показать результаты анализа Всесоюзных десятитысячных исследований, которые дадут исчерпывающую картину развертки процесса социальных изменений относительно некоторых базовых точек отсчета.
Возьмем последнюю из подсистем массовых форм информационного обмена, протекавшего в нашем обществе 40 лет назад, — общественно-политическую деятельность, охватывавшую почти половину населения промышленных центров страны. Она была стандартна, функционально обеспечивала реализацию процессов материального производства и поддержки определенного «идеологического мускула» в обществе. Такие структуры во все времена тождественно пронизывают все поры социального организма. Заранее оговорю тот факт, что в связи с тем, что это организационная структура, ее наполненность в Таганроге 1969 и 1979 гг. и в масштабах страны в 1977 и 1981—1987 гг. по сопоставимым группам населения практически совпадает. В 1991 г. она трансформируется в те формы, которые требуют теперь в нашем обществе специальных методов изучения
. Не говоря о том, что уже вопрос о трансформации определенных политических групп в слои коммерческие сразу «подвешивает» проблему достоверности данных из-за «конфиденциальности» сведений. Если эти данные еще согласятся дать.
Итак, в табл. 1.3 видим типичную картину, поскольку объектом выступает организованная по строго функциональному производственному и политическому
Таблица 1.3. Общая картина распределения населения г. Таганрога по различным институциональным формам общественной работы (в расчете на 1000 взрослого населения города с избирательным правом; количество опрошенных - n
1969 = 1021)
BHHdhXdou
эіяняі/э?іо
яівьэц
eVHejeuodu
иіоі/эіі g
UHHdhXdou
эіяняі/э?іо
UHHdhXdou
эіяняі/э?іо
яіеьэи
ивннэіэ
яівьэи
ивннэіэ
? о к =* ф ,х ^ о >х Ж О О.
ж о Q. -?-
bMHedgoo
СС ф СО X
I I
принципу система деятельности. За вычетом ее оказывается 58,3 % населения города, только отдельными поручениями охвачено 10,3 %, только выборной работой в общественных организациях — 10,1 %. Еще две группы, сочетающих пропагандистскую и выборную (4,8 %) или пропагандистскую работу с отдельными поручениями (3,9 %), дают вместе с указанными 87,4 % населения. Остальные сочетания практически незначимы статистически. Я сделаю здесь два косвенных замечания на дополнительных данных.
1. Две группы людей, выполняющих сразу две функции, одна из которых пропагандистская, резко снижают на общем фоне трудовую активность, что говорит о дисбалансе в представляемом ими поле деятельности рабочего и внерабочего времени, производственных и внепроизводственных функций при данной организации деятельности.
2. Число депутатов Советов в нашей выборке — 4 человека на 1000 — точно отражает их долю в генеральной совокупности
. К ним обратилось с ходатайствами как к представителям Советской власти 93 человека. Вопросы о том, могут ли 4 человека на 1000 аккумулировать социальные нужды 1000, а также может ли такое представительство (или даже расширенное до 1,6 %) называться советской властью, пока, без анализа процесса принятия решений местной властью, оставим открытыми.
При рассмотрении динамики разрушения социальной структуры в СССР мы проанализируем интегрирующие данные по аналогичным таблицам 1977 и 1991гг. Но сейчас мы введем первый показатель сравнения динамики распределения людей в стандартных предметно-институциональных структурах. В сущности во всех трех случаях перед нами 64-клеточная шахматная доска с социальными общественными фигурами-слепками человеческой активности, подчиняющимися определенным правилам игры социальной системы. Если все клетки равнозаполненны, то нормированная энтропия (по Шеннону) будет равна 1,000. Если заполнена одна клетка, то этот показатель будет равен 0,000. При состоянии динамического равновесия показатель нормированной энтропии, фиксируя плотность распределения людей на выделенном реестре параметров или, если угодно, в их «кристаллической решетке», должен ложиться в определенный диапазон. Для корректного сопоставления сравниваемые структуры должны быть, во-первых, выровнены по степеням свободы, а во-вторых, иметь дополнительный показатель экспериментальной энтропии только по заполненным ячейкам
.
Этим показателем мы будем пользоваться на протяжении всего анализа информации за период 1967—2004 гг., рассматривая различные структуры. Для примера покажем, как он работает на вышеприведенных (табл. 1.4).
|
Таблица 1.4. Показатели распределений в табл. 1.1-1.3 (в показателях энтропии и среднего числа используемых форм деятельности в расчете на всех (средняя общая), на использующих хотя бы одну форму (средняя частная), и вариации признака по средней частной; количество опрошенных - n1969 = 1021) |
|
|
Энтропия |
Средняя
общая |
Средняя
частная |
Стандартное отклонение |
Вариация, % |
|
Общая |
Экспери
ментальная |
|
Структура аудитории (табл. 1.1) |
,541 |
,638 |
4,514 |
4,532 |
1,237 |
27,4 |
|
Каналы выражения ОМ (табл. 1.2) |
,515 |
,559 |
1,064 |
1,708 |
1,046 |
61,3 |
|
Общественная работа (табл. 1.3) |
,393 |
,496 |
,595 |
1,427 |
,637 |
44,6 |
|
Более свободно население распределено по институциональной структуре средств массовой информации, но вариация числа используемых средств ниже всего, так как люди широко используют все средства.
Интегрирующая роль количественных параметров
Рассмотрим теперь суммарную активность во всех трех сферах жизнедеятельности и качественный характер этой активности. Среднее число форм жизни всех трех фрагментов рассмотренного континуума сфер прямого и обратного потока информации и форм политической организации, приходящихся на одного жителя города, равно 6,5 из 24
. Среднеквадратическое отклонение равно 2,9. Вне этих форм 2 человека на каждую тысячу горожан, максимальное число форм зафиксировано у одного человека (18). Распределение близко к нормальному, но несколько скошено в область меньшего числа форм от средней по «гауссиане». Разбиваем массив на слои по критерию ±1ст (одно «стандартное» отклонение) и, получив три группы по степени активности (—, ±, +) в данном предметно-институциональном континууме форм, посмотрим качественную структуру этого признака.
Из таблицы 1.5 следует, что 26 % малоактивного слоя дают 13 % всей «массы» деятельности в рассматриваемом континууме, а 15 % активного слоя — 26 % этой «массы», измеренной числом общественных форм, освоенных людьми. Далее программа сняла по критерию статистической непредставительности четырех депутатов Советов. Наиболее массовой формой обратного потока информации от населения (впоследствии полностью уничтоженной при построении «демократического» общества) являлись собрания. Наиболее массовыми формами информирования населения выступают газеты, радио, телевидение, лекции общества «Знание» и политинформации в производственных общностях. Последние две формы сходят на нет к 1991 г.
Все каналы выражения мнений в территориально-производственной агломерации фактически находятся в области общественно-политической регуляции обмена. Эти формы деятельности связаны в активном слое намертво. Обратная связь оказывается скорее формой аккумуляции информации властью через свой же социальный слой. При этом общая картина показывает, что наиболее
|
Таблица 1.5. Общая картина состава групп с различной степенью активности (число форм) в массовых формах политико-информационного контураа и общественной работы с точки зрения веса этих форм (в % к числу опрошенных - n1969 = 1021 и в знаках направления и силы отклонения частоты признака: m = 6540*) |
|
(Л |
Кол. 1 |
О
о |
26 | |
59 | |
Ю |
о
о |
со |
CD |
26 1 |
со |
CD |
26 |
|
Каналы выражения ОМ | |
CD |
О) |
|
CD |
oo
CO |
- |
|
- |
со |
|
1 |
1 +++ 1 |
|
Ю |
О) |
CO |
00 |
CO
CM |
- |
- |
- |
см |
' |
' |
+
+ |
|
|
CD |
Ю |
Ю |
CD
CO |
со |
см |
см |
со |
' |
' |
1 +++ 1 |
|
СО |
О) |
|
|
oo
CM |
- |
|
- |
со |
|
і |
1 +++ 1 |
|
CN |
О) |
CM |
03 |
о
CM |
- |
- |
- |
см |
' |
+1 |
+
+ |
|
- |
СО
ю |
CD |
CD |
03
03 |
oo |
см |
03 |
03 |
1 |
1 +++ 1 |
+ |
|
Аудитория СМИ 1 |
CD |
со
со |
CM |
CO |
о
03 |
ю |
- |
ю |
оо |
|
' |
1 +++ 1 |
|
Ю |
о
CD |
О |
•=t |
CM
03 |
03 |
со |
- |
оо |
1 |
1 +++ 1 |
' |
|
|
оо
г— |
03
CO |
О
03 |
oo
03 |
CM |
см |
со |
03 |
+1 |
1 +++ 1 |
1 |
|
СО |
о
О) |
о
oo |
CO
03 |
03
03 |
|
со
см |
|
03 |
1 +++ 1 |
+1 |
1 |
|
CN |
t— СУ) |
03 |
oo
03 |
03
03 |
ю |
см |
ю |
03 |
1 +++ 1 |
+1 |
1 |
|
- |
CD
03 |
Ю
oo |
03
03 |
о
о |
ю |
CD
см |
ю |
03 |
1 +++ 1 |
+1 |
I |
|
Общественная работа | |
CD |
CD
CM |
|
CM
CM |
ю
oo |
|
|
со |
оо |
|
I |
1 +++ 1 |
|
Ю |
|
|
CD |
CM
CD |
CM |
|
- |
CD |
|
1 |
1 +++ 1 |
|
|
t— |
CM |
oo |
о |
со |
- |
со |
|
|
+1 |
+
+ |
|
СО |
CO |
|
CO |
- |
- |
|
- |
- |
|
! |
+
+ |
|
CN |
t— |
|
CD |
03 |
- |
|
- |
CM |
|
+1 |
1 +++ 1 |
|
- |
03 |
CM |
|
CM
Ю |
со |
- |
со |
ю |
|
' |
1 +++ 1 |
|
(Л |
CD
'si'
CD |
327 |
066 |
1094 |
о
о |
о
о |
о
о |
о
о |
о
о |
о
о |
о
о |
|
|
СЛ |
' |
+i |
+ |
(Л |
' |
+1 |
+ |
' |
+1 |
+ |
|
< |
со |
о |
|
вероятным «каналом» вертикальной мобильности в то время выступает сфера устной пропаганды. Доля ее наиболее велика и в среднем, и в высоком по активности слоях. Характерно также, что доля активистов растет во всех информационных каналах к власти, но собрания — наиболее доступная массам форма, и здесь частота выступлений политактива гаснет на общем фоне обратного информационного потока. Еще одна характерная деталь: политактивный слой «захватывает» в первую очередь такие каналы, как выступления на предвыборных собраниях, беседы с работниками властных органов и письма в городскую газету, которые являются резервуаром публикаций.
Значения энтропии говорят, что поведение малоактивного слоя плотно лежит вокруг информационного приема, где радио в то время на первом месте. При росте активности поведение следующих слоев «распыляется» по всем формам, и энтропия по качественным показателям растет. Однако она остается очень низкой по количественным диапазонам числа используемых форм в каждой из групп по активности
. Это значит, что и там и там наличествует оптимальная плотность распределения по формам жизни, но если у малоактивных это вызвано попаданием в ту область социального, где из предлагаемого набора можно использовать только четыре ярко фиксируемые таблицей формы информационного приема, то у высокоактивных — это «возгонка» на поля активности, сокращенные вокруг ядра-набора политической деятельности в производственно-управленческом контуре социума.
Рассмотрение состава этих слоев с точки зрения форм активности в досуге показало, что малоактивные в бытовой и политсреде более, чем высокоактивные, используют такие формы поведения, как уход за детьми, рукоделие, прием гостей. Ясно, что наблюдаемый дисбаланс активности этого слоя объясняется попаданием в ту зону социального «кристалла», где особо обменом свойствами не разгуляешься. Здесь только беглый просмотр телевизора на кухне и постоянно включенное радио. Это семья и бытовая микросреда. Малоактивный в этом срезе общества слой оказался более интенсивно связанным с процессом воспроизводства населения. Здесь детность в когортах женщин 20—24 и 25—29 лет была в стране в то время на уровне, обеспечивающем простое воспроизводство населения.
Мы рассмотрели данные три слоя в исследовании 1975 г. в Витебске, посвященном проблемам свободного времени и пьянства. Количество выпитого спиртного в году на человека в среднем дало величину, которая хорошо согласуется с данными по генсовокупности (СССР в целом). Распределение от этой средней дало практически чистое нормальное распределение. Объем массива позволил выделить по пять групп по степеням пьянства и социальной активности. Перемножение их показало, что особенных различий по уровню выпивки нет. Форма всеобщая. Однако в страте малоактивных пьют меньше. Больше пьют в группе, переходящей к активной политической работе. Как видим, при наших показателях выявляются и формы вероятно скоро последующей обратной мобильности: сверху вниз. Кроме того, нижняя страта общественно-политической и информационной активности в витебском исследовании оказалась различима числом форм досуга не только от максимально активных, но и умеренно активных в массовых формах информационно-пропагандистского процесса
.
Теперь посмотрим на связи признака «активность» с другими социальными признаками и на состав трех выделенных слоев (табл. 1.6).
Таблица 1.6. Коэффициенты взаимной сопряженности активности в сферах информационного приема, общественной деятельности и выражения общественного мнения и постановки проблем (решения вопросов) перед органами власти и групп населения по полу, возрасту, роду занятий и образованию; n1969 = 102,
1 уровень значимости коэффициентов — 99,95 %/ Q = 99,95 %**/ |
|
Показатели связи |
Пол |
Возраст |
Род занятий |
Образование |
|
«Хи-квадрат» |
68,13 |
119,42 |
247,88 |
282,60 |
|
Пирсона |
,259 |
,343 |
,494 |
,527 |
|
Крамера |
,183 |
,242 |
,349 |
,373 |
|
Сопряженности |
,251 |
,324 |
,443 |
,466 |
|
Здесь видно, что наиболее сильно стратификационная активность нашего общества в 70-е гг. была связана с признаками «образование» и «род занятий», т. е. с социально-профессиональным или классовым составом общества. Возрастная шкала дает менее высокую связь. Посмотрим на детали этих связей. При этом опять для наглядности и простоты анализа поместим под таблицами с долями той или иной группы в модели населения в целом и в каждом из слоев знаки «+» или «—» в зависимости от увеличения или уменьшения этой доли в соответствующем слое. Степень достоверности отклонения фиксируется количеством знаков.
Данные таблиц 1.6 и 1.7 говорят о разделении общественно необходимого труда при данном социальном устройстве, о порогах процессов социализации и сходе с арены активной жизни, о дисбалансе времени между подсистемами материального производства и воспроизводства населения. Мы разберем эту картину в динамике на репрезентативных населению страны массивах по 10 000 человек, а пока прокомментируем связи из этих таблиц.
Во-первых, наиболее активны в выделенной подсистеме мужчины, лица возраста 30—39 лет, с образованием от среднего и выше, ИТР, административный аппарат предприятий и незанятая на производстве интеллигенция (через 10 лет она полностью оттеснит ИТР из зоны пропагандистской работы, но не от участия в руководстве предприятиями через общественные организации). Во-вторых, женщины и домохозяйки принадлежат к нижней страте активности разбираемой подсистемы. В-третьих, развитая сеть вузов, охватывая группу учащихся формами устной пропаганды, ведет к положительной оценке учащимися (лицами с незаконченным высшим образованием) совпадения решений органов власти и мнений населения, хотя в процессе выражения общественного мнения и постановки социальных проблем перед властными структурами, как показывает дополнительный анализ, эта группа практически не участвует. В-четвертых, положительные оценки той или иной
|
Таблица 1.7. Состав групп различной степени активности в политико-информационнм контуре среди жителей Таганрога (в % к числу опрошенных и в знаках направленности и силы отклонения частоты признака сказуемого в каждой группе по активности от частоты в целом по массиву (В), а также в знаках отклонения оценок отношения власти к мнениям населения (оценка); n1969 = 1021) |
|
Образование | |
CD |
t— |
- |
CD |
23 1 |
|
' |
1 +++ 1 |
+1 |
+i |
+ |
|
Ю |
CD |
см |
CD |
см |
! |
+1 |
1 +++ 1 |
+ |
+i |
+
+ |
|
|
29 |
ю |
СО |
42 |
1 |
+
+ |
1 +++ 1 |
+1 |
+i |
+i |
|
СО |
30 |
25 |
35 |
20 |
i |
1 +++ 1 |
i |
+1 |
+ |
+i |
|
CN |
см |
CD |
СО |
- |
+
+ |
+ |
|
+1 |
! |
¦ |
|
- |
CD |
|
ОО |
см |
l +++ l |
1 |
|
' |
' |
+i |
|
Род занятий 1 |
оо |
СО |
- |
СО |
CD |
|
+1 |
+
+ |
+1 |
+1 |
+ |
|
г— |
ю |
СО |
СО |
- |
l +++ l |
1 |
|
+1 |
! |
+i |
|
CD |
|
со |
О |
ю |
l +++ l |
I |
I |
' |
+1 |
і |
|
Ю |
ю |
со |
Г— |
ю |
' |
+
+ |
+1 |
+ |
+1 |
+i |
|
|
CD |
см |
CD |
о |
! |
+1 |
+
+ |
+1 |
l +++ l |
+i |
|
СО |
CD |
со |
CD |
оо |
i |
+1 |
+ |
+1 |
+ |
+i |
|
CN |
|
- |
|
37 |
|
+1 |
1 +++ 1 |
+1 |
+1 |
+i |
|
- |
47 |
46 |
52 |
28 |
+1 |
1 +++ 1 |
1 |
+1 |
+1 |
+i |
|
Возраст 1 |
CD |
|
32 |
ОО |
CD |
l +++ l |
1 |
1 |
+1 |
+1 |
+i |
|
Ю |
ю |
20 |
со |
|
+
+ |
' |
+1 |
+1 |
+1 |
+i |
|
|
оо |
ю |
см |
20 |
i |
+ |
+1 |
+1 |
+1 |
+i |
|
СО |
26 |
|
28 |
CD
СО |
| |
+
+ |
1 +++ 1 |
+1 |
+1 |
+i |
|
CN |
11 |
11 |
11 |
11 |
+1 |
+1 |
+1 |
+1 |
+1 |
+i |
|
- |
ю |
оо |
г— |
СО |
! |
1 +++ 1 |
+1 |
+1 |
+1 |
+i |
с:
о
с |
? |
50 |
75 |
09 |
34 |
l +++ l |
+1 |
1 |
+1 |
+1 |
+i |
|
2 |
40 |
25 |
40 |
CD
CD |
! |
+1 |
1 +++ 1 |
+1 |
+ |
+i |
|
|
со |
¦ |
+1 |
+ |
' |
+1 |
+ |
Ин. | |
Уч. |
CQ
О |
|
< |
CO |
иннэ^о |
|
5 - 50-59 лет; 6 - высшее.
6 - 60 лет и старше.
формы аккумуляции информации органами власти от населения растут именно в тех социально-профессиональных и образовательных группах, которые наиболее интенсивно задействованы в формах информационно-политического процесса, и падают у не задействованных в нем. При этом выделяется группа пенсионеров. Пенсионеры представляют собой пассивную в целом группу в контуре обмена информацией между населением и органами власти. Но 5 % пенсионеров из активной группы (табл. 1.7) дают по 3—4 обращения в каналы выражения общественного мнения. Эти 5 % дают суммарную массу обращений в органы власти сопоставимую со всей массой обращений активной в этом деле администрации аппарата предприятий и учреждений и порождают в массовом сознании иллюзию активности пенсионеров. Часть группы не хочет покорно сходить с арены социальной жизни, и частота событий, вызванных ее поведением (которое можно назвать последним всплеском), порождает ложные формы общественного мнения. При этом вся группа пенсионеров ставит неуд органам власти в их работе по приему информации от населения.
Итак, при измерении активности людей по числу освоенных ими форм социальной жизни и построении социальных карт формализацией серии логических выводов мы получаем соответствующую жизненным наблюдениям общую картину. Реальность узнается, но это только начало дела. Необходимо увидеть в ней подсказку, как действовать, исходя из общественных интересов развития.
Прежде чем перейти к теме постоянства получаемых средних в достаточно длительных промежутках времени, покончим с проблемой связи количественно-качественных характеристик и их интегрирующей роли на примере количественного показателя уровня благосостояния населения на реестре товаров длительного пользования.
Этот показатель дифференцирует население по количеству потребительных стоимостей, находящихся в семейном или личном распоряжении человека. Распределение относительно среднего числа товаров длительного пользования, имеющихся в обиходе у населения, оказалось также близким к нормальному и достаточно стабильным до определенного периода. Кроме того, количественно-качественная структура владения товарами длительного пользования также оказалась четко промаркирована социально
.
Мы специально взяли здесь первичные данные с репрезентацией и по отдельным союзным республикам (репрезентация по массиву для СССР — 1964 человека), чтобы показать именно на них силу взаимной сопряженности показателей
|
Таблица 1.8. Взаимосвязь групп по уровню благосостояния, полученных на основании разбиения населения страны на пять слоев по достатку (очень низкий (--), довольно низкий (-), средний (±), довольно высокий (+) и высокий (++)), по числу наименований товаров длительного пользования и по числу предметов, представляющих эти товары и находящихся в обиходе опрошенного (в расчете на 1000, в % к числу групп по строке и по колонке; n1971 = 2346, массив на генсовокупность не перевзвешен) |
|
По числу предметов во владении опрошенного |
В % по колонке |
00 |
о
о |
- |
СО |
68 |
см |
со |
+
+ |
о
о |
|
|
|
О)
со |
СО |
|
+ |
о
о |
|
|
см
со |
О)
ю |
О) |
|
+ |
о
о |
|
г— |
О)
оо |
|
|
|
' |
о
о |
|
см
оо |
|
|
|
|
! |
о
о |
о
ю |
о
ю |
|
|
|
|
В % по строке |
+
+ |
го |
|
|
|
- |
со
СО |
|
+ |
го |
|
|
СО |
со
СО |
г— го |
|
+ |
о
t— |
|
О)
см |
О) |
СО
см |
|
|
' |
го |
ю
ю |
оо
СО |
со |
|
|
|
! |
- |
ю
'si- |
со |
|
|
|
|
00 |
о
о |
о
о |
о
о |
о
о |
о
о |
о
о |
|
В расчете на 1000 |
+
+ |
го
го |
|
|
|
со |
о
см |
|
+ |
со
см |
|
|
о
'si- |
•=t
h- |
см |
|
+ |
о
о
t— |
|
СО |
623 |
со |
|
|
' |
го |
СО |
г— о |
оо |
|
|
|
і |
о |
ю |
ю |
|
|
|
|
|
со |
! |
' |
+ |
+ |
+
+ |
иинеаонэииен
Хі/оиь оу |
|
и принципиальное сходство получаемых группировок. «Хи-квадрат» по 2346 равен 3487,482, Пирсона — 0,773, Крамера-Чупрова — 0,610. Однако получение группировки на более простом вопросе (без подсчета числа предметов, а только по наличию их наименований) легче, хотя при нашей точности знаний дает в принципе тот же эффект (табл. 1.8).
Покажем еще одно принципиальное сходство измерения человеческой активности в разных подсистемах: по уровням благосостояния и активности в общественно-политической и информационной деятельности. Рассмотрим плотность распределения людей в группах с различным достатком, во-первых, по тому, какими вещами они владеют (холодильник, машина, радиола и т. п. — всего 63 наименования потребительных стоимостей, свойства которых присваиваются в быту), а во-вторых, по количественному диапазону (от 0 до 52) находящихся в их пользовании потребительных стоимостей. При этом группы по уровню благосостояния в связи с величиной массива обследованных оставим пока неукрупненными, так как показатели по ним приводятся в целом, а весь массив перевзвесим из квотной выборки в представительную для СССР через коэффициенты веса групп на пересечении трех фундаментальных признаков «пол» х «род занятий» х «образование» в генеральной совокупности (по Всесоюзной переписи 1970 г.) (табл. 1.9).
Показатели энтропии в слоях по уровню благосостояния очень похоже варьируются на аналогичные показатели активности в информационной и общественно-политической подсистеме. Это значит, что существует социально предопределенный «стандарт» количественно-качественных сочетаний в предметном мире людей, вызванный попаданием их в определенный ареал пространственно-временной фигуры социальной системы. Дифференциация по богатству существует даже в обществе с ненасыщенным товарами рынком и низкой степенью товарного покрытия денежной массы у населения. Пятая часть населения (19 %) имеет в обиходе лишь 8 % вещного мира бытовой среды, в то время как 17 % населения (меньшая часть) присваивает себе 28 % этой «вселенной». Второй важный вывод следует из табл. 1.10, где видно долю в этих слоях групп по роду занятий и социальному положению
.
Наиболее сильная деталь — явное совпадение уровня благосостояния социально-профессиональных групп, полученное в масштабах страны с глубиной включенности этих групп в общественно-политические и информационные формы жизни, выявленной в первом таганрогском проекте
. Коэффициент взаимной сопряженности Пирсона признаков «достаток» и «род занятий» в табл. 1.10 — 0,469 («хи-квадрат» = 408,898), Крамера — 0,332, а признаков «достаток» и «образование» — 0,447 и 0,316 соответственно (при «хи-квадрате» 371,993)
. Уровень обра-
|
Таблица 1.9. Характеристики отдельных слоев по уровню достатка, исходя из показателей распределений, во-первых, по наименованиям имеющихся товаров длительного пользования в целом и по имеющимся в каждом слое товарным группам, а во-вторых, по количественному диапазону этих товаров в целом (0-52) и по имеющемуся в каждой группе количественному диапазону товаров, имеющихся в обиходе (в абсолютных показателях n1971 = 2346, массив перевзвешен на генсовокупность; ^ в = 2236, в показателях среднего числа наименований предметов, среднеквадратическго отклонения, вариации признака, в % к числу обследованных по слоям и в % потребительных стоимостей в слое к суммарному числу у населения, а также в значениях нормированной энтропии) |
|
11 |
,921 |
,882 |
,945 |
,993 |
,960 |
,883 |
|
10 |
,921 |
,323 |
,519 |
,727 |
,528 |
,485 |
|
«л |
,904 |
,817 |
,835 |
,883 |
,939 |
,956 |
|
СО |
,904 |
,581 |
,800 |
,883 |
,935 |
,952 |
|
г- |
о
о |
CN |
7,8 |
о
CD |
22,7 |
5,3 |
|
со |
о
о |
ІЛ |
17,5 |
64,3 |
14,1 |
2,6 |
|
ю |
52 |
СО |
г— |
ю |
г— |
CD |
|
|
8,16 |
0,91 |
2,13 |
4,32 |
1,99 |
2,42 |
|
со |
19,1 |
см” |
8,6 |
19,1 |
30,9 |
38,4 |
|
см |
0-52 |
со
о |
4-11 |
12-27 |
28-35 |
36-52 |
|
т—1 |
2236 |
33 |
391 |
1438 |
315 |
59 |
|
Показатели |
В целом |
! |
¦ |
+ |
+ |
+
+ |
|
иоі/э |
|
Таблица 1.10. Состав слоев по уровню благосостояния с точки зрения групп по роду занятий и социальному положению (в % к числу опрошенных и в показателях силы и направленности отклонения веса группы в слое от среднего в выборке;п1971 = 1964, репрезентативен населению СССР в целом без увеличения представительства каждой союзной республики и перевзвешен на генеральную совокупность аналогичным вышеуказанному образом; N = 1860)
перевзв |
|
СССР в 1971 г. |
S |
С/х |
Р. |
ИТР |
СА |
ИНП |
ССО |
Пенс. |
Д/х |
Ст. |
|
В целом |
100 |
15,5 |
38,5 |
5,5 |
4,8 |
5,2 |
2,4 |
21,6 |
2,5 |
4,0 |
|
Слои |
- |
100 |
23,0 |
29,5 |
1,9 |
,5 |
2,5 |
,5 |
35,8 |
2,2 |
4,1 |
|
+- |
100 |
16,8 |
43,0 |
3,8 |
5,4 |
3,2 |
3,0 |
20,7 |
2,6 |
1,5 |
|
+ |
100 |
1,1 |
31,1 |
17,9 |
8,1 |
17,2 |
2,8 |
7,4 |
2,5 |
11,9 |
|
- |
20 |
+++ |
— |
--- |
|
-- |
|
+++ |
+- |
+- |
|
+- |
65 |
+ |
+++ |
--- |
+ |
--- |
+ |
- |
+- |
--- |
|
+ |
15 |
|
-- |
+++ |
++ |
+++ |
+- |
--- |
+- |
+++ |
|
Слои по уровню благосостояния:
«-» - низкий;
«+-» - средний;
«+» - высокий.
Группы по роду занятий (социальному положению):
С/х - работники, занятые в сельскохозяйственном производстве;
Р. - рабочие промышленных предприятий, транспорта и связи;
ИТР - инженерно-технические работники;
СА - служащие аппарата предприятий и учреждений, управленцы;
ИНП - непроизводственная интеллигенция, врачи, учителя, преподаватели и т. п.;
ССО - служащие сферы обслуживания, работники торговли и бытовых учреждений;
Пенс. - пенсионеры, находящиеся на пенсии;
Д/х - домохозяйки;
Ст. - учащиеся высших и средних специальных учебных заведений.
зования больше связан с процессами духовного производства, однако очевидно, что слои, связанные с умственным трудом, управлением и регуляцией процесса обмена результатами труда присваивают себе больший удельный вес этих результатов, чем слои, создающие материальные ценности. Это происходит в обществе, где обмен результатами труда, во-первых, достаточно сбалансирован, а во-вторых, где рынок еще недостаточно покрывает развившиеся потребности и платежеспособный спрос населения.
Можно, конечно, сопоставить активность не только в данных контурах присвоения форм жизни, но и в остальных (досуга, трудовой, межличностной коммуникации, воспроизводства населения), сопоставить эти картины между собой и с информированностью в разных областях культуры и социальной жизни, с оценками различных параметров деятельности власти, самого населения, журналистов. Все это мы сделаем позже, рассматривая поведение населения страны и социума в целом, а пока покажем, как работают количественные показатели во времени.
Константность параметров во времени
Если начинать от показателя уровня благосостояния, к динамике которого мы вернемся в соответствующем разделе описания подсистемы материального потребления, то надо отметить начало его роста в 80-е гг. Так, в сельской местности число товаров длительного пользования на одного сельского жителя (по сопоставимой за 27 лет группе в 15 товаров) изменялось следующим образом: 1971 г. — 5,5;
1981 г. — 5,5; 1991 г. — 8,6; 1997 г. (осень за год до «дефолта») — 9,6. Вес владеющих автомашиной среди семейных сельских жителей последовательно рос соответственно названным годам: 1 % — 11 % — 20 % — 36 %. В слое «богатых» сельских жителей эта картина еще ярче: 4 % — 36 % — 59 % — 84 %, в слое «бедных»: 0 % — 1 % — 1 % — 7 %. Итак, все семейное село к 1998 г. достигло по автомобилям уровня «зажиточных» образца 1981 г., а «бедные» едва перешагнули уровень «зажиточных» 1971 г. Но данный показатель (машины) — частный качественный показатель. В целом распределение относительно среднего числа остается устойчивым: богатые становятся богаче и их становится меньше, бедные становятся беднее и вымирают, а середняки растут из «холма» в «горный пик», землетрясение — впереди
.
Вернемся, однако, к средствам массовой информации. Во введении было упомянуто, что удельный вес абсолютной «не-аудитории» СМИ остается на протяжении почти 40 лет величиной одного порядка. Конечно, аудитории отдельных средств изменили свои объемы, и значительно, но не катастрофически
. Исчезли средства массовой устной пропаганды, но агитация стала более массовой, перебазировавшись на телеэкраны и в музыкальные передачи, полиграфия нынешних предвыборных листовок вызвала бы зависть прежних революционных агитаторов (о метаморфозах форм общественно-политической деятельности до времени умолчим).
Но вот что интересно. В 1968, 1977, 1991, 2004 гг. мы исследовали реальное чтение разных газет населением. Оказалось, что ежедневно к газетному листу обращается около 40 % читающей массовую прессу публики. И вот среди этих читателей среднее число сообщений на одного читателя, как уже указывалось, оказалось постоянным (табл. 1.11).
|
Таблица 1.11. Показатели реального чтения сообщений газет с 1968 по 2004 г. (в показателях среднего числа прочитанных сообщений в день на одного читателя газеты; число читателей: n1968 = 102, n1977 = 500, n1991 = 203, n2004 = 74; число актов поведения по числу прочитанных сообщений соответственно по исследованиям «Таганрог-1», «Правда»-1977», «Правда»-1991», «Тамбов-2004»: A1968 = 2434, A1977 = 10 930, A1991 = 4605, A2004 = 1576) |
|
Издание |
Год |
1 |
2 |
3 |
4 |
5 |
6 |
7 |
8 |
|
«Таганрогская Правда» |
1968 |
102 |
23,9 |
39 % |
3 |
40 |
37 |
40 |
,945 |
|
«Правда» |
1977 |
500 |
21,9 |
75 % |
2 |
81 |
79 |
81 |
,926 |
|
«Правда», «АиФ» |
1991 |
203 |
22,7 |
110 % |
1 |
125 |
124 |
125 |
,918 |
|
«Тамбовская жизнь» |
2004 |
74 |
21,3 |
25 % |
10 |
31 |
21 |
31 |
,918 |
|
1 - число обследованных читателей, читавших накануне газету.
2 - среднее число принятых сообщений.
3 - коэффициент вариации признака в массиве читателей.
4 - минимальное зафиксированное значение признака.
5 - максимальное зафиксированное значение признака.
6 - разброс между максимальным и минимальным значением.
7 - предельное число сообщений в прочитанных газетах.
8 - энтропия в распределении по числу принятых сообщений.
Данные таблицы позволяют вычислить общую массу сообщений, принимаемых в разные годы из разных каналов их аудиториями. Тиражи «Таганрогской правды» 60-х гг. — 50 000 экземпляров, «Правды» 70-х гг. — 10 млн, «АиФ» 1990 г. — 33 млн, «Правды» 90 г. — около 7 млн, «Тамбовской жизни» в 2004 г. — 10—12 тыс. экземпляров в день. Общий объем аудиторий газет, как показывают опросы, всегда удваивается за счет семейного приема информации: читают газеты вообще в два раза больше людей, чем тираж выбранного издания. Но каждый день номер читает лишь 40—50 % постоянной аудитории. Это элиминирует эффект семейного удвоения тиража. Таким образом, без большой ошибки можно, умножив тираж на среднее число читаемых из номера сообщений (22—24), получить и суммарную массу прочитанных сообщений, и общие затраты времени на присвоение содержания сообщений в день. Бюджеты времени и Всесоюзные исследования говорят о 25—38 минутах на 23 сообщения (средняя арифметическая — 35 минут, мода и медиана — 25, средняя гармоническая — 25). Учтем также, что «АиФ» — еженедельник. Итак — 50 000 х 23 = 1 150 000 человеко-сообщений (25 тыс. человекочасов), 10 млн х 23 = 230 млн человеко-сообщений (около 5 млн человеко-часов), 7 млн х 23 = 161 млн человеко-сообщений (около 3,5 млн человеко-часов), 33 млн делим на 7 дней, умножаем на 23 и получаем около 110 млн человеко-сообщений (около 2,5 млн человеко-часов) в день, 10 тыс. х 23 = 230 тыс. человеко-сообщений (около 5 тыс. человеко-часов). Все объемы принятой информации разные и совершенно несопоставимые. Абсолютные величины затрат времени на прием информации разных каналов просто нельзя сравнивать. Но средняя — одна и та же на протяжении почти четырех десятилетий
. Следовательно, относительная величина времени, общественно необходимого для приема социально организованной информации из газетных печатных изданий у читающей публики, константна
.
Распределение относительно этой средней меняется в зависимости от интенсивности информационного потока в той степени, в которой этот поток превышает, соответствует или не достигает порога социально системного времени, кристаллизуемого всеми видами деятельности для данного вида. Естественно, что в индивидуальном поведении причинно-следственные факторы этого явления выделить невозможно. Статистика же массового поведения проявляет общественную физиономию наверняка. Так, уже в аудитории «Правды» 1977 г. создавался менее плотный и эффективный поток информации, чем в «Таганрогской правде» 1968 г. Об этом говорит разброс значений признака, падение показателя нормированной энтропии, увеличение коэффициента вариации при практически той же средней. Рынок сообщений предлагал 81 сообщение в день, и аудитория «не справлялась» с приемом. Еще более разреженный поток присвоенных сообщений виден в общей аудитории «АиФ» и «Правды» в 1990—91 гг. Плотность потока пропаганды на реципиента достигает 125 сообщений в день. Распределение выходит из рамок нормального. Возрастает дисперсия, коэффициент вариации по числу читаемых материалов превышает 100 %, энтропия падает, активность приема сосредоточивается в узкой области средней детерминанты в связи с селективной ролью сознания в информационном потоке, превышающем количественный порог времени для приема (чистый случай перепроизводства). Любопытно другое. Крайне полярный случай дает тот же показатель энтропии через четырнадцать лет при очень плотной, похожей на ситуацию с аудиторией «Таганрогской правды» в 1968 г., картиной приема информации через «Тамбовскую жизнь». Здесь как раз «бедный» рынок сообщений, отражающих социальную жизнь, и концентрация возле временной детерминанты происходит из-за менее плотного потока информации. Тут 31 сообщение в день, порой газета выходит с 9—12 содержательными сообщениями, будучи заполняемой с целью выживания рекламой. Читающей публике некуда деться. Фетиши товарного мира привели к еще большей стандартизации социальной жизни, чем пресловутый тоталитарный режим, и плотность распределений возрастает, потому что рынок социальных сообщений предельно узок.
Подобный результат приносит не только незнание пороговых значений времени общественно необходимого для реализации в обществе той или иной формы жизни. То же происходит и при нарушении оптимума функционирования в социальной системе фундаментальных форм сознания. От того, что последствия российских нормативных «переливов» типа «поп с гармонией», показа интимного общения верующих с Богом в храме по ТВ на весь мир невидимы, они не становятся менее разрушительными, чем неуправляемая термоядерная реакция.
В 1973 г. были обнаружены группы по степени осознания своих информационных потребностей. Дело в том, что определенная социология умело проводит исследования там, где можно взять деньги, абы сказать, что хочет услышать барин. Исследования массовых коммуникаций задавали дежурный вопрос о тематических интересах аудитории, а затем писались рекомендации по сетке вещания или наполнению газетной полосы. Автор книги еще в 1973 г. сопоставил на 4546 актах реального прочтения газетных сообщений совпадение заявленного читателем интереса и характеристик прочитанных, просмотренных и пропущенных сообщений. Методика была повторена в 1977 г. на 35 000 актах приема, в 1991 г. — на 63 000 актах приема информации «АиФ», «Правды» и «Комсомольской правды» и в 2004 г. — на 3546 актах приема сообщений «Тамбовской жизни». Если человек на основании нескольких вопросов называл темы, качества, свойства материалов, которые он предпочитает читать, то это фиксировалось. Процедура выяснения реального чтения газет вела к отметке прямо на газетном листе прочитанных, просмотренных и пропущенных материалов
. Затем (в 1973 г. вручную, а позднее на ЭВМ) характеристики материалов, полученные с помощью контент-анализа, в каждом случае прочтения или отказа от чтения сопоставлялись с заявленными интересами. Выяснялась доля читаемых сообщений в общем числе совпадений двух рядов характеристик. Объективная потребность выражена в действии по прочтению. Субъективно осознанная заявлена вербально. Были обнаружены четыре группы читательской аудитории:
• группа 1 объединяет людей, которые вовсе не читают материалов, затрагивающих интересные им темы при встрече этих тем (19 % — в 1968 г., 18 % — в 1977 г., 2 % — в 1991 г., 4 % — в 2004 г. в соответствующих аудиториях);
• группа 2 объединяет людей, которые читают от 1 до 32 % материалов, затрагивающих интересные им темы при встрече этих тем (37, 47, 75, 3 % соответственно годам замеров);
• группа 3 объединяет людей, которые читают от 33 до 66 % материалов, затрагивающих интересные им темы при встрече этих тем (24, 22, 10, 33 % соответственно годам замеров);
• группа 4 объединяет людей, которые читают от 67 до 100 % материалов, затрагивающих интересные им темы при встрече этих тем (20, 13, 13, 60 % соответственно годам замеров).
Вот доля этих групп в группах по активности приема сообщений (табл. 1.12)
.
|
Таблица 1.12. Состав групп различной степени интенсивности информационного приема с точки зрения групп по степени совпадения вербально заявленных интересов и актуального поведения, выраженного в характеристиках принятых сообщений в 1968-2004 гг. (в % к числу обследованных n1968 = 107, n1977 = 500, n1991 = 838, n2004 = 132) |
|
«Таганрогская правда», 1968 г. |
S |
1 |
2 |
3 |
4 |
S |
|
В целом |
100 |
18,7 |
37,4 |
24,3 |
19,6 |
100 |
|
Низкая степень приема |
15,8 |
64,7 |
29,4 |
5,9 |
|
100 |
|
Средняя степень приема |
66,4 |
12,7 |
42,2 |
31,0 |
14,1 |
100 |
|
Высокая степень приема |
17,8 |
|
26,3 |
15,8 |
57,9 |
100 |
|
«Правда», 1977 г. |
S |
1 |
2 |
3 |
4 |
S |
|
В целом |
100 |
18,0 |
47,2 |
21,8 |
13,0 |
100 |
|
Низкая степень приема |
12,2 |
63,9 |
36,1 |
|
|
100 |
|
Средняя степень приема |
70,0 |
13,7 |
57,1 |
22,3 |
6,9 |
100 |
|
Высокая степень приема |
17,8 |
3,4 |
15,7 |
34,8 |
46,1 |
100 |
|
«Правда», «АиФ», 1991 г. |
S |
1 |
2 |
3 |
4 |
S |
|
В целом |
100 |
2,5 |
75,1 |
9,9 |
12,5 |
100 |
|
Низкая степень приема |
20,1 |
9,9 |
79,5 |
|
10,6 |
100 |
|
Средняя степень приема |
59,6 |
1,2 |
89,8 |
7,2 |
1,8 |
100 |
|
Высокая степень приема |
20,3 |
|
28,4 |
26,1 |
45,5 |
100 |
|
«Тамбовская жизнь», 2004 г. |
S |
1 |
2 |
3 |
4 |
S |
|
В целом |
100 |
4,5 |
3,0 |
32,6 |
59,9 |
100 |
|
Низкая степень приема |
21,8 |
12,0 |
12,0 |
52,0 |
24,0 |
100 |
|
Средняя степень приема |
60,0 |
3,7 |
1,2 |
33,3 |
61,8 |
100 |
|
Высокая степень приема |
18,2 |
|
|
11,5 |
88,5 |
100 |
|
Степень осознания информационных потребностей:
1 - нулевая, потребностей не осознают (читают, что попало);
2 - низкая (читают 1-33 % заявленных материалов);
3 - средняя (читают 34-66 % заявленных материалов);
4 - высокая (читают 67-100 % заявленных материалов).
Здесь мы видим не только подтверждение предыдущих выводов на основании дисперсионного и энтропийного анализа линейных распределений активности информационного приема по числу сообщений. Интенсивность приема четче связана с уровнем осознания своих объективных потребностей в информации реципиентом, если объем информационного потока соответствует системному времени, фиксируемому в средней или колеблется близко от него. Таблица 1.13 делает этот вывод еще более наглядным.
|
Таблица 1.13. Коэффициенты сопряженности групп по степени интенсивности информационного приема и групп по степени совпадения вербально заявленных интересов и актуального поведения и показатели энтропии в поле принятых сообщений в 1968-2004 гг. (только в частотах принятых сообщений; n1968 = 2643, n1977 = 10 962, n1991 = 12 128, n2004 = 890; Q = 99,95 %) |
|
Показатели связи |
1968 г. |
1977 г. |
1991 г. |
2004 г. |
|
«Хи-квадрат» |
1238,691 |
3893,430 |
6617,247 |
182,554 |
|
Пирсон |
,685 |
,596 |
,739 |
,452 |
|
Крамер-Чупров |
,484 |
,421 |
,522 |
,320 |
|
Взаимной сопряженности |
,565 |
,511 |
,594 |
,412 |
|
Энтропия общая (матрица 3 х 4) |
,748 |
,743 |
,605 |
,599 |
|
Энтропия экспериментальная (без пустых клеток) |
,894 |
,802 |
,653 |
,677 |
|
Характерным обстоятельством, вытекающим из дополнительных данных, является то, что уже в 1968 г. среднее число сообщений, рассмотренное в рамках групп, различающихся активностью в структуре информационно-политических процессов и дифференцирующихся по профессиональной принадлежности и по образованию, совершенно одинаково. Если мы введем в дифференцирующуюся по указанной активности структуру формы межличностной коммуникации (обмен мнениями в бытовой микросреде, семье, производственной общности), то отклонение в средней незначительно возрастет в наиболее активной группе (в 80%-м интервале до 29,6 принятых на читательскую душу сообщений). При этом среди мало- и средневключенных в массовые формы идеологического процесса средняя не падает. Это значит, что процесс приема сообщений принял уже 40 лет назад массовый характер и читатель совершенно свободно вел себя на рынке сообщений, выбирая в той или иной жизненной ситуации любую качественную информацию, необходимую ему и мало соответствующую заявленным интересам, на которые ориентировались редакции. В то время рынок сообщений сложился, а рынок товаров, как мы вскользь пока рассмотрели, был стандартизован и узок по ассортименту товаров широкого народного потребления и товарному покрытию рубля. Однако теперь дело зеркально изменилось. Насыщенность товарами перекрывает платежеспособный спрос широких слоев населения, а рынок сообщений резко ограничен набором содержательных элементов социальной информации, отражающей жизнь страны. Это видно уже невооруженным взглядом, но мы впоследствии покажем это на данных анализа содержания ведущих газет России.
Картографирование социальной системы
Социальное пространство и время, развертываясь в физическом пространстве и времени, являются квазиобъектами, требующими своих, отличных от физических, методов измерения, если мы хотим увидеть их или «потрогать руками».
Уже в конце 70-х гг. были построены социальные карты активности различных слоев населения в традиционно выделяемых сферах общественной жизни. При проведении второго таганрогского исследования (в рамках ИСИ АН СССР) были зафиксированы на единых показателях распределения населения в контуре информационно-пропагандистских средств и каналов выражения общественного мнения и в сфере общественно-политической деятельности. Сопоставление одинаковых выборок с разницей в 10 лет позволило сделать выводы о том, что при почти неизменной массе деятельности в структуре выделенных сфер жизни наличествует тенденция разрушения этой институциональной структуры. Впоследствии на Всесоюзном исследовании в 10 154 человека это получило подтверждение. Результат позволил построить первые социальные карты разрушающейся структуры, вытянув ее в группы по активности в подлежащем интегральных таблиц. Не анализируя пока динамики этой структуры, покажем взаимосвязи полученных из нее групп по активности с некоторыми признаками в масштабах страны.
Таким образом, выводы из исследований проекта «Общественное мнение» по г. Таганрогу в 1969 г. на городской выборке в 1021 человек подтверждаются через 10 лет на данных Всесоюзного исследования в 10 154 обследованных. Картина здесь, естественно, представительней. Дополним эту картину таблицей, составленной из разных исследований, фиксируя активность социально-профессиональных групп населения в широком наборе сфер жизни, а затем сделаем выводы сразу по двум социальным картам активности (табл. 1.14, 1.15).
Как видно, оба способа анализа социального объекта хороши. В первом случае мы инициируем активность в типологическую группировку в подлежащем таблицы и рассматриваем связи сконструированного так признака активности в какой-либо подсистеме с социально-демографическими признаками или признаками активности в другой подсистеме. Во втором случае мы рассматриваем отклонения среднего значения активности социальной группы в той или иной сфере жизни по среднему значению числа форм жизни, освоенных индивидуумом из данной социальной группы. Однако картины взаимно дополняют друг друга. В первом случае мы видим связь включенности в массовые общественные идеологические формы с возрастными, социально-профессиональными, образовательными группами и с уровнем благосостояния. И связь признаков «активности» в рассмотренной подсистеме довольно устойчива и наглядна. Молодое поколение социализируется, старое уходит из активной жизни, среднее наиболее активно. Положение в стратификационной структуре общества тем выше, чем выше образование, достаток. Вторая «диаграмма» показывает контур распределения общественного богатства в активности его присвоения через существующие формы общественной жизни. Вся стоимость непосредственно создается социальными группами, чья активность фиксируется в восьмой строке таблицы — сфере
|
Таблица 1.14. Состав групп различной степени активности в информационной и общественно-политической деятельности с точки зрения социально-демографических признаков и уровня благосостояния в 1980 г. по данным Всесоюзного исследования образа жизни населения СССР (в % к числу опрошенных; n1980 = 10 154, массив перевзвешен на генсовокупность по переписи 1979 г.: ппвзв = 10 227, и в знаках отклонения веса групп от общего веса в выборке, а также в показателях взаимной сопряженности (показатели значимы при 99,95 %) и нормированной энтропии) |
|
(Л |
о
о”
о |
о
о”
о |
о
о”
о |
о
о”
о |
о
о”
о |
о
о”
о |
о
о”
о |
о
о”
о |
cn” |
о
со” |
03. |
CD
CN
CD |
CN
CO |
03.
со” |
z |
б
?О
< |
г—
CN
CN
О |
|
Достаток 1 |
СО |
CD
со” |
ю.
со |
03 |
о
о” |
со” |
CN
CN |
CN
о”
со |
CD
со” |
I |
I |
I |
+ |
+
+
+ |
+
+
+ |
"ST
CO
3
VO
о
к
s
c
о
CL
1-
X
о
к
со
X
X
со
со
о
CL
s
s
Cl
о
X
s
s
&
о
X
X
о
эе
к
CL
с
о
о
>5
о
X
г
S
со
о
X
S
5
й
о
со
X
о
с |
к
S
с
о
Cl
1-
X
со |
Ю
О
Г— |
|
CN |
со
со”
CD |
о
cn” |
ю |
со”
СО |
ОЗ
оо”
CD |
оо
оо”
CD |
cn”
CD |
со
со”
CD |
1 |
1 |
! |
+
+
+ |
+
+ |
¦ |
Cl
о
г
со
CL
X |
оо |
|
т—1 |
г-” |
ю.
•'t
ю |
со”
со |
со.
со”
CN |
|
оо” |
со.
Г-” |
Г-” |
+
+
+ |
+
+
+ |
+
+
+ |
I |
I |
I |
X
о
о
CL
S
с |
о
CD
CN |
|
Социальный слой | |
со |
CN
о”
CN |
|
03
ю” |
со
оз” |
CN
оз” |
о
ю”
со |
О)
о”
ю |
CN
о”
CN |
1 |
1 |
1 |
1 |
+
+
+ |
+
+
+ |
к
S
с
о
Cl
1-
X
со |
СО
ю
Г— |
|
CN |
оо”
'si- |
о
Оз’
CN |
CN
со |
со.
CN |
со.
CN
ю |
со.
Г-” |
03.
CN |
оо”
•=t |
1 |
1 |
1 |
+
+
+ |
+ |
! |
Cl
о
г
со
CL
X |
ю
со
CN |
|
т—1 |
со |
О)
со”
CD |
со
СО |
оо”
'si- |
ю
оо”
CN |
Г-” |
CN
со” |
со |
+
+
+ |
+
+
+ |
+
+
+ |
1 |
1 |
1 |
X
о
о
Cl
S
с |
СО
со
со |
|
Образование | |
со |
°о
•'t
'sl- |
ю
Г-” |
Г-” |
со”
CN |
со.
со”
'si- |
оо.
со
CD |
со.
Г-” |
оо.
•'t
•=t |
1 |
1 |
1 |
+
+
+ |
+
+
+ |
+
+
+ |
к
S
с
о
Cl
1-
X
со |
г—
ю
Г— |
|
CN |
03
со”
CN |
ю. |
оо” |
ю
со” |
ю
Г-”
CN |
о”
CN |
со
ю” |
03
со”
CN |
I |
I |
I |
+
+
+ |
! |
I |
Cl
О
г
со
CL
X |
оо
CD
CN |
|
т—1 |
со.
со |
о
оо |
03.
со”
CD |
Г-”
ю |
CN
со”
CN |
ю” |
Г-” |
со.
со |
+
+
+ |
+
+
+ |
+
+
+ |
1 |
1 |
1 |
X
о
о
Cl
S
с |
ОЗ t—
co^ |
|
Поколение | |
со |
со
об'
со |
со
CN |
со.
Г-” |
іл
Г-”
CN |
о
о”
'si- |
о
Оз’
•=t |
со
CN
ю |
со
оо”
со |
1 |
1 |
1 |
+
+
+ |
+
+
+ |
+
+
+ |
к
S
с
о
Cl
1-
X
СО |
CD t— t— |
|
CN |
03
со”
CN |
о
со” |
CD
Г'-” |
ю
Г-” |
о
Г-”
CN |
о
cn”
CN |
со
оз” |
03
со”
CN |
I |
I |
I |
+
+
+ |
¦ |
! |
Cl
О
г
со
CL
X |
03 t— |
|
т—1 |
оо
со |
cn” |
ю”
СО |
о
ю”
ю |
о
со”
со |
о
Оз”
CN |
оо”
CN |
оо
Г'-”
со |
+
+
+ |
+
+
+ |
+
+
+ |
1 |
1 |
1 |
X
о
о
CL
S
с |
CO
Ю
CN |
0Q /
/ < |
(Л |
о |
: |
¦ |
+ |
+ |
+
+ |
(Л |
о |
: |
¦ |
+ |
+ |
+
+ |
т—1
СО
О)
т—1 |
|
|
|
Таблица 1.15. Распределение активности групп по роду занятий, по числу используемых личностью форм общественной жизни в различных сферах жизнедеятельности в начале 1970-х гг. (по данным таганрогских и всесоюзных исследований) |
|
70-е годы |
С/х |
ССО |
Р. |
ИТР |
ИНП |
СА |
Ст. |
Пенс. |
Д/х |
1 |
2 |
|
В целом |
13 |
5 |
26 |
7 |
9 |
8 |
6/3 |
22 |
5 |
|
Сферы |
СМИП |
+- |
+ |
+- |
+++ |
+++ |
+++ |
+ |
--- |
--- |
99 % |
1 % |
|
ОБЩР |
--- |
- |
--- |
+++ |
+++ |
+ |
+++ |
--- |
--- |
38 % |
62 % |
|
КВОМ |
- |
+- |
- |
+++ |
++ |
+- |
+- |
+- |
--- |
62 % |
38 % |
|
ПМИ |
++ |
--- |
--- |
+- |
++ |
+- |
+- |
+- |
-- |
10 % |
90 % |
|
МЛК |
--- |
+- |
+- |
+++ |
+++ |
+++ |
+- |
--- |
--- |
75 % |
25 % |
|
ДОСУГ |
-- |
+- |
-- |
+++ |
++ |
++ |
++ |
--- |
--- |
99 % |
1 % |
|
БЛАГС |
--- |
++ |
+- |
+++ |
+++ |
+++ |
+++ |
- |
|
99 % |
1 % |
|
ТРУД |
+++ |
+- |
+++ |
+++ |
++ |
+- |
--- |
--- |
--- |
71 % |
29 % |
|
РОЖД |
+++ |
--- |
--- |
--- |
- |
+- |
+- |
--- |
|
28 % |
72 % |
|
1 - Суммарный процент включенных в данную сферу жизни.
2 - Суммарный процент не использующих форм данной сферы
.
- зона максимальной активности.
- зона умеренной активности.
- зона минимальной активности.
С/х - работники сельского хозяйства.
ССО - служащие сферы обслуживания, торговли.
Р - рабочие в промышленности, транспорте, связи.
ИТР - инженерно-технические работники.
ИНП - непроизводственная интеллигенция.
СА - служащие аппарата предприятий и учреждений.
Ст. - учащиеся вузов и техникумов, школьники.
Пенс. - пенсионеры.
Д/х - домохозяйки.
труда. А вот присваивается эта стоимость в иных предметных областях и через активность других социальных групп. Здесь тоже видна роль социальной стратификации, глубины участия в доминирующих к данному моменту в обществе политико-идеологических форм, дающих возможность присвоить более, чем в других областях. Это и есть скрытая семантика общества, на знамени которого символы труда — серп и молот. То, что символы изменились, не означает тождества явной символики и скрытой реальной семантики. Скорее, наоборот, и иначе и быть не может.
Видно социальное расслоение и в отдельных группах. Так, домохозяйки отличаются в этот период высоким уровнем достатка и детностью выше средней.
Чтобы учиться, надо тоже иметь уровень достатка в семье выше среднего. Пенсионерам (вспомним об их активной малой толике, гаснущей в общей пассивной массе) остается выражать мнения через письма, которые иногда, когда диктует «объективная производственная и политическая необходимость», публикуются редакциями.
В дальнейшем мы прокартографируем наше общество и отражение его жизни в информационном ряду с 1971 по 2004 гг., рассмотрим некоторые существенные моменты его движения, пользуясь и представленными, и другими методами. Сделаем мы это на разных предметных уровнях.
Уровни статистического анализа
Выше мы показали, как можно измерить активность людей на предметно-институциональных полях той или иной социальной подсистемы.
В сущности, одна из огромных заслуг генпроекта «Общественное мнение», проведенного в условиях жесточайшего цейтнота, состояла в выявлении фундаментальной роли институциональной структуры массовых информационных и идеологических форм для процесса функционирования общества. Но не только в этом. Именно здесь была открыта возможность измерять активность личности на полюсе «деятельность» числом форм общественной жизни, в рамках которых развертывается индивидуальная жизнь. Оригинальность ситуации состояла в том, что несмотря на очевидность скрытой переменной «время», стоящей за статистическим распределением людей по числу осваиваемых в жизненном цикле общественных форм, наше знание о поведении общественной системы в целом не является точным в физическом смысле. Социология на шкале исторического времени только подходит к той эпохе, которая в физике знаменовалась галилеевскими измерениями ускорения свободного падения. Да и до этого еще далеко. Мы можем только со среднестатистической ошибкой говорить о «средней» и больше или меньше «средней» активности, измеряемой, во-первых, числом освоенных форм деятельности относительно существующего в конкретные времена предела, во-вторых, числом присваиваемых продуктов труда, в-третьих, актами деятельности в отношении этих продуктов, в-четвертых, актами мыслительной деятельности, сопровождающей любые из названных типов активности. Если экспериментальные массивы обследованных превышают объемы в 2000 единиц, мы можем ввести показатель, усиливающий достоверность большего или меньшего отклонения, но только в целом по массиву (±2ст). При нахождении внутренних связей и зависимостей между характеристиками и параметрами частей объекта для ввода этого критерия (±2ст) необходимы экспериментальные массивы числом наблюдений около 10 000 единиц.
Базы INSYS и UNIVERSUM, созданные автором, удовлетворяют всем поставленным условиям. Этого достаточно для начала анализа.
Статистическими единицами измерения выступают: 1) индивидуумы и их распределения по тем или иным параметрам; 2) продукты деятельности индивидуумов — те же формы жизни, товары, сообщения, символы знания, нормы права; 3) акты деятельности по присвоению свойств этих предметов — суть свойств предметного социального мира. И при этом акты сознания людей фиксируются не только количественными методами (информированность о свойствах и предметах социального мира, знание имен — «номиналий» — лиц, представляющих определенную область, писаных норм различных секторов права — трудового, уголовного, конституционного), но и в оценочном, отношенческом и прогностическом планах, что позволяет воспроизвести тренды перехода различных уровней обыденного сознания в результирующую деятельность.
В принципе, существует еще один уровень анализа и измерения движения форм социальной среды — выкристаллизовавшиеся в ней квазиобъекты, первые два из которых были показаны пока для примера в социальных картах. В ряде случаев эти «пульсирующие» образования были получены нами при исследовании оценок солидарности людей относительно эффективности принятых публично решений, материалов газеты, апеллирующих к властям, групп по присвоению рекламы товаров повседневного спроса. Они также получены при анализе профессиональной ориентации населения, отношения его к окружающему страну мировому сообществу и освещению жизни стран мира в информационном ряду. Это некие постоянно «горящие, вспыхивающие и гаснущие» в пространственно-временной фигуре социума аппликации деятельности и сознания. Именно эти квазиобъекты требуют от социологии своего изучения: измерения времени и условий существования, плотности своих характеристик при тех или иных экономических условиях обмена деятельностями. Однако представлять их надо по ходу изложения.
Методы интеграции информации
Уже в процессе реализации таганрогского проекта перед исследовательской группой остро стояла проблема статистического и математического аппарата, интегрирующего полученные данные. В общем данные проекта насчитывали около 12 млн частот социальных фактов и событий, которые невозможно было осмыслить, если не «сжать» информацию на один, а то и два порядка. Дальнейшая работа резко увеличила информационное поле. В базах данных, положенных в основу анализа, это поле частот в 5 раз объемнее.
Выше мы вывели инструмент анализа и синтеза на авансцену изложения на живых статистических примерах («Теория мертва, мой друг, но вечно зеленеет древо жизни», — говорит дух познания авторитетному профессору). Однако же, поступая и в дальнейшем таким же образом, мы остановимся здесь на методах, применявшихся в исследовании, для краткого обзора-резюме, облегчающего понимание дальнейшего описания.
В статистике широко апробированы применяемые нами методы. Наиболее сильным из них для исследований пилотажного типа на начальной стадии выступает комбинаторный метод группировки, когда из «связанных» признаков составляются новые. Сродни ему и метод логической классификации, и кластерный анализ, широко применявшийся нами все эти годы для переструктурирования исходных данных наших объектов. После получения новых интегрированных признаков, качественных и количественных, начинается обычно традиционный дисперсионный и энтропийный анализ
. Трудность их применения долгое время была связана с отсутствием мощной вычислительной техники и статистического аппарата для быстрой работы с огромными базами данных и поиском взаимосвязей. Речь шла о диалоговом режиме работы с базами данных из нескольких сотен исследований.
В 1978 г. наметился было прорыв в этой области благодаря применению «DA-системы» С. В. Чеснокова на машинах типа PDP-11
в Институте системных исследований, но наше сотрудничество было прервано негативной позицией сотрудников, ставивших в этом институте промежуточную визу на решениях. Для анализа мнгогомиллионного поля частот нужна была «машинно-математическая драга», выясняющая и проявляющая силу связей в матрицах признаков параллельно и одновременно с выводом данных на экран дисплея. Такой подход, отсекающий все лишнее, был реализован в методе формализации серии логических выводов, о котором мы вкратце сказали выше. Поясним его простоту и очевидность.
Анализируя двумерную матрицу частот, исследователь работает в понятиях «больше» — «меньше», рассматривая нормированное отклонение признака в градациях «подлежащего» от так же нормированного его значения в «сказуемом» по выборке в целом. Сила отклонения рассматривается, анализируется, оценивается, гипотеза выдвигается или отвергается. Это написано во многих учебных пособиях
.
Безумна затея — оценивать значимость отклонений по каждой клетке в десятках тысяч таблиц, проверяя то, что важно называется «гипотезой», а по-нашему — просто очередной логический вывод типа «больше» — «меньше». Все это может сделать компьютер, рассмотрев, сравнив, оценив, проставив знак с математической достоверностью. Если отклонение незначимо, программа проставляет в этой клетке знак «±», если частота в таблице непредставительна, программа ставит «•». Так, в табл. 1.7 мы сразу видим дифференциацию возрастных групп по включенности в политико-идеологический и информационный процессы и тут же полную их индифферентность в отклонении их оценок аккумуляции информации органами власти от средних по массиву. Дифференциация оценок в классовом и образовательном срезе и там и там очевидна. Мы сразу видим и лес и деревья.
Коэффициенты сопряженности, основанные на критерии «хи-квадрат» имеют в анализе другие функции. Они показывают общую связь признаков, когда мы меряем сопряженность разных подсистем. Но не детали. Это хорошо видно на измерении взаимной связи в «активности» и «информированности»
.
Мы видим, что в первой из таблиц 3 х 3 (табл. 1.16), где приводятся данные о распределении уровня знаний о «косыгинской» реформе у всего населения города, наибольший коэффициент взаимной сопряженности («хи-квадрат» составляет здесь 350,998). Однако как только мы исключаем из анализа треть населения, не использующую никаких источников информации об экономической жизни города и не знающую ни одного элемента информации об экономической реформе на предприятиях, мы получаем в несколько раз меньшее значение «хи-квадрата» — 88,813, а отсюда и соответствующие коэффициенты сопряженности. В то же время перепады в долях процентов в 3—4 раза (!) от среднего значимы. Они говорят о прямой взаимозависимости знаний о происходящих экономических событиях и производственной и информационной активности. Здесь анализ, основанный на «хи-квадрате», может помочь только в интерпретации показателей энтропии. Она резко возрастает из-за расширения масштабов общности и концентрации массы населения или в области отчуждения от происходящего процесса, или в активной зоне происходящего. На предприятиях Ташкента энтропия по заполненным клеткам — 0,738. Две клетки не выпадают. Нельзя быть высокоактивным в опре-
|
Таблица 1.16. Взаимосвязь признаков «активность использования источников информации» и «информированность об экономреформе» (по Таганрогу) и «производственная активность» и «информированность о делах коллектива» (по Ташкенту) по данным исследования ПОМ-01 (003 в Приложении 1) проекта «Общественное мнение» и исследования производственных общностей в Узбекистане в 1981 г. (в % к числу опрошенных; n1969 = 911, массив перевзвешен на генсовокупность по переписи: ппвзв = 912 (Таганрог, все население), пп зв без 0 = 608 (только знающие о реформе), n1981 Узб = 500 (по Ташкенту); в знаках отклонения признака, и показателях сопряженности (показатели значимы при 99,95 %) и значениях энтропии) |
|
Занятые в пр-ве Ташкента | |
со |
+ |
о |
о |
О) |
27 1 |
о |
+1 |
1 ++ + |
Энтропия |
0,653 |
|
CN |
+ |
ю |
CD |
оо
г— |
со г— |
! |
+
+ |
+1 |
Сопряжен
ности |
0,347 |
|
- |
' |
ю |
О)
ю |
CN |
о |
1 +++ 1 |
1 |
О |
Крамер |
0,262 |
|
СО |
о
о |
о
о |
о
о |
о
о |
Г— |
CN |
О |
Пирсон |
0,370 |
|
Только знающие о реформе | |
со |
+ |
CN |
|
- |
CN |
1 |
+1 |
1 +++ |
Энтропия |
CD
о” |
|
CN |
+ |
|
ю
со |
|
•=t
h- |
! |
+
+ |
+1 |
Сопряжен
ности |
0,357 |
|
- |
' |
|
CN
CD |
ю |
ю |
і ++ + |
! |
! |
Крамер |
0,270 |
|
СО |
О
О |
О
О |
о
о |
о
о |
оо |
ю |
|
Пирсон |
0,382 |
|
Таганрог, все население | |
со |
+ |
оо |
- |
СТ> |
о
CN |
|
+ |
і +++ |
Энтропия |
0,737 |
|
CN |
+ |
оо
•=t |
О) |
CN
CD |
со г— |
1 |
1 +++ |
і +++ |
Сопряжен
ности |
0,527 |
|
- |
' |
•=t
•=t |
о
О) |
О)
CN |
г— |
1 +++ |
1 |
1 |
Крамер |
0,439 |
|
СО |
о
о |
о
о |
О
О |
о
о |
О)
CN |
о
CD |
- |
Пирсон |
0,620 |
Информационная
активность |
(Л |
' |
+1 |
+ |
' |
+1 |
+ |
Показатели
взаимосвязи и значения
нормированной энтропии (общей) |
|
яюонаиін? |
|
деленной области и мало знать об этой области. И наоборот: быть малоактивным и много знать
. Перед нами информационно-деятельностный синдром, точно такой же, кстати, как и в случае информационного приема (табл. 1.12). Ведь осознание объективных информационных потребностей — та же информированность на уровне рефлексии собственной деятельности. Но и там коэффициенты на основе «хи-квадрата» «зашкаливаются», и в плотной, и в разреженной аудитории и показывают одно и в плавно принимаемом, и в судорожно выхватываемом потоках сведений (табл. 1.13).
Между тем все три коэффициента и показатели энтропии работают вместе с оценками силы отклонений и дают достаточно надежную для аргументации картину
. Кроме того, здесь возникает фундаментальное предположение, косвенно подтверждаемое падением и возрастанием значений энтропии среди незанятого в народном хозяйстве населения города и среди двух типов производственных общностей (переходящих на новую систему работы и работающих по старой). Дело в том, что энтропия — линейная функция, и ее значения, показывая своего рода меру рассеяния данного континуума предметностей по массе населения, позволяют предполагать, что метрика социального пространства ограничена функциональным горизонтом общностей. И чем меньше общность, тем меньше значение энтропии (при прочих равных условиях пронизывания систем деятельности формами силовых линий социальных институтов). Это предположение нуждается в соответствующей экспериментальной проверке.
Наконец, надо сказать об аппроксимации кривых распределений (кумулят, «гауссиан» и «огив»-кривых Парето). Первые полтора десятка из них были получены автором в начале 80-х гг. Тогда они были встречены коллегами в штыки, но теперь многие говорят о нормальных распределениях в социологических замерах. Программная и электронная базы, однако, не были готовы в то время еще к такому анализу
. Однако появление новой серии машин «Pentium», последних версий программного пакета SPSS, двух версий TableCurve 2D и TableCurve 3D, позволяющих апробированно заниматься аппроксимацией кривых, зависимостей и построением форм пространственно-временной конфигурации общества в трехмерной графике, позволило, наконец, решить поставленные еще 30 лет назад задачи
.
Информационная база исследования
Кое-что сказано уже во Введении, и это избавляет от повторений. В общем и целом, в этой книге интерпретируется информация около 200 исследований, из которых отобрано 135 массивов, представленных в Приложении 1. Здесь 19 Всесоюзных исследований (одно из них Всероссийское по селу) и 116 региональных. Их характеристики следуют из описания в Приложении. Отметим две особенности, которые в описании не указаны, а упомянуты косвенно.
1. Стихийный характер производства социологической информации в нашем обществе приводил и приводит к тому, что в каждом отдельно взятом исследовании рассматривались (зачастую несмотря на системный «замах») узко определенные области социального и их взаимосвязи. В одном исследовании, например, это владение товарами длительного пользования, спрос на них, сбережения населения и ориентация на формы досуга, — широкий спектр, но нет информационной и политической подсистем. В другом они как раз и представлены, а в вопросе о количестве имеющихся детей
фиксируется важный показатель процесса рождаемости, но показателей благосостояния нет. В некоторый общесоюзных исследованиях можно поэтому рассматривать взаимосвязи только отдельных подсистем, сопоставляя их на временном ряду и выясняя динамику взаимосвязи их форм. В минимальной степени эта «ограниченность» присуща исследованиям «Образа жизни», но и там показатели подсистемы потока информации от населения во власть и показатели межличностного общения несколько сужены. Показатели информированности отсутствуют вообще, а попытка построить их косвенным образом не удалась. Зато здесь хорошо разработаны показатели обыденных жизненных представлений населения и проведено блестящее «лонгитюдное» исследование. Но так или иначе эти ограничения ставили проблему, которую надо было снять. С этой целью автором и было проведено в 1990—91 гг. последнее Всесоюзное исследование, в котором удалось зафиксировать практически все стороны процесса «деятельность — сознание — деятельность», сняв у личности характеристики развертки ее активности как на уровне макроструктуры общественного организма, так и на других: информированности, осознанных отношений, психолингвистическом (семиотические группы), психическом (аналог теста Люшера), установочно-этническом
. Было получено больше 10 000 документов и среднее число ответов на одно интервью в 150 вопросов составило около 750. Здесь был зафиксирован и процесс приема информации в естественных условиях, и уровень семиотической подготовки личности в приеме информации (способности понимать смысл текста на тот или иной лад), и дальнейшее использование элементов текста в практике, и многое другое, необходимое для работы
. Вычищенный от недостоверной информации массив составил 9672 документа интервью (с 3608 переменными в версии SPSS), которые дали поле частот в 7,5 млн (вместе с перевалившими за 60 тыс. контактов с сообщениями «АиФ», «Правды», «Комсомольской правды» и «Советской России»). Общество было взято в самый критический момент точки перехода из одного состояния в другое, а методики обеспечивали стыковку этого массива информации со всеми предыдущими исследованиями по всем существенным параметрам. В дальнейшем можно было проводить только локальные точечные замеры.
2. Отдельные исследования, часто объединенные в единые массивы, как это упомянуто во Введении и описано в Приложении, интерпретируются теперь с точки зрения последних результатов анализа. Очевидно, что социальные карты и слепки деятельности, которые приведены в данной главе для представления применяемых подходов, а также обнаруженные ранее зависимости совершенно иначе будут интерпретироваться и пониматься после анализа последних результатов, представленных в главе 2. Даже постоянство среднего числа принятых сообщений за 40-летний период получает совершенно неожиданное освещение после получения фигуры пространственно-временной конфигурации социальной системы и рассмотрения развертки поведения системы на временном ряду.
Все данные, зависимости и геометрические фигуры, представленные в книге, получены с помощью упомянутых выше статистических пакетов: SPSS от 6.0 до 12.0, двух версий программ TableCurve 2D и TableCurve 3D
.
Глава 2
ПРОСТРАНСТВЕННО-ВРЕМЕННАЯ КОНФИГУРАЦИЯ СОЦИУМА
Вектор и скорость изменений в общем поле социальной среды
Статистические предпосылки константы на макроуровне
Проясним возможности сопоставления активности в различных подсистемах и выявления присущих нашему обществу областей дисбаланса времени в обмене результатами деятельности. В табл. 2.1, часть которой создана еще в 1978 г., показан такой дисбаланс между рождаемостью и степенью активности женщин в информационной и общественной деятельности.
Таблица 2.1. Соотношение общественной активности и детности в когорте женщин 25-29 лет в 1977 г.
(по данным Всесоюзных исследований «Правда»-1977»: N = 9366, «Образ жизни»-1981» N = 10 154, «Правда»-1991» N = 9672. В среднем числе детей и числе форм общественной жизни когорты 25-29 лет; n77 = 386, n81 = 520, n91 = 280) |
Женщины
25-29 лет |
Количество детей до 16 лет в когорте |
Социальная активность когорты |
|
1 |
2 |
3 |
4 |
5 |
6 |
7 |
8 |
1 |
2 |
3 |
4 |
5 |
6 |
7 |
8 |
|
1977 |
S |
1,76 |
1,08 |
1,76 |
100 |
100 |
1 |
8 |
7 |
6,80 |
3,14 |
6,80 |
100 |
100 |
0 |
16 |
16 |
|
- |
2,62 |
1,62 |
+++ |
14 |
21 |
1 |
8 |
7 |
2,26 |
,74 |
- |
14 |
5 |
1 |
3 |
2 |
|
+- |
1,66 |
,93 |
- |
75 |
71 |
1 |
8 |
7 |
6,81 |
1,97 |
+- |
75 |
74 |
4 |
10 |
6 |
|
+ |
1,37 |
,54 |
- |
11 |
8 |
1 |
3 |
2 |
12,5 |
1,58 |
+++ |
11 |
21 |
11 |
16 |
5 |
|
1981 |
S |
1,64 |
0,89 |
1,64 |
100 |
100 |
1 |
7 |
6 |
4,62 |
2,14 |
4,62 |
100 |
100 |
0 |
12 |
12 |
|
- |
2,08 |
1,14 |
+++ |
15 |
19 |
1 |
7 |
6 |
1,72 |
,55 |
- |
15 |
5 |
0 |
2 |
2 |
|
+- |
1,59 |
,83 |
+- |
67 |
65 |
1 |
7 |
6 |
4,33 |
1,07 |
- |
67 |
63 |
3 |
6 |
3 |
|
+ |
1,44 |
,73 |
- |
18 |
16 |
1 |
6 |
5 |
8,08 |
1,16 |
+++ |
18 |
32 |
7 |
12 |
5 |
|
1991 |
S |
1,45 |
,71 |
1,45 |
100 |
100 |
1 |
5 |
4 |
4,36 |
1,95 |
4,36 |
100 |
100 |
1 |
11 |
10 |
|
- |
1,97 |
1,09 |
+++ |
15 |
20 |
1 |
4 |
3 |
1,97 |
,16 |
- |
15 |
7 |
1 |
2 |
1 |
|
+- |
1,37 |
,59 |
- |
72 |
68 |
1 |
5 |
4 |
4,17 |
1,02 |
- |
72 |
69 |
3 |
6 |
3 |
|
+ |
1,29 |
,46 |
- |
13 |
12 |
1 |
2 |
1 |
8,18 |
1,42 |
+++ |
13 |
24 |
7 |
11 |
4 |
|
«-» - низкая активность (средн. -1а).
«+-» - средняя активность (средн. > средн. -1а и средн. < средн. + 1а).
«+» - высокая активность (средн. +1а).
1 - среднее число детей (форм социальной деятельности).
2 - среднее квадратическое отклонение (а).
3 - знак и сила отклонения среднего в группе от среднего по когорте (строка S).
4 - вес в % данной группы социальной активности во всей когорте.
5 - вес в % рожденных данной группой детей (форм активности) в общей массе.
6 - минимальное число детей (форм социальной активности) в группе.
7 - максимальное число детей (форм социальной активности) в группе.
8 - разница между максимальным и минимальным числом детей (форм).
Данные говорят, что в масштабах нашего общества в целом затраты времени в самой плодовитой когорте женщин в процессе замещения поколений через воспитание примерно одного ребенка были в 70-80-е гг. эквивалентны времени затрат на включенность примерно в 10 институционализированных форм общественной жизни.
Здесь стандартное отклонение выступает мерой разброса затрат времени по активности людей в тех или иных формах обмена деятельностями от основной массы, сосредоточенной в типической комбинации форм предметно-институциональной структуры социальной системы. Эта структура выступает здесь в качестве кристаллической решетки «предметно закрепленных общественных сил» (Мамардашвили), в «полях тяготения» которых развертывается обмен свойствами и способностями индивидуумов. Среднее время для обмена свойствами с целью коллективного воспроизводства жизни в социальной системе в цикле замещения поколений при совместном мирном сосуществовании трехпоколенной структуры должно быть очень устойчивым и диктовать разброс по формам системы в целом и различных подсистем, близкий к нормальному
. Обмен носит предметный характер и, следовательно, масса его актов распределена по нормальному закону в силу своей колоссальной величины и исторически бесконечного атрибутивно, но конкретной эпохой ограниченного разнообразия форм социальной жизни. Поэтому в отдельно взятой выборке массовое явление должно отразить свойства этого обмена. С другой стороны, распределение индивидуальных временных затрат на обмен имеет нижний предел в виде времени, общественно необходимого для физического воспроизводства «индивидуальной» и в то же время общественной, родовой жизни. Без живой, развивающейся и реально свободной в выборе действий личности система мертва, а для нормального замещения поколений, при прочих равных условиях достигнутых к определенному моменту цивилизацией, необходим минимальный уровень рождений в 2,6 ребенка на семейную пару
. Здесь объективно фиксируется относительная величина времени, общественно необходимого для воспроизводства жизни системы. Если обмен не сбалансирован, то в различных подсистемах неизбежно выделяются очаги дисбаланса, которые мы пока увидели в соотношениях затрат на нормальное замещение поколений, и затрат на массовые формы производственной, информационной, общественно-политической и досуговой деятельности. Это противоречие между материальным и духовным производствами и воспроизводством населения, а на уровне дисфункций различных общностей — дисбаланс обмена между трудом и капиталом на полях общностей «семья» и «производственная общность». И существо дела не меняется, будь последняя сельскохозяйственным или заводским коллективом, «семьей» бизнесменов или правительством, выступающим в качестве государственной корпорации по производству золотовалютных резервов, нефтегазовых потоков или казначейских билетов без гарантий обеспечения.
|
Таблица 2.2. Показатели направленности и силы отклонения в среднем числе детей в когорте родивших минимум одного ребенка женщин 25-29 лет в 1977, 1981, 1991 гг. в зависимости от степени активности женщин данной когорты в различных сферах общественной жизни (N11977 = 9366, N2mi = 10150, N31991 = 9672 опрошенных; п1ш25_29 = 386, п2Ж25_29 = 379, п3Ж25_29 = 280 респондентов; в знаках отклонения среднего числа детей до 16 лет от средней по когорте в целом, стоящей в первых строках периодов) |
|
25-29 лет (активность) |
1 |
2 |
3 |
4 |
5 |
6 |
7 |
|
Женщины 1981 г. |
1,62 |
1,62 |
1,62 |
1,62 |
1,62 |
1,62 |
1,78 |
|
Пассивные «-» |
+++ |
+++ |
+ |
++ |
+ |
+- |
+++ |
|
Умеренные «+-» |
+- |
+- |
+- |
+- |
+- |
+- |
+- |
|
Активные «+» |
- |
- |
- |
- |
+- |
- |
-- |
|
Женщины 1991 г. |
1,46 |
1,46 |
1,46 |
1,46 |
1,46 |
1,46 |
1,78 |
|
Пассивные «-» |
+ |
+++ |
+- |
+ |
+- |
+- |
+++ |
|
Умеренные «+-» |
+- |
+- |
+- |
+- |
+- |
+- |
+- |
|
Активные «+» |
- |
- |
-- |
- |
+ |
- |
-- |
|
Отклонения среднего числа детей в зависимости от активности женщин:
1 - во всех сферах жизнедеятельности (86 форм)
;
2 - в информационной и политической сферах (23 формы);
3 - в сфере проведения свободного времени (23 формы);
4 - в зависимости от уровня благосостояния (24 формы);
5 - в сфере трудовой активности (16 форм);
6 - в сфере межличностной коммуникации (15 форм);
7 - в информационной и политической сферах (23 формы) 1977 г.
В когорте 25—29 лет подсистемой, наиболее сильно дифференцирующей процесс рождаемости, является информационно-политическая, часть форм которой, с одной стороны, пронизывала трудовые коллективы, а с другой — представляла систему форм прямой и обратной связи и информационных потоков между населением и органами власти (табл. 2.2). Мы уже увидели, что эта подсистема представляла собой общественные формы массового идеологического процесса, включенность в которые была сильно связана с социальной стратификацией. Вне форм подсистемы в 1977 и 1981 гг. оставалось около 25 человек на каждую тысячу населения с избирательным правом, а в 1991 г. — 10 человек на 1000. Системных замеров нынешней ситуации нет, но некоторые исследования 1996—2004 гг. говорят, что, хотя эти формы и изменились и перешли на пространства других, более широких общностей, их социальное содержание и функции остались прежними. Клише-идеологемы сменили форму и знак, но не социальное назначение
.
Характерными фактами к данным таблицы 2.2 являются, во-первых, довольно высокая взаимная сопряженность степеней активности в указанной подсистеме форм с активностью в сферах досуга и высоким уровнем благосостояния и, во-вторых, некоторые мировоззренческие и психологические установки, выявившиеся при детальном рассмотрении групп с разной детностью
. Эти установки говорят о порожденном социальным развитием механизмов обмена и их регуляторов водоразделе родового и индивидуализированного мировоззрений. К 1990/91 гг. в младшем поколении до 32 лет женщины и мужчины с двумя-тремя детьми резко увеличивают трудовую активность; в табл. 2.1 об этом косвенно говорит «+» в пятой колонке. Но люди не знают, что их ожидает полное разрушение институциональных структур и форм жизни производственных коллективов и территориально-производственных агломераций. Их энергия на этом поле активности будет уничтожена
.
Обратная связь активности в различных подсистемах нашего общества и репродуктивной активности населения — факт, установленный многими исследованиями. И, таким образом, если в 60-80-е гг. дисбаланс общественно необходимого времени фиксировался как противоречие между потребностями развития подсистем материального производства и воспроизводства населения — развитием мира вещей и нормального замещения поколений (между производственным коллективом и семьей, семьей и территориально-производственной агломерацией), — то теперь, после ликвидации институтов производственных общностей, этот дисбаланс уже не «стушеван» ничем и принял форму открытого антагонизма между воспроизводственными функциями семьи и государственной политикой в целом. Пенять больше не на кого, так как сук, на котором сидели, сами же в кураже и срубили. Индивид может рассчитать ресурс своего времени только в затратах на воспроизводство своей индивидуальной или родовой жизни. Объективно этот выбор поставлен так социальной системой. Возможность присвоения времени другого человека и тем самым обмен с ним свойствами и способностями сокращается в атомизированном обществе «свободного» индивидуализма. Но стихийно складывающийся баланс цикла жизни общественной системы отражается и чувствуется индивидуально. Широкие слои населения ясно видят бесперспективность решения проблем неадекватным социальным управлением и отвечают, чем могут. Они «свободны» на поле «семьи» — последней имеющейся в их распоряжении общности. Пронаталистская политика 80-х годов имела успех не только за счет резонанса с демографически структурно обусловленным подъемом детности (имевшим, кстати, место и недавно), но и потому, что она носила ресурсосберегающий характер для проявления своих общественных функций женщиной-матерью и мужчиной-отцом на семейном пространстве. Это очень хорошо видно из табл. 2.1, где у самой социально активной части когорты женщин 25—29 лет в 1981 г. самая высокая за 14 лет средняя рожденных детей. Этот «подъем» сработает потом в 2002—2004 гг., когда поколения, рожденные в стабильный период, сами начнут создавать семью. Однако в целом норма детности уменьшалась, и этот «частный успех» не принесет результата на общем фоне. Информационные средства будут в 2004 г. захлебываться в раже от восторженных сообщений о подъеме рождаемости, хотя это будет, во-первых, эхо пронаталистской политики начала 80-х, а во-вторых, реализацией последних по возможным срокам отложенных рождений старших когорт. «По-взросление» рождаемости свидетельствует о глубокой общественной социальноэкономической разбалансировке, а вовсе не о долгожданном выходе из мертвящей стагнации.
В то же время следует отметить очень важный факт: то, что дифференциация по активности скорее фиксирует не личные свойства индивидуума, а общественные нормы и механику устройства «снятия» социальной системой свойств личности. Это общественные формы присвоения личностью жизненного поля активности, которые она застает, вступая в жизнь. И это и есть своего рода отражение социально-исторического, в марксистских терминах формационного, «генома» той или иной этносоциальной аппликации. И он неизбежно должен выкристаллизоваться из объективных «карт» и «слепков» деятельности социальной системы, если мы хотя бы в первом приближении, хотя бы на девять десятых замкнем предметноинституциональную структуру активности и для начала рассмотрим ее внутренние связи.
Таким образом, в нашей работе социальное пространство — это суммарная масса актов обмена, поле событий взаимодействия в подсистеме обмена свойствами и способностями индивидуумов в процессе реализации общественно необходимых форм активности. Здесь мы сталкиваемся с фактом, который обычно забывается в идеологии. Первый, очевидный и базовый факт, лежащий в основе разделения труда в обществе, перешел из природной составляющей — это объективное природно-социальное разделение труда между полами.
Информационная база решения задачи
Четким подтверждением существования постоянной общественно необходимого времени на макроуровне предметно-институциональной среды явились результаты лонгитюдного исследования в рамках Всесоюзного исследования образа жизни населения СССР. Включенность в максимальное число форм жизни (дихотомия «используют — не используют») давала матрицу 2
97, фиксирующую как подсистемные, так и общую активности индивидуумов. Оказалось, что кумуляты активности ансамбля москвичей в 1980 и 1985 гг. практически одинаковы и, кроме того, почти тождественны кривым по двум массивам, репрезентативным населению страны (10 154 и 9672 человека за 1981 и 1991 гг.).
Мы выбрали для наглядности достаточно простое уравнение из сотен предоставленных программой аппроксимации. И не в формулах дело: мечта об управлении обществом по формулам — объективно несбыточное дело, которое может возникнуть только из убогого миросозерцания. Здесь важен, во-первых, факт надежности и достоверности информации, во-вторых, простота иллюстрации
Кумуляты активности населения СССР в 1981-1991 гг.
Кумуляты активности москвичей в 1980-1985 гг.
 |
|
Активность |

у = а + Ьх + сх
2 + dx
3 + ex
4 + fx
5
^ —1980 г., Москва Ў — 1985 г., Москва ¦ -1981 г., СССР
-1991 г ССОР (р
азны?вь,с°р
ки)
Рис. 2.1. Кумуляты активности по четырем исследованиям 1980-1991 гг.
данных, которые были получены по всем видам деятельности (воспроизводства населения, досуга, трудовой, коммуникативной и т. п.), начиная с 1980 г., и рассматриваются суммарно
.
Отметим три важных обстоятельства. Во-первых, принципиальную устойчивость распределений во всех четырех независимых замерах по приведенным показателям, во-вторых, рост разброса, медианы и падение энтропии в кумуляте по формам жизни в СССР к 1990/91 гг. (система стягивается к центральной области при возрастании распыления массы деятельности и крутизны кривой), в-третьих, высокий доверительный интервал статистической модели (рис. 2.1, табл. 2.3).
Итак, кумулята показывает степень насыщения массой субъекта деятельности определенного количества форм общественной жизни (на кривой отложены значения веса людей, владеющих количеством форм не менее предыдущего числа на шкале «Х»). Здесь следует, во-первых, что человеческая активность распределена относительно некоторого предела числа форм, которые, повторим, атрибутивно
Таблица 2.3. Показатели распределения обследованных москвичей и двух массивов Всесоюзных исследований по предметно-институциональным формам социальной жизни (в показателях средних величин, нормированной энтропии и значениях коэффициентов уравнения. За 1 принято по осям «Х» максимальное зафиксированное хотя бы для одного человека число используемых видов/форм деятельности (Max) - для «московских массивов» 1980 и 1985 гг. 63 и 65 из 97, для Всесоюзных исследований 1981 и 1991 гг. - 53 и 52 из 97 соответственно.
За 1 по осям «Y» принято по «московским массивам» 768 человек; в 1980 и 1985 гг. обследованы одни и те же люди (а по Всесоюзным соответственно 10 154 и 9672 человека)) |
|
Исследования |
Абс. |
Число
форм |
Значения по оси «Х», max=1 |
Значения по оси «У», max=1 |
|
Среднее |
Станд. откл. |
Медиана |
Энтро
пия |
Среднее |
Станд.
откл. |
Медиана |
Энтропия |
Москва
1980 г. |
768 |
63 |
,493 |
,261 |
,490 |
,966 |
,531 |
,391 |
,576 |
,910 |
Москва
1985 г. |
768 |
65 |
,493 |
,275 |
,490 |
,957 |
,513 |
,384 |
,516 |
,924 |
|
СССР 1981 г. |
10 154 |
53 |
,500 |
,296 |
,500 |
,955 |
,577 |
,377 |
,646 |
,926 |
|
СССР 1991 г. |
9672 |
52 |
,482 |
,287 |
,481 |
,953 |
,581 |
,413 |
,730 |
,866 |
|
Исследования |
Абс. |
«К. оп-ределения» |
Ст.
ошиб
ка |
Значения коэффициентов уравнения |
|
a |
b |
c |
d |
e |
f |
Москва
1980 г. |
768 |
,9994 |
,0100 |
,0037 |
,3342 |
-5,9344 |
33,776 |
-47,260 |
20,099 |
Москва
1985 г. |
768 |
,9996 |
,0082 |
-,0129 |
,4264 |
-3,7877 |
22,318 |
-30,181 |
12,237 |
|
СССР 1981 г. |
10 154 |
,9998 |
,0052 |
-,0076 |
,5537 |
-1,3073 |
14,450 |
-22,625 |
9,945 |
|
СССР 1991 г. |
9672 |
,9970 |
,0240 |
,0308 |
-1,0004 |
4,7318 |
10,754 |
-28,613 |
15,144 |
|
бесконечны, а в конкретную эпоху ограниченны, во-вторых, что она имеет некоторый темп и предел насыщения, фиксируемый характеристиками кривой, в-третьих, что стандарты наборов форм жизни слева и справа на шкале абсцисс, качественно локализуя разную плотность социальных институтов и форм жизни в данных ареалах масс населения, ничего не говорят об индивидуальной активности людей
. Но силы, кристаллизующие стандарты, говорят об общественной «физиономии» левиафана, расставляющего фигуры в гигантском пространстве социума.
Еще в 1979 г. статистика по первой кумуляте, полученной на данных проекта «Общественное мнение», дала основание для вывода, что при наличии третьей составляющей графика, фиксирующей физическое время, мы получим подлинник траектории общественного движения. Уже тогда начали вырисовываться наиболее продуктивные подходы анализа: с одной стороны, фрактальный, а с другой — рассмотрение полученных закономерностей на шкале времени. Категория возраста могла играть лишь вспомогательную роль, а повторные исследования на одних и тех же показателях лишь фиксировали стабильность структур, в пространстве которых разворачивалась человеческая активность. Конечно, переход от одних форм активности к другим идет соответственно статичной картине, и статика ловит процесс. Но, во-первых, это надо проверить, во-вторых, это никогда не будет одно и то же, в том числе и для принятия управленческих решений. Выход на пространственно-временную конфигурацию социальной системы казался абсолютно недостижимым
. Внезапное решение проблемы пришло в 2003 г., когда настало время серьезно поработать с уже готовым исследованием.
Дело в том, что при рассмотрении активности московского массива в 768 человек, мы имеем дело с одними и теми же людьми, которые были обследованы одной и той же методикой с интервалом в пять лет. Это статистически значимое «лонгитюдное» исследование
. Покажем для начала на первой производной от кумуляты их распределение по числу видов деятельности, которыми они пользуются (рис. 2.2 и табл. 2.4).
|
Распределение москвичей по активности 1980 г. |
 |
|
Активность 80 (max 1=63) |
|
Распределение москвичей по активности 1985 г. |
 |
0 0,2 0,4 0,6 0,8 1
Активность 85 (max 1=65) |
Рис. 2.2. Кривая и полигон распределений активности москвичей в 1980-1985 гг. Апроксимация по уравнению Gaussian(a, b, c, d): y = a exp{-1/2[(x - b)/c]d}
Надо сказать, что «гауссиана» дает не самый высокий доверительный интервал (r
2 = 0,9235 и 0,8747 соответственно в 1980 и 1985 гг.). Уравнения Чебышева и Фурье дают интервалы за 98 и 97 %, особенно не меняя графическую картину. Однако мы выбрали «гауссиану» по широте ее доступности для понимания.
|
Таблица 2.4. Показатели распределения обследованных москвичей по предметно-институциональным формам социальной жизни (в нормированных средних величинах, показателях доверительного интервала, коэффициентах и абсолютных показателях распределения) |
|
Годы |
Нормированные значения показателей отклонений от средней, надежности и уравнения |
Средн.
по «Х» |
Станд.
отклон. |
Средн.
по «Y» |
Станд.
отклон. |
«К. определения» |
Ст.
ошибка |
Значения коэффициентов уравнения |
|
a |
b |
c |
d |
|
1980 |
,511 |
,252 |
,019 |
,015 |
,9235 |
,0043 |
-,0006 |
,0422 |
,4822 |
,1576 |
|
1985 |
,493 |
,275 |
,019 |
,014 |
,8747 |
,0051 |
-,0014 |
,0397 |
,4563 |
,1702 |
|
|
Абсолютные значения показателей «гауссианы» |
|
|
Абсо
лютное |
Среднее |
Станд.
отклон. |
Медиана |
Мода |
Скос |
Эксцесс |
Минимум |
Макси
мум |
Сумма
форм |
|
1980 |
768 |
30,53 |
9,34 |
30 |
27 |
,079 |
-,114 |
4 |
63 |
23449 |
|
1985 |
768 |
29,43 |
9,92 |
30 |
34 |
,019 |
-,277 |
2 |
65 |
22599 |
|
Общая масса деятельности за 5 лет уменьшилась в ансамбле на 3,6 % (колонка «сумма форм»), чуть упала средняя, возросло максимальное эмпирически фиксируемое число освоенных форм жизни, несколько возросла мода и стандартное отклонение. Качественные изменения: выросли детность и уровень благосостояния, снизились политическая и трудовая активность.
Однако в ансамбле не было ни одного человека, который не сменил бы минимум три формы деятельности за пять лет; средняя скорость изменений: 21 форма деятельности за рассматриваемый интервал времени, максимальная — 45, все изменилось, а структура — нет
. Часть «максимально активных» (по критерию mean ±1ст) стала «умеренно активными и пассивными», другие — наоборот. Максимальное число уменьшившихся форм —36 у одного человека, максимальное число увеличившихся форм +29 у одного человека. Таким образом, скорость имеет вектор падения и подъема относительно некоторого центра баланса перехода людей из одного социального состояния в другое. При этом изменилось все. Количественные изменения за пять лет — явный результат процесса обмена. Качественная структура еще подвижнее: человек не перестал читать газеты, но сменил издание, не перестал слушать радио, но сменил канал и т. д. и т. п. На полигоне распределения по «гауссиане» все стабильно, а на самом деле одна «гора» стала другой «горой», они поменялись почти всей своей массой. В видимой тождественной структуре социума уже другие люди. При неизменности массы вся масса перешла в другое состояние.
|
Активность тех же самых людей в 1985 г. |
Энтропия общ. скорости |
ОО |
,872 |
СО
сю |
,884 |
,899 |
Энтропия экс. скорости |
,930 |
,905 |
,934 |
,899 |
|
+ |
,531 |
,843 |
,778 |
СО
СО
оо |
1,00 |
,937 |
,936 |
,933 |
|
+ |
,798 |
СО
ю
оо |
,841 |
,874 |
,932 |
,904 |
,946 |
,901 |
|
і |
,752 |
,782 |
,378 |
,875 |
,920 |
,926 |
1,00 |
,934 |
|
Скорость и знак изменений |
00 |
с— |
оо. |
CN
О) |
|
В % по колонке |
h~ т—1 |
69 |
т—I |
100 |
|
+ |
24,1 |
со
о” |
СО__ |
см |
LO |
т—1
CD |
34 |
100 |
|
+ |
8,9 |
п |
-13,3 |
ю. |
CN
т—1 |
76 |
CN
т—1 |
100 |
|
' |
СМ |
со. |
-27,8 |
СО |
47 |
50 |
СО |
100 |
|
В расчете на 1000 |
00 |
182 |
662 |
156 |
о
о
о |
В % по строке |
100 |
100 |
100 |
100 |
|
+ |
О) |
102 |
56 |
176 |
LO |
LO
т—1 |
39 |
h~ т—1 |
|
+ |
СО t— |
497 |
см
оо |
627 |
45 |
72 |
57 |
CD
CD |
|
' |
83 |
06 |
ю |
198 |
50 |
СО
т—1 |
|
СО
т—1 |
Активность
в 1980 г. |
' |
+ |
+ |
00 |
|
' |
+ |
+ |
со |
|
0861 |
0861 |
Из табл. 2.5 мы видим, что из ареала «низкоактивных» в ареал «высокоактивных» перешло 0,9 %, наоборот — 0,5 %, из ареала «умеренно» активных в ареал «высокоактивных» — 10,2 %, наоборот — 8,2 %, из ареала «низкоактивных» в ареал «умеренно» активных — 7,6 %, наоборот — 9,0 %. 5,6 % осталось в своем ареале «высокоактивных», а в ареале «низкоактивных» осталось 8,3 %. В «ядре» «середняков» — 49,7 %. У тех, кто остается в своих ареалах активности, самые низкие скорости перехода. У переходящих в полярные ареалы самый длинный путь по социальным полям тяготения и самая большая скорость, измеряемая числом форм жизни. Они идут в очень узком диапазоне скоростей (энтропия общая числа сменившихся форм) предельно диффузной массой (энтропия экспериментальная числа сменившихся форм) и числовые значения диапазонов их полярных векторов «вверх» — «вниз» и «вниз» — «вверх» почти совпадают. Если мы рассмотрим отдельно подсистему массовидных форм идеологического процесса, то там картина зеркальности переходов и «сохранения количества движения» будет еще более четкой (табл. 2.6).
|
Таблица 2.6. Изменения активности москвичей в 1980-1985 гг. в политико-информационной сфере (в расчете на 1000; n = 768) |
|
Годы |
1985 |
|
1980 |
Активность |
Низкая (-) |
Средняя (+-) |
Высокая (+) |
В целом |
|
Низкая (-) |
26 |
84 |
2 |
112 |
|
Средняя(+-) |
83 |
584 |
66 |
733 |
|
Высокая (+) |
2 |
134 |
19 |
155 |
|
В целом |
111 |
802 |
87 |
1000 |
|
Из ареала «низкоактивных» в ареал «высокоактивных» перешло 2 человека на 1000. Столько же — наоборот. Из «умеренно» активных в «низкоактивные» перешло 83 человека на 1000, а 84 из «низкоактивных» в «умеренно» активные. Остальное свидетельствует, что процесс перехода в более «высокоактивные» слои в общественно-политической и информационной деятельности в начале 80-х гг. замедлен, стагнирует по сравнению с обратным ходом в своеобразной «петле гистерезиса» человеческой активности. Можно рассмотреть здесь и другие виды деятельности. Но мы вплотную подошли к решению более важной задачи.
Как увидеть движение невидимого
Итак, мы имеем количественную шкалу активности людей за 1980 г. в матрице 2
97, ее же у этих же людей и по тем же параметрам в 1985 г. и количество изменений по увеличению или уменьшению параметров за единый срок в пять лет: изменений на «+» и на «—» у каждого из этих 768 человек. Обращаю внимание и на то, что пока вся информация имеет фактографический, а не оценочный характер. Это не мнения, не установки, не предположения и не прожективные модели, хотя мы впоследствии рассмотрим и их сочетания на основе кластерного анализа. Задача становится предельно проста. Если вся масса человеческой деятельности одного и того же объекта в определенный период времени переходит из одного состояния в другое при неизменности структуры состояния, то траектории движения по увеличению или уменьшению относительных величин этой массы не могут не повторять профиля фигуры пространственного устройства материальной структуры, в которой происходит движение. Иначе говоря, вектор скорости увеличения или уменьшения объема деятельности у каждого респондента должен показать ту фигуру, которую этот вектор обегает. Как лыжники, несущиеся вниз и поднимающиеся вверх, повторяют профиль горы на встречных движениях, так и векторы скоростей подъемов и падений в структуре социальной системы повторят пространственную фигуру социума в своих траекториях. Аналогично в физике: свет, проходя мимо Солнца, в соответствии с релятивистской теорией ныряет в воронку поля тяготения, продавленную массой звезды, и выскакивает из нее уже под другим углом. Благодаря его движению мы «видим» конфигурацию пространства, продавленную звездой. Ее повторяет и траектория орбиты Меркурия.
Таким образом, расположив по оси «Х» параметры активности за 1980 г., по оси «Y» — их же у этих же людей за 1985 г., а по оси «Z» — те значения вектора скорости на «+» или «—» от точки баланса на шкале активности, которые получились за пять лет, мы получим искомую фигуру детерминационного поля социальной системы с определенной погрешностью
.
В табл. 2.5 выделены зоны средней по массиву скорости. Люди здесь дают незначительные флуктуации от средней. Остальные клетки таблицы дали оставшиеся шесть групп отличающихся скоростью и ее направленностью: от самой быстрой вниз до самой быстрой вверх. Более подробная шкала активности разбила массив по активности 1980 г. на пять групп по критерию +1ст, +2ст. Тот же критерий дифференцировал и активность 1985 г. Матричная проекция переходов из одного ареала активности в другой стала выглядеть так (табл. 2.7).
Здесь не только очевиднее симметрия переходов. Четче проявляется детерми-национная составляющая, не позволяющая за короткий срок перераспределяться в полярные ареалы. Не обнаружено ни одного человека со значениями вектора скоростей +3 и +4 или —3 и —4. Относительно стабильно состояние средних групп за пять лет. Относительно, так как и здесь внутри идут очень бурные переходы и изменения, но не выходящие за критерий стандартного отклонения от средней, а потому огрубляемые нами на первых порах. Эти группы фиксируются нулевым переходом, оставаясь внутри своего потока активности. Остальные группы людей идут в относительно быстрых потоках увеличения или уменьшения объема (количества) форм социальной жизни, которые они используют на момент замеров. Перемножив число людей в потоке на значение вектора перехода в определенную группу активности и поместив полученную переменную в качестве функции от значений масс начальной и конечной активности, мы получим фигуру потоков этой активности между двумя ее временными статическими структурами актов деятельности, распределившимися по институционализированным и конституированным формам социальной жизни: Z = F(x, у)
.
Таблица 2.7. Изменения активности москвичей в 1980-85 гг. (по критерию ±1ст, ±2ст; в расчете на 1000. N = 768 (А), в показателях значения и вектора скорости изменений (В) и суммарного числа изменений количества форм жизни (С) в каждой группе; n . = 16 296)
изменении |
Активность, 1985 г.
Активность,
1980 г. |
1 |
2 |
3 |
4 |
5 |
В целом |
|
|
1 |
5 |
13 |
7 |
|
|
25 |
|
|
2 |
8 |
57 |
69 |
9 |
|
143 |
|
А |
3 |
9 |
81 |
497 |
92 |
9 |
689 |
|
|
4 |
|
5 |
73 |
36 |
7 |
121 |
|
|
5 |
|
|
9 |
12 |
1 |
22 |
|
В целом |
22 |
156 |
655 |
150 |
17 |
1000 |
|
|
1 |
0 |
+1 ст. откл. |
+2 ст. откл. |
+3 нет |
+4 нет |
-2 ст. откл. |
|
|
2 |
-1 ст. откл. |
0 |
+ 1 ст. откл. |
+2 ст. откл. |
+3 нет |
-1 ст. откл. |
|
В |
3 |
-2 ст. откл. |
-1 ст. откл. |
0 |
+ 1 ст. откл. |
+2 ст. откл. |
0 |
|
|
4 |
-3 нет |
-2 ст откл. |
-1 ст. откл. |
0 |
+1 ст. откл. |
+ 1 ст. откл. |
|
|
5 |
-4 нет |
-3 нет |
-2 ст. откл. |
-1 ст. откл. |
0 |
+2 ст. откл. |
|
В целом |
-2 ст. откл. |
-1 ст. откл. |
0 ст. откл. |
1 ст. откл. |
2 ст. откл. |
|
|
|
1 |
40 |
103 |
101 |
|
|
244 |
|
|
2 |
76 |
591 |
1117 |
211 |
|
1995 |
|
С |
3 |
157 |
1283 |
8037 |
1643 |
225 |
11 345 |
|
|
4 |
|
139 |
1424 |
578 |
113 |
2254 |
|
|
5 |
|
|
235 |
208 |
15 |
458 |
|
В целом |
273 |
2116 |
10 914 |
2640 |
353 |
16 296 |
|
А - в расчете на 1000 человек.
В - значения и вектор (+,-) скорости перехода группы по критерию ±1а, ± 2а
.
С - скалярное произведение числа изменений форм в группе (как на +, так и на -; всего 16 296)
.
Активность:
1 - активность очень низкая (средняя - 2 стандартных отклонения /mean - 2а/);
2 - активность низкая (средняя - 1 стандартное отклонение /mean - 1а/);
3 - активность средняя (mean);
4 - активность высокая (средняя +1 стандартное отклонение /mean + 1а/);
5 - активность очень высокая (средняя +2 стандартных отклонения /mean + 2а/).
Необходимо получить и картину степени интенсивности этих потоков, числа изменений в них как в целом, так и в полярных потоках. Здесь должно сработать понятие абсолютной скорости смены числа форм жизни за анализируемый период у каждого человека. Результирующая разница или сумма используемых каждым респондентом форм жизнедеятельности из отобранного их числа (97 форм по принципу «использует — не использует», эмпирически зафиксировано max
1980 = 63, max
1985 = 65), является следствием двойного изменения. Человек перестал ходить в театр, смотреть телевизор, спорить с женой о деньгах, но стал читать книги, ходить на охоту, купил машину, построил дом, стал политическим активистом. Три формы убавил, пять прибавил, в прибытке две, но всего изменил восемь. Последняя цифра и говорит о его суммарной активности на жизненном поле. Скалярное произведение (безотносительно к знаку: «уменьшение», «увеличение») абсолютного изменения количества форм жизнедеятельности в той или иной группе, маркированной местом на поверхности потока даст суммарную фигуру двух вертикальных потоков мобильности вверх и вниз относительно предельного числа форм общественной жизни, используемых в заданный промежуток развития.
Помещаем каждого человека в трехмерное пространство (рис. 2.3): по оси «Х» его группа активности 1980 г., по оси «Y» его группа активности 1985 г., по оси «Z» его группа перехода, взвешенная на свое значение вектора скорости из клеток табл. 2.7 В.
|
Фигура движения потоков активности Rank 1 Egn 301 z=a+bx+cy+dx2+ey2+fxy r2=1 Df Adj r2=1 FitStdErr=0 Fstat=1e=300 a=5,4162946e-16 b=5 c=-5 d=-5 e=1 f=4 |
 |
|
Рис. 2.3. Распределение потоков изменения активности у 768 человек по количественным показателям активности в матрице 297, зафиксированное в группах, отраженных в табл. 2.7 (см. в Приложении 2 протокол № 1: все 768 точек эксперимента легли на эту поверхность) |
В TableCurve 3D мы просмотрели указанную зависимость в показателях активности в 1980 и 1985 гг. и потоков изменений активности не только в целом, но и по различным сферам жизни и общественным представлениям. Здесь были выделены такие подсистемы: материальное потребление — общее число различных потребительных стоимостей во владении (24 формы), досуг — число форм проведения свободного времени (23 формы), труд — число форм трудовой активности (15 форм), межличностная коммуникация — число форм обсуждения различных проблем (16 форм), информационная и общественно-политическая деятельность — число информационных средств прямого и обратного потока и форм общественной работы (18 форм), детность — число детей до 18 лет в семье как своих, так и принимаемых в качестве внуков (5 форм: 0, 1, 2, 3, 4 и более).
Самые «активные» в 1980 г. группы дают самое высокое падение активности (им есть куда падать), самые «пассивные» в 1980 г. группы дают самый высокий подъем активности (есть куда подниматься). На графике видна искривленность поверхности, по которой происходит движение. В целом поверхность дает чуть больше, чем разделы «А» и «В» табл. 2.7. Ниже приводятся параметры аппроксимации потоков активности в целом, в шести вышеуказанных подсистемах, а также по структуре изменения ценностей и жизненных планов (как вводящие в проблему следующего раздела) по тому же уравнению (z = a + bx + cy + dx + ey + fxy).
|
Таблица 2.8. Направления изменения активности москвичей в 1980-1985 гг. в различных подсистемах деятельности и сознания и в целом по выделенной предметно-институциональной структуре (в средних групповой шкалы, скорости потоков изменений от -50 до +30 и в коэффициентах вышеприведенного уравнения; аппроксимация с приближением 100 % (r2 = 1)) |
|
Показатели |
|
|
Ср. по осям графика |
Значения коэффициентов уравнения |
|
Подсистемы |
1 |
2 |
X |
Y |
Z |
a |
b |
c |
d |
e |
f |
|
В целом |
1 |
1 |
2,972 |
2,983 |
-,927 |
5,41629e-16 |
5 |
-5 |
-5 |
1 |
4 |
|
Достаток |
6 |
1 |
2,930 |
2,958 |
-1,206 |
-4,0349e-16 |
5 |
-5 |
-5 |
1 |
4 |
|
Досуг |
6 |
1 |
3,042 |
2,954 |
-2,260 |
-6,9387e-16 |
5 |
-5 |
-5 |
1 |
4 |
|
Труд |
6 |
1 |
2,908 |
2,851 |
-1,791 |
-1,9257e-16 |
5 |
-5 |
-5 |
1 |
4 |
|
Общение |
5 |
1 |
3,059 |
3,043 |
-1,591 |
-3,9938e-15 |
5 |
-5 |
-5 |
1 |
4 |
|
СМИ и политика |
5 |
1 |
2,987 |
2,971 |
-1,268 |
8,65937e-16 |
5 |
-5 |
-5 |
1 |
4 |
|
Детность |
4 |
1 |
1,733 |
1,684 |
-1,474 |
-2,8942e-16 |
5 |
-5 |
-5 |
1 |
4 |
|
Ценности |
5 |
1 |
2,961 |
2,965 |
-1,768 |
-8,2931e-17 |
5 |
-5 |
-5 |
1 |
4 |
|
Планы |
6 |
1 |
2,977 |
3,009 |
-1,250 |
4,05638e-16 |
5 |
-5 |
-5 |
1 |
4 |
|
1 - порядковый номер выбранного уравнения в целом и для каждой подсистемы активности.
2 - степень приближения (r2 = 1 свидетельствует о 100%-ной надежности). |
Данные говорят, что количественные изменения в предметно-институциональных структурах различных подсистем могут быть описаны как принципиально сходные. Потоки активности удерживаются около средних значений по номерам групп, несколько выше стартовые возможности подсистемы проведения свободного времени, а отсюда и ниже скорость потоков перехода в ее формах за пять лет. Учтем, что значение «1» для процесса замещения поколений («детность») — это отсутствие детей, а значит, средние «Х» за 1980 г. и «Y» за 1985 г. показывают среднее число детей до 18 лет в массиве реально между группой не имеющих их и имеющих одного ребенка. При этом, хотя детность в ансамбле опрошенных среди поколения до 36 лет за пять лет относительно повысилась, общий вес имеющих детей до 18-летнего возраста упал; в нашем ансамбле субъект социальных действий стареет.
Посмотрим теперь структуру групп по активности с точки зрения общей массы изменений без учета их направленности по уменьшению или увеличению числа форм жизни. Опять помещаем каждого человека в трехмерное пространство (рис. 2.4): по оси — «Х» его группа активности 1980 г., по оси «Y» — 1985 г., по оси «Z» — суммарные значения числа измененных форм жизни на пересечении этих групп из табл. 2.7 С.
|
Распределение массы изменений z=(a+cx+ey+gx2+iy2+kxy)/( 1 +bx+dy+fx2+hy2+jxy) г 2=0,99975696 Df Adj r2=0,99975343 FitStdErr=55,519626 Fstat=311397,78 a=-45,479207 b=-0,34788881 c=37,20067 d=-0,30408163 e=44,879995 f=0,042042176 g=-14,4345521 h=0,034098686 i=-16,677744 j=0,031186249 k=17,766398 |
9000
8000
7000
6000
5000
4000
3000
2000
1000
0 |  |
|
Рис. 2.4. Графическая фигура распределения общего количества изменений форм жизни у 768 человек за пять лет, по табл. 2.7 С (протокол № 1а) |
Как видим, основная масса изменений в предметно-институциональной структуре за пять лет сосредоточена в центре объемной «гауссианы». Хотя фигура описывается уравнением Гаусса, мы для наглядности взяли наиболее простой полином, идущий третьим номером по уровню приближения; r
2 = 0,9998. Незаполненные клетки основания графика соответствуют аналогичным клеткам табл. 2.7. Для наглядности дальнейшей интерпретации произведем интерполяцию данной поверхности в однородную сетку с помощью алгоритма Renka-1 — оценки рассеянного выбора данных в непараметрическом меню (рис. 2.5).
Теперь мы отчетливо видим соотношение «масс» количественных изменений в разных зонах переходов и потоков. На последнем графике четче видны переходы в сетке предметно-институциональной среды. Были «малоактивные», ими же и остались через пять лет 5 человек на 1000 в самом ближнем углу основания графика при суммарной скорости 40 изменений за 5 лет (табл. 2.7 А, С). Были «малоактивные» в 1980 г., стали в 1985 г. «середняками» 7 на 1000 в пункте «1» х «3» графика при суммарной скорости 101 изменение (табл. 2.7 А, С). Были «середняками» в 1980 г.,
Проекция распределения массы изменений Renka 1, r
2=1, SSE=0
3S
S |  |
|ОС^ь
Рис. 2.5. Интерполяция к однородной сетке Renka-1 nX = 16, nY = 16. XY-пункты (точки): 256.
Активные пункты (точки): 256 |
0
2
т
о
со
I—
о
0
т
5
с;
а в 1985 г. стали «малоактивными» 9 на 1000 в пункте «3» х «1» графика при суммарной скорости 157 изменений (табл. 2.7 А, С). Те, кто остался «высокоактивными», в двух замерах находятся в самом дальнем углу графика. Основное число количественных изменений при средних скоростях переходов — в середине «конуса» поверхности. Проекция на плоскость над фигурой дает своего рода «галактический» диск. При некоторых производных по этому же алгоритму интерполяции рядом с основным «диском» появляются две «спутниковые» проекции разобранных выше «выбросов» наиболее активных количественных переходов на уменьшение и увеличение. Если бы мы перевернули фигуру сетки, то аналогия с «полем тяготения» временной константы, держащей основную массу актов движения вокруг центра и позволяющей лишь узконаправленные выбросы в полярные области, была бы очевидна.
Однако это гипотетическая аналогия. Мы угадываем, но не видим пока самой поверхности изменений по их траекториям. Дело в том, что переменная «время» присутствует пока что у нас по осям основания трехмерного пространства (оси активности 1980—1985 гг.). Мы видим поэтому направления потоков и распределение общей суммарной массы изменений между двумя временными состояниями массы актов обмена в предметной кристаллической решетке социума. Требуется взять суммарные массы изменений отдельно на уменьшение и отдельно на увеличение, но тогда, чтобы увидеть общую поверхность изменений, нужно графически строить уже четырехмерное пространство.
В принципе эту дилемму можно обойти с помощью имплицирования категории «время» в переменные по осям трехмерного графика. Если по оси «X» отложить суммарные значения увеличения числа форм жизни за 5 лет (скалярное произведение изменений на плюс в каждой из клеток, т. е. общую массу увеличения, распределенную во времени), по оси «Y» — суммарные значения уменьшения числа форм жизни (скалярное произведение изменений на минус в каждой из клеток, т. е. общую массу уменьшения, распределенную во времени), а по оси «Z» — число людей, имеющих эти массы и прошкалированных значениями скоростей переходов («—2», «—1», «0», «+1», «+2»), то потоки изменений от оси баланса «тяготения» примут ту форму, в которой они протекали в различных направлениях за пять лет.
Таблица 2.9. Изменения активности москвичей в 1980-1985 гг. (по критерию ±1а, ±2а; в расчете на 1000.
N = 768 (А), в показателях суммарного числа изменений количества форм жизни на «плюс» (В) и на «минус» (С) в каждой группе) |
Активность в 1985 г.
Активность в 1980 г. \ч |
1 |
2 |
3 |
4 |
5 |
В целом |
|
|
1 |
5 (0) |
13 (+1) |
7 (+2) |
- |
- |
25 |
|
|
2 |
8 (-1) |
57 (0) |
69 (+1) |
9 (+2) |
- |
143 |
|
А |
3 |
9 (-2) |
81 (-1) |
497 (0) |
92 (+1) |
9 (+2) |
689 |
|
|
4 |
- |
5 (-2) |
73 (-1) |
36 (0) |
7 (+1) |
121 |
|
|
5 |
- |
- |
9 (-2) |
12 (-1) |
1 (0) |
22 |
|
В целом |
22 |
156 |
655 |
150 |
17 |
1000 |
|
|
1 |
14 |
79 |
87 |
- |
- |
180 |
|
|
2 |
20 |
254 |
780 |
190 |
- |
1244 |
|
В |
3 |
16 |
279 |
3810 |
1163 |
183 |
5451 |
|
|
4 |
- |
14 |
372 |
269 |
82 |
737 |
|
|
5 |
- |
- |
39 |
65 |
7 |
111 |
|
В целом |
50 |
626 |
5088 |
1687 |
272 |
7723 |
|
|
1 |
26 |
24 |
14 |
- |
- |
64 |
|
|
2 |
56 |
337 |
337 |
561 |
- |
1291 |
|
С |
3 |
141 |
1004 |
4227 |
480 |
42 |
5894 |
|
|
4 |
- |
125 |
1052 |
309 |
31 |
1517 |
|
|
5 |
- |
- |
196 |
143 |
8 |
347 |
|
В целом |
223 |
1490 |
5826 |
1493 |
81 |
9113 |
|
А - расчет на 1000, в скобках значения и вектор перехода по критерию ±1а, ±2а. В - скалярное произведение увеличений числа форм в группе (на +).
С - скалярное произведение уменьшений числа форм в группе (на -).
Активность:
1 - активность очень низкая ((средняя - 2 стандартных отклонения (mean - 2а));
2 - активность низкая (средняя -1 стандартное отклонение (mean - 1а));
3 - активность средняя (mean);
4 - активность высокая (средняя +1 стандартное отклонение (mean + 1а));
5 - активность очень высокая (средняя +2 стандартных отклонения (mean + 2а)).
Характерная особенность данных (табл. 2.9) — превышение количества изменений на минус над количеством изменений на плюс за пять лет. И особенно это видно на высокоактивных стратах. У малоактивных в начальный период число уменьшений и увеличений объемов социальных составляющих деятельности уравновешено. У высокоактивных уменьшения превышают увеличение — они уходят из этого предметного ареала социальной среды, и для анализа новых форм, которые возникают, нужен другой инструмент замера в эксперименте.
Но построим график. На оси «X» отложим значения переменной «суммарная масса изменений на плюс», на оси «Y» — «суммарная масса изменений на минус», на оси «Z» — число людей по пяти скоростным потокам (из табл. 2.9).
|
Траектории потоков встречных изменений z=(a+bx+cx2+dy+ey2)/( 1 +fx+gx2+hx3+iy) r2=1 DFAdj г2—1 FitStdErr=3,6069038e-16Fstat=4,0346327e+32 a=-0,46806456 b=-0,00052001281 c=-8,9983183e-08 d=0,0012224791 e=-2,7639139e-07 f=0,0023581343 g=4,8674535e-07 h=-4,6242332e-11 i=0,00091304446 |
 |
|
Рис. 2.6. Графическая фигура траекторий потоков изменения активности в формах общественной жизни у 768 человек за пять лет, по табл. 2.9 (Протокол № 1b). |
Теперь мы имеем основания предполагать, что пространственно-временная конфигурация социальной среды, взятой в максимальном числе предметно-институциональных форм общественной жизни, представляет из себя набор реализующихся в каждой из подсистем социума спиральных лент Мебиуса с бесконечной кривизной. Константа относительной величины времени, общественно необходимого для воспроизводства системы в цикле ее качественной определенности, предопределяет фигуру той сетки социального пространства, в которой идут волновые процессы спиральных переходов. Снова произведем интерполяцию уже новой поверхности в однородную сетку с помощью алгоритма Renka-1 (рис. 2.7).
Мы видим поверхность «воронки», по которой «скользят» зафиксированные нами эмпирически потоки человеческой активности в предметно-институциональной среде. Они рождаются, живут, гаснут и оставляют после себя достающуюся следующим поколениям пространственную среду.
5
|
Проекция траекторий потоков изменений Renka 1, г2=Л, SSE=4,93038e-32 |
1,5
0,5
-0,5
-1,5
-2 |  |
|
Рис. 2.7. Интерполяция к однородной сетке Renka-1 nX = 16, nY = 16. XY-пункты (точки): 256. Активные пункты (точки): 256 |
I-
о
0
1
со
S
Ё
се
5
о
I-
о
Полученные данные, однако, требуют проверки в нескольких планах. Один из них — общая конфигурация подсистемы сознания. Три взаимосвязанных других — во-первых, количество «п» в n-мерном пространстве или количество спиралей в «социальной молекуле», во-вторых, асинхронность и синхронность скоростей смены форм жизни в этих подсистемах, которые (и только, а не мистические «пассионарные» толчки) позволяют создавать резервы для импульсов активности в направлении разряженных полей пространства обмена, в-третьих, инвариантность фигур и поверхностей потоков в различных подсистемах. Кроме того, не все еще показано в плане константности массы деятельности в предметно-институциональной кристаллической решетке социума при динамике ее элементов и сочетания высоких степеней детерминации и свободы выбора в поведении индивидуума. И, наконец, проверка надежности модели на больших массивах Всесоюзных исследований. Сделаем это, рассматривая жизненные представления людей.
Адекватность фигур полей активности и социальных представлений
Как было сказано выше, в исследованиях «Образа жизни» не были задействованы переменные, на основе которых можно анализировать информированность населения относительно тех предметностей, динамику активности в пространстве которых удалось замерить. В то же время в исследованиях был поставлен ряд вопросов, касающихся планов на ближайшие пять лет (и в 1980, и в 1985 гг.) и жизненных ориентаций респондента. Последние выявлялись тремя вопросами (одним открытым о том, что значит хорошо жить, двумя закрытыми со шкалами оценок, во-первых, важности факторов достижения успеха в жизни и, во-вторых, наиболее значимых для респондента видов деятельности). Вопросы о планах составляли около 30 ситуаций (7 — по жизненным ситуациям: семья, учеба, работа, квалификация, и т. п., и 23 — по приобретению различных товаров и услуг). Общее число закрытий по жизненным ориентациям и мотивам успеха составило 34. Конечно, кластерный анализ бессилен перед матрицей 2
97. Не лучше обстоит дело и в случае 2
34. Однако мы провели кластерный анализ отдельно по 3 закрытиям открытого вопроса и 16 закрытиям оценок важности достижения успеха и по 15 закрытиям важности отдельных видов деятельности. Затем были выделены два одинаковых для 1980 и1985 гг. ряда кластеров по 15 (виды деятельности) и по 14 (ценности) гнезд. Пришлось делить одинаково в связи с тем, что в 1980 г., например, выделялся кластер «жилье и работа», а в 1985-м он фиксировался уже как «жилье и положение в обществе». Эти 29 гнезд составили основу количественных шкал адекватных для 1980 и 1985 гг. для каждого респондента, а затем соответственно и для шкалы изменения скорости изменения жизненных представлений. Здесь была получена следующая картина (рис. 2.8).
Траектории потоков изменения ценностей
z=(a+bx+cx2+dy+eya+fy3)/( 1 +gx+hx2+ix3+jy) r2=1 DFAdj r2=1 FitStdErr=1,5440498e-18 Fstat=3,2244695e+37 a=31,691747 b=-0,023140129 C=2,2081065e-05 d=0,0074127009 e=-7,2062106e-06 f=-8,8577168e-11 g=0,011205223 h=3,0786237e-05 i=-3,4577656e-09 j=0,017607923 |
 |
|
Рис. 2.8. Графическая фигура траекторий потоков изменения ценностей и жизненных представлений у 768 человек за пять лет (Протокол № 1z). |
В общем и целом фигура движения потоков жизненных представлений или «ценностей» свидетельствует о том, что обыденное сознание ограничено полем обмена деятельностями в его квазипредметной форме смысловых отношений, стоящей за вещным миром. Поле сознания, «снятое» в социологии, «обегает» поле активности, оно принципиально не может быть анализируемо вне деятельности, как и последняя вне его, точно также, как индивидуум, личность и общество не могут быть рассматриваемы порознь.
Но посмотрим на качественное наполнение изменений объема жизненных представлений в целом и по группам с различной скоростью изменений в лонгитюдном исследовании, а потом взглянем с новой позиции на статическую картину в рамках Всесоюзного исследования, перевзвесив его на генеральную совокупность.
Для простоты восприятия мы сначала построим структуру динамики изменения объема представлений за пять лет, аналогичную той, которая была построена в табл. 2.5 при интеграции динамики общей активности в предметно-институциональной структуре в целом, а затем, разбив на группы по скорости изменений, посмотрим, какие представления наиболее устойчивы, а какие — более подвижны (см. табл. 2.10).
В первую очередь отметим отсутствие взаимной сопряженности между количественными структурами, построенными на полях представлений, по сравнению с аналогичными на полях деятельности. Здесь «хи-квадрат» значим лишь при 85 %, (коэффициент Пирсона равен 0,0991, Крамера-Чупрова — 0,0704). Поля представлений находятся в более свободном состоянии и менее детерминированы временем, чем потоки активности в предметной среде (или затрат времени в ней), хотя структурно поле представлений тождественно по показателям энтропии и картине перепада скоростей полю активности. Резко бросается в глаза лишь одно различие. В табл. 2.5 диагональные группы имели скорость близкую к средней во всех трех случаях. Здесь у имевших минимальное поле представлений и оставшихся в нем скорость сокращения объемов выше средней, а у оставшихся на максимальном поле представлений — ниже средней (они все-таки быстрее меняют объемы выделенных «ценностей» на «минус»).
Возьмем теперь все девять групп, различных по скорости изменения объема представлений за 5 лет. Возьмем все наши «гнезда кластеров» («достаток», «жилье», «работа», «способности», «образование», «трудолюбие», «престиж», «выгода», «инициатива», «деньги», «отзывчивость», «цель в жизни», «здоровье», «честность», «семья и дети») и добавим к ним кластеры по наиболее важным видам деятельности, которые назвал обследуемый в первый раз и через 5 лет: «общественная работа», «коллекционирование, занятия литературой и искусством», «культурный отдых: посещение театров, выставок, концертов», «спорт», «общение с любимым человеком», «общение с друзьями», «просмотр телевидения, чтение газет, прослушивание радио» (последние три попали в один кластер; ср. с табл. 1.1 объективно распределенных, а не субъективно осознаваемых структур деятельности по включенности в систему СМИ в Таганроге 1969 г.). Получим по каждой «ценности» и виду деятельности коэффициенты взаимосвязей (Пирсона, Крамера-Чупрова, сопряженности) распределения людей в 9 «скоростных группах» из табл. 2.10, взятых с точки зрения «логического квадрата» (табл. 2.11):
|
Объем представлений тех же самых людей в 1985 г. |
Нобщая. скорости |
00 |
,841 |
,821 |
,851 |
,871 |
Нэкспер. Скорости |
,869 |
,865 |
,935 |
,871 |
|
+ |
со
'3-
со |
,834 |
,715 |
CD
LO
СО |
,890 |
,916 |
,946 |
,920 |
|
+ |
00
со
г-~ |
,798 |
О
о
00 |
"3-
'З-
со |
,905 |
CD
h~
со |
со
CN
СТ> |
со
h~
оэ |
|
1 |
CD
CD
CD |
r—1
CD
h~ |
о
со
1-0 |
,896 |
т—1 00 00 |
,904 |
,908 |
т—1 т—1
со |
|
Скорость и знак изменений |
00 |
О
•^F |
r—1 |
со
of |
1-0
т—1 |
В % по колонке |
СО
т—1 |
СТ>
CD |
со
т—1 |
о
о
т—1 |
|
+ |
CD
т—1 т—1 |
h-
¦^F |
т—1
со |
со_
^F |
ю
т—1 |
h~
CD |
со
т—1 |
о
о
т—1 |
|
+ |
CN
^F |
1.0
T—1 |
со
of |
CD
т—1 |
h-
т—1 |
О
h- |
со
т—1 |
о
о
т—1 |
|
' |
co_
о |
cD |
Lcf
т—1 |
со
ю |
LO
CN |
CD |
т—1 т—1 |
о
о
т—1 |
|
В расчете на 1000 |
00 |
CN
CO
r—1 |
CO
CD |
со
т—1 |
1000 |
?носііэ ou % а |
О
о
т—1 |
О
О
т—1 |
о
о
т—1 |
о
о
т—1 |
|
+ |
CN
CN |
CN
О
т—1 |
h-
CN |
т—1
ю
т—1 |
CN
т—1 |
ю
т—1 |
о
CN |
ю
т—1 |
|
+ |
CD
t—1 t—1 |
О)
CD |
Г-
со |
CN
h~
CD |
'3-
CD |
СТ>
CD |
ю
CD |
h~
CD |
|
' |
"3
'3- |
CO
t—1 t—1 |
о
CN |
h-
h-
т—1 |
CN |
CD
т—1 |
LO т—1 |
со
т—1 |
|
Объем представлений в 1980 г. |
¦ |
+ |
+ |
t/> |
|
¦ |
+ |
+ |
(Л |
|
H ffl Ю О |
н ffl СО О |
1) не было представлений ранее и нет спустя 5 лет (не считали и не считают важным) «—»;
2) не было ранее, но появились спустя 5 лет (не считали важным, но стали считать) «—+»;
3) были ранее, но потом не стало (считали вид деятельности важным, теперь перестали) «+—»;
4) были ранее и остались (считали важным и считают поныне) «++».
|
Таблица 2.11. Изменения объема социальных представлений москвичей за 1980-1985 гг. и связь этих изменений по каждой из «ценностей» с группами «скорости изменений» |
|
№ |
Кластеры ценностей,
видов деятельности |
-- |
-+ |
+- |
++ |
1 |
2 |
3 |
4 |
|
1 |
Здоровье |
1,4 |
8,7 |
6,3 |
83,6 |
,339 |
,196 |
,321 |
88,070 |
|
2 |
Работа |
5,1 |
12,6 |
16,9 |
65,4 |
,353 |
,204 |
,333 |
95,597 |
|
3 |
Семья и дети |
7,4 |
13,9 |
16,5 |
62,1 |
,475 |
,274 |
,429 |
173,447 |
|
4 |
Трудолюбие |
9,4 |
18,4 |
18,9 |
53,4 |
,494 |
,285 |
,443 |
187,642 |
|
5 |
Честность |
22,5 |
18,6 |
21,2 |
37,6 |
,593 |
,343 |
,510 |
270,308 |
|
6 |
Цель в жизни |
27,5 |
15,4 |
23,0 |
34,1 |
,618 |
,357 |
,526 |
293,328 |
|
7 |
Общение с любимым |
22,9 |
19,5 |
26,2 |
31,4 |
,571 |
,330 |
,496 |
250,810 |
|
8 |
Образование, учеба |
22,5 |
16,5 |
29,7 |
31,3 |
,612 |
,354 |
,522 |
287,967 |
|
9 |
Отзывчивость |
27,5 |
19,1 |
24,9 |
28,5 |
,693 |
,400 |
,569 |
368,336 |
|
10 |
Престиж (7, 10, 17) |
36,5 |
18,0 |
25,8 |
19,8 |
,680 |
,393 |
,562 |
355,057 |
|
11 |
СМИ |
39,1 |
20,2 |
21,4 |
19,4 |
,465 |
,268 |
,422 |
166,078 |
|
12 |
Инициатива |
45,6 |
14,5 |
23,6 |
16,4 |
,645 |
,373 |
,542 |
319,918 |
|
13 |
Деньги |
44,4 |
13,8 |
25,8 |
16,0 |
,506 |
,292 |
,452 |
196,670 |
|
14 |
Достаток |
44,7 |
15,9 |
24,0 |
15,5 |
,186 |
,107 |
,183 |
26,573 |
|
15 |
Обществ. работа |
47,4 |
13,4 |
23,8 |
15,4 |
,579 |
,334 |
,501 |
257,645 |
|
16 |
Способности |
55,3 |
14,3 |
21,6 |
8,7 |
,482 |
,278 |
,434 |
178,539 |
|
17 |
Выгода (8-9-11-18) |
55,7 |
13,4 |
22,4 |
8,5 |
,617 |
,356 |
,525 |
292,038 |
|
18 |
Спорт |
64,7 |
13,8 |
13,3 |
8,2 |
,471 |
,272 |
,426 |
170,344 |
|
19 |
Общение с друзьями |
65,8 |
12,2 |
16,7 |
5,3 |
,496 |
,286 |
,444 |
188,977 |
|
20 |
Культурный отдых |
73,7 |
8,7 |
12,9 |
4,7 |
,547 |
,316 |
,480 |
229,887 |
|
21 |
Жилье |
74,3 |
10,9 |
11,1 |
3,6 |
,198 |
,114 |
,194 |
30,078 |
|
22 |
Искусство |
83,9 |
5,3 |
8,1 |
2,7 |
,602 |
,348 |
,516 |
278,395 |
|
23 |
Зрелища |
79,2 |
6,4 |
12,0 |
2,5 |
,577 |
,333 |
,500 |
255,515 |
|
24 |
Техническое творчество |
87,5 |
3,5 |
7,2 |
1,8 |
,506 |
,292 |
,451 |
196,515 |
|
25 |
Путешествия |
85,0 |
5,3 |
8,1 |
1,6 |
,488 |
,282 |
,439 |
183,207 |
|
26 |
Танцы |
93,4 |
2,2 |
4,0 |
,4 |
,451 |
,260 |
,411 |
156,136 |
|
27 |
Коллекционирование |
93,4 |
3,3 |
3,3 |
,1 |
,366 |
,211 |
,344 |
102,868 |
|
«--» - не было и нет представлений (не считали и не считают важным).
«-+» - не было ранее, но появились (не считали важным, но стали считать).
«+-» - были ранее, но потом не стало (считали важным, теперь перестали).
«++» - были ранее и остались (считали важным и считают поныне).
1 - коэффициент взаимной сопряженности Пирсона по таблицам 4 х 9 (24 степ. своб.).
2 - коэффициент взаимной сопряженности Крамера-Чупрова по таблицам 4 х 9 (24 степ. своб.).
3 - коэффициент взаимной сопряженности по таблицам 4 х 9 (24 степ. своб.).
4 - «хи-квадрат» по таблицам 4 («--»,«-+»,«+-»,«++») х 9 (группы скорости из табл. 2.10).
Из табл. 2.11 следует, что остающиеся неизменными на протяжении 5 лет «здоровье», «работа», «семья и дети» и «трудолюбие» являются базовыми ценностями, не связанными с группами, демонстрирующими высокие скорости смены жизненных представлений
. Характерно, что образование и учеба, занятия искусством и посещение зрелищ выступают в смене ориентаций отражением естественной смены форм деятельности и резервуарами временных затрат. Уход из сферы общественной деятельности и размыв ее структуры был отмечен нами в таганрогских исследованиях еще в 1979 г. Но связь с группами быстрой смены «ценностных ориентаций» таких параметров, как «честность», «цель в жизни», «отзывчивость», «престиж», «инициатива» и «выгода», где баланс на «—» превышает переход за 5 лет на «+» показывает, что эти «ценности» и являются теми превращенными формами сознания, которые играют в обществе роль быстросменяемого мускула духовного производства для соответствующей организации деятельности по поддержанию базовых ценностей. Отметим почти полную зеркальную тождественность как начавших исповедовать ту или иную «ценность», важность той или иной формы жизни, так и перешедших на другие представления. Происходит все то же самое, что и с формами и комбинациями видов деятельности. Через 5 лет число людей, имеющих определенную аппликацию представлений по базовым кластерам, остается тем же, но это уже другие люди. Предыдущие, оказавшись в ином социальном пространстве, покинули ареал данного духовного мускула, на их место пришли новые, принявшие их социальные функции.
Об этом же говорит и сравнение наших данных с данными массива в 10 154 человека, перевзвешенных на генеральную совокупность — взрослое население СССР по структурным параметрам по переписи населения. В табл. 2.12 приведены жизненные представления по Всесоюзному исследованию. Из лонгитюдного исследования в этом массиве присутствует всего 199 человек и, естественно, они не могут повлиять на распределение ответов в массиве в 10 154 человека. Массив статичен. В нем не замерялась предыдущая деятельность. Однако, сложив проценты в двух колонках («+—» и «++») табл. 2.11 по той или иной ценности или важному виду деятельности из лонгитюдного (другого!) исследования, мы получим почти те же цифры, что и в замере по населению страны.
Количественно-качественная структура, зафиксированная в табл. 2.12, несет в себе результат динамического равновесия, показанного на фигуре «перехода» ценностей (рис. 2.8) и в динамике каждого кластера ценностей (табл. 2.11), схватываемых «здесь и сейчас» и только в это мгновение состояния системы. Уже через секунду физического времени все носители этой структуры будут иметь совершенно иное положение, но структура останется та же. В отличие от поверхностей потоков активности, отражающих величины изменений деятельности, мы видим здесь только поверхность волны, но не само движение. Однако именно теперь можно с учетом полученного результата анализировать статистические ряды, имея в виду, что под устойчивой поверхностью социального пространства идет непрерывный поток флуктуаций обмена деятельностями и накопления изменений отношений отдельных фрагментов, которые приведут потом к фундаментальным подвижкам.
Именно превышение скалярной массы изменений на минус по сравнению с такой же массой изменений на плюс в лонгитюдном исследовании за 5 лет, отмеченное выше, показывает, что в стохастическом по характеру движении захватываются новые предметные области. Они закрепляются в определенных социальных ареалах при тех или иных условиях, а оставленные предметные «поля» переходят на иной уровень функционирования, редуцируют и занимают узколокальные области социального организма. При этом обнаруживаются два важных обстоятельства: во-первых, равновесие системы относительно некоторого центра баланса, во-вторых, вероятность повторяемости и самотождественности элементарной фигуры движений вокруг центра баланса обмена результатами в любой из подсистем человеческой деятельности. Тут-то и важно было бы знать, являются ли «жилье» и «достаток» стимулами возрастающей активности или они при удовлетворении потребностей в их предметных референтах переключают переход активности людей на удовлетворение совершенно иных потребностей, что и ведет к возрастанию скорости перехода из средней группы в группу максимальной активности движения.
|
Таблица 2.12. Сопоставление объема «ценностей» во Всесоюзном исследовании 1981 г. в целом и объема этих же ценностей у москвичей суммарно по колонкам 3 и 4 табл. 2.10 по каждой ценности, а также распределение как респондентов, так и их ответов по кластерам ценностей и видов деятельности в зависимости от количества имеющихся у обследованного кластеров-ячеек попадания (в % по колонке к числу опрошенных по СССР (10 217 массива перевзвешенного из 10 154), москвичей (768), абсолютному значению групп людей и суммарному числу ответов) |
|
Кластеры ценностей |
Москва |
СССР — % по респондентам |
СССР — % по ответам |
|
S |
- |
+- |
+ |
S |
- |
+- |
+ |
|
Абсолютное значение |
768 |
10 217 |
1511 |
7367 |
1338 |
99 917 |
6173 |
70 649 |
23 095 |
|
% в целом |
100 |
100 |
100 |
100 |
100 |
100 |
100 |
о
о |
100 |
|
Здоровье |
89,9 |
87,8 |
73,3 |
89,3 |
96,4 |
9,0 |
17,9 |
9,3 |
5,6 |
|
Работа |
82,3 |
76,5 |
56,1 |
77,6 |
93,5 |
7,8 |
13,7 |
8,1 |
5,4 |
|
Семья и дети |
78,6 |
72,6 |
46,7 |
73,9 |
94,4 |
7,4 |
11,4 |
7,7 |
5,5 |
|
Трудолюбие |
72,3 |
69,3 |
34,7 |
72,6 |
89,8 |
7,1 |
8,5 |
7,6 |
5,2 |
|
Честность |
58,8 |
50,8 |
15,9 |
52,5 |
80,9 |
5,2 |
3,9 |
5,5 |
4,7 |
|
Цель в жизни |
57,1 |
54,6 |
18,2 |
56,7 |
83,9 |
5,6 |
4,4 |
5,9 |
4,9 |
|
Общение с любимым |
57,6 |
51,0 |
15,8 |
51,8 |
86,3 |
5,2 |
3,9 |
5,4 |
5,0 |
|
Образование, учеба |
61,0 |
61,3 |
22,2 |
63,3 |
94,3 |
6,3 |
5,4 |
6,6 |
5,5 |
|
Отзывчивость |
53,4 |
50,1 |
12,7 |
51,6 |
84,3 |
5,1 |
3,1 |
5,4 |
4,9 |
|
Престиж (7, 10, 17) |
45,6 |
45,3 |
9,8 |
45,5 |
84,3 |
4,6 |
2,4 |
4,7 |
4,9 |
|
СМИ |
40,8 |
43,9 |
17,1 |
42,8 |
79,9 |
4,5 |
4,2 |
4,5 |
4,6 |
|
Инициатива |
40,0 |
32,9 |
4,1 |
31,7 |
71,6 |
3,4 |
1,0 |
3,3 |
4,1 |
|
Деньги |
41,8 |
36,8 |
17,0 |
36,7 |
59,5 |
3,8 |
4,2 |
3,8 |
3,4 |
|
Достаток |
39,5 |
36,1 |
24,0 |
36,9 |
45,3 |
3,7 |
5,9 |
3,9 |
2,6 |
|
Общественная работа |
39,2 |
25,2 |
5,3 |
21,6 |
67,1 |
2,6 |
1,3 |
2,3 |
3,9 |
|
|
Кластеры ценностей |
Москва |
СССР — % по респондентам |
СССР — % по ответам |
|
S |
- |
+- |
+ |
S |
- |
+- |
+ |
|
Способности |
30,3 |
29,9 |
7,6 |
28,3 |
63,6 |
3,1 |
1,9 |
3,0 |
3,7 |
|
Выгода (8, 9, 11, 18) |
30,9 |
31,0 |
8,7 |
30,2 |
60,6 |
3,2 |
2,1 |
3,1 |
3,5 |
|
Спорт |
21,5 |
20,4 |
2,2 |
17,1 |
59,3 |
2,1 |
,5 |
1,8 |
3,4 |
|
Общение с друзьями |
22,0 |
22,9 |
4,1 |
20,7 |
56,2 |
2,3 |
1,0 |
2,2 |
3,3 |
|
Культурный отдых |
17,6 |
15,6 |
1,2 |
11,8 |
53,0 |
1,6 |
,3 |
1,2 |
3,1 |
|
Жилье |
14,7 |
12,1 |
5,8 |
12,5 |
17,0 |
1,2 |
1,4 |
1,3 |
1,0 |
|
Занятия искусством |
10,8 |
10,8 |
,6 |
6,9 |
44,0 |
1,1 |
,1 |
,7 |
2,5 |
|
Зрелища |
14,5 |
13,5 |
1,8 |
9,3 |
49,4 |
1,4 |
,4 |
1,0 |
2,9 |
|
Техническое творчество |
9,0 |
6,6 |
,7 |
4,1 |
27,3 |
,7 |
,2 |
,4 |
1,6 |
|
Путешествия |
9,7 |
9,7 |
1,0 |
6,2 |
38,8 |
1,0 |
,3 |
,7 |
2,2 |
|
Танцы |
4,4 |
5,6 |
,4 |
3,3 |
24,5 |
,6 |
,1 |
,3 |
1,4 |
|
Коллекционирование |
3,4 |
5,6 |
1,7 |
3,7 |
20,4 |
,6 |
,4 |
,4 |
1,2 |
|
«-» - малый объем ценностей (важных видов деятельности) - mean - 1а. «+-» - средний объем ценностей (важных видов деятельности).
«+» - большой объем ценностей (важных видов деятельности) - mean + 1а. |
Прокомментируем некоторые данные табл. 2.12.
1. Коэффициент корреляции рангов (по Спирмену) между кластерами ценностей и деятельностной ориентации москвичей, с одной стороны, и тем же рядом кластеров у населения страны — с другой, составляет 0,994. Однако ряд у москвичей получен сложением частот в кластерах ценностей и видов деятельности по двум параметрам: «имели 5 лет назад и имеют теперь, имели 5 лет назад, но не имеют теперь (т. е. в 1985 г.)», тогда как во Всесоюзном массиве 1980 г. (где среди 10 154 человек «присутствуют» всего 199 из 768 москвичей) этот ряд получен однократным замером. Так что по Москве в 1985 г. можно было назад «предсказать» ценности СССР в 1980 г. Но то же и наоборот: можно было сложить «по Москве» два других значения в 1985 г. и получить данные по стране на год вперед
. Это чистый эксперимент ex-post-facto, демонстрирующий практическую силу модели, полученной на лонгитюдном исследовании в 768 человек, подтверждаемой массивом в 10 154, перевзвешенном на генеральную совокупность по данным переписи в ЦСУ СССР (перевзвес дал 10 217).
2. Посмотрим на Всесоюзном исследовании соотношение весов людей с определенным количеством кластеров ценностей и распределением весов частот этих ценностей по всему зафиксированному полю людских представлений. Те же три группы «объема» ценностных ориентаций, что выделены в лонгитюдном исследовании для фиксации скоростей количественных изменений через 5 лет, выделены и во Всесоюзном исследовании, с той лишь разницей, что это однократный замер. У москвичей они составляли 18,2 % — 68,4 % — 13,4 %, во Всесоюзном исследовании — 14,8 % — 72,1 % — 13,1 % ансамблей обследованных. У москвичей распределение скошено к группе с малым числом кластеров, а в Союзе более острая «гауссиана». Стоит ли за этим более высокая идеологическая подвижность москвичей, трудно сказать — важно другое: 14,8 % населения страны охвачено всего лишь 6,2 % всего поля ценностно-деятельностных ориентаций, тогда как 13,1 % этого же населения присваивает себе 23,1 % этого поля представлений. 1511 человек дают 6173 частот этого поля, а 1338 — 23 095 частот (4,1 против 17,3 в среднем). Меньшая группа дает в четыре с лишним раза больше. Однако можно и ошибаться в утверждении, что «действительное духовное богатство индивида всецело зависит от богатства его действительных отношений»*. Это для Англии XIX в. и для всего мира, может, и правильно, а в России все не так. Оказывается, в почти 100-тысячном поле сознания из пересечения людей и ценностно-деятельностных ячеек-кластеров в группе с «малым» объемом ценностей именно базовые их формы: «здоровье», «семья и дети», «работа», «трудолюбие», «деньги», «достаток» и «жилье» в 1,5—3 раза превышают их объемы у группы с «большим» диапазоном ценностно-деятельностных кластеров. В группе со средним по числу диапазоном к этой закономерности прибавляется «честность», «цель в жизни», «образование и учеба», «общение с любимым человеком» и «отзывчивость». Конечно, можно предполагать, что у группы «духовно богатых» людей уже есть и «деньги», и «жилье», и «общественная работа» (особенно), и многое другое, в чем они не нуждаются. Но нельзя не увидеть, что их переходы с одного блока ценностных ориентаций на другой более подвижны, а значит, их ценности вовсе не те, и за ними стоит скрытая этимологическая составляющая «ценностей». Нельзя идти и от противного, предполагая, что ценим то, чего нет. Тогда у 90 % страны нет здоровья. Это сейчас, при нынешнем духовном «богатстве» — очень похоже, но чтобы в 1980 г.?! Боже упаси!
3. Наиболее подвижны «престиж» (44 % переходов по лонгитюду), «отзывчивость» (44 % переходов), «образование и учеба» (46 % переходов (получили образование — оно не ценность)), «общение с любимым человеком» (46 % переходов (была любимая — стала жена или наоборот: муж — уже не ценность, ценность — семья)), «честность» (40 % переходов), «деньги» (под 40 % переходов), «достаток» (под 40 % переходов). Эти ценности похожи на разменную монету главных жизненных «купюр». Нормированная энтропия во всем поле частот (по 27 кластерам 99 917 частот) равна 0,934. Однако в группе базовых ценностей она 0,824, в средней группе — 0,918, а в группе с наибольшим количеством кластеров — 0,976, т. е. самая высокая степень неопределенности ценностных ориентаций по выделяемому предметному ряду. Говорить об устойчивости групп ориентации здесь не представляется возможным. Здесь ценностные ориентации в другом мире.
4. Количественный показатель не числа кластеров (как в разбираемом случае, когда он дал нормальное распределение), но числа ответов по вопросу, «что для Вас является главным в жизни», во втором таганрогском исследовании 1979 г. (2000 респондентов — занятое население) давал ровное «плато» на числе от одного до семи ответов. При этом наблюдался монотонный последовательный прирост в каждой группе «новой» важной предметности по отношению к предыдущей: один ответ — первое место — «семья», два ответа — первое место — «семья», второе — «работа», три ответа — та же последовательность + «уважение окружающих», четыре ответа — та же последовательность + «общение с друзьями», пять ответов — последовательность сбивается — «достаток» меняется местами с «общением», шесть ответов — последовательность восстановлена + «сознание необходимости обществу», семь ответов — та же последовательность в первых пяти пунктах + ценности, связанные с общественным служением. Напрашивалось предположение, что в достаточно большой выборке можно зафиксировать, как в геологическом срезе берега реки, последовательность возникновения типов общностей при развитии социальной системы в целом, связанную, с одной стороны, с фундаментальными подсистемами (воспроизводство населения, труд, общение, материальное потребление, культура), а с другой — с удовлетворением и насыщением фундаментальных социальных человеческих потребностей (в детях, активности, общении, знании, социокультурных формах обмена). Ответ мог бы решить проблему конструирования социально-исторического термометра в каждый конкретный момент развития общества методами социологии
. Запомним: это понадобится нам при поиске области выделения метрики и масштабов уже не социального времени, но пространства, рассматриваемого как поля фундаментальных общностей, возникавших из самотождественных фрактальных образований при развитии орудий труда-взаимодействия с окружающим предметным миром и возникновения различных форм цивилизации на шкале физического времени.
В разбираемых двух массивах мы попробовали выделить все сочетания первых семи фундаментальных кластеров, объединив их в шесть за счет слияния «работы» и «трудолюбия». Были построены две «шахматные доски» по 64 клетки. Вне этих шести кластеров в Москве оказался один человек на 1000, а в СССР — 3 человека. Картина по Москве и СССР практически совпала (табл. 2.13 и 2.14). Коэффициент корреляции по 49 клеткам матрицы равен +0,877 по Спирмену.
В московском массиве 6 групп, составляющих 12 % от всех заполненных клеток, дают 63,9 % ансамбля. Во Всесоюзном массиве, перевзвешенном на генсовокупность, 9 групп (16 % сочетаний) дают 63,8 % ансамбля. Из каких же жизненных представлений составлены доминантные сочетания?
Первое место у ансамблей «Москва» — «СССР»: все шесть кластеров — «труд», «здоровье», «семья и дети», «честность», «цель в жизни», «общение с любимым человеком». Это фундамент: 20 % — в Москве, 16,4 % — в Союзе (табл. 2.13 и 2.14). Второе место в двух ансамблях — пять кластеров: «труд», «здоровье», «семья и дети», «честность», «цель в жизни» (ушло «общение с любимым человеком»). Третье место в двух ансамблях — четыре кластера: «труд», «здоровье», «семья и дети» и возвратившееся «общение с любимым человеком» (ушли «честность» и «цель в жизни»). Четвертое место в двух ансамблях — пять кластеров: «труд», «здоровье», «семья и дети», «цель в жизни», «общение с любимым человеком», повторилась фундаментальная группа без «честности». Пятое место у москвичей — пять кластеров: «труд», «здоровье», «семья и дети», «честность», «общение с любимым человеком», здесь снова «честность» поменялась с «целью в жизни». Пятое место «по Союзу» — три кластера: «труд», «здоровье», «семья и дети». Шестое место у москвичей — три кластера: «труд», «здоровье», «семья и дети». Шестое место «по Союзу» — пять кластеров: «труд», «здоровье», «семья и дети», «честность», «общение с любимым человеком» (равно пятому месту в московском ансамбле). Седьмое место у москвичей — это девятое «по Союзу» — четыре кластера: «здоровье», «труд», «честность», «цель в жизни» (5 % или «уходят» из ценностного поля «семья и дети» или не «пришли» в него
). Восьмое место в двух ансамблях совпадает — два кластера: «труд» и «здоровье». Девятое место у москвичей это десятое «по Союзу» — четыре кластера: «труд», «здоровье», «семья и дети», «честность». Девять сочетаний дают по московскому массиву 74,1 %, по Всесоюзному — 65,2 %.
Такова была качественная характеристика ценностной ориентации москвичей и населения страны в 1980—1987 гг. на самом пороге социальных испытаний и катастроф. Можно и нужно отследить, как и в какой точке своей траектории общество, декларировавшее своими высшими ценностями трудолюбие, продолжение рода, честность и цель в жизни, оказалось парализованным перед философией стяжательства и цепной реакцией биологической составляющей в единственную общественную ценность — категорию физического выживания. Фундаментальные сдвиги не бывают случайными, а причитания об обманутом народе нужны для того, чтобы общество осталось обманутым и никогда не пришло к пониманию, где, как, в который раз, при каких обстоятельствах и кто так примитивно глупо, жестоко и бесчеловечно обошелся с жизнью.
М. К. Мамардашвили в работе «Классический и неклассический идеалы рациональности», говоря о «полях» сознания, подчеркивал, что не биологическое и психическое организует поле социального действия. «Мы находим предметы, которые были особым изображением мира, символическим изображением мира, а не отражением его, особым в том смысле, что они были явно конструктивными по отношению к человеческому существу, т. е. были орудиями переведения биологических качеств, биологических структур, биологических реакций и состояний человеческого существа в режим человеческого их бытия. А это другой режим. Естественным образом человеческие качества [...] привязанность, честь и т. д., — не даны природой. Они чем-то создаются, действием чего-то, в свою очередь созданного, а именно такого рода предметов, которые мы сейчас (в нашу эпоху. — А. Ж.) называем предметами искусства. А предмет искусства просто воспроизводит в своем пространстве, канализирует наши возможности понимания, видения, и без него психическая жизнь представляет собой хаос, распадается. Мы не можем внимание постоянно удерживать на одной и той же высоте, мы не можем устойчиво любить один и тот же предмет [...]. Представьте себе, если бы человеческие наши отношения зависели бы от этих порогов чувствительности. Они сами по себе (пороги. — А. Ж.) обладают таким режимом, что держать постоянство и тождество человеческих состояний они не могут.
А что же держит тогда? Держат понимательно-вещественные предметы, являющиеся конструктивными машинами по отношению к нам [...].
Символы — вот, например, дощечки, на которых изображено мировое дерево, известное в семиотике и мифологиях. Такие дощечки никого не кормят. И создавались они, наверное, не для того, чтобы кормиться. Они избыточны по отношению к любой практической жизни человека. Но, очевидно, через избыточное на этой стороне в практической жизни и появляются впервые человеческие связи между этими существами, общественные и социальные формы жизни того или иного рода в зависимости от того, каков этот технос, т. е. какие изобретены артефакты, органы, тела [...].
|
Таблица 2.13. Общая картина распределения москвичей в 1980-1985 гг. по шести наиболее устойчивым кластерам ценностных ориентаций на 1980 г. (в расчете на 1000 человек; лонгитюдное исследование; количество опрошенных n1980 85 = 768) |  |
|
Таблица 2.14. Общая картина распределения модели населения СССР в 1981 г. по наиболее устойчивым для московского лонгитюдного исследования кластерам ценностных ориентаций (в расчете на 1000; n1969 = 10 217 перевзвешенных на генеральную совокупность по переписи населения 10 154 человек) |  |
Тем самым возникает идея, условно скажем, некоторых матричных состояний и структур человеческого действия и сознания, в пространстве которых [...] “идеально” формируются — и в людях порождаются в качестве осадка или вторичного продукта — состояния или человеческие свойства памяти, верности, добра и т. д. Тем самым мы тогда можем говорить, что сознание в отличие от того сознания, какое показывал нам принцип “когито”, есть некоторое структурное расположение в пространстве и времени этих артефактов или третьих вещей. Это не пространство и время нашей обыденной практической жизни. Но только выйдя в него и вернувшись из него сюда, мы рождаемся, а, как известно, люди рождаются только вторым рождением. Я специально употребляю этот очень древний и точный символ, чтобы замкнуть им свое рассуждение. Что будет на стороне человеческого действия, как оно будет структурироваться и т. д., зависит от того, какие создались такого рода «третьи вещи” (или наши органы или приставки к нам самим), через которые мы конституируемся [...]. Они не изображают, а через свои элементы изображения чего-то призрачного, невидимого, сказочного конструируют. [...]. Если вы привяжете ребенка и не дадите ему играть и фантазировать, т. е. заниматься чем-то внеопытным и к жизни не имеющим отношения, то вы не получите в итоге из этого ребенка человеческого существа»
.
Мы вернемся к этим классическим посылкам после анализа эмпирических данных о происшедшем и продолжающемся разрушении «полей смыслов» (в разобранном выше смысле «третьих вещей»). Конечно, можно было бы комментировать и сейчас, сопровождая комментарий выводами о составе групп, переходящих от одной ценности к другой. Но это увело бы изложение в детали, тогда как задача прежде всего в иллюстрации общих контуров пространственно-временной модели человеческой активности и характера ее разверток. Вкратце замечу лишь следствие из роли «третьих вещей» и детских игр. Если вы, управляя социальной системой, не предоставите объективно требуемой экономической свободы, а будете навязывать статус-кво институтов частных или корпоративных интересов, например, форм собственности, вы разрушите систему. Если вы при этом неизбежно вынуждены будете строить полицейское государство, то на другом полюсе вы с железной необходимостью получите преступное сообщество. Как убеждали шестнадцать лет назад по другому поводу — «иного не дано».
Перейдем к анализу уже совершенно очевидного из предыдущих данных волнового, циклического относительно некоторых констант характера метаморфоз форм пространственно-временных состояний общественной системы.
Волновой характер поведения системы на шкале времени
Картина скорости изменений и активности в целом
Общая скорость изменений. Уже в ходе второго таганрогского исследования в 1979 г. в ИСИ АН СССР мы столкнулись с тем, что общая масса деятельности в объеме того или иного подсистемного предметно-институционального континуума, измеренная числом реализуемых человеко-форм, устойчива. Изменения свидетельствовали о социальных подвижках — насыщение рынка тем или иным товаром, смены политической или идеологической линии управления и т. п., но в целом показатели энтропии, средние, дисперсия, корреляции, говоря о «пульсациях» в тех или иных участках социального организма, оставались возле своих предыдущих значений. Теперь понятно, что мы наблюдали профиль «волны» движения форм жизни в социальном пространстве. Зная это, можно, используя возрастную шкалу, рассмотреть на ней все три элемента, представленных в предшествующем изложении: предыдущую и последовавшую активности, скорость изменений. Рассмотреть на возрастной шкале эти нормированные элементы можно, во-первых, в целом, во-вторых, как в рамках различных подсистем деятельности и сознания, так и в их связи или корреляте, в-третьих, в рамках связи указанных подсистем с учетом вектора (на плюс или на минус) и величины изменения скорости изменений активности от точки баланса, в-четвертых, в рамках тех подсистем, которые будут найдены при решении трех предыдущих задач. Именно они могут указать то количество асинхронных спиралей социального пространства, которое говорит и о его n-мерности, и его морфологической структуре.
Конечно, рассматривая объекты пространственно-временной структуры социальной среды, мы ограничены двухмерной на плоскости и трехмерной в объеме графикой. Однако за коррелятом спиралей степеней активностей и скоростей в зависимости от смены параметров тех или иных подсистем социального целого мы сможем понять и представить его структуру.
При выборе возрастной шкалы мы остановились на парной. Работа по выбору шкал с учетом нормирования параметров длилась около месяца с помощью TableCurve 2D. Дело в том, что погодовая шкала дает очень точные колебания и активности, и скорости ее изменения у каждого человека в лонгитюдном исследовании. Однако несмотря на высокую надежность данных (что уже было показано), дробность шкалы снижает степень приближения моделей до 71 %. Это нас не устраивало. Трехлетний интервал возрастной шкалы повышал степень приближения до 100 %, но «смазывал» пики и провалы, а значит, не давал «резкости» наблюдений через корреляции амплитуды и длины волн скоростей в различных подсистемах. Эту шкалу также пришлось испытать на всех выделенных подсистемах форм деятельности и сознания и выбраковать. Шкала возрастов с двухлетним интервалом, несколько смазывая пики волн, дает степень приближения от 92 % и выше, а кроме того, служит очень наглядной графической иллюстрацией в рамках статпакета SPSS, что немаловажно при представлении логики изложения и результатов. Только один первый график амплитуды и частоты колебаний величины скорости изменений количества форм деятельности по каждому человеку мы приводим на годовой интервальной шкале для иллюстрации всех оттенков подъемов и провалов. Повысить надежность годовой шкалы позволят лонгитюдные исследования объемом не менее 1500—2000 наблюдений. Это дело будущих исследователей.
Обратимся к данным табл. 2.15 и выполненным на их основании графическим картинам, начиная с рис. 2.9.
|
Изменения активности за 5 лет Rank 1 Egn 6870 Chebyshev=>Std Polynomial Order 20 r2=0,71211 DFAdj r2=0,49619 FitStdErr=0,06759 Fstat=3,58661 |
 |
|
Рис. 2.9. Амплитуда и частота изменений скоростей уменьшения и роста количества форм жизнедеятельности респондентов с определенным числом лет по данным лонгитюдного исследования москвичей 1980-1985 гг. Шкала возраста погодовая; на данных табл. 2.15, колонка 4. По оси «Y» отложены нормированные значения разницы между числом форм жизни индивида в 1985 и 1980 гг. Скажем, 50 - 40 = 10 или 25 - 53 = -28. Эти значения нормированы по точке баланса: средней, принятой за «0» |
Этот и последующие графики сделаны на основании данных табл. 2.15. Разница, однако, в том, что последующие иллюстрации сделаны на базе попарных группировок возрастов. На графиках (кроме трех линий рис. 2.10) показана скорость, а не активность. Три линии на рис. 2.10 как раз показывают общую величину активности того или иного возраста среди москвичей 1980 г., среди них же — через 5 лет, и в границах Всесоюзного исследования образа жизни в 1981 г. в 10 154 человека. Это дает наглядное представление о принципиальном сходстве полученных результатов в рамках различных групп населения и населения в целом, что в свою очередь свидетельствует о массовости и всеобщем характере измеряемых процессов.
Что мы видим? Во-первых, процесс подъемов и снижений активности носит ярко выраженный волновой характер. Во-вторых, после 47,5 лет начинается абсолютное понижение скоростей активности перехода с одного количества форм жизни на другое, которое нигде более не достигает даже нижних пределов скоростей предшествующего поколенческого слоя. В-третьих, абсолютное снижение скоростей изменения количественного параметра активности сопровождается трехкратным, возрастающим по амплитуде и сокращающимся по частоте к концу жизненного цикла людей, относительным увеличением скоростей. Мы видим процесс превращения людской активности в материальную структуру человеческого
|
Таблица 2.15. Распределение средних значений суммарной активности по возрастам в 1980-1985 гг. и средних величин разницы в числе детей, товаров, форм общественной жизни, кластеров ценностей и объема планов (в средних величинах, нормированных по предельным значениям и балансу скоростей; пссср 1981 = 10 154, пМоскв8 1980 85 = 768) |
СМ
тН |
051 |
+,068 |
CD
+ |
го
о
о |
см
+ |
052 |
038 |
127 |
061 |
о
о
о |
109 |
111 |
041 |
087 |
052 |
132 |
CD
ю
о |
+,005 |
+,064 |
+,054 |
+,087 |
го
CD
о |
137 |
049 |
+,005 |
023 |
|
|
|
|
|
|
|
|
|
|
|
|
|
|
|
|
|
|
|
тН
тН |
о
о |
го
оо
о |
СМ
о
+ |
о |
о
+ |
см
го
о |
«3
см |
CD |
t—
о |
- |
оо
оо |
го
го
о |
оо
см |
- |
t—
оо
о |
(У)
о |
см
см
о |
CD
см
см |
ю
о |
ю
см |
см
см
о
+ |
о
о
+ |
о |
t— t—
о |
го
см
о |
t— |
|
|
|
|
|
|
|
|
|
|
|
|
|
|
|
|
|
|
|
|
|
|
|
|
|
10 |
го
см
о |
«3-
оо |
ю
t— |
t—
о
+ |
см
CD
о
+ |
о
оо
о |
оо
о
о |
о
го
о |
CD
+ |
t—
о |
(У)
оо
о |
«3-
о
+ |
оо |
оо
см
о |
(У)
о
+ |
го
ю
о
+ |
CD
о |
см
CD
о
+ |
оо
го
+ |
го
см
о |
(У)
го
+ |
см
о
+ |
см
CD
о
+ |
о
+ |
(У)
о
о
+ |
о
t—
о
+ |
|
|
|
|
|
|
|
|
|
|
|
|
|
|
|
о» |
го
ю
о |
(У) t— |
го
t—
о
+ |
оо
го
о
+ |
см
ю
о |
«3
см
о |
CD
о
+ |
ю
о |
(У)
см
о
+ |
CD
го |
о
«3-
о |
оо
см
о |
(У)
го |
(У>
см
о |
CD
ю
о |
о
о |
о
t—
о |
см
ю
о |
(У>
ю
о |
о
CD
о |
t—
о |
о
о |
CD
о |
о
о
+ |
+,024 |
см
«3-
о
+ |
|
|
|
|
|
|
|
|
|
|
|
|
|
|
|
|
|
|
|
|
|
|
со |
г~-
о |
см
см
о |
+ |
ю
«3-
о
+ |
о
«3-
о
+ |
оо
о
+ |
CD
+ |
t— CD
о
+ |
оо
t—
о
+ |
«3
см
о |
го
о
о |
«3-
оо
о
+ |
см
CD
о |
CD
см
о |
«3
см
о
+ |
CD
о
о
+ |
t—
о
+ |
оо
CD
о
+ |
оо
ю
о |
t— CD
о |
(У)
см
о |
оо
го
о |
го
го
о
+ |
оо
CD
о |
оо
О)
о
+ |
ю
см
о
+ |
|
|
|
|
|
|
|
|
|
|
|
|
|
|
г- |
CD
го
о |
CD |
(У)
о |
ю
CD |
«3- |
о
см
о |
ю |
CD |
CD
го
о |
см
«3-
о |
см
о
+ |
го
о |
ю
о |
оо |
ю
о |
«3
ю
о
+ |
со
о |
ю
t—
о |
оо
ю
о |
«3-
О)
о |
(У) О)
о |
см
о |
го
о |
(У>
о |
оо
о |
о
о |
|
|
|
|
|
|
|
|
|
|
|
|
|
|
|
|
|
|
|
|
|
|
|
|
|
|
|
со |
см
см
о
+ |
t—
го
о
+ |
го
го
+ |
Ю
оо
о
+ |
оо
о
+ |
о
«3-
о
+ |
«3
+ |
(У)
о
+ |
t—
см
о |
оо
го
о
+ |
ю
оі
о
+ |
(У)
го
+ |
CD
«3-
о
+ |
t—
о
о |
CD
О)
о
+ |
CD
см
о
+ |
CD t—
о
+ |
о
+ |
о |
t—
оо
о
+ |
ю
см
о |
оо
t—
о
+ |
го
о
+ |
CD
о
+ |
го
о
о
+ |
«3-
о
+ |
|
|
|
|
|
|
|
ю |
г~-
«3-
о |
CD
ю
ю
+ |
о
+ |
г~-
+ |
о
о
t—
+ |
CD
оо
t—
+ |
о
о
см
+ |
см
ю
CD
+ |
г~-
+ |
CD
оо
см
+ |
оо
оо
ю
+ |
оо
+ |
ю
+ |
о
о
о |
«3
см |
оо
го
+ |
о
о
см |
ю
см |
о
о
ю |
о
о
CD |
ю
см
CD |
«3-
оо
CD |
t—
ю |
t—
ю
оо |
оо
о
см |
о
о
ю |
|
|
|
|
|
|
|
|
|
|
|
|
|
|
|
|
о
о |
CD
о |
ю
+ |
о
оо
о
+ |
(У)
о
+ |
го
ю
о
+ |
«3-
о
+ |
ю
о
+ |
о
+ |
оо
о |
t—
о
+ |
о
ю
+ |
го
CD
о |
о
ю
о
+ |
оо
CD
о
+ |
оо
о
+ |
«3-
«3-
о
+ |
о
оо
о
+ |
CD
о |
оо
о
о |
го
о |
(У>
см
о
+ |
о
О)
о
+ |
ю
см
о
+ |
CD
«3-
о
+ |
о
t—
о
+ |
|
|
|
|
|
|
|
|
|
|
со |
го
ю |
оо
го |
ю
ю |
см
О) |
«3
ю |
см
ю |
о
ю |
оо |
оо
го
ю |
ю |
«3-
CD
ю |
оо
«3
ю |
оо
ю |
о
«3- |
ю |
(У)
ю
ю |
(У)
см
ю |
t— CD
ю |
го
го
ю |
«3-
О) |
го
ю |
t—
ю |
«3
ю
ю |
CD
О) |
см
ю |
оо |
|
см |
ю
оо |
см
CD |
го |
о
оо |
см
го
ю |
«3
ю |
оо |
(У)
оо |
ю
ю |
оо
«3
ю |
о
ю |
см
о
ю |
оо
ю |
см |
см
о
ю |
оо
ю |
оо
го
ю |
(У>
ю
ю |
(У) CD
ю |
см
ю |
см
CD
ю |
о
го
ю |
t—
го
ю |
(У)
о
ю |
CD
ю |
«3-
г^- |
|
тН |
CD
CD
«3- |
ю
CD |
го
ю |
ю
ю |
оо
см
ю |
(У)
го
ю |
о
см
ю |
t—
го
ю |
г~-
ю |
ю
ю |
(У)
го
ю |
CD
CD
ю |
ю
ю |
(У)
го
ю |
см
го
ю |
ю |
см
ю |
оо
о
ю |
оо
о
ю |
ю
о
ю |
см
го
ю |
см
го
ю |
оо
о
ю |
о
ю |
t— О) |
(У> |
|
Возраст |
В целом |
СМ |
ю
см |
CD
см |
t—
см |
оо
см |
(У>
см |
о
го |
го |
см
го |
го
го |
го |
ю
го |
CD
го |
t—
го |
оо
го |
(У)
го |
о
«3- |
«3- |
см
«3- |
го
«3- |
«3-
«3- |
ю |
CD |
г~- |
оо |
|
со
оо
о |
+,046 |
+,045 |
196 |
094 |
t— |
го
со
о |
135 |
+,004 |
083 |
690 |
095 |
о
см
о |
106 |
047 |
047 |
027 |
044 |
027 |
071 |
|
|
|
|
|
|
|
|
|
|
|
|
|
|
|
|
|
|
|
024 |
оо
го |
со
го
о |
со
оо |
го
см |
го |
со
о |
аз
аз
о |
t—
оо |
о
см |
t—
см |
ю |
го
аз
о |
аз
о |
аз
го
о |
«3- |
оо
о |
со
го
+ |
235 |
оо
ю |
|
|
|
|
|
|
|
|
|
|
|
|
|
|
|
|
|
|
|
|
со
о |
го
о |
ю
«3-
о |
оо
см
о |
+,083 |
см
го
+ |
го
см |
t—
о |
ю
аз
о |
со
о
о
+ |
ю
о |
со
аз
о |
t—
аз
о |
го
о |
оо
см |
со
го |
«3г— |
со
аз
о |
ю
ю |
см
о |
|
|
|
|
|
|
|
|
|
|
|
|
|
|
|
|
|
|
|
690 |
см
оо
о |
со
t— |
о
о |
t— |
оо
о
+ |
аз |
ю
о |
t—
го |
со
см
о |
о
о |
см
го
о |
оо
см |
аз
«з-
о |
со
го
о |
|
о |
оо
оо
о |
го
со
о |
t— |
|
|
|
|
|
|
|
|
|
|
|
|
|
|
|
|
|
|
|
|
|
042 |
аз
ю
о |
г~-
«3-
о |
со
см |
см |
со |
го
оо |
270 |
t—
го
о |
о
t—
о |
см
со
см |
го
t— |
оо
ю
о |
«з-
см |
со
го
о |
«3-
«3- |
оо
го |
«3-
оо |
ю
см
о
+ |
со
о |
|
|
|
|
|
|
|
|
|
|
|
|
|
|
|
|
|
|
|
|
|
+,066 |
см
см
о |
+,038 |
см
го |
го
го
о |
см
о |
аз
о |
ю |
см
о
о |
+,052 |
оо
см
о |
о
см
о |
+,035 |
см
о |
+,032 |
+,030 |
го |
+,002 |
+,073 |
о |
|
|
|
|
|
|
|
|
|
|
|
|
|
|
072 |
ю
«з-
о
+ |
«3-
о
о |
«3-
о
+ |
аз
о
+ |
аз
см
о
+ |
027 |
ю
о
о |
го
о |
038 |
оо
о |
ю
о |
о
оо
о
+ |
ю
о
о
+ |
го
о
о |
«3-
о
о |
о
ю
о |
го
аз |
«3
см
о |
ю
о |
|
|
|
|
|
|
|
|
|
|
|
|
|
|
|
ю
ю |
го
го |
о
о
ю |
t—
со
+~ |
|
аз
t— |
- |
см
см
см |
«3
ю
+” |
со
см
см |
ю
о
+~ |
- |
о
о
о |
+,095 |
го
см
+~ |
t— t—
о |
ю
+~ |
о
о
о |
со
оо
см |
го |
|
|
|
|
|
|
|
|
|
|
|
|
|
со
о |
t—
о
о |
см
«3-
о |
077 |
со
о |
го
см
о
+ |
со
го |
см
ю |
со
«3-
о |
о
о |
t—
го |
го
аз
о |
см
о
+ |
см
о |
о
го
о |
t—
оо
о |
оо
ю |
со
оо |
со
о
о |
t—
го |
|
|
|
|
|
|
|
|
|
|
|
|
|
|
|
|
|
|
|
|
,494 |
о
ю |
аз
«3-
«3- |
см |
го
ю |
со
ю |
о |
аз
го |
,424 |
,388 |
,377 |
,348 |
со |
ю
о
го |
со
оо
го |
го
ю
го |
го
го |
t—
аз
см |
о
аз
см |
го
ю
см |
|
,553 |
см
«3
ю |
,497 |
,508 |
,510 |
см
г~- |
,540 |
,494 |
,474 |
,418 |
со
г~- |
,417 |
см
ю
го |
,380 |
аз
см
«3- |
см
см |
,437 |
,415 |
го |
см
со |
|
,448 |
со
со
«3- |
,425 |
о
со |
,455 |
,427 |
го |
см
аз
го |
,357 |
,337 |
аз
го |
,315 |
см
го
го |
t—
о
го |
,275 |
го
оо
см |
,270 |
,244 |
,247 |
,226 |
|
49 |
о
ю |
ю |
см
ю |
го
ю |
ю |
ю
ю |
со
ю |
t—
ю |
оо
ю |
аз
ю |
о
со |
со |
см
со |
го
со |
«3-
со |
ю
со |
со
со |
t—
со |
оо
со |
|
I о ю , оо оо
, 03 G3
ООО
ООО
ООО
аз аз х х Ф Ф
аз аз аз ф аз
ООО
_?3 _?3 _0
ф ф ф
СЕ СЕ СЕ
ООО
ООО
с; с; с;
ООО |
Cl Cl О
-?- Ё х-?--?-
ф ф ф ф ф ф о о о о о о
со со со со со со сососососососоазаз СО СО СО СО СО СО О- — CL тттаааааа^к^
ФФФСССССССССССССССССС
ФФФССССССССССССХХХ
ххххххххх
1^
1^
1^ ф ф
фффффффффО.О.О. ClClClClClClClClClO О О
ООООООООО I I I
.............
’-iCNCO'tWCDI^COOl'-i'-i’-i
сообщества — в мир институтов, вещей, стоимостей и символов. Мы видим относительно разные амплитуду и длину волны переходов в различные ареалы социума в первой и второй половине жизни, активность юности, безнадежно падающую после начала процесса замещения поколений, социальную агонию стариков. В характере длины волн мы впервые угадываем разную кривизну материальной воронки социального пространства актов обмена деятельностями, куда эта волна втягивается (рис. 2.7). И уже эта картина говорит, что мы могли бы жить значительно дольше и лучше, хотя график отражает не самое плохое время в стране.
Методика анализа скорости изменений в различных подсистемах. Общую (не на «плюс» и на «минус», это — потом) кривую изменения скоростей по возрастам, объединенным в парные группы, мы рассмотрели в следующих ракурсах:
1) скорость процесса замещения поколений: скорость, т. е. число на «плюс» и на «минус» появления за 5 лет детей, входящих в поколенческий возраст от 1 до 18 лет и выходящих из него, как в семейных парах, рожавших этих детей, так и в старшем поколении, принимающих их в семье как внуков
(диапазон за 5 лет от +3 до —3 детей);
2) скорость изменения объема достатка: число потребительных стоимостей из числа товаров длительного пользования, приобретенных или потерянных за этот же срок в пять лет этими же людьми в этих же возрастных группах (число потребительных стоимостей — 23);
3) скорость изменения объема форм проведения свободного времени: уменьшившееся или увеличившееся за 5 лет число форм досуга у каждого из 768 людей, взятых в этом же возрастном диапазоне (число форм досуга — 24, при этом формы информационной и общественно-политической деятельности здесь исключены);
4) скорость изменения объема форм трудовой деятельности: уменьшившееся или увеличившееся за 5 лет число форм трудовой активности у каждого человека на этой же возрастной шкале (выполнение производственных заданий, трудовая дисциплина, повышение квалификации, рационализаторская деятельность, идеологические формы поддержания трудовой активности и т. п., — всего 15 форм);
5) скорость изменения объема форм межличностной коммуникации в трудовом коллективе, в семье и бытовой микросреде: уменьшившееся или увеличившееся за 5 лет число форм обсуждения различных проблемных вопросов у каждого человека на этой же возрастной шкале (от решений органов власти и администрации предприятий, до вопросов семейного бюджета и т. п., — всего 16 форм);
6) скорость изменения числа форм информационной и общественно-политической деятельности: уменьшившееся или увеличившееся за 5 лет число форм общественной работы, каналов выражения общественного мнения и средств массовой информации и пропаганды у каждого человека на этой же возрастной шкале (шесть средств массовой информации, шесть каналов выражения общественного мнения, одиннадцать форм общественной работы, — всего 23 формы при отдельном рассмотрении);
7) скорость изменения объема жизненных представлений и ориентаций («ценностей»): как было показано выше, число изменений объема «попаданий» в 29 кластеров у каждого человека на этой же возрастной шкале;
8) скорость изменения объема жизненных планов: число уменьшившихся и увеличившихся намерений на 5 предстоящих лет у каждого человека на этой же возрастной шкале (купить дачу, помочь детям, построить дом, переехать в город, завести семью, заняться общественной работой, купить телевизор и т. п., — всего 34 вида социальных намерений).
Замечу, что при рассмотрении матрицы 2
97 мы укрупняли общественную работу до 6 пунктов за счет «слипавшихся» в реальной практике форм, разбивая их при отдельном рассмотрении для получения более плавной «гауссианы» средних величин активности и скоростей и, следовательно, более качественной их дифференциации. Если в матрице 2
97 воспроизводство населения представлено фактом наличия детей до 18 лет, то здесь процесс замещения поколений фиксируется шкалой от +3 до —3 детей, появляющихся в определенной возрастной группе и выходящих из нее. Надо, конечно, брать процесс в чистом виде от дня рождения человека до дня рождения у него в семейной паре своих детей, но и при несовершенном параметре зависимости уже видны. Ценностные ориентации приведены у нас выше в количестве 27, а не 29 кластеров, потому что в двух независимых рядах кластеров были пары «труд — работа» и «образование — учеба», что было объединено, но в количественных волнах скоростей рассматривается отдельно.
Совпадение волн активности и скоростей изменений
На следующем графике (рис. 2.10) показаны пять линий, которые представлены средними по каждому возрасту в табл. 2.15. Уже здесь наблюдается принципиальное сходство волны суммарной возрастной активности в рамках Всесоюзного исследования 1981 г., московских массивов 1980 и 1985 гг. Общество остается в стабильном состоянии, но волна, полученная разностью между количеством форм активности у человека в пятилетний период, фиксируемых у одних и тех же людей в 1980 и 1985 гг., неуклонно падает. Это та же волна, что и на рис. 2.9, но на попарных возрастах и со степенью приближения 0,9992. Кроме того, характерной особенностью является график изменения разницы числа детей, которая снижается до предела к 40 годам и повышается с появлением в семьях внуков. При этом, учитывая повышение рождаемости среди москвичей в молодых когортах в начале 1980-х гг., мы должны были бы наблюдать одинаковые уровни волны появления в семьях детей у младших когорт и внуков у старших. Однако волна в старших возрастах идет ниже, что может свидетельствовать о процессе распада трехпоколенных семей, отделения детей от родителей в самостоятельные семьи и по ряду социальных причин невозможностью наиболее эффективного использования ресурса времени в полной, трехпоколенной семье.

Среднее количество используемых форм жизни (СССР-1981) Среднее количество используемых форм жизни (Москва-1980) Среднее количество используемых форм жизни (Москва-1985) общая скорость изменений по Москве за 5 лет разница в числе детей до 18 лет в семье по Москве за 5 лет
Рис. 2.10. Распределение показателя социальной активности по возрастам от 25 до 67 лет во Всесоюзном исследовании образа жизни 1981 г., в лонгитюдном исследовании москвичей в 1980-1985 гг., а также скорости изменения общей активности и детности 1980-1985 гг. (шкала возраста попарная; на данных табл. 2.15 колонки 1-5, средние нормированы)
TableCurve 2D дает по кривым первым номером полином Фурье с приближением (r
2) 0,9038 по волне скорости изменений в целом; 0,9992 — по общей активности по СССР; 0,9907 — по Москве 1980 г.; 0,9660 — по Москве 1985 г. и 0,9868 — по изменениям детности (при X = от 0 до п):
y = a + b cos(x') + с sin(X) + d cos(2X) + e sin(2X ) + f cos(3x') + g sin(3x') +
+ h cos(4x') + i sin(4x') + j cos(5x')+ к sin(5X) +1 cos(6x')+ m sin(6x') + n cos(7X) +
+ o sin(7x') + p cos(8x')+ q sin(8x') + r cos(9x')+ s sin(9x') + t cos(10x')+ u sin(10x').
И график, и таблица в общем и деталях говорят о следующем.
1. Надежность данных. Коэффициент корреляции рангов Пирсона равен +0,919 по волне возрастной активности СССР в 1981 г. и Москве 1985 г. (кривые 1 и 3). Он же составляет +0,868 по волнам возрастной активности москвичей 1980 и 1985 гг. (кривые 2 и 3) и +0,701 по волне скорости изменений за 5 лет и конечной активности москвичей (кривые 4 и 3). Волна стартовой активности дает коэффициент взаимной сопряженности с волной изменений +0,265 (кривые 4 и 2). Таким образом, как и в случае с ценностями при внешней стабильности структуры, все движется к конечным точкам движения, которые стимулируют его (волна движения коррелирует с конечным, а не исходным пунктом при тождественности структур обоих пунктов). Совпадение волн возрастной активности в Москве 1985 г. и СССР 1981 г., высокая корреляция волны изменений в Москве к 1985 г. с возрастной активностью по СССР в 1981 г., равная +0,675 (кривые 4 и 1) позволяет предположить, что регион двигался в сторону состояния всей страны, но уточняющих деталей мы не имеем. Сходство же процессов на массивах (перевзвешенном на генсовокупность, и лонгитюдном) очевидно уже не только по показателям жизненных представлений (ценностей), но и по параметрам активности.
2. Синхронность волн состояний параметров активности за счет совпадения частот и амплитуд этих волн по возрастам сопровождается асинхронностью этих волн по отношению к детности: волна детности дает —0,141 со стартовой активностью 1980 г. (кривые 5 и 2), +0,004 — с финишной активностью 1985 г. (кривые 5 и 3), —0,214 — с погодовой волной скорости изменения объема досуга (колонки 5 и 7 табл. 2.15), —0,346 — с погодовой волной скорости изменения объема включенности в сферы информационной и общественно-политической деятельности (колонки 5 и 10 табл. 2.15). Последнее подтверждает анализом подвижных волн то, что было зафиксировано и показано в первой главе на структурах активности двух подсистем в статических картинах. Отрицательная связь волны «детности» и волны изменений объема досуга на возрастной шкале подтверждает также и вывод из анализа ценностных представлений о том, что формы досуга служат своего рода резервуарами времени, демпфирующими его социальный дисбаланс. В добавление последние данные подсказывают, что динамика ценностных представлений коррелируют с объективными изменениями действительности. Кроме того, следует сделать вывод, что наиболее сильно с нормами малодетности, выраженными в поведении, связана включенность в наиболее массовидные формы процессов духовного производства. Об этом без указания на детали и причины говорит отрицательная связь амплитуд и частоты волн изменений соответствующих подсистем на возрастной шкале.
3. Общая масса деятельности уменьшилась на 3,6 % — это видно по средним. Во всех подсистемах деятельности и жизненных представлений (ценностей, оценок важности видов деятельности и планов на будущее) скорости изменений чуть ниже нулевого баланса, кроме скорости изменения уровня достатка. Число потребительных стоимостей на душу населения Москвы чуть выросло (колонка 6 табл. 2.15). Все это говорит, во-первых, о том, что основным стимулом деятельности является «достаток», а во-вторых, — что общество медленно меняет предметно-институциональную основу деятельности, выскальзывая из существующих в какие-то другие формы, для исследования которых, как мы сказали, уже в то время надо было подыскивать новый инструмент.
4. Асинхронность волн изменений на возрастной шкале подсказывает, что, сопоставляя (коррелируя на возрастной шкале) волны изменений в различных подсистемах деятельности, можно найти подсистемы, близкие и далекие по дисбалансу времени, а значит, пространственному положению в социуме.
Синхронность и асинхронность волн на шкале времени
На рис. 2.11 видны скорости изменений числа форм досуга и детности (слева) и числа вещей, свидетельствующих о достатке и детности (справа) у возрастных групп, взятых попарно с 22 до 68 лет за пятилетний период.
 |
Возраст
Досуг
— Детность |
 |
Возраст
— Достаток
— Детность |
Рис. 2.11. Сопоставление волны разниц в числе форм досуга и числа детей и волны разниц в числе форм достатка и числа детей за 5 лет в возрастах от 22 до 68 лет в лонгитюдном исследовании москвичей в 1980-1985 гг. (шкала возраста попарная; на данных табл. 2.15 колонка 7 и 5, 6 и 5, средние нормированы, интерполяция произведена
с помощью пакета SPSS)
Уже здесь, на общих (не только на плюс и на минус) волнах изменений видна полярность колебаний количественных движений в парных возрастах между подсистемами рождаемости и свободного времени (коэффициент корреляции рангов Спирмена = —0,185), рождаемости и присвоения свойств потребительных стоимостей и услуг из мира вещей (—0,037). Кроме того, здесь нужно отметить и такой факт: сфера свободного времени — единственная подсистема, где скорость количественных изменений не только держится на возрастной шкале возле точки баланса, но и несколько поднимается в старших возрастах. При внимательном рассмотрении этой волны уже на погодовой шкале заметна не только устойчивость ее амплитуды, но и большая частота, что свидетельствует о более быстрой и свободной смене форм внерабочего времени в анализируемый период.
В целом тут срабатывает правило: скорость появления детей относительно растет (в верхних точках), а скорости роста благосостояния и объемов досуга падают (в нижних точках). Это неестественное положение для называющих себя «цивилизованными» обществ, где рост семьи должен представлять собой потенциалы расширения рынка товаров и услуг и увеличения объема инфраструктуры досуга для семейного времяпрепровождения с детьми. Именно для антицивилизацион-ных отношений, которые никогда не признаются в идеологическом информационном ряду в своей античеловеческой сущности, характерен дисбаланс между воспроизводством жизни и фетишизацией определенной вещной и семантической символики социального. Мы видим это в Москве 1980—1985 гг., где появляются клубы типа «Меридиан», куда толпой идут люди среднего достатка со своими детьми, где параллельно борьбе с пьянством начинается строительство спортивных учреждений. Для начавшегося перелома стагнации нужны еще большие усилия. Они и будут сделаны ельцинской фракцией КПСС в прямо противоположном направлении. Данные показывают, что можно было поступать иначе, тем более что основные мировые конкуренты были готовы и к иному исходу нашего движения. Но тогда начнут страдать интересы тех корпоративных групп внутри страны, которые, решив в брежневскую эпоху «кадровые вопросы», уже приготовились за предшествующий период к схватке за передел собственности под знаком «вхождения в мировое цивилизованное сообщество и предотвращения мировой войны». Ложность постановки вопроса выбора стратегии, которой потом задним числом оправдывали «путчи» и «реформы», очевидна уже в этом пункте. Как будет показано в следующей главе, очевидна она была и народу.
На другом графике (рис. 2.12) мы видим не только противоположность пиков и ложбин волн возрастания и падения объемов использования иституциональных структур политико-информационной деятельности и досуга, но и их совпадения.
Здесь важно следующее. С одной стороны, наблюдаются совпадения в увеличении объемов досуга и информационной, и общественно-политической деятельности, что отмечалось как связанность деятельностей в этом «контуре» уже в проекте «Общественное мнение». С другой стороны, есть и расхождения и «диссонансы» (асинхронности) в волнах. В определенных парах возрастов есть пространственновременная близость этих институциональных форм жизни, в других ее нет.
Еще большие сходства и различия на шкале попарных возрастов бросаются в глаза на графике волн изменения активности в межличностном общении и в объемах ценностей (рис. 2.13).
Здесь коэффициент корреляции Спирмена = +0,384, Пирсона = +0,352, Кендалла = +0,283. Однако следует обратить внимание и на другие обстоятельства. Ранговая корреляция хорошо работает на сопоставлении амплитуды и длины волны в тех или иных подсистемах, если они совпадают или разнятся длиной волны на протяжении всей шкалы. Малейший сдвиг во времени совпадения частот приводит к «смазыванию» резкости корреляции в одном ракурсе и, наоборот, проявлению ее в другом. Это свойство можно использовать на первых порах структурирования объекта, во-первых, преобразуя шкалы, во-вторых, перебирая комбинации подсистем и сфер жизнедеятельности. Очень хорошо это свойство коррелировать «сквозь» определенную и сконструированную исследователем призму видно на
 |
— Полит-Информ — Досуг
Рис. 2.12. Сопоставление волн разниц в числе форм информационной и общественно-политической деятельности, с одной стороны, и числа форм досуга - с другой, в возрастах от 22 до 68 лет в лонгитюдном исследовании москвичей в 1980-1985 гг. (шкала возраста попарная; на данных табл. 2.15 колонки 10 и 7, средние нормированы, интерполяция произведена с помощью пакета SPSS) |
шкале жизненных планов. Если мы берем общую волну изменений, то имеем результатом слабую корреляцию изменения уровня благосостояния и волны планов: на попарной шкале возрастов на +0,110 по Пирсону, +0,216 по Спирмену, на повозрастной шкале на +0,104 по Пирсону, +0,070 по Спирмену. Когда же волна скоростей разбивается на два потока — изменения на плюс и изменения на минус, — волна изменений благосостояния на плюс коррелирует на возрастной шкале с волной планов на плюс в +0,677, а на минус +0,822 по достаточно осторожному коэффициенту Пирсона, что может означать и предшествующее, и последующее изменению скорости движения благосостояния изменение планов. Этот процесс нужно исследовать отдельно.
Корреляции волн на шкале времени
Здесь возникает очень интересная задача. Корреляционная матрица позволяет увидеть связи изменений различных подсистем: рождаемости, материального потребления (уровня благосостояния), объема и широты ареала проведения свобод-
 |
— Формы межличностного общения — Объем ценностей
Рис. 2.13. Сопоставление волн разниц в числе форм межличностного общения, с одной стороны, и объема форм ценностей - с другой, в возрастах от 22 до 68 лет в лонгитюдном исследовании москвичей в 1980-1985 гг. (шкала возраста попарная; на данных табл. 2.15 колонки 9 и 11, средние нормированы, интерполяция произведена с помощью пакета SPSS) |
ного времени, трудовой активности, ареалов межличностного общения, информационной и общественно-политической деятельности, ценностных представлений и ориентаций и жизненных планов. При этом, если речь идет о выявлении дисбаланса общественно необходимого времени в реализации форм жизни этих подсистем в целом (а только так и можно ставить вопрос на первых порах анализа системы), то лучше, конечно, брать каждую подсистему на шкале возрастов также попарно: шкала изменений на плюс (в рост), шкала изменений на минус (в сокращение). Тогда влияние явлений дисбаланса относительно системной постоянной времени будет четче, нежели на волне общих (и на плюс, и на минус) изменений, где многомерность системы создает помехи в резкости наблюдений.
Результаты этой операции представлены в верхней части (А) корреляционной матрицы табл. 2.16.
Разберем сначала структурные связи потоков восходящих и нисходящих изменений в рамках подсистем, представляющих полюс «деятельность», а потом посмотрим на связи подсистем «деятельность» и «сознание» на возрастной шкале.
1. Фавориты положительных связей: «волна межличностного общения на плюс — волна информационной и общественно-политической активности на плюс» (+0,854), «трудовая волна на плюс — волна достатка на плюс» (+0,811),
|
Планы |
CD |
,48 |
,07 |
,82 |
60- |
,59 |
,57 |
,78 |
о |
ІЛ |
оо
о |
,68 |
л
о |
ю
о |
л
о |
л |
|
+
ю |
см
CD |
CD |
оо
CD |
oo
о |
со |
CD t— |
CD
оо |
•=t
л. |
03
CD |
ю
со |
І-—
л |
о |
л |
со
л. |
|
со |
|
Ценности |
•=t |
CD
CM |
00
CM |
ОЗ
CM |
о
о |
о |
CM |
|
CD
о |
со |
ІЛ
со |
оо
л |
л |
со
со |
л |
|
+
со |
CM
CM |
Ю |
оо
о |
|
|
CM |
ю
о |
см
см |
о |
- |
со
о |
1^
см |
л
ю. |
- |
л |
і-
S
ё
с
5
Cl
О
-?-
X
S |
CN |
CM |
о
CM. |
оо |
CD
CM |
см
о |
|
't
о |
со
со |
со
со |
со
см |
см
л |
|
л
о |
л
о |
со
о |
л |
|
+ |
о
CM |
Л
'si- |
CM t— |
Ю |
о
'si- |
|
ю
CD |
03 |
ю
оо |
со
см |
|
л |
л
о |
л
л |
л
л. |
со |
|
Общение |
О |
oo |
Л
CM. |
CD |
о |
|
oo
о |
о |
со
о |
о
со. |
|
л |
о
л |
со |
ю
о |
1^
о |
- |
+
л |
о
CO |
h-
CO |
CD
CD |
03
о |
со
см. |
о |
't
Л |
03
см. |
|
|
І-— |
л
см. |
|
со
л |
•=t
о |
ю |
|
Труд |
оо |
CO |
Ю
о |
CM
CM. |
oo
о |
о |
ю |
оо
см. |
|
со |
о
л |
03
"=t |
л
см. |
со |
со
л |
1^
о |
со
л |
|
+ г— |
r— |
о |
со |
03
о |
о
CD |
І-— t— |
|
о
ю. |
CD
ІЛ |
•=t
со |
л
л |
о |
о |
о |
со
л |
ю |
|
Досуг |
CD |
CD
CD |
ю
о |
о
t— |
см |
CD
'si- |
|
ю
о |
оо |
со |
03
о |
- |
л |
со |
со |
л. |
•=t
о |
+
ю |
h-
CO. |
оо
о |
CD |
о |
|
ю
ю |
см
см. |
см
о |
оо |
о
о |
см. |
- |
't
о |
't
о |
л
о |
|
|
Достаток |
•=t |
О
CO. |
|
•=t
o |
|
•sf |
о |
ю |
со
см |
ю |
- |
со |
см |
л |
1^ |
со |
о
о |
+
со |
Ю
Ю |
аз Н& |
оо |
CM
о |
со. |
со
со. |
о |
•=t
о |
1^
о |
л
л. |
л
о |
- |
л |
о
о |
со |
.а
&
о
X
о
1=1 |
CN |
r--
'O- |
CM. |
|
't
o |
со |
о |
оо
см |
со
см. |
ю
о |
см
см. |
см
о |
л
ю. |
о
о |
л |
|
|
+ |
|
ОЗ
ю. |
- |
03 |
't
o |
оо |
о |
со |
|
оо |
см
о |
л
о |
о
о |
л
ю. |
- |
л |
"""ч А
в |
+ |
CM |
+
CO |
|
+
Ю |
CD |
+ |
оо |
+
03 |
о |
+ |
л |
+
л |
|
+
ю |
л |
«волна информационной и общественно-политической активности на плюс — волна достатка на плюс» (+0,721), «волна детности на плюс — трудовая волна на плюс» (+0,710), «волна общения на плюс — волна достатка на плюс» (+0,660), «волна информационной и общественно-политической активности на плюс — волна трудовой активности на плюс» (+0,650), «волна общения на плюс — волна трудовой активности на плюс» (+0,640), «волна досуга на плюс — волна достатка на плюс» (+0,612), «волна трудовой активности на плюс — волна досуга на плюс» (+0,601), «волна детности на плюс — волна достатка на плюс» (+0,551). Эта связь замыкает корреляцию положительных возрастающих волн активности на возрастной шкале, причем она поляризована (+0,302) волной детности на плюс и достатка на минус (с вероятностью 85,8 %).
2. Пары-фавориты отрицательных связей: «активность в труде на плюс — ареал досуга на минус» (+0,772), «волна благосостояния на плюс — волна досуга на минус» (+0,701), «волна детности на плюс — волна досуга на минус» (+0,694).
3. Пары-фавориты полярных форм поведения: «скорость детности на плюс — скорость детности на минус» (—0,472, с вероятностью 95 %), «скорость досуга на плюс — скорость досуга на минус» (+0,459, с вероятностью 95 %). Это значит, во-первых, что в попарных возрастных группах идут встречные потоки уменьшения и увеличения активности освоения форм досуга, дающие положительную корреляцию, а во-вторых, что процесс рождаемости наиболее резко поляризован нормами детности. Первое говорит о более высокой частоте перехода с одного вида деятельности на другой в подсистеме свободного времени, второе — о наибольшей глубине дифференциации именно в области процесса воспроизводства населения. И то и другое свидетельствует, что основные возможности выбора населением форм присвоения резервов времени находятся в нашем обществе в этих двух подсистемах деятельности.
Но об этом же говорят и пары фаворитов отрицательных связей, где процесс возрастания трудовой активности, скоростей увеличения благосостояния и детно-сти жестко связывается с падением скорости освоения общественных форм свободного времени. Обратим также внимание на поляризацию пар «скорость увеличения достатка — скорость увеличения или уменьшения досуга». Связь и там и там велика, что свидетельствует о дифференциации по этому параметру.
Положительные связи свидетельствуют о близости в пространственно-временной модели социума трудовой подсистемы и подсистемы межличностного общения, а также информационной и общественно-политической, которые, позволяя реализоваться трудовой активности, служащей средством достижения достатка и создания семьи, формировали в системе ядро для нормального развития при устранении явлений дисбаланса обмена результатами труда. Однако уже в это время третье место по связи с волной ускоренного роста достатка занимало продвижение по формам активности в идеологической подсистеме.
Подсистема потоков жизненных представлений и ценностей не имеет ярко выраженных корреляций с подсистемами деятельности на возрастной шкале. Стохастический характер процессов обмена размывает ее по возрастным группам. Во всяком случае через «фильтр» категории «возраст» связи волн здесь не просматриваются. Не то с жизненными планами. Очень четкая поляризация их практически по всем деятельностным подсистемам говорит о подвижной и быстрой реакции людей на изменяющиеся контуры реальности, проявляющейся и сквозь призму возрастных признаков.
Итак, первая часть задачи выполнена. Можно рискнуть воспроизвести морфологическую структуру социальной системы, своего рода кристаллическую решетку пространственно-временной конфигурации, в которой висит вся масса деятельности по обмену свойствами и способностями индивидов.
Подсистемы обмена деятельностью как метрики конфигурации
Корреляции скоростей изменений различных подсистем
Выделим на основании корреляций на возрастной шкале четыре подсистемы деятельности, разбив каждую на три степени активности в ней индивида (на те степени, надежность которых уже апробирована):
1) воспроизводство населения (не имеющие детей до 18 лет, имеющие одного ребенка, имеющие двух и более детей до 18 лет);
2) материальное состояние (низкий, средний, высокий уровень благосостояния по числу товаров длительного пользования, имеющихся в распоряжении);
3) трудовая, общественно-политическая и коммуникативная активность как единая в то время система тесно связанных друг с другом социальных институтов (низкий, средний, высокий уровень активности во всех трех подсистемах деятельности);
4) свободное время, досуг — подсистема «оперативной» реинтеграции своих затрат в других формах деятельности (низкая, средняя, высокая активность).
Расположив три степени активности первой подсистемы и разделив каждую при этом на три аналогичных степени второй подсистемы, мы получим 9 групп в подлежащем матрицы. Девять аналогичных групп по двум другим подсистемам расположим в сказуемом матрицы. Мы получаем четырехмерное социальное пространство в 81 клетку на одном и том же массиве одних и тех же людей с интервалом в 5 лет. Заполненность матрицы в 1980 и 1985 гг. покажет: устойчивость структуры через тождественность заполнения и через число оставшихся в своих ячейках людей, связь матриц через скорости перехода, плотность социального пространства в этой кристаллической решетке через нормированную энтропию, близость различных подсистем через ранговую корреляцию структур распределения индивидуумов и масс их деятельности и скоростей перехода в этой кристаллической решетке.
Замечу, что мы проработали для анализа не одну, а три матрицы с различными комбинационными наполнениями и подлежащего, и сказуемого. В двух из них было по 81 ячейке (9 х 9 = 81), в одной, где сфера труда была взята четырьмя степенями с нулевым показателем, было 108 ячеек (9 х 12 = 108). В двух из них заполненными оказалось в 1980 г. в первой 65, во второй — 66, а в 1985 г. — соответственно 63 и 65 ячеек. В матрице из 108 ячеек оказались заполненными в 1980 г. 82, а в 1985 г. — 83 ячейки. Заполняемость фиксируется в пределах от 76 до 81 % от предельного числа ячеек. Мы выбрали для представления и корреляций тех же волн скоростей, что и на возрастной шкале (табл. 2.16), вторую из «малых» матриц по причине ее относительно большей устойчивости, хотя общие показатели по всем трем структурам довольно схожи (табл. 2.18 и 2.19). При этом, конечно, понятно, что уже эти эксперименты требуют детального описания в отдельной книге с приведением протоколов обсчета. Здесь все-таки надо коснуться темы выбора кристаллической решетки в первом представлении. Дисбаланс общественно необходимого времени с подсистемой «воспроизводство населения» очевиден. Подсистема благосостояния выделяется традиционно. Подсистема досуга сама выделяется характером амплитуды своей волны на возрастной шкале и предположительно большей частотой или более короткой длиной волны смены количества форм жизни. Три подсистемы — «труд», «прямая и обратная иформационные подсистемы связи органов управления и населения и общественно-политическая деятельность», «межличностное общение» — были сильно взаимосвязаны в формах существования производственных и территориально-производственных агломераций. Посмотрим пока на систему так, потом можно и по-другому.
|
Таблица 2.17. Распределение массива лонгитюдного исследования москвичей в 1980 и 1985 гг. в «четырехмерной матрице подсистем»: «детность» (три градации) х «достаток» (три градации) в подлежащем и «трудовая, общественно-политическая и информационная» (три градации) х «досуговая» (три градации) в сказуемом (в расчете на 1000; n = 768, это одни и те же люди) |
|
1980 год |
Трудовая, общественно-политическая, информационная |
S |
|
+ |
+ |
+ |
+- |
+- |
+- |
- |
- |
- |
|
Сфера свободного времени, досуга |
|
+ |
+- |
- |
+ |
+- |
- |
+ |
+- |
- |
|
Количество детей |
+ |
Достаток |
+ |
1 |
4 |
|
1 |
16 |
|
|
4 |
|
26 |
|
+ |
+- |
7 |
22 |
|
14 |
66 |
9 |
|
13 |
3 |
134 |
|
+ |
- |
|
5 |
|
5 |
18 |
1 |
|
7 |
|
36 |
|
+- |
+ |
5 |
7 |
|
10 |
16 |
1 |
1 |
1 |
1 |
42 |
|
+- |
+- |
12 |
22 |
3 |
18 |
131 |
12 |
1 |
29 |
5 |
233 |
|
+- |
- |
1 |
14 |
|
8 |
12 |
3 |
1 |
8 |
1 |
48 |
|
- |
+ |
4 |
5 |
|
9 |
27 |
5 |
3 |
7 |
|
60 |
|
- |
+- |
10 |
27 |
12 |
18 |
133 |
30 |
5 |
66 |
14 |
315 |
|
- |
- |
3 |
12 |
1 |
4 |
46 |
12 |
|
14 |
14 |
106 |
|
В целом |
43 |
118 |
16 |
87 |
465 |
73 |
11 |
149 |
38 |
1000 |
|
1985 год |
Та же комбинация подсистем у тех же людей |
S |
|
Количество детей |
+ |
Достаток |
+ |
3 |
1 |
1 |
7 |
12 |
1 |
|
|
|
25 |
|
+ |
+- |
12 |
17 |
1 |
14 |
78 |
10 |
|
13 |
1 |
146 |
|
+ |
- |
|
1 |
|
1 |
14 |
4 |
|
|
1 |
21 |
|
+- |
+ |
1 |
8 |
|
8 |
18 |
3 |
|
4 |
|
42 |
|
+- |
+- |
10 |
30 |
|
17 |
105 |
17 |
1 |
16 |
7 |
203 |
|
+- |
- |
1 |
8 |
1 |
3 |
13 |
1 |
1 |
7 |
|
35 |
|
- |
+ |
1 |
7 |
|
5 |
22 |
7 |
1 |
5 |
1 |
49 |
|
- |
+- |
14 |
33 |
9 |
27 |
148 |
64 |
4 |
57 |
33 |
389 |
|
- |
- |
1 |
4 |
|
3 |
25 |
14 |
|
29 |
14 |
90 |
|
В целом |
43 |
109 |
12 |
85 |
435 |
121 |
7 |
131 |
57 |
1000 |
|
Прежде чем комментировать табл. 2.17, скорости изменений в ней и корреляционную матрицу из табл. 2.16 (вниз от диагонали), приведем общую экспозицию корреляций, во-первых, по связям волны общей (не на плюс и на минус, а в целом) скорости изменений социальной активности ансамбля за пять лет с волнами скоростей изменений по отдельным подсистемам, во-вторых, по связи той же общей скорости изменений в отдельных подсистемах на попарной возрастной шкале между собой. Первые коэффициенты корреляции свидетельствуют о вкладе той или иной подсистемы в общую скорость изменений, вторые — об общей связи подсистем между собой.
Наибольшая корреляция между общей волной изменений (рис. 2.9) и волной изменения уровней благосостояния (+0,875 по Пирсону). На втором месте — связь общей волны изменений со скоростью изменений обратного и прямого потока информационной деятельности и формами общественно-политической деятельности (+0,739). На третьем месте — связь общей волны изменений со скоростью изменений активности в подсистеме труда (+0,719). На четвертом месте связь общей волны изменений со скоростью изменения активности в подсистеме межличностного общения (+0,686). Таким образом, наибольший вклад в общую массу изменений в ансамбле за 5лет вносит подсистема материального благополучия, поляризуя социальную систему на два мощных потока возрастания и падения уровня благосостояния в тех или иных ареалах социума. На втором месте — подсистема массовых форм идеологического процесса: институциональная структура потока информирования и пропаганды на население, структура демократических институтов обратной связи от населения к органам местной и центральной власти, структура общественно-политической деятельности в рамках производственных общностей. На третьем — подсистема материального и духовного производства, подсистема труда. На четвертом — подсистема межличностного общения.
По взаимосвязям отдельных подсистем на волнах общих изменений (поток возрастания на плюс от точки баланса и поток падения на минус от точки баланса, — оба потока в одном показателе, как и выше) лидирует связь подсистем массовых форм идеологического процесса с подсистемой межличностного общения (+0,718). На втором месте связь подсистем труда и благосостояния (+0,620). На третьем — связь подсистем массовых форм идеологического процесса со скоростью изменения благосостояния (прямая связь +0,583). Обратная связь на волнах в целом зафиксирована между подсистемами труда и досуга (—0,607).
На связях подсистем деятельности и сознания на общих волнах положительная связь фиксируется между волнами изменения досуга и ценностных представлений (+0,513). Слабее связи между трудовой волной и волной планов (+0,425) и волной изменений межличностного общения и волной ценностей (+0,352). Последний коэффициент мы уже приводили с графиком волн межличностного общения и ценностей (рис. 2.13).
Все это, а также изложенное в разделе о коэффициентах корреляции полярных потоков изменения активности на попарной возрастной шкале, в несколько ином, общем ракурсе подтверждает существование общего материального стимула развертки активности, двойных способов его достижения через трудовую и политическую активность, демпфирование дисбаланса времени подсистемами досуга иро-ждаемости (волна рождаемости на плюс — общая волна изменений досуга дает коэффициент —0,469, волна рождаемости на минус — общая волна изменений информационно-политической активности = +0,504). Довольно низкие коэффициенты связи волн трудовой активности и планов и волны межличностного общения и ценностных представлений говорят о том, что, хотя планы связаны с трудовой деятельностью, но не только с ней, а ценности, укрепляясь в межличностном общении, имеют и другие социальные детерминанты.
Теперь обратимся к табл. 2.17. Здесь в матрице в 81 клетку распределены одни и те же люди из лонгитюдного московского исследования 1980—1985 гг. в расчете на 1000 для удобства сравнения. Из всех ячеек проекции сформированного четырехмерного социального пространства активности в 1980 г. оказались заполненными 66, а в 1985 г. — 65. 59 ячеек оказались заполненными и в первом, и во втором замере. Семь ячеек заполнены в 1980 г., но не заполнены в 1985 г., и в них находятся 18 человек на 1000. Шесть ячеек заполнены в 1985 г., но не заполнены в 1980 г., и в них — 6 человек на 1000. Объединяем эти группы в одну и рассматриваем корреляцию 60 пар групп в 1980 и 1985 гг. по следующим параметрам:
1) корреляция распределений массы людей по ячейкам по весу каждой ячейки в первый и второй замер (Пирсон, Кендалл, Спирмен);
2) корреляция распределения массы людей по ячейкам в первый и второй замер по величине активности в каждой ячейке, которая была на стартовом замере (Пирсон, Кендалл, Спирмен);
3) корреляция распределения массы людей по ячейкам в первый и второй замер по величине активности в каждой ячейке, которая была на финишном замере (Пирсон, Кендалл, Спирмен);
4) корреляция распределения массы людей по ячейкам в первый и второй замер по той величине скорости изменений в каждой ячейке, которая была на финишном замере и представляет шкалу от —30 до +40 изменений числа форм жизни, нормированную от —1 до +1 (Пирсон, Кендалл, Спирмен);
5) удельный вес людей, оставшихся в своих ячейках проекции за пять лет между первым и вторым замерами (см. табл. 2.18).
В первом варианте матриц за 1980 и 1985 гг. в подлежащем мы объединяли в три группы «уровень благосостояния» и «досуг», перемножая их в подлежащем на «детность» (девять групп), а в сказуемом располагали активность в «труде и информационно-политической деятельности», перемноженную на активность в «межличностном общении» (девять групп). Во втором варианте матриц подлежащее оставалось тем же (9 групп), а в сказуемом располагались три группы по активности в «информационно-политической деятельности и в межличностной коммуникации», которые дробились на четыре группы по активности в «труде», где одной группой были не занятые в народном хозяйстве. Оставив публикацию распределений по матрицам в стороне, приводим корреляционные коэффициенты по всем трем экспериментам (т. е. по шести матрицам: по три указанных на старте и финише).
Кроме этого, мы приводим по всем матрицам, как по последним двум, приведенным в табл. 2.17, так и по четырем, которые были рассмотрены только экспериментально, коэффициенты Пирсона, взаимной сопряженности, Крамера-Чупрова, «хи-квадрат» и нормированную энтропию по всем ячейкам за 1980 и 1985 гг.
|
Таблица 2.18. Коэффициенты корреляции Пирсона, Кендалла и Спирмена (по 61 (Л), 75 (В) и 60 (С) парам матриц активности за 1980 и 1985 гг.) по параметрам распределения массы субъекта деятельности, его стартовой и финишной активности, общей скорости изменения количества форм жизнедеятельности, а также удельный вес людей, оставшихся в своих ячейках активности (в % к числу обследованных; n = 768) |
\Показатели
Матрица \ |
Вес ячейки
1980-1985 г. |
Активность в 1980 г. |
Активность в 1985 г. |
Скорость перехода |
Вес |
Пир
сон |
Кен
далл |
Спир
мен |
Пир
сон |
Кен
далл |
Спир
мен |
Пир
сон |
Кен
далл |
Спир
мен |
Пир
сон |
Кен
далл |
Спир
мен |
% |
|
A |
,845 |
,701 |
,845 |
,774 |
,609 |
,774 |
,718 |
,554 |
,718 |
-,730 |
-,560 |
-,730 |
13,7 |
|
B |
,779 |
,631 |
,779 |
,931 |
,631 |
,779 |
,811 |
,631 |
,811 |
-,552 |
-,374 |
-,552 |
11,7 |
|
C |
,947 |
,739 |
,891 |
,761 |
,597 |
,763 |
,752 |
,600 |
,778 |
-,607 |
-,428 |
-,582 |
14,6 |
|
А - матрица в 81 ячейку с одинаковым заполнением по 60 клеткам.
В - матрица в 108 ячеек с одинаковым заполнением 74 клеток.
С - матрица в 81 ячейку с одинаковым заполнением по 59 клеткам (итоговая, 60 рангов) |
Теперь — взаимная сопряженность во всех трех матрицах и значения нормированной энтропии.
|
Таблица 2.19. Коэффициенты Пирсона, взаимной сопряженности, Крамера-Чупрова, «хи-квадрат» и нормированная энтропия по всем клеткам указанных выше матриц А, В, С по параметрам распределения массы субъекта деятельности (число обследованных; n = 768) |
^-Показатели
Матрица |
«Хи-квадрат» |
Пирсон |
Сопряженности |
Крамер-Чупров |
Энтропия (общ.) |
|
1980 г. |
1985 г. |
1980 г. |
1985 г. |
1980 г. |
1985 г. |
1980 г. |
1985 г. |
1980 г. |
1985 г. |
|
А |
119,94 |
153,99 |
,395 |
,448 |
,368 |
,409 |
,140 |
,158 |
,858 |
,838 |
|
В |
138,76 |
148,97 |
,425 |
,440 |
,391 |
,403 |
,150 |
,156 |
,869 |
,852 |
|
С |
121,99 |
136,07 |
,399 |
,421 |
,370 |
,388 |
,141 |
,149 |
,841 |
,826 |
|
А - матрица в 81 ячейку с одинаковым заполнением по 60 клеткам.
В - матрица в 108 ячеек с одинаковым заполнением 74 клеток.
С - матрица в 81 ячейку с одинаковым заполнением по 59 клеткам (итоговая) |
Конечно, последняя таблица говорит о некотором стягивании массы субъекта к центру пространственно-временной институциональной «решетки», по которой распределена его активность, но не настолько, чтобы не увидеть принципиального тождества структур, высокой стабильности распределения субъекта деятельности по выделенной матрице. Не это, однако, главное. При сохранении заполняемости всех выделенных ячеек, как бы мы ни меняли комбинацию различных общественных подсистем, скорость перехода в количественных формах активности в предметно-институциональной среде за 5 лет огромна. На своих местах остаются от 12 до 15 % ансамбля. Это значит, что, скажем, обнаруживая в угловой клетке таблицы 14 человек на тысячу среди массива одних и тех же людей и в 1980, и в 1985 г., мы должны твердо понимать, что это разные люди. Одни ушли, другие пришли на свято место, которое пусто не бывает.
Так что при почти стопроцентном совпадении заполнения одними и теми же людьми предметно-институциональной структуры по активности (+0,947 по Пир-сону) мы имеем отрицательную корреляцию по скорости изменений в этих клетках (—0,607). Здесь уже другие люди, а на своих местах (и это места, на которых тоже происходят изменения, но не выходящие за пределы метрики стандартного отклонения) остается лишь малая часть тех же самых людей.
Мало того, что заполняемость структуры оказывается одинаковой, а все люди, которые скучать не любят, поменялись местами за пять лет! Сконструировав матрицу четырехмерной проекции, мы задали иную призму рассмотрения корреляции составляющих ее структур. Теперь, взглянув на коэффициенты табл. 2.16 В (нижняя часть корреляционной матрицы), мы увидим, что здесь еще больше проявляется поляризация противоположных скоростей волн детности, досуга, труда, общения, информационной деятельности, ценностей и планов. Только падающая и поднимающиеся волны скоростей изменения благосостояния дают отсутствие как положительной, так и отрицательной корреляции на 60-ранговой таблице. Все остальное поляризовано ярче, чем на возрастной шкале.
Но и это не все. За почти 40 лет эмпирических исследований я не помню случая, чтобы на показателях, сформированных с помощью кластерного анализа на совершенно независимых переменных, при рассмотрении их весов на шкале в 60 пунктов была получена ранговая корреляция коэффициентами Пирсона в +1,00 с данными фактологического плана. Между тем полное совпадение в полученной матрице 60 рангов волны детности на плюс и волны ценностей на плюс, волны детности на минус и волны ценностей на минус, волны достатка на плюс и волны планов на плюс, волны достатка на минус и волны планов на минус говорит о том, что данная четырехмерная проекция высвечивает в первом и несовершенном приближении сущностные характеристики системы «деятельность» — «сознание» — «деятельность», в контуре «общество» — «личность» — «общество».
Оказалось, что, замыкая человеческую деятельность на первых порах на уровне 2
97 предметных форм, можно «выдавить» объективные мыслительные формы, пронизывающие ее поток. На первом уровне структурирования объекта «система в целом» основной моноценностью выступает жизнь, связанная с продолжением рода. Дальнейшее ее структурирование и деление на те или иные формы должно изучаться с учетом полученных результатов. Оставляя открытым вопрос о казуальных цепях в движении «достижение определенного типа благосостояния — изменение жизненных планов» (вообще-то это тема отдельной работы, в процессе которой можно кардинально решить социальные вопросы функционирования товарных потоков), укажем: эти корреляции в +1,00 свидетельствуют, что важнейшим элементом анализа должны стать наряду с ценностями и мировоззренческими стереотипами людей их социальные жизненные потребности. Если остальные коэффициенты корреляции в рамках предложенной проекции подтверждают предыдущие выводы, сделанные на рассмотрении волн на возрастных шкалах, то разбираемые подсказывают, что динамика движения человеческой активности развертывается как флуктуации в разреженные области социального пространства при насыщении того или иного уровня потребностей и мгновенного перехода личности на иной уровень функционирования в системе открывшихся предметностей и ресурсов времени.
Теперь совершенно ясно, что процесс перехода в пространственно-временном континууме социальной среды носит волновой и непрерывный характер относительно некоторых константных величин времени, общественно необходимого в цикле самотождественного воспроизводства системы. Масса человеческой деятельности висит в полях тяготения, создаваемых предметно-институциональной структурой, и сгустки, которые мы статистически обнаруживаем, — это скорее сгустки предметного мира, сетки его полей тяготения, чем человеческой активности, которая непрерывно перетекает через эту сетку подобно потоку электронов в магнитном поле. Эта модель, кстати, объясняет один непонятный факт, обнаруженный нами еще в 1977 г. на 10-тысячном Всесоюзном массиве исследования «Правда»-1977». Мы уже говорили, что среднее число сообщений, реально читаемых в день из газет, остается стабильным на протяжении сорока лет (23 сообщения в день). Группы, читающие мало и читающие много, устойчивы, их соотношения хорошо укладываются в нормальную кривую. Но в том исследовании был задан вопрос о времени, которое респондент обычно тратит на чтение сообщений газеты. Когда мы рассмотрели среднюю величину времени на чтение сообщений, то в целом она совпала и с экспериментальными данными, и с данными исследований бюджетов времени. Но у нас было около 35 000 актов потребления людьми сообщений, и, просмотрев ответы в разных по интенсивности приема группах, мы обнаружили, что средняя величина времени, которую люди называют, не меняется в зависимости от того, насколько активно читала группа номер газеты. А это значит, что эти люди имеют свои циклы перехода из малочитающих в активно читающие и наоборот. Так что на вопрос о чтении или другие вопросы о мнениях человек отвечает, проецируя в свое сознание свои жизненные циклы, а не точечные факты и обстоятельства деятельности. Он видит всю кривую своей активности за определенный срок, проецируя в сознание спады и падения своих обстоятельств жизни. Как воскликнул по поводу другой стороны феномена проекций волн активности Б. А. Грушин: «Позволительно спросить, что же при этом изучает социология общественного мнения всеми нашими опросами?» И мой дорогой учитель не был одинок в своем скепсисе относительно того, можно ли делать «умозаключения», не зная, тонут или выныривают отвечающие люди.
В полученных данных есть и еще один важный аспект. Группы остающихся на своих местах в выделенной проекции были рассмотрены нами с точки зрения различных социальных признаков и параметров. Я имею здесь в виду социально-демографические признаки: пол, возраст, образование, род занятий, брачное состояние и т. п. У этих людей не было обнаружено никаких статистически значимых отклонений относительно распределений по всему ансамблю, позволяющих идентифицировать их как устойчивые отклонения. Скорее это фиксация достаточно плотного пространства, удерживающего людей в своем поле из-за неизменности ситуативных характеристик окружающего их мира. С другой стороны, степень подвижности, проявившаяся в 1980—1985 гг. в достаточно стабильном обществе, говорит о том, что и речи не могло быть о каком-либо «застое» в анализируемой социальной системе в целом. Если застой и был, то в другом месте. Зафиксированные характеристики динамических процессов, обнаруженные связи говорят о том, что огромное большинство населения было ориентировано на активную человеческую жизнь с помощью труда и устойчивых общечеловеческих ценностей и потребностей. Система только начала выходить на новый предметный уровень функционирования, который давал возможность развиваться ей в позитивном направлении. То, что случилось потом, четко и ясно зафиксировано в исследованиях, проведенных в период с 1987 по 2004 гг., и показывает, что объективных предпосылок для насилия над общественной системой в 90-е гг. не существовало. Но были субъективные корпоративные интересы групп, которые, не имея на то внутренних потенций и «человеческих» прав, занимали ключевые позиции в управлении социальной жизнью и абсолютно безумно взорвали жизненное пространство огромной страны.
Замечу, что обычно социальную науку упрекают в том, что фиксация негативных фактов не открывает возможности и перспектив действия. Это не так. Во-первых, положительные предложения не встречают отклика в корпоративно ориентированных ареалах, во-вторых, не желающие видеть не увидят ничего, даже если вы преподнесете им рецепты на серебряном блюде (кроме цены серебряного блюда). Наши данные показывают, например, что уже в 80-е гг. были группы людей, которые, увеличивая детность, давали в рост и благосостояние, и трудовую активность. Следовательно, в социальной системе всегда существуют явления с положительной перспективой, которые резонируют с определенными решениями, направленными на поддержку их траектории развития. Вопрос в том, можно ли дать рекомендации людям, которые заранее не хотят их видеть и которые умеют делать лучше только для себя. Для всех — нет.
Резюме по поверхности социального пространства
Не было, наверное, ни одного серьезного исследователя общественной системы, который не предпринял бы попытку рассмотреть метрики многомерности социального пространства. При этом, пока речь шла об общих и методологических предпосылках, руководством обычно служили разработки из «Немецкой идеологии». Но как только дело касалось конкретных актов деятельности людей, энтузиазм исследователей гас. Дело в том, что производство социологической информации настолько стихийно, что сопоставительный анализ, ставящий задачей получить целостное представление об обществе как системе, становится невозможным. Даже мощные и высокостандартизированные исследования коллективных проектов «Общественное мнение», «Образ жизни», «Правда»-1977», «Правда»-1991», данные которых здесь приводятся, позволяют лишь приблизиться к общей модели системы.
Разобранные нами поверхности, волны и фигуры дают пока основания для достаточно твердых предположений о минимум трехспиральной мерности пространства обмена свойствами и способностями людей. Одна из спиралей — процесс воспроизводства населения, вторая — процесс производства сознания (смыслов, «третьих вещей»), возможно, что третья представляет собой единую подсистему со сложной в свою очередь структурой производства предметных форм обмена. Наши данные не дают оснований выделять какую-либо из подсистем в отдельный ряд. Свободное время как подсистема реинтеграции жизненных затрат индивидуума, возможно, имеет большую частоту, амплитуду скорости количественных переходов стабильную в нескольких поколениях на всем протяжении эксперимента, но выделению ее из подсистемы трудовой активности, которая служит на орудиях производства сциенти-стски выкристаллизовавшейся системой обмена социальными свойствами индивидов, оснований пока нет. Выяснение соотношения различных подсистем по асинхронности человеческой активности в них, позволяющей возникать новым формам в разреженных областях социального пространства, — дело будущего.
Чтобы детализировать картину, полученную в четырехмерной проекции активности, мы промаркировали 81 ячейку, использованную для корреляций (по 60 рангам), и векторами скорости, которую имела за пять лет каждая ячейка. Аналогично табл. 2.7 и 2.9 мы в табл. 2.17 промаркировали каждую клетку значением максимальной (+12) и минимальной (+4) активности. Одно отклонение от средней на —1а в какой-либо из четырех подсистем = 1, среднее положение = 2, одно отклонение от средней на +1ст = 3. Верхняя левая угловая ячейка принимает значение 12 по максимально активному положению во всех четырех подсистемах, нижняя — значение 4. Вычитая значение активности в ячейке за 1980 г. из значения ее же за 1985 г. у каждого человека, находившегося и там и там, мы получаем скорость перехода в четырехмерной проекции (от —4 до +4 за пять лет). Взяв исходные ячейки как базу, финишные ячейки как результат, а значения скоростей перехода как функцию, мы можем получить общую поверхность переходов в проекции.
Хотя доверительный интервал здесь колеблется (r
2 = 0,7934 по уравнению Фурье, г
2 = 0,7930 по уравнению Чебышева, г
2 = 1 по алгоритму Роберта Ренке), мы приводим эту картину. Поверхность Чебышева более наглядна в фиксации узконаправленных полярных потоков возрастания и падения активности и детализирует «восьмерку» на рис. 2.6 и 2.8. Там у нас была показана общая модель движения в полях тяготения предметно-институциональных форм социума, с одной стороны, и модель потока ценностных представлений, которые были выражены в кластерах, построенных на основании нескольких вопросов в лонгитюдном исследовании. Здесь картина более подробна, хотя в ней узнаются те же полученные ранее фигуры.
Этот график (рис. 2.14) несколько компенсирует огрубление с помощью метрики среднеквадратического отклонения, применявшейся при построении предыдущих поверхностей. Здесь поверхность имеет флуктуационный, фрактальный характер в своих элементарных самотождественных друг другу по форме проявлениях. Два «шлейфа» по диагоналям основания куба — это те потоки из правых нижних ячеек 1980 г. в левые верхние ячейки 1985 г. (из 70-х номеров ячеек в 1-е) и, наоборот, из верхних левых ячеек 1980 г. в нижние правые ячейки 1985 г. (из 1-х номеров ячеек в 70-е). Между этими полюсами лежат взлеты и падения интенсивностей активности в выделенной предметной среде. В физике данной картине соответствовала бы более всего поверхность «импульсов», т. е. масс, перемноженных на скорость. Если обратиться к корреляционной матрице табл. 2.16, где коэффициенты Пирсона составляют + 1,000, станет ясно, что все пики потока детности и все пики скоростей роста объема ценностей в этой картине совпадают, а всем низинам этого потока соответствуют нижние точки скорости снижения объема ценностей. С другой стороны, все пики скоростей роста благосостояния совпадают со всеми пиками роста объема жизненных планов, а все нижние точки волн скоростей этого роста совпадают с нижними точками волны жизненных планов. Это неплохо, однако не стоит пока делать выводы о каузальных цепях, о том, что вторично, а что первично в развертке этих процессов. Детерминанты могут лежать совершенно в иной понятийной плоскости относительно тех предметностей, связь которых тут зафиксирована. Сетка поверхности выглядит так (рис. 2.15):
Поверхность изменений за 5 лет в ячейках проекции Rank 2 Egn 409 Chebyshev X, Y Bivariate Polynomial Order 10 r
2=0,79299585 DF Adj r
2=0,77350616 FitStdErr=0,6798205 Fstat=41,372867
 |
|
Рис. 2.14. Графическая фигура траекторий потоков изменения активности в формах общественной жизни у 768 человек за 5 лет по таблице 2.17 (протокол № 1f) |
Поверхность изменений за 5 лет в ячейках проекции Rank 2 Egn 409 Chebyshev X, Y Bivariate Polynomial Order 10 r
2=0,79299585 DF Adj r
2=0,77350616 FitStdErr=0,6798205 Fstat=41,372867
 |
|
Рис. 2.15. Графическая фигура траекторий потоков изменения активности в формах общественной жизни у 768 человек за 5 лет по таблице 2.17 в виде сетки |
Для надежности приведем эти же данные обработанные с помощью алгоритма Renka 1, дающего приближение r
2 = 1. Принципиально поверхности не изменяются, но нам и не нужна сейчас точная картина-истина в последней инстанции. Мы рассматриваем модель в разных проекциях, обнаруживая детали и сходства.
|
Поверхность изменений за 5 лет в ячейках проекции Renka 1, r2=1, SSE=3,35266e-30 |
 |
Рис. 2.16. Интерполяция к однородной сетке Renka-1 nX = 66, nY = 65. XY-пункты (точки): 4290.
Активные пункты (точки): 4290 |
Мы видим принципиально сходную с построенной с помощью уравнений Чебышева и Фурье картину волнообразного процесса постоянных флуктуаций, которые при выравнивании поверхностей и изменения метрик масштаба рассмотрения в целом приобретают вид изогнутого листа, летящего в физическом пространстве материального мира. В одном ряду случаев при экспериментировании с построениями поверхностей на различных параметрах суммарных актов обмена и потоков изменений в том или ином пространстве мы получали довольно экзотические фигуры, которые не имели предпосылок для интерпретации с точки зрения социальной материи. Однако в другом ряду случаев фигуры имели содержательное значение именно с точки зрения социологического рассмотрения всего континуума обмена в кристаллической решетке форм социальной жизни. Одной из таких поверхностей явилось рассмотрение потоков изменения ценностей и жизненных представлений (рис. 2.8) в рамках непараметрической статистики все с тем же применяемым для корректности сравнений алгоритмом Роберта Ренке, но несколько в ином ракурсе трехмерного пространства.
|
Поверхность потока жизненных представлений Renka 1, ra=1,SSE=1,14385e-29 |
 |
Рис. 2.17. Интерполяция к однородной сетке Renka-1 nX = 16, nY = 16. XY-пункты (точки): 256.
Активные пункты (точки): 256 |
Можно с достаточной долей вероятности утверждать, что здесь, как это видно и на предыдущей поверхности, проявляется самотождественная фракталь, мультиплицирующаяся с момента зарождения относительно исходной начальной точки движения во вновь возникающих формах материального потока при порождении новых типов взаимодействия. Исходя из предыдущего анализа становятся очевидными ее исходные пункты возникновения, которые могут быть доказаны с точки зрения как материалистической, так и экзистенциальной философии, но наиболее привлекательно, по крайней мере на мой взгляд, вытекают из фигур конкретных актов деятельности людей, полученных социологией.
Общая модель пространственно-временной конфигурации
Поток человеческой активности постоянно висит, возрождается и умирает в полях тяготения структуры, имеющей вид кристаллической решетки, многоспирального вихреобразного водоворота из нескольких переплетенных лент Мебиуса, представленных подвижными социальными формами фундаментальных подсистем. Это похоже на песочные часы, вращающиеся в доступной для деятельности и переработки нише материальной среды. Их внутренняя энергия задается асинхронностью движения «внутренних лент-спиралей» обмена свойствами субъектов жизни, которые рождаются и умирают в каждой точке этой поверхности. Эта структура задает конфигурацию массы актов обмена свойствами и способностями индивидуумов в пространственно-временном континууме. Ясно, что последний реализуется не в евклидовом пространстве, к тому же, возможно, имеющем разные метрики и кривизну поверхности отдельных подсистем, однако трехмерная графика дает некоторое зрительное представление о фрагментах этой системы. Ясно, что посылка константности относительной величины системного времени имеет под собой реальную почву. Именно в этом случае ноосфера может рассматриваться как открытая система по отношению к внешней природной среде, но закрытая по отношению к самой себе в целом в качестве общечеловеческой общности хотя бы с момента возникновения мирового рынка. Развитие и смена форм жизни в ней может происходить лишь как редукция и свертывание ареала одних форм за счет развертки других. В разных подсистемах эти формы жизни разнятся скоростью перехода или резонанса в рудиментарные либо тотальные аппликации. При этом исторически отработанные идеологемы в обществе с несбалансированным обменом результатами труда и низкой информированностью населения о происходящих процессах имеют свойство резонировать в процесс принятия неадекватных решений с возрастающим размахом. Именно в этом случае антиинтеллектуальное управление деградирует из-за нарастания в системе энтропии. Если при этом еще и предметно-институциональные структуры регуляции обмена результатами труда вынимаются из социальной кристаллической решетки, то «термоядерный реактор» баланса социума идет вразнос. «Магнитные поля» общества перестают держать в равновесии поток человеческой активности.
Возможно, масштабы социального пространства выступают как фрактальная размерность полей исторически возникавших общностей (семьи, трудовой общности, территориальной производственной агломерации, нации, государства, этносоциальных структур, человеческого сообщества в целом), в ареале которых, ограниченном горизонтом их функций, происходит реализация активности и жизненного цикла индивидуума. При этих посылках обмен в социальной системе не может быть сбалансирован и закреплен принципом статус-кво относительно каких-либо «священных» институтов, выступающих исторически ограниченным регулятором эффективности действия механизмов обмена, или во имя «вечных» форм идеологем, обслуживающих частные или корпоративные интересы.
Есть в этой модели, однако, один пункт, имеющий основополагающий системный характер. «Онтологически» время, общественно необходимое для коллективного воспроизводства жизни при «мирном сосуществовании» трехпоколенной структуры, синтезируется в показателе того количества детей на одну семейную пару, которое необходимо для процесса нормального замещения поколений. В духовной сфере ему соответствует понятие ценности жизни. Это объективная категория социального существования, которая не может быть сведена ни к какой из идеологических (религиозных, философских и т. д. и т. п.) аппликаций.
В политической экономии общественно необходимое время полагалось в качестве времени воспроизводства рабочей силы для функционирования подсистемы материального производства с регулятором механизмов обмена активностью в виде института частной собственности. Полтора века назад не предполагали, что производительные силы разовьются до такой степени, что институт регуляции приведет на стадии индустриального и постиндустриального общества, во-первых, к деградации природной среды-ниши ноосферы, поставив под угрозу само существование последней, и, во-вторых, к тому, что процесс человеческого воспроизводства людей будет разрушен корпоративными фетишами системы. Производственные и репродуктивные функции семьи оказались разорванными и впоследствии разрушенными на постфеодальной стадии развития. И этот процесс «демографического перехода»
, сопровождающийся дозоологической индивидуализацией мировоззрения личности, фактически приводит в современную эпоху к уничтожению полей активности и смысла первой и, возможно, последней человеческой исторической общности — семьи.
Внимание к процессу воспроизводства населения обусловлено не только тем, что за ним стоит категория «жизнь». Аналогичные поверхности были рассмотрены в целом и в разных подсистемах: от процесса замещения поколений, изменения уровня достатка, форм проведения свободного времени и межличностной коммуникации до информационной и общественно-политической деятельности и тех или иных областей обыденного сознания. Поверхности имели принципиально один класс параметров при различном наполнении их конкретными предметными формами. Описание этих результатов не в общем и целом, а в деталях требует отдельной большой работы, фундированной в области параметрической и непараметрической статистики и фрактального анализа. Дело в том, что при оценке динамики процесса детности на когорте женщин, достигших возраста 23— 36 лет к финишному замеру, фигуры аналогичных поверхностей получались уже на группе в 118 человек с приближением г
2 = 1. Именно это заставило предположить фрактальный характер расширения форм взаимодействия в процессе обмена свойствами и способностями в социальной системе, их мультиплицированность и формальную тождественность относительно элементарной (генетической, биологической, физической, социальной) формы обмена или разделения труда, заданной в воспроизводстве жизни объективно и природно. Эта фракталь попадает в те условия, которые заданы уровнем цивилизации и определяются историческими формами производства (например, орудиями труда), т. е. в условия взаимодействия ноосферы с природной нишей. Последние суть формы отношений взаимодействия с внешней косной или биологической, активной материальной природной нишей общества. Они и фиксируются как отношения в квазипредметных образованиях, которые не могут быть объектами вещного обладания, но могут быть присвоены индивидуумом как аттрактанты взаимодействия. Процесс переноса в социальной системе движущих сил активности на косвенные предметные формы, при их циклическом антагонизме движущим, может в конечном итоге послужить, что мы и наблюдаем в настоящее время, к возведению противоречия между ноосферой и природной нишей, в которой она существует, на неразрешимый уровень, который приведет к взрывной реакции природной среды на ноосферу. Критерием достижения предельных форм этого антагонизма может служить во внутренней структуре человеческого общества сокращение полей процесса замещения поколений, а во внешней — увеличение частоты техногенных катастроф, ухудшение среды обитания до возникновения вирусных эпидемий в результате узкоцелевого вторжения в генетические составляющие живой природы. Можно предполагать, что в случае применения клонирования человека мы получим генетические эпидемии во все возрастающих масштабах применения природой защитных механизмов баланса против враждебных ей вторжений того, что назвалось сферой разума.
Нельзя сказать, что эта проблема не осознается, однако ни встреча по этому поводу глав государств в Рио-де-Жанейро в 1992 г., ни последовавшая за ней через десять лет встреча в Йоханнесбурге не дали никаких практических сдвигов в ее управленческих и мировоззренческих основаниях. Идея в очередной раз оказывается «посрамлена интересом». И отнюдь не общественным. Чисто информационных аспектов этих проблем мы коснемся в последующих главах, а по вышеизложенному надо добавить следующее.
Представленные результаты могут быть подтверждены на нескольких направлениях.
1. Исследования иных формаций. Это общецивилизационный подход. Для окончательного подтверждения общих контуров параметров социальной системы как массы актов взаимодействия надо было бы получить замеры на тех типах обществ, которые имеются в настоящее время, но находятся в условиях иного предметного («орудийно-цивилизационного») взаимодействия с окружающей материальной средой, вырабатывающего иные формы внутренних и внешних отношений социума. Соединение этнографического и социологического исследований наиболее продуктивно, но оно требует затрат. Кроме того, здесь возникает еще одна большая проблема адекватности инструментов замера и снятия частот событий и фактов в эксперименте. Даже если проводились тождественные исследования, возникает проблема сопоставления данных, выровненных по инструменту, на разных исторических отрезках развития у обществ с разными предметными параметрами обмена.
2. Проверка на ином историческом материале из другого общества и на динамических рядах у одних и тех же людей с различными интервалами. Эта задача относится к очень продуктивному направлению исторической социологии. Трудности здесь в фрагментарности информации, хранящейся в архивах. Часто они непреодолимы и заставляют отказаться от задуманного, часто упираются в несводимость к единому методическому инструменту анализа когда-то снятых из реальности фактов. Но иногда здесь выпадают удачи, позволяющие воссоздать «лонги-тюд» за длительный период у одних и тех же людей. Эта работа нами проводится в настоящее время на массиве более 2000 человек, составлявших ядро социальной группы, вершившей судьбами нескольких европейских стран.
3. Прямое лонгитюдное сопоставление распределений на количественных рядах форм деятельности, сопровождающихся анализом распределений на бюджетах физического времени, позволило бы реально прикинуть, каковы конфигурация и метрики «социального времени» у человека, собирающего хворост-мусор в королевском парке на растопку своей печи, и человека, присваивающего себе за ту же единицу измерения физической длительности времени результаты 10 000 человеко-дней труда. Конечно, этот вопрос выясняется и с помощью анализа сферы товарно-денежного обращения, но там, во-первых, фигуру не построишь, во-вторых, лонгитюда не проведешь, в-третьих, время на розыск объективной статистики зря потратишь. Кроме того, статистка без лонгитюдного исследования, которое, как мы видели, радикально меняет картины, не даст понимания социального времени как цикла нахождения социальной системы в самотождественной форме. Работа по сопоставительному анализу полученных фигур и бюджетов времени также проводится (об общем ее результате я упомяну ниже).
К сказанному надо добавить, что описанные результаты получены не только за счет анализа прямых данных эксперимента: суммарного числа форм за 5 лет у человека, разницы между числом этих же форм, но и с помощью метода попадания в ячейки кластеров. Конечно, кластерный анализ несколько снижает «шум» событий из-за природной избыточности обмена в социальной системе, но он не панацея. И тем более заслуживает внимания совпадение результатов количественного анализа на базе ячеек-кластеров и ячеек-полей, полученных за счет метрики стандартного отклонения от средней.
Есть еще один нюанс. Несмотря на явно волновой характер перехода людей с одного уровня активности на другой независимо от подсистем форм жизни и на симметричный характер изменений в ряде случаев, пока рано говорить о математическом структурировании характеристик процесса. Дело в том, что аналогичные понятия длины волны, периода, частоты и скорости волны, которые применяются в физике, здесь неприменимы. Во-первых, мы не знаем метрик кривизны социального пространства, во-вторых, величины его размерности, а отсюда мы не можем вывести категорию расстояния в качестве точной величины измерения скорости и амплитуды колебаний. Нам нужно построить социологическими методами физическую картину состояния социума как массы актов обмена, реализующегося одновременно в вещном и квазипредметном пространстве. Последнее и есть пространство социума — пространство смыслов, ведущее в пространство обмена активностью.
Независимо от этих оговорок мы можем твердо констатировать, что проведенный анализ не даст нам совершить ошибок при интерпретации данных, собранных для анализа динамики социальных изменений в нашем обществе. Мы теперь, как никогда до этого, знаем относительность статистических картин, получаемых в том или ином случае. Теперь за любой картиной для нас зримо стоит факт того, что мы видим лишь подвижный участок социального поля обмена, наблюдаемый в определенных срезах и мгновениях через систему того категориального аппарата, которым мы пользуемся.
Основными стимулами развертки и движения импульсов человеческой активности в этой волне выступает, как мы увидели, продолжение рода и уровень материального благосостояния. Баланс или дисбаланс обмена между этими двумя подсистемами может служить мерилом социальной зрелости общества и его системы самоуправления с точки зрения развитости институтов прямой и обратной связи в балансировке обмена деятельностями. Посмотрим теперь с этих точек зрения на наше общество в его конкретных ипостасях за сорок последних лет.
Глава 3
ДИНАМИКА СОЦИАЛЬНЫХ ИЗМЕНЕНИЙ
Общая картина разрушений социальной структуры в 90-е гг.
Линейная картина изменений на возрастной шкале
Представляя информационную базу решения задачи динамики социальных изменений, мы привели кумуляты активности в лонгитюдном исследовании 1980—1985 гг. и во Всесоюзных исследованиях 1981 и 1991 гг. относительно максимума эмпирически зафиксированных форм активности (рис. 2.1). Кривые принципиально тождественны. На рис. 2.10 зафиксировано также принципиальное сходство полигонов активности за 1980—1985 гг. по Москве и 1981 г. по СССР уже на возрастной шкале. Предметная форма, в которую отливается общественная активность в процессе обмена, если эта форма фиксируется одномоментно, отличается подобием в разных замерах. Темпы насыщения предметной структуры активностью субъекта обмена в этой структуре относительно некоторых пределов также принципиально одинаковы и описываются одними уравнениями. Однако в дальнейшем мы увидели, что уже за 5 лет практически все субъекты социальной активности меняют свое местоположение в пространственновременной фигуре социума, измеренной количественными параметрами. Это происходит в обществе со стабильной институциональной структурой, плавно меняющем формы в процессе самовоспроизводства и находящемся в стационарно-динамическом равновесии. Рассмотреть подвижность структур масс деятельности здесь можно только на логнитюдном или панельном исследовании. Но в момент социальной катастрофы при замере в точке бифуркации можно увидеть «размеры» поля взрыва институциональной структуры и на независимых репрезентативных исследованиях, проведенных тождественным инструментарием. На рис. 3.1 как раз и представлен график среднего количества форм социальной деятельности из выбранных 97 форм на погодовой шкале возраста в 58 лет: от 18 до 75 лет в 1981 и 1991 гг.
Среди общих главных выводов укажем следующие. За 10 лет резко изменяется поколенческая активность (использование существующих форм общественной жизни уменьшается у молодежи и растет у старшего поколения). Включенность в социальную структуру выравнивается, теряет дифференциацию по возрасту за счет ухода из нее широких слоев. Убирая запятую в колонке «средняя» в табл. 3.1, мы получаем общую массу форм общественной жизни в расчете на каждые 100 человек в каждом массиве и замере. При общем ничтожно малом уменьшении массы социально данных форм обмена на 3,5% (в возрасте от 18 до 75лет на 5,2 %), а также среднего числа форм социальной жизни, падают стандартное отклонение и вариация признака «активность»
 |
|
Возраст |
— 1981 г, п = 9804 в диапазоне от 18 до 75 лет(М„ац = 10 150)
— 1991 г., п = 9259 в диапазоне от 18 до 75 лет (No&u = 9674)
Рис. 3.1. Изменения общей социальной активности населения в 1981-1991 гг. на возрастной шкале по данным Всесоюзных исследований «Образ жизни» и «Правда»-1991»
|
Таблица 3.1. Показатели среднего числа предметно-институциональных форм жизни в двух Всесоюзных исследованиях по группам с определенным числом форм от 2 до 60 и от 1 до 61 (А) и по возрастным группам с интервалом в 1 год (В) (объемы указаны по перевзвешенным массивам на генсовокупность по данным Всесоюзных переписей населения 1979 и 1989 гг. (при сравнении погодовых возрастных шкал на графике рис. 3.1 массивы не перевзвешивались)) |
|
|
А — число форм
В — группы по году |
Абс. |
Число форм |
Показатели средних величин |
Энтропия |
Мини
мум |
Мак
симум |
Средняя |
Ст.
отклоне
ние |
Медиа
на |
Мода |
Вариа
ция |
Люди |
Формы |
|
А |
СССР 1981 г. |
10 227 |
2 |
60 |
26,58 |
10,08 |
27,0 |
28,0 |
37,9 % |
,910 |
,895 |
|
СССР 1991 г. |
8028 |
1 |
61 |
25,64 |
7,91 |
25,0 |
25,0 |
30,9 % |
,849 |
,843 |
|
В |
18-75 1981 г. |
9768 |
2 |
60 |
27,13 |
9,82 |
27,0 |
27,3 |
36,2 % |
,983 |
,966 |
|
18-75 1991 г. |
7558 |
1 |
61 |
25,71 |
7,99 |
25,0 |
25,4 |
31,1 % |
,976 |
,969 |
|
и энтропия (в распределении людей как по числу форм жизни, так и по возрастным группам, причем по последним в значительно меньшей степени). В большей степени падают значения медианы и моды
, а также энтропии в распределении общей массы форм активности по числу форм жизни и в меньшей степени по распределению этих же форм по возрастным группам. Система стягивается в более остроконечный конус, одновременно распыляясь по периферии. Кроме того, энтропия распределения активности по возрастным группам говорит о более ровной заполняемости возрастных ячеек общества по сравнению с ячейками институциональной активности по числу форм жизни. Возрастная пирамида тут превращается из «елочки» в «столб»
.
Значение энтропии заполняемости возрастных ячеек формами активности при резкой дифференциации возрастных групп по среднему числу освоенных форм социальной жизни (кривые графика), более плотное распределение по количеству форм активности (последняя колонка таблицы) говорит скорее всего о нахождении всей массы поведения в стационарном равновесии процесса обмена свойствами, который носит стохастической характер.
Рассмотрим теперь полученный график, нормализовав каждую из кривых по линии равновесия, которая для каждой кривой различна. Для лучшего понимания того, что произошло в 1991 г., и более реалистичной оценки картин точки разлома, в котором сразу социально «погибают» три поколения (младшее, отвергающее институциональную структуру, старшее, уходящее физически и уносящее эту структуру на себе, и среднее, которому предстоит уход из дестабилизированной структуры), рассмотрим два графика детально.
Теперь каждая из линий рис. 3.1 представлена не только отдельной и аппроксимированной программой TableCurve 2D (полином Чебышева с приближением r
2m = 0,9899, а r
21991 = 0,9461), но и нормализованной относительно отклонения средней активности у каждой возрастной группы (58 групп от 18 до 75 лет) от точки равновесия, выраженной средней в каждом из массивов 1981 и 1991 гг. в целом. Из картины следует:
1) максимальное значение активности в 1981 г. приходится на возраст в 34 года, а минимальное — на группу 74-летних. В 1991 г. минимальная активность также приходится на группу 74-летних, а вот максимальное значение сдвигается на возрастной шкале к 42 годам;
2) среднее значение социальной активности у 18-летних в 1981 г. — 22,9, а у 75-летних — 12,1 институциональных форм жизни. А вот в 1991 г. аналогичные значения у этих же возрастов составляют 21 и 19,2 форм. «Всплеск» социальной активности стариков почти достигает уровня молодых;
|
1981 г. |
 |
 |
18 37 56 75
Возраст |
Рис. 3.2. Изменения общей социальной активности населения в 1981-1991 гг. на возрастных шкалах по данным Всесоюзных исследований «Образ жизни», «Правда»-1991» без перевзвешивания на генсовокупность для репрезентативности возрастов
3) разность между максимальным и минимальным значением активностей возрастных групп в 1981 г. составляет 16,1 формы жизни против 7,3 в 1991 г., а среднеквадратическое отклонение (по 58 группам) — 5,1 против 1,8. Вариация падает из-за исчезновения используемых форм предметной среды;
4) при более плотном распределении наблюдается резкое снижение активности от среднего по всему массиву в группе до 25—26 лет, составляющей 16—18 % анализируемого ансамбля. Обратные всплески активности наблюдаются в немногочисленных (1—2 %) группах старше 56 лет.
В целом люди пытаются найти новые точки опоры в изменяющейся социальной среде, и график 1991 г. как нельзя лучше иллюстрирует стохастический, так сказать, судорожный характер этого процесса. Конечно, наибольший интерес, на первый взгляд, представляет описание того, в каких подсистемах и какие формы исчезают, а в каких приходят новые социально институционализированные или асоциально возникающие формы жизни. Но параллельно с этим важно помнить об объективном характере катастрофы, так как такие события не случайны и тем более не могут происходить по воле отдельных личностей. Картина отклонений активности годовых возрастных когорт от средней по системе заставляет помнить об очередном «великом переломе страны через колено» не только в целостном движущемся образе, но и с точки зрения ответов на вопросы: «Кто что опять ломал?» и «Те же ли в этот раз это снова были колена?». Это тем более важно потому, что 10-тысячный массив 1991 г. уникален комплексным замером в точке слома системы, благодаря чему только и стало можно увидеть иллюстрируемый графиками разлом. В дополнение к нему два массива замера бюджетов времени в 1986 и 1993 гг. (как раз под финал «шоковой терапии» и переворота 1993 г.) покажут, какие катастрофические последствия имеют диссонирующие с объективной реальностью формы сознания, захватывающие сферы управления и принятия решений
. Однако отсутствие замера в точке перехода единым с предыдущими замерами инструментарием не дало бы возможность зафиксировать изменения. Через год-два мы снова бы получили плавную кривую на новых формах социальной жизни, не поняв, что же произошло.
Прежде чем перейти к описанию социальных карт разрыва общественных взаимосвязей, уничтожения полей фундаментальных общностей, исходя из двухмерной графики рис. 3.2, посмотрим, как изменилась сама поверхность социального взаимодействия.
Объемная картина изменений на возрастной шкале
На графиках зафиксированы всплески и падения средних величин активности в целом относительно средней по всему массиву, представленной осевой линией. В 1981 г. это эволюционирующее общество с достаточными уровнями социализации, создания предметного мира и естественным процессом угасания в старших возрастах. В 1991 г. это агонизирующая система. Вычтем из среднего значения активности каждого возраста среднюю по ансамблю в каждом из двух массивов. Получим вариацию активности когорт от точки баланса на уменьшение (на «—») и на увеличение (на «+») по каждой годовой когорте. Каждая когорта имеет репрезентативный объем. Перемножив этот нормированный объем на вариацию активности каждой группы от средней, увидим отклонение суммарной массы активности, измеренной формами общественной жизни, от точки баланса. Рассмотрев взаимосвязь вариации активности и массы отклонений у значений возрастов, шкала которых имплицирует физическое время в 58 лет, мы получим в трехмерной графике фигуры поверхности социума для 1981 и 1991 гг. (см. рис. 3.3 и 3.4).
Итак, если формы общественной жизни представляют собой объективно данные индивидууму инструменты его личностного и одновременно социального существования, то в 1991 г. мы имеем уникальную возможность наблюдать смещение центра выпадения из общественной жизни не по естественным причинам (как это видно по 1981 г.), а по причинам уничтожения форм обмена в институциональной структуре. Поля социальной активности взрываются в кристаллической решетке социума. Воронка выпадения масс человеческой деятельности в асоциальную область сдвигается в зону младшего поколения, видны отчаянные всплески и падения в ряде возрастных когорт.
Мы далеки от попыток идеализировать порядок функционирования социальной системы в 1981 г. Перед ней объективно стояли задачи баланса обмена результатами труда на межнациональном, отраслевом, территориально-производственном уровне, между разными по социальным функциям общностям (семья — территориально-производственные агломерации), наконец, в целом между трудом и капиталом. Эти задачи могли решаться оптимизацией товарно-денежного обращения, конверсией, снижением доли госзаказа и степени эксплуатации труда. Главным политическим инструментом решения этой задачи была сильная представительная власть, местное самоуправление и основанная на базе внутрипроизводственной демократии самостоятельность предприятий, создающих стоимость
1981 г.
B-Splin, r*=1, SSE=0 |
 |
|
Рис. 3.3. Поверхность институциональной активности в 1981 г. на данных Всесоюзных исследований |
в цепочке производственно-торговой кооперации при отчислении прибыли на социальное развитие регионов. Торговлю следовало приватизировать на балансе нового производителя стоимости с легализацией производящего, промышленного капитала при отсутствии льгот спекулятивно-агрессивному капиталу, умеющему создавать обществу лишь инфляцию, а себе «бешеные» деньги. Эти меры могли бы усилить существовавшую в недостаточно развитой степени обратную связь между властью и населением. Причем по всем параметрам недостаточную: экономическим, социально-политическим и идеологическим. Но под лозунгом возрождения полновластия Советов, которым Советы на самом деле фактически почти никогда не обладали, номенклатурный слой власти окончательно приватизировал государство и всю институциональную структуру общества. Вместо усиления социально данных человеку форм институциональной структуры через оптимизацию производства и затем товарообмена вся эта структура была превращена в «своего рода частную корпорацию». Все (бывшие в определенной степени общественными) формы коллективного воспроизводства жизни стали частными формами наживы и стяжательства. Можно сказать, что верхи политической партии превратились в стране в секты, где «выборная общественная работа» плавно перетекает в занятие ипотечным кредитованием, «отдельные общественные поручения» — в создание финансовых пирамид и превращения стоимости всей группы «А» в денежную массу доверенными для этого «общественного» дела лицами. Реставрация социальных
1991 г.
B-Splin, r
2=1, SSE=0
 |
|
Рис. 3.4. Поверхность институциональной активности в 1991 г. на данных Всесоюзных исследований |
порядков, однако, превзошла возврат к капиталистическим отношениям. В части форм взаимодействия между трудом и капиталом-«работовзятелем» она шагнула в дофеодальную эпоху, воссоздав темные виды крепостничества
.
То, что такие социальные резонансы мертвых форм прошлой жизни не происходят случайно, — очевидно. И теперь, увидев картину в целом, мы можем позволить себе разобрать те конкретные действия, которые люди избрали для своего спасения в этой головокружительной ситуации. Однако, прежде чем опускаться до садово-огородных участков, сколачивания шаек государственных корпораций-пирамид», клак нищих и сутенеров и т. п. — то бишь до конкретных форм общественных «суверенитетов» дозоологического типа, имело бы смысл посмотреть на более крупные детали социального, очередного эксперимента «советской» (только в кавычках) и российской правящей «элиты». Но пойдем по порядку.
Карты разрыва социальных взаимосвязей и разрушение подсистемы труда
|
Таблица 3.2. Взаимосвязь признака «общественно-политическая активность населения» (прием информации, обращения в органы власти, общественная работа) и признаков «возраст», «образование», «социальный слой» и «благосостояние» в 1981 и 1991 гг. (в знаках силы отклонения частоты признака в сказуемом от частоты его в группе подлежащего, а также в % к числу опрошенных, коэффициентах взаимосвязи и значениях энтропии на пересечении признаков; уровень значимости «хи-квадрат» 99,95 %, n1981 = 10 150, n1991 = 9674; в таблице указаны перевзвешенные объемы) |
|
|
Возраст |
Образование |
Социальный слой |
Благосостояние |
S |
|
1 |
2 |
3 |
1 |
2 |
3 |
1 |
2 |
3 |
1 |
2 |
3 |
|
1981 |
37,8 |
23,9 |
38,3 |
31,3 |
23,9 |
44,8 |
31,4 |
48,4 |
20,2 |
15,3 |
66,7 |
18,0 |
100,0 |
|
0 |
+++ |
--- |
--- |
+++ |
--- |
--- |
+++ |
--- |
--- |
+++ |
--- |
--- |
2,4 |
|
-- |
+++ |
--- |
--- |
+++ |
--- |
--- |
+++ |
--- |
--- |
+++ |
--- |
--- |
6,0 |
|
- |
+++ |
--- |
--- |
+++ |
--- |
--- |
+++ |
--- |
--- |
+++ |
+- |
--- |
11,9 |
|
+- |
--- |
+++ |
+++ |
--- |
+++ |
+++ |
--- |
+++ |
--- |
--- |
+++ |
+ |
62,6 |
|
+ |
--- |
- |
+++ |
--- |
-- |
+++ |
--- |
+- |
+++ |
--- |
+- |
+++ |
13,2 |
|
++ |
--- |
-- |
+++ |
--- |
--- |
+++ |
--- |
-- |
+++ |
--- |
- |
+++ |
3,9 |
|
1991 |
30,2 |
26,5 |
43,3 |
3,5 |
15,2 |
81,3 |
20,5 |
53,2 |
26,4 |
19,9 |
61,4 |
18,7 |
100,0 |
|
0 |
+++ |
- |
--- |
+++ |
+++ |
— |
+- |
+++ |
|
+++ |
--- |
|
,9 |
|
-- |
++ |
+- |
- |
+++ |
+++ |
--- |
+- |
+++ |
--- |
+++ |
--- |
--- |
2,7 |
|
- |
+- |
++ |
-- |
+++ |
+++ |
--- |
+++ |
+++ |
--- |
+++ |
- |
--- |
10,0 |
|
+- |
--- |
+++ |
++ |
--- |
+- |
+++ |
-- |
+++ |
-- |
--- |
+++ |
- |
69,3 |
|
+ |
+++ |
--- |
+++ |
--- |
--- |
+++ |
- |
--- |
+++ |
--- |
+- |
+++ |
11,1 |
|
++ |
+++ |
--- |
-- |
|
--- |
+++ |
+ |
--- |
+++ |
--- |
+- |
++ |
6,1 |
|
1981 |
37,8 |
23,9 |
38,3 |
31,3 |
23,9 |
44,8 |
31,4 |
48,4 |
20,2 |
15,3 |
66,7 |
18,0 |
100,0 |
|
0 |
72,4 |
6,0 |
21,6 |
81,0 |
11,5 |
7,5 |
66,9 |
29,0 |
4,1 |
43,3 |
53,4 |
3,3 |
2,4 |
|
-- |
65,1 |
17,6 |
17,3 |
63,9 |
18,4 |
17,7 |
61,3 |
32,7 |
5,9 |
32,3 |
59,0 |
8,7 |
6,0 |
|
- |
55,0 |
17,5 |
27,5 |
57,1 |
16,5 |
26,4 |
48,4 |
42,3 |
9,3 |
22,4 |
66,6 |
11,0 |
11,9 |
|
+- |
33,0 |
27,0 |
40,0 |
26,2 |
27,5 |
46,3 |
28,5 |
52,3 |
19,2 |
13,1 |
68,4 |
18,5 |
62,6 |
|
+ |
29,0 |
22,0 |
49,0 |
15,4 |
20,7 |
63,8 |
17,7 |
47,3 |
35,0 |
9,1 |
66,4 |
24,5 |
13,2 |
|
++ |
28,1 |
19,3 |
52,6 |
7,4 |
15,3 |
77,3 |
6,2 |
42,9 |
50,9 |
8,4 |
52,4 |
30,2 |
3,9 |
|
1991 |
30,2 |
26,5 |
43,3 |
3,5 |
15,2 |
81,3 |
20,5 |
53,2 |
26,4 |
16,2 |
68,7 |
15,0 |
100,0 |
|
0 |
63,3 |
19,4 |
17,3 |
16,6 |
46,2 |
37,2 |
23,1 |
73,7 |
3,1 |
64,3 |
28,6 |
7,1 |
,9 |
|
-- |
37,9 |
24,2 |
37,9 |
15,7 |
32,9 |
51,4 |
19,7 |
74,3 |
6,0 |
39,9 |
55,1 |
5,0 |
2,7 |
|
- |
31,4 |
29,8 |
38,8 |
10,9 |
23,2 |
65,9 |
25,5 |
61,0 |
13,5 |
26,2 |
66,0 |
7,8 |
10,0 |
|
+- |
26,6 |
29,3 |
44,1 |
2,5 |
15,0 |
82,5 |
19,8 |
54,7 |
25,5 |
15,3 |
70,1 |
14,6 |
69,3 |
|
+ |
35,3 |
15,9 |
48,8 |
1,4 |
7,3 |
91,4 |
19,1 |
41,0 |
39,9 |
9,5 |
68,2 |
22,3 |
11,1 |
|
++ |
52,0 |
10,6 |
37,3 |
,2 |
6,3 |
93,5 |
23,2 |
32,2 |
44,6 |
5,7 |
69,7 |
24,6 |
6,1 |
Коэффи
циенты |
Пир
сон |
Кра
мер |
Энтро
пия |
Пир
сон |
Кра
мер |
Энтро
пия |
Пир
сон |
Кра
мер |
Энтро
пия |
Пир
сон |
Кра
мер |
Энтро
пия |
N |
|
1981 |
,253 |
,179 |
,776 |
,379 |
,268 |
,757 |
,333 |
,235 |
,753 |
,230 |
,163 |
,705 |
10 227 |
|
1991 |
,184 |
,130 |
,725 |
,265 |
,187 |
,547 |
,205 |
,145 |
,701 |
,228 |
,161 |
,641 |
8028 |
|
Образование:
1 - до 9 классов;
2 - среднее;
3 - высшее;
Слой:
1 - не занятые;
2 - физический труд;
3 - умственный труд. Благосостояние:
1 - низкое;
2 - среднее;
3 - высокое.
Общественно-политическая активность:
0 - не включены в систему;
«--» - очень низкая;
«-» - низкая;
«+-» - средняя;
«+» - довольно высокая;
«++» - высокая.
Возраст:
1 - старше 50;
2 - до 30 лет;
3 - 31-50 лет.
|
Таблица 3.3. Взаимосвязь признака «общественно-политическая активность населения» и признаков активности в сферах «досуга», «труда», «общения» и «суммарной активности» в 1981 и 1991 гг. (в знаках силы отклонения частоты признака в сказуемом от частоты его в группе подлежащего, а также в средних показателях, коэффициентах взаимосвязи и значениях энтропии на пересечении признаков; уровень значимости «хи-квадрат» 99,95 %, n1981 = 10 150, n1991 = 9674; в таблице указаны перевзвешенные объемы) |
|
1981 |
Активность досуга |
Активность труда |
Активность межличностная |
Актививность общая |
S |
|
1 |
2 |
3 |
1 |
2 |
3 |
1 |
2 |
3 |
1 |
2 |
3 |
|
S |
23,4 |
59,0 |
17,6 |
30,4 |
58,0 |
11,7 |
26,0 |
60,3 |
13,7 |
18,3 |
64,7 |
16,9 |
100,0 |
|
0 |
+++ |
--- |
0 |
+++ |
+- |
0 |
+++ |
--- |
--- |
+++ |
--- |
0 |
2,4 |
|
-- |
+++ |
--- |
--- |
+++ |
-- |
--- |
+++ |
--- |
--- |
+++ |
--- |
--- |
6,0 |
|
- |
+++ |
--- |
--- |
+++ |
--- |
--- |
+++ |
--- |
--- |
+++ |
--- |
--- |
11,9 |
|
+- |
--- |
+++ |
+- |
+- |
+++ |
--- |
--- |
+++ |
--- |
--- |
+++ |
--- |
62,6 |
|
+ |
--- |
+ |
+++ |
--- |
++ |
+++ |
--- |
++ |
+++ |
--- |
--- |
+++ |
13,2 |
|
++ |
--- |
-- |
+++ |
--- |
+- |
+++ |
|
- |
+++ |
|
--- |
+++ |
3,9 |
|
1991 |
1 |
2 |
3 |
1 |
2 |
3 |
1 |
2 |
3 |
1 |
2 |
3 |
S |
|
S |
27,6 |
56,6 |
15,8 |
34,9 |
49,7 |
15,4 |
20,5 |
66,9 |
12,6 |
15,2 |
69,2 |
15,6 |
100,0 |
|
0 |
+++ |
--- |
0 |
+++ |
— |
|
+++ |
--- |
0 |
+++ |
--- |
0 |
,9 |
|
-- |
+++ |
-- |
--- |
+++ |
--- |
--- |
+++ |
--- |
0 |
+++ |
--- |
|
2,7 |
|
- |
+++ |
--- |
--- |
++ |
--- |
--- |
+++ |
--- |
0 |
+++ |
--- |
--- |
10,0 |
|
+- |
--- |
+++ |
+- |
--- |
+++ |
--- |
--- |
+++ |
--- |
--- |
+++ |
--- |
69,3 |
|
+ |
--- |
+ |
+++ |
--- |
+- |
+++ |
--- |
--- |
+++ |
--- |
--- |
+++ |
11,1 |
|
++ |
--- |
+- |
+++ |
--- |
+ |
+++ |
|
--- |
+++ |
|
--- |
+++ |
6,1 |
|
|
Активность досуга |
Активность труда |
Активность межличн. |
Активность общая |
Вес групп
подлежа
щего
в расчете
на 1000 |
Сред
няя |
Ст. от-
клон. |
Сумма
форм |
Сред
няя |
Ст. от-
клон. |
Сумма
форм |
Сред
няя |
Ст. от-
клон. |
Сумма
форм |
Сред
няя |
Ст. от-
клон. |
Сумма
форм |
|
S -81 |
4,80 |
2,81 |
1000 |
4,77 |
3,42 |
1000 |
3,09 |
1,93 |
1000 |
21,47 |
8,06 |
1000 |
1000 |
|
0 |
1,85 |
1,32 |
9 |
1,40 |
2,39 |
7 |
1,49 |
1,34 |
12 |
10,54 |
5,29 |
12 |
24 |
|
-- |
2,65 |
1,81 |
33 |
2,13 |
2,94 |
27 |
1,71 |
1,45 |
33 |
13,56 |
6,57 |
38 |
60 |
|
- |
3,14 |
2,18 |
78 |
2.93 |
3,06 |
73 |
1,89 |
1,44 |
73 |
15,71 |
6,81 |
87 |
119 |
|
+- |
4,99 |
2,66 |
653 |
4,99 |
3,27 |
656 |
3,03 |
1,74 |
616 |
21,99 |
7,05 |
642 |
626 |
|
+ |
6,21 |
2,75 |
170 |
6,43 |
3,12 |
177 |
4,61 |
1,76 |
197 |
27,04 |
6,52 |
166 |
132 |
|
++ |
7,17 |
3,03 |
57 |
7,42 |
2,35 |
60 |
5,56 |
1,62 |
69 |
30,71 |
6,08 |
55 |
39 |
|
S-91 |
4,54 |
2,96 |
1000 |
2,00 |
2,25 |
1000 |
3,19 |
2,09 |
1000 |
21,57 |
6,89 |
1000 |
1000 |
|
0 |
1,50 |
1,79 |
3 |
0,53 |
,65 |
2 |
,54 |
,74 |
1 |
10,02 |
4,33 |
4 |
9 |
|
-- |
2,56 |
2,21 |
15 |
0,84 |
1,29 |
11 |
1,20 |
1,16 |
10 |
13,79 |
6,22 |
17 |
27 |
|
- |
3,02 |
2,65 |
66 |
1,27 |
1,81 |
63 |
1,62 |
1,16 |
51 |
16,70 |
5,71 |
77 |
100 |
|
+- |
4,63 |
2,87 |
707 |
1,95 |
2,18 |
674 |
2,88 |
1,51 |
626 |
21,37 |
6,11 |
686 |
693 |
|
+ |
5,29 |
3,03 |
130 |
2,82 |
2,57 |
157 |
5,07 |
1,90 |
177 |
25,92 |
6,26 |
134 |
111 |
|
++ |
5,91 |
3,11 |
79 |
3,08 |
2,60 |
93 |
7,10 |
2,54 |
135 |
29,03 |
6,02 |
82 |
61 |
|
|
|
Коэффициенты взаимной сопряженности и нормированная энтропия (общая) |
Абс. |
Пир
сон |
Кра
мер |
Энтро
пия |
Пир
сон |
Кра
мер |
Энтро
пия |
Пир
сон |
Кра
мер |
Энтро
пия |
Пир
сон |
Кра
мер |
Энтро
пия |
|
1981 |
,405 |
,286 |
,717 |
,379 |
,268 |
,711 |
,499 |
,353 |
,694 |
,516 |
,365 |
,681 |
10227 |
|
1991 |
,262 |
,185 |
,683 |
,211 |
,149 |
,698 |
,678 |
,479 |
,592 |
,480 |
,340 |
,613 |
8028 |
Общественно-политическая активность:
«0» - не включены в систему;
«--» - очень низкая;
«-» - низкая;
«+-» - средняя;
«+» - довольно высокая;
«++» - высокая.
Активность в досуге, труде, межличностном общении и общая по всем формам:
1 - низкая;
2 - средняя;
3 - высокая.
В табл. 1.7 и 1.14 мы привели картины связи политико-идеологического контура и ряда признаков по Таганрогу в 1969 г. и по СССР в 1981 г. При анализе лонгитюдного и повторных исследований мы увидели взаимосвязи общественных подсистем: общественно-политической, включая информационную, и трудовой, межличностной коммуникации и трудовой, замещения поколений и досуга и т. п. Теперь мы можем разобрать взаимосвязи, с одной стороны, демографических признаков (поколение, образование, род занятий) со степенью активности в политико-идеологической подсистеме того времени, а с другой — характер взаимосвязи активности в этой подсистеме с активностью в других подсистемах (достаток, общение, труд, досуг, активность в целом). При этом табл. 3.2 и 3.3 фиксируют характер этих связей сразу: и в начале, и в конце анализируемого периода с 1981 по 1991 г. Пока мы лишь мельком обращаемся к промежуточным движущим силам и мотивам изменений, к фактам обыденного сознания, субъективным отражениям реальности, которые в полной мере будут представлены в главе 4 на фоне структурных изменений. Здесь больше анализируется полюс «деятельность» в ее институциональном аспекте и активности в рамках заданных институтов.
Начнем с картины в целом. За 10 лет наиболее резкому разрушению поверглась структура форм трудовой активности и общественно-политическая структура на уровне трудовых общностей. Активность в сфере труда упала в 2,4, а достаток возрос в 1,4 раза. Упала детность (в 1,3 раза), число форм выражения общественного мнения (обратной связи от населения к власти (в 1,6), форм общественной работы (в 2,4). Сферы межличностной и массовой коммуникации и досуга к 1991 г. в целом фактически остаются на том же уровне активности населения, что и в 1981 г. Остается высокой связь активности в политико-идеологическом контуре общества с общей активностью, возрастает эта связь с межличностной коммуникацией (все обсуждают общественные проблемы, прильнув к телевизорам), и энтропия в матрице форм этой связи резко снижается.
Обсуждение проблем страны сосредоточивается в более узком поле социального пространства, на котором сопряженность активности в политико-идеологической подсистеме и подсистеме общения резко возрастает. Аналогичная картина наблюдается и в изменении связей активности в политико-идеологическом контуре и активности присвоения в связи с уровнем благосостояния. Связь верхних страт с высоким уровнем благосостояния, а нижних, наоборот, с нуждой остается практически на том же уровне. Однако, кстати, и здесь, как и во всех восьми парах идентичных замеров, энтропия падает. Здесь, верно, она падает значительно, что говорит о сужении поля благосостояния по отношению ко всей массе субъекта социального действия.
На первом месте по резкому сужению активности на поле политико-идеологических форм признак «образование». Энтропия падает с 0,757 до 0,547, малообразованные слои и слои со средним образованием уходят из стагнирующей и исчезающей институциональной структуры, а слои с высшим образованием сосредоточиваются на узком поле активности ограниченного числа форм. Именно здесь они c кумулятивным эффектом прорвутся «в будущее». Второе место по темпам сокращения социального поля дает межличностная коммуникация. Энтропия падает с 0,694 до 0,592, незанятые в народном хозяйстве студенты и домохозяйки, пенсионеры выходят на площади городов, пенсионеры активизируются в процессе выражения общественного мнения. Самое «замечательное» происходит на поле территориально-производственных общностей, на заводах и фабриках, в трудовых коллективах. Здесь институциональная структура деятельности уничтожается дотла. Взаимная сопряженность с прежней структурой резко падает, а показатель энтропии остается практически тем же самым. Это значит, что при разрушении институциональной структуры деятельности вся масса субъекта практически в полном объеме перешла на поле другого качества.
Для наглядности этой картины приведем два графика распределения активностей в сферах труда и благосостояния по возрастам в 1981 и 1991 гг. (рис. 3.5, 3.6).
 |
1981 — 1991
Рис. 3.5. Соотношение трудовой активности населения в 1981 и 1991 гг. на возрастной шкале |
 |
“I-1-1-1-1-1-1-1-1-г
18 24 30 36 42 48 54 60 66 72
Возраст |
1981 — 1991
Рис. 3.6. Соотношение уровня достатка населения в 1981 и 1991 гг. на возрастной шкале
Как видно, общество выходит в область очередного перераспределения мира вещей и возрастания достатка, снижая активность в сфере производства.
Здесь для анализа комбинаторных связей форм трудовой активности специально выбраны нейтральные идеологически формы, которые могут существовать при любой технологической и социальной цепочке материального производства. Производственная дисциплина и выполнение заданий, нормы — обязательные условия уже индустриальной эпохи. Соревнование — та же здоровая конкуренция. Повышение квалификации и переобучение рабочей силы, творчество и передача опыта практикуются во всех индустриальных странах, а на постиндустриальной стадии принимают еще более широкий размах. Все эти формы, конечно, имеют наибольшую эффективность при ассоциированных формах собственности на средства производства, которые как раз и не получали в нашем обществе достаточного развития. Вместо исправления этого положения произошел откат к старым формам, изживающим себя во всем мире. При этом в собственных интересах корпоративных групп были созданы идеологические и пропагандистские институты (в буквальном смысле: академии, школы, выполняющие функции прежней пропаганды и заменившие прежнюю), которые за соответствующую мзду и возможность выживания создали и создают ряд мифов, к разбору которых мы еще обратимся. Однако эффект смены основных форм регуляторов обмена — форм собственности — на част-
|
Таблица 3.4. Структура производственной активности населения в 1981 и 1991 гг. по данным Всесоюзных исследования «Образ жизни» и «Правда»-1991» (в расчете на 1000 человек занятого в народном хозяйстве населения; пШ1 = 6880, n1991 = 6318) |
|
|
|
|
|
|
|
Квалификация, учеба |
В це- |
Зада- |
Ини- |
Со- |
|
|
|
|
|
|
|
+ |
|
|
|
|
лом |
ния |
циа- |
рев- |
|
|
|
|
|
|
|
Наставники |
Наставники |
|
|
тив |
нов |
|
|
|
|
|
|
+ |
|
|
+ |
|
|
|
|
|
|
|
|
|
|
|
|
|
Рацион |
Рацион |
Рацион |
Рацион |
|
|
|
|
|
|
|
|
|
|
|
+ |
- |
+ |
- |
+ |
- |
+ |
- |
|
|
|
|
|
За- |
+ |
|
+ |
Сор. |
+ |
44 |
53 |
65 |
156 |
24 |
43 |
25 |
154 |
564 |
|
|
|
|
да- |
|
Ини- |
|
- |
7 |
10 |
11 |
40 |
4 |
9 |
4 |
61 |
146 |
+960 |
+728 |
+776 |
|
ния |
|
циат. |
- |
Сор. |
+ |
4 |
9 |
7 |
52 |
3 |
15 |
6 |
88 |
184 |
|
|
|
|
|
- |
1 |
2 |
2 |
13 |
|
3 |
1 |
44 |
66 |
|
|
|
|
|
- |
|
+ |
Сор. |
+ |
1 |
1 |
2 |
4 |
|
|
1 |
4 |
13 |
|
|
|
|
|
|
Ини- |
|
- |
|
1 |
|
1 |
|
|
|
3 |
5 |
-40 |
-272 |
-224 |
|
|
|
циат. |
- |
Сор. |
+ |
|
|
|
3 |
1 |
1 |
1 |
9 |
15 |
|
|
|
|
|
- |
|
|
|
2 |
|
1 |
|
4 |
7 |
|
|
|
|
В целом по колонкам |
57 |
76 |
87 |
271 |
32 |
72 |
38 |
367 |
1000 |
|
Квалификация, учеба |
+ 491 |
-509 |
1000 |
|
Наставничество |
+ 237 |
-763 |
1000 |
|
Рационализация |
+ 214 |
-786 |
1000 |
|
СССР 1991 г. |
+ |
- |
+ |
- |
+ |
- |
+ |
- |
|
|
|
|
|
За- |
+ |
|
+ |
Сор. |
+ |
4 |
10 |
2 |
8 |
2 |
9 |
1 |
14 |
50 |
|
|
|
|
да- |
|
Ини- |
|
- |
2 |
11 |
3 |
18 |
1 |
10 |
3 |
33 |
81 |
+288 |
+233 |
+116 |
|
ния |
|
циат. |
- |
Сор. |
+ |
1 |
2 |
|
7 |
1 |
4 |
|
9 |
24 |
|
|
|
|
|
- |
1 |
6 |
1 |
24 |
1 |
8 |
3 |
89 |
133 |
|
|
|
|
|
- |
|
+ |
Сор. |
+ |
1 |
1 |
1 |
5 |
|
3 |
|
6 |
17 |
|
|
|
|
|
|
Ини- |
|
- |
1 |
3 |
2 |
22 |
1 |
8 |
2 |
46 |
85 |
-712 |
-767 |
-884 |
|
|
|
циат. |
- |
Сор. |
+ |
|
3 |
|
3 |
1 |
4 |
1 |
13 |
25 |
|
|
|
|
|
- |
1 |
4 |
2 |
41 |
1 |
21 |
6 |
509 |
585 |
|
|
|
|
В целом по колонкам |
11 |
40 |
11 |
128 |
8 |
67 |
16 |
719 |
1000 |
|
Квалификация, учеба |
+ 190 |
-810 |
1000 |
|
Наставничество |
+ 126 |
-874 |
1000 |
|
Рационализация |
+ 46 |
-954 |
1000 |
|
1 - выполняют производственные задания.
2 - проявляют в работе инициативу.
3 - участвуют в соревновании.
4 - повышают квалификацию (учатся на курсах и т. п.).
5 - передают свой опыт в форме наставничества.
6 - являются авторами изобретений и рацпредложений.
«+» - используют данную форму деятельности.
«-» - не используют данную форму деятельности.
ную оказался фиктивным
. Во-первых, вместо худо-бедно работавших форм в массовом производстве была создана практика невыплаты зарплаты и возможности расторговывать мелким оптом запасы «социалистического» производства, делая
сверхприбыль в сфере обращения, спекулируя гуманитрной помощью и именно так «входя» во всемирную торговлю. При этом алкоголь, наркотики, возможность торговать ворованным «повязывали» широкие слои населения «халявой» с лицами, допущенными по указам глав государства к обладанию целыми отраслями, что предотвратило социальный взрыв. Конечно, помимо и наряду с прочими виртуозными социально-экономическими пассажами. Во-вторых, в отличие от западных стран частная собственность попала в руки отечественных «героев большой дороги» и «счастливцев» не за счет работы, разбоя с риском виселицы, колонизации других стран, а за счет «разгосударствления» стоимости, созданной трудом нескольких поколений, в том числе и в процессе, сильно напоминающем «колонизацию» собственной страны, который продолжился в новых условиях. Старые формы обмена результатами труда были уничтожены, новые стали эффективно работать только в сфере обращения и только на одном социальном полюсе. Под «реформами» скрывался по существу (не по декларируемому флеру) тождественный прежней структуре политико-идологический контур чиновничье-служилой российской «униформы», создавшей себе при попустительстве остолбеневшего от ее дел народа неслыханную «халяву».
Конечно, связь признаков в таблице с большим количеством малозаполненных клеток относительна
. Здесь лучше «работает» энтропия. В 1981 г. общая энтропия составляла 0,708, а экспериментальная по заполненным клеткам — 0,719. Не то в 1991 г. Общая энтропия здесь 0,552, а экспериментальная по заполненным клеткам — 0,554. Поля обмена стянулись к другим формам бытия. Наши исследования показывают, к каким.
В 1989 г. в РСФСР НПО «Прогностика» совместно с Хьюстонским университетом (шт. Техас) проводило исследование руководителей 220 промышленных предприятий нашей страны, и я обрабатывал этот массив информации. С 1976 г. в Институте социологии проводилось исследование правового сознания работников промышленных предприятий, и мне также пришлось восстановить в базе данных это исследование в 2050 документов. Вторичный анализ этих исследований привел к выявлению любопытных деталей.
Все 224 директора предприятия были классифицированы по степени самостоятельности решения производственных и социальных вопросов предприятия, снабжения и определения цен на выпускаемую продукцию, налаживания внешнеторговых связей. 17 % оказались достаточно самостоятельными в этих вопросах, 53 % в одних случаях самостоятельными, а в других — нет, 30 % оказались в значительной мере несамостоятельными в принятии решений по всем указанным вопросам. Оказалось, что при назначении и выборе типа директора существует некоторая зависимость: самостоятельные назначенцы в первую очередь рекомендованы общественными организациями предприятий (партийной, профсоюзной и т. п.), во вторую — местной партийной властью, в третью — трудовыми коллективами, относительно самостоятельные — прежде всего отраслевыми министерствами и ведомствами, а затем — местной партийной властью, а малосамостоятельные — трудовыми коллективами. Последних отличает стремление «иметь больше времени для личной жизни», «работать на престижном предприятии» и отрицательное отношение к тому, чтобы «работать на пользу своей страны». Самостоятельных директоров по этому параметру отличает сниженное стремление «иметь больше времени для личной жизни». При этом они обладают такими качествами, как «умение привлекать специалистов», «забота о нуждах работников», «использование в работе личных симпатий» при «неумении сработаться с начальством». Несамостоятельные в минимальной степени обладают «профессиональными знаниями в своей области», «способностью хорошо организовать работу предприятия», «культурой управленческих взаимоотношений», «умением поддерживать дисциплину», «ответственностью за порученное дело», «заботой о нуждах работников». Умеренно самостоятельные, на которых ориентируется отраслевое начальство, как раз наоборот, отличаются «способностью хорошо организовать работу предприятия».
Итак, «несамостоятельные» директора — это «серые» покладистые люди с большими амбициями и низким общественным интересом, «самостоятельные» — «задиры-профессионалы», умеющие привлечь специалистов, использующие обаяние для работы и заботящиеся о нуждах коллектива, «умеренно самостоятельные» — хорошие организаторы. На последних ориентируется отрасль, на самостоятельных — партийная органы предприятия и местная власть. Трудовые коллективы имеют двойственную ориентацию — и на «самостоятельных», и на «покладистоудобных». Весь директорский корпус оценивает состояние экономики как катастрофическое и на первое место в спасении ситуации ставит партийную власть, а по поводу последствий отмены госзаказа имеет весьма эклектические представления о вымывании дешевых товаров, росте безработицы, увеличении зарплаты, срыве договорных поставок и росте отчислений на нужды соцкультбыта — и все одновременно. Вот тебе, бабушка, и Юрьев день! Посмотрим, однако, на установки «трудового коллектива» с точки зрения правовых норм.
Положение с правовым сознанием населения
Александр Степанович Гречин построил типологию правового сознания людей с точки зрения информированности о сотне правовых норм: статей уголовного кодекса, норм трудового законодательства, положений конституционного права
. Мы повторили типологизацию этого массива другим методом и получили примерно те же типы правового сознания в нашем обществе. Сделаем краткий разбор их характеристик.
Типы правового сознания выделялись на основе блока из четырех вопросов относительно предложений-ситуаций, описывающих правонарушения. Вопросы фиксировали:
1) знания опрашиваемых типа законодательных санкций относительно правонарушения (уголовное, административное, общественное порицание);
2) оценки опрашиваемых действий правонарушителя (осуждение, частичное или полное одобрение);
3) оценки собственного поведения опрашиваемого при попадании в аналогичную ситуацию (как поступил бы);
4) как поступили бы опрашиваемые в ситуации, если бы правонарушение совершалось бы лицами из бытового или трудового окружения опрашиваемого.
Ситуации фиксировали различные правовые нарушения от мелких хищений, взяток, неуплаты алиментов, до хулиганства, кражи, спекуляции, контрабанды и антисоветской агитации, прав судей, милиции и т. п.
Были выделены шесть типов правового сознания.
1. Активно-позитивный тип: знают тип законодательных санкций, осуждают правонарушения, никогда не поступили бы подобным образом и активно препятствовали бы правонарушению в ближайшем своем окружении.
2. Традиционно-позитивный тип: по первым трем пунктам совпадающий с первым типом, но в случае нарушений закона окружающими придерживающийся принципов «моя хата с краю», «двое дерутся — третий не лезет», «наше дело телячье — поел да в стайку».
3. Неустойчивый тип: не высказывая своего отрицательного отношения к требованию правовых норм, подходят к ним формально и могут совершать правонарушения.
4. Пограничный тип: не одобряют норм права, выполняют их, исходя из опасения быть наказанным, но, если, по их мнению, наказания можно будет избежать, совершат правонарушение.
5. Негативно-отклоняющийся тип: резко отрицательно относятся к правовым нормам из-за содержащихся в них санкций, не мыслят себе человеческой активности вне преступной жизни, абсолютно не связанной с институтами социальной системы.
6. Этот тип должен быть оговорен более подробно.
А. С. Гречин выделил 5 типов, в нашей типологии — 1—5, однако его методика выделения была связана с шкальными преобразованиями, а мы в связи с потерей части документов исследования применили комбинаторный метод, сохранив принципиальные названия типов и выделив их в чистом виде 1—5, добавляя тип 0, отличающийся различным поведением в зависимости от ситуаций. Так, в ситуации осуждения злостного неплательщика алиментов этот тип может быть положительным, в ситуации мелкой кражи — уголовно наказуемым, а в ситуации антисоветской пропаганды — демонстрировать суперпатриотизм и «любовь» к Родине. Преступный тип у Гречина насчитывал 1,5 %, столько же он насчитывает и после нашей обработки. Мы не рискнули выделять сильно колеблющихся людей в преступный тип по нарушению ряда статей УК РСФСР, если они демонстрируют нахождение сразу в четырех-пяти типах правосознания, обязательно включая активно-позитивный. Такие комбинации доводят преступный тип до веса в 5,4 %. Конечно, относительность такого сужения «преступного поля» очевидна: почему «грабеж» лучше «контрабанды», а «антисоветская пропаганда» лучше «хулиганства», доказать в рамках правовой парадигмы невозможно. Однако в целостной картине рассмотрения взаимосвязей правового сознания лучше иметь резкие, контрастные, а не размытые границы групп. Переходы же людей через поля конкретных правовых норм в зависимости от изменения ситуации должны рассматриваться отдельно и детально
.
Так вот: связь типологии правового сознания была изучена с широким спектром социальных признаков, но сейчас мы остановимся лишь на нескольких корреляционных матрицах, возвратившись к правовым нормам при анализе информированности населения относительно различных сторон жизни.
41,1
|
|
т
т
1-й тип 2-й тип 3-й тип 4-й тип 0-й тип 5-й тип |
45
40
35
30
25
20
15
10
5
0-
1 -й тип — активно-позитивный
2- й тип - традиционно-позитивный
3- й тип — неустойчивый
4- й тип — пограничный
0-й тип — сильно колеблющийся
5- й тип — негативно-отклоняющийся (явно преступный)
Рис. 3.7. Соотношение различных типов правового сознания (ПС) в массиве обследованных (в % к числу обследованных; n = 2000)
Несомненно, в целом картина безотрадная даже для советского времени, но еще хуже дело обстоит во взаимосвязях.
Если учесть, что только 69 от 41 % законопослушных граждан, занятых в народном хозяйстве, и четыре пятых от 12 % граждан, которые не будут вмешиваться в ситуации правонарушений, считают необходимым исполнять закон всегда, то окажется, что наше общество уже к восьмидесятым годам подошло к ситуации правового беспредела. Колеблющиеся в правовом отношении люди находились
|
Таблица 3.5. Взаимосвязь типов правового сознания (рис. 3.7) с отношением к «необходимости выполнять законы» (А), с трудовой активностью обследованных (Б), с оценкой опрашиваемыми взаимоотношений в бригаде (В), с оценкой мотивов общественной деятельности людей (Г), с желанием участвовать в процессе принятия решений в коллективе (Д) (в % к числу обследованных, в знаках силы отклонения, в показателях взаимосвязи и значениях энтропии, уровень значимости «хи-квадрат» 99,95 %; n = 2000)* |
N. Характери-
N. стики |
Выполнение закона |
Труд |
Отношения |
Мотивы |
Желание
решать |
|
Тип ПС |
1 |
2 |
3 |
4 |
1 |
2 |
3 |
1 |
2 |
3 |
1 |
2 |
3 |
1 |
2 |
3 |
|
В целом |
55 |
13 |
23 |
9 |
14 |
71 |
15 |
22 |
62 |
16 |
33 |
28 |
39 |
81 |
6 |
13 |
|
Активный |
69 |
14 |
13 |
4 |
25 |
67 |
8 |
34 |
62 |
4 |
43 |
18 |
39 |
92 |
1 |
7 |
|
Традиционный |
79 |
8 |
6 |
7 |
5 |
81 |
14 |
18 |
62 |
20 |
35 |
34 |
31 |
68 |
7 |
25 |
|
Неустойчивый |
14 |
17 |
59 |
10 |
3 |
78 |
19 |
10 |
57 |
33 |
20 |
45 |
35 |
75 |
9 |
16 |
|
Пограничный |
26 |
9 |
53 |
12 |
|
79 |
21 |
15 |
43 |
42 |
11 |
50 |
39 |
67 |
15 |
18 |
|
Колеблющийся |
43 |
13 |
29 |
15 |
9 |
71 |
20 |
12 |
68 |
20 |
27 |
31 |
42 |
77 |
7 |
16 |
|
Негативный-1 |
28 |
10 |
38 |
24 |
|
48 |
52 |
14 |
24 |
62 |
14 |
38 |
48 |
55 |
24 |
21 |
|
Негативный-2 |
37 |
14 |
36 |
13 |
6 |
69 |
25 |
17 |
51 |
32 |
26 |
31 |
43 |
76 |
11 |
13 |
|
Активный |
+++ |
+ |
--- |
--- |
+++ |
--- |
--- |
+++ |
+- |
--- |
+++ |
--- |
+- |
+++ |
--- |
--- |
|
Традиционный |
+++ |
-- |
--- |
- |
--- |
+++ |
+- |
- |
+- |
+ |
+- |
++ |
-- |
--- |
+ |
+++ |
|
Неустойчивый |
--- |
+ |
+++ |
+- |
|
+ |
+ |
— |
+- |
+++ |
-- |
+++ |
+- |
- |
+ |
+- |
|
Пограничный |
--- |
- |
+++ |
+- |
0 |
++ |
+ |
- |
--- |
+++ |
--- |
+++ |
+- |
--- |
+++ |
+ |
|
Колеблющийся |
--- |
+- |
+++ |
+++ |
--- |
+- |
+++ |
--- |
+++ |
+++ |
--- |
++ |
+ |
-- |
+ |
++ |
|
Негативный-2 |
--- |
+- |
+++ |
+ |
-- |
+- |
+++ |
- |
-- |
+++ |
- |
+- |
+- |
- |
++ |
+- |
|
Пирсон |
,432 |
,320 |
,375 |
,258 |
,283 |
|
Крамер |
,250 |
,227 |
,226 |
,183 |
,200 |
|
Сопряженности |
,397 |
,305 |
,352 |
,250 |
,272 |
|
Энтропия |
,763 |
,732 |
,772 |
,840 |
,665 |
|
Выполнение закона:
1 - закон надо выполнять всегда;
2 - к закону надо подходить неформально;
3 - иногда закон можно и нарушить;
4 - затрудняются ответить + 0-ответ.
Труд и отношение:
1 - активны в труде, имеют хорошие отношения в бригаде;
2 - умеренно активны в труде, отношения в бригаде средние - и так и сяк;
3 - пассивны в труде, плохие отношения в бригаде.
Мотивы:
1 - преимущественно общественные мотивы;
2 - преимущественно личные мотивы;
3 - прочие варианты.
Желание решать:
1 - хотят участвовать в решениях, касающихся жизни коллектива;
2 - не хотят участвовать в решениях коллектива;
3 - прочие ответы.
в ситуации неопределенности и при первом же изменении общественной ситуации стали бы действовать, опираясь на конкретные обстоятельства жизни, а не на правовые нормы. Что им и было предоставлено.
Причина этого явления — в отчуждении огромной массы людей от институциональных и правовых форм социальной жизни в советское время и прежде всего в области экономических отношений. Это отчуждение, не идет ни в какое сравнение с нынешним, и разбирать их преемственность надо отдельно, детально, в целостном аспекте развития общества в другом месте. Здесь отметим лишь, что осознание этих проблем населением в 80-е гг. приняло всеобщий характер
.
В таблицах по правовому сознанию (табл. 3.5) надо обратить внимание на два обстоятельства. Одно общеметодологическое. Анализируя «ценности», мы отмечали, что энтропия по привязке к формам различных стереотипов обыденного сознания выше, чем к формам деятельности, требующих затрат времени. Подсистема «сознание», отражая своей поверхностью фигуру поля активности, находится в более свободном, «размытом» состоянии, чем подсистема «деятельность». Нечто подобное наблюдается и здесь. Самая высокая энтропия в связях правового поля с типами мотивации, оценками взаимоотношений в коллективе и формами отношения к закону. Самая низкая — в связях правового поля с принятием решений об участии в делах коллектива и с формами активности в труде. Здесь приходится делать активный и обязывающий временем выбор. К этому пункту мы будем неоднократно возвращаться в силу проявления его фундаментальной важности для цивилизационного баланса обмена свойствами людей.
Другое важное обстоятельство состоит в том, что стремление соблюдать закон, участвовать в управлении делами производства, наличие общественных мотивов социальной активности, нормальных трудовых отношений в бригаде и высокой трудовой активности отличает только активно-позитивный в правовом отношении тип людей. Этому сопутствуют следующие обстоятельства.
1. Наиболее велик у этого типа вес желающих участвовать в принятии решений по производственной жизни, а наименее — вес активных в формах трудовой активности, что говорит об их недостаточности и резерве в тот период общественно необходимого времени именно на этом поле.
2. Традиционно-позитивный тип (который будет пассивно наблюдать за правонарушениями) в основном занимает срединную позицию по всем параметрам, кроме вербально выраженного стремления соблюдать закон всегда; здесь он присоединяется к активно-позитивному. Союз довольно шаткий и не зафиксированный устойчивыми институциональными формами деятельности. При этом связь правовой типологии и признаков, полученных другими комбинаторными методами, по иным предметным областям социума, наиболее велика между формами собственно правового поля (см. коэффициенты связи в табл. 3.5). Обыденное сознание фиксирует близлежащее. Чтобы увидеть структурные связи, нужен или развитый предметно обмен «временем» жизней или сциентистски ориентированный инструмент социального видения. Ни того ни другого в распоряжении
массового сознания не было и нет, однако накопленная частота результатов событий иногда пробивает себе дорогу в сознание даже на правительственных раутах с народом
.
3. Негативный, явно преступный тип, оказывается непредставительным в своих отклонениях от среднего по массиву по предложенным социальным параметрам, хотя эти отклонения достаточно велики. Мы укрупнили ареал этого типа, доведя его до 5,4 % от объема массива, включив всех людей, которые попадали хотя бы по одной определенной статье УК в уголовно наказуемую ситуацию. В этом случае отклонения от средней по массиву стали репрезентативны. Однако сами веса (см. строку распределения % «негативный-2») потеряли «контрастность», присущую строке распределения % по типу «негативный-1». Это значит, что либо «преступный тип становится на путь исправления», либо почти 4 % людей этого типа отвечают на анкетные вопросы, фарисействуя. Проверить, чего больше, на нынешнем правовом поле, думаю, уже невозможно. Ситуация «ушла».
4. Несмотря на нерепрезентативность отклонения от средней, имеет смысл обратить внимание на то, что 55 % людей с преступным типом правосознания «хотят участвовать в принятии решений по делам коллектива».
Тут надо сделать небольшое отступление в виде экскурса в изучение трудовых отношений на фоне исследования алкоголизма и пьянства.
Рассматривая такую массовую форму поведения в нашем обществе, как пьянство, мы установили ряд фактов. В целом в советское время одна треть структуры розничного товарооборота продуктов питания приходилась на алкогольные изделия, которые Госкомстат страны прятал со статьей «сушеные грибы, витамины, пряности и т. п.». Доля водки в продуктовой корзине рабочего в царское время составляла одну четвертую часть (25%). В предвоенное «сталинское» время эта доля в структуре товарооборота на продукты питания в стоимостном выражении составила менее одной пятой на одного жителя (19 %). В советско-брежневское время на каждого гражданина нашего общества, включая интеллигенцию и младенцев, стало приходиться более 34 % торгового оборота питания в виде стоимости «сушеных грибов и витаминов», которые обеспечивали и оборону, и выплату зарплаты. В результате потребления столь калорийных блюд потеря в производительности труда от одного похмелья из-за выпивки в нерабочее время по нашим исследованиям 1972, 1975, 1983 и 1991 гг. съедала всю выручку от продажи «витаминов и пряностей»
, а темп прироста национального дохода падал вдвое. При этом доля употребленного за год алкоголя на одного взрослого жителя нашей страны, рассчитанная по нашим исследованиям, была на один литр спирта ниже официальной цифры по закрытым госкомстатовским исследованиям. Введение сухого закона указом императора перед первой мировой войной подняло производительность труда в промышленности на 7 %. По нашим очень осторожным оценкам, только отказ от политики пьяного бюджета (отнюдь не сухой закон и вырубка виноградников, что было, конечно же, политической акцией по принципу «чем хуже — тем лучше»), перебалансировка модели ценообразования, расширение форм досуга, ассортимента торговли и повышение качества вин, водки и пива могли удвоить рост производительности труда в промышленности минимум на 5 %, что привело бы к удвоению величины прироста национального дохода. Что было предпринято вместо этого, известно очень широкой публике
.
Однако одним из косвенных и побочных результатов рассмотрения проблемы алкоголизма нашего общества, имеющим прямое отношение к системному анализу эпохи «велико-коленного перелома», явилась фиксация в строительной промышленности структуры отношений в трех типах трудовых коллективов
. Первый тип — отличный передовой коллектив строителей Зеленограда, второй — стройуправление со средними показателями, третий — с делами, идущими из рук вон плохо. В этом худшем коллективе почти две трети «работников» считают, что выпивка играет важную роль в сплочении коллектива; слово у них не расходится с делом: две трети коллектива, по объективным данным, регулярно пьют на работе. В лучшем коллективе лишь 3 % одобряют питейные традиции, а две трети считает, что за выпивку на работе «даже из-за семейных неприятностей» надо непременно осудить и наказывать. 65 % худшего и 75 % лучшего управлений хотят, чтобы товарищи относились к ним с уважением, и ведут себя соответствующим образом: в лучшем завоевывают это уважение трезвым трудом, а в худшем — совместной пьянкой для сплочения. Однако в худшем управлении доля, считающая свой коллектив недружным, в семь с лишним раз (!) больше, чем в лучшем. Дружбы на сомнительной почве «семи рваных» произрасти не может. При этом все, как всегда, хотят видеть свои районы города «образцовыми», вот только содержание этих «образцов» социально разное.
Итак, сплоченность первого коллектива достигнута за счет организации, второго — дезорганизации труда. Перед нами разврат, которым в связи с ложно понятыми «общественными задачами» занимается управление, снабжая население «витаминами» и «пряностями»
. Нужен только подходящий момент, чтобы эти «общественные задачи» стали сначала личными, а затем частными интересами.
Вернемся к правовому полю. Здесь тождественная картина. Мы установили, что лишь одна треть занятого в народном хозяйстве населения активно-позитивна в правовом отношении. Именно ее интересы диктовали и открывали положительные возможности изменения управленческой ситуации регулировки обмена результатами труда. Однако вместо этого были созданы те формы регуляции, которые привели к резонансу во все возрастающих масштабах асоциальных видов правового сознания на полях производственно-территориальных и технологических общностей. Дремлющий несколько десятилетий созданный в предыдущие эпохи «негативный запал» превысил критическую массу уже к началу 80-х гг. Однако институциональная структура оказалась разрушенной не сама по себе и в силу объективных причин, а экономическая политика породила преступное сообщество не по воле рока или мистических «пассионарных толчков»
.
Общая картина нарастания энтропии и характер отдельных изменений
На рис. 3.1 показан характер изменений активности в целом, а на рис. 3.5 и 3.6 — изменения трудовой активности и уровня благосостояния на возрастной шкале за 10 лет. Табл. 3.4 представляет изменение институциональной структуры в сфере трудовой активности. Аналогичные таблицы и графики изменений институциональных «полей» и возрастной активности были построены по всем анализируемым подсистемам: система информационно-пропагандистских средств, каналов выражения общественного мнения, форм производства массовой информации и общественно-политических, межличностного общения. Разбирать каждую из них в динамике здесь нет смысла. Графики повозрастных изменений в отдельных подсистемах дают общее представление, для них отведена страница с целью сравнения типологии изменений. А по «шахматным 64-клеточным доскам» всех анализируемых подсистем мы рассмотрим только значение энтропии в начальной и конечной точках адекватных замеров.
Отметим одно обстоятельство. Каждое составное поле политико-идеологического контура — информационно-пропагандистские средства, каналы обратной связи к органам власти, информационное производство, межличностное общение по поводу социальных событий, отраженных в информационном поле, политико-идеологическая деятельность — представляет собой фрагменты целостной информационной структуры социума
. Продуктом именно ее деятельности является текст, отражающий социальную реальность, присваиваемый на тот или иной лад общественными группами. Взглянем на социальную карту их институциональной активности в разных сферах за 20 лет в табл. 3.6.
Три поля заливок в таблице — социальные карты активности групп по роду занятий в разных общественных подсистемах. Они показывают, помимо прочего, и процесс перераспределения стоимости в масштабах нашей системы в динамике за два десятка лет. Мы отметили у каждой социальной группы, фиксирующей классовые характеристики прежнего общества, отклонения от средней по активности в социальных подсистемах:
1) информационного приема (СМИ — средства массовой информации; основной показатель — число используемых средств; max = 6);
2) общественно-политической деятельности (ОПД; основной показатель — число выполняемых общественных поручений; max = 11);
|
Таблица 3.6. Распределение активности групп по роду занятий по числу используемых форм общественной жизни в различных сферах жизнедеятельности в начале 70, 80 и 90-х гг. (по данным «Таганрогских» и Всесоюзных исследований; в % и знаках отклонений от средней) |
|
Группы |
С/х |
ССО |
Р. |
ИТР |
ИНП |
СА |
Ст. |
Пенс. |
Д/х |
1 |
2 |
|
Вес в 1971 г. |
13 |
5 |
26 |
7 |
9 |
8 |
6/3 |
22 |
5 |
|
Сферы |
СМИ |
+- |
+ |
+- |
+++ |
+++ |
+++ |
+ |
--- |
--- |
99 % |
1 % |
|
ОПД |
--- |
- |
--- |
+++ |
+++ |
+ |
+++ |
--- |
--- |
38 % |
62 % |
|
КВОМ |
- |
+- |
- |
+++ |
++ |
+- |
+- |
+- |
--- |
62 % |
38 % |
|
ПМИ |
++ |
--- |
--- |
+- |
++ |
+- |
+- |
+- |
-- |
10 % |
90 % |
|
МЛК |
--- |
+- |
+- |
+++ |
+++ |
+++ |
+- |
--- |
--- |
75 % |
25 % |
|
ДОСУГ |
-- |
+- |
-- |
+++ |
++ |
++ |
++ |
--- |
--- |
99 % |
1 % |
|
БЛАГС |
--- |
++ |
+- |
+++ |
+++ |
+++ |
+++ |
- |
+++ |
99 % |
1 % |
|
ТРУД |
+++ |
+- |
+++ |
+++ |
++ |
+- |
--- |
--- |
--- |
71 % |
29 % |
|
ДЕТНОСТЬ |
+++ |
--- |
--- |
--- |
- |
+- |
+- |
--- |
+++ |
28 % |
72 % |
|
Вес в 1981 г. |
11 |
4 |
33 |
6 |
8 |
7 |
8 |
20 |
3 |
|
|
|
Сферы |
СМИ |
+++ |
+- |
+- |
+++ |
+++ |
+++ |
+- |
--- |
--- |
99 % |
1 % |
|
ОПД |
- |
+- |
- |
++ |
++ |
+ |
++ |
- |
- |
25 % |
75 % |
|
КВОМ |
+- |
+- |
+- |
+++ |
+++ |
+++ |
--- |
+- |
- |
55 % |
45 % |
|
ПМИ |
+- |
+- |
+- |
+- |
+ |
+- |
+- |
--- |
+- |
10 % |
90 % |
|
МЛК |
+++ |
+- |
--- |
+++ |
+++ |
+++ |
--- |
--- |
--- |
78 % |
22 % |
|
ДОСУГ |
- |
++ |
+++ |
+++ |
+++ |
+++ |
+++ |
--- |
--- |
98 % |
2 % |
|
БЛАГС |
--- |
++ |
++ |
+++ |
+++ |
+++ |
+++ |
--- |
--- |
93 % |
7 % |
|
ТРУД |
+++ |
+- |
+++ |
+++ |
-- |
+- |
--- |
+- |
+- |
69 % |
31 % |
|
ДЕТНОСТЬ |
+++ |
--- |
--- |
-- |
- |
--- |
+- |
-- |
+++ |
29 % |
71 % |
|
Вес в 1991 г. |
9 |
4 |
40 |
8 |
10 |
9 |
7/2 |
10 |
3 |
|
|
|
Сферы |
СМИ |
--- |
--- |
--- |
+++ |
+++ |
+++ |
--- |
--- |
--- |
99 % |
1 % |
|
ОПД |
+ |
--- |
--- |
+- |
+ |
+- |
--- |
+ |
--- |
35 % |
65 % |
|
КВОМ |
+ |
+- |
--- |
+- |
+- |
++ |
--- |
+++ |
+- |
40 % |
60 % |
|
ПМИ |
- |
-- |
--- |
++ |
++ |
++ |
-- |
++ |
-- |
14 % |
86 % |
|
МЛК |
-- |
+- |
+- |
+++ |
+++ |
+- |
--- |
+- |
--- |
74 % |
26 % |
|
ДОСУГ |
--- |
- |
+- |
+- |
+ |
-- |
++ |
--- |
- |
95 % |
5 % |
|
БЛАГС |
--- |
--- |
--- |
+++ |
+ 1+++1 |
++ |
--- |
--- |
99 % |
1 % |
|
ТРУД |
+- |
++ |
+++ |
+++ |
+- |
+- |
--- |
+- |
- |
68 % |
32 % |
|
ДЕТНОСТЬ |
+++ |
+- |
+- |
-- |
+- |
+- |
- |
+- |
++ |
28 % |
72 % |
|
1 - суммарный процент включенных в данную сферу жизни.
2 - суммарный процент не использующих форм данной сферы. Группы по роду занятий:
С/х- работники сельского хозяйства;
ССО - служащие сферы обслуживания, торговли;
Р. - рабочие в промышленности, транспорте, связи;
ИТР - инженерно-технические работники;
ИНП - непроизводственная интеллигенция;
СА - служащие аппарата предприятий и учреждений;
Ст. - учащиеся вцзов и техникумов, школьники;
Пенс. - пенсионеры;
Д/х - домохозяйки.
3) выражения мнений и постановке проблем перед органами власти и редакциями газет, радио, телевидения на разных уровнях (КВОМ — каналы выражения общественного мнения; основной показатель — число используемых средств постановки проблем; max = 6);
4) производства массовой информации (ПМИ — выступления в печати, по радио, телевидению населения с общественно значимыми вопросами; основной показатель — число каналов публикации; max = 4);
5) межличностного общения (МЛК; основной показатель — число социальных групп с которыми в различных ситуациях обсуждаются общественно значимые проблемы; max = 15);
6) восстановления физических сил в досуге (ДОСУГ; основной показатель — число используемых форм досуга; max = 23);
7) сфере благосостояния (БЛАГОС — владение товарами длительного пользования; основной показатель — среднее число широкого спектра предметов семейного обихода; max = 32);
8) в сфере труда (ТРУД; основной показатель — число используемых форм трудовой активности; max = 9);
9) в процессе замещения поколений (ДЕТН; основной показатель — число детей до 18 лет).
Отклонения от средней в каждой группе по определенной сфере фиксируются
плюсами и минусами в трех доверительных интервалах: 95 % (+++ или---), 90 %
(++ или —), 80 % (+ или —). Зона максимальной активности выделена темной заливкой, зона умеренной активности — светло-серой.
Материальная структура физического воспроизводства социума сосредоточена в двух сферах: воспроизводства населения и материального производства. Сферы досуга и материального потребления говорят об уровне благосостояния и оперативной реинтеграции общественно необходимых затрат при данном социокультурном уровне через свойства мира вещей. Все остальное относится к идеологической сфере, характеру функционирования прямой и обратной связи, что говорит в какой-то мере о демократичности общества и т. п.
В первую очередь отметим, что, несмотря на резкую дифференциацию социальных групп по указанным параметрам, ни одна из них не дискриминируется критерием стандартного отклонения по числу институциональных форм жизнедеятельности относительно другой ни в одной из сфер за все три приведенных замера. То же можно сказать и о различиях возрастных групп по критерию стандартного отклонения. Однако позиции групп на социальной карте уже 35 лет назад дают возможность увидеть глубокие различия в их положении в системах производства и присвоения материальных и духовных благ в нашем обществе, различия между городом и деревней, умственным и физическим трудом. Лишь три группы (одна из них в 1991 г. отпадает) на протяжении всех трех замеров (1971—1981—1991 гг.) демонстрируют максимально высокую активность в сфере материального производства: рабочие промышленного производства, инженерно-технические работники и сельскохозяйственные рабочие, резко снижающие активность к концу анализируемого периода в связи с общим кризисом сельскохозяйственного производства в стране. Здесь создается стоимость, наиболее активно присваиваемая как раз в других секторах общественного организма. Наиболее высокие показатели уровня благосостояния, активности в досуге, в информационном производстве и потреблении, в политико-идеологическом контуре имеют до середины 80-х гг. как раз группы, связанные преимущественно с умственным трудом, в сфере управления. Интересно, что наши статданные фиксируют рост благосостояния и активности в политико-идеологическом контуре и досуге служащих сферы обслуживания (торговля и сфера услуг) именно к 1981 г., а затем резкого падения активности этой группы во всех представленных сферах. Это период «блондинки за углом», а затем мер борьбы с ней, в результате которых в торговле временами оказывалось невозможным найти людей на должности материально ответственных лиц.
Домохозяйки сохраняют высокий уровень благосостояния и рождаемость до середины 70-х, затем резко проигрывают в достатке и начинают снижать показатель детности. Чтобы учиться, надо иметь в массе высокий уровень достатка, уметь проводить свободное время с шиком, гулять, пока гуляется, и это правило с некоторым ослаблением к началу 90-х остается неизменным.
Пенсионеров отличает всплеск информационной активности к началу 90-х гг. в каналах выражения общественного мнения и информационном производстве.
При всех этих деталях и вариациях в поведении отдельных «социально-профессиональных» групп отметим важное сходство всех трех социальных карт. Прежде всего это однозначный групповой дисбаланс между активностью в сферах материального производства и присвоения вещного мира, сохраняющийся на протяжении анализируемых лет. Стержень этого дисбаланса — социальная стратификация, слепок которой показан в картах разрыва взаимосвязей (табл. 3.2 и 3.3). В тех картах связей политико-идеологического контура с возрастными, образовательными, по роду занятий группами, с типами активности в сферах благосостояния, досуга, труда, межличностной коммуникации и общей социальной активности наши последние три зоны-слепка социального перераспределения деятельности «свернуты» вокруг стратификационного стержня политико-информационного контура. Однако карты по поведению «социально-профессиональных» групп показывают еще один важный момент, который мы не могли увидеть в общей модели второй главы и в контурах активности. Хотя фигуры этих контуров подтверждают в двухмерном пространстве проекцию фигуры общей модели социума (глава 2) и являются одновременно и ее подтверждением, и следствием, карты поведения групп по роду занятий подсказывают другое. Они показывают, как резко тает и сужается область стратификационной структуры, как сокращается институциональное поле политико-идеологического контура — пресловутой властной вертикали. При падении энтропии в этом контуре за счет стягивания массы субъекта деятельности в один узкий институциональный коридор общая неопределенность активности всей массы социального субъекта по отношению к выделенным институтам общественной системы растет. Перед нами разворачивается карта самоуничтожения предметноинституциональной структуры. Это похоже на картину процесса дробления литосферных плит под воздействием тектонических сил. Задача задач — выяснить, как это происходит.
Характер отдельных изменений и возможные метрики полей пространства
Графические иллюстрации
На следующих шести графиках даны возрастные шкалы активности в институциональных структурах прямой и обратной связи между органами управления и населением, властной вертикали, межличностного общения, досуга и детности за период с 1981 по 1991 г. Вместе с тремя графиками изменений в целом, а также в сферах труда и благосостояния, приведенными выше, они позволяют детализировать выводы из карт активности групп по роду занятий с точки зрения активности возрастных групп на погодовой шкале. Динамика всех подсистем рассматривается нами пока что трояко: во-первых, структурно в целом, т. е. в комбинациях 2
6 использования предметно-институциональной «сетки», во-вторых, с точки зрения количественной активности использования этой «сетки» на возрастной шкале, в-третьих, в рамках активности социально-профессиональных групп в отдельных сферах этой «сетки». Все это на временном ряду в 10 лет.
Очевидно, что приводить аналогичные табл. 3.4 попарные структурно-комбинаторные таблицы по каждой подсистеме, — дело утомительное для читателя. Поэтому на фоне графических картин изменений активностей в той или иной подсистеме на возрастной шкале мы дадим лишь несколько показателей, интегрирующих распределения в этих таблицах на стартовой и финишной позициях рассмотрения (среднее число форм, стандартное отклонение, максимальное число используемых форм, вариация признака «число форм», энтропия), объединив их в одну таблицу. Кроме того, мы проинтегрируем институциональную структуру всей информационной — «коммуникативной» в терминологии Е.Я. Тарши-са — подсистемы общества в одну таблицу и рассмотрим некоторые ее стороны в динамике по исследованию «Таганрог»-2» 1979 г. и «Правда»-90/91», выделив из последней занятое население РСФСР в городах типа Таганрога.
Дело в том, что в этих двух исследованиях мы выясняли вопрос об используемых людьми источниках информации о событиях в различных областях окружающего мира. Речь шла прежде всего о «пространственных полях» шести общностей: мир в целом, страна, регион, предприятие, цех, а затем об информационных источниках об отдельных личностях и производственной сфере. При этом во Всесоюзном исследовании по всем локальностям предлагался перечень из 27 источников информации. Они были сгруппированы в шесть блоков:
1) внешние источники, зарубежные газеты, радио и телевидение (Зарубежные в табл. 3.7);
2) отечественная система средств массовой информации и пропаганды в целом, все шесть средств (Отечеств. в табл. 3.7);
3) внутризаводские информационные средства, газеты, радио, наглядная агитация и стенная печать и т. п. (ЗВД в табл. 3.7);
4) неформальные газеты и издания народных фронтов, митинги и собрания неформальных групп, возникающих партий и движений (Неформальные средства в табл. 3.7);
5) внутризаводские и фабричные, учрежденческие совещания и собрания по различным вопросам (Совещания в табл. 3.7);
6) межличностная коммуникация на уровне семьи, бытовой микросреды, трудовых коллективов, личные наблюдения и опыт (МЛКЛИЧ в табл. 3.7).
Поскольку в 1979 г. ряда источников информации в формах 1990 г. не было, в Таганроге была взята структура из 24 источников информации. Она была объединена также в шесть блоков: пятый блок стал четвертым, а шестой разбит на пятый, в который вошла межличностная коммуникация, и шестой — личный опыт и жизненные наблюдения. Для сравнения: такая же типология была дополнительно сделана и во Всесоюзном исследовании.
Здесь важно обратить внимание на следующее. Если раньше мы рассматривали систему информационных средств на институциональном уровне в виде шести средств и комбинаций из них, которые используют люди, то здесь она выступает как единый институт прямого потока информации от органов власти к населению наряду с остальными формами аккумуляции населением информации. Это имеет определенный смысл. Распределения населения по таблицам 2
6 (институты прямого потока, каналы выражения общественного мнения, общественная деятельность, трудовая активность и т. п.) дают по отдельности логнормальные распределения. Эти подсистемы фиксируют фрагменты информационной активности людей. Если мы начинаем рассматривать их суммарно, распределения приближаются к нормальному, так как и в инструментарии мы приближаемся к целостному рассмотрению системного вида человеческой активности. При интеграции же всех источников информации по всем пластам реальности в матрицу 2
6 (шесть информационных потоков, взятых дихотомически: «используют — не используют»), распределение становится нормальным и в матрице, и даже по количественному показателю — стандартному отклонению на шкале от 0 до 6. Тут показатель интегрирует в себя всю дифференцированную по предметно-институциональной среде людскую активность и выступает как целостное образование. Отсюда и возникает, во-первых, распределение, близкое к нормальному, во-вторых, возможность увидеть динамику фундамента системы, в-третьих, сравнить плотность распределений одной институциональной среды у разных общностей.
Графики на рис. 3.5, 3.6 и 3.8—3.10 сразу высвечивают дифференциацию поведенческих стереотипов активности различных возрастов в зависимости от тех или иных общественных подсистем и форм жизни. Но сначала отметим принципиальные сходства и различия распределений.
1. За десятилетний период в целом упала активность в сферах труда и рождаемости. Поднялся, как уже указывалось, уровень благосостояния.
2. Активность в сферах политико-идеологического сегмента общества однозначно падает у младшего и среднего поколения и возрастает в целом у поколения старше 50—60 лет. При этом в сферах информационного приема пики активности старших возрастов в 1991 г. в ряде случаев приходятся как раз на те возрастные группы (интервалы в 1 год), которые в 1981 г. давали падение активности. В остальных сферах такого не наблюдается, а в сфере выражения общественного мнения — постановки проблем перед властными структурами — повозрастные пики и падения замеров с интервалом в 10 лет
 |
|
1981 — 1991 |
Общественная работа Включенность в СМИП
Возраст Возраст
Рис. 3.8. Соотношение активности населения в 1981 и 1991 гг. в сферах приема массовой информации и выражения общественного мнения на возрастной шкале
 |
|
1981 _ 1991 |

Возраст Возраст
Рис. 3.9. Соотношение активности населения в 1981 и 1991 гг. в сферах общественной работы и межличностной коммуникации на возрастной шкале
в принципе совпадают. Это значит, что жизненные обстоятельства, инициирующие активность возрастных групп населения в обращениях «во власть» в связи с негативными ситуациями, остаются прежними и неизменными. Люди другие, стиль жизни тот же.
3. Молодые когорты, вступившие в процесс замещения поколений, дают в 1990/91 гг. большие провалы активности в досуге и межличностном общении, чем за 10 лет до этого. Для них институциональное поле проявления своей энергии тает не только в трудовом, политико-идеологическом и информационном сегментах, но и в формах и ареалах межличностного общения и досуга. При этом обратим внимание на пики роста числа несовершен-
 |
|
1981 — 1991 |

Возраст Возраст
Рис. 3.10. Соотношение активности населения в 1981 и 1991 гг. в сферах досуга и рождаемости (процессе замещения поколений) на возрастной шкале
нолетних детей в семье, приходящиеся на старшие поколения. Картина здесь совпадает с полученной ранее (см. главу 2). Эти пики говорят о появлении внуков и правнуков в связи с вступлением в процесс замещения поколений детей и внуков. Наибольший пик приходится на поколение рождения конца 60-х гг., вступление которого в процесс воспроизводства совпало с общественно необходимыми актами пронаталистской политики властей 80-х гг.
Система информационных средств — изменения в целом
В целом все это подтверждает предыдущие выводы, полученные на основе других методов статистического анализа. Чтобы начать разговор об информированности населения по различным проблемам и процессе реального информационного приема на фоне объективной картины жизни населения, нужно завершить рассмотрение динамики изменения, во-первых, информационной системы в целом, во-вторых, конкретных форм благосостояния и досуга, в-третьих, изменения в этот период бюджетов затрат времени на информационные и внеинформационные формы.
Из-за приподнятости выборки в верхние страты при перевзвешивании на генеральную совокупность уменьшается доля включенных во внешний поток информации (зарубежные газеты, радио, телевидение) с 19,4 до 15,5 %, но увеличивается объем «не-аудитории» всех информационных потоков с 7,5 до 11,2 % по пяти пластам реальности: «мир»—«страна»—«регион»—«микрорайон»—«предприятие». При этом в Таганроге 1979 г. среди занятого в народном хозяйстве населения вне информационной структуры, сформированной из источников информации, несущих сведения по четырем локальностям (указанные пять без «микрорайона» и без «неформальных источников»), оказывалось лишь 0,7 %, тогда как в аналогичной группе населения по городам типа Таганрога в 1991 г. — уже 10,7 %.
Так что отчуждение от институтов информационной структуры резко возрастает. Надо сказать и о том, что по Всесоюзному исследованию «Правда»-1977» объем абсолютной «не-аудитории» отечественных средств массовой информации
Таблица 3.7. Структура информационной активности населения в 1991 гг. по данным
Всесоюзного исследования «Правда»-1991» (в расчете на 1000 человек занятого в народном хозяйстве
населения; n1991 = 9672; перевзвешенный по переписи массив n1991= 8028) |
|
СССР 1991 год |
Неформальные средства |
В целом |
Зарубежн. |
Отечеств. |
4 о се «
5
о
6 с |
|
+ |
- |
|
Совещания |
Совещания |
|
+ |
- |
+ |
- |
|
МЛКЛИЧ |
МЛКЛИЧ |
МЛКЛИЧ |
МЛКЛИЧ |
|
+ |
- |
+ |
- |
+ |
- |
+ |
- |
|
Зарубежные |
+ |
Отечеств |
+ |
ЗВД |
+ |
35 |
|
12 |
1 |
23 |
1 |
12 |
1 |
85 |
+155 |
+874 |
+355 |
|
- |
11 |
|
11 |
2 |
14 |
|
23 |
6 |
67 |
|
- |
ЗВД |
+ |
|
|
|
|
|
|
|
1 |
1 |
|
- |
|
|
1 |
|
|
|
1 |
|
2 |
|
|
Отечеств |
+ |
ЗВД |
+ |
43 |
1 |
21 |
4 |
107 |
8 |
63 |
21 |
268 |
-845 |
-126 |
-645 |
|
- |
22 |
|
24 |
4 |
111 |
13 |
196 |
84 |
454 |
|
- |
ЗВД |
+ |
|
|
|
|
1 |
|
|
|
1 |
|
- |
|
|
|
|
|
|
10 |
112 |
122 |
|
В целом по колонкам |
111 |
1 |
69 |
11 |
256 |
22 |
305 |
2254 |
1000
1000
1000
1000 |
|
Неформальные средства |
+ 192 |
-808 |
|
Собрания, совещания |
+390 |
-610 |
|
Личный опыт, МЛК |
+ 741 |
-259 |
|
«+» - используют в качестве источников сведений.
«-» - не используют в качестве источников сведений. |
и пропаганды составлял 2,5 %. Из табл. 3.7 ясно, что он увеличился до 12,6 %. Кроме того, в исследовании 1977 г. прием информации зарубежных радиостанций, которые глушились, вело 14,7 % населения страны. Доля фактически осталась неизменной и через полтора десятка лет. В 1977 г. было обнаружено, что в «не-аудито-риях» отечественных газет, радио, телевидения встречаются соответственно 0,7, 0,6 и 0,9 % людей, которые слушают зарубежное радио. В абсолютной «не-аудитории» отечественных средств 1977 г. (на выборке в 9366 чел.) таковых обнаружено не было. В 1991 г. их объем составлял 0,3 %. Если в 1977 г. каналы зарубежных радиостанций выполняли информационную роль трансляции дополнительной информации, нехватка которой ощущалась в отечественных СМИ, то с 90-х гг. они приобретают персональную аудиторию, границы которой к нашему времени расширяются.
К сожалению, провести крупномасштабное целостное исследование аудитории нынешних СМИ весьма трудно. В 2004 г., однако, мы провели небольшое исследование в Тамбове и в Москве, посвященное проблемам реформы образования, профориентации населения и информационному приему в динамике за 36 лет
. Попутно выясняли и включенность в систему средств массовой коммуникации. Выяснилось, что наибольшая дифференциация мегаполиса и среднего города состоит в использовании Интернета и в предвыборной агитации. В Москве в аудиторию Интернета было включено почти 30 % опрошенных, в Тамбове — 3 %. Предвыборной агитацией в столице было охвачено 5 %, а в Тамбове — 2 % населения. По остальным средствам мы представили динамическую картину, начиная с 1990 г.
Таблица 3.8. Соотношение структур аудиторий газет и журналов, радио и телевидения по данным Всесоюзного исследования 1990/91 гг. и исследований в Тамбове и Москве в 2004 г.
(в расчете на 100; ПШ1 = 9672, Тамбов = 176, Пмосква = 131). |
|
Аудитория |
СССР-1990/91 гг. |
Тамбов-2004 (январь) |
Москва-2004 (март) |
|
Радио |
S |
Радио |
S |
Радио |
S |
|
+ |
- |
+ |
- |
+ |
- |
|
ТВ |
ТВ |
ТВ |
ТВ |
ТВ |
ТВ |
|
+ |
- |
+ |
- |
+ |
- |
+ |
- |
+ |
- |
+ |
- |
|
Газеты |
+ |
Жур
налы |
+ |
54 |
5 |
14 |
2 |
75 |
5 |
2 |
13 |
5 |
25 |
25 |
0 |
18 |
0 |
43 |
|
- |
13 |
1 |
5 |
1 |
20 |
5 |
2 |
33 |
11 |
51 |
15 |
0 |
16 |
2 |
33 |
|
- |
Жур
налы |
+ |
1 |
0 |
0 |
0 |
1 |
0 |
0 |
|
1 |
1 |
4 |
0 |
3 |
2 |
9 |
|
- |
2 |
0 |
1 |
1 |
4 |
5 |
1 |
13 |
4 |
23 |
7 |
0 |
6 |
2 |
15 |
|
S |
70 |
6 |
20 |
4 |
100 |
15 |
5 |
59 |
21 |
о
о |
51 |
0 |
43 |
6 |
100 |
|
Радио |
+76 |
-24 |
100 |
+20 |
-80 |
о
о |
+51 |
-49 |
100 |
|
ТВ |
+90 |
-10 |
100 |
+74 |
-26 |
о
о |
+94 |
-6 |
100 |
|
«+» - используют в качестве источников сведений.
«-» - не используют в качестве источников сведений. |
В целом при сравнении всех трех структур можно отметить следующее.
1. Для сравнения структур аудиторий печатных и аудиовизуальных средств аудитория Всесоюзного исследования оставлена в целом, так как принципиальных различий этой структуры в подвыборках по городам типа Тамбова и по Московской области в то время не наблюдается. Система едина.
2. Наиболее резкие изменения произошли в объемах аудиторий радио и журналов. При этом тамбовчане показывают, что доминантной группой стала та, что пользуется сразу двумя информационными средствами: местными газетами и телевидением. Журнальная аудитория сократилась в Тамбове в 3 (в Москве — в 1,5), а аудитория радио — в 4 раза (в Москве — в 1,5).
По ответам москвичей тут сохранена доминировавшая 15 лет назад структура аудитории с уменьшением группы максимально активных за счет увеличения использующих только газеты и телевидение. Заметим, что объем аудитории газет в двух массивах 2004 г. одинаков: в целом газеты через день читает три четверти опрошенных. Кроме того, из 30 % москвичей, использующих каналы Интернета, 93 % одновременно смотрят телевидение и, таким образом, Интернет в мегаполисе выполняет функции взаимодополняющего информационного средства на рынке сообщений.
Наиболее резкому сокращению в средних городах подверглись аудитории журналов и радио. Потребность в чтении газет осталась, в общем, на прежнем уровне и сократилась сравнительно мало. Резко возросли объемы узколокальных групп аудитории, связанных со стандартным стереотипом поведения в отношении информационных средств: прием информации визуальных средств и газет. Здесь ясно видно, что институциональная структура подверглась резкому сужению и как раз в плане сокращения тех средств, которые обращаются к реципиенту текстуально — через вторую, а не первую, как телевидение, сигнальную систему. Поток «картинок» — это прием информации через первую сигнальную систему, осмысление текста — через вторую, которая требует более активного моделирования реальности. Критически отнестись к содержанию «картинки» массе реципиента труднее. Кроме того, и текст тексту рознь. При анализе стандартов приема содержания сообщений мы коснемся адекватности интерпретации смысла сообщений по методике Т. М. Дридзе и увидим, что тексты, апеллирующие к эмоциональной сфере реципиента, имеют достаточно специфичное обращение в аудитории и интерпретацию их штампов и клише. Здесь огромное поле исследований для изучения реальных последствий восприятия и эффектов воздействия рекламных «роликов» и «долбежек».
Обрушение рынка печатной продукции
В целом мы видим здесь итоги разрушений аудитории СМИ, происшедших на переходе информационного производства на частную основу с несбалансированным балансом межотраслевого обмена в деятельности целлюлозно-бумажной промышленности. В 1989 г. были впервые отменены ограничения на подписку массовых газетных и журнальных изданий. Уже в то время мы проанализировали изменения на рынке подписных изданий и получили интересную картину.
В ряде изданий в конце 80-х — начале 90-х гг. приводились итоги годовой подписки на всесоюзные газеты и журналы
. Отмена подписных ограничений на ряд журналов и газет резко расширила аудитории этих изданий. В 1990 г. в связи с началом инфляционной политики государства цены подскочили вверх. Ряд изданий повысил подписную цену. В публикуемых списках оказалось сопоставимыми за оба периода 26 изданий (13 газет, 13 журналов).
С 1989 на 1990 г. число подписок на 26 ведущих изданий увеличилось на 13 % (по газетам — на 15 %, по журналам — на 10 %, 1989 г. за 100 %), что дало 9%-ное увеличение денежной массы, вложенной населением в подписку (масса денег от подписки на газеты выросла на 5 %, а от подписки на журналы — на 14 %). В следующий период цены были подняты на эти 26 изданий в среднем в 1,86 раза, и при этом общая масса денег, отданных населением на подписку, возросла лишь на 7 %, а число подписок сократилось на 36 % (по газетам — на 35 %, по журналам — на 54 %). При этом денежная масса от подписки на журналы упала (—12 %), а от подписки на газеты возросла (+20 %). Таким образом, качественная структура информационного потребления в одночасье перевернулась по экономическим причинам, и наиболее резко была сбита перспективная для развития рынка потребность более высокого уровня — в журнальной, а не в газетной периодике.
Но и этого мало. Издания повышали подписную цену дифференцированно, и это приводило к различным последствиям. Так, лидер тогдашнего читательского бума «АиФ», повысив цену ровно вдвое, потерял более 10 млн подписчиков (—31 %), выиграв более 33 млн рублей (+38 % несколько обесценившейся массы денег от предыдущего года). «Труд», потеряв 3,5 млн подписчиков (—17 %), выиграл более 76 млн рублей (+47 % от предыдущей денежной массы). «Известия» потеряли почти 6 млн подписчиков из 9-миллионной аудитории и около 3 млн рублей из 86 млн за предшествующий год. В катастрофическом положении оказалась «Ли-тературка», потерявшая 3,4 млн подписчиков из 4,4 млн (—76 %) и 25 млн рублей из 46 прошлогодних млн (—54 %).
При анализе этих цифр, однако, нужно учитывать факт относительного подъема цены и падения объемов аудитории того или иного издания. Мы сконструировали показатель рейтинга 30 изданий в переходе с 1990 к 1991 гг. на шкале от — 100 % до +100 %, учитывающей степень взлета цены на каждое издание, затраты денег на каждый потерянный подписной талон при условии его сохранения, выровненные с учетом индекса на рубль годовой подписки.
100-
87
.я
^ 60-ш
I
Е 40-
49
ІЯ
31 30
ЯЯ
24 24
ЯЯ 17
16
го-
ттшшт
-1 -1 -1 -1
-го
-40-
“-16.
18
-19-19-19
¦21.
-26-28
1 2 3 4 5 6 7 8 9 10 11 12 13 14 15 16 17 18 19 20 21 22 23 24 25 26 27 28 29 30
Подписка на газеты и журналы 1990/91 гг.
Рис. 3.11. Условный рейтинг газетной и журнальной периодики при подписке в период 1990/91 гг. (по данным Союзпечати и с учетом изменения цен и падения объемов аудитории; на шкале от -100 до +100 условных процентов)
Прокомментируем график на рис. 3.11: 1-е место — «Труд» +86,7 %, 2-е место — «Комсомольская правда» +49,3 %, 3-е место — «АиФ» +30,9 %, 4-е место — «Экономика и жизнь» +30,3 %, 5-е место — «Семья» +24,1 %, 6-е место — «Рабочая трибуна» +23,7 %, 7-е место — «Крестьянка» +17,3 %, 8-е место — «Сельская жизнь» +16,2 %, 9-е место — «Смена» +9,1 %, 10-е место — «Работница» +4,4 %. Такова десятка «фаворитов» газетного рынка в точке перелома. Она представляет собой 33 % наименований отобранной группы печатных изданий.
Четыре издания — «Известия» —1 %, «Московские новости» —1 %, «Красная звезда» —1,2 %, «Учительская газета» —1,2 % — представляют собой точку равновесия, своего рода «нулевую» группу, составляющую 13 % отобранных номиналий.
Іруппа «аутсайдеров» наиболее многочисленна—54 % от выделенной группы. Здесь начнем с обратного негативного конца шкалы: 1-е место (30) — «Правительственный вестник» —28,1 %, 2-е место (29) — журнал «Здоровье» —26,0 %, 3-е место (28) — журнал «Новый мир» —20, 6 %, 4-е место (27) — «Литературная газета» —19,4 %, 5-е место (26) — «Диалог» —18,9 %, 6-е место (25) — журнал «Дружба народов» —18,6 %, 7-е место (24) — журнал «Известия ЦК КПСС» —17,6 %, 8-е место (23) — журнал «Коммунист» —15,8 %, 9-е место (22) — журнал «Партийная жизнь» —13,5 %, 10-е место (21) — газета «Правда» —10,7 %, 11-е место (20) — «Народный депутат» —10,4 %, 12-е место (19) — журнал «Молодая гвардия» —9,9 %, 13-е место (18) — «Советская культура» —9,4 %, 14-е место (17) — «Человек и закон» —7,7 %, 15-е место (16) — журнал «Знамя» —7,4 %, 16-е место (15) — «Огонек» —6,2 %.
Итак, население выбирает газеты разной ориентации, молодежную тематику, семейные отношения, экономическую жизнь и пока что виды на сельское хозяйство
. Приближенно по рейтингам в целом выиграли издательства «Московская правда» и ВЦСПС, проиграли «Известия», а «Правда» осталась при своих за счет широты ассортимента изданий. Шла борьба «за место под солнцем».
Надо сказать, что это, возможно, последний период, когда по номиналиям печатных изданий можно было отслеживать реакцию широких слоев населения на проводимую экономическую политику. Отказ от подписки по экономическому выбору не случаен. При затягивании поясов в первую очередь сокращаются не материальные потребности, а вторичные, в том числе и информационные. Об этом говорят и парные близлежащие рейтинги и журнала «Новый мир» и «Литературной газеты», «Дружбы народов» и «Диалога», партийных изданий. Уже через два года рынок центральных периодических изданий рухнул, а население в приеме оперативной информации переориентировалось на местные печатные органы и на телевидение, «уйдя в глухую защиту». Сейчас мы увидим косвенное подтверждение начала этого процесса в сопоставлении распределений по источникам информации о различных пластах реальности («мир» — «страна» — «регион» — «микрорайон» — «предприятие-учреждение» и т. п.) в 1990/91 гг. Но пока что сделаем несколько замечаний.
1. Это было только начало. Сокращение ареала рынка неизбежно ведет к сокращению денежной массы, получаемой с оборота. Это подрыв емкости рынка, тем более нелепый, что полученные в период инфляции деньги иллюзорны. Нужно искать новый товар, чтобы уже на нем сделать «сверхприбыль». Потребности же информационного приемника не бесконечны. Теперь, например, «АиФ» имеет десятикратное падение тиража, а рвущийся в свое время из рук в руки и лимитированный «Вокруг света» вынужден давать рекламу по телевидению. Лимит здесь принял экономические формы, выраженные по-иному. Отметим «Коммерсант». Его фактический тираж практически не изменился за 15 лет и колеблется около стартового объема в 100 000 экземпляров, что говорит, несмотря на выделение из него ряда изданий, о стабильности существующей потребности в содержащейся в нем информации при несомненной неоднократной ротации слоя-носителя этой потребности. Из социальной «ячейки типа «Коммерсант» постоянно выходят и постоянно в нее входят люди. Методологически самый интересный вопрос: за какой период происходит полная ротация реципиента-потребителя.
2. Как видно, население голосует не только на выборах и референдумах, которые «вовремя» отменены, что в корне не изменит дело. Оно голосует экономическим поведением: сокращением информационного приема, саботажем определенных форм торговли, обвалом рынка, падением рождаемости, провалом режима ипотечного «кредитования», уходом в сумеречный мир наркотиков и пьянства и в небытие от лишенного смысла бытия
.
3. В таблице 3.8 мы рассмотрели распределения населения в четырехмерном поле текстовых и аудиовизуальных СМИ в двух точках, разделенных 15-летним интервалом. Энтропия распределения массы приемника информации в этом поле была в 1990/91 гг. по СССР в целом 0,576, по московскому региону — 0,607, по городам типа Тамбова — 0,558. Доминирующей была группа использующих все четыре средства (54 % взрослого населения; 1/16 комбинаций средств давала больше половины массы взрослого населения страны). Система была стянута к институциональному центру за счет «товарного» разнообразия печатных каналов. Теперь значения энтропии в этой же институциональной «кристаллической решетке» составляют по Москве — 0,741 (по заполненным клеткам — 0,857), а по Тамбову — 0,756 (по заполненным — 0,817). И это говорит, что поведение людей в институциональной структуре информационных средств лишилось своей информационной определенности. Реализация мотивов выбора информационных средств парадоксально приобретает стохастический характер из-за сужения «товарного поля» каналов-проводников при высокой стандартизации их содержания. Выбор информации переходит на менее предсказуемый и менее известный уровень. Наш рынок за 15 лет успешно подрывал самые основы рыночной экономики. Число изданий росло, разовый тираж упал в 1,5 раза, суммарный годовой тираж газет падал именно с 1990 г. и упал к 2003 г. в шесть с лишним раз, приблизившись к тиражам 40-го «сталинского» года. Эффект реакций населения на уровне институциональной структуры информационных средств тот же, что и на уровне приема отдельных сообщений, который мы отметили в главе 1.
4. Экономическая политика властей в ряде случаев вызвала и вызывает публичные раздоры в коллективах СМИ, которые, конечно же, подаются в освещении политической светотехники, что не имеет ничего общего с функцией информирования населения.
Распределение по источникам информации о различных пластах реальности
С целью анализа изменений в поведении людей на уровне агрегированных институциональных структур нами было построено 24 таблицы. По институциональной структуре прямого потока информации на аудиторию (структура из шести информационно-пропагандистских средств — 2
6) было построено 9 таблиц: комплексная структура аудитории в 1969 г. в Таганроге в целом и по занятому населению, в 1977 г. по населению СССР в целом, по занятому населению страны, по населению городов типа Таганрога, в 1979 г. по занятому населению Таганрога, в 1990/91 гг. по населению СССР аналогично Всесоюзному исследованию 1977 г. По институциональной структуре обратного потока информации от населения к органам власти (структура из шести каналов выражения общественного мнения — постановки социально значимых проблем — 2
6) было построено 6 таблиц: комплексная структура в 1969 г. в Таганроге в целом и по занятому населению, в 1979 г. по занятому населению Таганрога, в 1990/91 гг. по населению СССР аналогично таблицам, построенным по информационным средствам прямого потока (увы, во Всесоюзном исследовании 1977 г. не был задан именно один вопрос, позволяющий вычленить структуру обратного потока информации на уровне страны в тот период). По институциональной структуре общественно-политической деятельности было построено 9 таблиц, аналогичных 9 таблицам по структуре прямого информационного потока
.
Для коррекции выводов мы рассмотрели 16 распределений по практически исчерпывающему спектру источников информации от личного опыта до зарубежных газет и журналов (27 источников) в границах различных локальностей. Для страны в целом в 1990/91 гг. были выбраны «мир» — «страна» — «регион» — «микрорайон» — «предприятие». Для выяснения изменений относительно замера в Таганроге в 1979 г. по стране были выбраны четыре локальности на пересечении, адекватном таганрогскому инструментарию: «мир» — «страна» — «регион» —«предприятие». При этом количество источников было выровнено: 24 аналогичных источника информации без появившихся в 1990 г. информационных источников неформальных объединений. В Таганрогском исследовании 1979 г. для полноты картины к указанным четырем локальностям («мир» — «страна» — «регион» — «предприятие») было прибавлено еще три: «цех» — «личность» — «сфера производства».
Исследование по стране было рассмотрено в трех срезах:
1) перевзвешенное по переписи населения на генсовокупность;
2) в рамках занятого населения;
3) в рамках занятого населения России по городам типа Таганрога.
Коэффициенты по этим срезам оказались принципиально одинаковыми, но
для корректности сравнения с Таганрогом 1979 г. взяты и первый, и третий.
В следующих двух таблицах мы приводим интегрированные показатели по этим сорока замерам агрегированных и линейно вытянутых институциональных элементов информационной структуры нашего общества в общем и целом за период в 23 года.
Отметим, что поведение в агрегированных матрицах и на линейных распределениях по источникам информации различно. Но есть и общие элементы в показателях среднего числа используемых форм социальной жизни, источников информации и каналов выражения мнений, вариации признака «количество форм жизнедеятельности или источников информации — каналов» и значениях энтропии. Начнем с анализа показателей распределений в агрегированных матрицах.
Таблица 3.9. Показатели распределений людей в агрегированных структурах «прямого» и «обратного» потока информации между органами власти и населением, общественной деятельности в исследованиях 1969-1991 гг.
(в абсолютном выражении, в показателях среднего числа форм в таблицах 26, стандартного отклонения, вариации (в %) и значениях нормированной энтропии) |
Показатели
Тип матрицы |
Абс. |
Число
формы |
Сред
нее |
Ст. от-
клон. |
Вариация % |
Энтропия |
|
Общая |
Экс-
пер. |
|
Средства массовой информации — показатели распределений в комбинаторных матрицах |
|
Таганрог 1969 г. взрослое население |
1017 |
6 |
4,532 |
1,237 |
27,4 |
,541 |
,638 |
|
Таганрог 1969 г. занятое население |
791 |
6 |
4,759 |
1,094 |
23,0 |
,491 |
,620 |
|
СССР 1977 г. все взрослое население |
9366 |
6 |
3,385 |
1,325 |
40,6 |
,711 |
,773 |
|
СССР 1977 г. занятое население |
5150 |
6 |
3,761 |
1,189 |
31,8 |
,692 |
,736 |
|
РСФСР 1977 г. занятое в г. типа Таганрога |
716 |
6 |
3,814 |
1,164 |
30,7 |
,673 |
,740 |
|
Таганрог 1979 г. занятое население |
1988 |
6 |
5,005 |
,959 |
19,2 |
,487 |
,536 |
|
СССР 1991 г все взрослое население. |
8028 |
6 |
3,076 |
,995 |
32,6 |
,555 |
,584 |
|
СССР 1991 г. занятое население |
5620 |
6 |
3,132 |
,991 |
31,9 |
,550 |
,585 |
|
РСФСР 1991 г. занятое в г. типа Таганрога |
1126 |
6 |
3,017 |
,946 |
31,7 |
,500 |
,600 |
|
Каналы выражения мнения — показатели распределений в комбинаторных матрицах |
|
Таганрог 1969 г. взрослое население |
1017 |
6 |
1,708 |
1,046 |
61,3 |
,515 |
,559 |
|
Таганрог 1969 г. занятое население |
791 |
6 |
1,310 |
,683 |
52,1 |
,359 |
,427 |
|
Таганрог 1979 г. занятое население |
1988 |
6 |
1,300 |
,685 |
52,7 |
,266 |
,323 |
|
СССР 1991 г все взрослое население. |
8028 |
6 |
1,723 |
1,094 |
63,5 |
,313 |
,315 |
|
СССР 1991 г. занятое население |
5625 |
6 |
1,673 |
1,058 |
63,2 |
,310 |
,315 |
|
РСФСР 1991 г. занятое в г. типа Таганрога |
1119 |
6 |
1,529 |
,928 |
60,7 |
,278 |
,347 |
|
Формы общественной деятельности — показатели распределений в комбинаторных матрицах |
|
Таганрог 1969 г. взрослое население |
1021 |
6 |
1,427 |
,637 |
44,6 |
,393 |
,496 |
|
Таганрог 1969 г. занятое население |
791 |
6 |
1,433 |
,605 |
42,2 |
,416 |
,538 |
|
СССР 1977 г. все взрослое население |
9366 |
6 |
1,244 |
,562 |
45,2 |
,396 |
,421 |
|
СССР 1977 г. занятое население |
5150 |
6 |
1,235 |
,519 |
42,0 |
,451 |
,546 |
|
РСФСР 1977 г. занятое в г. типа Таганрога |
716 |
6 |
1,215 |
,532 |
43,8 |
,444 |
,543 |
|
Таганрог 1979 г. занятое население |
1988 |
6 |
1,218 |
,541 |
44,4 |
,463 |
,533 |
|
СССР 1991 г все взрослое население. |
8028 |
6 |
1,157 |
,438 |
37,9 |
,308 |
,347 |
|
СССР 1991 г. занятое население |
5620 |
6 |
1,145 |
,406 |
35,4 |
,317 |
,368 |
|
РСФСР 1991 г. занятое в г. тип Таганрога |
1122 |
6 |
1,107 |
,353 |
31,9 |
,347 |
,443 |
|
ТТаблица 3.10. Показатели распределений по числу используемых источников информации
Показатели
ЛокальностЪ\^ |
Абс. |
Макси-
маль-
ное
число
источ
ников* |
Сред
нее |
Ст.
откло
нение |
Вариация % |
Энтропия |
|
Общая |
Экс-
пер. |
|
Таганрог 1979 г.: максимальное число источников информации по различным ареалам равно 24 |
|
Мир |
1988 |
24 |
4,566 |
3,035 |
66,5 |
,721 |
,751 |
|
Страна |
1988 |
21 |
4,055 |
2,655 |
65,7 |
,684 |
,712 |
|
Регион |
1988 |
20 |
2,640 |
2,109 |
79,9 |
,563 |
,615 |
|
Предприятие |
1988 |
22 |
2,582 |
1,928 |
74,7 |
,552 |
,640 |
|
Цех |
1988 |
21 |
2,365 |
1,752 |
74,1 |
,529 |
,601 |
|
Личность |
1988 |
21 |
2,239 |
1,625 |
72,6 |
,516 |
,613 |
|
Производственная работа |
1988 |
21 |
1,939 |
1,694 |
87,4 |
,481 |
,547 |
|
РСФСР 1991 г., занятое население в городах типа Таганрога: число источников равно 24 |
|
Мир |
1122 |
19 |
4,053 |
2,398 |
59,2 |
,695 |
,807 |
|
Страна |
1122 |
19 |
4,247 |
2,604 |
61,3 |
,714 |
,811 |
|
Регион |
1122 |
17 |
3,864 |
2,494 |
64,5 |
,690 |
,784 |
|
Предприятие |
1122 |
15 |
3,105 |
2,055 |
66,2 |
,573 |
,682 |
|
СССР 1991 г., все взрослое (с 18 лет) население: число источников равно 24 |
|
Мир |
8028 |
20 |
4,027 |
2,361 |
58,6 |
,697 |
,749 |
|
Страна |
8028 |
21 |
4,317 |
2,557 |
59,2 |
,715 |
,769 |
|
Регион |
8028 |
21 |
3,980 |
2,550 |
64,1 |
,796 |
,762 |
|
Предприятие |
8028 |
23 |
3,047 |
2,122 |
69,6 |
,576 |
,654 |
|
СССР 1991 г., все взрослое (с 18 лет) население: число источников равно 27 (с «неформалами») |
|
Мир |
8028 |
22 |
4,120 |
2,468 |
59,9 |
,681 |
,745 |
|
Страна |
8028 |
24 |
4,493 |
2,756 |
61,3 |
,706 |
,762 |
|
Регион |
8028 |
23 |
4,155 |
2,734 |
65,8 |
,686 |
,763 |
|
Микрорайон |
8028 |
23 |
3,091 |
2,171 |
70,2 |
,560 |
,659 |
|
Предприятие |
8028 |
24 |
3,791 |
2,896 |
76,4 |
,632 |
,681 |
* Источники информации: 1 — центральные и областные газеты; 2 — городская, районные газеты; 3 — многотиражная газета предприятий; 4 — газеты неформальных объединений (в Таганроге 1979 г. не замерялись); 5 — издания народных фронтов (в Таганроге 1979 г. не замерялись); 6 — передачи государственных радиостанций всех уровней; 7 — передачи заводского радио; 8 — передачи телевидения; 9 — стенные газеты; 10 — лекции; 11 — политинформации; 12 — занятия в системе политобразования; 13 — собрания; 14 — беседы с агитаторами; 15 — наглядная агитация; 16 — занятия в системе экономического образования; 17 — занятия в народных университетах; 18 — беседы с представителями администрации; 19 — заседания, производственные совещания; 20 — беседы с руководителями общественных организаций; 21 — разговоры с товарищами по работе; 22 — разговоры в семье; 23 — разговоры с соседями, знакомыми; 24 — митинги, выступления ораторов, листовки (в Таганроге 1979 г. не замерялись); 25 — личный опыт, личные наблюдения; 26 — передачи зарубежного радио; 27 — зарубежные газеты и журналы.
1. Бросается в глаза, что значение энтропии (по всем клеткам матрицы (энтропия общая)) находится в связи со средним числом используемых институциональных форм и вариацией этого признака информационной деятельности в прямом и обратном потоке информации между сферой управления и населением. Если отвлечься от анализа динамики показателей на схожих объектах, то действует правило «Чем меньше вариация активности населения, тем меньше значение энтропии» при том, что среднее значение информационной активности при постоянном максимуме данных форм (6) может возрастать. Но эти корреляции отклонений четко ложатся на масштаб общностей, взятых для анализа показателей. Чем больше общность в рамках подвыборки (страна в целом, занятое население, занятое население в границах городов типа Таганрога), тем выше вариации признака и значение энтропии используемых людьми форм. При этом «организационная деятельность», растекающаяся по формам общественной работы и политической деятельности, дает картину, противоположную относительно информационной активности, которая находится в более свободном состоянии. Здесь (в организованной деятельности) падение вариации активности поведения в рамках однородной выборки по разному типу общности ведет к возрастанию энтропии как по всем, так и по заполненным клеткам матриц. Это говорит и о плотности концентрации субъекта политической деятельности в узко-локализованном пространстве, и о степени насыщенности той или иной общности рассматриваемыми социальными формами и институтами. Причем, несмотря на кажущуюся корреляцию с колебаниями объемов подвыборок, действует вышесказанное правило; и впрямь, объемы подвыборок при анализе «организационной» деятельности уменьшаются, а энтропия обоих видов растет при падении вариативности поведения
. Кроме того, мы проверили по всем локальностям показатели вариации числа источников, энтропии и объема выборки в границах признака «национальность» как одного из представляющих характерную общность. По 10 национальностям, перечисленным в порядке убывания объемов в выборке: русские, украинцы, узбеки, казахи, белорусы, таджики, татары, мари, евреи, каракалпаки, — прямой зависимости между объемом подвыборки и вариацией энтропии зафиксировано не было
. Таким образом, возникают понятия, с одной стороны, плотности насыщения социального пространства институциональной кристаллической решеткой, а с другой — метрики этого пространства реализации обмена человеческой активностью в виде поля конкретной социальной общности.
2. Если рассматривать динамику показателей, то в целом за анализируемый период происходит сужение комбинации форм прямого потока информации с уничтожением к концу периода форм устной пропаганды. В конце 70-х гг. возрастает до максимального охват занятого населения информационно-пропагандистскими средствами (в Таганроге до предельных значений), который затем резко падает. Обратная связь претерпевает также сужение институционального поля, но активность на нем остается в целом стабильной. К середине 70-х гг. энтропия в сфере общественно-политической деятельности среди занятого населения Таганрога и по городам этого типа в целом растет при падении среднего числа используемых населением форм, а затем ее значение резко падает. Дело в том, что отдельное рассмотрение этой подсистемы еще в 1979 г. привело к выводу, что политика всеобщего охвата общественной деятельностью населения привела к дисфункции активности в этой сфере. Число форм в подсистеме функционально задано определенными условиями. Искусственное расширение по принципу «каждому — одно поручение» вместо политики повышения эффективной работы общественных организаций для присвоения результатов их деятельности через продукт производства всеми людьми привело к деградации форм сферы.
Обратимся теперь к информационной подсистеме в целом (табл. 3.10). Здесь совершенно очевидным выступает ряд явлений.
1. Выделенный ряд институтов-каналов информационной системы общества является практически равноположенным при аккумуляции сведений по любому пласту социальной реальности. Не только теперь, когда мы можем узнать о талантливом соседе из всемирной паутины, но и 30, и 15 лет назад максимальное число используемых в обществе источников о своей работе, отдельных людях, производстве было не меньше, а в ряде случаев больше, чем число информационных «каналов» о мировых событиях.
2. Несмотря на почти одинаковые предельные значения числа используемых источников информации по любой локальности, среднее их значение на одного человека неуклонно падает с уменьшением размеров того ареала, о котором они несут информацию. Это первое правило. Особенно это заметно по данным второго таганрогского исследования. Второе правило: движения значений энтропии, когда формы-каналы системы взяты по максимуму (24 источника — для 70-х гг., 27 источников — для 1991 г.), полностью соответствуют движениям среднего значения числа источников на одного респондента. Исключений из первого правила три: снижение среднего числа источников о международных делах в сравнении с источниками о делах страны в 1991 г., снижение среднего числа источников о производственной деятельности по сравнению с числом источников об отдельных людях в Таганроге 1979 г., снижение числа источников о бытовой микросреде («микрорайон») по сравнению с «предприятием» в 1991 г. Эти исключения могут говорить о следующем. Прежде всего, острота внутриполитической обстановки в стране в 1990/91 гг. вырабатывала большую потребность во внутрисоюзной информации. Кроме того, это отражение общего падения интереса населения к международной информации, динамику которого за 40 лет мы обсудим в главе 5 при рассмотрении процесса реального чтения сообщений. Большее число источников информации об отдельных личностях, чем о производственной деятельности, может объясняться разницей между потребностями: более развитой общечеловеческой и более локализованной технологически. Отклонения же средней на уменьшение по источникам об отдельных «микрорайонах» по сравнению с «предприятием» можно объяснить коллапсом производственной сферы, вызывающим повышенную тревогу и интерес. Об этом же говорит и резкое снижение максимального числа зафиксированных в пользовании источников информации среди занятого населения России по городам типа Таганрога в 1991 г., т. е. на поле разрушающихся промышленных территориально-производственных общностей. Здесь гибли не только формы труда.
Теперь о самом главном. Мы видим, что чем больше среднее число источников информации на человека, тем выше энтропия. Чем больше, следовательно, институциональных форм обмена деятельностью, тем выше распыление субъекта этой деятельности по кристаллическому контуру конституированных ячеек, держащих этот обмен в динамическом равновесии. Однако, как мы уже упоминали, при расширении поля сообщений и в связи с детерминантами общественно необходимого для присвоения информации времени значение энтропии в распределении населения при приеме отдельных сообщений падает. То же давным-давно наблюдается в товарном мире. «Огива» — кривая Паретто фиксирует резкое снижение значения энтропии при увеличении ассортимента (номиналий) товаров. Конечно, в полярной точке — при снижении количества товаров до узкого стандартного предела — энтропия распределения относительно этих товаров также растет, но это говорит о том, что данная предметная область незаполняема огромной массой потребителя (этот факт имеет место в случае публикации 10, а не 40 сообщений в газете). Здесь теряется определенность общественно значимых потребительных свойств, а масса потребителей уходит на другие уровень и качество удовлетворения потребности. Но отсюда вытекает ряд важнейших следствий.
1. Предметно-институциональная структура в этом случае представляет собой внешний контур, оболочку обмена деятельностями, тогда как сам обмен свойствами людей через потребительные свойства вещей-товаров, знаков, требующий активности сознания в выборе, является внутренним процессом. При этом цикличность деятельности по отношению к товарному миру и цикличность смены институциональных форм имеют разные временные параметры. Если прибегнуть к метафоре, то институциональные формы деятельности — это магнитные линии, кристаллическая решетка, тело социальной жизни, а предметы, вещи, текст, знаковое поле обмена — поток импульсов, электроток, кровь, переносящие человеческую активность, личностные свойства во времени. Регуляторы механизмов обмена лежат в формах и институтах собственности на орудия и средства производства материальной жизни. В этой системе не может быть ничего постоянного, кроме, может, относительной величины времени, потребной для ее коллективного воспроизводства. Вот мы видели, что при деградации институциональной структуры обмена население мгновенно ответило сужением информационных потребностей более высокого уровня, отказом от подписки на литературные журналы и газеты, на издания, связанные с политической и интеллектуальной, правовой жизнью. Известны тысячи примеров, как повышение цены на продукты питания не первой необходимости ведет к отказу от них широких слоев до такой степени, что дальнейшее их продвижение на рынок становится невозможным даже при резком снижении цены. Нужно создавать новый «логотип», а это связано с большими издержками. Цивилизованные социальные отношения создают новые потребности при сохранении старых. Фетишизированные относительно сверхприбыли отношения уничтожают базовые потребности и вынуждены постоянно искать новый товар для ее получения на сужающемся до коллапса поле общественных интересов. Первые ведут к расширению обмена, возникновению в нем новых ареалов и полей общностей, вторые приводят к уничтожению огромных полей реальности и сужению горизонтов собственной же активности. Именно этим, к примеру, можно объяснять рост числа периодических изданий при падении разовых и годовых тиражей. Если при цивилизованном развитии рынка насыщение определенных типов потребностей приводит к переходу на новый качественный уровень и расширению товарной массы при росте платежеспособного спроса, то при данном типе (нельзя даже придумать название) сфера обращения деградирует. При расширении площади и времени под рекламу информационные каналы сначала теряют свои общественные функции информации, прямой и обратной связи, а затем, при превышении пороговых значений общественно необходимого для присвоения их содержимого времени, и аудитории. Начинается самопроизвольное деление. Но даже в биологическом контуре материи паразитарные клетки умирают со смертью убитого ими организма. Кажется, что нечто аналогичное происходит сейчас и в России.
2. Сам характер появления новых институциональных форм, своего рода характер деления форм обмена на оперативном (товарно-денежное обращение) и фундаментальном (институциональная оболочка) уровнях проявляется как пульсации циклов активности относительно определенных форм предметного мира. В рассмотренных примерах это хорошо видно на сужении и расширении полей активности, фиксируемых падением и возрастанием значений энтропии в определенных вещных и предметно-институциональных континуумах. В конце 70-х гг. мне довелось проводить исследования рынка свежезамороженных овощей и фруктов в Институте конъюнктуры и спроса, в последние пять лет — рынка мясомолочной продукции и некоторых других продуктов питания. В моей базе данных по этому поводу около 40 000 документов. Это отдельная книга о товарном мире. Но вот что важно. Картина принципиально та же, что и при обращении массовой информации, ее идей, сообщений, изменении каналов и институтов. Системные исследования массовой коммуникации, проведенные в Советском Союзе в высокостандартизированной социальной среде, позволяют описать процесс и смоделировать реальность гораздо успешнее, чем частные коммерческие исследования. Кроме того, очевидно, что здесь можно увидеть, как явления на уровне отдельных актов поведения относительно сообщений и элементов содержания, возводятся, вплетаясь в ткань социальной жизни, на уровень взаимодействия людей и общественных институтов. Однако, чтобы продвинуться далее, нужно начать обращение к полям смыслов обыденного сознания, опредмечивающих людскую активность в социальную реальность.
Глава 4
ОБЩАЯ СВЯЗЬ АКТИВНОСТИ, ИНФОРМИРОВАННОСТИ И ОТНОШЕНИЙ
Социальная карта состояния системы на 1991 г.
Мы подошли к одному из важных моментов анализа и синтеза социальной системы. В следующей диаграмме убраны показатели активности социально-профессиональных групп в сферах труда и процесса воспроизводства населения, добавлены военнослужащие, безработные, школьники. Вся система информационно-пропагандистских средств заменена одной строкой по активности использования вышеприведенных источников информации по всем локальностям информационных потоков. Сфера культуры представлена количеством книг в домашних библиотеках, структурой и количеством грамзаписей, частотой посещения театра. Сферы политики, выражения общественного мнения, досуга, благосостояния взяты здесь не для сравнения, как в предыдущей диаграмме, а по предельному максимуму форм в инструментарии. Конечно, можно «вынимать» подсистемы из социальных карт, как «шампуры»: взять, например, отклонения числа дней выпивки в году в той или иной группе по роду занятий и, сопоставив со структурой питания, увидеть, как пьющие обеспечивают дотационные цены на мясо зажиточным слоям в полном соответствии с законами вторичного перераспределения на рынке. Да что там мясо! — возможность безнаказанно властвовать, принимая бесконтрольные бездарные решения. Однако наша задача здесь и сейчас важнее этого рассмотрения.
В таблице-диаграмме выделены две дополнительные области, относящиеся уже не к подсистеме «деятельность», а к подсистеме «сознание»: ряд информированности групп по роду занятий относительно определенных предметных рядов, социальных проблем и субъектов их решения и ряд оценок, выражающих отношение социально-профессиональных групп к исполнению в нашем обществе своих функций властью, общественным мнением и редакциями информационных средств. Конструирование этих рядов требует краткого пояснения.
Информированность. Этот феномен замерялся в рамках шести областей.
1. Общекультурная информированность замерялась как степень отклонения от среднего числа знаемых респондентом имен выдающихся — мирового класса — деятелей литературы, музыкального и изобразительного искусства, науки, политики и спорта (общий перечень в 129 номиналий). При этом была повторена методика Т. М. Дридзе и часть номиналий (86) была взята адекватно первому
таганрогскому исследованию для сравнения динамики за четверть века
. Так же, как и почти за двадцать пять лет до того, среди писателей и поэтов, композиторов, художников, ученых, спортсменов и политических деятелей были выделены группы людей, относящихся к областям школьного образования, специализированного интереса, содержания массово-коммуникативных текстов.
2. Информированность относительно социальных проблем замерялась на базе трех списков социально-экономических проблем страны и производственных проблем по месту работы, осознаваемых реципиентом в качестве требующих первоочередного решения. Этот показатель корректировался пятибалльными оценками, даваемыми респондентом по состоянию дел в региональной структуре его жизнедеятельности. Оценка ставилась за состояние дел в сферах «строительства жилья», «медицинского обслуживания», «торговли», «борьбы с преступностью, алкоголизмом и наркоманией», «охраной окружающей среды» и т. д. — всего 15 сфер жизни. Информированным считался человек, который давал оценку, а неинформированным — затруднявшийся оценить. Вектор отклонения от среднего числа по группе фиксируется в диаграмме соответствующим знаком соответствующего доверительного интервала.
3. Информированность относительно путей решения социальных проблем выяснялась на базе списка из перспективных тогда 13 политико-экономических мер, распределение ответов по числу которых имело нормальный характер.
4. Информированность относительно деятельности органов власти по решению социальных проблем выявлялась количеством пятибалльных оценок респондента относительно деятельности власти по решению тех проблем, остроту которых он оценивал ранее. Кроме того, проставлялись оценки властям за осведомленность о мнениях населения о проблемах, за учет мнений населения в своей деятельности, за совпадение решений власти с мнениями людей, которых решения касаются, за учет критических высказываний местных журналистов по существующим проблемам.
5. Информированность относительно деятельности населения по решению проблем выяснялась также за счет количества оценок, но уже «народу», за активность, компетентность, откровенность, конструктивность в выражении мнений и предложений по решению проблем.
6. Информированность относительно деятельности журналистов в решении социальных проблем выявлялась за счет постановки 35 оценок редакциям различных каналов за эффективность их помощи в исправлении недостатков, за знание проблем, правдивость и деловитость их освещения и сплочение различных социальных групп на их решение.
Оценки и отношения. Пять «параметров» реальности (2—6), перечисленных при конструирования показателей информированности, вторично использовались уже в качестве интегральной пятибалльной оценки или силы ее отклонения от средней в той или иной группе. В информированности это число оценок. В замере отношения это отклонение от среднего балла по группе, просчитанное по отклонению оценки по тому или иному параметру у каждого человека от средней у него же по всему рассматриваемому пласту оценок. Эту же методику с некоторой коррекцией на прямые оценки политическим деятелям мы использовали и в исследованиях 1994 г. в Касимове, 1999 г. — в Петербурге, 2004 г. — в Москве. Она апробирована на менее компактном инструментарии в 1968/69 гг. в первом таганрогском исследовании. Его данные были проанализированы, переработаны и сведены к стандартному, «технологичному» и эффективному инструменту*.
Анализ «социальной карты» (табл. 4.1) показывает следующее.
1. Взятые по максимуму формы активности и группы (сферы в сравнительной диаграмме показывали несколько иные зоны в связи с необходимостью брать в подлежащем одинаковые формы деятельности за 20 лет, группы в сказуемом были без военнослужащих, безработных и школьников (табл. 3.6)), здесь фиксируют четкую границу социальной зоны максимальной активности в присвоении определенными группами институциональных форм общественной жизни. Если прежняя институциональная структура, взятая в ограниченном числе динамически сравниваемых показателей, рассыпается, то в новой классовый характер присвоения общественного богатства начинает проявляется четче. При этом безработными оказываются люди с довольно высоким культурным уровнем, студенты активны в досуге и использовании информации отовсюду, пенсионеры в выражении мнений, а школьники, имея достаток, умеренно социализируются в сфере культуры. Служащие аппарата предприятий и учреждений и военнослужащие умеренно дифференцируются в сфере досуга, а непроизводственная интеллигенция — в достатке.
2. Зона высокой информированности четко соответствует зоне высокой активности в выделенных сферах жизни. В относительно меньшей степени информированы по всему контуру выделенных параметров социальной жизни студенты, ИТР и военнослужащие. У первых процесс общественнополитической социализации вообще только начинается.
3. Поле оценок в целом прямо противоположно полям активности и информированности в социально-профессиональном срезе общества. Надо сказать, что признак «род занятий» дает наиболее неоднозначную и дифференцированную картину сочетаний активности, информированности и отношений. Соотношение всех трех пластов в признаках «образование» и «поколение», а также в стратификационной вертикали не дает того разнообразия, которое мы видим здесь. На этом следует остановиться подробно.
Прежде всего, рассмотрение сочетаний контуров активности, информированности и оценок у социально-профессиональных, референтных классовой структуре групп в единой сетке сфер социальной жизни в целом, говорит следующее. Группы, включенные в процесс управления и производства на уровне среднего руководящего звена, в целом наиболее активны и информированы, а занятые непосредственно материальным производством, услугами и торговлей, а также не занятые в народном хозяйстве, кроме социализирующихся студентов вузов, отличаются в целом низкой активностью и информированностью в выделенном контуре. Студенты готовятся к будущей жизни, как показывает анализ контура их оценок, без иллюзий, которые имеют неинформированные школьники. Последние ставят максимально высокие оценки решения проблем в контуре «власть — население» всем субъектам решения проблем и делам без каких бы то ни было на то оснований, кроме материальных, заработанных не ими
. Несколько более высокая культурная среда безработных, их умеренная активность, оценки и информированность (в том числе высокая о редакциях СМК) может означать, что наше общество в очередной раз «зрело», как от «балласта», избавляется от самых культурных людей. Часть пенсионеров активна в обращениях во власть и, судя по их высоким оценкам контура решения проблем, их результативность довольно высока. Высокая информированность у студентов относительно существующих социальных проблем и активности народа сопровождается высокими же оценками активности населения в выражении мнений. Состояние их практического сознания имеет сугубо информационную основу. Оно складывается за счет высокой включенности этой социальной группы в сеть источников информации, в досуг и, вероятно, в незафиксированные нашим инструментарием формы активной межличностной коммуникации. Теперь самые любопытные формы поведения социальных групп.
Группы, непосредственно занятые материальным производством, услугами и торговлей при ниже средней активности во всех шести подсистемах, дают и низкую информированность относительно управленческого контура решения общественных проблем. Первое исключение — умеренная активность крестьян в выражении мнений (по всем 11 каналам выражения мнений — постановки проблем
), второе — группа служащих сферы обслуживания и торговли, основная масса которой шла за весь послевоенный период в города из последних резервуаров разоряемой деревни. Она проигрывает в активности по всем сферам на фоне всех групп, но дает умеренную информированность об управленческом контуре. Кроме того, эти две группы, как и пенсионеры и школьники, при совершенно иных формах поведения дают практически те же положительные отклонения оценок органов власти и населения в попытках решить социальные проблемы. Рабочие промышленности и строительства низкоактивны, мало информированы и отклоняются в положительную сторону только в более высокой оценке гражданской позиции информационных средств.
А вот группы занятых преимущественно умственным трудом (особенно инженерно-технические работники и незанятая на производстве интеллигенция), активные во всех подсистемах, хорошо и умеренно информированные во всех отношениях, демонстрируют резко негативные оценки деятельности власти и населения. Особенное исключение здесь — умеренные оценки всего контура прямого и обратного потока информации военнослужащими и максимально высокие оценки учета общественного мнения властью у служащих аппарата предприятий и учреждений. Последнее мы разберем подробнее несколько ниже.
Таков, в общем и целом, дескриптивный анализ приведенной социальной карты. К нему надо добавить, во-первых, что несмотря на усилия политиков и декларируемую ими заботу о жизни людей, 60 % населения не включено в подсистемы общественно-политической деятельности и в обратный поток информации (от населения к власти), до 25—30 % не имеют личных библиотек, музыкальных записей, посещений театров, не думали о путях решения социальных проблем и не могут дать оценок отношений власти и населения, активности последнего в постановке проблем и функций информационных средств по выражению общественного мнения. Во-вторых, здесь уместно напомнить, что активность и информированность четко связаны в один мотивационно-деятельностный синдром (см. главу 1). Это понятно: сознание не может быть вычленено из деятельности иначе, чем «в снятом виде». Чтобы действовать успешно, надо прежде всего знать, что, где и как делать. К чему ведет 60-процентная неинформированность об определенных пластах реальности, мы скажем в следующих главах на связи активности и правовой информированности, общекультурной информированности и присвоения конкретных информационных сообщений и, главное, на профессиональной ориентации населения. Здесь же укажем, что резкие, диаметрально противоположные векторы информированности и отношения в разобранном контуре «органы власти — журналисты — население» по признакам социальной стратификации свидетельствуют о превращенных формах сознания людей. О тех именно формах, которые, проецируясь в деятельность из социально-политического контура системы, наряду с формами правового сознания и ценностных ориентаций, о которых сказано выше, предопределяют дальнейшие траектории общественного развития. Это хорошо видно на разборе их динамики.
В одном из 93 исследований проекта «Общественное мнение», представленных в базе данных INSYS, были исследованы те же отношения, что и разобранные выше. Это было исследование в Таганроге 1969 г. на случайной по спискам избирателей общегородской выборке с объемом реализации в 1021 документ. Здесь был получен следующий результат.
1. Группы молодежи до 25 лет и учащихся сети вузов города оказывались максимально включенными в систему информационно-пропагандистских средств, в формы общественной работы, корпус внештатных авторов единственной общегородской газеты и многотиражную и стенную печать, но минимально включенными в каналы выражения общественного мнения (в поток обратной связи к органам власти).
2. Возрастная группа в 25—29 лет, на 62 % состоящая из рабочих и 15 % из ИТР, на 66 % из приехавших в Таганрог из ближайших городов, поселков, городского типа и сельской местности, на 23 % из приехавших за последние 1—5 лет и на 27 % из не имеющих постоянного жилья, как раз вступает в процесс формирования семьи, рождения детей. Они минимально включены в сферу пропагандистских средств (активны только в приеме информации газет, радио, телевидения), в общественную работу, в создание сообщений через местные и производственные информационные средства (в материальном производстве не до этих форм, здесь «работают» и «зарабатывают» другие группы). Зато в каналах выражения мнений (особенно в обращениях к работникам местных органов власти, в письмах в центральные и местные органы, в редакции всех уровней) эта возрастная группа дает пики активности.
3. Две группы по роду занятий (служащие аппарата предприятий и учреждений и незанятая на производстве интеллигенция) максимально включены в систему каналов выражения общественного мнения и систему информационных средств (см. главу 1). Они постоянно вращаются в контуре «местные органы власти — население»: до 80 % этих групп контактируют с работниками местных руководящих органов, имея общественные поручения и обмениваясь мнениями. Следовательно, это информированные о положении здесь дел люди.
4. В целом оценки населением всех параметров деятельности органов власти и собственной по решению городских проблем находятся на пятибалльной шкале в 1969 г. между «тройкой» и «двойкой». А вот у работников органов власти оценки этих параметров лежат в поле между «тройкой» и «четверкой» (в проекте была исследована практически генеральная совокупность работников городских руководящих органов и депутатов). Очень узкая, небольшая и пестрая группа населения из студентов, лекторов, ораторов на собраниях избирателей дает оценки совпадения решений местных органов власти и мнений населения, приближающиеся к уровню оценок этого параметра собственно работниками местных руководящих органов.
Самое главное в другом. Группы служащих аппарата предприятий и учреждений и незанятой на производстве интеллигенции в 1969 г. уходят от ответов на вопросы-оценки. Они боятся ставить отметки органам власти и населению, расценивая эти вопросы как политически острые, и увеличивают число «затрудняющихся дать оценку». Молодежь до 25 лет, среди которой преобладают студенты, будучи максимально охваченной институтами пропаганды и не участвуя в процессе выражения мнений, ставит оценки по всем параметрам выделенного контура выше средних. Здесь ощущается влияние идеологического воздействия. Молодежь же от 25 до 29 лет, состав которой расписан выше, а также пенсионеры и домохозяйки, стучась во все органы власти для решения своих проблем (жилья, детей, здравоохранения и дошкольных учреждений), не получают должного их решения и ставят органам власти «колы» и «двойки» по всем параметрам, завышая оценки компетентности и активности населения. Характерно, что группы непроизводственной интеллигенции, служащих аппарата предприятий и учреждений и инженерно-технических работников склонны, как нами было указано ранее, к информационному обмену — получение и сообщение сведений, а указанные группы молодежи, пенсионеров и студентов — к решению вопроса по существу. При этом превращенная форма сознания (страх из 30-х годов) наиболее сильно поражает непроизводственную интеллигенцию, тогда как ИТР и незначительная часть служащих аппарата предприятий, занимающие в социальной и политической стратификации в то время верхние этажи, как раз по ряду параметров (ИТР почти по всем) завышают оценки общественной активности власти и населения. Мы не рискнули расписывать так подробно эти параметры в главе 1, так как жесткие ограничения наших программ на доверительный интервал не позволяли на массиве из 1021 человека однозначно интерпретировать данные в 90%-ном доверительном интервале (табл. 1.7, где описанная дифференциация скрывается за знаками, фиксирующими умеренную активность, а поляризация групп происходит на доверительном уровне ниже 80 %). Однако на массиве-«десятитысячнике» (табл. 4.1) служащие аппарата предприятий и учреждений, студенты, школьники выпадают в эти же ячейки при 95%-ном доверительном интервале. Проект «Общественное мнение» является, таким образом, неоценимым пилотажным исследованием, информация которого подтверждается именно при рассмотрении фундаментальных параметров социальной системы.
Здесь надо коснуться еще одного феномена проекций превращенных форм сознания в оценки и в деятельность. При исследовании в Таганроге оценок деятельности органов власти в узком стратификационном срезе было отмечено, что чем выше уровень политико-идеологической стратификации, тем выше оценка «работы» власти. Ожидая подобного же результата, мы обратились к оценкам деятельности редакций газет, радио, телевидения корпусом внештатных авторов материалов газет, радио, телевидения (здесь также была практически исследована вся генеральная совокупность в 723 человека). И тут получилось вот что. Рядовые люди, напечатавшиеся один раз, текст которых подвергся уничтожающей правке, приведшей к искажениям мысли, заявляли, что не хотят больше публиковаться по другим вопросам. При этом они ставили выше средних оценки редакциям по всем общественно значимым параметрам деятельности. Люди, публиковавшиеся часто и довольные своими выступлениями, люди, занимающие достаточно высокий уровень в политико-идеологической стратификации, говорили, что будут публиковаться и впредь и ставили редакциям негативные оценки по всем параметрам. Результат был настолько четким, неожиданным и обратным результату отношений с органами власти, что я проверял после статобработки массива соответствие набивки оценок прямо на анкетах: не перевернули ли программисты в ЭВМ «пятерки» и «двойки». Все было правильно. Ответ нашелся в структуре «продукта труда» внештатных авторов, причем не в характеристиках полутора тысяч опубликованных ими сообщений, а в характеристиках упомянутых ими людей. Оказалось, что в поле из почти десяти тысяч упоминаний жителей Таганрога за четыре месяца выхода «Таганрогской правды» кристаллизуется определенная пропорция. У рядовых внештатных авторов (с высокой оценкой позиций газет) выше, чем в целом по массиву — почти вдвое, вес материалов, где «герои» идут с такими качествами, как «трудолюбие», «любовь к знаниям», «чувство нового, новаторство», «уважение к семье, к женщине». У тех же, кто печатается часто, был вдвое выше (чем в полярной группе) удельный вес материалов с такими качествами «героев», как «политическая незрелость», «бесхозяйственность», «эгоизм», «невежество» и т. п. Для первых характерно, так сказать, «общинное» миросозерцание, и для них пресса — колокол, несмотря на неудачу их контакта с ней. Для вторых, хорошо информированных о положении дел, — «все сгнило», но печататься будем, «абы гонорарий скорей получить». Но, заметьте, каждый слой придает «продукту» своего труда — описываемому им субъекту деятельности окраску своего мироощущения и своих форм жизни. Он «окрашивает» продукт в свой «мировоззренческий цвет».
Обратившись к табл. 4.1, мы увидим, что у рабочих промышленности и строительства остался единственный рваный клочок от превращенной формы сознания из далеких времен, дающий высокую оценку учета редакциями мнений общества. Скоро канет и он. Историческая проекция прекратит свое широкое существование. У служащих же среднего звена управления предприятиями выделяется высокая оценка реноме власти в учете мнений населения. Либо это корпоративное сознание, либо эксцентрик «страха» переместился от незанятой интеллигенции, которая по этому параметру колеблется уже в разные стороны, ничего не боясь к этому времени. При анализе уровня семиотической подготовки социальных групп, их текстового сознания и выявления двух типов функционирования текстового ряда в обществе этот вопрос прояснится. Однако и сказанное выше уже проявляет, что каждая из социальных групп оценивает общественную реальность, во-первых, через призму только своего «поля» жизнедеятельности, которое ей реально выпало, во-вторых, с учетом отложившихся у нее в групповом сознании предыдущих «уроков истории», своего рода «постоянного смыслового капитала». Кроме того, следует еще один важнейший методологический вывод. Сопоставление рядов активности в различных сферах с рядами информированности, оценок и объективных характеристик, овеществленных в результатах труда (сообщениях, товарах, вещах и т. д. и т. п.), также, как и предельно широкий захват форм системы, «выжимает объективные мыслительные формы деятельности», те идеологические мускулы практической жизни групп, которые при ином методе анализа недоказуемы и невидимы, а только слегка угадываются. Так что, если, к примеру, сопоставить положение властных групп, их объективный образ жизни, их декларируемую и реальную политику, смысл политических решений с результатами этих решений, мы вычленим те же объективные формы оперативного и классового сознания власти. Практическое сознание людей делает это сплошь и рядом в форме анекдота и независимо от того, отражается это в информационных рядах, создаваемых масс-медиа, или нет.
Во всяком случае теперь ясно, что при более высоком уровне жизни и информированности относительно социальной ситуации составлявшие меньшинство занятых умственным трудом и в сфере управления максимально негативно относились в 1990/91 гг. к процессу решения социальных проблем существующей властью в виде терпеливого реформирования системы. При инертности основной массы рабочих промышленности и строительства, при обозначенных выше формах правового сознания и ценностей, при существовавшем характере перераспределения материальных благ на фоне основной компоненты идеологической системы власти в виде лицемерия, при отсутствии реальных политических и демократических институтов аккумуляции интересов огромных социальных пластов, систематически и терпеливо приученных к тому же к «пряностям», эта ситуация делала систему чрезвычайно неустойчивой. Отсюда государственный переворот с реставрацией частной собственности в интересах узкого слоя служилой касты или с игрой в реставрацию с решением инструментально-побочной задачи создания синекур для доверенных лиц, надо полагать, был в этой ситуации неизбежен, несмотря на отсутствие санкции народа.
Характерно, что рассмотрение тех же параметров по Петербургу 1999 г. и Москве 2004 г. показывает, что средние оценки деятельности власти возросли только в сфере торговли, организации благоустройства и отдыха (в Питере торговля оценивалась гораздо ниже средней). «Работа» властей по борьбе с преступностью и наркоманией, по решению проблем жилья оценивается более негативно по отношению к началу 90-х гг. в обоих мегаполисах. Остальные подсистемы на том же уровне. И при этом в Москве 2004 г. оценки политикам за выполнение ими властных функций «зашкаливают» на «5+» у Лужкова и Путина, хотя около 13 % продолжают ставить «колы» и «двойки», невзирая на лица
. На третье место в Москве 2004 г. по рейтингу выходит Алферов (неистребима принимающая причудливые формы мечта-иллюзия об умной власти). В Таганроге 1969 г. 19 % хотело бы уехать из города. Из страны в 1991 г. напрочь хотело уехать 12 % населения, 28 % заявляли, что проблемы их региона решены не будут. В Касимове 1994 г. 17 % заявляли о желании уехать и 49 % говорили, что не надеются на решение проблем. В 1997 г. 10 % сельских жителей хотели бы покинуть Россию. В Питере 1999 г. 46 % говорили, что проблемы города не будут решены. Из Москвы 2004 г. хотят уехать 20 % опрошенных и 50 % говорят, что проблемы не будут решены. И рад бы бежать народ, да некуда.
В 1971 г. Борис Андреевич Грушин задал вопрос во Всесоюзном исследовании: «Почему, по-Вашему, люди пьют?» В 2003 г. на презентации в Доме журналиста второго тома своей книги «Четыре эпохи жизни России в зеркале социологии — эпоха Брежнева» он посетовал на то, что вразумительного ответа от масс он не получил. Я задал этот же вопрос в 1990 г. более чем 10 000 респондентов и среди тысяч написанных людьми ответов обнаружил довольно много буквально совпадающих: «От безысходности существования».
Итак, проекция мировоззренческих форм сознания людей, накладываясь на определенные ситуации, практически мгновенно вплетается в социальную реальность. В диаграмме состояния дел в 1991 г. не получили, однако, отражения конкретные формы двух важнейших сфер жизни — материального потребления и досуга. Между тем они играли наиважнейшую роль в самоспасении огромных слоев населения.
Динамика уровня благосостояния и досуга в конкретных формах
При анализе активности различных возрастных групп в сфере присвоения материальных благ (рис. 3.6) мы рассматривали количественные параметры (число товаров длительного пользования, находящихся в семейном владении). При этом в целях корректного сравнения был взят один и тот же перечень наименований потребительных стоимостей. Среднее число товаров из списка в 23 позиции за 10 лет по всему населению страны (массивы перевзвешены на генсовокупность) возросло с 8,3 до 11,4 «вещи» на человека (по диапазону возраста 18—75 лет несколько ниже: с 8,1 до 11,2). Активность в сфере досуга по 21 форме проведения свободного времени несколько упала: в целом с 4,8 до 4,5, а по выделенному возрастному диапазону — с 4,6 до 4,2 формы на человека. При этом распределение по числу товаров длительного пользования в семейном владении стало плотнее и острее. Коэффициент вариации здесь упал с 42,3 до 27,5 %. Сфера же досуга стала размываться по формам проведения свободного времени. Здесь вариация поднялась при падении средней с 58,5 до 65,2 %.
В то же время список товаров длительного пользования, предлагавшийся в исследовании образа жизни 1981 г., хотя и давал по числу вещей распределение, близкое к нормальному, был довольно ограничен. Были введены в список «референты» достатка («хрусталь», «картины» и т. п.), которые не вводились в ряд других исследований. Между тем список в 63 наименования потребительных стоимостей, отобранный на основании «Грушинско-Петровского» исследования мира вещей населения СССР 1971 г., практически универсален. Б. А. Грушин и Т. Б. Петров, проводя исследование по заказам нескольких министерств и ведомств, в том числе и Министерства торговли СССР, «спросили» людей, в частности, о количестве и наименованиях 91 «вещи» (от дома до столовой посуды), находящейся в личном и семейном пользовании
. Тем самым был взят в первом приближении практически исчерпывающий срез человеческих потребностей в вещах, позволяющих людям осуществлять обмен свойствами. В 70-х гг. я тщательно переработал информацию этого исследования и получил оптимальный вариант съема информации в этом срезе с помощью списка в 60—70 товаров, апробированного в совете по социальной статистике Госкомстата СССР. С помощью этого полного списка были произведены замеры по стране 1991 г., в Касимове — 1994 г., в Тамбове — 2004 г.
Прежде чем сопоставлять данные отдельных исследований по уровню благосостояния на «пересекающихся» переменных, следует указать, как падали и возрастали объемы владения определенными вещами за последние 15 лет.
Прежде всего сравнение по полному списку показывает, что резко падает уровень владения кино- и фотоаппаратурой домашнего обихода, электропроигрывателями, громкоговорителями, некоторыми спорттоварами, кроме лыж, остающихся при своем удельном весе, рядом электроприборов, металлической примитивной мебелью; в Тамбове резко падает уровень владения швейной машиной. Не меняют своего удельного веса во владении радиоприемник, пианино. Резко (в 1,5 раза) растет, приближаясь к 100 % или достигая его, удельный вес владеющих холодильниками и стиральными машинами, пылесосами, фотоаппаратами, телевизорами, магнитофонами, мебелью, в том числе мягкой. В Касимове к 1994 г. и Тамбове в 2004 г. резко возрастает доля имеющих охотничьи ружья и взрослые велосипеды. Кроме того, касимовцы увеличивают долю владельцев мотороллеров и лодок, а тамбовчане — музыкальных инструментов.
В целом идет замена устаревающего товарного мира на вновь появившийся, при том что по ряду товарных позиций при достижении насыщения и полном охвате потребителя (холодильник, телевизор) начинается модификация потребностей в более развитые. В качестве необходимого предмета появляется морозильная камера, второй, третий — телевизоры, компьютеры и т. п. При этом среднее число вещей домашнего обихода растет медленно, а дифференциация по их видам наряду с формами досуга в разных по благосостоянию слоях четко свидетельствует об образе жизни людей, у которых возрастает и начинает главенствовать забота о пропитании или физическом выживании.
Если брать сравнительно широкую группировку товаров, охватывающих мир благосостояния людей и дифференцировать население от среднего числа присваиваемых в обиходе вещей, то распределение будет довольно близким к нормальному. Это удобно для дифференциации на три группы «бедных», «умеренного достатка» и «зажиточных» людей. Мы рассмотрели эти три группы на сквозном ряду в 18 вещей, представленных в замерах 1971, 1981, 1991 и 1997 гг., и на несколько большем ряду 1993 г. Они представлены в табл. 4.2 в количественных параметрах и табл. 4.3 в распределении в них (только по сельчанам) некоторых вещей из списка. Должен сказать, что ограничение списка несколько искажает симметрию нормального распределения. Так, на отобранном списке в 61 потребительную стоимость распределение 1971 г. в целом по стране выглядит так: 18 % — «бедные», 64 % — «умеренного достатка», 18 % — «зажиточные». Число вещей в зафиксированном пределе — 52*. Но нам важно динамическое сопоставление в ряду лет.
Таблица показывает, во-первых, резкую дифференциацию сельского и городского населения по уровню благосостояния. При этом стоит обратить внимание на характер различий. Среднее число вещей из списка остается практически одним и тем же не только у сельчан и у горожан в целом, но и в соответствующих слоях «бедных», «середняков» и «зажиточных» в каждом периоде. А вот удельные веса «бедных» и «богатых» дифференцируются чрезвычайно резко, сильно колеблются. В 1971 г. мы имели соотношение: вес «бедных» на селе в 2,5 раза выше, чем в городе, а «зажиточных» в городе почти впятеро больше, чем на селе. При этом на селе «бедная» одна пятая часть владела тем же объемом вещей, что и «богатая» семнадцатая часть. В городах соотношение всей массы товаров длительного пользования у 8 % «бедных» и 29 % «богатых» было ужасающим: 2 к 41 % всех вещей в семейном и личном владении. К 1981 г. дифференциация между городом и деревней несколько снизилась, спала полярность слоев по достатку у городского населения, но нищета и контраст в деревне возросли. Теперь уже 25 % сельчан имели лишь 5 % массы потребительных стоимостей, находящихся в пользовании на селе. В противоположность им 9 %, т. е. меньше десятой части, владели 18 %, т. е. почти пятой частью. К 1991 г. ситуация начинает выравниваться, а в 1993 г. горожане начинают «усредняться», а сельчане, как раз наоборот, выравниваются и богатеют за счет среднего слоя.
Таблица 4.2. Изменения в структуре владения товарами длительного пользования среди населения по данным Всесоюзных и Всероссийских исследований 1971, 1981, 1991 и 1993 гг. (в % к числу опрошенных n1971 = 1971,
П1981 = 10227, ni991 = 8028, Пшз = 1206 (РФ)) |
Тип населения
Достаток |
Данные о населении
страны в целом |
Данные о городском
населении в целом |
Данные о сельском
населении в целом |
|
1 |
2 |
3 |
1 |
2 |
3 |
1 |
2 |
3 |
|
1971 |
В целом |
100 |
6 |
100 |
100 |
7 |
100 |
100 |
5 |
100 |
|
Бедные |
15 |
2 |
5 |
8 |
2 |
2 |
20 |
2 |
9 |
|
Умеренного достатка |
68 |
6 |
68 |
63 |
6 |
57 |
74 |
6 |
81 |
|
Зажиточные |
17 |
10 |
27 |
29 |
10 |
41 |
6 |
10 |
10 |
|
1981 |
В целом |
100 |
6 |
100 |
100 |
6 |
100 |
100 |
5 |
100 |
|
Бедные |
17 |
1 |
3 |
14 |
1 |
4 |
25 |
1 |
5 |
|
Умеренного достатка |
66 |
6 |
67 |
66 |
6 |
66 |
66 |
5 |
77 |
|
Зажиточные |
17 |
10 |
30 |
20 |
10 |
30 |
9 |
10 |
18 |
|
1991 |
В целом |
100 |
9 |
100 |
100 |
9 |
100 |
100 |
8 |
100 |
|
Бедные |
19 |
5 |
10 |
18 |
5 |
10 |
29 |
5 |
17 |
|
Умеренного достатка |
70 |
9 |
75 |
71 |
9 |
75 |
63 |
9 |
71 |
|
Зажиточные |
11 |
12 |
15 |
11 |
12 |
15 |
8 |
12 |
12 |
|
1993 |
В целом |
100 |
13 |
100 |
100 |
14 |
100 |
100 |
12 |
100 |
|
Бедные |
17 |
8 |
10 |
7 |
8 |
4 |
29 |
8 |
17 |
|
Умеренного достатка |
71 |
13 |
74 |
78 |
14 |
77 |
52 |
13 |
56 |
|
Зажиточные |
12 |
18 |
17 |
15 |
18 |
19 |
19 |
18 |
27 |
|
1 - доля соответствующего слоя (в % к числу опрошенных).
2 - среднее число вещей на одного человека в целом и по слоям.
3 - доля вещей в личном пользовании слоя (в % к общей массе вещей в пользовании).
Примечание. За 1993 г. типология построена на большем числе вещей, и средние сопоставимы только «внутри» исследования. |
В 1997 г. М. Г. Панкратова провела Всероссийское исследование сельских семей с детьми. Я помогал ей его обрабатывать и анализировать. Конечно, выборка ее исследования имела дело с достаточно благополучным слоем сельчан, поднимавшимся в те годы до обвала бесценных государственных казначейских обязательств. Но в табл. 4.2 и 4.3 слои «бедных», «середняков» и «зажиточных» были сконструированы на основе перечня вещей из ее исследования.
Для полноты картины мы увеличили выборку по селу исследования 1971 г. за счет дополнительных 400 анкет сверх Всесоюзной выборки и уменьшили выборку 1991 г. Вот главные выводы из распределения за 26 лет на селе вещей по слоям «бедных», «умеренного достатка» и «зажиточных».
1. За четверть века резко уменьшилось число домов в личной собственности селян. Теперь 64 % «богатых» имеют собственный дом, что меньше, чем было у «бедных» в 1971 г. Не надо доказывать, что без развитого домохозяйства эффективное производство на земле невозможно. В «особняках» же ничего не производят.
2. Ориентация наиболее богатой части села менялась в течение 25 лет в целом по принципу насыщения одних потребностей и перехода к удовлетворению возникающих новых.
3. Рост потребностей шел по всем слоям. Уже в 1991 г. доля владеющих холодильником среди относительно «бедных» была выше, чем за 20 лет до этого эта доля была среди «богатых».
4. В каждое из десятилетий в личном владении был свой набор вещей, дифференцирующих людей. В 70-е гг. этими наиболее резко дифференцирующими элементами были «холодильник», «стиральная машина», «хрусталь», «музыкальные инструменты» и «телевизор». В 80-е гг. к части из них прибавилась «мягкая мебель», «ковры» и «пылесос». В 90-е гг. возникают «автомашина» и «фотоаппаратура» (и лидируют). А в 1997 г. показался еще один товар — «телефон», который не вошел в сквозной список, но по проверке в базе данных он достиг 100 % наличия в слоях «богатых» и полного отсутствия в слоях бедных.
5. Самое главное: исследование Панкратовой подтверждает, что развитая многодетная семья является основой благополучия общества, позволяя оптимально функционировать рынку товаров и услуг. Последний без развития своих живых агентов с неизбежностью приходит к самоуничтожению и к «гениальной» идее клонирования. В целом за 20 лет достаток на селе, исходя из списка в 18 товаров длительного пользования, вырос в 1,6 раза. Если брать число детей у сельчан по каждой пятилетней когорте, то у людей 1922—1927 гг. рождений среднее число детей было в 1997 г. 3,375, а вот у людей когорт 1963—1967 и 1968—1972 гг. рождения, фактически заканчивающих процесс замещения поколений, эти средние составляют соответственно 1,687 и 1,144 ребенка на семью. Наиболее резко упала норма детности сельских жителей, родившихся в период коллективизации и в 30-е гг. до запрещения абортов. Их «фертильный возраст» длился с 1940 до 1971 г., начало активности первой из когорт падает на послевоенное время. Характерно, что с отменой запрета на аборты в 1955 г. у когорты селян 1938—1942 гг. рождения, вступающей в период замещения поколений в 1956 г., средняя возрастает. Именно здесь, в когорте рождения 1938—42 гг. темп падения детности несколько задержался. В последующей когорте 1943—1947 гг. темп сокращения числа детей, рождение которых приходится на 1963—1983 гг., резко возрос, а затем относительно стабилизировался. В конце 80-х гг. темп падения норм детности приобретает обвальный характер, сопоставимый с падением в группах крестьян, родившихся в период коллективизации и массовых репрессий. В целом же по этому исследованию число детей у когорт, начавших рожать в перестройку, по отношению к детям когорты, родившейся в начале НЭПа, упало почти втрое (в 2,9499 — 3,375 против 1,144). Итак, покогортный анализ приводит к получению обратной связи между детностью и достатком. Обратная связь между ростом образования, потребностей и детностью давно стала общим местом. Но мы далеки здесь от утверждения, что рост благосостояния прямо приводит к снижению рождаемости. Скорее, наоборот. Именно в этом «гвоздь» современного мирового социального устройства. Но между двумя предметными рядами лежит реальная семантика общества, вытекающая из его образа жизни и не прослеживаемая в явных рядах открыто функционирующего в этот момент в обществе сознания. Норма малодетности прикрыта доминирующими превращенными формами, выдаваемыми за оперативный ряд ценностей. Она скрыта. Но от этого она не менее реальна и грозна, чем радостная болтовня с телеэкрана о повышении рождаемости у отдельно взятой женщины в кой-каком регионе или экономические выкрутасы. В целом возникает некий стереотип сознания, не высказываемый нигде явно, но кристаллизующийся в нормах малодетной и однодетной семьи и принимающий максималистскую форму отказа от детей — отчуждения от любого воспроизводства жизни в виде сокращенного, нормального или расширенного продолжения рода. При этом последняя из указанных форм — отказ от детей — не так уж малочисленна. По переписи 1979 г. число женщин, состоявших в браке и не родивших ни одного ребенка, достигала в каждой когорте до 14 % (при норме первичного бесплодия около 4 %). Дисбаланс обмена в разделении труда при данном общественном устройстве приводит к кристаллизации норм оперативного, а не фундаментального воспроизводства населения. Они предполагают минимизацию степени передачи генетических свойств рода в одном ребенке. Может быть, ему повезет больше, и линия жизни не прекратится, но сейчас речь идет о физическом выживании собственного поколения и не об условиях его выживания, а об отсутствии перспективы условий. Если у животных сокращению популяции предшествует сокращение поля среды обитания, то у человека среда обитания — это социум с сужающимся или расширяющимся ареалом полей обмена активностью. И два обвальных падения нормы детности у когорт, рожденных в период коллективизации и далее, при предшествующей высокой рождаемости, и обвальное падение нормы у когорт, подошедших к процессу замещения поколений в перестройку после некоторого повышения рождаемости, говорят о том, что демографическое поведение предопределяется теми формами сознания, которые видят последствия социально-экономической политики, сокращающей или увеличивающей поля существования человеческих сообществ. При политике, ведущей к сокращению ареалов социального пространства смыслов и деятельности и узости их перспектив, люди не могут продолжать, в отличие, скажем, от колонистов, расширенное воспроизводство своей жизни. Несколько грандиозных социальных катастроф — урок, который никогда не пройдет для людей даром. И их мнение о политической системе и ее перспективах не надо выяснять опросами — оно кристаллизуется в нормах их деятельности, в том числе в демографическом поведении. Но только для властей и корпорации чиновников эта пропасть не служит грозным предостережением. Они серьезно обсуждают клонирование на ТВ
.
Прежде чем перейти к анализу изменения досуговых форм, покончим с описанием изменений товарного мира на примере исследования свободного времени в Пскове 1986 г. и по России в целом в 1993 г. Здесь, помимо уже описанных на сельском населении изменений, нужно отметить несколько фактов. В исследованиях бюджетов времени взяты несколько иные ряды вещей во владении. Однако и они проявляют резкую дифференциацию населения. Во-первых, по владению участком возле дома, что является признаком «бедных», и владению участком в садоводческом товариществе и дачей с земельным участком, что является атрибутом «богатства». К 1990-м гг. все люди увидели спасительный шанс в физическом выживании за счет самообеспечения продуктами питания. Ну а дальше — как у кого сложилось. Во-вторых, происходит переход на цветное телевидение. Черно-белый телевизор — теперь признак «бедности», цветной — признак «умеренного достатка», а с видеомагнитофоном с 1993 г. — и атрибут «зажиточности» (табл. 4.4).
Изменения в предметной структуре бытовой микросреды сопровождались в этот период не менее интенсивными изменениями в сфере проведения свободного времени (табл. 4.5). Фактически мы видели на графиках активности в проведении досуга на возрастной шкале меньше всего изменений. Однако это количественный показатель. Обратимся к конкретным формам «досуга».
|
Таблица 4.4. Структура владения товарами длительного пользования среди населения Пскова в 1986 и России в 1993 гг. (в % к числу опрошенных n1986 = 2345, n1993 = 1206) |
|
23 |
- |
о |
- |
CN |
оо |
О |
СО |
о
CO |
|
я |
8 |
со |
8 |
67 |
8 |
- |
73 |
CO
O) |
|
? |
- |
8 |
70 |
73 |
8 |
15 |
•=t |
§ |
|
° |
2 |
CN |
СО |
ю |
2 |
•=t |
СО |
8 |
|
2 |
2 |
СО |
- |
8 |
О |
ю |
о |
8 |
|
2 |
24 |
CN |
CN |
8 |
8 |
CN |
8 |
CN |
|
Гт—1 |
|
- |
СО |
•=t |
оо |
- |
СО |
CO |
|
2 |
67 |
СО |
70 |
95 |
70 |
35 |
•=t |
Ю
O) |
|
2 |
72 |
оо |
79 |
а |
72 |
СО |
оо |
a |
|
14 |
79 |
•=t |
3 |
98 |
8 |
CN |
8 |
06 |
|
2 |
8 |
76 |
8 |
100 |
8 |
8 |
8 |
§ |
|
2 |
- |
- |
- |
о |
|
- |
СО |
•=t |
|
11 |
ГО |
СО |
CN |
со |
ГО |
•=t |
•=t |
oo |
|
2 |
8 |
|
8 |
100 |
85 |
CN |
оо |
O) |
|
<Т> |
О |
- |
О |
25 |
|
- |
•=t |
8 |
|
СО |
ю |
- |
СО |
42 |
го |
CN |
•=t |
Ю
CN |
|
h~ |
го |
CN |
со |
- |
8 |
СО |
•=t
CN |
8 |
|
со |
О) |
8 |
ю |
- |
8 |
CN |
CN |
oo |
|
ю |
оо |
8 |
8 |
а |
? |
00 |
00 |
a |
|
|
85 |
8 |
а |
100 |
? |
8 |
8 |
8 |
|
<о |
87 |
5 |
а |
100 |
? |
8 |
8 |
a |
|
CN |
8 |
8 |
8 |
100 |
8 |
§ |
8 |
LO
O) |
|
т—1 |
06 |
50 |
96 |
100 |
83 |
26 |
CO
O) |
a |
|
I- |
S86 |
¦ |
+ |
+ |
S93 |
' |
+ |
+ |
|
Таблица 4.5. Изменения в структуре проведения свободного времени по данным Всесоюзного исследования 1990/91 гг., в Касимове 1994 г., в Петербурге 1999 г. и в Тамбове 2004 г. (в % к числу опрошенных п.0„. = 9674, п . , = 1245, п = 862, п„ = 1538 п. , = 176)
' } “ 1991 ’ типа Тамбова ’ Касимов ’ Питер , Тамбов ' |
ем
ем |
о
'si- |
см
со |
о
'si- |
ю |
*fr
'si- |
о
со |
Ю
'si- |
03
CD |
CO
CD |
см |
CD |
ю |
35 |
CD |
т—і
см |
|
ю |
со |
со |
со |
- |
|
CO |
- |
оо |
- |
о |
- |
t— |
о
см |
|
см |
со |
03 |
CM |
CD |
CO |
|
Ю |
см |
|
ОЗ |
см |
t— |
оз
т—1 |
CM |
см |
см |
|
оо |
|
oo |
|
Ю |
CD |
ю |
ю |
|
CM |
СО
т—1 |
о
ю |
оо
со |
см
ю |
•=t
ю |
CM
Ю |
CM
CO |
Ю |
Ю
Ю |
о
LO |
со |
со
ю |
со
ю |
со
'si- |
CM
CM |
|
гт—1 |
t— |
О) |
оо |
о
со |
О) |
|
oo |
CO
CM |
LO |
со |
со |
CD
со |
CD
CM |
Ю
CO |
СО
т—1 |
о |
CD |
- |
|
О) |
- |
о |
Ю |
CD |
со |
CD |
|
CM |
CD |
ю
т—1 |
ю |
см |
|
см |
со |
о |
CO |
CM |
t— |
со |
CD |
со |
oo |
CM |
|
т—1 |
со |
О) |
со |
см |
t— |
CO |
oo |
CM |
|
см |
|
ОЗ |
- |
LO |
со
т—1 |
CD |
|
|
CD
см |
CD |
- |
|
Ю |
03 |
|
|
о
см |
CM
CM |
- |
см
т—1 |
О) |
- |
о
см |
оо
см |
о
CM |
|
о
CM |
03
CM |
oo |
см |
|
со |
о |
CO |
|
т—1 т—1 |
ю |
см |
ю |
со
см |
ю |
- |
Ю |
CO
CM |
CM |
CD |
см |
CD
со |
oo
CM |
LO
CM |
о
т—1 |
ю
со |
см |
CD
со |
ю
ю |
CD
со |
CM |
CO |
CD |
03 |
|
о
см |
•=t
см |
oo
CM |
CM |
|
оз |
оо |
- |
03 |
оо
см |
О) |
- |
CM |
CO
CM |
CM |
см |
см |
оо |
о
CM |
CM |
|
СО |
ю
'si- |
со
со |
|
ю
ю |
ю
'si- |
Ю
CO |
|
CM
Ю |
03 |
CD |
ОЗ |
ОЗ |
LO |
CD |
|
|
оо |
оо
CD |
со
оо |
CD
оо |
CD
оо |
oo |
oo |
CM
03 |
CD t— |
ОЗ
CD |
CD |
оо |
oo
t— |
LO t— |
|
CD |
оо
'si- |
оо
со |
о
ю |
•=t
ю |
ю |
'sl- |
CM
Ю |
о
CD |
Ю
CM |
оо
см |
со
см |
о
со |
о
LO |
03 |
|
ю |
CD |
ю
'si- |
CD |
ю |
оо
CD |
CD
Ю |
|
|
CO
CD |
CD
ю |
CD |
CD |
oo
LO |
|
|
"X |
CD |
см |
оо
CD |
|
CD |
Ю
'si- |
о |
о |
oo
CO |
со |
оо
со |
'Х
'sl- |
t— CO |
о
CM |
|
со |
t— |
ю |
ю |
оо |
t— t— |
CD |
oo |
|
CM
LO |
|
со
ю |
CD
ю |
CM
Ю |
CD t— |
|
см |
t— |
ю |
|
о |
oo |
oo |
|
CO |
- |
CD |
- |
со |
CO |
03 |
|
т—1 |
t— |
- |
оо |
•=t
CM |
CM
CM |
|
CO
CM |
03
CM |
oo |
CD |
оо |
- |
LO |
CM |
|
Достаток |
CO |
ф
-О
X
О)
LO |
ф
X
X
^z
ф
Q.
о |
ф
-Q
X
р
X
ж
03
со |
CO |
Ф
-Q
X
Ф
LD |
Ф
X
X
^z
Ф
Cl
о |
Ф
-O
X
p
X
s
03
CO |
CO |
ф
-О
X
ф
LO |
ф
X
X
^z
ф
о.
о |
ф
-О
X
р
X
ж
03
со |
03
03
03 |
o
о
CM |
|
Замер |
о
,¦ s
X
T—1 о
<т> =:
2 8
qT =
о о
О о о со |
E d
i ?
1 § *
to 5 <o «
ct о 1 “
о то о S
Q 1 Ю О
1— о CM X |
* 1
2 g
aa о
0 О
1 1
о о то о зх со |
CL
>»
VO
CL
?
о
c |
X
о
VO
E
? |
|
7 - просмотр телепередач; 19 - игра в карты;
8 - посещение кино; 20 - прочие коллективные игры (домино, шахматы, бильярд и пр.);
9 - посещение театра; 21 - отправление религиозных обрядов, посещение служб в храмах;
10 - прослушивание грампластинок и магнитофонных записей; 22 - садоводство, огородничество.
11 - просмотр видеозаписей;
Качественная структура времяпрепровождения претерпевает в это время достаточно хорошо заметные изменения.
1. Хорошо заметна дифференциация средних городов и одного из мегаполисов — Питера по культурному времяпрепровождению (посещение театров, музеев, эстрадных концертов и спортивных зрелищ). Насыщенность городской среды мегаполиса культурными учреждениями дает этот сильнейший перепад, хотя по отклонениям средних городов от всего населения в 1990/91 гг. такой дифференциации не наблюдалось.
2. Регрессия форм общения и общественных зрелищных мероприятий, абсолютные сокращения киноаудитории, занятий играми, которые, скорее всего, заменяются видео- и телепросмотрами.
3. Резко возрастают занятия охотой и рыболовством, садоводством и огородничеством и обращение за утешением к институту церкви.
4. Аудитория журналов и аудитория радио резко сокращаются, но в мегаполисах радиоаудитория восстанавливается уже к 1999 г. Сокращается чтение книг, несмотря на перепроизводство бульварной литературы.
5. Аудитория газет сокращается после катастрофы 1991 г., но затем восстанавливается, хотя и не в прежнем объеме.
Это подтверждает наши прежние выводы, однако еще более точная иллюстрация их проявляется в двух независимых исследованиях бюджета времени в 1986 г. в Пскове и в 1993 г. по России в целом.
Описание полученных выводов в характере изменений бюджетов времени
Обращение к бюджетам временных затрат населения на фоне сужения и расширения различных ареалов деятельности как раз показывает очень ярко сам характер «пульсаций», то, как население реагирует на экономические эксперименты наших отечественных сталинских «инженеров социальных систем».
Сначала, однако, нам хотелось бы проиллюстрировать степень надежности информации этих двух исследований (псковского и российского). Если таганрогские исследования давали представление о процессах, идущих в стране с некоторым опережающим «лагом» в 10—15 лет, то Псковское исследование можно сопоставить единым набором показателей с Всесоюзным исследованием образа жизни 1986 г., в том числе и с распределением этих показателей по РСФСР 1986 г. Затем с учетом результатов можно сравнивать РФ 1993 г. и с Псковом, и с РСФСР 1986 г.
Возьмем для начала «контур» отношения к различным сторонам жизни (см. рис. 4.1).
Из графика видна принципиальная тождественность оценок изменений жизни за 5 лет в исследовании бюджетов времени в г. Пскове и во Всесоюзном исследовании «Образ жизни-1986» (как в целом, так и в подвыборке, представляющей РСФСР). Более того, оценки изменений в Пскове ближе к оценкам «страны» и «республики» в целом, чем к оценкам по городам, представляющим собой областные центры РСФСР (исключая «миллионники») и города областного подчинения. Из содержательных аспектов следует отметить плотность поля оценок изменений в улучшении материального благополучия, питания и насыщения рынка одежды, некоторую дифференциацию относительно средней оценки по изменению жилищных условий и резкую дифференциацию в зависимости от типа общности негативных изменений в работе транспорта, сферы бытовых услуг и культурно-просветительных учреждений.
|
Диапазон оценок изменений за 5 лет |
 |
Оценки изменений в жизни за последние 5 лет (max = +2, min = -2)
01 — материально стали жить (лучше — хуже).
02 — одеваться стали (лучше — хуже).
03 — питаться стали (лучше — хуже).
04 — жилищные условия стали (лучше — хуже).
05 — пассажирский транспорт стал работать (лучше — хуже).
06 — бытовое обслуживание стало (лучше — хуже)
07 — культурные учреждения стали работать (лучше — хуже).
Рис. 4.1. Сравнительный анализ оценок по однотипным вопросам двух исследований:
Всесоюзного исследования образа жизни 1986 г. (п = 10 035, п = 5206, п = 2129)
и исследования бюджетов времени Псков-1986 (п
Псков86 = 2396). Всякая точка диаграммы фиксирует отклонение оценки у каждого респондента от средней, исчисленной по всему ряду семи оценок у этого респондента (шкала оценок «пятибалльная», следовательно, максимально возможное отклонение на плюс = +2, на минус -2 (без затруднившихся дать оценки))
Хорошее сходство демонстрирует и социально-демографическая структура сравниваемых ансамблей (см. табл. 4.6).
Это говорит о том, что Псков наряду с Таганрогом представляли собой хорошие полигоны для пилотажных исследований общества в целом и принятия реально взвешенных социально ориентированных решений.
Итак, без особого греха можно сопоставить изменения в бюджетах времени Пскова 1986 г. и РФ 1993 г. как раз в период «шоковой терапии», сравнив после этого оценки «изменений за последние пять лет» по стране за 1986 и 1993 гг.
При сравнении бросается в глаза постоянство картины в целом. Если мы возьмем все 196 форм деятельности, по которым замерялись в течение недели суточные затраты времени у каждого человека в Пскове 1986 г. и по стране в целом в 1993 г.,
|
Таблица 4.6. Сопоставление веса групп по полу, возрасту и образованию в двух исследованиях: во Всесоюзном исследовании образа жизни 1986 г. (пРСФСР86 = 5206) и в исследовании бюджетов времени «Псков-1986» (пПсков86 = 2396)* |
|
Образование |
о
_о
CQ |
t— |
t— |
со о
Ф з
ПІ со |
со |
ГО |
• d
О. ф
О с о |
22 |
25 |
О.
О |
24 |
26 |
|
1 & |
20 |
t— |
4-6
кл. |
(У) |
оо |
|
-1 |
ю |
|
|
Возрастные группы |
70
и бол. |
CD |
CD |
|
65-69 |
|
|
«з-
CD
О
CD |
t— |
t— |
|
55-59 |
(У) |
(У> |
Ю
О
Ю |
оо |
оо |
|
45-49 |
го |
гм |
|
40-44 |
t— |
CD |
|
35-39 |
гм |
ГМ |
го
о
го |
го |
|
|
25-29 |
гм |
ГМ |
|
20-24 |
оо |
оо |
|
18-19 |
- |
гм |
о
с |
36 |
58 |
CD |
|
|
42 |
39 |
|
1986 г. |
о.
О
е
о
о. |
Псков |
|
t- > |
s е
о г;
О и
с е
оо и
ОО сті
к ’Н
то окажется, что среднее число форм заметно упало: с 14,6 на человека до 11,3 при стандартном отклонении 3,639 против 3,030. Минимум изменился с 3 на 4, максимум сократился с 26 форм до 22. Вариация признака «количество используемых» форм жизнедеятельности возросла с 25,0 до 26,3 %. При этом значения энтропии по распределению людей в обоих ансамблях (2396 человек — Псков, 1206 — РФ) по ячейкам, фиксирующим определенное число используемых форм жизни, осталось тем же, равным 0,851 (если взять значения энтропии по 165 вариантам временных затрат, то оно также практически одинаковое: 0,802 в 1986 г. и 0,813 в 1993 г.). Между тем показатели эксцесса и скоса говорят о вытягивании в целом активности по формам затрат времени из плосковершинного распределения к нормальному и увеличении правостороннего скоса.
Однако картина резко меняется, как только мы начинаем рассматривать затраты времени в отдельных ареалах, по возрастным группам и слоям в зависимости от уровня благосостояния, а также по полу в наиболее репродуктивном для пар возрастном интервале от 18 до 36 лет (см. табл. 4.7).
|
Таблица 4.7. Сопоставление суммарных затрат времени по различным ареалам деятельности у взрослого населения Пскова в 1986 г. и России в 1993 г. (в часах в сутки в целом по ансамблям и по возрастным и уровню достатка группам; пПсков86 = 2396, пРФ93 = 1206) |
|
Группы |
Замеры |
1 |
2 |
3 |
4 |
5 |
6 |
|
|
В целом по Пскову в 1986 г. |
5,90 |
4,31 |
,77 |
2,91 |
1,91 |
2,13 |
|
|
До 20 лет |
4,08 |
5,42 |
,02 |
1,40 |
1,66 |
1,57 |
|
|
20-24 года |
5,00 |
4,94 |
1,12 |
2,21 |
1,84 |
1,89 |
|
|
25-29 лет |
7,12 |
3,60 |
1,43 |
1,96 |
1,76 |
1,77 |
|
|
30-34 года |
6,70 |
3,33 |
1,49 |
2,73 |
1,74 |
1,90 |
|
|
35-39 лет |
7,20 |
3,70 |
,91 |
2,67 |
1,69 |
1,98 |
|
|
40-44 года |
7,17 |
3,71 |
,47 |
3,03 |
1,78 |
2,08 |
|
|
45-49 лет |
7,44 |
3,95 |
,31 |
2,75 |
1,78 |
2,12 |
|
|
50-54 года |
6,82 |
4,48 |
,36 |
2,75 |
1,85 |
2,28 |
|
|
55-59 лет |
5,15 |
4,61 |
,38 |
3,74 |
1,98 |
2,39 |
|
Возрастные группы |
60-64 года |
3,17 |
5,66 |
,44 |
3,99 |
2,31 |
2,64 |
|
65-69 лет |
2,65 |
5,65 |
,42 |
4,44 |
2,34 |
2,88 |
|
70 лет и старше |
1,75 |
6,02 |
,28 |
3,74 |
2,74 |
2,57 |
|
В целом по России в 1993 г. |
9,16 |
4,67 |
,45 |
5,31 |
2,52 |
2,63 |
|
до 20 лет |
7,64 |
6,64 |
,37 |
2,97 |
2,33 |
2,33 |
|
20-24 года |
8,55 |
5,32 |
,82 |
4,21 |
2,34 |
2,59 |
|
|
25-29 лет |
9,68 |
4,46 |
1,07 |
4,62 |
2,36 |
2,40 |
|
|
30-34 года |
8,92 |
4,35 |
,97 |
4,23 |
2,44 |
2,42 |
|
|
35-39 лет |
9,79 |
3,72 |
,49 |
5,35 |
2,34 |
2,37 |
|
|
40-44 года |
8,88 |
3,71 |
,25 |
5,17 |
2,49 |
2,65 |
|
|
45-49 лет |
9,50 |
3,94 |
,19 |
4,42 |
2,57 |
2,52 |
|
|
50-54 года |
9,43 |
4,99 |
,17 |
4,98 |
2,19 |
2,85 |
|
|
55-59 лет |
9,51 |
4,13 |
,18 |
6,46 |
2,47 |
2,51 |
|
|
60-64 года |
8,67 |
5,19 |
,19 |
6,58 |
2,79 |
2,87 |
|
|
65-69 лет |
6,57 |
5,44 |
,35 |
6,61 |
2,84 |
2,73 |
|
|
70 лет и старше |
6,38 |
6,19 |
,19 |
5,64 |
2,91 |
3,15 |
|
|
Продолжение ^ |
|
Таблица 4.7 (продолжение) |
|
Группы |
Замеры |
1 |
2 |
3 |
4 |
5 |
6 |
|
Достаток |
В целом по Пскову в 1986 г. |
5,90 |
4,31 |
,77 |
2,91 |
1,91 |
2,13 |
|
Низкий уровень достатка |
4,40 |
4,55 |
,46 |
3,67 |
2,22 |
2,18 |
|
Довольно низкий уровень достатка |
5,72 |
4,26 |
,69 |
2,94 |
2,05 |
2,05 |
|
Средний уровень достатка |
5,99 |
4,28 |
,80 |
2,90 |
1,87 |
2,17 |
|
Довольно высокий уровень достатка |
6,00 |
4,40 |
,76 |
2,75 |
1,92 |
2,04 |
|
Высокий уровень достатка |
5,62 |
4,77 |
,35 |
2,31 |
1,65 |
1,94 |
|
В целом по России в 1993 г. |
9,16 |
4,67 |
,45 |
5,31 |
2,52 |
2,63 |
|
Низкий уровень достатка |
8,86 |
4,43 |
,28 |
5,98 |
2,95 |
1,84 |
|
Довольно низкий уровень достатка |
8,69 |
4,26 |
,39 |
6,44 |
2,69 |
2,25 |
|
Средний уровень достатка |
9,27 |
4,79 |
,45 |
5,12 |
2,49 |
2,73 |
|
Довольно высокий уровень достатка |
8,68 |
4,40 |
,55 |
4,93 |
2,40 |
2,80 |
|
Высокий уровень достатка |
10,33 |
4,62 |
,43 |
4,96 |
2,25 |
2,02 |
|
Затраты времени в часах в сутки на различные формы жизни:
1 - на основную работу, в том числе и на производственные совещания, собрания;
2 ! на досуг, на различные формы свободного времени;
3 ! на уход за детьми, подготовку их к занятиям, приготовление им пищи;
4 ! на домашний труд в любых формах, в том числе и с помощью сферы услуг;
5 ! на удовлетворение физиологических потребностей, в т. ч. медпомощь;
6 ! на чтение газет и журналов, прослушивание и просмотр радио- и телепередач. |
Из наиболее ярких изменений нужно отметить следующие.
1. Резко возросли трудовые затраты населения в целом и особенно у пенсионных возрастов и в группах среднего и высокого достатка
.
2. Время на досуг выросло только в младших возрастах и в группе со средним достатком. В группах с низким и высоким уровнем достатка оно сокращается, а в группах относительно низкого и высокого уровней затраты на досуг стабильны (но это не значит, что конкретные формы досуга не меняются).
3. В целом в 1,7 раза сократились затраты времени по уходу за детьми: при этом наиболее резко они сократились как раз у возрастных групп, обеспечивающих воспроизводство населения и у всех групп по достатку, исключая самых обеспеченных. Последнее не может даже чуть-чуть улучшить демографическую ситуацию в связи с малым объемом этой группы и в 1986 и 1993 гг. - 1,1 %.
4. Резко возрастают затраты времени на домашний труд, на удовлетворение физиологических потребностей, на информационный прием во всех без исключения возрастных и по достатку группах.
5. Рост затрат времени на домашний труд происходит параллельно с резким сокращением объема пользующихся сферой бытовых услуг: с 18,3 % в 1986 г. до 7,9 % в 1993 г. При этом сокращение ареала рынка услуг и их числа сопровождается повышением временных затрат на услуги у меньшего числа людей. Среднее количество услуг чуть сокращается (с 1,53 на пользующегося до 1,44), энтропия падает с 0,362 до 0,247 по всему объему предлагавшихся и сопоставимых услуг и растет с 0,588 до 0,771 по числу реально используемых форм, т. е. уменьшившееся число потребителей распыляется в более узком пространстве активности (раньше минимальное число услуг было 1, а максимальное — 5, спустя 7 лет это соотношение составляет 1:3). Этот процесс имеет ту качественную особенность, что в 1986 г. бытовыми услугами пользовались преимущественно малоимущие слои населения (и пенсионеры, и люди малого достатка, тогда как люди с высоким достатком снижали время затрат на использование форм этой сферы). В 1993 г. положение меняется: люди малого достатка сводят до минимума, а люди высокого доводят до максимума использование сферы бытовых услуг. Время затрат возрастает параллельно стоимости услуги при сокращении ее жизненного ареала.
При анализе, с одной стороны, средних затрат времени в группах по достатку в различных сферах, а с другой — веса групп по достатку был отмечен в который раз феномен, который мы засекли еще в исследованиях рынка 1970 гг. (он, кстати, отмечен и в исследовании 2004 г. при попытке внедрения нового товара на рынок мясомолочной продукции). Группы низкого и высокого уровней достатка, сконструированные на одном и том же ряду вещей в три десятка потребительных стоимостей, практически не меняют веса в стартовой и финишной точках замера: 3,4 % — 3,6 % «бедные», 1,1 % — 1,1 % «богатые». А вот относительно бедные и богатые резко меняют свои веса, вырастая за счет группы «середняков»: 12,1 % — 72,1 % — 11,3 % составляли в 1986 г. слои соответственно довольно низкого, среднего и довольно высокого уровня достатка. В 1993 г. они составляют 16,0 % — 65,1 % — 14,3 %. Это значит, что изменение потребностей наиболее интенсивно происходит в реагентных группах, в переходных слоях, находящихся на «конусе» распределения в средних зонах присвоения предметного мира. Именно для части этих слоев имеют несомненную значимость моменты престижа в поведении и фактор моды.
Прежде чем показать ту же закономерность на процессе реального чтения газетных материалов-сообщений, еще раз обратимся к отмеченным закономерностям в центральном социальном ядре. Мы отобрали две когорты мужчин и женщин в замерах 1986 и 1993 гг., состоявших в браке и имевших от одного до трех детей до 18 лет. Затраты времени на уход за детьми упали у мужчин, имеющих одного ребенка, — в 1,7 раза (0,82 часа против 0,47), имеющих двух детей, — в 1,7 раза (1,14 часа против 0,67), у мужчин, имеющих трех, они сошли на нет (2,45 часа против 0,00). Затраты времени на уход за детьми упали у женщин, имеющих одного ребенка, — в 1,03 раза (1,78 часа против 1,73), имеющих двух детей, — в 1,4 раза (2,74 часа против 1,38), у женщин, имеющих трех, — в 2,2 раза (2,29 часа против 1,05). Экономическая политика наносит удар по семьям, где нормы детности выше средней. Сокращение поля родительского ухода оказывается исходным моментом беспризорности и сиротства при живых родителях. При этом я не берусь считать, подобно чиновникам из комитета по национальной безопасности, сколько миллионов детей лишены родительского попечения. Методы счета могут зависеть от люда, охочего до увеличения кровавых денег, которого в России пока больше, чем детей-сирот
. Задача не в том, чтобы искать средства на решение проблем, а в том, чтобы не создавать проблемы экономической политикой, в результате которой самая богатая страна мира начинает походить на черную дыру гегелевской дурной бесконечности падения в пропасть. Деньги на решение проблем лежат в саморазрешении проблем, а не в создании условий, которые будто бы решают общественные проблемы, а на самом деле плодят социальный слой, паразитирующий на необходимой для его существования стагнации общества.
Мы отобрали для иллюстрации когорту женщин от 18 до 45 лет с различным уровнем достатка на одном и том же списке вещей и в 1986, и в 1993 г. и рассмотрели средние затраты времени на уход за детьми, досуг и чтение газет в стартовой и финишной точках.
Уже на этом графике отчетливо видны перепады и обратные связи в росте и падении различных форм социальной жизни в указанной когорте. Можно, конечно, продолжать, разобрав поведение мужчин в ситуации колоссального роста безработицы и высвобождения времени на «телесмотрение» и другие формы времяпрепровождения, но для нас главное — рассмотреть структурные последствия политических решений и то, как эти последствия формируют оценки населения.
Заметим, что поведение мужчин этой когорты несколько отличается от поведения женщин, но это детали. Здесь же явно прослеживается обратная связь временных затрат на досуг и уход за детьми с повышением уровня достатка семейных женщин в самом репродуктивном их возрасте. При этом в 1986 г. эта связь имеет относительные понижения времени на досуг и увеличение времени по уходу за детьми в слое семейных женщин, переходящих от бедности к среднему достатку, и, наоборот, относительное повышение времени на досуг и падение времени по уходу за детьми у переходящих от среднего достатка к «зажиточным». В 1993 г. картина резко меняется. Затраты на досуг растут вместе с ростом уровня «зажиточности», исключая самый богатый слой этой когорты женщин. Затраты же на детей падают с ростом «зажиточности», несколько увеличиваясь опять же у наиболее «богатого» слоя этой когорты. Эта картина соответствует всему вышеописанному. Дополним ее рассмотрением поверхности обмена в реальном времени в структуре достатка, досуга и ухода за детьми у всех слоев этой когорты. Дополнительно про-варьируем одну из подсистем, рассмотрев вместо досуговых затрат времени затраты женщин на домашний труд.
Фигуры графика на рис. 4.3 и 4.4 полностью соответствуют описанию изменения затрат времени у женщин за семь лет и картине на двухмерном графике
На досуг в 1986 г-. На досуг в 1993 г. На детей в 1986 г. На детей в 1993 г. На газеты в 1986 г. На газеты в 1993 г
-.
|
Среднее число часов в сутки |  |
|
Рис. 4.2. Соотношение затрат времени у семейных женщин 18-45 лет в Пскове 1986 г. и России 1993 г. в зависимости от уровня благосостояния |
Достаток
 |
|
Рис. 4.3. Соотношения затрат времени на досуг и на уход за детьми у замужних женщин 18-45 лет в Пскове и по России в целом в трехмерной графике в зависимости от уровня благосостояния |
1986 г. 1993 г.
Renka 1, r2=1, SSE=0 Renka 1, r2=1, SSE=0 |
 |
|
Рис. 4.4. Соотношения затрат времени на домашний труд и на уход за детьми у замужних женщин 18-45 лет в Пскове и по России в целом в трехмерной графике в зависимости от уровня благосостояния |
(рис. 4.2). Время ухода за детьми падает, средняя по досугу ломается на той же шкале достатка, затраты на домашний труд резко возрастают. При этом если раньше сфера услуг помогала и бедным многодетным, и богатым малодетным, то теперь она недоступна для бедных, и ею пользуется меньшая доля богатых
. Основная масса общественно необходимого времени при заданных «реформаторами» экономических условиях сосредоточивается в среднем центре, мало заботящемся о детях и снимающем напряжение мыльными операми и телесмотрением. «Пиковые» затраты на домашний труд (до 8 часов) совпадают с максимумом затрат на детей (до 4 часов) и крайней степенью бедности, которая не компенсируется больше ничем.
Мы привели эти поверхности без уравнений параметрической статистики, которые на данных о реальных затратах времени, а не на описании активности по формам деятельности, давая высокие доверительные интервалы (до 99,98 %), показывают фигуры, аналогичные полученным в главе 2. Некоторые из поверхностей временных затрат, объединяющих две-три подсистемы («благосостояние» — «труд» — «детность» или «досуг», «затраты времени на работу» — на «отдых» или «домашний труд» — на «информационную деятельность» и т. п.), при логарифмировании «закручиваются» в уже представленные выше «ленты Мебиуса». Все это значит, что малейшие изменения в экономических параметрах системы (не говоря о въезде «терапевтов-реформаторов» на шагающем экскаваторе в «социальный Эрмитаж» или чеканке Кромвелем золотых монет из сокровищ Британской Короны для платы наемникам), приводят к мгновенным и непредсказуемым качественным изменениям в поведении людей. И последствия катастроф невидимых для «ослепленных» золотом и дензнаками людей могут длиться сотни лет. При этом отсутствие правового поля (а его в России нет хотя бы потому, что правила экономической игры меняются постоянно и «ежечасно») провоцирует людей на ситуативную ориентацию, которая — и только она! — позволяет им оказаться в нашей социальной системе в нужном им для спасения месте. Не нужда и отсутствие денег, а экономическая политика порождает в массовых масштабах преступность. Не злые умыслы «нехороших» стран-соседей, а безмозглое ослабление этноса огромной, сказочно богатой страны создает социально-пространственный вакуум, в разреженное поле которого устремляются миграционные потоки, а темным силам, которых всегда с лихвой хватает в западном обществе, мы тем самым внушаем мысль о возможности успеха авантюристической политики
.
Оценки населением изменений обстоятельств жизни за семь лет «терапии»
В оценках населением жизненных изменений за предшествующий исследованиям пятилетний период в РСФСР 1986 г. и в РФ 1993 г. проглядывает не только большая ясность ума по поводу происходящих в стране событий (рис. 4.5). Население страны в 1993 г. считало, что резко ухудшились материальное благосостояние в целом, одежда, питание, бытовое обслуживание. Резко улучшаются жилищные условия при том, что ввод новых площадей и строительство в это время резко сокращаются, падает число получающих жилье, государственный фонд жилья сокращается. С 1998 г. падает и муниципальный фонд, а смешанные формы собственности на жилье «не прививаются». Это свидетельствует, во-первых, о том, что идет перераспределение жилого фонда за счет определенных слоев населения, во-вторых, что в сознании людей экономическая ситуация настолько неустойчива, что ни валютные сбережения, ни участки не могут дать гарантий на будущее. Деньги можно вкладывать лишь в недвижимость, пока это еще возможно (индикатор этого и процент пустующих квартир). При этом характерно то, что площадь проданных населению квартир растет с 1995 г., после 2000 г. она начинает сокращаться, но масса вырученных денег продолжает расти. Это говорит, что «капитал» почувствовал потребность в недвижимости и поднимает цены, но платежеспособность населения ограничена дисбалансом между сверхприбылью в сфере обращения и низкой ценой рабочей силы. Покупать же с целью сохранения денег в виде недвижимости может позволить себе лишь узкий слой рынка, омертвляющий капитал. Рынок жилья может рухнуть, как и рынок газет.
Уже по этому графику можно предвидеть начало строительного бума, однако при превышении платежеспособного спроса нужно предсказать и крах этого бума в самом зародыше. В полупустых домах так же, как и в незавершенном строительстве промышленных предприятий и других объектов советского времени, будут омертвляться и труд, и капитал.
Диапазон оценок изменений за 5 пет
0,6
® 0,5
*.0,4682
I 0.4
0,2172
0,0977 |
 |
|
- - А-0,1376 -0,2788 |
о ’
1 5-0,2 0-0,3 -0,4
Оцениваемые сферы
-СССР-86 — ¦ — РСФСР-86 - - А- - Рф-93
Отклонения оценки изменений в жизни за последние 5 лет (максимум = +2, минимум = -2)
01 — материально стали жить (лучше — хуже: «5-4-3-2-1»).
02 — питаться стали (лучше — хуже: «5-4—3-2-1»).
03 — одеваться стали (лучше — хуже: «5-4-3-2-1»).
04 — жилищные условия стали (лучше — хуже: «5-4-3-2-1»).
05 — пассажирский транспорт стал работать (лучше — хуже: «5-4—3-2-1»).
06 — бытовое обслуживание стало (лучше — хуже: «5-4-3-2-1»),
07 — культурные учреждения стали работать (лучше — хуже: «5-4-3-2-1»).
Рис. 4.5. Сравнительный анализ оценок Всесоюзного исследования образа жизни 1986 г.
(п
РСФСР86 = 5206) и исследования бюджетов времени «Россия-1993» (п
Россия93 = 1206).
Всякая точка диаграммы фиксирует отклонение оценки у каждого респондента от средней, исчисленной по всему ряду семи оценок у этого респондента (шкала отклонений от +2 до -2)
Однако это только полбеды. Все значительно хуже. Во всем мире капитал пришел в противоречие с воспроизводством рабочей силы, но в нашей стране в силу ряда исторических причин этот процесс принял самые опасные формы. Население страны убавляется, и общественно ориентированные демографы, в отличие от отечественных «людоведов-мальтузианцев», уже много лет с тревогой говоря о сокращении населения, предсказывают катастрофические последствия, которые не волнуют чиновников. Последние предлагают, например, ввести товарно-денежные отношения в семейное планирование (уж лучше прямо в постель!), учить гуманизму детей с детского сада, что очень выгодно для организации в нужном направлении денежных потоков, но отнюдь не для решения проблемы. Власть, окончательно «наказанная потерей разума», лезет к жене и мужу с целью покупки их будущего ребенка в качестве актора и агента их предстоящих политико-экономических бессмыслиц. Можно ли говорить о смысловом поле жизни в данном контексте, прикрытом фиговыми листочками ипотечного кредитования или выделения той суммы денег за каждое дитя, которая идет на его выращивание, в результате чего изначально закладывается смысл отчуждения человека от семьи в пользу государственного левиафана. Решение проблемы, лежащее в укреплении семейного права, балансе обмена временем между всеми сосуществующими в семейном контуре тремя поколениями, создании таких условий, чтобы ребенок получал нормальное воспитание в достатке, а не в нищете с самыми близкими ему людьми до 5-6 лет, не видя никакой казенщины, не в интересах чиновничье-служилого класса! Властная вертикаль не сможет тогда аккумулировать денежные потоки в своих корпоративных интересах, когда они будут сбалансированы относительно оптимального воспроизводства жизни. Очевидно, что в социально-экономических условиях России это никак не может быть «кровным» делом упомянутой касты. «Коричневый правый барон» заявляет публично о том, что «демократия не утвердится в России, пока не перемрут старики». «Чем кумушек считать трудиться...»
В замечательной книге представителя американской школы альтернативной социологии Аллана Карлсона «Общество — семья — личность: социальный кризис Америки», вышедшей у нас в стране в 2003 г., содержится широкий и трезвый анализ причин демографического коллапса, предлагается вполне разумный спектр мер по остановке депоппуляции, приводятся исчерпывающие доказательства исследований, которые показывают выдающуюся роль индивидуализма и зоологического одичания в разрушении семьи. Есть в этой книге одно место, которое четче всего фиксирует корень социальной проблемы: «Социальная политика является действенной, только если средства достижения выдвигаемых целей не противоречат семейному стилю жизни. Когда основополагающие принципы общественной деятельности теряют направленность на благополучие семьи, благие побуждения быстро оборачиваются деструктивными последствиями»*. Что мы и имеем в ярких проявлениях исследований, полученных на российской почве.
Динамика благосостояния, связь экономической политики и планов людей
Мы рассмотрели некоторые изменения в достатке людей на довольно широком спектре товаров народного потребления с 1971 по 2004 гг. Данные табл. 4.2—4.4 говорят о длительных социальных процессах насыщения рынка товарами длительного пользования и повышения благосостояния людей. Практически население страны полностью охвачено телеканалами, холодильниками, некоторыми товарами бытовой техники и предметами мебели. Однако в предыдущих картинах мы сравнивали «точки», во-первых, разделенные большими интервалами по 5—10 лет, а во-вторых, полученные в замерах по разным массивам опрошенных. Хотя они были выровнены в ряде случаев по структуре генеральной совокупности по ее социально-профессиональным, образовательным и демографическим параметрам, динамические моменты изменения благосостояния видны в «дискретной динамике». С одной стороны, это позволяет увидеть крупные изменения, но с другой — стушевывает картины промежуточных «пиков» и переходов. Между тем соблазнительно увидеть процесс насыщения человеческих потребностей в его непрерывном развитии. Исследование «ЦИОМ-1971» в части, разработанной Б. А. Грушиным и Т. Б. Петровым, позволяет реализовать эту уникальную возмож-
Карлсон А. Общество — семья — личность: социальный кризис Америки. — М., 2003. — С. 133.
ность, и как раз в те 20 лет, что предшествуют начальной точке нашего изложения. Дело в том, что в этом обследовании фиксировалось не только наличие товаров длительного пользования и повседневного спроса (до 63 наименований), но и время, обстоятельства и способ покупки 16 товаров длительного пользования. При создании базы данных INSYS я учел это обстоятельство и ввел все годы покупки всех отобранных товаров. Массив был перевзвешен на генсовокупность по переписи населения 1970 г., и стало возможным рассмотреть не только расширения и сужения слоя покупателей определенной товарной группы за 20 лет на погодовой шкале времени (мы ограничились здесь рассмотрением периода 1952—1971 гг.), но и увидеть, во-первых, колебания весов покупки отдельных товаров за определенный год, во-вторых, оценить вес годовых покупок в общей массе накопленных потребительных стоимостей к 1970 г., в-третьих, оценить объем спроса на эти товары, так как в исследовании задавался вопрос о намерениях купить определенные списком товары в ближайшие 2—3 года
.
Табл. 4.8 можно анализировать подробнейшим образом по каждому столбцу, однако оставим это достаточно грамотному читателю и посмотрим на дело в целом. Здесь несколько важных моментов. Во-первых, видны три «вектора» направленности основных потребностей населения за 20 лет: телевизор, мебель («диванная революция», платяные шкафы, буфеты и обеденные столы), стиральная машина. Во-вторых, в планах на ближайшие два-три года в 1971 г. наблюдается очень большая осторожность населения и резкая смена приоритетов с выходом на первое место в планах покупки холодильника.
Дополнив данные средним количеством товаров, приобретенных семьей за тот или иной год (табл. 4.9), мы увидим, что среднее число товаров из данной товарной группы, покупаемых ежегодно с 1953 по 1965 гг., оставалось практически на одном уровне (около 3) при довольно стабильной вариации и дисперсии. Некоторый спад дает 1959 г., а с 1966 г. начинается покупательский бум, который доводит среднее число покупок до четырех при максимальном в 12 из 16 наименований (75 % от предельно возможной величины). Однако в планах на будущее население очень осторожно (средняя ниже, чем за 20 лет до того было реально куплено: 1,96). Отметьте при этом, что средняя за первые два месяца 1971 г., и это реальная, а не экстраполированная средняя, достигает пика в 4,16. Забегая вперед (табл. 4.12 и 4.13), скажу, что в лонгитюдном исследовании москвичей в 1980 и 1985 гг. фигурировал список в 23 товара, во-первых, находящегося в пользовании и, во-вторых, желаемого для приобретения в ближайшие 5 лет (10 товаров списка пересекались со списком 1971 г.). Так вот, если брать среднее число планируемых в 1971 г. к покупке вещей от среднего числа купленных за последний (1970) год, то оно составит 52,3 %. Если брать от среднего во владении, то это число составит 61,3 %. А у москвичей среднее планируемое составит 52,1 % от имеющегося в 1980 г., и 43,1 % — в 1985 г. Люди осторожны в своих планах. Это видно и из рис. 4.6.
|
Таблица 4.8. Распределение 16 товаров по годам покупки с 1952 по 1971 и удельный вес приобретших хотя бы один товар из списка в определенный год (в % к числу обследованных; n = 1971; в первой строке таблицы указан удельный вес купивших какую-либо из обозначенных в списке вещей в год, обозначение которого стоит в «шапке» таблицы, а по вертикали приведены удельные веса в % приобретших тот товар, номер названия которого стоит в подлежащем. Значение веса сделавших покупку при этом принимается за 100 %*) |
|
Годы покупки товаров из списка «1-16» с 1952 по 1971 гг. и спрос на 1971-1973 гг. (73) | |
со
г- |
со
'si- |
оо
со |
Ю |
oo |
CN |
oo |
Г— |
CD |
Г— |
oo |
oo |
ю |
CN
CN |
•S’ |
CN |
•S- |
- |
т—1
г- |
’s-
со |
ю
CN |
1— •S" |
- |
О
CD |
CD
•S’ |
05
LO |
LO
LO |
CN
CN |
о |
- |
- |
Г— LO |
о |
- |
- |
CN |
о
г- |
со |
1— см |
Ю |
•S’ |
CD |
LO
CO |
•s-
LO |
|
CN
CN |
LO |
05 |
- |
•S-
LO |
о |
- |
- |
- |
<т>
со |
оо
CN |
ю
CN |
CD
•S’ |
г— |
r-~-
•s- |
’s-
со |
LO
LO |
О
•S’ |
00
CN |
LO |
О |
- |
СО
ю |
о |
- |
- |
- |
СО
со |
со |
см
со |
CD |
oo |
r-~-
•S’ |
г— CO |
oo |
oo
CO |
CD
CN |
Г— |
05 |
- |
•S-
LO |
о |
CN |
- |
CN |
г
со |
со
CN |
05
CN |
r-~-
•S’ |
г— |
CO |
oo
CO |
LO |
CD
CO |
LO
CN |
CD |
О |
- |
со
ю |
со |
- |
- |
CN |
со
со |
CN
CN |
о
со |
oo |
LO |
О |
t— CO |
LO |
oo
CO |
CN
CN |
LO |
О |
- |
CN
ю |
г— |
со |
- |
- |
ю
со |
CN
CN |
ю
CN |
1— CO |
О |
Ю
CO |
CN
CO |
LO |
CO
CN |
О
CN |
LO |
05 |
- |
ю |
05 |
CN |
|
CN |
'S-
СО |
со |
CD
CN |
’s-
со |
г— |
CD
CN |
CN
CO |
CO |
05 |
CN |
LO |
00 |
- |
|
- |
CN |
|
СО |
to
со |
CN |
1— CN |
|
со |
00
CN |
CD
CN |
CD |
CO
CN |
LO
CN |
•S’ |
CD |
- |
05 |
о |
- |
- |
СО |
см
со |
о |
’S-
СМ |
r— CO |
LO |
LO
CN |
CN
CN |
CO |
CN
CN |
CN |
CO |
Г— |
- |
CN
Ю |
оо |
со |
|
CN |
т—1
со |
1— |
CD
со |
1— CO |
Г— |
00
CN |
CO |
Г— CO |
00
CN |
LO
CN |
г— |
LO |
- |
r— •S" |
со |
о |
CN |
- |
о
со |
1— |
05
CN |
LO
CO |
CD |
05
CN |
г— CN |
|
CN |
CN
CN |
05 |
Г— |
- |
Ю |
о |
со |
|
CN |
<т>
ю |
•S" |
1— CN |
г— |
05 |
Г— |
oo |
CO |
LO |
CN |
Г— CN |
г— |
|
CD
CO |
•S- |
•S- |
|
CD |
СО
ю |
•S" |
СО |
1— CO |
•S’ |
CD |
’s-
со |
CN
CO |
CN |
CN
CN |
•S’ |
со |
- |
LO |
- |
со |
|
CN |
г-
ю |
CN |
CD
CN |
’s-
со |
CO |
О
CO |
CO |
CO |
LO
CN |
LO |
CO
CN |
LO |
со |
CO
CO |
05 |
CN |
|
LO |
со
ю |
ю |
CD
CN |
CO
CO |
LO |
CO
CN |
CO |
|
00
CN |
05 |
05 |
СО |
CN |
Ю |
ю |
ю |
|
LO |
ю
ю |
ю |
00 |
о |
05 |
05
CN |
CO
CN |
CD
CO |
LO
CN |
Г— |
О
CO |
со |
- |
CN
•s- |
- |
- |
|
СО |
's-
іо |
CN |
CD
CO |
05
CN |
05 |
05 |
CN |
О
LO |
CD
CN |
CO
CN |
г— CN |
CN |
CN |
Ю |
со |
|
|
05 |
со
ю |
- |
LO
CO |
CO
CN |
CO
CN |
CD
CN |
Г— CO |
CO
CO |
CD
CN |
О
CN |
CO
CN |
СО |
- |
CN
CD |
оо |
|
|
CN |
см
ю |
- |
CN
CN |
CD
CO |
CN |
CD |
LO |
CD
CO |
Г— |
CO
CN |
CD |
CD |
|
CO |
•S- |
CN |
|
- |
|
|
Cl
то
са
? |
(Л |
1 |
CM |
CO |
<s- |
LO |
CO |
Г- |
CO |
«75 |
О
т—1 |
т—1 т—1 |
CM
T—1 |
со
т—1 |
<s-
т—1 |
LO
т—1 |
СО
т—1 |
|
|
Таблица 4.9. Показатели среднего числа вещей из списка в 16 потребительных стоимостей, купленных в тот или иной год по опросу 1971 г., а также удельный вес покупателей этих вещей в общем числе опрошенных, перевзвешенном на генсовокупность по переписи населения 1970 г.; n = 1971, и веса купленных вещей в общем числе вещей во владении населения в 1970 г.; n^ = 16 265. За 1973 г. дается среднее число товаров из того же списка, которые опрошенные в феврале-марте 1971 г. намерены купить в ближайшие два-три года (в абсолютном выражении и в % к числу опрошенных и числу вещей и в средних показателях) |
Показа
тели |
1 |
2 |
3 |
4 |
5 |
6 |
7 |
8 |
9 |
10 |
|
1952 г. |
2,17 |
1,39 |
1,57 |
1 |
7 |
28 |
60 |
1,4 |
0,3 |
0,3 |
|
1953 г. |
3,21 |
2,00 |
1,93 |
1 |
8 |
25 |
80 |
1,3 |
0,5 |
0,8 |
|
1954 г. |
3,09 |
2,35 |
2,00 |
1 |
7 |
37 |
115 |
1,9 |
0,7 |
1,5 |
|
1955 г. |
2,99 |
2,38 |
1,92 |
1 |
9 |
90 |
270 |
4,6 |
1,7 |
3,2 |
|
1956 г. |
2,89 |
3,00 |
1,84 |
1 |
10 |
70 |
202 |
3,6 |
1,2 |
4,4 |
|
1957 г. |
2,96 |
2,00 |
2,19 |
1 |
9 |
46 |
135 |
2,3 |
0,8 |
5,2 |
|
1958 г. |
2,84 |
2,00 |
1,71 |
1 |
7 |
79 |
225 |
4,0 |
1,4 |
6,6 |
|
1959 г. |
2,48 |
2,00 |
1,36 |
1 |
8 |
86 |
212 |
4,4 |
1,3 |
7,9 |
|
1960 г. |
3,07 |
3,00 |
1,88 |
1 |
9 |
329 |
1012 |
16,7 |
6,2 |
14,1 |
|
1961 г. |
3,22 |
3,00 |
2,01 |
1 |
8 |
141 |
453 |
7,2 |
2,8 |
16,9 |
|
1962 г. |
2,85 |
2,00 |
1,78 |
1 |
10 |
194 |
552 |
9,8 |
3,4 |
20,3 |
|
1963 г. |
3,13 |
3,00 |
1,90 |
1 |
10 |
243 |
760 |
12,3 |
4,7 |
25,0 |
|
1964 г. |
3,01 |
3,00 |
1,72 |
1 |
11 |
265 |
798 |
13,4 |
4,9 |
29,9 |
|
1965 г. |
3,07 |
3,00 |
1,82 |
1 |
10 |
438 |
1345 |
22,2 |
8,3 |
38,2 |
|
1966 г. |
3,68 |
3,00 |
1,96 |
1 |
12 |
432 |
1588 |
21,9 |
9,8 |
48,0 |
|
1967 г. |
3,82 |
3,00 |
2,12 |
1 |
12 |
455 |
1738 |
23,1 |
10,7 |
58,7 |
|
1968 г. |
3,84 |
3,00 |
2,12 |
1 |
12 |
602 |
2310 |
30,5 |
14,2 |
72,9 |
|
1969 г. |
3,84 |
4,00 |
2,01 |
1 |
12 |
551 |
2115 |
28,0 |
13,0 |
85,9 |
|
1970 г. |
3,75 |
3,00 |
2,01 |
1 |
12 |
612 |
2295 |
31,1 |
14,1 |
100,0 |
|
1971 г. |
4,16 |
4,00 |
2,14 |
1 |
10 |
678+ |
2826+ |
34,4+ |
17,4+ |
|
|
1973 г. |
1,96 |
2,00 |
1,22 |
1 |
10 |
840 |
1649 |
42,6 |
10,1 |
|
|
Показатели:
1 - среднее число товаров (из списка в 16), купленных за год;
2 - медиана;
3 - стандартное отклонение;
4 - минимальное число купленных за год вещей из списка;
5 - максимальное число купленных за год вещей из списка;
6 - число покупателей в абсолютном выражении («+» - оценка);
7 - товарная масса купленного за год в абсолютном выражении («+» - оценка);
8 - удельный вес покупателей за год от общего числа совершивших покупки в % («+» - оценка);
9 - удельный вес купленных за год вещей в общем числе покупок в % («+» - оценка);
10 - кумулятивный процент доли покупок за период в общем владении в %.
|
Соотношение объемов покупателей и купленных товаров |
 |
52 53 54 55 56 57 58 59 60 61 62 63 64 65 66 67 68 69 70 71 73
Годы покупки товаров |
? Вещи ¦ Люди
Рис. 4.6. Представление табл. 4.9 в графическом виде
Здесь отчетливо видно не только падение среднего числа желаемых товаров при росте массы потребителей, что говорит о ненасыщенности рынка товарами и слабом товарном покрытии рубля, но и резкость роста и падения сегментов рынка по данной товарной группе во времени. Прежде всего обозначается резкий рост (почти в 4 раза по людям и более чем в 4 раза по удельному весу купленного за год) ареала рынка в 1960 г. Этому предшествовал беспрецедентный в нашей стране бум строительства жилья за шестую пятилетку. Широкие слои трудящихся начинали наконец нормальную жизнь, прерванную войной и навязанной после нее гонкой вооружений перед фактом атомного шантажа со стороны США. Сразу бросается в глаза то, что этот рост столь же круто «подрезается» экономической репрессией — денежной реформой 1961 г., которая имела, помимо прочего, и конфискационную направленность. Однако последнее не смогло бы вдвое сократить покупательную способность (точнее в 2,5 раза и по покупателям, и по купленному на следующий год числу товаров рассматриваемой группы), если бы не вызванное реформой подорожание товаров первой необходимости, в частности продуктов питания, которое привело к перераспределению приоритетов в затратах населения. Мы видим, что по рассматриваемой товарной группе объем купленного и доля покупателей возвращается к уровню 1960 г. только в 1965 г. Картина, аналогичная полученной выше по рынку подписных газетных и журнальных изданий, по сокращению рынка услуг и прочим «прелестям» начала и конца 90-х гг. Есть еще один небольшой спад в потреблении данной товарной группы, приходящийся на 1969 г. Он вызван, на мой взгляд, общим свертыванием «косыгинской» экономической реформы, сопровождавшимся ужесточением внутренней политики и ростом идеологической нетерпимости. На московской партконференции прямо звучали призывы избавиться от демагогов, которые, критикуя недостатки, не могут выдвинуть предложений по их исправлению. Всякое «закручивание гаек» заставляет наученное уму-разуму население откладывать деньги про черный день, который в России никогда не прекращается, перещеголяв саму полярную ночь. После короткой фразы в выступлении Предсовмина в 1990 г.: «Вы еще будете вспоминать добром наше правительство!» — народ за считанные дни смел с прилавков крупу, хлеб, сухое молоко и смел бы все, если бы информированные торговцы не спрятали бы (как они прятали уже два-три года) поскорее все остальное, вызвав «горбачевский» товарный голод и «нехватку» товаров. Затем, встав в очередь на Запад с протянутой рукой за «гуманитарной» помощью, они выгодно потом ее продали тому же населению в коммерческих киосках
. Но, подчеркну, реакция населения на экономические изменения всегда была и будет мгновенна и в ряде случаев непредсказуема
. Но вернемся к данным табл. 4.8.
Составим корреляционную матрицу между распределениями товарной группы за каждый год покупки по 16 рангам (шестнадцать вещей выделенной товарной группы). Включим в нее и корреляцию с намерениями в отношении покупки этих же товаров в ближайшие три года. Получаем 441 коэффициент корреляции рангов (21 х 21), каждый из которых показывает связь структур покупок за все годы по данной товарной группе, во-первых, друг с другом, во-вторых, со структурой покупательских намерений (табл. 4.8).
Тут выделяются два обстоятельства (см. табл. 4.10).
1. Высокая корреляция рядом (по годам) стоящих структур с некоторой общей тенденцией снижения коэффициентов связи покупаемых товарных рядов с увеличением промежутков времени говорит о том, что принципиально качественная структура «распределения Парето» по покупкам каждого года, просматриваемая по столбцам табл. 4.8, не меняется. Потребности в данной группе товаров еще не прошли пика насыщения.
2. Структура намерений в отношении данной группы потребительных стоимостей имеет ярко выраженные колебания тесноты связи со структурой покупок в определенные отрезки времени. Сначала, в связи с выраженными в покупках 1952 г. потребностями, она высокая, затем падает до предельно низкого значения со структурой покупок за 1956 г. Затем она снова повышается с некоторыми флуктуациями к 1961 г. и вновь падает, становясь почти предельно низкой по отношению к структурам покупок 1970 и 1971 гг. Это может говорить о некоторой цикличности в насыщении потребностей семей в потребительных стоимостях и требует специальной проверки в отдельных исследованиях. Это же подсказывает и некоторый ход к обнаружению цикличности методом ранговой корреляции.
Таблица 4.10. Корреляционная матрица рядов распределений из табл. 4.8, составленная по абсолютным значениям числа купленных за тот или иной год вещей (в коэффициентах корреляции рангов Спирмена (вверх от диагонали) и Кендалла (вниз от диагонали))*
Годы I 52 I 53 ~ 54 55 56 57 58 59 60 61 62 63 64 65 66 67 68 69 70 71 73
52 ^ ,820 ,895 ,831 ,835 ,831 ,921 ,912 ,924 ,921 ,888 | ,919 | ,903 | ,903 | ,884 | ,870 | ,851 | ,842 | ,857 | ,776 | ,747
 |
Ю СТ> ст> ст>
X X
tx tx CQ CQ О О
-Q -П X X CD CD |
* В верхней части матрицы коэффициенты корреляции Спирмена, в нижней — Кендалла даны для увеличения объема и надежности информации таблицы. По диагонали матрицы вместо коэффициентов со значением 1 (ряд оценок в том или ином исследовании или группе сам на себя) мы проставили черные пустые клетки для более четкого разделения двух видов коэффициентов корреляции: Спирмена и более «острожного» Кендалла. Более темными клетками выделены коэффициенты с доверием 95 %.
Ведь год от года структура потребностей населения меняется медленно. При ненасыщенном рынке она вообще может не меняться. С другой стороны, резкое падение корреляционной связи с планами покупок по той же товарной структуре, которая имеется во владении или покупается перед запросом о намерениях, может свидетельствовать и о насыщении потребностей именно в этой товарной группе и именно в этот момент замера. Инструментарий ограничен списком. А если насыщение произошло, значит население переключается на другую товарную группу, которой исследователи пренебрегли в инструментарии. Отсюда следует, что социальный мониторинг требует постоянного и максимально системного инструментария, позволяющего уловить «поля» переходов потребностей на те или иные области во времени. Однако посмотрим на корреляции покупок и намерений за 3-летние периоды к 1971 г. (исследование фиксировало намерения в ближайшие три года) и планов покупки на ближайшие пять лет на 5-летнем интервале у одних и тех же людей в лонгитюдном исследовании москвичей в 1980-1985 гг.
Таблица 4.11. Корреляционная матрица рядов распределений из табл. 4.8, составленная по абсолютным значениям числа купленных за период от 1952 до 1965 г. вещей, а затем по двум трехлетним периодам и намерениям в 2-3 следующих за опросом года (в коэффициентах корреляции рангов Спирмена и Кендалла)*
 |
- уровень значимости связи 99 %.
- уровень значимости связи 95 %. |
Покупки
До 1965 г.
1966-1968 гг.
1969-1971 гг.
1971-1973 гг.
Корреляционная матрица табл. 4.11, основанная на сравнении структур покупок в трехлетнем цикле, четко говорит, что рядом стоящие «трехлетки» связаны наиболее сильно. Удаление на один интервал больше незначительно, но снижает тесноту связи структур реальных покупок. Значительно интереснее второй результат. Структура намерений имеет, во-первых, более ярко выраженную тенденцию к снижению тесноты связи по мере возрастания периода, а во-вторых, связь здесь вообще значительно, если говорить фигурально, на треть, ниже. Проверим этот результат на данных московского исследования 1980-1985 гг. (табл. 4.12, 4.13).
Обратим сразу внимание на соотношения объемов владения в 1980 и 1985 гг. и объемов планов покупки товаров из того же ряда (табл. 4.12). Общая масса товаров во владении семей одних и тех же людей выросла на 10,6 %. Однако доля планирующих купить что-либо из ряда в 23 товара сократилось практически на такую же долю. Доля покупательских намерений в 1980 г. составляла от всей массы товаров во владении 39,7 %. Если принять ее за 100 %, то она реализована на
|
Таблица 4.12. Показатели владения товарами длительного пользования (23 наименования) и планов покупки этих товаров по данным лонгитюдного исследования в Москве в 1980 и 1985 гг. в рамках Всесоюзного исследования образа жизни населения (% к числу обследованных; n = 768, а также в средних показателях и % к суммарной массе потребительных стоимостей во владении опрошенных) |
|
Достаток (23 вещи) |
Имеют в 1980 г. |
Имеют в 1985 г. |
Планы 1980 г. |
Планы 1985 г. |
|
Число владеющих |
740 |
743 |
564 |
491 |
|
% от массива |
96,4 |
96,7 |
73,4 |
63,9 |
|
Средняя |
8,24 |
9,08 |
4,29 |
3,91 |
|
Медиана |
8,00 |
9,00 |
3,00 |
3,00 |
|
Мода |
7 и 8 |
10 |
1,00 |
1,00 |
|
Ст. отклонение |
3,64 |
3,73 |
3,17 |
3,16 |
|
Минимум |
1 |
1 |
1 |
1 |
|
Максимум |
23 |
22 |
22 |
21 |
|
Суммарное число |
6096 |
6744 |
2422 |
1920 |
|
% от суммарного |
100,0 |
110,6 |
39,7 |
28,5 |
|
Таблица 4.13. Корреляционная матрица рядов распределений по имеющимся и планируемым к покупке товарам, составленная по абсолютным значениям числа имеющихся и планируемых к покупке товаров (23 ранга по весу каждого их списка товаров в 23 наименования) по данным лонгитюдного исследования в Москве в 1980 и 1985 гг. в рамках Всесоюзного исследования образа жизни населения (в коэффициентах корреляции рангов Спирмена и Кендалла)
 |
- уровень значимости связи 95 %.
- уровень значимости связи 99 %. |
Корреляция Имеют в 1980 г.
Планы 1980 г.
Имеют в 1985 г.
Планы 1985 г.
26,8 %. Доля покупательских планов в 1985 г. у этой группы составила уже 28,5 % от уровня владения 1985 г. Среднее планируемое составило 52,1 % от имеющегося в 1980 г. и 43,1 % от имеющегося в 1985 г. При неизменной дисперсии и возрастании среднего числа вещей во владении падает среднее планируемое и максимальное. Казалось бы, что можно сделать вывод: люди уходят от этих товаров, потребность в которых насыщается. Не тут-то было! Корреляционная матрица соотношения структур владения и планов за пятилетку (табл. 4.13) говорит о высокой тесноте связи и владетельных структур (+0,945 по Спирмену и +0,842 по Кендаллу)
и структур планов (+0,914 по Спирмену и +0,762 по Кендаллу). Планы в 1980 г. коррелируют со структурой владения на +0,532 по Спирмену и +0,396 по Кендаллу. Планы в 1985 г. коррелируют со структурой владения на +0,553 по Спирмену и +0,394 по Кендаллу. Это как раз и говорит, скорее, о сокращении поля потребностей в намерениях в связи с невозможностью их реализации, подтверждая то, о чем говорит пятилетний опыт провала планов у определенной части людей. Так реализуется отложенный спрос. Если вспомнить графики и фигуры предыдущей главы, станет понятно, что эти реакции населения и есть внутренний «аттрактор» переходов из одной «ячейки-всплеска активности» в другую. Ну, а чем же ответит на очередное повышение благосостояния заботливая власть? Репрессией. Сначала будут возвращены облигации госзаймов, львиная доля которых была выброшена людьми в хрущевские времена на помойку. Затем они практически тут же будут обесценены сначала павловской «десятиной», а затем целиком и полностью. Успевший в это время во что-то вложить деньги широкий люд просто снесет до основания неприпрятанные информированным классом товарные запасы. Затем весь отложенный спрос — несколько сотен миллиардов долларов — будет превращен в капиталы, которые уйдут неизвестно куда. Эти беспрецедентные акции могут быть сравнимы только с римскими проскрипциями времен Суллы. Не хуже
.
Отклонения во времени чтения газет в анализируемый период
В то время, когда население давало резко негативные оценки тенденциям в изменении уровня жизни, политика информирования его по социальным вопросам властями и журналистами имела, мягко говоря, «сдержанный характер». Между тем для прояснения того, как в массово-коммуникативной деятельности создаются огромные поля разреженного социального пространства, нужно точно знать, как и сколько принимается информации населением.
Нами был проведен четырехкратный замер прямого (не в лабораторных условиях, а в натурном виде) чтения материалов различных газет за почти 40 лет. Во Всесоюзном исследовании «Правда»-1977» 86,8 %, во Всесоюзном исследовании «Образ жизни-1986» 92,1 %, во Всесоюзном исследовании «Правда»-1990/91» 95,2 % населения читают газеты. В 1968 г., в день интервью в Таганроге, единственную городскую газету читали 42 % ее аудитории. В 1977 г. — 41,3 % аудитории газеты «Правда» взяли ее в руки в день интервью. В 1991 г. — 36,0 % аудитории всех газет читали какую-либо одну из них в день интервью. В Тамбове 2004 г. аудитория газет составляет 76,0 % читателей, столько же в Москве 2004 г.
Среднее число сообщений, читаемых в день из газет, выявлялось нами в 1968, 1977, 1991 и 2004 гг. Оно сохраняется постоянным: около 23 сообщений в день среди тех, кто берет в этот день в руки газету. Среднее физическое время, эквивалентное затратам на чтение этих 23 сообщений, выявлено нами в исследовании «Правда»-1977» — 38 минут. В Пскове 1986 г. в день интервью газету читали 41,3 % жителей. Псковское исследование дает время затрат на ежедневное чтение сообщений в среднем 39 минут в сутки на человека. В 1993 г. аудитория газет составляла в России 87,8 %, но в день замера бюджетов времени какую-либо из газет читало только 21,8 % аудитории. Но среднесуточное время чтения газет, при возросшем чтении в транспорте, достигает уже 57 минут, т. е. почти на 20 минут больше, чем потребно для 23 сообщений. С одной стороны, кажется, что рынок сообщений ведет себя так же, как и рынок товаров и услуг. При резком сокращении в два раза сегмента рынка возрастает интенсивность потребления. Потребность концентрируется на более узком поле, временно усиливаясь, прежде чем расплыться в аморфную массу. Это можно принять, но с оговоркой. Во всех случаях замера реального чтения сообщений мы имели дело только с содержательной информацией, не принимая во внимание рекреативные и утилитарные материалы — рекламу, связанную с духовным и материальным потреблением, художественные произведения, шаржи и т. п. В 1993 г. это ограничение не учитывалось, а количество рекламы в газетах начало возрастать. Вопрос этот требует детальных исследований на временной шкале.
Однако независимо от этого уменьшение удельного веса ежедневно берущих газету в руки говорит о сужении ареала приема печатных сообщений. Рассмотрим общую структуру этого приема в динамике с 1968 по 2004 г.
В табл. 4.14 показаны соотношения структур аудиторий и удельных весов принимаемых каждой из разнящихся по активности групп аудиторий сообщений из общего числа принятых за день. В первой главе мы говорили об общественно необходимом для социальной ориентации населения времени. На эту ориентацию требуется не только определенное число минут, при превышении лимита которых объемы принятой информации начинают снижаться. Требуется и определенное содержательное соответствие сообщений фундаментальным и оперативным потребностям аудитории, которые большинство реципиентов не осознает либо осознает слабо или в терминах, не имеющих ничего общего с журналистской проблематикой. Ниже, однако, показано, как меняются структуры аудитории газет и принятых ею потоков в зависимости от числа печатаемых сообщений и уровня изданий при постоянной среднего числа прочитанных материалов.
В табл. 1.11 и 1.12 мы показывали составы групп различной активности в аудиториях исследованных газет. Напомним, группы различной степени активности в информационном приеме «низкой», «средней», «высокой» были рассчитаны на основе стандартного отклонения от среднего числа принятых в день сообщений. Оно везде и всегда одинаково — около 23 сообщений. Однако в 1968 г. читателю предлагалось до 42 сообщений на четырех полосах, в 1977 г. — уже от 60 до 80 сообщений на шести полосах, а в 1991 г. «АиФ» и «Правда», аудитория которых принята в таблице за основу, предлагали уже более 100 сообщений в день. С 1991 по 1994 г. рынок центральных газет рухнул (в Касимове 1994 г. и в Питере 1999 г. лишь по 52 % жителей читали газеты). Однако за счет региональной прессы аудитория газет расширилась снова до трех четвертей взрослого населения. «Тамбовская жизнь» 2004 г. близка по числу публикуемых содержательных сообщений (без скрытой и явной рекламы) к объему информационного потока «Таганрогской правды» 1968 г. (см. табл. 4.14 и рис. 4.7)
|
Таблица 4.14. Соотношение групп низкой (-), средней (+-) и высокой (+) степени приема информации из различных изданий и удельный вес принятых этими группами сообщений в общем числе принятых в каждом случае сообщений; в % к числу читателей: n1968 = 102, n1977 = 500, n1991 = 203, n2004 = 74; и в % к числу принятых каждой соответствующей группой сообщений: A1968 = 2434, A1977 = 10 930, A1991 = 4605, A2004 = 1576) |
|
Издание |
Год |
Число |
Вес групп приема |
S |
Вес прочитанного |
S |
|
|
|
номеров |
- |
+- |
+ |
|
- |
+- |
+ |
|
|
«Таганрогская правда» |
1968 |
4 |
20 |
65 |
15 |
100 |
10 |
68 |
22 |
100 |
|
«Правда» |
1977 |
10 |
12 |
70 |
18 |
100 |
2 |
58 |
40 |
100 |
|
«Правда» и «АиФ» |
1991 |
19 |
20 |
60 |
20 |
100 |
1 |
39 |
60 |
100 |
|
«Тамбовская жизнь» |
2004 |
2 |
24 |
54 |
22 |
100 |
15 |
57 |
28 |
100 |
|
 |
|
ч— ч- - ч— ч- - ч— ч- - ч— + |
1968 г. 1977 г. 1991г. 2004 г.
? Люди ? Текст
«-» — группа низкой степени приема (доля принятого).
«+-» — группа средней степени приема (доля принятого).
«+» — группа высокой степени приема (доля принятого).
Рис. 4.7. Представление таблицы 4.14 в графическом виде
Что отметить в построенной картине, прежде чем перейти к анализу информационного потока по его содержательным характеристикам на фоне информированности населения и его, населения, отношения к отражаемой реальности и к «отражающим» элементам? Главное: за прошедшие 36 лет массовая коммуникация в форме такого средства, как газеты, совершила один полный цикл перехода к элитарной и снова к массовой. Видно, что соотношение групп по степени активности приема не меняется в зависимости от издания или от времени. Мы, кстати, не стали разделять аудитории «АиФ» и «Правды», так как прием информации из этих двух «враждебных» каналов в 1991 г. по интенсивности одинаков. В анализе приема конкретных характеристик текста мы эти каналы разделим. А вот по удельному весу принятых сообщений в общем числе прочитанных видно, как переполнение канала ведет к элитарной коммуникации: 18 % всесоюзной аудитории «Правды» принимает в 1977 г. 40 % всех принятых сообщений газеты, тогда как 12 % этой же аудитории «пользует» лишь 2 % от этой «товарной» массы. Не лучше обстоит дело и с партийной, и с демократической прессой в 1991 г. 20 % аудитории «АиФ» и «Правды» принимает 1 % всех принятых сообщений, а равная часть аудитории (20 %) «заглатывает» аж 60 % от всего прочитанного страной. Впервые наблюдается картина, когда «средняя часть аудитории» в 60 % принимает всего лишь 39 % всего захваченного чтением потока текста. Конечно, так долго продолжаться не может. Это противно социально предопределенной человеческой природе. Дело за малым — за подъемом цен на бумагоносители сообщений, и вот уже рынок газет обваливается, а в целях пропаганды вся Москва облагодетельствована «бесплатными» изданиями по подъездам. В настоящее время на очереди такой же метаморфозы стоит телевидение, но мы несколько забегаем вперед, так как здесь будут работать другие факторы, которые еще нужно достойно представить.
В целом, однако, заметим, что «либерально-консервативный» период, начавшийся с падения ельцинского режима, де-факто скончавшегося после дефолта, но продержавшегося с «хорошей» миной де-юре до миллениума
, поставил дисбаланс «смутного» времени в приеме информации на место. Выдержали региональные издания с матерыми редакторами, съевшими в политике и в хозрасчете волка с шерстью еще в советское время. Однако последствия «элитарности» массовой коммуникации, результаты резкого сужения потока принимаемой информации у широких слоев населения и пика приема у малой части аудитории имеют последствия и в устанавливающихся сейчас характеристиках аудитории.
Теперь, зная общий фон образа жизни населения в рассматриваемые годы, догадываясь об общей модели «пульсаций» полей обмена в пространственной фигуре социальной системы, зная, что социальные группы «видят» общественный мир сквозь призму форм своей жизнедеятельности и превращенных форм сознания, можно перейти к важнейшей проблеме производства и соотношения оперативных и фундаментальных рядов практического сознания людей. Для этого в главе 5 мы рассмотрим элементы информационного ряда, предлагаемого населению, информированность людей, прием различными слоями населения элементов содержания текста в разные периоды и согласие с суждениями прессы или их отрицание. Мы увидим не только два фундаментальных ряда информации — знаковый и нейтральный, но и два фундаментальных типа функционирования текста в общественной системе — интенциональный, в терминологии Т. Дридзе, и практический образно-чувственный. Наконец, рассмотрев характер взаимодействия органов власти и населения, содержание потоков прямой и обратной связи между ними, мы построим области формирования отношения к социальным институтам, отвечающим за управление общественной системой и баланс обмена результатами человеческой деятельности. Это и есть основные темы следующих глав книги.
Часть II
ОТРАЖЕНИЕ РЕАЛЬНОСТИ В ИНФОРМАЦИИ И В СОЗНАНИИ НАСЕЛЕНИЯ
Глава 5
НАСЕЛЕНИЕ И ИНФОРМАЦИОННЫЕ СРЕДСТВА У КАРТЫ МИРА
Общая картина приема международной информации в динамике
Тридцать лет назад мы установили, что чем глубже аудитория погружена в социальную реальность, освещаемую СМИ, тем сильнее работает правило: интенсивность приема сообщений пропорциональна адекватности отражения в элементах содержания сообщений глубинных жизненных интересов читателей. Попутно тут имели место такие факты.
1. Установки журналистов на литературное творчество и познавательные мотивы деятельности расходились с представлениями аудитории о должном доминировании гражданской роли в освещении социальных проблем в деятельности редакций (это расхождение особенно резко начинает осознаваться аудиторией в начале 90-х гг.).
2. Финансовая необеспеченность местных газет влекла перегрузку профессионалов, ухудшающую качество текста и глубину осмысления реальности.
3. Внештатная корреспондентская сеть в силу ее статусно-образовательной специфики, способствующей более эффективному созданию текста и заполнению площади газетной полосы, была приподнята в структуре общества и отражала сознание лишь близлежащих страт общественного организма, на установки которых и ориентировалась.
Получалось, что три четверти содержания местных газет направлялось на удовлетворение потребностей четвертой части аудитории, а одна четверть удовлетворяла объективные потребности трех четвертей аудитории. Массовая коммуникация и по содержанию, и по функциям становилась корпоративно-элитной. Это было хорошо видно из содержательных аспектов принятой информации, а не только в целом на количественных показателях соотношения принятых сообщений «пассивными» (—), «умеренно активными» (+—) и «активными» (+) читателями. Так что при сохраняющемся соотношении «активных», «умеренных» и «пассивных» читателей в аудитории число читаемых большинством аудитории сообщений неуклонно сокращается к середине 90-х гг.. Современные исследования говорят, что сейчас положение это, выравниваясь в чтении местных газет в целом, усугубляется в отдельных слоях. Последнее затрагивает уже не только каналы прессы, но и такие средства, как радио и ТВ, включенность в которые на региональном уровне падает.
Рассмотрение зависимости интенсивности информационного приема от характеристик сообщений и читателей прояснило еще в 1972 г. следующий факт. Чем больше реальность дана в личном опыте читателя, тем меньше интенсивность чтения информации, отражающей эту реальность. Треть века назад наиболее читалась информация о международной жизни и наименее — о жизни города, где жил респондент
. К 1991 г. картина изменилась на противоположную. Этому сопутствовали два статистически значимых обстоятельства.
1. Характеристики международной и внутренней информации резко изменили свои соотношения по знаку освещения событий и явлений жизни за рубежом и внутри страны.
2. Объемы знаковых характеристик в информационном ряду оказывались в целом пропорциональны объемам этих же характеристик как в ряду принятой, так и в ряду отвергнутой информации.
Создавалось впечатление, что характеристики потоков информации о международной и внутренней жизни пронизывают массовое сознание пропорционально, уменьшая объем принятой в целом информации в связи с возрастающим отчуждением аудитории от форм социальной жизни, но сохраняя качественные пропорции опубликованного как в принятом, так и в отвергнутом ряду. Посмотрим на дело с этой стороны (см. табл. 5.1).
Прежде всего отметим, что падение интереса к международной информации к 90-м гг., видное в значимости отклонений веса принятого информационного потока, хорошо совпадает с уже отмеченным выше сужением институционального поля источников информации о международной жизни (см. табл. 3.10 и выводы по ней). Так что мы фиксируем здесь синхронное сокращение и предметного (сообщения), и институционального (источники-каналы) полей социального взаимодействия и обмена. Можно предполагать, что первичным является отчуждение слоев аудитории от содержательных аспектов информации, а затем уже и от кана-лов-поставщиков «залежалого» или «гнилого» товаров.
Кроме того, поле мнений «Правды» в 1977 г. и «АиФ» и «Правды» 1990/91 гг. принимается более интенсивно, чем поле чистой информации этих газет, тогда как у двух региональных газет картина противоположная. Исходя из структуры текста, функция информирования выполняется анализируемыми региональными каналами лучше, чем центральными, поскольку доля сообщений, которые не содержат даже латентной оценки описываемых событий (только факты), в 2—3 раза выше, чем в центральных газетах (в том числе и в «АиФ»). Исключение демонстрируют за 2004 г. «Ведомости», где слой безоценочной информации составляет 22 % сообщений. Полученная картина выявляет существование двух фундаментальных рядов
Таблица 5.1. Изменения в удельном весе и приеме международной и внутренней информации и информации, содержащей оценки и мнения по данным анализа содержания областных СМК в исследованиях проекта «Общественное мнение» (n = 9535 сообщений), газеты «Правда» в исследовании «Правда»-1977» (n = 740 сообщений), газет «АиФ», «Правда», «Комсомольская правда» в исследовании «Правда»-1991» (n = 1072 сообщения), газет «АиФ», «Независимая газета» в исследовании «Выборы-2000» (n = 1351 сообщение) (в % к числу сообщений по колонке, а также в % к числу контактов с сообщениями, вес которых стоит в колонке «%»; А1968 = 4546, А1977 = 35 362, А1991 = 56 584,
А2004 = 3252) |
|
2004 г. «Тамбовская жизнь» |
см |
33 |
CD
со |
32 |
26 |
35 |
33 |
+ |
¦ |
1 |
+++ |
|
т—1 |
t— СО |
•=t
CD |
oo
CD |
•=t |
LO
CD |
t— CD |
¦ |
+ |
+++ |
I |
|
5? |
О
О |
ю |
LO
oo |
CO
CM |
t— t— |
о
о |
LO |
LO
оо |
со
CM |
t— t— |
L2
X |
5? |
О
О |
ю |
LO
oo |
oo |
CM
03 |
о
о |
LO |
LO
оо |
oo |
CM
03 |
|
1991 г. «АиФ» и «Правда» |
СМ |
О
(30 |
CD
00 |
|
CD
oo |
03 |
о
оо |
+++ |
! |
+++ |
I |
|
т—1 |
О
см |
|
CO
CM |
|
CM |
о
см |
1 |
+++ |
1 |
+++ |
|
5? |
о
о |
CM
со |
oo
CD |
03 |
03 |
о
о |
см
со |
оо
CD |
ОЗ |
03 |
|
1977 г. «Правда» |
СМ |
О)
CD |
CD
CD |
CM |
Ю |
oo
CD |
ОЗ
CD |
! |
+++ |
+++ |
I |
|
т—1 |
СО |
•=t
CO |
oo
CM |
Ю
CM |
CM
CO |
со |
+++ |
1 |
1 |
+++ |
|
5? |
О
О |
CM
LO |
oo
'si- |
CM |
oo
oo |
о
о |
см
LO |
оо
'si- |
CM |
oo
oo |
|
1968 г. «Таганрогская правда» |
СМ |
см |
CD
CM |
03 |
CO |
CO
'si- |
см |
! |
+++ |
I |
+++ |
|
т—1 |
оо
ю |
|
Ю |
CO
CD |
Ю |
оо
LO |
+++ |
1 |
+++ |
1 |
|
5? |
о
о |
CO |
03
CD |
CM |
03 t— |
о
о |
со |
ОЗ
CD |
CM |
03 t— |
|
Тип информации |
В целом |
Международная |
Внутренняя |
Информация |
ЭИНЭН1Л1 |
В целом |
Международная |
Внутренняя |
Информация |
Мнение |
|
текста массовой коммуникации: оценочного и чисто фактографического
. Поток комментариев растет за анализируемый период в центральных газетах и остается фактически стабильным по объему в региональных. Рост интереса аудитории центральных газет к полю мнений естествен для ориентации в плане прогноза социальной погоды по массмедийным «флюгаркам»: взглянуть поутру, куда дуют ветры, на которые ориентируется «четвертая власть»
. В регионах масштабы общности меньше, поле обмена жизненными коллизиями вполне обозримо межличностной коммуникацией, здесь более занимательна фактографическая сторона дела. И местные журналисты, которым не безразлично падение тиража, не могут не учитывать реальности
. Характерным для них промахом, по моему мнению, является пренебрежение международной информацией, источники которой вполне доступны. Тем более что падение интереса к ней в региональной газете минимально после грандиозных провалов, наблюдавшихся ранее в центральной прессе.
За 23 года к началу 90-х гг. читаемость международных материалов упала в 5 раз. Это был один из самых читаемых пластов информационного ряда — пласт, недоступный в каждодневном опыте, пласт, появления которого аудитория ждала, информацию которого она не могла проверить на собственном опыте. Что же произошло?
1. Массмедиа стабильно уменьшали долю международной информации в общедоступном информационном ряду. Доля международных материалов в центральных газетах упала в 4—5 раз. В «АиФ» 1991 г. эта доля была 26 %, упав в 2000 г. в предвыборную кампанию до 5 %. В «Независимой газете» доля информации на международные темы составляет в период этой кампании тот же объем, что и доля международной информации в областных и районных газетах СССР 1968 г. Резко падает в этот период и удельный вес «чистой» информации при возрастании слоя мнений. В «АиФ» — до 7,6 % против 10,1 % в «НГ»
.
2. Неадекватность отражения реальности в процессе создания текста массовой коммуникации (печатного и аудиовизуального ряда) по отношению к фундаментальным ментальностям населения приводит к падению информационного приема. В 1968 г. из всего поля контактов аудитории с информацией о международной жизни 74 % были положительными, т. е. если миллиону человек предлагалось в день, скажем, 100 сообщений о событиях в мире, то 74 млн контактов имели результатом чтение: информация принималась аудиторией, а 26 миллионов контактов «уходили в песок». В 1977 г. это соотношение было уже 34 % «положительных» актов приема против 66 % «отрицательных». А в 1991 г. в совокупном поле сообщений газет «АиФ» и «Правда» это соотношение стало 14 против 86 %. Косвенные данные говорят, что сейчас этот процесс значительно глубже и «в песок» уходят уже миллиарды человеко-сообщений массмедийного поля. И это относится не только к газетам. «Черные дыры» для конкретной стоимости реальных передач и печатных сообщений оказываются отнюдь не виртуальными игрушками.
3. Независимо от этих результатов давно было ясно, что структуры опубликованной, принятой и отвергнутой информации колеблются весом различных параметров. Об этом красноречиво говорит диаграмма рис. 5.1 о соотношении знака информации о жизни ведущих капстран в 1977 г. в «Правде» и знака реально прочитанных аудиторией газеты сообщений.
Знак опубликованного и принятого
|
? «+» ¦ «—» ? «+—» ? «0» |
|
|
62 |
|
|
|
|
|
|
|
|
|
|
|
|
|
|
|
|
|
|
|
2В |
|
|
|
|
|
|
|
|
|
|
21 |
|
|
|
|
|
|
СО
г- |
|
|
|
9 |
— 4 - |
|
|
|
|
1-1 |
|
|
|
|
і |
|
|
Текст Принято |
%
70 60 50 40 30 20 10
конфликтной или негативной по знаку информации. Этих флуктуаций мы еще коснемся при рассмотрении кардинальных изменении направленности отечественной пропаганды в период перестройки и позже, но сейчас сосредоточимся на картине в целом.
Прием информации и отношение к объекту освещения
Итак, можно допустить, что все элементы содержания текста входят в сознание аудитории в тех же пропорциях, в каких они присутствуют в тексте. Оно, конечно, может, и так, но важнее выяснить, в каких пропорциях эти элементы присутствуют в практическом сознании людей и как комбинируются в выражаемом людьми отношении. На входе информации все ясно. А как на выходе? И вот тут-то первое таганрогское исследование преподносит «первый» сюрприз.
Рис. 5.1 выбран как наиболее четко показывающий адекватность знака принимаемой информации знаку информационного ряда на фоне сокращения приема в целом в 1977 г. (табл. 5.1), что вовсе не означает соответствия знака отношения аудитории знаку информационному. Несмотря на тождество знаковых рядов опубликованной и принятой информации, поле оценок общественного мнения существенно отличается от совокупной оценки медийными средствами роли западных стран в мире. Так, противоречивость позиций СМИ и населения в вопросе отношения капстран к СССР хорошо видна на рис. 5.2 (данные «столбцов» см. также в строках с «заливкой» табл. 5.2).
 |
«+» «—» «+—» «о»
«+»— знак освещения (оценки) положительный.
«-»— знак освещения (оценки) отрицательный.
«+-»— знак освещения (оценки) сбалансированный.
«О» — знак (оценка) отсутствует — нейтральная информация (отношение). |
Рис. 5.2. Знак суждений-оценок позиции ведущих капстран в отношении СССР за 1967 г. в материалах центральных газет, радио и ТВ (СМК) и в суждениях-оценках общественного мнения (ОМ) в январе 1968 г. в Таганроге (С = 1621, С = 1846)
элементов-оценок ’ суждении ОМ
Мы видим, что информационный ряд девяти ведущих центральных газет, передач радиостанций «Маяк» и 1-й программы Всесоюзного радио, 1-го канала Центрального ТВ и областных каналов СМК (около 65 000 упоминаний различных стран мира за год), содержащий оценки актов политики Англии, ФРГ, США, Италии, Греции, Турции, Испании, Франции, Израиля и Японии в отношении Советского Союза (1621 суждение), резко расходится с оценками этой же политики у населения типичного среднего города РСФСР.
Главное в данных рис. 5.2 и табл. 5.2 то, что население Таганрога в 1967/68 гг., а впоследствии и страны, занимало более сдержанную позицию во взглядах на международную жизнь, нежели та, что демонстрировали СМИ. Аналогичные расхождения по ряду признаков наблюдаются и сейчас, но крупномасштабных исследований вышеприведенного ранга в настоящее время не проводится. Хотя данные исследования «Выборы-2000», по крайней мере на полюсе «тексты ведущих газет», показывают неизменность позиции некоторых центральных газет в международных вопросах.
|
Таблица 5.2. Сопоставление оценок явлений международной жизни в суждениях СМИ, охватывающих 99,5 % населения, и в суждениях общественного мнения г. Таганрога за 1967 г., а также суммарных оценок политики и жизни капстран и жизни в СССР и РФ за 1967, 1977, 1991 и 2000 гг. (в % к числу суждений, абсолютное число которых стоит в колонке подлежащего слева) |
|
1967 г. Явление |
Позиция капстран в вопросах войны и мира |
|
Оценки |
+ |
- |
+- |
0 |
|
Суждения СМК-4248 |
22 |
70 |
7 |
1 |
|
Суждения ОМ -1837 |
22 |
50 |
28 |
0 |
|
1967 г. Явление |
Отношение капстран к развивающимся странам |
|
Оценки |
+ |
- |
+- |
0 |
|
Суждения СМК-1632 |
11 |
85 |
3 |
1 |
|
Суждения ОМ -1844 |
4 |
47 |
49 |
0 |
|
1967 г. Явление |
Отношения капстран с СССР |
|
Оценки |
+ |
- |
+- |
0 |
|
Суждения СМК- 1621 |
66 |
17 |
7 |
10 |
|
Суждения ОМ -1846 |
28 |
30 |
40 |
2 |
|
1967-2000 гг. |
Суммарные оценки капстран в целом |
|
СМК в целом - 7501 |
29 |
62 |
6 |
3 |
|
ОМ в целом - 5527 |
18 |
42 |
39 |
1 |
|
СМК в 1977 г. - 120 |
26 |
61 |
7 |
6 |
|
СМК в 1991 г. - 322 |
38 |
22 |
23 |
17 |
|
СМК в 2000 г. -1637 |
37 |
28 |
22 |
13 |
|
1977-2000 гг. |
Суммарные оценки СССР и России |
|
СМК в 1977-СССР- 309 |
74 |
10 |
5 |
11 |
|
СМК в 1991-СССР- 750 |
24 |
49 |
18 |
9 |
|
СМК в 2000-РФ - 1339 |
41 |
23 |
22 |
14 |
|
Знак оценки, отношения:
«+» - позиция или отношение положительные;
«-» - позиция или отношение отрицательные;
«+-» - позиция или отношение сбалансированные (присутствуют полярные оценки); «0» - позиция или отношение нейтральное (оценки нет, «чистая» информация). |
Несходство позиций массмедиа и населения в международных вопросах очевидно. Смысл образа, формировавшегося информационными средствами в течение 30 лет, сводился к формуле: «Ведущие капстраны резко отрицательно относятся к развивающимся странам и, занимая в вопросах войны и мира агрессивную позицию, уважают только сильный Советский Союз, являющийся единственным фактором, сдерживающим западную агрессивность». Оценки населения более взвешены и сбалансированы, хотя в оценке отношения капстран к СССР четко проецируется позиция: «Никакого уважения они к нам не испытывают, а что хотят, то и делают». Отметим, что массмедиа правы по существу международной обстановки, а критичное общественное мнение, «забегая» оперативными оценками на двадцать пять лет вперед, «провоцирует» своим скепсисом ту самую международную политику властей СССР и РФ, которая не выдерживает критики даже с точки зрения буржуазных концепций защиты государственного суверенитета. Пока трудно сказать, что «работало» вперед в принятых в середине 80-х гг. политических решениях
. Однако сходство проекции сознания с «создавшейся» впоследствии реальностью поразительно. Как в воду глядели. Лучше бы, конечно, не заглядывали.
Резкая перемена знака оценок политики ведущих капстран приходится в масс-медиа на 1990/91 гг., когда умеренное увеличение положительных моментов жизни капстран сопровождается резким уменьшением отрицательных оценок этой жизни и соответствующим увеличением оценок сбалансированных. При этом в советское время в структуре освещения жизни зарубежных стран по сферам жизни превалирует освещение политической подсистемы: 41 % — деятельность госорганов, 8 % — спорт, 8 % — митинги и акции протеста, 4 % — промышленность и финансы. В современный период они занимают в газетах соответственно 23, 1,5 и 21 %. Тема «промышленности и финансов» увеличилась за счет сужения освещения политики и спорта. Характерно, что знак сфер жизни всех зарубежных стран претерпел минимальные изменения с 1967 по 2000 гг. Все сферы жизни всех стран мира имели 45 % положительных, 31 % отрицательных, 2 % сбалансированных и 20 % нейтральных упоминаний, сменившихся в 2000 г. на 38 % положительных, 28 % отрицательных, 14 % сбалансированных и 20 % нейтральных. Однако в 1991 г. информация по знаку резко менялась. Об этом мы еще поговорим подробно.
Вернемся к ориентациям населения. Здесь четко выделяется два ряда массового сознания: фундаментальный и оперативный. Из приведенных диаграмм и таблиц следует, что население тяготеет к взвешенным оценкам, отрицая крайности. Но это оценки текущих международных событий. Мы же специально измерили изменение отношения населения к странам мира в 25-летнем цикле. Оказалось, что на замерах с интервалом в 24 года обнаружились (как и в случае с базовыми ценностями в главе 2) 15 стран, интерес к которым остался на одном уровне. Люди называли 5 стран, в которые они хотели бы поехать. Чехословакия, занимавшая в 1967 г. по этому параметру первое место, в 1991 г. переместилась на двадцать первое. США с третьего места переместились на первое. Мы исключили страны, которые претерпели переход с одного места на другое на два ранга и более. И тогда остались страны, интерес к которым стабилен и не подвержен состоянию политической атмосферы, враждебным или дружеским акциям, позициям правительств этих стран и т. п. В целом это семья из пятнадцати стран-народов, однако первые пять вообще не сходят со своих мест, а в парах «Китай — Югославия», «Греция — Испания» имеются флуктуации в единицу на ранговом ряду, объяснимые периодами обострения наших двусторонних отношений
.
Мы видим, что ни две мировые войны, ни франко-русские конфликты прошлого века не поколебали интереса русскоязычного населения к жизни Франции, Германии, Италии, Англии, Индии (рис. 5.3). Этот интерес устойчив, не подвержен конъюнктурным изменениям — это семья народов, связи с которыми складывались на протяжении тысяч лет, и они лежат в «генетической» памяти общества. Развитие связей на этом поле будет всегда поддержано населением. Освещение жизни людей в этих странах, их порядков, обычаев будет всегда вызывать интерес. Это фундаментальный ряд сознания людей, выработанный исторически. И политики, и журналисты, обязаны его знать и в той или иной мере на него ориентироваться.
 |
|
Рис. 5.3. Постоянство удельного веса зарубежных стран, вызывающих интерес населения страны (в % к числу опрошенных в г. Таганроге в январе 1968 г.; n = 969 с коррекцией на 4500 суждений опрошенных; и в % к числу опрошенных во Всесоюзном исследовании 1991 г.; n = 9672 с коррекцией на города типа Таганрога в РСФСР; n = 1141 с перевзвесом на генеральную совокупность по переписи населения) |
Фундаментальный базовый ряд ментальностей населения по отношению к странам мира свидетельствует и о том, что наше общество давно осознавало объективную мозаичность мира, о которой так много сейчас говорят. Из ответов людей вырисовываются англо-саксонский и романо-германский, славянский и индуистский, китайский и исламский миры, — шесть огромных человеческих ареалов, каждый из которых обладает такими демографическими, интеллектуальными, природными и техническими ресурсами, которые не позволят ни одному из оставшихся завоевать доминирующую позицию. С наполеоновских войн известно, что развязавшая мировую войну страна будет неизбежно повержена. Наше население тоже хорошо видит так называемую объективную многополярность мира, картину человеческого общежития, самовольничать в котором нельзя. Характерно и то, что Англия, которая в отличие от Франции и Германии воевала с Россией лишь в «локальных операциях» в Крымскую кампанию и в гражданскую войну на русском Севере и была союзницей в борьбе с нацизмом, проигрывает в потребностях населения ознакомиться с ней. Она замыкает четверку фаворитов ведущих европейских держав, вызывающих наибольший интерес; с ней начинает соперничать Индия. Однако не только эта общая картина мнений населения, выступающего экспертом по международным проблемам, вызывает исследовательский интерес.
Кроме фундаментального ряда отношения, есть и другой — оперативный, подверженный краткосрочным изменениям. Он хорошо вырисовывается из номи-налий тех стран, интерес к которым изменился. Вот семь «потерявших» и шесть «приобретших» «симпатии» русскоязычного населения СССР стран. Этот ряд свидетельствует об оперативных изменениях в массовом сознании, которыми могут воспользоваться в своих интересах те или иные политические силы. Он говорит об отклонениях в тех настроениях людей, которые могут быстро пройти или являются поверхностными равновесными флуктуациями полей сознания в социальном пространстве «общественного эксцентрика», вращающегося в материальном мире.
 |
|
Рис. 5.4. Изменения удельного веса зарубежных стран, вызывающих интерес населения страны (в % аналогично данным рис. 5.3) |
Итак, за без малого 25 лет упал интерес к странам «народной демократии» и Египту и возрос интерес к нейтралам и умеренным европейцам. Отметим, что США и Япония занимают особое место, выпадая в общественном мнении и из оперативного, и из фундаментального рядов. Интерес к ним высок, но конъюнктурен. Население как будто чувствует открытый характер нахождения правильной политики налаживания долгосрочных связей с этими странами.
Здесь необходимо сделать два косвенных замечания.
1. Эта информация получена в 1991 г., но и политикой, и журналистикой она востребована не была, хотя сейчас всем очевидна ее актуальность и именно в то время. Тогда ее ввод в управленческую практику был бы эффективнее, чем в ситуации ослабленного общества, однако в порочной практике социального управления каждый власть имеющий требует только то, что хочет видеть. Политика не могла «увидеть» этого тогда. А «коммуникатор» не мог откликнуться на то, что не видел «издатель». Для этого нужно иное социальное устройство, иной, паллиативный и общественный метод принятия решений через «обкатку» разнообразной информации.
2. Фундаментальный и оперативный ряды общественного мнения предоставляют журналистам редкую возможность убить сразу трех зайцев: освещая жизнь стран фундаментального интереса, жизнь стран, интерес к которым возрос, и тех, интерес к которым был высок в прошлом. С остающимися элементами последнего интереса можно информационно резонировать вновь, не выбрасывая их «на свалку истории». Но мы уже видели, как поле международной информации сжимается в СМИ шагреневой кожей. Но не только это видно. Брешь была пробита в оперативном ряду сознания в связи с назревшими переменами, которые, похоже, никто из власть предержащих в то время и не думал решать в интересах общества. Посмотрим на дело с этой точки зрения.
Наиболее крупные изменения в позиции массмедиа произошли по знаку в отношении внутренней информации, что явствует из данных табл. 5.2. Удельный вес в 74 % положительных оценок жизни СССР в 1977 г. упал в 1990 г. до 24 % (втрое!), увеличив долю отрицательных оценок с 10 до 49 % (фактически впятеро!). Надо сказать, что общественное мнение, качнувшись за этими оценками в 1991 г., «схватившись» в отличие от «интеллектуалов» за голову, впоследствии стало резко негативно относиться к такой «оголтелости», что, вероятно, массмедиа и почувствовали, убавив «сверхкритический» тон освещения внутренней жизни страны (см. последние строки табл. 5.2). Кроме того, сделалось так плохо, что стало опасно освещать верно.
Об этих реакциях населения косвенно свидетельствует и картина информационного приема, приведенная в табл. 5.5, но посмотрим сначала на детали воздействия принимаемого потока информации о международной жизни в сравнении с освещением внутренней жизни страны.
Информация в опубликованном ряду и в принятом потоке
На рис. 5.5 хорошо видно изменение соотношения опубликованных сообщений по знаку материала в целом в зависимости от локальности: с одной стороны, ведущие страны Запада, с другой — СССР в период с 1977 по 1990/91 гг. В 2000 и 2004 гг. было исследовано содержание некоторых газет по аналогичным параметрам, но рассматривать его сейчас надо, конечно, только в контексте прямого информационного приема, а такие исследования не проводятся.
Что здесь важно? Во-первых, за 1977 г. мы имеем анализируемый поток информации газеты «Правда», который в то время имел «установочный» характер для всех. Во-вторых, если брать 1990/91 гг., здесь мы имеем анализ содержания
материалов трех газет, прием сообщений которых исследовался: «АиФ», «Комсомольской правды» («КП») и «Правды».
 |
1977 г.
1990/91 г. |
П «+» Н «—» П «+—» п «о»
«+» — знак освещения положительный.
«-» — знак освещения отрицательный.
«+-» — знак освещения сбалансированный.
«О» — знак отсутствует: полностью нейтральная информация.
Рис. 5.5. Соотношение знака упоминания сфер жизни ведущих капстран и СССР в 1977 г. в газете «Правда» и в 1990/91 гг. в газетах «Правда», «АиФ», «КП»
(m,
= 788 , 120 , 309 , m = 1072 , 260 , 613 )
сообщении1977 в целом капстраны СССР’ сообщении1990/91 в целом капстраны СССР'
Одномоментная аудитория газет «АиФ», «Известий», «КП», «Правды», «Советской России», «Труда», т. е. тех людей, которые накануне проведения с ними интервью читали хотя бы один материал из этих газет, охватывавших в то время почти 90 % населения страны (88,9 %), составляла 41,7 %. Это значит, что почти половина взрослого населения страны с избирательным цензом читала ежедневно хотя бы одно (в среднем — 23) сообщение из этих шести каналов прессы. Среднее число газет, к которым обратились накануне замера чтения читатели, составляет 3 газеты (максимум 6, минимум 1). 28,2 % читали сразу две газеты, 27,0 % — сразу три. «АиФ» читало 47,4 %, «КП» — 44,4 %, «Правду» — 32,2 %, «Труд» — 27,4 %, «Известия» — 20,8 %, а «Советскую Россию» — 8,0 % ежедневной аудитории. Замер производился с 09.09.1990 по 09.06.1991 гг. В результате довольно сложной по технике процедуры проведения полевых работ оказалось, что в отношении 21 номера газет «АиФ», «КП» и «Правды» обнаружились представительные группы людей, которые читали один из номеров этих газет. Очень характерно, что «Правда» и «АиФ» набрали по 10 репрезентативных групп, а «КП» — только одну за весь период опроса.
Мы получили количественно однородные распределения относительно 20 номеров, так как в одном номере «АиФ» был напечатан лишь один материал — проект «Конституции РФ» для всенародного обсуждения устройства еще не существовавшего государства. Этот номер был снят из статистического анализа, так как здесь уместно лишь монографическое описание реакций небольшой группы населения. Число людей, имевших контакт с текстом газет, составило 871 человек. Число материалов газет — 1072. Число актов приема или пропуска сообщений — 63 155. Каждый акт был промаркирован характеристиками читателей и сообщений, общее поле характеристик составило 6 381 106 частот. Отклонения признаков в эти частотах от средних в информационном потоке напечатанном и принятом может объективно показать и стратегию редакций, и поведенческую реакцию населения.
Ранговая корреляция газет по сферам жизни выявила практическую тождественность содержания и «АиФ», и «Правды» в период их наибольшего «противостояния»
. Два ряда удельных весов освещаемых сфер жизни в 541 сообщение «Правды» и в 484 сообщениях «АиФ» имеет коэффициент корреляции Пирсона +0,886, Спирмена +0,776, Кендалла +0,606 в 99%-ном доверительном интервале. Конечно, сферы жизни в содержании одни и те же, газеты различаются «смыслами», «третьими вещами», о которых мы говорили выше. У них есть некоторая любопытная дифференциация по знаку освещения, но это мы обсудим ниже. Пока посмотрим на картину в целом и, учитывая, что большинство аудитории читает как раз обе рассмотренные газеты, объединим на первых порах рассмотрения их потоки информации, разделив их потом в более подробном анализе по различающим их признакам.
Анализ соотношения потоков опубликованной международной и внутренней информации по знаку в 1977 и 1990/91 гг. приводит к выводу, что это почти зеркальные потоки. Если в 1977 г. вес положительного освещения жизни СССР превышал аналогичное освещение жизни ведущих капстран почти втрое, а вес отрицательных сообщений о жизни Запада превышал «критику» в собственный адрес вшестеро, то спустя 13—14 лет вес «положительных» сообщений о жизни Запада в полтора раза выше, чем вес таких же сообщений о жизни СССР, а вес негативного освещения жизни страны превышает аналогичную долю сообщений о Западе в 2,5(!) раза. Словно отдавая себе отчет в том, что такой «акробатический» этюд в содержании не может не вызвать отторжения в поле здравого смысла (ведь не произошло же «революции» на Западе, а у нас еще не свершилась «революция-контрреволюция-реставрация» или как там это называть), издания резко увеличивают столь несвойственный им ряд сбалансированной и нейтральной (фактографической) информации, и особенно о странах Запада. Если сравнить два ряда освещения даже просто сфер жизни (без учета знака) 1977 и 1990/91 гг., то окажется, что коэффициенты корреляции Кендалла и Спирмена дают отсутствие связи (,000 и 0,70 соответственно), а Пирсона — слабую связь 0,446 при 95%-ном доверительном интервале. Здесь оказываются несвязанными социально-ролевые структуры освещаемости объекта в 15-летнем интервале. При этом у «АиФ» и «Правды» они в 1990/91 гг. коррелируют (Пирсон 0,886). Если же мы скоррелируем потоки принятой в 1977 и в 1990/91 гг. информации по весу сфер освещения, то тут корреляция имеет тенденцию стать отрицательной: —,072 Пирсон, —,068 Спирмен, —,115 Кендалл (первые два — 60, а последний — 72%-ный доверительный интервал).
Однако это корреляции потоков по весу информации о той или иной сфере жизни. А вот как видимым образом расположилась знаковая структура принятого в 1977 и в 1990/91 гг. потоков информации о жизни Запада и СССР.
Поляризация за 14 лет структур опубликованной информации усиливается именно в принятом потоке (рис. 5.6). В самом деле, в 1977 г. положительное освещение жизни стран Запада и СССР соотносилось в принятом населением потоке сообщений как 1:3 (21 против 68 %), а отрицательное освещение — как 4:1 (66 против 16 %). Не то в перестройку под лозунгом «Возродим полновластие Советов!». Здесь положительное по знаку освещение «Запад — СССР» составляет в принятом потоке материалов соотношение 2:1 (41 против 21 %), а отрицательное преобразуется из 4:1 в нашу пользу в 1:3 в пользу «Запада» (на 17 % принятого негативного потока о Западе приходится 53 % негативного освещения жизни в СССР). И откуда только все вдруг взялось?! Обязали?
Не иначе.
Шутки шутками, а вопрос стоит очень серьезно: как изменилось сознание населения под воздействием этого принятого потока информации? На первый взгляд, мы имеем прямое соответствие оперативных потоков сознания и информации вовсе даже не такое, которое мы зафиксировали в замере отношения населения к оценке роли Запада к СССР в первом таганрогском исследовании. Но только на первый взгляд.
Информация на выходе из массового сознания
Взгляд на процесс приема и оценки в целом
В ходе Всесоюзного исследования аудитории информационных средств коллективом сектора изучения «Общественного мнения» в 1977 г. были заданы вопросы об оценке опрашиваемым возможностей, существующих в регионе проживания респондента и в развитых капстранах: 1 — для получения образования, профессии, 2 — для получения работы по специальности, 3 — для отдыха, физического развития, удовлетворения культурных потребностей, 4 — для получения квалифицированной медицинской помощи
.
|
% |
 |
|
1977 г. 1990/91 г. |
? «+» ¦ «-» ? «+-» ? «О»
«+» — знак освещения положительный.
«-» — знак освещения отрицательный.
«+-» — знак освещения сбалансированный.
«О» — знак отсутствует: полностью нейтральная информация.
«1 Капстраны» — принятая информация о капстранах 1977 г.
«2 СССР» — принятая информация о СССР 1977 г.
«3 Капстраны» — принятая информация о капстранах 1990/91 гг.
«4 СССР» — принятая информация о СССР 1990/91 гг.
Рис. 5.6. Соотношение веса информации по знаку в потоках принятой информации о капстранах и СССР в 1977 и 1990/91 гг. (в % к числу контактов с сообщениями; n
1977 = 35 362, n
1990/91 = 56 584)
В 1990/91 гг. в последнем Всесоюзном исследовании я задал аналогичные вопросы по расширенному кругу сфер жизни, восполнив недобор информации 1977 г.
1. Для оценки была взята макроструктура жизнедеятельности. Кроме четырех названных сфер, были добавлены еще пять. Выяснялись возможности: 1 — для достижения материального благополучия и устроенного быта, 2 — для создания здоровой семьи, рождения и воспитания детей, 3 — для самосовершенствования и духовного развития, 4 — для осуществления своих политических гражданских прав и свобод, 5 — для создания здоровой природной среды обитания.
2. Оценка возможностей давалась не только по всем девяти макроструктур-ным сферам в развитых капстранах и в регионе проживания респондента, но и по СССР в целом. С тех пор оценки возможностей по этим же параметрам в регионе проживания опрошенного были получены мной трижды: в 1994 г. — у взрослого населения и школьников г. Касимова при исследовании проблем образования, в 1999 г. — у избирателей Петербурга перед выборами, в 2004 г. — у московских старшеклассников и их родителей. Мы имеем, таким образом, девять стандартных оценок жизни в регионе в четырех временных точках с 1990 по 2004 гг. и четыре сравнимых оценки в двух точках за 1977 и 1990/91 гг. Начнем с последних.
 |
¦ Профессия ¦ Работа ? Отдых ? Здравоохранение
Рис. 5.7. Оценки возможностей населения в развитых капстранах и в СССР по региону, где проживает опрашиваемый в 1977 и 1990/91 гг. (в средних баллах; n1977 = 9366, n1990/91 = 96 72) |
На рис. 5.7 приведено соотношение средних оценок населением соответствующих возможностей в четырех сферах жизни на Западе и в регионе проживания за 1977 и 1990/91 гг. Значения оценок, проставленные на столбцах диаграммы, повторяются в табл. 5.3. Оценка давалась опрашиваемым по 5-балльной системе и рассчитана здесь без затрудняющихся ответить. Тут бросается в глаза практически соответствующее структурным изменениям в потоке принятой информации (см. рис. 5.6) изменение оценок мнений людей. В самом деле, в 1977 г. общественное мнение СССР в целом (выборки перевзвешены на генсовокупность) проставляло Западу за возможности человеку «развернуться» твердые «двойки», тогда как в своем регионе проживания оценивало возможности на «четыре», исключая возможности для отдыха (3,68 балла) и несколько снижая оценку сферы здравоохранения (3,99 балла). В 1990/91 гг. картина резко меняется. Теперь Запад ходит в твердых «хорошистах», подтягиваясь по возможностям отдыха и здравоохранения в «отличники», а СССР «снижает успеваемость» до «троечника», который тянет на «хорошиста» в возможностях для образования и получения работы. Противоречивость мнений людей очевидна в низкой оценке Запада по параметру получения работы по специальности. Здесь Запад отстает, но «живет все равно лучше нас».
В целом, если брать все поле оценок без поставивших «0», т. е. не давших ответа, средняя оценка Запада по 4 сферам за 14 лет поднялась больше чем в два раза (с 1,93 до 4,16), а оценка СССР по этому параметру упала с 3,98 до 3,16.
Два частных замечания, исходя из рис. 5.7 и табл. 5.3.
1. Доля людей, поставивших оценки (это доля информированных по оцениваемому параметру людей), в 1977 г. колеблется по региону проживания возле 90 %, а по странам Запада — около 60 %. В 1990—1981 гг. эти доли начинают составлять соответственно около 65 и 45 %. При этом доля тех, кто оценивает состояние дел в нашей стране в целом, каждый раз (по каждой сфере) выше, чем доля оценивающих возможности в регионе. Следовательно, сокращению поля приема сообщений соответствует не только сокращение институциональной «оболочки» информационных источников о международной жизни (что было уже отмечено), но и сужение полей информированности, а также возможностей выявить мнение людей.
2. Оценки страны в целом по четырем сферам везде выше, чем оценки возможностей в регионах. Ухудшение жизни на местах в глазах населения еще не являлось коллапсом общества в целом. Напомним, что хотя производственная структура находится накануне искусственно катализируемого политиками краха, она еще не окончательно разрушена
. В целом картина детализирует некоторые аспекты социальных карт в табл. 3.6 и 4.1.
Если взглянуть на распределение числа людей по конкретным оценкам во всем поле оценок по всем четырем сферам жизни (табл. 5.4), станет еще более заметна резкость, констрастность перемены, происшедшей за 15 лет. Поле оценок Запада просто переворачивается зеркально, а по региону и стране на 1990/91 гг. — близко к зеркальному перевороту, пока что концентрируясь возле средних оценок. Что же получается? Принятая информация четко формирует соответствующий образ в общественном мнении? Однако все не так просто.
Прежде всего, анализ принятой информации по знаку освещения той или иной сферы жизни показывает, что прямого соответствия положительного и негативного освещения в газетах и положительной и отрицательной оценки в общественном мнении по какой-либо сфере не наблюдается. Это значит, что общественное мнение не «зомбируется» на выходе. Образно говоря, если массовое сознание — «черный ящик», то поток созданной информации входит в него более или менее (надо еще разобрать, где более, а где менее) пропорционально. А вот выход из «черного ящика» не предопределен. Люди отнюдь не заводные игрушки потоков массмедиа. Кроме того, для сравнения взяты лишь четыре сферы (других сфер в 1977 г. исследовано не было), а значит, картина фрагментарна.
|
Таблица 5.3. Изменения в оценках образа жизни в капстранах и регионе проживания респондента в СССР в 1977 и в 1991 г. по тем же параметрам и по СССР в целом (в числе давших оценку и в средних по 5-балльной системе по четырем сферам: возможностей получения профессии, работы, полноценного отдыха, квалифицированной медицинской помощи и без затруднившихся дать оценки; п1977 = 9366, п1991 = 9672) |
|
Исследования |
Замер 1977 г. |
Замер 1990/91 гг. |
|
Параметры |
В капстранах |
В регионе |
В капстранах |
В регионе |
В СССР в целом |
|
Возможности получения образования и профессии |
|
Число ответов и % |
5618 - 60,0 % |
8273 - 88,3 % |
4473 - 46,2 % |
6312 - 65,3 % |
6463 - 66,8 % |
|
Средняя оценка |
2,14 |
4,19 |
4,12 |
3,69 |
3,93 |
|
Возможности устройства на работу по специальности |
|
N ответов и % |
5828 - 62,2 % |
8356 - 89,2 % |
4275 - 44,2 % |
6306 - 65,2 % |
6440 - 66,6 % |
|
Средняя оценка |
1,80 |
4,06 |
3,45 |
3,40 |
3,60 |
|
Возможности полноценного отдыха, проведения досуга |
|
N ответов и % |
5454 - 58,2 % |
8337 - 89,0 % |
4658 - 48,2 % |
6183 - 63,9 % |
6284 - 65,0 % |
|
Средняя оценка |
2,14 |
3,68 |
4,55 |
2,98 |
3,08 |
|
Возможности получения квалифицированной медицинской помощи |
|
N ответов и % |
5748 - 61,4 % |
8347 - 89,1 % |
4706 - 48,7 % |
6268 - 64,8 % |
6388 - 66,0 % |
|
Средняя оценка |
1,65 |
3,99 |
4,44 |
2,66 |
2,69 |
|
Суммарная оценка возможностей по всем четырем сферам жизни |
|
Число ответов и % |
22 648 - 68,0 % |
33 313 - 100 % |
18 112 - 77,3 % |
23 420 - 100 % |
25 575 - 109,2 % |
|
Средняя оценка |
1,93 |
3,98 |
4,16 |
3,16 |
3,33 |
|
Чтобы рассмотреть этот процесс и в целом, и в деталях, нужно проделать на располагаемых нами данных три операции.
1. Сравним знаковые доли информации о международной и внутренней жизни в потоках принятой и отвергнутой информации газет «Правда» за 1977 г. и «АиФ», «КП» и «Правда» за 1990/91 гг., рассматривая процесс приема в целом.
2. Сравним по каждой газете знаковые доли информации о международной и внутренней жизни и в содержании «АиФ», «КП» и «Правда» в 1990/91 гг., и в потоках принятой из них информации; рассмотрим в обоих случаях силу и вектор отклонений долей и в созданном, и в принятом, и в отвергнутом потоках.
|
Таблица 5.4. Распределение ответов возможностей в четырех сферах жизни в капстранах и регионе проживания респондента в СССР в 1977 и в 1991 гг. по тем же параметрам и по СССР в целом (в числе давших оценки по всем четырем сферам суммарно; в % к суммарному числу ответов и без затрудняющихся дать оценку; n1977 = 9366, n1991 = 9672) |
|
Замер 1991 г., n = 9672 |
0.
о
о
о
СО |
5? |
«3- |
ю |
39 |
со |
- |
О
О |
о
\0
(0 |
913 |
3735 |
9918 |
8029 |
2979 |
Ю
г-
ю
ю
см |
|
В регионе |
5? |
ю |
оо |
|
оо
гм |
оо |
о
о |
О
\0
(0 |
1222 |
4076 |
9644 |
6585 |
1892 |
о
см
со
см |
|
На Западе |
5? |
- |
со |
(У) |
CD
СО |
|
о
о
тН |
О
\0
(0 |
г— |
485 |
3435 |
6679 |
7440 |
18 112 |
|
Замер 1977 г., n = 9366 |
В регионе |
5? |
го |
ю |
о
гм |
ю
со |
t—
со |
о
о |
О
\0
(0 |
го
о
о |
1585 |
6809 |
11 658 |
12 258 |
33 313 |
|
На Западе |
5? |
«3- |
о
го |
«3-
гм |
«3- |
- |
О
о |
О
\о
(0 |
9346 |
6851 |
5421 |
859 |
t— |
22 648 |
|
Оценки |
«Очень плохие» - «1» |
«Плохие» - «2» |
«Средние» - «3» |
«Хорошие» - «4» |
ю
1
ф
.О
X
X
R
О |
S оценок по сферам |
|
3. Проверим точки разброса и концентрации в поле мнений людей о возможностях жизни регионов по всей выделенной макроструктуре оцениваемых сфер, начиная с 1990 г. и кончая 2004 г. с промежуточными контрольными замерами в 1994 и 1999 гг. в Касимове и Петербурге (т. е. по 9 сферам).
Детализация приема в 1977-1991 гг. и последующие оценки населения
На рис. 5.6 мы видели соотношения потоков принятой информации о жизни капстран и СССР по знаку принятого. Мы сравнивали информацию на входе в обыденное сознание по признакам «они — мы», освещение «позитивное — негативное», «начальная точка — 1977 г., конечная точка — 1990/91 гг.». Но мы не видели при этом, беря поток принятой информации в целом, силу и значимость отклонения в приеме по этим признакам. Для этого надо сравнить и принятую, и отвергнутую информацию. Это сделано в табл. 5.5. Здесь мы проявляем уже отмеченные флуктуации в приеме. Характер приема информации в отношении знака ее в зависимости от локальности объекта за 15 лет полностью изменяется. Теперь заметны не только соотношения удельных весов в потоках и принятой, и отвергнутой информации, но и тенденции их отклонений, по которым сразу же видны оперативные приоритеты информационных потребностей населения.
Таблица 5.5. Соотношение веса информации по знаку в потоках принятой и отвергнутой информации о капстранах и СССР в 1977 и 1990/91 гг. (в % к числу контактов с сообщениями соответствующих локальностей; n = 6137, n = 15 587, n = 4695, n = 27 143 и в знаках вектора и силы
1977-капстраны 1977-СССР 1990/91-капстраны 1990/91-СССР
отклонений от среднего по массивам в целом) |
|
Знак потоков принятой и отвергнутой информации |
Капстраны — знак освещения |
СССР — знак освещения |
|
+ |
- |
+- |
0 |
+ |
- |
+- |
0 |
|
В целом по 1977 г. |
25,7 |
62,7 |
7,7 |
3,9 |
70,0 |
12,5 |
4,2 |
13,3 |
|
Сообщения приняты |
21.5 |
65,9 |
8,6 |
4,0 |
68,2 |
15,5 |
5,2 |
11,1 |
|
Сообщения отвергнуты |
28,2 |
60,8 |
7,2 |
3,8 |
70,7 |
11,3 |
3,8 |
14,2 |
|
Сообщения приняты |
— |
+++ |
+ |
+- |
--- |
+++ |
+++ |
--- |
|
Сообщения отвергнуты |
+++ |
___ |
- |
+- |
+++ |
--- |
--- |
+++ |
|
В целом по 1990/91 гг. |
35,8 |
20,8 |
23,4 |
19,9 |
25,0 |
47,8 |
18,5 |
8,7 |
|
Сообщения приняты |
41,2 |
17,4 |
25,8 |
15,6 |
21,2 |
52,5 |
19,5 |
6,8 |
|
Сообщения отвергнуты |
34,8 |
21,5 |
23,0 |
20,7 |
26,3 |
46,3 |
18,2 |
9,3 |
|
Сообщения приняты |
+++ |
-- |
+ |
--- |
--- |
+++ |
++ |
--- |
|
Сообщения отвергнуты |
— |
++ |
- |
+++ |
+++ |
--- |
-- |
+++ |
|
Знак освещения:
«+» - положительный;
«-» - отрицательный, негативный;
«+-» - сбалансированный;
«0» - нейтральная информация - знак отсутствует. |
В 1977 г. аудитория «Правды», составлявшая более 20 % взрослого населения, тяготела к приему информации, негативно оценивающей как жизнь капстран, так и жизнь СССР со значимым увеличением приема очень строго дозированной сбалансированной информации о нашей стране. В 1990/91 гг. аудитория трех газет, составлявшая 85 % того же населения (причем сразу две газеты читало около половины этой аудитории), не меняет своих потребностей в отношении знака информации о стране, но усиливает прием информации, положительно освещающей жизнь капстран, отвергая при этом негативную информацию об их жизни. Все это мало что значило бы, если б не резкая перемена структуры информационных потоков по знаку в анализируемых каналах. В одночасье «у нас» стало все плохо, а «у них» — все хорошо. Вообще-то так не бывает — в принципе, не говоря уже о том, что поляризация по знаку всегда настораживает стандартизацией содержания, которая неадекватна параметрам освещаемого предмета. Аудитория прекрасно это чувствует и ищет на информационном рынке разнообразные материалы для сопоставления различных сторон явлений. Это хорошо видно в отклонениях принятых потоков у трех газет, каждая из которых вносит свой индивидуальный «качественный» вклад в общую картину (см. табл. 5.6).
|
Таблица 5.6. Соотношение долей информации по знаку у сообщений и в потоке принятой информации о международной и внутренней жизни у «Правды», «АиФ», «КП» в 1990/91 гг. (в % к числу опубликованных материалов; тсообщ 1990/91 = 1072 и числу контактов, завершившихся чтением материала, п1990/91 СССР = 12 157 и в знаках отклонений) |
|
Знак сообщений и принятой информации |
Сообщения о мире — знак |
Сообщения о СССР — знак |
|
+ |
- |
+- |
0 |
+ |
- |
+- |
0 |
|
Сообщения |
34,9 |
23,6 |
20,7 |
20,7 |
27,2 |
46,1 |
17,4 |
9,4 |
|
«Правда» |
42,7 |
21,3 |
18,5 |
17,5 |
31,5 |
41,5 |
16,1 |
10,9 |
|
«АиФ» |
23,6 |
26,8 |
15,2 |
24,4 |
21,6 |
51,5 |
18,8 |
8,1 |
|
«КП» |
11,1 |
33,3 |
11,1 |
44,5 |
42,1 |
34,2 |
15,8 |
7,9 |
|
Поток принятого |
33,4 |
24,0 |
27,3 |
15,3 |
23,9 |
50,3 |
18,7 |
7,1 |
|
«Правда» |
43,1 |
21,3 |
26,3 |
9,3 |
26,1 |
50,2 |
18,0 |
5,7 |
|
«АиФ» |
25,2 |
26,0 |
28,5 |
20,4 |
21,8 |
50,9 |
19,3 |
8,8 |
|
«КП» |
7,1 |
50,0 |
7,1 |
35,8 |
39,4 |
37,3 |
17,1 |
6,2 |
|
Вектор и сила отклонения доли сообщений редакций с тем или иным знаком |
|
«Правда» |
+++ |
- |
- |
- |
++ |
-- |
+- |
+ |
|
«АиФ» |
--- |
+ |
+ |
+ |
--- |
++ |
+- |
- |
|
«КП» |
|
|
|
|
|
|
|
|
|
Вектор и сила отклонения доли принятой населением информации по ее знаку |
|
«Правда» |
+++ |
--- |
- |
--- |
+++ |
+- |
- |
--- |
|
«АиФ» |
--- |
++ |
+ |
+++ |
— |
+ |
+ |
+++ |
|
«КП» |
|
|
|
|
+++ |
— |
+- |
+- |
|
Знак освещения:
«+» - положительный;
«-» - отрицательный, негативный;
«+-» - сбалансированный;
«0» - нейтральная информация - знак отсутствует. |
Не могу не отметить с сожалением нерепрезентативность в исследовании потока информации «КП», материалы которой по весам сообщений и по реализованным интересам читателей демонстрируют «знаковую» лояльность по отношению к освещению жизни в собственной стране. Но и без «КП» картина дифференциации ориентаций редакций и реального приема из различных каналов получается захватывающая.
Из сопоставления отклонений весов сообщений о жизни мира и страны по знаку освещения в рядах опубликованных и прочитанных материалов следует, что стратегия редакции «Правды», нацеленная на положительное освещение международных событий, встречает более положительный прием в аудитории, чем стратегия «АиФ», нацеленная на отрицательное освещение тех же событий (ср. соответствия знаков отклонений в ряду публикаций и читаемого). Нейтральная (без знака) информация «АиФ», на которую редакция ориентирована не в самой большой степени (+), принимается аудиторией более интенсивно (+++). А вот сообщения «АиФ» о жизни СССР с отрицательным знаком (++) принимаются аудиторией с меньшим энтузиазмом, чем они печатаются в редакции (+). При этом сбалансированные редакцией «АиФ» сообщения, которым она уделяет внимание «в среднем» (+—), принимаются с большей интенсивностью (+), чем печатаются. С еще большей интенсивностью принимаются и нейтральные сообщения о внутренней жизни страны, на которые редакция «АиФ» идет неохотно (—), тогда как потребности аудитории в этой информации ярко выражены (+++). Нерепрезентативная положительная информация «КП» о внутренней жизни страны также идет «нарасхват» (+++). Сбалансированная и нейтральная информация «Правды» имеет «уменьшающийся спрос» (отклонения в «+—» по сбалансированному знаку в опубликованном ряду на «—» в принятом, «+» по нейтральной информации в опубликованном ряду на «---» в принятом).
Все это говорит о том, что аудитория тяготеет к взвешенным оценкам и отвергает крайности, а также излишне поляризованную по знаку информацию. Она отрицательно относится к идеологической клишированности отдельных каналов и отдельных параметров освещаемой реальности. Однако полученная картина говорит об ориентациях аудитории на входе информации в точке информационного приема, но ничего пока не говорит о влиянии структуры содержания текста на «выходе» информации, рассмотренном хотя бы в плане изменения оценок населения в зависимости от приема информации той или иной газеты.
Влияние информационных средств на оценки населения
При разборе изменения оценок населением жизни на Западе и в СССР в регионе проживания мы рассматривали средние баллы оценок от «1» до «5» (в диапазоне «очень плохо» — «отлично») по четырем сферам жизни. Возьмем наши девять макроструктурных сфер. При этом откажемся от рассмотрения средних баллов, а для более четкого проявления дифференциации поля мнений и оценок применим другую методику. Замерим силу отклонения от средней оценки возможностей в выбранной макроструктуре сфер жизни. В самом деле, у одного средняя оценка возможностей «тройка», у другого — «четверка», но нам важнее отклонения от средней: что респондент считает лучше, а что хуже. Если принять его среднюю оценку по всем девяти сферам за «базовую» и вычесть ее из его предельно высоких и предельно низких оценок возможностей конкретной сферы, мы получим поля отклонений оценок возможностей по выделенной макроструктуре. Сравним эти отклонения в картинах по капстранам, СССР в целом и регионом проживания опрошенного. Сделаем это в нескольких вариантах:
1) представим эти поля в границах различных групп населения в 1990/91 гг., тех групп, которые потом были выбраны для точечных исследований в последующие годы;
2) рассмотрим поля отклонения оценок в регионе проживания респондента в динамике: в 1990/91 гг. — по сопоставимым с последующими для сравнения группами, в 1994 г. — в Касимове по взрослым и школьникам, в 1999 г. — в Петербурге по жителям с избирательным цензом, в 2004 г. — в Москве по взрослым и школьникам Северного округа;
3) рассмотрим графики этих отклонений и их ранговые корреляции по всем указанным группам;
4) рассмотрим эти оценки в границах групп, не включенных в СМИ (не читали газет, не слушали радио, не смотрели ТВ накануне опроса) или включенных в них максимально (использовали все три вида СМИ);
5) рассмотрим эти отклонения и их корреляции в рамках включенных и не включенных в процесс приема информации как по каждому средству (газеты, радио, ТВ), так и в процесс чтения каждой из разбираемых двух газет: читали только «АиФ» или только «Правду», или обе газеты сразу; для контроля рассмотрим поля отклонений оценок в абсолютных «не-аудиториях» каждого из СМИ (газеты, радио, ТВ), а не только среди включенных или не включенных в процесс чтения накануне исследования.
В табл. 5.7 представлены все отклонения оценок возможностей по первым двум вариантам рассмотрения. Что здесь важно? Точкой баланса возможностей в жизни ведущих капстран наше население считает в 1990/91 гг. получение образования и профессии. Ниже этой точки в сильной степени возможности устройства на работу и создания здоровой среды обитания, а также с минимальным отклонением на минус возможности осуществления гражданами своих прав и свобод. Лучше всего на Западе дело обстоит, по мнению населения, с возможностями проведения досуга и получения квалифицированной медицинской помощи.
Точкой баланса оценки возможностей в нашей стране население считало в 1990/91 гг. возможности для проведения свободного времени, отдыха. Близка к ней и оценка возможностей создания здоровой семьи, воспитания детей. Значительно выше точки баланса возможности получения образования и профессии, возможности получить работу по специальности, а также возможности для духовного развития и самосовершенствования. Все это сосуществует с очень низкими оценками возможностей создания здоровой природной среды обитания, благоустроенного быта, получения качественной медицинской помощи и осуществления гражданских прав и свобод. В сочетании с предельными отклонениями оценок
Таблица 5.7. Отклонения от средней в оценке возможностей в различных сферах жизни в капстранах, в СССР в целом и в регионе проживания респондента в 1990/91 гг. по данным Всесоюзного исследования 1990/91 гг. как в целом по массиву, так и по указанным подвыборкам (1) (n1990/91 = 9672) и отклонения от средней в оценке возможностей в регионе проживания респондента по тем же параметрам в исследованиях «Касимов-1994 г.» (2) (n1994 = 842), «Школьники Касимова-1994 г.» (3) (n1994 = 302), «Питер-1999 г.» (4)
(n1999 = 1550), «Москва-2004 г.» (5) (n1999 = 131), «Школьники Москвы-2004 г.» (6) (n1994 = 247) (в отклонениях от точки баланса оценок у каждого респондента на шкале от -2 до +2) |
|
Отклонения оценок различных областей жизни от средней |
<т> |
О)
оо
см |
ю
см
ю |
о
ГО-
ГО- |
о
CD |
05
05
го- |
t— t— CM |
t—
ГО" |
оо
оо
CM |
оо
о |
,205 |
CD
см
LO |
CD
05 |
СО
со |
ю
ю
о |
оо
ю
см |
оо
о
см |
о
см
о |
CD
ю
см |
CD
ro
o |
t— t— |
LO
CD |
о
о |
го-
со
со |
t— CD
со |
го- |
|
г— оо см + |
О)
О)
со |
о
ю
со |
со
со |
05
ю
го- |
05 t— CO |
Ю
t— CM |
c-~
ro-
+ |
05
оо |
см
о
о
+ |
см
05
со |
со
CD |
05
со
+" |
см
см
о
+ |
CD
го-
о |
ю
05
о |
го-
t—
о |
oo |
oo
05
о
+ |
05
о
+ |
го-
со
+ |
о
см
см
+ |
со
со
го-
+ |
ю
ю
+ |
ю
to |
CD
1— О + |
ю
+ |
со
СО
о
+ |
CD
05
см
+ |
го-
го-
см
+ |
CD
CO
о
+ |
I"-
CO
+ |
+ |
с-~
о
+ |
05
+ |
CD
ю
+ |
см
+ |
оо
см
о
+ |
05
05
о
+ |
о
ю
+ |
со
о
о
+ |
со
о
+ |
05
CM
+ |
о
о
CM
+ |
ro
o
CO
+ |
ю
CD
го-
+ |
оо
см
+ |
с-~
CD
+ |
г—
05
о
+ |
CD
оо
о
+” |
го-
го-
'si- |
оо
оо
см |
см
ГО-
ГО- |
см
со |
CO
CD
CM |
CM t— CM |
CM
CM
CO |
оо |
оо
го-
со |
см
оо
см |
05
CD |
|
см |
CD
СМ
CD |
со
оо
го-
+ |
го-
CD
со
+ |
о
со
со
+ |
05
о
LO
+ |
CD
LO
CM
+ |
о
t—
+ |
CD
Ю
ro- |
CD
оо
го- |
со
го- |
t— t— |
го-
со
+ |
|
т—1 |
СМ
о
о
+ |
со
о
оо
+ |
оо
го-
CD
+ |
оо
+ |
ю
1—
+ |
о
LO
LO
+ |
ro-
05
ro-
+ |
о
ro-
Ю
+ |
с-~
оо
о
+ |
оо
см
см
+ |
05
го
ю
+ |
см
ю
+ |
|
Исследования-замеры |
X
(0
X
го
Cl
н
о
с
го
X
X
S
о
X
со |
5
о
го
о
=г
X
о.
о
о
о
со |
го
X
О)
го:
X
о
с
о
05
о.
05
X
о
X
05
о.
со |
X
о
го
го
?О
о
>х
о
X
о
го:
го
а.
X
X
X
05
се
со |
X
о
го
го
?О
о
>х
о
X
о
CQ
о
X
о
о
2
со |
X
ro
ro
о
Q_
2
X
X
ro
ro
2
CQ |
Q_
о
о
о
CQ
о
X
X
X
X
го
о
X
3
>s |
ro-
05
05
ro
CQ
о
2
X
о
го
ПС
X
го
го
X
36 |
ГО-
05
05
го
со
о
2
X
о
го
ПС
X
X
X
X
X
го
о
X
3 |
05
05
05
о.
?О
о.
CD
05
с |
го-
со
о
см
го
со
X
о
о
2 |
го-
со
о
см
X
со
X
о
о
2
X
X
X
X
X
го
о
X
3 |
|
указанных подсистем умеренное положительное отклонение оценок возможностей для духовного развития выглядит настоящей виртуальной реальностью, лишенной материальной базы.
Самое поразительное в полученной картине то, что за 15 лет положение с осуществлением гражданских прав и свобод по оценке «получивших» «либеральные ценности и свободу» ухудшилось. По отклонению оценки возможностей получить работу мы сравнялись с капстранами 1990/91 гг., чуть улучшили возможности для физического развития и отдыха, особенно в Москве 2004 г. и особенно в оценке школьников. С возможностями построения благоустроенного быта и достижения материального благополучия, а также с созданием здоровой природной среды обитания дела обстоят с каждым годом все хуже. За возможности построить здоровую среду обитания в Москве старшеклассники (дети!) ставят предельно низкие оценки. Хвалиться властям и «правым» силам в бесправии большинства нечем.
Так что более полное представление поля оценок населения выявляет очень практичный и трезвый уровень отражения социальной реальности в общественном мнении. Фрагментарно взятые для оценки сферы жизни давали искажение картины и скошенные оценки именно из-за неполноты инструмента замера. Как только картина оказывается полнее, поле мнений обретает равновесие и баланс. Население имеет установившиеся мнения и оценки, основанные на анализе реальных фактов. Можно представить только, что чувствуют люди, которые дают отклонение от точки баланса возможности осуществления гражданских прав и свобод на —0,367, когда перед ними выступает в телеэфире вальяжный политик, говорящий от их имени: «Наш народ окончательно выбрал либеральные ценности и свободы...» Ему бы добавить от имени народа: «...полученные с помощью “демокра-тизатора”», про который тут же после его слов пойдет передача «Чрезвычайное происшествие», где будет описываться радение за народ «правоохранительных» органов или будет показан очередной взятый для битья «старший оборотень по особо важным делам».
В 1974 г. в статье «О влиянии средств массовой информации на репродуктивные установки населения»* я показал, что всякие информационные призывы, не совпадающие с установками практического поведения людей, не поддерживаются людьми и будут в первую очередь отвергнуты ими сначала как информационный поток. Не рожать начнут, а выключат телевизор. Легче.
Данные табл. 5.7, преобразованные в графики (рис. 5.8), дают представление о соотношениях полей оценок населением международной и внутренней жизни в 1990/91 гг. и об изменениях этих полей за 15 лет социального реформаторства. Наиболее четко выделяются высокая оценка «экологической» обстановки в Питере и «московская» кривая, которая взлетает в «возможностях духовного развития» при фундаментальных провалах оценок других базовых подсистем. По оценкам людей, мы, догнав ведущие страны Запада по самым плохим социальным показателям и перещеголяв их здесь, не улучшили остальные, кроме как в возможностях «воспарения духа».
Мы можем теперь коррелировать распределение оценок в группах (взлеты и падения различных кривых), во-первых, в границах групп, а во-вторых, в рамках
См.: Проблемы социологического изучения семьи. — М., 1976. — С. 98—111.
 |
-0,258
-0,289
-0,44 |
|
Капстраны.....СССР---Регион |
 |
0,205
-0,165
-0,288
-0,526 |
|
Касимов-94---Питер-99 -Москва-04 |
01 — возможности для получения образования и профессии.
02 — возможности для получения работы по специальности.
03 — возможности для достижения материального благополучия, устроенного быта.
04 — возможности для создания здоровой семьи, рождения и воспитания детей.
05 — возможности для самосовершенствования, духовного развития.
06 — возможности для физического развития, отдыха, досуга.
07 — возможности для получения качественной медицинской помощи.
08 — возможности для осуществления своих гражданских прав и свобод.
09 — возможности для создания здоровой природной среды обитания.
Рис. 5.8. Графики отклонений оценок условий жизни населением СССР в 1991 г. (вверху) и жителями Касимова, Петербурга и Москвы соответственно в 1994, 1999, 2004 гг. (внизу)
|
Таблица 5.8. Коэффициенты корреляции Пирсона (в верхней части матрицы) и Кендалла (в нижней) между рядами оценок условий жизни во всех исследованиях в целом и в выделенных подгруппах Всесоюзного исследования 1990/91 гг., которые приведены в табл. 5.7 и иллюстрированы в графиках рис. 5.7 и 5.8 (например, коэффициент Пирсона в,728 и Кендалла в,611 на пересечении строки № 8 и колонки № 10 и строки № 10 и колонки № 8 соответственно означает, что структура оценок населения Питера в 1999 г. значимо коррелирует с аналогичной структурой оценок жителей Касимова в 1994 г., а школьники страны в 1991 г. (строка 8) близки по структуре оценок взрослым жителям и школьникам Москвы весны 2004 г.)* |
|
12 |
,414 1 |
,699 1 |
,699 1 |
,731 | |
О
1— CD |
,584 1 |
,823 1 |
О
CD |
,413 1 |
oo |
,842 | |
|
|
11 |
,347 |
CD
О
1— |
,699 |
,718 |
О О t— |
,620 |
,842 |
,685 |
t—
о
CD |
,529 |
|
,722 |
|
10 |
,440 |
CD |
со |
CN
О |
О
о |
,144 |
,291 |
,728 |
,749 |
|
,222 |
,389 |
|
<т> |
t—
о
CD |
CD
00
О |
,124 |
,080 |
,026 |
,180 |
,352 |
,681 |
|
CD |
,278 |
,333 |
|
СО |
,568 |
,459 |
,468 |
,512 |
,375 |
,455 |
,612 |
|
,444 |
CD |
,278 |
,333 |
|
|
со
со
о |
,956 |
,963 |
,925 |
,931 |
,919 |
|
,389 |
,278 |
,222 |
t"-
CD
CD |
CD |
|
со |
О)
со
СО.. |
,946 |
,965 |
,914 |
,932 |
|
,833 |
,222 |
,222 |
CD |
О
О
Ю |
,444 |
|
ю |
со
со |
,988 |
,983 |
,955 |
|
,833 |
,889 |
,278 |
CD |
- |
t"-
CD
CD |
CD |
|
|
CD
CD |
,960 |
,947 |
|
,889 |
,833 |
,778 |
,278 |
CD
Ю
О |
- |
,556 |
CD |
|
со |
Г—
ю
СМ |
,993 |
|
,833 |
,944 |
,889 |
,944 |
,333 |
,222 |
CD |
CD |
,556 |
|
СМ |
CN
CD
CN |
|
,889 |
,944 |
,944 |
,778 |
,833 |
,333 |
- |
CD |
CD |
г-
CD
CD |
|
т—1 |
|
- |
CN
CN
CN |
CD |
CD |
-,333 |
CD |
,222 |
,222 |
CD |
CD |
,222 |
Матрица
корреляций |
т—1 |
см |
CO |
<3- |
Ю |
со |
|
СО |
<T> |
О
1 |
1
1 |
CM
T—1 |
|
* По диагонали матрицы вместо коэффициентов со значением 1 (ряд оценок в том или ином исследовании или группе сам на себя) мы, как всегда, проставили пустые клетки для более четкого разделения двух видов коэффициентов корреляции: Пирсона и более «острожного» Кендалла.
аудиторий — «не—аудиторий» различных средств и каналов. Табл. 5.8 выполняет первую задачу. Данные по решению второй задачи будут расписаны в тексте.
Пойдем построчно.
1. Отклонения оценок школьниками г. Касимова в 1994 г. возможностей жизни в регионе по всем сферам взятой макроструктуры коррелирует с отклонениями оценок населением страны жизни в странах Запада в 1990/91 гг. На этом «сходство» с Западом заканчивается (обратная связь в корреляциях по остальным группам и исследованиям незначительна, а коэффициент Кендалла нас с западным образом жизни просто не связывает).
2. Несокрушимое единство общественного мнения. Поле отклонения оценок возможностей в стране и в регионе имеет почти предельные величины обоих коэффициентов корреляции при 99%-ном доверительном интервале между всеми отобранными из Всесоюзного исследования группами. И выборки по двум мегаполисам, и подвыборка по городам типа Касимова, и школьники демонстрируют такую «монолитность» отклонений в оценках, что трудно сказать, «обстрел из какого информационного синхрофазотрона» может разрушить это нерушимое единство. Это дает право сравнивать поля отклонений оценок с дальнейшими исследованиями. По крайней мере, в целом, так как даже на случайно выбранной из десяти тысяч сотне человек поля отклонений оценок макроструктуры совпадают.
3. Старшеклассники, несмотря на некоторые флуктуации отклонений оценок в процессе взросления и социализации (чем старше, тем меньше иллюзий), дают высокую корреляцию со своими родителями как в Касимове в 1994 г., так и в Москве в 2004 г. (во Всесоюзном исследовании 1990/91 гг. со взрослыми). Поля отклонения мнений-оценок по вопросам реализации себя в социальной структуре совпадают у старшего и подрастающего поколения. Семья, слава Богу, кое в чем еще крепкий орешек и не по зубам социальным экспериментам. Люди стараются защитить себя, передавая опыт в будущее и научая детей тем полям смыслов, которые СМИ и видеть не хотят и ведать не ведают, а если показывают, то «выпуская пар из котла».
4. Хорошая корреляция полей отклонений оценок возможностей реализации себя в регионе петербуржцев 1999 г. и касимовцев 1994 г., а также москвичей 2004 г. с москвичами и петербуржцами 1990/91 гг. Итак, общественное мнение остается достаточно устойчивым и в оценке внутренней жизни за все 15 лет социальных экспериментов. Надо отсюда полагать, что запрет на проведение референдума — вполне зрелое решение «народной» представительной власти.
Оценим же теперь эффективность СМИ, прием сообщений которых по знаку и локальности мы в целом уже оценили. Посмотрим, влияет ли информационный поток на общественное мнение, на отклонения в полях оценок (и если влияет, то на какие такие фрагменты).
Главный вывод из полученных сопоставлений совершенно неожиданный. Прежде всего, рассмотрев зависимость оценок от чтения накануне газет, прослушивания радиопередач, просмотра телевизора или чтения отдельных газет «АиФ» или «Правды» в отдельности или обеих газет, мы не увидим особенной разницы в оценках, кроме небольших отклонений. В целом картина одинакова, за исключением того, что не имевшие накануне замера контакта с теле- и радиопередачами и с га-
Отклонения от средней Отклонения от средней
|
Оценки жизни в капстранах |
 |

Журн.+ ......Журн,- - Газеты+-Газеты-
Радио+ — - - — Радио-
— ¦
— ТВ+ ---ТВ-
Журн.+ ......Журн,- -Газеты+-Газеты— - — - Радио+ — - - — Радио-
— ¦
— ТВ+ ---ТВ-
|
01 — |
ВОЗМОЖНОСТИ |
|
02 — |
возможности |
|
03 — |
возможности |
|
04 — |
возможности |
|
05 — |
возможности |
|
06 — |
возможности |
|
07 — |
возможности |
|
08 — |
возможности |
|
09 — |
возможности |
для получения образования и профессии, для получения работы по специальности.
для достижения материального благополучия, устроенного быта.
для создания здоровой семьи, рождения и воспитания детей.
для самосовершенствования, духовного развития.
для физического развития, отдыха, досуга.
для получения качественной медицинской помощи.
для осуществления своих гражданских прав и свобод.
для создания здоровой природной среды обитания.
Рис. 5.9. Отклонения оценок населением в 1990/91 гг. условий жизни в капстранах (вверху) и в регионе проживания (внизу) в зависимости от аудиторий (+) и «не-аудиторий» (-) СМИ
Отклонения от средней Отклонения от средней
|
Оценки возможностей в капстранах и в СССР |
 |
1
0,8
0,6
0,4
0.2
|
|
|
|
|
|
|
|
---ТВ* - - - |
ТВ- |
Газеты* ¦ |
Г аз?ты- |
|
Радио* |
Радио- |
ТВ+ |
ТВ- |
^ • *
S' *
01
Оценки возможностей в капстранах и СССР в разных аудиториях
\ ч>.
ЛІА ЛТ ' ' • ~^
09
Ч 02 ,, 03 О 04
т ??
Чу'
-0,2
¦0.4 + %
-0.6 - --0.8 - --1 - -
Сферы жизни — возможности в капстранах
Правда — - — ‘АиФ — ~ ' —ПР+АиФ_Правда
Сферы жизни — возможности в СССР
• АиФ---ПР+АИ» |
01 — возможности для получения образования и профессии.
02— возможности для получения работы по специальности.
03— возможности для достижения материального благополучия, устроенного быта.
04— возможности для создания здоровой семьи, рождения и воспитания детей.
05— возможности для самосовершенствования, духовного развития.
06— возможности для физического развития, отдыха, досуга.
07— возможности для получения качественной медицинской помощи.
08— возможности для осуществления своих гражданских прав и свобод.
09— возможности для создания здоровой природной среды обитания.
Рис. 5.10. Отклонения оценок населением в 1990/91 гг. условий жизни в капстранах и СССР в аудиториях (+) и «не-аудиториях» (-) средств (5.12) и аудиториях «Правды» и «АиФ» (5.13)
зетными сообщениями респонденты имеют более низкие оценки возможностей реализации гражданских прав и свобод в своей стране. Читавшие накануне «АиФ» имеют более низкие оценки возможностей найти работу в капстранах.
Читающие «Правду» или и «АиФ», и «Правду» имеют не только более высокие оценки возможностей в капстранах найти работу, но и дают более высокую оценку возможностям реализации гражданских прав и свобод в своей стране. Так что идет, во-первых, селекция сообщений из разных источников и приведение их к общему знаменателю исходя из опыта и убеждений респондента, а во-вторых, неприятие аудиторией крайних позиций, когда редакции «заносит» в кураж конфронтации.
И все-таки главное не в этом. Оказывается, что реальное чтение не дифференцирует аудиторию на отдельные секторы в отклонениях полей оценок в зависимости от того, информацию какого издания они присвоили. Если взять «чистые» аудитории «Правды» и «АиФ», которые приняли дифференцированные по знаку материалы, то отклонения в полях оценок в этих аудиториях одинаковы: по возможностям в капстранах коэффициент корреляции Пирсона составляет +0,956, Кендалла +0,889, а Спирмена +0,950, по возможностям в СССР в целом +0,986, + 1,000, +1,000, а по возможностям в регионе — +0,984, +0,944, +0,983 соответственно; и все коэффициенты с 99%-ной вероятностью. Несколько слов о стратегии редакций в плане «плотности» создаваемого ими потока текста.
В табл. 5.9 ясно видны изменения в «плотности» создаваемого газетами потока информации. По методике Т. М. Дридзе, отношение слов в логико-фактологической цепочке текста, которая «работает» на цель сообщения, к общему числу слов в сообщении, выраженное в процентах, говорит об информативности текста. Это хороший показатель того, сколько, образно говоря, «воды» разлито в публикуемом сообщении. Так, в материалах Пленума ЦК КПСС 1991 г. вступительное слово М. С. Горбачева имело информативность текста 31,8 %, т. е. 68,2 % слов не работало на основную идею содержания. Небезынтересно отметить, что доклад В. С. Павлова на этом Пленуме, почти в два раза большего объема, чем вступительное слово Генсека, имел информативность 44,6 %, а выступления рабочих в прениях доходили до 100 % информативности текста — никаких лишних слов в отличие от руководства страной. Характерно также, что в заключительном слове после обсуждения вопроса об отставке с поста Генсека, М. С. Горбачев не повысил, а понизил информативность своего текста до 20,0 %, т. е. в полтора раза сильнее, чем во вступительном слове завуалировал содержательные цели выступления. Информация вступительного слова Генсека была принята на 38,3 %, доклад Предсовмина вызвал прочтение в 61,1 % случаев, а заключительное слово Генсека имело исходом прочтение на 55,3 % контактов с аудиторией. Ожидания были высокие, но они оказались неоправданными из-за низкой информативности текста заключительного слова. Конфликтная ситуация всегда вызывает интерес. В целом же средняя информативность по всем 838 материалам составила 55 %, минимальная — 7 %, максимальная — 100 %
.
|
Таблица 5.9. Отклонения в информативности текста принятых аудиторией сообщений газет «Правда» и «АиФ» в зависимости от тематики материала и знака сообщения (в % числа слов в логико-фактологической цепочке текста от общего числа слов в сообщении, а также в знаках отклонения от среднего по соответствующему массиву информации; n = 838 материалов, содержащих 150 010 слов) |
|
Тип материала |
Международные |
Внутренние |
|
Канал коммуникации |
«Правда» |
«АиФ» |
«Правда» |
«АиФ» |
|
Информативность в целом |
39,7 % |
56,7 % |
37,1 % |
51,1 % |
|
Знак положительный |
+- |
-- |
+- |
+- |
|
Знак отрицательный |
+- |
+ |
+- |
+ |
|
Знак сбалансированный |
--- |
- |
-- |
--- |
|
Нет знака, чистая информация |
+++ |
+++ |
+++ |
+ |
|
Из таблицы мы видим, что и «АиФ», и «Правда» имеют более высокую информативность сообщений относительно международной жизни, нежели о жизни страны, хотя критика в «АиФ» более сопутствует внутренней жизни. В целом редакция «АиФ» создает более плотный и информационно насыщенный поток сообщений. Ведь по отклонению от среднего значения информативности текста «на два минуса» при подаче положительных сведений о международной жизни средняя информативность сообщения «АиФ» выше на 7 %, чем информативность сообщений «Правды», сбалансированная по этим сообщениям на «+—». Более информативный поток сообщений «АиФ» преобладает по всем пунктам над размытым и аморфным потоком «Правды», однако как раз в принятой информации эти моменты уравновешиваются. Так, информация «Правды» интенсивнее обсуждается теми, кто ее прочитал, в межличностном общении с друзьями в бытовой микросреде, а информация «АиФ» — в производственных коллективах.
Обе редакции взаимно дополняют друг друга в политике. Об этом говорят объективные результаты их работы, проявляющиеся на рис. 5.10. Так что у читателей «Правды» или читающих обе газеты сразу создается более положительный образ жизни в странах Запада, а у читателей одного «АиФ» — резко негативная картина получения работы на Западе и возможностей реализации гражданских прав и свобод в СССР. Но большие группы населения и без того твердо убеждены в последнем, кстати, до сих пор, и напрашивается вывод, что они всего лишь выбирали подкрепляющую их убеждения информацию. А то, что при этом кто-то кого-то «поливал грязью», так еще Фамусов 200 лет назад по аналогичному поводу сказал: «Хоть подеретесь — не поверю!» По сути, диаграммы отклонения оценок образа жизни Запада и региона проживания респондента четко показывают, что даже в «золотое» для «АиФ» время 40-миллионной (а то и больше) аудитории никакой монополии на массовое сознание у канала коммуникации не было. Рынок сообщений не терпит стандартизации и унификации информационного потока. Так же, как из многомерной таблицы включенности населения Таганрога в 1969 г. в СМИ вытекало, что никаких чистых аудиторий ТВ, радио, газет нет в массовых масштабах, кроме как в случайном виде соткавшихся обстоятельств (слепые, глухие, совершенно обедневшие), здесь следует: в аудиториях газет имеются лишь узкие, локализованные на прием информации отдельного канала группы. Нет и не может быть «газеты-супермаркета», удовлетворяющего весь спектр информационных потребностей населения, которое никому (ни всем СМИ вместе, ни каждому в отдельности) не даст монопольно дурить себя на рынке сообщений. Так было всегда. Сеть каналов достаточно развита, а информация — не соль или крупа. Есть, конечно, реагентные, переходные по формам активности группы с аморфной структурой миросозерцания, которые с удовольствием по престижным моментам «берут поклевки» массмедиа, но о них, как и соответствующих им и подобных им группах рыночного поведения, надо говорить особо. Защитные же механизмы аудиториями своих полей смыслов существования достаточно развиты.
Но это цветочки. Оказывается, что одномоментные «не-аудитории» отдельных средств массовой коммуникации и всех их в целом (те, кто накануне не читал, не смотрел, не слушал СМИ) никак не влияют на оценки, кроме отмеченного факта: те, кто контактировал со всеми средствами коммуникации накануне, убеждены в более высоких возможностях реализации гражданских прав. Естественно, что азартная полемика тех лет могла на новину убедить в свободе кого угодно. Главным оказывается то, что абсолютные «не-аудитории» отдельных средств, исключая газеты, не дают перепада в отклонениях оценок. Не важно, читают люди журналы, смотрят телепередачи, слушают радио или нет, — отклонения в полях оценок стабильны. Не то с газетами. «Не-аудитория» газет (линия рис. 5.9) четко стушевывает резкость оценок. Здесь растет неопределенность оценок в зависимости от той или иной стороны жизни. В структуре, отчужденной от печатного слова, теряется информативность отношения и нарастает его энтропия. С этой точки зрения подрыв и разгром аудитории газет экономическими отношениями — это подпиливание властью «прибыльной ножовкой» того древа жизни, на котором она же и сидела. Неопределенность реакций населения на очередные политические мероприятия резко возрастает. При сужении поля активности, сокращении институциональных форм приема сообщений о международной жизни значения энтропии смысловых полей реакции массового сознания должны приближаться к предельным.
Теперь главные выводы о существе полученной картины и ее значении в стратегии освещения внешнеполитических вопросов и в процессе принятия решений.
Фундаментальные ценности никогда не могут бесследно и в никуда исчезнуть. Они существуют в языке, в памяти о событиях и в памяти отношений, вызванных этими событиями. Наши исследования показывают, что подобная картина наблюдается по отношению отражений в информационном ряду значимых областей социальной жизни. Отражение социальной реальности неадекватно полям смыслов и обстоятельств жизни широких людских слоев и групп делает информационный ряд непопулярным. Сужения и ограничения в этом отражении жизни ведут к падению обращений аудитории к сообщениям. «Тиражи» каналов, не сумевших справиться с проблемой, падают. Реклама, как временная мера, спасает. При превышении определенной доли площади или времени под рекламу тот или иной канал СМИ теряет социальную информационную составляющую и в прямом, и в обратном потоке сообщений. Как следствие, теряет и сегмент аудитории, переключающейся на специализированные и рекламные, и информационные издания. Рекламодатель же оплачивает в первую очередь широту ареала приемника информации, а за потерявший более трех четвертей медийного поля «логотип», «слоган» или «бренд» он платить не будет согласно жесткой формуле «делового» мира: «Мы в ваших услугах больше не нуждаемся».
Центральные каналы это пока не настораживает, и они продолжают работать в том же ключе, перемешивая фундаментальные и оперативные уровни сознания, скажем, в видовых и словесных стереотипах. Например, давая рекламу, вызывающую товарное отвращение и ловко дискредитирующую рекламодателя за его же деньги. Причем и информация об этом — не впрок: как о стенку горох. При засилье рекламных роликов на каналах ТВ люди начинают переключаться на другие программы. Рекламу стали одновременно давать сразу почти по всем массовым каналам. Но потребителя нельзя загонять в угол, как крысу. Он обладает защитными реакциями и правами выбора не в меньшей степени, чем массмедиа — деньгами и эфирным временем. Респондент либо выключает звук, либо телеприемник. В первом случае он реагирует на диссонанс между видовым рядом предметов вещного мира, с одной стороны, и высокими слогом и чувственностью, сопровождающими в текстовом ряду заведомо заниженную в его глазах предметную область. Во втором случае он отбрасывает и видовой ряд, и текстовый и решает, что продолжать смотреть нет резона. Перенятый и внедренный на отечественную почву стиль рекламы напоминает ориентацию на поиски смысла жизни в удовлетворении физиологических потребностей в общественных местах. Может, для Запада это и неплохо... Судя по их фильмам, они это любят.
Другой вывод: появление объективной необходимости создания цивилизационных отношений эффективного социального взаимодействия между информационными рядами и рядами оценок общественного мнения. При падении уровня информированности населения относительно какой-либо предметной области социальной жизни возрастает энтропия в поле отношений и оценок этого фрагмента реальности. Уже при удельном весе неинформированных до двух третей всего взрослого населения энтропия некоторых оценок возрастает до предельных значений (1,000 в массивах более 1000 человек). Что при этом происходит в массовом сознании, можно с успехом выяснять, гадая на кофейной гуще. Власть, принимая в этом случае решения, вынуждена опираться на резко суженные и искаженные информационные поля, которые не позволяют сформулировать адекватные объективным требованиям жизни смыслы подобных решений. Конечно, аксиома «чем меньше информированность широких слоев населения, тем длиннее лаг времени проверки неадекватных управленческих решений» действует. Но чем больше она действует, тем выше непредсказуемость разрушительных последствий ее действия и формы реакций общества. При этом и издатель, и коммуникатор начинают мистифицировать сами себя, исходя из созданных в узкокорпоративных целях полей информации. Но других они создать и не могут по вполне объективным причинам. По причинам своего институционального устройства проецирующего их мировоззренческие установки в интересы дозоологического индивидуализма
.
Цивилизация предусматривает высокую терпимость и общеполезное взаимодействие диаметрально противоположных и различно окрашенных политических и этносоциальных сил. Однако информированность и взаимоуважение, эти два близлежащих пласта сознания, — лишь предпосылки нормального функционирования контура «социального самоуправления»
. Естественно, что без первой нет и не может быть второго. Терпимость и уважение появляются при знании общественных форм достижения другими людьми жизненно важных целей. Сокращение поля надежной оперативной информации о разнообразии мира, о дифференциации внутренней жизни страны, культивация оруэлловских «пятиминуток ненависти» в эфире ведет к возрастанию полей незнания и напряжения на полюсах «власть — общество», чреватых непредсказуемыми формами разрешения. Однако знания — только предпосылка. Нужны институты и механизмы, предметные силы вплетения знания в реальный процесс жизни.
Региональная пресса быстрее платит тиражами, популярностью, разорением за неадекватное отражение. Но доказать с учетом позиции местных властей, что печатное слово — сила, довольно трудно. Это было ясно уже из результатов «первого Таганрога».
В заключение главы приведем примеры того, как, несмотря на заданность производства массовой информации, массмедиа не могут в некоторых элементах содержания избежать общих тенденций общественного влияния, не могут «выскочить» из форм объективной общественной семантики.
Совпадения фундаментальных и оперативных рядов СМК и ОМ, циклы
Вот как расположились частоты упоминаний различных стран мира в центральных и областных газетах, каналах радио и ТВ за 1967 г., в «АиФ» и «Правде» в 1990/91 гг. и в «АиФ» и «Независимой газете» во время выборной президентской кампании 2000 г.
|
Таблица 5.10. Упоминания субъектов международной жизни в 1967, 1990/91 и 2000 гг. |
|
№ |
Годы |
1967 г. |
1990/91 гг. |
2000 г. |
|
|
В целом (абс., %) |
52044 |
100 % |
857 |
100 % |
1307 |
100 % |
|
1 |
ША |
7303 |
14,0 |
127 |
14,8 |
217 |
16,6 |
|
2 |
Германия (ФРГ, ГДР) |
4112 |
7,9 |
72 |
8,4 |
70 |
5,4 |
|
3 |
Англия |
2288 |
4,4 |
38 |
4,4 |
53 |
4,1 |
|
4 |
ФРАНЦИЯ |
1907 |
3,7 |
43 |
5,0 |
49 |
3,8 |
|
5 |
Италия |
968 |
1,9 |
23 |
2,7 |
37 |
2,8 |
|
6 |
СФРЮ (Словения, Сербия) |
815 |
1,6 |
9 |
1,1 |
43 |
3,3 |
|
7 |
Китай |
1055 |
2,0 |
23 |
2,7 |
35 |
2,7 |
|
8 |
Израиль |
1738 |
3,3 |
7 |
0,8 |
26 |
2,0 |
|
9 |
Япония |
1137 |
2,2 |
61 |
7,1 |
26 |
2,0 |
|
10 |
Турция |
269 |
,5 |
5 |
0,6 |
24 |
1,9 |
|
11 |
Иран |
143 |
,3 |
7 |
0,8 |
20 |
1,5 |
|
12 |
Испания |
464 |
,9 |
9 |
1,1 |
20 |
1,5 |
|
13 |
Индия |
491 |
,9 |
12 |
1,4 |
18 |
1,4 |
|
14 |
Пакистан |
243 |
,5 |
3 |
0,4 |
16 |
1,2 |
|
15 |
Румыния |
657 |
1,3 |
11 |
1,3 |
15 |
1,2 |
|
16 |
Афганистан |
112 |
,2 |
11 |
1,3 |
14 |
1,1 |
|
17 |
Австрия |
372 |
,7 |
7 |
0,8 |
13 |
1,0 |
|
18 |
Чехия, Словакия |
1416 |
2,7 |
21 |
2,5 |
13 |
1,0 |
|
19 |
Польша |
1359 |
2,6 |
32 |
3,7 |
12 |
,9 |
|
20 |
Финляндия |
558 |
1,1 |
17 |
2,0 |
12 |
,9 |
|
21 |
Греция |
973 |
1,9 |
4 |
0,5 |
11 |
,8 |
|
22 |
Канада |
522 |
1,0 |
18 |
2,1 |
11 |
,8 |
|
23 |
Норвегия |
242 |
,5 |
4 |
0,5 |
11 |
,8 |
|
24 |
Швейцария |
224 |
,4 |
14 |
1,6 |
11 |
,8 |
|
25 |
Австралия |
344 |
,7 |
17 |
2,0 |
10 |
,8 |
|
26 |
Ирак |
216 |
,4 |
17 |
2,0 |
10 |
,8 |
|
27 |
Швеция |
456 |
,9 |
10 |
1,2 |
10 |
,8 |
|
28 |
Бельгия |
368 |
,7 |
5 |
0,6 |
9 |
,7 |
|
29 |
Венгрия |
1054 |
2,0 |
13 |
1,5 |
9 |
,7 |
|
30 |
Дания |
333 |
,6 |
5 |
0,6 |
9 |
,7 |
|
31 |
Болгария |
1073 |
2,1 |
10 |
1,2 |
8 |
,6 |
|
32 |
Мексика |
238 |
,5 |
3 |
0,4 |
8 |
,6 |
|
33 |
Нидерланды |
378 |
,7 |
8 |
0,9 |
7 |
,5 |
|
34 |
ОАЕ |
23 |
,0 |
2 |
0,2 |
8 |
,6 |
|
35 |
Португалия |
243 |
,5 |
4 |
0,5 |
7 |
,5 |
|
36 |
НАТО |
294 |
,6 |
7 |
0,8 |
43 |
3,3 |
|
37 |
ООН |
692 |
1,3 |
17 |
2,0 |
48 |
3,7 |
|
38 |
Европа, ЕС, ОБСЕ |
297 |
,6 |
51 |
6,0 |
93 |
7,1 |
|
39 |
Банки, клубы |
358 |
,7 |
1 |
0,1 |
25 |
1,9 |
|
40 |
ОПЕК |
99 |
,2 |
- |
- |
8 |
,6 |
|
41 |
Другие международные организации |
369 |
,7 |
15 |
1,8 |
11 |
,8 |
|
42 |
Другие страны Европы |
479 |
,9 |
|
|
41 |
3,1 |
|
43 |
Другие страны Азии |
994 |
1,9 |
10 |
1,2 |
29 |
2,2 |
|
Продолжение ^
|
Таблица 5.10 (продолжение) |
|
№ |
Годы |
1967 г. |
1990/91 гг. |
2000 г. |
|
44 |
Другие страны Ближнего и Среднего
Востока |
3649 |
7,0 |
6 |
0,7 |
33 |
2,5 |
|
45 |
Другие страны Африки |
2893 |
5,6 |
11 |
1,3 |
49 |
3,7 |
|
46 |
Другие страны Латинской Америки |
2238 |
4,3 |
26 |
3,0 |
35 |
2,7 |
|
47 |
Центральная Азия |
378 |
,7 |
- |
- |
8 |
,6 |
|
48 |
Страны Индокитая |
4714 |
9,1 |
7 |
0,8 |
6 |
,5 |
|
49 |
Другие упоминания |
496 |
1,0 |
31 |
3,6 |
6 |
,5 |
|
Табл. 5.10 дает удельный вес частот упоминания стран мира в указанных каналах за 33 года. Здесь следует целый ряд фактов, которые можно выделить только на сопоставлении динамических рядов, так как статическая картина позволяет делать принципиально иные выводы.
1. Устойчивость распределений. Доминантной «персоной грата» освещения международной жизни на протяжении трети века выступают США. Стоящая на втором месте в информационных полях в течение этого периода Германия проигрывает Штатам в два-три раза. Забегая вперед, отметим здесь и то, что во время президентской кампании 2000 г. удельный вес упоминаний В. В. Путина среди всех поименно упомянутых 1599 государственных, партийных и региональных руководителей составил 16,2 %, Г. А. Зюганова — 5,4 %, Г. А. Явлинского — 5,4 %, В. В. Жириновского — 3,2 %. Так что законы распределения в международных и внутренних секторах информационного поля по субъектам международного права и субъектам внутриполитической деятельности одинаковы
. При этом структура организованного потока информации о международной жизни отличается от структуры интересов населения в этом вопросе большей стандартизацией и меньшей паллиативностью. Это видно даже «невооруженным» взглядом (ср. колонки 7, 8, 9 табл. 5.11 с колонками 1—6 в % к числу ответов)
. Зоны недостаточной инфор-
|
Таблица 5.11. Ответы на вопрос: «Назовите пять любых стран на ваш выбор, в которые вы поехали бы при безусловном выполнении вашего желания» (по данным исследований в Таганроге в январе 1968 г., в СССР в 1990/91 гг. и в Москве в 2004 г.; n1968 = 969, n1990/91 = 9672, n2004 = 131), а также частоты упоминания выбранных для поездки стран безусловного фундаментального и оперативного интереса в 1967, 1990/91 и 2000 гг. (по данным исследований материалов центральных газет, передач Центрального ТВ и Всесоюзного радио и радиостанции «Маяк» в 1967 г., сообщений «АиФ» и «Правды» в 1990/91 гг. и «НГ» и «АиФ» в 2000 г.) |
|
<73 |
33,2 |
4,0 |
7,5 |
5,7 1 |
СО
о” |
оо” |
2,8 1 |
5,4 |
СО
со” |
|
2,0 |
со’ |
00.
о” |
3,7 |
со’ |
ю.
о” |
CN |
О
О |
|
СО |
27,5 |
13,1 |
СО
СТз” |
о
ю” |
15,5 |
CN
оо” |
со
CN |
о
ю” |
о
cn” |
СТЗ
о” |
ю. |
О
cn” |
ю. |
|
ІЛ. |
со
cn” |
1^
о” |
О
О |
|
|
со
со |
СП |
со
со” |
CN |
17,8 |
03
СТз” |
CN
cn” |
^7 |
ю.
со” |
|
со |
О
cn” |
CN |
CN |
СО
о” |
CN |
О |
О
О |
|
В % к числу ответов | |
со |
о” |
со
со” |
22,0 |
15,0 |
О) |
12,0 |
CN |
со
CN |
CN
о” |
со |
|
Г—” |
СТЗ. |
со” |
О
о” |
ю.
о” |
|
О
О |
|
ю |
15,4 |
со" |
16,8 |
14,1 |
15,3 |
•=t
оо” |
Ю
со” |
СТЗ
cn” |
со |
CN
cn” |
о |
cn” |
ю.
cn” |
ІЛ
о” |
о” |
со
о” |
стз
о” |
О
О |
|
|
22,4 |
14,8 |
16,2 |
10,3 |
11,7 |
І-” |
со” |
СО
CN |
со |
|
со |
|
о” |
CN |
о
о” |
CN
о” |
о” |
О
О |
|
со |
22,4 |
15,2 |
о
со” |
10,2 |
11,7 |
ю
І-” |
со” |
ІЛ
cn” |
|
со. |
п |
|
CN |
о” |
о” |
CN
о” |
о” |
О
О |
|
CN |
21,6 |
15,6 |
15,5 |
со
о” |
11,2 |
о
І-” |
со” |
стз
cn” |
|
|
со |
|
О |
СО |
СО
о” |
со
о” |
CN
о” |
О
О |
|
т—1 |
21,5 |
16,2 |
16,1 |
оо.
о” |
о” |
со.
І-” |
CN
со” |
CN |
о |
oq. |
CN |
ІЛ |
п |
о |
ю.
о” |
о” |
со.
о” |
О
О |
|
В % к числу ответивших | |
со |
32,3 |
19,2 |
70,2 |
48,5 |
29,2 |
38,5 |
І-” |
Ю
оо” |
оо
о” |
со |
СО |
23,8 |
CN
СО” |
10,8 |
о
о” |
ю. |
со |
CN
со” |
|
ю |
43,3 |
со |
46,7 |
39,0 |
35,6 |
23,4 |
18,0 |
со
I-” |
12,3 |
стз
ю” |
CN |
со
ю” |
CN |
о |
- |
стз. |
CN |
CN |
|
|
75,4 |
со
о”
ю |
54,5 |
34,8 |
39,5 |
25,8 |
20,4 |
03
оо” |
со
ю” |
оо. |
СО
ю” |
ю” |
CN |
о |
о |
1^ |
|
со” |
|
со |
76,2 |
51,2 |
53,7 |
34,5 |
39,4 |
25,3 |
22,6 |
•=t
оо” |
|
CN |
СО
со” |
СО
ю” |
О |
CN
cn” |
- |
со |
ю. |
со” |
|
CNJ |
73,5 |
53,2 |
52,4 |
36,1 |
38,0 |
23,7 |
21,9 |
о
о” |
|
СО
ю” |
ю. |
стз. |
ю.
со’ |
|
CN
CN |
стз. |
1^ |
со’ |
|
т—1 |
76,4 |
57,6 |
57,4 |
38,9 |
36,9 |
25,9 |
22,2 |
со
оз” |
со
со” |
со” |
со. |
CN
ю” |
оо.
со” |
со
со” |
СТЗ. |
со. |
стз |
со
со” |
|
Страна |
?шэ |
Япония |
Франция |
1 Италия 1 |
Германия |
Англия |
1 Индия 1 |
Kитaй |
Югocлaвия |
1 Гpeция 1 |
Aвcтpия |
1 Иcпaния 1 |
Бpaзилия |
Tуpция |
Иран |
ЮAP |
1 Meкcикa | |
Средняя и сумма |
|
мационной наполняемости, «ограниченности» (Е. Я. Таршис)* элементов содержания информационных полей уже здесь очевидны. Однако это следствие, причина лежит в идеологической стратегии агентов информационного производства: «издателя» и «коммуникатора» в срезе, «мы — они» по вопросам международной жизни. Здесь культивируется клише-стереотип, не свойственный широким слоям населения относительно разбираемой предметной области, но свойственный им в оценках внутренней жизни. Очевидно, что стратегия «издателя» продумана.
2. Точки равновесия и флуктуаций. Если убрать из информационного ряда упоминания США, столь «любимых» нами и необходимых нам в решении вопросов внутренней политики (что, кстати, по сути дела верно, но является результатом откровенной славяно-англосаксонской «взаимности» на протяжении всего послевоенного периода), то довольно устойчивыми окажутся упоминания тех европейских стран, интерес к которым у населения не претерпел изменений за четверть века. СМИ не могут выйти из тех форм обыденного сознания общества, о которых они в то время не знали**. В табл. 5.11 взяты, во-первых, данные об интересе людей к 15 (тем же, что и на рис. 5.3) странам в исследованиях 1968 г. в Таганроге, 1990/91 гг. в СССР и 2004 г. в Москве, во-вторых, упоминания этих стран в информационных рядах 1967, 1990/91 и 2000 гг., в-третьих, данные по всем упомянутым параметрам по США и Японии. Они рассмотрены как в границах страны в целом, так и в границах городов типа Таганрога и на различных модификациях массива 1990/91 гг. для иллюстрации принципиального сходства данных. Если теперь сделать ранговую корреляцию всех девяти приведенных рядов по 17 отобранным странам, мы увидим принципиальные сходства и различия в целом, изменения в зависимости от оперативных обстоятельств и устойчивые и меняющиеся «зоны» интереса населения к странам мира и освещения их СМИ. Здесь отдельно выделяется ряд явлений.
|
Таблица 5.12. Корреляционная матрица распределений из табл. 5.11 (в коэффициентах корреляции рангов Спирмена и Кендалла по абсолютным данным распределений указанных исследований по семнадцати выделившимся странам)*** |
Матрица
корреляций |
1 |
2 |
3 |
4 |
5 |
6 |
7 |
8 |
9 |
|
1 |
|
,985 |
,966 |
,961 |
,887 |
,822 |
,875 |
,822 |
,700 |
|
2 |
,941 |
|
,975 |
,975 |
,895 |
,806 |
,914 |
,841 |
,774 |
|
3 |
,868 |
,897 |
|
,985 |
,944 |
,815 |
,904 |
,871 |
,763 |
|
4 |
,863 |
,908 |
,952 |
|
,914 |
,809 |
,899 |
,871 |
,780 |
|
5 |
,721 |
,750 |
,824 |
,775 |
|
,764 |
,855 |
,791 |
,759 |
|
6 |
,613 |
,583 |
,627 |
,622 |
,598 |
|
,748 |
,621 |
,637 |
|
* Таршис Е. Я. Вопросы методологии анализа содержания текстов средств массовой информации и пропаганды: Канд. дисс. — М., 1974. — С. 262—264.
** Социологических исследований по данным параметрам с интервалом за 25 лет у нас не проводилось, а эта информация по ряду социальных обстоятельств впервые была доложена автором в 2003 г. на VI Евразийском телефоруме.
*** В верхней части матрицы коэффициенты корреляции Спирмена, в нижней — Кендалла. По диагонали матрицы вместо коэффициентов со значением 1 (ряд оценок в том или ином исследовании или группе сам на себя) проставлены пустые черные клетки для более четкого разделения двух видов коэффициентов корреляции: Спирмена и более «острожного» Кендалла. |
Матрица
корреляций |
1 |
2 |
3 |
4 |
5 |
6 |
7 |
8 |
9 |
|
7 |
,706 |
,765 |
,750 |
,760 |
,691 |
,554 |
|
,828 |
,792 |
|
8 |
,662 |
,692 |
,722 |
,717 |
,617 |
,430 |
,692 |
|
,749 |
|
9 |
,524 |
,583 |
,568 |
,607 |
,568 |
,459 |
,613 |
,581 |
|
|
- уровень значимости связи 95 %;
- уровень значимости связи 99 %. |
Исследовательские замеры:
1 ! СССР 1990/91 гг. (массив неперевзвешен на генсовокупность по переписи населения);
2 ! СССР 1990/91 гг. (массив перевзвешен на генсовокупность по переписи населения);
3 ! подвыборка по городам типа Таганрога из РСФСР 1990/91 гг. (массив перевзвешен);
4 ! подвыборка по городам типа Таганрога из СССР 1990/91 гг. (массив перевзвешен);
5 ! Таганрог 1968 г.;
6 ! Москва 2004 г.;
7 ! анализ содержания 1967 г. газеты, радио, ТВ;
8 ! анализ содержания 1991 г. «АиФ» и «Правда»;
9 ! анализ содержания 2000 г. «НГ» и «АиФ».
Проанализируем данные таблиц.
1. Очень высокая корреляция (табл. 5.12) интересов населения в городах типа Таганрога с населением страны в целом и выделенным населением Республики в 1990/91 гг. Это говорит об однородности явлений по измеряемому параметру в различных по масштабу общностях.
2. Высокая корреляция интересов населения к выделенным странам мира в динамике, измеренная в проекте «Общественное мнение» в 1967/68 гг. и в городах типа Таганрога в 1990/91 гг. Динамическая устойчивость «по Таганрогу» (+0,914 Спирмена и +0,775 Кендалла) говорит о фундаментальных, неизменяемых интересах. Несколько меньше корреляции 1967/68 и 1990/91 гг. с интересами опрошенных в 2004 г. москвичей. Это говорит об оперативных изменениях. Интерес к Испании, Греции и Турции фиксирует практический «прорыв железного занавеса» в сфере туризма, т. е. не в сфере материального производства (о сфере финансов СМИ стали писать, как отмечено выше, больше), а в сфере обращения. При этом про торговлю информируем мало (0,2 % всех упоминаний за 1967 г., 4,1 % — за 1990/91 гг., 3,6 % — в 2004 г.).
3. Практически полная синхронность на динамическом ряду пиков роста и падения освещения жизни Японии и желания поехать в эту страну (табл. 5.11, строка с заливкой). Во время широкого освещения, как потом выясняется, неудачного визита Горбачева в Японию интерес возрастает. При прояснении враждебной позиции Японии в отношении России он, естественно, падает.
4. Кампанейский характер освещения международной жизни, свойственная, как и материальному производству, «штурмовщина» при производстве сообщений. Здесь в табл. 5.11 в 1967 г. выпадают в доминирующие группы страны Индокитая, в 1990/91 гг. — Афганистан и «удаляющаяся от нас» Польша, в 2000 г. — Югославия и балканские страны. По завершении конфликта удельный вес упоминаний резко падает, а иногда та или иная, заслужившая внимание в конфликтной ситуации, страна и вовсе исчезает с «карты мира» в «совокупном сознании» и тексте коммуникатора. Подобный «способ производства» известен давно, и не только относительно освещения международной жизни. Уже в 1968 г. на материалах центральных
35
|
Категория «вооруженные силы» за февраль 1968 г. |
 |
1 2 3 4 5 6 7 8 9 10 11 12 13 14 15 16 17 18 19 20 21 22 23 24 25 26 27 28
Календарные дни февраля
I I Сообщения ¦ Площадь |
I
30
I 25
с
= 20
? 15
Ю
§
10
йЙ 5
0
Рис. 5.11. Графики распределения доли материалов на тему «вооруженные силы» в общем числе материалов
газетного номера и доли площади этих материалов в общей площади газеты в газетах «Молот» и «Таганрогская правда» за февраль 1968 г. (в % к числу материалов каждого номера и общей площади газеты)
и местных печатных и аудиовизуальных СМИ были обнаружены одно-двухднев-ные «скачки» внимания к определенным фрагментам реальности, которые можно интерпретировать как «прокукарекал, а дальше хоть не рассветай». На рис. 5.11 приводится распределение частот сообщений, содержащих категорию «вооруженные силы» в ростовском «Молоте» и «Таганрогской правде» за февраль 1968 г. Анализ содержания имел предметом более 10 000 сообщений областных и городских газет, радио, ТВ как на международные, так и на внутренние темы
. Здесь очень хорошо видно практически полное соответствие площади и частоты сообщений по указанной теме, а также полное ее забвение уже через день после юбилейной даты — 50 лет Советской Армии.
Общемировая практика СМИ, особенно одних из лучших в Великобритании, свидетельствует, что информация об определенных фрагментах реальности, строго дозированная и подаваемая в постоянных и равных интервалах времени, обладает наибольшей эффективностью, принимается устойчивее и с меньшей степенью отторжения. Здесь же мы видим, что 32 % сообщений и 24 % газетной площади за месяц отдано одной теме в один день (ТВ и радио лишь чуть-чуть снижают эти доли). Этот «оглушающий» способ подачи информации ничего не оставляет в читательской голове. То же касается и способа подачи рекламы. Переполненность ею номера «везет» тираж номера «в отвал». Хроническая переполненность сокрушает аудиторию издания. Однако это «классический» способ работы отечественных каналов СМИ по отражению содержательной структуры социальной жизни. Некоторые объясняют это фундаментальными свойствами сознания — полярностью, дуализмом и т. п., но, думается, здесь из-за социально-экономических факторов, которые надо будет еще обозначить, проявляется скорее некоторый «социальный дальтонизм», своего рода примитивизм нецивилизационного, допервобытного сознания, которое не видит разнообразия, дифференциации социального мира.
Это и ведет к отсутствию паллиативных моментов в отражающей мир картине и к исключительному ее огрублению, а как следствие, не к той клишированности, которая выступает необходимым элементом производства текста сообщений, но к стандартизации социально-содержательных элементов информационного ряда в обществе
.
5. Самые низкие корреляции интересов москвичей к странам мира и информационного ряда, создаваемого «Правдой» и «АиФ» в 1990/91 гг. и «НГ» и «АиФ» 2000 г., очень характерны для группы людей, имеющей реальные контакты с зарубежными странами. Здесь даже структурные связи по номиналиям субъектов международного права начинают слабеть из-за несовпадения ориентаций в созданном информационном ряду и в обыденном сознании в виде устойчивых потребностей и интересов. Информационный ряд, создаваемый СМИ, не выдерживает минимального контроля реальностью. Факт, конечно, «имеет место быть», но освещение его, как правило, не имеет ничего общего с обстоятельствами происшедшего. Это похоже на «идеальность» и необыкновенную красоту снов, где контролирующее соотнесение образа с реальностью отсутствует. Наяву такого не увидишь.
Такова общая картина устойчивых структур и флуктуаций.
Однако из полученных данных следует и еще кое-что. При общем сходстве и стабильности фундаментальных рядов распределений интересов людей и информационного ряда и вполне логичных и объяснимых расхождений некоторых оперативных фрагментов обыденного сознания и элементов текста массовой информации надо упомянуть и проглядывающую из полученных данных цикличность элементов содержания текста.
Мы рассмотрели корреляцию пластов содержания за 1967, 1990/91 и 2000 гг. по 17 сферам жизни всех освещаемых зарубежных стран (промышленность, экономика, финансы, торговля, спорт, политика и т. д. и т. п.). Результаты представлены в табл. 5.13.
Таблица 5.13. Корреляционная матрица освещения внутренней жизни стран мира по семнадцати различным сферам жизни (в коэффициентах корреляции рангов Спирмена и Кендалла по абсолютным данным распределений указанных исследований по семнадцати сферам жизни всех упомянутых в содержании указанных СМК субъектов международного права (от 150 до 300 в различных исследованиях и каналах)

Годы
1967 г.
1990/91 г.
2000 г.
- уровень значимости связи 99 %
Прежде всего отметим, что информационные пласты 1967 и 1990/91 гг. не дают корреляционной связи по освещению сфер жизни зарубежных стран. Пласты 1990/91 и 2000 гг. дают высокую корреляцию и по Спирмену, и по Кендаллу. Связь информационного ряда по сферам жизни 1967 и 2000 гг. менее тесна, чем связь пластов 1990/91 и 2000 гг. Информация по знаку сообщений (табл. 5.2) говорит о тожественности освещения международной жизни в 1990/91 и 2000 гг.
Однако по структуре сфер ряд начал при неизменности структуры субъектов международного права (табл. 5.12) сдвигаться после 1998 г. к структуре информационного ряда советского времени (табл. 5.13). При неизменной форме содержание начинает обратное движение. Мы выходим на цикличность большего масштаба.
Для ее проявления необходимо ответить на три важных вопроса.
1. Как отражается структура субъекта социального действия в информационном ряду при существующем характере производства текста и как эта структура связана, с одной стороны, с реальными потребностями общества в определенной деятельности, а с другой — с профессиональными ориентациями населения, существующими во имя выживания?
2. Как создаваемый массмедиа фрагмент (рука не поднимается написать, но увы!) духовного производства влияет на информированность населения относительно решения социальных проблем на фоне взаимодействия различных социальных групп с органами власти и что здесь важнее, информация или результаты реального взаимодействия агентов решения социальных проблем?
3. Как процесс принятия решения органами власти связан, с одной стороны, с различными полями информационных рядов прямой и обратной связи, а с другой — с характером (индивидуальным или коллективным) выработки тех или иных информационных блоков этих полей?
Данные генпроекта «Общественное мнение», почти 40-летние исследования позволяют ответить на эти вопросы. Особо подчеркнем, что выводы, основанные на сопоставлении картин, разделенных большими промежутками времени — десятилетие, одно-два демографических поколения и т. п., — фундаментально отличаются от логических выводов пусть системного, но разового замера. Однако замечу, что социальный мониторинг — динамическое сопоставление базовых и оперативных интегральных показателей — возможен только при четкой методолого-методической систематизации и выравнивании социологического инструментария. Сопоставимыми точечными замерами узких фрагментов реальности получить картину движения нельзя.
Глава 6
МЕТАМОРФОЗЫ МАССМЕДИА
Субъект активности: реальность, текст, массовое сознание
В главе 5 мы соотнесли ряды предпочтений загранпоездок населения и освещения разных стран мира в СМИ в целом в конце 60-х гг. и выборочно (но с проверочными коррекциями) в 70-е, 80-е, 90-е и 2000-е гг. Выявились оперативные и фундаментальные ряды массовых стереотипов, в какой-то степени проявилась их цикличность, всплески, связанные с международными конфликтами и реакциями населения на внешнюю политику властей страны. Проявилась также относительность поддержки населением внешней политики, декларируемой массмедиа под жестким контролем издателя. С другой стороны, и у СМИ выявились резкие колебания освещения жизни в определенные переломные периоды и циклическое возвращение к прежним стабильным методам освещения. При этом медийная «цикличность» тоже имеет фундаментальный и производственно-оперативный характер, проявляющийся в крутом изменении освещения крупных политических событий и фигур. Упоминания В. Путина, занимавшие в «АиФ» и «НГ» в период президентских выборов 16,2 % от всех 3500 лиц, упомянутых за три месяца (против 5,4 % у Зюганова и 5,4 % у Явлинского), входят в свое нормальное русло и в 2004 г. составляют во вполне официальных «Ведомостях» 5,5 %. СМИ действуют у нас по принципу «цунами», своего рода «ударной волны» и по праздникам, и по будням. Население же, «убегая в горы», также проявляет в чтении «выборочный» интерес к элементам содержания. Так, при среднем прочтении упоминаемых весной 2004 г. в «Тамбовской жизни» фамилий действующих в театре массмедиа лиц, имя губернатора читается чаще среднего на 10 %, но обсуждается ниже среднего в противоположность высокой частоте обсуждения менее читаемого имени президента. Прогресс свободы слова по отношению к сталинскому времени несомненен в масштабе страны, но как-то сомнителен на уровне территориальной агломерации. Так что содержание информационного ряда, создаваемого СМИ, подвергается жесточайшему контролю аудитории по соответствию собственным представлениям, выработанным в собственной среде, — если угодно, ареале обитания, постоянно меняющейся социальной общности. «До царя далеко, да ему и без нас забот хватает, а вот с ближним барином надо ухо держать востро».
Главное, конечно, не в сопоставлении отношения населения к странам мира и международного содержания массмедиа, то бишь отражения политики правительства. Здесь можно усмотреть у населения, хотя бы и в частном случае, реализацию потребности в собственной безопасности или «смысла куда бы податься на заработки» (последнее, правда, решается на совсем других «полях деятельности»). Главное для нас — сопоставление, с одной стороны, внутренней политики власти в отношении собственного субъекта деятельности, а с другой — отношения этого субъекта и к содержанию политики власти, и к проводникам целей власти в смыслах информационного ряда.
Род занятий населения в структуре переписей и в текстах за 40 лет
Идея проведения «парных» сопоставительных исследований, о которой много говорили социологи 60-х гг. (см. например, материалы слета в Кьяярику), была блестяще реализована в проекте «Общественное мнение» в исследованиях общественного мнения относительно отношения к разным странам мира и освещения этих стран в медийных средствах, а кроме того, в исследованиях «Профессиональная ориентация населения г. Таганрога» и «Профессии в освещении СМИ»
. Скорректированные методики, использованные также в исследованиях 1991, 1994, 2004 гг.
, позволяют:
1) сопоставить взятые по роду занятий группы населения (табл. 3.6) с точки зрения их веса в структуре генеральной совокупности по соответствующим переписям населения 1970, 1979, 1989, 2002 гг., а также по удельным весам упоминаний личностей из этих групп — субъектов деятельности в массме-дийных средствах за эти годы;
2) рассмотреть трудовые и профессиональные ориентации населения, вектор их направленности в приведенных нами «диаграммах» (табл. 3.6), а также динамику этой картины с 1967/68 до 2004 г.;
3) сопоставить удельные веса освещаемых внутренних сфер общественной жизни СМИ в целом и отдельными из них, произвести корреляцию этих рядов за рассматриваемый период, включая сюда и моменты реального приема различной по знаку (мнению) информации;
4) соотнести структуры групп по роду занятий, которые составляют основную массу знакового текста, текста мнений, оценок, комментариев, а не текстов-информаций, оставляющих лишь 10 % совокупного медийного поля сообщений и позволяющих читателю самому судить, что к чему;
5) показать, что данный информационно-знаковый, оценочно-смысловой тип медийного поля складывался стихийно уже в конце 60-х гг. и, имея под собой политико-экономические предпосылки, расходящиеся с декларируемыми, усугублялся к нашему времени до своих максимально производственно и функционально вырождающихся значений;
6) на основе показанных развернутых картин обозначить, с каким реальным социальным багажом взаимодействия с обществом органы власти собирались поднимать страну с 70-х гг. и поныне.
После этого можно рассмотреть и картину общей информированности населения и способов взаимодействия его с органами власти при решении социальных проблем. Начнем с динамики структуры субъекта деятельности (населения) и отражения его в информационном ряду (рис. 6.1).
Д/х
В/с
ССО
СА
ИНП
ИТР
Рабочие
РСХ |
|
|
|
|
3 |
0 |
|
|
|
|
|
|
1 |
7 |
|
|
|
|
|
|
3 |
2 |
|
|
|
|
|
|
7 ¦ |
1 1 10 |
|
|
|
|
|
|
7 ¦ |
|
? 28 |
|
|
|
|
|
7 ¦ |
14 |
|
|
|
|
|
|
|
|
25 |
|
|
|
|
21 ¦ |
|
14 |
|
|
1 1
60 50 |
1
40 |
1 1
30 20 |
1
10 |
1 1
0 10 20 |
1
30 |
1
40 |
|
-I-1%
50 60 |
|
Доли групп: в реальности в тексте СМИ |
Рис. 6.1. Отражение субъекта социальной деятельности в тексте СМИ в 1968-1970 гг.
(По данным Всесоюзного зондажа 1971 г. (n = 1395 по отобранным группам без пенсионеров и учащихся, которые не исследовались в текстах СМИ. При этом массив перевзвешен на генсовокупность по переписи 1970 г.) и по данным исследования «Анализ содержания центральных и местных СМИ по престижам профессий»
(n = 15 796 упоминаний различных профессий). Вес групп в структуре населения отложен влево, вес групп в структуре содержания материалов газет, радио- и телепередач каждого четвертого дня выхода газеты, вещания каждого четного месяца 1965, 1966, 1967 гг. отложен вправо)
В парном исследованиях В. В. Сазонова было взято в целом 54 профессии. В исследовании анализа содержания они рассматривались по 60 качествам. В зондаже-тесте было взято более 70 профессий, выбираемых ребенку в первую очередь, 20 из которых дважды шкалировались на присутствие у профессии определенных социальных качеств (каждого из 36 качеств). 84,4 % всех упомянутых массмедиа профессий имели положительное, 2,2 % — отрицательное, 1,2 % — сбалансированное и 12,1 % — невыраженное отношение коммуникатора (автора) к профессии. На рис. 6.1 справа взяты только положительные веса профессий, сгруппированные в указанные группы по роду занятий
. Соотношение групп в их освещении недостаточно адекватно их ролям и в реальности, в коллективном воспроизводстве жизни, особенно если учесть отсутствие в анализе содержания групп пенсионеров, студентов и школьников. Особо отметим пока малую освещенность роли домохозяек и высокую долю в информационном ряду непроизводственной интеллигенции.
Но любопытно другое. Нормированная энтропия распределения по восьми группам по переписи населения составляет 0,715. А вот в информационном ряду по этим же восьми группам она составляет 0,898. Этот факт обозначает, что в 1967/68 гг. освещение роли социальных групп в общественной жизни носило в массмедийном информационном ряду более широкий, «размытый» характер, чем распределение этих групп в процессе реального обмена индивидуальными свойствами. Равнопо-ложенность профессионального мира в массмедиа была выше.
Глянем теперь на картину конца 70-х гг. Именно в это время перед переписью 1979 г. было проведено «Всесоюзное исследование аудитории массмедийных средств “Правда”-1977», в котором исследовалось реальное чтение сообщений опрошенными в реальных условиях накануне опроса (интервью с номером газеты в руках). Небезынтересно взглянуть, как реальный субъект социального действия был присвоен населением со страниц и из материалов центрального органа правящей партии (см. рис. 6.2).
Мы обозначили людей, упомянутых в газете, с точки зрения их социально-профессиональных групп. Взяли по переписи и тексту пенсионеров и учащихся.
 |
Доли групп: в реальности в принятом тексте СМИ
Рис. 6.2. Отражение субъекта социальной деятельности в тексте СМИ в 1977 г. по данным Всесоюзного зондажа 1977 г. (n = 9366 по отобранным группам и при этом массив перевзвешен на генсовокупность по переписи 1979 г.) и по данным исследования «Анализ содержания приема информации газеты “Правда” в 1977 г. с точки зрения профессий, упомянутых в материалах (n = 7474 принятых сообщений). |
Нормированная энтропия распределения по данным группам в генсовокупности составляет 0,855 (в 1970 г. по всем этим группам она была 0,823), а в отражаемом и принятом тексте 1977 г. 0,843. Так что, несмотря на довольно характерный диссонанс структур субъекта деятельности (реального и освещенного в принятом населением тексте) оба поля (реальности и информации) находятся в эксцентрическом равновесии. Однако основная масса равновесия в реальной жизни составляет 66 % сельскохозяйственных и промышленных рабочих и пенсионеров, а в виртуально принятом информационном поле массмедиа 68 % промышленных рабочих, непроизводственной интеллигенции и служащих аппарата предприятий и учреждений. Вспомним, что структура принятого текста одномоментно соответствует структуре опубликованного. Мы, однако, продолжили эксперимент в знаковом поле массмедиа. Каждый из действующих «героев» информации фиксировался на предмет оценочных высказываний, если он их имел. Таким образом, стало возможно сравнить структуру выраженного газетой и принятого населением страны мнения социальных групп. И картина резко изменилась (рис. 6.3). Каждый из «героев» дает здесь свою оценку окружающей реальности.
 |
Доли групп: в реальности мнения групп в тексте
Рис. 6.3. Отражение субъекта общественного мнения в тексте СМИ в 1977-1979 гг. по данным Всесоюзного зондажа 1977 г. (n = 9366 по отобранным группам, при этом массив перевзвешен на генсовокупность по переписи 1979 г.) и по данным исследования «Анализ содержания приема информации газеты “Правда” в 1977 г. с точки зрения мнения социально-профессиональных групп», приведенных газетой
(n = 5449 принятых суждений-мнений) |
Фактическая масса субъекта деятельности, которая создает стоимость (51 % населения: рабочие промышленности и сельского хозяйства и ИТР) имеют лишь 14 % от всей структуры выраженного «Правдой» и принятого населением веса оценок реальности. 14 % непроизводственной интеллигенции и чиновничьего люда имеют в поле мнений центрального органа партии 81 % массы оценок. Значение нормированной энтропии — 0,574. Представить себе, что в нашей социальной системе даже в то время были предусмотрены механизмы аккумуляции одной седьмой частью общества мнений и интересов всего социума, трудно даже при самом пылком воображении. Однако воздержимся от окончательных выводов. Посмотрим на картину через 15 лет (см. рис. 6.4 и 6.5).
Характерной особенностью остается устойчивость показателя энтропии распределения всей массы субъекта социального действия в генеральной совокупности — 0,845. В коллективном воспроизводстве жизни катастрофических изменений не происходит. А вот в массмедийном поле, создаваемом в 1990/91 гг. «АиФ» и «Правдой», структура виртуального субъекта деятельности, «создающего нашу жизнь» (и взаправду создающего такую нашу жизнь), резко сосредоточивается в узком поле непроизводственной интеллигенции и чиновничества, которые, занимая в структуре реальной деятельности 16 % населения, дают 91 % всех упоминаний «героев» информации. Значение энтропии падает здесь до 0,457. Структура очень ригидна, да что там «герои»! Взглянем на структуру субъектов мнений у обеих газет (рис. 6.5), отвлекшись от структуры генсовокупности, которая и так видна на рис. 6.4.

Доли групп: в реальности в текстах «АиФ» и «Правды»
|
Рис. 6.4. Отражение субъекта социальной деятельности в тексте СМИ в 1990/91 гг. по данным генсовокупности по переписи 1989 г. и по данным исследования «Анализ содержания “АиФ” и “Правды”» Всесоюзного зондажа 1991 г. (n = 3892 субъектов деятельности с данными социально-профессиональными группам) |
 |
Выразили мнение в «АиФ» Выразили мнение в «Правде»
Рис. 6.5. Отражение структур субъектов выраженного общественного мнения (высказавших оценку социальных событий) в «Правде» и «АиФ» в 1990/91 гг.
(n = 1496 субъектов деятельности и 419 субъектов выраженного мнения)
Значение нормированной энтропии распределения субъектов мнений об обстановке в стране составляет в «Правде» 0,389, а в «АиФ» 0,418. Таким образом, рассматривая полученные данные через призмы состояния информированности населения в табл. 4.1, можно утверждать, что структура аккумуляции мнений населения в медийный ряд была абсолютно нетождественна циркулирующей в социуме. Иначе надо допустить, что четыре пятых населения — «бессловесные твари» или «соль земли» и власть аккумулируют знание, объяв необъятное. Причем и в текстах «Правды», и в текстах «АиФ» две социальные группы чиновничества и непроизводственной интеллигенции составляют «два больших крыла» летящего над страной медийного виртуального поля. Заметим: на рис. 6.3 в субъектах деятельности «Правды» 1977 г. вперед вырывалась непроизводственная интеллигенция. Именно она в 1978/79 гг. по данным второго таганрогского исследования стала быстро занимать сферу массовой устной пропаганды, из которой, выполнив задачи компенсации недостаточной эффективности сферы материального потребления, начала уходить группа ИТР, оставляющая при этом за собой контрольные посты в заводских профсоюзных и партийных комитетах. Управленцы и чиновничий служилый класс держался в то время в тени, но вот в 1990/91 гг. он резко выходит на политическую арену. Учитывая полученные в главе 2 результаты динамических переходов социальных групп в полях социокультурных форм и смыслов обмена деятельностью, можно предположить, что часть этого слоя формируется и непроизводственной интеллигенцией, отбрасывающей прочь «ненужный хлам компропаганды» и осознающей себя кристаллизующейся из номенклатуры в буржуазный класс. Все это происходит под лозунгами «Больше социализма — больше демократии!», «Землю — крестьянам», «Свободу — закону стоимости». Под сурдинку обсуждения Конституции РФ формируются политические инструменты уничтожения противников, «сидящих на местах под солнцем». Ставится фарс запрещения компартии, которую расстрелял Сталин и которой толком не дали подняться. Здесь цель инструментально-политическая — лишить альтернативную политическую силу социальных инструментов противодействия — например, возможности организации всеобщей стачки или подобных мероприятий, отрезвляющих горячие головы. Именно тогда удалось зафиксировать формирование в российском чиновничье-служилом люде процесса осознания себя классом в себе — классом, могущим присвоить создававшуюся две трети века стоимость и созданием институциональных структур перевести ее обладание из административного в наследственное право.
Но посмотрим, что происходит 10 лет спустя во время президентских выборов. Сравним структуры населения по переписи 2002 г. и субъекта общественной жизни у газет «АиФ» и «НГ» прямо в период президентской кампании (см. рис. 6.6 и 6.7).
Нормированная энтропия распределения по данным группам в генсовокупности составляет 0,835 (в 1989 г. по всем этим группам она была 0,845, в 1979 г. — 0,855, а в 1970 г. — 0,823). В тексте «Правды» 1977 г. это значение было равно 0,843, в текстах «АиФ» и «Правды» 1990/91 г. — 0,457. Через 10 лет в текстах «АиФ» и «НГ» оно равно 0,421. Это значит, что текстовый показ распределения субъектов деятельности в стране закручивается около вполне определенного узкого центра чиновничьей властной вертикали и готовой служить ей непроизводственной интеллигенции — сопутствующего класса идеологов. Структура распределения субъектов общественного мнения в «Правде» 1990/91 гг. выражалась значением энтропии в 0,389, а в «АиФ» 1990/91 гг. — 0,418. Посмотрим, что было в период президентских выборов 2000 г.
|
Декласс. |
|
з| |
и |
|
Учащ. |
|
-1 |
о |
|
Д/х |
|
0 |
0 |
|
Пенс. |
|
1 j |
0 |
|
В/с |
|
1 ] |
0 |
|
ссо |
|
4| |
]2 |
|
СА 59 1 |
|
ИНП |
29 |
|
|
|
ИТР |
|
0 |
0 |
|
Рабочие |
|
1 j |
0 |
|
РОС |
|
1 j |
0 |
 |
Доли групп: в реальности
в тексте
Рис. 6.6. Отражение субъекта социальной деятельности в тексте СМИ в 2000 г. по данным переписи 2002 г. (n = 112 323 тыс., находящихся в трудоспособном возрасте) и по данным исследования «Анализ содержания “АиФ” и “НГ”» (n = 3257 упоминаний личностей) |
65 55 45 35 25 15 5 5 15 25 35 45 55 65 75 85
Выразили мнение в «АиФ» Выразили мнение в «НГ»
Рис. 6.7. Отражение субъекта мнений в тексте СМИ в 2000 г. по данным исследования «Анализ содержания “АиФ” и “НГ”» (n = 1011 выразивших мнения личностей)
Во время предвыборной президентской кампании при широком народном обсуждении в процессе демократических выборов на каждую тысячу выразителей мнений в двух популярнейших газетах было три крестьянина, четыре рабочих промышленности, 18 бандитских элементов, 26 коммерсантов и профессиональных торговцев, а также 731 чиновник-менеджер и 201 представитель творческой интеллигенции.
Значения энтропии распределений составили в «АиФ» — 0,489 по всем и 0,509 только по заполненным группам, в «НГ» — 0,259 и 0,299 соответственно. Плотность распределения по группам носителей мнений вокруг властной вертикали приближается к предельно тотальной. При этом читатель может оценить глубину заявлений ведущих политических деятелей о том, что страна выходит на уровень новейших технологий, на фоне абсолютного исчезновения из информационного ряда ведущих массмедиа группы ИТР (одним языком высокие технологии не создашь).
В общем, картина проясняется. Если структура населения по роду занятий в целом остается прежней, то вот структуры субъекта деятельности в массмедий-ном поле и структуры субъекта мнения, навязывающего политику или ее флер, резко изменились. То, что картина выражения мнений «четвертой властью» напоминает суицидальный гамлетовский монолог, несомненно. Три важных вопроса при этом, правда, остаются.
1. Что думало при этом само население?
2. Каков объективный механизм выявившейся метаморфозы?
3. В чем состоят иллюзии власти и населения?
Вернемся к первому таганрогскому исследованию.
Профессиональные и трудовые ориентации людей с 1968 по 2004 г.
Предпочтения по видам труда
В этом исследовании профессиональной ориентации населения Таганрога в 1967/68 гг., а также в исследованиях 1990/91 гг. (Всесоюзном), 1994 г. в Касимове и 2004 г. в Москве были заданы одни и те же вопросы о трудовых предпочтениях населения: «Какой труд Вы предпочитаете — в городе — на селе, физический — умственный, руководителя — рядового?» С 1990 г. прибавилась еще одна пара: «творческий — исполнительский?». Разберем состояние умов сначала по трем парам за период с 1967/68 по 2004 г., а затем по четырем парам за последние 15 лет. При этом, несмотря на то что некоторые массивы насчитывают около 1000 или 10 000 документов, мы произведем расчеты на каждые 100 человек.
Уже из данных табл. 6.1 видна тенденция ориентации взрослого населения на умственный труд горожанина с преобладанием предпочтений в Таганроге 1968 г. и особенно в Москве 2004 г. на руководящую должность. Лишь в 1990/91 гг. в стране в целом и в подвыборках преобладает ориентация на умственный труд горожанина-рядового. Здесь же наблюдается всплеск ориентации на сельский физический труд рядовым (темная заливка). Это соблазн фермерством, который гаснет уже в 1994 г., что видно на примере касимовцев. За 15 лет сокращается доля ориентированных на физический труд рядовым в промышленных городах, которая колеблется от почти трети в Москве 1990/91 гг. до менее одной пятой в Москве 2004 г. Три группы (примерно две трети в составе которых постоянно ориентированы на умственный труд в городе, а одна треть, сузившаяся уже к 1994 г. в Касимове и к 2004 г. в Москве до одной пятой, — на физический) составляют в Таганроге 1967/68 гг. 82 %, в СССР 1990/91 гг. 69 % (в Москве
|
Москва-2004 |
(Л |
25 |
|
69 |
CM |
о
о |
,695 |
еІ
К
О. |
О) |
со |
О)
см |
о |
ю |
аё
>»
о. |
CD |
- |
о
'si- |
CM |
СТ>
'si- |
|
Касимов-1994 |
(Л |
CN
CN |
|
о г— |
|
о
о |
,685 |
еІ
К
О. |
О) |
со |
ю
'si- |
CM |
СТ>
CD |
ас
>»
о_ |
СО |
- |
ю
см |
CM |
со |
|
Москва-1990 |
(Л |
CN
СО |
СТ> |
ю |
oo |
о
о |
,790 |
сІ
К
О. |
О
со |
г— |
t—
см |
Ю |
СТ>
CD |
аё
?¦ |
CN |
см |
•=t
см |
CO |
со |
|
Тип Кас. 1990 |
(Л |
СТ> |
см |
ю
'si- |
Ю |
о
о |
,881 |
сІ
К
О. |
CD |
О) |
CD
CM |
O) |
о г— |
аё
>»
о. |
СО |
см |
О) |
CD |
о
со |
|
Тип Таг. 1990 |
(Л |
со
со |
см |
оо
'si- |
r— |
о
о |
,822 |
сІ
К
О. |
оо
см |
- |
CD
CM |
|
О)
CD |
аё
>»
о_ |
ю |
- |
CM
CM |
CO |
со |
|
СССР-1990/91 |
(Л |
ю
см |
О) |
C—
"t |
O) |
о
о |
,850 |
сІ
К
О. |
см
см |
с— |
Ю
CM |
Ю |
О)
CD |
аё
?¦ |
со |
см |
CM
CM |
|
со |
|
Таганрог-1968 |
(Л |
•=t
со |
CD |
•=t
Ю |
CD |
о
о |
,775 |
сІ
К
О. |
оо
см |
ю |
CO
CM |
- |
г—
ю |
аё
>»
о. |
CD |
- |
CO |
Ю |
со
'si- |
|
Виды труда |
CL
1— |
с:
о |
CL
1— |
=:
о |
В целом |
Энтропия |
о
S
е |
d |
|
Москва-2004 |
(Л |
29 |
|
64 |
со |
о
о |
г—
CD |
СІ
(К
0- |
CD |
- |
г— |
- |
ю |
аё
>1
0- |
со
см |
со |
I-—
ю |
см |
ю
оо |
|
Касимов-1994 |
(Л |
оо |
о |
см
CD |
о |
о
о |
CD
'sl- |
СІ
(К
0- |
CD |
см |
о |
со |
см |
аё
?¦ |
см |
оо |
см
ю |
г— |
О) г— |
|
СССР-1991 |
(Л |
О) |
|
СТ>
ю |
оо |
о
о |
CD
oq_ |
СІ
(К
0- |
г— |
о |
оо
см |
см |
г— ю |
аё
?¦ |
см |
|
со |
CD |
со
'si- |
|
Таганрог-1968 |
(Л |
- |
- |
со
оо |
ю |
о
о |
,592 |
СІ
(К
0- |
CD |
- |
о
со |
- |
оо
со |
аё
?¦ |
ю |
о |
со
ю |
|
см
CD |
|
Виды труда |
Cl
1— |
с:
о |
Cl
1— |
с:
о |
В целом |
Энтропия |
d
s
е |
о
м |
в это время 81 %), в Касимове 1994 г. 89 %, а в Москве 2004 г. — 88 %. Очевиден рост предпочтений на сферу вторичного перераспределения результатов труда, а в Москве особенно на «эффективность» в этом деле руководящих должностей. Отметим резкое отличие в этом касимовцев 1994 г., «не рвущихся к власти». При этом даже на этом узком поле предпочтений в 8 клеток значения энтропии общей, возрастая от довольно неблагополучного по устройству на работу Таганрога 1968 г. до предельных к 1990/91 гг. (исключая «дальновидных» москвичей), резко падают к 1994 и 2004 гг. (значение экспериментальной энтропии у москвичей 2004 г. 0,740).
Еще поразительнее ориентации школьников, которые по наивности своей более чем наполовину (исключая 1990/91 гг. с иллюзиями расширения рынка труда) упорно предпочитают стать «начальниками» (см. табл. 6.2). При этом руководителями в городе, занимаясь физическим трудом (надо понимать, бригадирами грузчиков и строительных звеньев), в Касимове 1994 г. хотели бы стать 12 %, а в Москве 2004 г. — уже 23 %. Желающих «градоначальствовать» в Таганроге 1968 г. 58 %, в СССР 1990/91 гг. 33 %, в Касимове 1994 г. 64 %, в Москве 2004 г. 80 % школьников. Общая энтропия повышается к 1990/91 гг., а затем так же, как и у взрослых, падает (значение экспериментальной энтропии среди школьников Таганрога в 1968 г. 0,632).
Поразительны и те ориентации с 1990/91 гг. на творческий труд в городе, в основном умственный и обязательно руководителем, которые растут у старшеклассников, достигая 56 % у школьников-касимовцев и 59 % у учащихся старших классов-москвичей (табл. 6.3). У взрослых (за исключением москвичей-родителей 2004 г., дающих 37 % такой ориентации) растет тенденция к творческому труду рядового исполнителя. Особенно это хорошо видно у касимовских учителей (53 % высказывают желание заниматься трудом творческим, рядовым, умственным, в городе, а в целом творческим рядовым — до 61 % группы). При этом значение энтропии также падает с 1990/91 гг., а у касимовских учителей оно предельно низкое — 0,467 (табл. 6.3). Учителя «во власть лезть» не хотят.
Таблица 6.3. Структуры предпочтения видов труда с 1968 по 2004 г. (на пересечении признаков: «в городе» -«на селе», «физический» - «умственный», «руководителя» - «рядового», «творческий» - «исполнительский»
(в расчете на 100; абсолютные значения соответствующих групп см. в табл. 6.1 и 6.2); энтропия имеет одно значение (общая), если все клетки в замере заполнены, и два значения, если есть пустые (общая по всем клеткам - верхнее, а экспериментальная по заполненным - нижнее) |
|
Исследования и подвыборки |
Виды труда |
Рук. |
Ряд. |
S |
Энтропия |
|
Творч. |
Исполн. |
Творч. |
Исполн. |
СССР 1990/91
в целом |
Гр |
Физ. |
4 |
2 |
8 |
10 |
24 |
,890 |
|
Умс. |
16 |
3 |
17 |
11 |
47 |
|
Сл |
Физ. |
2 |
1 |
6 |
9 |
18 |
|
Умс. |
3 |
1 |
4 |
3 |
11 |
|
В целом |
25 |
7 |
35 |
33 |
100 |
Школьники по СССР
в целом |
Гр |
Физ. |
5 |
|
5 |
10 |
20 |
,836
,878 |
|
|
Умс. |
24 |
5 |
22 |
4 |
55 |
|
Сл |
Физ. |
4 |
3 |
|
6 |
13 |
|
|
Умс. |
4 |
2 |
4 |
3 |
13 |
|
В целом |
37 |
10 |
31 |
23 |
100 |
|
|
Продолжение ^ |
|
Таблица 6.3 (продолжение) |
Исследования
и подвыборки |
Виды труда |
Рук. |
Ряд. |
S |
Энтропия |
|
Творч. |
Исполн. |
Творч. |
Исполн. |
Города типа Касимов
по СССР в целом |
Гр |
Физ. |
4 |
1 |
7 |
8 |
20 |
,882 |
|
Умс. |
14 |
3 |
17 |
16 |
50 |
|
Сл |
Физ. |
4 |
1 |
8 |
5 |
18 |
|
Умс. |
2 |
1 |
7 |
2 |
12 |
|
В целом |
24 |
6 |
39 |
31 |
о
о |
Московская область
1990/91 гг. |
Гр |
Физ. |
2 |
2 |
7 |
16 |
27 |
,818 |
|
Умс. |
17 |
4 |
23 |
12 |
56 |
|
Сл |
Физ. |
1 |
1 |
5 |
1 |
8 |
|
Умс. |
2 |
1 |
3 |
3 |
9 |
|
В целом |
22 |
8 |
38 |
32 |
о
о |
Касимов в целом
1994 г. |
Гр |
Физ. |
2 |
1 |
5 |
14 |
22 |
,726 |
|
Умс. |
21 |
3 |
24 |
21 |
69 |
|
Сл |
Физ. |
1 |
1 |
1 |
1 |
4 |
|
Умс. |
2 |
1 |
1 |
1 |
5 |
|
В целом |
|
26 |
6 |
31 |
37 |
о
о |
Касимов 1994 г.
учителя |
Гр |
Физ. |
1 |
|
1 |
|
2 |
,467
,589 |
|
Умс. |
26 |
1 |
53 |
10 |
90 |
|
Сл |
Физ. |
|
|
1 |
|
1 |
|
Умс. |
|
1 |
6 |
|
7 |
|
В целом |
27 |
2 |
61 |
10 |
о
о |
Касимов 1994 г.
старшие классы |
Гр |
Физ. |
7 |
6 |
2 |
4 |
19 |
,760 |
|
Умс. |
41 |
11 |
6 |
4 |
62 |
|
Сл |
Физ. |
2 |
6 |
1 |
1 |
10 |
|
Умс. |
6 |
1 |
1 |
1 |
9 |
|
В целом |
56 |
24 |
10 |
10 |
о
о |
Москва 2004 г.
родители школьников |
Гр |
Физ. |
3 |
3 |
7 |
12 |
25 |
,736
,822 |
|
|
Умс. |
31 |
9 |
17 |
12 |
69 |
|
Сл |
Физ. |
1 |
|
2 |
1 |
4 |
|
|
Умс. |
2 |
|
|
|
2 |
|
В целом |
37 |
12 |
26 |
25 |
о
о |
Москва 2004 г.
старшеклассники |
Гр |
Физ. |
16 |
7 |
2 |
4 |
29 |
,684
,718 |
|
|
Умс. |
40 |
16 |
4 |
4 |
64 |
|
Сл |
Физ. |
2 |
1 |
1 |
|
4 |
|
|
Умс. |
1 |
1 |
1 |
|
3 |
|
В целом |
59 |
25 |
8 |
8 |
о
о |
|
Рассмотрим подробно структуру ориентаций с точки зрения профессий.
Предпочтения по роду занятий: стартовая ситуация
В указанных выше исследованиях профессиональной ориентации населения Таганрога в 1967/68 гг., а также в исследованиях 1990/91 гг. (Всесоюзном), 1994 г. в Касимове и 2004 г. в Москве, кроме вопросов о трудовых предпочтениях, задавались вопросы и об авторитете, которым пользуется, на взгляд респондента, та или иная профессия в обществе (только исследование 1967/68 гг.), и о тех трех профес-
сиях, которые респондент не задумываясь выбрал бы своему ребенку (в 1990/91 гг. по Союзу, в 1994 г. в Касимове и в 2004 г. в Москве респондент называл и «хорошие», как в Таганроге 1967/68 гг., и «плохую», «очень плохую» и «хуже не пожелаешь» профессии, которые он ребенку бы не выбрал).
Увы, анализ содержания (контент-анализ) всех массмедиа на предмет освещения конкретных профессий в последние годы не проводился. Однако и из показанных выше исследований видна резкая ограниченность текста узким кругом профессиональных групп в тексте. Здесь, когда две социальные группы «гегемона» занимают 97 % упоминаний личностей в тексте, аппарат ранговой корреляции между ориентациями населения и виртуального ряда ничего не даст. Другое дело — замер в стартовой точке процесса в 1967/68 гг. Здесь были взяты упоминания 50 профессий (12 451 текстовое упоминание без фотографий), оценки авторитета этих же 50 профессий у населения и приоритеты в выборе трех лучших из этих 50 профессий своим детям
. Затем ряд был сужен до 20 профессий, у которых был рассмотрен набор присущих им социальных характеристик, которые, конечно же, могут влиять на выбор профессии и дальнейшую ориентацию следующих поколений. Тут и выявились примечательные моменты. Но все по порядку.
1. Первые 20 профессий-фаворитов из 50, наиболее широко освещаемых в печати, по радио и ТВ за три года до замера в Таганроге, дали 85,8 % всех упоминаний; 15 из них дали 73,8 % всех упоминаний. 20 профессий-аутсайдеров дают всего 3,5 % упоминаний за три года в массмедийном поле. Если брать поле мнений об авторитете тех же профессий в обществе, то первые 20 фаворитов поля массового сознания дают 68,0 % положительных оценок, а 20 аутсайдеров — 16,0 %. При выборе же профессий детям речь идет о социальных представлениях населения о наиболее перспективных зонах обмена результатами человеческой деятельности. Прожективный вопрос об этом, поставленный В.В. Сазоновым, — один из лучших индикаторов социальных ориентаций населения в социокультурных и экономических полях общества. Здесь другие 20 профессий-фаворитов из этого же списка дают уже 88,7 % всех выборов опрошенных. А вот 20 аутсайдеров дают выбор всего лишь у 3,3 % опрошенных (я назову эти профессии попозже — терпение, только терпение!). Кривая «Парето» (или Огива) более полога в массовом сознании и резко выражена в поле массмедиа, а особенно в поле ориентаций-выборов населением наилучших зон приложения своих сил в следующем поколении, т. е. в перспективе. Это хорошо показывают значения нормированной энтропии во всех трех рядах 50 профессий: в массмедийном поле радио- и телепередач и материалов газет за три года, в поле массового сознания оценок авторитета профессий в обществе, в поле профессиональных ориентаций в ситуации жизненного выбора. В поле массмедиа нормированная энтропия составляет 0,843 (общая) и 0,866 по заполненным клеткам (отсутствует за три года упоминание профессии священника). В поле массового сознания эти же коэффициенты соответственно составляют 0,931 (общая) и 0,936 по заполненным клеткам (отсутствует высокая оценка авторитета профессии «геолог»). В поле выбора наиболее удачных форм применения сил эти коэффициенты 0,709 и 0,763 (здесь в 1967/68 гг. у опрошенных по модели города отсутствует выбор для их детей таких профессий, как «вахтер», «грузчик», «домработница», «лесоруб», «маникюрша», «наборщик типографии», «полевод», «почтальон», «прораб на стройке», «рабочий на конвейере», «сварщик», «священник»). Аналогично показателям, проработанным в предыдущих главах, мы видим, что массовое сознание наиболее паллиативно в оценках и резко концентрируется в ситуациях с выбором форм активности. Напомним, особенно когда речь идет о затратах реального времени.
2. Перед детализацией изменения динамики выбора профессий своим детям населением мы сравнили совпадение удельных весов всего ряда 50 профессий во всех трех полях предметного замера: информационном, обыденного сознания, выбора (см. табл. 6.4).
|
Таблица 6.4. Коэффициенты корреляции рангов Спирмена, Кендалла, Пирсона распределения частот положительных упоминаний профессий в поле материалов массмедиа (Освещ.), в поле массового сознания с высокими оценками авторитета этих профессий (Автор.) и в поле выбора (Выбор) городским населением трех лучших профессий своим детям (число упоминаний = 12 451, число суждений массового сознания - 23 855, а выборов - 2892. Последние два числа из расчета на 1171 респондента по модели населения Таганрога в 1967/68 гг.) |
|
50 профессий |
Спирмена |
Кендалла |
Пирсона |
|
Освещ. |
Автор. |
Выбор |
Освещ |
Автор. |
Выбор |
Освещ. |
Автор. |
Выбор |
|
Освещ. |
1,000 |
,553 |
,498 |
1,000 |
,380 |
,362 |
1,000 |
,639 |
,488 |
|
Автор. |
,553 |
1,000 |
,578 |
,380 |
1,000 |
,427 |
,639 |
1,000 |
,603 |
|
Выбор |
,498 |
,578 |
1,000 |
,362 |
,427 |
1,000 |
,488 |
,603 |
1,000 |
|
|
- уровень значимости связи 99 %. |
Итак, ряд оценок массовым сознанием авторитета 50 профессий сильнее коррелирует с рядом положительного освещения в массмедийном информационном ряду, чем ряд выбранных респондентом в качестве успешных профессий с этим массме-дийным освещением. Выбор всегда дает более высокую корреляцию с оценками общественного авторитета профессий, чем с картиной положительного освещения этих профессий в массмедийном ряду. Кроме того, везде, кроме одного исключения с коэффициентом Пирсона, ряд оценок авторитета профессий коррелирует с рядом освещения массмедиа в меньшей степени, чем ряд выбора профессий с рядом авторитета их во мнении людей. Ясно, что СМИ влияют на выбор людей косвенно. Но здесь же надо сделать методически важное замечание. Коррелируя ряды в 50 профессий, мы фактически замыкаем поля массмедийной информации, массового сознания, прожективного выбора на почти предельно возможном предметном ряду общественных трудовых форм. Здесь очень сильно влияние стохастического процесса, развертывающегося в полном наборе предметного ряда
. В. В. Сазонов, однако, выделил из этого ряда в исследовании список в 20 профессий, которые были исследованы на предмет приписывания им опрошенными определенных социальных свойств, и мы прокоррелировали во всех трех рядах и эти 20 профессий
. Здесь плотность распределений и резкость корреляций в выборе были четче (табл. 6.5).
Таблица 6.5. Коэффициенты корреляции рангов Спирмена, Кендалла, Пирсона распределения частот положительных упоминаний 20 профессий в поле материалов СМИ, в поле массового сознания с высокими оценками авторитета этих профессий и в поле выбора городским населением трех лучших профессий своим детям (число упоминаний - 7201, суждений массового сознания - 10 609, выборов - 2134.
Последние два числа из расчета на 1171 респондента по модели населения Таганрога в 1967/68 гг.) |
|
20 профессий |
Спирмена |
Кендалла |
Пирсона |
|
Освещ. |
Автор. |
Выбор |
Освещ. |
Автор. |
Выбор |
Освещ. |
Автор. |
Выбор |
|
Освещ. |
1,000 |
,466 |
,227 |
1,000 |
,305 |
,164 |
1,000 |
,732 |
,370 |
|
Автор. |
,466 |
1,000 |
,663 |
,305 |
1,000 |
,501 |
,732 |
1,000 |
,723 |
|
Выбор |
,227 |
,663 |
1,000 |
,164 |
,501 |
1,000 |
,370 |
,723 |
1,000 |
|
- уровень значимости связи 95 %.
- уровень значимости связи 99 %. |
В поле массмедиа по 20 профессиям нормированная энтропия составляет 0,807. В поле массового сознания — 0,914. В поле выбора наиболее удачных форм применения сил — 0,760. Картина не противоречит выводам из распределений по 50 профессиям, но проявляется резче. Что касается коэффициентов корреляции рангов, то они еще более четко свидетельствуют (по Кендаллу) о наличии связи между превращенными формами массового сознания (оценками авторитета профессий в обществе) и выбором «счастливых» профессий детям и об отсутствии таковой между выбором таких профессий и освещением их в массмедийном поле всех СМИ за три года до опроса. В то же время оценки массовым сознанием авторитета профессий (корреляция по Пирсону и с меньшей вероятностью по Спирмену) связаны с рядом положительных освещений этих профессий в СМИ. Чем это вызвано, нам помогут понять характеристики этих 20 профессий (точнее, корреляции этих характеристик, их совпадения у разных профессий) и качества «счастливых» и «врагу не пожелаешь» профессий, названных спустя два-три десятилетия. Но прежде покончим с качественным описанием профессий-фаворитов и аутсайдеров во всех трех полях (медийном, массового сознания и выбора) в стартовой точке 1967/68 гг.
Итак, профессии-фавориты информационного поля, положительно упомянутые СМИ в 1965—1967 гг., в порядке убывания: научный работник (14,1 %); инженер (8,6 %); тракторист (7,3 %); мастер на заводе (5,5 %); шахтер (5,4 %); сталевар (4,2 %); шофер (3,7 %); врач (3,7 %); доярка (3,6 %); председатель колхоза (3,3 %); сварщик (3,1 %); кадровый офицер (3,1 %); журналист (2,8 %); строитель-монтажник (2,8 %); учительница (2,6 %); космонавт (2,5 %); токарь (2,4 %); агроном (2,4 %); директор завода (2,4 %); поэт (2,3 %)
.
Они и дали 85,8 % всех упоминаний за три года и значение энтропии в их ряду составило 0,946 против 0,866 общего ряда в 50 профессий.
А вот профессии-аутсайдеры. Они представлены абсолютными частотами в диапазоне от одного (!) до 49 упоминаний за три года, доли их называть бессмысленно, а потому они перечислены как 20 наименее упоминаемых в целом, начиная от упомянутой один раз: маникюрша; домработница; участковый врач; адвокат; секретарь-машинистка; наборщик типографии; вахтер (8 упоминаний); инженер-механик; официантка; комсомольский работник; ученый-философ; киноактриса (19 упоминаний); почтальон; лесоруб; председатель райисполкома; дипломат; бухгалтер; грузчик; директор магазина; прораб на стройке.
Теперь перечислим подряд все двадцать профессий-фаворитов (авторитетных) в поле массового сознания в порядке убывания доли, обозначая место и ставя в скобках доли из 23 855 суждений-оценок ответивших: космонавт (4,7 %); ученый-физик (4,5 %); капитан дальнего плавания (4,3 %); учительница (4,1 %); ученый-философ (4,0 %); дипломат (3,7 %); поэт (3,6 %); журналист (3,5 %); директор завода (3,4 %); участковый врач (3,3 %); инженер-механик (3,3 %); кадровый офицер (3,2 %); сталевар (3,0 %); ответственный работник министерства (3,0 %); председатель райисполкома (2,9 %); председатель колхоза (2,9 %); шахтер (2,8 %); киноактриса (2,6 %); агроном (2,6 %); адвокат (2,6 %).
Эти профессии дают 68 %, оцениваемых в качестве авторитетных. Значение энтропии в распределении по их ряду почти предельное — 0,994 против 0,936 в общем ряду. Теперь ясна и достаточно низкая корреляция (+0,553, +0,380, +0,639 по Спирмену, Кендаллу, Пирсону соответственно) между освещением профессий в массмедийном поле и оценками их авторитета в массовом сознании. В самом деле: «поэт», «адвокат», «киноактриса», «участковый врач», «инженер-механик», относящиеся в массмедийном поле к аутсайдерам, в поле массового сознания фавориты по авторитету. «Учительница», профессионально описываемая в медийном поле, берет 15 место, а в поле массового сознания — четвертое в достаточно «кучной» пятерке. Здесь и энтропия свидетельствует о равноположенности авторитета профессий в массовом сознании в 1967/68 гг. Оно придерживается идеологического стереотипа: «Все работы хороши — выбирай на вкус» — 0,994.
Профессии-аутсайдеры по авторитету в обществе в 1967/68 гг. представлены абсолютными частотами в диапазоне от 48 до 324 упоминаний из 23 855 положительных оценок авторитета профессий, по мнению людей в обществе: официантка (0,2 %); маникюрша (0,2 %); священник (0,3 %); вахтер (0,3 %); секретарь-машинистка (0,4 %); продавец (0,4 %); домработница (0,6 %); грузчик (0,6 %); швея-мотористка (0,8 %); плотник (0,8 %); наборщик типографии (0,9 %); бухгалтер (1,0 %); рабочий на конвейере (1,0 %); шофер (1,0 %); ткач (1,1 %); лесоруб (1,2 %); милиционер (1,2 %); почтальон (1,3 %); комсомольский работник (1,3 %); директор магазина (1,4 %).
Эти профессии дают 16 % оценок, значение энтропии здесь — 0,997. Профессии также «равноположены» в массовом сознании, но они чрезвычайно разнятся и по характеру труда, и по социальным функциям, и по связям с различными областями социально-экономического мира. Что стоит за этой дифференциацией? Для ответа на этот вопрос обсудим сначала наиболее и наименее выбираемые респондентом профессии для своих детей сначала в стартовый период, а затем в динамике до 2004 г. А уж потом рассмотрим на всех позициях от старта до финиша (1967—2004 гг.) и качества выделяемых профессий.
В качестве наилучших для детей были выбраны такие профессии-фавориты: учительница (16,0 % выборов); журналист (14,5 %); научный работник вообще (без конкретизации) (12,3 %); врач, исключая хирургов (9,0 %)
; кадровый офицер (7,7 %); киноактриса или киноактер (4,2 %); инженер с указанием специальности (3,9 %); мастер на заводе (3,8 %); инженер без указания специальности (2,3 %); шофер (1,9 %); токарь или слесарь (1,8 %); директор магазина (1,6 %); оператор-наладчик станков, слесарь-сборщик (1,5 %); космонавт (1,4 %); геолог (1,4 %); летчик (1,3 %); капитан дальнего плавания (1,1 %); музыкант (1,0 %); председатель райисполкома (1,0 %); секретарь-машинистка, стенографистка (1,0 %).
Итак, уже в 1967/68 гг. 18 % из выделенного ряда профессий в 50 единиц, т. е. девять профессий до первой рабочей («шофер») давали 73,7 % всех выборов в профориентации населения. 20 профессий дали 88,7 % всех выборов. Так же, как и в ориентациях на виды труда, абсолютно очевидна направленность активности людей в сферу вторичного перераспределения результатов общественной деятельности. И здесь, среди 20 профессий-фаворитов (кстати, инженер в целом займет при объединении двух позиций шестое место, а хирург как врач войдет в двадцатку) значение энтропии самое низкое — 0,846 против 0,763 по всему ряду из 50 профессий. Выбор идет в узком коридоре форм деятельности, приносящих, по мнению людей, наибольший успех в данный момент времени. Прежде чем рассмотреть динамику ориентаций, перечислим профессии-аутсайдеры выбора 1967/68 гг., которые давали 3,3 % всех выборов при значении энтропии в 0,984, т. е. демонстрировали полное безразличие к списку. В самом деле, здесь число выборов в двадцатке аутсайдеров в абсолютном выражении от 1 до 8 из 2892.
Вот профессии-аутсайдеры, выбранные в качестве наилучших для детей: ответственный работник министерства (1 выбор); фармацевт (1 выбор); медсестра (3 выбора); плотник, столяр (3 выбора); ученый-философ (3 выбора); ученый-физик (4 выбора); артист (кроме певцов) (4 выбора); спортсмен, тренер (4 выбора); библиотекарь, библиограф (4 выбора); воспитатель (4 выбора); певец (5 выборов); генсек, министр, маршал (5 выборов); агроном (6 выборов); доярка (6 выборов); переводчик (6 выборов); продавец (7 выборов); поэт, писатель (7 выборов); официантка (7 выборов); преподаватель (7 выборов, заметьте: против 461 выбора у учительницы); директор завода (8 выборов).
Многие из профессий-аутсайдеров связаны с наличием необходимых природных данных («певец», «поэт, писатель», «артист»), без которых выбор профессии невозможен. Но есть и другое.
Мы скоррелировали 20 профессий по их социальным качествам и обнаружили сходство совершенно различных профессий. Но прежде чем показать это, выявляя факторы выбора рода занятий ребенку и профориентации в целом, рассмотрим динамику этой ориентации за 37 лет. Здесь же отметим, что данные первого таганрогского исследования в парном сопоставлении рядов массмедиа и ориентаций населения в выборе рода занятий (столь же очевидно, как и в парном сопоставлении отношения СМИ и населения к странам мира) показывают лишь косвенное влияние содержания текста СМИ на поведение населения. В любом случае выбор и оценок, и дальнейшей стратегии поведения — за людьми, и над этим выбором довлеет не масса проецирующегося на аудитории и принятого ими текста, а те превращенные формы миросозерцания, которые, вплетаясь и в реальность, и в виртуальный текст культуры, и в ситуативный ряд, детерминируют дальнейшую поведенческую траекторию. Это предупреждает, что даже при отсутствии возможностей на выраженный правовой протест, у общества имеются сильные защитные механизмы разрушения векторов манипуляций власти.
Предпочтения по роду занятий — ситуация в динамике
СССР, 1990/91 гг. Три профессии — «наилучшая», «очень хорошая», «просто хорошая» — назвали 5310 респондентов, которые в сумме дали 14 272 выбора (примем их за 100 %). Три профессии — «плохая», «очень плохая», «хуже не пожелаешь» — назвали 4497 респондентов, которые в сумме дали 11 386 выборов (примем их также за 100 %). Все вопросы открытые. Ответы людей были личностно оригинальны, а не подсказаны нами.
Профессии-фавориты, выбранные в качестве наилучших для детей, таковы: врач, медик, хирург (18,0 % выборов); учитель, педагог, преподаватель (10,9 %); инженер, техник (6,9 %); экономист, финансист (6,5 %); юрист, адвокат (4,8 %); рабочий, работница, станочник (без конкретизации) (суммарно — 2,6 %); продавец (2,4 %); научный работник (2,1 %); журналист (2,0 %); актер, киноактриса, артист (1,9 %); программист (1,8 %); дипломат (1,7 %); воспитатель (1,7 %); торговый работник (1,7 %); кадровый офицер (1,6 %); переводчик (1,6 %); шофер (1,6 %); музыкант (1,5 %); художник (1,4 %); строитель (1,3 %).
Двадцатка дает по СССР 1990/91 гг. уже 74,0 % всех выборов против 68,0 % в Таганроге 1967/68 гг. Нормированная энтропия составляет 0,863. Распределения в подвыборках близки, и мы не будем пересчитывать картину по стране на города типа Таганрог, отметив лишь начало изменений в массовом сознании. Центральными фигурами остаются «учитель», «врач», «инженер». К ним с достаточно резким отрывом присоединяются «экономист, финансист», «юрист, адвокат», рабочие профессии и перешедший из таганрогских аутсайдеров «продавец». «Научный работник», «журналисты» и «актеры» замыкают десятку. При том же характере кривой распределений выбора и темпа ее насыщения ее качественные характеристики меняются. Общество видит в меняющейся системе перспективу «лечения больного населения», возникающих потребностей в правовом и экономическом обслуживании и в торговле, но колеблется в выборе профессий и сильно поляризуется в отношении каждой. Это видно из перечисления двадцатки самых худших профессий, которые заведомо не выбираются.
Профессии-аутсайдеры, которые не будут выбраны ни в коем случае: рабочий, работница, станочник (без конкретизации) (7,8 % ответов); учитель, педагог, преподаватель (7,6 %); продавец (7,3 %); дворник (6,6 %); уборщик, уборщица, техничка (5,4 %); шофер (4,4 %); инженер, техник (4,0 %); милиционер (3,8 %); строитель (3,6 %); кадровый офицер (3,4 %); грузчик (3,2 %); торговый работник (3,1 %); шахтер (2,8 %); разнорабочий (2,5 %); врач, медик, хирург (2,0 %); колхозник (1,8 %); доярка (1,6 %); механизатор (1,4 %); повар (1,4 %); медсестра (1,4 %).
Эта двадцатка дает 75,1 % всех ответов о профессиях, которые заведомо не будут выбраны людьми в случае исполнения их выбора. Значение энтропии — 0,950, негативное отношение распределено равномерно. И при этом в ряд нежелательных профессий попадают профессии, названные другими людьми желательными. Так, «учитель» получает 1559 положительных выборов против 861 отрицательного, «шофер» — 225 положительных против 495 отрицательных, «продавец» — 348 положительных против 832 отрицательных. «Грузчик», «скотник», «ткачиха», «металлург» получают только по одному положительному выбору против десятков выборов отрицательных. «Бизнесмен», напротив, получает 159 положительных выборов против 10 отрицательных. Налицо поляризация по отношению к социальным характеристикам, стоящим за профессиями. Коэффициент корреляции рангов по 92 выбранным и 92 не выбранным профессиям составляет по Спирмену —0,030, по Кендаллу —0,023, по Пирсону +0,316 (в 99%-ном доверительном интервале). Связи нет. Характерно, что среди полутора десятков тысяч ответов отрицательных оценок не получают «дизайнер», «электронщик», «модельер» и «дипломат». Это абсолютно положительные профессиональные образы в этот момент. А среди такого же количества ответов положительных оценок (выбора в качестве хорошей профессии) совершенно не получают (0 выборов) «разнорабочий», «сантехник», «кочегар», «ассенизатор», «почтальон», «проводник», «проститутка», «посудомойка», «палач», «могильщик», «работник морга», «работник тюрьмы». Есть и некоторые «центры»: «президент, министр» получают «за» 66, «против» — 22, «руководитель, директор, администратор» имеют 182 «за» при 120 «против». Однако в целом ни прямой, ни обратной ярко выраженной корреляции списка выбираемых видов труда здесь не наблюдается. Посмотрим на ситуацию в Касимове через четыре года, а затем на ситуацию в Москве в 2004 г.
В Касимове в 1994 г. было опрошено 862 взрослых жителя и 323 старшеклассника. Мы разбираем здесь только ответы взрослого населения. Три профессии — «наилучшая», «очень хорошая», «просто хорошая» — назвали 616 респондентов, которые в сумме дали 1679 выборов (примем их за 100 %). Три профессии — «плохая», «очень плохая», «хуже не пожелаешь» — назвали 477 респондентов, которые в сумме дали 1155 выборов (примем их также за 100 %). В Москве в 2004 г. были опрошены 131 взрослый и 274 старшеклассника. Также разбираются только ответы взрослых. Сопоставительный анализ конкретных профессиональных ориентаций школьников и взрослых за 37 лет — тема отдельной книги. В Москве три профессии — «наилучшая», «очень хорошая», «просто хорошая» — назвали 104 респондента, в сумме дав 284 выбора (примем их за 100 %). Три профессии — «плохая», «очень плохая», «хуже не пожелаешь» — назвал 101 респондент, в сумме дав 274 выбора (примем их также за 100 %). При этом в связи с умеренным и малым объемом массивов в Касимове и Москве мы возьмем в разбор только первые десять профессий в каждом ряду. Характерно, однако, что эти два небольших массива убедительно показывают сокращение поля выбора, так как именно первые десять градаций охватывают тот же объем массивов, который был характерен для 20 градаций фаворитов в Таганроге или двадцаток и фаворитов, и аутсайдеров в СССР в 1967/68 и 1990/91 гг.
Касимов, 1994 г. (взрослое население — модель города). Наилучшие профессии, выбранные взрослыми для детей: экономист, начальник (20,0 % выборов); врач (18,8 %); учитель (12,0 %); юрист (11,2 %); рабочие профессии (7,8 %); инженер (6,1 %); бизнесмен (5,5 %); продавец (3,7 %); милиционер, военный (1,4 %); программист (1,4 %).
Эта десятка дает 87,9 % всех выборов. Значение энтропии — 0,885.
Заведомо не выбираемые профессии: рабочие профессии (31,9 %); дворник, уборщица (14,7 %); учитель (10,8 %); продавец (8,9 %); милиционер, военный (6,7 %); сельскохозяйственные профессии (5,8 %); строитель (3,7 %); инженер (2,3 %); врач (2,1 %); санитарка (1,6 %).
Эта десятка дает 88,5 % всех выборов. Значение энтропии — 0,833.
Москва, 2004 г. (взрослое население — выборка типологическая по типичным школам Северного округа). Наилучшие профессии, выбранные взрослыми для детей: экономист, финансист (17,3 %); юрист, адвокат (14,8 %); врач, медик, хирург (9,5 %); менеджер (6,3 %); дизайнер (5,6 %); коммерсант (4,9 %); бухгалтер (4,6 %); инженер, техник (4,6 %); администратор, руководитель, директор (2,5 %); программист (2,5 %).
Эта десятка дает 72,6 % всех выборов. Значение энтропии — 0,914.
Заведомо не выбираемые профессии: дворник (22,3 %); продавец (9,5 %); уборщица, уборщик, техничка (8,0 %); учитель, педагог, преподаватель (5,8 %)
, рабочий, рабочая, станочник (4,7 %); проститутка, стриптизерша (4,4 %); милиционер (4,0 %); врач, медик, хирург (3,6 %); секретарь-машинистка (2,6 %); грузчик (2,6 %).
Эта десятка дает 67,5 % всех выборов. Значение энтропии — 0,888.
Мы не будем анализировать детали полученной картины в дескриптивном анализе, рассматривать, как с изменением социальной ситуации люди меняют свою ориентацию на виды труда, не отдавая себе отчета в том, что правила экономической игры будут изменены быстрее, чем они достигнут желаемого результата. Итак, что тут важно?
1. Поле профессиональных выборов у населения за 15 лет сузилось. Уже десять группировок дают тот объем населения и то значение энтропии в распределении по отдельным профессиональным ориентациям в этом объеме, которые раньше давали двадцать группировок. Сужение поля разнообразия говорит о деградации системы, а не о ее развитии из-за социальных «реформ». У группы москвичей распределение по качественным характеристикам положительного выбора вообще более неопределенно (энтропия 0,914), чем профиль негативного отношения к заведомо отвергаемым формам труда (энтропия 0,888).
2. Ясно, что качественные характеристики профессиональных ориентаций, с одной стороны, меняются под воздействием текущих оперативных социально-экономических событий и ситуаций, а с другой — весьма устойчивы относительно направленности на сферу вторичного перераспределения материальных благ.
3. Очень заметна поляризация общества относительно различных форм труда, набирающих иногда равное количество голосов «за» и «против».
Конечно, можно было бы провести утонченный анализ с соответствующим «взвешиванием», но это сильно увеличило бы объем изложения. Задача понимания того, что поляризует ориентации, решается значительно изящнее. Здесь, исходя из уже приведенного в главе 2 анализа, становится ясно, что социальные ценности первого порядка — сохранение жизни, продолжение рода — имеют референтный ряд в тех свойствах форм человеческой активности, выбор которых диктуется эффективностью общественного порядка обмена способностями и качествами людей. Именно поэтому, скоррелировав 20 профессий по шкале присущих им в большей или меньшей степени 36 качеств, мы с 1990 г. просили каждого из всех наших 12 000 респондентов назвать по три качества, выбранных ими «на счастье» и заведомо не выбираемых «дурных» профессий. Вопросы были также открытыми, и в результате было получено более 50 000 слов, характеризующих положительный вектор профориентации людей, и почти столько же — отрицательных. Сравним же в динамике за почти 40 лет главные привлекательные и отталкивающие население стороны труда в нашей стране.
Качества отвергаемых и выбираемых профессий с 1968 по 2004 г.
В исследовании проблем престижа профессий проекта «Общественное мнение» респондентам предлагалось оценить, во-первых, насколько каждой из 20 отобранных профессий (см. список в сноске перед табл. 6.5) присущ каждый из 36 признаков, а затем написать пять наиболее присущих определенной профессии признаков. Мы применили три метода выявления сходства и различия выделенных профессий по заданным признакам: кластерный анализ, корреляцию по 5-балльной шкале, интегрированной из сочетания ответов по указанным двум вопросам (оценка и написанный ответ), корреляцию по степени отклонения признака от средней по каждой профессии у каждого респондента по всем 36 признакам
. Последний метод, уже представленный ранее в дифференциации оценок общественного мнения, оказался наиболее эффективным и не противоречащим результатам двух предыдущих. Средняя оценка человеком каждой профессии по 36 признакам принималась за центральную и вычиталась из оценок каждого признака. Тем самым получены были двадцать шкал по 36 «оценок-отклонений», где каждая шкала характеризовала «поле массового сознания относительно конкретной профессии», а каждая «оценка» — силу отклонения мнения о степени присутствия признака у данной профессии. Таким образом, корреляционная матрица представляет собой своеобразное поле смыслов относительно различных форм труда в нашей социальной системе в конце 60-х — начале 70-х гг. (табл. 6.6). Несмотря на довольно высокие доверительные интервалы даже осторожного коэффициента Кендалла, мы не будем описывать все поразительные по четкости и резкости социального видения представления людей. Рассмотрим лишь нулевые (отсутствие связи признаков у профессий), предельные отрицательные (профессии диаметрально противоположны по качествам) и предельно положительные (какие-либо свойства профессий указывают на их тождество) коэффициентов связи. В основном будем ориентироваться на нижнюю от диагонали часть таблицы, где представлен осторожный и более строгий коэффициент Кендалла.
Полярными качествами обладают в массовом сознании в значимом виде лишь две профессии: «официантка» и «научный работник» (—0,412 в 95 % доверительном интервале по Спирмену и —0,305 в 99%-ном по Кендаллу). Нет никакой связи между свойствами профессий в массовом сознании также только у двух профессий: «доярки» и «журналиста» (0,000 по Кендаллу и 0,030 по Спирмену)*. Форм труда, демонстрирующих высокую корреляционную связь свойств, очень много. Прежде чем рассматривать их детально, а затем проран-жировать те качества, что завоевали первые и последние места по всем 20 профессиям, обсудим основы корреляции по «полярной», «нейтральной» и «похожей» парам профессий.
Первые и последние пять признаков, присущих 20 профессиям.
Научный работник (занимает при выборе третье место из 20).
|
№ и название признака |
балл |
место |
|
20 — интерес к достижениям науки |
+ 1,013 |
1 |
|
04 — творческий характер труда |
+0,936 |
2 |
|
02 — важность выполняемых обязанностей для общества |
+0,903 |
3 |
|
11 — требуемый объем специальных знаний |
+0,875 |
4 |
|
30 — общая культура |
+0,581 |
5 |
|
35 — индивидуализм |
-0,464 |
32 |
|
18 — карьеризм |
-0,514 |
33 |
|
32 — угодливость |
-0,714 |
34 |
|
12 — склонность к употреблению спиртных напитков |
-0,749 |
35 |
|
29 — занятие домашним хозяйством |
-0,908 |
36 |
|
римость к недостаткам, 29 — занятие домашним хозяйством, 30 — общая культура, 31 - |
готовность |
|
пожертвовать личными интересами, 32 — угодливость, 33 — склонность к материальному обогащению, |
|
34 — готовность к безоговорочному подчинению, 35 — индивидуализм, 36 — |
интерес к политике. |
|
|
* По Спирмену, возможно, выходит, что одно свойство «доярки» все же присуще «журналисту»: полная убежденность в праве «доить», как корову, общество виртуальными аппаратами. |
Таблица 6.6. Коэффициенты корреляции рангов Спирмена, Кендалла отклонения от средней величины отдельных оценок характеристик 20 профессий (п = 1171 по модели населения Таганрога в 1967/68 гг. Сверху от диагонали коэффициенты Спирмена, внизу - коэффициенты Кендалла)
№ I 1 I 2 ~ 3__4__5__6__7__8__9 10 11 12 13 14 15 16 17 18 19 20
1 ^ -,14^| ,443 ,057 -,065 I ,010 ,088 -,093 | ,019 ,695 | ,121 | -,060 | ,148 | ,047 | ,852 | ,156 | ,102 | ,236 | ,242 | ,126
 |
X 2 О О. Іо |
I I I I I I I I I I I
Э-'-нСМСО^ЮСОІ^ОООЗО
ФфП30І=ГО0_°0_ •Q. охслоЗсЭс
§_ I I I I I I I I
СгНСМГО^-ЮФ^СО
Официантка (занимает при выборе предпоследнее место из 20).
|
20). |
|
|
балл |
мест |
|
+0,341 |
1 |
|
+0,188 |
2 |
|
+0,164 |
3 |
|
+0,105 |
4 |
|
+0,080 |
5 |
|
-0,675 |
32 |
|
-0,714 |
33 |
|
-0,767 |
34 |
|
-0,783 |
35 |
|
-0,821 |
36 |
№ и название признака
33 — склонность к материальному обогащению 32 — угодливость
29 — занятие домашним хозяйством 06 — утомительный характер труда 13 — благоустроенный быт (мебель, телевизор и т. п.)
15 — награды, общественные поощрения 18 — карьеризм
11 — требуемый объем специальных знаний 01 — возможность продвижения по службе 04 — творческий характер труда Итак, «научный работник» и «официантка» в границах первых пяти и последних пяти присущих им признаков имеют лишь одно место (33), совпадающее признаком «карьеризм», который не присущ «официантке» (в связи с невыразительностью в массовом сознании ее положительных качеств) так же, как и «научному работнику» — «угодливость». Коэффициент —0,412 в 95%-ном доверительном интервале по Спирмену получен как раз за счет корреляции двух шкал из 36 пунктов, пять первых и пять последних из которых мы привели по указанным двум профессиям к примеру. Журналист (занимает при выборе второе место из 20).
|
№ и название признака |
балл |
место |
|
36 |
— интерес к политике |
+0,908 |
1 |
|
04 |
— творческий характер труда |
+0,813 |
2 |
|
02 |
— важность выполняемых обязанностей для общества |
+0,727 |
3 |
|
16 |
— преданность коммунистическим идеалам |
+0,676 |
4 |
|
30 |
— общая культура |
+0,670 |
5 |
|
35 |
— индивидуализм |
-0,553 |
32 |
|
18 |
— карьеризм |
-0,649 |
33 |
|
12 |
— склонность к употреблению спиртных напитков |
-0,663 |
34 |
|
32 |
— угодливость |
-0,759 |
35 |
|
29 |
— занятие домашним хозяйством |
-0,924 |
36 |
|
Доярка (занимает при выборе последнее место из 20). |
|
|
|
№ и название признака |
балл |
место |
|
29 |
— занятие домашним хозяйством |
+0,726 |
1 |
|
06 |
— утомительный характер труда |
+0,507 |
2 |
|
02 |
— важность выполняемых обязанностей для общества |
+0,322 |
3 |
|
09 |
— честность |
+0,313 |
4 |
|
16 |
— преданность коммунистическим идеалам |
+0,192 |
5 |
|
32 |
— угодливость |
-0,638 |
32 |
|
04 |
— творческий характер труда |
-0,658 |
33 |
|
01 |
— возможность продвижения по службе |
-0,816 |
34 |
|
12 |
— склонность к употреблению спиртных напитков |
-0,850 |
35 |
|
18 |
— карьеризм |
-0,919 |
36 |
|
|
Взглянув на показатели связи в массовом сознании свойств «научного работника» и «журналиста» (табл. 6.6), мы обнаружим коэффициент Спирмена +0,784 |
и Кендалла +0,610 (естественно, по корреляции шкал из 36 пунктов, а не из пяти первых и пяти последних, которые приведены в конкретном примере отклонения оценок качеств профессии). Конечно, можно было бы привести конкретные качества выбранных в первую очередь профессий, таких как «учительница» и «журналист», или профессий, выбранных в последнюю очередь, где сходства и корреляции очень велики, хотя формы труда весьма различны. Однако есть и высокие корреляции между профессиями-фаворитами и аутсайдерами.
|
20). |
|
балл |
мест |
|
+0,850 |
1 |
|
+0,837 |
2 |
|
+0,794 |
3 |
|
+0,685 |
4 |
|
+0,662 |
5 |
|
-0,486 |
32 |
|
-0,556 |
33 |
|
-0,661 |
34 |
|
-0,726 |
35 |
|
-0,939 |
36 |
|
20). |
|
балл |
мест |
|
+0,860 |
1 |
|
+0,638 |
2 |
|
+0,589 |
3 |
|
+0,490 |
4 |
|
+0,481 |
5 |
|
-0,515 |
32 |
|
-0,551 |
33 |
|
-0,605 |
34 |
|
-0,639 |
35 |
|
-0,737 |
36 |
Кадровый офицер (занимает при выборе четвертое место и № и название признака
16 — преданность коммунистическим идеалам 36 — интерес к политике
02 — важность выполняемых обязанностей для общества 09 — честность
01 — возможность продвижения по службе 33 — склонность к материальному обогащению 12 — склонность к употреблению спиртных напитков 35 — индивидуализм 32 — угодливость
29 — занятие домашним хозяйством
Милиционер (занимает при выборе шестнадцатое место из 20).
№ и название признака
02 — важность выполняемых обязанностей для общества 25 — возможность влиять на поведение других людей 16 — преданность коммунистическим идеалам
28 — непримиримость к недостаткам
31 — готовность пожертвовать личными интересами 18 — карьеризм
12 — склонность к употреблению спиртных напитков 35 — индивидуализм
32 — угодливость
29 — занятие домашним хозяйством Несмотря на дистанцию в выборе профессий «кадровый офицер» и «милиционер», их свойства в массовом сознании коррелируют почти предельно (по Кендаллу +0,698, по Спирмену +0,840 с 99%-ной вероятностью). Можно, конечно, описывать все это разнообразие, можно съязвить по поводу заблуждений общества относительно «преданности коммунистическим идеалам» и «офицеров» и «милиционеров», доказавших эту преданность через одно поколение в ряде государственных переворотов. Суть не в этом. За корреляциями форм труда по их качествам стоит, как и за корреляцией товарных или любых предметных форм по их свойствам, видение качественных свойств и особенностей форм, диктуемых социальными механизмами обмена. И впрямь, за высокой степенью связи между свойствами профессий «секретаря-машинистки», «швеи-мотористки», «доярки» (которых не выбирают) стоит содержание труда, его монотонность, регламентированность и т. п. В корреляции свойств творческих профессий и профессий руководителей, несущих ответственность, массовое сознание видит характер труда, его социальные функции. Конечно, выбор профессии для детей в ряде случаев предопределен природным даром: музыкальные, художественные, творческие способности, заставляющие идти узким поведенческим коридором. Но, во-первых, это очень маленькая доля людей, во-вторых, всегда есть громадный риск негативной развертки очень большого таланта в узкокорпоративной цеховой сфере, где он может «прийтись не ко двору», что у нас сплошь и рядом. Корреляции совершенно несхожих профессий говорят о том, что при выборе как раз и рассматриваются социальные свойства форм труда, свойства форм обмена в их жизненной практике и перспективе для данного общества в данный момент времени.
Мы применили метод судей, метод суммы мест, которые заняло то или иное качество у той или иной из 20 отобранных для анализа профессий. В самом деле, если «честность» или «карьеризм» дадут наименьшую сумму мест по всем 20 профессиям, то это и есть доминирующие социальные свойства, истинные ценности массового сознания, его превращенные формы, диктующие выбор формы труда. Как же расположились 36 социальных качеств по своим приоритетам в 1967/68 гг. в сознании населения?
В табл. 6.7 каждое из качеств, номер которого стоит в подлежащем и расшифрован в легенде, имеет под номером профессии в сказуемом (расшифровка в легенде табл. 6.6) ранг по степени принадлежности той или иной профессии (в примерах выше это места балльных отклонений).
Первые 12 признаков: преданность коммунистическим идеалам; важность выполняемых обязанностей для общества; честность; интерес к политике; аккуратность; пунктуальность; удовлетворенность своим трудом; непримиримость к недостаткам; моральная устойчивость; утомительный характер труда; требуемый объем специальных знаний; активное участие в общественной жизни; благоустроенный быт (мебель, телевизор и т. п.).
Последние 12 признаков: карьеризм; индивидуализм; угодливость; склонность к употреблению спиртных напитков; занятие домашним хозяйством; чувство юмора; возможность продвижения по службе; хождение в гости и прием гостей; готовность к безоговорочному подчинению; творческий характер труда; награды; общественные поощрения; интерес к искусству.
Можно до бесконечности комментировать разнообразие массового сознания в его оценках, полученных в двух вышеприведенных таблицах. Сравнение в статике и в динамике даст результат, который вполне может служить основанием для отдельной фундаментальной монографии. Так, ясно, что в 1967 г. до ввода войск в Чехословакию, до событий на Даманском или потом в Афганистане рисковать жизнью в профессии «кадровый офицер» приходится меньше, чем при работе в милиции (потери в Венгрии относительно позабыты, да они и не доводились в СМИ до широких кругов общества). Разность мест этих профессий в выборе для ребенка говорит сама за себя. В 1990/91 гг. «кадровый офицер» занимает уже 15-е место среди выбираемых (1,6 %) и 10-е (3,4 %) — среди отвергаемых профессий. Вот другой поразительный пример: занимающая первое место в выборе для ребенка профессии «учительница» делит в 1967 г. первые места по такому свойству, как «важность выполняемых обязанностей для общества», с «председателем колхоза» и «милиционером». В опросе москвичей 2004 г. «учительница» входит в четверку профессий «плохих», «очень плохих» и «хуже не пожелаешь» после «дворника», «продавца» и «уборщицы». Ей в первую очередь свойственны уже другие качества:
|
Таблица 6.7. Места, отведенные опрошенными различным качествам 20 профессий (получены на основании отклонения от средней оценки характерности качества для данной профессии; n = 1171). В последней колонке средняя сумма баллов данного качества по 20 профессиям |
&
о |
24,0 |
5,8 |
12,6 |
22,9 |
17,3 |
13,3 |
16,8 |
22,4 |
8,0 |
18,8 |
13,7 |
29,0 |
14,5 |
19,1 |
22,6 |
5,3 |
22,3 |
33,5 |
17,5 |
19,2 |
13,1 |
23,3 |
14,3 |
о
см |
30 |
см |
ю |
см |
11 |
CD |
CD |
- |
t— |
CO |
о |
35 |
t— |
29 |
23 |
«3- |
<j> |
33 |
22 |
27 |
24 |
О) |
oo |
|
19 |
го |
- |
CD |
t— |
27 |
CD |
22 |
Ю |
CM |
<j> |
«3- |
CD
CO |
25 |
20 |
26 |
Ю |
23 |
35 |
<J> |
«3- |
CM |
28 |
11 |
|
18 |
оо |
оо |
|
CD
го |
го |
35 |
Ю |
26 |
22 |
CD |
11 |
CM |
- |
23 |
28 |
Ю |
|
25 |
29 |
33 |
t— |
CD |
20 |
|
17 |
34 |
см |
CD |
29 |
t— |
- |
CM |
CO |
CO |
32 |
11 |
<J> |
|
CO |
00 |
Ю |
27 |
CD
CO |
CD |
23 |
<J> |
24 |
t— |
|
16 |
см |
- |
Ю |
го |
30 |
t— |
<J> |
26 |
t— |
22 |
23 |
33 |
oo |
CD |
«3- |
CO |
25 |
32 |
11 |
24 |
<J> |
28 |
CO |
|
15 |
35 |
25 |
оо |
CD
го |
30 |
«3- |
t— |
20 |
CD |
О |
34 |
27 |
Ю |
t— |
32 |
11 |
CM |
33 |
29 |
CO |
Ю |
CD |
CM |
|
14 |
ю |
го |
О) |
29 |
11 |
27 |
23 |
24 |
|
t— |
t— |
33 |
CM |
22 |
CM |
- |
26 |
CO |
Ю |
oo |
CO |
30 |
20 |
|
13 |
33 |
см |
О) |
оо |
го |
- |
20 |
29 |
CO |
27 |
t— |
26 |
t— |
CD |
25 |
Ю |
28 |
CD
CO |
<J> |
CM |
о |
30 |
Ю |
|
12 |
О) |
см |
CD |
20 |
О) |
CM |
25 |
30 |
00 |
27 |
CO |
32 |
t— |
CM |
23 |
|
28 |
34 |
Ю |
о |
|
29 |
11 |
|
11 |
о |
оо |
СМ |
22 |
29 |
27 |
11 |
Ю |
|
CM |
26 |
35 |
25 |
20 |
24 |
- |
oo |
CO |
CD |
t— |
t— |
28 |
CM |
|
10 |
34 |
ю |
ю |
33 |
32 |
- |
<J> |
24 |
|
t— |
11 |
CD
CO |
oo |
<J> |
28 |
CD |
23 |
35 |
26 |
30 |
t— |
CM |
CO |
|
о» |
27 |
го |
11 |
см |
23 |
26 |
t— |
CD |
CM |
oo |
t— |
34 |
22 |
25 |
29 |
|
20 |
33 |
CO |
<J> |
<J> |
28 |
о |
|
со |
24 |
- |
см |
20 |
CD |
О) |
23 |
29 |
oo |
27 |
о |
32 |
<J> |
22 |
Ю |
CM |
28 |
34 |
CO |
t— |
•zt |
26 |
«3- |
|
г- |
35 |
|
О) |
33 |
оо |
- |
CO |
28 |
|
32 |
CO |
CM |
11 |
20 |
30 |
t— |
25 |
CD
CO |
CD |
22 |
<J> |
CM |
23 |
|
со |
CD |
го |
ю |
25 |
см |
24 |
27 |
23 |
<J> |
CD |
t— |
34 |
oo |
22 |
20 |
- |
26 |
32 |
00 |
<J> |
о |
28 |
«3- |
|
ю |
32 |
го |
го |
29 |
см |
- |
<J> |
30 |
CD |
CO |
CM |
<J> |
Ю |
CD |
11 |
|
27 |
CD
CO |
00 |
t— |
Ю |
22 |
oo |
|
|
25 |
го |
оо |
CD |
|
20 |
oo |
24 |
CM |
22 |
- |
CO |
<J> |
t— |
26 |
t— |
23 |
CD
CO |
О |
Ю |
CM |
32 |
CO |
|
со |
34 |
го |
см |
33 |
оо |
CM |
о |
28 |
|
29 |
CO |
35 |
20 |
11 |
CO |
Ю |
23 |
CD
CO |
24 |
27 |
oo |
CD |
«3- |
|
см |
О |
го |
О) |
см |
оо |
О) |
27 |
20 |
CM |
«3- |
«3- |
35 |
CO |
26 |
23 |
t— |
25 |
33 |
11 |
- |
oo |
30 |
22 |
|
тН |
CD
ГО |
23 |
оо |
34 |
32 |
CD |
CM |
<J> |
CO |
Ю |
22 |
35 |
«3- |
CD |
CO |
oo |
Ю |
33 |
30 |
28 |
о |
CO |
t— |
|
Z |
тН |
см |
со |
|
ю |
CD |
r- |
oo |
О» |
10 |
11 |
12 |
13 |
14 |
15 |
16 |
17 |
18 |
19 |
о
CM |
21 |
CM
CM |
23 |
|
Продолжение ^
|
Таблица 6.7 (продолжение) |
&
о |
со |
16,9 |
23,4 |
15,5 |
о
со |
27,6 |
15,4 |
со
г-~ |
30,1 |
22,0 |
22,9 |
31,7 |
о
о” |
о
см |
ю |
со |
оо |
см |
25 |
со
со |
«3- |
26 |
34 |
28 |
со |
32 |
20 |
|
19 |
о |
со |
24 |
см |
t— |
30 |
оо |
оо |
34 |
33 |
29 |
32 |
со |
|
18 |
см |
о |
со |
24 |
со |
34 |
аз |
30 |
аз |
см |
27 |
32 |
t— |
|
17 |
22 |
30 |
25 |
«3- |
о |
см |
28 |
ю |
35 |
20 |
26 |
33 |
оо |
|
16 |
оо |
см |
27 |
см |
|
со
со |
20 |
ю |
35 |
29 |
о |
34 |
со |
|
15 |
оо |
28 |
со |
26 |
аз |
со |
|
24 |
см |
- |
аз |
23 |
22 |
|
14 |
со |
аз |
28 |
25 |
|
со
со |
со |
оо |
35 |
32 |
о |
34 |
см |
|
13 |
оо |
со |
22 |
«3- |
11 |
32 |
см |
|
35 |
24 |
23 |
34 |
со |
|
12 |
со |
- |
со |
ю |
t— |
со
со |
22 |
оо |
33 |
26 |
24 |
35 |
со |
|
11 |
со |
ю |
23 |
аз |
со |
со
со |
аз |
|
34 |
32 |
30 |
33 |
со |
|
10 |
со |
со |
27 |
оо |
о |
см |
со |
20 |
25 |
см |
|
29 |
22 |
|
а» |
оо |
|
ю |
24 |
со |
со
со |
ю |
см |
35 |
со |
30 |
32 |
- |
|
со |
оо |
со |
30 |
11 |
t— |
35 |
см |
со |
со
со |
25 |
со |
33 |
ю |
|
г- |
t— |
27 |
оо |
см |
ю |
29 |
26 |
со |
34 |
ю |
24 |
со |
о |
|
со |
со |
ю |
30 |
см |
t— |
со
со |
11 |
|
35 |
со |
29 |
33 |
см |
|
ю |
20 |
26 |
24 |
t— |
«3- |
33 |
25 |
см |
35 |
23 |
28 |
34 |
о |
|
|
|
28 |
27 |
со |
11 |
34 |
ю |
см |
35 |
29 |
30 |
33 |
аз |
|
со |
t— |
26 |
см |
со |
аз |
- |
25 |
ю |
32 |
t— |
аз |
30 |
22 |
|
см |
ю |
см |
28 |
со |
24 |
со
со |
ю |
t— |
34 |
29 |
со |
32 |
со |
|
тН |
- |
24 |
26 |
29 |
см |
аз |
t— |
27 |
|
11 |
см |
25 |
20 |
|
Z |
24 |
25 |
26 |
27 |
28 |
29 |
30 |
31 |
32 |
33 |
34 |
35 |
36 |
|
' CM CM CM CM CM '
c: g S ф ф |
ПЗ Q. О 3
-Я 'Р
ШхОЗ^^:о>^і=-фаз?овЬі2вхх
osSxcocomiroicooti^otiss
I I I I I I I I I I I I I I I I I I
I
4- 00 Ol О rH (
CM CM CM CO CO <
X CO 3 _Q Ф _o vo F=
о^О-Ос^гсідф
Q. x I— о I I
>, 5 ?
0 Ш то 2-l_ Ф Q. ^
(0 ^ L Ф
с; ГО ГО Q. VO XXX
1 I I I CO 't Ю CO r
«низкая зарплата», «тяжесть труда» и «неблагодарность» (в Касимове 1994 г. она на третьем месте после «рабочих профессий» и «дворника и уборщицы»). Учить детей в преобразованном российском обществе чуть лучше, чем чистить туалеты и дворы. Работать на станке еще хуже. Слава преобразователям.
Каким образом «верность коммунистическим идеалам», «важность выполняемых обязанностей для общества» и «честность» превращаются в одночасье в «любовь к дензнакам», «священнослужение Мамоне», «тяжелый и неблагодарный труд»? Контрольная точка, конечно же, 1990/91 гг. Тут все идет прахом, но именно из-за того, что наблюдение в 10 000 человек проведено в точке общественного перелома, все очень хорошо видно, и корни массовой поддержки самоутверждения госпартноменклатуры в буржуазный класс становятся постепенно ясны. При этом еще раз напоминаю, хотя об этом надо говорить в резюме, что скорее удивляет не динамизм, а статичность массового сознания, которое считало отсутствующую советскую власть существующей и столь долго верило в осуществляемость на деле в нашем обществе лучших идеалов трех русских революций, хотя уже с 1920-х гг. на этот счет в обыденном сознания возникали серьезные сомнения в правомерности инструментов дела.
Взглянем на СССР 1990/91 гг. На основании лично написанных респондентом качеств выбранных и отвергнутых профессий мы выделили ряд в 49 признаков. Он по некоторым причинам взят адекватно в касимовском исследовании, но в Москве 2004 г. был повторен.
В стране в целом 15 признаков выбираемых профессий дали 70,7 % из 15 793 ответов. Общая энтропия по 49 признакам составила 0,873, а по первым 15 — 0,972 (ровно и монотонно падающее распределение).
Вот эти 15 качеств-фаворитов: доброта, милосердие, гуманность, человеколюбие (8,5 % ответов); зарплата, деньги, обеспеченность (7,8 %); знания, образованность, эрудиция, кругозор (7,3 %); творчество, фантазия (5,1 %); полезность, нужность, необходимость (5,0 %); ум, интеллект (5,0 %); интересная (4,8 %); уважение, почет, авторитет, слава и известность (4,7 %); честность, справедливость, порядочность (4,4 %); связи, блат, выгода (4,2 %); престиж (3,4 %); общительность и возможность общения (3,2 %); талант, призвание, увлеченность (2,7 %); компетентность, профессионализм (2,4 %); перспективность (2,2 %).
10 признаков отвергаемых профессий дали 70,0 % от 11923 ответов. Общая энтропия составила 0,784, а по первым 10 — 0,978. Распределение по отрицательным качествам в целом более плотное, стянутое, а по доминирующим качествам отрицательного отношения столь же равномерное, как и по 15 положительным.
Какие же качества делают работу неприемлемой? Тяжесть труда (11,1 %); низкая зарплата, отсутствие денег, необеспеченность (10,0 %); опасность, вред для здоровья (8,3 %); грязь (8,0 %); плохие условия труда (6,9 %); бедность, нищета, бесправие и бесперспективность (6,6 %); нервозность (5,3 %); нечестность, воровство, обман (5,2 %); ограниченность и тупость (4,3 %); неблагодарность (4,2 %).
В Касимове 1994 г. шесть качеств выбранных профессий дают 70,0 % из 1102 ответов. Значение энтропии по всем 17 признакам 0,888, а по шести выбранным — 0,975. Вот эти шесть качеств: деньги, зарплата (16,4 %); ум, знания, культура, порядочность (15,2 %); доброта, милосердие, гуманность, справедливость (12,5 %);
трудолюбие, компетентность, деловитость (9,8 %); честность, добросовестность, ответственность (9,2 %); полезность (6,5 %).
Семь качеств отвергнутых в Касимове 1994 года профессий дают 70,7 % от 718 ответов. Значение энтропии по всем 17 признакам 0,895, а по семи выбранным — 0,925. Вот эти семь качеств: опасная, нервозная (20,8 %); тяжелая, трудная (12,7 %); малооплачиваемая (12,3 %); грязная (11,6 %); бесперспективная (4,9 %); нечестность, обман (4,7 %); неуважение, непрестижность (4,5 %).
В Москве 2004 г. девять качеств выбранных профессий дают 69,8 % от 253 ответов. Значение энтропии по всем 49 признакам 0,868, а по девяти выбранным — 0,956. Вот эти девять качеств-фаворитов: зарплата, деньги, обеспеченность (16,6 %); знания, образованность, эрудиция, кругозор (10,3 %); честность, справедливость, порядочность (8,7 %); интересная (7,1 %); творчество, фантазия (7,1 %); полезность, нужность, необходимость (5,9 %); доброта, милосердие, гуманность, человеколюбие (5,5 %); компетентность, профессионализм (4,3 %); общительность и возможность общения (4,3 %).
Девять качеств отвергнутых профессий дают 74,2 % от 197 ответов. Значение энтропии по всем 49 признакам 0,887, а по девяти выбранным — 0,940. Вот эти девять качеств-аутсайдеров: низкая зарплата, отсутствие денег, необеспеченность (18,8 %); тяжесть труда (14,2 %); опасность, вред для здоровья (7,1 %); ограниченность и тупость (6,6 %); неуважение (6,1 %); плохие условия труда (6,1 %); нечестность, воровство, обман (6,1 %); неблагодарность (4,6 %); грубость, хамство (4,6 %).
Читатель сам может сравнить отношение к профессиям 1990/91 гг. в стране в целом с отношением к ним касимовцев в 1994 г. и москвичей в 2004 г. Наша задача гораздо важнее описательной. Выше мы говорили, что корреляция выбранных и отвергнутых профессий, составивших ряд в 92 наименования, заполненных десятками тысяч ответов 9672 человек, не дала связи. Коэффициенты корреляции рангов были близки к 0, различаясь в сотых долях (по Спирмену —0,030, по Кендаллу —0,023). Исследование Сазонова 1967/68 гг. показало, что социальные качества и признаки коррелируют различные формы труда, являясь скорее всего промежуточными факторами выбора видов активности. В исследовании 1990/91 гг. у нас был выделен ряд из 49 социальных признаков профессий, повторенный и для Москвы в 2004 г.
Маленький московский массив опрошенных дал наполненными лишь 42 признака. Корреляция между признаками выбранных и отвергнутых профессий составила по Всесоюзному исследованию —0,296 по Кендаллу и —0,490 по Спирмену, а по московскому исследованию —0,377 по Кендаллу и —0,481 по Спирмену, при этом все коэффициенты идут с 99%-ной вероятностью. Теперь мы можем с высокой точностью утверждать, что именно свойства форм труда оказываются поляризующими отношение людей к выбору той или иной профессии. А свойства эти заданы прежде всего социальными механизмами, регулирующими эффективность обмена. Последние же, в какой бы юридической или правовой форме они ни выступали, предопределяются формами собственности на средства существования, производства и т. п. (частная, ассоциированная и т. п.).
Резюме по профессиональным предпочтениям
Уже из профессиональных ориентаций видна структура смыслов и потенций предыдущей эпохи и задача 80-х гг., которая состояла в развитии производственных функций труда через баланс обмена между трудом и капиталом как общегосударственной и ассоциированными формами собственности. Но этого-то как раз и не было сделано
. Приватизированный социум потерял общественные функции настолько, что даже деньги перестали выполнять их эффективно. Частная собственность капиталистического общества вырастала, помимо прочего, и общественными функциями органически из его жизнедеятельности. Ассоциированная в любой форме собственность (как это было в СССР), превращаясь в частную, теряет свои общественные свойства, не приобретая социальных человеческих качеств, кроме дозоологического стяжательства. И этого не поняла и никогда не поймет выращенная из крепостнического, жандармского и чиновничьего социума отечественная «буржуазия». Мы видим сокращение полей и форм труда и их социальных качеств — референтов общественных ценностей более высокого порядка. Это результаты «мудрой» политики перераспределения накопленной трудом нескольких поколений стоимости
. Наивно думать, что какая-то каста откажется от присвоения такого богатства, направив энергию людей, доводимых до отчаяния искусственно создаваемым дефицитом, в нужное русло. Каста сталинской генерации, сложившаяся в 30-е гг. и демонтировавшая «машинку террора», направленную против нее ее же творцом, представляла чуть ли не единственную наиболее сильно сплоченную политическую группу в стране
. Конечно, она не была однородна, конечно, пронизывала не только политические, но и государственные и властные исполнительные, силовые и отраслевые структуры. И дело не в личностях. Был бы социальный заказ, а личность найдется. Но вот вопрос: были ли у широких масс в то время инструменты влияния на ситуацию и проясняла ли, помогала ли осознать эту ситуацию и возможности реального влияния и целей тех или иных политических групп наша «четвертая власть», наша «соль земли», наши «праведники»?
Итак, совершенно очевидно, что свойства профессий играют роль ценностных ориентаций, редуцированных в формы труда. Нравственность начинается с экономически обоснованного соответствия между трудовым вкладом и зарплатой, обеспеченной товарным покрытием соответственно существующим в данный момент потребностям. Нарушение этого баланса при идеологической демагогии и бесперспективности форм созидательного труда создает общественную гремучую смесь. Думать, что люди не видят и не осознают этого несоответствия в каждодневном опыте, значит закрывать глаза на реальность. Отсутствие же цивилизованных институционализированных каналов аккумуляции активности людей, т. е. подлинной демократии, приводит к непредсказуемым действиям и разрушению правовых и ценностных полей.
В разделе о прямом приеме сообщений говорилось об устойчивости числа средних сообщений, читаемых аудиторией, берущей номер газеты в руки. На протяжении почти 40 лет у 50 номеров различных газет соотношение прочитанных, просмотренных и непрочитанных сообщений-материалов было одно и то же в каждой из групп, читавших газету, а средние принятых в день сообщений на одного человека были близки. Это значило, что в месяц средний читатель читает около 700 сообщений. Да и половины в обыденной жизни достаточно, чтобы осуществить выбор информации в соответствии с вяло- или быстротекущими потребностями. Далее выяснилось, что группы могут наполняться разными людьми при общей устойчивой структуре, и это вопрос «лага» перехода людей из одного состояния в другое. Это важнейший вопрос для нормального опережающего производственного планирования или рекламы, но здесь речь о другом. И в поточном, массовом материальном производстве достаточно двух месяцев работы, чтобы сравнить расценки, зарплату и стоимость товаров и оценить все разнообразие номиналий форм труда в данном типе общества с точки зрения не бесконечного числа показателей, а только одного из них — «эффективности и результативности действия социальных форм перераспределения общественного богатства». Именно здесь, как показывают факты, лежал и лежит водораздел дифференциации общества на большие и малые и сильно различающиеся социальные слои. Именно здесь «оголодавшее по минимально необходимому» массовое сознание «сдвинулось по фазе» вслед за идеологией властителей к откровенному стяжательству «на халяве» «МММ», рекламируемой «Правдой», ТВ и сотоварищи и ведущей общество в тупик.
А кто ж откажется, даже с риском для жизни, прикрываясь фиговым листом «доброты, гуманности и демократии», броситься в давку за «начальничество», когда «кормление — основа Руси уже не одну сотню лет»?! И какая же социальная группа будет «кусать» кормящую руку, которая регулирует распределение ресурсов, несмотря на разнообразие вывесок-одежд социального строя?!
Структура выражения мнений населения в текстах в 1968/69 гг.
В начале этой главы мы сравнивали структуры социальных групп по роду занятий (социально-профессиональных) в генеральной совокупности, с одной стороны, а с другой — в информационных полях массмедиа в целом и их каналов. Дальнейшее рассмотрение корреляций профессиональной структуры текста со структурами профессиональных ориентаций массового сознания и выбора профессий в прожективной ситуации выявило возможность косвенного влияния массмедиа на ориентацию мнений и выборов. Кажется, население отслеживает в информационных рядах СМИ логическую структуру социально-экономического вектора движения системы в целом, а затем действует по обстоятельствам. С другой стороны, производство текста СМИ, ориентированное в общем и целом политико-экономическими и социальными факторами, на практике имеет стихийный характер. Прежде чем перейти к его анализу, рассмотрим сравнение и корреляции информационных рядов в динамике еще по двум параметрам: полу и возрасту героя информации и субъекта выраженного мнения.
Структура текста с точки зрения пола и возраста
Мы классифицировали действующих в тексте людей и группы по признакам пола, возраста, образования, рода занятий и общественного статуса еще при анализе информации «Таганрогской правды» в 1968/69 гг. Было выделено 9908 субъектов содержания, которые позволили установить уже тогда, что «возраст» как категория анализа содержания практически не фиксируется в газетном тексте. 67 % всех упоминаний личности не давали возможности идентифицировать ее по поколению: «младшее» (до 30), «среднее» (30—50), «старшее» (50 и более лет). Практически те же результаты были получены по отражению поколенческого состава населения и в дальнейших исследованиях газетного текста 1977, 1990/91, 2000, 2004 гг. Так, в «Тамбовской жизни» 2004 г. не было возможности идентифицировать поколение у 51 % субъектов содержания. В Таганроге 1968/69 гг. в текстах единственной городской газеты младшее поколение давало 18 % всех упоминаний, среднее — 3 %, старшее — 2 %, упоминания коллективов и групп составляли 10 %. В «Тамбовской жизни» 2004 г. младшее поколение дало 25 %, среднее — 7 %, старшее — 17 % всех упоминаний личностей (здесь упоминания коллективов не учитывались). В «Ведомостях» 2004 г. у 92 % упоминаний граждан РФ идентификация поколения вызвала затруднения. Среднее поколение твердо идентифицировалось у 7 %, а старшее у 1 % личностей. Младшее поколение выделяется и 40 лет назад и теперь в газетном тексте исключительно из-за тематически промаркированного освещения тем «спорт» и «образование», в том числе и школьное, где возрастная граница идентифицируется автоматически. Старшее поколение в «Тамбовской жизни» 2004 г. имеет более высокий уровень определяемости за счет патриотической пропаганды (возраст ветеранов) и большого числа групповых фотографий с хорошим комментарием.
Несколько иначе обстоит дело в информационных телепередачах 1987 г. По данным «Советско-Американского исследования», визуальная идентификация по возрасту здесь удается, хотя и с некоторыми погрешностями
. Младшее (до 30 лет) поколение представлено здесь в нашей стране 5 %, а в США — 1 % упоминаний, среднее берет доли в 16 и 18 %, а старшее (более 50 лет) — доли в 79 и 81 % соответственно каждой стране
. Это вызвано, как отмечает Л. Н. Федотова, высокими возрастными цензами на политическую деятельность и в нашей стране, и в США, освещение которой в свою очередь тесно связано с информационными передачами.
Особый интерес вызывает дифференциация и печатных изданий, и телепередач по полу субъекта деятельности того или иного материала или передачи. Мы видим, во-первых, что доля женщин сильно колеблется в различных изданиях и средствах массмедиа, во-вторых, меняется во времени, в-третьих, имеет совершенно различные удельные веса в высказываемых мнениях у различных каналов, в-четвертых, различается знаком освещения, в-пятых, очень дифференцированно представлена в телепередачах разных национальных культур (табл. 6.8—6.11).
Из табл. 6.8 следует, что доля женщин колеблется на уровне одной третьей части всех субъектов деятельности, появившихся в текстах «Таганрогской правды» в 1968/69 гг. и в передачах Центрального ТВ в замере 1990 г. Дополнительно отметим, что в 2004 г. в текстах «Тамбовской жизни» доля женщин составляла 29 против 71 % мужчин, что близко к указанному показателю. В 1990/91 гг. среди 1614 «героев» информации «Правды» и «АиФ» женщины составили 9 против 91 % мужчин: в «Правде» — 8 против 92 %, а в «АиФ» — 11 против 89 % (брались только граждане СССР). Если мы возьмем только информационные телепередачи СССР в 1990 г., то соотношение женщин и мужчин окажется 10 против 89 % при 1 % показа смешанных групп (в аналогичных передачах США это соотношение составит 10 против 84 % при 6 % группового показа)
.
Таблица 6.8. Соотношение субъектов содержания газетной и телеинформации в «Таганрогской правде» 1968 г., в Правде» 1977 г., в передачах Центрального телевидения (ЦТВ) в 1987 г., в «НГ» и «АиФ» в 2000 г., в «Ведомостях» в 2004 г. (в % к числу упомянутых субъектов содержания; n1968 = 8834, n1977 = 591, n1990 = 354,
n2000 = 3959, n2004 = 362) |
|
Субъект содержания |
1968/69 г. |
1977 г. |
1987 г. ЦТВ |
2000 г. |
2004 г. |
|
Абсолютные частоты |
8834 |
591 |
354 |
3959 |
362 |
|
% |
100 |
100 |
о
о |
100 |
100 |
|
Мужчины |
69,9 |
80,2 |
68,4 |
88,2 |
89,2 |
|
Женщины |
30,1 |
19,8 |
31,6 |
11,8 |
10,8 |
|
Это значит, что местная пресса и телепередачи в целом практически любой страны (кроме особенностей из табл. 6.11, которые обсудим ниже) «ближе» к адекватному отражению соотношения полов в реальной действительности (53 % женщин против 47 % мужчин с 1989 г.), чем в центральных газетах и информационных телепередачах. Кроме того, соотношение «героев» по полу в «Правде» 1977 г., в «Правде» и «АиФ» 1990/91 гг., в «АиФ» и «НГ» 2000 г. и в «Ведомостях» 2004 г. четко показывает, что чем ближе канал массмедиа к властной структуре в масштабах страны или чем политизированнее ситуация (перелом 1990/91 гг., выборы 2000 г.), тем меньше удельный вес женщин в освещаемой социальной жизни (еще раз: 8 % в ЦО КПСС и 11 % в «демократическом» «АиФ» в точке социального кризиса, 9 % в «НГ» и 17 % в «АиФ» в момент агитации в президентской кампании 2000 г.!
). Надо полагать, что вес гражданок РФ в передачах ТВ развлекательного или сексуально ориентированного характера будет увеличен до непропорциональной доли. Но и приведенных цифр достаточно, чтобы сделать вывод: чем выше в социальной стратификации канал коммуникации или освещаемая им сфера, тем выше степень идеологического фарса, провозглашающего равные права женщин и мужчин. В сфере принятия политических решений женщины просто лишены права голоса, как в нашей стране, так и за рубежом в самых «демократических» странах. Китай, Финляндия, Канада (табл. 6.11), где еще сохраняются остатки семейных традиций, более демократичны в освещении жизни «лучшей половины человечества», которая несет большую долю тягот по его воспроизводству. Особенно хорошо видна дискриминация в полях мнений.
|
Таблица 6.9. Состав различных по полу субъектов содержания газетной информации в 1968 г. в «Таганрогской правде», в 2000 г. в «НГ» и «АиФ», в 2004 г. в «Ведомостях» с точки зрения выражения мнений (в % к числу упомянутых субъектов содержания; n1968 = 8834, n2000 = 3959, n2004 = 362) |
Субъекты
содержания |
«Таганрогская правда» |
«АиФ» и «НГ» |
«Ведомости» |
|
|
1 |
2 |
1 |
2 |
1 |
2 |
|
В целом |
9,1 |
90,9 |
31,5 |
68,5 |
53,2 |
46,8 |
|
Мужчины |
9,8 |
90,2 |
31,7 |
68,3 |
51,4 |
48,6 |
|
Женщины |
7,4 |
92,6 |
29,8 |
70,2 |
66,7 |
33,3 |
|
1 - «герой» информации высказывает мнение.
2 - «герой» информации субъектом мнения не является. |
Конечно, «Ведомости» в 2004 г. дают женщинам большую возможность высказать оценки и мнения о социальной ситуации, но эти 66,7 % высказывающих мнение женщин против 51,4 % таких же мужчин несопоставимы. Это чуть большая доля в объеме субъектов мнений женщин берется от числа «героев» содержания, которых почти в 9 (!!!) раз меньше, чем мужчин. Подслащенная пилюля никого не обманет, и здесь нельзя не согласиться с некоторыми учеными, считающими, что движение феминизма выгодно прежде всего мужчинам-индивидуалистам по мировоззрению, занимающим контрольные точки социальной системы в политике и ничего не дающим ни законодательно, ни организационно в системе разделения труда при замещении поколений.
Таблица 6.10. Состав различных по полу субъектов содержания газетной информации в 1968 г. в «Таганрогской правде», в 2000 г. в «Независимой газете» и «АиФ», в 2004 г. в «Ведомостях» с точки зрения знака подачи действий «героя» информации (в % к числу упомянутых субъектов содержания; n1968 = 8834, n2000 = 3959,
П2004 = 362) |
|
Знак |
«Таганрогская правда» |
|
«АиФ» и «НГ» |
|
|
«Ведомости» |
|
|
Субъекты |
1 |
2 |
3 |
4 |
1 |
2 |
3 |
4 |
1 |
2 |
3 |
4 |
|
В целом |
86,6 |
5,7 |
0,3 |
7,4 |
44,1 |
18,2 |
12,3 |
25,4 |
22,6 |
9,6 |
17,1 |
50,7 |
|
Мужчины |
85,6 |
6,5 |
0,4 |
7,5 |
42,0 |
19,0 |
13,0 |
26,0 |
23,8 |
10,2 |
17,6 |
48,3 |
|
Женщины |
89,3 |
4,0 |
0,1 |
6,6 |
59,7 |
12,2 |
6,9 |
21,2 |
10,3 |
5,1 |
12,8 |
71,8 |
|
Знак освещения субъекта содержания:
1 - положительный;
2 - отрицательный;
3 - сбалансированный, с одной стороны - хорошо, с другой - плохо;
4 - знак отсутствует, нейтральная информация. |
Освещение действий «героев» информации мужчин и женщин, взятое по знаку в точках 1968/69, 2000, 2004 гг., показывает особенно сильное (почти девятикратное) сокращение положительного образа женщин и возрастание здесь же (более чем десятикратное) беззнаковой, нейтральной информации. У мужчин — субъектов содержания эти перепады гораздо меньше (табл. 6.10)
. И опять же, не грех обратить внимание, что местные газеты отражающим реальность содержанием ближе к жизненной ситуации, чем центральные, общесоюзные и общероссийские.
|
Таблица 6.11. Соотношение субъектов содержания телеинформации в 1990 г. в передачах ТВ различных стран (в % к числу упомянутых субъектов содержания; n1987 = 4007) |
|
|
Субъекты |
Мужчины |
Женщины |
В целом |
|
Страны |
|
|
|
|
|
В целом абс. |
2696 |
1311 |
4007 |
|
В целом % |
67,3 |
32,7 |
100,0 |
|
США |
68,1 |
31,9 |
100,0 |
|
Канада |
65,3 |
34,7 |
100,0 |
|
Бельгия |
66,8 |
33,2 |
100,0 |
|
Франция |
71,4 |
28,6 |
100,0 |
|
СССР |
68,4 |
31,6 |
100,0 |
|
Финляндия |
65,0 |
35,0 |
100,0 |
|
Китай |
63,5 |
36,5 |
100,0 |
|
В табл. 6.11 следует также обратить внимание на относительно низкий процент освещения жизни женщин в телепередачах Франции. Соотношение здесь в 1987 г. такое же, как в «Тамбовской жизни» 2004 г.
Но главное, конечно, не в этих знаковых, возрастных, по полу и мнению формах, в которых отливается социальный образ человека. Дело в смыслах, стоящих за стереотипами текста, отражающего реальности воспроизводства населения, отраженные выше при анализе бюджетов времени в Пскове 1986 и РФ 1993 гг. Именно смыслы похожи на павильон-балаган с кривыми зеркалами нормативного поля дешевого развлечения
.
«Герои» содержания (образцы) и субъекты мнений и оценок
Отражение социальной структуры деятельности. Единственная в «доперестроечный» период общегородская газета г. Таганрога «Таганрогская правда» выходила пять раз в неделю на 4 полосах формата «Правды» (так сложилось исторически для газеты не областного ранга). Печаталось в ней около 45 содержательных материалов в номер при штате в 15 человек и читалась она более чем четырьмя пятыми взрослого населения города. Тираж газеты в 1967—1969 гг. составлял около 50 000 экз. (отношение тиража к читателям 1:2). Газета получала в 1968/69 гг. ежегодно более 10 000 писем (около 800 ежемесячно), регистрация и обработка которых велась двумя сотрудниками. Газета считалась одной из лучших в СССР
. Список постоянных внештатных корреспондентов газеты достигал 62 человек, функционировала школа общественных корреспондентов, за четыре месяца «генерального поля» проекта «Общественное мнение» в газете опубликовали 1600 материалов более 700 внештатных авторов. Все они были опрошены на предмет условий и обстоятельств создания своих материалов, мнений, выраженных в них, а сами материалы были закодированы методом «контент-анализа» тремя массивами информации (более чем 400 позициями параметров в целом — единица измерения — сообщение; около 250 позиций на каждого жителя города, выразившего мнение в сообщении — единица измерения — субъект выраженного мнения (оценки, предложения); около 250 позиций на каждого жителя города, коллектив, группу, упомянутых в сообщении — единица измерения — «герой» информации или субъект деятельности). Анализу содержания предшествовал анализ документов редакции с точным выяснением личности автора по гонорарным листам. Провести такую работу сейчас практически невозможно (ряд редакций в последние годы отказывается давать любую информацию).
Посмотрим, как отражалась структура городского населения в тексте городской газеты за четыре месяца с декабря 1968 по март 1969 г., какова была структура мнений в опубликованном и неопубликованном (в письмах) текстах, как был организован процесс производства текста, какие дал результаты в характеристиках «субъектов-ге-роев» и «субъектов мнений» жителей города и как эти характеристики реально вошли в сознание (мы же знаем, сколько, как и что реально читается) (см. рис. 6.8).
|
Учащ. |
3| |
? 11 |
|
Д/х |
9 ¦ |
1 |
|
Пенс. |
16 |
h |
|
ССО |
¦ |
И4 |
|
СА |
7 ¦ |
Г і12 |
|
инп |
2 І |
I 14 |
|
ИТР |
7 ¦ |
_¦ |
Рабочие 49 ^ | 38
I I I I I I III I I I I г
65 55 45 35 25 15 5 5 15 25 35 45 5?
Доли групп: в реальности в тексте
Рис. 6.8. Отражение субъекта социальной деятельности в тексте СМИ в 1968/69 гг. в Таганроге по данным исследования «Городские проблемы в материалах городской газеты - “герои” информации»
(п
города в расчете на 1000 по отобранным группам, генсовокупность 168 500; n , = 7831 (без групповых упоминаний и 16,6 % неясных ситуаций с родом занятий))
субъекты содержания
Мы видим принципиальное различие в отражении социальной структуры городской жизни по «субъектам-героям» в городской газете и в массмедийном поле страны (рис. 6.1) и в принятом ряду газеты «Правда» в 1977 г. (рис. 6.2). «Таганрогская правда» демократичнее. Кстати, в то же время в процессе «генерального поля» проводилось исследование «Структура городской аудитории информационных средств и отношение населения к СМИ как каналу выражения общественного мнения». Выборка этого исследования была построена на городской модели, насчитывала 914 человек и имела пропорциональное уменьшение групп рабочих и пенсионеров и увеличение групп служащих и непроизводственной интеллигенции в 2 раза. В этом исследовании в технике интервью задавался вопрос: «Случалось ли, чтобы когда-либо о Вас писали газеты, чтобы Ваше имя упоминалось бы в передачах радио или ТВ?» Вопрос фиксировал положительные ответы отдельно по всем видам и уровням СМИ, и оказалось, что городская газета (если опрашиваемый говорит о периоде в последние 5—7 лет, а больше он не запомнит) писала о 10 % взрослого населения города. Структура этих 10 % по «квотированной» выборке довольно точно соответствовала структуре «героев» текста за четыре месяца (7831упоминание): рабочие — 30 %, ИТР — 17 %, непроизводственная интеллигенция (ИНП) — 17 %, служащие аппарата предприятий и учреждений (СА) — 13 %, служащие сферы обслуживания (ССО) — 11 %, пенсионеры — 2 %, домохозяйки — 1 %, учащиеся — 9 % (ср. с рис. 6.8). Если же перевзвесить «квотированный» массив опрошенных на общегородские пропорции населения по признакам «род занятий х пол х образование», то распределение примет вид: рабочие — 64 %, ИТР — 8 %, непроизводственная интеллигенция (ИНП) — 3 %, служащие аппарата предприятий и учреждений (СА) — 7 %, служащие сферы обслуживания (ССО) — 5 %, пенсионеры — 8 %, домохозяйки — 2 %, учащиеся — 3 %. Здесь картина ближе к реальной структуре взрослого населения города по всем группам, кроме преобладания в полтора раза рабочих, уменьшения вдвое доли пенсионеров и вчетверо домохозяек.
Напрашивается вывод, что за четыре месяца работы редакции в тексте отражается «квотированная» структура населения. Это подтверждается ответами опрошенных. Но за более длительный промежуток времени и при перевзвесе отвечающих на модель города, структура текста по роду занятий выравнивается на реальную. Важнейший вопрос: каков цикл совпадений? Однако он не снимает объективной оценки работы коммуникативного канала: почти 10 000 персональных и групповых упоминаний жителей города за треть года и 10 %-ное отражение социальной структуры взрослого населения за фиксируемый памятью людей промежуток.
Отражение социальной структуры в субъектах мнений. Прочитав вышеизложенное, можно воскликнуть: «Так бы всем работать!» Но преждевременно радоваться. Да, за четыре месяца газета напечатала 2725 материалов по проблемам городской жизни, из них 31 % — журналистских, 65 % — внештатных авторов, а 4 % представляли собой коллективные публикации и журналистов, и внештатных авторов. Грубо говоря, 35 % журналистских и 65 % внешкорровских материалов составили информационный ряд, отражающий городскую жизнь Таганрога в декабре 1968 — марте 1969 г. В 1977 г. в материалах «Правды» по внутренним проблемам за апрель месяц журналистские материалы составляли 75 против 25 % внештатных авторов. В 1990/91 гг. это соотношение составило 72 против 28 % в «Правде», 52 против 48 % в «АиФ», 69 против 31 % в «КП». При этом доли «рядовых» внештатных авторов были 9 %, 32 и 5 % соответственно перечислению газет. В 2000 г. во время президентской избирательной кампании соотношения материалов по внутренним проблемам жизни страны по указанному параметру были следующими. В «АиФ» соотношение журналистских материалов к внешкорровским составляло 85 против 15 % (при 6 % материалов «рядовых» граждан), а в «НГ» 84 против 16 % (при 11 % материалов «рядовых» авторов
). В 2004 г. в «Тамбовской жизни» и «Ведомостях» эти соотношения в освещении событий внутренней жизни страны составили соответственно 73 против 27 % (5 % «рядовые», 8 % руководители всех рангов, 14 % — организации) и 81 против 19 % (при 12%-ной доле «рядовых» авторов).
Непререкаемый авторитет в области классификации деятельности информационных средств Б. А. Грушин пишет: «...имея в виду управленческую деятельность СМИ и пропаганды, можно выделить пять элементарных функций-целей такой деятельности:
1) информирования — совпадающую с увеличением объема и (или) изменением состава знаний у аудитории, на которую рассчитана (передается) информация и которая выступает в данном случае в роли объекта управления;
2) воспитания — совпадающую с формированием или изменением интенсивности и направленности определенного типа установок (ценностных ориентаций) у аудитории;
3) организации поведения — совпадающую с прекращением, изменением или инспирированием какого-либо действия представителей аудитории;
4) создания определенного эмоционально-психологического тонуса (в частности снятия напряжения) у представителей аудитории;
5) коммуникации — совпадающую с усилением, поддержанием или, напротив, ослаблением связей между представителями аудитории, на которую передается информация (членами общества в целом или его отдельных «секторов»). А также между представителями аудитории сообщения, с одной стороны, и органами управления, распространяющими данную информацию или иными, — с другой»
.
Можно интерпретировать полученные данные, исходя из данной модели (особенно «воспитательных» функций «Правды» и «АиФ» в 1990/91 гг. и функций «информирования» и создания «тонуса» перед выборами у «АиФ» и «НГ» в 2000 г.). Но это может сделать и сам читатель. Нам важнее рассмотреть рекреативные, утилитарные функции и функции информирования и выражения общественного мнения (как того же информирования власти о происходящем с точки зрения рядового населения) в тех статистических показателях, в которых они ярко выразились за все эти годы в информации перечисленных каналов
. Гораздо интереснее рассмотреть, как аудитория реально реагирует на увеличение потока информации от рядовых граждан в СМИ (скажем, в «АиФ» 1990/91 гг.), однозначно ли ее поведение при этом, чем вызвано столь резкое повышение обратного потока в «АиФ» в 1990/91 гг. при сокращении его в 3,5 раза в процессе президентских выборов 2000 г., какова, наконец, «кухня» выпечки массмедийного пирога?
С ответа на последний вопрос мы и начнем. Конечно, скрупулезно анализировать хилые 15 %-ные потоки «общественного мнения» в «развитом демократическом обществе» скучно. То ли дело раскрыть этот механизм на информационном поле «Таганрогской правды», содержащем 2725 сообщений, 9908 «героев» и 2202 «субъектов мнений и оценок», а уж потом посмотреть, как присваиваются реально в чтении населения характеристики этих «героев» и «субъектов» за все четыре замера 1968—1977—1990/91—2004 гг. в значимых неизменных характеристиках.
При изучении процесса создания текста городской газеты в 1968/69 гг. был взят очень широкий спектр характеристик текста на трех уровнях статистического анализа. Напомним следующее.
1. Единицей измерения был отдельный материал (сообщение), характеристики которого насчитывали более 420 «кодов» (от оперативности, типа автора, его статуса, типа информации, уровня выраженных мнений до знака оценки, направленности информации, сферы жизни, субъекта постановки проблем и т. п.).
2. Благодаря анализу редакционных документов, любезно предоставленных редакцией с разрешения А. Куцко и М. Фабриканта
, были выявлены почти все фамилии и характеристики (около 250) всех 2202 субъектов мнения и оценок (как авторов материалов, так и фигурировавших в материале лиц), которые были высказаны по проблемам города в «Таганрогской правде» за три месяца.
3. Были зафиксированы аналогичные характеристики всех упомянутых лиц и коллективов.
Процесс реального чтения сообщений «Таганрогской правды» был замерен в 1968 г., «Правды» — в 1977 г., «Правды» и «АиФ» — в 1990/91 гг., «Тамбовской жизни» (как на материалах, так и на субъектах мнений и деятельности) — в 2004 г. Начнем по порядку.
Сопоставив картины рис. 6.8 и 6.9, можно видеть, что структура корпуса внештатных авторов по роду занятий практически совпадает только с одной из трех: не совпадая со структурой городского населения и отраженного в тексте субъекта деятельности в целом (выраженного в персоналиях), она почти точно копируется в структуре мнений относительно городских проблем.
Возникают два вопроса: как формируется структура «поля мнений» в текстах и насколько одни социальные группы, будучи авторами текста, выражают мнения других групп и, с другой стороны, как формируется корпус внештатных авторов и как он и журналисты отражают реальность?
 |
Внештатные авторы Субъекты опубликованных мнений
Рис. 6.9. Структура субъекта выраженного общественного мнения по проблемам городской жизни (оценка, мнение, предложение) с точки зрения рода занятий; n = 1956 (без групповых субъектов - 6,6 % и неясных ситуаций с родом занятий - 4,3 %); и в сравнении со структурой института внештатных авторов
городской газеты; n = 502* |
Из таблицы 6.12 следует ряд важных выводов.
1. Городская газета 1968/69 гг., выходящая в Таганроге, дает фору популярнейшему в 90-е и 2000-е гг. «АиФ» по выражению мнений населения, доля которых шестикратно превосходит долю мнений местных органов власти.
2. Доля журналистских мнений (как личных, так и редакционных) занимает доминирующее положение в остальных рассмотренных газетах (в местной газете «Тамбовская жизнь» 2004 г. аналогичное соотношение (власть — журналисты — население) составляет 9 % — 73 — 18 % общего поля содержащей мнения информации).
3. В колонках, фиксирующих опубликованные мнения относительно числа сообщений (материалов) процент больше 100. Эти 14 % сверх сотни у «Таганрогской правды» 1968/69 гг., 38 % у «Правды» 1977 г., 52 % — у «АиФ» 2000 г., 18 % — у «НГ» 2000 г. и 60 % — у «Ведомостей» 2004 г. говорят о пересечении в одном материале (публикации) различных пластов мнений и журналистов, и власти, и рядовых авторов (при единице измерения — материал, сообщение). Здесь удельные веса совместных частот мнений различных слоев могут сказать об ориентации этих слоев друг на друга.
Прежде чем обращаться к информационному приему различных по характеру мнений (по «Правде» и «АиФ» в колонках за 1990/91 гг. соотношение взято в поле прочитанных материалов), рассмотрим устойчивость указанной ориентации («сплетения» мнений в одном сообщении) (см. табл. 6.13), а потом обсудим внутреннюю структуру и факторы кристаллизации совместных частот различных мнений на таганрогском исследовании.
|
Таблица 6.12. Соотношение типов мнения (властных представителей, журналистов, населения), выраженных по проблемам внутренней жизни в газетах в различные периоды: в 1968/69 гг. в «Таганрогской правде» («ТП»), n = 1563 опубликованных материалов; в 1977 г. в «Правде», n = 647 опубликованных материалов; в 1990/91 гг. в «АиФ» и «Правде» суммарно по числу принятых частот мнений Sn = 10 651, в «АиФ» n = 6210, в «Правде» n = 4441 актов реально прочитанных сообщений; в 2000 г. в «АиФ» и «НГ» суммарно, n = 1262 опубликованных материалов, в «АиФ» n = 366, в «НГ» n = 896, в 2004 г. в «Ведомостях», n = 150 опубликованных материалов (в % к общему числу мнений (1) и в % к числу материалов, содержащих мнения по внутренним проблемам (2)) |
<3-
о
о
см |
«иіэошо?эд» |
CM |
160 |
54 |
67 |
39 |
|
- |
о
о |
ю
со |
•=t
'si- |
см |
о
о
о
см |
L2
X |
CM |
оо |
•=t
'd- |
CD |
|
|
- |
о
о |
CD
со |
оо
ю |
CD |
4
s
< |
CM |
см
ю |
со
со |
CD
оо |
со
со |
|
- |
о
о |
о
см |
оо
ю |
см
см |
L2
X
+
4
1 |
CM |
t—
см |
О)
со |
•=t |
|
|
- |
о
о |
со |
оо
ю |
- |
|
1990/91 |
Cl
C |
- |
о
о |
см |
|
оо |
4
s
< |
- |
о
о |
со |
о
CD |
см |
|
СЛ |
- |
о
о |
CD |
ю
CD |
О) |
|
1977 |
«Правда» |
CM |
оо
со |
•=t
CM |
оо |
со
со |
|
- |
о
о |
|
оо
ю |
ю
см |
|
1968/69 |
c
H: |
CM |
|
- |
со |
CD
CD |
|
- |
о
о |
о |
см
со |
оо
ю |
|
Год замера |
Канал |
Тип данных |
В целом |
Мнение власти |
Журналистов |
Населения |
|
|
«иіэошо?эд» |
(Л |
29 |
о |
38 |
23 |
о
о |
0.915 |
|
Власть |
' |
см |
|
27 |
' |
46 |
|
+ |
t— |
со |
11 |
23 |
54 |
о
о
о
см
l2
X |
(Л |
|
со |
со
CD |
30 |
о
о |
CD
оо
CD
CM
со
CD |
|
Власть |
' |
со |
со |
50 |
' |
56 |
|
+ |
- |
о |
со |
30 |
44 |
о
о
0 см
4
1 |
(Л |
26 |
|
09 |
|
о
о |
,810 |
|
Власть |
' |
О) |
CD |
42 |
' |
67 |
|
+ |
|
- |
оо |
|
33 |
h~
го
Ct
са
го
а.
X |
(Л |
23 |
о |
58 |
О) |
о
о |
,773 |
|
Власть |
' |
оо |
О) |
49 |
' |
76 |
|
+ |
ю |
- |
О) |
О) |
24 |
СО
со
ф
т—1
с
Н: |
(Л |
оо |
57 |
29 |
CD |
о
о |
,626 |
|
Власть |
' |
CD |
56 |
27 |
' |
89 |
|
+ |
см |
- |
см |
CD |
11 |
|
|
+ |
' |
+ |
' |
В целом |
Энтропия |
Жур-
нали-
сты |
|
+ |
' |
Насе
ление |
|
«+» - мнение выражено.
«-» - мнение не выражено. |
Поистине одна из лучших газет Союза выглядела «белой вороной» уже в достославные годы. Больше половины выраженных в газете мнений — это мнения жителей. Представители органов власти (депутаты Советов, инструкторы райкомов и выше, заведующие отделами райисполкомов и т. п.) имеют в структуре мнений долю в 11 %. Кажущейся особенностью всего поля мнений является его, можно сказать, структурная чистота. Мнения жителей и мнения журналистов — это два крупных блока содержания. Мнение власти в чистом виде составляет 6 %, в сочетании с мнением населения 3 % (в том числе 2 % еще и с журналистами) и 2 % в материалах только с мнением журналистов. 6 % — это поле мнений и журналистов и населения. Ориентация редакции на дозировку мнения местных руководящих органов и широкое представление мнения горожан очевидна, но уже в механизме создания текста и отражения статусной структуры жителей мы увидим и иллюзорность этого вывода, и те истоки, из которых родилась последовавшая нам «в радость» нынешняя картина. В «Правде» 1977 г. почти половину мнений газеты составляют мнения журналистов, 18 % журналистов приводят в материалах наряду со своими мнения рядовых жителей страны. Мнения лиц, представляющих властные структуры на уровне страны и ее областей, составляют 24 %. При этом вес сочетания мнений журналистов и власти в одном сообщении меньше, чем мнений журналистов и населения. «АиФ» 2000 г. в период президентской избирательной кампании почти 80 % мнений дает в виде чистого мнения журналистов и редакции и двух почти равных сочетаний «журналисты и население», «журналисты и власть». Не то «НГ». Тут 80 % мнений, оценок и предложений состоит из двух групп: 50 % чистого мнения журналистов и 30 % чистого мнения представителей властных структур. Даже официальные «Ведомости» 2004 г. выглядят разнообразнее. Здесь журналисты «вчистую» имеют 27 % поля мнений, власть в самостоятельном виде берет 23 % мнений, а 17 % материалов представлено совместным упоминанием мнений трех типов участников социального взаимодействия на российский манер. При этом две группы материалов, сочетающих мнение журналистов и населения (12 %) и журналистов и власти (11 %) почти равны. Если структура мнений «Таганрогской правды» 1968/69 гг. почти полярна структуре мнений «НГ» 2000 г. при фактически равной энтропии, то «Ведомости» демонстрируют предельное разнообразие этого поля. И умудряются сделать это при 54 %-ном выражении мнения власти в целом. «АиФ» 2000 г. и по этому параметру опять, как и в «женском вопросе», ближе к «Правде» 1977 г.
Глава 7
ПРОЦЕСС ПРОИЗВОДСТВА ТЕКСТА МАССОВОЙ ИНФОРМАЦИИ
Совместные частоты мнений агентов процесса
Один из самых любопытных вопросов в процессе производства массовой информации — это какие группы населения больше или меньше выражают мнения собственного и иного социального слоя. Сложность здесь в точном знании статуса и рода занятий автора материала, дающего оценку и приводящего мнения других людей, и тех же характеристик этих других людей. Это позволит вскрыть характер процесса аккумуляции мнений в текстовой ряд. Кто, от чьего имени и в каком объеме формирует поле оценок и мнений, присваиваемых затем на тот или иной манер аудиторией? Скрупулезный анализ документов редакции «Таганрогской правды», собственная работа автора корреспондентом газеты на преддипломной практике в Таганроге в 1968 г. дали возможность решить тогда эту задачу.
Была сложность чисто техническая.
1. Авторы (и журналисты, и внештатные) в большей своей части выражают в материалах только свое мнение: 78 % материалов с оценками внутренней жизни в «Таганрогской правде» 1968/69 гг., 51 % аналогичных материалов «Правды» 1977 г., в 1990/91 гг. 65 % аналогичных материалов «АиФ», 43 % — «Правды», 53 % — «КП».
2. Доля материалов, где автор устраняется от оценок и комментариев, предоставляя право высказывать мнения и предложения только «героям» материалов (личностям или коллективам), относительно мала: 3 % в «Таганрогской правде», 12 % — в «Правде» 1977 г., 17 %, 10 и 5 % соответственно в «Правде», «АиФ», «КП» в 1990/91 гг. А вот доля, где и автор (журналист или внештатник), и лицо, описываемое в материале, высказывают совместные оценки, значительней: 19 % в «Таганрогской правде», 37 % — в «Правде» 1977 г., 40 %, 25 и 42 % соответственно в «Правде», «АиФ», «КП» в 1990/91 гг.
Совместные мнения — самый любопытный феномен, и не столько с точки зрения социально-профессиональных, возрастных или образовательных групп, сколько стратификационных, статусных.
Наиболее очевидна ориентация власти в преломлении редакционной политики. Власть всегда чаще высказывает свое мнение журналистам, чем населению. Характерно, что корреляция ответов журналистов Ростова и Таганрога 1968 г. на вопрос: «По каким сферам жизни надо информировать население прежде всего?» — составляет с текстами внештатных авторов «Таганрогской правды» по этим же сферам +0,618 (по Спирмену, связь с вероятностью 95 %), а с текстами «АиФ» в 1990/91 гг. +0,710 (по Спирмену — 99 %). С мнением властей Таганрога по этому же вопросу (244 работника органов власти) мнение местных журналистов коррелирует на +0,937 (по Спирмену, 99 %). А вот корреляция ответов на этот вопрос журналистов со структурой журналистских материалов по сферам жизни за четыре месяца их работы составила +0,237 по Спирмену. Связи со структурой собственного текста нет, есть связь со структурой текста «АиФ» через 23 года. Напрашивается вывод, что информационное производство носит стихийный характер, складываясь независимо от мнений и идеологических установок, которые выступают превращенными формами сознания. И редакция «АиФ» через 23 года реализует эти провозглашаемые демократические формы в реальном тексте Всесоюзного издания, «приоткрыв шлюзы» для потока мнений рядовых людей. Эти формы начинают через четверть века резонировать с открывшимися возможностями политики еженедельника, которые через 10—11 лет заканчиваются. Корреляция же структур мнений журналистов и опубликованного текста внештатных авторов в 1968/69 гг. говорит об организационной роли редакции в отборе, селекции и преломлении потока информации от населения. Тут и следует по объективным результатам рассматривать социальные закономерности производства текста.
Структура института внештатных авторов газеты в целом
Могло показаться, что через городскую газету Таганрога в 1968/69 гг. шел мощный обратный поток информации от населения города к местным органам управления с оценками и предложениями по решению социальных проблем. Однако, сопоставляя только левые части рис. 6.8 и 6.9 (род занятий населения города и внештатных авторов), мы увидим, что одни группы уменьшают, а другие — увеличивают свое представительство в корреспондентской сети. Это общественное разделение труда естественно: нельзя зарабатывать деньги на жизнь фрезерным станком и в то же время «марать» по семь корреспонденций в неделю в газету. Столько нынешние «хозяева» медийных каналов требуют от «своих» журналистов. С другой стороны, мы установили, что оптимальный для приема информации режим публикаций составляет около 40 материалов в номер. Для пятидневного выхода «Таганрогской правды» это 200 публикаций в неделю, а для четырехдневной «Тамбовской жизни» — 160. Штат первой газеты состоял из 20, второй — из 16 человек. Итого, по 10 публикаций в неделю на штатного журналиста при условии формирования четырех полос только силами коллектива редакции. Это немыслимо. Ни один здравомыслящий пишущий человек ни за какие деньги не возьмется за эдакую сумасшедшую работу. Так что разделение труда с внештатным корпусом вызвано железной экономической необходимостью. Как же оно конкретно, и наиболее контрастно в Таганроге, выглядит?
Наибольшее участие в создании текста через городскую газету принимают инженерно-технические работники (ИТР), интеллигенция, занятая не на производстве (ИНП), служащие аппарата предприятий и учреждений и учащиеся, наименьшее — рабочие, служащие сферы обслуживания, пенсионеры и домохозяйки
.
Объединим группы наибольшего участия в один слой, а наименьшего — в другой в рис. 7.1 и рассмотрим их укрупненные соотношения в границах населения города, института внештатных авторов и субъекта выраженного в газете общественного мнения
.

— городское население
— внештатные авторы
— субъекты опубликованных мнений
Рис. 7.1. Соотношение слоев городского населения в реальности, среди внештатных авторов, в частоте высказывания в текстах городской газеты оценок и мнений (в % к числу жителей, авторов, субъектов мнений; n
t = 168 500, n
2 = 719, n
3 = 1399)
Данные других исследований проекта «Общественное мнение» показывают, что такая же картина наблюдается и в использовании этими же социальными группами пропагандистско-агитационной сети. С другой стороны, в табл. 3.6 участие этих же групп в производстве массовой информации (ПМИ) в масштабах страны и в динамике, во-первых, менее резко выражено, а во-вторых, отличается дифференцированным поведением группы пенсионеров, что нашло уже свое объяснение в двойственной природой активности группы, вызванной различием экономического положения ее отдельных слоев.
Итак, общественное разделение труда в информационном производстве не позволяет социальной структуре «один к одному» перейти в те или иные пласты деятельности и в отражающий реальность текст
. Причем, если при отражении субъекта деятельности в целом структура населения по роду занятий более-менее плавно «перетекает» в структуру текста за какой-то, еще неясный нам, период (что, кстати, говорит о высочайшем профессионализме небольшого коллектива редакции), то при отражении оценок и мнений населения наблюдается резкая дифференциация слоев реальности и текста. Бросаются в глаза сразу два обстоятельства. С одной стороны, структура субъектов мнений по слоям четко соотносится со структурой внештатных авторов, с другой — публикуя каждые четыре месяца по 750 человек (1770 сообщений) внештатных авторов, редакция не стремится выделить какую-либо группу по роду занятий, предоставляя ей большие «льготы» на полосах. Среднее число опубликованных материалов: у рабочего и у интеллигента — 2, у инженера, служащего (и сферы обслуживания, и аппарата учреждений и предприятий), учащегося, пенсионера — 1,5, у военнослужащих и домохозяек — 1.
Сразу встает вопрос: что же, если не положение группы по отношению к материальному производству, воспроизводству населения и процессу социализации стоит за формированием корпуса внештатных авторов и поля мнений и оценок информационного ряда? В первый момент появляется искушение объяснить причины грамотностью населения. Пишут, мол, те, кто «способен» писать, они оказываются внештатными корреспондентами, а отсюда уже и формируется видимый и принимаемый поток оценок, предложений, мнений. Но уже равное число публикаций рабочих и интеллигенции, занятой не на производстве, делает это предположение сомнительным. Конечно, дело и в образовании авторов, но не только в нем, и главным образом не в нем.
Мы рассмотрели структуру института внештатных авторов не только с точки зрения социально-профессиональной принадлежности авторов, но и с точки зрения их положения, занимаемого в сфере управления городом, и их политикоадминистративной и агитационно-пропагандистской активности. В этом плане каждый автор публикации характеризовался как:
1) представитель органов власти городского уровня;
2) представитель органов власти районного уровня;
3) представитель администрации или общественный (партийный, профсоюзный, комсомольский и т. п.) активист, т. е. обязательно выполняющий руководящие функции;
4) редактор многотиражной газеты предприятия;
5) представитель пропагандистских институтов (лектор, политинформатор, пропагандист, агитатор);
6) рядовой житель города, не имеющий управленческих или политико-идеологических функций.
Таким образом, мы получили шесть групп по «общественному статусу», месту автора в социальной иерархии.
Составив матрицу, в подлежащем которой будут социально-профессиональные группы, а в сказуемом — группы по «общественному статусу», мы получим структуру внештатного корреспондентского корпуса, грубо говоря, с точки зрения двух признаков: «умственный — физический труд, занятые — не занятые в народном хозяйстве», с одной стороны, и «социальная стратификация (нынешняя пресловутая властная вертикаль)» — с другой. Каждая из групп дала за три месяца определенное количество материалов. Взвесив число материалов каждой из групп в общем числе публикаций внештатных авторов за исследуемый период, мы узнаем реальный вклад в создание информационного поля, сделанный каждой группой
. Первая десятка групп дала 65,5 % публикаций:
1) интеллигенты, занятые не на производстве по роду занятий, представляющие администрацию и партийно-общественный актив предприятий и учреждений (13 % всех материалов внештатных авторов);
2) ИТР, представляющие администрацию и партийно-общественный актив предприятий и учреждений (11 %);
3) редакторы многотиражных газет предприятий и учреждений (9,4 %);
4) служащие аппарата промышленных предприятий, представляющие администрацию и партийно-общественный актив предприятий (8,7 %);
5) служащие аппарата учреждений, представляющие администрацию и партийно-общественный актив предприятий (4,7 %);
6) рядовые рабочие (4,6 %);
7) рабочие, выполняющие пропагандистские и идеологические функции, являющиеся пропагандистами, лекторами, политинформаторами, агитаторами (4,2 %);
8) рабочие, представляющие партийно-общественный актив предприятий
(4,1 %);
9) учащиеся: студенты и школьники (3 %);
10) служащие сферы обслуживания, представляющие администрацию и партийно-общественный актив своих учреждений (2,8 %).
Как видим, редакция ориентируется на лиц, занятых в управленческой сфере, выполняющих руководящие общественные, идеологические и информационные функции. Это видно и по числу публикаций у разных групп в табл. 7.1.
|
Таблица 7.1. Структура корпуса внештатных авторов с точки зрения общественного статуса и среднего количества опубликованных тем или иным типом автора материалов (в % к числу обследованных; n = 719 и в среднем числе материалов за три месяца) |
|
Общественный статус |
1 |
2 |
3 |
4 |
5 |
6 |
|
Вес группы в % |
4 |
4 |
54 |
3 |
8 |
27 |
|
Среднее число публикаций |
1,5 |
2 |
1,5 |
6 |
2 |
1 |
|
1 - представители городских органов власти.
2 - представители районных органов власти.
3 - представители администрации и партийно-общественного актива.
4 - редакторы многотиражных газет.
5 - пропагандисты, лекторы, политинформаторы.
6 - рядовые жители города без руководящих функций. |
Итак, представители администрации и партийно-общественного актива создают информационное поле городской газеты за счет большего количества авторов («воюют числом»), редакторы многотиражек и пропагандисты — за счет лучшего умения обращаться со словом, руководители районного уровня — за счет большей доступности для журналистов. Введем количественный показатель, объективно измеряющий активность авторов, — число публикаций.
Группы по степени активности в публикациях
Благодаря анализу документов редакции, в основном росписи гонорарных листов, удалось установить точное количество материалов, данное каждым внештатным автором за три месяца. Некоторые дали меньше одного материала не только за три месяца, но и за полгода выхода «Таганрогской правды» в свет. Однако этот один материал попал именно в период анализа и был учтен в самой минимально публикующейся группе. Обычно это были авторы опубликованных писем из тематических подборок, которые делают журналисты. Типологизация выявила четкое деление внештатных авторов на три представительные группы по активности в публикации сообщений (см. рис. 7.2).
Группа А Группа В Группа С
12 Н_| 39
13 ^И^^|16
75^ 145
|
Таблица 7.2. Структура корпуса внештатных авторов в целом, а также в группах по роду занятий и «общественному статусу» с точки зрения групп по активности публикаций (в % к числу обследованных; n = 719, а также в % к величинам групп по роду занятий и «статусу»)* |
|
Общественный статус |
со |
о
о |
г— |
CD |
87 |
|
ю |
о
о |
г—
см |
см
см |
ю |
|
|
о
о |
t— CD |
О) |
|
|
со |
о
о |
о |
|
CD г— |
|
СМ |
о
о |
см |
оо |
о г— |
|
т—1 |
о
о |
О) |
см |
о г— |
|
Род занятий автора |
СО |
о
о |
о |
о |
о
о |
|
h~ |
о
о |
о |
см
см |
оо
CD |
|
со |
о
о |
см |
см |
CD t— |
|
ю |
о
о |
CD |
о
см |
•ч!"
CD |
|
|
о
о |
со |
|
со
t— |
|
со |
о
о |
со |
г— |
о
t— |
|
СМ |
о
о |
см |
г— |
оо |
|
т—1 |
о
о |
|
см |
h- |
|
(Л |
о
о |
см |
со |
ю
t— |
|
Группы |
В целом |
Группа А |
Группа В |
Группа С |
|
=н
? Он
в
1 §
Видно, что коллектив небольшой редакции при производстве 4-полосной газеты с помощью внештатных авторов опирается в основном на две группы: «группу А» — своеобразное продолжение штатов редакции, состоящее из «постоянных корреспондентов», включенных в те или иные сферы городской жизни; «группу С», имеющую почти одинаковый вклад в создание текста газеты с первой группой, но в отличие от нее являющуюся группой одноразового использования, своего рода «сезонной» рабсилой, из которой при соответствующих условиях могут появиться вполне «квалифицированные профессионалы»
. Очевидно, что обработку редакции проходят все тексты всех внештатных авторов, будь они хоть семи пядей во лбу. К материалам последних «необходимо» относиться наиболее пристально. Затраты времени, однако на переработку писем выше, чем на обработку короткого сообщения редактора многотиражки или пропагандиста. Значит, для успешного производства текста, широко отражающего социальную жизнь, «подведомственную» газете, требуется, чтобы «внештатник» обладал такими качествами:
1) положение и активность в определенной сфере жизни;
2) умение отражать реальность, оперируя языковыми средствами, штампами, клише и стереотипами массовой коммуникации;
3) признанием системы ориентаций редакции — системы, включающей множество компонентов, от элементов доминирующей в данный момент общегосударственной идеологии до требований момента («злоба дня»
).
Наличие этих трех качеств делает успешным функционирование «авторов со стороны» при довольно широком диапазоне условий производства массмедийного текстового поля. Однако универсально развитые люди, обладающими всеми этими качествами сразу и еще другими в довесок (как «идеальная жена» из известного анекдота), встречаются редко, а фабрика сообщений-публикаций должна работать не менее напряженно, чем цех холодной штамповки. Редакция идет по пути остроумного разделения труда «внешкоров», фокусируя свое внимание «в найме рабочей силы» главным образом в одном направлении, но имея при этом в запасе для осуществления оптимального режима производства без «срывов» и штурмовщины, которой и без того хватает, два сегмента «общественного писательского рынка». Назовем все три направления, которые явствуют из табл. 7.1—7.2 и рис. 7.2.
Статус института внештатных авторов
Стратегическое направление внимания — сферы политики и управления. Общественная активность и положение — не свят дух, а вполне осязаемая в конкретных исторических формах вещица, начиная от персонального автомобиля и кончая «мерседесом» на паперти церкви в столичном центре. Общественный статус в предыдущую эпоху аккуратно выписывался из существовавшей административно-хозяйственной и общественно-политической структуры на уровне трудовых и учебных коллективов
. Здесь редакция и набирала основную массу (54 %, см. табл. 7.1) корпуса внештатных авторов. Но эта основная масса, слабо удовлетворяя требованию производства сообщений «писать быстро и качественно» (1,5 материала на представителя в 3 месяца), не может одна обеспечить его оптимального функционирования. Поэтому редакция имеет в своем распоряжении два мощных резерва.
Резерв 1 — высококвалифицированные и поднаторевшие в «изящной словесности» кадры. Нанимаются в двух секторах сферы производства массовой информации: из сотрудников многотиражек на нижнем этаже иерархической пирамиды прессы, из актива средств устной политпропаганды. Главная выгода редакции от создания этого резерва была в возможности оперативного получения большого количества качественного текста, требующего меньших затрат на его переработку (шесть и два материала на каждого представителя соответствующих секторов резерва за три месяца работы).
Резерв 2 — низкоквалифицированные кадры. Этих нанимать не надо — нанимаются сами. Надо только спуститься в подвал редакции, в отдел писем. Здесь обнаруживается громадная «резервная армия труда» страждущих и жаждущих опубликоваться, которая поставляет ежегодно более 10 000 писем. Надо подобрать нужные, исходя из опять же «злобы дня», и пустить в производство
.
Обозначенные слои внештатных авторов дают 92 % публикаций внешкоров. Остаются 8 % материалов от представителей городских и районных властей. Но это элитный десерт массмедийного блюда во все времена. Здесь работа только для избранных и «прошедших горнило» (соответствующей парториентации).
Изобразим для наглядности описанную структуру.
На рис. 7.3 проставлены дающие 100 % объемы материалов, опубликованных внештатными авторами. Это 65 % всего объема информации, 35 % дают журналисты. На одного журналиста в 21 номере газеты в месяц приходится в среднем 12 авторских публикаций. Это число сильно колеблется. На одного внештатника приходится в среднем в месяц одна публикация. И это число сильно колеблется от одной публикации за три месяца и менее, до почти 12 за месяц перед устройством на работу в штат редакции.
 |
|
Рис. 7.3. Схема основных «производственных» секторов «Таганрогской правды» 1969 г. |
Анализ объемов «продукции» основных слоев внештатных авторов позволяет обнаружить устойчивость соотношений в производстве текста. Если увеличить объем публикаций любого из слоев (основная масса, власть, редакторы и пропагандисты, рядовое население), то в силу инвариантности количества материалов на газетной полосе при определенном и устойчивом типе верстки в информационном ряду уменьшится доля других групп. На это редакция пойти не может — все-таки 40—45 публикаций при данных социальных условиях в номер надо делать.
Аккумуляция информации внештатными авторами
Как видим, институт внештатных авторов «приподнят» в общественной структуре, и это дает ему больший обзор социальной реальности. Формально говоря, группы, составляющие продолжение редакции в тех или иных сферах городской жизни, способны аккумулировать больше информации в связи с более высоким уровнем социальной активности. Предположение проверяется, но, помимо этого, стоит параллельно прояснить и проблему стабильности обнаруживаемых явлений. С этой целью мы выделим из всего поля мнений мнения, которые выражаются не авторами, а только «героями» текста. Поскольку характеристики текста позволяют выявить род занятий, статус и пол субъекта деятельности — «героя» информации достаточно четко, а оценка реальности, мнение, предложение также легко фиксируются лексически, мы сравнили структуры всех упомянутых в разных газетах лиц с точки зрения двух признаков: являются ли они, с одной стороны, «героями» в целом, «героями», высказывающими оценки, мнения, предложения и не высказывающими таковых, а с другой — выполняющими управленческие функции и не выполняющими их (руководителями и рядовыми). Вот что получилось (табл. 7.3).
В целом из первого правила — «упомянутых в текстах газетах руководителей всегда больше, чем рядовых» — исключение представляют только местные газеты «Таганрогская правда» 1968/69 гг. и «Тамбовская жизнь» 2004 г. При этом, фигурально говоря, во всех газетах за все годы (кроме «АиФ» 1990/91 гг. с 90 %-ной вероятностью отклонений) по отношению к упомянутым рядовым гражданам, действует второе правило: «“Героем” текста можешь быть — рот открывать ты не обязан!» По отношению к руководителям действует постоянное предоставление возможности оценки социальной ситуации, выражения мнения и предложений
. Определенно отличается от этого правила «АиФ» 1990/91 гг., но уже к 2000 г. четкость его позиции размывается, редакция невыразительно (с 80 %-ным доверительным интервалом отклонений) «дрейфует» к общим правилам, что, кстати напомним, отражается и в доле внештатных авторов (15 % в 2000 г. против 48 % в 1990/91 гг.).
Однако самое поразительное в сопоставлении у различных каналов за эти годы по среднему числу «героев» информации в целом тех, кто выразил мнение, дал оценки делам, и тех, кто оценок не давал, о ком говорили, но кому слова не предоставляли.
Во-первых, далеко не худшие показатели по выражению мнений и отражению реальности в деятельности отдельных личностей у «Таганрогской правды» в сравнении с центральными газетами периода перестройки (см. табл. 7.4). Во-вторых, наблюдается «взрывной» выброс мнений и «героев» у «АиФ» в период предвыборной кампании 2000 г.
В-третьих, «Тамбовская жизнь» практически лидирует в деле «персонального» освещения подведомственной жизни, опережая и официальные «Ведомости», и все остальные газеты по всем параметрам за все годы, уступая лишь в одном пункте в показателе выражения мнений «АиФ» во время предвыборной президентской кампании. Не забудем, что при этом значительная часть мнений выражается собственно журналистами
. Посмотрим теперь, чьи мнения определенный тип внештатного автора выражает в своих материалах, насколько редакция отбирает людей, способных аккумулировать мнение широких слоев населения в единственной и достаточно хорошо работающей по всем стандартам общегородской газете.
Таблица 7.3. Структура упомянутых в различных изданиях за 1968-2004 гг. «героев» содержания с точки зрения занимаемой должности (в % к числу упомянутых субъектов содержания; nm „ = 6175; п . Л = 599; п„ = 1061; п . = 1346; пиг„.„ = 2628; nT , = 348; n_ = 365)
м г ’ «ТП»-1968/69 ’ «АиФ»-1990/91 ’ «Правда»-1990/91 ’ «АиФ»-2000 ’ «НГ»-2000 ’ «Тамбовская жизнь» (ТЖ)-2004 ’ «Ведомости»-2004 ' |
¦^г
О
О
СМ |
«Ведомости» |
Рук. |
75 |
82 |
CD
CD |
+++ |
1 |
СІ
К
О. |
25 |
оо |
34 |
1 |
+++ |
|
«Ж1» |
Рук. |
39 |
54 |
33 |
+++ |
1 |
СІ
К
о. |
CD |
46 |
67 |
1 |
+++ |
о
о
о
см |
L2
X |
Рук. |
76 |
87 |
72 |
+++ |
1 |
еі
К
О. |
24 |
со |
28 |
1 |
+++ |
4
5 < |
Рук. |
CD |
64 |
59 |
+ |
' |
СІ
К
о. |
39 |
CD
СО |
|
' |
+ |
|
1990/91 г. |
«Правда» |
Рук. |
55 |
68 |
49 |
+++ |
1 |
СІ
К
о. |
45 |
32 |
ю |
1 |
+++ |
4
5 < |
Рук. |
62 |
55 |
CD
CD |
! |
+
+ |
СІ
К
о. |
38 |
45 |
34 |
+
+ |
! |
|
1968/69 г. |
с
Н: |
Рук. |
34 |
65 |
30 |
+++ |
1 |
СІ
К
о. |
CD
CD |
35 |
70 |
1 |
+++ |
|
Герои материалов |
В целом |
Субъект ОМ |
s
о
*
о
S
X |
Субъект ОМ |
s
о
*
о
S
X |
|
<3-
о
о
см |
«Ведомости» |
3,7 |
3,0 |
см” |
|
«Ж1» |
5,8 |
3,2 |
г— |
о
о
о
см |
L2
X |
4,5 |
см” |
3,8 |
4
1 |
LD |
Г— |
4,4 |
|
1990/91 г. |
«Правда» |
3,2 |
Г— |
3,2 |
4
5 < |
2,9 |
CD |
со” |
|
1968/69 г. |
с
і-^ |
5,2 |
Г— |
г— |
|
«Герои» материалов |
В целом |
Субъект ОМ |
s
о
*
о
S
X |
|
Таблица 7.5. Взаимосвязи классифицированных по «общественному статусу» внештатных авторов «Таганрогской правды» и взятых по занимаемой должности «героев» содержания опубликованных материалов этих же авторов (А), взятых по занимаемой должности субъектов выраженного общественного мнения, высказанного в этих материалах, включая внештатного автора (B) и штатных сотрудников редакции-журналистов (C) (в расчете на 100 и в % к числу материалов (А); n = 1042, в расчете на 100 и в % к числу материалов, содержащих мнения исключительно по проблемам городской жизни у этих авторов; n = 891, число субъектов мнений в этих материалах равно 1098 (B), в расчете на 100 и в % к суммарному полю мнений, высказанных всеми за три месяца публикаций; n = 2060 (C)) |
|
«Герой» публикации |
% по колонке |
Оба |
о
о |
г— |
со
оо |
Субъект мнения |
% по колонке |
03
?О
о |
о
о |
со |
г— оо |
Субъект мнения |
% по колонке |
Колл. |
о
о |
со |
СО
со |
СО |
X
>»
О- |
о
о |
ю |
ю
оо |
X
X |
о
о |
см |
оо
ОЗ |
X
X |
о
о |
см |
г—
ю |
|
еІ
К
О. |
о
о |
г— CNI |
со г— |
<=і
ск
X |
о
о |
^|-
ю |
СО
'si- |
<=і
ск
X |
о
о |
со
см |
СО
см |
ю |
|
(Л |
о
о |
см
см |
оо
t— |
со |
о
о |
о
см |
о
оо |
со |
о
о |
о |
го
'si- |
I-— |
|
«Герой» публикации |
о ас
о
Cl
&
О
С |
ГО
?О
о |
го
го |
СО
см |
ю
со |
ск
X
X
ш
X
2
X
О)
?О
а- |
ш
X
о
о.
о
о
с |
03
?О
о |
ю |
со |
СО |
ск
X
X
аз
X
2
X
аз
?О
a- |
аз
X
о
о.
о
о
с |
с;
с;
о
X |
ю |
см |
г— |
- |
X
>»
о. |
го |
оо |
|
X
X |
со |
г— |
ю
г— |
X
X |
со |
03 |
о г— |
С—
"t |
еІ
К
О. |
ю |
СО
СО |
ю |
<=і
ск
X |
•=t
го |
о
ОЗ |
ОЗ |
<=і
ск
X |
со |
03
оо |
со
см |
CM |
|
(Л |
о
о |
о
о |
о
о |
со |
о
о |
о
о |
о
о |
со |
о
о |
о
о |
о
о |
о
о |
|
«Герой» публикации |
о
о
т—1
го
X
о
X
о
го
о. |
ГО
?О
о |
го
го |
СО |
г— см |
ск
X
X
ш
X
2
X
О)
?О
а- |
о
о
03
X
ш
о
03
о_ |
03
?О
о |
ю |
- |
|
ск
X
X
аз
X
2
X
аз
?О
a- |
о
о
аз
X
аз
о
аз
X |
с;
с;
о
X |
оо |
см
о” |
со |
ю |
X
>»
о. |
го |
см |
- |
X
X |
со |
- |
о
СО |
X
X |
го
ю |
- |
о
со |
CM
CM |
еІ
К
О. |
ю |
|
о |
<=і
ск
X |
•=t
со |
оо |
СО |
<=і
ск
X |
03
го |
оо
оо” |
о |
о
CM |
|
(Л |
о
о |
см
см |
оо
t— |
со |
о
о |
о
см |
о
оо |
со |
о
о |
о |
го
'si- |
I-— |
б
?О
< |
CN
•sf
о |
о
со
см |
см
оо |
б
?О
<с |
ОЗ
оо |
оо
г— |
со
г— |
б
?О
<с |
о
СО
о
см |
со
о
см |
см
03
оо |
LO
CO
03 |
|
< |
(Л |
СІ
к
CL
Cl
е
со
< |
X
>»
CL
Cl
е
со
< |
0Q |
(Л |
СІ
к
CL
Cl
е
со
< |
X
>»
CL
Cl
е
со
< |
о |
(Л |
СІ
к
CL
Cl
е
са
< |
X
>»
CL
Cl
е
са
< |
2
&
s
=:
ro
X
Cl
>s
36 |
|
Теперь мы видим, что внештатники, выполняющие руководящие и пропагандистско-идеологические функции (54 % + 11 % + 8 %) в масштабах города и отдельных предприятий и учреждений дают более трех четвертей публикаций, выражающих мнения и оценки состоянию дел городской жизни. Если взять общее поле упоминаний субъектов деятельности — «героев» публикаций (табл. 7.6), то «авторами-руководителями» дается почти вшестеро большая доля упоминаний «героев». И при этом в 71 % от этих упоминаний руководящие авторы пишут о рядовых «героях». Рядовые же авторы описывают «героические деяния» руководящих субъектов деятельности почти в 20 раз (!!!) меньшей долей упоминаний (2 %).
Получается, что в среднем уже в недельном выпуске газеты (табл. 7.5А), если брать единицей измерения отдельный материал-публикацию, содержится соотношение, при котором руководители минимум втрое больше пишут о рядовых, чем рядовые сами о себе. И при этом рядовые пишут о руководителях минимум в 20 раз реже, чем руководители о них, и раз в пять реже, чем руководители сами о себе.
С одной стороны, конечно, достигается представительность частоты рядовых «героев» в общем информационном поле и переход структуры по роду занятий за определенный промежуток времени в текст более или менее пропорционально (см. рис. 6.8 и комментарий к нему). Но, с другой стороны, информационное взаимопроникновение из страты в страту имеет ярко выраженную дискриминацию. Описание деятельности руководящих слоев теми, кем они управляют и кому они назидают, похоже на чириканье ласточки рядом с водопадом ревущим: «Пой, ласточка, пой, пой, не умолкай...»
В более мягкой форме это видно у журналистов. В целом они тяготеют (см. отклонения от средней табл. 7.6) к описанию жизни и выражению мнения руководящих слоев населения. Однако в описании жизни руководителей-«героев» им предоставлено больше свободы, чем в выражении их мнений.
«Аккумуляционная цепь» при выражении общественного мнения совсем иная. Здесь четко видно, кому принадлежит «право голоса» в оценке социальной реальности. Дело в том, что появление тех или иных элементов содержания в тексте массмедиа может измеряться не только количеством публикаций, упоминанием личностей, в том числе и высказывающих или, наоборот, умалчивающих оценки, но и частотой выделяемой исследователем той или иной формы скрытой семантики общества. В табл. 7.5В даны как раз частоты всех субъектов мнений, оценок, предложений, включая как авторов, так и людей, которым авторы «вложили в уста» соответствующие оценки. Последние, как правило, совпадают с их собственными. Так, из 1562 материалов, данных за три месяца в газете, 1259 (80,6 %) содержали только одно мнение (автора или «героя»; «герой» высказывает мнение в 9,1 % случаев появления: 542 «оценивающих» против 5405 «молчащих героев» — табл. 7.6). 286 публикаций (18,3 %) содержат мнение не только автора материала, но и коллективного или персонального «героя», подтверждающего точку зрения автора. Лишь в 6 публикациях из 1562 (0,4 %) автор приводит противоположное собственному мнение. К этим публикациям надо прибавить еще 11 материалов (0,7 %), в которых автор приводит как противоречащую его мнению точку зрения, так
|
Таблица 7.6. Взаимосвязи классифицированных по «общественному статусу» внештатных авторов «Таганрогской правды» и взятых по занимаемой должности тех «героев» содержания опубликованных материалов этих же авторов, которые не выражали мнения и выразили его в опубликованном материале как «герои» информации (в расчете на 100 и в % к числу соответствующих «героев» без мнения и «героев» - выразителей мнений; nt = 5405, n2 = 542) |  |
и подтверждающую его. Комментарии по поводу паллиативности оценок, как говорится, излишни.
В табл. 7.6 приведены данные дифференциации по признаку «высказывают — не высказывают мнений» только по отношению к героям информации, исключая мнения авторов. Мнения авторов, взятые во всем поле «публикаций» информационного ряда городской газеты без мнения журналистов, см. в табл. 7.5, а вместе с мнением журналистов во всем поле оценок — в табл. 7.6. Вдумчивый читатель может проанализировать связи этих таблиц и без нашей помощи. Однако один важный вывод надо сделать. Огромный пласт мнений выражался и выражается до сих пор (за исключением агитпропа 90-х гг.) исключительно авторами публикаций. Конечно, можно сказать, что «Ведомости» по положению обязаны публиковать мнения руководителей (свыше 80 % «субъектов мнения — героев содержания» в этой газете руководители). Однако можно предположить и обратное: приподнятость авторского коллектива в стратификационной структуре обязывает видеть большую площадь обзора и аккумулировать информацию из большего количества страт. Это вопрос социально-политической ориентации и экономических, финансовых рычагов ориентации, заданных редакциям извне. Во всяком случае в «Тамбовской жизни» (которая для своего региона то же, что «Ведомости» для страны) на каждые 100 принятых, т. е. реально прочитанных «номиналий», «героев» содержания приходится 15 «героев — субъектов мнения» руководителей, 14 «героев — субъектов мнения» рядовых граждан города, 27 «героев» —руководителей, не высказывающих мнения, и 44 «героя», представляющих рядового гражданина, не высказавшего мнения. Баланс информации, вошедшей в сознание читателя, здесь более оптимален. Однако это равновесие — результат социально относительно сбалансированной позиции редакции. В начале 90-х гг. при доступности центральной прессы читатель тяготел к приему информации о руководящих «героях» из «Правды», а о мнениях рядовых граждан «из открытого шлюзового канала писем читателей» из «АиФ».
В принципе можно было бы подробно проанализировать результаты прямого потребления информации за 40 лет из газет, радио и телепередач. Однако это требует совершенно отдельной и глубоко фундированной в методическом плане книги, где можно показать, как работают индикаторы эффективности информационного приема: группы по активности приема сообщений, группы по степени осознания информационных потребностей; интенсивность приема — характеристик сообщений, номиналий, социальных элементов содержания, рекламных объектов и их элементов, наконец, сложных, сконструированных на основании выделенной общественной семантики объектов. Частично эта проблема будет затронута ниже, а пока что приведем две диаграммы освещения социальной структуры и выражения мнений в газетах «Тамбовская жизнь» и «Ведомости» в 2004 г. (см. рис. 7.4).
Объем представленной в этих диаграммах информации невелик, но и в десятки раз большие объемы принципиальных изменений в картине не дадут. Она ни при каких обстоятельствах не станет похожей на ту, что изображена на рис. 6.9, где синтезирована картина отражения мнений 750 внештатными авторами за три месяца работы общегородской газеты 1968/69 гг. Да, это была хорошая работа, но
Отражение социальных групп в тексте местной и центральной прессы
 |
|
«Тамбовская жизнь» «Ведомости» |
 |
Рис. 7.4. Отражение субъекта социальной деятельности (вверху) и субъекта мнений (внизу) в тексте газет «Тамбовская жизнь» и «Ведомости» (по данным исследования анализа содержания 2004 г.; п т , = 348, п _ = 365 упоминаний личностей - граждан РФ;
«Тамб. жизнь» ’ «Ведомости»
п т , = 99; п _ = 194 субъектов выраженного мнения)
«Тамбов. жизнь» ’ «Ведомости» |
«Тамбовская жизнь» «Ведомости»
далекая от оптимума демократического учета общественных позиций населения. Что же говорить о том, что мы видим теперь. То, что население прекрасно видит суть процесса выражения общественного мнения в газетах, очевидно уже из первого таганрогского исследования с 1968 г. В 1990/91 гг., в самый «разгул» «гласности», мы повторили тот же вопрос на уровне Всесоюзного исследования. Результат впечатляет даже по нынешним временам.
Данные говорят сами за себя. Учтем, что в 1968 г. вопрос задавался в табличной форме, которая позволяла дифференцировать мнения журналистов-авторов и редакции, а в 1990/91 гг. вопрос был задан в «открытой» форме и «закодирован» аналогичным 1968 г. образом. Дополнительно к данным табл. 7.7 заметим, что в 1968 г. 14 % респондентов дифференцировали выражение мнений в редакционном коллективе: две трети этой доли говорили, что мнение отдельных авторов-журналистов выражается чаще наряду с редко выражаемым мнением редакций в целом, одна треть говорила наоборот. В 1990/91 гг. различия в позициях отдельных журналистов и редакции отмечало меньше 0,1 % респондентов. Теперь табл. 7.7. Если в 1968 г. поляризация по линии «власть — широкие слои населения» была, по мнению населения, сглажена участием журналистов в коммуникации между властью и населением в качестве активных агентов (параметры центральных и местных газет здесь практически не отличаются), то в 1990/91 гг. журналисты теряют свою общественную функцию в глазах населения в коммуникативном процессе между властью и населением. Но самое главное — это почти вдвое возросшая «резкость» поляризации общественного мнения в плане выражения мнений в центральных газетах по линиям «мы — они», «население — власть», «народ — чиновники». 94 % ответивших считают, что в центральной прессе чаще выражается мнение властей, и почти столько же считает, что реже при этом выражается мнение рядовых граждан, народа. Тут абсолютно ясен ответ на вопрос: «Думает или не думает народ?» — в чем имеют смелость сомневаться иные корифеи мысли. Еще как думает, да при этом в добавок в формах, слава Богу, неизвестных ни чиновникам, ни «корифеям»
.
Процесс селекции и отбора мнений
А может, «народ» заблуждается? Может, общественное мнение, зафиксированное в вышеприведенной форме, — та же «форма превращенная» и к тому же еще и «ложная»? Что ж, проверим.
В самом деле, может, та часть внештатных авторов или журналистов или представителей местной власти, которые находятся в более приподнятом над нижними стратами общества положении, реально обозревает больший пласт общественной
|
Таблица 7.7. Ответы на вопросы: «Как Вы считаете, чье мнение чаще всего (реже всего) отражается в материалах местных газет? В материалах центральных газет?» (в % к числу опрошенных в 1968 г. жителей Таганрога; n = 918), а также на вопрос: «Мнение каких групп населения, по-вашему, отражается на страницах центральных газет чаще всего, достаточно, а каких - реже всего, недостаточно?» (в % к числу ответивших в 1990-91 гг.; n = 9672, массив перевзвешен на генсовокупность по структуре переписи населения 1989 г.) |
|
Мнения выражают чаще всего (достаточно), реже всего (недостаточно) |
В центральных газетах |
Реже |
со |
см |
со |
см |
24 |
93 |
|
< |
о
о |
со |
- |
О) |
77 |
|
Чаще |
со |
127 |
|
СО |
94 |
|
|
< |
о
о |
11 |
ю |
74 |
11 |
|
В центральных газетах |
Реже |
со |
со
со |
25 |
30 |
СО |
65 |
|
< |
о
о |
О) |
22 |
11 |
48 |
|
Чаще |
со |
LLI |
48 |
35 |
65 |
29 |
|
< |
о
о |
27 |
20 |
37 |
СО |
|
В местных газетах |
Реже |
со |
137 |
27 |
32 |
СО |
со |
|
< |
о
о |
20 |
24 |
см |
45 |
|
Чаще |
со |
184 |
44 |
37 |
68 |
СО
со |
|
< |
о
о |
24 |
20 |
37 |
О) |
|
Группы, чье мнение выражается |
В целом |
Журналисты, авторы |
Редакция в целом |
Руководство, власти |
Широкие слои населения |
|
жизни и аккумулирует информацию всех групп, не представленных в субъектах содержания, выразивших мнение? Вопрос законный. Однако проверка его сопряжена с большими препятствиями, чинимыми как раз «успешно» аккумулирующими в текущий политический момент общественное мнение. Добиться санкции местных властей на проведение независимых исследований практически невозможно, исследовать газету так, как это было сделано в Таганроге, — и мечтать нечего. Однако есть объективно созданный текст. И, сравнив нынешние тексты с текстами прошлыми, проанализировав процесс создания прошлых текстов, имевший несравнимо более широкую социальную подложку, чем нынешний, мы получим однозначные выводы.
Генпроект «Общественное мнение» позволяет сопоставить информацию опубликованных и неопубликованных, но содержащих мнение по общественным проблемам писем в городскую газету как в целом, так и по группам. Мы можем рассмотреть информацию на входе в массмедийное поле и в самом этом поле по различным параметрам. Затем можно рассмотреть и то, как присваиваются населением и его различными группами эти параметры, прямо на фоне структуры производства информационного поля.
Уже из таблицы, синтезирующей данные трех проведенных одномоментно отдельных исследований, видна дифференциация потоков информации на входе в единственный общегородской канал коммуникации и на выходе из него (см. табл. 7.8). Если же объединить наиболее актуальные для города темы торговли, общественного питания, снабжения, бытового обслуживания и благоустройства, жилья, охраны общественного порядка, с одной стороны (колонки 3—8), а с другой — темы промышленности, транспорта, связи и «другие» (колонки 1, 2, 9), то дифференциация входящего «неопубликованного» и «опубликованного» потоков станет явственнее в рис. 7.5.
Актуальные сферы Пенсионеры 76| Рабочие
Другие сферы
Пенсионеры
Рабочие
г~
80 |  |
Неопубликованные письма Публикации в газете
Рис. 7.5. Соотношение мнений пенсионеров и рабочих о так называемых «актуальных» и других сферах жизни города в потоках неопубликованных писем в городскую газету и в выпущенных в свет публикациях этих групп за три месяца работы городской газеты (по данным табл. 7.8 в %) |
Из данных диаграммы следует, что соотношение «актуальных» и «других» проблем в неопубликованных письмах рабочих составляет 64 к 36 %, а в опубликованных — 21 к 79 %. У пенсионеров этот «перепад» менее резок: 76 к 24 % на неопубликованном «входе» против 43 к 57 % в высказанных публично мнениях
|
Таблица 7.8. Выражение общественного мнения по проблемам городской жизни г. Таганрога в 1968/69 гг. в письмах-мнениях в СМК в целом, в письмах-мнениях в городскую газету в целом, в неопубликованных письмах-мнениях и в опубликованных сообщениях внештатных авторов (в том числе и по двум группам рабочих и пенсионеров) |
|
<т> |
20 |
О) |
28 |
CN |
о |
09 |
40 |
57 |
|
СО |
ю |
г— |
со |
О |
ю |
- |
|
CM |
|
г- |
оо |
г— |
ю |
CN |
оо |
см |
со |
о |
|
со |
CD |
со |
CD |
Г— |
ю |
со |
со |
|
|
ю |
Г— |
О) |
ю |
О) |
ю |
CD |
|
со |
|
|
ю |
CN |
"=t
<м |
ю
со |
ю
CN |
t— |
оо |
О) |
|
со |
О) |
CN |
со |
со
CN |
CD |
CD |
- |
со |
|
СМ |
оо |
О |
оо |
CN |
оо |
CM |
|
со |
|
и |
CN |
CN |
оо |
О |
оо |
СО |
со |
О) |
|
5? |
о
о |
О
о |
о
о |
О
о |
о
о |
О
О |
о
о |
о
о |
б
< |
1198 |
702 |
о
оо |
со |
CD |
2202 |
CD t— |
243 |
|
Выраженное мнение населения |
В письмах в СМК в целом |
В письмах в городскую газету |
В неопубликованных письмах, в т. ч.: |
х
О
Cl
О
X
о
S
о
X
о
с
х
О
CL
е
X
го
X
го
s
л
о
S
с
X |
X
S
X
о
?О
го
а.
X
о
CL
е
X
го
X
го
s
л
о
S
с
X |
Во мнениях городской газеты, в т. ч.: |
в публикациях авторов-пенсионеров |
в публикациях авторов-рабочих |
|
(3,1 — 0,5 раза у рабочих и 1,8 — 0,4 раза у пенсионеров соответственно перепадам «актуальных» и «других» сфер на входе в редакцию и выходе в свет).
Скептики скажут, что, возможно, рабочие, выразившие на страницах газеты общественное мнение своей группы по актуальным проблемам, с абсолютной полнотой исчерпывают мнение рабочих, выраженное в письмах. Редакция делает из письма «выжимку» проблемы. Однако, сопоставив опубликованные материалы и неопубликованные письма по такому параметру, как наличие предложений по изменению положения дел, мы увидим, что 51 % писем против 15 % опубликованных материалов внештатных авторов содержит такие предложения. В материалах рабочих и пенсионеров удельный вес конструктивных предложений снижается соответственно до 14 и 19 %
.
Допустим, редакция учитывает экономические возможности местных властей в решении проблем, а потому и сдерживает поток предложений, отражающих опережающий рост потребностей. Это предположение ни в достопамятные, ни в нынешние времена критики не выдерживает. Только 1 % работников высшего звена органов власти г. Таганрога (опрошена вся генеральная совокупность в 244 человека) считал в 1969 г., что причиной несовпадения решений городских и районных органов управления с мнением населения может служить отсутствие материальных и финансовых возможностей для решения спорных проблем
.
Итак, редакция отбирает из писем те, что ориентированы содержанием на ее подход к делу, и строит свою модель потока общественного мнения. Что стоит за этой ориентацией, мы узнаем из корреляций потоков общественного мнения, замеренных в сорока исследованиях, в последней главе. Но дело не только в том, что редакция фильтрует информационные потоки по обстоятельствам социальной ситуации. Цифры свидетельствуют, что различные социально-профессиональные группы внештатных авторов (рабочие, пенсионеры, служащие и т. п.) в своей «писательской» деятельности ориентируются на позиции редакции и сами при аккумуляции мнений из своего окружения на полях своих общностей выполняют селективные функции. Вспомним о «качествах», делающих успешным вхождение автора во внештатную корреспондентскую сеть.
Здесь самое время вспомнить о «семиотических группах» Т. М. Дридзе, за которыми стоит факт существования минимум двух форм функционирования текста в социальной системе: сциентистски ориентированной на разрешение проблемной ситуации и образно-чувственной в виде знака отношения и узнавания. Однако, чтобы сделать главный вывод из ее открытия 1968 г., рассмотрим структуру производства текста в различных смысловых аспектах параллельно с процессом присвоения этих смысловых элементов.
Зависимости в производстве и присвоении текста
Процесс присвоения элементов содержания текста сообщений или сообщений в целом можно измерить по-разному. Проще всего распределить первичные данные по тем или иным параметрам.
|
Таблица 7.9. Удельный вес в % прочитанных (+), просмотренных (+-) и пропущенных (-) материалов в зависимости от темы материала (в % к числу контактов с материалами по проблемам городской жизни в «Таганрогской правде» за март 1968 г.; n = 2551) |
|
Распределение в % относительно числа контактов с сообщениями |
+ |
+- |
- |
|
В целом по всему массиву читателей «Таганрогской правды» |
30 |
19 |
51 |
|
По материалам о сфере производства |
18 |
20 |
62 |
|
По материалам об «актуальных» сферах образа жизни населения» |
51 |
22 |
27 |
|
Уже здесь видны объективные потребности читательской аудитории в целом как раз в строго дозируемой редакцией информации (рис. 7.5). В то же время информация о производственной сфере, подающаяся в расширенном объеме текста, имеет более узкую область приема у населения. В табл. 1.12 мы привели составы групп читателей по степени активности информационного приема с 1968 по 2004 г. Группы были получены, исходя из постоянства среднего числа прочитанных и просмотренных сообщений (материалов, публикаций, статей и т. п.) за рассматриваемый период. Особенных связей этих групп с социально-демографическими признаками не было обнаружено по естественной причине массовости характера информационного приема и, надо полагать, довольно высокой (в какой степени, еще предстоит выяснить в будущих исследованиях) подвижности групп активности на шкале времени. В целом, однако, группы с низкой степенью приема информации, будучи почти равны группам с высокой степенью приема, читают меньшее число сообщений. В «Таганрогской правде» 1968 г. и в «Тамбовской жизни» 2004 г. — примерно в 2 раза. В «Правде» 1977 г., в «АиФ» и «Правде» 1990/91 гг. это соотношение резко нарушается из-за превышения объемами информационных потоков резервов общественно необходимого для приема информации времени (табл. 4.14 и рис. 4.8). Кроме того, при объединении объема прочитанных и просмотренных материалов в одну группу выводы о дифференциации сообщений по интенсивности их приема или групп людей по активности присвоения текста фактически не меняются (табл. 7.9).
Таким образом, процесс присвоения характеристик текста имеет три эмпирических индикатора рассмотрения.
1. Колебания веса принятых сообщений в зависимости от характеристик информации и читателя в общем поле «человеко-сообщений».
2. Состав и поведение групп по степени активности приема в различных областях информационных потоков.
3. Изменения интенсивности присвоения характеристик информации в зависимости от статистического уровня рассмотрения частот ее элементов: материалы, элементы содержания, идеи, лингвистические структуры текста, отдельные люди, субъекты мнения, субъекты международного права — страны мира и т. д. и т. п.
Обо всем этом можно, повторяю, написать отдельную книгу. Здесь же мы разберем процессы производства и потребления информации в 1968 г., рассмотрев структуру авторов по созданным ими материалам. Последние возьмем с точки зрения:
1) различных сфер жизни;
2) направлений информационных потоков в контурах «власть — население — вышестоящие — нижестоящие органы власти»;
3) модальности конструктивных суждений-предложений (желательность и возможность, с одной стороны, и долженствование — с другой);
4) «статуса» «героя» информации (рядовой, руководитель низового звена управления, руководитель среднего и высшего звена управления).
Поставив характеристики авторов сообщений в подлежащее, а перечисленные — в сказуемое, мы получим объективную картину-карту структуры производства текста. Добавив в подлежащее веса прочитанных и непрочитанных сообщений по указанным в сказуемом уже упомянутым характеристикам и группы по степени активности приема информации, взятые только в частотах поля принятых характеристик, мы получим довольно полную картину и скорректируем ее на 2004 г. по сферам жизни принятой информации по сообщениям в целом.
Из приведенных в табл. 7.10 данных следует ряд очевидных выводов.
1. Журналисты с 95 %-ной вероятностью тяготеют к публикациям по сферам когнитивного интереса (светская хроника, рассказы о людях, природные условия и экзотика, искусство и литература, спорт и т. п.) и «другим» (проблемы воспитания молодежи, армия); несколько ниже рост публикаций журналистами материалов о деятельности городских органов власти (выше мы говорили, что это элитная тема, широкий заход в освещение которой доступен не каждому журналисту редакции).
2. Внештатные авторы — руководители районных и городских органов власти (довольно редкие «гости» на страницах газеты: 8 % — см. рис. 7.3), тяготеют в высокой степени к описанию своей собственной деятельности и в умеренной степени к «разговору» об актуальных проблемах жизни города. Вес их публикаций о промышленности на «среднем» уровне, а к освещению сфер когнитивного интереса они не предрасположены. Материалы по «другим» проблемам у этого типа авторов нерепрезентативны.
3. Внештатные авторы — руководители предприятий и учреждений и политикоадминистративный и хозяйственный актив — значительно увеличивают долю публикаций о работе промышленности и актуальных сферах жизни города.
4. Внештатные авторы — политические активисты в сфере идеологии и пропаганды — увеличивают вес публикаций о работе базовых сфер экономики.
5. Внештатные авторы — рядовые жители города, читатели газеты и т. п. — пишут на темы когнитивного интереса читателей. В гораздо меньшей степени им позволяют высказаться об актуальных проблемах жизни городской социальной сферы.
6. Журналисты и функционеры резко увеличивают (в 95 %-ном доверительном интервале отклонения) описание деятельности «героев» среднего и высшего звена управления предприятиями, учреждениями и органами власти, административно-хозяйственный актив в той же степени описывает жизнь
|
Таблица 7.10. Удельный вес материалов в зависимости от темы, направленности, модальности, статуса «героя» (IV) (в % к числу материалов; n = 1977 и контактов с материалами «Таганрогской правды» 1968 г.; n = 2551) |
&
Е |
СО |
оо |
CO
CM |
r— CM |
о |
CD |
о |
1 +++ |
1 +++ |
! |
¦ |
I |
"X
CO |
•x
CO |
•X
CO |
+ |
+ |
•X
со |
•X
co |
CO
CO |
oo
со |
+ |
+ |
+ |
|
см |
CD |
CD |
oo |
oo |
05 |
CO |
+ |
1 |
+
+ |
+
+ |
! |
CM
CM |
05 |
•X
CM |
! |
+
+ |
05 |
о
CM |
о
CM |
CD |
+ |
+ |
¦ |
|
т—1 |
CD
CD |
CD |
LO
CD |
CM t— |
LO
CD |
t— t— |
I |
+ |
+
+
+ |
+ |
+
+
+ |
*fr
'X |
r—
•X |
CM
•X |
+
+ |
! |
г-—
•X |
CD
'X |
r—
•X |
CD
•X |
+ |
+ |
+ |
|
Модальность | |
см |
оо
t— |
CM
oo |
05 t— |
oo
t— |
CO
oo |
•X
CD |
+ |
|
+ |
|
|
CM
oo |
CD
00 |
05 t— |
+
+ |
! |
CD
оо |
LO
oo |
t—
oo |
CD
oo |
+ |
+ |
|
|
т—1 |
CM
CM |
oo |
CM |
CM
CM |
Г— |
CD
CO |
¦ |
|
+ |
|
|
oo |
"X |
CM |
! |
+
+ |
|
LO |
CO |
•X |
+ |
+ |
|
|
Направленность | |
ГО |
oo
CM |
LO |
- |
CM
CO |
oo
LO |
oo |
I |
|
+ |
|
|
oo
CM |
oo
CM |
05
CM |
+ |
+ |
оо
см |
LO
CO |
CD
CM |
CO |
+ |
¦ |
|
|
см |
oo
CO |
CD
Ю |
Ю |
05 |
Г— |
о |
+
+ |
|
| |
|
|
о
CO |
CO |
о
CO |
+ |
+ |
со |
t— CM |
CM
CO |
CO |
+ |
+ |
|
|
т—1 |
•X
co |
05
CM |
oo
CO |
05 |
LO
CM |
05 |
¦ |
|
+
+
+ |
|
|
|
•X |
•X |
+ |
+ |
|
oo
CO |
CM
•X |
oo
CO |
+ |
+ |
|
л
s
& |
ю |
- |
CD |
r— |
oo |
CD |
05 |
+
+
+ |
|
' |
¦ |
+ |
CM |
- |
CM |
+ |
+ |
- |
о |
CM |
05 |
¦ |
+ |
¦ |
|
"X |
Ю
CO |
CM |
- |
05
CM |
CM
CO |
CO
'si- |
+
+
+ |
1 |
! |
+ |
+
+
+ |
CO |
CM
CO |
CO |
+ |
+ |
CM
со |
•X
co |
CM
CO |
CO
CO |
+ |
+ |
+ |
|
ГО |
CD |
- |
CM |
CM
CM |
CM |
о
CM |
1 |
+ |
+
+
+ |
¦ |
+ |
•X
CM |
oo
CM |
о
CM |
+
+
+ |
1 |
оо
CM |
t— CM |
t— CM |
•X
CO |
+ |
+ |
+ |
|
см |
CM
CM |
LO
CM |
LO |
CD |
05 |
CO |
+
+ |
+
+
+ |
! |
+ |
! |
oo |
Г— |
о
CM |
¦ |
+ |
t— |
t— |
oo |
CM |
+ |
+ |
¦ |
|
т—1 |
CD |
CD |
CD |
LO
CM |
CO |
о |
1 |
+ |
+
+
+ |
+
+
+ |
' |
LO |
CM |
Г— |
1 |
+
+
+ |
CM |
CM |
- |
CM |
+ |
+ |
+ |
|
Показатели |
s
о
r
a
ca |
H
о
s
r
CO
X
Cl
>»
36 |
CO
2
Cl
о
X
&
CO
r
CQ |
R
s
СГ
CO
CL
H
о
s
X
s
s
3 |
s
о
§
о
e?
s |
о
X
X
о
e?
R
a. |
H
о
s
R
CO
X
Cl
>»
36 |
CL
О
X
&
CO
R
CQ |
R
S
СГ
CO
CL
H
о
s
X
s
s
3 |
s
о
§
о
E?
s |
О
X
X
о
E?
R
CL |
s
о
R
a
ca |
о
X
p
s
X
о
Cl
e |
о
X
о
3
>»
с
о
Cl
с |
О
X
р
S
X
о
Cl
С |
О
X
О
3
>»
с
о
Cl
С |
s
о
R
a
DQ |
о
X
X
X
s
к
X
< |
о
X
X
X
о
Cl
о
м |
о
X
X
X
s
о
о
то
с |
о
X
X
X
S
к
X
< |
о
X
X
X
о
Cl
о
м |
о
X
X
X
S
о
о
го
с |
|
< |
ca |
о |
|
рядовых граждан и несколько меньше тяготеет к описанию жизни среднего звена управления, а к описанию жизни высших и средних управленцев «допускается» очень редко (перепад от среднего в 18 % до 10 % фиксируется как «---», т. е. значим с 95 %-ной вероятностью). Пропагандистско-идео
логический актив тяготеет к описанию жизни низового звена управления, а рядовые жители «тяготеют» к описанию собственного «житья-бытья».
Отклонения от среднего в доле публикаций говорят не столько о потребностях информационного производства определенных социальных свойств текста, сколько о реальной политике редакции. Они, как и структура субъектов мнения, разобранная выше, еще раз свидетельствуют об определенной «кастовости» процессов освещения различными слоями общества жизни друг друга. Рассмотрим увеличение веса публикаций тех или иных авторов с конструктивными предложениями по направленности и модальности этих предложений. Что мы видим?
1. Журналисты имеют тенденцию ретрансляции указаний от вышестоящих к нижестоящим организациям с модальностью «долженствования» в выполнении этих указаний.
2. Административно-хозяйственный актив в высокой степени ретранслирует указания от органов власти к населению и в значительно меньшей степени тяготеет к передаче информации обратной связи от населения к органам власти.
3. Поток направленной информации чрезвычайно малочислен. Из 1977 сообщений лишь 300 имеют показатели направленности. Это делает даже явные отклонения в доле публикаций нерепрезентативными (81 % предложений к органам власти у рядовых авторов против 28 % в среднем, 36 % у них же с модальностью «желательность, возможность» предложений против средней в 22 %)
.
При сопоставлении прочитанных и непрочитанных сообщений ярко выражен рост потребностей аудитории в приеме информации о функционировании актуальных для реинтеграции жизненных затрат сфер жизни: торговля, образование, медицинское обслуживание, здравоохранение, сфера отдыха, борьба с преступностью и алкоголизмом и т. п. (в табл. 7.10В). Здесь же повышается доля принятого текста о жизни рядового населения, сообщений с модальностью «как должно быть», материалов, где субъектом постановки важных городских проблем выступает рядовой житель города. Падает потребность в информации о промышленности, деятельности органов власти, жизни «героев» из нижнего звена управления. Это объективные — выраженные в действии, прочтении, затратах времени — потребности аудитории. Напомним, что они очень разнятся от того, что человек называет в качестве своего тематического интереса (табл. 1.12) и на что, как правило, ориентируются редакции СМИ. Отметим здесь несколько важных моментов.
1. Потребность подвижна, что мы увидим в дальнейшем из роста реального приема информации о промышленности из «АиФ» и «Правды» 1990/91 гг. и падения такового из «Тамбовской жизни», так как она в последней практически отсутствует; писать о разоренной сфере жизни нечего (эта информация о сфере производства в 2004 г. дает всего 3 % поля контактов, что равно доле публикаций в этом замере о промышленности).
2. Потребность максимально «резко», «контрастно» выражена в альтернативном действии «читал — не читал» и стушевана в групповом поведении даже в группах по активности чтения, выделенных на основе числа прочитанных сообщений (табл. 7.10С: знаковые отклонения в поле прочитанных сообщений между группами менее резкие).
3. Забегая вперед, отметим, что прием информации фиксировался как чтение отдельного сообщения. Тема его (одна из пяти) выделялась в целом. Так вот, по отклонениям в доле принятой информации группами по активности приема по сфере деятельности «героя» информации та же тема, но уже по действию личности, ее статусу, характеристикам «героя» и его поведенческой ситуации выглядит более поляризованно, чем в альтернативном действии «читал — не читал» в отношении сообщения. Это проявляется в трех замерах 1968/69, 1990/91 и 2004 гг. Сила отклонения доли принятого на характеристиках «героев», даже по тем же сферам жизни (темам), выглядит несравненно резче. Это значит, что информационная потребность действует на уровне поведенческо-личностном, выбирая с этого уровня текста элементы содержания и проявляясь в приеме всего «кванта» информации — сообщения, материала, публикации.
Теперь посмотрим, что стоит за реальным приемом отдельных элементов информации по частоте присвоения аудиторией этих элементов, а затем рассмотрим дифференциацию аудитории по оценкам реальности и согласию с освещением этих фрагментов реальности газетами (как в целом, так и по отдельным суждениям).
Процесс выражения общественного мнения на страницах газеты выглядит на поверку довольно хило. Обратной связи не то чтобы нет (она всегда живет в органической системе в той или иной, подчас причудливой, форме) — она недостаточна. Заинтересованная в расширении потока писем редакция часто публикует сообщения о мерах, принятых по письмам трудящихся. В итоге, с учетом реального приема сообщений, в сознание среднего читателя 360 раз в году (почти ежедневно!) входит положительный образ эффективного письма жителя города в газету. Пишет газета и о собраниях на заводах и фабриках, избирателей перед выборами, письмах в органы власти, работе власти. В результате в сознание среднего читателя 130 раз в году входит положительный образ письма в органы власти, по которому приняты меры, 80 раз — результативный образ собрания в трудовом коллективе, 4 раза — положительный образ депутата Совета, который помог избирателю по его просьбе и 4 раза — положительный образ работника городских и руководящих органов, который рассмотрел просьбы и предложения людей и помог.
Действительности же эта картина не соответствует. За три месяца «генерального поля» проекта «Общественное мнение» было зафиксировано 700 писем-мнений в городскую газету, 650 выступлений на собраниях 12 предприятий Таганрога, 500 писем-мнений в местные органы власти. В эти же сроки к депутатам обратилось 800 жителей, проведших с ними 1650 бесед, а в органы местного управления обратилось более 1000 человек, которые провели более 4000 бесед. Эффективность этих обращений, выступлений, писем была объективно замерена по результатам. Ее детальное рассмотрение — вопрос особый, но уже предварительный анализ проясняет, что газета не отражает информационного взаимодействия населения и органов власти
. Благими намерениями вымощена дорога в ад. Может, кстати, оказаться, что оценки населением каналов информационного взаимодействия с властью совпадут с частотами освещения их в газете, но это будет результатом совершенно других событий, а не четырехкратного положительного освещения за год роли депутата или чиновника в диалоге с населением.
В общем, мы выяснили, что на протяжении тридцати с лишним лет 40 % населения читает ежедневно номер газеты. Среднее число читаемых материалов составляет 23 на человека. Дифференциация на читающих мало, средне, много устойчива, хотя очевидно, что группы в определенном цикле меняются людьми. Связь между группами по степени осознания информационных потребностей (табл. 1.12) и группами по активности чтения также устойчива, но надо помнить, что и потребности подвижны, и насыщение одних ведет к переходу на поведенческий уровень удовлетворения других. Отклонения в доле реально прочитанных сообщений проявляет информационные потребности наиболее четко по элементам содержания текста, обнаружение которых требует очень скрупулезной аналитической работы и не лежит на поверхности.
Ну, а какова степень согласия населения с газетой по различным внутренним проблемам жизни?
Мы видим в табл. 7.11 значения отклонений оценки различных сторон жизни от средней в каждой группе и одновременно программную математическую оценку силы отклонения этой средней в группе подлежащего от средней по массиву всех актов приема информации газеты. Тут, в поле информационного приема, сразу видна и его, этого приема, эффективность, и те превращенные формы сознания, которые заставляют общественное мнение отклоняться от средней позиции. Заметим, что были взяты для анализа разные сферы: сфера международной жизни, где требовалось оценить политику конфронтирующей в то время с нами Германии в отношении наших потенциальных союзников, и три сферы внутренней жизни, где требовалось оценить состояние дел с сельским хозяйством, поездки на Север на заработки, работу сферы обслуживания. Затем в таблице идут четыре колонки, где измеряется «плотность» согласия с позицией газет в отношении этих сфер. Следующие четыре колонки измеряют эту «плотность» согласия различных групп уже с отдельными суждениями газеты по четырем сферам. Последняя колонка измеряет «плотность» согласия с оценкой в отдельных суждениях городской газеты относительно сферы каждодневного быта — снабжения города овощной продукцией. Это типичная «социологическая провокация» из серии «любовь приходит и уходит, а кушать хочется всегда!»: до ФРГ далеко, а вот картошку надо чистить и варить почти ежедневно. И тут согласия с позицией «товарищей журналистов» и в помине нет. Максимальное согласие, или позитивное отклонение, выражено оценкой «+2», максимальное несогласие, или негативное отклонение, выражено оценкой «—2». Темносерая заливка положительных отклонений оценок от средней в группе по данной колонке (80 % «+», 90 % «++», 95 % «+++») говорит о силе положительного вектора отклонения оценки или согласия мнения этой группы от средней по замеру параметра в целом. Светло-серая заливка отрицательных отклонений оценок от средней в группе по данной колонке (80 % «—», 90 %
«—», 95 % «---») — о силе отрицательного вектора отклонения оценки или
согласия мнения этой группы от средней по замеру параметра в целом.
Тут-то в поле поведения все сразу и видно. В целом наиболее негативно общественное мнение воспринимает политику ФРГ в отношении третьих стран. При этом отрицательное отношение политических, административно-хозяйственных активистов зашкаливает до предельно низкого максимума «—2». Это ситуация «звонаря» который хочет казаться большим католиком, чем Папа. Не участвующие же в общественно-политической и идеологической работе менее категоричны в осуждении ФРГ. Здесь уместно вспомнить, во-первых, расхождение в оценках СМИ и населения по международным вопросам, которое мы показывали в разделе «Население и СМИ у карты мира», а во-вторых, примерить данную ситуацию на поведение нынешнего политико-идеологического актива различных партий. Смысловое «пальто» придется впору практически всем.
|
Таблица 7.11. Соотношение отклонений от средней оценки различных сторон жизни в поле информационного приема группами по количеству общественных поручений (2, 1, 0 поручений), читавшими и не читавшими материалы газеты в процессе замера и группами по активности чтения (в отклонениях оценки от средней; n = 4546 и в знаках отклонений среднего балла по каждому параметру в отдельности) |
|
13 1 |
о |
оо
ю |
CN |
ю |
оо
со |
со
¦о- |
со
о |
CD
Ю |
1 60‘~ |
! |
І + + + |
! |
+
+ |
! |
І + + + |
! |
+ + + |
|
12 |
со |
,42 |
,84 |
CD |
со
CD |
ю
CD |
,44 |
,74 |
,45 |
! |
і + + + |
1 |
+ |
' |
' |
і + + + |
1 |
|
11 |
,52 |
со
CD |
|
,54 |
,53 |
,49 |
CD
¦о- |
,59 |
,28 |
і + + + |
! |
+ |
і + + + |
! |
+ |
і + + + |
! |
|
10 |
t— |
О
CD |
,04 |
,22 |
оо |
ю |
,24 |
ю |
CD |
і + + + |
1 |
+
+ |
+ |
! |
і + + + |
+ |
+ |
|
<т> |
•=t t— |
,72 |
CD |
,82 |
CN |
,75 |
,73 |
,72 |
,79 |
+ |
! |
і + + + |
+ |
+ |
і + + + |
+ |
+ |
|
СО |
,11 |
,43 |
СО |
о |
CN |
,09 |
о |
со |
CN |
і + + + |
+ |
1 |
+
+ |
1 |
+ |
+ |
! |
|
|
,49 |
,82 |
,43 |
,48 |
Ю |
CD
¦о- |
,62 |
CD
Ю |
Ю |
I + + + І |
! |
+ |
I + + + І |
1 |
I + + + І |
I + + + І |
1 |
|
со |
CD
О |
,27 |
о
о |
,09 |
ю
о |
,07 |
05 |
,02 |
,11 |
і + + + |
1 |
+ |
+ |
' |
і + + + |
1 |
+ |
|
ю |
Ю
CD |
,62 |
|
,58 |
CD |
CD
CD |
,42 |
г— |
О
CD |
+ |
і + + + |
1 |
+ |
' |
1 |
і + + + |
! |
|
|
Ю
СП |
оо |
оо_ |
CD
О |
•=t
сл |
Г—
05 |
о
с© |
оо
05 |
00
05 |
і + + + |
і + + + |
1 |
+
+ |
1 |
і + + + |
' |
1 |
|
со |
СО |
05
оо |
•=t
ю |
О) |
|
Ю
¦о- |
CD |
05
СО |
СО
ю |
1 |
1 |
і + + + |
+
+ |
! |
+ |
+ |
1 |
|
см |
О |
оо
о |
CN
О |
о |
о |
,02 |
Г—
о |
О |
,02 |
+ |
+ |
+ |
+ |
+ |
+
+ |
+ |
+ |
|
т—1 |
-1,74 |
о
о
см |
-1,78 |
CD |
-1,79 |
CD
CD |
-1,77 |
-1,87 |
CN |
1 |
' |
і + + + |
+ |
+ |
+
+ |
1 |
+ + + |
|
1 Показатели | |
В целом |
1 2 поручения | |
1 поручение |
1 0 поручений 1 |
1 Читали 1 |
1 Не читали | |
1 Активные 1 |
1 Средние | |
1 Пассивные | |
2 поручения |
1 поручение |
0 поручений |
Читал |
Не читал |
Активные |
Средние |
Пассивные |
|
По внутренним сферам та же стратификационная дифференциация, которая отражается и в поведенческих группах процесса приема информации. Политикоидеологический актив негативно относится к стремлению людей заработать деньги трудом, а рядовое население вообще-то ничего плохого в этом не видит. С работой сферы обслуживания политактив (это не органы власти, а лишь растущие в партийной работе кадры) считает дела обстоящими лучше, чем это кажется рядовым гражданам. Опять же это естественные оценки, так как сфера торговли и обслуживания действовала в ареалах деятельности властных органов всегда эффективнее. По отношению к сельскому хозяйству картина отклонений от средней оценки возле «0» практически однородна для всех групп. Надо сказать, что по внутренним проблемам оценка сферы обслуживания идет по негативизму на втором месте после оценки политики «враждебной силы», то бишь недружественной Германии. Замечательно, что в Питере 1999 г. оценка избирателями (выборка 1600 человек) выполнения властных функций в интересах общества Б. Н. Ельциным и А. Б. Чубайсом была на уровне оценки работы сферы обслуживания в Таганроге 1968 г. Надо полагать, что «воз и ныне там».
Что касается степени согласия с политикой газет в целом и отдельными суждениями журналистов относительно разобранных параметров, то в целом согласие довольно высокое в положительном плане, исключая нейтральную позицию общественного мнения в оценке ориентации газет по вопросам сельского хозяйства и снабжения овощами. Но вот отклонения от оценок по стратификационным группам и группам по активности чтения говорят, во-первых, о достаточно высокой сегментации процесса активного чтения газеты в группах верхней стратификации, во-вторых, о том, что степень согласия с позицией газеты и отдельными суждениями ее меньше в слое, где акт поведения-чтения характеризуется пропуском сообщения. Из 4546 контактов с материалами 2643 (58 %) завершились прочтением или просмотром, т. е. присвоением содержания, а 1903 (42 %) — пропуском сообщения. При этом отклонения в оценках у группы с низкой активностью приема сообщений коррелируют с отклонениями в поведенческом слое, отвергающем часть сообщений (нужно помнить, что часть сообщений этим слоем людей читается). Это значит, с одной стороны, что переход из группы пассивных читателей в активные и наоборот имеет скорее всего длительный цикл, а с другой — что есть корреляция поведенческого и группового отчуждения от навязываемой или циркулирующей в массмедийном поле символики социального по внутренним вопросам жизни.
Пора взглянуть на динамику информационного приема. Конечно, можно сказать: «Ну, что там Таганрог 1968 г.? Сейчас все иначе!» — и запретить исследования этого «иначе». Но «нынче так же, как было вчера». Только перебои со снабжением овощами и подрывом, таким образом, сельхозпроизводителя сменились невыплатой зарплаты и подрывом производства правительственным «бензобизнесом» и купцами из «ближнего зарубежья» (слово-то какое выдумали — в простоте и не догадаешься, что для кого-то зарубежье, а для кого-то колония или метрополия!).
Сопоставим реальный прием информации различных тем в газетах «Правда» и «АиФ» в 1990/91 г. в целом и в «Тамбовской жизни» в 2004 г. и в тех же газетах 1990/91 гг., взятых раздельно, а затем по знаку освещения той или иной темы в табл. 7.12.
|
Таблица 7.12. Удельный вес контактов с сообщениями на определенные темы в газетах «Правда», «АиФ» и «Тамбовская жизнь» за разные годы и отклонения в весе прочитанных и пропущенных сообщений в этих газетах в зависимости от темы, газеты и знака освещения темы в той или иной газете и сферы деятельности «героя» только в газете «Тамбовская жизнь» (в % к числу контактов с материалами по проблемам внутренней (страна или город соответственно) жизни, а также в % ко всему полю контактов с упомянутыми «героями» (rnij) и к полю контактов с именами присвоенных героев (m2); n1990/91 = 4 1 4 67, n2004 = 2739, mt = 13 864, m2 = 8820)) |
|
Темы материалов в целом | |
</> |
1 2 - Читают «Тамбовскую жизнь» 2004 г. | |
о
о |
оо
CD |
см
со |
1 4 - «АиФ» 1990/91 гг. в целом | |
о
о |
ю
со |
ю
CD |
1 6 - «Правда» 1990/91 гг. - знак «-» | |
о
о |
см |
оо
оо |
X
го
X
1
ОЗ
о
ОЗ
03
4
X
<
1
оо |
о
о |
со |
CD
CD |
1 10 - «Тамбовская жизнь» прочитано | |
о
о |
см
см |
CD |
h- |
|
ю |
см |
+
+
+ |
1 |
t— |
! |
+
+ |
ОЗ |
1 |
+
+
+ |
оо |
1 |
+
+
+ |
ю |
' |
+
+
+ |
1
1 |
|
|
см
со |
1 |
+
+
+ |
см |
1 |
+
+
+ |
со |
+ |
' |
см |
! |
+
+ |
оо
ю |
1 |
+ |
+
+
+ |
|
со |
со
со |
+
+
+ |
1 |
о
ю |
' |
+ |
t—
со |
1 |
+
+
+ |
CD |
+ |
+ |
аз |
+
+
+ |
1 |
+ |
|
см |
о
со |
+
+
+ |
1 |
со |
+
+
+ |
1 |
о |
+ |
' |
со
со |
+ |
' |
ю |
+
+ |
+ |
1
1
1 |
|
т—1 |
со |
! |
+
+
+ |
о |
+
+ |
! |
- |
+
+
+ |
! |
- |
+ |
' |
со |
+ |
+
+
+ |
|
|
</> |
03
о
оз
03
4
X
<
X
CQ
03
О.
CZ
2
го
X
ZT
1 |
о
о |
ю
см |
ю
1— |
2
О
с;
CD
ГГ
CQ
03
О
03
03
го
CQ
го
о.
CZ
1
со |
о
о |
t— |
со
оо |
+
X
го
X
1
ОЗ
о
ОЗ
ОЗ
го
CQ
го
о.
CZ
1
ю |
о
о |
см
см |
оо
1— |
+
X
го
X
1
ОЗ
о
ОЗ
03
4
X
<
1
t— |
о
о |
ю
со |
ю
CD |
X
X
го
X
о
X
аз
о
са
X
X
X
?
ск
го
X
о
са
0
?О
2
го
1
ОЗ |
о
о |
CD |
оо
ю |
со
CN |
|
ю |
CD |
' |
+ |
CD |
! |
+
+
+ |
CD |
+
+
+ |
! |
ОЗ |
+ |
+ |
|
+ |
+
+ |
1
1 |
|
|
|
! |
+
+ |
ю |
+ |
' |
|
! |
+
+
+ |
см |
+ |
+ |
t—
ю |
! |
! |
+
+
+ |
|
со |
о |
+ |
+ |
см
со |
1 |
+
+
+ |
со |
1 |
+
+
+ |
см
ю |
' |
+ |
о
см |
+
+
+ |
+ |
1
1
1 |
|
см |
ю
со |
+ |
' |
оо
со |
+
+
+ |
1 |
со |
+
+
+ |
1 |
оо
см |
+
+ |
! |
со |
+
+
+ |
+
+ |
1
1
1 |
|
т—і |
ю |
+ |
+ |
ОЗ |
+
+
+ |
1 |
ю
см |
1 |
+
+
+ |
ОЗ |
+ |
+ |
CD |
1 |
+ |
+
+ |
|
Реальный прием сообщений |
Ё
о
го
о
S
X
о
X
X
го
CL
о |
X
о
Ё
р
X
о
X
2
о
с:
о
=г
оа |
О
X
X
X
р
S
X
о
Cl
С |
о
X
X
X
о
і;
с
о
Cl
С |
Ё
о
го
о
S
X
о
X
X
го
CL
о |
X
о
Ё
р
X
о
X
2
о
с:
о
=г
со |
о
X
X
X
р
S
X
о
Cl
с |
о
X
X
X
о
і;
с
о
Cl
с |
Ё
о
го
о
S
X
ш
X
X
го
CL
о |
X
о
Ё
р
X
о
X
2
о
с:
о
СГ
CQ |
о
X
X
X
р
S
X
о
Cl
с |
о
X
X
X
о
і;
с
о
Cl
с |
Ё
о
го
о
S
X
ш
X
X
го
CL
о |
X
о
Ё
р
X
о
X
2
о
с:
о
СГ
CQ |
о
X
X
X
р
S
X
о
Cl
с |
о
X
X
X
о
і;
с
о
Cl
с |
2
к
о
Cl
о
о
с
2
ш
S
Cl
с |
2
о
с:
о
СГ
0э |
о
X
X
S
Ё
го
1
2
р
S
3" |
о
X
X
о
CL
о
2
>1
1
2
р
S
3" |
о
с:
го
2
1
2
р
S
3" |
|
Что касается потребностей населения в информации по основным темам, то в целом в 1990/91 гг. из «Правды» и «АиФ» наиболее активно принималась информация об органах власти. Спустя 14 лет в «Тамбовской жизни» к приему этой информации прибавляется интенсивный прием об актуальных проблемах и проблемах молодежи и армии. В последних четырех строках таблицы иллюстрируется более резкая дифференциация приема информации из «Тамбовской жизни» на личностном («герои») уровне в различных по активности группах приема (см. выше)*.
Если взять процессы приема по «Правде» и «АиФ» 1990/91 гг. раздельно и без учета знака освещения сферы жизни, то картины окажутся почти идентичными, если не считать более высокого приема из «Правды» познавательных материалов, информации когнитивного интереса, прием которой в «АиФ» резко снижается, возможно, по причине уменьшения ее веса в предлагаемом потоке вдвое в сравнении с «Правдой». По объему принятой информации, исходя из того, что «АиФ» выходит раз в неделю, а «Правда» ежедневно, относительная величина чтения «Правды» выше, но за счет тиража «АиФ» выходит вперед. Однако люди, читающие обе эти газеты, составляют ядро аудитории 1990/91 гг. При этом рассмотрение приема информации различных сфер жизни по знаку в этих двух каналах не дает большой дифференциации газет. В реальном чтении и «Правды», и «АиФ» сообщений с положительным знаком доминирует присвоение информации о деятельности власти; в «Правде» добавляется интенсивный прием «других» сфер. В обеих газетах падает прием информации с положительным знаком об «актуальных» сферах, объемы которой значительны и там, и там. Сходная картина и приема информации с отрицательным знаком из обеих газет: в обоих каналах растет поток принятой информации о состоянии промышленности и деятельности власти. Разница по сферам когнитивного интереса с отрицательным знаком очевидна, но объем освещения этих сфер в 3 и 2 % не вносит в общую картину существенных корректив. Можно, конечно, сказать: «что русскому хорошо, то немцу — смерть». «Правда» пишет хорошо о М. Горбачеве и плохо о Б. Ельцине, а «АиФ» наоборот. Но данные реального присвоения информации говорят, что аудитория как раз принимает и то, и другое в равной степени (здесь выясняется, что в обоих случаях «немцу хорошо»). Потребность в объективной картине безразлична к каналу и его позиции — она реализуется на конкретном тексте, а кто и с какой политической окраской его дает и как этот текст будет понят, — личное дело читателя. Утверждать, что мы знаем, какие потребительские свойства ин-
* Небезынтересны значения энтропии в 10 секторах (помечены цифрами возле подзаголовков того или иного поля) информационного приема: 1 — «“АиФ” и “Правда” 1990/91 гг. в целом» — 0,817, 2 — «“Тамбовская жизнь” 2004 г. в целом» — 0,807, 3 — «“Правда” 1990/91 гг. все сферы без учета знака» — 0,790 (резкое увеличение доли пропускающих материалы о деятельности власти и актуальных сферах, 4 — «“АиФ” 1990/91 гг. все сферы без учета знака» — 0,806, 5 — «“Правда” 1990/91 гг. — знак “+”» — 0,715 (резкое увеличение доли пропускающих материалы с теми же сферами), 6 — «“Правда” 1990/91 гг. — знак “—”» — 0,822 (относительно равномерное распределение), 7 — «“АиФ” 1990/91 гг. — знак “+”»— 0,819, 8 — «“АиФ” 1990/91 гг. — знак “—”» — 0,823, 9 — «“Тамбовская жизнь” 2004 г. — прием информации по “героям-личностям” группами активности — все поле контактов» — 0,791, 10 — «“Тамбовская жизнь” 2004 г. — прием информации по “героям-личностям” группами активности — только прочитанные сообщения» — 0,775. По приему группами информации о личностях распределения резче, и здесь выбор граничит с негативным пропуском положительного потока материалов «Правды» о власти и злободневных проблемах.
формационного товара и с какими восторгами воспринимает душа реципиента, сверхнаивно. Самое время рассмотреть группы по уровню семиотической подготовки читателя, группы по умению адекватно и неадекватно интерпретировать текст и понимать цель сообщения.
Семиотические группы (группы понимания текста)
Среди тех, кто в 1967—1973 гг. работал по проекту «Общественное мнение», лишь Т. М. Дридзе обратилась к проблеме адекватности интерпретации текстов медийного поля применительно к газетам
. На апробации ее кандидатской диссертации В. В. Сазонов заметил, что главный вопрос в том, как работают найденные по сути в «лабораторном эксперименте» семь семиотических групп и другие (группы по степени осознания штампов текста массмедиа, группы по «номиналиям» — знанию имен деятелей культуры) в реальных условиях, в обычном информационном поведении людей, каков широкий ряд их характеристик в реальности? Этот вопрос долго оставался без ответа. Кроме того, стоял и вопрос о статистической репрезентативности результатов, полученных на массиве в 300 респондентов и их подтверждении.
В последнем Всесоюзном исследовании «“Правда”-90/91» основные показатели исследования 1968 г. были использованы в повторном замере. Тест относительно косыгинской реформы, служивший одним из трех «пластов» наряду со знанием общего и специального словарей прессы, был запущен в «поле» только с изменением даты (1968 г. на 1990 г.)
. В анкете-интервью сохранялся специализированный словарь газетных текстов с заменой нескольких слов: введены «гласность», «прогресс», «демократия». Общий словарь газетной лексики был сохранен, но документ составлен так, что на него могли отвечать не только в процессе интервью, но и в ходе анкетирования. На 3000 человек (треть выборки), которым давался вкладыш с просьбой прочитать и проинтерпретировать суть предложенного текста-теста и кратко пересказать его основную идею, сложилось стихийное представительство ответов по искомым категориям. В итоге у 2000 человек уровень семиотической подготовки был измерен по параметрам методики 1968 г. 1500 человек русскоязычного населения (в основном по РСФСР) имели наиболее широкий набор зафиксированных признаков. В отличие от исследования 1968 г. теперь учитывались такие параметры, как реальное чтение накануне опроса газетного текста с его различными характеристиками, полученными методом анализа содержания, включенность в информационную макроструктуру общества, активность в различных областях жизни, уровень благосостояния, цветовые предпочтения (применялся словесный аналог цветового теста, который дал впоследствии хорошие результаты на валидность в небольшом контрольном исследовании). Измерялись и другие параметры людей, их поведения в отношении прочитанного текста, самого текста, включенности людей в различные сферы жизни общества как в целом, так и в зависимости от групповой принадлежности респондента. По части параметров исследование имело «блоки» со стихийным представительством ответов по вкладышам в анкету-интервью. Например, по реально прочитанным накануне газетам и их материалам, по отношению к межнациональным конфликтам, по спросу на товары длительного пользования, по предпочтениям медийных средств и оценкам благосостояния различных социальных групп в зависимости от формы вопроса, по ответам на тест с целью измерения степени «консерватизма — инновационности»
. После выбраковки части полевых документов объем снизился до 1407 человек
.
В исследовании Т. М. Дридзе 1968 г. приняли участие 300 человек, у нее была типологическая стратифицированная выборка по Таганрогу. Во Всесоюзном исследовании 1990/91 гг. по городам типа Таганрог с использованием тех же социальнодемографических признаков (пол, возраст, род занятий, образование), которые были положены в основу выборки 1968 г., исследованными оказались 453 человека.
У Т. М. Дридзе было семь семиотических групп, а у меня на пересечении знаний общего и специального словарей прессы и умений интерпретировать текст адекватно его цели, выделять логико-фактологическую цепочку, работающую на цель сообщения, выделилось более 20 групп, которые оказались легко сводимыми к аналогичным семи. Данные по этим семи группам в 1968 и 1990/91 гг. представлены в табл. 7.13 (массив Всесоюзного исследования не перевзвешен, данные не преобразованы, у 77 % респондентов родной язык — русский).
|
Таблица 7.13. Распределение обследованных в зависимости от уровня семиотической подготовки в проекте «Общественное мнение» (1968 г.) и во Всесоюзном исследовании «“Правда”-90/91» (n1960 = 300, n1991 = 1407) |
Семиотические
группы |
Уровень знания словарей и интерпретации текста |
% от числа |
|
1968 г. |
1991 г. |
|
1 группа |
Хорошо знают словари и адекватно интерпретируют текст |
12,0 |
9,0 |
|
2 группа |
Удовлетворительно знают словари и интерпретируют текст |
17,3 |
8,0 |
|
3 группа |
Не знают словарей и неадекватно интерпретируют текст |
19,0 |
13,1 |
|
4 группа |
Знают только словари и не интерпретируют текст |
32,0 |
39,7 |
|
5 группа |
Знают только общий словарь и не интерпретируют текст |
12,0 |
12,9 |
|
6 группа |
Знают только спецсловарь и не интерпретируют текст |
6,0 |
13,4 |
|
7 группа |
Знают спецсловарь и адекватно интерпретируют текст |
1,7 |
3,9 |
|
Самые талантливые в отношении восприятия сообщений люди не знают общего словаря, но адекватно интерпретируют текст — это седьмая семиотическая группа. В исследовании 1968 г. они составляли 1,7 % от объема выборки, а в 1991 г. — 3,9 %. Третья семиотическая группа в принципе широко известна — это Вероника Мав-рикиевна и Никитична. Так что Т. М. Дридзе здесь статистически открыла в 1968 г.
и то, что стало потом не только полюбившимся предметом эстрадного искусства, но и зафиксировалось реакциями людей в виде анекдотов в массовом сознании. В 1990/91 гг. использовался другой метод — смешанное анкетирование и интервьюирование, но, несмотря на это, и при разнице почти в 25 лет реакции респондентов на текстовую модель распределились практически тождественно (люди, адекватно интерпретирующие текст, составляют в 1968 г. 13,7 %, а в 1991 г. — 12,9 %). Результат повторился, а значит, феномен узнавания текста, его адекватной или неадекватной интерпретации, вычленения в первую очередь цели сообщения, его фона, отдельных эмоционально окрашенных слов существует. Следовательно, есть люди с разным умением интерпретировать тексты, и они статистически значимо фиксируют свойство человеческого сознания адекватно и неадекватно интерпретировать смысловую ткань текста.
Нам было важно узнать, как люди с разной степенью умения интерпретировать текст, выделять цель сообщения, с разными навыками и уровнями языковых знаний среагируют на сообщения с разной информативностью. Я предполагал, что группы с высокой степенью умения адекватно интерпретировать текст могут извлекать информацию из чтения любого осмысленного текста. Отсюда следует, что у групп с низким уровнем семиотической подготовки должно наблюдаться (если исходить из верности концепций типа «стимул — реакция») снижение приема информации с высокой информативностью («сухих» сообщений) и повышение приема сообщений с высокой словесной избыточностью. Гипотеза частично (не во всем, как увидим ниже) провалилась, однако выводы из опровергающих и подтверждающих ее фактов оказались важнее ее полного и прямого подтверждения.
Проверяется гипотеза двояко. Во-первых, семиотические группы должны быть связаны с приемом сообщений различной информативности вышеуказанным образом, во-вторых, у них должна быть сильная связь с группами по степени осознания своих информационных потребностей (табл. 1.12). В первом случае единицей измерения выступает не респондент и не сообщение (с характеристиками «контент-анализа»), а акт поведения читателя в отношении сообщения — поведенческое поле с исходами «читал — не читал». Оно составило: в 1968 г. 4546 актов поведения 107 читателей четырех номеров «Таганрогской правды» со 160 материалами; в 1991 г. — 65 155 актов поведения 871 читателя 10 номеров газеты «Правда», 10 номеров еженедельника «АиФ» и одного номера «КП», представленных 1072 материалами. Уровень семиотической подготовки был замерен в этом поле у 493 человек, уровень информативности текста относительно цели сообщения — в 838 материалах. Поле приема информации составило здесь более 30 600 контактов (человеко-сообщений) с одним из двух исходов: сообщение прочитано или пропущено.
Главное: в процессе реального приема сообщений текста газет отсутствует связь между уровнем семиотической подготовки читающих их респондентов и информативностью текста относительно цели сообщения (табл. 7.14). Коэффициенты связи Пирсона в этой таблице между семиотическими группами и уровнем информативности прочитанного и непрочитанного текста равны соответственно 0,082 и 0,041 (коэффициент Крамера-Чупрова и того ниже: 0,058 и 0,028)
. Относительно низка связь и между семиотическими группами и группами по степени осознания своих информационных потребностей (потребностей, заявленных вербально и в разной степени совпадающих с чтением интересующего в реальном поведении; см. табл. 1.12). В матрице «семь на четыре» коэффициент Пирсона равен 0,285, а Крамера-Чупрова — 0,165.
Между тем взаимная сопряженность групп по степени осознания своих информационных потребностей и по активности информационного приема за 25 лет не изменилась: в табл.1.13 коэффициент Пирсона составляет 0,685, 0,596, 0,739, 0,452, Крамера-Чупрова — 0,484, 0,421, 0,522, 0,320, коэффициент взаимной сопряженности — 0,565, 0,511, 0,594, 0,412 за 1968-1977-1991-2004 гг.* Высокой степени осознания своих объективных потребностей (выраженной в совпадении вербально заявленных интересов с реальными действиями приема социальной символики) соответствует высокоактивное поведение в сфере информационного приема. И наоборот. У групп с высокой степенью осознания не встречается низкой интенсивности приема информации. Распределение носит форму чечевицеобразной галактики. И здесь, уже на уровне актов поведения, деятельности в отношении отдельных предметных реальностей текста (так же, как и при рассмотренных ранее полях и векторах изменения скоростей перехода социальной активности в социально данных, конституированных и институциализированных предметно формах жизни) в социальных полях тяготения висит поведенческая галактика событий. И здесь поведение соответствует фигуре всей массы человеческого взаимодействия в кристаллической решетке предметно-институциональной структуры социальной системы.
|
Таблица 7.14. Соотношение степеней информативности текста** в зависимости от чтения и пропуска сообщений, как по каждой семиотической группе, так и в целом по массиву контактов с материалами газет в исследовании «Правда»-91» (в % к суммарному числу актов приема и пропуска сообщений в целом и по каждой семиотической группе; А = 30 600 человеко-сообщений, отражающих тексты 838 материалов, содержащих 150 010 слов) |
Семио
тические
группы |
Исход контакта с сообщением в % к числу актов приема и пропуска |
|
Сообщение прочитано |
Сообщение пропущено |
|
Информативность текста в % |
Информативность текста в % |
|
< 23 % |
23-73 % |
> 73 % |
Средняя |
< 23 % |
23-73 % |
> 73 % |
Средняя |
|
В целом |
6 |
74 |
20 |
42 |
7 |
76 |
17 |
40 |
|
1 группа |
8 |
76 |
16 |
39 |
8 |
76 |
16 |
39 |
|
2 группа |
6 |
75 |
19 |
42 |
6 |
77 |
17 |
41 |
|
3 группа |
4 |
66 |
30 |
49 |
5 |
77 |
18 |
42 |
|
4 группа |
7 |
74 |
19 |
42 |
7 |
76 |
17 |
40 |
|
5 группа |
7 |
75 |
18 |
41 |
6 |
76 |
18 |
42 |
|
6 группа |
4 |
74 |
22 |
44 |
6 |
76 |
18 |
41 |
|
7 группа |
6 |
72 |
21 |
42 |
5 |
75 |
20 |
43 |
|
* В сравнении с моей статьей (Социологические исследования, 2003. — № 5.) коэффициенты табл. 1.13 чуть отличаются из-за тщательной «чистки» первичных данных при добавлении информации за 2004 г. И все же при анализе взаимной сопряженности такого рода «слепков» реальности не следует «абсолютизировать» показатели на основе «хи-квадрата», так как выравненные по степени свободы матрицы содержат большое количество пустых областей, что приводит к росту коэффициентов на указанной основе. Другое дело, когда сопоставимые по степеням свободы матрицы по уровню образования и другим параметрам заполнены «до отказа».
** Степень информативности текста определяется как отношение числа слов логико-фактологической цепочки материала к общему числу слов материала и выражается в %. |
Но с чем же связана найденная структура — семиотические группы, выявленные через 25 лет и при исследовании совершенно иного массива людей? И ведь информативность текста не артефакт! На протяжении 35 лет в содержании десятков тысяч сообщений газет самой разной политической ориентации практически не меняется соотношение материалов-информаций и материалов-мнений, несущих читателю оценку. Напомним: 15 % сугубо информационных материалов без знака оценки против 85 % комментариев. Если же взять, как мы говорили при разборе структуры текстов «АиФ» и «Правды», за 100 % словесный объем их сообщений, то чисто информационные материалы дадут 6 % слов, а оценочные — 94 % (и это видно на сотнях тысяч слов за несколько десятков лет). Я не говорю об ангажированности журналистики. Важнее другое: как интерпретировать отсутствие в процессе информационного приема связи поведения семиотических групп и информативности текста (параметры которого играли главную роль в технике их выделения) и четкую связь в этом же процессе приема у групп разного умения понять текст с группами по роду занятий (коэффициенты Пирсона — 0,594, Крамера — 0,242), статусу (Пирсон — 0,460, Крамер — 0,188), образованию (Пирсон — 0,606, Крамер — 0,247) и эмоциональному состоянию тревоги в период социальной катастрофы (Пирсон — 0,428, Крамер — 0,214)? И это наряду с менее четкой связью этих же групп с группами по степени «консерватизма — инновационности» (Пирсон — 0,332, Крамер — 0,166), общественно-политической активности (Пирсон — 0,313, Крамер — 0,221) и слоями разных форм массового коммуникативного поведения: от групп включенности в информационную макроструктуру (Пирсон — 0,369, Крамер — 0,165) до групп по активности приема сообщений (Пирсон — 0,238, Крамер — 0,119)
.
Если взять, к примеру распределение в семиотических группах четырех групп по степени тревожности, выделенных в соответствии с методикой «теста Люшера», взаимная сопряженность признаков которого указана выше, то связи в табличной форме выразятся следующим образом (см. табл. 7.15).
Мы видим, что третья и шестая семиотические группы отличаются более высокой степенью тревожности, а седьмая раздваивается между нормой и беспокойством. Особенно беспокойны в 1990/91 гг. «Маврикиевны и Никитичны», и есть от чего. Но «олимпийски» спокойны в это же время первая, вторая и четвертая группы. Что касается четвертой, самой большой, то эта семиотическая группа ловко владеет словесной символикой, будучи не в состоянии интерпретировать текстовые смыслы. Если мы присвоим группам «степени беспокойства» номера от первого (норма) до четвертого (наивысшая степень тревожности), то средняя по распределению массива, взятого в контексте параметров «уровень семиотической подготовки» — «степень тревожности», будет второй. Что до степени тревожности населения страны, которую в деталях надо рассматривать особо, то в целом она находится при перевзвесе массива на генсовокупность по переписи с точностью до сотой доли среднего значения на уровне нашей подвыборки с семиотическими группами.
|
Таблица 7.15. Распределение поведенческих групп по степени тревожности* из вопроса о цветовых предпочтениях в поле актов принятия сообщений, как по каждой семиотической группе, так и в целом по массиву прочтения материалов газет «АиФ» и «Правда» в исследовании «“Правда”-91» (в % к суммарному числу актов приема сообщений в целом и по каждой семиотической группе; А = 6101 акт приема сообщений в границах пересечения признаков «семиотические группы» х «цветовые предпочтения») |
|
Семиотические |
Материалы прочитаны — 6101 акт принятия сообщений в целом = 100 % |
|
группы |
Степень тревожности людей, прочитавших сообщения |
|
|
Норма |
Низкая |
Средняя |
Высокая |
|
В целом |
36 |
26 |
22 |
16 |
|
1 группа |
36 |
29 |
26 |
9 |
|
2 группа |
42 |
41 |
12 |
5 |
|
3 группа |
8 |
6 |
24 |
62 |
|
4 группа |
36 |
30 |
20 |
14 |
|
5 группа |
48 |
7 |
36 |
9 |
|
6 группа |
25 |
19 |
26 |
30 |
|
7 группа |
49 |
5 |
11 |
35 |
|
Теперь взглянем на связь семиотических групп с группами по степени включенности в информационную структуру в целом (табл. 7.16). Эта включенность представлена в табл. 4.1 одной строкой «источники», а в табл. 3.10 разобрана по 27 источникам по отдельным локальностям
. Пометим направленность и силу отклонений от средней по массиву в каждой из групп включенности в информационную структуру соответствующим знаком.
|
Таблица 7.16. Состав массива в целом и групп по степени включенности в информационную структуру общества (максимальное число источников информации в 27 наименованиях по 5 локальностям: мир, страна, регион, микрорайон, производственный коллектив - равно 97, среднее 20) с точки зрения групп по степени семиотической подготовки (в % к числу обследованных; стихийное представительство: n = 2000 и в знаках отклонения веса группы сказуемого в группе подлежащего в соответствующем доверительном интервале) |
|
Степень включенности |
Семиотические группы |
|
1 группа |
2 группа |
3 группа |
4 группа |
5 группа |
6 группа |
7 группа |
|
В целом |
6 |
8 |
21 |
34 |
15 |
13 |
3 |
|
Низкая |
2 |
2 |
30 |
26 |
20 |
19 |
1 |
|
Средняя |
6 |
9 |
23 |
32 |
14 |
13 |
3 |
|
Высокая |
8 |
9 |
8 |
45 |
18 |
8 |
4 |
|
Низкая |
|
|
++ |
- |
+ |
++ |
|
|
Средняя |
+- |
+ |
++ |
-- |
- |
+- |
+- |
|
Высокая |
+ |
+- |
--- |
+++ |
+ |
-- |
+ |
|
Итак, наиболее высока степень включенности в информационную структуру общества в целом у четвертой, первой и седьмой групп. Пятая отличается «раздвоенностью» по степеням включенности в источники информации, а третья и шестая снижают степень включенности в рассматриваемую структуру в целом. Вторая занимает срединное положение.
Теперь можно рассмотреть структуру активности семиотических групп комплексно — в связи с различными сферами в целом, а затем и с разными группами. Это позволит создать своего рода «психологический» портрет потребности в информации у этих групп и слоев. Поставим семиотические группы в подлежащее таблицы 7.17. Возьмем в сказуемом различные сферы жизни уже не по распределениям частот, а по отклонениям от средних значений числа форм жизни в той или иной группе, скажем, числа источников информации в целом по массиву и в той или иной группе, числа прочитанных сообщений в поле принятого текста и т. п.
|
Таблица 7.17. Отклонения в активности семиотических групп по разным сферам жизни: информационного приема, приема сообщений в зависимости от уровня информативности из «Правды» и «АиФ», употребления алкогольных напитков в течение года, степени тревожности (по предпочитаемым цветам), числу форм досуга, уровню достатка, общественно-политической деятельности, числу источников информации о жизни мира, страны, региона, микрорайона, производственной агломерации; n = 1407) |
Признаки
Группы |
1 |
2 |
3 |
4 |
5 |
6 |
7 |
8 |
|
В целом |
14 |
52 % |
17 |
2 |
9 |
35 |
6 |
20 |
|
Группа 1 = 9 % |
+- |
--- |
+- |
--- |
++ |
|
++ |
++ |
|
Группа 2 = 8 % |
+- |
+ |
-- |
--- |
+ |
+- |
+- |
+- |
|
Группа 3 = 13 % |
-- |
|
+- |
|
— |
--- |
--- |
--- |
|
Группа 4 = 40 % |
+- |
-- |
+- |
— |
++ |
|
|
+++ |
|
Группа 5 = 13 % |
+- |
+ |
+++ |
--- |
+- |
+- |
--- |
-- |
|
Группа 6 = 13 % |
+ |
|
- |
+++ |
--- |
+- |
- |
--- |
|
Группа 7 = 4 % |
+- |
++ |
+- |
+ |
-- |
- |
-- |
+- |
|
Семиотические группы:
Группа 1 - хорошо знают общий и специальный словари и адекватно интерпретируют текст;
Группа 2 - удовлетворительно знают словари и удовлетворительно интерпретируют текст;
Группа 3 - не знают словарей и неадекватно интерпретируют текст;
Группа 4 - знают только словари, но не интерпретируют текст;
Группа 5 - знают только общий словарь и не интерпретируют текст;
Группа 6 - знают только специальный словарь и не интерпретируют текст;
Группа 7 - знают только специальный словарь и адекватно интерпретируют текст.
Признаки:
1 - активность чтения отдельных сообщений из «АиФ» и «Правды»;
2 -информативность текста прочитанных сообщений (отклонение от средней);
3 - число дней употребления алкоголя в год (отклонение от средней исходя из недельного приема),
4 - тревожность (средней по массиву является 2-я группа - низкая тревожность);
5 - число используемых форм досуга (отклонение от средней);
6 - достаток (отклонение от средней исходя из числа вещей длительного пользования);
7 - общественная активность (отклонение от средней по числу форм);
8 - источники информации по пяти локальностям (max = 97; отклонение от среднего числа).
Конечно, картина отклонения в средних по числу источников и степени тревожности в целом не противоречит выводам из распределений частот этих показателей в семиотических группах. Отдельные детали как раз статистически уточняются и, кроме этого, позволяют увидеть картину в целом. Так, например, одинаковые в распределении табл. 7.16 первая и седьмая группы попадают в разные области по среднему числу используемых источников именно из-за разного объема и в целом, и по непредставительной доле в группе низкой степени включенности в информационную структуру, и из-за разных показателей разброса от средней. Вообще же, однако, «портрет» информационного приема через «сито»-структуру понимания смыслов текста весьма оригинален.
Прежде всего обнаруживаются два крупномасштабных пласта дифференциации семиотических групп. К первому пласту принадлежат абсолютно разнородные по умению интерпретировать смыслы сообщений первая и четвертая группы. По сути, если первая группа — это люди, для которых текст — смысловое решение определенной социальной ситуации, то четвертая представляет граждан, хорошо владеющих общей и специальной лексикой, абсолютно не улавливая смысла организации слов в логическую цепочку. При этом последняя группа в несколько раз (4—5) больше первой, которая всегда официально провозглашается объективно необходимой обществу. По осторожным оценкам, эти две группы составляют от 40 до 50 % населения страны. Они характеризуются полным отличием от других групп высокими уровнями достатка, активности в досуге и общественно-политической деятельности, высокой включенностью в различные информационные источники как массовой, так и межличностной, неформальной и зарубежной коммуникации, низкой степенью психологического беспокойства (высокой комфортностью), средним числом дней выпивки — количеством потребляемого алкоголя, а также числом прочитанных сообщений газет (на уровне «как все»). Если брать уровень информативности всех сообщений, с которыми они накануне контактировали (суммарно прочитанные и пропущенные материалы), то в поле их контактов растет доля низкоинформативных сообщений.
Ко второму пласту относятся третья, пятая, шестая и седьмая группы, которые при всем их различии в деталях объединены повышенной степенью тревожности, выражающейся у третьей, шестой и седьмой групп в цветовых предпочтениях, а у пятой — в уходе в иллюзорный мир с помощью алкоголя. Пятая группа, знающая только общую лексику и не додумывающаяся до смыслов речи, пьет больше среднего со значимостью отклонения выше средней доли годовых дней пьянства с 95 %-ной вероятностью. Эти «группы-бедолаги», по осторожным оценкам, составляли в 1990/91 гг. более 40 % взрослого населения страны. Ни одна из этих групп не дает выше среднего включенность в различные формы жизни, где первая и четвертая занимают благополучное положение. Из 16 «испытательных клеток» активности только в 4 (25 %) эти группы находятся на среднем уровне активности и достатка, а в 75 % — на уровне ниже среднего. Однако их коммуникативное поведение различно. Группа третья («не знают словарей и не выделяют смысла текста»), отличаясь высокой степенью тревожности и умеренным употреблением алкоголя, резко снижает число читаемых сообщений (вот в каком качестве и где подтвердилась гипотеза о снижении информационного приема), тяготея из прочитанного к публикациям с повышенной информативностью. Забегая вперед, отмечу, что на пересечении признаков «семиотический уровень» и «статус», взятых в поле прочитанных сообщений, эта группа падает с 13 до 1 % представительства. И весь этот 1 % стопроцентно состоит из рядовых журналистов местных областных газет. Шестая же группа, знающая только специальную лексику и не умеющая выделять смыслы текста, тревожась, чуть идет в рост в приеме информации, тяготея в этом приеме к информативным сообщениям (здесь растут доли актов приема у бригадиров, младших руководителей и высшего звена местного управления). Склонная к алкоголизму пятая, знающая только общую лексику, «ничем не тревожится», читает «как все», несколько повышая информативность прочитанного (возможно потребление темы «спорт», что требует проверки). «Природно умная» седьмая группа, не особо тревожась, тяготеет к среднему уровню по активности чтения высокоинформационных сообщений, которые она объективно способна понять. В целом мы видим ярко проявляющиеся компенсаторные психологические механизмы обращения к информационным потокам в обществе с целью снятия тревоги в ситуации социального коллапса. Это попытка «схватиться за соломинку» в безысходной ситуации. Группам же первого пласта «снимать» нечего, так как они вполне социально благополучны и в приеме алкоголя или информационных потоков для успокоения не нуждаются. Особую нишу занимает вторая группа, умеющая удовлетворительно извлекать из текста его логические смыслы и одновременно активная лишь в сфере досуга. Она являет собой как бы промежуточную, переходную, реагентную область. Опять же и это предположение нуждается в эмпирической проверке.
Прежде чем перейти к последней описательной ступени в раскладке семиотических групп и написания их «портрета», пара замечаний. Конечно, группы связаны с признаком «образование»: первая, вторая и четвертая увеличивают вес лиц с высшим образованием. У четвертой — «знают словари, но смыслы “выделяют трудно”» — увеличивается вес лиц со степенью кандидата наук. Третья и пятая тяготеют к малообразованным слоям, а седьмая по отклонениям признака «образование» нерепрезентативна. Работники сельского хозяйства, служащие аппарата предприятий и учреждений, непроизводственная интеллигенция и (особенно резко) пенсионеры увеличивают свой вес в первой группе. В такой же степени (пенсионеры увеличивают умеренно, а сельскохозяйственные рабочие, наоборот, уменьшают вес) эти социальные группы соотносятся и с четвертой семиотической группой. Рабочие промышленности резко увеличивают долю в третьей и пятой, работники торговли — в третьей, студенты и чиновники растут в седьмой, а инженерно-технические работники в шестой, уменьшая рост в третьей группе. Но самое интересное оказалось в связях по статусу. В результате завышения страт выборки были получены представительные группы работников местных органов власти и журналистов местных газет. Мы воспользовались этим.
Хотя в целом по массиву (9672 респондента) группы по «статусу» оказались репрезентативны, на пересечении признаков «уровень семиотической подготовки» и «должность — статус» объем резко снизился до 353 человек. Конечно, рассчитывая знак отклонения «статусных» (по должности) групп, исходя из 1000, мы берем на душу грех экстраполяции 353 респондентов, оказавшихся на пересечении признаков «семиотические группы» (см. табл. 7.18) «занимаемая должность и слой», куда были отнесены работники местных газет и нарождающиеся в то время коммерсанты, а в целом с управленцами предприятий и регионов восемь групп. Однако выводы по экстраполированным отклонениям (семь групп семиотических на восемь градаций «статусных» по 353 человекам), рассчитанные на 1000, мы дважды подкрепим более объемной статистикой (см. табл. 7.18). Во-первых, рассмотрим пересечение семи групп семиотических на пять градаций общественной работы. Здесь у нас полноценный массив в 1407 человек. Около 80 % руководителей
|
Таблица 7.18. Удельный вес групп по «управленческому статусу» в подвыборке обследованных с точки зрения уровня семиотической подготовки (n = 353 на пересечении признаков), а также в общем поле прочитанных накануне из газет «АиФ» и «Правда» материалов этой подвыборкой (n = 1268 из 4858 контактов) (в % к величине массива в целом и к величине семиотических групп (353), затем в % к величине принятых людьми сообщений (1268) и к доле этих сообщений в рамках каждой из групп, а также в знаках отклонений от удельного веса в целом; и в том и в другом случае в расчете на 1000)) |
|
Журналисты |
о |
|
|
со |
О) |
|
со |
О) |
|
+ |
+ |
+ |
+ |
+ |
|
В % и знаках отклонения только в структуре принятых сообщений |
11 |
|
|
|
Коммерсанты |
см |
со |
|
|
CM |
|
|
|
|
|
|
+ |
|
|
|
со |
22 |
|
|
Местные органы власти |
онэае ээгпоіяд |
см |
|
|
|
со |
см |
ю |
|
|
|
|
+ |
|
+ |
|
со |
|
|
Заведующий
отделом |
CD |
|
о |
О) |
ю |
О) |
ю |
О) |
|
+ |
+ |
' |
+ |
+ |
|
|
|
|
|
Рядовые |
О |
ю |
|
|
11 |
г— |
ю |
О) |
+ |
+ |
|
+ |
' |
! |
|
О) |
30 |
68 |
|
Трудовые коллективы |
Директор |
25 |
25 |
|
47 |
см |
26 |
26 |
32 |
+ |
! |
+ + + |
! |
+ |
+ |
|
оо |
см |
|
|
Начальник цеха |
39 |
54 |
26 |
23 |
43 |
40 |
40 |
оо |
+
+ |
! |
1 |
+
+ |
+ |
+ |
|
43 |
О) |
|
|
О) |
оо |
32 |
|
Бригадир |
CD |
со |
оо |
|
ю |
см |
CD |
23 |
|
+ + + |
|
' |
|
+ |
|
|
Обследованные |
В целом |
Группа 1 = 9 % |
Группа 2 = 8 % |
Группа 3 = 9 % |
Группа 4 = 46 % |
Группа 5 = 12 % |
Группа 6 = 13 % |
Группа 7 = 3 % |
Группа 1 = 9 % |
Группа 2 = 8 % |
Группа 3 = 9 % |
Группа 4 = 46 % |
Группа 5 = 12 % |
Группа 6 = 13 % |
Группа 7 = 3 % |
Читанный текст |
В целом |
Группа 1 = 11 % |
Группа 2 = 7 % |
|
Продолжение ^
|
Таблица 7.18 (продолжение) |
|
Журналисты |
о
о |
t— |
|
CD |
|
|
|
|
+++ |
|
¦ |
|
|
Коммерсанты |
|
- |
|
|
|
+++ |
|
|
I |
|
|
|
|
Местные органы власти |
онэае ээгпоіяд |
|
со |
|
СМ |
|
|
|
|
+ |
|
+++ |
|
Заведующий
отделом |
|
CD |
CD |
|
оо |
|
|
|
+++ |
+ |
|
|
|
Рядовые |
|
- |
|
|
|
+++ |
+ + + |
|
1 |
|
|
|
|
Трудовые коллективы |
Директор |
|
СМ |
О) |
оо |
33 |
+ |
|
|
+
+ |
! |
+ |
|
|
Начальник цеха |
|
ю |
85 |
27 |
56 |
1 |
|
|
+++ |
+ + + |
1 |
|
|
|
|
|
37 |
со |
+ |
+ + + |
|
|
|
+++ |
|
|
Бригадир |
|
Обследованные |
Группа 3 = 1 % |
Группа 4 = 54 % |
Группа 5 = 9 % |
Группа 6 = 15 % |
Группа 7 = 3 % |
Группа 1 = 11 % |
Группа 2 = 7 % |
Группа 3 = 1 % |
Группа 4 = 54 % |
Группа 5 = 9 % |
Группа 6 = 15 % |
Группа 7 = 3 % |
|
всех рангов выступали политактивистами (были заняты выборной общественной и депутатской работой, пропагандой). Во-вторых, подкрепим структуру массива в 353 человека знаками отклонения у этих же людей в поведенческом поле приема сообщений, т. е. применяя метод «параллельных тестов». Любопытно отметить, что в поле приема, взятом по статусу, резко уменьшает вес третья группа, а увеличивают — первая и четвертая. Увеличивают вес в поле приема в группах с адекватным и удовлетворительным пониманием смыслов сообщений (первая и вторая; седьмая здесь нерепрезентативна) руководители низового звена предприятий (бригадиры, мастера, звеньевые), т. е. люди, технологически отвечающие за производство, рядовые работники местных органов власти («клерки», готовящие бумаги «начальству») и коммерсанты, которые даже в экстраполированной матрице по людям здесь непредставительны. Все руководство среднего и высшего звена предприятий и учреждений (в том числе и органов местной власти) в поле информационного приема увеличивает в 90—95 %-ном доверительном интервале вес в группах неадекватной интерпретации текста, т. е. информация принимается здесь сквозь фильтр, который знает словари и клише массовой коммуникации, но не способен выделить логическую цепочку слов сообщения. Это очень похоже на реальность. Частота событий, требующая осмысленного действия, быстро проверяемого практикой, заставляет группы нижних страт управления, коммерсантов, отвечающих деньгами, вырабатывать умение видеть смысл. Не то со средним и высшим звеном управления. Здесь лаг проверки осмысленности действий больше, скорость реакции в бюрократической структуре меньше, и форма языкового сознания вырабатывается соответствующая
.
Если подкорректировать эти выводы связями семиотических групп с группами по общественной работе, рассматривая отклонения весов безо всякой экстраполяции, окажется следующее. В 1968 г. в четвертой группе — «знающие словари, но не выделяющие логического смысла теста» — в 90 %-ном доверительном интервале (++) увеличивали вес идеологи (пропагандисты, агитаторы и пр.), и эта группа стремилась к общественной работе. В третьей увеличивало вес в 95 %-ном доверительном интервале (+++) рядовое население, а во второй — партийно-профсоюзные и комсомольские работники (с 80 %-ной вероятностью — «+»). Остальные связи были нерепрезентативны на массиве в 300 человек. В 1990 г. ситуация проявляется резче, так как массив представительней (1407). Политактив, занимавший руководящие должности, с 95 %-ной вероятностью (+++), а агитаторы и пропагандисты лишь с 80 %-ной вероятностью (+) увеличивают свой вес в четвертой группе знающих словари, но не выделяющих смысловой структуры текста. Депутаты и отдельно-порученцы с 90 %-ной вероятностью (++) увеличивают свой вес в первой и с 80 %-ной вероятностью (+) — в седьмой (в самых «умных») группах (кажется, что ситуация начала чуть-чуть меняться в лучшую сторону, да не тут-то было!). Не включенное в сферу деятельности политактива население с 95 %-ной вероятностью (+++) увеличивает свой вес в третьей и 90 %-ной вероятностью (++) в пятой (склонной в то время к выпивке) группе.
Полученные на пересечениях разных признаков отклонения весов политсферы и сферы управления в границах семиотических групп непротиворечиво дополняют друг друга.
Дело в том, что уровень семиотической подготовки реципиента, его умение оперировать логической структурой текста, — хороший индикатор масштабов и характера функционирования предметно-смысловых характеристик в обществе. Открытый в структуре массово-коммуникативной деятельности, он только проявляется в ней (концентрируя, усиливая, например, в поле приема информации связь некоторых признаков), а на самом деле порожден в областях фундаментальных структур, фиксирующих положение групп по отношению к сферам производства и перераспределения стоимости (род занятий — статус — образование). Функционирование текста в процессах обмена активностью и свойствами индивидуумов в социальной системе имеет ярко выраженный двойственный характер. Во-первых, текст — инструмент изменения реальности с помощью ее адекватного отражения, моделирования и преодоления возникающих проблем в процессе коллективного принятия и введения в практику неких смыслов-решений вопроса. Здесь лежат первые два принципа функционирования сознания в цивилизации по М. Мамардашвили: картезианский и кантианский — «мыслю — значит существую» и «мир умопостигаем». Во-вторых, текст — знак отношений, который может успешно функционировать при наличии первых двух принципов, но вырождается в формулы типа «мы с тобой одной крови», «не бери в голову» при отсутствии первых двух условий, при удовлетворении потребностей за счет существования, а не решения проблем. Смыслы здесь не нужны и, более того, противопоказаны. Мамардашвили называл эту ситуацию принципом Кафки: когда сознание вывернуто фетишами наизнанку и аннигилирует. И цивилизация теряет при этом свою социальную составляющую и аннулируется
. Ареал первой, сциентистски ориентированной, формы функционирования текста в общественной системе нашего типа простирается от минимума — 8 % до максимума — 15 % взрослого населения. Среднее и высшее звено управления предприятиями и местными органами власти, журналисты и научные работники со степенью тяготеют в 1990/91 гг. ко второй — знаковой — форме функционирования языка и сознания в обществе, низшее звено управления, коммерсанты — к первой. Я полагаю, что чем менее развиты в системе социальные механизмы обмена результатами человеческой активности, регулируемые балансом форм собственности на средства производства материальной жизни и социокультурными традициями, тем более распространен в социальной системе знаковый тип. В 1991 г. он составил подавляющее большинство. Им была практически полностью охвачена структура социального управления, особенно в сфере принятия социально значимых стратегических решений. «Аннигиляция» СССР прошла под лозунгом: «Воруй сам и давай воровать другим — и будешь человеком!». РФ явилась «правопреемницей» аннигилированного СССР. Я думаю, что в 1968 г. Т. М. Дридзе нашла признак, косвенно связанный с двумя фундаментальными основаниями процесса духовного производства в социальной системе: во-первых, со способами освоения мира — абстрактно-логическим, чувственным, мистически-религиозным; во-вторых, с типами мироощущения: с одной стороны, родовым, а с другой — «зоологически индивидуализированным» или сопутствующим ему корпоративным. Она нашла его в сфере массовой коммуникации в момент начала развития цепной реакции — социальной катастрофы
.
Резюме по процессу производства массовой информации
Из всего изложенного выше относительно процессов производства и приема массовой информации вытекает ряд принципиально важных положений.
1. Отметим чисто методические аспекты весьма трудоемкого изучения реального процесса информационного приема и производства, которые не могут быть решены без массированного применения методов контент-анализа и анализа редакционных документов. При этом, с одной стороны, есть проблема создания широкого спектра компьютерных программ новой ориентации (с достаточно разработанным математическим и графическим аппаратом), позволяющих делать широкие сравнения сквозным анализом нескольких подготовленных для этого заранее исследовательских массивов. С другой — очевидно, что методически бессмысленно изучать социальные процессы, в том числе производства и присвоения текста, только на тех статистических уровнях, где единицей счета частот являются люди с их характеристиками или продукты деятельности этих людей с опять же выделяемыми исследователем параметрами (сообщения, товары и их потребительные свойства, рекламные тексты об этих товарах). Этот анализ необходимо дополнять статистически значимым полем фактов поведения людей в отношении тех или иных предметных форм, позволяющих осуществлять процесс обмена свойствами и способностями. При этом именно здесь требуется, во-первых, рассматривать и объективно создаваемые свойства сообщений (предметов), и субъективно присваиваемые, осознаваемые, интериоризированные их характеристики (или потребительные свойства), а во-вторых, дополнять и корректировать картину этих процессов изучением реальных затрат времени в лонгитюдных и панельных исследованиях. Минимум в повторных. Иначе исследовательская работа превращается в бессмысленную трату сил и средств на узко локализованном, ускользающем, как Протей, участке социального фрагмента.
2. Из всего изложенного, особенно в сопоставлении со сказанным о правовом сознании, ясно, что информационные потребности (нормы) энергично переходят на разные уровни реализации в стохастическом процессе скольжения индивидуума в ту или иную область социального пространства. Социальная группа оказывается в принципе квазиобразованием — кристаллической решеткой-сеткой, постоянно заполняемой новым людским потоком в определенных для той или иной формы жизни циклах времени. Соотнесение собственно исходных посылок выживания наблюдаемым результатам обмена результатами деятельности и росту перспектив того или иного типа взаимодействия мгновенно изменяет оперативные формы мыслительно-мотивационных структур. И тип языкового сознания (по Т. М. Дрид-зе) оказывается далеко не последним элементом в этом процессе. При этом парадоксальность ситуации с семиотическими группами состоит в том, что открыты они были Т. М. Дридзе при изучении процесса присвоения текста массовой коммуникации, а область реального их порождения и социально более мощного резонанса лежит в сфере информационного производства и процесса принятия решений в различных областях социальной жизни. Это аналогично ситуации в физике. Естественно, что инструмент выделения в эксперименте, как, скажем, камера Вильсона, фиксирует процессы, порожденные отнюдь не самой камерой. Тем больше научная заслуга автора аппарата измерения.
3. При разборе отношения печатавшегося населения Таганрога к органам власти и к редакциям средств массовой коммуникации мы говорили о превращенных формах сознания. С одной стороны, неудачно один раз выступившие авторы, которые не хотят больше печататься, придерживаются идеологии «пресса — колокол», выставляют редакциям высокие оценки, и «герои» их материалов связаны характеристиками с коллективистским (если угодно, общинным) миросозерцанием. С другой — внештатные авторы, которые, будучи постоянными корреспондентами, ставят редакциям низкие оценки, недовольны своими выступлениями, но будут печататься. И их «герои» отличаются индивидуалистическими качествами: политической незрелостью, хамством, невежеством. Главные проблемы, предложения первого типа авторов «фильтруются» редакцией. Безответственная критика конкретных лиц, приводящая к разрыву связей групп социального партнерства, осуществляемая вторым типом авторов, приходится ко двору в массме-дийном поле. Еще в 1970 г. Т. М. Дридзе говорила мне, что она улавливает связь между пропагандистами-идеологами и четвертой группой «знающих слова, но не умеющих выделять их смысл», но не может это опубликовать по политическим соображениям и из-за статистической незначимости отклонений. Но введенный в ЭВМ массив ее исходных данных после создания соответствующих программ показал 90 %-ную значимость указанной ею связи. Сейчас принадлежность к той или иной семиотической группе чиновников, журналистов ТВ, радио или газет моментально угадывается «наметанным» глазом. По построению тем или иным телеведущим фразы, по постоянному перебиванию им «собеседника-жертвы», закланной в телепередаче. Но разве можно провести статистически значимое массовое исследование в сфере информационного производства или в сфере социального управления, если при показе неугодной властям реальности телекамеры закрывают ладонями или бьют, а телеведущий, «выясняющий истину», слышит только себя и свою потребность в дензнаках под лозунг «А нам все равно...». Так что попадание в определенную социальную область объективно несет на себе в «зазеркаль-ном» социальном пространстве определенный знак отношений, как автоответчик «свой — чужой» в боевом самолете, как метка своей зоны в стае бандерлогов. Это в сциентистски, человечески организованном общественном обмене взаимодействуют смыслы у политических противников, что приводит к социальной удовлетворенности и противостоящих, и нейтральных сил. И обнаружен этот факт в принципе был эмпирически уже на данных генпроекта «Общественное мнение». Увы, «вытащить» его на свет оказалось возможным только сейчас, да и то с малой надеждой, что «корм будет в коня».
4. Из анализа процесса информационного производства вытекает самая важная проблема — проблема адекватности принятых решений. Методически это самый трудный момент. Сейчас многие уповают на то, что, проинформировав население о «реформах» и мероприятиях правительства, показав по ТВ, кому надо верить, кому «знак подать», «чью собачку погладить», можно убедить население в принятии враждебной ему (об этом забывают) политики. Дудки! Дураков нет. Рекламируй гнилой товар сколько хочешь — травиться пойдут меньше. Адекватность решения предусматривает информированность всех агентов коммуникативного процесса. И неизвестно, кого надо больше информировать и кто нуждается больше в знании о реальности: проверенные люди, отобранные на площадь, чтобы задать вопросы президенту в «оросительном» телефоруме, или президент — в информации тех людей, которым «околоточные» выбивают зубы, чтобы не задавали «ненужных» вопросов.
Здесь я хочу воздать малую толику из должного моему другу и коллеге Вадиму Васильевичу Сазонову, мирового класса исследование которого в области профессиональной ориентации было представлено в главе 6. 25 лет это исследование не могло быть толком введено и обработано в ЭВМ. Вадим умер за несколько месяцев до того, как оно было введено в базу данных и стало общедоступно. При системной подготовке всей информации к вводу я обратил внимание на одно обстоятельство. В 69 % из 1026 анкет массива, собранных Вадимом Васильевичем в 1967/68 гг. в Таганроге, он лично аккуратно вырезал страницы, которые выявляли оценку социальных качеств, присущих четырем профессиям: секретарю-машинистке, оператору-наладчику станков автоматов, швее-мотористке и освобожденному комсомольскому работнику. Спросить, зачем это сделано, было уже не у кого. Но не мог же автор забавы ради вырезать «в поле» страницы у 700 сброшюрованных типографских анкет из всего тиража. И когда я начал считать показатели энтропии по распределению оценок социальных качеств 20 профессий, я обнаружил примечательный факт, который объяснил мне, в чем дело. Вадим Васильевич поставил эксперимент в полевом эксперименте. «Вынув» долю профессий из полевого интервью, он тем самым лишил часть населения возможности дать оценку именно этим профессиям в полном, в сравнении с другими, объеме. Он искусственно «закрыл» перед частью опрошенных горожан фрагмент реальности, желая посмотреть, что будет. Энтропия по распределению некоторых частных оценок социальных качеств этих профессий оказалась равна 1,000 — полная неопределенность
. Это значит, что при 30 %-ной информированности населения о какой-либо проблеме структура части представлений последнего в целом по ряду параметров оказывается полностью закрытой для знания. Следовательно, если людям не дают знать о чем-то, то при определенном уровне информированности общества реакции людей на проблему предвидеть невозможно. Если мы вспомним порочную практику признания в ряде случаев действительным голосования по большинству даже при 30 %-ной явке избирателей, то мы поймем, что легитимность принятых решений избранными ничтожна. Неопределенность, непредсказуемость реакций населения, в чем позже могли убедиться при «реформах» «льгот», возрастает
. Но Вадим Васильевич думал об этом еще погожей осенью 1967 г. в Таганроге.
Мой покойный друг прислал нам привет.
В следующей главе мы разберем связи общекультурной, политической, правовой информированности населения в динамике. Мы сопоставим типы информированности с оценками этими же людьми их жизни в этот же период. Затем обсудим, как информированность в качестве общей предпосылки знаний социальной ситуации ложится на конкретные факты взаимодействия людей с органами власти в разных формах и к чему приводит это взаимодействие. После этого можно рассматривать структуры решения органами власти жизненно важных проблем по совпадению их со структурами всех информационных потоков между коммуникативными агентами социальной жизни.
Глава 8
ИНФОРМИРОВАННОСТЬ НАСЕЛЕНИЯ О РЕШЕНИИ ПРОБЛЕМ СОЦИАЛЬНОЙ ЖИЗНИ, ВЗАИМОСВЯЗЬ С ДЕЯТЕЛЬНОСТЬЮ ВЛАСТИ
Общая картина
Устойчивость параметров информированности
Попытки измерения информированности населения относительно различных феноменов (продуктов деятельности, условий ее функционирования, писаных и неписаных норм, обычаев и т. п.) предпринимались нередко. Одним из методически ярких исследований явилось исследование знания номиналий — имен выдающихся мировых деятелей науки, искусства, политики, спорта, проделанное Т. М. Дридзе в рамках первого таганрогского проекта.
В 1991 г. я решил, изменив методику обработки, повторить тест в масштабах Всесоюзного исследования по известной уже выборке ИПУ. С учетом текущих политических событий в моем тесте было не 96 персоналий, как у Дридзе, а 126, но 84 имени совпадали с именами 1968 г. Можно было ожидать, что информированность людей относительно числа заданных имен деятелей культуры даст распределение относительно среднего по Гауссовой кривой. Так и оказалось. В выборке было 9672 респондента, и я разбил массив на пять групп: очень высокий уровень информированности (+2ст от среднего числа знаемых имен), высокий (+1ст от этого же числа), средний (в диапазоне отклонений по второй и четвертой группам), низкий (—1ст от среднего) и очень низкий (—2ст).
В целом мое исследование воспроизводило заданную ранее группировку номиналий. В связи с утратой первичных полевых документов 1968 г. сравнить кривые распределений в машинной памяти нельзя, но можно сравнить итоговые распределения ответов по отдельным именам и интегральные показатели, которые
Т. М. Дридзе ввела в итоговый массив, сохраненный как SPSS-файл в базе «INSYS». Его можно перерабатывать снова и снова в зависимости от параметров вновь получаемых и сопоставимых с интегральными. Этого достаточно. Информированность замеряется в рамках шести направлений: литература, изобразительное искусство, музыкальная культура, наука, политика, спорт. Т. Дридзе разбила информированность по каждой области на три степени: низкая, средняя, высокая. Три области в «подлежащем матрицы» дадут 27 градаций (литература, изобразительное искусство, музыка). Три области в «сказуемом» также дадут 27 градаций (наука, политика, спорт). В целом получается матрица в 729 клеток-ячеек, по которым распределяются обследованные люди. Построив такую же матрицу по аналогичной Таганрогу подвыборке 1991 г., можно корректно сравнить результат. Кроме того, по 1968 г. есть общее распределение, а значит, сравнимы средние показатели и конкретные наполнения «знанием» тех или иных имен.
Начнем с линейных изменений. Только у двух имен — Рахманинова и Метне-ра — удельный вес знающих их не изменился за 23 года. Доля тех, кто знает, что Рахманинов — это композитор, составила 88 % и в 1968 и в 1991 г. Знание о Мет-нере имеет в эти годы одна и та же доля респондентов — 3 %. Марину Цветаеву знали 35 %; теперь — 85 %; Андрей Платонов набирал 1 %, а поднялся до 44 %, Насера знали 91 %, стали знать 48 %. Весь качественный ряд информированности относительно 84 имен полностью изменился. В 1991 г. выросла информированность об именах, относящихся к историческому прошлому и к англосаксонской литературе, упала информированность об известных ранее по школьным программам художниках и писателях, об именах советского периода. Резко падает информированность о политиках и спортсменах, уходящих с горизонта массового сознания. В целом в матрице произошли крупнейшие изменения. В 1968 г. в ней было заполнено 40 из 729 клеток, в 1991 г. — 140.
Заметьте, в подлежащем матрицы — степень информированности о сфере общей культуры: литература, изобразительное искусство, музыка. В сказуемом — степень информированности об ученых и по персоналиям из «оперативного ряда» содержания СМИ (ведущие политики и спортсмены). Следовательно, в матрице мы видим сопряженность между образованием и общекультурным уровнем человека и уровнем его включения в некоторые оперативные ряды текстов массме-диа. Коэффициент Пирсона в этой матрице при степенях свободы 26 на 26 был в 1968 г. — 0,804; а стал (в 1991 г.) — 0,874 (при значимости «хи-квадрат» 99,95 %). Энтропия же здесь возросла с 0,470 до 0,588 (напоминаю, при максимальной энтропии по Шеннону все клетки заполняются одинаково, а когда она равна 0, заполнена лишь одна клетка матрицы). Идет рост разнообразия типов знания (своего рода распыление) при одновременной концентрации некоторой массы субъектов в двух-трех точках поля номиналий культурного пространства.
Теперь о самом главном здесь результате. Если мы примем 84 имени за 100 %, то среднее число имен (в %), которое люди знали в1968 и 1991 гг., осталось практически неизменным: 54,68 против 54,31 % (в абсолютном выражении это 45,9 имени в 1968 г. против 45,6 в 1991 г.). Учитывая точность замера, это константная величина. Значит, время, затрачиваемое индивидом в социокультурном срезе, приближающемся к системному, на ориентацию в социальном пространстве с помощью определенных номиналий инвариантно на протяжении почти четверти века. Аналогичная стабильность в отношении информированности людей в различных сферах жизни была выявлена мной этим же методом во многих исследованиях.
Возьмем, к примеру, пять исследований:
1) «Информированность населения Таганрога относительно проблем городской жизни» 1969 г., проведенное Г. А. Слесаревым весной 1969 г.;
2) «Информированность относительно различных правовых норм», проведенное А. С. Гречиным в Москве в 1976 г.;
3) «Информированность относительно политических проблем страны и оценки решения стоящих проблем органами местной власти», проведенное автором в СССР в 1990/91 гг. (в этом же исследовании анализируется тем же методом и информированность относительно указанных выше «номина-лий» и относительно социальных качеств 19 СМИ — от каналов прессы до каналов местного радио и ТВ);
4) «Информированность относительно городских проблем Петербурга в период избирательной кампании 1999 г. и оценка дел с решением этих проблем», проведенное Э. И. Бутаевым, мной и С. Н. Никифоровым осенью 1999 г.;
5) «Информированность относительно городских проблем Москвы в период избирательной кампании 2004 г. и оценка дел с решением этих проблем», проведенное мной, А. В. Гнутовым и А. С. Топорковым при организационной и спонсорской поддержке А. М. Абрамова и В. Б. Новичкова.
Прежде всего рассмотрим картины в целом, т. е. построим распределения относительно нормированных по верхнему пределу объемов знаний, зафиксированному в ансамблях опрошенных (см. рис. 8.1 и 8.2). Параметры знания разные. В Таганроге 1969 г. это знания истории города, его выдающихся людей, объема жилищного строительства и видов выпускаемой промышленной продукции, стран, в которые она поступает. По исследованию правовых норм это знания правил государственного устройства, действия статей трудового и уголовного кодексов (всего 48 статей, относительно которых зафиксированы и знания, и поведенческие нормы, и формы отношения к нарушениям норм окружающими). Относительно политических проблем страны и регионов, их решения в 1991—1999—2004 гг. применялся один инструмент (проверен он и в Касимове в 1994 г.).
Картина в целом по различным параметрам
Заметим: из всех возможных уравнений аппроксимации кривых (в программе TableCurve2D), было выбрано отнюдь не лучшее по коэффициенту определения («г2») — интервала и так хватает с запасом, — однако точно соответствующее уравнению, аппроксимирующему различные распределения по формам общественной активности в панельном лонгитюдном исследовании 1980—1985 гг. и во Всесоюзных
Информированность о городской жизни в Таганроге в 1969 г.
Rank 91 Egn 6002 y=a+bx+cx2+dx3+ex4+fx5 r2=0,9998 DFAdj r2=0,9997 FitStdErr=0,0058 Fstat=16211,733 a=0,0089 b=0,1721 c=0,1908 d=4,8130 e=-5,4609 f=1,2713
Информированность относительно норм права в Москве в 1976 г.
Rank 143 Egn 6002 y=a+bx+cx2+dx3+ex4+fx5 r2=0,9998 DFAdj r2=0,997 FitStdErr=0,0057 Fstat=38053,555 a=-0,0043 b=0,5990 c=-4,0465 d=16,2989 e=-17,474475 f=5,6173

 |
|
Информированность |
Субъекты ^ -о Субъекты
іс. 8.1. Кумуляты информированности населения Таганрога 1969 г. относительно проблем городской жизни 982) и работников промышленных предприятий Москвы 1976 г. относительно норм государственного права, КЗОТа и уголовного кодекса РСФСР (n = 2000)
Информированность в СССР о выдающихся людях в 1991 г.
Rank 173 Egn 6002 y=a+bx+cx2+dx3+ex4+fx5 r2=0,9995 DFAdj r2=0,9994 FitStdErr=0,0084 Fstat=44765,149 a=-0,0164 b=1,0761 c=-5,0353 d=13,3462 e=-9,9446 f=1,5502
Политическая информированность в СССР в 1991 г.
Rank 169 Egn 6002 y=a+bx+cx2+dx3+ex4+fx5 r2=0,9992 DFAdj r2=0,9991 FitStdErr=0,0114 Fstat=12413,98 a=0,02966 b=-1,0337 c=9,3540 d=-9,9975 e=0,3363 f=2,3274
 |
|
Информированность |
 |
|
Информированность |
Рис. 8.2. Кумуляты распределения населения в 1990/91 гг. по общественно-политической информированности и по знанию в СССР имен выдающихся деятелей мировой и отечественной культуры, политики, спорта (n = 9674, массив перевзвешен по переписи)
исследованиях 1981 и 1990/91 гг. (рис. 2.1). Поэтому, прежде чем свести в таблицу 8.1 все параметры (какрасположенные на графиках кривых, так и еще три дополнительных: по знанию массмедийных параметров (1), информированности о политической ситуации в Питере 1999 г. (2) и Москве 2004 г. (3)), отметим три важных обстоятельства.
1. Если упомянутый во второй главе математический аппарат показывал там закономерность распределения активности людей относительно вещного, предметного характера обмена деятельностями, то здесь речь идет о тождественном, похожем распределении относительно широкого спектра знаковых форм, элементов культуры, норм права и человеческого общежития, знаний, т. е. тех внутренних смыслов обмена активностями, без которых предметно-институциональные и вещные формы оказываются всего лишь омертвляемыми фетишами, а цивилизации теряют стратегический самоконтроль.
2. Время, общественно необходимое для коллективного воспроизводства жизни при данном исторически уровне развития производительных сил, детерминируя формами собственности механику реализации активностей людей в сфере обмена свойствами и способностями, неизбежно — в силу более свободного состояния и активности сознания (кристаллизуя и здесь тождественные распределения) — должно задавать некий эксцентриситет культурологических фигур относительно пространственно-временных разверток вещного мира в обмене свойств. Как частный случай, это ставит проблему адекватного и неадекватного резонанса мыслительных форм, переживших свое исторически положительное содержание, в истинные и ложные поля смыслов-агентов в эволюции системы. Это проблема «смещения» смысловых полей массового сознания по параметрам различного рода фетишей, харизм, превращенных форм сознания, общественного мнения и т. п.
3. Принципиальное тождество распределений позволяет, построив типологические группировки по соответствующим параметрам (политическая, правовая, общекультурная, рыночная и т. п. информированность), увидеть связи тех или иных форм знания с теми или иными формами активности, по крайней мере наметить подход к положительным ролям и диссонансам полей смыслов в трендах движения поведения социума.
В принципе уже из средних нормированных данных по таблице видно, как зафиксированная в средней 1969 г. информированность относительно различных элементов жизни начинает сдвигаться вправо по оси ординат, проваливаясь по оси абсцисс, начиная с середины 90-х гг. В целом этот процесс начинается уже в 1990/91 гг., однако институциональные структуры разрушены тогда еще не окончательно, продолжают существовать по инерции, и распыление подсистемы смыслов по показателям знания социальной ситуации еще не так хорошо видно. Наши данные говорят, что в устойчивом обществе с развитым обменом продуктами поддержания жизнедеятельности информированность относительно функционирующих в социуме элементов культуры, знаний, правовых норм, принятых
|
Таблица 8.1. Показатели кумулят распределения исследованных в Таганроге в 1969 г., в Москве в 1976 г., в СССР в 1990/91 гг., в Питере в 1999 г., в Москве в 2004 г. по количественному показателю общественно-политической, общекультурной и правовой информированности взятому по максимально зафиксированному эмпирически знаемому числу проблем, оценок, норм, имен (в показателях средних величин, значениях нормированной энтропии и коэффициентов уравнения; за 1 принято по осям «Х» максимальное зафиксированное хотя бы для одного человека число используемых видов-форм деятельности (Max), а по осям «Y» - число людей, стоящее в колонке «N» против наименования исследования и параметра) |
|
1 Значения по оси «Y» | |
Энтропия |
,922 1 |
,933 1 |
,917 1 |
,943 1 |
,953 1 |
,920 1 |
,948 1 |
Значения коэффициентов уравнения | |
- |
1,271 |
5,617 |
2,327 1 |
12,729 |
9,049 |
-10,805 |
Ю t— CD Г-' |
|
Медиана |
,445 |
CD
Ю |
о
t— |
,424 |
,526 |
,257 |
CD
«3- |
|
о |
-5,461 |
-17,475 |
CD
СО
СО |
-37,214 |
-23,890 |
21,727 |
-23,616 |
І
ё
і |
,377 |
,377 |
(У> t—
со |
о
t—
со |
CD
СО |
,355 |
,315 |
|
•а |
4,813 |
16,298 |
-9,998 |
35,866 |
20,089 |
-15,549 |
24,906 |
X
о
&
о |
см
оо |
со
CD
«3- |
,585 |
(У) «3- |
,520 |
CD
00
СО |
ю
со |
|
о |
(У) |
-4,047 |
9,354 |
-12,345 |
- 5,275 |
5,888 |
- 9,249 |
|
Значения по оси «Х» | |
Энтропия |
CD
СМ
О) |
,946 |
ю |
,958 |
см
«3- |
,948 |
со
оо
О) |
|
.о |
,1721 |
,5990 |
t—
со
со
о |
1,9933 |
1,9624 |
-,4092 |
1,2949 |
|
Медиана |
О
О
ю |
о
о
ю |
о
о
ю |
CD
О
Ю |
,526 |
CD
Ю |
со
ю
CD |
|
се |
,0089 |
со
«3-
о
о |
-,0297 |
-,0425 |
-,0322 |
,0108 |
-,0429 |
5 S
2 н
<5 © |
со |
(У> О)
см |
,296 |
,290 |
,296 |
СО
О)
СМ |
,222 |
X
о
&
о |
о
о
ю |
о
о
ю |
о
о
ю |
CD
О
Ю |
,526 |
CD
Ю |
CD
«3-
CD |
Ст.
ошиб
ка |
,0058 |
t—
ю
о
о |
,0114 |
ю
о |
t—
со
о
о |
t—
со
о |
«3-
CD
О |
Число
форм |
(У> |
со |
CD
Ю |
00 |
(У) |
СО |
(У) Ю |
К. «оп-
реде
ления» |
,9998 |
,9998 |
,9992 |
,9991 |
,9999 |
,9988 |
,9976 |
о
\0
< |
см
оо
О) |
о
о
о
см |
9674 |
7639 |
7557 |
О
О
CD |
СО |
d
\о
< |
см
оо |
о
о
о
см |
9674 |
7639 |
7557 |
о
о
CD |
СО |
|
|
1 Таганрог (общая) | |
1 Москва (право) | |
1 СССР (политика) | |
СССР (номиналии) |
СССР (массмедиа) |
1 Питер (политика) | |
Москва (политика) |
Исследования |
Таганрог (общая) |
Москва (право) |
СССР (политика) |
СССР (номиналии) |
СССР (массмедиа) |
Питер (политика) |
Москва (политика) |
|
в данный момент времени, будет всегда средняя. Овладение практическими знаниями подчинено закону нормального распределения относительно некоторых устойчивых точек кристаллической решетки. Если этой картины не наблюдается, значит, социальная система выходит из взятого для анализа «поля смыслов», поля знаний в тех направлениях, которые еще надо найти. Очень хорошо это видно на «опрокидывающейся кривой информированности» в преддверии выборов в Питере 1999 г., когда «правила социальной игры» меняются на глазах.
На рис. 8.3 зафиксировано, что в отличие от политически активного и информированного в 1990/91 гг. населения СССР в Питере перед выборами резко сужена общественно-политическая информированность, где лишь 20 % населения имеют представления только о 50 % количественно-качественных сочетаний социальных проблем в мегаполисе. Я бы не стал называть этот феномен «аутизмом». Нельзя требовать одинакового распределения относительно функционирующих в обществе смыслов уже хотя бы потому, что распределение относительно числа этих смыслов всегда будет близким к нормальному и люди, выключенные из широкой предметно-смысловой области, также будут всегда. Вопрос в социальных факторах распределения, в их жизненной «цене», в том, какова та или иная «исключаемая из обмена» область: физического выживания, деградации идеологии или поражения генофонда. И уж если здесь что и наблюдается, так же как и в «советское» время, так это колоссальное отчуждение широких слоев населения от провозглашаемой тогда «счастливой», а ныне «демократической» общественной жизни. Мы уже отмечали, что в оценках опрошенных хуже всего дело теперь обстоит с возможностями получения гражданских прав и свобод. И здесь проглядывает та же ситуация: «информируй — не информируй», а люди увидят реальные дела и сделают оценки отнюдь не по многолетнему массмедийному «орошению», имеющему весьма туманное сходство с их каждодневным существованием. Сияющие золотом на голубом экране чертоги Кремля, где очередной премьер только что свечу не ставит перед Казанской Божией Матерью за здравие народа, могут вызвать прямо противоположный целям «пиаровской» пропаганды результат. И Казанская, и Владимирская Матери глядят на балаган скорбно. Опрошенные также. Спасские ворота закрыты десятки лет. Какой уж тут аутизм! Кривая политической информированности и оценок работы власти по Москве 2004 г. выглядит похуже, чем питерская, но наша главная задача, во-первых, выявить группы низко, средне, высоко информированных (по СССР применив не тройную, а более подробную градацию из-за позволяющей это величины массива), а во-вторых, прояснить, как эти группы связаны с общественным положением, с различным числом разнообразных признаков людей и событий, с оценками с 1999 по 2004 г. тех фигур, которые считают, что все всегда делают правильно в интересах всех без исключения и впредь «будут строить то государство, которое им нужно» (никогда не спрашивая об этом остальных людей, да еще при 20 %-ной явке избирателей на выборы).
Политическая информированность в Санкт-Петербурге в 1976 г. Rank 176 Egn 6002 y=a+bx+cx2+dx3+ex4+fxs r2=0,9998 DF Adj r2=0,9984 FitStdErr=0,0137 Fstat=4027,2421 a=0,0108 b=-0,4092 c=4,8885 d=-14,4390 e=21,7274 f=-10,8046
 |
|
Рис. 8.3. Кумулята информированности населения Петербурга 1999 г. относительно проблем жизни города и способностей городских властей решать эти проблемы в ближайшие годы (в % суммарного числа опрошенных к максимально зафиксированному числу осознаваемых проблем; max = 31, n = 1600 (массив перевзвешен на генсовокупность по общегородской переписи)) |
Общие связи информированности и активности
В августе 1981 г. на двух промышленных предприятиях Узбекской ССР было проведено одно из уникальных исследований взаимосвязи производственной активности и информированности, в результате которого выяснилось, что распределения по числу форм наиболее важных для производственной общности знаний и форм жизни оказались близки к нормальным со скосом влево. Однако оба распределения позволили выделить (по критерию ±1ст) три группы: низкой, средней, высокой активности, низкой, средней, высокой информированности по формальному признаку «число форм деятельности, число форм знаний»*. Рассмотрение отклонений от среднего «числа знаний» в каждой из групп по активности и, наоборот, «среднего числа форм производственной активности» в каждой из групп по степени информированности дало результат, который отражен в табл. 8.2.
Очевидно, что группы с низкой и высокой степенью информированности различаются (дискриминируются) критерием одного среднеквадратического отклонения по показателям производственной активности (серая заливка). Группы с разной степенью производственной активности по аналогичному показателю информированности лишь подтягиваются к порогу различения, но не достигают его (серая заливка). Проще: среди малоинформированных самая высокая степень производственной активности (средняя + 1 отклонение) меньше, чем среди высокоинформированных самая низкая степень этой активности (средняя — 1 отклонение). А вот среди активных производственников встречаются менее информированные люди, а среди работающих «из рук вон плохо» — хорошо информированные. Как среди в целом «бедных» крестьян хватает живущих более зажиточно, чем «бедствующий» слой благополучной в целом интеллигенции.
Этот результат тут же был применен к одному из центральных исследований проекта «Общественное мнение» — «Информированность населения по проблемам городской жизни и отношение к этим проблемам» (см. табл. 8.3). Кривая распределения по формам знаний из исследования представлена на рис. 8.1. Хотя массив был вдвое больше (982 опрошенных) и представлял не компактную производственную общность, а модель города по случайной выборке на основе списка избирателей, в таблицах «3 х 3» группы с разной степенью информированности по активности не различались. При увеличении же градаций информированности и активности в сферах городской жизни до пяти (критерий ± 2ст) различия по активности наблюдались уже между весьма малоинформированными и довольно осведомленными слоями населения. Обнаружились и различия между мало-и высокоактивными в городской жизни по информированности, но они были не столь резки. Отчасти это можно объяснить и тем, что ряды информированности и активности в этом исследовании не были взяты с исчерпывающей полнотой (не была взята политическая информированность и активность), и тем, что величина общности «уводила» свою периферию из представленных в исследовании параметров, что само по себе имеет содержательный аспект.
|
Таблица 8.2. Показатели среднего числа форм производственной активности на предприятиях Ташкента в 1981 г. в целом и в зависимости от информированности опрошенных («-» - низкая, «+-» - средняя, «+» - высокая (I)), а также среднего числа форм информированности («знает - не знает определенное явление производственной жизни») в целом и в группах с различной степенью производственной активности («-» - низкая, «+-» - средняя, «+» - высокая (II)); (в средних показателях; n = 500) |
|
Показатели информированности |
і—
0
^ с;
1 “
о
CL
О |
ю
СО |
2,88 |
4,87 |
о |
із
* І &
О |
9,02 |
см |
8,84 |
9,89 |
|
Вариация |
32 % |
42 % |
29 % |
17 % |
|
Ст. отклонение |
2,18 |
2,12 |
СТ>
°) |
со |
|
Среднее |
6,84 |
5,00 |
6,85 |
8,46 |
|
5? |
о
о |
г— |
со
1— |
о |
|
= |
00 |
¦ |
+1 |
+ |
|
яюонаиін? |
|
Показатели активности |
I—
0
^ СІ
1 “ о
CL
О |
5,23 |
3,19 |
5,48 |
8,09 |
&
* І
CL
О |
СО
ІЛ
о” |
О)
оо_ |
СО
со
о” |
12,81 |
Вариа
ция |
34 % |
43 % |
32 % |
23 % |
|
Ст. отклонение |
2,68 |
2,35 |
2,59 |
2,38 |
X
е?
0)
CL
О |
°1
І-” |
5,54 |
8,07 |
10,45 |
|
5? |
о
о |
ю |
ю
г— |
о |
|
- |
00 |
¦ |
+і |
+ |
|
яюоннеаосіиисіофни |
|
|
Информированность о жизни города |
&
¦ I
CL
О |
со
со
со” |
оо
ю. |
3,57 |
CN
оо
со” |
9,07 |
8,83 |
&
сі
* І
CL
О |
14,37 |
8,66 |
11,93 |
14,34 |
15,33 |
15,89 |
|
Вариация |
39 % |
87 % |
54 % |
СО
со |
26 % |
29 % |
Ст. отклоне
ние |
4,02 |
4,04 |
4,18 |
3,76 |
3,13 |
3,53 |
|
Среднее |
10,35 |
4,62 |
ю
г—
І-” |
10,58 |
12,20 |
12,36 |
|
5? |
о
о”
о |
г—
cn” |
ю. |
со
о”
1— |
СО.
со’ |
CN
cn” |
|
= |
|
! |
¦ |
+1 |
+ |
+
+ |
|
яюонаиін? |
|
Активность в городской жизни |
5
тн с:
І
CL
О |
со
о |
оо |
5,36 |
оо
ю |
9,61 |
9,18 |
&
тн X
* Р
о
CL
О |
15,41 |
9,28 |
12,76 |
15,48 |
16,81 |
16,77 |
|
Вариация |
37 % |
72 % |
41 % |
34 % |
27 % |
30 % |
|
Ст. отклонение |
4,19 |
3,90 |
3,70 |
3,95 |
3,60 |
3,83 |
|
Среднее |
11,22 |
5,38 |
9,06 |
11,53 |
13,21 |
12,94 |
|
5? |
о
о”
о |
оо.
со” |
CN
•чі- |
65,0 |
г—
со |
со.
со” |
|
- |
|
! |
¦ |
+і |
+ |
+
+ |
|
яюоннеаосіиисіофни |
В то же время задача «поимки» дискриминирующих человеческую активность форм сознания (знания, планы, информированность, осознание информационных потребностей, ценности и т. д., и т. п.) на Всесоюзной большой выборке оказалась реализованной в 1991 г. Приведем этот небезынтересный феномен. На сопоставлении матрицы «5 х 5» рассмотрим различия степеней информированности, отраженной на рис. 8.2, и активности использования источников информации об окружающем мире. Общественно-политическая информированность в 1990/91 гг. замерялась на трех вопросах: 1) о проблемах, которые, с точки зрения респондента, важны для страны (23 закрытия); 2) о проблемах, наблюдаемых им в сфере материального производства (22 закрытия); 3) об оценках состояния различных сфер жизни и оценках работы местных органов власти по решению задач в этих же сферах и привлечения к этому решению мнений населения и местных журналистов (серийный вопрос с 35 подвопросами-оценками от «1» до «5»).
Мы далеки здесь от того, чтобы сразу делать вывод о первичности и вторичности тех или иных признаков, «информированности» или «активности по включенности» в институциональную структуру общества, на характер поведения людей и развитие событий. Однако очевидно, что информированность и активность представляют из себя неразложимый социальный «мотивационно-деятельностный» синдром (напомним, как и степень осознания информационных потребностей и активность информационного приема сообщений) (см. табл. 8.4). Деятельность не может осуществляться без сознания в его определенных массовых оперативных формах, так же как и последние не могут существовать без социально заданных параметров. Эмпирические данные представляют сознание не только необходимым атрибутивным свойством человеческой деятельности, но и одновременно активным агентом ее дальнейших трендов. И то, что именно в группах с различной степенью социально-политической информированности в самый активный период обсуждения проблем страны идет резкая поляризация источников информации, предметно-институциональной структуры обеспечения коммуникативного обмена, значит, что информированность — сильнейший показатель дифференциации поведения людей. Отнюдь не предметно-институциональная структура «в чистом виде» кристаллизует поля смыслов, которые задают потом типы активности в этой же структуре. В поле знаний вплетены промежуточные формы сознания, квазиобъекты, которые и предопределяют траектории вплетения тех или иных смыслов в поведенческие поля. Здесь имеется в виду, что, во-первых, не всякая информированность дает такие различия в количественных показателях включенности в предметные области, а во-вторых, наблюдается качественный «излишек» мнений в сравнениях прямых и интегрированных оценок одного и того же явления.
Прежде чем рассмотреть эти факты, взглянем на устойчивость взаимосвязи информированности и активности в производственной, бытовой и общественнополитической среде в разных общностях на примере тех же трех исследований, усилив узбекское исследование московским 1982 г. (см. табл. 8.5).
|
Таблица 8.4. Показатели среднего числа используемых в 1990/91 гг. в СССР источников информации о «мире», «стране», «регионе», «микрорайоне проживания», «предприятии» в целом и по группам с различной степенью общественно-политической и проблемной информированности («--» - очень низкая, «-» - низкая, «+-» - средняя, «+» - высокая, «++» - очень высокая (I)), («знает - не знает определенное явление общественной жизни»), а также среднего числа осознаваемых и фиксируемых проблем («знает - не знает») в целом и в группах с различной степенью использования источников информации («--» - очень низкая, «-» - низкая, «+-» - средняя, «+» - высокая, «++» - очень высокая (II)); (в средних показателях; n = 9674; максимально зафиксированное число источников = 97, социальных фактов-проблем = 56) |
|
Число знаемых проблем |
5
тн с-
І
о.
о |
15,24 |
8,89 |
11,44 |
15,52 |
20,02 |
21,49 |
і—
о
¦ I
а.
о |
33,62 |
29,45 |
29,62 |
32,84 |
38,48 |
39,71 |
|
Вариация |
38 % |
54 % |
44 % |
35 % |
32 % |
30 % |
|
Ст. отклонение |
9,19 |
10,28 |
9,09 |
8,66 |
9,23 |
9,11 |
|
Среднее |
24,43 |
19,17 |
20,53 |
24,18 |
29,25 |
о
CD
o”
CO |
|
5? |
о
о |
CD |
о” |
о” |
°o
cn” |
ю” |
|
= |
|
! |
¦ |
+і |
+ |
+
+ |
|
МИНЬОЮИ |
|
Число источников информации |
Б
^ с;
І
о.
О |
5,26 |
О
CD |
2,77 |
CN
I-” |
10,41 |
10,08 |
&
^ с:
+ ? о а. о |
28,78 |
9,52 |
19,03 |
28,37 |
35,13 |
38,68 |
|
Вариация |
64 % |
88 % |
75 % |
59 % |
54 % |
58 % |
|
Ст. отклонение |
11,18 |
4,47 |
8,13 |
10,55 |
12,36 |
CO
о |
|
Среднее |
CD
Ю
і-” |
5,07 |
10,90 |
17,82 |
22,77 |
24,38 |
|
5? |
о
о”
о |
со |
со” |
69,7 |
°> |
со’ |
|
- |
|
! |
¦ |
+i |
+ |
+
+ |
|
яюоннеаосіиисіофни |
|
|
Таблица 8.5. Взаимосвязь информированности а активности (соответственно: «-» - низкая, «+-» - средняя, «+» - высокая) в производственной (по двум предприятиям УзбССР 1981 г. и Московской обл. 1982 г.) территориально-производственной (Таганрог 1969 г.) и государственной (СССР-1990/91 гг.) общностей (в % к числу обследованных, в знаках отклонений от средней частоты и в значениях энтропии как в целом так и по группам; n1981/82 = 993, n1969 = 982, n1990/91 = 96 74) |
|
Жизнь страны в целом |
CN с
?р X о
o'- (Т) X
х m |
о
о |
со |
1— |
CD |
CD
оо |
,841 |
,896 |
,838 |
,897 |
s If
X |
о
о |
о
о |
о
о |
о
о |
,740 |
,827 |
,873 |
Ё
TO
CO |
-?-
X
X
СО |
|
Активность |
+ |
ю |
|
со |
оо
см |
1 |
1 |
+++ |
,891 |
,921 |
|
+ |
о
t— |
о
CD |
•=t
h- |
*fr
CD |
1 |
+++ |
1 |
,872 |
,880 |
|
¦ |
ю |
CD
СО |
со |
оо |
+++ |
I |
I |
,874 |
,890 |
|
Жизнь среднего города |
<М §¦ g
^ Я X х m |
о
о |
00 |
ю
CD |
1— |
,921 |
,896 |
,889 |
,870 |
,922 |
s If
X |
о
о |
О
О |
о
о |
о
о |
,847 |
,850 |
,817 |
X
03
CO |
-?-
X
X
СО |
|
Активность |
+ |
CD |
|
CD |
ю
см |
I |
+ |
+++ |
,810 |
,896 |
|
+ |
о
t— |
03
ю |
со
1— |
1— |
1 |
+
+ |
+ |
,904 |
,904 |
|
¦ |
|
1— со |
- |
|
+++ |
1 |
1 |
,918 |
,934 |
|
Производственная жизнь |
СМ ^ d
° х m |
о
о |
г— |
1— |
см |
,883 |
,917 |
,848 |
,906 |
,831 |
s if
X |
о
о |
о
о |
о
о |
о
о |
,781 |
,869 |
,721 |
X
03
CO |
-?-
X
X
СО |
|
Активность |
+ |
со |
о |
см |
CD
со |
* |
¦ |
+++ |
,470 |
,653 |
|
+ |
ю
t— |
ю
CD |
О)
1— |
*fr
CD |
I |
+++ |
i |
,811 |
,845 |
|
¦ |
см |
Ю
СО |
О) |
о |
+++ |
1 |
* |
,918 |
,942 |
-о /
ь /
© /
X /
ев /
ь /о
1 / = * / М
/ f =
/ S со |
со |
¦ |
+1 |
+ |
¦ |
+i |
+ |
Энтропия общ. |
Энтропия экс. |
|
яюоннеаосіиисіофни |
|
* - явление не обнаружено.
Дополним картину полученных взаимосвязей показателями взаимной сопряженности распределения частот в полученных трех матрицах (табл. 8.6) и перейдем к описанию приведенных таблиц.
|
Таблица 8.6. Коэффициенты взаимной сопряженности на основе «хи-квадрата» по 9-клеточным матрицам (степень свободы = 4), представленным в табл. 8.5, а также показатели плотности распределений в этих матрицах в значениях общей и экспериментальной энтропии |
|
|
«Хи-квадрат» |
Пирсон |
Крамер |
Сопряженности |
Энтропия |
|
общая |
эксперим. |
|
Предприятие |
173,241 |
,418 |
,295 |
,385 |
,658 |
,743 |
|
Город |
110,345 |
,335 |
,237 |
,318 |
,752 |
,752 |
|
Страна |
721,611 |
,284 |
,201 |
,273 |
,715 |
,715 |
|
Итак, данные свидетельствуют о следующем.
1. Взаимная сопряженность смысловых и поведенческих параметров, присущих с определенной (взятой исследователями по максимуму) полнотой в каждой из трех выбранных общностей, монотонно падает с увеличением масштаба общности (коэффициенты табл. 8.6 при значимости 99,95 %, 4 степени свободы).
2. Значения энтропии в матрицах «3 х 3» (4 степени свободы) по каждой из общностей по заполненным клеткам близки по значению (колонка «Энтропия экспериментальная» табл. 8.6). Резкое сокращение значения общей энтропии в рамках производственной общности является следствием отсутствия частот в «полярных» клетках матрицы на выборке в 993 респондента.
3. Коэффициенты вариации признака «активность» с возрастанием степени информированности и признака «информированность» с возрастанием степени активности (использования источников) монотонно падают (табл. 8.2—8.4) за двумя исключениями. С одной стороны, в масштабах территориально-производственной агломерации в 1969 г. в Таганроге наблюдается увеличение разнообразия количества сочетаний форм активности и информированности соответственно у максимально информированных и активных в отношении городской среды групп населения (табл. 8.3; дисперсия количественно-качественных сочетаний форм активности и «знаний», их разброс у самых активных тут возрастают). А вот энтропия распределения по формам информированности падает в обеих общностях (особенно в производственной) в самых активных по поведению группах. По формам активности она падает относительно значений у групп средней информированности как у низко-, так и высокоинформированных групп (и опять же в рамках производственной общности особенно резко). С другой стороны, в масштабах страны в целом число сочетаний информационных источников, взятых в максимально возможном объеме, имеет большую вариативность признака в группах с максимальной информированностью по проблемам страны (табл. 8.4).
4. И это одно из самых главных явлений: среднее число форм социальной активности монотонно возрастает с ростом информированности, и среднее число форм информированности, осознаваемых проблем монотонно растет с ростом показателей активности за одним исключением (табл. 8.3 — уменьшение на 2 % от среднего числа форм активности в городской жизни в предыдущей по информированности группе (12,94 против 13,21)).
5. Рассмотрим подробнее показатели энтропии. Значения энтропии частот распределения по признаку активности в производственной общности и в территориально-производственной городской агломерации (в первой наиболее выраженно) самые низкие в полярных группах информированности, и ниже всего — у самых информированных (табл. 8.5). Плотность распределения по количественным сочетаниям форм активности в рамках производственной общности резко падает в полярных по информированности группах (значения общей и экспериментальной (только заполненные клетки шкалы признака) энтропии)). В масштабах городской агломерации это выражено не так резко. Мы это уже отмечали. Но в масштабах страны наблюдается полярная картина. Здесь плотность распределения вокруг в среднем пяти используемых источников информации (табл. 8.4) резко падает. Это люди, которые не слишком отличаются от самых активно включенных в информационную структуру количеством осознаваемых проблем и оценок (20 против 30 — табл. 8.4), но они уходят из структуры общественно-политических и коммуникативных институтов. Однако проблемы стали осознаваться тотально.
6. Значения энтропии частот распределения по признаку информированности в границах групп, различных по активности, также падают с ростом производственной и бытовой активности. В рамках производственной общности они падают наиболее резко и менее резко — в рамках городской агломерации; в масштабах же страны эти значения имеют тенденцию к повышению (табл. 8.5). Плотность вокруг количественно-качественных сочетаний организационно-производственных знаний наиболее высока в группе самых активных работников. В рамках городской агломерации и в масштабах страны вариативность информированности в группах низкой и средней (для города) и высокой (для страны) активности возрастает. Кажется, что с расширением масштабов общности в нижних и средних стратах, а затем и в самых высоких рассеяние форм смыслового поля растет за счет овладения каждым субъектом всеми формами.
Обратим в связи с этим внимание на то, что информированность и активность неразрывно и прямо связаны фундаментальными социальными подсистемами. В сочетании их параметров социальная система выходит на уровень всеобщности в движении «деятельность — сознание — деятельность». Если в статической картине связей параметров информированности и активности мы фиксируем только момент их динамики (как фотография лица — психический момент состояния человека, зачастую невидимый глазом в потоке наблюдения), то надо вспомнить следующее. В картине перехода из нижних страт в верхние и наоборот при разборе лонгитюдного исследования в Москве (табл. 2.5, угловые клетки) распределения людей по скоростям перехода в полярные зоны активности показывали значениями энтропии, что переход осуществляется в локализованном пространстве диффузной массой (самые низкие значения общей энтропии (по всей шкале скоростей) и самые высокие значения экспериментальной (по заполненному диапазону шкалы скоростей)). Возможно, что сейчас в падении значений энтропии по числу форм активности в самой информированной группе производственного коллектива и в самой малоинформированной группе в масштабах страны 1990/91 гг. мы спроецировали в статическом срезе те же процессы восхождения (вертикальной мобильности) и падения активности (ухода от использования определенных общественных институтов). При этом резкое сокращение значения энтропии по количественному параметру информированности (0,470 — табл. 8.5 (1981/82 гг.), предпоследняя строка, колонка «+»)) как раз говорит о зауженном вверху смысловом поле скоростного диффузного потока мобильности.
И еще одно обстоятельство. В семье, в трудовом коллективе, в производственной агломерации или в национально-этническом образовании существуют поля своих строгих соответствий смыслов и форм поведения. Близость значений энтропии в матрицах сопряженности фундаментальных показателей сознания и деятельности показывает, что при сбалансированном обмене деятельностью в рамках той или иной по масштабу обмена общности плотность этого пространства обмена инвариантна, а значит, это косвенно свидетельствует о константности системного времени (колонка «энтропия эксперим.» табл. 8.6). Об этом четко свидетельствует и характер отклонений от средней степени активности в группах различной информированности («+++» диагональные знаки отклонений от средней в 95 %-ном доверительном интервале в серой заливке табл. 8.5). Перепады в долях, имеющих соответствующий признак активности, в группах по степени информированности имеют практически тождественный характер во всех трех типах общностей. Чем выше активность, тем выше информированность, чем выше информированность, тем выше активность. В полном соответствии с Бэконом: «Знание — сила». Но только в обществе со сбалансированным обменом результатами труда. При дисбалансе обмена происходит переход полей смыслов одной общности на функционирование общности другого уровня. Клуб начинает путаться с производством, семья «в мире и согласии» выбрасывает детей на улицу (в приюты для солдат государства), госслужба превращается в товар, а общественные структуры и функции, скажем, СМИ, приватизируются откровенным образом. Все это называется хорошими русскими словами.
Заканчивая описание проблемы связи полей информированности и активности в целом, отмечу еще одно. Информированность, например, о деятелях культуры, искусства, политики, спорта не связана так резко с источниками информации, как социально-политическая. Средние числа знаемых имен меняются в группах по активности использования источников незначительно. Это естественно, так как здесь «вмешивается» влияние институтов школы, дошкольного воспитания и т. п. Наиболее связаны в социальной системе «близкие» по времени предметные и смысловые поля. Это исторически накопленные этносами знания. В производственной деятельности это видно сразу: знание закона Ома нужно в электротехнике, но в живописи оно вряд ли пригодится. В обществах различной этнической ориентации также существуют достаточно жесткие парные соответствия трендов знаний и поведения. Деритесь в семье на глазах детей ежедневно, и вы получите идиотов, получайте прибыль от спиртного, и через 25 лет вам некого будет ставить на ракетные установки, меняйте ежеквартально правила экономической жизни, и вы развалите самую мощную экономику, показывайте по телевизору, как едят людей, и вы надолго обеспечите милицию работой, рекламируйте гнилой товар... ну и т. д., и т. п. Мамардашвили называл смысловые полярности этих примеров актами первосовместимости, цивилизационными основами человеческого общежития. Но при разбалансированном обмене результатами труда никакие вопли «Побойтесь Бога!!!» не спасут от зазеркального поведения. При этом условии создается непроходимая ситуация кафкианского мира. Она существует в России, по цитировавшемуся уже замечанию Преснякова, тысячу лет. «Плохо, что людей морят сейчас, но в пользу, что их морил император Петр I», — кричит массовое сознание. Сейчас демографические потери огромны, но масса людей считает, что при «Иосифе I» они были оправданны. Если идеи и действия трех русских революций вели в конечном счете через общественное самоуправление ассоциированной собственностью к созданию смысловых полей человеческого общежития, то после переворота 1929—1939 гг., уничтожения компартии в ее массе, а потом и в верхнем слое, раскрестьянивания и репрессий, кровавых ротаций в номенклатуре российское общество произвело под «рреволюционные» фанфары 1989—1993 гг. выродившийся симбиоз чиновничьей клики и широких слоев «служилых людишек», кастовое образование, соединяющее в себе элементы крепостнического строя под контролем до зубов вооруженного «третьего отделения». И все это названо «Россией», простиравшейся ранее от Вислы до форта Росс, а ныне остроумно смывающей косу Тузла на русско-украинской границе курам на смех.
А. С. Гречин, Б. А. Грушин, С. М. Клигер, Н. С. Мансуров, М. С. Мацковский, Г. А. Слесарев провели исследования с такими существенными параметрами предметного мира, обработка которых позволяет утверждать, что на текущий момент по крайней мере несколько форм информированности имеют практически всеобщее значение. Думаю, что именно инвариантность значений энтропии на связи фундаментальных параметров активности и информированности позволяет проявить эти формы. В главе 3 мы говорили о правовом сознании и выделили соответствующие группы правового сознания и поведения. А они связаны с правовой информированностью, под которой мы имеем в виду только знание норм государственного устройства, трудового и уголовно-процессуального кодексов (максимальное эмпирически обнаруженное знаемое число норм в 1976 г. = 43). Под установочно-поведенческими типами подразумевалось не только знание норм права, но и проекция собственного поведения в создавшейся правовой ситуации, отношение к ней и планируемые действия в случае, если опрашиваемый оказывается в ситуации нарушения правовой нормы лицами из его ближайшего окружения или бытовой микросреды. Вскользь отмечу здесь принципиальную разницу смыслов передач «Человек и закон» в советское время и теперь и «ЧП» в нынешнее. Первые сообщали о нормах, вторые — о правовом беспределе, сдвигая норму к общепринятому, всеобщему поведению, наказуемому уголовно.
Добавим, что отклонение в знании норм уголовного кодекса в группе по средней степени правовой информированности максимально высокое (на «+++»), т. е. с 95 %-ной вероятностью кодекс группа знала лучше, чем все. Значение энтропии в «поле»: «информированность х установочно-поведенческие типы правосознания» — 0,763. Это значение близко к полученным в таблице сопряженности форм информированности и активности, органично свойственных производственным коллективам, территориальной общности и стране в целом. Можно сделать вывод, что и правовое поле информированности фундаментально системно — сбалансировано относительно царящего обмена так же, как поле общественно-политической информированности.
Перепады в 2, 5, 10 раз по долям различных форм правосознания и мотивам, а также по средним величинам производственной активности, фиксируемые в высоком доверительном интервале, говорят, что для информированных людей (15,1 % массива) общественные формы выступали как их социальные силы, используя которые они добивались успеха (см. табл. 8.7). Полярная группа (17,7 % массива) отчуждается от этих общественных форм. Средняя по правовой информированности группа колеблется. Хотя готовый всегда переступить закон тип правосознания составляет в группе высокой информированности всего лишь 1 % (и программа оценки не дает ему репрезентативности в полученной картине), надо помнить, что это информированные в процессе нарушений закона люди и в сочетании с 20,9 % сильно колеблющимся в правовом отношении типом они при соответствующих созданных им благоприятных экономическо-социальных условиях поведут за собой производственные коллективы в демократическое будущее. Это видно уже в 1976 г. Нужно только срезонировать ситуацию соответствующими подзаконными актами и «политической волей», устремленной к «общечеловеческим» ценностям (стяжательство, обладание, насилие и т. п., и т. д.).
Характерно — напомню это еще раз! — что спустя 13 лет мы начали публиковать в период перестройки статьи из серьезных американских изданий о внедрении в США форм бригадного подряда, наставничества, рационализации с соответствующей оплатой за трудовую активность американского рабочего. Рассматривались проблемы более эффективной работы ассоциативных форм собственности в противовес частной. Все это впоследствии полностью ушло из массмедийного поля нашей страны. Платят за показы жизни людоедов. Еще в 1936 г. гениальный Сесар Вальехо перед смертью успел написать: «И после стольких веков зловещих / пытают страхом! / И в роли пугал уже не вечность — простые вещи: / отдаться мыслям, прийти в свой угол...» Клин клином вышибают, пугай сильнее — по этому принципу и действует массмедийное поле нашего отечественного ТВ, рассказывая нам популярно о «человеческой» природе.
|
Таблица 8.7. Взаимосвязь признаков правовой информированности («-» - низкая, «+-» - средняя, «+» - высокая) с установочно-поведенческими типами правосознания, типами деятельностной мотивации и с активностью в трудовой, общественной деятельности и в осознании производственных недостатков (в % к числу обследованных; n = 2000, в средних величинах и знаках отклонения) |
|
</> |
о_
о”
о |
о
о”
о |
о
о”
о |
о
о”
о |
г—
Г-” |
со.
г—”
СО |
ю” |
|
Средние активн. |
о |
г—
СО
о” |
О)
Оз” |
г— г— сГ |
оо
03. |
! |
+ |
+
+
+ |
|
со |
г—
t—
со |
03
см
ю” |
^|-
оо
со” |
см
см
оо” |
! |
+ |
+
+
+ |
|
< |
'sl-
ю |
ю
оо.
со” |
ю
ю
ю” |
оо
со” |
1 |
+ |
+
+
+ |
|
Мотивы активн. |
со |
о_
оз”
го |
о
ю |
оо
ю”
со |
ю.
аз’
со |
+
+
+ |
1 |
+ |
|
СМ |
оо
г-‘
см |
го.
о”
со |
ю.
аз
см |
03.
со” |
+ |
+
+ |
1 |
|
т—1 |
CN
со
ГО |
г—
оо |
г—
•ч}-
го |
ю.
со”
'si- |
1 |
+
+ |
+
+
+ |
|
Типы правосознания и поведения |
со |
CD
CN |
ю” |
см
см” |
о |
+
+
+ |
' |
|
|
ю |
сл
см”
ГО |
О)
Г-” |
со
со |
03
о”
см |
+
+
+ |
' |
1 |
|
|
О)
ІЯ |
CD
стз” |
г—
ю” |
о
см” |
+
+
+ |
+ |
1 |
|
со |
CN
ю” |
03.
03 |
ОЗ. |
о |
+
+
+ |
+ |
|
|
СМ |
CN |
о
со” |
ю.
со” |
о
Г-” |
+ |
+
+ |
1 |
|
т—1 |
|
|
см” |
оо”
СО |
! |
+ |
+
+
+ |
|
|
5
О
о
=г
со |
(К
го
X
о
S
X |
(К
к
X
е?
о
Cl
о |
(К
го
X
о
о
3
со |
' |
+1 |
+ |
|
qiooHHeaodnwdotJjHn |
|
Трудовая жизнь, жизнь сельской и городской общин, этнической и государственной общности имеют свои от века железные законы соответствия полей смыслов и деятельности, направленной на совместное воспроизводство жизни. Они-то и создают смысловую общность. И их нарушение, дисбаланс, ведет к гибели социальной системы, превращению ее в клоаку, общества — в «общак», живущий «по понятию», а правительственные учреждения — в клики.
Аналогичные результаты связи информированности и активности были получены в исследовании присвоения рекламы и покупки мясомолочных продуктов в 2000—2004 гг. Обнаружилась помощь рекламы одних заводов покупке товаров других предприятий. Это свидетельствовало, что рекламу «видят» лишь те, кто уже активно покупает этот вид товара, кто включен в этот предметный обмен. Тот, кто не может выйти на определенный уровень покупательского спроса или находится в смысловых полях, не совпадающих с типами определенного поведения, просто не видит предлагаемой информации.
Покончим с сопряженностью информированности и активности на примере актуальных проблем городской жизни из проекта «Общественное мнение» (табл. 8.8).
|
Таблица 8.8. Взаимосвязь признаков культурно-бытовой информированности о жизни города с активностью использования системы бытового обслуживания и культурных учреждений Таганрога в 1969 г. (в % к числу обследованных; n = 982, и знаках отклонения) |
Информиро
ванность |
Активность (в %) |
S |
Активность (в знаках отклонения) |
S |
|
Низкая |
Средняя |
Высокая |
Низкая |
Средняя |
Высокая |
|
В целом |
17 |
65 |
18 |
о
о |
17 |
65 |
18 |
100 |
|
Низкая |
38 |
53 |
10 |
о
о |
+++ |
— |
— |
18 |
|
Средняя |
14 |
69 |
17 |
о
о |
— |
+++ |
+- |
65 |
|
Высокая |
5 |
64 |
31 |
о
о |
___ |
+- |
+++ |
17 |
|
Таким образом, и на бытовом уровне видны связи «широты» поля знания (высокой или низкой информированности) и активности в бытовой и культурной среде городской жизни. Ясно, однако, что никакое информационное воздействие не заставит людей с низким уровнем знания стать активными при отсутствии денег или потребностей в услугах банно-прачечных или увеселительных заведений. Что и когда заставит этих людей перейти в иную группу смыслового и деятельностного соответствия, пока неясно. Это дело будущих лонгитюдных исследований, в которых «информированность» будет таким же обязательным параметром, как пол, возраст, образование, социально-профессиональная принадлежность, детность, «активность» и т. д., и т. п. Но независимо от этого мы уже теперь видим важность данного параметра для существенных оценок поведения социальной системы. Поэтому рассмотрим взаимосвязи информированности уже не с активностью в близких предметных полях обмена, а с социальными признаками, признаками активности в разных сферах жизни, а затем перейдем к рассмотрению связей информированности с отношением и к социальным проблемам, и к их решению органами власти.
Заметим, что проблемы социальной жизни мы будем затем обсуждать в оценках дел населением с одновременной постановкой населением отметок органам власти за решение этих проблем. В точке перелома 1990/91 гг. фаворитами были торговля, жилье и борьба с преступностью (волновали от 70 до 75 % населения страны), вторую группу представляли сферы здравоохранения и создания благоприятной среды обитания (54 и 57 % соответственно), третью — представляли проблемы воспитания подростков (49 %), преодоления национальной розни (43 %), социального обеспечения (43 %), борьбы с пьянством и наркоманией (42 %). В Питере 1999 г. перед самыми выборами вопросы благоустройства дворов и подъездов, дорог, автостоянок, работа транспорта, коммунальное обслуживание заняли 43 % ответов у 83 % ответивших (17 % затруднились ответить). Нищета и безработица дали 13 % всех ответов у ответивших. Состояние среды обитания вызвало беспокойство у 12 %. 11 % считают остро необходимой борьбу с преступностью. Как же это состояние проблем проецируется населением на власти предержащие?
Связи информированности и различных социальнодемографических и специальных признаков
Связи информированности и социальных признаков
Рассмотрим взаимосвязь информированности и некоторых социальных признаков (табл. 8.9).
Данные таблицы и диаграмм не только подтверждают в связях информированности и поколенческих, образовательных признаков и признаков занятости те структурные переломы в фундаменте общества, что мы зафиксировали при обсуждении фигур обмена активностью индивидуумов, — они указывают на три новых обстоятельства.
1. Беспрецедентный процесс слома активности социально-демографических групп в 1990/91 гг. сопровождается аналогичным сломом поля информированности, полей знания и смыслов.
2. Связь «поля знаний», информированности и активности — общей, трудовой, досуговой, присвоения свойств вещей, выраженное в уровне достатка, интенсивности межличностной коммуникации — выше, чем связь с традиционными социально-демографическими признаками. При этом наиболее высока плотность распределения степеней информированности и активности в межличностной коммуникации. Как мы помним, волна, построенная по изменению скоростей роста и падения числа ценностей на возрастной шкале, коррелировала наиболее сильно с межличностной коммуникацией. Становится очевидным следующее. Развитие общественных норм, установок, смысловых клише и стереотипов наиболее сильно связано с открытым обсуждением людьми своих общественных проблем. Взрыв обсуждения проблем в 1990/91 гг. был великим
|
Таблица 8.9. Взаимосвязь признаков информированности о жизни страны («--» - очень низкая, «-» - низкая, «+-» - средняя, «+» - высокая, «++» - очень высокая) с социальными признаками населения и с его активностью в различных сферах жизнедеятельности в 1990/91 гг. (в % к числу обследованных (n = 9674), в значениях коэффициентов связи и энтропии и в знаках отклонения частот от средних величин) |
|
</> |
|
о
о |
- |
ГО |
70 |
см |
|
|
00 |
о
о |
- |
со |
70 |
CM |
|
|
Достаток |
+ |
ю |
|
- |
ю |
О) |
22 |
Энтропия |
,655 |
Активность МЛК |
+ |
CD |
о |
|
Ю |
CO |
33 |
|
+ |
69 |
48 |
СО
CD |
70 |
|
|
Крамер |
,118 |
+ |
t— |
32 |
CD
CD |
73 |
64 |
62 |
|
¦ |
CD |
48 |
26 |
ю |
о |
|
Пирсон |
t—
CD |
|
¦ |
СО |
68 |
30 |
CM |
Ю |
Ю |
|
Образование |
э
о
3
со |
55 |
30 |
48 |
58 |
54 |
46 |
Энтропия |
t—
CD
CD |
Активность труда |
+ |
ю |
о |
Ю |
CO |
27 |
34 |
|
Сред. |
39 |
44 |
|
37 |
42 |
46 |
Крамер |
,107 |
+ |
со
CD |
39 |
54 |
65 |
62 |
53 |
CL
О
S
X |
CD |
26 |
- |
ю |
|
oo |
Пирсон |
,152 |
¦ |
22 |
ю |
|
22 |
- |
CO |
|
Занятость |
X
(О
о
о
X |
22 |
29 |
26 |
22 |
|
oo |
Энтропия |
,713 |
Активность досуга |
+ |
со |
см |
CD |
CO |
CM |
26 |
б
s
> |
56 |
37 |
ю |
58 |
57 |
54 |
Крамер |
LO
CD
О |
+ |
CD
CD |
37 |
53 |
68 |
69 |
CD
CD |
б
S
е |
22 |
34 |
23 |
20 |
26 |
28 |
Пирсон |
,092 |
|
¦ |
CM |
CD |
|
CT> |
о |
oo |
|
Поколение |
30-49 |
45 |
33 |
40 |
45 |
52 |
Ю |
Энтропия |
,742 |
Активность общая |
+ |
Ю |
О |
|
|
27 |
CD
CO |
|
До 30 |
30 |
30 |
34 |
со |
CM |
|
Крамер |
,077 |
+ |
69 |
СО |
62 |
72 |
67 |
59 |
|
¦ |
CD |
69 |
34 |
|
CD |
Ю |
о
ю
6 |
25 |
37 |
26 |
24 |
27 |
32 |
Пирсон |
,109 |
|
|
|
со |
! |
¦ |
+ |
+ |
+
+ |
Фч |
CD
X
CO |
|
СО |
! |
' |
+ |
+ |
+
+ |
|
|
</> |
|
|
00 |
о
о |
- |
СО |
70 |
СМ |
|
00 |
о
о |
- |
СО |
70 |
CM |
|
|
Достаток |
+ |
Энтропия |
,628 |
Достаток |
+ |
ю |
|
1 |
+ |
+++ |
+ + + |
Активность МЛК |
+ |
CD |
* |
1 |
1 |
+++ |
+++ |
|
+ |
Крамер |
,219 |
+ |
69 |
1 |
1 |
+
+ |
+ |
+ |
+ |
t— |
1 |
1 |
+++ |
' |
1 |
|
¦ |
|
Пирсон |
,309 |
' |
CD |
+++ |
+
+ |
! |
! |
! |
¦ |
СО |
+++ |
+++ |
I |
I |
I |
|
Образование |
э
о
3
со |
Энтропия |
ю
CD
CD |
Образование |
Э
о
3
са |
55 |
1 |
1 |
+ + + |
' |
1 |
Активность труда |
+ |
ю |
|
1 |
1 |
+++ |
+++ |
|
Сред. |
Крамер |
,182 |
Сред. |
39 |
+ |
+ |
1 |
+
+ |
+
+ |
+ |
со
CD |
|
1 |
+++ |
+ |
1 |
CL
О
S
X |
Пирсон |
,258 |
а.
О
S
X |
CD |
+++ |
+++ |
1 |
! |
+ |
¦ |
22 |
|
+++ |
+ |
1 |
1 |
|
Занятость |
X
(О
о
о
X |
Энтропия |
,655 |
Занятость |
X
CD
О
О
X |
22 |
+
+ |
+++ |
+ |
! |
' |
Активность досуга |
+ |
со |
|
I |
i |
+++ |
+++ |
б
s
> |
Крамер |
,182 |
б
м |
56 |
! |
! |
+ + + |
+ |
' |
+ |
CD
CD |
I |
I |
+++ |
+
+ |
+ |
б
S
е |
|
Пирсон |
,257 |
б
S
е |
22 |
++ + |
+ |
1 |
+ + + |
+
+ |
¦ |
CM |
+++ |
+++ |
1 |
1 |
1 |
|
Поколение |
30-49 |
Энтропия |
,642 |
Поколение |
30-49 |
45 |
++ + |
+ |
! |
+
+ |
+ + + |
Активность общая |
+ |
Ю |
* |
I |
I |
+++ |
+++ |
|
До 30 |
Крамер |
,226 |
До 30 |
30 |
+ |
+++ |
+ + + |
1 |
1 |
+ |
69 |
1 |
1 |
+++ |
' |
1 |
|
Пирсон |
,319 |
о
ю
ё |
25 |
++ + |
+ |
1 |
+
+ |
+ + + |
¦ |
CD |
+++ |
+++ |
1 |
1 |
1 |
о
ю
I—
о |
|
|
|
Фя |
CD
X
СО |
|
СО |
! |
' |
+ |
+ |
+
+ |
|
СО |
! |
' |
+ |
+ |
+
+ |
прорывом из «сталинской» атомизации общества. Это вызывало чуть ли не в первую очередь сначала «священную» ненависть чиновничества и обывателя, требовавшего сильной руки ради свободы от совести, а затем уничтожение на базе слияния интересов элиты и охлоса возможности широкого обсуждения проблем. Но никакая информация, не будучи подкрепленной синтезом в межличностном общении широких слоев населения, не получит развития в виде дальнейшей ее интеграции в социальные действия. Напротив, она будет дробиться и распадаться на аморфные явления в кратких циклах их жизни.
3. «Активность» и «информированность» — фундаментальные, наиболее резко связанные социальные показатели — позволяют отслеживать изменения полей деятельности и полей смыслов, их эксцентриситеты и взаимопроникновение. Практически так же, как и общественно-политическая активность, рассмотренная выше, была до 1990/91 гг. жестко напрямую связана с активностью в других сферах жизни, так и степень информированности о социальных проблемах и путях их решения связана жестким стереотипом, контур которого мы выделили на связи степеней информированности с общей активностью в обмене деятельностями в максимально широко взятых формах общественной жизни. Практически этот контур неизменен во всех подсистемах человеческой активности — трудовой, досуговой, достижения достатка. Однако наиболее высоки значения коэффициентов взаимной сопряженности (при 99,95 %-ном доверительном интервале) и низки значения энтропии (при 95 %-ной вероятности отклонения долей в % в соответствующих группах) именно в матрицах «информированности и общей социальной активности» и «информированности и активности в межличностном общении в процессе обсуждения проблем». Чем выше уровень общественно-политических знаний, тем выше социальная активность, чем выше взаимодействие людей и открытое обсуждение проблем, тем более предсказуемо поведение людей в социуме. В. В. Сазонов показал, что происходит при 30 %-ной информированности населения. Добавлю: и при 30 %-ной явке избирателей, обеспечивающей 15,01 % легитимности дерущихся между собой «ветвей» дерева власти.
Выше мы говорили о том, что связи разных параметров информированности с отдельными признаками активности, социально-психологическими признаками и признаками умения владеть текстом различны. Кроме этого, выяснилось, что оценки положения дел в различных сферах жизни и оценки органов власти, решающих (не решающих) эти проблемы, связаны различно не только между собой, но и в группах по степеням информированности. Причем далеко не прямыми соответствиями типа: высокая информированность — высокая оценка дел или властей. Проиллюстрируем эти факты.
Преимущества параметра социально-политической информированности
Задача выбора наиболее удачной социологической переменной для выяснения ее взаимосвязей с оценками социальных проблем жизни и действий органов власти стояла очень остро. Необходимо было, во-первых, сравнить «резкость» картин дифференциации оценок окружающей реальности в различных признаках, рассмотреть эти картины и связи указанных признаков, а во-вторых, произвести интеграцию оценок различных сфер жизни и действий власти, смазывающих реальную семантику обыденного сознания в контуре «власть — население — решение проблем». Из наиболее дифференцирующих оценки населения признаков для выбора были взяты три: общественно-политическая информированность, информированность об именах выдающихся людей, степень «консерватизма — инновационности» населения.
Вот как оказались связаны эти три признака, и насколько они по разному дифференцировали оценки различных сторон жизни. В табл. 8.10 показана связь групп по пяти степеням общественно-политической информированности (в подлежащем) с пятью группами по знанию имен выдающихся поэтов, писателей, художников, композиторов, политиков и спортсменов. Затем в колонке «средняя» показано среднее значение у каждой из групп той или иной степени общественно-политической информированности на инновационной шкале в 17 пунктов (середина = 8,5), а внизу дан знак силы отклонения от средней (на основе объема группы, среднего значения и стандартного отклонения). Затем идут шесть колонок средних оценок по пятибалльной системе двух параметров. Первый — оценка «Насколько существующие в нашем обществе отношения позволяют выразить себя респонденту как личности в трудовой деятельности». Второй — оценка «В какой степени оплата труда респондента соответствует его трудовой активности». Оценки проставлялись по пятибалльной системе и обществу, и соответствию заработной платы трудовому вкладу. В таблице приведены средние баллы (без затрудняющихся ответить) в целом и по каждой из групп «консерватизма — инновационности», общественно политической информированности, общекультурной информированности.
Как видно, взаимная сопряженность двух типов информированности (общественно-политической и общекультурной) достаточно высока. При «хи-квадрате» 564,285 (доверительный интервал 99,95 %) коэффициенты взаимосвязи составляют: Пирсон — 0,245, Крамер — 0,123, взаимной сопряженности — 0,238, а значение нормированной энтропии — 0,597. Даже на массиве в 9379 человек (взятых на пересечении признаков) отклонения в группе объемом в 1 % с очень низкой степенью общественно-политической информированности по высоким степеням общекультурной информированности нерепрезентативны (знак «.» фиксирует объемы в 2—3 человека). Таким образом, общественно-политическая и общекультурная информированности связаны между собой напрямую, но не очень резко (диагональное распределение отклонений от средней на плюс в правом нижнем углу снижается по доверительному интервалу). А вот признак «консерватизма — инновационности» нейтрален по отношению к признаку «степень общественно-
|
Таблица 8.10. Взаимосвязь групп по степени информированности и инновационности, а также среднее значение оценок трудовых отношений и соответствия заработной платы трудовому вкладу в этих группах (в % к числу обследованных (n = 9674), в округленных средних значениях и знаках отклонения долей % и средних значений) |
|
ш |
см |
со |
3,7 |
3,3 |
3,0 |
2,8 |
2,9 |
+++ |
+++ |
' |
1 |
! |
|
т—1 |
г—
со” |
г— |
со |
со
со” |
см
со” |
со
со” |
+++ |
+++ |
' |
1 |
1 |
|
о |
см |
со |
со
со” |
со” |
со” |
оо_
см” |
СО
см” |
+++ |
+++ |
+ |
1 |
1 |
|
т—1 |
г—
со |
ю_ |
|
со” |
со” |
со
со” |
+++ |
+++ |
+ |
1 |
1 |
|
о |
см |
со |
со
со” |
со” |
со” |
см
со” |
см” |
+ |
+ |
+ |
+ |
' |
|
т—1 |
со
со |
со
со” |
СО
со” |
со
со” |
со” |
со
со” |
+ |
! |
+ |
+ |
' |
|
0Q |
ю
со” |
ю
оо” |
оо” |
ю
оо” |
•=t
оо” |
ю
оо” |
+ |
+ |
+ |
+ |
+ |
|
< |
</> |
о
о |
о
о |
о
о |
о
о |
о
о |
о
о |
- |
со |
о |
см |
|
+
+ |
ю |
см |
со |
СО |
СО |
оо |
|
1 |
+
+ |
+ |
+
+ |
|
+ |
О) |
со |
|
О) |
СТ> |
оо |
|
! |
+ |
+ |
+ |
|
+ |
о
t— |
СО
со |
СО |
|
СО |
•=t |
1 |
1 |
+++ |
+++ |
+ |
|
' |
- |
со
см |
ю |
о |
оо |
|
+++ |
+++ |
! |
1 |
! |
|
: |
ю |
СО
со |
|
|
- |
со |
+++ |
+++ |
1 |
1 |
! |
Инфор
мирован
ность |
со |
! |
' |
+ |
+ |
+
+ |
! |
' |
+! |
+ |
+
+ |
|
D - средний балл оценки в группах информированности о политике (от 1 до 5) E - средний балл оценки в группах информированности о культуре (от 1 до 5).
1 - оценки возможностей в обществе.
2 - оценки соответствия зарплаты трудовому вкладу.
политической информированности». В табл. 8.10B мы видим, что среднее значение «гауссианы» инновационности не имеет значимых отклонений ни в одной из групп по степени общественно-политической информированности (отклонения лишь в 0,1 от общей средней величины, т. е. 1 от 100 %).
Резкие различия демонстрируются группами «консерватизма — инновационности» и информированности в оценках, во-первых, возможностей, предоставляемых общественной системой в сфере труда в 1990/91 гг., а во-вторых, соответствия заработной платы трудовому вкладу. Отклонения в группах по степени инновационности более аморфны, менее резко выражены по отношению к трудовой сфере, чем в группах по степени информированности (и общественно-политической и общекультурной). В 80 %-ном доверительном интервале уменьшается удовлетворенность трудовыми возможностями лишь в группе умеренных «консерваторов» и активных «инноваторов». Удовлетворенность заработной платой в этом же доверительном интервале уменьшают лишь активные «инноваторы». Логичен вывод, что признак «инновационности» и параметры сферы труда в семантике общественных отношений связаны слабо.
Иная — контрастная и яркая — картина перепадов оценок отношений в трудовой сфере в группах по общественно-политической и общекультурной информированности. Очень низко- и низкоинформированные группы демонстрируют высокие оценки (между «4» и «5») возможностей в трудовой сфере и выше средних (между «3» и «4») по соответствию заработной платы трудовому вкладу (отклонения значимы в 95 %-ном доверительном интервале). В прямую противоположность этому очень высоко- и высокоинформированные группы демонстрируют ниже среднего оценки (между «3» и «4» при средней 3,7 и ближе к «тройке») возможностей в трудовой сфере и ниже тройки (между «2» и «3», ближе к «тройке») по соответствию заработной платы трудовому вкладу (отклонения на минус значимы в 95 %-ном доверительном интервале). При этом общественно-политическая информированность дает более сбалансированную и резкую картину перепадов, чем общекультурная (сравни знаки отклонений в разделах D и E табл. 8.10).
Для оценки связей информированности и отношения к деятельности органов власти и политикам различного «калибра» в статике и в динамике с 1969 по 2004 гг. мы выбрали группы, построенные на шкале общественно-политической информированности. При выборе мы дополнительно сравнили распределения ответов на ряд вопросов в группах различной степени «консерватизма — инновационности» и общественно-политической информированности. Были взяты следующие вопросы.
• Удастся ли человечеству избежать Третей мировой войны?
• Повлияют ли решения очередного съезда КПСС на экономическое и политическое положение в стране?
• Способна ли КПСС руководить страной?
• Будут ли решены проблемы вашего региона в ближайшие 10 лет?
• Что вы ждете от успеха перестройки для себя лично?
• Согласитесь ли вы дать выпить спиртное своим несовершеннолетним детям в кругу семьи?
Кроме того, были взяты связи этих двух типов групп с группами: семиотическими, по степени тревожности, по выбору мотивом поездки за границу «получения вида на постоянное жительство» и, наконец, друг с другом.
Сравнения показали, что по всем вопросам дифференциация в группах по степени общественно-политической информированности выше, чем в группах по «консерватизму — инновационности». Более информированные резче выделяются увеличением долей:
1) уверенных в возможности предотвращения мировой войны;
2) тех, кто дает отрицательную оценку роли КПСС в целом и ее съезда в возможности изменить ситуацию в стране к лучшему;
3) тех, кто не ожидает решения проблем на местном уровне и ждет ухудшения от перестройки;
4) тех, кто не позволил бы несовершеннолетним детям пить в семье в праздник спиртное.
Исключений было несколько: во-первых, группы по степени информированности были практически инвариантны с точки зрения доли в них групп по степени тревожности (аналог цветового теста Люшера), тогда как группы средней и высокой степени инновационности демонстрировали соответственно первая высокую, а вторая среднюю степень тревожности с 90 %-ной вероятностью. Группа с консервативной ориентацией тяготела с той же вероятностью по степени тревожности к норме. Группа с высокой и очень высокой степенью инновационности (17 %) резко, с 95 %-ной вероятностью, увеличивала долю желающих покинуть страну (в группе с очень высокой инновационностью (1,4 %) эта доля увеличивается до 21 против 13 % по подвыборке в целом). В группе максимальной инновационности резко падает ориентация на ценность «семья и дети» (с 90 %-ной вероятностью), а в предшествующей по инновационности группе усиливается интенсивность мотивации на ценность «благополучие» (с 80 %-ной вероятностью). Напомним: среди имеющих ценностями «карьеру» и «иметь больше прав и возможностей, чем у других людей» процент желающих покинуть страну достигает почти 25 против 11 % по массиву в целом, репрезентативному населению страны. В группах с высокой степенью информированности таких явлений не наблюдается. Кроме того, в группах «консерваторов» несколько увеличивается доля лиц, желающих по тем или иным причинам поехать в такие страны, как Китай, Индия, Бразилия, а среди инноваторов увеличивается доля ориентированных в поездках на Запад (кроме Англии).
Наконец о связях параметров «консерватизм — инновационность» и «информированность» с уровнем семиотической подготовки, умением адекватно интерпретировать тексты. Инновационность слабо связана с семиотическим уровнем. Энтропия здесь выше, чем в матрице «семиотический уровень — информированность» (0,771 против 0,725, а по заполненным клеткам 0,799 против 0,751). Из ярких отклонений (с 95 %-ной вероятностью) надо отметить такие: третья семиотическая группа (не знающие словарей и не видящие логику текста) увеличивает свой вес среди низкоинформированных, а четвертая группа (знающие словари, но смысла текстов не понимающие) в высокоинформированных группах (с 95 %-ной вероятностью среди высоко- и с 90 %-ной вероятностью среди очень высокоинформированных (на падение влияет малая величина группы, снижающая доверительный интервал)). Укрупненные группы по инновационности дают с 90 %-ной вероятностью только два отклонения: четвертая семиотическая группа увеличивает долю среди консерваторов, уменьшая среди умеренных. В 80 %-ном доверительном интервале увеличивают свою долю среди консерваторов первая группа, среди умеренных — вторая и третья группы. Последняя с этой же вероятностью уменьшает свою долю у инноваторов. Шестая группа (знают только спецсловарь и не понимают смысла текста) уменьшает долю (с 80 %-ной вероятностью) у консерваторов, повышая ее среди умеренных.
Возникает предпосылка к выводу, что «консерватизм — инновационность» — скорее социально-психологический срез общественной системы. Он выступает реагентной формой редукций быстропроходящего общественного настроения в какие-то формы мироощущения. Его связи с группами по степени тревожности, с мотивацией на выезд из страны, которая высоко коррелирует с индивидуалистическими формами мировоззрения, делают его менее пригодным для применения в качестве параметра оценки населением деятельности власти по решению социальных проблем. Поля его эффективной социальной работы нужно найти в будущих исследованиях. Информированность же оказывается более сциентист-ски ориентированным параметром, хотя и там в группах, отличающихся низкой степенью знания социальной ситуации, действуют формы, которые можно часто принять за короткоживущие социально-психологические детерминанты.
Очень характерно распределение ответов на вопрос о возможности дать выпить спиртное своим несовершеннолетним детям за праздничным столом. Рассмотренное в группах по инновационным предрасположенностям, общественно-политической информированности и возрасту приобщения к спиртному, оно дает совершенно очевидный результат. Закрепляемые определенными формами поведения «смыслы» существуют в поддерживаемых социальными условиями нормах поведения и детерминируют передачу этих норм последующим поколениям более эффективно, чем сконструированные по «поодаль лежащим» предметностям признаки сознания.
Таблица 8.11 показывает очень слабую связь между признаком «инновационность» и стремлением «попотчевать» детишек спиртным в семейный праздник. Общественно-политическая информированность как-то связана с пониманием вреда раннего приобщения «молоди» к алкоголю и несколько увеличивает вес отрицательных ответов в группах наиболее информированных и вес затрудняющихся ответить в группах с низкой информированностью. А вот поведенческая ситуация подросткового приобщения к алкоголю работает «прогрессивно». Доля тех, кто даст детям «выпить», среди рано приобщившихся к питейным традициям (кстати, в той же семье) растет, как на дрожжах. В каких смысловых формах больше или меньше закрепляются эти ранние поведенческие нормы, нужно еще выяснять. Но то, что эти «смыслы» «безысходности ли существования», «бессмысленности ли
|
Таблица 8.11. Распределение ответов на вопрос о том, разрешили бы опрошенные выпить своим несовершеннолетним детям спиртное за праздничным столом в кругу семьи, в зависимости от инновационности, информированности и собственного возраста, когда респондент впервые попробовал вино (водку) (в % к числу опрошенных; n = 9674, в группах по инновационности n = 3437, в группах по возрасту приобщения к спиртному n = 8131) |
|
Дадут ли выпить спиртное своим несовершеннолетним детям в семье в праздник |
Возраст приобщения к спиртному |
00 |
о
о |
03 |
со |
20 |
45 |
23 |
о
о |
03 |
со |
20 |
45 |
23 |
Энтропия |
,769 |
о
со |
см |
о
см |
- |
СО |
см |
СО |
см |
+ |
+++ |
+ |
! |
+++ |
Крамер |
,220 |
ф
X |
о
t— |
|
•=t
'si- |
ю
'si- |
г— |
о
03 |
о
t— |
! |
! |
+
+ |
+++ |
+ |
Пирсон |
,347 |
|
03 |
оо |
03 |
ю
'si- |
03
со |
г— |
|
оо |
1 |
+++ |
+++ |
1 |
1 |
Ct
со „ ш с.
зс то і °->< |
1112,8 |
|
Группы |
о
со |
о
о
d |
СО
о |
16-19 |
Ст. 19 |
Группы |
о
со |
о
о
d |
СО
о |
16-19 |
Ст. 19 |
-?- |
03
X
со |
|
Информированность |
00 |
о
о |
- |
со |
о г— |
см |
|
о
о |
- |
со |
о г— |
см |
|
Энтропия |
СО
"=t
со |
о
со |
см |
см
со |
ю |
см |
03 |
оо |
см |
+++ |
+++ |
+ |
! |
i |
Крамер |
,062 |
ф
X |
о
t— |
ю |
03
СО |
о г— |
со г— |
•=t |
о
t— |
! |
+ |
+ |
+
+ |
+ |
Пирсон |
,087 |
|
03 |
оо |
- |
СО |
оо |
оо |
оо |
оо |
¦ |
! |
+ |
+ |
+ |
Ct
со „
CQ (О
зр пз
і °->< |
68,02 |
|
Группы |
! |
¦ |
+ |
+ |
+
+ |
Группы |
! |
¦ |
+ |
+ |
+
+ |
-?- |
03
X
со |
|
Инновационность |
00 |
о
о |
см |
СО |
•=t
СО |
СО |
см |
о
о |
см |
СО |
•=t
СО |
СО |
CM |
Энтропия |
ю
г— со |
о
со |
со |
|
|
|
03 |
ю |
со |
+ |
+ |
+ |
і |
|
Крамер |
СО
•=t
о |
ф
X |
О)
со |
СО |
СО |
03
СО |
г— |
со
СО |
03
со |
¦ |
¦ |
+ |
+ |
|
Пирсон |
СО
СО
о |
|
03 |
оо |
ю
см |
03 |
г— |
о
см |
см
см |
оо |
+ |
+ |
¦ |
+ |
|
Ct
со „
CQ (О
зр пз
і °->< |
14,1 |
|
Группы |
! |
¦ |
+ |
+ |
+
+ |
Группы |
! |
¦ |
+ |
+ |
+
+ |
-?- |
Значение |
|
любой деятельности» в условиях социального морока влияют потом на активность в пьянстве и наркомании, очевидно. Но нам надо исследовать связь определенных смысловых полей с отношением к власти. Чтобы покончить с обоснованием выбора «общественно-политической информированности», для рассмотрения ее влияния на оценки положения дел в разных сферах жизни и на оценки действий власти по изменению положения дел на протяжении 35 лет, приведем таблицу взаимной сопряженности групп по степени инновационности и информированности (таб. 8.12).
|
Таблица 8.12. Взаимосвязь признаков «общественно-политическая информированность» и «консерватизм -инновационность» (в % к числу опрошенных; n = 2850, на пересечении признаков в массиве, перевзвешенном на генсовокупность по переписи населения 1989 г. и в знаках отклонения от среднего значения групп по инновационности во всем массиве) |
|
|
Инновационность(в %) |
S |
Инновационность (в знаках откл.) |
S |
|
Низкая |
Средняя |
Высокая |
Низкая |
Средняя |
Высокая |
|
В целом |
17 |
65 |
18 |
100 |
17 |
65 |
18 |
100 |
|
Низкая |
13 |
75 |
12 |
100 |
-- |
+++ |
— |
17 |
|
Средняя |
18 |
61 |
21 |
100 |
+ |
— |
+++ |
66 |
|
Высокая |
16 |
69 |
15 |
100 |
+- |
+ |
-- |
17 |
|
Как видно, связи между признаками нет. При «хи-квадрате» 19,705 (99 %-ный доверительный интервал при 4 степенях свободы), коэффициенты Пирсона, Чупрова-Крамера, взаимной сопряженности составляют соответственно 0,085, 0,060, 0,084. Значение энтропии в таблице из 9 клеток очень высоко: 0,801. Информированным не присуща высокая инновационность — они осторожны.
Связь информированности и отношения к различным сторонам жизни в динамике
Связи информированности и отношения к проблемам и к власти
Методы рассмотрения. В ходе исследований отношения к органам власти различных социальных групп — начиная с проекта «Общественное мнение», через Всесоюзное исследование 1990/91 гг., исследование в Касимове в 1994 г., питерский зондаж 1999 г. и московское исследование 2004 г. — общественно-политическая информированность варьировалась в ряду одних и тех же признаков. Ставя группы, полученные методом среднеквадратического отклонения (одного или двух) в подлежащее таблиц, мы рассматривали по каждой из групп информированности средние отклонения оценок в пятибалльной системе различных параметров деятельности органов власти, населения, журналистов, политиков от значений этих оценок по массиву в целом. С другой стороны, в каждом из исследований (кроме питерского) был задействован стандартный ряд вопросов — пятибалльных оценок состояния в различных сферах жизни, работы властей по решению проблем в этих сферах, возможностей в регионе для создания нормальной жизнедеятельности по ряду параметров. В первом таганрогском исследовании и в последнем Всесоюзном был тем же оценочным образом разработан весь контур взаимоотношений населения, местных органов власти и местных редакций массмедиа в плане выражения, аккумуляции и учета общественного мнения по актуальным для жизни проблемам. Это поле оценок (до 44 во Всесоюзном исследовании) бралось у каждого респондента в полной целостности, вычислялась средняя оценка представлений отвечающего, а затем она, средняя, вычиталась из его оценок того или иного явления или их группы. Так мы получали меру разброса представлений по тем или иным параметрам: состояние проблем, работа местной власти, журналисты, политики, возможности для нормальной жизни.
И вот этими тремя методами: 1 — вычислением и сравнением средних, 2 — сравнением их отклонений по различным параметрам, просчитанным по всему полю отношения к выделенным параметрам каждого респондента, 3 — графическими иллюстрациями отклонений средних значений оценок, — мы проанализировали все указанные массивы. Причем как в целом, так и по группам с различной степенью информированности. Анализируя данные Касимова, для убедительности картины мы привлекли и группы по уровню благосостояния и активности досуга.
Уже анализ данных первого таганрогского проекта позволил обнаружить феномен несовпадения оценок, полученных за счет суммарной интеграции «отметок» за дела в каждой из анализируемых сфер, с оценками за счет общих вопросов. Рассмотрим два примера (см. табл. 8.13 и 8.14).
|
Таблица 8.13. Средние оценки населением города Таганрога работы местных органов власти в различных сферах общественной жизни в целом и в группах с различной степенью информированности относительно городских проблем (в средних показателях оценок от «1» до «5» и в знаках отклонения от среднего; максимальное число зафиксированных в знании проблем = 19, n = 982) |
|
Информированность |
Средний балл отметки от «1» до «4» по соответствующим сферам |
|
1 |
2 |
3 |
4 |
5 |
6 |
7 |
8 |
|
В целом |
3,05 |
2,97 |
2,64 |
3,07 |
2,62 |
2,76 |
3,16 |
3,55 |
|
- низкая |
3,19 |
3,10 |
2,69 |
3,25 |
2,81 |
2,99 |
3,32 |
3,63 |
|
+- средняя |
3,00 |
2,97 |
2,65 |
3,08 |
2,61 |
2,76 |
3,14 |
3,56 |
|
+ высокая |
3,10 |
2,83 |
2,58 |
2,86 |
2,47 |
2,56 |
3,07 |
3,47 |
|
- низкая |
++ |
+++ |
+- |
+++ |
+++ |
+++ |
+++ |
+ |
|
+- средняя |
- |
+- |
+- |
+- |
+- |
+- |
+- |
+- |
|
+ высокая |
+- |
--- |
+- |
--- |
--- |
--- |
- |
- |
|
Типы оценок:
1 - местным органам власти за работу в сферах жизни города в целом;
2 - органам власти за работу в этих же сферах (суммарный средний балл);
3 - за решение проблемы жилья;
4 - за решение проблем бытового и коммунального обслуживания;
5 - за решение проблем торговли промышленным и продуктовым товарами;
6 - за организацию работы городского общественного транспорта;
7 - за организацию работы системы здравоохранения;
8 - за организацию работы учреждений культуры. |
Как видим, общий вопрос о том, как органы власти справляются с проблемами жизни города, дает более стушеванную и не поляризированную оценку их деятельности, как в целом, так и в группах по степеням информированности. Оценка, интегрированная из шести параметров работы местных органов власти, дифференцирована резче. При этом не единая и низкая по всем группам оценка усилий власти по решению жилищной проблемы, не менее поляризованные оценки руководства здравоохранением и учреждениями культуры — оценки руководства торговлей, коммунально-бытовыми службами и транспортом дают наибольший вклад в общую интегративную картину. Отвечая на вопрос в целом, население города несколько «щадит» местную власть. Однако и здесь низкоинформированные завышают отметки. Как и по всем сферам (кроме жилищной проблемы: тут полное единство мнений). Потребности в культуре у низкоинформированных (по их оценке) ниже. В целом же, однако, по решению проблем организации жизнедеятельности городского населения высокоинформированные и в целом, и по отдельным сферам снижают оценки работы местной власти довольно резко (с 95 %-ной вероятностью), а низкоинформированные с такой же вероятностью их завышают. Кажется, их потребности, кроме жилищной, ниже, а значит, это повышает отметки властей. «Комплимент» сомнительного социального свойства.
Совершенно иначе в 1969 г. ведут себя группы по общественно-политической информированности в контуре «органы местного управления — население» с точки зрения оценок выражения мнений по городским проблемам.
Здесь респонденты поставили 11 оценок: «информированности населения о решениях органов власти», «активности населения в выражении мнений», «откровенности населения в выражении мнений», «компетентности мнений населения», «информированности власти о мнениях населения», «учета властями мнений населения в своих действиях», «степени совпадения решений власти с мнением населения», «необходимости информировать население о решениях власти», «необходимости знать властям мнение населения», «необходимости активного выражения мнений населением», «необходимости большего учета мнений», — четыре из которых относятся к органам власти, три к населению, а четыре к необходимости улучшения дел в этой области.
Мы видим резкое влияние лиц, которые не дают оценки различным параметрам взаимодействия органов власти и населения по общественно-политической тематике. Здесь картина прямо противоположная полученной в исследовании, где население дает оценки власти за работу по актуальным проблемам жизни города. Там низкоинформированные завышают заслуги власти, высокоинформированные «гвоздят» «колы» и «двойки». Тут все наоборот. В политическом контуре, если мы берем всех проставивших оценки и ушедших от ответа на вопрос или не знающих его, высокоинформированные отмечают общественно-политические заслуги власти. При рассмотрении среднего балла без затруднившихся ответить отклонений оценок в группах по степени информированности практически нет. И не только в интегрированном среднем балле по всем одиннадцати параметрам, но и в отметках по каждому параметру в отдельности. Высокоинформированные снижают с 80 %-ной вероятностью оценку компетентности населения по житейским проблемам, а очень высокоинформированные завышают с той же вероятностью отметку информированности властей о мнениях жителей. При этом обе эти группы резче (с 90 %-ной и 80 %-ной вероятностями) завышают отметку необходимости выявления мнений «некомпетентного» населения «информированной выше среднего» властью. Группа очень низкой информированности более последовательна в необходимости оптимизации информационного обмена между властью и жителями,
|
Таблица 8.14. Оценки населением Таганрога 1969 г. работы местных органов власти и населения как агентов выражения общественного мнения и совместного решения городских проблем (в средних показателях оценок от «1» до «5», в знаках отклонения от среднего и в разнице конкретной оценки параметра и средней по всему полю оценок у респондента; n = 1017) |
|
Оценки параметров «агентов» процесса коммуникации (средние баллы) | |
Оптимизации | |
11 1 |
882 |
4,36 |
4,55 |
4,34 |
4,34 |
4,42 |
4,36 |
+ |
+ |
+ |
+ |
+ |
Оценка по параметру минус средняя по всему полю у каждого | |
- |
,508 |
,431 |
CD
со
'si- |
со
о
ю |
,633 |
,511 1 |
|
о |
895 |
4,47 |
4,70 |
4,40 |
CD |
4,44 |
4,54 |
+
+ |
+ |
+ |
+ |
+ |
о |
ю
о
со |
,519 |
,448 |
со
со |
,659 |
,697 |
|
О) |
875 |
4,58 |
4,69 |
4,49 |
CD
Ю_ |
4,70 |
4,69 |
+ |
+ |
+ |
+
+ |
+ |
О) |
,719 |
ю
CD |
,539 |
,708 |
,915 |
,838 |
|
оо |
872 |
4,22 |
4,30 |
4,10 |
4,23 |
4,27 |
4,21 |
+ |
+ |
+ |
+ |
+ |
оо |
,379 |
о
со |
,248 |
,387 |
со
СО |
,359 |
|
Органам власти |
г— |
717 |
3,55 |
3,50 |
3,55 |
3,55 |
3,53 |
3,61 |
+ |
+ |
+ |
+ |
+ |
|
оо
см |
-,475 |
-,284 |
см
оо
см |
со
CD
см |
-,241 |
|
CD |
728 |
3,31 |
3,32 |
3,33 |
3,32 |
3,24 |
3,25 |
+ |
+ |
+ |
+ |
+ |
CD |
оо
О) |
со
со |
-,417 |
СО
'si- |
со
ІЛ |
-,598 |
|
Ю |
774 |
3,30 |
3,14 |
3,31 |
3,29 |
3,34 |
3,47 |
+ |
+ |
+ |
+ |
+ |
Ю |
о
ю |
со
со |
-,533 |
ю |
о
CD |
-,379 |
|
Оценки населению | |
|
697 |
3,45 |
3,33 |
3,51 |
3,47 |
3,29 |
3,51 |
+ |
+ |
+ |
¦ |
+ |
|
г—
со |
-,410 |
-,232 |
см
со
со |
со
О)
'si- |
-343 |
|
СО |
781 |
3,54 |
3,67 |
3,52 |
3,53 |
3,55 |
3,65 |
+ |
+ |
+ |
+ |
+ |
СО |
о г— см |
-,260 |
-,240 |
CD
оо
см |
см
со
см |
-,198 |
|
CN |
775 |
о
со
со |
со
со |
со
со’ |
о
со
со’ |
3,53 |
3,68 |
+ |
+ |
+ |
+ |
+ |
CN |
о
о
см |
-,129 |
-,180 |
О)
О) |
ю
см |
-,181 |
|
- |
779 |
3,31 |
3,14 |
3,47 |
3,30 |
3,25 |
3,38 |
+ |
+ |
+ |
+ |
+ |
- |
о
ІЛ |
со
со
со |
-,322 |
ІЛ |
-549 |
-469 |
|
В целом |
S2 |
994 |
3,83 |
3,95 |
3,83 |
3,83 |
3,78 |
3,85 |
+ |
+ |
+ |
+ |
+ |
В целом |
CN |
о
о |
ю |
О) |
72 |
О) |
ІЛ |
|
00 |
1017 |
1,70 |
0,78 |
1,45 |
1,73 |
2,15 |
2,12 |
1 |
1 |
+ |
1 +++ |
1 +++ |
|
о
о |
CD |
О) |
|
оо |
л |
|
Информированность |
Число оценок |
В целом |
1 -- очень низкая | |
- низкая |
1 +- средняя 1 |
1 + высокая 1 |
1 ++очень высокая | |
-- очень низкая |
- низкая |
1 +- средняя 1 |
1 + высокая 1 |
1 ++очень высокая | |
Информированность |
В целом |
-- очень низкая |
- низкая |
1 +- средняя 1 |
1 + высокая 1 |
1 ++ очень высокая | |
|
считая, что мнения надо выражать более активно, а властям широко их учитывать (правда, балл здесь завышает более осторожно). Это симптоматично.
Только вопрос о «компетентности» населения раздражает опрошенных настолько, что вес ответивших резко падает. В целом власть имеет меньший процент тех, кто оценивает ее политическую активность (см. строку «Число оценок»). Зато как сразу, несмотря на тишь и благодать «удовлетворительной» отметки взаимодействия органов власти и населения, возрастает необходимость оптимизации информационного обмена между властью и населением. С чего бы это? А с того, что исключение затрудняющихся ответить на вопрос, но хорошо информированных, снимает ту превращенную форму сознания, о которой мы говорили в главе 1. Там информированная непроизводственная интеллигенция уходила от ответов на острые вопросы, снижая оценки (с «0») органам власти. В одном из отказов отвечать на анкету по авторам писем в органы власти я прочитал: «Эта анкета, чтобы посадить нас всех в тюрьму. Видали мы ее при нашей бабушке!!» Надо сказать, что неувядающий респондент порадовал меня и в 2004 г. На просьбу ответить на пятистраничную анкету один из родителей опрошенного московского школьника ответил: «Эта анкета — провокация!» Жив курилка! Да сам Бог велел широко разворачиваться здесь «товарищам сталиным» и иже с ним. Монолитное единство общественного мнения, основанное на формах страха, однако, разлетается в пух и прах, когда мы рассмотрим отклонения оценок каждого человека (оценка параметра минус средняя по всем).
Уже в нижней части табл. 8.14 видна резкость отклонений на минус параметров учета общественного мнения органами местной власти. Конечно, и себе население не отказывает в критичности за «информированность о решениях органов управления». Однако и здесь, по этому параметру, оценки — скорее камушек в огород талантливых управленцев и журналистов (кто же должен информировать «некомпетентное и неинформированное» население?). Или социальные институты в нашем благословенном Отечестве созданы исключительно для дармоедов, стремящихся любыми средствами довести народ до «дубины»? Особенно заметны колебания оценок различных параметров процесса выражения общественного мнения, единство и поляризация мнений в различных группах информированности, представленные в виде графика.
Итак, «полюса» общественного мнения в целом лежат между предельно низким отклонением оценки до —0,501 о состоянии информированности населения о решениях власти до +0,719 о необходимости для властей знать мнения людей. Можно сказать, что контур «власть в качестве агента информационных процессов» имеет предельно низкие отклонения от средней (исключая пресловутую «некомпетентность» населения и его поддерживаемую властью «темноту»). Что до необходимости оптимизации информационного обмена в контуре «власть — общество», то ее можно считать общепризнанной. Итак, мы выделили три блока: население — власть — необходимость оптимизации информационных потоков между ними. Но прежде чем рассмотреть интегральные оценки каждого из этих блоков в целом, рассмотрим каждый из составляющих их параметров (в целом отраженный отклонениями на рис. 8.4) сквозь призму «общественно-политической информированности» населения, т. е. просто разложим график по всем его атрибутам в каждой из групп по степени информированности (рис. 8.5).
 |
|
Рис. 8.4. График отклонений от средней оценки у различных параметров в целом (табл. 8.13, строка в целом, Таганрог-1969 г.) |

|
— О — Оч. низкая |
- - - Низкая |
А Средняя |
|
- А — Высокая |
-•-Оч. высокая |
|
|
|
Рис. 8.5. График отклонений от средней оценки у различных параметров коммуникативного обмена в различных по степени информированности группах (5 последних строк табл. 8.13) |
Вместо монотонной скучной картинки из сплошных «+—» мы наблюдаем яркую поляризацию всех групп по информированности, каждая из которых имеет свою линию. Отклонения от «средней» можно разбирать с дотошностью коллекционера. Однако предоставим скрупулезный анализ деталей читателю. Отметим два важных обстоятельства. Во-первых, переходные группы по информированности (низкой и высокой) ведут себя в некоторых случаях ярче, давая более резкие отклонения своих «смысловых полей». Это импульс к будущему движению. В статическом срезе видна ранее обнаруженная динамика. Во-вторых, группа очень низкой информированности ставит практически везде более низкие оценки по параметрам органов власти и отчаялась вместе с группой низкой информированности в возможности оптимизации дел, взаимодействуя с властью. Группы высокой и очень высокой информированности, оценивая учет органами власти мнений людей значительно ниже среднего (и почти догоняя здесь группу очень низкой информированности), считают власть остро нуждающейся в знании мнений населения (самые высокие отклонения). Это в советское время с развитой сетью каналов информации к органам власти люди уже понимают бесперспективность управления системой, ничего не знающей о них и уходящей своими неинформированными группами в область полной неопределенности. Но что там Таганрог?! Впереди страна, малый город и две столицы на шкале времени с «разными» политическими режимами. Однако, прежде чем перейти к динамическим картинам, посмотрим укрупненные блоки параметров: народ, власть, потребности (в табл. 8.15 и на рис. 8.6 и 8.7).
|
Таблица 8.15. Интегральные средние оценки населением Таганрога 1969 г. работы местных органов власти и населения как агентов выражения общественного мнения и совместного решения городских проблем и необходимости улучшения дел в этой области (в средних показателях оценок от «1» до «5», в знаках отклонения от среднего и в разнице конкретной оценки параметра и средней по всему полю оценок у респондента; n = 1017) |
Информирован
ность |
Средний балл в отметках «1-5» |
Разброс от индивидуальной средней |
|
Население |
Власть |
Улучшение |
Население |
Власть |
Улучшение |
|
Число оценок |
931 |
912 |
978 |
931 |
912 |
978 |
|
В целом |
3,46 |
3,80 |
4,39 |
-,361 |
-,442 |
+,541 |
|
-- очень низкая |
3,46 |
3,31 |
4,43 |
-,391 |
-,549 |
+,423 |
|
- низкая |
3,50 |
3,37 |
4,25 |
-,299 |
-,443 |
+,401 |
|
+- средняя |
3,45 |
3,38 |
4,39 |
-,369 |
-,442 |
+,545 |
|
+ высокая |
3,40 |
3,37 |
4,46 |
-,382 |
-,422 |
+,674 |
|
++ очень высокая |
3,55 |
3,45 |
4,46 |
-,302 |
-,407 |
+,606 |
|
|
«Население» - объединенные средние оценки по всем четырем параметрам населения. «Власть» - объединенные средние оценки по трем параметрам состояния власти. «Улучшение» - объединенные средние оценки по четырем параметрам оптимизации. |
Мы не стали приводить знаки отклонений от средней по массиву, так как они все также монотонны «+—». Лишь группа низкой информированности дает снижение среднего балла до 4,25 (выделено заливкой) параметрам необходимости оптимизации информационного обмена. В этой же группе и самое низкое отклонение на «+» из всех групп и по интегральному параметру. Самая большая доля ушедших от оценок среди дающих оценки власти (9 %), самая малая — среди оценивающих необходимость улучшения дел (2 %). Контрольный вопрос работает в модальности долженствования.
Теперь можно оценить крупные срезы коммуникативного обмена в виде двух его агентов (населения и власти), а также необходимости перемен в этом обмене — в интегральных оценках оптимизации процесса выражения общественного мнения в городской агломерации и учета этого мнения в решениях власти.
 |
¦п—Оч. низкая — -О- — Низкая - - о- - Средняя ^ Высокая — ¦ — Оч. высокая
Рис. 8.6. График отклонений от средней оценки у различных сторон коммуникативного обмена в различных по степени информированности группах населения Таганрога 1969 г. - 1. |
Мы специально не нанесли данные на этот график, так как это испортило бы наглядность. В целом деятельность власти оценивается ниже, чем деятельность населения, а необходимость оптимизации процесса вызывает наибольший разброс отклонений. Перевернем в картинке данные.
 |
Оцениваемые в группах по информированности параметры
Население и мнения —¦— Власть и мнения людей
Необходимость оптимизации |
Рис. 8.7. График отклонений от средней оценки у различных сторон коммуникативного обмена в различных по степени информированности группах населения Таганрога 1969 г. - 2.
Теперь каждый из параметров расположился в своих оценках отклонения от средней по всему полю общественного мнения вдоль групп по степени возрастания информированности. В целом разброс по степеням информированности коммуникативных параметров власти и населения невелик. Отклонения оценок деятельности власти ниже, чем оценок политактивности граждан. Оба параметра дают вектор отклонения общественного мнения ниже среднего независимо от информированности. И независимо от степеней информированности выше среднего отклоняется оценка необходимости оптимизации информационного обмена. Здесь поляризация в зависимости от степени информированности наиболее высока (см. перепад оценок в 0,273). На втором месте по поляризации оценок стоят органы местного управления (—0,142). Итак, есть социальные факторы, поляризующие отношение к агентам социальной коммуникации на уровне среднего города в процессе решения проблем. Важно проверить полученные в 1969 г. результаты по аналогичным другим исследованиям. Как варьируется отношение к власти через призму информированности населения?
Таганрог и Союз. Уже в табл. 8.9 мы показали связи информированности и достатка, а также постоянно меняющихся активностей в разных сферах общественной жизни. Рассмотрим теперь оценки различных параметров социальной реальности в точке перелома в 1991 г. В последнем Всесоюзном исследовании в 9674 обследованных население проставляло отметки за состояние дел (здравоохранение, работа учреждений культуры, транспорта и связи, коммунально-бытовое обслуживание, решение проблемы жилья, создание здоровой природной среды обитания, борьба с преступностью, коррупцией, алкоголизмом и наркоманией, организация торговли) в регионе проживания. Каждый интервьюируемый или опрашиваемый ставил своей рукой отметку за состояние дел в социальной среде. Вслед за этим он ставил отметку в своеобразный «журнал» и местным органам власти за решение каждой из этих проблем. В процессе опроса он оценивал возможности, существующие в регионе для создания здоровой семьи, благополучного быта, получения образования и профессии, получения работы по специальности, духовного и физического развития, получения квалифицированной врачебной помощи, осуществления своих гражданских прав и свобод, создания здоровой природной среды (мы разбирали эти параметры в главе 4 в динамике и в сопоставлении с аналогичными оценками нашими людьми жизни за рубежом). Кроме того, в процессе исследования опрашиваемый ставил (надо сказать, с нескрываемым удовольствием) отметки местной власти за знание мнений населения, учет мнений людей в практике, совпадение решений власти с мнением людей, учет властью критики местных журналистов по актуальным проблемам. Параллельно ставились отметки населению за активность выражения мнений, компетентность, конструктивность (наличие предложений), откровенность мнений. Замыкали оценку информационного контура отметки за эффективность выступлений местных СМИ. Эта методика была повторена (исключая оценки информационного контура) в 1994 г. в Касимове (842 респондента) и в 2004 г. в Москве (131 респондент). В Москве методика была обогащена отметками 29 ведущих политиков. В 1999 г. оценки возможностей для нормальной жизни были сняты при полевых работах в Питере в 208 избирательном округе города. Здесь были взяты и оценки населением 19 политиков.
В целом во всех этих исследованиях показатель информированности строился на близких по количеству и качеству параметрах, позволявших интегрировать параметры оценок в крупные социальные блоки: проблемы — решение их властью — возможности нормальной жизни — оценки политических фигур — информационный контур взаимодействия власти и населения — роль СМИ на местном уровне (последний параметр взят только за 1990/91 гг.).
Для начала разберем оценки в средних баллах и знаках отклонений от средних по 11 сферам действительности и по работе органов власти в этих сферах. Рассмотрим при этом отклонения от средних оценок на «+» и на «—» на шкале от «—2» до «+2». Сделаем это и по группам различной степени информированности, а затем сравним отклонения оценок органам власти по группам с различным достатком. Построим последовательно три таблицы.
Бросается в глаза резкое ухудшение оценок состояния дел в регионе по сравнению с 1969 г. (табл. 8.14), где степени общественно-политической информированности давали малую поляризацию оценок даже по разбросу от средней. Средний балл был в целом практически одинаков. Но там оценивался информационный контур работы власти. Дойдем и до этого, но сначала поглядим, как население оценивает работу власти в решении местных проблем.
Очевидно, что у населения снижается доля оценивших работу власти по решению проблем преступности, алкоголизма и наркомании, улучшения работы общественного питания, которое к тому времени почти исчезает. Наиболее информированные снижают средний балл усилий власти по созданию нормальной среды обитания до двойки. Посмотрим теперь на оценку органов власти в зависимости от уровня благосостояния людей.
Самое замечательное здесь — полная индифферентность среза по уровню благосостояния к контуру проблем социальной жизни и их решению при оценках по среднему баллу. Конечно, по разбросу от среднего картина меняется, но в целом кажется, что метод усредненной оценки, дифференцируя оценки дел и властей в срезе по общественно-политической информированности, стушевывает картину в срезе по уровню благосостояния. В Таганроге скорее было наоборот, но не будем забывать, что там мы имели дело с более низким уровнем благосостояния и широкой политической составляющей, которая сокращается уже к 1987 г.
Для полноценной интерпретации картины в целом построим четыре графика из наших таблиц 8.16—8.18:
1) соответствия отклонений от средних в оценке состояния дел и дел органов власти в целом;
2) отклонений в оценке дел в различных группах по степени информированности;
3) отклонений в оценке работы властей в зависимости от информированности;
4) отклонений в оценке работы властей в зависимости от достатка.
|
Таблица 8.16. Оценки населением СССР в 1990/91 гг. в зависимости от его информированности состояния дел в сферах жизни региона проживания (в средних показателях оценок «1-5», в знаках отклонения от среднего и в разнице конкретной оценки и средней по всему полю оценок у респондента; n = 9674; массив перевзвешен на генсовокупность) |
|
Оценки сфер жизнедеятельности в средних баллах от «1» до «5» |
11 |
06 |
1,52 |
1,47 |
1,58 |
1,54 |
1,45 |
1,40 |
+ |
+
+ |
+ |
I |
I |
Оценка сферы «минус» средняя по всему «полю представлений» |
11 |
-1,15 |
-,783 |
-1,20 |
CD |
-1,10 |
LO
o_ |
о
т—1 |
оо |
2,38 |
2,27 |
2,74 |
2,41 |
2,05 |
1,97 |
+ |
+++ |
+ |
і |
і |
о
т—1 |
см
О)
см |
о |
оо
ю
о |
CM
00
CM |
CM
Ю |
03
о
Ю |
|
<л |
О)
со |
2,44 |
2,48 |
2,58 |
2,47 |
2,33 |
2,23 |
+ |
+++ |
+ |
і |
і |
«л |
"=t
см |
со
о |
со
о
см |
ОЗ
СО
CM |
03
Ю
CM |
CM
03
CM |
|
СО |
оо
t— |
2,50 |
2,27 |
2,74 |
2,51 |
2,38 |
2,26 |
+ |
+++ |
+ |
I |
I |
СО |
со
оо |
ю
1^ |
- |
CM
ОЗ |
Ю
03 |
CO
CM |
|
|
см
оо |
2,34 |
2,91 |
2,53 |
2,35 |
2,15 |
2,11 |
+ |
+++ |
+ |
і |
і |
|
ю
со |
,089 |
со
О)
см |
Ю
Ю
CO. |
CD |
03
CO. |
|
со |
оо
t— |
2,57 |
1,82 |
2,77 |
2,58 |
2,45 |
2,33 |
¦ |
+++ |
+ |
і |
і |
СО |
ю |
•=t
со
оо |
оо
со
о |
ю
CM |
CD
CM |
co |
|
ю |
оо |
2,64 |
2,60 |
2,79 |
2,66 |
2,47 |
2,35 |
+ |
+++ |
+ |
I |
I |
ю |
ю
ю
О |
,088 |
1^
о
о |
•чі-
o |
CM
о |
о
CD |
|
|
со
оо |
2,63 |
3,09 |
2,85 |
2,64 |
2,42 |
2,40 |
+ |
+++ |
+ |
і |
і |
|
оо
ю
<3 |
о
со
со |
,042 |
CM
CD
о |
Ю |
03
r-~-
o |
|
со |
о
оо |
г—
о.
со” |
3,08 |
3,11 |
о
со |
2,93 |
2,85 |
+ |
+ |
+ |
і |
і |
со |
о
Г-
со |
,320 |
,299 |
,388 |
,349 |
,368 |
|
см |
оо |
2,47 |
3,28 |
2,53 |
2,48 |
2,39 |
2,27 |
+ |
+ |
+ |
I |
I |
см |
о
см
CN |
см
О) |
см
CN |
•=t
CM
CM |
CD |
"=t
03 |
|
т—1 |
оо
оо |
2,68 |
2,67 |
2,81 |
2,70 |
2,53 |
2,36 |
+ |
+++ |
+ |
і |
і |
т—1 |
см
со |
1^
о
<3 |
,026 |
о
о |
Ю
o |
о |
|
N = 8028 |
CL
о |
о
о |
2,68 |
2,43 |
2,77 |
2,70 |
2,57 |
2,47 |
і |
+++ |
+
+ |
і |
і |
со
см
о
СО
II
о
§ |
CL
о |
со
см
см |
о
О)
со |
ю
ОЗ |
1^
CM |
CM
Ю
CM |
oo
•=t
CM |
|
5? |
99,4 |
о
о |
см |
СО |
ю
СО |
см |
ю |
см |
СО |
ю
СО |
см |
ю |
5? |
о
о |
см |
CD |
Ю
CD |
CM |
Ю |
|
Информированность |
% оценивших |
В целом |
-- очень низкая |
- низкая |
+- средняя |
+ высокая |
++очень высокая |
-- очень низкая |
- низкая |
+- средняя |
+ высокая |
++очень высокая |
Информированность |
В целом |
-- очень низкая |
- низкая |
+- средняя |
+ высокая |
++очень высокая |
|
|
Таблица 8.17. Оценки населением СССР в 1990/91 гг. в зависимости от его информированности работы местных органов власти по решению проблем различных сфер жизни в регионе проживания респондента (в средних показателях оценок от «1» до «5», в знаках отклонения от среднего и в разнице конкретной оценки и средней по всему полю оценок у респондента; n = 9674; массив перевзвешен на генсовокупности) |
|
Оценки работы органов власти в средних баллах от «1» до «5» | |
11 1 |
83 |
2,23 |
2,23 1 |
2,37 |
2,25 1 |
2,07 |
2,09 |
+ |
+
+ |
+ |
1 |
1 |
Оценка сферы «минус» средняя по всему «полю представлений» | |
11 1 |
-,455 |
О)
оо
со |
-,385 |
ю
со
'si- |
со
о
ю |
ст>
СО
со |
|
10 |
СО
со |
2,38 |
2,33 |
2,49 |
2,41 |
2,23 |
2,21 |
+ |
1 ++ + |
+ |
I |
I |
10 |
-,311 |
см
со
со |
-,274 |
со |
-,341 |
•=t
•=t
CM |
|
<т> |
СО
со |
2,31 |
2,16 |
2,43 |
2,33 |
2,14 |
2,19 |
+ |
1 +++ |
+ |
1 |
! |
<т> |
-,377 |
't
г— |
-,335 |
о
оо
со |
-,415 |
ю
со |
|
СО |
69 |
2,49 |
2,46 |
2,60 |
2,53 |
2,36 |
2,20 |
+ |
1 +++ |
+
+ |
1 |
1 |
СО |
-,187 |
ю
см |
-,196 |
|
-,194 |
со
ю
см |
|
|
г— |
2,30 |
2,30 |
2,43 |
2,33 |
2,16 |
2,07 |
+ |
1 ++ + |
+ |
I |
! |
|
-,384 |
со
со
см |
-,354 |
см
оо
со |
-,411 |
г— о
'si- |
|
со |
70 |
2,58 |
3,06 |
2,67 |
2,61 |
2,48 |
2,30 |
+ |
+
+ |
+ |
1 |
1 |
со |
со
о |
,230 |
-,109 |
о |
-,089 |
"Cl
io |
|
ю |
77 |
2,61 |
2,27 |
2,65 |
2,66 |
2,49 |
2,30 |
¦ |
+ |
1 +++ |
1 |
1 |
ю |
-,068 |
СО г— |
-,088 |
со
ю
о |
о” |
CM
оо |
|
|
75 |
2,77 |
3,01 |
2,90 |
2,79 |
2,63 |
2,52 |
+ |
1 ++ + |
+ |
I |
! |
|
,082 |
,654 |
,133 |
,078 |
ю
ю
о |
СО
ю
о |
|
<о |
65 |
3,02 |
3,56 |
3,02 |
3,06 |
2,91 |
2,84 |
+ |
+ |
+
+ |
1 |
1 |
со |
,321 |
,842 |
,229 |
,331 |
о
со
со |
со
•ct
со |
|
см |
74 |
2,50 |
2,43 |
2,60 |
2,53 |
2,36 |
2,31 |
+ |
1 +++ |
+ |
1 |
1 |
см |
-,178 |
•=t
см |
-,127 |
оо |
-,198 |
СО г— |
|
т—1 |
76 |
2,64 |
2,48 |
2,73 |
2,68 |
2,49 |
2,37 |
+ |
1 ++ + |
+
+ |
I |
! |
т—1 |
-,047 |
О)
1^ |
-,017 |
о
•=t
о |
-,080 |
со |
|
Абс. = 8028 |
(Л |
о
о |
2,68 |
2,43 |
2,77 |
2,70 |
2,57 |
2,47 |
1 |
1 + + + |
+
+ |
1 |
1 |
Абс. = 8028 |
СЛ |
-,202 |
О)
со |
-,184 |
см
о
см |
-,217 |
со
о
см |
|
5? |
99,4 |
о
о |
CN |
СО |
65 |
CN |
ю |
CN |
СО |
65 |
CN |
ю |
5? |
о
о |
см |
СО |
65 |
см |
ю |
|
Информированность |
Число оценок % |
В целом |
1 -- очень низкая | |
- низкая |
1 +- средняя 1 |
1 + высокая 1 |
1 ++очень высокая | |
-- очень низкая |
- низкая |
1 +- средняя 1 |
1 + высокая 1 |
1 ++очень высокая | |
Информированность |
В целом |
-- очень низкая |
- низкая |
1 +- средняя 1 |
1 + высокая 1 |
++очень высокая |
|
1 - работы органов здравоохранения; 7 - состояния природной среды;
2 - жилья для населения; 8 - сферы общественного питания;
3 - работы учреждений культуры; 9 - борьбы с преступностью, коррупцией;
4 - работы транспорта, связи; 10 - борьбы с алкоголизмом, наркоманией;
5 - сферы коммунально-бытового обслуживания; 11 - торговли продтоварами.
|
Таблица 8.18. Оценки населением СССР в 1990/91 гг. в зависимости от уровня его достатка работы местных органов власти по решению проблем различных сфер жизни в регионе проживания респондента (в средних показателях оценок от «1» до «5», в знаках отклонения от среднего и в разнице конкретной оценки и средней по всему полю оценок у респондента; n = 9674; массив перевзвешен на генсовокупности) |
|
Оценки работы органов власти в средних баллах от «1» до «5» | |
11 1 |
83 |
2,23 |
2,34 |
2,23 |
2,22 |
2,23 |
2,44 |
+ |
+ |
+ |
+ |
+ |
Оценка сферы «минус» средняя по всему «полю представлений» | |
11 1 |
-,455 |
оо
см
со |
-,442 |
со |
-,458 |
со
о
'З- |
|
10 |
СО
со |
2,38 |
2,54 |
2,42 |
2,37 |
2,35 |
2,44 |
+
+ |
+ |
+ |
+ |
+ |
10 |
-,311 |
О) г— |
-,294 |
ю
со |
СО
со |
ю
о
см |
|
<т> |
со
СО |
2,31 |
2,53 |
2,31 |
2,29 |
2,31 |
2,68 |
1 +++ |
+ |
+ |
+ |
+
+ |
<т> |
-,377 |
г— о см |
-,384 |
•=3-
СО
со |
-,390 |
,138 |
|
СО |
69 |
2,49 |
2,61 |
2,53 |
2,49 |
2,43 |
2,40 |
+ |
+ |
+ |
¦ |
+ |
СО |
-,187 |
г—
ст>
о |
-,169 |
со
оо |
-,259 |
г— ю см |
|
|
г— |
2,30 |
2,38 |
2,35 |
2,28 |
2,35 |
2,39 |
+ |
+ |
+ |
+ |
+ |
|
-,384 |
оо
со |
СО
'З'
со |
О)
О)
со |
-,355 |
ю
см
"3- |
|
со |
70 |
2,58 |
2,61 |
2,64 |
2,56 |
2,59 |
2,42 |
+ |
+ |
+ |
+ |
+ |
со |
СО
о |
см
ст>
о |
СО
со
о |
t— |
-,115 |
г— О)
см |
|
ю |
77 |
2,61 |
2,58 |
2,61 |
2,62 |
2,58 |
2,85 |
+ |
+ |
+ |
+ |
+ |
ю |
-,068 |
ю |
-,072 |
О)
ю
о |
-,109 |
ю
о |
|
|
75 |
2,77 |
2,75 |
2,82 |
2,77 |
2,71 |
2,83 |
+ |
+ |
+ |
¦ |
+ |
|
,082 |
СО
СО
о |
,134 |
,085 |
о
о |
см
о |
|
со |
65 |
3,02 |
2,89 |
2,97 |
со
о
со |
3,08 |
2,97 |
! |
' |
+ |
+ |
+ |
со |
,321 |
,206 |
,255 |
,335 |
*з-
СО
со |
со |
|
см |
74 |
2,50 |
2,50 |
2,39 |
2,50 |
2,60 |
2,68 |
+ |
1 |
+ |
1 +++ |
+ |
см |
-,178 |
ю
оо |
-,270 |
со г— |
-,098 |
о
'3-
о |
|
т—1 |
76 |
2,64 |
2,74 |
2,68 |
2,65 |
2,63 |
2,63 |
+ |
+ |
+ |
+ |
+ |
т—1 |
-,047 |
,014 |
СО
СО
о |
со
'3-
о |
со
СО
о |
г— г— о |
|
Абс. = 8028 |
(Л |
о
о |
2,68 |
2,71 |
2,68 |
2,68 |
2,68 |
2,71 |
+ |
+ |
+ |
+ |
+ |
Абс. = 8028 |
СЛ |
-,202 |
г—
•=3- |
-,196 |
ю
о
см |
-,211 |
оо
СТ> |
|
5? |
99,4 |
о
о |
CN |
СО |
65 |
CN |
ю |
CN |
СО |
65 |
CN |
ю |
5? |
о
о |
см |
СО |
65 |
см |
ю |
|
Достаток |
Число оценок % |
В целом |
1 -- очень низкий | |
- низкий |
1 +- средний 1 |
1 + высокий 1 |
1 ++очень высокий | |
-- очень низкий |
- низкий |
1 +- средний 1 |
1 + высокий 1 |
1 ++очень высокий | |
Достаток |
В целом |
-- очень низкий |
- низкий |
1 +- средний 1 |
1 + высокий 1 |
++очень высокий |
|
2 - жилья для населения; 8 - сферы общественного питания;
3 - работы учреждений культуры; 9 - борьбы с преступностью, коррупцией;
4 - работы транспорта, связи; 10 - борьбы с алкоголизмом, наркоманией;
5 - сферы коммунально-бытового обслуживания; 11 - торговли продтоварами.
 |
|
Рис. 8.8. График отклонений от средней общей оценок состояния дел в разных сферах жизни и решения этих дел местной властью по СССР в целом в 1990/91 гг. (табл. 8.16) |
 |
Оч. низкая — "® — Низкая - - О-Высокая — ¦ — Оч. высокая
Средняя
Рис. 8.9. График отклонений от средней общей оценок состояния дел в разных сферах жизни различными по степени информированности группами (табл. 8.16 с разбивкой по группам) |

Теперь можно интерпретировать полученную картину как в целом, так и в деталях, особенно, правда, не увлекаясь ими, так как нас ждет, во-первых, анализ интегрированных показателей оценки — «власть» — «общественное мнение» — «массме-дийные средства» — «население в качестве коммуникативного агента» — «острота проблем в целом» — «возможности в регионе», а во-вторых, динамический графический ряд некоторых из этих показателей и оценка на этом фоне политиков в 1999 и 2004 гг. Мы специально не даем на графиках значений, приведенных в таблицах, которые можно уточнить по ходу дела.
Итак, представленная в средних баллах оценок состояния сфер жизни в регионе проживания респондента и оценок усилий власти по решению проблем карти-
О- ¦ Низкая * Средняя

-О-Оч. низкая
? — Высокая
¦А — Оч. высокая
|
Рис. 8.10. График отклонений от средней общей оценок решения дел в разных сферах жизни местной властью группами по степени информированности (табл. 8.17 с разбивкой по группам) |
 |
¦О1 — Оч. низкий - - - Низкий — • Средний
• Высокий -О-Оч. высокий
Рис. 8.11. График отклонений от средней общей оценок решения дел в разных сферах жизни местной властью различными по уровню благосостояния группами населения (табл. 8.18 с разбивкой по группам)
на резче поляризуется по табл. 8.16, 8.17 (строки в целом), что хорошо видно на рис. 8.8.
1. «Положительное» отклонение оценок состояния дел характеризует только учреждения культуры. При оценке работы власти к этому прибавляется балансирующая у «0» оценка работы транспорта и связи. Все остальные сферы жизни и работа в них органов управления имеют тенденцию к отрицательному отклонению вектора оценок. К точке баланса из «отрицательной» зоны «поднимаются» отклонения оценок и состояния дел, и работы власти в сферах здравоохранения, работы транспорта и связи, учреждений коммунального и бытового обслуживания и организации отдыха населения, благоустройства.
2. Резко отрицательная зона оценок-отклонений — проблемы жилья, состояния окружающей среды, торговли, борьбы с преступностью, коррупцией, пьянством и наркоманией. Заметим: самое низкое отклонение оценки сферы торговли (—1,145) соответствует периоду искусственно вызванного дефицита продуктов питания. Контур оценок работы по исправлению недостатков в этих сферах органов местной власти совпадает с контуром оценок состояния дел (рис. 8.8). Каковы дела — такова и работа власти. Явных исключений два: дела с преступностью (власть с ней борется недостаточно) и состояние торговли (поле мнений по отношению к власти отклоняется в отрицательную сторону меньше, чем при оценке самой торговли). Это значит, что население угадывало саботажный характер исчезновения товаров, но еще не понимало организованного самой властью характера этого саботажа.
3. Именно в это время на массиве 1990/91 гг. обнаружился прелюбопытный феномен, который подтвердился исследованиями 1994, 2004 гг. в Касимове и Москве. В матрицах: «дали оценки от “1” до “5” состояния дел в какой-либо сфере» «дали оценки от “1” до “5” действий власти в этой же сфере», коэффициенты взаимной сопряженности растут, а значения энтропии соответственно падают тем более, чем более на оценку власти действует оценка состояния дел в этой области. Оказалось, что на первом месте по влиянию на отрицательное отношение к власти в 1990/91 гг. стоит состояние дел в торговле. Значение энтропии в матрице «5 х 5» по торговле продтоварами — 0,654 и промтоварами — 0,630. Уже при замере 1994 г. в Касимове (не говоря о Москве 2004 г.) дела торговые оцениваются значительно выше среднего (как и отклонения здесь оценок действий власти). Поэтому параметр «торговля» для выяснения влияния оценки дел и ее соответствия отрицательному отклонению оценки власти потерял смысл. Но вот что обнаруживается. На втором месте по сопряженности отрицательных оценок состояния дел и исправления этих дел местной властью оказались не борьба с преступностью и коррупцией, с пьянством и алкоголизмом, а охрана окружающей среды и создание здоровой природной ниши обитания. Значения энтропии по СССР, Касимову и Москве по матрице сопряженности оценок состояния преступности и коррупции и борьбы с ней властью были в 1990/91 — 1994 — 2004 гг. соответственно: 0,705, 0,755, 0,682. В маленьком Касимове 1994 г., несмотря на «высокую преступность и коррупцию», власть получала положительный вектор за борьбу с ней, а вот в Москве 2004 г. наблюдалось полное соответствие векторов оценок высокой преступности и властного «вспомоществования» ей в глазах опрошенных. Однако значения энтропии в матрице оценок состояния природы и дел власти в ее охране на протяжении всех замеров ниже: 0,661,0,658, 0,639 (соответственно по СССР, Касимову, Москве; при этом Москва-2004 должна быть ниже оговорена особо).
Конечно, когда полки в магазинах пустые при забитых до пределов складах и запасниках, соответствия оценок плохой жизни и высокой оценки власти дождаться трудно. Но то, что население связывает «осквернение природы» с «плохой властью» сильнее, чем «бандитизм и коррупцию» с характером власти, — чрезвычайно важно: причинно-следственные связи в массовом сознании меняются местами. Действует в первую очередь превращенная форма сознания, которая существует с древнейших времен и является отражением целостности социальной жизни, а именно: осквернение Земли есть преступление перед жизнью. Этот смысловой акт и есть «акт первосовместимости». Но в первобытном или природой живущем обществе этот факт очевиден и лежит на поверхности общественного взаимодействия. В индустриальном и постиндустриальном обществах этот факт скрыт вновь созданной обществом античеловеческой средой «стяжательства и коррупции» с «беспредельной любовью к обладанию», за которое «и родную мать, и детей продать можно». Потеря общественной сути человеческого лица современного общества ведет к разрушению отношений с природой. Массовое сознание, исходя из древней формы, не улавливает того, что антиобщественное устройство уже давно разрушает нашу среду обитания, и первично в деле разрушения смысловое поле уважения к «вещам» другим, а не природное и человеческое существование. Первична коррупция, социальное устройство, которые делают Россию представляющей зрелище «страны, где нет не только никаких гарантий для личности, чести и собственности, но нет даже и полицейского порядка, а есть только огромные корпорации разных служебных воров и грабителей», первична «элита» за заборами с до зубов вооруженной охраной. Москвичи 2004 г. начинают это понимать: у них связь оценок дел власти с природоохранной обстановкой падает, а связь с коррупцией возрастает (коэффициент Крамера — Чупрова 0,477 против 0,532 при значимости «хи-квадрата» 99,95 %).
Здесь отметим три обстоятельства.
1. Взаимозависимость оценки власти от состояния среды обитания обнаружена еще в 1992 г. при обработке Всесоюзного массива 1990/91 гг. в части, касающейся Узбекистана: «С вероятностью 99,95 % можно утверждать, что если люди видят негативные последствия осквернения земли, то в их глазах разрушается авторитет института власти. И объяснение здесь, как нам кажется, весьма простое. Из двух беспокоящих население обстоятельств, угрожающих высшей человеческой ценности — жизни (ценности, исполняющей в обществе роль тотальной ментальности), именно одно из них связано с фундаментальной структурой общинного, коллективного сознания человеческого этоса. Осквернение земли, являющейся в сознании с первобытных времен основой человеческой жизни, является человеку более опасным и необратимым, нежели саморазрушение коллективной деятельности антиобщественными силами, которые, кажется, всегда можно обуздать. Очевидно, что разрушительными для системы человеческой деятельности являются не элементы взаимодействия социума, как системы, с внешней средой, а внутренние порочные и нежизненные элементы системы: корпоративное и индивидуалистическое мировоззрения в важнейших областях принятия жизненно значимых для всех людей решений. Именно эти элементы — социально детерминированные, представляющие качественно исключительно человеческие элементы, и приводят к опасным формам взаимодействия с природой. Но общественному мнению увидеть это не дано, а если и дано, то только через призму превращенной формы сознания, синкретизированной в фиксированном образе с первобытных времен».
Мы не торопились широко публиковать этот вывод, так как узбекский массив мог давать искажение в связи с природной обстановкой в Каракалпакии.
2. Правящая элита во все времена ощущала остроту оценок населения в плане политики эксплуатации природных ресурсов, их уничтожения и всегда старалась скрывать правду об этом. Так, вопиющий факт десятикратного замедления скорости стока воды в Волге начиная с 50-х гг. был опубликован только недавно. Мало кто знает, что великолепный «БЕ-200», получивший Гран-При в Париже, стоял на стапелях таганрогского авиационного завода, готовый к массовому производству в мае 1992 г., в ожидании подписи главы государства на кредит для запуска в серию. Покойный Шило, убитый позднее мэр города, говорил мне уже тогда, что Австралия, дабы раз и навсегда прекратить национальное бедствие — лесные пожары, готова заказать крупнейшую партию этих гидросамолетов, берущих без посадки, в касании с глиссады планирования 30 тонн воды. Мы совместили глиссер и черпак, чего не удалось американцам. Но производство не было запущено. В 2005 г. министр по чрезвычайным ситуациям публично заявит по ТВ, что два двухмоторных «БЕ-200», построенные на Красноярском заводе, берущие в касании лишь 17 тонн воды, «являются гордостью МЧС». В 2004 г. он же перед телекамерами объяснит главе государства, как работает великолепная машина, объяснит то, что было известно полтора десятка лет тому назад. 13 упущенных лет, денег, безработица, уничтоженная пожарами природа России, потеря возможностей монопольного завоевания громадного уникального сегмента мирового рынка — вот что стоит за конкуренцией корпоративных групп авиастроителей при всесилии продажных чиновников, составляющих «кокон» высшей власти. Эскадрилья таких машин, «растаявших» на стапелях в 1992 г., могла в одночасье справиться с пожарами на торфяниках Подмосковья. И таким примерам несть числа. И — глухое молчание о них во властном и массмедийном информационных полях до тех пор, пока знание не потеряет остроту и уже не вызовет в обществе широкой негативной реакции на «диктатуру мелких лавочников».
3. В 1990/91 гг. состояние природной среды беспокоило 57 % населения страны. Обнаружилось, что у этой массы людей резко возрастала от среднего по массиву доля общественно значимых ценностей — большая редкость для такой большой группы. Фактически это означало наличие общественного самосознания у широкого слоя людей, которые могли, но не стали базой серьезного социального движения.
Но вернемся к нашим графикам отношения к разным сферам жизни и органам местной власти с точки зрения информированности и уровня достатка. Во-первых, дифференциация оценок работы органов власти в срезе по информированности выше, чем дифференциация в этом же срезе дел в различных сферах, и значительно выше, чем в срезе по уровню достатка (1,556 против 1,171 и 0,789 соответственно в целом и +0,842 0,714, +0,388 0,783 и +0,364 0,425 по отдельным группам информированности и достатка). Во-вторых, если на фоне всей массы людей с разной степенью информированности, идущих довольно кучно и по оценке состояния дел и по оценке власти, резко выделяется по этим двум параметрам слой с низкой информированностью (линия на рис. 8.9 и 8.10), то на фоне людей в срезе по достатку из общей массы выделяется оценками власти слой с высоким благосостоянием. Это требует осмысления.
Группа с низкой информированностью отличается чрезвычайно высокой вариативностью отклонения оценок и противоречивостью отклонений. Читатель сам может сравнить высокий разброс оценок по соответствующей линии (рис. 8.9 и 8.10). Общий объем группы в 2 % составляет в перевзвешенном на генсовокупность массиве в 8028 документов 181 респондента. Но именно в этой группе, уходящей из предметно-институциональной информационной среды (68 % группы пассивны в общении против 13 % по массиву в целом; см. табл. 8.9) возрастают доли отказов от ряда оценок и нарастает энтропия и в поведении и в смысловом поле (см. табл. 8.9, матрица «информированность х общая активность»). Именно поэтому ее оценки становятся случайными и непредсказуемыми.
Отклонения оценок власти группой высокого достатка объяснимы: там, где ее потребности удовлетворены, оценка работы органов власти отклоняется в положительном направлении, во всех остальных случаях (отдых, охрана среды, торговля) оценка меняет вектор отклонения на отрицательный от среднего (рис. 8.11). При этом сферы, где люди с достатком в 1990/91 гг. оказались еще не затронуты негативным влиянием проблем (общественное питание, которое им не нужно, преступность и коррупция, алкоголизм и наркомания), располагают их векторы мнений-оценок в «нулевой зоне». Люди знают, их это не касается. Пока не касается.
Следует выделить еще одно обстоятельство. В табл. 8.16, 8.17 некоторые значения коэффициентов отклонения оценки находятся в противоположном общей тенденции балльных коэффициентов положении. Скажем, в группе с высокой и очень высокой информированностью оценка состояния дел с торговлей отклоняется от среднего значения в 95 %-ном доверительном интервале ниже средней, а в группе с низкой — находится в равновесии со средней (колонка 11 табл. 8.16 — средние баллы и знаки отклонений). Но на шкале отклонений «—2» — «0» — «+2» значения оценок имеют относительное снижение размаха, т. е. стремятся к «нулевой зоне». Эта тенденция относительного снижения разброса оценок по некоторым сферам в тех или иных группах очень слаба. Но она, во-первых, выражена в группах по степени информированности при замере отношения к положению дел и почти не видна при оценках власти, а во-вторых, не встречается при оценках власти в группах по достатку. Поле отклонений оценок ряда параметров очень слабо «колеблется» к некоторой непротиворечивости. Но поле информированности больше дифференцирует оценки дел, а в отношении к власти почти достигло негативного единогласия. В группах же по степени достатка таких «флуктуаций» нет. И можно предположить, что те или иные смысловые поля, формируясь в процессе общения (как мы уже видели через связь информированности с активностью в межличностной коммуникации), имеют базовой основой выработки единого мнения слои по достатку, а не по другим параметрам (образовательные, возрастные и т. п.). По их «горизонтам» идет общение и выработка единых форм мнения и оценок. Конечно, это предположение требует проверки в хорошем исследовании.
Разобьем исследуемый контур на шесть блоков и интегрируем оценки в табл. 8.19.
|
Таблица 8.19. Интегральные оценки населением СССР в 1990/91 гг. различных сторон общественной жизни в зависимости от уровня его информированности (в средних показателях оценок от «1» до «5», в знаках отклонения от среднего и в разнице конкретной оценки и средней по всему полю оценок у респондента; n = 9674, массив перевзвешен на генсовокупность по переписи 1989 г.) |
Информирован
ность |
Оценки параметра в целом в средних баллах от «1» до «5» |
|
1 |
2 |
3 |
4 |
5 |
6 |
|
В целом |
2,46 |
2,48 |
2,66 |
3,07 |
3,28 |
3,03 |
|
-- очень низкая |
1,94 |
2,18 |
3,14 |
3,71 |
4,25 |
3,20 |
|
- низкая |
2,58 |
2,57 |
2,78 |
3,11 |
3,38 |
3,14 |
|
+- средняя |
2,48 |
2,51 |
2,68 |
3,08 |
3,31 |
3,05 |
|
+ высокая |
2,32 |
2,35 |
2,52 |
3,01 |
3,11 |
2,92 |
|
++очень высокая |
2,23 |
2,27 |
2,43 |
2,88 |
3,09 |
2,82 |
|
-- очень низкая |
— |
-- |
+ |
+++ |
+++ |
+ |
|
- низкая |
+++ |
+++ |
+++ |
+- |
+++ |
+++ |
|
+- средняя |
++ |
+++ |
+- |
+- |
+ |
+ |
|
+ высокая |
— |
--- |
— |
- |
--- |
--- |
|
++очень высокая |
— |
--- |
--- |
--- |
--- |
--- |
Информирован
ность |
Оценка параметра в целом «минус» средняя по всему «полю представлений» |
|
1 |
2 |
3 |
4 |
5 |
6 |
|
В целом |
-,223 |
-,202 |
-,038 |
,357 |
,545 |
,321 |
|
-- очень низкая |
-,390 |
-,319 |
,100 |
,839 |
1,255 |
,190 |
|
- низкая |
-,195 |
-,184 |
-,030 |
,293 |
,515 |
,307 |
|
+- средняя |
-,217 |
-,202 |
-,039 |
,342 |
,548 |
,320 |
|
+ высокая |
-,252 |
-,217 |
-,052 |
,442 |
,514 |
,344 |
|
++очень высокая |
-,248 |
-,203 |
-,025 |
,411 |
,579 |
,329 |
|
Стороны общественной жизни:
1 - проблемы региона;
2 - работа органов власти по решению проблем региона;
3 - работа органов власти в информационном контуре с населением;
4 - деятельность населения в информационном контуре с органами власти;
5 - эффективность работы в информационном контуре местных редакций;
6 - возможности построения нормальной жизни в регионе.
Теперь уже и из сопоставимых с таганрогскими параметров видны резкие изменения в оценках группами различной степени общественно-политической информированности. Группы с информированностью выше средней дают резко отрицательные оценки контура информационного обмена между населением и властью, тогда как раньше они были здесь по среднему баллу нейтральны. Построим на основе табл. 8.19 графики в рис. 8.12 и 8.13.
Итак, проблемы стали тотальными, а политический базис поддержки власти резко сократился. Вспомним разрушение полей территориально-производствен-
|
—о— Проблемы |
^ Оценка власти |
|
— о — Власть и ОМ |
А Население и ОМ |
|
А — Местные СМК |
- - А- - Возможности в регионе |
"Оч. низкая Высокая
— "?— - Низкая
— О — Оч. высокая
Рис. 8.13. График отклонений от средней общей оценок:
1 - дел в целом, 2 - их решения властью в целом, 3 - поведения власти в информационном контуре,
4 - поведения населения в том же контуре, 5 - работы местных редакций, 6 - возможностей нормальной жизни в регионе (параметры по оси «Х», группы информированности в соответствующих линиях)
ных агломераций и распад огромной партийной и чиновничьей массы в разные, назвавшиеся «партиями» и «ООО» быстро дрейфующие в разных направлениях социальные аппликации. Происходит слияние оценок низко-, высоко- и очень высокоинформированных по отклонениям в среднем балле по таким параметрам, как инфраструктура социальной жизни в регионе и дела властные в решении проблем этой инфраструктуры (табл. 8.19). Отклонения оценок на «минус» в этих слоях с 95 %-ной вероятностью сопровождается относительным подъемом в 95 %-ном и 90 %-ном интервале средних баллов в группах низко- и среднеинформированных. Резко дифференцируются и отклонения оценок разных по информированности групп.
Если мы возьмем графики отклонения от среднего значения оценки всех параметров (44) у каждого человека по блокам этих параметров, то более всего в положительную зону общественного мнения в 1990/91 гг. отклоняются оценки эффективности воздействия на власть местных газет, радио, ТВ. У низкоинформированных значение отклонения в положительную сторону «отметок» местным редакциям в борьбе за правду достигает на шкале «—2» — «0» — «+2» эйфорического значения +1,255. Столько в 2004 г. не наберет даже глава государства. На втором месте в целом по положительной направленности — отклонения оценок населения в качестве выразителя мнений по решению проблем (соответствующая линия на рис. 8.12). При этом и здесь очень низкоинформированные также завышают оценку относительно других групп. Третье, последнее место в оценках выше среднего занимает параметр «возможности нормальной жизни в регионе». Но очень низкоинформированный слой (48 % с низким достатком) имеет здесь большее отклонение оценок к нулевому значению. Власть в роли «агента, прислушивающегося к общественному мнению», лежит на минусовых значениях, близких к «0», во всех, кроме одной по степени информированности, группах. Здесь ее «жалеют» очень низкоинформированные люди. Что касается «состояния проблем и действий власти по их решению», то отклонения оценок общественного мнения опускают их до предельно низких значений, очень низкоинформированные по параметрам повседневной жизни не знают к власти жалости, опуская оценки ниже всех групп.
В табл. 8.19 заливкой отмечены «флуктуации» в значениях отклонений оценок от среднего. Очень отчетливо это видно на оценке возможностей в регионе. Нниз-коинформированные ставят самую высокую оценку возможностей, однако имеют минимальное положительное отклонение от средней. С возрастанием степени информированности монотонно падает средний балл оценки возможностей построения нормальной жизни в регионе и столь же монотонно возрастает отклонение вектора относительной оценки на шкале «—2» — «0» — «+2» в положительную сторону. Здесь уже четче видно, что оценки «дрейфуют» к некоторому консенсусу на общеполитическом поле представлений. Абсолютная оценка в среднем балле падает, а «относительная» (всех параметров) в движении на шкале растет с возрастанием информированности группы так, словно каждая группа движется смысловым полем оценок к некоторому объективно существующему центру тяготения.
Если мы обратимся к рис. 8.13, где мы меняем оцениваемые параметры и группы по степени информированности местами, то в целом отмеченные распределения соответствуют вышеописанным. Но, во-первых, ярче выглядят положения параметров по сосредоточениям отклонений оценок в разных группах (ниже всего «дела» и «власть в этих делах», выше всего стремление населения и СМИ решить проблемы, да и возможности в целом неплохие), а во-вторых, очевидна «кучность» оценок в различных по информированности группах (корреляция по шести параметрам между группами +1,000 у всех, кроме второй по информированности (+0,943), и по Пирсону, и по Кендаллу, и по Спирмену (с 99 %-ной вероятностью). Если теперь взглянуть на отклонения оценок возможностей в точках графика и сравнить их с диаметрально противоположными абсолютными средними баллами из табл. 8.19, станет очевидна и «разнонаправленность» падения абсолютных и возрастания относительных оценок в зависимости от степени информированности. Одно дело — рассмотреть оценки отдельного интегрированного параметра и другое дело — отклонение оценок этого параметра в системе всего поля общественного мнения. Но это детали. Если рассматривать кривые в целом, оценки больше разнятся предметными параметрами рассматриваемого информационного контура, а не свойством «информированности» населения. Есть объективный, реальный фактор дифференциации — действия властных структур. А выпадает из этого монотонного единства общественного сознания только слой очень низкоинформированных людей, питающих положительные иллюзии относительно «народной власти», «народной активности» и редакций СМИ, которые указанный слой считает «колоколом». И впрямь — колокол, «звонящий» по последним социальным иллюзиям людей. Отсюда следует еще один важный вывод. Наши данные в целом свидетельствуют, во-первых, о высокой детерминации оценок и отношений тем положением в фигуре социокультурного пространства обмена, которое во многом складывается для индивидуума стихийно, а во-вторых, о том, что личность «вынуждена» делать до поры до времени оценки, «навязанные» ей своего рода анфиладами развертывающихся перед ним пространств деятельности и смысловых полей.
Значимым результатом нашего анализа является то, что монолитное в средних оценках (кроме торговли) поле общественного мнения, стремящееся к некому усредненному согласию, поляризуется по различным предметным параметрам смыслов человеческой деятельности, когда мы интегрируем эти параметры через отклонения их оценок у каждой личности. Тем самым мы выходим на картину реальной семантики социума, на то поле смыслов, которое, как и активность и деятельность, удается явственно увидеть только в интегрированном через личностные параметры (индивидуальная оценка или тренд) виде. Все это, конечно, еще раз напоминает о единстве таких явлений, как «личность» и «общество», точнее, показывает, что процесс духовного производства «деятельность — сознание — деятельность» реализуется через срез «общество — личность — общество» и может быть «снят», «разъят» и снова «синтезирован» только через статистические методы интеграции личностных параметров. Посмотрим теперь, как меняется эта семантика во времени.
Обнаруженные связи и отношения в динамике до 2004 г.
Вот как изменилось соотношение оценок состояния дел в разных сферах и «радений» местных властей в этих сферах в Касимове 1994 г.
|
а> |
 |
|
Рис. 8.14. График отклонений от средней общей оценок состояния дел в разных сферах жизни и решения этих дел местной властью в Касимове в 1994 г. (n = 845 опрошенных) |
Исследование в Касимове было проведено автором осенью 1994 г. по заказу Московского института развития образовательных систем при участии В. Б. Новичкова. Задачи исследования не позволяли использовать полностью адекватный таганрогскому и всесоюзному инструментарий, однако три блока — оценка состояния дел, оценка работы власти в различных сферах и возможности для построения нормальной жизни — в полевой документ были введены. Касимов — небольшой город: по переписи 1989 г. в нем было 29 145 жителей. Исследование дало по квотной выборке 845 взрослых жителей города и 302 школьника по типологической выборке школ.
На графике рис. 8.14 видны принципиальные изменения отклонений оценок населением различных сфер жизни и усилий власти. За изменением инфраструктуры активности последовало изменение смысловых полей оценок состояния дел и власти. Теперь торговля пром- и продтоварами дает положительные отклонения оценок общественного мнения, хотя отклонение оценок усилий власти в этой области несколько ниже, что естественно. Местная власть «организует» торговлю в соответствии с общефедеральным законодательством. И население фиксирует относительность ее заслуг в этой области. Высоки оценки состояния дел в сфере учреждений культуры и транспорта, общего и (несколько ниже) профобразования. Но резко ниже нулевой отметки падают отклонения состояния дел по жилищной проблеме, бытовому и коммунальному обслуживанию, досугу, состоянию окружающей среды, преступности, алкоголизму и наркомании. Власть получает плюсовые отклонения в общественном мнении за борьбу с преступностью, но резко позиционируется ниже нуля (—0,298) в организации работы транспорта, хотя последняя отмечается отклонением оценок в положительную сторону. Здесь есть, вероятно, сугубо местные особенности, которые надо было проявлять на месте. В остальном же волна отклонений оценок усилий местной власти «скользит» соответственно отклонениям оценок населением состояния дел в той или иной области. Итак, изменилась предметная структура деятельность и вслед за ней меняется структура оценок.
Однако касимовский эксперимент дал еще одну возможность оценить интегральные блоки: состояние дел, работа власти, возможности построения нормальной жизни. В Касимове еще удалось измерить адекватно инструментарию Всесоюзного исследования не только информированность, но и уровень благосостояния и активности в досуге. Рассмотрим крупные блоки с этой точки зрения.
 |
|
Рис. 8.15. График отклонений от средней общей интегральных оценок состояния дел в городе в целом, решения этих дел местной властью в целом и возможностей по девяти инфраструктурным параметрам жизни также в целом в Касимове в 1994 г. в зависимости от активности в досуге, уровня благосостояния и общественно-политической информированности (n = 845 опрошенных) |
Тут наблюдается очень любопытная дифференциация.
1. Независимо от признака (активность в досуге, достаток, информированность), через формы которого (низкая, средняя, высокая степень) рассматриваются векторы отклонения оценок общественного мнения, соотношения оцениваемых параметров стабильно. Отклонения по решению проблем в целом органами власти всегда ниже негативного отклонения вектора оценок проблем в целом. Исключение в плане негативного отклонения — высокоинформированные. Они отклоняют оценку состояния проблем в нулевой сектор шкалы (+0,0041), но столь же низко, как и активные в досуге и отличающиеся высоким достатком, опускают оценки работы органов местной власти. Кроме того, отклонение оценки возможностей всегда выше отклонения оценки проблем. Итак, «возможности у нас высоки, но есть проблемы, которые власть решает из рук вон плохо», — таков общий смысл отклонений оценок общественного мнения, вытекающий из рис. 8.15.
2. Чем выше активность в досуге, достаток, информированность, тем больше падение от средней оценок работы местной власти по решению городских проблем.
3. Если взять дифференциацию отклонения оценок состояния проблем города в целом, то здесь картина иная. Активные в досуге снижают оценку до предела, пассивные — в середине, а середняки поднимают оценку ближе к нулевому порогу шкалы. Достаток не дифференцирует отклонения оценок проблем от средней (при округлении до «сотой» все разнящиеся достатком дают —0,02). А вот информированность разносит оценки состояния проблем в целом от самой высокой у информированных до самой низкой у малоинформированных. Среднее по силе отклонение у информированных в средней степени.
4. Оценки возможностей также дифференцированы. Прямая зависимость отклонений в признаке «достаток». Чем он выше, тем выше отклонение оценки возможностей от «мертвой нулевой зоны». По одежке протягивай ножки. Малоактивные в досуге дают наибольшее отклонение на «плюс» оценки возможностей в регионе, а активные в досуге несколько снижают это значение. Средние по активности в досуге дают самое нижнее отклонение. Возможно, здесь влияют проекции сэкономленного времени, но прояснить это позволит дополнительная работа. В группах по информированности картина отклонений также завуалирована. Здесь порядок отклонений от самого высокого до самого низкого в оценке возможностей другой: ведут высоко-, за ними низкоинформированные, а замыкают информированные в средней степени.
Эти результаты требуют особого внимания. Количественная оценка информированности в идеале может строиться на совершенно иных параметрах, чем рассматриваемые потом в оценочных компонентах переменные. Однако безотносительно к этому замечанию наличие оценки — это информация, а отсутствие — энтропия. Сама же оценка — это информация другого рода, это выражение отношения к какому-то параметру. И уж совсем третье дело — отклонение оценки от средней по всему полю представлений однородных параметров системы, представляющих определенную область.
 |
|
Информированность о политических проблемах |
¦*— Низкая — — Средняя - - - Высокая
Рис. 8.16. График отклонений от средней общей интегральных оценок состояния дел в городе в целом, решения этих проблем местной властью в целом и возможностей по девяти инфраструктурным параметрам жизни также в целом в Касимове в 1994 г. в зависимости от общественно-политической информированности
(n = 845 опрошенных)
Сравним график на рис. 8.16 с московскими данными 2004 г. на рис. 8.17 с прибавлением такого параметра оценок, как политические деятели в целом.
 |
Низкая — -О — Средняя - - о- - Высокая
Рис. 8.17. График отклонений от средней общей интегральных оценок состояния дел в городе в целом, решения этих дел местной властью в целом, возможностей по девяти инфраструктурным параметрам жизни в целом и оценок 29 политических деятелей в Москве в 2004 г. в зависимости от общественно-политической информированности (n = 131 опрошенный) |

Если не принимать во внимание параметр отклонения оценок политиков в целом, то картина похожа на полученную в Касимове за 10 лет до того. Проблемы региона в целом существуют в такой же последовательности оценок в зависимости от информированности, но дифференцированность их резче относительно «нулевой зоны». В точке равновесия — оценки действий московских властей по решению проблем. А вот отклонения оценок политикам зашкаливаются на максимальные у низко- и занижаются также до максимума у высокоинформированных опрошенных. Векторы отклонения возможностей «перевертываются» зеркально. Здесь отличие от Касимова: высокоинформированные (с достатком) завышают оценки возможностей от средней, а низкоинформированные снижают их до «нулевого порога».
Теперь можно детализировать картину и по Москве, рассмотрев ее отдельно по конкретным сферам, а по сопоставимым — сравнить с СССР 1990/91 гг., скорректировав ее на московский регион того же времени (он был достаточно представителен: 433 опрошенных).
При сопоставлении оценок москвичей в исследовании 1990/91 гг. обнаружилось принципиальное сходство «волн» отклонений оценок общественного мнения в стране в целом и в столице по сопоставимым параметрам. Надо, однако, отметить, что москвичи в то время были настроены чуть критичнее в оценках дел и власти. Но «волна» их векторов оценок дел и властей идет абсолютно на «волне» Союза. Абсолютное совпадение точек отклонений оценок в общественном мнении москвичей и жителей страны в целом повсюду. Исключений два: сфера охраны
природы и борьба с алкоголизмом и наркоманией, где москвичи дают оценки и делам и власти строже. Таким образом, четыре сотни столичных жителей, опрошенных фактически за второй квартал 1991 г., оказались репрезентативны по картине поляризации общественного мнения всему десятитысячному массиву Всесоюзного исследования. Сравним его «волны» с волнами москвичей 2004 г., а затем «волны» москвичей 2004 и 1991 гг. (см. рис. 8.18 и 8.19).
 |
- - о-- Оценка дел ° Оц. власти А Оценка дел—•—Оц. власти
Рис. 8.18. Сравнительная картина отклонений оценок различных параметров от интегральной средней в СССР 1990/91 г. и Москве 2004 г. (по данным Всесоюзного (n = 9674) и пилотажного московского (n = 131) исследований; Всесоюзный массив перевзвешен по переписи 1989 г.) |
|
о |
 |
о Оценка дел ¦ ¦ О- ¦ Оц. власти д Оценка дел —¦—Оц. власти
Рис. 8.19. Сравнительная картина отклонений оценок различных параметров от интегральной средней в Москве 1991 г. и Москве 2994 г. (по данным Всесоюзного (n = 433) и пилотажного московского (n = 131) исследований; Всесоюзный массив перевзвешен по переписи 1989 г.) |
Итак, читатель может сам убедиться в сходстве и некоторой «радикальности» московской позиции в сравнении с позицией страны по социальным вопросам. Что же изменилось в общественном мнении? Улучшились торговля, работа учреждений культуры, работа транспорта, благоустройство и отдых. Ухудшилось состояние окружающей среды, но действия власти отклоняются здесь во мнении людей в целом из отрицательной в «нулевую зону». Ухудшилось положение со здравоохранением, обеспечением людей жильем, состоянием среды обитания, преступностью и коррупцией, алкоголизмом и наркоманией. Отклонение оценок власти, кроме вышеуказанного «нулевого», везде соответствует состоянию дел. Вспомним, что мы говорили о влиянии превращенной формы сознания «осквернение Земли» на отклонения и согласованность оценок общественного мнения. В Москве население начинает «прозревать» относительно первичности и вторичности в обществе природной и общественной сред. Сначала — общественное и социальное устройство и порядок, а потом уже невыносимые или сносные условия существования в окружающем социальном и природном мирах.
Картина по Москве 2004 г. — оценка отдельных сфер жизни
Прежде чем обсуждать соответствие отклонений оценок состояния дел в различных сферах жизни и оценок дел московской власти, надо, конечно, увидеть картину в целом. Затем уже можно рассматривать отклонения оценок по различным группам информированности, взятых в трех формах: низкая, средняя, высокая из-за величины массива. При этом надо учесть, что поле общественного мнения (оценок) в московском массиве состоит из четырех частей: 1 — 15 оцениваемых сфер жизни города, 2 — 15 оценок «заслуг» местной власти по работе в этих сферах жизни, 3 — 9 оценок возможностей построения нормальной жизни в регионе и 4 — оценки 29 политических фигур с точки зрения выполнения ими своих обязанностей в интересах общества. Итого — 66 отметок, точнее, их отклонений от среднего параметра по всему полю мнений каждого человека в каждом оцениваемом случае. Опрашиваемые оценивают состояние жизни, «радения» о ней властей в целом, открывающиеся перспективы и персональные роли в политике на благо населения. Так как даже это удалось замерить с трудом и под эгидой выявления отношения к проблемам образования, то блок политической ориентации оценок информационного контура мы в московское исследование включить не рискнули. Рейтинги же политиков разберем вместе с питерскими оценками 1999 г.
Итак, опрошенные относительно более положительно оценивают работу столичной власти, чем само состояние дел в сферах здравоохранения, благоустройства, охраны среды обитания, искоренения преступности, пьянства, работы правоохранительных органов. Ниже, чем обстоят дела, оценивается внимание власти к жилищной проблеме, работе учреждений культуры и транспорта, торговли, создания рабочих мест и работы местных предприятий, образования. При этом дела в здравоохранении, жилищной сфере, охране среды обитания, в борьбе с преступностью и коррупцией, алкоголизмом и наркоманией, работы правоохранительных органов, создания рабочих мест обстоят ниже зоны «0», в некоторых сферах значительно.
 |
Оценка дел
Оценка власти
Рис. 8.20. График отклонений от средней общей оценок состояния дел в разных сферах жизни и решения этих дел местной властью в Москве в 2004 г. (n = 131 опрошенный) |
В общем московский контур похож на касимовский (ср. рис. 8.20 и 8.14). Разобьем московские графики на группы по степени информированности рис. 8.21 и 8.22.
Теперь можно увидеть тождественность и различие в оценках состояния дел в городе по различным проблемам и работы властей в различных по информированности группах опрошенных. Однако при оценках властей они дифференцируются резче, чем при оценке условий жизни. Конечно, у низкоинформированных снижены потребности в культуре, благоустройстве и отдыхе, более благоприятной среде обитания, а отсюда идет и более высокое отклонение оценок работы власти (см. соответствующие линии рис. 8.21 и 8.22). Но практически полное единство поляризации мнений по различным группам в вопросах здравоохранения, решения жилищной проблемы, искоренения преступности, коррупции, наркомании и алкоголизма, работы правоохранительных органов. Резкие расхождения в оценках сфер занятости и образования. Здесь низкоинформированные опускают оценки местной власти за создание рабочих мест, работу местной промышленности, работу учреждений общего образования и за организацию профтехучебы ниже «нулевой зоны» в промежуток между занижением работы правоохранительных органов и полным провалом борьбы с преступностью, алкоголизмом и наркоманией.
Замечательно, что по среднему баллу высокоинформированные завышают состояние дел в здравоохранении и обеспечении жильем, создании рабочих мест (с 80 %-ной вероятностью значимости отклонения). А вот низкоинформированные снижают оценку состояния дел в сфере обеспечения жильем, искоренения преступности, создания рабочих мест, работы промышленных предприятий и по всем компонентам сферы образования. При этом значимость отклонения средней оценки от «1» до «5» на «минус» в искоренении преступности, сфере профтехобразования и работе вузов и техникумов оценивается с 90 %-ной вероятностью, а по остальным означенным сферам с 80 %-ной вероятностью. А вот с властями при оценках по среднему баллу отклонений от средней по 15 сферам деятельности
 |
— О — Низкая -¦-Средняя - - - Высокая
Рис. 8.21. График отклонений от средней общей оценок состояния дел в разных сферах жизни в Москве в 2004 г. (n = 131 опрошенный) |
 |
Рис. 8.22. График отклонений от средней общей оценок решения дел местной властью в разных сферах жизни
в Москве в 2004 г. (n = 131 опрошенный) |
властей нигде, кроме двух случаев, нет. Низкоинформированные отклоняются на «+» в среднем балле властям за дела в здравоохранении и на «—» за дела в профтехобразовании (оба отклонения с 80 %-ной вероятностью). Интегральные оценки векторов отклонения от средней, взятые по полю мнений у каждой личности, значительно чувствительнее и дают более дифференцированную картину. Однако средний балл позволяет предположить, что в отношении власти действует проснувшийся с былых времен страх: здесь и разброс отклонений гораздо «плотнее», чем при отклонениях оценок состояния дел в сферах жизни (сравни размахи всех кривых на рис. 8.20—8.22). Обратимся же к оценкам политиков.
Путешествие политиков из Петербурга в Москву в мнениях 1999 и 2004 гг.
Мы уже отмечали параметры исследования 1999 г. в Санкт-Петербурге, и нет нужды повторяться.
Как видим из табл. 8.20, средний балл не дифференцирует оценки возможностей нормальной жизни в целом. Статобработка сводит все к некоторой середине, в которой теряется разнообразие позиций разных групп населения, и даже такой сильный показатель, как «информированность», не дает отклонений по средней оценке. Конечно, возрастает коэффициент вариации оценки в крайних группах. Конечно, знаки отклонения в группах информированности по политикам дают возможность дифференциации, но это очень мало. Здесь важно и то, что и по 9 параметрам (оценка возможностей) и по 19 оценкам номиналий (политики) средняя одна и та же. Выделить разброс здесь едва удается. Мы приводили колебания отклонений от средней на рис. 5.9, но там питерский массив был подан в целом в сравнении с касимовским и московским, где в последнем многое «проваливалось», но росли возможности для духовного подъема. Рассмотрим на рис. 8.23 отклонения оценок от средней за ее вычетом у каждого человека по каждому параметру возможностей жизни в Петербурге.
 |
Низкая — * — Средняя
- А- -
Высокая
Рис. 8.23. График отклонений от средней общей оценок возможностей в Санкт-Петербурге в разных сферах в 1999 г. (n = 1600 опрошенных) |
Вот так-то лучше. Оценки, взвешенные относительно целостного поля мнений, разлетаются по некоторым параметрам от почти «+0,6» до «—0,6», да и по

Рис. 8.12. График отклонений от средней общей оценок:
1 - дел в целом, 2 - их решения властью в целом, 3 - поведения власти в информационном контуре,
4 - поведения населения в том же контуре, 5 - работы местных редакций, 6 - возможностей нормальной жизни в регионе (различными по степени информированности группами населения СССР 1990/91 гг.) |
 |
|
Средняя |
|
Таблица 8.20. Оценки возможностей построения нормальной жизни в Петербурге в 1999 г. по девяти инфраструктурным параметрам жизнедеятельности и оценки выполнения своей роли в интересах общества у 19 политиков (в абсолютном выражении, % к общему числу опрошенных; n = 1600 (массив перевзвешен на генсовокупность и n = 1578), в средних баллах оценок от «1» до «5», показателях стандартного отклонения и знаках отклонений от среднего балла (mean) в трех доверительных интервалах) |
|
Оценка роли политиков в жизни |
Знак.
откл. от сред
него |
2,67 |
+++ |
+ |
і |
|
Ст. отклонен. |
,742 |
СО
оо
о |
г—
со |
о
со
со |
|
Средняя |
2,67 |
3,23 |
2,66 |
2,30 |
|
o'- |
о
о |
о |
77 |
со |
б
?О
<с |
1485 |
152 |
1145 |
188 |
|
Оценка возможности жизни в городе |
Знак.
откл. от среднего |
2,68 |
+ |
+ |
+ |
|
Ст. отклонен. |
,762 |
,833 |
,737 |
,811 |
|
Средняя |
2,68 |
2,69 |
2,68 |
2,63 |
|
б'- |
о
о |
СО |
72 |
CN |
б
?О
<с |
1578 |
253 |
1137 |
188 |
со
г-
ю
т—1
II
б
< |
Информированность |
В целом |
- низкая |
+- средняя |
+ высокая |
|
различным группам в оценке возможностей «духовного развития» достигают разрыва в «0,4», т. е. 10 %-ного «расстояния» на шкале. В остальном население города едино (см. соответствующие линии графика рис. 8.23), несмотря на разницу в социальной осведомленности: очень плохо с работой, достатком и осуществлением гражданских прав и свобод. И для всех. Кроме, разумеется, некоторых, которые в выборки попасть не могут по вполне понятным причинам, но они в исследованиях и не нужны, так же как и им не нужны исследования.
А что же политики? Ведь они в целом «раскололись» в 95 %-ном доверительном интервале даже при оценках по среднему баллу. Сравним векторы отклонений петербуржцев и москвичей по некоторым фамилиям в 1999 и 2004 гг. на рис. 8.24 и 8.25
 |
|
Рис. 8.24. График отклонений от средней общей оценок соответствия своих действий интересам общества у политиков жителями Санкт-Петербурга в сентябре 1999 г. (n = 1600 человек) |
 |
|
Рис. 8.25. График отклонений от средней общей оценок соответствия своих действий интересам общества у политиков жителями Москвы весной 2004 г. (n = 131 опрошенный) |
Разница между «фаворитом» 1999 г. Примаковым и «аутсайдером» по исполнению властных полномочий в интересах общества Ельциным (рис. 8.24) составляет у питерских опрошенных 1,934 пункта, т. е. 48 % шкалы (+0,908 --1,026). «Рас
стояние» между Примаковым и Чубайсом в Питере — 1,822 шкалы в 4,0 пункта. Побольше разница во мнении людей между Путиным и Чубайсом в Москве весной 2004 г.: 1,977. Стабильность рейтинга Чубайса поразительна (—0,914 в 1999 г. в Питере, —0,928 в 2004 г. в Москве; рис. 8.25). Его фигура может быть «термометром» измерения состояния отрицательного полюса общественного мнения. Однако есть о чем поговорить, глядя на «рейтинги», и без «главного энергетика».
В целом надо отметить четыре обстоятельства.
1. Разница между «фаворитом» и «аутсайдером» в полярных точках общественного мнения неизменна на протяжении пяти лет (причем безотносительно и к величине выборки (1600 в Питере и 131 в Москве), и к типу мегаполиса).
2. Такая же, как у Чубайса, но с положительным знаком, стабильность полит-оценок Лужкова (+0,721 в 1999 г. в Питере (!) и +0,784 в 2004 г. в Москве).
3. Алферов получает третью оценку, фактически замыкая кучно идущую в Москве 2004 г. группу фаворитов (+0,764). Далее идут середняки — Вешняков падает более чем на 0,3 пункта.
4. Поразителен в противоположность Лужкову дрейф питерского Яковлева (от +0,807 в роли губернатора (рис. 8.24) до —0,436 в правительстве (рис. 8.25)). Потеря на 1,243 пункта больше, чем потери у Зюганова и приобретения Жириновского.
Можно задать вопрос: «А что, собственно, изменилось в самой политической деятельности Яковлева?» Ведь каким он был, таким и остался. Но общественное мнение резко изменилось только из-за смены места политической фигуры. В нашей политической, не сказать дурного слова, культуре «не человек красит место, а место красит человека». И в этом случае политика превращается в товарно-денежные отношения, а сама политическая фигура становится товаром, обменивающимся на соответствующие формы прибыли. Поразительна и высокая оценка Алферова. Конечно, по информированности о нем населения он не сравним по весу с Лужковым. Дела в Москве не так уж хороши, да и в стране, по сведениям СМИ и по пустым карманам, тоже не ахти. Но 87 % ставят оценки главе государства, 86 % — московскому мэру, а Алферову — лишь 37 % массива опрошенных. Но все, кто их поставил, дают этим трем фигурам предельно возможные отклонения (не считая, конечно, Чубайса и Ельцина; но про этих у опрошенных другой сказ). Так что мы видим в оценке политиков явно выраженные превращенные формы сознания — хоть и плохо, но как бы хуже не вышло. Здесь россияне предполагают, исходя из богатого исторического опыта, что любые политические перемены могут быть только к худшему, а потому крепко держат «синицу в руках», не обольщаясь «журавлями в небе», о которых сладкозвучно поют сирены симфонической поэмы «От мрака к свету». Политаппликатура к этой поэме писана бесподобно. Альтернативой всему этому в массовом сознании и выступает человек умный, лауреат Нобелевской премии, и 37 % опрошенных видят в нем возможность реализации разумной властной политики в интересах людей. Но вспомним рис. 8.17: именно низкоинформированные группы завышают, а высокоинформированные занижают оценки деятельности политиков в целом. Власть стоит между Сциллой интеллектуалов и людей с достатком, ругающихся по поводу цен на бензин, и Харибдой охлоса с дубиной, если не оправдает его надежды.
Конечно, возникает искушение просмотреть колебания оценок отдельных политиков в зависимости от уровней благосостояния, информированности и т. п. Но, во-первых, это тема самостоятельной работы, во-вторых, к ней надо привлекать данные об информированности о деятелях культуры (вот где гуляй-поле для планирования рынка книжной продукции), в-третьих, это отвлечет нас от центральной темы этой главы. Информированность информированностью, но без решения проблем ее роль становится промежуточным передаточным механизмом выработки отношения к агентам информационных процессов и стратегических решений в обществе.
Даже высокая информированность не гарантирует, как в прошлой, сикось-накось работавшей и разрушенной, общественной структуре, автоматической поддержки действий власти, а уж круг нынешних революционеров от чиновничества узок и «от народа они далеки: чем дальше, тем страшнее».
Информированность, отношения и взаимодействие
Динамика взаимодействия в разных каналах связи власти и населения
Уже к началу 80-х гг. была построена картина влияния характера контактов населения с органами местного управления на контуры изменений отношения людей к власти. Однако проверить ее удалось на достаточно статистически представительном материале лишь в 1990/91 гг. Картину эту стоит рассмотреть и сейчас. И не только в связи с тем, что некоторые политики уж очень уповают на информационную терапию реакций населения при задержке решения его, этого населения, жизненно важных проблем, но и по другой причине.
Дело в том, что многие каналы и средства коммуникации и местные органы власти стремятся сейчас побудить жителей районов, читателей, зрителей высказывать мнения по тем или иным проблемам. Появились телеопросы. Власть остро нуждается в информации о реакциях населения на ее действия. Появились предвыборные агитаторы, проводящие от имени «управ» и «префектур» опросы и агитацию. Работают все каналы информации, действовавшие в советское время, кроме собраний трудовых коллективов, заменяемых в законе о местном самоуправлении «сходами». Однако собрания и митинги по месту жительства сплошь и рядом проводятся против чиновничьего произвола. Другое дело — какова роль властей в этом «информационном» обмене. И вот тут-то бессмертный проект «Общественное мнение», информация которого сопоставима с делами 1990/91 гг., кое-что проясняет. Он очень четко показывает, что, несмотря ни на какую информированность, власть сама продолжает рыть в глазах населения себе же могилу собственными действиями. Рассмотрим положение в контуре информационного обмена между местными властями и населением через каналы выражения общественного мнения, постановки важных социальных проблем перед органами власти в 1969 и 1990/91 гг.
|
Таблица 8.21. Контуры отношений различных слоев населения к органам местной власти в зависимости от «статуса» обращавшихся в эти органы через различные каналы, целей и результатов обращения в 1969 и 1990/91 гг. (пте9 = 1017, n1990/91 = 9674) |
Отклонения
оценок |
Активисты сферы политики |
Рядовые граждане |
|
A |
B |
C |
D |
E |
A |
B |
C |
D |
E |
|
Вес-69 |
36 |
55 |
74 |
59 |
45 |
64 |
45 |
26 |
41 |
55 |
|
1 |
+- |
- |
+- |
+ |
++ |
+- |
+ |
+- |
--- |
- |
|
2 |
+- |
+- |
+ |
+ |
+ |
+- |
+- |
-- |
-- |
-- |
|
3 |
+- |
+ |
+- |
+- |
+- |
+- |
- |
+- |
+- |
+- |
|
4 |
- |
+- |
+- |
+- |
+- |
+ |
+ |
+ |
- |
+- |
|
5 |
+- |
+- |
+- |
+ |
+ |
+- |
+- |
+- |
-- |
- |
|
6 |
-- |
- |
+- |
+ |
++ |
+- |
+++ |
+- |
-- |
-- |
|
I |
+- |
+- |
++ |
+- |
+- |
+- |
+- |
- |
+- |
+- |
|
II |
--- |
--- |
--- |
- |
- |
+++ |
+++ |
+++ |
+ |
+ |
|
III |
+++ |
+++ |
+++ |
+ |
+ |
— |
--- |
--- |
- |
- |
|
Вес-91 |
74 |
55 |
65 |
58 |
59 |
26 |
45 |
35 |
42 |
41 |
|
1 |
+ |
+ |
+ |
+- |
+- |
--- |
-- |
--- |
- |
- |
|
2 |
+ |
+- |
+ |
+- |
+- |
--- |
-- |
--- |
- |
- |
|
3 |
+- |
+- |
+ |
+- |
+- |
— |
+- |
--- |
- |
- |
|
4 |
+- |
+- |
+- |
+- |
+- |
- |
+- |
- |
+- |
+- |
|
5 |
+- |
+- |
+- |
+- |
+- |
- |
+- |
-- |
+- |
+- |
|
6 |
+- |
+- |
+ |
+ |
+- |
-- |
- |
--- |
-- |
-- |
|
I |
+- |
+- |
++ |
++ |
+ |
- |
+- |
--- |
-- |
- |
|
II |
-- |
--- |
--- |
--- |
--- |
++ |
+++ |
+++ |
+++ |
+++ |
|
III |
++ |
+++ |
+++ |
+++ |
+++ |
-- |
--- |
--- |
--- |
--- |
|
Каналы выражения общественного мнения:
A - собрания в трудовых и учебных коллективах;
B - прием у депутатов Советов (народных депутатов);
C - прием у работников местных и центральных руководящих органов;
D - письма в руководящие органы всех уровней власти;
E - письма в редакции газет, радио, ТВ.
Оценки степени:
1 - осведомленности руководящих органов о мнениях населения;
2 - учета мнения населения руководящими органами;
3 - совпадения решений руководящих органов с мнением населения;
4 - компетентности населения при выражении мнений;
5 - откровенности населения при выражении мнений;
6 - активности населения в выражении общественного мнения;
Удовлетворенность и цели обращений в каналы выражения общественного мнения:
I - удовлетворенность обращением данной группы в данный канал;
II - цели обращения - решение вопроса;
III - цели обращения - информационный, коммуникативный обмен.
В таблице 8.21 выделены пять каналов: собрания в трудовых и учебных коллективах, прием у депутатов, прием у работников местных и центральных руководящих органов, письма в руководящие органы всех уровней власти, письма, обращения в редакции газет, радио, ТВ. Как до 1969 г. в Таганроге, так и до 1991 г. в стране в целом:
1) все обратившиеся в местные и центральные органы власти, в редакции, выступившие на собраниях в течение последних двух-трех лет, были разделены на рядовых граждан и политактивистов, лиц, выполняющих определенные идеологические или политические функции;
2) были дифференцированы цели обращения: решение вопроса — информационный, коммуникативный обмен;
3) была рассмотрена удовлетворенность обращений граждан в зависимости от статуса канала и в корреляции с целью обращения и удовлетворенностью;
4) в связи с этим были рассмотрены отклонения оценок гражданами в положительную и отрицательную сторону параметров информационного контура «население — органы власти».
Эти параметры мы уже освещали при анализе связи их оценок с информированностью населения. Но теперь мы взяли только шесть из них: три относятся к деятельности власти и три — к деятельности населения. Это «осведомленность власти о мнениях населения», «учет властью мнений населения», «совпадение решений власти с мнением населения», с одной стороны, и «компетентность», «откровенность» мнений населения и «активность населения в выражении своих мнений» — с другой. Динамика полученных картин за 22 года и отражена в табл. 8.21.
1. За предшествующие опросу два-три года в органы власти и редакции СМИ всех уровней обратилось 62 % населения города к 1969 г., 55 % населения страны к 1981 и 40 % к 1991 гг. (см. табл. 3.6).
2. В 1969 и 1991 гг. мы разделили всех обращавшихся на политактивистов, людей, занимавших руководящие должности или активно выполняющих общественную работу, и рядовых жителей. Оказалось, что их соотношение среди обращающихся в тот или иной канал коммуникации между населением и органами власти практически не изменилось, кроме как среди выступавших на собраниях в производственных коллективах.
3. Группы, по статусу обращающиеся во все информационные каналы, резко дифференцируются по целям обращения и по степени удовлетворенности. Рядовые граждане в обращениях к власти тяготеют к решению вопроса по существу: их интенция — снятие социальной проблемы за счет действий власти. С годами эта тенденция становится все очевиднее. Политактив, обращаясь в органы власти, тяготеет к коммуникативным функциям. Именно здесь текст функционирует как знак отношений: себя показать, людей посмотреть, сказать «я ваш, предан всей душой» и т. д., и т. п. Удовлетворенность обращением у политактива тем выше, чем выше знак отклонения веса обращений с коммуникативными целями. И наоборот, у рядовых граждан при возрастании доли обращений по существу — решить вопрос — наблюдается рост доли неудовлетворенных «ходоков во власть».
Теперь можно рассмотреть и положение с оценками информационного контура «население — власть». Тут-то и возникает прелюбопытное явление, четко поляризующее рядовых и активистов в обращениях практически во все информационные каналы по оценкам и власти, и населения. Начнем с Таганрога, так как там картина «поизящнее», чем откристаллизовавшаяся фигура по стране.
Политактивисты, обратившиеся к депутатам Советов, завышают степень совпадения решений местной власти с мнением населения, а рядовые жители, разговаривавшие с депутатами, в такой же степени занижают ее. Те же политактивисты снижают оценку активности населения в канале «личный прием у депутата», а рядовые, беседовавшие с депутатом, повышают ее с 95 %-ной вероятностью. Политактивисты, выступившие на собраниях, скептически оценивают компетентность населения в решении проблем, а вот рядовые оценивают ее выше средней и в предложениях на собраниях, и в обращениях и к депутатам и к работникам местных органов власти. Оценка компетентности населения снижается только у рядовых, обратившихся к власти с письмами. Выше, чем политактивисты, обратившиеся к депутатам, оценивают побывавшие на приеме у депутата рядовые и осведомленность руководящих органов о мнениях населения. По другим оценкам параметров органов власти и населения, в контуре выражения общественного мнения и решения социальных проблем картина оказывается в результате обращения политактива и рядовых четко поляризованной. Условно говоря причинно-следственным языком, результаты обращения политактива (с коммуникативными целями) приводят к высоким оценкам ряда параметров и прямо противоположным оценкам этих параметров у рядовых граждан, обратившихся с целью решения проблем и общественно значимых вопросов. Мы не можем растягивать изложение до бесконечности, приводя цифры, но в ряде случаев оценка параметров власти у рядовых, прошедших «горнило» властных приемных, ниже, чем у тех, кто не обращался в этот канал. Здесь кузнец-бюрократ сам «кует» негативное к себе отношение. И прямо противоположные факты на другом полюсе. Политактив в ряде случаев дает оценки параметров органов власти более высокие, чем сами работники руководящих органов города, генеральная совокупность которых была проинтервьюирована по тем же параметрам. Вспомним оценки ФРГ: «звонарь» хочет быть православнее патриарха и в 1969, и в 1991 г., и ныне, и присно, и во веки веков.
Картина становится еще более четкой к 1991 г. Здесь даже комментировать не хочется. Хотя отмечу, что, помимо «зеркальности» политактивистов и рядовых граждан в информационном контуре (отмечены соответствующими заливками в табл. 8.21), возникла новая тенденция: у рядовых «не хватило духу» дать власти и населению ни одного отклонения оценок в положительную сторону в деле информационного взаимодействия. И это 1990/91 гг., при эйфории «перестройки» и «свободы». Правильно делает нынешняя власть, что не позволяет проводить подобных исследований и натурных экспериментов. Многим бы стало не по себе. Но и без исследований без всякого вооруженного социологией и статистикой взгляда видно фанаберию обалделого от всевластия и вседозволенности чиновника и полное бесправие людей, потерявших даже зачатки институтов представительной власти. Теперь информационное воздействие той или иной партийной аппликации призвано «завоевать» оценки. Но это делается решением проблем, а не бесконечными заявлениями о намерениях, о желании принести пользу народу, ежедневно звучащими от власть имущих. Народ прекрасно видит этот балаган, но лишен реальных инструментов воздействия на ситуацию. Уже треть века назад мы выяснили эти факты в типичном среднем русском городе, уже 30 лет как мы положили выводы об этих фактах на столы властителей. Они могли принять любое решение и приняли самый худший из всех возможных паллиативных вариантов. Худший для людей и лучший для себя.
Прежде чем перейти к резюме по поводу того, что информированность складывается не только из потоков СМИ, но и более прочно из характера взаимодействия, которое должно иметь институциональное оформление в виде механизмов перераспределения активности, труда, стоимости, свойств людей, отметим реальные представления населения о характере Советской власти в те еще далекие времена.
И жителям города, и депутатам Советов было предложено определить социальную роль депутата из шести вариантов:
1) «депутат — это государственный деятель, основная задача которого — активное участие в выработке решений Совета и руководстве по их исполнению»;
2) «депутат — это представитель власти, олицетворяющий мнение работников руководящих органов, призванный разъяснять населению решения партии и правительства, мобилизовывать массы на выполнение этих решений»;
3) «депутат — это избранник народа, представляющий и выражающий волю избирателей в выступлениях на сессиях Совета, заседаниях исполкома, в печати и т. п.»;
4) «депутат — это человек, принимающий участие в голосовании, утверждении на сессиях Совета тех или иных решений»;
5) «депутат — это человек, занятый прежде всего оказанием помощи отдельным избирателем, тем, кто обращается к нему с личными просьбами, жалобами и т. п.»;
6) другие определения.
Сочетание первого и третьего ответов и представляет собой по сути определение Советской власти как вида государственного устройства. Все остальные определения являются сопутствующими этим двум слитым и центральным. Вопрос с этими «закрытиями» был предложен и депутатам, и населению, а для страховки было спрошено не только о том, что из себя представляет депутат по реальному положению вещей, но и что он должен представлять, по мнению и народа — субъекта власти, и людей, которым народ делегировал властные полномочия. Мы разбили ответы опрошенных по модели города (в 1000 опрошенных) и всех депутатов в городе (539 человек) на сочетания из этих шести ответов по два: «да — нет». И вышел конфуз. Наше сочетание, олицетворяющее Советскую власть, на каждую тысячу населения существующим назвали 11 (1,1 %), а на каждую тысячу депутатов — 8 (0,8 %) человек. Как должно быть? На каждую тысячу населения это сочетание назвали 24 (2,4 %), а на каждую тысячу депутатов — 13 (1,3 %) человек. Зато роль представителя исполнительной власти «в чистом виде» (я не разбираю сейчас различных сочетаний, хотя и они не исправят положения дел) отведена населением депутату в 11,4 % случаев, а депутатами себе — в 17,5 %. Больше всего было ответов, что депутат избранник народа без упоминания государственной власти. Конечно, это было еще до принятия закона о статусе депутата, но он не изменил дела. И зачем было устраивать такую помпу при свержении того, чего не было? Да если б Советская власть была властью, на политическом горизонте не появилось бы ни одной из тех колоритных политфигур, которым народ подчинялся с 1929 г. И население, и народные избранники, оказывается, прекрасно все понимали, надеялись на лучшее, но так как перекраивалось и перешивалось нашими политпортными с усердием небывалым то, чего не было, то и заступиться оказалось за это некому. Виртуальный мир, свободное духовное производство с некоторыми элементами социальной гарантии. Но картинки говорят о некотором отрезвлении.
Общая тенденция политического управления при данной логике связей
Итак, агитируй — не агитируй, информируй — не информируй, а если не будешь делать для управляемых тобой лучше, поставят тебе для начала «двойку», а потом и вовсе выгонят вон из классной комнаты. И предсказать, как выгонят, слава Богу, невозможно. То есть то, что выгонят — ясно, но вот как — просто непредсказуемо. Конечно, чем меньше информированность населения, тем дольше лаг проверки решения, принятого властью, и его соответствия жизни. Но и информированные, повышая культуру (это только неучи говорят, что революции делались маргиналами), не будут терпеть балаганную власть. Мы видели, что первый фактор активности — знание, затем — соответствие мотивов и целей результатам деятельности, а если последнего нет, то никакое знание не окажется деятельностным сознанием, ведущим к активной жизни. Если отнято поле смыслов построения нормальной духовной жизни, а не ее суррогатов и фетишей, то заканчивается человеческая активность, теряется смысл общественного существования в рамках данной институциональной структуры. Рушатся уже не только правовые, но и нормативные поля поведения и смыслов, и ситуация становится в социальном плане непроходимой нажитыми обществом методами.
Именно при анализе информированности населения относительно любого класса объектов, в том числе и агентов политического и экономического взаимодействия, на политическом поле предметного мира выявился важнейший факт. Он подтверждается частными исследованиями рекламы и обращения товаров на рынке. Однако там требуют огромных усилий за малые деньги и выдающихся результатов, исходя из «мизерных» исследований. Ситуация же с обменом свойствами людей носит универсальный характер, будь то агент обмена «килограмм молочных сосисок» или «главный фонарщик страны». Люди, знающие о существовании предметных рядов, знают о них по обстоятельствам, кристаллизующим знания. И никакая реклама не заставит их слушать призывы к противному их установкам, даже если она заполнит все эфирное время. Никакие клятвенные заверения о заботе о людях или смены политических фигур не заменят смену социально-экономической обстановки, при которой повысится покупательная способность за счет заработанных трудом, а не «халявой» денег и при которой люди будут видеть, что делегированные ими властные полномочия работают впрок. Но как они это могут увидеть при полном разрушении дотла институтов представительной власти и «диктатуре чиновника»? Все это приводит к главному вопросу в нашем обществе — вопросу о социальной базе управленческих, социально-экономических и прочих решений.
И здесь проект «Общественное мнение» представляет уникальные, единственный раз за всю нашу социальную историю измеренные, комплексные социальные данные. Именно общая картина циркуляции информации в социальной системе выдавливает семантику управления и приводит ко вполне понятным выводам о системе, в которой мы живем.
Часть III
РЕШЕНИЯ ОБ ИЗМЕНЕНИИ СОЦИАЛЬНОЙ РЕАЛЬНОСТИ
Глава 9
ПОЛЕ РЕШЕНИЙ В СТРУКТУРЕ ИНФОРМАЦИИ
Общая картина
В проекте «Общественное мнение» применялся довольно высокостандартизированный инструментарий по ряду параметров, одним из которых была «сфера общественной жизни», освещаемая в материалах единственной общегородской газеты, являющаяся предметом проблемного мнения журналиста, внештатного автора, руководителей городских и районных органов власти, населения в целом, частей населения. К последним относились участники собраний трудовых коллективов города за три месяца, выступавшие на этих собраниях, на собраниях избирателей в предвыборной кампании, писавшие письма в местные и центральные органы власти и редакции массмедиа, побывавшие на приеме у депутатов местных советов и у работников местных руководящих органов. Мнение этих людей по тем же проблемам выявлялось методом «контент-анализа» их писем, бесед, выступлений и сопоставлялось с высказанным при опросе. Кроме того, были взяты два важнейших канала «внутри» властной, бюрократической машины:
1) канал «трансмиссии общественного мнения» внутри властных структур, зафиксированный перепиской между органами власти (горком, райкомы, горисполком, райисполкомы и т. п.), насчитывавшей 1720 суждений о мнениях жителей города по этим же проблемам наряду и с самими «первозданными» мнениями;
2) два канала заседаний и совещаний работников руководящих органов, на которых присутствовали депутаты советов, принимавшие население, а с другой стороны, те заседания, на которых присутствовали работники городских и районных органов власти, принимавшие население по тем же вопросам (темы этих заседаний зафиксированы).
Был проделан контент-анализ 452 решений местных органов власти по городским проблемам. В первую очередь полученная информация была выровнена во всех тождественных по сферам жизни исследованиях (их у нас было за 35 лет более 60, но мы отобрали из них только 23). Затем мы определились дополнительно со стабильностью информации во времени, сопоставив два открытых вопроса об актуальных проблемах жизни Таганрога в 1969 г. и Петербурга в 1999 г. Контент-анализ записей респондентов был проведен адекватно выровненным по сферам и проблемам инструментарием лично автором.
Стало возможным увидеть сразу в одной таблице корреляцию прямого и обратного потоков информации в контуре «органы власти — массмедиа — население» и друг с другом, и с решениями власти, и с внутренним потоком информации в бюрократическом аппарате, а в точке волнующих население проблем и в динамике за целых 30 лет.
Мы выделили 15 укрупненных сфер внутренней жизни территориальной агломерации, на основании эмпирически зафиксированных тем информационных потоков и от власти к населению, и от населения к власти:
1 — промышленность, экономика, финансы;
2 — жилье, гражданское жилищное строительство, транспорт, связь, благо
устройство города;
3 — сфера обслуживания населения, коммунальное и бытовое обслуживание,
торговля промышленными и продовольственными товарами;
4 — сфера проведения свободного времени, отдых людей;
5 — работа учреждений культуры, просвещения, здравоохранения, различных
уровней образования;
6 — литература и искусство;
7 — работа органов печати, радио и ТВ, СМИ в целом;
8 — идеологическая и религиозная, пропаганда;
9 — спорт;
10 — деятельность местных органов власти;
11 — жизнь и воспитание молодежи;
12 — правосудие, охрана общественного порядка;
13 — природные условия, охрана природы, история города, охрана памятников
культуры;
14 — рассказы о людях, празднества, юбилеи, награждение коллективов, свет
ская хроника;
15 — другие сферы.
В Таганроге в 1969 г. были проведены три исследования, завершающих проект «Общественное мнение», на общегородской выборке по спискам избирателей по 1000 человек каждое, выясняющие информированность населения относительно решений руководящих органов. Высокая корреляция оценок первоочередных сфер жизни позволила нам объединить в табл. 9.1 для примера два таганрогских массива в один из 1997 документов (3 интервью потеряны) для наглядного представления и сравнения с питерским интервью 1999 г. в 1588 опрошенных (массив перевзвешен на генсовокупность — город в целом). В таблице 9.2 мы коррелируем только одно из двух таганрогских исследований.
|
Таблица 9.1. Распределения ответов населения Таганрога 1969 г. и Петербурга 1999 г. о городских проблемах, требующих первоочередного решения (в абсолютном выражении и в % к числу ответивших без затруднившихся ответить на вопрос; n1969 = 1997, n1999 = 1588) |
|
О |
395 |
277 |
20 |
t— |
|
(Л |
1997 |
1588 |
о
о |
о
о |
|
15 |
(У) |
57 |
- |
|
|
14 |
о |
о |
о |
о |
|
13 |
см |
со
CD |
- |
см |
|
12 |
84 |
224 |
ю |
t— |
|
11 |
со |
39 |
см |
со |
|
10 |
ю |
О |
о |
о |
|
о» |
ю |
CD
СО |
- |
со |
|
со |
- |
О |
о |
о |
|
г- |
см |
О |
о |
о |
|
со |
см |
О |
о |
о |
|
ю |
347 |
278 |
22 |
см |
|
|
33 |
97 |
см |
t— |
|
со |
460 |
145 |
29 |
11 |
|
см |
1059 |
1130 |
CD
CD |
CD
оо |
|
тН |
со |
11 |
- |
- |
|
Исследование |
Таганрог, 1969 |
СПб, 1999 |
Таганрог, 1969, % |
СПб, 1999, % |
|
s «О ? 3
x p: =г о
x 1 =i с
i m 2 о .
Ф m се Ф ‘ |
к -я
Если скоррелировать программой SPSS абсолютные значения ответов таганрожцев 1969 г. и питерцев 1999 г., то с 99 % вероятностью коэффициенты корреляции рангов окажутся: Пирсон — +0,932, Кендалл — +0,755, Спирмен — +0,877. Если взять лишь первый из таганрогских массивов, то корреляция по Пирсону окажется больше (+0,949). В верхней части табл. 9.2, где идут коэффициенты Пирсона, он округлен до +0,95 на пересечении «строки 1» и «колонки 2». Но коэффициент Кендалла (он идет ниже диагонали корреляционной матрицы) будет чуть ниже (+0,711; в табл. 9.2 он также округлен до сотого значения).
Расхождения коэффициентов в матрице табл. 9.2 по двум таганрогским исследованиям и по одному из них не превышают сотых и тысячных долей, но поскольку корреляционная матрица была просчитана в программе по первому из массивов, мы оставили для анализа ее (2000 или 1000, как показано читателю, суть дела не меняет).
Теперь, прежде чем перейти к анализу корреляций по сферам жизни прямого, обратного потока информации между органами власти и населением в разных каналах и в решениях власти (а также в трансмиссии информации внутри аппаратной машины), посмотрим, с какими каналами выражения общественного мнения в Таганроге 1969 г. коррелируют после «демократических реформ» запросы петербуржцев 1999 г.
Тут развертывается прямо-таки «сверхчудесная» картина, будто и не было 30 лет застоя, ускорения, перестройки и прочих политических кульбитов (см. табл. 9.2 с учетом того, что в тексте мы приводим не округленные коэффициенты, а их значения до 3 знака после запятой). Тематическая структура высказываний питерцев 1999 г. почти полностью совпадает с высказываниями избирателей Таганрога, побывавшими в 1969 г. на приеме у депутата (+0,967, по Пирсону), с контент-анализом 1626 бесед с депутатами (+0,969, по Пирсону), с контент-анализом бесед этих же депутатов с чиновниками местных органов власти (+0,894, по Пирсону). Последнее пока косвенно (через петербургскую тематику) свидетельствует о том, что представительная власть доводила информацию о нуждах населения до исполнительной. Эта же структура высказываний петербуржцев коррелирует с высказываниями тех 1016 жителей Таганрога за 30 лет до этого, которые добились приема в городских органах власти (+0,690, по Пирсону), с контент-анализом 4155 бесед населения с ответственными работниками власти (+0,695, по Пирсону), с содержанием 890 писем таганрожцев в местные и центральные органы власти (+0,793, по Пирсону), с содержанием неопубликованных редакциями 2643 писем (+0,691, по Пирсону). Коэффициенты корреляции рангов Кендалла подтверждают описанные тенденции с 95 % (а не 99 %, как Пирсон) вероятностью в отношении потока обращений 1969 г. к депутатам и с письмами в органы власти и СМИ.
Мы не знаем, как принимают решения чиновники Санкт-Петербурга, Москвы и т. д. со статистически достоверной вероятностью. Однако я полагаю, что никогда в СССР, РФ и СНГ не была и не будет больше получена возможность изучить хотя бы в первом приближении этот процесс, лишив возможности властные корпорации заниматься социальной демагогией перед лицом многомиллионных масс людей. Генпроект «Общественное мнение» — единственное исследование, в котором удалось с помощью действительно демократических слоев компартии изучить этот процесс в деталях.
В таблице 9.2 приведены коэффициенты корреляции рангов Пирсона (верхняя от диагонали часть матрицы) и Кендалла (нижняя часть), залитые темносерым цветом с 99 %, а светлосерым с 95 % вероятности. Коэффициенты округлены до второго знака для экономии места и наглядности обзора всего социального процесса, но в комментариях мы приводим их с точностью до тысячной доли. В легенде под таблицей приведены темы исследований, в которых были взяты указанные сферы общественной жизни. Здесь структуры мнений и жителей, и чиновников, и журналистов, и отфильтрованный продукт труда внештатных авторов, и письма во власть, в редакции, и процесс обсуждения этих же тем на собраниях в трудовых коллективах, на заседаниях, сессиях депутатами, чиновниками, избирателями, и, наконец, структура решений власти и циркуляции мнений в аппарате этой власти как трансмиссия вертикальных и горизонтальных потоков.
Сразу видна логическая завершенность и социальная целостность данных. Не забудем, что мы рассматриваем здесь только проблемную структуру объекта — информационного обмена в обществе между властью и населением, — не заглядывая в такие его срезы, как «знак» информации, ее «конструктивность», «модальность» и «направленность», «исходная страта, аккумулирующая поток мнений» и т. д. и т. п. Выше мы вскользь касались некоторых из этих параметров, но построение общей картины с учетом распределений характеристик в различных слоях и стратах социума потребует отдельной работы, а главное — нахождения нетривиального методического инструментария сопоставительного анализа. Остановимся пока на корреляции проблемных характеристик информационного обмена, тем более что они дают хорошую дифференциацию социальных аппликаций. Итак, ряд выводов.
1. Проблемная структура информации, циркулирующей в аппаратной системе власти (строка 5), фиксирующейся в решениях местных властных органов (строка 6), максимально коррелирует:
1) с проблемной структурой мнений внештатных авторов единственной общегородской газеты (колонка 7 на строки 5 и 6: +0,799 и +0,878, по Пирсону; колонки 5 и 6 на строку 7 +0,593 и +0,708, по Кендаллу);
2) с тематической структурой материалов городской газеты в целом (колонка 8 на строки 5 и 6: +0,783 и +0,766, по Пирсону; колонки 5 и 6 на строку 8: +0,498 и +0,574, по Кендаллу);
3) с тематической структурой проблем на собраниях в трудовых коллективах; причем эта структура в речах участников собраний и в контент-анализе их речей предельно коррелирует со структурой канала «трансмиссии» (циркуляция информации внутри чиновничьего аппарата; строка 5 на колонки 10 и 12: +0,932 и +0,927, по Пирсону), резко «подсаживаясь» в корреляции со структурой решений (строка 6 на колонки 10 и 12: +0,750 и +0,664, по Пирсону); структура же решений органов городской власти четко коррелирует со структурой повесток дня собраний трудовых коллективов (строка 6 на колонку 11: +0,900, по Пирсону);
4) с тематической структурой, реально принятой из городской газеты информации (прочитанные и просмотренные сообщения; колонка 23 на строки 5 и 6 +0,801 и +0,865, по Пирсону; при этом информация мнений внештатных авторов, структуру организации которой мы разобрали выше, коррелирует с принятой тематикой на +0,851, а информация повесток дня на +0,857, по Пирсону); вспомним, что в главе 5 мы отмечали, что все элементы содержания текста входят в сознание аудитории в тех же пропорциях, в каких они присутствуют в тексте, хотя при этом отмечается рост приема отдельных сообщений в местных газетах на актуальные темы (табл. 7.9 и 7.12). Покупается то, что продается. То, что не производится, чего нет, что не продается, купить нельзя. Как только через «завалы» нецивилизованного, высокостандартизированного рынка начинает пробиваться информационный товар, удовлетворяющий подавленную потребность, присвоение этого товара идет в рост.
2. Проблемная структура информации, циркулирующей в аппаратной системе власти, фиксирующейся в решениях местных властных органов, абсолютно не коррелирует с проблематикой, волнующей население (колонки 5 и 6 на строку 1: +0,005 и +0,033, по Пирсону; колонка 1 на строки 5 и 6: +0,087 и +0,087, по Кендаллу). При этом ответы властей города о том, что информировать население надо по определенной тематике, коррелируют с ответами по волнующим население проблемами на +0,531 по Пирсону (строка 1 на колонку 3) и на +0,643, по Кендаллу (строка 3 на колонку 1). Недалеко от властей во мнениях уходят и журналисты редакций местных (городской и областных) газет: +0,657, по Пирсону (строка 1 на колонку 4) и на +0,575, по Кендаллу (строка 4 на колонку 1). Превращенные формы сознания корпоративных групп выявляются здесь со всей очевидностью. В «идеологии» одно, на практике — другое.
3. Зафиксированы, хотя и довольно слабые (ниже 95 % вероятности), но устойчиво повторяющиеся отрицательные корреляции: от —0,256, по Пирсону, между структурой повесток дня собраний и структурой проблематики, волнующей население, до —0,263, по Кендаллу, между структурами повесток дня и тематической структурой писем в СМИ (колонка 11 на строки 1 и 23). Напомним: структура повесток дня наиболее сильно (по Пирсону) коррелирует со структурой решений местных руководящих органов.
4. Структура информации в канале трансмиссии и в решениях органов власти не коррелирует с тематикой собраний избирателей, проходивших в это же время (колонка 16 на строки 5 и 6: +0,371 и +0,408, по Пирсону; колонки 5 и 6 на строку 16: +0,343 и +0,208, по Кендаллу).
5. Структура проблематики, волнующей городское население, четко коррелирует с тематикой информации, проходящей прежде всего в процессе приема людей депутатами, затем в письмах в СМИ и органы власти и, наконец, на приеме у работников местных руководящих органов (строка 1 на колонки 14, 13, 22, 32, 19, 18; соответствующие коэффициенты Пирсона — +0,976, +0,963, +0,809, +0,720, +0,683, +0,673).
6. Тематическая структура информации этих каналов, коррелируя между собой, не коррелирует со структурой информации, циркулирующей на собраниях, у внештатных авторов, в материалах газеты и в каналах трансмиссии-циркуляции информации в аппаратах власти, со структурой решений власти (см. соответствующие пересечения строк и колонок).
|
Таблица 9.2. Корреляционная матрица по 15 сферам общественной жизни в различных информационных потоках, волнующих население Таганрога в 1969 г. и Санкт-Петербурга в 1999 г., проблемах, в решениях органов власти в Таганроге 1969 г. (22 исследования проекта «Общественное мнение» и одно исследование в Санкт-Петербурге; после тем исследований в скобках указано число документов) |
|
23 |
о |
CD
О |
,36 |
|
,80 |
,87 |
,85 |
,78 |
,83 |
,82 |
CD
оо |
•=t
t— |
,09 |
ю
о |
,28 |
,32 |
,44 |
,08 |
ем
ем |
оо |
,69 |
CD
1— |
,83 |
,29 |
со |
,09 |
CD
О |
¦«t
о |
со
о |
|
CD
О |
,73 |
г— г— |
,78 |
,55 |
,73 |
,73 |
|
21 |
см
1— |
,79 |
о
CD |
CD
'О |
CM |
о |
о |
00
О |
г— |
|
|
? |
,75 |
CD t— |
,70 |
,29 |
,36 |
,68 |
о
см |
ю
о |
ю
о |
СО |
,26 |
CO |
о
CD |
,44 |
,33 |
,29 |
,26 |
,49 |
,20 |
,09 |
,09 |
,29 |
CD t— |
,50 |
,25 |
|
19 |
,68 |
,70 |
см
1— |
см
1— |
,32 |
,23 |
г— |
|
о |
ю
о |
•=t
о |
,08 |
ю
CD |
,68 |
,73 |
,52 |
,83 |
,99 |
|
18 |
г—
CD |
,69 |
,69 |
1—
CD |
,24 |
CD |
о |
,07 |
60- |
•=t
о |
см |
о |
СО
CD |
CD
CD |
,69 |
,49 |
,79 |
|
|
17 |
,54 |
,45 |
г—
1— |
,89 |
о
CD |
,49 |
,43 |
,40 |
,34 |
,40 |
1— см |
,39 |
ю |
,54 |
CM t— |
CD t— |
|
,49 |
|
16 |
,39 |
,30 |
,54 |
,59 |
,37 |
|
,25 |
CD |
г— |
03 |
см |
|
,36 |
,40 |
CD
Ю |
|
CD t— |
,30 |
|
15 |
,92 |
,89 |
CD
CD |
,80 |
,32 |
,32 |
,22 |
00 |
,08 |
,11 |
,04 |
,08 |
,96 |
,96 |
|
1—
1— |
03 |
,39 |
|
14 |
,98 |
,97 |
,53 |
CD
CD |
,11 |
,09 |
,02 |
О |
|
? |
г— |
? |
о
о |
|
,78 |
CD
CD |
,80 |
,49 |
|
13 |
,96 |
,97 |
ю |
CD |
CM |
см |
•=t
о |
СО
О |
? |
оо
о |
|
о |
|
,94 |
,84 |
,68 |
CD
oo |
,50 |
|
12 |
см
см |
•=t
СМ |
,34 |
,45 |
,93 |
CD
CD |
,73 |
,75 |
,92 |
,98 |
CD t— |
|
о |
o |
r— о |
,02 |
,08 |
,26 |
|
11 |
CD
СМ |
ОЗ
см |
|
CM |
r—
t— |
,90 |
,94 |
,88 |
,92 |
,84 |
|
,70 |
|
r— |
oo
о |
? |
CM
о |
|
|
10 |
см |
ю
см |
,29 |
,43 |
,93 |
,75 |
,79 |
,79 |
,97 |
|
oo_ |
,69 |
CD
О |
CO
о |
•=t
о |
LO
О |
CO
о |
г— |
|
оз |
•=t
СМ |
оо
см |
,22 |
,35 |
O) |
,80 |
CD
оо |
,83 |
|
,93 |
oo_ |
,75 |
СО |
? |
oo
о |
CO |
1— о |
,20 |
|
СО |
ю
о |
см |
см |
,38 |
,78 |
г—
1— |
,97 |
|
,43 |
ю |
,45 |
,48 |
1— |
03 |
,23 |
CO |
,28 |
,44 |
|
|
•=t
о |
? |
,28 |
,39 |
,80 |
,88 |
|
,79 |
,50 |
,55 |
,49 |
,54 |
,25 |
,28 |
,35 |
,22 |
,32 |
,54 |
|
СО |
со
о |
см
о |
,33 |
,40 |
,73 |
|
г— |
,57 |
CD |
,69 |
CO
CD |
,55 |
,24 |
,23 |
,34 |
CM |
со |
,36 |
|
Ю |
о |
со
о |
ю |
,62 |
|
,57 |
,59 |
,50 |
,43 |
,44 |
Ю |
г— |
CD
'si' |
,45 |
,52 |
,34 |
,49 |
,37 |
|
|
CD
CD |
CD
ю |
,89 |
|
,48 |
,29 |
,43 |
,35 |
о |
ю
о |
о
о |
1— |
оо |
oo |
,73 |
Ю |
,75 |
,55 |
|
СО |
,53 |
,49 |
|
,82 |
|
оо |
,32 |
,23 |
¦«t
о |
со
о |
1— о |
о |
,78 |
,78 |
CD |
,44 |
со
CD |
,57 |
|
СМ |
,95 |
|
,48 |
|
о
о |
о |
ю
о |
? |
о |
о
со |
со
со |
о
CM |
г— |
,54 |
CD
CO |
,26 |
,37 |
,28 |
|
т—1 |
|
|
CD |
,58 |
,09 |
,09 |
г— |
,08 |
о
см |
|
03 |
о |
со
CD |
,68 |
,48 |
,37 |
,49 |
,48 |
|
- > |
т—i |
см |
СО |
|
ю |
со |
г- |
СО |
оз |
10 |
11 |
12 |
13 |
14 |
15 |
16 |
17 |
18 |
|
|
|
СО |
со |
- |
|
|
CD |
s |
8 |
|
СО |
00
CD |
ю
о |
|
CD |
оо |
h-
CN |
|
а |
О |
о |
|
|
- |
s |
|
а |
|
a |
ю |
” |
|
оо
<ч |
|
LQ. |
а |
8 |
CM |
со |
|
a |
3 |
§ |
ю
ю. |
§ |
|
|
00_ |
СМ |
CD |
CD |
|
|
8 |
СО |
а |
О |
|
LQ. |
<ч |
от |
00 |
О |
|
|
а |
8 |
2 |
а |
|
- |
8 |
ю |
а |
а |
|
о |
•=t
<ч |
8 |
CD |
см
•=t |
|
Ю |
о |
? |
а |
ю |
|
s |
а |
О |
со |
оо
ю. |
|
3 |
|
СО
<4 |
•=t |
s |
Ю
00 |
а |
а |
о |
со |
|
a |
ь |
8 |
8 |
|
CM
ю_ |
со
CN |
00
ІЛ |
8 |
со
CN. |
Ю
ю_ |
|
8 |
8 |
CD |
|
<4 |
<4 |
5 |
8 |
О
ON |
|
со |
оо_ |
ю |
Ю |
о |
|
2 |
я |
S |
8 |
со
см |
При этом отмечается целый ряд фактов, сопутствующих данному диссонансу тематического содержания каналов выражения общественного мнения.
1. Корреляция тематики бесед депутатов местных советов с работниками исполнительных органов власти и проблематики, волнующей население, очень высока: +0,917, по Пирсону (строка 1, колонка 15). Она значительно снижается в тематике выступлений депутатов на сессиях гор- и райисполкома и заседаниях руководящих органов (+0,536, по Пирсону с 95 %-ной вероятностью; строка 1 на колонку 17). Связь тематики собраний избирателей, на которых побывал этот же депутат, с волнующими жителей проблемами еще ниже (+0,387, по Пирсону, менее чем с 90 %-ной вероятностью; строка 1 на колонку 16).
2. Структура тематики речей депутата на сессиях и совещаниях (контент-анализ выступлений), судя по высоким коэффициентам корреляции со структурой мнений органов власти и журналистов о том, по каким проблемам надо давать населению информацию (+0,766 и +0,885, по Пирсону, — колонка 17, строки 3 и 4), претерпевает наиболее сильные изменения здесь, в публичной деятельности депутата. В канале трансмиссии эта структура выступлений депутата проходит с корреляцией в +0,601, по Пирсону (с 95 %-ной вероятностью), подсаживаясь до +0,494 в корреляции со структурой принятых органами власти решениями (колонка 17).
3. Структура тем совещаний работников исполнительных органов власти, имея нулевую корреляцию со структурой волнующих население проблем (+0,052, по Пирсону), в канале трансмиссии (прохождения информации по аппаратным структурам) коррелирует со структурным потоком прохождения как и у депутата (+0,604, по Пирсону, с 95 %-ной вероятностью), несколько подсаживаясь в корреляции с повестками дня собраний (колонка 20).
4. Тематическая структура потока писем в СМИ и в органы власти, имея незначительную корреляцию со структурой канала трансмиссии, совершенно не связана структурно с тематикой решений органов власти. Здесь акценты другие (колонки 21 и 22).
Описательный анализ позволяет сделать следующие выводы. В своих решениях местные органы власти опирались на организационно оформленную структуру информации собраний трудовых коллективов. Совпадает проблемная структура этого канала информации (эффективная регуляция которого несомненна даже в сравнении с информацией собраний избирателей) не только со структурой решений властных органов и процессом подготовки этих решений в результате внут-риаппаратного обсуждения информации, но и с инициированной и катализированной информацией института внештатных авторов городской газеты. Конечно, производственная информация доминирует в подготовке и принятии решений органов власти. Однако огромный пласт социальной информации от населения (не изменившийся за 30 лет), мощно входивший в каналы представительной, депутатской власти (которая была уничтожена), в письма в СМИ и органы управления да и в сам чиновничий аппарат (которому, судя по самым низким коэффициентам корреляции и оценкам, население доверяет меньше всего,) в структуру выработки и принятия решения исполнительной властью не входил. Это подтверждается и корреляциями тематических потоков у депутатов, которые именно после обсуждения актуальных для населения тем с чиновниками снижают «представительство» этих тем на сессиях советов, на заседаниях и совещаниях в исполкомах и партийных комитетах.
Мы видим «четкую» работу бюрократической машины, отсекающей огромный пласт информации о жизни социальной инфраструктуры, которая как раз и обеспечивает успешное функционирование того материального производства, о котором так «радеют» местные органы власти. Процесс принятия решений имеет сугубо ограниченный характер, совершенно не учитывающий интересы территориальной агломерации. При этом хорошо видно, кто правит бал на подведомственной территории: советская власть в лице депутатов и населения или исполнительные и партийно-хозяйственные органы, для которых эта власть — «приводной сталинский ремень к массам».
В настоящий момент в связи с реформой местного самоуправления наблюдается бурный рост органов местной власти. «Вместо 11,5 тысячи органов местного самоуправления по новому закону их будет уже 24,5 тысячи. Смысл заключается в том, чтобы депутаты были ближе к своим жителям, в том числе и более активно решали вопросы, связанные с подготовкой к зиме». Зима, конечно, придает смысл тому, что без представительной власти в современном обществе не обойдешься, однако даже если на каждый орган будет по 6 депутатов, то общее их число будет в 10 раз (на порядок) меньше числа брежневской эпохи по РСФСР (1—2 депутата на каждую тысячу взрослого населения, то есть меньше, чем в 1969 г. в два раза). Если депутатов будет по 10 на каждый орган местного самоуправления, то мы подравняемся к анализировавшемуся в Таганроге процессу до принятия закона о депутате в «застойную» эпоху. Но дело не в массе «партийцев» или «по нужному списку избранных», а в самом типе процесса принятия жизненно важных для населения решений. И сейчас не надо проводить исследований, чтобы увидеть принципиальное тождество этого типа с нынешним и более высокий антинародный уровень нынешнего, чем уровень обнаруженного нами еще в 1969 г.
В 1970-е гг. в американцы, изучая процесс принятия управленческих решений в Японии, отметили, что переговорный и совещательный процесс идет пока каждый из участвующих в принятии решения не оказывается максимально заинтересованным в его скорейшем выполнении. Если есть хоть малейшее негативное отношение к будущему решению у одного из участников, совещания прерываются, начинаются двусторонние переговоры и т. п., чтобы снять малейшие трения. В результате японцы проигрывают американцам в сроках принятия решения, но, достигая кумулятивного эффекта максимальной заинтересованности каждого, выполняют работу, достигают цели в несколько раз быстрее. Перед нами эффективное использование умными людьми форм общинной идеологии в крупном капиталистическом производстве и положительного резонанса этих форм в совершенно иных социальных условиях.
Возможно ли это у нас? Как ни странно, как раз негативный в целом опыт проведения собраний, который, вероятно, будет перенесен на методы проведения «сходов» в новых органах местного управления, показывает неиспользованные резервы учета всего поля социально необходимой информации. Отсечение во имя узкокорпоративных интересов огромного «поля смыслов», направленных на воспроизводство жизни, приводит к нарастанию в системе социальной деятельности энтропии и ускорения подхода к точке бифуркации. И избежать этих процессов полумерами или косметическим ремонтом социальной структуры обмена деятельностями людей никогда никому не удавалось. Рассмотрим же один из вариантов решения, исходя из понятия «агоры», во-первых, на примере принятия решений в том же Таганроге на тех же собраниях, а во-вторых, на примере эффективности в достижении согласия людей через организационную роль местной прессы. После частных примеров можно будет сделать и обобщения.
Эффективность решений собраний
В ходе реализации генпроекта «Общественное мнение» подробно исследовались все каналы выражения общественного мнения и циркуляция в них информации. Процесс производства текста единственной общегородской газеты, отражающей жизнь города, мы разобрали. Оказалось, что проблемная структура информации, циркулирующей внутри аппаратного механизма власти, и аналогичная структура решений органов исполнительной власти сильно связаны и с организованным через газету потоком мнений от населения, и с пунктами повестки дня собраний и с текстами выступлений на них. Все бы замечательно, не сопровождайся этот процесс резкой фильтрацией проблемных структур от населения через органы представительной власти, письма и прием в органах власти и сужением «поля мнений», которое депутаты советов доносили до аппаратных чиновников городских властей.
Однако остаются два главных вопроса: какова эффективность потока информации самого «влиятельного» канала — собраний и какова эффективность критического, направленного на решение городских проблем, потока газетной информации? На оба вопроса проект дал исчерпывающие ответы. Начнем с собраний.
Тема «Собрания общественных организаций (коллективов) предприятий (учреждений) как канал выражения общественного мнения и реакция на них органов управления» (автор М. С. Айвазян) насчитывала 10 исследований 942 собраний, прошедших за три месяца на 12 предприятиях города. В ходе исследования «Действенность решений собраний», задачей которого являлось выяснение эффективности решения собраний по определенным пунктам повестки дня, требовавшим принятия определенных мер, опрашивалось до 3 руководящих работников предприятий и учреждений и до 3 рядовых работников тех же учреждений, имевших прямое отношение к принятым на собрании решениям. Степень согласия между ними в отрицательных и положительных оценках может быть хорошим индикатором эффективности выполнения решения. Полевые работы проводились через месяц после последнего собрания в феврале — с 31 марта по 20 мая 1969 г. — для того, чтобы выдержать месячный срок на выполнение решений. Интервью проводилось с лицами, названными в решениях собраний как ответственные за их исполнение, и с рядовыми, заинтересованными в выполнении этих решений. Выборка — вся генеральная совокупность — 554 решения.
К сожалению, хотя в процессе плановой реализации проекта, а затем при восстановлении его информации, удалось воссоздать массив решений в полном объеме, из-за брака в кодировке 353 «третьих» ответственных исполнителей, мы вынуждены были взять оценки решений не «тройками» с каждой из сторон (исполнители — заинтересованные), а парами. Кроме того, некоторые документы в процессе вторичной обработки информации, полученной из НИИ АА, имели недостатки набивки и были выбракованы. Так что «чистое поле решений» составило 434 документа (78 % генеральной совокупности), элементы каждого из которых были оценены 1736 респондентами (а не 2604 как задумывалось). Каждое решение оценивалось 868 парами с точки зрения степени выполнения решения — 5-балльная оценка. Надо сказать, что парные оценки облегчают задачу типологизации «поля согласия» в эффективности решения собрания. Эту типологизацию мы возьмем в связи с удовлетворенностью двух сторон участников процесса решения.
Итак, каждая пара ответственных исполнителей может поставить суммарную оценку степени выполнения решения от «2» (два «кола») до «10» (две «пятерки»). В такой же ситуации находятся и заинтересованные лица (все документы с отсутствием оценок либо из-за ошибок набивки, либо из-за ошибок поля или кодировки мы выбраковали). Следовательно все 434 решения распределятся в матрице «9 х 9» от полного согласия в абсолютном провале решения (угол «2 х 2» — обе пары ставят «колы») до единства в его выполнении на «отлично» (угол «10 х 10» — обе пары ставят «пятерки»).
Между этими двумя «точками» находятся различные сочетания оценок степени выполнения тех решений, число которых и находится в соответствующей ячейке матрицы. Мы можем типологизировать ее по отклонениям от средней оценки в «подлежащем» — у ответственных исполнителей, руководящих работников, и в «сказуемом» — у рядовых людей, заинтересованных в решении проблемы. Но прежде чем заняться типологией взглянем на первичное распределение в матрице и на его «фигуру».
Таблица 9.3. Распределения решений собраний на предприятиях Таганрога в 1969 г. по суммарным баллам оценок ответственных исполнителей и заинтересованных лиц (в абсолютном выражении и в баллах; n . = 434, n = 1736)
оценивавших |
|
Число решений |
Суммарные баллы заинтересованных лиц |
S |
|
|
|
2 |
3 |
4 |
5 |
6 |
7 |
8 |
9 |
10 |
|
|
|
2 |
10 |
|
1 |
1 |
1 |
|
1 |
|
|
14 |
|
|
3 |
|
|
1 |
2 |
1 |
1 |
1 |
|
1 |
7 |
|
|
4 |
|
1 |
3 |
2 |
1 |
|
2 |
|
|
9 |
|
Суммарный балл |
5 |
|
|
3 |
2 |
4 |
4 |
3 |
|
|
16 |
|
отв. исполни- |
6 |
|
|
1 |
1 |
3 |
7 |
14 |
1 |
1 |
28 |
|
телей |
7 |
|
|
3 |
4 |
9 |
3 |
17 |
10 |
3 |
49 |
|
|
8 |
1 |
2 |
1 |
9 |
9 |
16 |
38 |
28 |
14 |
118 |
|
|
9 |
|
|
1 |
2 |
5 |
5 |
28 |
20 |
14 |
75 |
|
|
10 |
|
|
|
1 |
5 |
2 |
11 |
30 |
69 |
118 |
|
S |
11 |
3 |
14 |
24 |
38 |
38 |
115 |
89 |
102 |
434 |
|
Сумма баллов |
Суммарные баллы заинтересованных лиц |
S |
|
в ячейках |
|
2 |
3 |
4 |
5 |
6 |
7 |
8 |
9 |
10 |
|
|
2 |
4 |
|
6 |
7 |
8 |
|
10 |
|
|
35 |
|
|
3 |
|
|
7 |
8 |
9 |
10 |
11 |
|
13 |
58 |
|
|
4 |
|
7 |
8 |
9 |
10 |
|
12 |
|
|
46 |
|
Суммарный балл |
5 |
|
|
9 |
10 |
11 |
12 |
13 |
|
|
55 |
|
отв. исполни- |
6 |
|
|
10 |
11 |
12 |
13 |
14 |
15 |
16 |
91 |
|
телей |
7 |
|
|
11 |
12 |
13 |
14 |
15 |
16 |
17 |
98 |
|
|
8 |
10 |
11 |
12 |
13 |
14 |
15 |
16 |
17 |
18 |
126 |
|
|
9 |
|
|
13 |
14 |
15 |
16 |
17 |
18 |
19 |
112 |
|
|
10 |
|
|
|
15 |
16 |
17 |
18 |
19 |
20 |
105 |
|
S |
14 |
18 |
76 |
115 |
108 |
97 |
126 |
85 |
103 |
|
|
В верхней и нижней части таблицы находятся соответственно в каждой из клеток количество оцениваемых решений (наверху) и суммарный балл (внизу), который дали каждому из этихрешений четыре человека (два ответственных исполнителя-руководителя и два заинтересованных лица из рядовых). Средняя оценка ответственными исполнителями всех 434 решений равна 8 при среднеквадратическом отклонении в 1,97. Средняя оценка заинтересованными лицами всех 434 решений равна 7,92 при среднеквадратическом отклонении в 1,92. Можно сказать, что два слоя ставят в среднем каждый по «четверке» за степень выполнения решений. Выполняемость решений собраний является с точки зрения общества в целом «хорошисткой». Выделим решения, получающие в каком-либо слое одни отличные оценки за исполнение — это экстремальные случаи, насчитывающие 118 и 102 решения. Близкие значения у ответственных исполнителей и заинтересованных лиц. Все, что выше суммарного балла в «6» отнесем к средней группе выполнимости (от «7» до «9» баллов в паре оценщиков). Сразу видно, что полярные оценки вызывают 6 решений, получающих предельные оценки ответственных исполнителей и ниже средних или только «6» (то есть две «тройки») у заинтересованных лиц, и два решения (в колонке «10»), которые оцениваются двумя слоями противоположным образом.
Мы «сконструируем» три группы «низких», «средних» и «высоких» оценок степени выполнения решений и перемножим их. Но нужно решить две задачи.
1. В таблицах оказываются заполненными 57 ячеек из 81. Каждая ячейка имеет число решений в верхней части и суммарный балл оценки каждого из этих решений четырьмя людьми в нижней части. Решений, вызывающих противоречивые оценки у ответственных исполнителей, — 8, а у заинтересованных в исправлении недостатков лиц — 12. Решений, вызывающих очень сильно противоречивые оценки между этими двумя слоями больше, но они «распылены» в мелкие группы по
1—4 решения за редкими исключениями. Независимо от этого мы можем, умножив число решений на суммарный балл оценки каждого, получить шкалу в 57 пунктов с разной степенью суммарной оценки двумя слоями каждого из 434 решений. Кумулята по этой шкале даст нам число решений, которые оцениваются выше средней по массиву.
2. Мы можем поместить скалярную величину — суммарного балла оценки каждой из клеток матрицы «9 х 9» в трехмерную систему координат. Так мы получим «первичную» фигуру «поля» оценок исполнения решений в обществе на примере собраний трудовых коллективов, с проблемной структурой которых сильно связано поле решений органов городской власти.
Только решив эти две задачи, можно пойти дальше.
3. Рассмотреть взаимосвязь «укрупненных» групп по оценке исполнения решений со стороны руководителей и рядовых.
4. Построить фигуру «скалярного» поля массы оценок по укрупненным группам «3 х 3» в 9-польном основании куба, где по осям «Х» и «Y» будут типологические группы оценок ответственных исполнителей и заинтересованных лиц (а не 9-балльные шкалы их оценок).
5. Повторить указанные операции относительно решения собраний коллективов в отношении оценки 221 элемента содержания 115 критических сообщений газеты 436 ответственными за исправление недостатков лицами и таким же числом рядовых, заинтересованных в исправлении недостатков жителей города.
Исходя из среднеарифметического значения по оси «Х» — 0,637 на рис. 9.1, можно считать, что около 70 % решений вызывают согласованную между ответственными и заинтересованными лицами положительную оценку, выше средней степени, своего выполнения у 1736 опрошенных (99,99 % доверительный интервал аппроксимации обозначен двумя тонкими черными линиями).
Рассмотрим нашу матрицу (табл. 9.3): по оси «Х» — суммарный балл ответственных исполнителей от «2» до «10», по оси «Y» — суммарный балл заинтересованных лиц от «2» до «10», по оси «Z» — суммарная балльная оценка степени исполнения решений, которые стоят на пересечении значений «Х» и «Y». Заметим, что в этом суммарном значении присутствуют не только оценки каждого решения, но и люди, и, таким образом, мы получаем трехмерную фигуру поля мнений-оценок эффективности решения собраний трудовых коллективов (см. рис. 9.3).
|
Суммарный баял оценки исполнения решений Rank 121 Egn 6002 y=a+bx+cx2+dx3+ex4+fx5 r2=0,9857 DFAdj r2=0,9839 FitStdErr=0,0311 Fstat=700,7355 a=0,2270 b=-2,8156 c=14,2059 d=-33,1148 e=36,2346 f=-13,7664 |
 |
|
Рис. 9.1. Кумулята распределения решений собраний трудовых коллективов по суммарным баллам оценки степени исполнения решений (нормировано от 0,2 до 1) в Таганроге 1969 г. |
(п, . = 434, п, = 1736, n « = 6917)
ірешении ’ 2респондентов ’ 3сумма баллов
При средней суммарной оценке исполняемости решений собраний у пары ответственных исполнителей в «8 баллов», а у пары заинтересованных лиц в «7,92 балла», средняя суммарная всей массы баллов (по оси «Z») составляет 457. Минимальная сумма баллов составляет «6» у одного решения (клетка «2 х 4» табл. 9.3), а максимальная — 1380 у 69 решений (клетка «10 х 10» табл. 9.3). В целом фигура поля оценок действенности решений, другими словами — активности ввода выработанных решений в реальность, довольно сносно согласуется с фигурами на рис. 2.4 и 2.5, полученных теми же методами. Но там были изображены поверхности динамического перехода фактов активности людей в «целостной» предметно-институциональной структуре общества за пять лет в панельном замере, а здесь речь идет об «обегании» полем мнений процесса изменения социальной реальности коллективно выработанными смыслами в отдельном фрагменте. Возьмем этот момент пока что только на заметку.
Для оценки реальной эффективности коллективно принятых решений собраний, с другой стороны, построим более «компактную» типологию их распределения в матрице «3 х 3». Рассмотрим взаимную сопряженность в этом поле удовлетворенности решениями у пар ответственных исполнителей и заинтересованных лиц. Затем скорректируем выводы анализом оценок в типологических группиров-
5
|
Поверхность оценок исполнения решения Renka 1, r2=1, SSE=0 |
 |
Рис. 9.2. Графическая фигура распределения суммарных баллов «поля» оценок исполняемости решений собраний трудовых коллективов в зависимости от решений, оцененных соответствующими баллами ответственных исполнителей и заинтересованных лиц (n = 434, n = 1736,
n „ = 6917, n = 57) |
п;
s
i
(D
3
CD
Q.
О
DO
О
Ю
га
2
2
>.
ках людей, принимавших эти решения. Что касается «компактной» типологии, то она уже предварительно представлена в табл. 9.3 пространствами «залитых» серым цветом клеток, относящихся к оцениваемым «в среднем», и «чистых» клеток, относящихся к оцениваемым в низкой и высокой степени действенности решениям.
Итак, полное «высокое» согласие о своем выполнении получают 15 % решений, от «единого среднего» до «у одних высокая оценка, а у других средняя» — 55 % (см. табл. 9.4). Два этих слоя, выделенных темно-серой заливкой составляют поле в 70 % умеренного и полного согласия от средней и выше выполняемости решений, принятых коллективно. 9 % решений получают низкую оценку выполняе-мости и от исполнителей, и от заинтересованных, 19 % вызывают умеренно противоречивые оценки о выполняемости от «средней» у одних и «низкой» у других, а 2 % (по 1 % в угловых клетках) — резко рассогласованные оценки. Обращает на себя внимание как совпадение предельной доли от средней и выше оцениваемых по исполнению решений с вытекающей из кумуляты распределения решений от суммарного среднего балла, так и высокая взаимная сопряженность полученных типологических групп. Не только в отдельных клетках по типу оценок ответственных исполнителей и заинтересованных лиц отклонения в соответствующих долях решений растут с 95 %-ной вероятностью (диагональное распределение темно-серой заливкой в нижней части табл. 9.4), но и по критерию «хи-квадрат» 150,409 при 4 степенях свободы (доверительный интервал выше 99,95 %), взаимная
|
Таблица 9.4. Распределения решений собраний на предприятиях Таганрога в 1969 г. по типологическим группам оценок ответственных исполнителей и заинтересованных лиц (в расчете на 100 решений, в % по строке и колонке и в знаках отклонений веса решений от среднего значения частоты по массиву в целом ; прешений = 434, поценивавших = 1736) |
Распределение собраний
трудовых коллективов
по действенности решений |
Оценки лиц, заинтересованных в исполнении решений |
|
В расчете на 100 решений |
В % по строке |
|
- |
+- |
+ |
S |
- |
+- |
+ |
S |
|
Оценки лиц, отвечающих за исполнение решений собрания |
S |
21 |
56 |
23 |
100 |
21 |
56 |
23 |
100 |
|
- |
9 |
8 |
1 |
18 |
51 |
46 |
3 |
100 |
|
+- |
11 |
38 |
7 |
56 |
19 |
68 |
13 |
100 |
|
+ |
1 |
10 |
15 |
26 |
5 |
36 |
59 |
100 |
|
|
В % по колонке |
В знаках отклонения |
|
S |
100 |
100 |
100 |
100 |
S |
21 |
56 |
23 |
|
- |
42 |
14 |
2 |
17 |
1 |
- |
+++ |
- |
|
|
+- |
51 |
68 |
30 |
56 |
2 |
+- |
+- |
+++ |
--- |
|
+ |
7 |
18 |
68 |
27 |
3 |
+ |
--- |
--- |
+++ |
|
Суммарный балл оценки исполнения решения:
«-» - ниже среднего;
«+-» - средний;
«+» - выше среднего. |
сопряженность согласованности оценок действенности решений у ответственных и заинтересованных лиц очень велика. Коэффициенты взаимосвязей: Пирсона 0,589, Крамера-Чупрова 0,416, взаимной сопряженности 0,507, при нормированной энтропии 0,825. Нормированная энтропия распределения 434 решений по 57 клеткам матрицы суммарных баллов — 0,818; энтропия по людям в матрице «3 х 3» — 0,829. Таким образом, распределения предметного ряда оцениваемых вещей и людей, оценивающих вещи, однородны.
Теперь отбросим нерепрезентативные доли решений по 1 % от всей их массы с целью замера средних оценок удовлетворенности выполнением решения собрания и ответственных исполнителей и заинтересованных лиц (репрезентативных средних они не дадут). Окажется семь типологических групп решений, взятых из 9-польной матрицы, которые мы и поставим в подлежащее таблицы 9.5, расположив в ее сказуемом суммарные баллы удовлетворенности каждой пары, оценивающих действенность решений собраний ответственных исполнителей и заинтересованных лиц.
Как видим, и у ответственных исполнителей, и у заинтересованных лиц «удовлетворенность» эффективностью принятого решения четко соответствует суммарному баллу оценки его исполняемости. Ответственные исполнители, как более информированные, несколько строже в оценках, однако общий объем удовлетворяющих трудовой коллектив решений вполне может составлять более двух третей. При этом чем выше степень согласия относительно выполненности решения, тем выше удовлетворенность этим решением. Так что реальная выполненность решений, их ввод в практику, положительное изменение жизни реально способствуют коллективному сплочению относительно социальной деятельности.
Интересно, а как это происходит конкретно?
Таблица 9.5. Суммарный балл удовлетворенности ответственных исполнителей и заинтересованных лиц исполнением решений собраний в зависимости от типа согласованности решений по оценке степени исполнения (7 групп); (в % доле группировок решений, в среднем балле оценки от «1» до «5» в суммарном значении по каждой паре, в стандартном отклонении суммарной оценки отдельно у ответственных исполнителей и заинтересованных лиц и в знаках отклонения от среднего значения; n . = 425, n = 1700)*
решении ’ оценивавших |
|
Группы по степени совпадения оценок действенности решений собраний коллективов |
Удовлетворенность выполнением решения |
|
Ответственные |
Заинтересованные |
|
% |
Средняя |
Ст. откл. |
% |
Средняя |
Ст. откл. |
№
п/п |
Ответственные |
Заинтересованные |
|
S |
В целом |
В целом |
100 |
7,61 |
2,29 |
100 |
7,68 |
2,33 |
|
1 |
«-» низкая |
«-» низкая |
9 |
3,91 |
2,13 |
9 |
4,24 |
2,31 |
|
2 |
«-» низкая |
«+-» средняя |
8 |
5,53 |
2,11 |
8 |
6,76 |
2,27 |
|
3 |
«+-» средняя |
«-» низкая |
11 |
6,83 |
1,96 |
11 |
5,02 |
1,73 |
|
4 |
«+-» средняя |
«+-» средняя |
39 |
7,55 |
1,61 |
39 |
7,97 |
1,53 |
|
5 |
«+-» средняя |
«+» высокая |
7 |
8,19 |
1,51 |
7 |
9,87 |
0,35 |
|
6 |
«+»высокая |
«+-» средняя |
10 |
9,46 |
1,03 |
10 |
8,24 |
1,43 |
|
7 |
«+»высокая |
«+» высокая |
16 |
9,88 |
0,55 |
16 |
9,84 |
0,63 |
|
S |
В целом |
В целом |
7,61 |
7,68 |
|
1 |
«-» низкая |
«-» низкая |
___ |
--- |
|
2 |
«-» низкая |
«+-» средняя |
___ |
-- |
|
3 |
«+-» средняя |
«-» низкая |
-- |
--- |
|
4 |
«+-» средняя |
«+-» средняя |
+- |
+ |
|
5 |
«+-» средняя |
«+» высокая |
+ |
+++ |
|
6 |
«+» высокая |
«+-» средняя |
+++ |
++ |
|
7 |
«+» высокая |
«+» высокая |
+++ |
+++ |
|
Формы выработки единогласия
В процессе реализации темы «8» проекта «Общественное мнение», насчитывавшей 10 отдельных исследований, посвященных функционированию собраний (автор темы — М. С. Айвазян), было реализовано микропанельное исследование «Отношение участников собраний к проблемам выражения общественного мнения на собрании» . «Все участники собраний, выбранных исследователями заранее, опрашивались непосредственно перед началом и сразу же после окончания собрания. Первый опросный лист вручался респонденту вместе с карточкой, на которой стоял четырехзначный номер (от 1000 до 4000). Этот номер проставлялся опрашиваемыми на обоих бланках анкеты в целях обеспечения «привязки» второго бланка первому. Карточки с номерами остались у участников собрания, чем гарантировалась анонимность опроса». Первый лист касался ситуации перед собранием и прогноза различных аспектов его проведения, второй — итогов проведения собрания.
Было получено 1830 документов. При обработке М. С. Айвазян и В. Д. Войнова ввели интегральные характеристики типов участников собраний с точки зрения выражения мнений в процессе обсуждения определенного пункта повестки дня. Кроме того, были получены и таблицы прогнозируемого и реального числа точек зрения, а также предполагаемых и реальных активности, откровенности обсуждения. В 1998 г. при восстановлении информации в базе данных «INSYS» исследование было воспроизведено не только в полном объеме (1830 документов), но и преобразовано мной и А. Л. Королевым с добавлением интегральных характеристик в виде групп с различной степенью совпадения прогноза и реальности произошедшего на собрании.
При этом были получены три типологии: относительно количества точек зрения, которые будут высказаны, относительно активности обсуждения, относительно откровенности высказываний на собрании. Типология поведения участников собраний с точки зрения выражения мнений, реализованная В. Д. Войновой, насчитывала 17 групп, которые можно свести к пяти «гнездовым»:
1) выразившие мнение — имевшие мнение до собрания и выступившие намеренно или спонтанно;
2) несостоявшиеся ораторы — имевшие мнение до собрания, желавшие выступить, но не выступившие или в связи с тем, что их мнение выразили другие, или во избежание конфликта;
3) преднамеренно пассивные участники — это люди, которые имели мнение до собрания по его вопросам, но не собирались выступать по различным причинам (старались избегать конфликта, сомневались в успехе, считали, что их мысли выскажут другие и т. п.);
4) неявные носители общественного мнения — это люди, которые не имели мнения до собрания и не выступили, но при этом отвечают, что не выступили, так как их мнения выразили другие, или они старались избежать конфликта;
5) сверхпассивные — не имели мнения до собрания, не выступили на нем и не указали причин этого после собрания.
Эти пять групп и были оставлены для анализа.
Каждый из трех типов совпадения прогноза и реально последовавших событий распался на шесть групп:
1) реалисты — люди точно предсказывавшие дальнейший ход дел;
2) пессимисты — предсказывавшие худшие ситуации вместо последовавших вариантов;
3) оптимисты — предсказавшие лучшие ситуации вместо последовавших;
4) осторожные — выказывавшие двойственную позицию (может так, а может и по-другому);
5) профаны — дававшие абсолютно не имевшие ничего общего с реальностью ответы (тип — «ответ не по существу» и т. п.);
6) затрудняющиеся ответить на вопрос.
Оказалось, что наиболее сильная взаимная сопряженность у «прогнозных типов» с пятью «гнездовыми» типами поведения с точки зрения выражения мнений у первого прогнозного типа, т. е. в поле прогноза числа точек зрения, которые будут высказаны. Шесть групп этого типа показали с группами по типу поведения-выражения мнений коэффициент взаимной сопряженности Пирсона 0,313 (при значимости «хи-квадрата» выше 99,95 % в полностью заполненной таблице «6 х 5», т. е. 20 степеней свободы). Они и оставлены здесь для дальнейшего анализа их поведения (см. табл. 9.6).
|
Таблица 9.6. Взаимосвязь прогностических типов поведения на собрании и субъектов активности в срезе выражения - невыражения общественного мнения на собрании (^ = 1570), средние оценки (от 1 до 5) совпадения смысла решения с личным мнением и оценки правильности решения, а также состав указанных типов с точки зрения должности и выполнения общественной работы п2 = 1830). В % к числу опрошенных; пш = 1570, Пі48 150 = 1830, а также в знаках отклонения долей в % и средних от величин по массиву в целом. |
|
Группы |
Типы поведения |
S |
Оценки |
Статус |
Общественная работа |
|
1 |
2 |
3 |
4 |
5 |
1 |
2 |
1 |
2 |
1 |
2 |
|
В целом |
18 |
4 |
55 |
18 |
5 |
100 |
4,16 |
4,21 |
22 |
78 |
78 |
22 |
|
«Реалисты» |
21 |
6 |
59 |
12 |
2 |
100 |
4,36 |
4,32 |
28 |
72 |
81 |
19 |
|
«Пессимисты» |
20 |
3 |
55 |
21 |
2 |
100 |
3,92 |
4,20 |
20 |
80 |
78 |
22 |
|
«Оптимисты» |
19 |
5 |
54 |
19 |
3 |
100 |
4,15 |
4,30 |
19 |
81 |
81 |
19 |
|
«Осторожные» |
16 |
3 |
51 |
25 |
4 |
100 |
4,03 |
4,13 |
17 |
83 |
74 |
26 |
|
«Профаны» |
10 |
4 |
54 |
18 |
14 |
100 |
3,81 |
3,96 |
22 |
78 |
76 |
24 |
Затрудняющиеся
ответить |
10 |
1 |
39 |
29 |
21 |
100 |
3,79 |
3,91 |
10 |
90 |
70 |
30 |
|
|
В знаках отклонения от веса или средней величины по массиву |
|
В целом |
18 |
4 |
55 |
18 |
5 |
100 |
4,16 |
4,21 |
22 |
78 |
78 |
22 |
|
«Реалисты» |
++ |
+++ |
++ |
--- |
--- |
44 |
+++ |
+++ |
+++ |
--- |
++ |
-- |
|
«Пессимисты» |
+- |
|
+- |
+- |
|
8 |
--- |
+- |
+- |
+- |
+- |
+- |
|
«Оптимисты» |
+- |
+- |
+- |
+- |
- |
12 |
+- |
+ |
- |
+ |
+ |
- |
|
«Осторожные» |
- |
-- |
- |
+++ |
+- |
25 |
— |
-- |
-- |
++ |
-- |
++ |
|
«Профаны» |
- |
|
+- |
+- |
+++ |
5 |
--- |
-- |
+- |
+- |
+- |
+- |
Затрудняющиеся
ответить |
-- |
|
--- |
+++ |
+++ |
6 |
--- |
--- |
--- |
+++ |
-- |
++ |
|
Типы поведения:
1 - выразившие общественное мнение;
2 - несостоявшиеся ораторы;
3 - преднамеренно пассивные участники;
4 - неявные носители общественного мнения;
5 - сверхпассивные.
Оценки:
1 - оценка (от 1 до 5) совпадения решения с личным мнением;
2 - оценка (от 1 до 5) правильности принятого собранием решения.
Статус:
1 - руководители;
2 - рядовые.
Общественная работа:
1 - выполняют общественные поручения;
2 - не выполняют общественных поручений. |
В разделе «В знаках отклонения» залитые под колонкой «100» значения — удельный вес в % групп подлежащего по прогнозному типу количества точек зрения, которые будут высказаны в процессе проведения собрания и обсуждения вопроса.
Итак, наиболее представительные группы по прогнозам — «реалисты» и «осторожные» — составляют в сумме 69 % ответивших на вопросы. Среди прогнозистов-«реалистов» наиболее резко (с 95 %-ной вероятностью) увеличивают долю преднамеренно пассивные (имели мнение, но выступать не собирались) и в среднем (с 90 %-ной вероятностью) как выступившие, так и несостоявшиеся ораторы. Среди «осторожных» в прогнозе резко увеличивается доля «неявных носителей мнения», среди «профанов» — доля «сверхпассивных», а среди затрудняющихся дать прогноз в той же степени растут доли и тех и других. Реалисты дают наиболее высокие и резко отклоняющиеся от средних по массиву участников в целом средние оценки и совпадения решения с личным мнением, и правильности принятого решения. В их группе увеличивается вес руководства предприятием или учреждением и общественных активистов. Среди «осторожных», «профанов» и затрудняющихся ответить резко падает вес выступающих, снижается средняя оценка совпадения решений с личным мнением и правильности решений, уменьшается удельный вес руководителей и имеющих общественную работу.
В целом это тот же феномен связанности высоких страт коллектива с информированностью, а последней с активностью поведения на собрании (как уже было указано, коэффициент взаимной сопряженности Пирсона = 0,313, нормированная же энтропия составляет 0,787, приближаясь к системному диапазону). Однако есть и еще один любопытный феномен.
Группы по прогнозу — это группы степени совпадения представлений людей с реальностью. Степени эти весьма разные. Люди дифференцированы по проекции своих представлений на предстоящую развертку событий. Но абсолютно все группы — от «пессимистов» до «профанов» и затрудняющихся ответить (исключая «реалистов») — дают в рост средние оценки правильности принятого коллективом решения от средних оценок соответствия этого решения личному мнению. Наибольший рост у «пессимистов» (то-то радость освободиться от «мрачных» предчувствий!). Только «реалисты» в сотых долях средней снижают оценку правильности решения относительно соответствия решения личному мнению. Таким образом, исследование до и после обсуждения говорит о сдвиге оценок к коллективно выработанной норме. Совпадение с личным мнением может быть низким и у «пессимистов», и у предельно неинформированных, но степень согласия с правильностью принятого решения растет у всех. Это подтверждается не только на средних, но и в простом распределении оценок по баллам (см. табл. 9.7).
Группы по прогнозу дают коэффициенты взаимосвязи с распределением по всем оценкам совпадения решения с личным мнением: 0,364, по Пирсону; 0,163, по Крамеру-Чупрову, и 0,342 по коэффициенту взаимной сопряженности. Нормированная энтропия — 0,768. Эти же группы дают взаимосвязь с распределением по оценкам правильности принятого коллективом решения: 0,259, по Пирсону; 0,116, по Крамеру-Чупрову, и 0,251 по коэффициенту взаимной сопряженности. Нормированная энтропия составляет 0,778 во всех клетках и 0,752 по заполненным. И распределение, и знаки отклонений, и картина изменений в наличии неза-
|
Таблица 9.7. Распределение оценок совпадения решения с личным мнением (А) и согласия с принятым решением (В) в первичной форме, которая в табл. 9.6 дана в виде средних оценок без затрудняющихся ответить (в % к числу опрошенных; n = 1830, а также в знаках отклонения долей в % величин по массиву в целом) |
|
|
Оценки в школьных баллах от «1» до «5». З/о — затруднились оценить. |
|
А — Совпадение с личным мнением |
В — Оценка правильности решения |
|
1 |
2 |
3 |
4 |
5 |
З/о |
1 |
2 |
3 |
4 |
5 |
З/о |
|
В целом |
2 |
1 |
13 |
41 |
36 |
7 |
1 |
1 |
10 |
48 |
33 |
8 |
|
«Реалисты» |
1 |
1 |
9 |
39 |
47 |
4 |
* |
1 |
8 |
46 |
39 |
7 |
|
«Пессимисты» |
2 |
2 |
19 |
53 |
20 |
5 |
* |
* |
9 |
61 |
28 |
3 |
|
«Оптимисты» |
1 |
1 |
15 |
46 |
32 |
6 |
* |
1 |
8 |
46 |
37 |
9 |
|
«Осторожные» |
3 |
1 |
16 |
44 |
29 |
7 |
1 |
2 |
11 |
52 |
29 |
5 |
|
«Профаны» |
1 |
5 |
22 |
37 |
19 |
16 |
1 |
3 |
13 |
43 |
19 |
21 |
Затрудняющиеся
ответить |
3 |
6 |
16 |
30 |
21 |
25 |
3 |
3 |
17 |
40 |
25 |
13 |
|
В целом |
2 |
1 |
13 |
41 |
36 |
7 |
1 |
1 |
10 |
48 |
33 |
8 |
|
«Реалисты» |
|
|
-- |
--- |
+++ |
--- |
* |
|
-- |
- |
+++ |
+- |
|
«Пессимисты» |
|
|
+- |
+++ |
--- |
|
* |
* |
+- |
++ |
- |
|
|
«Оптимисты» |
|
|
- |
+++ |
--- |
-- |
* |
|
+- |
+- |
+ |
+- |
|
«Осторожные» |
+++ |
|
+++ |
--- |
+- |
+ |
|
+ |
+ |
++ |
-- |
-- |
|
«Профаны» |
|
|
+- |
+++ |
--- |
+ |
|
|
+ |
- |
-- |
+++ |
Затрудняющиеся
ответить |
|
+++ |
+- |
++ |
— |
+++ |
|
|
+++ |
-- |
-- |
++ |
|
«*» - явление не обнаружено.
«.» - частота нерепрезентативна. |
полненных и нерепрезентативных клеток по всему почти двухтысячному массиву опрошенных говорят о том, что в процессе обсуждения в течение часа-двух поле оценок «стягивается» к некоему центру. Уменьшается число затрудняющихся давать оценку среди «осторожных», в некоторых группах происходит явный сдвиг на один балл школьной оценки правильности решения в плюсовую сторону от оценки совпадения с личным мнением. В целом смысл метаморфозы ясен: «С личным мнением решение может в чем-то не совпадать, но оно принято правильно». Теперь прогностическая модель участников изменилась и дает уже другую, меньшую сопряженность с измененной реальностью. Так что межличностное общение, даже с довольно ограниченным по массовому выражению мнений характеру, сдвигает оценки к некоторому взаимосогласию во имя общей цели (если она, конечно, есть в качестве объективной реальности). Постоянный процесс обмена и взаимодействия людей ежесекундно вырабатывает соответствующие формы его отражения и изменения позиций.
Теперь посмотрим, как распределяются оценки эффективности критических элементов содержания материалов городской газеты, процедура изучения которых была похожа на исследование эффективности решений собраний.
Эффективность критического потока информации
Как мы уже говорили, М. С. Айвазян, В. Я. Нейгольдберг и В. М. Покидов разработали и провели исследование реализации на практике критических замечаний, опубликованных в «Таганрогской правде». Методика была аналогична замеру действенности (исполняемости) решений собраний. Были опрошены 626 человек, ответственных за исправление отмеченных в газете недостатков и 626 рядовых граждан, заинтересованных в этом исправлении лиц, жизнь которых улучшалась в результате реализации действий ответственных исполнителей. Для типологизации информационного потока сообщений, я выбрал по два вопроса: согласие ответственных и заинтересованных лиц с фактом наличия недостатка, оценка теми и другими степени исправления негативного явления. Вот как распределились сообщения (табл. 9.8).
|
Таблица 9.8. Распределение критических сообщений городской газеты с точки зрения совпадения мнения руководителей, ответственных за исправление недостатков, указанных в сообщении, и мнения заинтересованных в исправлении недостатков лиц по поводу, во-первых, факта наличия недостатков и, во-вторых, факта их исправления (в абсолютном выражении и в % к числу сообщений; n = 115) |
|
Тип |
Содержание отношения к недостаткам двух слоев взаимодействия |
Абс. |
% |
|
В целом |
Все критические сообщения за период в три месяца |
115 |
100 |
|
Поток 1 |
Все едины: недостатки были, они исправлены |
51 |
44 |
|
Поток 2 |
Все едины: недостатки были, они не исправлены |
27 |
24 |
|
Поток 3 |
Исполнители: были - исправлены; заинтересованные: были - не исправлены |
20 |
17 |
|
Поток 4 |
Исполнители: были - не исправлены; заинтересованные: были - исправлены |
6 |
5 |
|
Поток 5 |
Исполнители: не было ничего; заинтересованные: были - не исправлены |
11 |
10 |
|
Итак, только половина критических сообщений городской газеты вызывает единое положительное мнение у ответственных исполнителей решений, принятых на основе критики, и заинтересованных в исправлении недостатков лиц (44 %). Это гораздо ниже доли эффективных решений, выработанных путем обсуждения на собраниях (до 70 %). А вот доля согласованности негативной оценки исправления недостатков (24 % сообщений) втрое выше, чем доля аналогичной согласованной негативной оценки участниками собраний исполняемости принятых решений (9 % решений в верхней угловой клетке табл. 9.4 — в расчете на 100 решений). 32 % сообщений газеты дают рассогласованные оценки. Наиболее яркий результат дает поток сообщений (10 %), в результате которого чиновники говорят «не было ничего такого», а заинтересованные лица «вопиют»: «Было и не исправляется».
Интересен и такой факт. В 10 % случаев газета давала сообщение о «принятых в результате критики мерах». Но лишь половина этих сообщений, не вызывая сомнений в их истинности, ложится в первый поток, имеющий эффект: «недостатки были, они исправлены» со стороны обоих разбираемых слоев общества. Четвертая часть подпадает под классификацию третьим потоком, а остальные сообщения о принятых мерах равными долями попадают в три остальных потока по критериям согласованности позиций людей. Учитывая, что за год дается под 500 критических сообщений и до 50 сообщений о принятых мерах, которые имеют почти всеобщий прием, мы можем сказать, что уже 35 лет назад нами был зафиксирован феномен достаточно широкого создания в информационном ряду картины, которая или не имела с реальностью ничего общего или вызывала резко поляризующие общество оценки по линиям «власть — население», «мы — они», «работники — чиновники». Роль газеты в консолидации общества и тогда была менее значима роли коллективного обсуждения. Сейчас нет ни того, ни другого.
Посмотрим теперь в табл. 9.9 оценки двух сторон (ответственные исполнители — заинтересованные лица) каждого из критических элементов содержания газетных материалов, исключив затруднившихся ответить.
содержания в 115 сообщениях)
Таблица 9.9. Распределение ответов ответственных за исправление недостатков руководителей и заинтересованных в исправлении рядовых граждан по поводу устранения недостатков, указанных в газете (в расчете на 100 человек, в % по строке и колонке и в знаках отклонений веса решений от среднего значения частоты по массиву в целом; n = по 447 опрошенных с каждой из сторон по поводу 221 элемента
оценивавших |
Распределение ответственных
и заинтересованных по оценке
устранения |
Оценки лиц, заинтересованных в исправлении недостатков |
|
В расчете на 100 |
В % по строке |
|
5 |
4 |
2 |
1 |
S |
5 |
4 |
2 |
1 |
S |
Оценки лиц,
отвечающих
за исправление
недостатков,
отмеченных
в материалах газеты |
S |
22 |
36 |
19 |
23 |
100 |
22 |
36 |
19 |
23 |
100 |
|
5 |
15 |
12 |
6 |
4 |
37 |
41 |
32 |
16 |
11 |
100 |
|
4 |
4 |
17 |
5 |
6 |
32 |
13 |
53 |
17 |
17 |
100 |
|
2 |
1 |
5 |
4 |
3 |
13 |
5 |
41 |
28 |
26 |
100 |
|
1 |
2 |
2 |
4 |
10 |
18 |
11 |
12 |
21 |
56 |
100 |
|
|
В % по колонке |
В знаках отклонения |
|
S |
100 |
о
о |
100 |
о
о |
100 |
S |
22 |
36 |
19 |
23 |
|
5 |
69 |
32 |
31 |
18 |
37 |
5 |
+++ |
- |
- |
--- |
|
4 |
19 |
47 |
29 |
23 |
32 |
4 |
--- |
+++ |
+- |
-- |
|
2 |
3 |
15 |
19 |
15 |
13 |
2 |
|
+- |
+ |
+- |
|
1 |
9 |
6 |
21 |
44 |
18 |
1 |
-- |
--- |
+- |
+++ |
|
Оценки исправления недостатков:
5 - исправлены полностью (оценка «отлично»);
4 - в основном исправлены (оценка «хорошо»);
2 - в основном не исправлены (оценка «неудовлетворительно»);
1 - совершенно не исправлены (оценка «очень плохо»). |
И «полюдная» картина оценок эффективности публичной критики местных СМИ мало изменяет выводы, полученные на основе структуризации потока сообщений. Суммарно 48 % от числа оценивших ситуацию (без затрудняющихся ответить) ответственных исполнителей и заинтересованных лиц согласованно считают, что недостатки в основном и полностью исправлены. 21 % от этого же числа согласованно считает, что недостатки в основном или полностью не исправлены. 31 % дает рассогласование оценок процесса ликвидации негативных явлений, отмеченных газетой. При этом 46 % ответственных исполнителей и 81 % заинтересованных лиц, ответивших на вопрос о роли газеты в исправлении недостатков, считают, что эта роль довольно значительна. Взаимная сопряженность оценок ответственных и заинтересованных в изменении положения лиц довольно велика: при значимости «хи-квадрата» в 99,95 % коэффициенты взимосвязи Пирсона, Крамера-Чупро-ва и взаимной сопряженности составляют соответственно 0,527, 0,304, 0,466. Нормированная энтропия — 0,912. Мы наблюдаем высокую сопряженность оценок, но при высокой рассеянности распределения, его низкой плотности. Причем степень согласованности полярных оценок и у ответственных исполнителей, и у заинтересованных лиц резко возрастает (см. диагональ по знакам отклонения долей в % по строке). Отклонения долей оценок ответственных исполнителей в оценках заинтересованных лиц столь же значительны (% по колонке).
Теперь можно построить исходную карту распределения оценок эффективности критических материалов газеты. Заметим, что половину из критических материалов дали внештатные авторы, которые были опрошены относительно обстоятельств создания и опубликования своих материалов. Тем самым можно было бы полностью воссоздать на одних и тех же людях и продуктах их деятельности всю Лассвеловскую цепочку в расширенном виде: «Кто, от имени кого, из каких социальных зон, с какой целью аккумулирует информацию, как он и редакция массмедиа ее моделируют в текст, с каким эффектом она действует?» Однако мы воздержимся здесь от этого, ограничившись лишь эффектом, так как такая задача требует отдельной работы с хорошо поставленным повторным исследованием в наши дни.
Для выравнивания картин полей оценок действенности решений собраний и критических материалов газеты можно было использовать только один способ сглаживания разницы методик оценок, полученных в ходе полевых работ. Каждое из газетных сообщений содержало практически по два критических элемента, относительно каждого из которых было выяснено мнение 60 «триад», 106 «пар» и 55 «единиц» руководителей и рядовых граждан (60 х 6 + 106 х 4 + 55 х 1 = 839). Естественно, что при малом числе элементов содержания в 221 единицу, нельзя было упускать ни одной оценки. Были посчитаны средние баллы на одного ответственного за исправление недостатков руководителя и одного рядового гражданина по каждому из элементов содержания независимо от того, в каком качестве они давали оценку: одного испытуемого, пары или триады с той или другой стороны. Оценки составляли от «1» до «5» («совершенно не исправлены» — «полностью исправлены»), без оценки «удовлетворительно», т. е. «3». Ответственные исполнители дали 16 градаций средних от «1» до «5», а заинтересованные — 15. Матрица составила 240 клеток. Заполненными оказались 79. Минимальный балл в «2» от обоих слоев по «1» получило 14 элементов. Максимальный балл в «10» от обоих слоев по «5» получило 23 элемента. Суммарная шкала баллов от «2» до «10» составила 34 значения, которые и были умножены на число элементов содержания в каждой из 79 клеток матрицы. Так была получена скалярная величина «поля» оценок действенности материалов газеты, а точнее, их элементов содержания, отдельных идей, предложений, смыслов. Однако рассмотреть ее в пересечении шкал средних величин от «1» до «5» (16 и 15 пунктов) оказалось затруднительно, поскольку программа ставила оценки до 16 знака после запятой. Это абсолютно не имело значения для типологизации на три группы оценок элементов содержания как ответственных исполнителей, так и заинтересованных лиц по критерию среднеквадратического отклонения. Но в графическом виде основание «куба» со средними до 16 знака после запятой не лезет ни в какие ворота. Поэтому мы для наглядности заменили в рис. 9.3 каждое из значений кодами от 1 до 16 и до 15, где нижнее предельное значение соответствует оценке «1», а верхнее (16 или 15) — «5».
Отложим по оси «Х» эти 16 значений средних оценок от «1» до «5» ответственных исполнителей, по оси «Y» — 15 значений средних оценок от «1» до «5» заинтересованных лиц, а по оси «Z» — значение числа критических элементов содержания, перемноженное на средний суммарный балл элемента в каждой клетке.
|
Поверхность оценок эффекта критики Renka 1, r2=1, SSE=6,31089e-30 |
 |
Рис. 9.3. Графическая фигура распределения суммарных баллов «поля» оценок принятия мер по критическим элементам содержания городской газеты, оцененных соответствующими баллами ответственных исполнителей и заинтересованных лиц (n = 115, n = 221, n = 839, n = 14794, n = 79)
ісообщении ’ 2элементов ’ 3респондентов ’ 4сумма сред балл ’ 5точек |
В целом фигура оценки эффективности принятия мер по критическим сообщениям газеты, т. е., иначе говоря, эффективности ввода информации в практическую социальную реальность с целью ее изменения несколько более дробна и разнообразна, чем фигура («поле») оценок действенности решений собраний. Но вспомним показатели энтропии, которые говорят о высокой организованности процесса «создания» решений собраний и более распыленном, находящемся в более свободном состоянии ввода в реальность массы критических сообщений. Позже мы сравним их в тождественных сопоставимых матрицах.
Заметим, что ввод информации в реальность с целью ее изменения практиковался и практикуется при любых политических режимах. Если раньше это были «рейды» корреспондентов и вожделенный зрителями «Фитиль», после которых делались «оргвыводы», то теперь это предвыборный телевизионный «пиар-компромат».
Однако в целом фигуры «полей» согласованности смыслов-оценок разных слоев очень похожи. И вот теперь, получив поверхности перехода информационных смыслов в социальную реальность, исходя из подробных кристаллических решеток, рассчитанных на исходных матрицах оценок полярных акторов процесса, можно показать и принципиальную схожесть, не сказать — тождественность, пространственных «пейзажей» социума.
Настало время построить фигуры полей оценок в границах девятиклеточных таблиц, где по осям оснований расположены оцениваемые слоями исполнителей и заинтересованных и интегрированные в понятия «слабо» — «средне» — «сильно» эффективности коллективных решений и публичной критики прессы.
Положим в основания «куба» три степени «низкой», «средней» и «высокой» эффективности выполнения решений собрания и реагирования на критику; как у руководителей (ответственных за исполнение решений в учет публично высказанных замечаний), так и у заинтересованных в улучшении условий труда, жизни рядовых граждан. При замере эффективности собраний три группы были образованы за счет стандартного отклонения (±1ст) от суммарного среднего балла в каждом слое (рис. 9.4), при замере действенности критическим материалов газеты, они образованы за счет стандартного отклонения (±1ст) от средней на одного ответственного и заинтересованного (рис. 9.5).
|
Поверхность оценок действительности решений Akima III, r*=1, SSE=0 |
 |
|
Рис. 9.4. Распределение суммарных баллов «поля» оценок решений собраний по 9 группам различной степени согласованности оценок от минимальных к максимальным |
|
Поверхность оценок эффекта критики Akima III, r2=1, SSE=0 |
 |
|
Рис. 9.5. Распределение суммарных баллов «поля» оценок исправления недостатков в 9 группах различной степени согласованности оценок от минимальных к максимальным |
Первичные поверхности оценок результативности ввода в практику смыслов решений и публичной критики интегрированы в крупные блоки и преобразованы по алгоритму Хироши Акима. Он дал наиболее точные результаты при сравнении процессов оценки ввода в практику таких разнородных информационных элементов, как коллективно вырабатываемые в обсуждении решения и критическое печатное слово, требующее принятия мер.
Теперь по осям «Х» и «Y» находятся по три группы с различной степенью оценки эффективности выработанных и произведенных смыслов, а по оси «Z» — скалярная величина — суммарный балл, полученный в результате алгебраического суммирования оценок-мнений каждого из решений (434) и каждого из критических элементов содержания информации (221). Две первичные матрицы-сетки («9 х 9» в 81 клетку и «16 х 15» в 240 клеток), которые имели заполненными 57 и 79 ячеек соответственно, интегрированы своими скалярными оценками общественного мнения (см. рис. 9.2 и 9.3) в крупные блоки в каждую из 9 групп, образованных на пересечении слоев исполнителей и заинтересованных. Тем самым поверхности более или менее выровнены для сравнения и корректных выводов. Они близки, исключая места вторых по «высоте» точек поверхностей. При оценке действенности решений собраний после «пика» массы оценок в средних группах идет находящаяся в дальнем углу «социального кристалла» самая высокая оценка (четыре по «5» за 69 решений). При оценке действенности критических элементов содержания газетного текста, после более острого «пика» в средних группах вторая по высоте точка, приходящаяся у ответственных исполнителей на «среднюю степень оценки эффекта критики», а у заинтересованных лиц — на «высшую». А вот третья «вершина» приходится здесь на ту же точку, что и при оценке эффективности решений собраний. Это полное максимально положительное согласие и ответственных исполнителей, и заинтересованных лиц.
После представления поверхности на рис. 9.2 мы отмечали сходство фигуры поля оценок действенности решений собраний и фигур поверхностей динамического перехода активности людей в «целостной» предметно-институциональной структуре общества за пять лет в панельном замере (рис. 2.4 и 2.5). Но здесь сходство всех фигур еще разительнее, так как в последних двух взято в основаниях по три группы, а при замере динамики активности в основаниях было выделено теми же критериями по пять групп. Кроме того, и техника выделения групп в панельном исследовании была выдержана строже. Сравним, однако, наши «холмы» и «пики» мнений по трем параметрам с помощью нормированной энтропии, изменяющейся от 0 до 1.
Таблица 9.10. Значения нормированной энтропии при распределении «предметов» (решения и элементы содержания), «субъектов-акторов процесса» (люди), мыслительных актов людей относительно предметов (скалярные величины суть суммарная масса оценок-мнений в баллах) в таблицах «3 х 3» при замере действенности решений собраний и действенности критики городской газеты (п1ий = 434, n - = 1736, n = 647 044, n. = 221,
2оценщики решении ’ 3скалярная масса ’ 4элементов содержания ’
n = 839, nB = 67712)
5оценщики элементов ’ бскалярная масса ' |
№
п/п |
Тип объекта мнения-оценок |
«Предметы» |
«Субъекты» |
«Акты» |
|
1 |
Действенность решений собраний |
,825 |
,829 |
,493 |
|
2 |
Действенность газетной критики |
,840 |
,877 |
,540 |
|
Итак, по всем трем параметрам — оцениваемая предметная структура, субъекты оценки, суммарная масса мыслительных актов субъектов относительно предметной структуры — в двух замерах наблюдается единство социальных явлений:
1) значения энтропии распределения акторов процесса выше, чем предметная область, относительно которой они действуют;
2) значения энтропии распределения суммарных актов оценок-мнений резко сужаются;
3) гетерогенная аудитория массмедиа в отличие от организованной аудитории собраний (представляющих собой нечто вроде «агоры») имеет по всем трем
параметрам — предметы, люди, мыслительные акты — значительно более высокие значения энтропии; последнее обозначает больший кумулятивный эффект общественного обсуждения в формировании более однородного мнения в сравнении с разрозненным присвоением элементов содержания информационного поля СМИ.
В лонгитюдном исследовании мы выявили «абсолютную» положительную корреляцию структурных волн изменения скоростей рождений и ценностей и аналогичных волн скоростей изменения уровня благосостояния и жизненных планов. Здесь же установили принципиальное сходство процесса консолидации мнений-оценок относительно предметной реальности как в процессе коллективной, так и в процессе индивидуальной (присвоение элементов содержания сообщений) деятельности. Все это вместе взятое говорит о когерентности сознания предметной реальности, которую оно «обегает», кристаллизуясь (энтропия1 = 0,493, энтропия2 = 0,540 в табл. 9.10) в доминирующие общественные формы в любых типах деятельности (от принятия политических решений, до покупки товара или выработке форм единого и общезначимого мнения).
Работая с первичными матрицами двух разобранных исследований, я «перетасовал» массу уравнений и поверхностей параметрической и непараметрической статистики. Полиномы Фурье и Чебышева (последний отличается большей резкостью в результатах) шкалировали наши данные по осям «Х» и «Y» от «0» до «п». В нескольких случаях тригонометрическая функция (особенно красиво это выглядело в уравнении Фурье с r2 = 0,9975 по решениям собраний и r2 = 0,9764 по критическим сообщениям газеты), оставляя нетронутыми основные вершины социальных фигур-«пиков», резко выделяла полярные группировки (они хорошо намечаются в трех ближних углах основания «кристалла-куба» на рис. 9.3). Логически это выглядело выявлением формулировки: «Что чиновнику хорошо, народу — смерть, а что народу хорошо, чиновнику — смерть». Кажется, в тригонометрической функции скрыта переменная «время», и она может иногда выдавать «прогнозы».
Резюме по процессу принятия решений
Анализируя соотнесенность проблемных структур решений местных органов власти, вопросов, волнующих широкие слои населения, отражений проблем и вопросов в массмедийном информационном ряду и в сведениях, поступающих в органы власти через депутатов, личный прием граждан, письма в редакции и властные структуры всех уровней, а также через собрания избирателей, мы зафиксировали наибольшую связь структуры решений с «полем» мнений внештатных авторов и тематическим рядом повесток дня и информации собраний трудовых коллективов. Последние два ряда мы разобрали с точек зрения и их конечной эффективности и форм консолидации мнений (на собраниях), и их селекции (у внештатных авторов). Подчеркну: эти два проблемных ряда так же, как и ряд решений аппарата власти, не имели связи с тематикой мощных потоков информации к органам власти через личный прием граждан, за счет приема граждан депутатами, через письма в массмедиа и во власть и собрания избирателей. Кроме того, была обнаружена чрезвычайно высокая связь ряда проблем, волновавших население двух совершенно разных городов — Таганрога и Петербурга — с интервалом в 30 лет: в 1969 и 1999 гг.
Устойчивость связей в коэффициентах корреляции проблемных рядов в 60 исследованиях (в том числе и Всесоюзных) была тщательно проверена. В фундиро-ванности данных сомнений нет. А кроме того, в книге берутся только «сильные взаимодействия».
Приступим к разбору полученной картины. Собрания показывают высокую эффективность принятых решений. Если бы решения, принятые руководством страны в какой-либо из периодов ее существования за последние 85 лет, выполнялись с той же эффективностью и последовательностью без «шараханья» по социальным полюсам корпоративных интересов и многочисленных политических переворотов, мы давно бы процветали и стали мощным реально демократическим государством. Словом, исследование собраний показывает, что мы можем. Но что именно можем? Можем, учитывая общественный интерес в процессе его реального публичного обсуждения и коррекции, ввести решение в практическую жизнь и выполнить его с большим эффектом. Подчеркну: ни тема, ни тип собрания, где принято решение, здесь не важны. Люди консолидируются в процессе движения к реальной общественной пользе, которая становится ясна для всех в процессе товарищества. Конечно, можно рассуждать и так: «Попробуйте не выполнить производственные планы в то время — вам вмиг голову не народ, а власть оторвет». Но в этом плане и теперь картина не изменена — изменены лишь формы правил поведения акторов реализации общепринятой политической линии. Примеры — по телевизору в последних известиях о новостях социальных перемещений. А выработка решений, согласованных обсуждением интенциональных, а не знаковых смыслов исчезла и, надо думать, надолго, если не навсегда.
Газетная критическая информация хотя бы в половине случаев заставляла худобедно шевелиться «советских» чиновников. Сейчас же, право, трудно найти такого рода критический поток в рассмотренном направлении. Хватает других виртуальных игрушек, анализировать которые очень дорогое удовольствие. С наслаждением сообщается о подавлении забастовок, локаутах. На каждое сообщение о крупной катастрофе в стране следует материал о том, что «аналогичный случай был у нас в Одессе», то бишь где-то еще в какой-то стране, чтобы люди не подумали, будто Россия — родина катастроф. Везде, мол, плохо, чего там... Однако думают и слагают уже по этому поводу анекдоты не менее остроумные, чем в период «построения» коммунизма.
Но вернемся к существу вопроса. Что же вытекает из информации, представленной в этой главе? А то, что, аккумулируясь из собраний трудовых коллективов в решения органов местной власти, фильтруясь редакцией в соответствии с нормами и канонами социального поведения из писем населения, материалов внештатных авторов в информационный поток мнений, за бортом учета бюрократией остается огромное информационное поле. Из шести каналов выражения общественного мнения: письма в редакции, письма во власть, прием в органах власти, прием у депутатов, собрания избирателей, собрания в трудовых коллективах, эффективно учитывается проблемная структура лишь одного. Пять шестых информационного поля не коррелируют по проблемно-тематической структуре ни с внутриаппаратной информацией, ни с конечными решениями. Если бы государственная и партийная бюрократия в то время учитывала эту информацию в той же степени, как и организованный ею же поток информации с собраний, то это была бы настоящая советская власть, которой в нашей стране никогда не было. Не надо дурить людям головы. Недаром подсаживается корреляция структур информации бесед депутата с аппаратным работником исполнительной власти и выступлений депутата на сессиях и совещаниях. Недаром падает корреляция информации, идущей от депутата в решения властных органов, в сравнении с той, что циркулирует в канале «трансмиссии», т. е. при внутриаппаратной сепарации и селекции. Недаром тематическая структура информации писем от населения в СМИ имеет коэффициент Пирсона +0,088 (нет связи) с тематической структурой мнений внештатных авторов. Недаром нет связи между структурами решений властных органов и потоков писем в органы власти всех уровней (коэффициент Пирсона +0,101), и недаром одной из трех ведущих тем писем в народный контроль в начале 1970-х гг. в масштабах страны была тема «злоупотребления должностных лиц». После всего рассмотренного нет ничего удивительного и неожиданного в уничтожении дотла институтов представительной власти в период ельцинщины. Было бы удивительно и неестественно, если б случилось обратное — то, что декларировалось в перестройку без экономических и организационно-политических мер, расчищая дорогу реакции и реставрации частной собственности для доверенных лиц под видом демократизации общества.
Однако здесь есть один самоуничтожительный для классовой политики такого рода социальный элемент. Мы видим, что пирамида человеческой активности, хотя и повторяется во фрагменте отражающего сознания, но не вся. Огромная ее часть развивается без всякого учета и внимания. Именно здесь нарастает энтропия, делающая объективно невозможным присвоение широкими слоями социально некорректных решений власти. А это ведет к увеличению скорости продвижении социально-политической системы к точке бифуркации. Примеров такого ограниченно-корпоративного по интересам характера принятия решений власть дает бесчисленное множество. Перебалансируйте модель ценообразования за счет пьянства, получайте больше 50 % выручки розничного товарооборота по продуктам питания от алкоголя, чтобы было чем выдавать зарплату вовремя, и вы через 25 лет получите за счет пренебрежения психическими и генетическими явлениями жизни вырождающиеся поколения. Решения о балансировке обмена, основанные на асоциальных методах смыслов, ограниченных относительно реальной жизни системы, рано или поздно приведут к катастрофе. Но эти решения вызваны объективными свойствами системы принятия решений властью любого уровня, тем более при доминирующих сейчас формах собственности, представляющих базовые основы регуляции механизмов обмена деятельностями.
Что я здесь имею в виду, поясню на нескольких социальных фактах, сначала предоставив слово другим экспертам, а затем прокомментировав их высказывания и приведенные факты с точки зрения данных нашего анализа.
1. Вот что сказал академик Д. С. Львов при обсуждении доклада академика В. Н. Кудрявцева «Нравы общества переходного периода» в 2002 г. на заседании Президиума РАН: «Российские экономисты разработали так называемую теорию факторов производства, в соответствии с которой четко определены основные приоритеты нашего роста — земля, недра и т. д. За счет них сегодня в условиях кризиса создается 60—80 млрд долл. чистого дохода, из которого, однако, лишь небольшая (перераспределенная) часть попадает в бюджет, а реальная, нераспределенная, составляет в 2—3 раза большую величину. Трагедия нашей страны состоит в том, что 7 % людей приватизировали не принадлежащий им рентный доход от использования российских недр. 7 % присвоили 90 % дохода государства и тем самым перекрыли для общества возможность нормального развития».
2. Л. А. Оников, проработавший в центральном аппарате компартии почти 40 лет, в своей книге «КПСС: анатомия распада» пишет: «Как распределялась власть в КПСС? Партия в последнее время насчитывала примерно 19 миллионов человек и слагалась как бы из четырех частей: наиболее многочисленная — это, как мы говорим, рядовая партийная масса — 18,7 миллиона человек. Далее — члены руководящих (выборных) партийных органов от сельских райкомов и до ЦК республиканских компартий — 439 000. Следующее звено — секретари тех же парткомов вместе с их штатным аппаратом — 86 000. И наконец, члены и кандидаты в члены ЦК КПСС (после XXVII съезда — 477 человек), члены и кандидаты в члены Политбюро и секретари ЦК КПСС — 32 человека и штатный аппарат ЦК — 1363 (на 1 января 1990 г.). Итого в этом высшем звене — 1812 человек. Как же выглядело распределение власти между количественно столь неравными частями партии? Участие рядовой массы (т. е. 97,4 % всех членов КПСС) в выработке политического курса партии равнялось нулю. Ее основным назначением со времен Сталина было беспрекословно выполнять поступающие сверху указания, “целиком и полностью одобрять мудрую линию Центрального комитета”. Практически столь же безвластны были и члены руководящих партийных органов от райкомов до ЦК. Это 2,3 % от общей численности КПСС. С начала 1930-х гг., когда Сталин поставил с ног на голову соотношение в правах между бюро и пленумом парткома, руководящие органы играли чисто декоративную роль, создавали, так сказать, демократический макияж. Остается небольшая группа партработников — 0,3 % численности партии. Власть бюро местных партийных комитетов была действительно абсолютной, но с двумя принципиальными оговорками: лишь в пределах своей территории и только в рамках указаний, исходящих из центра. В партии все решалось политбюро и секретариатом — всего 30—32 человека и горсткою — не более 15—20 человек — самой верхушки партийного аппарата, т. е. руководством Отдела оргпартработы и Общего отдела. Вот где была сосредоточена вся полнота власти в партии, от которой в решающей степени зависело, сможет ли демократизироваться КПСС. То есть возродится ли она на новой основе или погибнет. Иными словами реальной властью в КПСС обладало менее 0,3 % ее численного состава. 99,7 % ее членов на формирование власти влияния не оказывали — только выполняли руководящие решения. А в конечном итоге все определяла одна стотысячная процента».
3. В резолюции XII съезда компартии, первого съезда в отсутствии ее председателя, который был уже безнадежно болен, с одной стороны, было принято решение о создании ЦКК-РКИ, а с другой — черным по белому было написано: «Диктатура рабочего класса не может быть обеспечена иначе, как в форме диктатуры его передового авангарда, т. е. компартии» (при этом следовала сноска «Неправильная формулировка “диктатура партии” появилась в резолюции по недосмотру. (Сталин И. В. Сочинения, т. 6, с. 258, и т. 8, с. 31—60.) — Ред.». Сталин написал по поводу этого «недосмотра» 30 страниц текста (а он всегда писал лично). Вопрос был настолько пропагандистски важный, что первый раз яркая страница написана в 1924 г., а второй раз разбор «недосмотра» идет в первом издании «Вопросов ленинизма» на 29 страницах в 1926 г. Процитируем лишь первый «заход»: «Еще один пример. Нередко говорят, что у нас “диктатура партии”. Я, говорит, за диктатуру партии. Мне помнится, что в одной из резолюций нашего съезда, кажется, даже в резолюции XII съезда, было пущено такое выражение, конечно, по недосмотру. Видимо, кое-кто из товарищей полагает, что у нас диктатура партии, а не рабочего класса. Но это же чепуха, товарищи. Если это верно, то тогда неправ Ленин, учивший нас, что советы осуществляют диктатуру, а партия руководит советами. Тогда неправ Ленин, говоривший о диктатуре пролетариата, а не о диктатуре партии. Если это верно, тогда не нужно советов, тогда нечего было говорить Ленину на XI съезде о необходимости “размежевания партийных и советских органов”. Но откуда и каким образом проникла эта чепуха в партийную среду? От увлечения “партийностью”, которое приносит больше всего вреда именно партийности без кавычек, от беззаботности насчет вопросов теории, от отсутствия привычки продумать лозунги раньше, чем они пущены в ход, ибо стоит на минуту подумать, чтобы понять всю несообразность подмены диктатуры класса диктатурой партии. Нужно ли доказывать, что эта несообразность способна породить в партии путаницу и неразбериху?».
Возвратившись к этому вопросу в 1926 г., Сталин посвятил ему 29 страниц, однако, сколько он не доказывал обратное «недосмотру», у него все одно выходило, что советы, профсоюзы и комсомол — «приводные ремни» от партии к массам. Кто-то из высокопоставленных чиновников «Единой России» недавно снова публично в телеэфире употребил этот термин по отношению то ли к «Идущим вместе», то ли ко вновь создаваемым органам местного самоуправления — «приводные ремни», мол. Воз, как говорится, и ныне там. Олигархия в России бессмертна, как Кощей.
Но рассмотрим приведенные высказывания с точки зрения эмпирических данных.
Академик Львов завышает число овладевших ресурсами страны. Если бы их было столько, сколько он насчитал, мы бы давно как сыр в масле катались. Одна тринадцатая — одна четырнадцатая часть населения объективно смогла бы вырабатывать решения, соответствующие смыслам жизни и своей, и всего населения. Делала бы она это хотя бы в целях собственной долгосрочной безопасности. Но «присвоивших — работодателей — работовзятелей» много меньше. Всех предприятий промышленности, сельского и лесного хозяйства и строительства с частной формой собственности на средства производства на 1 января 2002 г. было около 805 000. Даже если взять всех владельцев этих предприятий, посчитав их «присвоившими» ресурсы страны, что по сути неверно, то получится лишь 0,55 % населения РФ. Если прибавить к ним всех работников органов власти всех уровней (1252,3 тыс. человек), то суммарно они дадут 1,42 %. И так-то нельзя считать, откуда же 7 %? Если же взять реально эффективно работающую одну десятую часть всех владельцев, которые поделили предприятия и учреждения, то мы получим около 80 000 человек. Это 0,055 %. Если брать именные указы, по которым выделялись в собственность «работовзятелей» гиганты индустрии, то их будет не более 2000, это 0,001 %. Думаю, последняя цифра ближе всего к истине. Но оставим диапазон от 0,001 до 0,55 %. В мире не создано еще социальной системы, где столь малые группы лиц могли бы аккумулировать интересы всей общности. Даже такой терпеливой и находчивой в ситуациях выживания общности, как наша российская. Отсюда — объективная неизбежность катастрофических ошибок в сознании этой группы «присвоивших» относительно принятия решений по поводу сущностных основ развития жизненной пирамиды всей массы людей. Они этих сущностных основ не могут увидеть по определению. Себе они создали свой мир. Они заменили весь спектр социальных потребностей в нашем обществе потребностью в физическом выживании. Народ начал вымирать. И после этого они предлагают решать проблему рождаемости за счет решения жилищной проблемы. Бартер: «пещеру» на «пушечное мясо». Им даже не приходит в голову оставить людей в покое, чтобы они могли спокойно трудиться и, получая за труд в соответствии с нормами, общепринятыми для фантастически природно богатых стран, сами смогли бы решать свободно свои проблемы. Вместо этого они насаждают «начальников» в каждый дом и каждый подъезд, думая, что корпоративно воровать начнут все, и народ станет в массе богатым.
Леон Аршакович Оников ошибся в расчетах, или это опечатка. 15—20 человек, принимающих решения, составляют от 19 млн одну десятитысячную, а не одну стотысячную процента. Но три человека, собравшихся со своей дворней в Пуще, составляют от 290,1 миллионов граждан общности, о существовании которой они принимали решение, одну миллионную долю процента. Этот акт — достойное завершение и по форме, и по содержанию той политики, которая продолжается в нашей стране с некоторыми частными редкими просветами сотни лет. «Когда-то признавалось, что Россией самодержавно правит воля царя. Но едва где-нибудь проявлялась воля этого бедняги-самодержца, не вполне согласная с намерением правившей бюрократии, у последней были тысячи способов привести самодержца к повиновению. Не то же ли с таким же беднягой, нынешним “диктатором”? Как вы узнаете и как вы выражаете его волю? Свободной печати у нас нет, свободы голосования — также». Это написано 85 лет назад второй «совестью русского народа» по смерти Льва Толстого и читано Лениным, который инициировал Луначарского выявить мысли Короленко и который после Кронштадтского мятежа и этих писем, в частности, нашел силы выработать новую экономическую политику, балансировавшую обмен результатами труда между городом и деревней. Все было разрушено великим устроителем и «хозяином» бессмертной бюрократической машины, подобной гидре с множеством отрастающих вместо одной голов. Но не то же ли, о чем говорит Короленко, и сейчас, когда «свободные выборы» выражаются в столичном «голосовании ногами» более чем двух третей населения? Не то же ли сейчас, когда мало-мальски позволяющие себе свободу слова журналисты убираются с телеэкранов даже не самых ходовых программ? Не то же ли в Пуще, когда «самодержцев» не привела к порядку та бюрократия, в интересах которой и были предприняты асоциальные действия?!
Сталинизм, окончательно похоронивший идею самоуправления и кооперации трудящихся, превративший компартию в учреждение, в «орден меченосцев», а «советскую» власть — в фиговый лист самовластья бюрократов, вырождаясь в нашу, как и в брежневскую, эпоху в еще более уродливые и фарсовые формы политики претендующих на диктатуру чиновников, по той же причине страха свободного творчества людей в организации своей социальной жизни в очередной раз приведет общество к катастрофе. Легитимность власти, выбранной 15 или 25 % от всего населения, имеющего право голоса и не считающего на 50—70 %, что его голос что-либо изменит, а потому заранее не делегирующего свои властные общественные права чиновничьей олигархии, ничтожна. Мы уже говорили, что на этих порогах энтропия знания того, что происходит в социальной системе, нарастает лавинообразно. Ни общественные палаты, ни расширение органов местного самоуправления не заменят цивилизованных отношений, при которых людям дано право свободно вершить свои дела на своей земле без чиновников. Правительственные полумеры напоминают методы фокус-групп с бездарными модераторами.
Противопоставлением этому и реальным выходом является только такое благоустройство общества, которое совпадало бы балансом обмена с развитием производства и распределением его результатов в соответствии с нуждами само-организованных товаропроизводителей, ассоциированно владеющих общественно созданными и предметно закрепленными силами. Общественное благо, имеющее эквиваленты в смысловом поле в виде выработанных истин, никогда не может быть принадлежностью одного класса, одной партии (и уж тем более социальной аппликации или клики), одной личности. Оно может быть выработано лишь в процессе общественного взаимодействия всех граждан, и механизмы такого процесса были предложены еще сто лет назад самим народом.
Поиски национальной идеи, производимые чиновничьей олигархией, осуществившей денационализацию народного хозяйства и реставрацию и поменявшей административные права на наследственные, напоминают бредовые поиски вишневого цвета в светлый полдень в цветущем саду с зажженным фонарем в руках. Иваново-Вознесенские рабочие и крестьяне Гурийской Республики изобрели и апробировали то, что потом повешенные, растерзанные и расстрелянные, павшие в войне, пытались воплотить в жизнь. Это было той формой общественного самоуправления, на развитие которой надеялись люди, сражавшиеся во имя ее именно под тем знаменем, которое они поставили в центре «демократической» европейской цивилизации, натравившей на нас самого страшного зверя из созданных ею, включая инквизицию. И искать после случившегося национальные идеи в боковых анфиладах российской истории — дело дохлое.
Заключение
Подведем итоги.
Выдающийся прорыв советской социологии в виде исследований проектов «Общественное мнение», «Право»-1976», «Образ жизни»-1980—87, «Правда»-1977» и «Правда»-1991» позволил в первом приближении построить модель функционирования обмена свойствами людей в социальной системе. При этом проведена независимая социологическая экспертиза процессов, происходивших в нашем обществе за последние 40 лет. Конечно, по отношению к отдельным направлениям она не является исчерпывающей. Исходя из представленной модели, можно развернуть картину анализа фигур обмена в иных формациях, рассмотреть динамику становления и развития сущностных элементов власти в нашем обществе, описать метаморфозы активности, информированности, потребностей, форм и смысловых полей обмена, описать методологические, философские, методические проблемы, которые лишь косвенно упомянуты по ходу изложения, так как без этих упоминаний было бы невозможно понять ракурс взгляда на объект. Однако это темы самостоятельных работ с иной логикой доказательств существования обнаруженных параметров системы. Данная же книга логически определенным образом закончена. Что, на мой взгляд, важно еще раз подчеркнуть, так это следующее.
Наиболее широкое социологическое определение общественной системы независимо от ее устройства и положения на кривой эволюции принадлежит Марксу: «Что же такое общество, какова бы ни была его форма? Продукт взаимодействия людей»*. Исходя из этой посылки предметный характер присвоения свойств и способностей индивидуумов в процессе обмена общественно необходимым временем очевиден. И отсюда уже следует теоретическое обоснование константности относительной величины общественно необходимого для воспроизводства жизни времени, эмпирические референты которой были представлены в этой работе. О нижнем пределе относительной величины этого времени — точке баланса, выражающейся в физическом воспроизводстве этих самых людей, которые составляют общество, в книге уже сказано. Однако при этом важно отметить несколько моментов.
Недостаточность экономических парадигм для объяснения поведения социальной системы, на которой по нехватке места нельзя было особенно останавливаться, отмечалась специалистами еще четверть века назад. «В действительности определение максимальной эффективности в достижении цели при минимизации расходов само по себе не может рассматриваться как безусловно оптимальный
Маркс К. Письмо Анненкову // Соч., 2-е изд. Т. 27. — М., 1962. — С. 402.
подход, ибо понятие оптимального из среды экономики вряд ли безоговорочно может быть перенесено в социальную, — писала Е. Х. Нерсесова в 1981 г. — Подобные выводы и были сделаны французскими социологами при изучении, с позиции принятия решений и PPBS (Planning-Programming-Budgeting Systems, политика “рационального выбора бюджетных статей”), проблемы формирования целей в сфере здравоохранения. Они столкнулись с теоретическими и этическими трудностями при попытке определить, что такое «рациональность выбора цели» применительно к такому понятию как здоровье человека или нации. И, естественно, усомнились, можно ли говорить об оптимальном решении в области здравоохранения, если оно опирается только на экономические критерии. Сегодня никто не сомневается, хотя реальная исследовательская практика еще не располагает достаточно общим решением вопроса, что для формирования социальных показателей нужны соответствующие концептуальные модели изучаемых явлений. Этой точки зрения придерживаются и советские социологи. У них период идентификации идеи социального показателя с его статистическим представлением оказался много короче, чем у западных социологов».
Через десять лет в 1991 г. Роберт Л. Хайлбронер в статье «Экономическая теория как универсальная наука», говоря о «сокрытии социального порядка в способе, которым экономика объясняет функциональное распределение доходов», замечая «что выплачиваемое в виде чистой прибыли вознаграждение, которое получают только собственники капитала, дает им лишь «остаточное» право на произведенный продукт, после того как все факторы, в том числе и капитал, свою долю уже получили», фиксирует «мировоззренческую систему и идеологические функции экономической науки» и поясняет, что «только социолог или политолог сможет объяснить, почему собственники капитала с таким пылом защищают эти свои сомнительные права». Он заключает эту статью, бьющую нашу власть не в бровь, а в глаз, замечанием: «На троне понимания социальных процессов восседают люди, наделенные неполными и несовершенными знаниями, теориями, представлениями и опытом, с помощью которых они стремятся свести неразбериху, возникающую при нашей встрече с историей, к удобопонимаемым терминам. Даже если в трудах, рассказывающих об имевших место событиях, и концептуальных работах, с помощью которых мы пытаемся привнести в этот хаос некий порядок, экономической науке принадлежит важная роль, ее слово не является ни решающим, ни окончательным».
Под факторами, получающими свою долю, политическая экономия подразумевает, кроме капитала, и землю, и общество в виде воспроизводства рабочей силы. Однако и состояние окружающей среды и «процесс демографического перехода» говорят о полном забвении всех «факторов», кроме первого. Таким образом, даже в западной экономической науке вопрос стоит о выделении, нахождении и ограничении в смысловом поле тотальных форм функционирования в обществе таких квазиобъектов, как «стяжательство» и «обладание», которые, как джинн из кувшина частной собственности, приводят систему к катастрофе.
Наш анализ показывает, что существует объективная целостность социальной жизни, имеющая отражение в фундаментальной точке баланса обмена, на которую указывают показатели воспроизводства населения. Отражением этой объективной реальности является положенная в основание подсистемы духовного производства и декларируемая всеми светскими и религиозными формами сознания ценность человеческой жизни. Однако фетишизация предметной реальности, особенно при действии товарно-денежных отношений, перекошенных тотальностью института частной собственности, разрушает сначала субъективное, прописанное во всех декларациях и конституциях смысловое поле, а затем и базовую основу существования людей. При этом речь уже идет не только о вековом движении в направлении норм детности, ведущих к вырождению популяций, но и о таком балансе обмена результатами труда в создании предметного мира, который практически ведет к ежедневным катастрофам, сопровождающимся массовыми смертями (так что и мировые кровопускания больше не нужны). По сути это просто разные, взаимодополняющие стороны единого процесса нарастания энтропии в регуляционном поле смыслов, балансирующих процесс обмена людей общественно необходимым временем. Я не считаю нужным приводить здесь «дальние» или «ближние» примеры или иллюстрации. Посмотрите любые из них по телевизору, обратитесь к книгам по демографическим проблемам, нормам поведения в процессе замещения поколений, охране окружающей среды или даже безбожно лгущей «себе во благо» государственной статистике.
В силу потери общественно-системных человеческих смысловых точек баланса, исправление «ошибок» властями принимает форму «латания дыр» из боязни анализа реальности и сокрытия последствий от широких слоев общества. Анализ информированности показывает, что этот процесс имеет обоюдоострый разрушительный характер для всех агентов информационного взаимодействия в решении всегда существующих социальных проблем. У населения кризис выражается в нарастании отчуждения от существующих общественных институтов. Оно перестает использовать предлагаемые ему общественные силы. У властей разрушение «поля смыслов» ведет к принятию социально нескорректированных решений, следствием которых является неопределенность поведенческих реакций больших масс людей. Последний аспект был рассмотрен особо в книге в связи с предложенной социальной моделью. Здесь же надо отметить следующее.
Ограниченное отражение в корпоративных по интересу решениях системных параметров «пирамиды» всей массы актов обмена, необходимых для коллективного воспроизводства жизни, ведет к негативным последствиям. Это имеет онтологические и гносеологические, объективные и субъективные предпосылки, говорить о которых надо в отдельной работе. Однако конечный результат очевиден: отсечение в смысловом поле решений огромных пластов социальной реальности. Именно это ведет к нарастанию в социальной системе энтропии, а в итоге к сокращению в ней человеческих ресурсов и к ее коллапсу. Это и происходит сейчас в нашей стране в ярко выраженной форме. В связи с этим результаты работы можно сформулировать таким образом.
1. По крайней мере в шести областях социальной жизни: детность, ценности, достаток, жизненные планы (суть потребности), демпфирование негативных явлений реальности с целью ее изменения через процесс принятия решений на собраниях, через критику в массмедийном поле, — были отмечены, во-первых, волновой характер изменений социальной реальности, а во-вторых, когерентность соответствующих этой реальности волн сознания.
2. В точке разрушения предметно-институциональной структуры социальной системы, в точках проведения экономических репрессий и конфискационных реформ мы видим обратную картину. Получается, что в шести областях мы зафиксировали совпадения волновых процессов изменения реальности и сознания в массовых оперативных рядах форм и смыслов обмена свойствами индивидуумов. В фундаментальных рядах принятия стратегических решений этого не наблюдается. Надо подчеркнуть, что именно у населения наблюдается правильная и здоровая реакция на решения власти. Когерентность же отсутствует прежде всего в решениях. А правильнее сказать, она вывернута там наизнанку и асинхронна волне жизни.
3. Каковы же причины последнего явления? Процесс принятия управленческих решений, имеющий конспиративный характер со сталинских времен, не может обеспечить обмен, сбалансированный по различным общностям и иерархиям социальной системы. Мы знаем в силу законов производства сознания, что целостность социальной жизни не может быть априори отражена в своей полноте отдельным индивидуумом или замкнутой социальной группой, или организацией, кастой, отбираемой по принципу «свой — чужой» на уровне функционирования смысловых полей только в качестве знаков отношений. В силу этого решения оказываются действенными лишь при коллективном обсуждении заинтересованных в снятии проблемы лиц. Это традиция решения вопросов сообща на вече, соборе, агоре, форуме, съезде Советов и т. д. и т. п. Эта форма выработки решений была полностью дискредитирована бюрократией в «перестройку», и демократическая представительная власть, которая, и только которая, могла вывести страну из кризиса, была уничтожена. Этот момент, проиллюстрированный в моей работе, — альфа и омега для понимания возможностей выхода из кризисной ситуации, попытки которой предпринимались в 1922—1929, 1957—1964, 1986—1993 гг.
4. Можно с полным основанием утверждать, что в нашей стране отсутствует то, что называется «гражданским обществом», хотя сам термин в рамках моей модели относителен. «Проскочившие между широкими шагами исторического прогресса» в прошлом веке скандинавские буржуазно-демократические государства скорее исключения в отработке принятия решения с учетом всех мало-мальски значимых интересов различных групп населения. Однако они намекают, что управление социальной системой, процесс принятия решений подобны серфингу на океанской волне. Или вы учитываете ее ритмы, или она сбрасывает вас. То есть волне решений объективно необходима когерентность относительно волны реальности. А она дается только общественным устройством, соответствующим нормальному ходу этого процесса, т. е. широкой представительной властью. Никакими «фокус-группами» типа «ЦКК-РКИ» или общественных «палат» дело в нашей стране не изменишь. «ЦКК-РКИ» можно расстрелять, общественную «палату» — проигнорировать («и даже два раза...»).
Пространственно-временная фигура обмена человеческой активностью в поле тяготения ее социальных институтов и форм жизни демонстрирует явную цикличность волновых процессов. Здесь мы имеем возможность увидеть одну из других важнейших причин асинхронности волн решений с волнами изменения реальности. При выполнении трех условий: разбалансированности обмена результатами труда, отсутствия подконтрольной народу публичной власти и ее политики, отсутствия социальных знаний о движении жизни, — «поле смыслов» функционирует как знак отношений и резонирует с отработанными в историческом прошлом идеологемами. Интенция решения теряется, необходимость мыслить здесь и сейчас, но со всеми вытекающими отсюда результатами, отбрасывается, ближайшие, средне- и долгосрочные последствия не просчитываются, паллиативные решения в практику не вводятся или просто отбрасываются. Что до оппонентов, то они подвергаются остракизму или замалчиванию. Хорошо еще, что не «стираются в порошок» натурально или в СМИ. Иногда, правда, здравый смысл торжествует, как, например, с лужковским предложением возродить проект поворота северных рек к среднеазиатским соседям. Но здесь явный перебор. И такой исход — большая редкость.
Балансировка обмена необходима прежде всего на пространствах общностей, где у людей развертываются генетически природно данные человеку свойства. С одной стороны, это семья и производственная общность, с другой — территориально-производственная агломерация, этнические и общегосударственные, отраслевые образования. И решать эту проблему можно лишь обществом. Только союз создающих стоимость и воспроизводящих человеческую жизнь общностей может вырабатывать эффективные решения на публичной их обкатке и при соответствующем социальном устройстве контролировать власть от самовольства и вседозволенности, которые ей же и вредят, а в долгосрочной перспективе губят.
«Форма — по существу, единственное, что серьезно требует свободы. В этом смысле можно сказать, что законы существуют только для свободных существ. Человеческие учреждения (а мысль — тоже учреждение) есть труд и терпение свободы, других рецептов нет. И цивилизация (пока ты трудишься и мыслишь) как раз и обеспечивает, чтобы нечто пришло в движение и разрешилось, установился смысл, и ты узнал, что думал, хотел, чувствовал, дает для всего этого шанс.
Но тем самым цивилизация предполагает, следовательно, и наличие в себе клеточек незнаемого. Если не оставлять места проявлению не вполне знаемого, цивилизация, как и культура (что, по сути, одно и тоже), исчезает. Например, экономическая культура производства (т. е. не только материальное производство конечных благ, умирающих в акте их потребления) означает, что неправомерна такая структура управления, которая определяла бы, когда крестьянину сеять, и распределением этого знания охватывала все пространство его деятельности. Повторяю, должен быть допуск на автономное появление в каких-то местах вещей, которые мы не знаем и не можем знать заранее, или полагать их в какой-то всеведующей голове. [...].
Известно, что система, называемая монополией, стоит вне цивилизации, так как разрушает само ее тело, порождая тотальное опустошение человеческого мира. Не только в том смысле, что монополия поощряет самые примитивные и асоциальные инстинкты и создает каналы для их проявления. Достигнутое состояние мысли еще должно «обкататься”, как на агоре, обрасти там мускулами, как обрастает снегом снежная баба, приобрести силу на осуществление своей же собственной возможности. Если нет агоры, чего-то развиваемого, то нет и истины. [...] Нельзя волепроизвольными и административными, т. е. внезаконными, средствами внедрять закон, даже руководствуясь при этом наилучшими намерениями и высокими соображениями, “идеями”. Ибо его приложения распространяют тогда (и чем шире и жестче приложения, тем шире и болезненнее) прецедент и образец беззакония, содержащегося в таких средствах. И все это — независимо от намерений и идеалов “во благо” и “во спасение” или, наоборот, от какого-либо злого умысла. Это очевидно в случае всякой монополии. Скажем так: если я могу, пусть ради самых высших соображений общественного блага, в один прекрасный день установить специальную цену на определенные товары, скрывать и тайно перераспределять доходы, назначать льготы, распределять товары, во имя плановых показателей менять предшествующие договоренности с трудящимися и т. д. и т. п., то в тот же самый день (и впредь — по вечной параллели) это же будет делаться кем-то и где-то (или теми же и там же) из совершенно других соображений. Из личной корысти, путем спекуляции, обмана, насилия, кражи, взятки — конкретные причины и мотивы в структурах безразличны, взаимозаменимы. Потому что закон един и неделим во всех точках пространства и времени, где действуют люди и между собой связываются. [...].
В 1917 г. рухнул гнилой режим, а нас все еще преследуют пыль и копоть прогнившей громады, продолжающаяся “гражданская война”. Мир еще полон нео-плаканных жертв, залит неискупленной кровью. Судьбы многих погибших неизвестно за что взыскуют о смысле случившегося. Одно дело погибнуть, завершая и впервые своей гибелью устанавливая смысл (например, в освободительной борьбе), и совсем другое — сгинуть в слепом одичании, так что после гибели нужно еще доискиваться ее смысла. Но кровь все равно проступает то там, то здесь, как на надгробьях праведников в легендах, в совершенно неожиданных местах и вне какой-либо понятной связи.
И мы все еще живем как дальние наследники этой “лучевой” болезни, для меня более страшной, чем любая Хиросима. Наследники странные, мало пока что понявшие и мало чему научившиеся на своих собственных бедах. Перед нами поколения, как бы не давшие потомства, потому что не родившееся, не создавшее в себе почву жизненные силы для прорастания, не способно и рождать. И вот бродим по разным странам безъязыкие, с перепутанной памятью, с переписанной историей, не зная порой, что действительно происходило и происходит вокруг нас и в самих нас. Не чувствуя права на знание свободы и ответственности за то, как ею пользоваться. К сожалению, и сегодня еще огромные, обособленные пространства Земли заняты таким “зазеркальным антимиром”, являя дикое зрелище вырожденного лика человека. [...].
И поэтому, когда я слышу об экологических бедствиях, возможных космических столкновениях, ядерной войне, лучевой болезни или СПИДе, все это кажется мне менее страшным и более далеким — может быть, я ошибаюсь, может, воображения не хватает, — чем те вещи, которые я описал и которые есть в действительности самая страшная катастрофа, ибо касается она человека, от которого зависит все остальное».
То, что пишет один из выдающихся гуманистов о монополии, применимо и к власти в нашем обществе. И это видно из социальных карт развития, диаграмм и фигур поверхностей и волн активности и сознания, приведенных в этой книге. С общеметодологической точки зрения полученная пространственно-временная конфигурация системы обмена наталкивает на идею большого, трехпоколенного цикла развития, по крайней мере три парных фазы которого мы можем наблюдать с 1917 г. 11 лет «смутного» времени сменяются двойным по сроку консервативным периодом. С этой точки зрения ныне переживаемому «стабилизационному» периоду предшествовал период 1987—1998 гг., когда произошли передел форм регуляции обмена и беспрецедентная в мировой практике метаморфоза средств производства групп «А» и «В», по мановению олигархии превращенных в товар и деньги. Вот уж насилие так насилие! Геном непройденной рабовладельческой формации с лихвой резонирует и в крепостном праве, и в сталинизме, и в ельцинщине, вгоняя социальную систему, в гегелевскую «дурную бесконечность», несмотря на неоднократные судорожные попытки страны выйти из этого «морока» помещичье-чи-новничьего произвола деспотии. И если даже гигантские потрясения ХХ века не смогли изменить этой «культурно-исторической традиции», надо сделать выводы и искать выход из ее гибельной траектории в изменении циклов роста капитала за счет поглощения человеческих жизней. Не тому, не там, не вовремя дали «ломать через колено».
В чисто научном, социологическом аспекте мне в заключение хотелось бы отметить следующее. Возможность построить пространственно-временную модель конфигурации общественной системы обмена деятельностями, выделить метрики социального пространства в виде масштаба общностей, отработать два показателя целостного движения общественной системы в виде социальной «активности» и «информированности», увидеть волновые процессы и характер их сходства и расхождений — большая удача. Ее могло бы и не быть...
Во Введении и Приложении 1, а также по ходу изложения материала, я с глубоким уважением называю имена людей — и друзей, и врагов, и оппонентов, которые участвовали в проведении отобранных для анализа исследований. В созданных нашим общим трудом информационном поле, превращенном мной в базы данных, в своего рода экспертную систему, по предварительным подсчетам, содержится около тысячи человеколет труда. Это вроде бы очень много, — тысячелетие. Но на самом деле это малая толика того, что нужно для превращения социологии в точную естественно-научную дисциплину, измерения которой помогут сделать эволюцию жизни общества лишенной кровавых конвульсий и судорог. Я не знаю, когда это произойдет, но я старался кое-что для этого сделать. Конечно, для продолжения работы нужно создавать в машинной памяти новые виртуальные системы, позволяющие «проводить эксперименты» не на живых людях, а на данных об их реальной жизни для постоянной корректировки действий принятых решений. Это — особая тема.
Перед нами возникает образ некоторой движущейся веретенообразно, похожей на песочные часы, массы деятельности, подобно галактической системе плавающей в полях тяготения, образуемых создаваемыми ею и держащими ее в статически постоянном виде структурами. Внутри нее вспыхивают и гаснут образования различных форм жизни и полей смыслов, движутся по расходящимся и сходящимся траекториям общественных подсистем социальные группы и слои. Непрерывно, порой резко и скачкообразно и подчиняясь определенным законам внутреннего развития, вырабатывает и сбрасывает она эти поля форм, оставляя за собой предметный мир, создаваемый человеческой деятельностью, двигаясь по нисходящим и восходящим линиям и уходя в бесконечность познания перерабатываемой ею природы.
Изучать этот вечно умирающий и рождающийся мир на уровне поставленных им проблем и загадок — важнейшая задача науки.
Приложения
Приложение 1
ПЕРЕЧЕНЬ ИССЛЕДОВАНИЙ, ОТНОСЯЩИХСЯ К ИЗЛОЖЕННОМУ В КНИГЕ
Предлагаемый ниже перечень ста тридцати пяти исследований (№ 001—135) представляет блок информации баз данных «Интегрированная информационная система социальных данных» («INSYS») и «Процесс духовного производства в современном обществе» «UNIVERSUM», охватывающий период с 1966 по 2004 г., и заключает в себе так или ли иначе упомянутые в книге, тематически связанные и методически стандартизированные исследования (опросы по анкете, тесты, интервью, данные контент-анализа и наблюдений). Эта информация является основой выводов. Представленный блок включает в себя, во-первых, воссозданные автором в период с 1975 по 1998 г. первичные данные всех исследований генерального проекта «Общественное мнение», во-вторых, информацию массивов, созданных им в результате вторичного анализа путем сведения данных из полевых документов разных исследований в суммарные блоки, в-третьих, всесоюзные, всероссийские и региональные исследования, восстановленные или преобразованные автором из полевых документов с помощью стандартизованных для сквозного анализа переменных.
Исследования содержат несколько десятков миллионов ответов людей по всем областям социальной жизни, данные о реакциях людей на те или иные сообщения, об их поведении при присвоении тех или иных свойств предметного мира, о процессе приема управленческих решений по социальным вопросам, об оценках людей попыток решения этих вопросов. Эти данные позволяют отработать методы оптимизации социального управления сложными социальными объектами, понять механизмы формирования фундаментальных структур сознания и его оперативно функционирующих феноменов.
Первое исследование перечня — Всесоюзный зондаж «Комсомольцы о комсомоле» — было проведено весной 1966 г., последний опрос списка датирован весной 2004 г. Число документов в отдельных исследованиях колеблется от двух десятков (наблюдения) до 63 000 (акты приема информации) и 52 000 (упоминания стран мира). Перечень 100 из этих исследований, впервые опубликованный в печатном (а не электронном) виде в «Книге 2. Банк социологических данных 1968—2001», называл как состоявшиеся и доступные для работы в общепринятом мировом стандарте все массивы легендарного генпроекта «Общественное мнение», несколько массивов всесоюзных исследований, в том числе тех, что полностью снимают вопрос о региональной и временной ограниченности результатов первого и второго таганрогских исследований, реализованных в ИСИ АН СССР. Здесь этот перечень расширен за счет 35 массивов, использования которых потребовала логика развертки доказательств устойчивости существующих явлений.
Для создания у читателя лучшего общего представления об основных направлениях представляемой «выемки» из баз «INSYS» и «UNIVERSUM» ниже приводится перечень крупных тематических блоков отдельных исследований, облегчающий целостный взгляд и понимание места и роли в общей картине отдельных исследовательских «фрагментов». Замечу, что исследования перечислены здесь по отдельности в своем самостоятельном качестве. В базе данных «UNIVERSUM» все эти исследования (или почти все, которые я посчитал нужным интегрировать в модели) слиты в один-единственный «текстовой» массив-файл с шестью полями:
1) № исследования;
2) № документа в исследовании;
3) № переменной от 0001 до 1000;
4) № варианта переменной в каком-либо конкретном исследовании;
5) № разночтения вариантов внутри исследования (сложные вопросы);
6) № ответа.
Объем текстового файла составляет 1,5 ГБ, объем этого же файла в формате SPSS — 1,2 ГБ. Тем самым, несмотря на большой объем записей (где запись — один-единственный ответ: частота социального факта, характеристика предмета потребления, факт сознания), можно в течение короткого времени выбрать простой сортировкой группу массивов с адекватными (или в принципе выравниваемыми) переменными, создать компактный «синтезированный» файл и начать работу по моделированию уже с ним, сэкономив время на поиск исследований, информации и т. п. Здесь все многомиллионное поле ответов базы данных выступает как экспертная система проверки исследовательских предположений, и именно этот подход был реализован в данной книге. Иначе построить описанные модели было бы невозможно. Но для описания этого метода потребовалась бы специальная монография, так что для читателя, привыкшего иметь дело с отдельными исследованиями, мы приводим перечень исследований сначала «сблокированным» по темам проектов, а затем «поштучно».
Перечень блоков исследований
1. «Комсомольцы о комсомоле» — Всесоюзный зондаж «Института общественного мнения “Комсомольской правды”», проведенный в 1966 г. перед XV съездом ВЛКСМ; 1 файл № 001, представляющий 1 исследование; объем массива — 3101 опрошенный. Авторы: М. С. Айвазян, Е. Г. Григорянц, Б. А. Грушин, Я. С. Капелюш.
2. «Население СССР об изменении музыки и слов Государственного гимна Советского Союза» — Всесоюзный зондаж «Института общественного мнения «Комсомольской правды”«, проведенный в 1967 г. по заданию Отдела пропаганды ЦК КПСС; 1 файл № 002, представляющий 1 исследование; объем массива — 3847 опрошенных. Авторы: Е. Г. Григорянц, Б. А. Грушин, Я. С. Капелюш, В. Я. Нейгольдберг.
3. Генеральный проект «Функционирование общественного мнения в условиях города и деятельность государственных и общественных институтов» (генпроект «Общественное мнение»). Единственное в мире системное исследование подобного рода, фиксирующее все потоки информации между органами власти и населением города, снятые в процессе решения обеими сторонами социальных проблем. Проект представлен в базе файлами № 003—095, каждый файл — отдельное исследование в той или иной форме. Руководитель проекта: Б. А. Грушин. Члены авторского совета проекта: М. С. Айвазян и В. Я. Нейгольдберг. Проект насчитывает 11 следующих тем:
1) информированность населения и состояние общественного мнения по актуальным проблемам: файлы № 003—013 представляют данные 8 исследований. Объемы массивов: от 931 до 52 904 документов. Автор темы: Б. А. Грушин;
2) влияние установок на уровень информированности населения (в рамках изучения прессы): файлы № 015—019 представляют данные двух исследования. Объемы массивов: от 107 до 4546 документов. Автор темы: В. С. Комаровский. Руководитель: М. С. Айвазян;
3) влияние семиотической подготовки реципиента и информативности текста на уровень информированности населения (в рамках изучения прессы) 1 файл № 020 фиксирует данные 8 исследований; объем массива — 300 опрошенных. Автор: Т. М. Дридзе. Руководитель: Б. А. Грушин;
4) СМИ (пресса, радио, ТВ) как источник информации: файлы № 021 — 027 представляют данные трех исследований. Объемы массивов: от 102 до 9535 документов. Автор темы: Б. А. Грушин;
5) средства массовой устной пропаганды (лекции, политинформации, политзанятия) как источник информации: файлы № 028—045 представляют 11 исследований. Объемы массивов: от 22 до 3572 документов. Авторы темы: Б. А. Грушин и Д. Д. Райкова;
6) письмо как канал выражения общественного мнения и реакция на него органов управления: файлы № 045—053 представляют данные 8 исследований. Объемы массивов: от 213 до 2880 документов. Автор темы: В. Я. Нейгольдберг;
7) СМИ (пресса, радио, ТВ) как канал выражения общественного мнения и реакция на данную деятельность органов управления: файлы № 054— 062 и № 014 представляют данные 5 исследований генпроекта. Объемы массивов: от 57 до 626 документов. Автор темы: В. Я. Нейгольдберг;
8) собрания общественных организаций (коллективов) предприятий (учреждений) как канал выражения общественного мнения и реакция на них органов управления: файлы № 063—072 представляют данные 10 исследований генпроекта. Объемы массивов: от 39 до 1830 документов. Автор темы: М. С. Айвазян;
9) деятельность депутатов местных Советов в качестве выразителей общественного мнения и реакция на нее органов управления: файлы № 073— 083 представляют 10 исследований генпроекта. Объемы массивов: от 59 до 1626 документов. Авторы темы: Б. А. Грушин и Я. С. Капелюш;
10) личные контакты населения с работниками местных руководящих органов как канал выражения общественного мнения и реакция на эти контакты органов управления: файлы № 084—088 представляют 4 исследования генпроекта. Объемы массивов: от 352 до 4155 документов. Автор темы: В. Я. Нейгольдберг.
11. Решения местных органов управления и общественное мнение: файлы № 089—095 представляют данные 8 исследований генпроекта. Объемы массивов: от 452 до 1720 документов. Автор темы: М. С. Айвазян.
4. «ЦИОМ-1971». Всесоюзное обследование обеспеченности населения СССР товарами длительного пользования, спроса на эти товары, на грампластинки, отношения населения к проблемам неумеренного употребления алкогольных напитков, денежных сбережений, занятий физкультурой и спортом. № 101 — 1 файл, представляющий в одном массиве все пять исследований различных тем зондажа. Объем массива: 2345 документов, 1420 переменных. Объем выборки, репрезентативной населению СССР: 1964 респондента. Руководитель исследования: Б. А. Грушин. Авторы и разработчики отдельных тем документа: Б. А. Грушин,
B. Я. Нейгольдберг, Т. Б. Петров, Г. Д. Токаровский, Л. Н. Федотова. Разработчик выборки: сотрудник ЦИОМ ИСИ АН СССР к. хим. н. С. В. Чесноков при участии
C. Петрулевича.
5. «Витебск-1975». Отношение населения среднего промышленного города к проблемам проведения свободного времени и неумеренного употребления спиртного. № 102 — 1 файл. Объем массива — 1666 документов, 308 переменных.
Руководитель исследования: В. С. Коробейников. Авторы и разработчики полевого документа: А. А. Возьмитель, А. В. Жаворонков.
6. «Право-1976». Проект правовое сознание рабочего класса: социальные аспекты трудовой и государственной дисциплины в производственных коллективах Москвы. № 103 — 1 файл. 2000 человек, 463 переменных. Опрос проходил в течение весны и лета 1976 г. на 16 предприятиях г. Москвы. Руководитель: А. С. Гречин. Разработчики полевого документа: А. С. Гречин, А. С. Клигер, М. С. Мацковский. Исполнители: сотрудники ИСИ АН СССР.
7. «Правда»-1977». Проект «Всесоюзная аудитория средств массовой информации и пропаганды». Проект насчитывает 5 массивов представляющих самостоятельные исследования № 100 (9366 документов, 658 переменных), № 096 (79 документов, 98 переменных), № 097 (500 документов, 416 переменных), № 098 (788 документов, 380 переменных), № 099 (35 362 документа, 796 переменных). Генеральная совокупность: взрослое (старше 16 лет) население СССР. Время сбора данных: 15.04—20.05.1977 г. Разработчики: А. А. Возьмитель, В. Д. Войнова, В. Т. Да-выдченков, А. В. Жаворонков, В. С. Коробейников, О. М. Маслова, В. И. Петров, Г. Д. Токаровский, Н. Е. Чернакова. Разработчики выборки: сотрудники сектора методики ИСИ АН СССР Е. С. Петренко, В. Э. Шляпентох, Т. М. Ярошенко, сотрудники Института проблем управления И. Б. Мучник, Е. Э. Синицин.
8. «Таганрог-2». «Средства пропаганды в социальном управлении трудовым коллективом». № 104. Объем массива: 1988 документов, 1112 переменных. Генеральная совокупность: взрослое (с 18 лет) население г. Таганрог, занятое в народном хозяйстве. Данные получены методом индивидуального анкетирования по месту работы. Время опроса: 3.04.—19.04.79 г. Руководитель: Н. С. Мансуров. Куратор: И. Т. Левыкин. Авторы: А. В. Жаворонков, Н. С. Мансуров, Е. Я. Таршис, Н. Е. Чернакова.
9. «Информированность и активность в трудовых коллективах предприятий». Объект исследования — взаимосвязь производственной активности трудящихся и их информированности о вопросах внутрипроизводственной жизни. Массив-1 (Узб. ССР, август 1981 г.) — № 105: 500 документов, 253 переменных, № 106: массив-2 (Московская обл. сентябрь 1982 г.): 493 документа, 253 переменных. Массивы могут быть слиты в один файл, их переменные идентичны. Руководитель и автор методики — Н. С. Мансуров.
10. Проект «Образ жизни». Всесоюзное исследование образа жизни советских людей в 1980—1986 гг. 4 файла: два общесоюзных опроса в 10 150 документов, 405 переменных и в 10 035 документов, 398 переменных (№ 107 и № 110), а также два лонгитюдных (панельных) опроса одних и тех же респондентов в Москве в 1980 и 1985 гг. Объем исходного массива: 768 документов, 383 переменных (№ 108), столько же и в результирующем (№ 109). Руководитель: И. Т. Левыкин. Авторы:
A. А. Возьмитель, Т. М. Дридзе, Ю. К. Иванов, М. Е. Позднякова, М. В. Покровская, И. Т. Левыкин, Я. В. Рейзема, Э. А. Орлова, М. С. Косолапов, О. М. Маслова, Г. С. Батыгин, Л. И. Лобанова, С. И. Плаксий, В. З. Роговин, Б. А. Бабин,
B. В. Червяков, при консультациях М. Х. Титмы.
11. «Директор современного предприятия». Совместный проект НПО «Прогностика» ЦЭНДИСИ АН СССР и Хьюстонского университета (шт. Техас,
США). 1989 г. Один файл № 111: 224 документа, 382 переменных. Руководители исследования: М. С. Мацковский и В. А. Лисичкин со стороны СССР и Пол Грегори со стороны США. Исследование спонсировалось П. Грегори. Автор программы и полевого документа: М. С. Мацковский. Выборка разрабатывалась представителями Хьюстонского университета, охватывала 224 промышленных предприятия различных отраслей, директора которых были опрошены в сентябре-октябре 1989 г.
12. «Дети Артека в 1990 г.». Исследование, предпринятое в «Артеке» музыкальной студией «Ласковый май» под упр. А Разина и еженедельником «АиФ» в период «пика» перестройки и повального увлечения опросами. № 112. Генсовокупность детей от 14 до 16 лет: 600 документов, 382 переменных. Руководитель: А. Разин.
13. Проект «Правда»-1991». Сопоставительное исследование широкого профиля с первым, вторым таганрогскими исследованиями, а также с исследованиями «ЦИОМ-1971», «Витебск-1975», «Правда-1977» и «Образ жизни-1980—1986». Проект — это комплексное исследование, призванное интегрировать результаты сопоставительного анализа практически всех данных, включенных в базу «IN-SYS» и базу «UNIVERSUM», вторая версия которой готовится к завершению. Центральное место в этой интеграции занимает исследование «Правда»-1991» — последнее Всесоюзное исследование, имевшее объектом население страны. Исследование насчитывает четыре массива (№ 113—116), построенные по тому же принципу, что и исследования чтения конкретных материалов газет в проекте «Общественное мнение» и в проекте «Правда»-1977». Основной массив № 113: 9672 респондента, число переменных 3608, массив читателей газет «Правда», «АиФ», «Комсомольская правда», «Советская Россия» накануне опроса; № 114: 870 читателей, 429 переменных, массив материалов анализируемых газет; № 115: 1072 сообщения с 50 переменными контент-анализа, массив актов чтения и пропуска сообщений; № 116: 63 050 документов с 237 переменными — характеристиками людей и сообщений, а также фактом их присвоения или пропуска. Автор: А. В. Жаворонков. Разработчики методики: А. В. Жаворонков и В. Л. Павлов. В проекте использованы адаптированные к процедурам полевых работ методики, разработанные участниками проекта «Общественное мнение», а также некоторыми другими: Е. Н. Даниловой, Т. В. Затуловской, С. Е. Кухтериным; отдельные переменные были разработаны автором при участии С. Г. Смирновой, О. С. Со-ветовой, В. М. Иванова, В. А. Ядова.
14. Проект «Касимов-1994». «Ориентация школьников старших классов средних школ и их родителей на выбор профессий». Исследование выполнено по заказу и совместно с Московским институтом развития образовательных систем (МИРОС) и предусматривает детальное сопоставление с исследованием 004 (ПОМ-02) темы 1 проекта «Общественное мнение». Три массива. № 117: 265 переменных 842 документа (взрослое население г. Касимова, в том числе родители школьников и учителя школ); № 118: 79 переменных 302 документа (старшеклассники); № 119: 343 переменных 222 документа (семьи опрошенных школьников). Авторы программы-исследования: А. В. Жаворонков, В. Б. Новичков, Л. Н. Рыбакова.
15. «Семья-1997». Исследование проведено в 21 регионе Российской Федерации ведущим научным сотрудником ИСИ РАН М. Г. Панкратовой. Автор и руководитель: М. Г. Панкратова. Одно исследование № 120: 970 документов, 426 переменных.
16. Зондаж «Питер-99». Исследование «Выборы — Петербург-1999» предпринято в августе-сентябре 1999 г. в рамках избирательной кампании в 208 избирательном округе г. Петербурга. Метод сбора первичной информации — анкетный выборочный опрос на основе стихийного представительства в технике интервью. Исследование посвящено изучению информированности населения о депутате Госдумы С. М. Никифорове и разработке рекомендаций по повышению эффективности избирательной кампании в округе к моменту выборов в Госдуму. Авторы: А. В. Жаворонков, Э. И. Бутаев, С. М. Никифоров. Массив № 121: 1600 документов, 138 переменных.
17. «Выборы-2000». Контент-анализ «Независимой газеты» и «АиФ» в период президентских выборов, сопоставимый со всеми предыдущими исследованиями. Три массива. № 122 (характеристики сообщений): 1356 документов, 16 переменных; № 123 (характеристики упомянутых стран мира): 1748 документов, 16 переменных; № 124 (характеристики граждан РФ — субъектов содержания и мнений): 3973 документа, 26 переменных. Автор исследования: А. В. Жаворонков. Исполнители: студенты 4 курса ГУГН при ИСИ РАН.
18. «Тамбов-2004». Контрольный замер читаемости газетных материалов, проведенный аналогичной проекту «Общественное мнение», «Правда»-77» и «Прав-да»-91» методикой. Четыре массива приема информации. № 125 (аудитория газеты «Тамбовская жизнь») — 170 документов, 218 переменных; № 126 (принятые сообщения) — 82 документа, 11 переменных; № 127 (процесс приема сообщений) — 3252 документа, 206 переменных; № 128 (процесс приема и обсуждения имен отдельных героев и их характеристик и качеств) — 14 152 документа 225 переменных. Автор: А. В. Жаворонков. Прораб полевых работ: А. С. Топорков.
19. «Москва-2004». Контент-анализ газет во время президентских выборов, сопоставимый со всеми предыдущими исследованиями. Три массива анализа содержания ведущих газет различных направлений, которые насчитывают несколько тысяч материалов, упоминаний стран мира и граждан РФ — «образцов поведения» или «героев информации». Массив в обработке и готовится к анализу. В настоящей книге из него взяты для сравнения лишь четыре номера газеты «Ведомости». Это три массива. № 129 (сообщения газеты): 192 документа, 16 переменных; № 130 (упоминания стран мира): 257 документов, 10 переменных; № 131 (упоминания граждан РФ, «героев»): 365 документов, 10 переменных. Одновременно был проведен опрос старшеклассников Северного административного округа и их родителей в преддверии выборов, посвященный проблемам образования и сопоставимый с исследованием «Касимов-94», однако с уклоном в предвыборную тематику. Автор: А. В. Жаворонков. Исполнители полевых: работ А. А. Гнутов, А. С. Топорков. № 132 (школьники): документов 247, переменных 388; № 133 (родители школьников): документов 131, переменных 703.
20. Использованы также данные повторного сравнительного советско-американского исследования бюджетов времени «Псков-86» № 134 (2396 документов и 1656 переменных) и № 135 «Россия-1993» (1206 документов и 1877 переменных).
Они были любезно предоставлены соответственно В. Д. Патрушевым и В. Г. Анд-реенковым, а затем детально пераработаны, что позволило прояснить некоторые детали обнаруженных явлений.
21. Наконец, оригинал SPSS-файла информации сравнительного исследования ТВ СССР и США, осуществленного факультетом журналистики МГУ совместно с Анненбергской школой коммуникаций Пенсильванского университета (г. Филадельфия), и Картеровским центром социальных исследований Университета Эмори (г. Атланта), был любезно предоставлен мне одним из авторов этого исследования Л. Н. Федотовой. Данные обсчета 4007 частот этого массива по полу «героев» телепередач использованы в главе 6. См. упомянутую в главе 6 работу Федотовой Л. Н. «Анализ содержания телепередач» (М., 1992), в которой описывается методика и условия проведения данного исследования.
Итого 135 (а с данными Л. Н. Федотовой — 136) массивов. Не все они упоминаются в книге, однако все использовались для интеграции информации в крупные блоки. Так, исследования аудиторий и агентов институтов массовой устной пропаганды скрупулезно обработаны и сопоставлены с итоговыми результатами, полученными на общегородской выборке, но выводы об этом занимают в книге вскользь одно предложение; исследования опросов авторов писем коррелирова-лись по тематике и отдельным переменным, а также по интегральным характеристикам активности с другими исследованиями на предварительном этапе на предмет устойчивости распределений. Эта работа в книге вообще скрыта от глаз читателя.
Таково деление информации на крупные блоки в предлагаемом перечне массивов. Большую часть из них на основном завершающем этапе работы в 1993—1998 гг. подготовили к стандартному виду в формате SPSS-файлов сотрудники ИСИ РАН А. В. Жаворонков и А. Л. Королев. Работа осуществлена при поддержке Л. А. Они-кова и Майкла Ф. Сваффорда.
Большой вклад в решение задач отбора категорий анализа для последующей перекодировки представляемых массивов был внесен в ходе плановой обработки исследований проекта «Общественное мнение» в 1968—1975 гг. на ЭВМ ИСИ АН СССР и ЭВМ НИИ Автоматической аппаратуры (НИИ АА). Обработку в ИСИ АН СССР большей частью обеспечили В. И. Молчанов и Н. И. Ростегаева, на отдельных исследованиях и этапах работали В. А. Афанасьев, И. Ф. Бурлак, З. М. Виноградова, Н. М. Голованова, О. Л. Ковельская, И. Е. Кулагина, В. А. Малахов, Н. В. Михалев, Т. Е. Палагина, И. Н. Рысков, О. В. Суворова. В НИИ АА обработкой руководили Д. Ю. Панов, Ю. Н. Живлюк, Н. А. Тихонов, исполнителями были Т. М. Бочарова, А. Киселева, А. И. Токарев, И. Сизяков. Впоследствии А. И. Токарев способствовал восстановлению информации почти всех исследований проекта «Общественное мнение» на магнитные носители в образах карт. В 1982—1990 гг. большая работа была проделана по переводу части исследований проекта «Общественное мнение» с машинных кодов ЭВМ М-20 и БЭСМ-6 в коды ЕС ЭВМ
С. В. Сорокиным на ВЦ АН СССР, а в единые коды образов карт в ИСИ АН СССР А. О. Крыштановским, О. В. Лакутиным, Т. И. Ливановой, В. М. Мамедалиевым в Отделе методического и информационного обеспечения ИСИ АН СССР, возглавлявшегося в то время В. Г. Андреенковым.
Замечу, что при описании массивов постоянно используются прокомментированные для «формы» настоящего перечня как неопубликованные рабочие документы проекта «Общественное мнение», так и авторские тексты программ и методик, опубликованные в сборниках 47 пятниц, вып. 1, 2, 5 и 4. Ссылки на источники даются, если эти издания вышли в свет и сохранились хотя бы в нескольких экземплярах. Даты в описании даны подробно из-за их содержательного значения в понимании последовательности исследований, что немаловажно для анализа.
Перечень отдельных исследований
001. «Комсомол о комсомоле — 1966». Отношение молодежи к ряду актуальных проблем жизни комсомола: 3101 документ, 62 переменных.
Основной исполнитель: Институт общественного мнения «Комсомольской правды» (ИОМ КП).
Соисполнитель: ИСИ АН СССР (как организация, воссоздавшая исследование в машиночитаемом файле).
Авторы: М. С. Айвазян, Е. Г. Григорянц, Б. А. Грушин, Я. С. Капелюш.
Генеральная совокупность: члены организации ВЛКСМ в возрасте 14—30 лет в границах СССР.
Время сбора данных: 1966 (март-апрель).
Метод сбора данных: анкетирование по месту работы опрошенных; заполнение анкеты носило индивидуальный характер; опрос проводили сотрудники ИОМ КП.
Аннотация. Исследование проведено в канун XV съезда ВЛКСМ, имело целью выявить мнение комсомольцев о характере работы первичных комсомольских организаций, стоящих перед ними проблемах, степени влияния на жизнь рядовых членов ВЛКСМ.
Примечание. Существенная особенность исследования — опрос руководящих работников комсомольских органов в количестве 100 человек. Машиночитаемый файл имеет в базе данных дополнение в виде массива ответов на открытые вопросы анкеты. На эти вопросы дали ответы все опрошенные. Текстовой массив насчитывает 27 283 строки ответов.
Показатели. Основные направления в работе комсомола, наиболее важные сферы деятельности комсомола, оценка решения комсомолом своих задач, факторов и препятствий решения задач, главные успехи и недостатки в деятельности первичной организации, помощь комсомола в решении жизненных проблем респондента, активность респондента, оценки необходимости изменений практики приема в комсомол, отчетности и выборов в организациях, перечень наиболее важных проблем жизни организации, качеств, необходимых в первую очередь комсомольским руководителям, социально-демографические характеристики.
002. «Гимн». «Общественное мнение о государственном гимне СССР (результаты опроса городского и сельского населения страны)»: 3847 документов, 23 переменных.
Основной исполнитель: Институт общественного мнения «Комсомольской правды» (ИОМ КП).
Соисполнители: Сектор изучения общественного мнения Института философии АН СССР, ИСИ АН СССР (как организация, воссоздавшая исследование в машиночитаемом файле).
Авторы: Е. Г. Григорянц, Б. А. Грушин, Я. С. Капелюш, В. Я. Нейгольдберг.
Генеральная совокупность: взрослое (с 16 лет) население СССР.
Время сбора данных: 1967 г. (27 марта — 1 апреля).
Метод сбора данных: анкетный опрос по месту работы и месту жительства для разных групп населения в технике самозаполнения на основе репрезентативной квотной выборки отдельно по городскому и сельскому населению.
Аннотация. Цель исследования — выяснение отношения населения страны к планировавшимся руководством страны изменениям музыки и слов Государственного гимна СССР, а также предложения населения по данной проблеме.
Примечание. Техника исполнения — «опрос-молния». В анкету, распространявшуюся специально командированными из Москвы анкетерами, было включено всего два закрытых вопроса: опрашиваемому предлагалось выбрать соответствующее его точке зрения суждение относительно музыки и текста Гимна. Общее число опрошенных в соответствии с выборкой составило 3500 человек. Настоящий массив включает в себя также 347 респондентов, опрошенных в 1967 г. «про запас» вне выборки. Весь массив анкет был пронумерован в 1987 г. Опрошенные сверх выборки идут под номерами, начинающимися с 3501-го, и под соответствующим шифром кода.
Машиночитаемый файл имеет дополнение в виде массива текста свободных ответов на открытый вопрос анкеты. На этот вопрос дали ответы 209 человек.
Показатели. Два закрытых вопроса о том, что сделать: сохранить или изменить музыку, слова Государственного гимна, есть ли дополнительные предложения к закрытым вопросам, социально-демографические характеристики, характеристики регионов и населенных пунктов опроса.
003. «ПОМ-01». «Информированность населения относительно хозяйственной реформы и отношение к ней»: 911 документов, 172 переменных.
Основной исполнитель: ИСИ АН СССР.
Соисполнители: Институт общественного мнения «Комсомольской правды» (ИОМ КП), Сектор изучения общественного мнения Института философии АН СССР.
Автор: Б. А. Грушин; разработка анкеты при участии В. Я. Нейгольдберга.
Генеральная совокупность: взрослое (с 18 лет) население Таганрога порядка 160 тыс. человек.
Время сбора данных: 15.10—31.12.1967 г.
Метод сбора данных: анкетный выборочный опрос на основе общегородской стратифицированной выборки — метод квот, разработанной с учетом критериев пола, возраста, рода занятий и образования горожан.
Аннотация. Программа исследования предусматривала решение четырех основных задач: измерение информированности населения относительно некоторых сторон экономической реформы, фиксация состояния общественного мнения относительно этих сторон, выяснение отношения населения к источникам информации об экономической реформе, определение зависимости информированности населения от характеристик источников информации. Предусматривалось также сравнение характеристик общественного мнения и анализа содержания информационных средств и каналов, посвященного реформе; последние зафиксированы в массиве № 008.
Примечание. К машиночитаемому файлу прилагается текстовой файл ответов 600 респондентов на открытые вопросы. В качестве полевых документов в исследовании выступали три, в целом совпадающие по своему содержанию анкеты. Первые две, предназначенные для работников промышленных предприятий, соответственно перешедших и готовящихся к переходу на новую систему работы, имели идентичную структуру и содержали (каждая) 39 вопросов (9 закрытых, 2 полузакрытых и 28 открытых). Третья анкета (документ № 3), рассчитанная на «прочее население» (студенты, пенсионеры, служащие сферы обслуживания и др.) содержала 38 вопросов (11 закрытых, 1 полузакрытый и 26 открытых). Полевые документы дважды подвергались пилотажному апробированию в гг. Калинине и Ярославле. Окончательный их вариант составлен с учетом пилотажных работ.
Показатели. Информированность относительно сроков принятия решения об экономической реформе, времени перехода предприятия респондента на работу по-новому, времени окончания перехода всех предприятий на режим новой работы, основных задач экономической реформы, участие респондента в процессе перехода предприятий города на новую систему работы, формы такого участия и причины неучастия, наблюдаемые респондентом перемены в связи с реформой, источники информации в целом и по проблемам реформы. Подробную структуру полевого документа см.: 47 пятниц. Вып. 1. — М.: ИСИ АН СССР, 1969. — С. 67-71.
004. «ПОМ-02». «Информированность населения относительно различных профессий и отношение к этим профессиям»: 1026 документов, 963 переменных.
Основной исполнитель: ИСИ АН СССР.
Соисполнители: Институт общественного мнения «Комсомольской правды» (ИОМ КП), Отдел конкретных социологических исследований Института философии АН СССР.
Автор: В. В. Сазонов.
Генеральная совокупность: взрослое (с 18 лет) население Таганрога порядка 160 тыс. человек
Время сбора данных: 15.10.1967-5.1.1968 г.
Метод сбора данных: неформализованное интервью по месту жительства или месту работы респондента.
Аннотация. Предмет исследования — общественное мнение г. Таганрога об авторитете различных профессий, их социальных качествах и статусе. Задачи исследования: определить признаки, используемые в массовом сознании для описания каждой отдельной профессии; установить, есть ли признаки равно используемые для описания разных профессий; зафиксировать положение отдельных профессий в массовом сознания на общих шкалах-признаках; произвести классификацию признаков и связать их с разными группами профессий: распространенные — нераспространенные, популярные — непопулярные, умственного труда — физического труда и т. д. Предусматривалось также сравнение характеристик общественного мнения и анализа содержания информационных средств и каналов, посвященного различным профессиям; последние зафиксированы в массивах № 009—010.
Примечание. К машиночитаемому файлу прилагается текстовой файл ответов всех респондентов на открытые вопросы. Файл содержит все подлинные тексты всех ответов респондента на открытые вопросы анкеты: предпочитаемые для детей профессии, причины выбора этих профессий, собственная профессия респондента, должность респондента, профессия отца респондента, профессия матери респондента. Файл содержит около 95 000 записей.
Показатели. Сравнение набора из 50 профессий по их авторитету у населения, описание профессий, которые прожективно выбираются для детей, в терминах респондента, предпочитаемые профессии по их группам, степень тех или иных качеств, которые присущи каждой из 20 выбранных профессий, ранжирование этих качеств по 5-балльной шкале, представление о первой из выбранных профессий в терминах респондента, факторы этого представления, социально-демографические характеристики. Подробную структуру полевого документа см.: 47 пятниц. Вып. 1. М., 1969. — С. 72-82.
005. «ПОМ-03». «Информированность населения относительно международной жизни и отношение к различным странам; массив 1 (ответы респондента по всем странам»): 969 документов, 381 переменная.
Основной исполнитель: ИСИ АН СССР.
Соисполнитель: Отдел конкретных социологических исследований Института философии АН СССР.
Авторы: Е. Г. Григорянц, Б. А. Грушин.
Генеральная совокупность: взрослое (с 18 лет) население Таганрога порядка 160 тыс. человек.
Время сбора данных: 15.01-10.02. 1968 г.
Метод сбора данных: неформализованное интервью по месту жительства или месту работы респондента.
Аннотация. Предмет исследования — общественное мнение г. Таганрога о странах мира и проблемах международной жизни. Предусматривалось сравнение характеристик общественного мнения и анализа содержания информационных средств и каналов, посвященного проблемам международной жизни и освещения жизни разных стран; последние зафиксированы в массиве № 011.
Примечание. Специфика данного массива по отношению к следующему из описываемых в том, что здесь фиксированы ответы респондента на вопросы, касающиеся международных проблем и стран в целом, а не отношения опрашиваемого к отдельно взятой стране, выбранной им для поездки в прожективной ситуации исполнения его намерений.
Показатели. Пять предпочитаемых для зарубежной поездки стран, причины и мотивы выбора стран, бывал ли респондент за границей и с какой целью, наиболее благоприятные и негативные международные события минувшего года, выдающиеся зарубежные достижения в области науки, литературы, спортивной жизни, выдающиеся политические деятели зарубежных стран, зарубежные страны-лидеры в областях: экономики, повышения жизненного уровня населения, политической активности масс, демократии, сохранения мира на Земле, укрепления дружбы с СССР, наличие стран, вызывающих симпатию. Зарубежные страны-лидеры в подавлении политических свобод граждан, раздувания военной угрозы миру, враждебном отношении к СССР, наличие стран, вызывающих антипатию, социально-демографические характеристики. Подробную структуру полевого документа см.: 47 пятниц. Вып. 1. М., 1969. — С. 82—97.
006. «ПОМ-03». «Информированность населения относительно международной жизни и отношение к различным странам; массив 2 (ответы респондента по отдельным выбранным для поездки странам): 4616 документов, 250 переменных.
Основной исполнитель: ИСИ АН СССР.
Соисполнитель: Отдел конкретных социологических исследований Института философии АН СССР.
Авторы: Е. Г. Григорянц, Б. А. Грушин.
Генеральная совокупность: взрослое (с 18 лет) население Таганрога порядка 160 тыс. человек.
Время сбора данных: 15.01—10.02. 1968 г.
Метод сбора данных: неформализованное интервью по месту жительства или месту работы респондента.
Аннотация. Предмет исследования — суждения респондента относительно различных сторон жизни страны, выбранной им для зарубежной поездки. Предусматривалось сравнение характеристик общественного мнения и анализа содержания информационных средств и каналов, посвященного проблемам международной жизни и освещения жизни различных стран; последние зафиксированы в массиве № 011.
Примечание. Этот массив фиксирует ответы респондентов из описанного под предыдущим номером исследования, однако в той части интервью, которая касается отношений и знаний респондента по какой-либо отдельной из выбранных им для поездки стране. Каждый респондент называл определенное число стран, в которые ему хотелось бы поехать. Среднее число стран на одного ответившего — 4,8. Таким образом, этот файл представляет собой ответы каждого респондента по отдельно названной им в том или ином случае стране. Общий объем массива составляет 4616 упоминания стран. Между исследованиями № 005 и № 006 существует связь по номерам респондентов, файл соответствий находится в базе данных.
Кроме того, существует массив из 55 928 записей, содержащий подлинные тексты всех ответов респондентов на все открытые вопросы анкеты.
Показатели. Первая — последняя из предпочитаемых для зарубежной поездки стран, наиболее привлекательные стороны жизни выбранной страны, источники информации об этой стране, выдающиеся личности данной страны, известные респонденту, наиболее важное для народа этой страны событие послевоенной (после 1945 г.) жизни, оценки по 5-балльной системе в выбранной стране уровней развития экономики, культуры, демократии, возможностей для получения образования и профессии, устройства быта и материального благополучия, физического развития; оценка политики выбранной страны в вопросах мира, отношения к развивающимся странам, отношения к СССР, положительные и отрицательные черты, присущие народу выбранной страны, социальнодемографические характеристики. Структуру полевого документа см.: 47 пятниц. Вып. 1. М., 1969. — С. 82-97.
007. «ПОМ-06». «Информированность населения относительно городских проблем и отношение к этим проблемам»: 982 документа, 583 переменных.
Основной исполнитель: ИСИ АН СССР.
Авторы: Б. А. Грушин, Г. А. Слесарев (при участии М. С. Айвазяна и В. Я. Ней-гольдберга).
Іенеральная совокупность: взрослое (с 18 лет) население Таганрога порядка 160 тыс. человек.
Время сбора данных: 02.04-26.04.1969 г.
Метод сбора данных: формализованное интервью по месту жительства на основе случайной выборки по спискам избирателей с отбором каждого двухсотого.
Аннотация. Предмет исследования: информированность населения (знание важнейших городских проблем, отношение к ним, оценки способности местных органов управления решить эти проблемы, прогнозы вероятности и характера решения проблем и т. п.). Основные задачи исследования — рассмотрение зависимости между отношением населения к решению социальных проблем и деятельности местных органов власти, с одной стороны, и степенью информированности населения о различных сферах общественной жизни — с другой. Предусматривалось сравнение характеристик общественного мнения и характеристик содержания единственной общегородской газеты «Таганрогская правда», посвященного городским проблемам; последние зафиксированы в массивах № 012-014.
Примечание. В базе данных есть сопутствующий массив ответов на открытые вопросы-оценки снабжения различных групп населения продовольственными и промышленными товарами, которые сопоставимы с аналогичными вопросами во всесоюзном исследовании 1991 г. Файл содержит 22 424 записи.
Показатели. Оценки состояния дел в городе с проблемами трудоустройства, жилищной, торговли, снабжения продовольственными и промышленными товарами, бытового обслуживания, работы культурных учреждений и органов правопорядка, искоренения преступности, информированность об этих областях жизни (знание зарубежных стран, куда экспортируется продукция города, объемов жилищного строительства, выдающихся людей города, в том числе как исторических личностей, так и действующих в современный период людей, и т. д.), оценка возможностей населения в изменении условий жизни, желание покинуть город, оценка способности органов власти решить проблемы, прогноз решения проблем в ближайшие годы, источники информации об окружающей жизни, социально-демографические характеристики, источник миграции в город, время проживания и т. п.
008. «ПОМ-07». «Хозяйственная реформа в материалах центральных и местных средств массовой коммуникации»: 1822 документа, 28 переменных.
Основной исполнитель: ИСИ АН СССР.
Автор: В. С. Коробейников.
Генеральная совокупность: материалы газет, радио и ТВ, центральных и местных (Ростовская область и Таганрог), посвященные экономической реформе в период 1965-1967 гг.
Время сбора данных: информация периодов: 05.10-31.12.1965 г., 05.1031.12.1966 г. 01.07-31.08 и 15.11-28.12.1967 г., анализ содержания — 1968 г.
Метод сбора данных: анализ содержания материалов газет, радио, ТВ и суждений текста этих материалов, посвященных характеристикам экономической реформы.
Аннотация. Главная цель настоящего исследования — измерение частоты внимания к отдельным элементам содержания проблем экономической реформы со стороны центральных и местных СМИ, а также общего объема информации, освещающей эти проблемы. Материалы газет, радио, ТВ анализируются с точки зрения объема информации и направленности внимания коммуникатора к определенным ниже аспектам реформы. Материалом для анализа служат статьи и заметки в газетах, радио- и телепередачи под рубриками, прямо связанными с реформой, а также все прочие статьи, заметки, передачи, содержащие суждения (отдельные абзацы, предложения) по проблемам реформы. Элементы содержания общего поля частот могут быть сопоставлены с суждениями населения в исследовании под № 003.
Примечание. В процессе плановой обработки проекта «Общественное мнение» настоящее исследование было обработано вручную. Объем обработанной информации составил 1242 материала газет, радио- и телепередач. Однако впоследствии в ИСИ АН СССР исчезли все карточки кодировки материалов центральных газет. Массив включает анализ 611 материалов газет: «Молот», «Комсомолец», «Таганрогская правда» и материалов Всесоюзного, Ростовского и Таганрогского радио и Центрального и Ростовского ТВ, насчитывающих 1822 упоминания об экономической реформе. Каждое из упоминаний и есть документ данного исследования. На Всесоюзном радио анализируются передачи отдела экономики и промышленности и радиопрограммы «Маяк»; на Центральном ТВ — материалы рубрик «наука — производству», «стандарты СССР», «телевизионные новости», «экономисты за круглым столом», а также некоторые другие передачи, затрагивающие проблемы экономической реформы. Анализ материалов газет, радио- и телепередач проводится в границах трех периодов: первый совпадает с наибольшей активностью прессы, радио и ТВ по освещению проблем экономической реформы (недавнее окончание работы октябрьского пленума ЦК КПСС, приближение съезда партии), второй повторяет те же календарные сроки в 1966 г., третий проходил в июле, августе и с 15 ноября по 28 декабря 1967 г. параллельно проведению опроса населения по данной теме.
Показатели. По шести основным аспектам проблемы (категориям): главные задачи реформы (формулирование задач, констатация фактов), время принятия решения о реформе и время ее завершения, перемены в связи с проведением реформы, конструктивные предложения по проблемам реформы, характер участия трудящихся в осуществлении реформы, тип группы, участвующей в осуществлении реформы. Учитываются территориально-производственные границы информации, уровень конкретности материалов, авторство материалов, степень оригинальности изложения материалов. Подробную структуру полевого документа см.: 47 пятниц. Вып. 1. — С. 98—105; 47 пятниц. Вып. 5. М.: ИСИ АН СССР, 1969. — С. 13-20.
009-010. «ПОМ-08». «Различные профессии в материалах центральных и местных средств массовой коммуникации». № 009: 14 744 документа, 141 переменная; № 010: 1052 документа, 141 переменная.
Основной исполнитель: ИСИ АН СССР.
Автор: В. В. Сазонов.
Генеральная совокупность: материалы газет, радио и ТВ, центральных и местных (Ростовская область и Таганрог), посвященные различным профессиям в период 1965-1967 гг.
Время сбора данных:четные месяцы 1965-1967 гг., время полевых работ — с 1968 по 1974 г.
Метод сбора данных: анализ содержания материалов газет, радио, ТВ и упоминаний различных профессий в тексте этих материалов.
Аннотация. Исследование входит составной частью в группу, рассматривающую комплекс отношений между СМИ (материалы прессы, радио и ТВ) и массовым сознанием (с той стороны, которая совпадает с общественным мнением). Проект «Общественное мнение» в целом предусматривает постановку серии парных эмпирических исследований, анализирующих совокупность высказываний СМИ и общественного мнения по поводу одного и того же объекта и сопоставляющих результаты этого анализа. Исследования «ПОМ-08» и «ПОМ-02» № 009, 010 и 004 как раз составляют одну из таких пар. Если «ПОМ-02» выясняет, как по поводу представителей разных профессий высказывается общественное мнение, то настоящее исследование («ПОМ-08» — № 009, 010) должно установить, как по тому же поводу высказываются СМИ.
Примечание. Анализируются такие СМИ, как «Правда», «Известия», «Комсомольская правда», «Труд», «Сельская жизнь», «Советская Россия», областные газеты «Молот» и «Комсомолец», городская газета «Таганрогская правда», областное и городское радио, Центральное (I программа) и областное ТВ. В выборку по всем каналам входит каждый четвертый номер газеты (день радио-, телевещания) четных месяцев 1965, 1966 и 1967 гг.
Массивы представляют собой перенесенные на машинные коды данные исследования, кодировка которого была начата его автором В. В. Сазоновым в 1968 г. и закончена А. В. Корбут в 1974 г. Исследование содержит два файла: первый — анализ текстовых материалов, второй — анализ фотографических сообщений. Оба могут быть слиты при желании в один файл документов для совместного анализа. Число документов в первом файле — 14 744 (упоминания отдельных профессий — № 009), во втором — 1052 упоминания профессий на фотографиях (№ 010).
Показатели. Объем каждого сообщения, несущего упоминания об определенной профессии; объем части сообщения, посвященной описанию выделенной профессии; частота упоминания распространенности отдельных категорий. Единица анализа — сообщение: характер сообщения (личностное, смешанное, неличностное), место в сообщении, место сообщения. Единица анализа — слово, предложение, набор предложений, сообщение и т. п.: упоминаемые профессии — 55 градаций, род субъектов упомянутых профессии, знак отношения коммуникатора к профессии, связь с работой (способы изображения субъекта), характеристика параметров труда, качественная характеристика субъекта профессии (60 признаков), степень интенсивности признака с учетом выраженного отношения коммуникатора к представителю профессии как носителю данного качества. Подробную структуру полевого документа см.: 47 пятниц. Вып. 1. М., 1969. — С. 106—113; методику и инструкцию см.: 47 пятниц. Вып. 5. М., 1969. — С. 21—173.
011. «ПОМ-09». «Международная информация в материалах центральных и местных средств массовой информации»: 52 904 документа, 55 переменных.
Основной исполнитель: ИСИ АН СССР.
Автор: Б. А. Грушин.
Генеральная совокупность: упоминания зарубежных стран в сообщениях газет, радио, ТВ за календарный год.
Время сбора данных: информация — второй день каждого второго (четного) месяца 1967 г., полевые работы — 1967—1968 гг.
Метод сбора данных: анализ содержания сообщений газет, радио и ТВ и упоминаний в этих сообщениях различных зарубежных стран.
Аннотация. Настоящее исследование измеряет объем и содержание информации, передаваемой газетами, радио и ТВ о различных зарубежных странах и международных отношениях. Предметом анализа выступают любые материалы, содержащие упоминание о той или иной зарубежной стране (деятелях страны и т. п.) или информацию, выражающую отношение к той или иной стране. В число анализируемых попадают как «международные» материалы, так и те, где упоминание страны встречается хотя бы в одном абзаце или даже предложении.
Примечание. В рамках исследования анализируются материалы «Правды», «Известий», «Комсомольской правды», «Труда», «Сельской жизни», «Советской России», областных газет «Молот» и «Комсомолец», городской газеты «Таганрогская правда», Всесоюзного (I программа и программа «Маяк»), областного и городского радио, Центрального (I программа) и областного ТВ. Объем — 90 дней по каждому источнику информации, общее число упоминаний стран — 52 904.
Показатели. Материалы по каждой стране рассматриваются с точки зрения частоты упоминания определенной страны, объема информации (число строк), сферы жизни, позиции в вопросах войны и мира, отношению к развивающимся странам, отношению к СССР, знака информации, характера (типа) материала, канала коммуникации. Элементы содержания общего поля частот могут быть сопоставлены с суждениями населения в исследованиях № 005, 006. Подробную структуру полевого документа см.: 47 пятниц. Вып. 1. М., 1969. — С. 114—121; методику — 47 пятниц. Вып. 5. М., 1969. — С. 174—186.
012. «ПОМ-12». «Городские проблемы в материалах газеты «Таганрогская правда». Массив 1 (субъект содержания — «герой» информации»): 9906 документов, 100 переменных.
Основной исполнитель: ИСИ АН СССР.
Авторы: Б. А. Грушин, А. В. Жаворонков.
Генеральная совокупность: 9908 субъектов деятельности, упомянутые в 2725 сообщениях городской газеты за четыре месяца (85 номеров газеты за период «генерального поля»).
Время сбора данных: информация за 03.12.1968 г.—29.03.1969 г., полевые работы
14.03- 26.05.1973 г.
Метод сбора данных: анализ содержания сообщений городской газеты и упоминаний субъектов деятельности в этих материалах.
Аннотация. Предмет исследования — субъекты информации (отдельные лица, коллективы, организации, группы, упомянутые в сообщениях в качестве субъектов деятельности) на страницах единственной общегородской газеты «Таганрогская правда»; поток отражаемой реальности в персонифицированной форме, его социально-демографическая, проблемная, знаковая, оценочная, по качествам субъекта и подобная структура, объективированная в тексте СМИ. На уровне персонифицированного ряда в СМИ можно получить информацию о социальной структуре субъекта деятельности, а также более полную картину отражения социальной реальности в тексте единственной общегородской газеты. Сопоставление этих картин с объективными данными и с оценками проблем населением — одна из важных задач проекта в целом.
Примечание. Выборка сплошная — все 9908 субъектов деятельности. Принятый к анализу объем — 9906 документов. 2 документа утеряны. Для более полных представлений см. также описание исследований № 013 и 014.
Показатели. Частота упоминания субъектов деятельности, день освещения, месяц освещения, пол, возраст, род занятий, общественный статус, знак, сфера деятельности и локальность освещения, положительные и отрицательные качества субъекта деятельности, его положение в процессе выражения мнений и оценки реальности и постановке городских проблем, а также соотнесение его характеристик с типом автора материала, где субъект содержания упомянут.
013. «ПОМ-47а». «Городские проблемы в материалах городских средств массовой коммуникации» (ПОМ-12) и «Городская газета как канал выражения общественного мнения» (ПОМ-47). Анализ содержания материалов — массив 2: основной массив информации исследований ПОМ-12, 47 (характеристики материалов газеты в целом): 2722 документа, 261 переменная.
Основной исполнитель: ИСИ АН СССР.
Авторы: Б. А. Грушин, А. В. Жаворонков.
Генеральная совокупность: 2725 материалов городской газеты за четыре месяца, указанных в предыдущем исследовании.
Время сбора данных: информация за 03.12.1968 г. — 29.03.1969 г., полевые работы
14.03- 06.05.1973 г.
Метод сбора данных: анализ содержания материалов 85 номеров газеты «Таганрогская правда».
Аннотация. Массив объединяет два исследования проекта «Общественное мнение»: «Городские проблемы в материалах городских средств массовой коммуникации» и «Городская газета как канал выражения общественного мнения». Оба реализованы в технике анализа содержания сообщений в целом. Основные задачи исследований: определение частоты и объема информации об актуальных проблемах жизни Таганрога в общем потоке сообщений, о тех или иных сферах городской жизни с учетом локальности последних и знака информации, а также определение объема и структуры информации, содержащей мнение населения города, в текстах единственной общегородской газеты, и тем самым измерение объективногое (в количестве сообщений и их характеристиках) отношения коммуникатора к функции городской газеты быть каналом выражения общественного мнения.
Примечание. Принятый к анализу объем — 2722 документа. 3 документа утеряно. Оба исследования были реализованы с помощью техники анализа содержания единой для обоих исследований методикой и имели объектом одни и те же материалы газеты «Таганрогская правда» по проблемам городской жизни. Однако исследование ПОМ-12 имело объектом 2725 сообщений указанной газеты, вышедших с 03.12.1968 г. по 29.03.1969 г., а ПОМ-47 — 2019 тех же сообщений, но с 03.12.68 г. по 28.02.69 г. В 706 сообщениях за март 1969 г. характеристики общественного мнения (знак, направленность, субъект мнения и т. п.) не фиксировались.
Показатели. Время выхода сообщения, его оперативность и жанр, тип автора, сфера общественной жизни, освещаемая в сообщении, локальность этой сферы, направленность информации в контуре «органы управления — население», субъект инициативы в постановке городских проблем, тип информации (мнение — нейтральная информация), знак оценочных и направленность конструктивных суждений, модальность последних, соотношение между автором и субъектом общественного мнения, уровень и тип мнения, выраженного в сообщении, все вышеуказанные в исследовании № 012 характеристики субъекта деятельности и все нижеуказанные в исследовании № 014 характеристики субъекта мнения, взятые в качестве совместных частот в рамках одного сообщения (накладывающиеся друг на друга).
014. «ПОМ-47б». «Городская газета как канал выражения общественного мнения» (ПОМ-47); массив 3 — анализ содержания мнений (субъект выраженного общественного мнения): 2196 документов, 74 переменных.
Основной исполнитель: ИСИ АН СССР.
Авторы: Б. А. Грушин, А. В. Жаворонков, В. Я. Нейгольдберг.
Генеральная совокупность: 2202 лица (организации, коллектива), выразивших мнение о различных проблемах (событиях, фактах) в 2019 сообщениях городской газеты за три месяца с 03.12.1968 г. по 28.02.1969 г. (63 номера газеты «Таганрогская правда»).
Время сбора данных: информация за 03.12.1968—28.02.1969 гг., полевые работы
14.03-06.05.1973 г.
Метод сбора данных: анализ содержания характеристик лиц, выразивших мнение по поводу тех или иных событий жизни города.
Аннотация. Предмет исследования — субъекты мнений (авторы материалов и лица, упомянутые в сообщениях) на страницах городской газеты; поток выраженного общественного мнения, его социально-демографическая, проблемная, знаковая, социально направленная и т. п. структура, объективированная в тексте массовой информации. Одна из задач — получение картины объективации в содержании текста элементов деятельности индивидуума, но уже на уровне информационно-оценочного ряда (ряда мнений).
Примечание. Объем генеральной совокупности был взят весь. Принятый к анализу объем 2196 документов объясняется утерей 6 документов. Взаимосвязь между документами исследований № 012—014 отражена в соответствующих вспомогательных файлах базы «INSYS».
Показатели. Частота упоминания субъектов мнения, время выражения мнения, пол, возраст, род занятий, общественный статус, знак, сфера деятельности и локальность освещения субъекта мнения, его положение в процессе выражения мнений и оценки реальности, соотнесение его характеристик с типом автора материала, где субъект мнения дает оценку или вносит предложения, ссылки субъекта на мнения различных слоев и групп населения, органов власти, журналистов и т. п.
015—019. «ПОМ-15, 16». «Влияние установок на уровень информированности населения (в рамках изучения прессы)»; № 015: 533 документа, 403 переменных; № 016: 1043 документа, 206 переменных; № 017: 107 документов, 146 переменных; № 018: 240 документов, 345 переменных; № 019: 4546 документов, 491 переменная.
Основной исполнитель: ИСИ АН СССР.
Авторы: М. С. Айвазян, Б. А. Грушин, В. С. Комаровский, в части исследований № 017—019 — А. В. Жаворонков.
Генеральная совокупность: занятое в народном хозяйстве население г. Таганрога и учащиеся вузов и техникумов города.
Время сбора данных: 12.02—05.04.1968 г.
Метод сбора данных: панельное интервью и серия из трех моментальных опросов-фотографий, проведенных два раза совместно с интервью, а в третий раз самостоятельно.
Аннотация. Основные задачи — определить наличие установок в отношении определенных газет (как и прессы вообще) и в отношении информации у представителей различных социально-демографических групп населения, определить содержание и силу вербальных установок различных групп, выявить влияние установок на потребление, переработку и распространение информации, определить степень связи отдельных элементов вербальных установок и соответствующих установок действия.
Примечание. Исследование состоит из пяти массивов, выполненных на одной выборке:
1) общее отношение к газетам (№ 015);
2) отношение к отдельным газетам (№ 016);
3) читатели газеты «Таганрогская правда» (№ 017);
4) анализ содержания прочитанных материалов газеты «Таганрогская правда» (№ 018);
5) характеристики актов поведения (чтения, просмотра, пропуска) в отношении сообщений газеты, где в характеристику поведения включались категории и респондента, и сообщения (№ 019).
Показатели. Путем опросов-фотографий выявляется установка действия, в качестве которой в исследовании рассматриваются: подписка (покупка) — отказ от подписки (покупки) газеты, чтение — отказ от него (по существу), согласие — несогласие с утверждениями, высказываемыми газетой, высказывания в духе газеты — в противоположном ей направлении, передача газетной информации другим лицам — умолчание о ней. В качестве элементов установки действия в отношении содержания информации рассматриваются отбор опрашиваемым отдельных сообщений (по диапазону и знаку), внимание к отдельным содержательным моментам в этих сообщениях. В качестве форм реального поведения рассматриваются чтение, беглый просмотр и пропуск конкретных сообщений, анализ содержания которых насчитывает более трехсот переменных и, таким образом, поле реального поведения в отношении сообщений выявляет на пересечении социально-демографических характеристик респондента и характеристик информации структуру процесса присвоения содержательных элементов сообщений различными группами. Программу и методику исследований см.: 47 пятниц. Вып. 1. М., 1969. — С. 127—164; Жаворонков А. В. Аудитория средств массовой информации и пропаганды. Социологический анализ. Канд. дис. — М.: ИСИ АН СССР, 1976.
020. «ПОМ-17—24». «Влияние семиотической подготовки аудитории и информативности текста на уровень информированности населения (в рамках изучения прессы)»: 300 документов, 230 переменных.
Основной исполнитель: ИСИ АН СССР.
Автор: Т. М. Дридзе, руководитель — Б. А. Грушин.
Генеральная совокупность: взрослое (с 18 лет) население г. Таганрог.
Время сбора данных: 23.06 — 17.07.1968 г.
Метод сбора данных: индивидуальное анкетирование и тестирование (в том числе с использованием разработанной специально для русского языка методики семантического дифференциала Ч. Осгуда) по месту работы (учебы) и по месту жительства.
Аннотация. Задачи этой темы проекта «Общественное мнение» — выявление существующих типов семиотической подготовки читателей; характеристика распространенности этих типов среди разных групп населения, степени владения группами языками культуры; установление влияния уровня семиотической подготовки на выбор и интерпретацию информации, тем самым на уровень информированности населения; фиксация типов информации в зависимости от языка (способа изложения) газетного сообщения и влияния этого фактора на выбор и интерпретацию информации.
Примечание. Тема сводится к следующим исследованиям: ПОМ-17 — характеристики чтения газет населением; ПОМ-18 — информированность населения относительно различных сфер культуры («номиналии»); ПОМ-19 — знакомство населения с внешнеполитическим словарем газет; ПОМ-20 — понимание населением «сложных» материалов прессы; ПОМ-21 — дифференциальное восприятие языка газет; ПОМ-22 — влияние заголовков на информативность газетных сообщений; ПОМ-23 — речевые клише и штампы сознания; ПОМ-24 — понимание населением «простых» материалов прессы. Все восемь исследований темы представлены одним файлом, созданным под руководством и лично Т. М. Дридзе в процессе реализации проекта «Общественное мнение» в 1968—1969 гг. (программист И. Е. Кулагина). Характеристики всех восьми исследований отражены в соответствующих позициях и переменных данного файла. Файл перекодирован с кодов ЭВМ БСМ-6 в соответствующий международным стандартам формат в 1987 г. на ВЦ АН СССР С. В. Сорокиным (консультант — А. В. Жаворонков). Исследование восстановлено А. В. Жаворонковым и А. Л. Королевым в виде SPSS-файла в 1996 г.
Выборка: стратифицированная непропорциональная (типологическая), основанная на получении представительных групп по роду занятий и образованию. Разработчик выборки — Б. А. Грушин.
Показатели. Чтение газет и журналов, предпочитаемые журналы (прожективная ситуация), группы по уровню семиотической подготовки (степени понимания цели и адекватности интерпретации текста сообщения), группы по уровню осознания штампа (клише масс-коммуникативных текстов), группы по уровню знания различных областей культуры (по именам выдающихся лиц, составляющих содержание школьного образования, масс-коммуникативных текстов, специализированного интереса), знание общего и специального словаря прессы, выбор материала по заголовкам, причины отказа от чтения сообщений, способ чтения газеты, тематические интересы, социально-демографические характеристики. Программу и методики, способ проведения исследования, аппарат и результаты анализа (как цифровые, так и содержательные), структуру полевого документа см.: 47 пятниц. Вып. 1. М., 1969. — С. 165—203; Дридзе Т. М. Текстовая деятельность в структуре социальной коммуникации. — М.: Наука, 1984; Дризе Т. М. Организация и методы лингвопсихосоциологического исследования массовой коммуникации. — М.: МГУ, 1979.
021—022. «ПОМ-25». «Отношение журналистов местных средств массовой коммуникации к деятельности средств массовой коммуникации в качестве источника информации». № 021: 102 документа, 656 переменных; № 022: 109 документов, 93 переменных.
Основной исполнитель: ИСИ АН СССР.
Авторы: Б. А. Грушин, А. А. Ширяева, разработка кодификатора массива № 021 — В. Н. Никитина, массива № 022 — А. В. Жаворонков.
Генеральная совокупность: все творческие работники редакций газет, радио, ТВ Ростова-на-Дону и Таганрога, всего 125 человек.
Время сбора данных: 11.06—31.07.1969 г. в Таганроге и 18.09—2.10.1969 г. в Ростове-на-Дону.
Метод сбора данных: двухступенчатое свободное интервью по программе с использованием карточек, вручаемых интервьюируемым; опрос проходил по месту работы опрашиваемых.
Аннотация. Основная задача исследования состояла в измерении отношения журналистов к функции средств массовой информации быть источником информации.
Примечание. Опрос охватывал всю генеральную совокупность — 125 человек. В связи с отказами, болезнями, отпусками и увольнениями общее число опрошенных составило 110 человек. Массив № 021: 102 документа, утрачены документы № 012, 062—066, 070, 100. Массив № 022 (представляет структуру полевого документа частично выбранными и унифицированными вопросами): 109 документов, утрачен документ № 110. Функциональное назначение в базе «INSYS» — типология журналистов с точки зрения активности информационного приема и проведения свободного времени; сопоставление этой типологии с аналогичными данными из других исследований.
Показатели. Представления журналистов о своих задачах в целом, конкретной редакции, где они работают, аудитории, которую информируют, постановка тех же вопросов в ситуациях желательности и долженствования, а также в ситуации реального положения дел. Программу и методику исследования см.: 47 пятниц. Вып. 2. М., 1973. — М.: ИСИ АН СССР, 1973. — С. 5-42.
023-025. «ПОМ-27». «Местные средства массовой коммуникации как источник информации (анализ содержания материалов)». № 023: 9535 документов, 541пе-ременная; № 024: 532 документа, 25 переменных; № 025: 689 документов, 13 переменных.
Основной исполнитель: ИСИ АН СССР.
Авторы: Б. А. Грушин и Л. Н. Федотова.
Генеральная совокупность: областная партийная газета «Молот» (76 номеров), областная комсомольская газета «Комсомолец» (64 номера), городская газета «Таганрогская правда» (64 номера), областное — Ростовское — ТВ (в объеме вещания 270 часов), областное — Ростовское — радио (в объеме вещания 180 часов), городское — Таганрогское — радио (в объеме вещания 23 часа).
Время сбора данных: информация за период 01.02-30.04.1968 г., полевые работы — июнь 1968 — март 1969 гг.
Метод сбора данных: анализ содержания текста сообщений местных СМИ: газет, радио, ТВ.
Аннотация. Основные задачи — определение структуры и объема информации, передаваемой местными СМИ. Исследование направлено на выявление реального содержания информации, распространяемой СМИ, измерение общего объема и удельного веса анализируемой с точки зрения выделенных признаков информации в общем потоке сообщений, передаваемых каждым из рассматриваемых каналов массовой коммуникации.
Примечание. Выборка осуществлена в процессе полевых работ под наблюдением Л.Н. Федотовой, кодировщики — дипломники факультета журналистики МГУ. При восстановлении информации в 1993 г. в архиве ИСИ РАН обнаружилась потеря информации газет «Молот» за март (30 номеров) и «Комсомолец» за февраль (22 номера). Остальные каналы коммуникации в восстановленном массиве представлены полностью за три месяца. Общий объем принятой к анализу информации в массиве № 023 составляет 9535 сообщений газет, радио, ТВ против 11 151 сообщения в исходной выборке, т. е. 85,5 %. Массив № 024 — совместное упоминание сфер в городской газете (532 упоминания), № 025 — элементы содержания информации (689 упоминаний).
Показатели. Общий объем, удельный вес и частота характеристик информации измеряется с точки зрения признаков: локальность, сфера общественной жизни (категория содержания), элементы содержания категорий с учетом локальности, знака отношения и модальности элементов содержания, хронология отражаемого в информации события, оперативность подачи материала о событии, новизна подаваемой информации, источник получения передаваемой информации, модальность информации, жанровая характеристика материалов. Элементы содержания предусматривали характеристики системы хозяйства, благосостояния народа, системы демократии, системы идеологии, условий развития и структуры личности в той или другой социальной системе. Методику исследования см.: 47 пятниц. Вып. 5. М., 1969. - С. 187-199; вып. 2. М., 1973. - С. 43-55.
026-027. «ПОМ-28, 49». «Структура городской аудитории средств массовой коммуникации; отношение населения к средствам массовой коммуникации как источнику информации» (ПОМ-28), «Отношение населения к средствам массовой коммуникации как каналу выражения общественного мнения» (ПОМ-49). № 026: 915 документов, 1211 переменных; № 027: 914 документов, 521 переменная.
Основной исполнитель: ИСИ АН СССР.
Авторы: Б. А. Грушин, В. Я. Нейгольдберг, И. Д. Фомичева, И. Н. Тхагушев в части исследования № 027 переработка А. В. Жаворонкова.
Генеральная совокупность: взрослое (с 18 лет) население Таганрога порядка 160 тыс. человек
Время сбора данных: 18.10-18.11.1968 г.
Метод сбора данных: неформализованное интервью по месту жительства.
Аннотация. Цель исследований — выявить, с одной стороны, структуру городской аудитории газет, радио, ТВ, с другой — «не-аудитории» этих СМИ; также ставилась задача выяснить ряд элементов отношения к указанным средствам как к источникам информации и каналу выражения общественного мнения и степень участия населения в процессе создания текста массовой информации (в общем и целом) через каналы газет, радио и ТВ.
Примечание. Массив № 026 объединяет два исследования проекта «Общественное мнение»: ПОМ-28 и ПОМ-49, реализованных на одном массиве опрошенных полевым документом, включавшим две методики. Соответственно им проходила обработка информации на ЭВМ: она была разделена на два несовместимых блока. Здесь информация обоих исследований восстановлена в объединенном виде. Выборка стратифицированная пропорциональная, основанная на квотной модели, репрезентативна по отношению к отдельным социально-демографическим группам населения (при перевзвешивании можно судить о поведении модели городского населения в целом).
Второй массив (№ 027) объединяет в себе информацию тех же двух исследований, но информация представляет блоки, не отраженные при плановой обработке информации на ЭВМ. В 1976 г. на основе унифицированного для базы «INSYS» кода, объединившего, помимо прочего, блоки обеих методик, были зашифрованы все полевые документы массива. Во вновь зашифрованном виде информация и представлена в этом файле. Предмет исследования здесь — процесс формального приема и фактического создания текста массовой информации в рамках деятельности газет, радио, ТВ и в границах населения города, и основных составляющих его социально-демографических групп, отражение социально-демографической структуры населения в тексте СМИ по фактологической информации населения (что сопоставимо с данными анализа содержания исследования ПОМ-12, методически проверяется ими в массиве № 012).
Показатели. Выбор источников (каналов, средств) информации, частота обращения к информации из различных источников, личные контакты (обращения, публикации, их факт и частота) в те или иные каналы и удовлетворенность этими контактами, тематические интересы, представления о деятельности журналистов, оценки этой деятельности с точки зрения полноты, объективности, действенности информации, создаваемой журналистами, требования к журналистам как источнику информации, социально-демографические характеристики. Программу и методику исследований см.: 47 пятниц. Вып. 2. М., 1973. - С. 56-80.
028-029. «ПОМ-29, 30». «Структура и аудитория городской системы средств массовой устной пропаганды» (ПОМ-29, массив № 028), «Состав пропагандистов городской системы средств массовой устной пропаганды» (ПОМ-30, массив № 029); № 028: 20 164 документа, 9 переменных; № 029: 3572 документа, 65 переменных.
Основной исполнитель: ИСИ АН СССР.
Автор: Д. Д. Райкова, автор выборок — Б. А. Грушин.
Генеральная совокупность: 20 164 слушателей (ПОМ-29) и 3577 пропагандистов (ПОМ-30).
Время сбора данных: 01.03-14.06.1968 г.
Метод сбора данных: анализ статистических данных генсовокупности (ПОМ-29, массив № 028), опрос генсовокупности (ПОМ-30, массив № 029).
Аннотация. ПОМ-29 (№ 028): анализ статистических данных, касающихся сети партийного образования и комсомольского просвещения: строение и аудитория (город в целом, районы города, отдельные предприятия и учреждения). ПОМ-30 (№ 029): анализ статданных, касающихся сети партийного образования и комсомольского просвещения: состав и характеристики пропагандистов (город в целом, районы города, отдельные предприятия и учреждения).
Объект исследований — система партийного образования и комсомольского просвещения (аудитории и пропагандистские кадры). Программа исследований предусматривала решение трех основных задач: зафиксировать структуру каналов массовой устной пропаганды, прежде всего строение сети партийного образования и комсомольского просвещения; зафиксировать основные социально-демографические характеристики аудитории массовой устной пропаганды; зафиксировать основные социально-демографические характеристики состава пропагандистов.
Примечание. Первые две задачи решаются с помощью бланков статучета (ПОМ-29), последняя — с помощью «карточки пропагандиста» (экспресс-анкета ПОМ-30). Место проведения полевых работ — Таганрог.
Показатели. Район города, предприятие, тип обучения, род занятий, пол, образование, партийность (ПОМ-29), пол, возраст, партийность, партстаж, национальность, образование, профессия, должность, стаж пропагандистской работы, поощрения за нее, род пропагандистской работы, характеристики аудитории и слушателей (род занятий и образование), место и район ведения пропагандистской работы, общественная работа (ПОМ-30). Программу и методику исследования ПОМ-29 см. подробнее: 47 пятниц. Вып. 2. М., 1973. — С. 88—92.
030—035. «ПОМ-31—33». «Отношение пропагандистов сети партийного образования к своей деятельности» (ПОМ-31, массивы № 030—031), «Отношение лекторов общества «Знание» к своей деятельности» (ПОМ-32, массивы № 032— 033), «Отношение политинформаторов к своей деятельности» (ПОМ-33, массивы № 034—035). № 030: 240 документов, 372 переменных; № 031: 40 документов, 107 переменных; № 032: 129 документов, 459 переменных; № 033: 190 документов, 155 переменных; № 034: 123 документа, 292 переменных; № 035: 125 документов, 155 переменных.
Основной исполнитель: ИСИ АН СССР.
Авторы: С. Н. Быкова, Б. А. Грушин, Д. Д. Райкова, автор выборок исследований — Б. А. Грушин, в процессе обработки и анализа исследований ПОМ-31, ПОМ-32 руководителем являлся Г. А. Слесарев.
Генеральная совокупность: ПОМ-31 — 285 человек — пропагандисты сети партийного образования завода «Красный котельщик», Таганрогского металлургического завода, кожзавода, мебельного комбината, пивзавода, локомотивного депо, стройтреста № 1, треста столовых, больницы № 7; ПОМ-32 — 240 человек — лекторы городского (Таганрог) отделения общества «Знание»; ПОМ-33 — 161 человек — политинформаторы тех же предприятий и учреждений, в которых происходил опрос пропагандистов, за исключением пивзавода и стройтреста № 1, но с прибавлением вагонного депо.
Время сбора данных: ПОМ-31: 08—28.04.1968 г.; ПОМ-32: 23.05—12.06.1968 г. и 01.02-25.02.1969 г.; ПОМ-33: 23.05-05.06.68 г.
Метод сбора данных: индивидуальное анкетирование по месту работы и по месту жительства опрашиваемых.
Аннотация. ПОМ-31 (№ 030, 031): анкетный опрос пропагандистов сети партийного образования и комсомольского просвещения; ПОМ-32 (№ 032, 033): анкетный опрос лекторов городского отделения общества «Знание»; ПОМ-33 (№ 034, 035): анкетный опрос политинформаторов; все три опроса имели одну цель — выявить отношение к функции средств массовой устной пропаганды быть источником информации (ряд предприятий и учреждений, выборки предусматривали опросы генеральной совокупности).
Примечание. Здесь восстановлена информация всех шести исследований, как плановых (№ 030, 032, 034), так и перекодированных вне плана (№ 031, 033, 035). Последние, во-первых, закодированы стандартно, а во-вторых, дают возможность методического экспериментирования со стандартизированными признаками напрямую уже на простых распределениях. Кроме того, следует отметить, что опрос лекторов (ПОМ-32) и политинформаторов (ПОМ-33) осуществлялся одним полевым документом.
Показатели. Стаж пропагандистско-агитационной и лекторской работы, источники информации по различным проблемам, наиболее значимые события городской и международной жизни, наиболее достоверные источники информации об этих событиях, тематические интересы, тематика пропагандистской работы, представления об ориентациях и составе аудитории, оценки новизны информации средств устной пропаганды, интересов и удовлетворенности аудиторий, взаимоотношения со слушателями, наличие элементов обратной информационной связи через пропагандиста между органами власти и аудиторией, социально-демографические данные. Программу и методику исследований см. подробнее: 47 пятниц. Вып. 2. М., 1973. - С. 93-109.
036-037. «ПОМ-34». «Средства массовой устной пропаганды как источник информации (анализ содержания сообщений пропагандистов сети партийного образования и лекций)»; № 036: 416 документов, 45 переменных; № 037: 306 документов, 82 переменных.
Основной исполнитель: ИСИ АН СССР.
Автор: А. А. Возьмитель; автор выборки исследований — Б. А. Грушин; руководитель обработки и анализа исследования ПОМ-34 — Г. А. Слесарев.
Генеральная совокупность: тексты публичных лекций городского общества «Знание» и занятий в системе партийного образования и комсомольского просвещения г. Таганрога.
Время сбора данных: 25.03-29.04.1969 г.
Метод сбора данных: анализ содержания.
Аннотация. ПОМ-34 (№ 036, 037): анализ содержания сообщений средств массовой устной пропаганды, исключая политинформации (сеть партийного образования и комсомольского просвещения, лекционная пропаганда); целями исследования выступают: выявить характеристики информации, проходящей по каналам массовой устной пропаганды: выяснить, что сообщается, что может почерпнуть аудитория из пропагандистских текстов; вычленить типы определенным образом организованного и мотивированного поведения, предписанного и отклоняемого средствами массовой устной пропаганды; установить взаимосвязь между различными признаками информации.
Примечание. Выборка — стенограммы 41 занятия и 34 публичных лекций, — всего 75 стенографических текстов. Метод проведения исследования — анализ содержания: все 75 текстов были закодированы автором исследования А. А. Возьмителем на карточки сквозного кода, содержание которых и восстановлено в машиночитаемых файлах. Исследование делится на два массива: ПОМ-34а (№ 036) и ПОМ-34Ь (№ 037), соответствующие двум аспектам программы анализа — информационному (содержание проходящей по каналам устной пропаганды информации) и прагматическому (поведенческие ситуации, сконструированные в текстах).
Показатели. Тип автора текстов устной пропаганды, их тематика, отражаемые в текстах сферы общественной жизни, их локальность, элементы содержания текста, проходящего по каналам пропаганды, типы поведения, предписываемые или отклоняемые устной пропагандой, знак освещения событий, хронология событий; особенности организации текста пропагандистом.
038. «ПОМ-35». «Занятия в сети партийного образования как информационная система (наблюдение)»: 22 документа, 159 переменных.
Основной исполнитель: ИСИ АН СССР.
Автор: Д. Д. Райкова, автор выборки исследований — Б. А. Грушин.
Генеральная совокупность:занятия, проведенные пропагандистами, характеристики которых зафиксированы в ПОМ-31 (030), перед аудиторией, характеристики которой сняты в ПОМ-36 (039).
Время сбора данных: 08—28.04.1968 г.
Метод сбора данных: наблюдение.
Аннотация. ПОМ-35: наблюдение хода занятий в сети партийного образования и комсомольского просвещения (ряд предприятий и учреждений города). В конкретном виде задачи исследования сводятся к тому, чтобы: зафиксировать сравнительный интерес пропагандиста и слушателей к темам программы (фундаментальная информация), с одной стороны, и вопросам текущих событий за рубежом, в стране, городе, на предприятии (оперативная информация) — с другой; выявить степень включенности пропагандиста и слушателей в занятие; зафиксировать некоторые психологические аспекты взаимоотношения пропагандиста с аудиторией (коммуникабельность пропагандиста, его авторитетность в глазах слушателей, знание аудитории и т. п.).
Примечание. Предпринятое одномоментное структурализованное наблюдение ставит своей методической задачей: собрать специфическую, доступную лишь в наблюдении информацию, а также уточнить некоторые данные, полученные путем анкетных опросов пропагандистов и их аудитории. Задачи исследования решаются с помощью карточки личного наблюдения, листов для заметок наблюдателя и стенографической записи. Ситуация во время этих занятий, проведенных с 8 по 28 апреля 1968 г., и зафиксирована в данных исследования ПОМ-35 (№ 038). Выборка: наблюдение проведено на 22 занятиях сети партийного образования и комсомольского просвещения тех предприятий (учреждений), на которых реализованы исследования ПОМ-31 (№ 030, 031) и ПОМ-32 (№ 032, 033). Машиночитаемому файлу сопутствует файл непосредственных записей из документов всех 22 наблюдений (возгласы на занятиях, неформальные оценки ситуаций наблюда-телями-сотрудниками ИСИ АН СССР); файл содержит 552 записи.
Показатели. Ситуация перед, во время и после занятия, характеристики внешнего вида и подготовленности пропагандиста, слушателей, помещения для проведения занятий и лекций, интереса слушателей к освещаемым событиям в зависимости от локальности последних (предприятие, город, страна, мир), продолжительность, тема, способы проведения занятий и т. п. Программу и методику исследования см. также: 47 пятниц. Вып. 2. М., 1973. — С. 110—117.
039—044. «ПОМ-36, 37, 38». «Отношение аудитории сети партийного образования к занятиям в сети» (ПОМ-36, массивы № 039—040), «Отношение лекционной аудитории к лекциям» (ПОМ-37, массивы № 041—042), «Отношение аудитории политинформаций к беседам» (ПОМ-38, массивы № 043—044). № 039: 1047 документов, 348 переменных; № 040: 1079 документов, 93 переменных; № 041: 912 документов, 118 переменных; № 042: 920 документов, 73 переменных; № 043: 760 документов, 100 переменных; № 044: 758 документов, 78 переменных.
Основной исполнитель: ИСИ АН СССР.
Авторы: С. Н. Быкова, Б. А. Грушин, Д. Д. Райкова, автор выборок — Б. А. Грушин, руководитель обработки и анализа исследований ПОМ-36, ПОМ-37, ПОМ-38 — Г. А. Слесарев.
Генеральная совокупность: ПОМ-36 — слушатели сети партийного образования предприятий и учреждений, перечисленных при описании массива № 030; ПОМ-37 — жители г. Таганрога, слушатели публичных лекций; ПОМ-38 — слушатели политинформаций на предприятиях и в учреждениях, перечисленных в описании массива № 034.
Время сбора данных: ПОМ-36 — 08—28.04.1968 г., ПОМ-37 — 22.05—15.06.1968 г. и ПОМ-38 — 23.05-14.06.1968 г.
Метод сбора данных: аудиторный опрос по анкете по месту работы опрашиваемых.
Аннотация. Целью всех исследований, вошедших в данный блок было: уточнить основные и зафиксировать дополнительные социально-демографические характеристики аудиторий политзанятий, лекций, политинформаций; дать представления о некоторых специальных, в том числе социально-психологических, характеристиках аудиторий; выявить отношение аудиторий к системе устной пропаганды как к источнику информации, к содержанию получаемой информации, к пропагандисту, лектору, данному каналу информации, лекции; выявить отношение аудитории к пропагандисту как аккумулятору и выразителю общественного мнения; определить основные характеристики информации, распространяемой с помощью различных средств массовой устной пропаганды.
Примечание. Здесь восстановлена информация всех шести исследований, как плановых (№ 039, 041, 043), так и перекодированных вне плана (№ 040, 042, 044). Последние, во-первых, закодированы стандартно, а во-вторых, дают возможность методического экспериментирования со стандартизированными признаками напрямую уже на простых распределениях.
Показатели. Источники информации по различным проблемам, наиболее значимые события городской и международной жизни, наиболее достоверные источники информации об этих событиях, тематические интересы, оценки новизны информации средств устной пропаганды, удовлетворенность освещением событий, взаимоотношения с пропагандистом, лектором, степень согласия с оценками событий, наличие элементов обратной информационной связи через пропагандиста между органами власти и аудиторией, социально-демографические данные. Программу и методику исследований см.: 47 пятниц. Вып. 2. М., 1973. — С. 118-132.
045. «ПОМ-39, 40». «Структура городской аудитории средств массовой устной пропаганды; отношение населения к средствам массовой устной пропаганды как источнику информации» (ПОМ-39), «Отношение населения к различным каналам выражения общественного мнения» (ПОМ-40). 1017 документов, 272 переменных.
Основной исполнитель: ИСИ АН СССР.
Авторы: Б. А. Грушин, Д. Д. Райкова, В. Я. Нейгольдберг.
Генеральная совокупность: взрослое (с 18 лет) население г. Таганрога, порядка 160 тыс. человек; выборка случайная, по спискам избирателей с отбором каждого двухсотого, репрезентативная населению Таганрога в целом и составляющим его социально-демографическим группам.
Время сбора данных: 30.06 — 19.07.1969 г.
Метод сбора данных: неформализованное интервью по месту жительства.
Аннотация. Предмет исследования: включенность населения в системы средств массовой информации и пропаганды и каналов выражения общественного мнения, отношение к местным органам управления, к социальной активности населения в постановке проблем перед органами власти, оценка качеств каналов общественного мнения. Цели исследования — выяснение вариации отношения к местным органам власти и форм общественной активности населения в зависимости от характеристик включенности населения города в массово-коммуникативный процесс.
Примечание. Этот массив объединяет в себе два исследования проекта «Общественное мнение»: (исследования ПОМ-39 и ПОМ-40, одни из центральных исследований проекта). Они были реализованы на одном массиве опрошенных полевым документом, включавшим две методики. Соответственно им двумя массивами с единой «Объективкой» была проведена плановая обработка информации на ЭВМ. В 1974 г. по указанию нового руководства НИИ автоматической аппаратуры информация проекта «Общественное мнение» подлежала уничтожению. Почти всю ее удалось спасти, однако перфокарты и кодировочные бланки исследований ПОМ-39 и ПОМ-40 в НИИ АА были уничтожены. В 1976 г. информация была восстановлена А. В. Жаворонковым на одном массиве по стандартной для базы «INSYS» системе переменных (с этого массива началась работа по воссозданию машиночитаемой информации проекта «Общественное мнение»). Именно в этом виде исследования ПОМ-39 и ПОМ-40 и представлены в данном списке за № 045.
Показатели. Чтение газет и журналов, прослушивание и просмотр радио- и телепередач, посещение лекций, политинформаций, политзанятий, обращения в органы власти и редакции газет с письмами, личные обращения в местные органы власти и к депутатам местных Советов, выступления на собраниях по месту работы и на собраниях избирателей в период предывборной кампании, оценки работы каналов массовой устной пропаганды, оценки полноты, действенности, широты, откровенности информации, проходящей по каналам выражения общественного мнения, оценки деятельности органов власти по учету мнения населения по социальным проблемам, характеристики гражданской активности населения в постановке проблем, цели, удовлетворенность обращениями через различные каналы в органы власти, пол, возраст, партийность, род занятий, общественный статус, образование и др. социально-демографические характеристики.
046—047. «ПОМ-41а». «Отношение авторов писем в партийные, государственные, общественные органы к проблемам выражения общественного мнения». № 046: 206 документов, 368 переменных; № 047: 213 документов, переменных — 268.
Основной исполнитель: ИСИ АН СССР.
Авторы: А. В. Жаворонков, В. Я. Нейгольдберг.
Генеральная совокупность: 911 авторов писем из г. Таганрога в ЦК КПСС, Президиум Верховного Совета СССР, Совет министров СССР, Комитет народного контроля СССР, МВД СССР, ВЦСПС, Прокуратуру СССР, Верховный суд СССР, Президиум Верховного Совета РСФСР, Совет министров РСФСР, Прокуратуру РСФСР, Областной (Ростов-на-Дону) комитет КПСС, исполком облсовета,
Облсовпроф, областное управление МВД СССР, областную прокуратуру, Городской (Таганрог) комитет КПСС, исполком Горсовета, ГК народного контроля, ГК профсоюзов, ГК ВЛКСМ, городской отдел милиции, городскую прокуратуру, Районный (Орджоникидзевский район) комитет КПСС, исполком Орджоникид-зевского Райсовета, Орджоникидзевское районное отделение милиции, народный суд Орджоникидзевского района.
Время сбора данных: 07—28.04.1969 г.
Метод сбора данных: анкетный выборочный опрос авторов писем по обратным адресам, адреса получены в результате анализа содержания писем, проводившегося тремя бригадами кодировщиков в Москве, Ростове-на-Дону, Таганроге в период 10.12.1968 г.—15.03.1969 г.; исследование фиксирует данные анализа содержания и опроса на едином документе.
Аннотация. Предмет исследования: процесс информационного производства — обратная связь к органам власти — в канале «письмо», поток социальной информации от населения в государственные и общественные институты, выраженный в письмах; отражение характеристик процесса создания писем в их содержании.
Задачи исследования: зафиксировать характеристики населения (источник информации), определяющие функционирование данного канала: демографические, социальные, характеристики сознания, образующие социально-психологический «фон» поведения; определить характеристики информации, циркулирующей по данному каналу, т. е. характеристики содержания писем и ответов на них органов власти и редакций газет, радио, ТВ: наличие (отсутствие) мнения в письмах населения, характер мнения, характеристика объекта суждений общественного мнения, характеристика самих суждений, тип отношений между субъектом и объектом суждений, цели суждений, согласие (несогласие) с мнением населения или органов власти, тип предпринятых действий (тип реакции); выявить отношение населения к письму как каналу выражения общественного мнения на уровне актуального (использование и неиспользование) и вербального (оценки различных свойств данного канала выражения мнений) поведения; определить эффективность исследуемого канала, понимаемую как удовлетворенность общественного мнения результатами своего обращения в социальные институты; выявить факторы, влияющие на функционирование данного канала, понимаемые как воздействие характеристик источника, приемника и признаков содержания информации.
Примечание. Опрос проводился через три недели после фиксации последнего письма. Данные получены методом индивидуального анкетирования по месту жительства. Выборка: сложная, сочетание сплошного и квотного вариантов. Каждый из двух массивов, представляющих ПОМ-41а (№ 046, 047), объединяет в себе по три исследования проекта «Общественное мнение»: «Отношение авторов писем в партийные, государственные, общественные органы к проблемам выражения общественного мнения», «Письма трудящихся в партийные, государственные, общественные органы как канал информации (анализ содержания)» и «Ответы партийных, государственных и общественных органов на письма трудящихся (анализ содержания)» (ПОМ-41а, ПОМ-42а, ПОМ-43а). Второе и третье исследования (ПОМ-42а и ПОМ-43а) были реализованы в технике анализа содержания и имели объектом указанные 911 писем жителей г. Таганрога, поступившие в период с 01.12.1968 г. по 28.02.1969 г. (ПОМ-42a), и 767 ответов учреждений — и организа-ций-адресатов на эти письма (ПОМ-43a). Первое исследование (ПОМ-41а) было реализовано в технике анкетного опроса и имело объектом авторов указанных писем. Было опрошено 219 авторов писем. В процессе плановой обработки на ЭВМ данных опроса (массив № 046) на шифровальные листы, представляющие полностью структуру анкеты, были нанесены выборочно и характеристики писем, относительно которых опрашивались их авторы (для шифровки было выделено по 110 из 569 альтернатив кода анализа содержания писем и ответов на них). Этот массив представлен в данной базе № 046.Однако для решения некоторых задач объем совместной кодировки был недостаточным. В 1977 г. был разработан код, содержащий две части и максимально унифицированный с кодами, применявшимися при кодировке других массивов исследований потока информации в органы власти: ПОМ-41б (№ 049), ПОМ-46 (№ 057), ПОМ-12, 47 (№ 012-014). Первая часть кода предназначена для ответов на 34 из 55 вопросов анкеты авторов писем (319 альтернатив). Вторая часть для фиксации в сжатом виде значений всех категорий анализа содержания тех писем (и ответов на них), относительно процесса создания которых их авторы были опрошены (154 альтернативы). Документ заключает, с одной стороны, характеристики деятельности автора письма, а с другой — формализованные элементы содержания письма и ответа на него. Общее число единиц измерения в массиве — 213 документов = 213 человеко-сообщений. Этот массив представлен в данной базе № 047. Машиночитаемый файл имеет дополнение в виде массива ответов на открытый вопрос анкеты об оценке деятельности властей по учету мнений населения (массив насчитывает 976 записей).
Показатели. Цели, причины, обстоятельства обращения с письмом, условия создания письма, процесс аккумуляции в нем мнений окружающих автора групп, причины обращения именно по данному адресу, оценка откровенности и действенности различных каналов выражения мнений населением, оценка работы органов власти, решения ими актуальных проблем городской жизни, тема, знак, направленность, модальность, хронология письма, наличие в письме конструктивных предложений, декларируемая в письме цель обращения, характеристики ответа государственных органов на письмо.
048-049. «ПОМ-416». «Отношение авторов писем в редакции газет, радио, ТВ к проблемам выражения общественного мнения». № 048: 350 документов, 390 переменных; № 049: 188 документов, 263 переменных.
Основной исполнитель: ИСИ АН СССР.
Авторы: А. В. Жаворонков, В. Я. Нейгольдберг.
Генеральная совокупность: 2895 авторов писем из г. Таганрога в редакции газет «Правда», «Известия», «Советская Россия», «Труд», «Комсомольская Правда», «Молот», «Комсомолец», «Таганрогская правда», Всесоюзного и областного радио, Центрального и областного ТВ. Данные получены методом анализа содержания писем, проводившегося теми же тремя бригадами кодировщиков, которые указаны в описании исследования ПОМ-41а (см. описание № 046).
Время сбора данных: 07-28.04.1969 г.
Метод сбора данных: анкетный выборочный опрос авторов писем по обратным адресам, полученным в результате анализа содержания писем, проводившегося тремя бригадами кодировщиков в Москве, Ростове-на-Дону, Таганроге в период 10.12.1968 г.—15.03.1969 г.; исследование фиксирует данные анализа содержания и опроса на едином документе.
Аннотация. Все относящееся к массивам за № 046 и 047, кроме адресатов писем (указанных при описании генсовокупности), объема исследований и числа переменных, а также объема генеральной совокупности, справедливо и по отношению к массивам № 048 и 049.
Примечание. В массиве за № 049 представлена подвыборка из исследований под № 048, унифицированная с массивами № 047 и 057 по переменным и представляющая только авторов писем и содержание созданной этими людьми информации в единственную общегородскую газету «Таганрогская правда». Особое значение имеет здесь стандартизация содержания альтернатив кодов по обеим частям для массивов ПОМ-46 (внештатные авторы опубликованных материалов, № 057) и ПОМ-41б (авторы неопубликованных писем, № 049).
Показатели. Принципиально те же, что и в исследовании ПОМ-41а (№ 046—047). Программу и методику исследований см.: 47 пятниц. Вып. 2. М., 1973. — С. 148—168.
050—051. «ПОМ-42а, 43а, ПОМ-42б, 43б». «Письма трудящихся в партийные, государственные и общественные органы как канал информации (анализ содержания)» (ПОМ-42а), «Ответы партийных, государственных и общественных органов на письма трудящихся (анализ содержания)» (ПОМ-43а) «Письма трудящихся в редакции газет, радио, телевидения как канал информации (анализ содержания)» (ПОМ-42б), «Ответы редакций газет, радио, телевидения на письма трудящихся (анализ содержания)» (ПОМ-43б); № 050: 890/745 документов, 324 переменных; № 051: 2880/2170 документов, 324 переменных.
Основной исполнитель: ИСИ АН СССР.
Авторы: А. М. Гелюта, В. Я. Нейгольдберг, Г. Д. Токаровский при участии в разработке кода анализа содержания писем З. Т. Голенковой.
Генеральная совокупность: порядка 1000 писем жителей г. Таганрога, поступивших 01.12.1968 г.—28.02.1969 г. (ПОМ-42а), и 800 ответов учреждений — и организа-ций-адресатов на эти письма, указанных в исследовании № 046 (ПОМ-43а), а также порядка 3000 писем из г. Таганрога в редакции газет, указанных в исследовании № 048; анализ содержания писем, проводился тремя бригадами кодировщиков в г.г. Москве, Ростове-на-Дону, Таганроге в период 10.12.1968—15.03.1969 г.; бригады возглавлялись: московская — А. М. Гелютой, ростовская — Г. Д. Токаров-ским, таганрогская — М. С. Мацковским и А. Г. Симаковым.
Время сбора данных: информация в период 01.12.1968—28.02.69 г., полевые работы — 10.12.1968 г.—15.03.1969 г.
Метод сбора данных: анализ содержания текста соответствующих писем и ответов на них указанных выше организаций и редакций.
Аннотация. Задачами исследований в целом было определить характеристики информации, циркулирующей в письмах, т. е. характеристики содержания писем и ответов на них органов власти и редакций газет, радио, ТВ: наличие (отсутствие) мнения в письмах населения, характер мнения, характеристика объекта суждений общественного мнения, характеристика самих суждений, тип отношений между субъектом и объектом суждений, цели суждений, согласие органов власти и редакций (несогласие их) с мнением населения, тип предпринятых адресатом действий (тип реакции).
Примечание. Указанные выше четыре исследования проекта «Общественное мнение» объединены в базе данных попарно (письма в органы власти и ответы на них, письма в редакции и ответы на эти письма). Тех писем в органы управления и редакции, которые насчитывали бы больше одной проблемы, было около 40, они были исключены из обработки и ввода в базу данных в связи с потерей их коди-ровочных карточек. Этим объясняется расхождение принятых и «взятых» в поле объемов информации: 890 писем в органы власти против 911 зафиксированных, 2880 писем в редакции против 2895 зафиксированных. В числе документов выше указано через косую скобку и число ответов органов власти и редакций на эти письма. Число и характер переменных в обоих массивах № 050 и 051 одинаковы, содержание же переменных-адресов различно.
Показатели. Пол, возраст, образование, партийность автора письма (в том числе и по анкете, исходя из данных текста и опроса), время поступления письма, классификация писем (мнение, информация, просьбы и т. п.), локальность проблемы письма, сфера общественной жизни, временные границы объекта мнения, тип суждений (оценка-конструктивность), личная заинтересованность автора в оценке и предложении, источник ситуации обращения, аргументированность суждений, их знак, модальность, декларированная цель, декларированный исполнитель предложений, степень включенности автора в ситуацию, ссылки на распространенность мнения автора, адресат письма, этап поступления письма, повторность обращения в данный институт и причина повторного обращения, наличие, форма, автор, оперативность ответа на письмо, характер ответа по существу проблемы и некоторые другие. Программу и методику исследований см.: 47 пятниц. Вып. 2. М., 1973. - С. 169-196.
052-053. «ПОМ-44». «Отношение работников местных руководящих органов к различным каналам выражения общественного мнения». № 052: 222 документа, 801 переменных; № 053: 230 документов, 168 переменных.
Основной исполнитель: ИСИ АН СССР.
Автор: В. Я. Нейгольдберг.
Генеральная совокупность: все (начиная с инструктора и выше) работники городских и районных советских, партийных, профсоюзных, комсомольских органов г. Таганрога - 246 человек.
Время сбора данных: 24.10 — 05.11.1968 г.
Метод сбора данных: индивидуальное анкетирование по месту работы.
Аннотация. Анкетный опрос работников местных руководящих органов: отношение работников местных органов власти к различным каналам выражения общественного мнения. Предмет исследования: отношение работников местных руководящих органов к роли общественного мнения в механизме управления жизнью современного города. Цели: зафиксировать характеристики приемника информации: институциональные, статусные (ранг); выявить отношение работников местных руководящих органов к письму как каналу выражения общественного мнения на уровне актуального (использование и неиспользование) и вербального (оценки различных свойств данного канала выражения мнений) поведения; определить эффективность функционирования канала, понимаемую как роль суждений общественного мнения, поступивших в письмах в механизме принятия решений органами власти.
Примечание. Выборка: опрос охватывал всю генеральную совокупность 246 человек. В связи с отказами, болезнями, отпусками и командировками, общее число опрошенных составило 233 человека. Прораб — С. Н. Грачев. В исходном, подвергавшемся плановой обработке и представляющем структуру анкеты целиком, массиве данных отсутствуют 11 анкет, которые утеряны. Восстановленный массив фигурирует под № 052. Принятый к анализу объем — 222 анкеты. Утрачены документы: 035, 036, 054, 058, 062, 066, 074, 088, 163, 180, 189. В 1976 г. встала задача получить интегральные типологии социальной активности работников местных руководящих органов по параметрам, которые составляют основу аналогичных типологий населения города в целом. Для реализации этой задачи 230 уцелевших полевых документа исследования были перекодированы. Переменные нового кода были сконструированы тождественными по содержанию кодам других массивов базы «INSYS», но охватывали только 37 из 76 вопросов полевого документа. Таким образом, массив № 053 — это стандартизованная для сопоставления с другими исследованиями (но охватывающая документ не полностью) информация.
Показатели. Оценки руководящими работниками: информированности населения о решениях органов власти, возможности работников руководящих органов в выяснении мнений, совпадения мнений различных групп населения, необходимости изучения, учета мнения населения, меры учета мнений, компетентности, откровенности, активности населения, проблем, по которым население необходимо информировать, групп населения, нуждающихся в информации, факторов информированности, активности, компетентности населения, групп, ответственных за информированность населения, главных источников информации о мнении населения; факт знакомства руководящих работников с письмами, число читаемых писем, наиболее важные виды деятельности в оценке самого работника органов власти, его обращения в редакции информационных средств, оценка роли собраний в жизни коллективов, факторы знакомства органов власти с мнениями населения, модель роли депутата Совета, оценка откровенности и действенности каналов выражения мнений; сфера служебных обязанностей руководящего работника, удовлетворенность работой, пол, возраст, образование, партийность, чтение газет, прослушивание и просмотр радио- и телепередач, профессия по образованию, занятия до работы в аппарате органов власти, семейное положение, наличие детей до 16 лет, среднемесячный доход.
054—055. «ПОМ-45». «Отношение журналистов местных средств массовой коммуникации к деятельности средств массовой коммуникации как каналу выражения общественного мнения». № 054: 116 документов, 700 переменных; № 055: 120 документов, 75 переменных.
Основной исполнитель: ИСИ АН СССР.
Авторы: Б. А. Грушин, В. Н. Казанцев.
Генеральная совокупность: все творческие работники редакций газет, радио, ТВ гг. Ростова-на-Дону и Таганрога — 135 человек.
Время сбора данных: 07.05 — 05.06.1972 г.
Метод сбора данных: формализованное интервью по месту работы.
Аннотация. Предмет исследования: вербально фиксируемое отношение журналистов к функции СМИ (следовательно, к своей собственной) выражать общественное мнение. Основные задачи — выявление отношений к функции выражения общественного мнения и характеристик СМИ как субъекта-приемника и проводника общественного мнения к органам власти; выявление установки коммуникатора относительно функции СМИ выражать общественное мнение;
Примечание. Выборка: опрос охватывал всю генеральную совокупность — в связи с отказами, болезнями, отпусками, командировками общее число опрошенных составило 120 человек. Принятый к анализу в исследовании № 054 объем — 116 интервью; номера утраченных документов: 098, 099, 118, 119. Файл № 055 охватывает массив документов, представленных при описании предыдущего массива (характеристики см. соответственно). Здесь принятый к анализу объем — 120 интервью. Функциональное назначение — то же, что и у массива 054, однако массив № 055 закодирован тем же, что и № 022 кодом; здесь взято 22 вопроса из 109 в полевом документе, представленном в файле № 054.
Показатели. Что привлекло в профессии журналиста, недостатки профессии, удовлетворенность профессией, качества необходимые журналисту, кто из журналистов наиболее близок к идеалу, авторитет профессии, в каких проблемах считает себя компетентным, проблемы по которым редакция чаще отражает мнения населения, случаи несовпадения мнений редакции с мнением жителей, причины несовпадения, каких мнений должно быть больше, используемые источники изучения мнений населения, как поступают при дискуссионности проблемы, случаи несовпадения мнения журналиста и редакции, когда бывают такие случаи несовпадения, задачи местных СМИ, задачи местной печати, задачи местного радио, задачи местного ТВ, задачи журналистов редакции, чьи мнения должны выражаться в СМИ, наиболее эффективные способы изучения мнений, проблемы, по которым СМИ должны чаще выражать мнения населения, задачи, главные для СМИ, по мнению коллектива редакции, задачи, которые редакция ставит перед собой, мнения каких групп населения редакция старается выражать, проблемы, где журналисты компетентны, проблемы, где журналисты некомпетентны, возможности журналистов для выражения мнений, проблемы, в которых население компетентно, мнение каких групп журналистам лучше известно, источники информации о мнении населения, возможности для выражения мнений, у кого больше возможностей для выражения мнений, трудности при выражении мнений населения, конкретные трудности, причины несовпадения мнений СМИ и мнений населения, проблемы, по которым мнение населения выражается чаще, случаи недостаточно откровенных высказываний в СМИ, что вызывает неоткровенность, случаи, когда власть пренебрегает мнением СМИ, действенность и откровенность каналов выражения общественного мнения, возможности редакций для воздействия на органы власти, у кого больше возможностей, что определяет степень внимания власти к СМК, мнения каких групп населения, с точки зрения властей, должны выражаться, каких материалов, по мнению властей, должно быть больше, что понимается под общественным мнением, ставят ли власти перед СМИ задачу выражать общественное мнение и т. д. и т. п., социально-демографические данные.
056—057. «ПОМ-46, ПОМ-46,12, 47а, б». «Отношение внештатных авторов газет, радио, телевидения к проблемам выражения общественного мнения» (ПОМ-46, массив № 056), «Анализ взаимосвязи деятельности внештатных авторов по производству отдельных сообщений городской газеты с характеристиками созданных ими сообщений и с их деятельностью в различных сферах общественной жизни» (ПОМ-46, 12, 47а, б, массив № 057). № 056: 463 документа, 517 переменных; № 057: 468 документов, 316 переменных.
Основной исполнитель: ИСИ АН СССР.
Авторы: В. Д. Войнова, В. Я. Нейгольдберг (ПОМ-46, массив № 056), В. Д. Войнова, Б. А. Грушин, А. В. Жаворонков, В. Я. Нейгольдберг (ПОМ-46, 12, 47, массив № 057).
Генеральная совокупность: 720 внештатных авторов «Таганрогской правды», опубликовавших с 01.12.1968 г. по 28.02.1969 г. 1300 материалов по проблемам городской жизни.
Время сбора данных: опрос внештатных авторов 17.03—16.04.1969 г., опубликование текстов 01.12.1968 г.—28.02.1969 г., анализ содержания проведен 14.03— 26.05.1973 г.
Метод сбора данных: индивидуальное анкетирование по месту жительства, анализ документов (гонорарных листов) редакции газеты «Таганрогская правда» (ПОМ-46, массив № 056), индивидуальное анкетирование, анализ содержания материалов внештатных авторов «Таганрогской правды» (ПОМ-46, 12, 47а, б, массив № 057).
Аннотация (ПОМ-46, массив № 056). Предмет исследования: деятельность внештатных авторов местных СМИ (функция выражения общественного мнения). Основные задачи исследования сводятся к выявлению обстоятельств создания текста массовой информации внештатными авторами местных СМИ, характеристик отношения авторов к социальной реальности, к деятельности информационных средств и каналов выражения общественного мнения, процесса аккумуляции авторами мнений и оценок «близлежащих» социальных групп.
Массив № 057 (ПОМ-46, 12, 47 а, б) объединяет в себе информацию четырех исследования проекта «Общественное мнение», сведенную на единый документ — «человеко-сообщение»: «Городские проблемы в материалах городских СМИ (анализ содержания материалов)», «Отношение внештатных авторов газет, радио, ТВ к проблемам выражения общественного мнения» и «Городская газета как канал выражения общественного мнения (анализ содержания материалов)» (исследования ПОМ-12, ПОМ-46, ПОМ-47 а, б; № 012, 056, 013—014). Исследования ПОМ-12 и ПОМ-47 а, б (№ 012—014) были реализованы в технике анализа содержания и имели объектом 2725 материалов единственной в Таганроге общегородской газеты «Таганрогская правда». ПОМ-46 (массив № 056) было реализовано в технике анкетного опроса и имело объектом жителей г. Таганрога, выступивших в период с 01.12.68 г. по 28.02.69 г. в роли внештатных авторов опубликованных (вышедших в эфир) материалов местных (Таганрог и Ростов) газет, радио, ТВ. Было опрошено 505 авторов. 469 из них (93 %) участвовали в создании тех сообщений, содержание которых было формализовано в трех указанных выше (ПОМ-12, 47а, б) исследованиях газеты «Таганрогская правда». Относительно обстоятельств создания и публикации именно этих 469 материалов эти люди и были опрошены (36 оставшихся внештатных авторов — 7 % — были опрошены относительно публикаций в областных газетах и радио). Характеристики текста сообщений в ПОМ-46, № 056 анализировались, но не широко. В 1976 г. был разработан код, содержащий две части: для ответов на 33 из 73 вопросов анкеты исследования внештатных авторов (299 альтернатив) и для фиксации в сжатом виде значений всех категорий анализа содержания тех материалов, относительно процесса создания которых их авторы были опрошены (280 альтернатив). Информация всех трех исследований была закодирована на единый массив документов. В этом массиве документ заключает формализованные характеристики автора сообщения и обстоятельств создания и публикации материала, с одной стороны, а с другой — характеристики этого сообщения-материала.
Таким образом, предмет исследования в массиве № 057 — процесс производства текста массовой информации в городской газете (предпосылки, обстоятельства, мотивы, цели и объективные результаты создания текста сообщений), отражение характеристик этого процесса в продукте информационного производства — тексте сообщений. Основная задача — проверить на конкретных актах деятельности закономерности процесса производства текста СМИ, объективацию элементов социальной жизни в тексте. Сопоставимость по формальным признакам с № 026—027. Есть более сильный ход. Между документами файлов 056, 057, 013 существует взаимосвязь. Через список связанных номеров в базе «INSYS» можно воссоздать взаимосвязь переменных документов всех пяти файлов (№ 056, 057, 012, 013, 014), т. е. получить ответ на классический вопрос массово-коммуникативного процесса: «Кто о ком и о чем, как и при каких обстоятельствах и с какой целью создал текст массовой информации?» — и воссоздать интегральную и объективную общественную семантику масс-коммуникативного отражения реальности.
Примечание. Обработанный в плановом порядке массив данных утерян. В 1980 г. сотрудник ИСИ АН СССР Л. С. Щербакова восстановила массив с полевых документов в части опроса внештатных авторов газеты «Таганрогская правда». В этом объеме массив и введен в базу данных. Выборка: 65 % от генеральной совокупности, сложившиеся в процессе опроса, 93 % опрошенных. Репрезентативны всей генеральной совокупности. Это показывает сопоставление характеристик опрошенных по анкете и всех 720 авторов по данным анализа содержания (и сведениям редакции). Структуры характеристик сообщений в выборке (469 сообщений) и генеральной совокупности (1300 сообщений) также адекватны.
Показатели. Связь темы материала с деятельностью автора, инициатива выступления в печати, причина обращения по вопросу, ожидали ли публикации, причина обращения в данную редакцию, обсуждали ли содержание до публикации, с каким числом групп обсуждали, участие редакции в подготовке сообщения, отличие опубликованного материала, степень отличия текста, совпадают ли оценки с мнением различных групп, число групп совпадения мнения, лица, интересующиеся сообщением, число заинтересованных групп, ожидания изменения отношений, результаты публикации, удовлетворенность результатами, причины недостаточного воздействия, количество причин, обращения ранее по этому вопросу, число адресов обращений, стали бы выступать при известных результатах, следует ли согласиться на просьбу выступить в газете, желание выступить в печати по другим вопросам, проблемы, желательные для выступления, общественная активность, использование каналов выражения мнений, число используемых каналов, использование газет, использование радио, ТВ, пол, возраст, образование, партийность, доход на члена семьи, выполняемая общественная работа, количество общественных поручений, общественный статус, род занятий, компетентность, ранг в сфере выступления, включенность в корреспондентскую сеть, интенсивность публикаций, жанр материала, сфера жизни, отраженная в материале, локальность сферы жизни, количество локальностей, тип материала — содержание мнений, уровень общественного мнения, тип общественного мнения, качество субъектов мнения, число субъектов мнения, пол субъекта мнения, род занятий субъекта мнений, число совместно упоминаемых групп по роду занятий, статус субъекта мнений, количество групп по статусу, характер мнения — оценка-предложение, знак оценочных суждений, направленность информации, декларированная цель конструктивных суждений, модальность конструктивных суждений, аргументация суждений общественного мнения, число субъектов деятельности, пол субъекта деятельности, род занятий субъекта деятельности, число совместно упоминаемых групп по роду занятий, статус субъекта деятельности, количество групп по статусу, знак субъекта деятельности, сфера деятельности субъекта, качества субъекта деятельности, число качеств, совместное наличие противоположных качеств, объем материала и некоторые другие, относящиеся к общему полю социальной ориентации автора.
058—062. «ПОМ-50». «Действенность материалов местных средств массовой коммуникации». № 058: 626 документов, 233 переменных; № 059: 626 документов, 55 переменных; № 060: 626 документов, 264 переменных; № 061: 116 документов, 293 переменных; № 062 — документов — 57, переменных — 347.
Основной исполнитель: ИСИ АН СССР.
Авторы: М. С. Айвазян, В. Я. Нейгольдберг, В. М. Покидов, в части массивов № 061 и 062 — разработка А. В. Жаворонкова.
Генеральная совокупность: все критические материалы газеты «Таганрогская правда» за 01.12.1968 г.—28.02.1969 г., (№ 061) все лица, ответственные за исправление недостатков, критиковавшихся в газете (№ 058), все лица, заинтересованные в исправлении указанных недостатков (№ 059).
Время сбора данных: 30.06—08.08.1969 г.
Метод сбора данных: индивидуальное интервью по месту работы ответственных за исправление недостатков лиц (№ 058), работающих в учреждении, предприятии, услугами которого пользуется население (№ 059), анализ содержания материалов городской газеты (№ 061), опрос внештатных авторов критических сообщений, вошедших в выборку (№ 062).
Аннотация. Функциональное назначение в данной базе — «организационная» эффективность воздействия критических сообщений городской газеты: механизмы вплетения информации в социальную реальность в зависимости от различных характеристик тех или иных общностей. Эти массивы объединяют в себе четыре исследования проекта «Общественное мнение»: «Городские проблемы в материалах городских средств массовой коммуникации» (№ 013), «Городская газета как канал выражения общественного мнения (анализ содержания материалов)» (№ 013 и 014), «Действенность материалов местных средств массовой коммуникации» (№ 058 и 059).
Из 2725 сообщений, содержание которых было формализовано в исследованиях № 013 и 014, 116 оказались как раз теми критическими материалами газеты, действенности которых была посвящена львиная доля (83 %) документов третьего исследования. Это исследование — «Действенность материалов местных средств массовой коммуникации» (ПОМ-50, массивы № 058—060) было реализовано с помощью двух документов в технике интервью.
По первому документу — интервью для опроса администрации предприятия или учреждения, критиковавшегося в газете за недостатки, надлежало опросить по
2—3 (на каждый элемент критики) руководителя среднего и высшего звена управления предприятием, учреждением. По каждому конкретному адресу критики, а таковых в 116 критических материалах было 266 адресов, было опрошено 626 человек, вошедших в массив данной базы. Выборка сплошная. Это массив № 058.
По второму документу — контрольному листку действенности критических материалов — опрашивались лица, заинтересованные в исправлении недостатков (покупатели в магазине, пассажиры трамвая, рядовые жители и т. д., и т. п.). Выборка — случайная, стихийное представительство, отобрано также 626 человек. Этот массив — файл № 059.
Объемы обоих массивов в исследовании действенности информационных средств были выровнены: именно в итоге в каждом из них оказалось по 626 человек. При этом массивы документов интервью и контрольного листка действенности были при шифровке еще и «квантированы» особым образом. При оценке критического элемента материала каждый раз отбиралось одинаковое число и ответственных исполнителей, и заинтересованных лиц, имевших предметом оценки одни и те же элементы содержания. Оба массива интервью имели одинаковые показатели степени согласия с наличием недостатка и фактом его исправления (в том числе и после сообщения газеты «меры приняты»), а также некоторые другие тождественные признаки.
Массивы были интегрированы в один за № 060. Здесь 626 ответственных исполнителей и 626 заинтересованных лиц можно разбить, исходя из сообщений, на 116 групп или 266 адресов-элементов содержания критики, а затем на социальные зоны степени согласия в отношении различных потоков информации.
Следствием указанной интеграции стала классификация 116 критических сообщений газеты «Таганрогская правда» на пять различных по эффективности воздействия критики информационных потоков (в разработке типологии, на основе которой были выделены эти шесть информационных потоков, принимал участие к. физ.-мат. н. В. А. Шведовский). Это массив № 061. Каждый материал здесь зашифрован еще и с точки зрения однородности оценок у заинтересованных в исправлении недостатков лиц и лиц, ответственных за их исправление.
Кроме того, «в отдельное производство» были выделены 56 из 116 материалов внештатных авторов в которых присутствуют характеристики условий создания материалов, данные внештатных авторов, и их отношения к различным проблемам. Это массив № 062.
Примечание. Между документами файлов существует прямая взаимосвязь. Через список связей в базе данных в случае необходимости при постановке определенных исследовательских задач может быть воссоздана взаимосвязь документов семи файлов: № 012, 013, 014, 056, 057, 061, 062. Здесь массово-коммуникативный процесс может быть воспроизведен от момента порождения текста, до момента вплетения его в социальную реальность.
Показатели. Оценки факта наличия недостатка, правильности позиции газеты по вопросу, реакций администрации организации, подвергнувшейся критике, остроты затронутой проблемы, степени устранения недостатка, необходимости публичной критики по вопросу, пол, возраст, род занятий, образование и другие социально-демографические характеристики; характеристики текста — знак, сфера жизни, направленность информации, и т. п. (тождественны показателям массивов № 013, 047, 049, 057), характеристики внештатных авторов (тождественны показателям массивов № 056, 057).
063. «ПОМ-51». «Отношение рядовых работников предприятий (учреждений) к проблемам выражения общественного мнения на собраниях (к собраниям как каналу выражения общественного мнения)». 1471 документ, 244 переменных.
Основной исполнитель: ИСИ АН СССР.
Автор: М. С. Айвазян.
Генеральная совокупность: работники ряда предприятий и учреждений Таганрога порядка 37 тысяч человек.
Время сбора данных: 03.06—05.07.1968 г.
Метод сбора данных: анкетный опрос по месту работы и по месту жительства респондентов.
Аннотация. Задачей данного опроса являлось выяснение отношения работников предприятий и учреждений города Таганрога к собранию как фактору, влияющему на формирование общественного мнения, а также мнение этих работников по поводу роли мнений, выражаемых на собраниях. Время проведения по замыслу проекта «Общественное мнение» падает на период, который предшествует времени генерального поля: декабрь 1968 — февраль 1969 года.
Примечание. Выясненное в исследовании ПОМ-51 № 063 мнение предшествовало опросу участников собраний на 12 предприятиях и учреждениях города: «Красный котельщик», Таганрогского металлургического завода, кожзавода, мебельного комбината, пивзавода, вагонного депо, локомотивного депо, стройтреста № 1, треста столовых, больницы № 7, театра имени Чехова, машиностроительного техникума. Результаты этого опроса представлены в исследовании ПОМ-52 за № 064.
Показатели. Предприятие, тип собрания, должность, возраст, пол, образование, партийность, партийный или комсомольский стаж, общественная работа в настоящее время, общественная работа в прошлом, род занятий, общий трудовой стаж, стаж работы на данном месте, заработная плата, семейное положение, наличие детей, жилищные условия, удовлетворенность частотой собраний, как часто обсуждает вопросы предстоящего собрания, собрания, вызывающие наибольший интерес, роль собрания в жизни коллектива, формы участия в работе собрания, наиболее влиятельные собрания; вопросы, на которые собрания оказывают наибольшее влияние, оценки суждений: «на собрании должен происходить обмен опытом, проект решения собрания должен обсуждаться без спешки, рядовые должны принимать участие в определении повестки дня, выступающие должны высказывать свое личное мнение, выступления на собрании должны быть критическими, решение собрания должно отражать общее мнение, выступления на собрании должны быть искренними, доклад должен давать всестороннюю информацию, решение собрания непременно должно учитываться руководством, выступающие должны высказать мнение большинства товарищей, выступающие должны вносить конкретные предложения, критикующий не должен подвергаться преследованиям»; насколько часто члены организации не высказывают своего мнения, что мешает людям высказываться откровенно на собрании, оценка решения прекратить прения при желающих выступить, обоснование опрашиваемым своей предыдущей оценки, влияет ли выступления в прениях на мнение участников, влияет ли выступления в прениях на решение собрания, насколько руководство учитывает решения собраний, случаи расхождения решения собрания с мнением руководства, темы собраний, вызывающие у коллектива наибольший интерес, на каких собраниях люди наиболее откровенны, насколько часто неоткровенны на собраниях руководители, было ли запомнившееся собрание, когда было такое собрание, почему запомнил собрание, интересно ли прошло последнее собрание, откровенность и действенность каналов выражения общественного мнения, какие вопросы следует чаще обсуждать, что надо сделать для повышения влияния собраний, совпадение мнений опрашиваемого с мнением коллектива, а также некоторые другие переменные.
064. «ПОМ-52». «Отношение участников собраний к проблемам выражения общественного мнения (на собраниях)». 1830 документов, 98 переменных.
Основной исполнитель: ИСИ АН СССР.
Авторы: М. С. Айвазян, Б. А. Грушин, Э. П. Петров, разработка кодификатора и конечного варианта переменных — В. В. Войнова.
Генеральная совокупность: работники ряда предприятий и учреждений Таганрога порядка 37 тысяч человек.
Время сбора данных: 03.06—05.07.1968 г.
Метод сбора данных: анкетный опрос, близкий по характеру к панельному.
Аннотация. Задачей настоящего исследования было выявление общественного мнения в коллективе по поводу конкретного собрания, а также характеристик собрания как канала выражения общественного мнения и типов поведения людей при этом выражении.
Примечание. Все участники собраний, выбранных исследователями заранее, опрашивались непосредственно перед началом и сразу же после окончания собрания. Отличие от нормальной панели состояло в том, что содержание первого и второго бланков было различным, хотя в обоих случаях вопросы касались одного и того же пункта повестки дня. Первый опросный лист вручался респонденту вместе с карточкой, на которой стоял четырехзначный номер (от 1000 до 4000). Этот номер проставлялся опрашиваемыми на обоих бланках анкеты в целях обеспечения «привязки» второго бланка к первому. Карточки с номерами остались у участников собрания, чем гарантировалась анонимность опроса. Структура выборки строилась с учетом критериев типа собраний.
Показатели. Когда узнали о теме обсуждения на собрании, насколько знакомы с данным вопросом, приходилось ли обсуждать данный вопрос, число существующих точек зрения по вопросу, имеет ли личное мнение по вопросу, ожидания активности обсуждения вопроса, есть ли личные предложения, ожидания откровенности обсуждения, намерение выступать, сколько точек зрения будет высказано, узнали ли на собрании что-либо новое, активно ли прошло обсуждение, изменилось ли из-за обсуждения личное мнение, что повлияло на изменение мнения, оценка откровенности обсуждения, совпадение принятого решения с личным мнением, мнение о принятом решении, число высказанных точек зрения, выступил ли сам респондент, причина, по которой не выступал, социально-демографические характеристики, общественная работа, статус, время проведения собрания, конкретное предприятие, уровень собрания — локальность, тип собрания, пункт повестки дня собрания, число присутствовавших на собрании, типы поведения участников собрания.
065. «ПОМ-53». «Отношение ораторов к проблемам выражения общественного мнения (на собраниях)». 647 документов, 159 переменных.
Основной исполнитель: ИСИ АН СССР.
Авторы: М. С. Айвазян, Б. А. Грушин, Э. П. Петров.
Генеральная совокупность: все выступившие на охваченных выборкой исследования ПОМ-52 (№ 064) собраниях: 651 человек.
Время сбора данных: 01.12.1968 г.—31.03.1969 г.
Метод сбора данных: опрос по анкете.
Аннотация. Задачей данного опроса являлось выяснение отношения лиц, выступивших на собраниях, охваченных выборкой исследования ПОМ-52 к аналогичным, что и в исследовании ПОМ-52, проблемам.
Примечание. Опрос проводился непосредственно на тех же 50 собраниях, которые дали 1830 опрошенных исследования ПОМ-52 (массив № 064).
Показатели. Инициатива выступления на собрании, намерения выступить до начала собрания, что по ходу собрания побудило выступить, частота выступлений на собраниях, обсуждение вопроса с другими лицами, причины выступления по вопросу, степень совпадения с мнением коллектива, степень учета мнения в решении, откровенность и действенность каналов выражения общественного мнения, предложения по системе производства, предложения по общественным организациям, форма внесения предложений, причина предпочтения собрания другим каналам, кто заинтересуется выступлением, реакция зала на выступление, реакция президиума на выступление, стал бы выступать, если бы знал реакцию собрания, ожидания изменения взаимоотношений с окружающими, ожидания конкретных результатов выступления, желание выступить по другим вопросам, обращения по личным делам или ходатаем, социально-демографические характеристики, общественная работа в настоящее время, избирался ли ранее в комитеты общественных организаций, должность, род занятий, учится ли в системе политпросвета, число читаемых газет, прослушивание радио и просмотр ТВ, тип предприятия-учреждения, конкретное предприятие, тип собрания, уровень собрания — локальность, пункт повестки дня собрания, тип лидера мнений.
066—069. «ПОМ-54 а, б, в, г». «Повестки дня собраний как источник информации (анализ содержания)» (ПОМ-54а, массив № 066), «Решения собраний как канал информации (анализ содержания)» (ПОМ-54б, массив № 067), «Выступления на собраниях как канал информации (анализ содержания)» (ПОМ-54в, массив № 068), «Собрание в целом как канал информации (анализ содержания)» (ПОМ-54г, массив № 069). № 066: 1293 документа, 71 переменная; № 067: 401 документ, 338 переменных; № 068: 510 документов, 297 переменных; № 069: 89 документов, 76 переменных.
Основной исполнитель: ИСИ АН СССР.
Авторы: Б. А. Грушин, Н. Е. Чернакова.
Генеральная совокупность: документы собраний (в том числе отдельно повестки дня, выступления в прениях, решения), проходивших на 12 предприятиях и учреждениях Таганрога, указанных в исследовании ПОМ-51 (массив № 063).
Время сбора данных: фиксируемая информация 01.12.1968 г.—28.02.1969 г., время сбора информации декабрь 1968 г. — март 1969 г., время анализа содержания — 1971 г.
Метод сбора данных: анализ содержания документов.
Аннотация. Объект исследования — документы собраний (в том числе отдельно повестки дня, выступления в прениях, решения), проходивших на 12 предприятиях и учреждениях Таганрога, указанных в исследовании ПОМ-51 (массив № 063).
ПОМ-54а, массив № 066. Основные задачи — определение функций и информации собраний и направления деятельности общественных организаций в том виде, как они предстают из повесток дня собраний. Объем исследуемой совокупности заранее не планировался, тип выборки был сплошной: анализу подлежали повестки дня всех собраний, проходивших на 12 предприятиях города. Объем исследовавшейся совокупности составил 1501 пункт повесток дня 942 собраний за три месяца генерального поля.
ПОМ-54б, массив № 067. Основные задачи — определение основных параметров информации решений собраний, способов воздействия собраний на деятельность коллективов и характеристик решений собраний в качестве формы аккумуляции общественного мнения. Выборка: объем заранее не планировался, но был ограничен и составил 464 решения 309 собраний. Объем восстановленной информации — 401 решение.
ПОМ-54в, массив № 068. Основные задачи — определение параметров информации, содержащейся в выступлениях, характеристики выступлений как способов выражения мнения. Объем исследуемой совокупности — все выступления на 100 собраниях, сохраняющих типологические характеристики прошедших за период генерального поля 942 собраний. Содержание выступлений протоколировалось в ходе собрания специально подготовленными и обученными для проведения этой работы сотрудниками социологической лаборатории генпроекта «Общественное мнение». Социально-демографические характеристики ораторов выяснялись путем опроса после окончания собрания. В качестве непосредственного объекта анализа содержания в исследовании фигурировало выступление в прениях по отдельному пункту повестки дня собрания. Объем исследуемой совокупности составил 510 выступлений на 89 собраниях. Реализация запланированного объема выборки составила 89 %.
ПОМ-54 г (массив № 069). Основная задача — определение тех параметров информации, которые характеризовали собрание в целом как систему сбора, преобразования и передачи информации, в том числе содержащей общественное мнение. Планируемый объем — документы 100 собраний, сохраняющих типологические характеристики прошедших за период генерального поля 942 собраний. В качестве непосредственного объекта кодировки методом анализа содержания в исследовании фигурировали прения и решения собраний по отдельным пунктам повестки дня.
Примечание. Информация зашифрована методом анализа содержания лично автором исследования Н. Е. Чернаковой в полном объеме и обработана на ВЦ ИКСИ АН СССР. Она восстановлена непосредственно с сохранившихся карточек в 1989 г. на магнитных носителях. SPSS-файлы созданы в мае 1996 г. 208 документов с шифрами повесток дня, 63 документа с информацией о решениях были утеряны, однако предварительный анализ результатов обработки 1973 и 1996 гг. дает основания утверждать, что практически сплошной охват генеральной совокупности повесток дня автором исследования элиминировал влияние этой потери. Исследование сохранило репрезентативность.
Показатели. Тип предприятия, конкретное предприятие, уровень собрания, институциональность собрания, дата собрания, количество обсуждавшихся пунктов повестки дня, сфера пункта повестки дня, конкретная тема пункта повестки дня, локальность обсуждаемой проблемы, момент дискуссионности повестки, субъект обсуждения, наличие в решении констатирующей части; констатирующая часть решения — число высказываний, сферы высказываний, число сфер, преобладающая сфера, конкретные темы высказываний, число тем, локальность высказываний, число локальностей, преобладающая локальность, типы высказываний, преобладающий тип высказываний, преобладающий знак, субъект обсуждения, момент критики, объект критики, выраженность объекта критики, момент одобрения, объект одобрения, постановляющая часть решения — аналогичные анализу констатирующей части решения переменные и некоторые другие, специфичные для объекта; характеристики выступающих — пол, возраст, партийность, образование, род занятий, ранг по административной линии, общественная работа; характеристики выступления — аналогичные анализу констатирующей и постановляющей частям решения переменные и некоторые другие, специфичные для объекта — момент полемики в выступлении, адресат полемики, момент солидарности, объект солидарности, от чьего имени говорит выступающий, конкретность предложений; прения — аналогичные предыдущим характеристики; некоторые дополнительные характеристики собрания в целом.
070. «ПОМ-54д». «Действенность решений собраний». 554 документа, 230 переменных.
Основной исполнитель: ИСИ АН СССР.
Автор: М. С. Айвазян; разработчик кодификатора — Е. Г. Андрющенко.
Генеральная совокупность: все решения собраний на 12 предприятиях, выбранных в исследованиях ПОМ-51 и ПОМ-52 (массивы № 063 и 064 соответственно). Время сбора данных: 31.03—20.05.1969 г.
Метод сбора данных: интервью по месту работы респондентов.
Аннотация. Задачей данного опроса являлось выяснение эффективности решения собраний по определенным пунктам повестки дня. В процессе заполнения каждого листка действенности интервьюер опрашивал до 3 человек — руководящих работников предприятий и учреждений и до 3 рядовых работников тех же учреждений. Все они имели непосредственное отношение к принятым на собрании решениям. Первые (руководители) в качестве ответственных за исполнение решений лиц, вторые (рядовые) как заинтересованные в скорейшем исправлении недостатков лица. Степень согласия между ними в положительных оценках может быть хорошим индикатором эффективности выполнения решения.
Примечание. Сроки проведения полевых работ определены тем, что после фиксации последних решений собраний в феврале необходимо было выдержать срок на выполнение решений. Этот срок составлял месяц. Выборка: сплошная — вся генеральная совокупность. Интервью проводилось на предприятиях и учреждениях как с лицами, названными в решениях собраний как ответственные за их исполнение, так и с рядовыми, заинтересованными в выполнении этих решений.
Показатели. Тип предприятия, конкретное предприятие, уровень собрания, институциональность собрания, дата собрания, срок исполнения решения, срок со времени принятия решения, сфера, к которой относится пункт решения, конкретная тема пункта решения, локальность пункта решения, направленность решения, субъект обсуждения, ответственные за выполнение решения, ранг, профессия опрошенных заинтересованных лиц, оценка выполнения решения ответственными представителями, оценка выполнения решения заинтересованными лицами, степень совпадения в оценке, характер несовпадения оценок, степень удовлетворенности, степень совпадения в общих и частных оценках.
071. «ПОМ-55». «Собрание как информационная система». 325 документов, 150 переменных.
Основной исполнитель: ИСИ АН СССР.
Автор: Э. П. Петров; разработчики модели выборочной совокупности — Б. А. Грушин, М. С. Айвазян, Э. П. Петров.
Генеральная совокупность: 50 собраний 12 предприятий и учреждений Орджо-никидзевского района г. Таганрога.
Время сбора данных: 01.12.1968 г.—31.03.1969 г.
Метод сбора данных: прямое, контролируемое, включенное, структурализован-ное наблюдение, осуществляемое параллельно двумя исследователями.
Аннотация. программа исследования предусматривала решение пяти основных задач: определение характеристик функционирования собрания как канала выражения общественного мнения; фиксирование характеристик выступающих на собрании; фиксирование характеристик информации, содержащейся в докладах и выступлениях; фиксирование элементов поведения аудитории на собрании; определение возможности применения метода наблюдения в исследованиях общественного мнения.
Примечание. Полевой документ дважды подвергался пилотажному апробированию — в гг. Москве и Таганроге — и окончательно составлен с учетом результатов этих исследований.
Наблюдение на собраниях, выбранных исследователями заранее, проводилось непосредственно перед началом, в ходе и после окончания собрания. Фиксация результатов наблюдения производилась на том бланке карточки наблюдения, который относился к наблюдаемой ситуации, путем обведения соответствовавшего наблюдаемому элементу (аспекту) ситуации цифрового индекса и путем подробного описания этого элемента на специально отведенном для этого месте. Карточка наблюдения должна была обеспечить получение максимально объективных данных. Эта задача решалась двумя способами:
1) категории наблюдения (элементы ситуации) были выделены в карточке наблюдения таким образом, что наблюдатель был лишен возможности выносить оценочные суждения;
2) почти в каждом бланке были введены специальные рубрики, где наблюдатель описывал реальные акты поведения (слова, фразы, жесты и т. п.), на основании которых он зафиксировал наличие того или иного структурного элемента ситуации.
Объем фактически проведенных наблюдений — 42. Принято к обработке и анализу — 41. Реализация запланированного объема выборки составила 82 %.
Единицы измерения в файле. В плановом исследовании было 41 собрание, на котором выступило 40 докладчиков и 177 ораторов в прениях. Они дали 382 высказывания на различные темы производственной и общественной жизни предприятия (учреждения), коллектива-субъекта собрания. 98 высказываний было зарегистрировано за докладчиками и 284 за ораторами, выступившими в прениях. Представляемый файл охватывает 34 собрания с 35 докладчиками и 154 ораторами, которые дали соответственно 80 и 245 высказываний на определенные темы. Эти высказывания общим числом 325, структурированные 150 переменными, и представляют документы настоящего файла. Принятый к анализу объем файла — 325 высказываний; файл сконструирован так, что на основе его переменных можно создать файл с характеристиками выступавших (189 человек) и файл с характеристиками 34 собраний.
Показатели. В качестве полевого документа в исследовании выступала так называемая «карточка наблюдения на собрании», состоявшая из 9 отдельных бланков:
1) «Общая характеристика собрания»;
2) «Ситуация непосредственно перед началом собрания»;
3) «Организационный период»;
4) «Карточка докладчика, выступающего»;
5) «Реакция участников собрания на доклад, выступление»;
6) «Общая ситуация во время прений»;
7) «Ситуация во время принятия решения»;
8) «Ситуация во время принятия поправок и дополнений к проекту решения»,
9) «Cитуация после окончания собрания».
Наименования этих бланков дают представление о границах показателей, использованных в исследовании.
072. «ПОМ-57». «Отношение руководителей предприятий (учреждений) к проблемам выражения общественного мнения на собраниях (к собраниям как каналу выражения общественного мнения)». 238 документов, 321 переменная.
Основной исполнитель: ИСИ АН СССР.
Автор: М. С. Айвазян.
Генеральная совокупность: администрация 12 предприятий и учреждений г. Таганрога, участвовавшая в работе собраний, исследованных в предыдущих социологических процедурах (массивы № 063—071).
Время сбора данных: 24.06—05.07.1968 г.
Метод сбора данных: анкетный опрос по месту работы и по месту жительства респондентов.
Аннотация. Задачей данного опроса являлось выяснение отношения администрации предприятий и учреждений города Таганрога к собранию как фактору, влияющему на формирование общественного мнения, а также оценки администрацией роли мнений, выражаемых на собраниях. Время проведения по замыслу проекта «Общественное мнение» падает на период, который предшествует времени генерального поля. Исследование проводилось одновременно с исследованием ПОМ-51 (массив № 063) на тех же 12 предприятиях и учреждениях города и во время тех же собраний.
Примечание. Объем выборки — 328 анкет, распределенный по типам собраний на 12 предприятиях и учреждениях Таганрога. Поступило анкет — 332, из них — модель — 330, брак — 2. Принятый к анализу объем информации — 238 документов. 90 документов оказались уничтоженными за истекшие годы. Вторичный обсчет и сравнение с плановыми результатами счета за 1971 г. показало, что восстановленный массив репрезентативен исходному.
Показатели. Удовлетворенность частотой собраний, собрания, вызывающие наибольший интерес, — тип, собрания, вызывающие наибольший интерес, — уровень, роль собрания в жизни коллектива, оценки суждений: «на собрание должен происходить обмен опытом, проект решения собрания должен обсуждаться без спешки, рядовые должны принимать участие в определении повестки дня, выступающие должны высказывать свое личное мнение, выступления на собрании должны быть критическими, решение собрания должно отражать общее мнение, выступления на собрании должны быть искренними, доклад должен давать всестороннюю информацию, решение собрания непременно должно учитываться руководством, выступающие должны высказать мнение большинства товарищей, выступающие должны вносить конкретные предложения, критикующий не должен подвергаться преследованиям», те же оценки собраний, но не в модальности долженствования, а в реальности, темы собраний, вызывающие у коллектива наибольший интерес, наиболее откровенные собрания — уровень, случаи расхождения решения собрания с мнением руководства, случаи учета руководством мнения собрания в ущерб своему, случаи учета руководством своего мнения в ущерб коллективному, случаи неоткровенного высказывания мнения коллективом, что мешает людям высказываться откровенно на собрании, оценка решения прекратить прения при желающих выступить, обоснование опрашиваемым своей предыдущей оценки, наиболее влиятельные собрания — уровень, наиболее откровенные собрания — тип, на что оказывают наибольшее влияние партийные, профсоюзные, комсомольские, общие собрания, откровенность и действенность каналов выражения мнений, степень влияния мнения рядовых на решения, наиболее влиятельные собрания — тип, случаи неоткровенного поведения руководства, что мешает руководству высказываться откровенно, степень влияния прений на мнения участников, степень влияния прений на решения, темы собраний, вызывающие у коллектива наибольший интерес, наиболее откровенно руководство на собраниях — уровень, что является наиболее важным и ценным в собрании, насколько руководство учитывает решения партийных, профсоюзных, комсомольских, общих собраний, собрания на которых руководство наиболее откровенно, собрание, которое наиболее запомнилось, как давно было запомнившееся собрание, чем именно запомнилось собрание, какие вопросы следует обсуждать чаще на собраниях, что нужно сделать для результативности собраний, совпадает ли мнение в анкете с мнением коллектива, возраст, пол, образование, партийность, партийный стаж, социально-профессиональная группа, общественная работа, общий трудовой стаж, стаж работы на данном месте, размер среднемесячной зарплаты, имеете ли личное хозяйство, семейное положение, имеете ли детей, жилищные условия, тип предприятия, предприятие.
073—074. «ПОМ-58, ПОМ-58 а». «Отношение избирателей, встречавшихся с депутатом к депутатам» (ПОМ-58, массив № 073), «Отношение населения к депутатам» (ПОМ-58а, массив № 074). № 073: 793 документа, 255 переменных; № 074: 998 документов, 255 переменных.
Основной исполнитель: ИСИ АН СССР.
Автор: Я. С. Капелюш.
Генеральная совокупность: для ПОМ-58, массив № 073 — 1325 избирателей, побывавших у всех депутатов местных советов в период «генерального поля» проекта «Общественное мнение» (01.12.1968 г.—28.02.1969 г.), для ПОМ-58а, массив № 074 — взрослое, с 18 лет население г. Таганрога с избирательными правами (порядка 160 000 человек).
Время сбора данных: ПОМ-58, массив № 073 — 13.01—31.03.1969 г., ПОМ-58а, массив № 074 — 04—30.12.1968 г.
Метод сбора данных: анкетный опрос по месту проживания респондента, оба исследования осуществлены одним документом.
Аннотация. Задачей первого опроса (ПОМ-58, массив № 073) являлось выяснение мнения населения, побывавшего на приеме у депутатов местных советов, о работе депутатов в целом и о беседах с депутатами. Задачей второго опроса (ПОМ-58 а, массив № 074) являлось выяснение мнения населения о работе депутатов в целом и отношения населения к депутатам.
Более конкретно задачи исследований заключались в том, чтобы: определить относительную численность избирателей, которые общаются с депутатами, передают им определенную информацию; выяснить состав избирателей, передающих депутату: а) информацию в целом и б) информацию, совпадающую с общественным мнением; выяснить отношение избирателей — выразителей общественного мнения к этой своей деятельности; выяснить отношение к депутату избирателей, которые общаются с депутатами, а также населения в целом.
Примечание. Опрос собеседников депутатов проводился во время, фиксирующее максимально полный обмен информацией между органами власти и населением за три месяца. Опрашивались те избиратели, которые в течение этого времени беседовали с депутатами. Избиратели опрашивались в среднем через месяц после беседы. Декабрьские собеседники опрашивались в январе, январские — в феврале и т. д.
Опрос отношения к депутатам населения проводился перед началом проведения исследований приема депутатами населения. Опрошено 1000 избирателей, по 5—6 человек в каждом из 187 избирательных округов. Списки были составлены по принципу случайной выборки: каждый 25-й из списков для голосования.
Программы и методики этих двух и большинства последующих исследований проекта «Общественное мнение» см.: 47 пятниц. Вып. 4. М., 1970. — С. 5—41. Тираж этого сборника был уничтожен. Автор располагает одним из пяти чудом уцелевших экземпляров, попытка переиздания которого в 1990-е гг. не встретила поддержки. Задачи исследований, их программы введены в виде комментария в настоящий перечень из этого сборника из программных статей Б. А. Грушина и Я. С. Капелюша и рабочих документов проекта «Общественное мнение».
Показатели. Тип общения с депутатом, социально-демографические признаки собеседника депутата, населения, признаки ближайшего социального окружения, из которого аккумулируется информация, цели обращения к депутату, ожидания от обращения, степень удовлетворенности результатами бесед, мотивы выбора канала, шкала предпочтения каналов, представления о задачах депутата, оценка деятельности депутата, ожидания — в случае выражения общественного мнения в целом — модель роли депутата в обществе у посетителей и населения в целом.
075—079. «ПОМ-59, ПОМ-59 а, б, в, г». «Деятельность депутатов в целом (информационный аспект)» (ПОМ-59, массив № 075); «Беседы избирателей с депутатами как канал информации (в рамках изучения содержания бесед)» (ПОМ-59а, массив № 076); «Беседы депутатов с работниками местных органов управления как канал информации (в рамках изучения содержания бесед)» (ПОМ-59б, массив № 077); «Собрания избирателей как канал информации» (ПОМ-59в, массив № 078); «Участие депутатов в заседаниях местных органов управления» (ПОМ-59г, массив № 079). № 075: 530 документов, 80 переменных; № 076: 1626 документов, 106 переменных; № 077: 564 документа, 95 переменных; № 078: 466 документов, 105 переменных; № 079: 1046 документов, 93 переменных.
Основной исполнитель: ИСИ АН СССР.
Авторы: Б. А. Грушин, Я. С. Капелюш, В. Я. Нейгольдберг.
Генеральная совокупность: депутаты городского совета — 538 человек (все 350 депутатов Таганрогского городского совета и все 188 депутатов Орджони-кидзевского районного совета), беседы этих депутатов с населением, беседы этих депутатов с работниками местных органов власти, посещение этими депутатами собраний избирателей, посещение этими депутатами заседаний местных органов власти.
Время сбора данных: 25.11.1968 г.—28.02.1969 г.
Метод сбора данных: метод сбора основной первичной информации — самофо-тография деятельности объекта (каждого депутата) в течение трех месяцев подряд, метод сбора вспомогательной информации — анкетирование, наблюдение, анализ документов и анализ содержания.
Аннотация. Настоящие исследования являются центральными в серии исследований деятельности депутатов местных советов по изучению и выражению общественного мнения. Они предусматривают выяснение состава депутатов, занятых получением информации от населения, и передачей информации в адрес местных органов управления; определение объема, структуры и других характеристик информации, получаемой депутатами от населения и передаваемой депутатами в адрес местных органов управления; установление факторов, влияющих на объем, содержание и характер деятельности депутатов по оперированию той или иной информацией.
Программа исследований предусматривает: измерить объем информации, поступающей от избирателей к депутату, — суммарный, по каждому частному каналу и от каждого источника; выяснить структуру этой информации (общественное мнение — иная информация, соотношение различных каналов); выяснить содержание общественного мнения, выражаемого избирателями депутату; выяснить социально-демографическую и иную структуру состава депутатов, отношение депутата к собственной деятельности по восприятию информации от избирателей, выражению общественного мнения, а также в целом ко всей деятельности; измерить объем и структуру информации, идущей от депутата в адрес государственных и общественных институтов, объем и содержание общественного мнения, выражаемого депутатом; определить соотношение отдельных частей в деятельности депутата (получение информации, аккумуляция общественного мнения, выражение общественного мнения; ходатайство по личным делам избирателей; контроль за деятельностью исполкома); сопоставить объем и содержание общественного мнения, воспринятого и выраженного депутатом; выявить факторы, влияющие на деятельность депутатов по выражению общественного мнения; выявить отношение государственных и общественных институтов к данному каналу выражения общественного мнения, характер и типы реакции государственных и общественных институтов на деятельность депутатов по выражению общественного мнения, эффективность функционирования данного канала выражения общественного мнения (объективная картина, оценка депутатов, избирателей).
Примечание. Техника исследования: перед началом исследования каждый депутат получил дневник с необходимым числом бланков пяти типов (см. Показатели). Представители полевой социологической лаборатории, вручавшие депутатам дневники, в дополнение к письменной инструкции рассказывали более подробно о том, как вести записи, о задачах и организации исследования. Предварительную информацию об исследовании депутаты получили также на сессии совета и в исполкоме. Бланки дневника депутаты заполняли сами сразу после акта исследуемой деятельности (беседы, собрания, заседания) либо спустя непродолжительное время, например вечером в тот же день. Заполненные бланки собирались представителями лаборатории (анкетерами) регулярно с интервалом в одну-две недели. В задачу анкетеров входили не только сбор заполненных бланков и проверка техники заполнения, но и выяснение соответствия количества заполненных бланков действительному объему проделанной работы за данный период. Относительно частые встречи анкетеров с депутатами (около восьми встреч с каждым депутатом за три месяца) служили средством определенного контроля за выполнением требований исследования. Встречи анкетеров с депутатами происходили обычно на квартирах депутатов. В целях обеспечения возможности дальнейшей обработки собранной информации каждый бланк, поступавший в лабораторию, получал номер, соответствующий номеру депутата, заполнившего этот бланк. Технику исследования разработал Я. С. Капелюш.
1986 г.—1987 гг. на ВЦ АН СССР С. В. Сорокиным при консультациях со стороны А. В. Жаворонкова был осуществлен перевод всех массивов информации исследования с перфокарт с кодами БЭСМ-6 в символьные коды «ДКОИ» на магнитные носители. При этом была осуществлена состыковка характеристик депутатов из исследования ПОМ-59 с характеристиками по каждому из бланков исследования. Это первые 49 вопросов в каждом из файлов исследований № 076—079. Операция, в результате которой можно выявить всю совокупность бланков у одного и того же депутата, номер которого предшествует номеру бланка в каждом исследовании, позволяет рассмотреть деятельность депутата комплексно уже на минимуме операторов программы SPSS.
Показатели. Полевые документы дают общее представление о показателях. В качестве основного полевого документа в исследованиях выступал так называемый дневник депутата, состоящий из пяти типов бланков самофотографии. Каждый тип был предназначен для фиксации определенного рода деятельности депутатов: бланки № 1 (ПОМ-59а, массив № 076) — для записей о беседах депутатов с избирателями; бланки № 2 (ПОМ-59б, массив № 077) — для записей о беседах депутатов с работниками органов управления; бланки № 3 (ПОМ-59в, массив № 078) — для записей о присутствии депутатов на собраниях избирателей; бланки № 4 (ПОМ-59г, массив № 079) — для записей о присутствии депутатов на тех или иных заседаниях; бланки № 5 (ПОМ-59, массив № 075) — для записей о выполнении других депутатских обязанностей. Каждый из первых четырех типов бланков состоял из одного-двух десятков вопросов, в большинстве случаев закрытых (бланк № 1 — 21 вопрос, бланк № 2 — 14 вопросов, бланк № 3 — 13 вопросов, бланк № 4 — 12 вопросов), а бланк № 5 представлял собой традиционный листок дневника, в графах которого депутаты записывали содержание работы и затраченное время. Каждый отдельный бланк, в зависимости от специфики, был предназначен для фиксации одного акта депутатской деятельности: для записи одной беседы с избирателем или работником органа управления, для записи о присутствии на одном заседании или собрании и т. д. Дневник депутата, содержащий определенное число бланков всех пяти типов, сопровождался письменной инструкцией о том, как вести записи. Помимо дневника депутата, нацеленного на получение сведений о деятельности депутатов, в исследовании были использованы материалы анкетного опроса депутатов (являющегося основой другого исследования в проекте «Общественное мнение»: ПОМ-61, массив № 082) и материалы местной статистики, представляющие собой, главным образом, сведения о самих депутатах. 28 признаков депутатов зафиксированы в качестве переменных каждого полевого документа всех пяти исследований.
080—081. «ПОМ-60». «Прием депутатами населения как информационная система (наблюдение)». № 080: 59 документов, 27 переменных; № 081: 276 документов, 60 переменных.
Основной исполнитель: ИСИ АН СССР.
Авторы: С. Н. Грачев, Я. С. Капелюш.
Генеральная совокупность: все депутаты местных советов (538 человек), упомянутые в исследованиях ПОМ-59 (массивы № 075—079), и все беседы с населением этих депутатов (1626 бесед) в исследовании ПОМ-59а (массив № 076).
Время сбора данных: 20.12.1968 г.—28.02.1969 г.
Метод сбора данных: использование карточек личного наблюдения.
Аннотация. Задачи этого одномоментного включенного наблюдения были следующие: выяснить содержание и характер высказываний избирателей, выяснить содержание и характер высказываний депутатов, зафиксировать психологическую атмосферу во время приема, определить степень субъективности депутата при заполнении дневника. Исследование выступает как контрольное по отношению к исследованиям ПОМ-59, самофотография, массивы № 075—079.
Примечание. Исследование представлено двумя массивами: ПОМ-60а (массив № 080) — 59 документов, ПОМ-60б (массив № 081) — 276 документов. Первый массив — это наблюдение в целом: характеристики депутата и интегральные характеристики его бесед. Второй массив — это характеристики каждой беседы с отдельным посетителем депутата. Единица статанализа в первом массиве — индивид, во втором — форма контакта между людьми. Наблюдатели зафиксировали 276 бесед избирателей с депутатами и характеристики из этих бесед занесли на специальные карточки. Следует отметить, что на карточки не заносились кратковременные беседы, явно выходящие за рамки ситуации «избиратель — депутат», связанные с выполнением служебных обязанностей собеседников (подписание служебных бумаг, обмен оперативной информацией о производственных процессах и т. п.). Наблюдение в основном проводилось в кабинетах руководителей предприятий и учреждений, которые одновременно являются депутатами. В список объектов наблюдения были включены 36 депутатов — руководителей предприятий, которые еженедельно ведут прием, 11 членов исполкома горсовета и 5 депутатов — работников исполкомов. В этом списке — почти все депутаты городского и районного советов, которые сравнительно регулярно принимают избирателей. К ним были прибавлены 7 депутатов —работников руководящих органов, которые стали объектом наблюдения в исследовании ПОМ-65 (массив № 088 — наблюдение за приемом населения работниками городских и районных руководящих органов).
Показатели. С целью представления о переменных всех исследований-само-фотографий, мы приводим здесь подробно тот список показателей этих двух небольших исследований, который пронизывает практически все массивы изучения деятельности депутатов советов: депутат какого совета, сколько раз избирался депутатом, положение в совете на момент наблюдения, как часто принимает население, встречается ли с избирателями неофициально, число личных знакомых избирателей, возраст, пол, образование, партийность, род занятий, избран ли депутатом на следующий срок, число заполненных бланков бесед, принимал ли население в обследуемый период, число приемов с присутствием наблюдателя, место, время приема, общее число принятых избирателей, полнота дневника депутата, совпадение записей депутата и наблюдателя, число избирателей на беседе, пол избирателя, является ли избиратель сотрудником депутата, от чьего имени говорил избиратель, тема беседы, локальность проблемы, характер высказываний избирателя — оценка исследователя, эмоциональная окрашенность высказываний избирателя, ссылки избирателя на распространенность мнений, когда избиратель ссылался на мнения других лиц, отношение избирателя к обсуждаемому явлению, знак, модальность оценочных суждений избирателя, модальность конструктивных суждений избирателя, характер доминирующих высказываний — оценка наблюдателя, ожидаемая вероятность учета мнения, решения вопроса, согласился ли депутат с избирателем, согласился ли избиратель с депутатом, содержание высказываний депутата, вышла ли беседа за рамки проблем избирателя, удовлетворенность депутата беседой — оценка наблюдателя, удовлетворенность избирателя беседой — оценка наблюдателя, реакция депутата и избирателя на наблюдателя, ведение депутатом записей в дневнике, помехи во время беседы (телефонные звонки и т. п.), входит ли проблема в компетенцию депутата, продолжительность беседы, наличие наблюдаемой беседы в дневнике депутата, степень совпадения записи депутата и наблюдателя на то, от чьего имени говорил избиратель, степень того же совпадения о знаке оценки, о согласии депутата с избирателем, об удовлетворенности избирателя, об удовлетворенности депутата, о высказываниях избирателя, о времени беседы, степень совпадения по всем переменным.
082. «ПОМ-61». «Отношение депутатов к своей деятельности». 480 документов, 648 переменных.
Основной исполнитель: ИСИ АН СССР.
Авторы: Я. С. Капелюш, В. Я. Нейгольдберг.
Генеральная совокупность: все депутаты местных советов (538 человек), упомянутые в исследованиях ПОМ-59 (массивы № 075—079).
Время сбора данных: 04—17.11.1968 и 15.01—15.02.1969.
Метод сбора данных: опрос с помощью анкетеров, подавляющее большинство контактов анкетеров и депутатов проходили по месту жительства депутатов.
Аннотация. Настоящее исследование решало следующие задачи: выяснить представления депутатов о социальной фигуре депутата, его деятельности по аккумуляции и выражению общественного мнения и факторах этой деятельности; зафиксировать оценки депутатами деятельности населения, депутатов и местных руководящих органов по выражению и учету общественного мнения; определить отношение депутатов к институту депутатства как к каналу выражения общественного мнения и к деятельности по аккумуляции и выражению общественного мнения; зафиксировать самооценки деятельности депутатов.
Примечание. Опрос проводила бригада анкетеров численностью 40 человек, работавших под непосредственным контролем автора исследования. Большинство анкетеров опросили по 20 депутатов, несколько человек — по 20—25 депутатов. Несмотря на большой опыт работы анкетеров, сложность анкеты привела к тому, что ошибки допускали почти в равной мере как опытные анкетеры, так и новички. 123 анкеты, потребовавшие доработки, распределяются почти на всех — на 35 анкетеров. Из трудностей в процессе полевых работ особо необходимо отметить связанные с поиском депутатов: около трети адресов, выданных исполкомами, оказались неправильными и потребовали уточнения, и анкетерам не всегда удавалось застать депутатов дома в первый же приход, а анкета по инструкции вручалась лично депутату с соответствующими объяснениями анкетера.
Показатели. Модель выполняемой роли депутата совета, содержание выступлений депутатов на сессиях, какие вопросы депутаты затрагивают на сессиях, чье мнение выражают депутаты, по чьей инициативе депутаты выступают на сессиях, сколько раз выступал на сессиях, информированность депутатов о нуждах населения, знакомство депутатов с мнением населения, откровенность и действенность каналов выражения общественного мнения (беседы с депутатами, работниками органов власти, администрацией предприятий, письма в органы власти и в редакции, выступления на собраниях), причины молчания некоторых депутатов на сессиях, руководящие работники, прислушивающиеся к мнению населения, достаточность учета мнений властью, достаточность знакомства власти с мнением различных групп, случаи несовпадения решений советов с мнением жителей, причины несовпадения решений советов и мнения жителей, что должно быть в центре внимания депутатских советов, могут ли быть в принципе случаи несовпадения решений и мнений, главное содержание обращений депутата, какие вопросы ставят депутаты перед исполнительной властью, инициатива депутатских обращений, сколько раз обращался в редакции и органы власти, наиболее действенные способы решения вопросов депутатами, когда депутаты чаще имеют положитель-
ный результат, случаи невыполнения просьб избирателей, информированность населения о решениях власти, группы, наиболее информированные о проблемах региона, причины успеха депутата в выражении мнений, заинтересованность депутатов в эффективности их мнения, как часто ведет прием населения, сколько писем получил от избирателей, сколько писем избирателей прочитал, сколько раз был на собраниях избирателей, беседовал ли с избирателями неофициально, компетентность населения в городской жизни, группы, наиболее компетентные в проблемах, главные источники информации о мнениях избирателей, информированность власти о мнениях населения, действенность письма в органы управления, действенность письма в редакции, действенность беседы с депутатами, действенность выступления на собраниях, действенность беседы с работниками органов управления, действенность беседы с руководителями предприятий, активность депутатов при выяснении мнений, чем объясняется невысокая активность депутатов, каким вопросам депутаты должны уделять внимание, к каким высказываниям депутаты должны особо прислушаться, должны ли депутаты обязательно знать мнение населения и о чем, должны ли депутаты обязательно прислушиваться к мнению тех или иных групп, сколько избирателей округа работают с депутатом, сколько избирателей знает лично, авторитет фигуры депутата у населения, группы, у которых авторитет депутата более высок, авторитет фигуры депутата в советских органах, авторитет фигуры депутата в партийных органах, авторитет фигуры депутата у администрации предприятий, исполняет ли депутатские обязанности во время основной работы, сколько времени уходит на депутатские дела, сколько времени надо депутату для выполнения обязанностей, удовлетворен ли депутатской деятельностью, сталкивается ли с трудностями, что мешает депутатам изучать мнения населения, кем должен быть депутат, возраст, пол, образование, партийность, общественную работа выполняемая до депутатства, общественная работа в настоящее время, чтение газет, прослушивание радио, просмотр телепередач, род занятий, семейное положение, наличие детей, заработная плата, месячный доход, величина предприятия депутата, место жительства, степень соседства с избирателями, число сотрудников среди избирателей, избран ли депутатом на следующий срок, число бесед с избирателями, число бесед с руководящими работниками, число присутствий на собрании избирателей, число присутствий на сессии, число выступлений на заседаниях в совете, время на различные депутатские дела.
083. «ПОМ-62». «Отношение бывших депутатов к своей деятельности». 283 документа, 288 переменных.
Основной исполнитель: ИСИ АН СССР.
Автор: Я. С. Капелюш.
Генеральная совокупность: депутаты городского и всех трех районных Советов депутатов трудящихся прошлого созыва (1965—1967 гг.), которые не были избраны на новый срок.
Время сбора данных: 20.10—31.12.1967 г.
Метод сбора данных: индивидуальный анкетный опрос по месту жительства респондента.
Аннотация. Исследование предполагало создание портрета депутата, который не был избран на следующий срок в отличие от депутата переизбранного. Признаки, в рамках которых создается портрет этого депутата, одновременно могут служить переменными, детерминирующими сменяемость депутата. В основные задачи исследования входило: выяснить состав бывших (не избранных на следующий срок) депутатов; определить объем, содержание и характер деятельности бывших депутатов; выяснить отношение бывших депутатов к своей депутатской деятельности (идеальные представления, самооценка); выявить реакцию государственных и общественных институтов на деятельность бывших депутатов, определить характер и типы этой реакции; выявить факторы сменяемости депутатов.
Примечание. В целом по спискам исполкомов опросу подлежало 379 человек: 150 по городскому совету, 58 — по Ленинскому райсовету, 90 — по Октябрьскому и 81 — по Орджоникидзевскому райсоветам. Отказы и «невозвраты» составляют 15 %. Анкета раздавалась внештатными анкетерами и штатными сотрудниками проекта «Общественное мнение» непосредственно по месту проживания бывших депутатов и получалась назад по договоренности анкетера и депутата. Контроль за работой анкетеров осуществлялся автором исследования.
Показатели. Удовлетворенность своей деятельностью в качестве депутата, наличие обстоятельств, затруднявших депутатскую деятельность, конкретные трудности для депутатской деятельности, дела, которые удалось осуществить в депутатстве, какие из этих дел были наиболее трудными, в чем конкретно состояли трудности, как удалось преодолеть трудности, наиболее важные дела, которые не удались, какое из дел было самым трудным, какие при этом встречались трудности, почему не удалось преодолеть, встречался ли с избирателями неофициально, место неофициальных встреч, как часто происходили неофициальные встречи, по чьей инициативе происходили неофициальные встречи, в чем состояли основные цели этих встреч, обращался ли по депутатским делам в редакции и органы власти, в какие органы обращался, общее количество обращений, общее количество адресов обращения, тема обращения — цель достигнута, тема обращения — цель не достигнута, адрес обращения — цель достигнута, адрес обращения — цель не достигнута, личные обращения в органы власти и редакции, письменные обращения в органы власти, общее количество обращений, была ли оказана помощь, возникли ли конфликты при решении вопросов, конкретная тема конфликта, выступали ли на сессиях, заседаниях, где именно выступали и сколько раз, общее количество адресов выступлений, предлагали ли конкретные меры в выступлениях, наиболее важные конкретные меры, приходилось ли выступать против проекта решения, против каких вопросов выступали, чем руководствовались, выступая против, поддержали ли контраргументы другие депутаты, есть ли вопросы, по которым надо знать мнение жителей, имеют представления о путях выяснения мнений, мотивы, определяющие позицию депутата, наличие мероприятий, проведенных по инициативе депутата, наличие письменного наказа избирателей, оценка выполнения наказа, причина неполного выполнения наказа, отвлекало ли депутатство от основной работы, приходилось ли использовать права или авторитет депутата, повлияло ли депутатство на взаимоотношения с руководителями, называют причину изменения взаимоотношения, какую общественную работу выполняли до избрания депутатом, какую общественную работу выполняют в настоящее время, причины обновления состава депутатов на выборах, пол, возраст, образование, партийность, род занятий, должность, среднемесячный заработок, средний месячный доход, сколько сроков подряд был депутатом.
084—085. «ПОМ-63». «Отношение собеседников работников органов управления к проблемам выражения общественного мнения (личным контактам с работниками органов управления как каналу выражения общественного мнения)». № 084: 1026 документов, 305 переменных; № 085: 1016 документов, 207 переменных.
Основной исполнитель: ИСИ АН СССР.
Авторы: С. Н. Грачев, В. Я. Нейгольдберг.
Генеральная совокупность: 2554 собеседника работников руководящих органов, имевшие личные контакты в органах власти г. Таганрога с 08.12.1968 г. по 02.03.1969 г.
Время сбора данных: 22.02—22.04.1969 г.
Метод сбора данных: индивидуальный анкетный опрос по месту жительства респондента.
Аннотация. Главная задача настоящего исследования — определить отношение населения к личным контактам с представителями местных органов власти как каналу выражения общественного мнения. Эта задача решается путем сопоставления вербального и актуального поведения собеседников работников руководящих органов. ПОМ-63 (массив № 084) было проведено в технике анкетирования и имело объектом 2554 собеседника работников руководящих органов (78 человек из 2632 были исключены из-за неполноты адресных и фамильных данных и по этическим соображениям). Было опрошено 1045 человек. Плановая обработка этого массива на ЭВМ была выполнена С.Н. Грачевым в 1972 г. Этот массив с некоторой коррекцией восстановлен под № 084 в 1998 г. Для решения задач, которые аналогичны поставленным при конструировании других массивов (№ 047, 049, 057), в 1979 г. была произведена перекодировка анкет опрошенных унифицированным для базы «INSYS» кодом. Характеристики анализа содержания бесед заключались в фиксации одной переменной (сфера общественной жизни, равно тема беседы). Из 65 вопросов анкеты в унифицированный код вошли 39 (334 альтернативы). Предмет исследования здесь: поток социальной информации от населения в государственные и общественные институты, выраженный в беседах с работниками руководящих органов (обстоятельства создания потока, его характеристики). Предмет отчасти дублирует представленный в массивах № 046—049, 056—057 но на статистически более представительном объекте. Это массив № 085.
Примечание. 2554 человека, выступивших собеседниками работников руководящих органов, являются генеральной совокупностью лиц, из которых была сделана выборка для опроса. Опрос проходил в два этапа. 1-й этап включал опрос тех лиц, которые беседовали с работниками руководящих органов в период с 08.12.1968 г. по 19.01.1969 г. (первые шесть недель бесед). Опрос начался 22.02.1969 г. через месяц после последней беседы для замера действенности бесед. 2-й этап включал опрос тех лиц, которые беседовали с работниками руководящих органов в период с 20.01. по 02.03.1969 г. (вторые шесть недель бесед). Опрос начался 28.03.1969 г. Месячный интервал имел аналогичную вышеуказанной причину.
Количество собеседников на первом этапе — 1421, на втором — 1133 человека, подлежащих опросу. Все они были разбиты на три группы: лица, беседовавшие по личным вопросам, лица, беседовавшие по служебным вопросам, лица, беседовавшие по общественным вопросам. На первом этапе из первой и второй групп по алфавитному списку собеседников был выбран каждый третий, а третья группа была взята для опроса полностью. На втором этапе из первой группы выбирались двое из каждых трех, вторая и третья группы подлежали опросу полностью. Объем выборки был установлен 1000±100 человек. Таким образом, говоря об опросе собеседников работников руководящих органов, мы должны оценить выборку как сложную, сочетающую в себе элементы сплошного и квотного вариантов. Разработчик выборки — С. Н. Грачев.
Показатели. Степень удовлетворенности собеседников реакций руководящих работников, оценки действенности и откровенности каналов выражения общественного мнения, обстоятельства, предшествовавшие обращению в органы власти, инициатива обращения, аккумуляция мнений обращавшимися из ближайшего к ним социального окружения, тема беседы, оценки информированности, активности населения в выражения мнений, информированности органов власти о мнениях населения, социальная активность собеседников, пол, возраст, род занятий, отрасль народного хозяйства (для занятых в нем), социальное положение и другие признаки.
086. «ПОМ-64а». «Беседы населения с работниками органов управления как канал информации (в рамках изучения содержания бесед)». 4155 документов, 302 переменных.
Основной исполнитель: ИСИ АН СССР.
Авторы: С. Н. Грачев, В. Я. Нейгольдберг.
Генеральная совокупность: все беседы, проведенные всеми работниками городских и районных (Орджоникидзевский район) руководящих органов г. Таганрога с населением в период с 08.12.1968 г. по 02.03.1969 г. — порядка 17 000 бесед.
Время сбора данных: 08.12.1968 г.—02.03.1969 г.
Метод сбора данных: самофотография: работники городских и районных руководящих органов в течение двенадцати недель вели дневники, в которых на бланках с формализованными ситуациями фиксировали все свои контакты (и обстоятельства бесед) с представителями населения.
Аннотация. Главной задачей этого исследования было определение отношения работников руководящих органов и побывавшего у них на приеме населения к личным контактам как каналу выражения общественного мнения на уровне реального поведения, выразившегося объективно в процессе контакта и беседы.
Примечание. Выборка: сложная, сочетание сплошного, вероятностного и квотного вариантов. Каждый из 147 руководящих работников (из общего числа в 150 человек, которые регулярно вели прием населения) имел трехкратное (каждый раз недельное) заполнение бланков, фиксировавших характеристики бесед. Одна неделя заполнения приходилась на декабрь 1968 г., вторая — на январь 1969 г., третья — на февраль 1969 г. При этом все работники разбивались на четыре группы, каждая из которых заполняла бланки в свою неделю месяца, а остальные три в это время в исследовании не участвовали. Заполнение «по скользящему графику» длилось 12 недель, а в общей сложности 454 человеко-недели. Таким образом, говоря об охвате работников руководящих органов (см. массив ПОМ-64б за № 087), мы должны оценить выборку как сплошную — вся генеральная совокупность.
Ясно, что 4257 бесед, проведенных в указанное время, охватывали не все количество бесед, а скорее всего лишь четвертую часть такого количества (пока одна «бригада» руководящих работников работала по заполнению бланков, три других принимали население, но бланков не заполняли). Так что, говоря об охвате контактов с населением руководящих работников, мы должны оценивать выборку исследования как вероятностную, случайную и 25 %-ную, стихийно сложившуюся в результате реализации описанного выше скользящего графика полевых работ.
Показатели. Тип органа власти в целом, конкретный тип органа власти в целом, уровень органа власти, ранг работника органа власти, пол работника органа власти, возраст работника органа власти, партийность работника органа власти, вид среднего специального и высшего образования, вид среднего специального и высшего образования, стаж работы в руководящих органах, наличие бланков, конкретный орган власти, группа принадлежности собеседника, дата проведения беседы, число бланков за данную неделю, способ контакта, место контакта, инициатива контакта, количество собеседников, пол собеседника, число фиксированных бесед собеседника, микрорайон по домашнему адресу, микрорайон по служебному адресу, уровень подчинения организации, сфера жизни — предприятие — отрасль, место работы в целом, образ собеседника, тема беседы — сфера, локальность темы, момент личной заинтересованности, актуальность темы, тип взаимоотношений, сфера деятельности субъекта управления, с какой целью проводил беседу работник, причина выбора данного собеседника, цели собеседника, причина выбора собеседником органа власти, какие проблемы затрагивались, содержание информации, знак информации, вербальный источник информации, степень согласия работника с собеседником, оперативное воздействие информации, наличие бесед по вопросу раньше, реакция работника руководящих органов, удовлетворенность собеседника, удовлетворенность работника органа власти, продолжительность контакта, наличие анкеты посетителя, цель посетителя по анкете, реакция работника — по анкете собеседника, причина выбора данного института по анкете, момент личной заинтересованности по анкете, аккумуляция информации до контакта по анкете, качество посетителя по анкете, проблематика информации по анкете, содержание информации по анкете, знак информации, вербальный источник информации — ссылки по анкете, удовлетворенность собеседника по анкете, возраст собеседника по анкете, пол, образование, партийность, выполняемая общественная работа, род занятий — все по анкете, доход на члена семьи по анкете, классификация общественного мнения, число ответов суммарно в массиве.
087. «ПОМ-646». «Посещение работниками органов управления собраний, совещаний, заседаний как канал изучения общественного мнения». 351 документ, 82 переменных.
Основной исполнитель: ИСИ АН СССР.
Авторы: С.Н. Грачев, В.Я. Нейгольдберг.
Генеральная совокупность: работники руководящих органов г. Таганрога, которые вели прием населения с 08.12.1968 г. по 02.03.1969 г.
Время сбора данных: 08.12.1968 г.—02.03.1969 г
Метод сбора данных: самофотография: работники городских и районных руководящих органов в течение двенадцати недель вели дневники, в которых на бланках с формализованными ситуациями фиксировали все посещения собраний и совещаний и обстоятельства информационных ситуаций на этих собраниях и совещаниях.
Аннотация. Главной задачей настоящего исследования является выявление факторов эффективности функционирования данного канала (личные контакты работников органов власти) с точки зрения деятельности приемника информации.
Примечание. В исследовании ПОМ-64б (массив № 087) — посещение работниками органов управления собраний, совещаний, заседаний как канал изучения общественного мнения — из общего списочного состава руководящих работников в 150 человек было охвачено 147 работников. Часть из них посетила 351 собрание и совещание, записи на которых были формализованы и составили основу данных для настоящего файла. Принятый к анализу объем — 351 документ. Взаимосвязь документов файлов № 084, 085, 086, 087 отражена в соответствующем разделе базы «INSYS». Через списки номеров документов при постановке определенных исследовательских задач можно воссоздать взаимосвязь документов всех четырех файлов, что в свою очередь позволит проанализировать в целом информационный поток в канале.
Показатели. Тип органа власти в целом, конкретный тип органа власти, уровень органа власти, конкретный орган власти, ранг работника органа власти, пол, возраст, партийность, образование, вид образования, стаж работы в руководящих органах, число бланков бесед с населением, число бланков участия в собраниях, совещаниях, заседаниях, дата участия, место проведения собрания, совещания, заседания, конкретная организация, какое именно собрание, совещание, заседание, по чьей инициативе было созвано, по чьей инициативе работник участвовал, какой вопрос обсуждался на собрании, заседании, тематика вопросов, локальность вопроса, актуальность вопроса, тип взаимоотношений, характер собрания, совещания, заседания, цель участия, с какой целью работники предприятий пригласили, кто выступал по обсуждавшемуся вопросу, какие проблемы затрагивались большинством выступавших, каково было основное содержание этих выступлений, каков был в общем и целом характер выступлений, какую информацию получил руководящий работник из выступлений, изменилась ли точка зрения на вопрос из-за обсуждения, беседовал ли ранее работник по данному вопросу, относится ли вопрос к кругу обязанностей руководящего работника, какие выводы сделал работник, что предпринял, целесообразно ли было участие в обсуждении вопроса, сколько времени продолжалось обсуждение вопроса.
088. «ПОМ-65». «Прием населения работниками местных органов управления как информационная система (наблюдение)». 161 документ, 140 переменных.
Основной исполнитель: ИСИ АН СССР.
Авторы: С. Н. Грачев, Я. С. Капелюш.
Генеральная совокупность: 150 тех работников органов власти г. Таганрога, которые осуществляли прием населения в период 08.12.1968 г.—02.03.1969 г.
Время сбора данных: 01.01—28.02.1969 г.
Метод сбора данных: использование карточек личного наблюдения.
Аннотация. Данное исследование призвано быть контрольным в плане выявления задач отношения к личным контактам как со стороны населения, так и со стороны руководящих работников, как на вербальном, так и на поведенческом и объективированном (информация) уровне.
Примечание. Исследование реализовано в проекте «Общественное мнение» в технике наблюдения в Таганроге 01.01—28.02.1969 г. Объем массива (165 полевых документов) сохранился полностью и представлен в настоящей базе в двух массивах информации: машиночитаемому файлу № 088 сопутствует файл записей из всех документов 161 наблюдения.
Показатели. Конкретный институт, количество собеседников, качество, в котором представился посетитель, тема беседы, локальность темы, момент личной заинтересованности посетителей, продолжительность беседы, месяц, дата, цель обращения посетителя, цель вызова посетителя, от чьего имени говорил посетитель, ссылки на мнения, положительный знак отношения к мнениям, отрицательный знак отношения к мнениям, нейтральный знак отношения к мнениям, характер ссылок в целом, характер ссылок доминирующий, обстоятельства ссылок, отношение посетителя к обсуждавшемуся явлению — знак оценки, модальность оценочных суждений посетителя, модальность конструктивных суждений посетителя, характер высказываний посетителя, характер доминирующих высказываний посетителя, ожидаемая вероятность учета мнения, согласие работника органов власти с посетителем, согласие посетителя с работником органов власти, содержание высказываний руководящего работника, вышла ли беседа за рамки изначальной проблемы, давал ли посетитель оценку учету мнений органами власти, удовлетворенность руководящего работника беседой, удовлетворенность посетителя результатами беседы, реакция на наблюдателя, ведение работником записей о беседе, помехи во время беседы.
089—090. «ПОМ-66». «Документы местных органов управления как канал трансмиссии информации, поступающей от населения (анализ содержания)». № 089: 498 документов, 45 переменных; № 090: 1720 документов, 56 переменных.
Основной исполнитель: ИСИ АН СССР.
Авторы: М. С. Айвазян, Л. Г. Гафт, авторы кодификатора — Л. Г. Гафт и В. Я. Нейгольдберг.
Генеральная совокупность: Кодировке подлежали исходящие документы (за исключением протоколов) городского комитета партии г. Таганрога и райкома партии Орджоникидзевского района г. Таганрога, направляемые в вышестоящие инстанции или на уровне — 66 документов (горком партии — 54 документа, райком партии — 15 документов), объем — 513 карточек документа в целом и 1735 карточек на пересечении отражаемой в текстах документов сферы действительности и локальности.
Время сбора данных: время информации 01.12.1968 г.—31.05.1969 г. 30.09— 14.10. 1969 г.
Метод сбора данных: анализ содержания документов.
Аннотация. ПОМ-66 (массивы № 089, 090) — важнейшее исследование в проекте «Общественное мнение». Одна из центральных задач — выяснить, в какой мере местные органы власти обращаются к общественному мнению и учитывают его. Для этого было необходимо воспроизвести единое, совокупное «поле» решений, принятых местными руководящими органами; сопоставить все «поле» общественного мнения (в первую очередь выраженного с помощью шести изучаемых в проекте каналов) с содержанием решений, принятых местными органами власти; при этом необходимо определить место и структуру деятельности работников органов власти по аккумуляции общественного мнения непосредственно в процессе принятия решений. Информация, содержащая общественное мнение, поступает в органы власти с помощью различных каналов выражения мнений. Такими каналами являются: письма населения, собрания общественных организаций, личные контакты представителей трудящихся с работниками государственных и общественных органов и т. д.
Особое место в системе передачи такой информации занимает канал трансмиссии общественного мнения. Каналом трансмиссии общественного мнения выступает поток вертикального и горизонтального распространения общественного мнения внутри системы государственных и общественных органов городского, районного и низового (предприятия, учреждения) уровня. Задача настоящего исследования — измерить основные характеристики информации, передаваемой посредством данного канала в виде документов официальной переписки.
В более конкретном виде задачи исследования заключаются в том, чтобы: измерить объем информации, выходящей из органов местной власти по каналу трансмиссии, и установить зависимость этого объема от характера и уровня источника информации, адреса информации, типа документа, причины и цели посылки документа; выявить в трансмиссируемой информации участки, передающие общественное мнение; определить число единиц такой информации и зависимость появления указанных единиц от параметров, перечисленных выше; выявить структуру информации, содержащей общественное мнение, с учетом определенных признаков.
Примечание. Общий объем исходящей информации выявить не удалось, так как по определенным причинам была выдана для кодировки лишь часть информации. Картотека исходящей информации содержит лишь информационные справки, просьбы, заявки. В этой картотеке не указаны протоколы, которые посылаются периодически в вышестоящие организации. Весь объем работы был выполнен лично прорабом Л. Г. Гафт. Полевой документ: карточки для шифровки решений (300-значная цифровая сетка), которая заполнялась как на каждый документ в целом, так и на каждое суждение документа в рамках пересечения сферы действительности на определенную локальность этой сферы — район, город и т. п.
При этом 15 карточек в целом и 15 карточек о суждениях «локальность на сферу действительности» в процессе восстановления данных не были обнаружены в архиве (утеряны). Окончательное число документов составило в массиве № 089 — 498, а в массиве № 090 — 1720 документов.
Показатели. Характер (партийные, советские, и т. п.) и уровень источника информации, адреса информации, типы документа, причины и цели посылки документа, типы информации, которая передается (информация о фактах, мнение данной организации о фактах, информация о мнениях; мнение данной организации о сообщаемых мнениях), сфера действительности, локальность этой сферы, знак суждения, тип суждения, тип отношения субъекта к высказываниям источника, социальный адрес источника и др.
091. «ПОМ-67». «Процесс принятия решения местными органами управления и общественное мнение». 1235 документов, 164 переменных.
Основной исполнитель: ИСИ АН СССР.
Авторы: М. С. Айвазян, Г. Д. Токаровский; разработка выборки — М. С. Айвазян, Б. А. Грушин, Г. Д. Токаровский, разработка кодификатора и программы обработки Б. А. Грушин и В. А. Полторак.
Генеральная совокупность: участники 23 заседаний местных органов управления: 1 пленум и 3 заседания бюро таганрогского ГК КПСС и городского Совета депутатов трудящихся; 1 пленум и 2 заседания бюро таганрогского горкома ВЛКСМ; 1 пленум и 3 заседания бюро Орджоникидзевского райкома КПСС; 2 сессии и 3 заседания исполкома Орджоникидзевского районного Совета депутатов трудящихся; 3 заседания бюро Орджоникидзевского райкома ВЛКСМ, N = порядка 1300 человек.
Время сбора данных: 10.12.1968 г.—04.03.1969 г.
Метод сбора данных: анкетный опрос на основе двухступенчатой стратифицированной выборки (все участники заседаний, отобранных с учетом критериев институциональности и уровня органов, принимающих решения, и типов заседаний).
Аннотация. Настоящее исследование является одним из итоговых в рамках генпроекта «Общественное мнение». Главная его цель состояла в анализе процесса выработки и принятия местными органами управления коллективного решения и места в нем общественного мнения. Программа исследования предусматривала решение четырех основных задач: определение характеристик участников процесса принятия решений; определение места и характера деятельности работников местных органов власти по обеспечению связи между общественным мнением и соответствующими организациями непосредственно в процессе подготовки и принятия решений; выявление основных характеристик потока информации (в том числе общественного мнения), функционирующего в местном руководящем органе в процессе подготовки и принятия решений; выяснение степени соответствия принимаемых решений общественному мнению, в том числе выраженному в ходе заседаний. В качестве полевого документа в исследовании выступала анкета, предназначенная для получения информации о деятельности участников заседаний местных органов управления, а также характеристики используемого ими общественного мнения. Анкета содержала 27 вопросов.
Примечание. Все участники заседаний, выбранных исследователями заранее, опрашивались непосредственно перед началом заседания до принятия тех решений, содержание которых (в частности и помимо прочих) анализировалось в следующем исследовании (см. ПОМ-68, массив № 092). Часть вопросов (с 11 и до конца анкеты) заполнялись респондентами после принятия решения органом власти; объем опрошенной совокупности — 1236 человек. Реализация запланированного объема выборки — 95,9 %. Участники одного заседания не были опрошены, так как оно не состоялось по причине чрезвычайного положения в городе (пыльные бури).
Показатели. Когда стало известно о рассмотрении данного вопроса, принимали ли участие в подготовке вопроса, относится ли вопрос к служебным обязанностям, встречали ли материалы по данному вопросу в СМК, беседовали ли в последнее время с кем-либо по данному вопросу, какую информацию получили в ходе бесед, принимали ли участие в предварительном обсуждении вопроса, в чем именно заключалось участие в обсуждении вопроса, с какими документами по вопросу пришлось ознакомиться ранее, передавали ли какие-либо предложения лицам, готовившим вопрос, отразились ли в предложениях мнения, с которыми знакомились, степень учета предложений в проекте решения, выступали ли на заседании при рассмотрении вопроса, если выступали, то по чьей инициативе, отражение в выступлении мнений, с которыми ранее знакомились, степень учета высказанных мыслей в принятом решении, причины отказа от выступления на заседании, степень соответствия решения мнению заинтересованных сторон, чье мнение при решении вопроса было учтено в большей степени, чье мнение при решении вопроса было учтено в меньшей степени, мнение каких сторон необходимо было еще учесть, общее впечатление от обсуждения данного вопроса, что могло бы способствовать эффективному рассмотрению вопроса, пол, возраст, партийность, образование, род занятий, должность, дата принятия решения, тип, уровень органа, принявшего решение, сфера решения, субъект обсуждения в формулировке решения, включенность в процесс принятия решений, причастность к информации по проблеме, затрагиваемой в решении, выраженность мнения в процессе принятия решений, функции решений, уровень решений, выраженная в тексте обязательность выполнения решений, место решения в рамках выполняемой организацией цели, структура решений.
092. «ПОМ-68». «Решения местных органов управления (как поле информации)». 452 документа, 173 переменных.
Основной исполнитель: ИСИ АН СССР.
Авторы: Б. А. Грушин, В. А. Полторак.
Генеральная совокупность: решения, принятые 8 местными органами управления: 4 городскими органами — таганрогским горкомом КПСС, таганрогским городским Советом депутатов трудящихся, таганрогским горкомом ВЛКСМ, таганрогским городским комитетом народного контроля, 4 районными органами — Орджоникидзевским райкомом КПСС, Орджоникидзевским районным Советом депутатов трудящихся, Орджоникидзевским райкомом ВЛКСМ, Орджоникидзев-ским районным комитетом народного контроля.
Время сбора данных: 01.12.1968 г.—30.06.1969 г. (решения, принятые исследуемыми местными органами власти); полевые работы: апрель-май 1972 г. (Москва, Ростов-на-Дону, Таганрог).
Метод сбора данных: анализ содержания решений на основе типологической выборки, разработанной с учетом критериев институциональности, типа, уровня местных руководящих органов.
Аннотация. Настоящее исследование (ПОМ-68, массив № 092) также является одним из итоговых в рамках генерального проекта «Общественное мнение». Главная его цель состояла в воспроизведении единого, совокупного «поля» решений, принятых местными руководящими органами. Цели исследования: определение характеристик информации, содержащейся в решениях местных органов власти; определение основных характеристик информации, совпадающей с общественным мнением, содержащейся в решениях местных руководящих органов; определение основных характеристик решений, принятых местными руководящими органами; установление зависимостей между основными характеристиками информации, общественного мнения и решений; разработка типологии решений, принимаемых органами власти города и района.
Примечание. Для анализа брались решения, принятые на заседаниях исследуемых местных органов в период с 1 декабря 1968 года по 1 июля 1969 года. Анализу подвергались все решения, принятые на заседаниях, за исключением различных постановлений разового характера (например, о снятии решений с контроля), а также решений, не требующих тщательной подготовки и изучения общественного мнения (принятые, к примеру, по вопросам, связанным с разбором персональных дел, заявлений, дачей рекомендаций и т. д.). Тем самым планируемый объем исследуемой совокупности был ограничен 452 решениями.
Показатели. Институциональность, тип, уровень органа власти, время (дата) принятия решения, сферы, темы, локальность, знак информации, положительное отношение, отрицательное отношение, разброс сфер информации, преобладающая сфера, разброс тем, разброс локальностей, преобладающая локальность, уровни действия решений, интегральный знак решений, функции решений, информативная насыщенность решений, преобладающие типы высказываний, отражение суждений констатирующей части в постановляющей части, присутствие элементов общественного мнения в содержании принимаемых решений, связь решений с ранее принятыми решениями данных органов, выраженная в текстах обязательность выполнения решений, структура решений, место решений в рамках выполняемых организациями целей, длительность действия решений, момент прерывности решений, институциональность органов, принявших решения, типы органов, принявших решения, уровни органов, принявших решения, даты заседаний (принятий решений), знаковая типология решений, функциональная типология решений, оценка решения местными органами городских проблем, оценка учета местными органами общественного мнения, оценка выполнения местными органами вышестоящих решений.
093—095. «ПОМ-69а, б, в». «Информированность населения относительно решения исполкома горсовета и отношение к этому решению» (ПОМ-69а, массив № 093), «Информированность населения относительно решения сессии горсовета и отношение к этому решению» (ПОМ-696, массив № 094), «Информированность населения относительно работы пленума ГК КПСС и отношение к материалам пленума» (ПОМ-69в, массив № 095). № 093: 999 документов, 86 переменных; № 094: 998 документов, 119 переменных; № 095: 999документов, 102 переменных.
Основной исполнитель: ИСИ АН СССР.
Авторы: М. С. Айвазян, А. И. Бушуева, Б. А. Грушин.
Генеральная совокупность: взрослое (с 18 лет) население г. Таганрога, порядка 160 тыс. человек
Время сбора данных: ПОМ-69а (№ 093) — 17.01—03.02.1969 г., ПОМ-696 и ПОМ-69в (№ 094, 095) — 14.03-24.04.1969 г.
Метод сбора данных: неформализованное интервью по месту жительства.
Аннотация. Все три массива представляют данные опросов-молний населения. Предмет исследований — отношение населения к решениям, принятым местными государственными и общественными органами, прогнозы вероятности выполнения решений, влияния такого выполнения на характер изменений личной жизни и т. п.
Примечание. Выборка случайная, по спискам избирателей с отбором каждого 180-го, репрезентативная населению Таганрога в целом и составляющим его социально-демографическим группам. Массивы № 094 и 095 (ПОМ-69б и ПОМ-69в) реализованы на одной совокупности опрошенных; номера документов в этих массивах совпадают, что позволяет обрабатывать в ЭВМ эти массивы совместно (один документ в массиве № 094 утерян). Информация всех трех массивов была уничтожена в 1975 г. В связи с этим все полевые документы в 1979 г. были закодированы по вновь разработанному коду. Особенностью его является четкая стыковка ряда категорий с однотипными переменными других исследований. Так, осознаваемые населением проблемы шифровались здесь трижды: шифрами, которыми закодированы осознаваемые всем населением проблемы в массиве № 007 (ПОМ-6), шифрами, которыми закодированы наиболее важные, по мнению руководства городом, проблемы жизни в массиве № 053 (ПОМ-44), шифрами тех тем, по которым внештатные авторы опубликовали сообщения в городской газете в массиве 057 (ПОМ-46). Тем самым обеспечивается прямое прослеживание процесса аккумуляции социальной информации через местную печать и степень согласия населения и органов власти по важности проблем социальной жизни.
Показатели. Информированность о решении исполкома, информированность о решении сессии, информированность о пленуме, источник, информированность о содержании решений, оценка необходимости принятия решения, проблемы, требующие решения в интерпретации населения, органов власти, внештатных авторов, согласие с обеспечением врачей квартирами, ожидания относительно выполнения этого пункта, согласие с пунктом об открытии магазина диетпитания, ожидания относительно выполнения этого пункта, согласие с пунктом о поликлиниках, ожидания относительно выполнения данного пункта решения, оценка влияния решений власти на улучшение медицинского обслуживания, связь изменений, сопутствующих выполнению решения, с личной жизнью, характер изменений личной, жизни, согласие с позицией ГК КПСС по культуре, оценка актуальности проблем пропаганды, согласие с позицией ГК КПСС по обрядам, согласие с позицией ГК КПСС по пропаганде, прогноз влияния мер по улучшению досуга населения, причины прогулок молодежи по центральной улице города, пол, возраст, образование, партийность, социальнопрофессиональное положение, занимаемая должность, чтение городской газеты, прослушивание передач городского радио, общественная активность, выполняемая общественная работа.
096—099. «Правда»-1975», «Правда»-1977». «Интервью с журналистами редакции газета “Правда”» в 1975 г.» («Правда»-1975», массив № 096), «Интервью “с номером в руках” по газете “Правда” 1977 года» («Правда»-1977», массив № 097), «Содержание информации, принимаемой в 1977 г. из газеты» («Правда»-1977», массив № 098), «Процесс реального приема информации газеты» («Прав-да»-1977», массив № 099). № 096: 79 документов, 98 переменных; № 097: 500 документов, 416 переменных; № 098: 788 документов, 380 переменных; № 099: 35 362 документа, 796 переменных.
Основной исполнитель: ИСИ АН СССР.
Соисполнитель: МГУ им. М. В. Ломоносова.
Авторы: «Правда»-1975», массив № 096 — Л. Н. Федотова, «Правда»-1977», массив № 097 — А. А. Возьмитель, В. Д. Войнова, В. Т. Давыдченков, А. В. Жаворонков, В. С. Коробейников, О. М. Маслова, В. И. Петров, Г. Д. Токаровский, Н. Е. Чернакова, «Правда»-1977», массивы № 098, 099 — А. В. Жаворонков.
Генеральная совокупность: массив № 096 — журналисты редакции газеты, N порядка 100 человек, массив № 097 — читающие газету «Правда» в конкретный день — около 40 % всей аудитории газеты, массив № 098 — все материалы газеты «Правда» за 10 дней (19—28.04.77 г.),. N = 788, массив № 099 — 35 362 контакта читателей из массива № 097 с сообщениями газеты из массива № 098.
Время сбора данных:массив № 096 — 01.09—30.10.1975 г., массив № 097 — 15.04— 20.05.1977 г., массивы № 098, 099 информация периода 19—28.04.1977 г., полевые работы анализа содержания — 01—30.09.1987 г. и 01—30.12.1988 г.
Метод сбора данных: интервью, анализ содержания.
Аннотация. «Правда»-1975», массив № 096. Это интервью предшествовало крупномасштабному исследованию Всесоюзной аудитории информационных средств, проведенному в 1977 г. Л. Н. Федотова опросила свыше ста журналистов редакции газеты «Правда» осенью 1975 г. К сожалению, из этого массива уцелело лишь 79 документов-интервью. Массив, однако, представляет несомненную ценность, как аналогичный таганрогским интервью (см. № 021, 022, 054, 055), но уже в отношении центральной газеты, и, кроме того, как позволяющий сопоставить ожидания редакции с реальным поведением аудитории, отражаемым данными других исследований (см. массивы № 100, 097—099).
«Правда»-1977», массивы № 097—099. Три информационных массива, объединенных одной задачей. Предмет исследования здесь — процесс непосредственного приема сообщений массовой информации в широком социальном контексте. Основная задача — выявление принципов и закономерностей присвоения отраженных в тексте характеристик социальной реальности; сопоставление содержательных картин, реально присвоенных населением в разное время из различных газет. Изучение процесса приема текста массовой информации, присвоения смысловых характеристик текста, отражающих определенные фрагменты социальной реальности предусматривает рассмотрение взаимосвязей интенсивности присвоения сообщений, степени осознания объективных (выраженных в действии) информационных потребностей с широким спектром характеристик, фиксирующих активность личности в различных сферах жизнедеятельности общества (методическое назначение — контроль фактов, полученных в 1974 г., с помощью анализа, проведенного на независимом объекте и в иное время: 1968 г.).
Примечание. Массив № 097 представляет собой подвыборку документов из числа читателей газеты «Правда». Он обработан особым образом. В процессе реализации всесоюзного зондажа «Правда»-1977» респондентам задавался вопрос о реальном чтении газеты накануне опроса. За 9 лет до этого (в марте 1968 г.) аналогичная процедура была реализована в отношении читателей «Таганрогской правды» в проекте «Общественное мнение» (массивы № 017—019). Данные об активности в реальном чтении отдельных сообщений у читательских аудиторий двух различных газет получены, таким образом, с интервалом в 9 лет с помощью идентичного, апробированного методического инструментария. Массив представляет собой 500 читателей газеты «Правда», состоящих из 10 групп. Каждая группа опрашивалась относительно чтения ею в естественных (не лабораторных) условиях того номера газеты, который был получен (куплен) респондентом накануне прихода к нему интервьюера. Однородность в активности каждой группы при чтении номера газеты позволила объединить в общий массив всех людей (а затем в массиве № 099 также все акты приема или пропуска отдельных сообщений этими людьми). Исследование охватывает период с 19 по 28 апреля 1977 г. По характеристикам читателей и аудитории газеты в целом выборка в 500 читателей репрезентативна генеральной совокупности.
Массив № 098 представляет собой документы анализа содержания 788 сообщений (740 без рекламных объявлений, фотографий, радио- и телепрограмм), с которыми контактировали 500 респондентов предыдущего исследования № 097. Функциональное назначение — выявление картины социальной реальности, отраженной в тексте, принимаемом населением; сопоставление отражаемых картин у разных газет. Предмет исследования: характеристики принимаемой информации в целом; сходство и различие социальных картин, отражающихся в тексте «Правды» и в текстах других каналов массовой информации; выявление типического в различных потоках текста.
Массив № 099 фиксирует процесс реального приема информации газеты. Исследование имеет объектом 35 362 формализованных контактов читателей с сообщениями газеты. Здесь единица статнаблюдения за процессом приема массовой информации — акт поведения отдельного индивидуума относительно отдельного сообщения (чтение — пропуск сообщения). Число документов представляет собой результат алгебраического суммирования общего числа контактов с сообщениями каждой из десяти групп респондентов, читавшей один номер газеты. Каждый документ характеризуется характером контакта с информацией (прием — пропуск), всеми выделенными программой характеристиками читателя, всеми выделенными программой характеристиками сообщения.
Показатели. «Правда»-1975», массив № 096. Причины выбора подписчиками других, кроме «Правды газет» в оценке журналистов, причины выбора подписчиками «Правды» в оценке журналистов, мнение о читаемости определенных тем и рубрик, существует ли тип читателя определенной страницы газеты, с чем связывает успех своего материала. «Правда»-1977», массивы № 097—099. Переменные практически идентичны использовавшимся при шифровке сообщений в других массивах (массивы 012-014, 017-019, 023-025, 047, 049, 057, 061, 062).
100. «Правда»-1977». «Всесоюзная аудитория средств массовой информации и пропаганды». 9366 документов, 658 переменных.
Основной исполнитель: ИСИ АН СССР.
Соисполнитель: МГУ им. М. В. Ломоносова.
Авторы: А. А. Возьмитель, В. Д. Войнова, В. Т. Давыдченков, А. В. Жаворонков, В. С. Коробейников, О. М. Маслова, В. И. Петров, Г. Д. Токаровский, Н. Е. Чернакова.
Генеральная совокупность: взрослое (старше 16 лет) население СССР.
Время сбора данных: 15.04-20.05.1977 г.
Метод сбора данных: формализованное интервью по месту жительства.
Аннотация. Предмет исследования: включенность населения СССР в систему средств массовой информации и пропаганды, в процесс производства текста массовой информации, информационные потребности, общественная активность, реальное чтение газеты населением, выяснение взаимосвязи общественно-политической и информационной активности населения и процесса воспроизводства населения. Данные сопоставимы с полученными в исследованиях проекта «Общественное мнение» (1967-1972 гг., см. массивы № 026, 027, 045, 021, 022) и второго Таганрогского проекта, выполненного в ИСИ АН СССР (1979 г., см. массив № 104).
Примечание. Выборка рандомизирована. Применялась карточка Киша. Разработчики выборки: сотрудники сектора методики ИСИ АН СССР Е. С. Петренко, В. Э. Шляпентох, Т. М. Ярошенко, сотрудники Института Проблем Управления И. Б. Мучник, Е. Э. Синицин. Описание выборки см.: Петренко Е. С., Ярошенко Т. М. Социально-демографические показатели в социологических исследованиях. — М.: Статистика, 1979. — С. 76-114.
Показатели. Чтение газет, журналов, прослушивание радио- и телепередач, посещение лекций, политинформаций, политзанятий, прослушивание каналов зарубежного радио, участие в процессе создания текста информационных средств через институт внештатных авторов и каналы информационно-пропагандистских средств и каналов, обращение в редакции газет, радио, ТВ с письмами, вербально выраженные тематические интересы, оценка соответствия содержания газет по определенным рубрикам собственным потребностям респондента, соответствие вербально выраженных интересов и интересов, объективно реализованных в приеме определенных сообщений в процессе реального чтения газеты, выполняемая общественная работа, социально-демографические характеристики, количество детей до 16 лет.
101. «ЦИОМ-1971». «Всесоюзное обследование обеспеченности населения СССР товарами длительного пользования, спроса на эти товары, на грампластинки, отношения населения к проблемам неумеренного употребления алкогольных напитков, денежных сбережений, занятий физкультурой и спортом». 2345 документов, 1420 переменных; при анализе информации, репрезентативной СССР, 1964 документа (интервью), так как дополнительный 381 документ брался для представительности некоторых республик.
Основной исполнитель: Центр изучения общественного мнения ИКСИ АН СССР.
Авторы: Б. А. Грушин (руководитель), В. Я. Нейгольдберг, Т. Б. Петров, Г. Д. То-каровский, Л. Н. Федотова.
Генеральная совокупность: взрослое (с 18 лет) население СССР.
Время сбора данных: 20.02.—31.03.1971 г.
Метод сбора данных: неформализованное интервью по месту жительства.
Аннотация. Исследование финансировалось заказчиками: Министерством торговли СССР, фирмой грамзаписи «Мелодия», Госкомспортом СССР, МВД СССР. Зондаж носил многоцелевой характер и включал в себя пять отдельных исследований различных проблем. Условно выделим их как «владение товарами и спрос на них», «отношение к пьянству», «отношение к денежным сбережениям», «отношение к физкультуре и спорту», «спрос на грампластинки». Предметы исследований ясны из этого деления. Существенной особенностью плановой обработки информации было разделение данных на эти пять отдельных блоков. При восстановлении информации А. В. Жаворонковым все они были объединены в один массив данных. Выборка квотная, стратифицированная, двухступенчатая, репрезентативная населению СССР в целом и основным, составляющим его социально-демографическим группам. Разработчик выборки — сотрудник ВЦИОМ ИСИ АН СССР к. хим. н. С. В. Чесноков, при участии С. Петрулевича. Стратификация: по регионам и по типу места жительства (город — село). Ступени: 1 — области, 2 — населенные пункты (4 типа) по городам, сельские районы — по селу. На второй ступени — места отбора респондентов: внутри населенных пунктов и сельских районов. Типы пунктов: 1 — крупный город, 2 — средний город, 3 — малый город, 4 — рабочий поселок, 5 — сельский район (отбор — по среднему числу жителей и средней удаленности от областного (краевого) центра), — всего 108 географических пунктов страны. Квоты: по пропорциональной социально-демографической модели населения страны по данным Всесоюзной переписи населения 1959 г. с коррекцией по предварительным итогам переписи 1970 г.
Выбор опрашиваемых из разных социально-демографических групп производился в соответствии с реальным представительством этих групп в рамках отдельных типов поселений, отдельных регионов и страны в целом. Опрашиваемые отбирались по следующим признакам, которые были заложены в модель: тип местожительства, пол, возраст, образование, социально-профессиональное положение. Отбор опрашиваемых по соответствию квоте в карте-задании происходил в паспортных столах жилищных контор и в сельских советах штатными интервьюерами Центра. В качестве последних выступали свыше 100 профессиональных социологов — научных сотрудников и аспирантов ИСИ (в то время ИКСИ) АН СССР, откомандированных в регионы опроса. Руководитель полевых работ — Б. А. Грушин. В ходе контроля были выбракованы документы, которые не отвечали требованиям репрезентации.
Примечание. Объектом исследования было не только общественное мнение страны в целом, относительно ряда предметных областей (указанных выше), выявленное путем опроса представительной модели взрослого населения СССР, но и широкий предметный спектр фактологической информации. Данные исследования позволяют произвести типологизацию населения СССР по уровню благосостояния с достаточно высокой точностью и конкурентно некоторым формам государственной статистики.
Показатели. Отношение населения к проблеме неумеренного употребления спиртного, степень обеспокоенности населения пьянством, оценка эффективности мер, принимаемых властями в борьбе с алкоголизмом и пьянством, причины пьянства (открытый вопрос), наиболее общественно значимые последствия пьянства, товары длительного пользования и домашнего обихода, находящиеся в пользования семьи и респондента (список в 85 наименований от видов посуды до недвижимости; наименование и число предметов), время приобретения некоторых из этих товаров длительного пользования (год покупки 16 видов товаров от пианино до мебели, автомашины и т. п.), причины покупки товаров, способы покупки товаров, намерения купить какие-либо из товаров в ближайшие два-три года, планируемые способы оплаты товаров, наличие сбережений, предполагаемые трудности при покупке товаров, спрос на грампластинки и его структура по различным жанрам музыкальных произведений и их эпохам, предпочитаемые занятия физкультурой и спортом, потребность в спорттоварах (так же как и их владение по общему списку), наиболее предпочтительные виды проведения досуга, социальнодемографические характеристики опрошенных, регион, тип поселения, жилищные условия и некоторые другие.
102. «Витебск-1975». «Отношение населения среднего промышленного города к проблемам проведения свободного времени и неумеренного употребления спиртного». 1666 документов, 308 переменных.
Основной исполнитель: ИКСИ АН СССР.
Авторы: В. С. Коробейников (руководитель), авторы программы и методики — А. А. Возьмитель, А. В. Жаворонков.
Генеральная совокупность: взрослое (с 18 лет) население г. Витебска.
Время сбора данных: 20.09.—31.10.1975 г.
Метод сбора данных: индивидуальное анкетирование по месту жительства.
Аннотация. Предмет исследования: общественное мнение о проблемах досуга и борьбы с пьянством, нормы употребления спиртного, источники и качество информирования людей о проведении свободного времени. Выборка: случайная, по спискам избирателей с отбором каждого сотого, репрезентативная населению Витебска в целом и составляющим его социально-демографическим группам. Функциональное назначение в данном ряду исследований — сопоставление общественного мнения по проблемам борьбы с пьянством в границах СССР (1971 и 1991 гг.) и среднего промышленного города (1975 г.), получение типологических групп по фактической активности употребления спиртного, выявление взаимосвязей этих групп со слоями, различающимися активностью досуга, информационного приема, формами общественно-политической деятельности.
Примечание. Данные исследования позволяют произвести типологизацию населения города по количеству выпиваемого за год одним взрослым спиртного и сравнить с подсчетами государственной статистики.
Показатели. Отношение населения к проблеме пьянства, оценка эффективности мер, принимаемых властями в борьбе с алкоголизмом и пьянством, ареалы возникновения и подкрепления форм употребления спиртного, возраст приобщения к вину, формы проведения свободного времени (по определенной частоте), источники информации о досуге, их использование населением, социально-демографические характеристики.
103. «Право-1976». Проект «Правовое сознание рабочего класса: социальные аспекты трудовой и государственной дисциплины в производственных коллективах Москвы». 2000 документов, 463 переменных.
Основной исполнитель: ИСИ АН СССР.
Авторы: А. С. Гречин (руководитель), А. С. Клигер, М. С. Мацковский.
Генеральная совокупность: Генеральная совокупность составила 271 257 человек — рабочих четырех основных групп отраслей промышленности Москвы: 1 — промышленности промстройматериалов, нефтеперерабатывающей, нефтехимической; 2 — машиностроительной; 3 — приборостроительной, электротехнической, электронной; 4 — легкой и пищевой.
Время сбора данных: весна и лето 1976 г.
Метод сбора данных: индивидуальное интервью по месту работы; часть данных сопровождалась объективными сведениями, полученными из отделов кадров по месту работы опрошенного.
Аннотация. «Предмет исследования — правовое сознание. Правовое сознание на эмпирическом уровне функционирования в настоящем исследовании представлено системой социально-правовых установок в трехмерном измерении (знание + оценка + поведение). Принято различать три составных элемента (компонента) социальных установок — когнитивный, эмоциональный и поведенческий. Это свойственно и социально-правовым установкам, но в отличие от других видов социальных установок они характеризуются достаточной четкостью своих параметров, более строгой структуризацией. В социально-правовых установках эти компоненты трансформируются соответственно в:
1) знание (информированность) индивида об определенных правовых нормах и аспектах правовой действительности;
2) отношение индивида оценочного (эмоционального) характера к данным нормам и аспектам правовой действительности;
3) принятие индивидом решения в прожективной ситуации, требующей применения этих норм, т. е. поведение индивида (на вербальном уровне) в сфере конкретных социально-правовых отношений.
Особенностью настоящего исследования является то обстоятельство, что все перечисленные выше элементы рассматриваются как органически связанные между собой ее части, определяющие целостность и содержание данной установки, когда все элементы рассматриваются и измеряются в отношении данной цели, в данном социальном контексте и в заданной точке по времени. Получение информации об установке индивида по отношению к конкретной норме «Д» требует выявления знаний (а) и оценки (в) требований именно этой нормы «D», выявления возможного варианта поведения (с) в ситуации, регулируемой только этой (а не какой-либо другой) нормой «D». Поэтому лишь при условии соблюдения ряда «D» = а + в + с мы можем вести речь об измерении установки в полном ее объеме. Выпадение из этого ряда хотя бы одного из составляющих его элементов (а, в, с) нарушает целостность установки, а подчас разрушает саму основу данной установки. Структура операционализируемого явления, точнее, теоретического представления о нем, в максимальной степени должна найти отражение в структуре представляемого его эмпирического эквивалента. Это непреложное требование редукции научных понятий обуславливает собой ту или иную степень релевантности результатов, получаемых в эмпирическом исследовании».
Примечание. «В исследовании была применена методика двухступенчатого агрегирования, при которой сначала строились классы (типы) по каждой из десяти ситуаций отдельно, а затем проводилась классификация по десяти предварительно сконструированным классификационным признакам. Обработка информации осуществлялась И. Н. Рысковым на ЭВМ «Минск-32» по программе, разработанной в соответствии с задачами исследования. Альтернативам приписались числовые значения так, что шкала становится псевдоколичественной, т. е. заданы и имеют смысл только разности между пунктами данной шкалы. Для принятия набора признаков при преобразовании смешанных шкал были взяты значения (вес) альтернатив, полученных с помощью экспертных оценок. При этом исходные шкалы отображались на ось положительных, действительных чисел «R». В экспертной оценке участвовали научные и практические работники (социологи, психологи, юристы). Шкалы были преобразованы. При вычислении расстояния между объектами было использовано расстояние по Евклиду. В качестве алгоритма классификации был принят алгоритм «выделение ядер».
Почти вся информация исследования была уничтожена в 1982—1990 гг. Остались целы лишь 680 анкет, которые ждут своего восстановления в части вопросов — незаконченных предложений. Однако уцелели перфокарты 2100 документов, которые были сведены в один массив. Дубли были изъяты, информация была перенесена А. В. Жаворонковым и А. Королевым на магнитные носители и восстановлена в объеме 2000 документов. При этом была проведена типологизация в соответствии с общими принципами, изложенными А. С. Гречиным. Около двух третей массива легли в так называемые «чистые» типы правосознания. Одна треть оказалась смешанными по разным ситуациям чистыми типами, и не была выделена нами ни в один из них. Типологизация проводилась исключительно комбинаторными методами без расчета метрик расстояния в Евклидовом пространстве признаков. Результаты в целом близки полученным И. Рысковым и А. Гречиным в 1981 г.
Утеряны коды групп по содержанию и характеру труда, введены переменные по типам правосознания, информированности относительно норм общего права, трудового и уголовного законодательства и трудовой и общественно-политической активности.
Показатели. Типы правового сознания в целом, информированность относительно норм государственного устройства, статей Трудового и Уголовного кодексов, общественно-политическая, трудовая, межличностная активности, сопоставимые с аналогичными параметрами других исследований перечня, степень сплоченности в малой группе (бригада), мнение о необходимости выполнения закона, социально-демографические характеристики, а также характеристики, позволяющие увидеть доминирующие колебания в негативную сторону от определенных правовых норм.
104. «Таганрог-2». «Средства пропаганды в социальном управлении трудовым коллективом». 1988 документов, 1112 переменных.
Основной исполнитель: ИСИ АН СССР.
Авторы: Н. С. Мансуров (руководитель), И. Т. Левыкин (куратор); авторы программы и методики — А. В. Жаворонков, Н. С. Мансуров, Е. Я. Таршис, Н. Е. Чер-накова.
Іенеральная совокупность: взрослое (с 18 лет) население г. Таганрога, занятое в народном хозяйстве порядка 160 тысяч человек.
Время сбора данных: 3.04.—19.04.1979 г.
Метод сбора данных: индивидуальное анкетирование по месту работы.
Аннотация. Исследование было проведено ИСИ АН СССР по заданию Отдела пропаганды ЦК КПСС по личной инициативе Л. А. Оникова параллельно со вторым таганрогским исследованием, проводимым в то же самое время группой Н. М. Римашевской из ЦЭМИ, где ряд стыкующихся по информационной структуре параметров был разработан Б. А. Грушиным и В. В. Сазоновым. Исследование ИСИ предусматривало сопоставление получаемых результатов с данными, полученными за десять лет до этого в проекте «Общественное мнение», а также с результатами Всесоюзного исследования «Правда»-77». При этом выборка была ограничена рамками занятого в народном хозяйстве населения, модель выборки, составившая 2000 респондентов была разработана Е. Я. Таршисом и Н. Е. Черна-ковой. Объем был реализован полностью, однако 12 документов были утеряны в процессе реализации набивки на магнитные носители.
Примечание. Опыт проведения и результаты исследования достаточно быстро были обнародованы в открытой и закрытой печати. Однако малые тиражи и «за-грифованность», которая только через семь лет открыла возможность публикации статей, написанных практически уже в год проведения исследования, не дали широкой научной общественности познакомиться с важнейшими результатами, получавшимися на сопоставлении данных на динамических рядах.
Показатели. Включенность в систему СМИ и пропаганды в целом, информационная, общественно-политическая, трудовая активности, активность в межличностной коммуникации (в том числе и в рамках структуры производственных коллективов) и в сфере досуга, источники информации относительно различных по масштабам деятельности областям реальности (мир, страна, регион и т. п.), включенность в каналы выражения общественного мнения, оценка собственной информированности, оценка влияния на воспитание различных информационных средств и социальных институтов, оценки проблем производственных коллективов, степени осознания проблем, требования к хорошей работе, причины, мешающие хорошо трудиться, жизненные ценности, формы проведения свободного времени, информационного приема, общественной работы, трудовой активности и т. п., детально разработанный блок социально-демографических показателей.
105—106. «Ташкент — Москва-81-82». «Информированность и активность в трудовых коллективах предприятий»; № 105 массив-1 — Ташкент (август 1981): 500 документов, 253 переменных; № 106 массив-2 — Московская обл. (сентябрь 1982): 493 документа, 253 переменных.
Основной исполнитель: ИСИ АН СССР.
Автор: Н. С. Мансуров.
Генеральная совокупность: Две шелкопрядильные фабрики Ташкента и два предприятия (Климовский машиностроительный завод и Глуховский машиностроительный комбинат) Московской обл.
Время сбора данных: Узбекистан — август 1981 г., Московская обл. — август-сентябрь 1982 г.
Метод сбора данных: опрос по анкете по месту работы.
Аннотация. Объект исследования — взаимосвязь производственной активности трудящихся и их информированности о вопросах внутрипроизводственной жизни. Исследование было проведено сначала в Ташкенте прорабом А. Г. Кахха-ровым, исследование по Московской области через год для коррекции полученных результатов сотрудниками ИСИ.
Примечание. Исследование носило пилотажный и монографический характер, однако именно на нем была впервые апробирована методика измерения информированности с точки зрения дихотомии знания: «да — нет», «знает — не знает» отдельные элементы определенного предметного ряда информации, которые затем интегрируются в количественный показатель — «числа знакомств с отдельными предметными областями». Именно после отработки на этих двух исследованиях данный подход был реализован и сработал на исследованиях проекта «Общественное мнение» там, где это позволяли полевые документы, а затем на Всесоюзных исследованиях и в исследовании «Право-1976», где предпосылки такого подхода были заложены теоретически. Именно Н. С. Мансурову принадлежит заслуга не только создания простого и изящного решения проблемы измерения информированности в целом, а затем ее детализации на количественно-качественные «сгустки», каждый из которых отличается социальным поведением, но и первая реализация этой идеи до ее статистической апробации.
Показатели. Информированность об определенных областях жизни предприятия, трудовая, общественно-политическая активность, активность в межличностной коммуникации в среде производственного коллектива, осознаваемые производственные проблемы, показатели степени солидарности производственной общности по ряду вопросов, социально-демографический блок.
107—110. Проект «Образ жизни-1980—87». «Всесоюзное исследование образа жизни советских людей». Эти исследования насчитывают четыре массива информации: Всесоюзный зондаж, проведенный в 1980—1981 гг., два массива панельного исследования по Москве и Московской обл., проведенного на одних и тех же респондентах в 1980—1981 и осенью 1985 гг. (все три массива одним документом) и повторное исследование 1986—1987 гг. на всесоюзном уровне (измененный и модифицированные документ). Два общесоюзных опроса. Первый: 10 150 документов, 405 переменных; второй: 10 035 документов, 398 переменных (№ 107 и № 110 соответственно). Два лонгитюдных (панельных) опроса одних и тех же респондентов в Москве в 1980 и 1985 гг.: исходный массив — документов 768, переменных — 383 (№ 108), столько же и в результирующем — № 109.
Основной исполнитель: ИСИ АН СССР.
Авторы: И. Т. Левыкин (руководитель), А. А. Возьмитель, Т. М. Дридзе, Ю. К. Иванов, М. Е. Позднякова, М. В. Покровская, И. Т. Левыкин, Я. В. Рейзе-ма, Э. А. Орлова, М. С. Косолапов, О. М. Маслова, Г. С. Батыгин, Л. И. Лобанова, С. И. Плаксий, В. З. Роговин, Б. А. Бабин, В. В. Червяков при консультациях М. Х. Титмы.
Генеральная совокупность: взрослое (с 18 лет) население страны, взрослое, с 18 лет население Москвы и Московской обл.
Время сбора данных: лето 1980 — осень 1981 г., осень 1985 г. — январь 1987 гг.
Метод сбора данных: неформализованное интервью по месту жительства.
Аннотация. Предмет исследования — образ жизни населения СССР. Выборка случайная, шестиступенчатая, стратифицированная репрезентативная населению СССР и основным, представляющим его социальным и демографическим группам. Разработчики выборки Е. С. Петренко и Т. М. Ярошенко. Подробнее о выборке см: Петренко Е. С., Ярошенко Т. М. Всесоюзная территориальная выборка для исследования образа жизни // Состояние и основные тенденции развития советского образа жизни. — М., 1980. — С.130—143.
Примечание. Опрос проводили 48 сотрудников ИСИ АН СССР, работавших в качестве бригадиров и региональных инспекторов по проведению полевых работ. Работа анкетеров регламентировалась инструкцией. Разработчики инструкции А. А. Возьмитель и М. В. Покровская. Кодирование открытых вопросов полевых документов всесоюзного массива осуществлялось сотрудниками и аспирантами ИСИ АН СССР под руководством В. В. Червякова, Н. Е. Бельмесовой, И. Л. Щеголевой. Составители кода и инструкции кодировщику А. А. Возьмитель, Б. Ш. Ба-ди, М. В. Покровская, В. В. Червяков.
Осенью 1985 г. Б. Ш. Бади, В. В. Червяковым и И. Л. Щеголевой было проведено панельное исследование опрошенных в 1981 г. жителей Москвы и Московской области. Объемы сопоставимых массивов составляют по 768 документов. Это одни и те же люди (массивы № 108, 109, которые могут быть слиты в один файл).
Повторное исследование образа жизни, реализованное в ИСИ АН РФ под руководством И. Т. Левыкина в 1986—1987 гг. (массив № 110). Исследование обработано лишь по закрытым вопросам полевого документа, основным разработчиком которого является В. В. Червяков. Открытые вопросы не обрабатывались. Принятый к обработке объем составляет 10 035 документов. Выборка и отбор респондентов осуществлялись адекватно процедуре опроса проведенного за пять лет до этого (см. описание массива № 107, 1981 г.). Характеристики исследований см.: Субъективные показатели образа жизни (количественные результаты Всесоюзного исследования образа жизни советских людей). Вып. 1. — М.: ИСИ АН СССР, 1989 (там же см. ссылки на основные публикации по программе, методикам и некоторым результатам исследования — С. 8—9). В 1995 г. все четыре массива проекта восстановлены А. В. Жаворонковым и А. Королевым в ИСИ АН РФ. При этом была выбракована часть документов панельного исследования, которые имели разных респондентов под одними и теми же документами, а также часть незаполненных документов «десятитысячных» массивов 1981 и 1986—87 гг.
Показатели. Трудовая, общественно-политическая, коммуникационная активность населения, количественно-качественная структура ценностных ориентаций и мотивов различных видов деятельности, уровень благосостояния, владения товарами длительного пользования, жизненные планы, досуговая деятельность, социально-демографический блок, в том числе позволяющий при определенных условиях обработки выделить объективные показатели процесса воспроизводства населения в определенных возрастных когортах женщин, жилищные условия респондентов, их удовлетворенность различными аспектами жизнедеятельности, в том числе и в оценках их личных жизненных изменений за последние несколько лет.
111. «Директор-1989». «Директор современного предприятия»; документов — 224, переменных — 382.
Основные исполнители: НПО «Прогностика» ЦЭНДИСИ АН СССР, Хьюстонский университет (Техас, США).
Соисполнитель: ИСИ АН СССР.
Авторы: М. С. Мацковский (автор программы и полевого документа), В. А. Лисичкин (СССР) и П. Грегори (США); исследование спонсировал П. Грегори.
Генеральная совокупность: директора промышленных предприятий РСФСР.
Время сбора данных: сентябрь-октябрь 1989 г.
Метод сбора данных: опрос по анкете.
Аннотация. Исследование предусматривало выяснение изменений, происходящих во время перестройки в производственных отношениях на уровне руководителей промышленных предприятий (в самостоятельности принятия решений и зависимости от ведомств и политических организаций, в частности).
Примечание. Исследование является чуть ли не единственным в своем роде замером изменений, происходящих в сознании так называемой группы «красных директоров». Выборка разрабатывалась представителями Хьюстонского университета, охватывала 224 промышленных предприятия различных отраслей.
Показатели. Ассортимент продукции предприятия, количество работающих, уровень подчинения, доля занятых в производстве, степень самостоятельности принятия решений в различных областях производственной деятельности, отношение к отмене госзаказа, наиболее важные качества руководителя, внепроизвод-ственные интересы и досуговая деятельность, ценностные ориентации, психологические характеристики, социально-демографический блок.
112. «Артек-90». «Дети Артека в 1990 г.». 598 документов, 130 переменных.
Основной исполнитель: группа «Ласковый май» (А. Разин).
Разработчики: А. Разин и редакция «АиФ».
Соисполнитель: ИСИ АН СССР (обработка машиночитаемого файла исследования).
Генеральная совокупность: дети, отдыхавшие в пионерлагере «Артек» летом 1990 г.
Время сбора данных: лето 1990 г.
Метод сбора данных: опрос по раздаточной анкете.
Аннотация. Исследование было предпринято в разгар «перестроечной» увлеченности социологическими исследованиями. Анкета называлась «Программа Президент» в связи с одним вопросом в ней, обращенным к детям: «Если бы ты был Президентом, что бы ты прежде всего сделал?».
Примечание. Анкета насчитывала 27 открытых вопросов, трудности обработки записей ответов на которые оказались достаточно серьезны для редакции «АиФ», куда А. Разин передал массив документов опроса. Это заставило редакцию обратиться в ИСИ АН СССР. У нас в это время уже была программа обработки лексически оригинальных ответов респондентов в формализованные (закодированные) машиночитаемые файлы с минимальными затратами времени. Это и было сделано. По результатам опроса в июле 1991 г. в «АиФ» А. В. Жаворонковым было опубликовано сообщение. Ряд вопросов был впоследствии повторен при исследованиях школьников старших классов в Касимове в 1994 г. и в Москве в 2004 г.
Показатели. Отношения в семье, хотели бы покинуть страну, любимый «герой» — образец для подражания, отношения в школе, много ли друзей, отношение к будущей военной службе, чего боятся больше всего в предстоящей жизни и т. п.
113—116. «Правда»-1991». «Всесоюзное исследование активности, информированности и отношения населения к актуальным проблемам общественной жизни»; исследование разделено в итоге на четыре массива. № 113: 9672 документа, 3608 переменных; № 114 (читатели газет «Правда», «АиФ», «Комсомольская правда», «Советская Россия» за день до опроса): 870 документов, 429 переменных; № 115 (материалы анализируемых газет): 1072 документа (сообщения), 50 переменных контент-анализа; № 116 (акты чтения и пропуска сообщений): 63 050 документов, 237 переменных (характеристики людей и сообщений, а также факты их присвоения или пропуска)
Основные исполнители: ИСИ АН СССР, редакция газеты «Правда».
Авторы: А. В. Жаворонков (руководитель) авторы программы исследования и полевого документа — А. В. Жаворонков и В. Л. Павлов.
Генеральная совокупность: взрослое (с 16 лет) население СССР. Общее число 207,7 миллиона человек по переписи 1989 г.
Время сбора данных: 09.09.1990 г.—14.06.1991 г.
Метод сбора данных: индивидуальное интервью.
Аннотация. Последнее Всесоюзное исследование («Правда»-1991») представляет собой крупномасштабный многоцелевой проект, имевший целью подвести итоги двадцатипятилетнего периода тех исследований социальных процессов, происходящих в нашем обществе, которые были основаны на методологических подходах изучения информационных систем, благосостояния и образа жизни населения. Полевой документ исследования представлял собой интервью по анкете, которая могла быть заполнена и самостоятельно. Выборка рандомизирована, применялись карточки Киша, один из восьми вариантов которой был напечатан с объяснениями заполнения на обороте титульного листа анкеты. В качестве контрольной группы в 2000 экз. тиража «почтовой» адресной анкеты карточки Киша не было. Интервью насчитывало 145 вопросов, каждый из которых был сконструирован на основе анализа «работы» подобного инструментария в проекте «Общественное мнение» и в других исследованиях. Так, например, анкета по профессиональной ориентации населения В.В. Сазонова насчитывала 24 страницы формата А4. Ее анализ дал возможность снять адекватный объем информации на одной странице полевого документа книжного формата четырьмя сложными открытыми и одним закрытым вопросом. Подобный прием позволил добиться высокой емкости ответов (в среднем на каждое интервью было получено по 750 ответов, что само по себе говорит о заинтересованности отвечавших, а общее число ответов по массиву составило около 7,5 млн ответов). При этом в полевой документ вкладывались еще семь бланков-вкладышей, рассчитанных на стихийное представительство и предусматривающих съем информации по шести темам:
1) процесс реального чтения материалов центральных газет;
2) тест на инновационность — консерватизм населения;
3) тест на выявление уровня семиотической подготовки реципиента;
4) бланк выявления проблем национальных отношений;
5) бланк с методическим инструментарием относительно установок на просмотр телепередач;
6) аналогичный предыдущему бланк с измененной последовательностью закрытий;
7) бланк с предложением записать 20 товаров длительного пользования, в которых остро нуждается респондент, и приемлемую для него цену каждого из этих товаров.
Примечание. Исследование проводилось в условиях жесточайших организационных и финансовых трудностей, последняя из которых была вызвана «павловской» реформой, открывшей долголетний процесс инфляции. Организационную поддержку оказал куратор исследования от редакции «Правды» В. Н. Любицкий. Отказ Госкомстата СССР от сотрудничества в проведении части исследования на бюджетных сетях в самый последний момент потребовал мгновенного полного изменения стратегии полевых работ. Выборка исследования стала предусматривать сопоставимость с исследованием «Правда»-1977», а потому для проведения «поля» были отобраны те области, регионы и населенные пункты, которые в свое время были положены в основу выборки ИПУ. Выборка стала на 50 % адекватной выборке исследования «Правда»-1977» (см. описание массива № 100). Исполнители полевых работ — сотрудники тридцати региональных отделений ВЦИОМа и социологических лабораторий постоянной сети интервьюеров Министерства культуры РСФСР, созданной Яковом С. Капелюшем. Оплата производилась непосредственно исполнителям по завершению сбора информации с минимальными потерями через Москву со счетов Черемушкинского районного общества инвалидов. В этих условиях полевым лабораториям 30 регионов было дано право обеспечить случайную, по спискам избирателей выборку, представительную в своих регионах, и с обязательным отбором респондентов в семье по карточке Киша, восемь типов которой, как сказано выше, были протиражированы сменными полосами непосредственно на оборотах обложки полевого документа. Допускалась замена при отказе от ответов представителей малообразованных групп группами из сфер управления регионом и творческой интеллигенции. Это несколько «приподняло» выборку в стратификационной структуре, однако дало представительные группы региональных управленцев и журналистов.
Кроме того, были разосланы почтовые адресные анкеты по персональным адресам Всесоюзной случайной выборки, предоставленной Центром изучения общественного мнения ИСИ АН СССР (руководитель д.ф.н. В. Г. Бритвин, составитель выборки З. В. Батаева). Эти две выборки (основная и ВЦИОМа ИСИ АН СССР) были подстрахованы тремя персонально-адресными выборками прессовых журнальных и газетных опросов. Возврат почтовых анкет составил 60 %. Столько же составляет принятый объем и основной выборки после выбраковки негодных документов. Исследование охватило около 300 населенных пунктов страны и прошло в 150 областях. Число пришедших к маю 1991 г. документов составило 10 500 по всем пяти подвыборкам. После выбраковки оно сократилось до 9672 документов. Выбраковка и контроль сначала были выполнены непосредственно автором проекта, а затем научным сотрудником ИСИ РАН А. Л. Королевым. Фактически полевые работы были проведены автором из Москвы с помощью телефонных переговоров с руководителями региональных социологических центров, личной рассылке им партий анкет с проводниками железнодорожных экспрессов и получением заполненных анкет с командировочной оказией из регионов (почтовые отделения до весны 1991 г. находились в полупарализованном состоянии). Огромную помощь в рассылке почтовых адресных анкет на заключительном этапе работы оказал отдел писем редакции газеты «Правда» и принимавшая в этой рассылке участие В. И. Агаянц. Уже осенью 1991 г., во многом благодаря работе оператора ЭВМ ИСИ АН СССР В. И. Кочетовой, в редакцию газеты «Правда» автором были положены два предварительных отчета по исследованию. Последовавшие затем политические события прервали практическое использование собранной информации заказчиком.
Показатели. По своему содержанию настоящий проект сводится к сопоставительному анализу исследования «Правда»-1991» с данными всех остальных исследований баз данных «INSYS» и «UNIVERSUM». Целостность исследования «Правда»-91» заключается в том, что оно позволило рассмотреть характеристики людей, разобранных по разным исследованиям, на одном статистически значимом массиве, который представлен одним (первым, № 113) файлом. Здесь легче перечислить основные блоки исследования, чем отдельные переменные: проблемы профессиональной ориентации; отношение населения к различным странам мира; уровень семиотической подготовки реципиента, его информированность относительно имен выдающихся деятелей мировой и отечественной культуры; степень консервативности — инновационности населения; предпочитаемая населением цветовая гамма; сфера реального информационного приема — читатели центральных газет: «Правда», «Аргументы и факты» и др.; анализ содержания принятой информации; процесс приема информации, акты потребления сообщений, отношение населения страны к решению социальных проблем, выражению общественного мнения и работе органов власти, ожидания населения от изменений политической ситуации; отношение населения страны к деятельности СМИ и оценка их роли в решении социальных проблем; мотивы обращения к массмедиа, информационные потребности читателей; количественно-качественная структура питания населения страны; приобщенность населения страны к употреблению спиртного и общественное мнение о проблеме пьянства и путях ее преодоления; отношение населения к различным нациям, национальные традиции и праздники, ощущение национальной общности; жизненные ценности и мотивационные структуры; уровень благосостояния, владение товарами длительного пользования, достаток, товары, пользующиеся наибольшим спросом.
117—119. Проект «Касимов-1994». «Ориентация школьников старших классов средних школ и их родителей на выбор различных профессий»; исследование насчитывает три массива; первый, № 117 — жители города Касимова: документов — 862, переменных — 265, второй, № 118 — школьники старших классов четырех типов школ города: документов — 302, переменных — 79, третий, № 119 — семьи опрошенных школьников: документов — 222, переменных — 343.
Основной исполнитель: МИРОС.
Соисполнитель: ИСИ РАН (обработка информации).
Авторы: А. В. Жаворонков, В. Б. Новичков, Л. Н. Рыбакова, разработчик полевого документа — А. В. Жаворонков.
Генеральная совокупность: взрослое (с 18 лет) население г. Касимова 29 145 человек по переписи 1989 г.
Время сбора данных: 20.10.—31.10.1994 г.
Метод сбора данных: опрос по раздаточной анкете взрослого населения, аудиторный опрос школьников старших классов.
Аннотация. В качестве полевых документов в исследовании фигурировали две анкеты: одна для школьников на 22 вопроса и одна для взрослого населения на 36 вопросов. Проблемам образования и профессиональной ориентации было посвящено у школьников 11 а у взрослых 12 вопросов. Остальные вопросы касались объективных данных, оценок состояния дел в различных сферах жизни, перспектив решения проблем, уровня благосостояния, активности в сфере досуга и общих мировоззренческих ориентаций. Все вопросы были апробированы в ранее проводимых исследованиях: проект «Общественное мнение», «Таганрог-2», «Правда-91» и некоторые другие.
Примечание. Исследование предусматривало сопоставимость информации по определенным социально-демографическим группам с исследованиями: ПОМ-02 — массив № 004, «Таганрог-2» — массив № 104, «Артек-90» — массив № 112, «Правда-1991» — массив № 113. В книге «Касимов: город и человек. Народный учебник: экспериментальное учебное пособие для учащихся старших классов» (М.: МИРОС, 1999 г.) отражены количественные результаты исследования в виде таблиц статистической обработки данных, полученные автором полевого документа.
Показатели. Сопоставимые с перечисленными исследованиями показатели — отношение к различным профессиям взрослых и школьников старших классов, мотивы выбора профессий и видов труда, оценки состояния дел в различных сферах жизни региона и усилий местной власти по решению этих проблем, оценки роли различных институтов в деле воспитания людей, любимый «герой» — образец для подражания, желание уехать из города, возможности, которые существуют в городе для осуществления жизненных планов по определенной социальной инфраструктуре (все оценки по пятибалльной системе, а роли институтов — по рангам), уровень благосостояния (реальный и самооценка), формы проведения свободного времени, включенность в систему массмедиа, социально-демографический блок.
120. «Сельская жизнь — 1997». «Сельская семья в период изменения экономических отношений». 970 документов, 426 переменных.
Основной исполнитель: ИС РАН.
Автор: М. Г. Панкратова.
Генеральная совокупность: взрослое (с 18 лет) население сельской местности РФ, занятое в сельскохозяйственном производстве и имеющее в семейной паре хотя бы одного ребенка.
Время сбора данных: 15.06.—01.09.1997 г.
Метод сбора данных: опрос по раздаточной анкете.
Аннотация. Исследование проведено в 21 регионе Российской Федерации ведущим научным сотрудником ИСИ РАН М. Г. Панкратовой. Исследование позволяет провести анализ динамики социальных изменений на фоне современной социально-экономической ситуации. Одной из задач исследования — было получение социально-психологического облика современного крестьянина.
Примечание. Исследование предусматривало сопоставление семейных отношений сельскихжителей в РФ с аналогичными группами населения в Азербайджане. Однако азербайджанская часть исследования не рассматривается.
Показатели. Кем воспитывались, состав и величина семьи, отношения в семье и с родственниками, социальное положение родителей, семейное положение, обстоятельства знакомства с супругом (супругой), обстоятельства становления и регистрации брачных отношений, участие в создании семьи родственников, отношение к обрядовой стороне брака, время вступления в брак, тип семьи, характер взаимопомощи между поколениями, дифференциация семейных обязанностей, отношения с родителями той и другой стороны, распределение финансов в семье, формы совместно и раздельно проводимого свободного времени, отношения с детьми, приоритетные формы воспитания, качества, которые хотели бы видеть в детях (в том числе и с дифференциацией по полу), оценки изменений жизни за последние годы, формы разногласий в семье, уровень благосостояния, уровень материальных притязаний, жилищные условия, социально-демографический блок и некоторые другие.
121. «Питер»-1999». Исследование «Выборы в Госдуму — Петербург-1999». 1600 документов 138 переменных.
Основные исполнители: Министерство науки и технологий, Республиканский исследовательский научно-консультационный центр экспертизы (РИНКЦЭ).
Соисполнитель: ИС РАН (обработка информации).
Авторы: Э. И. Бутаев, А. В. Жаворонков, С. М. Никифоров.
Генеральная совокупность: взрослое (с 18 лет) население 208-го избирательного округа Санкт-Петербурга, имеющее право голоса на выборах. Выборка случайная по спискам избирателей.
Время сбора данных: 26.08—05.10.1999 г.
Метод сбора данных: опрос по раздаточной анкете.
Аннотация. Исследование информированности населения о депутате Государственной думы С. М. Никифорове и разработке рекомендаций по повышению эффективности избирательной кампании в округе к моменту выборов в Госдуму.
Примечание. Достаточно широкая география избирательного округа (Кировский и Красносельский районы, Ломоносов и Петергоф) позволила, получив от петербургских коллег таблицы горстата с данными микропереписи 1998 г. по всему городу, создать два файла: один — соответствующий опросу, другой — перевзве-шенный по характеристикам половозрастной структуры, разбитой по признаку «образование», на соответствующие генеральной совокупности уже по всему городу коэффициенты (для взрослого населения Петербурга с 18 лет). Соотнесение распределений ответов по исходному и перевзвешенному массиву дало хорошую корреляцию признаков.
Показатели. Оценки возможностей в Петербурге для построения нормальной жизни в различных инфраструктурных областях, оценки ведущих политиков страны и отдельных депутатов, баллотирующихся на выборах (все оценки в пятибалльной школьной системе), наиболее сильно волнующие горожан проблемы, прогноз решения проблем, отношение к депутату, баллотирующемуся в Госдуму, источники информации о предвыборной кампании, формы досуга, социальнодемографический блок. Вопросы сопоставимы с исследованиями в СССР в целом (можно выделить респондентов из этого же региона), в Касимове, с последующим исследованием в Москве в 2004 г.
122—124. «Выборы»-2000». «Контент-анализ материалов “Независимой газеты” и “АиФ” во время президентских выборов», сопоставимый со всеми предыдущими исследованиями. Исследование насчитывает три массива. № 122 (анализ содержания сообщений, отдельных материалов газет): 1356 документов, 16 переменных; № 123 (анализ содержания всех упоминаний субъектов международного права — стран и международных организаций): 1748 документов, 16 переменных; № 124 (анализ содержания каждого из всех персональных упоминаний граждан РФ за искомый период): 3973 документа, 26 переменных.
Основной исполнитель: ИСРАН.
Автор: А. В. Жаворонков, кодировщики — 20 студентов четвертого курса ГУГН при ИСИ РАН во время практических занятий семинара по контент-анализу под руководством автора.
Генеральная совокупность: 6 номеров «АиФ» и 15 номеров «НГ», вышедших со дня объявления президентской кампании до дня ее окончания в феврале-марте 2000 г.
Время сбора данных: февраль-май 2001 г.
Метод сбора данных: контент-анализ сообщений, упоминаний стран мира, упоминаний всех граждан РФ за рассматриваемый период.
Аннотация. Исследование насчитывает три самостоятельных массива, каждый из которых представляет собой предельно синтезированные из методик проекта «Общественное мнение», проработанные в проектах «Правда»-77» и «Правда»-91» переменные. Они используются, во-первых, в дальнейших исследованиях методикой анализа содержания, во-вторых, к ним могут быть сведены все предыдущие аналогичные исследования, задействованные в вышеуказанных базах данных.
Примечание. Контроль и декодировка осуществлялись лично автором исследования.
Показатели. Массив сообщений — канал информации, оперативность сообщения, тип материала (информация — мнение, оценка, предложение), уровень мнения, тип автора, освещаемая сфера общественной жизни, знак освещения сферы жизни, локальность сферы жизни, число стран — субъектов международного права в сообщении, число личностей — граждан РФ в сообщении; массив по странам — все предыдущие характеристики, кроме двух количественных последних, а также номер сообщения, сфера жизни субъекта освещения, знак сферы жизни, локальность сферы жизни; массив «героев» — субъектов содержания и «образцов поведения» — все предыдущие характеристики сообщения в целом, а также номер сообщения, тип «героя» (знаковый или нейтральный), роль «героя» (субъект — не субъект мнения), знак «героя», сфера деятельности «героя», локальность сферы деятельности «героя», пол, поколение, статус, род занятий «героя» информации.
125—128. «Тамбов-2004». «Чтение городской газеты в ее аудитории»; это исследование насчитывает четыре массива. № 125 (опрос четырех групп населения, каждая из которых читала накануне определенный номер газеты «Тамбовская жизнь»): 170 документов, 218 переменных; № 126 (анализ содержания принимаемых и отвергаемых в чтении сообщений, отдельных материалов газеты): 82 документа, 11 переменных; № 127 (процесс приема и пропуска сообщений всех четырех номеров газеты «Тамбовская жизнь», акты поведения опрошенных относительно отдельных сообщений номера): 3252 документа, 256 переменных; № 128 (процесс приема и обсуждения имен отдельных «героев» и их характеристик и качеств): 14 152 документа, 225 переменных.
Основной исполнитель: ИС РАН.
Автор: А. В. Жаворонков, прораб и исполнитель полевых работ — студент 4-го курса ГУГН при ИС РАН А. С. Топорков.
Генеральная совокупность: подписчики и читатели газеты «Тамбовская жизнь» накануне проведения опроса.
Время сбора данных: 30.01—04.02.2004 г.
Метод сбора данных: формализованное интервью с применением карточек с нумерацией возможных ответов и с отметкой прочитанных, просмотренных и отвергнутых сообщений непосредственно на полосах номеров газет.
Аннотация. Процедура была адекватна примененной в исследованиях ПОМ-15, 16 (см. описание массивов № 015—019). Объемы зафиксированных текстов и числа читателей по «Таганрогской правде» 169 и 107 и по «Тамбовской жизни» 170 и 82 соответственно (в обоих газетах в 8 номерах сравниваются только содержательные сообщения без утилитарных и рекреативных материалов, коих в 1968 г. было 71 на четыре номера, всего, следовательно, 240 сообщений; а в «Тамбовской жизни» 2004 г. — 116, т. е. с содержательными сообщениями 198 сообщений). Доля объявлений в 1968 г. 30 %, а в 2004 г. 59 %.
Примечание. Впервые здесь была применена процедура реального приема отдельных элементов (имен «героев» и их характеристик) и параллельное рассмотрение поля их обсуждения в последующем с окружающими.
Показатели. Те же, что и в предыдущих массивах анализа содержания, однако с добавлением характеристик чтения, просмотра, пропуска сообщений и характеристик аудитории. Из последних стоит отметить: факт обсуждения прочитанных сообщений, ареал обсуждения (группы), тематические интересы к газетной, радио-и телеинформации, источники информации, формы проведения досуга, уровень достатка по числу товаров длительного пользования, волнующие проблемы, прогноз их решения, социально-демографические характеристики.
129—133. Пилотажное исследование «Москва-2004». «Сопоставительное исследование анализа содержания восьми газет различного направления и профессиональной ориентации и социальных оценок жизни школьников старших классов и их родителей»; исследование состоит из трех массивов анализа содержания ведущих газет различных направлений, которые насчитывают несколько тысяч материалов, упоминаний стран мира и граждан РФ — «героев» — «образцов поведения». Массив обрабатывается и готовится к анализу. В настоящей книге из него взяты для сравнения лишь четыре номера газеты «Ведомости». Это три массива: № 129 (сообщения газеты): 192 документа, 16 переменных; № 130 (упоминания стран мира): 257 документов, 10 переменных; № 131 (упоминания граждан РФ, «героев»): 365 документов, 10 переменных. Одновременно был проведен опрос школьников старших классов Северного административного округа и их родителей в преддверии выборов, посвященный проблемам образования и сопоставимый с исследованием «Касимов-1994»: массив четыре — № 132 (школьники): 247 документов, 388 переменных; массив пять — № 133 (родители школьников): 131 документ, 703 переменных.
Основной исполнитель: ИС РАН.
Автор: А. В. Жаворонков, исполнители полевых работ в части опроса — А. В. Жаворонков и студенты 4-го курса ГУГН при ИСИ РАН А. А. Гнутов и А. С. Топорков, в части анализа содержания — 20 студентов-кодировщиков четвертого курса ГУГН при ИСИ РАН во время практических занятий семинара по контент-анализу под руководством автора.
Генеральная совокупность: исследование и представляет школьников четырех типичных школ Северного административного округа и их родителей, а также содержание газет «АиФ», «Ведомости», «Культура», «Московская правда», «НГ», «Учительская газета», «Православная газета», «Семья», «Советский спорт» в период за 2004 г.
Время сбора данных: март 2004 г., время проведения анализа содержания: февраль-май 2005 г.
Метод сбора данных: аудиторный опрос школьников с раздачей анонимной индивидуальной анкеты родителям, анализ содержания текста газет.
Аннотация. Исследование носит пилотажный и монографический характер для сравнения с результатами фундаментальных исследований, перечисленных выше.
Примечание. Проведение исследования было чрезвычайно затруднено в части опроса предвыборной кампанией, которая практически блокировала любые независимые социологические замеры состояния массового сознания в это время.
Показатели. В части анализа содержания показатели идентичны описанным при представлении массивов 122—124 «Выборы-2000», в части опроса школьников и их родителей показатели почти полностью пересекаются с параметрами исследований «Касимов-94» и «Питер-1999». В части оценки исполнения своих властных обязанностей политиками добавлен ряд актуальных фамилий, а другая их часть, потерявшая «оперативную» актуальность замера, снята.
134—135. «Псков-1986» и «Социальная динамика: Россия-1993». Два фундаментальных исследования бюджетов времени, использованные по предоставлению и с разрешения В. Г. Андреенкова и В. Д. Патрушева. Они описаны в пункте 20 (см.) перечня блоков исследования и повторяться не имеет смысла. Напомню, что исследования повторного сравнительного советско-американского исследования бюджетов времени «Псков-1986» насчитывает 2396 документов и 1656 переменных, а «Россия-1993» (Институт сравнительных социальных исследований, документ ЦЕCCИ/С93071) 1206 документов и 1877 переменных. Эти исследования позволили существенно уточнить некоторые детали предложенной в книге модели.
136. «Совместное советско-американское исследование телеперечач», предоставлено Л.Н.Федотовой и описано в пункте 21 (см.) перечня блоков исследования.
Приложение 2
ПРОТОКОЛЫ К ОСНОВНЫМ ФИГУРАМ ТРЕХМЕРНЫХ ПРОЕКЦИЙ
|
Протокол № 1 (рис. 2.3) |
|
|
|
|
|
Date |
Time |
FileSource |
|
|
|
|
Nov5,2004 |
11:51:18AM |
d:\metodic\m8085it6.sav |
|
|
|
Rank 1 Eqn 301 z= |
a + bx + cy + dx2 + |
ey2 + fxy |
|
|
|
|
r2 Coef Det |
DF Adj r2 |
Fit Std Err |
F-value |
|
|
|
1 |
1 |
0 |
1e+300 |
|
|
|
Parm Value |
|
|
|
|
|
|
a 5,41629e-16 |
|
|
|
|
b 5
c -5
d -5
e 1 |
|
|
|
|
|
|
f 4 |
|
|
|
|
|
|
X at Fn Zmin |
Y at Fn Zmin |
Fn Zmin |
|
|
|
|
5 |
1 |
-84 |
|
|
|
|
X at Fn Zmax |
Y at Fn Zmax |
Fn Zmax |
|
|
|
|
2,5000000001 |
5 |
31,25 |
|
|
|
|
Procedure |
|
|
|
|
|
|
GaussElim |
|
|
|
|
|
|
r2 Coef Det |
DF Adj r2 |
Fit Std Err |
r2 Attainable |
|
|
|
1 |
1 |
0 |
1 |
|
|
|
Source |
Sum of Squares |
DF |
Mean Square |
F Statistic |
P>F |
|
Regr |
82731,917 |
5 |
16546,383 |
0 |
1,00000 |
|
Error |
0 |
762 |
0 |
|
|
|
Total |
82731,917 |
767 |
|
|
|
|
LackFit |
0 |
13 |
0 |
0 |
1,00000 |
|
PureErr |
0 |
749 |
0 |
|
|
|
X Variable: Группы активности |
1980 г. 5 групп. |
|
|
|
Xmin: 1 |
Xmax: |
5 |
Xrange: |
|
Xmean: 2,97265625 |
Xstd: |
0,672059030 |
|
|
Y Variable: Группы активности |
1985 г. 5 групп. |
|
|
|
Ymin: 1 |
Ymax: |
5 |
Yrange: |
|
Ymean: 2,98307291 |
Ystd: |
0,680114213 |
|
|
Z Variable: «Потоки» активности: значение вектора на число людей |
|
|
Zmin: -46 |
Zmax: |
30 |
Zrange: |
|
Zmean: -0,92708333 |
Zstd: |
10,38577383 |
|
|
Precision Avg Abs Error |
Min Abs Error |
Max Abs Error |
|
|
18 0,0073777481 |
0 |
0,0540540541 |
|
|
17 0,4477281514 |
1,982541e-18 |
3,7297297297 |
|
|
16 |
1,0463373426 |
6,73603 7e-18 |
8,6216216216 |
|
15 |
0,2567699975 |
1,242425e-17 |
1,2028218695 |
|
14 |
0,2567699975 |
1,242425e-17 |
1,2028218695 |
|
13 |
0,2567699975 |
1,242425e-17 |
1,2028218695 |
|
12 |
0,2567699975 |
1,242425e-17 |
1,2028218695 |
|
11 |
0,2567699975 |
1,242425e-17 |
1,2028218695 |
|
10 |
0,2567699975 |
1,242425e-17 |
1,2028218695 |
|
9 |
0,2567699975 |
1,242425e-17 |
1,2028218695 |
|
8 |
0,2567699975 |
1,242425e-17 |
1,2028218695 |
|
7 |
0,2567699975 |
1,242425e-17 |
1,2028218695 |
|
6 |
0,2567699975 |
1,242425e-17 |
1,2028218695 |
|
5 |
0,2567699975 |
1,242425e-17 |
1,2028218695 |
|
4 |
0,2567699975 |
1,242425e-17 |
1,2028218695 |
|
3 |
0,2569659607 |
1,242425e-17 |
1,2045855379 |
|
2 |
0,2559861449 |
1,242425e-17 |
1,1957671958 |
|
Removing Avg Abs Error |
Min Abs Error |
Max Abs Error |
|
a |
0,4789922197 |
6,443259e-18 |
2,2028218695 |
|
b |
1,307876e+16 |
0,25 |
9,73 7513e+16 |
|
c |
1,307876e+16 |
0,0595238095 |
9,73 7513e+16 |
|
d |
5,635659e+16 |
0,25 |
4,868756e+17 |
|
e |
1,127132e+16 |
0,0119047619 |
9,73 7513e+16 |
|
f |
4,508528e+16 |
0,2380952381 |
3,895005e+17 |
В разделе «Date» протокол показывает, что по всем 768 респондентам (точкам) эмпирически полученное значение «Z» совпадает с теоретически предсказываемой частотой, а это значит, что все эмпирически полученные в замере результаты ложатся на поверхность приведенной в трехмерном графике «параболы».
Протокол № 1a (рис. 2.4)
Date Time File Source
Nov 7.2004 10:51:11 AM d:\metodic\m8085it6.sav
Rank 3 Eqn 1301 z = (a + cx + ey + gx2 + iy2 + kxy)/(1 + bx + dy + fX + hy2 + jxy)
R2 Coef Det DF Adj r2 Fit Std Err F-value
0,9997569617 0,9997534254 55,519625895 311397,77986
|
Parm |
Value |
StdError |
t-value |
95.00% Confidence Limits |
P>|t| |
|
a |
-45,4792067 |
48,75743918 |
-0,93276447 |
-141,195067 |
50,23665358 |
0,35124 |
|
b |
-0,34788881 |
0,023366444 |
-14,8883937 |
-0,39375954 |
-0,30201808 |
0,00000 |
|
c |
37,2006703 |
23,7255477 |
1,567958337 |
-9,37501634 |
83,77635695 |
0,11731 |
|
d |
-0,30408163 |
0,024134389 |
-12,5995163 |
-0,35145992 |
-0,25670335 |
0,00000 |
|
e |
44,87999453 |
25,67275226 |
1,748156725 |
-5,51825464 |
95,2782437 |
0,08084 |
|
f |
0,042042176 |
0,008331498 |
5,046172394 |
0,025686589 |
0,058397762 |
0,00000 |
|
g |
-14,4345209 |
4,172244108 |
-3,45965398 |
-22,6250646 |
-6,24397726 |
0,00057 |
|
h |
0,034098686 |
0,006753105 |
5,049334091 |
0,020841646 |
0,047355725 |
0,00000 |
|
i |
-16,6777437 |
4,192446977 |
-3,97804524 |
-24,9079477 |
-8,44753977 |
0,00008 |
|
j |
0,031186249 |
0,014327768 |
2,176629976 |
0,003059369 |
0,059313129 |
0,02982 |
|
k |
17,76639776 |
6,639518276 |
2,675856444 |
4,732341536 |
30,80045399 |
0,00761 |
X at Fn Zmin
5
X at Fn Zmax
3,0034247046 |
Y at Fn Zmin
5
Y at Fn Zmax
3,077530788 |
Fn Zmin
73,885092597
Fn Zmax
8223,4874623 |
|
Procedure
GaussElim
r2 Coef Det
0,9997569617 |
DF Adj r2 0,9997534254 |
Fit Std Err
55,519625895 |
r2 Attainable
1 |
|
Source |
Sum of Squares DF |
Mean Square |
F Statistic |
|
|
Regr |
9,598615e+09 10 |
9,598615e+08 |
311398 |
|
|
Error |
2333398,6 757 |
3082,4289 |
|
|
|
Total |
9,6009484e+09 767 |
|
|
|
|
Lack Fit |
2333398,6 8 |
291674,83 |
0 |
|
|
Pure Err |
0 |
749 |
0 |
|
|
|
X Variable: Группы активности 1980 г. 5 групп. |
|
|
|
|
Xmin: |
1 |
Xmax: |
5 Xrange: |
|
4 |
|
Xmean: |
2,97265625 |
Xstd: |
0,6720590296 |
|
|
|
Y Variable: Группы активности 1985 г. 5 групп. |
|
|
|
|
Ymin: |
1 |
Ymax: |
5 Yrange: |
|
4 |
|
Ymean: |
2,9830729167 |
Ystd: |
0,680114213 |
|
|
|
Z Variable |
: Скалярная масса: |
сумма - число изменений x число людей |
|
|
|
Zmin: |
15 |
Zmax: |
8037 Zrange: |
|
8022 |
|
Zmean: |
4503,1523438 |
Zstd: |
3538,0126923 |
|
|
|
Precision |
Avg Abs Error |
Min Abs Error |
Max Abs Error |
|
|
|
18 |
1,132796e-17 |
7,274434e-19 |
4,026507e-17 |
|
|
|
17 |
3,530352e-16 |
1,895347e-17 |
1,279334e-15 |
|
|
|
16 |
5,105064e-15 |
1,599529e-19 |
2,011588e-14 |
|
|
|
15 |
2,500957e-14 |
2,070616e-16 |
9,102296e-14 |
|
|
|
14 |
2,411091e-13 |
2,403151e-15 |
9,161971e-13 |
|
|
|
13 |
2,773948e-12 |
1,621621e-14 |
1,307232e-11 |
|
|
|
12 |
4,358411e-11 |
2,045887e-12 |
1,065413e-10 |
|
|
|
11 |
5,055227e-10 |
1,890346e-11 |
1,816992e-09 |
|
|
|
10 |
2,597573e-09 |
1,484324e-10 |
1,214596e-08 |
|
|
|
9 |
4,348685e-08 |
1,577283e-09 |
1,432545e-07 |
|
|
|
8 |
4,775705e-07 |
2,625619e-08 |
2,598661e-06 |
|
|
|
7 |
4,353299e-06 |
1,768645e-07 |
2,14749e-05 |
|
|
|
6 |
6,002278e-05 |
9,024018e-07 |
0,000178601 |
|
|
|
5 |
0,0004413783 |
7,953139e-06 |
0,0017444623 |
|
|
|
4 |
0,0028246223 |
0,0001506379 |
0,0067313675 |
|
|
|
3 |
0,0215496002 |
0,0002204144 |
0,0468475505 |
|
|
|
2 |
0,1613547596 |
0,0282988564 |
0,4005811819 |
|
|
|
Removing Avg Abs Error |
Min Abs Error |
Max Abs Error |
|
|
|
a |
1,8478933475 |
0,3597335857 |
5,0111363339 |
|
|
|
b |
0,7886785781 |
0,4331039797 |
0,9901900788 |
|
|
|
c |
4,1878159222 |
0,2942516258 |
12,18481092 |
|
|
|
d |
0,7685355005 |
0,4004033445 |
0,9888313605 |
|
|
|
e |
5,8955723963 |
0,4344431694 |
24,725560035 |
|
|
|
f |
1,0160845475 |
0,1017195786 |
1,7571397588 |
|
|
|
g |
5,6853954419 |
0,1141748579 |
14,054490119 |
|
|
|
h |
1,2107441546 |
0,0809449018 |
2,5304479416 |
|
|
|
i |
8,9483326029 |
0,1614423513 |
45,941020954 |
|
|
|
j |
2,0437275699 |
0,0735229239 |
5,9487742279 |
|
|
|
k |
6,9537886293 |
0,702647477 |
29,096276451 |
|
|
|
P>F
0,00000 |
1,00000
В разделе «Date» протокол показывает, что из 768 документов лишь у 18 (что составляет 2,34 % массива) эмпирически полученное значение «Z» не попадает в 95 % предсказанный интервал; таким образом, 97,66 % эмпирически полученные в замере результатов четко ложатся на поверхность приведенной в трехмерном графике «гауссианы». Ниже приводятся данные по 18 документам.
|
XYZ |
X Val |
Y Val |
Z Val |
Z Predict |
95.00 % Prediction Lim |
Weights |
|
107 |
4 |
2 |
139 |
638,18289 |
526,47526 |
749,89053 |
1 |
|
108 |
4 |
2 |
139 |
638,18289 |
526,47526 |
749,89053 |
1 |
|
109 |
4 |
2 |
139 |
638,18289 |
526,47526 |
749,89053 |
1 |
|
110 |
4 |
2 |
139 |
638,18289 |
526,47526 |
749,89053 |
1 |
|
111 |
3 |
5 |
225 |
75,535227 |
-38,3637 |
189,43416 |
1 |
|
112 |
3 |
5 |
225 |
75,535227 |
-38,3637 |
189,43416 |
1 |
|
113 |
3 |
5 |
225 |
75,535227 |
-38,3637 |
189,43416 |
1 |
|
114 |
3 |
5 |
225 |
75,535227 |
-38,3637 |
189,43416 |
1 |
|
115 |
3 |
5 |
225 |
75,535227 |
-38,3637 |
189,43416 |
1 |
|
116 |
3 |
5 |
225 |
75,535227 |
-38,3637 |
189,43416 |
1 |
|
117 |
3 |
5 |
225 |
75,535227 |
-38,3637 |
189,43416 |
1 |
|
640 |
2 |
4 |
211 |
508,30296 |
397,10337 |
619,50255 |
1 |
|
641 |
2 |
4 |
211 |
508,30296 |
397,10337 |
619,50255 |
1 |
|
642 |
2 |
4 |
211 |
508,30296 |
397,10337 |
619,50255 |
1 |
|
643 |
2 |
4 |
211 |
508,30296 |
397,10337 |
619,50255 |
1 |
|
644 |
2 |
4 |
211 |
508,30296 |
397,10337 |
619,50255 |
1 |
|
645 |
2 |
4 |
211 |
508,30296 |
397,10337 |
619,50255 |
1 |
|
646 |
2 |
4 |
211 |
508,30296 |
397,10337 |
619,50255 |
1 |
Протокол № 1b (рис. 2.6)
Date Time File Source
Nov 8. 2004 5:48:48 PM d:\metodic\gl2Z2\m8085pr8.sav
Rank 10 Eqn 1063 z = (a +bx + cx2 + dy + ey2)/(1 + fx + gx2 + hx3 + iy)
r2 Coef Det DF Adj r2 Fit Std Err F-value
1 1 3,606904e-16 4,034633e+32
|
Parm |
Value |
Std Error |
t-value |
95.00% Confidence Limits |
P>|t| |
|
a |
-0,46806456 |
5,25527e-10 |
-8,9066e+08 |
-0,46806456 |
-0,46806456 |
0,00000 |
|
b |
-0,00052001 |
1,05384e-12 |
-4,9345e+08 |
-0,00052001 |
-0,00052001 |
0,00000 |
|
c |
-8,9983e-08 |
1,82356e-16 |
-4,9345e+08 |
-8,9983e-08 |
-8,9983e-08 |
0,00000 |
|
d |
0,001222479 |
1,09038e-11 |
1,12115e+08 |
0,001222479 |
0,001222479 |
0,00000 |
|
e |
-2,7639e-07 |
2,46524e-15 |
-1,1212e+08 |
-2,7639e-07 |
-2,7639e-07 |
0,00000 |
|
f |
0,002358134 |
2,99287e-12 |
7,87918e+08 |
0,002358134 |
0,002358134 |
0,00000 |
|
g |
4,86745e-07 |
7,16791e-15 |
6,79061e+07 |
4,86745e-07 |
4,86745e-07 |
0,00000 |
|
h |
-4,6242e-11 |
2,52295e-18 |
-1,8329e+07 |
-4,6242e-11 |
-4,6242e-11 |
0,00000 |
|
i |
0,000913044 |
6,04536e-12 |
1,51032e+08 |
0,000913044 |
0,000913044 |
0,00000 |
|
X at Fn Zmin |
Y at Fn Zmin |
Fn Zmin |
|
|
|
-462 |
69 |
-2 |
|
|
|
X at Fn Zmax |
Y at Fn Zmax |
Fn Zmax |
|
|
|
-714,7948953 |
459,99999784 |
7,591169e+13 |
|
|
|
Procedure |
|
|
|
|
|
GaussElim |
|
|
|
|
|
R2 Coef Det |
DF Adj r2 |
Fit Std Err |
r2 Attainable |
|
|
1 |
1 |
3,606904e-16 |
1 |
|
|
Source |
Sum of Squares |
DF |
Mean Square |
F Statistic |
|
Regr |
419,91667 |
8 |
52,489583 |
4,03463e+32 |
|
Error |
9,8744042e-29 |
759 |
1,3009755e-31 |
|
|
Total |
419,91667 |
767 |
|
|
|
Lack Fit |
9,8744042e-29 |
-2 |
-4,9372021e-29 |
0 |
|
Pure Err |
0 |
|
761 |
0 |
|
Активность в целом |
(97 форм за пять лет с 1980 по 1985 гг.) |
|
|
X Variable: Суммарные изменения на |
- по модулям векторов скоростей за 5 лет |
|
|
Xmin: -4907 |
Xmax: |
-462 |
Xrange: |
4445 |
|
Xmean: -3275,957031 Xstd: |
1833,0153631 |
|
|
Y Variable: Суммарные изменения на |
+ по модулям векторов скоростей за 5 лет |
|
|
Ymin: 69 |
Ymax: |
4354 |
Yrange: |
4285 |
|
Ymean: 3066,5 |
Ystd: |
1639,3997638 |
|
|
P>F
0,00000
-NAN |
|
Z Variable: Группы 5 x 5 в модулях векторов: -1, -2, 0, +1, +2. |
550
Zmin: |
|
|
|
-2 |
Zmax: |
|
Zmean: |
0,0104166667 |
Zstd: |
|
Precision |
Avg Abs Error |
Min Abs Error |
|
18 |
0,0964119798 |
6,588701e-18 |
|
17 |
2,2226068739 |
1,604619e-17 |
|
16 |
0,1228956718 |
1,831436e-17 |
|
15 |
38,397997337 |
4,417528e-15 |
|
14 |
1120,2862437 |
4,723132e-14 |
|
13 |
16176,308896 |
8,660083e-13 |
|
12 |
76740,034957 |
6,450846e-13 |
|
11 |
1917933,0428 |
9,416456e-11 |
|
10 |
1,615099e+07 |
1,301964e-09 |
|
9 |
3777087,2779 |
2,812772e-09 |
|
8 |
7,499148e+08 |
1,510928e-09 |
|
7 |
5,592503e+09 |
4,545788e-07 |
|
6 |
8,520628e+10 |
1,863635e-06 |
|
5 |
8,48217e+11 |
5,646367e-06 |
|
4 |
1,713426e+13 |
0,0001481839 |
|
3 |
2,855877e+13 |
0,0011648475 |
|
2 |
1,293245e+15 |
0,0343324748 |
|
Removing Avg Abs Error |
Min Abs Error |
|
a |
3,566573e+15 |
0,3297408214 |
|
b |
1,944355e+16 |
0,2661467206 |
|
c |
1,650969e+16 |
0,0212770003 |
|
d |
4,015209e+16 |
0,2390766061 |
|
e |
3,951938e+16 |
0,0037296599 |
|
f |
0,6095431059 |
0,2142978943 |
|
g |
3,3909530727 |
0,0267042637 |
|
h |
1,1177569495 |
0,0011429078 |
|
i |
46,227889672 |
0,0095273934 |
2 Zrange: 4
0,7399184798
Max Abs Error
0,8670653174
19,992180313
0,9563017479
345,52529899
10081,821987
145522,07636
689660,49632
1,72539e+07
1,453286e+08
3,282614e+07
6,733758e+09
5,030047e+10
7,667695e+11
7,631585e+12
1,541702e+14
2,566294e+14
1,163637e+16
Max Abs Error
3,177283e+16
1,732129e+17
1,470766e+17
3,6131e+17
3,556735e+17
0,9763277756
10,35116718
4,5087373415
209,28799334
В разделе «Date» протокол показывает, что по всем 768 людям эмпирически полученное значение «Z» совпадает с теоретически предсказываемой частотой, а значит, по замеру суммарных изменений все респонденты со 100 % вероятностью попадают в соответствующие группы перехода, т. е. все «точки» ложатся на полученную в трехмерном графике замкнутую фигуру.
Протокол № 1z (рис. 2.8)
Date Time FileSource
Nov 8.2004 7:39:43PM d:\metodic\gl2Z2\m8085pr8.sav
Rank11Eqn1071z=(a + bx + cx2 + dy+ey2 + fy3)/(1 + gx +hx2 + ix3+jy)
|
R2CoefDet |
DFAdjr2 |
FitStdErr |
F-value |
|
|
|
|
1 |
1 |
1,54405e |
-18 3,224695e+37 |
|
|
|
Parm |
Value |
StdError |
t-value |
95.00 %ConfidenceLim its |
P>|t| |
|
a |
31,69174694 |
|
|
|
|
|
|
b |
-0,02314013 |
1,62255e-13 |
-1,4262e+11 |
-0,02314013 |
-0,02314013 |
0,00000 |
|
c |
2,20811e-05 |
1,94745e-16 |
1,13385e+11 |
2,20811e-05 |
2,20811e-05 |
0,00000 |
|
d |
0,007412701 |
|
|
|
|
|
e
f |
-7,2062e-06
-8,8577e-11 |
7,77018e-21 |
-1,14e+10 |
-8,8577e-11 |
-8,8577e-11 |
0,00000 |
|
g |
0,011205223 |
|
|
|
|
|
h
i |
3,07862e-05
-3,4578e-09 |
1,7181e-16 |
1,79188e+11 |
3,07862e-05 |
3,07862e-05 |
0,00000 |
|
j |
0,017607923 |
3,41552e-14 |
5,15526e+11 |
0,017607923 |
0,017607923 |
0,00000 |
XatFnZmin YatFnZmin FnZmin
464,05492137 -708,9999919 -4,55115e+13
|
XatFnZmax |
YatFnZmax |
FnZmax |
|
|
|
|
43 |
-56 |
54,848343211 |
|
|
|
Procedure
GaussElim
R2CoefDet |
DFAdjr2 |
FitStdErr |
r2Attainable |
|
|
|
1 |
1 |
1,54405e-18 |
1 |
|
|
|
Source |
SumofSquares |
DF |
MeanSquare |
FStatistic |
P>F |
|
Regr |
691,91667 |
9 |
76,87963 |
3,2247e+37 |
0,00000 |
|
Error |
1,8071402e-33 |
758 |
2,3840899e-36 |
|
|
|
Total |
691,91667 |
767 |
|
|
|
|
LackFit |
1,8071402e-33 |
-5 |
-3,6142803e-34 |
0 |
0,00000 |
|
PureErr0 |
763 |
0 |
|
|
|
Ценности в целом (29 кластеров за пять лет с 1980 по 1985 гг.)
x variable: Суммарные изменения на + по модулям векторов скоростей за 5 лет
Xmean: 825,71354167 Xstd: 432,58746239
Y Variable: Суммарные изменения на - по модулям векторов скоростей за 5 лет
Ymean: -1183,755208 Ystd: 643,07831838
Z Variable: Группы 5 x 5 в модулях векторов: -1, -2, 0, +1, +2.
Zmean: 0,0104166667 Zstd: 0,9497935456
|
Precision |
AvgAbsError |
MinAbsError |
MaxAbsError |
|
18 |
0,8888888889 |
3,795316e-19 |
8 |
|
17 |
1,7777777778 |
2,8209 02e-19 |
16 |
|
16 |
213,44444444 |
2,053616e-17 |
1921 |
|
15 |
3034,6666667 |
2,129047e-15 |
27312 |
|
14 |
631,33333333 |
1,3249 78e-15 |
5682 |
|
13 |
37967 |
4,445208e-14 |
341703 |
|
12 |
2705033,6667 |
1,735648e-12 |
2,43453e+07 |
|
11 |
427207,44441 |
9,576373e-12 |
3844866,9997 |
|
10 |
2,549871e+08 |
5,725513e-11 |
2,294884e+09 |
|
9 |
1,991788e+09 |
2,458439e-09 |
1,792609e+10 |
|
8 |
1,886124e+10 |
3,495036e-10 |
1,697512e+11 |
|
7 |
1,897931e+11 |
1,07381e-08 |
1,708138e+12 |
|
6 |
1,275968e+12 |
1,635948e-06 |
1,148371e+13 |
|
5 |
1,117934e+13 |
1,75928e-05 |
1,006141e+14 |
|
4 |
9,368257e+13 |
0,0002319037 |
8,431431e+14 |
|
3 |
2,39289e+15 |
0,0001072514 |
2,153601e+16 |
|
2 |
1,344131e+16 |
0,0036193347 |
1,209718e+17 |
|
Removing |
AvgAbsError |
MinAbsError |
MaxAbsError |
|
a |
1,014947e+18 |
0,9157437088 |
9,134524e+18 |
|
b |
8,72247e+17 |
0,0328392841 |
7,850223e+18 |
|
c |
9,796483e+17 |
0,0013474615 |
8,816834e+18 |
|
d |
4,190042e+17 |
0,0119947795 |
3,771038e+18 |
|
e |
7,189416e+17 |
0,0006529964 |
6,470474e+18 |
|
f |
1,559743e+16 |
4,494834e-07 |
1,403769e+17 |
|
g |
2,5312530548 |
0,0160494053 |
11,565985535 |
|
h |
1,8426600779 |
0,0019233314 |
5,6380511051 |
|
i |
1,3960797218 |
9,306827e-06 |
11,836212002 |
|
j |
4,1365489476 |
0,0192588104 |
20,200533849 |
В разделе «Date» протокол показывает, что по всем 768 людям эмпирически полученное значение «Z» совпадает с теоретически предсказываемой частотой, т. е. все «точки» из 768 100 %-но ложатся на полученную в трехмерном графике фигуру.
Протокол № 1f (рис. 2.14)
Date Time File Source
Nov 18. 2004 5:07:53 PM d:\metodic\gl2Z2\m8085pr8.sav
Rank 2 Eqn 409 ChebyshevX,YBivariate Polynomial Order 10:
Z = a + bT1(xf ) + cT1(y') + dT2(x') + eT1(x')T1(y') + fT2(y') + gT3(x') + hTft'^(y') + iTfi'^(y') + jT3(y') + kTJx') + ITJx'T (y ) +
+ mT2(x')T2(y') + nT(x f)T/y') + oT(y ') + pT(x') + qT4(x')T(y ') + rTyx'^y ') + sT/x')T/y ') + tT/x')TJy')+ uT5(y ') + vT^x ') + aaT3(xf )Tt(y ') + + abT4(x')T(y' ) + acT3(x f)T/y') + adT(x' )T4(y') + aeTJx') + T(') + afTJy ') + agTJ^x ') + ahTfj (x')T( ') + aiT(' )T( ') + ajTJx'nyy ') +
+ akT/x )T/y') + aUp! )T(y ) + amT1(x')Ti(y ) + anTff)+aoT8(x') + apTp!)T1(y ) + aqT6(x[)T2(y\) + arTfi'^y') + asTfi')Tj;y ) +
+ atT3(x')T(y') + auT2(x')Te(y') + avT1(x')T(y') + baT(y ) + bbT(x') + bcT(x')T1(y') + bdT(x')T2(y') + beTe(x\)T3(y\) + bf!(x')T(y ) +
+ bgTt(x')Ts(y') + bhT3(x')Te(y') + biT2(x! )T(y') + bjTft' )T(y\) + bkT(y ) + bITJx') + bmT!)(x')T1(y) + bnTs(x!)T2(y ) + boT(x )T(y ) +
+ bpT(x')T4(y') + bqT2(x')T(y') + brT4(x')T(y') + bsT3(x')T7(y ) + btT2(x')Tt(y') + buTt(x')T(y ) + bvTJy') x' is x scaled -1 to +1 y ' is y scaled -1 to +1 T(x') = cos(nacos(x'))
Tn(y ') = cos(nacos(y '))
R2CoefDet
0,7929958499 |
DFAdjr2
0,7735061582 |
FitStdErr
0,6798205034 |
F-value
41,372867041 |
|
|
Parm |
Value |
StdError |
t-value |
95.00% ConfidenceLimits |
P>|t| |
|
a |
0,140467068 |
2,192651313 |
0,064062657 |
-4,16447275 |
4,445406883 |
0,94894 |
|
b |
0,212549599 |
2,355476 |
0,090236368 |
-4,4120719 |
4,837171102 |
0,92813 |
|
c |
0,219091421 |
2,285628313 |
0,095856102 |
-4,2683947 |
4,706577538 |
0,92366 |
|
d |
0,40344733 |
3,675656085 |
0,109761991 |
-6,81314845 |
7,620043115 |
0,91263 |
|
e |
-1,43230041 |
7,928651295 |
-0,18064868 |
-16,9990102 |
14,13440937 |
0,85670 |
|
f |
1,027646904 |
3,56933062 |
0,287910259 |
-5,98019488 |
8,035488691 |
0,77350 |
|
g |
-0,87035992 |
1,656738349 |
-0,52534543 |
-4,12311554 |
2,382395702 |
0,59951 |
|
h |
4,647924886 |
3,801732263 |
1,222580804 |
-2,81620244 |
12,11205221 |
0,22190 |
|
i |
-5,37335571 |
3,60731668 |
-1,48957139 |
-12,4557774 |
1,709065973 |
0,13679 |
|
j |
1,118534279 |
1,430211992 |
0,782075864 |
-1,68947104 |
3,926539596 |
0,43443 |
|
k |
0,519897958 |
2,131622701 |
0,24389774 |
-3,66522139 |
4,705017307 |
0,80738 |
|
l |
-1,46326778 |
5,526727012 |
-0,26476209 |
-12,3141619 |
9,3876263 |
0,79127 |
|
m |
1,904171799 |
5,915949849 |
0,321870849 |
-9,71090256 |
13,51924616 |
0,74765 |
|
n |
-1,48954007 |
5,335643638 |
-0,27916783 |
-11,9652708 |
8,986190651 |
0,78020 |
|
o |
0,269538108 |
2,007589888 |
0,134259546 |
-3,67206154 |
4,211137754 |
0,89324 |
|
p |
-0,5601938 |
0,81579952 |
-0,68668072 |
-2,161893 |
1,041505387 |
0,49251 |
|
q |
3,03370544 |
2,165143291 |
1,40115689 |
-1,21722653 |
7,284637405 |
0,16161 |
|
r |
-4,1511112 |
2,421992716 |
-1,7139239 |
-8,90632824 |
0,604105829 |
0,08698 |
|
s |
3,14385354 |
2,298693615 |
1,367669671 |
-1,36928432 |
7,656991405 |
0,17185 |
|
t |
-1,71799228 |
1,830446032 |
-0,93856484 |
-5,31179671 |
1,875812145 |
0,34828 |
|
u |
0,199872233 |
0,618912748 |
0,322940889 |
-1,01526951 |
1,415013973 |
0,74684 |
|
v |
0,43139444 |
0,847377734 |
0,509093433 |
-1,23230381 |
2,095092687 |
0,61085 |
|
aa |
-1,55111084 |
2,562724761 |
-0,60525846 |
-6,582634 |
3,480412315 |
0,54520 |
|
ab |
2,045461627 |
3,299016128 |
0,620021712 |
-4,43165847 |
8,52258172 |
0,53544 |
|
ac |
-1,26332828 |
3,556410254 |
-0,35522569 |
-8,24580288 |
5,719146319 |
0,72253 |
|
ad |
0,298196392 |
3,199724323 |
0,093194401 |
-5,98397923 |
6,580372018 |
0,92578 |
|
ae |
0,11371236 |
2,436147117 |
0,046677132 |
-4,6692947 |
4,896719423 |
0,96278 |
|
af |
-0,16047269 |
0,768661373 |
-0,20876903 |
-1,66962325 |
1,348677865 |
0,83469 |
|
ag |
-0,36283872 |
0,311394033 |
-1,1652077 |
-0,97421389 |
0,248536445 |
0,24433 |
|
ah |
1,478754795 |
0,840693051 |
1,758971117 |
-0,17181909 |
3,129328675 |
0,07902 |
|
ai |
-2,68726121 |
1,042347536 |
-2,57808564 |
-4,73375323 |
-0,6407692 |
0,01014 |
|
aj |
2,129170532 |
1,173049453 |
1,815073121 |
-0,17393497 |
4,43227603 |
0,06994 |
|
ak |
-1,39125894 |
1,126382554 |
-1,23515669 |
-3,60274103 |
0,820223142 |
0,21719 |
|
al |
0,774533437 |
0,904938335 |
0,855896371 |
-1,00217636 |
2,551243234 |
0,39235 |
|
am |
-0,05051179 |
0,634921014 |
-0,07955602 |
-1,29708334 |
1,196059766 |
0,93661 |
|
an |
0,290645828 |
0,231973527 |
1,252926711 |
-0,16479917 |
0,746090826 |
0,21065 |
|
ao |
0,027485473 |
0,24641759 |
0,111540223 |
-0,45631826 |
0,511289207 |
0,91122 |
|
ap |
-0,74839602 |
0,801093927 |
-0,93421757 |
-2,321223 |
0,824430954 |
0,35051 |
|
aq |
1,544605543 |
1,194739719 |
1,292838531 |
-0,80108552 |
3,890296603 |
0,19649 |
|
ar |
-1,39519154 |
1,480862756 |
-0,94214777 |
-4,30264199 |
1,512258905 |
0,34644 |
|
as |
0,686875643 |
1,581330294 |
0,434365701 |
-2,41782765 |
3,791578932 |
0,66416 |
|
at |
-0,25899641 |
1,449826719 |
-0,17863956 |
-3,10551228 |
2,58751946 |
0,85827 |
|
au |
0,114523782 |
1,10944462 |
0,103226227 |
-2,06370323 |
2,292750793 |
0,91781 |
|
av |
0,185018485 |
0,732460993 |
0,252598414 |
-1,25305809 |
1,62309506 |
0,80065 |
|
ba |
-0,00152957 |
0,23543813 |
-0,00649671 |
-0,4637768 |
0,460717649 |
0,99482 |
|
bb |
0,834785132 |
0,112659799 |
7,409787146 |
0,613594625 |
1,055975639 |
0,00000 |
|
bc |
0,094072749 |
0,243311216 |
0,38663548 |
-0,38363209 |
0,571777588 |
0,69914 |
|
bd |
-0,94704548 |
0,281382486 |
-3,36568736 |
-1,49949751 |
-0,39459345 |
0,00081 |
|
be |
1,016234291 |
0,343600333 |
2,957605665 |
0,341626913 |
1,690841669 |
0,00320 |
|
bf |
-0,6102924 |
0,354896332 |
-1,71963568 |
-1,30707776 |
0,086492971 |
0,08594 |
|
bg |
0,427015724 |
0,355374539 |
1,201593467 |
-0,27070853 |
1,124739978 |
0,22993 |
|
bh |
-0,23823595 |
0,31492686 |
-0,75648024 |
-0,85654729 |
0,380075396 |
0,44962 |
|
bi |
-0,08423796 |
0,222564178 |
-0,37848839 |
-0,52120912 |
0,352733204 |
0,70518 |
|
bj |
0,095911074 |
0,21578829 |
0,444468392 |
-0,32775665 |
0,519578802 |
0,65684 |
|
bk |
-0,75052363 |
0,083395533 |
-8,99956628 |
-0,91425817 |
-0,58678909 |
0,00000 |
|
bl |
-0,23792011 |
0,088246795 |
-2,69607651 |
-0,41117937 |
-0,06466085 |
0,00718 |
|
bm |
-0,07820141 |
0,187014399 |
-0,41815715 |
-0,44537595 |
0,288973129 |
0,67596 |
|
bn |
0,52557927 |
0,251891282 |
2,086532196 |
0,031028767 |
1,020129774 |
0,03729 |
|
bo |
-0,66132566 |
0,368250602 |
-1,79585764 |
-1,38433012 |
0,061678803 |
0,07295 |
|
bp |
0,575799642 |
0,414792126 |
1,38816435 |
-0,23858207 |
1,390181357 |
0,16553 |
|
bq |
-0,34143186 |
0,434344401 |
-0,78608555 |
-1,19420151 |
0,511337797 |
0,43208 |
|
br |
0,241920923 |
0,399700328 |
0,605255752 |
-0,54283033 |
1,026672172 |
0,54520 |
|
bs |
-0,02210911 |
0,331467001 |
-0,06670079 |
-0,67289452 |
0,6286763 |
0,94684 |
|
bt |
-0,01484991 |
0,227905119 |
-0,06515828 |
-0,4623072 |
0,432607386 |
0,94807 |
|
bu |
-0,05998954 |
0,213541167 |
-0,28092729 |
-0,47924538 |
0,359266301 |
0,77885 |
|
bv |
0,141183334 |
0,077582667 |
1,81977934 |
-0,01113852 |
0,293505186 |
0,06922 |
|
XatFnZmin |
YatFnZmin |
FnZmin |
|
|
|
|
33,575813972 |
73,07574714 |
-3,626846038 |
|
|
|
|
XatFnZmax |
YatFnZmax |
FnZmax |
|
|
|
|
71,411102059 |
9,0424018412 |
4,5054687278 |
|
|
|
Procedure
GaussElim
R2CoefDet |
DFAdjr2 |
FitStdErr |
r2Attainable |
|
|
|
0,7929958499 |
0,7735061582 |
0,6798205034 |
1 |
|
|
|
Source |
SumofSquares |
DF |
MeanSquare |
FStatistic |
P>F |
|
Regr |
1242,8465 |
65 |
19,120715 |
1,3729 |
0,00000 |
|
Error |
324,43345 |
702 |
0,46215592 |
|
|
|
Total |
1567,2799 |
767 |
|
|
|
|
LackFit |
324,43345 |
365 |
0,88885878 |
0 |
1,00000 |
|
PureErr |
0 |
337 |
0 |
|
|
Детность (3 градации) х Достаток (3 градации) х Трудовая, общественно-политическая, информационная (3 градации) х х Досуг (3 градации)
XVariable: 60 клеток матрицы 1980 г. (заполненных из 81; мелкие объединены)
Xmin: 1 Xmax: 81 Xrange: 80
Xmean: 49,265625 Xstd: 22,072826377
Y Variable: 60 клеток матрицы 1985 г. (заполненных из 81; мелкие объединены)
Ymin: 1 Ymax: 81 Yrange: 80
Ymean: 50,51953125 Ystd: 22,492580467
|
Z Variable: значение вектора скорости (не абс.) |
|
Zmin: |
-4 |
Zmax: |
|
Zmean: |
-0,100260417 |
Zstd: |
|
Precision |
AvgAbsError |
MinAbsError |
|
18 |
5,349642e-16 |
0 |
|
17 |
1,048622e-15 |
0 |
|
16 |
7,771927e-15 |
0 |
|
15 |
4,819555e-14 |
1,216185e-16 |
|
14 |
6,225515e-13 |
2,436703e-15 |
|
13 |
3,910301e-12 |
5,658615e-15 |
|
12 |
2,477454e-11 |
1,081424e-13 |
|
11 |
4,600808e-10 |
5,055051e-13 |
|
10 |
4,491658e-09 |
1,451772e-11 |
|
9 |
2,720235e-08 |
4,867979e-11 |
|
8 |
2,02004e-07 |
3,684759e-10 |
|
7 |
3,542731e-06 |
1,482593e-08 |
|
6 |
5,707257e-05 |
2,310193e-08 |
|
5 |
0,0003198126 |
7,35495e-07 |
|
4 |
0,0059984836 |
1,593147e-05 |
|
3 |
0,0217778141 |
0,0001320888 |
|
2 |
0,9225457645 |
0,0017739829 |
|
Removing AvgAbsError |
MinAbsError |
|
a |
0,499377667 |
0,0024858902 |
|
b |
0,6638416703 |
0,0037615576 |
|
c |
0,6931542119 |
0,0032511023 |
|
d |
1,4155482469 |
0,0071399353 |
|
e |
4,3278971114 |
0,0212539367 |
|
f |
3,5936254682 |
0,0181865931 |
|
g |
2,8974291771 |
0,0154030354 |
|
h |
14,633842325 |
0,0689706579 |
|
i |
16,701086902 |
0,0950939796 |
|
j |
3,7812378595 |
0,0197950558 |
|
k |
1,7557478301 |
0,009200799 |
|
l |
4,520553747 |
0,0217134622 |
|
m |
6,5790885278 |
0,0336987321 |
|
n |
4,5846695124 |
0,026360863 |
|
o |
0,8990699691 |
0,0047701014 |
|
P |
1,9497047357 |
0,0099139274 |
|
q |
9,4202126406 |
0,0450172206 |
|
r |
13,671172398 |
0,0734635311 |
|
s |
10,525476829 |
0,0556377729 |
|
t |
5,2677854142 |
0,0304038541 |
|
u |
0,7036486657 |
0,0035372023 |
|
v |
1,373126213 |
0,0076345242 |
|
aa |
4,869217626 |
0,0230169673 |
|
ab |
6,8250488464 |
0,0361991829 |
|
ac |
4,0705562989 |
0,0223575211 |
|
ad |
0,9860164904 |
0,0052772761 |
|
ae |
0,3541278301 |
0,0020124037 |
|
af |
0,4986889709 |
0,0012874835 |
|
ag |
1,2886582394 |
0,0064212719 |
|
в 1980-1985 гг. по 60 клеткам
4 Zrange: 8
1,4294718474
MaxAbsError
3,83139e-15
6,973113e-15
3,604669e-14
2,446669e-13
2,888241e-12
2,201461e-11
1,309725e-10
2,391791e-09
2,599983e-08
1,63678e-07
1,084878e-06
2,387e-05
0,0002889102
0,0014917616
0,0428442985
0,158592605
7,8394043327
MaxAbsError
2,280340153
3,4505268063
3,5567266476
6,5495575333
23,251942003
16,682803481
14,129409054
75,454338619
87,230971032
18,158267688
8,4400151826
23,754665861
30,912294681
24,181169855
4,375677351
9,0941772955
49,24912582
67,389073213
51,037268333
27,889859391
3,2447226497
7,0032504674
25,180708724
33,205991499
20,508851191
4,8409154849
1,8460046472
2,6051111202
5,8903180808
|
ah |
4,4973478477 |
0,0219432744 |
24,006081801 |
|
ai |
9,2164609292 |
0,0475573137 |
43,624955765 |
|
aj |
6,9321361041 |
0,037680606 |
34,564920523 |
|
ak |
4,4444792313 |
0,0246215506 |
22,585675563 |
|
al |
2,6928682578 |
0,0137071638 |
12,573763494 |
|
am |
0,1518923208 |
0,0004052596 |
0,8200075383 |
|
an |
1,0323586083 |
0,0051436514 |
4,7183397484 |
|
ao |
0,0841608841 |
0,0004633092 |
0,4461987296 |
|
ap |
2,3668832261 |
0,0111054648 |
12,149449154 |
|
aq |
4,8839379496 |
0,027335374 |
25,075101793 |
|
ar |
4,6434484376 |
0,024691147 |
22,649517266 |
|
as |
2,2148794072 |
0,012155856 |
11,150728247 |
|
at |
0,8567071149 |
0,0045835416 |
4,2045436356 |
|
au |
0,354657317 |
0,0009188322 |
1,8591772498 |
|
av |
0,5777030989 |
0,0032743308 |
3,0035871408 |
|
ba |
0,0049227743 |
2,706934e-05 |
0,0248310669 |
|
bb |
2,9471341437 |
0,0147734572 |
13,551888545 |
|
bc |
0,2823588756 |
0,0013959476 |
1,5271755094 |
|
bd |
3,3087637382 |
0,0167601641 |
15,374321211 |
|
be |
3,1704319606 |
0,0179846204 |
16,497531304 |
|
bf |
2,0072522481 |
0,010800538 |
9,9074770388 |
|
bg |
1,4318005322 |
0,0075570327 |
6,9321664722 |
|
bh |
0,7278052621 |
0,0019113835 |
3,8675185622 |
|
bi |
0,2953138177 |
0,0014907859 |
1,36751768 |
|
bj |
0,2911689497 |
0,0016973687 |
1,5570188499 |
|
bk |
2,6026413457 |
0,0132822546 |
12,183988656 |
|
bl |
0,7796126346 |
0,0042105476 |
3,8623912974 |
|
bm |
0,2467750782 |
0,0011604324 |
1,2695204166 |
|
bn |
1,6046024234 |
0,0088594333 |
8,5322455109 |
|
bo |
2,2339986552 |
0,0117036898 |
10,735950186 |
|
bp |
1,7870036165 |
0,0101901088 |
9,3475222199 |
|
bq |
1,1780137466 |
0,0060424279 |
5,5427993639 |
|
br |
0,7417720923 |
0,0019409483 |
3,9273404095 |
|
bs |
0,0735582669 |
0,000391272 |
0,3589189744 |
|
bt |
0,0475010501 |
0,0002628035 |
0,2410731384 |
|
bu |
0,1860008958 |
0,0010616539 |
0,9738692478 |
|
bv |
0,4830264994 |
0,0024985662 |
2,291967992 |
В разделе «Date» протокол показывает, что из 768 документов лишь у 29 (3,77 % массива) эмпирически полученное значение «Z» не попадает в 95 % предсказанный интервал; таким образом, 96,23 %о эмпирически полученные в замере результатов четко ложатся на поверхность приведенной в трехмерном графике фигуры. Ниже приводятся данные по 29 документам.
|
XYZ |
X Val |
Y Val |
Z Val |
Z Predict |
95.00% Prediction Lim |
Weights |
|
42 |
77 |
76 |
1 |
-0,457491 |
-1,847365 |
0,9323834 |
1 |
|
80 |
73 |
65 |
0 |
1,7489824 |
0,3880337 |
3,1099311 |
1 |
|
137 |
71 |
40 |
3 |
1,6013925 |
0,2282801 |
2,9745048 |
1 |
|
139 |
71 |
27 |
0 |
1,564916 |
0,0460295 |
3,0838026 |
1 |
|
144 |
70 |
63 |
-1 |
1,6545042 |
0,2948003 |
3,014208 |
1 |
|
247 |
68 |
53 |
-1 |
0,4190763 |
-0,975085 |
1,8132371 |
1 |
|
272 |
67 |
78 |
-3 |
-1,522448 |
-2,900481 |
-0,144416 |
1 |
|
273 |
67 |
72 |
-3 |
-1,352307 |
-2,701173 |
-0,003441 |
1 |
|
274 |
67 |
69 |
-2 |
-0,603348 |
-1,944153 |
0,7374562 |
1 |
|
292 |
66 |
64 |
2 |
0,5127851 |
-0,836123 |
1,8616936 |
1 |
|
297 |
65 |
73 |
0 |
-1,983392 |
-3,34379 |
0,622993 |
1 |
|
317 |
64 |
69 |
-3 |
-1,305981 |
-2,652114 |
0,0401518 |
1 |
|
330 |
61 |
55 |
2 |
-0,449625 |
-1,833593 |
0,9343442 |
1 |
|
68 |
0 |
-1,389726 |
-2,741594 |
-0,037859 |
1 |
|
69 |
-3 |
-1,572812 |
-2,93116 |
-0,214464 |
1 |
|
69 |
-3 |
-1,572812 |
-2,93116 |
-0,214464 |
1 |
|
67 |
-2 |
-0,571692 |
-1,939557 |
0,796174 |
1 |
|
72 |
0 |
-1,644112 |
-3,028641 |
-0,259583 |
1 |
|
68 |
1 |
-0,494283 |
-1,867184 |
0,8786175 |
1 |
|
40 |
3 |
1,2927553 |
-0,097155 |
2,6826654 |
1 |
|
14 |
3 |
1,4563387 |
0,0341919 |
2,8784855 |
1 |
|
35 |
1 |
2,5988715 |
1,1973238 |
4,0004192 |
1 |
|
77 |
-3 |
-1,361957 |
-2,77978 |
0,0558673 |
1 |
|
45 |
-3 |
-1,519598 |
-2,87982 |
-0,159376 |
1 |
|
17 |
0 |
-1,564067 |
-2,969492 |
-0,158642 |
1 |
|
68 |
-4 |
-2,564906 |
-3,956765 |
-1,173048 |
1 |
|
68 |
-4 |
-2,564906 |
-3,956765 |
-1,173048 |
1 |
|
37 |
-1 |
0,4376425 |
-0,956883 |
1,8321683 |
1 |
|
68 |
0 |
-2,08848 |
-3,485518 |
-0,691442 |
1 |
Приложение 3
ИЗМЕНЕНИЯ СОСТАВА ВКП(б) в 1930-е гг.
Анализ изменений, происходивших в сталинский период в ключевых группах общества и политической системы, может многое раскрыть в характеристике политических институтов и процессов того времени. ВКП(б) была ядром властной системы общества. Изменения в этом ядре должны сказать и о направленности, и об исходных посылках перемен. Однако подробного анализа по отношению к партии в 1930-е гг. не осуществлено. Многие авторы довольствуются расчетами изменений в составе делегатов XVII и XVIII съездов ВКП(б), данными о репрессиях в Красной Армии и т. п., сетуя на ограниченный доступ к архивам. Однако еще в 1964 г. в библиотеке им. М. Горького при МГУ автор обнаружил существовавшее до 1929 г. периодическое издание орготдела ЦК ВКП(б) «ВКП(б) в цифрах». Каждые полгода там публиковалась форма текущего учета партийных рядов, в которой были графы: «переведены из кандидатов в члены партии», «восстановлены в правах», «исключены», «добровольно и механически выбыли», «умерли», «приняты на учет прибывших из Красной Армии», «сняты с учета выбывших в Красную Армию». С приходом Н. И. Ежова в аппарат ЦК ВКП(б) (1930) форма отчетности меняется, публикации начинают носить несопоставимый характер. Последний сборник датирован 1932 г.
Ряд обстоятельств указывает на осознанность и целенаправленность перемен в публикации партийной статистики. Во-первых, и на XVII, и на XVIII съездах доклады мандатных комиссий делали ближайшие «сподвижники» Сталина Н. Ежов и Г. Маленков. Эти документы о составе и изменениях в партии, безусловно, согласованные с генсеком, делают несопоставимой структуру изменений между съездами в почти двухмиллионной партии в ее слоях по партийному стажу (по годам вступления). Водораздел пришелся на 1929 г. Во-вторых, о важности скрываемого говорит длительность сокрытий. Опубликованная в журнале «Коммунист» к 50-летию советской власти статистика партийных рядов на 1 января каждого года не давала ответа на вопрос: «Сколько и каких коммунистов вычищено между XVII и XVIII съездами?»
Со дня объявления 1 января 1933 г. чистки партии до 1 ноября 1936 г. приема в партию не было. Это обстоятельство позволяет рассчитать встречные потоки вычистки из нее и вступления в партию коммунистов с некоторой погрешностью за период с 1933 по 1939 г. по открытым данным. Ниже приведена динамика изменений состава ВКП(б) с 1928 по 1939 г., опубликованная в 1967 г. (табл. П3.1). Добавим в этот ряд состав партии на момент проведения ее съездов. Период, выделенный линиями и заливкой, — это время, когда прием в партию был остановлен: с 1 января 1933 г. по 1 ноября 1936 г. Мы включили в этот период весь 1936 г., в том числе два месяца приема в 1936 г. по причине малочисленности принятых. Так, на 1 января 1937 г. в московской городской парторганизации коммунистов со стажем с 1936 г. было... 3 человека. Это и есть принятые за два месяца. Даже если по стране в целом было принято в двадцать раз больше, погрешность будет минимальна.
Таблица П3.1. Численный состав ВКП(б) в 1928-1939 гг. на 1 января соответствующего года и на момент проведения очередных съездов ВКП(б) в этот период по данным текущего учета орготдела ЦК ВКП(б) и по докладам мандатных комиссий соответствующих съездов
|
Период |
Состояло в ВКП(б) |
Общее число |
Изменения за период |
|
Членов |
Кандидатов |
Коммунисты |
Кандидаты |
|
01.01.1928 |
914 307 |
391547 |
1 305 854 |
|
|
01.01.1929 |
1 090 508 |
444 854 |
1 535 362 |
+176 201 |
+53 307 |
|
01.01.1930 |
1 184 651 |
493 259 |
1 677 910 |
+94 143 |
+48 405 |
|
XVI съезд: 26.6.1930 г. |
1 260 874 |
711 609 |
1 972 483 |
+76 223 |
+218 350 |
|
01.01.1931 |
1 369 406 |
842 819 |
2 212 225 |
+108 532 |
+131210 |
|
01.01.1932 |
1 769 773 |
1 347 477 |
3117250 |
+400 367 |
+504 658 |
|
01.01.1933 |
2 203 951 |
1 351387 |
3 555 358 |
+434178 |
+3910 |
|
01.01.1934 |
1 826 756 |
874 252 |
2 701 008 |
-377 195 |
-477 135 |
|
XVII съезд: 26.01.1934 г. |
1 872 488 |
935 298 |
2 809 786 |
Съезду доложено больше |
|
01.01.1935 |
1 659 104 |
699 610 |
2358 714 |
-167 652 |
-174 642 |
|
01.01.1936 |
1 489 907 |
586 935 |
2 076 842 |
-169 197 |
-112 675 |
|
01.01.1937 |
1 453 828 |
527 869 |
1 981 697 |
-36 079 |
-59 066 |
|
01.01.1938 |
1 405879 |
514 123 |
1 920 002 |
-47 949 |
-13 746 |
|
01.01.1939 |
1 514181 |
792 792 |
2 306 933 |
+108 302 |
+278 669 |
|
XVIII съезд: 10.03.1939 г. |
1 588 852 |
888 814 |
2 477 666 |
+74 671 |
+96 022 |
Мы имеем из статданных 283 636 человек абсолютного уменьшения между съездами. Сталин на XVIII съезде чуть приуменьшает — 270 000.
Из «Истории КПСС» под ред. П. Н. Поспелова следует, что в 1938 г. было принято в члены ВКП(б) 147 991, кандидатами — 437 451 человек. Кандидатами было принято в 13 раз больше, чем за предыдущий 1937 г.. Значит за 1937 г. кандидатами было принято около 33 650 человек. Данных в целом по партии
0 принятых в члены ВКП(б) за 1937 г. не приводится. Воспользуемся опубликованными сведениями о принятых в московской областной и городской парторганизациях в 1937 г. в члены партии: 4039 человек (по Москве и области в целом). Учитывая, что прием в 1938, 1939, 1940 гг. составлял по московской городской и областной организациям соответственно У У16, У общего приема по стране, мы получим от 48 000 до 56 000 принятых в коммунисты по стране в целом в 1937 г. Примем условно 50 000. Прибавим к 283 736 человекам абсолютного уменьшения между съездами 50 000 принятых за 1937 г., плюс 147 991 принятых за 1938 г. (это официально опубликованные данные), плюс те 74 671 человек, на которых увеличилась партия за январь-февраль 1939 г. (1 514 181 (на 01.01.1939) вычесть из 1 588 852 (представленных на XVIII съезде); это чистый прирост, люди исключались и тогда). Приблизительный, в сторону уменьшения, итог: около 556 000 членов партии, вычищенных между съездами. Если сделаем расчеты и по коммунистам, и по кандидатам относительно начала чистки c 01.01.1933 г., начатой по решению объединенного пленума ЦКК-РКИ и ЦК, то получаем, учитывая, что прием в коммунисты велся из кандидатов, две максимально достоверные и, вероятно, заниженные цифры. За 1933, 1934, 1935, 1936, 1937, 1938 гг., не учитывая исключений в первые два месяца 1939 г. до начала XVIII съезда, из партии исчезло более 900 000 членов ВКП(б) и не менее 800 000 кандидатов в члены партии (по динамике из табл. П3.1 последних было исключено уже к 01.01.1937 г. около 825 000; ведь перехода из кандидатов в члены партии за 1933—1935 гг. не было (за 1936 г., как мы уже видели, практически не было) и прием в кандидаты был в указанные годы остановлен).
Итак, опубликованные ЦК КПСС данные показывают, что с 01.01.1933 г. из 2 204 000 действительных членов ВКП(б) вычищено больше 900 000, а из
1 351 000 кандидатов — около 800 000. С начала чистки ВКП(б) сократилась почти вдвое, а не на 15 %. В «Истории КПСС» Поспелова говорится: «Чистка партии проводилась в две очереди. В Северо-Кавказском крае, ввиду проникновения в сельские партийные организации враждебных элементов, она началась с конца 1932 г. С июня 1933 г. по начало 1934 г. были проверены 11 территориальных партийных организаций (именно по 10 из них и отчитывался на XVII съезде в отчете ЦКК-РКИ Рудзутак. — А. Ж.)... После XVII съезда (до весны 1935 г.) прошли проверку еще 14 организаций. В остальных 17 территориальных организациях и в ряде организаций Красной Армии, НКВД и транспорта чистка не была проведена в связи с начавшейся проверкой партийных документов. В целом чистку прошли 1916,5 тысячи членов и кандидатов в члены партии... Из прошедших чистку 18,3 % было исключено из партии».
Следовательно «История КПСС» называет общее число вычищенных 350 720 и коммунистов, и кандидатов.
Вот что говорит о чистке ХVП съезду Рудзутак в отчете о начальном этапе чистки под контролем ЦКК-РКИ: «Всего на 1 января 1934 г. прошло чистку 1 149 000 членов и кандидатов в члены партии, составляющих 93,2 % общего числа парторганизаций, подлежащих чистке. Это без Красной Армии и войск ОГПУ... В результате чистки по решениям районных и ячейковых комиссий исключено из партии 17 % и переведено в сочувствующие 6,3 %. Следовательно общий состав нашей парторганизации по 10 областям подвергся изменениям в размере 23,3 % (без учета результатов разбора апелляций, которые этот итог снизят)...
Хотя абсолютное количество исключенных из партии кандидатов численно меньше, чем число исключенных членов партии, но тем не менее по своему процентному отношению на долю кандидатского состава нашей партии приходится гораздо больше исключенных, чем на долю членов партии. Следовательно, основной удар чистки пришелся на кандидатский состав.
Данные об исключенных по партийному стажу показывают, что во всех областях чистка задела главным образом молодых членов партии, в особенности вступивших за последние 3—4года... (курсив мой. — А. Ж.).
Социальный состав исключенных. Анализ показывает, что по социальному положению наиболее пораженной социальной группой является крестьянская, процент исключений по которой по отношению ко всем группам исключенных составляет 23.
Наиболее здоровой оказалась наша военная организация. Партийные организации Рабоче-крестьянской Красной Армии и войск ОГПУ оказались в партийном отношении наиболее воспитанными, в дисциплинарном отношении лучшими и в смысле персонального подбора и проверки наиболее здоровыми организациями. (Аплодисменты.)
Общий процент исключенных и переведенных в кандидаты и сочувствующие по Красной армии — 6,7, по ОГПУ — 8,2, а по всем остальным гражданским организациям — 23,9».
Итак, по данным ЦКК-РКИ, вычищено 267 717 и коммунистов, и кандидатов. Однако по текущему учету (табл. П3.1) уже к 01.01.1934 г., т. е. за подотчетный период к XVII съезду, по данным, опубликованным в 1967 г. в журнале «Коммунист», из ВКП(б) исчезло 377 195 коммунистов и 477 135 кандидатов, т. е. в общем 854 330 человек — втрое больше. Чистка, таким образом, направлялась не через ЦКК, а, возможно, через орготдел и отдел кадров ЦК.
Поспелов дополняет картину: вычищено за все годы 350 000. Но по опубликованным данным текущего учета и приводимым Поспеловым цифрам приема из ВКП(б) исчезло более 1 миллиона 650 000 человек (с восстановленными после январского 1938 г. пленума ЦК с 01.01.1933 г. оказывается вычищено более 1 миллиона 800 000 коммунистов и кандидатов; при этом мы специально берем числа по нижнему пределу меньше минимум на 50 000).
О достоверности данных. В отчете мандатной комиссии XVIII съезду ВКП(б) (Г. М. Маленков) подчеркнуто: «...эти данные (данные по партии. — А. Ж.) основаны на строгом персональном учете каждого (курсив мой. — А. Ж.) члена и кандидата партии. Этот учет Центральный комитет ввел уже после XVII съезда партии в 1936 г. Данные этого учета ежемесячно проверяются отчетностью районных, городских, областных комитетов партии перед ЦК ВКП(б)». Сопоставив данные о чистке, опубликованные в «Истории КПСС» под ред. Поспелова, и данные доклада Руд-зутака о чистке XVII съезда с данными текущей статистики на начало каждого года и с данными сборников статистики по ВКП(б), мы получим число, возможно, проходивших по графе, остающейся за вычетом граф — «выбывшие в Красную Армию», «добровольно и механически выбывшие», «исключенные»: по графе «умерли» — около 1,5 миллиона по партии в целом.
Механика этой операции была, на наш взгляд, следующая. За период с 1928 по 1933 г. в партию вступило более полутора миллионов человек, из которых в процессе ежегодных чисток было исключено около 225 тысяч человек. «Только за годы первой пятилетки (1928—1932 гг. — А.Ж.) кандидатами в члены партии принято 2 993 290 человек и в члены партии — 1 511 352 человека» . Текущий учет дает как раз на 225 тысяч коммунистов меньше (табл. П3.1).
Наибольший рост рядов ВКП(б) начинается в период коллективизации. Экономических предпосылок форсирования коллективизации не было, но были политические — они были реализованы с исчерпывающей полнотой (табл. П3.2).
|
Таблица П3.2. Изменения в составе ВКП(б) в деревне за июль 1929 - июль 1931 г.*** |
|
Дата |
Тип данных |
В целом |
Совхозы |
МТС |
Колхозы |
Другие сельские |
|
Абс. |
% |
Абс. |
% |
Абс. |
% |
Абс. |
% |
Абс. |
% |
|
01.07.29 |
Ячеек |
27 039 |
100 |
1273 |
4,7 |
- |
- |
1504 |
5,6 |
24 262 |
89,7 |
|
Членов |
358 936 |
100 |
16 191 |
4,5 |
- |
- |
16 461 |
4,6 |
326 254 |
90,9 |
|
Среднее в 1 ячейке |
13 |
|
13 |
|
- |
|
11 |
|
13 |
|
|
01.10.30 |
Ячеек |
31 874 |
100 |
2188 |
6,9 |
222 |
0,7 |
131 38 |
41,2 |
16 326 |
51,2 |
|
Членов |
481313 |
100 |
37 769 |
7,9 |
3766 |
0,8 |
191 731 |
39,8 |
248 047 |
51,5 |
|
Среднее в 1 ячейке |
15 |
|
17 |
|
17 |
|
14 |
|
15 |
|
|
01.07.31 |
Ячеек |
42 113 |
100 |
3916 |
9,3 |
1155 |
2,7 |
25 545 |
60,7 |
11 497 |
27,3 |
|
Членов |
654 628 |
100 |
73 340 |
11,2 |
17 690 |
2,7 |
404 013 |
61,7 |
159 585 |
24,4 |
|
Среднее в 1 ячейке |
15 |
|
19 |
|
15 |
|
16 |
|
14 |
|
|
Уже из перемен, произошедших за два года в количестве ячеек и членов ВКП(б), видно, что была проведена «мастерская работа» по партийному строительству. Удельный вес партячеек и их членов увеличивается в совхозах в два с лишним раза, а в колхозах на величины больше одного порядка, т. е. в 10—14 раз. В МТС (машинно-тракторная станция) такого резкого роста нет, так как здесь требуется профессионализм и определенный образовательный уровень для обращения с дорогостоящей техникой.
Сталин в беседе с Черчиллем о коллективизации, умолчал, для чего ему нужно было создавать в колхозах парторганизации, хотя с точки зрения его концепции партии как «ордена меченосцев» и аппарата экономического принуждения, партия в таком качестве как нельзя более уместна. Вот что пишет Черчилль:
«— Скажите мне, — спросил я, — на вас лично так же тяжело сказываются тяготы этой войны, как проведение политики коллективизации?
Эта тема сейчас же оживила маршала.
— Ну нет, — сказал он, — политика коллективизации была страшной борьбой.
— Я так и думал, что вы считаете ее тяжелой, — сказал я, — ведь вы имели дело не с несколькими десятками тысяч аристократов или крупных помещиков, а с миллионами маленьких людей.
— С 10 миллионами, — сказал он, подняв руки. — Это было что-то страшное, это длилось четыре года, но для того чтобы избавиться от периодических голодовок, России было абсолютно необходимо пахать землю тракторами. Мы должны механизировать наше сельское хозяйство. Когда мы давали тракторы крестьянам, то они приходили в негодность через несколько месяцев. Только колхозы, имеющие мастерские, могут обращаться с тракторами. Мы всеми силами старались объяснить это крестьянам. Но с ними было бесполезно спорить. После того как вы изложите все крестьянину, он говорит вам, что он должен пойти домой и посоветоваться с женой, посоветоваться со своим подпаском.
Это последнее выражение было новым для меня в этой связи.
— Обсудив с ними это дело, он всегда отвечает, что не хочет колхоза и лучше обойдется без тракторов.
— Это были люди, которых вы называли кулаками?
— Да, — сказал он, не повторив этого слова.
После паузы он заметил:
— Все это было очень скверно и трудно, но необходимо.
— Что же произошло? — спросил я.
— Что ж, — ответил он, — многие из них согласились пойти с нами. Некоторым из них дали землю для индивидуальной обработки в Томской области или в Иркутской, или еще дальше на север, но основная их часть была весьма непопулярна, и они были уничтожены своими батраками.
Наступила довольно длительная пауза. Затем Сталин продолжал:
— Мы не только в огромной степени увеличили снабжение продовольствием, но мы неизмеримо улучшили качество зерна»*.
Без комментариев.
За весь 1928 г. в партию было принято 42 911 крестьян (16,4 % всех принятых), в 1929 г. это число составило 44 440 (14,9 % всех принятых), в 1930 г. — уже 171 484 (25,6 % всех принятых), а за одно первое полугодие 1931 г. — 153 883 крестьянина (32,7 %). За второе полугодие 1931 г. и за весь 1932 г. в партию принято лишь около 124 000 крестьян. Падение их доли среди принятых в члены партии в этот период сопровождается усилением их потока вступающих в кандидаты. За эти годы, с момента проведения XVI съезда до 01.01.1933 г., когда прием в ВКП(б) был прекращен, количество деревенских коммунистов выросло до 790 000, и их доля составила 40 % численности партии. Данные сборников «ВКП(б) в цифрах» показывают, что такой ход набора и расширения партии был апробирован во второй половине 1925 и за весь 1926 г., когда за счет уменьшения доли рабочих и служащих доля крестьян среди принятых в кандидаты увеличивалась до 39,6 и 38,5 % всех принятых соответственно во втором полугодии 1925-ого и в 1926 г.
Кого же Он вычищал железной метлой, имея, по его собственным словам, в партии лишь около 12 000 троцкистов? Воров ли, коррумпированных чиновников и адвокатов, шпионов и разведчиков, как нас до сих пор пытаются уверить некоторые? Генеральный секретарь ЦК ВКП(б) действовал непоколебимо. Вот изменение структуры партии по стажу между XVII и XVIII съездами, рассчитанное еще в 1964 г. по уцелевшему в библиотеке МГУ статистическому сборнику «ВКП(б) в цифрах» (см. табл. П3.3).
Таблица П3.3. Изменения в составе ВКП(б) в период с XVII по XVIII съезды по партстажу и представительство каждого слоя по партстажу среди делегатов обоих съездов. Только по членам партии, без кандидатов, и только по делегатам с правом решающего голоса (в абсолютном выражении в тысячах человек и в % каждого слоя в партии на момент проведения съезда, в абсолютном числе уменьшения и его процентной доле в каждом слое по стажу и в партии в целом, в доле соответствующего слоя среди делегатов с решающим голосом).
Слой по
партстажу |
Число коммунистов на момент съезда |
Изменения в слое |
Доля делегатов |
|
XVII |
XVIII |
XVII |
XVIII |
XVIII-XVII |
XVII |
XVIII |
|
Абс. |
Абс. |
% |
% |
Абс. |
% |
% |
% |
|
Слой 1 |
187 |
132 |
10,0 |
8,3 |
-55 |
-29,4 |
80,0 |
19,4 |
|
Слой 2 |
846 |
345 |
45,2 |
21,7 |
-501 |
-59,2 |
17,4 |
37,6 |
|
Слой 3 |
839 |
1112 |
44,8 |
70,0 |
+273 |
+32,5 |
2,6 |
43,0 |
|
В целом |
1872 |
1589 |
100,0 |
100,0 |
-283 |
-15,1 |
100,0 |
100,0 |
|
Слой 1 - вступили в партию до 01.01.1921 г.
Слой 2 - вступили в партию с 01.01.1921 г. до 01.01.1929 г.
Слой 3 - вступили в партию с 01.01.1929 г. до 01.01.1933 г. и с 01.11.1936 г. до 01.03.1939 г. |
В свете трех человек, принятых в ВКП(б) в Москве за 2 месяца 1936 года, становятся ясными причины «благотворного влияния» (Р. Косолапов) январского (1938)
Пленума ЦК. В «обновляющуюся» ВКП(б) калачом было не заманить. Заменив вопреки уставу очередной партсъезд принятием Конституции и созывом Верховного Совета (съезд должен был собраться в 1937 г.; на самом «спурте» репрессий), Сталин занялся «партстроительством» на январском (1938) Пленуме, после которого «...в течение 1938 года в территориальных партийных организациях было восстановлено в партии 77 000 человек, в 1939 г. — около 65 000 человек». Итого 142 000. Значит, с января 1933 г. «вычищено» было больше миллиона. Но так как на очередном съезде картина была бы устрашающая (надежды на прием в 1936 и 1937 гг. проваливались), Сталин забил тревогу. Кроме того, число вычищенных приближалось к цифре, за которой следующий съезд был недействителен по уставу. Конечно, у Сталина «был запас» около 200 тысяч человек. Съезд действителен (по уставу от 1934 г.), когда на нем представлено не менее 50 % коммунистов, делегировавших предыдущий съезд. Если к 556 000 прибавим 142 000 восстановленных, то получится 37 % от членов ВКП(б), представленных на ее XVII съезде (по докладу мандатной комиссии Ежова), и 38 % от состоявших в партии на 01.01.1934 г. (при этом непостижимо решение записать в устав возможность половинного сокращения за три года). Реабилитация начинает сопровождать непрекращающуюся чистку, которая становится более избирательной, затрагивающей верхушку. Это видно по динамике (табл. П3.1). За 1937 г., учитывая 50 000 вновь принятых, из членов ВКП(б) исключено всего 100 000, при этом 45 000 в армии. «Если бы ЦК ВКП(б) не остановил эту преступную вакханалию, мы разбили бы всю парторганизацию РККА», — говорил Мехлис в 1938 г.. Обратите внимание на слово «мы» рядом с преступной вакханалией по отношению к тем организациям, которые, по мнению ЦКК-РКИ, были «наиболее дисциплинироваными и здоровыми». Результат корректив: за два месяца 1939 г. число принятых, составившее половину принятых за весь 1938 г., плюс восстановленные 142 тыс. позволили свести общее уменьшение между съездами к 15 %.
Сделаем выводы.
1. Впустив за 1928—1932 гг. в партию около 1,5 млн коммунистов и кандидатов, Сталин в основном за 1933—1936 гг. вычистил из нее минимум 1,65 млн коммунистов и кандидатов, и по большей части не тех, кто вступил за последние перед 1933 г. годы.
2. Между XVII и XVIII съездами партия уменьшилась на 556 000 членов ВКП(б), что составляет 30 % коммунистов, представленных на XVII съезде. В абсолютных цифрах за счет открытого вновь с 01.11.1936 г. приема, особенно с изменением условий приема после январского (1938) пленума ЦК, партия уменьшилась на 283 736 человек.
3. За период от начала чистки и прекращения приема общее уменьшение составило к XVIII съезду около 900 000 по коммунистам и около 750 000 по кандидатам.
4. Данные ЦКК по чистке и фактические данные текущего приема, бывшие в руках орготдела ЦК на момент XVII съезда (Ежов — Сталин), резко расходятся с данными ЦКК (Рудзутак) — примерно на 220 000 коммунистов и на 350 000 кандидатов, противореча логике доклада Рудзутака, который впоследствии был расстрелян. Чистка шла не только под контролем ЦКК. Это должно было при сохранении ЦКК выявиться неизбежно. Делегаты XVII съезда, приняв постановление о преобразовании соподчиненной с ЦК властной структуры ЦКК-РКИ, которая могла как-то демпфировать разворачивающийся террор, в подчиненную ЦК Комиссию партийного контроля, председателем которой стал вскоре избранный секретарем ЦК ВКП(б) на место убитого Кирова выдвиженец Сталина Ежов, подписали себе смертный приговор. Сколько угодно можно уверять, что Сталин «не знал» о делах его «сослуживца», сосредоточившего у себя «в ежовых рукавицах» контроль над чисткой. Цена этим уверениям — ломаный грош.
5. Данные о чистке, известные Поспелову в 1970-е гг., также расходятся с данными фактического текущего учета, опубликованными В. И.Струковым в «Коммунисте» в 1967 г. под контролем ЦК КПСС. Они не противоречат данным доклада Рудзутака, а дополняют их в связи с расширенным периодом чистки. Разница в 1 млн 300 тыс. коммунистов и кандидатов, исчезнувших из партии при «основанном на индивидуальном принципе» учете, не может быть случайной и говорит об объеме террора против компартии, развязанного ее генеральным секретарем и его окружением.
6. Чистке — вопреки ее первоначальной направленности против крестьянского и кандидатского слоя, что в то время в целом было одно и то же, — подвергся слой членов партии со стажем с 1921 до 1929 г. и слой подпольщиков и участников гражданской войны. Из первого слоя вычищена 501 000 из 846 000 коммунистов — почти 60 %. Из второго — 55 000 из 187 (почти 30 %). Значит, из первого убраны пять из восьми, а из «стариков» — каждый третий. Наиболее пострадавший слой имеет такие характеристики (помимо прочего): ленинский призыв, вступали в годы НЭПа, знали внутрипартийные дискуссии и течения 1920-х гг., прошли неоднократные чистки и большой кандидатский стаж. Это они восстанавливали народное хозяйство после разрухи, закладывали основы индустриализации. Доля этого слоя в ВКП(б) упала в два с лишним раза. Сталин, организовав чистку, продолжил тенденцию чистить здоровые силы партии (о ее наличии говорят Рудзутак и Поспелов), извратил первоначальную идею чистки, оформив это соответствующими структурными и кадровыми изменениями во властных институтах, и привел к прямо противоположным от декларируемых результатам (табл. П3.3)
7. Слой членов партии со стажем с 1929 по 1933 и с ноября 1936 по март 1939 гг. вырос на 273 000, что составляет 32,5 % от представительства этого слоя в ВКП(б) к XVII съезду. В 1939 г. этот слой насчитывает 1 112 196 коммунистов (70 % численности партии). С его увеличением росло и его властное влияние: представительство этого слоя выросло с 2,6 % на XVII до 43 % на XVIII съезде — в 16,5 раз. Властное влияние этого слоя сопровождается ростом влияния оставшихся в вычищенном и обескровленном слое коммунистов со стажем с 1921 по 1929 г. При общем уменьшении этого слоя в 2,6 раза, процент его представительства вырос в 2,2 раза с 17,4 % на XVII до 37,6 % на XVIII съезде. Число старых членов партии — подпольщиков и участников гражданской войны — снизилось до 19,4 % на XVIII съезде против 80 % на XVII.
8. При общем увеличении в партии крестьянского слоя упало представительство на съездах рабочих-коммунистов: с 60 % на XVII до 14,6 % на XVIII съезде. Работники сельского хозяйства получили на XVIII съезде долю в 6,3 %. Кроме того, на
XVII съезде с решающим голосом было представлено 51,5 % участников XVI съезда (на предыдущих съездах преемственность была еще больше). Стенограммы показывают, что лишь 46 из 1570 делегатов XVIII съезда с правом решающего голоса были делегатами XVII съезда — преемственность в 2,9 %.
Перед нами государственный переворот.
А вот что говорит XVIII съезду генсек.
«На ХУЛ съезде партии было представлено 1 874 488 членов партии. (Так у Сталина. Либо он ошибается, либо здесь опечатка. По утвержденному докладу мандатной комиссии (докладчик Ежов) на XVII съезде было представлено 1 872 488 коммунистов. — А. Ж.). Если сравнить эти данные с данными о количестве членов партии, представленных на XVI съезде партии, то получится, что за период с XVI до XVII съезда в партию прибыло 600 000 новых членов партии (их было с учетом уже вычищенных к съезду более миллиона. — А. Ж.). Партия не могла не почувствовать, что такой массовый наплыв в партию в условиях 1930—1933 гг. является нездоровым и нежелательным расширением ее состава. Партия знала, что в ее ряды идут не только честные и преданные, но и случайные люди, но и карьеристы, стремящиеся использовать знамя партии в своих личных целях. Партия не могла не знать, что она сильна не только количеством своих членов, но, прежде всего, их качеством. В связи с этим встал вопрос о регулировании состава партии. Было решено продолжить чистку членов партии и кандидатов, начатую еще в 1933 г., и она действительно была продолжена до мая 1935 г. Было решено прекратить прием в партию новых членов (объединенный пленум ЦК и ЦКК, январь 1933 г., еще до XVII съезда. — Авт.), и он действительно был прекращен вплоть до сентября 1936 г., причем прием в партию новых членов был возобновлен лишь 1 ноября 1936 г. Далее, в связи с злодейским убийством тов. Кирова, свидетельствовавшим о том, что в партии имеется немало подозрительных элементов, было решено провести проверку и обмен партийных документов, причем то и другое было закончено лишь к сентябрю 1936 г. Только после этого был открыт прием в партию новых членов и кандидатов. В результате всех этих мероприятий партия добилась того, что она очистила свои ряды от случайных, пассивных, карьеристских и прямо враждебных элементов, отобрав наиболее стойких и преданных людей. Нельзя сказать, что чистка была проведена без серьезных ошибок. К сожалению, ошибок было больше, чем можно было предположить. Несомненно, что нам не придется больше пользоваться методом массовой чистки. Но чистка 1933—1936 гг. была все же неизбежна, и она в основном дала положительные результаты. На настоящем
XVIII съезде представлено около 1 600 000 членов партии, т. е. на 270 000 меньше, чем на XVII съезде. Но в этом нет ничего плохого. Наоборот, это — к лучшему, ибо партия укрепляется тем, что очищает себя от скверны. Партия у нас теперь несколько меньше по количеству ее членов, но зато она лучше по качеству. Это большое достижение».
На фоне данных, известных Сталину, перед нами образец манипуляций человека, разгромившего ВКП(б), изменившего ее организационные, политические основы. Следует учитывать, что наряду с качественным изменением состава партии в эти годы менялись и другие ее основания: идеология, структура, отношение к III Интернационалу, состав руководства и др.
Этот переворот — одна из фаз ревизии результатов трех русских революций, организованная и начатая задолго до XVII съезда партии. Редактировавший стенограмму XVII съезда ВКП(б) М. А. Москалев говорил мне в 1960-е гг., что Сталин начал погром партии с разгона контрольных органов ЦКК-РКИ. Это не так. Этим разгоном он закреплял уже давно начатый погром, делал его бесконтрольным и безнаказанным. С 1929 г. схватка приобрела смертельный характер: вошедшие с начала века и после революций в коммунистическое движение должны были либо уничтожить ВКП(б), либо, как они считали, они погибли бы сами. Они преуспели. Их возглавлял талантливый человек, перед которым Никколо Макиавелли — просто щенок перед матерым волком.
Второе дело — уничтожение вершины пирамиды власти, делегатов съездов, военачальников оказалось вполне выполнимым после уничтожения самой партийной массы. На XVI партконференции (начало 1929 г.), принимавшей пятилетний план, фамилия Сталин появляется один раз: в списке президиума. Доклады делали творцы пятилетки: Рыков, Кржижановский, Куйбышев, по крестьянству — Калинин, по борьбе с бюрократией — Яковлев. О. Лацис справедливо указывает, что выполнение первой пятилетки пришлось точно по прикидкам докладчиков.
Коллективизация нужна была в тот момент не для увеличения урожаев — это был единственно верный для фракции Сталина шаг: только на форсированной коллективизации можно было взорвать ВКП(б) и добиться неограниченной власти. Сталин не мог ждать добровольной коллективизации. Насаждение колхозов нужно было и для того, чтобы, создав тысячи партячеек в колхозах, впустить в партию сотни тысяч новых рекрутов, организовать и повернуть затем процесс чистки и уничтожить социальную силу, которая мешала реализации средневекововизантийских взглядов и мессианских представлений, политическому курсу, где органична безумная жажда власти. Взгляды новой партийной массы совпадали с интересами новой клики, совпадали со средневековым типом прочтения марксизма, уравнительными представлениями о социальной справедливости и путях ее достижения в России. Такие же совпадения и резонансы наблюдаются у широких слоев общества до сих пор. Сталин начал эту операцию не форсированием индустриализации, темпы которой его политика «большого скачка», как показано уже в ряде статей, снизила, а с развертки коллективизации. Создание атмосферы чрезвычайщины в ситуации кризиса хлебозаготовок, открывало шлюзы для «обновления» ВКП(б), формирования, как откровенно заявил XVIII съезду А. А. Жданов, «партии нового типа — партии Ленина-Сталина».
Погром компартии начался задолго до XVII съезда. Съезд — это последняя, трагическая попытка исправить ошибку, изменить соотношение марксистского и экспроприаторского крыльев освободительного движения в России в пользу эволюции. Она кончилась провалом, во-первых, потому что ее инициаторы уже многократно ошибались в нешуточном деле, а во-вторых, потому что вождь непоименованного крыла партии (сейчас сказали бы виртуального) всегда на полшага оказывался впереди.
Ни один слой советского общества не понес таких потерь в эти годы, как ВКП(б). Конечно, на вершине пирамиды власти (ЦК, делегаты съезда, военный совет РККА) доля уничтоженных больше. Но там речь идет о группах людей в тысячу человек. А если говорить о партии как социальной группе, то в ней уничтожен каждый второй, в слое партийцев 1920-х гг. — почти двое из трех. Среди крестьян, по свидетельству Сталина, — каждый десятый. Улучшая качество зерна, модернизируя экономику или денежную систему, господа людоеды напрочь забывают о человеческой крови.
ВКП(б) не существует с 1930-х гг. Фарсово смешон «запрещающий» КПСС спустя 55 лет. Дело сделано до него, но и этот боится, что политическое движение воссоздастся «снизу». Что запрещается? Ведь речь не о названии, но о сущности силы, от имени коммунизма диктовавшей и от другого имени диктующей траектории социального развития. Можно рассматривать процесс расслоения и становления этой силы как первую, растянувшуюся в соответствии с социально-экономическими условиями России, фазу капиталистической реставрации. Она проходила по сути как фаза первоначального капиталистического накопления принявшего форму становления «государственной частной собственности» и формирования буржуазии в виде партийно-государственной элиты, практически бесконтрольно от широких масс трудящихся распоряжавшейся экономикой страны. Высочайшая стандартизация и уравниловка социальных отношений в одних секторах общества позволила накапливать капитал в других. Влияние идей трех русских революций, однако, было столь велико, что понадобилось 74 года, чтобы вновь сформировавшийся буржуазный класс смел, по его представлениям, «идеологическую мишуру» и минимальные социальные гарантии народу, повесил бы под флагштоками со звездой, серпом и молотом «триколор» и произвел под видом приватизации денационализацию промышленности в противовес расширению самоуправления трудящихся на производстве. Есть основания предполагать существование объективного, сугубо российско-византийского трехпоколенного экономического цикла, в котором доля уничтоженных слоев общества в цикле постоянна, а энергия, потребная для воспроизводства жизни этих слоев, «обменивается» на приращиваемый в цикле капитал. Сначала разрешается экономическая свобода, напоминающая «гуляй-поле», потом растет стоимость, потом ищутся виновные, потом экспроприируется накопленное и отстреливаются одиозные жертвы, затем идет относительный период стабильностии и «мирного» передела, затем начинается все сначала. Третье поколение не должно помнить формы реализации этого процесса в поколении своих дедов. И, действительно, эта форма тщательно скрывается идеологами правящей олигархии. Наилучший вид правления при таком цикле — конечно же, самодержавие, где «император-василевс» принимает правила игры его личной гвардии. Выдающаяся заслуга Сталина в том, что он наиболее ярко выразил этот цикл рабовладельческой колонизации собственного народа с целью создания госкапитализма, прикрытого элементами социальных гарантий воспроизводства жизни широких слоев.
Эти тенденции растут в России из давних «историко-генетическиих» корней, имея, возможно, аналогом в политической подсистеме известную еще в древности борьбу волхвов и князей. Однако эта тема, также как и анализ социально-политической преемственности и превращений правящей партии после 1930-х гг., — самостоятельная тема.
Замеченные опечатки
1 На с. 17 строка четвертая сверху следует читать: один, а не одни.
2 На с. 35 в легенде табл. 1.9 Разброс следует читать: 5 - разброс.
3 На с. 43 и 123 в легендах табл. 1.14 Поколение и 3.2 Возраст следует читать:
1 - 50 лет и старше (старшее) 1 - старше 50
2 - до 30 лет (младшее) 2 - до 30
3 - 30-49 лет (среднее) на с. 43 3 - 30-49 лет на с. 123
4 На с. 66 под рис. 2.3 слова: в матрице 297 следует читать: в матрице 297.
5 На с. 83 и 84 в табл. 2.13 и 2.14 при редактировании неправильно вбиты данные.
В табл. 2.13 в колонке «В целом» должны следовать сверху вниз последовательно следующие цифры: 667 - 168 - 49 - 14 - 65 - 29 - 5 - 2. В табл. 2.14 колонки «Здоровье», «Труд», «Семья» должны выглядеть следующим образом:
+877 +905 +726
-123 - 95 -274
6 На с. 129 в 1 абзаце на 3 строке снизу следует читать: «политико-идологический».
7 На с. 146 в табл. 3.8. в клетке раздела «Тамбов-2004: радио-, ТВ+, газ-, жур+» читать 0.
8 На с.266 в 1 абзаце на 3 строке снизу следует читать значения коэффициентов связи.
9 На с. 286 в рис 6.9. аббревиатуру «ИНР» следует читать «ИНП»
10 На с. 346 в «шапке» рис. 8.3 следует читать: Политическая активность в Санкт-Петербурге в 1999 г., а не в 1976 г.
11 На с. 358 в 1 абзаце на 2 строке снизу следует читать: превращению ее в клаку,
12 На с. 373 во второй сноске, в четвертой строке снизу вместо: чтобы ни одни завод города, следует читать: чтобы ни один завод города.
13 На с. 375 в таблице 8.15 в колонке «власть» строка «в целом» - 3,38, а не 3,80.
14 На с. 385 в последнем абзаце окончание предложения в девятой строке сверху следует читать: коллективного сознания человеческого этоса, а не этноса.
15 На с. 425 последние слова: (см. рис. 9.3) следует читать: (см. рис. 9.2).
16 На с. 438 в заголовке рис. 9.4. следует читать: Поверхность оценок действенности, а не «действительности» решений.
17 На с. 469, 470, 481, 486, 496, 503, 524, 528 при описании массивов №№ 005, 006, 026-027, 039, 058, 059, 070, 093-095, 101 в строках «Метод сбора данных» везде следует читать: формализованное интервью.
Опубликована спустя лишь в 1999 г. с довольно большим трудом. Автор оставил ее в Приложении для более точного понимания читателем авторской позиции относительно корней порождения правящей российской бюрократии и факторов превращения ее в российский оригинальный буржуазный класс из сталинской генерации.
Итоги Всесоюзной переписи населения 1979 года. ЦСУ СССР. Т IX. Ч. I. — С. 58.
См.: Массовая информация в советском промышленном городе. — М., 1981. — С. 223—225.
Данные проекта «Общественное мнение» полностью восстановлены автором книги в полном объеме в машинной памяти и представлены 93 из 122 исследований-файлов базы «Интегрированная информационная система социальных данных» (INSYS). Они составляют около 20 % всего многомиллионного поля ответов базы. Базы данных INSYS и UNIVERSUM зарегистрированы автором в РосАПО и объединении Информрегистр. Все файлы базы INSYS созданы при спонсорской поддержке Майкла Сваффорда, последнее Всесоюзное исследование «Правда»-1991» так же, как и «Таганрог»-1979» в ИСИ АН СССР (33 % частот информационного поля) не были бы проведены без организационной поддержки Л. А. Оникова.
Отобран наряду с Костромой ЦЭМИ АН СССР как типичный средний город республики из 150 городов подобного класса. Предпочтение перед Костромой было оказано из-за личных связей во властных структурах и в связи с тем, что городские власти Таганрога были более предрасположены к нововведениям. Проект «Общественное мнение» до сих пор по комплексности и системному охвату реальности остается непревзойденным исследованием мирового класса. Задуманный с целью выработки управленческих решений, основанных на системных фактах, объективно диктуемых развитием общественной жизни, он не мог не вызвать нападок в нашем обществе. Эти трудности, однако, пошли на пользу дела.
Перечень (название, объем, разработчики) исследований, информация которых использована в книге, см. в Приложении 1.
Эти результаты были кратко доложены на секции демографии на II Всероссийском социологическом конгрессе (см.: Доклады II Всероссийского социологического конгресса: Российское общество и социология в XXI веке: социальные вызовы и альтернативы. Т. 1. — М.: Альфа-М, 2004. — С. 497—506). В настоящем издании данный вывод в основном иллюстрируется подробно в табл. 1.7, 1.10, 1.14—1.16, 3.2—3.6, рис. 3.1—3.4.
При анализе общества мы имеем «дело с системами, реализующимися и функционирующими посредством сознания», которое «может в принципе изучаться совершенно объективно по его “предметностям”, по значащим для него объективациям, рассматриваемым в качестве порожденных саморазвитием и дифференциацией системы социальной деятельности как целого» (см.: Мамардашвили М. К. Анализ сознания в работах Маркса. — Вопросы философии. 1968. № 6. — С. 15—16).
Схема эта вводится в качестве канвы изложения и обращения к блокам исследований. В детали ее я здесь не вдаюсь. Отражение реальности сознанием человека, например, никогда не бывает непосредственным (разве в случае катастроф). Отражение всегда социально модельно и может быть изменено в процессе моделирования, а затем, даже в кинематической коммуникации, следуют социальные формы организации этих моделей в тексты общения или передачи знаково закрепленной информации в систему обмена.
См. Приложение 1: аннотации к отдельным исследованиям, фамилии авторов методик.
Если же они и разрабатывались, как, скажем, в ЦЭМИ или ИМРД, то их исходные данные были нам недоступны из-за слабого информационного обмена между исследовательскими коллективами.
Сохранением документов этого исследования Институт социологии обязан к. э. н. Т. Б. Петрову, который дал мне возможность перевести информацию на магнитные носители. После смерти Т. Б. Петрова его сын М. Т. Петров передал в институт все 2346 анкет этого первого грушинского «зондажа-омнибуса» (полевой документ объединял несколько заказных исследований), которые исчезли из подвалов института в 1999—2002 гг.
Е. Х. Нерсесова говорит о промежутках «времени, в течение которых явление остается себетожде-ственным» (см.: Гносеологический аспект проблемы социальных показателей. — М., 1981. — С. 141).
В 1969 г. мы зафиксировали 4546 актов приема сообщений, каждый из которых был маркирован характеристиками и читателей, и текста, и отраженной в тексте реальности. В 1977 и 1991 гг. это число составило соответственно 35 362 и 63 155, контрольный замер весной 2004 г. дал 3252 акта приема. Уже при подготовке книги к печати дипломант Государственного университета гуманитарных наук (ГУГН) Института социологии РАН А. С. Топорков в сравнении надежности шкалы измерения интенсивности чтения на примере журналов «КоммерсантЪ — Деньги» и «Секрет фирмы» за апрель 2006 г. на 5967 актах приема получил полигоны распределений читателей по прочитанным, просмотренным и пропущенным сообщениям практически тождественные полигонам чтения «Таганрогской правды» 1969 г., измеренными мной в то время адекватной методикой. Объем потребности в социальной ориентации через прессу оказывается измеряем временем ежедневных затрат на чтение и константен в различных по социальному типу аудиториях за почти сорок лет. Интенсивность разового (за день) чтения прессы по нашим замерам изменялась лишь при разрушении газетной аудитории в 1991—1993 гг., о чем будет сказано ниже.
Впоследствии аналогичные таблицы получены во Всесоюзных исследованиях 1977, 1981, 1986, 1991 гг. и в 2004 г. в Москве и Тамбове с данными уже по журналам, Интернету и предвыборной агитации вместо ушедших средств пропаганды. Некоторые из них будут приведены в соответствующем месте при рассмотрении динамики объемов аудиторий.
Напомню: вне охвата 0,5 % в 1969 г. в Таганроге, до 3,0 % в 1977 г. в СССР, 1,1 % в 1991 г. в СССР, 2,0 % в 2004 г. в Москве и одновременно 5,0 % в Тамбове.
Во-первых, выступающих только на собраниях в производственных общностях (30,5 %) населения, во-вторых, использующих трибуну собраний в сочетании с одним из других каналов постановки проблем (или с приемом в руководящих органах, или с приемом у депутатов, или с выступлением на собраниях избирателей, или с написанием писем в органы власти или редакции). Эта группа составляет 130 человек на 1000 из всех 153 жителей, обращавшихся сразу в два канала выражения общественного мнения (85,0 % от 153 человек). Далее идет группа использующих сразу три канала решения и постановки проблем перед органами власти и редакциями информационных средств — 54 человека. Из этого числа 32 (59,3 %) использует сразу собрания и прием в местных руководящих органах в сочетании с тем или иным видом писем или приемом у депутатов, а также выступлениями перед избирателями и депутатами. Использующие 4—6 каналов группы составляют в этой же «зоне» 46 из 54 человек (85,2 % наиболее активных).
В самом деле, трудно говорить о возможностях выяснения форм политической активности агитаторов различных политических направлений, даже об их политической ориентации, когда руководитель молодежной демонстрации на Воробьевых горах, сходки совершенно лояльной и правительственно ориентированной, закрывала ладонью телекамеру, одновременно крича в «юную и неокрепшую еще политически массу»: «Никаких интервью!» Если это происходит как должное и называется демократическим поведением, то чего же ожидать от респондентов в ответах при массовых опросах, которые требуют теперь изощреннейших методик выяснения интересующих исследователя параметров отношения, информированности и активности?
После принятия известного закона о статусе Народного Депутата и расширения «народного представительства» это число выросло до 16 на 1000 в масштабах страны. Впервые ЦСУ СССР опубликовало цифру о числе Депутатов местных советов в 1985 г. во времена Ю. В. Андропова. При Чер-ненеко ее снова спрятали, а при Горбачеве опубликовали еще андроповскую цифру: 2 316 391человек во всех уровнях Советской власти по выборам 1985 г. В последнем Всесоюзном исследовании 1991 г. это число в выборке точно соответствует доле в генсовокупности (см.: СССР в цифрах в 1984 г. — М., 1985. — С. 15).
Энтропия считалась по формуле: Hn = (2p.-logp.)/(21/n-log1/n) = Xp.-logp/ log1/n. Если имелись пустые клетки, то энтропия по всем клеткам обозначалась как «общая», а по заполненным клеткам — как «экспериментальная». При отсутствии пустых клеток — просто «энтропия».
Пропагандистская деятельность разбита на дополнительное число форм для более четкой дифференциации по количественному показателю.
Аудитории газет, журналов и радио подверглись впоследствии просто-таки погрому, но выстояли.
Энтропия общая равна здесь в целом 0,851, у малоактивных — 0,397, у умеренных — 0,564, у высокоактивных — 0,531. При этом в «своем диапазоне» числа используемых форм каждый слой дает энтропию экспериментальную соответственно: в целом 0,851 (все клетки заполнены), малоактивные — 0,684 (наибольшая плотность), умеренные — 0,972 (наибольшее разнообразие поведения), а высокоактивные — 0,756 (плотно, но в ином качестве).
Это означает, что среднее число форм досуга у малоактивных (+1 стандартное отклонение (+1 а)) меньше, чем у активных (—1 стандартное отклонение (—1а)). Это очень существенное количественное различие, свидетельствующее о дисбалансе затрат времени.
Все данные, приведенные в книге, отвечают этому доверительному интервалу. Если мы снижали доверительный интервал в каких-либо целях, то причины этого всегда оговариваются.
В 1984—1987 гг. я работал в совете по социальной статистике ЦСУ СССР, и на одном из заседаний совета А. Г. Волков сделал мне замечание, что мерить по количеству нельзя, так как один человек имеет один предмет — машину, а другой — будильник. На это я возразил, что в обществе так не бывает: владеющий машиной имеет множество вещей. Приводя количественно-качественную структуру по числу вещей и числу наименований вещей, хочу отметить прелюбопытные факты грушинско-петровского исследования 1971 г. Среди лиц с низким уровнем благосостояния (среднее число наименований вещей — —2а) при перевзвешивании массива на структуру генсовокупности по переписи с учетом Средней Азии выявляется группа лиц с четким сочетанием из трех вещей: «ковер», «радиола», «электробритва». Это мусульмане. При рассмотрении только русского населения в рамках РСФСР среди владеющих только тремя вещами выявляется значимая группа женщин-работниц, живущих в общежитии или снимающих угол и имеющих «репродуктор», «электроутюг» и «электрочайник». При этом те, кто отмечают слабую роль телевидения в борьбе с пьянством, обычно телевизора не имеют, завышая эффективность штрафов милиции в борьбе с алкоголизмом и роль вытрезвителей (в исследовании замерялось отношение населения к пьянству). Комментарии по поводу житья-бытья да и связи его с сознанием, как говорится, излишни.
Здесь для представительности слои укрупнены. При этом выборка взята меньшая, без увеличения представительства населения Средней Азии и Закавказья. В связи с этим слои изменили объемы на 1—2 % от получающихся из табл. 1.9.
При сопоставлении данных табл. 1.7 и 1.10 отчетливо видно, кому достаются вершки, а кому — корешки в сфере перераспределения общественных благ уже в 1971 г. Число «богатых» колхозников и «бедных» служащих аппарата предприятий и учреждений и сферы обслуживания непредставительно даже в выборке в 2000 человек (люди данных групп в эти ареалы не выпадают).
В таблице с пятью слоями по «достатку» на «род занятий» коэффициент Пирсона = 0,495 (при «хи-квадрате» = 455,499).
Дело даже не в том, что вскорости грянет «киндер-сюрприз». Удельный вес в этой же группе сельских семьянинов, тех, кто имеет в обиходе музыкальные инструменты (гармошка, балалайка, гитара и т. п.), варьируется в эти годы так: в целом — 18, 14, 28, 7 %; у богатых — 44, 44, 76, 25 %; у бедных — 3, 1, 1, 0 % соответственно годам. Народ богатеет, но не поет. Запел было в конце 80-х гг., но тут же стало не до песен. Можно только предполагать, что когда он запоет снова, мало не покажется.
Эта проблема будет освещена в главе 3.
«Средние значения определенных признаков в массовых явлениях — продукт необходимости. Необходимость в массовом явлении в количественном выражении признака не может проявиться иначе как в его средней величине» (Шеремет Н. О сущности и природе средних величин // Вестник статистики, 1984. — № 3. — С. 66).
Несмотря на смену внешних форм социальной жизни и попадания в разные социальные слои, как это следует из уже упоминавшейся дипломной работы А. С. Топоркова, посвященной чтению «КоммерсантЪ — Деньги» и «Секрет фирмы» в апреле 2006 г.
В 1977 и 1991 гг. в особых графах анкеты-интервью писались названия читавшихся накануне интервью газетных материалов.
Последние выделены на основании критерия стандартного отклонения + 1а от среднего числа принятых сообщений, исключая аудиторию «АиФ» и «Правды» 1990/91 гг., в связи с гигантской дисперсией. Здесь группы выделены по наиболее резким скачкам объемов читателей на кривой по числу принятых сообщений.
Активность в сфере деятельности фиксируется средним числом форм, освоенных в данной группе. Сферы представлены: деятельность информационных средств (СМИП) — 6 формами; общественная работа (ОБЩР) — 12 формами; выражение общественного мнения (КВОМ) — обращениями в 6 каналов; производство массовой информации (ПМИ) — 3 формами работы с редакциями газет, радио, ТВ; межличностная коммуникация (МЛК) — до 17 форм обсуждения проблем в разных ареалах; проведение свободного времени (ДОСУГ) — 24 формы проведения досуга; уровень благосостояния (БЛАГС) — 63 наименованиями потребительных стоимостей, используемых в обиходе; трудовая сфера (ТРУД) — до 12 форм производственной деятельности; рождаемость (РОЖД) — количеством детей до 16-летнего возраста.
Его пионерами являются И. Н. Таганов и О. И. Шкаратан (см.: Исследование социальных структур методом энтропийного анализа // Вопросы Философии, 1969. — № 5). О. И. Шкаратан впервые отметил в 1984 г. равноположенность различных форм жизни в распределениях: «У нас нет основания расценивать тот или иной род (а также вид внепроизводственной деятельности) как более или менее значимый. Для нас, например, «поездка за город» и «просто пассивный отдых, ничегонеделание» — равноценные характеристики соответствующего рода деятельности». То же самое, однако, можно сказать и о любом виде деятельности. Далее О. И. Шкаратан пишет: «...итоги расчетов (1982—1983 гг.) привели автора статьи к убеждению, что усилиями советской математической школы наконец успешно решены казавшиеся ранее неразрешимыми проблемы интерпретации результатов и высокой вычислительной трудоемкости методов классификации социальных объектов» (Советская этнография, 1984. — № 6. — С. 16). Мы пошли несколько иным путем, применяя энтропийный анализ в основном не на начальной, а на конечной стадии перегруппировки, после получения типологических групп на основании показателей дисперсии и отклонений от основной массы. Мера неопределенности интерпретируется тут как мера концентрации или плотности распределения людей (актов, продуктов деятельности, элементов содержания текста, смысловых форм) по единицам, составляющим анализируемые параметры. Это хорошо согласуется с первичными данными счета (математическая модификация получения коэффициентов энтропии по Шеннону принадлежит В. А. Шведовскому, программная версия получения из результирующих данных пакета SPSS выполнена А. Л. Королевым).
Впервые эта система применялась в 1969 г. вручную в анализе первого исследования проекта «Общественное мнение» по экономреформе, выполненном под руководством ее автора С. В. Чеснокова А. А. Возьмителем и автором книги.
Все перечислить невозможно. Это азбука статистической оценки. Одну из хороших методически ясных разработок предложили В. И. Паниотто и В. О. Максименко в книге «Количественные методы в социологических исследованиях» (Киев, 1982. — С. 192—195). Мы, предварительно поработав с критерием Стьюдента, взяли за основу оценки подход и метод расчета именно этих авторов, так как стараемся никогда не пользоваться методом формализации серии логических выводов на выборках менее 500 единиц наблюдения. Указанные авторами методические рекомендации подсчета оценки были преобразованы в компьютерную программу А. Л. Королевым.
Автор принимал участие в нескольких попытках количественного замера информированности разными группами исследователей. Первая попытка относится к уже указанной работе с А. А. Возьмителем и С. В. Чесноковым под руководством Б. А. Грушина в 1969 г. Однако проверка результативности метода, когда выделяется «полное», «половинное» и «частичное» знание (Грушин пишет об этом в статье «Массовое сознание: феномен информированности» // Вопросы философии, 1971 — № 6), заставила отказаться от него. По остроумному замечанию М. Н. Дымшица в интервью корреспонденту «Секрет фирмы» К. Бочарскому 03.04.2006 г.: «Человек не может находиться в состоянии «знание марки — 20 %», он ее или знает, или не знает». В 1976 г. А. С. Гречин, М. С. Мацков-ский, А. С. Клигер разработали методику выяснения правовых установок населения, где элементы информированности были взяты дихотомически именно так («знает» — «не знает»). Этот же подход использовал и Н. С. Мансуров в анализе информированности и активности в границах производственной общности. На стадии обработки подход был реализован Н. С. Мансуровым и мной и состоял в выделении той же «триады»: знают «средне», «мало», «много» по стандартному отклонению (+іа) в предлагаемом предметном ряду. Именно этот подход сработал на многих исследованиях, особенно на вскрытии связей типов активности и правового сознания. (См. по этому поводу примечание к описанию массивов № 105 и 106 в Приложении 1.)
Аналогичная картина повторилась в массиве в 493 человека, обследованных на двух предприятиях Московской обл. в Климовске и Глухове. Исследование было проведено идентичной методикой, и его данные, объединенные с данными по УзбССР будут приведены в главе об информированности.
В конце книги «работа» этих показателей будет упомянута и по отношению к маркетинговым исследованиям в последние годы, где, кстати, выявлен тот же синдром постоянной активной покупки и присвоения рекламных слоганов. Кто часто покупает, тот и видит рекламу, в том числе и конкурентов по отношению друг к другу.
Достаточно сказать, что база UNIVERSUM, обработка которой требует быстрой сортировки с целью получения оригинальных подвыборок и модифицированных показателей, занимает 1500 Мб и требует 2 Гб оперативной памяти компьютера. Аппроксимация кривых должна идти за доли секунды, так как их количество для качественного моделирования объекта превышает сотни. Их нужно тасовать, как колоды карт. Специалисты, заявлявшие мне в 1990-м г., что IBM-486 справится с поставленными задачами, просто не представляли себе, о чем они говорят. Некоторые опции программ ведущих в отрасли корпораций только теперь, в последних версиях, реализуют те подходы, которые требовались тогда и осознавались в ясно поставленных для программистов задачах. Например, опция подсчета коэффициентов сопряженности в 12-й версии SPSS по выходным таблицам давно разработана нами на общедоступном языке программирования и применялась еще на выходных таблицах SPSS 6 в 90-е гг. Мы не думали об авторских правах. Наука в России гибнет в коммерческом поле.
Я выражаю признательность руководителю Центра социологического образования С. Е. Кух-терину за предоставленную возможность пользоваться в последние два года работы лицензионными версиями программ TableCurve 2D и TableCurve 3D, а также представительству SPSS Inc. за предоставление последних лицензионных версий пакета по соглашению с ИС РосАН. Первая лицензионная версия SPSS (6.0, успешно используемая до сих пор) была бесплатно предоставлена мне Майклом Сваффордом еще в 1991 г.
Который, по моему глубокому убеждению, основанному на опыте, должен входить в «объектив-ку» любой анкеты или интервью взрослого населения.
Эта уникальная информация в национальном срезе населения СССР ждет своей разработки с 1992 г.
Руководитель исследования — А. В. Жаворонков, авторы программы исследования и разработчики полевого документа — А. В. Жаворонков и В. Л. Павлов. В проект были адаптированы апробированные методики генпроекта «Общественное мнение», разработчиками которых были 25 человек, петербургская версия теста на инновации, разработанная под руководством В. А. Ядова, и многое другое (см. № 113—116 Перечня исследований Приложения 1). В попытке решить задачу рассмотрения связей структуры питания и здоровья у населения всей страны были налажены контакты с Всесоюзным центром профилактической медицины (ВЦПМ) при Минздраве СССР. С санкции В. М. Иванова и согласия С. Г. Смирновой нам был передан образец ВОЗовской анкеты по питанию, которая была адаптирована в единый полевой документ исследования. К сожалению, собранная информация этого блока не была обработана стандартно из-за отказа ВЦПМ в 1991 г. от совместного использования методики обработки полученной информации на условиях ИС АН СССР. Неоценимую решающую помощь в организации и проведении исследования оказал курировавший эту работу в редакции «Правды» В. Н. Любицкий.
При необходимости данные выходных таблиц SPSS обрабатывались для получения знака отклонений частот и значений энтропии программами, разработанными А. Л. Королевым. Все таблицы, диаграммы, графики и рисунки выполнены автором книги лично.
Подсистемой обозначен тот набор форм жизни, без которого общество как органическое целое не может существовать. Это воспроизводство населения, производство форм общения, материальное производство, производство форм сознания и норм присвоения свойств социального мира в системе обмена. За ними стоят и объективные социальные потребности людей: в общении, в детях, в знании, в активности и в социальных формах присвоения результатов человеческой активности. Строго говоря, в процессе существования мы не присваиваем себе ничего, кроме времени другого человека, опредмеченного в те или иные формы социальной жизни. Мы обмениваем свое время на время другого в предметной среде в тех социально-исторических формах, которые застаем в момент своего рождения и оставляем в минуту ухода.
Это «критическое значение итогового числа рожденных детей, соответствующее границе простого воспроизводства населения, в расчете на одну брачную пару (в среднем)» рассчитано и обосновано выдающимся демографом В. А. Борисовым (см.: В. А. Борисов. Демография. — М., 1999. — С. 136—139).
При конструировании числа форм общей активности в целях экономии ряд однородных форм общественной работы и межличностной коммуникации объединялся.
Можно заметить, что сама перемена форм имеет под собой социальное назначение и несет определенную идеологию, которую обычно явно не выражает. Достаточно проанализировать нынешнюю ситуацию с российским партийным строительством, привлечением к нему молодежи и призывами «горячих» голов в правительстве «лишать гражданства тех, кто не голосует» или «паковать чемоданы тем, кто не хочет работать», то бишь служить Отечеству в рамках тотальной российской ценности — «категории физического существования». Как тут не провести аналогий. Будет почище двух знаменитых пароходов 20-х гг. Тут нужны уже десятки тысяч пароходов и барж. Но господа забыли, что народа стало очень мало и рожать для «жизни за недоброго дядю» не будут.
Люди младшего поколения до 32 лет без детей в 1991 г. имеют в 2,5 раза выше, чем по массиву в целом (N = 9672 чел.), и в 4 раза выше, чем в слое с 3 детьми, удельный вес желающих уехать за границу с целью получения вида на жительство (до 25 %). Такой вес желающих покинуть страну характерен еще только для имеющих ценностью карьеру и мотивами выбора ценностей — «больше прав и возможностей, чем у других людей». Этот слой без детей характеризует высокая степень тревожности по аналогу цветового теста Люшера; у людей с двумя детьми и более двух степень тревожности либо в норме, либо не имеет значимых отклонений на трехпунктовой шкале беспокойства.
Сопряженность активности в труде и уровня благосостояния имела в нашем обществе в таблице 3 х 3 коэффициенты Пирсона 0,055 в 1981 и 0,083 в 1991 гг. (замер на массивах в 10 154 и 9672 человека).
В таблице 1.3 мы показывали распределение 1000 жителей по матрицам институциональных структур в 64 клетки (шахматная доска), исходя из 26. Масса субъекта на протяжении 20 лет устойчиво распределялась социальными детерминантами по этим структурам. Здесь мы берем не по шесть форм, а максимально возможное и пронизывающее все четыре исследования число в 97 форм. Они и дают матрицу 297. Читают газеты — не читают, смотрят телевизор — не смотрят, имеют дом — не имеют, есть автомобиль — нет, ходят в театр — не ходят, ловят рыбу — не ловят, ездят на охоту — не ездят, есть дети до 18 лет — нет и т. д. 97 раз. Распределение людей, актов деятельности, ее продуктов, естественно даст в этой гигантской матрице нормальную кривую, однако она — только начальный инструмент для анализа. Здесь сама структура общества за счет скрытого за ней времени затрат на ее освоение начинает работать как «шкала» измерения этого времени. При этом в массивах 80-х гг. все 97 форм тождественны (один полевой документ), в массиве 1991 г. им адекватны 90 форм из 97, а семь форм добавлены комбинациями похожих форм активности 1991 г.
Коэффициент определения (г2) показывает степень отклонения приведенной математической модели от эмпирических данных. В двух- и трехмерных графиках коэффициент 1 означает, что все экспериментальные точки ложатся на полученные кривые или поверхности.
И на двухмерных, и на трехмерных графиках расчет ошибки основан на сумме квадратов отклонений. В идеале ошибка равна 0.
* В самом деле, молодая домохозяйка с высшим образованием, замордованная в малогабаритной кухне между трехпрограммным радиоприемником, включенным телевизором, кастрюлями, пеленками и двумя орущими детьми (еще хорошо, что они не в коммуналке и дети не поджигают соседской кошке хвост), не может считаться «менее активной», чем катающийся на лыжах в Швейцарии и показываемый в это же время по телевизору домохозяйке ее ровесник-партократ, получивший по именному указу за «преданность» завод европейских масштабов с рабсилой или банк и находящийся на вершине нашей кривой (по возможности присвоить все формы социальной жизни). Скорее, наоборот. Но правит бал не она и не этот субъект, и тем более не подписывающий указы. Они попали в означенные области социального пространства в результате той игры социальных сил, над которой никто из действующих лиц игры не властен.
Некоторые исследователи полагали, «что гипотеза существования социального поля и его возможной геометрии пока далека от окончательной экспериментальной проверки, что затрудняет анализ и полную, и адекватную интерпретацию многих явлений и процессов в социальных системах» (Давыдов А. А. Системный подход в социологии. — М., 2004. — С. 70).
Проведено Б. Бади, И. Л. Щеголевой, В. В. Червяковым в рамках реализации начальных стадий основного и повторного Всесоюзных исследований образа жизни под руководством И.Т. Левыкина в 1980—1986 гг. Из 768 человек московского массива 199 входит в массив Всесоюзного исследования 1981 г. (n = 10 154). Строго говоря, это «панельное» исследование, но в отечественной социологии часто «панелью» называют повторное исследование одной и той же методикой одного объекта разными выборками. Здесь же люди одни и те же. Чтобы подчеркнуть и выделить это, исследование в книге везде обозначается как лонгитюдное.
В докладе на II Всероссийском социологическом конгрессе мною приведены данные по матрице 288 и на массиве с одним бракованным документом. Этим объясняются расхождения с предыдущей предварительной публикацией по данному вопросу. Кроме того, в докладе на конгрессе еще не представлены результаты измерения скорости изменений активности.
42 человека (5,5 %) имеют взаимопогашающиеся скорости и попадают в нулевую точку.
Заметим: критерий среднеквадратического отклонения огрубляет процессы, происходящие в средней, большой группе. Однако на первых порах и так хорошо, а кроме того, программа TableCurve 3D имеет инструменты показа флуктуаций и в этой группе.
Например, из 143 человек, имевших в 1980 г. низкую активность (средняя по массиву —1 стандартное отклонение), 9 перешли к 1985 г. в группу высокой активности (средняя по массиву +1 стандартное отклонение), то есть «прошли путь» на плюс в 2 стандартных отклонения от средней из числа форм общественной жизни, которыми овладели. 69 человек из этого числа сменили активность на среднюю — «прошли путь» на плюс в 1 стандартное отклонение. 57 человек остались в своей группе низкой активности, а 8 из 143 сменили активность на очень низкую — «прошли путь» на минус в 1 стандартное отклонение.
Уже указанные 9 человек имеют самое большое число изменений — 211. В группах, оставшихся «при своей» активности, тоже происходят изменения, но они не выводят их за предел собственных «полей тяготения», измеряемый одним стандартным отклонением.
Все значения «хи-квадрата», кроме выделенных, действительны при 99,95 % при 24 степенях свободы (8 х 3 = 24). В матрице скоростей по жилью значение « 85 %, а по достатку — « 65 %. Характерно, что по достатку и жилью скорости и изменения в «логическом квадрате» имеют минимальные коэффициенты взаимной сопряженности и, следовательно, особое положение в ценностном ряду. 74,3 % не имели и не имеют ценностью «жилье». Характерно, что и жилье, и достаток как ценности, которые были и остались, увеличивают свой вес с 90%-ной вероятностью в группе, переходящей от средней к высокоскоростной, от «+—» в 1980 г. к «+» в 1985 г. Однако объема массива не хватает для более высокой статистической достоверности оценки происходящего. Нужны более масштабные лонгитюдные исследования по этому поводу.
К сожалению, 10-тысячный массив Всесоюзного исследования 1986 г. «взят» другой методикой, где те же вопросы были поставлены без градаций важности, и чисто провести сопоставление нельзя. Кроме того, данные открытого вопроса о том, что наиболее важно в жизни, в машинную память в 1986 г. не вводились. Скажем только, что ранги ответов (без кластерного анализа) дают на первых местах за 1986 г. по СССР практически тот же ряд.
Маркс К. и Энгельс Ф. Немецкая идеология. — Соч., т. 3, изд. 2. — М., 1955. — С. 36.
Эту идею высказал при обсуждении со мной представленного результата еще в 1981 г. Н. С. Мансуров.
Эта группа по Союзу увеличивает вес в возрастах до 21 года, в средних и старших возрастах, т. е. до и после вступления в процесс замещения поколений и, вероятно, при разрушении семей.
Мамардашвили М. К. Классический и неклассический идеалы рациональности. — М.: Лабиринт, 1994. — С. 64-67.
Еще раз: мы имеем здесь дело не с величиной активности (связь этого признака на возрастной шкале с «волнами» общей скорости рассмотрена ниже), а со скоростью количественных изменений и ее вектором, т. е. числом форм жизни, на которые уменьшился или увеличился за определенное время объем жизненного пространства человека. Здесь не о количестве детей идет речь, а о том числе, на которое увеличивается или уменьшается семья за фиксированное в замере время.
К этому красивому названию — «демографический переход» авторы и использующие его забывают добавлять два слова — «на кладбище» по его, этого перехода, существу.
При рассмотрении распределений в границах групп выделенного возрастного диапазона вместо моды приведена групповая медиана.
Это очень хорошо и в целом видно на последних статданных. (См.: Российский статистический ежегодник-2003. — М., 2003. — С. 93—94.) Энтропия возрастных групп с пятилетним интервалом неуклонно растет и достигает к 1990 г. значения 0,988 (основание — данные сб. «Народное хозяйство СССР в 1990 г.» — М., 1991. — С. 74). Сам процесс «столбования» населения напоминает динамику изменения возрастной структуры населения Ирландии в XIX в. в период ее окончательной зверской колонизации Британией (расчет — данные книги Д. И. Менделеева «Заветные мысли». — М., 1995. — С. 73). По мере того как англичане «столбовали» ирландское общество, показатель энтропии по 15 возрастным группам в Ирландии рос с 1851 по 1901 гг. 0,936 — 0,957 — 0,959 — 0,966 соответственно концу каждого десятилетия. Но до нас англичанам далеко. С 1959 г. через 1970 г. мы шагнули от 0,968 через 0,978 в 1970 и 0,988 в 1990 г. к 0,989 в 2003 г.
Пользуясь случаем, выражаю здесь глубокую признательность руководителю ЦЭССИ В. Г. Андреен-кову за возможность работы с Всероссийским обследованием бюджетов времени за 1993 г., а также В. Д. Патрушеву за предоставление данных адекватного по инструментарию исследования в Пскове за 1986 г.
«В XII в. над народной массой вечевой общины стоит подавляющая ее сила общественных верхов, держащих в руках нити торгового оборота и средства развивающегося крупного землевладения. Верхи эти связаны с князем, опираются на его власть, составляя в то же время главную ее опору. Древний княжеско-дружинный элемент земли-волости меняет свой характер. Сохраняя свое военно-правительственное значение, он подводит под него новый социально-экономический фундамент, обращая его в орудие экономической эксплуатации земли-волости. Само княжое управление получает более фискальный характер» (Пресняков А. Е. Лекции по русской истории. Т. 1. — М., 1938. — С. 228). Не 70 последних лет по досужим утверждениям, а все 900 изгаляется «власть» над обществом и народом.
Вес соблюдающих производственную дисциплину сократился в 3,3 раза, повышающих квалификацию — в 2,6 раза, рационализаторов — в 4,7, соревнующихся — в 6,7 раза. Тут не до «рацухи» и «соцсора» — «тут климат иной».
Коэффициенты на основе «хи-квадрат» считаются по абсолютным данным: в 1981 г. незапол-ненны 3, а в 1991 г — 1 из 64 клеток матрицы. При расчете на 1000 частоты меньше 4 воспринимаются как «шум» и «гаснут».
См.: Гречин А. С. Правовое сознание рабочего класса (методологические и методические проблемы социологического анализа); диссертация на соискание ученой степени доктора философских наук. — М., 1984. Исследование было предпринято в институте социологии АН СССР в 1976—1980 гг. А. С. Гречиным при участии С. А. Клигера, М. С. Мацковского, Е. Я. Таршиса (обработка информации — И. Н. Рысков) и носило фундаментальный и одновременно пионерский по методике опроса характер (применялись до сих пор неразработанные принципы измерения знания и активности). Исследование было восстановлено и переработано новой программой А. В. Жаворонковым и А. Л. Королевым в 1999 г. Число документов в массиве составило 2000 единиц (работники промышленных предприятий г. Москвы). Исследование и диссертация по его данным были секретными, и в соответствии с установленным порядком они рассекречены в 1999 г. при восстановлении информации в базе данных.
В таблицах, однако, мы приводим распределения как в узком (1), так и расширенном (2) «типе 5». Знаки отклонения при этом даются для репрезентативности по расширенному, а коэффициенты связи и энтропии — по зауженному типам. Коэффициенты связи и % распределений по «типу 0» при этом практически не изменяются.
«Негативный 1» — это «чистый» тип объемом в 29 человек, «негативный-2» — это расширившийся до 108 человек тип для получения репрезентативных отклонений от средней, хотя «резкость» его определенности при этом несколько теряется. Напомним, что коэффициенты связи и энтропия даны по структуре с «чистым» типом.
Во время перестройки одна из ткачих вышла в прямой телеэфир во время встречи с Горбачевым, и вся аудитория слышала ее слова: «Дайте нам 16 % прибыли, и мы вздохнем!». Они дали...
«Дайте нам...». Вопрос-то в том, почему же они «не дают»? А ответ в том, что при данном общественном устройстве, существующем у нас скоро 1000 лет, почти никому нельзя «ни дать — ни взять!» Кроме избранных.
Сейчас некоторые депутаты Госдумы, сетуя на 35 000 смертельных алкогольных отравлений в год (в ельцинское время говорили о 70 000), ратуют под этим предлогом за «упорядочение» в этом деле и перевод его опять под десницу государства. Момент, конечно, «подходящий», но не в этом дело.
Это, кстати, подтверждает мой глубокий пессимизм относительно возможностей конструктивного использования надежных социологических данных нашей властью при нынешнем ее устройстве.
Исследование проведено в ИС АН СССР под руководством Николая Сергеевича Мансурова.
Кстати, исследования в Московской области и Узбекистане показали, что аналогичный по дестабилизации трудовой атмосферы эффект производит и нарушение в ряде производств принципа оплаты по труду: выравнивание денежного вознаграждения за труд между руководителями и рядовыми за счет перераспределения премиального фонда. В этом свете перед социальными «эффектами» форм оплаты труда нашего времени можно только молча снять шляпу.
Исходя из данных главы 2, можно сказать, что ценности в нашем обществе у основной массы населения хорошие, да вот средства их реализации культивировались и культивируются сомнительные.
Фундаментальное понятие «коммуникативной сферы» было введено по этому поводу Е. Я. Тар-шисом еще в 70-х гг.
Исследование стало возможно исключительно благодаря поддержке А. М. Абрамова и В. Б. Новичкова.
«АиФ», «Рабочая трибуна», «Известия ЦК КПСС» за 1989, 1990, 1991 гг., как правило, последние и первые номера.
Ему не до норм права и законов в разрушающемся правовом поле, не до литературы и дружбы народов во время полной потери нравственных ценностей и межэтнических конфликтов, не до советов о здоровье, когда пора заняться самолечением, не до диалогов, когда дело дошло до конфронтации, и не до «Народного депутата», греющегося у «Огонька» псевдорыночных отношений.
Суммарно мы имеем в год почти 150 тысяч смертей от передозировки наркотиков (70), «паленой» водки (35) и «быстрой езды» (40). Сейчас, когда я пишу эти строки, об этом уже открыто объявляют в московском метро, этим обеспокоена власть. Не поздно ли? Да тут и по десять каждая будет рожать, и в воде, и то никакой прыти не хватит! И если, по выражению бессмертного Чехова, «главный враг внутренний — Бахус, а внешний — англичанин», то опять же — террор, «монетаризация льгот», «латышские стрелки» и т. п. «прелести» как на дрожжах.
Эти 24 таблицы аналогичны таблицам 1.1—1.3 (см. раздел «Связь количественно-качественных характеристик» главы 1).
Средства массовой информации — комбинаторная матрица из шести средств (26): 1 — газеты «+», «—»; 2 — радио «+», «—»; 3 — телевидение «+», «—»; 4 — лекции «+», «—»; 5 — политинформации «+», «—»; 6 — политзанятия «+», «—».
Каналы общественного мнения — комбинаторная матрица из шести каналов (26): 1 — выступления на собраниях в трудовых коллективах и по месту жительства «+», «—»; 2 — письма в местные и центральные органы власти всех типов «+», «—»; 3 — письма в редакции местных и центральных газет, радио, телевидения «+», «—»; 4 — беседы с работниками местных органов власти на личном приеме граждан «+», «—»; 5 — беседы с депутатами местных Советов на личном приеме граждан «+», «—»; 6 — выступления на собраниях избирателей в процессе кампаний и отчетов «+», «—».
Общественно-политическая деятельность — комбинаторная матрица из шести форм (26): 1 — работают пропагандистами, лекторами, агитаторами, политинформаторами; 2 — работают в многотиражной и стенной печати предприятий и учреждений; 3 — выполняют отдельные поручения; 4 — работают на выборной работе в партийных, профсоюзных, комсомольских органах; 5 — выполняют другую выборную общественную работу; 6 — являются депутатами Советов (Народными депутатами).
Во Всесоюзном замере 1977 г. «Правда»-1977» у занятого населения СССР показатели чуть выше, чем у занятого населения РСФСР по городам типа Таганрога. Но мы не перевзвешивали этот массив на генеральную совокупность по переписи в связи с надежностью выборки в целом. Здесь могут быть и флуктуации.
Мы не приводим здесь данных по общностям «национальность», так как в их границах при этом подходе нужно для чистоты эксперимента выделять и территориальные, и производственные агломерации. Это отдельная работа.
См. Дридзе Т. М. Организация и методы лингвопсихосоциологического исследования массовой коммуникации. — М., 1979.
Этот инструмент проверялся на замере рейтингов политиков перед выборами 1999 и 2004 гг.
Исследование в Касимове 1994 г. показывает, что у школьников трех старших классов оценки «возможностей построения благополучной жизни» снижаются с каждым годом образования. Затем вовсе падают. К 23 годам всеобщая эйфория от предстоящей жизни сменяется трезвыми оценками реально сложившейся жизненной ситуации.
А не по 6 каналам, которые мы брали раньше для корректного сопоставления динамики развития, отталкиваясь от таганрогского исследования. Здесь добавлены внутрипроизводственные средства информационного обмена.
В Петербурге в 1999 г. Путин не был включен в рейтинговый список, на первом месте были Примаков, Лужков и Яковлев. Полярную область «зашкалило» от Ельцина, Собчака и Чубайса. На шкале от — 1 до +1 эта «тройка» не получила оценки даже близкой к «0» ни у одной из 15 стратифицированных по роду занятий и уровню благосостояния групп, в том числе у активно занимающихся коммерческой деятельностью. Исключение — одна оценка (+0,15) — у «пожалевших» Ельцина низкоактивных и малоинформированных торговцев и коммерсантов.
Тогда многие «теоретики» в ИКСИ АН СССР хихикали над нами: «Вы там ножи, ложки, вилки считаете — какая у вас социология?!»
При замерах, данные которых описываются ниже и не относятся к указанным (это замеры 1981, 1986, 1993, 1997 гг. по стране в целом, по Пскову и по сельскому населению страны), мы используем ограниченные для сопоставления списки вещей, «извлекая» их из основного. Конечно, здорово было бы рассмотреть товарный мир (в том числе и в перспективе, ведь в части исследований задавались вопросы и о том, что намерены купить люди в ближайшие годы) в динамике с 1971 по 2004 гг. на одних показателях. Но это тема отдельной большой работы, тем более, что массив в Тамбове небольшой и может быть рассмотрен лишь в целом, а наша задача посмотреть, каковы были изменения именно с 1980-1990-х гг.
Автор выборки этого исследования — С. В. Чесноков (при участии С. Петрулевича).
Те, кто говорят на НТВ о создании живых «солдат с чипами», выполняющими любой приказ, забыли об аннулировании и запрете использования всех результатов нацистских опытов над живыми людьми. При этом следует отметить феномен управления, публично и серьезно ставящего себе в заслугу «отход от пропасти», а не ныряние туда. Заслуга велика...
Широкие слои пенсионеров теперь обречены работать до гробовой доски. Характерно, что в Касимове в 1994 г. удельный вес занятий «торговлей на улице» полностью соответствует по весу «политучебе» «советского периода». По экономической сущности гайдаровский монетаризм соответствует сталинскому «репрессионизму», но что и как ответят люди на очередной «эксперимент», слава Богу и к счастью, бюрократическому классу неведомо.
В докладе Министерства труда и социального развития «О положении детей в Российской Федерации» за 2003 г. (М., 2003) говорится о 699,2 тысячах детей-сирот, лишенных родительского попечения на конец 2002 г. (с. 110). Там же приводятся такие цифры: в 2002 г. на каждую 1000 браков приходится 837 разводов, а на каждую 1000 населения приходится 7,1 браков и 6,0 разводов. Доля родившихся живыми внебрачных детей приближается к 30 % (с. 92). В книге «Социализация детей в семье» И. Ф. Дементьева приводит ссылки на издания, говорящие о том, что проблема стоит более остро, чем после гражданской и Великой Отечественной войн. Однако она создана в мирное время экономической политикой, украшенной лозунгами «укрепления семьи», «роста отечественного товаропроизводителя» и прочей мишурой, рассчитанной на простофиль, которые не могут сопоставлять посулы и реалии.
Затраты на трудовую деятельность остаются за семь лет в первых трех по семейному благосостоянию группах женщин одинаковыми, они резко падают только в группах относительного и высокого достатка, где рождаемость в целом низкая.
Судя по некоторым данным, проникающим в слой массовой информации аж через 70 лет, в германском Генштабе существовали достаточно трезвые головы, которые, не будь у нас уничтожен дотла комсостав Красной армии, навряд ли допустили нацистов до нападения на СССР.
Опрос был начат в феврале и закончен в марте 1971 г. В связи с этим 1971 г. в качестве периода покупки товара является неполным. В нижеследующих таблицах покупки за этот год экстраполированы. Отсчет же удельного веса купленных товаров ведется от общей товарной массы, имевшейся в семьях до 1970 г. включительно.
После изобретения паровой машины Уатта прибыль на бумагопрядильных фабриках Англии была около 3000 %. Так сработала промышленная революция в сфере производственного капитала. По некоторым прикидкам гуманитарная помощь, полученная на халяву доверенными лицами в период поставок Западом питания (в том числе и детского), развезенная из аэропортов в коммерческие киоски и проданная в одночасье, принесла отечественным «изобретателям» до 10 000 % прибыли в сфере обращения, т. е. в ареале действия агрессивного, по М. Веберу, торгово-спекулятивного капитала. Полагаю, что мировой рекорд здесь за нами, но записываться в книгу рекордов Гиннесса никто из заткнувших за пояс Великого комбинатора не желает.
В правление Андропова после вечернего объявления о повышении цен на сигареты уже наутро изменилось традиционное поведение на улице: нельзя стало «стрельнуть» сигарету с фильтром, но вот «Беломор» или «Приму» — пожалуйста! Некоторые стали специально носить сигареты без фильтра с относительным повышением цены для благородной надобности.
Облигации 3%-го «золотого» займа, в которых я держал 30 лет труда, были мне заменены ценными облигациями с гарантиями Министерства финансов РФ. Я «вложил» их вместе с ваучером в дальний угол. Лет через семь проверил. Две облигации выиграли суммы, достаточные для покупки двух пакетов кефира. Гарантии новой России пришли в действие. Они так и лежат у меня в папке рядом с керенками, талонами на сахар и водку и валютными «березовыми» чеками. Ну мыслимо ли в самом деле у нас верить в ипотечный кредит на двадцать лет?! «Либо шах... либо ишак... либо я...» — говаривал бессмертный Ходжа.
Великий Б. Ц. Урланис верно заметил, что век начинается со дня рождения, а не с годовщины рождества Христова. Замечательный ученый и статистик, слава Богу, открыто высказался по этому поводу.
Даже с этой точки зрения наивные упования некоторых политиков на то, что информирование об «инновациях» власти будет способствовать лояльности населения, не выдерживают ни малейшей критики. Прелестный анекдот советского времени из серии ответов армянского радио: «Что сделать, чтобы было изобилие?» — «Включить холодильник в радиосеть!» — как нельзя лучше фиксирует эту ситуацию.
В телеэфире роль фактографического слоя выполняет задний план кадра. Однако и здесь бывают
чудеснейшие превращения. Так, при показе выступления В. В. Путина перед «капитанами» индустрии в прямом эфире во время произнесения им призыва вкладывать деньги в развитие промышленности, сзади и сбоку от Президента сидел случайно ли, намеренно ли Н. И. Рыжков. При показе этого же момента в вечерней передаче во время произнесения Президентом РФ тех же самых слов вместо Н. И. Рыжкова в том же ракурсе кадра оказалась упитаннейшая личность. Чем не комментарий виртуальных технологий: «Неча туточки коммуняке быть! Незаменимых нет!» И политкорректоры заменили с большим юмором.
Характерно, что в «четырехклеточной» матрице: «факты — комментарии» Х «читал — пренебрег» энтропия составляет по полю актов приема информации «Правды»-1977 —(35 362 акта) 0,705, а по полю актов приема информации «Правды» и «АиФ»-1990/91 (56 584 акта) — 0,639. В «Таганрогской правде» и «Тамбовской жизни» картина по аналогичным полям «ровнее»: 0,864 и 0,837 соответственно. Народ явно концентрируется в потребности узнать в 1977 и 1990/91 гг. «куда несет?» и знает ведь, откуда узнавать!
В 2004 г. мы отобрали 10 газет различного направления для фундированного ответа на ряд возникающих вопросов (около 3500 сообщений, 2500 упоминаний стран мира и 7500 упоминаний субъектов деятельности российских граждан). Основная часть этой информации в обработке, но некоторые данные мы приведем ниже.
Если же брать за единицу измерения объема информации не отдельное сообщение, а слово, то от общего объема порядка 150 000 слов слой слов в потоке сообщений-мнений составит в «АиФ» 94 %, а слой слов в потоке материалов-информаций — 6 % всех слов.
0
Рис. 5.1. Соотношение знака упоминания ведущих капиталистических стран в апреле 1977 г. в газете «Правда» и знака принятой аудиторией информации об этих странах (m = 120, А = 2291;
«+» - положительный, «-» - отрицательный, «+-» - сбалансированный, «0» - нейтральная информация)
Несмотря на кажущуюся идентичность картин, обратим внимание вот на что: в целом образы потока опубликованной и принятой информации по знаку отношения к предмету описания — той или иной стране — похожи, но... Доля принятой информации с положительным знаком освещения капстран ниже, чем эта доля в структуре предлагаемого текста. А вот доля принимаемой информации с отрицательным и сбалансированными знаками освещения выше, чем в информационном ряду. И эти отклонения в потоке принятого значимы. Если же рассматривать поток информации об СССР, то там также фиксируются похожие отклонения в потоке принятой информации, где аудитория тяготеет к более интенсивному приему
Использовала ли власть в своих интересах этот критический настрой, который, несомненно, предусматривал более эффективную международную политику, или же массовое сознание, видоизменившись, ускорило отступление власти? Учитывая негативные общественные настроения относительно территориальных уступок, последнее маловероятно.
Характерно, что два вопроса на тему «страна-враг» и «страна-друг» СССР не дают такого представительного результата, как вопрос о странах, в которые опрашиваемый почему-либо хотел поехать (85 % ответивших). Доля ответивших на два указанных вопроса значительно меньше (35 %—40 %), попадается ответ «мы сами себе враги» (0,3 %). Упоминаются враждебными и некоторые «союзные» республики (1,4 %). Динамика этих показателей, увы, пока не исследована.
Было «синтезировано» 15 внутренних сфер жизни, которые мы будем впредь постоянно коррелировать в разных областях информационных структур: 1 — промышленность, экономика, финансы; 2 — строительство, благоустройство; 3 — сфера обслуживания населения; 4 — свободное время и отдых; 5 — просвещение и здравоохранение; 6 — литература и искусство; 7 — печать, радио, ТВ; 8 — пропаганда, в том числе и религиозная; 9 — спорт; 10 — политика, деятельность органов власти; 11 — жизнь молодежи; 12 — охрана общественного порядка, криминал; 13 — история, охрана памятников, природы; 14 — внимание к людям, награждения, юбилеи; 15 — другие проблемы, кроме международных. Конечно, при сравнении с нынешней ситуацией мы будем добавлять к ним для сравнения из более широкого ряда для того времени и армию, и военные действия, и митинги протестов, и т. п.
Года за два-три до того чиновники, отказываясь от взяток, прямо говорили: «Не можем! Обязали быть честными».
Респондента просили оценить также по 5-балльной системе и возможности, существующие в капстранах для улучшения материального положения, но об аналогичных возможностях в регионе проживания опрашиваемого по политическим соображениям руководство проекта спросить не рискнуло. Жаль, конечно, что не удается сравнение в том году, однако надо учесть, что во время проведения того опроса некоторых интервьюеров милиция в Москве водворяла в участки. Этот факт, однако, не является прерогативой «проявления бдительности» в 1977 или, скажем, в 1968 г. Весной 2004 г. при проведении мной исследования с оценками работы местной власти одного из социологов с документами Академического института милиционер среднего города России по доносу администрации школы препроводил в отделение. Из милиции отпустили после идеологической проработки, но проводить «поле», «дабы не возбуждать народ за месяц до выборов», не дали. У политиков это теперь называется «ненасаждаемая демократия с учетом местных условий и “культурных традиций” страны».
По образным выражениям народа-языкотворца, «эпоха Большого Хапка» началась, но «прихва-тизацией» еще не завершена.
Строго говоря, рис. 4.1, 5.8 и последующие «волнистые» графики могли бы быть представлены гистограммами, так как целостность или дискретность оценок массовым сознанием отобранного спектра сфер, а в дальнейшем проблем и политиков спорна. Однако в целях наглядности сравнений и получения целостных образов мы выбираем волнообразный график отклонений. Дело в том, что при сравнении 9 или 15 сфер по отклонениям оценок от средней в трех, пяти, восьми различных группах число столбцов доходит до сотни, а это разрушает наглядность. Если же давать гистограммой отклонения по массивам в целом, а дифференциацию по группам давать волной, теряется возможность сопоставления картин.
Все материалы были закодированы лично автором книги. Это был второй опыт такой кодировки после шифровки в 1972 г. при консультациях со стороны Т. Д. Дридзе 89 материалов «Таганрогской правды», средняя информативность которых только по внутренней жизни страны составляла 68,7 %. При этом «Таганрогская правда» выглядит лучше «Правды» и «АиФ» за счет более высокого нижнего предела информативности сообщений, хотя стандартное отклонение и в 1968 г. в городской газете и в 1990/91 гг. в центральных совпадают 19,6 и 20,6 % от средних значений соответственно. Отметим также, что сочетание данного метода определения информативности текста по цели сообщения и качественного анализа текста (анализа своего рода «выбросов» идей, которые не являются прерогативой выступающего) при сопоставлении текстов Генсека и Предсовмина позволяет «увидеть» вектор политического развития в направлении августовских событий 1991 г. Но это уже отдельная тема использования анализа содержания текста.
Екатерина II говорила, что «пьяным народом легче управлять, чем трезвым». И получила на выходе «пугачевщину», когда полетели головы и пришлось привлекать Суворова для подавления восстания, — какая уж тут легкость! И великий Пушкин первый выразил глубочайшую «социальную полярность» русского сознания в притче Пугачева о вороне, питавшемся мертвечиной, и орле, попившем свежей крови и «пожившем хоть кратко на своем веку». Такова реакция на «легкость управления».
Объективно оно всегда «самоуправление», однако в связи с российским полем смыслов у власти оно вырождается в «самоуправство», которое имеет следствием «особенную общенациональную обратную связь» в виде бунта, отрывания голов, революции и терпеливо накопленного ответа физическим насилием на социальное.
Исследование 1967 г. насчитывает 52 904 упоминания стран мира, рассмотренных с точки зрения 55 переменных. Автор — Б. А. Грушин. «В рамках исследования анализируются материалы «Правды», «Известий», «КП», «Труда», «Сельской жизни», «Советской России”, областных партийных и комсомольской газет, «Таганрогской правды», Всесоюзного (1-я программа и программа «Маяк»), областного и городского радио, центрального (1-я программа) и областного ТВ. Границы анализируемого периода:
1967 г. Характер выборки: второй день каждого второго (четного) месяца. Объем выборки: материалы 90 дней по каждому источнику информации». См.: 47 пятниц. Вып. 1. — М., 1969. — С. 114—121; 47 пятниц. Вып. 5. — М., 1969. — С. 174—186. Исследование 1990/91 гг. насчитывает 984 упоминания стран мира в 21 номере газет «Правда», «АиФ» и «КП» за три месяца осени 1990 г. и апрель 1991 г. Исследование 2000 г. насчитывает 1307 упоминаний стран мира в 21 номере «АиФ» и «НГ» за февраль-март 2000 г. Кодировка первого исследования проведена под руководством Б. А. Грушина студентами ф-та журналистики МГУ в процессе реализации проекта «Общественное мнение». Кодировка второго и третьего исследований произведена студентами ГУГНа при ИС РАН в качестве практических занятий по «контент-анализу» при моем контроле проведения полевых работ и личной проверке закодированной информации при вводе. В чисто методических целях я не стал проводить даже точечного анализа радио- и телепередач для сравнения с исследованием 1967 г. Однако частоты упоминания стран мира в 10 номерах «НГ» сравнивались с втрое большим объемом частот по «НГ» в исследовании фонда общественного мнения. Частоты совпали в ряде случаев до десятых долей процента.
В обоих случаях мы имеем по «номиналиям» ярко выраженную «огиву» — кривую Паретто, являющуюся после «гауссианы» второй производной от «S» кривой или логисты.
В вопросах же внутренней жизни массовое сознание, наоборот, принципиально «поляризовано» по принципу «мы — они», «народ — власть», «рядовые граждане — чиновничье-служилый класс». Но дальнейшее сопоставление этой «поляризации» со структурой информационного поля — отдельный сюжет. Из предыдущих публикаций см. об этом, в частности: Жаворонков А. В. «К проблеме идентичности распределений ответов на закрытые и открытые вопросы при изучении общественного мнения». (Социология 4М. — № 16. — М., 2003. — С. 56-69).
Авторы исследования — Б. А. Грушин, Л. Н. Федотова. Исследование ПОМ27 проекта «Общественное мнение» № 023—025 см. в Приложении I.
Один из редакторов районной газеты в 60-е гг. цинично говорил мне: «Мне нужен один хороший репортер, одна штатная единица в отделе информации и одна заполошная баба, которая будет писать кликушествующие «подвалы» на темы морали, вызывая слезы и сопли в виде писем обывателя, — газета будет существовать». Конечно, сейчас приоритеты несколько изменились: не проживешь без рекламы, без дотаций «работовзятеля» и «деньгодержателя», что предусматривает тот же «политесс» перед местной партократией, но общая модель, судя по содержанию, получила «добро» на расширенное воспроизводство в виде корпораций профессиональных «лохотронщиков».
Коэффициенты корреляции Спирмена и Кендалла расположены аналогично табл. 5.12.
Как уже говорилось, информация 10 ведущих центральных и одной местной газеты за 2004 г. в настоящий момент находится в обработке.
Автор методик В. В. Сазонов (см.: 47 пятниц. Вып. 1. — М., 1969. — С. 106—113 и Вып. 5. М., 1969. — С. 21-173.
В оптимизации методики 1991 г. большую роль сыграл В. Л. Павлов, с которым мы добавили, помимо выбираемых респондентом сыну или дочери профессий, список профессий, которые не пожелаешь, с указанием присущих этим «хорошим» и «плохим» профессиям качеств.
Инструкция перевода «классических» госкомстатовских групп по занятиям в принятые в проекте «Общественное мнение» была специально разработана М. С. Айвазяном, Б. А. Грушиным и В. Я. Ней-гольдбергом.
Вот эти 50 профессий: агроном, адвокат, бухгалтер, вахтер, врач, геолог, грузчик, дипломат, директор завода, директор магазина, домработница, доярка, журналист, инженер, инженер-механик, кадровый офицер, капитан дальнего плавания, киноактриса, космонавт, лесоруб, маникюрша, мастер на заводе, медсестра, милиционер, наборщик типографии, научный работник, оператор-наладчик станков, комсомольский работник, ответственный работник министерства, официантка, плотник, полевод, почтальон, поэт, председатель колхоза, председатель райисполкома, продавец, прораб на стройке, рабочий на конвейере, сварщик, секретарь-машинистка, сталевар, строитель-монтажник, ткач, тракторист, токарь, врач, ученый-физик, ученый-философ, учительница, шахтер, швея-мотористка, шофер.
вывод, что дело не в предельном числе форм (ряды выбранных и отвергнутых профессий не давали корреляции), а в малом числе свойств форм труда, стоящих за выбором.
Вот этот список, куда вошли наиболее яркие профессии-фавориты и профессии-аутсайдеры: секретарь-машинистка, научный работник, доярка, оператор-наладчик, шахтер, председатель райисполкома, шофер, председатель колхоза, журналист, швея-мотористка, освобожденный комсомольский работник, мастер на заводе, токарь, кадровый офицер, официантка, милиционер, тракторист, директор магазина, учительница, киноактриса.
Профессии с одинаковой долей, выраженной в %, занимают у нас разное место в соответствии с реальной частотой упоминаний, величина которой точно соответствует порядку перечисления про-фессий-фаворитов и аутсайдеров.
«Хирург» занимает 21-е место, его доля в выборах равна 0,9 %.
Реформаторы «дожали» учительницу из фаворитов в аутсайдеры за 15 лет. Скоро «днем с огнем» начнутся поиски квалифицированных рабочих, инженеров, техников, которых некому будет даже обучать.
Вот эти признаки: 01 — возможность продвижения по службе, 02 — важность выполняемых обязанностей для общества, 03 — удовлетворенность своим трудом, 04 — творческий характер труда, 05 — высокая оплата труда, 06 — утомительный характер труда, 07 — жизнерадостное, бодрое расположение духа, 08 — интерес к искусству, 09 — честность, 10 — хорошие манеры, 11 — требуемый объем специальных знаний, 12 — склонность к употреблению спиртных напитков, 13 — благоустроенный быт (мебель, телевизор и т. п.), 14 — надежность в личных отношениях, 15 — награды, общественные поощрения, 16 — преданность коммунистическим идеалам, 17 — умение с пользой, содержательно проводить досуг, 18 — карьеризм, 19 — смелость, самостоятельность суждений, 20 — интерес к достижениям науки, 21 — моральная устойчивость, 22 — хождение в гости и прием гостей, 23 — активное участие в общественной жизни, 24 — аккуратность. пунктуальность, 25 — возможность влиять на поведение других людей, 26 — чувство юмора, 27 — стремление проявлять инициативу в труде, 28 — неприми-
Можно было бы и перекодировать представительный касимовский массив стандартно этому ряду, так как все тексты ответов сохранены в машинной памяти, но в принципе, как читатель сейчас увидит, это не имеет большого значения.
«...основной диспропорцией советской экономики была названа низкая оплата труда, особенно квалифицированного, по отношению к производительности. От передовых стран мы отставали не только по производительности, но и по доле заработной платы в производительности. На 1 долл. заработной платы наш среднестастический работник производил в 4 раза больше ВВП, чем среднестатистический работник в США. У нас средняя заработная плата в промышленности была в 5—7 раз ниже пособия по безработице в Америке. Разрыв в оплате труда наших работников науки составлял 20—30 раз по сравнению с западными странами. Бытовал миф, что мы плохо живем потому, что плохо работаем, что у нас очень низкая производительность труда. Последнее, конечно, верно, но все же это миф (дело было в низкой энерговооруженности и большой доле живого труда в нашей промышленности и особенно в сельском хозяйстве, в его, труда, низкой организации. Там, где были «острова» организации, дело обстояло иначе. В начале 70-х гг. на станкостроительном заводе «Комсомолец» в Егорьевске фондоотдача превосходила японскую. — А. Ж.). Низкая оплата сдерживала экономический рост, мешала научно-техническому прогрессу — любая прогрессивная техника оказывалась неэффективной. [...] Мы перешагнули естественную нижнюю границу в оплате труда, после чего труд становится подневольным. Такая диспропорция могла сложиться только в рамках тоталитарного режима. Поднять оплату труда, поддержав ее крупномасштабным маневром по переориентации экономики на потребительский сектор, — в этом и состоял главный замысел реформ. Причем увеличение зарплаты мы рассматривали не как отдаленное следствие, а как ключевую предпосылку реформ. Только на этой основе можно было бы говорить о либерализации всех других факторов производства. Однако когда реформы действительно начались, был избран совершенно другой путь. Осуществили либерализацию всех факторов, кроме самого угнетенного — труда. В результате работник оказался вынужден обменивать свой труд на продукцию и услуги, цены на которые сравнялись или превысили мировые. Тем самым основная диспропорция экономики не только не была сглажена, но резко обострилась» (Львов Д. С. Вестник РАН. Т. 68, август 1998. — № 8. — С. 722). Еще от себя добавлю, что «тем самым» экономическая составляющая так называемого тоталитарного режима, по академику Львову, лишь укрепилась.
экономистов о том, как они творчески перенимают у нас опыт бригадного подряда, наставничества, рационализации и повышения квалификации рабочей силы; кажется, газета закрыта уже несколько лет). Во-вторых, очень осторожные подсчеты экономистов в тот период соответствия производимого и потребляемого были проделаны Б. Урланисом, А. Квашой, Н. Панкратьевой, К. Вермишевым, М. Звидриней на примере Латвийской ССР. Эти подсчеты показали, «что в среднем один мужчина, занятый в сфере материального производства, к 60-летнему возрасту производит национальный доход в 2,6 раза больше, нежели он потреблял, а одна женщина к 55-летнему возрасту — в 2,4 раза больше» (Экономические основы и принципы демографической политики СССР. — М.: МГУ, 1981. — С. 128).
В 60-е гг. в Москве рассказывали об интервью Ш. де Голля французским журналистам по возвращении на родину после визита в СССР. На вопрос: «Почему Вы, господин Президент, укрепляете отношения Франции с социалистическим государством?» — он ответил: «Потому что через 20 лет в Советском Союзе будет капитализм». Позиции буржуазной культуры позволили ему быстро рассмотреть прячущиеся от широких слоев ценности правящей элиты СССР.
Первичная информация комплексного сравнительного исследования ТВ СССР и США, осуществленного факультетом журналистики МГУ совместно с Анненбергской школой коммуникаций Пенсильванского университета (г. Филадельфия) и Картеровским центром социальных исследований Университета Эмори (г. Атланта), была любезно предоставлена мне одним из авторов этого исследования Л. Н. Федотовой. Данные обсчета именно этого массива по полу «героев» телепередач см. в табл. 6.8—6.11.
Федотова Л. Н. Анализ содержания телепередач. — М., 1992. — С. 64. См. там же методику и условия проведения данного исследования.
Федотова Л. Н. Указ соч. — С. 63.
Тут «АиФ» 2000 г. почти догнал по «демократизму в женском вопросе» «Правду» 1977 г. Как воскликнул «в сердцах» наш «златоуст» В. С. Черномырдин: «Что ни начнем строить, а все выходит опять КПСС!» И впрямь, что тут поделаешь? Только надо помнить, что к «коммунизму», «социализму», «Советской власти», «капитализму» ни то, что было построено, ни производящееся не имеет по сути ни малейшего отношения.
В 2005 г. я исследовал по аналогичной методике около 50 номеров газет восьми различных направлений — от политических, общекультурных и религиозных до спортивных. В настоящее время огромный объем информации в обработке, и я предполагаю, он даст ошеломляющий результат полного раздробления на разорванные фрагменты сказочно-злобного зеркала целостного поля смыслов воспроизводства жизни, связанного с половыми ролями замещения поколений.
Не могу не привести образчик такого рода текста в чисто пропагандистском и рекламном издании: «Семья в России становится с каждьгм годом все крепче, а количество разводов постепенно сокращается. С такой оптимистической статистикой выступила Федеральная служба государственной статистики (Росстат)». Далее следует изложение сообщения Росстата через ИТАР-ТАСС с абсолютными данными сокращения количества разводов без учета их доли в сокращающемся количестве браков за последние два года. О выводах статьи я умолчу. Ну, и заключение: «Любопытно, что в последние годы удвоилось количество детей, рожденных вне брака, и на сегодня составляет 30 % от общего числа ежегодно рождающихся. Впрочем, эта тенденция соответствует общеевропейской. Для сегодняшней России характерна и другая европейская демографическая особенность — малодетность. Так называемый коэффициент рождаемости российских женщин составляет 1,3 против 2 в 1989 г.». Это напечатано в газете «За Калужской заставой» — органе префектуры Юго-Западного административного округа г. Москвы, еженедельнике, распространяемом бесплатно; тираж — 316 200 экз. Статейка носит символическое название: «Когда брак высшей пробы». Именно брак, и высшей пробы: 30 % внебрачных детей — это один из показателей разрушения института семьи, а погоня за Европой в достижении ее «людоедских» рекордов может вызвать только восторг. Однако на пропаганду денег не жалеют, сладкий успокоительный, вдобавок со школьными ошибками в языке, сироп обывателю раздают по московским подъездам бесплатно. Так, бесплатно раздавали в одну из предвыборных кампаний водку якобы от имени П. Бородина. Ушлые люди два раза брали по бутылке и голосовали за Ю. Лужкова.
Широта информации — доверие читателей // Журналист, 1968. — № 4.
Мы специально ставим рядовых в кавычках, так как из текста и из подписи под ним часто определить статус невозможно, а обращаться с разъяснениями в редакции — потеря времени.
Грушин Б. А. Эффективность массовой информации и пропаганды: понятие и проблемы измерения. — М., 1979. — С. 7-8.
При этом мы воспользуемся данными прямого приема сообщений (чтения материалов) в «Таганрогской правде» 1968 г., в «Правде» 1977 г., в «АиФ» и «Правде» 1990/91 гг., в «Тамбовской жизни» 2004 г. (прием частот упоминаний «героев» информации и «субъектов мнений»), а также связями социальных характеристик различных по статусу выразителей мнений друг с другом и различными сферами социальной жизни в тех исследованиях, где эта процедура измерения была проведена.
Соответственно главный редактор и зам. главного редактора «Таганрогской правды», предоставившие информацию с гонорарных листов газеты автору методики опроса внештатных корреспондентов В. Д. Войновой. Именно из ее исследования эти данные перенесены в процедуре контент-анализа на характеристики материалов конкретных авторов, субъектов мнения и информационных «героев» с некоторыми уточнениями и дополнениями.
При рассмотрении отражения в текстовом поле социально-профессиональной (по роду занятий) структуры мнений надо учесть, что структура мнений непроизводственной интеллигенции (ИНП) взята вместе с мнением журналистов. Собственно представителями непроизводственной интеллигенции было выражено 11 из этих 44 %. 31 % — это мнения журналистов редакции и редакции в целом. 2 % — мнения интеллигенции, высказанные другими группами: чиновниками, пенсионерами, рабочими. К примеру: «Хорошо работает в медсанчасти завода “Красный котельщик” терапевт Петрова, которая учит: “В здоровом теле — здоровый дух”».
В исследованиях 2000 и 2004 гг. мы перестали измерять этот параметр в связи с высокой стандартизацией содержания по субъектам мнений (рис. 6.5), а также вследствие крайней трудности в выяснении положения автора в социальной стратификации. По подписи сообщения зачастую невозможно определить статус корреспондента, принадлежность его к данной или другой редакции, колонки новостей часто вообще не подписаны. Отчасти понятно, что криминализация общества заставляет публичную печать определенным образом, приспосабливаясь к «демократии», конспирироваться.
Последние имеют долю 0,1 % среди внештатных авторов и 0,2 % среди субъектов мнений и из-за ничтожной величины не вошли в рис. 6.9.
Для представительности картины мы интегрировали в диаграмму домохозяек, взяли внештатных авторов в полном объеме в 719 человек за 4 месяца публикаций (в том числе и авторов всех опубликованных писем), а в структуру мнений, убрав из нее мнения журналистов, добавили групповые мнения всех групп по роду занятий и мнения по всем, а не только городским, проблемам.
За этим, как и в материальном производстве, разделением труда стоит то же системное, общественно необходимое время, предопределяющее конфигурацию процесса обмена свойствами и способностями людей в предметном мире при данных объективно условиях.
80 60 40 20 0 20 40 60 80
Доля группы в корпусе Доля материалов группы внештатных авторов
Рис. 7.2. Соотношение удельного веса различных по активности внештатных авторов городской газеты и веса опубликованных ими материалов (в % к числу обследованных авторов, n = 520; и опубликованных ими материалов; n = 1273)
Диаграмма дает наглядное представление о соотношении людей и продукта их деятельности при формировании двух третей текстового ряда, отражающего жизнь города.
• Группа А: 3—20 публикаций за три месяца, 12 % авторов, дающих 39 % всех материалов внештатных авторов.
• Группа В: 2 публикации за тот же срок, составляют 13 % и дают 16 % материалов.
Группа С: 1 публикация, 75 % авторов, дающих 45 % материалов.
Из гистограмм следует, что группа А, будучи в шесть раз меньше по объему группы «С», дает сопоставимый с ней по объему слой сообщений.
Рассмотрение связей групп по степени активности в создании текста массовой информации с группами по роду занятий и «общественному статусу» в табл. 7.2 позволяет сделать несколько надежных и статистически значимых выводов о стратегии коллектива редакции при создании текста газеты.
Переход из группы С в группу А осуществляется организованно. Количественный порог этого перехода — критерий отношения редакции — состоит в том, чтобы публиковать не менее трех материалов в месяц (в 4 раза меньше, чем «усредненный» штатный журналист редакции публикует за тот же срок). Именно приближение к этому порогу внештатного автора дает в подписи рядом с его фамилией под публикацией упоминание редакции, что она считает его постоянным корреспондентом. Промежуточный «статус» — в подписи сообщается, что автор является «слушателем школы общественных корреспондентов» газеты.
Или «ни дня без злобы» для некоторых медийных каналов в нынешних условиях.
Сейчас эта структура переместилась на уровень управления территориальной агломерацией, что особо дела не меняет, так как на вопрос, кто и как реально управлял и управляет «товарно-денежными» потоками, ясного публичного ответа получить нельзя. И, кстати, как показывает российский опыт, не надо (в целях безопасности).
Замечу, что работа с «письмом» была поставлена в «Таганрогской правде» в те годы на почти идеальный уровень. Все разложено по полкам, по картотеке можно было найти любого автора, тему, время поступления, ответа или публикации и ответа. Не хватало только отметок о наличии и степени графоманства, где это было необходимо. Подборки делались виртуозней, чем в «АиФ». Кстати, в 1991 г. при публикации в «АиФ» результатов опроса в «Артеке» («по политическим ориентировкам» М. Горбачева его провела, но не могла обработать группа А. Разина «Ласковый май»), я, проходя через зал редакции, заваленный мешками с письмами, поинтересовался, сколько редакция их получает. Мне сказали, что в пределах двух-трех миллионов в год, посчитать нельзя, нет штата систематизировать. До сих пор некоторые достаточно серьезные газеты очень эффективно используют этот поток, искусно вызывая его на себя, облегчая себе существование выполнением социальной функции.
Не всегда и не ко всем. Здесь порой проводится «тонкая» работа. «АиФ» во время избирательной кампании, в отличие от «НГ», резко снижающей вес выражения мнения руководителям отдельных партий, предоставляет как раз им право давать оценки и предложения больше «самого» президента! И получается — «лучше бы помолчали».
Не надо забывать, что 98 % субъектов этого мнения (без журналистов) составляют группы чиновничье-служилого класса и непроизводственной творческой интеллигенции (рис. 6.7). В сущности эта картина четко проецируется из текста центральных газет уже с Всесоюзного исследования 1990/91 гг. (рис. 6.5), несколько скрашиваясь в местной газете «Тамбовская жизнь» к 2004 г. (рис. 7.4).
Любопытно, что журналисты Ростова-на-Дону и Таганрога считали в 1972 г., что меньше всего они должны выражать и выражают мнения тех групп населения, которые представляют резерв 1, а больше всего должны выражать и выражают мнение лиц из резерва 2 (рис. 7.3). Налицо факт фиксации превращенной формы сознания.
В статье «К проблеме идентичности распределений ответов на закрытые и открытые вопросы при изучении общественного мнения» я писал, что уже в 1990/91 гг. «90 % назвавших преступные группировки среди находящихся в лучших (жизненных) условиях вместе с ними одновременно называли и властные структуры и работников торговли. Это говорит о том, что в реальности население очень четко видело в 1991 г. классовую подоплеку происходящего социального переворота» (Социология 4М. № 16. — М., 2003. — С. 68). Как тут возразить на утверждения Ортеги-и-Гассета, что идеи должны вдавливаться в сознание масс, как машинное масло в автомобильный мотор, который сам ни малейшей идеи из себя не выдавит.
Для ясности проблемы «перепадов» структур содержания добавим. В неопубликованных письмах рабочих проблемам благоустройства и бытового, коммунального обслуживания населения уделено 24 % внимания, а в опубликованных эта доля составляет 9 %. У пенсионеров аналогичное соотношение по этой же проблеме составляет 35 против 8 %.
Что уж говорить сейчас, когда денег в некоторых ареалах так «просто куры не клюют», сверхприбыли в сфере обращения феноменальны, недоплаты за энергию закладываются в завышенные тарифы, а выбранных для показа по ТВ людей, не способных постоять за себя, лишают жилья по суду за недоплату в 800 долл., переселяя в «ночлежки» под улюлюканье тех, кто украл сотни миллиардов долларов на подзаконных основаниях. Да, общество изменилось... но, увы, не улучшилось.
Эти данные взяты за три месяца (65 номеров газеты, 2000 публикаций). При увеличении срока до полугода, если бы мы произвели экстраполяцию устойчивых признаков, то властные органы с 95 %-ной вероятностью стали бы говорить с населением в модальности «долженствования», а население с той же вероятностью стало бы слать предложения власти в форме пожеланий и возможностей. Конечно, это отчасти говорит о трудностях анализа содержания в плане репрезентации массивов (не менее 1000 частот по искомых переменным для твердых выводов). Но проект «Общественное мнение» на то и был «генеральным проектом», чтобы легко обходить такие «трудности». Мы уже приводили примеры той доли конструктивных предложений в неопубликованных письмах рядовых жителей в газету, которая «подсаживается» в публикациях в три с лишним (!) раза. Если же взять журналистов, функционеров, администрацию с политактивом, идеологов и рядовых жителей, опубликовавших сообщения, с точки зрения наличия в их сообщениях конструктивных предложений, то отклонения от среднего будут следующие. Максимальное отклонение по наличию конструктивных предложений на «+++» имеют журналисты и представители городских властей. Максимальное отклонение по отсутствию конструктивных предложений на «+++» имеют рядовые внештатные авторы и на «++» — административно-хозяйственный актив, идеологи и пропагандисты. В тексте единственной общегородской газеты 40 лет назад, как и сейчас, власть четко показывает, кто будет «рулить» информационными потоками СМИ. Опять «вылезают» два класса: чиновничья корпорация и «служилые людишки». Что из этого получается, мы увидим, рассмотрев настоящий — по числу прочитанных сообщений, а не вербальный — поток принятой информации и частоты вошедших в сознание аудитории характеристик.
Попутно отметим еще один из эффектов реального приема информации. За год в сознании типичного читателя городской газеты руководители среднего и высшего звена управления предприятиями и учреждениями 100 раз предстают в связи с такой характеристикой, как «хозяйственность, практичность, деловитость», и 140 раз — с противоположной: «бесхозяйственность, непрактичность, безалаберность». Руководители же низового звена только 80 раз предстают в отрицательном свете, а 150 — в положительном. Сосредоточивая критику на конкретных лицах, подменяя ею постановку проблем и выработку путей их решения (локальность «город в целом» упоминается в 7 раз реже, чем отдельные предприятия и районы), газета формирует у населения негативное отношение к сфере управления в ее среднем звене. Что происходит теперь, и особенно с правительственными чиновниками, когда они лезут в «кадр», понятно. Однако вот что прелюбопытно: в 2004 г. опрошенные москвичи ставили за решение органами московской власти проблем региона (по 15 инфраструктурным параметрам социальной жизни) предельно низкие оценки («колы» и «двойки»). А Юрий Лужков получал «5». А потому что «пчеловод»!
Наиболее полно и популярно свою методику исследования Т. М. Дридзе представляет в книге «Организация и методы лингвопсихосоциологического исследования массовой коммуникации» (М.: МГУ, 1979). Именно с этой исходной работой следует сопоставлять дальнейшие результаты, если, конечно, не считать первичного массива данных ее исследования в базах данных Института социологии РАН.
Характерно, что несопоставимость смысла экономических мероприятий и даты отметил лишь один (!) человек из 3000 обследованных, которым тест предлагался.
По последнему тесту, к примеру, оказались опрошенными более 4000 человек, которые распределились нормально по степени консерватизма на шкале из 17 пунктов. Пять групп по степени консерватизма дали дифференциацию прогнозных оценок развития политической ситуации на момент 1990/91 гг., а группа высокой степени инновационности продемонстрировала интерес к западным странам, в отличие от «полярной» группы с интересом к странам Востока. Все это темы отдельных работ.
При этом учтем, что на «пересечении» ряда параметров он остался «плавающим» из-за «затрудняющихся ответить» на те или иные вопросы или уходящих от ответа на них вовсе.
Здесь и далее все коэффициенты даны с уровнем значимости «хи-квадрата» 99,95 %.
Уровень семиотической подготовки исследован и другими учеными, отмечающими стабильность и постоянство доли людей с адекватной интерпретацией основной идеи сообщений, причем не только газетных, но и радио- и телевизионных. С этой точки зрения обращаю внимание на работы Т. З. Адамьянц (в сб.: Дети и проблемы толерантности. — М., 2003; в сб.: Социальное управление, коммуникация и социально-проектные технологии. — М., 2006), и на ее доклад на II Всероссийском социологическом конгрессе «Особенности и тенденции современных коммуникационных процессов» (см.: Доклады II Всероссийского социологического конгресса. Т. 1. — М., 2004).
Степень тревожности определялась по ответам на тестовые вопросы о цветовых предпочтениях. Отличающаяся высокой степенью тревожности 3-я группа стремится брать текст высокой информативности, смысл которого она не может адекватно интерпретировать (табл. 7.14).
Максимальное число источников информации в 27 наименованиях по 5 локальностям: мир, страна, регион, микрорайон, производственный коллектив равно 97, среднее 20. Распределение относительно среднего значения близко к нормальному (Гауссиана). Группа низкой степени включенности — все значения с количеством источников, удовлетворяющих требованию «средняя минус среднеквадратическое отклонение», группа высокой степени включенности выделена аналогично на плюс. Эти группы взяты в рамках массива, где замерялся уровень семиотической подготовки. Энтропия по матрице частот в таблице 7.16 составила 0,806. Это выше, чем по частотам в рамках отдельных локальностей, зафиксированных в табл. 3.10. Опять же это подтверждает высказанную выше мысль о росте энтропии при расширении институционального поля и, наоборот, ее снижении при увеличении пред-метов-потребительных стоимостей, позволяющих реализоваться процессу обмена свойствами людей.
Обращу здесь внимание на показатели нормированной энтропии по людям (353 человека) и актам приема (1268 принятых человеко-сообщений). По всем возможным клеткам по структуре из 353 человек энтропия общая составила 0,789, только по заполненным — 0,835. В поле приема по 1268 принятым человеко-сообщениям значения энтропии соответственно составляют 0,648 и 0,806. Значения неопределенности «подсаживаются», как только дело касается структуры выбора конкретных предметно-вещных образов. Кривая «Парето» («Огива») будет здесь круче, чем при тех же внешних параметрах предметно-институциональной структуры. Там время реализации другое, а отсюда и другая плотность социального пространства действия. И стохастический характер событий этого пространства очевиден. И никаких гарантий «точечного» информационного воздействия, в том числе рекламного. Гарантии дает один только Бог, который, по словам Эйнштейна, «не играет в кости». Но это другие гарантии. Для России это гарантии появления щедринского градоначальника «глуповца», который, смотря на реку жизни, тупо мычит «Зачем?!» — и пытается ее запрудить силами тех же глуповцев. Сделать это у Щедрина ему не удалось. У нас как раз все идет к изумительной по редкости удаче. И есть еще люди, которые всерьез хотят уверить, что по отношению к этому объекту применимы аппараты типа «марковских цепей» и пр. и пр. и пр. «Суета сует и томление духа», знание спецсловаря и неумение видеть смыслы, как это выпало в нашем исследовании у некоторых кандидатов наук.
«В зазеркалье же, где меняются местами левое и правое, все смыслы переворачиваются и начинается разрушение человеческого сознания. Аномальное знаковое пространство затягивает в себя все, что с ним соприкасается. Человеческое сознание аннигилирует, и, попадая в ситуацию неопределенности, где все перемигивается не то что двусмысленно, но многосмысленно, аннигилирует и человек: ни мужества, ни чести, ни достоинства, ни трусости, ни бесчестия. Эти “сознательные” акты и знания перестают участвовать в мировых событиях, в истории. Не имеет значения, что у тебя в »сознании», лишь бы знак подавал. В пределе при этом исчезает необходимость в том, чтобы у людей вообще были какие-то убеждения. Веришь в совершающееся или не веришь — не имеет значения, потому что именно подаваемым знаком ты включаешься в действие и вращение колес общественного механизма» (Мамардашвили М. К. Сознание и цивилизация. — Природа, 1988. — № 11. — С. 64). Не могу не добавить от себя: это прямо-таки списано с нынешних телевизионных «картинок» заседаний кабинета министров РФ, или Госдумы, или пресс-конференций руководства страны или ее нынешних идеологов. Точность поразительная.
1968 год — год серьезного укрепления чиновничеством консервативных тенденций развития в отличие от реализации объективных требований жизни. Мы уже коснулись этого при анализе падений товарооборота. Довольно этапно это укрепление выразилось в марте на Московской партконференции, «поднявшей» общество на борьбу с «демагогами», которые не вносят «конструктивных» предложений по ликвидации социальных недостатков, а разводят «голое» (а не «одетое» в нужный знак) критиканство. Насчет конструктивных предложений населения мы уже имеем представление из резекции их потока в «Таганрогскую правду». Что до социальной «демагогии», то, на мой взгляд, как поется в известной песне: «Каким ты был — таким ты и остался...» Правда, поток демагогии изливается уже не из слабых «отдельных уст» на кухне или в психушке и не организованно — с трибун партийных форумов, а льет из мощной массмедийной оросительной системы типа «Фрегат», ежеминутно промачивающей поля всей страны и особенно «молодую зелень». «Победители» быстро махнулись методами с «побежденными». Но была ли между ними идеологическая разница? Или их потребности имели другую смысловую мотивацию всегда, а выразилось это только с началом «перестройки»?
Конечно, где-нибудь в шестом знаке после запятой она окажется равной 0,999999, но результат показателен.
Об этом же явлении мы говорили фигурально, когда поминали Екатерину II по поводу пьянства и пугачевщины.
Методика исследования в технике интервью была безукоризненна (см.: 47 Пятниц. Вып. 1. М., 1969 — С. 193, а также указанную выше работу Т. М. Дридзе «Организация и методы...»).
Институт проблем управления ГКНТ и АН СССР. Выборка для Всесоюзного исследования СМИ «Правда»-1977». См. Приложение 1, описание массива № 100.
Этот принцип обработки своего рода «количественной шкалой элементов знания» был впервые опробован автором в ИСИ АН СССР в исследованиях связи информированности и активности производственной общности, предпринятых в 80-х гг. Николаем Сергеевичем Мансуровым. Затем он уже был применен к исследованиям проекта «Общественное мнение», «Правда»-91» и др.
Люди называли волнующие регион проблемы, давали оценку состояния дел в 15 макрострук-турных сферах жизни и оценивали такой же 5-балльной оценкой и усилия местной власти по разрешению проблем. На основании ответов на эти вопросы и строился количественный показатель «информированности» — распределение относительно максимально эмпирически зафиксированного числа оценок.
Мы постоянно подчеркивали принципиальную тождественность этого распределения относительно любых, взятых для анализа общественных форм: предметов, продуктов труда или присвоения, товаров, сообщений, форм общественной жизни. Там «полей смыслов» мы коснулись, лишь анализируя «ценности».
Грушин Б. А. Четыре жизни России в зеркале опросов общественного мнения. Жизнь 2-я — эпоха Брежнева, часть 1. — М., 2003. — С. 438 (все ссылки на проблему). Я бы отнес это к терминологической проблеме моделей рассмотрения объекта. На то она и статистика, чтобы выделить на наиболее полном предметном ряду «зоны» отчуждения от него, доходящие до вымирания населения при роскоши национального богатства (что ж, тогда и отказ от физического воспроизводства и процесса нормального замещения поколений тоже «социальный аутизм»? И с чьей стороны это «аутизм»: со стороны правительства, которое лезет в постель к мужу и жене, думая оплатить им детей для будущих войн дешевым жильем, или со стороны семейных пар, отказывающихся рожать детей в условиях такого рода социальных отношений?).
По правде, говорить об «отчуждении» при отсутствии в России гражданского общества, — это заниматься теми же виртуальными игрушками. Сначала надо хоть назвать вещи своими именами: подлинная, а не изображаемая легитимность власти, способ производства, классы, слои, тип общества, характер обмена.
Автор программы и методики исследования Н. С. Мансуров. Надо особо подчеркнуть его роль в построении эффективного показателя информированности (см. Приложение 1, описание массивов №№ 105,106). Полевые работы были проведены тогда в Ташкенте аспирантом ИС АН СССР А. К. Кахаровым. Обработкой информации занимался автор книги. В целях типологизации массива опрошенных на группы, во-первых, по степени производственной активности, а во-вторых, по степени информированности было использовано в общей сложности 25 вопросов документа. Они позволили выявить 15 форм производственной активности (факт подачи рацпредложений, выполнения норм выработки, работы с полной нагрузкой и т. п.) и 10 важных для производственной деятельности типов знаний (знание плана, методов работы членов бригады, приказов по предприятию, экономического эффекта предприятия, значения его продукции и т. п.). Тогда-то и была решена в принципе проблема адекватного измерения информированности относительно определенного класса объектов и нахождения ее связей с активностью. Затем этот метод был апробирован на исследованиях Б. А. Грушина, Т. М. Дридзе, Г. А. Слесарева и на массиве Всесоюзного исследования «“Правда”-91».
* Взаимосвязь групп, полученных на основе этих распределений, см. в табл. 1.16.
Это свидетельствует о некоторых концептуальных формах пока не поддающихся исчислению оценок, которые могут быть допущены только в качестве квазиобъектов и требуют применения в больших исследованиях методов экспериментальной психологии, что делает замеры чрезвычайно дорогостоящими.
«Место за нами! Нужно себе составить на нем громадное состояние, громадное состояние, громадное состояние!» — эту фразу Талейран, “как помешанный”, повторял в карете всю дорогу от дома до Директории, узнав о своем назначении на пост министра иностранных дел Франции» (Тарле Е. В. Талей-ран. — М., 1993. — С. 60). Эти слова повторяют тысячи людей нашей страны с 1987 г. и долго еще будут их повторять к своему полному удовольствию. «Куй железо, пока Горбачев!» — говорили в то время.
Небезынтересно оценили роль различных институтов в воспитании детей москвичи весной 2004 г. на 30-балльной шкале: 1 место — семья, 2 — школа, 3 — друзья, 4 — литература, 5 — искусство, 6 — высшие и средние учебные заведения, 7 — телевидение, 8 — религия, 9 — ПТУ, 10 — трудовой коллектив, 11 — газеты, 12 — радио, 13 — общественно-политические объединения. Сомнительно, чтобы последние семь могли претендовать на всеобщность своих функций в деле воспитания и конкурировать с первыми шестью, усердно разрушаемыми властью.
См. в Приложении 3 табл. П3.1—П3.3 и текст.
В некоторых племенах Меланезии социальные условия делают естественным для женщины выкармливание грудью не младенца, а поросенка, что более престижно и выгодно. Что ж, «возьмемся за руки, друзья»?! Мы за «общечеловеческие» ценности.
«Каждый видит то, что знает, / Знает то, что хочет знать. / По-другому — не бывает», — / Так меня учила мать.
Очень удачная методика. Автором ее является Г. А. Слесарев, однако в процессе создания полевого документа отсутствие ресурса времени потребовало создания бригады, которая за несколько дней довела полевой документ «до ума». Сюда вошли М. С. Айвазян, А. А. Возьмитель, Б. А. Грушин, В. Я. Нейгольдберг. Г. А. Слесарев сам проводил полевые работы в Таганроге, и я помню, с какой тщательностью он лично проверял каждое полученное интервью.
Такой тест был разработан О. В. Советовой, Е. Н. Даниловой, С. Е. Кухтериным под руководством В. А. Ядова. В ходе последнего Всесоюзного исследования я переработал их методику в бланк-вкладыш в анкету для получения массива «стихийным представительством». Так было собрано 3437 документов, содержащих оценки («согласие — несогласие» на 5-пунктной шкале) восьми суждений типа: «Верна пословица: “Старое под новое не подкрасишь”, поэтому нужно решительно вводить новое» или «Я симпатизирую тем, кто проявляет разумную осторожность и осмотрительность в делах». В обработке была построена 17-пунктная шкала от тех, кто «устремлялся к новизне» во всех восьми случаях, до тех, кто во всех восьми случаях проявлял определенную степень консерватизма. Распределение по этой шкале было близко к «гауссиане», массив был разбит на пять групп. В ряде распределений крайние группы «хвостов гауссианы» оказываются нерепрезентативны, и тогда массив структурируется на три группы низкой, средней, высокой степени инновационности или наоборот — консерватизма.
Формулировки вопросов в целях экономии места приведены в сохраняющем их смысл виде, а не адекватно тексту полевого документа.
Тем не менее надо отметить, что произнесение текстов из одних слоганов, клише, лозунгов все-таки занимает социально необходимую для карьеры нишу. Поле смыслов в подаче знака: «Вассал моего вассала — мой вассал».
Здесь еще, вероятно, «свежи» воспоминания о «законах трезвости». С них начали «перестройку» и по ним некоторые ушлые участковые (впоследствии «оборотни») штрафовали целые свадьбы, если на столе стояло вино. Слово одно — политика.
Так как массив опрошенных близок к 1000 (1017), мы не стали приводить доли. Первые две цифры абсолютных значений практически дают процентное выражение.
Это не шутка. В 1968 г., работая над анализом содержания «Таганрогской правды» и одновременно проходя в газете журналистскую практику, я «облазал» многие заводы Таганрога. На «кожевенном», признаюсь, не был. Наихудшие условия труда и быта рабочих я нашел на комбайновом заводе. Именно в это время его директор Депутат ВС СССР, Герой Соцтруда, Лутай пользуясь своим «весом», настоял на Пленуме ГК КПСС, чтобы ни одни завод города не брал на работу увольняющихся из его «рая». Людей никуда не брали, город был взбудоражен, и именно в это время при проходе Лутая по цеху мимо его виска просвистела стальная шестерня. Логично. Если «крепостное право» — значит, бунт, око за око.
Генеральная совокупность 450 000 избирателей (Петербург, Красное Село, Стрельна, Петергоф). Было собрано 1600 допущенных к обработке документов. Питерские коллеги любезно предоставили данные микропереписи горстата, позволившие выделить классическую группировку «пол х род занятий х образование» по взрослому населению всего мегаполиса. Исследование было перевзвешено на генсовокупность и два массива — исходный и перевзвешенный — показали высокую сходимость результата по всем параметрам полевого документа.
Во всех замерах взаимной сопряженности матриц оценок состояния дел и работы власти «хи-квадрат» значим при 99,95 %, коэффициенты взаимной сопряженности просто «зашкаливает», но мы приводим значения энтропии, так как при выпадании в матрице с 16 степенями свободы одной-двух пустых угловых клеток коэффициенты на основе «хи-квадрат» ведут себя экстремально, что мешает взвешенным выводам.
Белинский В. Г. Письмо к Н. В. Гоголю // Критики XIX века о классиках русской литературы. Ростов, 1975. — С. 103.
Общественное мнение Узбекистана о проблемах охраны окружающей среды и социальной сферы (оценки и ожидания различных социальных слоев). — М.: ИС АН РФ, 1992. — С. 24—25.
«...если до начала строительства каскада ГЭС вода проделывала путь от Рыбинска до Каспийского моря за 50 дней, то теперь на это требовалось почти полтора года!» (Яницкий О. Н. Россия: экологический вызов. — Новосибирск, 2002. — С. 342).
Если средний балл по 44 параметрам равен «3», а оценка параметра «соответствие должности президента по действиям в интересах народа» — «5», то интегральная здесь составляет «5» — «3» = «+2», т. е. максимально положительное отклонение параметра. Если же «действия Чубайса-младшего в интересах народа» оцениваются на «1», то здесь интегральная будет иного порядка: «1» — «3» = «—2», т. е. нижний предел отклонения вектора мнений. На практике разнообразия мнений оценка в +1 или —1 даже при небольших массивах опрошенных большая редкость.
Результаты исследования см.: Касимов: город и человек. Народный учебник: экспериментальное учебное пособие для учащихся старших классов (региональный компонент среднего образования). — М.: МИРОС, 1999.
Коэффициент вариации составляет по 31 % в крайних группах против 28 % в целом и в средней группе информированности по возможностям и 34 % в группе низкой, 36 — высокой и 23 % — средней информированности против 28 % по массиву в целом при оценке политиков.
Тут есть, верно, одна «мелочь». В Таганроге 1969 г. вопрос задавался о том, в каком качестве (рядового или представителя общественных организаций, администрации, политактива) ставил ту или иную проблему выступавший. Если же мы выровняем показатель участвующих в выступлениях на принципы 1991 г., то соотношение руководителей-ораторов и рядовых-выступавших на собраниях станет в Таганроге 1969 г. 60 на 40 % соответственно, что не так уж и далеко от 1991 г. Однако мы оставили группу, которой задавались вопросы и оценки относительно параметров их удовлетворенности, целей обращения и значения тех или иных свойств власти и населения в информационном обмене при решении социальных проблем.
В двух из них — «Информированность населения относительно решения исполкома горсовета и отношение к этому решению» и «Информированность населения относительно сессии горсовета и отношение к этому решению» — задавался один и тот же вопрос о проблемах, требующих, по мнению населения, первоочередного решения. Вопрос задавался в открытом виде, тексты, написанные рукой респондента, были закодированы трехкратно: шифрами закрытых вопросов о важнейших городских проблемах в опросе работников органов власти, шифрами тем материалов внештатных авторов в городскую газету, напечатанных в ней, и шифрами закрытых вопросов исследования актуальных проблем жизни, информированность относительно которых мы уже разбирали. При этом распределение абсолютных значений ответов в массивах двух исследований, проведенных с интервалом в один месяц при исключении 20 % затруднившихся ответить, дало коэффициенты корреляции по 15 указанным сферам жизни с 99 % вероятностью Пирсона +0,964, Кендалла +0,839 и Спирмена +0,936.
Коэффициент Кендалла изменяет этот вывод на противоположный, оставляя высокой корреляцию канала «трансмиссии» и структуры принятых решений с тематикой выступлений и повесток дня собраний трудовых коллективов в целом. Здесь нужна дополнительная, достаточно «тонкая» по приемам обработка исходной информации в машинной памяти.
Министр регионального развития РФ В. Яковлев: «Из столицы до каждой котельной не доберешься». — Московская среда. № 43. 16—22.11.2005.
Думаю, кстати, отсюда вытекает и то, что японские правящие круги не хотят на самом деле решения «Курильской проблемы», так как жесткая позиция их противоречит общенациональному принципу ведения переговоров для достижения успеха. Надо ждать, когда они «вернутся» к самим себе, а потом уже и начинать разговаривать по тем или иным «возвращениям».
На заводе «Красный котельщик», Таганрогском металлургическом заводе, кожевенном заводе, мебельном комбинате, пивзаводе, в вагонном и локомотивном депо, в строительном тресте № 1, тресте столовых, больнице № 7, в театре им. А. П. Чехова, машиностроительном техникуме применялся практически весь спектр методик: интервью, опрос по анкете, панельный опрос, контент-анализ решений, повесток дня собраний, выступлений на них, включенное наблюдение и т. д. (см. Приложение 1).
Руководитель и автор исследования — М. С. Айвазян, разработчик кодификатора — Е. Г. Андрющенко.
Аналогичное интервью с ответственными за исправление недостатков лицами и лицами, заинтересованными в таком исправлении, было проведено в отношении 115 критических материалов городской газеты, насчитывавших 221 элемент критического разбора, требовавшего решения. Авторами этой методики являются М. С. Айвазян, В. Я. Нейгольдберг, В. М. Покидов.
Процент доли решений с данной суммарной оценкой у ответственных и заинтересованных лиц несколько меняется в двух группах относительно значения в табл. 9.4 при расчете на 100, так как «содержание» двух угловых клеток из табл. 9.4 в группировку не попало.
В разработке и реализации этого исследования участвовали М. С. Айвазян, В. Д. Войнова, Б. А. Грушин, Э. П. Петров.
Войнова В. Д. Аудитория собрания: реальное поведение и самооценка (количественные результаты исследования). — М.: ИСИ АН СССР, 1973. — С. 6-7.
Там же. — С. 65-67.
Там же. — С. 16. В дальнейшем анализе доли этих групп несколько отличаются от указанных у автора, так как на пересечении вновь образованных прогнозных типов и типов поведения объем массива колеблется. Различия не превышают 2-3 %.
Уже при анализе первичного материала этого исследования В. Д. Войнова в своей диссертации, не имея того программного обеспечения и всех типологий, кроме своей, а также информации по всему проекту, использованных в этой книге, отмечала в другой терминологии практически адекватные явления. См.: Войнова В. Д. Проблемы формирования общественного мнения на собраниях трудовых коллективов (из опыта социологического изучения собраний). Автореферат. Канд. дис. — М., 1978. — С. 12, 14, 20-21.
По остроумному замечанию Мамардашвили: «Политическая карикатура в России не может существовать потому, что если на Сидорова появится карикатура, то все сразу решат, что с Сидоровым “что-то не то!”. Это очень точно. Вопрос, конечно, только в том, что служит сейчас действительной “политической карикатурой”, а что превращается из нее постоянно в фарс».
Алгоритм 760: Приспособление поверхности прямоугольной сетки данных, которое имеет точность Bicubic Полиномиала // ACM Сделки на математическом программном обеспечении. Изд. 22, № 3, сентябрь 1996. — С. 357—361. Руководство пользователя. Программа TableCurve 3D. С. 7-18.
Нельзя было сравнивать показатели нормированной энтропии в распределениях по 57 и 79 ячейкам или по матрицам с различной степенью свободы. Энтропия очень чувствительна к изменению числа пространственных ячеек. При сравнении, например, возрастных когорт необходимо четко выдерживать интервал, делая шкалы абсолютно тождественными.
Место народных собраний в древнегреческих полисах.
Я не могу приводить здесь все результаты чисто методических операций проверки надежности данных, которые только утяжелили бы изложение и отвлекли от его центральных моментов рассмотрения системы в целом. Приведу только один пример. Корреляция 2602 материалов «Таганрогской правды» из исследования анализа содержания местных средств массовой коммуникации за февраль — апрель 1968 г., проведенного Л. Н. Федотовой по ее методике, и 2725 материалов этой же газеты за декабрь 1968 г. — март 1969 г., закодированных мной по собственной методике, разработанной совместно с Б. А. Грушиным, составляет по проблемному срезу +0,929, по Спирмену. Разные кодировщики, разные, но сводимые к одному ряды сфер жизни, дали один результат. Методическая часть работы вообще-то представляет тему другой отдельной книги.
Вестник РАН. — Т. 72, № 3. — 2002. — С. 232.
Оникое Л. А. КПСС: анатомия распада. — М., 1996. — С. 75—76.
КПСС в резолюциях. Изд. седьмое. Ч. 1. — М., 1953. — С. 683.
Известен случай, когда он «пустил» по столу М. А. Суслову написанный последним реферат, сопроводив этот жест словами: «Я просил Вас дать мне исходные цифры, а Вы написали мне здесь свои мысли по их поводу. Мне Ваши мысли не нужны, у меня есть свои, мне нужны данные. Заберите назад и дайте мне статистику».
Сталин И. В. Об итогах XIII съезда РКП(б). Доклад на курсах секретарей укомов при ЦК РКП(б) 17 июня 1924 г. Сочинения, т. 6. — С. 258.
Расчет по: Российский статистический ежегодник. — М., 2003. — С. 315.
Короленко В. Г. Письма к Луначарскому // Новый мир. 1988. № 10. — С. 211. Под «диктатором» Короленко подразумевал здесь пролетариат, про отсутствовавшую «гегемонию» которого очень много анекдотов.
Совершенно изумительны на этом фоне, например, предложения некоторых ученых увеличить население страны за счет притока мигрантов, ввозя по миллиону и больше. После событий во Франции многие прикусили язык на эту тему. И тем более стоило подумать об этом наперед в связи с кристаллизацией националистических групп и убийствами инородцев в крупных российских городах. И преступный расизм, граничащий с фашизмом, и погромы «скинхедов» — результат социально-экономической и информационной политики чиновничества. Всегда найдутся ушлые люди, которые воспользуются этим в своих целях, отвлекающих от организации протестной критики, а точнее реально направляя ее по соответствующему ложному адресу, фарисейски «подставляя» соратников, «не ведающих, что творят».
Dupuy J.-P. Problemes de la decision en la matiere de la sante. — Anslyse et prevision, t. XVI, 1973, № 5 (novembre), p. 489—536.
Среди западных социологов эта точка зрения наиболее четко и ранее других была сформулирована К. Лэндом: LandK. Comment definir les indicateurs sociaux. — Revue francaise de sociologie, 1971, № 4, p . 573; Social Indicator Model / Ed. By K.C.Land and S.Spilerman. N.-Y., 1975.
НерсесоваЕ. Х. Гносеологический аспект проблемы социальных показателей. — М., 1981. — С. 6-7.
Хайлбронер Р. Л. Экономическая теория как универсальная наука // THESIS. № 1. 1993. — С. 52-54 (Пер. Е. И. Николаенко). Статья опубликована на Западе в 1991 г.
Например, решение о прекращении торговли с США в ответ на их инициативу продлить торговое соглашение на 25 лет было принято в 1947 г. Американцы денонсировали предыдущий договор в 1951 г. Наши предложения в 50-е гг. восстановить отношения проигнорировали уже американцы, просчитав, я думаю, тяжелые для нас последствия нашего отказа. Соглашение об основах отношений с США было заключено лишь в 1972 г. До сих пор мы ощущаем последствия этого шага. И это при том, что Сталин тщательно избегал прямой военной конфронтации с США, когда дело доходило до очень острых конфликтов. В 1987 г. американцы готовы были сотрудничать с нами на кабальных, но не разрушительных для общества условиях. С этой точки зрения их реакция на позицию Китая: «Наш народ выстрадал идею социализма», — высказанную Госсекретарю США китайцами во время нашей «перестройки», показывает достаточную «гибкость» американской политики при определенных условиях. Когда, кем, где в 1980—90 гг. были приняты решения о ревизии результатов Второй мировой войны и Хельсинкских соглашений мы, наверное, никогда не узнаем, так как о сталинском решении 1947 г. публично было сообщено лишь в 2004 г. в книге «Архивы Кремля. Президиум ЦК КПСС 1954—1964» (Т. 1. М., 2004. — С. 906), да и то в примечаниях.
Прелюбопытно, что относительное повышение рождаемости, вызванное демографическими причинами, в начале 2000-х гг. сразу же началось сбиваться повышением цены коммунальных услуг и монетизацией льгот. Норма детности (малодетности) вырабатывается в том числе и полной непредсказуемостью экономической ситуации и откровенным «наперсточничеством» властей.
См. фильм «Волга-Волга»: «Полундра!!! Спасайся, кто может!!!» И как может...
Выражение Ф. Бурлацкого по поводу социологического сообщества, сказанное им на вечере в Институте социологии при описании того, как он сотоварищи прорвался на Большую спортивную арену в Лужниках во время Всемирного фестиваля молодежи 1957 г. в Москве, нырнув в толпе под ногами баскетболиста Круминьша ростом 2 м 20 см.
Мамардашвили М. К. Сознание и цивилизация. — Природа. № 11. 1988. — С. 62—65.
Надо помнить, что Новгородская Республика входила в Ганзейский торговый союз, ее парламент уже в древности имел элементы народовластия, которым потом Московское государство вырвало «язык» и пороло в виде колокола. Чувствовали «поля смыслов» ранее, чувствуют и теперь. Не допускают резонанса именно с названными элементами жизни.
База данных «INSYS» зарегистрирована в Российском агентстве по авторским правам (регистрационное свидетельство № 980021 от 30.03.98; Автор-составитель и администратор базы данных «INSYS» — ведущий научный сотрудник ИСИ РАН А. В. Жаворонков). База данных «UNIVERSUM» зарегистрирована в объединении «Росинформрегистр»: правообладатель, автор и администратор базы данных А. В. Жаворонков.
Данные опроса авторов писем в редакции газет + данные написанного письма = новый документ; данные исследования внештатного автора опубликованного материала + данные «контент-анализа» материала = новый документ; характеристики читателя и процесса выбора им (чтения-пропуска) конкретных газетных материалов в реальных условиях + данные анализа содержания этих материалов = новый документ и т. д. и т. п.
Банк социологических данных 1968—2001 (информационные ресурсы) — М., 2004. — Кн. 2, ч. 2. — С. 158-233.
Указ. соч. ч. 2. — С. 161-215. Совпадающие исследования идут в указанной книге под № 701-799, а № 100 в списке данного приложения соответствует исследованию № 700.
Авторский коллектив создателей методик всех исследований проекта отражается в перечне массивов и составляет 30 человек (все массивы исследований проекта помечены индексом «ПОМ», после которого следует «канонический», т. е. соответствующий программе, номер). Однако следует назвать здесь и авторов-разработчиков программ отдельных «тем-блоков», так как именно они руководили процессом создания информации этих блоков на разных этапах, работая с авторами отдельных исследований. Имена авторов-разработчиков тем следуют за их названиями.
В исследовании «Псков-86» было проведено сравнение рабочего и внерабочего времени г. Пскова и г. Джексона (шт. Мичиган, США). В книге приведены данные только по нашему городу. Подробно методика, программа и некоторые результаты исследования «Псков-86» описаны в: Показатели использования времени жителями города. Вып. 1. М.: ИСИ АН СССР, 1987. Там, в частности, говорится: «В целом инструментарий исследования разработан международной рабочей группой проекта:
B. Г. Андреенковым, В. Д. Патрушевым, Дж. Робинсоном. Полевое исследование в г. Пскове в январе-феврале 1986 г. и подготовка данных к обработке на ЭВМ проведены группой сотрудников ИСИ АН СССР: Н. Е. Бельмесовой, М. Д. Введенской, О. А. Воронковой, Е. Н. Даниловой, Е. М. Ермолаевой,
C. П. Ермоченковой, Т. М. Карахановой, О. Л. Ковельской, М. С. Косолаповым, Н. В. Лакомовой, Н. Н. Овчинниковой, Г. Н. Сотниковой, Г. Г. Татаровой, А. И. Черниковым, С. М. Ямпольской. Исследование 1993 г. по общероссийской выборке было проведено коллективом ЦЭССИ под руководством В. Г. Андреенкова по аналогичной и полностью сравнимой в бюджетах времени методике.
Подробнее см.: Войнова В. Д. Аудитория собрания: реальное поведение и самооценка (количественные результаты исследования). — М.: ИСИ АН СССР, 1973. Именно из этой публикации взяты аннотация, характеристики и примечание к исследованию.
Описание методики см.: Чернакова Н. Е. Собрания партийных, профсоюзных и комсомольских организаций предприятий и учреждений: анализ содержания информации (количественные результаты исследования). ч. 1—2. — М.: ИСИ АН СССР, 1974. Там же приведены и табличные результаты плановой статистической обработки исследований. Они могут служить хорошим контрольным инструментом при вторичном анализе восстановленной информации.
См.: Войнова В. Д., Петров Э. П., Жаворонков А. В. Собрания: поведения аудитории и информация. Опыт наблюдения (количественные результаты исследования). — М.: ИСИ АН СССР, 1973. Здесь приведены прокомментированные применительно к форме изложения тексты этого сборника.
О программе, технике и методике этих исследований см.: Капелюш Я. С. Деятельность депутатов городского Совета: информационный аспект (количественные результаты исследования). ч. 1. — М.: ИСИ АН СССР, 1974. — С. 10—13. В настоящий перечень исследований эти методические тексты вошли в прокомментированном виде.
О методике исследования см.: 47 пятниц. Вып. 4. М., 1970. — С. 42—60. Авторы — Б. А. Грушин, Я. С. Капелюш, В. Я. Нейгольдберг.
Экономика: Общество - Социология