Лысова М. - Понятие. Виды. История развития маркетинга
Маркетинг рассматривается как вид человеческой деятельности, направленной на удовлетворение нужд и потребностей путем обмена.
Маркетинг это совокупность технических приемов изучения рынка, разработке товара, стимулирования спроса.
Маркетинг это философия управления в условиях рынка провозглашающая ориентацию на удовлетворение потребностей конкретных потребителей.
Маркетинг система управления производственно- сбытовой деятельностью предприятия, направленная на достижение прибыли или других целей предприятия посредством учета рыночных условий и процессов, а также активного воздействия на них.
Из сущности маркетинга вытекают принципы (требования):
- тщательное изучение потребности и рыночной конъюнктуры при принятии хозяйственных решений;
- создание условий для максимального приспособления производства к структуре спроса;
- активное воздействие на рынок, т.е. на потребителей с помощью различных инструментов (реклама, стимулирование спроса, ценовая политика, совершенствование товара и т.д.).
История развития маркетинга и эволюция его концепций.
Возникновение маркетинга относится к концу 19 в. и связано с формированием монополий и рынка заказов. Как научная дисциплина он возник в 1901 г., когда начал преподаваться в университетах (США, Мичиган, Иллинойс).
Он содержал характеристику сбытовой деятельности и был учебным курсом для коммивояжеров.
1908 г. появилась первая коммерческая фирма занимающаяся маркетинговыми исследованиями.
1911 г. на ряде крупных предприятий возникли отделы маркетинговых исследований.
Главная особенность американского маркетинга: особое и главное внимание уделяется рекламе.
В других странах маркетинг зародился несколько позже и имеет ряд особенностей. Прежде всего это хорошо разработанные методы маркетинговых исследований.
Японский маркетинг появился еще позже. Главная характерность: акцент на качество и уникальность товара.
Для послевоенного времени характерно появление объединений, примером которого может служить "Европейское общество исследования общественных мнений и маркетинговых исследований". Это некоммерческая организация, 2/3 участников которой поставщики маркетинговых услуг, а остальные потребители.
По мере развития маркетинга развивались и его концепции:
- совершенствование производства (начало 20 в. массовое производство) состоит в том, что выигрывает то предприятие, которое продает больше продукции по низким ценам во множестве торговых точек;
- совершенствование товара, согласно которой предполагается, что покупатель предпочитает товары более высокого качества и, следовательно, нужно уделять внимание совершенствованию товара;
- интенсификация продаж (появилась после кризиса 1928 - 30 гг.) в рамках концепции получили развитие методы продажи (психологическое воздействие), преимущество получали те предприятия, которые могли обработать покупателя и продать товар;
- концепция маркетинга возникла в 50-е г., согласно ей преимущество получают предприятия которые глубоко изучают запросы потребителей и более полно их удовлетворяют, используя все инструменты маркетинга;
- социально- этичный ("зеленый") маркетинг в ее рамках достигаются 3 цели: получение прибыли, удовлетворение запросов потребителей, учет проблем развития общества (охрана окружающей Среды, здоровье, экономия ресурсов, борьба с бедностью и т.д.).
Виды маркетинга.
Классификацию маркетинга можно представить двумя направлениями:
- Вид товара
- маркетинг потребительских товаров
- маркетинг товаров производственного назначения
- маркетинг услуг
- маркетинг организаций (имидж)
- маркетинг идей (направлен на изменение отношения к определенным явлениям, например, охрана окружающей Среды)
- маркетинг мест (создание благоприятных отношений к различным местностям, например, при продажи жилья или земельных участков)
- маркетинг отдельной личности
- Состояние спроса
|
Вид маркетинга |
Состояние спроса |
Задачи маркетинга |
|
конверсионный |
негативный |
выяснить причины и изменить отношение посредством переделки товара, совершенствованию и активизации рекламы, снижения цен |
|
стимулирующий |
отсутствие |
создание спроса за счет концентрации внимания потребителей на свойствах продукта в наибольшей степени соответствующих запросам потребителей, резкое снижение цен, активизация рекламы |
|
развивающий |
потенциальный |
оценить размер потенциального рынка, оценить требования к товару и создать новые товары |
|
поддерживающий |
полноценный |
постоянно заботится о качестве товара и его модифицировании |
|
ремаркетинг |
падающий |
восстановить спрос на основе творческого переосмысления концепций маркетинга, придания товару новых свойств, проникновения на новые рынки, активизация рекламы |
|
синхронизирующий |
нерегулярный, сезонный |
сгладить колебания с помощью гибких цен, методов продвижения товара |
|
демаркетинг |
чрезмерный |
снизить спрос, повысить цены, сократить рекламу, продажа лицензий |
|
противодействующий |
вредный, нерациональный |
убедить отказаться от потребления продукции |
Содержание маркетинговой деятельности предприятия
- Анализ рыночных возможностей.
- Выбор целевых рынков.
- Разработка комплекса маркетинга.
Анализ рыночных возможностей.
Рыночная возможность это привлекательное направление деятельности, которая состоит из:
1. выявления этих возможностей
2. оценки их соответствия целям и ресурсам фирмы.
Чтобы выявить эти возможности необходимо собрать большое количество информации.
Матрица "продукт рынок" состоит из четырех квандрантов.
Каждый квандрант соответствует рыночным возможностям.
1-ый: существующий продукт на существующем рынке более глубокое внедрение на рынок;
2-ой: существующий продукт на новых рынках требуются затраты на выход новых рынков;
3-ий: соответствует новому продукту на существующих рынках разработка товара, модифицируем старый товар или продаем новый, но на старых рынках;
4-ый: диверсификация продажа нового товара на новых рынках можно открыть или купить производство, не связанное с нынешним ассортиментом и рынком.
|
Возможности |
1 |
2 |
3 |
4 |
|
вероятность успеха |
50% |
20% |
33% |
5% |
|
расходы |
1 |
4 |
8 |
12 16 |
Оценка целей и ресурсов предприятия:
Ц1 прибыль
Ц2 доля рынка
Ц3 имидж
Если возможность не соответствует одной из стратегических целей ее нужно отбросить. Затем оценивается соответствие этой возможности целям фирмы.
Р1 финансовая
Р2 научно-технический, ноу-хау
Р3 кадры
Р4 оборудование
Р5 каналы распределения информации.
Если у предприятия нет какого-либо ресурса, то нужно определить, можно ли приобрети этот ресурс по приемлемым ценам, если нет, то возможность отбрасывается.
Выбор целевых рынков
Включает следующие стратегии:
- определение текущего спроса выявить все товары данного вида, продающиеся на рынке и оценить их объем продаж;
- прогнозирование спроса;
- сегментация рынка, т.е. разделение рынка на четкие группы потребителей (сегменты), которым необходимы разные товары и разные маркетинговые подходы;
- отбор целевых сегментов, т.е. тех сегментов, на которые следует сосредоточить усилия;
- позиционирование товара это отбор места товара на рынке и в сознании покупателей путем концентрации на таких характеристиках товара, которые выгодно отличают его от конкурентов.
Схема потребительских предпочтений
Позиционирование является исходным пунктом для разработки всех инструментов маркетинга.
Разработка комплекса маркетинга.
Комплекс маркетинга это совокупность управляемых элементов маркетинговой деятельности, которые фирма использует, чтобы вызвать желаемую ответную реакцию со стороны целевого рынка. Эти средства объединяют в:
- товар (продукт) включает в себя такие инструменты, как уровень качества, эксплуатационные свойства, соответствие моде, технические характеристики, марка, оформление, упаковка, гарантия, послепродажное обслуживание;
- цены: инструментом являются ценовая стратегия, уровень цены, различные скидки, сроки оплаты;
- методы распространения товаров включают деятельность предприятия по доведению продукта до целевых покупателей. Инструменты: выбор посредников и типа канала распределения, определение зоны распространения товара, уровня и размещения запасов, эффективная транспортировка и складирование;
- продвижение продукта (комплекс маркетинговых коммуникаций) включает мероприятия по доведению информации о продукции до покупателей и стимулирование спроса на продукт. Инструменты:
- реклама (1 6% объема реализации);
- стимулирование сбыта (кратковременные меры воздействия, скидки, лотереи, бесплатные образцы, подарки);
- пропаганда (формирование общественного мнения) с помощью средств массовой информации часто бесплатно для фирмы);
- личная продажа (устная презентация товара в беседе с одним или несколькими потенциальными покупателями).
Маркетинговая среда предприятия
- Понятие маркетинговой среды.
- Анализ опасности и возможности внешней среды.
- Управленческое обследование сильных и слабых сторон предприятия.
- SWOT анализ.
Понятие маркетинговой среды.
Маркетинговая среда предприятия это совокупность условий, факторов и активных субъектов прямо или косвенно влияющих на деятельность предприятия.
Цифрами на схеме обозначены:
1 покупатели, 2 конкуренты, 3 посредники, 4 поставщики, 5 контактные аудитории, 6 макроэкономика, 7 политика и право, 8 демография, 9 культура, 10 НТП, 11 экология.
Маркетинговая среда делится на микро- и макросреду. Микросреда делится на внутреннюю и внешнюю. Внутренняя микросреда это сама фирма, ее подразделения, организация управления, ресурсы фирмы, культура предприятия.
Внешняя микросреда представляется факторами, с которыми предприятие непосредственно взаимодействует и может влиять на них.
Контактные аудитории это организации или группы лиц, которые проявляют или могут проявлять интерес к фирме и могут оказать положительное или отрицательное влияние на достижение ее целей. К ним относятся средства массовой информации, финансовые круги, муниципальные органы власти, различные организации потребителей, организации охраны окружающей среды.
Факторы макросреды не поддаются воздействию со стороны фирмы, их можно только учитывать в своей работе, чтобы снизить отрицательное влияние и усилить положительное.
Анализ опасности и возможности внешней среды.
Такой анализ проводится для того, чтобы принимать стратегические решения. Стратегия способ достижения поставленных целей, выбранный с учетом условий внешней среды, а также сильных и слабых сторон предприятия.
При проведении анализа надо:
выявить изменения во внешней среде, которые воздействуют на различные аспекты деятельности предприятия;
необходимо определить какие факторы представляют опасность для фирмы;
определить, какие факторы предоставляют больше возможностей для достижения целей фирмы.
Чтобы провести такой анализ составляют перечень факторов, а затем проводится оценка важности каждого фактора и степени воздействия на предприятие. Такую оценку проводят эксперты.
|
|
Факторы |
Состояние факторы |
Тенденции изменения |
Характер влияния на организацию, "+", "-" |
Возможная реакция организации |
|
экономические |
|
|
|
|
-
|
уровень инфляции |
1% в месяц |
повышение, понижение, возможность стабилизации |
"-" обесценивание денежных средств, "+" при выплатах при долгосрочных займах |
предусмотреть в договорах индексацию платежей в случае их просрочки |
-
|
реальные доходы потребителей |
сокращение на 5% за последние полгода |
не ясны |
"-" спрос падает |
поиск новых рынков сбыта, проведение маркетинговых исследований |
-
- изменение ВВП
- инвестиционная активность
- изменение % ставок
- конъюнктура рынка
- структура распределения доходов между группами населения
- структура расходов на потребление
- социально- демографические
- численность населения
- рождаемость
- возрастная структура
- расселение по регионам
- квалификация трудовых ресурсов
- научно- технические
- новые технологии
- новые товары
- способы переработки отходов
- развитие информационных технологий
- политико-правовые
- политическая ситуация в стране
- изменения в законодательстве
- деятельность профсоюзов
- экологические
- наличие энергии и сырья
- загрязнение окружающей среды
- культурные факторы
- образ жизни
- отношение к товарам фирмы
- мода
- факторы микросреды
- отношения с поставщиками
- отношения с посредниками
- отношения с контактными аудиториями
- характеристики рынка
- емкость рынка (фактическая, потенциальная)
- уровень насыщения рынка
- темпы роста или снижения объема продаж фирмы
- распределение рынка между предприятиями
- стабильность спроса
- динамика цен
- потребности клиентов
- мотивы покупок
- способ приобретения товаров
- способ получения информации потребителем
8) конкуренты
-
- основные конкуренты, их цели, стратегии, удовлетворенность положением на рынке
- финансовые возможности конкурентов
- сильные стороны конкурентов
- слабые стороны конкурентов
- возможность появления новых покупателей
Для количественной оценки влияния факторов используется следующая форма
|
Факторы |
Величина или характеристика |
Важность фактора (балл от 1 до 5) |
Выраженность фактора (балл от -50 до 50) |
Итоговая оценка (графа 3 * 4) |
Управленческое обследование сильных и слабых сторон предприятия.
Оно начинается с анализа потенциала предприятия, которое проводится по следующей форме (аналогичной предыдущей), только в графе 4 указывается наличие на предприятии данного фактора, а оценка равна от 1 до 50 баллов.
Факторы могут подразделяться на:
- управление
- предпринимательская культура и философия
- цели и стратегия предприятия
- система мотивации персонала
- организационная структура и распределение функций
- производство
- оборудование
- возможность переналадки оборудования
- организация производства
- технология
- издержки производства
- доступ к новым материалам
- система контроля качества
- научно- исследовательские и опытно- конструкторские работы (НИОКР)
- интенсивность и результаты НИОКР
- ноу-хау (управленческие методики)
- информационные технологии
- маркетинг
- товарная политика
- ценовая политика
- сбытовая политика
- коммуникационная политика
- кадры
- оборудование, квалификация
- возрастная структура кадров
- качественный состав управленческого персонала
- финансы
- состояние финансового баланса
- доля собственного капитала
- возможности получения кредитов
Затем эти показатели сопоставляются с показателями конкурентов. сильные стороны фирмы, это те, по которым положительная разница в баллах с конкурентами самая большая, а слабые, это те, по которым отрицательная разница самая большая. Стратегия предприятия опирается на сильные стороны и минимизирует действие слабых сторон.
SWOT анализ
.
Для того , чтобы разработать стратегию проводят swot анализ, который позволяет выявить, как изменения внешних факторов соотносятся с сильными и слабыми сторонами организации. Для этого строится матрица swot.
|
Возможности |
Опасности |
|
1
новые рынки |
2
расширение производства |
|
Итого |
1
новые конкуренты |
2
новые технологии |
|
Итого |
Сильные стороны
1. Имеются запасы
2. Ассортимент
Итого |
|
|
|
|
|
|
|
|
Слабые стороны
1. Нехватка оборотных средств
2. Уход квалифицированных кадров
Итого |
|
|
|
|
|
|
|
|
Самые критические квандранты I и IV. В матрице приводятся не все факторы, а только те, которые набрали наибольшее количество баллов.
После построения этой матрицы проводится количественная оценка влияния каждой из сильных и слабых сторон предприятия на каждую из выявленных возможностей и опасностей. Эта оценка проставляется внутри квандрантов на их пересечении.
Оценка может проводится по определенной шкале:
- 3 сильное негативное влияние
- 2 среднее негативное влияние
- 1 слабое негативное влияние
0 отсутствие влияния
+ 1 слабое позитивное влияние
+ 2 среднее позитивное влияние
+ 3 сильное позитивное влияние
Таким образом стратегические усилия направляются туда, где влияние сильных сторон фирмы на рыночные возможности наиболее благотворны, а там где слабые стороны фирмы обостряют рыночные опасности должны предприниматься меры по максимальному устранению отрицательного воздействия.
Покупательское поведение
- Модель покупательского поведения.
- Процесс принятия покупательского решения и задачи маркетинга.
- Методы изучения покупательского поведения.
Модель покупательского поведения.
Изучение качественных характеристик рынка необходимо для прогнозирования спроса, для разработки и совершенствования товаров, для отработки рекламных сообщений, для учета психологических факторов в ценовой политике, для налаживания коммуникаций с потребителем. Эти характеристики изучаются с помощью опросов.
Модель покупательского поведения показывает какую информацию необходимо собрать в ходе опросов. Эта информация разбивается на блоки.
Влияние социальных факторов осуществляется через различные референтные группы, по которым покупатель осуществляет сравнения установок и линий поведения при совершении покупок.
Индивидуальные характеристики покупателя делятся на социально- демографические и личностные. Социально- демографические: возраст, пол, стадия жизненного цикла семьи, профессия, должность, экономическое положение, стиль жизни.
Они влияют на потребности субъекта и на возможности их удовлетворения.
Личностные особенности это психологические свойства личности (характер, темперамент, способности, интересы, установки).
Установка это ориентир человека на определенный социальный объект, выражающий предрасположенность действовать определенным образом.
Мотивация это внутреннее побуждение к активному действию. В структуру покупательского поведения включают различные мотивы покупок:
мотив выгоды (экономический)
мотив снижения риска (гарантия качества)
мотив признания (престиж, имидж)
мотив свободы (самостоятельность, независимость)
мотив познания
мотив содействия соучастия
мотив самореализации
Эти мотивы должны учитываться при позиционировании товара и при разработке методов продвижения товара, мотивы могут быть рациональными и эмоциональными (логическое переосмысление, переживание).
Таким образом, в результате взаимодействия внешних стимулов и индивидуальных характеристик покупателя реализуется процесс принятия покупательского решения.
2. Процесс принятия покупательского решения и задачи маркетинга.
|
Название этапа |
Содержание этапа |
Влияющие факторы |
Задачи маркетинга |
|
выявление проблемы |
покупатель осознает потребность в чем либо и транслирует ее в мотивацию покупки конкретного товара |
комплекс маркетинга, внешняя среда и внутреннее развитие потребности |
выявить потребности, чем они вызваны, какие факторы способствовали трансформированию в мотивацию покупки определенного товара |
|
поиск информации |
покупатель собирает сведения касающиеся покупки, повышается осведомленность |
источники информации: личные, коммерческие, эмпирические (опыт), пропаганда |
- выявить источники информации
- определить их информационную эффективность
- разработать такой комплекс маркетинга, который вводил бы марку и в комплект осведомленности и в комплект выбора
- изучить марки конкурентов
|
|
оценка вариантов |
ранжирование товаров в порядке приемлемости, результат намерения купить товар |
соответствие покупательных свойств товара потребностям клиента, а также реклама и имидж фирмы |
- изучить требования покупателей и способы их формирования
|
|
решение о покупке |
покупка или отказ от нее |
отношение окружающих, интенсивность их влияния, готовность воспринимать это влияние, непредвиденные обстоятельства |
изучить круг лиц, влияющих на принятие решения и ориентировать на них комплекс маркетинга |
|
реакция на покупку |
- оценка приобретенного товара, удовлетворения или неудовлетворение
- действия покупателя
- конечная судьба товара
|
соответствие товара ожиданиям, индивидуальным особенностям клиента |
- изучить все перечисленные во второй графе
- не преувеличивать эксплуатационные характеристики товара в процессе продажи и рекламы
|
Методы изучения покупательского поведения.
При изучении поведения покупателей встает проблема определения субъективных потребительских характеристик. Такие характеристики как мотивы и потребности часто не осознаются самими покупателями и поэтому используются психологические методы. К ним относят:
свободная беседа;
ассоциативные беседы;
проецирующие тесты;
ретроспективные беседы;
беседы в группе (обмен мнениями);
анкетирование.
Для изучения требований, предъявляемых к товарам используются анкетные опросы. Такой опрос проводится в три этапа.
Характеристика анкет при исследовании требований
|
характеристика |
первый этап |
второй этап |
третий этап |
|
цель опроса |
выявление основных свойств товара, на которые ориентируется потребитель |
выяснить значимость этих свойств для потребителей |
выявить имидж товара конкретной фирмы в глазах потребителей |
|
содержание анкет |
вопрос: какие качества товара играют для вас роль при выборе + вопросы по признакам сегментации |
предлагается проранжировать факторы по степени значимости или оценить ее в баллах + вопросы по сегментации |
предлагается список свойств товара, оценить их выраженность в конкретном товаре |
|
объект исследования |
активные покупатели данной продукции |
бывшие, настоящие и потенциальные покупатели |
то же, что и на втором |
|
результат этапа |
список факторов, влияющих на покупку, включая наиболее часто названные факторы + те, которые считают нужным включить в исследование |
единая групповая оценка каждого фактора, с точки зрения его значимости |
единая групповая оценка по каждому из потребительских свойств товара |
Рынок как объект маркетинга
- Направления и методы изучения рынка.
- Сегментирование рынка.
- Выбор целевого рынка.
- Позиционирование товаров на рынке.
Рынок в системе маркетинга рассматривается и как объект исследования, и как объект маркетинговых воздействий. Исходя из сказанного, целью изучения данной темы является ознакомление с направлениями и методами маркетинговых исследований рынка, а также с принципами и правилами сегментирования, отбора целевых рынков, позиционирования товаров на рынке.
Направления и методы изучения рынка.
В структуре маркетинговой деятельности работа с рынком является исходным пунктом для формирования комплекса маркетинга. Поэтому при изучении данной темы необходимо понять ее значение для выработки товарной, ценовой, сбытовой и коммуникационной политики предприятия.
Направления и методы изучения рынка.
В маркетинге рынок понимается как совокупность существующих и потенциальных потребителей.
Особенность изучения рынка в системе маркетинга конкретно- прикладной характер. Исследуется не рынок вообще (как экономическая категория или механизм), а рынок конкретного товара в реальных условиях его развития с учетом влияния различных факторов (политических, социально- экономических, географических, климатических и др.).
Объектом изучения может быть как весь национальный рынок данного товара, так и его отдельные сегменты.
Основные направления изучения рынка включают в себя: определение емкости рынка и доли в нем различных фирм; исследование и прогнозирование конъюнктуры рынка.
С указанными направлениями тесно связаны смежные направления маркетинговых исследований: изучения конкурентов, потребительского поведения, поставщиков, посредников и т.д.
В практике зарубежных фирм проводится постоянное отслеживание ежемесячных данных по емкости рынка и доле фирмы. Для чего это делается?
Дело в том что эти показатели воссоздают общую картину состояния рынка и во многом определяют всю маркетинговую деятельность. Они необходимы для адаптации к рыночной ситуации и разработки стратегии выхода на рынок или расширения доли рынка.
Емкость товарного рынка показатель, характеризующий потенциально возможный объем сбыта товаров на рынке. Он определяется объемом реализуемых в нем товаров в течении года.
Зависит от общей экономической и политической ситуации в стране. Непосредственное влияние на его величину оказывают объем производства данного товара в стране (О), экспорт товара (Э), импорт (И), остатки товаров на складах производителей на начало года (Н) и на конец года (К): Е = О + Э - И + Н - К.
Чтобы рассчитать изменение Е на будущий год учитывают для потребительского рынка: уровень и динамику доходов и расходов населения; для рынка производителей: тенденции развития соответствующих отраслей и инвестиционной политики по отношению к ним.
Доля рынка является ключевым показателем при оценке конкурентной позиции предприятия. Она рассчитывается по формуле Д = П / Е, где П объем продажи данной фирмы.
Если у предприятия доля рынка выше, чем у конкурентов, то, следовательно, выше и объем производства. Это дает возможность экономии на условно- постоянных расходах, в результате чего себестоимость единицы продукции у него будет ниже, чем у конкурентов.
Следовательно, позиции данного предприятия в конкурентной борьбе более предпочтительны.
Для того, чтобы получить более конкретизированную картину, исследуется конъюнктура рынка. Конъюнктура это сложившаяся экономическая ситуация, характеризующаяся прежде всего соотношением спроса и предложения, а также движением цен и товарных запасов, отраслевой структурой портфелей заказов и другими экономическими показателями.
Конечная цель анализа конъюнктуры создание картины будущего состояния рынка для принятия решения о дальнейшем поведении на нем фирмы.
Анализ конъюнктуры товарного рынка проводится по следующей схеме: производство, спрос и потребление, товар и его сбыт, торговля, цены, и завершается построением конъюнктурного прогноза.
Производство рассматривается в динамике как по всему рынку данного товара, так и в разрезе основных производителей. Приводятся причины изменения объема производства (ввод мощностей, активизация или снижение спроса и т.п.), рассматривается загрузка и наличие резервов производственных мощностей, анализируется портфель заказов, производственные издержки.
Аналогичное расследование проводится по спросу и потреблению товара: рассматриваются их динамика, структура, причины изменения этих величин, определяются потребители.
Торговля товаром описывается в динамике как в целом, так и в разрезе отдельных поставщиков, анализируется влияние новых фирм и методов.
Рассматривается динамика оптовых и розничных цен, анализируются причины их изменения, освещается ценовая политика конкурентов, методы государственного регулирования.
Основным показателем конъюнктурного прогноза является величина спроса. Последовательность прогнозирования спроса включает ряд этапов.
- выявление обще- экономических, демографических, социально- психологических и других факторов (x1, x2, , xn), влияющих на изменение спроса (C);
- изучение их влияния на величину спроса;
- определения тенденций развития как самих факторов, так и зависящего от них спроса.

Таким образом, задача сводится к определению набора факторов и характера зависимости между ними и величиной спроса на товар.
Для этого используются следующие методы:
- опросы (населения, экспертов, торговых посредников);
- статистический анализ временных рядов сбыта и экстраполяция выявленных тенденций (следует отметить, что в современных условиях динамично развивающийся рынок и увеличение числа факторов неопределенности резко уменьшает эффективность этого метода);
- аналитическое моделирование, т.е. построение и исследование модели процесса, отражающей его структуру, внешние и внутренние взаимосвязи. Этот метод используется тогда, когда информация о прошлом минимальна, но имеется некоторые практические представления о рынке, которые позволяют разработать модель и воспроизвести альтернативные варианты его развития;
- эксперимент, т.е. пробная реализация товара.
На практике эти методы могут применяться вместе.
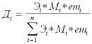
Спрос на товары отдельной фирмы (Ci) принято рассматривать как функцию от ее маркетинговых усилий. Эту зависимость можно отразить через долю фирмы на рынке (Дi).
Мi маркетинг усилия i-ой фирмы;
Эi эффективность одной денежной единицы, израсходованной на маркетинг i-ой фирмой (Э =1 для среднего уровня эффективности);
em коэффициент эластичности доли продажи товаров фирмы в зависимости от масштабов маркетинговой деятельности (0 em 1)
1
Можно выделить и влияние каждого элемент маркетинга. Маркетинговые усилия фирмы, в свою очередь, являются функцией от таких факторов, как размер капитала, скорость его оборачиваемости, степени монополизации рынка, специфика товара.
2. Сегментирование рынка.
Изучением рынка товара в целом можно ограничиться только в том случае, если фирма проводит массовый или товарно-дифференцированный маркетинг. Если осуществляется целевой маркетинг необходимо характеризовать все сегменты рынка.
Массовый маркетинг характеризуется массовым производством и сбытом одного и того же товара для всех покупателей. Например, фирма "Кока-кола" выпускала один напиток для всего рынка.
Преимущества массового маркетинга большой потенциальный рынок, снижение издержек и цены, недостаток распыление маркетинговых усилий.
Товарно-дифференцированный маркетинг связан с производством двух или нескольких товаров с разними свойствами, в разной расфасовке, оформлении, разного качества. Так, "Кока-кола" сейчас выпускает несколько напитков в разных упаковках, разной емкости с целью создания разнообразия для покупателей.
В настоящее время все больше фирм переходят к целевому маркетингу. Он включает в себя разграничение сегментов рынка, выбор одного или нескольких сегментов и разработку товара и комплекса маркетинга для каждого из отобранных сегментов.
Сегмент это совокупность потребителей, характеризующаяся однородной реакцией на предлагаемый продукт и на комплекс маркетинга.
Рыночная сегментация имеет ряд преимуществ:
сосредоточение усилий на потребителях, спрос которых неудовлетворен в данный период;
более результативное формирование потребностей и спроса.
Благодаря этим преимуществам эффективность расходов на маркетинг на 50 70% увеличивается.
Как осуществить сегментирование рынка? Единого подхода здесь не существует.
Каждая фирма выбирает свои признаки.
Одна из первых форм сегментирования по географическим признакам (регион, город, плотность населения, климат). Эти признаки важны для обширного российского рынка.
Большинство фирм используют два или более социально- демографических признака (возраст, пол, этап жизненного цикла семьи, род занятий, образование, религия, национальность, социальная группа, культурные традиции).
Экономические признаки это доход на члена семьи, структура расходов, размер сбережений, обеспеченность жильем, стоимость имущества, наличие подсобного хозяйства.
Психологические признаки образ жизни, тип личности. Раньше они не использовались, но теперь это стало модным. Например, изготовитель джинсов может разделить рынок на следующие сегменты в зависимости от образа жизни: "активные добытчики", любители удовольствий, "традиционные домоседы", непоседы из рабочих, "деловые лидеры", преуспевающие "традиционалисты". Для каждой из этих групп нужны джинсы особого покроя, по разной цене, различные рекламные тесты, разные магазины и т.д.
Но этого мало. Надо объявить, представителям какого образа жизни предназначен товар, иначе он может не вызвать особого интереса.
В одном из американских рекламных агентств обнаружили, что рынок таких товаров, как косметика, сигареты, страхование, спиртные напитки можно сегментировать по типу личности. Другой исследователь обнаружил, что владельцы машин с откидным верхом более активны, импульсивны, общительны.
Удалось также выявить четыре типа потребителей пива: пьющий в компании, пьющий для восстановления тонуса, пьющий много, пьющий бесконтрольно. Покупатели каждого типа имеют свои свойства личности и потребительские привычки, на основе изучения которых фирма "Анхойзер-Буш" разработала рекламную компанию для каждой из групп.
Поведенческие признаки поводы для совершения покупки, искомые выгоды, статус пользователя, интенсивность потребления, степень приверженности, степень готовности к восприятию товара, отношение к товару.
Например, поводом для воздушного путешествия может быть бизнес, отпуск, семейные обстоятельства.
Искомыми выгодами (например, при покупке часов) могут быть:
- низкие цены;
- качество, долговечность;
- память о важном событии.
В свое время большинство американских компаний сосредоточивали внимание на третьем сегменте, выпуская дорогие, престижные часы. Однако исследование показало, что в него входит лишь 31% покупателей. К первому сегменту можно отнести 23%, ко второму 46%.
Фирма "Ю. С. тайм" сосредоточила внимание на двух первых сегментах и благодаря этой стратегии превратилась в крупнейшую часовую компанию.
В зависимости от статуса пользователя рынки можно разбить на сегменты:
не пользующихся товаром;
бывших пользователей;
потенциальных пользователей;
новичков; регулярных пользователей.
Крупные фирмы особенно заинтересованы в привлечении третьего сегмента, мелким фирмам приходится концентрироваться на пятом.
В зависимости от интенсивного потребления рынок можно разбить на группы слабых, умеренных и активных потребителей товара. Так, на 16% покупателей приходится 88% потребления пива, а 68% вообще его не пьют.
В зависимости от степени приверженности (к марке, к фирме) покупатели делятся на: безоговорочных приверженцев одной марки; терпимых приверженцев двух- трех марок; непостоянных приверженцев, переносящих предпочтения с одной марки на другую; странников, не приверженных ни к одной марке. Существуют рынки марочной приверженности, на которых преобладает первый сегмент.
На такой рынок трудно выйти или увеличить на нем долю своей фирмы.
По степени готовности к восприятию товара покупателей можно разделить не неосведомленных, осведомленных, информированных, заинтересованных, желающих купить, намеревающихся купить. Этот признак учитывается при постановке целей рекламной компании.
В зависимости от времени адаптации к новому товару люди делятся на новаторов (2,5% всех покупателей), ранних последователей (13,5%), раннее большинство (34%), запоздалое большинство (34%), ретроградов (16%). Подумайте как можно учесть эти данные при планировании ассортимента продукции.
Для сегментирования рынка товаров производственного назначения можно использовать те же признаки (кроме демографических). Но рынок машин и аппаратов меньше зависит от условий потребления.
Здесь основные факторы экономические возможности заказчика, отрасль, специфика организации закупки, характеристики лиц, влияющих на принятие решения.
Итак, смысл сегментации заключается не просто в том, чтобы выделить какие-то особые группы потребителей, а в том, чтобы найти тех, кто предъявляет различные требования к товару.
Выбор целевого рынка.
После проведения сегментации фирма выбирает целевой рынок. Это самый подходящий и выгодный для нее сегмент (группа сегментов), на который направлена ее деятельность. При этом надо принять решения:
сколько сегментов следует охватить;
как определить эти выгодные сегменты.
В зависимости от объема охвата рынка различают недифференцированный, дифференцированный и концентрированный маркетинг.
Недифферинцированный маркетинг заключается в том, что фирма обращается ко всему рынку с одной маркетинговой программой и сосредотачивается не на различиях, а на сходстве потребителей (например, фирма выпускает одну марку шоколада для всех), экономя на рекламе, маркетинговых исследованиях, производстве товара. Но когда к такой стратегии прибегает несколько фирм, возникает интенсивная конкуренция в крупных сегментах.
В тоже время в мелких сегментах потребности покупателей не удовлетворены (например, потребности диабетиков в шоколаде с заменителями сахара).
Дифференцированный маркетинг заключается в том, что фирма выступает на нескольких сегментах и разрабатывает для каждого из них комплекс маркетинга. Например, "Дженерал моторс" выпускал автомобили для "любых кошельков, любых целей, любых лиц".
Рынок предприятия расширяется, но затраты велики, поэтому данную стратегию чаще используют крупные предприятия.
Концентрированный маркетинг это концентрация усилий на большой доле одного сегмента. Например, фирма "Фольцваген" сосредоточила усилия на рынке малолитражных автомобилей, "Хьюлетт-Паккард" на рынке дорогих калькуляторов. Это ведет к точному знанию рынка, лучшему удовлетворению потребностей, экономии в результате специализации производства и маркетинга.
Поэтому данная стратегия привлекательна для малых и средних фирм. Но риск повышен, так как сбыт зависит от одного сегмента.
Кроме того, в выбранный сегмент может внедриться конкурент.
Выбор стратегии охвата рынка зависит от следующих факторов:
- ресурсы фирмы при ограниченности ресурсов выбирается концентрированный маркетинг;
- степень однородности продукции для однородной продукции (сталь, лимоны) подходит недифференцированный маркетинг, для разнородной другие виды маркетинга;
- этап жизненного цикла товара на этапе выхода на рынок целесообразно предлагать один вариант товара и использовать недифференцированный или концентрированный маркетинг;
- стратегии конкурентов при однородности вкусов, потребностей, реакций покупателей можно применять недифференцированный маркетинг;
- стратегии конкурентов если они проводят сегментирование, то применять недифференцированный маркетинг опасно. В любом случае дифференцированный или концентрированный маркетинг дают конкурентные преимущества.
Чтобы определить наиболее выгодный сегмент, надо собрать информацию о каждом сегменте. Привлекательность сегмента оценивается по следующим критериям:
- емкость сегмента (количество и стоимость товаров, которые могут быть на нем реализованы);
- доступность сегмента (возможность получить каналы распределения и сбыта, наличие складов, магазинов);
- информационная насыщенность (можно ли получить необходимую рыночную информацию);
- существенность сегмента (не распадается ли данная группа потребителей, устойчивы ли потребности);
- прибыльность сегмента (масса и норма прибыли, которую можно получить);
- защищенность конкурентов (шансы на успех в данном сегменте по сравнению с возможностями конкурентов).
После выявления привлекательных сегментов их надо оценить с точки зрения соответствия сильным деловым сторонам фирмы, выяснить есть ли у нее необходимый опыт, ресурсы, другие предпосылки для работы с данным сегментом.
Позиционирование товара на рынке.
Для того, чтобы проникнуть в целевой сегмент, необходимо осуществить позиционирование товара. Позиционирование это выбор таких характеристик товара, которые могут в выгодную сторону отличать его от продукции конкурентов и обеспечить ему четко определенное место на рынке и в сознании целевых потребителей.
Если фирма предложит точно такой же товар, как один из имеющихся на рынке, то у потребителей не будет причин покупать его.
Процесс позиционирования можно представить в виде последовательных ответов на три группы вопросов:
- Каковы главные характеристики продукта, на которые по разному реагируют потребители? (цена, потребительские свойства, внешний вид и т.д.)
- Каковы позиции различных конкурирующих продуктов в пространстве продукта?
- Какова наилучшая возможная позиция для данного продукта в пространстве продукта?
Наиболее наглядный способ совмещения схемы позиционирования товаров конкурентов и схемы потребительских предпочтений.
Любой товар это набор воспринимаемых потребителями свойств. Например, одно из лекарств воспринимается как быстродействующее, но жесткое для желудка, другое наоборот.
Чтобы разобраться, почему потребители покупают той или иной товар, нужно сравнить их свойства. Результаты сравнения можно представить в виде схемы позиционирования товаров ( 1).
В этой схеме позиции товаров соответствуют скорее восприятию их потребителями, а не их реальным свойствам.
Затем фирма должна выяснить какие именно свойства потребители хотят видеть в товаре и готовы платить за них деньги. На основании опроса строится схема потребительских предпочтений ( 2).
Совместив обе схемы, можно увидеть, в частности, что многие потребители хотели бы покупать лекарства, сочетающие быстродействие с высокой мягкостью, но ни одна из существующих марок не воспринимается, как сочетающая оба эти признака.
Другой способ позиционирования количественная оценка конкретных марок товара по отношению к идеальному представлению о нем. Оценку можно выразить формулой.
Дjк =
Дjk степень неудовлетворения k моделью;
Wik вес, придаваемый признаку i потребителем k;
Bijk представление потребителя k о том, в какой степени признак i имеется в модели j;
n количество оцениваемых признаков.
Чем меньше будет величина Дjk, тем выше оценка потребителем k-ой модели.
Если покупателей важны несколько свойств продукта, то пространство может быть не двухмерным, а многомерным. Такое пространство может быть построено с помощью компьютера.
Можно также построить профиль продукта. Например, профиль модели автомобиля может выглядеть так.
Необходимо создавать профили продуктов конкурентов, идеального и собственного. С помощью статистических методов, например, факторного анализа, множество оцениваемых критериев может быть представлено в виде небольшого числа факторов.
Так французские авторы показывают, как пятнадцать критериев оценки поставщика можно свести к двум факторам.
Таким образом, позиционирование увязывает потребительские предпочтения с наборами реально осуществимых и измеримых параметров товара.
Осуществляя позиционирование, фирма может выбрать один из двух путей:
позиционирование себя рядом с одним из конкурентов и начать борьбу за долю рынка;
разработать модель, которой нет на рынке.
Выбирается тот путь, где выше ожидаемая прибыль и меньше риск.
Первый путь выгоден при следующих условиях:
фирма может предлагать товар, превосходящий конкурента;
емкость сегмента достаточно велика, чтобы вместить двух конкурентов;
фирма превосходит конкурента по ресурсам;
избранная позиция соответствует сильным деловым сторонам организации.
Если выбран этот путь, то надо тщательно изучить товар конкурента и найти способ дифференцировать свое предложение с помощью инструментов маркетинга.
Второй путь выбирается при следующий условиях:
если есть достаточное число покупателей, предпочитающих данную модель;
у фирмы есть технические возможности, чтобы разработать модель;
есть экономические возможности обеспечить планируемый уровень цен, соответствующих спросу.
Если наши условия выполняются, то фактически это означает, что фирма нашла нишу на рынке место, как правило, небольшое, которое еще не занято конкурентами. Так многие компании безуспешно пытались оспорить лидерство "IBM" на рынке компьютеров.
Например, фирма "РКА" успела вложить 500 млн. долл. в компьютерную отрасль, прежде чем приняла решение оставить ее. Однако анализ сильных и слабых сторон деятельности "IBM" показал, что существуют "ниши", которые фирма не может или не хочет заполнить.
Одной из "ниш" являлся рынок компьютеров для научных исследований, которые сумела заполнить фирма "Контрол Дейта Корпорейшн", не входя в прямую конфронтацию с "IBM".
Таким образом, посредством позиционирования своих продуктов фирма может определить лучший способ внедрения в целевой сегмент.
От выбранной позиции во многом зависят все решения относительно инструментов комплекса маркетинга. Следовательно, решение о позиционировании является основой для разработки товарной, ценовой, сбытовой и коммуникационной политики предприятия.
Товарная политика предприятия
- Маркетинговое понимание товара.
- Жизненный цикл товара.
- Ассортиментная политика предприятия. Формирование ассортимента.
- Разработка новых товаров.
- Примерный состав БД "Товар" в маркетинговой информационной системе.
Маркетинговое понимание товара.
В маркетинге товар это все, что может удовлетворить потребности и предлагается рынку.
В маркетинге товар мультипликативное понятие.
1. Базовый уровень (продукт как таковой) это то,, ради чего продукт покупается, его способность решить проблемы потребителя;
2. Фактический продукт или товар в реальном исполнении;
3. Расширенный продукт (товар с подкреплением или сопровождением), поддерживается комплексом услуг, льгот;
- Обобщенный продукт психологический ореол или имидж товара, создается с помощью рекламы и других способов продвижения товара.
Качество продукта характеризуется такими параметрами как надежность, долговечность, технико-экономическими, соответствия моде, экологичность, эстетичность. Особенность маркетингового подхода к качеству в том, что оно измеряется оценками потребителей.
Задача маркетинга создать образ качества.
С качеством связано понятие дизайна. Оно включает внешний вид и функциональные особенности продукта, которые делают его привлекательным, простым, безопасным и экономичным.
Понятие качества и дизайн пересекаются в той мере, в которой качество обусловлено конструкторским решением.
Марка, а вернее ее использование может повысить значимость товара. Марка это название, термин, знак, символ, рисунок или их комбинация, предназначенная для идентификации товаров и дифференцировании их от товаров конкурентов.
Марка может в себя включать марочное название (часть марки, которую можно произнести), марочный знак (часть марки, которая является узнаваемой, но не произносимой), товарный знак (марка или ее часть, защищенная юридически).
Организационная структура службы маркетинга.
распределенные (группировки);
методы обобщения и агрегирования информации.
Группировка это распределение полученное из совокупности данных по сущностным признакам. Используется для построения вариационных рядов по какому-либо признаку (одномерное распределение признака); для изучения сопряженности двух или трех признаков.
Для этого формируются двух или трех мерные распределения. Основная цель формирования это сравнение соответствующих одномерных распределений.
Группировки используются также для наглядного представления структуры данных с помощью так называемых диаграмм, гистрограмм и полигонов, для построения так называемых Паретто- диаграмм.
Обобщение и агрегирование позволяют более глубоко понять особенности объекта распределения и отразить типичные значения для данной совокупности, сделать информацию более компактной. Для этого используются:
средние величины;
показатели колеблемости;
сложные методы укрупнения информации.
К средним величинам относят:
среднее арифметическое (М);
медиана (Ме) значения признака, который приходится на центральный член ранжированного ряда. Медиана используется когда применение среднего арифметического невозможно особенно для качественных признаков; когда среднее недостаточно полно характеризует ряд.
Медиана делит ряд распределения пополам. Так называемые квартили делят ряд на 4 равные совокупности (по 25%), используются также децили (10 совокупностей) и перцентили(100 совокупностей);
мода (Мо) это наиболее часто встречающееся значение признаков и указывает "центр тяжести" совокупности, используется при сегментации рынка.
К показателям колеблемости относятся:
вариационный размах

;
дисперсия D это характеристика рассеивания случайной величины;
средне- квадратическое отклонение

;
коэффициент вариации

.
Применяются при оценке достоверности результатов экспертного опроса. Если колеблемость результатов превышает нормативную величину, то их нельзя считать достаточно точными и достоверными, следовательно, нужно проводить дополнительную интеграцию.
Показатели колеблемости характеризуют однородность полученных результатов. Если они не превышают нормы, то можно использовать средние величины для характеристики всей совокупности, а если нет, то необходимо выделить несколько групп, каждая из которых будет характеризоваться своими средними показателями.
К сложным методам относятся:
- Кластерный анализ. Он позволяет сжать матрицу данных, объединяя их в небольшое число групп.
2. Факторный анализ. Позволяет редуцировать множество факторов до небольшого числа.
3. Дисперсионный анализ применяется для анализа результатов эксперимента и позволяет определить как влияют отдельные факторы на результат эксперимента. Для этого вычисляют дисперсию и находят какая доля дисперсии зависит от условий общих для всех групп, какая от исследуемого фактора, а какая от случайных причин.
4. Дискриминантный анализ позволяет найти существенные признаки, по которым можно разделить совокупность на группы.
- Многомерное шкалирование позволяет определить критерии оценки товара покупателями. Товар первого типа отличается по марке, упаковке, цене и т.д., т.е. по различным признакам. И на основе данных о продаже товаров или на основе результатов эксперимента определяют в какой мере каждый признак влияет на покупательский выбор.
К методам анализа взаимосвязи явлений относят гипотезу о связях различных факторов. Для измерения тесноты связи используется различные коэффициенты.
Если шкала измерения количественная, то используются коэффициенты корреляции, если шкала рейтинговая используются коэффициенты ранговой корреляции Спирмана и Кендела. Если шкала номинальная, то в случае дихотомической группировки (2 * 2) используется коэффициент ассоциации Q показывающий одностороннюю связь, т.е. влияет ли пол на интерес к рекламе, а коэффициент контингенции Ф показывает двухстороннюю связь. Если признаков больше двух, то используются коэффициенты взаимной сопряженности Пирсона, Чупрова и Крамера. Для анализа форм связи составляется уравнение регрессии.
Для этого используется метод наименьших квадратов для изучения зависимости спроса от различных факторов.
К методам анализа динамики процессов относят: см. курс "Прогнозирование" анализ временных рядов.
Управление маркетингом на предприятии
- Организационная структура службы маркетинга.
- Планирование маркетинга.
- Контроль маркетинга.
Организационная структура службы маркетинга.
Организационная структура представляет собой совокупность подразделений, взаимосвязей между ними и распределения функций. Если предприятие небольшое, то маркетингом может заниматься один человек, если предприятие большое, то необходима информационная служба. Выделяют следующие виды структур:
функциональная;
товарная;
товарно- функциональная;
рыночно- функциональная;
товарно- функциональная.
Функциональная структура выглядит следующим образом:

Преимущества:
- простота, выраженная в том, что каждый отдел имеет свои функции, не пересекающиеся с другими отделами;
- функциональная специализация работников, способствующая росту квалификации.
Недостатки:
- с расширением номенклатуры выпуска снижается качество работы;
- отсутствие механизма поиска нетрадиционных направлений деятельности фирмы;
- возможность конкуренции между отделами и различные интересы.
Эта организация эффективна в тех случаях, когда деятельность фирмы постоянна и однообразна, фирма небольшая, выпускает одно наименование продукции или ограниченное число и реализует ее на малом рынке. Иногда такую структуру используют крупные фирмы, выпускающие уникальные товары.
Товарная структура. Маркетинговая служба строится по товарам.

Преимущества:
- изучение спецификации потребностей и основных потребителей по каждому товару;
- интеграция всех маркетинговых функций по каждому товару.
Недостатки:
широкий круг обязанностей каждого сотрудника. Эффективна для фирм с широкой номенклатурой товаров и их реализации на большом количестве однородных рынков.
Особенно эффективна, когда требования к упаковке, сбыту, рекламе по каждому товару существенно отличаются и объем сбыта по товарам достаточно большой, чтобы оправдать организацию отдела.
Этот недостаток устранятся с помощью товарно- функциональной организации службы маркетинга. В ней сочетаются товарный и функциональный признаки.

Рыночная. Отделы организуются по отдельным рынкам.
Преимущества:
лучшая координация работ при выходе на рынок. Возможна разработка комплекса программы выхода на рынок с учетом специфики;
большая достоверность прогноза конъюнктуры рынка.
Недостатки:
низкая степень специализации;
возможность дублирования функций;
плохое знание номенклатуры товаров.
Эффективна, если номенклатура товаров ограничена, но реализуется на большом количестве рынков, отличающихся по условиям реализации. Это могут быть географические рынки, а могут быть рынки индивидуальных потребителей, коммерческих организаций, государственных учреждений.
Чтобы сгладить недостатки используется рыночно- функциональная организация. Строится по такому же принципу, что и товарно-функциональная.
Преимущества такие же как и у рыночной + знание товарной номенклатуры.
Недостатки:
наиболее высокая себестоимость содержания службы;
возможность конфликтов при разном решении вопросов по одному и тому же рынку разными службами.
Принципы выбора:
структура маркетинговой службы должна быть наиболее простой, чем проще структура, тем она мобильнее;
чем больше товаров в ведении специалиста, тем меньше число функций, которые можно успешно выполнить.
Планирование маркетинга.
Планирование маркетинга это последовательность действий и процедур по постановке целей маркетинга, выбора стратегий и разработке мероприятий по их достижению. На определенном периоде планирование маркетинга осуществляется на основе стратегического планирования, т.е. до составления плана маркетинга должны быть определены цели и задачи предприятия, разработан план развития хозяйственного портфеля, должны быть определены СХЕ сферы деятельности предприятия, которые различаются по признаку товара, рынка и т.д., стратегия роста фирмы (интенсивный, расширение границ рынка). Планы маркетинга разрабатываются для каждой СХЕ.
Это годовые планы с разбивкой по кварталам (месяцам, пятилетние планы).
Разделы плана маркетинга:
1. Аннотация (кратко изложены основные задачи и рекомендации, основные показатели развития: объем реализации, прирост в %, факторы, за счет которых обеспечивается прирост, прибыль, расходы на маркетинговую деятельность);
2. Текущая маркетинговая ситуация (описываются: целевой рынок, положение предприятия на целевом рынке и позиционирование товара);
2.1. описание рынка (количественные (емкость, доля рынка), качественные (характеристики потребителей));
2.2. характеристика продуктов предприятия: экономические показатели (цены, объем продажи, рентабельность), качественные характеристики;
2.3. конкуренция: стратегия главных конкурентов, их доли рынка, способы сбыта продукции и продвижения товаров.
2.4. каналы распространения продуктов.
3. Цели маркетинга. Они устанавливаются в виде количественных или качественных характеристик: рентабельность, доля рынка, объем сбыта.
Система целей может быть представлена в виде дерева целей.
4. Стратегии маркетинга. Указываются главные принципиальные направления маркетинговой деятельности, с помощью которых можно достичь поставленных целей.
Эти стратегии разрабатываются и по элементам комплекса маркетинга, т.е. общая стратегия конкретизируется в товарной политике, сбытовой и коммуникационной.
5. Программа действий совокупность мероприятий, которые необходимо осуществить для реализации стратегии, т.е. указывается, что должно быть сделано, кто исполнитель, когда, стоимость.
6. Бюджет маркетинга. Не только (?) результаты (?) на маркетинг, но и плановые величины выручки, затрат и прибыли.
Включаются не только затраты производства, но и затраты маркетинга.
- Контроль плана. Процедуры измерения и оценки результатов реализации стратегии и программы маркетинга.
Контроль маркетинга.
Маркетинговый контроль делится на:
1. контроль за выполнением годовых планов;
2. контроль рентабельности;
3. стратегический контроль.
Первый заключается:
1. в сопоставлении фактических текущих показателей контрольными цифрами по месяцам и кварталам;
2. в выявлении причин отклонений;
3. в принятии мер по устранению отклонений, а то может потребовать изменения программ.
Направления анализа:
а) анализ сбыта
ведется на основе принципа Паретто (80 / 20) и на основе сообщений об отклонениях о ходе реализации. Согласно принципу Паретто значительная часть общего объема сбыта приходится на небольшую часть потребителей, товаров или территорий.
Принцип Паретто реализуется с помощью А, В, С анализа.

Продукты, которые попали в область С являются кандидатами на использование ассортимента. Анализ дополняется сообщениями об отклонении от хода реализации. Если оно в сторону уменьшения, то нужно выявить причины и предложить меры: усиление рекламы и т.д.
Изменение в сторону увеличения: новые возможности сбыта: увеличивают запасы товара, чтобы предотвратить нехватку.
б) анализ доли рынка.
абсолютный и относительный анализ доли рынка
абсолютная доля рынка

относительная

Если доля падает в концепции маркетинга есть слабые места.
в) анализ отношения между затратами на маркетинг и сбытом
Анализ соотношения затратный, эффективность тих затрат и определить их наибольшую приемлемую величину. Если соотношение ухудшилось понижается эффективность маркетинговой деятельности предприятия.
г) наблюдение за отношением клиентов.
Проверяется система жалоб и претензий, а также опросов, в т.ч. панельные опросы, когда одна группа потребителей определяется в течении нескольких лет то панель. Можно выявить изменения в спросе заблаговременно и принять меры.
Второй проводят по различным товарам, группам потребителей, по территориям и по торговым каналам. Для этого проводят распределение расходов и прибыли.
По видам маркетинговой деятельности и перечисленным выше факторам с помощью двухмерных таблиц.
|
Расходы |
тип канала распределения |
|
универмаги |
магазины оргтехники |
специализированные фирмы |
всего |
реклама
стимулирование сбыта
транспорт
хранение
маркетинговые исследования
|
|
|
|
|
накладные расходы
Итого
Объем реализации
Прибыль
Рентабельность |
|
|
|
|
Третьи. Эта регулярная проверка соответствия исходных стратегических установок фирмы рыночным возможностям.
В ходе стратегического контроля оценивается эффективность маркетинговой деятельности в целом, выявляются слабые места маркетинговой деятельности.
Стратегический контроль проводится посредством ревизии маркетинга, которая представляет собой комплексное, системное, беспристрастное и регулярные исследования маркетинговой Среды, цели, стратегии и оперативной деятельности фирмы. Иногда используются термин аудит маркетинга или контроль маркетинга.
Желательно чтобы ревизию проводили независимые эксперты. Для ревизии используется перечень вопросов по следующим разделам:
1. маркетинговая макросреда;
2. внешняя макросреда;
3. стратегия маркетинга;
4. организация службы маркетинга на предприятии;
5. система маркетинга, в т.ч. МИС, система планирования маркетинга, система контроля, система разработки новых товаров;
6. результат маркетинга;
7. комплекс маркетинга.
Маркетинг информационных продуктов и услуг
- Информация как предмет коммерческого распространения.
- Индустрия коммерческого распространения информации.
- Организация информационного маркетинга.
Информация как предмет коммерческого распространения.
Данные это факты окружающего мира, фиксируемые с помощью органов чувств, приборов и т.д. Данные становятся информацией при решении конкретной задачи.
Информация это данные, которые устраняют неопределенности по какому-либо вопросу. В результате решения задачи знания прошедшие проверку сведения, обобщены в виде теорий и т.д.
Можно сформулировать требования к организации информационного бизнеса и маркетинга.
Успех коммерческого распространения информации как товара, обуславливается тем, в какой степени данные, предлагаемые потребителям будут представлять для них информативность, т.е. насколько полно и эффективно с точки зрения затрат, времени и др. они позволяют ответить на вопрос. Информативность зависит от данных и вида представления.
На потребительскую ценность и рыночную цену информации влияют как содержание данных, так и форма их представления.
Форма структурирования данных реализует жесткую информационную модель производителя данных.
Информационная модель совокупность представлений о конкретной предметной области и о том, какие данные и в какой форме наиболее адекватно ее отражают.
Превращение данных в информацию осуществляется их потребителями на основании их информационной модули. Информационные модели производителя и пользователя никогда не могут полностью совпасть.
Их несовпадение проявляется в том, что пользователю нужны данные в другом объеме и в другой структуре, чем это сделано в информационном продукте.
Новые информационные технологии, которые предполагают не только предоставление информационного продукта, но и средств доступа к нему, способствуют сближению информационных моделей производителей и пользователей и они удешевляют информацию, т.к. не надо показывать весь продукт целиком.
Таким образом, основной товар, создаваемый с помощью информационных технологий информационные продукты и услуги (ИПУ).
Индустрия коммерческого распространения информации.
Основные информационные продукты БД, а также метаданные (данные о данных). Основной организационной формой, по которой развиваются современные технологии является автоматизированные банки данных (АБД) это системы специально организованных БД, а также программных, технических, языковых организационно- методических средств, предназначенных для коллективного использования этих БД.
АБД на технических носителях 2000, удаленные (использование сетей) 4000.
На рынке действуют:
1. сами производители ИПУ. Среди них:
а) производители БД. Они осуществляют сбор информации и ее перевод в машиночитаемую форму;
б) интерактивные службы. Они разрабатывают и эксплуатируют АБД;
в) интегрированные производители (а + б).
2. телекоммуникационные службы они осуществляют передачу информации по сетям ЭВМ.
- пользователи (конечные и промежуточные). Промежуточные посредники (библиотеки, информационные центры общего пользования и брокеры- специалисты).
Организация информационного маркетинга.
Специфика информационного маркетинга обусловлена:
1. информационные потребности не всегда осознаются самими пользователями и не локализованы фиксированными моментами времени, следовательно, требуется значительная работа по продвижению предлагаемых услуг к потребностям пользователей и по содержанию устойчивого спроса;
2. информационные технологии постоянно меняются каждый 2 - 3 года, следовательно, изменяются инструменты маркетинга.
Информационный маркетинг руководствуется принципами основного маркетинга, а также его направлений. Главные направления информационного маркетинга:
- анализ рынков;
- формализация цен на ИПУ;
- установление взаимоотношений между участниками информационного рынка;
- продвижение ИПУ.
Первые позволяют определить какая информация должна включаться в АБД и каким требованиям должна удовлетворять АБД, чтобы пользователи согласились с ней работать. Для ответа на эти вопросы используется:
анализ АБД аналогов, прежде всего зарубежных;
анализ сегментации рынка.
Бывают аналоги по содержанию и по назначению. Изучение аналогов первого типа дает представление о частоте включения определенных данных в АБД, таким образом характеризующую структуру спроса.
Изучение аналогов второго типа позволяет уточнить рыночные стандарты. В отношении функциональных параметров АБД и их программного обеспечения.
Функциональные параметры АБД их различие содержательные и формализованные характеристики.
Критерии сегментации на информационном рынке:
1. профессиональная и отраслевая принадлежность, что определяет тематику данных;
2. для интерактивных услуг наличие опыта работы в интерактивном режиме;
3. характер информационной деятельности: конечные пользователи или посредники.
Вторые. На установление цен на ИПУ влияют:
а) затраты на разработку и эксплуатацию АБД;
б) качество услуг;
в) ожидаемый спрос на них.
Используется система цен, состоящая из базовых тарифов, а также льгот и скидок. Основные виды базовых цен:
1. цена часа присоединения к АБД;
2. цена полученных данных;
3. цена подписки на АБД и отдельные БД.
Льготы: бесплатный доступ.
Для расчета конкретных значений цен рекомендуется применение имитационного моделирования.

, где
Р конкретное значение цен;
S структура цен;
Q спрос на ИПУ;
I выручка.
Фиксируя размер выручки и задавая определенные значения спроса можно подобрать структуру и значение цен с помощью имитационного моделирования.
Третьи. Взаимоотношения между производителями АБД и интерактивными службами строятся на основе контракта: интерактивная служба загружает БД в АБД и осуществляет их коммерческую эксплуатацию, а производитель отвечает за достоверность, лицензионную частоту и регулярность обновления.
Положение о финансовых расчетах: существует две схемы расчетов между производителями и интерактивной службами:
1. арендная: интерактивная служба выплачивает производителю БД фиксированную сумму, а оставшуюся часть выручки забирает себе. Интерактивной службе эта схема выгодна, если БД коммерчески перспективна, а арендная плата невелика, а производителю эта схема выгодна в том, что он избавлен от риска, связанного с неопределенностью спроса;
2. распределительная. Предварительные платежи отсутствуют, а распределяется уже полученная выручка.
Производителю выплачивается авторский гонорар роялти. Размер роялти фиксируется в договоре и представляет собой цену, выплачиваемую интерактивной службе за реальную работу производителя и устанавливается в % или рублях.
Четвертые. Основные методы:
- реклама;
- распространение справочных материалов;
- консультирование пользователей.
Особенности рекламы: информирование пользователя о характеристиках и конкретных преимуществах АБД.
Требования к содержанию рекламы: краткость, доступность; четкое изображение преимуществ и собственно оформление.
Используются печатные и электронные средства, участие в выставках, ярмарках, организация различных семинаров, демонстрационных сеансов и предоставление права работы пользователю в ознакомительных целях.
Комплект справочной документации направляется пользователю сразу по заключению контракта и периодически обновляется. Справочная документация должна содержать сведения о БД, руководство пользователя о том, как составить запрос и полное руководство, метаинформация, информация о ценах и возможных скидках.
Консультирование пользователя применяется для первичного ознакомления с возможностями АБД для ответов на конкретные вопросы (семинары, электронная почта и др.).
1 из эмпирически построенных кривых, выражающих зависимость спроса от маркетинговых усилий, следует, что с увеличением затрат на маркетинг эффективность их сначала растет, а затем с определенного момента падает.
Понятие о видах продвижения.
Эта операция проводится и для базового и для нового изделия;
- определение цены одного балла. Для этого делим цену базового товара на общую сумму набранных им баллов;
- определяем цену нового изделия. Для этого умножает цену одного балла на общую сумму баллов по новому изделию.
Система маркетинговых коммуникаций (система продвижения товаров)
- Понятие о видах продвижения. Разработка стратегии маркетинговых коммуникаций.
- Реклама. Особенности разработки рекламной компании.
- Личная продажа. Планирование личной продажи.
- Стимулирование сбыта. Разработка программы стимулирования.
- Пропаганда. Подготовка и проведение пропагандисткой компании.
Понятие о видах продвижения. Разработка стратегии маркетинговых коммуникаций.
Продвижением считается любая форма сообщений, используемая предприятием для информации, убеждения или напоминания о своих товарах или самом предприятии с целью формирования спроса и стимулирования сбыта (ФОССТИС), также называется система маркетинговых коммуникаций.
Процесс разработки стратегии маркетинговых коммуникаций включает ряд этапов:
- Определение целевой аудитории. Целевой аудиторией могут быть:
- все потенциальные потребители, тогда на рынок выходят с единым комплексом продвижения;
- потенциальные потребители разделенные на сегменты, тогда для каждой аудитории предполагается свой комплекс продвижения;
- один сегмент
- Установление целей коммуникационной компании
- стратегические и тактические цели предприятия в целом;
- непосредственно в отношении потребителей.
Постановка цели зависит от состояния целевой аудитории:
познание
эмоции и отношение
поведение
В рамках первой стадии ставятся цели:
создание осведомленности;
предоставление необходимой информации.
В рамках второй стадии ставятся цели:
создание необходимого имиджа фирмы или продукта;
формирование благорасположения;
подтверждение имиджа;
формирование предпочтения;
формирование убежденности в необходимости покупки.
В рамках третьей стадии ставятся цели:
побуждение к опробованию продукта;
побуждение к приобретению;
увеличение объема продаж;
изменение поведения целевой аудитории.
- Выбираются виды продвижения и их сочетание. Выбор зависит от:
- особенностей этих инструментов;
- типа товара или рынка;
- целей рекламной компании;
- этап жизненного цикла товара.
- Подготовка обращений (зависит качество компании). Решаются вопросы:
- о содержании (необходимо учитывать мотивы и эмоции покупателя);
- логическая структура;
- форма обращения.
При разработке логической структуры используются следующие решения:
сформулировать ли четкий вывод или предоставить это аудитории;
изложить ли только аргументы "за" или еще "против";
в какой части поместить самые действенные аргументы.
Форма обращения определяется в зависимости от средств обращения.
Планирование каналов распространения информации. Каналы коммуникации бывают личные и не личные.
Личные каналы делятся на:
разъяснительно- пропагандистские;
экспертно- оценочные;
общественно- бытовые.
Для использования личных каналов фирма может
выявить влиятельных лиц и организации и сосредоточить на них дополнительные усилия;
фирма может сама создать лидеров мнений, снабжая их товаром на льготных условиях;
можно использовать влиятельных лиц в рекламе;
можно создать рекламу, которая стала бы темой для разговора.
Каналы не личной коммуникации:
средства массового и избирательного воздействия (периодическая печать, информационные листки, радио, телевидение и иллюстрированно-изобразительная информация);
специфическая атмосфера специально созданная среда, способствующая укреплению или возникновению предрасположенности к покупке (интерьер, поведение персонала);
мероприятие событийного характера (выставки, презентации).
- Выбор источника обращение (должен вызывать доверие).
- Разработка бюджета коммуникаций. Средства можно определить следующими методами:
- от располагаемых средств;
- в процентах к объему продаж (средний процент за ряд лет);
- метод конкурентного паритета (выделение средств на уровне конкурентов);
- исходя их целей и задач (ставятся цели, определяются задачи, разрабатываются мероприятия и определяются затраты на каждое из мероприятий);
- метод доли рынка используется формула зависимости доли рынка от маркетинговых усилий.
- анализ ответной реакции потребителей проводят после распространения обращения. Для этого опрашивают целевую аудиторию:
- осведомлены ли опрошенные о товаре;
- опробовали его;
- остались ли довольны товаром.
Реклама. Особенности разработки рекламной компании.
Под рекламой понимается любая оплачиваемая форма неличной презентации и продвижения товаров, осуществляемая конкретным заказчиком.
Преимущества рекламы:
- возможность привлечения большого географически разбросанного рынка;
- контролируется заказчиком в отличии от пропаганды;
- прокладывает дорогу для других видов продвижения;
- может многократно повторяться для одной аудитории;
- возможность броского и эффективного представления товаров и фирм;
- низкий уровень расходов в расчете на одного клиента.
Недостатки:
- большие общие расходы;
- отсутствует индивидуальный подход;
- невозможность диалога с потребителем;
- наличие бесполезной аудитории.
При разработке рекламной компании следует обратить внимание:
- решение о рекламном обращении;
- выбор средств рекламы;
- анализ эффективности рекламы.
При принятии решения составляется перечень преимуществ товара, а с другой стороны проводится мотивационный анализ поведения потребителя. Проводится сопоставление преимуществ товара и оценка их с точки зрения рынка. На основе этого анализа формулируется тема компании в виде слогана или образа. Слоган яркий заголовок, девиз (В течении рекламной компании не меняется, а может только модернизироваться).
При выборе средств рекламы учитывают:
- стоимость (общая и в расчете на 1 тысячу аудитории);
- удельный вес бесполезной аудитории;
- охват потенциального рынка, т.е. доля целевой аудитории данного рекламного сообщения в общем объеме потенциального рынка;
- частота появления рекламы;
- доступность;
- авторитетность (доверие данному источнику информации);
- сервисность;
- соответствие средства рекламы товару и целевой аудитории.
Для товаров производственного назначения с точки зрения минимизации расходов предпочтительна прямая почтовая рассылка, второе место реклама в журналах для специалистов, третье место реклама в журналах для бизнесменов и менеджеров.
Для товаров индивидуального потребления наиболее эффективна реклама в популярных газетах и журналах, второе место теле и радио реклама, третье наружная реклама, четвертое реклама на транспорте.
Анализ эффективности рекламы: выделяют предварительный, текущий и последующий анализ. Методы анализа:
- тесты на узнавание и запоминание;
- опрос мнений и отношений;
- опрос с балльной оценкой или ранжирование (свойства рекламы в баллах);
- тесты на словесные ассоциации;
- лабораторные тесты с использованием специальной аппаратуры для замеров психологической реакции.
Для текущего анализа часто требуется оценить средства рекламы. Последующая оценка проводится историческим и экспериментальным методом. Исторический заключается в том, что сравнивается отношение между уровнем сбыта и расходами на рекламу в предшествующих и текущим периодах. Экспериментальный метод заключается в том, что берутся несколько рынков с одинаковыми затратами на рекламу, на одном из них затраты увеличиваются, на другом уменьшаются, на третьем остаются без изменения.
Результаты сравниваются.
Личная продажа. Планирование личной продажи.
Личная продажа это устное представление товара в ходе беседы с одним или несколькими покупателями. Этот метод продвижения самый дорогой, но в некоторых случаях наиболее эффективный.
Эффективность личной продажи достигается за счет следующим преимуществ:
- личный контакт с покупателем, установление отношений с ним;
- метод вызывает ответную реакцию со стороны потребителя;
- приспособление к индивидуальным требованиям;
- концентрация на четко определенных целевых рынках;
- размер издержек, не приносящих результата больше чем в рекламе;
- удерживает постоянных потребителей и помогает нерешительным потребителям.
Недостатки:
- велики издержки в расчете на одного потребителя;
- неэффективна с точки зрения информирования потребителей;
- не может охватить разбросанный рынок (устраняется с помощью сетевого многоуровнего маркетинга).
Этапы планирования личной продажи:
- Отбор покупателей может быть
- случайным;
- целенаправленным.
Методы целенаправленного отбора:
метод бесконечной цепочки;
анализ коммерческой рекламы.
- Выбор стратегии личной продажи
- стандартная продажа (заранее подготовленный подход);
- гибкая продажа (индивидуальный подход).
Выбор стратегии зависит от того насколько потребитель информирован о товаре до начала личной продажи и от того насколько целенаправленно отобрана клиентура. Стандартная продажа применяется в следующих случаях:
если нет информации о покупателе;
если покупатель отобран целенаправленно или является постоянным. при этом соблюдаются условия:
товар хорошо известен и воспринимается положительно;
поддерживается интенсивной рекламой;
является стандартным и относительно дешевым.
Информационная разведка необходимость получения максимального объема информации о потребителе.
- Разработка логики продажи на основе информационной разведки строится общая схема разговора и продумывается ряд эффективных заготовок. Сам процесс можно разделить на три блока:
- уточнение информации;
- блок представления товара (описание ассортимента, цен);
Схема продвижения товара:
Х отдельная характеристика товара;
В выгода, которую можно извлечь из характеристики;
П причина, по которой необходима выгода;
С слабый стороны покупателя, связанные с отсутствием товара или использованием товаров конкурентов;
У ущерб, который несет покупатель в связи с отсутствием товара.
Возражения клиентов
- психологического порядка (определяются особенностями личности);
- логического порядка (связаны с действительными свойствами товара).
-
- завершение сделки.
Стимулирование сбыта. Разработка программы стимулирования.
Стимулирование сбыта это кратковременные побудительные меры поощрения покупки товара и другие неповторяющиеся сбытовые усилия.
Преимущества:
- содержит явное побуждение к покупке;
- привлекает внимание к товару и содержит информацию, способную вывести покупателя на товар;
- четкое предложение незамедлительно совершить покупку;
- приводит к кратковременному росту объема продаж.
Недостатки:
- может использоваться только как дополнительный вид продвижения;
- не может применяться постоянно;
- часто смещает акцент на второстепенные факторы.
Подготовка и проведение компании по стимулированию сбыта:
- Определение задач стимулирования. Задачи различаются в зависимости от состояния целевого рынка. Они аналогичны задачам всей коммуникационной компании. Задачи стимулирования различаются в зависимости от направлений стимулирования. Выделяют три основные направления:
- стимулирование покупателей;
- стимулирование оптовых и розничных торговцев;
- стимулирование собственного торгового персонала.
Если проводится стимулирование потребителей, то могут решаться следующие задачи:
побуждение новых покупателей попробовать товар;
поощрение более интенсивных покупок;
привлечение тех, кто пользуется товаром конкурентов.
При стимулировании торговли могут ставиться следующие задачи:
поощрение включения нового товара в ассортимент;
поддержание больших запасов товара;
подрыв мер стимулирования конкурентов;
формирование у розничной торговли приверженности к марке;
проникновение в новые торговые точки.
При стимулировании собственного торгового персонала решаются задачи:
поощрение или поддержка нового товара;
поднятие уровня внесезонных продаж;
при использовании личной продажи поощрение большего числа посещений клиентов.
Выбор средств стимулирования.
Он зависит от поставленных задач, а также преимуществ и недостатков различных форм стимулирования.
Формы стимулирования покупателей:
|
Форма стимулирования сбыта |
Преимущества |
Недостатки |
|
Предоставление бесплатных образцов продукции |
Дает потребителям возможность составить наиболее полное впечатление о покупке.
привлекает новых потребителей.
Способствует более быстрому восприятию продукта |
Связано со значительными расходами.
Не позволяет составить точную картину о перспективах реализации. |
|
Свободное испытание и проверка изделия |
Преодоление невосприимчивости ко всему новому и непривычному. |
Достаточно сложен и дорог в организации и проведении. |
|
Непосредственное распространение купонов агентами по сбыту |
Хорошая избирательность, нацеленность на заранее выбранный круг потребителей.
Высокая степень восприимчивости потребителей, привлечение их внимания к продукту. |
Очень трудоемкий процесс, требующий много времени.
Нуждается в тщательном контроле |
|
Рассылка купонов по почте |
Очень хорошая избирательность и степень восприимчивости потребителей.
Возможность застать людей в домашней обстановке. |
Довольно дорогостоящий метод.
Нужно время для получения каких-либо результатов.
Зависимость от качества составления письменного обращения. |
|
Распространение купонов через газеты |
Быстрота и удобство в практическом использовании метода.
Учет географической специфики.
Сравнительно дешевый метод |
Низкая степень восприимчивости потребителей.
Розничные торговцы могут игнорировать (не признавать) такие купоны.
Требует тщательного планирования при использовании. |
|
Распространение купонов через журналы и приложения к ним |
Точная ориентация на заранее выбранные группы потребителей.
Эффективный охват наиболее важных потребителей. |
Может стать весьма дорогостоящим.
Потребители не всегда вырезают такие купоны.
Относительно невысокий темп восприятия изделий потребителем. |
|
Гарантирование возврата денег |
Повышает престиж марки фирмы.
Открывает путь для формирования новых рынков. |
Результаты появляются не сразу.
Оказывает весьма умеренный эффект на рост объема продаж. |
|
Премиальная продажа (снабжение покупки каким-либо мелким подарком) |
Способствует росту объемов продаж.
Незначительно дополнительные расходы по сбыту. |
Появляется проблема мелких краж со стороны торгового персонала.
Недостаточный стимул для постоянного клиента. |
|
Скидки с цены. |
Увеличивает объем реализации изделий.
Наглядный и удобный в использовании. |
Низкая избирательность к заранее выбранным группам потребителей.
Может подорвать престиж торговой марки. |
|
Конкурсы и лотереи |
Способствует росту доверия к марке фирмы |
Достаточно дорогостоящий в применении.
Участие ограниченного круга потребителей. |
|
Демонстрация товара в пункте продажи, выкладка |
Эффективное средство привлечения внимания потребителей |
Требует обязательного участия торгового агента (демонстрация).
Требует постоянного обновления (витрина). |
Формы стимулирования торговли:
- скидки за большую партию приобретенного товара, за покупку товара в определенный отрезок времени;
- компенсация издержек (устройство витрины, представление товара публике);
- подарки, бесплатное дополнительное количество товара, а также различные сувениры- реклама;
- конкурсы, творческие встречи, выставки, повышение мастерства торгового персонала.
По отношению к собственным работникам используются следующие формы стимулирования:
- денежные премии;
- подарки;
- дополнительные отпуска;
- конкурсы.
- Разработка программы стимулирования. В ней необходимо отобразить следующее:
- определение интенсивности стимулирования, в том числе частоты проведения мероприятий по стимулированию (нужна информационная база);
- условия участия (кому полагаются премии);
- выбор средств распространения информации (издержки, охват);
- определяется продолжительность программы стимулирования, если продолжительность программы маленькая, то многие желающие могут не успеть, а если компания растянута по времени, то начинает надоедать (например, компания Довгань);
- выбор времени по осуществлению мероприятий по стимулированию. Учитывает фактор сезонности;
- расчет средств на стимулирование
- подсчитываются затраты по каждому мероприятию;
- в % от общего бюджета коммуникаций.
- Тестирование мероприятий, т.е. их проверка на целевой аудитории. Тест может проводится с помощью опроса или в форме эксперимента.
- Осуществление программы стимулирования. Для этого нужен план на каждое мероприятие с указанием сроков, исполнителей и содержание работ. В процессе план может корректироваться.
- Анализ результатов стимулирования сбыта. Его проводят следующими способами:
- сравнение показателей сбыта и доли рынка до, в ходе и после программы;
- сравнение групп покупателей до и после стимулирования;
- опросы потребителей с целью выяснения мнения о компании стимулирования.
Пропаганда. Подготовка и проведение пропагандисткой компании.
Пропагандой называется неличностное не оплачиваемое предприятие стимулирования спроса на товар путем распространения коммерчески важных сведений в средствах массовой информации. Принимает форму благоприятных отзывов о фирме и ее товаре.
Используется для создания имиджа фирмы.
Преимущества:
- воспринимается как более эффективная и достоверная;
- открывает возможности для эффективного представления фирмы и ее товара;
- может охватить широкий круг покупателей;
- бесплатна для фирмы.
Недостатки:
- невозможность контроля со стороны фирмы;
- отсутствие гарантии положительных отзывов;
- пресса может акцентировать внимание на несущественных характеристиках фирмы;
- публикации не регулярные;
- публикации имеют высокую стоимость для средств массовой информации.
Пропаганда компании проводится в несколько этапов.
- Определение целей и задач.
Цели:
создание, укрепление или изменение имиджа предприятия;
обеспечение поддержки со стороны разных общественных групп.
Задачи:
подготовка пресс-релизов, т.е. статей или аудио и видео материала;
подготовка пресс-релизов о данной фирме и ее товарах;
подготовка и проведение мероприятий событийного характера (выставки, конференции, презентации).
- Подготовка пропагандистских обращений, которые могут строиться на уже подготовленных привлекательных материалах или на мероприятиях событийного характера.
- Выбор средств распространения пропагандистских обращений. Основной критерий целевая аудитория.
Осуществление мероприятия.
- Анализ результатов. Способы анализа:
- замер числа контактов целевой аудитории с материалом (объем газетной площади, тираж газет, время сообщений в телевидении). Сумма средств представляет собой экономию на рекламе.
- замеры перемен в уровне осведомленности аудитории и отношении к товару.
- замеры воздействия на сбыт и прибыль.
Сбытовая политика предприятия (дистрибьюция)
- Каналы распространения товаров. Их функции и виды.
- Критерии выбора каналов распространения.
- Товародвижение. Цели и элементы.
- Оптовая торговля. Виды оптовых предприятий.
- Розничная торговля. Виды розничной торговли.
- Маркетинговое решение оптовых и розничных торговцев.
Каналы распространения товаров. Их функции и виды.
Дистрибьюция деятельность предприятия по доведению продукта до целевого потребителя. Включает в себя выбор канала распределения, выбор маркетинговых посредников, а также решение вопросов складирования, транспортировки и создания запасов.
Существует область деятельности, называемая логистика, занимающаяся сбытовой деятельностью.
Канал распределения это совокупность предприятий, организаций и отдельных лиц, включаемая в процесс доставки продукта потребителям. По числу участников канала выделяют следующие типы:
0 уровень: производитель клиент
1 уровень: производитель розничный торговец клиент
2 уровень: производитель оптовый торговец розничный торговец клиент
3 уровень: производитель оптовый торговец мелкооптовый торговец розничный торговец клиент
Посредники могут брать на себя ряд функций:
- исследовательская;
- стимулирования сбыта;
- установление контактов с потребителями;
- подготовка товаров под требования покупателя;
- проведение переговоров;
- организация товародвижения;
- финансирования канала;
- принятие риска ответственности за функционирование канала.
Причины по которым необходимо использование посредников:
- у многих производителей не хватает финансовых ресурсов для создания собственной торговой сети;
- для многих товаров нерационально создание специальных торговых точек;
- производителю более выгодно вкладывать средства в свой бизнес;
- посредники специализируются в своей деятельности и поэтому ведут ее более эффективно, чем фирма производитель;
- сокращение контактов.
По степени самостоятельности посредники делятся на зависимых и независимых. Независимые посредники приобретают товар в собственность с целью последующей перепродажи, а зависимые являются менее самостоятельными торговыми агентами.
Кроме рассмотренных существуют смешанные каналы распределения. Они используются когда предприятие работает на разносторонних рынках или потребители предъявляют повышенные требования к товару.
Критерии выбора каналов распространения.
Сравнительные характеристики каналов распределения.
|
Тип канала |
прямые |
с независимыми |
с зависимыми |
смешанные |
|
Характеристика |
|
посредниками |
посредниками |
каналы |
|
рынок |
вертикальный (когда товар используется в разных отраслях но немного потребителей) |
горизонтальный (в каждой отрасли много потребителей |
вертикальный |
любой |
|
объем сбыта |
не большой |
большой |
средний |
большой |
|
контакты с изготовителями |
очень тесные |
незначительные |
малые |
средние |
|
издержки сбыта |
самые высокие |
незначительные |
малые |
средние |
|
ценовая политика |
очень гибкая |
гибкая |
недостаточно гибкая |
в целом гибкая |
|
знание предмета сбыта |
отличное |
удовлетворительное |
хорошее |
оптимальное |
|
зона действия |
узкая |
широкая |
узкая |
наиболее полная |
|
право собственности на товар |
у изготовителя |
у посредника |
у изготовителя |
по-разному |
|
финансовое состояние изготовителя |
сильное |
слабое среднее |
слабое |
среднее |
|
возможности технического обслуживания |
высокие |
низкие |
средние |
нормальные |
|
качество отчетности о сбыте и товародвижении |
высокое |
низкое |
самое низкое |
любое |
|
уровень стандартизации изделия |
низкий |
высокий |
высокий или средний |
любой |
Товародвижение. Цели и элементы.
Товародвижение это система доставки товаров к местам продажи в точно определенное время с максимальным уровнем обслуживания покупателей. Доля затрат составляет от 110 до 30%, из них транспортировка 40 - 50%, складирование 20 - 30%, поддержание товарно- материальных запасов около 10%, от 3 до 6: обработка заказов, получение и отгрузка товаров, упаковка.
Цели товародвижения:
- максимальный сервис для клиентов;
- снижение издержек предприятия.
Элементы системы товародвижения:
Транспортировка существенно влияет на цену товара.
1. Обработка заказов (решение о процедуре оформления заказа).
2. Складирование. Решения:
- использовать собственные склады или склады посредника;
- сколько должно быть промежуточных складов;
- как должны быть организованы склады.

3. Поддержание товарно-материальных запасов. Решения:
- необходимое количество товара для поддержания запасов;
- расчет времени для их пополнения.
Транспортировка существенно влияет на цену товара. Решение: выбор вида транспорта.
Характеристики видов транспорта
|
Показатель |
Рейтинг |
|
ж / д |
водный |
автомобильный |
трубопровод |
воздушный |
|
скорость |
3 |
4 |
2 |
5 |
1 |
|
частота отправок в сутки |
4 |
5 |
2 |
1 |
3 |
|
соблюдение графиков |
3 |
4 |
2 |
1 |
5 |
|
число обслуживаемых точек |
2 |
4 |
1 |
5 |
3 |
|
способность перевозить разные грузы |
2 |
1 |
3 |
5 |
4 |
|
дешевизна |
3 |
1 |
4 |
2 |
5 |
|
характеристика наиболее рентабельных перевозок |
партия грузов "навалом" на дальние расстояния |
громоздкие нескоропортящиеся продукты |
перевозка в городах, гибкие маршруты, дорогие товары на небольшие расстояния |
нефть, газ, химикаты |
скоропортящиеся продукты и негромоздкие изделия высокой стоимости |
Оптовая торговля. Виды оптовых предприятий.
Оптовой торговлей считается деятельность по продаже товаров или услуг тем кто приобретает их с целью использования в бизнесе.
Оптовая торговля обеспечивает эффективность торгового процесса за счет специализации, высвобождения средств для сферы производства, масштаба сделок, наличия контактов, подбора ассортимента.
Виды оптовых торговцев:
независимые коммерческие оптовые организации;
брокеры и агенты;
отдельные предприятия.
Коммерческие оптовые организации это предприятия осуществляющие оптовые закупки товаров с целью последующей перепродажи. Имеют право собственности на продаваемые товары.
Выделяют предприятия с полным циклом обслуживания и с ограниченным циклом обслуживания.
Первые представляют полный набор услуг: хранение, поставка товаров, продвижение и сбыт, кредитование, торговый персонал.
Вторые бывают следующих видов:
- предприятия cash and carry торгуют за наличный расчет без доставки товара;
- оптовик, который продает и доставляет товар;
- оптовый организатор получает заказ от покупателя, находит производителя, а производитель отгружает товар непосредственно покупателю на определенных условиях поставки в определенное время. Принимает на себя риск;
- оптовик консигнант осуществляет продажу на условиях консигнации, т.е. передает товар розничным торговцам сохраняя на него право собственности и взимает с розничных торговцев плату с проданных товаров.
Брокеры не берут на себя право собственности на товар, а лишь сопутствуют купле- продаже и получают комиссионные. Брокеры сводят продавца и покупателя и помогают им договориться.
Не принимают на себя риска, не держат запасов и не финансируют сделку. Особое преимущество брокеров: обеспечение конфиденциальности.
Агенты представляют покупателя / продавца на долговременной основе. Выделяют несколько групп:
- агенты предпринимателей представляют интересы двух или нескольких предпринимателей на основе договоров, где оговариваются цены, территория, комиссионные. Преимущества: хорошо знакомы с ассортиментом, имеют многочисленные контакты с покупателями, и сотрудники этих фирм являются искусными продавцами;
- полномочные агенты по сбыту отвечают за сбыт всей продукции одного производителя, служат приближенным отделом сбыта предпринимателя, но являются самостоятельными посредниками. Используются, когда производитель не хочет брать на себя сбытовые функции;
- агенты по закупкам имеют долгосрочные соглашения с покупателями, куда входят функции: покупка товаров, проверка качества, хранение, отгрузка;
- комиссионные торговцы заключают краткосрочные соглашения, самостоятельно продают товар, вычитают комиссионные, остаток выручки передают предпринимателю.
Собственные торговые отделения предприятия применяются когда необходимо контролировать процесс дистрибьюции. К ним относятся:
сбытовые отделения и конторы предпринимателя. Отличия: сбытовые отделы имеют склады для хранения товаров;
закупочные конторы розничных торговцев.
Розничная торговля. Виды розничной торговли.
Розничная торговля любая деятельность по продаже товаров и услуг конечными потребителями для их личного некоммерческого использования.
Виды розничной торговли:
через магазины;
вне магазинов.
Магазины в зависимости от ассортимента делятся на:
- узко специализированные;
- специализированные;
- торговые комплексы.
В зависимости от набора услуг:
- с ограниченным обслуживанием;
- с полным обслуживанием;
- со свободным отбором товаров;
- самообслуживание.
Внемагазинная торговля включает в себя: прямой маркетинг, прямую продажу, продажу с помощью торговых автоматов.
Прямой маркетинг реализуется через рекламу, адресован потребителям с целью получения прямого ответа на предложение о покупке. Существуют различные формы прямого маркетинга:
- по почте;
- маркетинг по каталогам;
- маркетинг по телефону (товар заказывается по бесплатному телефонному номеру на основании телевизионной или радио рекламы);
- телевизионный маркетинг (реклама прямого ответа);
- электронная торговля основанная на использовании телефонной или кабельной линии, которая связывает покупателя с ЭВМ БД продавца. Продажа через "Интернет";
- интегрированный маркетинг реализуется с помощью различных маркетинговых средств в несколько этапов с целью улучшения реакции потребителя на предложение товаров.
Прямая продажа осуществляется торговыми агентами на дому или в конторах клиентов. Организуются встречи с группой клиентов.
Достоинства: удобство для покупателей; недостаток: более высокая цена.
Продажа через автоматы позволяет экономить заработную плату торговых работников.
Маркетинговое решение оптовых и розничных торговцев.
- Решение о целевом рынке. Для розничных предприятий это самое важное решение. Чтобы выбрать целевой рынок необходимо проводить маркетинговые исследования. Оптовые предприятия руководствуются размерами покупателя, видом предприятия, заинтересованностью в услуге.
- Решение об ассортименте и комплексе услуг. Ассортимент для розничных предприятий должен соответствовать требованиям целевого рынка. Такое решение включает в себя: решения о широте, глубине и качестве товара. Это требует дополнительных затрат, но дает преимущества:
широкий ассортимент позволяет стимулировать совершение различных покупок в одном месте;
глубокий ассортимент позволяет удовлетворить требования различных сегментов.
Таким образом, широкий и глубокий ассортимент позволяет увеличить объем оборота капитала.
Сюда относят решение об атмосфере магазина, т.е. планировка, интерьер, звуковое оформление. Она должна соответствовать вкусам потребителей целевого рынка.
Для оптовика ассортимент является его продуктом, причем розничные предприятия оказывают на оптовика определенное давление.
3. Решение о ценах. Для розничных предприятий это ключевой фактор конкуренции и отображения качества предлагаемых товаров. При этом необходимо:
- совершать тщательно продуманные закупки;
- уметь выбирать ценовую стратегию;
- владеть искусством уценки товаров замедленного сбыта.
Оптовики должны оперировать эластичностью спроса по цене.
- Решение о методах продвижения товара. Розничные торговцы используют весь комплекс продвижения, а оптовики не уделяют этому должного внимания.
5. Решение о месте размещения предприятия. Это особенно важно для разных предприятий с точки зрения привлечения клиентов.
Стохастическая гравитационная модель: вероятность посещения торгового центра прямо пропорциональна его торговым площадям, и обратна пропорциональна времени езды до него.
Используются методы на основе каталогов важных характеристик, т.е. составляется перечень характеристик местоположения магазина:
- относительная покупательная способность на одного жителя;
- количество потребителей в зоне влияния;
- поток прохожих в час;
- торговые площади;
- площадь витрины;
- наличие автостоянок, число мест на них;
- возможности поставки;
- общественный транспорт.
Эксперты определяют важность любого признака (1 и 3), затем любое из альтернативных мест оценивается по этим характеристикам. Для оценки используется сравнение фактического значения с нормативным.
Затем определяется итоговая оценка по любому альтернативному месту как сумма произведений оценки по любой характеристике на важность этой характеристики.
Оптовики размещают свои предприятия в районах с низкой арендной платой и низким налогообложением. Стараются минимизировать издержки на оборудование, обустройство помещений и др.
Маркетинговая информация и маркетинговые исследования
- Понятие о маркетинговой информации и маркетинговой информационной системе (МИС).
- Программа маркетингового исследования.
- Методы сбора первичной маркетинговой информации.
- Методы анализа маркетинговой информации.
Понятие о маркетинговой информации и маркетинговой информационной системе (МИС).
Маркетинговая информация это сведения, которые необходимы для принятия маркетинговых решений и выполнения маркетинговых операций. Цель получения информации в уменьшении неопределенности и риска принятия маркетинговых решений.
Особенностью маркетинговой информации, ее предметом является:
внешняя и внутренняя микросреда предприятия;
макросреда;
комплекс маркетинга.
Многие данные носят неопределенный характер, не поддаются точному измерению. Работа с маркетинговой информацией требует системного подхода, поэтому на предприятиях создаются МИС, которые необходимы для сбора, обработки, анализа и распространения в определенном времени достоверной информации для подготовки и принятия маркетинговых решений.
Технической основой МИС является автоматизирование рабочих мест маркетологов и компьютерные сети. В структуре МИС выделяют 4 подсистемы:
- Подсистема сбора внутренней текущей информации. Ее задача полное отображение информации о сбыте продукции, о запасах товаров на предприятии, о состоянии различных элементов внутренней среды предприятия, выдача оперативных сведений. Источники информации: статистическая и бухгалтерская отчетность предприятия, результаты внутренних обследований, акты ревизий и проверок предприятия.
- Подсистема сбора внешней текущей информации. Задачи: получение повседневных сведений о событиях, которые происходят во внешней среде. Здесь возникает проблема с источниками получения информации. Выделяют 4 системы типичного канала и 1 случайный:
-
- "текст" 30 - 40% информации (газеты, журналы);
- "фирма" 30 - 40% информации (контакты персонала фирмы с партнерами, с клиентами, с поставщиками, с банкирами);
- "консультант" 10 - 15% информации (эксперты, консалтинг, фирмы);
- "беседа" 20 - 30% (выставки, ярмарки, презентации, конференции);
- "джокер".
Все данные, которые входят в систему внешней текущей информации, получают методом маркетинговой разведки.
3) Подсистема маркетинговых исследований.
Маркетинговые исследования подразумевают целенаправленный сбор, систематизацию и анализ информации, необходимой для решения конкретной проблемы или разработки стратегии, т.е. все данные имеют целенаправленный характер.
Направления маркетинговых исследований: различными объектами маркетингового исследования являются: маркетинговая среда предприятия (внешние макро и микро среды), внутренняя микросреда, комплекс маркетинга предприятия и их отдельные элементы: рынок, конъюнктура, распределение долей между фирмами.
4) Подсистема анализа маркетинговой информации. Включает набор методов обработки и анализа маркетинговых данных. Роль в том, что она позволяет сделать выводы из полученной информации и найти решения проблемы. Используется статистический банк и банк моделей.
Статистический банк это современных методов статистической обработки информации, позволяющих выявить взаимозависимости и установить степень надежности данных. Это группировки, средние величины, корреляционно- регрессионный анализ, многомерное шкалирование.
Банк моделей это набор математических моделей, позволяющих принимать оптимальные маркетинговые решения применительно к конкретным задачам маркетинга. Например, модель покупательского поведения, модель возможного поведения конкурентов, модель качественных характеристик товаров и услуг, модель системы ценообразования, модель оптимальной системы сбыта, модель оптимизации организационной структуры.
Программа маркетингового исследования.
Программа маркетинговых исследований представляет собой документ, включая несколько разделов:
- постановка проблемы (четкая формулировка). Проблема выявляется на основе АХД, на основе экспертного опроса руководителей и специалистов, на основе наблюдения. Иногда используется матрица выявления проблем маркетинговой деятельности.
|
Функция управления менеджмента |
целеполагание |
планирование |
организация обеспечения |
контроль |
регулирование |
стимулирование |
|
элементы маркетинговой деятельности |
|
|
|
|
|
|
разработка маркетинговой концепции предприятий
исследования
маркетинговая среда
комплекс маркетинга |
|
|
|
|
|
|
2. Постановка целей, которые формируются на основе проблем и содержат две части:
выяснение причин;
разработка мероприятий по решению проблемы.
3. Формулировка объекта и предмета исследования.
Объект кто или что исследуется, определяется целью. Сам объект определяет размер генеральной совокупности.
Предмет исследования это та сторона объекта, которая подлежит изучению.
4. Модель объекта, которая показывает его структуру, т.е. элементы, на которые можно разбить объект и связи между ними.

Схема показывает блоки, по которым необходимо собрать информацию и позволяет формулировать гипотезы о характере взаимосвязи между элементами.
5. Формулировка гипотез исследований.
Гипотеза научное предположение о характере и сущности связей между явлениями. Ее необходимо подтвердить или опровергнуть в ходе исследований.
Гипотеза формулируются в зависимости от целей исследования и от структуры объекта.
- Определение состава информации, которую необходимо получить, чтобы проверить гипотезы и достичь поставленных целей. Структура массива необходимой информации состоит из блоков равных элементам модели. Но каждый блок необходимо интерпретировать и операционировать. Интерпретировать объяснить из каких блоков из каких характеристик этот блок состоит. Операционировать показать в показателях, которыми модно оперировать (измерять их и устанавливать количественные взаимосвязи между ними, шкала измерения не обязательно может быть числовой. Она может быть локальной).
7. Определение источников информации: первичные или вторичные.
Первичные те источники, которые используются непосредственно для решения данной проблемы.
Вторичные те, которые уже имеются в наличии на начало исследования. Сбор первичной информации внекабинетные, полевые исследования.
Сбор вторичной информации кабинетные исследования. Вторичная информация: статистическая информация, периодика, результаты уже проведенные исследований.
Преимущества вторичны источников: низкие затраты на получение информации, а так же то, что они дают информацию, которую нельзя получить силами фирмы (информация о макросреде). Недостатки: ненадежность, может не соответствовать целям исследования, быстро устаревает. Сначала используют возможности вторичной информации, и если ее недостаточно, принимают решение о сборе первичной информации.
Преимущества первичной информации: можно контролировать надежность, достоверность, сравнимость (? равность, тождество) с целями исследований и их структурой.
- Выбор методов и средств сбора первичной информации. Используются методы эмпирической социологии: опрос, наблюдение, эксперимент. Необходимо сопоставить преимущества и недостатки методов с требованиями исследований.
Определение исполнителей.
- Затраты на исследование. Определяются трудовые затраты (человеко-час) и финансовые затраты (рубли) = зарплата персонала + стоимость необходимого оборудования + затраты на организацию исследования и стимулирование опрошенных.
- Методы сбора первичной маркетинговой информации.
Опрос основан на устном или письменном обращении к респондентам (опрашиваемым лицам) с вопросами, которые раскрывают проблему исследования на эмпирическом уровне. Используются в 90% исследований. Преимущества:
- универсальность;
- дает словесную информацию (вербальная информация, которая хорошо поддается количественной обработке);
- сравнительная экономичность.
Опросы могут быть:
- очные;
- заочные (по почте, по телеграфу);
- устные (интервью);
- экспертные;
- массовые;
- открытие;
- скрытые (цель исследования не сообщается респонденту);
- свободные (беседа);
- стандартизированные (анкета).
Критерии оценки различных форм опроса
|
Критерии |
Очный |
Заочный |
Телефонный |
|
доля ответивших |
+ |
|
~~ |
|
затраты |
|
+ |
+ |
|
влияние интерьера |
|
+ |
~~ |
|
объем опроса |
+ |
|
~~ |
|
влияние посторонних |
+ |
|
~~ |
|
быстрота проведения |
|
|
~~ |
|
правильное истолкование опросов |
+ |
|
+ |
|
комплексность информации |
+ |
|
~~ |
|
гарантии анонимности |
+ |
|
|
|
учет несловесной реакции |
+ |
|
|
|
соблюдение порядка вопросов |
+ |
|
+ |
Проблемы, возникающие при опросе:
1. Определение выборочной совокупности (или выборки). Выборка это те, кто будет опрашиваться.
Сначала нужно определить генеральную совокупность (все, кто входит в объект исследования). Если ГС мала, то можно провести сплошной опрос, который дает наиболее точные результаты. Если ГС велика, то определяется размер выборки.
В маркетинге допускается приблизительно 1% ГС для опроса.
Существует теория малых выборок, которая допускает именно такой подход. Размер выборки зависит от допустимой погрешности и репрезентативности выборки (представительности).
Репрезентативность обеспечивается соответствующими статистическими методами. Участников нужно определять случайно, чтобы соответствовать теории вероятностей:
- когда есть список населения;
- когда списка нет.
В первом случае проводят метод случайной жеребьевки. Размещают фамилии в алфавитном порядке и подчеркивают каждую k-ую фамилию, где k = N / n, N размер ГС, n размер выборочной совокупности.
Во втором случае можно провести многоступенчатую жеребьевку.
Например, выбирается каждый 10-й квартал, в нем каждый 10-й дом, в нем каждая 10-ая квартира.
Чтобы получить более точные результаты используют метод групповой выборки, который заключается в том, что население сначала делится по признакам, а затем внутри каждой группы проводят случайную выборку методом жеребьевки.
2. Составление анкеты.
Нужно соблюдать следующие требования:
- формулировка вопроса должна быть простой и понятной;
- последовательность вопросов. Начинать нужно с вопроса средней сложности, побуждающего интерес к анкете, затем сложность вопросов может нарастать к концу анкеты, а если анкета большая, то к середине, а к концу снижаться. Вопросы личного характера помещают в конце анкеты;
- в составе вопросов не должно быть лишних, т.е. включение каждого вопроса обосновывается. Вопросы могут быть содержательные и функционально- психологические (используются в начале анкеты для адаптации и мотивации, а затем для снятия напряжения и перехода от одной темы к другой);
- по способу постановки вопроса: открытые и закрытые. Открытые вопросы не сопровождаются вариантами ответов. Закрытые вопросы предполагают выбор предлагаемого варианта ответа;
- по типу шкалы вопросы бывают с номинальной шкалой (шкала наименований) это ответы выраженные в словесной форме; порядковая шкала дает возможность ранжирования, т.е. упорядочения объектов относительно друг друга. Такая шкала используется для формирования предпочтений показателя; шкала интервалов образуется из шкалы порядка введение единицы измерения разности.
3. Организация опроса.
После составления анкеты нужно провести пилотажное исследование (пробный опрос). При проведении опроса нужно соблюдать некоторые правила (при проведении почтового опроса возврат составит 20 25%):
- должна быть предварительная рассылка уведомлений;
- анкета должна сопровождаться сопроводительным письмом, в котором подчеркиваются цели этого опроса, важность ответов;
- должно быть высокое качество печати;
- должен прилагаться конверт возврата с напечатанным адресом;
- желательны сувениры (календари и т.д.);
- желательны напоминания об отправке анкет.
Наблюдение это прямая регистрация событий очевидцем. Наблюдение как научный метод имеет ряд особенностей:
- целенаправленность;
- наблюдение планируется заранее;
- все данные фиксируются в протоколах или в карточках;
- все данные постоянно контролируются с точки зрения надежности и точности.
Преимущества:
объективность по сравнению с опросом;
независимость от желания объекта к сотрудничеству;
возможность восприятия неосознанного поведения;
возможность использования технических средств наблюдения.
Недостатки:
трудно обеспечить репрезентативность;
сложность расшифровки невербального языка;
если наблюдение открытое, то возможно неестественное поведение.
Наблюдение бывает:
включаемое и невключаемое (участие самого исследователя);
стандартизированное и нестандартизированное. При стандартизированном поведение объекта заранее описывается по определенной схеме;
в полевых условиях и в лабораторных.
Эксперимент в контролируемых условиях измеряется 1 или несколько факторов, а остальные остаются неизменными и затем оценивается влияние изменяемых факторов на исследуемый объект.
Преимущества эксперимента в том, что он выявляет причинно- следственные связи. Недостаток: высокие издержки при проведении эксперимента в реальных условиях, невозможен контроль всех факторов.
Эксперименты бывают полевые, лабораторные и модельные. К полевым относят тест рынка или пробные продажи.
Они проводятся на географически ограниченных рынках с целью получения данных о предложении, спросе на новые или измененные товары, а также действенности инструментов маркетинга.
Тест в лабораторных условиях: группе потребителей предлагается оценить продукт к выходу на рынок (весь или отдельные атрибуты продукта). При полном тесте измеряется общее действие всего продукта, а при частичном используется "слепой" метод, т.е. оценка продукта без знания марки.
Для измерения эффективности взаимовлияния атрибутов используются два способа:
- постепенная анонимизация (без цены, упаковки и т.д.);
- количество компонент остается постоянным, но они варьируются, а интересующий элемент предлагается во многих вариантах (цвет, название).
Модельный эксперимент проводится путем имитационного моделирования на ЭВМ, когда строится модель факторов, а затем различные сочетания этих факторов заносятся в ЭВМ. Используется эксперимент, когда объект исследования слишком сложный.
Методы анализа маркетинговых исследований.
Методы анализа могут делится на:
- методы анализа структуры явлений;
- методы анализа взаимосвязей явлений;
- методы анализа динамики процессов.
Методы анализа структуры явлений делятся на:
Жизненный цикл товара.
Это дает продавцу право на исключительное использование марки.
Функции товарного знака для потребителей:
- гарантирует определенный уровень качества;
- облегчает контроль за производителями;
- дает потребителю различать (?) товары разных производителей.
Функции товарного знака для производителей:
- облегчает позиционирование товара и сегментирование рынка;
- помогает вызвать доверие покупателей;
- способствует внедрению на новые рынки;
- дает возможность продажи лицензий;
- марочные товары ценятся на 115 20% дороже.
В России действует закон о товарных знаках, принятый в 1992 г.
Требования к товарному знаку:
- простота;
- индивидуальность;
- привлекательность;
- охраноспособность.
Упаковка товара выступает его визитной карточкой. Функции:
- защита от порчи и повреждений;
- создание рациональных единиц для погрузки, транспортировки и складирования;
- создание оптимальных по весу и объему единиц товара для продажи;
- информирование о свойствах продукта и способе использования;
- реклама;
- идентификация.
Концепции упаковки это основополагающие принципы и идеи о том какой должна быть упаковка и какую роль должна играть.
Маркировка это составная часть упаковки, включает марочное название и информацию о товаре. Для нее используются этикетки, ярлыки и штрих коды.
Обслуживание делится на предпродажное (бесплатное) и послепродажное. Последнее в свою очередь делится на гарантийное (бесплатное) и послегарантийное (контракт). Предпродажное: консультирование, подготовка изделия к продаже, устранение неполадок при транспортировке, монтаж и регулировка.
Послепродажное (гарантийное): организация пуско-наладочных работ, контроль правильности эксплуатации, ликвидация неполадок, профилактический осмотр и замена деталей. Послепродажное: ППР, кап. ремонт, снабжение запасными частями, модернизация и дополнительное обучение.
Жизненный цикл товара.
Концепция жизненного цикла товара подразумевает, что товар в своем развитии проходит несколько стадий, каждая из которых требует своего подхода к маркетинговой политике.

0 разработка товара и опытное производство;
1 стадия внедрения;
II стадия роста;
III зрелость;
IV насыщение;
V снижение спроса.
Жизненный цикл товара: основные характеристики и ответные реакции производителей
|
Фаза выведения на рынок |
Фаза роста |
Фаза зрелости |
Фаза насыщенности |
Фаза упадка (спада) |
|
Характеристика |
|
Сбыт |
слабый |
быстрорастущий |
медленно растущий |
стабилизирующийся |
падающий |
|
Прибыль |
незначительная |
максимально растущая |
замедленно растущая |
медленно растущая |
низкая или нулевая |
|
Потребители |
новаторы |
массовый рынок |
массовый рынок |
консерваторы |
отстающие |
|
Число конкурентов |
небольшое |
устойчиво растущее |
большое |
медленно уменьшающееся |
сокращающееся |
|
Ответная реакция производителей |
|
Основные стратегические усилия |
расширение рынка |
углубление рыночных позиций |
отстаивание своей доли рынка |
повышение рентабельности производства |
изъятие наиболее убыточных товаров |
|
Затраты на маркетинг |
высокие |
высокие, но относительно более низкие |
относительно сокращающиеся |
растущие |
низкие |
|
Основные усилия маркетинга |
формирование представления о товаре |
формирование предпочтения к марке |
создание приверженности к марке |
закрепление приверженности к марке и к фирме |
выборочное воздействие |
|
Распределение товара |
неравномерное |
интенсивное |
интенсивное |
экстенсивное |
выборочное |
|
Цена |
самая высокая |
Высокая, но понижающаяся в конце фазы |
сравнительно низкая |
самая низкая |
выборочно возрастающая |
|
Товар |
основной вариант |
усовершенствованный |
дифференцированны |
дифференцированно- модернизированный |
относительно высокой рентабельности |
Ассортиментная политика предприятия. Формирование ассортимента.
Ассортимент это набор товаров, предлагаемых предприятием на рынке. Он включает в себя различные виды товаров, которые в свою очередь делятся на ассортиментные группы, которые отличаются по функциональным особенностям, цене, качеству.
Каждая группа состоит из ассортиментных позиций. Ассортимент предприятия характеризуется широтой, т.е. количеством ассортиментных групп, глубиной, т.е. количеством позиций в каждой ассортиментной группе, общностью между различными ассортиментными группами, т.е. существует связь между изделиями.
Оптимальной ассортиментной концепцией является та, которая учитывает как потребности рынка так и цели предприятия и его ресурсы.
Ассортиментная концепция выражается в системе показателей:
- виды группы и позиции товаров;
- уровень и частота обновления ассортимента;
- уровень и соотношение цен на товары;
- соотношение между товарами единичного и серийного производства;
- соотношение между наукоемкими и обычными товарами;
- соотношение между овеществленными товарами и услугами, а также рецензиями и ноу-хау.
Перед разработкой ассортимента принимается ряд стратегических решений:
- выбор стратегии развития товара и рынка;
- выбор товарной стратегии (может быть недифференцированный маркетинг, дифференцированный маркетинг и концентрированный маркетинг);
- выбор конкурентной стратегии: обработка ниши, дифференцирование, лидерство в издержках, по качеству, следование за лидером, наступательные и оборонительные;
- выбор стратегических зон хозяйствования. Стратегия трех это область деятельности предприятия, выделенная по признаку товара, рынка или общности технологий.
После того, как принят ряд стратегических решений можно приступать к формированию ассортимента, который включает в себя ряд стадий:
- маркетинговое исследование товаров и рынков, при этом определяется емкость, конъюнктура рынка (количественные показатели), потребности покупателей, анализируются способы использования товаров и другие особенности покупательского поведения (качественные характеристики), исследование собственных товаров и товаров конкурентов (оценка и сравнение);
- формирование базового товарного ассортимента (БТА); осуществляется:
- рассмотрением предложений о создании новых продуктов, о совершенствовании имеющихся, о новых областях применения товара;
- осуществляется решение вопросов какие продукты добавить в ассортимент, а какие исключить, и нужно ли проводить диверсификацию производства;
- проводится оценка экономических характеристик товаров, входящих в БТА, осуществляется разработка спецификаций, расчет себестоимости, цены, рентабельность, объем производства, трудоемкость, продолжительность освоения капитальных вложений;
- тестирование, т.е. испытание продуктов с учетом мнения потребителей;
- рейтинг каждого товара, включенного в БТА определяется путем ранжирования или бальной оценки по целевым экономическим характеристикам. В качестве целевых характеристик могут выступать:
- рентабельность по себестоимости, капитальным вложениям, заработной плате;
- чистая прибыль, если отсутствуют источники финансирования;
- формирование и отбор предпочтительных вариантов товарного ассортимента с учетом рейтинга и ограничений (производственной мощности, объема капитальных вложений, численности работников и т.д.). Предпочтительным вариантом товарного ассортимента следует считать номенклатурных позиций, обладающий наивысшим рейтингом по выбранному показателю ранжирования в условиях заданных ресурсных ограничений. Если мы имеем несколько ресурсных ограничений, то используется ЭММ (Федоров);
- разработка специальных рекомендация для производства в соответствии с результатами тестирования относительно качества, упаковки, цены, наименования, сервиса и т.д., таким образом, обеспечивается связь маркетинга и производства.
Разработка новых товаров.
Стадии разработки новых товаров:
1. Формирование идей общее представление о товаре. Источники идей:
- потребители (опросы, письма, жалобы, предложения);
- конкуренты;
- торговый персонал;
- научные публикации, а также ученые и консультанты;
- творческие методы: мозговая атака, синектика (цель выход за рамки ограничений, накладываемых на традиционное мышление);
- аналитические: морфологический анализ, анализ характеристик продукта, когда существующий продукт анализируется с точки зрения соответствия целям, которым он служит: функционально- стоимостной анализ исследовать функции и элементы товара при сопоставлении с затратами на их осуществление.
2. Отбор идей цель: как можно раньше выявить и отсеять непригодные идеи. Методы отбора сводятся к оценке их соответствия целям и ресурсам предприятия с помощью балльного метода.
|
Критерии |
Коэффициент весомости критерия |
Оценка соответствия идеи |
Итоговая оценка (графа 2 * 3) |
цели предприятия
1.1
ресурсы
Итого |
|
|
|
- Разработка замысла товара и его проверка. Замысел это проработанный вариант идеи, выраженный формулировками, понятными для потребителя.
4. Разработка стратегии маркетинга для конкретного замысла. Состоит их трех частей:
- определяют объем целевого рынка, позицию товара, показатели сбыта, доли рынка и прибыли на ближайшие года;
- определяют подход к распространению, ценовую политику и затраты на маркетинг в течении первого года;
- определяет перспективные цели по сбыту и прибыли и долговременный стратегический подход к комплексу маркетинга.
- Анализ экономических показателей осуществляется стоимостная проработка товара: себестоимость, прибыль, рентабельность и анализируются возможности производства.
- Разработка товара, т.е. конструкторская разработка, опытное производство, в т.ч. функциональные испытания, разработка марки, упаковки, рекламы, система послепродажного обслуживания.
7. Испытание в рыночных условиях пробный маркетинг, когда в порядке эксперимента выбрасывается небольшая партия товара.
- Развертывание коммерческого производства. Отвечают на вопросы: когда выводить на рынок, где продавать, кому продавать, как выводить на рынок. Составить смету затрат для каждого элемента комплекса маркетинга.
5. Примерные состав БД "Товар" в маркетинговой информационной системе.
Состав БД целесообразно помещать в таблицу по следующей форме.
|
Наименование товара |
Код |
Параметры товара |
Реквизиты организации (для покупных товаров) |
|
|
технические |
экономические |
|
|
|
х1 |
х2 |
|
х1 |
х2 |
|
|
В качестве экономических показателей берутся цена, количество и сроки поставки и т.д. Нахождение зависимостей между техническими и экономическими характеристиками:

j характеристика товара i
i код товара в классификации
С = f(n) показывает как цена зависит от продаваемого товара.
Конкурентоспособность товара прямо пропорциональна его качеству и обратно пропорциональна его цене.

,
Iкп определяется как отношение показателя качественных параметров оцениваемого товара к качеству показателя конкурирующего товара, взятого за базу.

Bi весомость i- го параметра, выраженная в баллах или коэффициенте
Oi оценка i- го параметра, выраженная в технических единицах или баллах;
n количество оцениваемых параметров
Индекс ценовых параметров представляет собой отношение цены потребителя оцениваемого параметра к цене потребления конкурирующего.
Ценовая маркетинговая политика
- Выбор ценовой стратегии предприятия:
- в зависимости от типа рынка;
- в зависимости от этапа жизненного цикла товара;
- в зависимости от экономической политики предприятия.
- Факторы, влияющие на уровень цены.
- Методы расчета цен.
1 а. Выбор ценовой стратегии предприятия в зависимости от типа рынка.
При выборе стратегии исходят из модели рынка:
- чистая конкуренция. Ценовая политика сводится:
- к установлению цены, сложившейся на рынке;
- к поиску объема производства, максимизации прибыли при данном уровне цен.
- монополистическая конкуренция (20 70 предприятий). Характерна монополия на марку изделия, хотя продукты несколько отличаются. Рынок характерен для легкой промышленности для розничной торговли. Ценовая политика сводится:
- к поиску интервала изменения цен;
- к установлению цены с учетом конкурентоспособности, структуры спроса и величины издержек.
Наиболее типичные стратегии:
"выше номинала": покупателям с высокими доходами предлагаются товары люкс по престижным ценам, остальным обычные товары по пониженным ценам;
"убыточного лидера": заключается в том, что в дополнение к основному товару предлагается набор дополнительных изделий. Основной товар продается по низкой цене, а дополнительные изделия по высокой.
- олигополия (2 20 предприятий). Производят стандартизированную продукцию или слабо дифференцированную. Характерна высокая степень контроля над ценами. Контроль проявляется:
-
- ломаная кривая спроса

В случае повышения цены фирмой конкуренты не следуют ее примеру и спрос на ее продукцию становится высоко эластичным. В случае понижения цены фирмой конкуренты следуют ее примеру, спрос низко эластичный.
-
- стратегия следования за лидером заключается в том, что фирма лидер первая изменяет цены, а остальные следуют за ней;
- стратегия координации действий существует в двух формах:
- принятия соглашения о ценах;
- параллельная ценовая политика.
Соглашение о ценах может быть явным и тайным. Параллельная политика заключается в том, что все фирмы калькулируют издержки по унифицированным статьям + % нормы прибыли.
- чистая монополия: продукции фирмы нет заменителя, поэтому можно диктовать цены. Чтобы сохранить покупателей монополисты прибегают к принципу ценовой дискриминации (по разным ценам).
Формы ценовой дискриминации:
дифференциация по группам потребителей;
дифференциация по варианту товары и услуги;
дифференциация по местонахождению;
дифференциация по времени.
На принципе дискриминации основаны следующие стратегии:
"стратегия мгновенных цен": в результате анализа кривых спроса для каждой группы потребителей монополист назначает максимально высокую цену, которую они готовы запросить;
"стратегия сегментации рынка" заключается в том, что большая часть продукции продается на одном рынке по ценам, обеспечивающим определенную прибыль, а некоторая часть на другом рынке по сниженным ценам.
Выбор ценовой стратегии предприятия в зависимости от этапа жизненного цикла товара.
Если фирма выводит на рынок подлинную новинку при установлении цен на нее она может выбрать:
- стратегию снятия сливок;
- стратегию прочного внедрения.
Стратегия снятия сливок заключается в установлении максимально высокой цены, при этом ориентируется на лиц с высокими доходами или на тех, качественные характеристики а не цена. Условия применения стратегии:
- предприятие ограждает себя от конкурентов с помощью патента или постоянного совершенствования качества;
- достаточный спрос на товар;
- спрос не эластичный или отсутствуют заменители;
- издержки мелко серийного производства настолько высоки, чтобы свести на нет выгоду от высоких цен.
Стратегия прочного внедрения на рынок заключается в установлении сравнительно низкой цены на новинку, чтобы привлечь больше покупателей и завоевать большую долю рынка. Условия применения стратегии:
- большой объем спроса на продукцию (существует или создается);
- значительные финансовые возможности фирмы (большой объем производства);
- высокая эластичность спроса;
- низкая цена не заставляет думать покупателей, что товар не качественный.
Если на рынок выводится новый товар имитатор, то нужно принять решение о позиционировании товара по качеству и цене и выбрать соответствующую стратегию.
Логическим продолжением стратегии снятия сливок является стратегия скользящей, падающей цены, т.е. цена последовательно скользит по кривой спроса и по мере насыщения рынка снижается. Условия применения:
- постоянная забота о качестве товара и разработка новых моделей (защита от конкуренции);
- снижение издержек производства.
Продолжением стратегии прочного внедрения на рынок является стратегия преимущественной цены, которая применяется при опасном вторжении конкурентов и необходима для достижения конкурентного преимущества (по цене, по качеству).
На этапе роста цены могут остаться прежними или повысится в связи с ростом спроса. На этапе зрелости цены снижаются, а на этапе насыщения цены самые низкие.
На этапе спада цены низкие, но если производство снижается быстрее чем спрос то может повысится, а цены на изделия, снятые с производства, как правило, выше.
Выбор ценовой стратегии предприятия в зависимости от экономических целей предприятия.
- обеспечение выживаемости (безубыточности). Ставится тогда, когда на рынке острая конкуренция или резко меняются потребности покупателей. предприятие прибегает к ценовым уступкам. Если предприятие имеет сильные позиции на рынке, то оно использует стратегию защиты позиций (ценовая война). Предприятие снижает цены в надежде, что конкуренты не смогут выдержать такого уровня цен. Если фирмы занимают равное положение на рынке, то они используют стратегию ценовой дискриминации, т.е. предлагают уступки в цене выборочно в зависимости от места и времени продажи. Если доля предприятия на рынке невелика, то может использоваться стратегия следования за лидером.
- максимизация текущей прибыли. Ставится тогда, когда существует благоприятная конъюнктура на рынке. Предприятие использует следующие стратегии:
- стратегия снятия сливок;
- удовлетворительного возмещения затрат (стратегия целевых цен);
- быстрое возмещение затрат (стратегия доступных цен возмещение за счет оборота (для товаров постоянного спроса).
- захват определенной доли рынка (максимизация сбыта). Для стратегии характерны снижение цен:
- стратегия внедрения но новый рынок (аналогична стратегии прочного внедрения);
- стратегия скользящей цены;
- стратегия убыточного лидера;
- выше номинала.
- достижение (сохранение) лидерства по показателям качества. цены высокие для покрытия затрат на НИОКР. Используют стратегии:
- стратегия снятия сливок;
- скользящей цены;
- удовлетворительного возмещения затрат.
Факторы, влияющие на уровень цены.
Можно выделить несколько групп факторов: потребители, государственное регулирование, конкуренты, поставщики и посредники, издержки производства.
К первой группе факторов относятся:
- кривая спроса и его величина; характеризует готовность потребителей платить определенную цену и определяет верхнюю границу цены;
- эластичность спроса; характеризует реакцию потребителей на изменение цен и определяет целесообразность повышения или снижения цены;
- сегментация рынков; характеризует группы потребителей по их реакции на комплекс маркетинга и определяет целесообразность дифференциации цен;
- психологические факторы; характеризуют особенности восприятия цен потребителями и определяют целесообразность установления престижных цен и манипулирование повышенными скидками.
Для изучения кривой спроса можно провести опрос или эксперимент. Эластичность спроса тем выше:
чем больше у товара заменителей;
чем больше разнообразие возможностей использования данного товара;
чем больше времени прошло с момента повышения цен.
Эластичность спроса тем ниже:
чем насыщенней спрос на данный товар;
чем больше ограничен доступ к товару;
чем более агрегирован товар; агрегирование это объединение товара с другими во все более расширяющиеся группы.
Ко второй группе факторов относят государственное регулирование цен. Необходимо изучить все законодательные акты о ценообразовании, налогообложение, монопольное законодательство и другие. Государство воздействует на цены следующим образом:
- фиксированные цены (энергоносители, транспорт, коммунальные услуги, фиксация монопольных цен, замораживание цен);
- устанавливать правила расчета цен (например, предельный уровень цен, предельный процент надбавки, уровень прибыли и рентабельности предприятия);
- устанавливает правила игры на рынке путем ряда запретов (демпинг, реклама).
К третьей группе относят конкурентов, которые определяют уровень цен по отрасли и поэтому их цены используются в качестве отправной точки.
К четвертой группе относят участников канала товародвижения, влияние которых сказывается на цене и спросе на товар.
К пятой группе относят издержки предприятия, которые определяют нижнюю границу цены. При увеличении объема производства идет экономия на условно- постоянных расходах.
Методы расчета цен.
Первый метод: калькуляция цены по методу издержки + прибыль. Этот метод ориентируется на затраты.
Преимущества метода
- простота;
- если им пользуется большинство предприятий отрасли, то цены оказываются сходными, ценовая конкуренция сводится к минимуму.
Недостатки:
- никак не связан со спросом;
- не учитывает потребительские свойства товара и, следовательно, применение метода ограничено:
- при установлении цен на принципиально новую продукцию;
- на продукцию по разовым заказам;
- в отрасли, где большинство предприятий пользуется этим методом;
- спрос на продукцию хронически превышает предложение.
Второй метод: обеспечение ценовой прибыли. Ориентируется на затраты, но предприятие ставит цель получения определенной прибыли.
Используются графики безубыточности.

Обычно рассматривают несколько вариантов цен, для каждого строится график безубыточности, анализируется вероятность получения прибыли с учетом спроса при данном уровне цен. Этот метод позволяет дать ответ на вопросы:
каков должен быть объем производства, если на рынке сложилась определенная цена, чтобы получить целевую прибыль;
какова должна быть цена, чтобы при заданном объеме производства получить целевую прибыль.
Границы применения: в краткосрочном периоде в условиях достаточно стабильных издержек и спроса.
Третий метод: ориентируется на покупательское восприятие на основе ощущенной ценности товара. Цену можно определить с помощью опросов потребителей, с помощью анализа кривых спроса с помощью параметрического (?) метода.
Четвертый метод: ориентируется на цены конкурентов на основе уровня текущих цен.
Пятый метод: параметрический детализирует третий и четвертый методы и ориентируется на потребительскую оценку значимости качественных параметров изделия, а также сравнения их с товарами конкурентов.
Последовательность расчета:
- определение выборки для опроса потребителей или подбор независимых экспертов;
- определение качественных параметров изделий, которые определяют их потребительские свойства;
- опрашиваемые оценивают значимость каждого параметра с помощью балльной оценки или ранжирования;
- оценка выраженности каждого параметра в базовом и новом изделии;
- определение балльной оценки каждого параметра с учетом его важности. Для этого средняя оценка важности по каждому параметру умножается на среднюю оценку выраженности.
Маркетинг: Практика - Рынок - Анализ - Финансы