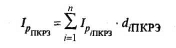
Назаров М. Г. - Курс социально-экономической статистики
Курс социально-экономической статистики создан с учетом принципиальных положений и позитивных изменений, связанных с введением в стране рыночных отношений, и построен в соответствии с новой системой национальных счетов.
Рассматриваются сущность социально-экономической статистики на современном этапе, вопросы организации получения и методы обработки статистической информации; статистика производства ВВП, финансов, кредита и страхования, цен, тарифов и инфляции; статистика рынка труда, национального богатства, науки и инноваций, предпринимательства; статистика уровня жизни населения и социальной сферы, внешнеэкономической деятельности, моделирования и прогнозирования социально-экономических процессов.
Введение
Существенные изменения в общественной и экономической жизни России, происходящие в связи с переходом на рыночные отношения, вовлечение страны в процессы интеграции на европейском и мировом рынках вызвали потребность коренного реформирования социально-экономической статистики, комплексного пересмотра всей системы учета и статистики в стране. Это связано также с необходимостью повышения возможностей получения объективной и достоверной информации о состоянии и развитии различных форм собственности, сфер экономики и социальных процессов для анализа, оценки, выявления тенденций и принятия управленческих решений на всех уровнях.
В 1992 г. была разработана и утверждена Государственная программа перехода Российской Федерации на принятую в международной практике систему учета и статистики в соответствии с требованиями развития рыночной экономики. В ее создании и реализации принимали участие многие государственные органы, ведущие экономические и другие научные организации, вузы.
В программе, рассчитанной на 19921995 гг., намечались меры, реализация которых позволяла значительно расширить отражение в статистических показателях различных аспектов социально-экономических процессов, а также повысить аналитическую направленность и оперативность сбора, обработки и распространения статистической информации на базе технического переоснащения органов статистики и учета. Кроме того, программа предусматривала существенное совершенствование организации учета и проведения статистических работ, в том числе переход от сплошных наблюдений к выборочным.
Итоги перестройки социально-экономической статистики на первом этапе подвело Всероссийское совещание статистиков, состоявшееся 1415 ноября 1995 г. В его рекомендациях отмечалось, что в 1995 г. в основном завершен начальный этап реформирования российской статистики. За этот период существенные изменения претерпела действующая система статистических показателей.
Создана система национальных счетов, проводятся международные сопоставления валового внутреннего продукта.
Приведены в соответствие с международными требованиями показатели статистики цен, финансов, населения, труда, внешней торговли, включая таможенную, бюджетную и банковскую статистику. Создана основа Государственного статистического регистра юридических лиц и их обособленных подразделений.
Единой системы классификации и кодирования технико-экономической и социальной информации ... что первый этап реформирования статистики оправданно реализовался на принципах приоритетности, максимальной концентрации ресурсов на наиболее важных, фундаментальных направлениях, позволивших в значительной мере интегрироваться в мировое статистическое сообщество*.
В то же время Всероссийское совещание выдвинуло и новые задачи. В рекомендациях, в частности, говорится: В современных условиях необходим новый подход к реформам в статистике, который состоит в последовательном переходе от фрагментарного принципа к системному реформированию статистической системы в целом, предусматривающему комплексное, взаимосвязанное совершенствование всех элементов статистического наблюдения с учетом формирующегося рыночного спроса на информацию, новых требований к качеству информации со стороны органов государственной власти, коммерческих структур, частных лиц, научной общественности и других потребителей.
В соответствии с этим коллективом практических работников и ученых разработана Федеральная целевая программа Реформирование статистики в 19972000 годах, утвержденная Постановлением Правительства Российской Федерации от 23 ноября 1996 г. 1410. Целью программы является завершение системного реформирования статистики.
Аналитические возможности, задачи и основные направления анализа СНС
Оно определяется как разность между суммой текущих доходов (Дт) и суммой текущих расходов (Рт):
Сб = Дт – Рт. (11.5)
Сбережение является источником финансирования капитальных затрат: капитального строительства, приобретения основных фондов, нематериальных активов (патентов, лицензий и т.п.), а также прироста финансовых активов. В его объем также входит чистое сальдо (положительное или отрицательное), которое представляет собой разницу между изменениями страховых резервов в пенсионных фондах отечественных домашних хозяйств, находящихся в зарубежных страховых организациях, и изменениями страховых резервных фондов иностранцев, находящихся в отечественных страховых организациях.
Сбережение — один из важных показателей экономических результатов. Наличие валового сбережения свидетельствует о том, что процесс воспроизводства был расширенным, что не все доходы использованы на потребление.
Его объем определяет возможности роста накопления национального богатства в результате труда данного года. Валовое сбережение (накопление) как элемент ВВП включает:
- валовое накопление основного капитала — основных фондов;
- прирост (изменение) запасов материальных оборотных средств;
- чистое приобретение ценностей (ювелирных изделий, антиквариата, картин и т.п.).
Ценности — это предметы, обладающие способностью сохранять стоимость в течение длительного времени, например, произведения искусства, ювелирные изделия и др.
Накопление может быть исчислено и на чистой основе, т.е. за вычетом потребления основных фондов.
Валовое сберMжение (накопление) показывает объем полученных резидентами товаров и услуг, произведенных, но не потребленных в текущем периоде. Это сбережение до вычета потребления основного капитала.
Валовое национальное сбережение (ВНС) равно сумме валовых сбережений всех секторов (ВСс):
ВНС = ВСс. (11.6)
Чистое национальное сбережение (ЧНС) равно разности между ВНС и потреблением основного капитала:
ЧНС = ВНС – ПОК (11.7)
В новой методологии СНС 1993 г. в состав валового накопления (сбережения) включена новая статья, ранее не учитываемая при расчете этого показателя, — затраты на приобретение ценностей.
Валовое накопление (ВН) основного капитала представляет собой вложение институциональными единицами-резидентами средств в объекты основного капитала для создания нового дохода в будущем путем их использования в производстве. Валовое накопление основного капитала включает следующие компоненты:
- приобретение новых и сохранение существующих основных фондов за вычетом выбытия;
- затраты на улучшение непроизведенных материальных активов;
- расходы в связи с передачей права собственности на непроизведенные активы.
Валовое сбережение (накопление), рассматриваемое как превышение располагаемого дохода над расходами на потребление, не следует смешивать с приростом денежной наличности и денежных вкладов, называемым в отечественной практике иногда сбережениями. В действительности этот прирост может быть связан лишь с изменением формы активов, например, продажа акций, облигаций, материальных активов может иметь своим результатом прирост денег, однако к сбережению в понимании СНС это не относится.
Как уже говорилось, валовое накопление включает три элемента: валовое накопление основных фондов (ВНОФ), прирост материальных оборотных средств (ПМОС) и чистые покупки ценностей (ЧПЦ). Следовательно, валовое накопление представляет собой сумму:
ВН = ВНОФ + ПМОС + ЧПЦ. (11.8)
Чистые покупки ценностей определяются как стоимость их приобретения за вычетом их продаж. При этом на уровне экономики в целом покупки и продажи существующих ценностей взаимно погашаются, не отражаясь на их наличном объеме.
В объеме валового накопления должно также учитываться внешнее сальдо покупок ценностей, т.е. объем чистых приобретений импортируемых ценностей.
В СНС 1993 г. изменился состав валового накопления основных фондов за счет включения в него следующих статей:
- затрат на приобретение программных средств для компьютеров;
- расходов на геологоразведку;
- стоимости оригиналов литературных и художественных произведений;
- расходов органов государственного уравления на покупку товаров и услуг для военных нужд (обороны).
Это расширение трактовки содержания валового накопления основных фондов, увеличивающих при прочих равных условиях не только объем валового накопления в целом, но и объем ВВП, следует принимать во внимание при изучении динамики указанных показателей, что требует предварительного их приведения к сопоставимому виду.
В СНС предусмотрен также показатель капитальных затрат, который кроме упомянутых ранее элементов включает покупку земли и других непроизведенных активов.
Особого упоминания заслуживает трактовка в счетах некоторых показателей, связанных с внешнеторговой деятельностью, а именно валового выпуска внешней торговли и налога на импорт. Общий подход к определению этих категорий в счетах состоит в следующем.
Валовой выпуск внешней торговли принимается равным издержкам обращения внешнеторговых организаций плюс нормальная прибыль, остающаяся у них после передачи в бюджет доходов, возникающих за счет разницы между внутренними и мировыми ценами.
Эти передачи доходов отражаются в счетах как налог на импорт.
Сальдо внешней торговли представляет собой разницу между экспортом и импортом товаров и услуг.
Сальдо по текущему счету операций с другими странами представляет собой сальдо текущих доходов, полученных из-за границы (оплата труда, доходов от собственности, трансфертов).
Таковы основные показатели СНС, исчисляемые для экономики в целом, которые предстоит внедрить в регулярную практику стран СНГ уже в ближайшие годы. Однако надо отметить, что современная СНС — это счета и показатели не только для экономики в целом, но и для отдельных секторов экономики.
11.5. Аналитические возможности, задачи и основные направления анализа СНС
Анализ — заключительный этап всякой статистической работы. Наличие в СНС огромного объема взаимосвязанной информации обеспечивает возможность проведения комплексного анализа.
Исследование обобщающих экономических показателей в их взаимосвязи позволяет получить комплексную статистическую характеристику экономических процессов, сделать обоснованные выводы об эффективности экономической политики и принимать своевременные меры для корректировки экономической деятельности и внешнеэкономических связей.
Переход к СНС расширяет возможности анализа в силу ряда причин.
Во-первых, отмечается большая полнота охвата объекта: помимо характеристики процесса производства материальных благ (продуктов) в СНС отражается и процесс производства нематериальных услуг.
Во-вторых, расширяется число групп экономических агентов. Домашние хозяйства, некоммерческие организации, х обслуживающие, финансовые и нефинансовые корпорации — новые субъекты анализа отечественной экономики.
Деление экономики на секторы позволяет проанализировать движение потоков доходов в экономической жизни страны в увязке с факторами производства.
В-третьих, повышаются возможности анализа финансовых потоков наряду с традиционным анализом материально-вещественных потоков, технико-экономических аспектов производства.
Анализ национальных счетов в динамике обеспечивает выявление наиболее общих закономерностей, взаимосвязей и пропорций в экономическом развитии страны.
Систематизация анализа вызывает необходимость разработки его основных направлений. В зависимости от целей и задач анализ может осуществляться в разных направлениях:
- анализ показателей отдельных счетов всей системы исходя из их содержания;
- анализ показателей счетов в их сочетании друг с другом и с использованием дополнительно рассчитанных на этой основе показателей;
- анализ показателей СНС в динамике с целью выявления основных тенденций изменения не только объемов самих макроэкономических показателей, но и их соотношений, их структуры и пропорций.
Это направление анализа связано с необходимостью переоценки показателей СНС различных лет в сопоставимые (неизменные) цены;
- анализ показателей СНС России и стран СНГ, а также стран с развитой рыночной экономикой с целью оценки вклада России в развитие мировой экономики;
- характеристика отдельных экономических процессов, отражаемых в СНС: распределения и перераспределения доходов; использования доходов на потребление и сбережение, накопления и т.п.;
- анализ развития отдельных секторов экономики, осуществляемый на основе разработки СНС по секторам, с целью выявления вклада отдельных секторов в социально-экономическое развитие России;
- анализ СНС в разрезе отраслей производства товаров и услуг с целью выявления их вклада в экономические результаты, оценка уровня их развития и изменения в динамике; анализ изменения отраслевой структуры экономики под влиянием экономической политики и рыночных отношений. Характеристика прироста национального богатства страны и ее социально-экономического потенциала на основе информащш СНС об использовании результатов труда данного года.
В дезагрегированном виде основные задачи анализа включают:
- характеристику важнейших пропорций и результатов экономической деятельности в разрезе секторов и отраслей экономики;
- отражение объемов валового выпуска и промежуточного потребления по отраслям и секторам экономики и по формам собственности;
- анализ процесса формирования валовой добавленной стоимости в отраслях и секторах экономики и образования валового внутреннего продукта;
- изучение процесса образования доходов в экономике: по труду, от капитала и смешанных доходов;
- исследование процесса использования доходов в экономике и образования конечных доходов отраслей и секторов;
- характеристику финансовых потоков между отечественными и зарубежными экономическими агентами; изучение роли иностранных источников финансирования капиталовложений страны;
- анализ конечного потребления в экономике с выделением потребления домашних хозяйств, государственных учреждений и некоммерческих организаций, обслуживающих население;
- оценку валовых и чистых сбережений как важнейшего источника финансирования капиталовложений; определение способности к финансированию (или потребности в финансировании) секторов и отраслей экономики;
- исследование процесса использования валовых и чистых сбережений на финансирование прироста основного капитала и прочих запасов;
- характеристику межотраслевых и межрегиональных экономических взаимосвязей;
- анализ внешнеэкономических связей;
- оценку и анализ эффективности функционирования экономики, отдельных экономических процессов и секторов.
На основе системы макроэкономических показателей СНС и их соотношений можно проанализировать практически все основные экономические процессы, протекающие в экономике. В счетах отражаются результаты всех видов экономической деятельности — производства материальных благ, производства услуг (рыночных и нерыночных, материальных и нематериальных).
Это предопределяет развитие одного из основных направлений анализа результатов экономики — исследования структуры ВВП и других показателей в группировке на производство товаров и услуг, а также в разрезе отраслей и секторов экономики, что позволяет оценить структуру экономики, ее результативность, выявить вклад каждой отрасли, сферы деятельности и сектора экономики.
На основе изучения отраслевой структуры можно определить характер развития экономики страны (индустриальный, аграрно-индустриальный, аграрный), факторы роста макроэкономических результатов и степень влияния экстенсивных и интенсивных факторов на развитие экономики.
Отражение в отдельных счетах различных стадий воспроизводственного цикла позволяет проанализировать основные экономические соотношения и пропорции между производством и потреблением; потреблением и накоплением (потреблением производственным и конечным); первичными, вторичными и располагаемыми доходами; производством товаров и производством услуг.
В странах с развитой рыночной экономикой производством различного рода услуг занято 2/3 активного населения. В ВВП США услуги составлят около 75%.
В ВВП России доля услуг в действующих ценах превысила 50%. О соотношении производства продуктов и услуг (в процентах) свидетельствует рис.
11.1.

Рис.11.1
СНС дает возможность выявить роль финансово-кредитного механизма в распределении и перераспределении доходов, формировании конечных доходов; влияние налогового бремени на конечные доходы; роль внешнеэкономической деятельности в экономике и в формировании доходов. Составление счета Переоценки позволит изучить все явления и процессы, отражаемые в СНС, в динамике (в сопоставимых ценах), выявить влияние инфляции на объем и соотношение показателей и структуру экономических результатов.
Наконец, СНС позволяет дать оценку эффективности общественного производства на основе расчета показателей затратоотдачи (затратоемкости), материалоотдачи (материалоемкости), прибыльности, зарплатоемкости и др. Привлечение данных о численности занятых в экономике, об объеме основных и оборотных фондов обеспечит комплексный анализ эффективности экономической деятельности.
Контрольные вопросы
- Каковы понятие и назначение национального счетоводства и системы национальных счетов?
- Раскройте роль и значение СНС в характеристике экономических процессов и их результатов, ее информационные возможности.
- Каковы содержание консолидированных СНС внутренней экономики и назначение каждого счета?
- Каковы общие принципы составления СНС и в чем состоит их связь с принципами бухучета?
- Назовите балансирующие статьи счетов, раскройте их роль в характеристике результатов экономических процессов и общие принципы расчета.
- Приведите систему показателей результатов экономической деятельности СНС и раскройте их роль в экономическом анализе.
- Каковы назначение и общие принципы расчета показателя выпуск продуктов и услуг?
- Раскройте понятие и состав ВВП и его роль в характеристике экономических результатов.
- Приведите методы расчета ВВП на разных стадиях воспроизводственного цикла и раскройте их роль в анализе результатов функционирования экономики.
- Каковы содержание и методика расчета промежуточного потребления?
- Раскройте понятие потребления основного капитала и методику его расчета.
- Какова методика расчета валовой прибыли экономики?
- Каковы понятие, состав и методика расчета национального дохода и его отличия от ВВП?
- Каковы методика расчета и назначение валового располагаемого дохода?
- Каковы методика расчета валового сбережения и его роль в характеристике результатов экономической деятельности?
- Каковы основные направления использования валового сбережения и в каких счетах они отражаются?
- В чем отличия показателей результатов экономической производственной деятельности СНС, исчисленных на чистой и на валовой основе?
- Каковы основные направления и методы анализа экономической деятельности на основе СНС?
Баланс трудовых ресурсов
Там, где не установлена нормальная продолжительность рабочей недели, в качестве таковой принимается время, которое респондент обычно тратит на выполнение заданного объема работ за неделю.
Такие показатели позволяют осуществлять распределение занятого населения по секторам экономики, определять занятость в неформальном секторе. С помощью других вопросов, предусмотренных в этом же разделе, производится разработка данных по: статусу занятости (наемный персонал, самозанятые, члены производственных кооперативов, помогающие работники без оплаты на предприятиях, принадлежащих родственникам); признакам постоянной или непостоянной работы (сезонная, временная, случайная); признаку профессии (должности).
Раздел Дополнительная работа представлен вопросами, почти аналогичными предыдущему разделу. В целях более детального изучения дополнительной (вторичной) занятости предусмотрено также получение данных о количестве отработанного времени, формах деятельности,
Наибольшее число показателей содержится в разделе Поиск работы, экономическая неактивность (перечень вопросов этого раздела приведен ниже). Предусмотренная детализация не является чрезмерной и обусловлена необходимостью глубокого и всестороннего изучения как вопросов, позволяющих определить правильность отнесения опрашиваемого лица к безработному (вопросы 28—31), так и следующих важных характеристик:
- способов поиска работы (вопрос 33);
- причин, по которым респондент не искал работу в последнее время (вопрос 34), что дает возможность в последующем определить число лиц, отчаявшихся найти работу, экономическую неактивность и некоторые другие характеристики;
- продолжительности поиска работы (вопрос 35);
- характера искомой работы — по найму, не по найму, постоянную или временную и т.п. (вопросы 36 и 37);
- характера предыдущей работы, если таковая имелась ранее, и причины ухода с нее (вопросы 40—42).
Вопросы 38 и 39 рассматриваемого раздела нужны для проведения сравнительного анализа с данными административного учета.
Как уже отмечалось, ввиду особой важности проводимых обследований необходима работа по совершенствованию вопросников, организации сбора данных и технологии их обработки, по использованию опыта зарубежных стран. В числе новых, прогрессивных направлений совершенствования рабты в данной области следует назвать введение в статистическую практику наряду со стандартными обследованиями модульных обследований, которые могут касаться выборочной группы населения, отдельных тем (проблем) или отдельных регионов (локальных рынков труда).
В зависимости от информационной потребности в качестве объектов подобных обследований выступают такие проблемы, как положение на рынке труда лиц, требующих социальной защиты (например, выпускников школ, пенсионеров, уволенных из вооруженных сил); положение на сельском рынке труда; вторичная занятость; занятость в неформальном секторе и т.д. Введение модульных обследований позволяет анализировать дополнительные аспекты безработицы, осуществлять оценку эффективности разных форм активной политики на рынке труда.
Вопросы из раздела Поиск работы, экономическая неактивность
анкеты выборочного обследования населения по проблемам занятости (октябрь 1998г.)
28. Хотели бы Вы иметь оплачиваемую работу?
29. Если Вам предложили бы подходящую работу на обследуемой неделе, смогли бы Вы приступить к ней немедленно?
30. Смогли бы Вы приступить к работе в течение двух недель после обследуемой недели?
31. По какой причине Вы не смогли бы приступить к работе в течение двух недель, следующих за обследуемой неделей? Просьба назвать одну главную причину:
- по состоянию здоровья;
- обучение по направлению службы занятости;
- посещение дневных отделений учебных заведений;
- выполнение домашних обязанностей, уход за детьми и другими членами семьи;
- выход на пенсию, в отставку;
- другое.
32. Ищете ли Вы работу по найму или пытаетесь организовать собственное дело?
33. Какие шаги Вы предпринимали в течение четырех недель, предшествующих обследуемой неделе, чтобы найти работу или организовать собственное дело? Можно отметить несколько способов работы:
- обращение в службу занятости;
- подача объявлений в печать, отклик на объявления;
- обращение к друзьям, родственникам, знакомым;
- непосредственное обращение к администрации (работодателю);
- поиск земли, зданий, машин и оборудования, сырья, финансовых ресурсов для открытия собственного дела, обращения за разрешениями, лицензиями и т.д.;
- другие способы;
- не предпринимал никаких шагов.
34. Назовите основную причину, по которой Вы не искали работу в последнее время? Просьба указать только одну причину:
- получил работу и имел договоренность о ее начале в течение двух недель после обследуемой недели;
- нашел, ожидаю ответа;
- ожидаю начало сезона;
- отчаялся найти работу после длительных поисков;
- нет возможности найти работу;
- не знаю, как и где искать работу;
- по состоянию здоровья;
- выполнение домашних обязанностей, уход за детьми и другими членами семьи;
- посещение дневных учебных заведений;
- выход на пенсию;
- нет необходимости работать;
- другое.
35. Сколько приблизительно месяцев Вы, будучи незанятым, искали работу или пытались организовать собственное дело?
- менее месяца;
- от 1 до 3 месяцев;
- от 6 до 9 месяцев;
- от 9 до 12 месяцев;
- 12 месяцев и более;
- работу не искал(а), мне ее предложили.
36. Вы хотели бы работать:
- по найму с полной рабочей неделей;
- по найму с неполной рабочей неделей;
- на собственном предприятии, в собственном деле или готовы к любой работе?
37. Какую работу Вы хотели бы иметь:
- постоянную на неопределенный срок, сезонную, временную, случайную;
- по контракту на определенный период;
- на определенный объем работ;
- любую работу?
38. По состоянию на обследуемую неделю были ли Вы зарегистрированы в службе занятости в качестве безработного?
39. Получали ли Вы пособие по безработице?
40. Имели ли Вы когда-либо ранее оплачиваемую работу или доходное занятие, кроме любой случайной работы, и как давно Вы ее оставили?
41. По какой причине Вы оставили эту работу:
- увольнение в связи с высвобождением, сокращением штатов, ликвидацией предприятия;
- ликвидация собственного дела;
- увольнение по собственному желанию;
- окончание срока временной, сезонной работы, работы по контракту, на определенный объем работ;
- выход на пенсию, в отставку;
- перемена места жительства;
- по состоянию здоровья;
- по личным, семейным причинам;
- увольнение из вооруженных сил;
- другое.
42-1. По какой профессии, на какой должности Вы работали на последнем месте работы?
42-2. Имеете ли Вы профессию или специальность и какова Ваша профессия, специальность?
26.9. Статистика профессионального обучения
Большое значение для анализа конъюнктуры рынка труда и выявления причин несоответствия спроса и предложения на рынке труда имеют данные о профессиональной подготовке кадров. При этом рассчитывается численность лиц, получивших специальность (профессию) рабочего или служащего как непосредственно на предприятиях и в организациях, так и в учебных заведениях начального профессионального образования (профессионально-технических училищах), включая прошедших переподготовку.
В число лиц, закончивших профессиональное обучение по направлению служб занятости, включается количество незанятых граждан, закончивших профессиональное обучение с целью получения профессий или переподготовки по направлению служб занятости в учебных заведениях разного типа.
Статистика свидетельствует, что значительную долю среди ищущих работу составляют лица, не имеющие профессиональной подготовки или потерявшие навыки в связи с длительным перерывом в работе (примерно одна треть). Повышению их конкурентоспособности на рынке труда способствовало бы увеличение масштабов профессионального обучения.
Однако действующая система подготовки и переподготовки кадров слабо способствует решению указанной проблемы.
За последние годы в России, как и в других странах Содружества, наблюдается снижение объемов подготовки квалифицированных кадров как непосредственно на предприятиях (уменьшаются средства на профессиональное обучение работников, демонтируется учебно-производственная база и т.д.), так и в системе профессионально-технического образования.
Новая форма профессионального обучения, инициируемая службами занятости, получает все более широкое распространение. Однако масштабы профессиональной подготовки по направлению служб занятости пока еще явно недостаточны для формирования новой действенной системы профессионального обучения.
Поэтому усиление статистического внимания к этим проблемам вполне оправданно, так как без хорошо налаженной системы подготовки квалифицированных кадров невозможно повысить конкурентоспособность безработных и облегчить стыковку имеющихся или вновь создаваемых рабочих мест и лиц, ищущих работу.
26.10.
Баланс трудовых ресурсов
Ежегодные балансовые разработки в области труда в нашей стране начали производиться с конца 50-х годов.
В условиях плановой экономики баланс трудовых ресурсов являлся одним из важнейших методов статистического анализа, он играл активную роль в формировании народнохозяйственного плана, а также в решении проблем рационального размещения производительных сил по территории страны и отраслям.
Со временем баланс трудовых ресурсов как особый аналитический инструмент был признан Международной организацией труда. Баланс трудовых ресурсов составлялся на основе материалов не только статистики труда, но и других отраслей статистики: сельского хозяйства, демографии, народного образования, культуры и др.
Он был наиболее комплексным методом изучения состава и использования трудовых ресурсов и благодаря этому служил полезным инструментом для объединения всей имеющейся информации о рынке труда. С помощью баланса трудовых ресурсов раскрывались источники формирования рабочей силы, реальные связи и пропорции в распределении ее по видам деятельности, между сферами и отраслями экономики, между отдельными районами страны.
С переходом к рыночной экономике встал вопрос о целесообразности продолжения данного направления статистических работ. По нашему мнению, указанные аналитические разработки, безусловно, необходимы и их следует сохранить в арсенале инструментов статистики труда.
Вместе с тем в целях актуализации балансовых расчетов по труду и ориентации их на нужды анализа современных процессов, складывающихся на рынке труда, требуется внести определенные изменения в схему и принципы построения баланса трудовых ресурсов.
Как статистическое построение схема баланса трудовых ресурсов многие годы оставалась неизменной и представляла собой таблицу, включающую в себя два взаимосвязанных раздела: в первом отражались показатели наличия и состава трудовых ресурсов, во втором — показатели, характеризующие их распределение по видам занятости. При этом виды занятости в доперестроечный период ограничивались следующими показателями: занятость в отраслях экономики; занятость учебой и в домашнем хозяйстве (занятые в культовых службах и военнослужащие в зависимости от поставленных задач иди выделялись отдельно или отражались в сальдо баланса вместе с занятыми в домашнем хозяйстве).
В числе основных требований, выдвигаемых в качестве обоснования пересмотра действующей методологии баланса трудовых ресурсов, выделяется необходимость учета новых форм и видов занятости, новых категорий работающих (в частности, работодателей, наемного персонала, самозанятых), показателей безработицы, новых форм миграции и др.
Для учета в балансовых расчетах перечисленных факторов, а также отражения соотношения и взаимосвязи между трудовыми ресурсами и экономически активным населением (как в целом, так и между их отдельными компонентами) предлагается следующая схема построения баланса трудовых ресурсов (табл. 26.2).
Таблица 26.2
Расчет баланса трудовых ресурсов в среднем за________год

Информационная база, необходимая для составления баланса трудовых ресурсов, формируется на основе годовой отчетности по труду и материалов обследования по проблемам занятости.
Перспективным направлением в работе по совершенствованию балансовых расчетов является построение интегрированной системы статистических показателей, позволяющей производить расчеты совокупных затрат труда (с учетом вторичной занятости) в эквиваленте полной занятости как в целом по экономике, так и по отдельным отраслям, а также средств на оплату наемных и ненаемных работников (так называемые счета рабочей силы).
Контрольные вопросы
- В чем различие понятий трудовые ресурсы и экономически активное население?
- Перечислите основные виды безработицы.
- Как определить уровень официальной безработицы; общей безработицы, определяемой по стандартам МОТ?
- Каковы методы расчета продолжительности безработицы?
- Что такое квотирование рабочих мест?
- Назовите источники информации о безработице.
- Назовите группы работников, которые рекомендуется выделять в соответствии с Международной стандартной классификацией занятости.
- Дайте основные характеристики занятости в неформальном секторе.
- Для чего необходима информация о трудовой миграции?
- Определить понятие маятниковой миграции.
- Чем отличаются забастовки от локаутов?
- Опишите суть баланса трудовых ресурсов как метода изучения и прогнозирования конъюнктуры рынка труда.
Балансовый метод изучения воспроизводства основных фондов
Исключение делается только для тех основных средств, которые функционируют в столь разных условиях, что возникают значительные изменения срока их службы и размера затрат на капитальный ремонт. В этом случае устанавливаются специальные поправочные коэффициенты, и скорректированная норма амортизации рассчитывается с их учетом: (29.7)

где Н — скорректированная норма амортизации;
Hб — утвержденная (базовая) норма амортизации;
К и K1 — коэффициенты, применяемые при отклонениях от установленных базовой нормой амортизации, режимов работы и от других условий.
Таким образом, в отечественной экономической практике применяются в основном линейные методы начисления амортизации, которые отличаются простотой расчетов и одинаковой величиной ежегодных амортизационных отчислений в фонд. Однако они не отражают реальный процесс износа основного капитала.
В мировой практике линейная амортизация применяется редко.
Кроме того, в условиях инфляции использование линейной формы начисления амортизации экономически нецелесообразно. Поэтому в российскую практику предполагается ввести методы ускоренной (уменьшающейся, т.е. нелинейной) амортизации: метод постоянного процента, кумулятивный метод или метод, рекомендуемый новой СНС (амортизационный фонд каждого года определяется путем умножения стоимости за вычетом износа (остаточной стоимости) на начало года на величину, равную (2/n), где п — срок службы фондов).
В мировой экономической практике применяются три вида амортизации:
- линейная (постоянная);
- возрастающая (замедленная);
- уменьшающаяся (ускоренная).
Наиболее распространенными являются методы ускоренной и замедленной амортизации.
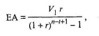
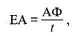
Возрастающая (замедленная) амортизация весьма точно отражает реальный процесс потребления основного капитала. Она имеет место, если величина годового амортизационного фонда с течением времени возрастает. По одному из методов замедленной амортизации годовой фонд можно рассчитать следующим образом: (29.8)

где ЕА — ежегодный амортизационный фонд;
V — полная первоначальная стоимость основных фондов на начало первого года;
r — ставка учетного процента;
п — срок службы основного капитала (в годах) — расчетный.
Этот способ правомерен только в отношении основных фондов, которые конкурентоспособны и не имеют аналогов. В условиях инфляции он применяется редко, так как ведет к потерям.
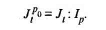
В западных странах чаще применяются различные методы ускоренной амортизации. К ним относится метод постоянного процента: (29.9)
EA = V1 r (1 – r)t-1,
где V — стоимость за вычетом износа на начало года t;
r — величина постоянного процента, который утверждается министерством финансов (от 50 до 70%).
Ускоренная амортизация — один из факторов экономического роста.
Амортизация является категорией, отражающей объективный процесс простого воспроизводства средств труда в натуре. В то же время реновационный фонд может быть одним из источников расширенного воспроизводства, так как основные фонды в течение всего срока их функционирования не требуют замены на новые фонды такого же вида.
Реализуемая же в цене продукта часть их стоимости высвобождается из производственного процесса в виде свободных денежных средств, которые поступают на финансирование капитальных вложений и используются на расширение основных фондов.
29.5. Балансовый метод изучения воспроизводства основных фондов
Полное представление о процессе воспроизводства основных фондов можно получить на основе балансового метода.
В зависимости от цели исследования в практике статистики составляются балансы основных фондов двух видов: по полной первоначальной (балансовой) или полной восстановительной стоимости и по стоимости с учетом износа (первоначальной или восстановительной).
Балансовый метод позволяет охарактеризовать процесс воспроизводства основных фондов по стоимости и натурально-вещественному составу и проанализировать их динамику в течение года (или за ряд лет при условии сопоставимости цен). Баланс по полной первоначальной или восстановительной стоимости характеризует названные процессы с позиции изменения количества (физического объема) основных фондов, а баланс по стоимости с учетом износа — изменение их стоимости с учетом физического состояния.
Упрощенно схема баланса основных фондов по полной первоначальной (полной восстановительной) стоимости выглядит следующим образом (табл. 29.2).
Этот баланс характеризует процесс воспроизводства физического объема основных фондов.
Таблица 29.2
Баланс основных фондов по полной (первоначальной или восстановительной) стоимости, млн руб.

Для характеристики изменения в течение года стоимости основных фондов разрабатываются балансы основных фондов по остаточной стоимости (первоначальной или восстановительной с учетом износа). В них все показатели основных фондов (кроме ввода в действие) учитываются по стоимости с учетом износа, а также отражаются два дополнительных показателя: капитальный ремонт (+) и амортизация (-) (табл.
29.3).
Таблица 29.3
Баланс основных фондов по остаточной стоимости (первоначальной или восстановительной с учетом износа), млн руб.

В отличие от баланса основных фондов по полной стоимости, отражающего процесс воспроизводства основных фондов в их физическом объеме, баланс основных фондов по стоимости за вычетом износа (остаточной стоимости) призван охарактеризовать изменение в течение года реальной стоимости фондов не только под влиянием ввода в действие и выбытия по ветхости и износу, но и с учетом частичного восстановления их стоимости путем капитального ремонта и с учетом амортизации. Таким образом, к вышеприведенной схеме баланса основных фондов добавляются еще два показателя: капитальный ремонт и амортизация.
При этом все показатели баланса (за исключением показателя ввода в действие) оцениваются по остаточной стоимости.
Баланс основных фондов по остаточной стоимости тесно связан с балансом капитальных вложений, отражающим процесс выделения и степень освоения капитальных вложений на капитальное строительство и капитальный ремонт в течение года.
В балансе капитальных вложений отражаются наличие капитальных вложений на начало и конец года и их изменение в течение года под влиянием выделения новых вложений и их освоения; ввод в действие основных фондов и законченный капитальный ремонт. Последние два показателя означают, что средства, выделенные на эти цели, освоены; одновременно на эту величину увеличиваются основные фонды в балансе основных фондов (табл.
29.4).
Таблица 29.4
Баланс капитальных вложений

Годовые балансы основных фондов Российской Федерации по полной восстановительной стоимости и по восстановительной стоимости с учетом износа составляются в целом по стране на основе данных статистической отчетности по ф. 11 (годовая), утвержденной Госкомстатом Отчет о наличии и движении основных средств. Отчеты представляются объединениями, предприятиями, организациями всех отраслей экономики, независимо от организационно-правовой формы и формы собственности (кроме предприятий, отчитывающихся по ф. 1-МП, сельскохозяйственных предприятий и предприятий по обслуживанию сельского хозяйства, совместных предприятий и бюджетных организаций). Срок представления этого отчета — 25 января следующего за отчетным года:
- статистическому органу по месту нахождения объединения, предприятия, организации по указанию статистического органа республики (в составе РФ), края, области;
- органу, осуществляющему государственное регулирование в соответствующей отрасли экономики.
Отчетная форма 11 состоит из следующих основных разделов.
1. Наличие, движение и состав основных средств. Указываются наличие основных фондов на начало и конец года, их поступление и выбытие в течение года, наличие на конец года по остаточной стоимости, износ основных средств за год, отдельно отражается износ по списанным основным средствам, в форме есть раздел по другим нефинансовым активам (на начало и на конец года).
В подлежащем таблицы из общего объема основных средств выделены средства основного вида деятельности — производственные и непроизводственные — по их видам; производственные и непроизводственные основные средства других отраслей, в том числе жилищного хозяйства.
На основе этого баланса можно рассчитать показатели структуры основных фондов, их состояния (коэффициенты износа и годности) и движения (коэффициенты обновления и выбытия).
2. Наличие основных средств. Указывается наличие на конец отчетного года производственных и непроизводственных основных средств других отраслей, выделяются основные средства, взятые и сданные в долгосрочную и текущую аренду, что вызвано некоторыми особенностями их аналитического учета.
3. Амортизация и затраты на капитальный ремонт основных средств. Приведены данные о начисленной за год амортизации, в том числе о порядке ускоренной амортизации, о затратах на капитальный ремонт всех основных средств и средств основного вида деятельности с выделением тех, по которым амортизация не начисляется, в том числе полностью амортизированных.
4. Среднегодовая стоимость основных средств. Для определения динамики этого показателя в данном разделе указывается среднегодовая стоимость основных средств основного вида деятельности, других производственных и непроизводственных отраслей за отчетный и базисный годы.
Таким образом, из рассмотренной формы отчетности можно получить все необходимые данные для изучения структуры, состояния, движения и динамики основных средств как на конкретном предприятии (в организации, объединении), так и в целом по России.
29.6. Переоценка основных фондов
Основные фонды в балансах предприятий в результате изменения с течением времени цен на оборудование и стоимости строительно-монтажных работ получают смешанную оценку, что вызывает определенные трудности в исчислении норм амортизации, сопоставлении объемов основных фондов. Смешанная оценка (т.е. оценка основных фондов в разные периоды их ввода в действие) неблагоприятно сказывается также на определении себестоимости продукции, поскольку амортизация является одной из ее составных частей.
Переоценка основных фондов призвана дать оценку основных фондов по единым ценам, действующим на данный момент, и создает экономически равные предпосылки формирования этих фондов для предприятий, работающих в разных производственно-технических условиях. Это мероприятие позволяет более точно определять размеры налога на имущество предприятий, амортизационных отчислений и себестоимости продукции с учетом реальной и единообразной оценки основных фондов. В результате переоценки выясняется величина восстановительной стоимости основных фондов в современных условиях, а также степень их физического и морального износа.
Однако смешанный характер оценки основных фондов устраняется только на данный момент.
Изменение экономической ситуации и ввод в действие новых основных фондов, учитываемых по первоначальной стоимости, требуют периодического проведения указанного мероприятия.
В условиях высокой инфляции первоначальная стоимость основных фондов является не реальной, а условной оценкой собственности; это касается основных фондов не только государственных, но и негосударственных форм собственности (коллективной, частной, акционерной и т.д.). Инфляция значительно углубляет разрыв в оценке основных и оборотных фондов, финансовых и других активов, и единовременная переоценка основных фондов в определенной мере позволяет устранить эту деформацию, решить ряд первоочередных экономических задач, непосредственно связанных с отношениями собственности.
Таким образом, в современной экономической ситуации переоценка основных фондов дает следующие преимущества:
- каждый субъект собственности получает достоверную информацию о размере своего имущества в стоимостном выражении, что крайне важно для объективной оценки уставного капитала и производственного потенциала, обеспечения гарантий в экономических отношениях с партнерами, банками, инвесторами, страховыми компаниями и т.д.;
- выравнивается оценка как основных, так и оборотных фондов, а новый масштаб цен становится всеобъемлющим. Это является необходимым условием формирования рынка товаров, фондов, кредита и т.д. Без единовременной переоценки переход к новому масштабу цен невозможен, поскольку пока не существует фондового рынка, не срабатывает рыночный механизм оценки;
- процесс воспроизводства основных фондов в государственном и негосударственном секторах приобретает реальное экономическое значение. У собственника, не осуществившего переоценку, стоимость основных фондов будет во много раз занижена против восстановительной, во столько же раз будут занижены амортизационные отчисления на полное восстановление и капитальный ремонт. Субъекты собственности окажутся в различных режимах воспроизводства: ограничение источников воспроизводства у одних субъектов собственности, наличие средств для инвестиций, нормального воспроизводства, своевременного обновления фондов — у других;
- становится возможным объективно оценить амортизационную составляющую в структуре рыночной цены и соответственно обеспечить эквивалентность обмена между товаропроизводителями различных форм собственности.
Уровень оценки основных фондов через амортизацию непосредственно влияет на издержки производства и на цену продажи товара, так как рыночная цена формируется на базе издержек производства товаропроизводителей, выпускающих основную массу продукции данного вида.
Порядок проведения переоценки основных фондов определяется постановлением Правительства О переоценке основных фондов (средств) в Российской Федерации, обязывает провести по состоянию на определенную дату переоценку основных фондов всеми предприятиями и организациями независимо от форм собственности. Методологические положения переоценки разрабатывались Госкомстатом совместно с Минэкономики, Минфином и согласовывались с Госкомимуществом России.
Для определения восстановительной стоимости при переоценке учитываются изменения сметных норм, цен и тарифов в строительстве за длительный, например двадцатилетний, период, а также индексы цен на отдельные виды оборудования, машин и транспортных средств.
Программой переоценки предусматривается возможность получения данных по комплексу взаимосвязанных показателей в разрезе отраслей, территорий, видов фондов, уровня их концентрации, степени износа. В связи с завершившимся процессом приватизации в программу переоценок последних лет включались также вопросы, связанные с формой собственности и возможностью приватизации основных фондов.
Задачи и цели переоценки определяются на основе документа Порядок проведения переоценки основных фондов в Российской Федерации и состоят в:
- создании для предприятий и организаций необходимых условий формирования обоснованных фондов денежных средств на обновление основных фондов;
- создании экономически обоснованной исходной стоимостной базы для оценки имущества на государственных предприятиях и в организациях.
Для реализации поставленных задач устанавливается следующий порядок:
- переоценку основных фондов проводят все предприятия и организации на территории РФ независимо от видов деятельности и форм собственности;
- переоценке подлежат здания (кроме жилых), сооружения, передаточные устройства, машины, оборудование, транспортные средства и другие виды основных фондов, независимо от степени износа, как действующие, так и находящиеся в консервации, резерве, или запасные, в незавершенном строительстве, сданные в аренду, подготовленные к списанию. Основные фонды, сданные в аренду, переоцениваются арендодателем;
- исходными данными для переоценки основных фондов являются полная балансовая стоимость основных фондов, определяемая по результатам инвентаризации по состоянию на 01.01.1992 г., и коэффициенты пересчета балансовой стоимости основных средств в восстановительную стоимость;
- основные фонды переоцениваются по восстановительной стоимости.
29.7. Использование метода непрерывной инвентаризации*
* Подробнее об этом см. в учебнике коллектива авторов под ред. Г.Д.
Кулагиной Национальное счетоводство (М.: Финансы и статистика. 1997), с. 353—354.
Важнейшим показателем, характеризующим использование основного капитала, является потребление основного капитала, которое трактуется в СНС как уменьшение текущей стоимости этого капитала, связанное с физическим и нормальным моральным износом, а также повреждением в результате стихийных бедствий.
Потери основного капитала, вызванные войной или стихийными бедствиями, в состав потребления основного капитала не включаются. В СНС исчисляются показатели потребления как материального основного капитала, так и нематериального основного капитала.
Для достижения сопоставимости показателя потребления основного капитала с показателями выпуска продуктов, услуг и промежуточного потребления необходимо рассчитывать стоимость потребления основного капитала не по первоначальной (учетной) стоимости, а в ценах текущего периода.
Потребление основного капитала выражается уменьшением суммы будущих доходов владельца от эксплуатации. Эта сумма зависит от прибыли, которую владелец рассчитывает получить в дальнейшем от использования основного капитала.
Следует подчеркнуть, что потребление основного капитала не включает ухудшение непроизведенных материальных активов (земли, минеральных, лесных, водных ресурсов). Что касается объектов, построенных для улучшения земли (мелиоративные, дренажные, оросительные системы, волнорезы), а также коммуникаций, то по ним рекомендуется определять потребление основного капитала.
При этом необходимо учитывать не только физический, но и моральный их износ.
К тому же в условиях современного научно-технического прогресса моральный износ имеет более важное значение, чем физический.
К обычным повреждениям основного капитала в результате несчастных случаев относятся потери из-за аварий, пожаров, штормов и т.д. Вероятность таких потерь учитывается при расчете среднего срока службы основного капитала.
Недоамортизированная стоимость основного капитала, выбывшего досрочно по указанным причинам, отражается в составе потребления основного капитала.
В некоторых странах для оценки основного капитала и построения его динамических рядов используют методы косвенных расчетов. Наиболее распространенным является метод непрерывной инвентаризации.
При этом основной капитал трактуется как сумма накопленных капиталовложений всех предыдущих лет за вычетом стоимости выбывшего капитала.
Практическое применение этого метода бывает затруднено из-за следующих причин:
- даже в наиболее развитых странах отсутствуют данные о капиталовложениях и выбытии основного капитала в период до второй мировой войны. В то же время удельный вес этого капитала был довольно высоким;
- невозможно использовать данные о ежегодных амортизационных отчислениях, так как они не отражают реального износа капитала. Выше было сказано, что чаще используются различные методы ускоренной амортизации, которые искажают реальный процесс износа и выбытия основного капитала;
- отсутствие точной индексации цен на элементы основного капитала и др.
Несмотря на эти недостатки, метод непрерывной инвентаризации широко применяется для построения динамических рядов капиталовложений и основного капитала. Расчет данных для этих рядов в текущих ценах по полной стоимости осуществляется по следующей формуле: (29.10)
Vt+1 = Vt + Jt – St,
где V1 и Vt+1 — полная стоимость основного капитала на начало t-го и (t + 1)-го годов;
Jt — инвестиции в основной капитал в t-й год;
St — выбытие основного капитала в t-й год.
Для определения чистой стоимости основного капитала используют следующую формулу: (29.11)
Rt+1 = Rt + Jt - At,
где Rt и Rt+1 — чистая (за вычетом износа) стоимость основного капитала на начало t-го и (t + 1)-го годов;
Аt — амортизационный фонд t-го года.
Все показатели пересчитываются в сопоставимые цены путем деления этих показателей в текущих ценах на соответствующий индекс капиталовложений (Ip), представляющий собой практически индекс цен на основные фонды: (29.12)

При этом

где Jt — фактические инвестиции данного года;
Jtp0 — инвестиции данного года в ценах базисного года;
f1р1 — основные фонды текущего периода в действующих ценах;
f1р0 — основные фонды текущего периода в сопоставимых ценах базисного периода.
Достоверность практических результатов построения динамических рядов в значительной мере зависит от выбранной гипотезы среднего срока службы различных элементов основного капитала. Точное определение срока службы невозможно из-за отсутствия необходимых данных, поэтому срок службы устанавливается приблизительно на основании выборочных обследований или по технической документации на различные элементы основного капитала.
При этом допускается, что срок службы данного вида основного капитала остается неизменным в течение всего исследуемого периода, что снижает степень достоверности полученных результатов.
Контрольные вопросы
- Раскройте понятие и состав основных фондов, назовите их основные признаки и приведите их натурально-вещественную классификацию.
- Перечислите основные показатели простого и расширенного воспроизводства основных фондов, основные группировки этих показателей, раскройте их значение в экономическом анализе.
- Каковы виды оценки основных фондов?
- Какие показатели характеризуют потребление основного капитала и какова методика их расчета?
- Каково назначение и содержание балансов основных фондов по полной и остаточной стоимости?
- Каково назначение и содержание баланса капитальных вложений и какими показателями он связан с балансом основных фондов?
- В чем суть индексного метода расчета динамики основных фондов и их переоценки в сопоставимые цены?
Банковская статистика
Банковская система неотъемлемая часть экономики любого государства. Современные банковские системы разных стран имеют многозвенную структуру.
Основным звеном любой банковской системы является центральный (национальный) банк.
Он принадлежит органам государственного управления (денежных властей) и осуществляет функции денежно-кредитного регулирования:
- эмиссию национальной валюты;
- управление международными резервами страны;
- принятие обязательств в виде депозитов других банков;
- роль кредитора последней инстанции;
- роль фискального агента центрального правительства.
В России действует двухзвенная банковская система, включающая Центральный банк РФ (Банк России) и кредитные организации, а также их филиалы и конторы, представительства иностранных банков (согласно определению, данному в Федеральном законе О банках и банковской деятельности от 03.02.1996 г.).
Как единый эмиссионный центр Центральный (национальный) банк страны обладает монопольным правом на выпуск банкнот и монет, которые служат единственным официальным платежным средством.
Необходимо отметить, что в своей деятельности банк банков страны не преследует цели получения прибыли. Так, Банк России осущеYтвляет свои расходы за счет собственных доходов.
Его основная цель обеспечение бесперебойной деятельности всей экономики, снабжение ее необходимым количеством платежных средств.
Таким образом, создается необходимый уровень ликвидности всей банковской системы.
Кроме того, Центральный банк обеспечивает бесперебойную систему расчетов, осуществляет надзор за деятельностью коммерческих банков (кредитных организаций). Для этого он сохраняет обязательные резервы коммерческих банков для покрытия случайного (временного, сезонного) дефицита наличных денежных средств на случай возникновения форс-мажорных обстоятельств, стихийных бедствий и пр.
Иными словами, Центральный банк является кредитором последней инстанции.
В роли фискального агента центрального правительства национальный банк страны осуществляет следующую деятельность:
- ведет счета учреждений центрального правительства, аккумулирует поступления в бюджет и внебюджетные фонды, осуществляет платежи по поручению Министерства финансов (Казначейства), Правительства;
- проводит эмиссию и размещение новых выпусков государственных займов и ценных бумаг на первичном фондовом рынке и покупает государственные ценные бумаги для пополнения и улучшения структуры своего собственного портфеля;
- является советником государственных и местных органов власти по финансовым и общеэкономическим вопросам. В РФ государство не отвечает по обязательствам Банка России, а Банк России по обязательствам государства, если они не приняли на себя такие обязательства или если иное не предусмотрено федеральными законами.
В функции Центрального банка входит определение основных направлений денежно-кредитной политики банковской системы и экономики в целом с помощью некоторых специфических инструментов (уровень процентной ставки, изменение норм обязательных резервов, операции на открытом рынке).
На основании вышеизложенного можно сформулировать основные направления социально-экономического статистического анализа:
- выработка стратегии и тактики денежно-кредитной политики денежных властей страны;
- определение размера официальной ставки рефинансирования в зависимости от состояния и перспектив развития экономики;
- разработка стратегии и тактики платежной политики;
- надзор за эффективностью деятельности отдельных кредитных организаций и банковской системы в целом;
- контроль за валютной политикой;
- составление платежного баланса Российской Федерации.
19.2. Показатели деятельности Центрального банка РФ
В соответствии с Законом О Центральном банке Российской Федерации (Банке России) от 12.04.1995 г. основными целями деятельности Банка России являются:
- защита и обеспечение устойчPвости рубля, в том числе его покупательной способности и курса по отношению к иностранным валютам;
- развитие и укрепление банковской системы РФ;
- обеспечение эффективного и бесперебойного функционирования системы расчетов.
Получение прибыли не входит в цели деятельности Банка России.
Банк России выполняет следующие функции:
- во взаимодействии с Правительством РФ разрабатывает и проводит единую государственную денежно-кредитную политику, направленную на защиту и обеспечение устойчивости рубля;
- монопольно осуществляет эмиссию наличных денег и организует их обращение;
- выступает кредитором последней инстанции для кредитных организаций, организует систему рефинансирования;
- устанавливает правила осуществления расчетов в РФ;
- устанавливает правила проведения банковских операций, бухгалтерского учета и отчетности для банковской системы;
- осуществляет государственную регистрацию кредитных организаций; выдает и отзывает лицензии кредитных организаций и организаций, занимающихся их аудитом;
- осуществляет надзор за деятельностью кредитных организаций;
- регистрирует эмиссию ценных бумаг кредитными организациями в соответствии с федеральными законами;
- выполняет самостоятельно или по поручению Правительства РФ все виды банковских операций, необходимых для решения своих основных задач;
- осуществляет валютное регулирование, включая операции по покупке и продаже иностранной валюты; определяет порядок ведения расчетов с иностранными государствами;
- организует и осуществляет валютный контроль как непосредственно, так и через уполномоченные банки в соответствии с законодательством РФ;
- принимает участие в разработке прогноза платежного баланса и организует составление платежного баланса РФ;
- проводит анализ и прогнозирование состояния экономики РФ в целом и по регионам прежде всего денежно-кредитных, валютно-финансовых и ценовых отношений; публикует соответствующие материалы и статистические данные;
- осуществляет иные функции в соответствии с федеральными законами.
Итак, перед Банком России совместно со всеми субъектами денежных властей стоит задача путем регулирования денежного оборота, кредитного обеспечения экономики и регулирования размера официальных резервов гарантировать стабильность национальной валюты страны. Для сохранения стабильной покупательной способности национальной валюты и ограничения ее количества в обращении Банк России создает монетарные предпосылки того, чтобы при достаточном экономическом росте за довольно длительный период были сохранены высокая степень занятости и эффективное использование всех видов ресурсов.
Для практического осуществения денежно-кредитной политики важно установить, на основе каких показателей и факторов Центральный банк оценивает результаты своей деятельности. Такие показатели, как темп роста цен или рост реального валового продукта, вряд ли могут быть использованы напрямую, так как они являются результатом взаимодействия всех участников экономического процесса и зависят от поведения многих рыночных субъектов, а также от государственной бюджетной политики.
Кроме того, необходимо помнить, что стимулирующее действие политики центральных банков начинается на денежном рынке (рынке капиталов), распространяется через финансовые рынки и проявляется в решениях на уровне государства и экономики в целом. Эта характерная особенность монетарного трансмиссионного процесса не позволяет оценивать результаты денежно-кредитной политики, используя какой-либо отдельный инструмент (например, только величину дисконтной ставки и ее колебаний).
Результаты денежно-кредитной политики в статике и динамике можно оценить только с помощью монетарных индикаторов, которые в определенном смысле являются связующим звеном между денежным рынком (как сферы непосредственного осуществления операций Центрального банка) и основными экономическими показателями, находящимися под влиянием денежно-кредитной политики. Поэтому не случайно с начала 70-х годов, когда мировые инфляционные тенденции приобрели новую динамику и общая международная обстановка сильнее, чем прежде, препятствовала стабилизирующим усилиям денежно-кредитной политики, перед многими центральными (национальными) банками встала задача нахождения приемлемых монетарных индикаторов и промежуточных целевых величин.
Такой промежуточной целевой величиной стала динамика величины денежной массы в качестве официального показателя денежно-кредитной политики.
Статистической основой показателей денежной массы Ml, М2 и МЗ (которые подробно будут рассмотрены в главе Статистика денежного обращения) является денежная и банковская статистика. Данные по этим показателям рассчитываются ежемесячно в рамках консолидированного баланса банковской системы, включая баланс Центрального банка, а анализ осуществляется в рамках так называемого монетарного анализа.
Таким образом, в основу экономической политики государства и денежных властей положены: достижение экономического роста, обеспечение занятости, стабильность цен, устойчивость платежного баланса. Выбранные параметры закладываются в финансовую программу и представляются в ежегодном официальном документе Центрального банка Основные направления денежно-кредитной политики, который обсуждается и принимается Правительством и Государственной Думой.
Как монетарная политика денежны] властей выступает частью экономической политики государства, так и ее целевые показатели по денежно-кредитным счетам есть часть финансовой программы.
Банк России, будучи органом, определяющим и проводящим (контролирующим) денежно-кредитную политику в РФ, использует следующие инструменты и методы анализа и контроля за ее осуществлением.
1. Определение процентных ставок по совершаемым операциям. Банк России устанавливает одну или несколько официальных процентных ставок с учетом специфики различных видов операций или проводит процентную политику без фиксации официальной процентной ставки.
Процентная ставка это форма потребительской стоимости кредита, плата за предоставление денежного капитала. Основную роль в системе процентных ставок играет официальная ставка рефинансирования Банка России.
По ней кредитные организации рефинансируются у ЦБ РФ, получая краткосрочные ссуды или переучитывая коммерческие векселя.
Существуют две формы базовой процентной ставки:
- ставка рефинансирования, которая устанавливается исходя из динамики инфляции, а также уровня доходности, складывающейся на рынке государственных ценных бумаг. Процентная ставка по долгосрочным (на срок от 15 до 30 дней) ссудам устанавливается на уровне, равном ставке рефинансирования;
- ставка редисконтирования.
Очень близка к ставке редисконтирования ставка по ломбардному кредитованию (по ломбардным операциям), т.е. по кредитованию коммерческих банков под залог векселей и ценных бумаг.
Степень реальной значимости той или иной базовой ставки зависит от соотношения уровня развития вексельного обращения (кредитования) и системы рефинансирования.
Путем изменения уровня официальной процентной ставки Банк России осуществляет определенную денежно-кредитную политику, оказывая влияние на объем и структуру денежной массы и на уровень инфляции. Понижая официальную процентную ставку, банк делает кредитные ресурсы более дешевыми и доступными. Подобным образом стимулируются рост и развитие инвестиционной деятельности, а также оживление экономики страны.
Иными словами, в обращении находятся дешевые деньги.
Повышение официальной процентной ставки ведет к сжатию денежно-кредитной массы, замедлению темпов инфляции. Но одновременно с этим политика дорогих денег приводит к сокращению инвестиционных процессов в связи с ограниченным предоставлением долгосрочных кредитов.
Таким образом, денежно-кредитная политика центрального (национального) банка должна балансировать, постоянно находить оптимальный уровень официальной процентной ставки.
Проблема усложняется тем, что на практике официальная процентная ставка может быть положительной, если ее уровень выше уровня инфляции, и отрицательной, если ее уровень не успевает за ростом инфляции.
Процентные ставки по кредитам и депозитам кредитных организаций определяются рынком.
Существует еще так называемая ставка РЕПО, по которой первичные дилеры получают кредитные средства Банка России.
Официальная базовая процентная ставка является основой для формирования рыночных процентных ставок. Взаимосвязь между базовой и рыночной процентными ставками выражается в том, что обычно рыночные ставки растут быстрее официальной в периоды экономического роста, и, наоборот, в период экономического спада рыночные ставки снижаются быстрее.
Иными словами, рыночные ставки эластичны и являются более оперативным индикатором происходящих и ожидаемых изменений на рынках.
В зависимости от уровня процентных ставок на банковском и межбанковском рынках, прогноза динамики их уровня поведение рыночных субъектов меняется следующим образом:
а) ожидается рост достаточно низких процентных ставок. Банкам и небанковским финансовым учреждениям рекомендуется: увеличить сроки предоставления заемных средств; сократить размер кредитов с фиксированной процентной ставкой; сократить вложения и сроки уже вложенных средств в инвестиции; постараться продать часть инвестиций в виде ценных бумаг; увеличить долю привлеченных долгосрочных кредитов; закрыть некоторые неосновные рисковые кредитные линии;
б) процентные ставки растут и в ближайшем будущем ожидается достижение их максимума. Необходимо начать сокращение сроков выдачи заемных средств; приступить к удлинению сроков инвестиций, в том числе в форме ценных бумаг; увеличить долю кредитов с фиксированной ставкой; рассмотреть возможность досрочного погашения задолженности с фиксированной процентной ставкой;
в) ожидается снижение достаточно высоких процентных ставок. В такой ситуации рекомендуется сократить сроки выдачи заемных средств; увеличить долю кредитов с фиксированной ставкой; увеличить сроки и размер портфеля ценных бумаг и инвестиций; открыть новые кредитные линии;
г) процентные ставки снижаются, близки к минимуму. Необходимо: начать удлинение сроков предоставления заемных средств и сокращение сроков долгосрочных ссуд и инвестиций; увеличить удельный вес кредитов с плавающей ставкой; сократить операции на открытом рынке, в том числе с ценными бумагами; приступить к выборочной продаже активов с фиксированной ставкой или доходом;
д) если сроки активов и пассивов приблизительно равны, неожиданный рост процентных ставок снижает рыночную цену активов и пассивов практически на одну и ту же сумму и фактически не изменет результаты операции. Соответственно банк, имеющий активы со сравнительно длительными сроками и пассивы с более короткими сроками, столкнется со снижением доходов от операций при непредусмотренном увеличении рыночных ставок и их ростом при неожиданном падении рыночных ставок;
е) непредусмотренное изменение рыночных ставок оказывает незначительное влияние на цену краткосрочных операций и более заметное воздействие на цену долгосрочных операций.
Базовая процентная ставка является главным, но не единственным фактором, влияющим на уровень рыночных процентных ставок. Базовая процентная ставка равна годовой процентной ставке, устанавливаемой в качестве отправной величины для начисления процентов на различные виды предоставляемых банковских услуг. Существуют ставки кредитного рынка, применяемые в кредитных операциях, ставки депозитного рынка, а также ставки межбанковского рынка.
Иногда, в зависимости от специфики конкретного банковского клиента, формируется индивидуальная процентная ставка для осуществления конкретной банковской услуги.
Ставка краткосрочного кредитования первоклассного заемщика называется прайм райт и часто оказывается базовой для конкретного банка.
Кроме ставок кредитного рынка существуют и процентные ставки денежного рынка, к которым относятся ставки по краткосрочным денежным обязательствам казначейским, банковским и корпоративным векселям, прочим коммерческим бумагам. В условиях высокой инфляции ставки межбанковского рынка также входят в группу процентных ставок денежного рынка.
В систему процентных ставок включают и ставки фондового рынка, содержащие процентные ставки по государственным и корпоративным ценным бумагам.
Межстрановые процентные ставки регулируют денежные потоки по евродолларовым ссудам, евродолларовым облигациям и прочим евродолларовым инструментам денежного и фондового рынков.
2. Установление резервных требований для депонирования средств кредитных организации. Размер резервных требований устанавливается советом директоров ЦБ РФ в процентном отношении к общей сумме денежных средств, привлеченных банком.
При закрытии (банкротстве) кредитной организации зарезервированные суммы возвращаются. С точки зрения осуществления оптимальной денежно-кредитной политики резервные требования выполняют двойную функцию.
С одной стороны, они дают возможность в рамках долгосрочного управления банковской ликвидностью осуществлять коррекцию в стратегии долгосрочного создания денег или коррекцию объема неиспользованных банками лимитов рефинансирования (влияние ликвидности). С другой стороны, размер обязательных резервов поддерживает потребность банков в деньгах Центрального банка и приводит к достаточно стабильному и Wредсказуемому спросу на деньги.
3. Осуществление операций на открытом рынке в виде купли-продажи государственных и корпоративных ценных бумаг. Банк России является агентом Министерства финансов РФ и с помощью уполномоченных коммерческих банков совершает так называемые обратные сделки, а именно перепродажу ценных бумаг.
Пределы (лимиты, объем) этих операций определяются советом директоров ЦБ РФ.
4. К одной из основных функций Банка России относятся валютные интервенции купля-продажа иностранной валюты за российские рубли, а также покупка-продажа платежных документов и обязательств в иностранной валюте на межбанковском или биржевом рынках. Таким образом, Банк России оказывает иногда решающее влияние на динамику курса рубля, на спрос и предложение денег в экономике.
Это один из важнейших инструментов сглаживания колебаний курса российской валюты и оптимизации валютного риска не только банковской системы, но и всей экономики страны.
5. Осуществление денежной эмиссии. Важнейшими источниками денежной эмиссии являются предоставление кредита банковской системе, внутригосударственному небанковскому сектору, а также сальдо от приобретения иностранных активов через банковскую систему, которое отражает приток денег во внутригосударственный небанковский сектор из заграничного оборота услуг и капитала.
Дело в том, что приток денег в результате обмена услугами с зарубежными странами уменьшает потребность в кредитах внутри страны.
6. Установление основных ориентиров динамики денежной массы.
Основными показателями являются денежная база и денежная масса, выраженная в форме денежных агрегатов.
Денежная база это резервные или первоначальные деньги, на основе которых создаются обязательства. Она выражается следующей формулой:
MB = CIC + RR + DCB, (19.1)
где CIC наличные деньги в обращении;
RR обязательные резервы;
DCB средства коммерческих банков на корреспондентских счетах в Центральном банке.
CIC=L(H+С), (19.2)
где L мультипликатор;
Н банкноты, выпущенные в обращение;
С монета, выпущенная в обращение.
Денежная масса это количество денег, выпущенных денежными властями страны (Центральным банком РФ). При стабильном спросе на деньги в соответствии с количественной теорией денег прирост денежной массы приводит к непосредственному повышению уровня цен, т.е. инфляции.
Недостаток денежной массы ограничивает покупательную способность юридических и физических лиц. Поэтому одной из основных задач денежных властей является контроль за количеством выпущенных денег.
Количество обращающихся в экономике страны денег контролируется с помощью анализа соотношения денежных агрегатов в статике и динамике.
Агрегаты денежной массы это кластеры, в которых различные виды платежных средств сгруппированы по определенным признакам.
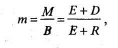
Соотношение между денежной массой и денежной базой или деньгами, выпущенными Центральным банком и числящимися в пассиве эмиссионного института, называется денежным мультипликатором. С одной стороны:
М = Е + D, (19.3)
где М величина денежной массы;
Е количество эмитированных банкнот, т.е. банкноты, находящиеся в обращении;
D размер депозитов.
С другой стороны:
В = Е + R, (19.4)
где В денежная база;
R величина обязательных резервов.
Тогда мультипликатор (т) выражается следующим образом:

или (19.5)

где r отношение обязательных резервов к сумме депозитов, т.е. r=R/D;
е удельный вес наличных денег в форме металлических и бумажных денег, т.е. е = Е/М .
Денежный мультипликатор можно рассматривать как деньги, выпущенные Центральным банком. Этот показатель является одним из основных индикаторов, с помощью которого осуществляется анализ и контроль за денежной массой, денежно-кредитной политикой в целом.
19.3. Показатели деятельности коммерческих банков (кредитных организаций)
Банк это:
а) предприятие, учреждение, являющееся самостоятельной хозяйственной единицей, обладающее правом юридического лица, производящее и реализующее специфический продукт (банковские услуги);
б) торговое предприятие, в задачи которого входит приобретение и перераспределение специфического товара денег;
в) посредник между различными физическими и/или юридическими лицами с целью аккумуляции свободных денежных ресурсов за определенную плату и передачи их другому клиенту (контрагенту, посреднику) также за установленную плату и на определенных условиях;
г) агент биржи, чаще всего фондовой, с целью вложения свободных денежных ресурсов в ценные бумаги для получения прибыли как самим банком, так и клиентом;
д) рисковое предприятие, так как его деятельность связана с принятием ряда специфических банковских рисков.
Кредитная организация юридическое лицо, которое для извлечения прибыли как основной цели своей деятельности на основании специального разрешения (лицензии) Центрального банка РФ имеет право осуществлять банковские операции, предусмотренные Федеральным законом О банках и банковской деятельности. Кредитная организация образуется на основе любой формы собственности как хозяйственное общество.
Банк это кредитная организация, которая имеет исключительное право осуществлять в совокупности следующие банковские операции: привлечение во вклады денежных средств физических и юридических лиц; размещение средств от своего имени и за свой счет на условиях возвратности, платности, срочности; открытие и ведение банковских счетов физических и юридических лиц.
Небанковская кредитная организация имеет право осуществлять отдельные банковские операции, предусмотренные федеральным законом. Допустимые сочетания банковских операций для небанковских кредитных организаций устанавливаются Банком России.
К небанковским кредитным организациям относятся: страховые, лизинговые, финансовые компании; пенсионные, инвестиционные, благотворительные фонды; ломбарды; кредитные союзы, общества и товарищества; брокерские, дилерские, факторинговые фирмы и пр.
Иностранный банк банк, признанный таковым по законодательству иностранного государства, на территории которого он зарегистрирован.
Правовое регулирование банковской деятельности осуществляется Конституцией РФ, Федеральным законом О Центральном банке Российской Федерации (Банке России), другими федеральными законами, нормативными актами Банка России.
Филиалом кредитной организации является ее обособленное подразделение, расположенное вне места нахождения кредитной организации и осуществляющее от ее имени все или часть банковских операций, предусмотренных лицензией Банка России, выданной кредитной организации.
Представительство кредитной организации это ее обособленное подразделение, расположенное вне места нахождения кредитной организации, представляющее ее интересы и осуществляющее их защиту. Представительство не имеет права осуществлять банковские операции.
Филиалы и представительства кредитной организации не являются юридическими лицами и осуществляют свою деятельность на основании положений, утверждаемых создавшей их кредитной организацией.
Частные хозяйства, в том числе домохозяйства.
Общегосударственный сектор. Основными его функциями являются: контроль за общим объемом государственных операций страны; осуществление сбора ресурсов в доходной части бюджета и их целевое и оптимальное распределение; определение оптимального размера агрегированного веса налоговых платежей и структуры налоговой системы страны; контроль за расходами центральных и всех уровней органов управления; контроль за деятельностью наднациональных органов.
Сектор нефинансовых корпораций. Корпорация — это институциональная единица, созданная с целью производства товаров или услуг для рынка.
Кроме того, существует еще один тип институциональной единицы, которая имеет право заниматься хозяйственной деятельностью и осуществлять некоторые операции. Они несут ответственность и ведут полную отчетность по своим экономическим решениям и действиям, хотя их автономия может быть ограничена другими институциональными единицами (например, находиться под контролем своих акционеров).
Иными словами, на рынке они ощущают себя в значительной степени как корпорации, ведут полную бухгалтерскую и статистическую отчетность, и их называют квазикорпорациями.
Корпорации могут эмитировать, владеть и осуществлять операции с акциями других корпораций. В результате в статистике, построенной согласно системе национальных счетов, различают несколько видов корпораций.
Дочерние корпорации. Корпорация Б считается дочерней по отношению к корпорации А, если корпорация А контролирует более половины голосов акционеров в корпорации Б или является акционером корпорации Б с правом назначения или снятия с должности большинства директоров корпорации Б.
Ассоциированные корпорации. Корпорация Б считается ассоциированной по отношению к корпорации А, если корпорация А и ее дочерние корпорации контролируют от 10 до 50% голосов акционеров в корпорации Б, так, чтобы корпорация А могла оказывать влияние на стратегию и политику управления корпорации Б. Иными словами, корпорация правомочна оказывать меньшее влияние на деятельность ассоциированной корпорации, чем на деятельность дочерней.
Холдинговые корпорации. Они могут устанавливать контроль над другими корпорациями, с тем чтобы усилить свои собственные позиции в качестве производителя (материнская компания), или с целью осуществления контроля и управления группой дочерних корпораций без наличия принадлежащего ей значительного объема производства (холдинговая компания).
Вспомогательные корпорации. Они полностью принадлежат материнской компании и ограничиваются предоставлением услуг материнской компании или другим вспомогательным корпорациям, принадлежащим той же материнской корпорации.
Эти корпорации не рассматриваются как самостоятельные институциональные единицы.
Сектор нефинансовых корпораций состоит из следующих подсекторов:
- государственные нефинансовые корпорации;
- национальные частные нефинансовые корпорации;
- контролируемые из-за рубежа нефинансовые корпорации.
Сектор некоммерческих организаций, обслуживающих домашние хозяйства (НКООДХ)
Этот сектор состоит из двух групп НКООДХ:
- институциональные единицы, которые создаются ассоциациями граждан для предоставления товаров или услуг прежде всего в интересах членов самих этих ассоциаций. Обычно услуги предоставляются бесплатно, так как финансируются за счет регулярных членских взносов и сборов;
- институциональные единицы, создаваемые для филантропических целей и не служащие интересам членов ассоциации, контролирующих НКООДХ. Они предоставляют товары или услуги на нерыночной основе. Ресурсами этих учреждений являются преимущественно благотворительные взносы наличными средствами или в натуральном выражении от общественности, корпораций или правительств, включая подобного рода НКООДХ — резиденты в других странах.
Сектор домашних хозяйств
Данный сектор включает институциональные домашние хозяйства, к которым относятся:
- члены религиозных орденов, проживающие в монастырях или подобных учреждениях;
- пациенты, находящиеся длительное время в лечебных заведениях, в том числе в психиатрических больницах;
- заключенные, отбывающие длительные сроки наказания;
- престарелые люди, постоянно проживающие в домах для пенсионеров и престарелых;
- домашние хозяйства — производители;
- некорпоративные рыночные предприятия домашнего хозяйства;
- домашние хозяйства, производящие продукцию для собственного конечного потребления.
Сектор финансовых корпорации
Каждый из пяти институциональных секторов может быть разделен на подсектора. Разделение зависит от типа проводимого анализа, потребностей пользователей, наличия информации, конкретной ситуации, экономических обстоятельств, поэтому не существует единой методики классификации подсекторов.
Сектора системы группируют в себе сходные типы институциональных единиц.
Итак, оптимизация структуры и содержания социально-экономической статистики достигается путем формирования следующих секторов, а следовательно, и статистических блоков.
Блок 1. Сектор органов государственного управления, в который включены подсектора центрального правительства и региональных и местных органов власти. Сектор органов государственного управления объединяет учреждения, финансируемые из государственного бюджета или фондов социального обеспечения, функцией которых является оказание нерыночных услуг населению и обществу в целом, а также перераспределение доходов и богатства страны.
Ресурсы этих институциональных единиц формируются главным образом за счет налогов и отчислений, уплачиваемых институциональными единицами прочих секторов.
Блок 2. Сектор нефинансовых предприятий, классификация которых производится в соответствии с СНС и принципом собственности. Согласно этому принципу все нефинансовые предприятия могут быть отнесены к определенному виду собственности — государственной, акционерной, частной или совместной.
В этот сектор включены институциональные единицы, занятые рыночным производством товаров и нефинансовых услуг. Ресурсы их формируются главным образом за счет средств, полученных от продаж товаров и услуг, но они имеют возможность покрывать свои издержки за счет субсидий из государственного бюджета.
Блок 3. Частные хозяйства, в том числе домохозяйства. Основной функцией домашних хозяйств является потребление товаров и услуг.
Некоторые из них осуществляют деятельность по производству некоторых видов товаров и услуг как для собственного потребления, так и на продажу.
Блок 4. Финансовые учреждения, ресурсы которых формируются за счет принятых обязательств и полученных процентов от предоставления разных видов банковских и консалтинговых услуг, а также страховых премий и комиссионных. Этот сектор включает следующие подсектора.
Банковский сектор, куда входят органы денежно-кредитного регулирования:
а) центральный банк, основными функциями которого являются:
- эмиссия национальной валюты;
- контроль за международными золотовалютными резервами;
- контроль за операциями с МВФ;
- надзор за финансовыми учреждениями страны;
- функция кредитора последней инстанции;
б) прочие депозитарные учреждения (корпорации), к которым относятся:
- депозитные банки, принимающие любые обязательства в форме депозитов, которые могут быть свободно и без дополнительной платы переведены по предъявлению в наличность или использованы в качестве средства платежа;
в) другие банковские учреждения, подразделяющиеся в свою очередь на:
- другие учреждения, принимающие депозиты (сберегательные банки, сберегательные и кредитные общества, строительные общества, кредитные союзы, финансовые дома, учетные дома, торговые банки, паевые инвестиционные фонды (ПИФ));
- институциональные эмитенты облигаций;
- банки развития;
- оффшорные банковские учреждения и их подразделения.
Небанковские финансовые учреждения, имеющие право выполнять некоторые банковские операции. Их доля в осуществлении банковских операций растет во всем мире, и в последние 7—10 лет они являются основными конкурентами коммерческих банков на рынке традиционных банковских услуг.
К ним относятся страховые компании, пенсионные фонды, лизинговые фирмы, трастовые (доверительные) счета и некоторые другие.
Вспомогательные финансовые учреждения, которые приобретают финансовые активы за свой счет и берут на себя финансовые обязательства (таким образом они берут на себя и риски) на рынке, принимают депозиты до востребования, срочные и сберегательные вклады, а иногда выполняют и функции денежно-кредитного регулирования.
Финансовые посредники — хозяйствующие субъекты, предоставляющие специализированные услуги, тесно связанные с посредничеством; однако сами они не привлекают средства и не выдают кредиты за свой счет. Основные финансовые посредники, услугами которых пользуются банки в других странах: брокеры, представители производителей, агенты-импортеры, компрадоры, дистрибьюторы, дилеры, джобберы и мелкие торговцы.
Необходимо отметить, что порядок перечисления финансовых посредников не случаен, он ранжирован по частоте, с которой банки и прочие финансовые учреждения пользуются их услугами. Иными словами, финансовое посредничество может быть охарактеризовано как производственная деятельность, в которой институциональная единица не несет обязательства за свой собственный счет в целях приобретения финансовых активов посредством проведения финансовых операций на рынке.
Роль финансовых посредников состоит в том, чтобы направлять в определенное (оптимальное) русло средства кредиторов заемщикам.
Финансовые посредники принимают депозиты, выдают векселя, облигации или другие ценные бумаги. Они не только выступают как агенты конкретных институциональных единиц, но и берут на себя риск, принимая обязательства за свой собственный счет.
Рассмотренная классификация финансовых институциональных единиц называется классификацией первого уровня. Финансовые корпорации и квазикорпорации могут также подразделяться на:
- государственные финансовые корпорации;
- акционерные, частные или совместные финансовые корпорации;
- финансовые корпорации, контролируемые из-за рубежа.
17.3. Источники статистической информации о налогах и основные методы ее анализа
Основными источниками информации для определения налоговой базы и размера налогов, взимаемых с институциональных единиц, являются:
- бухгалтерский баланс предприятия (организации);
- приложения к бухгалтерскому балансу предприятия (организации):
- справка о движении фондов (резервный фонд, нераспределенная прибыль прошлых лет, фонды накопления, фонды потребления, фонд пополнения собственных оборотных средств, целевое финансирование из бюджета, целевое финансирование из отраслевых и межотраслевых фондов);
- справка о движении заемных средств (долгосрочные кредиты банков, в том числе не погашенные в срок; долгосрочные займы, в том числе не погашенные в срок; краткосрочные кредиты банков, в том числе не погашенные в срок; кредиты банков для работников, в том числе не погашенные в срок; краткосрочные займы, в том числе не погашенные в срок);
- справка о дебиторской и кредиторской задолженности;
- состав материальных активов на конец года (права на изобретения и другие аналогичные объекты интеллектуальной собственности, права пользования природнcми ресурсами, организационные расходы);
- справка о наличии и движении основных средств;
- справка о финансовых вложениях;
- социальные показатели, в том числе отчисления на социальные нужды (фонд социального страхования, пенсионный фонд, фонд занятости, расходы на медицинское страхование; среднесписочная численность работников; средства, направленные на потребление, в том числе расходы на оплату труда, денежные выплаты и поощрения, доходы по акциям и вкладам в имущество предприятия (организации));
- движение средств финансирования капитальных вложений и других финансовых вложений;
- справка о наличии ценностей, учитываемых на забалансовых счетах.
На базе указанных документов производятся расчеты и устанавливаются формы, которые являются основанием для определения налогооблагаемой базы и размера выплат по видам налогов и срокам:
- расчет среднегодовой стоимости имущества предприятия (организации);
- расчет финансовых показателей и использования прибыли;
- справка к отчету о финансовых результатах и их использовании, в которой отражаются размер всех видов платежей в бюджет и затраты, расходы, учитываемые при исчислении льгот по налогу на прибыль;
- расчет налога с суммы превышения расходов на оплату труда по сравнению с их нормируемой величиной;
- расчет налога по фактической прибыли;
- расчет (налоговая декларация) по налогу на добавленную стоимость;
- расчет дополнительных платежей в бюджет (возврата из бюджета) исходя из сумм доплат (уменьшения) налога на прибыль и авансовых взносов налога, скорректированных на учетную ставку Центрального банка РФ за пользование банковским кредитом;
- расчет налога на рекламу;
- расчет (налоговая декларация) по специальному налогу;
- справка о движении средств финансирования капитальных вложений и других финансовых вложений;
- расчетная ведомость по транспортному налогу;
- расчет налога на приобретение автотранспортных средств;
- расчет налога на пользователя автомобильных дорог;
- расчет налога на имущество предприятия (организации);
- справка об авансовых взносах налога в бюджет, исходя из предполагаемой прибыли, и др.
Контрольные вопросы
- Какая связь существует между фискальной и бюджетной системами?
- Какие основные виды налогов платит население РФ?
- Что такое резидент и нерезидент? Почему необходимо введение этих понятий?
- Какие основные блоки статистической информации формируются в связи с переходом к СНС?
- Какая разница между понятиями предприятие и институциональная единица?
Единый государственный регистр предприятий и организаций
ЕГРПО представляет собой систему статистического учета хозяйственных единиц, зарегистрированных в установленном порядке и осуществляющих свою деятельность на территории Российской Федерации в соответствии с действующим законодательством.
Цель создания ЕГРПО накопление и использование в первую очередь в государственных интересах достоверных учетно-статистических данных, отражающих создание и развитие на протяжении всего жизненного цикла предприятий и организаций, которые характеризуются стандартным набором реквизитов.
В связи с тем что содержащиеся в ЕГРПО учетно-статистические данные о субъектах хозяйственной деятельности являются системообразующими для других целевых регистров, реестров и баз данных, создаваемых органами исполнительной власти и управления, ЕГРПО следует рассматривать в качестве ключа к государственным информационным ресурсам, формируемым на федеральном и региональном уровнях.
В частности, идентификация предприятий и организаций, установленная при их учете в ЕГРПО, используется для формирования и ведения государственной системы каталогизации продукции, реестра собственности, реестра предприятий-монополистов, реестра финансово-промышленных групп, реестра банковской системы, реестра предприятий с иностранными инвестициями, базы данных участников внешнеэкономических связей, базы данных предприятий Пенсионного фонда России, базы данных Фонда обязательного медицинского страхования и др.
Применительно к целям статистики задачами ЕГРПО являются:
- однозначная идентификация хозяйствующих субъектов и их основных характеристик в соответствии с группировками общероссийских классификаторов для использования при заполнении постоянных реквизитов унифицированных форм федерального государственного статистического наблюдения;
- формирование Генеральной совокупности объектов статистического наблюдения для организации проведения статистических наблюдений, в том числе с использованием несплошных методов наблюдения;
- создание статистических субрегистров и баз данных для проведения различных структурных статистических обследований;
- создание нормативно-справочной информации для системы электронной обработки статистических данных;
- актуализация учетно-статистических данных в ЕГРПО во взаимодействии с целевыми регистрами и базами данных министерств и ведомств;
- определение для каждого предприятия и организации состава форм федерального государственного статистического наблюдения, в соответствии с которыми они должны представлять отчетные данные в территориальные органы государственной статистики;
- проведение анализа и представление необходимых статистических данных за различные периоды о численности и составе созданных, функционирующих и прекративших свое существование предприятии и организаций, степени их жизнеспособности, отраслевом профиле деятельности, формах собственности и других параметрах, включаемых в ЕГРПО, на основе которых может оцениваться экономическая ситуация и рост деловой активности в стране;
- решение задач межведомственного характера, связанных с предоставлением из ЕГРПО адресной демографической информации о предприятиях и организациях в органы внутренних дел, налоговую полицию и другие органы, на которые возложено выполнение важнейших государственных функций по сбору налогов и борьбе с экономическими преступлениями;
- обеспечение заинтересованных пользователей справочной информацией из ЕГРПО для применения ее в коммерческих целях, включая проведение исследований и определение регионов, являющихся потенциальными рынками сбыта товаров, создание каталогов производителей продукции, оптимальное размещение инвестиций в различных отраслях экономики.
Функции проведения работ по обеспечению учета хозяйственных единиц, ведению базы данных ЕГРПО и справочно-информационному обслуживанию заинтересованных пользователей возложены на Государственный комитет РФ по статистике, осуществляющий методологическое руководство и координацию деятельности подведомственных ему организаций в этой области.
На региональном уровне учет хозяйственных единиц в составе ЕГРПО осуществляется районными территориальными органами государственной статистики, которые фиксируют информацию о зарегистрированных субъектах хозяйственной деятельности и передают ее на областной уровень. После этого информация обрабатывается на областном уровне и передается на федеральный уровень в Главную администрацию регистра (ГАР), созданную в Главном межрегиональном центре обработки и распространения статистической информации (ГМЦ). ГАР является головной службой по ведению ЕГРПО и выполняет следующие основные функпии:
- ведение сводного массива информации в базе данных ЕГРПО;
- разработку инструктивно-методических и программно-технологических средств ведения ЕГРПО;
- контроль и координацию работ, проводимых на региональном уровне;
- взаимодействие с регистрами, реестрами и базами данных о предприятиях и организациях, ведение которых осуществляется в других ведомствах;
- справочное обслуживание пользователей по их запросам.
Объектами учета в ЕГРПО являются:
юридические лица, включая коммерческие организации (хозяйственные товарищества и общества, производственные кооперативы, государственные и муниципальные унитарные предприятия) и некоммерческие организации (потребительские кооперативы, общественные объединения, религиозные организации, фонды, учреждения, ассоциации и союзы);
обособленные подразделения юридических лиц, которыми являются филиалы и представительства. Представительства иностранных юридических лиц обязаны иметь разрешение на осуществление деятельности на территории Российской Федерации, которое выдается соответствующим аккредитирующим органом: Министерством торговли Российской Федерации, Торгово-промышленной палатой Российской Федерации, Банком России, Государственной регистрационной палатой при Минэкономики России или другими уполномоченными на это государственными органами управления;
индивидуальные предприниматели, прошедшие государственную регистрацию в качестве субъектов малого предпринимательства в соответствии с Федеральным законом Российской Федерации О поддержке малого предпринимательства в Российской Федерации. К данной категории относятся фермеры, частные нотариусы и другие физические лица, занимающиеся предпринимательской деятельностью на основании лицензии.
Органы государственной статистики, осуществляющие учет в ЕГРПО хозяйствующих субъектов, осуществляют организационное взаимодействие с соответствующими органами, на которые возложено проведение государственной регистрации предприятий и организаций. Данное взаимодействие заключается в том, что постановка предприятий и организаций на учет в налоговых органах и открытие им расчетных счетов банками осуществляются после их постановки на статистический учет в составе ЕГРПО, что должно подтверждаться соответствующими информационными письмами, выдаваемыми органами государственной статистики.
Предприятия и организации считаются созданными с момента их государственной регистрации установленными органами, выдающими свидетельства (решения, постановления, распоряжения) о регистрации создания (реорганизации, ликвидации) хозяйствующего субъекта.
Государственная регистрация хозяйственных единиц проводится органами государственной власти и управления в зависимости от типа регистрируемых предприятий и организаций.
Администрации городов и районов регистрируют коммерческие организации, включая предприятия, имеющие иностранные инвестиции (кроме предприятий нефтедобывающей, нефтегазоперерабатывающей и угледобывающей отраслей). Объем иностранных инвестиций при этом не должен превышать 100 млн руб.
Коммерческие организации, в уставом капитале которых объем иностранных инвестиций превышает 100 млн руб., а также организации, относящиеся к вышеперечисленным добывающим отраслям, проходят регистрацию в Государственной регистрационной палате при Минэкономики России.
Территориальные управления (отделы) Минюста России регистрируют межрегиональные, региональные и местные общественные объединения, религиозные организации и иные некоммерческие организации, создаваемые на уровне региона.
Банк России регистрирует коммерческие банки, их филиалы и другие (финансово-кредитные учреждения, создание и размещение которых в регионах, как правило, предварительно согласовывается с Главными управлениями Банка России.
Учет хозяйственных единиц осуществляется территориальными органами государственной статистики в соответствии с утвержденными учредительными документами, которыми могут быть: устав, учредительный договор и положение, в соответствии с которыми осуществляют свою деятельность создаваемые предприятия и организации.
Вид учредительного документа для каждой организации определяется ее организационно-правовой формой.
9.2. Состав и описание стандартного набора реквизитов, используемых при учете хозяйственных единиц в ЕГРПО
На каждую хозяйственную единицу, учитываемую в ЕГРПО, составляется Карточка учета объекта регистра (далее Карточка) (рис. 9.1), в которой проставляются реквизиты, состав и описание которых приводятся ниже в порядке их следования.

Рис. 9.1
Код типа изменения проставляется в верхнем левом углу Карточки, он характеризует тип вносимых данных в соответствии со статусом предприятия и может принимать три значения:
1 ликвидация объекта;
2 изменение реквизитов объекта;
3 включение объекта в состав ЕГРПО.
Код ОКПО восьмизначный идентификационный код по Общероссийскому классификатору предприятий и организаций, проставляется в поле 01 Карточки. Присвоенный хозяйственной единице код сохраняется на протяжении всего периода ее хозяйственной деятельности, не претерпевает изменений в случае преобразования организационно-правовой формы, аннулируется из состава ОКПО, если объект ликвидируется или происходит его реорганизация (слияние с другим объектом, присоединение к другому объекту, разделение на два или несколько других объектов).
В течение пяти лет не допускается использовать код ОКПО ликвидированного объекта для присвоения его другому объекту. Присвоение кодов ОКПО осуществляется в децентрализованном порядке территориальными органами государственной статистики в выделенных им сериях резервных кодов ОКПО.
Полное наименование объекта проставляется в поле 02 в соответствии с учредительными документами объекта.
Сокращенное наименование объекта на русском языке фиксируется в поле 32 в соответствии с учредительными документами объекта. Если в учредительных документах сокращенное наименование отсутствует, то оно строится из обозначения организационно-правовой формы и наименования объекта, заключенного в кавычки.
Наименование объекта на английском языке проставляется в поле 34.
Наименование местонахождения отмечается в поле 35 в соответствии с юридическим адресом объекта, указанным в учредительных документах. Данный реквизит заполняется при невозможности заполнения поля ОЗ.
В наименованиях местонахождения объекта используются следующие сокращения: дп дачный поселковый совет; кп курортный поселок; д деревня; ж/д ст. железнодорожная станция; к кишлак; м местечко; сл слобода; ст станция; ст-ца станица; х хутор; рзд разъезд; клх колхоз; свх совхоз; нп населенный пункт; с село; п поселок сельского типа; пст поселок при станции.
Код СОАТО десятизначный код по Общесоюзному классификатору объектов административно-территориального деления и населенных пунктов (СОАТО), проставляется в поле ОЗ, идентифицирует местонахождение объекта по его юридическому адресу. Коды СОАТО подлежат замене на коды ОКАТО.
Код СООГУ пятизначный код по Общесоюзному классификатору органов государственного управления (СООГУ), проставляется в поле 04 с учетом того, каким учредителем создан объект. Например, государственные предприятия, учрежденные Мингосимуществом России и находящиеся под его управлением, имеют по СООГУ код 04744.
Коды СООГУ будут заменены на коды ОКОГУ.
Код территории подчинения органа управления четырехзначный код СОАТО проставляется в поле 36 для объектов, подчиненных органу власти или управления одной республики Российской Федерации (края, области), но расположенных на территории другой республики Российской Федерации (края, области).
Код ОКОНХ пятизначный код по действующему в настоящее время Общесоюзному классификатору отраслей народного хозяйства (ОКОНХ), проставляется в поле 05, он идентифицирует основной вид деятельности, наименование которого приводится перед полем 05. Основной вид деятельности в этом случае носит заявочный характер, поскольку он отражает предполагаемую деятельность объекта, предусмотренную его учредительными документами, которая впоследствии не всегда совпадает с реальными отчетными данными.
В дальнейшем основной вид деятельности уточняется на основании фактических данных годовой бухгалтерской отчетности.
Коды ОКОНХ в количестве до десяти проставляются также в поле 06. Эти коды ОКОНХ идентифицируют другие дополнительные виды деятельности, которыми предполагает заниматься объект учета.
По своему характеру они также являются заявочными и определяются в соответствии с информацией в учредительных документах.
Если в учредительных документах необходимая информация отсутствует, дополнительные виды деятельности могут определяться исходя из устных пояснений, предоставленных в рабочем порядке представителем объекта учета.
В ближайшей перспективе планируется осуществить переход от кодов ОКОНХ к кодам Общероссийского классификатора видов экономической деятельности, продукции и услуг (ОКДП), отвечающего международным требованиям и позволяющего производить адекватное описание рыночной экономики.
Код КФС двузначный код по классификатору форм собственности (КФС) центрального государственного органа России проставляется в поле 07, идентифицирует форму собственности объекта учета. Коды КФС подлежат замене на коды ОКФС.
Государственные унитарные предприятия, находящиеся в собственности Российской Федерации, имеют код федеральной собственности 12, находящиеся в собственности субъектов Российской Федерации, код собственности субъектов Федерации 13.
Муниципальные унитарные предприятия, находящиеся в собственности городских, сельских, а также других муниципальных образований, имеют код муниципальной собственности 14.
Общественные объединения, религиозные организации и фонды, являющиеся некоммерческими организациями, имеют код собственности общественных объединений 15.
Юридические лица, учрежденные физическими лицами в любой организационно-правовой форме, имеют код частной собственности 16. К ним относятся индивидуальные предприниматели, садоводческие товарищества, производственные и потребительские кооперативы, артели, общества с ограниченной ответственностью, акционерные общества и др.
Юридические лица, учредителями которых являются субъекты с различной формой собственности, например муниципальной, частной, федеральной и собственностью общественного объединения, имеют код смешанной формы собственности 17.
ФPлиалам, представительствам и другим обособленным подразделениям, наделенным имуществом создавших их юридических лиц, присваиваются коды тех же форм собственности, что и у этих юридических лиц.
Дипломатическим и приравненным к ним представительствам присваивается код собственности иностранных государств 22.
Код КОПФ двузначный код по Классификатору организационно-правовых форм хозяйствующих субъектов (КОПФ), проставляется в поле 08, идентифицирует организационно-правовую форму объекта учета. Коды КОПФ подлежат замене на коды ОКОПФ.
Почтовый индекс проставляется в поле 09, имеет длину 6 знаков.
Отделение связи проставляется в поле 10.
Юридический адрес проставляется в поле II.
Телефон проставляется в поле 12.
Телетайп проставляется в поле 13.
Телекс проставляется в поле 14.
Факс проставляется в поле 15.
Код ОКПО вышестоящей организации проставляется в поле 16.
Данный реквизит заполняется для представительств и филиалов российских юридических лиц, а также для структурных или региональных отделений общественных и религиозных организаций.
Должность руководителя объекта проставляется в поле 17.
Фамилия, имя, отчество руководителя объекта проставляется в поле 37.
Код ОКПО учредителя (акционера) проставляется в 1-й графе поля 18 только для российских юридических лиц. Для иностранных юридических лиц проставляется условный код 25; для иностранных граждан 21; для граждан России 11; для граждан России, имеющих постоянное местожительство за границей, 22; для лиц без гражданства 24.
Для российских юридических лиц, код ОКПО которых не найден, проставляется порядковый номер учредителя: 01, 02 и т.д.
Код КФС учредителя проставляется во 2-й графе поля 18, источником информации является база данных ЕГРПО.
Сокращенное наименование учредителя проставляется в 3-й графе поля 18. Если учредителями являются граждане России, делается соответствующая запись с указанием в скобках количества граждан.
Данные государственной регистрации Учредителя проставляются в 4-й графе поля 18 в случае, если код ОКПО учредителя не определен. В состав этих данных входят: орган государственной регистрации, регистрационный номер, дата государственной регистрации, например: Адм.
Московской обл., пост.
1234 от 24.03.95.
Доля учредителя (акционера) в уставном капитале (фонде) проставляется в 5-й и 6-й графах поля 18.
Размер уставного капитала проставляется в поле 38. Для организаций, уставной фонд которых не определен, в поле 38 проставляется О.
Число учредителей проставляется в поле 39. Для юридических лиц, число учредителей которых не определено, в поле 39 проставляется условный код 997 (фонды, кооперативы, общественные движения).
Местонахождение, телефон и факс постоянно действующего исполнительного органа объекта учета (фактический адрес) проставляются в полях 4046.
Если фактический адрес совпадает с юридическим адресом объекта, то в поле 41 проставляется код 100000, а остальные поля (40, 42, 43 и 44) не заполняются.
Идентификационный номер налогоплательщика длиной 10 знаков проставляется в поле 47 в соответствии с картой постановки на налоговый учет.
Данные государственной регистрации проставляются в полях 1921. Для крестьянских (фермерских) хозяйств, созданных без образования юридического лица, поля 1921 заполняются на основании свидетельства (акта) на право собственности (наследования) на землю, выданное Госкомземом России или его территориальными органами.
Для редакций средств массовой информации, созданных без образования юридического лица, в поле 19 указывается наименование территориального органа Минпечати России, выдавшего свидетельство о регистрации средства массовой информации; в поле 20 регистрационный номер свидетельства; в поле 21 дата выдачи свидетельства.
Для представительств иностранных юридических лиц в полях 19 21 соответственно указываются: аккредитирующий орган; номер разрешения на осуществление деятельности представительства на территории Российской Федерации; дата выдачи разрешения.
Срок разрешения на деятельность проставляется в поле 48 для представительства иностранного юридического лица на территории Российской Федерации.
Если срок деятельности не ограничен, в поле 48 проставляются нули.
При реорганизации или ликвидации юридического лица заполняются поля 01, 49,50, 51.
Кроме данных, формируемых в процессе постановки хозяйственных единиц на статистический учет, в ЕГРПО включаются экономические показатели на основании данных годовой бухгалтерской отчетности: среднесписочная численность работников и выручка. В перспективе состав экономических показателей предполагается расширить.
Контрольные вопросы
- Каковы задачи создания ЕГРПО?
- Какие виды объектов учитываются в ЕГРПО?
- Какие классификаторы используются в ЕГРПО?
- Что представляет собой карточка учета объекта в ЕГРПО?
Индексы цен на прочие капитальные работы и затраты
(ПКРЗ) (Ipпкрз) определяются по различным видам статей (их насчитывается более 20 в составе ПКРЗ) с последующим агрегированием их в шесть укрупненных групп, затем рассчитываются сводные индексы по отдельным субъектам РФ, экономическим районам и в целом по Российской Федерации (23.20)

где IpiПКРЗ индекс цен i-й группы;
diПКРЗ доля i-й группы в суммарной стоимости ПКРЗ, определяемой на основании данных, получаемых в порядке проведения единовременных обследований.
На основании исчисленных индексов цен на отдельные элементы технологической структуры в каждой отрасли экономики определяются сводные индексы цен в капитальном строительстве (Ipкс) по формуле (23.21)

где IpСМР, IpОБ, IpПКРЗ индексы цен соответственно на строительно-монтажные работы, машины и оборудование, прочие капитальные работы и затраты;
dСМР, dОБ, dПКРЗ соответствующие удельные веса элементов технологической структуры инвестиций в основной капитал в их общем объеме.
Путем агрегирования отраслевых индексов определяется сводный индекс капитального строительства (табл.23.4) в целом по экономике страны с использованием в качестве весов доли капитальных вложений (dкв) j-й отрасли в общем объеме капитальных вложений в экономику страны по формуле (23.22)

Таблица 23.4
Сокращенная схема расчета сводного индекса капитального строительства

По грузовым перевозкам статистическое наблюдение за уровнем тарифов ведется по видам транспорта и по видам сообщения (грузов) по услугам-представителям. Под услугой-представителем понимается перевозка тонны наиболее массового груза на определенное расстояние (кроме автомобильного транспорта и заграничного плавания морского транспорта).
По автомобильному транспорту услугой-представителем может быть или перевозка тонны наиболее массового груза на определенное расстояние, или час работы грузового автомобиля наиболее распространенной марки в зависимости от того, какая форма оплаты грузового автотранспорта преобладает в регионе.
Для регистрации транспортных тарифов по грузовым перевозкам используется ежемесячная отчетность, которая составляется предприятиями различных видов транспорта. В отчетности фиксируется тариф на 22-е число текущего и предыдущего месяцев.
По заграничному плаванию морского транспорта наблюдается средняя за месяц доходная ставка за перевозку тонны груза.
На базе данных о регистрации тарифов по услугам-представителям определяются индивидуальные индексы по видам сообщения (грузов), которые агрегируются в сводные индексы тарифов по видам транспорта и в целом по всем видам транспорта по модификационной формуле Ласпейреса.
Пример расчета сводного индекса тарифов по одному из видов транспорта приведен в табл.23.5.
Таблица 23.5

Индекс тарифа по видам сообщения, исчисленный по услугам-представителям (гр. 3, стр.
1, 2, 3), распространяется на весь доход по конкретному виду сообщения и определяется в гр. 2 по строкам 1, 2, 3 как произведение гр.
1 и гр. 3, а затем исчисляются сумма доходов по всем видам сообщения и сводный индекс тарифов: Ip = 6570/5500 = 1,19, или 119%.
По грузовым перевозкам изучается также изменение тарифов того или иного периода (месяца, квартала и т.д.) в текущем году по сравнению с соответствующим периодом предыдущего года.
В сельском хозяйстве изучается динамика средних цен на реализованную сельскохозяйственную продукцию и цен на промышленную продукцию, приобретенную этой отраслью, а также тарифов на услуги, оказываемые отрасли.
Наблюдения за изменением цен на сельскохозяйственную продукцию осуществляются органами государственной статистики по отобранной совокупности товаров (продуктов) представителей выборочной сети базовых сельскохозяйственных организаций. В состав базовых сельскохозяйственных хозяйств включаются крупные, средние и небольшие организации различных форм собственности, кроме фермерских хозяйств.
Отбор товаров (продуктов)-представителей производится поэтапно. На первом этапе федеральным органом государственной статистики централизованно формируется перечень товаров и товарных групп, который доводится до территориальных статистических органов.
На втором этапе каждая сельскохозяйственная организация отбирает продукты-представители (например, пшеница мягкая III класса).
В качестве критерия отбора отдельных подвидов продуктов для регистрации цен служит удельный вес в общем объеме реализации продукции данного вида. Допускается регистрация цен и на несколько подвидов данного вида продукции, если реализуется несколько видов продукции, каждый из которых преобладает в общем объеме реализации.
Регистрация цен проводится ежемесячно на 20-е число по всем каналам реализации: заготовительным организациям, на рынке, через собственную торговую сеть (магазины, ларьки, палатки, расположенные вне территории сельхозорганизации), на ярмарках, населению непосредственно с транспортных средств, другими сельскохозяйственными товаропроизводителями, на биржах и аукционах, организациям, коммерческим структурам.
Цены приводятся с учетом надбавок и скидок за качество реализованной продукции без расходов на транспортировку, экспедирование, погрузку и разгрузку продукции, налога на добавленную стоимость, дотаций на продукцию сельского хозяйства. Информация о ценах представляется сельскохозяйственными организациями по ф. 1-сх (цены).
Для изучения динамики цен на реализованную сельскохозяйственную продукцию исчисляются индивидуальные и сводные индексы к предшествующему месяцу Ipt/t-1 и декабрю предшествующего года Ipt/0.
Сводные индексы цен производителей на реализованную сельскохозяйственную продукцию исчисляются по группам различной степени агрегации:
- по товарным группам;
- по продукции растениеводства и животноводства;
- по сельскохозяйственной продукции в целом.
Для расчета сводных индексов цен на сельскохозяйственную продукцию используются два массива статистической информации:
- индексы цен на наблюдаемые виды продукции;
- структура весов базисного периода (количество реализованной продукции в натуральном выражении по отдельным товарам-представителям и объем реализованной сельскохозяйственной продукции в стоимостном выражении).
Сводные индексы цен производителей по товарным группам продукции растениеводства, животноводства и сельскому хозяйству в целом последовательно формируются на основании информации об индексах цен на товары-представители и стоимости реализованной продукции в базисном периоде с использованием модифицированной формулы Ласпейреса с рекурсивной системой расчетов.
Расчет сводного индекса цен рассмотрим на условном примере, представленном в табл. 23.6.
Таблица 23.6
В сельском хозяйстве, так же как и в дргих отраслях экономики, исчисляются индексы, характеризующие изменения цен текущего периода данного года по сравнению с соответствующим периодом предыдущего года, в которых частично элиминируется влияние сезонного фактора. Необходимо иметь в виду, что для сельского хозяйства характерен не только фактор сезонности, проявляющийся при изучении динамики цен внутри определенного года.
При сопоставлении цен одинаковых временных интервалов по годам необходимо учитывать и изменение природных, климатических условий.
Кроме индексов цен на реализованную продукцию рассчитываются средние цены по всей номенклатуре, включенной в отчетность по ф. 1-сх (цены).
Статистическое изучение средних цен на приобретенную сельскохозяйственными производителями промышленную продукцию и услуги проводится с использованием данных единовременных выборочных обследований хозяйств. Программа обследования охватывает весь перечень промышленной продукции и услуг, приобретенных хозяйством в течение года.
Средняя цена приобретения исчисляется за единицу продукции (услуг), принятой к оплате.
Средние расценки на услуги, оказанные сельхозпроизводителям, определяются путем деления фактической стоимости услуг на их объем. Учитываются следующие виды услуг:
- услуги подрядных организаций по строительству производственных объектов;
- работы по капитальному, текущему ремонту и техническому обслуживанию сельскохозяйственной техники и автомобилей;
- услуги агротехнической службы;
- услуги по перевозке транспортом сторонних организаций;
- услуги средств связи сторонних организаций;
- услуги информационно-вычислительного характера;
- банковские услуги.
Перечень услуг в отдельные периоды уточняется и расширяется в связи с внедрением в сельское хозяйство услуг аудиторских организаций, рекламных агентов и других новых видов услуг.
На основании полученной информации о средних ценах определяются индивидуальные и сводные индексы цен.
23.5. Статистика цен потребительского рынка
Статистическое наблюдение за потребительскими ценами осуществляется по отобранному набору товаров (услуг)-представителей на предприятиях торговли и сферы услуг всех видов собственности и типов торговли. Кроме того, наблюдение проводится в местах реализации товаров и предоставления услуг физическими лицами.
В набор включены товары и услуги массового потребительского спроса, а также отдельные товары и услуги необязательного пользования (изделия из золота, легковые автомобили и др.). Отбор товаров и услуг производится с учетом как их важности и представительности, так и устойчивого наличия в продаже.
С 1996 г. такой набор включает 382 позиции, в том чPсле по продовольственным товарам 100, по непродовольственным товарам 201, по платным услугам, оказываемым населению, 81 позицию.
Регистрация цен и тарифов на потребительском рынке проводится по выборочному кругу городов и других населенных пунктов. В отдельных крупных городах (столицах республик в составе России, областных, краевых городах и центрах автономных округов) цены (тарифы) регистрируются еженедельно по 37 видам товаров и услуг, входящих в социальный набор, в том числе по 25 видам основных продуктов питания.
По всему кругу отобранных населенных пунктов проводится ежемесячная регистрация цен с 23 по 25 число каждого месяца, при этом по 382 товарам (услугам)-представителям в крупных городах ведется и еженедельная регистрация, а в других городах по 61 товару (услуге).
Регистрации подлежит фактическая цена товара, имеющегося в свободной реализации (без учета товаров, реализуемых на льготных условиях), уплаченная наличными деньгами. В зарегистрированную цену включаются НДС, акцизы и другие косвенные налоги.
Главной целью статистического наблюдения за уровнем цен и тарифов на потребительском рынке является сбор ценовой информации для расчета индекса потребительских цен как в целом по Российской Федерации, так и в региональном разрезе.
Для расчета индекса потребительских цен (ИПЦ) используются данные:
- об изменении цен, собранных путем ежемесячной регистрации цен и тарифов на потребительском рынке;
- о структуре фактических потребительских расходов населения за предыдущий год, рассчитанной на основе показателей выборочного обследования домашних хозяйств.
Расчет ИПЦ на федеральном и региональном уровнях производится по единой методологии. ИПЦ на региональном уровне рассчитывается с использованием разработанного для регионального уровня системного комплекса обработки статистической информации.
Расчет ИПЦ осуществляется в несколько этапов.
1. На городском районном уровне на основании данных регистрации цен определяются средние сопоставимые цены отчетного и предыдущего месяца на конкретные товары и услуги. Сопоставимой считается цена, зарегистрированная в одном и том же предприятии торговли (сферы услуг) или сопоставимом с ним по типу торговли, виду собственности, на один и тот же или аналогичный по качеству товар.
Для обеспечения сопоставимости ценовой информации, например при отсутствии товаров в продаже на конкретном торговом предприятии или во всем регионе, используется метод замены товаров и услуг.
Индивидуальные индексы цен определяются по товару (услуге) как частное от деления средних сопоставимых цен (табл. 23.7).
Таблица 23.7
Данные регистрации потребительских цен на масло сливочное

Примечание. Буквой (с) отмечены сопоставимые товары.
2. Средние цены и индивидуальные индексы цен, исчисленные по каждому городу, используются для определения средневзвешенных цен и средних индексов по каждому товару на региональном уровне. В качестве территориального веса при расчете этих показателей используется доля численности населения обследуемого города, района в общей численности населения территории.
Расчет средней розничной цены одного из товаров по региону рассмотрим в табл. 23.8.
Таблица 23.8
Определение средней взвешенной розничной цены товара (колбасы вареной) по экономическому району
Средние цены за каждый месяц по району определены по формуле

(23.23)
где

средняя цена i-го товара;
d доля (вес) каждого города в экономическом районе;

= 1.

= 66,8 руб.;

= 66,9 руб.;

= 67,1 руб.;

= 67,2 руб.
Среднее изменение цен по отдельным товарам (услугам) в целом по региону можно определить путем как сопоставления средневзвешенных цен, так и исчисления средневзвешенных индексов.
Например, индекс цен колбасы вареной в Центрально-черноземном районе (табл. 23.9) за январь декабрь составил

= 66,9 : 66,8 = 1,002, или 100,2%.
3. Определяются сводные индексы исходя из индексов цен на отдельные товары и услуги и доли расходов на их приобретение в общих потребительских расходах населения территории. Сводные индексы цен определяются в целом по всем товарам и услугам и отдельным группам: продовольственным, непродовольственным товарам, услугам населению (платным).
Таблица 23.9

Расчет сводного ИПЦ осуществляется по модифицированной формуле Ласпейреса с месячной, квартальной периодичностью, а также нарастающим итогом за период с начала года. Ежемесячно рассчитывается ИПЦ к предыдущему месяцу текущего года и к соответствующему месяцу предыдущего года, к декабрю предыдущего года, а также нарастающим итогом с начала года к соответствующему периоду предыдущего года.
Расчет индексов цен за квартал, полугодие, период с начала года производится цепным методом, т.е. путем перемножения месячных индексов потребительских цен.
Кроме общего ИПЦ, характеризующего динамику цен на товары и услуги, потребляемые всеми категориями населения, ведутся расчеты по группам населения с различными уровнями денежных доходов. Всего выделено 10 децильных групп семей, для которых ИПЦ определяется в той же группировке товаров и услуг, что и в среднем для всех кHтегорий населения.
ИПЦ является одним из важнейших показателей, характеризующих уровень инфляции, и используется в целях осуществления государственной финансовой политики, для анализа и прогноза ценовых процессов в экономике, регулирования реального курса национальной валюты, пересмотра минимальных социальных гарантий, решения правовых споров.
На базе данных регистрации цен (тарифов) на потребительские товары (услуги) ежемесячно определяется стоимость набора важнейших продуктов питания на региональном и федеральном уровнях. Набор важнейших продуктов питания составляется для расчета прожиточного минимума.
До 1997 г. набор включал 19 важнейших товаров, а с 1997 г. 25. Этот набор разрабатывается на основе норм, соответствующих минимальным размерам потребления.
Нормативы, используемые в настоящем наборе, базируются на принятых в мировой практике границах достаточного питания. Данный набор разработан институтом питания АМН РФ совместно с Институтом социально-экономических проблем народонаселения РАН и Министерством труда РФ.
В набор из 25 основных продуктов питания входят: хлеб ржано-пшеничный (68,7 кг), хлеб пшеничный (62,9 кг), мука пшеничная (19,5 кг), рис (3,7 кг), пшено (9,8 кг), вермишель (5,2 кг), картофель (124,2 кг), капуста (28,1 кг), морковь (37,5 кг), лук репчатый (28,4 кг), яблоки (19,4 кг), сахар (20,7 кг), говядина (8,4 кг), птица (17,5 кг), колбаса вареная (0,45 кг), колбаса полукопченая (0,35 кг), рыба мороженая (11,7 кг), молоко (123,1 л), сметана (1,6 кг), масло животное (2,5 кг), творог (9,9 кг), сыр (2,3 кг), яйца (151,4 шт.), маргарин (3,9 кг), масло растительное (6,4 кг). Нормы приведены в расчете на год.
Выбор этих товаров объясняется относительной устойчивостью наличия их в продаже, что позволяет обоснованно анализировать динамику стоимости набора товаров.
Приведем в качестве примера динамику стоимости месячного набора питания в среднем по Российской Федерации и городам с максимальными и минимальными уровнями набора за 1998 г. (табл. 23.10).
Таблица 23.10

Построение динамических рядов стоимости месячного набора основных продуктов питания позволяет изучать складывающиеся тенденции этого показателя в региональном разрезе, а также соотношение уровней стоимости месячного набора между отдельными городами и средним уровнем, сложившимся в целом по Российской Федерации. Используя данные табл.
23.10, проведем расчет соотношения стоимости набора в городах Анадыре и Ульяновске (см. табл. 23.11).
При статистическом анализе динамики стоимости набора важнейших продуктов питания проводятся пересчеты из национальной валюты в доллары США по курсу доллара, публикуемому Центральным банком РФ. Это позволяет сопоставлять стоимость соответствующих наборов в России и США, а также сравнить помесячно индексы стоимости набора с индексами курса доллара.
Таблица 23.11

Кроме построения рядов динамики стоимости набора в аналитических целях важно изучить распределение обследуемых городов по этому показателю, рассматривая их также в динамике.
Исчисление системы индексов цен и других обобщающих статистических показателей дает возможность характеризовать состояние потребительского рынка, изучению которого придается особое значение в условиях формирования рыночных отношений в России.
Контрольные вопросы
- В чем заключается общеметодологический подход статистического наблюдения за ценами в различных секторах экономики?
- Что понимается под индивидуальными и сводными индексами цен?
- Почему агрегатная форма индекса цен является основной? Как устанавливаются соизмерители (веса) этого индекса?
- В чем заключается принципиальное различие в сводных индексах цен с переменными и постоянными весами?
- Поясните метод построения мультипликативной модели взаимосвязанной системы индексов стоимости, цен и физического объема.
- В чем заключаются особенности построения индексов цен в строительстве?
- Каков принцип построения индексов тарифов на грузовые перевозки?
- Поясните особенности статистического наблюдения за динамикой цен и расчета индексов цен на реализованную сельскохозяйственную продукцию.
- Раскройте содержание набора товаров-представителей потребительской корзины и порядок расчета индексов потребительских цен.
- Раскройте понятие набора основных продуктов питания и порядок оценки этого набора.
Коэффициент автономии
В случае дробных лет, т.е. неполных лет или незавершенных периодов, формула расчета сложных процентных ставок имеет следующий вид:
S = Р (1 + I)a (1+bi), (21.13)
где а + b = п;
а — целое число периодов;
b — дробное число, т.е. количество неполных периодов.
С точки зрения социально-экономической статистики особый интерес представляет взаимосвязь между размером, величиной процентов при осуществлении кредитно-депозитных операций и некоторых условий, оказывающих положительное или отрицательное влияние на размер маржи для банковских учреждений и прибыли для клиентов — физических лиц.
В ряде стран полученные юридическими и/или физическими лицами проценты облагаются налогом, что снижает реальную наращенную сумму и отрицательно сказывается на популярности кредитных и депозитных банковских услуг. В результате часть денег выпадает из оборота, что влияет на величину денег в обращении, на скорость обращения, а следовательно, на эффективность результатов проводимой денежно-кредитной политики.
Если существует налог на проценты, начисленные и полученные в результате осуществления депозитной или кредитной операции, формула наращенной суммы имеет следующий вид:
для начисления простых процентов:
S" = S - (S - P) H = S (1 - H) + P H = P [1 + T (1 - H)C], (21.14)
где S" — величина наращенной суммы после уплаты налогов;
S — величина наращенной суммы до уплаты налогов;
Н — размер налоговой ставки;
для начисления сложных процентов:
а) в случае, когда налог начисляется сразу на всю сумму:
S" = S - (S - P) H = S (1 - H) + РH = Р [(1 - H) (1 +C)n + H]; (21.15)
б) если налог исчисляется за каждый истекший год (период), то величина наращенной суммы после выплаты налога будет иметь вид
H1 = ItН - (St - St-1) = P[(l + C)t - (1 + С)t-1]Н,
где Ht — налог па период (на год).
Размер инфляции также активно влияет на размер получаемой банком или клиентом процентной маржи. Инфляция сказывается на размере полученной суммы денег при расчете наращенной суммы денег.
К третьей группе относятся показатели, с помощью которых анализируют уровень кредитоспособности, платежеспособности клиента, а также уровень кредитного риска для банка. Со стороны Центрального банка РФ кредитным организациям определяются только экономические нормативы, которых банк должен придерживаться с целью сохранения своей устойчивости.
Далее каждый банк сам определяет и разрабатывает методологию анализа уровня своего кредитного риска. Существует достаточно большое количество методик анализа кредитоспособности клиентов, поэтому приведем только некоторые основные (желательные) требования к ним.
К наиболее традиционным показателям статистического анализа финансовой устойчивости клиента относятся:
- показатель 2К + З, с помощью которого анализируют кредитный рейтинг заемщика (К), размер его капитала (К) и заемную мощность (3);
- показатель 2К - P - Д - Зг, который дает возможность анализировать кредитный рейтинг (К), капитал (К), заемную мощность (3), движение денежных средств (Д), залог (Зг);
- система показателей Пять опор качества кредита, с помощью которой анализируются общее состояние отрасли (сектора), конкурентоспособность, финансовый менеджмент заемщика, качество его маркетинговой деятельности и качество предлагаемого залога;
- система показателей 6С. В нее входят следующие показатели:
- Cl — характеристика клиента, учитывающая: кредитную историю клиента; опыт других кредиторов, связанных с данным клиентом; цель получения кредита; опыт клиента в составлении реальных прогнозов; кредитный рейтинг заемщика; наличие залога или гарантии, анализ их качества и перспективы сохранения их рыночной стоимости;
- С2 — способность (потенция) клиента, характеризующаяся подлинностью и юридическим статусом клиента и его гарантов; исторический статус заемщика;
- С3 — денежные средства заемщика в статике и динамике, а именно: объем прибыли, размер дивидендов и объемы продаж на конкретных рыночных сегментах в ретроспективе; достаточность планируемого потока наличности, т.е. наличие высоколиквидных активов; наличие и качество достаточно ликвидных резервов; сопоставимость размеров и сроков погашения кредиторской и дебиторской задолженности; скорость обращения материальных и финансовых активов; структура капитала заемщика и уровень левереджа; качество контроля за расходами; коэффициент покрытия;
- размер прибыли (убытка) на первичном и вторичном фондовых рынках в статике и динамике; качество менеджмента и маркетинга; содержание аудиторского заключения; качество ведения бухгалтерского учета и статистической отчетности;
- С4 — обеспечение, в котором анализируют: право собственности на активы; срок службы активов; вероятность физического и морального износа; остаточную стоимость реального основного капитала (основных фондов); степень и структуру специализации всех видов активов и пассивов; качество страхования и перестрахования различных направлений деятельности; прогноз и степень финансовой устойчивости в перспективе;
- С5 — условия осуществления деятельности клиента: его принадлежность к определенной отрасли (сектору) экономики; размер и качество контролируемых рыночных сегментов, окон и ниш;
- сопоставление результатов деятельности конкретного клиента с аналогичными институциональными единицами; чувствительность клиента, отрасли (сектора) к краткосрочным и долгосрочным изменениям делового и технологического циклов экономики; уровень инфляции и ее влияние на баланс и структуру потоков наличности; экологические проблемы на конкретных рыночных сегментах; условия на рынке рабочей силы и т.д.;
- С6 — контроль за деятельностью заемщика.
Рассмотрим основные коэффициенты, применяемые при статистическом анализе кредитоспособности заемщиков или уровня кредитного риска для банка. В организационном плане этот анализ состоит из двух ступеней — экспресс-анализа и развернутого анализа.
Экспресс-анализ выполняется с помощью определенного набора стандартных коэффициентов и индексов с использованием различных экономико-статистических методов.
Для его осуществления требуется проанализировать основные соотношения, реальное значение которых сравнивается с оптимальным. Если реальные значения соизмеримы с оптимальными, то нет необходимости проводить дальнейший анализ, так как заемщик кредитоспособен. Если некоторые коэффициенты отклоняются от оптимальных, то проводится углубленный анализ с целью выявления факторов, оказывающих влияние на величину конкретного коэффициента.
Если же реальные и оптимальные значения всех коэффициентов несоизмеримы, то приступают к развернутому анализу.
Следует отметить, что развернутый анализ проводится в случае, если кредитное учреждение принимает решение кредитовать нового, незнакомого клиента, а также при наличии финансовых трудностей клиента или его несостоятельности. В конце финансового года развернутому анализу подвергаются все клиенты.
1. Коэффициент автономии (Kа), который выражается отношением (21.17)

Оптимальное значение Ка — 0,5—0,6. Это означает, что сумма собственных средств заемщика должна составлять примерно половину всех средств предприятия.
Коэффициент характеризует интересы учредителей, владельцев акций и кредиторов, отражает финансовую структуру средств, которая выражается в невысоком удельном весе заемного капитала и более высоком уровне фондов, обеспеченных собственными средствами.
Это является защитой от потерь в периоды депрессии и гарантией получения кредитов.
2. Коэффициент маневренности (Км), который рассчитывается как отношение собственного оборотного капитала (величина дебиторской задолженности и запасов ТМЦ за минусом кредиторской задолженности и задолженности по ссудам) к собственному капиталу заемщика. Величина коэффициента не должна быть меньше 0,5.
С его помощью анализируют эффективность использования собственных средств клиента и своевременность погашения дебиторской и кредиторсой задолженности.
Коэффициент маневренности указывает на уровень гибкости использования собственных средств заемщика, т.е. на то, какая часть собственного капитала не связана в ценностях иммобильного характера и находится в форме, позволяющей свободно маневрировать этими средствами.
3. Коэффициент покрытия (Кп), который рассчитывается как сумма оборотных средств заемщика, распределенная на сумму краткосрочной задолженности. Ориентировочно Кп должен быть не меньше 2,0—2,5.
Это означает, что на каждый рубль краткосрочных обязательств приходится не менее двух рублей ликвидных средств.
Некоторые ситуации требуют структуризации знаменателя коэффициента покрытия, а именно суммы краткосрочной задолженности. Она может быть задолженностью первой (до 7 дней), второй (до 14 дней) и третьей (до 1 месяца) степени.
4. Коэффициент абсолютной ликвидности (Кал), который определяет степень мобильности активов заемщика, которая обеспечивает своевременную выплату его задолженности.
Модификацией Кал является коэффициент ликвидности (Кл), который представляет собой отношение суммы средств высокой и средней ликвидности к краткосрочной задолженности. (21.18)

Ориентировочно Кал и Кл должны быть не меньше 0,5—0,6. Недостаток ликвидных средств указывает на задержку платежей по текущим операциям и тем самым снижает ликвидность баланса. В качестве причин недостатка ликвидных средств выступают следующие факторы:
- убытки от текущей деятельности заемщика в сумме, превышающей амортизационные отчисления;
- чрезвычайные убытки и убытки прошлых лет;
- уценка ликвидных средств;
- величина капитальных вложений выше накопленной для этой цели суммы;
- излишние вложения в долгосрочные инвестиции.
Излишек ликвидных средств — явление также нежелательное. В случае возникновения такой ситуации можно сделать следующие выводы:
- оборотные активы используются недостаточно эффективно;
- величина накопленной прибыли несоизмерима с размером капитальных вложений;
- задержка замены амортизационных объектов и т.д.
5. Коэффициент иммобилизации (Ким), или коэффициент реальной стоимости основных фондов (ОФ), который представляет собой отношение реального основного капитала, или стоимости ОФ (за вычетом износа), к итогу баланса заемщика. Этот показатель служит для определения эффективности использования средств, имеющихся в распоряжении клиента, с точки зрения их применения в предпринимательской деятельности, а также принадлежности заемщика к той или иной отрасли (сектору) экономики.
Обычно величина коэффициента не должна превышать 0,5.
6. Коэффициент модернизации (Км), который рассчитывается как отношение суммы начисленнй амортизации к первоначальной стоимости основного капитала клиента, включая нематериальные активы (цена предприятия, патенты и лицензии, товарные знаки, концессии, расходы на освоение новых технологий производства, НИР и др.). Он характеризует интенсивность высвобождения средств, вложенных в основные фонды.
Оптимальное значение Км — 0,3—0,5.
7. Коэффициент задолженности (Kз), который выражается отношением (21.19)

Он показывает величину заемных средств, которые привлек заемщик на одну денежную единицу, вложенную в актив собственных средств. Кз характеризует зависимость клиента от внешних займов.
Чем больше величина этого показателя, тем рискованнее сложившаяся ситуация и тем меньше вероятность, что заемщик сможет рассчитаться по своим обязательствам, тем выше вероятность наступления периода финансовой неустойчивости.
8. Индекс финансовой напряженности (Iфн) выражается отношением (21.20)

9. Коэффициент покрытия инвестиций (Кпи), который характеризует часть актива баланса, финансируемую за счет устойчивых источников, а именно величину собственных средств, средне- и долгосрочных обязательств по отношению к активу баланса-нетто.
21.3. Источники статистической информации о кредитах и методика ее анализа
Основным источником статистической информации о кредитах, взаимоотношениях между банком и клиентом является инструкция Центрального банка РФ 17 О составлении финансовой отчетности. В ней предусмотрено обязательное представление кредитными организациями информации в Банк России на регулярной основе.
Со своей стороны Банк России представляет необходимую часть этой информации Государственному комитету РФ по статистике (также на регулярной основе). Естественно, ЦБ РФ представляет эту и другую информацию в целом по России и по регионам, а не по отдельным кредитным учреждениям.
В финансовой отчетности отражается следующая информация.
1. Аналитические данные о состоянии кредитного портфеля:
- общая характеристика заемщика (номер балансового счета, открытого клиенту; его местонахождение; реквизиты банка, предоставившего кредит; характер отношений с банком-акционером, дочерняя компания, акционер материнской компании, акционер зависимой компании; члены совета директоров, правления, члены кредитного комитета; руководители дочерних и материнских структур, служащие, прочие инсайдеры);
- характер деятельности заемщика в соответствии с ОКОНХ;
- вид кредитного договора (даты выдачи и погашения ссуды; размер процентной ставки; первоначально предоставленная сумма кредита;
- количество дополнительных соглашений; последняя дата переоформления кредита; изменение условий при пролонгации — увеличение срока, изменение поцентной ставки, увеличение суммы предоставленного кредита; краткосрочная ссудная задолженность в рублях и в инвалюте, долгосрочная ссудная задолженность в рублях и инвалюте);
- сумма учтенных банком векселей;
- суммы, не взысканные по банковским гарантиям;
- виды обеспечения;
- дебиторская задолженность по факторинговым операциям;
- виды обеспечения, в том числе залог, гарантии, страхование, другие виды обеспечения, дата начала реализации залога;
- задолженность, просроченная по основному долгу;
- просроченные проценты;
- классификация ссуды;
- сформированный резерв под возможные потери по ссудам;
- проценты к получению (исчисленные согласно принципу начисления);
- внебалансовые обязательства банка;
- фактически созданные резервы под возможные потери по расчетам с дебиторами;
- остаток задолженности по ссудам.
Эта информация представляется по отдельным заемщикам и по отдельным кредиторам для каждого заемщика.
2. Расчет резерва под возможные потери по ссудам. Исчисляются сумма просроченной ссудной задолженности со сроком задержки по основному долгу; сумма задолженности по основному долгу со сроком, оставшимся до даты погашения; всего ссудная задолженность; рассчитывается резерв под возможные потери по ссудам в зависимости от уровня рисков. При этом анализируются:
- ссудная задолженность банков;
- ссудная задолженность клиентов;
- векселя банков в портфеле банка;
- векселя прочих клиентов (не банков);
- суммы, не взысканные по банковским гарантиям, предоставленным другим банкам;
- суммы, не взысканные по банковским гарантиям, предоставленным клиентам;
- аренда, предоставленная банком с правом последующего выкупа.
3. Сведения о движении резерва под возможные потери по ссудам.
4. Данные о переоформленной задолженности клиентов и банков по кредитам и договорам аренды с правом последующего выкупа.
5. Данные о крупных кредитах.
6. Данные о кредитах, предоставленных акционерам (участникам).
7. Данные о кредитах, предоставленных инсайдерам.
8. Данные о кредитном портфеле банка в разрезе клиентов — юридических лиц по отраслям экономики и клиентов — физических лиц.
Контрольные вопросы
- Какие функции выполняет кредит в процессе распределения и перераспределения денежных потоков?
- Каких основных принципов придерживаются кредиторы в процессе принятия решения о выдаче кредита?
- Какая разница существует между залогом и гарантией?
- Основные формы кредита.
- Какие основные показатели экономико-статистического анализа используют кредитные организации для определения уровня кредитоспособности заемщика?
Корреляционный анализ
Корреляционный анализ является одним из методов статистического анализа взаимозависимости нескольких признаков.
Основная задача корреляционного анализа состоит в оценке корреляционной матрицы генеральной совокупности по выборке и определении на основе этой матрицы частных и множественных коэффициентов корреляции и детерминации.
Парный и частный коэффициенты корреляции характеризуют тесноту линейной зависимости между двумя переменными соответственно на фоне действия и при исключении влияния всех остальных показателей, входящих в модель. Они изменяются в пределах от -1 до +1, причем чем ближе коэффициент корреляции к 1, тем сильнее зависимость между переменными.
Если коэффициент корреляции больше нуля, то связь положительная, а если меньше нуля отрицательная.
Множественный коэффициент корреляции характеризует тесноту, линейной связи между одной переменной (результативной) и остальными, входящими в модель; он изменяется в пределах от 0 до 1.
Квадрат множественного коэффициента корреляции называется множественным коэффициентом детерминации. Он характеризует долю дисперсии одной переменной (результативной), обусловленной влиянием всех остальных переменных (аргументов), входящих в модель.
Исходной для анализа является матрица
размерности п х k, i-я строка которой характеризует i-е наблюдение (объект) по всем k показателям (j = 1, 2, ..., k).
В корреляционном анализе матрицу Х рассматривают как выборку объема п из k-мерной генеральной совокупности, подчиняющейся k-мерному нормальному закону распределения.
По выборке определяют оценки параметров генеральной совокупности, а именно: вектор средних

, вектор средних квадратических отклонений s и корреляционную матрицу R порядка k:
где

(53.1)

(53.2)
xij значение i-го наблюдения j-го фактора,
ril выборочный парный коэффициент корреляции, характеризующий тесноту линейной связи между показателями xj и xl. При этом rjl является оценкой генерального парного коэффициента корреляции.
Матрица R является симметричной (rjl = rlj) и положительно определенной.
Кроме того, находятся точечные оценки частных и множественных коэффициентов корреляции любого порядка. Например, частный коэффициент корреляции (k - 2)-го порядка между переменными х1 и х2 равен

(53.3)
где Rjl алгебраическое дополнение элемента rjl корреляционной матрицы R. При этом Rjl = (-l)j+l Mjl, где Mjl минор, т.е. определитель матрицы, получаемой из матрицы R путем вычерчивания j-й строки и l-го столбца.
Множественный коэффициент корреляции (k - 1)-го порядка результативного признака x1 определяется по формуле

(53.4)
где | R | определитель матрицы R.
Значимость частных и парных коэффициентов корреляции, т.е. гипотеза H0: = 0, проверяется по t-критерию Стьюдента. Наблюдаемое значение критерия находится по формуле

(53.5)
где r соответственно оценка частного или парного коэффициента корреляции ; l порядок частного коэффициента корреляции, т.е. число фиксируемых факторов (для парного коэффициента корреляции l=0).
Напомним, что проверяемый коэффициент корреляции считается значимым, т.е. гипотеза H0: = 0 отвергается с вероятностью ошибки , если tнабл по модулю будет больше, чем значение tкр, определяемое по таблицам t-распределения для заданного и = n l - 2.
Значимость коэффициентов корреляции можно также проверить с помощью таблиц Фишера Иейтса.
При определении с надежностью у доверительного интервала для значимого парного или частного коэффициента корреляции р используют Z-преобразование Фишера и предварительно устанавливают интервальную оценку для Z:

(53.6)
где t вычисляют по таблице значений интегральной функции Лапласа из условия
значение Z' определяют по таблице Z-преобразования по найденному значению r. Функция Z' нечетная, т.е.
Обратный переход от Z к осуществляют также по таблице Z-преобразования, после использования которой получают интервальную оценку для с надежностью :
Таким образом, с вероятностью гарантируется, что генеральный коэффициент корреляции будет находиться в интервале (rmin, rmax).
Значимость множественного коэффициента корреляции (или его квадрата коэффициента детерминации) проверяется по F-критерию. Например, для множественного коэффициента корреляции проверка значимости сводится к проверке гипотезы, что генеральный множественный коэффициент корреляции равен нулю, т.е. H0 : 1/2,,k = 0, а наблюдаемое значение статистики находится по формуле

(53.7)
Множественный коэффициент корреляции считается значимым, т.е. имеет место линейная статистическая зависимость между х1 и остальными факторами х2, ..., хk, если Fнабл Fкр, где Fкр определяется по таблице F-распределения для заданных , 1 = k - 1, 2 = n - k.
53.2. Регрессионный анализ
Регрессионный анализ это статистический метод исследования зависимости случайной величины у от переменных (аргументов) хj (j = 1, 2,..., k), рассматриваемых в регрессионном анализе как неслучайные величины независимо от истинного закона распределения xj.
Обычно предполагается, что случайная величина у имеет нормальный закон распределения с условным математическим ожиданием

= (x1, ..., хk), являющимся функцией от аргументов хj и с постоянной, не зависящей от аргументов дисперсией 2.
Для проведения регрессионного анализа из (k + 1)-мерной генеральной совокупности (у, x1, х2, ..., хj, ..., хk) берется выборка объемом n, и каждое i-е наблюдение (объект) характеризуется значениями переменных (уi, xi1, хi2, ..., хij, ..., xik), где хij значение j-й переменной для i-го наблюдения (i = 1, 2,..., n), уi значение результативного признака для i-го наблюдения.
Наиболее часто используемая множественная линейная модель регрессионного анализа имеет вид

(53.8)
где j параметры регрессионной модели;
j случайные ошибки наблюдения, не зависимые друг от друга, имеют нулевую среднюю и дисперсию 2.
Отметим, что модель (53.8) справедлива для всех i = 1,2, ..., n, линейна относительно неизвестных параметров 0, 1,, j, , k и аргументов.
Как следует из (53.8), коэффициент регрессии Bj показывает, на какую величину в среднем изменится результативный признак у, если переменную хj увеличить на единицу измерения, т.е. является нормативным коэффициентом.
В матричной форме регрессионная модель имеет вид

(53.9)
где Y случайный вектор-столбец размерности п х 1 наблюдаемых значений результативного признака (у1, у2,.... уn); Х матрица размерности п х (k + 1) наблюдаемых значений аргументов, элемент матрицы х,, рассматривается как неслучайная величина (i = 1, 2, ..., n; j=0,1, ..., k; x0i, = 1); вектор-столбец размерности (k + 1) х 1 неизвестных, подлежащих оценке параметров модели (коэффициентов регрессии); случайный вектор-столбец размерности п х 1 ошибок наблюдений (остатков). Компоненты вектора i не зависимы друг от друга, имеют нормальный закон распределения с нулевым математическим ожиданием (M i = 0) и неизвестной постоянной 2 (D i = 2).
На практике рекомендуется, чтобы значение п превышало k не менее чем в три раза.
В модели (53.9)
В первом столбце матрицы Х указываются единицы при наличии свободного члена в модели (53.8). Здесь предполагается, что существует переменная x0, которая во всех наблюдениях принимает значения, равные единице.
Основная задача регрессионного анализа заключается в нахождении по выборке объемом п оценки неизвестных коэффициентов регрессии 0, 1, , k модели (53.8) или вектора в (53.9).
Так как в регрессионном анализе хj рассматриваются как неслучайные величины, a M i = 0, то согласно (53.8) уравнение регрессии имеет вид

(53.10)
для всех i = 1, 2, ..., п, или в матричной форме:

(53.11)
где

вектор-столбец с элементами

1...,

i,...,

n.
Для оценки вектора-столбца наиболее часто используют метод наименьших квадратов, согласно которому в качестве оценки принимают вектор-столбец b, который минимизирует сумму квадратов отклонений наблюдаемых значений уi от модельных значений

i, т.е. квадратичную форму:
где символом Т обозначена транспонированная матрица.
Наблюдаемые и модельные значения результативного признака у показаны на рис. 53.1.

Рис. 53.1. Наблюдаемые и модельные значения результативного признака у
Дифференцируя, с учетом (53.11) и (53.10), квадратичную форму Q по 0, 1, , k и приравнивая частные производные к нулю, получим систему нормальных уравнений
решая которую получим вектор-столбец оценок b, где b = (b0, b1, ..., bk)T. Согласно методу наименьших квадратов, вектор-столбец оценок коэффициентов регрессии получается по формуле

(53.12)
ХT транспонированная матрица X;
(ХTХ)-1 матрица, обратная матрице ХTХ.
Зная вектор-столбец b оценок коэффициентов регрессии, найдем оценку

уравнения регрессии

(53.13)
или в матричном виде:

Оценка ковариационной матрицы вектора коэффициентов регрессии b определяется выражением

(53.14)
где

(53.15)
Учитывая, что на главной диагонали ковариационной матрицы находятся дисперсии коэффициентов регрессии, имеем

(53.16)
Значимость уравнения регрессии, т.е. гипотеза Н0: = 0 ( 0,= 1 = k = 0), проверяется по F-критерию, наблюдаемое значение которого определяется по формуле

(53.17)

По таблице F-распределения для заданных , v 1 = k + l,v2 = n k - l находят Fкр.
Гипотеза H0 отклоняется с вероятностью , если Fнабл Fкр. Из этого следует, что уравнение является значимым, т.е. хотя бы один из коэффициентов регрессии отличен от нуля.
Для проверки значимости отдельных коэффициентов регрессии, т.е. гипотезы Н0: j = 0, где j = 1, 2, ..., k, используют t-критерий и вычисляют tнабл(bj) = bj /

bj. По таблице t-распределения для заданного и v = п - k - 1 находят tкр.
Гипотеза H0 отвергается с вероятностью , если tнабл tкр. Из этого следует, что соответствующий коэффициент регрессии j значим, т.е. j 0. В противном случае коэффициент регрессии незначим и соответствующая переменная в модель не включается.
Тогда реализуется алгоритм пошагового регрессионного анализа, состоящий в том, что исключается одна из незначительных переменных, которой соответствует минимальное по абсолютной величине значение tнабл. После этого вновь проводят регрессионный анализ с числом факторов, уменьшенным на единицу.
Алгоритм заканчивается получением уравнения регрессии со значимыми коэффициентами.
Существуют и другие алгоритмы пошагового регрессионного анализа, например с последовательным включением факторов.
Наряду с точечными оценками bj генеральных коэффициентов регрессии j регрессионный анализ позволяет получать и интервальные оценки последних с доверительной вероятностью .
Интервальная оценка с доверительной вероятностью для параметра j имеет вид

(53.19)
где t находят по таблице t-распределения при вероятности = 1 - и числе степеней свободы v = п - k - 1.
Интервальная оценка для уравнения регрессии

в точке, определяемой вектором-столбцом начальных условий X0 = (1, x

, x

,,..., x

)T записывается в виде

(53.20)
Интервал предсказания

n+1 с доверительной вероятностью у определяется как

(53.21)
где t определяется по таблице t-распределения при = 1 - и числе степеней свободы v = п - k - 1.
По мере удаления вектора начальных условий х0 от вектора средних

ширина доверительного интервала при заданном значении будет увеличиваться (рис. 53.2), где

= (1,

).

Рис. 53.2.
Точечная

и интервальная

оценки уравнения регрессии

.
Мультиколлинеарность
Одним из основных препятствий эффективного применения множественного регрессионного анализа является мультиколлинеарность. Она связана с линейной зависимостью между аргументами х1, х2, ..., хk.
В результате мультиколлинеарности матрица парных коэффициентов корреляции и матрица (XTX) становятся слабообусловленными, т.е. их определители близки к нулю.
Это приводит к неустойчивости оценок коэффициентов регрессии (53.12), завышению дисперсии s

, оценок этих коэффициентов (53.14), так как в их выражения входит обратная матрица (XTX)-1, получение которой связано с делением на определитель матрицы (ХTХ).
Отсюда следуют заниженные значения t(bj).
Кроме того, мультиколлинеарность приводит к завышению значения множественного коэффициента корреляции.
На практике о наличии мультиколлинеарности обычно судят по матрице парных коэффициентов корреляции. Если один из элементов матрицы R больше 0,8, т.е. | rjl | 0,8, то считают, что имеет место мультиколлинеарность, и в уравнение регрессии следует включать один из показателей хj или xl.
Чтобы избавиться от этого негативного явления, обычно используют алгоритм пошагового регрессионного анализа или строят уравнение регрессии на главных компонентах.
Пример. Построение регрессионного уравнения
Согласно данным двадцати (п = 20) сельскохозяйственных районов, требуется построить регрессионную модель урожайности на основе следующих показателей:
у урожайность зерновых культур (ц/га);
x1 число колесных тракторов (приведенной мощности) на 100 га;
х2 число зерноуборочных комбайнов на 100 га;
х3 число орудий поверхностной обработки почвы на 100 га;
x4 количество удобрений, расходуемых на гектар;
х5 количество химических средств оздоровления растений, расходуемых на гектар.
Исходные данные для анализа приведены в табл. 53.1.
Таблица 53.1
Исходные данные для анализа
Решение. С целью предварительного анализа взаимосвязи показателей построена матрица R таблица парных коэффициентов корреляции.
Анализ матрицы парных коэффициентов корреляции показывает, что результативный признак наиболее тесно связан с показателем х4 количеством удобрений, расходуемых на гектар (ryx4 = 0,58).
В то же время связь между аргументами достаточно тесная. Так, существует практически функциональная связь между числом колесных тракторов (x1) и числом орудий поверхностной обработки почвы x3(rx1x3) = 0,98.
О наличии мультиколлинеарности свидетельствуют также коэффициенты корреляции rx1x2 = 0,85 и rx3x2 = 0,88.
Чтобы продемонстрировать отрицательное влияние мультиколлинеарности, рассмотрим рассчитанное на ЭВМ регрессионное уравнение урожайности, включив в него все исходные показатели:

= 3,515 0,006x1 + 15,542x2 + 110x3 + 4,475х4 - 2,932x5. (53.22)
(-0,01) (0,72) (0,13) (2,90) (-0,95)
В скобках указаны tнабл ( j) = tj расчетные значения t-критерия для проверки гипотезы о значимости коэффициента регрессии Н0: j = 0, j = 1, 2, 3, 4, 5. Критическое значение tкр = 1,76 найдено по таблице t-распределения при уровне значимости = 0,1 и числе степеней свободы v = 14. Из уравнения следует, что статистически значимым является коэффициент регрессии только при х4, так как |t4| = 2,90 tкр = 1,76.
Не поддаются экономической интерпретации отрицательные значения коэффициентов регрессии при х1 и x5, из чего следует, что повышение насыщенности сельского хозяйства колесными тракторами (х1) и средствами оздоровления растений (x5) отрицательно сказывается на урожайности.
Таким образом, полученное уравнение регрессии неприемлемо.
После реализации алгоритма пошагового регрессионного анализа с исключением переменных и учетом того, что в уравнение должна войти только одна из трех тесно связанных переменных (x1, х2 или x3), получаем окончательное уравнение регрессии

= 7,342 + 0,345x1 + 3,294x4. (53.23)
(11,12) (2,09) (3,02)
Уравнение значимо при = 0,05, так как Fнабл = 266 Fкр = 3,20, найденного по таблице F-распределения при = 0,05, v1 = 3 и v2 = 17.
Значимы и коэффициенты регрессии 1 и 4, так как |tj| tкр = 2,11 (при = 0,05, v = 17).
Коэффициент регрессии 1 следует признать значимым ( 1 0) из экономических соображений; при этом t1 = 2,09 лишь незначительно меньше tкр = 2,11. В случае если = 0,1, tкр = 1,74 и коэффициент регрессии 1 статистически значим.
Из уравнения регрессии следует, что увеличение на единицу числа тракторов на 100 га пашни приводит к росту урожайности зерновых в среднем на 0,345 ц/га (b1 = 0,345).
Коэффициенты эластичности Э1 = 0,068 и Э4 = 0,161 (Эj =

) показывают, что при увеличении показателей x1 и х4 на 1% урожайность зерновых повышается соответственно на 0,068% и 0,161%.
Множественный коэффициент детерминации r

= 0,469 свидетельствует о том, что только 46,9% вариации урожайности объясняется вошедними в модель показателями (x1 и x4), т.е. насыщенностью растениеводства тракторами и удобрениями. Остальная часть вариации обусловлена действием неучтенных факторов (х2, x3, х5, погодными условиями и др.).
Средняя относительная ошибка аппроксимации

= 10,5% свидетельствует об адекватности модели, так же как и величина остаточной дисперсии s2 = 1,97.
53.3. Компонентный анализ
Компонентный анализ предназначен для преобразования системы k исходных признаков в систему k новых показателей (главных компонент). Главные компоненты не коррелированы между собой и упорядочены по величине их дисперсий, причем первая главная компонента имеет наибольшую дисперсию, а последняя, k-я наименьшую.
При этом выявляются неявные, непосредственно не измеряемые, но объективно существующие закономерности, обусловленные действием как внутренних, так и внешних причин.
Компонентный анализ является одним из основных методов факторного анализа. В задачах снижения размерности и классификации обычно используются т первых компонент (т k).
При наличии результативного признака у может быть посроено уравнение регрессии на главных компонентах.
На основании матрицы исходных данных
размерности п х k, где хij. значение j-го показателя у i-го наблюдения (i = 1, 2, ..., n; j = 1, 2, .... k), вычисляют средние значения показателей

а также s1, ..., sk и матрицу нормированных значений

с элементами
Рассчитывается матрица парных коэффициентов корреляции:

(53.24)
с элементами

(53.25)
где j, l= 1, 2, .... k.
На главной диагонали матрицы R, т.е. при j = l, расположены элементы
Модель компонентного анализа имеет вид

(53.26)
где aiv вес, т.е. факторная нагрузка v-й главной компоненты на j-ю переменную;
fiv значение v-й главной компоненты для i-го наблюдения (объекта), где v = 1, 2, ...,k.
В матричной форме модель (53.26) имеет вид

(53.27)

fiv значение v-й главной компоненты для i-го наблюдения (объекта);
aiv значение факторной нагрузки v-й главной компоненты на j-ю переменную.
Матрица F описывает п наблюдений в пространстве k главных компонент. При этом элементы матрицы F нормированы, т.е. fv =

, a главные компоненты не коррелированы между собой. Из этого следует, что

(53.28)

Выражение (53.28) может быть представлено в виде

(53.29)
С целью интерпретации элементов матрицы А рассмотрим выражение для парного коэффициента корреляции между переменной zj и, например, f1-й главной компонентой. Так как zо и f1 нормированы, будем иметь с учетом (53.26):
Принимая во внимание (53.29), окончательно получим
Рассуждая аналогично, можно записать в общем виде

(53.30)
для всех j = 1, 2, .,., k и v = 1, 2, .... k.
Таким образом, элемент ajv матрицы факторных нагрузок А характеризует тесноту линейной связи между исходной переменной zj и главной компонентой fv, т.е. 1 ajv +1.
Рассмотрим теперь выражение для дисперсии нормированной переменной zj. С учетом (53.26) будем иметь
где v, v'= 1, 2, ..., k.
Учитывая (53.29), окончательно получим

(53.31)
По условию, переменные zj нормированы и s

= 1. Таким образом, дисперсия переменной zj, согласно (53.31), представлена своими составляющими, определяющими долю вклада в нее всех k главных компонент.
Полный вклад v-й главной компоненты в дисперсию всех k исходных признаков вычисляется по формуле

(53.32)
Одно из Vсновополагающих условий метода главных компонент связано с представлением корреляционной матрицы R через матрицу факторных нагрузок А. Подставив для этого (53.27) в (53.24), будем иметь
Учитывая (53.28), окончательно получим

(53.33)
Перейдем теперь непосредственно к отысканию собственных значений и собственных векторов корреляционной матрицы R.
Из линейной алгебры известно, что для любой симметричной матрицы R всегда существует такая ортогональная матрица U, что выполняется условие

(53.34)

Так как матрица R положительно определена, т.е. ее главные миноры положительны, то все собственные значения v 0 для любых v =1, 2, ..., k.
В компонентном анализе элементы матрицы ранжированы: 1 2 ... v ... k 0. Как будет показано ниже, собственное значение v характеризует вклад v-й главной компоненты в суммарную дисперсию исходного признакового пространства.
Таким образом, первая главная компонента вносит наибольший вклад в суммарную дисперсию, а последняя, k-я, наименьший.
В ортогональной матрице U собственных векторов v-й столбец является собственным вектором, соответствующим v -му значению.
Собственные значения 1 ... v.... k находятся как корни характеристического уравнения

(53.35)
Собственный вектор Vv, соответствующий собственному значению v корреляционной матрицы R, определяется как отличное от нуля решение уравнения, которое следует из (53.34):

(53.36)
Нормированный собственный вектор Uv равен
Из условия ортогональности матрицы U следует, что U-1 = UT, но тогда, по определению, матрицы R и подобны, так как они, согласно (53.34), удовлетворяют условию
Так как у подобных матриц суммы диагональных элементов равны, то
Учитывая, что сумма диагональных элементов матрицы R равна k, будем иметь
Таким образом,

(53.37)
Представим матрицу факторных нагрузок А в виде

(53.38)
а v-й столбец матрицы А как
где Uv собственный вектор матрицы R, соответствующий собственному значению v.
Найдем норму вектора Аv:

(53.39)
Здесь учитывалось, что вектор Uv нормированный и U

Uv = 1. Таким образом,
Сравнив полученный результат с (53.32), можно сделать вывод, что собственное значение v характеризует вклад v-й главной компоненты в суммарную дисперсию всех исходных признаков. Из (53.38) следует, что

(53.40)
Согласно (53.37), общий вклад всех главных компонент в суммарную дисперсию равен k. Тогда удельный вклад v-й главной компоненты определяется по формуле

.
Суммарный вклад т первых главных компонент определяется из выражения

.
Обычно для анализа используют т первых главных компонент, вклад которых в суммарную дисперсию превышает 6070%.
Матрица факторных нагрузок А используется для экономической интерпретации главных компонент, которые представляют собой линейные функции исходных признаков. Для экономической интерпретации fv используются лишь те хj, для которых |ajv| 0,5.
Значения главных компонент для каждого i-го объекта (i = 1, 2, .... n) задаются матрицей F.
Матрицу значений главных компонент можно получить из формулы
откуда
Уравнение регрессии на главных компонентах строится по алгоритму пошагового регрессионного анализа, где в качестве аргументов используются главные компоненты, а не исходные показатели. К достоинству последней модели следует отнести тот факт, что главные компоненты не коррелированы.
При построении уравнений регрессии следует учитывать все главные компоненты.
Пример. Построение регрессионного уравнения
По данным примера из 53.2 провести компонентный анализ и построить уравнение регрессии урожайности Y на главных компонентах.
Решение. В примере из 53.2 пошаговая процедура регрессионного анализа позволила исключить отрицательное значение мультиколлинеарности на качество регрессионной модели за счет значительной потери информации.
Из пяти исходных показателей в окончательную модель вошли только два (x1 и x4).
Более рациональным в условиях мультиколлинеарности можно считать построение уравнения регрессии на главных компонентах, которые являются линейными функциями всех исходных показателей и не коррелированы между собой.
Воспользовавшись методом главных компонент, найдем собственные значения и на их основе вклад главных компонент в суммарную дисперсию исходных показателей x1, х2, х3, х4, х5 (табл. 53.2).
Таблица 53.2
Собственные значения главных компонент
Ограничимся экономической интерпретацией двух первых главных компонент, общий вклад которых в суммарную дисперсию составляет 89,0%. В матрице факторных нагрузок
звездочкой указаны элементы аjv = rxjfv, учитывающиеся при интерпретации главных компонент fv, где j, v = 1, 2, ..., 5.
Матрица парных коэффициентов корреляции
Из матрицы факторных нагрузок А следует, что первая главная компонента наиболее тесно связана со следующими показателями: x1 число колесных тракторов на 100 га (a11 = rx1f1 = 0,95); х2 число зерноуборочных комбайнов на 100 га (rx2f1 = 0,97); х3 число орудий поверхностной обработки почвы на 100 га (rx3f1 = 0,94). В этой связи первая главная компонента f1 интерпретирована как уровень механизации работ.
Вторая главная компонента f2 тесно связана с количеством удобрений (х4) и химических средств оздоровления растений (x5), расходуемых на гектар, и интерпретирована как уровень химизации растениеводства.
Уравнение регрессии на главных компонентах строится по данным вектора значений результативного признака Y и матрицы F значений главных компонент.
Некоррелированность главных компонент между собой и тесноту их связи с результативным признаком у показывает матрица парных коэффициентов корреляции (табл. 53.3).
Анализ матрицы парных коэффициентов корреляции свидетельствует о том, что результативный признак у наиболее тесно связан с первой (ryf1 = 0,48), третьей (ryf3 = 0,37) и. второй (ryf2 = 0,34) главными компонентами. Можно предположить, что только эти главные компоненты войдут в регрессионную модель у.
Таблица 53.3
Первоначально в модель у включают все главные компоненты (в скобках указаны расчетные значения t-критерия):

(53.41)
Качество модели характеризуют: множественный коэффициент детерминации r

= 0,517, средняя относительная ошибка аппроксимации

= 10,4%, остаточная дисперсия s2 = 1,79 и Fнабл = 121. Ввиду того что Fнабл Fкр =2,85 при = 0,05, v1 = 6, v2 = 14, уравнение регрессии значимо и хотя бы один из коэффициентов регрессии 1, 2, 3, 4 не равен нулю.
Если значимость уравнения регрессии (гипотеза Н0: 1 = 2 = 3 = 4 = 0 проверялась при = 0,05, то значимость коэффициентов регрессии, т.е. гипотезы H0: j = 0 (j = 1, 2, 3, 4), следует проверять при уровне значимости, большем, чем 0,05, например при = 0,1. Тогда при = 0,1, v = 14 величина tкр = 1,76, и значимыми, как следует из уравнения (53.41), являются коэффициенты регрессии 1, 2, 3.
Учитывая, что главные компоненты не коррелированы между собой, можно сразу исключить из уравнения все незначимые коэффициенты, и уравнение примет вид

(53.42)
Сравнив уравнения (53.41) и (53.42), видим, что исключение незначимых главных компонент f4 и f5, не отразилось на значениях коэффициентов уравнения b0 = 9,52, b1 = 0,93, b2 = 0,66 и соответствующих tj (j = 0, 1, 2, 3).
Это обусловлено некоррелированностью главных компонент. Здесь интересна параллель уравнений регрессии по исходным показателям (53.22), (53.23) и главным компонентам (53.41), (53.42).
Уравнение (53.42) значимо, поскольку Fнабл = 194 Fкр = 3,01, найденного при = 0,05, v1 = 4, v2 = 16. Значимы и коэффициенты уравненPя, так как tj tкр. = 1,746, соответствующего = 0,01, v = 16 для j = 0, 1, 2, 3. Коэффициент детерминации r

= 0,486 свидетельствует о том, что 48,6% вариации у обусловлено влиянием трех первых главных компонент.
Уравнение (53.42) характеризуется средней относительной ошибкой аппроксимации

= 9,99% и остаточной дисперсией s2 = 1,91.
Уравнение регрессии на главных компонентах (53.42) обладает несколько лучшими аппроксимирующими свойствами по сравнению с регрессионной моделью (53.23) по исходным показателям: r

= 0,486 r

= 0,469;

= 9,99%

(х) = 10,5% и s2(f) = 1,91 s2(x) = 1,97. Кроме того, в уравнении (53.42) главные компоненты являются линейными функциями всех исходных показателей, в то время как в уравнение (53.23) входят только две переменные (x1 и х4).
В ряде случаев приходится учитывать, что модель (53.42) трудноинтерпретируема, так как в нее входит третья главная компонента f3, которая нами не интерпретирована и вклад которой в суммарную дисперсию исходных показателей (x1, ..., х5) составляет всего 8,6%.
Однако исключение f3 из уравнения (53.42) значительно ухудшает аппроксимирующие свойства модели: r

= 0,349;

= 12,4% и s2(f) = 2,41. Тогда в качестве регрессионной модели урожайности целесообразно выбрать уравнение (53.23).
53.4. Кластерный анализ
В статистических исследованиях группировка первичных данных является основным приемом решения задачи классификации, а поэтому и основой всей дальнейшей работы с собранной информацией.
Традиционно эта задача решается следующим образом. Из множества признаков, описывающих объект, отбирается один, наиболее информативный, с точки зрения исследователя, и производится группировка данных в соответствии со значениями этого признака.
Если требуется провести классификацию по нескольким признакам, ранжированным между собой по степени важности, то сначала осуществляется классификация по первому признаку, затем каждый из полученных классов разбивается на подклассы по второму признаку и т.д.
Подобным образом строится большинство комбинационных статистических группировок.
В тех случаях, когда не представляется возможным упорядочить классификационные признаки, применяется наиболее простой метод многомерной группировки создание интегрального показателя (индекса), функционально зависящего от исходных признаков, с последующей классификацией по этому показателю.
Развитием этого подхода является вариант классификации по нескольким обобщающим показателям (главным компонентам), полученным с помощью методов факторного или компонентного анализа.
При наличии нескольких признаков (исходных или обобщенных) задача классификации может быть решена методами кластерного анализа, которые отличаются от других методов многомерной классификации отсутствием бучающих выборок, т.е. априорной информации о распределении генеральной совокупности.
Различия между схемами решения задачи по классификации во многом определяются тем, что понимают под понятиями сходство и степень сходства.
После того как сформулирована цель работы, естественно попытаться определить критерии качества, целевую функцию, значения которой позволят сопоставить различные схемы классификации.
В экономических исследованиях целевая функция, как правило, должна минимизировать некоторый параметр, определенный на множестве объектов (например, целью классификации оборудования может явиться группировка, минимизирующая совокупность затрат времени и средств на ремонтные работы).
В случаях когда формализовать цель задачи не удается, критерием качества классификации может служить возможность содержательной интерпретации найденных групп.
Рассмотрим следующую задачу. Пусть исследуется совокупность п объектов, каждый из которых характеризуется k измеренными признаками.
Требуется разбить эту совокупность на однородные в некотором смысле группы (классы). При этом практически отсутствует априорная информация о характере распределения k-мерного вектора Х внутри классов.
Полученные в результате разбиения группы обычно называются кластерами* (таксонами**, образами), методы их нахождения кластер-анализом (соответственно численной таксономией или распознаванием образов с самообучением).
* Clаster (англ.) группа элементов, характеризуемых каким-либо общим свойством.
**Тахоп (англ.) систематизированная группа любой категории.
Необходимо с самого начала четко представлять, какая из двух задач классификации подлежит решению. Если решается обычная задача типизации, то совокупность наблюдений разбивают на сравнительно небольшое число областей группирования (например, интервальный вариационный ряд в случае одномерных наблюдений) так, чтобы элементы одной такой области находились друг от друга по возможности на небольшом расстоянии.
Решение другой задачи заключается в определении естественного расслоения результатов наблюдений на четко выраженные кластеры, лежащие друг от друга на некотором расстоянии.
Если первая задача типизации всегда имеет решение, то во втором случае может оказаться, что множество наблюдений не обнаруживает естественного расслоения на кластеры, т.е. образует один кластер.
Хотя многие методы кластерного анализа довольно элементарны, основная часть работ, в которых они были предложены, относится к последнему десятилетию. Это объясняется тем, что эффективное решение задач поиска кластеров, требующее выполнения большого числа арифметических и логических операций, стало возможным только с возникновением и развитием вычислительной техники.
Обычной формой представления исходных данных в задачах кластерного анализа служит матрица
каждая строка которой представляет результаты измерений k рассматриваемых признаков у одного из обследованных объектов. В конкретных ситуациях может представлять интерес как группировка объектов, так и группировка признаков.
В тех случаях, когда разница между двумя этими задачами не существенна, например при описании некоторых алгоритмов, мы будем пользоваться только термином объект, включая в это понятие и термин признак.
Матрица Х не является единственным способом представления данных в задачах кластерного анализа. Иногда исходная информация задана в виде квадратной матрицы
элемент rij которой определяет степень близости i-го объекта к j-му.
Большинство алгоритмов кластерного анализа полностью исходит из матрицы расстояний (или близостей) либо требует вычисления отдельных ее элементов, поэтому если данные представлены в форме X, то первым этапом решения задачи поиска кластеров будет выбор способа вычисления расстояний, или близости, между объектами или признаками.
Несколько проще решается вопрос об определении близости между признаками. Как правило, кластерный анализ признаков преследует те же цели, что и факторный анализ: выделение групп связанных между собой признаков, отражающих определенную сторону изучаемых объектов.
Мерой близости в этом случае служат различные статистические коэффициенты связи.
Расстояние между объектами (кластерами) и мера близости
Наиболее трудным и наименее формализованным в задаче классификации является определение понятия однородности объектов.
В общем случае понятие однородности объектов задается введением либо правила вычисления расстояний (xi, хj) между любой парой исследуемых объектов (x1, x2, ...,xn), либо некоторой функцией r(хi, xj), характеризующей степень близости i-го и j-го объектов.
Если задана функция (xi, хj), то близкие с точки зрения этой метрики объекты считаются однородными, принадлежащими к одному классу. Очевидно, что необходимо при этом сопоставлять (xi, хj) с некоторыми пороговыми значениями, определяемыми в каждом конкретном случае по-своему.
Аналогично используется и мера близости r(xi, хj), при задании которой мы должны помнить о необходимости выполнения следующих условий: симметрии r(xi, хj) = r(xj, хi); максимального сходства объекта с самим собой r(xi, хi) =

r(xi, хj), 1 i, j п, и монотонного убывания r(xi, хj) по мере увеличения (xi, хj), т.е. из (xk, хl) (xi, хj) должно следовать неравенство r(xk, хl) (xi, хj).
Выбор метрики, или меры близости, является узловым моментом исследования, от которого в значительной степени зависит окончательный вариант разбиения объектов на классы при данном алгоритме разбиения. В каждом конкретном случае этот выбор должен производиться по-своему, в зависимости от целей исследования, физической и статистической природы наблюдений, априорных сведений о характере вероятностного распределения X.
Рассмотрим наиболее широко используемые в задачах кластерного анализа расстояния и меры близости.
Обычное евклидово расстояние определяется по формуле

(53.43)
где xil, хjl значения l-го признака у i-го (j-го) объекта (l = 1, 2, ..., k, i,j = 1, 2, .... п).
Оно используется в следующих случаях:
а) наблюдения берутся из генеральной совокупности, имеющей многомерное нормальное распределение с ковариационной матрицей вида 2Ek, где Еk единичная матрица, т.е. исходные признаки взаимно независимы и имеют одну и ту же дисперсию;
б) исходные признаки однородны по физическому смыслу и одинаково важны для классификации.
Естественное с геометрической точки зрения евклидово пространство может оказаться бессмысленным (с точки зрения содержательной интерпретации), если признаки измерены в разных единицах. Чтобы исправить положение, прибегают к нормированию каждого признака путем деления центрированной величины на среднее квадратическое отклонение и переходят от матрицы Х к нормированной матрице с элементами
где xil значение l-го признака у i-го объекта;

среднее значение l-го признака;

среднее квадратическое отклонение l-го признака.
Однако эта операция может привести к нежелательным последствиям. Если кластеры хорошо разделимы по одному признаку и не разделимы по другому, то после нормирования дискриминирующие возможности первого признака будут уменьшены в связи с усилением шумового эффекта второго.
Взвешенное евклидово расстояние определяется из выражения

(53.44)
Оно применяется в тех случаях, когда каждой l-й компоненте вектора наблюдений Х удается приписать некоторый вес 1, пропорциональный степени важности признака в задаче классификации. Обычно принимают 0 l 1, где l = 1,2, ..., k.
Определение весов, как правило, связано с дополнительными исследованиями, например с организацией опроса экспертов и обработкой их мнений. Определение есов l только по данным выборки может привести к ложным выводам.
Хеммингово расстояние используется как мера различия объектов, задаваемых дихотомическими признаками. Это расстояние определяется по формуле

(53.45)
и равно числу несовпадений значений соответствующих признаков в рассматриваемых i-м и j-м объектах.
Как правило, решение задач классификации многомерных данных предусматривает в качестве предварительного этапа исследования реализацию методов, позволяющих выбрать из k исходных признаков x1, x2, ..., xk сравнительно небольшое число наиболее информативных, т.е. уменьшить размерность наблюдаемого пространства.
В ряде процедур классификации (кластер-процедур) используют понятия расстояния между группами объектов и меры близости двух групп объектов.
Пусть Si i-я группа (класс, кластер), состоящая из ni объектов;

среднее арифметическое векторных наблюдений группы Si, т.е. центр тяжести;
(Sl, Sm) расстояние между группами Sl и Sm.
Наиболее употребительными расстояниями и мерами близости между классами объектов являются:
- расстояние, измеряемое по принципу ближайшего соседа:

(53.46)
- расстояние, измеряемое по принципу дальнего соседа:

(53.47)
- расстояние, измеряемое по центрам тяжести групп:

(53.48)
где xl и xm векторы средних соответственно Sl и Sm кластеров;
- расстояние, измеряемое по принципу средней связи, определяемое как среднее арифметическое всех попарных расстояний между представителями рассматриваемых групп:

(53.49)
Академиком А.Н. Колмогоровым было предложено обобщенное расстояние между классами, которое включает в себя в качестве частных случаев все рассмотренные выше виды расстояний.
Расстояния между группами элементов особенно важный параметр в так называемых агломеративных иерархических кластер-процедурах, так как принцип работы таких алгоритмов состоит в последовательном объединении элементов, а затем и целых групп: сначала самых близких, а впоследствии все более и более отдаленных друг от друга. При этом расстояние между кластером Sl и кластером S(m,q), являющимся объединением двух других кластеров Sm и Sq можно определить по формуле

(53.50)
где lm = (Sl, Sm); lq = (Sl, Sq) и mq = (Sm, Sq) - расстояния между кластерами Sl, Sm и Sq;
, , и числовые коэффициенты, значения которых определяют специфику процедуры, ее алгоритм.
Например, при = = - = 1/2 и = 0 приходим к расстоянию, построенному по принципу ближайшего соседа. При = = = 1/2 и = 0 расстояние между классами определяется по принципу дальнего соседа, т.е. как расстояние между двумя самыми дальними элементами этих классов.
Функционалы качества разбиения
Существует большое количество различных способов разбиения заданной совокупности элементов на классы. Поэтому представляет интерес задача сравнительного анализа качества этих способов разбиения Q(S), определенного на множестве всех возможных разбиений.
Тогда под наилучшим разбиением S* понимаем такое разбиение, при котором достигается экстремум выбранного функционала качества. Следует отметить, что выбор того или иного функционала качества, как правило, опирается на эмпирические соображения.
Рассмотрим наиболее распространенный функционал качества разбиения. Пусть исследователем выбрана метрика в пространстве Х и пусть S = (S1, S2,..., Sp) некоторое фиксированное разбиение наблюдений x1, ..., xn на заданное число p классов S1, S2, ..., Sp.
За функционал качества берут сумму (взвешенную) внутриклассовых дисперсий

(53.51)
где xl вектор средних для l-го кластера.
Иерархические кластер-процедуры
Иерархические (древообразные) процедуры являются наиболее распространенными (в смысле реализации на ЭВМ) алгоритмами кластерного анализа. Они бывают двух типов: агломеративные и дивизимные.
В агломеративных процедурах начальным является разбиение, состоящее из п одноэлементных классов, а конечным состоящее из одного класса; в дивизимных наоборот.
Принцип работы иерархических агломеративных (дивизимных) процедур состоит в последовательном объединении (разделении) групп элементов, сначала самых близких (далеких), а затем все более отдаленных (близких) друг от друга. Большинство этих алгоритмов исходит из матрицы расстояний.
К недостаткам иерархических процедур следует отнести громоздкость их численной реализации. Алгоритмы требуют вычисления матрицы расстояний на каждом шаге, а следовательно, емкой машинной памяти и большого количества времени.
В этой связи реализация таких алгоритмов при числе наблюдений, большем нескольких сотен, нецелесообразна, а в ряде случаев и невозможна.
В качестве примера рассмотрим агломеративный иерархический алгоритм. На первом шаге алгоритма каждое наблюдение xi (i = 1, 2, ..., п) рассматривается как отдельный кластер.
В дальнейшем на каждом шаге работы алгоритма происходит объединение двух самых близких кластеров, и с учетом принятого расстояния по формуле пересчитывается матрица расстояний, размерность которой, очевидно, снижается на единицу. Работа алгоритма заканчивается, когда все наблюдения объединены в один класс.
Большинство программ, реализующих алгоритм иерархической классификации, предусматривает графическое представление результатов классификации в виде дендрограммы.
Пример. Классификация стран по уровню жизни населения
В табл. 53.4 представлены значения следующих шести показателей, характеризующих условия жизни населения двадцати стран в 1994 г.:
x1 потребление мяса и мясопродуктов на душу населения (кг);
х2 смертность населения по причине болезни органов кровообращения на 100 тыс. человек;
х3 оценка валового внутреннего продукта по паритету покупательной способности в 1994 г. на душу населения (в % по отношению к США);
x4 расходы на здравоохранение (в % от ВВП);
x5 потребление фруктов и ягод на душу населения (кг);
x6 потребление хлебопродуктов на душу населения (кг).
Провести классификацию стран по уровню жизни населения и дать содержательную интерпретацию полученных результатов.
Таблица 53.4
Макроэкономические показатели уровня жизни населения (1994 г.)
Решение. В условии задачи не оговорены число классов разбиения и вид законов распределения, а также не даны обучающие выборки.
В этой связи при классификации использовались методы кластерного анализа.
Исходная информация (табл.
53.4) показывает, что в рассматриваемую совокупность входят страны бывшего СССР, Восточной Европы и промышленно развитые страны.
Поэтому можно предположить, что искомое разбиение стран по уровню жизни населения будет состоять из трех или четырех кластеров.
Классификация проводилась по различным алгоритмам кластерного анализа, но наилучшими в содержательном плане оказались результаты, полученные при разбиении стран на четыре класса.
В первый кластер вошли одиннадцать (n1 =11) стран: Австралия, Австрия, Бельгия, Великобритания, Германия, Греция, Дания, Ирландия, Испания, Италия, Канада. Наиболее удалена от центра этого кластера Италия, которая характеризуется самым высоким для кластера уровнем потребления фруктов (х5) и хлебопродуктов (x6).
Во второй кластер вошли четыре (п2 = 4) страны: Россия, Белоруссия, Казахстан и Киргизия.
В третий кластер вошли две (n3 = 2) страны: Болгария и Венгрия.
В четвертый кластер вошли три (п4 = 3) страны: Азербайджан, Армения и Грузия.
Средние значения показателей для четырех кластеров представлены на рис. 53.3 и в табл.
53.5.

Рис. 53.3. Средние значения показателей для каждого кластера (цифры у кривых соответствуют номерам кластеров)
Таблица 53.5
Средние значения показателей
Кластер S1, в который входят промышленно развитые страны Запада, характеризуется (рис. 53.3) самыми высокими значениями: ВВП по паритету покупательной способности (x3), расходов на здравоохранение (х4), потребления мяса (x1) и фруктов (х5), а также самым низким значением смертности (х2).
Самое высокое потребление хлебопродуктов на душу населения (х6) у стран, входящих в кластеры S2 и S4.
В кластер S4 вошли страны, на территории которых происходили в рассматриваемый период вооруженные конфликты. Этот кластер характеризуется самыми низкими средними значениями показателей х3 и х4, а также x1 среднедушевым потреблением мяса.
Заслуживает внимания матрица расстояний между центрами четырех кластеров:
Из матрицы следует, что кластеры S2, S3 и S4 примерно одинаково удалены друг от друга. Евклидово расстояние между ними равно соответственно 60,7; 53,0 и 55,5.
Наиболее выделяется по уровню жизни населения кластер S1.
Расстояния между S1 и кластерами S2, S3 и S4 равны соответственно 126,8; 83,3 и 120,6.
53.5. Основы эконометрики
Эконометрика это дисциплина, объединяющая совокупность теоретических результатов, методов и приемов, позволяющих на базе экономической теории, экономической статистики и математико-статистического инструментария получать количественное выражение качественных закономерностей. Курс эконометрики призван научить различным способам выражения связей и закономерностей через эконометрические модели и методы проверки их адекватности, основанные на данных наблюдений.
От математико-статистического эконометрический подход отличается тем вниманием, которое уделяется в нем вопросу соответствия выбранной модели изучаемому объекту, рассмотрению причин, приводящих к необходимости пересмотра модели на основе более точной системы представлений. Эконометрика занимается, по существу, статистическими выводами, т.е. использованием выборочной информации для получения некоторого представления о свойствах генеральной совокупности.
Наиболее распространенными эконометрическими моделями являются производственные функции и модели, описываемые системой одновременных уравнений.
Кратко остановимся на них.
Производственные функции
Производственная функция представляет собой математическую модель, характеризующую зависимость объема выпускаемой продукции от объема трудовых и материальных затрат. Модель может быть построена как для отдельной фирмы и отрасли, так и для всей национальной экономики. Рассмотрим производственную функцию, включающую два фактора производства затраты капитала К и трудовые затраты L, определяющие объем выпуска Q. Тогда можно записать
Определенного уровня выпуска можно достигнуть с помощью различного сочетания капитальных и трудовых затрат. Кривые, описываемые условиями j(K, L) = const., называются изо квантами. Обычно предполагается, что по мере роста значений одной из независимых переменных предельная норма замещения данного фактора производства уменьшается.
Поэтому при сохранении постоянного объема производства экономия одного вида затрат, связанная с увеличением затрат другого фактора, постепенно уменьшается.
На примере производственной функции Кобба Дугласа рассмотрим основные выводы, которые можно получить исходя из предложений о том или ином виде производственной функции. Производственная функция Кобба Дугласа, включающая два фактора производства, имеет вид

(53.52)
где А, , параметры модели. Величина А зависит от единиц измерения Q, К и L, а также от эффективности производственного процесса.
Методы расчета валового внутреннего продукта и национального дохода
Валовой внутренний продукт один из наиболее важных показателей макроэкономической статистики, отражающий конечный результат экономической деятельности в целом по стране. Сфера экономической деятельности это производство экономических благ, независимо от того, принимают ли результаты такой деятельности форму материального продукта или форму услуги.
Есть еще один критерий отнесение или неотнесение деятельности к общественному производству.
Существуют такие масштабы деятельности по производству экономических благ, которые позволяют рассматривать ее в интеграции с общественным производством. Кроме того, в последней версии международных стандартов по национальным счетам (СНС ООН 1993 г.) установлено, что производство охватывает также теневую экономику (производство товаров и услуг, запрещенных законом; производство лицами, не имеющими право осуществлять данный вид деятельности; производство, скрываемое или преуменьшаемое с целью утаивания доходов).
Величина ВВП служит основной составляющей показателя валового национального дохода. Как было сказано выше, ВНД определяется посредством прибавления к ВВП сальдо первичных доходов, поступающих из-за границы.
Если бы экономика страны была закрытой, то ВВП равнялся бы ВНД (из-за отсутствия потоков первичных доходов из-за рубежа и за рубеж).
В случае открытости экономики совпадение исходящих и входящих потоков первичных доходов могло происходить чисто случайно, как правило, они не совпадают. Если исключить из ВНД потребление основных фондов (амортизацию) за рассматриваемый период, то получим показатель чистого национального дохода (или, проще говоря, национального дохода (НД)).
Традиционно оценка ВВП и национального дохода производится тремя методами производственным, распределительным и методом конечного использования.
13.2. Расчет валового внутреннего продукта и национального дохода производственным методом
Определение ВВП и НД посредством суммирования добавленной стоимости (с дополнительными коррективами, вызванными переходом от основных цен к ценам конечного покупателя (конечного использования, конечного потребления, рыночным ценам)) называется производственным методом. Общая схема такова:
ВВП = Валовая добавленная стоимость + Налоги на продукты
и импорт - Субсидии на продукты и импорт,
Национальный доход = ВВП - Потребление основных
фондов (амортизация) + Сальдо поступлений первичных
доходов из-за рубежа.
Как отмечалось ранее, выпуск (валовой выпуск) товаров и услуг представляет собой стоимость материальных благ или услуг, являющихся результатом производственной детельности хозяйствующих субъектов, точнее, единиц-резидентов, за рассматриваемый период. В соответствии с принятой в СНС трактовкой границ производственной деятельности выпуск включает:
- товары и услуги, поставленные другим единицам, не являющимся их производителями;
- товары, произведенные для собственного конечного потребления, а именно услуги по проживанию в собственном жилище и домашние услуги, оказываемые оплачиваемой домашней прислугой.
Современная отраслевая классификация, используемая в российской статистике, в частности для макроэкономических расчетов, хотя и приближена к международным стандартам, является модернизацией еще дореформенного общесоюзного классификатора отраслей народного хозяйства (ОКОНХ).
Кроме того, выпуск подразделяется на рыночный и нерыночный.
Методология исчисления показателей выпуска (в значительной мере) и промежуточного потребления (в определенной мере) стоимости используемых для эксплуатационных, производственных нужд материальных ресурсов (без инвестиционных товаров) и оплачиваемых услуг зависит от характера деятельности и степени рыночности производства. Можно выделить такие группы сфер деятельности: отрасли, где непосредственно производятся материальные блага; отрасли сферы обращения; сфера рыночных услуг, в том числе финансовых услуг; сфера нерыночных услуг.
Некоторые особенности исчисления показателя выпуск покажем применительно к отдельным отраслям экономики.
Промышленность, в такой же мере, как и сельское хозяйство, и строительство, типичная отрасль сферы деятельности, где производится продукт в непосредственно натурально-вещественной форме. Выпуск промышленной продукции включает готовую продукцию, реализуемые полуфабрикаты и работы промышленного характера, изменение запасов полуфабрикатов и незавершенного производства.
Для большой группы хозяйствующих субъектов сектора нефинансовых предприятий валовой выпуск (ВВ) определяется по следующей принципиальной формуле:
ВВ = R + Прирост запасов, (13.1)
где R стоимость реализованной продукции.
Прирост запасов здесь имеется в виду прирост запасов готовой, но не реализованной продукции, а также прирост незавершенного производства (в отраслях с достаточно длительным циклом производства).
В условиях инфляции прирост (S) определяется так:
S = L - M, (13.2)
где L стоимость продукции, направленной в запасы в течение периода, в ценах на момент направления товаров в запасы;
М стоимость товаров, изъятых из запасов, по ценам на момент изъятия товаров из запасов.
Торговля одна из отраслей сферы обращения. Выпуск торговли измеряется величиной торговой оценки (реализованного наложения), представляющей собой разницу между стоимостью реализованных товаров в продажных и покупных ценах за вычетом налога на добавленную стоимость (НДС).
По элементам стоимости валовой выпуск рассчитывается как сумма издержек обращения и прибыли (валового дохода) торгующих организаций; оплата наемного транспорта при этом не исключается. Выпуск по внешнеторговым организациям определяется так же, как и по организациям внутренней торговли.
Он не включает сумму разниц между ценами на экспортную и импортную продукцию на внутреннем и внешнем рынках, вносимую непосредственно в государственный бюджет государственными внешнеторговыми организациями, которую рассматривают в СНС как чистые налоги на импорт.
Рыночный выпуск услуг, как правило, приравнивается к выручке от оказания услуг.
По особым правилам определяется валовой выпуск банков и страховых компаний.
Валовой выпуск банков складывается из выручки за непосредственно оказываемые услуги и косвенно измеряемые услуги финансового посредничества (КИУФП). Последние определяются в виде разницы между процентами полученными и процентами выплаченными.
Валовой выпуск страховых компаний (ВВстр. комп) исчисляется по формуле
ВВ стр. комп. = СП СВ + Q N (13.3)
где СП страховые премии;
СВ страховые возмещения;
Q проценты, полученные страховыми компаниями от инвестированных страховых технических резервов в ценные бумаги или другие ликвидные финансовые инструменты;
N прирост технических страховых резервов.
Нерыночный выпуск услуг определяется как сумма эксплуатационных (текущих) затрат. Эта сумма складывается из затрат на приобретение товаров и услуг для промежуточного потребления, оплаты труда, прочих налогов на производство, потребление основного капитала (основных фондов).
Как указывалось, валовая добавленная стоимость основная составляющая валового внутреннего продукта. Валовая добавленная стоимость определяется как разница между валовым выпуском и промежуточным потреблением.
Промежуточное потребление представляет собой затраты хозяйствующих субъектов на приобретение материальных ресурсов (без инвестиционных) и услуг (транспортных, юридических, финансовых и т.д.) для текущих производительных целей.
Если из суммарного выпуска (всех отраслей экономики) вычесть общий размер промежуточного потребления, то получим показатель валовой добавленной стоимости для экономики в целом. Так как этот показатель определяется в основных ценах, то для измерения валового внутреннего продукта в ценах конечного использования (в ценах конечного покупателя, в рыночных ценах) к величине валовой добавленной стоимости добавляются налоги на продукты и услуги за вычетом субсидий также на продукты и услуги (включая импортные).
Разница между ценами на экспортную и импортную продукцию на внутреннем и внешнем рынках, вносимую в государственный бюджет государственными внешнеторговыми организациями, рассматривается в СНС как чистые налоги на импорт и также входит в цену конечного использования.
13.3. Расчет ВВП и национального дохода распределительным методом
При определении распределительным методом в ВВП включаются следующие виды первичных доходов, распределенных производственными единицами-резидентами: оплата труда наемных работников; чистые налоги на производство и импорт (налоги на производство и импорт минус субсидии на производство и импорт); валовая прибыль /валовой смешанный доход.
Оплата труда наемных работников представляет собой вознаграждение в денежной и натуральной форме, которое должно быть выплачено работодателем наемному работнику за работу, выполненную за отчетный период. Она складывается из двух компонентов:
- заработной платы;
- отчислений работодателей на социальное страхование.
Заработная плата охватывает все виды заработков, включая различные премии, надбавки, начисленные в денежной или натуральной формах, независимо от источника финансирования, т.е. за счет себестоимости и прибыли, а также денежные суммы, начисленные работникам в соответствии с законодательством за непроработанное время (ежегодный отпуск, праздничные дни и т.п.). Заработная плата учитывается до вычета налогов и других удержаний, взимаемых с наемных работников.
Отчисления на социальное страхование производятся работодателями для обеспечения наемным работникам в будущем права на получение социальных пособий. Различают фактические (платежи, производимые работодателями третьей стороне, т.е. в организации социального страхования населения) и условно исчисленные отчисления на социальное страхование (эквивалент социальным пособиям выплаты предприятий непосредственно их работникам, бывшим работникам или их иждивенцам, имеющим на это право, за счет своих средств).
Фактические отчисления работодателей на социальное страхование включают начисления на фонд заработной платы по всем видам социального страхования. К ним относятся также обязательные отчисления работодателей на медицинское страхование и расходы предприятий по оплате услуг поликлиник по договорам, заключенным с органами здравоохранения на предоставление своим работникам медицинской помощи.
Условно исчисленные отчисления на социальное страхование оцениваются на практике как сумма фактически выплаченных работодателями в текущем периоде социальных пособий (например, выходное пособие при прекращении трудового договора; надбавки к пенсиям; стипендии студентам и учащимся, направленным предприятиями на обучение).
Налоги на производство и импорт это обязательные безвозмездные невозвратные платежи, взимаемые органами государственного управления с производственных единиц в связи с производством и импортом товаров и услуг или использованием факторов производства. К первому виду указанных налогов относятся НДС, акцизы, налоги на продажи, налог с оборота, налоги на отдельные виды услуг, прибыли фискальных монополий, налоги на импорт, экспорт, таможенные пошлины.
Ко второму налоги на землю, средства производства или рабочую силу.
Субсидии на производство и импорт это текущие безвозмездные невозвратные платежи, которые государство предоставляет предприятиям в связи с производством, продажей или импортом товаров и услуг или использованием факторов производства для проведения определенной экономической и социальной политики. К ним, в частности, относятся регулярные возмещения предприятиям из государственного бюджета постоянных убытков, возникающих в результате того, что продажная цена на производимую продукцию устанавливается ниже средних издержек производства, или выплаты в связи с применением труда особого контингента лиц (подростков, инвалидов).
Валовая прибыль /валовой смешанный доход часть валовой добавленной стоимости, которая остается у производителей после вычитания расходов, связанных с оплатой труда наемных работников и оплатой налогов на производство и импорт. Рассматриваемый показатель учитывает прибыль (убыток), полученную до расчета доходов от собственности.
Валовой смешанный доход это доход мелких индивидуальных предпринимателей от личных подсобных хозяйств населения. Валовая прибыль и валовой смешанный доход определяются балансовым методом.
Этот метод расчета ВВП имеет вспомогательный характер.
При расчете национального дохода распределительным методом производится суммирование указанных видов первичных доходов, только по прибыли и смешанным доходам делается корректировка на потребление основных фондов (амортизацию), а также сальдо поступлений первичных доходов из-за рубежа.
13.4. Расчет ВВП и НД методом конечного использования
При расчете ВВП методом конечного использования суммируются следующие компоненты: конечное потребление товаров и услуг, валовое накопление, сальдо экспорта-импорта и услуг.
Конечное потребление товаров и услуг охватывает расходы на конечное потребление домашних хозяйств резидентов на потребительские товары и услуги, а также расходы учреждений общего государственного управления (бюджетных организаций) и некоммерческих организаций, обслуживающих домашние хозяйства, на товары и услуги для индивидуального и коллективного потребления.
Расходы на конечное потребление домашних хозяйств включают:
- расходы на покупку потребительских товаров и услуг;
- потребление товаров и услуг, полученных в натуральной форме, в форме оплаты труда, подарков и т.п.;
- потребление товаров, произведенных домашними хозяйствами для собственного конечного потребления;
- услуги по проживанию в собственном жилище и услуги оплачиваемой домашней прислуги.
Расходы на конечное потребление органов государственного управления (бюджетных организаций) и некоммерческих организаций, обслуживающих домашние хозяйства, определяются следующим образом:
- выпуск, т.е. результат деятельности указанных институциональных единиц;
- минус поступления этим учреждениям от продажи товаров и услуг по рыночным ценам и от частичного возмещения потребителями их стоимости;
- плюс стоимость потребительских товаров и услуг, купленных указанными учреждениями у рыночных производителей для передачи домашним хозяйствам бесплатно или по льготным ценам;
- плюс возмещение расходов домашних хозяйств на приобретение товаров и услуг за счет государственных фондов социального страхования (возмещение инвалидам стоимости приобретения автомобилей и др.).
Для характеристики конечного потребления, с точки зрения того, кто фактически потребляет товары и услуги, используется показатель фактического конечного потребления. Для экономики в целом фактическое конечное потребление равно сумме расходов на конечное потребление тех институциональных единиц, которые рассматриваются и как потребители, и как производители (домашние хозяйства, учреждения общего государственного управления, некоммерческие организации, обслуживающие домашние хозяйства).
Валовое накопление представляет собой чистое приобретение (приобретение за вычетом выбытия) резидентными единицами товаров и услуг, произведенных в текущем периоде, но не потребленных в нем. Валовое накопление включает: валовое накопление основного капитала (основных фондов); изменение запасов материальных оборотных средств; чистое приобретение ценностей (предметы, приобретаемые для сохранения стоимости, драгоценные металлы и камни, кроме монетарного золота, а также золота и камней, предназначенных для промышленного использования; ювелирные изделия; антиквариат; коллекции и т.д.).
Валовое накопление основного капитала определяется как приобретение активов за вычетом выбытия новых и существующих основных фондов. Приобретение активов включает покупки, бартер, получение капитальных трансфертов в нтуральной форме, производство основных фондов для собственного использования, капитальный ремонт.
В валовое накопление основного капитала входят также затраты на улучшение непроизведенных активов и расходы в связи с передачей права собственности на непроизведенные активы (земля, недра, патенты, лицензии и т.п.).
Изменение запасов материальных оборотных средств (ЗМОС) это изменение стоимости производственных запасов, незавершенного производства, готовой продукции, предназначенной для реализации, и товаров для перепродажи. Изменение стоимости ЗМОС должно определяться как разница между поступлениями продукции в запасы и изъятиями из них, при этом продукция должна оцениваться в рыночных ценах, действующих соответственно в момент поступления или изъятия (а не так, как в бухгалтерском учете, на момент оприходования).
Сальдо экспорта и импорта товаров и услуг охватывает экспортно-импортные операции данной страны со всеми странами.
Экспорт и импорт товаров представляют собой стоимость вывезенных из страны или ввезенных в страну (пересекающих государственную границу) товаров. Стоимостная оценка объема экспорта и импорта в Целом по стране для макроэкономических расчетов в рамках СНС определяется в ценах ФОБ (для экспорта и импорта) или франко-граница страны экспортера.
Кроме экспорта и импорта товаров, учитываемых статистикой внешнеэкономической деятельности, экспорт и импорт товаров в СНС включают товары, поставляемые в порядке оказания безвозмездной (гуманитарной) помощи и в качестве дара, товары неорганизованной торговли, посылки, имущество мигрантов.
Экспорт и импорт услуг охватывают транспортные услуги, туризм, коммуникационные услуги, строительные, страховые, финансовые, компьютерные и информационные услуги, рекламу, бухгалтерский учет, управленческое консультирование и другие виды услуг.
Национальный доход определяется суммированием всех указанных компонентов, только накопление определяется на чистой основе (т.е. из валового накопления вычитается потребление основных фондов) и добавляется сальдо поступлений первичных доходов из-за рубежа.
13.5. Источники статистической информации об использовании методов расчета ВВП и НД
На этапе перехода к рыночной экономике существенно меняются принципы и содержание статистического наблюдения, а следовательно, информационная база макроэкономических расчетов. На стадии экспериментальных расчетов первых блоков СНС (конец 80-х начало 90-х годов) информационной базой послужили в первую очередь статистические и бухгалтерские отчеты, показатели выпуска и затрат, которые применялись в дореформенный период при составлении баланса наодного хозяйства. В качестве прямых источников информации для расчета сводных показателей СНС использовались:
- отчет о числе предприятий, численности занятых и продукции промышленности по отраслям;
- отчет о себестоимости промышленной продукции;
- годовые отчеты сельскохозяйственных предприятий, данные о производственно-техническом обслуживании сельского хозяйства;
- данные статистики капитального строительства об объемах капитальных вложений по отраслям;
- отчет подрядных строительных организаций о себестоимости строительно-монтажных работ;
- отчет о себестоимости геолого-разведочных работ;
- отчет о вводе в действие индивидуальных жилых домов;
- ежегодные переписи скота;
- отчет о жилищном фонде;
- отчет о доходах и расходах жилищного хозяйства (типа муниципального);
- данные статистики торговли о розничном товарообороте и об объеме реализации платных услуг;
- отчеты о продажах и ценах на городских (колхозных) рынках;
- отчеты о численности, фонде заработной платы (фонде оплаты труда), фонде материального поощрения, премиях и вознаграждениях рабочих и служащих;
- отчет о числе кооперативов и основных показателях их деятельности по видам;
- данные бюджетных обследований домашних хозяйств.
Для макроэкономических расчетов была востребована (а сейчас получила широкое распространение) статистика финансов предприятий (хозяйствующих субъектов) об использовании прибыли предприятий, социальных выплатах.
В реализации программы внедрения СНС в отечественную статистическую практику большое значение имела ведомственная статистика. В частности, оценки показателей нерыночных услуг, услуг финансового сектора экономики, образования, первичного и вторичного распределения доходов, внешнеэкономических связей производились на основе:
- отчета об исполнении государственного бюджета (данные о направлении расходов, налогах, субсидиях, других платежах);
- отчета об основной деятельности Госстраха (данные о страховых платежах, страховых возмещениях и текущих затратах);
- сводного отчета Государственного банка (данные о процентах уплаченных и полученных, об оплате услуг банков и текущих затратах);
- отчета об исполнении бюджета социального страхования (данные о стоимости путевок на лечение и отдых, содержании санаториев и профилакториев, общеоздоровительных лагерей, о расходах на содержание аппарата);
- информации об экспорте и импорте товаров и услуг.
Процессы разгосударствления и приватизации, бурное развитие частного предпринимательства, которое сопровождалось резким увеличением числа как зарегистрированных, так и незарегистрированных предприятий, включая малые и неакционерные хозяйственные единицы, нахоящиеся в семейной собственности, рост теневой экономики и незаконных операций обусловили дальнейшие изменения в существующих процедурах и методах сбора и обобщения данных, необходимость в разработке новых источников информации с использованием новых методов.
В существующие внешние и внутренние источники данных, применяемые при разработке основных счетов СНС, исчислении ВВП, входят: общегосударственный регистр предприятий и организаций; отчетность предприятий; ведомственная статистика (административные источники); переписи и обследования.
Общегосударственный регистр предприятий и организаций (ОГРПО) - инструмент получения минимума информации в условиях перехода от сплошной отчетности преимущественно к несплошным формам статистического наблюдения, причем не только в режиме текущей статистики. По каждой единице собираются сведения о местоположении, отнесении к определенной отрасли, размере (количество занятых или объем продукции), а для предприятий, состоящих из нескольких предприятий меньшего размера, ряд учетных данных, имеющихся на уровне подчиненных предприятий.
Общегосударственный регистр становится базой для экономических переписей и выборочных обследований.
Последние будут использоваться для получения детальной (один раз в 57 лет) или оперативной информации, необходимой прежде всего для расчета показателей, характеризующих деятельность малого бизнеса, а также для оценки теневой экономики.
Отчетность предприятий это важный источник информации, необходимой для расчета ВВП, других показателей СНС. В этой связи центральными являются показатели, отражающие финансовую деятельность предприятий (организаций).
Это прежде всего отчет о затратах на производство и реализацию продукции (работ, услуг) и отчет по отдельным показателям финансовой деятельности (по большой группе предприятий и организаций, за исключением малых предприятий, бюджетных организаций, банков, фермеров; по последним разработаны специальные формы отчетности).
Отчетность предприятий базовый массив информации для расчетов макроэкономических показателей (круг охвата средние и крупные предприятия, предприятия отраслей материального производства и нефинансовых платных услуг).
Ведомственная статистика (административные источники) охватывает отчетность органов государственного управления, отчетность Центрального банка, таможенную статистику, а также статистику ряда других ведомств.
Данные об исполнении государственного бюджета используются для расчета нерыночных услуг, оказываемых учреждениями общего государственного управления. Отчетность Центрального банка содержит информацию о денежных агрегатах, деятельности банковского сектора, статистике платежного баланса.
Последние два блока информаци необходимы в расчетах ВВП и его модификаций (в части секторов Финансовые учреждения, Остальной мир).
Таможенная статистика, наряду с данными о платежном балансе, в настоящее время является источником информации об экспортно-импортных операциях, используемой при исчислении ВВП производственным, распределительным и методом конечного использования. Основным источником данных для таможенной статистики внешней торговли служат в свою очередь таможенные декларации по экспорту и импорту товаров.
Данные налоговой статистики используются практической статистикой для расчета добавленной стоимости по отдельным видам услуг (в основном мелких институциональных единиц юридических и физических). Оценки объема платных услуг получаются из агрегированных данных, представленных службам налоговым ведомством, и из экспертных оценок, основанных на косвенной информации об услугах (например, о количестве юристов, численности детей дошкольного возраста, объемах сбыта строительных материалов и оборудовании бытового назначения).
Институциональные изменения в экономике и внедрение СНС в статистическую практику обусловили необходимость преобразований в статистическом наблюдении. Появились новые объекты статистического наблюдения (биржи, страховые организации, инвестиционные фонды, государственные внебюджетные фонды и т.д.), новые переписи или всесторонние обследования (ежегодные переписи общественных организаций; единовременные обследования структуры издержек производства и сбыта сельскохозяйственных предприятий и предприятий, которые оказывают услуги сельскохозяйственным предприятиям; обследование запасов на крупных промышленных предприятиях с целью оперативной оценки изменения величины запасов; перепись предприятий розничной торговли и других предприятий, которые занимаются розничной торговлей в качестве неосновного вида деятельности).
Таким образом, составление СНС и, в частности, расчет ВВП возможны на основе объединения информационных массивов текущей статистики и обследований, а в перспективе на базе системных экономических переписей.
Контрольные вопросы
- Почему показатель валового внутреннего продукта можно рассматривать как конечный общественный продукт в идеологии СНС?
- В чем отличие концепции резидентства, используемой в трактовке валового внутреннего продукта, от территориального принципа, применявшегося, в частности, в балансе народного хозяйства, применительно к макроэкономическим показателям?
- В связи с чем возникает необходимость расчета валового внутреннего продукта по крайней мере тремя методами?
- Найдите аргументы в пользу интерпретации производственного метода расчета ВВП как основного (базового) в российской статистике 90-х годов (или контраргументы).
- В чем проявляется специфика определения показателя выпуска в отдельных отраслях экономики?
- Аргументируйте утверждение о том, что валовой внутренний продукт есть сумма первичных доходов, исчисленных на валовой основе, единиц-резидентов.
- В чем проявляются существенные изменения в источниках информации, необходимых для расчета валового внутреннего продукта?
Национальное богатство в системе макроэкономической статистики
Национальное богатство (НБ) важнейшая социально-эRономическая категория, используемая для оценки экономического потенциала и уровня экономического развития страны.
Национальное богатство было одним из первых макроэкономических показателей, определяемых экономической наукой. Оценки национального богатства были произведены рядом европейских экономистов еще в XVII в. Показатели богатства служили для измерения накопленных результатов предшествовавших циклов производства, оценки уровня экономического развития и мощи государства.
Однако в понятии и методологии исчисления НБ до последнего времени не было единообразия, что затрудняло международные сопоставления. В состав показателей богатства в отдельных странах включали разные компоненты исходя из конкретных задач и возможностей.
Были попытки включить в состав национального богатства и население. Полученные показатели, естественно, отличались по своему составу, по элементам, были несопоставимы при международных сравнениях.
Подобные различия обусловливают необходимость уточнения состава НБ по компонентам.
Исходным моментом является определение НБ как экономической категории и объекта статистического изучения.
В отечественной статистической практике национальное богатство долгое время определялось как совокупность материальных благ, накопленных трудом всех предшествовавших поколений (национальное имущество), а также разведанных и вовлеченных в экономический оборот природных ресурсов.
Новый международный стандарт СНС (1993 г.) рекомендует использовать единую классификацию основных элементов активов НБ и методику их исчисления в секторах экономики и стране в целом. Стандартизированная методика позволяет агрегировать значения соответствующих показателей активов отдельных стран в региональные и мировые итоги, обеспечивает сравнительный анализ НБ разных стран.
Интеграция методологии статистической характеристики национального богатства в общую систему национального счетоводства увязывает его с другими макроэкономическими показателями, отражаемыми в СНС, с результатами экономической деятельности, т.е. расширяет возможности анализа получаемой информации.
Вместе с тем в документах ООН по национальному богатству отсутствует четкое статистическое определение этой категории. В рекомендациях ООН по составлению СНС 1993 г. содержится перечень отдельных компонентов национального богатства.
С учетом этого состава можно дать следующее определение данной экономической категории.
Национальное богатство это совокупность накопленных материальных и нематериальных активов, созданных трудом всех предшествовавших поколений, принадлежащих стране или ее резидентам и находящихся на экономической территории данной страны и за ее пределами (национальное имущество), а также разведанных и вовлеченнcх в экономический оборот природных и других ресурсов.
В определении подчеркивается следующее:
- национальное богатство моментный показатель, что отличает его от других макроэкономических показателей;
- по источникам происхождения НБ состоит из двух частей непроизведенных активов и национального имущества;
- в его составе учитываются не только материальные, но и нематериальные (финансовые и нефинансовые) активы;
- компоненты национального богатства, принадлежащие России, могут располагаться как на ее экономической территории, так и за ее пределами;
- имеет место юридическая форма существования НБ: в его объем входит как государственное, так и негосударственное имущество, принадлежащее отдельным физическим и юридическим лицам резидентам.
НБ собственный капитал разность между стоимостью всех активов и всех обязательств.
В Методических положениях по статистике Госкомстата РФ национальное богатство определяется как совокупность ресурсов страны (экономических активов), создающих необходимые условия производства товаров, оказания услуг и обеспечения жизни людей. Оно состоит из экономических объектов, существенным признаком которых является возможность получения их собственниками экономической выгоды.
Для экономических активов (ЭА) характерны следующие признаки:
- в отношении их институциональные единицы осуществляют права собственности индивидуально или коллективно;
- собственники ЭА получают экономическую выгоду в результате владения ими или использования их в течение определенного времени.
Таким образом, национальное богатство как объект статистического изучения и экономическая категория призвано отразить накопление не только материальных, но и нематериальных финансовых и нефинансовых активов у юридических (предприятий и организаций) и физических лиц (отдельных граждан), а следовательно, у страны в целом.
Важной частью национального богатства является национальное имущество результат накопления собственного капитала материальных и нематериальных, финансовых и нефинансовых активов у юридических и физических лиц, в отраслях и секторах экономики страны и ее регионов. Отдельно учитываются потребительские товары длительного пользования, прямые иностранные инвестиции и золотой запас.
В состав национального имущества входит и личное имущество населения (жилищные и непроизводственные постройки, бытовые предметы длительного пользования и запасы потребительского назначения), методология оценки которого еще полностью не разработана и информация о котором дается справочно.
В настоящее время Государственное агентство по статистике публикует следующую информацию о национальном богатстве (табл. 28.1).
Таблица 28.1
Структура стоимости национального богатства (без учета стоимости земли, недр и лесов на конец года)*
* Российский статистический ежегодник. М., 1998.
С. 70.
28.2. Состав национального богатства
В национальное богатство (рис. 28.1) включаются следующие экономические активы:
- произведенные нефинансовые активы;
- непроизведенные нефинансовые активы;
- финансовые активы.
Нефинансовые активы в зависимости от их происхождения подразделяются на произведенные в результате производственной деятельности и на непроизведенные .дары природы.
Произведенные нефинансовые активы это накопленные активы, созданные в результате труда всех предшествующих поколений.
В их состав входят:
- основные фонды (основной капитал);
- оборотный капитал;
- запасы материальных оборотных средств, резервы и др.;
- ценности.
Произведенные нефинансовые активы это основные фонды, функционирующие в отраслях, производящих товары и услуги, запасы материальных оборотных средств, резервы и запасы различного назначения, имущество населения и ценности.
Непроизведенные нефинансовые активы включают активы, которые не являются результатом производства, но используются в этом процессе. Они делятся на материальные и нематериальные.
К непроизведенным материальным активам относятся природные активы земля, недра, естественные биологические ресурсы, водные ресурсы под землей и др. Непроизведенные нефинансовые активы не являются результатом производства и состоят из культивируемых, воспроизводимых и разрабатываемых невоспроизводимых природных ресурсов, а также некоторых нематериальных активов; они могут быть как материального (запасы природных ресурсов), так и нематериального характера (патенты, лицензии, имидж, репутация фирмы).
Содержание указанных групп активов определяется соответствующими классификациями.
В классификации активов новой СНС проводится различие между: финансовыми и нефинансовыми активами; произведенными и непроизведенными активами; материальными и нематериальными активами. Ниже приводится классификация активов в агрегированной форме, принятая в СНС*.
* Иванов Ю. К выходу в свет новой системы национальных счетов ООН // Вопросы экономики. 1995.
5. С. 148.
Состав НБ в современной трактовке представлен на рис. 28.1.
Рис. 28.1. Состав национального богатства
Состав экономических активов
1. Нефинансовые активы.
1.1. Произведенные активы.
1.1.1. Материальные активы.
1.1.1.1. Основные фонды.
1.1.1.2. Материальные оборотные средства.
1.1.1.3. Ценности.
1.1.2. Нематериальные активы (основные фонды).
1.1.2.1. Затраты на геологоразведку.
1.1.2.2. Средства программного обеспечения.
1.1.2.3. Оригиналы художественных и литературных произведений.
1.2. Непроизведенные активы.
1.2.1. Материальные активы.
1.2.1.1. Земля.
1.2.1.2. Полезные ископаемые.
1.2.2. Нематериальные активы (лицензии, патенты и т.д.).
2. Финансовые активы (монетарное золото, специальные права заимствования, денежная наличность, депозиты, акции и другие ценные бумаги, займы и т.д.).
3. Все активы (1 +2).
Таким образом, все экономические активы делятся на нефинансовые и финансовые.
Применяемое в международной практике понятие основной капитал по сравнению с понятием основные фонды, используемым в отечественной практике, является более обобщающим, объединяющим совокупность воспроизводимых материальных и нематериальных активов. Главными критериями отнесения этих активов к основному капиталу служат функционирование их более года и многократное участие в производстве материальных благ и услуг.
Основной капитал включает произведенные материальные и нематериальные активы. Материальная часть основного капитала это основные фонды, участвующие в процессе производства многократно и переносящие свою стоимость на изготовляемые с их помощью продукт или услугу по частям, по мере износа.
Именно многократное или продолжительное использование есть критерий определения основного капитала.
Собственный капитал это разность между стоимостью всех активов и стоимостью всех обязательств на конкретный момент. Именно он и составляет национальное богатство.
Поскольку в СНС все виды деятельности по производству продуктов и услуг являются производственными, то и весь основной капитал трактуется как производственный.
Материальный основной капитал это основные фонды в традиционной для отечественной практики концепции, т.е. в материальной форме. В соответствии с рекомендациями ООН к СНС 1993 г. в состав этой части основного капитала входят также все сооружения и объекты двойного назначения военного и гражданского (например, аэродромы, доки, дороги, госпитали).
Нематериальный основной капитал включает компьютерное программное обеспечение, геолого-разведочные работы, оригиналы литературных и художественных произведений и т.п.
При оценке основного капитала на конкретный момент каждый актив и каждое обязательство (например, секторов экономики) должны идентифицироваться по имеющейся классификации таких ресурсов.
Запасы материальных оборотных средств все товары, имеющиеся в данное время у хозяйственных единиц, не включенные в валовое накопление основного капитала, а именно:
- производственные запасы;
- незавершенное производство;
- готовая продукция;
- товары для перепродажи;
- государственные материальные резервы.
В СНС покупка ценностй отражается не как расход на потребление, а как приобретение отдельной категории активов. Запасы драгоценных металлов и камней и других дорогостоящих активов, предназначенных для обработки на данном предприятии, включаются в состав материальных оборотных средств и не входят в ценности.
Ценности средства сбережения, состоящие из дорогостоящих запасов товаров длительного пользования, которые не изнашиваются, как правило, не используются для потребления или в производстве и стоимость которых со временем не уменьшается. Они включают: драгоценные металлы и камни, антикварные изделия, коллекции и произведения искусства.
В состав нефинансовых произведенных активов входит и домашнее имущество, которое выделяется в отечественной статистической практике справочно.
Первые два типа произведенных нефинансовых активов (за исключением нематериального основного капитала) по своему составу в основном соответствуют показателям национального богатства, которые рассчитываются отечественной статистикой и могут использоваться для перехода к исчислению НБ по стандарту СНС.
Некоторые ресурсы природного происхождения не рассматриваются в СНС как экономические активы, так как на них не распространяются права собственности или владение ими при существующем уровне технологии, цен и экономической инфраструктуры не приносит экономической выгоды (воздушное пространство, океаны, не открытые или открытые, но недоступные для разработки полезные ископаемые и т.д.).
Непроизведенные нематериальные активы представляют собой юридические формы, которые составляются в связи с процессом производства и периодически переходят от одних институциональных единиц к другим (авторские права, лицензии, торговые знаки и т.п.).
Нематериальные активы в национальном богатстве важная и наименее исследованная в отечественной статистической практике часть национального богатства. Следует отметить, что понятие нематериальных активов в составе ресурсов экономического потенциала шире, чем в национальном богатстве.
Все нематериальные активы можно условно разделить на две группы: нематериальные активы, носителями которых являются люди; нематериальные активы, которые составляют условия осуществления экономической деятельности.
К первой группе относятся уровень образования и культуры населения, его здоровье, талант артистов и спортсменов, изобретателей и деятелей искусства и т.д. Эта часть активов учитывается при оценке социально-экономического потенциала, а в состав национального богатства не включается.
Однако данный вопрос остается дискуссионным, и имеются предложения по учету указанной группы нематериальных активов в сосZаве человеческого капитала.
Во вторую группу включаются экологическая обстановка, система государственного управления, международная ситуация, политическая стабильность, криминогенная обстановка. Сюда же относятся различные документы, которые выступают как представители отдельных элементов экономического потенциала.
Активы, состоящие из финансовых средств (денежные средства, валюта, ценности), ценных бумаг (акции, облигации, векселя, долговые расписки) и документов (дипломы, патенты, бумаги на право собственности, лицензии, фирменные марки, товарные знаки и т.д.), входят в состав национального богатства.
Обе эти группы нематериальных активов, определяющие условия осуществления экономической деятельности, являются не составляющей частью национального богатства, а факторами его сохранения и наращивания. Значение подобных факторов в настоящее время возрастает.
Организация производства, предпринимательская деятельность, маркетинг, финансирование производства становятся все более решающими.
Финансовые активы запасы финансовых средств у хозяйственных единиц, в секторах и в стране в целом, предназначенные для осуществления финансовых расчетов: монетарное золото, валюта и депозиты, ценные бумаги, кроме акций, займы и т.д. При этом денежные средства в российской валюте являются элементом национального богатства для их владельцев не только на территории России, но и в государствах рублевой зоны (на Украине, в Белоруссии и др.).
Классификация финансовых активов определена Общероссийским классификатором финансовых активов (ОКФА).
Большинство финансовых активов представляют собой финансовые требования, которые дают право их владельцу-кредитору на получение платежа или серии платежей от другой хозяйственной единицы должника, в соответствии с контрактом между ними. Такие требования погашаются внутри страны должником обязательств по контракту; помимо этого кредитор может получить проценты, обусловленные условиями контракта, под доход от собственности.
Таким образом, в составе активов как элементы национального богатства остаются только активы и сальдо взаимных расчетов с другими странами.
Помимо финансовых требований финансовые активы представлены в формах монетарного золота, специальных прав заимствования, распределяемых Международным валютным фондом как средство платежа; акций корпораций и некоторых платежных документов.
Что же касается ценных бумаг, векселей, лотерейных билетов, сертификатов, документов на право собственности, то они выступают как представители экономического потенциала. Их стоимость не является постоянной она зависит от степени их доходности и может быть определена по курсу, по которому они кVтируются в финансовых учреждениях.
Расширение понятия и состава национального богатства как экономической категории и объекта статистического наблюдения в соответствии с рекомендациями ООН к СНС 1993 г. поставило перед статистической наукой и практикой ряд методологических и организационных проблем. Продолжается разработка более полной характеристики НБ.
Возродилась идея включения в состав НБ так называемого человеческого капитала.
МВФ произвел экспериментальные расчеты НБ разных стран с учетом этого компонента, что внесло существенные изменения в ранжирование стран по объему НБ. Видимо, поиск в этом направлении будет продолжаться.
Однако пока этот вопрос остается дискуссионным; общепринятой методики расчета человеческого фактора пока нет.
28.3. Задачи статистики национального богатства
Традиционно перед статистикой стоят задачи по обеспечению наиболее полной и точной характеристики национального богатства в целом и его составляющих на основе разработки и постоянного совершенствования системы показателей, методики их расчета и анализа.
В агрегированном виде задачи статистики заключаются в определении объема и состава национального богатства; его размещении по территории страны; распределении по формам собственности; в характеристике его воспроизводства и оценке результатов этого процесса; характеристике использования всех компонентов богатства и оценке его эффективности, а также в изучении динамики и определении влияния на нее различных факторов.
В последнее время в связи с реформированием экономики, переходом учета и статистики в РФ к международной методологии, основанной на СНС, и, наконец, с развитием самой этой методологии в соответствии с версией ООН 1993 г., поставившей перед статистикой национального богатства ряд новых методологических проблем, современные задачи статистики в этой области усложнились.
Прежде всего предстоит обеспечить методологическое единство при исчислении соответствующих показателей национального богатства. Это в свою очередь требует четкого определения границ национального богатства как объекта статистического изучения и всех компонентов, входящих в ее состав, осуществления классификации элементов богатства по различным признакам (натурально-вещественному составу, формам собственности, территории, отраслям и секторам экономики и др.).
Особую проблему составляет выработка основных методологических принципов оценки конкретных элементов богатства (особенно земли и природных ресурсов, а также нематериальных активов).
Решение методологических проблем связано с созданием информационной базы для отражения объема, структуры и динамики национального богатства и его отдельных элементов.
Необходимо обеспечить взаимоувязку рассчитываемых показателей национального богатства с другими обобщающими показателями национальных счетов (валовым внутренним продуктом, национальным доходом, сбережениями, капиталовложениями и т.д.), а также разработку методологии расчета производных показателей для экономико-статистического анализа роли элементов богатства в развитии экономики страны.
28.4. Система показателей статистики национального богатства
Национальное богатство как комплексная экономическая категория характеризуется системой статистических показателей. В ней выделяются следующие подсистемы показателей:
- объема НБ в целом и его компонентов;
- состава и структуры НБ;
- состояния отдельных компонентов НБ;
- простого и расширенного воспроизводства НБ и его компонентов;
- использования национального богатства;
- эффективности использования национального богатства;
- динамики национального богатства.
Всесторонняя характеристика национального богатства предполагает объединение его показателей в различные группы (рис. 28.2).
Рис. 28.2. Группировка активов национального богатства
Каждая группировка показателей национального богатства имеет самостоятельное значение в экономическом анализе. Например, группировка НБ по его местонахождению позволит выявить объем и состав активов НБ России и ее резидентов, расположенных за пределами ее экономической территории, т.е. на экономической территории других стран.
Наряду с названными наиболее общими группировками при характеристике каждого отдельного компонента НБ используются специфические группировки, например, при характеристике основных фондов осуществляется их деление на активные и пассивные, новые и бывшие в эксплуатации, а при анализе оборудования оно делится на установленное и неустановленное, действующее и бездействующее.
Наиболее специфической является группировка национального богатства на активы произведенные и непроизведенные. Эта группировка позволяет оценить степень развития экономики: преобладание удельного веса национального имущества в объеме национального богатства свидетельствует о более высоком уровне экономического развития.
Значительный удельный вес природных ресурсов (непроизведенных активов) в составе богатства характеризует потенциальные возможности развития.
Важное значение в экономическом анализе имеет группировка НБ по секторам, отраслям экономики, формам собственности и регионам, позволяющая не только исследовать структуру НБ, но и определить потенциал развития. Это свидетельствует о значимости показателей активов, из которых образуется собственный капитал секторов, отраслей и регионов экономики, и из которого в свою очередь складывается национальное богатство (национальный капитал) страны.
28.5. Накопление национального богатства
Основным источником пополнения национального имущества является валовое накопление основного капитала. Оно представляет собой увеличение средств, вложенных хозяйственной единицей резидентом в продукты и объекты длительного пользования сроком службы более одного года, с учетом стоимости относящихся к ним услуг.
Накопление (прирост) национального богатства характеризуется показателями валового национального сбережения и его использования, отражающими вклад труда данного года в прирост национального богатства.
Накопление компонентов НБ трактуется в счете операций с капиталом как расходы на приобретение капитальных активов, т.е. размер прироста основного капитала определяется величиной капитальных вложений. Последние включают в себя расходы на новое строительство и приобретение машин и оборудования, а также на капитальный ремонт зданий, сооружений, машин и оборудования.
В Методических указаниях Госкомстата РФ указано, что валовое накопление основного капитала представляет собой вложение резидентными единицами средств в объекты основного капитала для создания нового дохода в будущем путем использования их в производстве. Валовое накопление основного капитала включает следующие элементы: приобретение за вычетом выбытия новых и существующих основных фондов; затраты на улучшение непроизведенных материальных активов; расходы в связи с передачей права собственности на непроизведенные активы.
В новой версии СНС в состав валового накопления включена статья Затраты на приобретение ценностей, т.е. предметов, обладающих способностью сохранять стоимость в течение относительно длительного времени, например немонетарного золота, картин, ювелирных изделий. Таким образом, валовое накопление в новой версии СНС состоит из следующих элементов: валового накопления основных фондов, прироста материальных оборотных средств; чистых покупок ценностей.
Кроме того, имеются изменения в отражении расходов на оборону, относимые на расходы товаров и услуг для военных нужд, которые ранее учитывались как промежуточное потребление.
В новой версии СНС расходы на строительство военных аэропортов, верфей, дорог, зданий и других объектов, которые могут быть использованы и для гражданских нужд, относятся к накоплению основных фондов.
28.6. Стоимостная оценка национального богатства
Правильное определение объема национального богатства и его составляющих зависит не только от четкого учета его компонентов и методики их расчета, но и от правильности их стоимостной оценки.
Объем НБ определяется, как правило, в стоимостном выражении. Исключение составляет характеристика непроизведенных активов природных ресурсов.
Стоимостная оценка земли и других непроизведенных природных богатств в практике российской статистики до сих пор не проводилась.
Национальное богатство исчисляется в действующих (текущих) ценах, что обеспечивает оценку его реального объема в условиях современного ценообразования и увязку с другими макроэкономическими показателями. Это позволяет произвести анализ с позиций оценки влияния: экономических результатов на прирост национального богатства; объема и структуры национального богатства на результаты функционирования экономики.
Важным моментом при определения общего объема национального богатства является правильная оценка его элементов. Эта проблема в отечественной статистике достаточно актуальна и обусловлена в значительной мере отсутствием практики расчета и методологии оценки тех элементов богатства, которые никогда не оценивались, так как были государственной собственностью (земля и природные ресурсы) и не являлись объектами купли-продажи.
Существует несколько видов оценки элементов НБ: по исторической (учетной) стоимости, по стоимости замены (восстановительная стоимость) и по рыночной стоимости. Расчет может производиться в двух вариантах: по полной стоимости и по стоимости за вычетом износа.
Полная стоимость отражает объем общих затрат на приобретение конкретных элементов богатства, стоимость за вычетом износа показывает их оставшуюся стоимость на момент учета.
Выбор метода оценки для каждого элемента богатства диктуется реальной экономической ситуацией, задачами исследования и имеющейся статистической информацией. В международной статистической практике для оценки стоимости основного капитала применяются: историческая (учетная) стоимость (при оценке основных фондов она называется первоначальной стоимостью); стоимость замены (восстановительная); субъективная балансовая стоимость; рыночная стоимость.
Историческая (учетная) стоимость соответствует первоначальной, которая применяется и в российской статистике. Она отражает стоимость основных фондов в момент ввода их в эксплуатацию, включая стоимость самих фондов, а также их транспортировки и монтажа на месте эксплуатации.
Эта стоимость также называется балансовой, так как по ней основной капитал зачисляется на баланс предприятия.
Стоимость замены основных фондов отражает восстановительную стоимость, применяемую в российской статистике. Она представляет собой стоимость воспроизводства основного капитала в современных условиях и зависит от динамики цен на отдельные элементы основного капитала.
Определяется в результате проведения переоцени основного капитала.
Субъективная балансовая стоимость основного капитала базируется на оценке его владельцем. Она рассчитывается как капитализированная стоимость будущих доходов, которые можно получить в процессе эксплуатации основного капитала вплоть до момента его выбытия.
Определение субъективной стоимости требует точного прогноза многих экономических факторов*.
Субъективная стоимость является базой для определения рыночной стоимости.
* См. Национальное счетоводство: Учебник / Под ред.
Г.Д. Кулагиной. М.: Финансы и статистика.
1997.
С. 351.
Реальная рыночная стоимость основного капитала определяется только при условии равенства спроса и предложения, иначе она не отражает действительную его стоимость. Тем не менее рыночная стоимость имеет важное значение в экономике, особенно для тех элементов капитала, для которых не существует других видов оценки (земля, природные ресурсы, предметы искусства, компьютерное программное обеспечение и др.).
Оценка основных фондов в период инфляции наиболее точным показателем является восстановительная стоимость.
Оценка оборотных фондов, резервов и запасов рассчитывается в ценах, действовавших на конец периода, определяемых на основе балансов предприятий и организаций, в которых отражаются результаты переоценки запасов. Эта же позиция имеется в СНС.
Оценка земли и природных ресурсов. Очевидно, что все попытки дать так называемую экономическую оценку земле и природным ресурсам оказались бессмысленными.
Земля и природные ресурсы не являются плодом человеческого труда, поэтому для них не существует никаких видов оценки, кроме рыночной стоимости. Все остальные виды оценки недостаточно обоснованны и не могут быть использованы в экономических расчетах.
Рыночная цена зависит от большого количества факторов: соотношения спроса и предложения на землю; экономической ситуации в стране (чем хуже ситуация, тем выше цена на землю); земельного законодательства (отсутствие частной собственности на землю не позволяет ее оценить и приводит зачастую к ее бесхозяйственному использованию); месторасположения и размеров участка; рельефа и качества почвы; климата; близости коммуникаций; возможности продажи земли иностранцам и т.д.
В рыночной экономике применяются следующие виды оценки земли:
- рыночная цена земельного участка;
- рыночная цена хозяйства (кроме стоимости земли, которая включает стоимость строений и улучшений ирригационных сооружений и т.д.);
- арендная цена, которая определяется либо доходностью земель, либо стоимостью услуг, которые они предоставляют.
Что касается природных ресурсов, то, будучи собственностью государства, они не имеют рыночной цены. В западной экономике при их оценке исходят из:
- стоимости разведки и добычи;
- оптовых цен, действующих в экономике;
- стоимости концессии (сдачи государством месторождения полезных ископаемых в эксплуатацию частным лицам и организациям).
Все три вида оценки этого элемента экономического потенциала являются заниженными, что вызывает необходимость разработки реальных видов оценки природных ресурсов.
Оценка нематериальных активов представляет собой наиболее сложную проблему при определении величины НБ. В российской статистике до сих пор не было опыта проведения подобных оценок.
Что касается ценных бумаг (акций, облигаций, векселей, лотерейных билетов, сертификатов, документов на право собственности), то они выступают как представители экономического потенциала. Их стоимость не является постоянной она зависит от степени доходности и может быть определена по тому курсу, по которому они котируются в финансовых учреждениях.
При оценке изобретений, патентов, лицензий, знаний, дипломов, как правило, принимают во внимание их экономическую эффективность. Особую сложность представляет определение амортизации этих элементов. Считается, например, что срок службы фундаментальных разработок равен 38 годам, прикладных 12 годам.
Около уз всех патентов в бывшем СССР охраняются законом в течение 5 лет.
Поэтому в качестве амортизационного можно принять срок, в течение которого в каждом конкретном случае охраняется патент. Срок амортизации знаний и дипломов считается равным периоду между двумя повышениями квалификации.
Особую проблему при изучении динамики всех компонентов национального богатства составляет задача их переоценки из действующих цен в сопоставимые, принятые за базу сравнения, для устранения влияния инфляции, роста цен. Это требует совершенствования методологии переоценки всех элементов национального богатства в сопоставимые цены.
Контрольные вопросы
- Каковы понятие и состав национального богатства в соответствии с рекомендациями ООН к методологии СНС; связь и отличия нового подхода от принятого до последнего времени в отечественной статистике?
- Раскройте понятие и состав экономических активов, учитываемых в НБ, методологические проблемы их статистической характеристики.
- Каковы содержание и роль в накоплении НБ финансовых активов, включаемых в состав НБ?
- В чем состоят задачи и проблемы статистики национального богатства в связи с переходом статистики к международной методологии, основанной на рекомендациях ООН?
- Раскройте систему показателей статистики национального богатства, ее основные группировки и значение их в экономическом анализе.
- В чем состоят социально-экономическая сущность основного капитала и основных фондов; каковы задачи статистики?
- Раскройте признаки основного капитала и натурально-вещественную классификацию основных фондов и виды их оценки.
- Перечислите показатели состояния и обновления основных фондов и раскройте методику их расчета.
- Каковы виды балансов, основных фондов, их назначение и система показателей?
- Каковы цель, методика проведения и результаты переоценки основных фондов?
- Каковы методы изучения динамики основных фондов и переоценки их в сопоставимые цены?
- Назовите показатели потребления основного капитала, раскройте суть метода непрерывной инвентаризации.
О совершенствовании системы банков в стране.
Коммерческий банк — это многофункциональное учреждение, выполняющее операции во всех секторах рынка ссудного капитала. Иными словами, банки производят кредитование, расчеты и финансирование отдельных предприятий, групп предприятий, отраслей промышленности, торговли, прочих юридических и физических лиц за счет привлеченных средств (депозитов).
Все эти операции осуществляются на платной основе.
Построение двухуровневой банковской системы стало возможным после принятия 17 июля 1987 г. постановления О совершенствовании системы банков в стране. Первый коммерческий банк был зарегистрирован в августе 1988 г. В 1991 г. их число достигло 1300, на 1 января 1997 г. — 2589.
На 1 января 1998 г. в России было зарегистрировано 2552 действующие кредитные организации и 16 банков со 100%-ным иностранным участием в капитале, а на 1 января 1999 г. — 2481 кредитная организация и 20 банов со 100%-ным иностранным капиталом.
Некоторые из коммерческих банков являются уполномоченными, т.е. имеют специальное разрешение правительства (и/или прочих правительственных органов) на проведение определенных (конкретных) видов банковских операций.
К банковским операциям относятся:
- привлечение денежных средств физических и юридических лиц во вклады (до востребования и на определенный срок);
- размещение привлеченных средств от имени и за счет банка;
- открытие и ведение банковских счетов физических и юридических лиц;
- осуществление расчетов по поручению физических и юридических лиц, в том числе банков-корреспондентов, по их банковским счетам;
- инкассация денежных средств, векселей, платежных и расчетных документов и кассовое обслуживание физических и юридических лиц;
- купля-продажа иностранной валюты в наличной и безналичной форме;
- привлечение во вклады и размещение драгоценных металлов;
- выдача банковских гарантий.
Помимо перечисленных банковских операций кредитная организация вправе осуществлять следующие сделки:
- выдачу поручительств за третьих лиц, предусматривающих исполнение обязательств в денежной форме;
- приобретение права требования от третьих лиц исполнения обязательств в денежной форме;
- доверительное управление денежными средствами и иным имуществом по договору с физическими и юридическими лицами;
- осуществление операций с драгоценными металлами и драгоценными камнями в соответствии с законодательством Российской Федерации;
- предоставление в аренду физическим и юридическим лицам специальных помещений или находящихся в них сейфов для хранения документов и ценностей;
- лизинговые операции;
- оказание консультационных и информационных услуг.
Кредитная организация вправе выполнять иные сделки в соответствии с законодательством Российской Федерации.
Все банковские операции и другие сделки осуществляются в рублях, а при наличии соответствующей лицензии Банка России — и в иностранной валюте. Правила сведения банковских операций, в том числе правила их материально-технического обеспечения, устанавливаются Банком России в соответствии с федеральными законами.
Кредитной организации запрещается заниматься производственной, торговой и страховой деятельностью. Кроме того, в соответствии с лицензией Банка России на осуществление банковских операций банк вправе осуществлять выпуск, покупку, продажу, учет, хранение и иные операции с ценными бумагами, выполняющими функции платежного документа, с ценными бумагами, подтверждающими привлечение денежных средств во вклады и на банковские счета, с иными ценными бумагами, операции с которыми не требуют получения специальной лицензии в соответствии с федеральными законами, а также вправе производить доверительное управление указанными ценными бумагами по договору с физическими и юридическими лицами, т.е. осуществлять профессиональную деятельность на первичном и вторичном рынках ценных бумаг, фондовом рынке.
В зависимости от круга осуществляемых операций, рыночного сегмента их предоставления физическим и юридическим лицам коммерческие банки классифицируются следующим образом:
- универсальные коммерческие банки, к которым относятся кредитные учреждения, осуществляющие в основном все виды банковских услуг (традиционные и нетрадиционные) — депозитные, кредитные, фондовые, расчетные, доверительные (трастовые), лизинговые, факторинговые, фьючерсные, консалтинговые и т.д.;
- отраслевые — их характерной особенностью является структура уставного капитала (чаще она свойственна юридическим лицам, относящимся к одной отрасли) и структура кредитного, депозитного, инвестиционного портфелей и портфеля ценных бумаг (до 50% относится к определенной отрасли). Клиенты такого банка, как правило, принадлежат к отрасли, предоставившей акционерный капитал. Таким образом, сезонные колебания, уровень рисков (коэффициент бета) конкретной отрасли отражаются на деятельности самих банков;
- учетно-депозитные банки, которые осуществляют краткосрочные кредитные операции (сроком от 3 до 6 месяцев) по привлечению и/или размещению временно свободных средств (физических и/или юридических лиц. Кроме того, они свободно осуществляют кредитные и учетные операции со всеми видами ценных бумаг;
- инвестиционные и инновационные банки — аккумулируют свободные денежные средства в основном в виде ценных бумаг на достаточно длительный срок. Часто эти операции осуществляются посредством выпуска облигационных займов и предоставления долгосрочных ссуд клиентам;
- сберегательные (ссудосберегательные, взаимосберегательные) банки — привлекают мелкие вклады частных (физических) лиц на определенный срок (срочные вклады) или до востребования;
- ипотечные (земельные) банки, которые выполняют кредитно-депозитные операции на долгосрочной основе под залог недвижимого имущества (реального основного капитала). В пассивной части балансов этих банков имеется одна особенность — достаточно высокий удельный вес собственных и привлеченных средств (собственного и привлеченного капитала), который поддерживается путем эмиссии так называемых ипотечных облигаций.
В зависимости от обслуживаемого портфеля клиентов различаются банки:
- биржевые;
- потребительского кредита;
- коммунальные;
- страховые.
В зависимости от специфики рыночного сегмента, контролируемого банRом, банки делятся на:
- международные (имеют филиалы или представительства в нескольких государствах);
- муниципальные;
- районные.
И наконец, в зависимости от размера уставного капитала коммерческие банки бывают крупными, средними и мелкими. В настоящее время крупные и средние коммерческие банки проходят период трансформации среднего кадрового звена.
Одним из эффективных вариантов решения этой проблемы считается совмещение основной деятельности банка с созданием структуры айсберга. Суть этой системы заключается в том, что собственно банковской деятельностью занимается относительно небольшая группа специалистов, а большая часть — подводная — выполняет рутинную работу, связанную со сбором, систематизацией и переработкой информации.
При этом именно подводная часть и дает банку возможность квалифицированно оценивать возникающие ситуации и грамотно принимать решения. Иными словами, банки могут справиться со своими задачами, только создав мощные информационно-аналитические службы.
В соответствии с инструкцией ЦБ РФ от 01.10.1997 г. 1 О порядке регулирования деятельности кредитных организаций и последующими изменениями и дополнениями установлены обязательные экономические нормативы деятельности банков. Рассмотрим некоторые из них.
1. Норматив достаточности собственных средств (капитала) банка, который определяется как отношение собственных средств (капитала) банка к суммарному объему активов, взвешенных с учетом риска, за вычетом величины созданных резервов под обеспечение ценных бумаг и на возможные потери по ссудам. Гарантии и поручительства, выданные в пользу дочерней компании, не включаются. Минимально допустимое значение норматива устанавливается в следующих размерах:
от 5 млн евро и выше: с 01.02.1999 г. — 8%;
с 01.01.2000 г.—10%;
менее 5 млн евро: с 01.02.1999 г. — 9%;
с 01.01.2000 г.—11%.
2. Минимальный размер собственных средств (капитала) банка. Величина собственных средств (капитала) банка определяется как:
- сумма уставного капитала, фондов банка и нераспределенной прибыли;
- скорректированная на резерв на возможные потери по ссудам, на полученный (уплаченный) авансом накопленный купонный доход, переоценку средств в иностранной валюте, переоценку ценных бумаг, обращаемых на ОРЦБ, и на переоценку драгоценных металлов;
- уменьшенная на величину: допущенных убытков; выкупленных собственных акций; превышения размера уставного капитала неакционерного банка над его зарегистрированным значением; недосозданного обязательного резерва на возможные потери по ссудам; недосозданного обязательного резерва под обесценение вложений в ценные бумаги; кредитов, гарантий и поручительств, предоставленных банкм своим акционерам (участникам и инсайдерам) сверх установленного лимита; превышения затрат на приобретение материальных активов (в том числе основных средств) над собственными источниками; расходов будущих периодов по начисленным, но не уплаченным в срок (просроченным) процентам; просроченной свыше 30 дней дебиторской задолженности; расчетов с организациями банков по выделенным средствам; вложений банка в акции дочерних и зависимых хозяйственных обществ, приобретенных для инвестирования; вложений в капиталы кредитных организаций — резидентов.
3. Нормативы ликвидности банка, т.е. способности банка обеспечивать своевременное выполнение своих обязательств:
- норматив мгновенной ликвидности, который определяется как отношение суммы высоколиквидных средств банка к величине обязательств банка по счетам до востребования. Минимально допустимое значение этого норматива устанавливается в размере 20%;
- норматив текущей ликвидности — определяется как отношение суммы ликвидных активов банка к величине обязательств банка по счетам до востребования и на срок до 30 дней. Минимально допустимое значение норматива устанавливается в размере 70% с баланса на 01.02.1999 г.;
- норматив долгосрочной ликвидности, который рассчитывается как отношение всей долгосрочной задолженности, включая выданные гарантии и поручительства, сроком погашения свыше года к собственным средствам (капиталу) банка, а также обязательствам банка по депозитным счетам и другим долговым обязательствам сроком погашения свыше года. Максимально допустимое значение норматива устанавливается в размере 120%;
- норматив общей ликвидности — определяется как процентное соотношение ликвидных активов и суммарных активов банка. Минимально допустимое значение норматива устанавливается в размере 20%.
4. Совокупная величина кредитов и займов, выданных инсайдерам, которая не может превышать 3% собственных средств (капитала) банка.
5. Максимальный размер привлеченных денежных средств (депозитов) населения, который устанавливается как процентное соотношение общей суммы денежных вкладов (депозитов) населения и величины собственных средств (капитала) банка. Максимально допустимое значение — 100%.
5.1. Максимальный размер обязательств банка перед банками-нерезидентами и финансовыми организациями-нерезидентами также устанавливается как процентное соотношение величины обязательств банка перед вышеупомянутыми субъектами и собственных средств (капитала) банка.
Максимально допустимое значение — 400%.
6. Норматив использования собственных средств (капитала) банка для приобретения долей (акций) других юридических лиц. Максимально допустимое значение — 25%.
19.4. Статистика сберегательного дела
С точки зрения социально-экономической статистик в банковской системе любого государства сберегательное дело занимает особое место. Объясняется это тем, что именно деятельность сберегательных учреждений, привлекающих на регулярной основе и в массовом порядке временно свободные денежные средства населения, в значительной степени определяет динамику нормы сбережений как одного из основных показателей социально-экономической статистики в статике и динамике.
Без финансового участия сберегательных институтов сегодня невозможно представить проведение структурно-региональной политики, природоохранных мероприятий, деятельность современного коммунального хозяйства и жилищного строительства.
К этому следует добавить, что сберегательные учреждения остаются главными элементами банковской системы, обслуживающими массового клиента.
В содержательном отношении признак социальной значимости сберегательных учреждений в условиях развития системы социального страхования, социальная ориентация сберегательных институтов состоят в создании физическим лицам необходимых финансовых условий для реализации их прав на благоустроенное жилье, организацию досуга, культурное развитие, достойную среду обитания.
Сберегательные кредитные организации (банки, институты) играют в экономике роль финансовых посредников, т.е. они призваны обеспечивать эффективное перераспределение временно свободных финансовых средств между экономическими агентами. Главной особенностью сберегательных институтов является привлечение к процессу сбережения на регулярной основе финансовых средств населения, и прежде всего лиц с невысоким и средним уровнями доходов.
Депозиты (вклады) именно этих категорий вкладчиков составляют основу пассивов сберегательных банков.
Этим объясняется применение широкого круга мер по государственному регулированию деятельности сберегательных институтов, которая на самом деле является достаточно узконаправленной.
До настоящего времени наличие жестких ограничений деятельности снижало возможности сберегательных институтов конкурировать с другими банковскими учреждениями, а преимущества, предоставляемые государством, оказались недостаточными для компенсации финансовых потерь. В поисках способов выживания система Сберегательного банка Российской Федерации все больше начинает функционировать как система универсальных финансовых учреждений, стремясь увеличить свой капитал, диверсифицировать набор предоставляемых банковских услуг, выйти на новые рыночные сегменты.
Основными источниками финансовых средств сберегательных институтов являются:
- сберегательные депозиты. Исторически основным источником средств сберегательных институтов, в том числе и Сберегательного банка РФ, были сберегательные вклады физических лиц. Большинство сберегательных счетов предлагали и предлагают весьма скромный по сXавнению с другими кредитными организациями доход, но обладают чертами ликвидности и стабильности, столь важными для клиентов с ограниченными средствами. Однако преобладающие по размерам сберегательные депозиты не являются стабильными. Колебания процентных ставок, изменения экономической активности и денежно-кредитной политики государственных органов управления оказывают значительное влияние на размер депозитов и возможность сберегательных банков удерживать вклады физических и юридических лиц. В связи с общей экономической ситуацией, уровнем странового и валютного рисков в последнее время в структуре пассивов стали преобладать срочные (более дорогие) вклады;
- срочные депозиты. Среди наиболее популярных высокодоходных срочных депозитов, предлагаемых учреждениями Сберегательного банка РФ, выделяются депозитные сертификаты денежного рынка. Доходы по этим инструментам достаточно чувствительны к изменению краткосрочных процентных ставок и имеют номинацию и другие характеристики, отражающие конкретные условия каждого отдельного рыночного сегмента;
- собственный капитал, состоящий из нераспределенной прибыли и номинальной стоимости государственных ценных бумаг, а также стоимости выпущенных в обращение акций. Доля этих средств в пассивах сберегательных учреждений имеет небольшой удельный вес, не является крупным источником финансовых средств кредитных учреждений и призвана защитить интересы вкладчиков. Особенность сберегательных кредитных учреждений заключается в том, что, хотя они не находятся в собственности своих вкладчиков, они тем не менее сохраняют счета собственного капитала, обычно именуемые главными (резервными) счетами или резервами собственного капитала, на которые зачисляются доходы, не выплачиваемые в виде дивидендов. Роль этих счетов — защита интересов клиентов от будущих потерь;
- прочие источники финансовых средств. Реагируя на растущую конкуренцию, сберегательные учреждения стремятся к тому, чтобы стать универсальным финансовым институтом, предоставляя достаточно широкий спектр банковских и финансовых услуг, схожий с тем, который предоставляется прочими кредитными организациями. Некоторые сберегательные банки в настоящее время предлагают своим клиентам кредитные карточки и автоматический перевод средств со сберегательных счетов на текущие счета для покрытия овердрафта (задолженности банкам), так, чтобы клиенты могли получать процент по остаткам на чековых книжках до тех пор, пока эти средства необходимы для оплаты товаров и услуг.
Новой услугой, предлагаемой сберегательными банками в последнее время, являются счета с платежным приказом — приносящий процент вклад, позволяющий выписывать платежные приказы (чеки), используя средства сберегательного счета клиента.
19.5. Источники статистической информации о банковской системе и основные методы ее анализа
Основным источником статистической информации о деятельности Банка России и банковской системы в целом является баланс, который формируется в соответствии с Планом счетов бухгалтерского учета в кредитных организациях и Правилами ведения бухгалтерского учета в кредитных организациях, расположенных на территории Российской Федерации, утвержденных приказом Банка России от 18.06.1997 г. 02-263. С 01.01.1998 г. одновременно с деноминацией российской национальной валюты и изменением масштаба цен был введен новый План счетов.
На базе расширенного баланса Центрального банка. Сберегательного банка, Внешэкономбанка РФ и кредитных организаций формируются следующие основные документы — источники социально-экономической статистической информации.
1. Сводный баланс Центрального банка РФ по позициям:
- актив: золото; иностранная валюта; наличные деньги в кассах; кредиты Министерству финансов РФ; операции с ценными бумагами; кредиты, межгосударственные расчеты; прочие активы;
- пассив: уставный капитал; резервы и фонды; валютные счета; наличные деньги в обращении; средства коммерческих банков; средства бюджетов и клиентов; средства в расчетах; прочие пассивы.
2. Сводный баланс кредитных организаций, включающий:
- актив: касса и другие средства в рублях и инвалюте; драгоценные металлы; средства на резервном счете ЦБ; средства на корсчетах в рублях и иностранной валюте (в том числе средства на корсчете в ЦБ); кредиты, выданные хозяйству, населению в рублях и инвалюте, включая краткосрочные, долгосрочные кредиты, а также просроченную задолженность без процентов; просроченная задолженность клиентов по ссудам банка; просроченные проценты по кредитам; финансирование капитальных вложений; ценные бумаги, паи, акции, приобретенные банком (в том числе государственные ценные бумаги и векселя в портфеле банка); дебиторы банка в рублях и иностранной валюте и другие операции; здания, сооружения и другие вложения в затраты капитального характера; отвлеченные средства за счет прибыли, в том числе за счет прибыли отчетного года и прибыли прошлых лет; прочие активы, в том числе счета по межзачету;
- пассив: фонды банка всего, в том числе уставный фонд (капитал); средства других банков на корсчете в комбанках в рублях и иностранной валюте; средства бюджетов; средства, привлеченные от предприятий, организаций, населения, в рублях и иностранной валюте (в том числе на текущих счетах, депозиты, вклады населения и другие счета физических лиц); средства для финансирования капитальных вложений; кредиты, полученные от других банков, и проценты по ним в рублях и иностранной валюте (в том числе централизованные, просроченные централизованные и проценты по ним); обращаемые на рынке долговые обязательства (в том числе банковские акцепты и собственные векселя); средства в расчетах; кредиторы банка в рублях и иностранной валюте и другие операции; прибыль банков, в том числе прибыль (убытки) отчетного года и прошлых лет; прочие пассивы (в том числе резерв под обесценение ценных бумаг, резерв на возможные потери по ссудам, средства по межзачету).
3. Инструкция ЦБ РФ 1 О порядке регулирования деятельности кредитных организаций с изменениями и дополнениями.
4. Инструкция ЦБ РФ от 01.10.1997 г. 17 О составлении финансовой отчетности с изменениями и дополнениями.
5. Формы статистической отчетности, разработанные отдельными департаментами и подразделениями Банка России, для сбора и анализа информации по конкретным направлениям деятельности Банка России и кредитных организаций. Эти документы вошли в указания О порядке составления и представления отчетности кредитными организациями в Центральный банк Российской Федерации.
Контрольные вопросы
- Каковы основные функции Центрального банка РФ?
- Какую роль выполняет официальная процентная ставка, определяемая Центральным банком?
- Какая зависимость существует между величиной денежной массы и уровнем инфляции?
- Какой индикатор характеризует связь между денежной массой и денежной базой?
- По какому нормативному документу ЦБ РФ контролирует деятельность кредитных организаций?
Объективная необходимость и основные направления реформирования
В условиях перехода на рыночные отношения в России возрастает важность проведения фундаментальных научных исследований по развитию статистической науки. Объясняется это прежде всего тем, что здесь в статистической науке и практике накопилось очень много нерешенных проблем, причем возникли они не сразу, и их появление неразрывно связано со сложившейся кризисной социально-экономической и политической ситуацией в стране.
В последнее время проведена определенная работа по реформированию российской статистики, и тем не менее проблема развития статистической науки и практики стоит очень остро. Статистическая служба страны пока еще не может ответить на многие злободневные вопросы и сыграть активную роль в радикальном обновлении нашего общества.
В настоящее время особую значимость приобретает обеспечение достоверности статистических данных и восстановление на этой основе доверия к статистике. Десятилетиями ранее (да и сейчас) руководство государства стремилось с помощью статистики показывать успехи и достижения, замалчивая и маскируя трудности и недостатки.
Это касается статистических данных о социально-экономическом положении страны, уровне жизни населения, о положении дел в промышленности, сельском хозяйстве, торговле и других отраслях.
В результате динамические ряды важнейших социально-экономических показателей на макро- и микроуровне, в том числе публикуемые в статистических сборниках, в своем нынешнем виде малопригодны для аналитической работы.
Важной предпосылкой обеспечения объективности, точности и достоверности статистических данных является совершенствование методологии их исчисления, которую пока еще иногда подстраивают под волюнтаристские решения и конъюнктурные политические задачи.
Существовавшая длительное время в России статистическая методология во многом отличалась от принятой в мировой практике. Как следствие, круг сравнимых показателей был резко ограничен, что затрудняло объективную оценку уровня нашего социально-экономического и научно-технического развития в сравнении с передовыми капиталистическими странами.
Хотя сейчас уже введен показатель валового национального продукта, проводится двустороннее сопоставление показателей, тем не менее предстоит еще огромная работа по отработке методологии более широких международных сопоставлений.
Необходимо привести систему показателей в соответствие с принятыми в международной практике подходами и стандартами, что позволит осуществлять прямые международные сопоставления. Речь идет о широком применении в макроэкономических расчетах системы национальных счетов (СНС), что требует коренного изменения всей системы бухгалтерского учета.
При этом нельзя согласиться с утверждениями некоторых ученых, что следует отказаться от использования баланса народного хозяйства. Его разработка значительное достижение советской статистики, и многие экономисты, в том числе из капиталистических стран, придерживаются мнения, что баланс народного хозяйства очень важен для аналитических целей.
Сегодня по-иному надо подходить и к статистике развитых капиталистических стран. Все полезное (особенно это относится к практике проведения выборочных обследований, использованию статистических и математических методов, построению системы национальных счетов, методологии исчисления валового национального и валового внутреннего продукта, индексации доходов населения и т.д.) необходимо применять в отечественной практике, но при этом нельзя идти по пути слепого копирования и забывать о многочисленных особенностях экономики России.
Нуждается в расширении гласность статистики; доступ к информации для всех хозяйственных и общественных организаций, высших учебных заведений, научно-исследовательских институтов должен быть открытым.
Для того чтобы статистика могла правильно отражать перемены, происходящие в экономике страны, необходимы существенные изменения в области определения динамики экономического роста в условиях резких качественных изменений и структурных сдвигов, характеристики рыночных отношений и межрегиональных экономических связей, анализа инфляционных процессов и др. Большое значение в условиях рынка будут иметь разработка индексов цен, наблюдение за динамикой цен и тарифов в стране, определение влияния их изменения на жизненный уровень народа и потребительские бюджеты различных групп и слоев населения. Важно тщательно разработать механизм отбора товаров-представителей.
Определенный опыт накоплен в этой области как в развитых капиталистических, так и в восточноевропейских странах.
Зарубежный опыт надо использовать, помня, что от качества отбора товаров-представителей зависит точность расчета средних индексов цен на эти товары и многих других расчетов.
Следует поднять роль учета, статистики и контроля в обеспечении рационального и экономного использования ресурсов, в усилении борьбы с бесхозяйственностью и расточительством.
Далеко не на должном уровне ведется разработка комплексной системы показателей социально-экономической статистики, характеризующей экономическую, социальную и духовную стороны жизни нашего общества. Не существует специальной статистики по наблюдению за ходом реализации законов, регулирующих экономические отношения, и законов по социальной защите населения и повышению мотивации труда, без чего невозможно изучать эффективность действия законов, анализировать результативность мер, осуществляемых на путях перехода к рыночной экономике.
В совершенствовании нуждается не только методология, но и организационная структура управления статистики. Решение этих проблем, безусловно, положительно скажется на объективности и достоверности статистических данных.
Для успешного решения перечисленных задач требуется разработка и принятие концепции коренной перестройки социально-экономической статистики в условиях рынка и закона о государственной статистике. В них должны быть четко сформулированы содержание статистической политики как составной части социально-экономической политики страны, а также цель и основные направления радикальной перестройки статистической науки и практики на всех уровнях.
Прежде всего в рамках установленного законом разграничения полномочий между федеральными органами и субъектами Федерации необходимо четко определить функции статистических органов в центре и на местах.
Одной из главных задач федеральных и региональных статистических ведомств, ученых-статистиков является обеспечение общности принципов организации и методологического единства государственной статистики на всех ее уровнях. На первый план выдвигается статистика макроэкономических показателей.
Но это не значит, что, как полагают некоторые экономисты, роль отраслевых статистик снизится.
В условиях рынка их значение должно еще более возрасти, особенно тех, которые по своему характеру требуют единого в масштабе страны руководства, как-то: статистика топливно-энергетических ресурсов; железнодорожного, морского, авиационного и трубопроводного транспорта; атомной энергетики; космических систем; связи, информации и информатики; науки и научного обслуживания и т.д.
Нуждается и тщательной научной проработке вопрос о формировании статистики экономических районов и территорий страны. Так как республики приняли декларации о суверенитетах, предстоит не только разработать новые принципы организации статистики, но и углубить статистическое изучение экономического и социального развития территорий, рационального размещения производительных сил, использования экономического потенциала регионов.
Особое значение ныне приобретает анализ социально-экономических хозяйственных связей, поскольку они повсеместно нарушены, а заключение новых договоров идет крайне медленно.
Переход к рыночным отношениям принципиально меняет источники получения информации. С ликвидацией административно-командной системы, с помощью которой вышестоящие органы властно управляли предприятиями, появилась возможность внести коренные изменения в организацию статистической отчетности.
Прежде всего изменились роль и значение выборочных наблюдений. Существенное сокращение массива государственной отчетности вызвало необходимость проведения отраслевыми органами управления статистических наблюдений на основе договоренности с предприятиями.
Такие наблюдения должны проводиться по единой методологии, чтобы обеспечить получение качественной информации.
На современном этапе назрела необходимость разработки следующих важнейших теоретических и методологических проблем статистической науки и практики.
Во-первых, это теоретические исследования сущности и научных основ социально-экономической статистики в условиях перехода на рыночные отношения. Коренные изменения в общественной и экономической жизни России вызвали необходимость реформирования статистики.
Этому было посвящено Всероссийское совещание статистиков, прошедшее в Москве в ноябре 1995 г. Правительством Российской Федерации было принято постановление О Федеральной целевой программе реформирования статистики на 19972000 годы.
Говоря о реформировании статистики, необходимо иметь в виду, что развитие статистической науки, объективно обусловливаемое приоритетом науки над практической деятельностью, основывается на изучении и обобщении собственного (отечественного) и зарубежного опыта в области статистики, исторического прошлого и настоящего; что мероприятия по реформированию статистики осуществляются во взаимной увязке.
Прежде всего необходимо научно обосновать сущность статистики и предмет ее изучения на современном этапе, поскольку некоторые ученые и практики по-прежнему определяют их исходя из решения научного совещания статистиков, проходившего в 1954 г. Дискуссия по этим вопросам так и осталась незавершенной.
Переход на рыночные отношения требует углубленного исследования теоретических проблем социально-экономической статистики. В настоящее время в учебниках, монографиях и статьях вновь появилась (как и в первые годы Советской власти, а также в 20-е, 30-е и 50-е годы) разноголосица даже в определении статистики.
Одни считают, что статистика это наука о стихийных, случайных явлениях природы и общества; другие утверждают, что статистика вообще не самостоятельная наука, поскольку у нее нет своего предмета исследования, что это лишь специфический метод; есть мнения о совпадении ее предмета с предметом политэкономии, поскольку статистика изучает только общественные явления и процессы. И наконец, некоторые ученые, признавая статистику наукой, относят к ее предмету не только общество, но и природу, т.е. весь мир явлений; статистика предстает у них какой-то всеобъемлющей, универсальной наукой, которая делает все остальные науки излишними.
В период перестройки, особенно в последние годы, отдельные ученые пытаются доказать, что статистика не является общественной наукой. Так, А. Орлов утверждает, что ошибочное отнесение статистики к общественным наукам нанесло существенный вред развитию народного хозяйства, что тем самым был поставлен барьер между современной теоретической (математической) статистикой и органами статистики, деятельность которых была сведена исключительно к учету*.
* См. Вестник статистики.
1990.
1. С. 67.
На наш взгляд, с таким утверждением нельзя согласиться. Как только мы расширим объект ее исследования, включив в него явления природы, статистика должна будет по существу заменить собой другие науки.
Статистические методы, как и методы математической статистики, следует использовать всюду, где это возможно и целесообразно, но объект изучения статистики как науки общество во всем многообразии своих проявлений.
Что касается барьеров, существующих между статистикой и математикой и математической статистикой, их необходимо преодолевать. Комплексное использование статистических методов и методов математической статистики позволит глубоко и всесторонне анализировать общественные и экономические явления и процессы.
К сожалению, мало что дала для решения рассматриваемой проблемы международная конференция Статистическое образование в изменяющемся мире: идеи, ориентации, технологии (35 июля 1996 г., Санкт-Петербург).
В решениях конференции подчеркивается, что до сих пор полностью не преодолено негативное влияние решений Научного совещания статистиков 1954 г., которые ограничили статистику только социально-экономической сферой, отделив ее от внесоциальных приложений и математической статистики. Таким образом, конференция практически признала статистику всеобъемлющеQ универсальной наукой, которая делает все остальные науки излишними.
Ошибочность такого взгляда подтверждает сама жизнь. Мы считаем, что социально-экономическая статистика общественная наука, но ее методы, как и методы математической статистики, широко используются в анализе явлений природы.
Несмотря на то что решения Научного совещания 1954 г. содержали серьезные недостатки, тем не менее оно сыграло определенную роль в развитии статистической науки. Поэтому вряд ли можно согласиться со столь категорическим утверждением названной выше международной конференции: Официально признать решения Научного совещания по статистике 1954 г. несостоятельными, устаревшими и не отвечающими уровню и задачам развития статистического образования.
В условиях перехода на рыночные отношения указанные решения, безусловно, не отвечают современным требованиям, но в 50-е годы это был в целом позитивный шаг.
В последнее время много споров ведется по вопросу о теоретической базе социально-экономической статистики. Мы полагаем, что экономическая теория является основополагающей для ее дальнейшего развития, а сама статистика это самостоятельная общественная наука.
При этом ее предмет нельзя сводить только к экономическим явлениям и процессам либо только к социальным. Социально-экономическая статистика должна изучать их комплексно, в органическом единстве.
Однако нельзя не подчеркнуть, что блок социальных проблем в статистике нуждается в особенно серьезной проработке. Не сформированы еще системы показателей и методология их исчисления для изучения процессов демократизации и гласности (политическая статистика), изменений социальной структуры общества, личности, семьи и трудового коллектива; моральной статистики и статистики общественного мнения.
Необходимо совершенствование теории и методологии в области статистики уровня жизни и сферы обслуживания населения, в том числе социальных условий и характера труда; доходов, потребления материальных благ и услуг; бытового, жилищно-коммунального, медицинского и транспортного обслуживания населения, народного образования и культуры.
Во-вторых, существенного совершенствования требуют теория и методология статистических показателей, характеризующих экономическую систему в новых условиях. Исключительная важность этой проблемы определяется тем, что только с помощью такой системы показателей мы можем сказать, какую экономическую систему мы строим, какие формы собственности мы создаем, действует ли закон стоимости, товарно-денежные отношения, как осуществляется переход на рыночные отношения.
В связи с этим требуется научно обосновать комплексную систему стHтистических показателей и методологию их исчисления на федеральном, региональном и муниципальном уровнях, а также учетных показателей предприятий. Создание новой статистики предприятий, разработка системы показателей и методологии их исчисления сегодня одна из важнейших задач статистической науки.
Нуждается в серьезном теоретическом обосновании система национального счетоводства с учетом специфики России. Дело в том, что такие особенности экономики переходного периода в России, как общий спад производства, неразвитость сектора некоммерческих организаций и инфраструктуры рынка, оказывают свое влияние на ход внедрения системы национальных счетов в статистическую практику.
Отсутствие методически совместимых показателей на разных уровнях экономики (федеральном, региональном и муниципальном) приводит к необходимости расчетов макроэкономических показателей без должной опоры на статистику предприятий, а также на результаты обследований и наблюдений.
Теоретические основы системы статистических показателей позволят разработать разветвленные и сложные системы, что в свою очередь даст возможность выделить в них подсистемы, которые явятся основой для разработки программ наблюдений за важнейшими и ключевыми аспектами явлений и процессов в практической работе статистических органов.
Разработка теории и методологии системы показателей экономической сферы представляют собой наиболее полные и разветвленные системы показателей, которые призваны характеризовать такие экономические явления и процессы, как рынок товаров и услуг, недвижимость, рынок рабочей силы и т.п. Современная экономическая ситуация требует их коренной переработки и обновления.
Это позволит дифференцировать показатели для накопления информации с целью установления закономерностей развития, обнаружения новых явлений в экономике и анализа текущих процессов, что необходимо для принятия конкретных мер по выработке экономического курса страны, подведения итогов той или иной экономической работы.
В-третьих, это разработка теории и методологии статистических показателей, характеризующих социальную систему, социально-трудовую сферу, уровень жизни населения в новых условиях. Необходимость разработки такой системы показателей определяется тем, что статистика призвана дать характеристику осуществления принципа социально-ориентированной рыночной экономики, показать, что главной целью развития рыночной экономики является улучшение уровня жизни населения.
Исследования по реформированию системы статистических показателей социальной сферы на федеральном, региональном и муниципальном уровнях позволят:
- создать обобщающую характеристику социально-экономических факторов и условий жизнедеятельности человека, включая функционирование рынка рабочей силы и формирование его инфраструктуры, качество окружающей среды;
- дать адекватное представление об уровне и состоянии развития отдельных социально-экономических явлений территорий, а также о соотношении в доходах домашних хозяйств разных источников, таких, как заработная плата, доходы от собственности, от занятий личным подсобным хозяйством, получения социальных трансфертов и т.п. Это обеспечивает наиболее точное представление о дифференциации доходов различных социально-экономических групп населения;
- получить объективную оценку объема платных услуг населению с учетом их досчетов в условиях неполноты информации. Это позволит, с одной стороны, досчитывать ВВП, а с другой стороны, иметь представление о теневых доходах населения, не учитываемых при налогообложении.
В-четвертых, теория и методология измерения демографических процессов и явлений, проблем переписи населения в новых условиях. Актуальность разработки этой проблемы определяется тем, что в ходе исследований в области теории и методологии измерения демографических процессов и явлений предполагается разработать систему учетных и аналитических показателей для всесторонней характеристики внутренней и международной миграции, что позволит сблизить методы описания миграции и других демографических процессов в статистических публикациях и при демографическом прогнозировании.
Основные результаты разработки системы статистического наблюдения за демографическими процессами и явлениями в ближайшем будущем направлены на создание системы статистического наблюдения демографических процессов в реальных поколениях (определение методов сбора данных, программы, показателей), что дает более объективную картину демографической динамики, чем традиционные показатели для календарных периодов. Наряду с этим предполагается подготовить комплекс унифицированных программ единовременных демографических обследований.
Это позволит кроме всего прочего в будущем сократить затраты на сбор информации о населении.
Разработка методологии статистического анализа демографических процессов и явлений включает в себя создание методов анализа описания и прогнозирования динамики семейной структуры населения России. Другим ожидаемым результатом в этой области станет совершенствование методов измерения и изучения взаимосвязи демографических данных по календарным периодам и по поколениям для углубленного анализа демографической динамики.
В-пятых, теория и методология статистических показателей охраны окружающей среды, экологии и условий жизни населения на современном этапе развития. Эта проблема теоретически и практичMски не разработана.
Одной из основных задач охраны окружающей среды в настоящее время продолжает оставаться совершенствование системы показателей (на различных уровнях управления) с учетом современных экологических и социально-экономических требований.
Сюда относятся прежде всего вопросы отражения учета эколого-экономического механизма, чрезвычайных экологических ситуаций в зонах экологического бедствия, развития проблемы транспортных выбросов, токсических отходов и т.д.
Весьма важное значение продолжает занимать вопрос взаимодействия экологической и отраслевых статистик, проблемы детализации разработки сводных итогов по различным вопросам экологической статистики, уточнение круга учитываемых объектов, переход на новые методы статистического наблюдения и другие организационные методы обсчета (метод оценки, экспертный метод).
В-шестых, теория и методология статистического наблюдения за процессами и явлениями экономической и социальной сферы в новых условиях. В последние годы, особенно в новых условиях, ведется острая дискуссия по проблемам эффективности различных форм организации статистического наблюдения и его видах.
Прежде всего это касается выборочного наблюдения, его места, роли, а также отличительных особенностей по сравнению с другими видами несплошного наблюдения, не имеющими вероятностного характера.
Поэтому развитие теории статистического наблюдения и ее реализация в практической работе позволят научно обосновать выбор надежных видов статистических обследований, эффективность их применения и совместное использование (периодической отчетности и единовременных наблюдений, выборочных и сплошных наблюдений), обеспечивающее детальную характеристику изучаемого статистического объекта при существенном сокращении объемов собираемой информации и повышении точности.
Важнейшей проблемой развития основ статистического наблюдения в экономической сфере является использование мировой и отечественной статистической практики в проведении сплошных, цензовых, выборочных обследований (в том числе и их сочетаний), а также в оценке и интерпретации получаемых результатов. Особого внимания в области организации выборочного наблюдения заслуживают широко применяемые в мировой практике вероятностные модели построения выборок, свободные от каких-либо экспертных оценок и субъективизма при формировании выборок и процедуре оценивания.
Результативности функционирования системы статистических показателей социальной сферы, адекватной рыночной системе, будет содействовать разработка принципиальной схемы статистического наблюдения за отдельными видами новых услуг, например компьютерными, и особенно перешедших из ряда бесплатных в платные (в здравоохранении, образовании, в том числе в дошкольном, в культуре и др.).
В-седьмых, это разработка теории и методологии статистического анализа социально-экономических процессов и явлений, происходящих в общественно-экономической жизни на современном этапе. Развитие теории и практики экономико-статистического анализа и расширение возможностей аналитических разработок базируются на современном развитии статистических методов прикладной математики и математической статистики в сочетании с бурным ростом применения программных средств и вычислительной техники.
Поэтому и методология статистического анализа в новых условиях должна быть иной и отвечать требованиям рыночной экономики.
Новые реальные процессы, которые происходят в экономике, меняющие условия экономических отношений, структурные изменения в самой экономике выдвигают новые требования к анализу конкретных экономических процессов. В связи с этим необходимо обеспечить большую гибкость и мобильность в проведении анализа, расширить спектр методов анализа иногда за счет применения методов, не характерных для отдельных отраслей экономической сферы (например, использование таблиц смертности, применяемых в анализе демографических процессов, для анализа эффективности инвестиционных программ).
На основе разработок методологии статистического анализа социальных процессов возможна более достоверная оценка динамики и структуры доходов и потребительских расходов различных социально-экономических факторов на здоровье человека и нации в целом, оценка уровня и состояния развития отдельных социально-экономических явлений, процессов, территорий, отражение тенденций развития теневой экономики в сфере производства, услуг и т.п.
В-восьмых, использование новых и прогрессивных технологий в сводке, обработке и анализе статистической информации. В целях реализации единой программно-технологической политики на основе применения электронной обработки статистических данных, новых информационных технологий, автоматизации процесса программирования статистических задач и т.д. необходимо ускорить методическое нормативное и техническое обеспечение этого процесса.
Осуществление технического и программно-технологического перевооружения статистики позволит перейти на прогрессивную технологию сбора, передачи, обработки, накопления и предоставления статистической информации ее пользователям органам власти и управления, общественности, а также будет способствовать созданию рынка статистических информационных услуг.
В-девятых, коренное улучшение подготовки и переподготовки специалистов-статистиков. Успешный переход к рыночной экономике, дальнейшее развитие статистической науки во многом зависят от качества подготовки и переподготовки статистиков.
Однако здесь далеко не все благополучно. В учебных планах значительно сокращается количество часов на статистические дисциплины, объединяются или просто ликвидируются статистические кафедры. В этих условиях некоторые вузы и ученые пытаются проводить ошибочный, на наш взгляд, курс на объединение программ и дисциплин.
Самостоятельное преподавание различных статистических дисциплин позволит устранить данную негативную тенденцию, будет способствовать повышению статистической грамотности студентов.
Более того, отдельные вузы ориентируются на введение дистанционного обучения студентов, что, по нашему мнению, не способствует повышению качества обучения.
Серьезного обсуждения требуют подготовка и переподготовка кадров статистиков. Следует основательно рассмотреть вопрос об улучшении повышения квалификации специалистов на всех уровнях.
Было бы целесообразно создать государственное научно-учебное объединение, что позволило бы сосредоточить усилия крупных ученых и практиков на решении задач дальнейшего повышения квалификации специалистов.
В-десятых, в новых условиях необходимо резко поднять престиж статистики. Сегодня очень остро стоит вопрос о существовании статистики как науки.
Между тем наблюдается явная недооценка теоретических проблем социально-экономической статистики со стороны Академии наук России, Государственного комитета РФ по статистике, Министерства науки и технологии РФ, Министерства образования РФ, статистических и экономических органов, высших учебных заведений и научно-исследовательских институтов.
Разработкой теоретических проблем статистики в институтах статистики Государственного комитета РФ по статистике, в экономических вузах и на статистических кафедрах практически не занимаются, сегодня этим вопросом никто не руководит, престиж статистики значительно упал. В АН России вообще нет подразделения, которое бы занималось этой проблематикой.
Целесообразно организовать институт статистики, который бы возглавлял аналитическую работу по фундаментальным и прикладным проблемам статистики в условиях рыночных отношений, а также осуществлял координацию исследований ученых в этой области.
Контрольные вопросы
- В чем состоит объективная необходимость радикального совершенствования социально-экономической статистики?
- В чем состоит сущность социально-экономической статистики, ее виды и состав?
- Как поднять престиж социально-экономической статистики на современном этапе?
Организация международной статистики
Завершение образования мирового рынка к середине прошлого века потребовало расширения регулярной информации о происходящих на нашей планете социально-экономических процессах, породило потребность в международной статистике для выявления места национальных экономик в мировом хозяйстве, сравнения результатов их развития. Становилась все более необходимой разработка единообразных приемов исчисления показателей и их единых классификаций.
Потребность в информации о других странах существовала и раньше, буквально с древних времен, и удовлетворялась она с привлечением любых имевшихся цифровых данных. Значительное развитие такая информация получила в период Великих географических открытий и расширения международной торговли, образования мирового рынка, особенно в период становления рыночных отношений.
В XVIIXVIII вв. в ряде стран делались попытки оценки национального дохода и богатства, усиливался интерес к данным других стран при соизмерении экономической мощи разных государств; существенно возросли потребности в экономической, социальной, политической и иной информации в мире. Начали создаваться национальные государственные статистические системы.
В европейских университетах стали преподавать не только курсы описательной статистики и политической арифметики, но и курсы международных сравнений.
Развитию международной статистики мешало несколько серьезных причин, и прежде всего отсутствие систематизированных показателей и нерегулярное их исчисление, зачастую разными методами, неразвитость национальных статистических служб и отсутствие международных органов, обобщающих деятельность статистических служб в странах.
По инициативе видных европейских экономистов А. Кетле и Э. Энгеля было решено с 1853 г. периодически проводить Международные статистические конгрессы с участием представителей статистических научных обществ и статистических служб ведущих стран мира, в том числе России. На сессиях этого конгресса до 1875 г. обсуждались предложения по выработке упорядоченных классификаций показателей важнейших отраслей хозяйства и унифицированных методов их исчисления, программ совместных работ по важнейшим статистическим обследованиям, проблемы создания национальных статистических служб.
В работе этих конгрессов принимали участие не только ученые-статистики из смежных областей знаний, но и представители государственных статистических органов. От России, в частности, активно участвовали Семенов-Тян-Шанский и Ю. Янсон, которые организовали сессию этого конгресса в Петербурге (1872 г.).
В заслугу деятельности этой международной статистической организации следует отнести содействие унификации программ обследований и попытки сбора разрозненной информации разных стран.
Особую роль для развития международной статистики и статистической науки в целом играл и играет до сих пор Международный статистический институт МСИ. Он был создан в 1885 г. как чисто научная организация, объединяющая представителей науки и практических работников статистических органов 50 стран.
Согласно уставу МСИ, основной задачей этой организации является развитие и совершенствование статистических методов в странах мира путем выработки рекомендаций по единообразной разработке пригодных для сравнений статистических показателей разных стран. МСИ занимался также сбором и публикацией обобщенных материалов по странам.
В последующем деятельность МСИ сосредоточилась на совершенствовании математических методов и демографии.
ТHким образом, последовательная разработка международных рекомендаций в области статистики позволила МСИ заложить научные основы международных классификаций по важнейшим разделам статистики и их применению, но уже опосредованно, через деятельность Лиги Наций и через ООН, в которых он принимает активное участие.
Дальнейшее развитие международной статистики получило в рамках статистического органа Лиги Наций Секции экономики и финансов. Эта Секция с помощью МСИ разработала практические основы системы показателей международной статистики, сформулировала принципы и рекомендации для единообразного исчисления национальными статистическими органами таких показателей.
Наряду с Лигой Наций функционировали и другие международные организации, такие, как Римский аграрный институт. Международная организация труда.
Международный союз почт и телеграфа и ряд других, в которых имелись свои статистические службы, также разрабатывавшие международные рекомендации по единообразному исчислению странами статистических показателей в специфических областях деятельности людей.
На основе рекомендаций Лиги Наций и других международных организаций в 30-х годах начали издаваться международные статистические ежегодники и бюллетени с информацией по странам с выведением в ряде случаев мировых итогов. Так была заложена основа реальной международной статистики.
Она была необходима для налаживания мирохозяйственных и иных связей между странами, для получения данных не только о деловых партнерах за рубежом, но и о самих странах, с которыми развиваются торгово-экономические, культурные и иные связи.
В феврале 1946 г. на первой сессии Экономического и социального совета ООН ЭКОСОС была учреждена Статистическая комиссия (СК ООН) как орган, подготавливающий все международные рекомендации в области статистики.
4.2. Современный этап развития международной статистики
Создание СК ООН существенно повысило качество и практическое применение международной статистики во всех странах и в международных организациях.
Вместе со Статистическим отделом Секретариата ООН (СО ООН) в настоящее время она организует всю статистическую работу в мире, объединяя более 230 стран и территорий, у которых имеются свои статистические службы, а также статистическую информацию около 2 тыс. различных международных организаций.
В это время деятельность МСИ сводится к содействию в достижении международной сопоставимости статистических показателей путем выработки единообразных методов их исчисления и общеприемлемых классификаций; обмену опытом между научными и практическими работниками статистики разных стран.
Центральное место в деятельности МСИ занимают регулярные сессии, на которых заслушиваются и обсуждаются доклады по самым различным проблемам социальной и экономической статистики, применения математической статистики и пр.
За последние годы в МСИ введена практика семинаров для руководителей статистических служб по проблемам международной статистики. В 1996 г. проведен семинар для европейских статистиков, на котором рассматривался опыт деятельности Бюро статистики Нидерландов, а также доклады президента МСИ и директора Евростата с обменом мнениями о роли международных статистических служб в совершенствовании статистической информации.
МСИ содержит учебные центры в Калькутте, Бомбее, Бейруте и Каире, на которые расходуется две трети бюджета МСИ. В этих центрах проходят переподготовку статистики стран Азии и Африки, специализируясь в разных областях статистики.
В 90-х годах прошлого века МСИ начал проводить специальные конференции по различным проблемам международной статистики ее точности, своевременности и надежности, сохранения конфиденциальности и т.д.
Деятельность МСИ теперь сосредоточена на трех основных направлениях: статистическое образование, прикладное применение статистики в промышленности и технологии, а также в физических науках. Его деятельность связана практически со всеми национальными и международными организациями, МСИ имеет консультативный статус в ЭКОСОС и ЮНЕСКО без вхождения в специализированные учреждения ООН, регулярно участвует в деятельности СК ООН, не являясь ее членом.
МСИ регулярно издает Обзор международной статистики, публикует материалы своих сессий, периодически выпускает Ежегодник больших городов мира по определенной программе показателей, а также ряд других публикаций, среди которых несколько выпусков Словаря статистических терминов.
Но с созданием СК ООН именно она стала центром, который координирует все статистические работы в мире, как в отдельных странах, так и в международных организациях. Статистические стандарты ООН стали обязательными для международных организаций и рекомендательными для национальных статистических служб в их внутренней деятельности, причем в ООН они обязаны представлять сведения в соответствии с международными стандартами либо оговаривать порядок отклонения от последних.
В настоящее время СК ООН вполне успешно решает свои основные задачи и осуществляет:
- подготовку документов как для ее сессий, а также для ЭКОСОС и Генеральной Ассамблеи ООН;
- разработку проектов методологических документов ООН руководств в области статистики;
- сбор и анализ замечаний национальных статистических служб по проектам рекомендаций ООН в области статистики;
- сбор и обработку информации от стран и международных организаций для выпуска статистических публикаций ООН;
- выведение региональных и мировых итогов на сопоставимой основе и увязке с ними данных специализированных учреждений системы ООН;
- определение направлений и стран, которые нуждаются в технической помощи ООН по развитию национальных статистических служб;
- содействие общему совершенствованию статистики в мире и развитию ее методов;
- разработку планов важнейших статистических обследований;
- создание и развитие интегрированных систем сбора и обработки международной статистической информации;
- изучение возможностей и обеспечение применения ЭВМ при создании международных вычислительных центров и банков данных для статистики ООН, внедрения современных носителей информации и электронных версий статистических данных.
В 1993 г. ООН учредила в своем секретариате Департамент экономической и социальной информации и анализа проводимой политики. Этот новый орган стал специальным центром разработки социально-экономической информации для содействия анализу тенденций и результатов политики, проводимой международными организациями системы ООН.
Тем самым был создан важный механизм объединения всех функций анализа мирового развития на основе собираемой экономической, социальной, демографической информации, данных о состоянии окружающей среды, платежных балансов стран, а также оказания технической помощи в области статистики и народонаселения. На основе этой международной информации ежегодно готовится Мировой социально-экономический обзор ООН.
Образована единая международная система социально-экономической информации на базе существующих международных вычислительных центров ООН и их баз данных.
В рамках единой системы международной статистики повышается роль СК ООН, которая в 1993 г. разработала новый вариант международного стандарта системы сводных показателей национального счетоводства (СНС-93). Этот стандарт является стержнем для всех национальных систем статистической информации и позволяет на единой методологической и информационной основе количественно соизмерять результаты решения многих современных глобальных и локальных проблем человечества, которые обсуждаются в ООН.
Наряду с созданием СК ООН были образованы региональные комиссии ООН, а при них региональные конференции статистиков: для Европы Европейской экономической комиссии ЕЭК; для Азии и Дальнего Востока ЭКАДВ (сейчас это комиссия для стран Азии и Океании ЕСКАТО); для Латинской Америки ЭКЛА; для Африки ЭКА, с выделением группы стран Западной Африки ЭКЗА. В секретариатах этих региональных комиссий образованы статистические отделы как исполнительные органы региональных статистических конференций для содействия внедрению международных статистических стандартов применительно к условиям регионов и сбора данных от стран и регионов.
В системе ООН функционируют такие специализированные учреждения, как Международная организация труда МОТ; Продовольственная и сельскохозяйственная организация ООН ФАО; Международная организация по образованию, науке и культуре ЮНЕСКО; Международная организация гражданской авиации ИКАО, Всемирная организация здравоохранения ВОЗ; Международный валютный фонд МВФ; Международный банк МБ; Международный почтовый союз МПС; Всемирная организация интеллектуальной собственности ВОИС; Международное агентство по атомной энергии МАГАТЭ; Всемирная торговая организация ВТО и др. В таких специализированных учреждениях функционируют свои статистические службы, подготавливающие проекты международных стандартов в своих специфических областях, после обсуждения и одобрения в СК ООН и ЭКОСОС эти документы становятся международными статистическими стандартами и служат базой для сбора информации от стран в своих областях, они обмениваются информацией с СО ООН и другими международными организациями, чтобы исключить дублирование запросов на информацию от стран.
При Секретариате ООН образованы такие международные организации, как Конференция по торговле и развитию ЮНКТАД, Организация по промышленному развитию ЮНИДО и Программа окружающей среды ЮНЭП. В них также имеются статистические подразделения.
В качестве особых органов (специализированных учреждений) при ООН действуют следующие международные организации: Детский фонд ЮНИСЕФ, Программа развития ЮНДП, Комиссар ООН по делам перемещенных лиц ЮНКР, Агентство помощи и содействия перемещенным лицам ЮНРВА, Международная продовольственная программа ВФП и др. Каждая организация собирает информацию о результатах своей деятельности в странах, координирует свои обследования с СК ООН и обменивается с ней информацией, сведенной в определенные обобщенные итоговые показатели.
Наряду с этим СК ООН регулярно обменивается информацией с другими международными организациями, не входящими в систему ООН.
Среди международных организаций, не входящих в систему ООН и занимающихся обобщением международной информации, можно назвать Организацию экономического сотрудничества и развития (ОЭСР), Европейский союз (ЕС), Организацию Африканского единства (ОАЕ), Содружество независимых государств (СНГ) и ряд других. Все они собирают, обобщают и публикуют статистические данные своих стран-членов по определенным программам и в соответствии со своими рекомендациями единообразного исчисления соответствующих показателей.
Их рекомендации, базируясь на международных статистических стандартах ООН, обеспечивают основу достижения сопоставимости состава систем показателей их стран.
Ряд международных организаций обобщает данные о деятельности их стран-членов в оговоренной узкой сфере деятельности. К числу таких организаций относится Совет по китобойному промыслу (СКП), который контролирует соблюдение странами в настоящее время моратория, запрещающего забой китов, а также квот для забоя отдельных видов этих водных млекопитающих, которые находятся под угрозой исчезновения.
Аналогичным образом определены сферы статистической информации для Мирового совета по пшенице; Мирового союза по кофе. Мирового союза по олову.
Международной организации по сахару, Международного совета по хлопку и т.д.
У всех этих международных организаций, их статистических служб имеется одна задача и цель достижение сопоставимости состава разрабатываемых ими систем показателей с помощью выработанных ими стандартных методов их исчисления.
В силу необходимости внедрения в практику статистических служб отдельных стран и международных организаций таких стандартизированных систем статистических показателей и единых методов их исчисления международная статистика выделилась в самостоятельный раздел статистики.
Вполне очевидно, что степень детализации и состав показателей международной статистики зависят от возможностей применяемых в отдельных странах систем статистической информации. Исходные данные зарубежных стран, как правило, чрезвычайно разнообразны, а международная статистика оперирует более обобщенными, но менее детальными группировками данных на базе международных классификаций; в международных организациях натуральные показатели приводятся в одинаковых метрических единицах, стоимостные показатели в единой валюте.
Вполне естественно, что перечисленные выше (и не упомянутые) международные организации системы ООН, а также организации, не входящие в систему ООН, постоянно обмениваются огромными объемами данных международной статистики. Для упорядочения потоков информации отдельных стран и международных организаций в ООН разработана четкая схема обращения такой информации в мире.
Это касается прежде всего регулярных потоков информации от стран к международным организациям системы учреждений ООН, которые представлены на схеме (рис.
4.1).
Каналы обращения международной статистической информации через ООН

Рис. 4.1
В значительной степени решение проблемы рациональной организации потоков международной статистической информации облегчается созданием сети международных вычислительных центров, которые в настоящее время связаны между собой линиями ИНТЕРНЕТ, а также каналами спутниковой связи. Банки данных таких ВЦ содержат сплошные динамические ряды значений принятых в ООН систем показателей каждой международной организации, как правило, за период с 1950 г., а в ряде случаев и за более длительный период.
Такие международные ВЦ созданы в городах мира, в которых или вокруг которых расположены международные организации системы ООН. Прежде всего начал функционировать такой ВЦ в Секретариате ООН при СО ООН (Нью-Йорк, США), затем в Европейском отделении ООН (Женева, Швейцария) и его филиалы в Париже и Риме.
Несколько позднее введены в эксплуатацию международные ВЦ в ИКАО (Монреаль, Канада), в МВФ и МБ (Вашингтон, США), в МАГАТЭ (Вена, Австрия), в ЭСКАТО (Бангкок, Таиланд), в ЭКА (Аддис-Абеба, Эфиопия) и др.
Тем самым ООН упорядочила направления основных международных потоков статистической информации в мире, максимально исключая ее дублирование, сокращая расходы на ее сбор, обработку и распространение.
Помимо этого ООН за истекшие более чем полстолетия смогла добиться значительной унификации состава данных международной статистики, обеспечивая сопоставимость показателей разных стран, их итогов. Этому способствовал разработанный порядок этапов выработки рекомендаций ООН по международной статистике, которые готовятся экспертами по заявке в СК ООН, затем обсуждаются в странах и на СК ООН и передаются на окончательное обсуждение и одобрение ЭКОСОС, после чего эти рекомендации становятся официальными документами ООН.
Такой порядок обязателен для всех международных статистических стандартов. Это обеспечивает максимальную сопоставимость публикуемых ООН статистических данных.
Этапы выработки международных статистических стандартов представлены на рис.
4.2.
Схема выработки рекомендаций ООН по международной статистике

Рис. 4.2.
Цифрами на схеме обозначены: 1 исходная просьба; 2 проект предложения; 3 замечания стран; 4 первоначальный проект; 5 проект рекомендации; 6 рекомендация ООН
Представленная на рис. 4.2 схема выработки международных статистических стандартов в ООН основывается на следующих принципах.
На первом этапе выявляется потребность в разработке новых или в совершенствовании действующих международных рекомендаций, например для выработки нового стандарта по исчислению показателей нематериальных активов. В этом случае на заседании СК ООН принимается решение о подготовке проекта нового стандарта и дается поручение СО ООН создать рабочую группу из экспертов, чтобы подготовить предложения по проекту такого документа ООН.
По общим проблемам статистики рабочие группы экспертов создаются из специалистов стран. Проекты по отдельным специфическим проблемам статистики готовятся экспертами специализированных учреждений системы ООН.
На втором этапе СО ООН собирает и обобщает полученные предложения экспертов и направляет проект предложений экспертов на отзыв и замечания в национальные статистические органы.
На третьем этапе, получив конкретные замечания стран по проекту рекомендаций, СО ООН обобщает эти отзывы, замечания и поправки, которые сводятся в единый проект документа ООН.
На четвертом этапе СО ООН сводит эти замечания и поправки в проект документа ООН, а также представляет его в СК ООН.
На пятом этапе СК ООН всесторонне обсуждает представленный проект документа ООН и при необходимости вносит редакционные правки или уточнения. После этого проект документа передается в ЭКОСОС.
На шестом этапе рекомендация статистического стандарта ООН рассматривается на одном из заседаний ЭКОСОС, одобряется и после этого становится официальным документом ООН, которым руководствуются статистические органы стран и международных организаций.
Такими международными стандартами ООН обеспечивается сопоставимость содержания статистических показателей, методов их исчисления и публикуемых на их основе данных по странам, регионам и миру в целом.
Методологические документы ООН публикуются на шести официальных языках, принятых в ООН, в том числе на русском. Во-первых, это документы ООН серии М (методологические), т.е. стандарты и рекомендации ООН; во-вторых, документы ООН серии F методологические исследования по отдельным разделам статистики.
Помимо обширных публикаций ООН имеются разнообразные статистические публикации других международных организаций, не входящих в систему ООН, но основывающиеся в значительной степени на статистических стандартах ООН. Это публикации ОЭСР, ЕС, СНГ, Совета Скандинавских стран и сотен других организаций, данные которых нередко воспроизводятся в статистических публикациях ООН.
Все международные публикации со статистическими данными составляют исключительно важный источник информации о самых разнообразных тенденциях развития разных стран на сопоставимой основе.
4.3. Международные стандарты учета и статистики
Международные стандарты устанавливаются для достижения сопоставимости исчисляемых в разных странах показателей, с их помощью единообразно характеризуются важнейшие социально-экономические явления в мире и Jыводятся итоги по странам, регионам и миру в целом.
В международной статистике различаются следующие виды таких стандартов:
- общеметодологические положения международной статистики;
- классификации статистических показателей;
- руководства по исчислению показателей;
- справочники и технические руководства.
Общеметодологические положения это документы ООН, в которых изложены принципы и методология построения систем сводных показателей, характеризующих важнейшие взаимосвязи в экономике и результаты ее функционирования.
К таким документам ООН относится прежде всего Система национального счетоводства. Она была разработана экспертами СК ООН в 1951 г. и утверждена ЭКОСОС в 1953 г. Затем в 1966 г. она была усовершенствована и в 1968 г. одобрена ЭКОСОС. Действующий в настоящее время вариант международной СНС готовился несколько лет, в 1993 г. он был одобрен ЭКОСОС и рекомендован для практического применения странами и международными организациями.
Этот международный стандарт регламентирует применение единообразных показателей, основанных на теории факторов производства и таблицах межотраслевых связей, взаимоувязанных с платежным балансом.
С помощью такой системы показателей характеризуются воспроизводственные процессы в стране и в секторах хозяйства.
В числе общеметодологических документов ООН следует отметить Руководство по платежному балансу, подготовленное специалистами МВФ. Его пятое издание в 1993 г. методологически взаимоувязано с СНС-93.
Оно призвано содействовать единообразному исчислению показателей результатов внешнеэкономической деятельности хозяйствующих субъектов в каждом секторе хозяйства стран.
Важным документом такого типа являются Руководящие принципы по статистике национальных фондов, которые были разработаны в 1979 г. В них излагаются основы методологии исчисления показателей экономических активов, которые в 1993 г. были уточнены и стали составной частью СНС-93.
Среди международных классификаций можно выделить следующие важнейшие документы:
1. Международная стандартная классификация всех видов деятельности МСОК. Она регламентирует группировки статистических показателей по отраслям хозяйства.
В России ей соответствует аналог ОКОНХ вместе с переходным ключом по каждой позиции Индексы к МСОК.
Организация отечественной социально-экономической статистики
Развитие государственной статистики определяется многими условиями и факторами экономического, социального, организационного характера. Важнейшими из них являются, с одной стороны, потребность органов государственной власти в данных об экономическом и социальном состоянии страны, с другой уровень развития статистической науки, организации государственного аппарата, направленность экономической и социальной политики власти, квалификация работников государственной, в том числе статистической, службы и др.
За два века своей истории российская статистика прошла сложный путь.
Первые переписи земель и населения с постоянно усложнявшейся программой проводились еще в Киевской Руси (IXXII вв.). Однако до середины XVII в. элементарные учетно-статистические работы носили несистематизированный характер.
Становление государственной статистики России можно отнести к концу XVII началу XVIII в., ее предпосылками явились реформы Петра I (16721725), которыми были охвачены все основные направления общественной жизни: экономика страны, административное управление, армия, культура и быт населения. Осуществление реформ, стимулирование развития промышленности и торговли, а также войны вызывали потребность в полном и точном учете материальных ресурсов и населения.
В этот период высший правительственный орган страны Сенат через систему коллегий не только руководил экономикой страны, но и являлся центром по проведению важнейших статистических работ, там собирались полученные материалы обследований, отчеты подведомственных коллегиям производств и заведений, а также местной администрации.
Петровская реформа налоговой системы связана с появлением новой единицы, ею стала душа мужского пола, что потребовало проведения подушной переписи податного населения ревизии. Первая ревизия была объявлена 26 ноября 1718 г., ревизию проводила армия.
Низкий уровень грамотности, недобросовестность и мздоимство учетчиков были причинами больших погрешностей в учете, который затянулся на несколько лет, а результаты его получили название ревизских сказок.
В начале XVIII в. в России зарождался и текущий учет населения. Так, в 1702 г. был издан указ о подаче в Патриарший Духовный приказ приходскими священниками недельных ведомостей о родившихся и умерших. В первой половине XVIII в. проводились уже переписи рабочих фабрик и мануфактур.
Постепенно накапливался опыт в проведении учетно-статистических работ и формировались относительно квалифицированные кадры статистиков.
Начали разрабатываться программы наблюдения, определялся порядок и сроки работ, меры по обеспечению Wолноты сведений и др. Стал применяться несплошной учет.
Вместе с тем для решения многих задач требовались элементарные обобщения, анализ результатов учета.
Серьезные сдвиги в области практической статистики, ее организации произошли в 6070-е годы XVIII в., в период царствования Екатерины II (17621796), в век просвещенного абсолютизма, когда значительное развитие получили промышленность, торговля, стали зарождаться капиталистические отношения.
Возник новый тип статистических работ, ориентированный на получение статистических данных о состоянии социально-экономической жизни. Было проведено несколько ставших уникальными исследований, которые в последующем послужили основой развития статистической практики и становления российской статистической науки.
Важнейшие из них генеральная опись Малороссии (17651767), генеральное межевание и топографические описания губерний, при проведении которых было собрано много данных экономического характера. Следует отметить, что результаты этих работ используются и в настоящее время при разработке динамических рядов для сборника Россия в 1820 веках.
Первая половина XIX в. связана с новым этапом в развитии российской статистики. В сентябре 1802 г. в соответствии с Высочайшим манифестом императора Александра I вводится письменная отчетность министерств.
Так началось организационно-структурное оформление государственной статистики в России.
Этот год принято считать годом рождения российской государственной статистики.
В 1811 г. впервые был создан официальный центр правительственной статистики Статистическое отделение при Министерстве полиции, которое в последующем было передано в ведение Министерства внутренних дел; сюда поступала отчетность губерний. Первым руководителем Статистического отделения был академик К.Ф.
Герман (17671838).
Статистические работы проводились и вновь созданными министерствами и ведомствами: Министерством внутренних дел, Главным управлением путей сообщения (сведения о перевозках по внутренним водным путям), Министерством коммерции (данные о внешней торговле), Министерством финансов и др. Так появилась ведомственная статистика.
Более высокая квалификация работников министерств позволяла получать статистические работы лучшего качества.
Стали публиковаться материалы правительственной статистики. В 1803 г. был издан статистический сборник Министерства коммерции Государственная торговля 1802 года в разных ее видах; в 1806 г. Табели к отчету Министерства внутренних дел за 1804 год; выпускались сборники Главного управления путей сообщения.
Материалы сборников были представлены с разной степенью обобщения от подведения общих итогов до использования некоторых аналитических приемов, в частности комбинационных руппировок.
В 1819 г. Статистическое отделение было передано в Министерство внутренних дел в связи с упразднением Министерства полиции, но лишь в 1834 г. оно получило официальный статус Статистического отделения при МВД. Возглавил его академик К.И.
Арсеньев (17891865), ученик и последователь К.Ф.
Германа. Были созданы губернские статистические комитеты местные статистические органы.
Под руководством К.И.
Арсеньева проводились статистические исследования губерний, издавались статистические сборники. Следует, однако, отметить, что в силу тяжелого общеэкономического положения России они были в крайне плачевном состоянии, а система правительственной статистики оставалась абсолютно неудовлетворительной.
Это обусловило создание в 1843 г. Временного статистического комитета, который должен был подготовить предложения по реорганизации статистических работ и реформированию правительственной статистики. Но предложения комитета долгое время оставались нереализованными.
Очевидная необходимость централизованного руководства статистическими работами привела к преобразованию в 1852 г. Статистического отделения в Статистический комитет, который с 1858 г. стал Центральным статистическим комитетом Министерства внутренних дел (ЦСК).
С 18641875 гг. ЦСК возглавлял П.П.
Семенов (18271914; с 1906 г. Семенов-Тян-Шанский) широко известный географ, экономист, статистик, инициатор создания ЦСК. В последующие годы (до 1897 г.) П.П.
Семенов возглавлял Статистический совет. Под руководством П.П.
Семенова был сделан серьезный шаг в развитии российской статистики.
В 1870 г. был проведен первый статистический съезд в России, а в 1872 г. в Петербурге Международный статистический конгресс, на котором П.П. Семенов выступил с докладом о принципах организации переписи населения.
Это способствовало взаимному обогащению российской и зарубежной статистики.
В этот период были введены подворные обследования крестьянских хозяйств, с 1883 г. стали вести статистику урожаев, для военных нужд неоднократно проводились военно-конские переписи (первая в 1875 г., последняя, девятая в 1912 г.), проведена первая перепись паровых двигателей в России, проводились работы по организации статистики транспорта, внешней торговли. В развитии статистики просвещения большую роль сыграла школьная перепись 1880 г. Важнейшей работой этого периода явилась всеобщая перепись населения Российской империи 1897 г. под непосредственным руководством П.П.
Семенова, что было воплощением его идеи введения точного учета населения как основы государственной статистики. Всероссийской переписи предшествовал ряд местных переписей (98 городских переписей).
Результаты переписи дали большой информационно-аналитический материал и были опубликованы как общий свод по империи и по губерниям, а также по четырем крупнейшим городам (Петербургу, Москве, Одессе и Варшаве). Под редакцией П.П.
Семенова был издан первый отечественный ежегодник Статистический временник Российской империи.
Таким образом, в XIX в. в России складывалась система государственной статистики, руководящим органом был ЦСК. Местными органами правительственной статистики являлись губернские статистические комитеты и земские статистические бюро, их основная работа состояла в получении разнообразных данных о губерниях.
Земской статистике принадлежит особое место в истории статистики. При земствах, органах местного самоуправления, с середины 70-х годов были созданы специальные статистические бюро.
Земские статистики собирали и разрабатывали огромный статистический материал, который использовался для глубоких экономических исследований пореформенной России.
Работа земской статистики характеризуется не только сбором и разработкой статистических данных, но и развитием статистической методологии.
Видными земскими статистиками были В.И. Орлов (18481885), П.П.
Червинский (18491931), Ф.А. Щебина (18491936), А.П.
Шликевич (1849 1909). Именно А.П.
Шликевич впервые построил комбинационную таблицу по сочетанию четырех признаков и первым применил экономико-статистические методы для характеристики связи различных признаков крестьянских дворов.
Группировки в земской статистике стали одним из основных принципов обработки данных статистического наблюдения, впервые стала разрабатываться единая система показателей. Однако программы и методы статистической работы оставались несогласованными, что затрудняло возможность их обобщения.
Земская статистика явилась прообразом современной муниципальной статистики.
В 90-х годах были созданы фабрично-заводские инспекции, которые вели текущую статистику, разрабатывали данные по статистике труда, в том числе о составе рабочей силы, несчастных случаях, стачках и др.
Стала развиваться промышленная статистика. Под руководством В.Е.
Варзара (18511940) в 1900, 1908 и 1923 гг. были проведены первые переписи промышленности. При разработке материалов этих переписей впервые была применена классификация отраслей промышленности.
Результаты проведенных переписей были опубликованы в ряде статистических сборников.
В организационном отношении государственная статистика, сложившаяся в 60-х годах XIX в., сохранялась до 1917 г.
Качественная ломка политических и производственных отношений после революции 1917 г. привела к созданию принципиально иного аппарата государственной статистики, формировавшегося в соответствии с задачами планово-административной экономики.
В июне 1918 г. состоялся Первый Всероссийский съезд статистиков, было принято Положение о государственной статистике, в соответствии с которым было организовано Центральное статистическое управление (ЦСУ) на правах народного комиссариата. На него возлагалась задача централизованного руководства как практической статистикой, так и развитием ее методологии.
В губерниях, городах, уездах были организованы местные статистические учреждения.
Таким образом, создавалась единая централизованная система государственной статистики. Позднее, с созданием СССР, были учреждены центральные статистические управления в союзных республиках, а также краевые, областные и районные управления.
Для решения крупных программно-организационных вопросов в 2030-е годы ЦСУ созывало съезды и конференции статистиков.
ЦСУ и его органы выполняли большую и важную работу. Так, уже в 1918 г. была проведена Всероссийская промышленная и профессиональная перепись, в 1919 г. выборочная перепись крестьянских хозяйств, в 1920 г. перепись населения и сельскохозяйственная перепись и др.
Это были переписи, проводившиеся по обширным программам, дававшие значительные сведения по демографическим, экономическим и социальным вопросам.
Вместе с тем важнейшей задачей в эти годы было возобновление текущей статистики, определялись оперативные функции статистики, организация статистической отчетности, которая окончательно сформировалась в начале 30-х годов и стала на длительное время основным источником статистического наблюдения.
С конца 20-х годов, по мере восстановления разрушенной гражданской войной экономики, все более возрастала роль статистики как средства управления народным хозяйством, и это требовало совершенствования организации самой статистики. В 1926 г. была проведена реорганизация ЦСУ, а в 1927 г. было принято новое Положение о ЦСУ, направленное на повышение научного уровня статистической работы, усиление ее координации с работой плановых органов.
Начавшийся период индустриализации стал и периодом интенсивного развития статистики промышленности. ЦСУ был проведен ряд крупных статистических исследований (обследование промышленных предприятий, перепись предприятий легкой промышленности и др.).
Самой значительной работой стало составление ЦСУ баланса народного хозяйства (19231924 гг.). Значение баланса состояло в том, что он давал взаимоувязку производства и распределения материальных благ в народном хозяйстве, содержал идею межотраслевого баланса.
Вместе с тем в нем не была учтена многоукладность экономики того периода.
Претворение в жизнь идеологии жесткой плановой экономики и принятие первого пятилетнего плана поставило перед государственной статистикой задачу контроля за ходом его выполнения, а также своевременного обеспечения плановых расчетов статистическими данными. Это явилось основной причиной реорганизации статистических органов.
В 1930 г. статистические органы были слиты с плановыми, ЦСУ объединено с Госпланом.
В Госплане СССР был образован сектор народнохозяйственного учета, который в декабре 1931 г. был преобразован в Центральное управление народнохозяйственного учета (ЦУНХУ) при Госплане СССР. В составе Госплана СССР органы государственной статистики находились до 1948 г.
Все реорганизации государственной статистики были связаны с попытками обеспечить более активную роль статистики в планировании и управлении народным хозяйством. Объединение органов государственной статистики с органами планирования имело как положительные, так и отрицательные стороны.
Улучшилась текущая статистика и текущее обеспечение плановых органов необходимыми данными, произошло сближение плановой и статистической методологии. Был проведен ряд крупных работ, в частности Всесоюзные переписи населения 1926, 1937, 1939 гг.
Огромная работа по оперативному учету материальных и трудовых ресурсов была выполнена статистическими органами за годы Великой Отечественной войны и в послевоенные годы. В то же время подчинение органов государственной статистики органам Госплана привело к снижению роли статистики в государственном управлении, ее основной функцией стала оценка выполнения плановых заданий, меньше внимания уделялось глубоким аналитическим статистическим работам.
Статистики не всегда имели возможность объективно оценивать реальные экономические процессы.
В 1948 г. ЦСУ Госплана СССР было преобразовано в Центральное статистическое управление при Совете Министров СССР, а в 1978 г. в Центральное статистическое управление СССР.
Экономические преобразования в стране, начавшиеся после 1985 г., привели к очередной реорганизации статистических органов. В соответствии с постановлением ЦК КПСС и Совета Министров СССР О мерах по коренному улучшению дела статистики в стране ЦСУ СССР было преобразовано в союзно-республиканский Государственный комитет СССР но статистике (Госкомстат СССР).
После 1991 г., в связи с распадом СССР в 1992 г., на базе Госкомстата СССР был образован Статкомитет СНГ, который в настоящее время осуществляет координирующую работу в области методологии и получения статистических данных по странам СНГ.
Главным государственным статистическим органом России в настоящее время является Государственный комитет Российской Федерации по статистике, это федеральный орган исполнительной власти. В своей деятельности он руководствуется Конституцией Российской Федерации, ее законами, распоряжениями и постановлениями Президента и Правительства РФ, а также федеральными статистическими программами, которые формируются с учетом предложений федеральных органов исполнительной и законодательной власти, органов государственной власти субъектов Российской Федерации, научных и других организаций.
Методология статистических показателей, формы и методы сбора и обработки статистических данных являются официальными статистическими стандартами Российской Федерации.
Для разработки методологических проблем и рекомендаций к практическому использованию различных методических положений по вопросам статистического наблюдения и другим направлениям статистической работы создан Научно-методологический совет. Членами совета являются научные и практические работники в области статистики.
Образован также Совет руководителей органов государственной статистики, его назначение рассмотрение основных вопросов федеральной программы статистических работ.
Кроме того, были образованы общественные консультативные органы, например общественный экспертный совет по оценке основных фондов, который должен проводить экспертизы разрабатываемых проектов методических указаний и других документов, связанных с переоценкой основных фондов; разрабатывать нормативные документы, а также оказывать консультативную помощь подразделениям центрального статистического органа России и территориальным органам государственной статистики.
На статистические органы России возложены следующие основные функции:
- организация проведения государственных статистических наблюдений по разработанной и утвержденной программе, методологии, формам;
- обеспечение функционирования Единого государственного регистра предприятий и организаций на основе учета всех хозяйствующих субъектов на территории Российской Федерации с присвоением им идентификационных кодов исходя из общероссийских классификаторов технико-экономической и социальной информации;
- выработка единых подходов к формированию целевых регистров министерствами и ведомствами;
- обеспечение сбора, обработки, хранения и защиты статистической информации, соблюдения государственной и коммерческой тайны, необходимой конфиденциальности данных;
- осуществление международных сопоставлений основных социально-экономических показателей Российской Федерации, составление совместно с Центральным банком России платежного баланса на основе данных, полученных от финансово-кредитных, внешнеэкономических и других органов;
- проведение единой технической политики в технологии сбора, разработки и передачи статистической информации, взаимодействие с региональными, отраслевыми, информационно-вычислительными системами;
- создание условий для эффективного использования средств вычислительной и организационной техники; внедрение новейших технологий обработки информации, современных лицензионных программных продуктов, системы управления базами данных, аналитических и информационно-справочных систем;
- участие в программах сотрудничества с национальными и международными статистическими и экономическими организациями и др.
Реализация перечисленных функций осуществляется через деятельность специализированных структурных подразделений.
Основные структурные подразделения центрального органа статистики занимаются статистическим планированием; вопросами национальных счетов, статистик предприятий и структурных обследований; сводной информации и региональной статистики; статистики цен и финансов; уровня жизни и обследований населения; статистики населения; статистики труда; статистики услуг транспорта и связи; статистики основных фондов и строительства; статистики окружающей среды и сельского хозяйства; статистики зарубежных стран и международного сотрудничества; статистики внутренней и внешней торговли.
По характеру выполняемых функций подразделения делятся на сводные, деятельность которых охватывает всю национальную экономику (подразделения национальных счетов, сводной информации и региональной статистики и др.), и занимающиеся отдельными вопросами в масштабе всей страны (подразделения статистики населения, статистики труда и др.).
В ведении Государственного комитета РФ по статистике имеется Главный межрегиональный центр обработки и распространения статистической информации (ГМЦ), на который возлагается разработка статистической информации на основе современных информационных технологий и создание информационно-телекоммуникационной системы статистики с разветвленной сетью межрайонных информационно-технических центров на региональном уровне (МИТЦ).
Функционируют также:
Научно-исследовательский институт проблем социально-экономической статистики, главной задачей которого в настоящее время является разработка методологических вопросов системного реформирования статистики;
Научно-исследовательский и проектно-технологический институт статистической информационной системы, занимающийся решением комплекса проблем, связанных с разработкой и проектированием новых информационных технологий.
Задача повышения квалификации работников государственной статистики закреплена за Межотраслевым институтом повышения квалификации руководящих работников и специалистов в области учета и статистики.
Государственный комитет РФ по статистике со своими административно-территориальными органами (включая подведомственные предприятия, организации, учебные заведения) составляет единую систему органов государственной статистики.
Эта система была образована с учетом административно-территориального деления страны. В автономных республиках, входящих в Российскую Федерацию, имеются республиканские комитеты по статистике; в автономных областях, округах, краях, областях, а также в городах Москве и Санкт-Петербурге соответствующие государственные комитеты по статистике; в районах, городах управления по статистике, первичные звенья централизованной статистической системы.
Деятельность административно-территориальных и местных органов государственной статистики приобретает особую значимость в связи с развитием региональной и муниципальной статистики. В этой связи перспективным представляется опыт создания межрайонных управлений статистики, что позволяет расширить технологические возможности первичного звена государственной статистики.
Основные задачи региональной статистики в настоящее время можно свести к следующим:
- исследование экономических, социальных, духовных, экологических явлений, обобщение и прогнозирование тенденций их развития;
- обеспечение региональных (муниципальных) органов управления необходимой оперативной статистической информацией;
- обеспечение необходимой информацией для разработки региональных, муниципальных программ и мониторинг их реализации;
- совершенствование системы показателей, адекватно отражающих происходящие в регионе процессы;
- создание и ведение региональных регистров, кадастров, пообъектных баз данных для комплексной экономической, демографической, социологической характеристики производителей.
Развитие экономики России по пути рыночных преобразований обусловливает необходимость дальнейших адекватных изменений функций государственной статистики и ее организации. Осуществление таких изменений уже началось.
Контрольные вопросы
- Когда появились первые органы государственной статистики в России?
- Какова организационная структура государственной статистики России в конце XIX в.?
- Назовите важнейшие виды статистических работ в XIX в.
- Каковы организационная структура и функции органов государственной статистики в настоящее время?
Организация получения статистической информации на современном этапе
В условиях планово-административной экономики в нашей стране (до 1991 г.) основной формой статистического наблюдения была обязательная статистическая отчетность, которая представлялась всеми предприятиями и организациями и включала большое число форм с огромным количеством показателей. При этом формы отчетности и показатели имели отраслевую привязку.
Статистические отчеты в установленном законом порядке составлялись каждым предприятием и направлялись в вышестоящие органы в объединения, главные территоиальные управления, которые, обобщив статистические данные, направляли в свою очередь отчетные документы в соответствующие министерства и ведомства, а последние представляли отраслевые сведения в центральный статистический орган. Другим направлением являлось представление статистической отчетности в местные районные, городские, а затем областные, краевые органы статистики, которые в свою очередь представляли обобщенную отчетность в республиканские органы, из которых она поступала в центральный статистический орган.
Такой способ получения статистической информации был обусловлен экономической идеологией того времени: централизованная система планирования сверху вниз (Госплан министерство объединение предприятие) требовала соответствующей отчетности о выполнении плановых заданий. Кроме того, принцип планирования от достигнутого уровня предполагал ответственность за представляемые данные, а наличие лишь государственной формы собственности позволяло контролировать своевременность представления статистической отчетности и достоверности ее данных.
Проводились и специально организованные наблюдения в виде переписей и обследований преимущественно по тем направлениям, которые не охватывались отчетностью, например бюджетные обследования. Но статистическая отчетность давала все же основной объем данных, необходимых для планирования и управления экономикой.
Рыночные преобразования российской экономики и введение в России принятой в международном сообществе системы национальных счетов (СНС) существенно изменили условия работы статистических органов. Появилось огромное число мелких предприятий различных форм собственности, занимающихся различными видами деятельности; полная финансово-хозяйственная самостоятельность предприятий и организаций привела к снижению ответственности за представление статистической отчетности и достоверность ее данных.
Значительные объемы неформальной деятельности, сокрытие объемов производства с целью недоплаты налогов еще более снижают объективность социально-экономических показателей, получаемых на базе статистической отчетности. Это определило необходимость изменения принципов организации статистического наблюдения.
Совершенствование организации статистического наблюдения в России на современном этапе осуществляется на основе концептуальных положений федеральной целевой программы Реформирование статистики в 19972000 годах. Важнейшими положениями этой программы являются следующие:
- разработка и ведение многоцелевого Единого государственного регистра предприятий и организаций;
- переход на статистику предприятий;
- сокращение отчетности и введение унифицированных форм текущего статистического наблюдения;
- использование сплошного статистического наблюдения только по крупным и средним преприятиям и выборочного по малым предприятиям;
- совершенствование методологии и практической организации выборочных обследований;
- проведение переписей;
- организация мониторингов по важнейшим направлениям экономических и социальных процессов;
- разработка комбинированных методов статистического наблюдения (сплошных и выборочных обследований, переписей, мониторинга и др.);
- разработка информации на основе сбалансированного использования данных государственной, ведомственной статистики и научных дорасчетов;
- организация сквозной технологии получения информации.
Переход от отраслевого принципа получения статистической информации к статистике предприятий предполагает прежде всего ведение Единого государственного регистра предприятий и организаций (ЕГРПО). В регистре по каждому хозяйствующему субъекту имеются сведения о его юридическом и фактическом нахождении, отраслевой принадлежности, основных экономических характеристиках (объеме продукции, стоимости основных средств, численности работающих и Др.).
На основе ЕГРПО создаются и ведутся субрегистры. Разработан и ведется субрегистр малых предприятий, создается регистр строительных организаций, субрегистр организаций розничной и оптовой торговли и др.
Субрегистры являются основой формирования генеральной совокупности объектов статистического наблюдения, представляющей собой перечень действующих юридических лиц, их представительств и филиалов. Создание генеральной совокупности позволит обеспечить методологическую основу для перехода к интегрированному принципу сбора информации и проведению статистического анализа по сопоставимому кругу объектов.
В субрегистры постоянно вносятся изменения: исключаются ликвидированные единицы, уточняются данные об имеющихся предприятиях, отмечаются все происшедшие по ним изменения, дополнительно вносятся вновь организованные предприятия. Следует отметить, что в каждом регистре имеется значительное число неработающих предприятий, для их выявления и уточнения других данных используется бухгалтерская отчетность, данные Министерства РФ по налогам и сборам, Министерства внутренних дел и др.
Ведение субрегистров позволит обеспечить полноту и достоверность совокупности объектов статистического наблюдения. ЕГРПО и субрегистры используются для формирования выборочных совокупностей в выборочных наблюдениях, в то же время сами регистры служат источником статистических данных.
Важнейшим направлением совершенствования статистического наблюдения является переход на унифицированные формы федерального государственного статистического наблюдения, введенные с 1998 г. Показатели, включенные в унифицированные формы, применимы для любых предприятий и организаций. Данное направление является новым в системе государственной статистики, базируется на основных принципах статистики предприятий и предполагает применение новых технологий для обработки статистической информации.
Внедрение унифицированных форм текущего федерального государственного наблюдения осуществляется с применением сквозной технологии обработки данных (на основе каталога статистических показателей и электронных версий форм) и позволяет создать базы данных первичной информации на федеральном и региональном уровнях при максимальной сопоставимости всех информационных ресурсов.
Унифицированные формы статистического наблюдения включают: форму 1-предприятие Основные сведения о деятельности предприятия, П-1 Сведения о производстве и отгрузке товаров и услуг, П-2 Сведения об инвестициях, П-3 Сведения о финансовом состоянии организаций, форму П-4 Сведения о численности, заработной плате и движении работников. Форма 1-предприятие дает сведения о юридическом лице; о распределении уставного фонда, взносах иностранных юридических и физических лиц в уставный капитал по странам-партнерам, об организационной структуре юридического лица, сведения об отгрузке товаров и услуг, затратах на производство и реализацию продукции, инвестиционной деятельности, о видах экономической деятельности в отчетном году, а также о территориально обособленных подразделениях юридического лица.
Данные этой формы представляют комплексную характеристику деятельности предприятия и дают возможность проводить структурное обследование. В форме П-1 приводятся сведения о выпуске товаров и услуг, отгрузке товаров, в том числе собственного производства, объеме платных услуг населению, розничном товарообороте, об остатках готовой продукции собственного производства на конец отчетного периода, экспорте и импорте услуг, перевозках грузов и грузообороте, строительно-монтажных работах, выполненных подрядным и хозяйственным способами и др.
Спецификой данной формы наблюдения является отражение структуры продукции каждого предприятия по видам экономической деятельности, а также возможность получения общего объема продукции соответствующей отрасли как по предприятиям данной отрасли, так и по предприятиям других отраслей. Сведения данной формы отчетности лежат в основе расчета показателя выпуска нефинансовых предприятий Счета производства в СНС.
Предусмотренное в форме П-1 выделение услуг из общего объема производства соответствует статистической практике некоторых стран, данные об объеме продукции в которых делятся на товары и услуги. Под товарами понимают физические предметы, на которые распространяются права собственности, под услугами выполненную по заказу работу, приводящую к изменению принадлежащих потребителю предметов (ремонт зданий, машин, оборудования, хранение, транспорт, связь и др.).
Для оценки динамики производства в регионах и отраслях экономики органы статистики по данным раздела 2 формы П-1 смогут рассчитывать индекс физического объема продукции в соответствии с международной методологией.
Форма П-2 Сведения об инвестициях позволяет получить полную картину об объемах инвестиций в российскую экономику, о финансовых инвестициях, инвестициях в нефинансовые активы (основные средства, нематериальные активы, ценности, объекты природопользования, землю), а также о затратах на капитальный ремонт зданий, сооружений, машин и оборудования. Разрабатываемая структура капита-лообразующих инвестиций позволит перейти от обособленного сбора показателей инвестиций в основной капитал к интегрированному при соблюдении методологического единства.
В форме П-2 предусматривается отражение финансовых инвестиций: 1) как стоимости ресурсов, израсходованных предприятием на приобретение финансовых прав (акций, облигаций, банковских вкладов и др.), при этом финансовые инвестиции рассматриваются как финансовые потоки и определяются по сумме фактических затрат инвестора; 2) как стоимости активов, представляющих собой финансовые права, которыми располагает предприятие на конкретную дату; в этом случае финансовые инвестиции рассматриваются как накопленная величина, установленная по балансовой стоимости на определенную дату. В этой форме используется терминология, соответствующая определениям СНС.
Формы П-3 и П-4 не содержат принципиально новых показателей, однако они дают общую характеристику предприятия.
Форма П-3 содержит сведения о прибыли и убытках, оборотных активах предприятий и состоянии расчетов с предприятиями России и зарубежных стран, что позволяет оценить финансовое положение предприятий.
В форме П-4 приводятся сведения о средней численности работников предприятия, в том числе списочного состава, внешних совместителей, работавших по договорам, фонде начисленной заработной платы и выплатах социального характера. Кроме того, здесь указываются данные об использовании рабочего времени, движении работников и их предполагаемом высвобождении.
Формы П-1, П-3, П-4 являются месячными и содержат сведения за отчетный месяц, за предыдущий месяц и соответствующий месяц прошлого года, что позволяет получить характеристику динамики приведенных показателей. Форма П-2 является квартальной: форма 1-предприятие годовой.
Субъектами малого предпринимательства заполняется форма ПМ.
Таким образом, использование унифицированных форм статистического наблюдения позволяет получить сопоставимую и комплексную информацию по всем видам деятельности предприятия и его финансовому положению.
Для крупных и средних предприятий обследование является сплошным, для малых предприятий используется выборочное ежеквартальное наблюдение.
Важным условием организации наблюдения на основе унифицированных форм является разработка и утверждение форм первичной учетной документации, адаптированных к требованиям международных стандартов бухгалтерского учета, а также их электронных версий. Альбом унифицированных форм первичного учета включает формы по учету труда и его оплате, основных средств и нематериальных активов, материалов, малоценных и быстроизнашивающихся предметов, работ в капитальном строительстве и др.
Внедрение унифицированных форм первичной учетной .документации способствует повышению качества, достоверности и сопоставимости результатов наблюдения.
В дополнение к унифицированным формам имеются формы наблюдения, отражающие специфическую информацию отраслевого характера. Так, данные формы 2кс (стройка) Сведения о строительстве и вводе объектов позволяют охарактеризовать конечные результаты инвестиционной деятельности, т.е. натурально-стоимостную продукцию строительства (ввод в действие зданий, сооружений и др.). Эти показатели применяются в международной практике и необходимы для интеграции российской социально-экономической статистики в мировую.
Имеются специфические формы для наблюдения на транспорте, предприятиях связи, в торговле, для предприятий естественных монополистов и др.
В целях усиления контроля за увеличением сбора налогов и сокращения расходов федерального бюджета с 1 января 1997 г. введена ежемесячная форма государственного статистического наблюдения за состоянием кредиторской задолженности организаций-бюджетополуча-телей и др.
Для наблюдения за деятельностью финансово-промышленных групп введена форма наблюдения 1-ФПГ, данные которой позволят оценить структуру ФПГ по видам деятельности, ресурсный потенциал, масштабы производства продукции и инвестиционной деятельности, приводятся и некоторые экономические показатели (средняя списочная численность работающих, среднегодовая стоимость основных средств производственных отраслей и видов деятельности, балансовая прибыль/убыток, кредиторская и дебиторская задолженность).
Развитие и становление новых форм хозяйствования привело не только к появлению качественно новых видов субъектов предпринимательской деятельности, но и к их количественному увеличению. Так, если ранее государственная статистика разрабатывала данные по тысячам предприятий и это было технически возможно, то в настоящее время в регистре только юридических лиц зафиксировано более 2 млн.
В условиях высокой стоимости сбора и обрHботки информации целесообразно применение метода, используемого в странах с рыночной экономикой: так называемые крупные и средние предприятия отслеживаются в порядке сплошного учета по основным показателям, а малые предприятия и индивидуальные предприниматели обследуются путем выборочных обследований и различных опросов.
Изменение форм наблюдения потребовало решения как проблем методологического характера, так и организационных вопросов практического проведения выборочных обследований.
Разработан регламент организации выборочных обследований, в которых предусмотрен максимальный перенос операций на программное обеспечение, что позволяет в условиях ограниченного финансирования в каждом регионе получить качественные результаты. С 1996 г. используется пакет прикладных программ ПП МНСН (методы несплошного статистического наблюдения) для опытного внедрения выборочной методики наблюдения за малыми предприятиями.
Методология выборочного наблюдения разрабатывается на федеральном уровне, что обеспечивает методологическое единство и сопоставимость показателей.
Исходным моментом является формирование генеральной совокупности предприятий и организаций на основе ЕГРПО, бухгалтерской отчетности с последующим ее уточнением из других источников (проведенных обследований, данных Пенсионного фонда, МВД России и др.). Генеральная совокупность формируется на региональном уровне по состоянию на 1 января и фиксируется на весь год.
Ее численность составляет примерно 1 млн предприятий и организаций.
Важным моментом в формировании выборочной совокупности является стратификация генеральной совокупности в следующем порядке: выделение отраслевых страт (групп) на основании классификаторов ОКОНХ и ОКДП, последующее их деление на страты по формам собственности на основе Классификатора форм собственности и по величине выручки.
На региональном уровне осуществляются:
- планирование и формирование выборочной совокупности средствами специализированного программного обеспечения;
- сбор, ввод и контроль данных по выборочной совокупности средствами электронных версий форм статистической отчетности;
- формирование пообъектной базы данных по кругу малых предприятий, попавших в выборку;
- обработка пропусков в выборочных данных, включая неответы респондентов, досчет на вновь зарегистрированные в отчетном периоде малые предприятия и др.;
- формирование сводных итогов по регламентным разрезам и генеральной совокупности региона в целом средствами специализированного программного обеспечения;
- формирование базы данных сводных показателей регионального уровня и передача их на федеральный уровень.
На федеральном уровне осуществляется обобщение представляемых регионами сводных итогов выборочного наблюдения, их уточнение, корректировка и публикация результатов.
Иногда выборочные обследования являются практически единственным источником получения данных, и статистические органы регулярно проводят такие выборочные обследования.
Одним из основных видов выборочного наблюдения, проводимого в России, как и в других странах, являются обследования бюджетов домашних хозяйств. Эти обследования позволяют получить данные для счетов сектора домашних хозяйств в системе национальных счетов; данные о распределении доходов населения и оценки на их основе уровня бедности, о потреблении и денежных расходах различных но доходу групп населения и др.
Проводимые с 1996 г. обследования домашних хозяйств имеют принципиальные отличия от аналогичных обследований, проводимых ранее, как с позиции формирования выборочной совокупности, так и с точки зрения методов проведения наблюдения.
Выборочная совокупность при бюджетных обследованиях в России более 40 лет формировалась на основе территориально-отраслевого принципа отбора. Для создания отраслевой выборки применялась типическая выборка с механическим отбором единиц внутри групп.
Главным показателем отбора являлась среднемесячная оплата труда, составлявшая более 80% доходов трудящихся, что делало вполне оправданным типический отбор на ее основе. Отбор обеспечивал пропорциональную представительность в выборочной совокупности работающих с разным уровнем заработной платы.
В условиях стабильной социально-экономической ситуации и господства государственного сектора в экономике страны такой отбор позволял решать задачи, стоявшие перед обследованием домашних хозяйств.
Изменившаяся социально-экономическая ситуация (появление новых социальных групп предпринимателей, фермеров, безработных и др.; падение доли заработной платы в структуре доходов; возрастание дифференциации населения по уровню доходов и т.д.) сделала невозможным применение старых принципов отбора из-за появления недопустимо большой ошибки выборки. По ряду основных показателей фактическая ошибка выборки стала превышать допустимую более чем в 3 раза.
Потребовался принципиально новый подход к формированию выборочной совокупности.
На государственном уровне было принято решение о полномасштабном рефюрмировании выборочной совокупности домашних хозяйств с применением аппарата вероятностной выборки.
В качестве базы сформирования выборочной совокупности были приняты материалы микропереписи населения 1994 г., в информационном массиве которой отражены все типы домашних хозяйств, кроме коллективных (лиц, находящихся в домах-интернатах для престарелых и т.п.). Конечной единицей отбора является домашнее хозяйство совокупность лиц, проживающих в одном помещении, совместно обеспечивающих себя пищей и всем необходимым для жизни.
Наиболее приемлемыми и отвечающими задачам наблюдения признаны модели многомерных выборок, построенных по территориальному принципу с учетом структуры показателей, влияющих на результаты наблюдения.
Для формирования выборочной совокупности домашних хозяйств была применена двухступенчатая выборка, обеспечивающая получение представительной выборки (в пределах заданной степени точности, объема выборки и финансовых ресурсов). В качестве группировочных признаков для обследованных домашних хозяйств приняты размер, тип и принадлежность жилого помещения, наличие (отсутствие) в пользовании земельного участка; для обследованных лиц пол, возраст, уровень образования, национальность, источник средств существования, проживание в домохозяйстве определенного размера.
Данные такого обследования позволяют не только получить характеристику состояния социально-экономических процессов в обществе, но и оценить результаты реализации механизма распределения социальных льгот.
Большое значение имеет проводимое с октября 1992 г. обследование населения по проблемам занятости обследование рабочей силы. Целью его является получение данных о численности и составе экономически активного населения, количестве занятых и безработных, уровне экономической активности и безработицы, изменении состояния рынка рабочей силы.
Регулярно проводятся выборочные обследования торговых организаций, транспорта; организуются выборочные обследования жилищного строительства, запасов материальных оборотных средств на крупных промышленных предприятиях и т.д.
Широкие масштабы неформальной деятельности в современной российской экономике привели к необходимости корректировки данных наблюдений путем научных дорасчетов основных экономических показателей. Научные дорасчеты являются принципиально новым направлением в российской статистической науке и практике.
Уже создан ряд соответствующих методик таких дорасчетов; ведется дальнейшая работа по совершенствованию научных дорасчетов основных показателей СНС, дорасчетов основных стоимостных показателей в строительстве, уточнению определений неформального сектора экономики, неформального уровня деятельности в торговле, на транспорте и в других отраслях; разрабатывается методика выявления скрытой оплаты труда на федеральном уровне и др.
Необходимость постоянного отслеживания динамически меняющихся процессов в социальной и экономической сфере привела к созданию специальной формы наблюдения мониторингов социально-трудовой сферы, основными направлениями которых являются: новые социально-трудовые процессы, доходы и уровень жизни населения, состояние условий труда, использование рабочего времени, занятость.
Ценность мониторинга заключается не столько в характеристике этих процессов, сколько в возможности на основе оперативных данных выявлять негативные тенденции и факторы, их вызывающие, а также оценивать эффективность и полноту реализуемых законов и нормативных актов по социально-трудовым вопросам.
Вместе с тем не потеряли значения некоторые виды сплошного наблюдения, прежде всего переписи и обследования.
Перепись населения является важным видом сплошного наблюдения, дающим огромную информацию о социально-демографических процессах в обществе. Они широко используются в мировой статистической практике.
В России перепись населения за последнее столетие проводилась 9 раз (1897, 1926, 1936, 1937, 1939, 1959, 1970, 1979, 1989 гг.). Периодичность ее проведения нарушалась такими исключительными событиями, как гражданская война, Великая Отечественная война.
Не останавливаясь на методологических, организационных и практических проблемах переписи, отметим, что она дает огромный материал о численности населения, его национальном и социальном составе, миграции, занятости, образовании, рождаемости и смертности, характеристике жилищных условий, заболеваемости и др.
Очередная перепись населения намечалась на 1999 г. Необходимость ее проведения связана с потребностью в демографических данных органов государственного управления на федеральном и региональном уровнях для анализа происшедших изменений в населении страны, для разработки новых социально-экономических программ, ориентации демографической политики.
Для подготовки этой переписи в 1995 г. на Всероссийском совещании статистиков были обсуждены проекты основных программно-методологических и организационных положений, обработки материалов переписи и использования ее итогов. Программа переписи населения учитывает специфику современных условий России и соответствует международным рекомендациям, при этом обеспечивается возможность получения данных, пригодных как для сравнения с данными прошлых переписей, так и для международных сопоставлений.
Основные особенности переписи населения состоят в том, что в качестве единицы наблюдения будет использовано домохозяйство (а не семья, как в предыдущих переписях). Это позволит выполнить более глубокий анализ структуры как домохозяйства, так и семьи, обеспечит возможность сравнительного анализа с данными переписей других стран.
В этой переписи предполагается учитывать только постоянное население.
Существенным изменением является включение в программу ряда новых вопросов, в частности связанных с изучением занятости, что позволит выявить структуру рабочей силы, число безработных, их социальный состав и демографическую характеристику, что в свою очередь даст возможность определить экономически активное и неактивное население.
Важный блок составят вопросы о миграции населения, обработка ответов на них позволит получить полную характеристику величины миграции, направлений передвижения, состава мигрантов, а также определить численность беженцев и вынужденных переселенцев. Новыми являются вопросы, связанные с изучением брачности и рождаемости, ответы на которые позволят сопоставить и согласовать данные переписи и органов ЗАГСа.
В предстоящей переписи данные по ряду вопросов будут получены лишь от части населения, отобранной с применением двухфазной выборки. Данные о социально-экономической характеристике населения, миграции и часть ответов о рождаемости предполагается получить от 25% постоянного населения, а часть ответов о рождаемости и брачности от 5% отобранной части населения.
Таким образом, будет достигнуто оптимальное сочетание сплошного и выборочного наблюдений.
К сплошным наблюдениям относятся переписи общественных организаций, в том числе политических партий, профсоюзов, религиозных организаций, благотворительных фондов, творческих союзов и т.д. Цель этих наблюдений получение сведений об их числе, сумме получаемых ими взносов и др.
Для изучения отдельных вопросов проводятся переписи в отраслях экономики в промышленности, строительстве, сельском хозяйстве, торговле и др.
Нетрадиционным для российской статистики является способ получения информации на основе бизнес-обследований, достаточно широко применяемый в международной практике в течение последних десятилетий.
Проведение бизнес-обследований хозяйственной деятельности строится на сборе и обобщении информации, основанной на оценке текущего экономического состояния, которая может быть получена от менеджеров экономических агентств. Респонденты оценивают (фактическое и ожидаемое изменение основных показателей хозяйственной деятельности в рамках альтернатив: увеличение уменьшение, улучшение ухудшение, осталось на том же уровне.
Респонденты также отвечают на вопросы, позволяющие выявить факторы, ограничивающие деятельность их структур и ряд других качественных вопросов.
Преимущества бизнес-обследований заключаются в их оперативности, а также в возможности получения информации в областях, не охваченных статистикой. Вместе с тем результаты бизнес-обследований служат лишь дополнением к официальным статистическим данным.
Важной целью их проведения является совершенствование экономического анализа и прогнозирования.
Длинные динамические ряды, получаемые в результате обследований, позволяют определять поворотные точки в экономике и отслеживать циклические процессы.
В России бизнес-обследования проводятся с 1992 г. В астоящее время бизнес-обследования проводятся статистическими органами России совместно с Центром экономической конъюнктуры при Правительстве Российской Федерации. Регулярно обследуются предпринимательские намерения (деловая активность) в промышленности (ежемесячно), строительстве, сельском хозяйстве, оптовой торговле, в инновационной сфере (ежемесячно), в банковском и страховом секторах (2 раза в год).
В 1997 г. в четырех регионах России проводилось пилотажное обследование потребительского рынка.
Обследования промышленных предприятий включают оценку состояния и тенденции по следующим направлениям: производство; спрос на продукцию; запасы готовой продукции; цены реализации; факторы, сдерживающие производство; загрузка производственных мощностей; инвестиции; финансово-экономическое состояние предприятия.
По строительным организациям дается оценка состояния и тенденций по объему работ; факторам, ограничивающим производство; портфелю заказов; занятости; ценам на строительно-монтажные работы; финансового положения и т.д. По предприятиям розничной торговли дается оценка товарооборота, складских запасов, заказов на поставку, занятости, конкуренции в рамках сектора и др.
В дальнейшем сфера применения бизнес-обследований будет расширяться. Необходимо отметить, что значительный объем информации содержит отчетность учреждений государственного управления, государственных внебюджетных фондов и др.
Значительную роль в информационном обеспечении играет ведомственная статистика банковская, таможенная, налоговая и др.
Только сочетание всех источников информации может дать объективную картину социально-экономических процессов, что необходимо для их государственного регулирования.
Важным направлением деятельности статистических органов в наши дни является подготовка к публикации и выпуск изданий, содержащих официальные статистические сведения. Различная периодичность изданий (ежемесячная, ежеквартальная, ежегодная) позволяет публиковать оперативную информацию и обобщенные данные.
Наиболее полные сведения о социально-экономическом положении страны за анализируемый год и в динамике за ряд лет содержатся в Российском статистическом ежегоднике.
Другими официальными статистическими сборниками являются Россия в цифрах, он издается на русском и английском языках; Регионы России (в 2-х томах); Демографический ежегодник (русско-английское издание). Кроме того, выпускаются сборники по отдельным направлениям статистики: Социальное положение и уровень жизни населения России, Национальные счета России, Торговля России, Труд и занятость в России, Транспорт в России и др.
Издаются статистические бюллетени: Естественное движение населения России, Основные показатели агропромышленного комплекса, Доходы, расходы и потребение домашних хозяйств, Основные показатели строительной и инвестиционной деятельности и др.
Все эти публикации играют важную роль не только в управлении, но и в информированности общества по этим проблемам.
Вышел в свет уникальный статистический сборник Население России за 100 лет. 18971997 гг., посвященный переписи населения России в 1897 г. Предполагается создание статистического сборника Россия в XVIIIXX веках, в котором намечается показать динамические ряды основных статистических показателей социально-экономического развития России более чем за 200 лет.
Выпускаются и методические издания. Так, в 1999 г. изданы Методологические положения по статистике (3-й выпуск).
Большое значение с точки зрения оперативности статистической информации для пользователей имеют периодические издания, журнал Статистическое обозрение выпускается ежеквартально на русском и английском языках. Ежемесячно публикуется доклад Социально-экономическое положение России.
Кроме того, издаются экспресс-информация, бюллетени и доклады, в которых оперативно освещаются результаты наиболее важных статистических работ.
Разносторонняя информация содержится в ежемесячном журнале Вопросы статистики. В нем публикуются научные статьи по актуальным вопросам статистики, освещается выполнение программы реформирования статистики, вопросы ее отдельных направлений и результаты их реализации, а также находит отражение деятельность центральных, региональных и местных статистических органов, публикуются оперативные данные о социально-экономическом положении России и др.
Статкомитетом СНГ издаются Статистические ежегодники СНГ, выпущены сборники Основные макроэкономические показатели стран СНГ, Внешнеэкономическая деятельность стран СНГ, Финансы в странах СНГ, 19971998, СНГ и страны мира, 99, Внешняя торговля стран СНГ и ЕС (русско-английский), Население и условия жизни в странах СНГ, 1998 и др. Для предоставления оперативной информации издаются статистические бюллетени.
Важная работа по обеспечению информацией органов управления и населения ведется на региональном уровне. Так, Мосгорстатом ежегодно выпускается более ста аналитических докладов и записок, около двухсот аналитических сборников и статистических бюллетеней.
Комплексная оценка социально-экономического положения в городе дается в ежемесячном докладе О положении в экономике и социальной сфере г. Москвы.
Большая информационная работа ведется и в других регионах. Статистические данные остаются одним из главных источников информации для органов представительной и исполнительной власти.
Большое число работ выполняется по специальным заказам органов власти и различных коммерческих структур.
Контрольные вопросы
- В чем заключаются основные положения федеральной программы Реформирование статистики в 19972000 годах?
- Для чего необходимо введение Единого государственного регистра предприятий и организаций (ЕГРПО) и его субрегистров?
- Каково значение введения унифицированных форм федерального, государственного наблюдения?
- Назовите унифицированные формы статистического наблюдения и раскройте их содержание.
- Каковы основные принципы организации выборочных наблюдений?
- Назовите основные специально организованные статистические наблюдения, которые проводятся статистическими органами в настоящее время.
- Назовите важнейшие информационные издания органов государственной статистики.
Раздел II. Классификаторы, регистры и новая система сбора и обработки статистической информации
Организация статистики науки и инноваций
ред. Л.М.
Гохберга. Париж—Москва: ОЭСР, ЦИСН, 1995.
Существенное внимание уделяется при этом сопоставимости с классификацией, принятой в системе национальных счетов, что позволяет сравнивать показатели научных исследований и разработок с другими статистическими данными и оценить прямо или косвенно место науки в экономике страны и ее вклад в экономический рост.
В отечественном науковедении в течение десятилетий в неизменном виде применялась классификация секторов науки, в основу которой был положен признак ведомственной подчиненности научных организаций, включающая академический, вузовский, отраслевой и заводской секторы. Переход на систему национальных счетов, адаптация международных стандартов в статистике науке и инноваций, необходимость учета тенденций развития российской науки в современных условиях и в перспективе потребовали пересмотра классификации секторов деятельности для использования в статистическом наблюдении за выполнением научных исследований и разработок (см. табл.
33.1). Данная классификация базируется главным обраOом на системе национальных счетов; единственное различие, продиктованное самой спецификой функционирования науки и носящее общепринятый характер как в России, так и за рубежом, заключается в том, что высшие учебные заведения выделены в качестве отдельного сектора, а домашние хозяйства объединены с частным бесприбыльным сектором.
Наряду с перечисленными статистика рассматривает также зарубежный сектор, охватывающий организации, находящиеся за пределами политических границ страны (за исключением транспортных средств и спутников, управляемых организациями данной страны), а также международные организации (кроме коммерческих предприятий). Однако последний учитывается лишь как один из источников финансирования тех научных исследований и разработок, которые классифицированы по вышеупомянутым четырем секторам науки.
Указанные специфические классификации и группировки статистики науки и инноваций, как и некоторые другие — типы научных организаций, социально-экономические цели научных исследований и разработок, виды инновационной деятельности и др. — используются в практике статистического наблюдения в дополнение к общестатистическим классификациям (видов экономической деятельности, административно-территориальных образований, форм собственности и т.п.). Они играют важнейшую роль в формировании системы сбора и разработки статистической информации и обеспечивают возможность детального анализа структуры научного и инновационного потенциала.
Таблица 33.1
Секторы науки

33.3. Организация статистики науки и инноваций. Переход на международные стандарты
Кардинальный пересмотр методологии и организации статистики науки и инноваций связан с необходимостью обеспечения информационных потребностей научно-технической политики в условиях перехода к рыночной экономике. Министерство науки и технологий Российской Федерации активно проводит необходимую работу в этом направлении.
В 1991 г. с целью углубленного изучения состояния и тенденций динамики научного потенциала, комплексного совершенствования статистики, подготовки статистических и аналитических материалов по вопросам развития науки и научно-технической политики был создан Центр исследований и статистики науки (ЦИСН) Миннауки России и Российской академии наук. На Центр были возложены задачи выработки новой концепции статистики науки, отвечающей условиям перехода к рыночной экономике; адаптации международных статистических стандартов; разработки практического инструментария для сбора статистических данных.
Как показывает мировой опыт, в странах, обладающих крупномасштабным научным потенциалом, статистические службы не в состоянии самостоятельно удовлетворить информационные запросы органов научно-Zехнической политики, в том числе в связи с нехваткой необходимых кадровых и финансовых ресурсов. Основные усилия статслужб в ведущих индустриальных странах направлены прежде всего на приоритетные задачи, поставленные национальными правительствами, поэтому требуется участие ведомств по науке и технике в формировании соответствующей статистической информации.
Это касается не только определения потребностей пользователей в статистических данных и финансовой поддержки статистических работ, но и непосредственного осуществления органами по научно-технической политике функций сбора, обработки, анализа и распространения информации.
Несмотря на различия в степени участия ведомств по науке и технике в развитии статистики науки и инноваций в тех или иных странах, во всех случаях обеспечивается их взаимодействие со статистическими службами. Это подтверждается успешным опытом проведения работ по методологии и организации статистики науки и инноваций в Национальном научном фонде США, министерствах науки Германии и Франции, Агентстве по науке и технологиям Японии.
Статистика науки и инноваций в нашей стране придерживается сегодня аналогичной организационной схемы. Положение о Миннауке России, утвержденное постановлением Правительства Российской Федерации 12 сентября 1997 г. 1158, было дополнено пунктом об ответственности Министерства за разработку методологии и организацию статистического наблюдения в сфере науки и технологий, включая подготовку с учетом международных стандартов и утверждение в установленном порядке форм статистической отчетности.
В течение 1991—1999 гг. ЦИСН при поддержке Миннауки России и во взаимодействии с Госкомстатом России выполнен обширный комплекс работ по созданию комплексной системы статистического наблюдения в сфере науки и инноваций.
В статистическую практику внедрены принципиально новые формы статистической отчетности о выполнении научных исследований и разработок, финансировании науки за счет средств федерального бюджета, о технологических инновациях, экспорте и импорте технологий, создании и использовании передовых производственных технологий; осуществлен ряд пионерных единовременных обследований (денежных доходов и уровня жизни ученых, их выезда на работу за рубеж и др.), отвечающих актуальным задачам научно-технической политики; реализуется программа статистических публикаций, получивших признание в нашей стране и за рубежом.
Качественное совершенствование статистики науки и инноваций в России связано с ее переводом на международные стандарты. Это важно не только для того, чтобы сделать отечественную статистику, а значит, и ситуацию в российской науке, понятной для мирового сообщества, что является неотъемлемым условием развития международного научно-технического сотрудничества.
Такая потребность прежде всего обусловлена тем, что в международной статистике уже сформирована методология системного описания научного и инновационного потенциала, отвечающая особенностям рыночной экономики.
Необходимость стандартизации статистики науки и ликвидации национальных различий в практике учета показателей первоначально возникла еще в середине 1950-х годов в процессе интеграции мирового капиталистического хозяйства, развития экономического и научно-технического сотрудничества ведущих индустриальных государств. Быстрый рост ресурсов, выделяемых ими на научные исследования и разработки, потребовал развертывания работ по сбору и анализу соответствующей информации.
В 1957 г. в рамках ОЭСР (до 1960 г. — Организация европейского экономического сотрудничества) была создана Группа национальных экспертов по показателям науки и техники, которая в 1963 г. в городе Фраскати (Италия) обсудила и приняла единую методику проведения статистических обследований научных исследований и разработок — Руководство Фраскати.
С этого момента подобные обследования приобрели регулярный характер; они служат базой не только для национальных оценок, но и для международного сопоставления показателей персонала и затрат на научные исследования и разработки, сравнительного анализа их организации и финансирования, научно-технической политики.
Руководство Фраскати содержит наиболее полное обобщение многолетнего международного опыта в области сбора, разработки и анализа статистических данных о развитии науки. С конца 1980-х годов оно стало важнейшим международным стандартом по статистике научных исследований и разработок, чему способствовали различные инициативы ОЭСР, в том числе семинары для европейских стран с переходной экономикой и других стран, не являющихся членами ОЭСР.
Положения Руководства Фраскати периодически уточняются в связи с изменениями в стратегии научно-технической политики на национальном и международном уровнях, организации научных исследований и разработок; пересмотром международных статистических стандартов (Системы национальных счетов, международных классификаций и др.); накоплением практического опыта в странах — членах ОЭСР.
Последняя, пятая редакция Руководства Фраскати принята в 1993 г. и опубликована на английском и французском языках в 1994 г., а в 1995 г. ЦИСН осуществил ее перевод и издание на русском языке*.
* Измерение научно-технической деятельности. Предлагаемая стандартная практика для обследований исследований и экспериментальных разработок: Руководство Фраскати / Перевод и научн. ред.
Л.М. Гохберга.
Париж—Москва: ОЭСР. ЦИСН, 1995.
В ней определены основные понятия, относящиеся к научным исследованиям и разработкам, их состав и границы; система институциональных и функциональных классификаций; подходы к измерению численности персонала, занятого научными исследованиями и разработками, и затрат на эти цели; процедуры проведения обследований; рекомендации по оценке и анализу бюджетных ассигнований на научные исследования и разработки, методологии расчета дефляторов и валютных паритетов.
В последующем, учитывая потребности в разработке специальных стандартизированных рекомендаций по вопросам статистического изучения актуальных аспектов развития науки и техники, их ресурсного обеспечения, результативности, влияния на экономический рост на национальном и международном уровнях, экспертами ОЭСР была подготовлена серия методологических руководств, образующих Семью Фраскати, в том числе по: измерению и интерпретации данных баланса платежей за технологии (1990 г.; пересмотренный вариант был опубликован ОЭСР совместно с Евростатом в 1997 г.); сбору данных о технологических инновациях — Руководство Осло (1992 г.); использованию патентных данных в качестве показателей науки и техники (1994 г.); измерению кадровых ресурсов науки и техники — Канберрское руководство (совместно с Евростатом, 1995 г.). Ведется также подготовка стандартов по измерению продукции и отраслей высокой, средней и низкой технологии, по библиометрической статистике.
С 1991 г. в этих работах в составе вышеназванной группы экспертов ОЭСР принимают участие российские специалисты.
Активную роль в создании новых и уточнении существующих международных стандартов по статистике науки и инноваций играет Евростат — Статистическая служба Европейского Союза. В 1969 г. Евростатом была разработана первая редакция Номенклатуры для анализа и сопоставления научных программ и бюджетов (в настоящее время действует редакция 1992 г.), являющаяся основой для сбора данных о бюджетных ассигнованиях на научные исследования и разработки по социально-экономическим целям в странах — членах ЕС, их обобщения и подготовки ежегодных докладов о государственном финансировании науки в ЕС.
Классификация отражает глобальные задачи, для решения которых выделяются государственные ассигнования на научные исследования и разработки; она претерпевает изменения по мере трансформации целей государственной научно-технической политики стран — членов ЕС. Евростатом подготовлены также рекомендации по региональным аспектам статистики науки и инноваций.
Систематический сбор, анализ и публикацию статистических данных о науке и технике осуществляет ЮНЕСКО. С целью гармонизации категорий и определений статистики науки для представления информации в ЮНЕСКО на двенадцатой сессии ее генеральной конференции в 1978 г. была одобрена Рекомендация по международной стандартизации статистики науки и техники, в развитие которой в 1984 г. опубликовано Руководство ЮНЕСКО по статистике науки и техники.
В нем учитывался опыт как ОЭСР, так и бывшего Совета экономической взаимопомощи. В дальнейшем, однако, была признана необходимость пересмотра и уточнения данного документа на основе Руководства Фраскати в направлениях, намеченных на специальном совещании экспертов по статистике науки и техники (Париж, июль 1995 г.).
Стандартизация данных позволяет международным организациям регулярно проводить оценку совокупных научных потенциалов стран, сопоставления их величины и структуры в отдельных государствах, разрабатывать предложения по совершенствованию научно-технической и инновационной политики, развитию международного сотрудничества.
Устранение существенных отличий методологии и практики отечественной статистики науки и инноваций от международных стандартов, отвечая современным реалиям российской науки и потребностям научно-технической политики, позволяет обеспечить объективное отражение состояния научного и инновационного потенциала, оперировать едиными с мировым сообществом понятиями, создавая тем самым необходимую информационную базу для сотрудничества и инвестиций.
Контрольные вопросы
- Дайте определение научных исследований и разработок и их основных видов. .
- Что понимается под инновационной деятельностью?
- Каковы задачи статистики науки и инноваций в современных условиях?
- Назовите основные группы показателен статистики науки и инноваций.
- По каким признакам осуществляется классификация научных исследований и разработок в статистике?
Основные общероссийские и основные международные экономико-статистические классификации
Каждый из рассматриваемых общероссийских классификаторов характеризуется, как правило, стандартной формализованной структурой, устанавливающей определенный набор классификационных элементов.
В рассмотренных ниже в качестве примеров общероссийских классификаторах обозначены: категория общероссийского классификатора (ОК), трехзначный регистрационный номер и отделенные от него тире две последние цифры года принятия (утверждения) классификатора Госстандартом России.
Формула структуры кода общероссийских классификаторов иллюстрируется с использованием символов X, характеризующих разряды кодов классификационных группировок. Признаки классификационных группировок на каждом уровне классификационного деления могут обозначаться одним или несколькими символами X, которые связаны между собой знаком +.
Общероссийский классификатор видов экономической деятельности, продукции и услуг (ОКДП)
Условное обозначение: ОК 004-93.
Объекты классификации виды экономической деятельности, осуществляемые во всех отраслях экономики: сельское хозяйство, охота и лесоводство; рыболовство; горнодобывающая промышленность и разработка карьеров; обрабатывающая промышленность и др., а также продукция и услуги как результат экономической деятельности.
Признаки классификации: функциональное назначение, направленность использования, характерные свойства, конструктивно-технологические особенности и др.
Кодовые обозначения: четырехзначный цифровой десятичный код для видов экономической деятельности; семизначный цифровой десятичный код для группировок продукции и услуг.
Формулы (типовые) структуры кодов:
ХХ+Х+Х для видов экономической деятельности;
ХХ+Х+Х+ХХ+Х для видов продукции и услуг.
Форма и пример записи позиций для видов экономической деятельности приведены в табл. 8.1.
Таблица 8.1
|
Группа |
Подгруппа |
Наименование деятельности |
|
192 |
1921 |
Производство обуви
Производство кожаной обуви |
Пример построения кодов классификационных группировок:
Раздел А Сельское хозяйство, охота и лесоводство
01 Сельское хозяйство, охота и связанная с этим деятельность по предоставлению услуг
011 Растениеводство: выращивание сельскохозяйственных культур, товарное овощеводство, садоводство
0111 Выращивание зерновых культур
Форма и пример записи позиций для видов продукции и услуг показаны в табл. 8.2.
Таблица 8.2
|
Класс |
Вид |
Наименование видов продукции (услуг) |
|
0111000 |
0111110 0111111 |
Зерновые, основные зернобобовые культуры
Пшеница озимая твердая
Зерно пшеницы озимой твердой |
Пример построения кодов классификационных группировок:
Раздел А Продукция и услуги сельского хозяйства, охоты и лесоводства
01 Продукция растениеводства
0111 Зерновые, основные зернобобовые культуры
011111 Пшеница озимая твердая
0111111 Зерно пшеницы озимой твердой
Для уточнения содержания группировок видов экономической деятельности и обеспечения однозначного трактования и интерпретации используемых понятий в ОКДП приведены текстовые описания группировок (пример такого описания приведен в табл. 8.3).
Таблица 8.3
|
Группировка |
Описание группировки |
|
2524 |
Производство тары из пластмасс
Эта подгруппа включает виды деятельности, связанные с производством тары из пластмасс. Номенклатура производимых видов продукции включает: мешки, пакеты, бочки, фляги, флаконы. бутыли, банки, ящики, коробки, лотки из полиэтилена, поли-винилхлорида. полистирола, полипропилена, фторопласта, полиамида и прочих полимерных материалов |
Общероссийский классификатор управленческой документации (ОКУД)
Условное обозначение: ОК 011-93.
Объекты классификации: общероссийские (межотраслевые, межведомственные) унифицированные формы документов, утвержденные министерствами (ведомствами) РоссийскоQ Федерации разработчиками унифицированных систем документации (УСД).
Признаки классификации: принадлежность к соответствующей унифицированной системе документации, общность содержания документов и направленности их использования.
Кодовое обозначение: семизначный цифровой десятичный код.
Формула (типовая) структуры кода: ХХ+ХХ+ХХХ.
Форма и пример записи позиций приведены в табл. 8.4.
Таблица 8.4
|
Код |
КЧ |
Наименование формы |
Индекс |
Периодичность |
|
0602001 |
5 |
Отчет о наличии и движении основных фондов |
11 |
годовая |
Пример построения кодов классификационных группировок:
06 Унифицированная система отчетно-статистической документации
0606 Документация по статистике труда
0606002 Отчет по труду
Общероссийский классификатор валют (ОКВ)
Условное обозначение: ОК 014-94.
Объекты классификации: национальные валюты денежные единицы стран мира и территорий.
Признаки классификации: принадлежность национальных валют к странам мира и территориям.
Кодовое обозначение включает два идентификационных кода:
трехзначный цифровой код;
трехзначный буквенный код.
Формула (типовая) структуры кода: XXX.
Форма и пример записи позиций приведены в табл. 8.5.
Таблица 8.5
|
Код валюты |
Наименование
валюты |
Краткое наименование стран
и территорий |
|
Цифровой |
буквенный |
810
826 |
RUR
GBR |
Российский рубль
Фунт стерлингов |
Российская Федерация
Соединенное королевство (Великобритания) |
Общероссийский классификатор единиц измерения (ОКЕИ)
Условное обозначение: ОК 015-94.
Объекты классификации: единицы измерения, используемые в различных сферах, в том числе единицы длины, площади, объема, технические единицы, единицы времени, экономические единицы.
ОКЕИ содержит два раздела.
Первый раздел ОКЕИ Международные единицы измерения, включенные в ЕСКК сформирован на базе международной классификации единиц измерения, представленной в Рекомендации 20 РГ ЕЭК ООН, и включает в себя наиболее употребляемые в Российской Федерации единицы измерения.
Второй раздел ОКЕИ Национальные единицы измерения, включенные в ЕСКК.
Кодовое обозначение: трехзначный цифровой код.
Формула (типовая) структуры кода: XXX.
Форма и пример записи позиций 1-го раздела в табл. 8.6.
Таблица 8.6
|
Код |
Наименование единицы измерения |
Условное обозначение |
Кодовое буквенное обозначение |
|
национальное |
международное |
национальное |
международное |
|
003 |
Миллиметр |
мм |
mm |
ММ |
ММТ |
Форма и пример записи позиций 2-го раздела в табл. 8.7.
Таблица 8.7
|
Код |
Наименование единицы измерения |
Условное обозначение (национальное) |
Кодовое буквенное обозначение (национальное) |
|
018 |
Погонный метр |
пог. м |
ПОГ М |
Общероссийский классификатор профессий рабочих, должностей служащих и тарифных разрядов (ОКПДТР)
Условное обозначение: ОК 016-94.
Объекты классификации: профессии рабочих и должности служащих.
ОКПДТР состоит из двух разделов:
профессии рабочих,
должности служащих.
Первый раздел ОКПДТР профессии рабочих включает в себя профессии рабочих в соответствии с Единым тарифно-квалификационным справочником работ и профессий рабочих (ЕТКС), а также профессии рабочих, права и обязанности которых предусмотрены в уставах, специальных положениях и соответствующих постановлениях, регламентирующих состав профессий в отраслях экономики.
Кодовое обозначение: пятизначный цифровой десятичный код.
Формула (типовая) структуры кода: Х+ХХХХ.
Форма и пример записи позиций даны в табл. 8.8.
Таблица 8.8
|
Код |
КЧ |
Наименование профессии |
Код выпуска ЕТКС |
Код по ОКЗ |
|
19149 |
6 |
Токарь |
02 |
7223 |
В качестве дополнительных классификационных признаков закодированы 2-й выпуск ЕТКС (код 02) и базовая группа по Общероссийскому классификатору занятий: 7223 Станочники на металлообрабатывающих станках, наладчики станков и оборудования.
В составе ОКПДТР отдельно представлены следующие фасеты, характеризующие признаки профессий рабочих:
фасет 01 виды производства и работ два знака;
фасет 02 тарифные разряды один знак;
фасет 03 классы (категории) квалификации один знак;
фасет 04 формы и системы оплаты труда два знака;
фасет 05 условия труда один знак;
фасет 06 степень механизации труда один знак;
фасет 07 производные профессии один знак.
Пример построения сборного кода, включающего коды фасетов:
19149 6 02 7223 5 12 1 2,
где 1 профессия; 9149 токарь; 6 КЧ; 02 2-й выпуск ЕТКС; 7223 базовая группа по ОКЗ; 5 5-й тарифный разряд; 12 сдельно-премиальная система оплаты труда; 1 нормальные условия труда; 2 рабочий, выполняющий работу при помощи машин и механизмов.
Второй раздел ОКПДТР должности служащих включает в себя должности служащих в соответствии с Единой номенклатурой должностей служащих.
Кодовое обозначение: пятизна_ный цифровой десятичный код.
Формула (типовая) структуры кода: Х+ХХХХ.
Форма и пример записи позиций приведены в табл. 8.9.
Таблица 8.9
|
Код |
КЧ |
Наименование должности |
Код категории |
Код по ОКЗ |
|
24695 |
1 |
Начальник отдела (финансово-экономического и административного) |
1 |
1231 |
В качестве дополнительных классификационных признаков закодированы 1-я категория должности и базовая группа по ОКЗ: 1231 Руководители финансово-экономических и административных подразделений (служб).
В составе ОКПДТР отдельно представлены следующие фасеты, характеризующие признаки должностей служащих:
фасет 10 категории должностей один знак;
фасет 11 производные должности два знака 11;
фасет 12 категории (классы) квалификации один знак.
Пример построения сборного кода, включающего коды фасетов:
2 4695 1 1 1231 03,
где 2 должность; 4695 начальник отдела (финансово-экономического и административного); 1 КЧ; 1 категория руководителей; 1231 базовая группа по ОКЗ; 03 производная должность заместитель.
Общероссийский классификатор объектов административно-территориального деления (ОКАТО)
Условное обозначение: ОК 019-95.
Объекты классификации: республики, края, области, города федерального значения, автономная область, автономные округа, районы; города, внутригородские районы, округа города; поселки городского типа, сельсоветы, сельские населенные пункты.
Признаки классификации: территориальное деление объектов в соответствии с административной подчиненностью.
Классификатор включает два раздела: Объекты административно-территориального деления, кроме сельских населенных пунктов (I раздел) и Сельские населенные пункты (II раздел).
Кодовые обозначения: восьмизначный цифровой десятичный код (для I раздела); одиннадцатизначный цифровой десятичный код (для II раздела).
Формулы (типовые) структуры кода:
ХХ+ХХХ+ХХХ (для I раздела);
ХХ+ХХХ+ХХХ+ХХХ (для II раздела).
Форма и пример записи позиций для I раздела показаны в табл. 8.10.
Таблица 8.10
|
Код |
КЧ |
Наименование |
Дополнительные данные |
|
46 230 800 46 230 802 |
5
5 |
Сельсоветы Луховицкого района
Аксеновский |
д. Аксеново |
Пример построения кода классификационных группировок:
76 2 12 8 25,
где 76 (1 и 2-й разряды) Читинская область;
2 (3-й разряд) признак района (второй уровень классификации);
12 (4 и 5-й разряды) код Забайкальского района;
8 (6-й разряд) признак сельсовета (третий уровень классификации);
25 (7 и 8-й разряды) код Даурского сельсовета.
Форма и пример записи позиций для II раздела даны в табл. 8.11.
Таблица 8.11
|
Код |
Наименование |
46 230 802 000
46 230 802 001 |
Сельские населенные пункты Аксеновского сельсовета
д. Аксеново |
Пример построения кода классификационных группировок:
03 201 557 002,
где 03 (1 и 2-й разряды) Краснодарский край; 2 (3-й разряд) признак района; 01 (4 и 5-й разряды) Абинский район; 5 (6-й разряд) признак рабочего поселка; 57 (7 и 8-й разряды) рабочий поселок Холмский; 002 (9, 10, 11-й разряды) хутор Кравченко.
Общероссийский классификатор экономических регионов (ОКЭР)
Условное обозначение: ОК 024-95.
Объекты классификации: экономические районы, межрегиональные ассоциации экономического взаимодействия, экономические зоны и макрозоны и др.
Признаки классификации: общность регионов по условиям хозяйствования, разработки и осуществления региональных программ, изучения и контроля природно-климатических, экологических и геологических параметров местности, обеспечения таможенного контроля и др.
Кодовое обозначение: трехзначный цифровой десятичный код.
Формула (типовая) структуры кода: XXX.
Форма и пример записи позиций приведены в табл. 8.12.
Таблица 8.12
|
Экономический район |
Республика, край, область, автономный округ, город федерального значения |
|
Код ОКЭР |
КЧ |
Наименование |
Код ОКАТО |
Наименование |
|
051 |
3 |
Северо-Западный район |
40
41
49
58 |
г. Санкт-Петербург
Ленинградская обл.
Новгородская обл.
Псковская обл. |
8.2. Краткое описание состава и структуры основных международных и региональных экономико-статистических классификаций
В зарубежной практике международные классификаторы принято называть классификациями, что в большей степени соответствует английскому слову classification, а английским словом classificator иногда называют специалиста, занимающегося разработкой классификаций.
Во французском языке классификации имеют название nomenclatures номенклатуры, чем объясняется использование в названиях многих международных классификаций, разработанных с участием французских специалистов, именно этого термина, который соответствующим образом переводится на русский язык.
В российской статистике преимущественно применяются международные классификации, разработанные статистическими службами ООН, ЕС и Международной организацией по стандартизации (ИСО). Применение международных классификаций осуществляется, как правило, путем их полного или частичного использования при разработке общероссийских классификаторов или, в отдельных случаях, путем прямого использования в виде русскоязычных версий международных классификаций, прошедших научное редактирование и терминологическую экспертизу специалистов по соответствующим областям знаний.
Приведем несколько таких классификаций.
Международная стандартная отраслевая классификация всех видов экономической деятельности (МСОК), версия 3 International Standard Industrial Classification of All Economic Activities (ISIC), rev. 3
Разработчик: Статистическая комиссия ООН.
Объекты классификации: виды экономической деятельности и их комплексы в виде отраслей экономики от сельского хозяйства до сферы услуг (образование, здравоохранение и др.).
Признаки классификации: характер производственных процессов, тип используемого оборудования, вид исходных материалов и конечной продукции.
Кодовое обозначение: четырехзначный цифровой десятичный код. Для обозначения разделов классификации применяются одноразрядные буквенные коды.
Формула (типовая) структуры кода: ХХ+Х+Х.
Форма и пример записи позиций даны в табл. 8.13.
Таблица 8.13
|
Раздел |
Группа |
Подгруппа |
Описание |
|
D ОБРАБАТЫВАЮЩАЯ ПРОМЫШЛЕННОСТЬ |
|
Подраздел 15 Производство пищевых продуктов и напитков |
| |
155 |
1552 |
Производство напитков
Производство вин |
В состав МСОК кроме классификационной структуры (перечня кодов и наименований классификационных группировок) входят:
- описание принципов и общих правил классифицирования статистических единиц и определения основного, вспомогательных и подсобных видов деятельности;
- пояснения, раскрывающие содержание группировок;
- переходной ключ между третьей и второй версиями МСОК.
Общая отраслевая классификация видов экономической деятельности в рамках Европейского Союза (КДЕС), версия 1 General Industrial Classification of Economic Activites Within the Europen Communities (NACE), rev. 1
Разработчик: Статистическое управление Европейского Союза (Евростат).
Объекты и признаки классификации аналогичны МСОК. Кодовое обозначение: четырехзначный цифровой десятичный код.
Между вторым и третьим разрядами проставляется разделительная точка для зрительного распознавания кода.
Двухразрядные и одноразрядные буквенные коды служат только для обозначения секций и подсекций, в состав кодов классификационных группировок не входят.
Формула (типовая) структуры кода: ХХ+Х+Х.
Форма и пример записи позиций в табл. 8.14.
Таблица 8.14
|
Раздел |
Группа |
Класс |
Описание |
МСОК,
версия 3 |
|
Секция D ОБРАБАТЫВАЮЩАЯ ПРОМЫШЛЕННОСТЬ |
|
Подсекция DB Текстильная промышленность |
|
17 |
|
|
Производство текстильных изделий |
|
| |
17.7 |
|
Производство трикотажных и вязаных изделий |
1730 |
| |
|
17.72 |
Производств трикотажных и вязаных пуловеров, кардиганов и похожих изделий |
1730 |
По сравнению с МСОК группировки КДЕС имеют более детализированную структуру на уровне 3, 4-го разрядов кода.
В состав КДЕС включены пояснения, раскрывающие содержание группировок.
Классификация основных продуктов (КОП), версия 1 Central Products Classification (CPC),
rev. 1
Разработчик: Статистическая комиссия ООН.
Объекты классификации: товары, услуги, материальные и нематериальные активы.
Признаки классификации: сырье, используемое для изготовления продукции; способ производства; предназначение.
Кодовое обозначение: пятизначный цифровой десятичный код.
Формула (типовая) структуры кода: Х+Х+Х+Х+Х.
Форма и пример записи позиций показаны в табл. 8.15.
Таблица 8.15
|
Группа |
Класс |
Подкласс |
Наименование |
Коды соответствия |
|
МСОК |
ГС* |
МСТК** |
|
|
|
Секция 0
Продукция сельского хозяйства, лесного хозяйства и рыболовства |
|
|
|
|
|
|
Раздел 01
Продукция сельского хозяйства. садоводства и огородничества |
|
|
|
|
016 |
|
|
Культуры для производства напитков и пряностей |
|
|
|
|
0161 |
|
Культуры для производства напитков |
|
|
|
|
|
01611 |
Кофе, необжаренный, содержащий кофеин |
0113 |
0901.11 |
071.11 |
* ГС Гармонизированная система описания и кодирования товаров.
** Международная стандартная торговая классификация.
В состав КОП кроме его классификационной структуры входят:
- описание принципов построения КОП и ее взаимосвязи с другими международными классификациями товаров и услуг;
- пояснения, относящиеся к услугам;
- переходные ключи прямой (КОП МСОК) и обратный (МСОК КОП) на уровне первых двух знаков кода, идентифицирующих разделы КОП.
Основой построения КОП являлась МСОК, в которой использован принцип отраслевого группирования видов деятельности, результатами которых выступает продукция, однородная по своему производственному происхождению.
Вместе с тем КОП и МСОК не всегда имеют прямое соответствие, поскольку принцип отраслевого группирования, использованный для построения КОП, был не единственным пр его разработке.
Гармонизированная система описания и кодирования товаров (ГС) Harmonised Commodity Description and Coding System (HS)
Разработчик: Совет таможенного сотрудничества.
Объекты классификации: транспортируемые через государственную границу товары, включая некоторые материальные результаты предоставляемых услуг, например чертежи архитекторов, дискеты программного обеспечения.
Признаки классификации: степень обработки, назначение, вид материала, из которого изготовлен товар, значение товара в мировой торговле.
Кодовое обозначение: шестизначный цифровой десятичный код. Код содержит разделительные точки между вторым и третьим, а также между четвертым и пятым цифровыми кодами.
Для кодирования разделов используются римские цифры, которые не взаимосвязаны с кодами товарных группировок.
Отдельные товарные группировки не имеют цифровых кодов, их обозначением является графический знак (тире).
Формула (типовая) структуры кода: ХХ+ХХ+ХХ.
Форма и пример записи позиций:
Раздел II
Продукты растительного происхождения
Группа 07
Овощи, некоторые корнеплоды и клубнеплоды пищевые
07.08 Бобовые культуры, в стручках или очищенные, свежие или охлажденные
0708.10 Горох (PISUM SATIVUM)
0708.20 Фасоль (VIGNA SPP., PHASEOLUS SPP.)
ГС является основой для определения ставок таможенных пошлин и сопоставления статистических данных во внешней торговле.
Позиции ГС содержат самые детальные из имеющихся в других классификациях пояснения.
Товарная номенклатура внешнеэкономической деятельности Содружества Независимых Государств (ТН ВЭД СНГ)
Разработчики: Государственный таможенный комитет Российской Федерации и Совет руководителей таможенных служб СНГ.
Кодовое обозначение: девятизначный цифровой десятичный код.
Первые восемь знаков кода полностью совпадают с кодами Комбинированной тарифно-статистической номенклатуры Европейского Союза (КН ЕС). Девятый знак кода предназначен для возможной детализации товарных позиций в интересах СНГ.
Формула (типовая) структуры кода: ХХ+ХХ+ХХ+ХХ+Х.
Форма и пример записи позиций приведены в табл. 8.16.
Таблица 8.16
|
Код |
Наименование |
07
0707 00
070700 110 |
Овощи и некоторые съедобные корнеплоды
Огурцы и корнишоны, свежие или охлажденные
Огурцы |
Международная стандартная торговая классификация (МСТК), версия 3 Standard Industrial Trade Classification (SITC), rev. 3
Разработчик: Статистическое управление ООН.
Объекты классификации: товары для внешней торговли.
Признаки классификации: свойства и характеристики товаров.
Кодовое обозначение: пятизначный цифровой десятичный код.
Код содержит разделительную точку между третьим и четвертым знаками кода.
Формула (типовая) структуры кода: Х+Х+Х+Х+Х.
Форма и пример записи позиций в табл. 8.17.
Таблица 8.17
|
Код |
Наименование |
ГС |
МСТК, версия 2 |
|
1 |
Напитки и табак |
|
|
|
11 |
Напитки |
|
|
|
112 |
Алкогольные напитки |
|
112 |
|
112.4 |
Спиртные напитки |
22.08 |
112.4 |
|
112.41 |
Виски |
2208.30 |
112.41 |
В настоящее время МСТК потеряла свою значимость в связи с переходом международной торговли во всем мире на Гармонизированную систему описания и кодирования товаров (ГС).
Классификация потребительских товаров и услуг для населения (КПТУН) Classification of Individual Consumption by Purpose (COICOP)
Разработчик: Статистическое управление ООН.
Объекты классификации: товары и услуги, предназначенные для потребления населением.
Признаки классификации: свойства и характеристики товаров и услуг.
Кодовое обозначение: четырехзначный цифровой десятичный код.
Код содержит разделительные точки между вторым и третьим, а также между третьим и четвертым знаками кода.
Форма и пример записи позиций:
01 Продовольственные товары и безалкогольные напитки
01.1 Продовольственные товары
01.1.8 Сахар, варенье, мед, сиропы, шоколад и кондитерские изделия
КПТУН предназначен для наблюдений за расходами населения на личное потребление при обследованиях домашних хозяйств.
Международная стандартная классификация занятий (МСКЗ) International Standard Classification of Occupations (ISCO)
Разработчик: Международная организация труда.
Объекты классификации: виды профессиональной трудовой деятельности (занятия), приносящие заработок и доход.
Признаки классификации: выполняемые функции и обязанности, характеризующиеся уровнем квалификации, специализацией и результатами труда.
Кодовое обозначение: четырехзначный цифровой десятичный код.
Формула (типовая) структуры кода: Х+Х+Х+Х.
Форма и пример записи позиций приведены ниже:
7 Профессии квалифицированных рабочих крупных и мелких промышленных предприятий, художественных промыслов и родственные профессии
71 Рабочие, занятые в добывающей промышленности и в строительстве
711 Горнорабочие и взрывники, тесальщики и резчики камня
7111 Горнорабочие и рабочие карьеров (на открытых выработках)
8.3. Направления гармонизации международных, региональных и национальных классификаций
В данном параграфе для обеспечения простоты изложения рассматриваемых в нем вопросов общероссийские классификаторы будут условно называться классификациями, как это принято в международной практике.
Под гармонизацией любых классификаций, как общероссийских, так и международных, принято понимать процесс установления их содержательного, структурного, терминологического и кодового соответствия. При этом, учитывая, что полностью гармонизированные между собой классификации могут значительно облегчить сравнение статистических данных, представляемых разными странами и разными международными и региональными организациями в соответствии с разработанными в них классификациями, является совершенно очевидным, что степень гармонизации классификаций, к которой следует стремиться, должна быть максимальной.
Отчет о составе основных средств.
К требующему монтажа относится оборудование, вводимое в действие только после сборки его частей или прикрепления к фундаменту, опорам, полу и другим несущим конструкциям, а также предназначенное для монтажа в составе установленного оборудования. К не требующему монтажа относится оборудование, которое не нуждается в предварительной сборке и установке на несущие конструкции.
В объем капитальных вложений входят лишь затраты на оборудование, не требующее монтажа, после его приобретения и поступления на предприятие.
Затраты на оборудование, требующее монтажа, включаются в капитальные вложения только после начала работы по его монтажу или подготовке к монтажу. В связи с этим при расчете валового накопления основного капитала к величине капитальных вложений в оборудование, инструмент, инвентарь необходимо добавить объем неустановленного оборудования, требующего монтажа, находящегося на складах в капитальном строительстве.
Капитальные вложения в оборудование, инструмент, инвентарь не включают затраты на приобретение оборудования и инвентаря, осуществляемые бюджетными организациями и учреждениями (школами, больницами, детскими садами и т.д.) за счет ассигнований по статье 12 бюджетной классификации. При расчете валового накопления основного капитала эта величина должна быть добавлена к затратам на приобретение оборудования, инструмента и инвентаря.
В состав капитальных вложений не входят затраты на формирование основного стада, поэтому изменение стоимости основного стада необходимо добавить при расчете валового накопления основного капитала. Капитальные вложения не включают в себя также затраты на геолого-разведочные и буровые работы за счет операционных расходов по государственному бюджету.
Величина этих затрат также должна быть учтена в валовом накоплении основного капитала.
В то же время валовой выпуск отрасли Геология и разведка недр, геодезическая и гидрометеорологическая служба включает в себя не только работы, связанные с разведкой полезных ископаемых и относимые по методологии СНС к валовому накоплению основного капитала, но и топографо-геодезические, опытно-методологические работы, работы по подготовке гидрометеорологических прогнозов и информации об уровне загрязнения окружающей среды и др. Затраты на такие работы не могут рассматриваться в качестве элемента валового накопления основного капитала и должны быть учтены в промежуточном потреблении.
В состав капитальных вложений входят затраты на культуртехнические мероприятия по поверхностному улучшению земель для сельскохозяйственного пользования (планировка земельных участков, корчевка пней, очистка полей от камней и валунов и др.). В то же время в объем капитальных вложений не включаются затраты по улучшению земель, проводимые за счет операционных средств по государственному бюджету, которые должны быть добавлены к валовому накоплению основного капитала по отрасли Строительство (без проектных и изыскательских работ).
Затраты на капитальный ремонт основных средств в валовом накоплении основного капитала учитываются только в части затрат, которые приводят к существенному улучшению характеристик основного капитала, увеличению срока службы или к полному его восстановлению. Источником данных о затратах на капитальный ремонт основных фондов является ф. 11 (годовая) Отчет о вводе в действие объектов, основных фондов и использовании капитальных вложений.
Капитальный ремонт зданий и сооружений относится к отрасли Строительство (без проектных и изыскательских работ).
Распределение объема выполненного капитального ремонта по видам машин и оборудования (по номенклатуре отраслей МОЕ) производится по структуре валового выпуска отраслей по ремонту машин и оборудования.
Затраты на приобретение программного обеспечения ЭВМ, авторские права на произведения науки, искусства, литературы и др. рассматриваются в качестве затрат на приобретение нематериальных активов. Нематериальные активы отражаются в валовом накоплении основного капитала в сумме затрат на приобретение, изготовление и расходов по их доведению до состояния, в котором они пригодны для использования.
Расходы, связанные с передачей прав собственности на произведенные и непроизведенные активы, включающие сборы и комиссионные вознаграждения посредникам, адвокатам, брокерам и т.д., а также налоги определяются экспертным путем на основании данных строки 033 Другие виды основных средств ф. 11 (годовая) и распределяются по отраслям МОБ по структуре валового выпуска отраслей Операции с недвижимым имуществом, Аренда машин и оборудования произвоственно-технического назначения и Услуги управления.
Выбытие основного капитала уменьшает валовое накопление основного капитала на сумму стоимости материальных ценностей (лома и других материалов), полученных от ликвидации основных фондов. Она может быть рассчитана как разница между остаточной и недоамортизи-рованной стоимостью ликвидационных основных фондов.
Данные об остаточной стоимости ликвидированных фондов содержатся в отчетном балансе основных фондов за вычетом амортизации (износа).
Расчет недоамортизированной стоимости ликвидированных основных фондов производится на основании удельного веса недоамортизированной стоимости в остаточной стоимости ликвидированных основных средств.
Распределение валового накопления основного капитала по отраслям межотраслевого баланса осуществляется на основе ф. 11 Отчет о составе основных средств. По каждому виду основных фондов из показателей наличия основных фондов на конец года вычитаются показатели наличия основных фондов на начало года.
Для распределения капитальных вложений на оборудование, инструмент, инвентарь по фон-дообразующим отраслям МОБ используется приложение к ф. 11 (годовая) Отчет о составе основных средств.
14.5. Расчет изменения запасов материальных оборотных средств в МОБ СНС как компонента ВВП
Запасы материальных оборотных средств представляют собой запасы продукции, которая еще находится распоряжении производителей до того, как она будет далее переработана, продана, доставлена другим единицам или использована иными способами, а также запасы продукте, приобретенных у других единиц и предназначенных для использования в производстве или для перепродажи без дальнейшей переработки. К материальным оборотным средствам относятся: сырье, материалы, топливо, корма, семена и другие материальные ценности, незавершенное производство и полуфабрикаты собственного изготовления, готовые товары, товары для перепродажи.
Изменение запасов материальных оборотных средств в течение какого-либо периода рассчитывается как разница между их стоимостью на конец и на начало периода. Общая величина изменения запасов материальных оборотных средств отражена в счете операций с капиталом. Расчет изменения запасов материальных оборотных средств осуществляется по крупным отраслям экономики по следующим их группам:
- изменение производственных запасов (без запасов продукции сельского хозяйства в хозяйствах производителей);
- изменение незавершенного производства;
- изменение готовой продукции (без продукции сельского хозяйства в хозяйствах производителей);
- изменение товаров;
- изменение запасов сельскохозяйственного производства, включая скот-молодняк и скот на Vткорме;
- изменение товаров в пути;
- изменение лесонасаждений;
- изменение государственного материального резерва.
14.6. Расчет элементов добавленной стоимости в МОБ СНС как основной составляющей ВВП
Общий итог валовой добавленной стоимости по отраслям межотраслевого баланса рассчитывается как разница между валовым выпуском и промежуточным потреблением. Валовая добавленная стоимость показывает распределение по отраслям, выделяемым в межотраслевом балансе, первичных доходов, полученных в результате непосредственного участия в процессе производства (оплата труда, налоги на производство, прибыль, смешанные доходы).
Доходы от собственности в МОБ не отражаются. В валовой добавленной стоимости в МОБ выделяются следующие статьи:
- оплата труда (без фактических отчислений на социальное страхование);
- фактические отчисления на социальное страхование;
- чистая прибыль;
- чистый смешанный доход;
- другие налоги на производство;
- другие субсидии на производство (-);
- потребление основного капитала.
Контрольные итоги элементов валовой добавленной стоимости по отраслям экономики рассчитываются в счете образования доходов системы национальных счетов.
Оплата труда включает прежде всего заработную плату как вознаграждение в денежной или натуральной форме, выплаченное за работу, выполненную в отчетном периоде, и учитывается на основе начисленных сумм, т.е. без вычета налогов и других удержаний в соответствии с законодательством. Начисления в иностранной валюте включаются в расчет в пересчете на национальную валюту по курсу национального банка.
Заработная плата учитывается по всем категориям хозяйственных единиц, независимо от формы собственности.
Оплата труда (без фактических отчислений на социальное страхование) охватывает:
1) в денежной форме:
- заработную плату, начисленную за выполненную работу (проработанное время) по сдельным расценкам, тарифным ставкам, должностным окладам или в процентах от выручки, в долях от прибыли;
- выплаты стимулирующего характера (премии за производственные результаты, вознаграждения по итогам работы за год, вознаграждения за выслугу лет, стаж работы, надбавки к тарифным ставкам и окладам за профессиональное мастерство, высокие достижения в труде и др.);
- выплаты компенсирующего характера, связанные с режимом работы и условиями труда (выплаты, обусловленные районным регулированием оплаты труда; доплаты за работу в особых условиях; надбавки за подвижной и разъездной характер работ для работников, занятых в строительстве, реконструкции и капитальном ремонте; полевое довольствие; оплата за работу в выходные и прадничные дни и др.);
- выплаты работникам, которые не являются вознаграждением за труд (относятся, как правило, к пособиям по социальному обеспечению) и производятся предприятиями в отношении индивидуальных наемных работников при наличии определенных условий (например, пенсии работающим пенсионерам, возмещение заработка и других расходов в случае увечья или иного повреждения здоровья работника);
- выходное пособие при прекращении трудового договора;
- материальную помощь;
- стипендии за счет средств предприятия и др. (эти выплаты в СНС учитываются как условные отчисления на социальное страхование и входят в оплату труда);
- оплату за непроработанное время в соответствии с законодательством (например, оплата ежегодных и дополнительных отпусков, денежная компенсация за неиспользованный отпуск, оплата льготных часов подростков, оплата простоев не по вине работников);
- суточные и подъемные;
- процентное или комиссионное вознаграждение;
- заработную плату работников во время их обучения с отрывом от работы в системе повышения квалификации и переподготовки кадров;
- оплату за производство продукции (работ, услуг), признанную браком не по вине работника;
- оплату труда студентов и учащихся, проходящих производственную практику на предприятии;
- оплату труда лиц, привлеченных для работы на предприятии согласно специальным договорам, принятых на работу по совместительству из других предприятий и организаций;
- оплату труда внештатных работников за выполнение разовых работ;
- компенсацию удорожания стоимости питания работников в столовых, буфетах, профилакториях, а также детям, находящимся в детских дошкольных учреждениях, санаториях и оздоровительных лагерях;
- компенсационные выплаты в связи с повышением цен, производимые сверх размеров индексации доходов по решениям правительства;
- заработную плату домашней прислуги;
- чаевые;
2) в натуральной форме:
- стоимость бесплатно предоставленных работникам отдельных отраслей экономики (в соответствии с законодательством) коммунальных услуг, питания, товаров (включая форменную одежду, обмундирование, остающиеся в личном пользовании) или сумма льгот в связи с их продажей по пониженным ценам;
- расходы по оплате предоставляемого работникам предприятий бесплатного жилья или денежной компенсации за непредоставление бесплатного жилья, коммунальных услуг и т.п.;
- оплату путевок работникам и их детям на лечение, отдых, экскурсии и путешествия за счет средств предприятия, организации;
- стоимость льгот по оплате проезда для работников транспорта;
- необязательные отчисления на медицинское страхование;
- оплату проезда членов семьи работника к месту проведения отпуска и обратно;
- расходы по оплате услуг поликлиник по договорам, заключенным с органами здравоохранения на предоставление своим работникам медицинской помощи; плату за содержание детей в дошкольных учреждениях за счет средств предприятия;
- оплату абонементов в группы здоровья, занятий в секциях, клубах, подписки на газеты и журналы, протезирования и т.п.;
- оплату проезда к месту работы транспортом общего пользования, специальными маршрутами, ведомственным транспортом;
- страховые платежи, уплачиваемые предприятиями по договорам личного и имущественного страхования, заключенным предприятиями в пользу своих работников.
Вознаграждение в натуральной форме состоит из товаров и услуг, которые не являются необходимыми для работы и могут быть использованы наемными работниками для удовлетворения их собственных потребностей или потребностей других членов домашнего хозяйства. Оценка товаров и услуг, предоставляемых работодателями в качестве вознаграждения в натуре, производится следующим образом.
В случае приобретения работодателем они должны быть оценены по ценам покупателя; если они произведены работодателем, — по ценам производителя. Если товары и услуги предоставляются наемным работникам бесплатно, то в заработную плату включается их полная стоимость.
Если они предоставляются по сниженным ценам, включается только разница между полной и сниженной ценой.
Заработная плата не включает:
- расходы предприятий и организаций, осуществляемые в интересах производства, хотя они могут соответствовать также интересам работников (относятся к промежуточному потреблению);
- командировочные расходы (в части оплаты услуг гостиниц и проезда);
- стоимость выданной спецодежды, лечебно-профилактического питания работников, возмещение расходов работников на приобретение инструментов, необходимых для выполнения работ;
- расходы на обучение и повышение квалификации работников (кроме сохраняемой за ними заработной платы, оплаты учебных отпусков, стипендий);
- компенсация за использование личных автомобилей для служебных поездок;
- расходы на благоустройство садоводческих товариществ (строительство дорог, энерго- и водоснабжение, мелиоративные работы и другие расходы общего характера), строительство гаражей (относимых к валовому накоплению основного капитала предприятий);
- доходы (дивиденды, проценты), выплачиваемые работникам по акциям и вкладам в имущество предприятия, рассматриваются в СНС как доходы от собственности;
- расходы на содержание самостоятельных подразделений предприятий и организаций, оказывающих услуги социально-культурного характера (например, услуги жилищно-коммунального хозяйства, ведомственных больниц, поликлиник, клубов, стадионов, рассматриваемые в СНС как текущие трансферты от предприятий некоммерческим организациям, обслуживающим домашние хозяйства).
Фактические отчисления на социальное страхование (отчисления работодателей на социальное страхование) состоят из взносов, производимых предприятиями и организациями, другими работодателями на государственное социальное страхование. Эти платежи являются основным источником средств для выплат пенсий, пособий, санаторно-курортного обслуживания населения.
Хотя эти отчисления делаются предприятиями и организациями непосредственно страховым организациям, они рассматриваются как часть оплаты труда работников, которую они потом перечисляли страховым организациям.
Другие налоги на производство — это налоги, которыми облагаются, институциональные единицы в результате их участия в производстве и которые уплачиваются за использование факторов производства или за осуществление определенных видов деятельности или операций.
Не являются налогами на производство отчисления в следующие государственные внебюджетные фонды: пенсионный, социального страхования, занятости населения, обязательного медицинского страхования. Они отражаются как часть оплаты труда наемных работников.
Обязательные платежи в другие государственные внебюджетные фонды показываются как другие налоги на производство.
При этом необходимо по возможности отдельные внебюджетные платежи очистить от налогов на продукты. Например, в составе налогов на образование дорожных фондов налог на реализацию горюче-смазочных материалов должен относиться к налогам на продукты, а налог на пользователей автомобильных дорог — к другим налогам на производство.
Другие налоги на производство включают налоги за пользование недрами и природными ресурсами (лесной доход, платежи за воду, забираемую промышленными предприятиями из водохозяйственных систем, отчисления на воспроизводство минерально-сырьевой базы, платежи за древесину, отпускаемую на корню, отчисления на рекультивацию земель), обязательные платежи в другие государственные внебюджетные фонды. Указанные налоги выделяются в статистических формах годового отчета или ф. 5-з Отчет о затратах на производство и реализацию продукции, и распределение их по отраслям экономики не представляет трудностей.
По чистым отраслям промышленности эти налоги распределяются по данным единовременного обследования затрат в промышленности.
Другие субсидии на производство — это субсидии, которые получают институциональные единицы-резиденты вследствие их участия в производстве или в связи с использованием факторов производства. Другие субсидии на производство определяются в расчетах к счету первичного распределения доходов и распределяются по отраслям MOB CHC следующим образом: возмещение сельскохозяйственным товаропроизводителям стоимости приобретенной сельскохозяйственной техники, компенсация им затрат на энергоресурсы относятся к отрасли МОБ Сельское хозяйство; затраты на конверсию военного производства (в части текущих расходов) — условно к отрасли МОБ Машиностроение и металлообработка.
Валовая прибыль по отраслям экономики и промышленности определяется сальдовым методом:
Валовая добавленная стоимость - Оплата труда наемных
работников - Другие налоги на производство + Другие субсидии
на производство - Валовой смешанный доход.
Валовой смешанный доход — это доход некорпоративных предприятий, принадлежащих домашним хозяйствам (личное подсобное хозяйство, кустарно-ремесленные занятия населения и др.). Он определяется сальдовым методом, т.е. из добавленной стоимости по домашним хозяйствам по соответствующим отраслям вычитаются другие налоги на производство.
Данные о смешанном доходе по отраслям экономики определяются на основе счета производства (сектор Домашние хозяйства).
Потребление основного капитала показывается в МОБ в размере годового износа основных средств, исчисленного от их среднегодовой стоимости.
Для того чтобы методология исчисления добавленной стоимости соответствовала требованиям CHC, при суммировании элементов стоимости необходимо произвести корректировку на величину условно исчисленной стоимости услуг финансового посредничества (она вычитается).
В настоящее время большую часть процентов составляют проценты по вкладам и кредитам, получаемые и выплачиваемые финансовыми посредниками, в основном банками. Ставки процентов различных банков обычно финансируются по отношению к базисной ставке, например к ставке Центрального банка.
Ставки процентов по кредитам обычно устанавливаются выше базисной ставки, а ставки процента по вкладам — ниже базисной ставки.
В соответствии с правилами CHC фактические поступления процентов финансовым посредникам или выплаты ими процентов должны быть скорректированы, чтобы исключить ту их часть, которая представляет собой условную оплату услуг финансовых посредников. Так, сумма процентов, полученных финансовыми посредниками, должна быть уменьшена до величины, которая была бы получена ими при применении базисной ставки процента; соответственно сумма процентов, выплаченных финансовыми посредниками, должна быть увеличена до величины, которая была бы выплачена при применении базисной ставки процента.
Разница между суммами фактических платежей и платежей, рассчитанных исходя из базиснй ставки процента, представляет собой условно исчисленную оплату услуг финансовых посредников.
В МОБ в связи с невозможностью распределения условно исчисленной оплаты услуг финансовых посредников между отраслями экономики данная величина показывается в промежуточном потреблении на пересечении колонки Условно исчисленная оплата услуг финансовых посредников и строки Финансы, кредит, страхование.... При определении добавленной стоимости эта сумма приводится со знаком минус на пересечении колонки и строки Условно исчисленная оплата услуг финансовых посредников.
Для перехода от суммарной добавленной стоимости (суммы валовой добавленной стоимости по всем отраслям экономики) к ВВП необходимо учесть дополнительно чистые налоги на продукты (налоги на продукты за вычетом субсидий на продукты).
Налоги на продукты — это налоги, взимаемые обычно за единицу товара или услуги, т.е. пропорционально количеству или стоимости товаров и услуг, производимых, продаваемых или импортируемых резидентами. К налогам на продукты относятся:
- налог на добавленную стоимость (НДС);
- акцизы на отдельные группы и виды товаров, включая акцизы с продажи легковых автомобилей;
- налоги на реализацию горюче-смазочных материалов;
- налог на перепродажу автомобилей, вычислительной техники и персональных компьютеров;
- сбор со сделок, совершаемых на товарных биржах;
- налоги на импорт;
- налоги на экспорт.
Общая сумма перечисленных видов налогов на продукты в целом по экономике берется из расчетов счета первичного распределения доходов. Налог на добавленную стоимость по отраслям промышленности распределяется по структуре конечного использования промышленной продукции (без экспорта).
Акцизы распределяются по отраслям промышленности по данным Министерства финансов.
Налоги на реализацию горюче-смазочных материалов относятся к отрасли МОБ Продукты нефтепереработки, на перепродажу автомобилей, вычислительной техники и персональных компьютеров — к отрасли Торговля. Сборы со сделок, совершаемых на товарных биржах, условно относятся к отраслям МОБ Торговля, Материально-техническое снабжение и сбыт, Заготовки.
Налоги на экспорт представляют собой экспортные пошлины. Налоги на импорт включают импортные пошлины и платежи в государственный бюджет чистого дохода государственных внешнеторговых организаций, образующегося в результате различий между внешнеторговыми (пересчитанными в национальную валюту) и внутренними ценами на отдельные виды товаров.
Налоги на импорт и экспорт по отраслям экономики и промышленности рассчитываются на основании формы ф. 10-ф Отчет об основных показателях финансовой деятельности предприятия по гр. 4, с. 169 Экспортные таможенные пошлины и с. 170 Импортные таможенные пошлины.
Субсидии на продукты — это субсидии, выплачиваемые за единицу произведенного товара или услуги. Распределение субсидий на продукты по отраслям МОБ производится на основе данных Министерства финансов.
В заключение обратим внимание на то, что развитие макроэкономических расчетов ВВП на базе МОБ СНС не только дает большие возможности для анализа товарной структуры потоков, но и чрезвычайно важно для проверки сбалансированности всей системы статистических данных, охватывающих различные аспекты экономического процесса. В этом проявляются интегрирующие функции МОБ СНС при внедрении в статистическую практику системы национальных счетов, в создании общероссийской информационно-статистической системы мониторинга социально-экономических процессов в условиях формирования социально ориентированной рыночной экономики.
Контрольные вопросы
- В чем состоят концептуальные основы межотраслевого баланса в рамках СНС?
- Почему при исчислении показателей межотраслевого баланса используются смешанные цены?
- Приведите аргументы за и против рассмотрения покупок органами госуправления продуктов питания и военной формы для вооруженных сил в конечном потреблении домашних хозяйств (для межотраслевого баланса).
- Аргументируйте один из пунктов методологии расчета показателя конечного потребления (в межотраслевом балансе), согласно которому расходы на конечное потребление некоммерческих организаций, обслуживающих домашние хозяйства, условно отнесены к индивидуальному потреблению.
- Почему в межотраслевом балансе не учитывается выбытие основного капитала из-за ветхости и износа, а также в результате аварий, крупных катастроф и стихийных бедствий?
- Как производится расчет изменения запасов материальных оборотных средств в МОБ СНС?
- Почему для окончательного счета добавленной стоимости необходимо произвести корректировку на величину условно исчисленных услуг финансового посредничества?
- Какова информационная основа построения межотраслевого баланса в Рамках СНС?
Раздел IV. Статистика финансов, кредита и страхования
Патентная статистика. Баланс платежей за технологии
Научные исследования и разработки представляют собой такую сферу человеческой деятельности, которая в значительно меньшей степени поддается количественному измерению, нежели, например, промышленное или сельскохозяйственное производство, строительство и даже здравоохранение и образование. Прежде всего это связано с самой природой их результатов научных знаний.
Результаты научных исследований и разработок как таковых предстают в самых разных формах: от информации о новых открытиях, теориях, гипотезах, методах, зафиксированной в научных публикациях, отчетах и т.п., до технической документации, инструкций, чертежей, спецификаций, необходимых для передачи нововведений в производство и их применения, и опытных образцов новых материалов, машин и оборудования. В более широком смысле эффект научной и инновационной деятельности проявляется в изменении структуры промышленности в пользу наукоемких отраслей, повышении производительности труда и эффективности производства, обеспечении конкурентоспособности национальной экономики и ее интеграции в мировые научно-технические связи.
Разнообразие выходов научных исследований и разработок, форм их воздействия на экономику, а также сложности их непосредственной оценки обусловили необходимость применения в статистике науки различных специфических методов и показателей, зачастую лишь косвенно характеризующих эффект научной деятельности и базирующихся на дополнительных (нестатистических) источниках информации, прежде всего научно-технического и административного характера.
Так, для оценки результатов научных исследований, особенно фундаментальных, в международной практике используются такие библиометрические показатели, как количество научных публикаций и их цитируемость, а межстрановые научные связи нередко измеряются показателями соавторства. Подобные оценки применяются не только для анализа динамики научных направлений и выполнения исследовательских программ, но и при принятии решений об их финансировании.
Количественному измерению технологических результатов научных исследований и разработок служит патентная статистика. Она базируется на данных о регистрации изобретений, выступающих результатом научных исследований и разработок либо производственной деятельности; новым, обладающим существенными отличиями техническим решением задачи в любой области экономики, социальной сферы, обороны, являющимся продуктом интеллектуальной деятельности, техническим воплощением идеи, направленным на удовлетворение определенной потребности общества.
В качестве изобретений рассматриваются новые устройства, способы, вещества, штаммы микроорганизмов, селекционные достижения, а также применение по новому назначению ранее известных устройств, способов, веществ и штаммов*.
* Статистика науки и инноваций. Краткий терминологический словарь / Под ред.
Л.М. Гохбсрга.
М.: Центр исследований и статистики науки, 1996. С. 24.
Изобретения объект охраны промышленной собственности; охранным документом здесь является патент, выдаваемый на изобретение, он удостоверяет приоритет, авторство и исключительное право на использование в течение срока его действия. Различают национальные патенты на изобретения, выданные национальными патентными ведомствами, и региональные патенты, зарегистрированные, например, в Европейском или Евразийском патентных ведомствах либо в Африканской организации интеллектуальной собственности.
До 1992 г. в России, как и в бывшем СССР в целом, основным охранным документом являлось авторское свидетельство, фиксировавшее исключительное право государства на использование изобретения. Введение патентной формы защиты изобретений обеспечило правовую охрану отечественных научно-технических достижений на международном рынке, а также стало необходимым условием развития отсутствовавшей ранее лицензионной торговли технологиями, охраняемыми патентами, внутри страны.
Выдача патентов на изобретения и публикация официальных сведений по ним осуществляется Роспатентом на основании Патентного закона Российской Федерации.
Выдаче патента на изобретение предшествует подача заявки, которая содержит установленные законодательством сведения об авторе объекта, заявителе и его законном представителе, описание объекта, данные об объеме и сроке охраны.
Патенты не только несут функцию правовой защиты изобретений, но и являются уникальным источником технологической информации, поскольку сведения, содержащиеся в патентах, обычно не представлены нигде более и, кроме того, патентование, как правило, на два-три года опережает внедрение научно-технических достижений в производство, что позволяет заранее учитывать возможность появления технологических инноваций. В силу этого показатели патентной статистики служат для анализа состояния и перспектив развития отдельных областей науки и техники, технологических направлений, оценки рынка технологий в стране, его привлекательности для иностранных патентообладателей и инвесторов.
Статистика использует абсолютные и относительные показатели патентования изобретений. К наиболее важным абсолютным показателям относятся:
- число патентных заявок (патентов), поданных (полученных) в стране, из него отечественными и зарубежными заявителями;
- число патентных заявок (патентов), поданных (полученных) отечественными заявителями за рубежом;
- общее число действующих патентов, зарегистрированных в стране.
Указанные показатели группируются по разделам Международной патентной классификации. Данные по регистрации патентных заявок и выдаче патентов заявителям-нерезидентам учитываются в разрезе стран их принадлежности, а по регистрации отечественных изобретений за рубежом соответственно по странам подачи заявок.
Для характеристики уровня изобретательской активности, интенсивности распространения национальных научно-технических достижений, степени технологической зависимости страны в статистике применяются следующие относительные показатели:
- коэффициент изобретательской активности, определяемый как число патентных заявок на изобретения, поданных отечественными заявителями в патентное ведомство страны, в расчете на 10 тыс. человек;
- коэффициент самообеспеченности отношение числа патентных заявок, поданных отечественными заявителями внутри страны, к общему числу патентных заявок, поданных в патентное ведомство страны;
- коэффициент технологической зависимости отношение числа патентных заявок, поданных зарубежными заявителями в национальное патентное ведомство, к числу внутренних патентных заявок, поданных отечественными заявителями;
- коэффициент распространения соотношение числа внешних патентных заявок, поданных отечественными заявителями за рубежом, и числа внутренних заявок на изобретения, поданных отечественными заявителями в национальное патентное ведомство.
В экономике, основанной на знаниях, немаловажную роль играет кооперация в сфере исследований и разработок, передача технологий и передового опыта, которая стала объектом межгосударственных соглашений, инновационных и инвестиционных проектов, коммерческих сделок вне национальных границ. Международная передача технологий стала фактором развития экономики на национальном и глобальном уровнях, и степень участия тех или иных стран в этом процессе во многом определяет как возможности их технологического прогресса, так и позиции на мировой арене.
С выходом российских научных организаций и предприятий на зарубежные рынки и привлечением иностранных инвестиций в отечественную экономику встает задача статистического наблюдения за экспортом и импортом технологий. В этих целях статистика учитывает нематериальные сделки, связанные с обменом (торговлей) знаниями, информацией и услугами технологического содержания с зарубежными странами.
Учету подлежат сделки, имеющие международную направленность (т.е. включающие партнеров из разных стран), носящие коммерческий характер (при наличии платежей либо поступлений от их совершения) и непосредственно относящиеся к торговле технологиями или оказанию связанных с этим услуг. В их числе следующие:
- передача технологий (прав на патенты, патентных лицензий, беспатентных изобретений, ноу-хау);
- передача товарных знаков, соглашения по промышленным образцам;
- оказание инжиниринговых услуг по подготовке производства, проектированию, техническому содействию;
- соглашения по научным исследованиям и разработкам, выполняемым российскими специалистами за рубежом и финансируемым из иностранных источников (экспорт технологий) либо осуществляемым зарубежными специалистами в России и финансируемым из отечественных источников (импорт технологий).
Статистика осуществляет сбор информации о числе подобных соглашений (по видам), суммах поступлений и выплат по ним. На этой основе в составе платежного баланса страны формируется баланс платежей за технологии как совокупность перечислений денежных средств по всем нематериальным сделкам, связанным с экспортом и импортом технологий.
Данные баланса разрабатываются в разрезе видов экономической деятельности и стран-партнеров с выделением операций между материнскими и дочерними предприятиями, расположенными в разных государствах. Баланс платежей за технологии требует тщательной интерпретации в сочетании с другими статистическими показателями.
В отличие от внешнеторгового баланса отрицательное сальдо баланса платежей за технологии в ряде случаев может иметь позитивное значение для экономики страны как признак интенсивного освоения зарубежных научно-технических достижений в целях повышения технологического уровня и конкурентоспособности производства; и наоборот, положительное сальдо может свидетельствовать о низкой способности национальной экономики к адаптации новых технологий.
36.2. Статистическая оценка технологической структуры промышленности
Поиск критерия эффективности развития науки и выражающих ее показателей упирается в сложность, а иногда и невозможность количественного измерения новых научных знаний, последствий их практической реализации в экономике и социальной сфере. Научные исследования как таковые обладают лишь потенциальным эффектом, поэтому высока степень неопределенности при выделении их доли в совокупном эффекте научно-технического прогресса.
В силу этих обстоятельств статистика оперирует специальными методами, позволяющими оценить различные аспекты структурных сдвигов в экономике, связанных с внедрением и распространением научно-технических достижений.
Одним из показателей прогрессивных изменений в технологической базе производства на микроуровне является степень применения передовых производственных технологий, которые базируются на управляемом с помощью компьютера или основанном на микроэлектронике оборудовании, используемом при проектировании, производстве или обработке продукции.
Типичными их примерами являются технологические процессы, включающие системы автоматизированного конструирования и проектирования, гибкие производственные центры, автоматически управляемые транспортные средства, системы автоматизированного хранения и поиска.
Они могут быть объединены системами связи (локальными сетями) в единую гибкую производственную систему вплоть до создания интегрированного автоматизированного производства. Передовые производственные технологии, позволяя автоматизировать весь цикл разработки, освоения и выпуска продукции (включая управление этим процессом), обеспечивают существенное снижение себестоимости продукции, повышение ее качества и конкурентоспособности. Применение подобных технологий выдвигает новые требования к уровню квалификации работников, организации и управлению производством и таким образом определяет лицо современного предприятия на рубеже XXI в.
Статистика изучает вопросы создания и использования передовых производственных технологий, степень их правовой защиты, область применения (по видам экономической деятельности). Статистическое наблюдение основано на соответствующей классификации производственных технологий, что позволяет получить детальное представление о степени применения различных их видов, достигнутом технологическом уровне предприятий и отраслей промышленности.
В качестве косвенной интегральной характеристики результативности науки используются показатели наукоемкости производства, определяемые как отношения затрат на научные исследования и разработки к результатам производства. Расчеты таких показателей проводятся на уровне конкретных видов продукции и товарных групп, предприятий, отраслей и экономики в целом; служат ориентирами в анализе структурных сдвигов и состояния научно-технического обеспечения производства; они широко применяются в международных сопоставлениях.
На макроуровне показатель наукоемкости представляет собой отношение внутренних затрат на научные исследования и разработки к ВВП. Он отражает уровень усилий страны в сфере науки и технологий, степень ее приоритетности в системе национальных целей.
На уровне отраслей, предприятий, видов продукции показатели наукоемкости это отношения внутренних затрат на исследования и разработки к объему производства продукции (работ, услуг). Наряду с прямой наукоемкостыо проводится оценка показателей полной наукоемкости с учетом наукоемкости промежуточного потребления в отраслях, т.е. затрат на научные исследования и разработки, воплощенных в стоимости потребляемого сырья, материалов, топлива, энергии, оборудования, комплектующих и т.п., по методологии межотраслевого баланса.
На этой основе, как принято в международной статистической практике, осуществляется группировка отраслей и продукции на высоко-, средне- и ни котехнологичные. Критерием отнесения отраслей (продукции) к той или иной из указанных групп является соответствующий им уровень полной наукоемкости в сравнении со средним по рассматриваемой совокупности.
Высокотехнологичными считаются отрасли, уровень наукоемкости которых превышает средний по отраслям промышленности; причем по мере технологического прогресса этот средний уровень изменяется. В итоге отрасли, считавшиеся, например, высокотехнологичными в 70 80-е годы, могут не являться таковыми сегодня.
Так, в 70-е годы средний уровень наукоемкости высокотехнологичных отраслей в странах ОЭСР составлял 7,1%, среднетехнологичных 1,7%, низкотехнологичных 0,3%, в 90-е годы соответственно 8,1; 2,5 и 0,5%. Как следствие, весьма динамична и группа среднетехнологичных отраслей, которая пополняется в силу разных факторов за счет двух других групп.
Поэтому в ее составе различаются две подгруппы, тяготеющие к высоким и низким уровня наукоемкости.
Группировка отраслей промышленности по уровню наукоемкости, принятая в статистике стран ОЭСР, представлена в табл. 36.1.
В нее включены виды экономической деятельности, соответствующие 24-значным группировкам ОКДП; в статистической практике она дополняется также более детальной группировкой конкретных видов продукции по рассматриваемым категориям.
Таблица 36.1
Группировка отраслей промышленности по уровню наукоемкости в странах ОЭСР

36.3. Показатели результатов инновационной деятельности
Оценка результатов инновационной деятельности является весьма актуальным направлением статистики инноваций, представляющим непосредственный интерес для всех уровней управления от предприятий, заинтересованных в осуществлении такой инновационной стратегии, которая обеспечила бы им наибольшую прибыль, до федеральных министерств и ведомств, отвечающих за научно-техническую и инновационную политику в стране. Она имеет существенное значение и для деловых кругов при выборе перспективных инвестиционных проектов.
Статистика выработала достаточно надежные подходы к оценке влияния технологических инноваций на результаты деятельности предприятий и использование факторов производства. Прежде всего это определение динамики продаж за счет осуществления инноваций.
Для ее расчетов используется показатель инновационной продукции продукции, произведенной в отчетном году на основе разного рода технологических изменений. Состав инновационной продукции определяется по типам технологических инноваций с учетом степени их новизны.
Она охватывает изделия новые (вновь внедренные) или подвергавшиеся усовершенствованию, а также основанные на новых или значительно усовершенствованных методах производства (прочая инновационная продукция). При этом понятие новой (вновь внедренной) продукции соответствует понятию радикальной продуктовой инновации, усовершенствованной продукции понятию инкрементальной продуктовой инновации.
Прочая инновационная продукция является результатом внедрения процессных инноваций, как правило, это уже выпускаемая предприятием продукция. К данной категории инновационной продукции относят и продукцию, базирующуюся на заимствованном передовом опыте, когда внедряют новые или усовершенствованные методы производства, реализованные ранее в производственной практике других стран или предприятий и распространяемые путем технологического обмена (беспатентных лицензий, ноу-хау и т.п.).
Статистика учитывает объем инновационной продукции в отпускных ценах предприятий без налога на добавленную стоимость, спецналога и акцизов. Исходя из этого определяется удельный вес инновационной продукции (в том числе новой, усовершенствованной и прочей) в общем объеме отгруженной продукции.
Аналогичные расчеты проводятся также применительно к экспортной продукции (с выделением экспорта в страны СНГ и дальнего зарубежья).
Общий объем отгруженной продукции предприятия рассматривается также по стадиям ее жизненного цикла (освоения, наращивания объемов производства, стабилизации выпуска продукции, снижения объемов производства), что дает возможность оценить структуру производства с позиций технологического обновления продукции и его перспективы.
Показатели, характеризующие влияние инноваций на результаты деятельности предприятий, измеряются суммой прибыли от реализации инновационной продукции и ее долей в общей сумме годовой прибыли. Результаты инновационной деятельности проявляются также в изменении затрат производственных ресурсов.
В связи с этим используются показатели, отражающие снижение издержек производства в результате внедрения инноваций за счет сокращения затрат на оплату труда, материалы, энергию и др., повышения фондоотдачи и прочих факторов.
Оценка результативности инновационной деятельности органично сочетается с изучением факторов, препятствующих ее осуществлению. Анализ проблем предприятий имеет серьезное значение для выявления узких мест в инновационном процессе, выработки мер по повышению его эффективности.
Статистика предусматривает оценку значимости подобных факторов, в том числе экономических, связанных с финансовыми ресурсами предприятия, спросом на новую продукцию, стоимостью, рисками и сроками окупаемости инноваций; производственных, выражающихся в наличии у предприятия необходимого инновационного потенциала, квалифицированных кадров, информации, возможностей производственной и научной кооперации; а также иных причин, сдерживающих инновационную деятельность (отсутствие необходимости в нововведениях, недостаточность правовой базы, неразвитость инновационной инфраструктуры и др.).
36.4. Источники статистической информации о науке и инновациях
Под влиянием целей научно-технической и инновационной политики и потребностей в информации в 19931997 гг. был осуществлен кардинальный пересмотр методологии и инструментария статистического наблюдения за выполнением научных исследований и разработок, впервые в отечественной практике получила развитие статистика инноваций. При этом прежде всего ставились задачи адекватного отображения развития науки и инновационной деятельности в условиях перехода к рыночной экономике и обеспечения соответствия форм и показателей статистического наблюдения международным стандартам.
Были также приняты во внимание потребности в повышении содержательности статистической отчетности, создании гибкой системы статистического наблюдения.
В соответствии со сложившимися в международной статистике принципами сбор данных о научных исследованиях и разработках осуществляется путем обследования двух статистических совокупностей организаций, выполняющих научные исследования и разработки, и организаций, их финансирующих (министерств и ведомств).
Основным источником информации в статистике науки является годовая статистическая отчетность о выполнении научных исследований и разработок по форме 2-наука.
Она представляется всеми предприятиями и организациями, их осуществляющими, независимо от организационно-правовой формы и формы собственности и включает данные о численности и составе персонала, занятого научными исследованиями и разработками; затратах на эти цели и среднегодовой стоимости основных средств. Министерства и ведомства представляют данные о финансировании научных исследований и разработок за счет средств федерального бюджета по формам отчетности 1-ФБ, установленным Миннауки России.
Введение статистического наблюдения за инновационной деятельностью осуществлялось поэтапно. На первом этапе оценивался общий уровень инновационной активности в промышленности по итогам 1994 г. (по форме единовременной отчетности 1-инновация).
Таким путем была выявлена совокупность инновационно-активных предприятий. На втором этапе, начиная с отчета за 1995 г., проводится сплошное обследование промышленных предприятий по развернутой программе на базе формы годовой статистической отчетности о технологических инновациях 2-инновация.
Третий этап был вынесен за рамки сплошного обследования и охватил только инновационно-активные предприятия. Его цель преимущественно качественные оценки исследуемых явлений, включая характеристики источников информации для инновационной деятельности, препятствующих ей факторов и т.п. (форма единовременной отчетности 3-инновация).
Указанные формы отчетности, базируясь на единых методологических принципах, понятиях и классификациях, образуют взаимоувязанную систему годового статистического наблюдения за наукой и инновациями. Этот статистический инструментарий прошел международную экспертизу, получив высокую оценку ведущих международных организаций (ОЭСР и Евростата), и дает возможность обеспечить непосредственное получение данных, пригодных для межстрановых сопоставлений.
Следует подчеркнуть, что адаптация международного опыта к национальным особенностям, как исторически сложившимся, так и порожденным рыночными трансформациями, потребовала рассмотрения конкретных экономических и организационных факторов, специфики статистического учета и отчетности в нашей стране.
Это не только исключило прямое заимствование зарубежного опыта, но и позволило по некоторым позициям предложить новые методологические подходы, обогащающие международную практику.
Научные организации и предприятия представляют также годовую отчетность об изобретениях, полезных моделях и промышленных образцах (по форме 4-нт). Однако содержащаяся в ней информация не соответствует современным требованиям, что обусловливает необходимость ее пересмотра и согласования с названными выше формами статистической отчетности.
Дальнейшее развитие статистики науки и инноваций предполагает в качестве первоочередных задач совершенствование инструментария статистического наблюдения применительно к особенностям отдельных секторов науки, организацию статистического мониторинга состояния и движения научно-технических кадров, обеспечение сбора данных об инновациях в интенсивно растущей сфере услуг, изучение механизмов косвенного стимулирования научной и инновационной деятельности, в том числе в региональном аспекте.
Контрольные вопросы
- Что такое патенты и как ведется их учет в статистике?
- Назовите абсолютные и относительные показатели патентования и раскройте их содержание.
- Какие цели преследует статистика экспорта и импорта технологий?
- Как определяются показатели наукоемкости производства и каковы критерии группировки отраслей по ее уровню?
- Раскройте содержание категории инновационной продукции.
- Назовите основные источники статистической информации о науке и инновациях.
Раздел IX. Статистика предпринимательства
Перечень статистических показателей
Впервые она была разработана ООН в 1949 г. и уточнялась в 1958, 1968 и 1990 гг.
2. Международная стандартная торговая классификация — МСТК, которая впервые разработана в 1951 г. и в последующем неоднократно уточнялась (в 1961, 1968, 1975 и 1986 гг.) и дополнялась Индексами к МСТК — в 1953, 1961 и 1987 гг.
3. В 1967 г. ООН разработана Классификация товаров по широким экономическим группам — КТШЭК, в которой в деляются товары для экспорта и импорта на средства производства, промежуточные и потребительские товары.
4. Международная стандартная классификация образования, разработанная ЮНЕСКО, с 1974 г. используется для единых группировок учащихся по трем основным уровням обучения.
5. Международная стандартная классификация профессий, разработанная МОТ, действует с 1958 г., она неоднократно уточнялась.
6. Международная стандартная классификация занятий, также подготовленная МОТ, используется для характеристики рода фактических занятий населения.
7. Международная стандартная классификация болезней, увечий и смерти разработана ВОЗ в 1948 г. и затем неоднократно уточнялась, чтобы отразить текущую практику органов здравоохранения.
Следует выделить еще стандартные классификации ООН для промышленности (с 1953 г.) и строительства (с 1965 г.) с их последующими уточнениями по мере развития этих отраслей хозяйства.
Имеются еще десятки других международных классификаций по различным областям деятельности людей. Специальная международная классификация показателей туризма разработана ВТО в последнее время.
Весьма многочисленны такие международные стандарты, как руководства по исчислению показателей. В этой группе наибольшее практическое значение имеют Методологические пояснения к статистическому ежегодника ООН и дополняющему его статистическому ежемесячному бюллетеню ООН.
Аналогичные методологические пояснения имеются к международной статистике труда и ряду других международных публикаций.
Особую роль играют методологические указания о порядке проведения всемирных обследований: переписей населения и жилищ, промышленности, сельского хозяйства, торговли и т.д.
В рекомендациях и руководствах СК ООН для статистики получают дальнейшее раскрытие и разъяснение порядок и методология расчета соответствующих показателей. В частности, детально разработаны принципы исчисления показателей естественного движения населения, его гражданского состояния и регистрации; принципы и рекомендации порядка проведения переписей населения; методы оценки потребности в жилищах; определения и методы оценки работы транспорта и т.д.
Аналогичные рекомендации готовятся и специализированными учреждениями системы ООН. Так, МОТ издает рекомендации по статистике занятости и безработицы, заработной платы, рабочего времени, индексов потребительских цен, производственного травматизма, трудовых конфликтов, социального страхования, производительности труда и пр.
ФАО разрабатывает и совершенствует рекомендации по ведению балансов — счетов сельского хозяйства, показателей отдельных продуктов, сельскохозяйственных площадей, урожайности, балансов оборота отдельных видов продовольствия и пр.
ЮНЕСКО разрабатывает методологические рекомендации по исчислению показателей потребности в школьных учреждениях; расходов на образование, причин отсева учащихся; потерь от прекращения образования; выпуска книг и периодических изданий, характеристик научно-технического прогресса и др.
Важную роль играют руководства по проведению выборочных обследований семейных бюджетов, домохозяйств, ведения регистров различных объектов статистических наблюдений, сопоставлений розничных цен для установления уровня заработной платы для международных чиновников, проблемам составления таблиц затраты-выпуск и их анализа и т.д.
В группе справочников имеются десятки международных стандартов ООН, среди которых отметим следующие, которые периодически уточняются и обновляются:
- Международные меры и веса;
- Номенклатура географических регионов для статистики;
- Названия стран мира и национальностей;
- Указатель международных стандартов;
- Таможенные зоны мира;
- Перечень статистических показателей, разрабатываемых международными организациями;
- Коэффициенты пересчета из национальных единиц измерения в метрические;
- Справочник методов регистрации естественного движения населения;
- Справочник статистических организаций в мире;
- Справочник образовательных организаций в мире;
- Справочник по экономической статистике в странах Азии.
В настоящее время действует более 150 международных стандартов в области статистики, из которых примерно 60 разработаны в СК ООН, а остальные - в специализированных учреждениях системы ООН.
На основе таких стандартов в ООН составляются специальные анкеты-вопросники для стран; в этих вопросниках содержатся перечни соответствующих показателей, которыми интересуются международные организации и по которым от стран запрашивается информация. В анкетах содержатся краткие методологические пояснения, как исчислять такие показатели в соответствии с международными стандартами.
С помощью таких анкет-вопросников статистические службы ООН собирают необходимые данные по разработанным системам показателей международной статистики. Пути ее прохождения через каналы международных организаций показаны на рис.
4.1.
Статистика свои показатели основывает в значительной степени на данных бухгалтерского учета. Поэтому СК ООН с 1968 г. предпринимает попытки взаимной увязки принципов бухгалтерского учета с принципами СНС.
Налажены контакты с международными профессиональными объединениями бухгалтеров: с Комитетом по стандартам бухгалтерского учета (с 1973 г.), Международной федерацией бухгалтеров (с 1977 г.). Европейской федерацией бухгалтеров-экспертов и др. Для этих целей в 1982 г. была создана Межправительственная группа экспертов ООН по международным стандартам учета и отчетности, которая содействует внедреию в практику стран международных стандартов бухгалтерского учета, которые периодически уточняются.
В настоящее время действует немногим более 30 таких стандартов, основанных на принципах СНС-93.
Наиболее полно и последовательно такие стандарты внедрены во Франции через Общенациональный план счетов.
В международных стандартах бухгалтерского учета регламентируются важнейшие положения его, которые обеспечивают единообразное понимание содержания соответствующих показателей по важнейшим разделам учета и их сопоставимость. Это позволяет разрабатывать отчеты без жесткой обязательности форм учета и всей документации на предприятиях и в учреждениях. Все стандарты бухгалтерского учета можно сгруппировать по следующим разделам:
- общеметодологические;
- характеризующие общее направление деятельности предприятий;
- характеризующие отдельные виды их деятельности;
- учитывающие отдельные виды имущества и активов;
- учитывающие государственные субсидии и социальные меры.
Такими стандартами все более широко пользуются во многих странах мира, что способствует дальнейшей унификации учета на всех уровнях — от предприятий до хозяйства страны, а также в международном масштабе. Это в свою очередь повышает качество и достоверность всей международной статистической информации.
4.4. Методы достижения сопоставимости статистических показателей
Международная статистика основана на сравнении исходной информации и приведении ее к сопоставимому виду для характеристики происходящих в разных странах социально-экономических явлений.
Практически во всех случаях при сравнениях исходных данных, включенных в национальные статистические публикации, обнаруживаются определенные сходства и различия данных одних стран от данных других стран и от международных стандартов.
Различия связаны с неодинаковым составом элементов объектов статистического наблюдения, единиц измерения, с различными методами сбора и обработки исходной информации, не говоря о различиях в численности и составе населения, периодах и моментах регистрации явления, уровнях цен, покупательной способности национальной валюты и многих иных факторах, оказывающих влияние на величину значения сравниваемых показателей, как натуральных, так и стоимостных.
Для решения проблем устранения несопоставимости состава показателей сравниваемых стран международной статистикой выработан ряд особых методов. Во-первых, определенный порядок разработки и применения международных стандартов, т.е. установление единого содержания, одинаковых методов исчисления и группировок статистических показателей.
Во-вторых, метод выявления сходств и различий исходных национальных показателей разных стран и установленных международных стандартов ООН. В-третьих, метод переходных ключей для пересчета значений национальных данных в соответствии с международным стандартом.
В-четвертых, использование для непосредственных соизмерений значений показателей разных стран, исчисленных в расчете на душу населения. Это наиболее важные методы международной статистики.
Первый из перечисленных методов составляет основу сопоставлений и является важнейшим исходным моментом. Порядок его выработки подробно описан в предыдущих параграфах и не нуждается в дополнительных пояснениях.
Второй метод проистекает из основного и состоит в выявлении прежде всего сопоставимых частей сравниваемых показателей разных стран по эталонам международного стандарта. Тем самым определяется база дальнейших пересчетов и выявляется масштаб несопоставимой части, которая отсутствует либо в составе показателя страны, либо в составе его международного стандарта.
Это служит основой поправок в сравниваемые показатели разных стран для достижения их сопоставимости по своему составу.
Метод переходного ключа позволяет непосредственно устранять несопоставимость сравниваемых показателей и пересчитывать их значения из национальных систем показателей в значения таких показателей по международным стандартам, а также переходить от последних к национальным показателям. Причем такие ключи применяются во многих случаях: для пересчета национальных единиц измерения в международные; для установления сопоставимых составов элементов показателя; для пересчета стоимостных показателей из национальных денежных единиц в международную валюту, исходя из паритетов покупательной способности национальных валют, и во многих других случаях.
При этом принципиальная схема такого ключа остается неизменной.
Исходным моментом для перехода служит значение национального показателя рассматриваемой страны; затем по выявленным различиям его состава от международного стандарта вносятся необходимые поправки, и в итоге получаются значения, сопоставимые с международным стандартом.
До сих пор в ряде стран используются традиционные для них единицы измерения. Так, вес продукции черной металлургии, угля и ряда других продуктов в США измеряется короткими тоннами, а в Великобритании — длинными тоннами.
В таком случае сопоставимость значений национальных показателей с международными показателями достигается с помощью переходного ключа (табл. 4.1).
Таблица 4.1
Переходный ключ для пересчета национальных единиц измерения в международные единицы измерения

Приведенная выше схема переходного ключа позволяет наглядно представить механизм действия такого ключа, на основе которого легко составить алгоритм для автоматизированного пересчета соответствующих национальных показателей в международные единицы измерения и, наоборот, международных — в национальные единицы измерения. Но самое главное — использование такого метода позволяет сопоставлять значения статистических показателей разных стран в единых измерителях.
Вполне очевидно, что для пересчета данные американской статистики о добыче угля, выраженные в коротких тоннах, требуется разделить на коэффициент 0,9072, чтобы получить значения его добычи в метрических тоннах. В случае пересчета исходных данных английской статистики аналогичным образом национальные данные требуется разделить на коэффициент 1,016.
Для сопоставления группировок показателей разных стран с помощью переходных ключей в них используются коды национальных классификаций, и, если они отличаются от группировок международной классификации, вносятся необходимые коррективы для пересчета. Схема ключа при этом не претерпевает изменений (табл.
4.2). В левой части ключа проставляются коды группировки по национальной классификации.
В центральной части ключа проставляются коды элементов группировки, которые требуется исключить или добавить к основной группировке, чтобы значение показателя этой группировки данных соответствовало ее международному стандарту. Техника расчетов в этих случаях также четко описывается с помощью такого ключа и легко формализуется соответствующим алгоритмом, и дальнейшие пересчеты возможно осуществлять автоматизирование.
Покажем это на конкретном примере.
Таблица 4.2
Переходный ключ от ОКОНХ России к МСОК для образования сопоставимой группы Электроэнергия, газ и водоснабжение

Таким образом, чтобы по России получить сопоставимые с международной классификацией МСОК значения показателей по группе Электроэнергия, газ и водоснабжение, требуется объединить по России группу ОКОНХ 11100 с группами 19780, 90213, 90214 и 90215. Такие перегруппировки обеспечивают сопоставимость показателей России с показателями международной статистики.
В примере использованы коды ОКОНХ, которые в настоящее время заменяются новым классификатором — ОКДП (Общероссийская классификация видов экономической деятельности, продукции и услуг).
Несколько сложнее решаются проблемы исчисления и сравнения статистических показателей, выраженных в денежных единицах разных стран.
Коэффициенты покупательной способности валют в международной статистике начали исчисляться с 60-х годов. В 1968 г. в рамках ООН была учреждена Программа международных сопоставлений (ПМС) для расчета паритетов покупательной способности (ППС) валют разных стран.
Расчеты таких ППС осуществлялись и осуществляются в настоящее время для пересчета значений показтелей ВВП, исходя из соотношения внутренних цен на товары-представители для основных элементов этой важнейшей категории.
Основная задача такого проекта ООН состоит в получении инструмента для пересчета национальных значений показателей ВВП и его составных элементов в единую международную валюту — доллары США — для непосредственного соизмерения при сопоставлениях.
Методология таких сопоставлений заключается в следующем:
вначале исчисляются значения соотношений покупательной способности валют по их внутренним ценам на товары-представители в первичных группах (ПГ) по отношению к доллару США;
затем значения ППС исчисляются для элементов ВВП как средневзвешенные значения ППС из значений их для ПГ, входящих в состав элемента ВВП, исходя из удельных весов этих элементов;
наконец, исчисляется итоговое значение ППС для общего объема ВВП, исходя из взвешенных значений всех ППС, полученных для всех элементов ВВП.
Агрегированные таким образом показатели ВВП по его конечному использованию образуются из значений 294 ПГ, соответственно взвешенных по удельным весам их в структуре ВВП страны. Подробное описание техники расчетов ППС содержится в официальной публикации Госкомстата РФ Международные сопоставления валового внутреннего продукта за 1993 год (М.: ГКС РФ.
1996.
С. 9—27).
Таким образом, современная международная статистика существенно расширяет и качественно улучшает возможности сравнительного анализа происходящих в мире социально-экономических процессов, позволяет формулировать важные рекомендации дальнейшего развития России и осуществлять соответствующие прогнозы.
Контрольные вопросы
- В чем заключается основная цель обособления международной статистики?
- Для чего и в каких случаях производятся многосторонние сопоставления статистических показателей?
- В чем заключается метод переходных ключей?
- Каковы основные функции Статистической комиссии ООН?
- Какова особенность международных статистических публикаций?
Переработка и консервирование фруктов и овощей
Вместе с тем на практике на региональном и национальном уровнях в силу существующих особенностей характера производства и развития отдельных отраслей экономики возникает необходимость отражения в классификациях национальной и региональной специфики путем отведения им соответствующего места в иерархической структуре классификаций.
В результате этого структура международных классификаций, которые рекомендуется брать за основу при разработке региональных и национальных версий этих классификаций, претерпевает иногда большие изменения, что приводит только к частичной гармонизации классификаций. При недостаточной гармонизации классификаций по вертикали страны и регионы для представления своих статистических данных в международные организации вынуждены разрабатывать и использовать переходные ключи к международным классификациям, что требует производить пересчет статистических данных.
Кроме процесса гармонизации классификаций по вертикали большое значение имеет горизонтальная гармонизация между собой самих международных классификаций, разрабатываемых на однородные объекты информации.
Разница в подходах группирования объектов в международных классификациях обусловлена различными задачами, решаемыми с помощью этих классификаций. Так, в международных (региональных) классификациях на товары: ГС, МСТК, КН, ТНВЭД СНГ, разработанных таможенными организациями, важными являются роль, место и стратегическое значение товара в системе международной торговли, что связано с необходимостью ограничения ею ввоза или вывоза или, наоборот, создания для него режима наибольшего благоприятствования.
В международной классификации на товары и услуги (КОПТУН), разработанной для обследования домашних хозяйств, для классифицирования товаров большое значение имеют в первую очередь петребительские свойства товаров.
В международной классификации на продукцию (КОП), разработанной в статистических целях, доминирующим признаком является отраслевое происхождение товара.
Таким образом, как видно из приведенных примеров, создание единых унифицированных международных классификаций в принципе невозможно по причине необходимости использования в каждом конкретном случае для определенного круга задач соответствующего набора классификационных признаков.
Рассмотрим методические рекомендации статистических служб ООН, ЕС и Статкомитета СНГ по разработке национальных классификаций на виды экономической деятельности.
Главным в этих рекомендациях является положение о том, что при разработке национальных классификаций видов экономической деятельности странам необходимо брать за основу разработанные указанными организациями классификации МСОК (ООН), КДЕС (ЕС), ОКЭД-1 или ОКЭД-2 (две Общие классификации всех видов экономической деятельности Статкомитета СНГ, построенные на основе соответственно МСОК и КДЕС).
Выбор каждой страной в качестве основы тех или иных международных (региональных) классификаций зависит от их географического расположения и развития экономических связей со своими партнерами.
В Российской Федерации, являющейся евро-азиатской страной, за базовую классификацию принят МСОК, он положен в основу Общероссийского классификатора видов экономической деятельности, продукции и услуг. В качестве базовой классификации МСОК принят также в Казахстане, Кыргызстане, Таджикистане, Туркменистане, Узбекистане.
Всеми странами — членами ЕС за основу при разработке национальных классификаций видов экономической деятельности в директивном порядке принята КДЕС (NACE), разработанная Евростатом с участием каждой из этих стран. В качестве базовой классификации КДЕС принят также Украиной, Белоруссией, Молдовой, Азербайджаном и Грузией.
Разработанные Россией, Евростатом и Статкомитетом СНГ классификации видов деятельности построены по правилам, изложенным в рекомендациях Статистической комиссии ООН.
Эти правила заключаются в детализации МСОК для отражения региональных и национальных особенностей двумя методами: замещения или расширения классификационных группировок МСОК на уровне 3-го и 4-го знаков кода. При этом сохраняется без изменений структура МСОК верхнего уровня классификационного деления на 1-м и 2-м знаках кода.
Расширение и замещение группировок МСОК должно производиться на 3-м и 4-м знаках кода путем установления однозначного соответствия позиций МСОК позициям гармонизируемой с ним классификации.
Формула такого соответствия имеет вид: 1 : и (детализация) или п : 1 (сборка), где п — целое число.
При соблюдении этого соотношения обеспечивается вложенность в группировки МСОК статистических данных, собираемых в структуре региональных и национальных классификаций.
На практике метод замещения группировок МСОК широко использовался при разработке европейской классификации КДЕС (NACE) и в меньшей степени — при разработке ОКДП.
Ниже приводятся примеры замещения группировок МСОК в КДЕС и ОКДП.
1. Замещение одной группировки МСОК с сохранением без изменения 1-го и 2-го знаков кода в КДЕС (табл. 8.18).
Таблица 8.18
| МСОК (ISIC) |
КДЕС (NACE) |
| Код |
Наименование |
Код |
Наименование |
| 1513
|
Переработка и консервирование фруктов и овощей |
15.31 |
Переработка и консервирование картофеля |
|
|
15.32 |
Производство сока из фруктов и овощей |
|
|
|
15.33
|
Переработка и консервирование фруктов и овощей, не включенных в другие категории |
2. Замещение одной группировки МСОК с сохранением без изменения 1-го, 2-го и 3-го знаков кода в КДЕС (табл. 8.19).
Таблица 8.19
| МСОК (ISIC) |
КДЕС (NACE) |
| Код |
Наименование |
Код |
Наименование |
| 0121
|
Разведение крупного рогатого скота. овец, коз, коней, ослов, мулов и ишаков; молочное хозяйство |
01.21
01.22 |
Разведение крупного рогатого скота
Разведение овец, коз, коней, ослов, мулов и ишаков |
3. Замещение одной группировки МСОК с сохранением без изменения 1-го, 2-го и 3-го знаков кода в ОКДП (табл. 8.20).
Таблица 8.20
| МСОК (ISIC) |
ОКДП |
| Код |
Наименование |
Код |
Наименование |
| 0112
|
Выращивание овощей, специализированное садоводство и производство продукции питомников
|
0112
0118
|
Выращивание овощных культур
Специализированное садоводство и производство продуктов питомников |
Как следует из приведенных примеров, недостатком построения классификаций методом замещения является отсутствие в них группировок базовой классификации МСОК на уровне 3-го и 4-го знаков кода, что означает необходимость получения статистических данных в структуре МСОК с использованием алгоритмов сбора и переходных ключей КДЕС-МСОК и ОКДП-МСОК.
К преимуществам этого метода можно отнести отсутствие необходимости выходить за пределы 4-значной длины кода базовой классификации МСОК.
Метод расширения был реализован рядом стран — членов ЕС (Германия, Англия, Италия и др.) при разработке их национальных классификаций на базе КДЕС (NACE).
Пример расширения одной группировки КДЕС в национальной классификации видов деятельности Германии (WZ-93) приведен в табл. 8.21.
Таблица 8.21
| КДЕС (NACE) |
WZ-93 |
| Код |
Наименование |
Код |
Наименование |
| 2952
|
Производство машин для горнодобывающей промышленности, разработки карьеров и строительства
|
29.52.1
29.52.2
|
Производство машин для горнодобывающей промышленности
Производство машин для разработки карьеров и строительства |
Метод расширения был также реализован Статкомитетом СНГ при создании им классификаций ОКЭД-1 и ОКЭД-2 на базе соответственно МСОК и КДЕС.
Пример расширения МСОК в ОКЭД-1 путем добавления 5-го знака к четырехзначной группировке МСОК дан в табл. 8.22.
Таблица 8.22
| МСОК (ISIC) |
ОКЭД-1 |
| Код |
Наименование |
Код |
Наименование |
| 1533
|
Производство готовых кормов для животных
|
15331
15332
|
Производство готовых кормов для животных, содержащихся на фермах Производство готовых кормов для домашних животных |
Пример расширения МСОК в ОКЭД-1 путем добавления 5-го знака к двухзначной группировке МСОК, не имеющей последующего деления на 3-м и 4-м знаках кода, показан в табл. 8.23.
Таблица 8.23
| МСОК (ISIC) |
ОКЭД-1 |
| Код |
Наименование |
Код |
Наименование |
| 0200 |
Лесоводство, лесозаготовки и |
02001 |
Лесоводство |
|
связанные с этим услуги |
|
|
|
|
02002 |
Лесозаготовки |
|
|
02003 |
Сбор дикорастущих и недревесных лесных продуктов |
|
|
|
|
|
02004 |
Предоставление услуг лесному хозяйству |
|
|
|
В приведенном примере построение группировок ОКЭД-1 произведено не с использованием свободного 3-го разряда МСОК, а на 5-м знаке, в результате чего 3-й и 4-й разряды кода остаются нулевыми, т.е. незадействованными, что позволяет сделать вывод о неэффективном использовании в этом случае всей длины кода.
Метод расширения являлся основным инструментом при создании системы таможенных товарных номенклатур: ГС (6 знаков), КН (8 знаков), ТН ВЭД СНГ (9 знаков), а также при создании европейской системы статистических классификаций КДЕС (4 знака), КПЕС (6 знаков), ПРОДКОМ (8 знаков), в которой применена единая сквозная система кодирования видов деятельности, товаров и услуг.
Взаимосвязь основных экономических классификаций ООН, ЕС и России показана на схеме (рис. 8.1).
Схема взаимосвязи основных экономических классификаций ООН, -С и России

Рис. 8.1
Аналогичным образом принцип сквозного кодирования реализован в ОКДП, в составе которого по видам экономической деятельности закодировано около 55 тыс. видов продукции и услуг, производимых во всех отраслях экономики. По полноте охвата товаров и услуг ОКДП намного превосходит все международные и региональные классификации подобного типа.
Объем самого детализированного из них — европейского Перечня продукции ПРОДКОМ — составляет около 6 тыс. позиций.
Одной из причин глубокой детализации товаров и услуг в ОКДП является то, что его разработка велась с целью обеспечения преемственности с классификациями бывшего СССР: Общесоюзного классификатора промышленной и сельскохозяйственной продукции (ОКП), содержавшего около 50 тыс. видов продукции; Общесоюзного классификатора отраслей народного хозяйства (ОКОНХ), с целью замены которого в настоящее время идет процесс внедрения в российскую статистику и экономику в целом ОКДП (в части видов деятельности); а также общесоюзных классификаторов строительной продукции (ОКСП), работ и услуг в промышленности (кроме машиностроения) (ОКРУП), работ и услуг в торговле (ОКРУТорг), работ и услуг в машиностроении (ОКРУМ), работ и услуг в строительстве (ОКРУС), работ и услуг в сельском хозяйстве (ОКРУСХ), бытовых услуг населению (ОКБУН).
Пример размещения в составе ОКДП группировок Общесоюзного классификатора промышленной и сельскохозяйственной продукции (ОКП) приведен в табл. 8.24.
Таблица 8.24
| ОКДП |
ОКП |
| Код |
Наименование |
Код |
Наименование |
| Соотношение группировок ОКДП/ОКП 1:1 |
2913100
2913101
2913102
|
Подшипники качения шариковые приборные
Подшипники качения шариковые приборные со штампованным сепаратором
Подшипники качения шариковые приборные с массивным сепаратором |
461100
461110
461120
|
Подшипники приборные
Подшипники приборные со штампованным сепаратором
Подшипники приборные с массивным сепаратором
|
| Соотношение группировок ОКДП/ОКП 1:п, где п — целое число |
| 340030
|
Автомобили пассажирские для общественного транспорта (автобусы, троллейбусы) |
451700
452230 |
Автобусы
Троллейбусы |
К 2003 г. предполагается осуществить полномасштабное внедрение новой версии ОКДП в части видов экономической деятельности во все сферы управления экономикой, в связи с чем отпадет необходимость в использовании общесоюзного классификатора отраслей народного хозяйства, который тогда будет отменен.
Достаточно длительный период перехода на ОКДП обусловлен необходимостью перекодирования всех юридических лиц, их обособленных подразделений и индивидуальных предпринимателей с ОКОНХ на ОКДП; пересмотра всех законодательных нормативных актов, в которых сейчас применяется ОКОНХ; разработки методических документов, устанавливающих правила идентификации видов деятельности хозяйственных единиц по ОКДП; обеспечения пользователей всех регионов России актуализированной информацией по ОКДП; пересчета динамических рядов статистических показателей в структуру ОКДП; переработки действующей статистической отчетности и комплексов электронной обработки статистической информации в связи с переходом на ОКДП.
В заключение этой главы следует отметить, что процессы гармонизации международных, региональных и национальных классификаций не являются одномоментными и протекают параллельно с развитием и совершенствованием всей системы экономико-статистических классификаций.
Контрольные вопросы
- Каковы особенности построения ОКДП?
- Перечислите объекты классификации ОКОГУ.
- Какая система идентификации принята в ОКВ?
- Назовите признаки профессий рабочих в ОКПДТР.
Платежный баланс
Платежный баланс статистический отчет, в котором отражаются все внешнеэкономические операции за определенный период (обычно за квартал, полугодие, год) между резидентами данной страны и остальным миром. Он отражает также операции с иностранными активами между отечественными секторами экономики.
Платежный баланс один из основUых инструментов макроэкономического анализа прогнозирования и регулирования экономики в условиях рыночных отношений.
Задачи статистики платежного баланса состоят в том, чтобы разработать такую систему показателей, которая позволила:
- охарактеризовать развитие внешней торговли страны за определенный отрезок времени, влияние на валютный курс, уровень производства, занятость и потребление;
- показать, в каких масштабах и формах происходило привлечение иностранных инвестиций и осуществлялись инвестиции за границу;
- ответить на вопрос, насколько своевременно осуществлялось погашение внешней задолженности страны, каковы размеры просрочки и характер ее реструктуризации;
- оценить изменение уровня международных резервов Центрального банка с целью устранения платежных дисбалансов.
Данные платежного баланса используются для определения фискальной и монетарной политики, протекционистских мер, регулирования внутреннего валютного рынка и валютного курса. Эти данные служат одним из информационных источников для составления СНС, таких важнейших экономических показателей, как ВВП и национальный доход.
Платежный баланс, скоординированный со счетами остального мира СНС, занимает важное место в системе макроэкономических расчетов. В наиболее агрегированном виде схема платежного баланса представлена в табл.
52.1.
Таблица 52.1
Платежный баланс включает счет текущих операций, счет операций с капиталом и финансовый счет. Платежный баланс отражает операции, которые совершаются между резидентами и нерезидентами.
К ним относятся операции с товарами (например, сельскохозяйственной продукцией, продукцией добывающей и обрабатывающей промышленности); услугами (транспортными, туристическими, строительными и др.); доходами (например дивидендами и процентами); трансфертами (например иностранной помощью) и финансами (кредитами и займами; наличными денежными средствами и депозитами; инвестициями в акции, облигации, краткосрочные финансовые инструменты, обращающиеся на рынках).
Платежный баланс построен на основе методологических принципов бухгалтерского учета: каждая операция отражается дважды по кредиту одного счета и дебету другого, корреспондируемого с первым.
Сумма всех кредитовых проводок должна совпадать с суммой дебетовых, а общее сальдо должно всегда равняться нулю.
Однако на практике наблюдаются расхождения, связанные с тем, что данные, характеризующие разные стороны одних и тех же операций, относятся к разным источникам информации.
Вместе с тем платежный баланс существенно отличается от бухгалтерского баланса. Если в последнем регистрируются активы (виды использования капитала) и пассивы (источники финансовых ресурсов) на определеную дату, то в платежном балансе экономические операции определяются как экономический поток, который является результатом взаимодействия институциональных единиц и отражает создание, преобразование, обмен, передачу или исчезновение экономических ценностей (как в СНС).
Статистическая отчетность, в которой отражаются все финансовые активы и обязательства резидентов по отношению к нерезидентам по состоянию на определенную дату, называется международной инвестиционной позицией. В платежном балансе отражаются изменения в объеме активов или обязательств, которые произошли в результате операций.
Существуют правила отражения операций в платежном балансе, одно из которых состоит в том, что экспорт товаров всегда показывается по кредиту (эти правила в обобщенном виде приведены в табл. 52.2).
Таблица 52.2
Правила отражения операций в платежном балансе
Надо обратить внимание на то, что счет операций с капиталом содержит записи, которые характеризуют финансовый аспект реальных операций (их зеркальное отражение). Например, импорт товаров показывается в счете текущих операций как статья дебета, а в счете операций с капиталом (изменение запасов иностранной валюты) как статья кредита.
Другими словами, со знаком (+) на кредите счета регистрируются операции, в результате которых происходит сокращение реальных или финансовых активов. Со знаком (-) на дебете счета регистрируются операции, в результате которых происходит увеличение реальных или финансовых активов.
Например, в Российской Федерации за 1998 г. экспорт товаров составил 74 751 млн долл. (плюсовая величина), импорт товаров равнялся 57 445 млн долл. (минусовая величина). Следовательно, торговый баланс сложился положительный: +17 306 млн руб. (74 751-57 445).
Продажа произведенных, как и непроизведенных активов, отражается в платежном балансе по кредиту; приобретение аналогичных активов по дебету. Операции с финансовыми активами или обязательствами отражаются следующим образом: увеличение обязательств (или уменьшение требований) по отношению к нерезидентам по кредиту, увеличение требований (или уменьшение обязательств по отношению к нерезидентам) по дебету.
Современный платежный баланс достаточно согласован с СНС. Подобно национальным счетам платежный баланс представляет собой систему глобальных величин (агрегатов).
В нем отражаются экономические операции, которые вовсе не предполагают платежей или не связаны с платежами в отчетном периоде (например, трансферты в натуральной форме, обмен товарами).
Между платежным балансом и СНС (ее разделом: счета остального мира) достигнута определенная согласованность при интерпретации понятий экономической территории и резидентства, в принципах оценки и времени регистрации операций, процедуре перевода валютных единиц, близости классификаций, категорий доходов и текущих трансфертов.
Но есть отдельные теоретические постулаты СНС, практическая реализация которых вызывает известные трудности. Примером такого рода может служить измерение услуг финансового посредничества.
По концепции СНС, стоимость услуг финансового посредничества определяется доходами от собственности (аналог инвестиционных доходов в платежном балансе), которые должны быть получены финансовыми посредниками, за вычетом доходов от собственности, которые образуются от инвестирования собственного капитала, так как инвестирование собственных средств по определению не является финансовым посредничеством. Практически отделить доходы от инвестирования собственного капитала от доходов от инвестирования привлеченных средств затруднительно, поэтому в платежном балансе услуги финансового посредничества пока не учитываются.
Другими примерами методологической несогласованности являются учет движения товаров для ремонта (в СНС ремонт неинвестиционных товаров рассматривается как услуга, в платежном балансе как товар); некоторых видов налогов (в СНС налоги на производство и импорт за вычетом субсидий рассматриваются как первичные доходы, в платежном балансе как перераспределительные операции), а также классификация операций в финансовом счете (в СНС они классифицируются в первую очередь по типу финансовых инструментов, в платежном балансе по функциональному признаку).
Тем не менее высокий уровень скоординированности между двумя близкими по содержанию разделами макроэкономических балансовых построений позволяет использовать данные таможенной статистики при составлении счетов остального мира (как части СНС) и платежного баланса, которые в свою очередь необходимы для исчисления многих макроэкономических показателей, прежде всего таких, как валовой национальный располагаемый доход (ВНРД) и валовое национальное сбережение (ВНС).
Алгоритмы расчетов указанных выше показателей с использованием показателей платежного баланса (они выделены полужирным шрифтом) приводятся ниже:
ВВП = конечное потребление + валовое накопление + экспорт товаров и услуг - импорт товаров и услуг.
ВНД = ВВП + сальдо по оплате труда, полученной от нерезидентов и выплаченной им + сальдо доходов от собственности, полученных от нерезидентов и выплаченных им + сальдо налогов на продукты и импорт (за вычетом субсидий, полученных от нерезидентов и выплаченных им).
ВНРД = ВНД + сальдо текущих трансфертов, полученных от нерезидентов и выплаченных им, кроме налогов на продукты и импорт (за вычетом субсидий).
ВНС = ВНРД - конечное потребление = валовое накопление + сальдо по внешним счетам текущих операций.
Существуют технические проблемы, связанные с измерением текущих операций платежного баланса. Так, значительная часть товаров импортируется физическими лицами, занимающимися неорганизованной торговлей (челноками).
Экспертные оценки показывают, что импорт челноков оценивается миллиардами долларов, однако напрямую в статистической отчетности он не отражается.
Кроме того, импортеры регулярно занижают стоимость ввозимых товаров в таможенных декларациях с целью сокращения налоговых пошлин. В конце 90-х гг. величина корректировки данных таможенной статистики по импорту товаров достигала 40% и больше.
Корректировка первоначально зарегистрированной информации осуществляется на основе метода товарных потоков путем сопоставления данных об импорте и отечественном производстве потребительских товаров, с одной стороны, и данными о розничной торговле и экспорте, с другой стороны. Экспертами предлагаются и другие методы оценки достоверности досчетов, например с помощью зеркальной статистики экспорта товаров из других стран в Россию.
Но даже с учетом большой корректировки импорта товаров сальдо внешней торговли России, как указывалось, было положительным. На протяжении ряда лет положительным (хотя и в значительно меньших размерах) было и сальдо текущих операций.
Данные, отражающие динамику текущих операций за 19931998 гг., приведены в табл.
52.3.
Таблица 52.3
Счет текущих операций платежного баланса России и его основные компоненты (млрд долл. США)
Как видно из табл. 52.3, для платежного баланса России в течение ряда лет характерно устойчивое положительное сальдо по счету текущих операций (в первую очередь из-за экспорта).
Сальдо торговли услугами было отрицательным ввиду значительных расходов, осуществляемых российскими резидентами во время их поездок за границу. Что касается поступлений инвестиционных доходов и доходов в форме оплаты труда, то отрицательное сальдо объясняется главным образом значительной величиной процентов, начисленных в значительной степени на внешнюю задолженность, унаследованную Россией от СССР.
Аналитические возможности следующей составляющей платежного баланса счета операций с капиталом и финансовыми инструментами рассмотрим на примере данных за 1998 г. Сальдо операций между резидентами и нерезидентами, не предполагающих встречных потоков экономических ценностей и классифицируемых в платежном балансе как капитальные трансферты, сложилось отрицательным (-0,5 млрд долл. США).
Это связано в первую очередь с тем, что вывзенные эмигрантами ресурсы (стоимостная оценка потоков имущества, финансовых активов и обязательств, сопровождающих перемещение мигрантов) превышали объем средств, поступивших в Россию.
Зарегистрированный приток иностранного капитала в Россию за, 1998 г. превысил инвестиции резидентов в иностранные активы на 0,5 млрд долл. (т.е. в финансовом счете общее сальдо положительное). В 1997 г. соответствующий показатель был значительно больше (-6,5 млрд долл.).
Таким образом, за 1998 г. по сравнению с 1997 г. интенсивность движения капитала в целом ослабла.
Контрольные вопросы
- Какие функции и задачи имеет платежный баланс?
- В чем состоят основные сходства и различия в методологии отражения хозяйственных операций между платежным балансом и бухгалтерским учетом?
- Каковы технические проблемы составления платежного баланса?
- Что можно сказать о согласованности платежного баланса и счетов остального мира СНС?
Раздел XII. Статистическое моделирование и прогнозирование социально-экономических процессов
В условиях перехода страны к рыночной экономике возрастает интерес и потребность в статистических методах анализа и прогнозирования, в количественных оценках социально-экономических явлений, получаемых с использованием многомерных статистических методов на ПЭВМ.
В данном разделе излагаются основные теоретические положения таких многомерных статистических методов, как корреляционный, регрессионный, компонентный и кластерный анализ, ряд задач эконометрики.
Значительное внимание уделяется логическому анализу исходной информации и экономической интерпретации получаемых результатов, а также рассмотрению подробно разработанных типовых примеров, взятых из экономической практики и решенных с использованием ЭВМ.
Примеры иллюстрируют необходимость комплексного применения многомерных статистических методов. При этом корреляционный анализ используется, с одной стороны, на этапе предварительного анализа для выявления мультиколлинеарности, а с другой при оценке адекватности регрессионной модели; компонентный анализ используется в задачах снижения размерности, а также при построении уравнения регрессии на главных компонентах и в задачах классификации.
При окончательном выборе модели рекомендуется использовать как экономические, так и статистические критерии. Наряду с точечными оценками рассматриваются методы построения интервальных оценок коэффициентов и уравнения регрессии.
В 53.5 Основы эконометрики рассматриваются производственные функции и системы одновременных эконометрических уравнений, двухшаговый метод наименьших квадратов.
Настоящий раздел предназначен для студентов, изучающих многомерные статистические методы, и специалистов, желающих повысить свою кJалификацию в области применения современных эконометрических методов для анализа и прогнозирования социально-экономических явлений.
Показатели для характеристики потребления
С их помощью определяется величина и доля доходов на приобретение непродовольственных товаров, устанавливается зависимость отдельных статей потребительских расходов от уровня среднедушевого дохода домашних хозяйств, которая в конечном итоге характеризуется коэффициентами эластичности по группам товаров или их отдельным видам. Наряду с этим устанавливается, насколько фактическое потребление соответствует минимальным и рациональным нормам, какие тенденции наблюдаются в сдвигах потребления и динамике покупательной способности населения, насколько потребительский рынок адекватен птребностям населения по объему, ассортименту и качеству предлагаемых товаров.
Если ставится задача выявить связи между структурой потребления непродовольственных товаров и доходами отдельных домашних хозяйств, необходимо изучить изменение состава потребляемых товаров в зависимости от материальной обеспеченности, который имеет тенденцию расширяться при росте доходов и сужаться при их сокращении.
Из числа перечисленных выше групп непродовольственных товаров приоритетными для статистического наблюдения являются одежда и обувь.
Как и продукты питания, они относятся к предметам первой необходимости, предназначенным удовлетворять физиологические потребности человека. Расходы на одежду и обувь составляют значительную часть затрат семейного бюджета на непродовольственные товары (половину и более).
В потребительских расходах населения России в 1997 г. на долю одежды и обуви приходилось 14,8%, что обеспечило им первое место среди приобретенных непродовольственных товаров.
Эти расходы, как и натуральные показатели потребления одежды и обуви (метров, пар, единиц в расчете в среднем на душу), могут анализироваться с различных позиций, например, в целях определения их соотношения с минимальными и рациональными нормами потребления, или с целью выявления их связи с размером среднедушевого дохода, с увеличением которого повышаются возможности удовлетворения не только общих потребностей в одежде и обуви, но и социальных потребностей, учитывающих факторы моды, качества товаров, функционального разнообразия гардероба и т.д.
Важно также выявить существенные качественные различия в потреблении одежды и обуви в зависимости от места и образа жизни людей, демографических характеристик членов домашних хозяйств.
Например, как правило, доля затрат на покупку промышленных товаров, в том числе одежды и обуви, в потребительских расходах намного выше у сельского населения, чем у городского. Это объясняется прежде всего тем, что сельские жители значительно меньше денежных средств затрачивают на питание по сравнению с горожанами, поскольку потребляют сельскохозяйственные продукты собственного производства (выращенные в личном подсобном хозяйстве).
При анализе в разрезе возрастных групп возникают некоторые трудности в оценке потребления одежды и обуви лицами пожилого возраста. Это связано с тем, что часть потребностей удовлетворяется ими за счет накопленного ранее имущества, следовательно, фактическое потребление одежды и обуви у данной группы населения будет выше, чем зафиксированное по актам покупки.
Подобные сведения важны не только для формирования потребительского рынка, но и для разработки соответствующих социальных нормативов, устанавливающих границы минимального и рационального потребления, отражения реальной картины в сфере потребления товаров и услуг.
Потребление непродовольственных товаров может изучаться и с большей детализацией, чем приведенная выше группировка, вплоть до отдельных видов товаров, покупки которых в современных условиях могут являться индикаторами уровня жизни. В качестве таких индикаторов могут, например, выступать затраты населения на покупку и эксплуатацию легковых автомобилей, в том числе дорогостоящих импортного производства, или расходы на приобретение товаров необязательного пользования, имеющих престижный характер, таких как ювелирные изделия, предметы роскоши.
Совершенно ясно, что рост затрат на покупки этих товаров свидетельствует о повышении уровня жизни населения.
В результате статистического изучения структуры потребления не только постатейно, но и по отдельным видам товаров могут быть выявлены устойчивые тенденции в потребительском поведении населения. Например, с ростом доходов отчетливо проявляется тенденция к более широкому использованию готовой одежды и уменьшению расходов на покупку тканей и пошив одежды, возрастают средние цены покупки отдельных товаров в связи с их более высоким качеством и т.д.
Для характеристики материального благосостояния в отечественной статистике широко используются также показатели обеспеченности населения и наличия в домашних хозяйствах предметов длительного пользования.
Обеспеченность населения товарами длительного пользования является обобщающим показателем и исчисляется на макроуровне в расчете на 1000 населения или на 100 семей, исходя из данных статистики розничного товарооборота о натуральных объемах продажи этих товаров и срока их службы.
Срок службы предметов длительного пользования определяется, исходя из сроков их службы, физического и морального их износа. Так, если срок службы телевизоров установлен 12 лет, при расчете обеспеченности населения ими по состоянию на 1 января 1998 г. принимается количество телевизоров, проданных в 1986—1997 гг.
Сведения об обеспеченности населения основными предметами длительного пользования приводятся в статистических публикациях по следующему их перечню: телевизоры; радиоприемные устройства (включая музыкальные центры, проигрыватели, тюнеры, усилители); магнитофоны, видеомагнитофоны, видеокамеры; холодильники и морозильники; стиральные машины; электропылесосы; швейные и вязальные машины; часы; легковые автомобили; мотоциклы и мотороллеры; велосипеды и мопеды; фотоаппараты.
Для получения информации, характеризующей различия в обеспеченности отдельных слоев населения перечисленными выше товарами длительного пользования, проводятся выборочные обследования наличия этих товаров в домашних хозяйствах различного состава, с различным среднедушевым доходом, отличающихся жилищными условиями, а также у проживающих в городской и сельской местности. Получение этих сведений — одно из направлений бюджетных обследований домашних хозяйств.
Предметом статистического анализа являются динамика и дифференциация в обеспеченности предметами длительного пользования малодоходных и высокодоходных домашних хозяйств, малодетных и многодетных семей, сельских и городских домашних хозяйств; различия в приобретении товаров утилитарного, бытового, назначения и предметов культурного назначения в зависимости от уровня дохода и демографических особенностей домашних хозяйств.
Бюджетная статистика позволяет получить характеристику домашних хозяйств, владеющих определенным набором современных предметов длительного пользования.
Уровень жизни населения в современных условиях определяется не только масштабами потребления продуктов питания и непродовольственных товаров, но и потреблением платных и бесплатных услуг.
Объем и динамика потребления услуг являются индикаторами уровня жизни населения. С ростом доходов населения возрастает объем и расширяется состав потребляемых им платных услуг.
Чем больше денежных средств население может направлять на реализацию своих потребностей в различных услугах, удовлетворив предварительно первоочередные потребности в пище, одежде и обуви, основных предметах длительного пользования, тем выше его уровень материального благосостояния.
В то же время следует иметь в виду, что государство берет на себя значительную часть расходов по содержанию учреждений сферы бесплатных услуг, социально значимых для населения. В их числе — бесплатное общее и профессиональное образование, медицинская и социальная помощь, поддержка престарелых и т.д.
Для оценки объема потребленных бесплатных и платных услуг используются стоимостные показатели.
Потребление бесплатных услуг, оказанных населению в виде социальных трансфертов в натуральной форме, наиболее полно отражается в системе СНС при исчислении показателя фактического конечного потребления домашних хозяйств. Так, по данным Госкомстата России, фактическое конечное потребление домашних хозяйств в 1997 г. составило 1616,4 трлн руб., в том числе социальные трансферты в натуральной скорме — 308,9 трлн руб., или 19%.
Для оценки масштабов потребления бесплатных услуг используются также показатели фактических расходов государства (на федеральном и территориальном уровнях), предприятий и организаций на социальные нужды. Расходы бюджетной системы Российской Федерации на социально-культурные мероприятия в 1997 г. показаны в табл.
44.1.
Таблица 44.1
(в % к ВВП)

Что касается сферы платных услуг, то в качестве обобщающего показателя применяется объем реализации платных услуг населению в текущих и сопоставимых ценах, который представляет собой сумму платежей, полученных предприятиями любых форм собственности от населения в оплату за оказанные услуги, как непосредственно в кассу предприятия, так и через учреждения банков, включая налог на добавленную стоимость, спецналоги, акцизы и т.п. При этом индексы объема реализации платных услуг в текущих ценах, характеризующие динамику реализации услуг в сложившихся ценах и тарифах, определяются как отношения объема услуг отчетного периода к объему услуг базисного периода; эти индексы отражают изменения объемов услуг под влиянием одновременного изменения цен и количества оказываемых услуг.
Индексы, характеризующие динамику физического объема реализации платных услуг в постоянных ценах, исчисляются путем пересчета по индексу потребительских цен и товаров объема реализации платных услуг отчетного периода в ценах базисного периода и деления на фактический объем реализации услуг в базисном периоде.
Сведения об объеме реализованных населению услуг и их структуре собираются ежемесячно и включаются, как правило, в основные социально-экономические показатели страны, публикуемые в статистических материалах.
Для изучения структуры потребляемых населением услуг они группируются исходя прежде всего из их назначения, удовлетворения определенных потребностей населения.
В статистическом учете наиболее широко используется следующая группировка услуг: бытовые услуги; услуги пассажирского транспорта и связи; услуги жнлищно-коммунального хозяйства; образовательные услуги; услуги по дошкольному воспитанию детей; медицинские, санаторно-оздоровительные и ветеринарные услуги; страховые и финансовые услуги; туристско-экскурсионпые услуги; физической культуры и спорта; услуги учреждений культуры, искусства и других досуговых развлечений; услуги правового характера и прочие.
Такая укрупненная группировка отражает основные потребности населения и позволяет оценить сдвиги в структуре потребления отдельных видов услуг за определенное время. Так, при росте общего объема реализованных населению услуг в 1997 г. по сравнению с 1996 г. с 200 221 до 268 351 млрд руб. доля платных жилищно-коммунальных услуг осталась практически на том же уровне, услуг пассажирского транспорта снизилась с 25,1% до 24,0%.
Несколько снизилась также доля бытовых услуг — с 18,8% до 18,2%.
Изучение потребления услуг населением на макроуровне дополняется сведениями оI уровне и структуре соответствующих потребительских расходов домашних хозяйств по данным выборочных бюджетных обследований. Анализ уровня, динамики и структуры потребительских расходов в зависимости от состава среднедушевого дохода домашних хозяйств, места проживания позволяет выявить особенности потребления услуг в зависимости от уровня доходов, уклада жизни, а следовательно, и потребностей отдельных групп населения.
Особое внимание уделяется определению потребностей домашних хозяйств с разным уровнем материального достатка в таких первоочередных услугах, как жилищно-коммунальное обслуживание, в которое включается квартирная плата, обслуживание и ремонт жилищ, энерго-, газо- и водоснабжение, отопление и т.д.
Контрольные вопросы
- Что понимается под личным потреблением?
- Дайте характеристику потребительской корзине и потребительскому бюджету.
- Какие показатели применяются для характеристики потребления?
- Назовите источники сведений и методы наблюдения, используемые при изучении потребления.
Показатели статистики бедности
С одной стороны, при увеличении в составе домашних хозяйств числа занятых работников возрастает его суммарный доход. С другой стороны, с увеличением размера домашнего хозяйства (семьи) возрастает семейная нагрузка и уменьшается размер душевого дохода, если увеличение домашнего хозяйства не сопровождается адекватным увеличением занятости его членов, т.е. увеличивается число иждивенцев.
Число и состав иждивенцев также могут быть самостоятельным предметом статистического анализа. Важно установить причину иждивенчества: безработные лица трудоспособного возраста, учащиеся, инвалиды и т.д.
Определяется число иждивенцев, приходящееся в среднем на одного занятого в домашних хозяйствах разного уровня материальной обеспеченности.
Ниже приводится пример, в котором наглядно видна связь между социально-демогрфическими характеристиками домашних хозяйств и их материальными условиями (табл. 43.3).
Таблица 43.3

При анализе дифференциации доходов по совокупности домашних хозяйств может быть получен более низкий коэффициент дифференциации доходов по членам домашних хозяйств, чем по домашним хозяйствам в целом. Это свидетельствует о том, что фактическая степень расслоения обследуемых лиц по доходу с учетом количества членов в разных домашних хозяйствах меньше, чем по совокупности домашних хозяйств, т.е. размер последних действует в данном случае, как фактор, смягчающий дифференциацию.
Приведенный пример свидетельствует о важности изучения распределения доходов не только между обследуемыми лицами, но и домашними хозяйствами, которые в свою очередь могут подразделяется на семейные и состоящие из одиночек, поскольку формирование доходов одиночек, их бюджет и характер потребления имеют свою специфику.
Анализу подвергаются и источники доходов в семьях с разным уровнем материальной обеспеченности. Степень детализации структуры доходов может быть различной в зависимости от конкретных задач анализа.
Группировка по источникам доходов может быть укрупненной, например, — трудовые доходы, из них оплата по найму.
Может быть выделен предпринимательский доход, доход от семейного предприятия, от индивидуальной трудовой деятельности и т.д. Социальные трансферты могут быть распределены на пенсии, пособия, стипендии.
Пособия, в свою очередь, можно подразделить на выплаты по социальному страхованию, специальные выплаты многодетным, малообеспеченным семьям, лицам преклонного возраста и т.д.
В целях формирования эффективной государственной политики в области распределения доходов важна информация о структуре доходов, а также о том, какой источник дохода является определяющим в домашних хозяйствах с разным уровнем материальной обеспеченности.
43.5. Показатели статистики бедности
В экономической и статистической литературе используются различные подходы для измерения бедности. Подавляющее большинство исследователей считает, что к бедным относятся те, чьи доходы ниже границы бедности.
При этом граница бедности представляет собой объективно определенную величину дохода, рассчитанную исходя из национальных или субнациональных минимальных норм потребления материальных благ и услуг.
Такой подход к оценке бедности предполагает использование перечня товаров (с указанием их количества), которые составляют минимальную потребительскую корзину, а также источников информации о ценах на них.
Этот метод оценки бедности используется в Российской Федерации. В качестве границы бедности рассчитывается прожиточный минимум, представляющий собой уровень дохода, обеспечивающий приобретение научно обоснованного минимального набора материальных благ и услуг для поддержания жизнедеятельности человека.
Прожиточный минимум в Российской Федерации регулируется федеральным законом, который вступил в силу с 1 января 1998 г. и Методическими рекомендациями по определению минимальной потребительской корзины для основных социально-демографических групп населения в целом по Российской Федерации и ее субъектам, утвержденными Правительством РФ в феврале 1999 г. Закон устанавливает правовую основу для определения прожиточного минимума и его учета при установлении государственных гарантий при получении гражданами России минимальных денежных доходов и осуществлении других мер их социальной защиты. Данный закон использует такие понятия:
- минимальная потребительская корзина (минимальный набор продуктов питания, непродовольственных товаров и услуг, необходимых для сохранения здоровья человека и обеспечения его жизнедеятельности);
- прожиточный минимум (стоимостная оценка потребительской корзины плюс обязательные платежи и сборы);
- семья (лица связанные родством или свойством, совместно проживающие и ведущие совместное хозяйство);
- основные социально-демографические группы населения (трудоспособное население, пенсионеры, дети).
В соответствии с этим законом прожиточный минимум используется в качестве критерия оценки уровня жизни населения при разработке и реализации социальной политики, федеральных и региональных социальных программ; для обоснования устанавливаемых на федеральном уровне минимального размера оплаты труда, минимального размера пенсии по старости, размеров стипендий, пособий, других социальных выплат, включая оказание необходимой государственной помощи малоимущим гражданам; а также при формировании федерального бюджета и бюджетов субъектов Российской Федерации.
Закон устанавливает, что потребительская корзина определяется для основных социально-демографических групп населения в целом по России и субъектам Федерации не реже одного раза в пять лет на основе методических рекомендаций, разрабатываемых Правительством России с участием профсоюзов. Потребительская корзина в целом по стране устанавливается федеральным законом, а в субъектах Федерации — их законодательными органами.
При этом региональные разработчики потребительской корзины ориентируются на учет природно-климатических условий, национальных традиций и местных особенностей потребления продуктов питания, непродовольственных товаров и услуг основными социально-демографическими группами населения. Все проекты потребительских корзин должны проходить экспертизу.
Величина прожиточного минимума рассчитывается Госкомстатом России на душу населения в целом по стране и по субъектам Федерации ежеквартально с использованием утвержденных потребительских корзин и потребительских цен на продукты питания, непродовольственные товары и услуги, а также данных о расходах населения по обязательным платежам и сборам. Расчеты осуществляются по всему населению и по основным социально-демографическим группам.
Величина прожиточного минимума утверждается правительством, а в субъектах Федерации — органами исполнительной власти.
Закон определяет, что соотношение между минимальным размером оплаты труда, минимальным размером пенсии по старости и величиной прожиточного минимума на очередной финансовый год устанавливается федеральным законом о федеральном бюджете.
Семья (или одиноко проживающий гражданин) имеет право на получение государственной социальной помощи и считается малоимущей (малоимущим), в случае, если среднедушевой доход (доход которого) ниже величины прожиточного минимума, установленного в соответствующем субъекте Российской Федерации. Порядок и условия получения малоимущими гражданами государственной социальной помощи устанавливается законодательством России и законодательством соответствующего субъекта Федерации.
Как правило, в статистической литературе соотношение размеров социальных гарантий, предоставляемых государством населению, выражается коэффициентом — отношением между разными видами социальных гарантий и величиной прожиточного минимума для определенной социально-демографической группы населения (трудоспособные, пенсионеры, дети). Оценки бедности с использованием метода прожиточного минимума позволяют конструировать границу бедности для домохозяйства в целом и учитывать при этом размеры прожиточных минимумов всех его членов.
Основу прожиточного минимума составляют натуральные наборы продуктов питания по минимальным нормам потребления и сбалансированные по калорийности и химическому составу пищевых веществ. В составе продовольственной корзины прожиточного минимума выделяют хлебопродукты (бобовые, мука пшеничная, рис, крупа (кроме риса), хлеб пшеничный, хлеб ржаной, макаронные изделия) — 130,8 кг на год в среднем на душу; картофель — 124,2 кг; овощи (капуста, огурцы и помидоры, столовые корнеплоды, прочие овощи) — 94 кг; фрукты и ягоды (фрукты свежие, фрукты и ягоды сушеные) — 19,4 кг; сахар и кондитерские изделия (сахар, конфеты, печенье и торты) — 20,7 кг; мясопродукты (говядина, баранина, свинина, субпродукты и прочее мясо, птица, сало, колбасные изделия и копчености) — 26,6 кг; рыбопродукты (рыба свежая, сельдь) — 11,7 кг; молокопродукты (молоко цельное, молоко нежирное, сметана и сливки, масло животное, творог, сыр и брынза) — 212,4 кг; яйца — 151,4 шт.; масло растительное и маргарин — 10 кг.
Эти наборы продуктов питания рассчитаны Институтом питания Академии медицинских наук Российской Федерации, Институтом социально-экономических проблем народонаселения РАН и Министерства труда Российской Федерации при участии Всемирной организации здравоохранения.
Минимальный набор продуктов питания обеспечивает потребление в среднем на душу в сутки 73,6 г белков (в том числе 28,9 г животного происхождения), 56,8 г жиров, 353,3 г углеводов, энергетическая ценность минимальной продовольственной корзины — 2236,7 ккал.
Стоимость минимальной продовольственной корзины Госкомстатом России определяется по средним ценам продаж товаров предприятиями торговли, полученными на основе регистрации цен на товары-представители. Такие корзины в России формируются для различных природно-климатических зон. (вся территория страны разделена на 8 зон).
Расчет величины продовольственной части прожиточного минимума производится по домохозяйству в целом в зависимости от числа его членов, их пола и возраста. После расчета затрат на питание к стоимости минимальной продовольственной корзины добавляются расходы на непродовольственные товары, платные услуги и уплату налогов и взносов.
Доля стоимости продовольственной корзины в прожиточном минимуме составляет 68,3%. Нормативы доли стоимости продовольственных товаров были установлены на уровне 19,1%, услуг — 7,4%, налогов — 5,2%.
Досчет прожиточного минимума до полной величины производится в соответствии с этими соотношениями.
Величина прожиточного минимума используется в качестве одного (из критериев, характеризующих степень социального расслоения населения. Обычно выделяются группы домохозяйств с душевыми доходами меньше величины прожиточного минимума, с доходами меньше двух прожиточных минимумов, от двух до трех, от трех до четырех и свыше четырех прожиточных минимумов.
Как правило, критерием отнесения лица или домохозяйства к группе населения, находящейся в состоянии крайней бедности или нищеты, используется или уровень душевых доходов в два и более раза ниже величины прожиточного минимума или калорийность потребления продуктов питания ниже научно обоснованных минимальных физиологических норм.
В соответствии с другой методикой к группе бедных относят тех, чьи доходы ниже, чем у остальных групп населения. Этот метод оценки бедности основан на установлении границы материальной недостаточности в определенном соотношении со средними по всему населению показателями доходов.
В этом случае к бедным можно отнести всех тех, чьи доходы ниже, например, половины медианного (или среднего) дохода по всей обследуемой совокупности.
Еще один метод оценки бедности, основанный на использовании статистических оценок, предполагает в качестве критерия бедности применять долю расходов на продукты питания в доходе (расходе) семьи. Так, к категории бедных могут быть отнесены все домохозяйства, у которых доля расходов на питание в доходе (расходах) превышает заданную исследователем величину.
Если доля расходов на покупку продуктов питания в доходе домохозяйства достаточно велика (решение принимает исследователь, как правило, на основе сложившейся в стране практики), то семья относится к группе бедных.
Иногда исследователи для оценки бедности в качестве критерия используют уровень потребления продуктов питания. При этом потребление продовольствия, как правило, оценивается через калорийность потребленных продуктов в расчете на душу в сутки и сравнивается с физиологическими нормативами.
Естественно, нормативы различаются для различных половозрастных групп населения и учитывают природно-климатические условия проживания населения. При анализе бедности расчеты калорийности питания могут быть дополнены оценками состава пищевых веществ (белки, жиры и углеводы) потребленного продовольствия.
Приведенные критерии бедности могут считаться объективными, но довольно часто в литературе (прежде всего социологической) используются субъективные оценки бедности, основанные на мнениях респондентов об их уровне жизни (бедности), полученных в ходе опросов общественного мнения. В этом случае к бедным относят тех, кто считает, что их материальное положение (доходы, имущество) не позволяет в полном объеме удовлетворять свои потребности.
Наиболее общим показателем, характеризующим бедность, а точнее ее распространенность в обществе, является коэффициент (уровень) бедности, или доля населения с низкими доходами во всем населении.
Другой важный показатель бедности, имеющий практическое значение при оценке стоимости мер социальной поддержки, — дефицит дохода бедных семей. Этот показатель рассчитывается как объем денежных средств, необходимых для повышения доходов бедных домохозяйств до границы бедности.
Расчет дефицита дохода осуществляется по семьям разного типа, так как для каждой семьи существует конкретная граница бедности, она зависит от состава домохозяйства, половозрастных характеристик его членов.
Дефицит дохода рассчитывается как по всей группе бедных домохозяйств, так и на одно домохозяйство или душу населения.
Отношение дефицита дохода к границе бедности (прожиточному минимуму) называется промежутком низкого дохода. Как правило, этот показатель рассчитывается в процентах.
Промежуток низкого дохода как относительный показатель дефицита дохода бедных семей широко используется при хронологических и территориальных сопоставлениях.
В экономической литературе для характеристики бедности широко используются и другие показатели.
Так, для домохозяйства в целом, с учетом величины принятого прожиточного минимума, размера и состава домохозяйства по полу и возрасту его членов может быть определен порог бедности, которым называют средневзвешенную из прожиточных минимумов членов конкретного домохозяйства.
Для упорядочения мер государственной социальной политики законодательно устанавливаются нижние пределы (минимальные размеры) заработной платы и пенсии, которые представляют собой минимальные государственные стандарты. Минимальный размер оплаты труда является исходной величиной для дифференциации заработной платы по сложности, квалификации, условиям и сферам приложения труда, он учитывается при заключении коллективных договоров между наемными работниками и работодателем.
В бюджетной сфере государственным минимальным социальным стандартом в области оплаты труда является ставка первого разряда единой тарифной сетки по опSате труда работников бюджетной сферы. В области пенсионного обеспечения государственным минимальным социальным стандартом является размер минимальных пенсионных выплат.
Под минимальным потребительским бюджетом понимают стоимость набора материальных благ и услуг, соответствующего прожиточному минимуму.
Для характеристики динамики бедности рассчитывается индекс бедности, представляющий собой темп роста средневзвешенной величины порога бедности или прожиточного минимума. Индекс бедности, как правило, сравнивается с индексом инфляции и темпом роста доходов населения.
В целях исследования территориального распространения бедности используется термин зоны бедности, в которые включают территории высокой концентрации бедных. При этом к зонам бедности относят те территории, которые имеют уровень бедности выше среднего по стране или выше установленного предела.
При экономическом анализе важно выявить не только общее количество бедных и их долю во всей совокупности домохозяйств или населения, но и степень дефицитности их материального состояния, без этого невозможны объективные оценки стоимости государственных социальных программ. Вот почему необходимо использовать показатели бедности, которые позволяют оценить глубину бедности (степень обеднения) и остроту бедности.
Индекс глубины бедности рассчитывается по формуле

(43.1)
где Zh — граница бедности для отдельного домохозяйства, рассчитываемая как сумма порогов бедности для всех его членов;
Yh — уровень дохода (расходов или потребления) отдельного домохозяйства;
q — количество бедных домохозяйств;
Н — общее количество домохозяйств;
h — номер каждого домохозяйства.
Расчет показателей бедности по этой формуле можно вести не по домохозяйствам, а по лицам, тогда параметры Zh, Yh, q, Н относятся к лицам, а h — это номер каждого лица.
Индекс остроты бедности рассчитывается по формуле

(43.2)
Отличие индекса остроты бедности от индекса глубины бедности состоит в том, что при его расчете придается больший удельный вес домохозяйств с более значительным дефицитом доходов (расходов или потребления).
Показатель уровня бедности зависит от доли домохозяйств (или населения) с доходами ниже порога бедности (или иного стандарта, определяющего состояние домохозяйства как бедное), дефицита дохода домохозяйств и степени дифференциации по уровню дохода именно бедного слоя населения. Синтетический индикатор бедности (Sen-индекс) учитывает все эти факторы и является наиболее общей характеристикой бедности. Он рассчитывается по формуле

(43.3)
где L — дVля бедного населения;
N — средний дефицит дохода к границе бедности (промежуток низкого дохода);
d — средний доход бедных домохозяйств;
Р — граница бедности;
Gp — коэффициент Джини для бедных домохозяйств.
Sen-индекс представляет собой взвешенную сумму дефицитов домохозяйств, отнесенных к бедным. Этот показатель варьирует в интервале от 0 до 1. Sen-индекс используется для временных и территориальных сопоставлений, так как сочетает в себе характеристики распространения бедности, ее интенсивности и неравенства среди бедных.
Основными причинами бедности в современных условиях являются: низкий уровень оплаты труда у отдельных категорий наемных работников, большое число иждивенцев в домохозяйстве, безработица, низкий уровень пенсий, стипендий и пособий. Исходя из этого статистика бедности призвана измерить воздействие этих факторов на динамику, распространенность и глубину бедности.
Социально-экономический портрет бедности представляет собой систему характеристик, описывающих бедность как состояние определенной части общества.
В ее составе выделяются следующие группы показателей: демографические (средний размер домохозяйства, его состав с половозрастными характеристиками членов, рождаемость, смертность, заболеваемость членов домохозяйства), экономические (источники доходов и их использование, имущество домохозяйства, занятость членов домохозяйства), социальные (расслоение бедных, социальные субсидии, дефицит бюджета домохозяйства, уровень и калорийность потребления продуктов питания, жилищные условия, потребление услуг отраслей социального комплекса).
Контрольные вопросы
- Какие показатели используются для характеристики доходов населения?
- Назовите источники информации для расчетов денежных доходов населения.
- В чем отличие совокупного дохода домашних хозяйств от денежного дохода?
- Как исчисляется среднедушевой доход?
- Назовите факторы, оказывающие влияние на распределение доходов.
- Какой метод оценки бедности используется в Российской Федерации?
Понятие и содержание системы национальных счетов
Национальное счетоводство система ведения первичного, оперативного бухгалтерского учета и статистики, охватывающая все виды экономической деятельности, основанная на единстве методологических принципов и завершаемая на макроуровне и на уровне секторов построением системы национальных счетов.
Система национальных счетов (СНС) балансовый метод взаимосвязанной комплексной характеристики экономических процессов и их результатов. Единство методологии обеспечивает сводимость, сопоставимость показателей всех счетов, информация которых дополняет друг друга, создавая в совокупности сводную картину функционирования экономики.
Система национальных счетов может быть определена и как система взаимосвязанных статистических показателей и классификаций, представленная в виде определенного набора счетов и таблиц, характеризующих результаты макроэкономической деятельности.
Базирующаяся на национальном счетоводстве, СНС охватывает деятельность всех институциональных единиц и хозяйствующих субъектов всех форм собственности; учитывает все операции с произведенными и непроизведенными, финансовыми и нефинансовыми, материальными и нематериальными активами.
В основе СНС лежит система обобщающих макроэкономических показателей функционирования экономики на различных стадиях воспроизводственного процесса: производства продуктов и услуг; образования, распределения, перераспределения и конечного использования Доходов (в счетах потоков); использования валового сбережения на накопление различных активов (в счетах накопления); внешнеэкономических связей (в счетах остального мира) и на других стадиях экономической деятельности.
На основе системы показателей СНС характеризует экономические процессы и их результаты, отражает взаимосвязи между этими процессами. Таким образом, СНС своеобразная модель экономики, используемая для комплексного исследования экономической деятельности страны, ее регионов и секторов на основе взаимосвязанных балансов (счетов), отражающих потоки движения продуктов и их финансовых эквивалентов между экономическими агентами в процессе совершения ими различных экономических операций.
Представляя собой статистическую модель рыночной экономики, СНС с успехом используется для выработки экономической политики, анализа результатов ее реализации и оценки эффективности, а также для моделирования, прогнозирования и управления экономикой в 155 странах мира, а с 1993 г. и в России. Она также применяется для подготовки экономистов высшей квалификации.
В отечественной статистической практике накоплен значительный опыт использования балансового метода для характеристики макроэкономических процессов и их результатов на основе разработки отчетных и плановых балансов народного хозяйства (БНХ). Однако между методологиями составления БНХ и СНС имеются существенные различия, анализ которых позволяет отдать предпочтение именно системе национальных счетов как методу, наиболее отвечающему потребностям развития рыночной экономики.
В отличие от БНХ, дававшего количественную характеристику процесса воспроизводства материальных благ в соответствии с марксистско-ленинской концепцией расширенного воспроизводства, базой для разработки СНС служит концепция хозяйственного кругооборота по замкнутой системе на основе жесткой увязки показателей, обеспечивающих балансовое равенство совокупных доходов и расходов по секторам и экономике в целом. Рассматривая процесс воспроизводства как процесс создания не только материальных благ, но и услуг, СНС отдает предпочтение характеристике его финансового аспекта.
Национальные счета обеспечивают получение развернутой и взаимосвязанной информации по системе макроэкономических показателей, что усиливает их роль как информационной системы в анализе экономических процессов.
Методология СНС определяет границы экономического производства, факторы, образующие стоимость, счета и макроэкономические показатели, в обобщенном виде характеризующие потоки товаров, услуг и доходов; все активы и пассивы хозяйствующих субъектов; все аспекты экономического процесса и его результаты. Это позволяет считать СНС самой развитой информационной системой в мире, представляющей характеристику экономических процессов на макроуровне, увязку с важнейшими показателями экономической статистики.
СНС содержит следующие основные консолидированные счета, разрабатываемые в текущих ценах.
I. Счета внутренней экономики:
а) счет производства продуктов и услуг;
б) счета образования и распределения доходов:
- счет образования доходов;
- счет распределения первичных доходов;
- счет вторичного распределения доходов;
- счет перераспределения доходов в натуральной форме;
- сводный счет распределения доходов;
в) счета использования доходов:
- счет использования валового располагаемого дохода;
- счет использования скорректированного располагаемого дохода;
г) счета накопления:
- счет операций с капиталом (счет капитальных затрат);
- финансовый счет;
д) счет товаров и услуг.
II. Счета внешнеэкономических связей (остального мира):
- субсчет текущих операций;
- субсчет капитальных затрат.
Каждый счет, входящий в систему, представляет собой баланс, т.е. равенство между объемом тех или иных ресурсов и их использованием, достигаемое путем расчета балансирующей статьи, за исключением счетов, сбалансированных по определению. Балансирующая статья каждого счета имеет самостоятельное значение в характеристике результатов изучаемых экономических процессов; она также используется для увязки каждого предыдущего счета с последующим.
В совокупности балансирующие статьи счетов представляют собой систему макроэкономических показателей результатов, каждый из которых имеет самостоятельное значение в экономическом анализе. Таким образом, на основе взаимосвязанной системы показателей, объединенных в счета и составляемых в определенной последовательности, соответствующей этапам воспроизводственного цикла, удается получить взаимосвязанную комплексную количественную характеристику экономических процессов и результатов функционирования экономики.
Для экономики в целом предусматривается составление всех счетов. Они образуют сводные счета и отражают, с одной стороны, отношения между экономикой страны и остальным миром, а с другой отношения между секторами внутренней экономики и взаимосвязь между различными показателями системы.
Для каждого сектора внутренней экономики предусматривается составление набора счетов.
Счета представляют собой систему именно потому, что они, во-первых, взаимосвязаны между собой, во-вторых, строятся по единому методологическому принципу, в-третьих, содержат систему взаимосвязанных показателей, исчисленных по единым методологическим принципам.
Показатели в счете отражают операции, каждая из которых это стоимостной поток между институциональными единицами. В соответствии со стадиями воспроизводственного цикла, в которых они осуществляются, операции могут быть производственными, распределительными, обменными или операциями потребления и сбережения.
Таким образом, в СНС отражается сквозное движение стоимости продуктов и услуг через все стадии воспроизводственного цикла от производства до конечного потребления и накопления. Система завершается построением балансовых таблиц, отражающих итоговое изменение национального богатства в результате труда в данном году, и межотраслевого баланса производства и использования продукции и услуг.
11.2. Общие принципы построения СНС
Основные принципы составления национальных счетов таковы:
- счета строятся по принципу бухгалтерского учета, что выражается в двойном отражении в СНС каждой операции: один раз в разделе Использование предыдущего счета и второй раз в разделе Ресурсы последующего счета (что соответствует бухгалтерскому принципу записи операции в дебете одного счета и в кредите другого счета-корреспондента). Каждая статья того или иного счета имеет корреспондирующую статью в другом счете, что обеспечивает дополнительный контроль достоверности отражаемой в счетах информации и увязывает счета:
- счета имеют форму Т, состоят из двух частей (разделов); при этом ресурсы по образующим их компонентам отражаются с правой стороны, составляя колонку Ресурсы, а их использование показывается в левой части, в колонке Использование;
- национальные счета строятся в определенной последовательности, соответствующей последовательности воспроизводственного цикла;
- счета являются регистрацией (отражением) всех экономических потоков в форме балансов. С их помощью характеризуется деятельность экономических агентов системы по осуществлению операций;
- в соответствии с принципом двойной записи, принятым в системе, итоги операций ресурсов и использования счета балансируются или по определению, или с помощью балансирующей статьи, которая сама по себе важна в экономическом анализе и служит для перехода к следующему счету. Балансирующие статьи счетов, обеспечивающие баланс (равенство) правой и левой частей счета, рассчнтываются как разность между суммой показателей ресурсов и их использования. Поэтому СНС рассматривается как балансовый метод;
- балансирующая статья предыдущего счета, отраженная в разделе Использование, служит исходным показателем раздела Ресурсы последующего счета (см. схему взаимосвязи счетов). Этим достигаются увязка счетов между собой и преобразование их в систему;
- балансирующие статьи не операции, которые можно наблюдать, а расчетные категории, предназначенные не только для обеспечения сбалансированности между объемами ресурсов и их использованием в каждом счете (для арифметического равенства двух частей счета), но и для характеристики результатов соответствующего экономического процесса, отражаемого данным счетом, и представляющие собой важнейшие макроэкономические показатели экономического развития.
Так, балансирующей статьей счета Производство, отражающей результат экономической деятельности по производству продуктов и услуг и связанных с ним затрат, является валовой внутренний продукт (а для каждой отрасли экономики валовая добавленная стоимость), полученный как разность объема ресурсов, показанных в правой части счета, и их использования, отраженного в левой части.
В табл. 11.1 отражены балансирующие статьи сводных счетов внутренней экономики.
Таблица 11.1
Балансирующие статьи счетов

Единство принципов составления всех счетов проявляется в наличии системы взаимосвязанных классификаций основных единиц, секторов и т.п., что обеспечивает получение сводной количественной характеристики всех экономических процессов, в совокупности отражающих функционирование экономики в целом.
Основные методологические принципы национального счетоводства обеспечивают получение на базе СНС характеристик реальной ситуации в экономике, сопоставимость получаемой информации на межстрановом и международном уровнях.
Последовательность составления, состав счетов, их содержание, методика исчисления балансирующих статей, а также информация о показателях СНС РФ за 1997 г. представлены в табл. 11.2.
Таблица 11.2
Сводные счета системы, их взаимосвязь и методика расчета балансирующих статей (на примере СНС России за 1998 г., в текущих ценах, трлн руб.)

11.3. Сводные счета внутренней экономики СНС
Каждый счет отражает определенный процесс экономической деятельности. В системе счетов отражается взаимосвязь между начальным формированием ресурсов, движением доходов, их использованием и конечными финансовыми результатами деятельности.
Счета можно разделить на счета текущих операций и счета накоплений. К первым относятся те, в которых отражаются операции, полностью заканчивающиеся в текущем году: счета производства, образования, распределения и использования доходов.
Ко вторым относятся счета операций с капиталом, финансовые счета, балансы активов и пассивов.
Ряд счетов начинается со счета производства. Результатом производства является выпуск товаров и услуг.
Разница между выпуском и промежуточным потреблением называется добавленной стоимостью и представляет собой сумму первичных доходов, созданных в экономике в результате производства.
Счета доходов центральные в системе счетов, они связывают результат производства с процессами капиталообразования и изменения финансовых активов и пассивов. Счета доходов, как упоминалось выше, делятся на три группы.
Смысл этого разделения в выделении трех основных этапов кругооборота доходов: образования, распределения и перераспределения, а также испльзования на потребление и сбережение. Все эти процессы исследуются не только в целом для экономики, но и по институциональным секторам.
Задача первой группы счетов доходов выделить все доходы, связанные с производством, которое, конечно, понимается в широком смысле. Уже валовая добавленная стоимость представляет собой сумму доходов оплату факторов производства, предоставленных в распоряжение внутренней экономики, плюс налоги на производство и продукты доходы государства.
В первом счете счете образования доходов эта сумма делится на три части: оплата труда наемных работников трудовые доходы, налоги на производство и сумма остальных факторных доходов, которые представляют собой прибыль, а для сектора домашних хозяйств смешанный доход.
В следующем счете первой группы счете распределения первичных доходов происходит выделение остальных факторных доходов доходов от собственности (проценты, дивиденды, рента, нераспределенная прибыль и т.д.). Сальдо первичных доходов, формирующееся как балансирующая статья данного счета и как основной итог этой первой группы счетов, представляет собой распределение валовой добавленной стоимости в соответствии с предоставленными факторами по институциональным секторам. В счете отражаются первичные доходы доходы от прямого и косвенного участия в производстве трех групп производителей:
- населения оплата труда наемных работников, доходы от собственности, предпринимательский (смешанный) доход;
- предприятий и организаций прибыль;
- государства налоги на производство и импорт.
Свое сальдо первичных доходов добавляет и сектор остальной мир.
Счет вторичного распределения доходов показывает перераспределение первичных доходов, т.е. то, как различные трансферты изменяют сальдо первичных доходов, перераспределяя доход в соответствии с текущей социально-экономической политикой государства, как формируется располагаемый доход.
Завершает группу счетов доходов счет использования доходов. Он показывает, какая часть дохода, находящаяся в распоряжении домашних хозяйств, органов государственного управления и некоммерческих организаций, обслуживающих домашние хозяйства, использована на потребление и сбережение.
У остальных секторов располагаемый доход равен сбережению (только у пенсионных фондов и страховых компаний имеют место поправки).
Соотношение между потреблением и накоплением является важнейшей характеристикой развития экономики. Конечное потребление в этом счете характеризуется как расходы на него.
И этим оно отличается от фактического потребления.
Поправка на перераспределение социальных трансфертов в натуре позволяет выявить те расходы, которые производят сектора органов государственного управления и некоммерческих организаций в пользу индивидуальных домашних хозяйств. Эта поправка к располагаемому доходу фиксируется в отдельном счете перераспределения доходов в натуре.
Фактическое потребление, в том числе индивидуальное (домашних хозяйств) и коллективное (органов государственного управления), фиксируется в последнем счете доходов счете использования скорректированного располагаемого дохода.
Счет операций с капиталом отражает использование валового национального сбережения на прирост материальных и нематериальных активов, показывает, что для экономики в целом сбережение равно капиталовложениям, т.е. валовому накоплению нового основного капитала и изменению запасов материальных оборотных средств. Финансовый счет показывает, как на чистые кредиты или чистые долги влияет приобретение или ликвидация финансовых активов.
В этом счете нет конечной балансирующей статьи. Чистое приобретение финансовых активов должно быть равно чистому приобретению финансовых обязательств.
Тем самым заканчивается вся цепь операций, которая началась с производственной деятельности в счете производства.
Своеобразной сводной таблицей является счет товаров и услуг. Как и все счета, он состоит из двух частей, однако все его статьи перенесены из других счетов.
Он характеризует общий объем ресурсов, складывающихся из выпуска продуктов и услуг и импорта, и их использование на потребление промежуточное и конечное, накопление основного и оборотного капитала, экспорт. Счет не имеет балансирующей статьи, он сбалансирован по определению.
11.4. Система показателей экономических результатов в СНС
Системой называют набор показателей, которые взаимосвязаны, рассчитываются на основе единых методологических принципов, дополняют друг друга и ориентированы на достижение цели исследования, в данном случае на характеристику результатов экономической деятельности.
Система показателей экономической деятельности, используемая в международной статистической практике и разрабатываемая в системе национальных счетов, отражена в табл. 11.3.
Таблица 11.3
Показатели экономической деятельности и методика их расчета в СНС

Основным макроэкономическим показателем результатов функционирования экономики в статистике многих стран, а также международных организаций (ООН, ОЭСР, МВФ, МБРР) является валовой внутренний продукт (ВВП), который используется при международных сопоставлениях и при расчетах общественной производительности труда и других показателей экономической эффективности. Это центральный показатель системы национальных счетов, характеризующий конечный результат производственной деятельности экономических единиц резидентов на экономической территории страны за тот или иной период.
ВВП представляет собой валовую стоимость всех продуктов и услуг, созданных на территории данной страны в течение определенного срока, за вычетом стоимости их промежуточного потребления. Он является основным в системе показателей экономических результатов, характеризует конечный результат производственной деятельности на экономической территории страны за тот или иной период в сфере как материального производства, так и нематериальных услуг.
Система показателей экономической деятельности на уровне макроэкономики включает:
выпуск (В)*;
валовой внутренний продукт (ВВП);
чистый внутренний продукт (ЧВП);
национальный доход (НД);
валовой национальный располагаемый доход (ВНРД);
чистый национальный располагаемый доход (ЧНРД);
валовую прибыль экономики (ВПЭ);
чистую прибыль экономики (ЧПЭ);
валовое национальное сбережение (ВНС);
чистое национальное сбережение (ЧНС).
* Этот показатель не является оценочным показателем конечных результатов и используется лишь для расчета ВДС.
Каждому из основных макроэкономических показателей СНС, как правило, соответствует аналог, рассчитанный на уровне отдельных отраслей, секторов экономики или конкретного производителя, хозяйствующего субъекта:
выпуск (В);
валовая добавленная стоимость (ВДС);
чистая добавленная стоимость (ЧДС);
прибыль валовая (ПВ);
прибыль чистая (ПЧ);
чистый смешанный доход (ЧСД);
предпринимательский доход (ПД) и др.
К первичным доходам относятся доходы от прямого и косвенного участия в производственной экономической деятельности: оплата труда, прибыль, налоги на производство, доходы от собственности (проценты, дивиденды, рента и др.).
Доходы от собственности включают доходы, получаемые или выплачиваемые институциональными единицами в связи с предоставлением в пользование финансовых активов, земли и других нефинансовых непроизводственных активов (недра и другие природные активы, патенты, лицензии и т.п.).
Валовая прибыль представляет собой ту часть добавленной стоимости, которая остается у производителей после вычета расходов, связанных с оплатой труда наемных работников, чистых налогов на производство и импорт. Эта статья измеряет прибыль (или убыток), полученную от производства, до учета доходов от собственности.
Чистая прибыль экономики представляет собой показатель, макроэкономической прибыли, рассчитываемый как разность между валовой прибылью экономики (ВПЭ) и потреблением основного капитала (ПОК):
ЧПЭ = ВПЭ - ПОК. (11.1)
Для некорпоративных предприятий, принадлежащих домашним хозяйствам, где члены домашних хозяйств могут производить неоплачиваемые трудовые затраты, данная статья содержит элемент вознаграждения за работу, который не может быть отделен от дохода владельца или предпринимателя. В этом случае статья называется смешанным доходом.
Потребление основного капитала представляет собой уменьшение стоимости основного капитала в течение отчетного периода в результате его физического и морального износа и случайных повреждений.
Кроме того, ЧПЭ может быть исчислена как разность между валовой добавленной стоимостью (ВДС), определенной как разница между выпуском (В) и промежуточным потреблением (ПП), и суммой оплаты труда (ОТ), включая отчисления на социальное страхование, чистых налогов на производство (ЧН) и потребления основного капитала (ПОК)
ЧПЭ = (В - ПП) - (ОТ + ЧН + ПОК). (11.2)
Располагаемый доход представляет собой доход, которым институциональная единица располагает для конечного потребления и сбережения. Он равен сальдо первичных доходов минус доходы, переданные в качестве текущих трансфертов, плюс полученные текущие трансферты. Сумма располагаемых доходов всех институциональных единиц-резидентов равна валовому национальному располагаемому доходу. .
Располагаемый национальный доход (РНД) в рыночных ценах представляет собой ЧНД плюс чистые текущие трансферты из-за границы (ЧТТ) (т.е. дарения, пожертвования, гуманитарная помощь, а также аналогичные перераспределительные поступления из-за границы за вычетом аналогичных трансфертов, переданных за границу):
РНД = ЧНД + ЧТТ. (11.3)
Располагаемый национальный доход измеряет сумму доходов, которую резиденты страны могут использовать либо для конечных потребительских расходов, либо для сбережения. Конечные потребительские расходы включают расходы на приобретение товаров и услуг домашними хозяйствами.
К ним относятся и конечные потребительские расходы органов государственного управления и частных некоммерческих организаций, обслуживающих домашние хозяйства.
Валовой национальный располагаемый доход (ВНРД) равен ВВП в рыночных ценах плюс (минус) чистое сальдо между национальной экономикой и остальным миром по налогам на производство и импорт, субсидиям, оплате труда, доходам от собственности и предпринимательскому доходу, операциям страхования от несчастных случаев и другим текущим трансфертам. Валовой национальный располагаемый доход измеряет реальный доход, который используется для конечного потребления и сбережения нации, т.е. является источником всех доходов, потребления и сбережения, необходимых для дальнейшего развития экономики и увеличения национального богатства.
КоSичественная связь между важнейшими показателями новой СНС валовым внутренним продуктом, валовым национальным доходом и валовым национальным располагаемым доходом представлена в следующей схеме:
А. ВВП.
Б. Первичные доходы, полученные резидентами данной страны из-за границы (доходы от собственности, оплата труда, налоги на производство).
В. Первичные доходы, выплаченные за границу.
Г. ВНД (А + Б - В).
Д. Сальдо текущих трансфертов, полученных резидентами данной страны из-за границы (гуманитарная помощь, подарки родственников и т.д.).
Е. ВНРД (Г + Д).
Чистый национальный располагаемый доход (ЧНРД) представляет собой разность между ВНРД и потреблением основного капитала:
ЧНРД = ВНРД - ПОК. (11.4)
Сбережение (Сб) часть ВНРД, которая не входит в конечное потребление товаров и услуг. По экономическому смыслу эта статья соответствует сложившемуся в отечественной практике показателю Накопление.
Сбережение категория, отражающая ту часть располагаемого дохода, которая осталась после вычета расходов на конечное потребление.
Построение эконометрической модели мирового рынка нефти
При фиксированных значениях К и L более высокое значение имеет та функция Q, которая характеризуется большей величиной параметра А, следовательно, и производственный процесс, описываемый такой функцией, более эффективен. Описываемая производственная функция однозначна и непрерывна (при положительных К и L).
Параметры и называют коэффициентами эластичности.
Они показывают, на какую величину в среднем изменится Q, если или увеличить на 1%.
Рассмотрим поведение функции Q при изменении масштабов производства. Предположим, что затраты каждого фактора производства увеличились в с раз. Тогда новое значение функции будет определяться следующим образом:

(53.53)
При этом, если + = 1, то уровень эффективности не зависит от масштабов производства. Если + 1, то средние издержки, рассчитанные на единицу продукции, растут, а при + 1 убывают по мере расширения масштабов производства.
Следует отметить, что эти свойства не зависят от численных значений К, L производственной функции.
Для определения параметров и вида производственной функции необходимо провести дополнительные наблюдения. Как правило, пользуются двумя видами данных динамическими (временными) рядами и данными одновременных наблюдений (пространственной информацией).
Динамические ряды экономических показателей характеризуют поведение одной и той же фирмы во времени, тогда как данные второго вида обычно относятся к одному и тому же моменту, но к различным фирмам. В случаях когда исследователь располагает временным рядом, например годовыми данными, характеризующими деятельность одной и той же фирмы, возникают трудности, с которыми не пришлось бы столкнуться при работе с пространственными данными.
Так, относительные цены со временем становятся иными, а следовательно, меняется и оптимальное сочетание затрат отдельных факторов производства.
Кроме того, с течением времени изменяется и уровень административного управления. Однако основные проблемы при использовании временных рядов порождаются последствиями технического прогресса, в результате которого меняются нормы затрат производственных факторов, соотношения, в которых они могут замещать друг друга, и параметры эффективности.
Вследствие этого с течением времени могут меняться не только параметры, но и формы производственной функции.
Поправка на технический прогресс может быть введена с помощью некоторого временного тренда, включаемого в состав производственной функции. Тогда
Производственная функция Кобба Дугласа с учетом технического прогресса имеет вид

(53.54)
В этом выражении параметр , с помощью которого характеризуется технический прогресс, показывает, что объем выпускаемой продукции ежегодно увеличивается на процентов независимо от изменений в затратах производственных факторов и, в частности, от размера новых инвестиций. Такая форма технического прогресса, не связанная с какими-либо затратами труда или капитала, называется нематеризованным техническим прогрессом.
Однако подобный подход не вполне реалистичен, так как новые открытия не могут повлиять на функционирование старых машин, а расширение объема производства возможно только посредством новых инвестиций.
При другом подходе к учету технического прогресса для каждой возрастной группы капитала строят свою производственную функцию. В этом случае функция Кобба Дугласа будет иметь вид

(53.55)
где Qt(v) объем продукции, произведенной за период t на оборудовании, введенном в строй в период v; Lt(v) трудовые затраты в период t на обслуживание оборудования, введенного в строй в период v, и Кt(v) основной капитал, введенный в строй в период v и использованный в период t. Параметр v в такой производственной функции отражает состояние технического прогресса. Затем для периода t строится агрегированная производственная функция, представляющая собой зависимость совокупного объема выпускаемой продукции Qt от общих затрат труда Lt, и капитала Кt на момент t. При использовании для построения производственной функции пространственной информации, т.е. данных о нескольких фирмах, соответствующих одному и тому же моменту времени, возникают проблемы другого рода.
Так как результаты наблюдений относятся к разным фирмам, то при их использовании предполагается, что поведение всех фирм может быть описано с помощью одной и той же функции. Для успешной экономической интерпретации полученной модели желательно, чтобы все эти фирмы принадлежали одной и той же отрасли. Кроме того, считается, что они располагают примерно одинаковыми производственными возможностями и уровнями административного управления.
Рассмотренные выше производственные функции носили детерминированный характер и не учитывали влияния случайных возмущений, присущих каждому экономическому явлению.
Поэтому в каждое уравнение, параметры которого предстоит оценить, необходимо ввести и случайную переменную е, которая будет отражать воздействие на процесс производства всех тех факторов, которые не вошли в состав производственной функции в явном виде. Таким образом, в общем виде производственную функцию Кобба Дугласа можно представить как

(53.56)
Мы получили степенную регрессионную модель, оценки параметров которой А, и можно найти методом наименьших квадратов, лишь прибегнув предварительно к логарифмическому преобразованию. Тогда для i-го наблюдения имеем

(53.57)
где Qi, Кi и Li соответственно объемы выпуска, капитальных и трудовых затрат для i-го наблюдения (i = 1, 2, ..., п), а п объем выборки, т.е. число наблюдений, используемых для получения оценок ln , и параметров производственной функции. Относительно i обычно предполагается, что они взаимно независимы между собой и i N(0, ). Исходя из априорных соображений значения и должны удовлетворять условиям 0 1 и 0 1. Если предположить, что с изменением масштабов производства уровень эффективности остается постоянным, то, приняв, что = 1 , имеем

(53.58)
или
и

(53.59)
Прибегнув к такой форме выражения производственной функции, можно устранить влияние мультиколлинеарности между ln К и ln L. В качестве примера приведем полученную на основе данных о 180 предприятиях, выпускающих верхнюю одежду, модель Кобба Дугласа:
В скобках указаны значения t-критерия для коэффициентов регрессии уравнения. При этом множественный коэффициент детерминации и расчетное значение статистики F-критерия, соответственно равные r2 = 0,46 и F = 12,7, указывают на значимость полученного уравнения.
Оценки параметров и функции Кобба Дугласа равны

= 0,19 и

= 0,95 (1 - 0, 19 + 0,14). Так как = 1,14 1, то можно предположить, что происходит некоторое повышение эффективности по мере расширения масштаба производства.
Параметры модели показывают также, что при увеличении капитала К на 1% объем выпуска повышается в среднем на 0,19%, а при увеличении трудовых затрат L на 1% объем выпуска возрастает в среднем на 0,95%.
Система одновременных эконометрических уравнений
Систему взаимосвязанных тождеств и регрессионных уравнений, в которой переменные могут одновременно выступать как результирующие в одних уравнениях и как объясняющие в других, принято называть системой одновременных (эконометрических) уравнений. При этом в соотношения могут входить переменные, относящиеся не только к моменту t, но и к предшествующим моментам.
Такие переменные называются лаговыми (запаздывающими).
Тождества отражают функциональную связь переменных. Техника оценивания параметров системы эконометрических уравнений имеет свои особенности.
Это связано с тем, что в регрессионных уравнениях системы независимые переменные и случайные ошибки оказываются коррелированы между собой.
Достаточно хорошо изучены статистические свойства и вопросы оценивания систем линейных уравнений. Будем рассматривать линейную модель следующего вида:

(53.60)
где i = 1, 2, ..., G; t = 1, 2, ..., n;
yit значение эндогенной (результирующей) переменной в момент t;
xit значение предопределенной переменной, т.е. экзогенной (объясняющей) переменной в момент t или лаговой эндогенной переменной;
uit случайные возмущения, имеющие нулевые средние.
Совокупность равенства (53.60) называется системой одновременных уравнений в структурной форме. Наличие априорных ограничений, связанных, например, с тем, что часть коэффициентов считаются равными нулю, обеспечивает возможность статистического оценивания оставшихся. В матричном виде систему уравнений можно представить как

(53.61)
где В матрица порядка G х G, состоящая из коэффициентов при текущих значениях эндогенных переменных;
Г матрица порядка G х К, состоящая из коэффициентов экзогенных переменных.
yt = (y1t,, yGti)T, xt = (x1t, xkt)T, t = ( 1t, Gt)T векторы-столбцы значений соответственно эндогенных и экзогенных переменных, случайных ошибок. Следует отметить, что M t = 0; ( ) = M t tT =

, где En единичная матрица.
Таким образом, если M t1 t2 = 0 при t1 t2 и t1, t2 = 1, 2, ..., п, то случайные ошибки независимы между собой. Если дисперсия ошибки постоянна M

=

=

2 и не зависит от t и хt, то это свидетельствует о гомоскедастичности остатков.
Условием гетероскедастичности является зависимость значений М

=

от t и xt. Умножив все элементы уравнения (53.61) слева на обратную матрицу B-1, получим приведенную форму системы одновременных уравнений:

(53.62)
Среди систем одновременных уравнений наиболее простыми являются рекурсивные системы, для оценивания коэффициентов которых можно использовать метод наименьших квадратов. Систему (53.61) одновременных уравнений называют рекурсивной, если выполняются следующие условия:
- матрица значений эндогенных переменных
является нижней треугольной матрицей, т.е. ij = 0 при j 1 и ii = 1;
2) случайные ошибки не зависимы друг от друга, т.е. ii 0, ij = 0 при i j, где i, j = 1, 2, ..., G. Отсюда следует, что ковариационная матрица ошибок М t tT = ( ) диагональна;
3) каждое ограничение на структурные коэффициенты относится к отдельному уравнению. Процедура оценивания коэффициентов рекурсивной системы с помощью метода наименьших квадратов, примененного к отдельному уравнению, приводит к состоятельным оценкам.
В качестве примера рассмотрим ситуацию, которая приводит к рекурсивной системе уравнений. Предположим, что цены на рынке Pt в день t зависят от объема продаж в предыдущий день qt-1, а объем покупок qt в день t зависит от цены товара в день t. Математически систему уравнений можно представить в виде
Случайные возмущения t и t можно считать независимыми. Мы получили рекурсивную систему двух уравнений, причем в правую часть первого уравнения входит предопределенная переменная qt-1, а в правую часть второго эндогенная переменная Pt.
Применение метода наименьших квадратов для получения оценок одновременных уравнений приводит к смещенным и несостоятельным оценкам, поэтому область его применения ограничена рекурсивными системами. Для оценивания систем одновременных уравнений в настоящее время наиболее часто используют двухшаговый метод наименьших квадратов, применяемый к каждому уравнению системы в отдельности, и трехшаговый метод наименьших квадратов, предназначенный для оценивания всей системы в целом.
Сущность двухшагового метода состоит в том, что для оценивания параметров структурного уравнения метод наименьших квадратов применяют в два этапа.
Он дает состоятельные, но в общем случае смещенные оценки коэффициентов уравнения, является достаточно простым с теоретической точки зрения и удобным для вычисления.
Согласно алгоритму трехшагового метода наименьших квадратов, первоначально с целью оценки коэффициентов каждого структурного уравнения применяют двухшаговый метод наименьших квадратов, а затем определяют оценку для ковариационной матрицы случайных возмущений. После этого с целью оценивания коэффициентов всей системы применяется обобщенный метод наименьших квадратов.
Пример. Построение эконометрической модели мирового рынка нефти
Очевидно, что модель должна отражать взаимосвязь между тремя основными элементами рыночного механизма спросом, ценой и предложением (эндогенными переменными). В свою очередь состояние указанных элементов в каждый момент можно охарактеризовать с помощью системы объясняющих, экзогенных, переменных.
Система включает общехозяйственные и товарно-рыночные показатели. Общехозяйственные показатели отражают экономические процессы, происходящие в мире и отдельных странах, и дают представление о фоне, на котором происходит развитие рынка.
Вторая группа показателей отражает явления, которые характерны для рынка нефти. Особый интерес представляют показатели, обладающие опережающим эффектом (временным лагом) по отношению к динамике эндогенных переменных конъюнктуры рынка нефти.
При выборе экзогенных переменных учитывалось, что состояние рынка нефти в любой момент определяется не только его внутренними факторами, но и состоянием внешней среды, т.е. общехозяйственной конъюнктурой всего мирового хозяйства, и в первую очередь динамикой воспроизводственного цикла, уровнем деловой активности в отраслях-потребителях, положением в кредитно-денежной и валютно-финансовой сферах экономики.
Завершающим этапом разработки модели исследуемого рынка является ее реализация. На данном этапе математическая модель формируется в общем виде, оцениваются ее параметры, проводится содержательная экономическая интерпретация, выясняются ее статистические и прогностические свойства.
При построении модели использовалась система показателей, основанная на ежеквартальных динамических рядах за последние 15 лет, которая характеризует основные стороны рынка нефти в экономическом, временном и географическом аспектах.
Проведение корреляционного анализа на этапе предварительной обработки данных позволило ограничить круг используемых показателей (первоначально их было более ста), выбрать для дальнейшего анализа такие, которые отражают воздействие основных факторов на рынок нефти и наиболее тесно связаны с динамикой показателей конъюнктуры. При этом решалась также задача исключения влияния мультиколлинеарности.
Модель строилась исходя из предпосылки, что величина спроса играет более активную роль, чем факторы предложения и цены. Рекурсивная модель включает линейные регрессионные уравнения для следующих эндогенных переменных в момент t:
y1,t экспорт нефти из стран ОПЕК;
у2,t добыча нефти в странах ОПЕК;
y3,t цена на нефть легкую аравийскую.
В модель вошли предопределенные переменные:
у3,t-1 цена на нефть легкую аравийскую с лагом в 1 квартал;
x6,t поставки нефти на переработку в Японию;
х7,t-1 поставки нефти на переработку в США в момент t-1;
x9,t коммерческие запасы нефти в странах Западной Европы;
x10,t-1 коммерческие запасы нефти в США с лагом в 1 квартал;
x12,t экспорт нефти из бывшего СССР в развитые страны;
x20,t-2 индекс экспортных цен ООН на топливо с лагом в 2 квартала, а x20,t-3 в 3 квартала;
x23,t-1 загрузка производственных мощностей обрабатывающей промышленности США с лагом в 1 квартал;
y1,t / y2,t показатель, учитывающий дисбаланс на рынке нефти в момент t.
Эконометрическая модель конъюнктуры рынка нефти имеет следующий вид:
Анализ статистических характеристик модели показал, что в целом она адекватно описывает рынок нефти: все уравнения значимы, объясняют от 67 до 92% дисперсии эндогенных переменных и характеризуются незначительными отклонениями расчетных значений эндогенных переменных от фактических. Значимость коэффициентов модели проверялась по t-критерию.
Расчетные значения tj указаны в скобках под соответствующими коэффициентами.
Построенная модель позволяет анализировать различные ситуации развития рынка нефти.
Контрольные вопросы
- Что характеризует парный, частный и множественный коэффициенты корреляции? Сформулируйте их основные свойства.
- Какие задачи решаются методами регрессионного анализа?
- В чем состоят отрицательные последствия мультиколлинеарности и как можно избавиться от этого негативного явления?
- В чем состоит задача компонентного анализа, как интерпретировать главные компоненты и определить их вклад в суммарную дисперсию?
- Какие задачи решает кластерный анализ? В чем особенности иерархических кластер-процедур?
Предмет и метод социально-экономической статистики
Социально-экономическая статистика, или статистика, это: 1) отрасль знаний наука, представляющая собой сложную и разветвленную систему научных дисциплин (разделов), обладающих определенной спецификой и изучающих количественную сторону массовых явлений и процессов в неразрывной связи с их качественной стороной; 2) отрасль практической деятельности сбор, обработка, анализ и публикация массовых данных о явлениях и процессах общественной жизни; 3) совокупность цифровых сведений, характеризующих состояние массовых явлений и процессов общественной жизни или их совокупность; 4) отрасль статистики, использующая методы математической статистики для изучения социально-экономических процессов и явлений.
Термин статистика (происходит от латинского слова status состояние, положение вещей) употреблялся в значении политическое состояние, отсюда итальянское stato государство и statista знаток государств.
В научную литературу это слово вошло в XVIII в. и вначале понималось как государствоведение. Но статистическая наука возникла еще раньше, в середине XVII в., в ответ на потребность государства иметь сводные, обобщенные по странам данные о наличии ресурсов для ведения производства, торговли, организации межгосударственных отношений и др.
В этот период статистика называлась политической арифметикой.
Это была наука, в которой сочетались начала политической экономии и статистики. Ее родоначальником был английский ученый У. Петти.
В первой половине XIX в. в работах А. Кетле и его последователей была сделана попытка представить статистику как науку о закономерностях общественных явлений. Однако эти закономерности рассматривались метафизически.
Законы общества отождествлялись с законами природы (социальная физика А. Кетле). Затем в статистике получила распространение формалистическая трактовка предмета статистической науки, сводящая его к количественным отношениям в отрыве от качественного содержания явлений.
Большой вклад в статистическую практику и науку внесли русские ученые и общественные деятели. В трудах М.В. Ломоносова, И.К.
Кирилова, В.Н.
Татищева, а позднее и К.И. Арсеньева получили развитие идеи комплексного экономико-статистического описания страны. А.Н.
Радищев сформулировал ценные предложения в области судебной статистики.
В работах Д.П. Журавского показана роль группировок в статистике, предложена система статистических показателей для изучения общественной жизни.
История статистики изложена в работах Ю.Э.
Янсона. П.Л.
Чебышев и его ученики сформулировали математическую базу для научно обоснованного применения выборочного метода.
А.А. Чупров занимался методами установления зависимости между явлениями, разрабатывал теоретические основы математической статистики.
В настоящее время статистика (социально-экономическая статистика) это общественная наука, которая изучает закономерности формирования и изменения количественных отношений общественных явлений, рассматриваемых в непосредственной связи с их качественным содержанием.
Объектом изучения социально-экономической статистики является общество во всем многообразии его форм и проявлений. Это связывает социально-экономическую статистику со всеми другими науками, изучающими общество, протекающие в нем процессы закономерности его развития, с политической экономией, экономикой промышленности, сельского хозяйства, социологией и др.
В этом общем для всех общественных наук объекте каждая из них находит свой специфический аспект изучения какие-либо характерные существенные свойства, стороны, отношения явлений общественной жизни, определенные сферы деятельности людей и т.п.
Но имеют ли общественные явления такие свойства, такую сторону, которая могла бы изучаться только социально-экономической статистикой и, следовательно, составить предмет познания статистической науки? Ответ на этот вопрос очень не прост.
На протяжении всей истории развития социально-экономической статистики по этому вопросу возникали и поныне возникают споры. Как отмечалось в гл.
1, одни утверждают, что социально-экономическая статистика имеет специфический предмет познания и потому является наукой, другие отрицают наличие у нее только ей присущего предмета познания и считают ее учением о методе (статистическом методе исследования).
Последние утверждают, что все то, что изучает социально-экономическая статистика, является предметом других наук. Однако нужно различать объект и предмет познания.
Уже из того, что сказано выше об общественных науках, ясно, что один и тот же объект, в зависимости от сложности и многообразия его свойств, отношений и т.п., может изучаться и во многих случаях изучается рядом наук.
Имеет предмет познания и социально-экономическая статистика. Естественно, возникает вопрос: какие же объективные свойства явлений общественной жизни составляют предмет познания статистической науки?
Явлениям общественной жизни наряду с качественной определенностью присуща и количественная определенность. Обе эти стороны неразрывно связаны между собой.
В каждый данный исторический момент социальные и экономические явления имеют определенные размеры, уровни, между ними существуют определенные количественные соотношения.
Таковы, например, численность населения страны на определенную дату, соотношение между численностью мужчин и женщин, темпы роста валового внутреннего Wродукта, темпы его прироста и многое другое. Вот эти объективно существующие размеры, уровни, количественные отношения, находящиеся в состоянии непрерывного движения и изменения, представляющие собой в общем количественную сторону экономических и социальных явлений, закономерности их изменения, и составляют предмет познания социально-экономической статистики.
Таким образом, социально-экономическая статистика изучает количественную сторону массовых социальных и экономических явлений в неразрывной связи с их качественной стороной, т.е. качественно определенные количества и проявляющиеся в них закономерности. Она изучает производство в единстве производительных сил и производственных отношений, влияние природных и технических факторов на количественные изменения в общественной жизни, влияние развития общества, производства на окружающую среду.
Социально-экономическая статистика изучает производство, потребление материальных и духовных благ в обществе, закономерности их изменения, экономические и социальные условия жизни людей.
При помощи системы количественных показателей социально-экономическая статистика дает характеристику качественных сторон явлений общественных отношений, структуры общества и т.п.
Предметом изучения социально-экономической статистики являются и процессы, протекающие в народонаселении, рождаемость, браки, продолжительность жизни и т.п.
В статистических данных проявляются характерные особенности, тенденции, закономерности развития социальных и экономических явлений и процессов, связи и взаимозависимости между ними.
Социально-экономическая статистика выработала систему научных понятий, категорий и методов, посредством которых она познает свой предмет. Важнейшую часть этой системы составляет система основных показателей состояния и развития экономической и социальной жизни общества.
Многие явления становятся точно определенными, значимыми, лишь будучи статистически выраженными, т.е. представленными в форме количественных статистических показателей. Нельзя, например, составить ясного представления об урожайности какой-нибудь культуры в стране без обобщенного статистического выражения ее в виде средней урожайности или представить себе размеры производства автомобилей без статистических данных о выпуске автомобилей промышленностью страны и т.п.
Нельзя без количественных характеристик представить себе с достаточной ясностью и многие экономические категории общего характера, категории политической экономии. Что такое, например, строение общественного капитала? Это средняя величина из строений его в отраслях хозяйства страны.
К. Маркс следующим образом разъясняет понятие строения отрасли и хозяйства в целом: МногочислMнные индивидуальные капиталы, вложенные в определенную отрасль производства, более или менее отличаются по своему строению друг о друга.
Средняя из их индивидуальных строений дает нам строение всего капитала данной отрасли производства. Наконец, общая средняя из этих средних строений всех отраслей производства дает нам строение общественного капитала данной страны...*.
* Маркс К., Энгельс Ф. Соч. Т. 23.
С. 626627.
В статистических данных проявляются многие закономерности массовых социальных и экономических явлений в данных условиях места и времени, которые иначе не могут быть выявлены.
Сила их действия также не может быть оценена без социально-экономической статистики. Такие закономерности называют статистическими.
Их изучение составляет важную задачу статистической науки. В качестве примера приведем следующие данные (табл.
2.1).
Как видно из табл. 2.1, в цифрах четвертой колонки обнаруживается закономерность: чем старше женщины, родившие детей в 1973 г., тем меньше доля мальчиков среди новорожденных.
Иначе говоря, чем моложе матери, тем чаще у них рождаются мальчики. Исключение из этого правила составляет последняя возрастная группа пожилых матерей.
Но она в силу своего относительно низкого удельного веса не может повлиять на общую закономерность. В последней группе сравнительно малое число рождений всего лишь 20 тыс., тогда как на все группы, в каждой из которых сохраняется эта закономерность, приходится 4 млн 386 тыс. рождений.
Таблица 2.1
Распределение детей, родившихся в СССР в 1973 г., по полу и возрасту матери
Весьма любопытные выводы позволяет сделать табл. 2.2.
Таблица 2.2
Возрастные коэффициенты рождаемости

* При определении относительных показателей этой возрастной группы условно взято число женщин в возрасте 1519 лет.
** Включая родившихся у матерей до 15 лет и старше 49 лет.
*** Среднее число детей, рожденных женщиной за свою жизнь.
Данные табл. 2.2 показывают, во-первых, что наибольшее число родившихся приходится на молодой возраст женщин 2029 лет, во-вторых, заметно возрастает (практически из года в год) число родившихся в среднем за год на 1000 женщин в возрасте моложе 20 лет, и, в-третьих, из года в год и по всем возрастам женщин систематически снижается рождаемость (суммарный коэффициент в 1997 г. по сравнению с 1990 г. упал на 35%).
Это свидетельствует о крайне неблагоприятной демографической ситуации.
Социально-экономическая статистика является в настоящее время сложной, широко разветвленной отраслью знания. Она представляет собой систему научных дисциплин, обладающих определенной спецификой и известной самостоятельностью. Основными разделами (отраслями) социально-экономической статистики как науки являются:
- теория статистики, в которой рассматриваются вопросы сущности статистики как науки, ее предмета, общие категории, понятия, принципы и методы;
- экономическая статистика и ее отраслевые статистики, изучающие экономику народного хозяйства в целом и отдельных его отраслей (статистика промышленности, сельского хозяйства, лесного хозяйства, транспорта, связи, строительства, водного хозяйства, геологии и разведки недр, торговли и др.);
- социальная статистика и ее отраслевые статистики, изучающие социальные явления (политическая статистика, статистика уровня жизни и потребления материальных благ и услуг, жилищно-коммунального хозяйства и бытового обслуживания населения, народного образования, культуры и искусства, здравоохранения, физической культуры и социального обеспечения, науки и научного обслуживания, управления);
- статистика населения, изучающая процессы и явления, происходящие в области народонаселения, численность, состав населения, рождаемость, смертность, миграция населения и т.п.
Отрасли социально-экономической статистики как единой общественной науки взаимосвязаны, они дополняют и обогащают друг друга. Многие показатели статистики отдельных отраслей так богаты по содержанию, что могут быть использованы другими отраслями, ибо содержат в себе разностороннюю информацию.
Выше мы указали на рождаемость, смертность, состав населения как явления, изучаемые статистикой населения. Вместе с тем эти же показатели важны для характеристики различных социальных процессов.
Они необходимы и другим отраслям статистики, так как связаны со многими экономическими и социальными условиями жизни общества, зависят от них и в свою очередь оказывают на них определенное влияние. Естественно, что такого рода показатели изучаются несколькими отраслями статистики, каждая из которых использует свою, содержащуюся в этих показателях информацию.
Социально-экономическая статистика, базируясь на положениях политической экономии, исследует количественное выражение многих экономических категорий, динамику, структуру, взаимосвязи конкретных экономических явлений, закономерности их развития в данных условиях места и времени. Вместе с тем она обогащает политическую экономию статистическими данными, знанием фактов, знанием конкретного проявления законов общественного развития в определенных условиях места и времени, специфическими методами исследования.
Без этого экономическая наука вообще обходиться не может.
Методологической основой социально-экономической статистики является диалектика. Опираясь на ее законы, социально-экономическая статистика разрабатывает специфические приемы, способы исследования, соответствующие природе изучаемых ею явлений и составляющие в целом метод социально-экономической статистики, или, иначе, ее методологии.
Социально-экономическая статистика применяет в своих исследованиях методы дедукции и индукции.
Поскольку мы в данном учебнике рассматриваем социально-экономическую статистику как учебную дисциплину, т.е. в суженном виде без теории статистики, то надо отметить, что в своих исследованиях социально-экономическая статистика использует методы и принципы теории статистики, опирается на них и развивает их. Это прежде всего метод массового статистического наблюдения, метод группировок, метод обобщающих показателей абсолютных и относительных величин, средних величин, индексный метод и др.
Большое значение в социально-экономической статистике имеет балансовый метод, метод математической статистики.
В изучении и анализе социально-экономических процессов и явлений широко применяются математические методы, например при анализе баланса межотраслевых связей, выявлении влияния различных факторов на повышение эффективности производства и т.д. Отраслевые статистики в их полном объеме в данном курсе не рассматриваются.
Явления и процессы, изучаемые социально-экономической статистикой, находятся в состоянии непрерывного движения, количественного и качественного изменения. Изменяются их размеры, структура, свойства, сущность и формы проявления, закономерности развития.
Одновременно должны видоизменяться и статистические приемы и методы исследования применительно к изменениям, которые претерпевают сами явления и процессы, т.е. с учетом конкретных особенностей изучаемых объектов, места и времени.
В коренном совершенствовании и в расширении нуждаются и сферы применения статистических методов. Причем статистические методы, методы математической статистики, моделирования и прогнозирования необходимо применять в комплексе, что позволит сделать более глубокий анализ явлений и процессов, получить научно обоснованные выводы, более точно определить объективные тенденции и закономерности.
Реформирование общеметодологических основ статистики при переходе к рыночной экономике проявляется в изменении не только состава и экономического содержания показателей, но и методов их расчета.
В последние годы специалисты государственной статистики и других экономических ведомств совместно с учеными статистиками и экономистами проделали большую работу по совершенствованию методов расчетов традиционных показателей; обоснованию методологии исчисления новых показателей, характеризующих зарождающиеся и развивающиеся рыночные отношения в российской экономике; созданию необходимой методической документации.
Для приближения методологии статистического учета к международной практике в государственной статистике с 1992 г. стали использовать относительный показатель индекс физического объема, отражающий изменение массы произведенных материальных благ при исключении влияния динамики цен в текущем периоде по сравнению с базисным, что было особенно актуально в условиях высокого уровня денежной инфляции.
В связи с тем что в экономике России происходят существенные институциональные изменения, формируется негосударственный сектор экономики, привлекаются иностранные капиталы, появляются предприятия малого бизнеса и большое число физических лиц, занимающихся самостоятельной хозяйственной деятельностью, стало невозможным использовать сплошные методы учета деятельности предприятий; возникла необходимость обеспечения объективного отражения процессов, происходящих в экономике, иным путем. Полноту учета надо было компенсировать научно обоснованными методами дорасчетов статистических показателей.
Такие методы были разработаны. Они позволяют:
во-первых, проводить дорасчеты на неучтенный круг хозяйствующих субъектов. К ним в основном относятся малые предприятия (не представляющие статистические отчеты как в течение года, так и по его итогам) и физические лица, осуществляющие хозяйственную деятельность. Эти объекты, как показали обследования, зачастую не регистрируются в соответствующих органах исполнительной власти, что затрудняет учет их деятельности, особенно по стоимостным показателям;
во-вторых, проводить дорасчеты до полного круга отчитывающихся предприятий и организаций по отдельным категориям учетных единиц (малым, совместным, иностранным и другим предприятиям и организациям). Сбор и разработка данных по этим предприятиям в течение года осуществляются в более поздние, чем по остальным предприятиям, сроки. Вместе с тем имеется потребность в данных за определенный временной период по полному кругу отчитывающихся предприятий;
в-третьих, рассчитать данные по отдельным объектам, учет которых в течение года в стоимостном выражении не осуществлялся (например, в индивидуальном жилищном строительстве).
2.2. Задачи социально-экономической статистики
Задачи социально-экономической статистики определяются социально-экономическими потребностями общества. Социально-экономическая статистика решает широкий круг задач.
Прежде всего это всестороннее и глубокое изучение состояния и развития экономики страны, различных социальных и экономических процессов, происходящих в ней, их закономерностей путем сбора, обработки, анализа и обобщения данных о них.
На каждом этапе развития перед социально-экономической статистикой встают специфические задачи, обусловленные характером самого этапа.
В условиях перехода к рыночной экономике социально-экономическая статистика призвана решать новые важные задачи.
Для этого требуется повышение ее качества и оперативности, совершенствование отчетности, углубление социально-экономического анализа.
Особое внимание должно быть уделено совершенствованию методологии анализа важнейших пропорций: между производством и потреблением, потреблением и накоплением, между производством средств производства и производством предметов потребления, между отдельными отраслями; изучению структуры экономики и технико-экономических сдвигов, научно-технического прогресса; выявлению диспропорций, могущих возникнуть в экономике; вскрытию и более полному использованию всех возможностей рыночной экономики. Большое значение имеет также оценка состояния экономики и уровня жизни населения.
На современном этапе, когда все более ограниченными становятся экстенсивные факторы развития экономики, исключительную важность приобретает задача социально-экономической статистики по анализу эффективности общественного производства.
Практическое решение этих задач призвана осуществлять система органов государственной статистики. В Постановлении Правительства Российской Федерации от 9 июля 1994 г., утвердившем Положение о Государственном комитете Российской Федерации по статистике, были определены конкретные задачи, а именно:
- разработка научно обоснованной статистической методологии, соответствующей потребностям общества на современном этапе, а также международным стандартам;
- координация статистической деятельности федеральных органов исполнительной власти субъектов Российской Федерации, обеспечение условий для использования указанными органами официальных статистических стандартов при проведении ими отраслевых (ведомственных) статистических наблюдений;
- разработка экономико-статистической информации, ее анализ, составление национальных счетов, необходимых балансовых расчетов;
- гарантирование полноты и научной обоснованности всей официальной статистической информации;
- предоставление всем пользователям равного доступа к открытой статистической информации путем распространения официальных докладов о социально-экономическом положении Российской Федерации, субъектов Российской Федерации, отраслей и секторов экономики, публикации статистических сборников и других статистических материалов.
Огромное значение для развития социально-экономической статистики в новых экономических условиях имеет федеральная целевая программа Реформирование статистики в 19972000 годах, утвержденная Постановлением Правительства Российской Федерации от 23 ноября 1996 г. В этой программе сформулированы основные направления и задачи совершенствования статистики в условиях перехода на рыночные отношения. В ней, в частности, подчеркивается, что в ходе реформирования статистики в 19972000 гг. необходимо:
- на базе современной системы статистических показателей, методологии их расчета и методов сбора статистической отчетности завершить создание модели государственной статистики, адаптированной к условиям развития рыночных отношений;
- усилить интегрирующие функции органов государственной статистики в общем процессе информационного отображения общественно-экономических явлений в стране;
- сформировать единую методологическую основу для отраслевых систем статистической информации;
- повысить роль региональной статистики с помощью перераспределения функций между федеральным и региональным уровнями статистической информационной системы;
- обеспечить высокую оперативность и максимальную достоверность статистических данных;
- повысить программно-технологический и технический уровень системы, обеспечить необходимые условия труда работников органов государственной статистики.
Программа ставит задачу завершить системное реформирование статистики для наиболее полного удовлетворения потребностей федеральных органов исполнительной власти субъектов Российской Федерации, других потребителей в объективной статистической информации о социально-экономическом развитии страны, регионов, отраслей и секторов экономики и хозяйствующих субъектов.
Для этого необходимо:
- усовершенствовать статистическую информационную базу в целях максимального отражения общественных и социально-экономических явлений на основе развития системы статистических показателей, сформировать и вести базы статистических данных федерального и регионального уровней, внедрить государственные статистические стандарты;
- перейти на сквозную технологию сбора, передачи, обработки, накопления и представления статистической информации с максимальным соблюдением требований обеспечения безопасности, включая защиту от несанкционированного доступа; укрепить материально-техническую базу органов государственной статистики, развивать ее с ориентацией на ресурсосбережение в условиях снижения информационной нагрузки на источники статистической информации; повышать квалификацию работников органов государственной статистики в соответствии с требованиями ее реформирования.
Мероприятия, намеченные программой задач по взаимосвязанному, скоординированному и последовательному совершенствованию всех стадий организации государственного статистического наблюдения, включают разработку и совершенствование методов сбора отчетной информации, удешевление стоимости проведения статистических работ.
Реализация основных подходов, положенных в основу программных мероприятий, позволит:
- создать систему формирования информационных ресурсов в соответствии с потребностями органов государственной власти, других пользователей статистических данных;
- разработать систему показателей и методов организации статистического наблюдения за юридическими лицами как хозяйствующими субъектами независимо от сферы их деятельности;
- развить функции Единого государственного регистра предприятий и организаций как основы учета хозяйствующих субъектов, инструмента, предназначенного для определения совокупности единиц статистического наблюдения, организации самого наблюдения и обработки отдельных статистических данных;
- обеспечить сопоставимость статистических данных в межведомственном, межрегиональном и межгосударственном обмене на основе развития и внедрения системы взаимоувязанных классификаторов технико-экономической и социальной информации;
- использовать банковскую, финансовую, налоговую, таможенную и другие виды социально-экономической статистики при формировании комплексной информационной статистической базы;
- активизировать обмен статистической информацией с органами государственной власти, их территориальными структурами.
Предполагается перестроить методы сбора информации, реализовав комбинированный подход, в соответствии с которым крупные и средние предприятия всех форм собственности будут обследованы с использованием сплошного метода учета, малые предприятия выборочным способом. Среди перспективных направлений получения статистической информации предстоит использовать переписи (населения и домашних хозяйств, предприятий оптовой и розничной торговли, сельского хозяйства по программе Всемирной сельскохозяйственной переписи и др.), выборочные методы, включая зональную выборку, социологические и конъюнктурные опросы, дистанционное зондирование.
Все это потребует разработки принципиально нового подхода к применению вычислительной техники, при котором интегрированная статистическая база данных станет эффективным инструментом статистического анализа. Предусматривается переход к сетевой технологии обработки информации, применению современных электронно-издательских систем, современных средств вычислительной техники и телекоммуникаций, а также повышение квалификации специалистов органов государственной статистики.
Решение перечисленных задач требует дальнейшего совершенствования системы показателей социально-экономической статистики. Эта система должна охватывать все важнейшие экономические и социальные процессы, характеризующие введение рыночных отношений.
Контрольные вопросы
- Какова сущность предмета социально-экономической статистики?
- Что является теоретической основой социально-экономической статистики в новых условиях?
- Какие научные дисциплины входят в состав социально-экономической статистики?
- Каковы задачи социально-экономической статистики в условиях перехода на рыночные отношения?
Расширение системы макроэкономических показателей в рамках СНС
Развитие системы макроэкономических расчетов ВВП и национального дохода имеет место при разработке межотраслевого баланса по методологии СНС (МОБ СНС). МОБ СНС является частью СНС.
Он детализирует счета товаров и услуг, производства и образования доходов, отражает процессы, происходящие на нынешнем этапе развития экономики, позволяет производить системный счет основных показателей СНС и анализ взаимосвязей между отраслями экономики, выявлять главные экономические пропорции, изучать структурные сдвиги и особенности ценообразования в экономике и др.
Схема МОБ СНС соответствует известной открытой статистической модели, в которой выделяют три основные части (квадранта): I квадрант промежуточное потребление, II конечный продукт, III добавленная стоимость (табл. 14.1).
Таблица 14.1
Общая схема МОБ СНС

В I квадранте, представляющем собой шахматную таблицу, отражается промежуточное потребление в отраслях экономики. В нем раскрываются количественные взаимосвязи между отраслями.
В подлежащем и сказуемом I квадранта представлены группы однородных продуктов и услуг (отрасли МОБ).
В графах по каждой отрасли показаны затраты на производство продукции, работ, услуг (стоимость сырья, материалов, топлива, энергии, услуг), а в строках распределение продукции между отраслями экономики.
Во II квадранте по строкам показывается конечное использование товаров и услуг. Столбцы представляют собой категории конечного использования: конечное потребление (расходы на потребление домашних хозяйств, органов государственного управления, некоммерческих организаций, обслуживающих домашние хозяйства); валовое накопление (валовое накопление основного капитала, изменение запасов материальных оборотных средств, чистое приобретение ценностей); экспорт товаров и услуг.
В III квадранте представлена стоимостная структура ВВП. Столбцы соответствуют отраслям экономики, а строки основным стоимостным компонентам валового внутреннего продукта (оплата труда наемных работников, валовая прибыль, валовой смешанный доход, налоги и субсидии, связанные с производством; потребление основного капитала, налоги и субсидии на продукты).
Таким образом, если рассматривать данные баланса по вертикали, то в каждой графе отражается стоимостной состав валового выпуска отраслей экономики в разрезе элементов промежуточного потребления (I квадрант) и добавленной стоимости (III квадрант). Сумма валового выпуска и импорта составляет стоимостную оценку ресурсов отраслей.
По горизонтали показываются направления использования продукции каждой отрасли: на производственные цели (с разбивкой по отраслям), на конечное потребление, на накопление, на экспорт.
Для каждой отрасли экономики общий объем использованных ресурсов равен общему объему располагаемых ресурсов.
МОБ составляется по чистым отраслям, которые представляют собой совокупность однородных продуктов и услуг.
Разработке межотраслевого баланса предшествует составление таблиц Ресурсы товаров и услуг и Использование товаров и услуг. Эти таблицы являются промежуточным звеном между исходными статистическими данными и показателями выходной таблицы межотраслевого баланса.
Вместе с тем они имеют и самостоятельное значение: на их основе анализируются структура производства, формирования ресурсов, производственные взаимосвязи, стоимостной состав продукций отраслей и др.
Таблица Ресурсы товаров и услуг (табл. 14.2) показывает формирование ресурсов товаров и услуг за счет отечественного производства и импорта и основные компоненты образования цены их конечного потребления.
Общие итоги выпуска отраслей в основных ценах определяются в соответствии с методологией расчетов показателей производства. В той части таблицы, которая отражает состав производства по группам товаров и услуг, в подлежащем показаны группы однородных продуктов, в сказуемом отрасли (группы предп пятни, относящихся к одному коду ОКОНХ).
В графах таблицы даны объемы продукции, выпущенной в различных отраслях экономики.
Итоги по строкам таблицы характеризуют общий объем производства групп продуктов (объем производства по чистой отрасли), по графам общий объем производства отраслей экономики (объем производства по хозяйственной отрасли).
По диагонали таблицы показывается объем выпускаемой продукции, соответствующей профилю предприятий данной отрасли.
Соотношение объемов продукции, соответствующей профилю предприятий, и объемов продукции хозяйственной отрасли показывает уровень специализации предприятий данной отрасли.
Таблица Использование товаров и услуг (табл. 14.3) содержит информацию о видах использования товаров и услуг, а также о структуре затрат по отраслям.
Схема этой таблицы аналогична схеме межотраслевого баланса, т.е. в ней выделяются три квадранта: промежуточное потребление (I), конечное использование (II) и компоненты добавленной стоимости (III). Отличие данной таблицы от таблицы межотраслевого баланса состоит в том, что по графам квадранта I показываются общие затраты на производство отраслевой и неотраслевой продукции. В таблице межотраслевого баланса квадрант I строится по принципу продукт на продукт, в таблице использования продукт на отрасль.
В межотраслевом балансе объем располагаемых ресурсов каждой чистой отрасли (итог по графам I и III квадрантов) равен объему использованных ресурсов этой же отрасли (итогу по строкам I и II квадрантов).
Таблица Использование товаров и услуг по сравнению с таблицей межотраслевого баланса имеет большие преимущества с точки зрения возможностей использования имеющейся первичной статистической информации.
Как известно, при оценке товаров и услуг в СНС используются три основных вида цен: основные цены, цены производителей, цены покупателей. Между ними существует следующая взаимосвязь:
цена покупателей
минус торгово-транспортная наценка, налог на добавленную стоимость и налоги на импорт получается:
цена производителя
минус налоги на продукты плюс субсидии на продукты получается:
основная цена.
При разработке МОБ используются смешанные цены. Промежуточное потребление оценивается в ценах покупателей (конечного потребления) без вычитаемого налога на добавленную стоимость.
Иными словами, текущие затраты предприятий и организаций на приобретение товаров и услуг показаны в размере их фактической стоимости, входящей в издержки производства, включая наценки торговли, материально-технического снабжения, заготовок, транспортные расходы, невычитаемый НДС и налоги на импорт.
При оценке конечного использования товаров и услуг (кроме экспорта) используются цены покупателей, включая налог на добавленную стоимость. Экспорт товаров и услуг оценивается в текущих внешнеторговых ценах, пересчитанных по курсу национальной валюты к доллару по курсу Центрального банка.
Валовой выпуск отраслей, используемый в качестве контрольных итогов, оценивается в основных ценах (т.е. с учетом субсидий на продукты, но без налогов на продукты).
Информационной базой для разработки отчетного межотраслевого баланса производства и использования продукции и услуг являются: единовременное выборочное обследование результатов экономической деятельности хозяйствующих субъектов всех отраслей экономики; регулярная статотчетность; отчет об исполнении консолидированного бюджета России; данные национальных счетов в разрезе отраслей экономики, а также отдельные блоки информации из отчетности министерств и ведомств.
Обследованию подлежат предприятия, организации и учреждения независимо от их организационно-правовой формы и формы собственности (кроме совместных предприятий), состоящие на хозяйственном расчете, имеющие самостоятельный баланс и являющиеся юридическими лицами.
Методы отбора предприятий и организаций для проведения обследования состава затрат на производство в отраслях экономики определяются с учетом их специфических особенностей. Централизованно проводится отбор предприятий по отраслям промышленности, науке и транспорту; децентрализованно, через региональные управления статистики, по строительству, сельскому хозяйству, отраслям сферы обращения, нематериальных услуг, прочим отраслям экономики.
14.2. Расчет показателей промежуточного потребления (I квадрант)
По методологии СНС промежуточное потребление, отраженное в I квадранте МОБ, включает все товары и услуги, полностью и однократно используемые в процессе производства, а также расходы на закупку военного снаряжения и оборудования (корабли, самолеты, танки, ракетные установки и т.д.).
В состав промежуточного потребления МОБ включаются текущие затраты предприятий и организаций на приобретение товаров и услуг в размере фактической стоимости затрат, включаемых в издержки производства с учетом торгово-транспортных наценок. В промежуточном потреблении не учитываются расходы на приобретение предметов длительного пользования (за исключением военной техники), которые по концепции СНС включаются в состав основного капитала.
Для нерыночных отраслей органов государственного управления и некоммерческих организаций промежуточное потребление уменьшается на сальдо продаж (или увеличивается на сальдо покупок) существующих потребительских товаров.
Промежуточное потребление включает следующие элементы:
- товары, потребленные экономической единицей в течение данного периода;
- услуги, купленные в течение данного периода (за исключением услуг, связанных с передачей прав собственности на землю, здания, другой основной капитал и нематериальные активы (такие услуги рассматриваются как валовое накопление); услуги транспорта и торговли в отношении товаров, предназначенных для накопления);
- товары и рыночные услуги, произведенные для собственного потребления;
- условно исчисленную продукцию банков, которая не распределяется между отраслями, но ее итог рассматривается как промежуточное потребление некоторой условной единицы. Условно исчисленная продукция банков это продукция, произведенная финансовыми учреждениями, выступающими в качестве финансовых посредников, занимающимися сбором, переводом и распределением финансовых ресурсов. Она рассчитывается как величина дохода от собственности, полученного финансовыми учреждениями от инвестирования их собственных средств, за вычетом процентов, уплаченных их кредиторами;
- командировочные расходы (в части оплаты услуг гостиниц и проезда);
- представительские расходы;
- покупки домашними хозяйствами инструментов, спецодежды для работы;
- покупки товаров и услуг органами госуправления, предназначенных для оказания нерыночных услуг (за исключением пособий но социальному обеспечению в натуральной форме, предоставленных домашним хозяйствам);
- покупки производителями мелких инструментов, запасных частей (средств производства);
- плату за аренду зданий и платежи за прокат других основных фондов;
- платежи за научные разработки, рекламу, исследования рынка и др.;
- покупки товаров длительного пользования военными ведомствами.
Промежуточное потребление не включает:
- покупки органами госуправления продовольственных продуктов и военной формы для вооруженных сил, которые условно рассматриваются как конечное потребление домашних хозяйств;
- затраты отраслей экономики на реконструкцию или капитальный ремонт собственных зданий и сооружений, машин и оборудования;
- расходы, связанные с передачей права на владение землей и другими товарами капитального характера;
- арендную плату за пользование землей и нематериальными фондами;
- стоимость ресурсов, затраченных отраслями экономики на геологоразведочные работы и эксплуатационное бурение скважин для добычи нефти и природного газа.
Практический расчет показателей I квадранта заключается в определении состава затрат на производство продукции по каждой отрасли экономики (колонке), выделяемой в МОБ. Строки I квадранта (распределение продукции) формируются автоматически после заполнения колонок.
14.3. Расчет показателей конечного потребления как компонента ВВП в МОБ СНС
Во II квадранте показываются конечное использование товаров и услуг, валовое накопление и экспорт.
Конечное потребление в МОБ СНС группируется по принципу кто финансирует расходы и включает расходы на конечное потребление:
- домашних хозяйств;
- органов государственного управления;
- некоммерческих организаций, обслуживающих домашние хозяйства.
Расходы на конечное потребление домашних хозяйств составляют основную часть конечного потребления и характеризуют структуру потребления материальных благ и услуг (включая нематериальные услуги) населением за счет индивидуального бюджета. Они включают:
- расходы на покупку рыночных потребительских товаров (независимо от длительности их использования, кроме покупок домов, квартир) за счет личного бюджета;
- расходы на покупку рыночных потребительских услуг;
- поступления домашним хозяйствам товаров в натуре;
- условно исчисленную стоимость услуг по проживанию в собственном жилище.
Расходы на покупку рыночных потребительских товаров за счет личного бюджета включают:
- покупки потребительских товаров (кроме домов, квартир, ценностей) в государственной и кооперативной торговле, у кооперативов и малых предприятий;
- покупки потребительских товаров на рынке;
- покупки потребительских товаров у лиц, занятых индивидуальной трудовой деятельностью;
- чистые покупки в неформальной торговле.
Расходы на покупку домашними хозяйствами рыночных потребительских услуг включают оплату следующих услуг:
- бытовых;
- жилищного хозяйства;
- коммунальных;
- учреждений культуры;
- туристских и экскурсионных;
- физической культуры и спорта;
- медицинских;
- санаторно-оздоровительных;
- ветеринарных;
- правового характера;
- системы образования и др.
Учитывая разнородность информационных источников для определения состава расходов на покупку рыночных потребительских товаров и потребительских услуг, расчеты по этим позициям проводятся отдельно.
До настоящего времени основным информационным источником для определения объема и структуры расходов населения на покупку товаров являлись данные статистики торговли о товарообороте. С точки зрения экономического содержания более предпочтительным источником для определения этой структуры представляются данные обследования бюджетов населения, так как они содержат информацию, полученную непосредственно от домашних хозяйств, и исключают покупки товаров предприятиями в розничной торговле (например, покупку мебели и оборудования для офисов через розничную торговлю).
В то же время информация, полученная через бюджетные обследования, имеет ряд недостатков (так, бюджетные обследования не учитывают потребление продуктов и услуг группами населения как с высоким, так и с очень низким уровнем дохода) и не позволяет получить продуктовый состав потребления в необходимом для межотраслевого баланса разрезе. Потребление некоторых видов продуктов (табака, алкоголя) оказывается заниженным, а товаров длительного пользования, покупки которых осуществляются нечасто (машин, мебели и др.), может быть завышено.
Поэтому для определения состава потребления товаров и услуг домашними хозяйствами по номенклатуре товарных групп межотраслевого баланса проводятся альтернативные расчеты по данным бюджетов.
Расходы на конечное потребление учреждений общего государственного управления делятся на произведенные в пользу:
- индивидуальных домашних хозяйств;
- общества в целом.
Расходы на конечное потребление учреждений государственного управленя включают:
- стоимость нерыночных услуг, оказываемых этими учреждениями для индивидуального и коллективного потребления (за вычетом случайных продаж);
- стоимость потребительских товаров и услуг, купленных указанными учреждениями для бесплатной (или по сниженным ценам) передачи домашним хозяйствам.
Коллективные услуги это услуги, предоставляемые всем членам общества. Коллективные услуги, предоставляемые государством, состоят главным образом из обеспечения безопасности и обороны, поддержания закона и порядка, осуществления государственной политики, научных исследований и разработок и т.д.
Все члены общества могут получать пользу от этих услуг.
В МОБ расходы на конечное потребление учреждений государственного управления, удовлетворяющих коллективные потребности, отражаются по отраслям Управление, Наука и научное обслуживание, Сельскохозяйственные услуги, Транспорт, Жилищно-коммунальное хозяйство.
К коллективным относятся услуги:
- обороны и вооруженных сил;
- государственного управления, оказываемые органами государственной власти, управления, правоохранительными органами, внебюджетными фондами;
- науки и научного обслуживания;
- дорожного хозяйства (ремонт и содержание дорог, мостов, подземных переходов и других сооружений);
- коммунального хозяйства по благоустройству, озеленению городов и поселков;
- предприятий и организаций по обслуживанию сельского хозяйства (зоотехническое, ветеринарное, агротехническое обслуживание, эксплуатация ирригационных и мелиоративных систем и т.д.).
Эти данные берутся из счета Использование располагаемого дохода по сектору Органы государственного управления.
Индивидуальные услуги потребляются домашними хозяйствами и используются для удовлетворения потребностей членов домашних хозяйств.
Индивидуальные услуги, предоставляемые учреждениями государственного управления, включают услуги в области здравоохранения, народного образования, культуры и искусства, физической культуры и спорта, социального обеспечения, часть услуг жилищно-коммунального хозяйства и др. Расходы на конечное потребление учреждений государственного управления, удовлетворяющих индивидуальные потребности, включают только расходы, связанные с оказанием нерыночных услуг.
Поэтому из стоимости общего объема услуг, оказываемых бюджетными организациями, вычитаются случайные продажи товаров и услуг (платежи за содержание детей в дошкольных учреждениях, школах-интернатах, доходы от содержания жилищного фонда бюджетных организаций, сбор за выдачу ордера на квартиру, сбор за уборку территорий населенных пунктов и др.).
Расходы государственных учреждений на покупки товаров и услуг для передачи домашним хозяйствам вклчают: расходы на приобретение учебников для учащихся; расходы на оплату транспортных средств для инвалидов; стоимость бесплатных (или по сниженным ценам) медикаментов и др.
В МОБ расходы на конечное потребление учреждений государственного управления, удовлетворяющих индивидуальные потребности, показываются по отраслям:
Народное образование в объеме выпуска нерыночных услуг в области образования;
Здравоохранение и социальное обеспечение в объеме выпуска нерыночных услуг в сфере здравоохранения, социального обеспечения;
Культура и искусство, физическая культура и спорт в объеме выпуска нерыночных услуг учреждений этих отраслей;
Жилищно-коммунальное хозяйство в объеме выпуска нерыночных услуг предприятий жилищного и коммунального хозяйства.
Эти показатели берутся из расчетов счета Использование располагаемого дохода по сектору Органы государственного управления.
Расходы на конечное потребление некоммерческих организаций (НКО), обслуживающих домашние хозяйства, включают стоимость:
- нерыночных услуг, оказываемых домашним хозяйствам этими организациями (политические партии, профсоюзы, молодежные, женские и другие организации, религиозные организации, добровольные общества, благотворительные организации и др.);
- товаров и услуг, купленных некоммерческими организациями для передачи домашним хозяйствам;
- услуг социально-культурного характера, бесплатно оказываемых предприятиями и организациями своим работникам.
Расходы на конечное потребление НКО, обслуживающих домашние хозяйства, условно относятся к индивидуальному потреблению.
14.4. Расчет показателей валового накопления основного капитала как компонента ВВП в МОБ СНС
Валовое накопление основного капитала представляет собой прирост произведенных материальных и нематериальных активов, многократно или постоянно используемых в процессе производства более одного года, плюс прирост стоимости непроизведенных активов. Валовое накопление основного капитала включает:
- приобретение минус выбытие произведенного (нового и существующего) основного капитала;
- улучшение состояния существующего основного капитала;
- улучшение состояния непроизведенных материальных активов, включая землю;
- расходы, связанные с передачей прав собственности на произведенные и непроизведенные активы.
Накопление основного капитала определяется на валовой основе, т.е. до вычета потребления основного капитала (износа).
В состав валового накопления основного капитала не входят:
- мелкий инструмент, рабочая одежда, запасные части, малоценное оборудование, даже если они служат более года (относятся к промежуточному потреблению);
- потребительские товары длительного пользования, купленные домашнимP хозяйствами для своих нужд (относятся к конечному потреблению домашних хозяйств);
- приобретение военной техники (относится к промежуточному потреблению);
- земля, полезные ископаемые, естественные леса и др.
Оценка валового накопления в части купленных основных фондов производится в ценах покупателей без налога на добавленную стоимость; в части же основных фондов, произведенных хозяйственным способом (зданий, сооружений и т.д.), в основных ценах.
Накопление основного капитала подразделяется на накопление материального основного капитала и накопление так называемого нематериального основного капитала.
К материальному основному капиталу относятся:
- здания и сооружения;
- машины и оборудование;
- рабочий и продуктивный скот;
- многолетние насаждения.
К нематериальному основному капиталу относятся:
- затраты на геолого-разведочные и буровые работы;
- затраты на программное обеспечение ЭВМ;
- оригиналы произведений науки, искусства, литературы и др.;
- прочий нематериальный основной капитал.
Непроизведенные активы включают активы, которые необходимы для производства, но сами не являются результатом производства. К ним относятся земля, недра, биологические и водные ресурсы, а также авторские права, патенты, лицензии, торговые знаки.
Общая величина валового накопления основного капитала (контрольный итог) берется из счета операций с капиталом. Основными информационными источниками для определения общей величины валового накопления основного капитала и его состава являются данные ф. 2-кс (годовая) Отчет о вводе в действие объектов, основных фондов и использовании капитальных вложений, ф. 1-ВЭС Отчет совместного и иностранного предприятия, ф. 1-МП Об основных показателях деятельности малого предприятия, содержащие сведения об объеме и структуре капитальных вложений за счет всех источников финансирования по отраслям экономики.
В состав капитальных вложений включаются:
- затраты на строительно-монтажные работы;
- приобретение оборудования, инструмента, инвентаря;
- проектно-изыскательские, геолого-разведочные и буровые работы;
- прочие капитальные работы и затраты.
Выбытие основного капитала уменьшает валовое накопление основного капитала. Для экономики в целом оно определяется в размере продаж и передач остальному миру (нерезидентам) объектов, относящихся к основному капиталу.
Данные о них могут быть получены из платежного баланса.
Выбытие основного капитала за ветхостью и износом, а также в результате аварий, крупных катастроф и стихийных бедствий в МОБ СНС не учитывается.
По методологии бухгалтерского учета в состав капитальных вложений входят затраты, не увеличивающие стоимость основного капитала (затраты на подготовку кадров для вновь строящихся объектов, на консервацию строительства, затраты, связанные с возмещением гражданам стоимости принадлежащих им строений, сносимых при отведении участков под строительство и др.), а также стоимость малоценных и быстроизнашивающихся предметов и запасных частей, приобретенных в счет средств на капитальное строительство. При расчете валового накопления эти статьи затрат необходимо исключить из объема капитальных вложений.
Оборудование подразделяется на оборудование, требующее монтажа, и оборудование, не требующее монтажа.
Система электронной обработки статистической информации
Предоставление пользователям в заданные сроки адекватной статистической информации в объеме, достаточном для характеристики социально-экономических процессов, во многом зависит от эффективности технологических решений, используемых в системе электронной обработки данных (ЭОД). Требование отражения актуальных проблем социально-экономического развития общества, повышения достоверности статистических данных и углубленного экономического анализа информации определяет необходимость постоянного развития и совершенствования информационных технологий.
Развитие информационных технологий осуществляется по следующим основным направлениям:
- модернизация технической базы государственной системы статистики;
- модернизация системного программного обеспечения, промышленных программных средств, используемых для разработки статистической информации;
- совершенствование технологии формирования статистических информационных ресурсов, реализуемой прикладными программными средствами и самого прикладного программного обеспечения задач электронной обработки информации.
Фундаментом и необходимым условием развития системы электронной обработки статистической информации является модернизация технической базы, которая во многом определяется научно-техническим прогрессом в области производства и применения средств вычислительной техники.
В настоящее время идет техническое перевооружение органов государственной статистики. В практику статистической разработки внедряются современные персональные вычислительные машины и локальные вычислительные сети, объединяемые в корпоративную сеть.
Корпоративная сеть государственной статистики имеет иерархическую структуру с тремя уровнями: (федеральный уровень, региональный уровень и районный уровень.
Такая структура соответствует организации государственной статистики и предполагает в основном последовательную обработку информации. Каждый уровень имеет технологическую специализацию на выполнение определенных функций в вычислительном процессе.
При развитии технической базы учитываются направления потоков информации, их объемы, сроки и сложность обработки. Это обеспечивает согласованность пропускных способностей технических средств всех организаций, входящих в корпоративную сеть.
Основной характеристикой процесса модернизации является полный переход от разработки статистической информации на больших машинах серии ЕС ЭВМ к разработке статистической информации на персональных вычислительных машинах в условиях локальной сети. Это направление кардинального изменения технической базы принципиально меняет технологию и организацию труда экономиста.
Процесс автоматизации обработки статистических данных перемещается на рабочее место статистика, предоставляя ему качественно новые возможности в работе с информационными ресурсами.
В центральном аппарате Государственного комитета РФ по статистике установлен мощный серверный узел для организации теледоступа и формирования баз данных. Главный межрегиональный вычислительный центр (ГМЦ) в настоящее время располагает несколькими специализированными локальными вычислительными сетями для решения сложных проблем.
Локальные вычислительные сети различной мощности и с разным количеством рабочих станций в зависимости от объемов обрабатываемой информации созданы в областных комитетах государственной статистики. При этом обеспечена связь между серверным узлом центрального аппарата и локальной вычислительной сетью главного межрегионального вычислительного центра с использованием радиомоста, а также с локальными вычислительными сетями областных комитетов по коммутируемым телефонным каналам связи и сети Атлас.
Модернизация технической базы осуществляется в направлении достижения однородности вычислительных средств. В условиях однородности и использования локальных сетей разной мощности проще и эффективнее решается вопрос о совместимости уровней иерархической структуры системы, унификации и типизации технологических процессов, программного и информационного обеспечения.
Локальные вычислительные сети, объединенные в корпоративную сеть, являются современными перспективными техническими средствами обработки статистической информации.
Наряду с технической базой принципиально обновляется системное программное оснащение. Для оснащения локальных вычислительных сетей в систему поставлены программные средства фирмы Microsoft: операционная среда Windows NT версии 4.0; СУБД MS SQL Server 6.5; программный пакет Microsoft Office 97, включающий Access, Word, Excel.
Осуществляется постепенный переход от разработок в операционной среде MS DOS к разработкам в современной среде Windows. Для решения отдельных задач применяется пакет SPSS для аналитической обработки статистической информации.
К началу 1999 г. были завершены работы по полному перепрограммированию прикладных программ для разработки статистических задач, ранее обрабатываемых на ЕС ЭВМ для полного перехода на платформу персональных вычислительных машин.
Изменения в техническом оснащении требуют быстрой перестройки программно реализуемой технологии обработки данных, ориентированной на персональную технику и локальные вычислительные сети с целью ее эффективного использования и внедрения ресурсосберегающих технологических решений.
Электронная обработка данных включает следующие основные программно реализуемые технологические этапы: сбор, ввод и контроль данных, поступающих от объектов наблюдения; формирование нормативно-справочной информации для обработки статистических данных; формирование сводных итогов и расчетных показателей, проведение взвешивания по заданным формулам, формирование массивов данных для передачи между уровнями системы, формирование таблиц с требуемыми статистическими данными.
В технологии сбора социально-экономической информации новым решением является применение электронных форм взамен бумажных, внедрение безбумажной технологии. Электронная форма представляет собой не что иное, как компьютерную программу для ввода данных.
Электронные формы в настоящее время разрабатываются для проведения статистического наблюдения как для ПЭВМ, так и для микро-ЭВМ, что в конечном счете позволит отказаться от заполнения бумажных бланков наблюдений и перейти полностью к безбумажной технологии.
Ввод статистических данных может осуществляться различными способами (методами):
- при применении электронных форм наблюдения и электронном обг мене данными информация от объекта наблюдения поступает сразу в электронном виде;
- оператор вводит информацию с заполненного бланка с одновременным визуальным контролем результатов своих действий на экране компьютера;
- оператор вводит информацию с высокой скоростью, не глядя при этом на экран компьютера (метод слепого ввода);
- ввод с использованием сканеров, обеспечивающих преобразование информации бумажных бланков в электронный вид, пригодный для дальнейшей обработки. Следует отметить, что пока этот способ не получил распространения из-за высокой стоимости оборудования и недостаточно высокого качества программных пакетов для распознавания поступающих от объектов данных на бланках.
Как правило, первые три способа всегда реализуются прикладным программным обеспечением, решающим задачи ЭОД. Для ввода статистических данных на персональных компьютерах используются различные программы управления базами данных: Access, FoxPro, Clipper и специализированные программы типа Blase.
Программы управления базами данных близки по своим возможностям к специализированным Программам ввода, которые применяются для сложных вопросников, проверка ввода данных по которым требует написания программ со сложными сценариями и маршрутами.
В настоящее время в системе государственной статистики эксплуатируется около 600 прикладных программ, обеспечивающих разработку статистической информации. На каждом из этих этапов могут возникать трудности, обусловленные тем, что еще не решены многие важные проблемы. Среди них:
- недостаточная унификация прикладных программных средств, реализующих перечисленные технологические этапы, необходимые для решения каждой задачи;
- отсутствие в настоящее время программ электронной обработки данных, позволяющих гибко построить технологию, используя преимущества сети и возможность разделения технологических этапов, выполнения их на отдельных машинах или проведения распределенной обработки;
- существующие программы в основном не ориентированы на формирование баз статистических данных, т.е. на участие экономиста в процессе электронной разработки задачи.
Это во многом обусловлено старыми подходами, которые были продиктованы использованием ЕС ЭВМ. При внедрении в практику персональных машин, локальных вычислительных сетей и современных методов решений в процесс электронной обработки информации, построенной на основе баз данных, меняется и подход к организации технологии.
Экономист становится непосредственным участником процесса обработки и соответственно меняет свои требования к электронной обработке и ее результатам.
В настоящее время экономист, разрабатывая экономическое описание на задачу, требует как результат базу данных для дальнейшей работы с информацией.
Достоверность статистической информации во многом зависит от предоставления экономисту-статистику возможности выполнения аналитической работы с информацией на основе баз данных и современных пакетов программ математико-статистической обработки и моделирования. Технология обработки информации на основе баз данных, апробированная и внедренная для разработки оперативной статистической информации на основе унифицированной формы статистического наблюдения, получила ощутимое развитие и внедрение в течение 19981999 гг.
Однако переход к использованию баз данных как обязательной составной части электронной обработки информации является задачей ближайшей перспективы.
Этот процесс требует тщательного проектирования и разработки ряда прикладных программ специального назначения, выполняющих общесистемные функции в технологическом процессе разработки статистической информации.
10.2. Современные методы и средства электронной обработки статистической информации на основе баз данных
Современные информационные технологии в социально-экономической статистике применяются на всех этапах разработки и проведения статистического наблюдения, включающих: разработку форм статистического наблюдения, формирование плана выборки, сбор и ввод данных, обработку и анализ данных, предоставление информации пользователю. В предыдущем параграфе была дана краткая характеристика современных способов сбора и ввода данных.
В данном параграфе подробнее остановимся на современных средствах организации обработки информации и предоставления информации пользователям на основе баз статистических данных.
Государственной статистикой накоплен большой объем статистических данных о социально-экономических процессах в развитии общества. На основе анализа этих данных можно выявлять явные и скрытые тенденции, строить стратегию дальнейшего развития, находить новые решения.
Базы статистических данных можно классифицировать на два типа, в зависимости от того, что принято за единицу хранения в базе данных:
- к документографическим относятся базы данных, в которых единицей хранения является документ, например таблица, текст и т.д.;
- к фактографическим базы данных, в которых единицей хранения является статистический показатель.
Процесс формирования и ведения информационного фонда на основе статистических баз первого типа менее трудоемок. В такую базу помещаются, как правило, готовые отчеты со статистическими данными, текстовые документы.
Для облегчения их использования создается приложение, обеспечивающее поиск необходимых форм по контексту, по заданным темам, а также программное приложение для отслеживания выполнения актуализации отчетов, т.е. уточнение и дополнение их новыми данными.
Для организации таких баз данных могут быть использованы широко распространенные программные пакеты, такие, как Microsoft Excel, Word и др., с аналогичными функциональными возможностями. В государственной статистике для организации документогра-фических баз данных используется прикладная программа БГД.
Функциональные возможности данной системы не обеспечивают организацию обработки статистической информации от сбора статистических данных до предоставления информации.
Она используется для предоставления статистической информации внешним пользователям.
Базы данных второго типа фактографические, более сложные в проектировании и ведении, но при этом они более удобны для проведения аналитической обработки данных. Программное обеспечение фактографических баз статистических данных может полностью строится на прикладном программном обеспечении.
В этом случае программист-разработчик создает свою систему управления базами данных. Такой подход в ряде случаев имеет преимущества по временным характеристикам и параметрам использования ресурсов хранения информации.
Однако, как правило, нарушается принцип масштабируемости системы, т.е. удобных средств интеграции с другими системами, кроме того, возникает полная зависимость от разработчика СУБД. Использование промышленных СУБД лишено этих недостатков, разработка баз данных в промышленных системах имеет хороший сервис, что позволяет осуществлять разработки достаточно быстро при тщательном предварительном информационном проектировании.
В настоящее время программное обеспечение статистических баз данных в основном строится на унифицированном подходе, включающем:
- промышленную систему управления базами данных MS SQL Server;
- прикладное программное обеспечение, реализующее удобный интерфейс проектировщика, администратора и пользователя базы данных. Наиболее применяемым в качестве такого программного обеспечения в настоящее время является инструментальный пакет прикладных программ статистика-экономиста СТАТЭК.
На основе унифицированного подхода к применению программного обеспечения построения статистических баз данных, унификации кодирования на базе общероссийских классификаторов создается система интегрированных информационных ресурсов. В систему интегрированных информационных ресурсов входят следующие базы данных:
- автоматизированный банк классификаторов (АБК);
- база данных Электронный каталог статистических показателей (КСП);
- база данных Генеральная совокупность объектов статистического наблюдения (ГС);
- центральная база статистических данных (ЦБСД);
- оперативная статистическая база данных;
- отраслевые статистические базы данных;
- проблемно-ориентированные базы статистических данных.
Базы данных АБК, ГС и КСП создают основу для интеграции информационных ресурсов и создания унифицированной системы метаданных. Система информационных статистических ресурсов в схематичной форме представлена на рис.
10.1. На рис.
10.1 показана организация системы как совокупности множества физически разных баз данных, объединенных едиными принципами построения информационной (логической) модели, единой метаинформацией.

Рис. 10.1.
Организация системы информационных статистических ресурсов
Единая метаинформация содержит рубрикатор входящих в систему баз данных и описания правил организации доступа к ним пользователей с разграничением их полномочий. При этом каждая физически отдельно созданная база данных включает две основные составляющие: метаданные данной базы и фонды данных.
Метаданные совокупность информационных массивов, содержащих описание (метаданные) информации, хранящейся в базе данных.
Она включает различные справочники и каталоги, задающие технологию организации и ведения баз данных.
Фонд данных содержит количественные значения показателей, помещенных в базу данных.
Основными компонентами, закладываемыми в основу моделирования структур баз данных в АБД, являются объект статистического наблюдения и экономический показатель. В качестве объектов наблюдения выступают как отдельные предприятия, организации, стройки н т.д. первоначальные источники информации, так и агрегированные объекты, к которым относятся отрасли экономики, территории, министерства и ведомства.
Агрегированный объект представляет собой совокупность сгруппированных элементарных объектов на основе некоторых признаков. Такими признаками являются отрасли экономики, ведомственная подчиненность, территориальная принадлежность и др., определяемые прежде всего общесоюзными классификаторами отраслей народного хозяйства, системой обозначений органов государственного управления и системой обозначений административно-территориальных объектов.
Базы данных, входящие в систему интегрированных ресурсов, в зависимости от объекта наблюдения делятся на микробазы и макробазы данных. Микробазы содержат информацию по объектам статистического наблюдения.
Макробазы данных содержат агрегированные данные, полученные после обработки информации.
Для проектирования, ведения и представления социально-экономической информации пользователям на основе создания микро- и макробаз данных, как было описано ранее, применяется промышленная система управления базами данных и создан и развивается инструментальный пакет прикладных программ СТАТЭК. Эта система характеризуется следующими параметрами:
- эксплуатируется в ЛВС с использованием различных СУБД: MS SQL Server, Access, (ORACLE при развитии);
- реализована в архитектуре клиент-сервер;
- интегрирована с программными средствами Word, Excel, SPSS, Access, Microsoftmap;
- разработана на объектно-ориентированном языке программирования Power Builder 5.0.
В последние годы в мире сформировались новые направления (концепции) хранения и анализа статистической информации в виде баз данных, использующих новые, перспективные технические и промышленные программные средства их реализации. К ним относятся:
1) концепция построения баз данных как хранилища данных (Data Warehouse);
2) оперативная аналитическая обработка (On-Line Analytical Processing, OLAP);
3) интеллектуальный анализ данных ИАД (Data Mining). Инструментальная система СТАТЭК базируется на комплексном использовании всех трех перечисленных направлений.
В основе концепции хранилища данных лежат две основные идеи:
1) интеграция в едином хранилище данных, описывающих конкретные факты социально-экономических явлений, событий, характеристик объектов статистического наблюдения. В процессе интеграции должно выполняться согласование рассогласованных микроданных по объекту наблюдения и, возможно, их агрегация. Данные могут поступать из внешних источников;
2) разделение наборов данных и приложений, используемых для оперативной обработки и применяемых для решения задач анализа.
Инструментальный пакет СТАТЭК имеет трехуровневую архитектуру (рис. 10.2).
Реализация функции проектирования и ведения хранилища статистических данных осуществляется подсистемами первого и второго уровней пакета СТАТЭК.

Рис.
10.2. Архитектура программного обеспечения СТАТЭК
Третий уровень включает программные подсистемы, обеспечивающие обработку информации и предоставление информации пользователям.
Программные средства этого уровня рассчитаны на разные категории пользователей и содержат как статические, так и динамические системы формирования запросов. Информационно-аналитические системы, создаваемые в расчете на непосредственное использование лицами, принимающими решения, чрезвычайно просты в применении, но жестко ограниченны в функциональности. Такие системы называются статическими информационными системами руководителя (ИСР).
Они содержат в себе предопределенные множества запросов и, будучи достаточными для повседневного обзора, не способны ответить на все вопросы к имеющимся данным, которые могут возникнуть при принятии решений.
Результатом работы такой системы, как правило, являются многостраничные отчеты, после тщательного изучения которых у аналитика появляется новая серия вопросов. Однако каждый новый запрос, не предусмотренный при проектировании такой системы, должен быть сначала формально описан, закодирован программистом и только затем выполнен.
Время ожидания в таком случае может составлять часы и дни, что не всегда приемлемо. Таким образом, внешняя простота статических систем планирования и принятия решений, за которую активно борется большинство заказчиков информационно-аналитических систем, оборачивается катастрофической потерей гибкости.
Динамические системы, напротив, ориентированы на обработку нерегламентированных запросов аналитиков к данным. Работа аналитиков с этими системами заключается в интерактивной последовательности формирования запросов и изучения их результатов.
Динамические системы запросов строятся на основе генератора отчетов с использованием стандартных средств аналитической обработки пакетов типа SAS, SPSS, технологии OLAP. Оперативная аналитическая обработка данных по технологии OLAP обеспечивает многомерный статистический анализ, т.е. представление анализируемых фактов как функций от большого числа характеризующих их параметров.
Полная структура информационно-аналитической системы, построенной на основе хранилища данных, показана на рис. 10.3.
В конкретных задачах отдельные компоненты этой схемы часто отсутствуют.

Рис.
10.3. Структура информационно-аналитической системы, построенной на основе хранилища данных
Особенно подвержено влиянию новых информационных технологий предоставление информации пользователю.
Все большее распространение получает электронный вид предоставления информации пользователю.
Осуществляется электронное предоставление данных различными способами, каждый из которых определяется в зависимости от потребностей пользователя. К ним относятся предоставление информации на магнитных носителях дискетах или лазерных дисках; организация удаленного доступа пользователя к базе данных; рассылка абонентам в их почтовые ящики информации для обновления их собственных баз данных; обслуживание пользователей через сеть Internet.
Все перечисленные способы электронного распространения статистической информации внедрены и используются в системе государственной статистики.
Таким образом, применение современных методов автоматизации и информационных технологий оказывает влияние на все этапы технологического процесса разработки статистической информации от проектирования формы статистического наблюдения до предоставления статистических данных пользователю.
При этом модернизация осуществляется одновременно по трем направлениям: техническое переоснащение, применение новых системных программных средств, промышленных программ, а также изменение прикладного программного обеспечения.
Процесс модернизации информационных технологий позволяет качественно изменить многие этапы разработки статистических данных, предоставив экономисту инструмент непосредственной работы с информационными массивами и возможность применения мощных средств редактирования и аналитической обработки.
Контрольные вопросы
- Какие технические средства составляют основу корпоративной сети государственной статистики?
- Какое системное программное обеспечение и какая система управления базами данных используются в локальных вычислительных сетях органов государственной статистики?
- На каких принципах создается система интегрированных статистических информационных ресурсов?
- Какие способы сбора, ввода и обработки данных применяются для статистических данных?
Раздел III. Статистика производства валового внутреннего продукта (ВВП) в системе национальных счетов
Система показателей рынка услуг, методика их исчисления
Она возникает:
а) между предприятиями, оказывающими услуги, их производителями;
б) конкуренция между производителями и потребителями;
в) конкуренция между потребителями услуг.
Конкуренция между производителями услуг обычно проявляется либо в снижении цены на эту услугу, либо в расширении качества предоставляемых услуг и их ассортимента. Конкуренция между производителями услуг в нормальных условиях проявляется в снижении цен на услуги, в сокращении производства услуг и производственного аппарата сферы услуг.
Однако в кризисной ситуации этот механизм не действует, особенно в том случае, если речь идет о необходимых для населения услугах (например услугах городского транспорта, на которые могут устанавливаться монопольно высокие цены).
В России в условиях инфляции цены на услуги не снижаются, а результатом обострения конкуренции между производителями является снижение физического объема ПУ населению; уменьшение числа предприятий и организаций, оказывающих услуги; падение численности работников сферы услуг и объема основных производственных фондов.
Конкуренция между продавцом и покупателем всегда имеет место на рынке. И продавец и покупатель имеют свое мнение о цене услуги (о субъективной стоимости).
На рынке в результате столкновения субъективной стоимости продавца и покупателя возникает рыночная цена.
Конкуренция между потребителями услуг проявляется прежде всего в существовании определенной очереди на эту услугу. Ее наличие свидетельствует о ненасыщенности рынка услугами, ведет к снижению их качества и росту цен.
Однако на современном этапе рынок ПУ в России является рынком покупателя (предложение превышает спрос), поэтому, как правило, конкуренция между потребителями ПУ отсутствует.
Факторы, воздействующие на конъюнктуру, можно разделить на две группы: постоянно действующие (уровень доходов на душу населения, безработица, научно-технический прогресс, инфляция, конкуренция, сезонность) и факторы единовременного действия (политическая ситуация, законодательные акты, стихийные бедствия и катастрофы). При помощи математико-статистических методов в отношении постоянно действующих факторов имеется возможность выявлять тенденции развития и с определенной степенью вероятности их прогнозировать.
Гораздо сложнее обстоит дело с единовременными факторами: прогнозировать их возникновение, влияние на рынок ПУ, последствия их развития для экономики весьма затруднительно, хотя именно эти факторы оказывают глобальное воздействие на рынок ПУ (достаточно вспомнить либерализацию цен 1991 г., решение о приватизации предприятий сферы услуг, ряд решений о либерализации внешнеэкономических связей и частичной конвертируемости рубля).
В настоящее время основными факторами, определяющими конъюнктуру на рынке услуг, являются:
а) инфляция;
б) резкое падение реальных доходов населения и как следствие сокращение расходов на платные услуги, падение спроса на них;
в) быстрый рост цен на услуги, причем цены на услуги растут несколько быстрее, чем цены на товары;
г) снижение спроса на ПУ как следствие инсоляции и снижения доходов;
д) появление новых видов ПУ (например, обмен валюты, которым занимаются коммерческие банки, платное оформление заграндокумен-тов, и прежде всего паспортов и виз, а также страховых полисов);
е) обострение криминогенной обстановки в стране привело к возникновению и развитию новой отрасли услуг, связанной с безопасностью личности и бизнеса, охранных и сыскных организаций; изготовление и установка охранной сигнализации; укрепление окон и дверей и т.д.;
ж) бурный рост ПУ, связанных с информационным и научным обеспечением деятельности участников рынка. Качественно новый характер приобрела рекламная деятельность; возникли и быстро развиваются маркетинговые службы; резко возрос объем правовых услуг (арбитража, адвокатуры, нотариата, юридических консультаций).
Особенностью современного этапа развития системы ПУ населению в России является появление и развитие ряда услуг, запрещенных законом. Возникла громадная сеть полулегальных и нелегальных организаций и учреждений в области проституции, азартных игр, наркобизнеса и даже криминальных услуг (рэкет, киллерство и т.п.). Отсутствие четкой законодательной базы стимулирует криминализацию.
Кроме того, государство недополучает налоги с разрешенных видов деятельности (ночные клубы, казино, предприятия досуга).
Поэтому задачей статистики является разработка методологии определения объема услуг и чистых доходов этих видов деятельности и способов получения информации.
39.4. Система показателей рынка услуг, методика их исчисления
В решении задач статистики рынка услуг важная роль отводится системе показателей. Сформулируем основные принципы ее построения:
- система показателей (в отличие от произвольного набора, перечня показателей) предполагает, что все показатели взаимосвязаны и ориентированы на достижение цели исследования;
- система показателей строится на единых методологических принципах, что является необходимой предпосылкой их сопоставимости;
- система показателей должна быть компактной, что нM исключает дополнения обобщающих показателей показателями подсистемы.
Исходным направлением анализа рынка потребительских услуг населению является характеристика его социально-экономического потенциала.
Социально-экономический потенциал рынка услуг совокупная способность трудовых, материально-технических, финансовых и других ресурсов сферы обращения обеспечивать достижение наивысших результатов и эффективности функционирования рынка. Поэтому актуальной задачей статистики является разработка системы показателей характеристики потенциальных возможностей развития рынка услуг.
К числу важных показателей потребительского рынка услуг относятся: объем предлагаемых услуг (товарное предложение, в котором в качестве товара выступает услуга) и покупательский спрос, а также степень их сбалансированности.
Объем реализации услуг одновременно отражает объем удовлетворенного спроса (и в этом смысле этот показатель является социальным) и объем выручки, полученной от реализации платных услуг (и в этом смысле этот показатель характеризует экономический результат функционирования рынка).
Объем реализации услуг населению важный комплексный социально-экономический показатель удовлетворения потребностей в услугах разного назначения, а следовательно, показатель уровня жизни населения и одновременно результатов функционирования рынка услуг и развития сферы услуг. Этот показатель целесообразно использовать в качестве специфического показателя эффекта функционирования рынка.
На его основе определяется вклад рынка услуг в результат функционирования рынка товаров в целом.
Специфика нематериальных услуг как товара, которая, как известно, состоит в том, что они не могут накапливаться и откладываться в запасы, а также в том, что момент производства услуг и момент их потребления не разделены процессами их распределения и обращения, определяет скорость их обращения и отсутствие показателя товарооборота, учитывающего звенность товародвижения.
Показатель уровня реализации услуг на одного жителя важный индикатор развития регионального рынка и региональных сопоставлений.
Следующая подсистема показателей включает показатели статистики цен на услуги. Цена главная категория рынка, инструмент его регулирования, балансировки спроса и предложения, инструмент конкуренции и конкурентоспособности.
В системе показателей цен целесообразно использовать категории устойчивости, колеблемости, сезонности, вариабельности цен, соотношений цен различных услуг, субрынков и секторов, а также показатели мобильности и эастичности цен.
Показатели уровня и динамики цен исследуются во взаимосвязи с показателями покупательной способности рубля, денежных доходов населения. Исследование цен и их динамики на рынке услуг увязывается с проблемами инфляции и стоимости жизни.
В подсистеме показателей результатов функционирования рынка услуг помимо показателя объема реализации услуг (выручки от реализации) большое значение имеет показатель прибыли, а также объема валовой добавленной стоимости, отражающей вклад рынка услуг в создание ВВП.
Особую проблему составляет определение объемов рыночных услуг, оказываемых частнопрактикующими медработниками, репетиторами и т.п.; эти объекты могут быть получены на основании данных государственной налоговой службы и путем выборочных обследований доходов и расходов этих лиц и организаций (с выделением элементов промежуточного потребления).
Выпуск рыночных услуг оценивается в основных ценах, т.е. исключая налоги на продукты (в рассматриваемых отраслях это налог на добавленную стоимость), но включая субсидии на продукты, т.е. государственную дотацию и другие субсидии, получаемые отраслью из государственного бюджета, кроме субсидий, связанных с использованием рабочей силы и других факторов производства, а также субсидий на капитальные затраты.
Валовая добавленная стоимость равна стоимости рыночных услуг отраслей (выпуск) за минусом их промежуточного потребления.
Промежуточное потребление стоимость всех продуктов (кроме основных фондов) и рыночных услуг, потребленных в течение данного периода в процессе производства и реализации услуг. Промежуточное потребление не включает износ основных фондов, который является элементом валовой добавленной стоимости.
Вместе с тем к промежуточному по греблению относятся затраты на улучшение условий труда работников сферы услуг, затраты на спецодежду и спецпитание; представительские расходы; оплата за обучение работников, если все это осуществляется в интересах производства.
В состав промежуточного потребления в коммерческих учреждениях включают материальные затраты, оплату нематериальных услуг, расходы на командировки (в части оплаты проезда и проживания в гостиницах).
Оценка отдельных элементов промежуточного потребления в сфере ПУ аналогична оценке соответствующих компонентов валового выпуска: покупные блага и услуги собственного производства отражаются по фактической цене приобретения, а промежуточные блага и услуги собственного производства по фактическим издержкам производства.
Валовая прибыль получается путем вычитания из валовой добавленной стоимости общей величины оплаты труда наемных работников, а такNе налогов на производство за вычетом субсидий на производство.
Чистая прибыль получается путем вычитания из валовой прибыли величины потребления основных фондов (т.е. годового фонда амортизации и недоамортизированной стоимости выбывших основных фондов).
В особой подсистеме отражаются показатели текущих затрат живого и овеществленного труда, связанных с функционированием рынка услуг, а также показатели инвестиций на его развитие.
Отдельная подсистема показателей призвана охарактеризовать инфраструктуру рынка услуг, которая недостаточно исследована и развита и от состояния которой зависит эффективность функционирования рынка услуг.
Эта система показателей призвана отразить развитие подотраслей рынка услуг, обеспечивающих его нормальное функционирование и носящих вспомогательный по отношению к данному рынку характер. Этими подотраслями могут выступать и самостоятельные отрасли сферы услуг, развитие которых в свою очередь определяется их собственной инфраструктурой (транспорт, связь, информационные услуги и др.).
Эти показатели обеспечивают обслуживание процесса купли-продажи. К ним относятся показатели развития инфраструктуры (численность, размер, мощность, техническая оснащенность рекламных и информационных предприятий) и другие показатели, связанные с системой менеджмента.
Эффективность рынка услуг как социально-экономическая категория определяется достижением максимального результата (эффекта) на единицу затрат, связанных с его получением, или ресурсов его социально-экономического потенциала.
Эффект функционирования рынка товаров в широком смысле совокупность экономических, социальных и финансовых результатов, характеризуемых системой показателей.
В составе текущих затрат учитываются прежде всего издержки, связанные с производством и реализацией услуг. Уровень издержек (затрат) их объем на 1 тыс. руб. реализации услуг.
В системе показателей статистики эффективности услуг прежде всего выделяют обобщающие показатели эффективности затрат и эффективности ресурсов.
Это показатели эффективности использования совокупных ресурсов социально-экономического потенциала рынка услуг (Эр), а также эффективности затрат живого и овеществленного труда, рассчитываемые как отношение показателя результатов к сводному показателю объема текущих затрат.
Один из принципиальных методологических вопросов какой показатель наиболее полно отражает результат (эффект) функционирования рынка услуг. С позиций экономики в целом эффектом функционирования рынка услуг является валовая добавленная стоимость, учитываемая в объеме валового внутреннего продукта страны и отражающая вклад рынка в создание ВВП.
С позиций удовлетворения потребностей населения в услугах основным показателем эффекта является объем реализации услуг населению. С позиции каждого отдельного поставщика услуг на рынок, а также регионального и российского рынков важным показателем эффекта является полученная на рынке услуг прибыль финансовый результат.
Эти три показателя эффекта образуют систему показателей результатов функционирования рынка. Выбор нужного показателя зависит от целей и задач анализа.
Уровень эффективности определяется отношением того или другого показателя эффекта либо к затратам на функционирование рынка, либо к ресурсам его социально-экономического потенциала.
Для обеспечения сопоставимости обобщающих показателей эффективности функционирования рынка услуг с показателями эффективности других видов деятельности целесообразно в качестве эффекта (результата) использовать показатель валовой добавленной стоимости (ВДС), созданной на рынке услуг за тот или иной период и отражающей его вклад в создание ВВП.
В составе текущих затрат учитывается сумма стоимости фонда оплаты труда (ФОТ), промежуточного потребления (ПП) и потребления основного капитала (ПОК).
Тогда обобщающий показатель уровня эффективности затрат определим по формуле

(39.3)
В составе ресурсов экономического потенциала рынка услуг учитываются: трудовые ресурсы, занятые обслуживанием рынка (Т), основные фонды (ОФ) и оборотные фонды (ОбФ). Расчет эффективности ресурсов осуществляется по формуле

(39.4)
Расчет сводного показателя эффективности ресурсов затруднен из-за отсутствия пока рыночной стоимости трудовых ресурсов, занятых на рынке труда. Однако рассчитываются отдельные компоненты эффективности ресурсов социально-экономического потенциала, изменение которых в динамике позволяет определить изменение в динамике показателя уровня эффективности ресурсов в целом.
Отношение ВДС / Т является показателем производительности труда на рынке услуг (ПТ), сопоставимым по методике расчета с показателем общественной производительности труда (ВВП/Т). Этот показатель характеризует эффективность затрат живого труда на рынке услуг.
Показателями эффективности затрат прошлого труда являются фондоотдача (ФО), фондоемкость (ФЕ) и материалоемкосты (МЕ).
Фондоотдача объем результата функционирования рынка услуг на единицу среднегодовой стоимости его основных фондов

(39.5)
фондоемкость обратный показатель фондоотдачи

(39.6)
и материалоемкость исчисляется по формуле

(39.7)
Основным фактором роста производительности труда (ПТ) на рынке услуг является фондовооруженность труда (ФВ) средняя стоимость основных фондов рынка услуг на одного занятого в этой сфере,

(39.8)
Между этими показателями имеется взаимосвязь:

(39.9)
В число показателей финансовой эффективности функционирования рынка, т.е. рентабельности (Рент.), в зависимости от целей анализа включаются:
- отношение объема выручки от реализации услуг (Р) к текущим затратам (издержкам) на этот процесс (З):

(39.10)
- отношение прибыли (П) к объему реализации

(39.11)
- отношение прибыли к сумме основных (ОФ) и оборотных фондов (ОбФ):

(39.12)
Каждый из названных показателей имеет самостоятельное значение в экономическом анализе.
Условия эффективности определенные соотношения (неравенства) темпов роста основных показателей функционирования рынка товаров и услуг (результатов, ресурсов и затрат).
Используя показатели международной методологии, можно рассчитать коэффициент рентабельности как отношение прибыли к величине валовой добавленной стоимости (ВДС), созданной на рынке услуг (размер прибыли, приходящейся на единицу ВДС):

(39.13)
Учитывая, что потребительские услуги создаются для конечного потребления, при анализе рынка целесообразно использовать коэффициент конечного потребления (Ккп), рассчитываемый как отношение объема конечного потребления (КП) к валовой добавленной стоимости:

(39.14)
Этот коэффициент показывает, какая часть валовой добавленной стоимости была использована на удовлетворение потребностей населения.
Для оценки платного обслуживания населения на региональном рынке услуг целесообразно использовать данные выполнения кассового плана банков. Среди всех поступлений наличности в банковские учреждения легко фиксировать выручку от реализации платных услуг (Р).
Объем выручки будет сопоставлен с выдачей наличных на заработную плату и на другие выплаты населению (В). Отношение этого сальдо к выдаче характеризует текущую деятельность рынка услуг обслуживаемого банком региона и называется коэффициентом эмиссии (Кэ):

(39.15)
где Рi объем реализации платных услуг отрасли i; Вi сумма выдач наличных.
Объем реализации услуг и сумма выдачи наличных денег для выплаты населению находятся в разных регионах в различных соотношениях. Поэтому коэффициент эмиссии может быть как положительной, так и отрицательной величиной.
В большинстве случаев коэффициент эмиссии больше нуля. Чем выше коэффициент по абсолютной величине, тем уже возможности рынка данного региона.
Этот коэффициент показывает и способность рынка услуг закрепить денежные расходы населения по месту получения доходов, сократить вывоз их из региона, миграцию денег. Динамика коэффициента эмиссии за ряд лет дает возможность принимать оперативные меры по регулированию рынка услуг.
Для оценки влияния оперативного управления развитием сферы услуг можно использовать обобщающий показатель уровня развития рынков рыночных услуг (I) в динамике. Это могут быть показатели обеспеченности персоналом различных отраслей сферы услуг по сравнению с нормативами и другие показатели. Интегральная оценка находится как сумма оценок отраслей:

(39.16)
где Кi коэффициент значимости отрасли i, определяемый экспертной оценкой или опросом населения:
Фi, Нi соответственно фактический и нормативный уровень развития отрасли i по оперативно регулируемым показателям.
Внедрение международных стандартов учета и статистики расширило понятие экономической деятельности, что имело своим следствием органическое включение сферы услуг в экономические процессы, происходящие в стране, позволило дать четкую характеристику экономического результата развития сферы услуг и ее участия в формировании ВВП.
Контрольные вопросы
- Раскройте понятие и состав услуг как результата экономической деятельности, приведите их основные классификации и группировки.
- В каком случае производство услуг считается рыночным, а услуги являются товаром?
- Что такое рынок услуг, рынок продавца и рынок покупателя? Какова их специфика в отличие от других рынков?
- Приведите основные показатели и категории рынка услуг и методику их расчета.
- Назовите факторы, определяющие рыночную конъюнктуру.
- Приведите показатели эффективности функционирования рынка услуг, общие принципы и методику их расчета.
Система показателей социально-экономической статистики
Для отображения и изучения количественной и качественной сторон явлений и процессов общественной жизни в социально-экономической статистике используется система показателей. Статистический показатель является важнейшей категорией социально-экономической статистики.
Это очень емкое и широко применяемое понятие. Оно насыщается конкретным содержанием применительно к различным явлениям, их свойствам, формам. Статистический показатель непосредственно связан с количественной стороной социально-экономического явления.
Следовательно, статистический показатель этV количественно-качественное понятие.
Нельзя назвать конкретный статистический показатель без упоминания его качественного содержания. Таковы, например, показатели объема валового внутреннего продукта, реальных располагаемых денежных доходов, объема платных услуг, средней продолжительности жизни населения, индекс потребительских цен на товары и услуги.
Поскольку социально-экономическая статистика изучает явления общественной жизни в конкретных условиях места и времени, то всякий статистический показатель в виде конкретного числа содержит в себе пространственную и временную определенность.
Таким образом, конкретный статистический показатель в его полной определенности содержит: количественную определенность, качественную определенность, определенность пространства и определенность времени. Например, численность населения Московской области на 1 января 1998 г. составляла 6,6 млн человек.
Здесь численность населения качественная определенность показателя, Московская область пространственная определенность, на 1 января 1998 г. временная определенность, 6,6 млн количественная определенность.
Понятие статистического показателя, относящееся к конкретному явлению, но взятое в общем виде, всегда содержит в себе качественную определенность. Количественная же определенность в этом случае непосредственно не дана, но понятие количества содержится в нем в абстрактном виде как атрибут.
Примером могут служить вышеназванные показатели. Количественную определенность показателя нельзя представить без указаний качественной определенности и определенности пространства и времени.
Абстрактных чисел безотносительно к пространству времени и качественному содержанию в статистике нет.
Таким образом, показатель в социально-экономической статистике это обобщенная количественная характеристика качественно определенного социально-экономического явления.
Многообразие явлений общественной жизни, изучаемых социально-экономической статистикой, их свойств, признаков обусловило и многообразие конкретных статистических показателей.
Статистический показатель может относиться: к отдельному явлению (объекту), например к отдельному промышленному предприятию; к группе объектов одного и того же вида, например к совокупности предприятий определенной отрасли; ко всей совокупности явлений, например ко всему хозяйству страны. В соответствии с этим показатели подразделяются на индивидуальные, групповые (частные) и общие.
Последние две категории называют сводными показателями.
Показатели, относящиеся к части территории страны, называют региональными (или территориальными); показатели, относящиеся к отдельным отраслям хозяйства, отраслевыми, а показатели, относящиеся к хозяйству в целом, совокупными по стране. Статистические показатели полчают также наименование в связи с тем, какие свойства (признаки) явления они отображают.
Например, урожайность пшеницы в хозяйствах Российской Федерации, средняя заработная плата рабочих промышленности РФ, численность студентов высших учебных заведений России.
Статистические показатели выражаются в форме абсолютных, относительных и средних статистических величин.
Сводные статистические показатели получаются путем обобщения (обработки) массовых данных о социально-экономических явлениях, собираемых в процессе статистического наблюдения. Они дают возможность обнаружить присущие совокупностям (общим или частным) этих явлений закономерности количественных изменений.
Поскольку статистические данные (конкретные значения конкретных показателей) используются в анализе экономического и социального развития и в качестве исходной информационной базы расчетов, между социально-экономической статистикой и макроэкономикой существует тесная взаимосвязь, а между показателями микроэкономики и статистическими показателями, отображающими ход их движения, единство. Это единство зиждется на единой основе разработки методологии, чем обеспечивается одинаковость их содержания, на единстве систем измерения.
Нарушение этих условий порождает несопоставимость статистических показателей.
Каждая отрасль социально-экономической статистики (часть, раздел) разрабатывает специфические показатели. Но разрозненный набор показателей вне их взаимосвязи не может обеспечить сколько-нибудь обстоятельного изучения социально-экономических процессов.
Как различные свойства, стороны предмета познания взаимосвязаны, так и отображающие их статистические показатели должны быть взаимосвязаны и представлять собой целостную и логичную систему.
Системы показателей, разработанные отдельными отраслями статистики, являются в своей основе подсистемами единой системы показателей социально-экономической статистики, на высшем уровне которой находятся наиболее обобщающие показатели. Иначе говоря, совокупность показателей, относящихся к конкретным областям или процессам общественной жизни, образует разделы, или части, общей системы социально-экономической статистики.
Связи и взаимозависимость социально-экономических явлений и процессов обусловливают соответствующую связь показателей системы социально-экономической статистики. Она содержит взаимосвязанные показатели, характеризующие отдельные стороны жизни общества, и сводные обобщенные показатели в виде системы национальных счетов и балансов.
5.2. Основные разделы системы показателей социально-экономической статистики
До недавнею прошлого российская система учета и статистики формировалась в условиях командно-административных методов управления, находилась в прямой зависимости от методологических основ централизованного планирования, ими определялся и круг статистических показателей, которыми оперировала статистика.
С началом реформирования общественно-политической жизни в стране во всех сферах экономики (производстве, распределении, финансово-кредитных отношениях, социальных областях, внешнеэкономических связях) произошли существенные изменения. В России формируется многоукладная рыночная экономика и соответствующий механизм ее функционирования.
В ходе этой перестройки вся хозяйственная деятельность в стране испытывает воздействие колебания спроса со стороны рынка, ограничения бюджетного финансирования, демонополизации производства, перераспределения функций управления между федеральными и региональными органами, усиления роли процессов интегрирования российской экономики в мировую. Все это не могло не вызвать необходимость существенного изменения системы показателей статистики.
В ранее действовавшей системе по существу отсутствовали некоторые показатели, характеризующие финансовое состояние государства, денежное обращение и кредит, не говоря уже о показателях, отражающих функционирование вновь создающихся структур предпринимательской и посреднической деятельности. Это в значительной мере осложняло анализ осуществляемых в стране экономических преобразований и затрудняло эффективное регулирование хозяйственных процессов и проведение целенаправленной социальной политики.
Эти же сложности и недостатки присущи и применявшимся ранее макроэкономической модели прогнозирования и развития экономики и балансу народного хозяйства (БНХ). Составляющие этой модели баланс общественного продукта, баланс национального дохода, баланс трудовых ресурсов, баланс основных фондов, межотраслевой баланс производства и распределения продукции не являлись единой интегрированной системой с жесткой увязкой показателей.
Связь между балансами достигалась в специально разрабатываемой таблице на заключительном этапе и не по всем показателям. В результате трудно было проследить, как влияли изменения показателей в данном балансе на те или иные показатели в другом.
Кроме того, система БНХ была ориентирована в основном на отражение производственной структуры общественного воспроизводства, меньше внимания в ней уделялось социальным вопросам, вопросам жизненного уровня различных групп населения.
В настоящее время во многих странах мира получила широкое распространение система национальных счетов (СНС) интегрированная система внутренне связанных и совместимых макроэкономических показателей. Унифицированные схемы СНС разработаны в рамках ООН и других международных организаций.
Основу этой системы составляет блок наиболее общих макроэкономических показателей, который включает ряд подсистем, причMм каждая из них характеризует те или иные аспекты социально-экономического процесса. СНС и ее подсистемы связаны с другими блоками социально-экономической статистики, что позволяет проводить глубокий анализ по различным направлениям.
На рис. 5.1 представлена примерная схема такой иерархической системы показателей социально-экономической статистики*.
* См.: Экономическая статистика: Учебник / Под ред. Ю.Н.
Иванова.
М.: ИНФРА-М, 1998. В источнике схема названа схемой основных показателей экономической статистики, но точнее, по нашему мнению, ее следовало бы назвать схемой показателей социально-экономической статистики.
Схема основных показателей (блоков) социально-экономической статистики*

Рис. 5.1
* Источник: Экономическая статистика/Под ред. Ю.Н.
Иванова. М.: ИНФРА-М, 1998.
С. 22.
** В источнике указаны только товары, но надо учитывать, что современная экономическая наука относит к товарам не только результаты труда или природной деятельности, имеющие вещественно-предметную форму, но и нематериальную форму, в том числе услуги (подробнее см. гл. 39).
Система национальных счетов это вид балансовых построений в виде счетов, балансов и таблиц, которые разработаны на основе понятий, определений, классификаций и правил бухгалтерского учета. Эта комплексная система дает возможность составлять и предоставлять данные в форме, обеспечивающей проведение социально-экономического анализа для принятия решений и формулирования социально-экономической политики.
Счета отражают подобные сведения о социально-экономической деятельности, осуществляемой в стране, о взаимодействии между различными хозяйствующими субъектами и группами таких субъектов. СНС содержит информацию не только о хозяйственной деятельности, но и о размерах производственных фондов страны и уровне благосостояния ее жителей в определенные периоды, о внешнеэкономических связях данной страны с другими странами мира.
В СНС определяются некоторые важные агрегированные обобщающие статистические показатели, например валовой внутренний продукт (ВВП).
Динамика и структура ВВП, его пропорции отражают наиболее крупные сдвиги в сферах производства, распределения и использования создаваемых в экономике товаров и услуг. Внедрение национальных счетов в статистическую практику позволяет проанализировать (хоть и не в полной мере из-за отсутствия расчетов по секторам) изменения, происходящие в социально-экономическом положении страны.
В настоящее время государственная российская статистика оперирует макроэкономическими показателями двух видов: экономическими и социальными индикаторами.
Экономическими индикаторами являют я:
- валовой внутренний продукт;
- объем промышленной продукции, в том числе потребительские товары;
- капитальные вложения за счет всех источников финансирования:
- объем подрядных работ;
- розничный товарооборот (с учетом определяемых на основе экспертных оценок объемов неорганизованного ввоза и продажи населению товаров на вещевых, смешанных и продовольственных рынках);
- объем платных услуг (с учетом объемов услуг, предоставляемых физическими лицами, определяемых на основе экспертных оценок);
- грузооборот предприятий транспорта (с учетом оценки объемов перевозок грузов предпринимателями физическими лицами, занимающимися коммерческими грузовыми автоперевозками, и малыми автотранспортными предприятиями);
- экспорт товаров в страны дальнего зарубежья.
К социальным индикаторам относятся:
- реальные располагаемые денежные доходы;
- номинальная среднемесячная заработная плата на одного работника;
- индекс потребительских цен на товары и услуги;
- общая численность безработных (на конец периода) рассчитывается в соответствии с методологией МОТ, в том числе официально зарегистрированные безработные;
- численность населения с денежными доходами ниже прожиточного минимума (в млн человек и в % ко всему населению);
- ввод в действие жилых домов.
Все эти показатели могут быть рассчитаны для разных периодов (месяц, полугодие, год), что позволяет выявлять основные тенденции, направления главных изменений в социальной и экономической сферах. Однако на каждый из этих показателей в большей или меньшей степени оказывают влияние самые разнообразные факторы.
Поэтому дать реальную картину состояния и выработать эффективную систему мер для достижения намечаемых результатов можно только на базе детального анализа этих показателей.
Контрольные вопросы
- Какова сущность статистического показателя?
- Каково понятие системы статистических показателей?
- Какие статистические показатели входят в систему национальных счетов?
- Каково содержание экономических и социальных индикаторов?
Социально-экономическая сущность предпринимательства и задачи статистики
Согласно Гражданскому кодексу Российской Федерации предпринимательская деятельность в России может осуществляться гражданами без образования юридического лица, а также юридическими лицами. В первом случае гражданин действует либо в качестве индивидуального предпринимателя, либо как глава крестьянского (фермерского) хозяйства.
Во втором случае предпринимательская деятельность осуществляется, как правило, юридическими лицами, являющимися коммерческими организациями.
Коммерческие организации могут создаваться в форме хозяйственных товариществ и обществ, производственных кооперативов, государственных и муниципальных унитарных предприятий. Некоммерческие организации (потребительские кооперативы, общественные и религиозные организации, благотворительные и иные фонды, учреждения, объединения юридических лиц) могут осуществлять предпринимательскую деятельность лишь постольку, поскольку это служит достижению целей, ради которых они созданы.
Статистика призвана выявить:
- в каких формах и масштабах осуществляется соединение живого труда и экономических активов в процессе предпринимательской деятельности;
- каково инновационное содержание и экономическая эффективность этого процесса;
- каковы тенденции развития предпринимательства.
В общем числе коммерческих организаций большую часть составляют организации, являющиеся субъектами малого предпринимательства, проще говоря малые предприятия (см. 37.3).
Например, в 1998 г. малые предприятия составляли 85% общего количества действующих промышленных предприятий, однако ими было произведено лишь 4% всего объема промышленной продукции.
В ходе статистического исследования предпринимательства необходимо выяснить количество зарегистрированных и фактически действующих индивидуальных предпринимателей и коммерческих организаций (в том числе субъектов малого предпринимательства); их распределение по формам собственности, организационно-правовым формам и видам деятельности. Для каждой из полученных групп определить важнейшие сводные экономические показатели.
Целесообразно также провести группировку общего числа предприятий в зависимости от их размера, при этом в качестве группировочного признака обычно используются показатели численности работников или объема выпущенной продукции.
Результаты такого анализа дают ответ на вопрос в каких формах и масштабах осуществляется предпринимательская деятельность.
Эффективность предпринимательской деятельности оценивается отдельно по текущей (операционной) и инвестиционной деятельности.
Текущая предпринимательская деятельность представляет собой работу предпринимателя по обеспечению наиболее эффективного соединения уже имеющихся в его распоряжении факторов производства с целью увеличения выпуска и продажи товаров и услуг при одновременном уменьшении затрат на их производство. Основным показателем эффективности текущей деятельности является рентабельность реализованных товаров и услуг, которая исчисляется как отношение прибыли, полученной от реализации произведенных данным предпринимателем или юридическим лицом товаров и услуг, к величине затрат на производство этих товаров и услуг.
Ресурсы, вложенные в дело в процессе текущей деятельности, дают отдачу сравнительно быстро по мере продажи произведенных товаров и услуг.
Инвестиционная деятельность не дает быстрой отдачи, она ориентирована на создание основы для будущих доходов. Ее исследование представляет собой комплекс довольно сложных проблем, о которых более подробно говорится в гл.
32.
Инвестиционная деятельность часто направлена на освоение новых для данного предприятия научно-технических достижений, т.е. имеет ярко выраженное инновационное содержание. Вопросы статистики инноваций рассмотрены в гл.
35.
37.2. Показатели статистики предпринимательства, методология их исчисления
Учитывая многоаспектность предпринимательства как экономического явления, в настоящем параграфе излагаются основные вопросы методологии статистики предпринимательской деятельности, а также содержание показателей, относящихся к этой сфере и не рассмотренных в других разделах учебника.
Статистическое изучение предпринимательства начинается с определения перечней прошедших государственную регистрацию коммерческих организаций, индивидуальных предпринимателей, крестьянских (фермерских) хозяйств. Такая информация имеется в Едином государственном регистре предприятий и организаций (см. гл.
9), а также в регистрах государственной налоговой службы. Далее из этих перечней выбираются фактически действующие юридические лица, индивидуальные предприниматели и фермеры.
Полученное в результате такого отбора множество юридических лиц, индивидуальных предпринимателей и фермеров образует генеральную совокупность объектов, на основе которой проводятся сплошные или выборочные статистические наблюдения.
Для ее формирования используются различные источники информации. В частности, считаются фактически действующими и включаются в состав генеральной совокупности все организации, которые представили в органы государственной статистики годовую бухгалтерскую отчетность за предыдущий год, а также новые организации, зарегистрированные в текущем году.
Такой подход достаточно надежен, поскольку в соответствии с Федеральным законом Российской Федерации О бухгалтерском учете от 21 ноября 1996 г. все организации, за исключением бюджетных, представляют годовую бухгалтерскую отчетность органам государственной статистики по месту их регистрации. Индивидуальные предприниматели и организации, являющиеся субъектами малого предпринимательства и имеющие численность работников менее 15 человек, бухгалтерскую отчетность в органы статистики, как правило, не представляют, поэтому сведения о них Jносятся в генеральную совокупность объектов статистического наблюдения по данным государственной налоговой службы или других источников.
Для изучения масштабов и структуры предпринимательства проводятся статистические обследования всего массива субъектов предпринимательской деятельности, включенных в генеральную совокупность. Из-за значительной стоимости такого статистического исследования в развитых странах оно проводится не чаще одного раза в год.
Опросные листы, рассылаемые респондентам, содержат несколько групп вопросов, в том числе вопросы о структуре хозяйствующих субъектов, поэтому данная работа часто называется структурным обследованием предприятий.
В рамках Европейского союза основные принципы структурной статистики предприятий определены нормативным документом Совета ЕС (Council Regulation 58/57, 20.12.1996). Этим документом установлены показатели, подлежащие изучению в ходе структурного обследования.
По всем обследуемым субъектам предпринимательской деятельности должны быть получены следующие показатели: оборот (объем продаж), объем произведенной продукции, добавленная стоимость, объем покупок товаров и услуг (в том числе для целей перепродажи), инвестиции в материальные активы, количество работающих, сумма заработной платы и некоторые другие. Поскольку перечень основных показателей един для всех типов хозяйствующих субъектов, имеется возможность сопоставлять между собой сводные данные по различным группам предприятий, анализировать структуру предпринимательской деятельности.
В этом состоит важнейшее преимущество структурного обследования предприятий.
В ходе структурного обследования коммерческих организаций большинство из перечисленных показателей запрашиваются только в целом по юридическому лицу. Однако отдельные наиболее важные показатели (объем произведенной продукции, численность работников и инвестиции в материальные активы) запрашиваются в разбивке по местным единицам данного юридического лица и видам его деятельности.
Местные единицы это принадлежащие юридическому лицу части, различающиеся своим местоположением. Если у юридического лица нет территориально обособленных подразделений, то ему соответствует только одна местная единица.
Получение данных по местным единицам позволяет выявить территориальную структуру производства.
Данные об основных показателях хозяйствующего субъекта в разрезе видов деятельности необходимы для точного определения отраслевой структуры производства и выявления основного (преобладающего) вида деятельности каждого предприятия. В настоящее время каждое юридическое лицо зачастую осуществляет несколько видов экономической деятельности.
Наиболее распространены случаи, когда производители товаров и услуг одновременно занимаются торговой деятельностью.
Поэтому получение наиболее точных сводных данных об объеме производства, численности работников и инвестициях по видам экономической деятельности возможно только на основании структурного обследования предприятий.
В странах ЕС при проведении структурных обследований малые предприятия и индивидуальные предприниматели обследуются в выборочном порядке, в отношении крупных и средних предприятий применяются сплошные методы статистического наблюдения. Российская статистическая практика постепенно приближается к европейскому опыту структурных обследований как по составу показателей, так и по технологии проведения статистического наблюдения. Вместе с тем определенные различия пока еще сохраняются.
Например, в России индивидуальные предприниматели, как правило, не обследуются на регулярной основе.
Сведения по ним обычно формируются методом вмененного объема, при котором сводный показатель получается умножением количества хозяйственных единиц на величину, определенную в среднем для единиц этого типа экспертным путем или по материалам разовых опросов.
По данным структурных обследований проводится ежегодное уточнение генеральной совокупности объектов статистического наблюдения, в частности, уточняется основной вид деятельности хозяйствующих субъектов, перечень принадлежащих им местных единиц, форма собственности и другие признаки.
На основании бухгалтерской отчетности предприятий, структурных и других статистических обследований формируется широкий спектр сводных показателей предпринимательской деятельности.
Наряду с количественными показателями в статистике предпринимательства в последнее время все более широко используются качественные показатели, характеризующие текущее состояние и тенденции развития предпринимательской активности. Такая информация собирается в ходе обследований деловой активности коммерческих организаций путем изучения мнения предпринимателей по определенным аспектам деятельности предприятий.
Обследования проводятся ежемесячно или ежеквартально путем рассылки вопросников (анкет) попавшим в выборку предприятиям. Желательно, чтобы в выборке присутствовали наиболее значимые предприятия основных отраслей и подотраслей экономики, а также случайно отобранные субъекты малого предпринимательства.
Анкеты рассчитаны на добровольное представление ответов и заполнение их непосредственно руководителем предприятия, поэтому количество вопросов сводится до минимума (желательно не более 20), и вопросы имеют в основном качественный характер. Большинство вопросов предполагают ответ альтернативного типа.
Обычно эти вопросы ориентированы на анализ только что происшедших изменений, оценку текущего положения или ближайших перспектив.
Чаще всего вопросы предполагают три варианта ответов. Например, вопрос о перспективах производства имеет следующую форму: Предполагаете ли Вы, что в предстоящие 34 месяца производство на Вашем предприятии: увеличится, уменьшится, останется без изменения? (отметить нужное).
Вопросы о текущем положении могут иметь, например, следующие формы ответов: ниже нормального, нормальное, выше нормального.
При построении анкеты приоритет отдается показателям, которые отражают ранний этап производства (спрос на продукцию, определяемый имеющимися заказами), влияют на уровень экономической активности (запасы готовой продукции), характеризуют ближайшие перспективы (ожидаемый уровень производства). Кроме того, могут задаваться вопросы о запасах сырья, уровне занятости, продажных ценах, использовании производственных мощностей, узких местах в производстве, оценке изменений отдельных финансовых показателей.
Если вопрос предполагает количественную характеристику явления, то в анкете проставляются альтернативные варианты ответов.
Например, к вопросу об уровне использования производственных мощностей могут быть предложены следующие альтернативы ответов: не более 30 процентов, 3140 процентов, 4150 процентов и т.д.
При обработке полученных от респондентов анкет органы статистики по вопросам качественного характера подсчитывают относительную частоту каждого варианта ответов в процентах, а по вопросам количественного характера вычисляют среднюю для полученных данных величину. Далее для вопросов качественного характера (типа выше нормального, нормально, ниже нормального) рассчитывается разница относительных частот, называемая балансом.
Полученные балансы могут агрегироваться. В частности, индекс предпринимательской уверенности определяется как среднее арифметическое балансов оценок ожидаемого выпуска продукции, фактического спроса (имеющихся заказов) на продукцию и запасов готовой продукции (последний с обратным знаком).
Исходные данные берутся из следующего фрагмента анкеты (сведения за май 1999 г. табл.
37.1). Индекс предпринимательской уверенности за май 1999 г. равняется 2,7 {(стр. 1 гр.8 - стр.1 гр.
10) + (стр.
2 гр. 2 - стр. 2 гр.
4) - (стр.
3 гр. 2 - стр.
3 гр. 4)} : 3 = [(38 - 12) + (3 - 38) - (16 - 33)] : 3.
Таблица 37.1
Фрагмент анкеты, содержащей оценки деятельности предприятий их руководителями (относительная частота в %)
Этот индекс является обобщающим показателем деловой активности предприятий. Его увеличение по сравнению с предыдущем месяцем (апрель 1999 г.) свидетельствует о повышении предпринимательской уверенности.
В последние годы статистические службы развитых стран активизировали исследование проблемы демографии предприятий. Основными показателями демографии предприятий являются количество предприятий, созданных и ликвидированных за календарный период.
Эта информация ежемесячно публикуется, она является важной харакеристикой предпринимательской активности (см. табл.
37.2).
Таблица 37.2
Фрагмент информации о демографии предприятий
Источником этой информации являются данные органов, осуществляющих государственную регистрацию фактов создания и ликвидации предприятий. При проведении демографических исследований предприятий обычно для упрощения полагают, что дата фактического создания предприятия не отличается от даты его государственной регистрации.
В некоторых странах проводятся выборочные обследования новых предприятий. В анкетах таких обследований содержатся вопросы о личности создателя предприятия, вложенном капитале, деятельности нового предприятия и т.п.
Через 23 года обследование тех же самых предприятий повторяется, это позволяет определить выжившие предприятия и проследить их развитие. Обследование выживших предприятий может повторяться несколько раз, принося исключительную ценную информацию о состоянии предпринимательства в стране.
37.3. Особенности статистического изучения малого предпринимательства
В развитых странах функционирует множество малых предприятий, обеспечивая занятость населения и создание конкурентной рыночной среды. Понятие малого предпринимательства определено в законодательстве многих стран.
С целью достижения единого понимания этого явления Комиссией ЕС в 1996 г. приняты рекомендации, касающиеся определения малых и средних предприятий.
Согласно этим рекомендациям малыми являются те предприятия, которые соответствуют трем следующим требованиям:
- имеют менее чем 50 работников;
- имеют годовой оборот не более 7 млн экю или годовой итог баланса не более 5 млн экю;
- соответствуют критерию независимости, согласно которому независимыми являются те предприятия, в капитале которых доля участия одного или нескольких предприятий, не являющихся малыми, не превышает 25%.
Перечисленные пороговые значения являются максимально возможными, отдельные страны ЕС могут в определенных случаях устанавливать более низкие пороги. Малые предприятия, имеющие менее 10 работников, согласно рекомендациям ЕС при необходимости могут быть определены как микропредприятия.
Согласно Федеральному закону Российской Федерации О государственной поддержке малого предпринимательства в Российской Федерации от 14 июня 1995 г. к субъектам малого предпринимательства относятся коммерческие организации, в уставном капитале которых доля участия Российской Федерации, субъектов Российской Федерации, общественных и религиозных организаций (объединений), благотворительных и иных фондов не превышает 25%; доля, принадлежащая одному или нескольким юридическим лицам, не являющимся субъектами малого предпринимательства, не превышает 25% и в которых средняя численность работников а отчетный период не превышает следующих предельных уровней: в промышленности, строительстве и на транспорте 100 человек, в сельском хозяйстве и научно-технической сфере 60 человек, в розничной торговле и бытовом обслуживании населения 30 человек, в оптовой торговле, в остальных отраслях и при осуществлении других видов деятельности 50 человек. Малые предприятия, осуществляющие несколько видов деятельности (многопрофильные), относятся к таковым по критериям того вида деятельности, доля которого является наибольшей в годовом объеме оборота или годовом объеме прибыли.
Средняя за период численность работников малого предприятия определяется с учетом всех его работников, в том числе работающих по договорам гражданско-правового характера и по совместительству, с учетом реально отработанного времени, а также работников представительств, филиалов и других обособленных подразделений этого предприятия.
К субъектам малого предпринимательства относятся также физические лица, занимающиеся предпринимательской деятельностью без образования юридического лица.
Для организации статистического наблюдения за деятельностью субъектов малого предпринимательства прежде всего необходимо сформировать полный перечень действующих малых предприятий, С этой целью из генеральной совокупности объектов статистического наблюдения отбираются коммерческие организации, соответствующие критериям малых предприятий, и при необходимости индивидуальные предприниматели. Это может быть сделано разными способами, например по данным государственной налоговой службы, которой предприятия сообщают необходимую для этого информацию.
Федеральным законом О государственной поддержке малого предпринимательства в Российской Федерации для малых предприятий предусмотрены упрощенные процедуры и формы статистической отчетности. При сборе информации от этих предприятий используется ограниченное число упрощенных вопросников, причем предприятия, как правило, обследуются выборочно обычно выборка не превышает 1520% всей совокупности малых предприятий.
Такой режим статистического наблюдения за деятельностью малых предприятий используется практически во всех развитых странах.
В течение года обычно осуществляется обследование малых предприятий по нескольких темам, требующим рассылки нескольких видов анкет. В этом случае выборки должны планироваться таким образом, чтобы минимизировать вероятность рассылки одному предприятию более одного вида анкет.
По истечении очередного года должна проводиться ротация выборок с целью уменьшения нагрузки на предприятия, обследовавшиеся в минувшем году, и вовлечения в обследование новых предприятий.
Чаще всего выборочное обследование малых предприятий проводится с использованием метода расслоенного случайного отбора. При этом генеральная совокупность малых предприятий разделяется на подсовокупности (слои): в начале по территориальному признаку (по субъектам Российской Федерации), затем каждый полученный слой разделяется на группы по отраслевой принадлежности предприятий, далее каждый отраслевой слой делится на группы по размеру малых предприятий (обычно выделяется несколько групп в зависимости от величины оборота предприятий).
Когда слои определены, из каждого слоя извлекается простая случайная выборка. От выбранных предприятий собирается необходимая информация.
Если от предприятия не вернулся посланный ему вопросник и при этом есть основания предполагать, что предприятие осуществляло определенную экономическую деятельность, то с помощью специальных математических методов моделируются неполученные данные (восстанавливаются неответы).
Если в поступившем от предприятия вопроснике нет каких-то показателей, но есть основание считать, что эти показатели должны быть, то такие показатели также восстанавливаются.
После проверки качества поступивших ответов выборочные данные распространяются на генеральную совокупность малых предприятий.
В 1998 г. в Российской Федерации действовало около 868 тыс. юридических лиц, являющихся субъектами малого предпринимательства. Использование выборочных методов позволяет существенно снизить стоимость статистического наблюдения в сфере малого предпринимательства и повысить его достоверность за счет более тщательной обработки данных выборочной совокупности малых предприятий.
Контрольные вопросы
- Что такое генеральная совокупность объектов статистического наблюдения и как она формируется?
- Для чего проводится структурное обследование предприятий и какие показатели оно охватывает?
- С какой целью и каким образом рассчитывается индекс предпринимательской уверенности?
- Каковы критерии отнесения хозяйственных единиц к субъектам малого предпринимательства и порядок их статистического наблюдения?
Социально-экономическое значение статистического изучения
Уровень жизни многогранная и сложная категория, которая характеризует совокупность реальных социально-экономических условий жизнедеятельности людей прежде всего в сфере потребления и потому является важнейшей характеристикой социального прогресса. Предпосылки для повышения уровня жизни населения страны создаются соответствующим экономическим ростом, который является ресурсообразующим фактором для реализации социальных программ.
В этом проявляется прежде всего тесная взаимосвязь между экономическим ростом и социальным прогрессом.
В задачи статистики уровня жизни входит изучение процессов, явлений и факторов, оказывающих влияние на жизнедеятельность людей, их материальные условия, выявление ключевых проблем социально-экономического развития, подлежащих приоритетному решению. Хорошо отлаженная система показателей уровня жизни имеет большое значение для эффективной разработки социальной политики, принятия обоснованных решений по оказанию помощи малоимущему населению, оценки социально-экономических последствий проводимых в стране реформ, осуществления контроля за ходом реализации важнейших федеральных и региональных социальных программ.
Статистические характеристики уровня жизни основываются на достаточно широкой системе взаимосвязанных показателей, обеспечивающих его комплексную оценку. Система включает в себя блок интегральных и дифференцированных показателей, характеризующих доступность и покупательную способность доходов, неравенство в их распределении, гарантированный государством минимальный уровень обеспеченности, т.е. экономические ресурсы, которыми располагает население в целом и его отдельные социально-экономические группы для реализации своих потребностей.
Другой блок показателей, который занимает ведущее место при анализе уровня жизни, содержит агрегированные и дезагрегированные данные о личном потреблении, и прежде всего об удовлетворении основных физиологических потребностей, т.е. отражает реальные потребительские возможности населения. Демографические показатели, содержащиес в системе, предназначены для анализа влияния уровня жизни на воспроизводство населения.
Приведенная система показателей уровня жизни соответствует мировым стандартам. Так, по итогам всемирной встречи на высшем уровне в интересах социального развития (Копенгаген, 1995 г.) в 1997 г. 29-й Статистической Комиссией ООН был утвержден минимальный набор социальных индикаторов, рекомендованных странам для статистического наблюдения.
В их числе демографические показатели, такие, как численность населения, ожидаемая продолжительность жизни при рождении, уровень младенческой и материнской смертности, уровень образования населения, макроэкономические показатели материального благосостояния (реальные располагаемые доходы и расходы на конечное потребление домашних хозяйств, среднемесячная заработная плата, другие виды доходов), показатели экономической активности населения и материальной обеспеченности домашних хозяйств, уровень и структура личного потребления, жилищные условия населения, уровень преступности.
Эти показатели характеризуют человеческий и трудовой потенциал, которым располагает страна; объемы и источники формирования личных доходов, а также роль каждого из них; распределение доходов между отдельными группами населения; использование доходов для личного потребления; объемы и структуру потребления материальных благ и услуг.
Состав приведенных выше показателей и степень их агрегации может меняться в зависимости от того, какие стороны уровня жизни населения подлежат анализу, и от приоритетности решаемых проблем. Например, одной из задач статистического изучения уровня жизни населения может быть разработка и реализация мер по социальной защите малообеспеченных групп населения.
Так, принятый в июле 1999 г. Федеральный закон О государственной социальной помощи предусматривает оказание помощи малоимущим семьям в виде безвозмездных социальных пособий, целевых денежных или натуральных субсидий или компенсаций расходов по перечню, установленному законодательством РФ.
Для исполнения данного закона необходима статистическая информация о доходах и принадлежащем на правах собственности имуществе отдельных социально-экономических групп населения, прожиточном минимуме, исчисленном для соответствующего субъекта РФ.
Самостоятельным объектом статистического измерения может быть и такая характеристика уровня жизни населения, как бедность. Кроме сведений об уровне и дифференциации доходов, прожиточном минимуме необходимы и другие дезагрегированные данные, позволяющие оценить масштабы, причины, конкретные проявления и последствия бедности, а также демографические характеристики малоимущего населения.
Важнейшей характеристикой уровня жизни является удовлетворение потребностей населения в услугах социальной сферы: жилищно-коммунального хозяйства, здравоохранения, образования, культуры и искусства, отдыха и туризма и др. В настоящее время происходит адаптация социальной сферы к рыночным условиям функционирования экономики.
Наряду с бесплатными образованием, медицинской помощью населению, отдельными видами бесплатных социальных услуг активно развиваются рынки платных услуг, оказываемых населению.
Изменяется система финансирования мероприятий по социальной защите населения: центр тяжести переносится с федерального бюджета на бюджеты субъектов Федерации и во внебюджетные социальные фонды. Начиная с 1984 г., действуют новые финансовые взаимоотношения между федеральным уровнем и уровнем субъектов Российской Федерации, основанные на единых принципах предоставления финансовой помощи (трансфертов) регионам из федерального фонда финансовой поддержки территорий.
В связи со спадом производства в 19921997 гг. и ограниченными возможностями бюджетного финансирования вопросы социальной сферы входят в число приоритетных и болезненных для общества проблем.
Решение задач, стоящих перед социальной статистикой, достигается на базе использования различных методов и приемов: общих и специальных статистических наблюдений, единовременных обследований и учетов, статистической и административной отчетности предприятий и организаций социальной сферы, переписей и социально-демографических обследований населения, мониторинга отдельных показателей, социологических опросов и др.
Контрольные вопросы
- Какое значение имеет статистическая информация об уровне жизни?
- Какими основными показателями характеризуется уровень жизни населения?
Создание Единой системы классификации и кодирования информации
Процессы интеграции России в мировую систему хозяйствования и необходимость создания условий для более совершенного государственного управления экономикой обусловили проведение работ по созданию единых правил классификации и кодирования технико-экономической и социальной информации.
В настоящее время сформированы основные элементы Единой системы классификации и кодирования информации Российской Федерации (ЕСКК), включающей совокупность общероссийских классификаторов технико-экономической и социальной информации (далее общероссийские классификаторы), систему их ведения и комплекс нормативных документов, устанавливающих единые методологические и организационные основы проведения работ по классификации и кодированию информации.
Разработка ЕСКК осуществлялась в соответствии с Постановлением Правительства РФ от 12.02.93 г. 121 с целью обеспечения создания единого информационного пространства на национальном и международном уровнях, позволяющего производить беспрепятственный обмен экономико-статистическими данными на основе стандартных классификаций, в которых по общим правилам сгруппирована информация по структуре экономики, трудовым и природным ресурсам, территориальному делению, товарам, услугам, основным фондам и другим объектам информации.
Работы по созданию, ведению и развитию ЕСКК на государственном уровне обеспечивают федеральные органы исполнительной власти, которые осуществляют ведение и применение закрепленных за ними общероссийских классификаторов в соответствующих сферах государственного управления, включая прогнозирование развития экономики, проведение статистических наблюдений, налоговое регулирование, стандартизацию, лицензирование и др.
Межотраслевую координацию работ по ведению и развитию ЕСКК осуществляет Госстандарт России совместно с Государственным комитетом РФ по статистике, на них возложена также задача гармонизации общероссийских классификаторов с их международными аналогами.
Приоритетное значение ЕСКК для целей государственной статистики и экономики в целом состоит в том, что ЕСКК обеспечивает адекватное описание российской экономики и социальной сферы, информационную совместимость экономико-статистических данных на национальном, региональном и международном уровнях, позволяет упорядочить и унифицировать статистическую информацию в процессе ее сбора и обработки современными средствами вычислительной техники.
Основные задачи, которые решаются с помощью ЕСКК, следующие:
- классификация и кодирование технико-экономической и социальной информации на единой методологической основе;
- упорядочение и унификация технико-экономических и социальных показателей;
- обеспечение однозначности и сопоставимости данных, используемых при описании объектов технико-экономической и социальной информации;
- создание условий для автоматизации процессов обработки технико-экономической и социальной информации, включая создание автоматизированных банков данных;
- создание распределенного на региональном уровне государственной статистики автоматизированного банка общероссийских классификаторов (АБК);
- обеспечение методического и организационного единства в области разработки, применения и ведения общероссийских классификаторов;
- создание комплекса взаимоувязанных общероссийских классификаторов и обеспечение их ведения;
- гармонизация общероссийских классификаторов с международными классификаторами и стандартами по классификации и кодированию объектов технико-экономической и социальной информации с учетом отечественной практики;
- развитие практики прямого применения международных классификаторов и стандартов по классификации и кодированию объектов технико-экономической и социальной информации;
- упорядочение и минимизация информационных документопотоков.
В состав ЕСКК входят 27 действующих общероссийских классификаторов, из них 22 используются в статистических целях, перечень последних приведен в табл. 7.1.
Таблица 7.1
Общероссийские классификаторы технико-экономической и социальной информации
В статистике внешней торговли кроме общероссийских классификаторов используется Товарная номенклатура внешнеэкономической деятельности Содружества Независимых Государств (ТН ВЭД СНГ), являющаяся многофункциональным межгосударственным классификатором, на основе которого также определяются таможенные тарифы на товары, перемещаемые через границу РФ, устанавливаются квоты и выдаются лицензии на занятие определенной внешнеэкономической деятельностью.
В статистике социальной сферы непосредственно применяется Международная статистическая классификация болезней и проблем, связанных со здоровьем (МКБ), в которой систематизируются болезни, травмы и причины смерти в соответствии с медицинской наукой.
Поскольку в классификаторах в стандартном виде сгруппирована и закодирована технико-экономическая и социальная информация, этим достигается совместимость информационных ресурсов, создаваемых на государственном, региональном и местном уровнях.
В соответствии с нормативными документами по ЕСКК определены порядок разработки и ведение общероссийских классификаторов.
Разработка общероссийских классификаторов включает анализ исходного классификационного множества объектов информации, исследование взаимосвязи с международными классификациями и унифицированными формами документов, определение классификационных признаков, выбор методов и систем классификации и кодирования информации, обоснование резервной емкости классификатора, определение его структуры, создание первой и окончательной редакций классификатора, согласование проекта классификатора с организациями обязательного согласования, принятие (утверждение) классификатора Госстандартом России, его государственную регистрацию и официальное опубликование.
7.2. Статус, категории и построение классификаторов; методы классификации и кодирования информации
Классификатор представляет собой систематизированный свод стандартных кодов и наименований классификационных группировок и (или) объектов информации, построенных в соответствии с установленными системами классификации и кодирования информации.
По своему статусу классификаторы являются нормативными документами по стандартизации, которые разрабатываются по определенным правилам, утверждаются (принимаются) в установленном порядке и являются обязательными для применения в соответствующих сферах управления.
В зависимости от уровня утверждения и области применения классификаторы подразделяются на следующие категории: общероссийские, отраслевые и классификаторы предприятий.
Общероссийские классификаторы утверждаются (принимаются) Госстандартом России и применяются, как правило, в общероссийских унифицированных формах документов, которые сгруппированы в следующие унифицированные системы:
- организационно-распорядительной документации (02);
- первичной учетной документации (03);
- банковской документации (04);
- финансовой, учетной и отчетной бухгалтерской документации бюджетных учреждений и организаций (05);
- отчетно-статистической документации (06);
- учетной и отчетной бухгалтерской документации предприятий (07);
- документации по труду (08);
- документации Пенсионного фонда РФ (09).
После названий унифицированных систем документации в скобках приведены их коды по Общероссийскому классификатору управленческой документации (ОКУД), в котором они в установленном порядке проходят государственную регистрацию.
Отраслевые классификаторы утверждаются соответствующими федеральными органами исполнительной власти и применяются, как правило, в отраслевых унифицированных формах документов.
Классификаторы предприятий утверждаются предприятиями и применяются, как правило, в унифицированных формах документов предприятий.
Для оценки максимального объема информации в классификаторе используется показатель емкости классификатора. Этот показатель характеризует наибольшее количество позиций, которое может содержать классификатор, и позволяет оценить объем информации, который может быть закодирован в классификаторе, исходя из всех возможных кодовых комбинаций с учетом принятой системы кодирования и структуры кода.
Кроме того, используется показатель резервной емкости, т.е. количества свободных позиций в классификаторе, который отражает возможность расширения классификатора за счет включения в него новых позиций.
Каждая позиция классификатора состоит, как правило, из наименования и кода классификационной группировки или объекта классификации. В состав позиции классификатора могут включаться контрольное число (КЧ) для контроля правильности проставленных знаков кода и дополнительные признаки для характеристики классификационной группировки.
Использование общероссийских классификаторов в статистической практике позволяет осуществлять сбор и обработку статистической информации в строго заданных разрезах в соответствии с границами и объемами содержательного наполнения классификационных группировок.
Классифицирование (классификация) объектов информации (продукция, услуги, объекты административно-территориального деления и др.) производится по присущим объектам существенным характеристикам и свойствам, которые называются признаками классификации. Признаки классификации могут иметь количественное (объем, удельный вес, стаж, возраст) или качественное (вид деятельности, специальность, профессия) выражение.
Совокупность методов, правил и признаков классификации образует систему классификации.
В ОКП, например, система классификации продукции построена с использованием иерархического метода классификации.
Этот метод представляет собой последовательное разделение множества объектов на подчиненные классификационные группировки. Сначала множество объектов делится по некоторому выбранному признаку (основанию деления) на крупные группировки, затем каждая из этих группировок делится на ряд последующих группировок по другому признаку, в целях дальнейшей конкретизации объекта классификации.
Таким образом, между классификационными группировками устанавливается подчиненность (иерархия).
Для классификации продукции используются, в частности, следующие признаки: отраслевая принадлежность, назначение, область применения, принцип действия, конструктивные особенности, используемый для изготовления способ и материал.
Каждый этап классификации, в результате которого по определенному признаку образуется совокупность классификационных группировок, называется ступенью классификации.
Число ступеней (уровней) классификации характеризует глубину классификации и зависит от степени конкретизации группировок и числа признаков, необходимых для решения конкретных задач.
При иерархическом методе классификации необходимо соблюдать определенные правила:
- деление каждой классификационной группировки должно производиться только по одному основанию;
- получаемые в результате деления группировки не должны пересекаться по своему содержанию, чтобы не дублировалась информация;
- классифицирование должно обеспечивать суммирование нижестоящих группировок.
Наиболее сложными вопросами, возникающими при построении иерархической классификации технико-экономической и социальной информации, являются выбор системы признаков, применяемых в качестве основания деления, а также порядок их следования.
Основные преимущества иерархической классификации заключаются в ее значительной информационной емкости, традиционности и в возможности создания для объектов классификации мнемоничных кодов, несущих смысловую нагрузку.
Существенным недостатком иерархической системы классификации является слабая гибкость структуры, обусловленная фиксированностью постоянных признаков (оснований деления) и заранее установленным порядком их следования, не допускающим включения при отсутствии резервной емкости новых объектов и классификационных группировок. Вследствие этого изменение хотя бы одного признака ведет к перераспределению классификационных группировок.
Поэтому в классификаторах, построенных по иерархическому методу, должны предусматриваться значительные резервные емкости. Кроме того, этот метод классификации не позволяет агрегировать объекты и осуществлять информационный поиск по любому произвольному сочетанию признаков, а также усложняет машинную обработку информации из-за нестандартного выделения и расположения конкретных признаков в различных ветвях классификации.
Другим методом, используемым для построения классификационной структуры классификаторов, является фасетный метод, заключающийся в параллельном разделении множества объектов на независимые классификационные группировки. В этом методе классификационное множество объектов информации описывается набором независимых признаков (фасетов), которые не имеют жесткой взаимосвязи друг с другом и могут использоваться отдельно для решения различных задач.
Например, в Общероссийском классификаторе информации о населении (ОКИН) используются следующие фасеты: пол, гражданство, национальность, язык, родство и др. При этом название фасета совпадает с названием признака, по значениям которого в фасете представлен перечень соответствующих объектов классификации элементов классифицируемого множества.
Емкость такой классификации зависит от числа фасетов и от количества значений признаков в фасете.
При построении фасетной классификации необходимо соблюдать следующие основные правила:
- значения различных фасетов не должны пересекаться (принцип исключения фасетов);
- из всевозможных фасетов, характеризующих классифицируемое множество объектов, должны отбираться и фиксироваться только . существенные для решения конкретных задач.
Основное преимущество фасетной классификации обусловлено гибкостью структуры ее построения. Изменения в любом из фасетов не оказывают существенного влияния на остальные фасеты.
Большая гибкость фасетной классификации обусловливает ее приспосабливаемость к меняющемуся характеру задач, для решения которых она создается.
Фасетная классификация позволяет не только образовывать новые классификационные группировки в имеющихся фасетах, но и включать новые и исключать старые фасеты. Гибкость фасетной классификации дает возможность агрегировать объекты и осуществлять информационный поиск по любому сочетанию фасетов.
Применение фасетной системы позволяет осуществлять блочное построение классификаторов с выделением идентификационного блока.
Недостатки фасетной классификации неполное использование емкости, обусловленное отсутствием на практике многих из возможных сочетаний фасетов, и нетрадиционность в применении.
Выбор методов классификации и кодирования технико-экономической и социальной информации в каждом конкретном случае осуществляется разработчиком классификатора.
В зависимости от специфики информации и области применения классификаторов в них возможно применение различных сочетаний методов классификации.
Рассмотрим систему кодирования технико-экономической и социальной информации, состоящую из методов и правил кодирования классификационных группировок и объектов классификационного множества.
В процессе кодирования объектам классификации и их группировкам по определенным правилам присваиваются цифровые, буквенные или буквенно-цифровые коды (кодовые обозначения), обеспечивающие их однозначную идентификацию с помощью знаков (символов).
Кодирование предназначено для формализованного описания заданного множества объектов, которое позволяет производить автоматизированную обработку информации. При описании процесса кодирования информации используют определенные термины и понятия.
Код классификационной группировки это знак или совокупность знаков, принятых для обозначения классификационной группировки и(или) объекта классификации. В качестве синонимов кода используются слова и словосочетания: кодовое обозначение, кодовая комбинация, шир, индекс, код объекта.
Код образуется в соответствии с правилами кодирования, принятыми в данной системе кодирования, и характеризуется его длиной и структурой.
Длина кода число знаков в коде без учета пробелов.
Разряд кода позиция знака в коде.
Структура кода условное обозначение состава и последовательности расположения знаков в коде.
Алфавит кода система знаков, принятых для образования кода.
Алфавит кода буквенный алфавит кода, знаками которого являются буквы алфавитов естественных языков.
Алфавит кода буквенио-цифровой алфавит кода, знаками которого являются буквы алфавитов естественных языков и цифры.
Алфавит кода цифровой алфавит кода, знаками которого являются цифры.
При разработке классификаторов используются следующие методы кодирования.
Последовательный метод кодирования образование кода классификационной группировки и(или) объекта классификации с использованием кодов последовательно расположенных подчиненных группировок, полученных при иерархическом методе классификации.
Преимуществом этого метода кодирования является простота, а недостатком негибкая структура, присущая иерархическому методу классификации.
Параллельный метод кодирования образование кода классификационной группировки и(или) объекта классификации с использованием кодов независимых группировок, полученных при фасетном методе классификации,
Этот метод кодирования вследствие его блочной структуры хорошо приспособлен для часто изменяющихся задач. К недостаткам следует отнести избыточность метода и необходимость кодирования самих фасетов для однозначной идентификации входящих в фасеты объектов, поскольку все фасеты входят в состав одного классификатора.
Порядковый метод кодирования образование кода из чисел натурального ряда путем сквозной регистрации объектов. Данный метод обладает наибольшей полнотой и простотой для идентификации объектов.
Но применение его в чистом виде неэффективно, так как на его основе трудно получить итоги по объектам со сходными признаками.
Серийно-порядковый метод кодирования образование кода из чисел натурального ряда, закрепление отдельных серий или диапазонов этих чисел за объектами классификации с одинаковыми признаками.
Например, с 1-го номера по 10-й закодирована одна группа объектов, с 11-го по 30-й другая, с 31-го по 100-й третья группа.
Этот метод целесообразно применять для объектов, имеющих два или несколько порядковых признаков.
На практике методы кодирования в чистом виде применяются редко, в основном используются их различные комбинации. Выбор методов кодирования зависит от назначения классификатора и решаемых задач.
7.3. Система ведения общероссийских классификаторов; переходные ключи и система информационной поддержки классификаторов
Процесс постоянного накопления знаний, рост многообразия социальных явлений, развитие производства и создание новых технологий приводят к постепенному устареванию классификаторов в части адекватного отображения классифицируемой информации.
В этой связи возникает необходимость в обновлении классификаторов, внесении в них изменений, перегруппировании и перекодировании объектов информации.
Процесс поддержания классификаторов в достоверном состоянии, обеспечения полноты информации и ее распространения среди пользователей называется ведением классификаторов. При этом средства и соответствующая организационная структура составляют систему ведения классификаторов.
В процессе ведения классификаторов .совершенствуются их состав и содержание, но не нарушаются принципы их построения и целостная структура, последние могут претерпевать изменение только при пересмотре классификаторов.
Ведение классификатора заключается в подготовке и внесении в него изменений в части включения, аннулирования или изменения кодов и наименований классификационных группировок или иной информации, являющейся его частью. Изменения могут вноситься во введение к классификатору, в алфавитно-предметный указатель, в приложения; в пояснения, раскрывающие содержание группировок; в определения категорий, используемых в классификаторе.
Изменения основываются на законодательных и нормативных актах, разрабатываемых органами государственной власти и управления Российской Федерации; отечественных, зарубежных и международных стандартах; документах директивного характера, общероссийских унифицированных системах документации.
Разрабатываются они министерствами, ведомствами Российской Федерации, ответственными за ведение соответствующих классификаторов. Проекты изменений к общероссийским классификаторам согласовываются с организациями обязательного согласования, при необходимости с другими заинтересованными организациями и утверждаются по поручению Госстандарта России Всероссийским НИИ классификации, терминологии и информации по стандартизации и качеству (ВНИИКИ) Госстандарта России.
Информационное обслуживание пользователей изменениями по общероссийским классификаторам осуществляется ВНИИКИ, Главным межрегиональным центром обработки и распространения статистической информации Государственного комитета РФ по статистике (ГМЦ) или организациями, на которые министерствами и ведомствами возложены эти функции.
Система автоматизированного ведения общероссийских классификаторов базируется на распределенной по регионам информационно-вычислительной сети государственной статистики, в рамках которой функционирует автоматизированный банк классификаторов (АБК), который обеспечивает пользователей актуализированными версиями общероссийских классификаторов, а также информацией о их составе, структуре, количестве и сроках внесенных в них изменений.
ГМЦ через АБК передает изменения по общероссийским классификаторам в автоматизированные банки данных территориальных органов государственной статистики республик, краев, областей, городов федерального значения, автономных областей и автономных округов. Территориальные органы государственной статистики доводят информацию об изменениях общероссийских классификаторов до местных органов государственного управления и других абонентов, расположенных на их территории.
В государственной статистике АБК используется в качестве нормативно-справочного обеспечения комплексов электронной обработки статистической информации, общероссийских унифицированных форм отчетно-статистической документации, генеральной совокупности объектов статистического наблюдения, каталога статистических показателей, Единого государственного регистра предприятий и организаций, а также других целевых регистров, при составлении сводно-группировочных таблиц, перечней однородных элементов данных.
Объем распределенной базы данных общероссийских классификаторов составляет около 5 млн позиций.
Изменения к общероссийским классификаторам публикуются Госстандартом России в ежемесячно издаваемых им информационных указателях Государственные стандарты Российской Федерации.
Организационная структура ведения общероссийских классификаторов включает ряд организаций, за которыми закреплены определенные функции.
Госстандарт России является ведомством, ответственным за координацию работ в области ведения общероссийских классификаторов (ОК); осуществляет общее организационное руководство, утверждает общероссийские классификаторы, обеспечивает ведение сводного эталонного фонда ОК; взаимодействует с министерствами, ведомствами по ведению ОК; обеспечивает гармонизацию ОК с международными аналогами.
Государственный комитет РФ по статистике ведомство, ответственное за координацию работ в области ведения общероссийских классификаторов с использованием информационно-вычислительной сети государственной статистики для ведения ОК и обеспечения взаимодействия с абонентами в регионах. Он осуществляет взаимодействие с международными статистическими и экономическими организациями по разработке социально-экономических классификаций, а также взаимодействует с министерствами (ведомствами) по закрепленным классификаторам; обеспечивает гармонизацию ОК с международными аналогами и их внедрение в статистическую практику.
Государственный комитет РФ по статистике является организацией, ответственной за ведение общероссийских классификаторов (ОКОГУ, ОКПО, ОКАТО, ОКФС, ОКОПФ).
Министерства (ведомства), ответственные за ведение разработанных ими ОК или их разделов, осуществляют организационное руководство работами по ведению ОК в своей отрасли; назначают организации по ведению закрепленных ОК, в том числе головные и ведущие организации по ОКП.
Межгосударственный технический комитет по стандартизации (Документы и информация в управлении, торговле, промышленности и банковском деле) рассматривает проекты общероссийских классификаторов и рекомендует их для утверждения.
ВНИИКИ является организацией, ответственной за функционирование системы ведения общероссийских классификаторов; осуществляет научно-методическое и организационное руководство, формирование и ведение эталонов ОК на машинных и бумажных носителях; экспертизу проектов изменений к ОК и их утверждение.
НИИ статистики Государственного комитета России по статистике отвечает за разработку методологии, проведение работ по созданию и совершенствованию системы социальных и экономических классификаций, их внедрение в статистическую практику и экономику в целом.
ГМЦ отвечает за программно-технологическое обеспечение ведения общероссийских классификаторов на базе информационно-вычислительной сети государственной статистики. Он ведет АБК, распространяет между абонентами информацию по ОК через территориальные органы государственной статистики.
Организации обязательного согласования обеспечивают согласование разработанных проектов ОК и изменений к ним. Состав согласующих организаций устанавливается разработчиком ОК по согласованию с ВНИИКИ Госстандарта России.
Государственный комитет России по статистике является организацией обязательного согласования изменений к общероссийским классификаторам: ОКУН, ОКДП, ОКП, ОКИСЗН, ОКСО, ОКЗ, ОКУД, ОКОФ, ОКВ, ОКЕИ, ОКПДТР, ОКСВНК, ОКИН, ОКНПО, ОКЭР, ОКСМ, ОКОК.
Организации по ведению ОК, включая головные организации по ОКП, осуществляют ведение ОК или их разделов, разработанных соответствующими министерствами (ведомствами).
Ведущие организации по ОКП осуществляют ведение отдельных разделов или группировок ОКП, закрепленных за ними.
Территориальные органы государственной статистики обеспечивают пользователей информацией по ОК на своей территории.
В ЕСКК наряду с системой ведения общероссийских классификаторов создается система их информационной поддержки, включающая переходные ключи (таблицы соответствия), которые обеспечивают связь между новыми и предыдущими версиями классификаторов, между классификаторами с однотипными объектами классификации и между классификаторами, функционально связанными друг с другом.
Поскольку в разных классификаторах для классификации объектов используются во многих случаях несовпадающие классификационные признаки, соответствие позиций классификаторов не всегда является однозначным, что вызывает затруднения при проведении сопоставлений.
Переходные ключи предназначены для установления взаимного соответствия (соотнесения) позиций классификаторов и служат для обеспечения сопоставимости информации, представленной с помощью различных классификаторов.
В последнее время для системы информационной поддержки общероссийских классификаторов большое значение приобретает разработка лексико-семантического обеспечения классификаторов в виде терминологических словарей, тезаурусов, справочных пояснений (explanatory notes) и примечаний, позволяющих производить однозначное толкование содержащихся в классификаторах терминов и устанавливать эквивалентность содержания понятий, представленных в разговорном (естественном) языке и в классификаторах. Для решения лингвистических проблем при классифицировании продукции важно различать, например, смысловое содержание понятия производство в случаях производства труб и производства (выращивания) клубники или переходить, например, от понятия шуба к эквивалентному понятию пальто меховое.
Контрольные вопросы
- Каково назначение ЕСКК?
- Охарактеризуйте статус и категории классификаторов.
- Какие основные понятия используются для описания структуры классификаторов?
- Как осуществляется ведение общероссийских классификаторов?
Статисика рынка ценных бумаг и фондовых бирж
Ценные бумаги это денежные пли товарные документы, объединенные общим признаком, а именно возможностью предъявления имущественных прав на получение определенной денежной суммы, доли прибыли, товара и т.д. Иными словами, ценные бумаги это законодательно признанное свидетельство права на получение ожидаемых в будущем доходов при наступлении каких-либо конкретных условий.
Экономическая роль ценных бумаг состоит в обеспечении непрерывности кругооборота промышленного, коммерческого и банковского капитала, бесперебойности движения бюджетных доходов и расходов.
Функциональные свойства ценных бумаг:
- обращаемость, т.е. способность продаваться и покупаться на первичном и вторичном фондовых рынках, а также выступать в качестве самостоятельного платежного документа (инструмента), облегчающего обращение других товаров;
- ликвидность способность быстро превращаться в денежные средства (в наличной и безналичной форме), хотя существует возможность потерь, связанных с так называемым портфельным риском.
- Портфельные риски подразделяются на:
- финансовые (инвестиционные), которые могут быть определены следующим образом: чем больше заемных средств имеют банки, акционерные общества, предприятия, тем выше их риск;
- риск ликвидности, т.е. способность финансовых активов оперативно обращаться в наличность;
- системный риск, который связан с изменением цен на акции, текущим и ожидаемым процентом по облигациям, ожидаемыми размерами дивиденда, а также дополнительной прибылью, вызванной общерыночными колебаниями;
- несистемный риск, который не зависит от состояния рынка (рыночного сегмента) и является функцией от деятельности конкретного предприятия, банка, небанковского финансового учреждения.
Необходимо помнить, что между динамикой уровня риска и динамикой доходности ценных бумаг существует прямая зависимость чем выше средняя доходность конкретной ценной бумаги, тем выше связанный с нею риск.
Не все денежные (финансовые) документы являются ценными бумагами. В соответствии с законодательством Российской Федерации к ценным бумагам не относятся:
- документы, подтверждающие получение банковского кредита;
- документы, подтверждающие наличие депозитов на различных счетах в банках и небанковских финансовых учреждениях (кроме депозитных и небанковских сертификатов);
- долговые расписки;
- завещания и страховые полисы, лотерейные билеты;
- суррогаты ценных бумаг, которые могут обращаться только на черном рынке.
Рынок, на котором осуществляется покупка-продажа ценных бумаг, называется рынком ценных бумаг или фондовым рынком. В последнее время все шире используется электронная форма покупки-продажи на фондовом рынке. В зависимости от частоты спроса на ценные бумаги определенных эмитентов различают следующие их виды:
- ценные бумаги альфа наиболее активно продаваемые или покупаемые в течение определенного периода; они постоянно высвечиваются на мониторах Фондовой биржи;
- ценные бумаги бета обычно эмитируются компаниями рангом ниже, а сделки по ним совершаются реже. Цены на акции этих компаний также должны отражаться на мониторах, однако немедленного оповещения о сделках с ними не требуется;
- ценные бумаги гамма и дельта выпускаются сравнительно небольшими компаниями. Сделки с ними осуществляются значительно реже, чем с указанными выше бумагами. Цены на них, показываемые на мониторах, носят индикативный характер, и участники фондового и финансового рынков не обязательно должны совершать сделки с этими бумагами по указанным ценам.
Рынок ценных бумаг обеспечивает мобильное перераспределение всех видов ресурсов (трудовых, реального основного капитала, основных фондов, оборотных материальных средств, финансовых) из одних отраслей и секторов экономики в другие, а благодаря техническим средствам и обмен необходимой информацией о движении капитала.
Фондовый рынок бывает первичным и вторичным. На первичных фондовых рынках происходят эмиссия ценных бумаг и их первичное размещение.
Доход от реализации ценных бумаг поступает эмитенту. На вторичном рынке осуществляется последующая их купля-продажа.
Наиболее развит вторичный рынок обыкновенных акций. Прибыль на вторичном рынке ценных бумаг получает физическое или юридическое лицо продавец.
Ключевое развитие здесь в том, кто предлагает (продает) ценные бумаги только эмитент или прочие финансовые посредники тоже.
В рамках первичного фондового рынка различают выдержанный и невыдержанный рынок. Выпуск выдержанных ценных бумаг означает размещение дополнительных выпусков уже существующей, а следовательно, и хорошо известной ценной бумаги, в то время как невыдержанные ценные бумаги это предложение (продажа) новых ценных бумаг или новых видов бумаг (для знакомых эмитентов) или ценных бумаг для новых эмитентов.
Кроме того, фондовый рынок бывает биржевым и внебиржевым (или рынок торговли с прилавка, уличной торговли и пр.). Во многих странах внебиржевой оборот ценных бумаг превышает (иногда намного) уровень биржевого оборота.
Большинство сдMлок с ценными бумагами высокой ликвидности и с высоким рейтингом осуществляется на биржевом рынке.
На внебиржевом рынке чаще всего обращаются ценные бумаги малоизвестных эмитентов, не допущенных по каким-либо причинам на биржевые торги. Обычно внебиржевой рынок обслуживается инвестиционными компаниями, финансовыми посредниками и др.
Субъектами рынка ценных бумаг являются:
- эмитенты юридические лица, выпускающие (эмитирующие) ценные бумаги и от своего имени несущие обязательства по ним перед покупателями, владельцами;
- инвесторы физические или юридические лица, приобретающие ценные бумаги от своего имени и за свой счет;
- финансовые посредники.
Процедура выпуска ценных бумаг эмитентами включает:
- принятие решение о выпуске, когда определяются предполагаемая сумма, которую эмитент получит от выпуска и распространения ценных бумаг; количество и вид выпускаемых ценных бумаг, их номинал, вид и тип подписки. Подписка может быть открытой и закрытой. Закрытая подписка означает, что эмитент не собирается выпускать ценные бумаги на первичном фондовом рынке. Иными словами, эмитент предполагает привлечь конкретных, чаще достаточно крупных акционеров, которые могут сделать большие взносы (вложения, инвестиции), а может быть, даже держать контрольный пакет;
- подготовку проспекта эмиссии;
- регистрацию проспекта эмиссии и выпуска ценных бумаг;
- реализацию выпуска ценных бумаг;
- регистрацию и социально-статистический анализ итогов выпуска;
- публикацию итогов выпуска.
18.2. Виды ценных бумаг и их характеристика
В зависимости от воплощенных в ценных бумагах прав различают:
- денежные бумаги, т.е. документы, закрепляющие право на получение денежной суммы (например, векселя, чеки, облигации);
- товарные бумаги, закрепляющие вещественные права, чаще право собственности, право залога на товар и т.д. (например, коносаменты, варранты);
- бумаги, закрепляющие имущественные права на участие в какой-либо компании (акции, сертификаты на акции).
В зависимости от способа легитимации лица, выступающего в качестве субъекта права, различают:
- именные ценные бумаги, в которых четко обозначен субъект права пользования этими бумагами. Права в именных ценных бумагах передаются в порядке передаточной надписи или общегражданской цессии;
- ордерные ценные бумаги предусматривают обязанность должника исполнить обязательство по отношению к указанному в документе физическому или юридическому лицу или по приказу последнего новому субъекту, который, в свою очередь, вправе посредством аналогичного приказа переать документ дальше. Функции ордерных ценных бумаг могут выполнять коносаменты, векселя, чеки и др.;
- ценные бумаги на предъявителя документы, из содержания или формы которых следует, что должник обязан представить исполнение по соответствующему документу, не требуя иной легитимации, кроме наличия самого документа (естественно, если нет подозрений, что владелец незаконный).
По срокам действия ценные бумаги бывают краткосрочные и долгосрочные. И те и другие бывают с фиксированной датой платежа и бессрочными (когда эмитент не связывает себя с конкретным сроком погашения), т.е. они могут быть выкуплены в любой момент.
В зависимости от эмитента различают государственные (муниципальные) и корпоративные ценные бумаги.
Государственные ценные бумаги выпускают центральное правительство, местные органы власти, а также государственные организации. Основными функциями государственных ценных бумаг являются неинфляционное покрытие дефицита государственного бюджета, регулирование объема денежной массы посредством операций, осуществляемых денежными властями на вторичных фондовых рынках.
Государственные ценные бумага бывают рыночными, т.е. свободно обращающимися на первичном и вторичном фондовых рынках, и нерыночными.
Первыми государственными ценными бумагами в Российской Федерации стали облигации государственного республиканского внутреннего займа, выпущенные в августе 1991 г. сроком на 30 лет (погашение будет осуществляться с июля 2006 г. по июнь 2021 г. ежегодными тиражами). Ежегодно ЦБ РФ выплачивает 15% по купону от номинальной стоимости, а также установил особые недели, октябрь и апрель каждого года, в течение которых инвестор может продать ему свои облигации по объявленной заранее цене.
Вторичный рынок этих обязательств не развит.
В мае 1993 г. Министерство финансов РФ осуществило первый выпуск государственных Краткосрочных облигаций (ГКО), которые выпускались сроком на 3 и 6 месяцев и на год. ГКО размещались на аукционе, в результате которого определялась их продажная цена.
Доход по ГКО образовался за счет маржи (разницы) между ценой продажи и реальной ценой погашения.
В связи с финансовым кризисом и дефолтом, происшедшими 17 августа 1998 г., эмиссия ГКО была прекращена, а их рынок и значение сведены к минимуму.
Государственные ценные бумаги являются долговыми, а не долевыми (как, например, акции); они имеют фиксированные цены первичной продажи и погашения, срок действия и дату погашения.
В 1993 г. Внешэкономбанк выдал предприятиям и организациям, имеющим в нем и его отделениях (филиалах) корреспондентские счета, облигации внутреннего валютного займа сроком на 1, 3, 10 и 15 лет, номиналом 1, 10, 100 тыс. долл. США, доходностью примерно 3% в год.
В сентябре 1994 г. были выпущены казначейские обязательства (КО). Все выпуски КО обращаются 360 дней, сроки начала погашения от 72 до 130 дней, доходность около 40% годовых.
КО выпускаются в бездокументарной форме, в виде записей на счетах в уполномоченных банках.
Первичные держатели КО предприятия, с которыми Министерство финансов РФ рассчитывается с помощью этих обязательств по текущей задолженности федерального бюджета. Первичные держатели КО могут рассчитываться ими со своими кредиторами из тех отраслей, которые установлены в договорах, заключенных Минфином РФ с уполномоченными банками (депозитариями).
Наиболее распространенным видом ценных бумаг с фиксированным доходом является облигация, свидетельствующая о том, что ее держатель предоставил заем эмитенту. Владельцу облигации принадлежит право получить заранее установленный доход в виде фиксированной ставки (цены), как правило, равной номиналу.
Облигации обращаются на первичном и вторичном фондовых рынках (биржах). Основными параметрами облигации являются номинальная цена, выкупная цена или правило ее определения, дата погашения, норма доходности и сроки выплаты процентов.
Облигации могут быть с наличием оговорки о запрете их досрочного выкупа.
Наличие у эмитента права досрочного выкупа снижает рейтинг ценных бумаг (облигации), так как повышаются неопределенность в деятельности держателя, уровень риска приобретения и осуществления операций с облигациями.
Облигации классифицируют в соответствии с различными признаками.
По методу обеспечения различают облигации:
- государственные, обеспечиваемые гарантией правительства, денежных властей (например. Министерства финансов, Центрального банка);
- муниципальные, которые покрываются гарантией местных органов власти;
- корпоративные, которые могут быть обеспечены залогом на движимое и недвижимое имущество институциональной единицы, и их рейтинг зависит от финансового состояния эмитента; облигации без специального обеспечения со стороны эмитента.
По сроку погашения облигации бывают с некоторой оговоренной датой погашения или бессрочные, т.е. без фиксированного срока, которые могут быть погашены или выкуплены в любой момент.
По методу погашения различают облигации:
- срочные, когда происходит погашение номинала или выкупной цены разовым платежом;
- с распределенным погашением, т.е. погашение осуществляется не на фиксированную дату, а в течение определенного периода;
- с последовательным погашением фиксированной доли общего количества облигаций. Часто этот метод используется при погашении тиражных или лотерейных займов.
В зависимости от способа погашения различают облигации:
- по которым проводится выплата только процентов, а вложенный капитал не возвращается. Часто эмитент указывает на возможность выкупа капитала, но не связывает себя каким-то определенным сроком;
- по которым не выплачиваются проценты так называемые облигации с нулевым купоном;
- по которым проценты не выплачиваются до момента погашения всей суммы;
- дающие держателям право получения периодически выплачиваемого дохода и выкупной суммы в будущем.
На международном финансовом рынке котируются преимущественно облигации ААА, АА, которые в финансовом отношении не вызывают никаких сомнений у покупателей. Займы и облигации развивающихся стран, как и их национальная валюта, называют мягкими.
Займы и облигации с менее хорошей репутацией на международном финансовом жаргоне называют мусорными.
Ввиду большого риска для держателей процентные ставки таких облигаций выше, чем государственных или облигаций с высоким рейтингом.
Общий доход от облигации, как и от любой другой ценной бумаги с фиксированным текущим доходом, складывается из следующих элементов:
- периодически выплачиваемого купонного дохода или начисленных процентов;
- изменения стоимости ценных бумаг за определенный период. Если облигация была куплена с дисконтом, то этот элемент является положительной величиной, если она была куплена с премией отрицательной, если по номиналу нулевой;
- дохода от реинвестиции поступлении от купонов.
Основными статистическими показателями, с помощью которых осуществляется анализ стоимости и рейтинга облигаций, являются:
- номинальная стоимость (цена), которая назначается в момент эмиссии, фиксируется, и в зависимости от нее строится рыночная цена облигации;
- курс облигации. Поскольку номиналы разных облигаций существенно отличаются друг от друга, часто возникает необходимость в сопоставимом измерителе их рыночных цен. Под курсом понимают покупную цену облигации в расчете на 100 денежных национальных единиц (т.е. курс измеряется в процентах); он рассчитывается как отношение рыночной цены в конкретный момент на определенном рынке к номинальной цене облигации;
- доходность, которая измеряется в виде купонной доходности, текущей доходности инвестиций в облигации, полной доходности.
Показатель текущей доходности определяется размером текущих поступлений за год по отношению к сделанным инвестициям. При этом не учитывается второй источник дохода от облигации, а именно изменения, которые могут наступить в цене за период ее хранения.
Облигации с нулевым купоном и депозитные сертификаты имеют нулевую текущую доходность.
При анализе полной доходности облигации часто называют ставкой (нормой) помещения и учитываются все источники дохода.
Другой, широко используемый, вид ценных бумаг акции, которые удостоверяют долевое участие их держателей физических и юридических лиц в капитале предприятия, действующего в форме акционерного общества. Они дают право на получение части прибыли эмитента в виде дивидендов, а также право голоса на общих собраниях.
В соответствии с правами, которые имеют акционеры, акции могут быть с правом одного голоса, нескольких голосов, безголосые и золотые. Золотые акции в определенных условиях, в течение заранее определенного времени, предоставляют владельцу право налагать вето на решения общего собрания акционеров.
В Российской Федерации золотые акции, как правило, оставляет за собой государство.
Имущественные права акций гарантируют участие в прибыли эмитента тем, что в конце финансового года (или другого периода) акционерное общество распределяет часть своей прибыли между акционерами в виде определенного процента от номинальной стоимости акций.
Основные виды акций:
- именные, владелец которых должен быть зарегистрирован в соответствующем реестре. При перепродаже именных акций обязательно вносятся координаты новых владельцев. Чаще всего эти акции используются для анализа структуры акционеров, с целью стимулирования или, наоборот, привнесения иностранного капитала (иностранных инвестиций). Среди именных большое распространение имеют ванкулированные акции, которые могут быть переданы другому владельцу только с разрешения эмитента с целью осуществления контроля за составом акционеров и защиты финансовой самостоятельности самого эмитента;
- на предъявителя, которые переходят к другому владельцу путем фактической их передачи. По размеру приносимого дохода акции подразделяются на:
- привилегированные (преференциальные), обычно дающие право на первоочередное получение дохода в виде заранее установленного дивиденда, а также на приоритетное участие в распределении имущества акционерного общества в случае его ликвидации. Привилегированные акции не дают права решающего голоса при ведении дел компании. Эти акции могут быть: кумулятивными, т.е. при ухудшении финансового состояния компании дивиденды накапливаются и выдаются только в случае улучшения финансового состояния; отзывными (возвратными) выкупленными акционерным обществом при наступлении определенных обстоятельств, за что владельцам выплачивают повышенную премию (сверх номинала);
- обыкновенные, доход которых колеблется в зависимости от размера прибыли акционерного общества, его стратегии (общее собрание акционеров может принять решение не выплачивать дивиденды за определенный период, а вложить всю прибыль в инвестиции). Таким образом, держатели обыкновенных акций несут наибольший риск. Обыкновенные акции также могут быть с правом голоса, неголосующие, подчиненные, с ограниченным правом голоса.
Рынок ценных бумаг, как во всем мире, так и в Российской Федерации, активно развивается. Все более широко осваивается практика так называемых производных (дериватов), или вспомогательных, финансовых инструментов.
Иными словами, дериваты это срочные контракты, обращаемые на рынках срочных сделок (организованных и неорганизованных), стоимость которых определяется исходя из стоимости базисного актива. Дериваты представлены следующими видами:
- коллар соглашение между двумя сторонами, заключаемое вне биржи, о предоставлении займа с плавающей ставкой, но с гарантией, что она не превысит и не упадет ниже заранее оговоренного уровня;
- кэп соглашение между двумя сторонами о предоставлении займа с плавающей ставкой, но с гарантией, что она не превысит некоторый данный уровень;
- фло соглашение между двумя сторонами о предоставлении займа с плавающей ставкой, но с гарантией, что она не упадет ниже заранее оговоренного уровня.
Некоторые из производных финансовых инструментов являются вариантами традиционных инструментов финансовых рынков, тогда как другие представляют собой абсолютно новые виды. К вспомогательным финансовым инструментам относятся перечисленные ниже ценные бумаги.
Чеки это денежный документ, содержащий письменный приказ клиента банку, ведущему его текущий счет, уплатить определенную сумму чекодержателю. Владелец счета получает в банке чековую книжку и выписывает чеки в пределах суммы своего счета.
В зависимости от метода обналичивания денежной суммы чеки бывают именными, ордерными или предъявительскими.
Ордерный чек позволяет держателю переуступить право получения денег другому лицу с помощью передаточной надписи индоссамента.
В 1992 г. на финансовом рынке появился специфический вид государственных ценных бумаг приватизационные чеки, которые показывали усредненную долю государственной собственности, приходящейся на одного жителя страны, по ценам 1990 г. Приватизационные чеки имели номинальную стоимость 10 000 руб. и свободное обращение на фондовом рынке.
Векселя ценные бумаги, удостоверяющие безусловное денежное обязательство векселедателя уплатить при наступлении срока определенную сумму владельцу векселя (векселедержателю). Вексель может быть выдан только юридическим или физическим лицом, зарегистрированным на территории РФ или иного государства, использующего рубль в качестве официальной денежной единицы.
Различают простой и переводной векселя.
Простой вексель выписывается заемщиком (векселедателем) и содержит обязательство платежа кредитору (векселедержателю). Он имеет следующие реквизиты:
- наименование вексель, которое должно упоминаться два раза в названии и в тексте, где он называется вексельной меткой;
- простое и ничем не обусловленное обязательство уплатить определенную сумму;
- срок и место платежа;
- дату и место составления векселя;
- подпись векселедателя.
Переводной вексель (тратта) выписывается и подписывается кредитором (трассантом) и представляет собой приказ должнику (трассату) об уплате в указанный срок обозначенной суммы третьему лицу (ремитенту) или предъявителю. В безусловную долговую расписку вексель превращается после его акцепта трассатом.
При передаче векселя от одного собственника другому на его оборотной стороне делается передаточная надпись индоссамент. С помощью индоссамента вексель может циркулировать среди неограниченного круга лиц, выполняя функции наличных денег.
Наиболее ликвидным является рынок векселей, снабженных гарантией крупных банков в форме аваля (поручительство, гарантии платежа).
Векселя бывают срочные и на предъявителя. На срочном указан срок платежа.
Вексель без срока платежа рассматривается как подлежащий оплате по предъявлению.
Кроме того, различаются векселя казначейские, банковские, коммерческие, в зависимости от вида трассанта. Казначейский вексель выпускается государством (денежными властями) для покрытия его расходов и обычно является краткосрочным.
Выпуск банковских векселей осуществляется банками или банковскими консорциумами. Доход по этим векселям определяется как разница между ценой погашения, равной номиналу, и ценой продажи банковского векселя, которая ниже номинала.
Коммерческий (торговый) вексель используется для кредитования торговых операций. В основном он выдается предприятиям под залог товаров при осуществлении торговых сделок как платежный документ или долговое обязательство.
Сертификаты бывают:
- сберегательными, т.е. являются обязательствами, удостоверяющими право вкладчика или его правопреемника на получение вложенной суммы и процентов по истечении установленного срока;
- депозитными это разновидность срочных банковских вкладов. Вложенные под депозитный сертификат средства должны храниться определенный срок. При изъятии их до наступления срока проценты выплачиваютс не полностью. Депозитные сертификаты могут быть именными или на предъявителя, срочными или до востребования, акционерными или инвестиционными.
Опцион это ценная бумага (или договор), которая дает право на покупку или продажу других ценных бумаг по установленной цене в определенный период. Опционы появились в 1982 г. в связи с необходимостью оптимизации портфельных рисков в форме опционных контрактов на казначейские векселя, дающие инвестиционным менеджерам еще один инструмент хеджирования (один из методов диверсификации) рисков изменения процентных ставок. Существуют два вида опционов:
- на покупателя, т.е. обязательство поставить конкретные ценные бумаги по требованию держателя опциона, или так называемый опцион колл;
- на продавца, т.е. право (а не обязательство) продать ценную бумагу или определенный контракт по соответствующей цене в любое время в течение срока действия опциона, или так называемый опцион пут.
Фьючерс, или финансовый фьючерсный контракт, это твердое обязательство между покупателями и продавцами определенных ценных бумаг о покупке или продаже финансовых средств или товаров в будущем в определенные сроки по цене, устанавливаемой на момент заключения фьючерсного соглашения. Фьючерсы могут быть в форме стандартных контрактов или фьючерсами по опционам.
Фьючерсы разработаны и внедрены в 1975 г. на Чикагской товарной бирже.
18.3. Показатели фондовых бирж
Биржа это организованный рынок для торговли стандартизированными (пшеница, хлопок, кофе) товарами или финансовыми инструментами (ценные бумаги), создаваемый профессиональными торговыми или финансовыми посредниками для взаимных оптовых операций. Это высококвалифицированный рынок, создаваемый для покупки-продажи высоколиквидных товаров крупнейшими, пользующимися доверием и финансово устойчивыми посредниками.
Признаками классической биржи являются:
- централизованный рынок с фиксированным местом торговли (наличие торговой площадки);
- существование высокоэффективной процедуры отбора наилучших стандартных (массовых, однородных) товаров определенного качества с выраженной эластичностью цен, в том числе сезонной, возможность гарантий поставки и пр.;
- отбор высококвалифицированных операторов рынка;
- наличие временного регламента и стандартных торговых процедур;
- централизация регистрации, оформления и расчета по сделкам;
- надзор за деятельностью членов биржи;
- регулярное установление официальных котировок.
Основные функции биржи:
- создание постоянно действующего рынка;
- регулярное определение цен и котировок;
- распространение максимально достоверной информации о товарах и финансовых инструментах, обращающихся на биржевом рынке;
- поддержание профессионализма торговых и финансовых посредников;
- индикация состояния экономики, ее товарных сегментов и финансовых рынков.
В процессе своей деятельности биржи получают прибыль. Это и является их основной целью на рынке: прибыль для самой себя и прибыль для своих клиентов. Основным источником биржевой прибыли является прибыль:
- от долгосрочного повышения курса цен на бирже как разница между более высоким курсом продажи и более низким курсом покупки товаров, ценных бумаг и других финансовых инструментов;
- от долгосрочных инвестиций в ценные бумаги с перспективой повышения котировок и с последующей реализацией;
- по арбитражным биржевым операциям, при которых используются ценовые различия, существующие на различных рынках (рыночных сегментах), с целью извлечения прибыли на базе одновременной покупки товаров, валюты, ценных бумаг по более низким ценам и их продажи по более высоким ценам на других рыночных сегментах. Сюда же включается и так называемая прибыль процентный арбитраж, которая строится на различиях в ставке доходности, существующей на разных финансовых рынках;
- от проведения спекулятивных стратегий на бирже. В данном случае прибыль сформируется за счет преимущественно краткосрочных изменений курсов ценных бумаг в зависимости от экономической конъюнктуры, уровня странового и валютного рисков, финансовой устойчивости эмитента и других факторов, оказывающих влияние на соотношение спроса и предложения на фондовом рынке;
- от предоставления участникам фондового рынка различных услуг.
К биржевым услугам относятся продажа неконфнденциальной информации, технологий, учебных программ и т.д.
Основные операции биржевого рынка осуществляются на биржевом аукционе. Биржевой аукцион это механизм, определяющий порядок конкурентного установления цен при заключении участниками биржи сделок.
Аукцион должен быть открытым (публичным) и гласным. Существует несколько способов организации биржевых аукционов:
1. Простой аукцион, который состоит из трех этапов:
- предварительный сбор предложений на продажу;
- открытие торга по каждой позиции места предложений. При этом организуются публичные ценовые соревнования между покупателями. Торги прекращаются, и совершение сделки фиксируется после объявления одним из покупателей наивысшей цены;
- переход к следующей позиции листа предложений.
2. Двойной аукцион, который может быть непрерывным и онкольным. При онкольном аукционе осуществляются: предварительное накопление заявок на покупку и предSожений о продаже; сведение заявок между собой по определенным правилам, различным для разных бирж; установление цены, но которой можно выполнить самое большое количество заявок и предложений; фиксация заключенных сделок и переход к следующей товарной позиции или продолжение заключения сделок по единой онкольной цене.
Итак, биржевая статистика это система показателей, характеризующих состояние биржевого рынка, она основана на анализе специфических показателей в статике и динамике. Рассмотрим подробнее основные показатели, анализируемые биржевой статистикой.
1. Анализ структуры фондовых индексов и средних, рассчитываемых на бирже в статике и динамике.
Под фондовыми индексами и средними понимают индикаторы (показатели) изменения курса совокупности ценных бумаг. Традиционно термин фондовый индекс применяется и к биржевым средним, хотя это не корректно с точки зрения статистики.
Наиболее известной биржевой средней является индекс Доу Джонса средний показатель курсов акций группы крупнейших компаний США. Представляет среднеарифметическую величину ежедневных котировок на конец торгового дня. Делителем является не число компаний, принимающих участие в выборке, а периодически корректируемый коэффициент.
Этот индекс выступает наиболее обобщающим показателем, характеризующим уровень деловой активности и рыночной конъюнктуры.
Кроме индекса Доу Джонса аналогично исчисляются локальные индексы примерно по 65 компаниям.
Индекс NIKKEI (Nikkei Stock Average Index) ведущий специальный фондовый индекс Японии, исчисляемый на базе 225 акций, котируемых на Токийской фондовой бирже.
С 70-х годов некоторые компании приступили к исчислению, анализу и регулярной публикации индексов по облигациям. Подобным расчетом занимаются в основном американские инвестиционные банки Леман Бразерс, Меррил Линч, Соломон Бразерс, Д.П.
Морган и некоторые другие.
Предпринимаются попытки построения комбинированных индексов по акциям и облигациям.
2. Анализ динамики числа и финансовой устойчивости институциональных единиц, включенных в листинг.
Листинг это процедура допуска ценных бумаг на Фондовую биржу. Требования к ценным бумагам и их эмитентам, допускаемым к котировке на Фондовой бирже, устанавливаются каждой биржей индивидуально.
Общие требования, предъявляемые к эмитенту кандидату на получение котировки на бирже, касаются минимального числа выпускаемых акций, минимального размера активов, прибыли и объема торговли по конкретному виду ценных бумаг.
Как правило, за листинг берется плата, взнос может быть единовременным или регулярным. Наиболее строгие требования листинга существуют на Нью-Йоркской фондовой бирже.
3. Капитализация рынка, которая исчисляется как произведение рыночной стоимости акций, находящихся в обращении, на число выпущенных акций, находящихся в обращении.
4. Котировка ценных бумаг выражается наиболее высокой ценой в нереализованных заявках и наиболее низкой цены в нереализованных предложениях о продаже.
5. Биржевой оборот сумма продаж на Фондовой бирже за определенный период. Иногда этот показатель измеряется в процентах от уровня капитализации рынка.
6. Курс ценной бумаги зависит от вида ценной бумаги и вида проводимого аукциона. Различаются курсы:
- на начало дня, т.е. цена в момент открытия биржи или цена первой заключенной сделки;
- на конец дня цена в момент закрытия биржи или цена последней заключенной сделки.
7. Финансовые коэффициенты по конкретным видам ценных бумаг, которые выражаются следующими отношениями:
18.4. Источники статистической информации о рынке ценных бумаг и фондовых биржах
Основными источниками информации о рынке ценных бумаг и фондовых биржах являются результаты биржевых торгов, которые формируются в конце оперативного дня и регулярно публикуются. Специфика данной информации в ее оперативности.
Информация о котировках государственных и корпоративных ценных бумагах регулярно публикуется в специализированных экономических изданиях: Вестнике Банка России, журналах Рынок ценных бумаг, Рейтинг, Деньги, Эксперт, Коммерсант, а также в некоторых газетах.
Так, в Вестнике Банка России еженедельно публикуются следующие сведения.
1. Информация об итогах торговли государственными краткосрочными облигациями и облигациями федерального займа с переменным купоном на ММВБ по показателям:
- цены сделок в процентах от номинала минимальная, максимальная и цена на момент закрытия биржи;
- доходность по цене закрытия (% годовых);
- величина оборота (по номиналу, млрд руб.);
- накопленный доход (от номинала, %).
2. Основные характеристики ближайших купонных выплат по ОФЗ, к которым относятся регистрационный номер выпуска, дата выплаты ближайшего купона, количество дней до выплаты этого же купона, купонная процентная ставка в годовых процентах, размер купона в рублях.
3. Основные характеристики обращающихся на рынке выпусков ценных бумаг на конец периода (недели):
- дата первичного размещения выпуска;
- дата и срок погашения;
- количество траншей, доразмещений и досрочных выкупов конкретного выпуска;
- объем обращений (млрд руб.);
- неразмещенный остаток (млрд руб.).
4. Некоторые аналитические показатели, характеризующиM рынок государственных ценных бумаг, которые включают:
- индикатор рыночного портфеля (% годовых), рассчитываемый как средняя доходность, взвешенная по срокам до погашения или до выплаты купона и по объемам в обращении;
- индикатор оборота рынка, определяемый как средняя доходность, взвешенная по срокам до погашения и/или до выплаты купона по оборотам вторичного рынка;
- коэффициенты оборачиваемости общий, краткосрочный и среднесрочный;
- номинальную стоимость (млрд руб.);
- рыночную стоимость (млрд руб.);
- дюрацию (дней), которая рассчитывается как средний срок до даты погашения, взвешенный по объемам в обращении.
Аналогичная информация публикуется по некоторым основным корпоративным ценным бумагам. В настоящее время в России довольно хорошо развит рынок государственных ценных бумаг.
Гораздо слабее на фондовом рынке представлены корпоративные ценные бумаги. В основном высоко котируются ценные бумаги ТЭК, некоторые ценные бумаги электротехнической промышленности.
Контрольные вопросы
- Что такое фондовый первичный и вторичный рынок?
- Какие государственные ценные бумаги существуют в нашей стране?
- Что такое мусорные облигации?
- Что такое биржевой индекс и как определяется самый весомый из них?
- Виды биржевых аукционов и их специфика.
Статистическое изучение сферы труда
25. Статистическое изучение сферы труда в условиях становления рыночного механизма
Статистика труда является важной составной частью как экономической, так и социальной статистики. Ее показатели, характеризующие численность и состав трудовых ресурсов, производительность труда, использование рабочего времени, уровень занятости и безработицы, условия и оплату труда, неизменно занимают одно из ведущих мест в системе статистических показателей развития экономики, народонаселения и социальных процессов, поскольку труд есть необходимое услоие существования общества.
Статистика труда тесно связана с другими областями статистики: статистикой производственных отраслей, системой национальных счетов, демографией, статистикой культуры, здравоохранения и др.
В материалах Международной организации труда (МОТ) определено примерное соотношение статистики труда с экономической и социальной статистикой (рис. 25.1).

Рис. 25.1. Место статистики труда в национальной статистике
В сфере занятости наиболее заметно проявляются перестроечные процессы, происходящие в странах постсоциалистического пространства. Взамен всеобщей обязанности трудиться провозглашается добровольность общественно полезного труда, допускается возможность незанятости трудоспособных граждан, признана безработица.
Таким образом, речь идет не просто об изменениях, а практически о новой модели занятости, о принципиально иных способах формирования и использования трудового потенциала.
Командно-административный порядок соединения рабочей силы со средствами производства и жесткое закрепление кадров на предприятиях уступили место рынку труда, который становится главным инструментом измерения предложения и спроса на рабочую силу, ее избытка или недостаточности, распределения между секторами экономики, отраслями и регионами.
Под рынком труда понимается система экономических, социальных, организационных и правовых мер и институтов, координирующих и регулирующих распределение и использование рабочей силы. Функционирование рынка труда является неотъемлемой частью формирования рыночной экономики, поэтому в переходный период особое значение приобретает организация статистического наблюдения за его становлением.
Статистика рынка труда создается в рамках статистики труда и уделяет основное внимание тем аспектам деятельности и взаимоотношениям между трудящимися и работодателями, на основе которых строятся анализ и прогнозирование рыночной конъюнктуры. Однако статистика изучает не только спрос и предложение рабочей силы, но и вопросы оплаты труда, условий труда, профессиональной подготовки кадров и ряд других проблем, необходимых для определения политики рынка труда.
В зависимости от исходной позиции различают два вида политики в этой области: общая экономическая политика и активная политика на рынке труда. Задачи общей экономической политики заключаются в создании благоприятных исходных условий для достижения высокой степени занятости.
Она не вмешивается в процессы на рынке труда, но благодаря ей улучшаются условия спроса на товарных рынках, получения прибыли и в связи с этим условия капиталовложений для предприятий. Таким образом, общая экономическая политика воздействует на спрос на рабочую силу.
В противоположность ей активная политика в области рынка труда непосредственно воздействует на предложение рабочей силы. Инструментами ее воздействия являются: меры по предоставлению работы, по переквалификации и повышению квалификации; консультации по выбору профессии; посредничество в получении рабочих мест и мест профессионального образования; выплата пособий по безработице и т.д.
Носителем активной политики в области рынка труда являются, как правило, органы по труду.
Эффективность как общей экономической политики, так и активной политики на рынке труда проявляется прежде всего в улучшении сбалансированности между спросом и предложением рабочей силы, недостаточность же принимаемых мер ведет к росту напряженности на рынке труда.
Характерными чертами российского рынка труда в 90-е годы являлись высвобождение рабочей силы из государственных предприятий и организаций в связи со спадом производства (при одновременном увеличении числа работающих в частном секторе), интенсивное перераспределение кадров между отраслями и секторами экономики, высокий уровень добровольной текучести, снижение общего размера занятости и систематический рост безработицы, резкое увеличение дифференциации в оплате труда.
Устойчивая тенденция снижения занятости наметилась с 1991 г., и за 1992—1998 гг. численность работающих сократилась на 14%. Сокращение занятости происходило в основном за счет уменьшения числа работающих в государственном секторе и общественных организациях (фондах).
Об интенсивности процесса разгосударствления красноречиво свидетельствуют темпы снижения доли работающих в данном секторе: за 1992—1998 гг. — на 37 процентных пунктов.
Уровень занятости в частном секторе за этот период вырос на 28 пунктов. Однако он не стал пока преобладающим в российской экономике (в отличие от ряда стран СНГ, например в Армении, Молдове и среднеазиатском регионе).
Изменения в отраслевой структуре занятости сопровождались оттоком рабочей силы из основных производственных отраслей и увеличением занятости в сфере услуг (на транспорте, в торговле, образовании, культуре, здравоохранении, жилищно-коммунальном хозяйстве и др.). В частности, удельный вес работающих в этой сфере увеличился в 1998 г. по сравнению с 1991 г. на 10 пунктов при примерно таком же снижении доли занятых в промышленности и строительстве.
Особенно быстро росла численность занятых в областях, связанных с инфраструктурой рынка, в частности, расширялась торгово-посредническая и финансовая деятельность, а также деятельность в налоговых, аудиторских и нотариальных службах. Численность работников аппарата органов управления за последние семь лет выросла на 60%.
На межотраслевое перераспределение рабочей силы все более заметное влияние оказывает растущая дифференциация уровня оплаты труда: если в начале 90-х годов разница в среднемесячной заработной плате между 10% самых высокооплачиваемых и 10% самых низкооплачиваемых работников составляла 8 раз, то к началу 1998 г. — 25 раз.
В числе отличительных признаков российского рынка труда следует назвать также значительные масштабы неполной (частичной) занятости или, как ее еще называют, частичной безработицы. Подобная ситуация в значительной мере обусловлена тем, что предприятия предпочитают сохранять неоплачиваемую занятость, а не увольнять работников. Сами работники также не заинтересованы прерывать формальные отношения с предприятием, так как это чревато потерей ряда льгот.
В 1998 г. в России около 7% работников крупных и средних предприятий были заняты в режиме неполного рабочего дня (или недели) и более 10% побывали в вынужденных административных отпусках с частичной оплатой или без нее.
Наибольшие размеры неполной занятости отмечались на предприятиях легкой промышленности, машиностроения, транспорта, в научных учреждениях.
Уровень официальной безработицы (число безработных, зарегистрированных в службах занятости, в процентах к численности экономически активного населения) вырос с менее чем одного процента на конец 1992 г. до 3% на начало 1998 г. в целом по СНГ. Общая численность безработных, включая тех, кто ищет работу самостоятельно (без обращения в службу занятости), на начало 1999 г. оценивается в целом по Содружеству в 15 млн человек, или более 11% экономически активного населения, в том числе в России — 9,7 млн человек, или 13%.
Новые направления в политике и стратегии занятости потребовали введения кардинальных изменений в статистическую практику, которая на протяжении нескольких десятилетий формировалась с ориентацией на план в целом и на планирование трудовых ресурсов и фонда оплаты труда в частности. Ориентация на план определяла и порядок сбора информации, который базировался на отчетности всех предприятий и организаций по строго определенной системе показателей.
Сложившиеся системы показателей и методы их сбора во многом еще сохраняются и в настоящее время (например, для крупных и средних предприятий). Однако развитие частного сектора, новых форм приложения труда, многократное увеличение числа учетных единиц и трудность охвата их традиционными статистическими методами поставили перед статистикой труда новые задачи и предопределили необходимость новых методов и новых каналов получения информации.
С 1991 г. был организован ведомственный источник статистической информации о трудоустройстве населения и безработице, который позволил с ежемесячной периодичностью приступить к анализу конъюнктуры официально зарегистрированного рынка труда (практически с первых шагов его становления). Одновременно создавалась специальная выборочная сеть домашних хозяйств для проведения широкомасштабных опросов населения по проблемам занятости и безработицы, и с 1992 г. такие обследования проводятся ежегодно.
На основе материалов обследований появилась возможность учесть те категории занятого населения, которые не отражаются в отчетности предприятий: лиц, занятых в неформальном секторе, работающих по найму у физических лиц, работающих не по найму, помогающих членов семейных предприятий. Эти обследования являются также основным источником статистической информации о качественном составе рабочей силы, размерах и структуре фактической безработицы, причинах незанятости, способах поиска работы и его продолжительности.
Кроме того, в 90-е годы были разработаны новые темы и методы статистики труда и организованы соответствующие источники получения информации, в частности:
- введена и постоянно совершенствуется информация о забастовочном движении (в соответствии с резолюцией 15 Международной конференции статистиков труда О статистике забастовок, локаутов и других действий, вызванных трудовыми конфликтами);
- систематически проводятся выборочные обследования заработной платы работников по отдельным профессиям и должностям и отработанному времени по ведущим отраслям экономики (в соответствии с рекомендациями МОТ);
- ежегодно изучаются сумма и состав затрат на рабочую силу (в соответствии с рекомендациями МОТ);
- разработана и внедрена (совместно с миграционной службой) система статистического наблюдения за трудовой миграцией;
- ежегодно ведется учет неполной (частичной) занятости.
Как уже отмечалось, сохраняются и традиционные источники получения информации на основе отчетности предприятий и организаций, поскольку, несмотря на стремительный рост альтернативных форм занятости, численность работающих в государственном секторе во многих отраслях остается преобладающей. Однако и здесь произошли крупные перемены.
Взамен единого порядка получения информации от всех предприятий и организаций сбор сведений в настоящее время осуществляется с использованием цензового метода по разным статистическим формам и с различной периодичностью.
Так, крупные и средние предприятия представляют отчетность ежемесячно; малые и совместные предприятия — один раз в квартал; предприятия, учитываемые в централизованном порядке, — один раз в год.
Для обеспечения более полного учета предприятий и организаций осуществляется комплекс работ по созданию государственного регистра предприятий и организаций всех форм собственности и хозяйствования (ЕГРПО). Создание и внедрение ЕГРПО будет способствовать более широкому применению выборочных методов статистического обследования, особенно в негосударственном секторе экономики.
Усовершенствована и система показателей текущей отчетности по труду за счет введения в нее дополнительных показателей, ориентированных на цели политики на рынке труда. Помимо традиционных показателей числа работающих и оплаты труда в формы отчетности включены показатели движения кадров и рабочих мест, предусмотрена информация о различных формах избытка работающих на предприятиях, о прогнозах предприятий по высвобождению персонала и введению новых рабочих мест.
В данном разделе не отражены традиционные методы статистики труда, изложенные в тематических учебниках (такие, как методы расчета среднесписочной численности, измерения и анализа производительности труда, анализа использования рабочего времени, определения коэффициента сменности, математические методы определения дифференциации заработной платы и др.).
Контрольные вопросы
- Каковы основные признаки новой модели занятости в рыночных условиях?
- Что понимается под рынком труда?
- Назовите характерные черты российского рынка труда в 90-е годы.
Статистическое обеспечение современной научно-технической политики
Современные тенденции мирового развития связаны с переходом общества к более высокой постиндустриальной стадии. Человеческая цивилизация вступила в новый этап своего развития информационное общество, основу жизнедеятельности которого составляют процессы производства, распространения и использования информации.
Информационные технологии, обеспечивающие автоматизацию сбора, передачи, обработки и хранения информации с применением компьютерной техники и телекоммуникаций, служат одновременно и базой развития высокотехнологичных производств; под их влиянием меняются характер и содержание труда, структура занятости, возникают новые виды экономической деятельности, преображается облик системы образования и здравоохранения, происходят сдвиги в сфере личного потребления.
Отличительной чертой информационного общества является стремительное возрастание значения информации для экономического и социального прогресса.
Причем речь идет не об информации вообще, а прежде всего о знании, т.е. информации, воплощенной в фактах, сведениях о законах природы и общества и принципах их практического применения, навыках и способностях людей, социальных отношениях и т.д.
В этой связи можно говорить об интеллектуализации экономики, экономике, базирующейся на знаниях, когда информация и услуги приобретают сравнительно более высокую рыночную стоимость, чем та, которую имеют товары, обладающие натурально-вещественной формой, и энергия.
Общественный продукт уже характеризуется не столько своим материальным субстратом, сколько функциональным назначением и информационно-познавательным содержанием. Величина издержек производства все сильнее зависит от размеров нематериальных инвестиций затрат на научные исследования и разработки, приобретение патентов и лицензий, профессиональную подготовку кадров, программное обеспечение, маркетинг, рекламу и т.п.
Само понятие экономики, основанной на знаниях, или интеллектуальной экономики, получившее в последние годы широкое распространение в мировой экономической литературе, отражает признание того обстоятельства, что научно-технические знания непосредственно определяют параметры экономического роста. На долю наукоемких отраслей обрабатывающей промышленности и сферы услуг ныне в ведущих индустриальных странах приходится в среднем более половины валового внутреннего продукта; именно эти отрасли отличаются наиболее высокими темпами роста объемов производства, занятости, инвестиций, внешнеторгового оборота.
Достижения науки и техники выступают ключевым фактором улучшения качества продукции и услуг, экономии трудовых и материальных затрат, роста производительности труда, совершенствования организации производства и повышения его эффективности. Все это в конечном счете предопределяет конкурентоспособность предприятий и выпускаемой ими продукции на внутреннем и мировом рынках.
Научно-технический прогресс, появление новых видов продукции, технологий и даже отраслей производства, способствуют созданию дополнительных рабочих мест и усилению спроса на квалифицированную рабочую силу. В ряде случаев это может сопровождаться высвобождением работников, особенно малоквалифицированных, из отраслей материального производства, что компенсируется ростом занятости J сфере услуг.
Нельзя не отметить и экологический эффект научно-технических достижений, связанный с созданием техники и технологий, обеспечивающих более рациональное использование природных ресурсов, снижение антропогенной нагрузки на окружающую среду, утилизацию отходов и вторичного сырья.
Если говорить о социальных последствиях научно-технического прогресса, то они обусловлены, например, улучшением потребительских свойств продуктов, качества жилья, условий труда; совершенствованием здравоохранения и образования; возможностями вовлечения в общественную жизнь нетрудоспособных лиц и т.д. Наряду с этим речь идет о более широком воздействии науки и инноваций на мотивацию людей, жизненные ценности, этические, эстетические и правовые нормы, социальное партнерство и общественные отношения, институциональные структуры, а значит, и на эволюцию общества в целом.
В современной теории экономическое развитие описывается как переход экономической системы из одного равновесного состояния в другое, и источником такого перехода является, по выражению И. Шумпетера, возникновение новых вещей*, или инноваций. Инновации представляют собой новые или усовершенствованные продукты, внедренные на рынке, новые или усовершенствованные технологические процессы, используемые в практической деятельности, либо новые подходы к социальным услугам.
Этот термин может иметь различные значения в разных контекстах, и выбор их зависит от конкретных целей измерения или анализа.
* Шумпетер Й. Теория экономического развития. М.: Прогресс, 1982.
С. 158.
Экономическая теория различает пять типов инноваций: введение нового продукта; введение нового метода производства; создание нового рынка; освоение нового источника сырья или полуфабрикатов; реорганизация структуры управления.
Обеспечивая внедрившему их предпринимателю избыточную прибыль, инновации нарушают экономическое равновесие, которое впоследствии восстанавливается на новом, более высоком, уровне развития под влиянием конкуренции.
Выступая источником технологического развития, инновации, в свою очередь, являются конечным результатом научно-инновационного цикла, охватывающего процесс создания, распространения и применения научно-технических значений. На отдельных стадиях этого цикла научно-технические знания претерпевают последовательную трансформацию от абстрактных идей до практических результатов, причем между ними (стадиями) возникают разнообразные прямые и обратные связи (рис.
33.1).
Центральное место при этом принадлежит научным исследованиям и разработкам, которые определяются как творческая деятельность, осуществляемая на систематической основе с целью увеличения объема знаний о человеке, природе и обществе, а также поиска новых областей применения этих знаний.
Схема научно-инновационного цикла

Рис. 33.1
Научные исследования и разработки охватывают три вида работ (деятельности): фундаментальные исследования, прикладные исследования, разработки. Под фундаментальными понимаются экспериментальные или теоретические исследования, направленные на получение новых знаний без какой-либо конкретной цели, связанной с использованием этих знаний.
Их результат гипотезы, теории, методы и т.п. фундаментальные исследования могут завершаться рекомендациями 6 проведении прикладных исследований для выявления возможностей практического использования полученных научных результатов, научными публикациями и т.п.
Прикладные исследования представляют собой оригинальные работы, направленные на получение новых знаний с целью решения конкретных практических задач. Прикладные исследования определяют возможные пути использования результатов фундаментальных исследований, новые методы решения ранее сформулированных проблем.
Разработки это систематические работы, которые основаны на существующих знаниях, полученных в результате научных исследований и (или) практического опыта, и направлены на создание новых материалов, продуктов или устройств, внедрение новых процессов, систем и услуг или значительное усовершенствование уже выпускаемых или введенных в действие. К ним относятся: разработка определенной конструкции инженерного объекта или технической системы (конструкторские работы); разработка идей и вариантов нового объекта, в том числе нетехнического, на уровне чертежа или другой системы знаковых средств (проектные работы); разработка технологических процессов, т.е. способов объединения физических, химических, технологических и других процессов с трудовыми в целостную систему, производящую полезный результат (технологические работы).
В состав разработок включаются также создание и испытание опытных образцов (оригинальных моделей, обладающих принципиальными особенностями создаваемого новшества); определенные виды проектных работ для строительства, которые предполагают использование результатов предшествующих исследований.
Критерием, позволяющим отличить научные исследования и разработки от сопутствующих им видов научно-технической, производственной и иной деятельности, является наличие в них значительного элемента новизны. В соответствии с данным критерием конкретный проект будет или, наоборот, не будет отнесен к научным исследованиям и разработкам в зависимости от его цели, содержания (с точки зрения новизны), использования научных методов, получения новых выводов или результатов.
Например, если статистические, социологические, медицинские обследования специально организованы в рамка исследовательских проектов, то они также относятся к научным исследованиям.
Непосредственная трансформация идей (обычно результатов научных исследований и разработок либо иных научно-технических достижений) в новые или усовершенствованные продукты и технологические процессы осуществляется на стадии инновационной деятельности. Она предполагает комплекс научных, технологических, организационных, финансовых и коммерческих мероприятий, и именно в своей совокупности они приводят к инновациям.
Научные исследования и разработки являются не только источником новых идей, но могут осуществляться на различных этапах инновационного процесса, будучи средством решения проблем, возникновение которых потенциально возможно на любой его стадии. Как показано на рис. 33.1, в составе инновационной деятельности обычно выделяются шесть основных ее видов:
- производственное проектирование, включая подготовку планов и чертежей, предусмотренных для определения производственных процедур, технических спецификаций, эксплуатационных характеристик, необходимых для создания концепции, разработки, производства и маркетинга новых продуктов и процессов;
- технологическая подготовка и организация производства, охватывающие приобретение производственного оборудования и инструмента, осуществление изменений в них, а также в процедурах, методах и стандартах производства и контроля качества, необходимых для изготовления нового продукта или применения нового технологического процесса; пробное производство или испытания, если предполагается дальнейшая доработка конструкции;
- приобретение неовеществленной технологии со стороны в форме патентов, патентных лицензий на использование изобретений, промышленных образцов и полезных моделей; результатов исследований и разработок; беспатентных лицензий (ноу-хау, соглашения на передачу технологий) и услуг технологического содержания (инжиниринговых, консультативных и др.);
- приобретение овеществленной технологии машин и оборудования, по своему технологического содержанию связанных с внедрением на предприятии продуктовых или процессных инноваций;
- подготовка и переподготовка персонала в связи с применением новых технологий и оборудования;
- маркетинг новых продуктов, предусматривающий виды деятельности, связанные с выпуском новой продукции на рынок, исключая развертывание дистрибьюторских сетей.
Статистика изучает количественные параметры явлений и процессов в сфере науки и инноваций в единстве с их качественной природой. Главной задачей статистики науки и инноваций является удовлетворение потребностей общества в достоверной и надежной статистической ин4)ормации о величине, структуре и динамике ресурсов и результатов научной и инновационной деятельности, их влиянии на социально-экономическое развитие страны.
Предметом статистики науки и инноваций является разработка определений и классификаций, системы соответствующих показателей и методологии их исчисления.
С начала 1990-х годов российская наука, как и экономика в целом, развивается в качественно новых экономических, социальных и политических условиях. Однако отсутствие на первом этапе реформ обоснованных стратегических решений, нацеленных в числе прочего на трансформацию ранее сложившейся модели науки и повышение ее роли в обеспечении позитивных социально-экономических изменений в стране, а также общесистемный кризис в стране привели к резкому обострению ситуации в науке.
Дефицит бюджетных средств, падение спроса предприятий на исследования, разработки и инновации и, как следствие, снижение реальной величины затрат на эти цели, сокращение занятости в сфере науки и масштабов подготовки научных кадров таковы лишь некоторые тенденции, характеризующие динамику научного потенциала страны в последние годы.
Тем не менее, как показывает анализ, в российской науке происходят процессы постепенной адаптации к рыночным условиям. В их числе трансформация институциональной структуры и развитие частного сектора науки, конверсия научных организаций оборонного комплекса, становление новых организационных форм проведения исследований, их интеграции с производством и образованием; появление альтернативных источников финансирования, в том числе на конкурсной основе; изменение под воздействием спроса структуры подготовки кадров; успешное развитие международного научно-технического сотрудничества.
Основной стратегической задачей научно-технической политики, как определено Концепцией реформирования российской науки на период 19982000 гг., становится формирование мобильного, динамично развивающегося научно-технического потенциала, отвечающего современным требованиям и ресурсным возможностям страны, повышение эффективности его использования в целях обеспечения духовного и физического здоровья нации, конкурентоспособности экономики, обороны государства.
Разработка и реализация научно-технической политики, отвечающей реалиям нынешнего этапа, предполагает глубокое понимание происходящих процессов во всей их полноте и сложности, что в свою очередь невозможно без все более полного использования достоверных и надежных статистических данных о развитии науки и инноваций. Причем речь идет уже не только об удовлетворении информационных нужд органов управления, но и предпринимателей, аналитических исследований, широкой общественности, международного сообщества.
Более того, усложняется и сам механизм выработки и реализации государственной научно-технической политики, предполагающей согласование интересов различных органов власти (парламента, правительства, министерств и ведомств, местных администраций), экономических агентов (предприятий и организаций разных форм собственности, а также их объединений) и самого научного сообщества.
Ориентация на потребности общества, и научно-технической политики в частности, предполагает прежде всего отражение реального состояния научного и инновационного потенциала. Принципиальное значение приобретает охват всех существенных элементов и факторов, определяющих его развитие.
Адекватное выражение в статистике должны получить процессы адаптации сферы науки и инноваций к рыночной экономике, происходящие институциональные изменения, трансформация отношений собственности. Новыми направлениями в статистике становятся анализ состояния научного потенциала на приоритетных направлениях исследований, оценка деятельности научных организаций в условиях рынка.
По мере перехода экономики к траектории роста будет усиливаться важность изучения уровня и структуры спроса на инновации, результативности научной и инновационной деятельности, процессов технологического обмена; анализа технологической структуры промышленности.
Статистика должна на практике стать инструментом мониторинга науки и инноваций, обоснования научно-технической политики, оперативно реагируя на ее приоритеты и не просто отражая сложившиеся тенденции, но и позволяя предвидеть их возможные изменения в будущем. Необходимо усилить внимание к проблемам выявления устойчивых закономерностей динамики научного и инновационного потенциала, прогнозирования количественных и структурных сдвигов.
В связи с этим следует также расширить межстрановые статистические сопоставления, что позволит на основе обобщения мировых тенденций и опыта стран, находящихся на разных уровнях научно-технического развития, сформировать концепцию динамики процессов развития науки и инноваций применительно к определенной макроэкономической ситуации, оценить действенность тех или иных вариантов научно-технической политики*.
* Гохберг Л.М. Финансирование науки в странах с переходной экономикой: сопоставительный анализ.
М.: Центр исследований и статистики науки. 1998.
33.2. Система показателей статистики науки и инноваций
Для характеристики развития науки и инноваций в отечественной и зарубежной экономической литературе, практике научно-технической политики широко применяется понятие научного и инновационного потенциала. Появление данного понятия связано с необходимостью разработки такой экономической категории, которая бы отображала наиболее общие, существенные свойства, признаки и связи науки и инноваций как вида деятельности, служила бы основой для формирования системы соответствующих показателей и методологии их количественного измерения.
Научный и инновационный потенциал рассматривается как совокупность ресурсов научной и инновационной деятельности на определенном этапе развития общества. Вместе с тем научно-технические знания носят перспективный характер, служат ресурсом экономического и социального развития страны в будущем.
Поэтому неотъемлемым признаком научного и инновационного потенциала является характеристика возможностей решения как текущих, так и перспективных научно-технических задач при условии эффективного использования имеющихся ресурсов и с учетом резервов их пополнения и совершенствования.
Таким образом, научный и инновационный потенциал в конечном итоге следует рассматривать не просто как набор различных видов ресурсов, а лишь в их единстве с результатами научной и инновационной деятельности.
Концепция статистического изучения научного и инновационного потенциала базируется на системном подходе к исследованию его сущности и структуры, обоснованию задач, направлений и методов статистического анализа. При этом следует исходить из оценки места и роли научных исследований и инноваций в процессе расширенного воспроизводства как элементов единого научно-инновационного цикла.
Только комплексное рассмотрение всех аспектов научной и инновационной деятельности и необходимых для ее осуществления ресурсов трудовых, материальных, информационных, финансовых во взаимосвязи с результатами их использования позволяет получить объективное представление о тенденциях научно-технического развития. Это даст возможность интегрировать разрозненные, иногда несопоставимые между собой показатели, характеризующие отдельные элементы научно-инновационного цикла, в целостную систему.
Учитывая сказанное, в составе системы показателей научного и инновационного потенциала выделяются характеристики ресурсов и результатов научных исследований и инновационной деятельности, а также их внутренних и внешних связей (см. рис. 33.2).

Рис. 33.2. Система показателей научной и инновационной деятельности
Всю совокупность показателей научного и инновационного потенциала можно систематизировать следующим образом:
1. Показатели статистики науки.
1.1. Показатели ресурсов науки.
1.1.1. Показатели кадров науки.
1.1.1.1. Численность и состав персонала, занятого исследованиями и разработками.
1.1.1.2. Показатели движения персонала, занятого исследованиями и разработками.
1.1.1.3. Показатели подготовки научных кадров.
1.1.2. Показатели материально-технической базы науки.
1.1.2.1. Показатели наличия и структуры основных фондов исследований и разработок.
1.1.2.2. Показатели движения основных фондо исследований и разработок. .
1.1.2.3. Показатели использования основных фондов исследований и разработок.
1.1.2.4. Показатели объема, состава, динамики и использования оборотных средств исследований и разработок.
1.1.3. Показатели информационных ресурсов науки.
1.1.4. Показатели финансирования исследований и разработок.
1.1.4.1. Показатели объема и структуры затрат на исследования и разработки.
1.1.4.2. Показатели динамики затрат на исследования и разработки.
1.2. Показатели результатов научных исследований и разработок.
1.2.1. Показатели публикационной активности.
1.2.2. Показатели создания технологий (патенты, лицензии, образцы новых видов машин и оборудования и т.п.).
1.3. Показатели организационной структуры науки (числа и состава организаций, выполняющих исследования и разработки).
2. Показатели статистики инноваций.
2.1. Показатели источников информации об инновациях.
2.2. Показатели затрат на инновации.
2.2.1. Показатели объема и структуры затрат на инновации.
2.2.2. Показатели динамики затрат на инновации.
2.3. Показатели технологического обмена.
2.3.1. Показатели приобретения технологий.
2.3.2. Показатели передачи технологий.
2.4. Показатели результатов инновационной деятельности.
2.4.1. Показатели объема, структуры и динамики производства и реализации инновационной продукции.
2.4.2. Показатели влияния инноваций на результаты деятельности предприятия.
2.4.2.1. Показатели экономии затрат производственных ресурсов в результате внедрения инноваций.
2.4.2.2. Показатели прибыли от реализации инновационной продукции.
2.5. Показатели инновационной активности промышленных предприятий.
3. Статистические показатели, характеризующие влияние науки и инноваций на экономический рост.
3.1. Показатели технологической структуры экономики.
3.2. Показатели экспорта и импорта технологий (баланс платежей за технологии).
3.3. Оценка влияния инноваций на рост производительности труда и занятость.
3.4. Интегрированная оценка вклада научно-технического прогресса в прирост валового внутреннего продукта.
Вышеуказанные группы показателей в своей совокупности обеспечивают комплексную оценку масштабов, состава и динамики научного и инновационного потенциала в их органическом единстве. Для изучения научной и инновационной деятельности в различных аспектах статистика использует также различные классификации и группировки, отражающие многообразие внутренних и внешних взаимосвязей науки и инноваций.
Центральное место среди них принадлежит многомерной классификации научных исследований и разработок по видам (фундаментальные, прикладные исследования, разработки), отраслям и секторам науки.
Отрасли науки дисциплины, в которых осуществляются научные исследования и разработки.
Они характеризуются наличием конкретного предмета исследований и сферы интересов ученых, организационных форм их кооперации, научной периодики и других изданий, системы подготовки кадров соответствующего профиля.
Классификация отраслей науки строится по их предметным, методологическим и функциональным признакам и имеет иерархическую структуру: области науки (первый уровень) отрасли науки (второй уровень) научные специальности (третий уровень). Основой классификации отраслей науки в статистике являются рекомендации ЮНЕСКО*.
* Пособие по статистике в области научно-технической деятельности. Париж: ЮНЕСКО, 1984.
В соответствии с ними в составе общей совокупности научных дисциплин как в отечественной, так и в международной статистической практике выделяются шесть крупных областей науки естественные, технические, медицинские, сельскохозяйственные, общественные, гуманитарные, которые затем детализируются по конкретным отраслям и научным специальностям.
В качестве секторов науки в статистике рассматриваются секторы экономики, объединяющие значительное число организаций, осуществляющих научные исследования и разработки и характеризующихся однородностью своих основных функций и предоставляемых услуг, источников финансирования, правового статуса. Такой подход к группировке научных организаций был рекомендован Организацией экономического сотрудничества и развития (ОЭСР) с целью идентификации тех областей экономики, в которых ведется научная деятельность, и основан на группировке общественных потребностей, удовлетворяемых ею*.
* Измерение научно-технической деятельности. Предлагаемая стандартная практика для обследований исследований и экспериментальных разработок: Руководство Фраска-ти / Перевод и научн.
Статистика бюджета и бюджетной системы
В самом широком смысле финансы это экономические отношения, связанные с формированием, распределением и использованием фондов денежных средств в процессе образования, распределения и перераспределения национального дохода государства. Задачей статистики государственных финансов и бюджетной статистики является выработка методов анализа, адекватных современным экономическим условиям.
Прежде всего необходимо создать современную концепцию формирования финансовой политики руководящих финансовых органов страны.
Финансовая политика это самостоятельная сфера деятельности государственных органов в области финансовых отношений. Она представляет собой совокупность обоснованных мероприятий, осуществляемых государственными органами, направленных на мобилизацию, распределение и использование финансовых ресурсов для выполнения государством его функций.
Основные задачи финансовой политики:
- обеспечение соответствующими финансовыми ресурсами реализации той или иной государственной программы экономического и/или социального развития;
- сохранение и обеспечение дальнейшего развития сложившихся в государстве общественных отношений.
Основные задачи финансовой политики, а также контроль за их исполненим осуществляются в рамках финансовой системы. Финансовая система это формы, методы и источники образования, распределения, перераспределения и использования фондов денежных средств государства и предприятий.
Внутри этой системы выделяются основные звенья, которые группируются в зависимости от характера финансовых отношений субъектов:
- государственный бюджет централизованный фонд денежных средств государства; является главным орудием перераспределения национального дохода;
- местные (региональные) финансы, к которым относятся:
- финансы предприятий (институциональных единиц), принадлежащих муниципалитетам;
- автономные местные фонды;
- местные бюджеты;
В единых (унитарных) государствах местные бюджеты не входят в государственный бюджет; в федеративных государствах (как в Российской Федерации) местные бюджеты не включаются в бюджеты членов Федерации, а последние не входят в государственный федеральный бюджет. За местными бюджетами закреплены второстепенные, или локальные, налоги, чаще поимущественные.
Удельный вес социальных выплат в местных бюджетах, как правило, больше, чем в государственных бюджетах. Местные бюджеты в основном дефицитны и получают недостающие финансовые средства в форме субсидий и кредитов из государственного бюджета, а также путем выпуска местных займов, гарантированных правительственными и/или денежными властями;
- внебюджетные (специальные) фонды, средства которых расходуются на выплату:
- пенсий по возрасту и инвалидности;
- пенсий по случаю потери кормильца;
- пособий по временной нетрудоспособности, беременности и родам;
- пособий по безработице;
- государственный кредит форма кредитных отношений между государством и юридическими и/или физическими лицами, при которых государство выступает главным образом в качестве заемщика средств. В данном случае говорят о наличии государственного внутреннего долга. В РФ политику в отношении государственного внутреннего долга, его утверждение и контроль за его динамикой осуществляет Федеральное Собрание;
- фонды имущественного и личного страхования;
- финансы предприятий различных форм собственности.
Порядок формирования федерального бюджета РФ регламентирует основные параметры бюджетов субъектов Федерации, объем доходов при существующем бюджетном и налоговом законодательствах, определение предельных размеров финансовой помощи.
Существуют следующие формы предоставления финансовой помощи:
- дотация денежные средства, выделяемые из одного бюджета другому на покрытие текущих расходов при недостаточности собственных денежных средств. Эти средства передаются в порядке бюджетного регулирования;
- субвенция средства, Jыделяемые из одного бюджета другому на конкретные целевые расходы. В случае использования не по назначению или неиспользования в установленный срок эти средства подлежат возврату в бюджет, из которого были выданы.
16.2. Бюджетная классификация
Классификация и показатели государственного бюджета зависят от функций органов государственного управления. В соответствии с международной практикой классификация операций органов государственного управления (в зависимости от характера денежных (информационных) потоков) имеет следующий вид.
I. Поступления.
1. Невозвратные, из них:
а) возмездные:
- текущие, к которым относят сборы и платежи, а также поступления от коммерческих продаж;
- капитальные, т.е. продажа капитала или доходы, полученные от операций с капиталом.
К этим операциям в свою очередь относятся:
продажа основного капитала эта категория охватывает реализацию реального основного капитала, включая жилые дома и другие здания, а также прочие сооружения, транспортные средства, машинное и другое оборудование. Исключаются невоспроизводимые материальные активы, такие, как земля, полезные ископаемые, инструменты, запасные части и быстроизнашивающееся оборудование; товары длительного пользования, приобретенные в военных целях, все военные строения, за исключением помещений для семей военнослужащих. Данная категория включает только основные фонды, используемые государственными органами;
продажа государственных запасов товаров и материалов;
продажа нематериальных активов;
капитальные трансферты от государственных источников, к которым относятся поступления добровольных, безвозмездных, невозвратных платежей на капитальные нужды, полученные государственными органами из негосударственных источников. Эти трансферты осуществляются за счет накопленного богатства с большими временными интервалами, а их целью являются финансирование процесса капиталообразования и расходов, которые должны окупиться лишь в долгосрочной перспективе, или приобретения материальных ценностей.
Часто в эту статью включают капитальные трансферты на строительство или покупку больниц, школ, музеев, театров, культурных центров или других государственных капитальных объектов и/или оборудования. Источниками средств могут быть платежи, поступающие от физических лиц, частных некоммерческих учреждений, институциональных единиц как резидентов, так и нерезидентов;
б) безвозмездные, которые могут быть только текущими. К ним относятся налоги, штрафы и конфискации, лицензии и текущие официальные трансферты.
Текущие официальные трансферты предназначены для осуществления текущих расходов либо общего, либо неуказанного характера, включая текущие и капPтальные расходы. В данную позицию включают все официальные трансферты на приобретение военной техники, военных объектов или услуг по их обслуживанию.
2. Возвратные, к которым относятся:
а) текущие, включающие финансовые активы, приобретенные с целью управления ликвидностью (международной ликвидностью страны);
б) капитальные:
- финансовые активы, приобретенные для осуществления государственной политики;
- выплаченные в счет погашения государственных кредитов, выданных в прошлом.
3. Обязательства (заимствования):
а) от внешних источников;
б) от денежно-кредитных властей страны.
II. Платежи.
1. Невозвратные:
а) возмездные:
- текущие, к которым относятся заработная плата рабочих и служащих государственных учреждений, приобретение товаров и услуг, а также полученные проценты;
- капитальные, т.е. затраты на приобретение капитала;.
б) безвозмездные:
- текущие, которые включают текущие трансферты;
- капитальные, к которым относят капитальные трансферты. Данная статья охватывает официальные трансферты, предназначенные для приобретения либо создания новых или существующих товаров длительного пользования со сроком службы свыше одного года, стоимость которых превышает некоторую конкретную минимальную величину и которые должны использоваться для производства продукции невоенного характера. Таким образом, сюда относятся денежные средства, выделенные на строительство дорог, дамб, на ведение ирригационных работ, строительство больниц, школ, стадионов, домов культуры, спортивно-оздоровительных комплексов или других зданий, а также на приобретение прочих капитальных сооружений и оборудования.
2. Возвратные:
а) текущие финансовые активы, приобретенные с целью управления ликвидностью;
б) капитальные финансовые активы, приобретенные для осуществления государственной политики и на валовое кредитование.
3. Обязательства денежные средства, которые используются для погашения как внутреннего, так и внешнего долга.
Необходимо, на наш взгляд, дать некоторые пояснения к используемым в международной статистике понятиям. Платеж или поступление считаются возвратными, если обратный поток имеет форму договорных обязательств с фиксированным сроком погашения.
Если обратный поток с фиксированным сроком погашения отсутствует, платеж или поступление считаются невозвратными (например, сборы и платежи, налоги это поступления; заработная плата рабочих и служащих, текущие трансферты это платеж). В результате возвратной операции возникают финансовые требования либо погашение обязательств.
В статистике государственных финансов считается, что к договорным обязательствам с фиксированным сроком платежа можно отнести также акции.
Невозвратные платежи и поступления являются возмездными, если имеет место обратный поток товаров и услуг. Если же такой поток отсутствует, то невозвратные платежи и поступления считаются безвозмездными.
Возмездные операции предусматривают платежи на условиях компенсации.
Безвозмездная же операция может быть добровольной или обязательной, и здесь не предусматривается получение какого-либо эквивалента.
Среди возвратных финансовых операций основное различие должно проводиться между операциями, связанными с возникновением обязательств органов государственного управления по отношению к другим секторам экономики, и операциями, ведущими к возникновению обязательств других секторов экономики по отношению к государственным органам.
Доходы включают все невозвратные поступления, независимо от того, являются ли они возмездными или безвозмездными, за исключением официальных трансфертов от других органов государственного управления (отечественных или зарубежных) и международных организаций.
Официальные трансферты это безвозмездные, невозвратные, необязательные поступления, имеющие нерегулярный, единовременный, добровольный характер в виде субвенций, дарений, репараций и полученные от других органов государственного управления (резидентов и нерезидентов) или международных организаций. Полученные официальные трансферты по-разному учитываются при определении текущего превышения доходов над расходами, т.е. сбережений органов государственного управления.
При расчете величины собственных сбережений государственных органов без учета средств, поступивших откуда-либо еще, текущие официальные трансферты учитываться не должны.
В то же время если текущие трансферты, предназначенные для конкретных статей расходов, не учитываются при изменении сбережений, то это может привести к недоучету их объема, поскольку использование полученных текущих трансфертов отражается в текущих расходах. Кроме того, измерение объема сбережений органов государственного управления, с учетом полученных текущих официальных трансфертов, целесообразно с точки зрения сопоставимости данного показателя со сбережениями других секторов экономики, в которые эти трансферты включаются.
Собственные сбережения органов государственного управления это превышение текущих доходов этих органов над расходами без учета полученных текущих официальных трансфертов.
16.3. Основные показатели статистики бюджета и бюджетной системы
Доходные и расходные статьи бюджета располагаются в соответствии с бюджетной классификацией конкретного государства.
Доходы бюджета это часть централизованных финансовых ресурсов государства, необходимых для осуществления его функций.
Бюджетные доходы понятие более узкое, чем доходы государства, которые помимо средств бюджета включают денежные средства всех уровней власти, ресурсы внебюджетных фондов, а также доходы всего государственного сектора.
Главным источником доходов бюджета является национальный доход. В случае его недостаточности для покрытия финансовых нужд государство привлекает национальное богатство.
Основные методы привлечения национального дохода в бюджет это специальные налоги и сборы, которые устанавливаются исполнительной, а утверждаются законодательной властью.
В настоящее время разработан проект Федерального закона О составе и структуре бюджетной классификации, который способствует сопоставимости бюджетной классификации Российской Федерации и бюджетной классификации стран с развитой рыночной экономикой. Необходимо отметить, что в последние годы осуществляется жесткая финансовая и денежно-кредитная политика государства.
Заложенные в бюджет параметры характеризуются установлением предельного размера: государственных внешних заимствований РФ; государственных (централизованных) кредитов, предоставляемых РФ иностранным государствам (за исключением стран членов СНГ); кредитов, предоставляемых странам членам СНГ, и то только в том случае, если на 1 января 1998 г. они выполнили свои обязательства по уплате процентных платежей и/или по погашению основной задолженности по ранее полученным ссудам.
I. Налоговые доходы.
- Прямые налоги на прибыль (доходы) предприятий и организаций по ставкам, установленным законодательством РФ, на прирост капитала.
- Налоги, взимаемые в зависимости от размера фонда оплаты труда, в том числе подоходный налог с физических лиц.
- Налог на добавленную стоимость.
- Акцизы.
- Лицензионные и регистрационные сборы.
- Налоги на товары и услуги.
- Налоги на имущество.
- Платежи за пользование природными ресурсами.
- Налоги на внешнюю торговлю и внешнеэкономические операции, в том числе ввозные таможенные пошлины.
- Специальный налог с предприятий, учреждений и организаций для финансовой поддержки важнейших отраслей экономики.
- Прочие налоги, сборы и пошлины.
II. Неналоговые доходы.
1. Доходы от государственной собственности или от деятельности субъектов государственного управления.
2. Доходы от продажи государственного имущества, в том числе от приватизации.
3. Доходы от реализации государственных запасов.
4. Доходы от продажи земли и нематериальных ресурсов.
5. Поступления капитальных трансфертов из негосударственных источников.
6. Административные платежи.
7. Штрафные санкции.
8. Сборы на специальные услуги.
9. Доходы от внешнеэкономической деятельности.
10. Поступления на счета налоговых органов.
11. Прочие неналоговые доходы.
12. Безвозмездные перечисления от:
- нерезидентов;
- других уровней власти;
- государственных внебюджетных фондов;
- государственных предприятий и учреждений;
- целевых бюджетных фондов.
III. Итого доходов (I + II).
IV. Произведение отчисления из доходов в:
- централизованный фонд развития налоговой службы;
- фонд социального развития федеральных органов налоговой полиции;
- государственный фонд по борьбе с преступностью.
V. Всего доходов (III - IV).
Расходы бюджета представляют собой затраты, возникающие в связи с выполнением государством своих функций.
Существуют критерии классификации расходов бюджета по:
- их влиянию на процесс расширенного воспроизводства расходы подразделяются на текущие и капитальные;
- направлению их использования (например, расходы на финансирование экономики, науки, здравоохранения, обороны);
- ведомственному признаку, с помощью которого можно контролировать изменения в структуре расходов, связанных с происходящими в стране реформами системы управления;
- целевому признаку расходы классифицируются по конкретным видам и направлениям затрат, и осуществляется анализ эффективности их использования;
- территориальному признаку, с помощью которого осуществляется сравнительный анализ развития отдельных регионов и областей страны, их потенциала и мер, которые необходимо принять с целью оптимального выравнивания социально-экономических характеристик и синхронного развития всех регионов.
В соответствии с этими критериями классификации и требованиями международной статистики расходы группируются .по следующему принципу.
1. Военные расходы:
а) прямые, в которые входят затраты на: производство новейших наступательных (стратегических) вооружений; содержание и обучение личного состава вооруженных сил страны; научные исследования военного характера; участие в содержании международных военных блоков;
б) косвенные, куда включается: часть процентов, уплачиваемых по государственному долгу; контрибуции и репарации; пенсии и пособия инвалидам войны и семьям погибших; военные расходы, которые проходят по статьям гражданских ведомств.
2. Вмешательство в экономику, что означает целенаправленное воздействие государственного бюджета на процесс воспроизводства и развитие производительных сил. К этой группе относятся затраты на:
- научно-исследовательские и опытно-конструкторские разработки (НИОКР);
- развитие экономической и социальной инфраструктуры;
- поддержку сельского хозяйства и государственных секторов экономики, которые довольно часто являются неэффективными, но необходимыми для экономики страны (например, угледобывающая промышленность);
- обеспечение занятости в отдельных отраслях и/или регионах. Эти средства направляются на осуществление государственных капитальных вложений, а также на субсидии частным фирмам, особенно в так называемых регионах развития. В целях осуществления структурной перестройки экономики отдельным секторам оказывается выборочная помощь в форме государственных субсидий и/или льготных банковских (централизованных) кредитов с гарантией правительства или денежных властей страны;
- стимулирование экспорта.
3. Содержание государственного аппарата управления расходы на содержание органов законодательной и исполнительной власти, судов и прокуратуры, милиции, отдельных министерств и ведомств.
4. Расходы на социальные цели, т.е. на образование, здравоохранение, социальное страхование и социальное обеспечение. Они проходят, как правило, по конкретным социальным программам.
5. Предоставление субсидий и кредитов развивающимся странам. Основные статьи укрупненной классификации расходной части бюджета Российской Федерации имеют следующий вид.
VI. Расходы.
1. Государственное управление, местное управление.
2. Судебная власть.
3. Международная деятельность.
4. Национальная оборона.
5. Правоохранительная деятельность и обеспечение безопасности государства.
6. Фундаментальные исследования и содействие научно-техническому прогрессу.
7. Промышленность, энергетика и строительство.
8. Сельское хозяйство и рыболовство.
9. Охрана окружающей природной среды и природных ресурсов, гидрометеорология, картография и геодезия.
10. Транспорт, дорожное хозяйство, связь и информатика.
11. Развитие рыночной инфраструктуры.
12. Жилищно-коммунальное хозяйство.
13. Предупреждение и ликвидация чрезвычайных ситуаций и последствий стихийных бедствий.
14. Образование.
15. Культура, искусство и кинематография.
16. Средства массовой информации.
17. Здравоохранение и физическая культура.
18. Социальная политика.
19. Обслуживание государственного долга.
20. Пополнение государственных запасов и резервов.
21. Финансовая помощь бюджетам других уровней.
22. Утилизация и ликвидация вооружений, включая выполнение международных договоров.
23. Мобилизационная подготовка экономики.
24. Прочие расходы.
31. Целевые бюджетные фонды.
Итого расходов
Сальдо доходной и расходной частей бюджета.
В случае превышения расходов над доходами дефицит бюджета.
В случае превышения доходов над расходами профицит бюджета.
В статью 24 Прочие расходы входят:
- резервные фонды Президента РФ и Правительства РФ;
- расходы на проведение выборов и референдумов;
- финансовая помощь субъектам РФ и отдельным административно-территориальным образованиям;
- государственная поддержка завоза товарно-материальных ценностей в районы Крайнего Севера и приравненные к ним территории;
- прочие расходы.
Итог финансовой деятельности государства выражается в соотношении доходной и расходной частей бюджета. В настоящее время даже бюджеты стран с развитой рыночной экономикой являются дефицитными.
Принято считать, что если уровень бюджетного дефицита (его соотношение к ВВП) не превышает 3%, то бюджет нормален. В таком случае важным фактором оказывается наличие источников покрытия дефицита.
Довольно часто основным источником покрытия становится эмиссия денежных средств денежными властями; косвенным источником служит заимствование денежных средств от денежных властей.
В настоящее время в официальных изданиях денежных властей анализируются в основном следующие виды финансирования государственного бюджета:
- из внутренних источников, к которым относятся кредиты Банка России, государственные краткосрочные обязательства (ГКО и ОФЗ), облигации государственного сберегательного займа (ОГСЗ), изменение остатков средств на счетах в банках и прочих кредитных организациях (в рублях) и казначейские обязательства;
- из внешних источников, основными из которых являются кредиты международных финансовых организаций, правительств иностранных государств, иностранных коммерческих банков и фирм, изменение остатков бюджета на счетах в банках в иностранной валюте.
О масштабах перераспределительных процессов, происходящих при участии государства, свидетельствует отношение доходной части государственного бюджета к ВВП. Поскольку бюджетные отношения имеют как вертикальный, так и горизонтальный характер (межотраслевой и межтерриториальный), то они характеризуются многообразием и наличием определенных взаимосвязей между бюджетами разных уровней.
Статистические данные, отражающие структуру государственного бюджета, выполняют и контрольную функцию. С помощью последней определяется размер количественных поступлений в доходную часть от институциональных единиц, относящихся к разным секторам экономики и имеющих разные формы собственности.
Анализ исполнения государственного бюджета осуществляется путем исчисления ряда относительных величин выполнения плана по доходам и расходам в целом, а также в разрезе их видов и направлений целевого использования. С помощью социально-статистического анализа изменяют степень влияния факторов, обусловивших отклонения от плана.
Например, исходными для определения размера налоговых доходов могут быть два фактора: изменение налоговой базы и изменение налоговой ставки.
Влияние первого фактора размера налоговой базы (Hб) на абсолютный прирост величины налога рассчитывается по формуле
Прирост Hб = (Б1 Б0) х Со, (16.1)
Абсолютный прирост величины налога, обусловленный вторым фактором изменением налоговой ставки (Hс), рассчитывается по формуле
Прирост Нс = (С1 С0) х Б1, (16.2)
где Прирост Hб и Нс абсолютный прирост величины налога, обусловленный соответственно изменением налоговой базы и налоговой ставки;
Б1 и Б0 размер налоговой базы в отчетном и базисном периодах;
С1 и С0 уровень налоговой ставки в отчетном и базисном периодах.
Алгебраическая сумма прироста налогов за счет этих двух факторов отражает общий прирост (снижение) суммы налоговых доходов по конкретному виду налогов.
На базе анализа показателей статистики государственных финансов можно охарактеризовать экономическую деятельность любого сектора экономики или государственного сектора управления. К числу таких показателей относятся:
- доля расходов государственного сектора управления, которая исчисляется как отношение общего объема (размера) госбюджета к ВВП;
- удельный вес налоговых поступлений в ВВП;
- структурные соотношения функциональных долей в общем размере расходов.
Выявление зависимостей между темпами экономического роста и такими показателями, как отношение величины дефицита государственного бюджета к величине ВВП, не позволяет однозначно утверждать, что существует четко выявленная прямая или обратная связь. Например, величина расходов на государственное управление достаточно инерционна.
В период экономического спада может заметно увеличиться доля расходов на содержание государственного аппарата в общем объеме ВВП.
Статистика цен и тарифов на современном этапе
Статистика цен входит составной частью в социально-экономическую статистику, она изучает всю систему цен, действующую в сфере экономических отношений.
Цена является важнейшим стоимостным измерителем.
Цену как объект изучения статистики цен следует рассматривать с позиций макро- и микроэкономики.
С позиций макроэкономики на цену воздействуют отраслевые пропорции, системы распределения национального дохода, налогообложения и кредитования, порядок формирования затрат и т.д. С микроэкономических позиций цена рассматривается как механизм, функционирующий на уровне конкретного предприятия, фирмы, с помощью которого можно обеспечить прибыль.
Цены формируются как в процессе производства, так и в процессе обмена товаров. Значение цен в экономическом механизме велико.
Коренные изменения в экономике России и ее государственном устройстве, связанные с переходом на рыночные основы хозяйствования, привели к радикальной ломке прежнего механизма управления, в том числе и в ценообразовании. В условиях плановой экономики цены устанавливались централизованно.
Система цен строилась по цепочке, последовательно переходя от продукции добывающих и сырьевых отраслей к продукции передельного цикла и товарам народного потребления. Пересмотры системы цен проводились один раз в пятьдесять лет, в период между ними соблюдался принцип обеспечения стабильности цен.
С переходом на рыночные основы хозяйствования доминирующее положение заняли свободные цены.
В рыночной экономике цена широко реализует свою балансирующую функцию. Она заключается в том, что с помощью цен достигается баланс между производством и потреблением, предложением и спросом.
Цена должна заинтересовывать производителя в повышении качества и расширении ассортимента товаров с учетом спроса.
Сущность цены проявляется не только в се балансирующей функции. Государством широко используется распределительная функция цены, которая предполагает возможность распределения и перераспределения произведенной стоимости между отдельными отраслями и секторами экономики, между различными регионами, отдельными социальными группами населения и т.д.
Именно через эту функцию цены государство в значительной мере решает социальные проблемы общества.
Цена выполняет также критериальную функцию, поскольку является соизмерителем, с одной стороны, затрат, с другой результатов труда. Соотношение между результатом и затратами характеризует эффективность затрат.
Не рассматривая подробно все функции цены в рыночном механизме хозяйствования, отметим лишь то, что они действуют не изолированно, а в сложном взаимодействии и взаимосвязи. В тесной взаимосвязи действуют в сфере экономических отношений и различные виды цен, составляющие единую систему цен, которые можно классифицировать.
Так, например, с учетом сферы товарного обращения выделяются оптовые (закупочные), цены производителей, розничные цены.
Кроме того, цены можно классифицировать в зависимости от отраслевого признака, от назначения товаров и услуг, от уровня регулирования цен и т.д.
Статистика изучает всю систему цен. Общеэкономические условия и роль цен в условиях становления рыночного хозяйственного механизма предопределили роль статистики в общей информационной системе.
Для получения объективной информации о ценовых процессах потребовалось решить две проблемы:
- разработать принципиально новую систему сбора информации о ценах;
- совершенствовать систему показателей и методологию их расчета с учетом адаптации к международным стандартам.
Система показателей статистики цен представляет собой совокупность взаимосвязанных и взаимодополняющих показателей, характеризующих различные стороны формирования и движения цен. Она должна быть достаточно устойчива, но в период становления рыночных отношений необходимы ее динамичность и непрерывное совершенствование. В этот период расширяется предложение, действует большое количество цен, что затрудняет получение информации о ценах на конкретные виды товаров, поэтому в системе показателей особое место занимают индексы цен, которые отражают изменение цен по обобщенным потокам товаров и услуг.
В связи с этим в системе показателей особое место занимают индексы цен на товары и услуги.
В анализе движения цен наряду с индексами используются и динамические ряды средних Цен, позволяющие изучить соотношения цен на разные виды товаров. Важную роль в анализе ценовой информации играют пространственные ряды цен, на основании которых проводятся межрегиональные сопоставления уровней цен на одни и те же группы товаров, сопоставление уровней цен по различным каналам реализации товаров и т.д.
При статистическом изучении требуются разработка и анализ структуры цен определенных товаров. Они позволяют выявить сложившиеся условия производства и обращения, связи между производителями по технологической цепочке, распределительные отношения, реализуемые через цены в условиях свободного ценообразования.
Система показателей статистики цен используется не только для изучения ценовых процессов, но и при расчетах большинства стоимостных показателей отраслевого и макроэкономического уровней.
При построении системы показателей статистики цен предусматривается и определенная ее согласованность с показателями других направлений статистики (например, статистики промышленности, сельского хозяйства, капитального строительства, транспорта, торговли) и статистики, изучающей функциональные аспекты (например, потребление, уровень жизни, финансы). Проблемы разработки системы показателей, методологии сбора, обработки и анализа ценовой информации довольно сложны, и одним из перспективных направлений их решения является подготовка методической концепции статистики цен с учетом дифференциации экономических показателей в системе национальных счетов (СНС).
Задачи статистики цен на современном этапе можно сгруппировать исходя из следующих целей:
- изучение конъюнктуры рынка;
- выявление средней динамики цен (тарифов) на произведенные продукцию и услуги предприятиями всех секторов экономики;
- выявление средней динамики цен (тарифов), сложившейся на потребительском рынке;
- определение стоимости социального набора и набора основных продуктов питания;
- элиминирование стоимостных макропоказателей от изменения цен (дефляция), например, ВВП и показателей СНС;
- определение паритета покупательной способности валют для международных сопоставлений национального продукта.
23.2. Теоретические основы и общеметодологические принципы статистики цен
В ходе реформирования отечественной государственной статистики изменилась система сбора ценовой информации. До 1989 г. основным источником статистической информации о ценах была отчетность предприятий, поступающая в органы государственной статистики, по отдельным вопросам: себестоимость, рентабельность и т.д.
В условиях сравнительно стабильных цен и мало меняющегося ассортимента товаров такой метод сбора информации в известной мере был оправдан.
Динамика цен и тарифов практически отслеживалась в связи с периодически проводимыми пересмотрами цен. Между пересмотрами цен индексы динамики цен, как правило, были близки к 100%, поскольку применяемая методология их расчета не позволяла учесть скрытое изменение цен в связи со сменяемостью производства и потребления товаров.
С первого полугодия 1989 г. в практике отечественной статистики стал использоваться метод несплошного наблюдения за изменением цен по товарам-представителям. Вначале этот метод был внедрен при изучении динамики цен производителей продукции промышленности и потребительских цен, а затем и в других отраслях экономики.
При формировании совокупности товаров-представителей осуществляются:
- отбор базовых предприятий;
- отбор товаров-представителей (конкретных видов), репрезентирующих все товары генеральной совокупности;
- выборка моментов наблюдения (регистрации) цен и тарифов.
Следует отметить, что при формировании совокупности товаров-представителей метод выборки наиболее типичных товаров, товаров, пользующихся массовым спросом, сочетается с выборкой периодически повторяющихся моментов (периодов) наблюдения за ценами. Такой подход к формированию совокупности товаров в теории выборочного метода рассматривается как выборка из последовательностей или, иначе, как модифицированный метод основного массива.
Общеметодологический подход к наблюдению за ценами заключается в том, чтобы регистрировать цены на одни и те же изделия, одинакового качества, на одних и тех же предприятиях на регулярной основе.
Цены, которые регистрируются, являются, как правило, ценами предложения. Теоретически сбор данных должен включать в себя получение информации о ценах сделок, совершаемых в рамках различных стадий движения продукта.
Однако представляется практически невозможным осуществление прямого наблюдения за сделками, и поэтому производится наблюдение за ценами предложения.
Для максимального приближения их к ценам сделок учитываются все характеристики сделок, влияющие на цену (точное определение продукции, условия продажи, тип покупателя и др.). Чаще используются характеристики сделок при наблюдении цен производителей.
При наблюдении потребительских цен задача четкой классификации каждой сделки и обеспечения сопоставимости регистрируемых сделок во времени существенно осложняется.
Подходы к сбору ценовой информации различаются как для отдельных товаров, так и по регулярности получения данных (по состоянию на определенную дату месяца, в конкретный период внутри месяца, в течение всего месяца). По товарам, цены на которые меняются значительно и часто, например по овощам и фруктам, цены почти всегда регистрируются каждые 710 дней.
По товарам длительного пользования, цены на которые меняются реже, их отслеживание может осуществляться раз в квартал. По товарам с фиксированным и одинаковым для всех покупателей уровнем цен или тарифов (например, коммунально-бытовые услуги, услуги связи) цены регистрируются централизованно.
Общим правилом является необходимость регистрации цен на данный товар в один и тот же момент (день) каждого месяца, с тем чтобы интервал наблюдения за изменением цен был постоянным.
Особые статистические проблемы при регистрации цен возникают, когда отобранные товары-представители с течением времени оказываются нетипичными или вообще исчезают из продажи.
Обеспечение репрезентативности данных статистики цен требует решения многих методологических вопросов, связанных как с организацией наблюдения за системой цен, так и с исчислением системы обобщающих показателей, среди которых одно из приоритетных мест занимают индексы цен.
23.3. Система индексов цен
Индекс цен исторически является одним из первых экономических индексов. Практически задачи индекса цен в основном сводятся к оценке изменений цен во времени (индексы динамики) или в пространстве (территориальные индексы).
Построение системы индексов цен базируется на общеметодологических принципах, согласно которым в ней выделяются индивидуальные, сводные индексы и индексы средних цен (тарифов).
Индивидуальный индекс динамики определяется как отношение цены конкретного i-го товара текущего периода (t) к цене предыдущего периода (t - 1), т.е. (23.1)

или к цене одного из периодов динамического ряда, принятого за базу сравнения (0), т.е. (23.2)

Для индивидуальных индексов цен не представляет труда переход от цепных к базисным индексам (свойство круговой сходимости индексов). Обозначим последовательные периоды ряда динамики цен от 0 до п, т.е. t = 0, 1, 2, 3, ..., п.
Исходя из свойства круговой сходимости индексов величину базисного индекса цен можно определить как произведение цепных, т.е. (23.3)

Индивидуальные индексы цен позволяют решать многие практические задачи, но основной задачей является изучение динамики цен разнородной совокупности товаров и услуг. Эта задача решается с помощью сводных индексов, характеризующих среднее изменение цен изучаемой совокупности товаров и услуг.
Сводный (общий) индекс цен относится к числу классических показателей, разработкой которого исследователи занимаются с XVII в.
Наиболее широкое применение в статистической практике получили агрегатные формулы сводных индексов цен, разработанные в середине XVIII в. немецкими учеными Э. Ласпейресом и Г. Пааше.
Индекс Ласпейреса: (23.4)

Индекс Пааше: (23.5)
Числитель и знаменатель в приведенных индексах состоят из агрегатов, включающих индексируемую величину р и вес q. Различие между индексами Ласпейреса и Пааше заключается в выборе периодов весов. В индексе Ласпейреса берутся веса базисного или предшествующего периода, а в индексе Пааше текущего периода.
При использовании в индексе Ласпейреса весов одного и того же базисного периода в течение длительного времени получают систему сводных индексов цен с постоянными весами, что позволяет учитывать свойство круговой сходимости индексов (см. табл. 23.1).
В статистической практике при расчете сводных индексов цен широко применяются различные модификации агрегатных формул, в частности в виде формул среднеарифметических и среднегармонических с использованием индивидуальных индексов (ip).
Индекс Пааше (средняя гармоническая формула): (23.6)

Индекс Ласпейреса (средняя арифметическая формула): (23.7)

Выражение сводного индекса через индивидуальные (ip) позволяет наглядно представить как динамику цен по отдельным товарам, так и их роль в формировании сводного индекса.
Необходимо отметить, что в индексе Пааше используются переменные веса, поэтому свойством транзитивности, или круговой сходимости, этот индекс не обладает. В индексе Ласпейреса могут применяться как переменные, так и постоянные веса. В статистической практике при исчислении цепных и базисных индексов цен широко используется средняя арифметическая формула Ласпейреса с постоянными весами (23.8, 23.9).
При этом применяется рекурсивный принцип построения модифицированной формулы Ласпейреса.
Пример расчета приведен в табл. 23.1.
Таблица 23.1
Динамика цен по двум товарам-представителям одной из групп продукции дробильно-размольного оборудования
Цепные индексы: (23.8)
Базисные индексы (23.9)

В формулах (23.8), (23.9) подстрочные индексы означают периоды: t текущий, t - 1 предшествующий, 0 базисный.
Поясним расчет сводных индексов цен.
Цепные индексы цен:
январь к декабрю предыдущего года:

февраль к январю:
Iр2/1 = 2,0;

март к февралю:

Базисные индексы цен:
январь к декабрю предыдущего года:

февраль к декабрю:

или

март к декабрю:

или

или

Определяются также изменения индекса цен каждого периода текущего года по сравнению с. соответствующим периодом предыдущего года: (23.10)

где t номер месяца или квартала;
k номер текущего (сравниваемого) года;
k - 1 номер предшествующего года.
Такие индексы позволяют при изучении динамики цен абстрагироваться от периодических их колебаний, вызванных сезонным фактором, так как одноименным месяцам, кварталам соответствуют одинаковые фазы цикла, в таких индексах отражается среднегодовая динамика цен.
Индексы цен динамики исчисляются не только для изучения складывающихся тенденций в изменении цен, но и для использования в качестве дефляторов при пересчете стоимостных объемов продукции из действующих цен в постоянные (неизменные). Индексы цен входят во взаимосвgзанную систему: индексы стоимости, цен и физического объема.
Это соотношение называется свойством обратимости факторов и позволяет выяснить, в какой мере изменение объемов продукции обусловливается изменением цен, а в какой изменением физического объема.
Между индивидуальными индексами стоимости (ipq), цены (ip) и физического объема (iq) всегда справедливо соотношение: (23.11)

Для сводных индексов в теории статистики разработана следующая двухфакторная модель: (23.12)

В развернутом виде это соотношение следующее:

При широком использовании в экономической практике индивидуальных и сводных индексов цен определенный интерес представляет исчисление индекса динамики средних цен. Средние цены, а следовательно, и индекс средних цен определяются по достаточно однородным группам товаров и при условии, что все товары, входящие в группу, измеряются одинаковыми количественными единицами (тоннами, литрами и т.д.).
Средние цены определяются путем деления стоимости ( piqi) на общее количество изучаемых единиц в группе ( qi).
Индекс средних цен переменного состава будет равен (23.13)

В этом индексе отражается влияние двух факторов ценового и структурного, и в теории статистики он рассматривается как индекс Переменного состава.
Для измерения влияния указанных факторов на динамику средних цен исчисляют следующую систему индексов.
Индекс цен постоянного состава, отражающих влияние ценового фактора: (23.14)

или (23.15)

Как видим, формулы (23.14) и (23.15) совпадают со сводными индексами Пааше и Ласпейреса и отражают среднее изменение цен по группе товаров.
Индекс влияния структурных сдвигов весов (Ipd) внутри группы товаров определяется с помощью взаимосвязи индексов: Ipd = Ip -

либо по следующим формулам: (23.16), (23.17)

Индексы средних цен (тарифов) правомерно исчислять не только по достаточно однородным группам товаров (услуг), но и по одному виду товаров, произведенному или реализованному по совокупности территориальных единиц (районов, области и т.д.) или в разрезе временных периодов (месяцев, кварталов и т.д.).
Средние цены и индексы средних цен, исчисленные по отдельным товарным группам, можно агрегировать в более укрупненные группы и в целом по изучаемой совокупности, используя те же формулы сводных индексов цен, что и при агрегировании цен конкретных товаров, но в этом случае сводный индекс будет характеризовать среднее изменение средних цен, что важно иметь в виду при интерпретации и использовании таких индексов.
23.4. Статистическое изучение динамики цн и тарифов предприятий
Статистическое изучение динамики цен и тарифов предприятий промышленности, сельского хозяйства, строительства и грузового транспорта проводится с использованием информации, либо получаемой в порядке специально организованного статистического наблюдения, либо содержащейся в различных формах отчетности.
В промышленности организовано статистическое наблюдение за ценами на готовую продукцию. Цены на готовую продукцию (цены производителей) регистрируются по отдельным товарам-представителям, отбор которых проводится поэтапно:
- централизованно на федеральном уровне формируется перечень наиболее представительных товаров для каждой отрасли промышленности и определяются базовые предприятия, производящие эти товары;
- на региональном уровне статистические органы совместно со специалистами базовых предприятий формируют набор конкретных видов товаров для регистрации цен производства.
Регистрация цен производится ежемесячно в один из согласованных с предприятиями дней, примерно с 17-го по 27-е число каждого месяца. При этом заполняется специальный бланк, где приводятся данные о ценах за текущий и предыдущий месяцы.
Регистрации подлежат фактические цены на продукцию, произведенную и отгружаемую в текущем месяце на внутрироссийском рынке, не включающие косвенные налоги, оплачиваемые покупателем сверх цены производителя, в частности налог на добавленную стоимость (НДС), акцизный сбор и другие спецналоги, здесь также не учитываются транспортные расходы по доставке продукции от станции отправления до потребителя.
Для обеспечения сопоставимости в динамике регистрируемых цен рекомендуется соблюдать условия постоянства не только видов продукции, но и потребителей и условий продажи.
В практике регистрации цен нередко складывается ситуация, затрудняющая соблюдение этих условий, поэтому используются различные статистические методы, обеспечивающие сопоставимость регистрируемых цен: регистрация цен старого и нового товара одновременно в двух смежных месяцах, плавный переход с регистрации цен одного вида товара на другой и т.д.
Обеспечение сопоставимости регистрируемых цен одно из основных условий достоверности исчисляемых индексов.
Индексы цен, рассчитанные по отдельным товарам-представителям, распространяются на продукцию соответствующей отрасли (подотрасли) поэтапно, в зависимости от уровней агрегации товаров в отрасли.
Порядок расчета сводного индекса цен рассмотрим на примере одной отрасли (табл. 23.2).
Таблица 23.2
Средние индексы цен по отрасли исчислены в такой последовательности.
Во-первых, определены сводные индексы цен по товарной позиции оборудование дробилно-размольное:
Цепные
Базисный

Во-вторых, исчислены сводные индексы цен по всей совокупности обследованного оборудования:

Величины рассчитанных индексов распространяются на весь объем продукции отрасли (подотрасли).
Следующим этапом является расчет сводного индекса цен в целом по промышленности по формуле (23.18)

где ipj индексы цен по отдельным отраслям промышленности;
р0 q0 товарный выпуск продукции в базисном периоде;
N количество отраслей (подотраслей) промышленности.
Динамика цен производителей изучается также за любой период текущего года по отношению к соответствующему периоду предыдущих лет.
Капитальное строительство является специфической отраслью, где инвестиционный процесс занимает длительное время: от начала проектирования объекта до ввода его в эксплуатацию проходит более года, реализация строительной продукции происходит, как правило, не сразу, а частями, по завершении отдельных этапов работ. В связи с этим индексы в строительстве определяются не на законченную строительную продукцию, а на приобретенные строительные материалы, на освоенный в текущем периоде объем строительно-монтажных работ (СМР), на машины и оборудование инвестиционного назначения, на прочие капитальные работы и затраты.
Методы исчисления индексов цен на отдельные элементы технологической структуры различны.
Индекс цен на строительно-монтажные работы (Ipстр) исчисляется с использованием централизованно разрабатываемых унифицированных технологических моделей конечной строительной продукции и ее составных частей, в которых выделяются ресурсный и стоимостной блоки. В технологической модели выделяются: прямые затраты, накладные расходы, плановые накопления, средства на оплату труда, отчисления на амортизацию основных фондов, отчисления на социальные нужды, прочие затраты.
Прямые затраты включают стоимость материалов основной номенклатуры, прочие материалы и затраты на эксплуатацию машин и оборудования. Стоимость материалов основной номенклатуры определяется на основе оценки их объемов в натуральном выражении на цену единицы ресурса, которая берется по данным регистрации цен в отобранных базовых подрядных организациях в каждом регионе России.
При отборе базовых подрядных организаций учитываются различные формы собственности, необходимость охвата всей совокупности работ при возведении объектов, достаточная представительность применяемых материалов при производстве строительно-монтажных работ.
Краткая схема расчета индекса цен на строительно-монтажные работы приведена в табл. 23.3.
Технологические модели составляются по 28 отраслям и по экономике в целом. Расчеты индексов СМР производятся в отраслевом и региональном разрезах.
Индексы цен на машины и оборудование инвестиционного назначения (IрОБ ) исчисляются поэтапно:
- рассчитывается индекс цен производителей по 23 основным группам оборудования (оборудование энергетическое, электротехническое и т.д.);
- для каждой отрасли, использующей машины и оборудование инвестиционного назначения, определяется сводный индекс путем агрегирования индексов отдельных групп оборудования, приобретаемого отраслью: (23.19)

где IpОБj сводный индекс цен на машины и оборудование для j-й отрасли;
IpОБi индекс цен производителей оборудования по i-й группе;
di доля i-й группы оборудования в общей стоимости приобретенного j-й отраслью машин и оборудования.
Таблица 23.3
Ресурсно-технологическая модель на строительно-монтажные работы
(данные условные)

Отраслевые индексы агрегируются по аналогичной формуле в сводные индексы цен на машины и оборудование по регионам, по экономике в целом.
Затем исчисленные IpОБj корректируются с учетом изменений за рассматриваемый период тарифов на грузовые перевозки, снабженческо-сбытовых расходов и НДС.
Статистика денежного обращения
Социально-экономическая сущность статистики денежного обращения отражает общественно-производственные отношения физических и юридических лиц субъектов экономики в процессе материального производства и обращения.
Статистическое изучение сферы денежного обращения связано с анализом функционального, экономического и формального содержания денежных потоков. В соответствии с первым критерием анализ осуществляется в зависимости от функции денег. В экономике деньги выступают в роли:
- стоимостного измерителя, что определяет статистическое изучение натуральных показателей и их трансформации в стоимостные
- меры обращения, где статистическому анализу подвергается процесс производства товаров и услуг, их реализации, т.е. показатели, связанные со спецификой и скорстью обращения денежных потоков;
- платежных средств. В данном случае задачи статистики связаны с отношениями государства, предприятий и организаций с бюджетом и населением, между конкретными группами населения, платежными отношениями между юридическими лицами, с созданием и использованием внебюджетных фондов, движением кредитных ресурсов и обязательств и т.д.;
- средств накопления и сбережения. В этом направлении основной задачей статистики является анализ в статике и динамике таких показателей, как золотовалютные резервы страны (в том числе денежных властей), размер квоты и резервная позиция в Международном валютном фонде, СДР, прочие активы и пассивы денежных властей, иностранные активы и пассивы кредитных учреждений в конвертируемой и неконвертируемой валюте, а также накопления и сбережения населения;
- средств международных расчетов.
Форма расчетов может быть наличной или безналичной.
Налично-денежное обращение это движение наличных денег в сфере обращения и выполнение ими функций средства платежа и средства обращения. Наличные деньги используются для кругооборота товаров и услуг, расчетов по выплате заработной платы, премий, пособий, пенсий, выплаты страховых возмещений (если в договорах не указано иное), при оплате ценных бумаг и выплате дохода по ним, при платежах населения за коммунальные услуги и т.д. Объем налично-денежного оборота определяется движением налично-денежной массы за определенный период между физическими и юридическими лицами.
Расчеты осуществляются с помощью различных видов денег (банкноты, монеты и другие кредитные инструменты, такие, как векселя, чеки, кредитные карточки).
В форме наличных денежных потоков деньги (наряду со всеми остальными функциями) являются носителями информации о потребности и степени удовлетворения во всех видах ресурсов. В соответствии с международной классификацией ресурсы делятся на четыре группы: трудовые; основные средства (реальный основной капитал); оборотные материальные средства; финансовые ресурсы.
Безналичное обращение это движение стоимости без участия наличных денег: перечисление денежных средств по счетам кредитных учреждений; зачет взаимных требований и др. Размер безналичного оборота зависит от объема товаров в обращении, уровня инфляции в статике и динамике, качества распределительных и перераспределительных отношений между экономическими субъектами страны, осуществляемых через финансовую систему.
В Российской Федерации формы безналичных расчетов определяются Банком России. В зависимости от экономического содержания различают два вида безналичного обращения: по товарным операциям и по финансовым обязательствам.
В процессе статистического анализа безналичных денежных потоков осуществляется оценка эффективности их распределения и использования. Необходимо помнить, что в процессе денежного оборота постоянно происходит преобразование наличных денежных потоков в безналичные, и наоборот.
Таким образом, наличное и безналичное денежное обращение страны образует общий денежный оборот государства, в котором участвуют единые деньги одного наименования и унифицированной нарицательной стоимости.
Эмиссию наличных денег осуществляет Центральный банк РФ. Он выпускает и изымает наличные деньги из обращения в случае их ветхости или производит замену старых купюр на новые (по номиналу).
Для кассового обслуживания кредитных учреждений и других юридических лиц на территории России созданы расчетно-кассовые центры (РКЦ) при главных территориальных учреждениях (национальных банках) Банка России. Эти центры формируют оборотную кассу по приему и выдаче наличных денег, а также контролируют резервные фонды.
Резервный фонд это запасы не выпущенных в оборот банкнот и монет. Резервный фонд создается и поддерживается на определенном уровне по распоряжению ЦБ РФ.
Объективная потребность в резервных фондах определяется необходимостью: удовлетворения нужд экономики в наличных деньгах в каждом конкретном случае; обновления денежной массы в связи с ветхостью купюр; поддержания оптимального купюрного состава денежной массы по отдельным регионам и в целом по стране; сокращения расходов на перевозку и хранение денежных знаков.
Статистика денежного обращения связана с денежно-кредитной политикой, при помощи которой правительство и денежные власти государства посредством изменения денежной массы оказывают влияние на макроэкономические индикаторы. Любую теорию, занимающуюся вопросами воздействия количества денег на ситуацию в экономической системе, называют теорией денег.
20.2. Основные показатели статистики денежного обращения
Статистический анализ денежного обращения начинается с анализа различных теорий денежного обращения. Рассмотрим некоторые из них.
Количественная теория денег это экономическая доктрина, объясняющая взаимосвязь между уровнем цен на товары (услуги) и стоимостью денег, т.е. между уровнем инфляции и количеством денежных знаков в обращении.
Шотландский философ, историк и экономист Дэвид Юм (17111776) сформулировал этот закон следующим образом: уровень цен в стране зависит только от количества денег в обращении. Когда множество товаров сталкивается с массой денег, первоначально в экономике не происходит никаких видимых изменений, но по истечении определенного времени начинается рост цен, сначала на один товар (услугу), затем на группу товаров, пока в конце концов цены на все товары не возрастут в такой же пропорции, что и количество денег в обращении. Основой количественной теории денег является классическое уравнение обмена:
M V=P Y, (20.1)
где М количество денег в обращении;
V скорость обращения денег;
Р уровень цен, уровень инфляции;
Y уровень реального объема производства.
Необходимо рассмотреть методы формирования и анализа показателя скорость денежного оборота, т.е. интенсивности движения денежной массы при выполнении функций обращения и платежа. Для этой цели используют косвенные методы расчета:
- отношение величины валового национального продукта (ВНП) или национального дохода (НД) к величине денежной массы (агрегат M1 или М2). Это отношение свидетельствует о связи между денежным обращением и процессами экономического развития;
- отношение суммы денег на банковских счетах к среднегодовой величине денежной массы в обращении. С помощью этого отношения анализируют скорость безналичного денежного оборота в стране.
Вариантом классического уравнения, выражающего взаимосвязь между количеством денег в обращении и уровнем инфляции, является уравнение
P Y = M V + D V/, (20.2)
где DV/ скорость обращения депозитов.
На базе основных постулатов количественной теории денег сформулирован так называемый закон денежного обращения, в соответствии с которым количество денег в статике и динамике определяется по формуле (20.3)

где М количество денежных знаков (единиц), необходимых в данный момент для обеспечения нормального функционирования экономики;
R величина цен товаров и услуг, подлежащих реализации в данный момент;
V скорость обращения денежных единиц (количество оборотов в определенный период, как правило, в течение года).
Данное уравнение и его модификации устанавливают взаимосвязь между произведением количества денег и скорости их обращения и произведением уровня цен на товарную массу. В ситуации, когда экономика находится в сравнительно стабильном состоянии, это равенство соблюдается, при возникновении кризисных явлений оно нарушается.
Если первая часть уравнения больше второй, мы говорим о наличии инфляции. Иными словами, в экономике существует избыточное количество денег, что приводит к росту цен, перераспределению денежных и материальных ресурсов в лоббируемых (но не более эффективных) отраслях, секторах или на отдельных предприятиях, к сокращению реальной заработной платы и других доходов физических лиц.
Факторов, вызывающих инфляцию, множество, но основными являются:
- выпуск излишней денежной массы в обращение;
- снижение объемов производства и диспропорции в развитии отдельных отраслей и секторов экономики;
- диспропорции между спросом и предложением товаров и услуг (в том числе и банковских);
- наличие бюджетного дефицита и т.д.
Инфляция может быть скрытой или очевидной, ползучей или галопирующей, бывает также гиперинфляция.
С первой половины XX в. количественная теория денег разделилась на два направления:
- трансакционный вариант И. Фишера (18671947), который первым разработал ряд экономико-статистических моделей, отражающих взаимосвязь основных макроэкономических показателей и элементов денежного обращения;
- монетаризм М. Фридмена.
После великого кризиса 19291933 гг. количественная теория денег утратила свою актуальность, поскольку начали широко использоваться элементы теории денег, которая была сформулирована английским экономистом Джон М. Кейнсом (18831946) в работах Общая теория занятости, процента и денег (1936) и Трактат о деньгах (1939). Основные постулаты этой теории могут быть сформулированы следующим образом:
- нарушение координации между рынками, даже если они характеризуются собственной внутренней эффективностью и ликвидностью, отражается на уровне инфляции и безработицы;
- уровень занятости трудоспособного населения зависит от объема производства конкретных товаров, который, в свою очередь, зависит от спроса на них и воли предпринимателей;
- общий спрос не обязательно соответствует объему платежных средств (предложению). Но, в свою очередь, величина спроса на деньги растет с падением нормы ссудного процента (кредитной процентной ставки).
Кейнс рекомендовал противодействовать кризисному падению производства с помощью инфляционной политики, заключающейся в эмиссии дополнительных платежных средств для понижения нормы процентной ставки и стимулирования капитальных вложений или инвестиций. Он назвал свою теорию спроса на деньги теорией предпочтения ликвидности.
Монетаризм Фридмана сформулирован в его трудах Инфляция: причины и следствия (1963), Оптимальное количество денег и другие очерки (1969), Деньги и экономическое развитие и некоторые другие. Основные положения монетаристской теории могут быть сформулированы следующим образом:
- функция спроса на деньги является более стабильной и лучше определена статистически, чем многие составляющие совокупности спроса;
- деньги являются товаром, замещающим множество других товаров. Из этого следует вывод, что денежно-кредитная политика оказывает прямое воздействие на совокупный спрос, в отличие от кейнсианской теории, в соответствии с которой денежно-кредитная политика оказывает прямое воздействие только на динамику финансовых активов;
- существует жесткая положительная зависимость между величиной и скоростью изменения номинальной денежной массы и уровнем цен и хозяйственной конъюнктурой в целом;
- изменение номинальной денежной массы в стране оказывает влияние на уровень производства реального сектора и уровень безработицы, а следовательно, и на величину валового национального продукта;
- в отличие от кейнсианской теории, согласно которой проблема платежного баланса является проблемой только товарных рынков, монетаризм считает, что эта проблема связана с динамикой валютных резервов, респективно с денежным обращением.
Далее рассмотрим основные блоки статистики денежного обращения в соответствии с международными стандартами и международной практикой анализа.
Блок денежного обзора является результатом консолидации группировок статей балансов Банка России и Министерства финансов РФ и сводных балансов коммерческих банков и включает как рублевые, так и валютные счета. Он характеризует денежную массу и влияние на ее параметры изменений чистых иностранных активов и внутреннего кредита.
Внутренний кредит представляет собой сумму всех требований банковской системы к органам государственного управления, государственным предприятиям и частному сектору, включая население. Иными словами, внутренний кредит представляет собой все обязательства как по кредитным договорам, так и по другим долговым обязательствам органов государственного управления, государственных и частных предприятий, населения перед коммерческими банками и Центробанком.
В последнее время произошли изменения в структуре кредиторов и заемщиков в сторону усиления влияния государства: агрегат Деньги включает в себя Деньги вне банков и депозиты до востребования, т.е. представляет собой все денежные средства в экономике страны, которые могут быть использованы как средство платежа. Неофициальное название этого агрегата Узкие деньги.
Агрегат Квазиденьги представляет собой величину ликвидных депозитов денежной системы страны, которые непосредственно не используются как средство платежа и обычно имеют меньшую скорость обращения, чем Деньги. Этот агрегат включает в себя срочные и сберегательные депозиты в иностранной валюте, учитываемые в балансах Банка России и коммерческих банков. Иными словами, понятие квазиденьги, или мнимые деньги, это определенные высоколиквидные финансовые активы, которые, хотя и не функционируют как средство обращения, могут легко и без риска финансовых потерь переводиться в наличность.
В структуре денежной массы большинства экономически развитых стран на долю квазиденег приходится 0,50,66 денежного агрегата М2.
Рост доли квазиденег объясняется большей выгодой помещения средств на срочные и сберегательные вклады по сравнению с хранением денег на беспроцентных текущих счетах.
Совокупность агрегатов Деньги и Квазиденьги формирует агрегат Деньги в широком смысле (Широкие деньги) М2. Это понятие является неофициальным названием показателя денежной массы.
Блок статистического анализа денежной массы, в котором рассматриваются денежные агрегаты, их состав с точки зрения включаемых в них финансовых инструментов и их экономическое содержание.
Денежная масса это совокупность общепринятых средств платежа, сумма наличных и безналичных денежных средств. Динамика наличных денег, циркулирующих в экономике, оказывает существенное влияние на динамику выпуска готовой продукции реальным сектором экономики, на уровень инфляции и занятости трудоспособного населения.
На практике довольно сложно провести четкую границу между собственно деньгами и прочими ликвидными активами.
В качестве альтернативных измерителей денежной массы используют денежные агрегаты. Эти группы денежных средств классифицируются в зависимости от степени ликвидности денежных активов, включаемых в тот или иной денежный агрегат.
Агрегат МО наличные деньги, или денежная база, это наличные деньги в обращении вне банков. Во многих странах выделяются деньги на руках у резидентов, однако только в небольшом числе стран реально исключаются деньги, принадлежащие нерезидентам.
Иногда включаются также запасы денег у нерезидентов. В некоторых странах агрегат МО называется Денежная база, т.е. наличные деньги и депозиты в центральном банке.
Инструменты, которые включаются в МО, это Национальные деньги и монета.
Агрегат M1 деньги в узком смысле слова, или узкие деньги,. это МО + Ликвидные вклады и депозиты в других депозитных организациях. Впервые Кейнс предложил увидеть во вкладах до востребования, предназначенных к применению в качестве средств платежа, реальные деньги.
В данную категорию включаются инструменты, которые имеют тесную связь с коммерческими операциями.
Развитая количественная теория денег и банковская практика в большей степени анализируют этот агрегат, так как в него включается и так называемая потенциальная наличность. Дополнительная составляющая этого агрегата обладает способностью самовозрастать.
Темп ее роста зависит от альтернативной цены денег процентной ставки.
В агрегатах М0 и M1 отражаются прежде всего циклические движения краткосрочных процентов и обусловленные этим изменения в разнице процентных ставок между краткосрочными и долгосрочными формами образования денежного капитала. Например, повышение процентной ставки для трехмесячных срочных вкладов делает хранение наличных денег более дорогим.
Деньги, которые не используются непосредственно для операционных целей, усиленно направляются в краткосрочные, квазиденежные, приносящие проценты вклады, которые и включаются в М2.
Статистически это выражается сильным циклическим увеличением скорости денежного оборота денежной массы в агрегате M1 и одновременным замедлением скорости денежного оборота денежного агрегата М2.
Тенденция расширения денежной массы агрегата М1 такова, что на базе высокой процентной эластичности спроса экономики на вклады до востребования и наличные деньги воздействие денежно-кредитной политики на динамику денежного рынка мало соответствует действительному состоянию ликвидности экономики. Иными словами, непрерывное увеличение денежной массы необязательно является индикатором постоянного обеспечения ликвидности экономики, но оказывает влияние на динамику уровня инфляции.
Агрегат М2 узкие деньги и их близкие заменители это M1 + Срочные и сберегательные депозиты + Вклады и депозиты в иностранной валюте + Депозитные сертификаты + РЕПО по ценным бумагам. Перечисленные инструменты считаются близкими заменителями ликвидных депозитов.
Одно из сравнительно распространенных определений М2 это сумма Ml и срочных сберегательных депозитов. В некоторых странах в данную категорию включаются также вклады и депозиты резидентов в иностранной валюте.
Необходимо отметить, что агрегат денежной массы М2 увеличивается в периоды быстрорастущего удельного веса краткосрочных депозитов, а следовательно, и процентов по ним. Таким образом, расширение М2 не полностью соответствует рестрикционному действию денежно-кредитной политики денежных властей, а часто оказывает обратное воздействие.
Агрегат М3 деньги в широком смысле, широкие деньги представляет собой М2 + Дорожные чеки + Коммерческие бумаги. В данную категорию входят краткосрочные ликвидные инструменты, которые могут быть использованы для инвестиций.
Кроме того, они могут выполнять роль заменителей вкладов и депозитов с целью управления обязательствами банков.
Обычно М3 состоит из М2 и более широкого спектра инструментов и учреждений-эмитентов. При этом на уровне М3 существует немало исключений из общих правил, а в классификации широких денег значительные различия между отдельными странами.
Достаточно часто в этот агрегат включают коммерческие бумаги, средства во взаимных фондах денежного рынка, кассовые ваучеры, стабилизационные счета и т.д. Иногда сюда входят также краткосрочные облигации, выпускаемые казначейством или центральным банком.
Агрегаты М4М6 ликвидные средства. Эти категории (в странах, где они используются) состоят из совокупности инструментов, являющихся сравнительно ликвидными.
Они включают почти все инструменты, которые активно обращаются на денежном рынке. Иногда в эти агрегаты входят ценные бумаги, среднесрочные и долгосрочные облигации, а также инструменты, эмитируемые финансовыми посредниками.
Вместо М4М6 может быть использован символ L.
Когда в стране параллельно с национальной валютой обращается и иностранная валюта, необходимо вносить поправку для отражения стоимости обращающейся иностранной валюты в форме ее внутреннего денежного эквивалента. В таких случаях используются обозначения денежных агрегатов тина M1 + немецкие марки или M1 + американские доллары.
Динамика соотношения между различными агрегатами денежной массы должна корректироваться постоянно и со статистической точки зрения не может быть превращена в автоматическое определение удельного веса каждого отдельного денежного агрегата и его составляющих.
Блок Счет денежных властей. Показатели, входящие в него, формируются путем группировки статей баланса Центрального банка РФ и Министерства финансов РФ и характеризуют в основном объемы резервных денег (суммы, выпущенные Банком России, и величина денежных средств коммерческих банков на счетах в ЦБ РФ, включая средства фонда обязательных резервов), а также депозитов до востребования (кроме депозитов расширенного правительства), иностранных пассивов и их размещение в иностранные активы, требований к расширенному правительству, к предприятиям и коммерческим банкам.
Расширенное правительство это федеральное правительство, местные власти, а также внебюджетные фонды.
Показатель Иностранные активы включает все фактически существующие обязательства перед нерезидентами в местных и иностранных валютах, независимо от характера финансового инструмента и степени его ликвидности, обязательства зарубежных органов кредитно-денежного регулирования, зарубежных финансовых учреждений и нефинансовых организаций.
Показатель Резервные деньги представляет собой совокупность выпущенных Банком России наличных денег и средств коммерческих банков на счетах в ЦБ РФ, а также депозитов до востребования в Банке России (за исключением депозитов расширенного правительства).
В показателе Счета капитала суммируются величины капитала по балансовой стоимости, величина общих и особых резервов, текущие прибыли и убытки, величина нераспределенной прибыли, резервы на покрытие потерь и распределение СДР нарастающим итогом.
В позиции Требования к расширенному (центральному) правительству отражаются обязательства Казначейства и бюджета (Министерства финансов РФ), а именно: казначейские векселя; государственные ценные бумаги (включаются ценные бумаги, проданные с соглашением о последующем выкупе, и исключаются ценные бумаги, хранящиеся по соглашению о последующем выкупе); учтенные платежные поручения и простые векселя Казначейства, а также ссуды и авансы; обязательства внебюджетных подразделений (овердрафты государственных организаций, ссуды и авансы государственным организациям, векселя специализированных организаций). Аналогичную структуру имеет позиция Требования к местным органам власти.
Статьи Требования к нефинансовым государственным предприятиям и Требования к частному сектору также включают аналогичные данные в разрезе отдельных эмитентов (ценные бумаги, ссуды и авансы, прочие требования, например финансовый лизинг).
Депозиты в иностранной валюте выделяются, только если их величина является значимой, и отражают депозиты региональных и местных органов власти, нефинансовых государственных предприятий, частного сектора, прочих банковских учреждений, небанковских финансовых учреждений. Они классифицируются следующим образом:
- депозиты до востребования, которые выделяются в случае отсутствия неограниченной возможности их использования как средства платежа;
- сберегательные депозиты;
- срочные депозиты;
- залоговые депозиты;
- средства до востребования.
Блок Международная ликвидность непосредственно связан с блоком Счет денежных властей. В нем отражаются величины международных ликвидных активов (международных резервов) Российской Федерации.
Международная валютная ликвидность это возможность (фактическая способность) отвечать по своим обязательствам в рамках существующего валютного механизма, не прибегая к его чрезвычайным изменениям.
Для регулирования своей ликвидной позиции страна имеет международные ликвидные активы (международные резервы).
Международные резервы рассматриваются органами денежно-кредитного регулирования в качестве активов, которые могут быть использованы для регулирования платежного баланса. Они включают валютные резервы, резервную позицию страны в МВФ, СДР (принадлежащие стране в долларовом выражении) и монетарное золото.
Рассмотрим подробнее некоторые из этих статей.
Резервная позиция в МВФ равняется позиции по резервной доле плюс величины заимствования у фонда.
СДР это специальные права заимствования, международный резервный актив, созданный МВФ и периодически распределяемый между странами членами МВФ пропорционально их квотам. СДР могут принадлежать только правительствам, государствам и ограниченному числу международных финансовых организаций и подлежат передаче только в пределах этой группы.
Они представляют собой обеспеченное и безусловное право на получение иностранной валюты или иных резервных активов у других членов группы и могут быть использованы для погашения финансовых обязательств и предоставления кредитов. Кроме того, СДР являются расчетной единицей МВФ.
С 1981 г. стоимость СДР рассчитывается ежедневно как средневзвешенное значение валютных курсов пяти главных валют, а именно: доллар США 39% (исходный удельный вес с января 1996 г.); немецкая марка 21%; японская иена 18%; французский франк и фунт стерлингов по 11%. Финансовый год фонда длится с 1 мая по 30 апреля.
Монетарное золото состоит из золотых брусков, слитков и монет высокой пробы (9951000 и выше), находится в собственности Центрального банка или других органов управления и составляет международные резервы страны. В особых ситуациях это золото может находиться в собственности и некоторых негосударственных предприятий, но под контролем государства.
Монетаризация золота происходит тогда, когда вновь добытое или товарное золото включается в состав резервных запасов. Демонетаризация золота происходит, когда золото выводится из резервных запасов и продается прочим держателям или потребителям.
В данную статью не входят:
- золото, принадлежащее Центральному банку и органам денежных властей, но не включенное в состав их резервов;
- золото, принадлежащее финансовым учреждениям, не являющимся центральными банками и не относящимся к органам денежных властей;
- золото, принадлежащее негосударственным финансовым учреждениям;
- финансовые инструменты, выраженные в золотом эквиваленте. Они считаются финансовыми инструментами, выраженными в иностранной валюте.
Важное направление социально-экономического статистического анализа денежного обращения это анализ структуры денежных доходов и расходов населения в статике (ежемесячно) и динамике. Он осуществляется по нескольким направлениям.
Во-первых, изучается структура денежных доходов населения. В принципе в этом блоке должна отражаться информация о денежных доходах-нетто, т.е. о доходах после выплаты всех видов налогов и удержаний. В денежные доходы включаются все денежные и натуральные поступления, а именно:
- оплата труда, т.е. заработная плата, прочие доходы типа заработной платы премиальные выплаты, гонорары, поступления от рационализаторских предложений, постоянные надбавки к заработной плате за разъездной характер работы, средства, полученные на командировки и служебные разъезды, а также доходы от сельскохозяйственной деятельности и продажи сельскохозяйственной продукции. Заработная плата рабочих и служащих включает все поступления населению в денежной и натуральной формах за выполненную работу;
- трансфертные доходы это сумма пенсий, пособий, стипендий, доходов от финансовой системы и т.д. Пенсии и пособия включают все виды получаемых населением выплат по социальному обеспечению из государственного бюджета, внебюджетных 4юндов, бюджета социального обеспечения и социального страхования. В этот блок входят пенсии по старости и инвалидности, пенсии лицам, потерявшим кормильца, пенсии военнослужащим и членам их семей, пособия в связи с временной нетрудоспособностью, беременностью и родами, пособия малообеспеченным семьям, а также на погребение и пр. Стипендии включают все виды выплат учащимся высших и средних специальных учебных заведений, профессионально-технических школ и училищ, курсов, институтов усовершенствования, аспирантам и докторантам. Они выплачиваются за счет бюджета или средств предприятий и организаций. Поступления от финансовой системы включают страховые возмещения, ссуды банков и небанковских финансовых учреждений, проценты по всем видам вкладов и депозитов, выигрыши по облигациям и суммы их погашений, выигрыши по лотереям, задолженность физических лиц по покупке товаров или приобретению других благ в кредит и другие выплаты;
- прочие поступления, в состав которых входят выручка от продажи вещей через комиссионные магазины, от продажи металлолома, утильсырья и кустарно-ремесленных изделий, выплаты населению за счет хозяйственно-операционных расходов предприятий и организаций (арендная плата за помещения, принадлежащие гражданам; выплаты донорам; компенсации за ущерб; плата за снос домов и насаждений, принадлежащих физическим лицам, и т.д.).
Во-вторых, анализируются денежные расходы населения, которые включают всю сумму расходов в размере фактически выплаченных, а не подлежащих уплате сумм. В структуру денежных расходов входят:
- покупки в розничной торговле в государственном, частном и кооперативном секторах экономики;
- оплата услуг, в частности расходы на квартирную плату (оплата жилья, услуг гостиниц и общежитии, платежи за центральное отопление, воду и газ, электроэнергию и канализацию), коммунальные услуги, услуги транспорта и связи (расходы на почтовую и телеграфную корреспонденцию, денежные переводы и посылки, пользование телефоном), плата за услуги здравоохранения (расходы на путевки в санатории и дома отдыха, туризм и лечение в платных поликлиниках), оплата бытовых услуг, взносы в детские учреждения, расходы на кино, театры и другие зрелища; оплата услуг юридических консультаций, плата за обучение и пр.;
- трансфертные расходы это обязательные платежи населения в бюджет и различные организации, добровольные взносы, другие платежи, а также расходы на образование сбережений:
- налоги, сборы, пошлины и другие аналогичные платежи, включающие все виды налогов и сборов, а также госпошлину, штрафы, пени и другие платежи, уплачиваемые в государственный бюджет;
- прочие расходы, включающие платежи по государственному страхованию, взносы в кооперативные и общественные организации, в органы жилищно-строительной кооперации.
Кроме того, в рамках статистики денежного обращения в Банке России сбережения населения структурируются следующим образом: собственно сбережения в банках и банковских учреждениях; наличные деньги на руках у населения; покупка и продажа иностранной валюты.
Разница между доходами и расходами физических лиц это сальдо, размер и динамика которого дают возможность анализировать покупательную способность населения.
20.3. Источники статистической информации о денежном обращении и основные методы ее анализа
Основными источниками статистической информации о денежном обращении в Российской Федерации являются баланс Центрального банка и балансы кредитных организаций. Эти балансы формируются в соответствии с Планом счетов бухгалтерского учета и Правилами ведения бухгалтерского учета в кредитных организациях, расположенных на территории Российской Федерации.
Как было сказано, с 01.01.1998 г. был введен новый План счетов, отвечающий требованиям международной статистики. Он состоит из следующих разделов:
- капитал и фонды;
- денежные средства и драгоценные металлы;
- межбанковские операции, куда включены межбанковские расчеты и межбанковские кредиты и депозиты;
- операции с клиентами, куда относятся средства на счетах, депозиты, прочие привлеченные средства, предоставленные кредиты, прочие размещенные средства, прочие активы и пассивы;
- операции с ценными бумагами, структурированные на вложения в долговые обязательства, вложения в акции, учтенные векселя, выпущенные банком ценные бумаги;
- средства и имущество, куда включены участие в дочерних и зависимых акционерных обществах и прочее участие, расчеты с дебиторами и кредиторами, имущество банков, доходы и расходы будущих периодов;
- результаты деятельности, а именно доходы, расходы, прибыль, убытки, использование прибыли.
В отдельных разделах отражаются счета доверительного (трастового) характера и внебалансовые счета, в частности:
- неоплаченный уставный капитал кредитных организаций;
- ценные бумаги;
- расчетные операции;
- кредитные и лизинговые операции;
- задолженность, списанная и вынесенная за баланс из-за невозможности взыскания;
- источники финансирования капитальных вложений.
Отдельно выделены срочные операции (активные и пассивные) и счета ДЕПО.
Почему мы рассматриваем План счетов бухгалтерского учета в материале о статистике?
В соответствии с методологией Статистического Департамента Международного валютного фонда термин статистика имеет два значения. Во-первых, он обозначает научную дисциплину, в рамках которой осуществляются сбор, формирование и анализ цифровых данных.
Во-вторых, в это понятие можно включать любой систематический сбор, обобщение или представление цифровых данных. Другими словами, это собственно данные, а не наука о сборе и составлении данных.
В России существует разграничение бухгалтерской, финансовой и статистической отчетности. Однако в вышеприведенном определении все три категории отчетности рассматриваются как источники статистического анализа, поскольку данные представлены в них в обобщенном и систематизированном виде.
Иными словами, все обработанные цифровые данные, которые классифицированы или систематизированы определенным образом (т.е. с применением стандартной технологии), являются статистикой, а источниками статистической информации выступают бухгалтерский баланс, формы статистической отчетности, данные финансовой отчетности.
Контрольные вопросы
- Существует ли противоречие между наличной и безналичной формами денежного обращения?
- Как можно контролировать уровень инфляции в соответствии с количественной теорией денег?
- Как меняется величина спроса на деньги в соответствии с теорией Дж. Кейнса?
- Какова методологическая связь между агрегатами денежной массы?
- Какая основная цель введения МВФ СДР?
Статистика доходов населения
Доходы, т.е. ресурсы в денежном и натуральном выражении, которые могут быть использованы на удовлетворение личных потребностей, налоговые и другие обязательные и добровольные платежи, сбережения, составляют основу материального благосостояния населения.
Сведения о доходах населения страны относятся к числу основных показателей, характеризующих развитие экономики, и являются объектом пристального внимания правительства, политических движений и научной общественности. Задачами статистики доходов являются количественные характеристики формирования общего объема доходов населения, их структуры, распределения между отдельными группами населения и основных направлений использования.
Одна из особенностей показателей доходов населения заключается в том, что они одновременно отражают экономические и социальные процессы и явления.
В связи с многообразием задач статистики доходов используются различные показатели доходов, которые отличаются способами их исчисления.
Для измерения доходов на макроуровне широко используется в отечественной статистике показатель денежного дохода населения, рассчитанный по данным Баланса денежных доходов и расходов населения, который является частью баланса народного хозяйства.
В соответствии с методикой расчета Баланса, утвержденной Госкомстатом России, в денежный доход включаются: оплата труда всех категорий населения; доходы лиц, занятых предпринимательской деятельностью; поступления от продажи продуктов сельского хозяйства; пенсии, пособия, стипендии и другие социальные трансферты; поступления из финансовой системы (страховые возмещения, кредиты и ссуды, например на индивидуальное жилищное строительство; доходы от собственности в виде процентов по вкладам, ценным бумагам, диви-дентов; доходы населения от продажи иностранной валюты; деньги, полученные по переводам (сальдо); прочие поступления. Во всех этих случаях имеются в виду номинальные денежные доходы, исчисленные по текущим ценам.
Если из номинальных денежных доходов вычесть обязательные платежи и взносы, то получим располагаемые денежные доходы. Корректировка последних на индекс потребительских цен за анализируемый период дает величину реальных денежных доходов населения*, этот показатель используется, как правило, для оценки динамики доходов, когда имеют место инфляционные процессы, которые делают недостаточными показатели номинальных денежных доходов для временного анализа.
Это наглядно видно из данных Госкомстата России (табл. 43.1).
* В статистических публикациях Госкомстата России они называются реальные располагаемые денежные доходы.
Таблица 43.1
Особенность показателя реального дохода состоит в том, что он характеризует возможность потребления за счет поступлений текущего периода. Понятно, что фактическое увеличение потребления может быть меньше, чем рост реальных доходов, прежде всего потому, что некоторая их часть направляется на сбережения и в течение определенного времени остается нереализованной.
В расходной части баланса денежных доходов и расходов содержатся сведения об использовании доходов по направлениям: расходы на покупку товаров и оплату услуг, обязательные платежи и добровольные взносы, приросты сбережений во вкладах и ценных бумагах, расходы на приобретение иностранной валюты, денежные переводы (отправления).
Наряду с характеристиками материального положения населения, система показателей баланса денежных доходов и расходов населения позволяет осуществлять статистический контроль за объемом, структурой, источниками и направлениями использования доходов, определять степень обеспеченности общего объема платежеспособного спроса товарами и услугами, исчислять остаток наличных денег у населения и т.д.
В денежные доходы населения, отражаемые в балансе доходов и расходов населения, включаются только денежные поступления, полученные от продажи продукции личного подсобного хозяйства, и не учитываются натуральные продукты из личного подсобного хозяйства, и бесплатные услуги, оказанные населению предприятиями и организациями сферы обслуживания (например образовательные и медицинские). Дорасчеты балансовых показателей денежных доходов с учетом упомянутых поступлений и услуг позволяют получить так называемые конечные номинальные доходы, которые при исчислении в сопоставимых ценах могут быть модифицированы в реальные доходы.
В последние годы в связи с внедрением СНС эти показатели утратили свое значение и практически не применяются.
Одновременно все большее распространение для анализа уровня жизни находит показатель валового располагаемого дохода домашних хозяйств, исчисляемый в СНС. Он представляет собой сумму доходов, полученных в результате первичного распределения (оплата труда, смешанные доходы, доходы от собственности), а также в результате перераспределения доходов в денежной форме текущие трансферты.
К ним относятся такие перераспределительные платежи, как пенсии, стипендии, пособия и др. Трансферты, выплаченные домашними хозяйствами (налоги, штрафы, пени, отчисления на социальное страхование и др.), вычитаются.
Таким образом, в располагаемый доход не включаются поступления от операций с финансовыми инструментами (займы, кредиты, продажа ваучеров, акций и т.д.) и поступления от операций с имуществом (поступления от продажи жилищ, земельных участков и т.д.).
Согласно методологии СНС, в располагаемые доходы включаются как денежные, так и натуральные поступления, например, от личного подсобного хозяйства. Это имеет большое значение для анализа уровня жизни населения, особенно проживающего в сельской местности, где по ряду продуктов сельского хозяйства личное потребление обеспечивается полностью за счет поступлений от личного подсобного хозяйства.
К существенным различиям в показателях дохода населения по балансу денежных доходов и расходов и по СНС приводит также практика исчисления балансовых доходов на основе кассовых выплат, т.е. денежных средств, уже выплаченных населению, а доходов в СНС на так называемой начисленной основе, т.е. денежных сумм, предназначенных к выплате, в том числе неполученных населением.
Несомненно, чем больше суммы невыплаченной заработной платы, пенсий, пособий и других видов доходов, тем существеннее упомянутые различия в показателях доходов, исчисленных по данным баланса и в СНС. О роли таких различий для правильной оценки уровня жизни населения в отечественной практике свидетельствует тот факт, что на 1 января 1998 г. общая сумма задолженности по заработной плате в России по кругу наблюдаемых отраслей составляла около 53 млрд руб.
В дополнение к показателю располагаемого дохода населения в СНС может быть рассчитан валовой скорректированный располагаемый доход, который равен сумме располагаемого дохода и социальных трансфертов в натуральной форме (например стоимость бесплатных образовательных, медицинских и других услуг, оказываемых населению бюджетными организациями). Использование этого показателя позволяет более полно охарактеризовать уровень жизни населения.
Валовой располагаемый доход и валовой скорректированный располагаемый доход, исчисленные по методологии СНС, так же, как и балансовые денежные доходы, могут быть приведены к их реальному выражению путем пересчета в сопоставимых ценах, что необходимо для анализа динамики доходов в условиях ощутимого изменения потребительских цен.
С позиций использования валовой располагаемый доход домашних хозяйств, исчисленный по методологии СНС, далее распадается на расходы на конечное потребление и валовое сбережение домашних хозяйств. Последнее составляет разницу между располагаемым доходо и расходами на конечное потребление.
Исчисленные таким образом сбережения отличаются от сбережений, полученных по данным баланса денежных доходов и расходов населения, которые складываются из приростов депозитов, денежной наличности и других финансовых инструментов.
По методике, принятой в СНС, валовое сбережение больше прироста упомянутых финансовых активов на величину расходов домашних хозяйств на приобретение реальных активов (покупка жилищ, земельных участков и т.д.), но меньше на величину принятых финансовых обязательств.
Широко используется в мировой практике макроэкономический показатель норма сбережения по сектору домашних хозяйств, который исчисляется как отношение суммы сбережений к валовому располагаемому доходу. Изучение факторов, влияющих на показатель склонности населения к сбережению, является важной задачей статистики и представляет практический интерес для органов государственного управления, занимающихся вопросами привлечения свободных ресурсов населения для целей инвестиций, перераспределения доходов и т.д.
Оплата труда наемных работников является одним из основных доходов населения в СНС и состоит из вознаграждений в денежной и натуральной формах, выплачиваемых работодателями наемным работникам, и отчислений в фонды социального страхования. Оплата труда наемных работников учитывается на основе начисленных сумм и включает в себя фактические и условно исчисляемые отчисления на социальное страхование (пенсионные фонды, фонд занятости, фонды медицинского и социального страхования), налог на доходы и другие выплаты, которые подлежат уплате наемными работниками, даже если они фактически удерживаются работодателем в административных интересах и выплачиваются непосредственно органам социального страхования налоговым службам от лица наемного работника.
В доходы от самостоятельной занятости включаются доходы членов домашних хозяйств в денежной форме, полученные от регулярного или случайного бизнеса и независимой профессиональной деятельности.
При статистическом анализе используются как показатели общего объема доходов, в том числе его составляющих в абсолютном и относительном выражении, так и показатель среднедушевого дохода, который рассчитывается путем деления общего объема доходов на численность населения за соответствующий период, его медианные и модальные значения.
43.2. Показатели доходов в текущих обследованиях бюджетов домашних хозяйств
Статистическое изучение механизма формирования уровня жизни не ограничивается анализом сводных показателей доходов населения на макроуровне. Многообразие условий жизни людей и факторов, оказывающих влияние на уровень материальной обеспеченности, приводит к существенным различиям в уровне жизни отдельных групп населения.
Для разработки эффективных мер социальной политики и адресной помощи слабозащищенным слоям населения необходимо знать, насколько варьируют средние показатели, исчисленные на макроуровне.
Получение таких сведений методами статистики основывается на дифференцированном подходе в статистическом измерении уровня доходов по отдельным группам населения и домашним хозяйствам, имеющим различные социально-демографические характеристики, природно-климатические и национально-этнические условия жизни, характер поселения и т.д.
Основная задача подобных статистических обследований выявить конкретные социально-экономические проблемы народного благосостояния в разрезе отдельных слоев населения, определить остроту каждой из проблем и установить приоритетность их решения.
При изучении доходов населения на основе регулярно проводимых бюджетных обследований домашних хозяйств центральное место отводится вопросам их дифференциации, т.е. степени расслоения населения по уровню получаемого дохода.
Основным показателем материальной обеспеченности домашнего хозяйства является его общий доход, который складывается из доходов различных видов, получаемых членами домашнего хозяйства, и среднедушевой доход, исчисленный как часть общего дохода, приходящаяся в среднем на одного члена домашнего хозяйства, независимо от того, имеет он доход или нет.
По своему содержанию показатели доходов, исчисленные по данным выборочных бюджетных обследований, несколько отличаются от показателей доходов, полученных по данным баланса денежных доходов и расходов и СНС. При бюджетных обследованиях в денежные доходы домашних хозяйств включаются денежные средства, полученные членами домашних хозяйств в виде заработной платы, дохода от предпринимательской деятельности, пенсий, стипендий, пособий, компенсационных и других дополнительных выплат (включая стоимость благотворительной помощи), процентов, дивидендов, ренты и других доходов от собственности, средств от продажи продукции личного подсобного хозяйства и прочих денежных поступлений.
Кроме показателей денежных доходов, которые практически совпадают по своему содержанию с понятием денежного дохода, используемого при составлении баланса денежных доходов и расходов, в бюджетной статистике рассчитывается также совокупный доход домашних хозяйств.
Совокупный доход домашних хозяйств состоит из заработной платы, пенсий, пособий, доходов от индивидуальной трудовой и предпринимательской деятельности, процентов, дивидендов, ренты и других доходов от собственности, прочих денежных доходов, а также стоимости продукции личного подсобного хозяйства (включая садоводство и огородничество) и фермерских хозяйств как проданной, так и произведенной для собственного потребления, за вычетом стоимости товаров и услуг, затраченных на ее производство.
Совокупные доходы населения исчисляются в денежном эквиваленте. Доход, полученный домашним хозяйством в виде продукции растениеводства и животноводства собственного производства, рассчитывается по каждому продукту в ценах его продажи.
Стоимость натуральных поступлений от личного подсобного хозяйства в части потребления внутри домашнего хозяйства определяется по средним ценам продажи соответствующих видов продукции. Стоимость той части продукции, которая была реализована, относится к денежному доходу.
При этом, как правило, для определения стоимостного объема продукции, направленной на корм скоту и птице, используются более низкие цены, чем те, по которым оценивалась стоимость продукции, проданной и предназначенной на личное потребление внутри данного домашнего хозяйства. Доля дохода от личного подсобного хозяйства, полученного в виде сельскохозяйственной продукции, составляла в 1996 г., по оценке Центра экономической конъюнктуры, в среднем около 25% в объеме совокупных доходов населения, для сельских семей он составлял 50%, для городских 10%.
Использование в экономических расчетах только показателей денежных доходов населения значительно искажает реальную характеристику распределения доходов и степень расслоения населения по этому признаку, не дает возможности адекватно оценить численность малообеспеченного населения и степень дефицитности материальных ресурсов, искажает структурные показатели доходов и расходов населения и роль государственной политики в формировании системы социальных трансфертов.
В то же время показатель совокупный доход домашних хозяйств не охватывает стоимостную оценку социальных трансфертов, переданных населению в виде бесплатных социальных трансфертов в натуральной форме, которые учитываются в СНС при расчете скорректированного располагаемого дохода домашних хозяйств (в части образовательных, медицинских, социальных услуг и т.п.). Это объясняется тем, что относительно просто учесть эти и иные виды льготных и бесплатных услуг в качестве доходов населения на макроуровне, т.е. по всему населению без привязки к конкретному получателю или домохозяйству.
Но учесть в бюджете конкретного домашнего хозяйства ту часть совокупного дохода, которая поступает в виде бесплатных услуг социального комплекса, довольно сложно.
Это связано с тем, что необходимо знать не только в какой мере данное домохозяйство пользовалось услугами предприятий здравоохранения, образования, социального обеспечения, культуры и т.д., но и реальную стоимость предоставляемых им услуг и цену, по которой они приобретались.
Отражая реальные поступления в домашнее хозяйство, денежные и совокупные доходы могут быть номинальными до уплаты налогов и обязательных платежей и располагаемыми после осуществления указанных выплат.
По аналогии с макропоказателями доходов населения располагаемые денежные и совокупные доходы в бюджетной статистике домашних хозяйств могут быть рассчитаны в их реальном выражении, если анализируется их динамика во времени. Для этого они корректируются, как и в приведенных выше случаях, на индекс потребительских цен, отражающий инфляцию в потребительском секторе экономики.
Для наглядного отображения изменений реальных масштабов доходов используется также показатель их покупательной способности, который характеризуется количеством товаров (каждого отдельно), которое можно было бы приобрести на сумму среднедушевого располагаемого денежного или совокупного дохода обследуемых домашних хозяйств по средним ценам покупки. Например, по данным Госкомстата России, на среднедушевой денежный доход в 1998 г. можно было купить по средним ценам покупки из числа продовольственных товаров, кг:
говядины 50
яиц, штук 1391
масла животного 31
хлеба пшеничного 241
молока, литров 285
и т.д.
Товарным эквивалентом могут также служить отдельные виды непродовольственных товаров и платных услуг.
В связи с сезонным характером натуральных поступлений из личного подсобного хозяйства, совокупный доход домашних хозяйств рассчитывается, как правило, по итогам года.
Внутригодовая динамика отслеживается в основном в части денежных доходов, состоящих из регулярных поступлений, таких как заработная плата, пенсии, стипендии, пособия. В то же время в условиях задержки соответствующих выплат, нерегулярности индексирования доходов в связи с инфляцией более надежные результаты дает динамика показателей, исчисленных нарастающим итогом.
Эти статистические данные особенно важны в условиях высокой инфляции для оперативного регулирования денежного обращения, прогнозирования социальных последствий принимаемых решений.
В целях повышения надежности данных о доходах населения наряду с текущими бюджетными обследованиями периодически проводятся единовременные выборочные обследования доходов по более представительной совокупности домашних хозяйств. Такие обследования необходимы прежде всего для проверки репрезентативности выборки домашних хозяйств для бюджетных обследований, а также для определения алгоритма фактического распределения доходов между отдельными группами населения, который затем используется для текущих расчетов распределения доходов по данным бюджетной статистики.
43.3. Показатели дифференциации доходов населения
Для характеристики уровня жизни населения наряду со сводными макроэкономическими показателями доходов и потребления, средними показателями бюджетных обследований и выборочных обследований доходов населения широко используются показатели дифференциации его материальной обеспеченности. При этом задача статистического наблюдения не только установить масштабы расслоения домашних хозяйств по уровню материального достатка, но и выявить основные факторы, создающие предпосылки для такого расслоения.
Центральное место при изучении этих процессов отводится дифференциации населения по уровню дохода. К сожалению, статистика не .располагает соответствующими сведениями по генеральной совокупности.
Поэтому распределение населения страны по среднедушевому доходу (совокупному или денежному) моделируется на основе выборочных обследований и данных о денежных доходах, полученных из баланса денежных доходов и расходов населения. Базой для изучения служат данные бюджетной и массовой статистики и выборочных обследований доходов населения.
Показатели дифференциации доходов рассчитываются на основе вариационных рядов распределения домашних хозяйств: по величине общего дохода и по величине дохода, приходящегося на одного члена домашнего хозяйства (на душу), а также рядов распределения обследованных членов домашних хозяйств по величине среднедушевого дохода.
Чаще всего изучается дифференциация двух последних совокупностей, т.е. домашних хозяйств и обследуемых лиц по одному и тому же признаку величине среднедушевого дохода.
В отечественной статистике существует несколько вариантов апробированных методик расчета распределения населения по уровню доходов, в основе которых лежат предпосылки о логарифмически нормальном распределении доходов. До последнего времени в основу построения вариационного ряда распределения численности населения по уровню среднедушевого совокупного или денежного дохода был положен алгоритм, полученный по итогам единовременного выборочного обследования Госкомстатом СССР доходов 310 тыс. семей, относящихся к различным социальным группам (март 1989 г.), а также данные массовой статистики о численности населения и бюджетных данных о среднедушевых доходах.
В статистических публикациях вариационный ряд распределения населения по уровню дохода приводится, как правило, с определенными интервалами. Например, распределение населения Российской Федерации по размеру среднедушевого денежного дохода в 1997 г. характеризуется в публикациях Госкомстата России данными, представленными в табл.
43.2.
Таблица 43.2
В качестве статистических характеристик вариационного ряда распределения используются: среднее значение душевого дохода; медианный доход; модальный доход; коэффициент соотношения фондов; коэффициенты дифференциации (децильный, квинтильный, квартальный); коэффициент вариации; коэффициент скошенности.
Статистические характеристики рядов распределения позволяют установить степень неравенства в распределении доходов между отдельными совокупностями домашних хозяйств и населения, отслеживать динамику дифференциации доходов во времени.
Медианный и модальный доходы являются важными характеристиками отклонений среднедушевого дохода от его среднего значения. Если величины медианного и модального дохода ниже среднего уровня, то это означает, что преобладающая часть совокупности домашних хозяйств или обследованных лиц имеют доходы ниже их среднего значения, и наоборот.
Широко используются в статистической практике децильный (либо по другим квантилям) коэффициент дифференциации доходов, который измеряет различия в материальном положении малообеспеченных и высокодоходных групп населения. Он исчисляется как отношение минимального дохода у 10% наиболее обеспеченных лиц к максимальному доходу у 10% наименее обеспеченных лиц.
Часто для оценки дифференциации доходов применяется коэффициент фондов, указывающий на соотношение суммарных значений доходов, приходящихся на 10% наиболее и 10% наименее обеспеченных групп населения.
Мировая и отечественная практика статистики доходов использует также индекс концентрации доходов, известный как коэффициент Джини. Он измеряет, насколько фактическое распределение доходов по численно равным группам населения отличается от их равномерного распределения.
Статистическая мера равенства доходов колеблется от 0 до 1, означая при 0 совершенное равенство доходов у всех групп населения, а при 1 совершенное неравенство, когда весь доход принадлежит одному лицу. Индекс концентрации доходов вычисляется по формуле
где Fi, Fi-1 доля населения в интервале;
Si, Si-1 доля суммарного дохода, приходящаяся на начало и конец i-го интервала.
В России в 1997 г. на долю 10% наиболее обеспеченного населения приходилось 31,7% общего объема денежных доходов, на долю 10% наименее обеспеченного населения 2,4%. Коэффициент концентрации доходов (индекс Джини) составлял 0,375.
43.4. Анализ факторов, влияющих на распределение доходов населения
Наряду с измерением неравенства в распределении доходов между отдельными группами населения или домашних хозяйств целью статистического наблюдения может быть выявление связей между уровнем материальной обеспеченности и формирующими его факторами.
В число таких факторов входят:
- численный и половозрастной состав членов домашнего хозяйства;
- число экономически активных лиц и их занятость;
- уровень и источники суммарного дохода домашнего хозяйства и регулярность поступлений;
- жилищные условия и наличие накопленного имущества, в том числе недвижимость;
- уровень профессионального образования трудоспособных членов и его реализация в занятиях;
- характер расселения и приро дно-климатические условия проживания и т.д.
Размер домашнего хозяйства может оказывать неоднозначное влияние на уровень материальной обеспеченности.
Статистика финансов
Финансы это система денежных отношений, выражающих формирование и использование денежных средств в процессе их кругооборота. Финансы являются важнейшей составной частью рыночных отношений и одновременно основным инструментом реализации государственной политики в экономике.
Финансы неотъемлемый элемент общественного воспроизводства на всех уровнях хозяйствования от первичного хозяйствующего субъекта до системы управления национальной экономикой. Рассматриваемая система охватывает процесс распределения и перераспределения стоимости валового внутреннего продукта, национального дохода и части национального богатства в связи с формированием денежных доходов и накоплений у субъектов хозяйствования и государства и использованием их на воспроизводство, стимулирование занятых и инвесторов, удовлетворение социальных потребностей общества.
Если рассматривать финансы с позиции макроэкономики, то можно говорить о финансовой системе, включающей две органически связанные между собой подсистемы:
- финансы хозяйствующих субъектов;
- общегосударственные финансы.
Финансы хозяйствующих субъектов охватывают денежные отношения отдельных субъектов с другими субъектами их партнерами и государством, учредителями, трудовым коллективом.
В самостоятельный блок в рамках хозяйствующих субъектов включается деятельность учреждений, занимающихся финансовым посредничеством.
Общегосударственные финансы охватывают бюджеты федеральный, территориальный, муниципальный), государственную кредитную систему, систему государственного страхования, пенсионный фонд, внебюджетные и другие фонды, контролируемые государством.
Задача статистики финансов состоит в том, чтобы при помощи системы показателей, классификаций и соответствующего статистического наблюдения характеризовать функционирование финансовой системы в контексте воспроизводства рыночных отношений и механизма их регулирования, формирование и использование финансовых ресурсов в интересах развития экономики и эффективной деятельности хозяйствующих субъектов.
15.2. Основные показатели статистики финансов хозяйствующих субъектов
Финансы хозяйствующих субъектов представляют собой денежные отношения, возникающие в процессе образования, распределения и использования денежных фондов и накоплений в результате производства и реализации товаров, выполнения работ и оказания различных услуг. Показатели статистики финансов хозяйствующих субъектов, как правило, охватывают прежде всего характеристики размера, состава и динамики прибыли (дохода), ее распределения, уровня рентабельности, оборачиваемости оборотных средств, размера высвобожденных (иммобилизованных) оборотных средств, устойчивости финансового состояния.
Финансовые ресурсы хозяйствующих субъектов (речь идет прежде всего об институциональных единицах, объединяемых, согласно методологии макроэкономических расчетов, в сектор Нефинансовые предприятия) формируются главным образом за счет прибыли и амортизационных отчислений. В зависимости от содержания, порядка расчета различают балансовую прибыль и прибыль, остающуюся в распоряжении предприятия.
Балансовая прибыль (убыток) это конечный фиансовый результат деятельности (положительный прибыль, отрицательный убыток), представляющий собой сумму прибыли (убытка) от реализации продукции (работ, услуг), от прочей реализации (основных средств, иного имущества предприятия) и доходов от внереализационных операций, уменьшенных на сумму расходов по этим операциям. Доходы от внереализационных операций включают в себя общую сумму: полученных и уплаченных штрафов, пени, неустоек и других экономических санкций (за исключением санкций, вносимых в бюджет в соответствии с законодательством); процентов, полученных по суммам средств, числящихся на счетах предприятий; курсовых разниц по валютным счетам и операциям в иностранной валюте; прибылей и убытков прошлых лет, выявленных в отчетном году; убытков от стихийных бедствий; потерь от списания долгов и дебиторской задолженности; поступлений долгов, ранее списанных как безнадежные; прочих доходов, потерь и расходов, относимых в соответствии с действующим законодательством на счет прибылей и убытков.
Прибыль от реализации определяется как разница между выручкой от реализации продукции (работ, услуг) в действующих ценах без налога на добавленную стоимость и акцизов, экспортных пошлин, других вычетов, предусмотренных законодательством, и затратами на ее производство и реализацию.
Выручка от реализации продукции (работ, услуг) определяется либо по мере оплаты (при безналичных расчетах по мере поступления средств за товары, работы, услуги на счета в учреждения банков, а при расчетах наличными деньгами по поступлении средств в кассу), либо по отгрузке товаров, выполнению работ, услуг и предъявлению покупателю-заказчику расчетных документов. Метод определения выручки от реализации продукции (работ, услуг) устанавливается предприятием при принятии учетной политики на отчетный год исходя из условий хозяйствования и заключенных договоров.
Затраты на производство и реализацию продукции (работ, услуг) это себестоимость, которая представляет собой стоимостную оценку используемых в процессе производства или реализации продукции (работ, услуг) сырья, материалов, топлива, энергии, основных фондов, трудовых ресурсов, а также других затрат.
Итак, прибыль определяется разницей между выручкой и затратами. Наряду с абсолютным показателем объема прибыли финансовой статистикой широко применяется относительный показатель рентабельность, который позволяет в общем виде охарактеризовать прибыльность работы предприятия.
Этот показатель представляет собой обобщение различных качественных и количественных параметров работы хозяйствующего субъекта.
Его величина зависит от роста объема производства, производительности, снижения себестоимости и др., поэтому его следует рассматривать в качестве важнейшего индикатора для оценки экономической эффективности работы.
Показатель рентабельности рассчитывается в двух модификациях общая рентабельность и рентабельность продукции.
Показатель уровня общей рентабельности (Кробщ) рассчитывается как отношение балансовой прибыли (БП) к среднегодовой стоимости нефинансовых активов. Обычно из нефинансовых активов для определения рентабельности учитывают прежде всего основной капитал (основные фонды), нематериальные активы и оборотные фонды (оборотные средства). Формула имеет следующий вид: (15.1)

где Ф средняя стоимость совокупности основного капитала, нематериальных активов и оборотных фондов.
Основной капитал как составляющая нефинансовых материальных активов (основные фонды в традиционном понимании) представляет собой совокупность материально-вещественных ценностей, используемых в качестве средств труда и действующих в натуральной форме в течение длительного времени, основные средства.
К основным средствам относятся здания, сооружения, передаточные устройства, рабочие и силовые машины и оборудование, измерительные и регулирующие приборы и устройства, вычислительная техника, транспортные средства, инструмент, производительный и хозяйственный инвентарь и принадлежности, рабочий и продуктивный скот, многолетние насаждения, внутрихозяйственные дороги и прочие основные средства, а также земельные участки, находящиеся в собственности предприятия (учреждения). К ним также причисляются капитальные вложения в многолетние насаждения, улучшение земель, которые включаются в состав основных средств ежегодно в сумме затрат, относящихся к принятым в эксплуатацию площадям, независимо от окончания всего комплекса работ.
Основные средства предприятий (учреждений, организаций) отражаются в бухгалтерском учете и отчетности по первоначальной стоимости, т.е. по фактическим затратам их приобретения, сооружения и изготовления. Изменение первоначальной стоимости основных средств допускается лишь в случаях достройки, дооборудования, реконструкции и частичной ликвидации соответствующих объектов.
К нематериальным активам, используемым в течение длительного периода в хозяйственной деятельности и приносящим доход, относятся права пользования земельными участками, природными ресурсами, патенты, лицензии, ноу-хау, программные продукты, монопольные права и привилегии (включая лицензии на определенные виды деятельности), организационные расходы, торговые марки, товарные знаки и т.п. Нематериальные активы отражаются в учете и отчетности в сумме затрат на приобретение и расходов по их доведению до состояния, в котором они пригодны к использованию в запланированных целях и переносят равномерно свою первоначальную стоимость на издержки производства или обращения по нормам, определяемым на предприятии исходя из установленного срока их использования.
Если по нематериальным активам невозможно определить срок полезного их использования, то нормы устанавливаются в расчете на десять лет (но не более срока деятельности предприятия). Износ нематериальных активов учитывается и отражается в отчетности отдельно.
Оборотные фонды (материальные оборотные средства) состоят из производственных запасов (в том числе сырье и материалы, топливо и горючее, строительные материалы, семена и корма, скот-молодняк и скот на откорме, прочие запасы), незавершенного производства, готовой продукции, предназначенной для реализации, а также расходов будущих периодов. Оборотные фонды отражаются в учете и отчетности по их фактической себестоимости.
Фактическая себестоимость материальных ресурсов определяется исходя из затрат на их приобретение, включая оплату процентов за приобретение в кредит, предоставленный поставщиком этих ресурсов, наценки (надбавки), комиссионные вознаграждения, уплаченные снабженческими, внешнеэкономическими организациями, стоимость услуг товарных бирж, таможенные пошлины, расходы на транспортировку, хранение и доставку, осуществляемые силами сторонних организаций.
Определение фактической себестоимости материальных ресурсов, списываемых в производство, разрешается производить одним из следующих методов оценки запасов: по средней себестоимости; по себестоимости первых по времени закупок (ФИФО); по себестоимости последних по времени закупок (ЛИФО).
В отличие от показателя общей рентабельности, отражающего эффективность авансированных ресурсов, в рентабельности реализованной продукции (Крреал) отражается эффективность текущих затрат. Этот показатель определяется как отношение величины прибыли от реализации продукции Прреал к себестоимости реализованной продукции (С): (15.2)
На объем прибыли и показатель рентабельности продукции влияет целый ряд факторов: изменение себестоимости, объема реализованной продукции, цен, структурные сдвиги в ассортименте продукции (товаров) и др. Исходным для анализа рентабельности продукции, наряду с ценами, является показатель себестоимости продукции.
Себестоимость продукции (работ, услуг) представляет собой стоимостную оценку используемых за рассматриваемый период в процессе производства или обращения сырья, материалов, топлива, энергии, основных фондов (в размере амортизационных списаний), трудовых ресурсов (в размере оплаты труда), а также других затрат на ее производство и реализацию.
Рентабельность продукции обусловлена рентабельностью конкретного вида продукции, а последняя зависит от цен на сырье, от качества продукции, производительности труда и т.д.
Общая рентабельность зависит не только от этих факторов, но и от эффективности использования производственного аппарата, результатов неосновной деятельности.
Следовательно, показатель рентабельности реализованной продукции детализирует общий показатель рентабельности как соотношения балансовой прибыли и стоимости нефинансовых активов.
К числу показателей, влияющих на финансовые процессы и финансовое состояние хозяйствующих субъектов, относится оборачиваемость оборотных средств. Этот показатель характеризует скорость движения оборотных средств предприятий и организаций в процессе воспроизводства. Он рассчитывается по следующим формулам: (15.3)
где Ко коэффициент оборачиваемости, который показывает число оборотов, совершаемых оборотными средствами за рассматриваемый период;
Од длительность одного оборота в днях;
Ср.п себестоимость реализуемой продукции;
Со средний остаток оборотных средств, участвующих в обороте;
Д число дней в рассматриваемом периоде.
Оборачиваемость оборотных средств исчисляется как в целом, так и по отдельным элементам (материальным запасам, незавершенному производству, готовой продукции, расходам будущих периодов). Это позволяет выявить, на какой стадии кругооборота оборотных средств происходит ускорение или замедление общей оборачиваемости.
Следует иметь в виду неоднозначность воздействия динамики оборачиваемости оборотных средств на финансовые процессы, например в условиях стагфляции ускорение оборачиваемости может подстегнуть инфляцию.
В процессе перехода к рыночной экономике важное значение имеет анализ финансовой устойчивости предприятия (организации). Под финансовой устойчивостью понимается способность хозяйствующего субъекта своевременно из собственных средств покрывать затраты, вложенные в основной и оборотный капитал, нематериальные активы, и расплачиваться по своим обязательствам, т.е. быть платежеспособным.
Для оценки изменения устойчивости хозяйствующего субъекта применяются: коэффициент автономии; коэффициент соотношения собственных и заемных средств; коэффициент маневренности; коэффициент ликвидности и др.
Коэффициент автономии (Ка) показывает степень независимости финансового состояния предприятия от заемных источников и представляет собой соотношение собственных средств (Сс) и суммы всех источников финансовых ресурсов (Sc): (15.4)
Рост коэффициента автономии свидетельствует об уменьшении финансовых затруднений в будущем и возросших собственных резервах для погашения финансовых обязательств предприятия (организации). Практический опыт показывает, что если Ка не меньше 0,6, то хозяйствующий субъект в состоянии все платежи произвести за счет прежде всего собственных средств.
Коэффициент соотношения собственных и заемных средств (коэффициент финансовой устойчивости (Куст)) используется при определении возможностей хозяйствующего субъекта по вовлечению в хозяйственный оборот чужих источников (заемных средств). Формула его расчета следующая: (15.5)
где Кз кредиторская задолженность и другие заемные средства (без кредитов банков и займов).
Оптимальное значение коэффициента устойчивости равно 1. Если Куст 1, то собственных средств явно недостаточно для покрытия заемных средств.
Коэффициент маневренности (Км) отражает возможность маневрирования собственными средствами. Этот коэффициент рассчитывается по формуле (15.6)

где ДКЗ долгосрочные кредиты и займы;
Осв основные средства и иные внеоборотные активы (нематериальные активы, долгосрочные финансовые вложения, расчеты с учредителями и прочие внеоборотные активы).
Рост коэффициента маневренности свидетельствует о том, что в финансовом положении хозяйствующего субъекта наблюдаются позитивные тенденции.
Для прогнозирования платежеспособности предприятия (организации) с учетом своевременных расчетов с дебиторами определяется коэффициент ликвидности (Кликв): (15.7)

где Дса денежные средства, расчеты и прочие активы;
Ра расчеты денежные и прочие пассивы.
Снижение значения коэффициента ликвидности означает, что платежеспособность предприятия (организации) ухудшилась, даже при условии своевременного проведения расчетов с дебиторами.
Надо отметить, что оценка финансового положения предприятия (организации) не может быть полной без анализа размеров и структуры дебиторской и кредиторской задолженности. Дебиторская и кредиторская задолженность включает задолженность покупателей (поставщиков) за отгруженную продукцию, выполненные работы и оказанные услуги, в том числе обеспеченные полученными (выданными) векселями и авансами; возмещение материального ущерба.
Кроме того, в кредиторскую задолженность входит задолженность предприятия (организации) по всем видам платежей в бюджет, по выдаче работникам средств на оплату труда и другие выплаты, по платежам в негосударственные внебюджетные фонды. При проведении статистического анализа дебиторской и кредиторской задолженности прежде всего рассчитываются коэффициенты оборачиваемости дебиторской (кредиторской) задолженности и среднего срока одного оборота.
Коэффициенты оборачиваемости представляют собой соотношение выручки от реализации и дебиторской (кредиторской) задолженности (средней за рассматриваемый период). Коэффициент среднего срока оборота (среднего периода погашения дебиторской (кредиторской) задолженности) отношение ка-, лендарных дней периода к коэффициенту оборачиваемости дебиторской (кредиторской) задолженности. Последний рассчитывается следующим образом: (15.8)

где В выручка от реализации;
ДЗ (КЗ) дебиторская (кредиторская) задолженность.
Снижение коэффициента оборачиваемости дебиторской задолженности означает ухудшение состояния расчетов с покупателями, напротив, его рост свидетельствует о положительных тенденциях. Увеличение коэффициента оборачиваемости кредиторской задолженности говорит об ускорении динамики погашения задолженности хозяйствующим субъектам (то же самое происходит при уменьшении длительности периода погашения кредиторской задолженности).
Кстати, в переходный к рыночной экономике период особо остро стоит вопрос о просроченной задолженности, не погашенной в установленные договорами сроки, в частности о просроченной задолженности по заработной плате.
Контрольные вопросы
- В чем сущность статистического изучения источников формирования и направлений использования хозяйствующими субъектами финансовых ресурсов?
- Каковы особенности методологии изменения показателей рентабельности и их значимость в условиях рыночных отношений?
- В чем состоит основная идея анализа финансовой устойчивости предприятий (организаций)?
Статистика инфляции
Инфляция это сложное многофакторное явление, характеризующее нарушение воспроизводственного процесса, присущее экономике, использующей бумажно-денежное обращение. Инфляционный процесс связан с обесцениванием денег, проявляющимся в росте цен на товары и услуги и нарушении денежного обращения.
Причин и последствий инфляции несколько. Все многообразие интерпретации причин обычно сводят к двум основным подходам: монетаристскому (денежная природа) и немонетаристскому.
Согласно монетаристскому подходу, инфляция всегда и везде является денежным явлением. Причина роста инфляции кроется в более быстром увеличении денежной массы по сравнению с ростом объема реального продукта.
Монетаристская концепция инфляции в наиболее четком виде сформулирована американским экономистом И. Фишером, который вывел так называемое уравнение обмена:
откуда следует: (24.1)

где М денежная масса, находящаяся в обороте;
V скорость обращения денег;
Р уровень цен;
Q количество реальных товаров и услуг.
Из уравнения (24.1) для коротких интервалов времени выводится уравнение темпов роста (Т) рассматриваемых показателей: (24.2)
Темп роста цен (ТР) характеризует темп инфляции, и из уравнения (24.2) следует, что при стабильных значениях скорости обращения денег и объемов реального продукта инфляция предопределяется темпами роста денежной массы.
В уравнении обмена Фишера в упрощенном виде представлена количественная теория денег, которая как метод основного объяснения инфляции подвергалась серьезной критике.
Однако в силу усложнения хозяйственных отношений в экономике объем реального продукта и скорость обращения денег не являются стабильными, и тесной взаимосвязи между темпами роста цен и денежной массы не наблюдается.
Природа инфляции многогранна, и при ее рассмотрении в экономике выделяют открытую и подавленную инфляцию. Открытая инфляция проявляется в различных формах: инфляция спроса, инфляция издержек производства, структурная инфляция.
Инфляция спроса порождается избытком совокупного спроса, за которым по тем или иным причинам не успевает производство, что приводит к резкому росту цен на потребительском рынке. Инфляция такого рода постепенно распространяется и на производство.
Одной из причин инфляции издержек производства может быть рост цен на любые промежуточные товары, чаще на сырьевые ресурсы и энергоносители, а другой рост заработной платы. Теоретическое обоснование возможности проявления на определенном этапе инфляции издержек впервые дал Дж.
М. Кейнс.
В реальной действительности разделить эти формы инфляции сложно. Важно определить, какая из них является генератором инфляционных процессов.
Теоретическое различие состоит в следующем: инфляция спроса продолжается до тех пор, пока существует дефицит бюджета или другие формы товарно-денежных диспропорций, а инфляция издержек не может существовать продолжительное время.
В условиях ограниченной конкуренции на внутреннем рынке, что характерно в настоящее время для России, генератором инфляционного роста цен выступают производители (продавцы) продукции, которые повышают цены под давлением налогового бремени, падения курса рубля и т.д.
Под инфляцией в большинстве случаев понимают продолжительное (не разовое) повышение уровня цен. В инфляционном процессе параллельно действуют и факторы инфляции спроса, и факторы инфляции издержек производства.
Инфляция спроса и инфляция издержек имеют в своей основе нарушение денежного обращения, однако механизм их образования различен.
В инфляции спроса денежная масса выступает и как ее основа, и как активная причина. Антиинфляционные меры, ведущие к сокращению платежеспособного спроса и денежной массы, действуют против инфляции спроса весьма активно.
В инфляции издержек первоначальный толчок росту цен дают не денежные, а производственные и рыночные факторы.
Вызванное этими факторами повышение цен требует подтягивания денежной массы (с учетом скорости ее обращения) к возросшему уровню цен. В условиях рыночной экономики с развитой и гибкой кредитно-денежной сферой такое подтягивание происходит автоматически.
При отсутствии необходимых условий инфляция издержек реализуется не столько в росте цен, сколько в кризисном сокращении производства.
Любая инфляция быстро становится кумулятивной (самоподдерживающейся), поэтому сложно определить, где находится причина роста цен и где его следствие.
В России после применения шоковой терапии произошло снижение доходов производителей в связи с тем, что рост издержек опережал рост цен. Основная причина заключается в том, что цена на промежуточную продукцию росла быстрее, чем на конечную.
Одним из условий этого было преобладание спроса на сырье и энергоносители над спросом на конечную продукцию.
Одновременно наблюдался рост цен на энергию и энергоносители, что в значительной мере связано с функционированием естественных монополий. Повышение цен на энергоносители привело к росту совокупных издержек. Рост совокупных издержек обусловлен и другими факторами, среди которых особое место занимает система дотирования топливно-энергетического комплекса и сельскохозяйственного производства.
Немаловажную роль в раскручивании инфляционной спирали сыграл значительный рост реальных доходов представителей бизнеса, банков и др.
Многие факторы оказывают косвенное влияние на рост совокупных издержек. Это проявляется спустя определенное время через систему фискальных отношений.
Необходимость пополнения доходной части бюджета обусловливает повышение уровня налоговых поступлений. Мировой опыт свидетельствует о том, что существует определенный порог налогообложения, превышение которого приводит к сокращению производства и снижению интереса к предпринимательскому риску.
Структурная инфляция характеризуется макроэкономической межотраслевой несбалансированностью. Это наиболее труднопреодолимая форма инфляции, она сопровождает периоды кардинального перехода страны на новые условия хозяйствования, конверсии военного производства и т.д.
Подавленная инфляция выражается в увеличении денежной наличности.
В нашей стране подавленная инфляция наблюдалась накануне либерализации цен, проведенной в январе 1992 г. Первые четыре года (19921995 гг.) после либерализации наблюдались ежегодные высокие темпы роста цен по секторам экономики, что свидетельствует о высоком уровне инфляции (табл. 24.1).
Таблица 24.1
Индексы цен по секторам экономики (декабрь к декабрю предыдущего года, раз)
Источник: Цены в России. М.: Госкомстат России.
1998. С. 40, 122.
Инфляция отрицательно влияет на все стороны жизни общества. Она обесценивает результаты труда, сбережения физических и юридических лиц, препятствует долгосрочным инвестициям и экономическому росту.
Поэтому разрабатываются различные методы борьбы с инфляцией.
Эволюция рыночного мировоззрения сформировала два направления антиинфляционной политики:
- кейнсианское;
- монетаристское.
Кейнсианская антиинфляционная политика ориентирует на регулирование бюджетной и кредитной систем.
Монетаристская политика во главу угла ставит вопросы объема денежной массы и его регулирование.
В конце 80-х и первой половине 90-х годов наблюдался отход от монетаристских принципов управления экономикой в пользу повышения роли промышленной политики, т.е. комплекса конкретных государственных программ и мероприятий. Задачей промышленной политики являлось предоставление целевого бюджетного финансирования для развития и поддержания разных секторов экономики и видов деятельности, обеспечения структурной перестройки экономики.
24.2. Статистическое изучение инфляции
Изучение складывающихся тенденций в развитии инфляции связано с использованием информации из разных статистических источников. Подготовка такой информации и разработка методологии ее анализа одна из актуальных проблем в отслеживании и прогнозировании инфляции в российской экономике, особенно в условиях становления рыночных отношений.
Для оценки и анализа инфляции в отечественной и зарубежной практике широко используется система показателей, разрабатываемая статистикой цен, банковской статистикой, макроэкономической и другими отраслями статистики. В системе показателей особое место занимают ценовые индексы, в частности:
- дефлятор валового внутреннего продукта (ВВП), в зарубежной практике этот показатель называется дефлятором национального продукта;
- индекс цен производителей;
- индекс потребительских цен.
Дефлятор ВВП оценивает степень инфляции по всей совокупности товаров и услуг, производимых и потребляемых в государстве. Он исчисляется как отношение номинального ВВП (ВВПN) к реальному ВВП (ВВПR): (24.3)

где

валовой продукт изучаемого периода в текущих ценах;

то же в ценах базисного периода.
Дефлятор валового внутреннего продукта в отечественной статистике исчисляется по всей совокупности товаров и услуг с выделением производства товаров и производства услуг (табл. 24.2).
Таблица 24.2
Дефляторы валового внутреннего продукта России (в % к предыдущему году)

Источник: Национальные счета России в 19911998 годах. М.: Госкомстат России.
1999.С.
42.
Реальный ВВП представляет собой физический объем производства конечных товаров и услуг, рассчитанный в ценах предыдущего года. А это означает, что если в текущем периоде по отношению к предыдущему (базисному) произошло повышение общего уровня цен, то результатом исчисления ВВПR в текущем периоде с использованием цен предыдущего (базисного) периода будет снижение (дефлирование) объема ВВПN.
Если же за изучаемый период наблюдалось снижение общего уровня цен, то при расчете ВВПR будет наблюдаться повышение (инфлирование) объема ВВПN.
При характеристике инфляции используется также показатель нормы инфляции, исчисляемый по формуле (24.4)

где It и It-1 индексы смежных периодов.
Например, в России дефлятор ВВП в 1991 г. был равен 228,6%, а в 1992 г. 1590,0%, следовательно, за год норма инфляции составила:
По результатам исследований ряда экономистов принято считать, что если месячная норма инфляции составляет менее 10%, то имеет место ползучая инфляция, а если 1099%, то галопирующая инфляция.
Гиперинфляционный взрыв в России наблюдался в 1992 г., что было обусловлено в определенной мере либерализацией цен.
Кроме обобщающего показателя инфляции (дефлятора ВВП) в статистике исчисляются индексы цен, характеризующие уровень инфляции в отдельных секторах экономики, в частности индексы цен производителей и индекс потребительских цен.
Индекс цен производителя измеряет инфляцию в отношении товаров потребительского (предметы потребления) и производственного (средства производства) назначения. Будучи рассчитанным на раннем, оптовом этапе, этот индекс является хорошим показателем будущего изменения цен на более позднем, розничном этапе движения продукции.
Индекс потребительских цен измеряет инфляцию исключительно потребительских товаров и услуг, приобретаемых конечными покупателями.
В табл. 24.3 приведены индексы потребительских цен и цен предприятий производителей продукции промышленности по России в 1998 г.
Таблица 24.3
Индексы России в 1998 г. (на конец периода, % к предыдущему месяцу)
Источник: Данные Госкомстата России.
Индексы цен, приведенные в табл. 24.3, позволяют определить реакцию на изменения в экономической политике в краткосрочные периоды, фиксируя максимальные годовые уровни инфляции.
Заметный рост цен, особенно потребительских, наблюдался в сентябре 1998 г., что связано с резким скачкоT курса доллара США.
При определении индекса потребительских цен учитываются как товары отечественного производства, так и импортные товары, цены на которые значительно выросли, особенно на бытовую технику. Доля импортных товаров в потребительской корзине достаточно велика, и это привело к значительному росту потребительских цен по сравнению с индексом цен производителя.
При изучении инфляции следует учитывать и особенности измерения рассматриваемых ценовых индексов. Так, например, дефлятор ВВП является ценовым индексом произведенных товаров и услуг, а индекс потребительских цен измеряет динамику цен товаров и услуг, которые покупают домашние хозяйства в качестве потребителей.
Таким образом, любые изменения в ценах на товары (включая товарные остатки) и услуги, которые приобретаются не домашними хозяйствами (например, предприятиями), даже если это предметы потребления, не найдут отражение в индексе потребительских цен, но будут измерены дефлятором ВВП.
По мнению ряда экономистов, индекс потребительских цен может служить измерителем инфляции в случае постоянной конъюнктуры хозяйственной деятельности, поэтому выдвигаются предложения о расчете агрегированных индексов инфляции. Агрегированный индекс инфляции предлагается исчислять как среднюю величину из индексов цен, определяемых в различных секторах экономики.
Но в этом случае требуется методически и практически решить проблему определения весов.
Инфляция во многом определяется денежно-кредитной и бюджетной политикой, поэтому важно сравнивать динамику цен с динамикой основных макроэкономических показателей (см. табл. 24.4).
При изучении инфляции широко используются и показатели денежно-кредитной системы, в частности агрегаты денежной массы:
М0 наличные деньги в обращении (вне банков);
Ml = М0 + средства до востребования в банках;
М2 = Ml + срочные депозиты населения в сберегательных банках;
МЗ = М2 + депозитные сертификаты и облигации государственного займа.
Анализ динамики и структуры агрегатов денежной массы позволяет выявить основные факторы, определяющие динамику инфляции. Динамика денежных агрегатов сопоставляется с динамикой взаимосвязанных показателей, например с динамикой потребительских цен.
Однако при сопоставлении этих показателей необходимо учитывать определенный временной лаг между изменением денежной массы и потребительскими ценами.
Временные лаги, т.е. промежутки времени, в течение которых изменения объемов денежной массы вызывают соответствующие изменения в темпах прироста цен, не являются величиной постоянной; в определенной мере они зависят от состояния финансовой системы. По мере развития финансовой системы временные лаги между рассматриваемыми показателями имеют тенденцию к увеличению.
Этот фактор необходимо учитывать и при территориальных (межстрановых) сопоставлениях.
Таблица 24.4
Индексы основных социально-экономических показателей, % и разах (р.) к предыдущему году

* На конец года.
** Национальные счета России в 19911998 годах. М.: Госкомстат России.
1999. С. 42.
*** Российский статистический ежегодник. М.: 1998.
С. 60.
Источник: Цены в России.
М.: Госкомстат РФ. 1998.
С.11.
При анализе инфляции используются и такие денежные индикаторы, как денежная база (Н) и денежный мультипликатор (М2/Н). Денежная база это наличные деньги, выпущенные Центральным банком РФ (без учета наличности в хранилище ЦБ РФ), и обязательные резервы кредитных организаций в ЦБ РФ.
При статистическом изучении инфляции важно установить ее источники, о которых можно судить, например, анализируя структуру и динамику активов Центробанка, а именно, выделяя в них: кредиты внутрироссийские; межгосударственные расчеты; другие виды активов.
Одним из показателей инфляции является индекс официального курса рубля к доллару США. Динамика официального курса доллара США, устанавливаемого ЦБ РФ, приведена в табл.
24.5.
Таблица 24.5
Степень обесценивания российского рубля
Девальвация национальной валюты стимулирует инфляционные процессы. Обвальное обесценивание национальной валюты началось в 1992 г., курс доллара на 1.01.1992 г. возрос по сравнению с 25.12.1991 г. в 196 раз.
Первичной девальвацией рубля многие эксперты считают инвалютизацию экономики России.
Контрольные вопросы
- Дайте понятие инфляции и объясните, что такое открытая и подавленная инфляция.
- Назовите и охарактеризуйте основные формы открытой инфляции.
- Перечислите основные статистические показатели, используемые для оценки и анализа инфляции.
- Что такое норма инфляции и каковы методы ее определения?
- Какие показатели денежно-кредитной системы используются при характеристике инфляционных процессов?
- Что понимается под девальвацией национальной валюты?
Раздел VI. Статистика рынка труда
Статистика инноваций
Меры по реформированию российской статистики, предпринятые в 19931999 гг., способствовали не только качественному совершенствованию ряда традиционных ее разделов, но и появлению совершенно новых направлений, нацеленных на исследование актуальных аспектов экономического и социального развития страны в современных условиях и на перспективу. Среди них и статистика инноваций, призванная отразить процессы создания, внедрения и распространения на рынке новых либо усовершенствованных продуктов, услуг, технологических процессов.
Основные задачи статистики инноваций охватывают также измерение ресурсов, направляемых на инновационную деятельность, оценку факторов, благоприятствующих инновациям или тормозящих их, анализ влияния инновации на результаты деятельности предприятий*.
* Гохберг Л., Кузнецова И. Статистика инноваций: первые результаты и ближайшие перспективы.
Вопросы статистики.
1996. 3.
Возникновение статистики инноваций в ведущих индустриальных государствах было связано с усилением внимания к вопросам технологического развития как фактора конкурентоспособности компаний, отраслей, стран. Формирование инновационной политики потребовало создания адекватной информационной базы, и ответом на это явились сначала методологические и практические меры по статистическому изучению отдельных аспектов инновационной деятельности в ряде стран, а затем скоординированные усилия по стандартизации статистики инноваций и подготовка соответствующих рекомендаций, предпринятые под эгидой Организации экономического сотрудничества и развития.
Статистика инноваций занимает ныне важное место также в деятельности Евростата. Основные положения методологии статистического изучения инновационной деятельности, принятые в международной статистической практике, сформулированы в так называемом Руководстве Ослов*.
* Proposed Guidelines fоr Collecting and Interpreting Technological Innovation Data: Oslo Manual. Paris: OECD.
Eurostat.
1997.
Переход российской экономики на рыночные отношения не мог не повлиять на механизмы функционирования науки и ее связи с производством.
Развитие науки, особенно в части прикладных исследований и разработок, все в большей мере определяется спросом со стороны отраслей и предприятий. С другой стороны, осуществление инноваций, являясь условием повышения конкурентоспособности продукции, сохранения традиционных и завоевания новых рынков сбыта, диверсификации производства и повышения его эффективности, выступает как составная часть промышленной деятельности и реализуется посредством различных форм передачи (приобретения) технологий овеществленных (в виде машин и оборудования) и неовеществленных (патенты, лицензии, ноу-хау, услуги технологического содержания и др.).
В то же время инновационная активность предприятий сдерживается многочисленными объективными и субъективными трудностями (недостаточными финансовыми возможностями, высокой степенью риска, отсутствием собственной научно-исследовательской и опытно-конструкторской базы, кадров требуемой квалификации, необходимой научно-технической и маркетинговой информации и т.п.). Таким образом, анализ тенденций и прогнозирование развития как науки, так и промышленности становятся невозможными без изучения целей и источников инноваций, форм внутреннего и внешнего технологического обмена, оценки текущих и капитальных затрат на инновационную деятельность по ее видам и источникам финансирования, объема инновационной продукции.
Действующие в настоящее время международные нормы сбора статистических данных об инновациях, установленные Руководством Осло, разработаны применительно только к технологическим инновациям. Они представляют собой конечный результат инновационной деятельности, получивший воплощение в виде нового или усовершенствованного продукта, внедренного на рынке, нового или усовершенствованного технологического процесса, используемого в практической деятельности.
Инновация считается осуществленной в том случае, если она внедрена на рынке или в производственном процессе.
Соответственно различаются два типа технологических инноваций продуктовые и процессные которые в свою очередь классифицируются в статистике по степени новизны.
Продуктовые инновации охватывают внедрение новых или усовершенствованных продуктов. Внедрение нового продукта определяется как радикальная продуктовая инновация, если касается продукта, предполагаемая область применения которого, функциональные характеристики, свойства, конструктивные или использованные материалы и компоненты существенно отличают его от ранее выпускавшихся продуктов.
Такие инновации могут быть основаны на принципиально новых технологиях либо на сочетании существующих технологий в новом их применении. Примером инноваций радикального типа (принципиально новых) могут служить микропроцессоры и кассетные видеомагнитофоны.
Первый портативный кассетный плеер, сочетавший в себе существенные принципы построения магнитофонов и миниатюрных ушных громкоговорителей, являлся инновацией второго типа. В обоих случаях ни одно готовое изделие не выпускалось ранее.
Усовершенствование продукта (в терминологии Руководства Осло инкрементальная продуктовая инновация) затрагивает уже существующий продукт, качественные или стоимостные характеристики которого были заметно улучшены за счет использования более эффективных компонентов и материалов, частичного изменения одной или ряда технических подсистем (в случае сложного продукта).
Процессная инновация это освоение новых или значительно усовершенствованных методов производства, изменения в оборудовании или организации производства либо и то и другое. Такие инновации нацелены, как правило, на создание новых или усовершенствованных продуктов, выпуск которых невозможен при использовании имеющегося оборудования или применяемых методов производства, либо на существенное повышение эффективности производства наличествующих продуктов.
Нововведения в области организации и управления производством, информационных технологий, коммунальных и социальных услуг не рассматриваются в составе технологических инноваций. Кроме того, не подлежат учету в качестве инноваций несущественные видоизменения продуктов и технологических процессов, под которыми подразумеваются эстетические изменения в продуктах (в цвете, декоре и т.п.); незначительные или внешние изменения в продуктах, оставляющие неизменным его конструктивное исполнение и не оказывающие достаточно заметного влияния на параметры, свойства, стоимость того или иного изделия, а также входящих в него материалов и компонентов; расширение номенклатуры продукции за счет освоения производства не выпускавшихся ранее на данном предприятии, но уже известных на рынке видов продукции (возможно, непрофильной), с целью удовлетворения текущего спроса и увеличения доходов предприятия.
Классификация инноваций по степени новизны осуществляется по технологическим параметрам, а также с рыночных позиций. С точки зрения технологических параметров инновации подразделяются по следующим признакам: продуктовые инновации применение новых материалов; применение новых полуфабрикатов и комплектующих; получение принципиально новых функций (принципиально новые продукты); процессные инновации новая технология производства; более высокий уровень автоматизации; новые методы организации производства (применительно к новым технологиям).
С позиций новизны рынка различаются инновации новые для отрасли в стране; новые для данного предприятия (группы предприятий).
Единицей отчетности в статистике инноваций являются инновационно-активные предприятия. Их идентификация базируется на расширенном круге признаков, включающих помимо внедрения новых или усовершенствованных продуктов (появления на рынке) и новых или усовершенствованных технологических процессов (реализации в рамках того или иного производственного процесса) участие в других видах инновационной деятельности выполнение исследований и разработок; приобретение патентных и беспатентных лицензий; проведение маркетинговых исследований.
Учитывается также осуществление определенных видов деятельности, связанных с начальными и промежуточными стадиями внедрения (производственные проектно-конструкторские работы, технологическая подготовка производства, пробное производство и испытания, обучение и подготовка персонала, приобретение машин, оборудования, установок и прочих основных фондов и осуществление капитальных затрат, связанных с внедрением продуктовых и процессных инноваций).
На этой основе рассчитываются показатели уровня инновационной активности предприятий, характеризующие степень их участия в осуществлении инновационной деятельности в целом или отдельных ее видов в течение определенного периода времени (в зависимости от периодичности статистического наблюдения одного года либо трех-пяти лет). Уровень инновационной активности предприятий обычно определяется как отношение количества инновационно-активных, т.е. занятых какими-либо видами инновационной деятельности, предприятий к общему числу обследуемых за определенный период времени предприятий в стране, отрасли, регионе.
В аналитической практике используются интегральная оценка уровня инновационной активности предприятий, охватывающая все виды инновационной деятельности за рассматриваемый период времени; оценки, учитывающие в качестве инновационно-активных предприятия, занятые исключительно каким-либо одним видом инновационной деятельности, а также основанные на измерении результатов инновационной деятельности.
Аналитические задачи, отвечающие потребностям информационного обеспечения государственной инновационной и структурной политики, предполагают исследование взаимосвязи целого ряда явлений и процессов, характерных для современного этапа реформирования российской экономики, с инновационной деятельностью. Среди них, например, специализация и концентрация промышленного производства, сдвиги в размещении отраслей по территории страны, приватизация и реструктуризация предприятий, развитие малого предпринимательства.
Это обусловило необходимость введения в статистику инноваций группировок по видам экономической и инновационной деятельности, размерам предприятий, формам собственности, территории.
Рыночным переменам в экономике сопутствуют изменения в поведении предприятий по отношению к инновациям. Несмотря на всю многоплановость проблем их внедрения, сложность формирования благоприятного психологического климата в коллективах, инновации в той или иной мере превратились в объективную жизненную необходимость для большинства производств.
За десятилетия впервые можно сказать, что предприятия открыты для инноваций, дело только за правильно выбранной стратегией и требуемыми для ее осуществления средствами.
Поэтому поставлена задача статистического исследования целей инновационной деятельности, прежде всего экономических, имеющих непосредственное отношение к продуктам и рынкам сбыта. В статистике предусматривается группировка инноваций, имеющих разное предназначение в инновационной стратегии предприятия, по соответствующим целям, в числе которых выделяются замена снятой с производства устаревшей продукции, расширение ее ассортимента и повышение качества, сохранение традиционных либо создание новых рынков сбыта, снижение издержек производства, улучшение условий Труда, сокращение загрязнения окружающей среды.
35.2. Показатели затрат на технологические инновации и технологического обмена
Показатели затрат на технологические инновации занимают центральное место в статистике инноваций. Это обусловлено их экономической значимостью, важностью для оценки состояния и перспектив технологического развития.
Затраты на технологические инновации представляют собой выраженные в денежной форме фактические расходы, связанные с осуществлением различных видов инновационной деятельности, выполняемой в масштабе предприятия (отрасли, региона, страны). В составе затрат на инновации статистика учитывает текущие и капитальные затраты.
Текущие затраты, осуществляемые главным образом за счет себестоимости продукции (работ, услуг), включают затраты на оплату труда работников, занятых разработкой и внедрением технологических инноваций, отчисления на социальные нужды, а также другие расходы, не относящиеся к капитальным затратам, такие, как затраты на приобретение сырья, материалов, оборудования и пр., необходимых для обеспечения инновационной деятельности.
Капитальные вложения (долгосрочные инвестиции) это годовые затраты на создание, увеличение размеров, а также приобретение внеоборотных активов длительного пользования (свыше одного года), не предназначенных для продажи, осуществляемые в связи с разработкой и внедрением технологических инноваций. Они состоят из затрат на приобретение машин, оборудования, прочих основных средства, а также сооружений, земельных участков и объектов природопользования, необходимых для проведения инновационной деятельности.
В зависимости от целей учета и анализа возможны два подхода к измерению затрат на инновации: расчет затрат на инновации, либо осуществляемые на предприятии (в отрасли, регионе, стране) в течение года (включая незавершенные), либо внедренные в течение года (включая затраты прошлых лет, но исключая затраты на незавершенные инновации). Статистическое наблюдение обычно базируется на первом из этих вариантов.
Для решения широкого круга аналитических задач в статистике используются различные группировки затрат на технологические инновации, на основе которых появляется возможность сделать выводы о структуре и источниках образования финансовых ресурсов инновационной деятельности, сложившихся пропорциях между отдельными ее видами, целевой ориентации инновационной стратегии предприятий.
В зависимости от вида инновационной деятельности выделяются:
- затраты на научные исследования и разработки, связанные с внедрением новых продуктов и технологических процессов;
- затраты на приобретение прав на патенты, лицензий на использование изобретений, промышленных образцов, полезных моделей (патентных лицензий);
- затраты на приобретение беспатентных лицензий (ноу-хау, технологий, иных научно-технических достижений, не защищенных охранными документами) у сторонних предприятий, организаций, частных лиц;
- затраты на приобретение программных средств, связанные с осуществлением инноваций;
- затраты на производственные проектно-конструкторские работы, связанные с технологическим оснащением, организацией производства и начальным этапом выпуска новой продукции (при этом их следует отличать от проектно-конструкторских работ, учитываемых в составе научных исследований и разработок и относящихся к формированию самой концепции создания новых продуктов или технологических процессов);
- затраты на технологическую подготовку производства, пробное производство и испытания, связанные с внедрением технологических инноваций;
- затраты на подготовку и переподготовку персонала в связи с внедрением технологических инноваций (работой по новым технологиям и на новом оборудовании);
- затраты на маркетинговые исследования по выпуску новых продуктов на рынок, включая зондирование рынка, адаптацию продукта к различным рынкам, рекламу (исключая расходы на создание сетей распространения инновационной продукции);
- капитальные вложения в приобретение машин и оборудования, прочих основных фондов, связанных с внедрением технологических инноваций;
- прочие затраты (на оплату услуг технологического содержания, консультаций привлеченных специалистов и др.).
По указанным видам инновационной деятельности в составе затрат выделяются текущие и капитальные затраты.
Не менее важной является группировка затрат по типам инноваций, отражающая их целевое назначение. В ее основу положена отмеченная выше и принятая в международной практике идентификация двух классов инноваций продуктовых и процессных.
При группировке затрат на технологические инновации по источникам финансирования предусматривается их упрощенная типология по сравнению с принятой для научных исследований и разработок. Так, в их составе рассматриваются собственные средства предприятий, средства федерального бюджета и бюджетов территорий, внебюджетные фонды, иностранные инвестиции.
В дополнение из состава общих затрат на технологические инновации выделяются осуществленные с привлечением кредитов и займов, в том числе на льготных условиях.
Технологическое развитие промышленного производства может базироваться на собственном инновационном потенциале предприятий либо на приобретении технологий со стороны. Становление действенной системы коммерциализации технологий, развитие технологического рынка, совершенствование механизмов передачи и приобретения технологий на внутреннем и мировом рынках, возникновение новы] источников получения технологической информации, формирование соответствующей инфраструктуры способствуют повышению эффективности использования научно-технических достижений и ускорению инновационного процесса.
В связи с этим важным объектом изучения в статистике инноваций становится технологический обмен, охватывающий сделки по приобретению и передаче научно-технических знаний и опыта для оказания научно-технических услуг, применения технологических процессов, выпуска продукции как на бездоговорной основе, так и на условиях, определенных договором, заключенным между сторонами.
Сделка по приобретению либо передаче технологии может осуществляться как в пределах одной страны, так и являться международной операцией, когда технология передается через национальные границы из одной страны в другую. При этом возможны различные коммерческие и некоммерческие формы реализации таких сделок. Статистика учитывает количество приобретенных и переданных технологий (с выделением случаев, когда партнерами российских предприятий являются компании из стран СНГ или дальнего зарубежья) по следующим формам приобретения (передачи):
- патентные лицензии, права на патенты;
- результаты исследований и разработок (из них по контрактам либо выполненные совместно);
- ноу-хау, соглашения на передачу технологий;
- покупка (продажа) оборудования (в случае, если технология передается в укомплектованном виде);
- покупка (продажа) предприятия либо его части;
- целенаправленный прием на работу квалифицированных специалистов;
- вклад объектов промышленной собственности в уставный фонд предприятия;
- получение технологий в составе предоставленных инвестиций;
- лизинг;
- приобретение технологий через организацию совместных предприятий и др.
Указанные показатели дополняются сведениями о совместных проектах по выполнению исследований и разработок, а также об источниках информации для осуществления инноваций. В числе последних рассматриваются внутренние источники самого предприятия, внешние коммерческие источники (поставщики, потребители, конкуренты, научные организации и т.п.) либо общедоступная информация (патентная, научно-техническая литература, конференции, выставки и иные рекламные мероприятия).
Контрольные вопросы
- Приведите определение технологических инноваций и их типов.
- По каким признакам предприятие считается инновационно-активным?
- Как рассчитывается уровень инновационной активности предприятий?
- Раскройте содержание и состав затрат на технологические инновации.
- Что такое технологический обмен и в каких формах он осуществляется?
Статистика инвестиций
Согласно российскому законодательству, инвестициями являются все виды имущественных и интеллектуальных ценностей, вкладываемых в объекты предпринимательской и других видов деятельности в целях получения прибыли (дохода). Такие вложения осуществляются путем приобретения экономических активов, т.е. экономических объектов, владение или использование которых приносит и будет приносить в будущем их владельцам экономическую выгоду.
Ориентация на будущие доходы при вложении капитала характерная черта, отличающая инвестиции от текущих затрат на производство товаров и услуг. В связи с этим инвестиционную деятельность можно также определить как приобретение экономических активов, способных обеспечить получение доходов в будущем.
В науке и хозяйственной практике проводится различие между реальными и финансовыми инвестициями.
На это, в частности, указывают У.Ф. Шарп, Г.Дж.
Александер и Дж.В. Бейли в известном учебнике Инвестиции.
Реальные инвестиции (real investments) включают инвестиции в материально осязаемые активы (земля, оборудование, заводы и др.).
Финансовые инвестиции (financial investments) представляют собой вложения средств с целью приобретения финансовых прав акций, облигаций, долей в уставном капитале других предприятий, банковских и других вкладов (сберегательные сертификаты, депозитные счета); предоставленных другим предприятиям займов и т.н.
В развитых странах большую часть инвестиций составляют финансовые инвестиции. По этой причине в хозяйственной практике иногда используется более узкое понятие инвестиций, охватывающее лишь финансовые инвестиции.
В частности, именно такой подход заложен в международных стандартах бухгалтерского учета.
Финансовые инвестиции (в российской хозяйственной практике их называют финансовыми вложениями) подразделяются на текущие (краткосрочные) и долгосрочные. Согласно международным стандартам бухгалтерского учета, текущими являются финансовые инвестиции, которые по своей природе свободно реализуемы и предназначены для владения не более чем на один год.
Долгосрочными инвестициями считаются вложения, осуществленные с намерением получения доходов по ним сроком более одного года.
К ним относятся также вложения в ценные бумаги, срок погашения (выкупа) которых не установлен, но имеется намерение получать доходы по ним более одного года.
Реальные инвестиции представляют собой вложения средств с целью приобретения нефинансовых активов всех видов (произведенных и непроизведенных). Таким образом, инвестиции в нефинансовые активы состоят из инвестиций в произведенные и непроизведенные активы.
Инвестиции в произведенные активы включают вложения в основной капитал, в запасы материальных оборотных средств и в ценности.
К инвестициям в непроизведенные активы относятся вложения с целью приобретения материальных непроизведенных активов (земли; недр с разведанными залежами полезных ископаемых; некультивируемых биологических ресурсов, таких, как естественные леса, используемые для лесозаготовок, и т.п.), а также нематериальных непроизведенных активов (запатентованные экономические объекты и некоторые другие элементы).
В соответствии с международными стандартами бухгалтерского учета движение денежных средств предприятия учитывается раздельно по текущей (операционной), инвестиционной и финансовой деятельности.
Текущая (операционная) деятельность это основная деятельность организации с целью получения прибыли, а также другие виды деятельности, не являющиеся ни инвестиционной, ни финансовой деятельностью.
Под инвестиционной понимается деятельность организаций, связанная с приобретением и продажей земельных участков, зданий и иной недвижимости, оборудования, нематериальных и других внеоборотных активов, с осуществлением долгосрочных финансовых вложений в другие организации, выпуском облигаций и иных ценных бумаг долгосрочного характера и т.п.
Финансовая деятельность организации связана с осуществлением краткосрочных финансовых вложений, выпуском облигаций и ценных бумаг краткосрочного характера, выбытием ранее приобретенных на срок до 12 месяцев акций, облигаций и т.п.
Таким образом, долгосрочные финансовые, а также реальные инвестиции в бухгалтерском учете относятся к сфере инвестиционной деятельности, а краткосрочные финансовые инвестиции к сфере финансовой деятельности.
Такое разделение видов деятельности в бухгалтерском отчете о движении денежных средств организации значительно облегчает анализ инвестиций. Статистическое изучение инвестиций направлено на решение следующих задач:
- определение объемов инвестиций, их структуры и темпов изменения;
- определение экономической эффективности инвестиций и интенсивности инвестиционной деятельности.
32.2. Показатели статистики инвестиций и методология их исчисления
Финансовые инвестиции и инвестиции в нефинансовые активы существенно различаются по экономическому содержанию, соответственно различаются и процедуры их количественного определения.
Финансовые инвестиции могут рассматриваться с двух точек зрения:
- как стоимость ресурсов, израсходованных организацией за определенный период на приобретение финансовых прав акций, облигаций, долей в уставном капитале других организаций, банковских вкладов, предоставленных другим организациям займов;
- как стоимость активов, представляющих собой финансовые права, которыми располагает организация на определенную дату.
В первом случае финансовые инвестиции представляют собой финансовые потоки, которые характеризуются интервальным показателем и определяются по сумме фактических затрат инвестора на их приобретение, включая вознаграждение за выполнение посреднических услуг по покупке ценных бумаг.
Во втором случае финансовые инвестиции рассматриваются как накопленная величина, характеризуемая моментным показателем и определяемая по балансовой стоимости инвестиций на конкретную дату. Балансовая стоимость финансового актива может отличаться от фактических затрат на его приобретение за счет того, что в бухгалтерском учете разница между покупной стоимостью государственной ценной бумаги и ее номинальной стоимостью постепенно относится на финансовые результаты организации.
Кроме того, различие возможно за счет того, что имеющиеся у организации акции, рыночная котировка которых регулярно публикуется, при составлении годового бухгалтерского баланса отражаются не по стоимости приобретения, а по рыночной стоимости (если последняя ниже стоимости приобретения).
В бухгалтерских документах и формах государственного статистического наблюдения ведется раздельный учет долгосрочных и краткосрочных финансовых инвестиций.
Для более полной характеристики инвестиционного процесса полезно знать, каково соотношение между инвестициями, вложенными данной организацией в другие хозяйственные единицы, и инвестициями, вложенными другими хозяйственными единицами в данную организацию. Накопленная величина первых представляет собой инвестиционные активы данной организации, накопленная величина вторых соответствующие пассивы.
Если за определенный период организация вложила в другие хозяйственные единицы больший объем инвестиций, чем было вложено в нее за тот же период, то это свидетельствует об увеличении инвестиционных активов данной организации.
В противном случае имеет место увеличение пассивов.
Таким образом, финансовые инвестиции (их потоки и накопленные величины) могут быть определены как в валовом, так и в чистом выражении, т.е. с учетом и без учета принятых финансовых обязательств. Валовые инвестиции представляют собой финансовые вложения, осуществленные данным предприятием в другие хозяйственные единицы.
Чистые инвестиции формируются путем вычитания из валовых инвестиций финансовых вложений, осуществленных в данное предприятие другими хозяйственными единицами. Эти выводы справедливы как для отдельных предприятий и организаций, так и для их территориальных и отраслевых совокупностей.
Структура финансовых инвестиций, осуществленных предприятиями и организациями, изучается с помощью их группировки по видам активов и направлениям инвестирования. В зависимости от видов активов финансовые инвестиции подразделяются на вложения в паи и акции других организаций, облигации и другие долговые обязательства, предоставленные займы, прочие финансовые вложения.
В зависимости от направлений инвестирования финансовые вложения группируются по отраслевой принадлежности объектов, в которые осуществляется инвестирование.
Инвестиции в нефинансовые активы определяются как сумма инвестиций в произведенные активы (основной капитал, запасы материальных оборотных средств, ценности) и инвестиций в непроизведенные активы (землю, недра, нематериальные непроизведенные активы).
Большую часть всего объема инвестиций в нефинансовые активы составляют инвестиции в основной капитал. Они слагаются из инвестиций, вложенных во все виды основного капитала:
- материальный основной капитал жилища, другие здания и сооружения, машины и оборудование, культивируемые активы (племенной, рабочий и продуктивный скот, дающие урожай сады и т.п.);
- нематериальный основной капитал геолого-разведочные работы, компьютерное программное обеспечение, оригиналы развлекательных, литературных и художественных произведений.
Инвестиции в основной капитал для каждой хозяйственной единицы определяются как затраты на приобретение относимых к основному капиталу активов, их доставку и установку в требуемом месте, улучшение уже имеющихся активов (капитальный ремонт и модернизацию), а также затраты на передачу прав собственности на активы. К затратам на передачу прав собственности относятся расходы на оплату услуг юристов, оценщиков, консультантов, вознаграждения агентам по недвижимости, аукционистам и т.п., налоги на продажу активов.
Если приобретаемый инвестором актив создается в результате выполнения подрядчиком договора подряда, то цена этого актива обычно определяется на основе сметы. По договорам строительного подряда в смете учитываются стоимость строительных работ, стоимость оборудования и работ по его монтажу, а также прочих работ и затрат (проектно-изыскательских работ, расходов по отводу земельных участков для строительства, затрат, связанных с компенсацией за снесенные строения, и т.п.).
В российской хозяйственной практике инвестиции в основной капитал (за вычетом затрат на капитальный ремонт зданий, машин и оборудования) часто называют капитальными вложениями. При проведении статистических наблюдений из общего объема капитальных вложений обычно выделяется стоимость строительно-монтажных работ (строительных работ и работ по монтажу оборудования).
Весьма сложной задачей является определение инвестиций в запасы материальных оборотных средств сырья и материалов, незавершенного производства, готовой продукции, товаров для перепродажи. Это обусловлено тем, что инвестициями оказываются лишь те вложения в материальные оборотные средства, которые приводят к увеличению физического объема их запасов, поскольку именно прирост запасов создает условия для расширения производства в будущем.
Что же касается периодически повторяющихся покупок сырья и материалов для производства, а также товаров для перепродажи в процессе торговой деятельности, которые не приводят к расширению масштабов производства или торговли, то эти покупки относятся к сфере текущей деятельности и не являются инвестициями.
Инвестиции в запасы материальных оборотных средств определяются как стоимость материальных оборотных средств, полученных хозяйственной единицей за некоторый период, за вычетом стоимости средств, выбывших за этот период. Полученные и выбывшие материальные оборотные средства должны быть оценены по одним и тем же ценам средним за указанный период.
Аналогичный результат может быть получен, если из величины запасов материальных оборотных средств, имеющихся в конце периода, вычесть величину запасов на начало периода (при условии, что те и другие запасы оценены в средних ценах данного периода).
В развитых странах некоторая часть инвестиций направляется на приобретения ценностей драгоценных металлов, камней, произведений искусства и т.д., которые используются как средства сохранения во времени стоимости затраченных на их покупку ресурсов. В российской статистике наблюдение за инвестициями в ценности пока не проводится.
Инвестиции в материальные непроизведенные активы (землю, залежи полезных ископаемых, предназначенные для лесозаготовок естественные леса) определяются по фактической цене этих активов без учета затрат на передачу прав собственности на них.
Нематериальные непроизведенные активы в российской хозяйственной практике включаются в более широкую категорию нематериальные активы, которая также охватывает некоторые элементы нематериальных произведенных активов, например компьютерное программное обеспечение. Инвестиции в нематериальные активы определяются как сумма затрат инвестора на создание или приобретение экономических объектов, которые представляют собой авторские права на произведения науки, литературы, искусства, компьютерные программы, права на изобретения, промышленные образцы, товарные знаки, права на ноу-хау и т.п.
В стоимость нематериальных активов, кроме того, включаются затраты на передачу прав собственности на землю и недра, а также организационные расходы, связанные с учреждением юридических лиц.
В органах государственной статистики полученные от хозяйственных единиц сведения суммируются по видам инвестиций, что позволяет проанализировать структуру инвестиционных потоков. Полученные данные публикуются в форме таблиц.
32.3. Методы анализа инвестиций
Главной задачей экономического анализа инвестиций является определение их эффективности. Эффективность экономическая категория, характеризующая соотношение осуществленных в процессе хозяйственной деятельности затрат ресурсов и полученного за счет этого результата.
Эффективность финансовых инвестиций определяется их доходностью. Доходность ценных бумаг за конкретный период исчисляется по формуле

(32.1)
В данной формуле под благосостоянием на начало периода понимается цена покупки ценных бумаг в этот момент, а под благосостоянием на конец периода рыночная цена ценных бумаг в конце периода с добавлением всех выплат доходов по ним за указанный период. Если, например, акции какой-либо корпорации продавались по 1100 руб. в начале года и по 1230 руб. в конце года, причем в течение года выплачивались дивиденды в сумме 60 руб., то доходность акций корпорации за год составит: (1230 + 60 - 1100) / 1100 = 0,17, или 17%.
Данная формула применяется для расчета доходности за определенный период как в случае приобретения ценных бумаг в начале периода (при этом благосостояние на начало периода принимается равным цене приобретения ценных бумаг), так и в случае, если ценные бумаги к началу периода уже находились в собственности инвестора (при этом благосостояние на начало периода принимается равным действующим в указанный момент рыночным ценам на данные ценные бумаги).
Доходность ценной Iумаги за определенный период может быть представлена в виде суммы двух составляющих, одна из которых обусловлена изменением рыночной цены (курса) данной ценной бумаги за этот период, а другая выплатой доходов по этой бумаге. При таком подходе формула (32.1) примет следующий вид:

(32.2)
В развитой рыночной экономике предсказать размеры дивидендов, выплачиваемых по акциям крупных корпораций, как правило, намного проще, чем определить будущую рыночную стоимость этих акций. Поэтому именно изменение рыночной стоимости акций является главным объектом статистического изучения.
При анализе эффективности инвестиций в ценные бумаги обычно больше внимания уделяется показателям доходности, обусловленным изменением рыночной стоимости ценных бумаг.
На фондовом рынке продается много различных ценных бумаг, имеющих разную доходность. Средняя рыночная доходность всех циркулирующих на рынке акций (rM) определяется по формуле

(32.3)
где ri - доходность i-й акции (в долях единицы);
хi - относительная рыночная стоимость i-й акции, равная совокупной рыночной стоимости всех выпущенных акций этого наименования, деленной на сумму совокупных рыночных стоимостей всех присутствующих на рынке акций;
N количество наименований всех имеющихся на рынке акций.
Обычно в качестве ri используется отношение рыночной стоимости данной ценной бумаги в конце анализируемого периода к ее рыночной стоимости в начале этого периода. Показатели, в основу которых положен вышеизложенный принцип расчета, называются рыночными индексами. В мировой практике используется ряд таких показателей, несколько отличающихся алгоритмами расчета.
Особенно известен Standard Poor's Stock Price Index, представляющий собой средневзвешенную величину курсов акций 500 крупнейших корпораций США.
При расчете этого индекса сначала определяется сумма произведений текущих рыночных цен акций 500 крупнейших фирм на их выпущенное количество, полученная величина делится на суммарную стоимость такого же пакета акций в ценах базового периода, затем полученный результат умножается на 10. В качестве базового периода приняты 1941 1943гг.*
* См.: Таганов Д.Н. Акции и биржа.
М.: Нова-пресс, 1991.
С. 6465.
В России в течение нескольких последних лет по подобной методике рассчитывается индекс РТС-Интерфакс, обобщающий данные об изменении рыночной стоимости 100 обращающихся на российском рынке наиболее ликвидных акций. Известен также индекс АКМ и некоторые другие.
Среднюю рыночную доходность за анализируемый период можно определить, сравнивая значение рыночного индекса в конце периода с го значением в начале этого периода. Важнейшие рыночные индексы являются статистическими показателями эффективности инвестиций в акции.
Они подлежат ежедневной публикации. Ряды большинства индексов размещаются в компьютерной сети Интернет.
Для эффективной работы на фондовом рынке важно знать, как доходность конкретного наименования акций (или портфеля акций конкретного инвестора) связана со средней рыночной доходностью всей совокупности акций, т.е. с рыночным индексом. Для этого используются статистические модели.
Простейшая линейная модель предполагает существование следующей связи:

(32.4)
где ri доход по бумаге i за определенный период;
rM доход, исчисленный по рыночному индексу за определенный период;
и неизвестные параметры (коэффициенты регрессии);
величина случайной ошибки, характеризующая отклонение от теоретически предполагаемой связи.
Задача определения и решается методом наименьших квадратов. Для этого необходимо иметь значения ri и rM и за п последовательных периодов (например, месяцев). В результате вычислений получаются следующие результаты:

(32.5 и 32.6)
Бета-коэффициент ( ) является важным статистическим показателем рынка ценных бумаг. Он оценивает изменение доходности конкретных акций в зависимости от динамики рыночного индекса.
Ценные бумаги, доходность которых изменяется так же, как рыночный индекс, имеют = 1. Бумаги, по которым 1, обладают большей изменчивостью, чем рыночный индекс. Они являются более рискованными, чем рынок в целом.
Бумаги, имеющие 1, менее рискованны, чем рынок в целом.
Следует отметить, что изучение финансовых инвестиций это та область экономического анализа, в которой использование статистических методов получило особенно широкое распространение.
В условиях инфляции в показателях доходности ценных бумаг содержится компонента, обусловленная ростом цен. Для ее устранения используется индекс потребительских цен:

(32.7)
где RR реальная доходность за год в долях единицы;
NR номинальная доходность за год в долях единицы;
IПЦ индекс потребительских цен за год (в долях единицы), либо (для приближенных вычислений):

(32.8)
При расчете эффективности реальных инвестиций наиболее важным моментом является выбор показателя, характеризующего результат этих инвестиций. При рассмотрении конкретного инвестиционного проекта, как правило, имеется достаточно полная информация о результате, представляющем собой доходы, полученные за счет осуществления проекта.
В таком случае необходимо лишь решить проблему сопоставления доходов и инвестиций, относящихся к различным периодам. Для этого денежные суммы, затраченные или полученные в разные периоды (годы или месяцы), условно приводятся к одному периоду путем дисконтирования.
Пусть в качестве периода, к которому осуществляется приведение доходов и инвестиций, выбран год завершения инвестиций по данному проекту. Для упрощения будем считать, что вызванные инвестициями доходы начали поступать на следующий год после завершения инвестиций. В этом случае расчет проводится по следующим формулам:

(32.9)
где РК суммарные инвестиции, осуществленные за n последовательных лет, приведенные к году, в котором были завершены инвестиции по данному проекту;
Кk инвестиции по данному проекту, осуществленные в k-м году до даты завершения инвестиций (индексом 0 обозначен год завершения инвестиций);
i годовая ставка процента (для простоты принято, что она не изменяется по годам);
n количество лет, в течение которых осуществлялись инвестиции.

(32.10)
где PV суммарные дисконтированные доходы (обычно выручка от реализации товаров и услуг либо прибыль), полученные в результате инвестиций за т последовательных лет, приведенные к периоду, в котором были завершены инвестиции по данному проекту;
Рs доход, полученный в s-м году после даты завершения инвестиций;
т количество лет, в течение которых поступали доходы, обусловленные инвестициями.
При анализе эффективности инвестиций в целом по стране, региону или отрасли экономики решение проблемы усложняется, поскольку в этом случае, как правило, отсутствуют сведения о результатах инвестиций и их распределении во времени. Сбор сведений по каждому инвестиционному проекту очень дорог и трудоемок.
Поэтому приходится осуществлять приблизительную оценку эффективности реальных инвестиций на основе имеющихся макропоказателей.
Например, сравнивая эффективность инвестиций в различные отрасли экономики, можно сделать допущение, что в каждой из этих отраслей среднегодовой (за определенное количество лет) прирост произведенной добавленной стоимости порожден среднегодовым значением инвестиций за этот период. При таком допущении эффективность инвестиций в каждую отрасль может быть определена по формуле

(32.11)
где Эи эффективность реальных инвестиций в отрасль за п лет;
Дi прирост добавленной стоимости в отрасли в i-м году при условии, что за каждый год добавленная стоимость приведена в сопоставимые цены (например, цены последнего года);
Кi инвестиции в i-м году при условии, что за каждый год инвестиции приведены в сопоставимые цены того же года;
п количество лет, включенных в расчет.
Интенсивность инвестиционной деятельности может быть охарактеризована путем сравнения потоков средств, направляемых хозяйственной единицей на инвестиционные и текущие цели. При проведении такого анализа текущие затраты могут быть приняты на уровне затрат на производство товаров и услуг.
Тогда интенсивность инвестиционных потоков будет характеризоваться показателем объема инвестиций на 1 рубль текущих затрат на производство товаров и услуг. Информация для подобных расчетов может быть получена также на основе бухгалтерских отчетов организаций о движении денежных средств, в которых предусмотрено разграничение данных по текущей, инвестиционной и финансовой деятельности.
Индекс физического объема инвестиций в основной капитал является одним из важнейших макроэкономических показателей, характеризующих изменение инвестиционной активности. Он представляет собой отношение объемов инвестиций, осуществленных в сравниваемые периоды, из которого устранено влияние цен. Этот индекс рассчитывается по формуле

(32.12)
где Iфи индекс физического объема инвестиций в основной капитал (в % к базовому периоду, с которым осуществляется сравнение);
Kосн1 объем инвестиций в основной капитал в текущем периоде в фактических ценах этого периода;
Kосн0 объем инвестиций в основной капитал в базовом периоде в ценах, действовавших в базовом периоде;
Iц индекс цен на элементы основного капитала за текущий период в % к базовому периоду.
Индекс физического объема может рассчитываться как для всего объема инвестиций в основной капитал, так и для его основных составляющих затрат на строительно-монтажные работы, машины, оборудование, инструменты и инвентарь, прочих инвестиций в основной капитал.
32.4. Источники статистической информации об инвестициях
Основными источниками статистической информации об инвестициях являются данные государственного статистического наблюдения, бухгалтерской отчетности организаций, административные данные (например, сведения о государственной регистрации операций с недвижимостью).
В бухгалтерской отчетности организаций содержится информация о накопленной величине финансовых инвестиций по состоянию на начало и конец отчетного периода, их распределении по видам (акции, облигации, займы и т.д.), движении в течение отчетного периода средств финансирования долгосрочных инвестиций, поступлении и расходовании денежных средств в сферах текущей, инвестPционной и финансовой деятельности, поступлении и выбытии основного капитала. Бухгалтерская отчетность представляется в налоговые и статистические органы всеми организациями.
Исключение составляют лишь организации с численностью работников менее 15 человек, которые представляют упрощенную отчетность только в налоговые органы.
В рамках государственного статистического наблюдения сбор сведений об инвестициях осуществляется ежеквартально, а по отдельным показателям ежемесячно. Формы статистического наблюдения рассылаются всем без исключения организациям, которые не являются субъектами малого предпринимательства.
Субъекты малого предпринимательства обследуются по упрощенной форме выборочно с использованием метода расслоенного случайного отбора. Выборочные данные распространяются на всю совокупность субъектов малого предпринимательства.
Статистическое наблюдение позволяет получить следующую информацию:
- о потоке финансовых инвестиций за отчетный период и их накопленной величине на конец этого периода (как по инвестициям, направленным данной организацией в другие хозяйственные единицы, так и по инвестициям, вложенным в данную организацию);
- о потоке инвестиций, направленных организацией на создание и приобретение нефинансовых активов (в разрезе их видов);
- об источниках средств для инвестиций.
Сведения об инвестициях в основной капитал, полученные от организаций, дополняются расчетными данными об инвестициях, осуществленных физическими лицами, а также в сфере неформальной (скрытой) экономики.
Контрольные вопросы
- Как классифицируются инвестиции в зависимости от типа активов, в которые они вкладываются?
- Каковы содержание и алгоритм расчета рыночного индекса?
- Как определяется эффективность реальных инвестиций по конкретным проектам и отраслям экономики в целом?
- С какой целью и как исчисляется индекс физического объема инвестиций в основной капитал?
Раздел VIII. Статистика науки и инноваций
Статистика эффективности общественного производства
Экономическая эффективность общественного производства комплексная экономическая категория. Она отражает степень достижения цели получение максимальных в данных условиях конечных результатов экономической деятельности на единицу затрат или ресурсов экономического потенциала.
Заслуженный профессор международной экономики (Восточный колледж, Пенсильвания, США) Линвуд Т. Гайгер определяет экономическую эффективность (ecoomic efficiency) как эффективность, означающую, что общество производит максимум продукции с учетом спроса со стороны потребителей*.
* Гайгер Линвуд Т. Макроэкономическая теория и переходная экономика / Учебник. М.: ИНФРА-М, 1996.
С. 559.
В этом определении достигаемый результат (эффект) увязывается с его способностью удовлетворять спрос потребителей.
Статистическое изучение эффективности общественного производства связано с использованием системы показателей, исчисляемых как соотношение результатов и факторов производства (ресурсов) или результатов и затрат, связанных с их достижением. Эффективность может быть охарактеризована и на основе обратных показателей: ресурсо- и затратоемкости.
Показателем конечных результатов производственной деятельности по методологии, принятой в международной практике, является валовой внутренний продукт (ВВП) на макроэкономическом уровне или валовая добавленная стоимость (ВДС) на уровне отраслей, секторов и предприятий. В качестве показателя результата (эффекта) может быть также использован и показатель национального дохода (на уровне отрасли чистой добавленной стоимости).
Объем текущих затрат на производство ВВП, эффективность использования которых предстоит определить, складывается из используемых факторов производственной деятельности и измеряется показателями их затрат: рабочей силы фондом оплаты труда (ФОТ), средств труда потреблением основного капитала (ПОК), предметов труда расходами сырья, материалов и услуг на производство ВВП, которые составляют промежуточное потребление. Показатели ресурсов представлены соответственно показателями: среднегодовой численности активного населения (или трудовых ресурсов); среднегодового объема основного капитала (основных фондов) и среднегодового объема материальных оборотных средств.
Поскольку в показателях результатов отражается сводный результат функционирования обеих сфер деятельности производства продукции и услуг, то и в показателях затрат и ресурсов должны быть учтены соответствующие показатели обеих сфер.
В процессе комплексного анализа эффективности общественного производства изучаются ее уровень, динамика, факторы роста.
Уровень эффективности отражает отношение показателя результата производства к объему ресурсов экономического потенциала или объему текущих затрат, связанных с достижением данного результата. В рамках системы показателей, характеризующих уровень эффективности производства, ведущее положение занимают обобщающие показатели эффективности общественного производства, позволяющие получить альтернативный ответ об изменении уровня эффективности при разно-направленных тенденциях изменения отдельных показателей системы. Они рассчитываются в двух вариантах:
- обобщающий показатель эффективности затрат:
где ФОТ фонд оплаты труда;
ПП промежуточное потребление;
ПОК потребление основного капитала, в отечественной статистике оно пока представлено объемом амортизации основных фондов, хотя это и не тождественные показатели.
- обобщающий показатель эффективности ресурсов:
где ТР трудовые ресурсы;
ОФ основные фонды;
ОбФ оборотные фонды.
Следует подчеркнуть, что расчеты обобщающих и других показателей уровня эффективности по экономике в целом, по ее отраслям, секторам и отдельным производителям осуществляются по единой методологии, при этом показателем результата является валовая (чистая) добавленная стоимость (ДС).
В настоящее время расчет обобщающего показателя эффективности использования ресурсов (экономического потенциала) предполагает необходимость решения проблемы стоимостной оценки наличных трудовых ресурсов (или экономически активного населения). В перспективе развитие рынка труда позволит определить рыночную стоимость трудовых ресурсов.
Обобщающие показатели эффективности дополняются системой частных показателей, имеющих важное самостоятельное значение в экономическом анализе. В системе показателей эффективности целесообразно выделить подсистемы показателей эффективности живого и прошлого труда.
Группа показателей, исчисляемых как соотношение результатов производства и численности работников или затрат труда, характеризует эффективность использования живого труда (общественная производительность труда, трудоемкость, соотношение динамики производительности и оплаты труда, относительная экономия труда и др.).
Группа частных показателей эффективности использования ресурсов характеризует эффективность использования затрат прошлого труда: фондоотдача, фондоемкость, материалоемкость и проч.
Методика расчета этих показателей такова:
- производительность общественного труда: ВВП/ТР, где ТР среднегодовая численность занятых трудовых ресурсов;
- фондоотдача: ВВП/ОФ;
- фондоемкость: ОФ/ВВП;
- материалоемкость: ПП/ВВП и др.
Причем производительность труда (ПТ) равна произведению показателей фондовооруженности (ФВ) и фондоотдачи (ФО), соответственно индекс производительности равен произведению индексов фондовооруженности и фондоотдачи: IПТ = IФВ - IФО.
Каждый из показателей эффективности представляет собой результат комплексного влияния многих факторов. Общий темп роста эффективности общественного производства, а также частных показателей можно выразить индексом переменного состава.
Динамика эффективности общественного производства зависит от изменения уровней этих показателей и отраслевых структурных сдвигов, влияние которых характеризуют индексы постоянного состава и структурных сдвигов.
Важной задачей статистики является определение влияния факторов на изменение абсолютного уровня показателей эффективности общественного производства. При этом одни и те же показатели в одном случае выступают в роли факторов, в другом в роли зависимых переменных.
Наряду с показателями социально-экономической эффективности рассчитываются показатели финансовой эффективности рентабельности. Уровень рентабельности также характеризуется системой показателей.
При этом каждому показателю, рассчитываемому на макроуровне, соответствует аналогичный показатель на микроуровне, чем достигается сопоставимость и сводимость показателей разных уровней хозяйствования.
Уровень рентабельности определяется как отношение суммы прибыли к среднегодовой стоимости основных производственных фондов и нормируемых оборотных средств.
Самостоятельное значение в экономическом анализе рентабельности может иметь отношение валовой прибыли экономики (ВПЭ) к ВВП: Кр = ВПЭ/ВВП. Оно характеризует финансовый результат с единицы произведенного ВВП.
Система показателей эффективности затрат живого труда может быть дополнена показателями относительной экономии (перерасхода):
а) фонда оплаты труда: ЭФОТ = ФОТ1 ФОТ0 (IФО ВВП);
б) численности занятых: ЭТ = Т1 Т0 (IФО ВВП); где ЭФОТ относительная экономия фонда оплаты труда;
ФОТ фонд оплаты труда соответственно отчетного (ФОТ1) и базисного (ФОТ0) периодов;
IФО ВВП индекс физического объема ВВП: IФО ВВП =

.
ЭТ относительная экономия численности занятых;
Т1 и Т0 среднегодовая численность занятых соответственно в отчетном и базисном периодах.
Относительная экономия (перерасход) фонда оплаты труда или численности занятых в производстве ВВП определяется как разность между фактическим объемом этих показателей в отчетном периоде и расчетной их величиной в базисном периоде при условии, что объем производства ВВП в базисном периоде был бы на уровне отчетного.
В сводном виде система показателей эффективности ресурсов и затрат представлена в таблице 55.1.
Таблица 55.1
Система показателей экономической эффективности общественного производства

Показатели фактического уровня эффективности характеризуют изменение эффективности при сопоставлении их с нормативными, плановыми показателями, в динамике или в сравнении с аналогичными показателями других стран (регионов).
Для решения задачи определения влияния отдельных факторов на рост ВВП используется индексный метод.
Применение индексного факторного анализа позволяет дать статистическую оценку влияния различных факторов на результативный показатель ВВП. В качестве факторных используют два показателя: численность занятых в экономике (отработанное время), которая обозначается через Т, и общественная производительность труда (ПТ).
Последовательность расчетов такова:
- Определяют общий прирост ВВП как разность между ВВП отчетного и базисного периодов
ВВП равен произведению численности занятых (Т) на уровень общественной производительности труда (ПТ)
где ВВП стоимость валового внутреннего продукта (или национального дохода);
Т среднегодовая численность занятых в экономике (или отработанное время);
ПТ производительность труда, рассчитанная по результативному показателю.
Тогда общий прирост результата (ВВПVбщ) будет состоять из следующих компонентов:
где ВВПТ и ВВППТ соответственно прирост ВВП за счет численности работников и производительности труда.
2. Рассчитывают прирост ВВП за счет выделенных факторов по следующей методике:
Валовой внутренний продукт можно представить как функцию от трех факторов: численности занятых в экономике (Т), фондовооруженности (ФВ) труда и фондоотдачи (ФО), т.к. ПТ = ФВ - ФО. В динамике эту зависимость можно выразить следующим уравнением:
Тогда количественная оценка влияния каждого фактора на динамику ВВП определяется следующим образом:
1) прирост ВВП за счет численности занятых
2) прирост ВВП за счет фондоотдачи
3) прирост ВВП за счет фондовооруженности
Аналогичный расчет можно выполнить и для определения влияния факторов роста национального дохода. В этом случае принимается во внимание еще один фактор доля НД в ВВП (d):
Тогда расчет будет осуществляться в следующей последовательности:
1. ВВПТ = (Т1-Т0) - ПТ0 - d0;
2. ВВППТ = (ПТ1 ПТ0) - Т1 - d0,
3. ВВПd = Т1 - ПТ1 - (d1 d0), или ВВПd = ВВПобщ ВВПТ ВВППТ.
Рассчитать влияние каждого фактора на динамику результативного показателя можно и при помощи метода производственных функций.
Для исследования влияния на эффективность общественного производства различных факторов применяют также корреляционно-регрессионный анализ.
При этом в качестве результативного показателя обычно выступают выпуск, валовой внутренний продукт, национальный доход, а в качестве факторных признаков показатели ресурсов трудового потенциала (численность занятых или отработанное рабочее время) и ресурсов материального потенциала (основные фонды, оборотные фонды, капиталовложения с соответствующим временным лагом, совокупный капитал, экспорт, импорт и т.д.).
Контрольные вопросы
- Раскройте понятие экономической эффективности как экономической категории и объекта статистического изучения.
- Каковы назначение и методика построения обобщающих показателей эффективности ресурсов и затрат?
- Каково содержание системы показателей эффективности затрат живого труда, какова методика их расчета?
- Каковы содержание и методика расчета эффективности затрат прошлого труда?
- Раскройте взаимосвязь показателей производительности общественного труда, фондоотдачи и фондовооруженности.
- Каковы факторы роста валового внутреннего продукта и методы определения их влияния?
Лиература
Адамов В.Е. Факторный индексный анализ.
М.: Статистика, 1977.
Айвазян С.А., Мхитарян B.C.
Прикладная статистика и основы эконометрики: Учебник.
М.: ЮНИТИ, 1998.
Александров А.А. Страхование.
М.: Приор, 1998.
Барроу К. Основы страховой статистики. М.: СО Анкил, 1992.
Биржевой портфель: Книга биржевика. Книга биржевого коммерсанта. Книга брокера / Отв. ред.
Ю.В.
Рубин, В.И. Солдаткин.
М.: СОМИНТЭК, 1992.
Богданова О.М. Коммерческие банки России: формирование условий устойчивого развития.
М.: Финстатинформ, 1998.
Бункина М.К. Монетаризм.
М.: ДИС, 1994.
Гайер Линвуд Т. Макроэкономическая теория и переходная экономика: Учебник. М.: ИНФРА-М, 1996.
Гохберг Л. М. Финансирование науки в странах с переходной экономикой: сопоставительный анализ. М.: Центр исследований и статистики науки, 1998.
Гохберг Л.М., Кузнецова И. А. Технологические инновации в России. М.: Центр исследований и статистики науки, 1997.
Григорук Н.Е. Статистика внешнеэкономических связей.
М.: Финансы и статистика, 1993.
Гулд У., Хиггинс М. Банковское дело: стратегическое руководство. М.: Консалтбанкир,1988.
Демографический ежегодник России: Статистический сборник. М.: Госкомстат России, 1997.
Денежная политика Федерального банка. Немецкий Федеральный банк, 1995.
Доклад о развитии человеческого потенциала в Российской Федерации, 1996 / Под общей редакцией Г. Стендинга. М.: Academia, 1997.
Доклад о человеческом развитии за 1997 год. ПРООН, Нью-Йорк Оксфорд: Оксфорд юниверсити пресс, 1997.
Долан Э. Дж., Кемпбелл К. Д., Кемпбелл Р. Деньги, банковское дело и денежно-кредитная политика. СПб.: Литера Плюс, 1994.
Дубров A.M., Мхитарян B.C., Трошин Л. И. Многомерные статистические методы: Учебник. М.: Финансы и статистика, 1998.
Елисеева И.И., Kocmeeвa T.B., Хоменко Л.Н. Международная статистика: Учеб. пособие.
Минск: Вышэйшая школа, 1995.
Закон о таможенном тарифе. М., 1994.
Зинченко А.П. Сельскохозяйственная статистика с основами социально-экономической статистики.
М.: Изд-во МСХА, 1998.
Зоркальцев В.И. Индексы цен и инфляционные процессы.
Новосибирск: Наука,1996.
Интегрированная система статистики заработной платы: Методическое руководство / Пер. с англ. М.: АО Финстатинформ, 1994.
Информатика в статистике: Словарь-справочник. М.: Финансы и статистика, 1994.
Информационные технологии в статистике / Под ред. А.Н.
Романова, В.П. Божко.
М.: Финстатинформ, 1995.
Основы маркетинга / Ф. Котлер, Г. Армстронг, Д. Сондерс, В. Вонг. Пер. с англ.
2-е европейское изд. К.; М. СПб.: Издат. дом Вильяме, 1998.
Киселев В.В. Валютный дилинг в деятельности коммерческих банков.
М.: Финстатинформ, 1998.
Киселев В.В. Кредитная система России: проблемы и пути их решения.
М.: Финстатинформ, 1999.
Кулагина Г.Д. Статистика окружающей среды Учеб.-практ. пособие.
М.: МНЭПУ, 1999.
Кулагина Г.Д. Экономика природопользования.
Учеб.-практ. пособие. М.: МЭСИ, 1998.
Курс переходной экономики: Учебник / Под ред. Л.И.
Абалкина. М.: Финстатинформ, 1997.
Курс социально-экономической статистики: Учебник / Под ред М.Г. Назарова.
М.: Финансы и статистика, 1982.
Курс социально-экономической статистики: Учебник / Под ред М.Г. Назарова.
М.: Финансы и статистика, 1985.
Лукашин Ю.П. Адаптивные методы краткосрочного прогнозирования.
М.: Статистика, 1997.
Макроэкономическая статистика: Учеб.-практ. пособие. М.: МЭСИ, 1998.
Мархонько В.М. Методология статистики международной торговли товарами: Учебно-методическое пособие.
М.: Российская таможенная академия, 1999.
Масакова И.Д., Петров В.Н., Рябушкин Б. Т. Межотраслевой баланс в СНС. М.: Госкомстат РФ, 1995.
Международная статистическая классификация болезней и проблем, связанных с ними. Х пересмотр.
ВОЗ.
Женева, 1994.
Мелкумов Я. С. Экономическая оценка эффективности Инвестиций и финансирование инвестиционных проектов. М.: ДИС, 1997.
Меньшиков С. Новая экономика. Основы экономических знаний.
М.: Международные отношения, 1999.
Методологические положения по статистике. М.: Госкомстат России.
Вып. 1, 1996.
Вып.
2., 1998.
Методологические положения по статистике. Выпуск второй.
М.: Госкомстат РФ, 1998.
Мобиус Марк. Руководство для инвестора по развивающимся рынкам.
М., 1995.
Население и условия жизни в странах Содружества Независимых Государств: Статистический сборник. М.: Статкомитет СНГ, 1998.
Население России за 100 лет (18971997): Статистический сборник. М.: Госкомстат России, 1998.
Национальное счетоводство / Под ред. Г.Д.
Кулагиной.
М.: Финансы и статистика, 1998.
Национальное счетоводство: Учебник / Под ред. Г.Д.
Кулагиной.
М.: Финансы и статистика,1997.
Национальные счета России в 19891996 годах: Статистический сборник. М.: Госкомстат России, 1998.
Нестеров Л. И. Международная Статистика: Учеб.-практ. пособие. М.: МГУЭСИ, 1999.
Обследования экономически активного населения: занятость, безработица и неполная занятость: Методологическое руководство МБТ / Пер. с англ. В 2-х кн.
М.: АО Финстатинформ, 1994.
Общая теория денег и кредита / Под ред. Е.Ф.
Жукова. М.: ЮНИТИ.
Банки и биржи, 1995.
Общая экономическая теория: Учебник. М.: Промо-медиа, 1995.
Остроумов С.С. Советская судебная статистика.
М.: МГУ, 1976.
Петер фон дер Липпе. Экономическая статистика: Статистические очерки.
Т. 1. Пер. с нем.
Федеральное статистическое управление Германии, 1995.
Пособие по статистике в области научно-технической деятельности. Париж: ЮНЕСКО, 1984.
Прошко Б. Г., Елисеева И.И. История статистики: Учеб. пособие.
М.: Финансы и стаистика,1990.
Романов Ю.А. Статистика внешней торговли.
М.: Международные отношения, 1974.
Российская государственная статистика 18021996. М.: Финансы и статистика, 1998.
Роуз П. С. Банковский менеджмент. Предоставление финансовых услуг.
М.: Дело лтд, 1995.
Руководство по сбору и анализу статистических данных в области уголовного правосудия: Методологические исследования. Серия А 43.
ООН.
Нью-Йорк, 1987.
Руководство по статистике государственных финансов. Аннотированный план-проспект.
МВФ, 1996.
Рябушкин Б.Т. Национальные счета и экономические балансы.
М.: Финансы и статистика, 1999.
Рябушкин Б.Т. Основы статистики финансов.
М.: Финстатинформ, 1997.
Рябушкин Б.Т. Отражение данных таможенной статистики внешней торговли в макроэкономических расчетах: Лекция.
М.: Российская таможенная академия, 1997.
Рябушкин Б.Т. Экономическая статистика: Учеб.-метод, пособие / Под ред.
Ю.М.
Петрова. М.: Российская таможенная академия, 1999.
Сафронова В.П. Показатели СНС в отечественной статистике.
М.: Финстатинформ, 1996.
Система национальных счетов: инструмент макроэкономического анализа / Под ред. Ю.Н.
Иванова.
М.: Финстатинформ, 1996.
Современные международные рекомендации по статистике труда / Перевод и издание с разрешения МОТ. М.: Финстатинформ, 1994.
Социальная статистика: Учебник / Под ред. М.Г.
Назарова. М.: Финансы и статистика, 1988.
Социальное положение и уровень жизни населения России: Статистический сборник. М.: Госкомстат России.
М, 1998.
Социально-экономическая статистика: Словарь / Под ред. М.Г.
Назарова. М.: Финансы и статистика, 1981.
Справочник по социальным показателям: Методологические исследования. Серия F 49.
ООН. Нью-Йорк, 1989.
Статистика коммерческой деятельности: Учебник / Под ред. И.К. Беляевского и О.Э.
Башиной.
М.: Финстатинформ, 1996.
Статистика международной торговли: Концепции и определения. ООН, 1982.
Статистика науки и инноваций. Краткий терминологический словарь / Под ред.
Л.М. Гохберга.
М.: Центр исследований и статистики науки, 1996.
Статистика предприятий: Статистические очерки. Т. 2. Штутгарт: Метцлер-Пэшель, 1996.
Статистика рынка труда: Статистические очерки. Т. 8. Штутгарт: Федеральное статистическое управление Германии, 1999.
Статистика рынка: Учебник / Под ред. И.К.
Беляевского. М.: Финансы и статистика, 1997.
Статистика труда: Учебник / Под ред. М.Г.
Назарова. М.: Финансы и статистика, 1981.
Статистика труда для стран с переходной экономикой / Под ред. И. Чернышева.
М.: Финстатинформ, 1996.
Статистика финансов: Учебник / Под ред. М.Г.
Назарова. М.: Финансы и статистика, 1986.
Социально-экономическая статистика:. Словарь / Под ред.
М.Г. Назарова.
М.: Финансы и статистика, 1981.
Статистический словарь. М.: Финстатинформ, 1996.
Струмилин С.Г. Статистика и экономика.
М.: Наука, 1979.
Таможенная статистика: Учеб. пособие. Выпуск второй.
М.: Российская таможенная академия,1997.
Таможенная статистика: Учебн. пособие / Под ред. А.Ф.
Лисова. М.: Российская таможенная академия, 1996.
Таможенный кодекс Российской Федерации. М., 1993.
Ульянов И. Статистическое наблюдение предприятий с использованием унифицированных форм//Вопросы статистики. 1998. 5.
Уровень жизни населения России: Статистический сборник. М.: Госкомстат России.1996.
Уровень жизни населения. Социально-экономический потенциал семьи: Итоговый научный доклад Минсоцзащиты РФ.
М., 1996.
Финансы России. Статистический сборник.
М.: Госкомстат России, 1998.
Фомичев В. И. Международная торговля: Учебник. М.: ИНФРА-М, 1998.
Цены в России. Статистический сборник.
М.: Госкомстат России, 1998.
Шарп Уильям Ф., Гордон Дж. Александер, Бейли Джефри В. Инвестиции.
М.: ИНФРА-М, 1997.
Шумпетер Й. Теория экономического развития. М.: Прогресс, 1982.
Экономическая статистика: Учебник / Под ред. Ю.Н.
Иванова. М.: ИНФРА-М, 1998.
Экономическая теория / Под ред. И.П.
Николаевой.
М.: Финстатинформ, 1997.
Яковлева З.Г. Правовая статистика.
М.: Юрид. лит., 1986.
Baron Alexandre Lamfalussy. Central Banking in Transition.
London, Barbical Hall, 1994.
External Debt Definition, Statistical Coverage and Methodology. World Bank-lMF-BIS, Paris, 1988.
Hand books of the international programme for accelerating the improvement of scivil Regustration and vital statistics systems. Studies in methods.
Vital statistics systems and methods, st / ESA / STAT / SER. F / 6972.
ООН. New York, 1997.
Manual on Monetary and Financial Statistics. Washington: International Monetary Fund,1995.
Proposed Guidelines for Collecting and Interpreting Technological Innovation Data: Oslo Manual. Paris: OECD, Eurostat, 1997.
The 1990s Japans tasks. Tokyo: NIRA, 1987.
Содержание
Введение
3
Раздел I. Социально-экономическая статистика в условиях перехода к рыночным отношениям
5
Статистика кредита
Предоставление кредитов является основной экономической функцией банков. От эффективности деятельности кредитного учреждения зависит социально-экономическое положение не только самого банка, но и региона, в котором он осуществляет свою работу.
Задачи социально-экономического статистического анализа определяются экономическим содержанием и основными функциями кредита как экономической, социальной и финансовой категории и его ролью в процессе кредитования физических и юридических лиц клиентов.
Основными функциями кредита в экономике являются:
- перераспределение денежных потоков и капиталов и выравнивание нормы прибыли;
- аккумулирование свободных финансовых ресурсов с их последующей капитализацией и передачей в пользование заемщикам на платной основе;
- экономия издержек обращения;
- обслуживание некоторых видов платежей и расчетов для физических и институциональных единиц;
- осуществление ряда специальных финансовых операций, например трастовых, по обслуживанию механизма вексельного обращения или сделки с недвижимостью;
- централизация и концентрация денежных потоков (капитала).
Ссудный капитал, т.е. свободный денежный капитал, может быть использован для вложения в любую отрасль (сектор) реальной экономики. Из секторов с невысокой эффективностью и низкой нормой прибыли капиталы высвобождаются и в денежной форме накапливаются в банковских учреждениях, а из них посредством кредита направляются в другие сектора.
Таким образом, кредит является естественным механизмом перераспределения денежных ресурсов и выравнивания нормы прибыли.
Он служит фактором экономики денежных ресурсов посредством взаимного зачета долговых обязательств и требований (т.е. путем использования механизма безналичных расчетов), увеличения скорости обращения денег, замены бумажных и металлических денег электронными и кредитными деньгами.
Достигаемая благодаря кредиту экономия наличных денег, а также уменьшение скорости и издержек денежного обращения обеспечивают снижение удельного веса непроизводительного (денежного и товарного) капитала и повышение удельного веса производительного капитала. Это приводит к расширению размеров производства и вместе с тем к увеличению массы и нормы прибыли.
Кредит служит рычагом централизации капитала, поскольку усиливает позиции крупных и эффективных производителей в их конкурентной борьбе с неэффективными производителями. Естественно, банки предоставляют кредит клиентам с устойчивым финансовым положением, кредите- и платежеспособным юридическим и физическим лицам заемщикам.
Таким образом, происходит поглощение (слияние, банкротство) неплатежеспособных, нерентабельных, неэффективных производителей, что представляет собой одну из форм централизации капитала.
Кредит активно способствует концентрации и накоплению капитала, ускоряя процесс превращения суммы прибавочной стоимости в капитал.
Кроме того, благодаря кредиту источником накопления становятся также денежные сбережения населения. Банки и другие финансовые учреждения капитализируют эти средства и предоставляют их в распоряжение прочих заемщиков.
Теоретически в современной банковской системе (благодаря развитию безналичного расчета и в том числе существованию электронных денег) существует реальная возможность бесконечного переноса первоначально созданного депозита из одного банка в другой, а следовательно, и бесконечного роста кредитов, выдаваемых кредитными организациями. На практике имеет место так называемая мультипликация депозита, т.е. цепной перенос средств из одного банка в другой и экспансия кредита.
Основными принципами кредитования являются:
- возвратность, которая означает, что деньги, полученные в кредит, должны быть возвращены, т.е. ссуда должна быть погашена;
- срочность, т.е. необходимость возврата кредита в точно установленный срок, отраженный в кредитном договоре или заменяющем его документе. Нарушение указанного принципа достаточное условие для кредитора применить санкции к заемщику в виде повышения взимаемого процента или предъявления финансовых требований в судебном порядке. Частичным исключением из этого правила являются онкольные кредиты, срок погашения которых не оговаривается в кредитном договоре;
- платность выражает необходимость не только возррата полученных от банковского учреждения.денежных сумм, но и оплаты права на их использование в форме ссудного процента;
- обеспеченность, т.е. обеспечение имущественных прав кредитора при возможных нарушениях заемщиком принятых на себя обязательств. Основными видами обеспечения служат гарантии или залог;
- целевой характер кредита, т.е. заемщик получает кредит на определенные цели, на конкретный срок, в установленном размере;
- дифференцированный характер кредита определяет существование конкретных требований со стороны кредитной организации к конкретному заемщику в зависимости от ряда внешних и внутренних факторов.
Финансовые условия предоставления кредита в значительной степени зависят не только от финансового состояния кредитора и заемщика, но и от денежно-кредитной политики центрального банка уровня официальной процентной ставки, а также от общего состояния финансового рынка и рынка капитала.
Существует определенная классификация кредитов в зависимости от различных факторов.
По сроку предоставления различают краткосрочные, среднесрочные и долгосрочные кредиты. В практике банковской системы РФ используются краткосрочные (до 1 года) и долгосрочные (свыше 1 года) кредиты.
По обеспечению кредиты могут быть обеспеченными и необеспеченными. Обеспечение кредита может быть персональным, банковским, государственным.
Обеспечение предполагает наличие того или иного залога, гарантии или его страхование (перестрахование).
Залогом может быть закладная на движимое или недвижимое имущество клиента или другие активы, принадлежащие ему. В соответствии с Инструкцией Банка России от 30.06.1997 г. 62а к залогу предъявляются следующие требования:
- его реальная (рыночная) стоимость должна быть достаточна для компенсации банку основной суммы долга по ссуде, всех процентов в соответствии с договором, а также возможных издержек, связанных с реализацией залоговых прав;
- вся юридическая документация в отношении залоговых прав банка должна быть оформлена таким образом, чтобы время, необходимое для реализации залога, не превышало 150 дней со дня, когда реализация залоговых прав возникает не позднее чем на 30-й день задержки заемщиком очередных платежей банку по основному долгу либо по процентам.
Главная причина, по которой кредитные организации могут потребовать залог, это наличие кредитного риска, т.е. невозможность или нежелание клиента погасить ссуду в срок. Залог не гарантирует погашение ссуды, но уменьшает уровень кредитного риска, так как в случае банкротства клиента банк становится привилегированным кредитором, иными словами, получает преимущество перед другими кредиторами в отношении любого вида активов.
В зависимости от изменения конъюнктуры рынка рыночная стоимость заложенных активов может меняться (чаще в сторону уменьшения), поэтому размер (стоимость) залога должен быть равным или превышать стоимость кредита.
Банку необходимо контролировать стоимость и качество залога, уровень его ликвидности, соотношение его рыночной стоимости с размером кредита.
Различают твердый (фиксированный) и плавающий залог. К твердому залогу относится имущество, которое может быть предоставлено кредиторам при невозможности заемщика оплатить свои обязательства. В таком случае клиент-заемщик не имеет права распоряжаться имуществом.
В этот залог входят в основном ипотека на реальный основной капитал, реже дебиторская задолженность, стоимость акций, облигаций и других ценных бумаг на имущество.
К плавающему залогу относятся прежде всего запасы товарно-материальных ценностей и готовая продукция. Иногда он может быть распространен на все имущество заемщика, кроме предоставленного в твердый залог (табл.
21.1). Обычно решение о принятии твердого или плавающего залога принимается залоговым кредитором, как правило, банком.
Это способ защиты заемщика от претензий других кредиторов на имущество клиента в случае нарушения его финансовой устойчивости.
Гарантия это согласие третьей стороны погасить кредит в случае, если заемщик не способен сделать это сам. Как источник погашения кредита гарантия надежна настолько, насколько гарант способен и желает погасить кредит.
Поэтому заемщику необходимо знать уровень платежеспособности самого гаранта.
Часто от него требуют обеспечение или залог. Гарантии могут быть безусловными или условными, покрывающими всю сумму кредита или только часть, оформлены договором или передаточной надписью.
В зависимости от количества банков, принимающих участие в гарантийных операциях, различают прямые, косвенные и посреднические гарантии. Выбор той или иной формы гарантии зависит как от желания и возможности договаривающихся сторон, так и от существующего законодательства государства.
В зависимости от специфики кредиторов кредиты бывают государственные, банковские, выданные небанковскими кредитными организациями, коммерческие (фирменные) и частные (предоставленные частными лицами).
Банковские кредиты, в свою очередь, могут быть прямыми и консорциональными, предоставление которых предполагает участие нескольких банков. Консорциональные кредиты бывают клубными (число кредиторов ограниченно) и открытыми (любой банк или другой кредитор может принять участие).
В зависимости от вида дебитора кредиты классифицируются на банковские, небанковские, коммерческие (торговые) и персональные, в том числе кредиты, предоставленные домашним хозяйствам.
Таблица 21.1
Оценка залога в зависимости от его надежности

По направлениям использования ссуды бывают потребительскими, промышленными, на формирование оборотных средств, инвестиционные, сезонные, на устранение временных финансовых трудностей, промежуточные, на операционные с ценными бумагами, импортные, экспортные.
По способу предоставления различают кредиты вексельные, при помощи открытых счетов, кредитные линии, возобновляемые (револьверные), обращаемые (роловерные), сезонные, консигнации и др.
В зависимости от размера ссуды бывают мелкими, средними, крупными. Их размер относителен и зависит от возможностей кредитора (соотношение размеров его уставного капитала, возможностей и конъюнктуры рынка).
Рассмотрим укрупненную схему статистического анализа процесса предоставления кредитов:
- определение рынка (охвата) и конкретного клиента,которому будет предоставлен кредит в соответствии с возможностями и желанием кредитного учреждения;
- определение источников создания кредитных ресурсов;
- анализ происхождения кредита (запрос клиента, запрос третьего лица о предоставлении кредита определенному клиенту, проникновение на новый рыночный сегмент и др.);
- оценка конкретных параметров кредита (величина, сроки предоставления, способы погашения, анализ уровня рисков деятельности самого клиента и отрасли (сектора), К которому он принадлежит, качественный анализ залога или гарантии и способа их реализации, особые оговорки и т.д.);
- оформление документов и их проверка;
- выдача кредита;
- погашение кредита, в том числе погашение основного долга, выплата процентов; наличие или отсутствие просрочки по выплатам основного долга или процентов свидетельствует о прибыли или об убытке для банка.
В зависимости от уровня кредитного риска (вероятности невозврата кредита и процентов по нему в срок, отраженный в кредитном договоре заемщиком, по причине его неплатежеспособности) ссуды подразделяются на следующие группы:
1. Стандартные (безрисковые) ссуды, к которым относятся:
а) текущие ссуды (по ним отсутствует просроченная задолженность по выплате основного долга и не заключались дополнительные соглашения по пролонгации) независимо от обеспечения при отсутствии просроченной выплаты процентов по ним, кроме льготных текущих кредитов или кредитов инсайдерам;
б) текущие ссуды:
- при наличии просроченной задолженности по ним до 5 календарных дней включительно;
- с просроченной выплатой по основному долгу до 5 дней включительно;
- переоформленные один раз кредиты без изменений условий договора.
2. Нестандартные ссуды, по которым существует умеренный риск их невозврата. Они включают:
а) обеспеченные кредиты:
- текущие при наличии просроченной задолженности по процентам от 6 до 30 дней включительно;
- с просроченной выплатой по основному долгу от 6 до 30 дней включительно;
- с двумя пролонгациями без изменения условия договора или с одной пролонгацией с их изменением;
б) недостаточно обеспеченные ссуды:
- текущие при наличии просроченной выплаты по основному долгу и процентов по ним до 5 дней включительно;
- одноразовая пролонгация без изменений условий договора.
3. Сомнительные кредиты, по которым существует высокий уровень риска невозврата:
а) обеспеченные кредиты:
- текущие при наличии просроченной выплаты по основному долгу и процентов по ним от 31 до 180 календарных дней;
- пролонгация более двух раз независимо от наличия изменений в условиях договора;
б) недостаточно обеспеченные кредиты:
- текущие при наличии просрочки по основному долгу и процентам от 6 до 30 дней включительно;
- одноразовая пролонгация с изменением условий договора;
- двухразовая пролонгация без изменений условий договора;
в) необеспеченные ссуды:
- текущие кредиты при наличии просроченной выплаты по основному долгу и процентам до 5 дней включительно;
- одноразовая пролонгация без изменений условий договора;
г) льготные ссуды инсайдерам с просроченной выплатой по основному долгу или по процентам до 5 дней включительно.
4. Безнадежные кредиты, вероятность возврата которых практически отсутствует и которые фактически считаются убытками банка.
Кроме перечисленных видов кредита существуют и так называемые льготные кредиты, которые выдаются заемщикам (кроме кредитных организаций) под процентную ставку ниже ставки рефинансирования ЦБ РФ, действующей на момент предоставления кредита. Если средневзвешенная процентная ставка по данному банку или его филиалу выше официальной ставки рефинансирования, то льготной считается ссуда, предоставленная по ставке ниже средневзвешенной процентной ставки.
Обычно понятие льготного не распространяется на вексельные и межбанковские кредиты.
Ссуды предоставляются конкретному заемщику только при условии его кредите- и платежеспособности. Кредитоспособность зависит от ряда внешних и внутренних факторов и условий осуществления деятельности заемщика.
Поэтому анализ уровня кредитоспособности (или уровня кредитного риска для заемщика) осуществляется достаточно регулярно. Независимо от репутации (рейтинга), а также по окончании финансового года всем заемщикам желательно полностью проанализировать свое финансовое состояние.
Анализ уровня кредитоспособности традиционных клиентов необходимо регулярно проводить с помощью методов экспресс-анализа.
Кроме того, необходимо анализировать и контролировать оптимальный уровень кредитного мультипликатора.
Кредитный мультипликатор это отношение динамики объема кредитования, осуществляемого группой однородных кредитных организаций, к динамике (положительной или отрицательной) резервных активов, вызвавшей изменение объема кредитов. Иными словами, кредитный мультипликатор представляет собой отношение изменения банковских депозитных обязательств, вызванного расширением кредита, к первоначальному приросту резервных активов.
В любом случае размер мультипликатора зависит от нормы обязательных резервов и от размеров утечки резервных активов, вызванной изменением объема кредитования. Простой кредитный мультипликатор определяется по следующей формуле: (21.1)
где D результирующий рост банковских депозитов;
R первоначальный рост банковских депозитов;
с предпочитаемое заемщиком отношение наличности в структуре выдаваемых кредитов;
r норма обязательных резервов конкретного банковского учреждения.
Размер мультипликатора в данной формуле выражается отношением

Рост денежной массы в обращении (М), состоящей из наличных денег и банковских депозитов, определяется по формуле (21.2)

Выражение

называют денежным мультипликатором.
21.2. Основные показатели статистики кредита
Открытие кредита (кредитной линии) это соглашение, согласно которому кредитор обязуется на определенных условиях предоставить в распоряжение клиента определенную сумму, которую тот сможет использовать по своему усмотрению.
Основные показатели кредитной статистики могут быть сгруппированы следующим образом:
- показатели, связанные с условиями и возможностями выдачи кредита;
- показатели расчета процентов за выданный кредит;
- показатели, связанные с анализом уровня кредитного риска для заемщика (банка) или уровня кредитоспособности клиента.
К первой группе относятся следующие показатели.
1. Максимальный размер риска на одного заемщика или группу связанных заемщиков: (21.3)

где Крз совокупная сумма требований банка к заемщику или группе взаимосвязанных заемщиков по кредитам, учтенным векселям, депозитам в драгоценных металлах, другим долговым обязательствам, а также забалансовых требований (гарантий, поручительств) банка в отношении данного заемщика, предусматривающих исполнение в денежной форме. Требования включаются в расчет с учетом степени риска. Сюда относятся величины просроченных ссуд, просроченная задолженность, а также приобретенные долговые обязательства клиента-заемщика;
К капитал банка, в который входят уставный капитал, добавочный капитал, фонды заемщика и величина нераспределенной прибыли.
Под взаимосвязанными заемщиками понимаются юридические и физические лица заемщики, связанные между собой экономически или юридически (т.е. имеющие общую собственность и (или) взаимные гарантии, обязательства; существует также совмещение одним физическим лицом ряда руководящих должностей). Иными словами, финансовые трудности одного из заемщиков делают вероятным возникновение финансовых трудностей другого (других) заемщика (заемщиков).
При расчете данного показателя в группу взаимосвязанных заемщиков включаются все дочерние и зависимые организации.
В соответствии с нормативами Центрального банка РФ значение этого показателя установлено в размере 25%.
2. Максимальный размер крупных кредитов устанавливается как процентное соотношение совокупной величины крупных кредитов и собственных средств (капитала) банка.
Под крупным кредитом понимается совокупная сумма требований к одному заемщику (или группе связанных заемщиков) банка по кредитам с учетом 50% суммы забалансовых требований гарантий, поручительств, имеющихся у банка в отношении одного заемщика (или группы связанных заемщиков), превышающая 5% собственных средств (капитала) банковского учреждения.
Решение о выдаче крупных кредитов (займов) должно в обязательном порядке приниматься правлением банка или его кредитным комитетом с учетом заключения кредитного подразделения банка.
Банком России установлено, что с 1998 г. совокупная величина крупных кредитов и займов, выданных банком, включая взаимосвязанных заемщиков, с учетом 50% требований по гарантиям и поручительствам не может превышать размер капитала банка более чем в 8 раз.
3. Максимальный размер риска на одного кредитора (вкладчика), который рассчитывается как процентное соотношение величины вкладов, депозитов или полученных банком кредитов, гарантий и поручительств, остатков по счетам одного или связанных между собой кредиторов (вкладчиков) и собственных средств (капитала) банка. Максимально допустимое значение показателя 25%.
4. Норматив кредитования банком своих акционеров (участников) и инсайдеров, который определяется как отношение суммы кредитов, гарантий и поручительств, предоставленных банком своим участникам, к собственным средствам (капиталу) банка: (21.4)

где Кра совокупная сумма требований банка (включая забалансовые), взвешенных с учетом риска, в отношении одного акционера (участника) банка, юридического или физического лица или группы взаимосвязанных акционеров (участников) банка, юридических или физических лиц. В совокупную сумму требований банка к акционерам (участникам) банка относятся также и приобретенные долговые обязательства.
Под взаимосвязанными акционерами понимаются юридические или физические лица, связанные между собой экономическими и (или) юридическими отношениями (т.е. имеющие общую собственность, поручительства или гарантии, а также совмещающие руководящие должности). Это может привести к вероятности создания принципа домино в случае возникновения финансовых трудностей.
Под контролем понимают прямое или косвенное (через дочерние предприятия) владение более 50% голосов у стороны или способность оказывать влияние на большую половину голосов по специальной договоренности.
Совокупная величина этого норматива установлена Банком России в размере 20%.
Рассмотрим показатели второй группы.
В зависимости от кредитных договоров существуют различные способы начисления процентов на основную сумму кредитов. Следовательно, бывают и разные виды процентных ставок на каждый конкретный кредит или конкретный период его возврата.
В зависимости от того, меняется ли процент за кредит за период его возврата, различают следующие показатели.
- Простые процентные ставки:
I = Р Т С, (21.5)
где I сумма процентов, которые выплачивает клиент за все время использования кредита;
Р первоначальный размер кредита;
Т срок кредита;
С ставка наращения кредита.
Если надо рассчитать всю сумму, которую клиент должен выплатить банку, то формула простых процентов имеет следующий вид:
S = P + I = P (1+ TC), (21.6)
где S наращенная сумма кредита.
Под наращенной суммой кредита понимают всю сумму денег, которую клиент должен вернуть банку, величина первоначального кредита плюс проценты (плата) за использование ссуды.
Под простые проценты выдаются, как правило, краткосрочные, небольшие кредиты. Кроме того, на практике проценты не присоединяются к сумме кредита (ссуды, долга), а периодически выплачиваются по фиксированной процентной ставке. Таким образом, ссуды с простым процентом и фиксированной ставкой выдаются, если рассчитываются:
- точные (фиксированные) проценты на конкретный период (в основном в днях);
- обычные проценты с фиксированным периодом (в днях);
- обыкновенные проценты с приблизительно фиксированным сроком выдачи ссуды.
Простые процентные ставки с начислением процентов в смежных календарных периодах рассчитываются по формуле
I = I1 + I2 = PT1 C + PТ2C. (21.7)
Роловерные кредиты (кредиты реинвестирования):
D = (1 + Т1 С1) (1 + Т2 С2) + ... + (1 + ТtСt). (21.8)
Если периоды начисления и ставки не меняются, то имеем следующую формулу:
S = P (1+TС)m, (21.9)
где т количество реинвестиций.
2. Сложные процентные ставки.
При долгосрочных кредитных операциях проценты выплачиваются, как правило, не сразу после их начисления, а присоединяются к сумме долга, т.е. применяется правило сложного процента. База для начисления сложных процентов, в отличие от простых процентов, меняется во времени.
Абсолютная сумма начисляемых процентов возрастает, и процесс накопления величины долга происходит с ускорением.
Присоединение начисленных процентов к сумме долга (базе для их начисления) называется капитализацией процентов.
Основная формула расчета сложных процентов имеет следующий вид:
S = Р (1 + C)n, (21.10)
где S наращенная сумма;
п срок наращения (количество периодов, например лет);
С ставка наращения кредита.
Следовательно, I = S - Р = Р[(1 + C)n - 1].
Величину q = 1 + С называют множителем наращения по сложным процентам.
Следует отметить, что при значительном сроке наращения даже небольшое изменение процентной ставки заметно влияет на величину множителя.
При наличии смежных календарных периодов имеем следующую формулу:
I = I1 + I2, (21.11)
где I1 = Р [(1 + C)n1 - 1];
I2 = Р (1 + С)n1 [(1 + C)n2 - 1] = P [(l + C)n - (1 + C)n1].
В случае переменных ставок:
S = Р (1+ C1)n1 (1 + C2)n2 (1 + Ck)nk (21.12)
где С1, ..., Сk последовательные во времени значения ставок;
n1, ..., nk периоды, в течение которых используются оответствующие ставки.
Статистика налогов и налоговой системы
Налоги представляют собой обязательные и безвозмездные сборы (изъятие средств), взимаемые государственными органами всех уровней с физических и юридических лиц по ставкам, установленным в законодательном порядке, с целью финансирования общественных расходов. Налоги являются необходимым звеном социально-экономических отношений в обществе и государстве и существуют с момента его возникновения.
Иными словами, налоги это плата за цивилизацию.
Впервые основные принципы налогообложения были сформулированы А. Смитом (17231790) в его основном труде Исследование о природе и причинах богатства народов (1776). И по сей день актуальны следующие принципы:
- справедливости, утверждающий всеобщность налогообложения и равномерность распределения налога между гражданами государства соразмерно с их доходами и необходимостью;
- определенности, требующий, чтобы сумма, способ и время платежа были заранее известны плательщикам;
- удобства, который предполагает, что налог должен взиматься в такое время и таким способом, которые максимально удобны плательщикам;
- экономии, заключающийся в сокращении издержек процесса взимания налога, в рационализации и модернизации системы налогообложения.
Изъятие государством в свою пользу определенной части валового внутреннего продукта в виде обязательных взносов составляет сущность налоговой системы. За счет налоговых взносов (ресурсов) формируются финансовые ресурсы государства, аккумулируемые в доходной части бюджета и внебюджетных фондов.
В настоящее время налоговые ресурсы подчиняются принципам бюджетного единства, бюджетной универсальности и непереводимости доходов в расходы. Но иногда на практике из этих принципов делаются исключения, например высокая степень рациональности налоговой системы может сделать соизмеримыми денежные потоки, полученные от сбора налогов, и размер услуг, предоставляемых администрацией.
В начале 80-х годов получила признание бюджетная концепция Артура Лэффера. который исходил из того, что налоговые поступления являются функцией, построенной на базе анализа таких показателей, как налоговая ставка и налоговая база. Оптимальное значение этой функции доказывает, что рост размеров взимаемых налогов приводит к увеличению доходной части бюджета только до какого-то определенного уровня.
Когда этот уровень будет превышен, рост налоговой ставки приводит не к увеличению, а к сокращению доходов в бюджет (так называемая кривая Лэффера), так как субъекты налогообложения используют все возможные способы уклонения от уплаты налогов, в частности сокращение инициативы, а следовательно, и развития производства, уменьшение капитальных вложений и инвестиций.
Налоговая система Российской Федерации представляет собой совокупность всех налогов, сборов пошлин и других платежей, взимаемых государственными органами всех уровней в установленном порядке на всей территории страны.
Оживление экономики, рост производства, достижение оптимального уровня инфляции и безработицы достигаются главным образом проведением умелой налоговой политики государственных органов и четким анализом уровня страхового, валютного и прочих рисков в статике и динамике с элементами прогноза. Таким образом, основные задачи государства в области совершенствования налоговой политики могут быть сформулированы следующим образом:
- создание системы оптимального регулирования рыночных отношений в экономике;
- демонополизация производства во всех отраслях (секторах) экономики и формирование цивилизованных форм конкуренции;
- создание эффективной налоговой системы в направлении не только собираемости налогов, но и эффективного использования этих денежных ресурсов.
В соответствии с законодательством Российской Федерации объектами налогообложения являются:
- прибыль (доход) физических и юридических лиц, т.е. всех групп институциональных единиц;
- стоимость определенных товаров (стратегических или если они относятся к продуктам, для которых необходим так называемый стимулирующий маркетинг);
- добавленная стоимость товаров, которая существует в форме налога с продаж, так как объектом налогообложения выступает отпускная ^ена продукта (выручка изготовителя от реализации товара);
- некоторые виды имущества физических и юридических лиц;
- процесс передачи имущества (дарение, продажа, наследование);
- операции с ценными бумагами;
- некоторые операции, осуществляемые банковскими учреждениями и другими финансовыми организациями;
- другие виды деятельности и объекты, установленные законом.
Все денежные ресурсы, поступившие в виде налоговых платежей, включаются в бюджетную систему государства, а также в оборот внебюджетных фондов.
Рассмотрим основные понятия, которые используются в процессе осуществления социально-экономического статистического анализа.
База налогообложения. Для взимания налогов, пошлин и сборов необходимо осуществить три операции:
- определить налоговую базу;
- установить величину или ставку налога;
- организовать его уплату.
Определение базы налогообложения первый шаг в деятельности налоговых служб. При этом устанавливаются налоговая повинность и базовая стоимостная величина, подлежащая налогообложению.
Налоговая повинность предполагает прежде всего существование объекта налогообложения.
Объект налогообложения физические или юридические институциональные единицы, которые выплачивают налоги. Налогами облагаются:
- физические лица, выплачивающие так называемые подушные налоги;
- доход при подоходном налоге;
- прибыль при налоге на компании;
- капитал при налоге на наследство;
- расход при налоге с оборота.
Однако для юридического обоснования налоговой повинности недостаточно только определить объект налогообложения, необходимо наличие налогообразующего события.
Налогообразующее (налоговое) событие это ситуация или событие, влекущее за собой требование уплаты налогов (например, переход имущества в наследство, поставка товара или инкассация денег, уплаченных за товар).
Если налоговая повинность установлена, налоговая служба должна оценить объект налогообложения. Это задача социально-экономического статистического анализа, требующая определения стоимости налогооблагаемых физических и институциональных единиц с помощью различных экономико-статистических методов оценки.
Для того чтобы налогооблагаемые объекты могли полностью и вовремя уплатить свои налоги, они должны получить налоговое извещение документ, направляемый налогоплательщику налоговыми органами, с указанием суммы и условий востребуемости налогов.
В отношении местных налогов уточняются доля коммунальных, муниципальных, районных налогов, а также размер платежей некоторым профессиональным организациям, например торговой палате или про-фобъединению.
Извещение содержит срок уплаты налога, т.е. дату вручения налогового документа налогоплательщику, дату требования к оплате и дату, с которой начнется начисление пени, а также номер счета, на который следует перечислить налог, номер счета налогоплательщика; реквизиты налоговой инспекции, где можно получить все разъяснения и сведения о базе налогообложения и расчете налога. Извещение должно быть приложено к любой претензии или жалобе налогоплательщика или налоговых органов.
17.2. Виды, специфика и характеристика налогов
Налоги классифицируются по нескольким аспектам в зависимости от выполняемых ими функций, различий в возникновении налогового события, специфики базы налогообложения, а также объектов налогообложения.
1. С социальной и технической точки зрения налоги делятся на:
- персональные, устанавливаемые в зависимости от уровня платежеспособности налогооблагаемой физической или институциональной единицы. В зависимости от способа определения их размера в статике и динамике они могут рассчитываться по твердой и по плавающей ставкам. К преимуществам налога по твердой ставке можно отнести стабильность, более высокую предсказуемость, а следовательно, лучшую собираемость. Налоги, определяемые по плавающей ставке, считаются более справедливыми с точки зрения динамики социально-экономической ситуации;
- реальные, возникающие в момент совершения акта покупки-продажи движимого или недвижимого имущества;
- прогрессивные, начисляемые с конкретного облагаемого минимума и растущие по мере увеличения размера налогооблагаемой базы;
- пропорциональные;
- фиксированные.
2. С экономической точки зрения налоги подразделяются на прямые и косвенные.
Прямые налоги непосредственно взимаются с доходов или имущества налогоплательщика. В принципе они берутся в момент получения дохода задолго до его предполагаемого расходования.
Прямые налоги номинально сокращают доходы налогоплательщиков, так как объектами прямого налогообложения являются доход (заработная плата, прибыль, процент, рента и др.) и стоимость имущества (земля, дом, ценные бумаги налогоплательщика). Прямое налогообложение учитывает доходность и семейное положение налогоплательщика.
Прямые налоги бывают реальными и личными.
Прямые реальные налоги взимаются с отдельных видов имущества налогоплательщика (земли, дома, торгово-промышленных зданий, ценных бумаг). К ним в зависимости от объекта относятся земельный налог, подомовой налог, промысловый налог и налог на ценные бумаги.
При реальном налогообложении учитываются внешние признаки облагаемого объекта (размер, местоположение), а не величина фактического дохода, который объект приносит своему владельцу.
Прямые личные налоги представляют собой налVги на доходы и имущество физических и юридических лиц, взимаемые с источника дохода или по декларации. При этом, в отличие от реальных прямых налогов, объекты налогообложения учитываются индивидуально для каждого конкретного плательщика, а не усреднение.
Основными личными прямыми налогами являются подоходный налог с населения, налог на прибыль с юридических лиц, налог на доходы от оборота капиталов, налог на сверхприбыль, поимущественный налог.
Косвенные налоги устанавливаются на товары и услуги в виде надбавок к цене или тарифу. Собственник товара или лицо, предоставляющее услуги, является сборщиком налога, так как конечным его плательщиком выступает потребитель, который покупает этот товар или услугу по цене, превышающей себестоимость товара или услуги.
Теоретически если от прямого налога уклониться нельзя, то от косвенного можно путем отказа от приобретения товара или услуги.
С точки зрения социально-экономической статистики косвенные налоги не связаны напрямую с получаемым доходом или имуществом налогоплательщика. Налоги на самом деле не меняют номинальную величину дохода, но реально понижают возможность удовлетворения потребностей.
Таким образом, эти налоги являются регрессивными по отношению к доходу налогоплательщика, так как чем беднее человек, тем большую долю своего дохода он отдает государству в виде косвенных налогов.
Ставки косвенного налогообложения могут быть твердыми и долевыми. При твердой ставке налог исчисляется на единицу измерения товара или услуги; при долевой (чаще процентной) ставке налог берется в определенной доле к цене товара.
Более выгодны для фискальных целей, т.е. для активной части бюджета, долевые налоговые ставки, так как увеличение цены товара автоматически ведет к увеличению размера налога.
Поступления в бюджет от косвенных налогов могут расти за счет увеличения налогооблагаемой базы и повышения налоговых ставок. Помимо фискальных задач косвенные налоги играют регулирующую и структурирующую роль в экономике, стимулируя или сдерживая развитие тех или иных отраслей, секторов экономики.
Особенно эффективными для этих целей являются налог с оборота, налог на добавленную стоимость, таможенные пошлины и др.
3. С точки зрения государственных (федеральных) властей, которые осуществляют сбор налогов, налоги делятся на общегосударственные (федеральные) и местные (локальные), в том числе муниципальные, районные и др.
Федеральные налоги служат источником финансирования не только федерального бюджета, но и бюджетов всех уровней. Один из основных федMральных налогов налог на добавленную стоимость косвенный налог на потребление.
Для определения величины добавленной стоимости из объема реализации товаров вычитается стоимость закупок у поставщиков.
Подобная база налогообложения весьма устойчива и не зависит от величины текущих материальных затрат. Налог взимается каждый раз, когда совершается акт покупки-продажи, до тех пор, пока продукт (работа, услуги) не дойдет до конечного потребителя.
Налог на прибыль предприятий и организаций поступает как в федеральный бюджет, так и в бюджеты прочих субъектов Федерации, поддерживая финансовое равновесие в стране. Он также служит регулятором фонда оплаты труда.
Для исчисления размера облагаемой прибыли валовая прибыль (прибыль-брутто) увеличивается на сумму превышения расходов на оплату труда по сравнению с их нормируемой величиной. С помощью налоговых льгот налог на прибыль может стимулировать, например, развитие малого бизнеса, поощрять инвестиции собственной прибыли предприятий в реконструкцию и техническое перевооружение производства.
Подоходный налог с физических лиц складывается из совокупного годового дохода после вычета полагающихся налоговых льгот. Все граждане Российской Федерации уплачивают подоходный налог в момент получения заработной платы и других заработков.
Кроме того, некоторые физические лица обязаны подавать налоговые декларации после окончания календарного или финансового года. Такая обязанность возложена на граждан, чей доход превышает величину облагаемого минимума, с которого удерживается первая ставка подоходного налога (12%), или поступает из двух или более источников.
Одной из статей доходов государства являются акцизы. Акцизы косвенные налоги на однородные товары, преимущественно массового производства и потребления, и услуги институциональных физических и юридических единиц, включаемые в цену товара. Непосредственными сборщиками акцизов выступают собственники предприятий, производящих подакцизные товары и услуги, плательщиками потребители в момент их оплаты.
В Российской Федерации размер акцизов и определение подакцизных товаров и услуг регулируются Законом РФ Об акцизах, принятым в 1991 г. Акцизами облагаются, как правило, обороты по реализации наиболее высокорентабельных изделий в целях изъятия в доход бюджета части получаемой от их производства (импорта) сверхприбыли.
Традиционно к таким товарам относятся винно-водочные изделия и пиво, этиловый спирт, табачные изделия, шины, легковые автомобили, ювелирные изделия и пр.
Региональные налоги включают налог на имущество предприятий, лесной налог, плату за воду, налог на нужды учреждений народного образования и здравоохранения и т.д. Первые три налога обязательны для всех субъектов Российской Федерации.
Последующие вводятся по усмотрению представительных органов субъектов Федерации и могут взиматься только с юридических лиц, а ставка налога не должна превышать 1% от годового фонда оплаты труда.
С 1994 г. региональные власти получили право ввода и сбора других видов региональных налогов.
Следующим уровнем субъектов Российской Федерации, имеющих право вводить и собирать налоги, являются местные органы власти. К местным прямым налогам, взимаемым в пользу органов местного самоуправления, относятся налоги на:
- застроенные и незастроенные участки земли;
- жилище;
- доходную деятельность.
Налоги служат инструментом экономической политики, например для поощрения и увеличения капиталовложений, привлечения или элиминирования иностранного капитала и инвестиций, развития конкуренции.
В процессе определения всех видов собираемых налогов, налоговой базы, объектов налогообложения необходимо устранять двойное налогообложение. В узком смысле двойное налогообложение означает одновременное налогообложение в разных странах (районах, регионах) одних и тех же доходов или имущества, принадлежащих одному объекту налогообложения. В широком смысле под двойным налогообложением понимают неоднократное (двойное, даже тройное) налогообложение компаний, так называемое экономическое двойное налогообложение.
Например, производитель платит налог на прибыль первый раз как юридическое лицо, затем та же прибыль, если она распространяется среди акционеров в виде дивидендов, облагается налогом на дивиденд (вторичное налогообложение).
Наконец, если прибыль репатриируется за границу (в случае деятельности совместных предприятий), то там доход может быть обложен налогом еще раз. Если последнее можно предупредить путем заключения международных соглашений, то экономическое двойное налогообложение устраняется только на законодательном уровне внутри страны.
При определении налоговой базы, размера налогов, а также объектов налогообложения социально-экономическая статистика использует принципы резидентства и реструктуризации потоков статистической информации.
Принцип резидентства
Резидентами Российской Федерации считаются физические и(или) юридические лица, а также предприятия и организации, не являющиеся юридическими лицами, экономические интересы которых сосредоточены на территории РФ.
К физическим лицамрезидентам относятся:
- постоянно или временно (в течение более одного года (365 + 1 день) проживающие на территории Российской Федерации;
- временно находящиеся (менее одного года) за пXеделами России;
- государственные служащие (включая дипломатов) и военный персонал граждане РФ, работающие за рубежом, вне зависимости от сроков их пребывания за пределами страны;
- студенты, обучающиеся за рубежом, и лица, проходящие курс лечения, независимо от сроков их проживания за границей.
К юридическим лицамрезидентам относятся:
- юридические лица, созданные в соответствии с законодательством Российской Федерации с юридическим адресом на ее территории (включая СП), а также полностью принадлежащие иностранным инвесторам, их дочерние и(или) зависимые хозяйственные единицы, если в учредительных документах не оговорено иное (например, предприятие будет осуществлять свою деятельность на территории страны менее одного года);
- предприятия с долевым участием и полностью принадлежащие российским инвесторам, их филиалы, представительства и конторы с местонахождением на территории РФ;
- филиалы, представительства и конторы юридических лицрезидентов РФ, находящиеся за пределами страны и имеющие в своем штате менее 10 наемных работников;
- филиалы, представительства и конторы юридических лицнерезидентов РФ, находящиеся на территории страны, если в учредительных документах не оговорено иное, т.е. они осуществляют свою деятельность менее одного года или имеют в штате более 10 наемных работников;
- дипломатические и прочие официальные представительства РФ, находящиеся за пределами страны.
Нерезидентами Российской Федерации считаются физические и(или) юридические лица, экономические интересы которых сосредоточены за пределами экономической территории страны.
К физическим лицамнерезидентам относятся:
- физические лица, проживающие постоянно или в течение продолжительного периода (365 + 1 дней) за пределами страны;
- физические лица, находящиеся менее одного года на территории Российской Федерации;
- государственные служащие, члены дипломатического корпуса и военный персонал граждане иностранных государств, работающие в РФ, независимо от сроков их пребывания;
- иностранные студенты и лица, проходящие курс лечения, независимо от сроков их пребывания в нашей стране.
К юридическим лицамнерезидентам относятся:
- юридические лица, созданные в соответствии с законодательством иностранных государств с местонахождением на их территории; институциональные единицы с долевым участием российских инвестиций; предприятия, полностью принадлежащие российским инвесторам, а также их дочерние предприятия, филиалы и конторы в том случае, если в учредительных документах не указано иное;
- предприятия с долевым участием иностранных инвестиций и предприятия, полностью принадлежащие инстранным инвесторам, а также их дочерние фирмы, филиалы и конторы, которые созданы в соответствии с законодательством РФ, если в учредительных документах не оговорено иное;
- филиалы и представительства юридических лиц нерезидентов РФ, находящиеся за пределами страны;
- филиалы и представительства юридических лиц нерезидентов РФ с местонахождением в РФ, имеющие в своем штате менее 10 работников;
- филиалы и представительства юридических лиц резидентов РФ в том случае, если в учредительных документах не оговорено иное. Например, институциональная единица будет осуществлять свою деятельность на территории иностранного государства менее одного года (за исключением имеющих в своем штате менее 10 работников);
- находящиеся на территории РФ иностранные дипломатические или иные официальные представительства, а также международные организации, их филиалы, представительства и конторы.
Принцип реструктуризации потоков статистической информации
В соответствии с международной теорией и практикой и рекомендациями Международного валютного фонда и других международных финансовых организаций реструктуризация экономики и соответственно потоков информации должна осуществляться по следующей схеме:
- система национальных счетов, которая охватывает производство товаров и услуг, образование и распределение доходов, сбережения и инвестиции, операции с остальными странами мира, составление балансов для страны в целом и по отдельным экономическим секторам;
- статистика платежного баланса, в котором отражаются операции страны с остальными странами мира и составляется баланс международных инвестиций;
- статистика государственных финансов, охватывающая доходы и расходы государства (органов управления) и формирующая финансовые балансы;
- денежно-кредитная и финансовая статистика, которая аккумулирует потоки информации и осуществляет статистический анализ функционирования финансово-банковской системы, результатов проводимой кредитно-денежной политики, международной ликвидности страны в целом.
Итак, денежная и банковская статистика это набор концепций, факторов и конкретных показателей, с помощью которых разрабатываются основные направления деятельности центральных (национальных) банков и всей финансовой и банковской системы страны.
Основные направления и цели, а соответственно и блоки денежной и банковской статистики можно сгруппировать следующим образом:
- блок денежной статистики, на базе которого формируется выработка стратегии, политики и тактики денежно-кредитной и платежной политики;
- блок банковской статистики, на базе информационных потоков которого осуществляется надзор за всей банковской Yистемой страны, прогнозируются перспективы и направления ее развития;
- блок валютной статистики, с помощью которого осуществляется валютный контроль и валютное регулирование;
- блок фискальной и государственной статистики для регулярногосоставления достоверного платежного баланса.
Для достижения основных целей денежной и банковской статистики используются достоверные и актуальные динамические ряды промежуточных или вспомогательных потоков информации, такие, как основные агрегаты и структура денежной массы, поддержание оптимального портфеля кредитной массы (в том числе с помощью анализа уровня некоторых банковских рисков), система процентных ставок и т.д. Основные этапы достижения упомянутых целей это реструктуризация финансово-кредитных учреждений в соответствии с международной практикой и реклассификация финансовых инструментов, используемых в процессе формирования потоков статистической информации, для осуществления анализа и принятия оптимальных в каждой конкретной ситуации решений.
Необходимо отметить, что основным звеном экономики в соответствии с новой системой классификации и системой национальных счетов является институциональная единица. Институциональная единица это экономическое юридическое лицо, которое правомочно иметь активы и пассивы, заниматься хозяйственной деятельностью и заключать сделки с другими юридическими лицами. Иными словами, институциональные единицы:
- имеют право владеть товарами и активами, правомочны обмениваться правом собственности на товары и(или) активы в результате сделок с другими институциональными единицами;
- принимают экономические решения, осуществляют хозяйственную деятельность, отвечают и отчитываются перед законом;
- имеют собственные пассивы, принимают на себя другие обязательства или будущую ответственность, заключают договоры и другие соглашения;
- имеют экономическое и юридическое право составлять собственный баланс, статистическую отчетность, полную совокупность счетов и отчетности.
Институциональные единицырезиденты в экономике любой страны группируются в пять взаимоисключающих друг друга институциональных секторов.
Статистика населения
Разработка эффективной социальной политики невозможна без глубоких знаний об объекте, на который направлена эта политика, а именно знаний о населении.
Информация о населении нужна для развития практически всех отраслей экономики: численность трудоспособного населения необходима для расчета возможных масштабов его занятости; его профессиональный состав для определения сферы приложения труда; численность детей дошкольного и школьного возраста для определения необходимой сети дошкольных учреждений, школ и соответствующих кадров учителей, воспитателей и т.д.
Данные о населении необходимы и для жилищного строительства, здравоохранения, розничной торговли и многих других отраслей.
42.1. Объекты наблюдения и источники информации о населении
Единицами учета в статистике населения является человек, семья, домохозяйство и населенный пункт.
В отличие от других отраслей экономической и социальной статистики текущий учет населения практически не имеет отраслевых форм статистической отчетности в общепринятом виде (кроме формы 9-С).
Основным источником данных о населении и семье являются переписи населения, которые проводятся, как правило, один раз в десять лет.
Программа последней переписи населения, которая проводилась в 1989 г., содержала вопросы о постоянном месте жительства, поле, возрасте, языке, семейном положении, национальности, образовании, типе учебного заведения, источниках доходов, числе рожденных женщинами детей, жилищных условиях населения. На базе сплошного опроса каждого лица в отдельности, информация собирается специально подобранными и обученными счетчиками, которые заполняют вопросники, посещая жилое помещение в единое для всей страны время.
Отдельные сведения собираются на выборочной основе.
В межпереписной период могут проводиться выборочные социально-демографические обследования, которые позволяют актуализировать данные о населении с учетом изменений в межпереписной период. В России такие обследования проводились (по 5% от общей численности населения) в 1985 и 1994 гг.
Корректировка данных в межпереписной период производится также но итогам текущего учета естественного и механического движения населения.
Статистика естественного движения населения базируется на регистрации актов гражданского состояния в загсах, каждый такой акт оформляется документом, который заполняется в двух экземплярах, один из которых направляется в статистические органы для последующей разработки.
Формы записи о рождении, смерти, браке и разводе содержат достаточно широкий круг показателей: пол, возраст (родителей, если это свидетельство о рождении), постоянное место жительства, семейное состояние, национальность, причины смерти, продолжительность расторгаемого брака и т.д.
Сведения, поступающие в статистические органы, позволяют производить большое число группировок показателей, расширяющих анализ демографической ситуации в стране. Точность измерения масштабов миграции зависит от полноты учета прибывших и выбывших с данной территории.
До настоящего времени сбор информации о миграции населения организован аналогично сбору сведений о естественном движении населения. Источник сведений данные паспортных столов, органов внутренних дел, сельской администрации о регистрации (прописке) граждан.
На каждого прибывающего в город или выбывающего из города заполняются специальные листки, в которых содержатся сведения, необходимые для адресного стола, место рождения, возраст, пол, место, откуда прибыло данное лицо; цель приезда; срок прибытия и др.
Разработка данных производится органами статистики с использованием методов сплошного и выборочного охвата по широкому кругу показателей, обеспечивающих достаточно полную характеристику внутренней и внешней миграции населения.
Из числа показателей текущего учета населения наиболее широко используется в социально-экономической статистике численность населения. Она исчисляется, как правило, на начало или конец календарного года и в среднем за год.
Величина изменения численности населения территории за период времени, например за год, измеряется общим приростом населения, который рассчитывается как разность численности населения на начало и конец календарного года. В случае превышения численности населения на начало периода по сравнению с концом правомерно говорить не об общем приросте, а об общей убыли населения.
Среднегодовая численность населения представляет собой среднюю арифметическую из численности на начало и конец календарного года. Особенно широко используется показатель среднегодовой численности для расчета среднедушевых показателей (доходов, потребления, обеспеченности товарами и др.).
В зависимости от целей экономического анализа или задач, которые решает пользователь информации, используют различные показатели численности населения: постоянного и наличного.
Постоянное население это лица, постоянно проживающие на момент переписи на данной территории, включая временно отсутствующих.
Наличное население лица, находящиеся на момент переписи на данной территории, включая временно проживающих.
Например, для анализа обеспеченности населения территории жильем берется показатель численности постоянного населения, так как жилищная политика и жилищное строительство имеют в виду удовлетворить потребности прежде всего населения, постоянно проживающего на данной территории. При расчетах пропускной способности общественного транспорта, товарооборота, сети розничной торговли и т.д. более обоснованно использовать данные о численности наличного населения.
Сведения о наличном населении крайне важны для населенных пунктов с непостоянным населением, где сильно влияние сезонного фактора, например в курортной местности, а также в поселках с вахтовым привлечением рабочей силы, где потребности социальной инфраструктуры рассчитываются исходя из наличной численности населения.
Показатели наличного и постоянного населения на определенную дату или в среднегодовом исчислении могут относиться и к различным группам населения: мужчинам и женщинам, трудоспособным лицам, детям, пенсионерам и т.д.
Чрезвычайно важная информация возрастной состав населения, который не только отражает процесс воспроизводства в прошлом, но и характеризует перспективу дальнейшего воспроизводства населения. Анализ возастной структуры населения используется при разработке экономической и социальной политики в стране.
В социально-экономической статистике широко используется следующая укрупненная группировка населения:
- моложе трудоспособного* возраста;
- трудоспособного возраста;
- старше трудоспособного возраста.
* Верхняя и нижняя гранииы трудоспособного возраста определяются национальным законодательством. В Российской Федерации нижняя граница трудоспособного возраста 15 лет; верхняя 55 лет для женщин и 60 лет для мужчин.
Прогрессивность структуры населения оценивается долей численности детей и лиц трудоспособного возраста в общей численности населения.
Исходя из этого, принято говорить о постарении населения или его омоложении, или о стабильной структуре.
Динамика возрастной структуры оказывает влияние на выбор приоритетов в демографической и социальной политике, а также учитывается при выборе многих экономических решений, касающихся интересов населения.
Для устранения влияния возрастной структуры на некоторые социально-демографические показатели, например смертность населения, при межстрановом и других сопоставлениях применяются стандартизированные коэффициенты, полученные путем взвешивания возрастных коэффициентов по одной и той же структуре, приемы расчета которых здесь не приводятся ввиду их трудоемкости.
Все важнейшие численные группировки населения, как правило, сопровождаются данными по полу.
В связи с различиями в образе жизни, занятиях и ряде других признаков производится группировка населения на городское и сельское. Чаще всего критерием при определении типа населенного пункта служит численность его населения.
В основу отечественной статистики городского и сельского населения положено административное деление.
К городскому населению относятся жители городских поселений, утвержденных законодательными актами в качестве городов, поселков городского типа, районы курортных и дачных поселков. Населенные пункты, не классифицированные в качестве городских, считаются сельскими, а проживающие в них жители сельским населением.
Соотношение между количеством лиц, проживающих на данной территории, и ее площадью характеризуется плотностью населения, которая выражается числом жителей, приходящихся на единицу площади (обычно на один кв. метр) без учета крупных внутренних водных бассейнов.
Статистика населения оперирует еще одной единицей учета это семья. В программе переписи населения 1989 г. семья определялась как проживающие в одном помещении лица, связанные родственными отношениями и имеющие общий бюджет.
Это определение использовалось и в ранее проводимых переписях, однако в настоящее время оно не вполне отвечает рекомендациям Статистической Комиссии ООН, подготовленным к очередному раунду переписей в странах 19992001 гг.
Кроме того, страны СНГ в программах переписи 19992000 гг. предусматривают использовать в качестве единицы учета международную стандартную единицу домохозяйство. Эта единица учета использовалась в России и Кыргызстане при проведении выборочного социально-демографического обследования в 1994 г.
На основе рекомендаций Статистической Комиссии ООН, Евроста-та и ЕЭК ООН, а также имеющегося отечественного опыта под домохозяйством понимается группа совместно проживающих в жилищной единице лиц, постоянно или частично объединивших свои индивидуальные бюджеты в части совместных расходов на питание, бытовые нужды или в целом имеющие общий бюджет и подчиняющиеся общим правилам, как связанных, так и не связанных отношениями родства, или же тех и других. Домохозяйство может состоять из одного человека, проживающего самостоятельно.
Домохозяйства, полностью соответствующие приведенному определению, принято относить к частным домохозяйствам.
Кроме них имеются еще коллективные (групповые) домохозяйства, к которым относятся группы людей, проживающих в одной жилищной единице и совместно питающихся, но не имеющих индивидуальных бюджетов и общих потребительских расходов, подчиненных общим правилам и обычно не связанных родственными отношениями. Это, например, лица, постоянно проживающие в домах-интернатах для престарелых и инвалидов, в домах ребенка и детских домах, других учреждениях социального обеспечения, религиозных учреждениях, местах расквартирования воинских частей и т.д.
С позиции семьи домохозяйства делятся на семейные и несемейные. Семейные домохозяйства могут состоять:
- из одной или нескольких семейных ячеек (семейных ядер), основу которых образует супружеская пара без детей или с одним или несколькими детьми любого возраста, не состоящими в браке и не имеющими собственных детей;
- из одного родителя с одним или несколькими детьми, не состоящими в браке и не имеющими собственных детей. Исходя из этого, следует, что домохозяйства могут быть односемейными, многосемейными (две семьи и более) и несемейными.
Если, например, в одной жилищной единице проживает одна супружеская пара без детей или с детьми, не состоящими в браке и не имеющими собственных детей, то семейное домохозяйство полностью совпадает с составом семьи. Если вместе с этой супружеской парой (без детей или с детьми, не состоящими в браке и не имеющими собственных детей) прожвает экономка, которая вместе с семьей несет общие расходы на питание, бытовые нужды, но не является родственницей супругов, то число членов домохозяйства будет на одного человека (экономку) больше, чем членов семьи.
Если в жилищной единице проживают две не состоявшие в родственных отношениях, но совместно питающиеся супружеские пары (без детей или с детьми, не состоящими в браке и не имеющими собственных детей) и с ними проживают совместно питающиеся и не образующие своей семьи родственники, то домохозяйство состоит из двух семей: одна семья с родственником(и) плюс другая семья с родственником(и).
Несемейные домохозяйства могут состоять из одиноких лиц, родственников или неродственннков, не образующих семью. В их числе совместно проживающие и ведущие общее хозяйство брат и сестра, бабушка и внук и т.д.
42.2. Текущий учет населения
Текущий учет населения, который отслеживает изменения численности населения в межпереписной период, базируется на статистике естественного и механического движения населения.
Естественное движение населения рождения, смерти, заключения и расторжения браков характеризует в общем виде воспроизводство населения данной страны или отдельной территориальной единицы. Широко используемый в статистике показатель естественного прироста населения определяется как разность между числом родившихся живыми и числом умерших за определенный период.
Естественный прирост может быть положительной величины, если число родившихся превышает число умерших, или отрицательным в противном случае, тогда говорят о естественной убыли населения.
Рождаемость населения измеряется общим коэффициентом рождаемости, который характеризует интенсивность деторождения по отношению ко всему населению, т.е. населению всех возрастов. Он определяется как отношение общего числа родившихся живыми* в течение года к среднегодовой численности населения, как правило, этот показатель рассчитывается на 1000 населения.
* Следует отметить, что в настоящее время в связи с переходом на международные стандарты понятие живорожденные для стран СНГ неоднозначно. В России и Беларуси, где этот переход уже завершен, живорождением является полное изгнание или извлечение продукта зачатия из организма матери вне зависимости от продолжительности беременности.
Плод после такого отделения дышит или проявляет другие признаки жизни, такие как сердцебиение, пульсация пуповины или произвольные движения мускулатуры, независимо от того, перерезана ли пуповина и отделилась ли плацента. Каждый продукт такого рождения рассматривается как живорожденный.
Для характеристики среднего уровня рождаемости в данном календарном периоде используется суммарный коэффициент рождаемости.
Этот коэффициент зависит от возрастного состава населения и показывает, сколько в среднем детей родила бы одна женщина на протяжении ее жизни при сохранении в каждом возрасте существующего уровня рождаемости.
Исчисляется суммарный коэффициент рождаемости как сумма возрастных коэффициентов рождаемости, рассчитанных по однолетним возрастам или пятилетним возрастным группам.
Интенсивность смертности населения измеряется общим коэффициентом смертности, которых представляет собой отношение общего числа умерших в течение года к среднегодовой численности населения, как правило, рассчитывается на 1000 населения.
Важной частью информации о смертности населения является смертность детей на первом году жизни, или младенческая смертность. Для ее характеристики используется коэффициент младенческой смертности, определяющий уровень смертности детей в возрасте до одного года.
Он характеризует отношение числа умерших в возрасте до одного года к числу родившихся живыми*.
* Поскольку среди умерших в данном году младенцев могут быть и дети, родившиеся в предыдущем году, производится расчет показателя младенческой смертности в данном году, для поколения родившихся в данном и предыдущих годах. Коэффициент рассчитывается, как правило, по формуле
где М0 число умерших в возрасте до одного года из родившихся в том году, для которого вычисляется коэффициент; М1 число умерших в возрасте до одного года из родившихся в предыдущем году: N0 число родившихся в том году, для которого вычисляется коэффициент; N1 число родившихся в предыдущем году.
Младенческая и детская (до 5 лет) смертность входят в число основных социальных индикаторов, широко используемых в международной статистической практике для оценки уровня жизни.
Значительное место в статистике населения занимает информация о причинах смерти. Причинами смерти являются болезни, патологические состояния или травмы, которые привели к смерти или способствовали ее наступлению, и также несчастные случаи или акты насилия, которые вызвали травму со смертельным исходом.
Источниками информации о причинах смерти являются записи во врачебных свидетельствах или фельдшерских справках (заболевания, несчастный случай, убийства, самоубийства, другие внешние воздействия, послужившие причиной смерти).
Из записей врачебных свидетельств для статистических целей выбирается одно основная (начальная) болезнь или травма, вызвавшHя событие, прямо приведшее к смерти. Такие записи служат основанием для указания причины смерти в актах о смерти, вторые экземпляры которых подлежат статистической разработке.
Коэффициенты смертности по причинам смерти вычисляются как частные от деления числа умерших за год от указанных причин смерти на среднегодовую численность наличного населения, полученную по результатам текущих оценок. В отличие от общих коэффициентов смертности они рассчитаны не на 1000, а на 100 000 населения (для детей в возрасте до одного года на 1000 родившихся).
Группировка данных о причинах смерти производится на основе международной классификации причин.
Сведения о смертности населения в разбивке по возрастам служат наряду с данными о половозрастном составе населения базой для расчета ожидаемой продолжительности жизни, которая является наиболее обобщающей характеристикой современного уровня смертности во всех возрастах.
Ожидаемая продолжительность жизни при рождении это число лет, которое в среднем предстоит прожить одному человеку из поколения родившихся при условии, что на протяжении всей жизни этого поколения уровень смертности будет таким, как в данном периоде.
42.3. Механическое движение населения
Кроме естественного движения, на численность населения оказывают большое влияние его перемещения по территории страны, или механическое движение населения.
В 19921997 гг. массовая миграция населения между странами бывшего СССР настолько возросла, что его механическое движение стало оказывать значительно большее влияние на численность населения, чем естественное.
Сведения о масштабах и направлениях миграционных потоков необходимы не только для расчета численности населения на данной территории в межпереписной период.
Сами по себе миграционные потоки представляют важный объект изучения. Они дают сведения о том, из каких территорий идет отток населения и где отмечается его приток; как перемещается население из сельской местности в городскую, и наоборот; о причинах перемещения и социально-демографическом составе мигрантов.
Миграция населения это передвижение людей через границы территории (страны, региона, области, района и т.п.), связанное с переменой места жительства. Лицо, участвующее в процессе миграции, называется мигрантом.
Каждый мигрант является выбывшим по отношению к территории выбытия и прибывшим по отношению к территории прибытия. Объемы миграции за определенный период характеризуются числом выбывших и прибывших.
Выбывшим считается лицо, выехавшее с данной территории за ее пределы. Общее число выбывших определяется по итогам разработки талонов статистического учета убытия, составляемых органами внутренних дел при снятии с регистрационного учета (выписке) по месту жительства населения.
К прибывшим относятся лица, въехавшие на данную территорию из-за ее пределов. Общее число прибывших определяется в результате разработки талонов статистического учета прибытия, составляемых органами внутренних дел при регистрации (прописке) населения по месту нового места жительства.
Разность между числом прибывших на данную территорию и числом выбывших за ее пределы за один и тот же период времени составляет миграционный прирост.
Если число прибывших больше числа выбывших, т.е. положительная величина, то имеет место миграционный прирост населения; если явление обратное выбывших больше прибывших миграционный отток населения.
Для характеристики миграционных процессов в статистике населения широко используются расчетные относительные показатели: коэффициенты интенсивности выбытий, прибытий, миграционного прироста, миграционного оборота.
Следует отметить, что за последние годы характер и направление потоков по странам бывшего СССР значительно изменились, состояние текущей статистики миграции ухудшилось. Необходимость совершенствования статистики миграции обусловлена многими причинами: прозрачностью границ между странами СНГ, упразднением в ряде стран обязательной регистрации граждан при перемене места проживания, появлением новых видов мигрантов беженцев и вынужденных переселенцев.
Следует отметить, что создание новой законодательной и нормативной базы в этой области отстает от потребностей практики, что осложняет разработку новых методов статистического наблюдения. В 1993 г. в Российской Федерации были приняты Законы О беженцах и О вынужденных переселенцах, которые разработаны на основе норм международного права, соответствуют положениям Всеобщей декларации прав человека.
Конвенции ООН о статусе беженцев (1951 г., Женева) и Протокола 1967 г., касающегося статуса беженца (подписан в Нью-Йорке Председателем Генеральной Ассамблеи ООН и Генеральным Секретарем ООН).
В целях пресечения незаконной миграции создается система иммиграционного контроля, осуществляется регулирование процесса привлечения иностранной рабочей силы на основе приоритетного права жителей России на занятие вакантных рабочих мест. В 1997 г. в России была принята Федеральная миграционная программа, в которой (в числе мероприятий) предусмотрено совершенствование статистики миграции.
Контрольные вопросы
- Что является объектом наблюдения в статистике населения, каковы источники статистической информации о населении?
- Назовите основные показатели статистики населения.
- Раскройте понятия домохозяйство и семья.
- Что такое естественное и механическое движение населения, какими показателями они характеризуются?
Статистика науки
Исторически первой задачей статистики науки, появившейся еще в XIX в. в связи с ростом количества научных учреждений, обществ, академий, было статистическое изучение кадров науки. В СССР начиная с 20-х годов текущего столетия издавались статистические справочники и выполнялись аналитические работы по вопросам численности и структуры научных кадров, их подготовки.
Кадры основной элемент научного потенциала страны. Сам характер научной деятельности как интеллектуального производства определяет значение личности ученого в творческом процессе создания новых знаний, обусловливает превращение проблемы комплексного развития и улучшения использования человеческого фактора в одну из наиболее актуальных и острых проблем экономики, основанной на знаниях.
Статистика кадров науки имеет своей целью сбор, обработку и представление статистической информации о численности, составе и динамике занятых научными исследованиями и разработками. Ее основной категорией в современной статистической практике является персонал, занятый научными исследованиями и разработками, совокупность лиц, чья творческая деятельность, осуществляемая на систематической основе, направлена на увеличение суммы научных знаний и поиск новых областей применения этих знаний, а также занятых оказанием прямых услуг, связанных с выполнением научных исследований и разработок.
В статистике персонал, занятый научными исследованиями и разработками, учитывается как списочный состав работников организаций (соответствующих подразделений высших учебных заведений, промышленных предприятий и др.), выполняющих научные исследования и разработки.
В соответствии с характером фактически выполняемой работы и уровнем квалификации в составе персонала, занятого научными исследованиями и разработками, выделяются четыре категории работников:
- исследователи работники, профессионально занимающиеся научными исследованиями и разработками и непосредственно осуществляющие создание новых знаний, продуктов, методов и систем, а также управление указанными видами деятельности. Исследователи обычно имеют высшее образование. В эту категорию включается также административно-управленческий персонал, осуществляющий непосредственное руководство исследовательским процессом (руководители научных организаций и подразделений, выполняющих научные исследования и разработки);
- техники работники, участвующие в научных исследованиях и разработках и выполняющие технические функции, как правило, под руководством исследователей (эксплуатацию и обслуживание научных приборов, лабораторного оборудования, вычислительной техники, подготовку материалов, чертежей, проведение экспериментов, опытов и анализов и т.п.). В основном техники имеют среднее специальное (профессиональное) образование и(или) необходимый профессиональный опыт и знания;
- вспомогательный персонал работники, выполняющие вспомогательные функции, связанные с проведением научных исследований и разработок (сотрудники планово-экономических, финансовых подразделений, патентных служб, подразделений научно-технической информации, научно-технических библиотек; рабочие, осуществляющие монтаж, наладку, обслуживание и ремонт научного оборудования и приборов; рабочие опытных (экспериментальных) производств; лаборанты, не имеющие высшего и среднего специального образования);
- прочий персонал работники, осуществляющие хозяйственное обслуживание и иные функции общего характера, связанные с деятельностью организации в целом (работники бухгалтерии, кадровой службы, канцелярии, подразделений материально-технического обеспечения, машинистки и т.п.).
Статистика учитывает численность персонала, занятого научными исследованиями и разработками, по категориям персонала, уровню образования (высшее, в том числе имеют ученую степень доктора или кандидата наук; среднее специальное; прочее). Кроме того, численность исследователей рассматривается по отраслям науки, а также полу и возрасту.
Статистический анализ численности и состава кадров науки сочетается с изучением их использования, фактической занятости научной деятельностью. Более объективному учету затрат труда в науке способствует определение численности работников (по категориям персонала) в эквиваленте полной занятости научными исследованиями и разработками.
Целью таких оценок является учет не только лиц, полностью занятых этим видом деятельности (причем многие из них могут участвовать в нескольких проектах одновременно), но также тех, кто занят исследованиями лишь часть времени (преподавателей вузов, консультантов, аспирантов и др.).
При этом, как отмечается в Руководстве Фраскати, учет только первой категории работников ведет к недооценке кадрового потенциала науки, поголовный же учет всех тех, кто посвящает ей лишь часть своего времени, вызовет его завышение*.
* Измерение научно-технической деятельности. Предлагаемая стандартная практика для обследований исследований и экспериментальных разработок: Руководство Фраскати / Перевод и научи, ред. Л.М.
Гохберга.
ПарижМосква: ОЭСР. ЦИСН.
1995. С. 94.
Численность персонала, занятого научными исследованиями и разработками, в эквиваленте полной занятости отражает не количество выполняющих их физических лиц, а сумму долей времени, фактически затраченного на эту работу, и измеряется в человеко-годах.
Например, если один ученый посвящает научным исследованиям 30%, второй 50%, третий 70% времени, а остальное время они заняты другой деятельностью (преподаванием, управлением и т.д.), то число исследователей в эквиваленте полной занятости составит 1,5 человеко-года, а не 3, как в случае учета физических лиц.
Аналогичным образом, штатный научный сотрудник, занятый в научно-исследовательском институте только 6 месяцев в течение года, представлял бы в такой оценке лишь 0,5 человеко-года.
Оценки кадров науки по объему рабочего времени, фактически затраченного на научные исследования и разработки, наиболее распространены в статистике стран с развитой рыночной экономикой; они используются в расчетах производительности общественного труда и в международных сопоставлениях.
Первичным источником информации для расчета эквивалента полной занятости научными исследованиями и разработками могут служить опросы ученых, в рамках которых ими проводится самооценка времени, затрачиваемого в течение типичной недели на фундаментальные, прикладные исследования, разработки, управление ими либо на другие виды деятельности (преподавание, производство, консультирование и т.д.).
Получение информации возможно также на основе проведения выборочных обследований научных организаций и высших учебных заведений, направленных на изучение бюджета времени работников науки и профессорско-преподавательского персонала вузов.
В отечественной статистике с переходом на международные стандарты начиная с 1994 г. в целях определения масштабов занятости научными исследованиями и разработками учитывается фактическая численность лиц, выполняющих их в качестве совместителей и по договорам гражданско-правового характера. На этой основе исходя из числа отработанных ими за отчетный период человеко-дней рассчитывается общая численность персонала, занятого научными исследованиями и разработками, в эквиваленте полной занятости.
В условиях рыночной экономики кадры науки как составная часть совокупной рабочей силы становятся субъектом рынка труда. Как показывает опыт 90-х годов, становление новых, ранее отсутствовавших в российской экономике отраслей, связанных с развитием частного бизнеса, особенно на начальном этапе, создало значительный спрос на высококвалифицированные кадры.
В сочетании с относительно низкой оплатой научного труда это явилось существенным фактором оттока работников в сферу бизнеса.
Распределение квалифицированных кадров между различными видами экономической деятельности, их динамика, движение, источники пополнения во многом предопределяют перспективы развития отраслей экономики, основанной на знаниях, и общества в целом. В этой связи особую актуальность приобретает задача организации комплексного статистического мониторинга, объектом которого становится не только персонал, занятый научными исследованиями и разработками, но и научно-технические кадры в целом.
Научно-технические кадры в международной статистике определяются как совокупность всех лиц, проживающих в стране и имеющих законченное образование третьей ступени (по Международной стандартной классификации образования) в области науки и техники либо не имеющих его, но занятых научно-технической деятельностью, где обычно требуется подобная квалификация. Эта категория охватывает лиц, обладающих необходимой квалификацией для работы в качестве исследователей или техников, а именно соответственно высшим или средним специальным (послешкольным) образованием либо необходимым для этого профессиональным опытом.
В соответствии с Канберрским руководством научно-технические кадры классифицируются по уровню квалификации (образования), областям науки, профессиям, категориям занятости (включая безработных и не занятых в экономике), отраслям, регионам, полу, возрасту, национальному происхождению.
Кроме того, рассматриваются их приток (по источникам, включая пополнение за счет выпускников учебных заведений) и отток (по направлениям, в том числе за рубеж).
Объектами мониторинга должны стать наличие научно-технических кадров, источники их формирования, мобильность (включая изменение научной специализации и места работы, переход в другие сферы деятельности), миграция (в том числе внешняя), уровень жизни научно-технических кадров (реальные доходы и бюджеты семей ученых, объем и структура потребления материальных благ, обеспеченность услугами социальной инфраструктуры), что предполагает координацию работ по статистике науки, труда и занятости, образования, населения и по другим отраслям социально-экономической статистики. Статистическое наблюдение успешно сочетается здесь с социологическими исследованиями ценностных ориентации ученых, их материальных и моральных потребностей, мотивации трудовой деятельности, социального статуса.
Статистическое изучение подготовки научных кадров в настоящее время охватывает лишь показатели деятельности аспирантуры и докторантуры (численность, прием и выпуск аспирантов и докторантов в разрезе отраслей наук и научных специальностей). Отдельно учитывается численность соискателей ученой степени, осуществляющих подготовку диссертаций самостоятельно, а также лиц, защитивших диссертации.
34.2. Показатели материально-технической базы
В процессе производства научных знаний ученый использует разнообразные средства (научное оборудование, приборы, вычислительную технику, испытательные стенды и т.п.) и предметы труда (материалы, реактивы и др.). Состояние средств научного производства отражает уровень развития производительных сил и самой науки, определяет перспективы ее развития, темпы и эффективность научно-технического прогресса, этим предопределяется значение статистического изучения материально-технической базы науки и ее основных элементов.
Материально-техническая база науки комплекс средств и предметов труда в сфере научных исследований и разработок, выступающих в материально-вещественной форме.
Материально-техническая база науки является важной составляющей научного потенциала страны (наряду с трудовыми, финансовыми и информационными ресурсами), обусловливающей как саму возможность проведения научных исследований и разработок, так и их результативность. Она включает основные и оборотные средства научных исследований и разработок.
К основным фондам (средствам) научных исследований и разработоR относятся: здания и сооружения; передаточные устройства; машины и оборудование, в том числе опытно-экспериментальные установки (научно-исследовательские суда, радиотелескопы и т.д.), научные приборы, средства автоматизации и вычислительная техника и т.д.; транспортные средства; инструмент, инвентарь и прочие основные фонды, состоящие на балансе научных организаций и их опытных баз и используемые в их основной деятельности.
Задачей статистики является получение взаимосвязанной информации, характеризующей материально-техническую базу науки и источники ее формирования как по стране в целом, так и по отдельным секторам и регионам. Наряду с традиционными для отечественной статистики задачами изучения объема, структуры и динамики основных и оборотных средств научных организаций, серьезного внимания заслуживает исследование состояния их материально-технической базы, прежде всего технического уровня оборудования.
Требования комплексности анализа предполагают оценку использования технических средств, обеспеченности научных организаций зданиями и помещениями, фондовооруженности труда в науке.
Статистика науки призвана охватить весь процесс воспроизводства основных фондов, что связано с изучением определяющих его факторов, включая анализ развития инвестиционных отраслей научного приборостроения и капитального строительства объектов науки.
Статистика материально-технической базы науки опирается на классификацию ее основных фондов в соответствии с их назначением, ролью в процессе научного производства, сферой применения и т.п. Действующий Всероссийский классификатор основных фондов, утвержденный Госстандартом России в 1994 г., не обеспечивает необходимой их дифференциации применительно к специфике различных видов научной деятельности.
Поэтому в статистике науки предусматриваются дополнительные группировки основных фондов науки. Так, в зависимости от степени участия в проведении научных исследований и разработок выделяется основное исследовательское оборудование и вспомогательное оборудование, непосредственно не участвующее в этом процессе, а служащее для выполнения вспомогательных функций.
Исследовательское оборудование охватывает технику, специально создаваемую для выполнения опытов, автоматизации эксперимента, обработки научной информации и т.п., а также применяющиеся при этом измерительные и регулирующие приборы и лабораторное оборудование общего назначения. Рассматривая данную группу оборудования с точки зрения его использования для выполнения тех или иных видов научных исследований и разработок, в его составе следует выделить машины и оборудование для проведения опытно-экспериментальных работ.
К вспомогательному относятся общепроизводYтвенное оборудование научных организаций и их опытных баз, в том числе предназначающееся для обслуживания и ремонта исследовательской техники, инженерного обеспечения (энерго-, тепло-, водоснабжения), связи, природоохранных целей и т.д.; средства механизации проектно-конструкторских работ, оргтехника; оборудование объектов социальной инфраструктуры науки. Подобная классификация оборудования научных организаций дополняется другими группировками, например по стоимости, возрасту, степени износа, уровню автоматизации.
Статистика материально-технической базы науки в нашей стране по своим методологическим достижениям и практическим результатам значительно богаче, чем даже в ведущих индустриальных странах, где ее изучение ограничивается лишь оценкой затрат на приобретение земельных участков, строительство или покупку зданий и сооружений, приобретение оборудования в составе капитальных затрат; более детальные показатели имеются там лишь в редких случаях по университетам и колледжам.
Развитию методологии и методики статистического наблюдения материально-технической базы науки способствовали единовременные обследования, проведенные в 1989 и 1992 гг. и позволившие впервые не только в отечественной, но и в мировой статистической практике получить обширную информацию, характеризующую ее состояние во взаимосвязи с показателями кадрового потенциала и финансирования научных исследований и разработок.
В статистике разрабатываются показатели, отражающие объемы и структуру основных фондов и оборотных средств научных организаций; состав технических средств с более детальной классификацией научного оборудования и приборов, возрастную структуру и технический уровень оборудования; наличие и использование технических средств, в том числе импортного и дорогостоящего оборудования; обеспеченность научных организаций зданиями, включая наличие собственных зданий, специально спроектированных и построенных под конкретные научные коллективы.
Обобщающими характеристиками обеспеченности научных организаций основными фондами служат показатели фондо- и техновооруженности труда. Они определяются как отношение соответственно объема основных средств научных исследований и разработок к численности занятого ими персонала; стоимости машин и оборудования к численности исследователей.
Особый интерес для анализа представляют оценки вооруженности ученых приборами и вычислительной техникой.
Важной задачей статистики является также изучение опытной базы науки, охватывающей совокупность опытных производств, выполняющих опытные, экспериментальные работы. Опытные работы имеют целью изготовление и отработку опытных образцов новых продуктов, отработку новых (усовершенствованных) технологических процессов.
Экспериментальные работы направлены на изготовление, ремонт и обслуживание специального (нестандартного) оборудования, аппаратуры, приборов, установок, стендов, макетов и т.п., необходимых для проведения научных исследований и разработок.
Состояние и использование опытной базы характеризуют способность науки осуществлять опытную проверку результатов научных исследований и разработок с целью обеспечения непрерывности инновационного процесса. Статистика учитывает общий объем выполненных работ (произведенной продукции) опытной базы, включая объем опытных, экспериментальных работ, производство серийной продукции, работы по ремонту и обслуживанию оборудования опытной базы научной организации и др.
Обобщающим показателем использования опытной базы науки по ее основному назначению, т.е. в целях научных исследований и разработок, является удельный вес опытных, экспериментальных работ в общем объеме работ опытных производств.
34.3. Показатели финансирования исследований и разработок
Ключевым статистическим показателем финансовых ресурсов науки являются затраты на научные исследования и разработки выраженные в денежной форме фактические расходы на выполнение научных исследований и разработок. Основное внимание в статистике уделяется учету внутренних затрат на научные исследования и разработки, выполненные собственными силами отчитывающейся организации в течение отчетного года, независимо от источника финансирования.
На их базе можно получить агрегированную оценку затрат на научные исследования и разработки в отрасли, регионе, секторе науки, стране в целом, устраняя при этом опасность повторного счета затрат в части, выполненной сторонними организациями по договорам.
В целях сводной оценки затрат конкретной организации на исследования и разработки предусматривается также представление данных о внешних затратах на выполнение работ субподрядчиками по договорам с отчитывающейся организацией.
В качестве обобщающего статистического показателя масштабов научных исследований и разработок на национальном уровне выступают валовые внутренние затраты на их выполнение на территории страны в течение отчетного года (включая финансируемые из-за рубежа, но исключая выплаты, сделанные за рубежом) в абсолютном выражении и в процентах к валовому внутреннему продукту. В составе внутренних затрат на исследования и разработки рассматриваются:
- текущие затраты, в том числе на оплату труда работников, выполняющих научные исследования и разработки (без совместителей и работающих по договорам гражданско-правового характера), отчисления на социальные нужды, затраты на приобретение оборудования за счет себестоимости работ, дргие материальные затраты (стоимость приобретаемых со стороны сырья, материалов, комплектующих изделий, полуфабрикатов, топлива, энергии, работ и услуг производственного характера и др.), прочие текущие затраты;
- капитальные затраты, в том числе на приобретение земельных участков, строительство или покупку зданий, приобретение оборудования, включаемого в состав основных фондов, и пр.
В соответствии с рекомендациями Руководства Фраскати из состава текущих затрат на исследования и разработки исключаются амортизационные отчисления, поскольку при их суммировании с капитальными вложениями возникал бы двойной счет расходов. Капитальные вложения в свою очередь не учитывают инвестиции в строительство жилья, объектов культурно-бытового назначения и т.п., не связанные с научными исследованиями и разработками.
Принципиальное значение имеет изучение распределения затрат по видам работ (фундаментальные, прикладные исследования, разработки) и областям науки (естественные, технические, медицинские, сельскохозяйственные, общественные, гуманитарные). Такая информация необходима для анализа финансового обеспечения отдельных стадий научно-инновационного цикла, оценки состояния и перспектив развития областей знания, принятия решений о выделении средств по конкретным направлениям.
Подобные группировки осуществляются в статистике лишь применительно к текущим затратам на научные исследования и разработки, так как капитальные вложения обычно касаются всей деятельности организации в целом и их часто весьма трудно отнести к каким-либо конкретным работам (темам).
Новой как в методологическом, так и в практическом плане задачей статистики науки в России стало изучение целевой ориентации исследований и разработок. В условиях ограниченных (финансовых ресурсов государственная научно-техническая политика предусматривает их сосредоточение на приоритетных направлениях исследований.
В связи с этим в статистике используется группировка внутренних затрат на исследования и разработки по важнейшим социально-экономическим целям общества, что позволяет оценить фактически сложившиеся приоритеты в финансировании науки и сопоставить их с приоритетами научно-технической политики, формируемыми на стадии составления и исполнения федерального бюджета, а также с национальными приоритетами в целом.
Классификация социально-экономических целей, применяемая в отечественной статистике науки, строится исходя из задач государственной научно-технической политики и сложившихся в России направлений финансирования научных исследований. Она также соответствует рекомендациям ОЭСР Евростата, что дает возможность использовать соответствующие данные в межстрановых сопоставлениях.
В составе социально-экономических целей научных исследований и разработок выделяются следующие:
1. Развитие экономики.
1.1. Сельское хозяйство, лесоводство и рыболовство.
1.2. Производство, распределение и рациональное использование энергии.
1.3. Промышленность.
1.3.1. Повышение экономической эффективности и технологического уровня промышленности.
1.3.2. Добыча и переработка неэнергетических минералов.
1.3.3. Химическая промышленность.
1.3.4. Производство автомобилей и прочих транспортных средств.
1.3.5. Электронная промышленность, производство оборудования для радио, телевидения и связи.
1.3.6. Разработка средств программного обеспечения.
1.3.7. Производство электрических машин и аппаратуры.
1.3.8. Производство приборов.
1.3.9. Производство других машин и оборудования.
1.3.10. Производство одежды, текстильных и кожаных изделий.
1.3.11. Производство пищевых продуктов и напитков.
1.3.12. Прочие отрасли промышленности.
1.4. Строительство.
1.5. Транспорт.
1.6. Связь.
1.7. Инфраструктура и планировка городских и сельских населенных мест.
1.8. Сфера услуг.
2. Социальные цели.
2.1. Охрана окружающей среды.
2.2. Охрана здоровья населения.
2.3. Социальное развитие и общественные структуры.
3. Общее развитие науки.
4. Исследование и использование Земли и атмосферы.
5. Использование космоса в мирных целях.
6. Оборона.
Распределение работ по социально-экономическим целям осуществляется в статистике по критерию непосредственного целевого назначения конкретных проектов научных исследований и разработок. Для уточнения состава отдельных целей используется Общероссийский классификатор видов экономической деятельности, продукции и услуг (ОКДП).
Статистический анализ распределения внутренних затрат на исследования и разработки по отраслям экономики, оценки их наукоемкости и выявления высокотехнологичных отраслей как приоритетных для государственной поддержки также базируется на специальной сокращенной классификации видов продукции и услуг на базе ОКДП.
При группировке затрат по видам продукции и услуг следует исходить из фактической отраслевой ориентации выполняемых исследований и разработок. Основным критерием здесь является назначение результатов исследований и разработок (продуктов, технологических процессов, систем управления и т.п.) для использования в конкретных видах (отраслях) экономической деятельности, а именно, на развитие каких отраслей, видов продукции и услуг непосредственно направлены те или иные темы (заказы) исследований и разработок.
Дополнительными ориентирами могут служить отраслевая принадлежность предприятия (организации)-заказчика и(или) предприятия, на котором намечается внедрение результатов исследований и разработок, сфера их применения (например в случае с услугами здравоохранения, образования и др.).
Одной из основных задач современной научно-технической политики является стимулирование спроса на научные исследования и разработки и формирование тем самым альтернативных федеральному бюджету источников финансирования науки. В условиях перехода к рынку появились и постепенно усиливают свое значение новые источники средств на науку внебюджетные фонды (отраслевые и межотраслевые фонды научно-исследовательских и опытно-конструкторских работ, Российский фонд технологического развития, фонды конверсии, регионального развития и др.), средства предпринимательского сектора, благотворительные и иные частные фонды.
Расширяются масштабы финансирования российской науки из зарубежных источников.
Учитывая сказанное, внутренние затраты на исследования и разработки рассматриваются в разрезе источников финансирования первичных источников денежных средств на выполнение научных исследований и разработок. Источники финансирования науки определяются по критерию прямой передачи средств, изначально предназначенных и фактически использованных на эти цели, от заказчика к исполнителю. В их числе статистика выделяет:
- собственные средства организаций (предприятий), выполняющих научные исследования и разработки (из прибыли либо за счет себестоимости выпускаемой продукции, работ, услуг);
- средства бюджета, в том числе федерального (включая средства, выделенные отчитывающейся организации Министерством науки и технологий Российской Федерации на выполнение работ по приоритетным направлениям развития науки и техники), бюджетов субъектов Федерации и местных бюджетов, получаемые организацией (предприятием) непосредственно или по договорам с заказчиком;
- средства внебюджетных фондов;
- средства других организаций различных секторов науки (государственного, предпринимательского, высшего образования, частного бесприбыльного);
- иностранные источники средства, получаемые организацией (предприятием) от юридических и физических лиц, находящихся вне политических границ государства, а также от международных организаций.
Высшие учебные заведения отчитываются также о финансировании научных исследований и разработок (в том числе на кафедрах) за счет общих бюджетных ассигнований на содержание вуза.
Заемные средства (банковские, коммерческие кредиты и др.), предоставляемые на возвратной основе, в качестве первичных источников финансирования не рассматриваются.
Наряду с обследованиями организаций, выполняющих исследования и разработки, в статистике предусматривается сбор данных министерств и ведомств об ассигнованиях федерального бюджета на научные исследования и разработки денежных средствах, выделенных на научные исследования и разработки и иные виды деятельности из федерального бюджета (по разделу 06 Фундаментальные исследования и содействие научно-техническому прогрессу). В статистике различают плановые ассигнования, установленные в соответствии с утвержденным Законом о бюджете либо уточненным в течение года планом, и фактические (действительные) расходы.
Их анализ и сопоставление позволяют оценить структуру бюджетного финансирования науки, приоритеты государственной научно-технической политики и степень их практической реализации.
В соответствии с возложенными на него полномочиями в целях определения объемов финансирования науки из федерального бюджета Министерство науки и технологий Российской Федерации ежегодно собирает сведения министерств и ведомств о фактических расходах предыдущего года, плановых ассигнованиях на текущий год и заявке на следующий год. Исходя из особенностей сложившейся практики планирования и анализа бюджетных средств на научные исследования и разработки, а также необходимости согласования указанной информации с данными статистической отчетности и обеспечения ее сопоставимости с международной статистикой, сформирована система сбора и обработки данных о бюджетном финансировании науки, предусматривающая получение информации о распределении средств по министерствам и ведомствам (с выделением научных исследований и разработок, а также иных видов деятельности), элементам затрат, видам работ, отраслям науки, социально-экономическим целям.
Государственные научные центры и научные советы по направлениям Федеральной целевой научно-технической программы представляют сведения о соответствующих средствах, выделяемых им Миннауки России целевым назначением.
Контрольные вопросы
- Раскройте содержание основных категорий, характеризующих кадры науки.
- Как измеряется в статистике численность занятых научными исследованиями и разработками?
- Назовите статистические показатели основных фондов научных организаций и раскройте их содержание.
- Дайте определение основных показателей затрат на научные исследования и разработки.
- Какие задачи решает классификация социально-экономических целей научных исследований и разработок и по какому критерию она осуществляется?
- Перечислите источники финансирования научных исследований и разработок, учитываемые в статистике.
Статистика оборотных фондов
Оборотные фонды важная часть национального богатства страны, его наиболее мобильный, постоянно возобновляемый элемент. Они являются материальной частью оборотных средств производителей, в состав которых входят также нематериальные активы.
В соответствии с действующим международным стандартом СНС-93 при исчислении показателей оборотных средств рекомендуется пользоваться категориями запасы и ценности.
В отечественной статистике до сих пор существует понятие материальные оборотные средства и запасы оборотные фонды.
Помимо этого имеется также понятие оборотные средства, в которое входят материальные оборотные средства и запасы вместе с финансовыми средствами. Последняя категория больше соответствует определению, принятому СНС-93, но в российской статистике она все же характеризует оборотные средства сферы материального производства, что неполно характеризует данный элемент национального богатства.
Между объемами оборотных средств и основного капитала имеется определенное соотношение. В большинстве стран выявлено, что при нормальном экономическом развитии удельный вес оборотных средств составляет обычно 2030% всей стоимости произведенного капитала.
Причем существует тенденция некоторого понижения удельного веса оборотных средств по мере ускорения их оборачиваемости и сокращения издержек на производство товаров и оказание услуг, а в случае менее эффективного использования производительного капитала или отдельных его частей тенденция повышения удельного веса оборотных средств.
Так, в США за последние пять лет удельный вес оборотного капитала сократился на 5 процентных пунктов; во Франции удельный вес оборотного капитала несколько выше, чем в США, но соотношения частей производительного капитала примерно одинаковые. Аналогично положение с оборотным капиталом в Германии, Японии и ряде других стран, в которых принимались меры по повышению степени использования производительного капитала.
В России еще в 1991 г. оборотные средства составляли 23% от всех производственных фондов, а с 1996 г. менее 3%.
Таким образом, есть основания полагать, что между основными фондами и оборотными средствами в целом существует определенная экономическая зависимость, и статистика призвана ее отражать в соответствующих стоимостных показателях. Как было отмечено выше, удельный вес материальных оборотных средств и запасов России с 1992 г. начал резко сокращаться и к 1996 г. составил, по официальным данным, всего 2,3% общего объема производственных фондов.
В Методологических положениях по статистике Госкомстата РФ было определено, что в оборотные фонды включаются производственные запасы (сырье, материалы, топливо, запчасти, инструменты, хозтовары, семена, посадочные материалы, корма и фураж, животные на откорме, молодняк животных и др.), незавершенное производство, запасы готовой продукции у производителей, товары для перепродажи и материальные резервы.
Особенность этой части фондов состоит в том, что они участвуют в одном производственном цикле, видоизменяют свою натурально-вещественную форму, и их стоимость полностью входит в стоимость изготовляемых из них продукции и услуг.
Производственные запасы включают готовую продукцию, находящуюся на складах производителей, а также запасы товаров у потребителей, предназначенных либо для производственного потребления, либо для перепродажи без дальнейшей переработки.
Незавершенное производство представляет собой продукцию, обработка которой в пределах данного предприятия не закончена. Наибольший объем незавершенного производства наблюдается в отраслях с длительным циклом производства: в строительстве, сельском хозяйстве, тяжелой промышленности, в производстве кинофильмов и т.д.
Готовая продукция состоит из продуктов, обработка которых в пределах данного предприятия закончена и они могут быть использованы либо для конечного потребления, либо для дальнейшей переработки на других предприятиях. Например, металл является готовой продукцией для металлургического предприятия, а для металлообрабатывающего предприятия он служит сырьем.
Моментом готовности продукции в промышленности служит принятие его ОТК, а в строительстве подписание акта сдачи-приемки объекта заказчиком и подрядчиком.
Товары для перепродажи это товары, приобретенные с целью дальнейшей их продажи без дополнительной обработки. К ним относятся главным образом запасы торговых предприятий и организаций.
При этом хранение, упаковка, сортировка, транспортировка товаров не включаются в состав производственных операций, так как продукция не подвергается трансформации.
Запасы материальных оборотных средств состоят из запасов продукции, которая еще находится в распоряжении производителей до того, как она будет далее переработана, продана, доставлена другим единицам или использована иными способами, а также запасов продукции, приобретенной у других единиц и предназначенной для использования в производственном процессе в составе промежуточного потребления или для перепродажи для дальнейшей переработки.
Ценности это дорогостоящие товары длительного пользования, они состоят из драгоценных металлов и камней, ювелирных изделий, произведений искусства и т.д.
Особым видом запасов материальных оборотных средств являются государственные резервы. Они включают запасы средств производства и предметов потребления, предназначенных для использования в чрезвычайных обстоятельствах (война, стихийные бедствия, крупные катастрофы и т.д.).
Задачами статистики оборотных фондов являются:
- разработка и совершенствование методологии статистической характеристики оборотных фондов;
- определение объема и структуры оборотных фондов;
- характеристика воспрои водства оборотных фондов;
- характеристика обеспеченности производства оборотными фондами;
- оценка оборачиваемости оборотных средств, заключенных в оборотных фондах, и факторов, влияющих на этот процесс;
- характеристика эффективности их использования.
30.2. Система показателей статистики оборотных фондов
В статистике оборотных фондов используются показатели: наличия и состава оборотных фондов; пополнения и выбытия оборотных фондов; оборачиваемости заключенных в них оборотных средств; обеспеченности ими производственного процесса и др.
Наличие оборотных фондов характеризуется натуральными и стоимостными, моментными и интервальными показателями. Натуральные показатели служат для характеристики обеспеченности оборотными средствами, изменения их запасов.
Стоимостные показатели широко используются для сводной характеристики оборотных фондов, исследования оборачиваемости заключенных в них оборотных средств.
Моментные показатели имеют большое значение для изучения динамики и структуры оборотных фондов, характеристики обеспеченности ими производства. Они лежат в основе расчета интервальных показателей.
Интервальные показатели используются для характеристики изменения оборотных фондов, их оборачиваемости, расчета средней величины (по формуле простой или взвешенной средней хронологической) и т.д.
Состав оборотных фондов исследуется методом группировок: по натурально-вещественному составу, отраслям и секторам экономики, регионам, формам собственности, источникам финансирования и др.
Изменение объема оборотных фондов характеризуется показателями их пополнения и выбытия. Пополнение осуществляется за счет как собственного производства, так и приобретения со стороны.
Показатели выбытия отражают использование оборотных фондов в процессе производства, а также в результате чрезвычайных обстоятельств (убыль от стихийных бедствий и др.).
Разность между пополнением и выбытием отражает изменение оборотных фондов за период (прирост или сокращение).
Изменение запасов в течение данного периода рассчитывается как разница между запасами, существующими на конец и начало периода. В состав прироста оборотных фондов включаются:
- запасы сырья и материалов;
- изменение остатков незавершенного производства;
- изменение запасов готовой, но нереализованной продукции;
- прирост других запасов (например, приобретенных для перепродажи товаров).
Очень важно, чтобы и на начало, и на конец периода оборотные средства были оценены в одних и тех же ценах, лучше в средних ценах данного периода. В противном случае возникает эффект, который называется в СНС холдинговой прибылью.
Проблема оценки успешно решается на основе балансов предприятий и организаций, в которых есть специальная позиция переоценка запасов, позволяющая рассчитать стоимость в ценах, действовавших на конец периода. Эта же позиция имеется в СНС.
Запасы товаров оцениваются по ценам покупателей (конечного потребления), если они находятся у потребителей или у предприятий оптовой и розничной торговли, и по основным ценам, если они находятся у производителей.
Общий объем изменения запасов материальных оборотных средств складывается из: прироста материальных оборотных средств, прироста государственных материальных резервов, прироста незавершенного строительства (оплаченного заказчиком). Затем вносится стоимостной корректив для обеспечения оценки прироста запасов в средних ценах года.
Весьма важной является характеристика обеспеченности процесса производства продукции и услуг оборотными фондами. Одно из главных назначений оборотных средств обеспечение ими производственного процесса.
Недостаточность в обеспечении оборотными фондами и средствами, как показывает практика, служит причиной потерь производственного потенциала в целом, заключенного в основных материальных и трудовых ресурсах.
Показатель обеспеченности производства запасами рассчитывается в днях обеспеченности (Одн) как отношение объема фактических запасов материальных ценностей (3) к среднедневной производственной потребности в них (Пд): (30.1)
Ускорение оборачиваемости оборотных средств важный фактор наращивания заключенного в них экономического потенциала. Оборачиваемость оборотных средств характеризуется следующими показателями: числом оборотов фондов за период (коэффициент оборачиваемости Kобор); средней продолжительностью одного оборота; коэффициентом закрепления.
Коэффициент оборачиваемости, измеренный количеством оборотов, является обобщенным показателем использования оборотных средств. Он показывает, какой объем произведенной (П) или реализованной (Р) продукции приходится на 1 рубль оборотных фондов, сколько раз в течение периода обернулся в производстве средний остаток оборотных средств (З): (30.2)
Средняя продолжительность одного оборота в днях (Дн) рассчитывается путем деления числа календарных дней в периоде (Д) на число оборотов оборотных фондов за этот период (Kобор). Причем число дней в году принимается равным 360, в квартале 90, в месяце 30: (30.3)
Коэффициент закрепления (Кзакр) оборотных фондов (средств) представляет собой величину, обратную количеству оборотов (исчисляется в рублях): (30.4)
Он отражает среднюю стоимость запасов оборотных фондов, приходящуюся на рубль реализованной продукции или услуг. На основе этого показателя можно опредлить дополнительную потребность в оборотных фондах (ДПотр.) в зависимости от изменения объема реализации продукции и услуг: (30.5)
где ДР предполагаемое (планируемое) изменение объема реализованной продукции и услуг.
При увеличении оборачиваемости оборотных средств (числа оборотов) часть оборотных средств высвобождается. Сумму оборотных средств, которая может быть высвобождена в результате ускорения Оборачиваемости, определяют как разность между фактической суммой оборотных средств (С) в отчетном периоде и расчетной их суммой в базисном периоде, скорректированной на индекс стоимости реализованной продукции: (30.6)

где Об.C1 и Об.C0 оборотные средства отчетного и базисного периодов;
Pl/Р0 индекс стоимости реализованной продукции.
Изменение оборачиваемости непосредственно влияет на потребность в оборотных фондах и средствах. Целесообразно определять экономию или перерасход оборотных фондов (средств), имевших место в результате ускорения или замедления их оборачиваемости (Эобор): (30.7)
Иными словами экономия оборотных фондов, достигнутая в результате ускорения их оборачиваемости, определяется как разность между фактической среднегодовой стоимостью оборотных фондов отчетного периода (

) и отношением стоимости реализованной продукции отчетного периода (Р1) к числу оборотов оборотных фондов базисного периода (Кобор.0).
Характеристика использования оборотных фондов основана на показателях уровня удельного расхода сырья, материалов, топлива и других видов оборотных средств на единицу продукции или услуг, определяемого как отношение общего их расхода на количество выпущенной продукции или услуг.
На макроуровне эффективность использования оборотных фондов оценивается показателями материалоемкости производства или материалоотдачи: (30.8)
где ME материалоемкость производства;
МО материалоотдача;
Об.Ф среднегодовой объем оборотных фондов;
ВВП валовой внутренний продукт.
Контрольные вопросы
- Раскройте понятие и состав оборотных фондов и оборотных средств как составной части НБ, перечислите их основные признаки.
- Приведите показатели оборачиваемости оборотных средств и методику их расчета.
- Какова методика определения объема высвобожденных оборотных средств в результате ускорения их оборачиваемости?
- Приведите методику расчета показателя обеспеченности производства оборотными средствами.
Статистика образования и культуры
Образование, под которым понимается процесс воспитания и обучения в интересах человека, общества, государства, ориентированный на сохранение и передачу знаний новым поколениям, является одним из основных факторов экономического и социального прогресса. Система образования представляет собой совокупность взаимодействующих преемственных образовательных программ и государственных образовательных стандартов различного уровня, сети реализующих их образовательных учреждений и органов управления образованием и подведомственных им учреждений и организаций.
В соответствии с используемыми в настоящее время в статистической практике классификациями отраслей экономики или видов экономической деятельности образование как отрасль социальной сферы охватывает учреждения дошкольного воспитания (ясли, ясли-сады и детские сады), детские дома, учреждения общего и профессионального образования независимо от форм собственности и подчиненности.
Деятельность учреждений системы образования направлена на реализацию основных принципов социальной политики государства в области распространения знаний, развития интересов, формирования жизненных позиций личности, а также в области подготовки квалифицированных кадров для нужд экономики.
Исходя из общих задач системы образования, формируется система статистического наблюдения за деятельностью образовательных учреждений, которая видоизменяется по мере изменения нормативно-правовой базы, обновления содержания учебного процесса, демографической ситуации и других факторов, оказывающих влияние на систему образования.
В последние годы, несмотря на трудности экономического характера, ведется активная подготовка новых нормативно-правовых документов. Цель этих документов в закреплении качественных изменений в политике образования, предусматривающих при сохранении принципа бесплатности государственного образования переход к личностно и социально ориентированному образованию по выбору, при котором обучающимся предлагается широкий выбор альтернативных учебных программ, курсов и учебников; многоступенчатость образования; расширение автономии учебных заведений; возможность получения образования в негосударственных учебных заведениях, начиная от дошкольного воспитания и кончая высшим образованием.
Новые направления в политике образования закреплены в Федеральных законах Об образовании, принятом в 1992 г. и О высшем и послевузовском профессиональном образовании, принятом в 1996 г.
В настоящее время разработаны и приняты государственные образовательные стандарты среднего и высшего профессионального образования, типовые положения об общеобразовательном учреждении и о среднем специальном учебном заведении, положение о порядке лицензирования образовательных учреждений и др.
Государственные образовательные стандарты устанавливают структуру системы соответствующего образования по уровням и ступеням, общие требования к основным профессиональным образовательным программам и к перечню специальностей среднего и высшего профессионального образования, общие нормативы учебной нагрузки обучающихся и т.д.
Применение государственных стандартов обязательно для всех образовательных учреждений, расположенных на территории Российской Федерации, получивших в установленном порядке лицензию на право реализации соответствующих образовательных программ.
Новая нормативно-правовая база образования способствует появлению альтернативных учебных заведений. Так, в 1998/99 учебном году в Российской Федерации насчитывалось 126 негосударственных гимназий и лицеев, 568 других общеобразовательных школ, 334 негосударственных высших учебных заведения.
Упомянутые выше изменения в системе образования оказывают непосредственное влияние на систему показателей статистики.
48.2. Система показателей статистики образования
Рассмотрение системы показателей статистики образования следует начать с интегрального показателя уровня образования населения, который измеряется численностью населения по ступеням полученного образования.
Основным источником сведений об образовательном уровне населения являются сплошные и выборочные переписи населения. Учитывая важность этого показателя.
Статистическая Комиссия ООН рекомендовала его для включения в число основных вопросов переписного листа при проведении переписей населения в 19992001 гг.
В программу переписи населения 1989 г. и выборочного социально-демографического обследования, которое проводилось в Российской Федерации в 1994 г., были включены вопросы о названии учебного заведения, числе оконченных классов (курсов), типе образовательного учреждения, в котором опрашиваемое лицо на момент переписи училось, сведения о посещении детьми младше 6 лет дошкольных учреждений. Предусматривалось также получение данных о лицах, не имеющих начального образования.
В результате обобщения итогов обследования были получены сведения о численности лиц, имеющих высшее, незаконченное высшее, среднее специальное, среднее общее, неполное среднее и начальное образование; данные о лицах, не имеющих начального образования, а также о половозрастном составе лиц с соответствующим образованием. При этом программа разработки итогов сплошной и выборочной переписей содержит также большое число группировочных таблиц, в которых сведения об образовательном уровне приводятся в увязке с другими социально-демографическими показателями.
В период между переписями производятся текущие оценки уровня образования. За базу расчетов принимаются данные последней переписи о численности населения по соответствующим видам образования, используются данные годовых разработок об уровне образования умерших и мигрантов, отчетные данные о численности лиц, получивших общее среднее (полное и неполное), среднее специальное и высшее образование.
В связи с возможными погрешностями расчетов широко применяются относительные показатели.
В числе других показателей статистики образования используются количественные и качественные характеристики развития системы и деятельности образовательных учреждений с учетом особенностей учебного процесса на каждой ступени.
Дошкольное образование является первой ступенью системы воспитания и обучения. Оно представляет собой сеть дошкольных учреждений различных форм собственности, основной деятельностью которых является всесторонняя подготовка ребенка к жизни и школе, развитие его творческих способностей путем реализации психофизиологического и интеллектуального потенциала.
Дети с 3 до 6 (7) лет могут получать дошкольное образование в дошкольных учреждениях различных видов и форм собственности или в комплексах детский сад начальная школа в зависимости от уровня развития ребенка и желания родителей.
Подготовка детей к школе обязательна с 5-летнего возраста и осуществляется в подготовительных группах детского сада или школы, либо по желанию родителей в семье. В зависимости от условий такие группы могут быть организованы и при начальных школах.
Исходя из обозначенных выше задач дошкольного образования, государственная статистическая отчетность предусматривает сбор сведений о числе дошкольных учреждений и количестве мест в них, численности посещающих их детей в половозрастном разрезе, в том числе обучающихся по программе первого класса общеобразовательной школы. Сообщаются также данные о режиме работы дошкольного учреждения, численности и возрастном составе детей, охваченных летними оздоровительными мероприятиями, числе случаев заболеваний с указанием их вида; сведения о численности, профессиональном составе и уровне образования персонала и национальном языке, на котором ведется работа в группах.
Отдельными разделами в формах статистического наблюдения представлены сведения о материально-технической базе, поступлении и использовании финансовых средств.
Если дошкольное учреждение имеет компенсирующий профиль (для детей с нарушением речи, слуха, зрения и т.д.) или комбинированный тип (общеразвивающего профиля, но с наличием компенсирующих групп), то собираемая информация дополняется соответствующими показателями, характеризующими компенсирующие группы по их профилю, числу мест, численности и возрастному составу детей.
Отчет представляется дошкольными учреждениями всех форм собственности (форма 85-к) с годовой периодичностью.
Одновременно региональные подразделения по образованию районные (городские) отделы (управления) направляют с годовой периодичностью сведения о численности детей, состоящих на учете для определения в дошкольные учреждения. Приведенный перечень показателей позволяет охарактеризовать развитие системы дошкольного образования, в том числе в городской и сельской местности и по формам собственности, охват детей соответствующего возраста дошкольными учреждениями, заполняемость и сменность их работы, а также потребность в дополнительных местах, в том числе с компенсирующим профилем.
Данные о техническом состоянии зданий, площади помещений и уровне благоустройства, поступлении и использовании финансовых средств дополняют общую картину положения дел в дошкольном образовании.
Статистика общего образования охватывает все типы школ (начальные, основные, средние (полные), гимназии, лицеи, школы-детские сады, школы-интернаты для детей с недостатками умственного или физического развития и т.д.) с дневной формой обучения.
С годовой периодичностью собирается информация о числе школ, в том числе в городской и сельской местности, по формам обучения и формам собственности, числе классов, численности и половозрастном составе учащихся в начальных (I ступень), в основных (III ступени) и средних (полных) (IIII ступени) школах, числе школ с продленным днем или с группами продленного дня, сменности занятий и численности учащихся, занимающихся во второй и третьей сменах, языках обучения и других языках, изучаемых как самостоятельный предмет, численности учащихся, окончивших школу и получивших и не получивших аттестат о среднем (полном) общем образовании.
Отчетность содержит сведения об углубленном изучении различных предметов, профиле, числе классов (групп) и численности в них учащихся.
При характеристике начального, обучения наряду со сведениями о численности учащихся в 13 (4) классах в статистической отчетности содержатся также данные о числе подготовительных классов и классов-комплектов, в том числе организованных в дошкольных учреждениях.
Имеется информация о списочном составе учащихся, в том числе обучающихся второй год, и численности девочек, начиная с подготовительного класса и кончая выпускными.
Характеристика контингента обучающихся содержит также такие показатели, как численность детей-сирот и детей, оставшихся без попечения родителей и находящихся в школе-интернате; численность умственно отсталых детей и детей с недостатками физического развития, детей-инвалидов, численность детей, занимающихся в компенсирующих классах.
Указывается количество учащихся, выбывших из школы в течение учебного года и причины их выбытия.
Дается характеристика кадрового состава преподавательского персонала (численность, уровень подготовки и т.д.).
С периодичностью один раз в пять лет собирается информация о кружковой работе учащихся и один раз в два года о школьных помещениях и технических средствах обучения.
Характеристики социально-бытовых условий обучения содержат сведения об уровне благоустройства зданий школ, наличии столовой или буфета с горячим питанием, числе посадочных мест, наличии и площади физкультурного зала, плавательного бассейна и т.д.
При обучении детей-инвалидов в школах и школах-интернатах общего типа сообщается их численность, а также численность детей, обучающихся индивидуально на дому по специальным программам, и численность детей, обучающихся в форме семейного образования.
Приведенный перечень показателей распространяется на школы всех типов дневного обучения (формы ОШ-1, 76-рик, 83-рик).
Сведения о вечерней (сменной) общеобразовательной школе собираются по значительно более узкому кругу Wоказателей: число школ и классов, численность учащихся очной и заочной форм обучения, в том числе окончивших данный класс и численность получивших аттестат зрелости, режиме занятий, языке обучения, наличии консультативных пунктов, данные о контингенте выбывших учащихся и причинах выбытия (формы ОШ-5 и СВ-1).
Еще по более узкому перечню собираются сведения по негосударственным общеобразовательным школам (форма ОШ-1 (НОУ)).
На основе имеющейся информационной базы могут быть получены количественные качественные характеристики развития сети общеобразовательных школ по всем контингентам учащихся, охвата обучением детей соответствующего возраста, обеспеченности и доступности школьного образования в различных регионах страны и для отдельных групп населения; выявлены причины прекращения обучения отдельными группами детей, масштабы и предпочтительный профиль углубленного изучения различных предметов, состояние материально-технической базы школьного обучения и социально-бытовые условия в образовательных учреждениях.
В число основных задач среднего и высшего профессионального образования наряду с удовлетворением потребности личности в получении такого вида образования входит подготовка квалифицированных кадров в соответствии с потребностями экономики.
Продолжительный срок профессионального обучения (1216 лет) и необходимость последующей адаптации молодых специалистов к условиям производства предопределяют необходимость опережающего учета потребностей экономики при подготовке специалистов средней и высшей квалификации. Государственная политика в области среднего и высшего профессионального образования определена Законами об образовании (1992 г.) и о высшем и послевузовском профессиональном образовании (1996 г.).
Среднее специальное образование дают средние специальные учебные заведения: техникумы, колледжи, училища.
В 1995 г. Правительством Российской Федерации был утвержден государственный образовательный стандарт среднего профессионального образования, который установил структуру и документы государственного образца о среднем профессиональном образовании, общие требования к основным профессиональным образовательным программам и условиям их реализации, общие нормативы и объем учебной нагрузки, требования к перечню специальностей среднего специального образования.
Среднее профессиональное образование может быть осуществлено на двух образовательных уровнях: базовом и повышенном.
Базовым является образование, полученное в имеющем соответствующую лицензию образовательном учреждении среднего профессионального образования по основной профессиональной образовательной программе, обеспечивающей подготовку специалистов среднего звена. Нормативный срок обучения на базе основного общего образования составляе не менее трех лет.
Средним профессиональным образованием повышенного уровня является образование, полученное при тех же условиях, но на основе программы, обеспечивающей подготовку специалистов среднего звена повышенного уровня квалификации. Повышенный уровень подготовки специалистов среднего звена обеспечивается прежде всего за счет программы дополнительной подготовки, включающей в себя производственную (профессиональную) практику, углубленную и (или) расширенную теоретическую и (или) практическую подготовку по отдельным учебным дисциплинам и (или) циклам дисциплины.
В связи с этим нормативный срок обучения на базе основного общего образования составляет не менее четырех лет.
В части среднего профессионального образования в статистической отчетности (форма 2-нк Сведения о среднем специальном учебном заведении или высшем учебном заведении, реализующем программы среднего профессионального образования, на начало .... учебного года. Обучение: дневное, вечернее, заочное, экстернат) имеются показатели численности принятых, обучающихся в разрезе курсов и выпущенных с получением диплома (аттестата, свидетельства) о начальном профессиональном образовании, диплома о среднем профессиональном образовании, и, наконец, диплома о среднем профессиональном образовании повышенного уровня.
При этом предусмотрены группировки всего контингента по лицам, имеющим основное общее образование, и по лицам, имеющим среднее (полное) общее образование, в разрезе специальностей: выделение обучающихся по договорам с юридическими лицами, в том числе с полным возмещением затрат на обучение, а также численности лиц, получающих стипендии за счет стипендиального фонда, средств предприятий и организаций. В отчетности показывается численность и категории студентов дневного обучения, находящихся на льготном обеспечении (дети-сироты, инвалиды-военнослужащие; лица, подвергшиеся воздействию чернобыльской аварии и др.).
Статистическая отчетность предусматривает получение данных об абитуриентах, движении численности студентов и причинах выбытия, их обеспеченности общежитиями, составе по возрасту и полу.
Материально-техническая база представлена показателями общей площади зданий, в том числе учебной, общежитии, жилых домов; количеством посадочных мест в предприятиях общественного питания учебных заведений и общежитии.
48.3. Показатели статистики высшего профессионального образования
В соответствии с Законом 1996 г. основные образовательные программы высшего профессионального образования могут быть реализованы непрерывно и по ступеням. В Российской Федерации устанавливаются три ступени высшего профессионального образования с присвоением по результатам успешно прошедшей итоговой аттестации квалификации (степени) соответственно бакалавра, дипломированного специалиста и магистра.
Сроки освоения основных образовательных программ высшего профессионального образования составляют для получения квалификации (степени) бакалавр не менее четырех лет, дипломированный специалист не менее пяти лет и магистр не менее шести лет.
Образование лиц, не завершивших обучение по основной образовательной программе, но успешно прошедших промежуточную аттестацию (не менее чем за два года обучения) признается неполным высшим профессиональным образованием и подтверждается выдачей дипломов установленного образца.
Полученная в высшем учебном заведении, имеющем государственную аккредитацию, квалификация (степень) дает основание для замещения соответствующих должностей в государственном аппарате, органах исполнительной власти, а также других рабочих мест, требующих высшего образования.
Первичная отчетность высших учебных заведений (форма 3-нк Сведения о высшем учебном заведении на начало .... учебного года. Обучение дневное, вечернее, заочное, экстернат) имеет много общего с рассмотренной выше отчетностью по средним профессиональным учебным заведениям.
Показатели характеризуют высшие учебные заведения по численности обучающихся в них студентов, направлениям и специальностям подготовки, распределению по курсам, масштабы подготовки магистров (1 и 2 курсы), выпуску специалистов с дипломами о неполном высшем образовании; бакалавра, специалиста с высшим образованием, а также с дипломом магистра.
В отчетности имеются сведения о численности студентов по полу и возрасту, по категориям льготного обеспечения, информация об абитуриентах, профессорско-преподавательском персонале (в разрезе должностей, ученых званий и степеней).
Материально-техническая база высших учебных заведений характеризуется наличием и использованием площадей учебных корпусов, учебно-лабораторных зданий, общежитии и жилых помещений.
Статистическое наблюдение осуществляется и за направлением на работу выпускников высших учебных заведений дневной формы обучения (форма 1-вуз (распределение)) и выпускников среднего профессионального образования (форма 1-техникум (распределение)).
48.4. Статистика культуры и искусства
Статистика культуры и искусства как отрасль социальной статистики отражает деятельность в области культуры и искусства, поддающуюся количественному анализу.
Деятельность в области культуры и искусства охватывает сферу производства, сохранения национального культурного достояния, распределения и потребления населением духовных ценностей. Существует разветвленная сеть специализированных организаций и учреждений, предназначенных для осуществления деятельности в области культуры и скусства: музеи, театры, библиотеки, клубы и т.д., а также персонал, профессионально занимающийся этой деятельностью.
Задачи статистики культуры и искусства заключаются в наблюдении за деятельностью организаций и учреждений культуры, с одной стороны, и приобщением (участием) населения к тем или иным видам культурной деятельности, с другой стороны..
Для измерения показателей культурной деятельности в настоящее время широко используются статистические характеристики видов культурной деятельности, ее количественных параметров, материально-технической базы учреждений культуры, их финансирования, а также участия населения в культурных мероприятиях. Конкретный набор статистических показателей зависит от изучаемого вида культурной деятельности.
Например, сохранение и развитие культурного наследия, зданий и сооружений культуры охватывает сохранение и функционирование библиотек, музеев, художественных галерей, исторических памятников и исторических мест, архивов, а также языков, ритуалов и других специальных форм культурного наследия.
Отраслевая отчетность о деятельности музеев всех видов (естествоведческих, технических, исторических, этнографических, мемориальных и др.), которых в России в настоящее время насчитывается более 500, содержит статистические характеристики их фондов (число и виды экспонатов, в том числе основного фонда, из них экспонировавшихся в отчетном периоде), площади (общей и отведенной под экспозиции, временные выставки, хранение фондов и проч.), а также показатели научно-просветительской деятельности (число индивидуальных посещений, число экскурсий и лекций) и выставочной работы (число наименований выставок, действовавших в музеях и вне них, число предметов основного фонда, экспонировавшихся на выставках и т.д.). В отчетности имеются сведения о численности и профессиональном уровне персонала музеев, источниках и основных направлениях использования финансовых средств.
По недвижимым памятникам истории и культуры собираются сведения об их количестве и видах (памятники археологии, истории, градостроительства и т.д.), источниках и освоении средств, выделенных на ремонтно-реставрационные работы, общем количестве реставрируемых и сданных после реставрации объектов.
Деятельность массовых и универсальных библиотек, число которых составляет свыше 50 тыс., оценивается показателями их общего числа, объема библиотечного фонда, числа читателей и книговыдач, численности библиотечных работников, поступления и использования финансовых средств. Что касается статистических характеристик материальной базы библиотек, снабжения их современными техническими средствами, а также более детальных сведений о библиотечной деятельности, то они получаются, как об этом свидетельствует отечественная практика, на основе специальных выборочных обследований.
Сценическое и драматическое искусство представлено в статистике сведениями о деятельности театров, концертных организаций, цирков, о числе соответствующих культурно-просветительных учреждений и организаций, количестве представлений и их видов (вечерние, утренние спектакли, филармонические и эстрадные концерты, представления для детей и др.), числе зрителей и сумме сборов.
Отечественная статистика культуры и искусства включает в себя также характеристики деятельности детских музыкальных, художественных, хореографических школ и школ искусств, которые собираются, как правило, один раз в пять лет на начало учебного года (количество школ, ученических мест и учащихся, в том числе по выпускным классам и отделениям, численности преподавателей и уровне их квалификации).
К учреждениям, оказывающим культурно-просветительские услуги, относятся и зоопарки (зоосады). Их деятельность в статистике культуры характеризуется показателями общей площади, в том числе для животных, количества мероприятий просветительского характера, численности и видами животных, а также численности посетителей.
Деятельность в области производства и распространения кинопродукции представлена в статистике культуры и искусства данными о производстве фильмов и другой кинопродукции (количество наименований, запуска и выпуска из производства, отпускная стоимость и т.д.); об организации их киновидеопроката (число киноустановок, в том числе широко- и узкопленочной, с обычным или широкоэкранным показом, фактическая прокатная плата); о наличии, движении и эксплуатации киноустановок, видеозалов и видеосалонов, а также о количестве зрителей, просмотревших художественные фильмы новых названий, и валовом сборе.
Анализ культурной деятельности в стране будет неполным без характеристик работы учреждений клубного типа и парков культуры и отдыха, которые проводят большое число мероприятий культурно-досу-гового и культурно-оздоровительного характера. В статистической отчетности этих учреждений содержатся сведения об их количестве, числе посадочных мест, зрительных и лекционных залах, числе и количестве досуговых объектов в парках культуры и отдыха; числе любительских объединений и кружков и других формирований клубного типа; количестве культурно-досуговых и физкультурно-оздоровительных мероприятий и численности лиц, принимавших в них участие.
Для измерения печатного потенциала страны используются сведения об издательской деятельности, такие как выпуск (число печатных единиц, книг, брошюр, журналов и других периодческих изданий); их тиражи, в том числе по тематическим разделам (техническая, естественнонаучная, политическая и социально-экономическая литература; литература для детей, художественная и т.д.); число изданий газет, их годовой и разовый тираж; количество изданий на отдельных языках народов страны и т.д.
В связи с тем, что содержание духовных ценностей, культурных мероприятии имеет оценочный характер, отсутствуют надежные статистические индикаторы, отражающие эффективность культурной деятельности в части потребления населением услуг культуры и искусства.
В связи с этим при анализе наиболее часто используются данные о регулярности участия населения в различных видах культурной деятельности, совокупных затратах свободного времени на посещение культурно-просветительских мероприятий. Такие сведения собираются при социологических обследованиях свободного времени населения.
Для изучения используются также данные о расходах на эти цели средств потребительского бюджета домашнего хозяйства (семьи). При анализе доступности тех или культурных услуг используются также данные статистики потребительских цен.
В перечень услуг-представителей, цены и тарифы на которые подлежат систематическому наблюдению и регистрации, включены стоимость билета на художественный фильм в кинотеатре или клубе, цена билета на спектакль драматического театра и представления в цирке, а также цена на посещение музея.
Следует отметить, что в связи с изменением функций органов культуры на местах, значительным сокращением ассигнований на их содержание, процессом разгосударствления кинопроката, телевидения, радио, под влиянием других факторов возникли проблемы с полнотой сбора информации.
Местные статистические органы располагают крайне ограниченным кругом показателей по статистике культуры, получая их в основном по разовым запросам.
Контрольные вопросы
- Назовите основные показатели, характеризующие деятельность дошкольных учреждений и общеобразовательных школ.
- Какие показатели используются в статистике среднего и высшего профессионального образования?
- Что является объектами статистики культуры?
Статистика основного капитала в национальном богатстве
С переходом к международной методологии статистики в отечественную практику статистики национального богатства вместе с понятием основных фондов вводится более широкое понятие основной капитал, объединяющее воспроизводимые и невоспроизводимые материальные и нематериальные активы. Одним из главных критериев отнесения этих активов к основному капиталу является многократное их участие в производственном процессе при создании материальных благ или услуг, функционирующих более года.
Основной капитал это произведенные материальные и нематериальные активы; материальная часть основного капитала основные фонды, участвующие в процессе производства постоянно или многократно и переносящие свою стоимость на изготовляемые с их помощью продукт или услугу по частям, по мере износа. Именно многократное или продолжительное использование, а не долговечность является критерием определения основного капитала.
Некоторые продукты, например уголь, могут храниться очень долго, но используются только один раз и поэтому не относятся к основному капиталу. Вместе с тем деревья и животные, которые культивируются с целью производства фруктов или молочных продуктов, и некоторые нематериальные продукты, такие, как программное обеспечение и оригиналы художественных произведений, классифицируются как основной капитал.
В СНС весь капитал трактуется как производственный, потому что сама трактовка производственной деятельности очень широка и включает производство продуктов и услуг.
Материальный основной капитал включает основные фонды в традиционной для отечественной практики концепции, т.е. в материальной форме (см. натурально-вещественную классификацию основных фондов).
Нематериальный основной капитал включает компьютерное программное обеспечение, геолого-разведочные работы, оригиналы литературных и художественных произведений и т.п.
Основные фонды народного хозяйства, являясь материальной частью основного капитала, составляют значительную часть национального богатства страны и оказывают большое влияние на результаты финансово-экономической деятельности предприятий.
Под основными фондами в статистике понимают совокупность произведенных материально-вещественных ценностей средств труда, которые многократно участвуют в процессах производства продукции и услуг, при этом не меняют своей натуральной формы, не входят вещественно в результат труда и переносят свою стоимость на изготовляемый продукт (услугу) не сразу, а по частям, по мере износа.
Оборотные фонды, в отличие от основных, принимают участие в одном производственном цикле, сразу перенося свою стоимость на изготовляемый продукт и видоизменяясь в процессе труда. В случае когда средства труда имеют стоимость менее ста минимальных окладов или срок их службы менее года, то их, как правило, относят не к основным, а к оборотным фондам (инструмент, инвентарь и т.д.).
Кроме того, в сельском хозяйстве, например, взрослый рабочий или продуктивный скот относится к основным фондам, а молодняк к оборотным.
В отечественной статистике до перехода ее к международной методологии все основные фонды делились на производственные и непроизводственные. С переходом к методологии СНС и признанием производственного характера сферы услуг все основные фонды считаются производственными.
Однако одни из них участвуют или предназначены к участию в производстве продуктов, другие функционируют в сфере производства услуг.
Задачами статистики основных фондов являются:
- определение объема и структуры основных фондов по натурально-вещественному составу, отраслевой принадлежности, формам собственности, секторам экономики, регионам и др.;
- характеристика состояния основных фондов;
- характеристика воспроизводства основных фондов;
- определение их доли в национальном имуществе;
- характеристика и оценка эффективности использования основных фондов;
- проведение переоценки основных фондов с целью получения восстановительной стоимости с учетом износа;
- расчет динамики основных фондов и выявление факторов, ее определяющих;
- проведение переоценки основных фондов в сопоставимые цены и др.
В табл. 29.1 отражена динамика и структура основных и оборотных фондов в разных видах оценки.
Таблица 29.1
Производственные фонды России за 19801997 гг.
(трлн руб. на конец года)

* По полной балансовой стоимости.
** По остаточной балансовой стоимости.
29.2. Натурально-вещественная (видовая) классификация основных фондов
Основные фонды различаются по видам, их роли в производственном процессе, конструктивным особенностям, происхождению и другим признакам. Разнообразие видов основных фондов, длительность их функционирования и массовость использования обусловливают необходимость разработки их единой натурально-вещественной классификации, утверждаемой централизованно.
Данная классификация составляет основу учета, статистической характеристики основных фондов, начисления амортизации, осуществления капитальных вложений и воспроизводства основных фондов.
Классификационной единицей основных фондов, как и единицей их учета, является инвентарный объект, под которым понимается законченное устройство со всеми приспособлениями и принадлежностями или отдельный, конструктивно обособленный предмет, предназначенный для выполнения определенных самостоятельных функций, или же обособленный комплекс конструктивно сочлененных предметов, представляющих единое целое и совместно выполняющих определенную работу.
В настоящее время действует следующая типовая классификация основных фондов:
- здания архитектурно обособленные объекты, создающие условия для труда, жилья, социально-культурного обслуживания населения и хранения материальных ценностей;
- сооружения инженерно-строительные объекты, создающие условия для осуществления процесса производства путем выполнений тех или иных технических функций, не связанных с изменением предмета труда, или для осуществления различных непроизводственных функций;
- передаточные устройства, при помощи которых производится передача электрической, тепловой и механической энергии от объекта к объекту;
- машины и оборудование, преобразующие энергию, материалы и информацию, в частности:
- силовые машины, преобразующие один вид энергии в другой;
- рабочие машины и оборудование, непосредственно воздействующие на предмет труда или участвующие в технологическом процессе производства продукции;
- измерительные и регулирующие приборы, устройства и лабораторное оборудование;
- вычислительная техника;
- транспортные средства средства передвижения, предназначенные для перемещения людей и грузов;
- инструменты общего назначения немеханизированные и механизированные орудия ручного труда сроком службы более года и стоимостью более ста минимальных окладов;
- производственный и хозяйственный инвентарь предметы, служащие для охраны труда, облегчения производственных операций и хранения материалов;
- скот рабочий и продуктивный (рабочий скот лошади, волы, верблюды, ослы и др., продуктивный скот коровы, быки-производители и т.д.);
- многолетние насаждения искусственные многолетние насаждения, независимо от их возраста;
- прочие основные фонды библиотечные фонды, музейные ценности, экспонаты животного мира в зоопарках и другие объекты, не вошедшие ни в одну из предыдущих групп.
Основные фонды как комплексная экономическая категория могут быть всесторонне охарактеризованы с помощью метода группировок (рис. 29.1).
Рис. 29.1. Классификация и группировка основных фондов
При характеристике функциональной роли основных фондов в процессе производства важна их группировка на активные и пассивные. К активным фондам относятся рабочие и силовые машины и оборудование, а также любые средства труда, воздействующие на предмет труда или контролирующие процесс производства, измерительные и регулирующие устройства и приборы, производственный инструмент, транспортные средства, отдельные виды сооружений (например, элеваторы, гостиницы (в туризме)).
Основные фонды, создающие условия для труда, но не оказывающие на его результат активного влияния, относятся к пассивной части (здания, сооружения и т.п.). Увеличение доли активной части основных фондов в их общем объеме свидетельствует о наращивании производственного потенциала.
Группировка размещения основных фондов по регионам используется для характеристики их производственного потенциала и национального богатства, сосредоточенного на их территории.
В соответствии с Общероссийским классификатором видов экономической деятельности, продукции и услуг осуществляется классификация основных фондов по видам экономической деятельности и по отраслям. Эта классификация используется при характеристике потенциальных возможностей отраслей экономики, а в сопоставлении с показателями результатов производственной деятельности позволяет рассчитать показатели фондоотдачи и фондоемкости, т.е. оценить эффективность использования основных фондов. Классификация включает следующие виды деятельности и отрасли:
- сельское хозяйство, охота и лесоводство;
- рыболовство;
- горнодобывающая промышленность и разработка карьеров;
- обрабатывающая промышленность;
- электроэнергетика, газо- и водоснабжение;
- строительство;
- оптовая и розничная торговля;
- гостиницы и рестораны;
- транспорт, складское хозяйство и связь;
- финансовое посредничество;
- деятельность по операциям с недвижимым имуществом; деятельность исследовательская и коммерческая;
- государственное управление и оборона;
- образование;
- здравоохранение и социальные услуги;
- деятельность по предоставлению коммунальных услуг;
- деятельность по ведению частных хозяйств;
- деятельность экстерриториальных организаций и органов.
Разработка показателей основных фондов в соответствии с методологией системы национальных счетов по секторам экономики является новым направлением в отечественной практике и дает дополнительную информацию для анализа.
Классификация основных фондов по формам собственности в условиях проводимых реформ имеет особое значение с точки зрения раздела этой важной части национального богатства между различными собственниками. В соответствии с принятым 30 марта 1999 г. Госстандартом России Общероссийским классификатором форм собственности на территории России основные фонды могут быть отнесены к:
- российской собственности:
- государственной собственности, в том числе к:
а) федеральной собственности;
б) собственности субъектов Федерации (областей и республик в составе РФ);
- муниципальной собственности;
- собственности общественных объединений (организаций);
- частной собственности;
- смешанной российской собственности (без иностранного участия);
- российской собственности в составе смешанной собственности с иностранным участием;
- иностранной собственности.
Эта классификация в сочетании с результатами функционирования предприятий и организаций разных форм собственности позволяет оценить эффективность той или иной формы собственности, определить потенциальные производственные возможности и техническую оснащенность предприятий разных форм собственности.
29.3. Виды оценки основных фондов
В связи с тем что основные фонды функционируют длительное время (средний срок службы основных фондов промышленности 50 лет), одновременно существует несколько видов их оценки, в значительной мере определяемых совокупностью факторов: годом введения в действие, инфляционными процессами, степенью физического и морального износа, изменением в технологии и стоимости их воспроизводства и др.
Существуют следующие виды оценки основных фондов в зависимости от срока службы и от состояния:
- полная первоначальная стоимость, т.е. стоимость нового объекта в условиях производства того времени, когда он был изготовлен, введен в действие;
- полная восстановительная стоимость, т.е. стоимость воспроизводства каждого объекта основных фондов в современных условиях его производства;
- первоначальная стоимость за вычетом износа (остаточная);
- восстановительная стоимость за вычетом износа.
Полная первоначальная стоимость (балансовая) основных фондов определяется фактической суммой, уплаченной за каждый данный объект при его строительстве или приобретении, которая включает также расходы на транспортировку и монтаж. В нее входят затраты, связанные с расширением и модернизацией средств труда в процессе их эксплуатации.
Если основные средства приобретены с рассрочкой платежа или в кредит, то в первоначальную стоимость включаются и суммы процентов, уплачиваемые поставщикам.
По полной первоначальной стоимости основные фонды зачисляются на баланс основной деятельности предприятия. Ее величина остается неизменной в течение всего срока функционирования объекта до момента очередной переоценки основных фондов, после которой они учитываются на балансе по современной восстановительной стоимости.
Этот вид оценки применяется при определении величины налога на собственность и начислении амортизационных отчислений.
Затраты на создание и приобретение средств труда производятся в разное время, при разных условиях производительности труда, что приводит к различию первоначальной стоимости объектов, одинаковых по своим потребительским свойствам.
Основные фонды, учтенные по полной первоначальной стоимости, выражаются в ценах приобретения, т.е. в текущих ценах, которые изменяются во времени, особенно при высокой инфляции. Это существенно затрудняет изучение динамики основных фондов и их воспроизводства, делает несопоставимыми показатели, полученные в результате соотношения стоимости основных фондов с объемом продукции или полученной прибылью.
Таким образом, неоднородность первоначальной стоимости с точки зрения несопоставимости цен приводит к тому, что данный вид оценки непригоден для сопоставления объемов основных фондов.
Полная восстановительная стоимость определяется затратами, которые необходимы для воспроизводства основных фондов в новом виде при выполнении переоценки. В этом случае устраняется несопоставимость цен, что позволяет создавать единообразные экономические условия на всех предприятиях при определении сумм амортизации, уточнении норм амортизационных отчислений, изучении объемов основных фондов и их динамики.
Восстановительная стоимость совпадает с первоначальной в момент ввода основных фондов в действие. В дальнейшем различие величин первоначальной и восстановительной стоимостей зависит от изменения цен на отдельные элементы основных фондов.
Обычно, чем больше разрыв между вводом в действие и определением восстановительной стоимости основных фондов, тем больше разница между величинами их оценок.
При этом величина восстановительной стоимости может быть как больше, так и меньше первоначальной в случае снижения в современных условиях стоимости воспроизводства рассматриваемого вида основных фондов.
Первоначальная стоимость за вычетом износа (остаточная) соответствует полной первоначальной стоимости за вычетом суммы износа, образовавшейся к данному моменту, т.е. части стоимости, которая была перенесена на продукцию в ходе функционирования основных фондов.
Сумму износа, необходимую для определения остаточной стоимости, показывают в пассиве бухгалтерского баланса; остаточную стоимость основных фондов приводят в годовом отчете.
Восстановительная стоимость за вычетом износа соответствует сумме, на которую может быть оценен каждый объект в современных условиях воспроизводства с учетом его фактической изношенности на момент переоценки основных фондов. Поэтому износ является важным фактором, изменяющим состояние основных фондов, сведения о котором необходимы для правильного расчета нормативов амортизационных отчислений.
Первоначальная стоимость за вычетом износа отражает стоимость основных фондов в первоначальной оценке после определенного периода функционирования с учетом физического и морального износа.
Восстановительная стоимость за вычетом износа отражает реальную стоимость основных фондов после определенного периода их функционирования с учетом физического и морального износа. Другими словами, она отражает стоимость воспроизводства в современных условиях оставшейся после определенного периода функционирования части основных фондов.
Если первоначальная стоимость наличных основных фондов относится к разным годам их ввода в действие и часто несопоставима, то восстановительная стоимость, определяемая на основе проведенной переоценки основных фондов, относится к одному и тому же году переоценки, а потому является единой и сопоставимой для фондов производства разных лет. Она более точно характеризует состояние основных фондов и их реальную стоимость, т.е. заключенный в них потенциал.
Для расширенного воспроизводства, правильного исчисления затрат на производство продукции и определения результатов хозяйственной деятельности предприятий необходима единообразная оценка основных фондов. С течением времени изменяются условия их воспроизводства, происходят значительные сдвиги в экономической ситуации.
В результате образуются расхождения между первоначальной и восстановительной стоимостью основных фондов. Чтобы устранить различия в стоимостной оценке, необходимо проводить переоценку основных фондов.
Оценку и сопоставление объемов основных фондов целесообразно осуществлять на основе их восстановительной стоимости, полученной в результате переоценки.
29.4. Показатели простого и расширенного воспроизводства основных фондов
Воспроизводство основных фондов может быть простым и расширенным.
Простое воспроизводство основных фондов предполагает их воспроизводство в прежнем объеме, неизменном масштабе как в целом, так и по частям, а также их поддержание в работоспособном состоянии в течение всего срока службы.
Основной характеристикой расширенного воспроизводства, принятой в статистике, является накопление, прирост основных фондов за тот или иной период, как правило, за год. Некоторые специалисты считают целесообразным принимать во внимание не только прирост физического объема основных фондов, но и улучшение их качества.
В соответствии с этим можно признать расширенным и воспроизводство фондов в объеме, равном выбывшим вследствие ветхости и износа, в том случае, если вновь введенные фонды (пусть даже в том же объеме) более производительны, технологичны, менее энергоемки и обладают качествами, лучшими по сравнению с выбывшими фондами.
В системе показателей простого воспроизводства основных фондов важная роль принадлежит оценке износа основных фондов (потребления основного капитала), характеризуемого в отечественной статистике показателями амортизации. Амортизация денежное выражение износа, отражающего перенос стоимости основных фондов на изготовляемый продукт (услугу).
Различаются две формы износа: физический и моральный.
Физический износ основных фондов это снашивание средств труда вследствие производственного потребления (деформация деталей и конструкций, усталость материала и т.д.) и под влиянием сил природы (коррозия металла, выветривание каменных материалов и т.п.). Размер физического износа орудий труда зависит прежде всего от продолжительности их использования во времени и интенсивности их работы.
В статистике степень физического износа отдельных объектов устанавливается двумя способами. В основу первого положено допущение, что физический износ происходит пропорционально сроку службы объекта или произведенному с его участием объему продукции (работ).
Второй способ это экспертная оценка физического износа каждого объекта основных фондов по техническому состоянию его узлов и конструкций. Экспертная оценка дает более правильное представление о физическом износе основных фондов, но это большая и сложная работа, обычно проводимая только при переоценке основных фондов.
Помимо физического основные фонды подвергаются и моральному износу. Различают два вида морального износа:
- моральный износ первого вида вследствие удешевления производства действующих основных фондов;
- моральный износ второго вида в результате изобретения и внедрения в производство новых, более совершенных средств труда.
О моральном износе первого вида можно судить по изменению действующих цен на однотипные машины и оборудование или по отконению их восстановительной стоимости от первоначальной. Однако при этом необходимо учитывать, что изменение цен может быть вызвано экономической ситуацией, инфляцией, спадом производства.
Степень и интенсивность морального износа второго вида представлены показателями, отражающими изменение технико-экономических характеристик новых, более совершенных объектов основных фондов по сравнению с действующими старыми. В основу метода вычисления этих показателей положено допущение о том, что степень морального износа второго вида (как и утрачиваемая вследствие этого стоимость) пропорциональна изменению мощности, производительности или экономичности новых объектов основных фондов по сравнению со старыми.
Величина утрачиваемой стоимости вследствие морального износа второго вида может быть определена как разность между полной восстановительной стоимостью и восстановительной стоимостью основных фондов с учетом морального износа второго вида.
Амортизационный фонд отражает совокупную стоимость основных фондов, которую надо перенести на изготовляемый продукт или услугу за весь срок их службы, т.е. сумму, которая к моменту выбытия основных фондов обеспечила бы возможность их воспроизводства. Объем амортизационного фонда (АФ) рассчитывается по формуле (29.1)
где ПВ полная восстановительная стоимость основных фондов;
КР стоимость капитального ремонта в течение амортизационного периода;
М стоимость модернизации в течение амортизационного периода;
Л .ликвидационная стоимость основных фондов за вычетом расходов на их демонтаж.
Отношение объема амортизационного фонда к сроку службы основных фондов в годах составит объем ежегодных амортизационных отчислений: (29.2)
где ЕА годовая сумма амортизации;
t продолжительность амортизационного периода в годах.
Процентное отношение объема ежегодных амортизационных отчислений к полной восстановительной или первоначальной (ПП) стоимости называется нормой амортизации (НА): (29.3)
Абсолютную сумму износа можно определить как разность между полной (П), первоначальной или восстановительной, и остаточной (О), первоначальной с учетом износа или восстановительной с учетом износа, стоимостью. Отношение суммы износа основных фондов (И) к их полной стоимости представляет собой коэффициент износа: (29.4)
Он характеризует долю той части стоимости основных фондов, которая перенесена на продукт.
Обратным показателем является коэффициент годности (Кг), равный отношению остаточной стоимости к полной стоимости: (29.5)
или разности между единицей или ста процентами и коэффициентом износа, выраженным соответственно в относительной величине или в процентах,
Сумма коэффициентов годности и износа равна 1 (Кг + Ки = 1) или 100%.
Коэффициент годности характеризует неизношенную часть основных фондов, т.е. долю их стоимости, которая еще не перенесена на продукт.
Износ основных средств исчисляют в течение нормативного срока их службы (эксплуатации) или срока, за который балансовая стоимость основных фондов будет полностью включена в издержки производства.
При начислении износа пользуются Едиными нормами амортизационных отчислений на полное восстановление основных фондов народного хозяйства СССР, утвержденными Постановлением Совета Министров 1072 от 22.10.1990 г., которые дифференцированы по группам и видам основных средств. При этом для каждого вида фондов устанавливается единая норма амортизации, независимо от того, в какой отрасли они используются.
Форма амортизации, которая исходит из предположения о том, что процесс износа основного капитала происходит равномерно в течение всего срока службы, называется линейной. При этом величина ежегодных амортизационных отчислений остается постоянной и рассчитывается по формуле (29.6)

где ЕА ежегодный амортизационный фонд;
V1 полная первоначальная стоимость основных фондов на начало первого года;
Vn+1 стоимость фондов в момент выбытия (после п лет службы).
Статистика потребления населения
Уровень и структура потребления материальных благ и услуг это важнейшие характеристики уровня жизни населения. Кроме того, в социально-экономической статистике показатели потребления используются для оценки сбалансированности доходов и расходов населения, платежеспособного спроса на товары и услуги и степени его удовлетворения, анализа потребительского поведения населения и развития основных потребностей, объема потребления товаров и услуг нерыночного характера и т.д.
Объектами статистического наблюдения при изучении сферы потребления могут приниматься такие потребительские единицы, как население в целом или его отдельные группы (экономически активное население, лица в трудоспособном возрасте, дети, пенсионеры и т.д.), а также совокупность домашних хозяйств или часть данной совокупности, обладающая сходными с генеральной совокупностью признаками.
Если рассматривается потребление населения в целом, то, как правило, имеется в виду потребление материальных благ и услуг, предоставляемых как на платной, так и бесплатной основе (получение бесплатной медицинской помощи, образования; льготы и компенсации по оплате жилищно-коммунальных услуг; обеспечение лекарствами на бесплатной основе или с частичной компенсацией затрат и т.д.).
Потребление, которое проявляется в актах приобретения товаров и услуг за счет средств населения, принято называть личным потреблением.
Затраты, произведенные на покупку товаров и услуг, называются потребительскими расходами.
Если продукция, произведенная в собственном производстве, например продукты питания, потребляется семьей, домашним хозяйством или отдельным лицом, она также относится к личному потреблению.
При анализе потребления в настоящее время широко используется понятие потребительской корзины, которое означает определенный набор продуктов питания, непродовольственных товаров и услуг, предназначенных для потребления населением или его отдельными группами.
В зависимости от конкретных задач объектами изучения могут быть различные потребительские корзины: минимальная (подробнее см. гл. 43), принятая в качестве специального норматива; рациональная, сформированная на основе рациональных норм потребления товаров и услуг; фактическая, отражающая реальное потребление товаров и услуг населением в целом, или его отдельными группами.
В ситуации ухудшающихся условий жизни особое внимание уделяется минимальной потребительской корзине, которая рассматривается как допустимая нижняя граница потребления продуктов питания, непродовольственных товаров и услуг, обеспечивающая нормальное воспроизводство населения.
Рациональная потребительская корзина отличается от минимальной прежде всего тем, что она формируется на основе научно обоснованных рациональных норм потребления, предусматривающих достаточно высокий уровень удовлетворения разумных потребностей населения в товарах и услугах, набор которых также намного шире.
Наконец, фактическая потребительская корзина характеризует набор товаров и услуг, фактически потребляемых населением или отдельными социально-демографическими группами.
Состав перечисленных выше видов потребительских корзин рассчитывается в натуральных показателях в среднем на душу населения, семью, или в целом на домашнее хозяйство.
Расчеты на среднестатистическую семью как потребительскую единицу необходимы прежде всего потому, что часть непродовольственных товаров, жилище используются семьей в целом. К товарам семейного пользования могут относиться, например, автомобили, телевизоры, мебель, кухонное оборудование.
Использование жилищ и отдельных услуг также может носить семейный характер.
Стоимостное выражение минимального, рационального или фактического набора потребительской корзины называется соответственно минимальным, рациональным или фактическим потребительским бюджетом.
44.2. Система показателей потребления населения
Сложность и многогранность категории потребления населения находит свое выражение в весьма разнообразной информации, характеризующей потребление в различных аспектах, начиная с системы национального счетоводства (или баланса народного хозяйства), баланса ресурсов и использования сельскохозяйственных продуктов, статистики розничного товарооборота и объема реализованных населению услуг и заканчивая статистикой бюджетов домашних хозяйств и обследованиями бюджета времени.
На макроуровне в СНГ для характеристики использования валового располагаемого дохода на цели потребления используется агрегированный показатель фактическое конечное потребление домашних хозяйств, который складывается из стоимости всех товаров и услуг, приобретенных домашними хозяйствами резидентами для индивидуального потребления, независимо от источника финансирования и стоимости коллективных услуг, предоставленных учреждениями государственного управления обществу в целом. Для домашних хозяйств оно включает их расходы на покупку потребительских товаров и услуг и стоимость индивидуальных товаров и услуг, бесплатно полученных домашними хозяйствами от органов государственного управления и некоммерческих организаций, обслуживающих домашние хозяйства, в качестве социальных трансфертов в натуральной форме.
Изучение сферы потребления основывается прежде всего на анализе личного потребления, т.е. денежных расходов населения на приобретение товаров и услуг, затрат населения на покупку продуктов питания, одежды, обуви, тканей, предметов культурно-бытового назначения, топлива, электроэнергии; на оплату услуг общественного транспорта, жилищно-коммунального хозяйства, бытовой сферы и т.д.
В то же время характеристика потребления была бы неполной, если бы не учитывались социальные трансферты в натуральной форме, получаемые населением для личного потребления бесплатно от бюджетных организаций здравоохранения, социального обеспечения, образования, культуры и искусства, а также от некоммерческих организаций. Это бесплатная медицинская помощь и бесплатное общее и профессиональное образование, помощь в натуральной форме многодетным и неполноценным семьям, инвалидам и другим слабозащищенным группам населения (бесплатные или с частичной оплатой лекарства; бесплатные школьные завтраки, предметы одежды и обуви; бесплатный проезд на общественном транспорте; льготы по оплате жилищно-коммунальных и других услуг и т.д.).
Для отдельных групп населения такие социальные трансферты в натуральной форме могут быть основными источниками, обеспечивающими определенный уровень потребления.
Интегральный показатель фактического конечного потребления домашних хозяйств дает представление на макроуровне об общем объеме потребления, которое является важнейшей характеристикой уровня жизни населения, а составляющие этого показателя об источниках получения материальных благ и услуг.
Следует отметить, что показатель фактического конечного потребления домашних хозяйств СНС имеет много общего с показателем общего объема потребления населением материальных благ и услуг, который до недавнего времени рассчитывался в балансе народного хозяйства и применялся для интегральной оценки уровня жизни населения.
Для оценки динамики показателей фактического конечного потребления домашних хозяйств за определенный период может оказаться недостаточным его исчисление в текущих ценах. Например, в условиях инфляции временное сравнение объемов фактического конечного потребления производится в сопоставимых ценах, для чего расходы населения корректируются на соответствующие индексы потребительских цен, а указанные выше натуральные социальные трансферты, предоставляемые на бесплатной основе, пересчитываются с учетом соответствующих отраслевых дифляторов.
Однако изучение сферы потребления не ограничивается приведенным выше макропоказателем фактического конечного потребления домашних хозяйств.
На объем и структуру потребления оказывает влияние большое число факторов. С одной стороны, это масштабы и темпы производства, появление новых товаров и услуг.
С другой стороны, механизм распределения произведенных благ и услуг, динамика стоимости жизни, появление новых потребностей, материальные возможности удовлетворения потребностей в отдельных социально-демографических группах.
Поэтому статистическое наблюдение должно выявлять не только общие черты, но и новые тенденции в процессе личного потребления, особенности потребления в различных группах.
Показатели личного потребления в социально-экономической статистике разрабатываются в стоимостном и натуральном выражении по группам предметов потребления с выделением источников получения благ и услуг.
К числу стоимостных показателей личного потребления при статистическом наблюдении относят потребительские расходы населения, а именно: их уровень, структура и динамика. Общая сумма и динамика потребительских расходов в текущих и сопоставимых ценах, их доля в денежных и совокупных доходах населения (домашних хозяйств, семей) характеризуют, с одной стороны, покупательские возможности населения, с другой стороны, возможности потребительского рынка в части удовлетворения платежеспособного спроса.
В связи с этим стоимостные показатели личного потребления изучаются в их взаимосвязи с доходами и потребительскими ценами в разрезе отдельных социально-демографических групп населения, типов семей (домашних хозяйств) и т.д.
При анализе показателей личного потребления в разрезе территорий учитывается влияние на структуру потребления природно-климатических факторов, национальных особенностей и культурных традиций. Типичным, например, является раздельное изучение потребления городского и сельского населения, населения больших и малых городов, проживающих в районах Крайнего Севера, в городах-столицах и т.д.
Уровень общих потребительских расходов, а также затраты по отдельным группам товаров и услуг исчисляются, как правило, в среднем на душу населения, на одно или сто домашних хозяйств.
Структура личного потребления характеризуется направлениями затрат домашних хозяйств, при этом расходы четко разграничиваются на приобретение материальных благ, с одной стороны, и услуг с другой. При анализе потребления материальных благ последние разделяются на две большие группы: продовольственные и непродовольственные товары, а продовольственные на продукты питания и алкогольные напитки.
С позиции уровня жизни населения приоритетным являются направления анализа в части затрат на удовлетворение первоочередных потребностей населения, к которым относятся питание, одежда, обувь, жилище.
Расходы семейного бюджета на питание являются социальным индикатором материального положения населения, потому что от их величины во многом зависит формирование структуры остальной части семейного бюджета, в том числе тех его статей, которые характеризуют более высокую ступень уровня жизни.
Анализ структуры потребительских расходов не ограничивается среднестатистическими показателями. Одной из важных задач изучения является установление различий в уровне и структуре потребления в домашних хозяйствах (семьях) с высокими и низкими среднедушевыми доходами и особенно в крайних по уровню материальной обеспеченности группах населения (домашних хозяйствах).
В этих целях полученные на основе обследования бюджетов домашних хозяйств данные ранжируются по признаку среднедушевого (денежного, совокупного) дохода, устанавSиваются соответствующие размеры потребительских расходов и особенности их структуры.
Неравенство в потреблении оценивается аналогично оценке неравенства в распределении доходов. Чаще всего рассматриваются различия в потреблении нижней и верхней децильных групп, т.е. по 10% обследованного населения с минимальными и максимальными доходами.
44.3. Выборочные обследования бюджетов семей (домашних хозяйств)
В отечественной статистике сведения о потребительских расходах населения собираются с помощью выборочных обследований бюджетов семей (домашних хозяйств). Эти обследования проводятся органами государственной статистики ежегодно в соответствии с Федеральной программой статистических работ с охватом около 50 тыс. домашних хозяйств.
Основой обследования домашних хозяйств являются дневниковые записи, которые ведутся по методике, утверждаемой органами государственной статистики.
Выборочная совокупность домашних хозяйств формируется на основе следующих группировочных признаков:
- размер домашнего хозяйства;
- принадлежность жилого помещения и его тип;
- наличие в пользовании земельного участка;
- возраст, пол, уровень образования, национальность членов домашнего хозяйства;
- источники средств существования.
Учетный период обследования отдельно взятого домохозяйства охватывает квартал. Каждое из обследуемых домашних хозяйств ведет в течение двух недель в квартал ежедневные дневниковые записи, которые представляют собой подробный учет денежных средств, затраченных на покупку продуктов питания, непродовольственных товаров и оплату услуг.
В дневниковых записях фиксируется также количество потребленных продуктов питания за счет поступлений продукции собственною производства, безвозмездной помощи из других источников, а также расходы на питание вне дома.
Между двумя очередными дневниковыми обследованиями члены домашнего хозяйства ведут журнальные записи, фиксирующие покупки непродовольственных товаров и расходы на оплату услуг. Эти записи проводятся в течение двух недель до и после двухнедельных дневниковых записей и в течение полного месяца, в котором дневниковые обследования не проводились.
Дополнительные сведения собираются органами государственной статистики путем проведения специальных квартальных и годовых опросов домашних хозяйств. В ходе опросов устанавливают уровень образования; основное и дополнительные занятия членов домашнего хозяйства; вид получаемых ими дотаций и льгот, специальных пособий и компенсаций; получают сведения о жилищных условиях, наличии в домохозяйствах предметов длительного пользования, обороте скота в личных подсобных хозяйствах.
Полученные таким образом сведения позволяют осуществлять разработку показателей потребления по большому числу группировочных признаков, характеризующих домашние хозяйства и их членов в различных аспектах.
Показатели личного потребления широко используются и в специальных мониторинговых обследованиях экономических условий в Российской Федерации, проводимых при поддержке ряда международных организаций в 19921996 гт. Перечень показателей и источники получения данных не имеют принципиальных различий по сравнению с методологией органов государственной статистики Российской Федерации.
44.4. Питание населения как объект статистического наблюдения
Один из ключевых объектов статистического наблюдения за потреблением населения это питание, которое является важнейшим фактором, определяющим здоровье населения. Правильное питание обеспечивает нормальный рост и развитие детей, способствует профилактике заболеваний, продлению жизни людей, повышению их работоспособности.
И наоборот, неполноценное питание недостаточное потребление пищевых веществ: белков, витаминов, макро- и микроэлементов (кальция, йода, железа, фтора и др.) или нерациональное их соотношение приводят к ухудшению показателей здоровья населения.
Исходя из этого, продукты питания относятся к предметам первой необходимости.
Согласно концепции государственной политики в области питания, принятой Правительством России в августе 1998 г., основной задачей является создание условий, обеспечивающих производство в необходимых объемах продовольствия высокого качества, а также доступность пищевых продуктов для всех слоев населения. Реализация данной концепции предполагает постоянный контроль за состоянием питания населения, который возможен лишь на базе регулярных статистических наблюдений в разрезе субъектов Российской Федерации и отдельных социально-экономических групп населения.
Без такой информации, получаемой на регулярной основе, невозможно организовать адресную помощь малоимущим слоям населения, снизить заболеваемость, обусловленную недостатками в питании.
Необходимые для изучения питания населения данные получают в настоящее время из двух основных источников. Во-первых, производятся расчеты потребления населением основных продуктов питания на основании данных баланса ресурсов и использования сельскохозяйственных продуктов, полученных от предприятий и организаций перерабатывающей промышленности, сельского хозяйства, торговли; данных статистики внешнеэкономических связей, домашних хозяйств и других сведений об источниках образования продовольственных ресурсов и направлениях их использования.
Эти данные дают общую картину в части душевого потребления продуктов питания по населению страны в целом и территориальным единицам без дифференциации показателей по отдельным социально-экономическим группам и имеют в связи с этим ограниченные аналитические возможности.
Во-вторых, источником более детальной информации являются сведения о потреблении продовольственных товаров, полученные на основе обследования бюджетов домашних хозяйств. Потребление продуктов питания рассчитывается в среднем на одного члена домашнего хозяйства как по отдельным продуктам, так и по их группам: мясо и мясопродукты; молоко и молочные продукты; яйца; рыба и рыбопродукты; сахар; картофель; хлеб и хлебные продукты.
Уровень потребления исчисляется в натуральных показателях килограммах, литрах и штуках, в пересчете на первичный продукт: молочные продукты на молоко; мясные продукты на мясо; рыбные на рыбу; сахар и кондитерские изделия на сахар; хлебные продукты на муку.
Наряду с натуральными показателями потребления отдельных продуктов питания исчисляется его калорийность в среднем за сутки в расчете на члена домашнего хозяйства, устанавливается состав пищевых веществ в потребленных продуктах, содержание в них белков, жиров и углеводов, для чего используются научно обоснованные нормы, разработанные Продовольственной и сельскохозяйственной организацией , ООН (ФАО), а также Институтом питания Российской академии наук.
Расчеты производятся как в целом по обследованному населению, так и по отдельным социально-экономическим группам (городскому и сельскому населению, пенсионерам и т.д.).
В число основных направлений последующего анализа полученных\ данных о питании населения входят следующие:
- сопоставление уровня фактического потребления отдельных продуктов питания с минимальными и рациональными нормами, принятыми за социальные стандарты;
- статистическая оценка фактической модели потребления: белковой или углеводистой в зависимости от состава содержащихся в потребленных продуктах химических веществ;
- анализ структурных изменений в питании в течение определенного времени: рост (уменьшение) наиболее ценных продуктов и повышение (понижение) качества питания.
О повышении (понижении) качества питания свидетельствует, например, рост (снижение) потребления продуктов животного происхождения, а также сахара, растительного масла и овощей при систематическом снижении (увеличении) потребления хлебных продуктов и особенно картофеля.
Бюджетная статистика домашних хозяйств дает также возможность характеризовать потребление продуктов питания с дифференциацией по уровню среднедушевого дохода семьи, устанавливать различия в потреблении малоимущих и высокодоходных групп населения, многодетных и неполных семей, домашних хозяйств, проживающих в городской и сельской местности, в различных климатических зонах, а также в зависимости от занятости членов обследуемых домашних хозяйств. Эти сведения имеют большую актуальность при разработке программ по социальной поддержке малообеспеченного населения на всех уровнях управления.
44.5. Статистика потребления непродовольственных товаров и услуг
Границы потребления непродовольственных товаров и услуг гораздо шире, чем продуктов питания. Они зависят от множества факторов и этапов жизненного цикла человека и его семьи.
Это возраст, пол и уровень образования, характер трудовой деятельности и образ жизни, семейное положение и состояние здоровья; имущественная обеспеченность и текущие доходы; степень развития тех или иных потребностей и возможности их реализации; климатические условия и национальные особенности потребления и т.д. Границы статистического изучения и группировочные признаки потребления непродовольственных товаров могут существенно различаться в зависимости от конкретных задач анализа.
Наиболее общие задачи статистики потребления непродовольственных товаров и услуг сводятся к получению информации об их уровне и динамике, распределении между отдельными группами населения, о доле затрат на них в общей сумме потребительских расходов в расчете на душу населения или на домашнее хозяйство (100 домашних хозяйств).
Основными источниками информации о потреблении населением непродовольственных товаров являются данные статистики розничного товарооборота и выборочных бюджетных обследований домашних хозяйств. В свете поставленных задач розничный товарооборот выступает как канал реализации платежеспособного спроса населения, и поэтому его стоимостные и натуральные показатели используются для оценки на макроуровне потребления непродовольственных товаров. К числу таких показателей относятся:
- продажа потребительских товаров в розничной торговле в текущих и сопоставимых ценах;
- товарная структура розничного товарооборота и физические объемы продаж непродовольственных товаров;
- потребление важнейших непродовольственных товаров в расчете на душу населения;
- продажа основных потребительских товаров длительного пользования и обеспеченность ими населения.
Эти показатели позволяют оценить на макроуровне уровень и динамику потребления непродовольственных товаров населением страны и отдельных регионов, сопоставить фактическое потребление с соответствующими нормативными показателями минимального и рационального потребления, выявить тенденции в сдвигах структуры потребления и динамике платежеспособности населения, установить покупательские предпочтения и адекватность потребительского рынка по объему, ассортименту и качеству предлагаемых непрдовольственных товаров потребностям населения.
Изменения объемов и структуры потребления отдельных видов непродовольственных товаров могут изучаться и в связи с инфляционными процессами или ростом (снижением) потребительских цен на отдельные товары, а также в связи с появлением на потребительском рынке их новых образцов.
При предметно-количественном анализе потребления непродовольственных товаров они группируются по различным признакам, в основном по их назначению и сроку службы. В отечественной практике наиболее широко применяется следующая группировка: одежда (включая трикотажные и меховые изделия, белье, ткани, головные уборы); обувь (кожаная, текстильная, резиновая и т.д.); предметы личной гигиены и личного обихода; фармацевтические и медицинские товары; товары бытовой химии и хозяйственного назначения; табачные изделия; мебель; часы; кухонная и столовая посуда, домашнее оборудование; телерадиотовары; транспортные средства и запасные части; основное оборудование и сельскохозяйственный инвентарь; топливо и другие горюче-смазочные материалы; строительные материалы; печатные издания и канцелярские товары; предметы досугового назначения; ювелирные изделия; вычислительная техника.
Объемы потребления по каждой из перечисленных групп непродовольственных товаров характеризуются в статистике розничного товарооборота объемами соответствующих продаж, а в статистике бюджетов домашних хозяйств затратами на приобретение непродовольственных товаров, которые отражаются в расходной части бюджета.
Возможность исчислить по данным бюджетных обследований среднюю цену покупки единицы товара позволяет определять объемы покупок дешевых и дорогих товаров. Подобные статистические наблюдения имеют большое значение для выявления платежеспособного спроса, формирования перспектив развития потребительского рынка.
Важный аспект статистического анализа определение зависимости объема и структуры потребления непродовольственных товаров от доходов населения.
В целях вывления дифференциации потребления в зависимости от уровня материальной обеспеченности широко используют данные бюджетных обследований населения.
Статистика природных ресурсов и охраны окружающей среды
Важным компонентом национального богатства являются природные ресурсы. В отечественной практике J состав национального богатства включаются учтенные, разведанные и вовлеченные в экономический оборот природные ресурсы.
В версии СНС-93 природные ресурсы учитываются в национальном богатстве как непроизведенные активы.
Под учтенными понимаются природные ресурсы, зарегистрированные статистикой на конкретную дату.
Вовлеченными в экономический оборот считаются природные ресурсы, которые выступают в качестве действующих производительных сил, функционирующих средств производства, используемых для производства продукции и услуг.
Природные ресурсы (лес, вода, земля, полезные ископаемые, дикие животные и т.д.) являются составной частью экономического потенциала страны, они во многом определяют ее место в международном разделении труда. По мере расширения масштабов производства их роль в экономике возрастает, что приводит к их истощению.
В действующей Конституции и Гражданском кодексе РФ (ч.1) предусматривается многообразие форм собственности на землю и другие природные ресурсы. Вместе с тем в природопользовании следует исходить прежде всего из интересов государства, всего общества, что предполагает необходимость его государственного регулирования, укрепления государственной собственности на природные ресурсы.
В законе РФ О недрах (новая редакция 1995 г.) определено, что недра в границах территории Российской Федерации, включая подземное пространство, содержащиеся в недрах полезные ископаемые, энергетические и иные ресурсы являются государственной собственностью. Добытые же из недр ископаемые и иные ресурсы, согласно условиям лицензии, могут находиться в федеральной государственной собственности, собственности субъектов РФ, муниципальной, частной и иных формах собственности.
Участки недр федерального назначения выделяются особо.
31.2. Основные классификации и группировки в статистике природных ресурсов
Природные ресурсы, их потенциал и возможности его реализации классифицируются и группируются по разным признакам. Основные группировки, применяемые в статистике природных ресурсов:
- на возобновляемые и невозобновляемые;
- на непроизведенные (дары природы) и произведенные (созданные человеком);
- по компонентам (видам) водные, лесные, минеральные и др.;
- по назначению (преимущественному использованию) экономические, оздоровительные (социально-гигиенические) и др.;
- по регионам;
- на разведанные и потенциальные;
- по степени разведанности;
- по формам собственности и др.
Наиболее специфичной для статистики природных ресурсов является группировка их на возобновляемые и невозобновляемые.
Возобновляемые природные ресурсы поддаются восстановлению и воспроизводству. К ним относят водные, лесные ресурсы, атмосферный воздух, животный и растительный мир.
Возможность их воспроизводства ставит перед статистикой задачу характеристики этого процесса и его результата.
Кроме того, возможность воспроизводства определенной части ресурсов предопределяет необходимость еще одной их группировки: на дары природы (естественные природные ресурсы непроизведенные активы) и на созданные человеком элементы искусственной природной среды произведенные активы.
Невозобновляемые природные ресурсы не поддаются воспроизводству и возобновлению в течение многих поколений. Наличие невозобновляемых ресурсов (земли, минеральных и других ресурсов) ставит перед статистикой задачу оценки рациональности их использования.
Группировка ресурсов на возобновляемые и невозобновляемые несколько условна, с развитием производительных сил и технических возможностей представление об их возобновляемости меняется. Так, намытые из моря острова делают дискуссионным утверждение о невозобновляемости земельных ресурсов.
При изучении отдельных видов природных ресурсов используется ряд группировок, специфичных для того или иного их вида. Так, в общем объеме запасов минеральных ресурсов (полезных ископаемых) выделяются запасы геологические и разведанные, вовлеченные в экономический оборот, и т.д.
31.3. Предмет и объект статистики природных ресурсов
Предметом статистики природных ресурсов является количественная характеристика наличия, состава, состояния и рациональности использования всех их компонентов; их изменения под влиянием естественных природных процессов и антропогенной, в том числе природоохранной, деятельности, ее результатов и связанных с этим затрат; выявленные на данной основе тенденции и закономерности всех изменений.
Специфическая особенность статистики природных ресурсов заключается в том, что она носит ярко выраженный межотраслевой характер, так как все явления и процессы, происходящие в природе, тесно связаны между собой и с жизнедеятельностью человечества.
Статистика природных ресурсов взаимодействует с макроэкономической и социальной статистикой, со статистикой отраслей и предприятий здравоохранения и другими областями статистики, с демографией и экологией. Кроме того, она является важным инструментом управления и регулирования природопользования с целью его рационализации и развития природоохранной деятельности, средством контроля за соблюдением природоохранного законодательства, установленных нормативов предельно допустимых концентраций загрязнения и др.; используется для международных и межрегиональных сопоставлений и реализации международных и общероссийских экологических программ, а также для охраны окружающей среды (ОС).
Охрана природных ресурсов комплекс международных, национальных и региональных административно-хозяйственных, политических и общественных мероприятий по сохранению физических, химических и биологических параметров функционирования природных систем в необходимых, с точки зрения человека, пределах, а также по рациональному использованию, предотвращению загрязнения и других видов деградации компонентов окружающей среды, воспроизводству и восстановлению природных ресурсов. В словаре терминов по охране природных ресурсов, подготовленном Американским обществом по охране земельных ресурсов, охрана ОС трактуется как защита, улучшение и рациональное использование природных ресурсов в соответствии с принципами, обеспечивающими их наиболее высокую экономическую и социальную эффективность.
Объектом статистики природных ресурсов выступают сами природные ресурсы, понятие которых определяется специалистами с разных позиций.
Окружающая среда это географическое положение, рельеф, климат, ископаемые, почвы, леса, воды, которые являются общим условием развития производства и жизнедеятельности. При этом производство представляет собой процесс постоянного взаимодействия человека и природы, в котором общество подчиняет себе силы природы и использует природные ресурсы для удовлетворения потребностей.
Биосфера область активной жизни, охватывающая нижнюю часть литосферы, в которой происходит совокупная деятельность живых организмов (в том числе человека).
Атмосфера Земли газовая среда вокруг Земли.
Гидросфера совокупность всех водных объектов земного шара: океанов, морей, рек, озер, водохранилищ, болот, подземных вод, ледников и снежного покрова.
Литосфера внешняя сфера твердой Земли, включающая земную кору и часть верхней мантии.
31.4. Цель и задачи статистики природных ресурсов
Целью статистики является обеспечение органов государственного, местного управления различных уровней, всех хозяйствующих субъектов и заинтересованных физических и юридических лиц информацией о наличии и состоянии природных ресурсов и всех их компонентов, их изменении и др. Изменение объема и состава, месторасположения и условий залегания природных ресурсов влияет на природно-ресурсный, а значит, и на социально-экономический потенциал, национальное богатство.
Статистическая информация используется в механизме управления природоохранной деятельностью, в процессе природопользования, для определения стратегии и тактики природоохранной политики, ее реализации.
Перед статистикой природных ресурсов (ПР) стоят следующие задачи:
- разработка системы показателей и методов их исчисления;
- определение способов получения информации, ее сбор, обработка и анализ, организация наблюдения;
- контроль за соблюдением природоохранного законодательства, национальных и международных правил природопользования и охраны ОС;
- характеристика наличия, качества, состояния и размещения всех компонентов ПР; их стоимостная оценка с целью определения общего объема этой части НБ;
- определение объемов запасов природных ресурсов по степени их изученности и возможности вовлечения в экономический оборот;
- характеристика рациональности использования природных ресурсов;
- оценка влияния человеческой деятельности на состояние ПР;
- оценка влияния ПР на деятельность человека и условия его жизни;
- характеристика образования, утилизации, захоронения производственных и бытовых отходов и связанного с этим ущерба;
- характеристика загрязнения, ущерба, наносимого ПР, а также наличия, состояния и охраны заповедных территорий и национальных парков;
- характеристика размещения природных ресурсов и определение природно-ресурсного потенциала страны и регионов;
- исследование динамики объема вовлекаемых в экономический оборот ресурсов и запасов;
- оценка потерь природных ресурсов при их разработке, добыче и использовании;
- характеристика формирования природоохранных фондов, их источников и направлений использования;
- оценка эффективности природоохранных мероприятий и их результатов;
- определение авансированных и текущих затрат экологического назначения и их эффективности;
- анализ динамики процессов, происходящих в природной среде, выявление основных тенденций, факторов и степени их влияния;
- анализ реализации национальных и международных программ сохранения, воспроизводства, восстановления и рационального использования природных ресурсов как части национального богатства.
Кризис экономики препятствует развитию безотходных технологий, созданию индустрии экологического назначения (строительству очистных и других сооружений). Финансовое неблагополучие многих предприятий тормозит внедрение таких экономических рычагов рационализации природопользования, как взимание платы за использование природных ресурсов, за загрязнение окружающей среды.
Кроме того, вследствие кризисного состояния экономики у государства нет средств на предоставление субсидий и налоговых льгот для поощрения экологически чистых технологий и производств.
31.5. Природно-ресурсный потенциал и факторы его сохранения
Природно-ресурсный потенциал это часть социально-экономического потенциала, так же как природные ресурсы часть национального богатства.
От сохранения природных богатств и рационального их использования зависит не только дальнейшее развитие мировой экономики, но и сама жизнь всего человечества. Россия считается одной из богатейших стран мира как по набору природных компонентов, так и по объемам их запасов: по лесным ресурсам, разведанным запасам многих полезных ископаемых, размеру среднегодового речного тока, площади пашни.
Вместе с тем запасы, сосредоточенные в ее европейской части, в значительном мере истощены, их геологическое положение значительно ухудшилось.
Богатство природы стало одной из причин нерационального использования природных ресурсов и в ряде случаев варварского к ним отношения.
Богатство природных ресурсов России и определяет природно-ресурсный потенциал.
Природно-ресурсный потенциал способность всех компонентов природных ресурсов страны, региона, мира (с учетом их состояния, месторасположения, условий залегания и других характеристик) обеспечивать собственное воспроизводство и восстановление, производство продуктов и услуг, поддержание соответствующих условий жизнедеятельности населения.
В данном определении подчеркивается, что природно-ресурсный потенциал характеризуется не арифметической суммой природных ресурсов, а их способностью (возможностью), которую надо оценить. Эта способность оценивается с позиции обеспечения:
- условий жизни людей;
- условий деятельности людей (производственной и непроизводственной);
- естественного воспроизводства и восстановления природных компонентов.
Вся история человечества связана с реализацией природно-ресурсного потенциала. И если раньше природно-ресурсный потенциал в основном обеспечивал потребности и условия развития человеческого общества, то в последние десятилетия масштабы ущерба, наносимого природе, столь велики, что это приводит к неуклонному снижению природно-ресурсного потенциала планеты.
Воспрепятствовать этому процессу помогут точная оценка природно-ресурсного потенциала, определение факторов его наращивания, снижения размеров наносимого ущерба и степени влияния человеческой деятельности на состояние окружающей среды.
Природно-ресурсный потенциал определяется следующими факторами: наличием и объемом тех или иных видов природных ресурсов на территории страны или региона; их сочетанием, сбалансированностью, качественным состоянием, геологическим расположением, а также рациональностью природопользования; удельным весом отходов и конечного продукта в объеме изъятых у природы ресурсов.
Факторами сохранения и наращивания природно-ресурсного потенциала являются:
- воспроизводство и восстановление природных ресурсов;
- замена традиционных видов природных ресурсов нетрадиционными, относимыми в разряд неисчерпаемых (солнечная энергия, энергия приливов и отливов, внутриземное тепло и др.);
- использование искусственно создаваемых заменителей вместо природных;
- внедрение безотходных технологий и др.
Особенность проблемы наращивания природно-ресурсного потенциала в настоящее время состоит в том, что темпы роста использования природных богатств значительно превышают возможность их воспроизводства и восстановления. В решении этой проблемы человечество возлагает надежды на технический прогресс.
Сохранение природно-ресурсного потенциала и его воспроизводство в определенной мере обеспечиваются созданием заповедных территорий, которые позволяют не только охранять флору и фауну, но и осуществлять научно-исследовательскую работу по сохранению генетического кода планеты, а также по созданию новых видов растений и животных.
Заповедники уникальные или наиболее типичные для географических зон участки территории, изъятые из хозяйственного пользования для сохранения и изучения природного комплекса. Целью заповедников служит также восстановление и разведение ценных животных и растений.
Природные национальные парки участки территории, образуемые для сохранения природных комплексов, имеющих особую экологическую, историческую и эстетическую ценность в силу благоприятного сочетания естественных и культурных ландшафтов, и используемые в рекреационных, просветительных, научных и культурных целях.
Площадь охотничьих угодий земли, занятые лесом, водой и сельхозугодьями, которые служат местом обитания диких зверей и птиц и могут быть использованы для ведения охотничьего хозяйства.
Заповедно-охотничьи хозяйства участки территории, предназначенные для сохранения и восстановления диких животных. В отдельных случаях допускается и строго регулируется охота.
Все перечисленные территории объединяет то, что они специально созданы и существуют для сохранения природно-ресурсного потенциала и его наращивания.
Природно-ресурсный потенциал определяется наличием природных ресурсов, в состав которых входят:
- водные ресурсы водные пространства, используемые или пригодные к использованию в качестве источника водоснабжения, гидроэнергии, а также как транспортные водные магистрали;
- земельные ресурсы, используемые или предназначенные для использования в сельском хозяйстве, под строения в селах и городах;
- земли, занятые полезными ископаемыми, под железными, шоссейными дорогами и другими сооружениями, парки, скверы и др.;
- минеральные ресурсы (полезные ископаемые) минеральные вещества, используемые в экономике с достаточной эффективностью в естественном виде или после переработки (железо, марганец, хром, свинец, редкие и благородные металлы и др.);
- энергетические ресурсы энергия в природе в форме запасов полезных ископаемых (уголь, нефть), гидроэнергии, ветроэнергии и т.п.
Природно-ресурсный потенциал определяется не только наличием и объемом ПР, но и их качеством. Характеристика качества ПР актуальная и сложная проблема статистики ОС.
Увеличение экономического потенциала минеральных запасов связано с решением следующих проблем: повышением эффективности затрат на развитие минерально-сырьевой базы; снижением капиталоемкости и фондоемкости горнодобывающей промышленности; развитием безотходных технологий; снижением материалоемкости общественного производства; повышением действенности мероприятий по охране и рационализации использования минеральных ресурсов. Такая система мер обеспечит ускорение и повышение эффективности общественного производства и сохранение природных ресурсов, предотвращение загрязнения окружающей среды.
Реализация природно-ресурсного потенциала зависит от многих факторов: степени разведанности и вовлеченности в экономический оборот природных ресурсов; условий их залегания и возможности извлечения; потребности в тех или иных видах ресурсов; возможности замены природных ресурсов искусственно созданными заменителями, т.е. от развития научно-технического прогресса, расширяющего возможности не только воспроизводства, но и реализации указанного потенциала.
31.6. Природоохранная деятельность и ее результаты
Экологический кризис характеризуется тем, что индустриальное потребление различных видов природных ресурсов входит в противоречие со способностью природы к самовосстановлению. Это требует выработки экономического механизма природопользования, который обеспечит выполнение следующего условия:
(a+b) S P, (31.1)
где а и b расход природных ресурсов на одного человека для его личных и производственных нужд;
Р воспроизводимый потенциал природных ресурсов;
S численность населения.
Суть экологического кризиса в нашей стране состоит в том, что сформировавшаяся вследствие преимущественно экстенсивного развития экономики технология производства пришла в неразрешимое противоречие с возможностями природы к самовосстановлению и воспроизводству.
Природоохранная деятельность процесс сохранения, восстановления и воспроизводства природно-ресурсного потенциала, который должен быть важнейшим компонентом хозяйственной деятельности в целом.
Развитие природоохранной деятельности необходимая предпосылка выхода из кризисной ситуации в экологии. Природоохранную деятельность часто понимают в довольно узком смысле как ликвидацию уже нанесенного природе ущерба (улавливание, очистка и т.п.).
Однако в современных условиях содержание и направление деятельности по охране природы и сохранению природно-ресурсного потенциала значительно расширились. С целью сохранения этой части национального богатства в процессе природопользования необходимо определить:
- соответствие имеющихся на планете (в стране, регионе) природных ресурсов, их геологического положения и состояния целям и желаемым темпам экономического развития;
- возможность развития того или иного производства в зависимости от состояния окружающей среды;
- изменение темпов роста экономики в связи с ограничением некоторых ресурсов;
- ограничение потребления некоторых природных ресурсов в интересах будущих поколений;
- влияние загрязнения окружающей среды на дальнейшее развитие экономики;
- основные стратегические пути решения экономических и экологических проблем;
- возможности разведки природных ресурсов и влияние НТП на этот процесс;
- возможности замены традиционных видов топлива, энергии и других природных ресурсов нетрадиционными и т.п.
В развитых странах значительная часть указанных проблем уже решается с помощью безотходных технологий. В других случаях возможны ограничение или отказ от производства и потребления тех или иных товаров.
Природоохранная деятельность включает целый комплекс направлений и мероприятий:
- обеспечение сохранности природных ресурсов и предотвращение загрязнения их компонентов;
- ликвидацию негативных воздействий человеческой деятельности на окружающую среду;
- воспроизводство компонентов природных ресурсов;
- восстановление природных ресурсов;
- рационализацию использования сырьевых и других природных ресурсов, обеспечивающую их минимальное потребление в производстве;
- минимизацию отходов производства и потребления, их полную утилизацию и оптимальное, экологически приемлемое размещение производства в природной среде;
- охрану уникальных природных комплексов от уничтожения, загрязнения и других видов деградации.
Главными направлениями природоохранной деятельности, обеспечивающими кардинальное решение многих проблем, являются предотвращение деградации природной среды путем развития безотходных технологий и экологически чистых производств, а также удовлетворение потребностей в природных ресурсах на основе производства заменителей природных материалов, использования нетрадиционных и неисчерпаемых видов энергии.
Результаты природоохранной деятельности имеют свою специфику, и их определение необходимо прежде всего для оценки эффективности производимых затрат экологического назначения, а также для выявления позитивного антропогенного влияния на окружающую среду. Характеристика этих результатов особая методологическая проблема статистики.
Она предполагает также наличие четкой классификации всех направлений природоохранной деятельности.
Специфика данной деятельности, во-первых, состоит в том, что эффект от нее, как правило, носит комплексный характер, т.е. выражается в достижении экологических, экономических и социальных последствий, четкое определение которых не всегда возможно. Во-вторых, экологический эффект часто сопровождает проведение тех или иных экономических мероприятий, и его также трудно учесть.
Рационализация природопользования требует четкой организации сбора, обработки и анализа статистической информации. В развитых странах создаются новые информационные центры, в которых действует специальная система обработки и хранения данных для выдачи информации потребителям как государственного, так и частного сектора, В статистической науке и практике выделилась самостоятельная отрасль статистики статистика окружающей среды.
31.7. Система показателей статистики природных ресурсов
В статистике природных ресурсов применяются следующие показатели:
- показатели наличия, использования, загрязнения и охраны всех компонентов и ресурсов (водных, лесных, земельных, атмосферного воздуха, заповедников и других охраняемых территорий, растительного и животного мира);
- состояния природно-ресурсного потенциала и всех его составляющих (воздушного бассейна, водных, лесных, минеральных ресурсов, флоры и фауны и др.);
- качества компонентов природной окружающей среды и ее изменения;
- степени воздействия на состояние природных ресурсов различных видов деятельности;
- эффективности мероприятий, проводимых для нейтрализации отрицательного антропогенного воздействия на среду обитания;
- образования, улавливания, утилизации, уничтожения и захоронения промышленных и бытовых отходов;
- эффективности авансированных и текущих затрат, связанных с охраной природных ресурсов и рационализацией природопользования.
Показатели статистики можно объединить в подсистемы (см. рис. 31.1).
Рис. 31.1
Каждая подсистема состоит из взаимосвязанных групп показателей, специфичных для того или иного компонента ОС и для каждого изучаемого процесса.
Значительная часть всех показателей статистики природных ресурсов измеряется преимущественно в натуральных и условно-натуральных единицах, что позволяет избежать искажающего влияния инфляции при изучении их в динамике, но исключает обобщение.
Применение стоимостных измерителей обеспечивает обобщение, получение общего объема этой части национального богатства, что необходимо для сопоставлений с другими показателями функционирования экономики. Однако их использование предполагает решение проблемы стоимостной оценки природных ресурсов, учета изменения цен и переоценки показателей в сопоставимые цены при изучении их в динамике.
Показатели качества природных ресурсов специфичны для каждого вида природных ресурсов, что вызвано особенностями самих ресурсов. Так, при загрязнении компонентов ПР используются показатели предельно допустимой концентрации загрязнения (ПДК) и предельно допустимых норм выбросов и сбросов, захоронения твердых отходов, а также остатков вредных веществ в воде, почве, воздухе.
Качество среды характеризуется, как правило, показателями численности и распространенности источников ее загрязнения (число автомобилей на 1000 жителей, на 1 км территории; объемы выбросов в атмосферу или сброса в водные источники загрязняющих веществ и т.д.). Для оценки качества среды широко используются средние и относительные показатели уровня качества (содержание вредных веществ и бактерий в воздухе, воде, почве, растениях).
Кроме того, определяют разовые и среднесуточные концентрации вредных веществ, а также приходящиеся на единицу массы или объема ресурсов ОС.
31.8. Проблема стоимостной оценки природных богатств
Природные ресурсы в составе национального богатства учитываются в натуральном выражении. В отечественной статистике решение проблемы методологии стоимостной оценки ПР связывают с развитием рыночных отношений.
До недавнего времени природные ресурсы находились в собственности у государства и поэтому не имели рыночной цены.
В западной экономике для оценки ПР применяются:
- показатели стоимости разведки и добычи;
- оптовые цены, действующие в экономике;
- показатели стоимости концессии (когда государство сдает месторождения полезных ископаемых в эксплуатацию частным лицам и организациям).
Все три вида оценки признаются заниженными, в связи с чем требуется разработка реальных способов оценки природных ресурсов. Так, был предложен, например, затратный метод, при котором величина экономической оценки природных ресурсов увязывалась с затратами на освоение природных ресурсов.
Затратный принцип положен в основу действующей системы платы за природные ресурсы.
Уровень платы определяется исходя из расходов на разведку полезных ископаемых, ведение лесного хозяйства и др.
Однако отечественная практика платного природопользования, а также проведенные эксперименты свидетельствуют о неэффективности данного подхода, так как принципиальных изменений в использовании ресурсов и снижении их потерь не произошло.
Для характеристики природных ресурсов этой важной части национального богатства, в значительной мере определяющей социально-экономический потенциал страны, необходимо учитывать не только наличие природных ресурсов, но и их состояние, рациональность использования.
Очевидно, что все методы оценки земли и других природных ресурсов несовершенны. Земля и природные ресурсы не являются плодом человеческого труда, поэтому для них не существует никаких видов оценки, кроме рыночной стоимости.
Все остальные виды оценки имеют искусственный характер и не могут быть использованы в экономических расчетах.
Контрольные вопросы
- Раскройте понятие и состав непроизводственных природных активов как элемента национального богатства.
- Что является предметом и объектом статистики природных ресурсов?
- Назовите основные группировки и классификации природных ресурсов и раскройте их роль в анализе НБ.
- Перечислите основные показатели статистики природных ресурсов.
- Раскройте понятие, состав и факторы сохранения и наращивания природно-ресурсного потенциала.
- Каковы методы стоимостной оценки земли и других природных ресурсов?
- Каковы показатели качества природных ресурсов?
Статистика рынка продуктов
Товарный рынок продуктов представляет собой сложную систему, со своей внутренней структурой, иерархией отдельных элементов и их взаимосвязями. Он складывается из самостоятельных, хотя и связанных между собой рынков.
Товарный рынок, в том числе рынок продуктов, составной элемент рыночной экономики страны. Он служит механизмом, обеспечивающим связи сферы производства со сферой потребления, определяющим распределение товаров в соответствии с размером спроса и его сооношением с предложением.
Структура товарного рынка приведена на рис. 38.1.
Масштабы товарного рынка и соответственно рынка продуктов обусловливаются двумя факторами: объемом товарной массы, вовлеченной в товарное обращение, и численностью потребителей, предъявляющих спрос на эти товары. Товарный рынок разветвляется на два самостоятельно развивающихся субрынка: рынок продуктов и рынок услуг (см. гл.
39). Особую роль играет биржевой рынок, выступающий как самостоятельный элемент рыночной экономики (см. гл.
40).
Характеристики продукта, которые привлекают внимание покупателя и в конечном счете становятся причиной покупки, это его свойства: физические, эстетические и эргономические, экономические (пена, производительность, энерго- и затратоемкость и др.) и т.д.
Рис. 38.1. Иерархическая структура российского рынка продуктов производственного и потребительского назначения
Рынок продуктов подразделяется на рынок продуктов производственного назначения и рынок продуктов потребительского назначения. Каждый из них в свою очередь дифференцируется по некоторым признакам.
В частности, рынок производственных продуктов по отраслевому признаку.
Для рынков потребительских продуктов очень важен самостоятельный признак региональной дифференциации (поскольку совокупность потребителей на локальном рынке формируется в границах отдельного региона и тяготеет к его административному центру).
О масштабах российского рынка говорит тот факт, что в 1998 г. на нем выступали в качестве оптовых и розничных продавцов и покупателей, а также торговых посредников-дистрибьюторов почти 900 тыс. предприятий.
Основная часть всех продаж на потребительском рынке России осуществляется предприятиями негосударственной торговли (рис.
38.2).
Объем проданных на потребительском рынке товаров в 1997 г. составил 864 трлн руб. (в ценах 1997 г., в неденоминированных рублях). Из этой суммы 41,7% приходится на продукты питания, 7,2% на алкогольные напитки и 51,1% на непродовольственные товары.
Товарооборот в сопоставимых ценах за год вырос на 2%, но по сравнению с 1990 г. он сократился на 13%.
Сложились определенные пропорции между каналами продажи потребительских каналов. Основная часть товаров продается на муниципальных рынках крупными, средними и мелкими торговыми предприятиями, но почти треть оборота приходится на долю предприятий неторговых отраслей.
Эти пропорции показаны на диаграмме (рис. 38.3).
Рис. 38.2. Формы собственности на потребительском рынке России
Рис. 38.3. Товарные каналы розничной торговли России в 1997 г.
Место торговли и общественного питания в экономике характеризуется ее долей в валовом внутреннем продукте. В 1997 г. она составила 1/5 ВВП России.
Однако в основных фондах торговля занимает всего 1,8%, а в инвестициях в основной капитал 2,2%.
Рынок изучает не только статистика, но и ряд других наук; именно статистика, обладающая аппаратом глубокого научного и в то же время достаточно оперативного исследования, имеет возможность отразить состояние рынка, охарактеризовать его структуру и динамику, дать оценку колеблемости/устойчивости его параметров, выявить и смоделировать влияние комплекса рыночных факторов, и, наконец, позволяет строить прогнозы его дальнейшего развития. Она тесно смыкается и в определенном смысле переплетается с маркетинговым исследованием.
Переход к рыночной экономике изменил приоритеты статистики, изучающей сферу товарного обращения. Сократился круг централизованных отчетных показателей, рассчитанных на потребности государственного управления, поскольку действие рыночного механизма сузило сферу непосредственного государственного регулирования процессов купли-продажи, но одновременно у государственной статистики появился мощный импульс для исследования рыночных процессов и явлений.
Информация о состоянии и развитии рынка, о его закономерностях необходима для разработки соответствующей государственной социально-экономической политики, для регулирования ряда рыночных процессов, анализа социальных последствий рыночной деятельности и т.д. Все это предполагает отражение функционирования отраслей товарного обращения (включая сферу услуг) в системе национального счетоводства, что необходимо для комплексного народнохозяйственного анализа на макроуровне и для обеспечения информацией международных статистических и экономических организаций, с которыми Россия сотрудничает.
В новых условиях значительно расширяются потребности информационно-аналитического обеспечения бизнеса, менеджмента и маркетинга, складывается самостоятельное направление статистики бизнес-статистика. Статистика товарного рынка служит базой информации об инфляционных процессах, о насыщении или дефиците потребительского рынка и т.д.
Концептуальная цель статистики товарного рынка заключается в объективной и полной оценке состояния и развития рынка, в выявлении закономерности и тенденции его развития, в характеристике его структуры и региональных особенностей. Эти цели преследуются как государственной статистикой, ориентирующейся на интересы государственного контроля и регулирования рыночной деятельности, так и бизнес-статистикой.
Конкретные задачи статистики товарного рынка могут быть представлены следующим образом:
- сбор и обработка статистической информации;
- оценка и анализ конъюнктуры товарного рынка;
- характеристика объема, уровня и структуры основны рыночных показателей;
- оценка и анализ динамического развития параметров рынка;
- региональный анализ товарного рынка;
- характеристика экономических и социальных последствий развития рынка.
Эти задачи конкретизируются и дифференцируется применительно к субрынкам продуктов и услуг, биржевым рынкам.
38.2. Основные виды рынков продуктов
Рынок продуктов образуют три самостоятельных, хотя и связанных между собой вида рынков:
- оптовый потребительский рынок (он делится на два субрынка: продуктов производственного назначения и продуктов потребительского назначения), на нем в качестве покупателей выступают производственные предприятия и организации, а также учреждения различного типа;
- оптовый торгово-посреднический рынок (также продуктов производственного назначения и продуктов потребительского назначения), на котором покупателями являются оптовые и розничные торговые предприятия;
- розничный собственно потребительский рынок, где основные покупатели индивидуальные потребители, население.
Деление рынка на оптовый и розничный обусловлено не только группировкой по типу покупателей, но и признаком размера продаваемых партий товаров. В оптовой торговле товары продаются большими партиями крупным покупателям, в розничной сравнительно в небольшом количестве индивидуальным потребителям (в соответствии с их потребностями и денежными возможностями).
Существование оптового потребительского рынка продуктов потребительского назначения обусловлено тем, что для некоторых отраслей промышленности потребительские товары являются сырьем: для пищевой продукты питания (преимущественно сельскохозяйственного происхождения), для швейной ткани.
Схематически связи сферы производства с субрынками продуктов показаны на рис. 38.4.
Рис. 38.4
Оптовый рынок продуктов производственного назначения включает в свою орбиту все промышленные и аграрные предприятия, выступающие продавцами своей продукции. Продукты этого вида могут быть проданы как непосредственно потребителям производственным предприятиям или различным учреждениям (прямые связи, образующие оптовый потребительский рынок), так и торгово-сбытовым посредникам предприятиям, возникшим на базе или вместо государственной сети материально-технического снабжения (Госснаба), формирующим оптовый посреднический рынок.
За последние годы возник и успешно развивается субрынок мелкооптовой торговли средствами производства, очень гибкий, не сдерживаемый требованием продажи крупной партии товаров как главного признака оптовой торговли.
Оптовый рынок потребительских товаров включает три субрынка: прямые связи производителя с розничной торговлей, связи производителя с закупочными организациями и связи производителя с оптовой торговлей, предприятия которой в процессе товародвижения играют роль дистрибьюторов (торговых посредников).
Кроме того, сформировался самостоятельный субрынок мелкооптовой торговли, который частично вовлек в свою сферу не только специализированные предприятия, но и обычные предприятия розничной торговли.
Мелкий опт отличается от крупного прежде всего размером продаваемых партий товара.
Мелкооптовая торговля посредничает между производителем или крупным оптом и мелкой розничной торговлей. Ее особенностью можно считать то, что нередко некоторые предприятия мелкооптовой торговли (мелкооптовые муниципальные рынки) наряду с мелкооптовыми операциями осуществляют продажи товаров непосредственно населению.
Потребительский рынок представлен со стороны продавца предприятиями розничной торговли и общественного питания (ресторанной индустрии), а также некоторыми типами мелкооптовых предприятий. Небольшие предприятия оптовой торговли также иногда продают товары индивидуальным потребителям.
38.3. Система показателей рынка продуктов; методология их исчисления и анализ
Показатели рынка продуктов должны давать характеристику его состояния, развития и устойчивости на различных функциональных уровнях во времени и в пространстве (географическом и социально-экономическом). Они отражают индивидуальные рыночные явления и процессы, их типические (групповые) сочетания и общие, сводные совокупности индивидуальных единиц (продавцов и покупателей) и взаимосвязи между ними.
Система показателей базируется на основных экономических и социальных категориях рынка. К ним относятся: товар-продукт, товарное предложение; покупательский спрос; цена; товарооборот; товарный запас; торговая инфраструктура; издержки обращения; прибыль от реализации товаров.
В системе показателей статистики рынка можно выделить пять взаимосвязанных макроблоков (рис. 38.5), каждый из которых характеризует определенный рыночный процесс.
Рис. 38.5
Блок 1 предназначен для общей комплексной характеристики рыночной ситуации. Он включает главные категории рынка спрос и предложение, отражает масштабы и главные пропорции рынка, уровень деловой активности, тенденции и колебания главных параметров рынка, цикличность развития, интенсивность конкуренции, устойчивость рынка и степень коммерческого риска.
Блок 2 характеризует важнейший элемент рыночного механизма цены.
Блок 3 является центральным в системе показателей рынка, поскольку он отражает процесс обмена товаров на деньги, он охватывает четыре группы макропоказателей: товародвижения, товарооборота, товарных запасов и товарообо-рачиваемости. Блок 4 также является комплексным, характеризует материальное, техническое, информацонное, транспортное и трудовое обеспечение рыночного процесса.
И наконец, блок 5 объединяет показатели экономического эффекта, экономической эффективности и социальных результатов рыночной деятельности и является переходным мостиком к статистике коммерческой деятельности на рынке.
Каждый блок объединяет некоторое число макропоказателей, характеризующих различные стороны рыночных явлений, а также действие основных рыночных процессов. Они в свою очередь подразделяются на субпоказатели в зависимости от конкретных условий дифференциации рыночной деятельности.
Оценка, анализ и прогнозирование конъюнктуры комплексная задача, в которой используются почти все основные показатели рыночной деятельности.
Блок цен рынка продуктов корреспондирует со статистикой цен как с самостоятельным разделом социально-экономической статистики и может рассматриваться как одно из направлений ее дифференциации. Этот блок решает самостоятельные задачи: характеризует состояние и изменение цен на рынке, отражает инфляционные процессы на рынке продуктов; в то же время показатели данного блока выступают в качестве индикаторов рыночной конъюнктуры.
Его показатели используются в качестве дефляторов при оценке динамики продажи товарной массы, в анализе структурных сдвигов товарооборота, в изучении эластичности спроса и предложения.
Показатели структуры цены важный элемент анализа прибыли и рентабельности коммерческих предприятий. Цена является важным инструментом стратегии маркетинга, позволяющим регулировать спрос и предложение товаров.
Ведущий показатель данного блока уровень цен, сумма денег, уплачиваемая за единицу проданного товара. В статистике рынка цена часто рассматривается как ценностный фактор товарооборота, равно как индекс цен трактуется как стоимостная составляющая изменения товарооборота.
Методы расчета средних цен и индексов цен рассматривались в разделе V. Самостоятельными задачами данного блока являются оценка покупательной силы покупательных фондов определение отношения цены к доходу потребителей, а также изучение цен приобретения товаров дифференцированно по социальным группам потребителей.
Статистика рыночных цен исходит из того, что цены на рынке продуктов образуют единую систему, где розничные цены зависят от оптовых, а цены отдельных товаров друг от друга, в первую очередь от цен основных, базовых продуктов. Исчисляются показатели соотношения цен, их сдвигов и вариации.
Третий блок блок движения товарной массы состоит из трех субблоков: товарооборота, товарных запасов и товарооборачиваемости. Субблок товарооборота следует признать центральным в системе показателей, поскольку он отражает главный процесс на рынке куплю-продажу продуктов.
Товарооборот процесс обмена товаров на деньги, стоимость товарной массы в соответствующих ценах; он равен денежной выручке продавца и денежным расходам покупателя.

(38.1)
где Т товарооборот, т.е. объем проданных товаров в стоимостном выражении;
qi количество проданного i-го товара в натуральных единицах;
рi продажная цена i-го товара;
п число i-х товаров (их ассортиментных видов и разновидностей).
Товарооборот синтетический показатель, он складывается:
- из отдельных активов купли-продажи, т.е. является функцией числа покупателей и среднего размера их покупок;
- из продаж отдельных товаров, т.е. является функцией соответствия товарной структуры предложения товарной структуре спроса;
- из продаж отдельными торговыми предприятиями, а на более высоком уровне из продаж отдельными регионами, т.е. является функцией уровня развития и структуры коммерческого предпринимательства и формирования региональных рынков;
- из покупок отдельными социально-демографическими группами потребителей.
Ограничимся констатацией серьезных изменений в группировке товарооборота, обусловленных факторами экономической реформы.
Товарооборот на макроуровне характеризуется несколькими субпоказателями, среди них:
- валовой товарооборот сумма всех продаж и перепродаж при переходе товара от одного владельца к другому и т.д.;
- чистый товарооборот очищенный от повторного счета и отражающий конечный объем продажи;
- оптовый товарооборот продажа товаров на оптовом рынке;
- розничный товарооборот продажа товаров на потребительском рынке.
В современной статистике очень сложно определять валовой и чистый товарооборот. Звенность товарооборота изучается на основе специальных опросов предпринимателей.
В статистический обиход вводится новый показатель: товарооборот предприятий и организаций розничной торговли, который не требует пересчета, исключения нерозничных продаж и т.п.
Он характеризует торговую деятельность суботрасли торговли.
Розничный товарооборот как самостоятельный показатель используется в анализе после специальных дорасчетов, опирающихся на данные о потребительских расходах. В 1997 г. из общей суммы потребительских расходов 43% было израсходовано на покупку продуктов для домашнего питания, 2,8% на питание вне дома, столько же на покупку алкогольных напитков, 36,5% на приобретение непродовольствениых товаров и 14,6% на оплату услуг.
Кроме того, различают товарооборот: магазина (торговой единицы); фирмы (предприятия); региона, товарооборот одной из форм торговли, в частности какой-либо формы собственности; товарооборот торговли в целом. Особое место в системе показателей занимает товарооборот на душу населения, отражающий (с определенной степенью точности) средний уровень удовлетворения спроса (часто этот показатель рассчитывается по данным выборочных панелей как покупка товаров на одного члена домохозяйства). Данный показатель, рассчитанный по регионам, позволяет осуществлять территориальные сопоставления

(38.2 и 38.3)
где Дj товарооборот на душу населения в j-м регионе;
Д товарооборот на душу населения по совокупности регионов;
Тj общий объем товарооборота в j-м регионе;
Sj численность населения в j-м регионе;
n число регионов.
Душевой товарооборот используется в процессе моделирования причинно-следственных связей товарооборота, его можно рассматривать как функцию ряда факторов:

(38.4)
где x1 уровень дохода; х2 уровень цен; x3 демографическая структура; хn другие факторы.
На этой основе строятся многофакторные модели, описывающие закономерности развития товарооборота и его распределения по регионам.
Товарооборот на душу населения (который в 1997 г. составлял около 6 тыс. руб. в деноминированных рублях) по регионам колеблется в значительных пределах. Эти колебания можно измерить с помощью коэффициента вариации, при этом среднеквадратическое отклонение от среднего уровня взвешивается по численности населения регионов.
В анализе динамики товарооборота широко применяется индексный метод. Динамика продажи отдельного товара, учитываемого в натуральных единицах, оценивается индивидуальным индексом количества проданных товаров:

(38.5)
где Iq индивидуальный индекс количества проданных товаров;
qi0 и qi1 количества проданного на рынке i-го товара соответственно в базисном и текущем периодах.
Динамика общего объема товарооборота в фактических ценах отражает изменение денежной выручки продавца и изменение расходов покупателей на приобретение товаров:

(38.6)
где pi0 и рi1 цена i-го товара соответственно в базисном и текущем периодах.
Пересчет товарооборота в сопоставимые цены и построение индекса физического объема товарооборота (Iф.о.т) связаны с проблемой индекса-дефлятора. Использование в качестве такового индекса цен Ласпейреса (Iц.Л) приводит к индексу физического объема с ценами текущего периода:

(38.7)
Однако индекс физического объема, исчисленный в текущих ценах, не очень удобен для анализа динамических рядов. Поэтому целесообразнее пользоваться индексом, построенным по базисным ценам:

(38.8)
Известны три способа построения такого индекса. Первый путем прямого перемножения цен базисного периода на количество проданных товаров текущего периода (см. формулу 38.8).
Однако этот способ применяется только в тех случаях, когда продажа товаров учитывается в натуральных единицах.
Второй применяется, когда продажа учитывается в стоимостных единицах, с помощью индивидуальных (товаров-представителей) индексов цен:

(38.9)
где Ip = рi1 / pi0 индивидуальный индекс цен i-го товара.
Третий способ имеет смысл использовать, когда расчет ведется по выборочной совокупности и известны индивидуальные (однотоварные) индексы продажи; это могут быть косвенные или досчитанные данные. В этом случае абсолютные веса (товарооборот базисного периода по всем товарам) могут быть заменены относительными удельными весами продажи i-х товаров в общем объеме товарооборота. Строится среднеарифметический индекс:

(38.10)
где Iq индивидуальный индекс количества проданных товаров;

удельный вес i-го товара в общем объеме товарооборота базисного периода (в процентах).
Приведем условный пример такого расчета (табл. 38.1).
Таблица 38.1
Расчет индексов физического объема товарооборота
Отсюда
IT = 390 / 260 = 1,5, т.е. в фактических ценах товарооборот вырос в 1,5 раза;

, т.е. в сопоставимых ценах объем продажи сократился на 5,77%;

Вариант расчета с относительными весами.
Удельные веса товаров:

Индекс ценностных факторов товарооборота равен отношению индекса товарооборота в ценах соответствующих лет к индексу физического объема товарооборота:
т.е. денежная выручка торговли увеличилась в 1,5 раза при сокращении объема продажи товаров на 5,78% за счет роста цен почти в 1,6 раза.
В процессе товародвижения на каждый момент времени в товаро-проводящих каналах присутствует определенное количество еще не проданных товаров товарных запасов. Товарные запасы форма функционирования оборотного капитала (оборотных средств) торговли.
Их существование обусловлено комплексом причин: необходимыми перерывами в поступлении товаров (время на формирование в сфере производства партий товаров, удобных для транспортировки); временем, необходимым для их транспортировки, и т.п.; созданием страхового фонда на случай непредвиденных событий; несоответствием предложения спросу и т.д.
Непрерывный процесс обра ования товарных запасов, их присутствие на рынке и их переход в форму реализации товаров характеризуется балансовой формулой:

(38.11)
где Зн и Зк товарные запасы соответственно на начало и на конец периода;
П поступление товаров за период;
Р реализация товара и другие формы его использования.
Товарные запасы чутко реагируют на любые изменения в сбалансированности и поэтому используются в роли конъюнктурного индикатора. Они оказывают значительное давление на показатели эффективности торговли (через расходы на их содержание, проценты за кредит и т.п.), поэтому коммерсанты стремятся свести размер товарных запасов к минимуму, организуя периодические распродажи товаров.
При прочих равных условиях размер товарных запасов тем больше, чем больше объем товарооборота. Чтобы исключить фактор размерности, статистика исчисляет показатель товарных запасов в днях оборота, обеспеченность товарооборота товарными запасами nЗ

(38.12)
где 3к запасы на конец периода;
т однодневный товарооборот; т = Т : t,
t число дней в периоде.
В целях оптимизации товарных запасов исследуют каждый их элемент. Наиболее известна формула оптимизации товарных запасов Уилсона:

(38.13)
где Зoptim оптимальный размер товарных запасов;
Т объем товарооборота;
И1 и И2 издержки обращения, соответственно связанные с хранением товарных запасов (1) и с транспортировкой товаров (2).
Важное место в анализе рыночной деятельности и ее эффективности занимают показатели товарооборачиваемости, которые показывают, насколько быстро происходит кругооборот товаров: поступление товара товарный запас товарооборот поступление и т.д. Этот процесс измеряется с помощью двух обратных друг другу показателей: скорости товарооборота (С) и времени товарного обращения (В).

(38.14 17)
где С скорость товарооборота;
В время товарного обращения;
Т товарооборот;
З средний за период товарный запас;
t число дней в периоде.
Динамика и территориальные сопоставления показателей товарооборачиваемости измеряются с помощью индексного метода. Применение индексных факторных моделей (в том числе системы индексов переменного и фиксированного состава) позволяет выявить роль товарооборота, товарных запасов и их структуры в динамике товарооборачиваемости.
Блок показателей инфраструктуры дает возможность выявить значение основного капитала и инвестиций в рыночной деятельности, показывает обеспеченность рынка материально-техническими средствами и эффективность затрат труда.
Последний блок показателей отражает результаты рыночной деятельности на макро- и микроуровнях: долю торговых процессов в валовом внутреннем продукте; валовой доход и прибыль коммерческих предприятий от реализации товаров; затраты денежных, трудовых и материальных ресурсов, обеспечивающих деятельность по купле-продаже товаров, а также уровень эффективности, измеряемый двумя главными показателями рентабельности: прибылью в процентах к товарообороту (ресурсный подход) и в процентах к издержкам обращения (затратный подход).
Статистика рынка услуг
Услуги важный вид экономической деятельности, оказывающий влияние на все стороны жизни общества. Степень удовлетворения потребностей населения в услугах является одним из главных индикаторов уровня и качества жизни.
Под услугами принято понимать результаты экономической деятельности, которые не принимают материальной (вещной) формы и удовлетворяют определенные потребности личные, коллективные и общественные.
Переход к международной методологии учета и статистики ликвидировал понятие непроизводственная сфера, которое применяли к сфере услуг. Это потребовало пересмотра сложившегося за предшествовавшие 70 лет в отечественной науке и практике представления о роли услуг в развитии общества, в экономике страны.
Труд в сфере услуг признан производительным, сама эта сфера производственной, а результаты ее функционирования учитываются в валовом внутреннем продукте и в других показателях результатов экономической деятельности. В странах с развитой рыночной экономикой в сфере услуг занято более 2/3 численности активного населения.
В валовом внутреннем продукте США стоимость услуг составляет 75%, Англии 64%. В России в настоящее время на его долю приходится более 50%.
В общем объеме услуг можно выделить две части. Одна часть услуг предназначена к производственному потреблению отраслями сфер производства материальных благ и услуг.
Вторая часть производимых услуг предназначена для конечного потребления домашними хозяйствами, т.е. для непроизводственного потребления.
Часть производимых услуг, в том числе потребительских, является рыночными услугами. В международной статистической практике в соответствии с рекомендациями ООН под рыночными услугами понимают услуги, предназначенные к реализации или реализованные по экономически значимым ценам.
Появление товара в форме услуги вызвало к жизни формирование рынка услуг и поставило перед статистикой задачу характеристики его потенциала, функционирования и результатов, а также оценки влияния развития рынка товаров в целом на удовлетворение потребностей населения и экономику страны.
Объектом изучения этой подотрасли статистики является рынок услуг, предметом количественная характеристика его состояния, функционирования и результатов.
Рынок услуг представляет собой совокупность отношений (социально-экономических, материальных, финансовых), возникающих между производителями этих услуг продавцами и их потребителями (покупателями) в процессе купли-продажи услуг.
Специфическая особенность процессов, происходящих на рынке услуг, заключается в том, что результатом его функционирования является удовлетворение покупательского спроса непосредственно в момент оказания услуг, а также в том, что услуги не накапливаются в запасах; кроме того эффект от функционирования этого рынка проявляется не только в сфере услуг, но и за ее пределами, в сопряженных отраслях и сферах деятельности.
Рынок потребительских услуг предлагает к реализации потребительские услуги, выступающие на этом рынке как товар. В соответствии с международной методологией услуги, как и продукт, являются товаром, если они предназначены к реализации или реализованы по экономически значимым ценам, т.е. ценам, покрывающим издержки на их оказание и обеспечивающим прибыль производителю.
Рынок называется потребительским, потому что он удовлетворяет потребности конечного потребителя, и с этой точки зрения от его функционирования непосредственно зависит уровень и качество потребления, а следовательно, жизни населения.
При исследовании рынка услуг необходимо различать рынок покупателя и рынок производителя. Рынок покупателя имеет место в том случае, когда предложение услуг превышает спрос на них.
В качестве примера рынка покупателя можно привести рынок деятельности кинотеатров или рынок международных туристических услуг.
Рынок покупателя характеризуется возможностью широкого выбора услуг для покупателя и обостренной конкуренцией между производителями услуг, Которая приводит либо к сокращению производства данного вида услуг (предложения), либо к снижению цен.
Рынок продавца (производителя) имеет место, если объем производимых услуг меньше потребности в них или если производитель занимает монопольное положение на рынке. В данном случае монополист получает возможность диктовать цены на оказываемые услуги.
Такая ситуация приводит к нарушению действия рыночных механизмов. Ярким примером монополизма в области платных услуг является пассажирский железнодорожный транспорт и сеть метрополитенов в крупнейших городах России.
Эти предприятия диктуют ценовую политику в области пассажирского транспорта.
Развитие практической деятельности по созданию услуг, предназначенных к реализации, и их реализация вызвали необходимость развития соответствующей подотрасли статистической науки и практики. Статистика один из важнейших инструментов экономического механизма управления потребительским рынком услуг.
Она должна служить интересам успешного его функционирования; поиску выявления резервов и сбалансированности спроса и предложения; созданию условий социальной защиты населения.
В связи с этим одним из новых направлений развития отечественной статистической науки и практики является разработка методологии статистической оценки и анализа рынка потребительских услуг, ее апробация в процессе анализа его развития и эффективности функционирования.
Интересы экономического регулирования функционирования рынка услуг, в частности научно обоснованное воздействие на спрос и предложение; на уровень и динамику цен; оптимизацию материальных, финансовых и трудовых затрат на его функционирование требуют изучения и прогнозирования рыночных процессов.
Перед статистикой встают задачи характеристики уровня и динамики показателей социальных и экономических явлений, происходящих на рынке услуг; оценки тенденций его развития и факторов, определяющих это развитие; анализа динамики объема и структуры услуг; характеристики сегментации рынка по разным признакам; влияния на экономику страны и уровень жизни населения через удовлетворение потребностей в услугах.
Задачи статистического исследования потребительского рынка услуг охватывают специфические задачи анализа рыночных отношений; характеристику социально-экономического потенциала рынка услуг; характеристику их производителей и потребителей; объемов производства и спроса; рыночной конъюнктуры, конкуренции; цен, объемов и структуры реализации услуг и факторов, их определяющих.
Разработка методологии статистики рынка услуг проблема комплексная, предполагающая решение совокупности теоретических и практических задач, связанных с характеристикой рынка как объекта статистического изучения; разработкой системы показателей статистики рынка услуг, его функционирования и результатов, с учетом международной методологии, включая показатели его экономической эффективности; классификацией и группировкой показателей его развития по разным признакам; статистической оценкой социально-экономического потенциала рынка потребительских услуг; прогнозированием развития рынка услуг и др.
Разработка методологии статистической оценки и анализа рыночных процессов в сфере услуг включает разработку методов выявления вклада рынка услуг в результативные показатели функционирования рынка товаров в целом, в экономику страны, т.е. в создание валового внутреннего продукта; оценку влияния этого рынка на уровень жизни населения; исследования обратного воздействия экономики в целом и уровня жизни населения, прежде всего его доходов и их покупательной способности, на развитие рынка платных потребительских услуг.
Проблема сводной характеристики деятельности сферы услуг связана с большим их разнообразием, спецификой и разноаспектностью видов деятельности, объединяемых данной сферой, что затрудняет сведение результатов.
В последнее время это усугубляется тем, что наряду с традиционными для отечественной практики услугами (финансовыми, транспортными, страховыми) все большее значение приобретают такие специализированные услуги, как маркетинг, подготовка программного обеспечения и технического обслуживания вычислительной техники и многие другие материальные и нематериальные услуги. Переход к международной статистической методологии, использование СНС, облегчает решение проблемы взаимосвязанной обобщающей характеристики результатов функционирования рынка услуг.
Изложенное вызывает необходимость рассмотреть прежде всего само понятие услуги как объекта статистического изучения, их классификации и группировок по разным признакам в целях систематизации их статистической характеристики.
Специфика услуг как товара состоит в том, что услуги не накапливаются, не транспортируются, не существуют отдельно от производителя, т.е. они потребляются в момент их оказания.
Моменты их производства и реализации (если абстрагироваться от реального момента оплаты услуги, который может быть отсрочен по времени от момента оказания рыночной услуги) по времени совпадают.
В связи с этим рыночная конъюнктура не испытывает давления товарных запасов: она определяется отношением спроса и предложения услуг. В свою очередь объем предложения зависит от экономического потенциала отраслей сферы услуг.
39.2. Виды услуг, их классификации и группировки
В статистике при рассмотрении услуг применяются разные классификации и группировки, позволяющие дать их углубленную характеристику. Основные группы услуг приведены в табл.
39.1.
Таблица 39.1
Услуги и их группировки

Сфера услуг включает деятельность по производству как материальных, так и нематериальных услуг производственного и потребительского назначения.
В рыночной экономике принципиальным является деление услуг на рыночные и нерыночные.
Рыночные услуги оказываются за плату по ценам, покрывающим издержки и обеспечивающим прибыль. И в этом случае они приравниваются к любому другому товару и являются объектом купли и продажи.
Нерыночные услуги оказываются бесплатно. Как правило, они социально ориентированы, финансируются из бюджета или общественными организациями, например партиями или профсоюзами.
Потребляются такие услуги либо обществом в целом, либо домашними хозяйствами.
Следует подчеркнуть, что практически все виды услуг могут оказываться как за плату, так и бесплатно или за частичную оплату (на льготных условиях). Исключение составляют услуги органов управления (включая оборону и правоохранительные органы), церкви и благотворительных учреждений, которые всегда оказываются бесплатно.
В связи с этим в статистике важно установить границы между платными и бесплатными услугами.
В настоящее время по рекомендации Статистической комиссии ООН платными считаются все услуги, которые реализуются по экономически значимым ценам.
Для успешного статистического анализа и прогнозирования развития рынка необходимо осуществлять его правильное сегментирование. Для этого целесообразно использовать следующую классификацию платных услуг (ПУ):
01 Бытовые услуги
02 Услуги пассажирского транспорта
03 Услуги связи
04 Жилищно-коммунальные услуги
05 Услуги учреждений культуры
06 Туристско-экскурсионные услуги
07 Услуги физкультуры и спорта
08 Медицинские, ветеринарные, санаторно-оздоровительные услуги
09 Услуги правового характера
10 Услуги банков
11 Услуги в системе образования
12 Услуги торговли, общепита и рынков
00 Прочие услуги населению.
Важным фактором, который следует учитывать при исследовании рынка ПУ в России, является распределение населения страны по размеру среднедушевого дохода. От размера среднедушевого дохода находится (при прочих равных условиях) в прямой зависимости величина и структура расходов на ПУ.
Процесс расслоения населения по уровню доходов оказывает исключительно сильное влияние на структуру рынка услуг: низкообеспеченное население не только отказывается от приобретения услуг 5, 6 и 7-й групп, но и резко сокращает приобретение жизненно необходимых платных услуг 14-й групп, нередко отказываясь от их оплаты. В результате растет задолженность населения по квартплате и коммунальным услугам.
Теоретически каждый гражданин России может приобрести любой вид платных услуг (от 1-й до 7-й группы). Поэтому все жители России могут рассматриваться как генеральная совокупность клиентов, подлежащих сегментации.
Однако нельзя осуществлять сегментацию рынка платных услуг в целом: она должна осуществляться раздельно по каждой группе услуг. Размеры сегментов рынка в каждом конкретном случае будут разными.
Например, рынок платных услуг жилья не включает жилье, принадлежащее собственникам (частное и приватизированное). Поэтому сегментированию подвергаются пользователи наемного жилья (за которое они платят квартплату) и арендуемого жилья (за которое пользователь платит арендную плату).
При этом рынок платных услуг жилья следует отличать от рынка собственного жилья (купля-продажа жилых помещений), который подчиняется другим рыночным законам.
Рынок платных услуг пассажирского транспорта в Москве не охватывает ряд категорий населения, для которых проезд на городском транспорте (кроме такси) является бесплатным (пенсионеры, инвалиды, работники правоохранительных органов и т.д.).
Рынок международного туризма включает главным образом слои населения с высокими и сверхвысокими доходами, которые составляют менее 10% общей численности населения России.
Приведенные примеры убедительно доказывают необходимость использования обоснованной классификации услуг по степени приоритетности для статистической характеристики ПУ в России.
При исследовании услуг населению целесообразно выделить приоритетные по значимости и массовости услуги. Для этого используется приведенная выше классификация.
К наиболее важным видам платных услуг можно отнесZи (по степени значимости): бытовые, пассажирского транспорта, связи, жилищно-коммунального хозяйства, по содержанию детей в детских учреждениях, здравоохранения, санаторно-курортные и оздоровительные, физической культуры и спорта, культуры, правового характера и банковских учреждений, туристско-экскурсионные, научные.
В приведенной классификации услуги расположены по убывающей степени предпочтительности для населения. Это значит, что ПУ 1-й и 2-й групп обладают меньшей степенью эластичности от величины покупательной способности населения по сравнению с услугами остальных групп.
Каждый из приведенных видов услуг включает разнообразный их ассортимент. Так, бытовые услуги подразделяются на услуги:
- по ремонту и индивидуальному пошиву обуви, одежды;
- по пошиву и вязке трикотажных изделий;
- по ремонту радиоэлектронной аппаратуры, бытовых машин и приборов;
- по ремонту и изготовлению металлоизделий;
- ритуальные и многие другие.
Эта же группировка может быть использована при изучении сегментации рынка услуг. Эта сегментация должна варьировать с учетом группировки услуг по их видам:
1) услуги жилищно-коммунального хозяйства включают предоставление наемного и арендуемого жилья, выполнение текущего ремонта жилых помещений и оборудования, а также стоимость коммунальных услуг (электроэнергии, газа, воды, отопления, обслуживания лифтов, канализации, санитарной очистки и т.д.);
2) жилищные услуги. Здесь имеются в виду услуги наемного жилья, которые население оплачивает в виде квартирной платы;
3) коммунальные услуги, включая снабжение электроэнергией, газом, теплом, водой; обеспечение канализацией, телефоном, радио- и телесетью; санитарная очистка территории;
4) бытовые услуги, охватывающие широкий спектр услуг от пошива и ремонта одежды и обуви до прокатных пунктов и фотоателье;
5) услуги транспорта и связи. Услуги пассажирского транспорта включают услуги всех видов городского, международного и междугороднего транспорта по перемещению пассажиров и их багажа, включая сопутствующие услуги (предварительная продажа билетов, транспортно-экскурсионные операции, вокзальные сборы, комнаты матери и ребенка и т.д.);
6) услуги учреждений физической культуры и спорта складываются их двух компонентов: а) услуг спортивных зрелищ по всем видам профессионального спорта; б) платных и бесплатных услуг физкультурных и спортивно-оздоровительных организаций населению;
7) услуги учреждений культуры состоят из услуг театров, кинотеатров, филармоний, музеев, библиотек и читален, клубов, домов культуры и проч.;
8) услуги дошкольных детских учреждений это услуги яслей, детских садов, домов ребенка. Платное образование и здравоохранение включает учебные и лечебные учреждения с платным обслуживанием, а также репетиторство и частную медицинскую практику;
9) услуги финансовых организаций населению включают осуществление как платных (открытие и ведение счетов, перевод зарплаты, обмен валюты, аренда сейфов, хранение ценностей и т.д.), так и бесплатных (депозиты, открытие и ведение счетов и т.д.) операций;
10) услуги правового характера представляют собой услуги юридических организаций, нотариата, адвокатов, охранных фирм и т.п.;
11) туристско-экскурсионные услуги представляют собой комплекс услуг по обслуживанию отечественных и иностранных туристов, включая оформление необходимых документов, транспорт, размещение туристов, питание, познавательную, культурную и деловую программу. Подавляющее большинство услуг оказывают приватизированные учреждения туризма, отдыха и развлечений;
12) прочие виды услуг.
Рынок отдельных услуг, например бытовых, зависит от степени приоритетности их отдельных видов. Стабильный рынок характерен для технически сложных видов услуг, которые практически невозможно выполнить в домашних условиях (ремонт сложной бытовой техники и транспортных средств).
Гораздо большим конъюнктурным колебаниям подвержен рынок бытовых услуг, которые можно выполнять в домашних условиях, например услуги прачечных, парикмахерских, по ремонту одежды и обуви.
Особым объектом исследования статистики рынка услуг являются рыночные нематериальные услуги населению, т.е. платные нематериальные услуги потребительского характера.
В практических расчетах в России в эту категорию включаются следующие виды услуг:
- бытовые;
- пассажирского транспорта;
- учреждений связи по обслуживанию населения;
- жилищио-коммунальные;
- дошкольных учреждений;
- туристско-экскурсионные;
- физической культуры и спорта;
- правового характера;
- учреждений культуры;
- финансовые, страховые и др.
В настоящее время действует Общегосударственный классификатор услуг населению, введенный в действие с 1 января 1994 г. Его объектом являются все услуги населению (как платные, так и бесплатные), которые оказываются предприятиями и организациями различных форм собственности и индивидуальными производителями, независимо от форм и методов их оказания.
Госстандарт России включил в классификацию дополнительно группу Услуги торговли, общественного питания и рынков.
Применение классификатора дает возможность обеспечить единообразие в расчете показателей услуг, более широко применять вычислительную технику, упростить анализ и прогнозирование динамики услуг населению, добиться сопоставимоси показателей с международными стандартами, более глубоко изучать спрос населения на различные виды услуг.
Такая классификация позволяет четко определить место каждого вида услуг в экономической деятельности и добиться сопоставимости статистических данных, характеризующих услуги населению.
Подход к классификации платных услуг в государственной статистике полностью совпадает с подходом Госстандарта.
39.3. Основные понятия и категории статистики рынка услуг
Рынок это, как известно, прежде всего совокупность экономических отношений по поводу купли-продажи товаров по ценам, определяемым взаимодействием спроса и предложения в результате конкуренции.
К основным категориям рынка вообще и рынка услуг в частности относятся:
- предложение;
- спрос покупателей;
- конъюнктура рынка;
- емкость рынка;
- насыщенность рынка;
- конкуренция;
- сбалансированность рынка;
- мобильность рынка и др.
Необходимыми компонентами рынка услуг являются товары-услуги, т.е. предложение (продавец), и спрос покупатель. Отсутствие одного из этих двух компонентов или серьезный дисбаланс между ними свидетельствуют о кризисном состоянии всей экономики.
Под предложением услуг понимают количество ПУ, которые могут быть поставлены на рынок предприятиями, организациями, юридическими и физическими лицами производителями услуг в условиях их оптимального функционирования по определенной цене. Предложение на рынке ПУ зависит от экономического потенциала сферы услуг и степени его использования.
Оно также связано с ценой, но в отличие от функции спроса функция предложения является возрастающей по отношению к цене.
Товарному предложению услуг противостоит на рынке спрос.
Под спросом на платные услуги понимается потребность общества и отдельных его членов в какой-либо услуге, обеспеченная необходимыми денежными ресурсами. Это желание, способность и готовность субъектов приобрести то или иное количество услуг.
В литературе часто употребляется понятие платежеспособный спрос, отражающее то количество услуг, которое может оплатить покупатель.
На потребительском рынке услуг спрос определяется платежеспособностью населения.
Используются также другие понятия, характеризующие спрос.
Эффективный спрос спрос на услугу при условии цены, которую готов заплатить покупатель и которая обеспечит прибыль, оправдывающую издержки производства услуг.
Вторичный спрос спрос на услуги, возникающие в связи с уже приобретенными товарами и услугами; типичный вторичный спрос ремонтные услуги.
Рыночный спрос спрос, выражаемый таким количеством услуг, которое будет куплено определенной группой покупателей, в определенном регионе, в определенный период, по определенной цене.
Спрос на услуги фирмы доля фирмы в общем рыночном спросе. Его можно представить в виде формулы

(39.1)
где Qi спрос на товары i-й компании;
Si рыночная доля i-й компании;
Q общий рыночный спрос.
Спрос и предложение отражают как желание экономических субъектов производить и покупать услуги, так и их платежеспособность.
Спрос это важнейший элемент рыночного механизма. Именно спрос определяет емкость рынка, т.е. ту часть предложения услуг, которая может быть реализована в обмен на платежные средства покупателей при данном уровне и соотношении розничных цен и покупательной способности доходов и рубля, а значит, объем, структуру и натурально-вещественный состав производства и потребления услуг в тот или иной период.
Важной характеристикой рынка платных услуг является его емкость. Необходимо различать потенциальную и реальную емкость рынка.
Потенциальная емкость рынка определяется платежеспособным спросом на данный вид услуг, реальная емкость рынка величиной услуг, реализованных за определенный период. Для расчета реальной емкости рынка можно применить следующую формулу:

(39.2)
где R реальная емкость рынка;
Р стоимость оказанных услуг;
Е экспорт услуг;
I импорт услуг.
Этот расчет осуществляется в денежном выражении, причем экспорт и импорт услуг пересчитываются в рубли по курсу МВБ на момент оказания услуг.
В настоящее время объем экспорта и импорта ПУ населению в России пока незначителен, это главным образом услуги туризма, отдыха, развлечений и спорта, а также услуги международного транспорта и связи. Однако в дальнейшем, по мере вовлечения нашей страны в мировое хозяйство, значение этих показателей, безусловно, будет возрастать.
Насыщенность рынка зависит от количества платных услуг, которым располагает потребитель.
Соотношение между спросом и предложением наиболее существенная пропорция потребительского рынка. Именно эта пропорция, а также уровень цен на услуги характеризуют сложившуюся на рынке экономическую ситуацию конъюнктуру рынка.
Рыночная конъюнктура складывается под влиянием большого числа политических, экономических, природных, демографических и социальных факторов, определяющих в каждый данный момент времени положение на рынке и коммерческую ценность услуг.
В частности, способ ценообразования является самым ярким внешним критерием, позволяющим отнсить или не относить тот или иной тип хозяйства к рыночному.
Одним из важнейших показателей рынка ПУ является конкуренция.
Статистика рынка жилья
Удовлетворение потребностей в жилище, улучшение жилищных условий населения является важнейшим элементом социальной политики, оказывающим влияние на демографическое и социально-экономическое развитие общества, состояние здоровья населения. Выбор конкретных целей, разработка механизма жилищной политики и контроль за ее реализацией невозможны без наличия информации, характеризующей фактическое положение и тенденции на рынке жилья.
Основная составляющая рынка жилья это жилищный фонд, под которым понимается совокупность жилых квартир и комнат со вспомогательными помещениями, находящихся как в жилых домах, так и в нежилых строениях, но имеющих жилые помещения (квартиры врачей при больницах, учителей при школах и т.п.).
В настоящее время в составе жилищного фонда не учитываются дачи, садовые дома, другие строения и помещения, предназначенные для сезонного или временного проживания, независимо от длительности проживания в них граждан.
В ежегодной статистической отчетности, представляемой предприятиями жилищного хозяйства (формы 1-жилфонд Отчет о жилищном фонде за 199_ год), содержится достаточно широкий спектр показателей, характеризующих жилую и общую площадь жилищного фонда, его движение и состав по формам собственности, благоустройство. Согласно принятой в настоящее время методологии к жилой относится площадь жилых комнат (в том числе временно пустующих) в квартирах, домах, других помещениях; площадь спальных и столовых комнат, комнат для отдыха и внеклассных занятий в интернатах, детских домах и общежитиях учебных заведений, в домах инвалидов; жилых комнат в нежилых строениях и помещениях (школах, больницах и т.п.).
Не включаются в жилую площадь жилые помещения, хотя и предназначенные для жилья, но используемые для других целей (под магазины, офисы, детские учреждения и т.п.).
Общая площадь включает не только жилую, но и площадь вспомогательных помещений, таких как кухни, коридоры, ванные комнаты (души), санузлы, кладовые и гардеробные комнаты, встроенные шкафы в общежитиях, а также комнаты культурно-бытового назначения и медицинского обслуживания.
Кроме размеров жилой и общей площади текущая отчетность о жилом фонде содержит сведения о численности постоянно проживающего в нем населения, числе квартир и количестве проживающих в них лиц, в том числе в коммунальных квартирах. Достаточно широко представлены данные о благоустройстве жилищного фонда, наличии водопровода, центрального отопления, канализации, ванны (душа), газа, горячего водоснабжения, напольных электрических плит, телефона, а также о численности лиц, имеющих перечисленные бытовые удобства.
Кроме того, в отчетности имеется информация об общей сумме доходов предприятий жилищного хозяйства, в том числе о той части доходов, которая формируется за счет квартирной платы, дотационных поступлений из бюджета и от сдачи жилищ в аренду.
Эти сведения приобретают особую актуальность в условиях новой жилищной политики, целью которой является перевод жилищного хозяйства на самофинансирование и повышение роли владельцев и нанимателей жилья в его содержании путем покрытия расходов по эксплуатации, обновлению, капитальному ремонту жилищ за счет личных доходов граждан.
Значительное место в текущей жилищной статистике отводится сведениям о движении жилищного фонда, которые представлены в соответствующем разделе упомянутой выше формы показателями увеличения общей площади, в том числе за счет нового строительства; выбытия жилищного фонда из-за его ветхости и аварийности, стихийных бедствий, в связи с отводом земель под новое строительство, реконструкцию и т.д.
Данные о состоянии жилищного фонда необходимы для оценки текущей степени пригодности помещений для проживания, его износа, выявления тенденций в области качества нового жилищного строительства.
Для качественных характеристик жилищного фонда используются также данные о капитальном ремонте (общая площадь капитально отремонтированных жилых домов) и затратах на его проведение, о размерах площади аварийных домов и численности лиц, проживающих на этой площади.
Очень важной информацией о рынке жилья являются сведения о том, кто является собственником жилищ. В настоящее время весь жилищный фонд распределяется по четырем основным формам собственности, а именно:
- муниципальный жилые дома, принадлежащие местным органам власти;
- ведомственный жилые дома, принадлежащие предприятиям и учреждениям, колхозам и другим кооперативным организациям и объединениям, иным общественным организациям;
- фонд жилищных и жилищно-строительных кооперативов;
- частный (индивидуальный) жилищный фонд, находящийся в личной собственности граждан.
Движение жилищного фонда по формам собственности является важным показателем функционирования рынка жилья. Доля жилищного фонда, принадлежавшего гражданам на правах частной собственности в Российской Федерации, увеличилась в 1998 г. по сравнению с 1991 г. более чем в 2 раза и составила более 1,6 млрд кв. м общей площади.
Формирование рыночных отношений в жилищной сфере в Российской Федерации и других странах СНГ начиналось с приватизации жилищ, которые передавались на добровольной основе в собственность населения либо безвозмездно, либо с частичной оплатой их стоимости. При этом рыночная оценка передаваемого населению жилья не производилась, а сложившееся распределение жилой площади между отдельными группами населения не подвергалось ревизии.
Это оказало влияние на круг показателей, который был установлен для статистического наблюдения за ходом приватизации, а именно:
- число и общая площадь приватизированных жилых помещений, в том числе квартир и комнат в коммунальных квартирах;
- число и общая площадь впервые проданных в рамках приватизации жилых помещений населению, негосударственным организациям, иностранным лицам и организациям;
- стоимость проданных жилых помещений;
- число и общая площадь деприватизированных жилых помещений.
Источником данной информации являются организации и учреждения, осуществляющие передачу жилья в собственность граждан, а также организации (агентства), оформляющие по договорам документы на такую передачу.
Приватизация и предоставление населению права распоряжаться собственностью на жилище положили начало развитию полномасштабных рыночных отношений в жилищной сфере: купли-продажи жилья, расширению арендных отношений, использованию свободных жилищ для получения дохода, постепенному отказу от трансфертов (дотаций) на содержание жилья и возмещению соответствующих затрат за счет средств населения. В целом за годы массовой приватизации в России населению было передано около 16 млн квартир общей площадью свыше 750 млн кв. м.
По мере развития рынка жилья совершенствуется действующее законодательство и создаются соответствующая нормативная база и организационные структуры, в том числе оказывающие посреднические (риэлтерские) услуги физическим и юридическим лицам в части операций на рынке жилья. Отрабатывается механизм целевого и ипотечного кредитования жилищного строительства, в том числе на базе использования жилищных сертификатов, специальных субсидий для малообеспеченных групп населения и т.д.
Все эти процессы, происходящие на рынке жилья, требуют внесения изменений в соответствующую информационную базу и методы статистического наблюдения. Вместе с тем по мере развития рыночных отношений в жилищной сфере рынок жилья становится частью общего рынка недвижимости, наблюдение за которым не входит в задачи социальной статистики.
Основной целью социальной статистики в этой области является наблюдение за решением жилищной проблемы (в том числе изменениями в жилищных условиях населения), за процессами на рынке жилья, оказывающими влияние на деятельность отраслей жилищно-коммунального хозяйства. При этом в круг проблем, подлежащих наблюдению, входит изучение факторов решения жилищной проблемы в сопоставлении с другими характеристиками, например, уровнем материальной обеспеченности, стоимостью покупки жилищ и доходами населения, расходами на оплату жилищно-коммунальных услуг и т.д.
46.2. Статистика жилищных условий населения
Одним из важнейших направлений жилищной политики на стадии строительства новых жилищ является обеспечение соответствия структуры нового жилого фонда демографическому составу и потребностям населения, нуждающегося в улучшении жилищных условий, т.е. строительство необходимого количества квартир определенного типа и уровня комфортности условий проживания, соответствие потребительских свойств жилищ спросу населения и др. Поэтому наряду с информацией об объеме, движении и состоянии жилищного фонда страны в целом и по отдельным административным и территориальным единицам широко используются статистические данные о жилищных условиях населения.
Наиболее интегрированный показатель жилищных условий это средняя обеспеченность жителя страны общей (жилой) площадью, которая определяется как частное от деления общей (жилой) площади наличного жилого фонда на среднегодовую численность постоянного населения. Относительный показатель обеспеченности общей (жилой) площадью в расчете на одного жителя страны традиционно включается в минимальный набор социальных индикаторов для характеристики уровня жизни населения.
В настоящее время фактическая обеспеченность жителей Российской Федерации значительно меньше, чем в большинстве развитых стран. Так, в большинстве индустриальных стран минимальный уровень обеспеченности жильем составляет 4050 кв. м общей площади на одного жителя, а в среднем по Российской Федерации 18,9 кв. м (1998 г.).
Минимальные международные стандарты предусматривают наличие у каждого члена домохозяйства отдельной комнаты наряду с общей комнатой для совместного пребывания его членов (или двух комнат для большого домохозяйства). Размер общей площади на одного проживающего должен составлять не менее 30 кв. м.
Специальные нормативы, используемые в Российской Федерации для разработки программ по обеспечению населения жильем, также значительно ниже упомянутых международных стандартов. Так, федеральный стандарт социальной нормы площади жилья на одного члена семьи из трех и более человек составляет 18 кв. м общей площади, на семью из двух человек 42 кв. м, на одиноко проживающего человека 33 кв. м общей площади жилья.
При анализе жилищных условий населения важно установить не только средний уровень обеспеченности, но и различия в распределении жилищного фонда между отдельными группами населения, а также численность лиц, проживающих в жилищных условиях, не соответствующих установленным в анализируемом периоде социальным нормативам.
В этих целях ежегодно осуществляется сбор информации о числе семей, состоящих на учете в территориальных исполнительных органах власти, в жилищно-строительных кооперативах или по месту работы для получения жилой площади или улучшения жилищных условий; о количестве семей и проживающих в них лиц; о получивших жилье или улучивших жилищные условия и снятых по этой причине с учета в отчетном году (форма 4-жилфонд Отчет о распределении жилой площади и числе семей, получивших площадь в домах государственного жилищного фонда и фонда жилищно-строительных кооперативов, форма 3-жилфонд Отчет об обеспечении жильем лиц, уволенных в запас или отставку, и военнослужащих пограничных войск).
В ежегодной статистической отчетности информация о распределении жилой площади (форма 4-жилфонд) дифференцирована по категориям семей, имеющих в соответствии с законодательством преимущественное право на улучшение жилищных условий или получение жилья на безвозмездной основе (инвалиды и участники Великой Отечественной войны, военнослужащие ветераны Афганистана и военнослужащие, уволенные в запас или отставку; многодетные и молодые семьи; семьи лиц, принимавших участие в работе по ликвидации последствий аварии на Чернобыльской АЭС, беженцев, вынужденных переселенцев).
На всех территориальных уровнях обобщаются также данные о числе семей, состоящих на учете и проживающих в коммунальных квартирах, общежитиях, ветхом и аварийном жилищном фонде, а также о состоящих на учете 10 лет и более. Имеются также в отчетности данные об общем числе семей, которые приобрели жилую площадь, в том числе из числа очередников.
Важной характеристикой жилищных условий населения является неравенство в распределении жилья между отдельными группами населения. Группировка населения по размеру занимаемой общей и жилой площади в расчете на одного члена домохозяйства (семьи) осуществляется, как правило, по данным всеобщей переписи (микропереписи) населения, выборочных обследований бюджетов домашних хозяйств, в программу которых включаются вопросы о жилищных условиях населения.
При этом наряду со средним размером общей (жилой) площади, приходящейся на члена домохозяйства (семьи), в качестве группировочных признаков могут быть использованы численный и половозрастной состав членов домохозяйства (семьи), форма собственности и тип жилища (отдельная квартира, индивидуальный дом, коммунальная квартира, общежитие), число занимаемых комнат, вид трудовой деятельности главы домохозяйства, уровень благоустройства жилищ, источники текущих доходов и др.
Кроме изучения жилищных условий населения в программу переписи населения может быть включена перепись жилищного фонда: классификация зданий и жилищ по их типу, году или периоду застройки, строительному материалу, виду владения и плотности заселения, типу и количеству домашних хозяйств, проживающих в жилищах. Такие вопросы содержались в программе переписи населения, которая проводилась в 1989 г.
Для актуализации сведений о распределении жилищного фонда в межпереписной период используются, как правило, данные текущей жилищной статистики и выборочных обследований домашних хозяйств. Данные о численном и половозрастном составе членов домохозяйств, форме собственности и размере занимаемой ими жилой площади, числе комнат, благоустройстве жилищ, наличии жилых помещений, предназначенных для сезонного проживания, гаражей, земельных участков и т.д. позволяют в сочетании с другими важными характеристиками (такими, например, как уровень среднедушевых доходов и потребительских расходов, их структура, вид занятий членов домохозяйства и т.д.), создать большое число комбинационных таблиц и значительно расширить анализ жилищных условий населения.
Постепенный отказ от дотаций из бюджета на содержание жилья и возмещение затрат за счет средств населения приводит к подорожанию оплаты жилья и коммунальных услуг и неспособности отдельных групп населения производить соответствующие выплаты в связи с недостаточным уровнем доходов. В целях регулирования этих процессов Правительством Российской Федерации утвержден в качестве инструмента межбюджетных отношений при расчете трансфертов федеральный стандарт уровня платежей граждан, который определяется в процентах от стоимости предоставляемых жилищно-коммунальных услуг в среднем по всем видам этих услуг.
В целях регулирования расходов населения на оплату жилищно-коммунальных услуг утвержден также федеральный стандарт максимально допустимой доли собственных расходов граждан на оплату жилья и коммунальных услуг в совокупном семейном доходе. Этот стандарт рассчитывается исходя из социальной нормы площади жилья и нормативов потребления коммунальных услуг.
Конкретные параметры этих стандартов устанавливаются субъектами Российской Федерации.
Например, в Москве предельно допустимая доля собственных расходов граждан, имеющих среднедушевой доход не выше установленного прожиточного минимума, на оплату жилья и нормального потребления коммунальных услуг не должна быть выше половины установленного Федеральным законом минимального размера оплаты труда.
Кроме того, утвержден федеральный стандарт предельной стоимости предоставляемых жилищно-коммунальных услуг на 1 кв. м общей площади жилья в месяц. Этот стандарт устанавливается дифференцировано по экономическим районам Российской Федерации.
В задачи информационного обеспечения изучения жилищной проблемы входит также подготовка данных о фактических затратах населения на оплату жилищно-коммунальных услуг, уровне и динамике цен и тарифов по отдельным видам жилищных и коммунальных услуг.
В настоящее время наблюдение за ценами и тарифами услуг-представителей и расходами населения на услуги жилищно-коммунального хозяйства осуществляется на основе обследования бюджетов домашних хозяйств.
Данные обследований показывают, что в результате роста цен и тарифов на эти услуги доля расходов на их оплату в потребительских расходах населения постоянно увеличивается. В 1997 г. расходы на оплату жилищно-коммунальных услуг в Российской Федерации составили около 6% общей суммы потребительских расходов против 0,9% в 1992 г. При этом доля затрат по оплате жилья увеличилась почти в 7 раз, центрального отопления в 9 раз, электроэнергии в 3,5 раза.
46.3. Статистика жилищно-коммунальных услуг
Уровень благоустройства жилищного фонда и коммунальных удобств определяет условия жизни населения в бытовом отношении.
Обеспечить комфортные условия проживания населения призваны предприятия жилищно-коммунального хозяйства, деятельность которых связана с содержанием и эксплуатацией жилищного фонда, распределительных сетей коммунального и бытового водоснабжения, газо- и теплоснабжения населения, коммунальной канализации и очистки сточных вод; благоустройством городов и помещений, санитарной очисткой и уборкой территории; содержанием и ремонтом городских сооружений, уличных переходов и т.п.; наружным освещением, озеленением и другими мероприятиями.
Для статистических характеристик условий проживания населения используется система показателей, отражающих деятельность отраслей жилищного и коммунального хозяйства.
Среди основных видов деятельности снабженPе населения водой. В статистической отчетности (форма 1-водопровод Отчет о работе водопровода за 199_ год) представлены данные о наличии и производственной мощности водопроводных сооружений и других их характеристиках (об объеме воды, пропущенной через очистные сооружения; потреблении воды населением; численности работников, занятых в этой отрасли жилищно-коммунального хозяйства).
Деятельность предприятий по обеспечению населения теплоэнергией характеризуется такими показателями, как число источников теплоснабжения, их тепловая мощность и вид используемого топлива, протяженность тепловых и паровых сетей, объем произведенной тепловой энергии и ее потребление населением, нормативный и фактический расход топлива, численность занятых работников (форма 1-тепло Отчет о снабжении теплоэнергией за 1999 год).
Снабжение населения газом представлено такими показателями как число газифицированных населенных пунктов, протяженность уличных газовых сетей, количество газифицированных квартир, объем потребления газа населением, численность работников (форма 1-газ Отчет по использованию сетевого (сжиженного) газа за 199_ год).
Деятельность коммунальных предприятий, обеспечивающих функционирование канализационных сооружений, представлена в статистической отчетности следующими показателями: наличие и протяженность канализационных сооружений, их мощность, объем очищенных сточных вод, соответствующих нормативам, число аварий, численность работников (форма 1-канализация Отчет о работе канализации за 199_ год).
Кроме перечисленных показателей во все формы отраслевой отчетности коммунального хозяйства включены основные финансовые показатели деятельности коммунальных служб (расходы и доходы, в том числе доходы, полученные от населения за оказанные услуги). Эти показатели являются основными источниками данных для расчета валового выпуска промежуточного потребления, валовой добавленной стоимости и ряда других показателей СНС по хозяйственным единицам жилищно-коммунального хозяйства, оказывающим услуги как рыночного, так и первичного характера.
К показателям, характеризующим среду обитания, следует отнести сведения о наружной освещенности улиц, об общей площади и площади застроенных городских земель, площади зеленых насаждений, в том числе общего пользования, лесопарков, городских лесов, протяженности озелененных полос улиц, дорог и проездов, площади кладбищ (форма 9-ЖКХ Отчет о городских землях и зеленых насаждениях на 1 января 199_года).
46.4. Статистика гостиничных услуг
Жилищно-коммунальное хозяйство как вид экономической деятельности одной из отраслей социальной сферы включает в себя и гостиничное хозяйство, оказывающее услуги населению по предоставлению комнат (номеров) для временного проживания, как правило, во время деловых поездок, путешествий. Общими характерными чертами жилых помещений такого типа являются сгруппированные вдоль коридоров комнаты (номера), общие холлы, рестораны, подсобные помещения.
Многие новейшие гостиницы представляют собой развитый общественный комплекс, сочетающий в одном здании жилой блок, большие залы для собраний, концертов, деловых совещаний, бассейны, гаражи и прочее, которые размещаются иногда в значительных по размерам самостоятельных объемах.
К гостиничному хозяйству относятся также мотели, общежития для приезжих, дома колхозников и прочие подсобные предприятия, организации и учреждения, оказывающие гостиничные услуги.
В задачи статистического наблюдения за деятельностью гостиничного хозяйства как хозяйствующего субъекта входит оценка развития сети гостиниц в целом по стране и отдельным регионам. Сеть характеризуется такими статистическими показателями, как число гостиниц, мотелей, общежитии для приезжих, общей площадью и единовременной вместимостью, жилой площадью всех номеров, а также среднегодовой балансовой стоимостью фонда.
Эти данные представляются соответствующими субъектами на конец отчетного периода, как правило, на конец года.
Результаты хозяйственной деятельности предприятий и организаций этой отрасли социальной сферы (как правило за год) представлены в статистической отчетности следующими показателями:
- доходы от эксплуатации;
- доходы от дополнительных платных и прочих услуг;
- расходы по эксплуатации, из них материальные затраты (без амортизации) и оплата нематериальных услуг.
Кроме того, указывается численность всех работающих на конец года.
Перечисленные статистические показатели позволяют дать количественную характеристику развития системы гостиничного хозяйства как отрасли социальной сферы (вместимость, число мест на 1000 жителей), уровень использования имеющихся мощностей и их доходность.
Анализ может быть дополнен ценовыми характеристиками гостиничных услуг, которые содержатся в статистике потребительских цен. Так, в число услуг-представителей, цены и тарифы на которые постоянно наблюдаются и регистрируются, входит стоимость проживания одного лица в двухместном номере гостиницы I категории 1-го разряда муниципальной и ведомственной принадлежности.
Отраслевая деятельность гостиничного хозяйства представлена в статистической отчетности формой 1-гостиница Отчет о работе гостиниц за 199_ год.
Контрольные вопросы
- Что входит в жилищный фонд?
- Какие показатели содержатся в текущей отчетности о жилищном фонде и жилищных условиях населения?
- Назовите основные формы собственности жилищного фонда.
- Какие статистические показатели жилищно-коммунальных услуг Вам известны?
Статистика социального обеспечения
Социальное обеспечение это система учреждений и услуг по оказанию помощи в случае стихийных бедствий; при ограничении либо потере трудоспособности; в ситуациях, требующих внешней помощи; а также по оказанию услуг, смягчающих диспропорции в условиях жизни населения.
Социальная защищенность населения это совокупность механизмов, предусмотренных законодательными и нормативными актами для сохранения доходов (или их части) отдельным лицам или семьям, которые их больше не имеют в связи с потерей трудоспособности из-за старости или инвалидности, болезни, беременности (материнства), безработицы, смерти кормильца семьи, а также для материальной поддержки многодетных и малообеспеченных групп населения, учащейся молодежи и др.
При определении размеров социальной помощи исходят как из потребностей населения, нуждающегося в поддержке, так и из реальных ресурсов, которыми располагает государство для этих целей на данном этапе экономического развития страны. Нормы социального обеспечения служат, как правило, индикаторами социальной политики государства.
Исходя из задач и направлений деятельности органов и учреждений социального обеспечения, в задачи статистического наблюдения входит сбор следующих сведений:
- размеры социальных выплат и их источники;
- численность лиц, охватываемых социальным обеспечением по его видам;
- средние размеры социальных пособий, приходящихся на их получателя.
В связи с разнообXазием социальных выплат остановимся лишь на статистике основных их видов.
45.2. Статистика пенсионного обеспечения
Эта область социального обеспечения является наиболее распространенной. На начало 1999 г. пенсионным обеспечением было охвачено свыше 38 млн граждан России, состоящих на учете в органах социальной защиты населения.
Пенсионное обеспечение является одним из видов обязательного (государственного) социального страхования. Обязательный характер данного вида страхования выражается, во-первых, в обязательности страховых платежей; во-вторых, в государственном контроле за правильностью и своевременностью поступления платежей; в-третьих, в обеспечении трудящихся определенными видами социальной помощи на условиях и по нормам, установленным федеральным законодательством.
Функционирование пенсионной системы обеспечивается в основном за счет средств федерального Пенсионного фонда, который относится к внебюджетным кредитно-финансовым системам.
В настоящее время завершаются разработки новой концепции пенсионного обеспечения с учетом международных стандартов, сформировавшихся в условиях рыночной экономики. Создается трехуровневая пенсионная система: два первых уровня государственных пенсий базовые пенсии по старости или нетрудоспособности и трудовые (страховые) пенсии. Третий уровень негосударственные пенсии (профессиональные или добровольные), выплачиваемые за счет взносов работодателей и работников.
Вводится персонифицированный учет страховых взносов.
При этом основным принципом функционирования пенсионной системы остается соразмерность условий и норм пенсионного обеспечения с экономическими возможностями государства и численностью экономически активного населения.
Основными индикаторами фактических возможностей государства в сфере социального обеспечения служат такие показатели, как уровень и доля расходов на выплату пособий и социальную помощь в валовом внутреннем продукте, доля пособий на детей в ВВП и в общем объеме денежных доходов населения.
Главный источник дохода пожилых граждан России это пенсия. Действующим законодательством установлены два основных вида назначаемых пенсий трудовые и социальные.
Соответственно и система статистических показателей разделяется на два блока: первый блок содержит сведения о трудовых пенсиях, второй блок данные о социальных пенсиях.
Трудовые пенсии назначаются с учетом трудового стажа, устанавливая таким образом зависимость норм пенсионного обеспечения от трудового вклада.
Трудовые пенсии подразделяются на пенсии по возрасту (по старости), за выслугу лет; по инвалидности; по случаю потери кормильца.
Трудовая пенсия по возрасту (по старости) назначается при достижении верхней границы трудоспособного возраста, которая составляет в настоящее время в России 60 лет для мужчин и 55 лет для женщин, и наличие трудового стажа не менее 25 лет для мужчин и 20 лет для женщин.
В соответствии с действующим законодательством верхняя граница трудоспособного возраста снижена для отдельных категорий трудящихся: в связи с особыми условиями труда; в связи со льготами пенсионного обеспечения лиц, подвергшихся воздействию Чернобыльской аварии; для лиц, проживающих в районах Крайнего Севера и др.
Особым видом трудовых пенсий является пенсия за выслугу лет. Она назначается, как правило, независимо от достижения пенсионного возраста тем лицам, чья профессиональная деятельность в течение длительного времени связана с риском преждевременного профессионального старения.
Круг работников, которым начисляется пенсия данного вида, достаточно широк и потому является объектом статистического наблюдения.
К числу трудовых относятся и пенсии по инвалидности.
Федеральным законом инвалидом признается лицо, которое имеет стойкое нарушение здоровья в связи с расстройством функций жизнедеятельности организма вследствие заболеваний, травм и других дефектов, нуждается в социальной помощи и защите. Ограничение жизнедеятельности выражается в полной или частичной потере способности или возможности осуществлять самообслуживание, передвижение, ориентацию, общение, контроль за своим поведением, а также трудовую деятельность.
В зависимости от степени понижения жизнедеятельности устанавливаются три группы инвалидности, которые оказывают влияние на размер пенсии, назначаемой по инвалидности. Контингент инвалидов достаточно велик.
В Российской Федерации по состоянию на начало 1997 г. насчитывалось более 4,5 млн лиц, получающих пенсию по инвалидности.
Специфические особенности пенсионного обеспечения инвалидов диктуют необходимость установления за ними статистического наблюдения и выделения этого контингента из общего числа пенсионеров.
Объектом статистического наблюдения (в рамках задач социальной статистики) является прежде всего численность пенсионеров общая и по видам назначаемых пенсий, характеризующая охват пенсионной системой населения страны.
Исходя из этого, в статистической отчетности (форма 94-собес) содержатся данные об общей численности пенсионеров, состоящих на учете в органах социального обеспечения (социальной защиты); численности пенсионеров, которым назначены трудовые пенсии, в том числе по возрасту (старости), из них по категориям: участники войны, работники тыла, жители блокадного Ленинграда, необоснованно репрессированные; пострадавшие от радиационного воздействия; безрабтные, получающие досрочные пенсии; беженцы и вынужденные переселенцы.
Выделение перечисленных выше категорий пенсионеров из общего числа получающих пенсию по возрасту обусловлено особенностями их пенсионного обеспечения, которые заключаются в дополнительных льготах или иных условиях начисления пенсий, чем для всего остального населения.
По такому же принципу в статистической отчетности отдельно показывается численность других категорий пенсионеров, начисление пенсии которым производится на особых или льготных условиях: занятых на подземных работах, в горячих цехах, на участках с вредными условиями труда, работающих на Крайнем Севере; женщин, работающих в качестве трактористов-машинистов, многодетных матерей и матерей инвалидов с детства; инвалидов войны и т.п.
Численность пенсионеров по инвалидности вследствие трудового увечья, профессиональной или общей заболеваемости распределяется по группам инвалидности, от которых зависит уровень назначаемой пенсии. Приводится в отчетности также численность пенсионеров по случаю потери кормильца и пенсионеров, вышедших на пенсию по выслуге лет (численность последних приводится в отраслевом разрезе).
В связи с особенностями пенсионного обеспечения военнослужащих в отчетность включены данные о численности пенсионеров-военнослужащих и членах их семей, получающих пенсии в органах социального обеспечения (социальной защиты), в том числе по инвалидности, из них вследствие военной травмы. Сведения приводятся по группам инвалидности.
Наряду с трудовыми пенсиями Законом Российской Федерации О государственных пенсиях в Российской федерации предусмотрены и социальные пенсии, которые назначаются нетрудоспособным гражданам, не имеющим при достижении пенсионного возраста необходимого для назначения пенсии трудового стажа. Данные о пенсионерах, которым назначены социальные пенсии, выделяются в отчетности отдельной строкой.
Другим направлением статистического наблюдения, предусмотренного отчетностью, является уровень денежного обеспечения пенсионеров, его соответствие социальным нормативам. В качестве минимального социального норматива, гарантированного государством в области пенсионного обеспечения, выступает минимальная пенсия, под которой понимается минимальная денежная сумма с учетом компенсационных выплат в связи с ростом потребительских цен, получение которой гарантировано населению государством на условиях, предусмотренных пенсионным законодательством.
Федеральным законом о государственных пенсиях установлен и верхний предел размера пенсии, назначенной за счет выплат из федерального пенсионного фонда, т.е. максимальный размер пенсии с учетом компенсационных выплат в связи с росом потребительских цен, получение которой гарантировано государством на условиях, предусмотренных пенсионным законодательством.
Среднемесячный размер пенсии определяется как отношение общей суммы назначенных месячных пенсий всем пенсионерам, состоящим на учете в органах социальной защиты, к их численности.
Данные для расчета среднемесячного размера пенсии имеются в отчетности этих органов о численности пенсионеров и суммах, назначенных им месячных пенсий (общая сумма назначенных месячных пенсий всем пенсионерам, а также суммы назначенных пенсий в отчетном году). Материальное положение пенсионеров оценивается по таким показателям, как соотношение минимальной, средней и максимальной месячной пенсии с прожиточным минимумом пенсионера; уровень и динамика реального размера пенсии (с учетом индекса потребительских цен); соотношение размера пенсии со средним размером начисленной заработной платы; уровень фактического потребления продуктов, товаров и услуг.
45.3. Статистика инвалидности
Инвалиды являются достаточно многочисленной и специфической группой населения. По данным учета органов социальной защиты населения Российской Федерации, их насчитывалось на начало 1999 г. 8,9 млн.
В 1998 г. впервые признаны инвалидами свыше 1 млн человек, из них более половины лица трудоспособного возраста. С принятием в 1995 г. Федерального закона О социальной защите инвалидов в Российской Федерации возросли требования к этой отрасли социальной статистики.
В число инвалидов включены лица, признанные инвалидами на основе проведения медико-социальной экспертизы комплексной оценки состояния здоровья и степени ограничения жизнедеятельности в соответствии с классификациями и критериями, утверждаемыми центральными органами социальной защиты и здравоохранения*.
* Постановление Правительства Российской Федерации от 13 августа 1996 г. О порядке признания граждан инвалидами.
Для характеристики инвалидности в настоящее время используются следующие показатели:
- численность инвалидов, состоящих на учете в органах социального обеспечения (социальной защиты);
- численность лиц, впервые признанных инвалидами;
- распределение численности лиц, впервые признанных инвалидами по причинам инвалидности: в связи с болезнью системы кровообращения, злокачественными новообразованиями, травмами, болезнями нервной системы и органов чувств, профессиональными болезнями и т.д. (форма 7-собес Отчет врачебно-трудовой экспертной комиссии);
- распределение численности инвалидов по группам инвалидности;
- размеры трудовых пенсий и социальных пенсий инвалидам с детства по группам инвалидности.
В связи с проблемой трудовой реабилитации инвалидов, сохранивших способность к труду, и наличием соответствующих федеральных программ, предназначенных для решения этой проблемы, ежегодно обеспечивается сбор статистических данных о численности инвалидов, работающих на специализированных предприятиях (форма 2т-собес Отчет о численности работающих инвалидов и пенсионеров по старости на спецпредприятиях).
45.4. Статистика социальных услуг
Наряду с выплатой пенсий и пособий важным элементом федеральной системы социального обеспечения является социальное обслуживание престарелых, нетрудоспособных и семей с детьми. В соответствии с Федеральными законами Об основах социального обслуживания населения в Российской Федерации и О социальном обслуживании граждан пожилого возраста и инвалидов предусматривается разработка государственных стандартов социального обслуживания населения, устанавливающих основные требования к объектам и качеству социальных услуг, порядку и условиям их оказания.
Это потребует внесения определенных корректив в существующую информационную базу.
Круг оказываемых в настоящее время социальных услуг достаточно широк и обусловлен потребностями упомянутых контингентов населения в связи с их болезнью, инвалидностью, старостью, многодетностью.
Остановимся в основном на тех социальных услугах, которые носят массовый характер и отражаются в статистической или административной (отраслевой) отчетности.
Прежде всего это касается лиц пожилого возраста и инвалидов.
Престарелые и инвалиды, включая детей-инвалидов, получают комплекс социальных услуг во время их пребывания в домах-интернатах. Эти медико-социальные учреждения предназначены для постоянного проживания престарелых и инвалидов, нуждающихся в уходе, бытовом и медицинском обслуживании.
В период пребывания в домах-интернатах им предоставляется жилье, питание, одежда, медицинская и лекарственная помощь, лечение, социально-бытовое обслуживание.
Статистическая отчетность о деятельности домов-интернатов для престарелых и инвалидов (взрослых и детей) позволяет установить их общее число, количество мест и численность проживающих в них лиц, в том числе находящихся на постоянном постельном режиме (формы 2-собес Отчет дома-интерната для престарелых и инвалидов и 3-собес Отчет детского дома-интерната для инвалидов). В отчетности имеются также сведения о численности лиц, состоящих на очереди для помещения в дома-интернаты для взрослых и в детские дома-интернаты.
На начало 1998 г. в России насчитывалось 926 домов-интернатов для взрослых и около 160 для детей-инвалидов с общим числом проживающих 232 тыс. человек.
Другой существенной услугой, оказываемой населению, является бесплатное содержание детей-сирот и детей, оставшихся без попечения родителей, в лечебно-профилактических и учебно-воспитательных учреждениях, а также в детских домах семейного типа. Статистика социального обеспечения располагает данными об общем количестве интернатных учреждений, в том числе по их видам (дома ребенка, детские дома, школы-интернаты) и численности детей, находящихся в них; численности детей-сирот и детей, оставшихся без попечения родителей, состоящих на учете; численности детей и подростков, оставшихся без попечения родителей, из них устроенных в отчетном году в дома ребенка, детские дома и школы-интернаты, находящихся под опекой (попечительством) и усыновленных, направленных в учебно-воспитательные и учебные заведения на условиях постоянного государственного обеспечения.
Объектом статистического наблюдения является также оказание такого вида социальной услуги, как обеспечение инвалидов транспортными средствами (форма 1-собес Транспорт для инвалидов).
В настоящее время все большее распространение получает и такой вид социальных услуг, как социальная помощь на дому. Такая помощь оказывается престарелым и инвалидам, нуждающимся в посторонней помощи в связи с утратой способности к самообслуживанию.
К основным социально-бытовым услугам, оказываемым на дому, относятся: доставка на дом продуктов питания, обедов, товаров первой необходимости, лекарств; оплата жилищно-коммунальных и других бытовых услуг. Оказание такой помощи престарелым и инвалидам является функцией отделений социальной помощи на дому центров социального обслуживания.
Эти центры предоставляют информацию о численности лиц, которым была предоставлена помощь на дому в отчетном периоде.
45.5. Социальная поддержка семьи
Общепризнано, что семья является важнейшим социальным институтом, в котором рождаются и воспитываются новые поколения. В соответствии с Законом о семье и браке, принятом в Российской Федерации в 1996 г., семейная политика провозглашена как одно из важных направлений социальной политики государства.
На уровне государства закреплены пути и формы поддержки семьи как фундаментального общественного института, обеспечение гарантированных форм материальной поддержки.
Для целей статистического анализа в этой области могут использоваться данные об основных социальных гарантиях, предоставляемых государством в виде единовременных пособий при рождении каждого ребенка, ежемесячного пособия на период отпуска по уходу за ребенком до достижения им возраста 1,5 лет, ежемесячного пособия на каждого ребенка до 16 лет, ежемесячных пособий на детей одиноким матерям и т.д.
Сведения об общих фактических размерах пособий, носящих трансфертный характер, и их доле в доходах семьи содержатся в данных бюджетных обследований населения.
Контрольные вопросы
- Какие виды трудовых пенсий подлежат статистическому учету?
- Что понимается под минимальной пенсией?
- Как определяется среднемесячный размер пенсии?
- Какие показатели используются для характеристики инвалидности?
Статистика стоимости труда
Международные стандарты по стоимости затрат на рабочую силу сформулированы в Резолюции о статистике стоимости труда (Resolution concerning statistics of Labour cost ...), принятой 11-й Международной конференцией статистиков труда (октябрь 1966 г.)*.
* Дословный перевод с английского Labour cost означает стоимость труда, что и послужило причиной широкого использования этого термина наряду с термином затраты на рабочую силу, который в большей мере соответствует содержанию данной категории.
Характеризуя социально-экономическое содержание данной категории, академик С.Г.
Струмилин еще в 20-е годы писал, что эти затраты должны обеспечить: производство сырой рабочей силы работника; обработку этой силы в более квалифицированную; текущий и капитальный ремонт рабочей силы (т.е. нормальный отдых и лечебную помощь); амортизацию нормального износа (содержание семьи и подготовку смены в лице детей); страхование преждевременного износа.
Это образное и емкое определение не потеряло актуальности в настоящее время и практически полностью соответствует международным стандартам. В Международной стандартной классификации расходов на рабочую силу указывается, что статистическое понятие стоимости труда включает в себя: оплату произведенной работы (оплата за отработанное время), оплату за неотработанное время, премии и поощрения, выплаты в натуральной форме (расходы на питание, топливо и др.); стоимость жилья работников, оплачиваемого работодателем; расходы на социальное обеспечение работников; расходы на профессиональное обучение и культурно-бытовые услуги; налоги, рассматриваемые как стоимость труда.
Следует иметь в виду, что категория стоимость труда во многом совпадает с используемой в Системе национальных счетов категорией compensation of employees, которое в русской версии трактуется как оплата труда наемных работников. Различие между этими категориями заключается в основном в том, что в первом случае помимо заработной платы и расходов предпринимателя на социальное обеспечение учитываются такие статьи, как расходы на жилье, профессиональное обучение, культурно-бытовое обслуживание (столовые, культурные, образовательные и другие службы), налоги, рассматриваемые как стоимость труда, и другие смешанные статьи расходов, такие, как рабочая одежда, командировочные и т.п.
Существуют два подхода к определению расходов на рабочую силу: на народнохозяйственном уровне и на уровне отрасли (предприятия).
В первом случае речь идет не только о затратах предпринимателя на наемных работников, но и о затратах государства. Во всех странах правительство и другие государственные инстанции участвуют в той или иной степени в финансировании социального обеспечения (пенсионных и других систем, рассчитанных на работников).
С практической точки зрения определение указанных расходов для всей экономики имеет свои особые задачи и связано с серьезными проблемами в получении экспертных оценок.
Поэтому на совещании экспертов, посвященном статистике расходов на рабочую силу, организованном Международным бюро труда (МБТ), а также на 11-й Международной конференции статистиков труда был сделан выбор в пользу сбора данных о расходах на рабочую силу на основе концепции издержек работодателя (т.е. на уровне предприятия, отрасли). Вместе с тем было отмечено, что для международных сопоставлений данные о расходах работодателей на рабочую силу на макроуровне следует дополнять информацией о финансировании этих затрат со стороны государства.
В данном случае главное внимание уделяется проблемам учета и анализа тех издержек на рабочую силу, которые несет работодатель (т.е. непосредственно на предприятии).
27.2. Структура затрат на рабочую силу
В соответствии с классификацией МОТ отнесение тех или иных затрат работодателя к расходам на рабочую силу рекомендуется осуществлять исходя из двух критериев: с одной стороны, эти затраты должны быть фактическими издержками, которые несет работодатель при использовании наемного труда; с другой стороны, должен соблюдаться критерий пользы трудящихся. Таким образом, эта классификация осуществляется исходя как из доходов работника, так и из расходов работодателя.
Международная стандартная классификация расходов на рабочую силу включает 10 основных групп расходов. При этом первые четыре группы (оплата отработанного времени, оплата неотработанного времени, премии и поощрения, натуральные выплаты) характеризуют прямую стоимость труда (в отличие от прочих групп, которые можно считать косвенными расходами на рабочую силу).
Международная стандартная классификация стоимости труда
(принятая 11-й Международной конференцией статистиков труда октябрь 1966г.)
I. Прямая заработная плата:
1.1. Основная заработная плата повременщиков*;
* Включая также премии за ответственность, доплаты за грязь, опасность и неудобства, денежные компенсации за еду, сэндвичи и т.п., выплаты по системе гарантированной зарплаты, доплата по прожиточному минимуму и другие регулярные доплаты, рассматриваемые как прямые зарплаты и оклады.
1.2. Стимулирующие доплаты повременщикам;
1.3. Заработки сдельщиков (исключая сверхурочные доплаты);
1.4. Доплаты за сверхурочную работу, ночную смену и работу в выходной день.
II. Оплата неотработанного времени:
2.1. Ежегодный отпуск, другой оплачиваемый отпуск, включая отпуск за выслугу лет;
2.2. Государственные и другие признанные праздники;
2.3. Другое оплачиваемое время отсутствия (например, рождение или смерть членов семьи, женитьба служащих, функции номинальной должности, профсоюзная деятельность);
2.4. Выходное пособие, окончательный расчет, где они не считаются расходом на социальное обеспечение*.
* В противном случае они квалифицируются по п. VI(V).
III. Премиальные и денежные вознаграждения:
3.1. Премия в конце года и сезонные премии;
3.2. Премии по участию в прибылях;
3.3. Дополнительные выплаты к отпуску сверх обычной оплаты отпуска и другие премии и денежные вознаграждения.
IV. Еда, питье, топливо и другие выплаты в натуральной форме.
V. Стоимость жилья для рабочих, предоставляемого работодателями:
5.1. Стоимость жилья собственности учреждения;
5.2. Стоимость жилья, не являющегося собственностью учреждения (дотации, субсидии и т.п.);
5.3. Другие виды стоимости жилья.
VI. Затраты работодателей на социальное обеспечение:
6.1. Установленные законом выплаты на социальное обеспечение (по программам, охватывающим: старость, инвалидность и потерю кормильца; болезнь, материнство; производственные травмы; безработицу; пособия по многосемейности);
6.2. Выплаты по частным программам социального обеспечения и социальному страхованию по коллективному договору, контракту или необязательные (по программам, охватывающим: старость, инвалидность и потерю кормильца; болезнь, материнство; производственные травмы; безработицу; пособия по многосемейности);
6.3. (а) Прямые выплаты служащим, связанные с их отсутствием на работе из-за болезни, материнства или производственной травмы, с целью компенсации потерь в заработке; (б) другие прямые выплаты служащим, рассматриваемые как социальные страховыM пособия;
6.4. Стоимость ухода за больными и медицинского обслуживания;
6.5. Выходное пособие и окончательный расчет, где они считаются расходом на социальное обеспечение.
VII. Стоимость профессионального обучения (включая также плату за обучение и другие выплаты за услуги инструкторов со стороны, учебных учреждений, за учебный материал, возмещение рабочим платы за обучение и т.п.).
VIII. Стоимость культурно-бытового обслуживания*:
* Отличная от зарплаты и окладов персоналу, обеспечивающему услуги, например амортизация ремонта и профилактики зданий и оборудования и другая стоимость, минус дотации, налоговые скидки и т.п., полученные от государственных властей и от рабочих. Капиталовложения, сделанные в течение года, исключаются.
8.1. Стоимость содержания столовой на предприятии и другие услуги по питанию;
8.2. Стоимость образовательных, культурных, восстановительных и связанных с этим средств обслуживания и услуг;
8.3. Субсидии кредитным союзам и расходы на аналогичные услуги для работников.
IX. Прочие расходы на рабочую силу.
X. Налоги, рассматриваемые как стоимость труда.
В зарубежных странах данные о заработках нередко включают прямые выплаты сотрудникам в виде компенсации потери заработка во время болезни, хотя по своей сути эти выплаты должны относиться к расходам на социальное обеспечение. Но поскольку на практике иногда трудно отличить суммы заработка, сохраняемого во время коротких периодов отсутствия работника по болезни, из-за несчастного случая и т.п., от других выплат, то разрешается их объединять.
Расходы на рабочую силу, не относящиеся к перечисленным в классификации сводным группам, показываются в отдельной группе как прочие расходы. К ним рекомендуется относить следующие издержки, связанные с использованием наемного труда:
- командировочные расходы за время служебных командировок (без суточных);
- возмещение расходов, связанных с переводом, направлением и приемом на работу в другие местности;
- стоимость выданной спецодежды, спецобуви и т.п.
При этом следует иметь в виду, что вопрос отнесения к сводной группе IX таких затрат, как командировочные, спецодежда и некоторые другие, является спорным, поскольку высказывается мнение, что данные издержки находятся на границе между расходами на рабочую силу и накладными расходами предприятий. На наш взгляд, эти затраты могут быть отнесены к стоимости труда, так как по сути своей являются издержками работодателя, прямо связанными с организацией живого труда, с созданием необходимых условий для использования рабочей силы.
27.3. Методика сбора информации и анализа затрат на рабочую силу
В рекомендациях МОТ указывается, что вопросы стоимости затрат на рабочую силу целесообразно изучать на основе специальных выборочных обследований с интервалом, не превышающим пяти лет. При этом в качестве периода наблюдения предлагается 12 месяцев, т.е. обычный отчетный год, с тем чтобы подсчитать затраты, осуществляемые только раз в году или нерегулярно в течение года.
Информацию о затратах на содержание рабочей силы рекомендуется разрабатывать в тех же разрезах, что и заработную плату. Первостепенный интерес в этом отношении представляют группировки по отраслям, элементам расходов, регионам, по категориям работающих.
В частности, отраслевой разрез разработки очень важен с точки зрения межстранового сравнения, международного экономического сотрудничества. Разработки по регионам и категориям работающих также необходимы для аналитических сопоставлений при определении политики заработной платы, политики рынка труда и т.д.
Заслуживают внимания и комбинированные группировки расходов на рабочую силу по отраслям, размеру предприятий и регионам.
При решении вопроса, нужна ли разработка данных о затратах на рабочую силу по полу, следует иметь в виду, что распределение мужчин и женщин в зависимости от профессии, уровня квалификации и т.д. может быть в силу объективных причин очень различным, и потому сопоставление указанных данных в этом разрезе может привести к ошибочным выводам. Кроме того, существуют практические трудности для осуществления таких разработок, так как многие предприятия не ведут раздельного учета элементов расходов на рабочую силу применительно к мужчинам и женщинам.
Очевидно, в силу названных причин резолюция, относящаяся к статистике расходов на рабочую силу, считает необязательным получение информации об указанных расходах с учетом пола.
Издержки, которые несет работодатель в связи с использованием наемного труда, можно измерять в расчете на единицу выпущенной продукции и на единицу трудовых затрат. Считается, что ключевыми для аналитических сопоставлений являются расчетные показатели на единицу продукции, поскольку они наиболее наглядно отражают различия в производительности (выработке) между отраслями и странами.
Однако получение такого рода данных сопряжено с массой практических проблем. Наиболее серьезное затруднение обусловлено тем, что продукция отражается в натуральных показателях, и поскольку почти каждая отрасль производит ряд продуктов, то возникает необходимость сводить различные виды продукции в агрегированный показтель, чтобы соотнести его с совокупными расходами на рабочую силу. Относительно легче измерить расходы в расчете на единицу трудовых затрат (на одного работника или на единицу трудовых затрат, выраженных в единицах времени).
Наиболее универсальным является показатель средних затрат в расчете на отработанное время.
При этом данные о рабочем времени должны соответствовать данным о расходах на рабочую силу. Если информация об отработанном времени получена из других источников, появляется опасность ошибки при исчислении средних расходов в расчете на час, так как может существовать разнобой в обследованиях расходов и рабочего времени в смысле периода наблюдений, круга охвата и т.д.
Показатель средних затрат в расчете на отработанное время широко применяется странами с развитыми рыночными отношениями для характеристики эффективности использования живого труда. В России и других странах Содружества используются показатели затрат на содержание рабочей силы в расчете на одного работника, а также показатели, характеризующие уровень и структуру затрат в целом по экономике, по отраслям экономики и основным отраслям промышленности.
Перечень расчетных показателей, рекомендуемых для характеристики стоимости затрат на рабочую силу, приведен ниже.
Перечень расчетных показателей, рекомендуемых для характеристики стоимости затрат на рабочую силу предприятий, учреждений, организаций
1. Среднемесячные затраты на рабочую силу в расчете на одного работника (единиц национальной валюты):
всего в экономике;
по отраслям экономики;
по государственным и негосударственным предприятиям;
2. Затраты на рабочую силу в расчете на один отработанный человеко-час (единиц национальной валюты):
всего в экономике;
по отраслям экономики;
по государственным и негосударственным предприятиям.
3. Среднемесячные затраты на рабочую силу (в процентах к среднеотраслевому уровню затрат):
по предприятиям с численностью:
до 50 человек;
5099;
100199;
200499;
500999;
1000 и более человек;
по предприятиям с уровнем рентабельности (в процентах):
убыточные;
04;
59;
1014;
1519;
2029;
30 39;
40 и выше.
4. Структура затрат на рабочую силу (в процентах к общей сумме затрат на рабочую силу).
Общая сумма затрат на содержание рабочей силы всего, в том числе:
прямая денежная заработная плата;
оплата за неотработанное время;
премии и денежные вознаграждения;
заработная плата в натуральной форме;
расходы на жилье для работников;
расходы на социальное обеспечение работников всего,
из них оIязательные отчисления по всем видам социального страхования;
расходы на профессиональную подготовку;
расходы на культурно-бытовое обслуживание;
прочие расходы;
налоги, рассматриваемые как стоимость труда:
всего в экономике;
по отраслям экономики;
по государственным и негосударственным предприятиям;
5. Затраты на оплату труда работников:
среднемесячные, в расчете на одного работника (средняя заработная плата), в единицах национальной валюты;
в процентах к общей сумме затрат на рабочую силу.
27.4. Статистическое изучение заработной платы в условиях перехода к рыночным отношениям
Основная доля в составе расходов на рабочую силу (6070%) приходится на заработную плату. С переходом к рыночным отношениям содержание этой категории заметно изменилось.
В частности, помимо сумм выплат работникам, традиционно относившихся к заработной плате (а именно: оплата за отработанное и неотработанное время; стимулирующие доплаты в связи с режимом и условиями труда; премии и единовременные поощрения за работу), в составе фонда заработной платы дополнительно стали учитываться выплаты на питание, топливо и некоторые другие аналогичные социальные льготы, носящие регулярный характер.
В условиях формирования различных форм собственности, сокращения государственного сектора экономики и расширения прав предприятий и организаций в решении многих вопросов оплаты труда и дополнительных расходов на содержание рабочей силы была заметно ограничена сфера прямого воздействия государства на заработную плату.
Многие его функции в настоящее время делегируются непосредственно хозяйствующим субъектам. Предприятия самостоятельно могут устанавливать формы оплаты труда и формы материального поощрения, определять размеры тарифных ставок и должностных окладов работников.
И, как уже отмечалось, широко стала применяться практика различных социальных выплат.
Все это предопределило развитие новых процессов в сфере оплаты труда и необходимость организации новых методов анализа заработной платы.
В условиях безудержного роста потребительских цен и принимавшихся неоднократно мер по повышению заработной платы (особенно в первые годы перестроечного периода) крайне неустойчивой оказалась динамика заработной платы. Для анализа столь быстро меняющейся ситуации потребовалось введение ежемесячной отчетности о заработной плате во всех отраслях экономики и ежемесячного анализа измерения ее уровня.
Новые динамические тенденции усилили необходимость более тщательного изучения и анализа заработной платы не только в разрезе отраслей экономики, форм собственности, но и по отдельным профессиям и должностям.
РанеM источником подобной информации являлись специальные обследования, которые проводились один раз в три года (в прежние годы динамика заработной платы не требовала более частого проведения обследования). Учетом охватывались предприятия и организации 10 отраслей промышленности и строительства, внутри которых отбирались 1015 наиболее представительных профессий по каждой отрасли промышленности и 30 должностей специалистов и руководителей (единых для всех отраслей).
В современных условиях появилась настоятельная потребность в расширении перечня профессий или профессиональных групп, подлежащих обследованию, в основном за счет отраслей сферы услуг. Это тем более необходимо, что, несмотря на принимаемые меры по повышению уровня оплаты труда работников этой сферы отраслей, разрыв в размерах заработков с работниками отраслей материального производства остается значительным, что нередко приводит к возникновению массовых выступлений отдельных групп работающих (учителей, врачей и некоторых других).
Получение соответствующей информации позволяет вовремя среагировать на растущие диспропорции.
С 1994 г. в статистическую практику были введены новые обследования размеров заработной платы, программа которых максимально приближена к международным стандартам. Обследования проводятся ежегодно по состоянию на октябрь по следующему перечню показателей: численность работников, полностью отработавших отчетный месяц, в разрезе отдельных профессий и должностей; заработная плата, начисленная за отчетный месяц; тарифный заработок; число отработанных человеко-часов.
Как видно из перечисленных показателей, в программе обследования предусматривается сбор данных не только об общей сумме заработной платы, но и о ее тарифной части (т.е. о тарифном фонде). В тарифный фонд (тарифный заработок, сумму должностных окладов), в отличие от общей суммы заработков, не включаются: доплаты за сверхурочное время; доплаты за работу в выходные и праздничные (нерабочие) дни; доплаты и надбавки за географические и природно-климатические условия (районные коэффициенты и т.п.); доплаты за почетные звания; доплаты за совмещение профессий (должностей) и другие доплаты, носящие индивидуальный характер.
В рекомендациях МОТ предусматривается показатель расчетного тарифного фонда, именуемый в отчете Сумма расчетных месячных тарифных ставок исходя из тарифных разрядов, установленных на начало октября учтенным работникам. Кроме того, МОТ рекомендует получать сведения о нормальных часах работы с помощью показателя Сумма установленной на начало октября продолжительности рабочей недели по каждому из учтенных работников.
Наличие в отчете этих пказателей дает возможность определить средний размер установленной часовой тарифной ставки.
Как показала организация работы в России и ряде стран Содружества, при отсутствии показателя расчетного (нормативного) тарифного фонда предусматривается показатель Тарифный заработок (фактически начисленный), который может корреспондироваться с показателем Число отработанных за отчетный месяц человеко-часов. Делением первого показателя на второй можно получить среднечасовой тарифный заработок.
Это в принципе не противоречит рекомендациям МОТ. Однако следует иметь в виду, что данный показатель отличается несколько меньшей точностью, в частности за счет сверхурочных часов которые включаются в отработанные часы, а доплата за них в тарифный заработок не входит.
Информация, получаемая на основе указанного обследования, широко известного в мире как октябрьское обследование, используется для углубленного изучения дифференциации в оплате труда, для разработки мер по устранению необоснованных разрывов в уровне заработной платы по отдельным профессиональным группам, решения важных задач в области использования рабочей силы, регулирования доходов населения, социального обеспечения.
Анализ заработной платы был бы неполным без изучения ее дифференциации на базе учета распределения численности работников по размерам заработной платы (так называемый веер заработной платы).
До 90-х годов такой учет проводился с периодичностью один раз в пять лет. С 1994 г., когда номинальная заработная плата росла за год во столько же раз, во сколько она ранее вырастала за десятки лет, потребовалась более частая периодичность.
На основе материалов обследования строится таблица распределения численности работников по размерам начисленной заработной платы (по данным Госкомстата России), табл. 27.1.
Таблица 27.1
Распределение численности работников по размерам начисленной заработной платы (% к общей численности работающих)
Возможен и альтернативный вариант изучения веера заработной платы на основе ее кратности установленному минимуму (примерный перечень показателей: менее установленного минимума, от 1 до 2 минимумов, от 2 до 3, от 3 до 4, от 4 до 6, от 6 до 8, от 8 до 10, от 10 до 15, от 15 до 20, от 20 до 25, от 25 до 30, свыше 30 минимумов). Предложенный вариант упрощает проведение сопоставительного анализа дифференциации уровня оплаты труда по странам Содружества.
В аналитических целях на основе данных ряда распределения работников по размерам заработной платы исчисляется децильный коэффициент, характеризующий соотношение среднемесячной заработной платы 10%-ного работника с самой высокой и 10%-ного работника с самой низкой заработной платой.
Основным механизмом, регулирующим уровень заработной платы и ее динамику в России, как и в большинстве стран Содружества, является установленный минимум оплаты труда. Своеобразность государственных мер в этой области заключается в следующем.
До 1991 г. минимум заработной платы не менялся в течение 1015 лет, составлял 70 80 руб. и был единым на всей территории бывшего СССР. С 1991 г. ситуация изменилась: минимальный размер оплаты труда устанавливался самостоятельно каждой республикой (государством Содружества), размер его варьировался в 1991 г. от 900 до 2000 руб., резко сократился временной период его действия (например, в России в 1992 г. он пересматривался 2 раза, в 1993 г. 4 раза, в 1995 г. 5 раз).
Данная тема была включена в поле постоянного статистического наблюдения и анализа*.
* В настоящее время среди экономистов нет единодушного мнения о необходимости использования минимума заработной платы как механизма по предотвращению бедности. Отмечается, что, с одной стороны, он приводит к повышению доходов тех, кто работает.
С другой стороны, повышение минимума заработной платы ведет к увеличению издержек Производства и, как следствие, сокращению работников.
В результате часть рабочей силы, в основном малоквалифицированные рабочие, в помощь которым и предназначался минимум заработной платы, становятся безработными, и, естественно, их положение ухудшается. Таким образом, данная акция может иметь обратный эффект, что и вызывает неоднозначное отношение к минимуму заработной платы.
Анализ осуществляется на основе показателей частоты пересмотра минимума оплаты труда, динамики его уровня, соотношения (кратности) заработной платы и установленного минимума оплаты труда (соотношение определяется делением средней номинальной заработной платы на установленный минимум оплаты труда).
При анализе заработной платы до 1991 г. внимание было сконцентрировано в основном на изучении абсолютных размеров и темпов роста номинальной заработной платы.
Ее динамика определялась преимущественно изменением производственных показателей, повышением квалификации и централизованными мероприятиями. Однако в 1991 г. и особенно в последние годы в связи с обвальным ростом потребительских цен практически все увеличение заработной платы было подчинено задаче облегчения для работающих последствий этого роста.
Темпы прироста заработной платы стали измеряться не несколькими процентами, а разами.
Они перестали быть аналитичными, и, естественно, появилась потребность в более широком использовании категории реальная заработная плата.
Ниже приводятся общепринятые определения различных категорий зарабтной платы.
Номинальная заработная плата это сумма денег, полученная за час работы, день работы, неделю и т.д.
Реальная заработная плата это покупательная способность номинальной заработной платы.
Следует заметить, что в связи со значительной сложностью определения реальная заработная плата в рублях, как правило, не публикуется. Для анализа ее динамики используются относительные величины.
Индекс реальной заработной платы рассчитывается по следующей формуле:
С 1994 г. обострилась проблема своевременной выплаты заработной платы. В 19961998 гг. растущая просроченная задолженность по заработной плате становится общим явлением для многих стран Содружества.
По состоянию на конец 1998 г. общая сумма задолженности по выплате заработной платы в России превысила месячный фонд заработной платы предприятий и организаций, имевших задолженность, более чем в 3 раза, в Молдове в 2,4 раза, в Кыргызстане она была равна месячному фонду зарплаты.
Для контроля за задержками выплат заработной платы в текущую отчетность по труду была введена следующая система показателей (табл. 27.2).
Таблица 27.2

Просроченной задолженностью по выдаче средств на заработную плату считаются фактически начисленные, но не выплаченные в срок, установленный коллективным договором, суммы. Число дней задержки считается начиная со второго дня после этого срока.
Если срок выдачи средств на заработную плату совпадает с выходным днем, но предприятие не получило по каким-либо причинам деньги, то эти суммы по срокам, приходящиеся на выходной день, включаются в отчет (в национальном законодательстве предусмотрено, что при совпадении установленного дня выплаты зарплаты с выходным или праздничным днем она должна быть выплачена накануне их).
В сумму просроченной задолженности включаются остатки задолженности, переходящие с предыдущего месяца, не погашенные на отчетную дату, без вычета налогов и других удержаний в соответствии с законодательством. Задолженность на внутримесячные даты не включается.
Контрольные вопросы
- Какие методы используются для изучения стоимости затрат на рабочую силу?
- Какова структура затрат на рабочую силу?
- Как определяются номинальная и реальная зарплата?
- Каково значение установления минимума оплаты труда в политике заработной платы в настоящее время?
Раздел VII. Статистика национального богатства
Статистика страхования и страхового рынка
В соответствии с международной классификацией финансовых инструментов, используемых в процессе формирования потоков социально-статистической информации, страховые компании относятся к сектору финансовых корпораций, подсектору небанковских финансовых учреждений. Небанковские финансовые учреждения имеют право осуществлять некоторые банковские операции, и в последние 710 лет они стали основными конкурентами банковского сектора.
Страхование как экономическая категория является составной частью категории финансов любой страны. Однако если финансовые потоки в целом связаны с распределением и перераспределением доходов, расходов и накоплений, то страхование отражает только перераспределительные отношения между субъектами.
Страхование это необходимый элемент производственных отношений, оно связано с возмещением материальных потерь в процессе общественного производства и является важнейшим условием нормального, непрерывного и бесперебойного воспроизводственного процесса. Рисковый характер, обусловленный в первую очередь противоречием между человеком и природными силами, порождает специфические отношения между людьми по предупреждению, преодолению, локализации разрушительных последствий форс-мажорных обстоятельств и стихийных бедствий, а также по безусловному возмещению нанесенного ущерба.
Эти субъективные отношения выражают реальные и наиболее насущные потребности людей в поддержании достигнутого, жизненного уровня.
Данные отношения отличает определенная специфика, и они в совокупности составляют экономическую категорию страховой защиты общественного производства.
Услуги страхования распространяются на страховом рынке. Страховой рынок это особая сфера денежных отношений, где объектом купли-продажи выступает специфическая услуга страховая защита, формируются предложение и спрос на нее.
В настоящее время страховой рынок России характеризуется ростом числа страховых компании и страховщиков, а также объемов совершаемых ими операций, появлением новых потребностей и новых направлений их деятельности. Кроме того, произошло достаточно резкое обострение конкуренции со стороны как отечественных страховых компаний, так и зарубежных страховых и перестраховочных фирм.
Основными признаками, характеризующими специфику данной экономической категории, являются:
- вероятностный, случайный характер возникновения страхового случая, связанный с рисковым характером рыночной экономики; Страховой случай это наступление неожиданных, непредсказуемых и непреодолимых событий, влекущих за собой возможность нанесения материального или морального ущерба юридическим и физическим лицам;
- возможность количественной оценки нанесенного ущерба с помощью натуральных и денежных измерителей;
- объективная необходимость перераспределения ущерба в статике и динамике, т.е. по горизонтали между территориальными субъектами и во времени;
- возвратность средств, мобилизованных в страховой фонд. Страховые взносы каждого страхователя имеют только одно назначение возмещение вероятной суммы ущерба в определенном масштабе и в течение определенного периода.
Классификация видов и способов страхования осуществляется в зависимости от:
- специфики страховых компаний государственное и негосударственное страхование. Иногда используют термины централизованное и децентрализованное страхование. Централизованное страхование связано с прямым законодательным выделением из национального дохода и национального богатства страны определенных потоков страховых фондов. Децентрализованное страхование предполагает создание финансовых резервов из других источников. Со своей стороны негосударственные страховые учреждения могут относиться к различным формам собственности акционерной (открытого или закрытого типа), собственности взаимных и кооперативных фондов, товариществ, совместной (типа Joint Venture), частной собственности;
- страхователей (физических или юридических лиц, которые уплачивают страховые взносы и тем самым вступают в конкретные страховые отношения со страховщиком) личное, общественное и социальное страхование, страхование ответственности, предпринимательских рисков, банковских рисков;
- числа страховых случаев, включаемых в объем страховой ответственности, широкое и ограниченное страхование. Ограничение объема страховой ответственности зависит от финансовой страховой компании, специфики контролируемого ею рынка, типа страхователей, уровней странового и валютного рисков, риска форс-мажорных обстоятельств;
- уровня страхового обеспечения, который выражается уровнем страховой оценки по отношению к стоимости имущества, принятого для страхования (в процентном отношении). Часто условия страхования дают возможность страхователю самому устанавливать уровень страхового обеспечения. Существуют две системы страхового обеспечения система пропорционального обеспечения и система первого риска, которая предусматривает возмещение ущерба в рамках стоимости застрахованного имущества. Если сумма ущерба оказалась больше страховой суммы, то разница не возмещается. При этом ущерб в пределах страховой суммы называется первым (возмещаемым) риском, а сверх страховой суммы вторым (невозмещаемым) риском;
- формы обязательное и добровольное страхование. Общество в лице государства устанавливает законом оIязательное страхование, т.е. обязывает определенный круг страхователей вносить фиксированные страховые платежи, когда необходимость возмещения материального или иного ущерба или оказания денежной помощи касается интересов не только конкретного страхователя, но и общества в целом. Иными словами, обязательная форма страхования распространяется на приоритетные объекты страховой защиты. Поэтому в нашей стране обязательным является социальное страхование, страхование имущества сельскохозяйственных предприятий, страхование строений, пассажиров и военнослужащих.
В соответствии с классификацией ЕЭС существуют следующие виды страхования.
1. Долгосрочное страхование, к которому относятся:
- страхование жизни и аннуитетов;
- страхование к бракосочетанию и рождению ребенка;
- связанное долгосрочное страхование;
- непрерывное страхование здоровья;
- страхование тонтин;
- страхование возмещения капиталов;
- страхование пенсий;
- индустриальное страхование жизни.
2. Общие виды страхования, включающие страхование:
- от несчастных случаев;
- на случай болезни;
- автомобилей;
- железнодорожного подвижного состава;
- самолетов;
- судов;
- транспортное страхование грузов;
- от пожаров и стихийных бедствий;
- имущества;
- гражданской ответственности водителей автотранспорта;
- гражданской ответственности владельцев авиакомпаний;
- гражданской ответственности судовладельцев;
- общей ответственности. По этому виду различают страхование задолженности и страхование на случай возмещения вреда, которое также называют страхованием общей гражданской ответственности;
- кредитов и депозитов;
- от финансовых потерь, связанных со злоупотреблениями работающих по найму;
- от прочих финансовых потерь;
- судебных издержек.
Государственный надзор за страховой деятельностью осуществляется в целях соблюдения требований законодательства Российской Федерации о страховании, эффективного развития страховых услуг, защиты прав и интересов страхователей, страховщиков и иных субъектов и заинтересованных лиц и самого государства. Государственный надзор за страховой деятельностью на территории Российской Федерации осуществляет Федеральная служба России по надзору за страховой деятельностью (Росстрахнадзор).
Росстрахнадзор выдает страховым компаниям лицензии на осуществление страховой деятельности, устанавливает правила формирования и размещения страховых резервов, показателей и форм учета страховых операций и отчетности о страховой деятельности, контролирует обоснованность страховых тарифов и обеспечение платежеспособности страховых компаний.
К функциям Росстрахнадзора относятся также ведение единого Государственного еестра страховщиков и их объединений. Реестра страховых брокеров и разработка нормативных и методических документов по вопросам страховой деятельности.
Кроме этого Федеральная служба России по надзору за страховой деятельностью занимается обобщением практики страховой деятельности, разработкой предложений по развитию и совершенствованию законодательства Российской Федерации о страховании.
Кроме того, Росстрахнадзор имеет право:
- получать от страховщиков установленную отчетность о страховой деятельности, информацию об их финансовом положении, необходимую для выполнения своих функций информацию от предприятий, учреждений и организаций, в том числе от банков, а также от физических лиц;
- осуществлять проверки за соблюдением законодательства Российской Федерации о страховании и достоверности представляемой отчетности;
- при выявлении нарушений требований законодательства давать субъектам страхового рынка рекомендации по их устранению, а в случае невыполнения рекомендаций приостанавливать или ограничивать действие лицензий этих субъектов впредь до устранения выявленных нарушений либо принимать решение об отзыве их лицензий;
- обращаться в арбитражный суд с иском о ликвидации страховой компании в случае неоднократного нарушения законодательства Российской Федерации, а также о ликвидации институциональных единиц, осуществляющих страховые услуги без лицензии.
Оптимальное сочетание обязательного и добровольного страхования позволяет сформировать такую систему страхования, которая обеспечивает универсальный объем страховой защиты общества в целом.
Обязательное страхование базируется на следующих принципах:
- устанавливается законом, согласно которому страховщик обязан застраховать соответствующие объекты, а страхователь вносить причитающиеся страховые взносы регулярно;
- имеет сплошной охват;
- распространяется автоматически на все объекты и субъекты, подлежащие страхованию. Страхователь не должен заявлять в страховой орган о появлении объекта (субъекта) страхования, он будет автоматически включаться в сферу страхования, учитываться при очередной регистрации, и ему будут предъявлены к оплате взносы;
- является бессрочным;
- осуществляется нормированное страховое обеспечение.
Добровольная форма страхования построена на следующих принципах:
- действует одновременно и в силу закона, и на добровольных началах;
- добровольное участие в страховании относится,только к страхователям;
- имеет выборочный охват;
- всегда ограничена сроком страхования;
- действует только при уплате разового или периодических страховых взносов;
- страховое обеспечение зависит от желания страхователя.
Иногда страховые компании сVздают так называемый страховой пул объединение страховых компаний для совместного страхования определенных рисков. Страховой пул создается преимущественно при приеме на страхование крупных и опасных рисков.
Деятельность пула строится на принципе сострахования.
Обычно компания, принимающая риски на страхование, выдает полис от имени всех членов пула в доле их участия в нем. Принимающая страховая компания может произвести перестрахование таких рисков за общий счет или в общую пользу.
Кроме страхования на практике используется и такой инструмент оптимизации уровня принятых рисков, как перестрахование.
Перестрахование является системой экономических отношений, в процессе которых страховщик, принимая на страхование определенные риски, передает часть ответственности по ним, с учетом своих финансовых возможностей, на согласованных условиях другим страховщикам с целью создания сбалансированного портфеля страхований, обеспечения собственной финансовой устойчивости и рентабельности. Одновременно передается и соответствующая доля страховой премии.
Приняв в перестрахование риск, перестраховщик может частично передать его другому (третьему, четвертому) страховщику (перестраховщику). такую операцию называют ретроцессией, а перестраховщика, передающего риск в ретроцессию, ретроцессинером.
22.2. Основные показатели статистики страхования и методология их исчисления
Страхование процесс двусторонний. Основные субъекты страхования следующие.
Страхователь (полисодержатель) дееспособное физическое или юридическое лицо, уплатившее страховой взнос и вступившее в конкретное страховое обязательство со страховщиком. Страхователями могут быть как резиденты и нерезиденты, так и лица без гражданства, представляющие различные типы собственности, различные отрасли (сектора) экономики.
Основная обязанность страхователя состоит в осуществлении регулярных страховых взносов (премии, платежи).
Страховщик юридическое лицо любой организационно-правовой формы, предусмотренной законодательством РФ, созданное для осуществления страховой деятельности и получившее в установленном законом порядке лицензию на эту деятельность на территории России. Страховщиками могут быть государственные, акционерные, частные или совместные страховые организации.
Страховщики могут осуществлять страховую деятельность напрямую или через страховых агентов и страховых брокеров.
Страховые посредники являются связующим звеном между страховой компанией и ее клиентами они выполняют непосредственное страховое обслуживание.
Основные функции страховых посредников можно классифицировать следующим образом:
- информирование клиентов о специфике деятельности страховой компании и условиях страхования;
- принятие и первичный анализ качества страховых предложений, заключение, возобновление договора страхования и инкассация страховых взносов;
- разъяснения клиентам их прав и обязанностей (действий) при наступлении страхового случая.
В зависимости от способа и места приобретения различают следующие виды страховых полисов:
- индивидуальный приобретается исключительно по месту жительства и желанию клиента;
- коллективный страхуются работники коллектива (чаще от несчастного случая и страхование жизни);
- смешанный, который основывается на сотрудничестве территориальных посредников со специализированными компаниями, а также на налаживании оптимального компромисса в процессе совместной деятельности субъектов государственного и негосударственного страхования.
Страховые агенты физические или юридические лица, осуществляющие свою деятельность от имени страховщика и по его поручению в соответствии с предоставленными полномочиями.
Страховые брокеры юридические или физические лица, зарегистрированные в установленном порядке в качестве предпринимателей, осуществляющие посредническую деятельность по страхованию от своего имени на основании поручений страхователя либо страховщика. Страховые брокеры обязаны направлять в Росстрахнадзор извещение о намерении вести посредническую деятельность по страхованию не позже чем за 10 дней до начала этой деятельности.
К извещению должна быть приложена копия свидетельства (разрешения) о регистрации брокера в качестве юридического лица или предпринимателя.
Посредническая деятельность по страхованию, связанная с заключением договоров страхования от имени иностранных страховых организаций на территории Российской Федерации, допускается в том случае, если это предусмотрено соответствующим межгосударственным соглашением с участием России.
Страховой брокер:
- представляет интересы клиента;
- действует как консультант своего клиента и информирует его о диапазоне предоставляемых компанией доступных страховых услуг;
- ведет переговоры от имени своего клиента с целью достижения приемлемого компромисса между размером страхового покрытия и стоимостью страхования в пользу клиента, иными словами, обеспечивает полную цепочку услуг от привлечения клиента и размещения риска до урегулирования рисков в случае возникновения страхового случая;
- обеспечивает максимально (оптимально) высокий стандарт распределения риска и дает гарантии клиенту, что при наступлении страхового случая он будет достаточно обеспечен. Для этого он должен знать уровень финансовой и социальной устойчивости не только конкретного клиента, но и страховой компании;
- умеет создать устойчивую схему превращения значимых потенциальных клиентов в реальных партнеров страховщика.
Страховой взнос плата за страхование, которую страхователь обязан внести страховщику по договору страхования или по закону. Размер страхового взноса исчисляется в соответствии со страховым тарифом.
Расчет величины ежегодного прироста (снижения) совокупного резерва взносов осуществляется сальдовым методом. Формула имеет следующий вид:
Р = Д В У Н О - П, (22.1)
где Р годовой прирост резерва взноса;
Д поступления страховых взносов и других доходов;
В фактические выплаты страховых сумм в соответствии с договорами о наступлении страхового случая;
У заложенная в тарифах сумма выплат в связи с наступлением страхового случая. Она определяется как произведение установленного среднего тарифного норматива на число сотен страховой суммы в соответствии с заключенным договором;
Н заложенная в тарифах сумма расходов на содержание страховых органов, которая исчисляется в установленном проценте от поступивших за год взносов по различным видам страхования;
О остаток резерва взносов, образующийся при выплатах выкупных сумм, поскольку размер выкупной суммы несколько меньше накопившегося резерва на момент досрочного прекращения договора с правом на выкуп. Он исчисляется в установленном проценте от выплаченных выкупных сумм;
П прибыль от фактических выплат в связи с наступлением страхового случая и расходов по ведению дела.
Основными источниками финансирования страховых компаний являются:
- средства федерального и местных бюджетов;
- средства государственных и общественных организаций и предприятий, других хозяйствующих субъектов;
- безвозмездные (благотворительные) взносы и пожертвования;
- доходы от операций с ценными бумагами;
- кредиты банков и других финансовых небанковских учреждений;
- иные источники, не запрещенные законодательством.
Страховой тариф это цена страховой услуги, которая исчисляется на основании актуарных расчетов. С помощью методов страховых финансовых вычислений и на базе статистических расчетов частоты наступления страхового случая в связи с основами теории рисков определяется размер страхового тарифа для разных видов страхования, на различных рыночных сегментах, в зависимости от ряда внешних и внутренних факторов.
Страховые тарифы по обязательным видам страхования устанавливаются в законах об обязательном страховании. Страховые тарифы по добровольным видам личного страхования, страхования имущества и ответственности могут устанавливаться страховщиками самостоятельно и индивидуально в зависимости от конкретного страхователя.
Страхователь вправе уплачивать взносы сам или поручить оплату любому другому физическому или юридическому лицу в рублях или иностранной валюте при согласии страховщика. Платежи можно производить наличными деньгами страховому агенту (инспектору, брокеру), через банк, почтовым переводом, а также с помощью различных форм безналичных расчетов.
Просрочка уплаты страховых взносов прекращает или изменяет условия страховых обязательств либо дает право на принудительное взыскание страхового взноса. При заключении договора страхователь обязан определить и сообщить все необходимые сведения об обстоятельствах, составляющих страховой риск, а также оговорить условия, превращающие его в страховой случай.
Страховой риск вероятность наступления страхового случая. Совокупность рисков, при которой большое количество застрахованных объектов или несколько объектов со значительными страховыми суммами может быть затронуто одним и тем же страховым случаем (например, наводнение), в результате чего возникает крупный убыток, называют кумуляцией.
Кумуляция может иметь место и по одному объекту (перевозка на одном судне грузов, совокупная страховая сумма которых может иметь значительные размеры).
В перестраховании кумуляция возникает в тех случаях, когда страховое (перестраховочное) общество участвует в ряде перестраховочных и ретроцессионных договоров, в которые включены одни и те же риски.
Рассмотрим показатели, с помощью которых анализируются финансовое состояние страховщика, его рейтинг, определяющий социально-экономическую привлекательность той или иной страховой компании.
1. Маржа платежеспособности страховой компании рассчитывается как соотношение активов и обязательств в соответствии с методикой, утвержденной Росстрахнадзором (от 28.04.1993 г. 0202/14).
2. Надежность размещения активов, покрывающих страховые резервы, рассчитывается в соответствии с Правилами размещения страховых резервов, утвержденными Росстрахнадзором 14.03.1995 г. 0202/06. Определяется отдельно по страхованию жизни и прочему страхованию.
3. Уровень выплат страховых сумм исчисляется как отношение сумм страховых выплат (брутто) за отчетный период к суммам поступивших страховых взносов (брутто). Для формирования оптимального значения этого показателя для конкретной (перестраховочной) компании индивидуальное значение сравнивается со средним значением по конкретному рыночному сегменту, на котором данная компания осуществляет свою деятельность.
Показатель рассчитывается также отдельно по страхованию жизни и прочему страхованию.
4. Обеспеченность страховыми резервами, т.е. отношение суммы страховых резервов к сумме аккумулированных взносов. Показатель не рассчитывается по страхованию жизни.
Формирование страховых резервов осуществляется в соответствии с правилами, утвержденными Росстрахнадзором 18.03.1994 г. 0202/04.
В состав страховых входят технические резервы, состоящие из резерва неразработанных премий, резерва убытков и дополнительного технического резерва, и резерв предупредительных мероприятий. В соответствии с Правилами размещения страховых резервов разрешается размещать резервы по следующим направлениям и при соответствующих нормативах оценки активов:
- государственные ценные бумаги 0,875;
- ценные бумаги, эмитированные денежными властями субъектов РФ, 0,500;
- прочие ценные бумаги 0,600;
- банковские депозиты0,550;
- права собственности на долю участия в уставном капитале 0,125;
- недвижимое имущество 0,500;
- в том числе квартиры0,660;
- валютные ценности 0,500;
- денежная наличность 0,670.
5. Текущая ликвидность характеризует общую обеспеченность компании оборотными средствами для ведения хозяйственной деятельности и своевременного погашения срочных обязательств. Рассчитывается как соотношение фактической стоимости находящихся в наличии оборотных средств (сумма итогов II и III разделов актива баланса за минусом расходов будущих периодов) к наиболее срочным обязательствам (сумма итогов II и III разделов пассива баланса за вычетом долгосрочных кредитов банков, долгосрочных займов, доходов будущих периодов, фондов потребления).
Для определения оптимального значения индивидуальный показатель страховой компании соотносится со средним показателем по рынку.
Соответствие инвестиционной деятельности страховой компании принципам ликвидности, возвратности и прибыльности активов определяется по формуле (22.2)

где Сп норматив соответствия инвестиционной деятельности (финансовой устойчивости);
Ki = Di Hi,
при этом:
Кi (i = 1, 2, 3, ...) коэффициент, соответствующий направлению вложений по каждому договору страхования;
Di фактическая сумма вложений в данном направлении;
Р общая сумма страховых резервов;
Нi норматив, соответствующий направлению вложений.
Анализ финансового состояния страхователя осуществляется аналогично анализу уровня кредито- и платежеспособности клиентов банков.
22.3. Источники статистической информации о страховании и методы ее анализа
Основными источниками информации о деятельности страховых и перестраховочных компаний являются формы бухгалтерской и статистической отчетности.
1. Годовая и ежемесячная бухгалтерская отчетность, к которой относятся следующие формы:
а) бухгалтерский баланс страховой организации ф. 1 страховщик;
б) отчет о финансовых результатах страховой организации ф. 2 страховщик;
в) пояснения к бухгалтерскому балансу и отчету о финансовых результатах:
- отчет о движении капитала страховой организации ф. 3 страховщик;
- отчет о движении денежных средств страховой организации ф. 4 страховщик;
- приложение к бухгалтерскому балансу страховой организации ф. 5 страховщик;
- пояснительная аналитическая записка;
г) аудиторское заключение, выданное по результатам обязательной по законодательству РФ аудиторской проверки страховой организации.
2. Формы статистической отчетности, представляемые в порядке надзора в Министерство финансов РФ:
а) отчет о платежеспособности страховой организации ф. 6 страховщик;
б) отчет о размещении страховых резервов ф. 7 страховщик;
в) отчет о размещении страховых резервов медицинскому страхованию ф. 7а страховщик (только для страховых медицинских организаций, осуществляющих обязательное и добровольное медицинское страхование);
г) отчет о страховых резервах по иным видам страхования ф. 8 страховщик;
д) отчет об использовании средств резерва предупредительных мероприятий ф. 9 страховщик;
е) отчет об операциях перестрахования ф. 10 страховщик. Страховые организации составляют статистическую отчетность на основании итоговых показателей статистического и бухгалтерского учета.
В зависимости от отчетного периода статистическая отчетность может быть ретроспективной и оперативной. Оперативная статистическая отчетность включает следующие формы:
- срочный отчет о поступлении страховых платежей, который содержит сведения о поступлении страховых платежей в целом, по отдельным филиалам страховых компаний, по различным видам страхования за определенный (отчетный) период нарастающим итогом (обычно с начала года или квартала);
- отчет о развитии добровольного страхования, который показывает количество заключенных договоров по каждому виду страхования, число действующих договоров по всем видам страхования. Эта форма составляется в целом по страховой компании и по отдельным филиалам.
Особое место в социально-статистическом анализе занимает анализ показателей убыточности страховой суммы по каждому виду и однородным объектам страхования и элементам убыточности. Анализ осуществляется с целью проверки надежности действующих тарифных нетто-ставок, для контроля финансовой устойчивости страховой компании и ее филиалов.
Контрольные вопросы
- Какие основные функции выполняет страховая компания, и в чем их отличие от функций кредитной организации?
- Какие существуют виды страхования в соответствии с классификацией ЕЭС?
- Основные принципы формирования страховых резервов в соответствии с правилами Росстрахнадзора.
- Необходимы ли негосударственные страховые компании?
- Какие основные функции осуществляют посредники в страховом деле?
Раздел V. Статистика цен, тарифов и инфляции
Статистика товарных бирж
Товарная биржа это ограниченный определенными рамками участок (сегмент) оптового товарного рынка, на котором реализуются специфические продукты природное сырье, металлы, зерно и т.п., хотя в российской действительности был период, когда биржи торговали почти полным набором продуктов. В настоящее время наряду с узкоспециализированными биржами функционируют универсальные биржи с широким ассортиментом продуктов производственного и потребительского назначения.
Численность товарных бирж в последние годы продолжает сокращаться. Так, в 1997 г. их число уменьшилось за год на 11, а по сравнению с 1995 г. на 24. На 1 января 1998 г. в России насчитывалось 67 товарных бирж.
За 1997 г. было проведено 4,3 тыс. оргов (примерно на треть меньше, чем в 1995 г.).
Снижается и активность торгов: число заключенных сделок сократилось почти в 4 раза против 1995 г. Если в среднем за одни торги в 1995 г. заключалось 19 сделок, то в 1997 г. только 6. Как видно, кризис экономики затронул и биржевую систему.
Отдельные российские биржи совмещают деятельность на товарном и фондовых рынках. Кроме того, под биржей часто понимают соответствующим образом оборудованное место биржевых торгов со своей инфраструктурой.
Существует еще так называемая внебиржевая торговля, которая осуществляется брокерами за пределами операционного зала биржи, но на основе биржевых котировок.
В то же время товарная биржа представляет собой важный элемент рыночного механизма распределения продукта, позволяющего объективно устанавливать пропорции спроса и предложения и определять равновесную цену. Биржу можно рассматривать и как индикатор общего рынка товаров, так как она чутко реагирует на любые конъюнктурные сдвиги.
Товарную биржу можно рассматривать не только как индикатор, но и как регулятор рынка, поскольку она поддается целенаправленному воздействию со стороны участников биржевого процесса (игра на повышение или понижение цен, сделки с реальным товаром и т.д.).
Биржа включает в себя ряд комитетов (палат), осуществляющих контроль и управление биржевой деятельностью. Особую роль играет котировальный комитет, который осуществляет котировку цен (особая форма их регистрации) и последующую их публикацию.
Процесс котировки опирается на статистическую методологию, использует специальные программы для ЭВМ.
Не менее важное значение имеет расчетная палата, которая регистрирует все сделки, а некоторые биржи создают статистические комитеты, которые ведут учет и отчетность, выполняют статистические расчеты (биржевых индексов, например).
Торговый процесс на бирже имеет некоторые признаки аукционной торговли, так как при сделках с реальным товаром последний достается покупателю, предложившему максимальную цену. Сделки с реальным товаром составляют 510% биржевого оборота.
Главное содержание биржевой деятельности это биржевая игра на срок форвардная и фьючерсная торговля, сделки по опционам, хеджирование и спрединг.
Форвардная сделка предусматривает игру на разнице цен: цена устанавливается на момент сделки, а поставка осуществляется через какой-то обусловленный срок, когда цены на рынке могли измениться в ту или другую сторону. Фьючерсная сделка вообще не предусматривает реальной поставки товара: торгуют контрактами с целью получить разницу между ценой на дату заключения контракта и ценой на дату исполнения контракта.
Опционная сделка заключается в том, что один из участников приобретает право на покупку товара (опцион) по фиксированной цене и выплачивает владельцу товара премию за обязательство обеспечения его прав. Спрединг особая форма фьючерсной сделки с различными вариантами сроков поставки.
Хеджирование это форма страхования сделок от ценовых рисков.
Его цель состоит в том, чтобы возможные потери на рынке реального товара компенсировать выигрышем на фьючерсном рынке.
Биржевые продавцы и покупатели, как правило, сами не выступают на бирже, а бывают представлены биржевыми посредниками: брокерами и дилерами, совершающими сделки от имени клиента или по его поручению. В качестве вознаграждения они получают комиссионные.
Для того чтобы иметь право осуществлять биржевые операции, надо быть членом биржи.
Предметом биржевой статистики являются биржевые операции по реализации товара и биржевой игре (включая объем реализованного продукта, цены и результаты биржевой игры), биржевая конъюнктура, инвестиции, биржевая инфраструктура. Статистика изучает также воздействие биржевой деятельности на состояние и развитие товарного рынка.
Задачи биржевой статистики вытекают из потребностей в соответствующей информации государственных органов и рыночных структур для повышения роли товарной биржи в экономике страны и улучшения маркетинговой деятельности рыночных структур.
К конкретным задачам статистики товарных бирж можно отнести:
- формирование инсрормацнонного банка;
- опенку, анализ и прогнозирование биржевой конъюнктуры;
- оценку роли биржевой торговли на рынке продуктов;
- анализ биржевого товарооборота, характеристику соотношения сделок с реальным товаром и сделок на срок;
- анализ динамики и колеблемости биржевых цен;
- анализ коммерческих результатов биржевой игры;
- оценку состояния и развития биржевой инфраструктуры.
Реализация задач изучения товарных бирж и биржевой деятельности осуществляется с помощью следующей системы статистических показателей:
1) число, состав и размер товарных бирж, в том числе смешанных;
2) сирое и предложение на бирже (заказы на покупку и продажу), их соотношение;
3) товарооборот бирж, в том числе поставка реального товара, доля товарных бирж в общем объеме оптового товарооборота;
4) деловая активность на биржевом рынке (число и динамика сделок), доля сделок на срок;
5) уровень, динамика и колеблемость биржевых цен, в том числе по сделкам на срок;
6) хеджирование фьючерсных сделок (размер страховок и депозитов, размер маржи);
7) показатели коммерческой эффективности биржевых сделок;
8) показатели биржевой инфраструктуры (объем и структура основных фондов бирж, здания, сооружения, связанные с биржевой деятельностью).
О конъюнктуре биржевого рынка можно судить по индексам деловой активности, но биржа имеет существенную особенность соотношение спроса и предложения на ней определяется непосредственно по заявкам на продажу и на покупку товаров.
40.2. Источники информации о биржевой деятельности и рыночной конъюнктуре
Существует государственный реестр бирж, на основании которого выявляются наличие и состав бирж. Практически все биржи публикуют информацию о своей деятельности, в ее числе данные о продаже товаров и котировка цен.
По этим данным определяется товарооборот биржи, характеризуются фьючерсные и форвардные сделки, строятся индексы цен и индексы деловой активности. Создаются обзоры биржевой конъюнктуры.
Используются данные отчетности бирж, статистической и бухгал терской. Периодически на биржах проводятся специальные конъюнктурные опросы.
Своя отчетность существует у брокерских и дилерских контор, в частности об объемах купли-продажи товаров, их качестве, сроках поставки при реальных и фьючерсных сделках, о прибылях и убытках от сделок, о размерах комиссионных.
К источникам информации о биржевой деятельности относятся данные расчетной палаты и статистического комитета.
Данные о ценах предоставляет котировочный комитет в форме биржевого бюллетеня, таблицы, где содержатся данные о минимальной и максимальной цене (цене предложения и цене спроса), цены первой и последней сделки (в случаях резких колебаний в течение дня приводятся точки, их отражающие), а также цены на момент открытия и закрытия биржи.
Показывается также средняя цена и изменение цены по сравнению с предыдущим днем работы биржи.
Биржевой товар стандартизуется по качеству и количеству. Его унифицированной единицей является лот, соответствующий, как правило вместимости одного транспортного места (средства).
Лот количество товара, кратное единице (тонна, центнер, тыс. штук, сто упаковок и т.п.).
Товар поставляется через определенные промежутки времени позиции. При поставке товара через склады биржи составляется извещение о поставке (НОТИС) с приложением всех товарораспорядительных документов.
Уровни цен на товарной бирже также стандартизированы. Устанавливается минимальное изменение цены за лот (часто кратное единице или 1/4 единицы).
Такое изменение называется пунктом.
Внедрение ЭВМ в биржевую деятельность позволило увелиить объем операций, ускорить их осуществление, связать биржи в единую информационно-операционную цепь. Особенно широко ЭВМ используются в расчетных палатах.
Автоматизируются расчеты с клиентами, вводится компьютерная система видеокотировок с использованием электронных табло в операционном зале и за его пределами.
Контрольные вопросы
- Что собой представляют фьючерсная и форвардная сделки на товарной бирже?
- Что такое опцион?
- В чем заключается цель хеджирования?
Раздел X. Статистика уровня жизни населения и социальной сферы
Статистика валового внутреннего продукта и национального дохода
Задачи статистики валового внутреннего продукта и национального дохода состоят в том, чтобы на основе системы показателей дать характеристику основных результатов экономического процесса, определить размеры и структуру конечного продукта, темпы экономического роста, показать распределение доходов, масштабы перераспределительных процессов.
Система национальных счетов как система статистических показателей формировалась и развивалась на основе статистики продукта и дохода. Продукт и доход взаимоувязанные категории, несмотря на то, что каждая имеет самостоятельное значение.
Продукт в широком смысле слова означает результат экономической деятельности с точки зрения создания потребительной стоимости, а доход отражает процесс распределения стоимости в связи с созданием потребительной стоимости.
При этом надо иметь в виду, что определение продукта и дохода на макро- и микроуровне не совсем совпадают. Другими словами, такие макроэкономические показатели, как валовой внутренний продукт и национальный доход, не представляют собой простую сумму определяемых на уровне хозяйствующих субъектов соответственно в одном случае показателей продукта, а в другом дохода.
Различие подходов обусловлено разными задачами экономического анализа, хотя в отдельных случаях для комплексного анализа воспроизводственных процессов оба подхода могут друг друга дополнять.
Статистика валового внутреннего продукта и национального дохода базируется прежде всего на современных концепциях производственной сферы деятельности (границ производства). Трактовка границ производства носит исторический характер: со временем она становится все более расширительной (от физиократов к Смиту и Марксу и, наконец, к современным представлениям о сфере производства).
В условиях рыночных отношений как исторически опробованной формы организации общественного производства сфера производства представляется деятельностью, в результате которой образуется экономическое благо.
Сфера производства синоним понятия общественное производство.
В международных стандартах с 1993 г. общественное производство интерпретируется как симбиоз открытой (прозрачной) экономики и теневой экономики. В том случае, если деятельность в домашних хозяйствах по производству экономических благ достаточно интегрирована с экономической деятельностью основных производящих институциональных единиц (предприятий и других хозяйствующих субъектов), она рассматривается как составная часть общественного производства.
Национальная экономика состоит из рыночного сектора и нерыночной сферы деятельности.
Экономическое благо принимает форму продукта (товара) или услуги. Продукт можно назвать изделием, получаемым из исходного сырья (материала) и имеющим самостоятельную потребительскую ценность.
Услуга это экономическое благо, не имеющее натурально-вещественной формы, при этом процесс производства совпадает с процессом потребления. Не включаются в сферу производства:
- владение активами (даже если это приносит доход);
- результаты естественного роста растений и животных, происходящего без участия человека.
По практическим соображениям в сферу общественного производства современная статистика включает производство продуктов (как в товарной, так и в нетоварной форме) и рыночных услуг всеми институциональными единицами и производство нерыночных услуг всеми институциональными единицами, кроме домашних хозяйств (в последнем случае исключение из правила делается в отношении жилищных услуг, оказываемых владельцами домов (квартир) для собственного потребления).
Такие услуги, оказываемые домашними хозяйствами самим себе, как приготовление пищи, воспитание детей, уход за больными и престарелыми, уборка и ремонт жилья, ремонт домашнего имущества, транспортных средств, принадлежащих хозяйствам, перевозка членов домашних хозяйств и домашнего имущества, находятся за границами сферы производства. Вместе с тем производство домашними хозяйствами сельскохозяйственной, промышленной и строительной продукции (независимо от того, принимают ли результаты такой деятельности товарную или нетоварную форму), все платные услуги, оказываемые населением (наемная прислуга, репетиторство, наемные няни, садовники, шоферы, частная практика врачебная, юридическая и т.п.), а также указанные выше условно исчисленные услуги домовладельцев самим себе интерпретируются как производственная деятельность.
В отечественной статистике результаты производственной деятельности принято делить на:
товары (продукты, принимающие форму товара или не принимающие форму товара);
услуги материального характера (так называемые материальные услуги);
услуги нематериального характера (так называемые нематериальные услуги).
В аналитических целях, а также с целью обеспечения согласования (для построения динамических рядов макропоказателей) с прошлыми макроэкономическими расчетами, производившимися в концепции баланса народного хозяйства, нередко выделяют две группы равноправных отраслей: сферу материального производства (материальное производство) и сферу нематериальны услуг.
К отраслям материального производства можно отнести:
- промышленность;
- сельское хозяйство;
- лесное хозяйство;
- рыбное хозяйство;
- строительство;
- транспорт;
- торговлю и общественное питание;
- материально-техническое снабжение;
- заготовки;
- информационно-вычислительное обслуживание;
- операции с недвижимым имуществом;
- общую коммерческую деятельность по обеспечению функционирования рынка;
- геологию и разведку недр, геодезическую и гидрометеорологическую службы;
- прочие виды деятельности сферы материального производства.
Сфера нематериальных услуг включает:
- жилищное хозяйство;
- коммунальное хозяйство;
- бытовое обслуживание населения предприятиями сферы нематериальных услуг (в экономической литературе и экономических документах нормативного характера данная позиция называется неточно: непроизводственные виды бытового обслуживания населения);
- здравоохранение, физическую культуру и социальное обеспечение;
- народное образование;
- культуру и искусство;
- науку и научное обслуживание;
- финансы, кредит, страхование, пенсионное обеспечение;
- управление;
- общественные объединения.
Применительно к сфере материального производства прежде всего для отраслей, где создается продукция в натурально-вещественной форме, в рамках действовавшей системы учета (баланса народного хозяйства) для уровня предприятий (или отраслевых групп предприятий) статистиками была сформирована система показателей продукции, включающая: валовой оборот; валовую продукцию; товарную продукцию; реализованную продукцию; конечную продукцию; чистую продукцию. Для макроуровня существовали следующие показатели: валовой общественный продукт (как сумма валовой продукции предприятий материального производства); конечный общественный продукт (валовой общественный продукт за вычетом внутриотраслевого и межотраслевого оборота); национальный доход (валовой общественный продукт минус материальные затраты).
Валовой оборот это сумма продукции, произведенной за определенный период во всех подразделениях, входящих в состав производственного объекта, независимо от направления ее фактического использования, формы и степени готовности.
Валовая продукция показатель, характеризующий объем производства во всех отраслях материального производства. Для хозяйствующего субъекта валовая продукция равна разнице между валовым оборотом и внутрипроизводственным оборотом.
Товарная продукция часть продукции, произведенной в рамках производственного объекта, которая реализована или предназначена к реализации на сторону. Товарная продукция равна разнице между валовой продукцией и изменением остатков незавершенного производства.
Реализованная продукция это та продукция, которая оплачена покупателем в рассматриваемом периоде.
Конечная продукция часть валовой продукции отрасли за вычетом стоимости предметов труда, произведенных отраслью и потребленных как в данной отрасли, так и в других отраслях материального производства в рассматриваемом периоде.
Чистая продукция вновь созданная стоимость как разница между валовой продукцией и стоимостью затрат (сырье, материалы, топливо и энергия, комплектующие изделия и т.п., использованные в производственном процессе, и амортизация основных фондов, применяемых в материальном производстве).
Несмотря на то что данная система показателей в явном виде в современной статистике валового внутреннего продукта и национального дохода не востребована, сама логика координации между показателями (разумеется, на основе теоретических концепций СНС) интересна в аспекте формирования целой гаммы показателей с целью совершенствования и углубления анализа результатов производственной деятельности.
Современная система стоимостных показателей продукции не столь обширна, как прежняя, но более универсальна, носит сквозной характер. Для микро- и макроуровня это прежде всего выпуск (валовой выпуск), валовая добавленная стоимость, чистая добавленная стоимость.
Только для экономики в целом валовой внутренний продукт, чистый внутренний продукт.
Выпуск (валовой выпуск) это стоимость товаров и услуг, являющихся результатом производственной деятельности хозяйствующих субъектов-резидентов за рассматриваемый период. Выпуск включает:
- товары и услуги, поставленные другим экономическим единицам;
- продукцию, произведенную для собственного конечного потребления или накопления;
- некоторые услуги, производимые для собственного конечного потребления.
Различают два типа выпуска: рыночный и нерыночный.
Рыночный выпуск включает товары и услуги:
- реализуемые по экономически значимым ценам;
- обмениваемые по бартеру на другие товары (услуги) или на активы;
- предоставляемые работникам в качестве оплаты труда в натуральной форме;
- поставляемые другим структурным подразделениям того же предприятия (находящимся на самостоятельном балансе или являющимся отдельными учетными единицами). (Например, семена и корма, произведенные и потребленные внутри сельскохозяйственных предприятий, уголь, использованный на шахтах при производстве угольных брикетов, материалы, использованные для строительства хозяйственным способом, продукты питания, переданные подсобными хозяйствами предприятий в принадлежащие им столовые, детские и подростковые оздоровительные учреждения, дома отдыха.)
Кроме того, в рыночный выпуск входит готовая продукция и незавершенное производство, поступающие в запасы материальных оборотных средств у производителей и предназначенные для рыночного использования.
Нерыночный выпуск включает товары и услуги:
- производимые экономическими единицами для их собственного конечного потребления или накопления (сельскохозяйственные и другие продукты, произведенные и использованные фермерами, личными подсобными хозяйствами; строительство хозяйственным способом);
- предоставляемые бесплатно или по ценам, не имеющим экономического значения, другим единицам (бесплатное образование и медицинское обслуживание, услуги государственного управления и др.).
В нерыночный выпуск входят также готовая продукция и незавершенное производство, предназначенные для нерыночного использования и поступающие в запасы материальных оборотных средств у производителя.
Рыночный выпуск рекомендуется оценивать в основных ценах. Основная цена цена, по которой производитель реализует товары и услуги, исключая любые подлежащие уплате налоги на продукты и включая субсидии на продукты.
Товары и услуги, произведенные для собственного конечного потребления или накопления, оцениваются в основных ценах на аналогичные рыночные товары и услуги.
Нерыночные услуги органов государственного управления и некоммерческих организаций, обслуживающих домашние хозяйства, оцениваются исходя из текущих затрат этих организаций, включая потребление основного капитала (основных фондов) амортизацию.
Валовая добавленная стоимость рассчитывается как разность между выпуском и промежуточным потреблением.
Промежуточное потребление это стоимость товаров (за исключением инвестиционных) и рыночных услуг, потребленных в течение данного периода с целью производства других товаров и услуг. Промежуточное потребление включает:
- затраты сырья, материалов, топлива, энергии, семян, кормов, продуктов питания, медикаментов, канцелярских принадлежностей, спецодежды и т.п.;
- оплату работ и услуг, представленных другими единицами и отдельными лицами (ремонт, услуги транспорта, связи, вычислительных центров, коммунальные услуги, рекламные расходы, услуги банков, страхования, юристов, консультантов и др.);
- расходы на командировки в части оплаты проезда и гостиниц.
Чистая добавленная стоимость равняется валовой добавленной стоимости за вычетом потребления основного капитала (основных фондов), т.е. за вычетом амортизационных отчислений.
На макроуровне система показателей продукции завершается показателем валового внутреннего продукта (ВВП), характеризующим конечный результат экономической деятельности в стране. Теоретически более адекватной характеристикой результатов экономической деятельности является чистый внутренний продукт (ЧВП) (ВВП минус амортизационные отчисления за рассматриваемый период).
Во-первых, ВВП это показатель производственного продукта, но лишь в той мере, в какой он представляет собой стоимость произведенных конечных товаров и услуг.
Во-вторых, ВВП это внутренний продукт, потому что он произведен резидентами. К резидентам относятся все экономические единицы (предприятия, учреждения, организации и домашние хозяйства), независимо от их национальной принадлежности и гражданства, имеющие экономический интерес на экономической территории данной страны.
Подразумевается, что они занимаются производственной деятельностью или являются потребительскими единицами (проживают на экономической территории страны) длительное время (не менее года). Экономическая территория страны представляет собой территорию, административно управляемую правительством данной страны, в пределах которой лица, товары и деньги могут свободно перемещаться.
В отличие от географической территории она не включает территориальные анклавы других стран (посольства, военные базы и т.п.), но содержит аналогичные анклавы данной страны, расположенные на территории других стран.
В-третьих, ВВП исчислен до вычета потребления основных фондов (основного капитала). Определение величины потребления основных фондов требует достаточно сложных расчетов на основе детальной информации о вложениях в основной капитал, сроках службы и износе основных фондов за длительное время, что пока не всем странам по силам.
Кроме того, даже те страны, которые производят такие расчеты, используют неодинаковые методические приемы расчетов.
Короче говоря, данные по ВВП (а не по ЧВП) более доступны и сравнимы между странами (и между территориями внутри страны). Поэтому показатель ВВП получил более широкое распространение, чем ЧВП.
Система показателей доходов в современной экономической статистике базируется на концепции, обоснованной известным английским экономистом Дж. Хиксом.
Ее суть состоит в следующем: доход следует определять как максимальную сумму, которую можно израсходовать на потребление в течение некоторого периода, и в то же время сохранить в конце этого периода капитал, который был вначале.
Другими словами, определение доходов должно указывать, сколько граждане могут потратить на потребление, не делая при этом себя беднее.
Во-первых, не всякая сумма поступивших денег является доходом. Например, та часть выручки, которую необходимо истратить на возмещение понесенных расходов на средства производства, не есть доход (с концептуальных макроэкономических позиций).
Или другой пример: кто-то продал свою квартиру, а вырученные деньги положил в банк и живет на проценты.
В этом случае поступление денег от реализации квартиры нельзя считать доходом, так как имеет место смена формы активов (вместо материального актива финансовое требование). К доходам следует, однако, отнести проценты, полученные по депозиту.
Если далее предположить, что деньги от реализации квартиры израсходованы на покупку потребительских товаров и услуг, то и в этом случае Дохода нет, так как доход равен сумме потребительских расходов и сбережения (сбережение это приростная характеристика). Здесь на величину потребительских расходов уменьшится величина сбережения.
И чисто арифметически доход будет равняться нулю.
Во-вторых, размер сбережения нельзя приравнять к сумме пророста Денежной наличности, депозитов в банке и других финансовых активов, так как увеличение финансовых активов может быть результатом смены формы активов или принятых финансовых обязательств, а не результатом сбережения. Сбережение это разница между располагаемым доходом и расходами на потребление.
Оно может быть использовано для финансирования приобретения и нефинансовых активов.
В-третьих, прирост капитала, вызываемый случайными причинами (например, инфляцией или ростом стоимости активов, скажем, повышением стоимости земли в результате проведения магистральной автодороги), не должен рассматриваться как доход.
Итак, доходом не может быть изменение стоимости активов, обусловленное инфляцией или другими факторами, не связанными с производством, а также прирост стоимости имущества в результате передачи права собственности, продажи, приватизации и т.п. В соответствии с таким подходом стоимость произведенной продукции и соответствующая величина созданных доходов не включают так называемую холдинговую прибыль, которая представляет собой прирост стоимости активов в результате инфляции во время нахождения на складе запасов сырья (в дальнейшем переработанного в продукцию) или готовой продукции.
Рассмотрим два случая.
Первый. Стоимость сырья на момент приобретения составила 300 млн руб.
Через три месяца все сырье использовано в производстве продукции, которая была реализована, а прибыль составила 1 млрд руб. За три месяца цены возросли в 2 раза.
Поэтому с позиций макроэкономических расчетов часть прибыли получена не в результате производственной деятельности, а вследствие инфляции (300 х 2 - 300 = 300 млн руб.). Холдинговая прибыль (300 млн руб.) должна быть вычтена.
Таким образом, величина прибыли, согласно методологии СНС, составит не 1 млрд руб. (как учтено на уровне хозяйствующих субъектов), а 700 млн руб.
Второй. Предприятие произвело 100 единиц продукции по цене на момент выпуска продукции 500 тыс. руб.
Через два месяца эта продукция реализована по цене 750 тыс. руб. Таким образом, реализована продукция на сумму 75 млн руб. (0,75 х 100 = 75), а в макроэкономических расчетах должно быть показано 50 млн руб. (0,50 х 100 = 50).
Такова реальная величина результатов производственной деятельности, так как увеличение стоимости реализации из-за внешнего фактора, не связанного с производственным процессом данной экономической единицы, с позиций макроэкономических расчетов не рассматривается как часть результатов деятельности и не включается ни в продукт, ни в доход.
На макроуровне сводный показатель доходов это валовой национальный доход (ВНД), равный сумме ВВП и сальдо первичных доходов, поступающих из-за границы. Если бы экономика рассматриваемой страны была закрытой, то ВВП равнялся бы ВНД, а ЧВП равнялся бы чистому национальному доходу (ЧНД).
В случае открытости экономики такого рода равенства были бы случайными, так как потоки первичных доходов, приходящие в страну и уходящие из нее, как правило, не совпадают. Для развитых стран поступление первичных доходов из-за рубежа в виде оплаты труда, процентов, дивидендов, реинвестированных доходов от прямых зарубежных инвестиций обычно больше, чем обратный поток в другие страны.
Для развивающихся стран наблюдается обратная тенденция. Примерно такая же тенденция характерна для России и других стран СНГ.
Система показателей доходов наряду с показателем национального дохода (валового и чистого) включает также и другие показатели, характеризующие взаимосвязанные аспекты распределения, перераспределения и образования конечных доходов, главные из которых:
- первичные доходы;
- текущие трансферты в денежной форме;
- социальные трансферты в натуральной форме;
- располагаемый доход;
- скорректированный располагаемый доход;
- реальный располагаемый доход.
Первичные доходы представляют собой доходы, поступающие хозяйствующим субъектам как компенсация за факторы производства. Таким образом, это прежде всего оплата труда, прибыль, смешанный доход, доходы от собственности.
Но концепция первичных доходов шире традиционной интерпретации факторных доходов. Это связано с переходом в СНС ООН версии 1993 г. с факторной стоимости на рыночные цены при исчислении национального дохода.
А рыночные цены (цены конечного покупателя) включают чистые налоги на продукты (косвенные налоги за вычетом субсидий на продукты). Отдельными специалистами указанная составляющая национального дохода в современной методологии интерпретируется как поступления в порядке первичного распределения органами государственного управления.
Текущие трансферты в денежной форме отражают перераспределительные процессы непосредственно в денежной форме. Они осуществляются в виде текущих налогов на доходы и собственность, выплат из госбюджета на социальные нужды, страховых премий и возмещений и т.п.
Социальные трансферты в натуральной форме представляют собой перераспределение национального дохода в пользу населения посредством предоставления бесплатных социально-культурных услуг (нерыночные услуги в области здравоохранения, образования и т.д.). Социальные трансферты, в отличие от текущих трансфертов в денежной форме, это движение дохода только в одну сторону от институциональных единиц типа учреждений общего государственного управления (государственных бюджетных организаций) и некоммерческих организаций, обслуживающих домашние хозяйства, к институциональным единицам, рассматриваемым в секторе Домашние хозяйства.
Что касается текущих трансфертов в денежной форме, то в современной экономике они имеют место для каждого сектора: одни как односторонний платеж, другие как односторонние поступления.
Так, для домашних хозяйств пособие это одностороннее поступление, не связанное с экономической деятельностью индивидуума, личный же подоходный налог, напротив, является односторонним конфискационным (т.е. без непосредственной компенсации) изъятием дохода.
Располагаемый доход определяется суммированием первичных доходов и сальдо текущих трансфертов в денежной форме. Для экономики в целом (национальный располагаемый доход) и для каждого сектора (располагаемый доход сектора национальной экономики) он в окончательном виде складывается из расходов на конечное потребление и из сбережения. Сбережение представляет ту часть располагаемого дохода, которая остается после расходов на конечное потребление.
Для экономики в целом это национальное сбережение.
Следует иметь в виду, что такие секторы национальной экономики, как Нефинансовые предприятия и Финансовые учреждения, по определению рассматриваются как группы институциональных единиц в качестве производителей товаров и услуг и не имеют расходов на конечное потребление. Следовательно, для них располагаемый доход равен сбережению.
Скорректированный располагаемый доход образуется за счет располагаемого дохода и полученных (переданных) социальных трансфертов. Так как для домашних хозяйств социальные трансферты могут быть только как плюс (получение), а для секторов общего государственного управления и некоммерческих организаций, обслуживающих домашние хозяйства, только как минус (передача), то в целом по экономике скорректированный располагаемый доход равен располагаемому доходу (располагаемому национальному доходу).
Категория Скорректированный располагаемый доход важна для более комплексной характеристики уровня жизни населения, так как позволяет дополнительно учесть те компоненты благосостояния населения, которые связаны с предоставлением бесплатных услуг. Это особенно важно принимать во внимание в период коммерциализации услуг и уменьшения объемов нерыночных услуг для населения.
Показатель располагаемого дохода домашних хозяйств, скорректированный на индекс потребительских цен, называется реальным располагаемым доходом, который используется для характеристики изменения уровня жизни населения во времени, т.е. в динамике.
Пересчет показателя ВВП и его компонентов из текущих в постоянные цены одна из центральных задач статистики валового внутреннего продукта и национального дохода.
В СНС ООН 1993 г. проводится различие между показателем физического объема продукции и показателем дохода в реальном выражении. В первом случае речь идет о показателе в постоянных ценах, предназначенном для характеристики изменений физического объема произведенной или использованной продукции. Во втором случае правильнее говорить о показателе в постоянных ценах, применяемом для реального измерения изменения покупательной способности.
В профессиональной литературе по проблемам исчисления макроэкономических показателей в постоянных ценах указывается на возможность того, что при определенных ситуациях индекс физического объема ВВП и индекс покупательной способности национального дохода будут иметь противоположные тенденции к изменению.
Например, это возможно, при прочих равных условиях, если индекс цен на импортируемую продукцию окажется выше индекса цен на экспортируемые товары. Таким образом, пересчет макроэкономического показателя в постоянных ценах для характеристики динамики физического объема экономического явления целесообразен, к примеру, для показателя ВВП.
Для исчисления ВВП и его компонентов в постоянных ценах существуют следующие методы:
- дефлятирования с помощью индексов цен;
- двойного дефлятирования;
- экстраполяции показателей базисного периода с помощью индексов физического объема;
- переоценки по элементам затрат.
Метод дефлятирования с помощью индексов цен применяется чаще для исчисления ВВП в постоянных ценах как суммы компонентов его конечного использования (в случаях, когда эти компоненты имеют рыночную оценку). Несмотря на то что с точки зрения теории приоритет в международных методологических рекомендациях отдан индексу Фишера (как индексу цен, так и индексу физического объема), на практике допускается использование как индекса Ласнейреса, так и индекса Пааше (см. раздел по статистике цен).
В российской статистике в настоящее время в качестве метода исчисления динамики цен применяется формула Ласпейреса (в качестве весов используются данные базисного периода).
Метод двойного дефлятирования применяется для исчисления в постоянных ценах добавленной стоимости основного компонента ВВП (определенного производственным методом). Этот метод состоит в последовательном дефлятировании сначала выпуска, затем промежуточного потребления.
Добавленная стоимость в постоянных ценах оценивается как разность определенных в постоянных ценах выпуска и промежуточного потребления.
Метод экстраполяции показателей базисного периода с помощью индексов физического объема применяется обычно в расчетах отдельных компонентов ВВП в постоянных ценах упрощенными методами (когда отсутствует информация о ценах и есть данные об изменении объемов выпуска продукции или оказанных услуг).
Согласно методу переоценки по элементам затрат, показатели в постоянных ценах исчисляются путем дефлятирования элементов затрат. Последний метод служит главным образом для переоценки в постоянных ценах показателей стоимости нерыночных услуг (управления, бесплатного здравоохранения, бюджетной науки и т.д.).
На основе данных о ВВП и его компонентах в постоянных ценах определяются экономический рост, колебания экономической конъюнктуры, реальные изменения в структуре производства и конечного использования продукта, изменение отдельных сторон в уровне жизни. При сопоставлении индексов объема ВВП с индексами реальных изменений других показателей анализируется динамика производительности труда, эффективности использования экономических ресурсов и факторов, воздействующих на эффективность общественного производства.
Контрольные вопросы
- Почему справедливо утверждение о том, что статистика продукта и дохода послужила основой формирования системы национальных счетов?
- Каковы особенности современных представлений о границах производственной деятельности?
- В чем отличия в системе показателей и методологии их исчисления между системой национальных счетов и балансом народного хозяйства?
- Как можно сформулировать задачи и функции показателей валового внутреннего продукта и национального дохода?
- В чем состоит существо современной концепции дохода?
- Какие методологические принципы используются при исчислении валового внутреннего продукта в постоянных ценах?
Статистика внешнеэкономических связей и задачи статистики
Экономическая и социальная сущность внешнеэкономических связей заключается в их значении в развитии национальной экономики, в решении задач внутренней и внешней политики страны и прежде всего в росте эффективности производства и на этой основе повышении благосостояния населения.
Особое значение внешнеторговая деятельность приобретает в ходе реализации рыночных преобразований в России. Эта деятельность в целом оказывает позитивное влияние на институциональный механизм регулирования экономики и внешнеэкономические связи в направлении его укрепления и развития, повышения эффективности хозяйствования, что оказывает благотворное воздействие на процесс реформирования, содействуя его развитию и необратимости.
Во внешнеэкономических связях в общем виде находят свое проявление различные формы экономических отношений с заграницей. Наряду с простым товарообменом постепенно расширяется сотрудничество в форме производственной кооперации в промышленности, создаются предприятия со смешанным капиталом на территории страны, ширится лизинг-деятельность, особенно большое развитие получают кредитные отношения с международными финансовыми организациями, с правительствами и частными банками зарубежных стран; развиваются экспорт и импорт услуг, в том числе туристских, и т.п.
Все это результат взятого курса на создание открытой экономики, более полное использование преимуществ, вытекающих из участия России в мирохозяйственных связях.
В целом позитивное влияние внешнеторговая деятельность оказывает на сферу материального производства и прежде всего на поддержание его развития в отдельных отраслях и видах производства в непростых условиях переходного периода рыночных преобразований, что в конечном счете способствует смягчению социальной напряженности. Причем благотворное влияние внешняя торговля оказывает не только на отрасли и виды производства, с которыми непосредственно связана, но косвенно на экономику страны в целом.
Значение внешнеторговой деятельности в экономике России, особенно в последние годы, возросло, хотя темпы роста внешней торговли замедляются. Доля экспорта товаров в ВВП в 1998 г. составляла 15%.
Это достаточно высокие показатели для российской экономики, они свидетельствуют о последовательном проведении в жизнь политики либерализации внешней торговли. При этом следует иметь в виду продолжающееся в течение ряда лет сокращение производства.
Приведенный показатель доли экспорта в ВВП России близок к этому показателю для Франции, Германии, Великобритании. Для США он составляет примерно 10%.
По объему экспорта товаров Россия в 1997 г. занимала 20-е место в мире, значительно уступая по этому показателю индустриальным странам.
Имея протяженную границу с запада на восток на евроазиатском континенте, поддерживая разветвленные торгово-экономические связи с более чем 140 странами, Россия тем не менее сосредоточила основную массу товарного обмена и прежде всего экспорт стратегических ресурсов, а также импорт продовольствия на очень небольшом числе стран дальнего зарубежья, расположенных в Европе, что не отвечает требованиям экономической безопасности. Сегодня на страны дальнего зарубежья приходится свыше 3/4 всего внешнеторгового оборота России, эти страны оказывают зHметное влияние на экономику нашей страны.
Так, Россия участвует в мирохозяйственных связях главным образом посредством экспорта топливно-сырьевых товаров и материалов, на которые в структуре экспорта приходится почти 80% стоимостного его объема. Подавляющая часть этих товаров реализуется на рынках стран дальнего зарубежья, торговля с этой группой стран обеспечивает основную часть положительного сальдо торгового баланса.
Внешняя торговля обеспечивает разнообразные позитивные эффекты, в частности, оказывает стабилизирующее влияние на бюджет Федерации. В 1998 г., например, таможенные платежи от внешней торговли обеспечили поступление средств в доходную часть федерального бюджета на сумму 84,3 млрд руб.
Примерно каждый третий рубль доходов бюджета Федерации таможенные платежи.
В структуре экспорта России преобладают топливно-энергетические ресурсы, сырье, материалы. В 1998 г. от объема производства соответствующих товаров Россия экспортировала: нефти 46,7%, нефтепродуктов 42,5, газа природного 35,6, угля каменного 10,1, метанола 37,4, каучука синтетического 48,4, лесоматериалов необработанных 36,1, целлюлозы 75,7, бумаги газетной 74,7%.
Экспорт этих товаров выступает важным источником притока валютных средств, используемых для оплаты необходимого импорта товаров и для других целей и задач экономической политики.
Благотворное влияние экспорта на производство указанных и других товаров проявилось в том, что внешний спрос обеспечил гарантированный сбыт товаров и тем самым оказал стимулирующее воздействие на их производство.
Поддержка производства в экспортоориентированных видах производства содействовала смягчению проблемы безработицы, социальной напряженности в сложных условиях рыночных преобразований.
Продукция машиностроения занимает сравнительно небольшую долю в экспорте: в 1998 г. 11%. Экспорт этой продукции позволяет на высоком технологическом уровне включиться в мирохозяйственные связи, что обеспечивает высокую экономическую их эффективность. Россия располагает достаточно высоким уровнем конкурентоспособности в следующих направлениях производства наукоемкой продукции: аэрокосмическом, ядерных реакторов и ядерного топлива, вооружения.
Нехватка конкурентоспособных экспортных фондов продукции машиностроения ограничивает возможности на качественно высоком уровне интегрироваться в мировую торговлю.
Сдерживающим фактором выступает также проводимая промышленно развитыми странами политика, всячески препятствующая продвижению и закреплению на зарубежных рынках российских экспортеров.
Существенно важную роль в экономике России играет импорт машинотехнической продукции.
Импорт машин и оборудования способствует обновлению производственных мощностей российских предприятий передовым оборудованием, что содействует росту эффективности производства, повышению конкурентоспособности производимой продукции. Это позволяет расширять экспорт товаров, укреплять свои позиции на мировом рынке, завоевывать новые рынки сбыта.
В целях увеличения закупок по импорту машинотехнической продукции, особенно новейших ее образцов, используется механизм льгот в таможенных ввозных пошлинах. Импорт таких изделий кредитуется, применяются другие стимулирующие меры, особенно если речь идет о лизинге, долгосрочной производственной кооперации в обрабатывающих отраслях промышленности или при организации совместного производства на территории России.
В 1998 г. доля этой продукции в российском импорте составляла 35,7%.
Россия в значительных объемах ввозит продовольствие и сырье для его производства. В структуре импорта эта товарная группа по стоимости занимает второе место после продукции машиностроения с долей 26,3% в 1998 г.
Импорт продовольствия мера вынужденная, обусловленная неудовлетворительным положением дел в сельском хозяйстве, пищевой промышленности. В 1998 г. Россия ввезла продовольствия на сумму 10,3 млрд долл., что превышает сумму валютных поступлений от продажи нефти в том же году.
Иначе говоря, выручка от продажи невосполнимых запасов нефти полностью пошла на оплату закупленных продуктов питания.
Это серьезный канал оттока валюты за границу, что ограничивает возможности финансирования капиталовложений в производство, в том числе в развитие сельского хозяйства.
Сохраняется глубокая импортная зависимость России в продовольствии.
В 1998 г. соотношение на потребительском рынке объемов отечественных и импортных товаров составило соответственно 52 и 48%.
По ряду изделий (сорочки и рубашки, обувь, а также предметам длительного пользования) потребности внутреннего рынка в основном обеспечиваются за счет импорта, причем эта тенденция усиливается: растет импорт товаров, сокращается отечественное производство. Это значит, что Россия во все большей мере финансирует развитие зарубежного производства и свертывает свое, что в конечном итоге ведет к росту безработицы, обострению социальной напряженности.
Необходимо отметить, что в зарубежных странах очень жестко проводится политика на всемерное обеспечение потребительскими товарами в первую очередь за счет отечественного производства. Это позволяет обеспечить дополнительные рабочие места и тем самым смягчить социальные противоречия.
В этих целях принимаются меры по ограничению импорта и стимулированию отечественного производства, разрабатываются программы замещения импорта отечественными товарами, производство которых поощряется, в том числе экономическими мерами.
СамообеспечMние продовольствием, а также другими потребительскими товарами во многих странах выступает важнейшим фактором преодоления отсталости, подъема производства и выхода на самые передовые рубежи индустриально развитых стран. Примером могут служить в недалеком прошлом отсталые страны Юго-Восточной Азии, относящиеся теперь к новым индустриальным странам.
Россия активизирует свое участие в международной финансово-кредитной деятельности, важную роль в связи с этим играют отношения с МВФ, МБРР, ЕББР и другими международными организациями. Привлекаются в экономику России и частные иностранные инвестиции.
В условиях острой нехватки собственных накоплений особое значение приобретают вопросы привлечения иностранного капитала, что требует создания благоприятного внутреннего климата.
Однако пока иностранные инвестиции не играют существенной роли в развитии экономики России, их удельный вес в 1998 г. составил 1/5 всего инвестиционного потенциала, а всего на нашу страну приходится только 1% мировых финансов.
Помимо обеспечения заинтересованных организаций и лиц информацией о состоянии и развитии внешнеэкономических связей в задачи государственной статистики входит разработка методов расчета и взаимной увязки показателей, характеризующих динамику и структуру внешнеэкономических связей, анализ факторов, обусловливающих основные тенденции их развития.
Результаты внешней торговли находят свое отражение в статистике учета и анализа этой торговли. Поэтому цели и задачи статистики внешней торговли вытекают из предмета, сущности внешней торговли, а именно: таможенного учета объема и видов товаров, пересекающих таможенную границу страны в конкретных рыночных условиях конъюнктуры мирового рынка.
Эта статистика учитывает также и неторговые операции, т.е. некоммерческие сделки, как, например, поставки товаров в рамках гуманитарной помощи.
Таким образом, основные задачи таможенной статистики, внешней торговли России можно свести к следующему: организация текущего учета пересекающих границу товаров в группировке по странам и видам товаров и отражение внешнеторговых потоков посредством стоимостных показателей, показателей количества и физического объема, призванных характеризовать количественные и стоимостные стороны движения товаропотоков.
Данные статистики внешнеэкономических связей широко используются федеральными и региональными органами власти при разработке программ и прогнозов развития экономики и внешнеторговой деятельности. Другим важным направлением является обеспечение необходимыми данными статистики внешней торговли непосредственно участников внешнеторговой деятельности.
Внешнеторговая статистика используется также в анализе и контроле тамоенных платежей, перечисляемых в бюджет Федерации.
Важнейшим направлением применения данных статистики внешней торговли является регулирование товаропотоков с помощью таможенных тарифных мер и прежде всего уровня пошлин на ввозимые в страну товары.
В решении этих задач статистике отводится важная роль, поскольку она способствует принятию стратегических управленческих решений в сфере внешнеэкономических связей.
Контрольные вопросы
- Раскройте роль внешней торговли в развитии экономики страны.
- Каковы характерные особенности товарной структуры экспорта/импорта России?
Статистика занятости и безработицы
Трудовые ресурсы это часть населения, способная работать. В их состав включаются не только экономически активное население, но и другие категории трудоспособных лиц, которые в данный момент не работают и не ищут работу, включая и тех, кто обучается с отрывом от производства.
Источниками комплектования трудовых ресурсов являются: трудоспособное население в трудоспособном возрасте (лица, находящиеся в возрастных границах, принятых в национальном законодательстве в качестве трудоспособных, за исключением неработающих инвалидов I и II групп); работающие лица старше трудоспособного возраста и работающие подростки.
Экономически активное население. Эта категория охватывает всех лиц, которые создают рынок труда (в части предложения рабочей силы) для производства товаров и услуг.
Определяется она как совокупность занятых и безработных.
В аналитических целях рекомендуется различать категории: население активное в настоящее время и обычно активное население.
Население активное в настоящее время (т.е. в рассматриваемый период) включает в себя всех лиц, которые работали или были безработными в течение коротого периода (например, одной недели или одного дня). Эту категорию называют также рабочей силой.
Изменение текущей активности позволяет получить представление о состоянии экономически активного населения на данный момент времени.
Обычно активное население включает в себя лиц, чей статус (занятого или безработного) был определен исходя из более длительного времени (например, года).
Экономически активное население распределяется по следующим видам занятий: занятые в экономике; служители религиозных культов; военнослужащие; безработные.
К занятым в экономике относятся работающие как по найму (независимо от того, была ли это постоянная, временная, сезонная, случайная или разовая работа), так и не по найму* во всех секторах экономики. Таким образом, в численности занятых экономической деятельностью учитываются лица: работающие на государственных предприятиях и в организациях; в кооперативах всех видов, на частных предприятиях и на предприятиях со смешанной формой собственности; в фермерских (крестьянских) хозяйствах; занятые индивидуальной трудовой деятельностью, в личном подсобном хозяйстве и у отдельных лиц, а также занятые без оплаты на семейных предприятиях.
* О распределении работающих на наемный и ненаемный персонал будет сказано ниже.
Служители религиозных культов лица, занятые в сфере религиозных культов (например, священник, пастор, ксёндз, раввин, мулла и т.п.).
Военнослужащие лица кадровой и срочной военной службы. К ним не относятся лица, состоящие на службе в органах внутренних дел в качестве рядового или начальствующего состава, которым присвоены специальные звания милиции, внутренней службы, юстиции.
Военнослужащие, проходящие обучение в военных учебных заведениях дневной формы обучения, не считаются занятыми.
Безработные лица, достигшие определенного возраста, принятого в национальном законодательстве в качестве нижней границы трудоспособного возраста, которые в рассматриваемый период не имели работы (доходного занятия), занимались ее поиском с помощью служб занятости или самостоятельно (т.е. помещали объявления в печати, обращались непосредственно к администрации или предпринимали шаги к организации своего бизнеса) и были готовы приступить к работе незамедлительно или в течение периода, определенного национальным законодательством. Учащиеся, студенты, пенсионеры и инвалиды учитываются в качестве безработных, если они занимались поиском работы и были готовы приступить к ней.
Для обеспечения сравнения по регионам и динамических сопоставлений рассчитываются относительные показатели: уровень экономической активности и уровень безработицы.
Уровень экономической активности рассчитывается как отношение численности экономически активного населения к общей его численности в процентах. В определенных целях рекомендуется также исчислять этот показатель в виде процентного отношения к трудовым ресурсам; при проведении выборочного обследования населения по проблемам занятости к численности обследуемых (например, в России обследуется население в возрасте от 15 до 72 лет, в Украине от 15 до 70 лет).
Уровень безработицы определяется как процентное отношение численности безработных к численности экономически активного населения*.
* По методологии МОТ, к численности безработных относятся все ищущие работу трудоспособные лица, включая тех, кто ищет ее самостоятельно (без обращения в службы занятости).
В практической деятельности нередко используется показатель уровень официальной безработицы, представляющий собой процентное отношение численности безработных, зарегистрированных в службах занятости, к численности экономически активного населения.
Продолжительность безработицы определяется длительностью периода, в течение которого человек, будучи безработным, ищет работу. Различают продолжительность завершенной (законченной) безработицы, которая учитывает время с начала поиска работы до трудоустройства, и продолжительность незавершенной (т.е. не прекратившейся) безработицы время с начала поиска работы до момента опроса (фиксации) безработицы.
Средний размер пособия по безработице сумма средств, фактически полученных безработными в течение отчетного периода, деленная на численность этих безработных.
Свободные рабочие места (вакансии) показатель, характеризующий спрос на рабочую силу. Источниками данных здесь являются сведения предприятий и организаций, сообщенные ими государственным или частным службам занятости, и статистические обследования работодателей.
Графически суть спроса на рабочую силу и ее предложения изображена на рис.
26.1.
Рис. 26.1
Следует отметить, что в существующей системе информационного обеспечения рынка труда (не только в России, но и практически во всех странах СНГ) самым слабым звеном является статистика спроса на работу. В настоящее время анализ сбалансированности спроса и предложения рабочей силы, как правило, строится на основе данных служб занятости, хотя заведомо известно, что информация о вакансиях, сообщенная предприятиями в эти службы (т.е. заявка на рабочую силу), явно занижена.
Изучение статистики спроса целесообразно строить на основе сведений, собираемых непосредственно органами государственной статистики от предприятий и организаций, добиваясь при этом достоверности информации на основе проверок, анкетных обследований и т.п.
Трудоустройство незанятых граждан, нуждающихся в социальной защите, и квотирование рабочих мест для них. К гражданам, нуждающимся в социальной защите, относятся лица с ограниченной трудоспособностью (инвалиды), одинокие и многодетные родители, воспитывающие несовершеннолетних детей и детей-инвалидов, лица предпенсионного возраста и др.
Квотирование рабочих мест определение минимальной численности лиц, подлежащих трудоустройству на данном предприятии. Местные органы власти в соответствии с действующим законодательством и с учетом ситуации, складывающейся на рынке труда, устанавливают квоты для приема на работу лиц, нуждающихся в социальной защите.
Экономически неактивное население лица, не отнесенные в рассматриваемый период ни к занятым, ни к безработным. Как и в случае с экономически активным населением, эта группа распределяется на неактивных в данный период и обычно неактивных (по аналогичным критериям).
Численность экономически неактивных в данный период и причины их пассивности предмет особого внимания в статистике, поскольку эта группа многочисленна (в России несколько миллионов), и поведение ее в будущем на рынке труда может резко изменить складывающуюся здесь конъюнктуру.
26.2. Распределение экономически активного населения по статусу занятости
Распределение занятых в зависимости от выполняемой ими работы осуществляется в соответствии с Международной стандартной классификацией занятости (ICSE-93, в русской аббревиатуре МСКЗ-93). Все занятое население распределяется на две крупные группы работающие по найму и работающие не по найму.
Работающие по найму (или наемные работники) это самая многочисленная группа работающих (в России две трети всех занятых в экономике), в которую входят лица, заключившие трудовой договор (контракт, соглашение) об условиях труда и его оплаты с руководителем предприятия, учреждения, организации любой формы собственности или с отдельным лицом. Деятельность наемных работников может осуществляться под непосредственным контролем работодателя или лиц, определенных им, и работающих у него по найму.
Вознаграждение наемного работника прямо не зависит от дохода предприятия или организации, где он трудится.
Военнослужащие и служители религиозных культов рассматриваются как наемные работники.
Работающие не по найму это лица, занятые на собственных предприятиях; они принимают производственные решения сами или делегируют эти полномочия другим лицам, оставляя за собой ответственность за блаKосостояние предприятия. Их вознаграждение непосредственно зависит от дохода, получаемого от производимых товаров и услуг (при этом личное потребление считается частью прибыли).
Среди работающих не по найму различают следующие подгруппы:
- работодатели;
- самостоятельно занятые;
- члены производственных кооперативов;
- неоплачиваемые семейные работники.
Работодатели лица, которые, работая самостоятельно или с одним или несколькими компаньонами (деловыми партнерами), постоянно нанимают одного или несколько лиц для работы в качестве наемных работников. При определении этой группы следует обратить внимание на ряд моментов.
Все компаньоны (деловые партнеры), которые могут быть или не быть членами одной семьи или одного домашнего хозяйства, являются работодателями.
К работодателям также относятся лица, занятые коммерческой деятельностью без образования юридического лица или ремеслом на индивидуальной основе и постоянно использующие труд наемных работников.
Существует альтернативный вариант классификации такой категории работающих, как директора-собственники. С одной стороны; указанные лица являются руководителями акционерных предприятий и получают часть своего вознаграждения в том же порядке, что и лица, работающие по найму.
Но с другой стороны, они единолично или с другими членами своей семьи (или с компаньонами) владеют контрольным пакетом акций предприятий, и их полномочия на предприятии и ответственность за его деятельность скорее соответствуют статусу работодателей. Поэтому предлагается выделять эту группу работников отдельно (кроме того или в том числе в зависимости от национальной практики).
Лица, работающие за свой счет (самостоятельно занятые), как правило, работают самостоятельно или с компаньонами и не нанимают на постоянной основе наемных работников. В отдельные периоды представители указанной группы могут привлекать наемных работников, но не на постоянной основе.
Существует несколько вариантов наименования этой группы в русской версии МСКЗ и других методологических материалах: лица, работающие на самостоятельной основе, лица, самостоятельно использующие свой труд, лица, работающие за свой счет. Однако каждая из них недостаточно четко раскрывает суть данной категории и поэтому является условной.
Вместе с тем в целях обеспечения сопоставимости было бы желательно использовать единую терминологию.
В данном случае предлагается наименование: самостоятельно занятые.
Члены производственных кооперативов. К этой группе относятся лица, являющиеся активными (работающими) членами кооперативов.
При этом каждый из них на равных правах с другими принимает непосредственное участие в решении вопросов, связанных с организацией производства, сбытом продукции, распределением доходов предприятия среди членов кооператива.
Особо отмечается, что наемные работники в производственных кооперативах не относятся к этой группе.
Неоплачиваемые семейные работники это лица, деятельность которых возглавляет живущий в том же домашнем хозяйстве родственник. При этом их нельзя рассматривать как компаньонов, поскольку степень их участия в деятельности предприятия различна с точки зрения рабочего времени и других факторов.
26.3. Занятость в неформальном секторе экономики
Неформальный сектор объемное понятие, характеризующее деятельность в сфере производства товаров и услуг, позволяющих населению получить дополнительные рабочие места и доходы. Занятость в этом секторе играет важную роль в формировании политики общей занятости и в образовании дохода, поскольку данный сектор составляет значительную часть национальной экономики.
Но в связи с трудностями статистического измерения до настоящего времени не определены четкая концепция и методика сбора информации в этой области.
В январе 1993 г. на XV Международной конференции статистиков труда была принята резолюция относительно занятости в неформальном секторе, в которой отмечалась необходимость организации статистического наблюдения в данной области.
Статистическая комиссия ООН, поддерживая указанную резолюцию, приняла решение о включении соответствующих ее частей в Систему национальных счетов.
Примеры занятости в неформальном секторе: уличная торговля, чистка обуви, переработка продуктов питания, пошив одежды, ремонт автомобилей, строительство и ремонт домов и другие виды малого предпринимательства и ремесел.
Основные характеристики занятости в неформальном секторе:
- отсутствие регистрации;
- малый масштаб деятельности;
- как правило, низкий уровень организации и производительности труда;
- трудовые отношения (если таковые существуют) основаны не на контрактах с формальным соблюдением гарантий, а на случайной занятости и личных (социальных) отношениях;
- предпринимательская деятельность осуществляется отдельными лицами или с помощью неоплачиваемых членов семьи или с привлечением одного или нескольких оплачиваемых работников;
- отсутствие доступа (или малый доступ) к организованным рынкам, кредитным учреждениям, современной технологии, профессиональному обучению и другим государственным службам;
- деятельность осуществляется, как правило, в статистически невизуальных местах: небольших цехах, домах, без постоянного помещения;
- обстоятельства вынуждают выходить за рамки законости (например, в части уплаты налогов, отчислений в фонд социальной защиты, соблюдения законов о труде).
Ряд характеристик (особенно несоблюдение законности, статистическая невизуальность) может дать повод провести параллель между неформальным сектором и теневой экономикой. Действительно, здесь есть много точек пересечения, но они не полностью идентичны и должны разграничиваться прежде всего по мотивам участия в том или другом секторе занятости.
Если в первом случае мотивами участия являются, как правило, выживание (при отсутствии другой достаточной работы), желание иметь независимость и гибкий рабочий график, то во втором случае преследуются цели получения сверхприбылей, сокрытия высоких доходов от государства или запрещенных законом видов деятельности (например, производство наркотиков).
Характеризуя увязку определения неформального сектора с концепциями национальных счетов, необходимо отметить, что предприятия неформального сектора представляют собой подкатегорию предприятий домашних хозяйств, т.е. некорпоративных предприятий (неакционерного типа), владельцами которых являются домашние хозяйства. При этом следует иметь в виду, что не всякая деятельность домашних хозяйств может рассматриваться как неформальный сектор (например, домашние услуги, нерыночные производители к нему не относятся).
Население, занятое в неформальном секторе, включает всех лиц, которые в течение обследуемого периода были заняты по меньшей мере в одной из производственных единиц неформального сектора, независимо от их статуса занятости и от того, являлась ли данная работа для них основной или дополнительной.
Организация сбора и обработки статистической информации в данной области необходима для усовершенствования статистики труда, экономической и социальной статистики и Системы национальных счетов как базы для макроэкономического анализа, политических оценок и прогнозов. В рыночных условиях только с помощью этих сведений возможно определить общие размеры занятости и оценить истинные масштабы безработицы.
Указанная информация играет важную роль в планировании государственной поддержки данного сектора как дополнительного источника рабочих мест и дохода, в разработке программ по улучшению рабочих условий и социально-правовой защиты занятых в неформальном секторе.
Статистика занятости в неформальном секторе должна строиться на регулярной основе и рассматриваться как неотъемлемая часть национальной статистической программы. При выборе методов сбора информации необходимо принимать во внимание особые трудности измерения занятости в этом секторе: неточность (расплывчатость) понятия; сложность явления (разнохарактерная деятельность); высокие мобильность и текучесть; сезонные колебания в деятельности; отсутствие узнаваемых отличий для идентификации (расположения институциональных единиц); трудность нахождения контактов с предпринимателями неформального сектора и др.
Измерения в данной сфере возможны на основе косвенных оценок или прямого обследования.
Метод косвенных оценок заключается в приблизительном определении занятости в неформальном секторе с помощью: сочетания данных, характеризующих статус занятости, отрасль экономической деятельности и род занятий; макроэкономических оценок; сравнительного анализа данных, полученных из различных источников. Недостаток метода заключается в приблизительности и гипотетичности, в невозможности получить наряду с количественными параметрами характеристики его структуры, функционирования и другие характеристики.
Поэтому предпочтение отдается методу прямого обследования, которое можно проводить или на основе охвата в качестве объектов учета производственных единиц неформального сектора, или в рамках уже существующих обследований занятости населения.
Недостатками первого метода, где объектами обследования являются производственные единицы неформального сектора (экономическая перепись), являются: высокая стоимость мероприятия; неполный охват по причине возможного пропуска единиц, с одной стороны, и риск двойного учета с другой; проблематичность установления связей между различными типами деятельности.
Целесообразно и практично, на наш взгляд, в данных целях использовать уже существующие обследования населения по проблемам занятости. Очевидными преимуществами при этом оказываются низкие дополнительные затраты, возможность опросить всех работников неформального сектора (включая работающих по найму и неоплачиваемых работников членов семьи), обследование тенденций занятости в динамике, измерение занятости в неформальном секторе вместе с измерением занятости в других секторах.
Для получения достаточно полной информации о занятости в неформальном секторе следует периодически предусматривать в Программе стандартных обследований дополнительный модуль Занятость в неформальном секторе. Минимальная совокупность статистических данных при организации таких тематических модульных обследований в рамках традиционного обследования населения по проблемам занятости и безработицы должна охватывать такие показатели, как численность лиц, занятых на предприятиях неформального сектора по статусу занятости, по виду экономической деятельности, по социально-демографическим признакам, условиям труда и другим характеристикам.
26.4. Учет и анализ неполной (частичной) занятости
Различают две формы неполной (или частичной) занятости: явная, или видимая, неполная занятость и скрытая неполная занятость.
Видимая неполная занятость может быть выражена числом лиц, работающих явно неполное рабочее время (неполный рабочий день или неполную рабочую неделю) по сравнению с нормой рабочего времени, установленной распорядком, графиком на данном предприятии или законодательством для данной категории работников, или меньше, чем обычно, в связи со снижением спроса на продукцию или услуги, отсутствием клиентов, заказов и т.п.
К занятым явно неполное рабочее время относятся все лица, работающие как по найму, так и самостоятельно, находящиеся на работе или временно отсутствующие, которые вынуждены работать меньше установленной (или обычной) продолжительности рабочего времени для данного вида работы и которые искали или были готовы приступить к дополнительной работе в течение отчетного периода. К этой категории относятся также лица, находящиеся в отпусках по инициативе администрации.
Скрытая неполная занятость представляет собой в первую очередь аналитическое понятие, которое отражает либо неправильное распределение трудовых ресурсов, либо нарушение баланса между трудом и прочими факторами производства. К характерным признакам скрытой неполной занятости относятся низкий доход трудящихся, неполное использование квалификации работающих, низкая производительность труда.
Аналитические исследования размеров и причины неполной занятости основываются на данных об уровне дохода и коэффициентах использования работающих согласно уровню их квалификации (замаскированная неполная занятость) и различным коэффициентам, характеризующим уровень производительности труда (потенциальная неполная занятость).
Для оперативной цели статистический учет неполной занятости может быть ограничен только видимой неполной занятостью.
Ввиду важности измерения видимой неполной занятости в различных отраслях экономики с 1993 г. в форму государственного статистического наблюдения по труду, представляемую крупными и средними предприятиями и организациями, введены показатели: о численности работников, занятых неполный рабочий день или неполную рабочую неделю; о лицах, находящихся в отпусках без сохранения или с частичным сохранением заработной платы, а также о неотработанном ими времени. С помощью данных показателей оцениваются количество не полностью занятых лиц и объемы видимой неполной занятости.
Объем видимой неполной занятости это суммарное время, имеющееся для дополнительной занятости в рассматриваемом периоде применительно к каждому не полностью занятому и исчисленное в часах (или условных лицах), приведенных к полному рабочему времени. Например, общий объеT видимой неполной занятости в связи с переводом работников на неполную рабочую неделю по инициативе администрации и с предоставлением административных отпусков в 1998 г. в России был равен 2,3 млрд человеко-часов, или 1,1 млн условных работников в эквиваленте полной занятости.
26.5. Статистика движения рабочей силы и рабочих мест
Переход экономики на многоукладное развитие, как правило, сопровождается повышением интенсивности движения рабочей силы. С начала переходного периода в России произошли существенные сдвиги в перемещении занятого населения:
- между различными формами собственности и секторами экономики;
- между отраслями и предприятиями;
- между различными видами занятости;
- по территории (по регионам страны, между городом и селом).
Движение (текучесть)* рабочей силы является важным фактором развития рынка труда, поэтому постоянно возрастает потребность в статистической информации, отражающей быстро меняющуюся ситуацию в этой области. Указанные процессы это объективная необходимость, они вызываются не только негативными причинами (спад производства, просчеты в политике занятости и оплаты труда), но и постоянным техническим прогрессом, изменениями в территориальном размещении производства, появлением новых отраслей экономики, развитием процессов специализации и кооперирования и другими производственными и социально-экономическими факторами.
* В советской статистике под текучестью подразумевались только уход с работы по собственному желанию, увольнение за прогул и за другие нарушения трудовой дисциплины. В зарубежной статистической практике текучесть это синоним понятия движение рабочей силы.
В материалах МОТ в числе основных категорий текучести рабочей силы выделяются:
- занятые лица, теряющие свою работу;
- незанятые лица, ищущие работу;
- лица, покидающие рынок труда в связи с обучением, отпуском по беременности и уходу за ребенком, болезнью, инвалидностью, выходом на пенсию, иммиграцией;
- впервые вступающие в рынок труда (например, выпускники школ, иммигранты);
- вернувшиеся на рынок труда (лица, получившие профессиональное образование, лица, у которых закончился отпуск по уходу за ребенком, пенсионеры, нуждающиеся в дополнительном доходе).
Для полноты анализа мобильности различных категорий на рынке труда указанный перечень можно дополнить показателями, характеризующими отраслевое перераспределение (прием и выбытие из одной отрасли в другую) и изменение в статусе занятости (например, работающие по найму или работающие не по найму).
Статистика здравоохранения, отдыха и туризма
Наряду с материальными условиями важнейшим показателем уровня жизни населения является состояние его здоровья.
Для оценки состояния здоровья населения целесообразно использовать систему показателей, характеризующих общий уровень услуг здравоохранения и их доступность, уровень и причины заболеваемости, состояние среды обитания.
Рассмотрим основные показатели, широко используемые в статистике здравоохранения.
Здравоохранение охватывает деятельность больничных и лечебно-профилактических учреждений различных типов, включая больницы, диспансеры, поликлиники и амбулатории, родильные дома, фельдшерско-акушерские пункты, станции скорой и неотложной медицинской помощи, санатории для больных туберкулезом, санитарно-эпидемиологические и дезинфекционные станции и т.п.
Уровень медицинской помощи и доступность ее для населения в значительной мере зависят непосредственно от деятельности учреждений здравоохранения. Как и другие отрасли социальной сферы, система здравоохранения в настоящее время находится в процессе реформирования, которое предусматривает: повсеместное введение обязательного медицинского страхования, гарантирующего населению получение базового объема медицинской помощи и услуг, повышение качества медицинского обслуживания и предоставление гражданам реальной возможности выбора медицинского учреждения и лечащего врача; развитие сети научно-диагностических центров и стационаров интенсивного лечения; разгосударствление учреждений здравоохранения, расширение масштабов лечебно-профилактических мер, усиление деятельности санитарной помощи по контролю качества продуктов питания и др.
С 1993 г. в России осуществляется переход от всеобщего бесплатного медицинского обслуживания населения к оказанию медицинских услуг на основе развития обязательного и добровольного медицинского страхования. В настоящее время на территории России функционируют федеральный и около 90 региональных фондов обязательного медицинского страхования, более тысячи их филиалов.
Страховые взносы, перечисляемые предприятиями, учреждениями и организациями, дополняют бюджетные ассигнования на здравоохранение. Пока этих средств недостаточно для поддержания необходимого уровня медицинского обслуживания населения.
На качестве медицинского обслуживания сказывается и обеспечение населения лекарственными препаратами, которое за последнее время заметно ухудшилось из-за увеличения их стоимости.
Задачи статистического наблюдения в здравоохранении заключаются в описании происходящих в этой отрасли процессо, статистическом анализе влияния реформирования на уровень медицинской помощи и состояние здоровья населения.
Исходной базой статистического наблюдения является отчетность лечебно-профилактических учреждений системы министерства здравоохранения, других ведомств, а также негосударственных медицинских учреждений. В отчетности представлен широкий круг показателей, наиболее важные из них включаются в сводные итоги.
Незавершенность реформирования здравоохранения, проблемы его финансирования и другие факторы, оказывающие непосредственное влияние на эту отрасль социальной сферы, осложняют совершенствование информационной базы.
В настоящее время интегрального показателя состояния здоровья населения не существует. Состояние здоровья оценивается в основном по распространению отдельных видов заболеваний, которые характеризуются числом больных (случаев) с впервые установленным диагнозом по видам заболеваний в отчетном году и числом больных по отдельным заболеваниям, состоящих на учете в лечебно-профилактическом учреждении.
Для статистической разработки данных о заболеваемости населения применяется Международная классификация болезней Всемирной организации здравоохранения Х пересмотра, обеспечивающая сопоставимость данных при межстрановых сравнениях. Число больных (случаев) распределяется по следующим основным группам болезней:
- инфекционные и паразитарные заболевания;
- новообразования;
- болезни эндокринной системы, расстройства питания, нарушения обмена веществ и иммунитета;
- болезней нервной системы и органов чувств;
- болезни системы кровообращения;
- психические расстройства;
- болезни органов дыхания;
- болезни органов пищеварения;
- болезни мочеполовой системы;
- врожденные аномалии (пороки развития);
- несчастные случаи, отравления и травмы.
Данные статистической отчетности служат основой для анализа уровня и структуры заболеваемости по основным группам болезней, их динамики, что позволяет делать выводы о распространении отдельных видов заболеваний, их опасности для населения, например опасности инфекционных заболеваний (туберкулеза, вирусного гепатита, кори, дифтерии др.); изменении состояния здоровья вследствие загрязнения окружающей среды и т.д. При этом особое внимание обращается на динамику численности больных туберкулезом, уровень заболеваемости которым является индикатором социального благополучия страны.
В 1998 г. число больных активным туберкулезом в России возросло на 6% и достигло 100 тыс. человек.
В отчетности достаточно широко представлены сведения по вопросам охраны материнства и детства.
Дополнительной информацией о состоянии здоровья населения могут служить данные о временной нетрудоспособности работников, которая измеряется числом дней нетрудоспособности, подтвержденной больничными листками нетрудоспособности или другими документами.
Уровень медицинской помощи, оказываемой населению, оценивается и по возможностям сети лечебно-профилактических учреждений и их медицинскому персоналу. Медицинские учреждения сообщают статистическим органам системы Минздрава и государственной статистики информацию по следующему кругу показателей:
- число поликлиник, входящих в состав больничных учреждений, включая детские поликлиники и женские консультации;
- число детских отделений (кабинетов);
- число женских консультаций и акушерско-гинекологических отделений (кабинетов);
- мощности (число посещений в смену) врачебных амбулаторно-поликлинических учреждений (самостоятельных и входящих в состав больниц);
- число врачебных больничных коек и их специализация (терапевтические, хирургические, онкологические, гинекологические, туберкулезные и т.д.);
- число больничных коек для детей;
- число фельдшерско-акушерских пунктов;
- численность врачей всех специальностей (без зубных);
- численность среднего медицинского персонала, в том числе зубных врачей.
Кроме показателей статистической отчетности (в основном сети учреждений здравоохранения) в зарубежной и отечественной практике используются выборочные тематические обследования здоровья населения, доступности медицинских услуг и оценки их качества населением. При этом наилучшие результаты достигаются в том случае, если наряду с опросом населения одновременно обследуется состояние медицинского обслуживания в лечебно-профилактических учреждениях, куда обращалось обследуемое население.
Для характеристики состояния медицинского обслуживания используются следующие показатели:
- мощность лечебно-профилактического учреждения (число посещений поликлиник в смену, число коек в стационаре);
- характеристика состояния зданий, в которых располагаются обследуемые учреждения, и уровень их благоустройства;
- площадь, приходящаяся на одну койку; максимальное число больных в палате и др.;
- уровень обеспеченности и учреждение медицинской техникой, срок ее службы и удовлетворенность потребностей населения в проведении централизованных обследований (ультразвуковой диагностики, эндоскопических исследований, лабораторных анализов);
- обеспеченность функциональной мебелью и транспортными средствами.
Одновременно собираются сведения по кругу показателей, позволяющих произвести оценку уровня медицинской помощи, оказываемой обследуемым лечебным учреждением населению. В числе этих показателей:
- численность врачей, среднего и младшего медицинского персонала (состоящих в штате и работающих на условиях совместительства);
- уровень подготовки и повышение квалификации медицинского персонала, обеспеченность потребностеQ населения специализированной врачебной помощью;
- данные об исходе лечения больных, выбывших из обследуемого стационарного отделения;
- длительность предоперационного и послеоперационного периода;
- средняя стоимость содержания одной койки;
- обеспеченность потребностей населения в специализированной врачебной помощи;
- оценка качества оказываемой населению медицинской помощи главным врачом и основных факторов возможного его улучшения.
Для изучения деятельности лечебно-профилактического учреждения по приведенным выше показателям проводится анкетирование населения, обращающегося за медицинской помощью в обследуемое медицинское учреждение.
Анкета содержит краткую демографическую характеристику обследуемого лица, вопросы о состоянии его здоровья, затратах времени на дорогу в лечебно-профилактическое учреждение, времени ожидания врачебной помощи, госпитализации; степени удовлетворенности полученной медицинской помощью; стоимости платных услуг; обеспеченности лекарствами, рекомендованными лечащим врачом.
Анкета также содержит вопросы о том, как оценивает состояние своего здоровья опрашиваемый после проведенного лечения и чем он неудовлетворен в деятельности лечебного учреждения.
Несколько иной подход к изучению здоровья населения имеет место в мониторинговых обследованиях уровня жизни и здоровья населения, которые проводит в последние годы Мировой банк на территории России и других стран СНГ. В ходе обследования фиксируются число случаев заболеваний за последние 4 недели, число дней болезни и нетрудоспособности, характер используемых медицинских услуг и их стоимость, антропометрические данные обследуемого лица.
Значимость полученных от населения сведений о состоянии здоровья повышается в связи с тем, что они могут быть проанализированы в сочетании с важнейшими показателями материальных условий жизни обследуемых лиц, именно во взаимосвязи с доходами, видом занятий, составом домохозяйства, наличием и возрастом детей, уровнем и структурой потребления продуктов питания. Сведения по перечисленным показателям собираются одновременно с информацией населения о здоровье.
На состояние здоровья занятого населения оказывают влияние условия труда на производстве. Статистическое наблюдение в этой области осуществляется в виде годовой отчетности предприятий промышленности, строительства, транспорта и связи (независимо от формы собственности) по системе показателей, характеризующих условия труда, льготы и компенсации за работы в неблагоприятных условиях (форма 1-т Условия труда).
Данные о числе пострадавших при несчастных случаях на производстве содержатся в форме 7 Сведения о травматизме на производстве. Эти сведения основываются на регистрации несчастных случаев на производстве, оформленных соответствующим актом (по форме Н-1 или Н-2).
Из общего числа пострадавших с утратой трудоспособности на один рабочий день и более и со смертельным исходом выделяются женщины, подростки до 18 лет; лица, находившиеся во время происшествия в состоянии алкогольного опьянения. В такой же группировке приводятся показатели о числе пострадавших со смертельным исходом.
Для оценки экономического ущерба, связанного с травматизмом на производстве, используются содержащиеся в отчетности показатели об общем числе человеко-дней нетрудоспособности у пострадавших с утратой трудоспособности в отчетном году, числе переведенных с основной работы на другую в связи с частичной утратой трудоспособности, материальных последствиях несчастных случаев (выплат по листкам нетрудоспособности, доплат в связи с переводом на другую работу, стоимости испорченного оборудования, инструмента, разрушенных зданий, сооружений).
При анализе производственного травматизма определяются: общая численность пострадавших от происшествия на производстве и ее динамика по годам; распределение пострадавших по тяжести (с временной или постоянной потерей трудоспособности, со смертельным исходом); отрасли с наивысшим уровнем травматизма; исчисляются коэффициент частоты и коэффициент тяжести производственного травматизма.
Коэффициент частоты производственного травматизма рассчитывается путем деления общего числа пострадавших на среднесписочную численность работников в отчетном году. Коэффициент тяжести производственного травматизма это отношение общего числа человеко-дней нетрудоспособности, наступившей в связи с несчастными случаями, к численности пострадавших от травматизма лиц в отчетном периоде.
47.2. Статистика отдыха и туризма
В общей системе мероприятий по поддержанию и укреплению здоровья населения значительное место занимают такие формы отдыха, как занятия физкультурой и спортом, туристские путешествия.
Сбор и обработка статистических данных по физической культуре и спорту осуществляются соответствующими отраслевыми государственными органами, на которые возложена реализация государственной политики и координация деятельности физкультурных и спортивных организаций.
Отраслевая отчетность предусматривает получение данных о сети спортивных сооружений и физкультурно-оздоровительных центров (стадионах, спортивных залах и плавательных бассейнах, футбольных полях, волейбольных и баскетбольных площадках и т.д.), их единовременной пропускной способности, численности занимающихся в секциях и группах по видам спорта, клубах и группах физкультурно-оздоровительной направленности, в том числе для детей, школьников и женщин; числе проведенных физкультурных и спортивных мероприятий, финансовой деятельности и кадровом составе этих учреждений.
Эти сведения характеризуют состояние и развитие материально-технической базы физкультуры и спорта в стране, ее использование, охват населения и его отдельных групп организованными видами физкультурно-спортивных мероприятий, обеспеченность кадрами и состояние финансирования отрасли.
Одной из наиболее распространенных форм отдыха населения является туризм, который развивается более быстрыми темпами, чем другие виды аналогичных услуг. В связи с этим возрастает потребность в специализированной статистической информации, необходимой для анализа рынка туристских услуг, измерения туристских ресурсов и туристских потоков в местах назначения и на маршруте, объема и интенсивности поездок местных жителей, удовлетворения потребности населения в данных услугах, отраслевых инвестиций и т.д.
В настоящее время не все из перечисленных проблем обеспечны соответствующей информационной базой на федеральном уровне. Методы статистических наблюдений в этой сфере совершенствуются по мере развития и совершенствования законодательной и нормативной базы рынка туристских услуг.
В соответствии с международными стандартами различаются следующие три основных вида туризма:
- внутренний путешествия жителей по собственной стране;
- въездной путешествие по какой-либо стране лиц, не являющихся ее жителями;
- выездной путешествия жителей какой-либо страны в другие страны.
Эти три основные виды туризма, по-разному сочетаясь, составляют следующие категории:
- туризм в пределах страны включает внутренний и въездной туризм;
- национальный туризм охватывает внутренний и выездной туризм;
- международный туризм состоит из въездного и выездного туризма.
Под туристскими ресурсами понимается совокупность природных, оздоровительных, исторических, культурных и иных ресурсов данной территории, способных удовлетворить различные запросы и потребности туристов.
К туристам относятся граждане любого государства, временно прибывшие в страну, определенную местность или конкретный населенный пункт в пределах страны на срок от одних суток (т.е. осуществляющий по меньшей мере одну ночевку в коллективном или индивидуальном средстве размещения в посещаемом месте на туристской базе, в гостинице и т.д.) до шести месяцев ради отдыха, путешествия с деловыми целями, не занимающиеся оплачиваемой деятельностью в месте пребывания.
Поездки туриста по определенному маршруту в конкретные сроки с предоставлением комплекса услуг (жилья, медицинского и культурного обслуживания) называется туром. Индивидуальным или групповым документом, являющимся формой договора между поставщиком и потребителем туристских услуг и подтверждающим их оплату, является туристская путевка (ваучер).
Поставщик туристских услуг это туристская организация, т.е. юридическое лицо независимо от формы собственности, занимающееся деятельностью в сфере туризма на основании лицензии или признанное таковым в иной установленной законной форме.
В 1995 г. Государственным комитетом по физической культуре и туризму была разработана форма единой туристской путевки (ваучера) для внутренних и международных поездок. В этом документе отражаются все составляющие программы тура: вид транспорта, категория гостиницы, предоставляемые услуги по питанию, виду и количеству экскурсий и т.д.
При статистическом изучении туризма как отрасли социальной сферы предметом наблюдения становится прежде всего внутренний туризм путешествия жителей по собственной стране. Непосредственно единицами наблюдения являются как туристские организации, так и потребители их услуг отдельные лица или домашние хозяйства.
На территории России сбор и обработка сведений о туристских (туристско-экскурсионных) учреждениях, туристских комплексах, гостиницах, базах, кемпингах, пансионатах осуществляются органами статистики на основе статистических отчетов (форма 1-ТЭ Отчет по организации туризма и экскурсий за ... год), представляемых круглогодичными и сезонными туристско-экскурсионными учреждениями всех форм собственности (при наличии лицензии). Устанавливается количество туристских организаций и мест для отдыха, численность обслуженных туристов и экскурсантов, в том числе по видам маршрутов (автобусные, теплоходные и т.п.).
Более широкие сведения о состоянии материальной базы туристских организаций, фактическом использовании сети, финансовой деятельности, видах предоставляемых услуг могут быть получены на основе специальных единовременных выборочных обследований. При этом в программу единовременного обследования наряду с показателями отчетности о числе мест коечного фонда и его использовании (числе предоставленных койко-суток) и численности обслуженных туристов включаются данные о числе спальных комнат и мест в них, благоустройстве мест проживания (наличие водопровода, горячего водоснабжения, душевых (ванн), канализации, отопления, телефонной связи и др.); о видах отдыха и развлечений, в том числе предоставляемых за отдельную плату; а также финансовые показатели деятельности туристского учреждения стоимость одного койко-дня (туро-дня), доходы и их источники, расходы и их состав, количество выплат компенсаций туристам за нарушение условий договора.
Анализ приведенных данных позволяет охарактеризовать туристские ресурсы, которыми располагают обследуемые объекты, их использование, уровень качества предоставляемых услуг, эффективность работы, соответствие предлагаемых туристских услуг спросу населения.
Для полноты характеристики рынка платных услуг одновременно с обследованием туристических организаций проводится социологический опрос туристов, который позволяет получить дополнительные данные об удовлетворенности потребителей качеством предоставляемых услуг, например, в части проживания, экскурсионного и транспортного обслуживания.
Выводы, сделанные на основе анализа статистических данных, используются как для непосредственного улучшения деятельности туристских организаций, так и для разработки мероприятий при формировании или совершенствовании государственной политики в области туризма.
Контрольные вопросы
- Назовите основные показатели, используемые в статистике здравоохранения.
- На базе какой классификации осуществляется статистическая разработка данных о заболеваемости населения?
- Источники сведений о состоянии здоровья населения.
- Как рассчитываются коэффициенты частоты и тяжести производственного травматизма?
- Что включает в себя статистика отдыха и туризма?
Стоимостная оценка товаров в таможенной статистике.
Для факторного анализа изменений стоимостных объемов экспорта/импорта таможенной статистикой исчисляется взаимосвязанная система индексов: стоимости (Jpq), внешнеторговых цен (Jp) и физического объема (Jq). Индексы внешней торговли исчисляются в целом по экспорту/импорту России и по укрупненным товарным группам.
Стоимостная оценка товаров в таможенной статистике. Статистические данные по экспорту и импорту в стоимостном выражении являются важнейшими экономическими показателями, на базе которых рассчитывается целый ряд абсолютных и относительных величин, характеризующих развитие внешней торговли страны.
Соотношение стоимости экспорта и импорта за определенный период образует торговый баланс страны. Баланс внешней торговли считается активным, если стоимость экспорта превышает стоимость импорта, и пассивным при обратном соотношении.
Стоимость экспорта и импорта входят также в качестве важнейшей составной части в платежный баланс страны.
Статистическая стоимость должна определяться для всех товаров, подлежащих учету, независимо от того, были они объектом купли-продажи или нет.
Исходя из обязанностей продавца и покупателя по доставке товара из одной страны в другую, внешнеторговый контракт заключается с учетом коммерческих условий поставок, регламентируемых правилами по толкованию торговых терминов — Инкотермс. В зависимости от коммерческого условия поставки цена в счете-фактуре (инвойсе), выставленном продавцом покупателю, будет различной.
Так, один и тот же товар будет иметь одну цену на заводе-изготовителе, другую, более высокую, — в порту отправления, третью, еще более высокую, — в порту прибытия, поскольку по мере продвижения товара от производителя к потребителю к его стоимости будут прибавляться расходы по перевозке, страхованию и прочие накладные расходы.
Для получения сопоставимых данных необходимо все цены привести к единому базису, принятому для всех экспортных и импортных товаров.
Коммерческими (базисными) условиями во внешнеторговом контракте купли-продажи называют специальные условия, которые определяют обязанности продавца и покупателя по доставке товара из одной страны в другую и устанавливают момент перехода риска случайной гибели или повреждения товара с продавца на покупателя.
Таким базисом при расчете стоимости экспорта является цена ФОБ — российский порт или ДАФ — граница Российской Федерации, а при расчете статистической стоимости импортируемых товаров фактурную стоимость товара в зависимости от коммерческого условия поставки следует привести к базе цен СИФ — российский порт или СИП — пункт назначения на границе Российской Федерации.
ФОБ — условие продажи товара, согласно которому в цену товара включаются его стоимость и расходы по доставке и погрузке товара на борт судна.
СИФ — условие продажи товара, согласно которому в цену товара включаются его стоимость и расходы по страхованию и транспортировке товара до порта России.
Во всех случаях, когда торговая сделка совершается на иных условиях по сравнению с принятыми в таможенной статистике, производится соответствующий пересчет на базисные условия.
Так, если по условию торговой сделки или контракта товары продаются на условиях СИФ — порт страны-покупателя, для пересчета цен на единый базис из цены контракта вычитают фактические расходы на перевозку, страхование товара в пути и другие издержки продавца за пределами своей страны. Например, цены на товары, купленные на условиях ФОБ страны-экспортера, пересчитываются в цены СИФ путем включения в цену расходов по транспортировке товаров на территориях других стран и страхованию.
Статистический учет экспортно-импортных операций осуществляется в долларах США по курсу, определяемому ЦБ РФ на день принятия ГТД к оформлению.
Для этого величина фактурной стоимости в валюте контракта умножается на курс рубля по отношению к валюте контракта на день принятия ГТД и делится на курс рубля по отношению к доллару США. Так, если товар продан (куплен) за 200 тыс. фунтов стерлингов, то пересчет осуществляется следующим образом:
1 английский фунт стерлингов — 38 р. 30 к.
1 долл. США — 24 р. 22 к.
200 000 х 38,30 : 24,22 = 316 267,5 долл. США
Географическое распределение товарооборота. Чрезвычайно важными для анализа внешнеэкономических связей, тенденций и перспектив их развития, ориентации страны в мировой торговле являются показатели, характеризующие географическое распределение товарооборота.
Под странами-контрагентами принято понимать те страны, между которыми осуществляется внешнеторговый оборот.
В международной статистике используются три основных метода определения стран-контрагентов при ввозе и вывозе товаров, которые сгруппированы следующим образом:
1) страна происхождения и страна назначения;
2) страна покупки и страна продажи;
3) страна отгрузки и страна поставки.
Большинство товаров импортируются из стран, где они производятся. Однако в ряде случаев производство, покупка и поставка товаров могут иметь место в различных странах, что затрудняет определение географического распределения товаров.
В соответствии с Методологией рекомендуется при сборе данных и анализе импорта использовать в качестве страны-контрагента страну происхождения товара, а в качестве дополнительной информации (если неизвестна страна происхождения) — страну поставки.
При экспорте в качестве страны-контрагента используется страна конечного назначения.
Страной происхождения товаров считается страна, в которой товар был полностью произведен или подвергнут достаточной* переработке.
* Критерием достаточной переработки товара в данной стране является, в частности, изменение товарной позиции по ТН ВЭД СНГ на уровне любого из первых четырех знаков, произошедшее в результате переработки товара.
Страна назначения — страна, известная на момент отгрузки как конечная страна назначения товара.
Страной назначения для товаров, вывозимых для переработки, считается страна, в которой товар подвергается переработке.
Страна поставки — страна, из которой получены товары, без каких-либо коммерческих сделок или иных операций, изменяющих юридический статус этих товаров после их отправления из этой страны.
Статистические данные в публикациях по таможенной статистике внешней торговли приводятся по унифицированным показателям, экономическое содержание и методы исчисления которых определены Методологией таможенной статистики внешней торговли Российской Федерации. Это создает условия для сопоставимости данных России и стран-контрагентов.
Тем не менее на практике данные о взаимной торговле, рассчитанные в разных странах, зачастую не совпадают.
51.5. Проблемы сопоставимости данных по внешней торговле на международном уровне
Наличие расхождений в данных по взаиTному экспорту и импорту России в торговле со странами-контрагентами в значительной степени затрудняет использование этих данных в практической работе, а также по их экономическому анализу.
В статистике внешней торговли при анализе расхождений используются как абсолютные значения расхождений, так и относительные значения.
Абсолютные значения расхождений при экспорте определяются как разность между данными по экспорту страны в страны-контрагенты и данными по импорту стран-контрагентов из этой страны. Аналогично определяется расхождение по импорту страны.
Пример расчета таких расхождений приведен в табл.
51.2.
Расхождения рассчитываются также и в относительных величинах: определяется доля расхождения по экспорту (импорту) страны в процентах от ее экспорта (импорта).
Таблица 51.2
Расхождения в данных о взаимной торговле России со странами-контрагентами в 1998 г.
(млн долл. США)

Примечание: Данные приведены к единой базе цен — ФОБ.
Несмотря на то, что большинство стран также формируют данные на основе общепринятых в международной практике методологических положений, отклонения от этих положений, либо различный подход к отдельным методологическим принципам являются основными причинами расхождений между данными стран-экспортеров и импортеров.
Неизбежными причинами таких расхождений является то, что большинство стран учитывает экспорт на базе цен ФОБ, а импорт — на базе цен СИФ. Разница представляет стоимость международного фрахта и страхования.
Для корректного сопоставления обычно осуществляется пересчет импорта в сторону уменьшения, к ценам ФОБ (т.е. в том виде, в каком соответствующие показатели должны быть записаны в платежном балансе). Для пересчета используется среднемировое соотношение стоимости СИФ/ФОБ, которое, по оценке МВФ, равно 1,06 (хотя по отдельным странам этот коэффициент может составлять 1,15—1,20).
Источником расхождений могут быть и различия в определении даты учета экспорта и импорта, момента перехода товара через государственные границы стран-контрагентов.
Например, товар страны-экспортера пересек ее государственную границу в конце декабря отчетного года, а через границу страны-импортера проследовал лишь в январе следующего за отчетным годом. В этом случае в конце отчетного года для страны-импортера данный товар находится в пути и не может быть зафиксирован как импорт за отчетный год.
Однако так называемые товары в пути могут явиться объективной причиной возникновения расхождения в данных лишь для стран-контрагентов, не имеющих общих государственных границ.
Расхождения статистических данных о взаимной торговле может возникать в случае применения странами-контрагентами различных систем учета внешнеторгового оборота. Использование специальной или общей систем торговли предопределяет различие в категориях товаров, включаемых в экспорт и импорт для стран, применяющих разные системы.
Одной из причин расхождений может быть различие методов пересчета стоимости экспортно-импортных операций, выраженных в любых других валютах, в доллары США. Так, в таможенной статистике внешней торговли России пересчет стоимости товаров, выраженной в иностранной валюте, производится по действующему курсу страны на момент экспорта и импорта.
В ряде стран (Великобритания, Болгария) пересчет осуществляется на основе среднемесячного курса национальной валюты к доллару США.
Расхождения могут быть также следствием отклонений от международной методологии в части круга товаров, учитываемых статистикой внешней торговли.
В мировой практике таможенная статистика внешней торговли не учитывает поставки рыбы и других морских продуктов, осуществленные с отечественных судов в зарубежных портах или на борт иностранных судов в международных водах, так как в ходе этой торговли товары не пересекают таможенную границу (импортеры включают в свою статистику). В частности, именно этим обстоятельством объясняется занижение российского экспорта в Японию.
Значительная часть расхождений вызвана различным подходом разных стран к учету в таможенной статистике внешней торговли транспортных средств, ввозимых физическими лицами. Например, в отличие от России в статистике Финляндии и Швеции вывоз автомобилей физическими лицами включается в общий объем экспорта страны.
Выявление причин расхождений в данных стран-контрагентов и снижение этих расхождений имеет большое практическое значение, так как позволяет вскрыть значительные возможности получения дополнительных платежей в федеральный бюджет.
Основными причинами занижения данных по импорту являются занижение стоимости импортерами и недекларирование товаров.
В целях ухода от налогов или снижения их суммы декларирование товаров может осуществляться не под своим наименованием, т.е. товары кодируются кодами товарных позиций с меньшим уровнем импортных пошлин. Типичный пример — декларирование автомобилей с большим объемом двигателя кодом автомобилей с меньшим объемом двигателя.
Значительная доля расхождения объясняется включением рядом стран в свой экспорт операций в рамках так называемой челночной торговли. Именно этим обстоятельством в значительной части объясняются причины расхождений ро сийских данных по импорту с данными по экспорту Китая, Сингапура, Республики Корея, Турции и др.
Наибольшее занижение российского импорта отмечается по продовольственным товарам, одежде и обуви, мебели, транспортным средствам, бытовой технике, т.е. по товарам, на которые установлены наиболее высокие ставки импортных пошлин.
Повышение степени сопоставимости данных по внешней торговле на международном уровне является важным условием расширения аналитических возможностей использования этих данных. В связи с этим на двусторонних встречах экспертов стран на регулярной основе рассматриваются расхождения в данных и выявляются их причины.
51.6. Индексный метод в статистике внешней торговли*
* Подробнее этот метод анализа внешней торговли освещен автором данного параграфа в статье К вопросу использования индексного метода в статистике внешней торговли (Вопросы статистики. 1996.
7).
Для характеристики динамики внешней торговли наряду с абсолютными величинами широко используются различные относительные показатели, в частности, система экономических индексов.
Система индексов. При изучении внешней торговли исчисляются различные виды индексов, из которых наиболее важны:
- индексы стоимости;
- индексы цен;
- индексы физического объема;
- индексы условий торговли.
Перечисленные индексы относятся к экономическим индексам, которые обычно образуют некоторые системы, отражающие взаимосвязи исходных экономических параметров.
Так, взаимосвязь индексов стоимости (Ipq), цен (Ip) и физического объема (Iq) следующая:

В формализованном виде данная взаимосвязь индексов выражается следующей мультипликационной моделью:

(51.1)
где рi1 — цена i-го товара в текущем периоде;
pi0 — цена i-го товара в базисном периоде;
qi1 — количество i-го товара в текущем периоде;
qi0 —- количество i-го товара в базисном периоде;
п — количество товаров в группе.
Разность значений числителя и знаменателей в этих формулах означает абсолютную величину изменения стоимостных объемов, что позволяет разложить по факторам прирост (уменьшение) общих стоимостных объемов за изучаемые периоды.
Приведенная мультипликационная модель взята за основу при построении системы индексов внешней торговли России, которые с 1995 г. исчисляются таможенной статистикой. Исходной информационной базой являются грузовые таможенные декларации (ГТД), где отражается объем экспорта/импорта товаров в долларах США (статистическая стоимость) и в натуральных единицах измерения (основная единица — весовая).
Сводный индекс внешнеторговых цен определяется по модифицировHнной формуле Пааше:

(51.2)
где ip = pi1 / pi0 — индивидуальные индексы средних цен.
Индивидуальные индексы цен исчисляются по низшим классификационным группам товаров (6 или 9 значного кода ТН ВЭД), разагрегированным до уровня страны-партнера (товар-страна и страна-товар). В качестве средних цен рi1 и рi0 берется средняя удельная стоимость единицы товара, определяемая как отношение статистической стоимости к объему в натуральных единицах измерения (основные единицы — весовые).
Индивидуальные индексы цен агрегируются в сводные по среднегармонической формуле Пааше (51.2).
Расчет сводного индекса проводится поэтапно.
В приведенной табл. 51.3 индексы стоимости, количества и цен, исчисленные по каждой из стран (гр.
7, 8, 9), рассматриваются как индивидуальные индексы, а по итоговым строкам —как групповые. При этом индексы цен по группам стран являются индексами переменного состава, в которых отражаются изменение цен по каждой стране (товар-страна) и влияние структурного фактора.
При определении сводного индекса внешнеторговых цен по формуле (51.2) агрегируются индивидуальные индексы, исчисленные по сопоставимым позициям товар-страна по странам дальнего зарубежья (ДЗ) и СНГ.
Значение этих индексов распространяется на всю совокупность позиций товар-страна.
Схема расчета системы индексов внешней торговли по одной из групп экспорта товаров рассматривается в табл. 51.3.
В рассматриваемом примере сводные индексы среднеквартальных цен по сопоставимым в динамике странам — контрагентам составили:
по странам ДЗ Iрj = 14922 /16657 = 0,896 или 89,6%
по странам СНГ
(Казахстан) Iрj = 107,8%.
Величины этих индексов используются для расчета сводного индекса в целом по экспорту:

Следующим этапом является расчет системы индексов экспорта товара и абсолютных размеров его изменения, используя мультипликативную: модель (51.1), схема расчета приведена в табл. 51.4.
При изучении внешней торговли важно анализировать не только изменение стоимости, цен, физического объема, но и оценивать сложившиеся условия торговли. С этой целью экономической теорией предлагается ряд показателей, например:
общие условия торговли (Тo = Ipqэк / Ipqим);
реальные условия (Тр = Ipэк / Iрим);
валовые условия (Тв = Iqэк / Iqим);
условия торговли по доходу (Тд = Тр х Iqэк).
Соотношение изменения цен или реальные условия торговли можно рассматривать как индекс покупательной способности (в единицах импорта) фиксированного объема экспорта.
Показатель валовых условий торговли представляет отношение индекса физического объема экспорта к индексу физического объема импорта.
Показатель условий торговли по доходам определяется как произведение показателя реальных условий торговли на индекс физического объема по экспорту и характеризует, в известной мере, улучшение внешней торговли в текущем периоде по сравнению с базисным. На практике в основном используется показатель реальных условий торговли.
Интерпретация других показателей сложна и не бесспорна.
Таблица 51.3
Экспорт метанола (спирта метилового) код ТН ВЭД 290 511 000 из России в 1 кв. 1997, 1998 гг.

Источник: Таможенная статистика внешней торговли РФ. Бюллетень 1 кв. 1998 г. (М.
1998.
С.205) и расчеты автора.
Таблица 51.4
Расчет сводных индексов внешней торговли по группе стран

Факторный анализ изменения средних цен и количества товаров по однородным товарным группам. По достаточно однородным товарам, как например, приведенным в табл.
51.3, правомерно исчислять среднюю цену по группе и суммировать количество товаров в натуральных единицах измерения. В этом случае средняя цена по группе (в данном примере — стран), для каждого рассматриваемого периода является средневзвешенной величиной и в динамике она изменяется под влиянием двух факторов: ценового и структурного.
Выделить и измерить влияние каждого фактора можно также, используя индексный метод. Для сопоставимой совокупности в теории статистики разработана взаимосвязанная система* индексов средних величин переменного, постоянного составов и структурных сдвигов:

где

— индекс цен переменного состава;

— индекс цен постоянного состава;

— индекс, отражающий влияние структурного фактора.
* В этой системе и далее индекс с относится к сопоставимым странам-контрагентам, а с1 означает расчет средней базисной цены по структуре текущего периода.
Данная система индексов не дает полного представления об изменении цен по рассматриваемой совокупности стран.
По всей совокупности стран-контрагентов взаимосвязанная система индексов средних цен будет следующей:

Ipнов — влияние на динамику средней цены появления в текущем периоде новых стран-партнеров, а Ipвыб — влияние выбытия стран-партнеров.
В развернутом виде данную систему индексов представим как соотношение средних цен:

(51.3)
где

— ценовой фактор;

— структурный фактор.
Разница числителей и знаменателей этих соотношений цен будет характеризовать абсолютный размер изменения средних цен ( р), обусловленное различными факторами, т.е.

Для группы стран дальнего зарубежья приведем расчет этой системы показателей (Iр и р)
Индексы

; а абсолютный размер изменения цен (Dp) будет равен: -11,7 + (-3,2) + 0,4 + 2,1 = -12,4 долл. США.
По сопоставимой совокупности стран-контрагентов индекс переменного состава равен 87,1%, а постоянного — 89,6% т.е.

Отношение индекса цен переменного состава I

к индексу постоянного состава

характеризует влияние структурных изменений в объемах экспорта, т.е.

= 87,1/89,6 = 0,972, или 97,2%.
Такое соотношение будет при сопоставлении индексов количества

и физического объема, исчисленного по агрегатной форме

(51.4)
В рассматриваемом примере значение этих индексов следующее:

Сопоставление этих индексов также будет характеризовать влияние структурных изменений в экспорте, т.е. 86,8 / 89,3 = 0,972 или 97,2%.
Индексы стоимости, средних цен переменного .состава и индекс количества также взаимосвязаны, а именно:

В рассматриваемом примере по сопоставимой совокупности взаимосвязь этих индексов по дальнему зарубежью составила:
77,8% = 87,1% х 89,3% (см. гр. 7, 8, 9 табл.
51.3).
Аналогичный анализ можно провести и по группе стран СНГ, а также в целом по всем странам, но в этом случае следует учитывать сменяемость участников внешнеторгового оборота.
Контрольные вопросы
- Для решения каких задач используются данные таможенной статистики внешней торговли?
- В чем отличие общей системы учета внешней торговли от специальной?
- Какие товары включаются в таможенную статистику внешней торговли?
- Назовите основные таможенные режимы, которые учитываются и не учитываются в таможенной статистике.
- Какие товары не могут быть охвачены декларированием?
- В чем различие между стоимостью товаров, оцененных на основе цен ФОБ и цен СИФ?
- Какими принципами руководствуются при определении страны-контрагента и какие из них являются основными?
- Опишите классификационную структуру ТН ВЭД СНГ.
- Какие основные причины расхождений в данных о торговле между странами?
- Какие основные индексы используются в статистике внешней торговли и каковы методы их исчисления?
- В чем различие индексов средних цен переменного и постоянного состава?
Таможенная статистика внешней торговли
Задачи статистики внешнеэкономических связей заключаются в представлении количественной информации о состоянии и развитии внешнеэкономической деятельности страны в неразрывной связи с ее качественной характеристикой. В статистике внешнеэкономических связей объектами учета являются товары и услуги, составляющие экспорт и импорт страны, а также все связанные с ними операции.
Переход на международную методологию учета внешнеэкономических операций потребовал изменения организации статистики внешней торговли, т.е. переход от государственной отчетности к использованию данных таможенного учета.
Таможенная статистика составная часть статистики внешнеэкономических связей, которая кроме товаров, перемещаемых через границу страны, учитывает также оказание услуг. Она изучает количественную сторону явлений и процессов, происходящих во внешней торговле, а также в специальных областях, связанных с учетом и анализом таможенных платежей, борьбой с контрабандой и нарушением таможенных правил, неторговым оборотом и др.
Таможенная статистика подразделяется на таможенную статистику внешней торговли и специальную таможенную статистику.
Правовой основой перехода на таможенную статистику является Таможенный кодекс, который определяет цели ее ведения (обеспечение высших органов государственной власти, а также иных государственных органов информацией о состоянии внешней торговли страны, а также анализ развития внешней торговли, торгового и платежного балансов, экономики страны в целом), а также механизм ведения таможенной статистики внешней торговли (сбор и обработка сведений о перемещении товаров через таможенную границу страны).
Предметом наблюдения и изучения таможенной статистики внешней торговли является внешнеторговый оборот страны, то есть экспорт и импорт товаров в их количественном и стоимостном выражении, а также географическая направленность экспорта и импорта (товар-страна, страна-товар).
Под экспортом понимается вывоз из страны произведенных, выращенных или добытых товаров отечественного производства. При этом к товарам отечественного производства относятся также товары иностранного происхождения, которые ввозятся в страну и подвергаются существенной переработке, изменяющей их основные качественные или технические характеристики.
Экспорт товаров уменьшает национальные запасы материальных ценностей (выручка от продажи экспортных товаров приходная часть платежного баланса).
Под импортом понимается ввоз товаров в страну. В импорт включаются ввезенные товары, предназначенные для потребления внутри страны, для реэкспорта, и товары, закупаемые для отечественных организаций за границей.
Механизм ведения таможенной статистики имеет принципиально важное значение, так как определяет качественно новую основу формирования исходных данных о перемещении товаров через таможенную границу страны. Такие сведения содержатся в грузовых таможенных декларациях (ГТД), подлежащих представлению российскими участниками внешнеэкономических связей на таможнях для таможенного оформления и таможенного контроля.
Обязательное декларирование участниками ВЭС на таможнях товаров, перемещаемых через таможенную границу страны, введено с 1 января 1989 г., в период, когда начался переход экономики России на рыночные отношения.
Декларирование товаров, перемещаемых через таможенную границу страны по экспорту либо по импорту, с представлением заполненного формуляра ГТД, воспроизводящего принятый для этих же целей в международной практике так называемый Единый административный документ, закладывает качественно новую документальную основу формирования, ведения и представления таможенной статистики внешней торговли страны, так как первичные документы заполняются самими участниками ВЭС (или по их уполномочию) и предъявляются для контроля, оформления и решения вопроса о выпуске товаров.
Таможенное декларирование один из способов государственного регулирования внешнеэкономической деятельности.
Из ГТД используются 13 показателей, которые формируют статистику внешнеторгового оборота.
В ГТД указываются сведения, необходимые для оценки и взимания импортных пошлин и налогов, сбора статистических данных и применения законов и распоряжений, за исполнение которых таможенная служба несет ответственность. Требования к информации, указываемой в ГТД, зависят от того, какой таможенный режим декларант просит применить по отношению к декларируемым товарам.
Все графы ГТД заполняются для режимов экспорт и выпуск для свободного обращения, поскольку к ним применяются все меры экономической политики, и таможенный контроль в этих случаях требует наиболее полной информации.
В ГТД указываются вид внешнеторговой операции, отправитель и получатель товара, валюта платежа, общая фактическая стоимость и другие данные, раскрывающие сущность товара и валютной выручки. В соответствующих графах ГТД указываются наименование товаров и их технические характеристики, включая номера моделей, типы, размеры, технические параметры и т.п., что позволяет однозначно классифицировать декларируемые товары в определенную 9-значную подсубпозицию ТН ВЭД СНГ.
Правильное кодирование товаров является важным источником повышения достоверности данных таможенной статистики внешней торговли.
Важнейшим блоком в формировании таможенной статистики является стоимостная оценка экспортно-импортных операций, которая предопределяет приведение стоимостных данных к единому базису цен.
Уникальность ГТД заключается в том, что при ее заполнении используются цифровые коды классификаторов, позволяющие автоматизировать сбор данных. При их заполнении применяются единые способы учета, а также общепринятые международные или локальные классификаторы.
Информация о внешней торговле за год формируется на основе обработки более 2 млн ГТД.
На основе данных, содержащихся в ГТД, можно определить распределение экспорта и импорта по странам-контрагентам, включая и страны, через которые были заключены внешнеторговые контракты и страны отгрузки товаров.
Сведения, содержащие в ГТД, обеспечивают формирование официальных публикаций по таможенной статистике внешней торговли.
51.2. Товарная номенклатура внешнеэкономической деятельности
Непосредственными объектами наблюдения в таможенной статистике являются экспортные и импортные товары, приведенные в Товарной номенклатуре внешнеэкономической деятельности Содружества Независимых Государств (ТН ВЭД СНГ), используемой в настоящее время в Российской Федерации и других странах СНГ при декларировании товаров, перемещаемых через таможенную границу страны.
ТН ВЭД СНГ является национальной версией принятой в международной практике Гармонизированной системы описания и кодирования товаров (ГС), многоцелевой Товарной номенклатуры, разработанной для использования как в таможенных, так и в статистических целях. Разработка ГС была продиктована необходимостью охватить в этой классификации широкий круг товаров, обращающихся в мировой торговле, для обеспечения сопоставимости национальных статистических данных о внешней торговле на международном уровне.
Применение ТН ВЭД СНГ, построенной на основе ГС, является необходимым условием для вступления России в ГАТТ/ВТО.
Ассортимент товаров, выпускаемых промышленностью и сельским хозяйством разных стран и поступающих в торговлю, насчитывает сотни тысяч самых разнообразных видов и разновидностей товаров (продукции). Назначение классификационной системы ТН ВЭД СНГ систематизировать товары международной торговли по признаку происхождения (промышленные, растительные, минеральные и т.п.) и по степени обработки (сырье, полуфабрикаты, готовые изделия).
В общую структуру ТН ВЭД СНГ включены кодовые обозначения товара, его наименование и сокращенное обозначение единиц измерения (основной и дополнительной).
Кодирование товаров в ТН ВЭД СНГ осуществляется девятизначным цифровым годом, где первые шесть цифр означает код товара по Гармонизированной системе (ГС); те же шесть цифр плюс седьмой и восьмой знаки образуют код товара по Комбинированной номенклатуре Европейского Союза (КН ЕС), девятая цифра предназначена для выделения традиционных отечественных товаров в ТН ВЭД СНГ для ее дальнейшей детализации (табл. 51.1).
Таблица 51.1
Классификационная структура ТН ВЭД
Главной особенностью ТН ВЭД СНГ является подробная детализация в ней товаров, которые представлены не только по конкретным наименованиям, но и с учетом состава продуктов, технологии их изготовления, основных технических характеристик.
Для обеспечения единообразного понимания классификационных группировок ТН ВЭД СНГ используются примечания к разделам, группам, конкретным товарным позициям, а также основные правила интерпретации ТН ВЭД СНГ, имеющие юридическую силу.
ТН ВЭД СНГ, версия ГС 1996 г., вступила в силу с 1 января 1997 г.
51.3. Методология таможенной статистики внешней торговли
Важным направлением совершенствования статистики внешней торговли является улучшение международных сопоставлений. Решение этой проблемы, а также активизация усилий по интеграции экономики страны в мирохозяйственные связи вызвали необходимость разработки унифицированной Методологии таможенной статистики внешней торговли Российской Федерации (в дальнейшем Методология).
Методология определяет объекты статистического наблюдения и учета в таможенной статистике внешней торговли и порядок их учета, в том числе товаров, перемещаемых трубопроводным транспортом и по линиям электропередач.
Правила и процедуры, изложенные в Методологии, базируются на положениях Таможенного кодекса Российской Федерации и Закона Российской Федерации О таможенном тарифе.
Основу методологических положений таможенной статистики внешней торговли составили также рекомендации Статистической комиссии ООН (Статистика международной торговли. Концепция и определения, ООН, 1982 г.) и рекомендации, содержащиеся в Руководстве для пользователей по статистике внешней торговли, разработанном Евростатом (изд.
3, 1990 г.).
В Методологии используются следующие основные термины:
1. Таможенная территория Российской Федерации сухопутная территория Российской Федерации, территориальные и внутренние воды и воздушное пространство над ними. Таможенная территория Российской Федерации включает в себя также находящиеся в морской исключительной экономической зоне Российской Федерации искусственные острова, установки и сооружения, над которыми Российская Федерация обладает исключительной юрисдикцией в отношении таможенного дела.
Расположенные на территории Российской Федерации свободные таможенные зоны и свободные склады рассматриваются как находящиеся вне таможенной территории Российской Федерации.
2. Таможенная граница Российской Федерации пределы таможенной территории Российской Федерации, а также параметры свободных таможенных зон и свободных складов.
3. Товары движимое имущество, в том числе валюта, валютные ценности, электрическая, тепловая, иные виды энергии и транспортные средства, за исключением транспортных средств, используемых для международных перевозок пассажиров и товаров.
4. Российские товары товары, происходящие из Российской Федерации, либо товары, выпущенные в свободное обращение на территории Российской Федерации.
5. Иностранные товары товары, не указанные выше в п. 4.
6. Таможенный режим совокупность положений, определяющих статус товаров и транспортных средств, перемещаемых через таможенную границу Российской Федерации для таможенных целей.
Основной принцип учета всех ввозимых и вывозимых товаров определяется используемыми в таможенной практике таможенными режимами. В таможенную статистику включаются товары 11 таможенных режимов из 15 (кроме режимов транзита, временного ввоза и вывоза товаров, уничтожения, а также отказа в пользу государства при экспорте).
Методологией прежде всего определяются объекты статистического наблюдения в таможенной статистике внешней торговли и порядок их учета, который в значительной степени зависит от применяемой системы учета экспорта и импорта.
В международной статистической практике существуют две общепринятые системы учета экспортно-импортных операций специальная и общая системы учета торговли.
При специальной системе учета в импорт включаются товары, предназначенные для потребления внутри страны, а в экспорт товары, произведенные, добытые, выращенные или переработанные в ней. Общая торговля распространяется на все коммерческие операции по ввозу и вывозу, включая в себя операции по реэкспорту.
Различие между двумя системами состоит в основном в определении момента учета этих операций: при общей системе учета внешней торговли регистрация экспорта и импорта производится в то время, когда товар пересекает государственную границу, а при специальной когда он проходит через таможенную границу страны.
Это различие имеет особый смысл для товаров, которые проходят через свободные таможенные зоны и свободные склады, являющиеся частью территории государства, где товары находятся вне таможенной территории и не подлежат таможенному контролю.
Товары, поступающие из свободных таможенных зон и свободных складов, учитываются в статистике внешней торговли по специальной системе торговли (специальный импорт) только после того, как они выпущены из пределов свободных таможенных зон и свободных складов в свободное обращение.
Специальный экспорт аналогично включает товары, произведенные, добытые, выраженные или переработанные в стране, а также товары, ввезенные первоначально как специальный импорт.
Общая система при импорте таким образом учитывает весь объем ввоза иностранных товаров, в том числе ввезенные в свободные таможенные зоны и помещенные на свободные склады в момент ввоза, даже если эти товары поступят в свободное обращение позднее.
В экспорте при общей системе учета, помимо товаров, охватываемых специальным экспортом, подлежат учету товары, которые были декларированы для ввоза в свободные таможенные зоны и свободные склады, однако впоследствии были реэкспортированы.
Статистическая комиссия ООН рекомендует использовать общую систему торговли.
В таможенной статистике Российской Федерации, осуществляющей учет ввоза и вывоза товаров на основании общей системы, учитываются следующие категории товаров:
импорт Российской Федерации
- товары, ввозимые для свободного обращения;
- реимпортируемые товары;
- товары, ввозимые для переработки на таможенной территории;
- товары, ввозимые после переработки вне таможенной территории;
- товары, ввозимые для переработки под таможенным контролем;
- товары, ввозимые на территорию Российской Федерации в соответствии с режимом реэкспорта;
- товары, ввозимые на государственную территорию Российской Федерации в свободные таможенные зоны и на свободные склады;
- вывозимые товары, от которых лицо отказывается в пользу государства;
- иностранные товары, ввозимые в магазины беспошлинной торговли;
- товары, временно ввозимые для аренды сроком на один год и более;
экспорт Российской Федерации
- товары, вывозимые в соответствии с таможенным режимом экспорта;
- ввезенные в страну товары, выпущенные для свободного обращения, а затем вывозимые за границу Российской Федерации в соответствии с таможенным режимом экспорта;
- товар, вывозимые после переработки на таможенной территории;
- товары, вывозимые после переработки под таможенным контролем;
- товары, вывозимые для переработки вне таможенной территории;
- товары, вывозимые с территории Российской Федерации в соответствии с режимом реэкспорта;
- товары, вывозимые за границу Российской Федерации из свободных таможенных зон и со свободных складов;
- иностранные и российские товары, вывозимый за границу Российской Федерации из магазинов беспошлинной торговли;
- товары, временно вывозимые для аренды сроком на один год и более.
Не учитываются таможенной статистикой при общей системе учета категории товаров, определяемые в соответствии со следующими таможенными режимами:
товары, перемещаемые транзитом через территорию Российской Федерации;
товары, помещенные под таможенный режим таможенного склада;
временно ввозимые (вывозимые) товары, за исключением арендуемых сроком на один год и более;
иностранные товары, уничтожаемые на территории Российской Федерации;
вывозимые товары, от которых лицо отказалось в пользу государства;
товары, вывозимые в соответствии с таможенным режимом вывоза товаров для представительств Российской Федерации за рубежом.
Круг учитываемых товаров в таможенной статистике должен быть достаточно полным и охватывать все товары и ценности, ввозимые в страну или вывозимые из нее, за исключением транзитных грузов.
Многие международные сделки носят комплексный характер и не всегда очевидно, необходимо ли учитывать в статистике внешней торговли участвующие в них товары. В целях обеспечения сопоставимости данных Методологией определяются товары:
- подлежащие включению в статистику внешней торговли;
- подлежащие исключению из нее, но рекомендованные для учета в целях составления национальных счетов и платежного баланса;
- не подлежащие учету.
В таможенной статистике учитываются не только товары, являющиеся объектом купли-продажи, а все товары (в том числе ценности, за исключением валютных, находящихся в обращении), в результате ввоза и вывоза которых запасы материальных ресурсов страны увеличились или уменьшились. При этом не требуется, чтобы это увеличение или уменьшение ресурсов было необратимым.
Таможенной статистикой не учитываются товары, стоимость которых не превышает порога статистического наблюдения, т.е. установленной предельной (нижней) границы величины стоимости, нетто-тоннажа, других показателей, характеризующих перемещаемые товары.
Статистическому наблюдению в Российской Федерации подлежат товары, таможенная стоимость которых превышает сумму, эквивалентную 100 ЕВРО. По весу, количеству и другим показателям ограничения не установлены.
Не учитывается также монетарное золото, которым обмениваются национальные и международные финансовые органы или уполномоченные банки.
Немонетарное золото, т.е. золото, предназначенное для промышленного использования (для электронной промышленности, для производства украшений, для зубоврачебных целей и т.п.), включается в таможенную статистику внешней торговли.
Не учитываются в таможенной статистике внешней торговли товары для официального (служебного) пользования дипломатических и консульских представительств иностранных государств, международных межправительственных организаций, представительств иностранных государств при этих организациях; дары государственным органам, международным организациям, главам государств, членам парламентов и правительств.
Представительства иностранных государств в любой стране рассматриваются как часть территории страны, которую они представляют, поэтому движение товаров между страной и ее представительствами рассматривается как внутренние поставки.
По этой же причине не учитываются товары, предназначенные для обеспечения боеготовности и повседневной деятельности российских воинских частей, дислоцирующихся за пределами Российской Федерации, а также находящихся в составе войск ООН, и товары, возвращаемые на территорию России российскими воинскими частями.
В последние годы особый интерес представляют оценка и учет неорганизованной (так называемой челночной) торговли, которая составляет около 20% импорта страны. Наиболее распространенными странами для этого вида торговли являются Турция, Китай, Объединенные Арабские Эмираты, Республика Корея, Италия. В таможенной статистике учитывается (и заполняется ГТД) ввоз физическими лицами товаров, вес или стоимость которых превышает соответственно 200 кг или 10 000 долл.
США.
Ввоз физическими лицами товаров как в несопровождаемом, так и в сопровождаемом багаже, если их стоимость оценивается более 1000 долл. США или вес составляет более 50 кг, учитывается отдельно на основе данных, содержащихся в таможенном приходном ордере (ТПО), служащим для уплаты таможенных платежей, и не находит отражения в официальных публикациях по таможенной статистике внешней торговли.
Как было указано выше, товары, помещаемые под режим временного ввоза (вывоза), не учитываются в таможенной статистике. Киотская конвенция относит к числу таких товаров, например товары, демонстрируемые на торговых ярмарках или выставках; художественные экспозиции; коммерческие образцы; племенных животных, животных для участия в выставках или состязаниях и др.
Исключение составляют товары, временно ввозимые или вывозимые для аренды сроком на один гд и более, например по сделкам на аренду вычислительной техники, устанавливаемой в помещении арендатора, самолетов, технологического оборудования и т.п.
В Методологии таможенной статистики внешней торговли определено, что учитываются товары, ввозимые или вывозимые на условиях аренды на срок более одного года (лизинг). Соответственно товары, взятые или переданные в аренду на срок менее одного года, в статистике внешней торговли не учитываются.
Ряд товаров, которые должны учитываться в товарообороте страны, не охватываются таможенной статистикой внешней торговли, так как они поставляются в рамках операций, при которых не пересекается государственная граница Российской Федерации.
Например, учет морских судов и летательных аппаратов, предназначенных для использования в международных перевозках, создает серьезные проблемы в отношении достижения параллельного учета в странах-контрагентах, поскольку суда и самолеты, построенные и проданные одной страной, не всегда доставляются в страну-покупатель.
Аналогично, на основании таможенных документов, нет возможности учесть рыбу и все виды морских продуктов, продаваемых с российских судов за границей, в том числе и на иностранные суда, находящиеся в территориальных водах иностранных государств или в открытом море, а также бункерное топливо, балласт, продовольствие и иные материалы, приобретаемые за рубежом для российских транспортных средств.
Поскольку торговля рыбой и бункерным топливом является важной статьей российского экспорта, учет этих товаров осуществляется на основе использования дополнительных, кроме ГТД, источников информации и в первую очередь на основе специальных форм государственной отчетности.
Определение круга товаров, учитываемых в таможенной статистике внешней торговли, позволяет упорядочить отбор тех грузовых таможенных деклараций, данные из которых используются для формирования таможенной статистики внешней торговли Российской Федерации.
51.4. Показатели таможенной статистики внешней торговли
Статистическая информация по внешней торговле содержит данные о количестве и стоимости экспорта и импорта, сальдо внешнеторговых балансов, дает представление о стране происхождения и стране назначения того или иного товара, условиях поставки, ценах и т.п.
Исчисленные в денежном выражении экспорт и импорт являются основными экономическими показателями, на базе которых рассчитываются средние цены, эффективность внешней торговли, сальдо внешнеторгового баланса, определяются роль и место внешней торговли в платежном балансе страны.
Учет товаров, обращающихся во внешней торговли, осуществляется посредством не только стоимостных, но и количественных показателей, что позволяет получать данные о ценах конкретных сделок или среднестатистических ценах.
В таможенной статистике используются следующие понятия и показатели: отчетный период; направление товаропотока (ввоз или вывоз); страна происхождения при ввозе; страна назначения при вывозе; статистическая стоимость; код и наименование товара; вес нетто; код и наименование дополнительных единиц измерения; количество по дополнительным единицам измерения; характер сделки; вид таможенного режима; категория отправителя (получателя) товара; регион (республика, край, область, г. Москва и г. Санкт-Петербург, автономная область, автономный округ).
Перечисленные показатели позволяют обеспечить подготовку не только периодических публикаций по таможенной статистике внешней торговли, но и проводить различного рода аналитические исследования, в частности, в области развития внешней торговли в региональном разрезе (региональная статистика), а также по категориям участников внешнеэкономических связей.
Трендовые модели прогнозирования
Статистические наблюдения в социально-экономических исследованиях обычно проводятся регулярно через равные отрезки времени и представляются в виде временных рядов xt, где t = 1, 2, ..., п. В качестве инструмента статистического прогнозирования временных рядов служат трендовые регрессионные модели, параметры которых оцениваются по имеющейся статистической базе, а затем основные тенденции (тренды) экстраполируются на заданный интервал времени.
Методология статистического прогнозирования предполагает построение и испытание многих моделей для каждого временного ряда, их сравнение на основе статистических критериев и отбор наилучших из них для прогнозирования.
При моделировании сезонных явлений в статистических исследованиях различают два типа колебаний: мультипликативные и аддитивные. В мультипликативном случае размах сезонных колебаний изменяется во времени пропорционально уровню тренда и отражается в статистической модели множителем.
При аддитивной сезонности предполагается, что амплитуда сезонных отклонений постоянна и не зависит от уровня тренда, а сами колебания представлены в модели слагаемым.
Основой большинства методов прогнозирования является экстраполяция, связанная с распространением закономерностей, связей и соотношений, действующих в изучаемом периоде, за его пределы, или в более широком смысле слова это получение представлений о будущем на основе информации, относящейся к прошлому и настоящему.
Наиболее известны и широко применяются трендовые и адаптивные методы прогнозирования. Среди последних можно выделить такие, как методы авторегрессии, скользящего среднего (Бокса Дженкинса и адаптивной фильтрации), методы экспоненциального сглаживания (Хольта, Брауна и экспоненциальной средней) и др.
Для оценки качества исследуемой модели прогноза используют несколько статистических критериев.
Наиболее распространенными критериями являются следующие.
Относительная ошибка аппроксимации:

(54.1)
где et = хt -

ошибка прогноза;
хt фактическое значение показателя;

прогнозируемое значение.
Данный показатель используется в случае сравнения точности прогнозов по нескольким моделям. При этом считают, что точность модели является высокой, когда

10%, хорошей при

= 1020% и удовлетворительной при

= 2050%.
Средняя квадратическая ошибка:

(54.2)
где k число оцениваемых коэффициентов уравнения.
Наряду с точечным в практике прогнозирования широко используют интервальный прогноз. При этом доверительный интервал чаще всего задается неравенствами

(54.3)
где t табличное значение, определяемое по t-распределению Стьюдента при уровне значимости и числе степеней свободы п - k.
В литературе представлено большое число математико-статистических моделей для адекватного описания разнообразных тенденций временных рядов.
Наиболее распространенными видами трендовых моделей, характеризующих монотонное возрастание или убывание исследуемого явления, являются:

(54.4)
Правильно выбранная модель должна соответствовать характеру изменений тенденции исследуемого явления; При этом величина еt должна носить случайный характер с нулевой средней.
Кроме того, ошибки аппроксимации et должны быть независимыми между собой и подчиняться нормальному закону распределения et N (0, ). Независимость ошибок et, т.е. отсутствие автокорреляции остатков, обычно проверяется по критерию ДарбинаУотсона, основанного на статистике:

(54.5)
где et = xt -

.
Если отклонения не коррелированы, то величина DW приблизительно равна двум. При наличии положительной автокорреляции 0 DW 2, а отрицательной 2 D W 4.
О коррелированности остатков можно также судить по коррелограмме для отклонений от тренда, которая представляет собой график функции относительно коэффициента автокорреляции, который вычисляется по формуле

(54.6)
где = 0, 1, 2 ... .
После выбора наиболее подходящей аналитической функции для тренда его используют для прогнозирования на основе экстраполяции на заданное число временных интервалов.
Рассмотрим задачу сглаживания сезонных колебаний, исходя из ряда Vt = хt -

, где xt значение исходного временного ряда в момент t, а

оценка соответствующего значения тренда (t = 1, 2, ..., п).
Так как сезонные колебания представляют собой циклический, повторяющийся во времени процесс, то в качестве сглаживающих функций используется гармонический ряд (ряд Фурье) следующего вида:
Оценки параметров i и i модели определяют из выражений

(54.7)
где k = п / 2 максимально допустимое число гармоник;
i = 2 i / п угловая частота i-й гармоники (i = 1, 2, ..., т).
Пусть т число гармоник, используемых для сглаживания сезонных колебаний (т k). Тогда оценка гармонического ряда имеет вид

(54.8)
а расчетные значения временного ряда исходного показателя определяются по формуле
54.2. Адаптивные методы прогнозирования
При использовании трендовых моделей в прогнозировании обычно предполагается, что основные факторы и тенденции прошлого периода сохранятся на период прогноза или что можно обосновать и учесть направление их изменений в перспективе. Однако в настоящее время, когда происходит структурная перестройка экономики, социально-экономические процессы даже на макроуровне становятся очень динамичными.
В этой связи исследователь часто имеет дело с новыми явлениями и с короткими временными рядами.
При этом устаревшие данные при моделировании часто оказываются бесполезными и даже вредными. Таким образом, возникает необходимость строить модели, опираясь в основном на малое количество самых свежих данных, наделяя модели адаптивными свойствами.
Важную роль в деле совершенствования прогнозирования должны сыграть адаптивные методы, цель которых заключается в построении самонастраивающихся моделей, которые способны учитывать информационную ценность различных членов временного ряда и давать достаточно точные оценки будущих членов данного ряда. Адаптивные модели достаточно гибки, однако на их универсальность, пригодность для любого временного ряда рассчитывать не приходится.
При построении конкретных моделей необходимо учитывать наиболее вероятные закономерности развития реального процесса. Исследователь должен закладывать в модель те адаптивные свойства, которых достаточно для слежения за реальным процессом с заданной точностью.
У истоков адаптивного направления лежит простейшая модель экспоненциального сглаживания, обобщение которой привело в появлению целого семейства адаптивных моделей. Простейшая адаптивная модель основывается на вычислении экспоненциально взвешенной скользящей средней.
Экспоненциальное сглаживание исходного временного ряда xt осуществляется по рекуррентной формуле

(54.9)
где St значение экспоненциальной средней в момент t, a. St-1 в момент t-1;
параметр сглаживания, адаптации, = const, 0 1;
= 1 - .
Выражение (54.9) можно представить в виде

(54.10)
В (54.10) экспоненциальная средняя в момент t выражена как экспоненциальная средняя предшествующего момента St-1 плюс доля отклонения текущего наблюдения хt от экспоненциальной средней St-1 момента t - 1.
Последовательно используя рекуррентное соотношение (54.9), можно выразить экспоненциальную среднюю St через значения временного ряда:

(54.11)
где S0 величина, характеризующая начальные условия для первого применения формулы (54.9), при t = 1.
Так как = (1 - ) 1, то при t 0 t 0, и, согласно (54.11),

(54.12)
т.е. величина St оказывается взвешенной суммой всех членов ряда. При этом веса падают экспоненциально в зависимости от давности наблюдения, откуда и название St экспоненциальная средняя.
Из (54.12) следует, что увеличение веса более свежих наблюдений может быть достигнуто повышением . В то же время для сглаживания случайных колебаний временного ряда xt величину нужно уменьшить. Два названных требования находятся в противоречии, и на практике при выборе исходят из компромиссного решения.
Экспоненциальное сглаживание является простейшим видом самообучающейся модели с параметром адаптации . Разработано несколько вариантов адаптивных моделей, которые используют процедуру экспоненциального сглаживания и позволяют учесть наличие у временного ряда xt тенденции и сезонных колебаний. Рассмотрим некоторые из таких моделей.
Адаптивная полиномиальная модель первого порядка
Рассмотрим алгоритм экспоненциального сглаживания, предполагающий наличие у временного ряда xt линейного тренда. В основе модели лежит гипотеза о том, что прогноз может быть получен по уравнению
где

прогнозируемое значение временного ряда на момент (t + );

,

оценки адаптивных коэффициентов полинома первого порядка в момент t;
величина упреждения.
Экспоненциальные средние 1-го и 2-го порядков для модели имеют вид

(54.13)
где = 1 - , а оценка модельного значения ряда с периодом упреждения равна

(54.14)
Для определения начальных условий первоначально по данным временного ряда xt находим методом наименьших квадратов оценки линейного тренда:
и принимаем

и

. Тогда начальные условия определяются как:

(54.15)
Контрольные вопросы
- Какие модели прогнозирования вы знаете и каковы их особенности?
- В чем состоит статистический подход к прогнозированию, моделированию тенденций и сезонных явлений в стратегических исследованиях?
- Какие трендовые модели вам известны и как оценивается их качество?
- В чем особенность адаптивных методов прогнозирования?
- Каким образом осуществляется экспоненциальное сглаживание временного ряда?
Уголовно-правовая статистика
К числу наиболее острых социальных проблем относится преступность. Резкая смена социальной, политической и экономической обстановки в России, а также неподготовленность общественного сознания к жизни в новых условиях привели к обострению криминогенной обстановки в стране.
Преступность это социальное явление. Для характеристики этого явления используются статистические данные, собираемые органами внутренних дел, юстиции и прокуратурой.
Уголовная статистика представляет весьма широкую научно обоснованную информацию, которая используется при решении следующих задач:
- определение состояния преступности, ее уровня, структуры и динамики;
- выявление причин и условий, способствующих совершению преступлений;
- исследование личности преступника;
- изучение эффективности работы правоохранительных органов и общественности по охране прав и свобод человека и гражданина, собственности, окружающей среды, конституционного строя от преступных посягательств, по обеспечению общественного порядка и безопасности, а также по предупреждению преступлений;
- прогнозирование изменения состояния преступности.
Правовая статистика делится на три самостоятельные отрасли:
1) уголовно-правовую статистику, имеющую своим непосредственным объектом количественную сторону преступлений и наказаний;
2) гражданско-правовую статистику, непосредственным объектом которой является количественная сторона гражданских правоотношений, рассматриваемых судом и арбитражем;
3) административно-правовую статистику, объектом которой является количественная сторона административных правонарушений.
В данной главе рассмотрены вопросы уголовно-правовой статистики: правила заполнения документов первичного учета в правоохранительных органах и судах; статистические показатели, характеризующие преступность, лиц, совершивших преступления, и осужденных; особенности статистического анализа отдельных категорий преступности и судимости; криминогенные детерминанты (причины и условия преступности), которые порождают и обусловливают преступность как свое следствие.
Статистика преступности учитывает не все совершенные преступления, а лишь те, которые были обнаружены и зарегистрированы правоохранительными органами. Полнота учета преступлений ограничена возможностями органов, призванных регистрировать нарушения уголовного законодательства.
Кроме того, граждане не всегда заявляют о преступлении, свидетелем или жертвой которого они оказались.
Тем не менее, по имеющимся статистическим данным, представляющим массовое наблюдение за совершением уголовных деяний, опираясь на закон больших чисел, можно достаточно правильно установить закономерности такого общественного явления как преступность.
В международной практике широко используется не только ведомственная отчетность, но и социальное обследование населения. Проведение обследований жертв преступлений позволило бы с большей точностью определить масштабы преступности и разработать профилактические способы борьбы с преступностью.
Имеющиеся статистические данные о преступности можно условно разделить на три части: сведения о числе зарегистрированных преступлений, о числе и социально-криминологическом составе преступников, об ущербе от преступлений, которые собираются органами внутренних дел и прокуратурой. Статистические данные о судимости включают в себя число осужденных, их социально-криминологический состав и меры уголовного наказания, которые отражаются в отчетности органов юстиции.
49.2. Статистика преступности
Число зарегистрированных преступлений это выявленные правоохранительными органами и официально зарегистрированные общественно опасные деяния, предусмотренные уголовным законодательством.
Преступление считается зарегистрированным, когда оно поставлено на централизованный учет в информационном центре и включено в статистическую отчетность.
Учет преступлений ведется путем заполнения прокурором, следователем или работником органа дознания карточек на выявленное преступление (форма 1) по каждому ставшему им известным в отчетном периоде преступлению, независимо от того, когда эти преступления имели место, и установлены или не установлены совершившие их лица (Инструкция о едином учете преступлений, утвержденная Генеральной прокуратурой и МВД России в 1994 г.).
Статистический учет преступлений и лиц, их совершивших, носит ведомственный характер. Так, учет воинских преступлений отнесен к компетенции Министерства обороны, а учет дел частного обвинения к компетенции судов.
Учет остальных преступлений осуществляется органами прокуратуры, внутренних дел, федеральной службы контрразведки, федеральной пограничной службы, государственного таможенного-комитета, налоговой полиции.
Государственная статистическая отчетность разрабатывается соответствующими органами и утверждается Госкомстатом РФ. Она включает:
1) отчет о зарегистрированных, раскрытых и нераскрытых преступлениях (форма 1);
2) отчет о лицах, совершивших преступления (форма 2);
3) единый отчет о преступности (форма 1-Г);
4) отчет о следственной работе (форма 1-Е).
Статистическая отчетность формируется на основе документов первичного учета, журнальных учетов, протоколов, рапортов, статистических отчетов подчиненных подразделений, а также иных документальных источников.
Первичный учет осуществляется путем заполнения статистических карточек:
- на выявленное преступление (форма 1);
- о результатах расследования (раскрытия) преступления (форма 1.1);
- на преступление, по которому лицо, его совершившее, установлено (форма 1.2);
- на лицо, совершившее преступление (форма 2);
- на лицо, подозреваемое в совершении преступления (форма 2.1);
- о движении уголовного дела (форма 3);
- о результатах возмещения материального ущерба и изъятии предметов преступной деятельности (форма 4);
- о результатах рассмотрения уголовного дела в суде (форма 6).
Учитывается как одно преступление, если оно совершено несколькими лицами в соучастии; совершено одно преступное действие, в результате которого потерпевшими оказываются несколько человек; при идеальной совокупности (совершение двух или более различных преступлений, выполненным одним действием); длящееся преступление (совершение преступления непрерывно в течение длительного времени); продолжаемое преступление (совершение ряда тождественных преступных действий, связанных между собой единым умыслом виновного, направленных к общей цели и составляющих в своей совокупности одно преступление); преступление, совершенное в виде промысла (совершение более двух преступных действий, ставших для лица основным или дополнительным источником дохода, когда промысел прямо предусмотрен в диспозиции статьи Уголовного кодекса).
Распространенность преступности выражается в относительных величинах коэффициентах. Прежде всего это число зарегистрированных преступлений в расчете на определенное число (как правило, 100 тыс.) среднегодового наличного населения данного района, области, республики и т.д.
Коэффициенты позволяют сравнить распространенность преступности по разным территориям с различной численностью населения, а также в разные периоды времени на одной и той же территории с учетом изменения численности населения.
Коэффициент распространенности преступлений рассчитывают:
где П число зарегистрированных преступлений (выявленных преступников);
Ч 100 тыс., 10 тыс., 1 тыс. и т.д.;
Н среднегодовая численность наличного населения.
Если в знаменателе данной формулы указывается общее число жителей данной территории, включая малолетних, то исчисленный К дает представление, в какой мере население страдает от преступлений, но распространенность преступности среди населения отражает приближенно.
При определении коэффициента распространенности преступлений среди несовершеннолетних в знаменателе формулы показываются лица в возрасте от 14 до 17 лет включительно.
Для исчисления коэффициента распространенности преступлений в городах, сельской местности, среди мужчин, женщин в знаменатель формулы включается численность соответствующей категории населения.
При анализе состоянии преступности следует иметь в виду, что число преступлений, показанных в статистической отчетности, отражает уровень преступности без учета латентной (невыявленной и незарегистрированной) преступности.
Латентность свойство практически всех категорий преступлений. Вместе с тем можно выделить группы наиболее и наименее латентных преступлений.
Наименьшая латентность присуща убийствам, тяжкому причинению вреда здоровью, нарушениям правил безопасности движения транспорта, повлекшим смерть потерпевшего и т.п., наибольшая взяточничеству, обману потребителей и т.п.
При построении и исследовании динамических рядов показателей, характеризующих преступность, необходимо иметь в виду, что на изменение данных уголовной статистики влияют различные обстоятельства:
- изменения общественных и социально-экономических условий;
- движение и состав населения;
- изменения уголовных законов, которыми определяется понятие преступного деяния; вводится или отменяется уголовная ответственность за то или иное деяние;
- повышение или снижение уровня раскрываемости преступлений;
- активность деятельности правоохранительных органов по борьбе с преступностью.
Состояние преступности определяется в значительной мере социально-экономическими условиями, поэтому увеличение преступности нельзя автоматически оценивать как ослабление деятельности правоохранительных органов. Причины неблагоприятных изменений можно установить, сопоставив данные уголовной статистики с материалами, содержащими информацию экономического, демографического, социально-культурного характера, в частности, данные бюджетных обследований о доходах и расходах семей, занятости и числе безработных, особенно среди молодежи, внешкольного воспитания подростков и др.
Структура преступности характеризуется процентным отношением (удельным весом) количества отдельных видов преступлений к общему числу зарегистрированных преступлений. Эти данные позволяют определить, за счет каких видов преступлений происходят изменения в структуре преступности.
Преступления классифицируются:
- по объекту противоправного посягательства против жизни и здоровья, свободы и достоинства личности, против собственности, в сфере экономической деятельности, против общественной безопасности и общественного порядка, против государственной власти и другие (как правило, соответствующие названиям глав и разделов Особенной части Уголовного кодекса);
- по степени общественной опасности небольшой тяжести, средней тяжести, тяжкие и особой тяжести;
- по форме вины (умышленные и неосторожные);
- по другим признакам.
Сведения об общем числе зарегистрированных преступлений и по видам преступлений по тяжести, а также по главам и статям Уголовного кодекса содержатся в отчетах о зарегистрированных, раскрытых и нераскрытых преступлениях (форма 1), которые заполняются соответствующими органами МВД и прокурорами на местах. Из этих же отчетов можно получить сведения о преступлениях, совершенных в городах и поселках городского типа.
В Российской Федерации с 1 января 1997 г. введен в действие новый Уголовный кодекс.
Новый Уголовный кодекс содержит 360 статей. В него включены главы, предусматривающие ответственность за преступления против конституционных прав и свобод человека и гражданина, семьи и несовершеннолетних, за экологические, компьютерные преступления и другие главы, которых ранее не было, в то же время ряд действий, ранее квалифицированных как преступления, исключен из числа таковых.
С учетом изменений в сфере экономики и управления существенно расширены разделы, регулирующие ответственность за хозяйственные преступления, а также за преступления против собственности, против интересов государственной службы, против интересов службы в коммерческих и иных организациях.
Общее число зарегистрированных преступлений в Российской Федерации в 1998 г. составило около 2,6 млн, что на 8% больше, чем в 1997 г. Коэффициент преступности в расчете на 100 тыс. человек равен 1758 против 1627 в предыдущем году, по сравнению с 1990 г. он увеличился более чем на треть.
В структуре преступности более половины преступлений имеет корыстную направленность, что сказывается на общем уровне преступности.
В отличие от корыстных преступлений насильственные всегда занимают небольшую часть в структуре преступности, но считаются наиболее социально опасными. Рост этих преступлений в наши дни связан с недостаточно продуманным осуществлением экономических реформ, вызвавшим социальную напряженность в обществе.
Снизился уровень жизни подавляющего большинства населения, изменилось представление о традиционных нравственных ценностях, о допустимости насильственных действий, стереотипов агрессивного поведения.
При анализе статистических данных об убийствах необходимо иметь в виду, что учет ведется как по оконченным преступлениям, так и по покушениям на убийство. Кроме умышленных убийств, учет ведется по убийствам, совершенным в состоянии аффекта, совершенных при превышении пределов необходимой обороны, а также по неосторожности.
Причинение вреда здоровью классифицируется по тяжести вреда: тяжкое, среднее, легкое. К преступлениям против здоровья относятся побои, истязания, неоказание помощи больному, оставление в опасности и др.
Под влиянием криминального видеобизнеса, пропагандирующего порнографию и насилие, у морально неустоявшихся молодых людей формируется сексуально-агрессивная мотивация насильственной преступности. Снижение числа зарегистрированных изнасилований можно объяснить доступностью проституции, сексуальной свободой в среде несовершеннолетних, а также высокой латентностью изнасилований.
Переход к рыночным отношениям, развитие предпринимательства, разгосударствление и приватизация производства и инфраструктур, приватизация жилья граждан и другие процессы перераспределения собственности вызвали рост таких преступлений, как вымогательство, взяточничество, мошенничество, незаконное предпринимательство, уклонние от уплаты налогов, хищение и проч.
К преступлениям в сфере экономики относят:
- преступления против всех видов собственности кража, мошенничество, присвоение или растрата, грабеж, разбой, вымогательство, уничтожение или повреждение имущества и т.п.;
- преступления в сфере экономической деятельности незаконное предпринимательство, легализация денежных средств, приобретенных незаконным путем, изготовление или сбыт поддельных денег или ценных бумаг, контрабанда, уклонение гражданина от уплаты налога, обман потребителей, заведомо ложная реклама и т.п.;
- преступления против интересов службы в коммерческих и иных организациях злоупотребление полномочиями, коммерческий подкуп и т.п.
Одним из квалифицирующих признаков преступлений против собственности является крупный размер стоимости имущества. По законодательству Российской Федерации он должен в 500 раз превышать минимальный размер оплаты труда на момент совершения преступления (примечание ст.
158 УК РФ).
Из числа некоторых преступлений, расследуемых службой налоговой полиции (уклонение гражданина от уплаты налога, уклонение от уплаты налогов с организаций и незаконное предпринимательство), выделяются совершенные в особо крупном размере.
К преступлениям, связанным с наркотиками, относятся:
- незаконное изготовление, приобретение, хранение, сбыт, перевозка, пересылка, хищение либо вымогательство наркотических средств или психотропных веществ;
- склонение к потреблению наркотических средств или психотропных веществ;
- содержание или организация притонов для потребления наркотических средств или психотропных веществ;
- незаконное культивирование запрещенных к возделыванию растений, содержащих наркотические вещества;
- незаконная выдача либо подделка рецептов или иных документов, дающих право на получение наркотических средств и психотропных веществ.
Эти преступления направлены против здоровья населения. Их число в 1998 г. достигло 190 тыс., это почти в два раза больше, чем в 1996 году.
Закон О наркотических средствах и психотропных веществах, принятый Государственной Думой Российской Федерации 10 декабря 1997 г., устанавливает правовые основы государственной политики в сфере оборота наркотических средств, психотропных веществ и в области противодействия их незаконному обороту в целях охраны здоровья граждан, государственной и общественной безопасности. В нем определены основные понятия, используемые в законе:
- наркотические средства вещества синтетического или естественного происхождения, препараты, растения, включенные в Перечень наркотических средств, психотропных веществ и их прекурсоров, соответствующий Единой конвенции о наркотPческих средствах (1961 г.);
- психотропные вещества вещества синтетического или естественного происхождения, препараты, природные материалы, включенные в Перечень наркотических средств, психотропных веществ и их прекурсоров, соответствующий Конвенции о психотропных веществах (1971 г.);
- прекурсоры наркотических средств и психотропных веществ вещества, часто используемые при производстве, изготовлении, переработке наркотических средств и психотропных веществ, включенные в Перечень наркотических средств, психотропных веществ и их прекурсоров, соответствующий Конвенции Организации Объединенных Наций о борьбе против незаконного оборота наркотических средств и психотропных веществ (1988 г.) и др.
Под взяточничеством понимается получение должностным лицом лично или через посредника взятки в виде денег, ценных бумаг, иного имущества или выгод имущественного характера за действия (бездействие), которые входят в служебные полномочия должностного лица, или за незаконные действия, а также дача взятки. При анализе этих преступлений следует исходить из того, что обе стороны не заинтересованы в выявлении факта взятки, то есть учет их затруднен.
За 1998 г. выявлено 5,8 тыс. случаев взяточничества.
49.3. Статистическое изучение лиц, совершивших преступления
Статистические данные о лицах, совершивших преступления, содержатся в совместной отчетности органов внутренних дел и прокуратуры (форма 2).
Учету подлежат все совершившие преступления лица, в отношении которых по уголовному делу прокурором утверждено обвинительное заключение, либо санкционировано направление протокола с материалами в суд или санкционирована передача материалов для применения к ним мер общественного воздействия. Учету подлежат также лица, по обвинению которых уголовные дела прекращены либо в возбуждении уголовного дела по которым отказано за истечением сроков давности, вследствие акта амнистии или помилования, в отношении умершего обвиняемого и др.
Уголовные дела, возобновленные для производства дополнительного расследования, повторно не регистрируются.
Если одним лицом совершено несколько преступлений, то в статистической отчетности оно будет отражено только один раз по наиболее серьезному преступлению. При соучастии нескольких лиц в совершении преступлений число выявленных преступников может оказаться большим, чем число зарегистрированных преступлений.
К числу выявленных лиц, совершивших преступления, относятся:
- лица, в отношении которых уголовные дела, материалы дознания и протокольные производства направлены в суд;
- лица, совершившие преступления, но освобожденные от уголовной ответственности;
- лица, уголовные дела и матеиалы в отношении которых прекращены по нереабилитирующим основаниям.
Состав выявленных лиц характеризуется следующими показателями: возраст, пол, место жительства, образовательный уровень, род занятий, повторное совершение преступлений и обстоятельства совершения преступления (в состоянии токсического, наркотического или алкогольного опьянения, группой лиц).
Анализ статистических данных, характеризующих состав преступников, показывает, что отдельные виды преступлений совершаются в большинстве случаев определенными категориями лиц. Например, преступления, связанные с насилием (причинение вреда здоровью, убийство, грабеж, хулиганство и т.д.), совершаются, как правило, мужчинами.
Доля женщин высока среди лиц, совершивших некоторые преступления в сфере экономики (обман потребителей; взяточничество; мошенничество; присвоение или растрата; незаконное изготовление, приобретение, хранение, перевозка, пересылка, сбыт наркотических средств или психотропных веществ и др.).
Преступная активность зависит не только от пола преступника, но и возраста. Криминальная активность наиболее характерна для возрастной группы 2529 лет, затем следуют 1824-летние.
Особо выделяется подростковая преступность. В Российской Федерации более половины преступников представлены лицами моложе 30 лет.
Несовершеннолетние составляют десятую часть числа выявленных лиц, совершивших преступления.
Несовершеннолетние преступники это лица, совершившие преступление в возрасте 1417 лет включительно, то есть до 18 лет. Возраст в статистической отчетности учитывается по числу исполнившихся лет на момент совершения преступления.
Для несовершеннолетних преступников характерны такие преступления, как грабежи (в среднем несовершеннолетние составляют четвертую часть совершивших указанное преступление); кражи, изнасилования, разбойные нападения, хулиганство (седьмуювосьмую часть); преступления, связанные с незаконным оборотом наркотиков (одиннадцатую часть).
Резкое обогащение одних людей и обнищание других, проявление пренебрежения и жестокости, распространение таких негативных социальных явлений, как пьянство, наркомания, проституция, способствуют групповой преступности.
Преступление признается совершенным группой лиц, если в его совершении совместно участвовали два человека и более.
Для несовершеннолетних больше, чем для взрослых, характерно групповое совершение преступлений. Если в общей преступности групповые преступления составляют пятую часть, то среди несовершеннолетних третью (из числа расследованных дел).
В этом немалую роль играет присущая подросткам потребность в общении со сверстниками.
По возрастному составу преступные группы в статистике делятся на состоящие только из несовершеннолетних, только из взрослых и группы с участием несовершеннолетних.
Особую опасность представляет организованная преступность. Организованные группы это группы людей, заранее объединившиеся для совершения преступлений с целью обогащения и извлечения постоянных и значительных нелегальных доходов.
Такие группы отличаются устойчивостью состава, иерархичностью руководства, масштабностью действий, внутренней функциональной специализацией участников преступления.
При изучении социально-криминологической характеристики преступников необходимо также использовать показатели о повторной преступности, что дает представление об устойчивости антиобщественного поведения лиц, совершающих преступления неоднократно, о повышении их преступной активности и общественной опасности.
К лицам, ранее совершавшим преступления, относят тех, кто уже выявлялся как лицо, совершившее преступление, и к которому применялись предусмотренные законом меры (осуждение, освобождение от уголовной ответственности и наказание).
В Российской Федерации каждый четвертый преступник ранее уже совершал какое-либо преступление, а среди лиц, совершивших тяжкие преступления против личности, грабежи, разбои, почти каждый второй.
В перечне социально опасных явлений, способствующих совершению преступлений, на одном из первых мест стоят пьянство и наркомания. В уголовной статистике учитываются лица, которые на момент совершения преступления находились в состоянии алкогольного опьянения, наркотического или токсического возбуждения.
Обращает на себя внимание, что в состоянии алкогольного опьянения совершаются более 70% убийств, тяжких причинений вреда здоровью, изнасилований; около 70% хулиганских действий; 5060% грабежей и разбойных нападений.
В результате исследования статистических данных об образовательном уровне лиц, совершивших преступления, можно выявить закономерность: чем ниже образовательный уровень преступников, тем выше их преступная активность.
В отчете органов внутренних дел лица, совершившие преступления, по образованию делятся на три группы:
- с высшим профессиональным, то есть окончившие университеты, институты, и прошедшие половину или более половины срока обучения;
- со средним профессиональным образованием, то есть окончившие техникумы (колледжи), училища;
- со средний общим и средним основным образованием, то есть окончившие средние общеобразовательные школы.
По месту жительства из числа лиц, совершивших преступления, выделяются местные жители и лица без определенного места жительства. Можно получить данные о совершении преступления гражданами России.
Род занятий преступников определяется с учетом сложившихся в стране рыночных условий. Среди них отдельно учитываются рабочие, служащие, работники сельского хозяйства, предприниматли без образования юридического лица, работники органов государственного управления, работники кредитно-финансовой системы, учащиеся, студенты, лица без постоянного источника дохода (в том числе официально зарегистрированные безработные).
Для лиц, занимающихся на момент совершения преступления тем или иным видом деятельности, характерны определенные виды преступлений.
По числу расследованных преступлений в отчете о зарегистрированных, раскрытых и нераскрытых преступлениях содержатся сведения о числе расследованных преступлений, совершенных лицами, не имеющими постоянного источника дохода.
Экономические потери от преступлений установленная органами следствия по оконченным делам и материалам сумма материального ущерба, причиненного преступлением. Эти показатели содержатся в отчете о следственной работе (форма 1-Е).
Причиненный ущерб определяется при предъявлении обвинения, то есть в обвинительном заключении.
Сумма возмещенного ущерба до направления дела в суд (изъято, возвращено, добровольно погашено) отражается в отчете о следственной работе; на стадии судебного разбирательства и во исполнение приговора в отчете органов юстиции о работе судов по исполнению решений и приговоров.
49.4. Судебная статистика
Характеристика состояния преступности будет неполной, если ограничиться анализом зарегистрированных преступлений и лиц, совершивших преступления, без анализа статистики органов юстиции об осужденных. Данные судебной статистики помогают выявить закономерности и тенденции преступности и судимости, оценить эффективность мер уголовного наказания и предупреждения преступлений.
Статистическая карточка на подсудимого является документом первичного учета, которая заполняется судьей на лицо осужденное, оправданное, невменяемое, а также на лицо, дело в отношении которого прекращено. Карточка состоит их четырех разделов:
1) сведения о подсудимом;
2) сведения о преступлении;
3) сведения о приговоре (определении) суда;
4) рассмотрение дела в кассационной инстанции.
К числу осужденных относится число обвиняемых, в отношении которых судом вынесен обвинительный приговор. Учет ведется по приговорам, вступившим в законную числу (с учетом результатов рассмотрения дел в кассационной инстанции).
Подсудимый учитывается как оправданный лишь при полном его оправдании.
При совокупности преступлений осужденный учитывается по статье, предусматривающей более строгое наказание, а при равенстве предусмотренных законом санкций по наиболее распространенному преступлению.
Социально-криминологический состав осужденных характеризуется следующими показателями: возраст, пол, занятие, образование, прошлая судимость и обстоятельства совершения преступления (в сVстоянии алкогольного опьянения, наркотического возбуждения, группой лиц и др.). Эти данные судебной статистики отражаются на момент совершения преступления, а не на момент вынесения приговора.
Характеристика личности осужденных и обстоятельств совершения преступления отражается в отчете органов юстиции О составе осужденных, месте совершения преступления (форма 11).
По роду занятий осужденные распределяются в следующем порядке: рабочие, служащие, колхозники, работники частных предприятий, учащиеся, не занятые трудом или учебой, в том числе безработные, заключенные.
По образовательному уровню выделяются осужденные с неоконченным средним образованием.
Следует различать повторную преступность, которая отражается в отчетности о лицах, совершивших преступления (форма 2 МВД РФ), от рецидивной. Статистические данные о рецидивной преступности можно получить только в статистической отчетности органов юстиции (форма 11), где содержатся сведения как об осужденных, прошлая судимость которых снята или погашена, так и имеющих неснятую и непогашенную судимость.
Надо иметь в виду, что согласно статьи 86 УК РФ лица, в отношении которых судимость погашена или снята, являются не имеющими судимости.
Рецидивистом называется лицо, имеющее непогашенную и неснятую судимость за ранее совершенное умышленное преступление. Увеличение числа или удельного веса опасных и особо опасных рецидивистов сигнализирует о крайне неблагоприятных тенденциях в рецидивной преступности.
По данным судебной статистики, рецидивисты составляют пятую часть среди осужденных. Этот показатель остается устойчивым на протяжении последних лет.
Одним из специфических показателей рецидивной преступности является распределение рецидивистов по числу имеющихся у них судимостей (кратность рецидива). В статистической отчетности выделяются осужденные, имеющие одну, две, три и более неснятых и непогашенных прошлых судимостей.
Специальный рецидив (совершение такого же преступления, за которое судимость не снята и не погашена) определяется по тяжким преступлениям против личности (убийствам, тяжкому причинению вреда здоровью, изнасилованию), хулиганству, хищениям.
В отчете Об осужденных, совершивших преступления в несовершеннолетнем возрасте (форма 12) отражается более детальная характеристика осужденных. В частности, можно получить статистические данные об осуждении за ранее совершенное преступление или об освобождении от уголовной ответственности за него, об условном осуждении или осуждении с отсрочкой исполнения приговора за предыдущее преступление.
Ранее несудимый подросток мог направляться в специальное учебно-воспитательное учреждение или состоять на учете в органах внутренних дел за противоправное поведение, распитие спиртных напитков, употребление наркотиков и прочее, что также отражается в указанной форме отчетности.
Процесс распада семьи, ослабление ее воспитательной функции в обществе является одной из причин преступности несовершеннолетних. Отсутствие одного или обоих родителей, беспризорность детей в неблагополучных семьях, нередко ведет детей на преступный путь.
Растет число родителей, не имеющих возможности обеспечивать минимально необходимые потребности детей, что при отсутствии социальной помощи порождает безнадежность и озлобленность в семье, которые являются мотивацией ряда преступлений. Материальное расслоение населения готовит криминальную почву для преступности несовершеннолетних не только из бедных, но и из богатых семей.
В статистической отчетности судов можно получить данные о составе семьи, в которой воспитывался подросток, совершивший преступление: с двумя родителями, с одним из родителей или несовершеннолетний воспитывался вне семьи (в интернате, детдоме и т.д.).
В отчете органов юстиции О числе привлеченных к уголовной ответственности и мерах наказания (форма 10) осужденные распределяются по видам уголовного наказания.
Наказание это мера государственного принуждения, назначаемая по приговору суда. Наказание применяется к лицу, признанному виновным в совершении преступления, и заключается в предусмотренных Уголовным кодексом лишении или ограничении прав и свобод этого лица (статья 43 У К РФ).
В случае осуждения лица по двум и более статьям Уголовного кодекса учет ведется по более строгому наказанию. Если осужденный к лишению свободы был осужден ранее за другое преступление и не отбыл определенного ему срока наказания, а суд при вынесении приговора присоединил к новому наказанию неотбытое по предыдущему приговору, указывается не общий срок лишения свободы, назначенный в результате сложения наказания, а тот, который определен за последнее преступление.
Учитывая характер и степень общественной опасности совершенного преступления и личность виновного, суды могут назначить лишение свободы на определенный срок или определить наказание, не связанное с лишением свободы. Кроме того, имеются показатели об условном осуждении, что не является видом наказания, и о дополнительных видах уголовного наказания.
Статьей 44 нового УК РФ установлены следующие виды наказания:
- штраф;
- лишение права занимать определенные должности или заниматься определенной деятельностью;
- лишение специального, воинского или почетного звания, классного чина и государственных наград;
- обязательные работы;
- исправительные работы;
- ограничение по военной службе;
- конфискация имущества;
- ограничение свободы;
- арест;
- содержание в дисциплинарной воинской части;
- лишение свободы на определенный срок;
- пожизненное лишение свободы;
- смертная казнь.
Этот перечень является исчерпывающим. Смертная казнь применяется как исключительная мера наказания, пожизненное лишение свободы устанавливается только как альтернатива смертной казни. Обязательные работы и арест будут вводиться в действие по мере создания необходимых условий для исполнения этих видов наказаний до 2001 г.
Структура мер наказания зависит не только от карательной практики судов, но и от структуры судимости, удельного веса рецидива, доли женщин и несовершеннолетних среди осужденных.
В Российской Федерации треть осужденных ежегодно лишается свободы (в основном на срок от двух до пяти лет). В последнее время суды чаще стали назначать условное наказание (каждый второй приговор).
К несовершеннолетним осужденным главным образом применяется наказание, не связанное с лишением свободы.
Эффективность ранее назначенных наказаний к лицам, имеющим неснятую и непогашенную судимость, можно определить по показателям о числе осужденных, совершивших последнее преступление в период испытательного срока или отбыв наказание, которые отражаются в отчете о составе осужденных, месте совершения преступления. Обоснованность применения освобождения от отбытия наказания определяется по показателям об условно-досрочном освобождении, освобождении по амнистии и другим основаниям.
Контрольные вопросы
- Какие задачи решает уголовная статистика?
- Что такое латентная преступность?
- Как учитывается в отчетах лицо, совершившее два преступления?
- Сколько преступлений будет зарегистрировано, если два преступления совершил один человек?
- Какие основные причины преступности несовершеннолетних?
Раздел IX. Статистика внешнеэкономической деятельности
Валовая прибыль от реализации продукта
Валовая прибыль от реализации продукта (Рвал) определяется как разность между валовым доходом торговли/сбыта (Двал) и издержками обращения (И), а чистая прибыль (Рчист) равна валовой, исключая налоги и другие обязательные платежи (Н). В свою очередь валовой доход представляет собой разность стоимости продукта в покупных и продажных ценах:

(38.18)
где qфакт — закупленные, а затем проданные товары;
pпок — цена, по которой товар был закуплен;
pпрод — цена, по которой товар был продан.

(38.19)

(38.20)
где r — рентабельность;
Р — прибыль от реализации товаров (чистая или валовая).
38.4. Статистика рынка продуктов и маркетинг. Источники статистической информации о рынке продуктов
Развитие современного рынка неотделимо от понятия маркетинга. Под маркетингом понимают деятельность по доведению продукта от сферы производства до сферы потребления, ориентированную на удовлетворение потребностей покупателей.
Маркетинг ставит своей целью упорядочение рыночной деятельности, внедрение в нее научных принципов распределения (дистрибьюции) и товародвижения, направленную на снижение уровня стихийности, введения конкурентной борьбы в определенные рамки, обеспечения прозрачности рынка и предсказуемости его развития.
Маркетинг представляет собой систему, включающую функции планомерного стратегического и оперативного управления деятельностью рыночных структур; функции регулирования ряда рыночных процессов и функции изучения рынка.
В маркетинговом исследовании выделяются четыре последовательных этапа (рис. 38.6).

Рис. 38.6
Маркетинговое исследование призвано обеспечить информационно-аналитические потребности маркетинга. С позиции методологии оно представляет собой сложный сплав статистики и эконометрии, со-циометрии и квалиметрии, бихевиоризма и дескриптивного анализа.
Статистические методы имеют огромное значение для решения многих маркетинговых задач. В частности, на теории статистического наблюдения базируется основная часть информационной базы маркетинга.
Статистические методы анализа тенденций, вариации и цикличности являются основой конъюнктурного анализа рынка.
Группировки применяются при сегментации рынка, корреляционно-регрессионный анализ — при характеристике влияния окружающей среды маркетинга на деятельность фирм. В маркетинговом анализе находят место оценки, базирующиеся на моделях теории очередей (теории массового обслуживания).
Рыночный риск оценивается с помощью вероятностного анализа, с использованием выводов теории риска (теории принятия решений). Для характеристики развития и состояния фирмы применяют индексный метод, средние и относительные величины и т.д.
Статистические характеристики необходимы и в процессе оценки выполнения рыночными партнерами своих договорных обязательств. В частности, индексы физического объема позволяют исключить влияние изменения цен после заключения контракта, индекс влияния структурных сдвигов отразит изменения ассортимента товаров и т.д.
Коэффициент вариации позволяет исследовать степень равномерности поставки товаров. Сезонные и другие цикличные колебания спроса и предложения можно выявить с помощью индексов сезонности, гармоники Фурье и других моделей, улавливающих регулярные колебания рыночных пропорций.
Маркетинговая информация широко использует статистическую отчетность и статистические публикации, применяет методы выборки, различные виды опросов, экспертные оценки типа Дельфи-метода. Некоторые теоретики маркетинга говорят о статистическом банке маркетинга, имея в виду набор статистических методик, используемых в маркетинговом исследовании.
38.5. Статистическое исследование рыночной конъюнктуры
Одной из главных задач статистического изучения рынка продуктов является оценка, анализ и прогноз рыночной конъюнктуры. Это необходимо для разработки стратегии маркетинга и осуществления коммерческих операций.
Конъюнктура (от лат. conjungo — соединяю, связываю) рынка — конкретная ситуация, сложившаяся на рынке на данный момент или ограниченный отрезок времени, а также совокупность условий, которая эту ситуацию определяет.
Под рыночной ситуацией, или состоянием рынка, понимается комплекс рыночных процессов и явлений, охватывающий степень сбалансированности рынка (соотношение спроса и предложения); тип рынка (конкурентный, монополистический и т.д.); тенденции развития рынка (изменения, их векторы, скорость и интенсивность); масштабы и степень деловой активности (заполненность хозяйственного портфеля фирмы, число и размер заказов, объем сделок и т.п.); устойчивость/колеблемость главных параметров рынка; уровень риска.
Тенденции рынка определяются на основе анализа динамических рядов основных параметров рынка (продажи, цен, товарных запасов). Строятся трендовые модели, которые определяют вектор, скорость и ускорение развития.
В зависимости от характера развития рынка для построения кривых тренда используются различные функции. В табл.
38.2 приведены формулы основных типов моделей.
Таблица 38.2
Трендовые уравнения

* В формулах: yt — выравненное значение результативного признака: а — свободный член уравнения (экономически не интерпретируется); b — параметр уравнения, отражающий скорость развития: t — фактор времени (номер периода).
Трендовые модели используются также для краткосрочных прогнозов, когда есть вероятность инерционного развития рынка. Исходят из того, что сложившиеся в прошлом тенденции можно распространить (экстраполировать) на прогнозируемый период.
В формулу уравнения подставляется номер прогнозируемого (n-го) периода tn. Для долгосрочного периода, когда меняются условия рынка, этот метод мало подходит.
Важным этапом конъюнктурного анализа является характеристика устойчивости развития рынка. Чем больше размах колебаний, тем выше уровень риска, менее надежны прогнозы.
Колеблемость рынка проявляется в отклонениях фактических уровней от линии тренда, выражающей тенденцию развития. Визуально определить степень устойчивости рынка можно по графическому изображению, а более точно — с помощью формулы

(38.21 – 22)
где V — показатель колеблемости (в процентах к среднему за период уровню; y-yt — среднее квадратическое отклонение фактических уровней динамического ряда (цен, продажи, запасов и т.д.) от выровненных, т.е. тренда; уi — фактические уровни динамического ряда; уt — выровненные значения динамического ряда, т.е. тренд;

— среднее значение уровней динамического ряда:

п — число уровней динамического ряда.
В зависимости от полученных характеристик даются оценки развития и состояния рынка: сильный (развивающийся) рынок; устойчиво развивающийся рынок; неустойчиво развивающийся рынок; стабильный рынок (при высокой активности торговли); стагнирующий рынок (при низкой активности торговли); спад рыночной активности; сокращение рынка.
Количественно оценить покупательский спрос на локальном рынке какого-то товара не представляется возможным. Могут быть даны только косвенные, качественные (атрибутивные) оценки на основе наблюдения за изменениями продажи, цен, товарных запасов, поступления товаров (поставки).
Эти показатели называются индексами деловой активности. При их анализе исходят из сопоставления индексов деловой активности, указывающих на сбалансированность или, наоборот, на разбалансированность рынка:

Анализ рынка включает изучение эластичности спроса, т.е. реакции потребителей на изменение цены или дохода, которая выражается в процентном изменении спроса при увеличении факторного признака (цены, дохода) на один процент. Она измеряется коэффициентом, формула которого:

(38.23)
где Э — коэффициент эластичности; — знак прироста; у — спрос (косвенно характеризуется продажей); х — факторный признак: цена или доход.
При Э 1 наблюдается явление инфраэластичности, товар считается неэластичным и не поддается регулированию; при Э = 1 спрос считается унитарным, или слабоэластичным, его регулирование не имеет смысла; при Э 1 — явление ультраэластичности — спрос поддается регулированию путем изменения цен или дохода.
ПРИМЕР. Цена товара Z выросла с 10 руб. за единицу (х0) до 12 руб. (х1).
В результате падения спроса продажа товара сократилась с 500 ед. (у0) в предшествовавший изменению цены период до 300 ед. (у1) в период, последовавший за изменением. Расчет коэффициента эластичности дал следующий результат:

при увеличении цены на 1% спрос сократился на 2%, т.е. он ультраэластичен. Цену можно использовать в качестве регулятора спроса на товар Z.
У приведенной формулы (ее называют эмпирическим коэффициентом эластичности), несмотря на ее простоту и доступность, имеется существенный недостаток: она отражает влияние на спрос одного фактора, при этом подразумевается, что изменение целиком обусловлено действием данного фактора, хотя на самом деле это не так. На спрос одновременно влияет комплекс факторов, что можно отразить с помощью многофакторной модели спроса:

(38.24)
где

— спрос; bi — коэффициенты регрессии, отражающие влияние соответствующего i-го фактора; хi — факторы; п — число факторов.
По параметрам многофакторного уравнения регрессии можно построить чистые коэффициенты эластичности (их называют теоретическими), освобожденные от влияния других факторов

(38.25)
ПРИМЕР. Получена многофакторная линейная модель спроса на товар Q:

где

— продажа товара Q на душу населения (в шт.);
x1 — доход на душу населения; в среднем равен 1200 руб.;
х2 — цена товара Q; в среднем составляла 60 руб./шт.
Подставляя фактические данные, получаем среднее значение результативного признака:

= 7800 + 6 • 1200 - 150 • 60 = 6000.

Это означает, что товар ультраэластичен и что при увеличении дохода на 1% спрос растет на 1,2%, а при увеличении цены на 1% спрос падает на 7,5%.
Многофакторная модель спроса используется также в целях прогнозирования. В этом случае она стXоится по данным динамических рядов и в нее дополнительно вводится фактор времени (t).
Она учитывает все изменения факторов, но для этого надо знать их прогнозные значения (можно заменять фактические данные гипотезами: если такие-то факторы будут на данном уровне, то спрос составит определенную величину, если факторы будут иными, то и спрос будет иметь другое значение).
Напомним, что прогноз может быть достаточно надежно осуществлен методами экспертных оценок. Иногда развернутый прогноз дается в форме сценария, где сочетаются различные методики, а точечный прогноз заменяется многовариантным.
Используются методы описательного анализа собственных действий, строятся предположения о встречных действиях конкурентов.
В процессе конъюнктурного анализа определяется вероятность коммерческого риска и изменяется его интенсивность. Коммерческий риск — это вероятная опасность потерпеть поражение на рынке (не продать товар, не получить запланированную прибыль или понести убытки, быть вытесненным с рынка и т.д.).
Устранить риск совершенно, застраховать себя на 100% практически невозможно.
Однако следует установить, является ли риск допустимым или чрезмерным, недопустимым.
Известно несколько методов прогнозирования риска. Первый — экспертные (иногда, особенно в малом бизнесе, используются интуитивные оценки риска, основанные на опыте и таланте коммерсанта); оценки вероятности риска с помощью статистических и вероятностных методов, базирующихся на теории принятия решений; балльные оценки риска.
Суть балльного метода в следующем: каждый риск (R) описывается определенным числом (n) i-х факторов (критериев риска). Значения каждого из них экспертным путем ранжируются по вероятности наступления риска и нормируются, т.е. каждому присваивается определенный балл (Вi), экспертным путем определяется вклад каждого фактора в совокупный риск (Wi). Тогда общий уровень риска составит:

(38.26)
Чем ближе R к 0, тем меньше риск, и, наоборот, чем больше R, тем он выше.
В биржевом конъюнктурном анализе применяются специфические графические методы оценки состояния рынка. Широко распространен, например, так называемый технический метод, когда на линейный график колебаний цен или продажи на основе визуальной оценки накладывают линию тренда, так, чтобы она усредняла все эмпирические уровни.
Точно так же на глазок эта линия экстраполируется на следующий период. С появлением ПЭВМ выигрыш во времени от использования такого приблизительного метода становится сомнительным, и данный метод уступает математико-статистическому моделированию тренда.
Основным источником информации о рынке и рыночных процессах (за исключением данных о ценах) служит отчетность предприятий, поставляющих и продающих товары. Обязательство представлять отчетность по определенному кругу и в установленные сроки содержится в патентах и лицензиях, которые выдаются предприятиям, осуществляющим коммерческую деятельность.
Это отчетность: а) о поставке товаров; б) о розничном товарообороте; в) о товарных запасах; г) о затратах; д) о прибылях (г и д — данные бухгалтерского учета).
Доля сплошного учета, как уже отмечалось, в настоящее время постепенно сокращается. Данные о рыночных процессах все больше базируются на выборочном обследовании предприятий и на периодически проводимых торговых переписях (в розничной и оптовой торговле), опросах предпринимателей и потребителей, а также других единовременных учетах.
В квартальных и годовых отчетах обеспечивается адекватность показателей системе национального счетоводства.
Некоторые рыночные явления трудно было бы понять без использования данных статистики семейных бюджетов (крупной панели потребителей). Маркетинговое исследование опирается на систему опросов потребителей и предпринимателей, а также специалистов (устных — интервьюирования и письменных — анкетирования).
Кроме того, маркетинг использует материалы так называемой вторичной информации, в частности публикации СМИ (различного рода бюллетени), где содержатся данные о конкурирующих предприятиях и т.п.
В практику статистического учета все шире внедряются дорасчеты и экспертные оценки. На продуктовых и вещевых рынках практикуются методы несплошного наблюдения, базирующиеся на непосредственном наблюдении и опросах.
Контрольные вопросы
- Какие задачи стоят перед статистикой товарного рынка?
- Как связаны между собой блоки показателей статистики рынка? Почему считается, что товарооборот является центральным показателем статистики рынка?
- С помощью каких индикаторов можно оценить характер и степень сбалансированности (или разбалансированности) рынка?
- Какие методы используются в конъюнктурном анализе?
Внебюджетные фонды — важное звено финансов.
Но это не означает, что сами масштабы государственных расходов привели к экономическому спаду. В то же время величина административных расходов может быть слишком велика для нестабильной экономики государства.
Статистический анализ реальности и эффективности государственного бюджета предусматривает изучение структуры его доходной и расходной частей и взаимосвязи этих позиций с факторами, характеризующими макроэкономическую ситуацию в стране. Здесь используются такие экономико-статистические методы, как анализ параллельных динамических рядов, корреляционно-регрессионный анализ, построение многофакторных индексных моделей.
Далее речь пойдет о социально-статистическом анализе внебюджетных фондов.
Внебюджетные фонды — важное звено общегосударственных финансов. Они являются формой перераспределения и использования финансовых ресурсов, привлекаемых государством для финансирования некоторых социальных программ и общественных потребностей.
С 1992 г. в стране созданы следующие внебюджетные социальные фонды: Пенсионный фонд.
Фонд социального страхования. Государственный фонд занятости населения.
Фонд обязательного медицинсRого страхования, Фонд социальной поддержки населения. К экономическим внебюджетным фондам относятся дорожные фонды, фонд воспроизводства минерально-сырьевой базы РФ, фонды финансового регулирования и некоторые другие.
В соответствии с целевым назначением внебюджетные фонды подразделяются на экономические и социальные, а в соответствии с уровнем управления — на государственные и региональные.
Внебюджетные фонды создаются на федеральном, областном (республиканском) и местном уровнях. Внебюджетные фонды, формируемые на федеральном уровне, характеризуются выделением части средств, передаваемых в распоряжение территориальных органов власти.
При этом определяется удельный вес налогов, поступающих в бюджеты всех уровней. По такому принципу создаются, например, Фонд государственного социального страхования.
Пенсионный фонд.
Государственный фонд занятости населения.
Направления деятельности внебюджетных фондов можно проанализировать с помощью таких статистических показателей, как:
- удельный вес средств, используемых на финансирование (субсидирование, кредитование) институциональных единиц — резидентов;
- абсолютный и относительный размеры природоохранных и экологических программ;
- социальная поддержка конкретных слоев населения в скорме выплат пенсий, пособий и пр.;
- эффективность субсидирования и финансирования социальной инфраструктуры;
- предоставление займов и ссуд, в том числе партнерам-нерезидентам.
Основными внебюджетными фондами, за счет которых осуществляется поддержка лиц, не участвующих в трудовой деятельности по разным причинам, являются Фонд государственного социального страхования и Пенсионный фонд.
Фонд государственного социального страхования, действующий в соответствии с Указом Президента РФ от 7 августа 1992 г., формируется на базе средств предприятий и организаций разных форм собственности, а также лиц, занимающихся предпринимательской деятельностью, и является автономным и строго целевым. Главная цель создания фонда — обеспечение государственных гарантий в системе социального страхования и повышение контроля за правильным и эффективным расходованием средств.
Статистическими показателями, характеризующими абсолютные и относительные размеры фонда и эффективность его использования, служат источники образования фонда и величина страховых взносов.
Основные источники формирования Фонда государственного социального страхования:
- обязательные страховые взносы предприятий и организаций, а также иных хозяйствующих субъектов, независимо от форм собственности;
- средства государственного бюджета;
- поступления от продажи путевок в санатории и дома отдыха, реализуемых по линии государственного страхования;
- доходы от инвестирования части временно свободных средств фонда;
- прочие доходы.
Размер страховых взносов предприятий и организаций определяется как процентное соотношение базовой тарифной ставки и фонда заработной платы рабочих и служащих. Базовые тарифные ставки устанавливаются исполнительной властью по конкретному экономическому сектору в зависимости от конкретных условий труда, контингента работающих и некоторых дополнительных условий.
Кроме того, страховые взносы начисляются с основной заработной платы, премий независимо от источника их выплаты, доплат за работу в сверхурочное время, в выходные и праздничные дни.
Не производится начисление из фонда заработной платы и фонда поощрения премий и вознаграждений за открытия, изобретения, за создание и внедрение новой техники и технологий.
Средства Фонда социального страхования расходуются на:
- выплату пособий;
- финансирование санаторно-курортного обслуживания населения;
- материальное обеспечение деятельности профсоюзов.
Для обеспечения деятельности фонда создается центральный аппарат, которому подчиняются региональные подразделения. При фонде организуется правление, а в региональном разрезе — координационные советы.
Руководство фонда осуществляется председателем, который назначается Правительством РФ.
При анализе деятельности Пенсионного фонда необходимо учитывать объективную потребность в формировании значительных резервов, с помощью которых регулируется размер пенсий и пособий и прочих социальных выплат. Пенсионный фонд РФ образован в 1990 г. как самостоятельное кредитное учреждение, осуществляющее в соответствии с законодательством государственное управление пенсионным обеспечением граждан РФ.
Основной принцип создания любого пенсионного фонда — солидарная поддержка и ответственность поколений.
Источники формирования Пенсионного фонда:
- страховые взносы работодателей и работающих;
- ассигнования из республиканского бюджета РФ;
- временное вложение (капитализация) части свободных средств;
- добровольные взносы юридических лиц.
В случае отсутствия средств на расчетных и текущих счетах фонда используются кредиты банков и других кредитных учреждений. Страховые тарифы взносов установлены в 1994 г. в следующих размерах (в процентах к фонду заработной платы):
- для государственных предприятий, учреждений и организаций — 28%;
- для колхозов, совхозов и предприятий по переработке сельскохозяйственной продукции — 20,6%;
- от доходов крестьянских хозяйств — 5%;
- от доходов работающих — 1%.
Базой отчислений является начисленная заработная плата, все виды вознаграждений в денежной, натуральной формах, независимо от источника их формирования, все штатные, нештатные, временные, сезонные выплаты, а также оплата работы по совместительству.
Основные направления расходования средств Пенсионного фонда:
- выплата государственных трудовых пенсий и компенсаций;
- выплата пенсий инвалидам;
- выплата пособий на детей с 1,5 до 6 лет;
- оказание материальной помощи престарелым и инвалидам;
- индексация пенсий в связи с инфляцией и изменением уровня жизни населения;
- участие на договорной основе в финансировании республиканских и региональных программ по социальной поддержке пенсионеров, инвалидов, детей и иных нуждающихся групп населения;
- помещение временно свободных денежных средств в краткосрочные и долгосрочные государственные ценные бумаги, а также осуществление иных коммерческих операций;
- финансирование текущей деятельности, содержания органов управления и развития материально-технической базы фонда;
- прочие выплаты и пособия.
16.4. Статистический анализ формирования и использования бюджетов разных уровней управления
В Законе Российской Федерации Об основах бюджетного устройства и бюджетного процесса в РФ установлено, что бюджетная система строится на следующих основополагающих принципах:
единства бюджетной системы РФ, что означает единство правовой базы, денежной системы, порядка формирования и осуществления бюджетного процесса, форм бюджетной документации (в том числе статистической отчетности), принципов бюджетного процесса и санкций за нарушения бюджетного законодательства, а также соблюдение единого порядка финансирования расходов бюджетов всех уровней бюджетной системы, ведения бухгалтерского учета средств федерального бюджета, бюджетов субъектов РФ и местных бюджетов;
разграничения доходов и расходов между всеми уровнями бюджетной системы РФ. Этот принцип подразумевает закрепление соответствующих видов доходов (полностью или частично) и полномочий по осуществлению расходов за органами государственной власти страны, органами государственной власти субъектов РФ и местного самоуправления;
самостоятельности бюджетов всех уровней, закрепление прав и обязанностей субъектов РФ по формированию доходов, направлению расходов и составлению регулирующих статей всех уровней бюджетов;
полноты, т.е. полного отражения в бюджетах всех уровней всех доходов и расходов, их достоверного обоснования (особенно это касается величины расходов) и выявления возможностей дополнительного привлечения средств;
сбалансированности бюджетов, что означает соответствие суммарного объема доходов расходам и поступлениям из источников финансирования их дефицита;
реальности, предполагающей отражение действительных величин доходов и расходов государства, а также эффективности и экономности использования бюджетных средств;
достоверности бюджетов всех уровней, что тесно связано с методами и отдельными показателями статистического анализа;
гласности (прозрачности), что означает обязательность предварительного обсуждения бюджетных статей на открытых заседаниях парламента, опубликование бюджета в открытой печати после утверждения с регулярными сообщениями о ходе его выполнения по месяцам, кварталам и в целом за бюджетный период. Этот принцип тесно связан с принципом адресности и целевого характера бюджетных средств.
Между бюджетами всех уровней существует тесная взаимосвязь. Консолидированный бюджет Российской Федерации состоит из:
- федерального (республиканского) бюджета РФ;
- консолидированных бюджетов субъектов (регионов) РФ, которые в свою очередь включают:
- областные бюджеты;
- бюджеты городов областного подчинения, в том числе областного центра, которые делятся на городские бюджеты и бюджеты городских районов;
- бюджеты районов области, включающие районные бюджеты, бюджеты городов районного подчинения, бюджеты сел, поселков и прочих населенных пунктов.
Бюджеты всех уровней должны быть четко сбалансированы. Для достижения сбалансированности необходимо устанавливать предельные размеры их дефицита.
Каждое звено бюджетной системы решает свои конкретные задачи социально-экономического развития соответствующего уровня.
Организация эффективной бюджетной системы страны основывается на принципе самостоятельности федерального бюджета и бюджетов субъектов РФ, участия всех территорий в формировании доходов и финансировании расходов федерального и региональных бюджетов. В соответствии с вышеизложенным можно сформулировать основные принципы организации эффективной бюджетной системы:
- создание трехуровневой системы бюджетных отношений и четкое разграничение функции бюджетов различных уровней в соответствии с их компетенцией;
- равенство, но не тождество бюджетных прав субъектов управления;
- самостоятельность каждого из бюджетов и достаточно высокая автономия их формирования и контроль за их исполнением;
- равенство региональных, федеральных и местных интересов, их тесная увязка между собой на базе четкого разграничения источников
- доходов, направлений расходов между всеми звеньями бюджетной системы;
- прозрачность межбюджетных отношений, основанных на единой методологии расчета бюджетных статей и единых критериях социально-статистического анализа.
В настоящее время большинство бюджетов бюджетной системы России являются дефицитными. Поэтому в процессе их формирования определяются не только предельные размеры дефицита, но и источники его покрытия.
Если в процессе исполнения какого-либо конкретного бюджета происходит превышение предельного уровня дефицита или снижение размера его доходной части, то вводится механизм секвестра расходов, т.е. пропорционального снижения расходов всех уровней, в том числе и государственных, в определенные периоды (ежемесячно, ежеквартально) по всем статьям в течение оставшегося времени данного бюджетного года.
Основным источником покрытия дефицита бюджетов всех уровней выступают внутренние и внешние заимствования.
Основные внутренние заимствования включают: кредиты, полученные Правительством РФ от денежно-кредитных властей и прочих кредитных организаций; государственные займы, осуществляемые в форме выпуска государственных краткосрочных и долгосрочных ценных бумаг от имени правительства, и средства, полученные от их продажи на внутренних рынках; долговые обязательства различных эмитентов, гарантированные Правительством РФ; бюджетные ссуды.
Внешние заимствования при финансировании дефицита бюджета включают: средства от продажи государственных ценных бумаг на внешних рынках, часто в форме облигаций различных субъектов РФ, размещаемых на внешних рынках и номинированных в иностранной валюте; кредиты правительств иностранных государств и международных финансовых организаций (например, Международного валютного фонда (МВФ), Мирового банка реконструкции и развития (МБРР), Европейского банка реконструкции и развития (ЕБРР)).
Бюджеты всех уровней формируются в соответствии с требованиями единой бюджетной классификации, что методологически обеспечивается наличием унифицированных показателей доходов и расходов с присвоением им группировочных кодов. Бюджетная классификация обеспечивает сопоставимость бюджетов всех уровней и включает в себя:
- классификацию доходов бюджетов РФ;
- функциональную классификацию расходов бюджетов РФ;
- экономическую классификацию расходов бюджетов РФ;
- классификацию источников внутреннего финансирования дефицита федерального бюджета;
- классификацию источников внешнего финансирования дефицита федерального бюджета;
- классификацию внутренних долгов как по РФ в целом, так и по отдельным субъектам страны;
- классификацию видов государственного внешнего долга и структуризацию величины внешних активов РФ;
- ведомственную классификацию расходов федерального бюджета.
Расходы бюджетов всех уровней делятся на расходы, включаемые в бюджет текущих расходов и в бюджет развития. Необходимо отметить, что в бюджет развития входят ассигнования на финансирование инвестиционной и инновационной деятельности и прочие затраты, связанные с реструктуризацией экономики и расширением производства.
Средства, включенные в бюджет развития, не могут быть использованы на иные цели.
16.5. Источники статистической информации о бюджете
Общие принципы бюджетного законодательства РФ, правовые основы функционирования бюджетной системы, правовое положение субъектов бюджетных правоотношений и виды ответственности за их нарушение регламентируются Бюджетным кодексом Российской Федерации, принятым Государственной Думой, одобренным Советом Федерации 17.07.1998 г. и подписанным Президентом РФ 31.07.1998 г. ( 145-ФЗ).
Бюджетный кодекс РФ охватывает проблемы, связанные с формированием и исполнением государственного бюджета и бюджетов всех уровней. Он имеет следующую структуру.
Часть первая. Общие положения
Внешняя трудовая миграция
Источниками информации о движении рабочей силы являются:
- отчетность предприятий и организаций, где предусмотрены показатели приема на работу и показатели выбытия;
- данные служб занятости о числе лиц, ищущих работу, и о трудоустройстве;
- данные административного учета о лицах, получающих пенсии по возрасту, инвалидности и т.п.;
- данные специальных обследований рабочей силы;
- информация о профессиональной подготовке кадров.
Статистика движения рабочей силы исследует как объемные показатели, характеризующие число лиц, входящих в категорию рабочей силы или выходящих из нее (а также масштабы отраслевой мобильности, перемещения лиц по секторам экономики, изменений в статусе занятости), так и показатели, отражающие факторы и причины движения рабочей силы.
Для сравнительного анализа используется система показателей: индексы численности работников, показатели общего оборота рабочей силы, оборота по приему на работу и оборота по выбытию.
Индекс численности рабочей силы рассчитывается как отношение численности работников на конец рассматриваемого периода к их численности на начало этого периода.
Пример. На начало года число работников составляло 500 чел., в течение года было принято еще 100 чел., а уволено 120 чел. Индекс равен

Численность работников сократилась к концу года на 4%.
Показатель общего оборота рабочей силы характеризует интенсивность движения и определяется как отношение суммы всех принятых и всех уволенных за рассматриваемый период к числу работающих в среднем за период.
Оборот по приему на работу представлен числом всех принятых в течение рассматриваемого периода, а оборот по выбытию — числом выбывших с работы. Коэффициенты по приему и выбытию рассчитываются как отношение абсолютных величин оборота отдельно по приему или по выбытию к числу работающих в среднем за период.
При этом в первом случае коэффициент показывает, на сколько возросла бы численность работающих, если бы не было увольнений; во втором — насколько уменьшилась бы численность работающих, если бы за рассматриваемый период приема на работу не было.
Статистическое изучение межотраслевого движения рабочей силы, а также ее перемещения по регионам и секторам экономики базируется на основе материалов текущей и годовой отчетности по труду. Оценка масштабов и направлений этого движения осуществляется путем динамических сопоставлений и определения сальдовой величины прибытия (прироста) или выбытия (уменьшения) численности работающих соответственно по отраслям, секторам экономики и регионам страны.
Для углубленного изучения движения рабочей силы рекомендуется перPодически проводить специальные выборочные обследования, которые позволяют анализировать причинно-следственные связи в процессе текучести рабочей силы, ее межотраслевое и межсекторальное перераспределения.
Такие обследования проводились в 1991—1992 гг. в отдельных регионах России по программе, согласованной с Международной организацией труда.
Статистика движения рабочих мест в действующей практике ограничивается изучением числа вакансий (свободных рабочих мест) и прогнозов предприятий и организаций по высвобождению работников и введению новых рабочих мест. Эта информация позволяет оценивать напряженность на рынке труда (число незанятых в расчете на одно свободное рабочее место) и, опираясь на сведения предприятий и организаций о предстоящем высвобождении работников и введении новых рабочих мест, осуществлять прогнозы на ближайший период.
26.6. Внешняя трудовая миграция
В соответствии с определением МОТ термин трудящийся-мигрант означает лицо, которое мигрирует из одной страны в другую с намерением получить работу. Проблемы трудовой миграции тесно переплетаются с проблемами миграции населения, а также вынужденных переселенцев, беженцев и незаконной миграции.
В 90-е годы в связи с проведением работы по снятию существовавших ограничений на въезд и выезд за границу значительно возросла численность международных мигрантов. На миграцию трудовых ресурсов (особенно в рамках СНГ) значительное воздействие оказывают политическая нестабильность, межнациональные конфликты и обусловленная ими вынужденная миграция.
Обострение миграционных процессов, расширение географии и масштабов потоков беженцев осложняют проблему занятости, превращая ее в одних регионах в острую нехватку квалифицированных кадров, а в других — в трудную задачу жилищного обустройства и обеспечения подходящей работой.
Для осуществления эффективной государственной политики регулирования и прогнозирования миграционных процессов необходимо располагать соответствующей информационной базой, в формировании которой целесообразно активное участие национальных миграционных служб и статистических ведомств.
В 1995 г. Госкомстатом совместно с Федеральной миграционной службой России впервые была разработана и внедрена система статистического наблюдения по вопросам трудовой миграции российских граждан за пределы страны и привлечения иностранной рабочей силы в Россию. Указанное наблюдение осуществляется с 1995 г. по специализированным формам — 1-т (миграция) и 2-т (миграция), заполняемым с полугодовой периодичностью юридическими лицами, получившими лицензию на деятельность, связанную с трудоустройством национальных кадров за границей (или заключившими договоры подряда с иностранными юридическими лицами), и юридическими лицами, использующими труд иностранных граждан.
Формы статистического наблюдения за трудовой миграцией включают следующие показатели:
в части национальных кадров, работающих за границей:
- половозрастной состав;
- распределение по странам приема;
- уровень образования;
- стаж работы;
- отрасль;
- профессия;
в части иностранных граждан, занятых в национальной экономике:
- половозрастной состав;
- отрасль;
- распределение по странам происхождения, по формам привлечения и трудоустройства.
Получаемая на основе указанной отчетности информация становится все более необходимой для организации наблюдения за передвижением рабочей силы, оценки масштабов привлечения иностранной рабочей силы и использования своих граждан в экономике других стран, а также для определения воздействия названных факторов на экономические связи между странами эмиграции и иммиграции.
Особым видом трудовой миграции является так называемая маятниковая миграция, представляющая собой ежедневные передвижения рабочей силы к месту работы и обратно к месту жительства. Сальдо маятниковой миграции, определяемое как разница между приезжающими в данной регион на работу и уезжающими на работу в другие регионы, является необходимым элементом построения баланса трудовых ресурсов в территориальном разрезе.
С его помощью устраняется несоответствие ресурсовой и распределительной частей отчетного баланса, обусловленное тем, что население учитывается по месту жительства, а работающие — по месту работы. Сведения о маятниковой миграции представляют большой интерес и в другом аспекте.
Они позволяют оценить роль этой миграции как одного из источников формирования рабочей силы в пределах данной территориальной единицы.
Ее размеры и направления в определенной степени дают возможность оценить избыток или необеспеченность сферы труда для отдельных регионов страны и с помощью этой информации регулировать указанные процессы.
Источниками информации традиционно являлись материалы единовременных сплошных учетов работающих по месту их работы и месту проживания. Последний такой учет был проведен по состоянию на 1 декабря 1990 г. Есть основания полагать, что за прошедшее время масштабы и направления движения маятниковых мигрантов изменились и было бы целесообразно провести новый аналогичный учет.
В случае невозможности организации таких учетов (ввиду их трудоемкости и больших финансовых затрат) рекомендуется производить экспертные корректировки итогов последних учетов, используя материалы специальных выборочных обследований населения по проблемам занятости.
26.7. Статистика забастовочного движения
Забастовочное движение в странах постсоциалистического периода возникло практически одновременно с началом перестройки, и с тех пор его масштабы последовательно увеличивались (табл. 26.1).
Таблица 26.1

С 1998 г. активность забастовочного движения снизилась, его география ограничилась в основном Россией и Украиной. В 1998 г. в России в забастовки было вовлечено 531 тыс. человек, а на Украине — почти 100 тыс. человек.
Около 90% всех забастовок в России и 80% на Украине приходилось на учреждения образования. Основной причиной забастовок являлась несвоевременная выплата заработной платы.
Ввиду важности акций, связанных с трудовыми конфликтами, и оценки их экономических и социальных последствий возрастает внимание к статистическому изучению данных процессов.
Статистика забастовок в России и других странах СНГ организуется на основе сбора сведений непосредственно от предприятий и организаций. Впервые созданная в конце 80-х годов, она постоянно совершенствуется.
С учетом международного опыта и национальной практики вырабатываются новые понятия и определения.
В соответствии с резолюцией МОТ, относящейся к статистике забастовок, локаутов и других акций в связи с трудовыми конфликтами, для целей статистики используются следующие определения.
Трудовой конфликт — это ситуация, когда возникает несогласие между трудящимися и работодателями по определенным вопросам.
Забастовка — это временное прекращение трудящимися работы в качестве крайней меры разрешения трудового конфликта с целью выдвинуть требования или противостоять им либо поддержать требования или недовольство других трудящихся.
Локаут — это полное или частичное закрытие одного или нескольких мест работы либо попытка воспрепятствовать нормальной трудовой деятельности работников одним или несколькими работодателями с целью навязать требования или противостоять им, либо выразить недовольство, либо поддержать требования или недовольство других работодателей.
Критерием, используемым при выявлении одной забастовки или одного локаута, должен служить соответствующий трудовой конфликт. В соответствии с этим принципом под одной забастовкой или одним локаутом следует понимать временное прекращение работы, связанное с одним трудовым конфликтом, который затронул работников:
- одного предприятия (или структурного подразделения) в одно время;
- нескольких предприятий в одно и то же время;
- одного предприятия или нескольких предприятий в разное время, если период между приостановками работ не превышает двух месяцев.
Забастовку, которая затем перешла в локаут, связанный с тем же конфликтом, следует считать забастовкой до момента, когда был объявлен локаут, а затем — локаутом. Аналогичной процедуры необходимо придерживаться, когда забастовке предшествовал локаут.
Продолжительность акции в связи с трудовым конфликтом (забастовки или локаута) можно рассматривать исходя из календарного или рабочего времени. Календарную продолжительность учитывают в виде календарных дней с начала акции первой группой вовлеченных трудящихся до ее окончания последней группой вовлеченных трудящихся; продолжительность рабочего времени учитывают аналогично, но только в рабочих днях.
Дни перерыва в акции не учитываются. В качестве минимальной продолжительности забастовки для учета принимается один день.
В число трудящихся, вовлеченных в забастовки или локауты, включают каждого трудящегося, вовлеченного в акцию, независимо от того, участвовал ли он в ней в течение всей продолжительности акции или только часть времени. При этом занятые неполное рабочее время учитываются на том же основании, что и работающие полное рабочее время.
Трудящихся, отсутствовавших на своем рабочем месте в период проведения акции по болезни, в связи с отпуском, по производственным и личным причинам (с разрешения или без разрешения администрации), исключают из числа вовлеченных в акцию на весь период отсутствия.
В аналитических целях данные по забастовкам (локаутам) группируются по отраслям, регионам страны и, по возможности, по причинам — проблемам, связанным с заработной платой, условиями труда, занятости (например, кадровая политика, массовые увольнения, закрытие предприятия), по политическим мотивам (протест против политики правительства).
Для оценки последствий акций в связи с трудовыми конфликтами рекомендуется исчислять:
- количество времени, не отработанного вовлеченными трудящимися, — всего и в расчете на 1000 чел.: (26.1)
- число вовлеченных трудящихся в расчете на 1000 чел.: (26.2)

Для углубленного статистического анализа в рассматриваемой области целесообразно также, по возможности, рассчитывать средние и распределения следующих видов:
- среднее число трудящихся, вовлеченных в одну забастовку или в один локаут;
- среднее количество неотработанного времени в расчете на одну забастовку или локаут;
- средняя продолжительность забастовки или локаута;
- среднее количество неотработанного времени в расчете на одного вовлеченного трудящегося;
- процентное распределение данных в зависимости от числа вовлеченных трудящихся, количества неотработанного времени, продолжительности акции и по другим параметрам.
26.8. Статистика безработицы
Статистика безработицы обеспечивает предоставление крайне необходимой обществу информации, используемой в различных сферах социально-экономической политики.
В аналитических целях различаются следующие типы безработицы.
Фрикционная безработица — связана с переходом работников с одной работы на другую (добровольно или из-за увольнения). В результате перехода (во время поиска или ожидания другой работы) эти люди оказываются как бы между работами.
Многие экономисты считают, что в рыночной экономике существование определенного уровня фрикционной безработицы является неизбежным и в определенной мере желательным фактом, поскольку с этим переходом связано решение проблемы получения для рабочего более высокого дохода, а для общества — более рационального распределения трудовых ресурсов.
Структурная безработица, при которой наличие незанятых лиц соседствует с наличием вакансий из-за профессионального и географического несоответствия безработных и рабочих мест, а также из-за недостаточного уровня профессиональной подготовки.
Примечание. Фрикционная безработица отличается от структурной тем, что у фрикционных безработных есть навыки, которые они могут продать (реализовать), а структурные безработные не могут сразу получить работу без дополнительного профессионального обучения и переподготовки.
В связи с этим структурная безработица считается более длительной и серьезной.
Циклическая безработица — обусловлена спадом экономического цикла, когда занятость сокращается, а безработица растет.
Сезонная безработица. Этот вид безработицы касается лиц, которые имеют работу только в определенные периоды (например, в разгар сельскохозяйственных работ), а в остальное время года не заняты.
Классическая безработица — возникает при высвобождении рабочей силы в целях повышения заработной платы. Следует иметь в виду, что к этому понятию часто прибегают, когда хотят переложить ответственность за безработицу на самих трудящихся, выступающих за повышение заработной платы.
Технологическая безработица является следствием вытеснения рабочей силы из производства в связи с его автоматизацией и внедрением новых технологий. По аналогии с классической безработицей отнесение безработных к этому типу часто обусловлено политическими мотивами, стремлением перенести центр тяжести на результаты технического прогресса, а не на организационные недостатки общества.
Первым и в 1991—1992 гг. практически единственным источником информации о безработице в России стала система ее регистрации службами занятости. Она многократно модифицировалась в целях улучшения контроля за состоянием на ргистрируемом рынке труда и в целом успешно использовалась для текущего наблюдения за трудоустройством и уровнем официальной безработицы.
Сбор и разработка данных службами занятости осуществляются на основе ведомственного государственного статистического наблюдения по формам, утвержденным Госкомстатом России и заполняемым с месячной, квартальной и полугодовой периодичностью. При этом в месячной отчетности предусмотрены показатели, характеризующие общую численность граждан, обратившихся в службы занятости в поисках работы, процессы их регистрации в качестве безработных (признано безработными), снятия их с учета в связи с трудоустройством, оформлением на досрочную пенсию, направлением на профессиональное обучение и по другим причинам.
В этой же форме предусмотрена информация о заявленной предприятиями и организациями потребности в работниках (т.е. о вакансиях), о назначениях и выплатах пособий по безработице, об участии в общественных работах и некоторые другие показатели.
Квартальная и полугодовая отчетности служб занятости представлены более подробным перечнем показателей, характеризующих: социально-демографический состав как общей численности граждан, ищущих работу, так и тех, кто официально признан безработными; распределение безработных по продолжительности безработицы; масштабы и формы профессионального обучения; квотирование и содействие в сохранении и организации рабочих мест для обеспечения трудоустройства и занятости граждан.
Отчетность, разрабатываемая по линии служб занятости, ежегодно пересматривается для улучшения ее информационных возможностей и наряду с обследованием рабочей силы по-прежнему сохраняет свое значение для анализа рынка труда. Одним из преимуществ административного учета является то обстоятельство, что сбор данных проводится, как правило, в более короткие сроки, чем обследование рабочей силы, а информация относительно легко- и быстродоступна (обычно в первой половине следующего за отчетным месяца).
Используя этот массив данных, можно ежемесячно следить за изменением уровня официальной (т.е. регистрируемой) безработицы и за динамикой основных социально-демографических показателей состава граждан, ищущих работу с помощью служб занятости.
Однако следует иметь в виду, что сведения, получаемые по данному источнику информации, в два-три раза занижены. Это обусловлено рядом причин: относительно невысоким размером выплачиваемого пособия; неудовлетворенностью предлагаемыми рабочими местами, необходимостью регулярно отмечаться, да и просто нежеланием многих граждан официально признать себя безработными.
Поэтому основным источником информации, всесторонне характеризующим конъюнктуру рынка труда, признано крупномасштабное многоцелевое обследование населения по проблемам занятости. Выборочное обследование рабочей силы является наиболее последовательным (после переписи населения) видом статистического наблюдения, с помощью которого можно охватить практически все категории населения (исключение составляют вооруженные силы, бездомные и некоторые другие категории, представляющие собой относительно малочисленные группы населения). Только на основе материалов такого обследования можно получать международно сопоставимую информацию одновременно о трех основных категориях населения — о занятых, безработных и экономически неактивных.
Одна из отличительных черт обследования — возможность предоставления чрезвычайно детальных данных, дающих большое число демографических и социально-экономических характеристик: возраст, пол, гражданство, семейное положение, родственные отношения, уровень образования, различные виды и типы занятости, отрасль, профессия, способы поиска работы, причины экономической неактивности и т.п.
Материалы обследования помогают деловым кругам разрабатывать долгосрочную стратегию маркетинга. Они широко используются для контроля существующих экономических условий, формирования правительственных программ оказания помощи определенным группам населения и прогноза будущих изменений с целью принятия более обоснованных решений, связанных с капиталовложениями, что содействует повышению деловой активности и экономическому росту.
В России первое полномасштабное обследование населения по проблемам занятости было проведено по состоянию на последнюю неделю октября 1992 г. и с этого времени до 1999 г. проводилось ежегодно.
Для проведения обследований была создана выборочная сеть домашних хозяйств. В качестве основы выборки до 1995 г. использовались материалы переписи населения 1989 г., а с 1995 г. — материалы микропереписи населения 1994 г. Для формирования обследуемой совокупности применяется двухступенчатая выборка.
На первой ступени из типизированной основы выборки со случайным расположением единиц отбора основы выборки систематически отбираются счетные участки переписи (портфели). Сформированная на первой ступени выборка представлена по структурным соотношениям восьми показателей (численность населения, пол, возраст, размер семьи, источник средств существования, образование, национальность, принадлежность жилого помещения) и наибольшему числу их сочетаний.
Одновременно (в автоматическом режиме) производится уравновешивание возможных отклонений (выше допустимых) от известной вероятности попадания единиц в выборку как из образованных структурных соотношений восьми показателей, так и их сочетаний.
На второй ступени в отобранных портфелях выбираются переписные листы, составленные на семью (домашнее хозяйство). Таким образом, конечной единицей отбора является семья (домашнее хозяйство).
Размер выборки в 1992—1994 гг. составлял 0,55% численности населения в возрасте 15—72 лет (около 580 тыс. чел.), в 1995 г. он уменьшен до 0,2% с одновременным сокращением числа разрабатываемых показателей на уровне регионов.
С 1999 г. обследования проводятся один раз в квартал по состоянию на последнюю неделю месяца, помеченного для проведения обследования.
Выборка единиц наблюдения для квартальных обследований строится таким образом, что для каждого последующего обследования все единицы наблюдения отобранной совокупности предыдущего квартала заменяются новыми.
Объем выборки устанавливается в расчете на квартал в размере 60 тыс. чел. в возрасте 15—72 лет, или 0,055% от численности населения этих возрастов, а в расчете на год — 240 тыс. чел. (0,22%). Ожидаемая ошибка в выборке по показателю Уровень безработицы в целом по России не превышает 3%.
В соответствии с анкетой выборочного обследования населения по проблемам занятости (далее — обследование рабочей силы), утвержденной Госкомстатом РФ, программа обследования включает в себя следующие тематические разделы:
- сведения о респондентах;
- текущая экономическая активность;
- основная работа;
- дополнительная работа;
- поиск работы, экономическая неактивность.
По показателям первого раздела разрабатываются основные демографические данные, такие, как возраст, пол, семейное положение, родственные отношения, гражданство. Здесь же предусмотрены показатели, характеризующие образовательный уровень: высшее профессиональное, неполное высшее профессиональное, среднее профессиональное, начальное профессиональное, среднее (полное) общее, основное общее, начальное общее.
Во втором разделе предусмотрены показатели, характеризующие наличие у респондентов какой-либо оплачиваемой работы или доходного занятия на период обследуемой недели.
Показатели раздела Основная работа* позволяют определить нормальную (обычную)** продолжительность рабочей недели на основной работе и ее (фактическую продолжительность, а также причины меньшего времени работы по сравнению с нормальной продолжительностью или временного отсутствия на работе в течение обследуемой недели (в связи с болезнью, отпуском или выходными днями, временной приостановкой производства, невозможностью найти работу на большее время и т.п.). Здесь же предусмотрены показатели, характеризующие очень важные для последующего анализа признаки основной работы. К ним относятся, в частности, показатели, формируемые с помощью вопроса Была ли Ваша основная работа:
- на предприятии, в учреждении, организации;
- в фермерском хозяйстве;
- предпринимательской деятелностью без образования юридического лица;
- по найму у физических лиц?
* Основной является работа, которую респондент сам считает для себя основной, или та, на которой отработано большее количество часов, или приносящая наибольший доход.
** Нормальной (обычной) продолжительностью рабочей недели считается время (часы) работы, установленное законодательством, правилами внутреннего распорядка, коллективными договорами для данного вида работ и категорий pаботников.
Экономика: Общество - Социология