Сибирева Н. - Корпоративное управление эффективностью финансово-промышленных групп
ВСЕРОССИЙСКИЙ ЗАОЧНЫЙФИНАНСОВО-ЭКОНОМИЧЕСКИЙ ИНСТИТУТ
Введение
В условиях переходной экономики экономическая ситуация в стране подвержена серьезным колебаниям. Промышленные предприятия, которые до экономических реформ были государственными, уже успели на себе испытать все преимущества и недостатки рыночных реформ, пережив, сильнейшие потрясения следствие эйфории от ослабления государственной вертикали управления, акционирования и приватизации и реальную угрозу попасть в зону кризисного развития и даже банкротства.
Те, кто сумел удержаться на плаву, быстро расстались с романтизмом эпохи хозяйственной самостоятельности и уже на основе трезвого расчета стали искать возможности объединиться с технологически близкими предприятиями.
В условиях переходной экономики одним из главных условий успешной и стабильной деятельности является концентрация капитала. Собственные источники финансирования, сконцентрированные в одних руках в руках высшего менеджмента крупной организации, достаточно мобильны и могут быть направлены как на развитие перспективных направлений деятельности организации, так и поддержание на плаву секторов, временно оказавшихся в кризисе.
Эту тенденцию подтверждает и мировая практика: мелкие фирмы конкурируют с крупными организациями только на очень маленьких местных рынках. Существуют примеры преимущества высокоинтегрированных структур над разрозненными предприятиями и в России.
Типичный пример банковский сектор, в котором особенно в настоящее время наметилась четкая тенденция к укрупнению.
Таким образом, сегодняшняя экономическая действительность такова, что без концентрации производства и капитала создание конкурентоспособного производства невозможно. В первую очередь эти предпосылки должны быть реализованы в отраслях, которые в настоящее время являются кризисными.
Несомненно, что одной из таких отраслей является текстильная отрасль российской промышленности.
Естественно, что на месте полуразоренных предприятий в одночасье не построишь преуспевающую текстильную империю, но существуют подходы, уже апробированные в российских условиях, которые позволяют повысить успешность деятельности организаций и вывести предприятия из глубокой экономической ямы.
В частности, предприятия многих отраслей стали искать новые формы хозяйствования, чтобы повысить эффективность и конкурентоспособность. Одной из таких форм объединения являются финансово-промышленные группы (ФПГ).
Это явление в экономике России второй половины 90-х годов ХХ века можно считать наиболее ярким. Существующие промышленные предприятия уже не могут функционировать по-старому, однако еще не разработаны научно обоснованные методы по организации и управлению новыми производственными структурами.
Поэтому возникла необходимость глубокого исследования накопленного отечественного и зарубежного опыта в теории менеджмента, а также создания различных методик, схем управления, адаптации их к экономическим реалиям, сложившимся в России в конце ХХ века.
Современным проблемам управления посвящены работы таких российских и зарубежных ученых как Бакланова И. Т., Глазьева С. Ю., Кохно П. А., Мескона М., Альберта М., Хедоури Ф., Санто Б. [9, 42, 60] и многих других.
Но работ, посвященных организации процесса управления высокоинтегрированными структурами, в настоящее время очень мало. Публикаций по управлению сложными растянутыми во времени и пространстве процессами, зачастую сопряженными со многими издержками чисто организационного и инвестиционного свойства в настоящее время практически нет.
Поэтому возникла как научная, так и практическая необходимость написания подобной работы, посвященной теории и практике управления в современных экономических условиях. Это подтверждается и практическим опытом автора, которой по роду своей деятельности приходится сталкиваться с владельцами и управляющими многих российских предприятий.
Все вышеизложенное обуславливает актуальность избранной темы диссертационного исследования.
Цель диссертационной работы
Цель работы состоит в теоретическом обосновании, разработке и практической апробации разработанного автором цикла корпоративного управления для достижения максимальной эффективности функционирования текстильной финансово-промышленной группы в условиях переходной экономики.
Поставленная в работе цель обусловила необходимость решения следующих задач:
- обобщить отечественный и зарубежный опыт теории управления по применению различных методов стратегического и оперативного планирования, общего и детального контроля при функционировании сложных многоуровневых объектов, таких, как финансово-промышленные группы;
- всесторонне и поэтапно описать цикл корпоративного управления эффективностью функционирования финансово-промышленной группы как объект исследования;
- разработать методики, применяемые на каждом этапе цикла корпоративного управления функционированием финансово-промышленной группы и ее технологических цепочек;
- произвести адаптацию общенаучных методов теории управления к специфике текстильной отрасли;
- проверить действенность и практическую пригодность методики на примере технологической цепочки, функционирующей в рамках одной из созданных в текстильной отрасли финансово-промышленной группы.
Объект исследования
Объектом исследования явилась текстильная отрасль промышленности, как наиболее характерный пример общего кризисного состояния российской экономики. Выбор объекта исследования обусловлен практической необходимостью в создании методик управления.
Предмет исследования
В качестве предмета исследования в работе выступает цикл корпоративного управления эффективностью функционирования финансово-промышленной группой, созданной в текстильной отрасли.
Методика исследования
Теоретической и методологической основой диссертационной работы послужили работы классиков экономической науки, статистики, теории управления.
В диссертационной работе использованы материалы экономической и статистической литературы, тематических материалов периодических изданий, а также материалы, полученные в процессе практической работы автора.
В ходе исследования использованы данные финансовой отчетности реальных предприятий-участников технологического цикла, на примере которого иллюстрируется практическое применение методики. В качестве примеров в работе использованы гипотетические данные, наиболее характерно отражающие специфику рассматриваемого вопроса.
В процессе работы проверка различных гипотез проводилась с помощью изучения различных примеров для установления типичности и применимости конкретного метода и адаптации теоретических методов к практическим условиям.
Для решения поставленных задач в работе применены различные математико-статистические методы, а также методы теории управления: средние величины, графики, метод цепных подстановок, табличный метод, модульный метод, моделирование экономического процесса, факторный индексный анализ, графы.
Научная новизна работы
Основной научный результат, полученный в диссертационной работе, заключается в разработке комплекса связанных методик управления, включаемых в цикл корпоративного управления эффективностью функционирования текстильной финансово-промышленной группы и ее технологических цепочек. При этом под комплексом методик понимается применение различных методов на каждом этапе цикла корпоративного управления, связанными методики названы потому, что результаты предыдущего этапа напрямую отражаются при реализации следующего в том числе и в обратной связи, являющейся управляющим воздействием.
Положения, выносимые на защиту
В результате выполненных исследований на защиту выносятся следующие научные положения:
1. Анализ современного состояния текстильной отрасли и задачи теории управления в сложившейся экономической ситуации.
2. Отечественный и зарубежный опыт создания и функционирования ФПГ.
3. Сущность и критерии корпоративного управления текстильными финансово-промышленными группами в современных условиях.
4. Выбор и обоснование этапов цикла корпоративного управления для разработки методик управления применяемых цепочек финансово-промышленных групп и циклов корпоративного управления эффективностью их функционирования.
5. Маркетинг финансово-промышленной группы, включающий методику анализа возможностей текстильной ФПГ, а также методику проведения конкурсного отбора предприятий - потенциальных участников ФПГ.
6. Система управления функционированием текстильной ФПГ, включающая схему планирования технологической цепочки, а также методику организации и диспетчирования технологических процессов.
7. Методика комплексного контроля деятельности текстильной ФПГ, состоящая из контроля за деятельностью технологических цепочек и контроля деятельности предприятий - узких мест.
8. Методика синтеза управляющего воздействия по данным анализа эффективности функционирования технологических цепочек ФПГ.
Практическая значимость работы
Появление настоящей работы было обусловлено практической необходимостью обобщения практического материала, накопленного автором в ходе ежедневной работы. Поэтому предлагаемые в работе методики позволяют перейти от интуитивного к научному обоснованию принимаемых в процессе функционирования финансово-промышленной группы решений.
Предприятия, входящие в финансово-промышленную группу, получают возможность применения комплекса мероприятий для постоянного контроля и оценки своей деятельности в рамках единого технологического процесса, а руководство группой может оценить не только деятельность всей группы в целом, но и вклад каждого участника в общую прибыль.
Реализация и апробация работы
Основные положения диссертации: использовались автором при подготовке курсов лекций по дисциплинам Корпоративное управление и Менеджмент ФПГ, а также Департаментом экономики и промышленности областной администрации Владимирской области для разработки программ развития отраслей экономики области.
Публикации
Основные положения диссертационной работы опубликованы в трех печатных работах общим объемом 3 печатных листа.
Структура работы
Диссертационная работа изложена на ___ страницах печатного текста, включает 25 таблиц (из них 4 в приложениях), 25 рисунков и состоит из введения, трех глав, заключения, списка использованных источников, в котором 132 наименования, и приложений.
Первая глава Проблемы эффективного корпоративного управления финансово-промышленными группами, созданными в текстильной отрасли посвящена анализу ситуации, сложившейся в текстильной отрасли, а также вопросам корпоративного управления в России и за рубежом.
В частности, на основе результатов проведенного анализа текущего положения дел в текстильной отрасли сделаны предложения о возможностях вывода предприятий отрасли из затянувшегося кризиса. Как один из возможных вариантов рассмотрена текстильная финансово-промышленная группа, описана ее возможная организационная структура.
В этой связи, рассмотрен опыт функционирования ФПГ в других отраслях российской промышленности, а также в экономически развитых странах: США, Япония, Корея, Германия. На основе исследований сделан вывод, что ядром ФПГ должны стать создаваемые по принципу связанного производственного процесса технологические цепочки.
Такие технологические цепочки рассмотрены как объект управления при осуществлении цикла корпоративного управления эффективностью функционирования ФПГ.
Для проведения дальнейших исследований в первой главе вводится понятийный аппарат, приводится цикл, а также рассматривается сущность и основные критерии корпоративного управления.
Во второй главе Цикл корпоративного управления и его специфика в текстильной отрасли предлагается расширенный цикл корпоративного управления, проводится развернутый анализ цикла корпоративного управления эффективностью функционирования текстильной ФПГ. Для каждого этапа цикла приводятся методики, разработанные автором для применения в ходе функционирования ФПГ.
В частности, методика анализа возможностей ФПГ тесно связана с методикой выбора предприятий-потенциальных участников будущих технологических цепочек. Эти методики объединены в маркетинговый блок цикла корпоративного управления.
Для осуществления процесса управления эффективностью предложены методики и схемы планирования, организации и диспетчирования. Схема контроля включает в себя аналитический аппарат расчета коэффициентов, для определения узких мест, а также методику контроля узкого места технологической цепочки.
Конечным этапом цикла является управляющее воздействие, методика формирования которого завершает вторую главу.
В третьей главе Реализация цикла корпоративного управления на примере ФПГ Консорциум Русский Текстиль проводится практическая апробация применимости методик, разработанных во второй главе на фактических примерах.
Проведен анализ возможностей ФПГ Консорциум Русский Текстиль по производству медицинских халатов.
На основе данных предварительного анализа отобраны предприятия для реализации производственной программы, осуществлено планирование технологической цепочки, проанализированы итоги функционирования действующей технологической цепочки, а также сформировано управляющее воздействие по данным комплексного контроля.
В заключении подводятся итоги проделанной работы, формулируются основные выводы, даются практические рекомендации.
ГЛАВА 1. ПРОБЛЕМЫ эффективного КОРПОРАТИВНОГО УПРАВЛЕНИЯ Финансово-промышленными группами, созданными В ТЕКСТИЛЬНОЙ ОТРАСЛИ
Анализ состояния текстильной отрасли
Текстильная отрасль является одной из составляющих отечественной легкой промышленности. Поэтому проведение анализа текущего состояния текстильной отрасли невозможно без анализа состояния всей российской промышленности.
В этой связи, наиболее приемлемым представляется способ последовательной детализации [1], когда от объекта исследования российской промышленности осуществляется переход к ее составной части легкой промышленности, а затем к объекту исследования текстильной отрасли.
Необходимо отметить, что текстильная отрасль легкой промышленности является одним из показательных примеров того кризисного состояния, в котором находится вся российская экономика. Как показал проведенный нами анализ, причины, вызвавшие кризис в экономике страны в целом, полностью соответствуют причинам кризиса текстильной отрасли.
В условиях переходной экономики наиболее остро проявляются проблемы в тех отраслях промышленности, которые при плановой экономике были дотируемыми. Это привело к тому, что предприятиям данных отраслей приходится наиболее сильно и радикально ломать устоявшиеся правила и условия функционирования.
Особенно сильно это проявилось в легкой промышленности и ее отраслях. Нельзя не согласиться с тем, что для поддержания конкурентоспособности продукции необходимо своевременное обновление оборудования и технологий, проведение реструктуризации производства.
Но как показывают статистические данные [19] (табл. 1.1, 1.1), легкая промышленность занимает стабильное последнее место по объему инвестиций в основные средства среди основных отраслей промышленности.
Анализ индекса капитальных вложений свидетельствует, что в абсолютном выражении инвестиции в легкую промышленность сократились с 1992 года в 8 раз.
Таблица 1.1
Структура капитальных вложений по отраслям промышленности, %
|
1992 |
1993 |
1994 |
1995 |
|
Электроэнергетика |
12,0 |
13,5 |
14,6 |
17,1 |
|
Угольная |
5,1 |
4,9 |
5,0 |
5,1 |
|
Нефтяная и газовая |
35,9 |
37,6 |
35,3 |
39,3 |
|
Черная металлургия |
5,6 |
5,4 |
5,3 |
6,6 |
|
Химическая и нефтехимическая |
5,6 |
4,6 |
4,6 |
4,5 |
|
Машиностроение и металлообработка |
12,0 |
12,2 |
11,1 |
8,4 |
|
Промышленность строительных материалов |
3,9 |
2,4 |
3,4 |
2,1 |
|
Легкая |
2,4 |
1,6 |
1,5 |
0,6 |
|
Пищевая |
6,6 |
8,1 |
8,0 |
6,0 |
|
Прочие |
10,8 |
9,7 |
11,1 |
10,3 |
|
Индекс капитальных вложений, % (1990=100%) |
50 |
45 |
34 |
30 |
Структура инвестиций в основные средства по отраслям промышленности
Финансирование капитальных вложений в легкой промышленности по остаточному принципу, а также общее ухудшение макроэкономической ситуации в стране привели к резкому падению объемов производства. В результате сложившейся ситуации предприятия легкой промышленности и, в частности, текстильной отрасли, были вынуждены резко перестраивать свое производство. Это вызвало кризис неплатежей и отсутствие средств на оплату энергии, и, как следствие [5, 22], снижение среднегодовой мощности предприятий по производству отдельных видов продукции в 2,5 раза за 4 года в среднем по отрасли (табл.
1.2, 1.2), а по производству тканей шерстяных готовых и трикотажных изделий в 3 раза (табл. 1.2).
Таблица 1.2
Уровень использования среднегодовой мощности предприятий по выпуску отдельных видов продукции легкой промышленности, %
|
1992 |
1993 |
1994 |
1995 |
|
Ткани хлопчатобумажные суровые |
62 |
51 |
31 |
28 |
|
Ткани льняные и пенькоджутовые суровые |
67 |
58 |
32 |
32 |
|
Ткани шерстяные готовые |
48 |
35 |
18 |
16 |
|
Трикотажные изделия |
63 |
54 |
34 |
21 |
|
Чулочно-носочные изделия |
77 |
70 |
46 |
36 |
|
Обувь |
61 |
48 |
29 |
23 |
|
В среднем по отрасли |
63 |
53 |
32 |
26 |
Снижение среднегодовой мощности использования оборудования привело к снижению объемов производства. Ситуация такова, что зачастую предприятия производят и реализуют продукцию на суммы, которых не хватает на покрытие расходов, связанных с основной деятельностью.
Причем, снижение объемов производства происходит до настоящего времени. Так в 1995 году общий объем продукции отрасли снизился по сравнению с 1992 годом в 3,2 раза. Это подтверждается статистическими данными, приведенными в табл.
1.3 и на 1.3.

Динамика использования среднегодовой мощности предприятий
Таблица 1.3
Динамика объема продукции легкой промышленности, % (1990=100%)
|
1992 |
1993 |
1994 |
1995 |
1995/1994 |
|
Легкая промышленность |
64 |
49 |
26 |
19 |
71 |
|
Текстильная отрасль |
63 |
48 |
26 |
19 |
75 |
|
Швейная отрасль |
70 |
59 |
33 |
19 |
59 |
|
Кожевенная отрасль |
70 |
55 |
28 |
19 |
70 |
Как следствие всех общеэкономических проблем и проблем в самой легкой промышленности произошло резкое уменьшение объемов производства [1]. В первую очередь причинами стали дороговизна оборотных средств и отсутствие системы коммерческого сбыта продукции.
Такая ситуация характерна для всех отраслей легкой промышленности, в том числе, текстильной, что подтверждается полученными в ходе проводимого нами исследования данными о постоянно падающих объемах производства основных видов продукции текстильной отрасли (табл. 1.4).

Динамика производства продукции легкой промышленности
Таблица 1.4
Производство основных видов продукции текстильной отрасли, млн. м2
|
1992 |
1993 |
1994 |
1995 |
1996 |
1997 |
|
Хлопчатобумажные ткани |
3292 |
2327 |
1529 |
1235 |
1129 |
1053 |
|
шерстяные ткани |
276 |
206 |
91 |
72 |
68 |
56 |
|
льняные и пенькоджутовые ткани |
415 |
316 |
162 |
131 |
124 |
112 |
|
шелковые ткани |
731 |
596 |
246 |
197 |
186 |
159 |
Как видно из табл. 1.4, основную долю производства занимают хлопчатобумажные ткани, на производство которых было ориентировано большинство предприятий текстильной отрасли ( 1.4).
Поэтому, вместо того чтобы общими усилиями продвигать отечественные торговые марки и сообща конкурировать с зарубежными производителями (производящими зачастую низкокачественную, но широкоизвестную продукцию), предприятия текстильной отрасли конкурируют между собой, забывая о коллективном маркетинге товаров и стратегии совместного выхода на рынок.

Структура производства продукции текстильной отрасли в 1995 году
Нынешние проблемы обусловлены во многом еще и тем, что в доперестроечные времена текстильная отрасль изначально ориентировалась на производство продукции для военных нужд. В настоящее время при отсутствии денежных средств у армии, отрасль вынуждена искать заказы на стороне, что для руководства текстильных предприятий, а также служб сбыта несколько непривычно и зачастую связано с большими расходами.
Проведенный нами выше анализ текстильной отрасли позволяет сделать следующие предварительные выводы:
1. Предприятия текстильной отрасли находятся в глубоком кризисе, который вызван несколькими причинами:
- снижение объемов капитальных вложений привело к старению оборудования, и как следствие, снижению производительности;
- отсутствие государственного заказа поставило текстильные предприятия, перешедшие в частные руки, перед необходимостью самостоятельного поиска заказов и управления производством, к чему многие руководители оказались не готовы;
- высокие проценты за кредиты лишили предприятия возможности своевременного пополнения оборотных средств.
2. Для успешного функционирования предприятиям необходимы нововведения в области организации производства.
В настоящее время наиболее приемлемым способом выхода из кризиса для предприятий текстильной отрасли является создание финансово-промышленных групп (ФПГ). Это позволяет:
- во-первых, снизить плату за пользование заемными оборотными средствами за счет составления предварительного графика финансовых потоков между несколькими предприятиями - участниками ФПГ;
- во-вторых, все виды продукции финансово-промышленной группы продвигаются на рынок под одной торговой маркой, что значительно сокращает затраты на рекламу (яркий пример продукция компании Проктер энд Гембл: набор косметических средств Пантин Про-Ви, шампунь Хед энд Шолдерс и другие, в рекламе которых подчеркивается, что это: Продукция компании Проктер энд Гембл!).
Определение финансово-промышленной группы дано в Федеральном законе от 30.11.95 г. 190-ФЗ О финансово-промышленных группах, оно гласит:
Финансово-промышленная группа совокупность юридических лиц, действующих как основное и дочерние общества, либо полностью или частично объединивших свои материальные и нематериальные активы (система участия) на основе договора о создании финансово-промышленной группы в целях технологической или экономической интеграции для реализации инвестиционных и иных проектов и программ, направленных на повышение конкурентоспособности и расширение рынков сбыта товаров и услуг, повышение эффективности производства, создание новых рабочих мест.
При грамотном осуществлении процесса управления функционированием текстильной финансово-промышленной группы можно существенно снизить издержки производства и потребности в финансировании, и, как следствие, повысить эффективность функционирования как предприятий - участников ФПГ, так и всей группы в целом.
Зарубежный опыт функционирования финансово-промышленных групп
Сегодня в западных странах накоплен большой опыт создания и развития финансово-промышленных объединений. Структура и характер высоко интегрированных структур в отдельных странах обнаруживают как схожие черты (чему в первую очередь способствует деятельность транснациональных компаний), так и заметные отличия.
Они в значительной степени связаны с конкретно-историческими обстоятельствами и определяются индивидуально, в зависимости от состояния производства и рынка, но прежде всего обусловлены спецификой законодательного регулирования деятельности финансовых организаций, имеющей отношение к корпоративной собственности и управлению.
Экономика индустриальных стран демонстрирует многообразные формы организационно-хозяйственного взаимодействия объединений и построения на их основе финансово-промышленных групп. Среди многообразия форм ФПГ есть как традиционные концерны во главе с крупной промышленной корпорацией, так и универсальные многоотраслевые финансово-промышленные объединения, сформировавшиеся вокруг банков.
Рассмотрим наиболее типичные модели ФПГ некоторых высокоразвитых стран.
Финансово-промышленные группы США
В США лицо промышленности определяет 100 многоотраслевых корпораций, представляющих по сути дела высокоинтегрированные финансово-промышленные группы.
Анализ ликвидности баланса предприятия
Таким образом, формула для вычисления искомого показателя будет выглядеть следующим образом:

,
где
ИП искомый показатель;
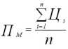
ЭЦ интегральная эффективность ТТЦ;
ЭСРХ простое среднее хронологическое значение показателей эффективности отдельных предприятий.
Назовем искомый показатель показателем взаимодействия (ПВ). ПВ соотносит эффективность ТТЦ и среднюю эффективность предприятий-участников ТТЦ.
Для простоты ЭСРХ будем в дальнейшем обозначать ЭСР (если не оговорено иное). В общем виде показатель взаимодействия можно представить следующей формулой:

, (2.6)
где
ПВ показатель взаимодействия,
ЭЦ интегральная эффективность технологической цепочки;
ЭСР средняя эффективность предприятий-участников ТТЦ, которая вычисляется по формуле:

,
где
Э1 эффективность первого предприятия ТТЦ;
Эi эффективность i-го предприятия, вычисляемая по формуле (1.2);
Эn эффективность n-го предприятия ТТЦ;
n количество предприятий-участников ТТЦ.
Таким образом, для определения качества взаимодействия предприятий в рамках ТТЦ необходимо соотнести интегральную эффективность ТТЦ и среднюю эффективность предприятий-участников ТТЦ.
Контроль деятельности предприятия участника текстильной технологической цепочки
Контроль деятельности предприятия-участника ТТЦ это неотъемлемый этап контроля деятельности технологической цепочки, который состоит из нескольких последовательных шагов ( 2.12).
Анализ баланса
Для анализа общего состояния предприятия используются данные полученные при анализе баланса и отчета о финансовых результатах.
Первый шаг анализа баланса преобразование стандартной формы баланса в укрупненную (агрегированную) форму, более удобную для проведения анализа. Данная форма баланса методологически и терминологически в основном совпадает с используемыми в мировой практике формами балансовых отчетов.
2.12. Схема контроля деятельности предприятия - участника текстильной технологической цепочки
Характерным отличием агрегированного баланса от исходного является объединение статей баланса с одинаковым экономическим содержанием.
Активы баланса перегруппировываются по степени их ликвидности.
Текущие пассивы перегруппировываются по сроку погашения.
В статью "Уставной капитал" включается только оплаченный акционерами капитал, поэтому валюта агрегированного баланса может отличаться от валюты бухгалтерского баланса на сумму задолженности учредителей.
Порядок составления агрегированного баланса представлен в приложении 2. После преобразования для выявления динамики функционирования предприятия проводится изучение изменения статей агрегированного баланса. Заполняется таблица "Изменение статей баланса" внешний вид которой аналогичен таблице "Агрегированный баланс".
Данные в строках 1-31 вычисляются, как разности соответствующих позиций за настоящий и предыдущий отчетные интервалы
Индикатором развития предприятия можно считать изменение значения валюты баланса. Результатом данной части анализа должно стать выявление источников увеличения или сокращения величины активов, по которым данные изменения произошли.
Следующим шагом анализа баланса является анализ структуры активов и структуры пассивов. Порядок расчета структуры баланса представлен в приложении 3. Логическим продолжением анализа структуры баланса является расчет показателей, позволяющих проанализировать баланс в трех направлениях:
1. Анализ ликвидности баланса предприятия, при проведении которого изучается соотношение активов и пассивов.
2. Анализ финансовой устойчивости, при проведении которого изучается соотношение собственных и заемных средств и исследуются пассивы предприятия.
3. Анализ ресурсов предприятия, при проведении которого исследуются активы предприятия.
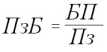
Анализ ликвидности баланса предприятия
При анализе ликвидности следует различать ликвидность вида актива и ликвидность баланса предприятия. Ликвидность вида актива способность данного вида актива "превращаться" в наличные денежные средства с наименьшими потерями. Соответственно, наивысшее значение ликвидности актива имеют сами денежные средства.
Ликвидность баланса предприятия это способность предприятия отвечать по краткосрочным обязательствам своими текущими активами. С точки зрения анализа предприятия-участника ТТЦ наиболее приемлемым представляется именно анализ ликвидности баланса, поскольку показатели ликвидности баланса дают представление о состоянии предприятия в целом. Для оценки ликвидности баланса предприятия используют следующие показатели:
Коэффициент общей ликвидности, который характеризует степень обеспеченности текущими активами всех краткосрочных обязательств предприятия

где
Кол коэффициент общей ликвидности;
ТА текущие активы;
ТП текущие пассивы;
Баланс предприятия считается ликвидным, если Кол 1.
Коэффициент промежуточной ликвидности это способность предприятия выполнять краткосрочные обязательства за счет денежных средств, краткосрочных финансовых вложений, дебиторской задолженности (счета к получению)(ДЗ) и готовой продукции на складе (ГотПр)

,
где
Кпл коэффициент промежуточной ликвидности;
ДС денежные средства;
КФВ краткосрочные финансовые вложения;
ДЗ дебиторская задолженность;
ГотПр готовая продукция.
Рекомендуемое значение: 0,8 - 0,9.
Коэффициент абсолютной (мгновенной) ликвидности это способность предприятия выполнять краткосрочные обязательства за счет свободных денежных средств (ДС) и краткосрочных финансовых вложений (КФВ). Рекомендуемое значение: 0.2 - 0.3.

,
где
Кал коэффициент абсолютной ликвидности;
ДС денежные средства;
КФВ краткосрочные финансовые вложения.
Чистый оборотный капитал рассчитывается по формуле:
ЧОК = ТА ТП.
Также значение чистого оборотного капитала можно рассчитать как разность между инвестированным и постоянным капиталом:
ЧОК = ИК ПА.
Использование данной формулы позволяет проанализировать причины изменения ликвидности предприятия.
Анализ финансовой устойчивости
Анализ финансовой устойчивости изучает структуру пассивов предприятия. Для анализа финансовой устойчивости используются следующие показатели:
Коэффициент общей платежеспособности, определяющий долю собственного капитала в имуществе фирмы

,
где
Коп коэффициент общей платежеспособности;
СК собственный капитал;
ВБ валюта баланса.
Предприятие считается финансовоустойчивым, если Коп 0.5.
Коэффициент автономии, соизмеряющий собственный и заемный капитал

,
где
Кав коэффициент автономии;
ЗК заемный капитал.
Данный показатель непосредственно связан с коэффициентом общей платежеспособности, следовательно его величина для финансовоустойчивого предприятия должна быть больше единицы.
Коэффициент маневренности показывает какая часть собственного капитала вложена в наиболее маневренную (мобильную) часть активов
Км коэффициент маневренности;
ЧОК чистый оборотный капитал.
Доля собственных источников финансирования текущих активов показывает какая часть текущих активов образована за счет собственного капитала

,
где
Кста доля собственных источников финансирования текущих активов;
ПА постоянные активы;
ДО долгосрочные обязательства;
Уб убытки.
Коэффициент обеспеченности долгосрочных инвестиций, определяет какая доля инвестированного капитала иммобилизована в постоянные активы

,
где
Коди коэффициент обеспеченности долгосрочных инвестиций;
ИК инвестированный капитал.
Коэффициент самофинансирования показывает какая часть чистой прибыли (ЧП) предприятия направлена на его развитие, т.е. на увеличение дополнительного капитала предприятия (ДК)
где
Кфин коэффициент самофинансоврования
ДК добавочный капитал;
ЧП чистая прибыль.
Финансовым рычагом называется соотношение заемного и собственного капиталов, рассчитываемое по формуле

,
где
ФР финансовый рычаг;
ЗК заемный капитал.
Анализ ресурсов предприятия
Анализ ресурсов позволяет определить успешность деятельности предприятия и его отраслевую направленность. При проведении анализа ресурсов рассчитываются следующие показатели:
Коэффициент структуры, который соотносит постоянные и текущие активы

,
где
КС коэффициент структуры.
Технологичность производства соотносит стоимость нематериальных активов со стоимостью основных средств и показывает за счет использования каких необоротных активов предприятие производит продукцию

,
где
ТПР технологичность производства;
НА остаточная стоимость нематериальных активов;
ОС остаточная стоимость основных средств.
Реализуемость продукции соотносит стоимость продукции, отгруженной потребителям со стоимостью незавершенного производства

,
где
РП реализуемость продукции предприятия;
ТО товары отгруженные;
НП незавершенное производство.
После детального изучения баланса следует изучение второго по важности документа финансовой отчетности предприятия отчета о финансовых результатах.
Анализ отчета о финансовых результатах
Анализ отчета следует начинать с преобразования его в более удобный для исследования вид:
во-первых, если интервал исследования меньше года, необходимо произвести соответствующие пересчеты, так как отчет о финансовых результатах в течении одного года выполняется нарастающим итогом;
во-вторых, принятая форма отчета о финансовых результатах и их использовании, создана по принципу одноступенчатой модели, в частности, себестоимость реализованной продукции показана одной позицией, что крайне обедняет возможный анализ. Поэтому для построения полноценного отчета о прибылях и убытках необходимо, как минимум, разделить затраты на реализованную продукцию, на переменные и постоянные затраты, используя для этого данные соответствующих рабочих форм бухгалтерского учета (журнал-ордер 10).
Логическим продолжением изучения отчета о финансовых результатах является расчет коэффициентов, позволяющих соотнести различные статьи отчета и проанализировать тенденции.
Анализ прибыльности
Прибыльность предприятия позволяет определить насколько эффективно предприятие производит затраты для производства продукции. Анализ включает вычисление следующих коэффициентов:
Прибыльность переменных затрат показывает насколько изменится валовая прибыль при изменении переменных затрат на 1 у.е.

,
где
Пперз прибыльность переменных затрат;
Впр валовая прибыль;
ПерЗ переменные затраты.
Прибыльность постоянных затрат иллюстрирует степень отдаления предприятия от точки безубыточности

,
где
Ппостз прибыльность постоянных затраты;
Посд прибыль от основной деятельности;
ПостЗ постоянные затраты.
Прибыльность всех затрат показывает сколько прибыли от основной деятельности приходится на 1 у.е. текущих затрат

,
где
Ппз прибыльность всех затрат;
Посд прибыль от основной деятельности;
Пз сумма переменных и постоянных затрат.
Прибыльность продаж показывает долю прибыли от основной деятельности в выручке от реализации

,
где
Ппр прибыльность продаж;
ВР выручка от реализации (без НДС).
Показатели прибыльности инвестиционной деятельности оценивают эффективность использования свободных денежных средств в долгосрочных и краткосрочных финансовых вложениях (депозиты, акции и иные ценные бумаги), а также эффективность хранения в валюте.
Показатели прибыльности торговых операций рассчитываются только в случае если предприятие является последним звеном технологической цепочки и на его долю выпадает задача по реализации продукции ТТЦ потребителям:
Балансовая прибыльность затрат показывает, какую балансовую прибыль получило предприятие, произведя затраты

где
Пзб балансовая прибыльность затрат;
БП балансовая прибыль.
Чистая прибыльность затрат показывает, какую чистую прибыль получило предприятие, произведя затраты
где
Пзч чистая прибыльность затрат;
ЧП чистая прибыль.
Прибыльность всей деятельности показывает, сколько чистой прибыли содержится в выручке от реализации и доходах от прочей реализации:
Пд = ЧП / (ВР + ДохПрР) ,
где
Пд прибыльность всей деятельности;
ДохПрР доходы от прочей реализации.
Точка безубыточности показывает, какую минимальную сумму предприятие должно получить при реализации продукции, чтобы покрыть свои издержки

,
где
ТБ точка безубыточности.
Абсолютное отклонение от точки безубыточности показывает, на сколько реальная выручка от реализации превосходит значение точки безубыточности

,
где
Откл отклонение предприятия от ТБ.
Запас прочности отношение предыдущего показателя к выручке от реализации показывает какую долю в выручке занимает доходная часть.

,
где
Зпр запас прочности.
Производственный рычаг показывает насколько эффективно предприятие занимается неосновной деятельностью

где
ПР производственный рычаг;
ПрОснД прибыль от основной деятельности.
После изучения двух основополагающих документов по-отдельности следует расчет коэффициентов, соотносящих данные двух документов между собой.
Анализ рентабельности
Рентабельность показатель характеризующий эффективность использования видов активов и водов пассивов. Соответственно, анализ рентабельности позволяет определить отдачу на каждый вложенный рубль по видам активов и пассивов.
Общая рентабельность (рентабельность всего капитала) показывает, сколько чистой прибыли (чистый экономический эффект) приходится на рубль всего вложенного в предприятие капитала
где
Ро общая рентабельность;
ЧП чистая прибыль;
ВБ валюта баланса.
Таким образом, общая рентабельность показывает эффективность функционирования исследуемого предприятия.
Рентабельность собственного капитала характеризует эффективность использования собственного капитала и показывает, сколько чистой прибыли приходится на рубль собственного капитала
где
Рск рентабельность собственного капитала;
СК собственный капитал ( значение берется из строки 480 Ф1).
Рентабельность уставного капитала характеризует эффективность использования уставного капитала и показывает, сколько чистой прибыли приходится на рубль уставного капитала
где
Рук рентабельность уставного капитала;
УК уставный капитал.
Рентабельность постоянных активов характеризует эффективность использования постоянных активов и показывает, сколько чистой прибыли приходится на рубль постоянных активов
где
Рпа рентабельность постоянных активов;
ПА постоянные активы.
Рентабельность текущих активов характеризует эффективность использования текущих активов и показывает, сколько чистой прибыли приходится на рубль текущих активов
где
Рта рентабельность текущих активов;
ТА текущие активы.
Таким образом, три этапа анализа позволяют выявить динамику отдельных показателей и положение предприятия в определенные промежутки времени.
Обоснование управляющего воздействия по данным статистического анализа эффективности функционирования технологической цепочки
Формирование управляющего воздействия является завершающим этапом цикла менеджмента. Процесс формирования управляющего воздействия сводится к следующей последовательности действий:
- оценка исходной информации;
- формирование списка альтернативных управляющих воздействий;
- обоснование критерия выбора альтернативы;
- выбор альтернативы;
- анализ последствий конкретного управляющего воздействия;
- принятие решения на управляющее воздействие;
- доведение решения до низовых звеньев;
- контроль за выполнением решения.
Таким образом, данный этап цикла является промежуточным между двумя циклами, поскольку выбор той или иной альтернативы сопряжен с новым планированием, организацией, мотивацией, и контролем.
В ситуации с ТТЦ у менеджера существует примерно следующий список альтернативных управляющих воздействий в целях корректировки плана реализации проекта:
- на уровне структурного плана замена предприятия - участника ТТЦ другим предприятием, на которое будут возложены функции заменяемого;
- на уровне календарного плана пересмотр продолжительности каждого этапа (сокращение или увеличение продолжительности);
- на уровне финансового плана пересмотр финансовых потоков (перераспределение доходов пропорционально затратам).
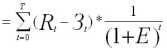
Обоснование критерия выбора альтернативы не проводится: основной критерий повышение эффективности функционирования ТТЦ в целом.
Анализ последствий принятия решения проводится оценочным методом: сравниваются эффективности ТТЦ в результате принятия каждой из альтернатив, выбирается та альтернатива, которая дает наибольший выигрыш при наименьших затратах.
Выводы
Во второй главе описан цикл корпоративного управления эффективностью функционирования финансово-промышленной группы.
Цикл состоит из трех блоков: маркетингового, функционального, административного.
Маркетинговый блок состоит из анализа возможностей ФПГ и процедуры отбора предприятий - потенциальных участников технологических цепочек.
Функциональный блок состоит из процесса планирования производства, организации взаимодействия и построения функциональной схемы, разработки принципов материального поощрения, процесса диспетчирования текущей деятельности.
Административный блок включает процесс контроля, а также процесс формирования управляющего воздействия.
Практическая применимость теоретических разработок проиллюстрирована в третьей главе.
Глава 3. Реализация цикла корпоративного управления на примере ФПГ Консорциум Русский текстиль
Оценка конъюнктуры рынка и производственных возможностей предприятия
Структура ФПГ Консорциум Русский текстиль
Прежде чем перейти непосредственно к анализу структуры ФПГ Консорциум Русский текстиль, на наш взгляд необходимо проанализировать насколько термин консорциум подходит при употреблении в связи с финансово-промышленными группами. Несомненно, ФПГ по своему организационному строению близки к консорциумам.
Как известно, консорциум временная форма совместной деятельности нескольких предприятий, организаций или банков, добровольно объединяющихся на паевой основе на определенный срок для решения конкретных задач и проблем, осуществления крупных инвестиционных, научно-технических, социальных, экологических проектов, требующей значительных финансовых и экономических ресурсов. Консорциум предполагает разделение ответственности, равные права партнеров и централизованное управление.
С другой стороны ФПГ создается с учреждением юридического лица, на продолжительный срок, в основном за счет перекрестного акционирования, поэтому структура ФПГ носит более устойчивый и долговременный период. Поэтому использование термина консорциум на наш взгляд нецелесообразно.
По нашему мнению, наиболее приемлемым названием было бы
Финансово-промышленная группа Русский текстиль
Реализация цикла корпоративного управления состоит из нескольких взаимосвязанных этапов, подробно описанных во второй главе (п. 2.1, 2.2). Для иллюстрации возможности практического применения методов корпоративного управления, рассмотрим технологический цикл по производству хлопчатобумажных халатов, который может быть создан на базе производственных мощностей ФПГ Консорциум Русский текстиль.
При этом не исключается возможность привлечения к сотрудничеству предприятий, не входящих в число участников финансово-промышленной группы.
Первый этап цикла анализ возможностей и внутренней структуры ФПГ имеет определяющее значение для дальнейшей реализации цикла управления. От корректности и достоверности анализа зависит успешное завершение проекта и его дальнейшая эффективность.
Первым шагом в рамках данного этапа является изучение положительных и отрицательных аспектов организационной структуры текстильной ФПГ, которая представлена на 3.1.
Положительными аспектами организационной структуры являются:
- наличие жесткой вертикали управления в структуре имеется управляющая компания на которую возложены все функции корпоративного управления;
- возможность диверсификации деятельности в структуре ФПГ имеются научные предприятия, производственные предприятия, а также кредитно-финансовый институт.
Все это позволяет маневрировать ресурсами и проводить гибкую инвестиционную политику.
К отрицательным аспектам относятся:
- отсутствие в структуре страховой компании как следствие высокая плата за риск и невозможность перераспределения риска между предприятиями;
- наличие в составе ФПГ предприятий закрытой формы собственности, в частности ЗАО М-Текстиль, ТОО Доверительный и инвестиционный банк это может служить препятствием при покупке управляющей компанией пакетов акций данных предприятий.
Для устранения возможных отрицательных последствий управляющей компании можно рекомендовать следующую тактику поведения:
- начать поиск и привлечь в структуру ФПГ страховую компанию, а также инвестиционный фонд;
- рекомендовать руководству предприятий с закрытой формой собственности пересмотреть свои учредительные документы для приведения их в соответствие с интересами ФПГ.
Следующим шагом является анализ внутренней структуры ФПГ. В рамках этого шага необходимо выявить номенклатуру продукции и производственные возможности ФПГ Консорциум Русский текстиль, а также провести маркетинговые исследования рынка текстильной промышленности.
Номенклатура продукции выпускаемой на ФПГ "Консорциум Русский текстиль", следующая:
1. Ткани:
1.1. Хлопчатобумажные;
1.2. Льняные;
1.3. Шелковые.
2. Трикотажные изделия;
3. Изделия из хлопка;
3.1. Чулочно-носочные изделия;
3.2. Хлопчатобумажное белье.
Расширение номенклатуры выпускаемой продукции ограничено производственными возможностями предприятий, входящих в ФПГ. Однако возможно увеличение ассортимента в рамках выпускаемой номенклатуры.
В свете этого, руководством управляющей компании разработан проект по производству новый вид продукции: хлопчатобумажных халатов. Сущность проекта заключается в построении текстильной технологической цепочки (ТТЦ) и в эффективном управлении производственным процессом.
Отметим, что предприятие М-Текстиль выпускало до вхождения в ФПГ хлопчатобумажные халаты, но только участие предприятия в ФПГ позволило разработать и реализовать инвестиционный проект, выполнение которого позволит наладить более эффективный сбыт продукции и более полно использовать производственные мощности и ресурсы этого предприятия.
Первой стадией реализации данного инвестиционного проекта является оценка потенциальной емкости рынка. Необходимо отметить, что для полноты анализа необходимо сравнивать ситуацию, которая возникнет после реализации проекта с ситуацией, если проект не будет реализован.
Результаты проведенных статистических исследований, которые представляют динамику изменения среднегодовой потребности в халатах и темпы изменения численности потенциальных потребителей отражены в таблице 3.1.
Таблица 3.1
Расчет годовой потребности в халатах хлопчатобумажных длямедицинскихцелей
|
Показатель |
Медицинский персонал |
Научный персонал |
Прочие |
Итого |
|
Фактически на 1996 |
Количество потребителей (тыс. чел.) |
2586 |
402 |
1132 |
|
|
Среднегодовое потребление (шт.) |
2,3 |
2,1 |
1 |
|
|
Итого за год (тыс. шт.) |
5948 |
844 |
1132 |
7924 |
|
Прогноз на 1997 |
Количество потребителей (тыс. чел.) |
2571 |
400 |
1130 |
|
|
Среднегодовое потребление (шт.) |
2,3 |
2,1 |
1 |
|
|
Итого за год (тыс. шт.) |
5913 |
840 |
1130 |
7883 |
ЦИКЛ КОРПОРАТИВНОГО УПРАВЛЕНИЯ
е. к поиску оптимального значения корпоративной эффективности.
3. Обработка показателей, полученных в процессе функционирования, и анализ результатов для получения обоснованных выводов о состоянии объекта управления.
При обработке данных исчисляют аналитические показатели, отражающие особенности функционирования финансово-промышленной группы. Они определяются в форме средних, относительных величин, расчетных коэффициентов, индексных показателей.
Для всех этапов цикла корпоративного управления характерно применение целого арсенала экономических методов. Применение специальных методов предопределяется поставленными задачами и особенностями первичной информации.
Таким образом, можно сделать вывод, что специфический метод корпоративного управления основан на соединении анализа и синтеза управляющего воздействия на всех стадиях функционирования. Сначала в составе объекта управления выделяются и раздельно анализируются модули технологического цикла, оценивается прибыльность или убыточность деятельности, выявляется эффективность автономной деятельности каждого предприятия, после этого принимается решение о привлечении определенных предприятий к участию в технологической цепочке, и в заключение определяется значение корпоративной эффективности во всей совокупности предприятий, стратегия проникновения на рынок.
Все этапы цикла корпоративного управления тесно связаны друг с другом; недостатки, возникающие на одном из них, сказываются на всем цикле в целом. Поэтому строгое выполнение управляющих воздействий обязательно на всех этапах цикла корпоративного управления.
С вопросом о методе корпоративного управления связан вопрос о его связи с экономическими науками. Эта связь объясняется тем, что для осуществления цикла корпоративного управления и формирования управляющих воздействий необходимо знание объективных законов рынка, теории стоимости и маркетинга.
Методология корпоративного управления это сложная система, основанная на положениях общеэкономических и специальных наук, имеющая своей целью максимизировать экономический эффект с помощью определенного набора методов.
Из всего вышесказанного вытекает, что технологическая цепочка это объект управления, функционирующий в рамках текстильной ФПГ и являющийся неотъемлемой частью системы корпоративного управления.
Выводы
В первой главе проанализированы основные статистические показатели российской текстильной отрасли легкой промышленности за последние несколько лет, предпринята попытка рассмотреть текстильную финансово-промышленную группу как способ взаимодействия предприятий и организации производственного процесса, введено понятие цикла управления эффективностью функционирования текстильной ФПГ с целью вывода предприятий - участников из кризиса, в котором находится в настоящее время российская экономика.
Рассмотрен отечественный и зарубежный опыт создания и функционирования ФПГ. В развитых странах основными интегрирующими структурами являются банки и крупные промышленные предприятия (США), семейный банковский капитал (Япония и Корея), крупный банковский капитал (Германия).
Цикл управления эффективностью функционирования структурных подразделений текстильной ФПГ текстильных технологических цепочек рассмотрен во второй главе.
ГЛАВА 2. ЦИКЛ КОРПОРАТИВНОГО УПРАВЛЕНИЯ и его специфика в текстильной отрасли
Сущность и критерии корпоративного управления.Сущность корпоративного управления
Сущность корпоративного управления состоит в реализации цикла корпоративного управления для достижения максимальной эффективности функционирования ФПГ, которая является основным критерием корпоративного управления.
2.1.
Цикл управления фирмой
В настоящее время западными учеными предлагается цикл управления фирмой, состоящий из четырех этапов ( 2.1). В частности, такую схему предлагают Мескон, Альберт и Хедоури.
Однако, по нашему мнению, такое представление является слишком урезанным и для такого крупного объединения как ФПГ не подходит, поэтому нами предлагается расширенный цикл управления, содержащий семь этапов ( 2.2).
Цикл управления текстильной ФПГ
Мы считаем, что для осуществления цикла управления, представленного на 2.2, управляющая компания должна определить и согласовать с подчиненными предприятиями перечень, структуру и объем информации о функционировании.
Перечень должен содержать достаточное количество информации для получения полной и достоверной картины о ситуации на предприятии, и в то же время быть кратким.
Одним из рычагов воздействия на руководителя подчиненного предприятия может быть процедура распределения прибыли от проекта к предприятиям-участникам. Другим рычагом может быть делегирование конкретных полномочий от предприятия к проекту, оговоренное в Уставе предприятия.
Управление финансово-промышленной группой может быть построено по следующему принципу. Руководство группы определяет политику ФПГ в целом, а руководители предприятий политику деятельности своих предприятий в соответствии с политикой и интересами группы.
Группа, в свою очередь, может выступать представителем предприятий перед государством, например, единым налогоплательщиком. Поскольку каждая группа имеет определенные цели функционирования, управление группой должно вестись в соответствии с этими целями.
Этапы управления по целям представлены на 2.3.
Этапы процесса управления по целям
Эффективность деятельности текстильной финансово-промышленной группы
Для того, чтобы управлять эффективностью, необходимо четко определить, что такое эффективность именно текстильной финансово-промышленной группы, а также уметь измерять значение эффективности функционирования. Для измерения эффективности функционирования финансово-промышленной группы необходимо определить эффективности предприятий - участников ФПГ. Для этого мы рекомендуем применять ресурсный показатель общую рентабельность предприятия.
Для расчета показателя эффективности используется формула (1.1).
Для предприятий, действующих в рамках ТТЦ, не менее важно измерить интегральную эффективность, так как это основной интегральный показатель, позволяющий оценить соответствуют или нет запланированным значениям объемы производства конечного продукта при использовании всех ресурсов ТТЦ, а также оценить насколько эффективно взаимодействие предприятий в рамках текстильной технологической цепочки.
Интегральная эффективность функционирования ТТЦ показывает, какой интегральный экономический эффект получен технологической цепочкой от использования всех активов ТТЦ.
Для определения интегральной эффективности текстильной технологической цепочки формула (1.1) может быть представлена в виде:
Таким образом, интегральная эффективность деятельности текстильной технологической цепочки равна частному от деления совокупной чистой прибыли на совокупные активы.
Сравнивая полученное расчетное значение с плановым, можно сделать вывод о том, насколько предприятия-участники ТТЦ отклонились от плановых показателей в ту или иную сторону.
Нам хотелось бы отметить, что каждая текстильная технологическая цепочка является отдельным производственным процессом, поэтому для руководства ФПГ значения показателей эффективности необходимы для сравнения различных цепочек между собой вне зависимости от количества предприятий-участников и количества операций технологического цикла. В рамках финансово-промышленной группы вопрос эффективности функционирования конкретных технологических цепочек становится определяющим, поскольку от результатов деятельности составляющих зависит состояние всей системы текстильной ФПГ.
Анализ возможностей и конкурсный отбор предприятий-участников текстильной технологической цепочки
Анализ возможностей финансово-промышленной группы
Анализ возможностей финансово-промышленной группы это комплексное исследование, которое проводится с целью определения основных аспектов функционирования группы. Результаты анализа позволяют судить о текущем состоянии группы, отсечь начальные точки для определения эффективности. В целом анализ возможностей позволяет руководству текстильной ФПГ определить тактику, в соответствии с которой группа будет функционировать.
Анализ возможностей включает в себя исследование трех составляющих: анализ продукции ФПГ, анализ внутренней структуры ФПГ, анализ внешнего окружения ФПГ.
Анализ продукции ФПГ
Цель анализа продукции, которую производят предприятия - участники ФПГ определить направления выхода на рынок, стратегию продвижения видов продукции, оценить объемы покупательного спроса и количество продукции, производимое в рамках ФПГ на момент анализа. Это позволяет сгруппировать предприятия в организационные модули для последующего планирования технологических цепочек.
Организационный модуль представляет собой совокупность предприятий - участников ТТЦ, продукция которых имеет одинаковое производственное или коммерческое назначение в интересах ФПГ. Например, в один организационный модуль попадают предприятия, производящие хлопчатобумажную ткань. Продукция предприятий модуля может быть использования для следующих целей:
- во-первых, другими предприятиями - участниками ТТЦ для изготовления конечной продукции в рамках ТТЦ (в примере для изготовления нижнего белья);
- во-вторых, внешними потребителями конечной продукции.
В этой связи продукция, производимая в рамках текстильной ФПГ, может быть разделена на две части в соответствии с целями использования:
1. Технологическая продукция (полуфабрикаты).
2. Коммерческая продукция.
При анализе технологической продукции оценивается ее качество и ассортимент.
Работа по анализу коммерческой продукции производится в комплексе: оцениваются как сама продукция, так и спрос на нее. Делаются выводы о целесообразности производства того или иного вида коммерческой продукции и, как следствие, о целесообразности функционирования той или иной технологической цепочки.
Процесс анализа коммерческой продукции представляет собой систему мероприятий и проводится по схеме с обратной связью ( 2.4). Суть оценки коммерческой продукции ФПГ заключается в следующем.
Оценивается объем платежеспособного спроса на продукцию, если производство эффективно, руководство ФПГ принимает решение об организации текстильной технологической цепочки.
Схема изучения продукции ФПГ
Если производство продукции не эффективно, то исследуется структура спроса на виды продукции, производство которых можно наладить на имеющемся оборудовании без принципиального изменения технологии, анализируется эффективность производства такой продукции. В случае если такое производство не эффективно, изучается структура спроса на продукцию смежных отраслей.
И так далее с помощью метода последовательных приближений. Основной критерий отбора вида продукции и организации ТТЦ для его производства это эффективность функционирования финансово-промышленной группы.
Анализ внутренней структуры
Анализ внутренней структуры предприятий текстильной финансово-промышленной группы проводится для выявления тех внутренних резервов, которые текстильная финансово-промышленная группа может использовать для повышения эффективности функционирования и обеспечения выпуска требуемого количества коммерческой продукции.
Для проведения анализа внутренней структуры ФПГ необходимо оценить потенциал предприятий - участников текстильной ФПГ. Оценку потенциала предприятия целесообразно проводить по нескольким разделам ( 2.5).
Для оценки потенциала могут применяться различные экономические расчеты. Например, для сравнения качества управления на предприятиях ФПГ можно соотнести сумму чистой прибыли предприятия за конкретный период и сумму, выплачиваемую руководству этого предприятия в качестве вознаграждения за труд (заработная плата, премии и т. д.) за тот же самый период.
В целом, подбор информации следует проводить по сопоставимым показателям, используя различные приемы и методы. Информация для укрупненного анализа возможностей предприятия может содержать данные об:
- местонахождении предприятия;
- степени известности;
- производственном потенциале;
- технологическом оборудовании;
- длительности изготовления вида продукции;
- качестве продукции;
- персонале;
- уровне расходов.
Схема изучения внутренней структуры текстильного предприятия
Анализ внутренней структуры производится на основе перечисленной информации путем сопоставления значений соответствующих показателей конкретного предприятия со среднегрупповыми показателями и показателями других предприятий-участников текстильной ФПГ. Для изучения каждой из выше перечисленных составляющих внутренней структуры предприятия используется ряд показателей.
Для удобства сопоставления, расчет некоторых показателей производится в стоимостном выражении.
Для оценки местоположения предприятия используется показатель местонахождения (Пм). Значение данного показателя позволяет сравнивать транспортные расходы предприятий - участников ФПГ и более грамотно планировать процесс функционирования.

,
где
Цi цена доставки от предприятия до i-того транспортного узла;
n количество транспортных узлов, на которые может быть доставлена продукция предприятия для последующей отправки потребителям.
Показатель степени известности (СИ) позволяет в цифровом выражении оценить эффективность маркетинговой политики предприятия, а также долю занимаемого предприятием рынка выпускаемой продукции. Если значение показателя СИ равно 1, изучаемое предприятие является монополистом по данному виду продукции. Степень известности измеряется по формуле:

,
где
Кп количество предприятий, сотрудничающих с изучаемым предприятием;
Ко количество предприятий - потребителей вида продукции, производимого изучаемым предприятием.
Качество и количество производственного потенциала и технологического оборудования можно измерять с помощью показателя степени износа нематериальных активов и оборудования соответственно, а также с помощью коэффициента выбытия и коэффициента обновления соответствующих компонентов необоротных активов.
Длительность изготовления вида продукции определяется по технологическим нормам изготовления единицы продукции, затем длительность изготовления единицы умножается на количество единиц в отгрузочной норме (вагон, контейнер и т. д.).
Качество продукции определяется коэффициентом возврата (Квозврат) и вычисляется как соотношение затрат на ремонт или замену продукции, возвращенной потребителями, как некачественную, и общей суммы отгруженной продукции.

,
где
Зр затраты на ремонт некачественной продукции;
Зз затраты на замену некачественной продукции.
Персонал можно оценить по средней производительности производственного персонала, а также по средней выручке на одного работника.
Уровень расходов определяется по данным финансовой отчетности.
После анализа внутренней структуры предприятий финансово-промышленной группы следует так называемый анализ внешнего окружения, который включает изучение поставщиков и потребителей.
Анализ внешнего окружения
В процессе анализа внешнего окружения готовится информация по всем аспектам, связанным с предприятиями поставщиками сырья и потребителями продукции ФПГ. Изучение поставщиков сырья проводится с целью выявления наиболее выгодных по критерию цена на складе предприятия - участника ФПГ. Это связано с тем, что отпускные цены у различных производителей отличаются одна от другой. Но выбирать сырье только по отпускной цене ошибочно, поскольку она существенно увеличивается за счет стоимости транспортировки от склада поставщика до склада предприятия - участника ФПГ.
Таким образом, повысить эффективность производства можно за счет формирования четкой снабженческой политики.
С другой стороны, изучается спрос на продукцию, производимую в рамках финансово-промышленной группы. Поскольку, в рамках ФПГ производится несколько видов продукции, основная задача разделить продукцию на потребляемую оптовыми и розничными покупателями.
Это связано, во-первых, с различиями в стратегии маркетинга, зависящей от типа потребителя. Но и оптовых и розничных потребителей можно в целом сгруппировать на несколько групп ( 2.6).
Структура потребителей вида продукции, производимого в рамках финансово-промышленной группы
При проведении анализа внешнего окружения также изучаются поставщики сырья, поставщики энергоресурсов, другие контрагенты, а также те аспекты деятельности группы, которые в основном зависят от внешних по отношению к группе воздействий.
Результаты трех составляющих анализа возможностей используются на следующих этапах цикла управления. В частности результаты оценки потенциала предприятий - участников ФПГ применяются на этапе планирования, информация о доле рынка используется при постановке задачи на создание ТТЦ.
Таким образом, анализ возможностей ФПГ это начальный этап цикла управления, в соответствии с результатами которого строится дальнейшая деятельность текстильной финансово-промышленной группы.
После анализа возможностей, в соответствии с зафиксированными потребностями рынка планируются технологические цепочки, этапу планирования предшествует отбор конкретных предприятий, которые будут участвовать в производстве определенного вида продукции и составят технологическую цепочку.
Выбор предприятий потенциальных участников технологической цепочки
Для управляющей компании текстильной ФПГ, занимающейся реализацией цикла управления эффективностью одним из главных аспектов организации ТТЦ несомненно является процесс отбора предприятий-смежников в рамках ТТЦ.
Отбор смежников (контрагентов) это процесс изучения исходных данных о функционировании каждого конкретного предприятия-потенциального смежника. Отбор контрагентов проводится в целях достижения максимальной эффективности функционирования конкретной ТТЦ и, как следствие, текстильной ФПГ в целом.
Для анализа используется информация, полученная в ходе анализа возможностей, а также делаются вычисления необходимые с точки зрения сопряжения предприятий в текстильную технологическую цепочку.
По результатам анализа проводится конкурсный отбор контрагента из числа потенциальных кандидатов. Цель отбора включить в технологическую цепочку те предприятия, которые в совокупности дадут наибольшую эффективность функционирования. Таким образом, если все технологические цепочки в рамках финансово-промышленной группы будут иметь максимальную эффективность, то и эффективность ФПГ будет максимальной.
Для отбора контрагентов используется набор показателей, имеющих одну общую черту все используемые на данном этапе показатели базируются на изучении выручки от реализации (ВР).
Одним из основных показателей является так называемое корпоративное участие (КУ):

,
где
ВР выручка от реализации продукции, которая может быть использована в рамках ТТЦ;
З затраты на производство продукции, которая может быть использована в рамках ТТЦ (себестоимость) (руб.);
ДТЦ длительность технологического цикла производства продукции, которая может быть использована в рамках ТТЦ (дни).
Таким образом, экономический смысл КУ эффективность участия каждого предприятия в производстве продукции, которая может быть использована в рамках ФПГ.
Для оценки эффективности использования предприятием своего оборудования используется показатель фондоотдачи (Ф), который показывает количество выручки, полученное на единицу стоимости основных средств.

,
где
ВР выручка предприятия от реализации продукции за исследуемый период;
ОССР средняя стоимость основных средств за исследуемый период:

,
ОСНП стоимость основных средств на начало периода;
ОСКП стоимость основных средств на конец периода.
Наряду со значениями корпоративного участия и фондоотдачи руководство финансово-промышленной группы должно иметь представление о качестве управления предприятием - потенциальным участником ТТЦ. Сделать это можно, оценив качество управления:

,
где
КУПР коэффициент качества управления;
ЗУПР совокупные затраты на управление.
Эффективность использования оборотных средств характеризуется их оборачиваемостью. Оборачиваемость оборотных средств исчисляется продолжительностью одного оборота в днях (оборачиваемость оборотных средств в днях) или количеством оборотов за отчетный период.
Анализ оборачиваемости включает:
- анализ оборачиваемости текущих активов;
- анализ оборачиваемости текущих пассивов;
- анализ "чистого цикла".
Для анализа оборачиваемости рассчитываются следующие показатели:
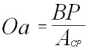
Оборачиваемость активов (Оа) показывает, сколько раз за период "обернулся" рассматриваемый вид актива (А):

,
где

Анп значение актива на начало периода,
Акп значение актива на конец периода.
База для расчета оборачиваемости (числитель приведенной выше формулы) для каждого элемента текущих активов может быть разная: для дебиторской задолженности выручка от реализации, для товаров покупная стоимость реализованных товаров, для незавершенного производства и запасов себестоимость реализованной продукции.
Период оборота активов (ПОа) показывает какова продолжительность одного оборота актива в днях (срок "бездействия"):

.
Сумма периодов оборота отдельных составляющих текущих активов, за исключением денежных средств составляет "затратный цикл" предприятия.
Период оборота предъявленных счетов (кредит поставщиков) и период оборота авансов и предоплат (кредит покупателей) рассчитываются по формулам аналогичным периодам оборота активов. Период оборота прочих текущих пассивов определяется экспертным методом, исходя из частоты выплаты заработной платы и налогов.
Сумма периодов оборота текущих пассивов составляет "кредитный цикл" предприятия.
Разность между "затратным циклом" и "кредитным циклом" составляет "чистый цикл". "Чистый цикл" важнейший показатель, характеризующий финансовую организацию основного производственного процесса. Рост этого показателя свидетельствует о росте потребности в финансировании со стороны внешних по отношению к производственному процессу источников (собственный капитал, кредиты).
Отрицательное значение "чистого цикла" может означать, что кредиты поставщиков и покупателей с избытком покрывают потребность в финансировании производственного процесса и предприятие может использовать образующийся излишек на иные цели, например, на финансирование постоянного капитала.
Японские сюданы
Согласно официальным данным, на их долю приходится от 55 до 60% ВНП США. Здесь занято 45% рабочей силы.
Сюда направляется до 60% инвестиций. Каждая из 100 обследованных американских компаний насчитывает в своем составе предприятия 25 отраслей, 35 фирм работают в 32 отраслях промышленного производства, 10 в 50.
Американская модель ФПГ создавалась с учетом рыночно ориентированной финансовой системы, на основе развитого рынка капитала, широкого набора различных финансовых инструментов.
Изначально высокий уровень развития промышленных корпораций, надежность акций которых не вызывала сомнений, во многом облегчил привлечение дополнительного капитала. Промышленные предприятия увеличивали капитал главным образом за счет новых эмиссий акций.
Поэтому практически отпадала необходимость в долгосрочном кредитовании как способе увеличения их основного капитала.
Функции банков сводились лишь к аккумулированию сбережений, предоставлению краткосрочных кредитов, осуществлению на внешнем рынке операций с ценными бумагами, но без непосредственного участия в управлении предприятиями.
На сегодняшний день в США получили распространение два основных типа ФПГ. В первом случае консолидирующим ядром группы выступает банковский холдинг, во втором производственно-технологический комплекс.
К наиболее известным ФПГ США, основу которых составляют крупнейшие финансовые институты, относятся группы Чейз, Морган, Меллон, Лимен-Голдмен, Сакс и др.
В большинстве случаев данные группы имеют сходные истории создания и развития, одинаковое строение. Поэтому более подробно этот тип ФПГ можно рассмотреть на примере группы Чейз.
Финансовая составляющая группы Чейз включает коммерческий банк Chase Manhattan Corp. (созданный 1 апреля 1996 г. в результате объединения Chase Manhattan Bank с Chemical Bank) и две компании по страхованию жизни (Metropolitan Life Insurance и Akvitable Life).
Chase Manhattan Corp., как и его предшественник Chase Manhattan Bank, связан с семьей Рокфеллеров с 20-х годов. С 1962 года Д. Рокфеллер занимал в нем посты президента либо председателя совета директоров.
Промышленная составляющая группы это 21 нефинансовая корпорация, в том числе пять транспортных компаний, включая три авиакомпании и две железные дороги, две авиастроительные компании, две химические компании, две компании розничной торговли. Каждая из них входит в число 100 крупнейших компаний США.
Все они контролируются не только группой Чейз, но и банком Chase Manhattan Corp. как отдельным финансовым учреждением. На сегодняшний день Chase Manhattan Corp. является ведущим банком США и располагает активами в 300 млрд. долл.
От группы Чейз группа Морган отличается большей специализацией по отраслям промышленности.
Характерной чертой группы Мелон является то, что ее финансовые учреждения редко делят контроль над нефинансовыми корпорациями с другими финансовыми институтами либо индивидуальными владельцами. Основное предпочтение данная группа отдает компаниям тяжелого машиностроения.
На этом, без сомнения, отразилось место ее базирования Питтсбург, где сосредоточены предприятия данной отрасли.
К ФПГ, основу которых составляет крупная промышленная компания, можно отнести группы Дженерал моторз, Дюпон, Дженерал электрик, Форд моторз, АТТ и др., которые в свою очередь владеют банками и финансовыми компаниями. Вместе с тем это не карманные банки, выполняющие функции внешней бухгалтерии и выступающие в качестве инструмента привлечения дешевых кредитов. Это крупные, самостоятельные учреждения с интересами, выходящими далеко за пределы собственной группы.
Характерная черта данных групп преобладание вертикальной составляющей над горизонтальной.
Основой группы Дженерал моторз, например, является крупнейший в мире автомобилестроительный концерн. Общая численность занятых сотни тысяч человек.
Головная компания концерна выступает в качестве материнской по отношению к тысячам других фирм группы, контролируя их производственную и финансовую деятельность.
Группа владеет собственной финансовой компанией General motors acceptance corporation, являющуюся крупнейшим в США источником коммерческих кредитов. Дженерал моторз финансирует процессы слияния и поглощения компаний, занимается коммерческим лизингом промышленного оборудования (Дженерал моторз лизинг корп.), владеет сберегательными и кредитными компаниями во многих штатах.
Несмотря на многие различия, американские ФПГ, вместе с тем, объединяет и много общего.
Во-первых, отношения внутри группы строятся на основе установления гибких связей, при свободном перетоке капитала из одной отрасли в другую. Прежде всего это связано с тем, что будущее банковского дела определяется лишь общими перспективами рынка, и поэтому в долгосрочной перспективе банк не привязан ни к какой определенной отрасли.
Вместе с тем, новые экономические реалии и прежде всего обострившаяся конкуренция на американском рынке вынуждают к переходу от традиционных контрактных к долгосрочным партнерским отношениям промышленных предприятий с коммерческими банками.
Во-вторых, в США союз банковского и промышленного капитала закрепился в виде семейных групп (Рокфеллеров, Морганов и других) и региональных групп (кливлендская, чикагская и проч.).
В-третьих, главной особенностью кредитной системы США стало исключительно высокая степень концентрации ссудного капитала, наличие банковских монополий, имеющих международных характер. Это во многом предопределило выбор способа образования ФПГ. В качестве основного стало слияние и поглощение компаний, в ходе чего одна из них (головная фирма) овладевает контрольным пакетом акций другой.
Группирование опирается на банки, которые финансируют деятельность компании и при этом ее координируют. Необходимо отметить, что слияния и поглощения крупнейших корпораций резко активизировались в 90-х годах.
Некоторая часть слияний и поглощений происходит в рамках одной и той же ФПГ.
В-четвертых, хотя интеграционные процессы в американской экономике носят подспудный характер, но все чаще на первое место выходит вопрос о необходимости устранения препятствий на пути интегрирования промышленных и финансовых предприятий, повышения роли крупных финансовых учреждений в корпоративном управлении. Все более очевидной становится ошибочность опасений о несовместимости ФПГ и конкуренции.
И, наконец, пятое. Изменчивость состава группы и подвижность границ при жестко закрепленном центре контроля важная черта, присущая всем без исключения ФПГ США.
В экономической литературе в последние годы выдвинуто положение о размывании финансово-промышленных групп.
Действительно, старые группы часто размываются, тогда как новые еще не оформились и не пришли им на смену. Но исчезновение того или иного центра финансового контроля дело довольно редкое.
Возникновение ФПГ опирается на обобществление производства, соответствующую сеть связей и зависимостей, которые разрушить далеко не просто, практически едва ли возможно. Их можно лишь переориентировать.
Другое дело относительно частые случаи замены одних лиц другими в центрах финансового контроля.
Японские сюданы
Промышленный комплекс Японии сегодня состоит фактически из шести равновеликих экономических комплексов финансово-промышленных групп (японский вариант сюданы): Мицубиси, Мицуи, Сумитомо, Даичи Кангин, Фуе, Санва, образованных по определенным общим принципам.
Согласно официальным данным, совокупный годовой объем продаж шести групп-гигантов составляет примерно 14 15% валового национального продукта страны. Если считать, что общий годовой оборот достигает четырех триллионов долларов, то на эти группы приходится более 500 миллиардов.
Они контролируют (с учетом входящих в них компаний) примерно 50%, а по некоторым оценкам и до 75% промышленных активов страны. На торговые фирмы сюданов приходится более половины экспортно-импортных операций, их доля в импорте отдельных товаров достигает 90%.
Коммерческие и трастовые банки групп контролируют около 40% общего капитала всей банковской системы страны, а страховые компании 55% всего страхового капитала.
Сюданы представляют собой самодостаточные, универсальные многоотраслевые экономические комплексы, включающие в свою организационную структуру финансовые учреждения (банки, страховые и трастовые компании), торговые фирмы, а также набор производственных предприятий, составляющих полный спектр отраслей народного хозяйства.
Верхний уровень сюданов образуют горизонтальные объединения, включающие в среднем 21 (группа Сумитомо) 50 (группа Даичи-Канги) равноправных членов (в зависимости от количества основных отраслей деятельности), представляющих собой головные фирмы крупнейших промышленных объединений.
В качестве консолидирующего ядра сюданов с самого их появления после второй мировой войны (а также в их довоенных предшественниках дзайбацу) и по настоящее время выступают компании тяжелой и химической промышленности.
Широкое использование корпорациями привлеченных средств одна из причин японских экономических достижений. Поэтому обязательным членом группы, а по многим оценкам и стержнем, является крупнейший банк. Он контролирует крупную сеть филиалов и дочерних банков.
В комплексе с ним и под его контролем работают также страховые и инвестиционные компании, траст-банки; все они для фирм данного сюдана являются своими и образуют его финансовую основу.
Благодаря вхождению кредитно-финансовых институтов в ФПГ достигаются стратегические выгоды, связанные в первую очередь с повышением мобильности развития и реализации технологического потенциала всей группы. Скорость технологического обновления производства, темпы наращивания выпуска конкурентоспособной продукции во многом зависят от того, насколько инвестиционные возможности корпорации превышают объемы финансирования.
Обязательным членом группы (сюдана) является также универсальная торговая фирма. По масштабам своих торговых и информационных сетей и объему деловых операций торговые фирмы относятся к числу крупнейших в мире и играют важную роль в ФПГ.
Они выполняют в сюдане функции универсального сбытовика и снабженца, более того своеобразного департамента внешних связей при освоении новых сфер деятельности, в которых фирмы сюдана практически не имели возможностей сбыта и снабжения.
Промышленные объединения, входящие в ФПГ, построены, как правило, по принципу вертикальной интеграции (японский вариант называется кэйрэцу). Под эгидой головной фирмы собрано множество подчиненных ей дочерних (в единстве они образуют своего рода верхний ярус вертикальной интеграции). Всего таких ярусов насчитывается до четырех, поскольку многие дочерние фирмы имеют под своим началом другие, включая всевозможные субподрядные. Размеры акционерного капитала в дочерних компаниях могут быть самыми разными от 10 до 50%.
Иногда же у них вообще нет акционерного капитала, то есть долевое участие не присутствует вовсе. Но тем не менее во всех случаях связи исключительно крепки и надежны.
Система иерархического контроля принимает, таким образом, форму вертикальной пирамиды, вбирающей в себя многие тысячи фирм.
Внутригрупповое взаимодействие в японских ФПГ обеспечивается следующими способами:
1. В качестве руководящего органа ФПГ выступает совещание президентов головных фирм, одновременно являющееся и совещанием ведущих акционеров. Это совещание принимает важнейшие решения по всем вопросам производственно-финансовой деятельности.
2. Объединение корпораций посредством взаимоучастия в акционерном капитале (перекрестное акционирование). Каждая фирма, член сюдана, имеет небольшие, недостаточные для одностороннего контроля пакеты акций всех остальных фирм; а вместе они располагают контрольными пакетами акций каждого из своих членов.
3. Реализация общегрупповых проектов.
4. Внутригрупповые контрактные отношения и обмены охватывают циркуляцию финансовых и промышленных ресурсов, научно-технической информации между участниками группы.
Внутри сюданов действует принцип не конкуренции, а целенаправленно организуемой внутренней специализации (когда сферы деятельности фирм не пересекаются). Поэтому в отношениях поставщик потребитель здесь утвердилась взаимная монополия. Таким образом, экономическая среда внутри сюданов оказывается нерыночной. А существующая в японской промышленности организационная структура приводит к закреплению четкой олигопольной системы на рынке конечных продуктов.
Тем не менее интенсивная конкуренция участников олигополии обеспечивает устойчивое развитие соответствующей отрасли.
В качестве примера организационного строения японских сюданов можно рассмотреть группу Мицуи.
Основу группы составляет горизонтальное объединение 29 головных фирм (крупнейших промышленных и финансовых комплексов) на основе перекрестного владения акциями (их доля составляет 28,93%). Главный банк Сакура банк (Sacura bank Ltd.).
Он занимает шестое место в списке крупнейших банков мира, владеет сетью дочерних банков, страховой и лизинговой компаниями.
Центральная торговая фирма группы Мицуи Бусан.
Промышленную основу группы составляет 27 производственных предприятий (кэйрецу), построенных по принципу вертикальной интеграции. Каждая головная компания является материнской по отношению к находящейся под ее контролем фирмам. В рамках кэйрэцу лежит формула объединение смежников.
А иерархические вертикали возникают из естественной направленности технологических цепочек смежников к конечному продукту. Тот же принцип реализуется на следующих структурных уровнях.
В итоге возникает многоуровневая и иерархическая структура.
Так, головная фирма кэйрэцу Тоета, входящая в ФПГ Мицуи, объединяет под своим началом 15 подконтрольных компаний, которые занимаются производством компонентов (Тоета ауто боди кузова для автомобилей и другие изделия); готовых изделий (Хино мотор крупнотоннажные грузовики и автобусы); фундаментальными исследованиями; экспортом и импортом сырьевых продуктов. Годовой оборот группы Тоета на март 1996 года достигал 7957 млрд. иен или 68,6 млрд. долл.
Тоета располагает пакетом акций в каждой из подконтрольных компаний от 22,7% акций в Аити стил уорко до 39,8% в Тоета ауто боди. Кроме того, Тоета получает автозапчасти и компоненты от двух ассоциаций Кехокай, состоящей из 231 компании, и Эйхокай, объединяющей 77 компаний. Тоета не участвует в капитале членов ассоциаций.
Связи с ними развиваются на основе контрактных отношений.
Помимо изготовления различных компонентов к автомобилям компания Тоета занимается производством стали, прецизионных станков, текстиля, потребительских товаров, оказанием строительных услуг. На сегодняшний день Тоета имеет крупные интересы в трех японских телекоммуникационных компаниях.
Не будучи активным участником рынка, она владеет 17,5% акций компании Ай-Ди-Си, представляющей международные услуги, 36,8% компании дальней связи Телеуэй Джапан, работающей на территории Японии, и 27,2% компании мобильной телефонной связи Ай-Ди-Оу.
Японские ФПГ оказали большое влияние на развитие большинства новых индустриальных стран как в качестве примера становления мощной корпоративной структуры, так и непосредственно участвуя в их экономической жизни. Опыт японских ФПГ на сегодняшний день стал основой для переосмысления принципиальных вопросов, касающихся оптимальной организации хозяйственного оборота в любой стране, в любой экономике.
Южнокорейские чеболи
Для Южной Кореи, как может быть ни для какой другой страны, характерна высокая степень концентрации производства и капитала, монополизация несколькими крупными финансово-промышленными группами почти всех отраслей экономики. Практически все крупные и средние предприятия принадлежат различным группам, которых уже насчитывается несколько десятков (Самсунг, Дэу, Голд Стар (LG), Хендэ и т. д.).
Крупнейшие среди них (чеболи или чаеболы корейский вариант названия) во многом схожи с ведущими финансово-промышленными группами в Японии (сюданами). Отличия же связаны с тем, что корейские группы базируются на семейном капитале.
В то время, как модель, сформированная послевоенной Японией, реализует импортозамещающий вариант индустриального развития при жестком государственном контроле над внешнеэкономической сферой и при финансовом самообеспечении инвестиционного процесса, модель, избранная Южной Кореей изначально нацеливает на экспортоориентированный путь развития при широко открытой экономике и опоре на иностранную кредитную помощь. Отличительной особенностью данного пути является то, что хозяйственный подъем протекает в условиях хотя и контролируемого, но устойчивого роста цен.
Однако ускоренное развитие происходит по одной и той же воспроизводящейся схеме, по определенной заложенной общей программе.
Финансово-промышленные объединения Германии
Характерная особенность германской традиции состоит в тесной связи банков с промышленностью. На основе акционерных, финансовых, а также деловых связей происходит межотраслевая интеграция промышленных концернов с финансовыми институтами в устойчивые горизонтальные промышленно-финансовые объединения.
Банки принимают участие не только в финансировании инвестиционных проектов, но и в управлении предприятиями. Поэтому центрами создания ФПГ в Германии являются, как правило, крупнейшие банки.
Например, вокруг Deutsche Bank AG группируются такие известные промышленные концерны как Bosch, Siemens; а вокруг Dresdner Bank AG Hochst, Grundig, Krupp. В свою очередь, вокруг относительно устойчивого ядра концерна группируется множество крупных и средних компаний.
В среднем головные холдинги группы владеют акциями и контролирует деятельность около 150 компаний.
Крупнейшими банками, стоящими во главе трех ведущих ФПГ, являются Немецкий (Deutsche Bank AG), Дрезденский (Dresdner Bank AG) и Коммерческий (Kommerzbank AG) банки. На них приходится, соответственно, 1/3, 1/4 и 1/8 акционерного капитала страны.
Данные банки представляют собой универсальные кредитно-финансовые комплексы с широким набором услуг, непосредственно не связанных с кредитно-расчетной деятельностью. Это прежде всего:
- разного рода консультационные услуги по анализу и прогнозированию рынков, сбору информации о технических решениях и нововведениях, по обеспечению трудовыми ресурсами; банк осуществляет также финансовое планирование, решает вопросы организации руководства предприятием;
- проникновение в страховое дело и оказание клиентам банка комбинированных услуг на основе сочетания депозитных операции со страховой защитой вкладчика;
- банк играет активную роль в обеспечении зарубежных интересов предприятий, входящих в состав ФПГ, участвуя в кредитовании местных экспортеров, капиталовложениях за границей или прямых производственных контактах.
Отношения внутри ФПГ во многом определяются политикой, проводимой банком. Например, ФПГ, созданная вокруг Дойче банка, в результате проведенной им серии слияний и поглощений была превращена в промышленно-технологический комплекс, полностью объединяющий производство автомобилей и самолетов, двигателей и электроники и т. д. Теперь компании, входящие в данную группы, имеют прямые производственные и технологические связи, скрепленные отношениями собственности.
Это важно и с точки зрения НИОКР, т. к. позволяет контролировать свои программы, избегая дублирования.
Кроме трех крупнейших ФПГ, во главе которых находятся ведущие банки страны, в Германии существуют и такие группы, где цементирующим звеном является промышленное объединение (концерн), хотя банковский капитал имеет несколько равных ему по силе и значению представителей. К числу таких ФПГ можно было бы отнести группы ИГ Фарбениндустри, Флика, Тиссена-Оппенгейма.
Даймлер-Бенц, а также региональные ФПГ, играющие в экономике ФРГ существенную роль, но отличающиеся от перечисленных.
Создание региональных ФПГ связано с процессом концентрации капитала. Сила и самостоятельность этих ФПГ определяются, прежде всего, их тесными связями с правительством земли, а также с местной промышленностью.
Создание региональных ФПГ на старых землях прежде всего удалось в Баварии. Ведущие позиции в кредитной сфере принадлежат двум крупнейшим смешанным банкам Баварскому ипотечному и вексельному банку и Баварскому банковскому союзу, которые и образовали две ФПГ.
Если группа, относящаяся к первому банку, является наиболее самостоятельной из всех региональных объединений, то региональная ФПГ Баварского банковского союза характеризуется тем, что промышленность в ней представлена предприятиями, главным образом, легкой и пищевой промышленности, входящими в те или иные крупнейшие концерны страны (Сименс, Клекнер, Ганнэль и др.).
Координация в немецких ФПГ обеспечивается несколькими механизмами.
Во-первых, наличием сравнительно небольшого круга должностных лиц, являющихся одновременно членами правления различных компаний и фирм, входящих в данную группу. Например, из 100 крупнейших компаний примерно в 80 один из членов наблюдательного совета был членом правления другой компании.
В 20 из них примерно от 17 до 36 должностных лиц являлись одновременно членами наблюдательных советов других компаний.
Во-вторых, координирующую роль выполняют входящие в ФПГ финансово-кредитные институты. Им сегодня принадлежит 30% акций 25 крупнейших промышленных предприятий страны.
В-третьих, внутригрупповой интеграции служит также перекрестное акционирование (взаимоучастие в капитале).
Рассматривая ФПГ Германии, можно сделать вывод, что это не жесткие конструкции, а довольно гибкие образования, маневренность которых в значительной степени обеспечивается банками. Именно под их воздействием происходит поглощение или слияние отдельных компаний, образование крупнейших ФПГ.
Таким образом, во многих развитых странах существуют финансово-промышленные группы. Основными инициаторами объединения служат или крупные банки, или крупные промышленные компании.
Организационная структура текстильной финансово-промышленной группы
В России, в соответствии с законодательством, ФПГ может быть образована только в форме открытого акционерного общества. На западе такие общества традиционно называются корпорациями (corporation).
То есть, корпорация правовая форма бизнеса, наиболее распространенная форма акционерного предприятия, обязательно имеющая статус юридического лица.
В этой связи управление корпорацией получило название корпоративного управления (corporate management). Одним из основополагающих принципов корпоративного управления является формирование организационной структуры корпорации.
В настоящее время в поисках более высокой эффективности функционирования крупные зарубежные корпорации начинают перестраивать организационную структуру. Суть перемен состоит в стремлении использовать преимущества организаций со сквозным менеджментом перед менеджментом вверх и вниз в вертикально-ориентированной иерархии.
Простое перенесение зарубежного опыта в российскую действительность невозможно без адаптации к современным реалиям.
Проведенный нами анализ зарегистрированных к настоящему времени финансово-промышленных групп показал, что при их образовании в настоящее время преобладают две тенденции: отраслевая тенденция, когда в группу входит одна отраслевая технологическая цепочка или несколько технологических цепочек по производству различных видов продукции одной или нескольких отраслей; территориальная тенденция, когда в группу входят предприятия, не связанные между собой в технологические цепочки, представляющие различные отрасли, но находящиеся на территории одного региона.
Контроль за реализацией технологического цикла
3.6 Календарный план производства хлопчатобумажных халатов
Календарный план, чаще всего, составляется в форме гистограммы. Целью составления календарного плана является планирования длительности каждой конкретной производственной операции в рамках ТТЦ.
Кроме того, календарный план определяет продолжительность прохождения продукта на каждом этапе его переработки и позволяет определить продолжительность всего производственного цикла.
Исходными данными для данного календарного плана является информация, полученная на основе анализа взаимодействия участников ТТЦ, нормативы выполнения каждой производственной операции, фактические производственные мощности каждого предприятия, участвовавшего в ТТЦ.
На основе календарного плана составляется план финансовых потоков, отток соответствует оплате себестоимости и товаров, а приток получение средств от покупателей.
В финансовом плане необходимо отразить предполагаемые источники финансирования проекта, рассчитать себестоимость изделия и составить схему финансовых платежей в рамках проекта.
Ниже приведен расчет себестоимости одного хлопчатобумажного халата в рублях за штуку (табл. 3.10):
Таблица 3.10
Расчет себестоимости хлопчатобумажного халата (руб.)
|
Этап |
Наименование |
Затраты |
|
1 |
Переработка хлопка на Ферганском хлопкоперерабатывающем заводе |
27 879 |
|
2 |
Транспортировка хлопка на АООТ Собитекс |
412 |
|
3 |
Производство волокна на АООТ Собитекс |
15 246,3 |
|
4 |
Отправка волокна на ТОО Заря и на ЗАО М-Текстиль |
148 |
|
5 |
Изготовление хлопчатобумажных тканей на ТОО Заря |
21 394,1 |
|
6 |
Отгрузка пуговиц с АООТ Роспластмасс в адрес ЗАО М-Текстиль |
988 |
|
7 |
Транспортировка хлопчатобумажных тканей на ЗАО М-Текстиль |
115 |
|
8 |
Пошив хлопчатобумажных халатов |
30 729 |
|
9 |
Отгрузка хлопчатобумажных халатов на склад |
149,6 |
|
Итого |
97 061 |
Таким образом, себестоимость одного хлопчатобумажного халата составляет 97 061 рублей, включая транспортные и организационные расходы.
Теперь можно рассчитать платежи по проекту в целом:
1 этап = 5 297 000 тысяч рублей;
2 этап = 75 974 тысяч рублей
3 этап = 2 896 790 тысяч рублей;
4 этап = 28 120 тысяч рублей;
5 этап = 4 064 880 тысяч рублей;
6 этап = 187 720 тысяч рублей;
7 этап = 21 850 тысяч рублей;
8 этап = 5 838 510 тысяч рублей;
9 этап = 28 430 тысяч рублей.
Таким образом, для производства 190 000 хлопчатобумажных халатов необходимо 18 442 миллионов рублей.
Источником финансирования может быть кредитная линия процентная ставка 50% годовых. По этим данным может быть рассчитана минимальная цена хлопчатобумажного халата.

,
где
Pmin минимальная цена хлопчатобумажного халата (без промежуточного погашения долга).
Таким образом средняя отпускная цена одного халата, произведенного в рамках ТТЦ ниже цены конкурентов. Это свидетельствует о достаточной степени конкурентоспособности халатов на рынке Центрального региона РФ.
Одним из направлений снижения себестоимости в рамках всей ТТЦ может быть оптимизация платежей по кредиту, которая позволит снизить затраты на его обслуживание и процентные платежи. Основой для оптимизации является схема финансовых потоков в рамках текстильной технологической цепочки производства хлопчатобумажных халатов, которая представлена на 3.7.
Схема финансовых потоков производства халатов
После окончания непосредственно процесса планирования и на основании календарного, финансового планов, а также плана финансовых потоков строится организационный план производства хлопчатобумажных халатов для медицинских целей (табл. 3.11), который является логическим итогом всех этапов планирования.
Организационный план позволяет руководству в процессе функционирования технологической цепочки проводить контрольно-руководящие мероприятия.
Таблица 3.11
Организационный план производства хлопчатобумажных халатов
|
Этап |
Продолжительность в днях |
Участник |
Себестоимость халата (руб.) |
Общие платежи (тыс. руб.) |
|
1 |
4 |
Ферганский ХПЗ |
27 879 |
5 297 010 |
|
2 |
10 |
|
412 |
78 280 |
|
3 |
9 |
АООТ Собитекс |
15 246 |
2 896 790 |
|
4 |
2 |
|
148 |
28 120 |
|
5 |
12 |
ТОО Заря |
21 394 |
4 064 880 |
|
6 |
2 |
|
988 |
187 720 |
|
7 |
2 |
|
115 |
21 850 |
|
8 |
49 |
М-Текстиль |
30 739 |
5 838 510 |
|
9 |
2 |
|
150 |
28 430 |
Организационный план является основой для функционирования ТТЦ, а также служит ориентиром при определении производственных заданий внутри предприятий-участников текстильной технологической цепочки.
Функционирование ТТЦ должно проходить под контролем со стороны управляющей компании, которая должна вовремя вмешиваться в производственный процесс для осуществления необходимых управляющих мероприятий. Методика контроля подробно описана в п. 3.3.
Контроль за реализацией технологического цикла и формирование управляющего воздействия
Процедура контроля
Осуществление контроля данного вида имеет целью выявить узкие места технологической цепочки. Контроль направлен на каждое предприятие, являющееся участником рассматриваемой ТТЦ и его сущность заключается в поиске отклонений показателей их финансового и производственного состояний от требуемых значений.
Контроль необходимо осуществлять после реализации каждого технологического цикла. Это необходимо для сравнения показателей в динамике.
Контроль за реализацией технологического цикла состоит из двух шагов: проведение анализа финансового состояния и выработка управляющего воздействия.
Анализ финансового состояния
Анализ финансового состояния производится по данным финансовой отчетности, которая предоставляется управляющей компании ФПГ каждым предприятием-участником.
Для полноты и достоверности анализа используются следующие документы финансовой отчетности:
1. Бухгалтерский баланс (форма 1);
2. Отчет о финансовых результатах и их использовании (форма 2);
3. Дополнительные данные;
В рамках анализа финансового состояния производится оценка структуры прибыли и затрат на производство, ликвидности, финансовой устойчивости и рентабельности.
Анализ отчета о финансовых результатах и их использовании
Для углубления анализа распределения финансовых результатов ТТЦ между предприятиями-участниками составляется таблица 3.12 "Структура отчета о прибылях и убытках".
Данные, представленные в таблице позволяют проанализировать структуру затрат, а также распределение балансовой прибыли.
Данные таблицы позволяют сделать вывод, что доля затрат в выручке от реализации предприятия АООТ Роспластмасса составляет 60%, то есть очень высока рентабельность производства. С точки зрения руководства ТЦ это повод насторожиться, поскольку налицо явное завышение доходов данного участника технологической цепочки.
Уже на этом этапе анализа имеются основания при формировании управляющего воздействия особое внимание уделить структуре финансовых потоков.
Анализ ликвидности
С помощью показателей ликвидности можно сделать выводы о достаточности различных видов текущих активов для погашения краткосрочных обязательств предприятия. Значения показателей для анализа представлены в таблице 3.13.
В целом по таблице можно сделать вывод об удовлетворительном состоянии ликвидности предприятий АООТ Собитекс и ТОО Заря. Показатели ликвидности предприятия АООТ Роспластмасса имеют значения ниже нормы.
Анализ финансовой устойчивости
Для анализа финансовой устойчивости заполняется таблица 3.14, по данным которой можно судить об устойчивости предприятий к колебаниям в привлеченных средствах. Анализируя таблицу можно сделать вывод о низкой платежеспособности АООТ Роспластмасса.
Показатели платежеспособности предприятий АООТ Собитекс и ТОО Заря имеют значения выше нормы.
Анализ рентабельности
Показатели рентабельности представлены в таблице 3.15.
В общем по таблице можно сделать вывод, что рентабельность всего капитала предприятий-участников можно признать удовлетворительной. Однако отрицательные значения рентабельности собственного и уставного капиталов АООТ Собитекс свидетельствует о неправильной политики использования привлеченных средств.
Таблица 3.12
Структура отчета о прибылях и убытках
|
Наименования позиций |
Ферганский ХЗ |
АООТ Собитекс |
ТОО Заря |
АООТ Роспластмасса |
ЗАО М-Текстиль |
ЗАО Консорциум Русский текстиль |
|
1.10.96 |
1.10.96 |
1.10.96 |
1.10.96 |
1.10.96 |
1.10.96 |
|
Выручка от реализации без НДС |
100% |
100% |
100% |
100% |
100% |
100% |
|
Переменные затраты |
34,6% |
66,0% |
29,7% |
33,2% |
27,4% |
30,8% |
|
Валовая прибыль |
75,4% |
34,0% |
70,3% |
66,8% |
72,6% |
64,2% |
|
Постоянные затраты |
38,1% |
22,8% |
48,0% |
39,7% |
42,3% |
44,3% |
|
Всего затрат на реализацию продукции |
72,7% |
88,8% |
77,7% |
72,9% |
69,7% |
75,1% |
|
Прибыль от основной деятельности |
28,2% |
11,2% |
22,3% |
27,1% |
31,3% |
24,9% |
Таблица 3.13
Показатели ликвидности
|
Наименования позиций |
Эталонное значение |
Ферганский ХЗ |
АООТ Собитекс |
ТОО Заря |
АООТ Роспластмасса |
ЗАО М-Текстиль |
ЗАО Консорциум Русский текстиль |
|
|
1.10.96 |
1.10.96 |
1.10.96 |
1.10.96 |
1.10.96 |
1.10.96 |
|
Коэффициент общей ликвидности |
1,0 |
1,38 |
1,170 |
1,287 |
1,72 |
1,59 |
1,48 |
|
Коэффициент срочной ликвидности |
0,8 |
0,941 |
0,621 |
0,836 |
0,909 |
0,879 |
0,861 |
|
Коэффициент абсолютной ликвидности |
0,2 |
0,201 |
0,066 |
0,04 |
0,113 |
0,127 |
0,110 |
Таблица 3.14
Показатели финансовой устойчивости
|
Наименования позиций |
Эталонное значение |
Ферганский ХЗ |
АООТ Собитекс |
ТОО Заря |
АООТ Роспластмасса |
ЗАО М-Текстиль |
ЗАО Консорциум Русский текстиль |
|
|
1/10/96 |
1/10/96 |
1/10/96 |
1/10/96 |
1.10.96 |
1.10.96 |
|
Коэффициент общей платежеспособности |
0,5 |
0,784 |
0,637 |
0,842 |
0,948 |
0,903 |
0,889 |
|
Коэффициент автономии |
1,0 |
2,908 |
1,754 |
5,313 |
3,489 |
4,213 |
4,106 |
|
Коэффициент маневренности |
|
0,063 |
0,043 |
0,054 |
0,072 |
0,078 |
0,087 |
|
Доля собственных источников финансирования текущих активов |
|
0,298 |
0,145 |
0,223 |
0,351 |
0,407 |
0,396 |
|
Коэффициент обеспеченности долгосрочных инвестиций |
|
0,931 |
0,968 |
0,946 |
0,972 |
0,875 |
0,937 |
|
Коэффициент иммобилизации |
|
4,112 |
4,351 |
3,904 |
4,087 |
4,274 |
4,151 |
|
Коэффициент обеспеченности запасов собственными источниками финансирования |
|
0,764 |
0,642 |
0,681 |
0,789 |
0,817 |
0,789 |
Таблица 3.15
Показатели рентабельности
|
Наименование позиций |
Ферганский ХЗ |
АООТ Собитекс |
ТОО Заря |
АООТ Роспластмасса |
ЗАО
М-Текстиль |
ЗАО Консорциум Русский текстиль |
|
1/10/96 |
1/10/96 |
1/10/96 |
1/10/96 |
1.10.96 |
1.10.96 |
|
Рентабельность всего капитала |
3,9% |
5,8% |
4,2% |
2,7% |
3,5% |
6,0% |
|
Рентабельность собственного капитала |
2,2% |
-1,3% |
2,3% |
2,8% |
2,1% |
4,3% |
|
Рентабельность уставного капитала |
1098% |
-4640,1% |
1531,5% |
939% |
1206% |
1335% |
|
Рентабельность постоянных активов |
6,3% |
7,2% |
5,0% |
4,7% |
4,2% |
5,9% |
|
Рентабельность текущих активов |
27,0% |
29,3% |
25,9% |
27,6% |
26,7% |
32,7% |
|
Финансовый рычаг |
0,37 |
0,48 |
0,14 |
0,43 |
0,39 |
0,53 |
Далее отбираются предприятия, имеющие худшие показатели по предварительному анализу. Для наглядности представления результатов формируется таблица 3.16, в которой плюсом помечается положительная оценка, а минусом отрицательная.
Таблица 3.16
|
Анализ |
АООТ Собитекс |
ТОО Заря |
АООТ Роспластмасса |
|
Отчета о финансовых результатах |
+ |
+ |
|
|
Ликвидность баланса |
+ |
+ |
|
|
Финансовой устойчивости |
+ |
+ |
|
|
Рентабельности |
|
+ |
+ |
По итогам предварительного анализа АООТ Роспластмасса считается худшим из анализируемых предприятийучастников технологической цепочки. Следовательно, руководству ФПГ необходимо более глубоко проанализировать данное предприятие.
Перечисленные выше коэффициенты позволяют сделать выводы о финансовом состоянии предприятия на определенную дату. Но этого недостаточно для ответа на вопросы: Что повлияло на изменение финансового состояния предприятия? и Какие можно дать рекомендации для улучшения финансового состояния?
Для этого необходимо применить факторный анализ.
Наиболее обобщающим показателем финансового состояния является рентабельность и ликвидность предприятия. В анализе рентабельности предприятия важными показателями являются общая рентабельность и рентабельность собственного капитала.
Следовательно целесообразно применять факторный анализ к этим показателям.
Факторный анализ общей рентабельности
В факторном анализе общей рентабельности предприятия проводится оценка влияния изменений таких показателей, как прибыльность продаж, оборачиваемость текущих активов и мобильность активов. Исходные данные для проведения анализа и его результаты представлены в приложении 4 (табл.
1).
По данным таблицы можно сделать вывод о том, что изменение общей рентабельности произошло за счет снижения прибыльности продаж и мобильности активов. Положительное влияние оказал фактор оборачиваемости текущих активов, но этого оказалось недостаточно и общая рентабельность АООТ Роспластмасса стала отрицательной.
Факторный анализ ликвидности
Для проведения факторного анализа ликвидности (Приложение 1, табл. 2) необходимо оценить влияние коэффициента фондоемкости, количества возвратов заемных средств и структуры активов.
По данным таблицы можно сделать вывод, что изменение ликвидности предприятия произошло за счет снижения следующих факторов: структура активов и среднего количества возврата заемных средств.
Факторный анализ рентабельности собственного капитала
В модели оценивается влияние изменения прибыльности продаж, оборачиваемости активов и коэффициента капитализации на рентабельность собственного капитала. Исходные данные и расчеты по факторному анализу рентабельности приведены в Приложении 1 (табл.
3).
По данным таблицы можно заключить, что снижение рентабельности произошло за счет уменьшения прибыльности продаж.
Таким образом, по результатам проведенного контроля можно сформировать управляющее воздействие, с помощью которого руководство ФПГ сможет повлиять на сложившуюся ситуацию и повысить эффективность функционирования технологической цепочки, а, следовательно, и ФПГ в целом.
Формирование управляющего воздействия
Для формирования управляющего воздействия будем руководствоваться предложенным во второй главе алгоритмом.
По данным проведенного контроля видно, что в наихудшей ситуации находится АООТ Роспластмасса, причем основное отрицательное влияние оказало снижение прибыльности продаж.
Это может быть вызвано тем, что предприятие представило неверные исходные данные для предварительного анализа и планирования организационной схемы.
Остатки дебиторской и кредиторской задолженности подтверждают это предположение, поскольку всю поставленную в рамках ТТЦ продукцию потребители оплачивали своевременно.
Поэтому список альтернатив включает следующие возможные решения:
а) перепланирование технологического цикла с целью учета всех неточностей;
б) замена АООТ Роспластмасса на более прибыльное;
в) изменение ценовой политики в рамках ФПГ для получения большей прибыльности продаж на АООТ Роспластмасса.
Основным критерием по которому должна быть отобрана альтернатива для ФПГ является минимум затрат на ее воплощение.
В этих условиях наиболее приемлемой представляется первая альтернатива, поскольку на этапе планирования можно в наибольшей степени учесть все выявленные ошибки и по другим предприятиям.
После формирования управляющего воздействия цикл корпоративного управления получил логическое завершение.
Выводы
Материалы третьей главы показали, что предложенные во второй главе методики применимы на практике, достаточно адекватно отражают суть производственного процесса, позволяют выявлять узкие места и принимать обоснованные решения.
Заключение
Анализ экономической ситуации в России показывает, что без концентрации финансового и промышленного капиталов в масштабах, достаточных для успешной конкуренции на мировом рынке, подъем российской экономики и особенно предприятий кризисных отраслей невозможны [166]. Крупное финансово-промышленное объединение со значительными ресурсами и связями обладает наибольшей жизнестойкостью, имеет несомненные преимущества в саморазвитии, в том числе при вступлении в любую, даже капиталоемкую отрасль.
Одной из эффективных форм самоорганизации и организации крупного капитала является ФПГ. Структура, состав и специализация ФПГ разнообразны, в качестве же общего признака этих объединений является то, что базу для их формирования и развития составляет крупный капитал.
Создание ФПГ рассматривается Правительством РФ как один из важных элементов реализации структурной перестройки промышленности. В связи с этим возникает необходимость решения научной задачи разработки комплекса методик, составляющих цикл корпоративного управления эффективностью функционирования текстильной ФПГ.
В результате решения этой научной задачи в диссертационной работе разработаны:
1. Цикл корпоративного управления эффективностью функционирования финансово-промышленными группами.
Цикл представляет собой три взаимосвязанных блока: маркетинговый, функциональный и административный. Каждый блок набор взаимосвязанных последовательных методик для: объединения и упорядочивания предприятий в технологическую цепочку по критерию повышения корпоративной эффективности; планирования и организации технологических цепочек; контроля деятельности и формирования управляющего воздействия.
2. Методика анализа возможностей текстильной финансово-промышленной группы и ее технологических цепочек, включающая анализ продукции, анализ внутренней структуры, анализ внешнего окружения.
Методика представляет собой набор взаимосвязанных схем и аналитический аппарат для правильного позиционирования текстильной ФПГ на рынке.
3. Методика управления функционированием ФПГ, включающая процесс планирования, организации, мотивации.
Данная методика включает в себя аналитический аппарат для оценки корпоративной эффективности производственного процесса, а также схемы построения организации, стратегического планирования и диспетчирования.
4. Методика синтеза управляющего воздействия по данным контроля функционирования технологических цепочек, состоящая из выработки и обоснования интегрального критерия и алгоритма принятия решения Советом директоров или топ-менеджером для повышения эффективности деятельности ФПГ.
Методика синтеза управления состоит из последовательных взаимосвязанных этапов, включающих необходимое и достаточное количество действий для планирования, организации, мотивации и контроля за деятельностью финансово-промышленной группы.
Кроме того в диссертации получены следующие практически важные научные результаты:
- проанализированы проблемы, стоящие в современных условиях перед финансово-промышленными группами;
- проведен выбор и обоснование этапов цикла корпоративного управления, а также основных составляющих объекта управления: технологических цепочек финансово-промышленных групп и циклов корпоративного управления эффективностью их функционирования.
По результатам проведенного исследования можно сделать следующие основные выводы и рекомендации:
1. Текстильная отрасль промышленности России находится в кризисном состоянии.
2. Финансово-промышленные группы являются наиболее эффективным способом объединения технологически связанных предприятий.
3. Для ФПГ характерна высокая степень концентрации управления.
4. Управленческие решения будут более обоснованы, если им предшествует глубокий и взвешенный экономический анализ деятельности участников технологической цепочки.
4. Эффективной формой организации ФПГ является горизонтальная корпорация.
5. Разработанная в диссертации методика обоснования управленческих решений на основе применения статистических методов может применяться не только как в ФПГ, так и другими структурами экономики России.
Таковы основные результаты исследования, проведенного в диссертации. Практическая реализация основных положений и идей диссертации, осуществление которых было начато уже в процессе диссертационного исследования, по мнению автора, окажет существенное положительное влияние на развитие и совершенствование деятельности текстильной промышленности, созданных в отрасли ФПГ и обеспечит: стабилизацию производства и финансовой системы; усиление конкурентного характера экономической среды; активизацию научно-технической деятельности; улучшение инвестиционной обстановки; необходимые структурные изменения; укрепление социальной базы экономических реформ.
Автор считает также, что разработанные им в ходе работы над диссертацией рекомендации и предложения должны регулярно уточняться по мере изменения социально-экономической и политической ситуации в стране.
Список литературы
- Абалкин Л. И., Аганбегян А. Г. и др. Политическая экономия. М.: Политиздат, 1990.
- Адамов В. Е. Факторный индексный анализ (Методика и проблемы). М.: Статистика, 1977.
- Акофф Р. Планирование в больших экономических системах. - М.: Мир, 1972. - 228 с.
- Александров Г.Л., Павлов А.С. Обновление основных производственных фондов: (Интенсификация, эффективность, стимулы). - М.: Экономика, 1984. - 192 с.
- Андреев С. И. Эффективность функционирования основных фондов М.: Экономика, 1980.- 88 с.
- Аракелян А. А. Воспроизводство основных фондов в развитом социалистическом обществе. Ереван: Изд-во АН Арм. ССР, 1980. - 62 с.
- Баканов М. И., Шеремет А. Д. Теория анализа хозяйственной деятельности. М.: Финансы и статистика, 1987.
- Баканов М. И., Шеремет А. Д. Теория экономического анализа. - М.: Финансы и статистика, 1994. 288 с.: ил.
- Бакланов Г. И. И др. Статистика промышленности: Учебник / Г. И. Бакланов, В. Е. Адамов, А. Н. Устинов; Под. ред. В. Е. Адамова. 4-е изд., перераб. и доп. М.: Финансы и статистика, 1982. 439 с, ил.
- Балабанов И. Т. Основы финансового менеджмента. Как управлять капиталом? М.: Финансы и статистика, 1995. 384 с.: ил.
- Бочаров В., Букин Ф. Методы определения расчетных показателей фондоотдачи на предприятии. - Вопросы экономики, 1966, 2, с.30-40.
- Бунич П. Г. эффективность использования основных фондов. - М.: Финансы, 1966. - 60 с.
- Вихляев А. В. Рост эффективности производства и изменение пропорций. - М.: Изд-во МГУ, 1973. - 168 с.
- Воробьева А. В. Хозрасчет и эффективность основных фондов. - М.: Наука, 1970. - 320 с.
- Воротилов В. А., Гайденко Ю. К. Эффективность основных фондов и методы ее экономической оценки. - Л.: Лениздат,1975. - 151 с.
- Гончаров В. В. В поисках совершенства управления: руководство для высшего управленческом персонала. М.: МП Сувенир, 1993.
- Гуревич С. О статистическом изучении экономической эффективности производства. - Вестник статистики, 1966, 8, с.3-17.
- Даниленко Л. С. Вопросы системного подхода к разработке нормативной базы народнохозяйственного планирования повышения эффективности производства. - Изв.
Оценка эффективности проекта
По данным таблицы 3.1 можно сделать два вывода:
- во-первых, потребность в халатах в 1997 году снизится по сравнению с 1996 годом;
- во-вторых, несмотря на снижение, потребность в халатах останется достаточно высокой.
После определения среднегодовой потребности в халатах необходимо выявить производственные возможности по их удовлетворению и определить уровень конкуренции на рынке. Результаты исследований представлены в таблице 3.2.
Анализ таблицы 3.2 позволяет констатировать, что вхождение предприятия М-Текстиль в ФПГ позволит полностью загрузить его производственные мощности. Это связано с оптимизацией поставок сырья и частичной модернизацией производства. Кроме того, вхождение в ФПГ, избавит М-Текстиль от проблем со сбытом.
Стопроцентная загрузка предприятия, а также уменьшение доли постоянных затрат в себестоимости вследствие увеличения объема производства и минимизация наценок внутри технологической цепочки, по планам должна вызвать снижение отпускной цены на 2% по сравнению с ситуацией до реализации проекта. В свою очередь, снижение отпускной цены и увеличение объема производства являются базой для увеличения доли ФПГ Консорциум Русский текстиль на рынке хлопчатобумажных халатов.
Таблица 3.2.
Производство хлопчатобумажных халатов
|
|
Прогноз на1997 |
|
Показатель |
1996 |
До объединения в ФПГ |
В рамках ФПГ |
|
Объем производства халатов в целом по России (тыс. шт.) |
7924 |
7883 |
7883 |
|
Доля Центрального региона в общем объеме производства, (%) |
60 |
60 |
60 |
|
Объем производства халатов в Центральном регионе (тыс. шт.) |
4754 |
4730 |
4730 |
|
Используемые мощности на предприятии М-Текстиль |
70% |
70% |
100% |
|
Объем производства халатов М-Текстиль (тыс. шт.) |
521 |
521 |
745 |
|
Отпускная цена одного халата М-Текстиль, (тыс. руб.) |
116,2 |
116,2 |
113,8 |
|
Отпускная цена одного халата. Всред. по РФ (тыс. руб.) |
115,0 |
115,3 |
115,3 |
|
Доля предприятия М-Текстиль на рынке |
10,9% |
11,0% |
15,75% |
|
Степень известности |
0,09 |
0,09 |
0,13 |
Такие показатели как доля предприятия на рынке и степень известности, в данном случае, не могут дать полной информации для анализа конкурентов. Это вызвано тем, что спрос на халаты имеет региональный характер. Это означает, что, если в каком-либо регионе находится производитель халатов, то производителям, функционирующим в других регионах очень трудно конкурировать с ним в связи с тем, что возрастает транспортная составляющая себестоимости и цена на халаты становится не конкурентно способной.
В этой связи имеет смысл проанализировать именно региональных конкурентов. В Центральном регионе имеется четыре предприятия-конкурента, выпускающие продукцию, номенклатурой схожей с предприятием М-Текстиль.
Среди них можно выделить двоих, АО Спецодежда, г.Москва и ТОО Мухтоловская спецодежда, поселок Мухтолово Нижегородской области, имеющих большую долю на рынке 37% и 35%. Руководством ФПГ поставлена задача нахождения возможных путей снижения себестоимости производства халатов, что в свою очередь должно позволить снизить отпускную цену.
Решение данной задачи позволит захватить более высокую долю рынка.
Отметим, что данная ситуация, в целом благоприятная для реализации проекта, не учитывает влияние случайных факторов и воздействий. Как правило, изучение случайных воздействий производят с помощью методов теории вероятностей.
В теории управления широкое распространение получил метод графов. Сущность данного метода заключается в построении графоматематической модели дерево решений. При построении подобного дерева для задач оптимизации плана развития предприятия и принятия управленческих решений необходимо сначала построить вероятностный граф состояний исследуемой системы.
Для рынка хлопчатобумажных халатов такой граф представлен на 3.2.
Для полноты отображения, в вероятностном графе необходимо учесть все возможные варианты развития событий. Следующим шагом после построения вероятностного графа является построение непосредственно дерева решений. Основное его отличие от вероятностного графа является, то что вместо вероятностей наступления событий, в нем указываются принимаемые на их основе решения.
Пример дерева решений приведен на 3.3.
Оптимальный вариант управленческого решения находится по формуле:
max Э = max (Эj+Э*j-1),
где
Э эффективность варианта решения;
Э*j-1 максимальная эффективность, полученная при принятии решении на этапе (j-1);
Эj эффективность полученная при принятии решении на этапе j.
Вероятностный граф изменения потребности в хлопчатобумажныххалатах
3.3. Дерево решений по проекту производства и сбыта хлопчатобумажныххалатов
Отметим, что Эj определяется с учетом вероятности ее получения, и выражается в прибыли, которую возможно получить, если будет принято данное управленческое решение. Альтернативные варианты решений принимаются после оценки вероятностей наступления событий, отображенных в вероятностном графе.
Данная модель принятия управленческих решений часто бывает достаточно эффективной в самых различных финансовых и инвестиционных ситуациях. Единственный ее недостаток заключается в затруднительности определения вероятностей наступления различных событий.
Для этого часто применяют так называемый экспертный метод, но его использование в данном случае является не эффективным.
Для проекта по производству хлопчатобумажных халатов расчет эффективности принятия управленческих решений представлен в таблице 3.3.
По данным таблицы 3.3. следует, что наиболее эффективным вариантом решения является прием проекта при условии увеличения потребности в хлопчатобумажных халатах. По данным модели дерево решений ( 3.3) можно сделать вывод о благоприятной в целом ситуации для реализации проекта по производству хлопчатобумажных халатов в рамках ФПГ Консорциум Русский текстиль.
Таблица 3.3
Эффективность управленческих решений (млрд. руб.)
|
Показатель |
Эффективность этапа (Эj) |
Эффективность цепочки (Эmax) |
|
I этап. Проект не принят |
-0,7 |
|
|
II этап. Проект принят |
+8,7 |
+8,7 |
|
III этап. Потребность падает |
+9,0 |
+16,7 |
|
IV этап. Потребность растет |
+12,217 |
+20,917 |
|
Максимальная эффективность (maxЭ) |
|
+20,917 |
Оценка эффективности проекта
На следующем шаге анализа необходимо определить инвестиционную и коммерческую эффективность проекта. В соответствии с принятой практикой инвестиционный проект обычно исследуется в динамике за период, охватывающий фазу капитального строительства и фазу производства продукции до его ликвидации. Поэтому, исходные данные должны отражать временную динамику реализации проекта и должны давать представление об экономической конъюнктуре, непосредственно связанной с производством и сбытом продукции: рынки сбыта, возможная конкуренция, тенденции изменения цен на производственную продукцию, основное сырье и материалы, тенденции изменения других затрат. Кроме того, они должны учитывать вероятные сценарии общеэкономического развития, которые находят свое отражение в инфляции, тенденциях изменения ставки банковского процента по различным видам кредита, курса рубля по отношению к доллару и других показателей.
При оценке инвестиционной и коммерческой эффективности необходимо использовать показатели ЧДД, ИД и ВНД, которые рассчитываются по формулам (2.1-2.3).
Предполагается, что проект производства хлопчатобумажных халатов будет функционировать 5 лет. Всю деятельность по реализации проекта можно разбить на 2 группы: инвестиционную и операционную.
К инвестиционной деятельности относится деятельность по организации ТТЦ и частичная модернизация производства. К операционной деятельности относится деятельность, непосредственно связанная с производством хлопчатобумажных халатов.
Результаты расчета показателей коммерческой и инвестиционной эффективности целесообразно представить в виде таблицы, в которой отображены планируемые потоки денежных средств от всех видов деятельности, а также рассчитаны основные показатели.
Таблица 3.4
Показатели эффективности проекта (млн. руб.)
|
|
Наименование |
1 |
2 |
3 |
4 |
5 |
|
1 |
Поток денег от производственной деятельности |
-1175 |
3500 |
3500 |
3500 |
3500 |
|
2 |
Поток денег от инвестиционной деятельности |
-5122 |
|
|
|
|
|
3 |
Чистый поток денег |
-6297 |
3500 |
3500 |
3500 |
3500 |
|
4 |
Текущая стоимость при d=20% |
-6297 |
2917 |
2431 |
2025 |
1688 |
|
5 |
ЧДД |
|
|
|
|
2764 |
|
6 |
ИД |
|
|
|
|
1,439 |
|
7 |
ВНД |
|
|
|
|
42% |
|
8 |
Срок окупаемости |
|
|
|
|
4 года |
Уровень индекса рентабельности (ИД) равный 1,439 показывает достаточно высокий уровень прибыльности проекта. Уровень ВНД показывает, что проект может быть осуществлен и при возрастании фактора дисконтирования до 42%.
Оценка риска при производстве хлопчатобумажных халатов
Учет и минимизация риска является одной из проблем, которую приходится решать при разработке проекта. Появление рисков связано с неопределенностью ситуации, в которой реализуется проект.
При разработке модели дерево решений риски учитываются в первом приближении, поэтому на ее основе трудно представить общую картину возможных нежелательных вариантов развития проекта. Кроме того, модель дерево решений применима только в такой ситуации, когда не существует неопределенности возникновения рисков и все риски более или менее предсказуемы. В свете этого рекомендуется разработать программу, в которой предусмотрены и описаны возможные риски проекта. В рамках этой программы оценивается вероятность наступления каждого вида риска и его важность (актуальность) для конкретного проекта, которая определяется экспертным путем.
После анализа получившейся ситуации планируют мероприятия, минимизирующие наиболее опасные для проекта риски. Исходя из вышеизложенного, очевидно, что чем детальней будут описаны риски, тем выше будет вероятность успешного реализации цикла корпоративного управления.
Такая программа, надлежащим образом разделяющая риск и преимущества проекта между участниками в процессе его реализации, может также предоставить дополнительные гарантии, снижающие отдельные виды риска. Все возможные виды рисков, которые удается выявить, оценить и учесть при анализе появляются в специальном агрегированном виде.
Для проекта по производству хлопчатобумажных халатов можно выделить следующие основные виды рисков:
- риск нежизнеспособности проекта;
- налоговый риск;
- риск неуплаты задолженностей.
Риск нежизнеспособности проекта
Его сущность заключается в том, что руководство ФПГ должно быть уверено, что предполагаемые доходы от проекта будут достаточны для покрытия затрат, выплаты задолженностей и обеспечения окупаемости любых капиталовложений в рамках проекта.
Налоговый риск
Налоговый риск включает:
- невозможность гарантировать налоговую скидку из-за того, что проект не вступит в эксплуатацию к определенной дате;
- потерю выигрыша на налогах из-за того, что руководство ФПГ прекратило работы над уже функционирующим, но экономически не оправдавшим себя проектом;
- изменение налогового законодательства, например, увеличение налога на имущество или изменение плановой нормы амортизации перед тем как запустить проект в эксплуатацию;
- решения налоговой службы, понижающие налоговые преимущества в результате осуществления проекта
Риск неуплаты задолженностей
Даже у эффективных проектов может наблюдаться временное снижение доходов из-за краткосрочного падения спроса на производимый продукт, либо из-за снижения цен из-за перепроизводства продукта на рынке.
Чтобы защитить любого инвестора от таких неожиданностей, предполагаемые ежегодные доходы от проекта должны жестко перекрывать максимальные годовые выплаты по задолженностям.
После осуществления участниками ФПГ надежных мер по снижению риска неуплаты задолженностей, руководство ФПГ может принять соответствующие гарантии частичных или полных выплат задолженностей в определенные этапы технологического цикла или в процессе реализации продукции.
Таблица 3.5
Программа минимизации рисков
|
Вид риска |
Р |
А |
Кваж |
Способ минимизирования |
|
I. Риск нежизнеспособности проекта |
|
|
|
|
|
1) риск появления инновации (разработка синтетического заменителя хлопка) |
0,25 |
0,2 |
0,05 |
Популяризация натуральных тканей |
|
2)Риск срыва поставок по вине подрядчика |
0,2 |
0,1 |
0,02 |
Поиск нескольких альтернативных поставщиков |
|
II. Отмена налоговых льгот из-за задержки окончания проекта |
0,2 |
0,5 |
0,1 |
Разработка нескольких сценариев реализации проекта |
|
III. Риск неуплаты задолженностей |
0,35 |
0,2 |
0,07 |
Получение гарантии банка-партнера |
Условные обозначения в таблице 3.5:
Р вероятность наступления риска;
А актуальность риска для данного вида проекта;
Кваж коэффициент важности рассчитывается по формуле:
Кваж = Р * А.
Поэтому, программа по минимизации рисков должна быть четко проработанной, выполнимой и не снижать эффективности технологического цикла. Один из возможных вариантов программы по минимизации рисков при функционировании ТТЦ по производству хлопчатобумажных халатов представлена в табл.
3.5.
Также в ходе анализа риска должны рассматриваться следующие виды внешних и внутренних воздействий, которые могут повлиять на эффективность функционирования ТТЦ:
1. Изменение ставки сравнения (инфляции) по данным таблицы 3.4 можно сделать вывод, что функционирование ТТЦ эффективно даже при 42% инфляции в долларовом эквиваленте.
2. Снижение объемов производства в рамках ТТЦ возможно до 62% среднеквартальной мощности, при этом производство остается эффективным.
3. Снижение выручки от реализации возможно до 86% от плановой.
4. Рост затрат на производство возможен до 102% от запланированного.
Таким образом, наибольший риск представляет повышение затрат на производство.
Анализ рисков завершает первый этап цикла корпоративного управления ТТЦ по производству хлопчатобумажных халатов. Анализ проведенный на этом этапе показал, что функционирование ТТЦ эффективено и экономически оправдано, при этом риски, возникающие в ходе функционирования ТТЦ поддаются минимизации.
Следующим этапом цикла корпоративного управления ФПГ является планирование производства и построения текстильной технологической цепочки.
Планирование производственного цикла ипостроениеТТЦ
Планирование производственного цикла в рамках ФПГКонсорциумРусский текстиль
Первым шагом этапа планирования является составление последовательности технологических операций. На этом шаге весь цикл производства делится на строгую последовательность действий, которые будут распределены между участниками ТТЦ.
Для производства хлопчатобумажных халатов необходимо произвести следующие технологические операции (3.4).
3.4 Технологический цикл производства халатов
Следующим шагом планирования в рамках этого этапа является отбор участников ТТЦ. Чтобы отбор был эффективен, первоначально необходимо проанализировать общее финансовое состояние и уровень производственных возможностей каждого потенциального участника ТТЦ. Для их определения рассчитываются показатели, приведенные во второй главе.
Это даст возможность составить предварительное мнение о каждом кандидате на участие в технологической цепочки.
Таблица 3.6
Предварительный анализ кандидатов
|
Предприятие |
|
АООТ Собитекс |
ЗАО Камышинская хлопкопрядильная фабрика, |
|
Выручка от реализации |
22 491 191 |
20 618 612 |
|
Постоянные активы |
150 970 577 |
203 947 680 |
|
Затраты на управление |
1 124 559 |
1 443 302 |
|
Фондоотдача |
0,15 |
0,10 |
|
Оборачиваемость активов |
0,125 |
0,088 |
|
Период оборота в днях |
718,8 |
1018,9 |
|
Коэффициент управления |
20 |
14,3 |
Предварительный анализ показал, что более подходящим кандидатом может быть АООТ Собитекс, так как рассчитанные показатели его финансового состояния являются более оптимальными.
После предварительной оценки состояния каждого предприятия-участника текстильной технологической цепочки переходят к непосредственному отбору предприятий. Критерием отбора является показатель корпоративного участия, значение которого может быть рассчитано по формуле:

.
В качестве исходных для расчета используются данные финансовой отчетности предприятия: бухгалтерского баланса (форма 1) и отчета о финансовых результатах (форма 2). В частности используются следующие показатели:
1. Выучка от реализации без НДС и акцизов (строка 010 ф.2);
2. Затраты в незавершенном производстве (строка 214 ф.1);
3. Доля постоянных затрат в общих затратах;
4. Заемные средства (сумма V и VI разделов ф.1)
5.Дорогостоящие заемные средства (строка 611 + 1/2суммы строк: 590, 612, 622, 623, 626, 628, 670).
Показатель корпоративного участия целесообразно применять только для сопоставления и отбора предприятий одной отрасли, иначе результаты оценки не будут отражать суть проблемы.
Рассмотрим применение описанного показателя на примере отбора предприятий-кандидатов в участники технологической цепочки по производству хлопчатобумажных халатов. Этот процесс рассмотрим на примере отбора предприятий, которые должны участвовать на двух этапах технологического цикла:
1. Изготовление волокна.
2. Получение хлопчатобумажных тканей.
В качестве кандидатов на участие в технологической цепочки на первом этап рассматриваются АООТСобитекс и ЗАО Камышинская хлопкопрядильная фабрика, не входящая в ФПГ Консорциум Русский текстиль, но изъявившая желание участвовать в производственном процессе.
На право участия в производственном процессе на втором этапе претендуют АООТ Парижская коммуна, ТОО Заря и АОЗТ Ивановская ткацкая фабрика. Последние два кандидата также не входят в структуру исследуемой ФПГ, но при проведение предварительных переговоров изъявили желание принять участие в производстве.
Руководству ФПГ необходимо уделить внимание закрытой организационной структуре некоторых потенциальных участников ТТЦ, поскольку они не являются участниками ФПГ.
Результаты отбора по первому этапу приведены в таблицах 3.6 и 3.7, а по второму в таблицах 3.8 и 3.9.
Таблица 3.7
Отбор предприятий-участников первого этапа
|
Предприятие |
|
АООТ Собитекс |
ЗАО Камышинская хлопкопрядильная фабрика, |
|
Выручка от реализации |
22 491 191 |
20 618 612 |
|
Незавершенное производство |
134 500 |
163 303 |
|
Доля постоянных затрат в общих затратах |
26% |
35% |
|
Дорогостоящие заемные средства |
29 744 456 |
35 225 037 |
|
Заемные средства |
67 411 609 |
87 263 923 |
|
Критерий отбора (КУ) |
238 |
168 |
Очевидно, что из предприятий-кандидатов в участники технологической цепочки по производству хлопчатобумажных халатов на первом этапе следует выбрать АООТ Собитекс, так как по результатам анализа оно имеет более высокий показатель корпоративного участия.
Таблица 3.8
Предварительный анализ кандидатов
|
Предприятие |
|
АООТ Парижская коммуна |
ТОО Заря |
АОЗТ Ивановская ткацкая фабрика |
|
Выручка от реализации |
7 000 794 |
8 706 272 |
7 238 368 |
|
Постоянные активы |
68 622 411 |
69 762 964 |
172 725 062 |
|
Затраты на управление |
1 772 943 |
916 348 |
651 453 |
|
Фондоотдача |
0,10 |
0,12 |
0,04 |
|
Оборачиваемость активов |
0,078 |
0,104 |
0,05 |
|
Период оборота в днях |
1149 |
867,3 |
1809 |
|
Коэффициент управления |
3,9 |
9,5 |
11,2 |
По данным таблицы 3.8 можно сделать предварительный вывод о том, что наилучшее финансовое положение из трех кандидатов имеет ТОО Заря.
Таблица 3.9
Отбор предприятий-участников второго этапа
|
Предприятие |
|
АООТ Парижская коммуна |
ТОО Заря |
АОЗТ Ивановская ткацкая фабрика |
|
Выручка от реализации |
7 000 794 |
8 706 272 |
7 238 368 |
|
Незавершенное производство |
571 885 |
502 477 |
732 178 |
|
Доля постоянных затрат в общих затратах |
63% |
62% |
61% |
|
Дорогостоящие заемные средства |
7 305 787 |
7 411 378 |
7 512 715 |
|
Заемные средства |
16 923 878 |
13 882 213 |
19 759 573 |
|
Критерий отбора (КУ) |
11,54 |
15,04 |
9,98 |
По данным таблиц 3.8 и 3.9 можно заключить, что наиболее подходящим участником ТТЦ на втором этапе ТООЗаря, имеющая наряду с наилучшим финансовым положением наибольшее значение коэффициента корпоративного участия.
Построение текстильной технологической цепочки
По данным анализа, проведенного в ходе отбора предприятий на право участия в производственном процессе в рамках ТТЦ по производству хлопчатобумажных халатов для медицинских нужд, для каждого этапа технологического цикла было утверждено предприятие-участник. На основании утвержденного списка можно перейти к следующему шагу этапа планирования, который заключается в построении технологической цепочки по производству хлопчатобумажных халатов.
Технологическая цепочка ФПГ Консорциум Русский текстиль
Следующим шагом после построения производственной схемы текстильной технологической цепочки является составление календарного, финансового и организационного планов функционирования ТТЦ на основании данных предварительного анализа предприятий-участников, проведенного на предыдущих шагах.
Календарный план по производству 190 000 хлопчатобумажных халатов представлен на 3.6.
|
1 |
Переработка хлопка на Ферганском хлопкоперерабатывающем заводе |
|
|
|
|
|
|
|
|
|
|
|
|
|
|
|
|
|
|
|
|
|
|
|
|
2 |
Транспортировка на АООТ Собитекс |
|
|
|
|
|
|
|
|
|
|
|
|
|
|
|
|
|
3 |
Получение волокна на АООТ Собитекс |
|
|
|
|
|
|
|
|
|
|
|
|
|
|
|
|
|
4 |
Отправка волокна на ТОО Заря и на предприятие М-Текстиль |
|
|
|
|
|
|
|
|
|
|
|
|
|
|
|
5 |
Изготовление хлопчатобумажных тканей на ТОО Заря |
|
|
|
|
|
|
|
|
|
|
|
|
|
|
|
|
|
|
6 |
Покупка пуговиц на предприятии АООТ Роспластмасс на предприятие М-Текстиль |
|
|
|
|
|
|
|
|
|
|
|
|
|
|
|
7 |
Транспортировка хлопчатобумажных тканей на предприятие М-Тектиль |
|
|
|
|
|
|
|
|
|
|
|
|
|
|
|
8 |
Пошив хлопчатобумажных халатов |
|
|
|
|
|
|
|
|
|
|
|
|
|
|
|
|
|
|
9 |
Отгрузка хлопчатобумажных халатов на склад |
|
|
|
|
|
|
|
|
|
|
|
|
|
|
|
10 |
Периоды планирования (декады) |
1 |
2 |
3 |
4 |
5 |
6 |
7 |
8 |
9 |
10 |
11 |
12 |
|
|
|
|
|
Первый этап планирование производственной схемы
Таким образом, после проведения анализа отчетности предприятий-потенциальных участников ТТЦ можно из всей совокупности выбрать те предприятия, участие которых в ТТЦ представляется целесообразным.
После принятия положительного решения с контрагентом заключаются договора об участии контрагента в ТТЦ.
Управление эффективностью функционирования конкретной текстильной технологической цепочки
Планирование технологической цепочки по данным конкретных предприятий-участников ТТЦ
В условиях экономики переходного периода на этапе планирования необходимо получить ответы на следующие основные вопросы:
1. В каком состоянии находится ТТЦ в настоящее время? Команда, руководящая цепочкой прежде всего должна оценить сильные и слабые стороны предприятий в такой важной области как финансы для того чтобы определить, чего реально может добиться текстильная технологическая цепочка.
2. Куда хочет двигаться группа? Оценивая возможности и угрозы в окружающей среде, такие как конкуренция, потребители, нормативно-правовое обеспечение, политическая и экономическая ситуация, руководство группы определяет, какими должны быть цели конкретных цепочек и что может помешать достижению этих целей.
3. Как текстильная финансово-промышленная группа собирается сделать это? Руководство должен понять, что должны сделать сотрудники всех подразделений для достижения целей группы.
В связи с поставленными вопросами для руководства процесс планирования разбивается на два этапа:
- стратегическое планирование;
- планирование реализации стратегии.
Стратегическое планирование представляет собой набор действий и решений, предпринятых руководством, которые ведут к разработке стратегий, предназначенных для того, чтобы помочь предприятиям достичь целей всей группы и технологических цепочек, в которые эти предприятия входят.
Дерево целей ТТЦ в соответствии с деревом целей текстильной ФПГ
Стратегия представляет собой детальный всесторонний комплексный план, предназначенный для того, чтобы обеспечить осуществление миссии группы и достижение ее целей.
Стратегическое планирование приобретает смысл только тогда, когда оно реализуется. Поэтому особое значение приобретает планирование реализации стратегии.
Планирование реализации стратегии заключается в разработке конкретных планов и конкретных указаний по обеспечению целей и налаживанию процесса реализации стратегического плана.
Основная цель планирования реализации стратегии определение схемы взаимодействия в соответствии с деревом целей ( 2.7) и расчет плановых значений основных показателей. Процесс планирования состоит из нескольких этапов.
Первый этап планирование производственной схемы
На первом этапе определяется последовательность взаимодействия предприятий-участников ТТЦ, порядок совершения операций в рамках технологического цикла. Порядок отгрузки и передачи полуфабрикатов.
Определение порядка взаимодействия с предприятиями внешними по отношению к технологической цепочке.
Производственная схема это "скелет" всего проекта, на который в результате выполнения следующих этапов лягут другие показатели.
Второй этап календарный план проекта
Когда установлен порядок взаимодействия, можно переходить к следующему этапу проектированию календарного плана выполнения проекта, цель которого установить контрольные цифры по длительности выполнения операций в рамках ТТЦ. Основой для проведения второго этапа служит информация, полученная в ходе предварительного анализа контрагентов, об оборачиваемости и длительности технологического цикла по производству продукции (которая в рамках ТТЦ является полуфабрикатом). В целях углубления анализа предприятия, вошедшие в ТТЦ, представляют отчетность за несколько предыдущих периодов.
Итоговым документом второго этапа является календарный план функционирования ТТЦ.
Третий этап планирование схемы финансовых потоков
В связи с планированием схемы финансовых потоков используется финансовый метод прогнозирования, задача которого оценить финансовые последствия реализации той или иной стратегии. Финансовое прогнозирование составляет основу для расчета планового бюджета текстильной технологической цепочки.
Плановый бюджет включает обычно целый пакет документов: прогноз реализации, план производства, прогноз запасов, календарь прямых материальных затрат, прогноз расходов и доходов предприятия, плановый баланс.
Отправной точкой финансового прогнозирования является прогноз продаж и соответствующих им расходов; конечной точкой и целью расчет потребностей во внешнем финансировании.
Основные шаги прогнозирования потребностей финансирования таковы:
- Составление прогноза продаж различными доступными методами.
- Составление прогноза переменных затрат.
- Составление инвестиций в постоянные и текущие активы, необходимые для достижения необходимого объема продаж.
- Расчет потребностей во внешнем финансировании и изыскание соответствующих источников с учетом принципа формирования рациональной структуры источников средств.
В целях прогнозирования используются различные математические, статистические, статистико-математические инструменты, к которым можно отнести математическое моделирование, экспертные оценки, экстраполяцию, уравнения регрессии, динамическое программирование.
Планирование схемы финансовых потоков заключается в определении направлений и объемов платежей, осуществляемых при реализации проекта.
Задача третьего этапа получить график осуществления платежей. Такой график строится на основе организационной схемы и производственного плана.
График осуществления платежей используется при оценке эффективности. Формулируются критерии реализуемости и коммерческой эффективности проекта.
Организационный план
По результатам трех этапов планирования составляется организационный план функционирования технологической цепочки ( 2.8).
|
Стадия 1 |
Транспорт |
Стадия 2 |
Транспорт |
.......... |
Транспорт |
Стадия N |
|
|
|
|
|
|
|
|
Участник (и) |
|
Участник (и) |
|
|
|
Участник (и) |
|
|
|
|
|
|
|
|
Длительность |
Длительность |
Длительность |
Длительность |
Длительность |
Длительность |
Длительность |
|
|
|
|
|
|
|
|
Стоимость |
Стоимость |
Стоимость |
Стоимость |
Стоимость |
Стоимость |
Стоимость |
2.8. Примерный вид организационного плана
Организационный план позволяет руководству ФПГ в процессе функционирования технологической цепочки проводить контрольно-руководящие мероприятия.
Планирование эффективности
На основании организационного плана проводится последний этап планирование эффективности.
Эффективность проекта характеризуется системой показателей, отражающих соотношение затрат и результатов применительно к интересам его участников, к ним относятся:
- чистый дисконтированный доход (ЧДД) или интегральный эффект;
- индекс доходности (ИД);
- внутренняя норма доходности (ВНД);
- срок окупаемости;
- другие показатели, отражающие интересы участников или специфику проекта.
Чистый дисконтированный доход (ЧДД) определяется как сумма текущих эффектов за весь расчетный период, приведенная к начальному шагу, или как превышение интегральных результатов над интегральными затратами.
Если в течение расчетного периода не происходит инфляционного изменения цен или расчет производится в базовых ценах, то величина ЧДД для постоянной нормы дисконта вычисляется по формуле:
ЧДД

, (2.3)
где
Rt результаты, достигаемые на t-ом шаге расчета,
Зt затраты, осуществляемые на том же шаге,
Т горизонт расчета (равный номеру шага расчета, на котором производится ликвидация объекта).
Эt = (Rt - Зt) эффект, достигаемый на t-ом шаге.
Если ЧДД производственной схемы положителен, схема является эффективной (при данной норме дисконта) и может рассматриваться вопрос о принятии производственной схемы для реализации. Чем больше ЧДД, тем эффективнее схема.
Соответственно, при отрицательном ЧДД, руководство ФПГ рискует потерять свои средства, т.е. проект неэффективен.
Индекс доходности (ИД) представляет собой отношение суммы приведенных эффектов к величине капиталовложений
ИД =

. (2.4)
Индекс доходности тесно связан с ЧДД. Он строится из тех же элементов и его значение связано со значением ЧДД: если ЧДД положителен, то ИД 1 и наоборот.
Если ИД 1, производственная схема эффективна, если ИД 1 - неэффективна.
Внутренняя норма доходности (ВНД) представляет собой ту норму дисконта (ЕВН), при которой величина приведенных эффектов равна приведенным капиталовложениям.
Иными словами ЕВН (ВНД) является решением уравнения:

. (2.5)
Если расчет ЧДД производственной схемы дает ответ на вопрос, является он эффективным или нет при некоторой заданной норме дисконта (Е), то ВНД схемы определяется в процессе расчета и затем сравнивается с требуемой руководством нормой дохода на вкладываемый капитал.
В случае, когда ВНД равна или больше требуемой руководством ФПГ нормы дохода на капитал, инвестиции в данную производственную схему оправданы, и может рассматриваться вопрос о ее организации. В противном случае инвестиции в данную производственную схему нецелесообразны.
Если сравнение альтернативных (взаимоисключающих) вариантов производственной схемы по ЧДД и ВНД приводят к противоположным результатам, предпочтение следует отдавать ЧДД.
Срок окупаемости минимальный временной интервал (от начала осуществления цикла производства), за пределами которого интегральный эффект становится и в дальнейшем остается неотрицательным. Иными словами это период (измеряемый в месяцах, кварталах или годах), начиная с которого первоначальные вложения и другие затраты, связанные с осуществлением производственного процесса, покрываются суммарными результатами его осуществления.
Результаты и затраты, связанные с осуществлением производственного процесса, можно вычислять с дисконтированием или без него. Соответственно, получится два различных срока окупаемости.
Срок окупаемости рекомендуется определять с использованием дисконтирования.
Наряду с перечисленными критериями, в ряде случаев возможно использование и ряда других: интегральной эффективности затрат, точки безубыточности, простой нормы прибыли, капиталоотдачи и т. д. Для применения каждого из них необходимо ясное представление о том, какой вопрос экономической оценки технологической цепочки решается с его использованием и как осуществляется выбор решения.
Ни один из перечисленных критериев сам по себе не является достаточным для принятия положительного решения об организации технологической цепочки. Решение об инвестировании средств в схему должно приниматься с учетом значений всех перечисленных критериев и интересов всех предприятий - участников цепочки, а также руководства ФПГ.
Важную роль в этом решении должна играть также структура и распределение во времени капитала, привлекаемого для осуществления производственного процесса, а также другие факторы, часть которых поддается только содержательному (а не формальному) учету.
Для определения максимальной эффективности технологической цепочки можно вносить изменения в расчетные значения, полученные на первых трех этапах проектирования.
Для дополнительной оценки эффективности определяются также:
- срок полного погашения задолженности. Определяется только в том случае, если для реализации производственного процесса привлекаются кредитные и заемные средства (например, для финансирования). Производственная схема может рассматриваться как эффективная с точки зрения кредитного участника, если срок полного погашения задолженности по кредиту, предоставляемому в рамках данного процесса, отвечает (с учетом риска несвоевременного или неполного погашения задолженности) интересам и политике этого кредитного учреждения. Обоснованность потребности в заемных средствах проверяется при этом по минимальному из годовых значений сальдо накопленных реальных денег, которое должно быть положительным, но не чрезмерно большим;
- доля каждого предприятия - участника технологической цепочки в общем объеме затрат на реализацию производственного процесса. Определяется только для участников, предоставляющих свое имущество или денежные средства для финансирования процесса, как отношение интегральных дисконтированных затрат участника на указанные цели (стоимость переданного или вложенного имущества и денежных средств) к интегральному дисконтированному общему объему затрат в рамках производственного процесса.
Выбор варианта производственной схемы и принятие решения об инвестировании должны производиться на основании всех приведенных выше показателей эффективности, среди которых есть определенные отношения приоритетности. Помимо этого должна учитываться структура потока и сальдо реальных денег.
На этапе планирования руководству ФПГ необходимо проанализировать и оценить с точки зрения инвестиционной привлекательности различные варианты производственных схем.
Таким образом, после расчета значений всех необходимых показателей и моделирования максимальной эффективности принимается решение о принятии или отклонении той или иной производственной схемы.
На практике эффективность текстильной технологической цепочки анализируется в следующем порядке:
1. Сравнивается среднесрочная рентабельность схем со средней ставкой банковского процента за этот период.
2. Схемы сравниваются с точки зрения страхования от инфляционных потерь.
3. Сравниваются периоды окупаемости инвестиций.
4. Сравниваются размеры требуемых инвестиций.
5.Рассматривается стабильность поступлений в ходе функционирования технологической цепочки.
6. Сравнивается рентабельность инвестиций в целом за весь срок функционирования ТТЦ.
7. Сравнивается рентабельность инвестиций в целом с учетом дисконтирования.
Таким образом, руководство финансово-промышленной группы должно руководствоваться определенным набором критериев, в соответствии с которыми принимается решение о принятии или отклонении определенного варианта производственной схемы в рамках технологической цепочки:
1. Отсутствие более выгодных альтернатив.
2. Минимизация риска потерь от инфляции.
3. Краткость срока окупаемости затрат.
4. Относительная дешевизна проекта.
- Обеспечение концентрации (стабильности) поступлений.
- Высокая рентабельность с учетом дисконтирования.
Организация технологической цепочки и мотивация участников
Организация технологической цепочки
Организация конкретной ТТЦ комплекс мероприятий по согласованию и утверждению всех вопросов, связанных с функционированием этой ТТЦ. Вопросы могут быть любые, позволяющие предотвратить как можно больше недоразумений в дальнейшем.
Организация технологической цепочки заключается в следующем:
- согласование организационной схемы;
- согласование плана эффективности;
- поиск инвестора (как правило, банк в структуре ФПГ);
- подготовка и согласование нормативных документов;
- определение форм оповещения, взаимодействия, воздействия;
- утверждение даты начала функционирования технологической цепочки;
- подписание договоров;
- назначение управляющего текстильной технологической цепочки;
- получение денежных средств и начало функционирования.
Организация текстильной технологической цепочки как процесс
Процесс организации ТТЦ ( 2.9), как неотъемлемый этап цикла управления, направлен на повышение эффективности функционирования создаваемой ТТЦ, поэтому в процессе управления взаимодействуют специалисты различных служб, что полностью соответствует концепции горизонтальной корпорации. Таким образом, на этапе организации создаются предпосылки для успешного освоения технологии и функционирования производственного процесса в рамках технологической цепочки с минимальным риском.
Мотивация участников ТТЦ
Мотивация участников конкретной технологической цепочки это процесс побуждения участников к деятельности для достижения общих целей ТТЦ и ФПГ.
Таким образом, каждый из участников ТТЦ должен четко представлять цель функционирования ТТЦ, а также должен знать, что он получит при выполнении своих задач внутри ТТЦ.
Мотивация необходима для продуктивного выполнения принятых решений и намеченных работ.
Мотивация, построенная на негативе, недостаточна. Необходимо создавать конструктивную атмосферу внутри коллектива.
Когда атмосфера внутри коллектива имеет положительный знак, то это само располагает к делам. Основная идея мотивации в том, что очень многое люди способны понять, если им объяснить.
Современные теории мотивации основаны на результатах психологических исследований.
Современная теория мотивации делает основной упор на определение перечня и структуры потребностей людей. Потребности это осознанное отсутствие чего-либо, вызывающее побуждение к действию. Потребности можно удовлетворить вознаграждениями. Вознаграждение это то, что человек считает для себя ценным.
Менеджер технологической цепочки использует внешние вознаграждения (денежные выплаты, продвижение по службе) и внутренние вознаграждения (чувство успеха при достижении цели), получаемые посредством самой работы.
В условиях переходной экономики нужно объяснить, например, почему необходимо работать больше, а заработная плата задерживается. В условиях переходной экономики на первое место выходит описание перспективы предприятия как стабильно работающей системы, принадлежностью к которой сможет гордиться каждый работник.
А дальше что для этого нужно от каждого работника.
Такая работа с людьми дает свои результаты. Например, если раньше при встрече с руководством рабочие на линии спрашивали о том, когда повысят зарплату, то сейчас все ли хорошо с заказами.
Для стимулирования предприятий, действующих в рамках технологической цепочки необходимо на организационном этапе провести распределение совокупной прибыли среди предприятий таким образом, чтобы каждое предприятие каждый руководитель и простые рабочие были заинтересованы в конечном результате деятельности всей ТТЦ.
Для достижения целей мотивации необходимо обеспечить воздействие мотивирующих факторов таких, как ощущение успеха, продвижение по службе, признание со стороны окружающих, ответственность, рост возможностей.
В качестве основы мотивации можно использовать теорию ожиданий, которая основывается на предположении, что человек направляет свои усилия на достижение какой-либо цели только тогда, когда будет уверен в большой вероятности удовлетворения за этот счет своих потребностей или достижения цели. Мотивация является функцией фактора ожидания затраты труда результаты, ожидания результаты вознаграждение.
Наиболее эффективная мотивация достигается, когда люди верят, что их усилия обязательно позволят им достичь цели и приведут к получению особо ценного вознаграждения. Мотивация ослабевает, если вероятность успеха или ценность вознаграждения оценивается людьми невысоко.
Чтобы предъявлять высокие требования к персоналу, стремятся адекватно оплачивать работу. Но параллельно с ростом зарплаты повышается спрос с работников дисциплина, объем работ.
В итоге на предприятие приходят работники более высокого уровня, а те, кто в таких условиях работать не может, уходят.
Необходимо сделать так, чтобы командой, ответственной за будущее предприятия, чувствовало себя не только высшее руководство завода.
Чтобы создать коллектив с высоким потенциалам развития способный решать все более сложные задачи необходимо выстроить систему работы с людьми.
В условиях переходной экономики на первое место выходят такие аспекты мотивации ка материальное стимулирование и ответственность.
Материальное стимулирование обещание материального вознаграждения конкретному работнику или группе работников по достижению поставленной цели, которое применяется для побуждения подчиненных к выполнению поставленной цели.
Понятие стимулирования тесно связано с понятием вознаграждения. Согласно современной теории мотивации существует два вида вознаграждений: внутренние и внешние. К внутренним относится, например, чувство удовлетворения результатом работы.
Материальное стимулирование относится к внешним вознаграждениям, которые, в отличие от внутренних, возникают не от самой работы, а даются предприятием. К способам материального стимулирования можно отнести: заработную плату, премии, продвижение по службе и др.
Ответственность это осознание работником того, что он в ответе за результаты собственной работы.
Понятие ответственности тесно связано с понятием стимулирования. Ответственность может быть добровольной и вынужденной. Добровольная ответственность подразумевает, что работник осознает то значение, которое именно его работа имеет для достижения успеха и целей всего предприятия.
Вынужденная ответственность основывается на страхе работника не получить вознаграждение за выполненную работу.
Диспетчирование деятельности текстильной технологической цепочки
Для повышения эффективности цикла управления и в конечном итоге эффективности функционирования всей ТТЦ необходимо четко определить приоритеты управления, то есть разделить решаемые задачи на первоочередные и второстепенные. Таким образом в процессе управления возникает структура решаемых задач ( 2.10), с помощью которой управляющая команда может своевременно и полно проводить весь цикл управляющих мероприятий.
Структура решаемых задач
Исполнение первоочередных задач возлагается на службу диспетчеров, в компетенцию которых входит регулирование товарных и финансовых потоков по объемам и времени. Функция управляющей команды ТТЦ по регулированию потоков называется диспетчированием. Основанием для регулирования служит организационный план ТТЦ, в котором рассчитаны контрольные объемы и даты проведения операций между предприятиями - участниками ТТЦ, а также между ТТЦ и субъектами внешнего окружения.
Процесс диспетчирования ( 2.11) представляет собой двухполюсную систему с обратной связью. Обратная связь необходима для получения полной и своевременной информации как от управляющей команды к предприятию - участнику ТТЦ, так и в обратном направлении.
Таким образом, процесс диспетчирования сопровождает весь цикл управления эффективностью и его этапы повторяются многократно в ходе функционирования ТТЦ.
2.11. Процесс диспетчирования деятельности ТТЦ
Контроль за деятельностью текстильной технологической цепочки
Для первоначального анализа функционирования бывает достаточно показателя интегральной эффективности. Но зачастую перед руководством ТТЦ возникает необходимость ответить на вопрос: эффективнее ли функционирование предприятий в качестве единого целого чем функционирование каждого предприятия по отдельности или нет, и насколько?
Показатель эффективности (ЭЦ) не дает ответа на поставленный вопрос.
Очевидно, что для ответа на поставленный вопрос необходимо получить показатель, при расчете которого соотносится интегральный показатель эффективности функционирования ТТЦ с каким-то другим показателем, отражающим общую эффективность функционирования предприятий, действующих самостоятельно.
За показатель, отражающий общую эффективность независимых предприятий, можно, например, принять среднее значение показателей эффективности, вычисленных по формуле (1.2) для каждого предприятия. Для расчетов будем использовать простое среднее хронологическое значение.
Порядок составления агрегированного баланса
АН СССР Сер. Экон.,1984, 6, с.27-34.
- Деньги. 1-18. 1996.
- Елисеева И. И., Рукавишников В. О. Группировка, корреляция, распознавание образов. - М.: Статистика, 1977. - 144 с.
- Ерина А. М. Математико-статистические методы изучения экономической эффективности производства. - М.: Финансы и статистика, 1983. - 191 с.
- Ермолович Л. Л. Анализ эффективности промышленного производства. - М.: Финансы, 1976. - 158 с.
- Жуковский А. Б. и др. Статистико-математический анализ эффективности производства промышленности строительных материалов / А. Б. Жуковский, С. П. Гарецкий, М. В. Мельник. - М.: Стройиздат, 1972. - 136 с.
- Иберла К. Факторный анализ / Пер. с нем. В. М. Ивановой. Предисловие А. М. Дуброва. - М.: Статистика, 1980. - 398 с.
- Иванов Е. А. Основные фонды: воспроизводство и повышение фондоотдачи. - М.: Знание, 1978. - 64 с.
- Иванов П. С. Основные фонды и производственные мощности промышленности СССР и их использование: Лекция. - М., 1953. - 27 с.
- Иванцевич Дж., Лобанов А. А. Человеческие ресурсы управления. М.: Дело, 1993.
- Ильенкова С. Д. Резервы производства. - М.: Статистика, 1973. - 86 с.
- Казаченок А. Г. Общеметодологические вопросы статистического изучения производительности труда при системном подходе. - В кн.: Статистическое изучение производительности труда. М.: Наука, 1981, с.49-67.
- Казинец Л. С. Теория индексов. - М.: Госстатиздат,1963. - 349 с.
- Камаев В. Интенсификация и качество экономического роста. - Вопросы экономики, 1985, 3, с.14-25.
- Кантор Л. Я. Теория и методология фондоотдачи при социализме. - М.: Мысль 1980. - 180 с.
- Кваша Я. Б., Лейкина К.Б. Фондоемкость производства / методологические вопросы /. - М.: Наука, 1971. - 126 с.
- Кинг, Д. Клиланд. Стратегическое планирование и хозяйственная политика. Перевод с английского. М.: Прогресс. 1982.
- Киперман Г. Я. Экономические показатели промышленных предприятий и объединений. М., Статистика, 1974.
- Клиланд Д., Кинг У. Системный анализ и целевое управление. М., 1974.
- Когут А. Е. эффективность промышленного производства. - Л.: Наука, 1983. - 174 с.
- Колядов А. О соответствии принципов и методов определения экономического эффекта характеру научно-технического прогресса. - Экономические науки, 1980, 13 12, с.34-39.
- Коммерсантъ. 1-16. 1996.
- Королев Ю. Г. Регрессионный анализ в социально-экономических исследованиях. - М.: МЭСИ, 1978, - 106 с.
- Корпоративное управление. Владельцы, директора и наемные работники акционерного общества. Пер. с англ. М.: Джон Уайли энд Санз, 1996 г., 240 с.
- Кохно П. А. и др. Менеджмент. М. Финансы и статистика, 1993.
- Краковский А. И. Эффективность использования основных фондов в машиностроении. - М.: Статистика,1972. - 104 с.
- Красовский В. Экономическая эффективность производства и капитальных вложений. - Вопросы экономики, 1983, М 11,с.121-132.
- Крастинь О. П. Разработка и интерпретация моделей корреляционных связей в экономике. - Рига: Зинатне, 1983. - 302 с.
- Кулагин Г. О некоторых условиях интенсификации машиностроительного производства. - Плановое хозяйство,1985, 7, с.25-29
- Кунц Г., О'Доннел С. Управление: системный и ситуационный анализ управлеческих функций. М., 1981.
- Курс экономического анализа: Учебник /А. Ф. Аксененко, М. И. Баканов, А. Ф. Иваненко и др./ Под ред. М. И. Баканова и А. Д. Шеремета. - 2-е изд., перераб. и доп. - М.: Финансы и статистика, 1984. - 412 с.
- Левин Б. М., Бунич П. Г. Экономика промышленности СССР. - М.: Высшая школа, 1977. - 526 с.
- Ленская С. А., Сидоров В. Н. Эффективность и время производства. - М.: Экономика, 1980. - 120 с.
- Либерман Е. Г. Различия показателей эффективности на уровнях общественного производства и отдельных предприятий. - В кн.: Статистическое изучение экономической эффективности общественного производства. - М.: Наука, 1977, с.11-39.
- Лоули Д., Максвелл А. Факторный анализ как статистический метод / Пер. с англ. Ю. Н. Благовещенского. - М.: Мир, 1967. - 144 с.
- Лукинов И. И. Вопросы совершенствования методов экономического управления. - Экономика и математические методы,1985; т. XXI, вып. 2, с.211-223.
- Майданчик Б. И., Чистов Л.М. Экономический анализ работы машиностроительных объединений. - М.: Машиностроение, 1979. - 237 с.
- Маковецкая М.И., Эффективность социалистического воспроизводства: Сущность, критерии, измерение. - Новосибирск: Наука, 1982. - 113 с.
- Манелля А. Метод регрессии в анализе производственной деятельности. - Вестник статистики, 1975, 2, с.21-26.
- Мартишюс С. И. Методологические проблемы построения и применения эконометрических моделей. - Вильнюс, Мокслас, 1979. - 172 с.
- Махнова В. И., Черников Д. А. Эффективность использования основных производственных фондов. - М.: Машиностроение, 1978. - 121 с.
- Менеджмент организации. / Под ред. З. П. Румянцевой, Н. А. Соломатина. М.: ИНФРА-М, 1995.
- Мескон М. Х., Альберт М., Хедоури Ф. Основы менеджмента: Пер. с англ. М.: Дело, 1992. 702 с.
- Методические рекомендации по оценке эффективности инвестиционных проектов и их отбору для финансирования (официальное издание). М.: НПКВЦ Теринвест. 1994.
- Михайлов А. Д. Промышленная статистика. - М.: Госстатиздат, 1939. - 475 с.
- Многомерный статистический анализ / Под ред. С. А. Айвазяна и С. Е. Кузнецова. - М.: ЦЭМИ, 1974. - 416 с.
- Моисеева Н. Х., Анискин Ю. П. Современное предприятие: конкурентоспособность, маркетинг, обновление. Т. 1 и 2. М.: Внешторгиздат, 1993.
- Мюллер П. и др. Таблицы по математической статистике / П. Мюллер, П. Нойман, Р. Шторм; Пер. с нем. и предисл. В. М. Ивановой. - М.: Финансы и статистика, 1982. - 278 с.
- Новиков М. Об экономической эффективности использования производственных основных фондов. - Вопросы экономики, 1974, 8, с.12-22.
- Общая теория статистики: Учебник. / Г. С. Кильдишев, В. Е. Овсиенко, П. М. Рабинович, Т. В. Рябушкин. М.: Статистика, 1980. - 423 с.
- Октябрьский П. Я. Сущность и критерий экономической эффективности общественного производства. - Л.: Изд-во ЛГУ, 1973. - 54 с.
- Основы управления персоналом/Под ред. Б. М. Генкина. М.: Высшая школа, 1996.
- Отраслевые и территориальные факторы повышения эффективности производства. - Л.: Наука, 1981. - 130 с.
- Павлов П. М. и др. Оборот средств, фондоотдача и рентабельность / П. М. Павлов, С. И. Бойков, Г. Г. Бро. - Л.: Лениздат, 1969. - 221 с.
- Палий В. Ф. Современное состояние организации и методов экономического анализа фондоотдачи. - В кн.: Организация и методы экономического анализа в промышленности: Тезисы докладов Всесоюзного научно-практического совещания. М., 1883, с. 3-8.
- Пащенко В. С. Повышение эффективности использования основных производственных фондов. - Ростов н / Д: Изд-во Рост. ун-та, 1977. - 144 с.
- Первухин А. О показателях фондоотдачи. - Плановое хозяйство, 1975, 11, с.157-158.
- Перепечин И. Н., Сивориновский Б.Г. Статистическое изучение экономической эффективности капитальных вложений: Практическое пособие. - М.: Статистика, 1979. - 72 с.
- Поляков С. О системе показателей потребительной стоимости основных фондов. - Экономические науки, 1980, Ж 2, с.65-69.
- Попадюк К. Вопросы статистики экономической эффективности производства и его отраслей. - Вестник статистики, 1974, 12, с. 21-28.
- Попов А. Г. Построение и анализ показателей фондоотдачи в новых условиях хозяйствования. - В кн.: Эффективность использования основных фондов в промышленности. Ч.2. Донецк, 1969, с. 164-168.
- Прогнозирование фондоотдачи / В. П. Бабич, П. С. Мирошников, В. И. Яровая и др.; Под ред. В. П. Бабич. - Киев: Наукова 1977. - 190 с.
- Прогрессивная технология в машиностроении. - Экономическая газета, 1985, 4.
- Промыслов Б. Д., Жученко И. А. Логистические основы управления материальными и денежными потоками. (Проблемы, поиски, решения). М.: Нефть и газ, 1994. 103 с.
- Проскуряков А. М. Бухгалтерский учет на малых предприятиях. Вологда: Анлен; Москва: Зенит 1992 224 с.: ил.
- Пустыльник Е. И. Статистические методы анализа и обработки наблюдений. - М.: Наука, 1968. - 288 с.
- Пути повышения эффективности капитальных вложений и основных фондов /Под ред. Т. С. Хачатурова. - Л.: Наука, 1982. - 215 с.
- Райская Н. Н., Терехин А. Т., Френкель А. А. Применение кластерного анализа в исследовании экономических показателей. - В кн.: Многомерный статистический анализ в социально-экономических исследованиях. М.: Наука, 1974, с.116-134.
- Раяцкас Р. Л., Суткайтис В. П. Социально-экономическая эффективность производства. - М.: Наука, 1984. - 188 с.
- Решетинский К. К вопросу об оценке экономической эффективности общественного производства. - Вестник статистики, 1974, 4, с. 30-37.
- Романов М. П. Промышленная статистика. - М.: Госэнергоиздат, 1939. - 475 с.
- Рыжова В. В., Кузнецова Л. А. Математические методы в анализе хозяйственной деятельности. - М.: Финансы,1970. - 88 с.
- Рябушкин Б. Т. О некоторых методологических вопросах статистического изучения экономической эффективности общественного производства. - Вестник статистики, 1981, 12, с.7-15.
- Рябушкин Т. В. Экономическая статистика. - М.: Статистика, 1966. - 263 с.
- Сатуновский Л. М. Показатели эффективности общественного производства. - М.: Статистика, 1980. - 176 с.
- Сенчагов В. К. Эффективность использования основных фондов. - М.: Экономика, 1974. - 199 с.
- Сиськов З. И. Экономико-статистическое исследование качества продукции. - М.: Статистика, 1971. - 256 с.
- Смирнов Б. Ф. Об оценке эффективности использования основных фондов. - 3 кн.: Резервы производства и их использование в целях повышения эффективности производства. Л., 1978. с.50-51.
- Стадник А. Я. Использование основных фондов (методы выявления и анализа резервов). - Ростов н / Д: Изд-во Рост. ун-та,1982. - 152 с.
- Старовский В. Государственная статистика в новых условиях. - Вестник статистики, 1966, 1, с. 3-14.
- Статистика промышленности. / Г. И. Бакланов, А. И. Иванов, А. Н. Устинов, А. Г. Шифман; Под ред. Г. И. Бакланова. - М.: Статистика, 1965. - 359 с.
- Статистика эффективности производства и производительности труда. - М.: Наука, 1985. - 357 с.
- Статистика. / А. Донда, Е. Герде, О. Кун, Р. Штрук. - М.: Статистика, 1974. - 300 с.
- Струмилин С. К проблеме эффективности капитальных затрат. - Плановое хозяйство, 1929, 7, с. 59-74.
- Струмилин С. О критериях в оптимальном планировании. - Вопросы экономики, 1968, 4, с.114-130.
- Стуков С. А. Функционально-стоимостный анализ. Калинин, 1982.
- Тащеев А. Е., Смагин Е. Н. О показателях общей и сравнительной эффективности капитальных вложений и новой техники. - Изв. АН СССР Сер. экон., 1981, 4, с.83-91.
- Устинов А. Н. Статистическое изучение использования основных фондов промышленного предприятия. - М.: Госстатиздат,1959, - 131 с.
- Факторный анализ эффективности производства / Коллектив под руковод. В. Ф. Палия. М.: Финансы, 1973.
- Фальцман В. Повышение отдачи основных фондов промышленности. - Вопросы экономики, 1985, 3, с.44-55.
- Ферстер Э., Ренц Б. Методы корреляционного и регрессионного анализа: Руководство для экономистов / Пер. с нем. и предисл. В. М. Ивановой. - М.: Финансы и статистика, 1983. - 302 с.
- Фигурнов Э. О показателях эффективности сферы материального производства. - Вестник статистики, 1975, 11, с.11-17.
- Финансовое планирование деятельности малых предприятий США. М.: СП Крокус Интернешнл. 1993.
- Финансово-промышленные группы Российской Федерации: справочник/ Под ред. Ю. Б. Винслава. - М.: МАЦ, 1996.
- Френкель А. А. Математический анализ производительности труда. - М.: Экономика 1968. - 168 с.
- Френкель А. А. Применение факторного анализа для моделирования производительности труда. - Экономические и математические методы, 1977, т. XIII, вып. 3, с.582-588.
- Френкель А. А. Производительность труда: проблемы моделирования роста. - М.: Экономика, 1984. - 176 с.
- Харман Г. Современный факторный анализ. Пер. с англ. В. Я. Лумельского. - М.: Статистика, 1972. - 486 с.
- Хубаев Г. Н. Эффективность использования техники. - Ростов н / Д: Изд-во Ростов. ун-та,. 1978. - 223 с.
- Чистяков М. Планирование эффективности общественного производства. - Вопросы экономики, 1974, 8, с.103-115.
- Шеремет А. Д. Комплексный экономический анализ деятельности предприятия. (Вопросы методологии). - М.: Экономика, 1974. - 207 с.
- Шеремет А. Д., Сайфулин Р. С., Негашев Е. В. Методика финансового анализа предприятия. М.: 1992.
- Шор Я. Б., Кугель Р. В. Показатели надежности продукции и их оценка. - В кн.: Качество, надежность и долговечность продукции. М.: Изд. стандарт.1966, с.116-149.
- Шумпетер И. Теория экономическом развития. М.: Прогресс, 1982.
- Экономика и бизнес (теория и практика предпринимательства) / Под ред. В. Д. Камаева. М., 1993.
- Экономика и статистика фирм. / Под ред. С. Д. Ильенковой. М.: Финансы и статистика, 1996.
- Экономика и статистика фирм: Учебник / В. Е. Адамов, С. Д. Ильенкова, Т. П. Сиротина и др.; Под ред. С. Д. Ильенковой . - М.: Финансы и статистика, 1996. - 240 с.
- Экономика химической промышленности / Под ред. В. Д. Якобсона. - М.: Высшая школа, 1975. - 350 с.
- Экономические вопросы подготовительной стадии производства новых орудий труда (Методический аспект) / Под ред. С. М. Ямпольского. - Киев: Наукова думка, 1978. - 215 с.
- Экономический анализ деятельности предприятий и объединений / Под ред. С. Б. Барнгольц и Г. М. Тация. - 2-е изд. - М.: Финансы и статистика. 1981. - 488 с.
- Экономический анализ работы предприятий / Под ред. А. Ш. Маргулиса. - М.: Финансы, 1977. - 424 с.
- Экономический анализ хозяйственной деятельности предприятий и объединений. Под редакцией проф. С. Б. Барнгольц и проф. Г. М. Тация. М.: Финансы и статистика. 1986.
- Эксперт. 1-8. 1996.
- Юдпнов А. Ю. Конкуренция: теория и практика. Учебно-практическое пособие. М.: АКаЛиС, 1996.
- Ягудин С. Ю. О влиянии структурных сдвигов в основных фондах на фондоотдачу в шинной промышленности. - В сб.: Основные вопросы статистики промышленности. Труды института. М.: МЭСИ, 1973, с.12-23.
- Механизм функционирования финансово-промышленных групп. Сибирева Н. В., Калайчев А. С. Под ред. проф. д. э. н. Гутмана Г. В.: Владимир, 1997, 4,75 п. л.
- Сибирева Н. В. Проблемы создания и функционирования финансово-промышленных групп. В сборнике тезисов докладов региональной НПК Экономические и институциональные проблемы становления рыночной экономики, Владимир, февраль 1997, 0,3 п. л.
- Сибирева Н. В. Внутренние и внешние угрозы развития текстильной отрасли Владимирской области. В тезисов докладов участников Всероссийской НПК Национальные и интернациональные проблемы экономической безопасности, Владимир, июнь 1997, 0,3 п. л.
приложения
Приложение 1
Приложение 2
Порядок составления агрегированного баланса (заполнения таблицы 1)
строка 1 = строка 110 баланса;
строка 2 = строка 120 баланса;
строка 3 = строка 123 баланса;
строка 4 = строка 130 баланса;
строка 5 = строка 6 - строки (1-4) агрегированного баланса;
строка 6 = строка 190 баланса;
строка 7 = строка 214 баланса;
строка 8 = строка 225 + строка 235 баланса;
строка 9 = сумма строк 211, 213, 217, 218 и прочие запасы и затраты баланса;
строка 10 = строка 215 баланса;
строка 11 = строка товары баланса;
строка 12 = сумма строк 216, 221, 222, 223, 231, 232 и 233 баланса;
строка 13 = строка 240 + строка 250 баланса;
строка 14 = строка 15 - строки 7-13 агрегированного баланса;
строка 15 = строка 290 - строка 224 - строка 234 баланса;
строка 16 = строка 390 баланса;
строка 17 = строка 6 + строка 15 агрегированного баланса;
строка 18 = сумма строк 410, 420 и 432 - строка 234 баланса;
строка 19 = сумма строк 430, 440, 450, 460, 470 и 480 - строка 390 баланса;
строка 20 = строка 18 + строка 19 агрегированного баланса;
строка 21 = строка 510 баланса;
строка 22 = строка 610 баланса;
строка 23 = строка 621 + строка 622 баланса;
строка 24 = строка 627 баланса;
строка 25 = строка 626 + строка задолженность по внебюджетным платежам баланса;
строка 26 = строка 623 + строка 624 баланса;
строка 27 = строка 690 - строка 511 - строка 512 баланса - строки 22-26 агрегированного баланса;
строка 28 = сумма строк 22-27 агрегированного баланса;
строка 29 = строка 21 + строка 28 агрегированного баланса;
строка 30 = строка 20 + строка 29 агрегированного баланса;
строка 31 = строка 15 - строка 28 агрегированного баланса.
Таблица 1
Форма агрегированного баланса
|
Наименования позиций |
строки |
|
АКТИВ |
|
|
Постоянные активы: |
|
|
нематериальные активы |
1 |
|
основные средства |
2 |
|
незавершенные капитальные вложения |
3 |
|
долгосрочные финансовые вложения |
4 |
|
прочие необоротные активы |
5 |
|
=== Итого постоянных активов |
6 |
|
Текущие активы: |
|
|
незавершенное производство |
7 |
|
авансы поставщикам |
8 |
|
производственные запасы и МБП |
9 |
|
готовая продукция |
10 |
|
товары |
11 |
|
счета к получению |
12 |
|
денежные средства |
13 |
|
прочие |
14 |
|
Итого текущих активов |
15 |
|
УБЫТКИ |
16 |
|
ИТОГО АКТИВОВ |
17 |
|
ПАССИВ |
|
|
Собственные средства: |
|
|
уставный капитал |
18 |
|
накопленный капитал |
19 |
|
Итого собственных средств |
20 |
|
Заемные средства: |
|
|
долгосрочные обязательства |
21 |
|
краткосрочные обязательства: |
|
|
краткосрочные кредиты |
22 |
|
счета к оплате |
23 |
|
авансы |
24 |
|
расчеты по налогам |
25 |
|
расчеты по заработной плате |
26 |
|
прочие |
27 |
|
Итого текущих пассивов |
28 |
|
Итого заемных средств |
29 |
|
ИТОГО ПАССИВОВ |
30 |
|
|
|
Чистый оборотный капитал |
31 |
Приложение 3Порядок расчета структуры баланса
Строки 1-5 таблицы являются частными от деления позиций 1-5 таблицы 1 (далее Таблица)на величину строки 080 баланса.
Итоговая сумма получается в строке 6 суммированием строк 1-5.
Данные в строке 7 получаются делением строки 6 на строку 360 баланса.
Данные в строке 8 вычисляются как результат деления позиции 32 Таблицы на сумму позиций 2 и 32 Таблицы.
Данные в строке 9 вычисляются, как результат деления позиции 33 Таблицы на сумму позиций 1 и 33 Таблицы.
Данные в строках 10-17 вычисляются, как отношений позиций 7-14 Таблицы к позиции 15 Таблицы соответственно.
Итоговая строка 18 вычисляется как сумма позиций 10-17
Данные в строках 19, 20 вычисляются как отношение позиций 15, 16 Таблицы к строке 17 той же таблицы.
Данные в строках 1-3 вычисляются как отношение позиций 18, 19, 21 Таблицы к сумме позиций 20 и 21 Таблицы.
Итоговая строка 4 вычисляется как сумма позиций 1-3
Данные в строке 5 вычисляются как отношение суммы позиций 20 и 21 Таблицы к строке 30 Таблицы.
В строках 6-11 находятся частные от деления позиций 22-27 Таблицы на позицию 28 Таблицы.
Итоговая сумма в строке 12 получается суммированием строк 6-11.
Данные в строке 13 вычисляются, как частное от деления позиций 28 и 30 Таблицы.
Данные в строке 14 вычисляются, как отношение позиций 31 и 17 Таблицы.
Приложение 4
Таблица 1
Анализ влияния изменения факторов на общую рентабельность предприятия АООТ Роспластмасса
|
Наименование статей |
Условное обозначение |
|
|
|
Показатели |
|
1/07/96 |
1/10/96 |
|
Чистая прибыль |
ЧП |
3 731 225 |
- 1 562 186 |
|
Выручка от реализации |
ВР |
20 729 819 |
22 491 191 |
|
Текущие активы |
ТА |
36 008 207 |
34 695 442 |
|
Всего активов |
ВА |
173 607 803 |
185 666 019 |
|
|
|
|
|
Факторы |
|
|
|
|
Прибыльность продаж |
ПП=ЧП/ВР |
0,1800 |
-0,0695 |
|
Оборачиваемость текущих активов |
Оа=ВР/ТА |
0,5757 |
0,6482 |
|
Мобильность активов |
Ма=ТА/ВА |
0,2074 |
0,1869 |
|
|
|
|
|
Расчеты |
|
|
|
|
Общая рентабельность |
Ро |
2,15% |
-0,84% |
|
|
|
|
|
Изменение ПП |
|
|
-0,2495 |
|
Изменение Оа |
|
|
0,0725 |
|
Изменение Ма |
|
|
-0,0205 |
|
|
|
|
|
Изменение Ро |
|
|
-2,99% |
|
|
|
|
|
Влияние ПП |
|
|
-0,0302 |
|
Влияние Оа |
|
|
0,0024 |
|
Влияние Ма |
|
|
-0,0021 |
|
|
|
|
|
Сумма влияний |
|
|
-3,17% |
Таблица 2
Анализ влияния изменения факторов на ликвидность предприятия АООТРоспластмасса
|
Наименование статей |
Условное обозначение |
|
|
|
Показатели |
|
1/07/96 |
1/10/96 |
|
Текущие активы |
ТА |
36 008 207 |
34 695 442 |
|
Необоротные активы |
НА |
137 599 596 |
150 970 577 |
|
Выручка от реализации |
ВР |
20 729 819 |
22 491 191 |
|
Текущие пассивы |
ТП |
26 401 366 |
29 664 151 |
|
|
|
|
|
Факторы |
|
|
|
|
Структура активов |
Са=ТА/НА |
0,2617 |
0,2298 |
|
Фондоемкость |
Ф=НА/ВР |
6,6378 |
6,7124 |
|
Среднее количество возвратов заемных средств |
КВ=ВР/ТП |
0,7852 |
0,7582 |
|
|
|
|
|
Расчеты |
|
|
|
|
Общая ликвидность |
Кл=ТА/ТП |
1,36 |
1,16 |
|
|
|
|
|
Изменение Са |
|
|
-0,0319 |
|
Изменение Ф |
|
|
0,0747 |
|
Изменение КВ |
|
|
-0,0270 |
|
|
|
|
|
Изменение Кл |
|
|
-19,43% |
|
|
|
|
|
Влияние Са |
|
|
-0,1622 |
|
Влияние Ф |
|
|
0,0148 |
|
Влияние КВ |
|
|
-0,0469 |
|
|
|
|
|
Сумма влияний |
|
|
-0,1943 |
Таблица 3
Анализ влияния изменения факторов на рентабельность собственногокапиталаАООТ Роспластмасса
|
Наименование статей |
Условное обозначение |
|
|
|
Показатели |
|
1/07/96 |
1/10/96 |
|
Чистая прибыль |
ЧП |
3 731 225 |
1 562 186 |
|
Выручка от реализации |
ВР |
20 729 819 |
22 491 191 |
|
Всего активов |
ВА |
173 607 803 |
185 666 019 |
|
Собственный капитал |
СК |
125 183 408 |
118 254 410 |
|
|
|
|
|
Факторы |
|
|
|
|
Прибыльность продаж |
ПП=ЧП/ВР |
0,1800 |
0,0695 |
|
Оборачиваемость всех активов |
Оа=ВР/ВА |
0,1194 |
0,1211 |
|
Коэффициент капитализации |
Кк=ВА/СК |
1,3868 |
1,5701 |
|
|
|
|
|
Расчеты |
|
|
|
|
Общая рентабельность |
Ро |
2,98% |
-1,32% |
|
|
|
|
|
Изменение ПП |
|
|
-0,2495 |
|
Изменение Оа |
|
|
0,0017 |
|
Изменение Кк |
|
|
0,1832 |
|
|
|
|
|
Изменение Ро |
|
|
-4,30% |
|
|
|
|
|
Влияние ПП |
|
|
-0,0474 |
|
Влияние Оа |
|
|
0,0005 |
|
Влияние Кк |
|
|
0,0039 |
|
|
|
|
|
Сумма влияний |
|
|
-4,30% |
Принципы успешной организации
Примером первой тенденции могут служить: ФПГ "Сокол", ФПГ "Объединенная горно-металлургическая компания" и т. д. Примеры второй тенденции ФПГ "Приморье", ФПГ "Сибирь" и т. д.
Удивительно, но в настоящее время создана только одна финансово-промышленная группа в текстильной отрасли, хотя опыт функционирования существующих групп в других отраслях показывает, что эффективность взаимодействия предприятий, связанных технологически, выше именно в рамках ФПГ (табл. 1.5).
Например, объединение в финансово-промышленную группу Магнитогорская сталь металлургических предприятий Территориальное расположение предприятий текстильной отрасли таково, что создание текстильной ФПГ суть реализация обеих тенденций: объединение как по отраслевому, так и региональному признакам.
Таблица 1.5
Объемы производства некоторых ФПГ
|
Наименование ФПГ |
Совокупный объем производства предприятий - участников до объединения в ФПГ |
Совокупный объем производства предприятий - участников после объединения в ФПГ |
|
Интеррос |
5 506,3 млрд. руб. |
6 123,4 млрд. руб. |
|
Носта-Трубы-Газ |
1 316 млрд. руб. |
1 814,3 млрд. руб. |
|
Святогор |
228,3 млрд. руб. |
229,7 млрд. руб. |
|
Магнитогорская сталь |
8 560,9 млрд. руб. |
9 113,3 млрд. руб. |
|
Еврозолото |
68 191 млн. руб. |
68 261 млн. руб. |
Как следует из всего вышесказанного, для создания текстильной ФПГ необходимо объединение прежде всего предприятий одной отрасли и создание такой структуры производства, при которой упрощается система управления производственным процессом.
Современная наука выделяет семь переменных величин, от которых зависит качество организации технологического процесса ( 1.5)
Принципы успешной организации
Наиболее полно такой концепции соответствует организация производственных процессов внутри ФПГ по принципу горизонтальной корпорации. Модель горизонтальной корпорации ( 1.6) идет дальше, чем предшествующие модели; она в значительной степени уничтожает как иерархию, так и границы между подразделениями и функциями. Суть организации работы по принципу горизонтальной корпорации создание ядра менеджеров по таким традиционным направлениям, как финансы, производство, людские ресурсы.
Хотя на деле и все остальные подразделения должны совместно участвовать в многопрофильных командах, работающих в таких ключевых процессах, как развитие видов продукции текстильной ФПГ или маркетинг. В итоге: организация может иметь лишь три или четыре управленческих уровня между высшим руководителем и персоналом, задействованным в производственном процессе.
Принципиальная схема горизонтальной корпорации
Согласно такой концепции, все без исключения аспекты корпоративного бытия основательно меняются. Финансово-промышленная группа организует разработку новых видов продукции по принципу процесса вместо, например, принципа узкой задачи, такой, как прогнозирование доли рынка для конкретного нового продукта.
Производственные цели вместо того, чтобы следовать задачам прибыльности и интересам акционеров, увязываются с удовлетворением клиентов. Это позволяет выделить производство конкретного вида продукции в отдельный процесс технологическую цепочку. Технологическая цепочка это совокупность технологических этапов по производству вида продукции текстильной финансово-промышленной группы.
С нашей точки зрения управление текстильной ФПГ представляет собой схему в которой главным объектом управления является текстильная технологическая цепочка (ТТЦ), в рамках которой производится конкретный вид продукции ФПГ ( 1.7), причем таких видов продукции может быть несколько. Это, по нашему мнению, позволит диверсифицировать производство, и, как следствие, снизить риски, связанные изменяющимися условиями спроса на текстильную продукцию.
Организационная структура текстильной ФПГ
Такой подход мы считаем весьма перспективным. Ибо в условиях переходной экономики невозможно полностью исключить людей. Нужно изменить процессы и управлять только необходимой работой, иначе вскоре может наступить кризис. Такие радикальные изменения в организационной структуре финансово-промышленной группы, как нам представляется, позволяют ожидать колоссальных выигрышей в производительности, что особенно важно для текстильной отрасли.
Когда текстильная ФПГ идет к горизонтально организованной и сфокусированной на потребителе структуре, появляется реальная возможность достигнуть большей эффективности в следующие несколько лет, причем быстрее чем ожидалось.
Как правило сегодняшние предприятия текстильной отрасли тратят огромное количество энергии на свою внутреннюю деятельность, например, на управление взаимодействием между цехами или передачу информации снизу вверх и сверху вниз. Горизонтальная структура исключает большинство из этих действий и все ресурсы предприятий - участников ФПГ фокусирует на потребителях.
Внедрение способов управления по принципу горизонтальной корпорации затруднено тем, что исключение аккуратно расположенных прямоугольников из организационной схемы управления предприятием, принятое в командно-административной системе, ради горизонтальной структуры часто очень сложное и мучительное испытание, поскольку простое определение процессов в конкретной финансово-промышленной группе может оказаться сложным с точки зрения сознания и длительным по времени процессом. Ситуация в технологической цепочке немного проще, поскольку сама цепочка представляет собой законченный процесс, управлять которым по принципу горизонтальной корпорации гораздо проще.
Но существует опасность, что преобразование предприятий в группу может превратиться в самоцель. Не существует единого решения для всех проблем текстильного предприятия.
В действительности современные вертикальные организации могут подходить к специфике некоторых индустрий массового производства в большей степени, чем горизонтальные.
Перед тем, как перекраивать организационную схему, руководство финансово-промышленной группы должно понять, какие потребители ее интересуют и провести анализ: что надо предпринять для удовлетворения их требований. И только после этого ФПГ должна начать идентифицировать ключевые процессы для достижения таких целей, как снижение затрат или разработка нового вида продукции вдвое быстрее, чем раньше.
В те времена, когда экономика была плановой, на промышленных предприятиях (в том числе и текстильной отрасли) создавали вертикальную структуру, которая полностью соответствовала понятиям управления того времени. В доперестроечные времена ее преимущества были очевидны: у каждого есть место и все понимают, какую задачу на этом месте следует выполнять. Наиболее важные решения принимались наверху. Но пока все предприятия выполняли общую стратегическую задачу, все было ясно.
После разрушения командно-административной системы, такая организация производства затруднила понимание стратегии конкретного предприятия и того, как связана работа конкретного человека с этой стратегией. В результате сотрудничество между подразделениями часто одерживало триумф над формальной организационной схемой, что, по нашему мнению, затрудняет модернизацию оборудования и реорганизацию производственного процесса.
Желание выйти на международный рынок, усиливающаяся мировая конкуренция и ускорившееся технологическое развитие заставляют руководство финансово-промышленных групп искать новые пути организации производственных процессов.
Некоторые отечественные ФПГ приняли новую форму корпоративной организации после того, как потерпели неудачу при попытке достичь нового уровня производительности путем простого объединения.
Цель горизонтальной корпорации всегда состоит в изменении узкого мышления армий специалистов, которые делали свою карьеру, взбираясь в вертикальной иерархии к верхней части функции. Сегодняшняя ситуация в экономике диктует новые условия.
Теперь каждый сотрудник ФПГ от работника конкретного предприятия до руководителя должен быть нацелен на производство как систему, в которой все функции неразрывны. Для этого, по нашему мнению, организационная структура текстильной ФПГ, ориентированной на потребителя, должна соответствовать реалиям российской экономической ситуации, при этом учитывая накопленный зарубежный опыт организации корпоративной деятельности.
Изменения в организации производственного процесса неизбежно приводят к реформированию систем обучения, аттестации и вознаграждения. У сотрудников формируется приверженность процессу а не боссу, для этого внутри ФПГ применяется процедура оплаты труда по выполнению задания, а не в виде оклада.
При этом производительность каждого сотрудника в рамках процесса анализируется теми, с кем он работает: его коллегами, начальством, предыдущим и последующим в технологической цепочке предприятиями.
Изменения условий работы ведут к кардинальной перестройке отношений собственности, служебного роста, а также к трансформации индивидуальных целей сотрудников. Во всем этом главное взаимное сотрудничество.
Задача состоит в том, чтобы люди из различных служб стали общаться между собой, обсуждать общие проблемы.
Тем не менее, рано хоронить функциональный менеджмент. Ни одна компания до конца не исключила функциональную специализацию. И даже защитники новой модели не видят возможности обойтись без менеджеров производства или финансов.
Редчайший случай, когда организация полностью построена по вертикальному или горизонтальному принципу. Большинство организаций гибриды.
Горизонтальная корпорация является идеей, приносящей деньги и все больше требующей от людей более широкого мышления. Люди в новой модели стремятся менять ситуацию таким образом, чтобы управлять процессом, а не другими людьми.
В текстильной ФПГ, скорее всего, модернизация управления должна начинаться с подбора новой команды управляющих. Главная цель: каждой задаче имя, отчество и фамилию.
Людей в команду подбирают с таким расчетом, чтобы не надо было объяснять, что конкретно делать, а можно было ставить задачи по-крупному. Опыт российских компаний, проведших или проводящих реорганизацию управления показывает, что не нужно бояться менять людей до тех пор, пока не будет найден подходящий для этой работы сотрудник.
При этом, наиболее перспективным из числа непрошедших конкурсный отбор нужно дать возможность обучаться для дальнейшего привлечения их к работе в новых условиях.
Своих ближайших помощников не следует контролировать по мелочам. Рабочий принцип для менеджеров таков: каждый на своем участке должен разбираться лучше, чем руководитель, иначе зачем он нужен.
Руководитель, благодаря такому подходу, может сосредотачиваться на самых важных стратегических вопросах.
Корпорация, оптимизируя круг руководителей, участвующих в выработке стратегических решений, выделяет то, что принято называть правлением. Правление состоит из нескольких директоров по направлениям плюс генеральный директор. В таком составе правление собирается, например, раз в неделю, а дальше каждый организует свою работу так, как считает нужным.
Это, собственно говоря, и есть команда, с которой решаются основные вопросы.
В управлении, особенно в российских условиях, должно активно использоваться финансовое планирование. Для эффективного функционирования, для оценки возможностей и фиксации плановых результатов, по нашему мнению, необходимо составлять и контролировать бюджеты всех технологических цепочек.
Причем роль бюджетного планирования должна постоянно возрастать: если сначала финансовый план использовали для того, чтобы получить контрольные цифры на будущий период, то в дальнейшем корпорация может превратить бюджеты в основной инструмент согласования интересов различных служб. Способ многократное уточнение бюджета с тем, чтобы увязать с предполагаемыми поступлениями денег запросы различных служб.
После этого можно использовать финансовый план для делегирования полномочий и распределения ответственностей.
Полномочия по работе в рамках процесса делегируются на низшие уровни управления. Однако ошибкой было бы идти по пути холдингизации.
Центробежные тенденции в холдинге обязательно появятся, и надо будет тратить силы на то, чтобы их преодолевать. Понять, эффективно или нет то или иное подразделение, можно и не давая ему самостоятельность, лишь наладив нормальный учет.
Руководители подразделений постоянно должны работать над тем, что им поручено, например, повышать качество продукции, заниматься технологиями и оборудованием.
В связи с вышесказанным, правление должно предоставлять максимум самостоятельности подразделениям, но при этом должно их жестко контролировать. Это связано с тем, что на российских предприятиях в этом смысле занимаются имитацией управления, всячески подчеркивая самостоятельность подразделений, то есть перекладывают на них ответственность.
Таким образом, текстильная финансово-промышленная группа должна быть разделена на технологические цепочки, управляемые командами специалистов, в каждой из которых есть собственный маркетинг, финансы, снабжение. Из всех крупных отделов выделяются специалисты в определенной области: разработчики конечных продуктов, маркетологи, производственники, технологи.
В каждой технологической цепочке создаются собственные финансово-экономические службы.
Внутри финансово-промышленной группы для того чтобы жестко контролировать деятельность подразделений, одновременно культивируя самостоятельность, может быть введена система бюджетов, которые технологические цепочки должны ежеквартально защищать на правлении. Тех, кто с такими обязательствами не справляется, можно санировать, а неэффективные или бесперспективные направления должны быть безжалостно закрыты.
Помимо чисто финансовых рычагов контроля за подразделениями можно использовать и другие. Например, стратегический маркетинг, который, по нашему мнению, должен проводиться на уровне руководства ФПГ. Основные стратегические решения по привлечению или исключению предприятий из состава группы принимаются дирекцией в интересах производства и продвижения на рынок того или иного конкретного продукта.
Руководство может контролировать все экспортные заказы, в частности поставку оборудования через государственные организации.
Проведенное исследование показало, что при организации работы текстильной финансово-промышленной группы по принципу горизонтальной корпорации могут достигаться следующие преимущества в условиях переходной экономики:
1. Минимизация затрат, необходимых для функционирования всей группы.
2. Создание имиджа группы, как следствие, повышение курсовой стоимости акций предприятий - участников.
3. Повышение управляемости за счет снижения числа промежуточных звеньев в схеме управления.
Все это приводит к созданию условий для выхода предприятий - участников текстильной ФПГ из кризиса и формирования предпосылок для успешного развития отрасли. В приложении 1 представлены организационные схемы трех текстильных ФПГ.
Из них одна уже зарегистрирована, а две находятся в стадии регистрации. Как видно из схем, все группы представляют собой объединения по отраслевому признаку.
Текстильные технологические цепочки как объект управления
Как следует из вышесказанного, в рамках текстильной финансово-промышленной группы действуют одна или несколько текстильных технологических цепочек, производящих определенные виды продукции в рамках ФПГ.
Функционирование текстильной технологической цепочки это сложный и многогранный процесс, которым необходимо управлять. Основным критерием для оценки качества управления является эффективность функционирования ТТЦ.
Для оценки эффективности необходимо определить систему показателей и описать алгоритмы для их расчета, поскольку, с одной стороны, необходимо рассчитать значение эффективности как комплексного понятия, которое зависит от многих факторов, с другой стороны, необходимо не только рассчитать значение эффективности, но и проанализировать ее составляющие.
Под эффективностью в этой работе мы понимаем результат, подводящий некий итог деятельности за определенный период. Естественно, что результату предшествует процесс функционирования, в ходе которого на предприятиях производится продукция, осуществляется ее реализация внешним потребителям. Поскольку текстильная технологическая цепочка представляет собой функционирующую систему, она подразумевает определенную специфику в осуществлении управления.
Для осуществления управления функционированием ТТЦ должна быть создана определенная система коммуникаций между руководящим органом ФПГ и технологическими цепочками, образованными в группе, которая бы учитывала эту специфику. Такая система коммуникаций называется системой управления.
Таким образом, управление финансово-промышленной группой это процесс взаимодействия двух систем: функционирующей системы финансово-промышленной группы и системы управления.
В связи с тем, что никаких рекомендаций по управлению текстильными ФПГ в настоящее время не опубликовано, мы предприняли попытку описать систему методов для управления текстильной финансово-промышленной группой. В то же время нужно иметь в виду, что использовать какие-либо методы необходимо только на основе изучения их применимости в конкретных условиях.
Для описания системы управления технологической цепочкой необходимо описать ту задачу, которую будет решать руководство текстильной ФПГ в ходе функционирования.
Пусть имеется некая технология производства продукции, состоящая из многих операций, начиная от сбора и переработки первичного сырья, и заканчивая выпуском продукции, пригодной для продажи в розницу (товаров народного потребления).
Естественно, что никакая технология не воплощается в реальность на пустом месте. Владелец технологии должен внедрить ее на производстве.
Поэтому возникает задача формирования последовательности предприятий, связанных в единый технологический цикл (технологическая цепочка).
Возникает вопрос: кто будет формировать такую цепочку? Ответ достаточно прост: управляющая компания финансово-промышленной группы.
Для формирования технологической цепочки необходимо реально представлять себе желаемый конечный результат и обладать совокупностью инструментов для его достижения. В этой связи возникает необходимость формулирования целей функционирования создаваемой технологической цепочки.
Для этого в управляющей компании должен существовать алгоритм постановки задачи на создание технологической цепочки.
Алгоритм постановки задачи на создание технологической цепочки это последовательность действий, которые необходимо выполнить руководству ФПГ для организации производственного процесса. Он заключается в следующем:
- определение целей (формирование стратегии);
- изучение технологии;
- подбор предприятий-исполнителей;
- построение схемы реализации проекта;
- выбор источника финансирования;
- создание команды специалистов для управления проектом;
- контроль результатов;
- регулирующие меры.
После того как ТТЦ сформирована начинается процесс ее функционирования. Естественно, что процессом функционирования необходимо управлять. Более того, необходимо управлять эффективностью функционирования. И управлять так, чтобы затраты на управление не превышали доходов, полученных от процесса управления.
Для этого в процессе управления эффективностью необходимо применять некий набор приемов управления, которые в совокупности составляют методологию корпоративного управления.
Таким образом, методология корпоративного управления представляет собой систему общих правил (принципов), а также специальных приемов и методов корпоративного управления. Общие правила корпоративного управления исходят из положений социально-экономической теории и принципа диалектического метода познания.
Они составляют теоретическую базу управления как науки.
Теоретический (качественный) анализ объекта управления, основанный на социально-экономических науках, всегда предшествует его детальному изучению и является необходимым условием правильной организации процесса управления и безошибочного толкования его финансовых результатов. Необходимым условием успешного управления корпоративной эффективностью является понимание сущности объекта управления или технологического процесса, знание причин развития и особенностей конкретной обстановки.
Так, прежде чем выработать управляющее воздействие и оценить насколько эффективны последствия принимаемых решений, необходимо выявить влияние отдельных факторов на изменение финансовых результатов объекта управления текстильной финансово-промышленной группы, необходимо обосновать метод расчета эффективности функционирования либо для отдельного предприятия либо совокупности предприятий, то есть технологической цепочки или финансово-промышленной группы, к которой относится предприятие, определить состав влияющих факторов и характер их воздействия. Решение этих вопросов требует соответствующих знаний экономики текстильной отрасли.
Для осуществления цикла управления корпоративной эффективностью руководство текстильной ФПГ должно изучать все процессы, происходящие внутри группы, а также внешние по отношению к группе явления в их взаимосвязи, в движении и изменении, выделяя их различные типы и формы. Также руководство должно определять то новое, прогрессивное, что зарождается в существующем и правильно определять стратегию развития.
В процессе функционирования наряду с количественными изменениями внутри объекта управления происходят коренные качественные изменения. Поэтому необходимо располагать методами, позволяющими изучать количественные изменения внутри группы, оценивать существенность или несущественность последствий, улавливать переход количественных изменений в качественные и их влияние на эффективность.
При осуществлении цикла управления корпоративной эффективностью можно использовать различные общенаучные методы, которые помогают получить ответы на интересующие руководство вопросы, например аналогию (перенесение свойств одного предмета на другой) или гипотезу (научно обоснованное предположение о возможных причинных связях между явлениями).
Опираясь на теоретическую базу различных наук, процесс корпоративного управления включает специфические методы числовой оценки свойств объекта управления, которые находят свое выражение в трех этапах (стадиях) исследования:
1. Предварительное знакомство с потенциальными участниками технологической цепочки, с помощью которого получают первичную информацию об отдельных предприятиях, которые могут участвовать в производственном процессе. такое предварительное изучение (учет большого числа или всех возможных потенциальных участников, входящих в состав изучаемой совокупности) представляет исходный материал для получения объективных выводов об их финансовом и экономическом состоянии, о возможности привлечения их к деятельности в рамках технологического цикла. Получение сведений о достаточно большом количестве предприятий дает возможность сформировать объективную оценку для каждого предприятия.
2. Группировка предприятий по модулям технологической цепочки, представляющая собой расчленение всей массы предприятий на модули, каждый из которых содержит предприятия, выполняющие определенные операции в рамках технологического цикла. Группировки дают возможность выделить из состава всех предприятий такие, которые наилучшим образом удовлетворяют корпоративным интересам на конкретном этапе цикла и функционирование которых делает работу всей ТТЦ более эффективной. После проведения группировки рекомендуется приступить к ранжированию потенциальных участников по определенным показателям и в целом, т.
Управление: Предприятие - Качество - Производство