Open GL - статьи
Архитектура
Более глубоко погружаясь в технологию OpenGL, мы обнаружим стройную и гармоничную архитектуру, общий вид которой показан .Точно так же, как процессор имеет два типа конвейеров - для целочисленных вычислений и чисел с плавающей точкой, OpenGL имеет два конвейера для пиксельных данных и вертексных операций, то есть для операций с векторными данными. Каждый из потоков обрабатывается отдельно, до тех пор пока это возможно - то есть до стадии мэппинга, когда пиксельные растры как фактуры "натягиваются" на плоскости и более сложные поверхности.
Первый этап - аппроксимация кривых и поверхностей вычислением полиномов от входных значений. Второй проход оперирует с примитивами типа точек, отрезков и полигонов - они преобразуются по правилам аффинных преобразований, совмещаются и сцена отсекается в подготовке к растрированию.
Растрирование в качестве результата создает список объектов (точек, отрезков и треугольников) в двумерной плоскости. Над отдельными объектами может быть выполнена операция раскрашивания, градиентной заливки или применения мэппинга, то есть наложения фактуры.
Готовые фрагменты окончательно обрабатываются перед тем, как они реально будут внесены в frame buffer. В частности, фрагменты сортируются зависимо от значений "глубины" - и эти значения сравниваются с известными на предмет рекомпозиции. Применение блендинга приводит к тому, что прозрачные фрагменты принимают цвет, состоящий из их собственного и цветов "ниже лежащих" фрагментов. Дополнительно может быть реализовано маскирование и другие эффекты.
Пиксельный процессор в ходе растрирования встраивает двумерные битовые фрагменты прямо в кадр. Часть готового кадра также может быть прочитана для повторного использования как массив пикселей - так что данные, отображаемые в буфере, могут стать частью других сцен.
Что будем рисовать
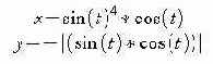
Конечно, можно было нарисовать простую пирамиду или же куб. Но мы сделаем большее - нарисуем "признание в любви"** (рис.1). Специально для этого методом "научного перебора" была разработана модель, описывающая соответствующую кривую:
Остается только перевести ее с языка математики на нормальный человеческий.
Функции
Ниже перечислены основные функции OpenGL, о некоторых из них уже упоминалось. По ним вы можете судить об уровне языка и используемых примитивах.С точки зрения сложности освоения
С точки зрения сложности освоения OpenGL сопоставим с другими подобными библиотеками. Так что с одной стороны нет разницы, в чем разбираться и что изучать. Но с точки зрения разумного подхода любой проект трехмерной графики должен как минимум поддерживать OpenGL в качестве одной из опций. Ведь серьезные вещи считаются и визуализируются, как правило, под Unix/IRIX/Linux/FreeBSD, и в то же время было бы неправильно игнорировать пользователей Windows. Так что OpenGL как раз и является тем универсальным языком и общим знаменателем, позволяющим вашим приложениям свободно мигрировать с одной платформы на другую.программы.
OpenGL и Delphi на практике
Любая теория хороша, если она может быть реализована на Delphi :-). Поэтому предлагаю не откладывая в долгий ящик написать первую программу на OpenGL - а потом, окрылившись успехом, вернуться к теории и как следует проштудировать все книги и сайты по сабжу, чтобы уж стать настоящими монстрами трехмерного моделирования.Для начала придется проделать подготовительную работу:
Формат пикселей удобно вынести в отдельную процедуру, которую мы оформим следующим образом: procedure SetDCPixelFormat (dc: HDC); var pfd: TPixelFormatDescriptor; nPixelFormat: Integer; begin FillChar (pfd, SizeOf (pfd),0); with pfd do begin nSize:= sizeof (pfd); nVersion:= 1; dwFlags:= PFD_DRAW_TO_WINDOW or PFD_SUPPORT_OPENGL or PFD_DOUBLEBUFFER; iPixelType:= PFD_TYPE_RGBA; cColorBits:= 16; cDepthBits:= 64; iLayerType:= PFD_MAIN_PLANE; end; nPixelFormat:=ChoosePixelFormat (DC,@pfd); SetPixelFormat (DC, nPixelFormat,@pfd); end;
Здесь при заполнении структуры TPixelFormatDescriptor мы задаем параметры будущего графического отображения, в том числе количество цветовых бит, а также тип пикселей (iPixelType). Мы также задаем флаги, которые, как видно из названия, указывают, что наша программа будет поддерживать OpenGL, а также что мы будем рисовать в окне и использовать двойную буферизацию (параметр, необходимый для воспроизведения движущихся объектов).
Далее посредством вызова ChoosePixelFormat система выбирает подходящий формат пикселя - и мы присваиваем его (через SetPixelFormat) нашему окну.
Теперь нужно инициализировать контекст самого OpenGL посредством функций, содержащихся в модуле Windows, и произвести дополнительную настройку движка: procedure TForm1.FormCreate (Sender: TObject); begin H:=Handle; DC:=GetDC (H); SetDCPixelFormat (DC); RC:=wglCreateContext (DC); wglMakeCurrent (DC, RC); glClearColor (0.6,0.6,0.6,1.0); glMatrixMode (GL_PROJECTION); glLoadIdentity; glFrustum (-1,1,-1,1,2,20); glMatrixMode (GL_MODELVIEW); glLoadIdentity; glTranslatef (0.0,-1.0,-6.0); BeginPaint; end;
Как видим, сначала мы задали для нашей графики необходимый формат пикселей. Теперь при помощи функции wglCreateContext создаем OpenGL-контекст, а впоследствии делаем его текущим контекстом. Далее, используя уже универсальные функции**, произведем настройку "мира", который будем создавать. Для этого через glClearColor очистим контекст и заполним ее 60-процентным черным цветом. Далее выберем матрицу проекций, которая определяет, как будут проецироваться трехмерные объекты на плоскость экрана (в оконные координаты) и через glLoadIdentity установим единичную матрицу и зададим границы плана в "мировых координатах" при помощи вызова glFrustum. После чего загрузим модельно видовую матрицу и произведем ее смещение (glTranslatef).
OpenGL: раскрой глаза на трехмерную графику
Арсений Чеботарёв,Современный мир уже немыслим без трехмерной графики - в том числе интерактивной. В свое время было предпринято множество попыток создать универсальный язык описания трехмерных сцен. Самой удачной оказалась попытка компании Silicon Graphics - ее язык OpenGL получил всемирное признание
Многие из вас знают, что все самые красивые спецэффекты, а также почти вся промышленная 3D графика рендерится в формате OpenGL. Этот формат был разработан Silicon Graphics и в настоящее время стал стандартом де-факто для трехмерного моделирования. Я попытаюсь дать краткий обзор этой технологии, и во второй части статьи наш "заслуженный дельфиец" Миша Продан покажет пару примеров ее использования, разумеется, средствами Delphi.
Принципы
Основная идея OpenGL: графическая библиотека должна быть аппаратно независимой, но в то же время использовать аппаратные ускорители, если они доступны. Кроме того, этот язык с самого начала предусматривал механизм расширения и гибкости - по мере того как расширения становились "общепринятыми", они становились частью следующего релиза.Для любого протокола, будь то сетевой протокол или язык описания сцен, важным является вопрос уровня абстракции - то есть того, на каком уровне работает данная система или протокол, что является входными данными и что выходными, какие компоненты будут взаимодействовать в качестве поставщиков и приемников данных. Говоря попросту, нужно определиться по вопросу "что мы делаем и чего не делаем".
Создатели OpenGL планировали свой язык с явным намерением создать "виртуальный графический акселератор", так чтобы примитивы OpenGL максимально соответствовали примитивам современных графических карт и требовали минимум кода для трансляции из одной системы команд в другую. Фактически большинство современных графических процессоров (обычно называемых видеокартами, хотя к видео они имеют лишь касательное отношение) напрямую воспринимают OpenGL как язык входного уровня без какой-либо (или с минимумом) трансляции.
OpenGL оперирует графическими примитивами "начального уровня", такими как точки трехмерного пространства (вертексы, вершины), отрезки прямых, выпуклые полигоны и растровые изображения. Поддерживаются аффинные и проективные преобразования, вычисление освещения. К "продвинутым" функциям можно отнести мэппинг текстур (натягивание битовых карт на трехмерные поверхности) и антиалиасинг (сглаживание цветовых переходов - как локальное, в рамках отдельного объекта, так и глобальное, по всей сцене). Предполагается, что приложение более высокого уровня будет выполнять операции, которых недостает в OpenGL,- например, декомпозицию невыпуклых полигонов.
С точки зрения программиста, OpenGL - это система вызовов процедур с передачей им параметров, то есть этот язык представляет собой Call Level API. Ключевым моментом с точки зрения производительности, особенно в сетевом окружении, является наличие двух режимов: пошагового и пакетного. Пакетный группирует команды описания объектов и режимы в пакет, называемый списком отображения (display list). Подобная техника применяется, например, при описании страниц в PostScript или, в несколько другом контексте, при создании хранимых процедур в SQL. Смысл ясен - инкапсуляция функциональности (в данном случае - объектов для последующего многократного использования). При этом можно провести несколько оптимизаций: предварительно один раз проверить синтаксис, а также кэшировать готовый объект при передаче по сети на целевой машине.
Недостаток списка отображения проявляется при частом внесении в него изменений - при этом, понятно, ни один метод оптимизации не будет работать. Для работы с такими "изменчивыми" объектами и сценами в OpenGL предусмотрен режим прямого отображения, когда каждое предложение интерпретируется в порядке поступления, не дожидаясь закрывающего список тега или какой-то подобной команды на отрисовку. В практике оба метода нашли широкое применение.
Приоритеты
При реализации авторы ставили себе пять ориентиров, важных с точки зрения получаемых результатов.Прорисовка сцены

Подготовку сцены начнем с подключения разных дополнительных функций, без которых дальнейшая работа невозможна. Эти функции прописаны в методе BeginPaint, а также в методе FormResize (чтобы при изменении размера формы соответственно менялся размер объекта). Для этого используем функцию glEnable с соответствующими параметрами.
Далее в FormPaint используем подготовленные заранее методы DrawFace и DrawElement (см. листинг ниже) для отрисовки упомянутого объекта. А для придания ему еще большей "жары" используем возможности OpenGL по освещению сцены.
Ресурсы
Для быстрого и всестороннего "проникновения" идеями OpenGL вы должны (как минимум) детально изучить две книги, являющиеся "классикой жанра". Первая из них носит название (на ее обложке действительно преобладает синий цвет) и представляет собой справочник по функциям и переменным.Вторая книга (а возможно, по порядку прочтения и первая) - это OpenGL Programming Guide, так называемая .
Красная книга снабжена примерами, на которые я бы советовал обратить самое пристальное внимание. К слову: указанные ссылки ведут к устаревшим версиям документации, не описывающим новые возможности. Новые версии доступны только в печатном виде. Можете попробовать найти их через сети P2P - однако результаты такого поиска предсказывать не берусь.
Биржевая торговля: Механические торговые системы - Создание - Программирование
- Механические торговые системы (МТС)
- Технический анализ и МТС
- Разработка механических торговых систем
- Механические торговые системы
- GNU механические торговые системы
- Тестирование механических торговых систем
- MetaStock - механические торговые системы
- Omega Trade Station - механические торговые системы
- МТС - обзор языков программирования
- Си для механических торговых систем
- C# для механических торговых систем
- C++ для механических торговых систем
- Borland C++ для механических торговых систем
- C++ Builder для механических торговых систем
- Visual C++ для механических торговых систем