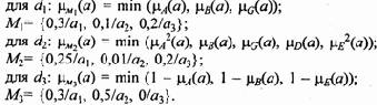
Системы, подлежащие классификации, изучаются прежде всего относительно наличия у них характерных свойств или состояний, которые отражаются различными признаками. Значения признаков могут измеряться с различной точностью.
Для измерения признаков применяются шкалы наименований, порядка, отношений, балльные, интервалов.
При использовании шкалы наименований указывается только, одинаковы или нет объекты относительно измеряемого признака.
Порядковые или ранговые признаки сравниваются только по отношению "больше — меньше".
Более точные измерения предполагают и большее число значений. В этом случае используются балльные шкалы. Значения балльной шкалы представляют собой ограниченный дискретный ряд чисел, отстоящих друг от друга на одинаковом расстоянии.
При дальнейшем увеличении точности измерений число значений можно увеличивать, доводя его до максимально осуществимого.
Условно все виды оценок делят на качественные и количественные.
При решении ряда задач синтеза систем комбинаторно-морфологическим методом возникает потребность в определении эффективности полученных решений по различным сочетаниям критериев качества. Это особенно актуально в тех случаях, когда синтезируемые системы мало отличаются друг от друга или от конкурирующего объекта по всему комплексу рассматриваемых критериев качества.
Для решения указанной задачи предложена методика исследования морфологических множеств систем, систематизированных в морфологических таблицах по различным сочетаниям критериев качества, которая реализована в виде компьютерной системы. Методика включает шесть процедур.
Процедура 1.
Исследование начинается с формирования морфологической таблицы. Здесь же может быть задан конкурирующий объект в виде комбинации альтернатив, соответствующих обобщенным функциональным подсистемам, образующим строки морфологической таблицы.
Процедура 2.
Формируется исходное множество наиболее важных критериев качества для расчета эффективности отдельных альтернатив морфологической таблицы и синтезированных целостных вариантов. Для каждой обобщенной функциональной подсистемы могут быть определены на основе исходного множества критериев подмножества, состоящие из полностью или частично пересекающихся по содержанию критериев качества.
Процедура 3.
Альтернативы морфологической таблицы оцениваются экспертом попарно или относительно стандартов. На основании экспертных данных по каждой обобщенной функциональной подсистеме вычисляется вектор приоритетов альтернатив по отдельным критериям качества.
Процедура 4.
Алгоритмом полного перебора на морфологической таблице генерируются все возможные варианты систем.
Процедура 5.
Для каждого синтезированного варианта системы генерируются все возможные парные, тернарные и т. д. сочетания критериев качества. По каждому сочетанию критериев качества рассчитываются их суммарные значения, которые присваиваются соответствующим альтернативам.
Процедура 6.
Осуществляется сравнение синтезированных вариантов систем между собой или с заданным конкурирующим объектом. При этом каждая анализируемая пара объектов сравнивается по всем сгенерированным в процедуре 5 сочетаниям критериев качества.
Выбор лучших вариантов производится в соответствии с тремя решающими правилами.
Решающее правило 1.
Требуется найти такое решение в множестве решений, сгенерированных в процедуре 4, эффективность которого имеет максимальное значение по заданному исследователем числу критериев качества, образующих некоторую i-ю композицию из множества полученных в процедуре 5.
Целевая функция для указанного правила имеет следующий вид:
где Эс — эффективность синтезированной системы;
аijk — относительная оценка альтернативы Аij по k-му критерию, являющейся элементом морфологической матрицы и компонентом синтезированной системы.
i — порядковый номер обобщенной функциональной подсистемы (ОФПСi), (i =

j — порядковый номер альтернативы, который может иметь различное максимальное значение у каждой ОФПСi;
k — критерий качества;
Р — число критериев качества, учитываемых при вычислении эффективности.
Решающее правило 2.
Для всех единичных критериев, а также сочетаний любых двух, трех, четырех и т. д. вплоть до всего рассматриваемого в задаче множества критериев качества необходимо определить одну или несколько наиболее эффективных систем, удовлетворяющих целевой функции (5.16).
Решающее правило 3.
Для всех единичных критериев, а также сочетаний любых двух, трех, четырех и т.д. вплоть до всего рассматриваемого в задаче множества критериев качества необходимо определить одну или несколько систем со значениями эффективности, максимально превышающими эффективность заданной конкурирующей системы. Целевая функция в данном случае имеет следующий вид:
где aijk — относительные оценки эффективности, относящиеся к альтернативам Аij, входящим в композицию синтезируемых систем;
bijk — относительные оценки эффективности, относящиеся к альтернативам, входящим в композицию, представляющую конкурирующую систему.
Рассмотрим пример выявления систем, синтезированных комбинаторно-морфологическим методом, обладающих более высокой эффективностью по ряду критериев по сравнению с заданным конкурирующим образцом.
Таблица 5.23 Морфологическая матрица с высокоэффективным конкурирующим аналогом (A11A21A31)
Пусть задана морфологическая таблица (табл. 5.23), содержащая в качестве наименований строк три обобщенные функциональные подсистемы. Каждая подсистема имеет по три альтернативы Аij для реализации первых. Все альтернативы оценены по одному множеству критериев качества К1, К2 и K3. Значения критериев качества для альтернатив приведены в соответствующих ячейках матрицы. В качестве конкурирующего варианта определена система, состоящая из альтернатив (A11A21A31). Альтернативы конкурирующего объекта по условию задачи не могут присутствовать в синтезируемых системах, подлежащих сравнению с первым. Таким образом, на морфологической матрице в результате синтеза получено 2×2×2=8 отличающихся друг от друга вариантов.
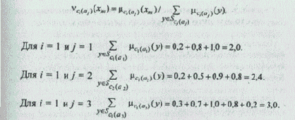
В табл. 5.24 для синтезированных решений приведены рассчитанные значения их эффективности (Эc) по всем единичным критериям качества, их парным и тернарным сочетаниям. Там же даны значения эффективности по соответствующим критериям для конкурирующего объекта (А11А21А31).
Таблица 5.24 Значения эффективности вариантов систем по различным критериям качества
Анализ приведенных результатов показывает, что по критериям К1 и К1K3 две новые синтезированные системы:
(А13А23А32) и (А13А23А33), а по критерию К3, также две системы:
(А13А22А32) и (А13А22А33) значительно эффективнее конкурирующего объекта.
Эти системы отмечены звездочкой (см. табл. 5.24).
По критерию K2 и сочетаниям критериев К1К2, К2К3, К1К2К3 конкурирующий объект превосходит в эффективности все синтезированные новые варианты систем.
Уроки по 3D Studio MAX. Различные эффекты
Автоматизация эвристических методов синтеза новых систем
В настоящее время из эвристических методов наиболее подготовленными к автоматизации являются метод генерирования случайных ассоциаций и алгоритм решения изобретательских задач (см. разд. 6.4). Программная реализация этих алгоритмов не представляет особого труда. Здесь рассматривается проект оболочки компьютерной системы, реализующей алгоритм решения изобретательских задач (АРИЗ) в области экономики, управления или проектирования организационных структур. Структура данной программной оболочки (рис. 6.1) во многом основывается на структуре системы "Изобретающая машина" (ИМ).
Компьютерная система по решению изобретательских задач включает ряд базовых подсистем. Подсистемы Приемы и Стандарты основаны на эвристических правилах преобразования экономических, управленческих или организационных систем. Подсистема Эффекты должна накапливать информацию об экономических, управленческих или технологических эффектах. В технических приложениях данная подсистема накапливает информацию о физических, химических и геометрических эффектах.
Подсистема АРИЗ достаточно универсальна. Она предназначена для разрешения экономических и управленческих противоречий в различных областях экономики и управления: Профильность подсистемы может меняться за счет ее наполнения разным содержанием в зависимости от типа задач, а также от используемых ресурсов.
Подсистема ФСА служит для проведения функционально-стоимостного анализа исследуемых систем.
Подсистема Самоучитель АРИЗ обеспечивает обучение экономистов и управленцев основам теории решения изобретательских задач и технологии решения задач с использованием ПК.
Подсистема Прогноз позволяет формировать идеи по прогнозированию развития экономико-управленческих систем.
Подсистема Пульсар предназначена для более качественного решения задач по анализу и синтезу алгоритмов работы информационных экономических и управленческих систем.
Архитектура развиваемой оболочки компьютерной системы может быть построена по аналогии с архитектурой системы "Изобретающая машина" и предусматривает следующие блоки (рис. 6.2): обучение основным понятиям, содержащимся в базе знаний, диалог по постановке задачи по результатам диалога, выдача идеи решения задачи, развитие идеи. Пред выдачей идей решения проводится предиалог, целью которого является подготовка ЛПР к пониманию сути идеи решения.
Блок постдиалога обеспечивает привязку идеи решения к задаче пользователя, а блок убеждения формирует файл разбора задач-аналогов.
В тех случаях, когда при получении идеи требуется решение дополнительных задач, управление передается блоку формирования подзадач с последующим выходом на начальный диалог. В остальных блоках проводятся оценка технико-экономического уровня и перспективности идеи, развитие получаемых идей, например, для получения дополнительных эффектов или распространения найденного принципа на другие области экономики и управления.
Для разрешения экономических, управленческих или организационных противоречий с использованием эвристических приемов может быть использована компьютерная экспертная система, основанная на формуле Байеса [18]. Эта экспертная система является инструментальным средством для быстрого создания экспертных систем принятия решений в различных предметных областях.
Модель базы знаний экспертной системы представляется в виде
М = {Н, S, G, P, VH, VS},
В процессе работы экспертной системы используются следующие зависимости:
Симптом с максимальной ценой в наибольшей мере изменяет априорные вероятности гипотез при подтверждении или отрицании этого симптома. Цены симптомов вычисляются для определения очередного симптома, относительно которого следует задать очередной вопрос пользователю.
Вопросы пользователю задаются в виде текста соответствующего симптома.
При этом требуется подтвердить или отвергнуть симптом.
Ответ пользователя задается в шкале: (-5,..., 0,...,+5), где -5 означает "нет", 0 — "не знаю", +5 — "да".
Если ответ пользователя -5 (отрицание соответствующего симптома Si), то априорная вероятность гипотезы Нj будет
P(Si ù Нj).
Если ответ 0, то вероятность гипотезы Нj не изменяется.
Если ответ +5, то априорная вероятность гипотезы Нj будет
P(Si ÷ Нj).
Для определения априорной вероятности гипотезы при остальных ответах пользователя используется кусочно-линейная аппроксимация.
После вычисления вероятности
P(Hj ÷ Ri),
где Ri, — ответ пользователя на симптом Si,
априорная вероятность Р(Нj) заменяется вычисленной апостериорной вероятностью.
Подтверждение (отрицание) симптома Si, связанного с гипотезой Нj, является положительным свидетельством для гипотезы Нj, если апостериорная вероятность больше априорной. Подтверждение (отрицание) симптома является отрицательным свидетельством для гипотезы, если апостериорная вероятность меньше априорной.
Для каждой гипотезы Нj вычисляется два числа:
Рmах (Нj) = M1j — апостериорная вероятность гипотезы при всех положительных свидетельствах и
Pmin (Нj) = M2j — апостериорная вероятность гипотезы при всех отрицательных свидетельствах.
Имеются три правила формирования результата работы экспертной системы.
Правило 1.
Подтверждение или отклонение гипотезы Нj. Если на некотором шаге работы новая вычисленная (апостериорная) вероятность Р гипотезы Нj становится больше
Рaj + L1 (М1j - Paj),
то гипотеза подтверждается (


- M2j),
то гипотеза отвергается. Коэффициенты L1 и L2 — настроечные параметры.
Правило 2.
Наиболее вероятный результат. Считается, что гипотеза Нr наиболее вероятна, если при любых дальнейших ответах пользователя апостериорные вероятности остальных гипотез не могут превысить значение апостериорной вероятности гипотезы Нr.
Правило 3.
Если не сработали первые два правила и все вопросы по симптомам исчерпаны, то в качестве результата выдается несколько гипотез с наибольшими апостериорными вероятностями.
После сеанса работы с экспертной системой пользователь имеет возможность получить разъяснение результатов ее работы.
Экспертная система снабжается блоком обучения базы знаний, который позволяет корректировать оценки вероятностей Р+ и Р- с процедурами заполнения траектории "вопрос — ответ" и подтверждения правильности ответа экспертной системой. Этот блок облегчает построение прикладных экспертных систем, поскольку ошибки первоначального наполнения систем могут исправляться в процессе сеансов работы с опытным экспертом-учителем.
Экспертная система может быть использована для решения широкого круга задач, в частности для синтеза рациональных решений с помощью эвристических приемов. Эвристический прием — это некоторая рекомендация экономисту-изобретателю, дающая направление изменения прототипа системы в искомое экономическое или управленческое решение. В основе метода эвристических приемов лежит понятие экономического или управленческого противоречия. Противоречие выявляется при анализе прототипа системы и описывается в терминах показателей экономического объекта в виде пары (X, Y), где Х— показатель, который необходимо улучшить в прототипе; Y — показатель, который недопустимо ухудшается.
При этом для фиксированного Х в одном прототипе может быть выделено несколько экономических или управленческих противоречий вида
(X, Y,), i =
Назначение экспертной системы по эвристическим приемам состоит в выдаче рекомендаций изобретателю-экономисту или управленцу по применению наиболее эффективных эвристических приемов для разрешения выявленных в прототипе противоречий.
В качестве гипотез здесь выступают эвристические приемы. Симптомами являются показатель, который необходимо улучшить, — X, и показатель, который при этом ухудшается, — Y.
В качестве базы знаний в данной экспертной системе используется таблица взаимосвязей противоречий и эвристических приемов. Интерпретацией симптома является противоречие. Считается, что симптом (X, Y) связан с гипотезой Н, если противоречие разрешается с некоторой вероятностью эвристическим приемом.
Экспертная система при взаимодействии с пользователем работает следующим образом.
Шаг 1. Пользователю предъявляется вопрос относительно некоторого показателя, который необходимо улучшить в прототипе.
Шаг 2. Пользователь, отвечая на указанный вопрос, выбирает этот показатель из меню.
Шаг 3. Система задает пользователю вопрос, ухудшается ли при этом некоторый другой показатель прототипа, и указывает этот показатель.
Шаг 4. Пользователь отвечает на поставленный вопрос по шкале (-5,..., 0,...,+5).
Шаг 5. Экспертная система проверяет решающие правила и либо выдает наиболее достоверный эвристический прием, либо формирует следующий прием.
Компьютеризация эвристических методов синтеза в области экономики и управления находится в стадии зарождения и требует значительных усилий исследователей в дальнейшем развитии этого направления. В перспективе ПК должна помогать человеку не только выполнять рутинную работу, но и способствовать повышению творческой активности при поиске новых рациональных решений [19]..
АВТОМАТИЗИРОВАННЫЕ СИСТЕМЫ ПРИНЯТИЯ, ПЛАНИРОВАНИЯ И СИНТЕЗА РЕШЕНИЙ
Повышение качества и производительности труда — "вечная" проблема. При этом особенно сложно повысить эффективность творческого труда, к которому относятся процедуры принятия, планирования и синтеза рациональных и новых решений в экономике. Одним из наиболее перспективных способов решения этой проблемы является создание автоматизированных систем.
Создание принципиально новых экономических систем и выработка эффективных управленческих решений всегда будет прерогативой высокотворческих личностей, поскольку даже в суперПК невозможно вдохнуть душу человека и заложить в ее память постоянно развивающуюся модель знаний творческой личности, являющейся частью модели мира. Тем не менее для принятия, планирования и синтеза экономических решений среднего уровня уже сейчас активно разрабатываются компьютерные интеллектуальные системы, способные синтезировать решения более эффективно, чем человек. В настоящее время такие системы развиваются не в направлении подключения дополнительных программных модулей и создания требуемых баз данных, а в радикальном перераспределении вычислительных работ и концентрации пользовательских, поисковых задач синтеза решений в экспертных системах, которые могут рассматриваться как особые комплексные подсистемы со своими информационной базой и программным обеспечением общего и специального назначения.
Этап 1.
Выбор задачи.
1.1. Определить конечную цель решения задачи:
• Какую характеристику системы необходимо изменить?
• Какие характеристики объекта заведомо нельзя менять при решении задачи?
• Какие расходы снизятся, если задача будет решена?
• Каковы допустимые затраты?
• Какой главный показатель качества необходимо улучшить?
1.2. Проверить обходной путь. Допустим, что задача принципиально не решена. Тогда какую другую задачу необходимо решить, чтобы получить требуемый конечный результат:
• переформулировать задачу, перейдя на уровень надсистемы, в которую входит данная в задаче система;
• переформулировать задачу, перейдя на уровень подсистем, входящих в данную в задаче систему;
• на трех уровнях (надсистема, система, подсистема) переформулировать задачу, заменив требуемое действие обратным.
1.3. Определить, решение какой задачи целесообразнее — первоначальной или одной из обходных. Произвести выбор.
1.4. Определить требуемые количественные показатели.
1.5. Увеличить требуемые количественные показатели, учитывая время, необходимое для реализации изобретенной системы.
1.6. Уточнить требования, выдвинутые конкретными условиями, в которых предполагается реализация изобретенной системы.
1.7. Проверить, решается ли задача прямым применением стандартных решений.
1.8. Применить оператор РВС (размеры, время, стоимость):
• мысленно меняем размеры системы от заданной величины до 0. Как теперь решается задача?
• мысленно меняем размеры системы от заданной величины до ¥. Как теперь решается задача?
• мысленно меняем время процесса (или скорость) от заданной величины до 0. Как теперь решается задача?
• мысленно меняем время процесса от заданной величины до ¥. Как теперь решается задача?
• мысленно меняем стоимость системы или процесса от заданной величины до 0 или от заданной величины до ¥. Как при этом решается задача?
Построение модели задачи.
2.1. Записать условия задачи, не используя специальные термины.
2.2. Выделить и записать конфликтную пару элементов системы.
Записать два взаимодействия элементов конфликтующей пары: имеющееся и то, которое надо ввести.
Записать стандартную формулировку модели задачи, указав конфликтующую пару и внутреннее противоречие системы.
Анализ модели задачи.
3.1. Выбрать из элементов, входящих в модель задачи, тот, который можно легко изменять, заменять и т.д.
3.2. Записать стандартную формулировку идеального конечного результата (ИКР).
3.3. Выделить ту зону системы или элемента системы, которая непосредственно не обеспечивает достижение требуемого ИКР.
3.4. Сформулировать противоречивые требования к состоянию выделенной зоны системы.
3.5. Записать стандартную формулировку экономического, управленческого или организационного противоречия: выделенная зона системы (указать) должна быть (указать состояние), чтобы выполнять полезное взаимодействие (указать), и должна быть (указать состояние), чтобы предотвращать вредное воздействие (указать).
Устранение противоречия.
4.1. Рассмотреть простейшие преобразования выделенной зоны:
• разделение противоречивых свойств в пространстве;
• разделение противоречивых свойств во времени;
• разделение противоречивых свойств путем использования переходных состояний, при которых сосуществуют или попеременно появляются противоречивые свойства;
• разделение противоречивых свойств перестройкой структуры (частицы выделенной зоны наделяются имеющимся свойством, а вся выделенная зона в целом наделяется требуемым (конфликтующим) свойством).
4.2. Использовать фонд эвристических приемов для устранения противоречия в системе.
Предварительная оценка полученного решения.
5.1. Провести предварительную оценку полученного решения.
5.2. Оценить новизну полученного решения.
5.3. Определить подзадачи, которые могут возникнуть при практической реализации полученной идеи.
Развитие полученного ответа.
6.1. Определить, как должна быть изменена надсистема, в которую входит измененная система.
6.2. Проверить, может ли измененная система применяться по-новому.
6.3. Использовать полученный ответ при решении других экономических, управленческих и организационных задач.
ЭВРИСТИЧЕСКИЕ МЕТОДЫ СИНТЕЗА СИСТЕМ
Под эвристическим синтезом понимается способ решения какой-либо поставленной задачи, включающий совокупность приемов мыслительной деятельности, а также операций по сбору, анализу, обработке и хранению информации. Эвристические методы синтеза используются при необходимости поиска как можно большего числа новых рациональных решений для реализации полезных функций системы, для устранения или ослабления отрицательного эффекта ненужных и излишних функций, для эффективного синтеза новых или рациональных систем.
Эвристические методы синтеза направлены на реализацию эффективных решений, отвечающих современному уровню развития науки, экономики и систем управления и т.п., за счет увеличения функционально взаимозаменяемых вариантов, позволяющих приблизить синтезируемую систему к минимальным, функционально оправданным затратам.
Эвристический синтез базируется на эвристике — науке о творческом мышлении, кроме того, используются положения таких наук, как психология творчества, системный анализ, исследование операций, теория игр, праксеология и др. Эвристический синтез нередко приводит к получению принципиально новых решений.
В России и за рубежом разработано большое число методов эвристического синтеза для решения задач в различных областях — технике, экономике, управлении, дизайне и др. В этой главе будут даны те эвристические методы, которые наиболее удачно могут быть применены для поиска эффективных экономических, управленческих и организационных решений.
Фонд эвристических приемов
Для синтеза новых рациональных решений в области экономики или управления целесообразно использовать фонды эвристических приемов. Под эвристическим приемом понимается правило, предписывающее способ преобразования известной системы в новую, более эффективную.
На основе фонда эвристических приемов, адаптированных для решения творческих задач в области экономики и управления (см. Приложение) целесообразно формировать персональные фонды с учетом особенностей предметной области.
При создании персонального фонда необходимо учитывать следующие рекомендации.
1. Изложение эвристических приемов в ряде случаев должно быть ориентировано на интересующий специалиста класс задач и активизировать творческое мышление.
2. Для каждого эвристического приема целесообразно подбирать примеры решения задач из своей области или функционально близких областей. Такие примеры, с одной стороны, являются образцами аналитических задач, помогающими эффективно использовать тот или иной прием при решении новой задачи, а с другой — они могут быть использованы как готовые или полуготовые решения в рассматриваемой задаче.
3. Проведение систематического изучения моментов перехода от известного решения к улучшенным экономическим и управленческим решениям и формулирование новых обобщенных эвристических приемов.
4. Изучение эволюции экономических, управленческих и организационных систем в целях формулирования эвристических приемов, ориентированных на интересующий специалистов класс систем, и подбора для них типичных приемов решения творческих задач.
5. Обобщение опыта удачно решенных задач и формулирование новых эвристических приемов.
Преобразование структуры.
1.1. Исключить наиболее напряженный элемент.
1.2. Исключить элемент при сохранении объектом всех прежних функций.
1.3. Убрать лишние структурные элементы, даже если будет потерян один процент эффекта.
1.4. Обеспечить выполнение одним элементом нескольких функций, благодаря чему отпадет необходимость в других элементах.
1.5. Присоединить к базовой системе дополнительный специализированный элемент.
1.6. Заменить связи между элементами систем.
1.7. Заменить источник финансирования, кредитования и т. д.
1.8. Существенно изменить компоновку системы.
1.9. Сосредоточить органы управления и контроля в одном месте.
1.10. Ввести единую систему управления или финансирования, кредитования и т. д.
1.11. Соединить однородные или предназначенные для смежных операций объекты.
1.12. Объединить в единое целое объекты, имеющие самостоятельное назначение, которое сохраняется после объединения в новом комплексе.
1.13. Использовать принцип агрегирования. Создать базовую систему, на которую можно "навесить" различные (в различных комбинациях) новые функциональные подсистемы.
1.14. Совместить или объединить явно или традиционно несовместимые системы, устранив возникающие противоречия.
1.15. Найти глобально оптимальную структуру.
1.16. Выбрать (придумать) наиболее красивую структуру.
2. Преобразование в пространстве (при проектировании офисов, маркетов и т. п.).
2.1. Изменить традиционную ориентацию в пространстве (положить набок, повернуть низом вверх. Повернуть путем вращения и т. д.).
2.2. Использовать "пустое пространство" между элементами системы (один элемент системы может проходить сквозь полость в другом элементе системы).
2.3. Объединить известные порознь элементы системы с размещением одного внутри другого по принципу "матрешки".
2.4. Заменить размещение по одной линии размещением по нескольким линиям или плоскостям. Инверсия приема.
2.5. Заменить размещение на плоскости размещением по нескольким плоскостям или в трехмерном пространстве. Инверсия приема.
2.6. Изменить направление действия силы.
2.7. Приблизить рабочие органы системы к месту выполнения ими своих функций без передвижения самой системы.
2.8. Заранее расставить объекты так, чтобы они могли вступить в действие с наиболее удобного места и без затрат времени на доставку.
2.9. Перейти от последовательного соединения элементов к параллельному или смешанному. Инверсия приема.
2.10. Разделить объект на части так, чтобы приблизить каждую из них к тому месту, где она работает.
2.11. Разделить систему на две части: объемную и необъемную, вынести объемную часть за пределы, ограничивающие объем.
2.12. Вынести элементы, подверженные действию вредных факторов, за пределы их действия.
2.13. Перенести (поместить) систему или ее элемент в другую среду, исключающую действие вредных факторов. Выйти за традиционные пространственные ограничения.
3. Преобразования во времени.
3.1. Перенести выполнение действия на другое время. Выполнить требуемое действие до начала работы или после ее окончания.
3.2. Перейти от непрерывного действия (процесса) к периодическому, или импульсному. Инверсия приема.
3.3. Перейти от стационарного во времени режима к изменяющемуся.
3.4. Исключить бесполезные (вредные) интервалы времени. Использовать паузу между периодическими действиями для осуществления другого действия.
3.5. По принципу непрерывного полезного действия осуществлять работу системы непрерывно, без холостых ходов. Все элементы системы должны работать с полной нагрузкой все время.
3.6. Изменить последовательность выполнения операций.
3.7. Перейти от последовательного осуществления операций к параллельному (одновременному). Инверсия приема.
3.8. Совместить экономические (технологические, организационные) процессы или операции. Объединить однородные или смежные операции. Инверсия приема.
4. Приемы дифференциации.
4.1. Разделить движущийся поток информации на два или несколько.
4.2. Разделить систему на части.
4.3. Дифференцировать экономические и другие источники; приблизить их к исполнительным органам.
4.4. Сделать автономным управление каждого элемента системы.
4.5. Провести дробление традиционной целостной системы на мелкие однородные элементы, выполняющие однородные функции. Инверсия приема.
4.6. Придать системе блочную структуру, при которой каждый блок выполняет самостоятельную функцию.
4.7. Выделить в системе самый нужный элемент (нужное свойство) и усилить его, улучшить условия его работы.
5. Количественные изменения.
5.1. Резко изменить (в несколько раз) параметры или показатели системы (ее элементов, окружающей среды).
5.2. Увеличить (или уменьшить) в системе число одинаковых или подобных друг другу элементов. Изменить число одновременно действующих или обрабатываемых элементов системы.
5.3. Увеличить (или уменьшить) степень дробления системы.
5.4. Допустить незначительное уменьшение требуемого эффекта.
5.5. Использовать идею избыточного решения (если трудно получить 100 % требуемого эффекта, задаться целью получить несколько больше имеющегося).
5.6. Изменить вредные факторы так, чтобы они перестали быть вредными.
5.7. Уменьшить число функций системы с тем, чтобы она была более специализированной, соответствующей только оставшимся функциям и требованиям.
5.8. Гиперболизировать, значительно увеличить размеры системы и найти ей применение. Инверсия приема.
5.9. Создать местное локальное качество; осуществить локальную концентрацию усилий.
5.10. Найти глобально оптимальные параметры экономической (управленческой, организационной и т. д.) системы по различным критериям качества.
6. Использование профилактических мер.
6.1. Предусмотреть прикрытие и защиту легко повреждающихся элементов.
6.2. Ввести предохранительные устройства или блокировку.
6.3. Выполнить систему модульной, так чтобы можно было заменять отдельные поврежденные части.
6.4. Для сокращения времени простоев и повышения надежности создать легко используемый запас рабочих элементов. Предусмотреть в ответственных частях системы дублирующие элементы.
6.5. Заранее придать системе качества сопротивления нежелательным воздействиям окружающей среды.
6.6. Заранее придать объекту изменения, противоположные недопустимым или нежелательным изменениям, возникающим в процессе работы.
6.7. Придать системе новое свойство, например обеспечить его самовосстановление.
6.8. Выполнить элементы системы взаимозаменяемыми.
6.9. Разделить систему на части так, чтобы при выходе из строя одного элемента система в целом сохраняла работоспособность.
6.10. Для повышения надежности заранее подготовить аварийные средства.
6.11. Обеспечить уменьшение или устранение колебательных и инерционных процессов.
6.12. Использовать объекты живой и неживой природы при формировании зоны эстетического воздействия (создание зеленой изгороди из деревьев и кустарников, маскировка и т. д.).
6.13. Исключить из окружающей предметной среды объекты, вызывающие отрицательные эмоции.
6.14. Осуществить разработку новых технологий, обеспечивающих резкое уменьшение финансовых нарушений в различных сферах деятельности.
7. Использование резервов.
7.1. Использовать периодически возникающие доходы для получения дополнительного эффекта.
7.2. Компенсировать чрезмерный расход прибыли получением какого-либо дополнительного положительного эффекта.
7.3. Устранить вредный фактор (например, за счет компенсации его другим вредным фактором).
7.4. Вместо действия, диктуемого условиями задачи, осуществить противоположное по эффекту действие.
7.5. Выполнивший свое назначение или ставший ненужным элемент использовать для других целей.
7.6. Использовать вредные факторы для получения положительного эффекта.
7.7. Выбрать и обеспечить оптимальные параметры (себестоимость, процентные ставки и др.).
7.8. Уточнить расчетные параметры на основе использования более точных математических моделей и ПК.
7.9. После улучшения какого-либо элемента системы определить, как должны быть изменены другие элементы, чтобы эффективность системы в целом еще более повысилась.
8. Преобразование по аналогии.
8.1. Применить объект, предназначенный для выполнения аналогичной функции, в другой отрасли экономики.
8.2. Использовать в качестве прототипа искомого экономического (управленческого, организационного и т. п.) решения аналогии из близких или отдаленных областей экономики.
8.3. Применить решение, аналогичное имеющемуся в наиболее развитых экономических странах, в научно-фантастической литературе и т. д.
8.4. Использовать аналогии свойств других систем; использовать свойства без самой системы.
8.5. Использовать принцип имитации, заключающийся в создании таких систем, которые по своим свойствам аналогичны другой системе.
8.6. Использовать эмпатию: мысленно превратить себя в систему, с помощью своих ощущений найти наиболее целесообразное решение.
8.7. Вместо недоступной, сложной, дорогостоящей системы использовать ее упрощенные копии, модели, макеты.
Функции и структура автоматизированной системы принятия, планирования и синтеза решений
Структура системы принятия, планирования и синтеза рациональных решений в области экономики и управления приведена на рис. 7.1. Система включает три функциональные подсистемы: принятия решений, аналитического планирования и комбинаторно-морфологического синтеза.
Диалоговый монитор системы организует в соответствии с выбранной пользователем задачей работу всех трех подсистем и их компонентов, в частности: изменение порядка взаимодействия компонентов, добавление новых схем решения функциональных задач, диалоговое управление вызовом очередных компонентов систем. В целом диалоговый интерфейс построен на принципах функционирования экспертной системы, использующей знания о процедурах решения выбранного класса задач.
В рамках данной системы автоматизируются следующие функции экономиста (управленца) — аналитика:
• хранение информации;
• поиск информации по запросам в базах данных и знаний для анализа взаимосвязей объектов, изучения состава объектов, анализа значений характеристик, уточнения функций и условий функционирования исследуемых объектов;
• формирование социально-экономических и технологических требований и критериев качества к исследуемой системе;
• генерация вариантов сложных многокомпонентных систем;
• многокритериальный анализ вариантов и выбор лучшего из них;
• построение планов вычислений и проведение расчетов;
• логический вывод информации на основе имеющихся знаний.
Функциональная подсистема аналитического планирования.
Она включает в себя компонент формирования процессов планирования в прямом и обратном направлениях; базу данных наименований сил, акторов, целей акторов, критериев качества, политик, сценариев; базу знаний прямых и обратных иерархических процессов планирования; базу знаний решенных задач. Подсистема аналитического планирования взаимодействует с компонентом математических методов многокритериального выбора альтернатив на иерархических структурах.
Формирование прямого и обратного процессов планирования обеспечивается средствами графического интерфейса и математическим компонентом подсистемы принятия решений. В частности, для этой цели используется метод анализа иерархий. Этот компонент позволяет пользователю формировать процессы планирования и проводить сравнительную оценку обобщенных сценариев, осуществлять калибровку переменных состояний и оценку последствий принимаемых решений.
База данных содержит систематизированную по различным ситуациям планирования развития экономических отраслей информацию: о политических, экономических и социальных силах, действующих в обществе; об акторах, т. е. социальных группах, влияющих на процесс планирования и исходы; о целях акторов, критериях качества, конкретизирующих цели, и о политиках, которые предпринимаются акторами для достижения целей; о вероятных сценариях развития исследуемого процесса.
База знаний иерархий содержит знания о прямых и обратных процессах планирования в виде иерархических систем и векторов . приоритетов элементов, расположенных на иерархических уровнях. Иерархические системы классифицированы по отраслям экономики.
База знаний решенных задач хранит и накапливает всю информацию о каждой задаче планирования, просчитанной данной подсистемой. Накопление подобных знаний позволяет прослеживать динамику планирования близких по содержанию задач планирования и накапливать знания для последующих обобщений в целях создания самообучающейся системы.
Функциональная подсистема комбинаторно-морфологического синтеза
Она содержит компонент формирования морфологических таблиц; компонент математических методов комбинаторно-морфологического синтеза, распределения ресурсов и подсистем; базу данных критериев качества; базу данных классификационных признаков; базу знаний решенных задач.
Компонент формирования морфологических таблиц обеспечивает ввод в систему таблиц различной структуры и размерности в графическом режиме. Сформированная таким образом морфологическая таблица содержит для решения конкретной задачи всю необходимую информацию о функциональных подсистемах, альтернативах, критериях качества, предпочтениях, параметрах.
Формирование морфологических таблиц для решения задач осуществляется двумя способами: непосредственным вводом новой таблицы пользователем в диалоговом режиме; с использованием базы знаний решенных аналогичных задач и баз данных критериев качества, функциональных подсистем и классификационных признаков. Для оценки альтернатив, систематизированных морфологической таблицей, привлекается подсистема принятия решений.
Компонент математических методов содержит все рассмотренные в предыдущих разделах комбинаторно-морфологические методы синтеза рационального распределения ресурсов между альтернативами и кластерного анализа морфологических множеств.
База данных функциональных подсистем содержит информацию об основных характеристиках элементов, из которых синтезируются сложные экономические, управленческие или организационные системы.
База данных критериев качества позволяет накапливать и отбирать из нее критерии, наиболее важные для решения конкретной задачи. При этом главные критерии не ускользают из поля деятельности исследователя.
База данных классификационных признаков содержит информацию о качественных функциональных, структурных и параметрических признаках и их значениях. Признаки и их значения образуют родовидовые классификации и сгруппированы с учетом различных функциональных подсистем.
База знаний решенных задач накапливает и хранит знания о практически решенных задачах для использования накопленного опыта в типовых ситуациях синтеза рациональных систем. База знаний хранит всю входную и выходную информацию.
Функциональная подсистема принятия решений
Она включает в себя компонент математических методов ранжирования альтернатив и распределения ресурсов с учетом многокритериальности, базу данных критериев качества, базу знаний иерархий критериев качества и функций принадлежности, базу знаний решенных задач по принятию решений.
Компонент математических методов реализует методы многокритериального анализа и выбора вариантов, в основе которых лежат методы анализа иерархий и принятия решений на нечетких множествах, а также методы комбинаторики для решения задач оптимального распределения ресурсов.
База данных критериев качества содержит информацию о различных социально-экономических, технологических, экологических, антропогенных и других критериях, которые классифицированы по различным экономическим, управленческим и организационным проблемам. База данных критериев постоянно пополняется новой информацией.
База знаний иерархий критериев качества и функций принадлежности накапливает и хранит знания о наиболее типовых иерархиях и функциях из различных отраслей экономики. Она строится на основе знаний высококвалифицированных специалистов предметных областей и может быть использована при решении типовых задач без существенной корректировки значений функций принадлежности и иерархических структур критериев.
База знаний решенных задач хранит и накапливает информацию о компонентах решенных практических задач по принятию решений. К таким компонентам причислены функции принадлежности по различным критериям; иерархические структуры критериев, экспертные оценки степени предпочтительности исследуемых альтернатив и относительной важности критериев, векторы приоритетов альтернатив по всем рассматриваемым в задаче критериям и для каждого эксперта, участвовавшего в решении задач принятия и обоснования рациональных решений.
Компонент математических методов для поддержки динамических процессов в иерархических системах имеет ряд особенностей, не рассматриваемых ранее.
Данный компонент расширен следующими процедурами:
• процедурой подбора функций и построения полиномов, аппроксимирующих динамику изменения предпочтений на основе информации, хранящейся в базе данных;
• процедурой численного решения уравнения (2.4) для матриц произвольной размерности, элементы которых заданы функциями из табл. 2.2;
• процедурой построения регрессионных зависимостей приоритетов от времени на основе информации, содержащейся в базе данных.
Задача прогнозирования решается в системе двумя способами: путем построения аппроксимирующих зависимостей на основе имеющейся в базе данных информации с последующим их использованием для построения динамических матриц парных сравнений на определенном отрезке времени, а также путем экспертной оценки вероятного изменения предпочтений с помощью функциональной шкалы (см. табл. 2.2) и последующего численного решения уравнения вида (2.4).
Получение динамических приоритетов также возможно путем аппроксимации информации, хранящейся в базе данных, или в результате решения уравнения (2.4).
База данных системы для поддержки динамических процессов принятия решений выполняет две основные функции. Она используется для информационной поддержки пользователя при формировании новых задач в данной предметной области, а также в процессах анализа при извлечении знаний. Представление информации о целях, критериях, альтернативах, экспертах и, наконец, предпочтениях сопряжено со сложностями, поскольку между элементами данных существует множество связей различного характера. В соответствии с основными функциями данные можно разделить на две категории, одна из которых, наиболее общая, обеспечивает информационную поддержку пользователя, а другая, более конкретная, используется в процессах извлечения знаний. К первой категории относится информация об альтернативах, критериях и экспертах. Данные об этих объектах можно организовать в виде пополняемых списков и таблиц. Вторая категория данных содержит ссылки на конкретные альтернативы, критерии и экспертов, участвовавших в решении определенной задачи, а также включает информацию обо всех предпочтениях и приоритетах. Для представления данных первой категории хорошо подходит любая модель, данные второй категории плохо вписываются во все модели. Поэтому для их представления используется собственный формат, названный "файл задачи".
Сравнение реляционной и файловой моделей показало явные преимущества последней по возможностям представления сложных данных, при этом трудоемкость реализации такой системы значительно выше.
Классификация эвристических методов синтеза
Наиболее значимым признаком классификации методов эвристического синтеза является наличие или отсутствие алгоритма, организующего мыслительный процесс. По этому признаку можно выделить две группы методов: методы ненаправленного (полуупорядоченного) синтеза, опирающиеся только на простейшие приемы ассоциативного мышления; методы направленного (упорядоченного) синтеза, для которых характерны комплексный подход, системный анализ проблемы и алгоритмизация творческого процесса.
Классификация систем принятия и синтеза решений
Существующие интеллектуальные системы в большей степени ориентированы на реализацию методов принятия и синтеза решений, методов оптимизации, эвристических алгоритмов, чем на реализацию функций систем управления базами данных, информационно-поисковых систем и т. п.
Рассмотрим классификацию систем принятия и синтеза решений по основным классификационным признакам.
По характеру поддержки решений можно выделить два класса систем:
1) системы специального назначения, ориентированные на решение определенного класса задач;
2) универсальные системы, обеспечивающие возможность быстрой настройки на конкретную задачу синтеза или принятия решений.
Основная масса существующих систем соответствует второму классификационному признаку.
По характеру взаимодействия пользователя и системы можно выделить три класса:
1) системы, инициатором диалога в которых является ПК, а пользователь выступает в роли пассивного исполнителя;
2) системы, в которых пользователь активен и является инициатором диалога;
3) системы, характеризующиеся последовательной передачей управления от пользователя к системе и наоборот.
Безусловно, системы второго класса представляют наибольший интерес, поскольку они дают пользователю полную свободу выбора действий. Однако реализация подобного способа взаимодействия в системах, предназначенных для пользователей-непрофессионалов, должна основываться на естественном языке общения. Достаточный синтаксический и семантический анализ запроса требует очень большого объема оперативной памяти, а также составления универсального тезауруса. Такой способ взаимодействия может быть реализован лишь на ПК пятого поколения, функционирующих на принципах искусственного интеллекта.
Большинство разрабатываемых диалоговых систем относится к третьему классу. Принцип последовательной передачи управления позволяет пользователю взять управление на определенном этапе в свои руки и тем самым как бы вмешаться в процесс решения задачи, изменив его в нужном направлении, путем задания параметров, выбора метода и т. п.
По наличию и характеру базы данных в системе различают:
1) системы, не предусматривающие каких-либо способов накопления и хранения информации;
2) системы, имеющие базу данных или совокупность файлов для сбора, накопления и выдачи информации;
3) системы, имеющие развитые системы управления базами данных.
Все указанные системы могут быть использованы для накопления как объективной статистической, так и экспертной информации. При этом накопление объективной информации осуществляется, как правило, на один шаг быстрее, чем экспертной.
По наличию интеллектуального компонента в системе различают:
1) системы, не предусматривающие каких-либо способов накопления и обработки плохо формализуемых знаний;
2) системы, имеющие базы знаний, механизмы вывода и объяснения полученных решений.
Появление технологии обработки знаний сделало возможным использование в рамках автоматизированных процедур богатого методического задела из области искусственного интеллекта. В области экономики и управления существует много задач, содержащих как хорошо формализуемые процедуры, на которых применяются традиционные математические методы, так и плохо формализуемые процедуры, характеризующие творческие аспекты исследуемого процесса.
Поэтому модель для решения подобных задач должна представлять собой симбиоз методов обработки знаний и традиционных математических методов. При этом процедуры обработки знаний выступают в качестве среды, не отрицающей или заменяющей уже разработанные фрагменты, а органично интегрирующей их.
Использование в системах принятия и синтеза экономико-управленческих решений теории искусственного интеллекта представляется особенно актуальным и перспективным.
При интеллектуализации экономических информационных систем должны быть обеспечены:
• возможность использования всех способов представления знаний (процедурного, продукционного, семантического);
• реализация хранения и доступа к знаниям в рамках банка знаний;
• многокритериальный анализ альтернатив;
• построение заключений на основе количественного вывода о возможности сочетания реализаций составных частей системы, о значениях характеристик реализаций в нетиповых условиях функционирования и др.;
• обработка не полностью определенной информации в ходе принятия, планирования и синтеза экономико-управленческих решений;
• взаимодействие перечисленных процедур обоснования решений.
Контрольные вопросы и задания
Дайте характеристику основным классификационным признакам, характеризующим задачи комбинаторно-морфологического анализа и синтеза систем.
Сформулируйте постановку задачи комбинаторно-морфологического анализа и синтеза систем.
Какой вид информации может использоваться в формализованных процедурах морфологического анализа и синтеза?
Разработайте алгоритмы и программы кластерного анализа морфологических множеств.
Исследуйте морфологические множества экономических систем по отношениям сходства, различия, иерархии. Выявите в морфологических множествах наиболее оригинальные и типовые решения.
Сформулируйте основные целевые функции, используемые при синтезе рациональных решений на морфологических множествах.
Разработайте алгоритмы и программы синтеза рациональных вариантов на морфологических таблицах с использованием различных целевых функций и подходов по генерации целостных вариантов систем из отдельных компонентов.
Укажите особенности синтеза вариантов систем на морфологических таблицах при снятых ограничениях на число и состав функциональных подсистем в целостном варианте.
Разработайте прикладную программу для поиска рациональных вариантов экономических систем на основе метода комбинаторно-морфологического анализа и синтеза систем.
Разработайте прикладную программу по распределению ресурсов между альтернативами для сложных многокомпонентных систем.
Предложите развитие подходов распределения ресурсов для задач, формализуемых комбинаторно-морфологическим методом.
Контрольные вопросы и задания
Сформулируйте основные классификационные признаки эвристических методов синтеза систем.
В чем заключаются основные принципы поиска новых рациональных систем методом, основанным на фонде эвристических приемов?
Предложите новые принципы построения компьютерной системы, основанной на использовании фонда эвристических приемов.
Дайте характеристики различным методам "мозгового штурма".
Предложите вариант создания компьютерной системы для поддержки творческого процесса синтеза новых эффективных систем, осуществляемого методом "мозгового штурма".
Разработайте каталоги признаков для решения прикладных задач конкретной экономической предметной области методами ассоциаций и аналогий.
Разработайте компьютерную систему синтеза решений на основе метода ассоциаций.
Охарактеризуйте особенности метода синектики.
Предложите экономические задачи для решения методами контрольных вопросов и коллективного блокнота. Опишите технологию их решения.
Разработайте "матрицы открытия" для решения прикладных экономических задач. Осуществите поиск рациональных вариантов, удовлетворяющих исходной постановке задачи.
Сформулируйте творческую экономическую задачу. Решите задачу методом АРИЗ. Опишите процесс решения задачи.
Контрольные вопросы и задания
Дайте обоснование необходимости автоматизации процессов принятия, планирования и синтеза экономических решений.
По каким основным признакам классифицируются компьютерные системы принятия и синтеза решений?
Каковы правила и принципы разработки программных средств?
Приведите основные требования, предъявляемые к методам защиты информации.
Предложите новую концептуальную структуру и набор функций автоматизированной системы принятия и синтеза решений для выбранной вами конкретной экономической области.
Проведите научное исследование по выявлению процедур эвристических методов, которые целесообразно формализовать в ближайшем будущем и в перспективе (первое десятилетие XXI в.).
Литература
Одрин В.М. Морфологический синтез систем: постановка, классификация методов, морфологические методы "конструирования" / Препринт АН УССР. Ин-т кибернетики, 86-3. Киев, 1986. — 37 с.
Дубов Ю.А., Травкин С.И., Якимец В.Н. Многокритериальные модели формирования и выбора вариантов систем. — М.: Наука, 1986. — 296 с.
Дубров A.M., Мхитаряч B.C., Трошин Л.И. Многомерные статистические методы. — М.: Финансы и статистика, 1998. — 369 с.
Андреев В.Л. Классификационные построения в экологии и систематике. — М.: Наука, 1980. — 142 с.
Половинкчн А.И. Законы строения и развития техники: Учеб. пособие. — Волгоград: ВолгПИ, 1985. — 202 с.
Семкчн Б.И., Двойченков В.И. Об эквивалентности мер сходства и различия. // Исследование систем. 1 .Сложные системы. — Владивосток: ДВНЦ,1973. — С. 95 — 104.
Kaufmann A. Imagination artificielle (Heuristigue automatique) // R.I.R.O. — 1969.— V.3.—№3.—Р.5—24.
Zwicky F. The morphological approach to discovery, invention research and construction. // Zwicky F., Welson A. New methods of thought and procedure. — Berlin, Springer, 1967. — P. 78 — 297.
Zwicky F. Entdecken, Erfinden, Forschen im Morphologische Weltbild, Munich et Zurich, 1966; Discovery, Invention, Research through the Morphological Approach, Macmillan, New York, 1969.
Альтшуллер Г.С. Алгоритм изобретения. —М.: Московский рабочий, 1973. — 296 с.
Альтшуллер Г.С. Творчество как точная наука. — М.: Сов. радио, 1979. — 184 с.
Буш Г.Я. Методологические основы научного управления изобретательством. — Рига: Лиесма, 1974. — 167 с.
Гильде В., Штарке К. Нужны идеи: Пер. с нем. — М.: Мир, 1973. — 64 с.
Голдовский Б.И; Вайнерман М.И. Рациональное творчество. — М.: Речной транспорт, 1990. — 120 с.
Джонс. Дж.К. Методы проектирования: Пер. с англ.- 2-е изд., доп. — М.: Мир, 1986. — 326 с.
Диксон Д. Проектирование систем: изобретательство, анализ, принятие решений: Пер. с англ. — М.: Мир, 1969. — 440 с.
Загоруйко Н.Г. Методы обнаружения закономерностей. — М.: Знание, 1981. —62 с.
Одрин В.М; Картавов В.В. Некоторые итоги и перспективы развития морфологического анализа систем / Препринт АН УССР. Ин-т кибернетики, 73-62. — Киев, 1973. — 83 с.
Одрин В.М; Картавов В.В. Морфологический анализ систем. — Киев: Наукова думка, 1977. — 183 с.
Одрин В.М. Метод морфологического анализа технических систем. — М.: ВНИИПИ, 1989. — 312 с.
Повилейко Р.П. Классификация методов решения конструкторско-изобретательских задач (десятичные матрицы поиска). // Проблемы информатики. — Новосибирск: Наука, 1972. — Вып.5. — С. 5 — 37.
Повилейко Р.П. Инженерное творчество. — М.: Знание, 1977. — 62 с.
Техническое творчество: теория, методология, практика. Энциклопедический словарь-справочник / Под ред. А. И. Половинкина, В. В. Попова. — М.: НПО "Информ-система", 1995. — 408 с.
Титов В.Н. Выбор целей в поисковой деятельности (методы анализа проблем и поиска решений в технике). — М.: Речной транспорт, 1991.— 125 с.
Тринг М; Лейтуэйт Э. Как изобретать?: Пер. с англ. — М.: Мир, 1980. — 272 с.
Цуриков В.М. Проект "Изобретающая машина" - интеллектуальная среда поддержки инженерной деятельности // ТРИЗ. — 1991. — №2.1.—С. 17 -35.
Дворянкин А. М. Экспертная система для принятия проектных решений // Инновационное проектирование в образовании, технике и технологии: Межвуз. сб. научн. тр. — Волгоград, Изд-во ВолгГТУ, 1996. — С. 25 — 34.
Андрейчиков А. В., Андрейчикова О. Н. Компьютерная поддержка изобретательства. — М.: Машиностроение, 1998. — 467 с.
Довгяло А. М. Диалог пользователя с ПК: Основы проектирования и реализации. — Киев: Наукова думка, 1981. — 232 с.
Сакман Г. Решение задач в системе человек — ПК. — М.: Мир, 1973.—351 с.
Мишенин А. И. Теория экономических информационных систем. — М.: Финансы и статистика, 1999. — 243 с.
Андрейчиков А. В., Андрейчикова О.Н., Джабер Ф.Ф. Автоматизированное принятие решений в иерархических системах // Программные продукты и системы. — 1993. — № 3. — С.23 — 29.
Андрейчикова О. Н. Интеллектуальные системы для поддержки процессов принятия решений: Учеб. пособие. — Волгоград: Изд-во ВолгГТУ, 1996. — 93 с.
Андрейчиков А. В. Анорейчикова О. Н. Компьютерная поддержка изобретательства. — М.: Машиностроение, 1998. — 476 с.
Методы ассоциаций и аналогий
Методы ассоциаций и аналогий предполагают активизацию в первую очередь ассоциативного мышления человека. К этим методам относятся метод фокальных объектов и метод гирлянд случайных ассоциаций.
Метод фокальных объектов состоит в перенесении признаков случайно выбранных объектов на совершенствуемый объект, который лежит как бы в фокусе переноса и поэтому называется фокальным. В результате возникает ряд неожиданных вариантов решения. Этот метод дает хорошие результаты при поиске новых модификаций известных систем. Он позволяет, например, быстро найти идеи новых совершенно необычных товаров, способов обслуживания в супермаркетах, новых способов управления.
Метод генерирования случайных ассоциаций формализован двумя алгоритмами.
Алгоритм 1.
Перед началом работы алгоритма задается следующая информация:
А — список объектов;
В — список признаков;
С — матрица связей А и В, причем Сij = 1, если i-й объект обладает j-м признаком, в противном случае Сij = 0.
Работа алгоритма заключается в случайном выборе объекта из списка А и всех его признаков из списка В. В результате получается случайная ассоциация "объект — признаки". Следующая ассоциация получается независимо от предыдущей.
Алгоритм 2.
Входная информация в этом алгоритме совпадает с входной информацией алгоритма 1.
Выполняются следующие процедуры:
1. Случайный выбор из списка А объекта а.
2. Выбор из списка В всех признаков объекта а. Результат — список Ba.
3. Случайный выбор из списка Ba признаков b.
4. Выходные данные: а, Ba, b.
5. Выбор из списка А всех объектов, обладающих признаком b. Результат — список Аb.
6. Случайный выбор из списка Аb объекта а.
7. Перейти k раз к процедуре 2.
8. Конец.
На каждой итерации алгоритма пользователю выводится очередная случайная ассоциация "объект — признаки — случайный признак". Результатом работы является гирлянда ассоциаций длины k. Последовательность объектов в гирлянде характерна тем, что соседние объекты имеют общий признак.
Оригинальность и допустимость идей, получаемых на основе случайных ассоциаций, существенно зависят от входных списков А и В. При этом, чем больше пересечение признаков фокального объекта со списком В, тем больше вероятность получения допустимой идеи и меньше — оригинальной.
Рассмотрим пример генерирования случайных ассоциаций при решении задач по созданию нового потребительского товара.
Исходная информация:
А = а1 — авторучка,
а2 — фонарь,
a3 — радиоприемник,
a4 — часы.
В = b1 — стеклянный,
b2 — светотепло излучающий,
b3 — многоцветный,
b4 — плавающий,
b5 — встроенный,
b6 — гигантский,
b7 — миниатюрный,
b8 — источник энергии — тепловая энергия, излучаемая телом человека.
Матрица С связей А и В для рассматриваемого примера имеет следующий вид:
Выполняемые процедуры:
1. Случайный выбор из списка А объекта:
a2 — фонарь.
2. Выбор из списка В всех признаков объекта а2.
3. Случайный выбор из списка
b4 — плавающий.
4. Выходные данные:
a2 — фонарь;
b4 — плавающий.
5. Выбор из списка А всех объектов, обладающих признаком b.
6. Случайный выбор из списка
a3 — радиоприемник.
После первой итерации гирлянда случайных ассоциаций имеет следующий вид:
а2 — фонарь,
в4 — плавающий,
a3 — радиоприемник.
Признак b4 является общим для объектов а2 и а3.
7. Переход к процедуре 2.
Результат — список
8. Случайный выбор из списка

b8 — источник энергии — тепловая энергия.
9. Выходные данные:
а3 — радиоприемник;

b8 — источник энергии — температура тела человека.
10. Выбор из списка А всех объектов с признаком b8:
11. Случайный выбор из списка

a4 — часы.
После второй итерации гирлянда случайных ассоциаций имеет следующий вид:
а2 — фонарь,
b4 — плавающий,
а3 — радиоприемник,
b8 — источник энергии — температура тела человека,
a4 — часы.
В результате двух итераций алгоритма возникшие ассоциации от синтезированной гирлянды позволяют сгенерировать следующие идеи потребительского товара:
• фонарь для подводного плавания;
• радиоприемник для плавания с источником энергии от температуры тела человека;
• часы с подзарядом от тепловой энергии, излучаемой телом человека.
Методы контрольных вопросов и коллективного блокнота
Метод контрольных вопросов применяется для психологической активизации творческого процесса. Цель метода состоит в том, чтобы с помощью наводящих вопросов подвести к решению задачи. Метод может применяться как в индивидуальной работе, так и при коллективном обсуждении проблемы, например при "мозговом штурме".
Один из широко распространенных вопросников А. Осборна включает девять групп вопросов:
1. Какое новое применение системе можно предложить?
2. На какую другую систему похожа данная система и что можно скопировать?
3. "Какие возможны модификации путем изменения функций?
4. Что можно в системе увеличить?
5. Что можно в системе уменьшить (сжать, ускорить, сузить, раздробить)?
6. Что можно в системе заменить?
7. Что можно в системе преобразовать (схему, порядок работы и т.д.)?
8. Что можно сделать в системе наоборот?
9. Какие новые комбинации элементов системы возможны?
В данных вопросах содержатся рекомендации по апробированию эвристических приемов (инверсия, аналогия, дробление, перенос, динамизация и т.д.) для решения поставленной задачи.
Метод коллективного блокнота позволяет сочетать независимое выдвижение идей каждым членом рабочей группы с коллективной их оценкой и процессом выработки решения. Метод реализуется следующим образом.
Каждый участник получает блокнот, в котором записывает в общих чертах без применения специальных терминов существо проблемы, а также данные, позволяющие ориентироваться в ней. В течение месяца каждый участник ежедневно заносит в блокнот возникающие по рассматриваемой проблеме идеи, оценивает их и определяет, какие из них могут обеспечить наилучшее решение задачи. Одновременно формулируются наиболее целесообразные направления исследования на последующем этапе работы. Кроме того, в блокноте фиксируются идеи, находящиеся в стороне от основной проблемы, но развитие которых может оказаться полезным для нахождения конечного решения.
Систематизация зафиксированных в блокнотах идей осуществляется руководителем группы, а заключительное творческое обсуждение — всеми членами группы. Выбор окончательного решения проводится методом "мозгового штурма".
Методы направленного синтеза решений
Наиболее эффективны для синтеза новых решений методы направленного синтеза, основанные на научно обоснованных алгоритмах творческого процесса. На одних этапах алгоритмов поле поиска расширяется, на других — сужается. Указанные алгоритмы не имеют жесткой структуры и зачастую называются эвристическими алгоритмами.
Для придания процессу синтеза общей направленности требуется четкая постановка цели и уяснение сущности решаемой задачи. Для этого целесообразно использовать понятия экономического, управленческого или организационного противоречия и идеального конечного результата. Экономическое, управленческое или организационное противоречие характеризует несоответствие между возникшими потребностями общества и возможностями существующих систем. В более узком смысле указанные виды противоречий проявляются при улучшении одних характеристик рассматриваемых систем, повлекшем за собой ухудшение других характеристик.
Идеальный конечный результат (ИКР) — это гипотетическое идеализированное решение, к которому следует стремиться и которое соответствует поставленной цели. ИКР является своего рода критерием синтеза и выбора решений, в соответствии с которым лучшим считается решение, наиболее близкое к ИКР. При использовании ИКР задача рассматривается только с потребительской стороны и поэтому не может заменить социально-экономические оценки вариантов, характеризующие их эффективность.
Современные методы направленного синтеза основаны на сложных алгоритмизированно-процедурных подходах, типизированных способах решения разнообразных изобретательских задач.
Классификация методов эвристического синтеза возможна по ведущему признаку, характеризующему главный активизирующий эффект метода.
По этому признаку все методы эвристического синтеза можно разделить на следующие группы.
1. Методы, в которых ведущая роль принадлежит коллективным формам творческой работы. Эти методы основаны на предпосылках о том, что коллективное мышление, организованное по определенным правилам, в условиях благоприятного психологического климата оказывается значительно эффективнее, чем сумма индивидуальных мышлений. Указанное свойство коллективного творчества используется в методах "мозгового штурма", конференции идей, коллективного блокнота, синектики.
2. Методы, основанные на системном анализе комплексных решений, упорядочении признаков частных решений, анализе комплексных решений путем комбинирования частных решений. К этим методам относятся модификации морфологического анализа и синтеза, методы упорядоченных признаков и десятичных матриц поиска.
3. Методы, в которых главное место отводится ассоциативному мышлению, использованию аналогий, метафор и семантических свойств понятий. Это методы фокальных объектов, гирлянд случайностей и ассоциаций.
4. Методы, в которых подсказывается способ разрешения противоречий с помощью эвристических приемов. К их числу относятся алгоритм решения изобретательских задач и библиотека эвристических приемов.
Методы ненаправленного синтеза решений
К методам ненаправленного синтеза решений относятся следующие приемы творчества:
аналогия,
инверсия,
эмпатия,
идеализация.
Метод аналогии предусматривает использование подобного (аналогичного) известного решения, которое "подсказано", например, литературой по экономике, менеджменту, изобразительному искусству или "подсмотрено" в природе.
Для освоения этого метода необходимо обладать (и развивать) наблюдательностью и способностью к переносу опыта.
Метод инверсии основан на использовании при решении задачи принципов перестановки, переворачивания, выворачивания наизнанку. Этот метод приучает к гибкости мышления, отказу от традиционных стереотипных решений, преодолению психологической инерции.
Метод эмпатии означает отождествление себя с разрабатываемой системой. При этом исследователь как бы ставит себя на место, например, банка, рекламы, товара и стремится ощутить все действия, которые над ним могут совершаться.
Метод идеализации связан с желанием получить представление об идеальной системе, полностью отвечающей поставленной цели. Рассматривать идеальные решения часто оказывается полезным, даже если это сопряжено с определенной долей фантазии, поскольку такие решения могут натолкнуть на новую идею.
К методам ненаправленного синтеза с небольшой упорядоченностью мыслительных процессов относятся "мозговой штурм", метод контрольных вопросов, метод гирлянд ассоциаций и метафор, синектика, некоторые разновидности морфологического анализа и синтеза и др. В основе этих методов использованы различного рода "активизаторы" творческого мышления. Например, для настроя мышления на творческий лад применяются эвристические правила "двадцати четырех", "двадцати пяти" и "двадцати шести".
Эвристическое правило "двадцати четырех" предполагает творческое отношение ко всем задачам, с которыми человек встречается на протяжении 24 часов. Все возникающие при этом, идеи записываются и дополняются новыми.
Эвристическое правило "двадцати пяти" предполагает для решения той или иной задачи выдвижения не менее 25 идей. Вследствие того, что сгенерировать такое количество идей достаточно трудно, рекомендуется обращаться к личному опыту исследователя, его воспоминаниям об увиденном, прочитанном, услышанном, использовать правило "двадцати шести". Последнее правило исходит из принципа подсказки: "Подумайте, какое слово, начинающееся на букву А, затем В и т.д., может навести на решение проблемы". (Число 26 — количество букв английского алфавита.) Используя это правило, можно активизировать мозг словами из словаря — в результате какое-то из них может вызвать в сознании неожиданную ассоциацию и привести к решению проблемы.
В методах ненаправленного поиска учитываются особенности человеческой психики. Сама процедура поиска решений указанными методами хотя и производит впечатление детской игры, тем не менее способствует раскрепощению и повышению интеллектуального подъема у специалистов, позволяет преодолеть у последних психологическую инерцию.
Метод морфологического древовидного синтеза включает несколько этапов.
Этап 1.
Формулируется цель исследования и строится морфологическая таблица для рассматриваемой предметной области (рис. 5.13). Обобщенные функциональные подсистемы, определяющие строки морфологической таблицы, ранжируются системой принятия решений по значимости.
Этап 2.
В морфологической таблице выделяются две строки, соответствующие функциональным подсистемам с наивысшей значимостью (рис. 5.13б). Осуществляется синтез всех парных сочетаний альтернатив, содержащихся в двух выбранных строках таблицы. Для рассматриваемого примера число парных сочетаний альтернатив равно восьми. Полученные парные сочетания альтернатив анализируются исследователем с использованием системы принятия решений по множеству критериев качества. По результатам многокритериального анализа отбирается наиболее рациональный вариант. Допустим, что лучшим является вариант (А11А42).
Этап 3.
Из морфологической таблицы извлекается очередная по значимости обобщенная функциональная подсистема с альтернативами ее возможной реализации. Проводится комбинирование выделенных на данном этапе альтернатив с рациональным вариантом, полученным на предыдущем этапе. Полученное в результате синтеза множество тернарных комбинаций альтернатив вновь анализируется исследователем с использованием системы принятия решений в целях выявления наиболее рациональной комбинации. Например, лучший вариант на данном этапе может состоять из следующих трех альтернатив — (А11А42А32).
Этап 4.
Синтез продолжается в соответствии с этапами 2 и 3 вплоть до исчерпания всех обобщенных функциональных подсистем и получения целостного варианта, включающего все подсистемы.
Метод "матриц открытия"
Метод "матриц открытия" получил широкое распространение во Франции. Как и в морфологическом методе синтеза, здесь преследуется цель систематически исследовать все мыслимые варианты, вытекающие из закономерностей строения (морфологии) совершенствуемой системы, выбрать и изучить поле возможных решений. В то же время метод "матриц открытия" проще и дает возможность ограничить количество рассматриваемых вариантов. Суть метода — в построении квадратной матрицы (табл. 6.1), в которой пересекаются два ряда характеристик по вертикали и горизонтали. Ряды могут быть упорядоченными по какому-либо признаку или неупорядоченными. Характеристики могут быть выражены количественно или качественно. В отличие от метода морфологического анализа здесь часть выбранных характеристик может относиться не к системе, а к условиям ее эксплуатации.
Таблица 6.1 Структура "матрицы открытия"
Влияющий фактор
|
Материалы
|
Оборудование
|
Потребности
|
Рынки
|
Материалы
|
|
|
|
|
Оборудование
|
|
|
|
|
Потребности
|
|
|
|
|
Рынки
|
|
|
|
|
Основные этапы метода "матриц открытия" по обработке информации следующие:
• составление перечня элементов, свойств, объектов, фактов, идей и т.п.;
• выработка поля анализа — определение проблемы в наиболее общей и абстрактной форме, уточнение ее, построение структуры поля;
• определение пересечения рядов и столбцов, обнаружение возможных комбинаций;
• изучение выбранных комбинаций и выбор рациональных решений.
Метод "матриц открытия", как правило, не дает законченных решений и служит для систематизации имеющегося материала и определения отправных пунктов дальнейшего исследования. Комбинации характеристик дают возможность для плодотворных ассоциаций, постановки проблем, которые ранее оставались незамеченными.
Метод "мозгового штурма"
"Мозговой штурм" — наиболее известный и широко применяемый метод генерирования новых идей путем творческого сотрудничества группы специалистов. Являясь в некотором смысле единым мозгом, группа пытается штурмом преодолеть трудности, мешающие разрешить рассматриваемую проблему. В процессе такого штурма участники выдвигают и развивают собственные идеи для развития других, комбинируют их. Для обеспечения максимального эффекта "мозговой штурм" должен подчиняться определенным правилам и основываться на строгом разрешении во времени процесса выдвижения идей и процесса их обсуждения и оценки. На первой стадии штурма запрещается осуждать выдвинутые идеи и предложения (считается, что критические замечания уводят к частностям, прерывают творческий процесс, мешают выдвижению идей). Роль руководителя группы состоит в том, чтобы активизировать творческое мышление участников заседания, обеспечить выдвижение возможно большего числа вариантов осуществления той или иной функции системы или ее составной части.
После выдвижения идеи выполняются тщательное их обсуждение, экономическая оценка и отбор лучшей.
На стадии обсуждения участники "мозгового штурма" должны развить выдвинутые идеи для нахождения в них рациональных зерен. Участники должны концентрироваться на положительных сторонах идей и развивать их. Поэтому выдвигаемые в процессе обсуждения дополнительные идеи могут базироваться на идеях других участников или, наоборот, служить для них фундаментом, катализатором. Значительный эффект дает комбинирование идей при одновременном выявлении преимуществ и недостатков синтезируемых при этом вариантов.
Метод "мозгового штурма" эффективен прежде всего при решении не слишком сложных задач общего организационного характера, когда проблема хорошо знакома всем участникам заседания и по рассматриваемому вопросу имеется достаточная информация.
При реализации "мозгового штурма" в течение нескольких совещаний необходимо синтезировать 400 — 500 идей для сравнительно сложной задачи.
Метод "мозгового штурма" имеет ряд модификаций.
Индивидуальный "мозговой штурм" проводится в основном по тем же правилам, что и рассмотренный выше коллективный, но выполняется одним специалистом, который одновременно генерирует идеи, дает им объективную оценку и критикует их, выступает в качестве секретаря сессии. Если лицо, проводящее индивидуальный "мозговой штурм", не узкий специалист по исследуемой проблеме, то целесообразно передавать результаты эксперту для оценки и дальнейшей работы. Такая технология синтеза решений предусматривает длительность сессии не более 3 — 10 мин, при обеспечении высокой самодисциплины. Полученные идеи фиксируются на бумажных или электронных носителях информации, а их оценка проводится через несколько дней после их получения. При проведении индивидуального "мозгового штурма" необходимо обладать навыками постановки вопросов, на которые могут быть даны альтернативные ответы.
Массовый "мозговой штурм" проводится участниками сессии — массовой (до нескольких сот человек) аудиторией, решающей какую-либо сложную задачу. Отбор идей производится на промежуточных этапах. Участники группируются по 6 — 8 человек, при этом важно, чтобы непосредственное отношение к задаче имел лишь руководитель группы, а остальные члены группы были бы лишь знакомы с нею (иначе могут сыграть негативную роль элементы амбиции специалистов, разработавших ранее этот проект). Штурм проходит в два этапа. На первом этапе оперативными группами проводится прямой коллективный "мозговой штурм". При этом желательно, чтобы задача касалась того участка, на котором работают участники оперативной группы. Длительность первого этапа — не более 15-20 мин. На втором этапе по окончании сессии руководители каждой группы в течение нескольких минут оценивают выдвинутые идеи, отбирают из них наиболее интересные и сообщают их на "пленарном заседании". После завершения работы некоторые идеи начинают внедряться, а другие передаются экспертам для доработки.
Письменный "мозговой штурм" применяется, когда нет возможности собрать специалистов в одном месте. В этом случае формируется творческое задание в форме довольно подробного вопросника, который отражает в альтернативном виде основные проблемы, требующие решения. В остальном процедура та же, что и при обычном "мозговом штурме". Метод письменного "мозгового штурма" исключает возможность обмена идеями и поэтому тормозит появление оригинальных идей.
Двойной "мозговой штурм" органически соединяет в себе процессы генерирования идей и их доброжелательной позитивной критики. Сессия делится на два формальных этапа с перерывом между ними в 45 мин.
Первый этап — постановка творческого задания, формулирование участниками своих предложений. На втором этапе проводится неофициальная часть сессии, непринужденное свободное обсуждение. Поощряются обсуждение предложенных идей, их позитивная критика, непринужденное генерирование новых. Третий этап — продолжение выдвижения идей, но более конкретных, практически реализуемых. По окончании сессии экспертами проводится оценка идей, их проработка и внедрение в жизнь.
Обратный "мозговой штурм" отличается от прямого тем, что здесь большое внимание уделяется критике высказываемых идей. На совещании решаются более узкие, специальные задачи. Содержанием работы на сессии является всесторонний анализ слабых мест в объекте, который необходимо усовершенствовать или заменить новым. В результате составляется своеобразная ведомость всякого рода недостатков в системе. Недостатки оцениваются экспертами, которые исключают ошибочные замечания и выводы. После этого проводится прямой "мозговой штурм" по ликвидации вскрытых недостатков.
Конференция идей — одна из разновидностей коллективного творчества. От "мозгового штурма" она отличается темпом проведения совещания по выдвижению идей и допущением доброжелательной критики в форме реплик, комментариев. Считается, что критика может даже повысить ценность выдвинутых идей. Поощряется фантазирование и комбинирование идей.
К конференции идей привлекаются руководители и рядовые сотрудники, лица, постоянно имеющие дело с данной проблемой, и новички, которые часто выдвигают новые, свежие идеи. Например, разновидность конференции идей — "дискуссия 66" представляет собой разбивку больших по составу творческих коллективов на мелкие дискуссионные группы по 6 человек, которые в течение 6 мин (отсюда название метода) проводят мини-конференции по четко сформулированной проблеме.
Цифровой звук
Морфологические методы синтеза рациональных вариантов систем
Отличительной особенностью морфологических методов древовидного, лабиринтного и блочно-лабиринтного синтеза рациональных вариантов систем является то, что в них оценка степени соответствия синтезированного варианта исходной цели синтеза осуществляется непосредственно в ходе процедуры построения искомого варианта, по мере наращивания функциональных подсистем.
Морфологический метод древовидного синтеза.
Он относится к методам морфологического последовательного детерминированного поиска и позволяет существенно уменьшить число операций выбора по сравнению с полным перебором вариантов, содержащихся в морфологической таблице. Общее число операций выбора в методе древовидного синтеза определяется по выражению
где Kl — число альтернатив для реализации l-й обобщенной функциональной подсистемы или функции;
L — число обобщенных функциональных подсистем (строк морфологической таблицы).
Морфологический метод блочно-лабиринтного синтеза.
Этот метод предполагает конструирование систем на отдельных блоках морфологической таблицы, что позволяет свести решение задачи морфологического синтеза к задаче меньшей размерности.
Процесс синтеза рационального варианта осуществляется "сверху вниз", т. е. от более обобщенных функциональных подсистем к более конкретным реализациям этих подсистем.
Существуют две модификации метода блочно-лабиринтного синтеза.
Рассмотрим первую модификацию. Метод состоит из ряда этапов, на каждом из которых осуществляются процедуры структурирования информации, оценки вариантов и принятия решений.
Этап 1.
Выбирается объект исследования, формируется исходная цель синтеза системы и составляется список требований, которым должна удовлетворять искомая система. Требования ранжируются по значимости.
Этап 2.
Осуществляется построение "скелетной" морфологической таблицы, состоящей из основных (главных) функциональных подсистем рассматриваемой системы и основных вариантов, реализующих выделенные функциональные подсистемы. К основным функциональным подсистемам относятся такие, которые определяют сущность системы в целом и отличают ее от других систем.
Этап 3.
Проводится синтез рациональных вариантов на "скелетной" морфологической таблице. Для выполнения этой процедуры используется метод лабиринтного синтеза.
В результате получается так называемая минимальная исследуемая функциональная система, включающая то минимальное количество функциональных подсистем, с помощью которых можно реализовать основную функцию системы в целом. Конечно же, такая функциональная система, как правило, не может удовлетворить всем требованиям задания и подвергается дальнейшему совершенствованию.
Этап 4.
В синтезированном на этапе 3 рациональном варианте определяются "слабые" функциональные элементы, не удовлетворяющие в полной мере предъявляемым требованиям. Для улучшения основных "слабых" элементов строятся дополнительные морфологические таблицы. Наименованиями строк этих таблиц являются наименования вспомогательных функциональных подсистем. Эти подсистемы получены в результате декомпозиции "слабых" элементов.
Этап 5.
С помощью метода лабиринтного синтеза осуществляется поиск рациональных вариантов на дополнительных морфологических таблицах.
Процедура выявления "слабых" элементов может быть распространена и на рациональные варианты, полученные на дополнительных матрицах.
Этап 6.
Проводится компоновка вновь синтезированных на дополнительных морфологических таблицах функциональных подсистем в целостную систему.
В заключение принимается решение о соответствии синтезированного решения исходным требованиям. Если такое соответствие есть, то задача считается решенной, в противном случае проделываются следующие процедуры:
• расширяется число отбираемых (резервируемых) вариантов на промежуточных этапах метода при поиске рациональных вариантов на морфологических таблицах;
• пересматриваются требования исходной цели синтеза;
• составляются новые "скелетные" и (или) дополнительные морфологические таблицы;
• осуществляется варьирование методами синтеза рациональных вариантов.
Рассмотрим кратко вторую модификацию метода блочно-лабиринтного синтеза.
Этап 1.
Проектировщиком выполняются действия, аналогичные тем, которые описаны в первой модификации блочно-лабиринтного метода.
Этап 2.
Строится морфологическая таблица. Осуществляется разбиение морфологической таблицы на блоки в соответствии с количеством функциональных подсистем, входящих в целостную систему. Каждый-блок может содержать несколько функциональных подсистем.
Этап 3.
Осуществляется синтез подмножеств рациональных вариантов функциональных подсистем в каждом блоке. Если блок содержит одну подсистему, то из множества альтернатив выбирается требуемое подмножество наилучших с использованием системы принятия решений.
Для синтеза рациональных вариантов в блоках, содержащих более двух подсистем, используется метод лабиринтного поиска. Когда же блок содержит два признака, то для выбора рациональных решений несложно использовать метод полного перебора возможных сочетаний альтернатив.
Этап 4.
Направлен на формирование новой морфологической таблицы меньшей размерности, чем исходная. Число строк этой таблицы равно числу функциональных подсистем (числу блоков, на которые разбита исходная морфологическая таблица). Альтернативами вновь сформированной морфологической таблицы являются рациональные варианты, синтезированные на отдельных блоках (этап 3).
Этап 5.
Предусматривается синтез технической системы в целом, проводимый лабиринтным методом на новой морфологической таблице, и принятие решения о соответствии полученного окончательного решения исходным требованиям.
Применение блочно-лабиринтного синтеза наиболее оправдано для многофункциональных сложных организационных и социально-экономических систем.
Морфологический метод лабиринтного синтеза.
Данный метод базируется на древовидном методе и относится к классу методов с корректировкой.
Идея метода заключается в том, что в процессе поиска рационального решения на морфологической таблице на каждом этапе отбирается не одно, а п рациональных сочетаний альтернатив.
Наилучшее из этих сочетаний поступает на следующий этап, а п-1 вариантов резервируются.
Если на Р-м этапе проектировщику не удается получить удовлетворительное решение, комбинируя все альтернативы P-й обобщенной функциональной подсистемы с наилучшим вариантом, полученным на предыдущем, (Р-1)-м этапе, то организуется просмотр всех п-1 вариантов, зарезервированных на (Р-1)-м этапе со всеми альтернативами Арj, относящимися к Р-му этапу. Если в этом случае требуемый вариант не отыскивается, то осуществляется возврат на (P-2)-й этап и организуется последовательный просмотр всех зарезервированных на этом этапе вариантов со всеми альтернативами функциональной подсистемы Р-1 и отбор соответствующего наилучшего (Р-2)-го варианта. Процедура поиска может продолжаться вплоть до первой и второй по значимости обобщенных функциональных подсистем.
Проиллюстрируем вариант реализации лабиринтного метода синтеза на примере. Предположим, что задана морфологическая таблица, состоящая из четырех строк (рис. 5.14), проранжированных по значимости.
На этапе 1 выполняется полный перебор альтернатив первых двух по значимости обобщенных функциональных подсистем.
В результате получается шесть парных сочетаний альтернатив, среди которых для определенности отмечаются два наиболее рациональных варианта:
(А11А22) и (A12A21).
Второй по эффективности вариант (A12A21) отмечается в качестве резервного.
Проводится согласование наиболее рационального варианта с исходными требованиями на проектирование. При наличии такого соответствия процедура синтеза продолжается на этапе 2, в противном случае уточняются исходные требования и состав морфологической таблицы.
На этапах 2 и 3 синтез осуществляется по тем же правилам, что и на этапе 1. В конечном итоге при прохождении всех обобщенных функциональных подсистем в рассматриваемом примере остается два варианта системы:
(А11А22А32А41) и (А11А22А32А42).
Если хотя бы один из этих вариантов удовлетворяет исходной цели проектирования, то процедура синтеза заканчивается, в противном случае работа продолжается на этапе 4.
Этап 4 предполагает возврат на этап 2 и извлечение зарезервированного варианта, которым является вариант, состоящий из комбинации альтернатив (А11А22А31). Этот резервный вариант комбинируется с альтернативами, принадлежащими четвертой строке морфологической таблицы. В результате получаются два новых сочетания из четырех альтернатив, которые проверяются на предмет соответствия техническому заданию. Если такое соответствие есть, то процедура синтеза заканчивается, в противном случае процесс синтеза продолжается. При исчерпании всех резервных вариантов, зафиксированных на втором этапе, работа по поиску решения задачи продолжается с извлечения очередного резервного варианта на первом этапе. Далее процесс повторяется в соответствии с ранее представленным алгоритмом.
Лабиринтный метод синтеза по сравнению с древовидным позволяет повысить вероятность получения наиболее эффективного варианта системы, удовлетворяющего требованиям проектировщика. Это достигается за счет итерационной процедуры возврата к пространству меньшей размерности. При реализации лабиринтного метода на каждом этапе выбор наиболее эффективного и резервных вариантов проводится на основе многокритериального принятия решений методом анализа иерархии или методом, основанным на теории нечетких множеств. Компьютерная реализация лабиринтного метода обеспечивает запоминание всего много итерационного маршрута прохождения по морфологической таблице. Это позволяет проанализировать принятые ранее решения и выбрать окончательное, наиболее рациональное.
Морфологический синтез систем по критерию комбинационной новизны
Критерий комбинационной новизны численно характеризует для представленного в морфологической таблице класса систем новые сочетания функциональных подсистем. Этот критерий определяется по формуле
где N — число строк в морфологической таблице (число функциональных подсистем);
Ri и Рi — номера столбцов морфологической таблицы соответственно в строках R и Р, альтернативы из которых вошли в i-ю систему;
К — переменная;
К = 1, если альтернатива из строки R и столбца Ri образовала известную комбинацию с альтернативой из строки Р и столбца Рi;
К = 0, если эта комбинация ранее была неизвестна в пределах рассматриваемого класса объектов.
Определение критерия комбинационной новизны для каждой системы осуществляется на основании матриц комбинационных связей альтернатив. Построение указанных матриц ведется в соответствии со следующими принципами. Рассматривается морфологическая таблица, содержащая N строк.
Для всех альтернатив i- й строки формально отражаются комбинационные связи с альтернативами, содержащимися во всех остальных строках морфологической таблицы:
В приведенной матрице плюсами обозначены взаимосвязи между функциональными подсистемами, альтернативы которых необходимо попарно оценить по признаку новизны.
Для альтернатив каждой пары функциональных подсистем ОФПСi и ОФПСj строятся матрицы комбинационных связей альтернатив
Кij = {Кlrij}, l = 1,..., пi; r = 1,..., nj,
где пi и пj — соответственно число альтернатив в i-й и j-й строках морфологической таблицы.
Число матриц К = {Кij} определяется по формуле
Nk = N ( N - 1 )/ 2,
где N — число строк морфологической таблицы.
Рассмотрим пример вычисления критерия комбинационной новизны. Пусть задана исходная морфологическая таблица (табл. 5.25).
Таблица 5.25 Морфологическая таблица
На основании морфологической таблицы с учетом экспертной информации строится
Nk =3(3 -1 )/2=3 матриц {Кlrij} парных комбинационных связей альтернатив Аij.
Здесь верхние индексы указывают номера сравниваемых обобщенных функциональных подсистем, а нижние индексы — количество альтернатив двух сравниваемых подсистем.
Матрицы парных комбинаций имеют следующий вид:
Содержание матрицы
Большей новизной обладают те решения, у которых наибольшее значение критерия комбинационной новизны. В рассматриваемом случае к таким решениям относятся Sy, S\g, S^.
Пакет Adobe GoLive
Необходимость автоматизации процессов принятия, планирования и синтеза решений
Методы принятия, планирования и синтеза решений основываются на применении знаний (в частности, системы предпочтений) лица или коллектива лиц, ответственных за принимаемое синтезируемое решение.
Однако процедуры выявления знаний, системы предпочтений лица, принимающего решение, настолько сложны, что требуют участия консультанта в процессе оценки, синтеза и выбора решения из множества альтернативных вариантов. Консультант, как правило, хорошо осведомлен о методах принятия и синтеза решений, приемлемых при разных критериях, альтернативах, шкалах критериев, типах оценок и т. п.
Привлекаемые к процессу решения задачи специалисты помогают ЛПР более четко разобраться в сложившейся ситуации выбора решений, обучают его применяемым методам. Опыт консультанта обеспечивает целенаправленность размышлений ЛПР и строгость в структуре получаемых от него оценок. Все это дает пользователям возможность синтеза и выявления наиболее обоснованных вариантов наилучших в некотором смысле решений из множества допустимых.
Выявление данных, знаний и системы предпочтений ЛПР для решения задачи осуществляется путем сбора экспертной информации, объем которой оказывается весьма существенным. Объем экспертной информации, которую необходимо получить и обработать, тем больше, чем выше размерность решаемой задачи.
Разработка универсальных анкет для различных вариантов задач принятия, планирования и синтеза решений невозможна. Следовательно, требуется постоянное участие консультанта, направляющего последовательность рассуждений ЛПР в процессе сбора экспертной информации, что ведет к нарушению принципов конфиденциальности и необходимой документальности информации. Таким образом, если решение, выбранное предлагаемым методом, является неудовлетворительным для ЛПР, консультант не имеет возможности документально точно восстановить процедуру опроса. В результате невозможно обосновать справедливость решения, полученного на основе выявления системы предпочтений пользователя, а также его оценок правдоподобности тех или иных последствий принимаемых решений.
Решение задач в неавтоматизированном режиме не позволяет организовать сбор и обработку исходной информации от нескольких экспертов.
Значительным толчком к разработке диалоговых систем принятия и синтеза решений послужило быстрое развитие персональных ПК, что позволило существенно приблизить ПК к реальному пользователю.
Таким образом, необходимость автоматизации процессов принятия, планирования и синтеза решений предопределена возможностью возложить на ПК роль консультанта по принятию и синтезу решений и тем самым обеспечить конфиденциальность информации и учесть способности каждого ЛПР, рационально распределить функции между пользователем и ПК, обеспечить сбор, накопление, хранение и коррекцию экспертной информации при необходимости повторного решения задачи.
Организация данных и процесс их обработки.
Важнейшим требованием по реализации данного алгоритма выступает требование рациональной организации данных и процесса их обработки с учетом вычислительных ресурсов современных ПК. В соответствии с этим все расчетные операции по синтезу оригинальных решений на морфологической таблице были подвергнуты углубленному анализу и некоторые формулы были существенно модифицированы.
Приведем описание процедуры расчета меры включения множества признаков i-го решения в множество признаков всех решений, содержащихся в морфологической таблице.
Если морфологическая таблица содержит NS строк и в каждой строке i размещается
Для этого множества решений предполагается построить матрицу мер включения, размерность которой будет Ntr´Ntr.
После этого вычисляется значение меры включения i-го решения (Si) во все сгенерированные решения (S).
На уровне алгоритмической модели математического обеспечения построение матрицы мер включения не предусматривалось, так как размещение в памяти персональных ПК информации о решениях, число которых превышает 1000, представляется невозможным.
С учетом этого формулу вычисления меры включения можно представить следующим образом:

Этот подход к расчету меры включения решает проблему размещения необходимой информации о решениях в памяти ПК. Однако существенным его недостатком является значительное число (Ntr´Ntr) выполняемых в рамках одного цикла операций.
В качестве средства решения этой проблемы может выступить следующий подход. Значение меры включения вычисляется для всего множества решений, описание которого по признакам образовано комбинацией описаний входящих в него альтернатив. Таким образом, определенная величина, составляющая меру включения всего решения, может быть отнесена к каждой альтернативе. Это позволит избежать повторного ее расчета при построении целостной меры включения Si. Эти значения могут храниться во внешней памяти ПК. В случае добавления альтернативы к множеству альтернатив в строках морфологической таблицы будет произведен пересчет значений параметров включения только для альтернатив этой строки.
Аналогичные действия будут выполнены и в случае исключения альтернативы из 1-й строки.
Представим произведенные над формулой математические преобразования:
где Npr — общее число признаков, которыми описаны системы;
Ns — число строк в морфологической таблице;
Npj — число признаков в строке j;
xil и xij — значения признака i соответственно для Sl и Sj;
xlji и xkjl — значения признака i для альтернативы в строке j, соответствующей Sl и Sk;
Индекс k принимает значения из множества {Рk} номеров альтернатив строки у, входящих в решение Sk.
Смысл отраженных формулой (5.15) преобразований состоит в следующем.
Множество сумм

а также
может быть разбито, в свою очередь, на большее множество сумм, соответствующих операции не над целостными Si и Sj, а над составляющими его альтернативами.
Выражение
отражает число общих признаков альтернативы в строке j, входящей в Sl со всеми альтернативами.
Для определения величин, характеризующих операции, выполняемые над описанием по признакам каждой альтернативы, при вычислении меры включения каждого Si в описание всех S требуется перейти от формулы, содержащей номера систем, к формулам, основанным на параметрах структуры морфологической таблицы.
Приведем описание формулы, предусматривающей расчеты меры включения W(Sl, S) на основе значения числа общих признаков Оij альтернативы Аij со всеми альтернативами i-й строки и числа признаков Zij альтернативы Aij .
В соответствии с логикой комбинаторного синтеза целостных технических решений множество S = {Sl} включает все альтернативы i-й строки морфологической таблицы, причем все множество альтернатив из строки i (Ail, ... , Аij, ...,

Соотношение (5.15) формально отражает следующий принцип: каждая альтернатива Аij i-й строки входит в Ntr/


— число альтернатив в i-й строке.
Таким образом, каждой альтернативе Аij i-й строки можно поставить в соответствие функцию Оij = f (Аil,..., Аik,...,
Указанная функция определяется следующим образом:
где

хikj и хikl — значение признака k из множества признаков {xik}, описывающих альтернативы i-й строки.
Число признаков, которые включает описание альтернативы Аij, является уникальной ее характеристикой.
Это число можно определить из соотношения, которое соответствует знаменателю формулы (5.15):
где

хikj — значение признака k из множества признаков {хikj}, характеризующих альтернативы i-й строки.
Нормированное значение меры включения Si в множество S с учетом приведенных рассуждений может быть рассчитано в соответствии с формулой
где Ns —число строк в морфологической таблице;

Ntr — число S, которое может быть получено на морфологической матрице

рli — элемент множества номеров альтернатив, образующих решение Si.
В результате модификации схемы расчета меры включения предоставляется возможность не производить повторный расчет характеристик Оij и Zij, от которых функционально зависит мера включения W(Si; S). Значения Оij и Zij хранятся во внешней памяти ПК и рассматриваются как входные данные для алгоритмической модели процесса функционирования системы морфологического синтеза.
Основные правила разработки систем
В процессе разработки диалоговых систем следует учитывать множество требований, которые условно можно подразделить на требования, определяющие принципы проектирования систем, и требования к эксплуатационным характеристикам диалоговых, систем.
Принципы проектирования диалоговых систем.
К ним относятся следующие правила
1. Прежде чем перейти к обсуждению достоинств и недостатков некоторой существующей системы или выдвижению требований к разработке системы с заданными свойствами, пользователь должен познакомиться с какой-либо моделью системы практически.
2. Разработка конкретных диалоговых систем, как правило, нацелена на автоматизацию процедур решения задач определенного класса. Поэтому проектировщику следует максимально использовать опыт работы и методологию, которые применялись пользователями создаваемой системы на практике, а не навязывать новую технологию решения задач.
3. Следует предусмотреть адаптивную обратную связь между пользователем и системой, позволяющую разработчику в интерактивном режиме приспособить систему к реальным условиям решения задачи. Наличие обратной связи дает возможность модифицировать систему с учетом новых требований ЛПР и новых задач.
4. При проектировании систем необходимо предусмотреть методы контроля и защиты информации, включающие следующие процедуры:
• синтаксический, логический и численный контроль информации;
• коррекцию ранее полученной информации;
• прерывание процедуры выполнения с возвратом в подходящую точку алгоритма с восстановлением исходных состояний файлов экспертной информации.
5. В процессе работы системы необходима фиксация ее деятельности с помощью ПК для обеспечения накопления протоколов работы, последующий анализ которых позволяет интерпретировать и аргументировать решения, а также выявить ошибки, подразделяя их на ошибки пользователя и системы.
Комбинаторно-морфологического метода для проведения функционально-стоимостного анализа систем.
Пусть имеется морфологическая таблица, описывающая множество систем (табл. 5.26).
Каждая система содержит три функциональные подсистемы F,. Подсистемы имеют альтернативные решения, для которых известны значения выгод и издержек, выраженные в денежных единицах (млн руб.) — случай 1. Предположим, требуется синтезировать виброзащитную систему, удовлетворяющую целевой функции:
max В/И при условии В = Вmах. (5.18)
Таблица 5.26 Морфологическая таблица с оценкой альтернатив по критериям выгод (В) и издержек (И)
Предпосылки создания диалоговых систем синтеза и принятия решений
Под диалогом обычно подразумевается процесс непосредственного и достаточно быстрого обмена сообщениями между двумя субъектами, при котором существует постоянная смена ролей информатора и реципиента (т.е. выдающего и принимающего сообщение соответственно).
Данное определение пригодно для рассмотрения взаимодействия как человека и ПК, так и между людьми. Однако при этом изменяется смысл терминов субъект, информатор и реципиент.
Исследования диалога человека и ПК в настоящее время ведутся в следующих основных направлениях:
1) моделирование свободной беседы, неограниченного речевого взаимодействия между двумя субъектами, которому были бы присущи свойства целенаправленности, взаимопонимания, равноценности деятельности и обучения партнеров;
2) технический подход, при котором на первый план выдвигаются свойства быстроты и возможность прямого обмена сообщениями, а также чисто языковое оформление и исключаются из рассмотрения основные свойства первого указанного подхода, такие, как взаимопонимание, равноценность деятельности и возможность обучения партнеров.
Наиболее правомерен подход, предусматривающий сочетание свойств обоих направлений, согласно которому диалогом человека с ПК называется процесс, характеризуемый совокупностью или хотя бы одним из следующих качеств:
• наличие цели взаимодействия у обоих партнеров;
• определенная степень равноценности деятельности в процессе решения задачи;
• обмен сообщениями, направленный на установление понимания одним партнером сообщений другого;
• расширение и усовершенствование знаний (умений) одного партнера за счет знаний (умений) другого, в частности обучение одного партнера другим.
Рассмотрим более подробно эти качества.
Наличие цели взаимодействия у обоих партнеров. Диалог между двумя людьми предполагает существование у участников цели, ради достижения которой осуществляется обмен сообщениями. При взаимодействии человека с ПК (в задачах принятия, планирования и синтеза решений) цель человека, ответственного за выбор наилучшего решения, состоит в необходимости решить соответствующую задачу принятия, планирования и синтеза рационального решения. Целью компьютерной программной системы может быть оказание помощи лицу, решающему задачу. Реализация этой цели в зависимости от степени "интеллектуальности" ПК допускает либо просто выполнение необходимых трудоемких рутинных расчетов, либо получение от ЛПР всей необходимой информации, хранение больших объемов информации и выдачу результатов решения, либо выбор путей решения задачи, что позволяет заставить пользователя мыслить в процессе решения системно и последовательно.
Равноценность деятельности партнеров по диалогу. В процессе решения задачи предполагается способность каждого из партнеров совершать действия сходного характера, направленные на достижение поставленной цели. При взаимодействии человека и ПК эта равноценность может проявляться в разумном разделении функций, которое обеспечивает наилучшее сочетание возможностей человека и ПК.
Равноценность деятельности достигается при достижении определенной степени "интеллектуализации" ПК, т.е. при переходе к ПК, как минимум, функций сбора и накопления необходимой экспертной информации, а также обработки и выдачи ее по запросам.
Взаимопонимание партнеров. Оно достигается при наличии у партнеров системы языковых знаков или кодов, из которых формируются сообщения, и хотя бы частичного понимания каждым из них предметной области. Чем большее количество знаний и умений оказывается общим для обоих партнеров, тем легче достигается понимание ими друг друга. Если же участники диалога не располагают некоторым минимумом общих знаний и/или умений, то необходимо осуществить дополнительное обучение хотя бы одного из них. Важную роль в проблеме взаимопонимания играет язык общения. В последнее время большое внимание уделяется разработке систем с естественным для человека языком общения. Однако требование абсолютной естественности языка подчас не является первостепенным; во многих случаях гораздо важнее четкое и однозначное понимание некоторых фактов и/или команд, чем форма их представления.
Процесс взаимообучения партнеров.Он разделяется на две фазы:
1) обучение пользователя-профессионала машинным методам и средствам решения задач, осуществляемое вычислительной машиной;
2) обучение ПК путем накопления и обобщения опыта решения задач пользователем в целях сокращения его участия в процессе выработки решения, оказания ему необходимой, деликатной помощи, а также накопления базы экспертной информации.
Принципы разработки программных средств
Системы принятия и синтеза решений, реализующие диалоговый принцип взаимодействия, оформляются в виде пакетов прикладных программ, под которыми подразумевается совокупность программ, совместимых между собой и обеспечивающих решение задач из некоторой предметной области.
Основные принципы проектирования программных средств применительно к процессам принятия и синтеза решений следующие.
В основе построения пакетов программ лежит принцип конструктивной независимости, который предполагает разработку универсальной структуры пакета и некоторых его элементов.
Важнейшим принципом построения является модульность программных объектов. Данный принцип означает дискретность структуры пакета и унификацию программных средств в целях формирования различных вычислительных схем, предназначенных для решения задач синтеза и выбора решений.
Унификация программных средств проявляется в том, что каждая программная единица (модуль) предназначена для выполнения определенных функций и взаимодействует с данными некоторым стандартным способом. В этом заключается очередной технологический принцип построения системы — принцип стандартизации взаимодействия программ с данными, который предполагает использование единых методики и механизма подключения программных средств к данным.
Принцип машинной независимости пакетов программ предусматривает возможность эксплуатации разработанного программного и информационного обеспечения при смене типов и поколений вычислительной техники.
Для успешной реализации этого принципа необходимо прежде всего выбрать универсальный алгоритмический язык. В качестве такого языка может быть выбран Си++ в силу его широкой распространенности на современных персональных ПК.
Принцип максимальной независимости от операционных систем непосредственно связан с принципом машинной независимости и преемственности систем.
Необходимое условие жизнеспособности программного обеспечения — соблюдение принципа расширяемости, согласно которому пакеты программ являются открытыми системами, допускающими их непрерывное пополнение новыми программными средствами. Реализация этого принципа возможна лишь при соблюдении принципа модульности структуры пакета программ.
При разработке программного обеспечения для решения сложных задач принятия, планирования и синтеза решений, требующих активного вмешательства или непосредственного участия человека в процессе решения, особенно важно следовать принципу коммуникабельности, который предполагает простоту общения пользователя с пакетом и предусматривает работу в интерактивном режиме.
Рациональное распределение ресурсов в системах
Задача распределения ресурсов на основе метода морфологического синтеза имеет следующую постановку.
Пусть имеется морфологическая таблица, описывающая множество вариантов исследуемой системы. При этом каждая система имеет п обобщенных подсистем, характеризующих строки таблицы. Каждая обобщенная подсистема может быть реализована конечным числом альтернатив Аij. Причем для каждой i-й строки индекс j имеет свое максимальное значение. Альтернативам каждой строки присвоены значения относительной эффективности Эij и значения требуемого для реализации ресурса Рij. Задан ресурс (РИ— имеющийся в наличии ресурс), который необходимо оптимально распределить между альтернативами морфологической таблицы по следующим правилам.
Правило 1.
Распределить ресурс между одной или несколькими комбинациями (количество задается исследователем), включающими в свой состав обязательно по одной альтернативе из каждой строки морфологической таблицы и удовлетворяющими одной из двух целевых функций — (5.19) или (5.20).
Правило 2.
Распределить ресурс между одной или несколькими комбинациями (количество задается исследователем), включающими в свой состав по одной альтернативе, но не из каждой строки таблицы, а из любого парного, тернарного, n-1-го сочетания строк морфологической таблицы и удовлетворяющими одной из двух целевых функций — (5.19) или (5.20).
Распределение ресурса по правилу 2 осуществляется в случаях, когда условиями задачи не определено требование обязательного использования всех строк морфологической таблицы в формировании варианта системы или имеющийся ресурс из-за его ограниченности нельзя распределить между всеми строками таблицы.
Обобщенный алгоритм определения комбинации альтернатив, обеспечивающей оптимальное распределение ресурса, включает следующие шаги.
Шаг 1.
Определяется морфологическая таблица, состоящая из п строк, отражающих обобщенные функциональные подсистемы. Для каждой обобщенной функциональной подсистемы задается требуемое число альтернатив Аij по их реализации.
Каждая альтернатива Аij характеризуется значениями:
Эij — эффективности и
РTij — требуемого ресурса для практической реализации альтернатив.
Задается имеющийся в наличии ресурс РИ, который необходимо оптимально распределить (по условию задачи ресурса может хватить только на одну комбинацию альтернатив, реализующих все или часть подсистем синтезируемого варианта).
Шаг 2.
Методом полного перебора генерируется либо множество всех возможных комбинаций альтернатив с учетом включения в комбинацию всех п обобщенных функциональных подсистем (правило 1), либо множество всех возможных комбинаций альтернатив, состоящих из всех парных, тернарных и т.д. вплоть до n-1 сочетаний обобщенных функциональных подсистем (правило 2).
Шаг 3.
Для каждой сгенерированной комбинации альтернатив определяются суммарные значения: требуемого ресурса (РT), относительной эффективности (Э) и относительной эффективности на единицу требуемого ресурса (Э/РT). Указанные значения вычисляются по следующим выражениям:
где п — число обобщенных подсистем, входящих в сгенерированный вариант системы;
i — порядковый номер обобщенной подсистемы, входящей в сгенерированный вариант системы;
j — порядковый номер альтерантивы i-й обобщенной подсистемы.
Шаг 4.
Определяется искомая комбинация альтернатив с учетом задаваемой целевой функции и ограничений:
Ограничения, накладываемые на целевые функции:
Конец алгоритма.
Рассмотрим пример распределения ресурса на комбинации альтернатив, генерируемых методом морфологического синтеза.
Пусть морфологическая таблица (табл. 5.28) содержит некоторое множество функциональных элементов для синтеза системы продвижения товара на рынок.
Таблица 5. 28 Морфологическая таблица распределения ресурсов между альтернативами в системе продвижения товара на рынок
Синтезируемая система реализуется тремя обобщенными функциональными подсистемами: распространения рекламы, стимулирования сбыта в сфере торговли, пропаганды товара. Для каждой подсистемы задано множество альтернатив Аij которые характеризуются значениями эффективности Эij и требуемого ресурса PT для их практической реализации.
Требуется найти систему, представленную комбинацией, включающей по одной альтернативе из каждой строки таблицы и удовлетворяющей следующей целевой функции:
при условии РT < РИ = 36 условных денежных единиц.
Сгенерированные на морфологической таблице все тернарные комбинации (12 вариантов) альтернатив и рассчитанные для них значения требуемого ресурса (РT), эффективности (Э) и отношения Э/РT приведены в табл. 5.29. Из ее анализа видно, что имеющийся ресурс, равный 36 условным денежным единицам, можно распределить между девятью комбинациями, кроме комбинаций с порядковыми номерами 6, 9 и 10. Оптимальным вариантом, удовлетворяющим целевой функции (5.21), является комбинация из альтернатив (А11А22А31) с порядковым номером 3 и со значением Э/РT == 0,060. При этом имеющийся ресурс расходуется не полностью и в резерве остается 36 - 20 = 16 денежных единиц.
Если изменить условия задачи таким образом, что требуется найти комбинацию альтернатив, обеспечивающую достижение максимальной эффективности при прежних условиях РT < РИ = 36, то искомой комбинацией альтернатив в этом случае будетА11А21А32 (порядковый номер 2) со значениями эффективности Э = 1,8 и требуемого ресурса РT = 35.
Таблица 5.29 Эффективность и требуемые ресурсы тернарных комбинаций альтернатив
Рассмотрим задачу распределения ресурса между альтернативами рассматриваемой морфологической таблицы систем продвижения товара на рынок для случая, когда имеющегося в наличии ресурса не хватает на три обобщенные функциональные подсистемы. Поэтому на основе морфологической таблицы формируется множество вариантов, состоящее из единичных альтернатив и всех возможных парных сочетаний альтернатив. При этом в каждую комбинацию входит только одна альтернатива из участвующей комбинации обобщенной функциональной подсистемы. Для решения данной задачи используется алгоритм определения комбинации альтернатив с учетом правила 2.
Множество сгенерированных единичных альтернатив и их парных сочетаний альтернатив и рассчитанные для них на основе данных морфологической таблицы (см. табл. 5.28) значения эффективности Э, требуемого ресурса РT и отношений Э/РT приведены в табл. 5.30.
Таблица 5.30 Значения эффективности (Э), требуемого ресурса (РT) и отношения Э/РTдля единичных альтернатив и их парных сочетаний
Пусть по условиям задачи требуется найти решения, имеющие максимальное значение удельной эффективности на единицу затрат и при этом удовлетворяющие ряду альтернативных условий: найти max Э/РT при условии выполнения одного из ограничений:
1) РT £ РИ=15;
2) min(PИ – PT), PИ =15.
Оптимальным решением, удовлетворяющим заданной целевой функции и первому ограничению, является единичная альтернатива А11 со значениями
Э/РT = 0,1 и РT = 5.
При этом остались неиспользованными 10 единиц ресурса.
Оптимальным решением, удовлетворяющим одновременно рассматриваемой целевой функции и второму ограничению, характеризующему максимальное использование имеющегося ресурса (РИ), является комбинация альтернатив (А11А31) со значениями
Э/РT = 0,06 и РИ = 15.
Рассмотрим подходы по применению
Поиск решений на морфологической матрице методом сканирования позволяет выявить два решения, обеспечивающих максимальную выгоду в размере 215 млн руб.:
(А11А25А32) и (А11А25A33).
Однако отношение выгод к издержкам у первого и второго вариантов решения различны и составляют соответственно 215/68 и 215/65.
Следовательно, искомым решением является второе.
Для проведения функционально-стоимостного анализа систем в ситуациях, когда отсутствуют количественные данные в денежном выражении по выгодам и издержкам (случай 2), осуществляется предварительная оценка альтернатив. С этой целью строятся два типа иерархий для оценки соответственно выгод и издержек. Если при оценке альтернатив, относящихся к функциональной подсистеме, требуется учесть ее особенности, то для нее строится уникальная иерархия. На рис. 5.16 приведен пример иерархических систем для оценки выгод и издержек от реализации альтернатив. Причем выгоды оцениваются по уникальным иерархиям, относящимся к каждому из трех элементов, а издержки по всем элементам оцениваются по одной иерархии.
Альтернативы каждой строки таблицы оцениваются методами попарного сравнения, относительно стандартов или копирования. Оценка в экспертных единицах проводится по соответствующим иерархиям относительно критериев, непосредственно связанных с альтернативами. Далее вычисляются векторы приоритетов альтернатив относительно корневого показателя для выгод и издержек. Значения векторов приоритетов заносятся в соответствующие ячейки морфологической таблицы (табл. 5.27).
Таблица 5.27 Морфологическая таблица с оценкой альтернатив по критериям выгод (VB) и издержек (VИ) и векторов приоритетов
Поиск решений, удовлетворяющих заданной целевой функции max VВ/VИ, может проводиться по одному из алгоритмов, приведенных в этой главе. На рис. 5.17 показаны абсолютные значения критериев: выгод (d1) и издержек (d2) и относительные значения отношений выгод к издержкам (d3) для 14 наилучших вариантов, синтезированных на рассматриваемой морфологической таблице.
Относительные значения d3 получены путем деления отношений d1/d2, принадлежащих синтезированным вариантам, на максимальное значение (d1/d2) max.
Синектика
Синектика — комплексный метод стимулирования творческой деятельности, использующий приемы и принципы как "мозгового штурма", так и метода аналогий и ассоциаций. Само слово "синектика" — неологизм, означающий объединение разнородных элементов.
В основе метода лежит поиск нужного решения благодаря преодолению психологической инерции, состоящей в стремлении решить проблему традиционным путем. Синектика позволяет выйти за рамки какого-то конкретного образа мыслей и значительно расширяет диапазон поиска новых идей за счет представления привычного непривычным и, наоборот, непривычного — привычным.
При использовании синектики решение проблемы ищет группа специалистов разных специализаций, как владеющих этим методом, так и только приступающих к его овладению. Рекомендуется, чтобы члены синектической группы (кроме руководителя) перед началом работы не знали сути рассматриваемой проблемы, что позволяет абстрагироваться от привычного стереотипа мышления.
Одна из важнейших частей синектической процедуры — выяснение того, как участники представляют себе обсуждаемую проблему. С этой целью они предлагают свои варианты ее определения. Руководитель записывает их на доске, что имеет существенное психологическое значение, поскольку каждый участник начинает воспринимать проблему как свою и делает попытки ее решить. Далее руководитель задает наводящие вопросы, вызывающие ассоциации и аналогии. Метод синектики широко использует личную аналогию (эмпатию). Человек мысленно вживается в образ рассматриваемой системы, стараясь отождествить себя с ней и проанализировать возникающие ощущения. Это помогает при синтезе новых вариантов систем. Эмпатия успешно применяется при решении особо сложных проблем, а также для проверки осуществимости различных идей.
Трехмерное объектно-ориентированное программное обеспечение CAD
Синтез многофункциональных систем при снятых ограничениях на число и характер выполняемых ими функций
Одна из закономерностей развития больших систем, прослеживающаяся особенно ярко в последнее время, — это повышение их сложности и увеличение числа выполняемых ими функций. В зависимости от целей синтеза в исходной постановке задачи на создание многофункциональных систем число и характер выполняемых ими функций могут быть либо строго зафиксированы, либо ограничения на число и характер реализуемых функций отсутствуют. При этом предполагается, что оставляемые в системе функции и элементы, их реализующие, обеспечивают, с одной стороны, нормальную работоспособность системы, а с другой — ее наилучшую эффективность для некоторых определенных в исходном задании условий производства и эксплуатации (определенного сегмента рынка).
Яркими примерами многофункциональных сложных систем в бытовой технике являются аудио- и видеосистемы. Такие системы могут содержать в одном блоке одновременно разное по количеству и составу число таких функциональных элементов, как магнитофон, радиоприемник, лазерный компакт-диск, телевизор, видеомагнитофон, персональный компьютер и т. д.
В связи с установившимися тенденциями развития современных систем актуально решение проблемы по созданию подходов и методов, позволяющих решать задачи синтеза рациональных многофункциональных систем при снятых ограничениях на число и характер выполняемых ими функций. Решение поставленной задачи может быть проведено в три этапа. На этапе 1 выбирается рациональный состав функций Fi (обобщенных функциональных подсистем). На этапе 2 для каждой функции формируется множество наиболее рациональных альтернатив. На этапе 3 определяется лучшая композиция альтернатив, реализующих исследуемые функции.
Рассмотрим подробнее один из подходов для решения обозначенной задачи.
Решение задачи начинается с построения морфологической таблицы, в строках которой отражены возможные для реализации в проектируемой системе функции (Fi). Столбцы таблицы заполняются альтернативами (Аij), обеспечивающими выполнение функций с различной степенью эффективности. В качестве примера рассматривается морфологическая таблица мероприятий, планируемых администрацией города для реализации в ближайшем будущем (табл. 5.18).
Пусть в исходной постановке задачи сняты ограничения на число и характер выполняемых функций в проектируемой целостной системе. При этом требуется синтезировать рациональную систему с учетом конкретной ситуации, сложившейся в городе.
Таблица 5.18 Исходная морфологическая таблица
Сначала исходное множество функций F={F1, F2, F3} обрабатывается алгоритмом, обеспечивающим генерацию множества
F={F1, F2, F3, F1F2, F1F3, F2F3, F1F2F3} всех единичных, парных, тернарных и т.д. сочетаний элементов из множества F.
В сформированном множестве не все единичные функции и сочетания этих функций могут обеспечить работоспособность целостной системы. Поэтому отбираются лишь допустимые функции и их сочетания, которые обеспечивают нормальную работу системы. Для рассматриваемой задачи допустимыми функциями являются:
F1, F1F2, F1F3, F1F2F3.
Затем строится иерархическая система критериев качества для выбора наиболее предпочтительного сочетания функций в проектируемой системе.
Один из вариантов иерархии для выбора предпочтительной функции или сочетаний функций приведен на рис. 5.15.
Результаты иерархического синтеза по каждому критерию приведены в табл. 5.19, из которой видно, что приоритет функциональных композиций существенно зависит от критериев.
После установления наиболее эффективных композиций функций строятся морфологические таблицы, систематизирующие варианты реализации функций. Например, для повышения жизненного уровня населения города (см. табл. 5.19) наиболее эффективными и предпочтительными являются две композиции функций: F1F3 и F1F2F3. Для этих композиций построены две морфологические таблицы (табл. 5.18, 5.20), элементами которых являются различные альтернативы по реализации соответствующих функций.
Таблица 5. 19 Значение векторов приоритетов функциональных композиций
Критерий качества системы
|
Значение для вектора приоритетов функциональных композиций
|
F1
|
F1F2
|
F1F3
|
F1F2F3
|
Быстрая прибыль
Рабочие места
Экология
Повышение жизненного уровня
|
0,1
0,05
0,5
0,1
|
0,2
0,05
0,1
0,1
|
0,2
0,5
0,2
0,4
|
0,5
0,4
0,2
0,4
|
Таблица 5. 20 Исходные данные для синтеза двух функциональных систем
Функция
|
Альтернатива
|
F1 - реконструкция предприятий
|
А11 - тракторный завод
|
A12 - моторный завод
|
А13 - завод буровой техники
|
F3 - развитие транспортной системы
|
A31 - метрополитен
|
А32-троллейбусные маршруты
|
А33 - маршрутные такси
|
Окончательный синтез комплексных решений на морфологических таблицах может проводиться различными алгоритмами (полный перебор, древовидный или лабиринтный синтез) в зависимости от их размерности. Отобранные в результате синтеза лучшие решения из первой и второй матриц сравниваются между собой по дополнительному комплексу критериев качества в целях выбора окончательного наилучшего варианта.
Синтез многофункциональных систем с различным числом самостоятельных составляющих подсистем
В процессе эвристического поиска новых эффективных систем часто прибегают к следующему правилу проектирования:
"Для эффективной реализации целей синтеза создается один объект, выполняющий несколько функций, благодаря чему отпадает необходимость в других объектах, либо, наоборот, один объект, выполняющий одновременно несколько функций, заменяется несколькими объектами с самостоятельными функциями". Одно из прогрессивных направлений предполагает синтез многофункциональных систем, реализованных минимальным числом подсистем. Такие многофункциональные системы позволяют повысить их производительность и качество в определенных условиях эксплуатации и оказываются более предпочтительными, чем многофункциональные системы, у которых за каждую функцию отвечает самостоятельная подсистема.
Задача многовариантного синтеза таких систем может быть успешно решена на морфологических таблицах. Построение морфологических таблиц и алгоритмов синтеза эффективных вариантов имеет в этих случаях свои особенности, которые рассматриваются ниже.
Предположим, что исходная система выполняет три функции:
F1, F2 и F3.
Указанные функции в общем случае могут быть реализованы на основе трех или двух альтернативных элементов или же на основе одного элемента (табл. 5.21). Далее генерируются все возможные сочетания функций и для каждого сочетания подбираются альтернативы, которые сводятся в матрицу (табл. 5.22). Верхние индексы в матрице соответствуют порядковому номеру альтернативы, а нижние — номерам функций, которые реализуются альтернативами.
Таблица 5.21 Варианты систем с различным числом элементов
На основании матрицы (см. табл. 5.22) формируются альтернативные структуры морфологических таблиц для синтеза вариантов систем. В морфологических таблицах число и состав функций соответствуют составу и числу функций исходной системы.
Таблица 5.22 Сочетания функций и их реализации
Синтез систем на основе различного числа элементов осуществляется с помощью альтернативных морфологических таблиц:
Синтез вариантов системы на основе приведенных морфологических таблиц может проводиться двумя способами. В соответствии с первым способом первоначально выбирается наиболее предпочтительная морфологическая таблица, а затем на ней осуществляется синтез и отбор эффективных вариантов. Второй способ предполагает синтез вариантов одновременно на всех морфологических таблицах с последующим усечением множеств вариантов по тем ли иным критериям качества. Поиск эффективных вариантов может быть осуществлен различными методами, например по критерию отношения показателей эффективности и издержек, с учетом эффективного распределения имеющихся ограниченных ресурсов и т.п.
Случай 1.
Каждая альтернатива Аij морфологической таблицы имеет оценку ее выгод (достигаемой эффективности) и оценку требуемых для реализации издержек, которые выражены в денежных единицах, т.е. каждой Аij Î {Bij; Иij}, где Bij, Иij — значения в денежных единицах выгод и издержек.
Поиск рациональных вариантов решений может быть осуществлен в соответствии со следующими постановками задач.
1. Найти решения, удовлетворяющие одной из приведенных целевых функций:

где В, И — значения выгод и издержек для m-го целостного решения;
Bij, Иij — значения выгод и издержек альтернативы Аij(i =

п — число строк морфологической таблицы; j =


, для i = 2; j =
2. Найти одно или несколько решений, удовлетворяющих целевой функции
3. Найти одно или несколько решений по отношению выгод к издержкам, удовлетворяющих целевой функции и ограничениям:
На целевую функцию может быть наложено одно из приведенных ограничений:
Здесь а и b — пороговые значения (ограничения) выгод и издержек, выраженные в денежных единицах.
Случай 2.
Каждая альтернатива Аij морфологической таблицы имеет только экспертную оценку выгод и издержек. Т.е. Аij Î {vijB, vijИ}, верхние индексы характеризуют соответственно выгоды (В) и издержки (И).
Поиск рациональных решений осуществляется по следующим целевым функциям.
Найти решения, удовлетворяющие одной из приведенных целевых функций
Здесь VВ, VИ — значения выгод и издержек для т-го целостного решения, каждая альтернатива Аij которого охарактеризована экспертными значениями vijB, vijИ (в частности, значениями нормированного вектора приоритета альтернатив по критерию качества);
i =
j =


для i =2; j =
Найти рациональные решения по отношению выгод к издержкам, представленному в целевой функции экспертными данными:
С учетом накладываемых на целевую функцию ограничений имеем:
при выполнении одного из приведенных ограничений:
Здесь aç, bç — ограничения (пороговые значения) выгод и издержек, выраженные в безразмерной шкале экспертных оценок.
При этом в общем случае значения vijB и vijИ представляют интегральные оценки, принадлежащие вектору приоритетов элементов (альтернатив) i-й строки матрицы по экономическим, техническим, социальным, управленческим и другим факторам. Данные векторы рассчитываются для каждой строки морфологической матрицы методами анализа иерархических систем.
Случай 3.
Каждая альтернатива Аij морфологической матрицы имеет экспертную оценку для оценки выгод (неопределенность по выгодам) от ее реализации и оценку издержек в денежных единицах, т. е.Аij Î { vijB, Иij }.
Поиск рациональных решений осуществляется по следующей целевой функции: найти рациональные решения по отношению выгод, выраженных экспортно, к издержкам, определенным в денежных единицах:
На целевую функцию может быть наложено одно из приведенных ниже ограничений:
Обозначения в целевых функциях и ограничениях соответствуют вышепринятым.
Случай 4.
Каждая альтернатива Аij морфологической матрицы имеет оценку выгод в денежном выражении и экспертную оценку издержек (неопределенность по издержкам), т.е. Аij Î {вij, vijИ }.
Поиск рациональных решений осуществляется по следующей целевой функции: найти рациональные решения по отношению выгод, выраженных в денежных единицах, к издержкам, определенным экспортно:
На целевую функцию может быть наложено одно из приведенных ниже ограничений:
При решении практических задач число искомых рациональных решений задается исследователем и может находиться в пределах от одного до нескольких десятков в зависимости от размерности задачи и конкретных условий ее решения.
Требования к эксплуатационным характеристикам диалоговых систем.
К этим требованиям можно отнести следующие.
1. Правила адаптации субъекта к диалоговым системам предназначены для разработки систем, действующих на естественном языке, что является целью большинства исследований по искусственному интеллекту. При этом требование соблюдения таких условий, как участие пользователя в создании системы и обоснованность любых действий системы, определяется в зависимости от ранее указанных особенностей класса решаемых задач и типа предпочтений ЛПР. Эти условия предполагают, что пользователь не является пассивным элементом в системе и все действия разрабатываемой системы необходимо оценивать относительно их воздействия на активно изменяющегося пользователя, пытающегося понять и познать систему.
2. Условия проектирования диалоговых систем, диктующие необходимость снижения умственной нагрузки на пользователя-непрофессионала, предполагают выполнение следующих требований:
• единообразие вычислительных и опросных процедур и терминологии: желательно пользоваться привычной лексикой пользователя, т.е. система должна либо проектироваться для конкретной задачи, либо иметь возможность настраиваться на специфическую терминологию конкретной пользовательской области;
• определение последовательности предоставления информации и возможность получения углубленной информации по мере необходимости;
• обучение, основанное на опыте работы пользователя; предлагается снабдить пользователя подсказками с помощью ПК и обеспечить возможность накопления опыта путем тренировочных просчетов;
• обозримость состояния диалога, которая предполагает использование кратких форм диалога (вопрос — ответ, выбор из меню) либо ответов на ограниченном естественном языке, не допускающем неоднозначное трактование требуемых в конкретной ситуации действий.
Дополнительно необходимо отметить, что помощь, предоставляемая пользователю со стороны системы, должна быть благожелательной, обеспечивать всестороннюю поддержку, выдачу справочной информации любой степени детализации в любой момент по требованию, своевременную ясную и точную диагностику ошибок пользователя с указанием способов их преодоления. Однако эта помощь системы не должна быть избыточной. Таким образом, одновременно с адаптацией пользователя к системе должен происходить и обратный процесс адаптации системы, который позволяет учесть уровень обучения пользователя и тем самым минимизировать его умственную нагрузку путем снижения числа вопросов, сокращения их формулировок и т. п.
Требования к методам защиты информации
Выбор решений в реальных ситуациях часто базируется на конфиденциальной информации, доступ к которой возможен лишь при получении санкций на использование либо на корректировку ранее накопленной информации. Настоящее условие предусматривает контроль и защиту информации в базе данных, причем данная проблема должна быть решена на этапе проектирования системы.
Различают два вида средств защиты экспертной информации: средства защиты, предоставляемые операционной системой, и программные средства защиты информации.
К средствам защиты экспертной информации, предоставляемым операционной системой независимо от типа используемой ПК, относятся:
• шифры, пароли, идентификаторы области каждого пользователя, где хранятся его программы и наборы данных;
• идентификаторы магнитных дисков, на которых расположены пользовательские области, откуда пользователь может считывать информацию.
Значения идентификаторов магнитного диска и пользовательской области, а также пароли известны только системному программисту, ответственному за эксплуатацию операционной системы, и непосредственному пользователю.
К числу программных средств защиты информации можно отнести шифры задач синтеза и принятия решений. Введение шифра задачи обеспечивает конфиденциальность информации по следующим причинам:
• он известен только пользователю и не должен сообщаться системному программисту;
• без ввода шифра невозможен запуск ни одной из программ для соответствующей задачи, а также исключен несанкционированный доступ к экспертной информации, накопленной в системе, стандартными средствами операционной системы.
Организация: Управление - Планирование - Cтатистика